‫والتكامل‬ ‫التفاضل‬ ‫حساب‬
Differential and Integral Calculus
‫اعداد‬
‫أ‬
.
‫م‬
.
‫د‬
/
‫محمد‬ ‫مدحت‬ ‫تامر‬
‫والنظم‬ ‫الحاسبات‬ ‫هندسة‬ ‫مساعد‬ ‫أستاذ‬
‫الهندسة‬ ‫كلية‬
–
‫كفرالشيخ‬ ‫جامعة‬
‫والطالب‬ ‫التعليم‬ ‫لشئون‬ ‫االصطناعي‬ ‫الذكاء‬ ‫كلية‬ ‫وكيل‬
tmedhatm@eng.kfs.edu.eg
www.kfs.edu.eg/drtamer.html
Kafrelsheikh University
‫يخ‬ ‫شــــ‬ ‫ال‬ ‫ـفر‬ ‫ك‬ ‫عة‬ ‫ـ‬ ‫جام‬
Kafrelsheikh University
‫يخ‬ ‫شــــ‬ ‫ال‬ ‫ـفر‬ ‫ك‬ ‫عة‬ ‫ـ‬ ‫جام‬
Kafrelsheikh University
‫يخ‬ ‫شــــ‬ ‫ال‬ ‫ـفر‬ ‫ك‬ ‫عة‬ ‫ـ‬ ‫جام‬
.
‫ر‬‫للمقر‬‫والتقييم‬‫التدريس‬‫ق‬‫طر‬
‫المقرر‬ ‫اسم‬
‫الفصل‬
‫الثانى‬
‫األسبوعية‬ ‫الساعات‬
‫الدرجات‬
‫مدة‬
‫االمتحان‬
‫محاضرة‬
‫تمرين‬
‫تحريري‬
‫سنة‬ ‫أعمال‬
‫عملي‬
‫التفاضل‬ ‫حساب‬
‫والتكامل‬
2
2
60
20
20
2
MATH221: Differential and Integral
Calculus
Techniques of integration:
• Integration by parts, trigonometric integrals and
substitutions, integrals of rational functions,
quadratic expressions, tables of integrals, improper
integrals.
Differential equations:
• Definition, classifications and terminology,
techniques of solution of ordinary first-order first-
degree differential equations (separable, reducible
to separable, homogeneous, reducible to
homogeneous, linear, reducible to linear, exact
differential, nonexact differential-integrating factor),
TECHNIQUES OF
INTEGRATION
• Due to the Fundamental Theorem of
Calculus (FTC), we can integrate a
function if we know an antiderivative,
that is, an indefinite integral.
– We summarize the most important integrals
we have learned so far, as follows.
FORMULAS OF INTEGRALS
1
1
( 1) ln | |
1
ln
n
n
x
x x x
x
x dx C n dx x C
n x
a
e dx e C a dx C
a

     

   
 
 
2 2
sin cos cos sin
sec tan csc cot
sec tan sec csc cot csc
x dx x C x dx x C
dx x C dx x C
x x dx x C x x dx x C
    
    
    
 
 
 
FORMULAS OF INTEGRALS
1 1
2 2 2 2
sinh cosh cosh sinh
tan ln |sec | cot ln |sin |
1 1 1
tan sin
xdx x C xdx x C
xdx x C xdx x C
x x
dx C dx C
x a a a a
a x
 
   
   
   
   
   
    

 
 
 
FORMULAS OF INTEGRALS
TECHNIQUES OF INTEGRATION
• In this chapter, we develop techniques
for using the basic integration formulas.
– This helps obtain indefinite integrals of
more complicated functions.
Integration By Parts
Start with the product rule:
 
d dv du
uv u v
dx dx dx
 
 
d uv u dv v du
 
 
d uv v du u dv
 
 
u dv d uv v du
 
 
 
u dv d uv v du
 
 
 
 
u dv d uv v du
 
  
u dv uv v du
 
 
This is the Integration by Parts
formula.

u dv uv v du
 
 
The Integration by Parts formula is a “product rule” for
integration.
u differentiates to
zero (usually).
dv is easy to
integrate.
Choose u in this order: LIPET
Logs, Inverse trig, Polynomial, Exponential, Trig

Example 1:
cos
x x dx


polynomial factor u x

du dx

cos
dv x dx

sin
v x

u dv uv v du
 
 
LIPET
sin cos
x x x C
  
u v v du
 
sin sin
x x x dx
  

Example:
ln x dx

logarithmic factor ln
u x

1
du dx
x

dv dx

v x

u dv uv v du
 
 
LIPET
ln
x x x C
 
1
ln x x x dx
x
  

u v v du
 

This is still a product, so we
need to use integration by
parts again.
Example 4:
2 x
x e dx

u dv uv v du
 
  LIPET
2
u x
 x
dv e dx

2
du x dx
 x
v e

u v v du
 
2
2
x x
x e e x dx
 

2
2
x x
x e xe dx
  u x
 x
dv e dx

du dx
 x
v e

 
2
2
x x x
x e xe e dx
  
2
2 2
x x x
x e xe e C
  

Example 5:
cos
x
e x dx

LIPET
x
u e
 sin
dv x dx

x
du e dx
 cos
v x
 
u v v du
 
sin sin
x x
e x x e dx
 

 
sin cos cos
x x x
e x e x x e dx
    

x
u e
 cos
dv x dx

x
du e dx
 sin
v x

sin cos cos
x x x
e x e x e x dx
  
This is the
expression we
started with!

uv v du
Example 6:
cos
x
e x dx

LIPET
u v v du
 
cos
x
e x dx 

2 cos sin cos
x x x
e x dx e x e x
 

sin cos
cos
2
x x
x e x e x
e x dx C

 

sin sin
x x
e x x e dx
 

x
u e
 sin
dv x dx

x
du e dx
 cos
v x
 
x
u e
 cos
dv x dx

x
du e dx
 sin
v x

sin cos cos
x x x
e x e x e x dx
  
 
sin cos cos
x x x
e x e x x e dx
    

Example 6:
cos
x
e x dx

u v v du
 
This is called “solving
for the unknown
integral.”
It works when both
factors integrate and
differentiate forever.

cos
x
e x dx 

2 cos sin cos
x x x
e x dx e x e x
 

sin cos
cos
2
x x
x e x e x
e x dx C

 

sin sin
x x
e x x e dx
 

sin cos cos
x x x
e x e x e x dx
  
 
sin cos cos
x x x
e x e x x e dx
    

A Shortcut: Tabular Integration
Tabular integration works for integrals of the form:
   
f x g x dx

where: Differentiates to
zero in several
steps.
Integrates
repeatedly.

2 x
x e dx

  & deriv.
f x   & integrals
g x
2
x
2x
2
0
x
e
x
e
x
e
x
e



2 x
x e dx 

2 x
x e 2 x
xe
 2 x
e
 C

Compare this with
the same problem
done the other way:

Example 5:
2 x
x e dx

u dv uv v du
 
  LIPET
2
u x
 x
dv e dx

2
du x dx
 x
v e

u v v du
 
2
2
x x
x e e x dx
 

2
2
x x
x e xe dx
  u x
 x
dv e dx

du dx
 x
v e

 
2
2
x x x
x e xe e dx
  
2
2 2
x x x
x e xe e C
  
This is easier and quicker to
do with tabular integration!

3
sin
x x dx

3
x
2
3x
6x
6
sin x
cosx

sin x

cos x



0

sin x
3
cos
x x
 2
3 sin
x x
 6 cos
x x
 6sin x
 + C
2 x
x e dx
ò ( )& deriv.
f x ( )& integrals
g x
2
x
2x
2
0
x
e
x
e
x
e
x
e
+
+
-
2 x
x e dx =
ò
2 x
x e 2 x
xe
- 2 x
e
+ C
+
Try the
other
way
Questions?
Lec_1_Integration.ppt

Lec_1_Integration.ppt

  • 2.
    ‫والتكامل‬ ‫التفاضل‬ ‫حساب‬ Differentialand Integral Calculus ‫اعداد‬ ‫أ‬ . ‫م‬ . ‫د‬ / ‫محمد‬ ‫مدحت‬ ‫تامر‬ ‫والنظم‬ ‫الحاسبات‬ ‫هندسة‬ ‫مساعد‬ ‫أستاذ‬ ‫الهندسة‬ ‫كلية‬ – ‫كفرالشيخ‬ ‫جامعة‬ ‫والطالب‬ ‫التعليم‬ ‫لشئون‬ ‫االصطناعي‬ ‫الذكاء‬ ‫كلية‬ ‫وكيل‬ tmedhatm@eng.kfs.edu.eg www.kfs.edu.eg/drtamer.html Kafrelsheikh University ‫يخ‬ ‫شــــ‬ ‫ال‬ ‫ـفر‬ ‫ك‬ ‫عة‬ ‫ـ‬ ‫جام‬ Kafrelsheikh University ‫يخ‬ ‫شــــ‬ ‫ال‬ ‫ـفر‬ ‫ك‬ ‫عة‬ ‫ـ‬ ‫جام‬ Kafrelsheikh University ‫يخ‬ ‫شــــ‬ ‫ال‬ ‫ـفر‬ ‫ك‬ ‫عة‬ ‫ـ‬ ‫جام‬
  • 3.
  • 4.
    MATH221: Differential andIntegral Calculus Techniques of integration: • Integration by parts, trigonometric integrals and substitutions, integrals of rational functions, quadratic expressions, tables of integrals, improper integrals. Differential equations: • Definition, classifications and terminology, techniques of solution of ordinary first-order first- degree differential equations (separable, reducible to separable, homogeneous, reducible to homogeneous, linear, reducible to linear, exact differential, nonexact differential-integrating factor),
  • 5.
    TECHNIQUES OF INTEGRATION • Dueto the Fundamental Theorem of Calculus (FTC), we can integrate a function if we know an antiderivative, that is, an indefinite integral. – We summarize the most important integrals we have learned so far, as follows.
  • 6.
    FORMULAS OF INTEGRALS 1 1 (1) ln | | 1 ln n n x x x x x x dx C n dx x C n x a e dx e C a dx C a                
  • 7.
    2 2 sin coscos sin sec tan csc cot sec tan sec csc cot csc x dx x C x dx x C dx x C dx x C x x dx x C x x dx x C                      FORMULAS OF INTEGRALS
  • 8.
    1 1 2 22 2 sinh cosh cosh sinh tan ln |sec | cot ln |sin | 1 1 1 tan sin xdx x C xdx x C xdx x C xdx x C x x dx C dx C x a a a a a x                                   FORMULAS OF INTEGRALS
  • 9.
    TECHNIQUES OF INTEGRATION •In this chapter, we develop techniques for using the basic integration formulas. – This helps obtain indefinite integrals of more complicated functions.
  • 10.
    Integration By Parts Startwith the product rule:   d dv du uv u v dx dx dx     d uv u dv v du     d uv v du u dv     u dv d uv v du       u dv d uv v du         u dv d uv v du      u dv uv v du     This is the Integration by Parts formula. 
  • 11.
    u dv uvv du     The Integration by Parts formula is a “product rule” for integration. u differentiates to zero (usually). dv is easy to integrate. Choose u in this order: LIPET Logs, Inverse trig, Polynomial, Exponential, Trig 
  • 12.
    Example 1: cos x xdx   polynomial factor u x  du dx  cos dv x dx  sin v x  u dv uv v du     LIPET sin cos x x x C    u v v du   sin sin x x x dx    
  • 13.
    Example: ln x dx  logarithmicfactor ln u x  1 du dx x  dv dx  v x  u dv uv v du     LIPET ln x x x C   1 ln x x x dx x     u v v du   
  • 14.
    This is stilla product, so we need to use integration by parts again. Example 4: 2 x x e dx  u dv uv v du     LIPET 2 u x  x dv e dx  2 du x dx  x v e  u v v du   2 2 x x x e e x dx    2 2 x x x e xe dx   u x  x dv e dx  du dx  x v e    2 2 x x x x e xe e dx    2 2 2 x x x x e xe e C    
  • 15.
    Example 5: cos x e xdx  LIPET x u e  sin dv x dx  x du e dx  cos v x   u v v du   sin sin x x e x x e dx      sin cos cos x x x e x e x x e dx       x u e  cos dv x dx  x du e dx  sin v x  sin cos cos x x x e x e x e x dx    This is the expression we started with!  uv v du
  • 16.
    Example 6: cos x e xdx  LIPET u v v du   cos x e x dx   2 cos sin cos x x x e x dx e x e x    sin cos cos 2 x x x e x e x e x dx C     sin sin x x e x x e dx    x u e  sin dv x dx  x du e dx  cos v x   x u e  cos dv x dx  x du e dx  sin v x  sin cos cos x x x e x e x e x dx      sin cos cos x x x e x e x x e dx      
  • 17.
    Example 6: cos x e xdx  u v v du   This is called “solving for the unknown integral.” It works when both factors integrate and differentiate forever.  cos x e x dx   2 cos sin cos x x x e x dx e x e x    sin cos cos 2 x x x e x e x e x dx C     sin sin x x e x x e dx    sin cos cos x x x e x e x e x dx      sin cos cos x x x e x e x x e dx      
  • 18.
    A Shortcut: TabularIntegration Tabular integration works for integrals of the form:     f x g x dx  where: Differentiates to zero in several steps. Integrates repeatedly. 
  • 19.
    2 x x edx    & deriv. f x   & integrals g x 2 x 2x 2 0 x e x e x e x e    2 x x e dx   2 x x e 2 x xe  2 x e  C  Compare this with the same problem done the other way: 
  • 20.
    Example 5: 2 x xe dx  u dv uv v du     LIPET 2 u x  x dv e dx  2 du x dx  x v e  u v v du   2 2 x x x e e x dx    2 2 x x x e xe dx   u x  x dv e dx  du dx  x v e    2 2 x x x x e xe e dx    2 2 2 x x x x e xe e C    This is easier and quicker to do with tabular integration! 
  • 21.
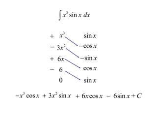
    3 sin x x dx  3 x 2 3x 6x 6 sinx cosx  sin x  cos x    0  sin x 3 cos x x  2 3 sin x x  6 cos x x  6sin x  + C
  • 22.
    2 x x edx ò ( )& deriv. f x ( )& integrals g x 2 x 2x 2 0 x e x e x e x e + + - 2 x x e dx = ò 2 x x e 2 x xe - 2 x e + C + Try the other way
  • 23.