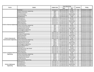
KARNATAKA STATE                                  OPEN UNIVERSITY


                                                                                     Manasagangotri, Mysore-6
                                                                             Semester Mode Examinations' Date Sheet
                                                                     July 2011 to December 2011 Session of BSAITM, New Delhi

                                                                                                                               Exam Date & Day
            Course                                                Subject                                 Subject Code                                   Semester          Timing
                                                                                                                               Date            Day

                                                                                          Certificate Program
                                  Basic of Stitching & Measurements                                         CTD101       16th January 2012    Monday       1st      10:00 AM To 01:00PM
Certificate in Cutting, Tailoring Cutting & Tailoring                                                       CTD102       17th January 2012    Tuesday      1st      10:00 AM To 01:00PM
         & Dress Making           Tailor Ladies Wear                                                        CTD103       18th January 2012   Wednesday     1st      10:00 AM To 01:00PM
                                  Tailor Gents Wear                                                         CTD104       19th January 2012    Thursday     1st      10:00 AM To 01:00PM
                                  Basic of Fashion Designing                                                CFD101       16th January 2012    Monday       1st      10:00 AM To 01:00PM
                                  Basics of Textile Science                                                 CFD102       17th January 2012    Tuesday      1st      10:00 AM To 01:00PM
Certificate in Fashion Designing
                                  Fashion Clothing & Accessories                                            CFD103       18th January 2012   Wednesday     1st      10:00 AM To 01:00PM
                                  Fashion Entrepreneur                                                      CFD104       19th January 2012    Thursday     1st      10:00 AM To 01:00PM
                                  Basic Fitting Works                                                       CFF101       16th January 2012    Monday       1st      10:00 AM To 01:00PM
      Certificate in Fitter &     Turning Works                                                             CFF102       17th January 2012    Tuesday      1st      10:00 AM To 01:00PM
            Fabricator            Milling Works                                                             CFF103       18th January 2012   Wednesday     1st      10:00 AM To 01:00PM
                                  Pipe Fabrication                                                          CFF104       19th January 2012    Thursday     1st      10:00 AM To 01:00PM
                                  Basic Electrical Works                                                    CET101       23rd January 2012    Monday       1st      10:00 AM To 01:00PM
     Certificate in Electrical    Home Appliances Repairing                                                 CET102       24th January 2012    Tuesday      1st      10:00 AM To 01:00PM
            Technician            House Wiring                                                              CET103       25th January 2012   Wednesday     1st      10:00 AM To 01:00PM
                                  Transformer & Armature Repairing                                          CET104       27th January 2012     Friday      1st      10:00 AM To 01:00PM
                                  Fundamentals of Fire Engineering Science                                  CFS101       23rd January 2012    Monday       1st      10:00 AM To 01:00PM
  Certificate in Fire & Safety Fire Control Technology                                                      CFS102       24th January 2012    Tuesday      1st      10:00 AM To 01:00PM
          Management              Principles of Industry Safety and Accident Prevention                     CFS103       25th January 2012   Wednesday     1st      10:00 AM To 01:00PM
                                  Risk Management and Hazard Control System                                 CFS104       27th January 2012     Friday      1st      10:00 AM To 01:00PM
                                  Anatomy & Physiology                                                      JNA101       23rd January 2012    Monday       1st      02:00 PM To 05:00PM
 Certificate in Junior Nursing History of Nursing                                                           JNA102       24th January 2012    Tuesday      1st      02:00 PM To 05:00PM
             Assistant            Introduction to Medical & Surgical Nursing                                JNA103       25th January 2012   Wednesday     1st      02:00 PM To 05:00PM
                                  Community Health Nursing                                                  JNA104       27th January 2012     Friday      1st      02:00 PM To 05:00PM
                                  Digital Camera Photography                                                CMC101       23rd January 2012    Monday       1st      10:00 AM To 01:00PM
       Certificate in Mass        Videography                                                               CMC102       24th January 2012    Tuesday      1st      10:00 AM To 01:00PM
         Communication            Basics of Computers                                                       CMC103       25th January 2012   Wednesday     1st      10:00 AM To 01:00PM
                                  Mass Communication                                                        CMC104       27th January 2012     Friday      1st      10:00 AM To 01:00PM

                                                                                          Diploma Program
Exam Date & Day
           Course                                            Subject                      Subject Code                                   Semester          Timing
                                                                                                               Date            Day
                            Computer Fundamentals and Windows Based Application             DCA101       23rd January 2012    Monday       1st      10:00 AM To 01:00PM
    Diploma in Computer     Communication Skills in English                                 DCA102       30th January 2012    Monday       1st      10:00 AM To 01:00PM
         Application        Programming in C                                                DCA103       1st February 2012   Wednesday     1st      10:00 AM To 01:00PM
                            Data Structure                                                  DCA104       31st January 2012    Tuesday      1st      10:00 AM To 01:00PM
                            Fundamentals of Fire Engineering Science                         DFS101      23rd January 2012    Monday       1st      10:00 AM To 01:00PM
                            Fire Control Technology                                          DFS102      24th January 2012    Tuesday      1st      10:00 AM To 01:00PM
   Diploma in Fire & Safety
                            Principles of Industry Safety and Accident Prevention            DFS103      25th January 2012   Wednesday     1st      10:00 AM To 01:00PM
        Management
                            Leadership, Communication & Soft Skills                          DFS104      30th January 2012    Monday       1st      10:00 AM To 01:00PM
                            Fire Safety                                                      DFS105      28th January 2012    Saturday     1st      10:00 AM To 01:00PM
                            Introduction To Tourism & Hospitality                           DHM101       23rd January 2012    Monday       1st      10:00 AM To 01:00PM
                            Front Office Management                                         DHM102       24th January 2012    Tuesday      1st      10:00 AM To 01:00PM
                            Housekeeping                                                    DHM103       25th January 2012   Wednesday     1st      10:00 AM To 01:00PM
                            Food & Beverage Service                                         DHM104       27th January 2012     Friday      1st      10:00 AM To 01:00PM
Diploma in Hotel Management
                            Communicative English                                           DHM201       30th January 2012    Monday       2nd      10:00 AM To 01:00PM
                            Applied Cookery                                                 DHM202       24th January 2012    Tuesday      2nd      10:00 AM To 01:00PM
                            Rooms Division Management                                       DHM203       25th January 2012   Wednesday     2nd      10:00 AM To 01:00PM
                            Human Resources Management                                      DHM204       27th January 2012     Friday      2nd      10:00 AM To 01:00PM
                            Anatomy And Physiology                                          DML101       23rd January 2012    Monday       1st      02:00 PM To 05:00PM
                            Lab Management And Instrumentation                              DML102       24th January 2012    Tuesday      1st      02:00 PM To 05:00PM
                            Hematology And Blood Banking                                    DML103       25th January 2012   Wednesday     1st      02:00 PM To 05:00PM
   Diploma in Medical Lab   Clinical Pathology                                              DML104       27th January 2012     Friday      1st      02:00 PM To 05:00PM
         Technician         Biochemistry and Techniques of Biochemistry                     DML201       23rd January 2012    Monday       2nd      02:00 PM To 05:00PM
                            Microbiology : Detailed Techniques of Clinical Microbiology     DML202       24th January 2012    Tuesday      2nd      02:00 PM To 05:00PM
                            Histopathology Technique and Cytology                           DML203       25th January 2012   Wednesday     2nd      02:00 PM To 05:00PM
                            Computer Application                                            DML204       27th January 2012     Friday      2nd      02:00 PM To 05:00PM
                            Basic of Anatomy & Physiology                                    DPT101      23rd January 2012    Monday       1st      02:00 PM To 05:00PM
                            Physical Modality Operator                                       DPT102      24th January 2012    Tuesday      1st      02:00 PM To 05:00PM
  Diploma in Physiotherapy
                            Diathermy Operator                                               DPT103      25th January 2012   Wednesday     1st      02:00 PM To 05:00PM
         Technician
                            Bio Electrical Modality Operator                                 DPT104      27th January 2012     Friday      1st      02:00 PM To 05:00PM
                            Chipropratic Operator                                            DPT105      28th January 2012    Saturday     1st      02:00 PM To 05:00PM
                            Anatomy                                                         DXR101       23rd January 2012    Monday       1st      02:00 PM To 05:00PM
    Diploma in X-Ray and    X-Ray Equipment for Radiographers                               DXR102       24th January 2012    Tuesday      1st      02:00 PM To 05:00PM
   Radiography Technician   Physiology                                                      DXR103       25th January 2012   Wednesday     1st      02:00 PM To 05:00PM
                            Radiography & Dark Room Techniques                              DXR104       27th January 2012     Friday      1st      02:00 PM To 05:00PM
 Diploma in Nursery Teacher Child Psychology, Care & Health                                  NTT101      23rd January 2012    Monday       1st      02:00 PM To 05:00PM
           Training         Sociology & Guidance                                             NTT102      24th January 2012    Tuesday      1st      02:00 PM To 05:00PM
                            Principles of Education                                          NTT103      25th January 2012   Wednesday     1st      02:00 PM To 05:00PM
                            Lesson Plan & Teaching                                           NTT104      27th January 2012     Friday      1st      02:00 PM To 05:00PM
                            Art & Craft                                                      NTT105      28th January 2012    Saturday     1st      02:00 PM To 05:00PM
                            Communication English                                         CP DCMPE 01    30th January 2012    Monday       1st      10:00 AM To 01:00PM
Exam Date & Day
             Course                                           Subject          Subject Code                                   Semester          Timing
                                                                                                    Date            Day
                            Applied Mathematics-1                              CP DCMPE 02    31st January 2012    Tuesday      1st      10:00 AM To 01:00PM
Diploma Engineering Common
                            Engineering Physics-I                              CP DCMPE 03    1st February 2012   Wednesday     1st      10:00 AM To 01:00PM
to All Streams (Electrical, Civil,
                            Engineering Chemistry-I                            CP DCMPE 04    2nd February 2012    Thursday     1st      10:00 AM To 01:00PM
  Mechancial, Automobile,
                            Applied Mathematics-II                                DE201       30th January 2012    Monday       2nd      10:00 AM To 01:00PM
Electronics & Communication,
                            Engineering Physics-II                                DE202       31st January 2012    Tuesday      2nd      10:00 AM To 01:00PM
       Computer Science)
                            Engineering Chemistry-II                              DE203       1st February 2012   Wednesday     2nd      10:00 AM To 01:00PM
                            Engineering Graphics                                  DE204       2nd February 2012    Thursday     2nd      10:00 AM To 01:00PM
                            Electrical Circuits and Instrumentation             CP DET 13     30th January 2012    Monday       3rd      10:00 AM To 01:00PM
                            Electronic Devices                                  CP DET 14     31st January 2012    Tuesday      3rd      10:00 AM To 01:00PM
                            C Programming                                       CP DET 15     1st February 2012   Wednesday     3rd      10:00 AM To 01:00PM
                            Microprocessor                                      CP DET 16     2nd February 2012    Thursday     3rd      10:00 AM To 01:00PM
                            Linear and Digital ICs                                DEX401      30th January 2012    Monday       4th      10:00 AM To 01:00PM
  Diploma in Electronics &  Computer Hardware and Networking                      DEX402      31st January 2012    Tuesday      4th      10:00 AM To 01:00PM
Communication Engineering Industrial Electronics                                  DEX403      1st February 2012   Wednesday     4th      10:00 AM To 01:00PM
                            Object Oriented Programming                           DEX404      2nd February 2012    Thursday     4th      10:00 AM To 01:00PM
                            VLSI                                                  DEX501      30th January 2012    Monday       5th      10:00 AM To 01:00PM
                            Microcontroller                                       DEX502      31st January 2012    Tuesday      5th      10:00 AM To 01:00PM
                            Communication Engineering I                           DEX503      1st February 2012   Wednesday     5th      10:00 AM To 01:00PM
                            Robotics                                              DEX504      2nd February 2012    Thursday     5th      10:00 AM To 01:00PM
                            Operating Systems                                  CP DCMPE 13    30th January 2012    Monday       3rd      10:00 AM To 01:00PM
                            C and Data Structures                              CP DCMPE 14    31st January 2012    Tuesday      3rd      10:00 AM To 01:00PM
                            Basics of Electrical and Electronics Engineering   CP DCMPE 15    1st February 2012   Wednesday     3rd      10:00 AM To 01:00PM
                            Microprocessor                                     CP DCMPE 16    2nd February 2012    Thursday     3rd      10:00 AM To 01:00PM
                            Computer Architecture                                 DCS401      30th January 2012    Monday       4th      10:00 AM To 01:00PM
Diploma in Computer Science Web Design                                            DCS402      31st January 2012    Tuesday      4th      10:00 AM To 01:00PM
       & Engineering        Java Programming                                      DCS403      1st February 2012   Wednesday     4th      10:00 AM To 01:00PM
                            Software Engineering                                  DCS404      2nd February 2012    Thursday     4th      10:00 AM To 01:00PM
                            Computer Networks                                     DCS501      30th January 2012    Monday       5th      10:00 AM To 01:00PM
                            Relational Database Management Systems                DCS502      31st January 2012    Tuesday      5th      10:00 AM To 01:00PM
                            Dot Net                                               DCS503      1st February 2012   Wednesday     5th      10:00 AM To 01:00PM
                            Embedded Systems                                      DCS504      2nd February 2012    Thursday     5th      10:00 AM To 01:00PM
                            Engineering Mechanics                               CP DEE 13     30th January 2012    Monday       3rd      10:00 AM To 01:00PM
                            Circuit Theory                                      CP DEE 14     31st January 2012    Tuesday      3rd      10:00 AM To 01:00PM
    Diploma in Electrical   Electronic Devices                                  CP DEE 15     1st February 2012   Wednesday     3rd      10:00 AM To 01:00PM
        Engineering         Electrical Machines -I                              CP DEE 16     2nd February 2012    Thursday     3rd      10:00 AM To 01:00PM
                            Linear and Digital ICs                                DEE401      30th January 2012    Monday       4th      10:00 AM To 01:00PM
                            Computer Hardware and Networking                      DEE402      31st January 2012    Tuesday      4th      10:00 AM To 01:00PM
                            Electrical Machines-II                                DEE403      1st February 2012   Wednesday     4th      10:00 AM To 01:00PM
                            Measurements and Instruments                          DEE404      2nd February 2012    Thursday     4th      10:00 AM To 01:00PM
                            Power Systems I                                       DEE501      30th January 2012    Monday       5th      10:00 AM To 01:00PM
Exam Date & Day
          Course                                               Subject                   Subject Code                                   Semester          Timing
                                                                                                              Date            Day
                               Microprocessor and Microcontroller                           DEE502      31st January 2012    Tuesday      5th      10:00 AM To 01:00PM
                               Electrical Machine Design                                    DEE503      1st February 2012   Wednesday     5th      10:00 AM To 01:00PM
                               Control of Electrical Machine                                DEE504      2nd February 2012    Thursday     5th      10:00 AM To 01:00PM
                               Engineering Mechanics                                     CP DCMPE 13    30th January 2012    Monday       3rd      10:00 AM To 01:00PM
                               Manufacturing Technology-I                                CP DCMPE 14    31st January 2012    Tuesday      3rd      10:00 AM To 01:00PM
                               Fluid Mechanics                                           CP DCMPE 15    1st February 2012   Wednesday     3rd      10:00 AM To 01:00PM
                               Machine Drawing                                           CP DCMPE 16    2nd February 2012    Thursday     3rd      10:00 AM To 01:00PM
                               Thermodynamics                                              DME401       30th January 2012    Monday       4th      10:00 AM To 01:00PM
  Diploma in Mechanical        Manufacturing Technology-II                                 DME402       31st January 2012    Tuesday      4th      10:00 AM To 01:00PM
       Engineering             Electrical and Electronics Engineering                      DME403       1st February 2012   Wednesday     4th      10:00 AM To 01:00PM
                               Refrigeration and Air Conditioning                          DME404       2nd February 2012    Thursday     4th      10:00 AM To 01:00PM
                               Design of Machine Elements                                  DME501       30th January 2012    Monday       5th      10:00 AM To 01:00PM
                               Thermal Engineering                                         DME502       31st January 2012    Tuesday      5th      10:00 AM To 01:00PM
                               Metrology                                                   DME503       1st February 2012   Wednesday     5th      10:00 AM To 01:00PM
                               Mechatronics                                                DME504       2nd February 2012    Thursday     5th      10:00 AM To 01:00PM
                               Engineering Mechanics                                      CP DAE 13     30th January 2012    Monday       3rd      10:00 AM To 01:00PM
                               Manufacturing Technology-I                                 CP DAE 14     31st January 2012    Tuesday      3rd      10:00 AM To 01:00PM
                               Fluid Mechanics                                            CP DAE 15     1st February 2012   Wednesday     3rd      10:00 AM To 01:00PM
                               Machine Drawing                                            CP DAE 16     2nd February 2012    Thursday     3rd      10:00 AM To 01:00PM
                               Thermodynamics                                              DAE401       30th January 2012    Monday       4th      10:00 AM To 01:00PM
  Diploma in Automobile        Manufacturing Technology-II                                 DAE402       31st January 2012    Tuesday      4th      10:00 AM To 01:00PM
       Engineering             Automobile Electrical and Electronics                       DAE403       1st February 2012   Wednesday     4th      10:00 AM To 01:00PM
                               Automobile Chassis                                          DAE404       2nd February 2012    Thursday     4th      10:00 AM To 01:00PM
                               Automobile Transmission                                     DAE501       30th January 2012    Monday       5th      10:00 AM To 01:00PM
                               Vehicle Body Technology                                     DAE502       31st January 2012    Tuesday      5th      10:00 AM To 01:00PM
                               Two & Three Wheelers Technology                             DAE503       1st February 2012   Wednesday     5th      10:00 AM To 01:00PM
                               Tractor and Farm Equipment                                  DAE504       2nd February 2012    Thursday     5th      10:00 AM To 01:00PM
                               Engineering Mechanics                                      CP DCE 13     30th January 2012    Monday       3rd      10:00 AM To 01:00PM
                               Construction Materials                                     CP DCE 14     31st January 2012    Tuesday      3rd      10:00 AM To 01:00PM
                               Surveying                                                  CP DCE 15     1st February 2012   Wednesday     3rd      10:00 AM To 01:00PM
                               Civil Engineering Drawing                                  CP DCE 16     2nd February 2012    Thursday     3rd      10:00 AM To 01:00PM
                               Theory of Structures                                         DCE401      30th January 2012    Monday       4th      02:00 PM To 05:00PM
                               Transportation Engineering                                   DCE402      31st January 2012    Tuesday      4th      02:00 PM To 05:00PM
Diploma in Civil Engineering
                               Interior Design                                              DCE403      1st February 2012   Wednesday     4th      02:00 PM To 05:00PM
                               Water Resources Management                                   DCE404      2nd February 2012    Thursday     4th      02:00 PM To 05:00PM
                               Structural Engineering                                       DCE501      30th January 2012    Monday       5th      10:00 AM To 01:00PM
                               Quantity Surveying                                           DCE502      31st January 2012    Tuesday      5th      10:00 AM To 01:00PM
                               Concrete Technology and Construction                         DCE503      1st February 2012   Wednesday     5th      10:00 AM To 01:00PM
                               Environmental Engineering                                    DCE504      2nd February 2012    Thursday     5th      10:00 AM To 01:00PM
                                                                         Under Graduate Program
                               Principal of Management                                    BBA1001       23rd January 2012    Monday       1st      10:00 AM To 01:00PM
Exam Date & Day
       Course                                        Subject                  Subject Code                                    Semester          Timing
                                                                                                    Date            Day
                        Introduction to Computers                              BBA1002        24th January 2012    Tuesday      1st      10:00 AM To 01:00PM
                        English Communications-1                               BBA1003        30th January 2012    Monday       1st      10:00 AM To 01:00PM
                        Indian Constitution                                    BBA1004        31st January 2012    Tuesday      1st      10:00 AM To 01:00PM
                        Environment Studies                                    BBA2001        4th February 2012    Saturday     2nd      10:00 AM To 01:00PM
                        Business Statistics                                    BBA2002        23rd January 2012    Monday       2nd      10:00 AM To 01:00PM
                        Managerial Economics                                   BBA2003        24th January 2012    Tuesday      2nd      10:00 AM To 01:00PM
                        English Communications-2                               BBA2004       7th February 2012     Tuesday      2nd      10:00 AM To 01:00PM
                        Marketing Management                                   BBA3001        23rd January 2012    Monday       3rd      02:00 PM To 05:00PM
Bachelor in Business    Financial Accounting                                   BBA3002        24th January 2012    Tuesday      3rd      02:00 PM To 05:00PM
  Administration        Quantitative Techniques                                BBA3003        25th January 2012   Wednesday     3rd      02:00 PM To 05:00PM
                        Organizational Behaviour                               BBA3004        27th January 2012     Friday      3rd      02:00 PM To 05:00PM
                        Management of Information Systems                      BBA4001        23rd January 2012    Monday       4th      02:00 PM To 05:00PM
                        Human Resources Management                             BBA4002        24th January 2012    Tuesday      4th      02:00 PM To 05:00PM
                        Financial Management                                   BBA4003        25th January 2012   Wednesday     4th      02:00 PM To 05:00PM
                        Operations Management                                  BBA4004        27th January 2012     Friday      4th      02:00 PM To 05:00PM
                        E Commerce                                             BBA5001        23rd January 2012    Monday       5th      02:00 PM To 05:00PM
                        Entrepreneurship & Small Business Management           BBA5002        24th January 2012    Tuesday      5th      02:00 PM To 05:00PM
                        Business Policy                                        BBA5003        25th January 2012   Wednesday     5th      02:00 PM To 05:00PM
                        Personality Development                                BBA5004        27th January 2012     Friday      5th      02:00 PM To 05:00PM
                        Introductory Bio Technology                             BBT101        23rd January 2012    Monday       1st      10:00 AM To 01:00PM
                        General Microbiology                                    BBT102        24th January 2012    Tuesday      1st      10:00 AM To 01:00PM
                        Bio Chemistry                                           BBT103        25th January 2012   Wednesday     1st      10:00 AM To 01:00PM
                        Introductory Biology                                    BBT104        27th January 2012     Friday      1st      10:00 AM To 01:00PM
                        English - 1                                             BBT105        30th January 2012    Monday       1st      10:00 AM To 01:00PM
                        Indian Constitution and Ethics                          BBT106        31st January 2012    Tuesday      1st      10:00 AM To 01:00PM
B.Sc in Biotechnology
                        Genetic Taxonomy & Genome                               BBT201        23rd January 2012    Monday       2nd      10:00 AM To 01:00PM
                        Enzymology                                              BBT202        24th January 2012    Tuesday      2nd      10:00 AM To 01:00PM
                        Immunology                                              BBT203        25th January 2012   Wednesday     2nd      10:00 AM To 01:00PM
                        Genetic Engineering                                     BBT204        27th January 2012     Friday      2nd      10:00 AM To 01:00PM
                        Communicative English                                   BBT206       7th February 2012     Tuesday      2nd      10:00 AM To 01:00PM
                        Environment Studies                                     BBT207        4th February 2012    Saturday     2nd      10:00 AM To 01:00PM
                        Computer Fundamentals and Windows Based Application     BCA11         23rd January 2012    Monday       1st      10:00 AM To 01:00PM
                        English-1                                               BCA12         30th January 2012    Monday       1st      10:00 AM To 01:00PM
                        Programming in C                                        BCA13         24th January 2012    Tuesday      1st      10:00 AM To 01:00PM
                        Data Structure                                          BCA14         25th January 2012   Wednesday     1st      10:00 AM To 01:00PM
                        Indian Constitution & Ethics                            BCA17         31st January 2012    Tuesday      1st      10:00 AM To 01:00PM
                        Mathematics                                             BCA21         1st February 2012   Wednesday     2nd      10:00 AM To 01:00PM
                        Computer Organization and Architecture                  BCA22         23rd January 2012    Monday       2nd      10:00 AM To 01:00PM
                        DBMS                                                    BCA23         24th January 2012    Tuesday      2nd      10:00 AM To 01:00PM
                        OOPS with C++                                           BCA24         27th January 2012     Friday      2nd      10:00 AM To 01:00PM
Bachelor in Computer
Exam Date & Day
            Course                                              Subject   Subject Code                                    Semester          Timing
                                                                                                Date            Day
    Bachelor in Computer           Communicative English                     BCA27       7th February 2012     Tuesday      2nd      10:00 AM To 01:00PM
        Applications               Environment Studies                       BCA28        4th February 2012    Saturday     2nd      10:00 AM To 01:00PM
                                   Data Communications                       BCA31        23rd January 2012    Monday       3rd      10:00 AM To 01:00PM
                                   Operating Systems                         BCA32        24th January 2012    Tuesday      3rd      10:00 AM To 01:00PM
                                   Computer Graphics                         BCA33        25th January 2012   Wednesday     3rd      10:00 AM To 01:00PM
                                   Client-Server Architecture                BCA34        27th January 2012      Friday     3rd      10:00 AM To 01:00PM
                                   Algorithm and Analysis                    BCA51        23rd January 2012    Monday       5th      10:00 AM To 01:00PM
                                   Internet Programming                      BCA52        24th January 2012    Tuesday      5th      10:00 AM To 01:00PM
                                   Application Programming                   BCA53        25th January 2012   Wednesday     5th      10:00 AM To 01:00PM
                                   System Programming                        BCA54        27th January 2012      Friday     5th      10:00 AM To 01:00PM
                                   Fundamentals of Computers                  BS11        23rd January 2012    Monday       1st      10:00 AM To 01:00PM
                                   Operating Systems                          BS12        24th January 2012    Tuesday      1st      10:00 AM To 01:00PM
                                   Introduction to Digital Electronics        BS13        25th January 2012   Wednesday     1st      10:00 AM To 01:00PM
                                   Database Management System                 BS14        27th January 2012      Friday     1st      10:00 AM To 01:00PM
                                   Basic of Internet and HTML                 BS15        28th January 2012    Saturday     1st      10:00 AM To 01:00PM
                                   English-I                                  BS16        30th January 2012    Monday       1st      10:00 AM To 01:00PM
B.Sc Information Technology                                                               31st January 2012    Tuesday
                                   Indian Constitution & Ethics               BS17                                          1st      10:00 AM To 01:00PM
                                   Computer Graphics                          BS31        25th January 2012   Wednesday     3rd      10:00 AM To 01:00PM
                                   Web Programming & Java Script              BS32        24th January 2012    Tuesday      3rd      10:00 AM To 01:00PM
                                   Data Communications                        BS33        23rd January 2012    Monday       3rd      10:00 AM To 01:00PM
                                   Object Oriented Programming with C++       BS34        27th January 2012      Friday     3rd      10:00 AM To 01:00PM
                                   Mathematics -1                             BS35        1st February 2012   Wednesday     3rd      10:00 AM To 01:00PM
                                   English -I                             CP BT CM 01     30th January 2012    Monday       1st      10:00 AM To 01:00PM
                                   Indian Constitution & Ethics           CP BT CM 02     31st January 2012    Tuesday      1st      10:00 AM To 01:00PM
                                   Mathematics I                          CP BT CM 03     1st February 2012   Wednesday     1st      10:00 AM To 01:00PM
                                   Chemistry                              CP BT CM 04     2nd February 2012    Thursday     1st      10:00 AM To 01:00PM
                                   Electrical Technology                  CP BT CM 05     3rd February 2012      Friday     1st      10:00 AM To 01:00PM
B.Tech Common to all Streams       Mechanics                              CP BT CM 06     4th February 2012    Saturday     1st      10:00 AM To 01:00PM
 (Electrical, Civil, Mechancial,   Introduction to Manufacturing          CP BT CM 07    5th February 2012      Sunday      1st      10:00 AM To 01:00PM
Electronics & Communication,       Mathematics II                             BF8         30th January 2012    Monday       2nd      10:00 AM To 01:00PM
      Computer Science)            Applied Physics                            BF9         31st January 2012    Tuesday      2nd      10:00 AM To 01:00PM
                                   Programming and Data Structure             BF10        1st February 2012   Wednesday     2nd      10:00 AM To 01:00PM
                                   Basic Electronics                          BF11        2nd February 2012    Thursday     2nd      10:00 AM To 01:00PM
                                   Engineering Drawing and Graphics           BF12        3rd February 2012      Friday     2nd      10:00 AM To 01:00PM
                                   Environment Studies                        BF13        4th February 2012    Saturday     2nd      10:00 AM To 01:00PM
                                   Communicative English                      BF14       7th February 2012     Tuesday      2nd      10:00 AM To 01:00PM
                                   Mathematics III                        CP BT CE 15     30th January 2012    Monday       3rd      10:00 AM To 01:00PM
                                   Water and Waste Water Engineering      CP BT CE 16     31st January 2012    Tuesday      3rd      10:00 AM To 01:00PM
  B.Tech in Civil Engineering      Hydraulics                             CP BT CE 17     1st February 2012   Wednesday     3rd      10:00 AM To 01:00PM
                                   Transportation Engineering             CP BT CE 18     2nd February 2012    Thursday     3rd      10:00 AM To 01:00PM
Exam Date & Day
            Course                                              Subject   Subject Code                                   Semester          Timing
                                                                                                Date            Day
                                 Surveying -I                             CP BT CE 19    3rd February 2012     Friday      3rd      10:00 AM To 01:00PM
                                 Society, Environment, Engineering            BSC6       30th January 2012    Monday       4th      02:00 PM To 05:00PM
                                 Building Construction                        BSC7       31st January 2012    Tuesday      4th      02:00 PM To 05:00PM
                                 Structural Analysis                          BSC8       1st February 2012   Wednesday     4th      02:00 PM To 05:00PM
                                 Advanced Surveying                           BSC9       2nd February 2012    Thursday     4th      02:00 PM To 05:00PM
                                 Solid Mechanics                             BSC10       3rd February 2012     Friday      4th      02:00 PM To 05:00PM
                                 Mathematics III                          CP BT EE 15    30th January 2012    Monday       3rd      10:00 AM To 01:00PM
                                 Thermodynamics                           CP BT EE 16    31st January 2012    Tuesday      3rd      10:00 AM To 01:00PM
                                 Signals & Networks                       CP BT EE 17    1st February 2012   Wednesday     3rd      10:00 AM To 01:00PM
                                 Digital Electronics                      CP BT EE 18    2nd February 2012    Thursday     3rd      10:00 AM To 01:00PM
                                 Electrical Machines                      CP BT EE 19    3rd February 2012     Friday      3rd      10:00 AM To 01:00PM
B.Tech in Electrical Engineering
                                 Society, Environment, Engineering            BSE6       30th January 2012    Monday       4th      02:00 PM To 05:00PM
                                 Electronic Devices & Circuit                 BSE7       31st January 2012    Tuesday      4th      02:00 PM To 05:00PM
                                 Analog Electronic Circuits                   BSE8       1st February 2012   Wednesday     4th      02:00 PM To 05:00PM
                                 Electromagnetic Engineering                  BSE9       2nd February 2012    Thursday     4th      02:00 PM To 05:00PM
                                 Electrical Measurement- I                   BSE10       3rd February 2012     Friday      4th      02:00 PM To 05:00PM
                                 Mathematics III                          CP BT ETE 15   30th January 2012    Monday       3rd      10:00 AM To 01:00PM
                                 Principles of Programming                CP BT ETE 16   31st January 2012    Tuesday      3rd      10:00 AM To 01:00PM
                                 Signals & Networks                       CP BT ETE 17   1st February 2012   Wednesday     3rd      10:00 AM To 01:00PM
                                 Digital Electronics                      CP BT ETE 18   2nd February 2012    Thursday     3rd      10:00 AM To 01:00PM
    B.Tech in Electronics &      Electrical Machines                      CP BT ETE 19   3rd February 2012     Friday      3rd      10:00 AM To 01:00PM
 Communication Engineering Society, Environment, Engineering                 BSET6       30th January 2012    Monday       4th      02:00 PM To 05:00PM
                                 Electronic Devices & Circuit                BSET7       31st January 2012    Tuesday      4th      02:00 PM To 05:00PM
                                 Analog Electronic Circuits                  BSET8       1st February 2012   Wednesday     4th      02:00 PM To 05:00PM
                                 Electromagnetic Engineering                 BSET9       2nd February 2012    Thursday     4th      02:00 PM To 05:00PM
                                 Electrical Measurement- I                  BSET10       3rd February 2012     Friday      4th      02:00 PM To 05:00PM
                                 Mathematics III                          CP BT CSE 15   30th January 2012    Monday       3rd      10:00 AM To 01:00PM
                                 Switching Circuit & Logic Design         CP BT CSE 16   31st January 2012    Tuesday      3rd      10:00 AM To 01:00PM
                                 Signals & Networks                       CP BT CSE 17   1st February 2012   Wednesday     3rd      10:00 AM To 01:00PM
                                 Digital Electronics                      CP BT CSE 18   2nd February 2012    Thursday     3rd      10:00 AM To 01:00PM
B.Tech in Computer Science & Electrical Machines                          CP BT CSE 19   3rd February 2012     Friday      3rd      10:00 AM To 01:00PM
          Engineering            Society, Environment, Engineering           BSCO6       30th January 2012    Monday       4th      02:00 PM To 05:00PM
                                 Electronic Devices & Circuit                BSCO7       31st January 2012    Tuesday      4th      02:00 PM To 05:00PM
                                 Analog Electronic Circuits                  BSCO8       1st February 2012   Wednesday     4th      02:00 PM To 05:00PM
                                 Discrete Structure                          BSCO9       2nd February 2012    Thursday     4th      02:00 PM To 05:00PM
                                 Object Oriented Programming                BSCO10       3rd February 2012     Friday      4th      02:00 PM To 05:00PM
                                 Mathematics III                          CP BT ME 15    30th January 2012    Monday       3rd      10:00 AM To 01:00PM
                                 Thermodynamics                           CP BT ME 16    31st January 2012    Tuesday      3rd      10:00 AM To 01:00PM
     B.Tech in Mechanical        Fluid Mechanics                          CP BT ME 17    1st February 2012   Wednesday     3rd      10:00 AM To 01:00PM
          Engineering            Workshop Process                         CP BT ME 18    2nd February 2012    Thursday     3rd      10:00 AM To 01:00PM
Exam Date & Day
          Course                                           Subject                        Subject Code                                   Semester          Timing
                                                                                                               Date            Day
                            Electrical Machine                                            CP BT ME 19    3rd February 2012   Friday        3rd      10:00 AM To 01:00PM
                            Society, Environment, Engineering                                BSM6        30th January 2012  Monday         4th      02:00 PM To 05:00PM
                            Dynamics                                                         BSM7        31st January 2012  Tuesday        4th      02:00 PM To 05:00PM
                            Solid Mechanics                                                  BSM8        1st February 2012 Wednesday       4th      02:00 PM To 05:00PM
                            Heat Transfer-I                                                  BSM9        2nd February 2012  Thursday       4th      02:00 PM To 05:00PM
                            Theory of Machine                                               BSM10        3rd February 2012   Friday        4th      02:00 PM To 05:00PM
                                                                         Post Graduate Program
                            Mathematics                                                     PCA101       23rd January 2012    Monday       1st      10:00 AM To 01:00PM
  Post Graduate Diploma in  Data Structure                                                  PCA102       24th January 2012    Tuesday      1st      10:00 AM To 01:00PM
    Computer Application    Programming in C                                                PCA103       25th January 2012   Wednesday     1st      10:00 AM To 01:00PM
                            Financial Accounting                                            PCA104       27th January 2012     Friday      1st      10:00 AM To 01:00PM
                            Principles of Management                                        EMB101       23rd January 2012    Monday       1st      10:00 AM To 01:00PM
                            Managerial Economics                                            EMB102       24th January 2012    Tuesday      1st      10:00 AM To 01:00PM
                            Managerial Accounting                                           EMB103       25th January 2012   Wednesday     1st      10:00 AM To 01:00PM
       Executive MBA        Financial Management                                            EMB104       27th January 2012     Friday      1st      10:00 AM To 01:00PM
(1st Semester Common to all Marketing Management                                            EMB105       28th January 2012    Saturday     1st      10:00 AM To 01:00PM
       Specializations)     Human Resources Management                                      EMB106       30th January 2012    Monday       1st      10:00 AM To 01:00PM
                            Organizational Behaviour                                        EMB107       31st January 2012    Tuesday      1st      10:00 AM To 01:00PM
                            Operations Management                                           EMB108       1st February 2012   Wednesday     1st      10:00 AM To 01:00PM
                            Legal Aspects of Business                                       EMB109       2nd February 2012    Thursday     1st      10:00 AM To 01:00PM
                            Research Methodology                                             LLM1        23rd January 2012    Monday       1st      10:00 AM To 01:00PM
                            Introduction to Intellectual Property and Patent Law             LLM2        24th January 2012    Tuesday      1st      10:00 AM To 01:00PM
                            Law of Plant Varieties and Farmer Rights                         LLM3        25th January 2012   Wednesday     1st      10:00 AM To 01:00PM
                            Law of Copy Right                                                LLM4        27th January 2012     Friday      1st      10:00 AM To 01:00PM
        Master of Law
                            Law of Trade marks & Domain names                                LLM5        23rd January 2012    Monday       2nd      10:00 AM To 01:00PM
                            Law of Design & Integrated Circuits                              LLM6        24th January 2012    Tuesday      2nd      10:00 AM To 01:00PM
                            Law of Trade Secrets                                             LLM7        25th January 2012   Wednesday     2nd      10:00 AM To 01:00PM
                            Technology Law and Society                                       LLM8        27th January 2012     Friday      2nd      10:00 AM To 01:00PM
                            Management “Theory & Practice                                   MBA101       23rd January 2012    Monday       1st      10:00 AM To 01:00PM
                            Accounting For Managers                                         MBA103       25th January 2012   Wednesday     1st      10:00 AM To 01:00PM
                            Managerial Economics                                            MBA102       24th January 2012    Tuesday      1st      10:00 AM To 01:00PM
                            Organizational Behavior                                         MBA104       31st January 2012    Tuesday      1st      10:00 AM To 01:00PM
                            Quantitative Techniques                                         MBA105       27th January 2012     Friday      1st      10:00 AM To 01:00PM
      Master in Business    Business Ethics & values                                        MBA106       28th January 2012    Saturday     1st      10:00 AM To 01:00PM
       Administration       Management Information System and Computer Applications         MBA107       23rd January 2012    Monday       2nd      10:00 AM To 01:00PM
                            Business Law                                                    MBA108       24th January 2012    Tuesday      2nd      10:00 AM To 01:00PM
                            Financial Management                                            MBA109       27th January 2012     Friday      2nd      10:00 AM To 01:00PM
                            Marketing Management                                            MBA110       28th January 2012    Saturday     2nd      10:00 AM To 01:00PM
                            Human Asset Management                                          MBA111       30th January 2012    Monday       2nd      10:00 AM To 01:00PM
Exam Date & Day
     Course                                        Subject                           Subject Code                                   Semester          Timing
                                                                                                          Date             Day
                     Executive Communication & Research Methodology                    MBA112       25th January 2012   Wednesday     2nd      10:00 AM To 01:00PM
                     Management of small Business and Entrepreneurship Development     MBA113       23rd January 2012    Monday       3rd      10:00 AM To 01:00PM
                     Business Policy & Strategic Management                            MBA114       24th January 2012    Tuesday      3rd      10:00 AM To 01:00PM
                     Operations Research                                               MBA115       25th January 2012   Wednesday     3rd      10:00 AM To 01:00PM
                     Elective Subject : Finance
                     Investment Management                                             MBA116       27th January 2012     Friday      3rd      10:00 AM To 01:00PM
                     Merchant Banking and Financial Services                           MBA117       28th January 2012    Saturday     3rd      10:00 AM To 01:00PM
                     Management of Infrstructure Financing                             MBA118       30th January 2012    Monday       3rd      10:00 AM To 01:00PM
                     Elective Subject : Marketing
                     Product and Brand Management                                      MBA116       27th January 2012     Friday      3rd      10:00 AM To 01:00PM
                     Services Marketing                                                MBA117       28th January 2012    Saturday     3rd      10:00 AM To 01:00PM
                     Sales and Distribution Management                                 MBA118       30th January 2012    Monday       3rd      10:00 AM To 01:00PM
                     Elective Subject : Human Resources
                     Management of Training and Development                            MBA116       27th January 2012     Friday      3rd      10:00 AM To 01:00PM
                     Compensation Management                                           MBA117       28th January 2012    Saturday     3rd      10:00 AM To 01:00PM
                     Organisation Development and Change Management                    MBA118       30th January 2012    Monday       3rd      10:00 AM To 01:00PM
                     Mathematics                                                       MCA11        23rd January 2012    Monday       1st      10:00 AM To 01:00PM
                     Data Structure                                                    MCA12        24th January 2012    Tuesday      1st      10:00 AM To 01:00PM
                     Programming in C                                                  MCA13        25th January 2012   Wednesday     1st      10:00 AM To 01:00PM
                     Financial Accounting                                              MCA14        27th January 2012     Friday      1st      10:00 AM To 01:00PM
                     Discrete Mathematics                                              MCA21        23rd January 2012    Monday       2nd      10:00 AM To 01:00PM
                     DBMS                                                              MCA22        24th January 2012    Tuesday      2nd      10:00 AM To 01:00PM
                     OOPS with C++                                                     MCA23        25th January 2012   Wednesday     2nd      10:00 AM To 01:00PM
                     Computer Organization and Architecture                            MCA24        27th January 2012     Friday      2nd      10:00 AM To 01:00PM
                     Data Communication                                                MCA31        23rd January 2012    Monday       3rd      10:00 AM To 01:00PM
                     Advance Computer Graphics                                         MCA32        24th January 2012    Tuesday      3rd      10:00 AM To 01:00PM
                     Advanced Operating Systems                                        MCA33        30th January 2012    Monday       3rd      10:00 AM To 01:00PM
Master in Computer   Unix and Shell Programming                                        MCA34        27th January 2012     Friday      3rd      10:00 AM To 01:00PM
   Applications      Advanced Software Engineering                                     MCA41        23rd January 2012    Monday       4th      10:00 AM To 01:00PM
                     Analysis and Design of Algorithm                                  MCA42        1st February 2012   Wednesday     4th      10:00 AM To 01:00PM
                     Advanced Java Programming                                         MCA43        25th January 2012   Wednesday     4th      10:00 AM To 01:00PM
                     System Programming                                                MCA44        27th January 2012     Friday      4th      10:00 AM To 01:00PM
                     Advanced Computer Network and Security                            MCA51        23rd January 2012    Monday       5th      10:00 AM To 01:00PM
                     Internet Programming and Web Mining                               MCA52        24th January 2012    Tuesday      5th      10:00 AM To 01:00PM
                     Data Warehousing and data Mining                                  MCA53        25th January 2012   Wednesday     5th      10:00 AM To 01:00PM
                     Elective-1
                     Computer Design                                                  MCA54-1       27th January 2012     Friday      5th      10:00 AM To 01:00PM
                     Pattern Recognition                                              MCA54-2       27th January 2012     Friday      5th      10:00 AM To 01:00PM
                     Client Server Recognition                                        MCA54-3       27th January 2012     Friday      5th      10:00 AM To 01:00PM
Exam Date & Day
        Course                                            Subject       Subject Code                                   Semester          Timing
                                                                                             Date            Day
                           Computer Programming                          MSIT11        25th January 2012   Wednesday     1st      10:00 AM To 01:00PM
                           Algorith Analysis and Design                  MSIT12        24th January 2012    Tuesday      1st      10:00 AM To 01:00PM
                           Discrete Mathematics                          MSIT13        23rd January 2012    Monday       1st      10:00 AM To 01:00PM
  M.Sc in Information      Advanced RDBMS                                MSIT14        27th January 2012     Friday      1st      10:00 AM To 01:00PM
                           Software Quality and Testing                  MSIT21        23rd January 2012    Monday       2nd      10:00 AM To 01:00PM
     Technology
                           Advanced Communication Networks               MSIT22        31st January 2012    Tuesday      2nd      10:00 AM To 01:00PM
                           OOAD and UML                                  MSIT23        25th January 2012   Wednesday     2nd      10:00 AM To 01:00PM
                           Advanced Java                                 MSIT24        27th January 2012     Friday      2nd      10:00 AM To 01:00PM
                           Software Architecture                         MSIT25        28th January 2012    Saturday     2nd      10:00 AM To 01:00PM
                           Introductory Biology                          MSM105        23rd January 2012    Monday       1st      10:00 AM To 01:00PM
                           Human Anatomy                                 MSM101        24th January 2012    Tuesday      1st      10:00 AM To 01:00PM
                           Human Physiology                              MSM102        25th January 2012   Wednesday     1st      10:00 AM To 01:00PM
                           Clinical Bio Chemistry                        MSM103        27th January 2012     Friday      1st      10:00 AM To 01:00PM
                           Histopathology                                MSM104        28th January 2012    Saturday     1st      10:00 AM To 01:00PM
  M.Sc in Microbiology
                           Communication and Soft Skills                 MSM106        30th January 2012    Monday       1st      10:00 AM To 01:00PM
                           General Bacteriology                          MSM201        23rd January 2012    Monday       2nd      10:00 AM To 01:00PM
                           Immunology                                    MSM202        24th January 2012    Tuesday      2nd      10:00 AM To 01:00PM
                           Haematology                                   MSM203        25th January 2012   Wednesday     2nd      10:00 AM To 01:00PM
                           Basic Cellular Pathology                      MSM204        27th January 2012     Friday      2nd      10:00 AM To 01:00PM
                           Introductory Biology                          MBT101        23rd January 2012    Monday       1st      10:00 AM To 01:00PM
                           Molecular Biology-I                           MBT102        24th January 2012    Tuesday      1st      10:00 AM To 01:00PM
                           Bioenergetics & Metabolism                    MBT103        25th January 2012   Wednesday     1st      10:00 AM To 01:00PM
                           Microbiology                                  MBT104        27th January 2012     Friday      1st      10:00 AM To 01:00PM
                           Bio Physical Chemistry and Instrumentation    MBT105        28th January 2012    Saturday     1st      10:00 AM To 01:00PM
 M.Sc in Biotechnology
                           Communication and Soft Skills                 MBT106        30th January 2012    Monday       1st      10:00 AM To 01:00PM
                           Enzymology and Enzyme Technology              MBT201        23rd January 2012    Monday       2nd      10:00 AM To 01:00PM
                           Bio-Informatics                               MBT202        24th January 2012    Tuesday      2nd      10:00 AM To 01:00PM
                           Molecular Biology-II                          MBT203        25th January 2012   Wednesday     2nd      10:00 AM To 01:00PM
                           Genetic Engineering                           MBT204        27th January 2012     Friday      2nd      10:00 AM To 01:00PM
                           Software Engineering                          MSC301        23rd January 2012    Monday       3rd      10:00 AM To 01:00PM
                           Visual Technologies                           MSC302        24th January 2012    Tuesday      3rd      10:00 AM To 01:00PM
                           Computer Graphics & Visulization              MSC303        25th January 2012   Wednesday     3rd      10:00 AM To 01:00PM
M.Sc in Computer Science
                           Electtive 1
                           Data Mining                                   MSC304-1      27th January 2012     Friday      3rd      10:00 AM To 01:00PM
                           Simulation & Modeling                         MSC304-2      27th January 2012     Friday      3rd      10:00 AM To 01:00PM
                           Algebra                                        MST101       27th January 2012     Friday      1st      10:00 AM To 01:00PM
                           Real Analysis-I                                MST102       24th January 2012    Tuesday      1st      10:00 AM To 01:00PM
     M.Sc in Maths         Complex Analysis-I                             MST103       25th January 2012   Wednesday     1st      10:00 AM To 01:00PM
                           Discrete Mathematics                           MST104       23rd January 2012    Monday       1st      10:00 AM To 01:00PM
                           Differential Equations                         MST105       28th January 2012    Saturday     1st      10:00 AM To 01:00PM
Exam Date & Day
           Course                                            Subject                Subject Code                                   Semester          Timing
                                                                                                         Date            Day
                             Numerical Methods in Civil Engineering                 CP MT CE 01    30th January 2012    Monday       1st      10:00 AM To 01:00PM
                             Applied Elasticity & Plasticity                        CP MT CE 02    31st January 2012    Tuesday      1st      10:00 AM To 01:00PM
                             Behaviour & Design of reinforced Concrete Structure    CP MT CE 03    1st February 2012   Wednesday     1st      10:00 AM To 01:00PM
                             Pavement Material                                      CP MT CE 04    2nd February 2012    Thursday     1st      10:00 AM To 01:00PM
 M.Tech in Civil Engineering
                             Advanced Structural Analysis                              MFC5        30th January 2012    Monday       2nd      10:00 AM To 01:00PM
                             Geotechnical Engineering                                  MFC6        31st January 2012    Tuesday      2nd      10:00 AM To 01:00PM
                             Finite Element Method in Engineering                      MFC7        1st February 2012   Wednesday     2nd      10:00 AM To 01:00PM
                             Highway Engineering                                       MFC8        2nd February 2012    Thursday     2nd      10:00 AM To 01:00PM
                             Machine Drives                                         CP MT EE 01    30th January 2012    Monday       1st      10:00 AM To 01:00PM
                             Power Electronic Converter                             CP MT EE 02    31st January 2012    Tuesday      1st      10:00 AM To 01:00PM
                             EHV Transmission                                       CP MT EE 03    1st February 2012   Wednesday     1st      10:00 AM To 01:00PM
    M.Tech in Electrical     Control Theory                                         CP MT EE 04    2nd February 2012    Thursday     1st      10:00 AM To 01:00PM
         Engineering         Electrical Engineering & Practices                        MFE5        30th January 2012    Monday       2nd      10:00 AM To 01:00PM
                             Power Electronic                                          MFE6        31st January 2012    Tuesday      2nd      10:00 AM To 01:00PM
                             Electrical Design, Estimating & Costing                   MFE7        1st February 2012   Wednesday     2nd      10:00 AM To 01:00PM
                             Computer Aided analysis of E.P.S.                         MFE8        2nd February 2012    Thursday     2nd      10:00 AM To 01:00PM
                             Semiconductor Devices and Modelling                    CP MT ETE 01   30th January 2012    Monday       1st      10:00 AM To 01:00PM
                             VLSI Technology and Process Modeling                   CP MT ETE 02   31st January 2012    Tuesday      1st      10:00 AM To 01:00PM
                             Modern Digital Communication Technology                CP MT ETE 03   1st February 2012   Wednesday     1st      10:00 AM To 01:00PM
   M.Tech in Electronics &   Digital Voice and Picture Communication                CP MT ETE 04   2nd February 2012    Thursday     1st      10:00 AM To 01:00PM
 Communication Engineering Solid State Circuits                                        MFET5       30th January 2012    Monday       2nd      10:00 AM To 01:00PM
                             Digital Circuits & Systems                                MFET6       31st January 2012    Tuesday      2nd      10:00 AM To 01:00PM
                             Optimal Control                                           MFET7       1st February 2012   Wednesday     2nd      10:00 AM To 01:00PM
                             Sattelite Communication System                            MFET8       2nd February 2012    Thursday     2nd      10:00 AM To 01:00PM
                             Data Structures Object Representation                 CP MT CPME 01   30th January 2012    Monday       1st      10:00 AM To 01:00PM
                             Advanced Computer System Architectrure                CP MT CPME 02   31st January 2012    Tuesday      1st      10:00 AM To 01:00PM
                             Design and Analysis of Algorithm                      CP MT CPME 03   1st February 2012   Wednesday     1st      10:00 AM To 01:00PM
M.Tech in Computer Science & Pattern Recognition and Application                   CP MT CPME 04   2nd February 2012    Thursday     1st      10:00 AM To 01:00PM
         Engineering         Advanced Operating System                                 MFCO5       30th January 2012    Monday       2nd      10:00 AM To 01:00PM
                             Computer Communications Networks                          MFCO6       31st January 2012    Tuesday      2nd      10:00 AM To 01:00PM
                             Neural Network and Applications                           MFCO7       1st February 2012   Wednesday     2nd      10:00 AM To 01:00PM
                             Parallel Processing                                       MFCO8       2nd February 2012    Thursday     2nd      10:00 AM To 01:00PM
                             Machine Vibration Analysis                             CP MT ME 01    30th January 2012    Monday       1st      10:00 AM To 01:00PM
                             Advanced Mechanics of Solids                           CP MT ME 02    31st January 2012    Tuesday      1st      10:00 AM To 01:00PM
                             Concurrent Engineering                                 CP MT ME 03    1st February 2012   Wednesday     1st      10:00 AM To 01:00PM
   M.Tech in Mechanical      Management of Technology                               CP MT ME 04    2nd February 2012    Thursday     1st      10:00 AM To 01:00PM
         Engineering         Applied Elasticity                                        MFM5        30th January 2012    Monday       2nd      10:00 AM To 01:00PM
                             Finite Element Method in Engineering                      MFM6        31st January 2012    Tuesday      2nd      10:00 AM To 01:00PM
                             Mechanical Estimating & Costing                           MFM7        1st February 2012   Wednesday     2nd      10:00 AM To 01:00PM
Exam Date & Day
Course                                Subject        Subject Code                                  Semester          Timing
                                                                          Date            Day
         Materials Management & Materials Handling      MFM8        2nd February 2012   Thursday     2nd      10:00 AM To 01:00PM

Ksou examination datesheet jan 201

  • 1.
    KARNATAKA STATE OPEN UNIVERSITY Manasagangotri, Mysore-6 Semester Mode Examinations' Date Sheet July 2011 to December 2011 Session of BSAITM, New Delhi Exam Date & Day Course Subject Subject Code Semester Timing Date Day Certificate Program Basic of Stitching & Measurements CTD101 16th January 2012 Monday 1st 10:00 AM To 01:00PM Certificate in Cutting, Tailoring Cutting & Tailoring CTD102 17th January 2012 Tuesday 1st 10:00 AM To 01:00PM & Dress Making Tailor Ladies Wear CTD103 18th January 2012 Wednesday 1st 10:00 AM To 01:00PM Tailor Gents Wear CTD104 19th January 2012 Thursday 1st 10:00 AM To 01:00PM Basic of Fashion Designing CFD101 16th January 2012 Monday 1st 10:00 AM To 01:00PM Basics of Textile Science CFD102 17th January 2012 Tuesday 1st 10:00 AM To 01:00PM Certificate in Fashion Designing Fashion Clothing & Accessories CFD103 18th January 2012 Wednesday 1st 10:00 AM To 01:00PM Fashion Entrepreneur CFD104 19th January 2012 Thursday 1st 10:00 AM To 01:00PM Basic Fitting Works CFF101 16th January 2012 Monday 1st 10:00 AM To 01:00PM Certificate in Fitter & Turning Works CFF102 17th January 2012 Tuesday 1st 10:00 AM To 01:00PM Fabricator Milling Works CFF103 18th January 2012 Wednesday 1st 10:00 AM To 01:00PM Pipe Fabrication CFF104 19th January 2012 Thursday 1st 10:00 AM To 01:00PM Basic Electrical Works CET101 23rd January 2012 Monday 1st 10:00 AM To 01:00PM Certificate in Electrical Home Appliances Repairing CET102 24th January 2012 Tuesday 1st 10:00 AM To 01:00PM Technician House Wiring CET103 25th January 2012 Wednesday 1st 10:00 AM To 01:00PM Transformer & Armature Repairing CET104 27th January 2012 Friday 1st 10:00 AM To 01:00PM Fundamentals of Fire Engineering Science CFS101 23rd January 2012 Monday 1st 10:00 AM To 01:00PM Certificate in Fire & Safety Fire Control Technology CFS102 24th January 2012 Tuesday 1st 10:00 AM To 01:00PM Management Principles of Industry Safety and Accident Prevention CFS103 25th January 2012 Wednesday 1st 10:00 AM To 01:00PM Risk Management and Hazard Control System CFS104 27th January 2012 Friday 1st 10:00 AM To 01:00PM Anatomy & Physiology JNA101 23rd January 2012 Monday 1st 02:00 PM To 05:00PM Certificate in Junior Nursing History of Nursing JNA102 24th January 2012 Tuesday 1st 02:00 PM To 05:00PM Assistant Introduction to Medical & Surgical Nursing JNA103 25th January 2012 Wednesday 1st 02:00 PM To 05:00PM Community Health Nursing JNA104 27th January 2012 Friday 1st 02:00 PM To 05:00PM Digital Camera Photography CMC101 23rd January 2012 Monday 1st 10:00 AM To 01:00PM Certificate in Mass Videography CMC102 24th January 2012 Tuesday 1st 10:00 AM To 01:00PM Communication Basics of Computers CMC103 25th January 2012 Wednesday 1st 10:00 AM To 01:00PM Mass Communication CMC104 27th January 2012 Friday 1st 10:00 AM To 01:00PM Diploma Program
  • 2.
    Exam Date &Day Course Subject Subject Code Semester Timing Date Day Computer Fundamentals and Windows Based Application DCA101 23rd January 2012 Monday 1st 10:00 AM To 01:00PM Diploma in Computer Communication Skills in English DCA102 30th January 2012 Monday 1st 10:00 AM To 01:00PM Application Programming in C DCA103 1st February 2012 Wednesday 1st 10:00 AM To 01:00PM Data Structure DCA104 31st January 2012 Tuesday 1st 10:00 AM To 01:00PM Fundamentals of Fire Engineering Science DFS101 23rd January 2012 Monday 1st 10:00 AM To 01:00PM Fire Control Technology DFS102 24th January 2012 Tuesday 1st 10:00 AM To 01:00PM Diploma in Fire & Safety Principles of Industry Safety and Accident Prevention DFS103 25th January 2012 Wednesday 1st 10:00 AM To 01:00PM Management Leadership, Communication & Soft Skills DFS104 30th January 2012 Monday 1st 10:00 AM To 01:00PM Fire Safety DFS105 28th January 2012 Saturday 1st 10:00 AM To 01:00PM Introduction To Tourism & Hospitality DHM101 23rd January 2012 Monday 1st 10:00 AM To 01:00PM Front Office Management DHM102 24th January 2012 Tuesday 1st 10:00 AM To 01:00PM Housekeeping DHM103 25th January 2012 Wednesday 1st 10:00 AM To 01:00PM Food & Beverage Service DHM104 27th January 2012 Friday 1st 10:00 AM To 01:00PM Diploma in Hotel Management Communicative English DHM201 30th January 2012 Monday 2nd 10:00 AM To 01:00PM Applied Cookery DHM202 24th January 2012 Tuesday 2nd 10:00 AM To 01:00PM Rooms Division Management DHM203 25th January 2012 Wednesday 2nd 10:00 AM To 01:00PM Human Resources Management DHM204 27th January 2012 Friday 2nd 10:00 AM To 01:00PM Anatomy And Physiology DML101 23rd January 2012 Monday 1st 02:00 PM To 05:00PM Lab Management And Instrumentation DML102 24th January 2012 Tuesday 1st 02:00 PM To 05:00PM Hematology And Blood Banking DML103 25th January 2012 Wednesday 1st 02:00 PM To 05:00PM Diploma in Medical Lab Clinical Pathology DML104 27th January 2012 Friday 1st 02:00 PM To 05:00PM Technician Biochemistry and Techniques of Biochemistry DML201 23rd January 2012 Monday 2nd 02:00 PM To 05:00PM Microbiology : Detailed Techniques of Clinical Microbiology DML202 24th January 2012 Tuesday 2nd 02:00 PM To 05:00PM Histopathology Technique and Cytology DML203 25th January 2012 Wednesday 2nd 02:00 PM To 05:00PM Computer Application DML204 27th January 2012 Friday 2nd 02:00 PM To 05:00PM Basic of Anatomy & Physiology DPT101 23rd January 2012 Monday 1st 02:00 PM To 05:00PM Physical Modality Operator DPT102 24th January 2012 Tuesday 1st 02:00 PM To 05:00PM Diploma in Physiotherapy Diathermy Operator DPT103 25th January 2012 Wednesday 1st 02:00 PM To 05:00PM Technician Bio Electrical Modality Operator DPT104 27th January 2012 Friday 1st 02:00 PM To 05:00PM Chipropratic Operator DPT105 28th January 2012 Saturday 1st 02:00 PM To 05:00PM Anatomy DXR101 23rd January 2012 Monday 1st 02:00 PM To 05:00PM Diploma in X-Ray and X-Ray Equipment for Radiographers DXR102 24th January 2012 Tuesday 1st 02:00 PM To 05:00PM Radiography Technician Physiology DXR103 25th January 2012 Wednesday 1st 02:00 PM To 05:00PM Radiography & Dark Room Techniques DXR104 27th January 2012 Friday 1st 02:00 PM To 05:00PM Diploma in Nursery Teacher Child Psychology, Care & Health NTT101 23rd January 2012 Monday 1st 02:00 PM To 05:00PM Training Sociology & Guidance NTT102 24th January 2012 Tuesday 1st 02:00 PM To 05:00PM Principles of Education NTT103 25th January 2012 Wednesday 1st 02:00 PM To 05:00PM Lesson Plan & Teaching NTT104 27th January 2012 Friday 1st 02:00 PM To 05:00PM Art & Craft NTT105 28th January 2012 Saturday 1st 02:00 PM To 05:00PM Communication English CP DCMPE 01 30th January 2012 Monday 1st 10:00 AM To 01:00PM
  • 3.
    Exam Date &Day Course Subject Subject Code Semester Timing Date Day Applied Mathematics-1 CP DCMPE 02 31st January 2012 Tuesday 1st 10:00 AM To 01:00PM Diploma Engineering Common Engineering Physics-I CP DCMPE 03 1st February 2012 Wednesday 1st 10:00 AM To 01:00PM to All Streams (Electrical, Civil, Engineering Chemistry-I CP DCMPE 04 2nd February 2012 Thursday 1st 10:00 AM To 01:00PM Mechancial, Automobile, Applied Mathematics-II DE201 30th January 2012 Monday 2nd 10:00 AM To 01:00PM Electronics & Communication, Engineering Physics-II DE202 31st January 2012 Tuesday 2nd 10:00 AM To 01:00PM Computer Science) Engineering Chemistry-II DE203 1st February 2012 Wednesday 2nd 10:00 AM To 01:00PM Engineering Graphics DE204 2nd February 2012 Thursday 2nd 10:00 AM To 01:00PM Electrical Circuits and Instrumentation CP DET 13 30th January 2012 Monday 3rd 10:00 AM To 01:00PM Electronic Devices CP DET 14 31st January 2012 Tuesday 3rd 10:00 AM To 01:00PM C Programming CP DET 15 1st February 2012 Wednesday 3rd 10:00 AM To 01:00PM Microprocessor CP DET 16 2nd February 2012 Thursday 3rd 10:00 AM To 01:00PM Linear and Digital ICs DEX401 30th January 2012 Monday 4th 10:00 AM To 01:00PM Diploma in Electronics & Computer Hardware and Networking DEX402 31st January 2012 Tuesday 4th 10:00 AM To 01:00PM Communication Engineering Industrial Electronics DEX403 1st February 2012 Wednesday 4th 10:00 AM To 01:00PM Object Oriented Programming DEX404 2nd February 2012 Thursday 4th 10:00 AM To 01:00PM VLSI DEX501 30th January 2012 Monday 5th 10:00 AM To 01:00PM Microcontroller DEX502 31st January 2012 Tuesday 5th 10:00 AM To 01:00PM Communication Engineering I DEX503 1st February 2012 Wednesday 5th 10:00 AM To 01:00PM Robotics DEX504 2nd February 2012 Thursday 5th 10:00 AM To 01:00PM Operating Systems CP DCMPE 13 30th January 2012 Monday 3rd 10:00 AM To 01:00PM C and Data Structures CP DCMPE 14 31st January 2012 Tuesday 3rd 10:00 AM To 01:00PM Basics of Electrical and Electronics Engineering CP DCMPE 15 1st February 2012 Wednesday 3rd 10:00 AM To 01:00PM Microprocessor CP DCMPE 16 2nd February 2012 Thursday 3rd 10:00 AM To 01:00PM Computer Architecture DCS401 30th January 2012 Monday 4th 10:00 AM To 01:00PM Diploma in Computer Science Web Design DCS402 31st January 2012 Tuesday 4th 10:00 AM To 01:00PM & Engineering Java Programming DCS403 1st February 2012 Wednesday 4th 10:00 AM To 01:00PM Software Engineering DCS404 2nd February 2012 Thursday 4th 10:00 AM To 01:00PM Computer Networks DCS501 30th January 2012 Monday 5th 10:00 AM To 01:00PM Relational Database Management Systems DCS502 31st January 2012 Tuesday 5th 10:00 AM To 01:00PM Dot Net DCS503 1st February 2012 Wednesday 5th 10:00 AM To 01:00PM Embedded Systems DCS504 2nd February 2012 Thursday 5th 10:00 AM To 01:00PM Engineering Mechanics CP DEE 13 30th January 2012 Monday 3rd 10:00 AM To 01:00PM Circuit Theory CP DEE 14 31st January 2012 Tuesday 3rd 10:00 AM To 01:00PM Diploma in Electrical Electronic Devices CP DEE 15 1st February 2012 Wednesday 3rd 10:00 AM To 01:00PM Engineering Electrical Machines -I CP DEE 16 2nd February 2012 Thursday 3rd 10:00 AM To 01:00PM Linear and Digital ICs DEE401 30th January 2012 Monday 4th 10:00 AM To 01:00PM Computer Hardware and Networking DEE402 31st January 2012 Tuesday 4th 10:00 AM To 01:00PM Electrical Machines-II DEE403 1st February 2012 Wednesday 4th 10:00 AM To 01:00PM Measurements and Instruments DEE404 2nd February 2012 Thursday 4th 10:00 AM To 01:00PM Power Systems I DEE501 30th January 2012 Monday 5th 10:00 AM To 01:00PM
  • 4.
    Exam Date &Day Course Subject Subject Code Semester Timing Date Day Microprocessor and Microcontroller DEE502 31st January 2012 Tuesday 5th 10:00 AM To 01:00PM Electrical Machine Design DEE503 1st February 2012 Wednesday 5th 10:00 AM To 01:00PM Control of Electrical Machine DEE504 2nd February 2012 Thursday 5th 10:00 AM To 01:00PM Engineering Mechanics CP DCMPE 13 30th January 2012 Monday 3rd 10:00 AM To 01:00PM Manufacturing Technology-I CP DCMPE 14 31st January 2012 Tuesday 3rd 10:00 AM To 01:00PM Fluid Mechanics CP DCMPE 15 1st February 2012 Wednesday 3rd 10:00 AM To 01:00PM Machine Drawing CP DCMPE 16 2nd February 2012 Thursday 3rd 10:00 AM To 01:00PM Thermodynamics DME401 30th January 2012 Monday 4th 10:00 AM To 01:00PM Diploma in Mechanical Manufacturing Technology-II DME402 31st January 2012 Tuesday 4th 10:00 AM To 01:00PM Engineering Electrical and Electronics Engineering DME403 1st February 2012 Wednesday 4th 10:00 AM To 01:00PM Refrigeration and Air Conditioning DME404 2nd February 2012 Thursday 4th 10:00 AM To 01:00PM Design of Machine Elements DME501 30th January 2012 Monday 5th 10:00 AM To 01:00PM Thermal Engineering DME502 31st January 2012 Tuesday 5th 10:00 AM To 01:00PM Metrology DME503 1st February 2012 Wednesday 5th 10:00 AM To 01:00PM Mechatronics DME504 2nd February 2012 Thursday 5th 10:00 AM To 01:00PM Engineering Mechanics CP DAE 13 30th January 2012 Monday 3rd 10:00 AM To 01:00PM Manufacturing Technology-I CP DAE 14 31st January 2012 Tuesday 3rd 10:00 AM To 01:00PM Fluid Mechanics CP DAE 15 1st February 2012 Wednesday 3rd 10:00 AM To 01:00PM Machine Drawing CP DAE 16 2nd February 2012 Thursday 3rd 10:00 AM To 01:00PM Thermodynamics DAE401 30th January 2012 Monday 4th 10:00 AM To 01:00PM Diploma in Automobile Manufacturing Technology-II DAE402 31st January 2012 Tuesday 4th 10:00 AM To 01:00PM Engineering Automobile Electrical and Electronics DAE403 1st February 2012 Wednesday 4th 10:00 AM To 01:00PM Automobile Chassis DAE404 2nd February 2012 Thursday 4th 10:00 AM To 01:00PM Automobile Transmission DAE501 30th January 2012 Monday 5th 10:00 AM To 01:00PM Vehicle Body Technology DAE502 31st January 2012 Tuesday 5th 10:00 AM To 01:00PM Two & Three Wheelers Technology DAE503 1st February 2012 Wednesday 5th 10:00 AM To 01:00PM Tractor and Farm Equipment DAE504 2nd February 2012 Thursday 5th 10:00 AM To 01:00PM Engineering Mechanics CP DCE 13 30th January 2012 Monday 3rd 10:00 AM To 01:00PM Construction Materials CP DCE 14 31st January 2012 Tuesday 3rd 10:00 AM To 01:00PM Surveying CP DCE 15 1st February 2012 Wednesday 3rd 10:00 AM To 01:00PM Civil Engineering Drawing CP DCE 16 2nd February 2012 Thursday 3rd 10:00 AM To 01:00PM Theory of Structures DCE401 30th January 2012 Monday 4th 02:00 PM To 05:00PM Transportation Engineering DCE402 31st January 2012 Tuesday 4th 02:00 PM To 05:00PM Diploma in Civil Engineering Interior Design DCE403 1st February 2012 Wednesday 4th 02:00 PM To 05:00PM Water Resources Management DCE404 2nd February 2012 Thursday 4th 02:00 PM To 05:00PM Structural Engineering DCE501 30th January 2012 Monday 5th 10:00 AM To 01:00PM Quantity Surveying DCE502 31st January 2012 Tuesday 5th 10:00 AM To 01:00PM Concrete Technology and Construction DCE503 1st February 2012 Wednesday 5th 10:00 AM To 01:00PM Environmental Engineering DCE504 2nd February 2012 Thursday 5th 10:00 AM To 01:00PM Under Graduate Program Principal of Management BBA1001 23rd January 2012 Monday 1st 10:00 AM To 01:00PM
  • 5.
    Exam Date &Day Course Subject Subject Code Semester Timing Date Day Introduction to Computers BBA1002 24th January 2012 Tuesday 1st 10:00 AM To 01:00PM English Communications-1 BBA1003 30th January 2012 Monday 1st 10:00 AM To 01:00PM Indian Constitution BBA1004 31st January 2012 Tuesday 1st 10:00 AM To 01:00PM Environment Studies BBA2001 4th February 2012 Saturday 2nd 10:00 AM To 01:00PM Business Statistics BBA2002 23rd January 2012 Monday 2nd 10:00 AM To 01:00PM Managerial Economics BBA2003 24th January 2012 Tuesday 2nd 10:00 AM To 01:00PM English Communications-2 BBA2004 7th February 2012 Tuesday 2nd 10:00 AM To 01:00PM Marketing Management BBA3001 23rd January 2012 Monday 3rd 02:00 PM To 05:00PM Bachelor in Business Financial Accounting BBA3002 24th January 2012 Tuesday 3rd 02:00 PM To 05:00PM Administration Quantitative Techniques BBA3003 25th January 2012 Wednesday 3rd 02:00 PM To 05:00PM Organizational Behaviour BBA3004 27th January 2012 Friday 3rd 02:00 PM To 05:00PM Management of Information Systems BBA4001 23rd January 2012 Monday 4th 02:00 PM To 05:00PM Human Resources Management BBA4002 24th January 2012 Tuesday 4th 02:00 PM To 05:00PM Financial Management BBA4003 25th January 2012 Wednesday 4th 02:00 PM To 05:00PM Operations Management BBA4004 27th January 2012 Friday 4th 02:00 PM To 05:00PM E Commerce BBA5001 23rd January 2012 Monday 5th 02:00 PM To 05:00PM Entrepreneurship & Small Business Management BBA5002 24th January 2012 Tuesday 5th 02:00 PM To 05:00PM Business Policy BBA5003 25th January 2012 Wednesday 5th 02:00 PM To 05:00PM Personality Development BBA5004 27th January 2012 Friday 5th 02:00 PM To 05:00PM Introductory Bio Technology BBT101 23rd January 2012 Monday 1st 10:00 AM To 01:00PM General Microbiology BBT102 24th January 2012 Tuesday 1st 10:00 AM To 01:00PM Bio Chemistry BBT103 25th January 2012 Wednesday 1st 10:00 AM To 01:00PM Introductory Biology BBT104 27th January 2012 Friday 1st 10:00 AM To 01:00PM English - 1 BBT105 30th January 2012 Monday 1st 10:00 AM To 01:00PM Indian Constitution and Ethics BBT106 31st January 2012 Tuesday 1st 10:00 AM To 01:00PM B.Sc in Biotechnology Genetic Taxonomy & Genome BBT201 23rd January 2012 Monday 2nd 10:00 AM To 01:00PM Enzymology BBT202 24th January 2012 Tuesday 2nd 10:00 AM To 01:00PM Immunology BBT203 25th January 2012 Wednesday 2nd 10:00 AM To 01:00PM Genetic Engineering BBT204 27th January 2012 Friday 2nd 10:00 AM To 01:00PM Communicative English BBT206 7th February 2012 Tuesday 2nd 10:00 AM To 01:00PM Environment Studies BBT207 4th February 2012 Saturday 2nd 10:00 AM To 01:00PM Computer Fundamentals and Windows Based Application BCA11 23rd January 2012 Monday 1st 10:00 AM To 01:00PM English-1 BCA12 30th January 2012 Monday 1st 10:00 AM To 01:00PM Programming in C BCA13 24th January 2012 Tuesday 1st 10:00 AM To 01:00PM Data Structure BCA14 25th January 2012 Wednesday 1st 10:00 AM To 01:00PM Indian Constitution & Ethics BCA17 31st January 2012 Tuesday 1st 10:00 AM To 01:00PM Mathematics BCA21 1st February 2012 Wednesday 2nd 10:00 AM To 01:00PM Computer Organization and Architecture BCA22 23rd January 2012 Monday 2nd 10:00 AM To 01:00PM DBMS BCA23 24th January 2012 Tuesday 2nd 10:00 AM To 01:00PM OOPS with C++ BCA24 27th January 2012 Friday 2nd 10:00 AM To 01:00PM Bachelor in Computer
  • 6.
    Exam Date &Day Course Subject Subject Code Semester Timing Date Day Bachelor in Computer Communicative English BCA27 7th February 2012 Tuesday 2nd 10:00 AM To 01:00PM Applications Environment Studies BCA28 4th February 2012 Saturday 2nd 10:00 AM To 01:00PM Data Communications BCA31 23rd January 2012 Monday 3rd 10:00 AM To 01:00PM Operating Systems BCA32 24th January 2012 Tuesday 3rd 10:00 AM To 01:00PM Computer Graphics BCA33 25th January 2012 Wednesday 3rd 10:00 AM To 01:00PM Client-Server Architecture BCA34 27th January 2012 Friday 3rd 10:00 AM To 01:00PM Algorithm and Analysis BCA51 23rd January 2012 Monday 5th 10:00 AM To 01:00PM Internet Programming BCA52 24th January 2012 Tuesday 5th 10:00 AM To 01:00PM Application Programming BCA53 25th January 2012 Wednesday 5th 10:00 AM To 01:00PM System Programming BCA54 27th January 2012 Friday 5th 10:00 AM To 01:00PM Fundamentals of Computers BS11 23rd January 2012 Monday 1st 10:00 AM To 01:00PM Operating Systems BS12 24th January 2012 Tuesday 1st 10:00 AM To 01:00PM Introduction to Digital Electronics BS13 25th January 2012 Wednesday 1st 10:00 AM To 01:00PM Database Management System BS14 27th January 2012 Friday 1st 10:00 AM To 01:00PM Basic of Internet and HTML BS15 28th January 2012 Saturday 1st 10:00 AM To 01:00PM English-I BS16 30th January 2012 Monday 1st 10:00 AM To 01:00PM B.Sc Information Technology 31st January 2012 Tuesday Indian Constitution & Ethics BS17 1st 10:00 AM To 01:00PM Computer Graphics BS31 25th January 2012 Wednesday 3rd 10:00 AM To 01:00PM Web Programming & Java Script BS32 24th January 2012 Tuesday 3rd 10:00 AM To 01:00PM Data Communications BS33 23rd January 2012 Monday 3rd 10:00 AM To 01:00PM Object Oriented Programming with C++ BS34 27th January 2012 Friday 3rd 10:00 AM To 01:00PM Mathematics -1 BS35 1st February 2012 Wednesday 3rd 10:00 AM To 01:00PM English -I CP BT CM 01 30th January 2012 Monday 1st 10:00 AM To 01:00PM Indian Constitution & Ethics CP BT CM 02 31st January 2012 Tuesday 1st 10:00 AM To 01:00PM Mathematics I CP BT CM 03 1st February 2012 Wednesday 1st 10:00 AM To 01:00PM Chemistry CP BT CM 04 2nd February 2012 Thursday 1st 10:00 AM To 01:00PM Electrical Technology CP BT CM 05 3rd February 2012 Friday 1st 10:00 AM To 01:00PM B.Tech Common to all Streams Mechanics CP BT CM 06 4th February 2012 Saturday 1st 10:00 AM To 01:00PM (Electrical, Civil, Mechancial, Introduction to Manufacturing CP BT CM 07 5th February 2012 Sunday 1st 10:00 AM To 01:00PM Electronics & Communication, Mathematics II BF8 30th January 2012 Monday 2nd 10:00 AM To 01:00PM Computer Science) Applied Physics BF9 31st January 2012 Tuesday 2nd 10:00 AM To 01:00PM Programming and Data Structure BF10 1st February 2012 Wednesday 2nd 10:00 AM To 01:00PM Basic Electronics BF11 2nd February 2012 Thursday 2nd 10:00 AM To 01:00PM Engineering Drawing and Graphics BF12 3rd February 2012 Friday 2nd 10:00 AM To 01:00PM Environment Studies BF13 4th February 2012 Saturday 2nd 10:00 AM To 01:00PM Communicative English BF14 7th February 2012 Tuesday 2nd 10:00 AM To 01:00PM Mathematics III CP BT CE 15 30th January 2012 Monday 3rd 10:00 AM To 01:00PM Water and Waste Water Engineering CP BT CE 16 31st January 2012 Tuesday 3rd 10:00 AM To 01:00PM B.Tech in Civil Engineering Hydraulics CP BT CE 17 1st February 2012 Wednesday 3rd 10:00 AM To 01:00PM Transportation Engineering CP BT CE 18 2nd February 2012 Thursday 3rd 10:00 AM To 01:00PM
  • 7.
    Exam Date &Day Course Subject Subject Code Semester Timing Date Day Surveying -I CP BT CE 19 3rd February 2012 Friday 3rd 10:00 AM To 01:00PM Society, Environment, Engineering BSC6 30th January 2012 Monday 4th 02:00 PM To 05:00PM Building Construction BSC7 31st January 2012 Tuesday 4th 02:00 PM To 05:00PM Structural Analysis BSC8 1st February 2012 Wednesday 4th 02:00 PM To 05:00PM Advanced Surveying BSC9 2nd February 2012 Thursday 4th 02:00 PM To 05:00PM Solid Mechanics BSC10 3rd February 2012 Friday 4th 02:00 PM To 05:00PM Mathematics III CP BT EE 15 30th January 2012 Monday 3rd 10:00 AM To 01:00PM Thermodynamics CP BT EE 16 31st January 2012 Tuesday 3rd 10:00 AM To 01:00PM Signals & Networks CP BT EE 17 1st February 2012 Wednesday 3rd 10:00 AM To 01:00PM Digital Electronics CP BT EE 18 2nd February 2012 Thursday 3rd 10:00 AM To 01:00PM Electrical Machines CP BT EE 19 3rd February 2012 Friday 3rd 10:00 AM To 01:00PM B.Tech in Electrical Engineering Society, Environment, Engineering BSE6 30th January 2012 Monday 4th 02:00 PM To 05:00PM Electronic Devices & Circuit BSE7 31st January 2012 Tuesday 4th 02:00 PM To 05:00PM Analog Electronic Circuits BSE8 1st February 2012 Wednesday 4th 02:00 PM To 05:00PM Electromagnetic Engineering BSE9 2nd February 2012 Thursday 4th 02:00 PM To 05:00PM Electrical Measurement- I BSE10 3rd February 2012 Friday 4th 02:00 PM To 05:00PM Mathematics III CP BT ETE 15 30th January 2012 Monday 3rd 10:00 AM To 01:00PM Principles of Programming CP BT ETE 16 31st January 2012 Tuesday 3rd 10:00 AM To 01:00PM Signals & Networks CP BT ETE 17 1st February 2012 Wednesday 3rd 10:00 AM To 01:00PM Digital Electronics CP BT ETE 18 2nd February 2012 Thursday 3rd 10:00 AM To 01:00PM B.Tech in Electronics & Electrical Machines CP BT ETE 19 3rd February 2012 Friday 3rd 10:00 AM To 01:00PM Communication Engineering Society, Environment, Engineering BSET6 30th January 2012 Monday 4th 02:00 PM To 05:00PM Electronic Devices & Circuit BSET7 31st January 2012 Tuesday 4th 02:00 PM To 05:00PM Analog Electronic Circuits BSET8 1st February 2012 Wednesday 4th 02:00 PM To 05:00PM Electromagnetic Engineering BSET9 2nd February 2012 Thursday 4th 02:00 PM To 05:00PM Electrical Measurement- I BSET10 3rd February 2012 Friday 4th 02:00 PM To 05:00PM Mathematics III CP BT CSE 15 30th January 2012 Monday 3rd 10:00 AM To 01:00PM Switching Circuit & Logic Design CP BT CSE 16 31st January 2012 Tuesday 3rd 10:00 AM To 01:00PM Signals & Networks CP BT CSE 17 1st February 2012 Wednesday 3rd 10:00 AM To 01:00PM Digital Electronics CP BT CSE 18 2nd February 2012 Thursday 3rd 10:00 AM To 01:00PM B.Tech in Computer Science & Electrical Machines CP BT CSE 19 3rd February 2012 Friday 3rd 10:00 AM To 01:00PM Engineering Society, Environment, Engineering BSCO6 30th January 2012 Monday 4th 02:00 PM To 05:00PM Electronic Devices & Circuit BSCO7 31st January 2012 Tuesday 4th 02:00 PM To 05:00PM Analog Electronic Circuits BSCO8 1st February 2012 Wednesday 4th 02:00 PM To 05:00PM Discrete Structure BSCO9 2nd February 2012 Thursday 4th 02:00 PM To 05:00PM Object Oriented Programming BSCO10 3rd February 2012 Friday 4th 02:00 PM To 05:00PM Mathematics III CP BT ME 15 30th January 2012 Monday 3rd 10:00 AM To 01:00PM Thermodynamics CP BT ME 16 31st January 2012 Tuesday 3rd 10:00 AM To 01:00PM B.Tech in Mechanical Fluid Mechanics CP BT ME 17 1st February 2012 Wednesday 3rd 10:00 AM To 01:00PM Engineering Workshop Process CP BT ME 18 2nd February 2012 Thursday 3rd 10:00 AM To 01:00PM
  • 8.
    Exam Date &Day Course Subject Subject Code Semester Timing Date Day Electrical Machine CP BT ME 19 3rd February 2012 Friday 3rd 10:00 AM To 01:00PM Society, Environment, Engineering BSM6 30th January 2012 Monday 4th 02:00 PM To 05:00PM Dynamics BSM7 31st January 2012 Tuesday 4th 02:00 PM To 05:00PM Solid Mechanics BSM8 1st February 2012 Wednesday 4th 02:00 PM To 05:00PM Heat Transfer-I BSM9 2nd February 2012 Thursday 4th 02:00 PM To 05:00PM Theory of Machine BSM10 3rd February 2012 Friday 4th 02:00 PM To 05:00PM Post Graduate Program Mathematics PCA101 23rd January 2012 Monday 1st 10:00 AM To 01:00PM Post Graduate Diploma in Data Structure PCA102 24th January 2012 Tuesday 1st 10:00 AM To 01:00PM Computer Application Programming in C PCA103 25th January 2012 Wednesday 1st 10:00 AM To 01:00PM Financial Accounting PCA104 27th January 2012 Friday 1st 10:00 AM To 01:00PM Principles of Management EMB101 23rd January 2012 Monday 1st 10:00 AM To 01:00PM Managerial Economics EMB102 24th January 2012 Tuesday 1st 10:00 AM To 01:00PM Managerial Accounting EMB103 25th January 2012 Wednesday 1st 10:00 AM To 01:00PM Executive MBA Financial Management EMB104 27th January 2012 Friday 1st 10:00 AM To 01:00PM (1st Semester Common to all Marketing Management EMB105 28th January 2012 Saturday 1st 10:00 AM To 01:00PM Specializations) Human Resources Management EMB106 30th January 2012 Monday 1st 10:00 AM To 01:00PM Organizational Behaviour EMB107 31st January 2012 Tuesday 1st 10:00 AM To 01:00PM Operations Management EMB108 1st February 2012 Wednesday 1st 10:00 AM To 01:00PM Legal Aspects of Business EMB109 2nd February 2012 Thursday 1st 10:00 AM To 01:00PM Research Methodology LLM1 23rd January 2012 Monday 1st 10:00 AM To 01:00PM Introduction to Intellectual Property and Patent Law LLM2 24th January 2012 Tuesday 1st 10:00 AM To 01:00PM Law of Plant Varieties and Farmer Rights LLM3 25th January 2012 Wednesday 1st 10:00 AM To 01:00PM Law of Copy Right LLM4 27th January 2012 Friday 1st 10:00 AM To 01:00PM Master of Law Law of Trade marks & Domain names LLM5 23rd January 2012 Monday 2nd 10:00 AM To 01:00PM Law of Design & Integrated Circuits LLM6 24th January 2012 Tuesday 2nd 10:00 AM To 01:00PM Law of Trade Secrets LLM7 25th January 2012 Wednesday 2nd 10:00 AM To 01:00PM Technology Law and Society LLM8 27th January 2012 Friday 2nd 10:00 AM To 01:00PM Management “Theory & Practice MBA101 23rd January 2012 Monday 1st 10:00 AM To 01:00PM Accounting For Managers MBA103 25th January 2012 Wednesday 1st 10:00 AM To 01:00PM Managerial Economics MBA102 24th January 2012 Tuesday 1st 10:00 AM To 01:00PM Organizational Behavior MBA104 31st January 2012 Tuesday 1st 10:00 AM To 01:00PM Quantitative Techniques MBA105 27th January 2012 Friday 1st 10:00 AM To 01:00PM Master in Business Business Ethics & values MBA106 28th January 2012 Saturday 1st 10:00 AM To 01:00PM Administration Management Information System and Computer Applications MBA107 23rd January 2012 Monday 2nd 10:00 AM To 01:00PM Business Law MBA108 24th January 2012 Tuesday 2nd 10:00 AM To 01:00PM Financial Management MBA109 27th January 2012 Friday 2nd 10:00 AM To 01:00PM Marketing Management MBA110 28th January 2012 Saturday 2nd 10:00 AM To 01:00PM Human Asset Management MBA111 30th January 2012 Monday 2nd 10:00 AM To 01:00PM
  • 9.
    Exam Date &Day Course Subject Subject Code Semester Timing Date Day Executive Communication & Research Methodology MBA112 25th January 2012 Wednesday 2nd 10:00 AM To 01:00PM Management of small Business and Entrepreneurship Development MBA113 23rd January 2012 Monday 3rd 10:00 AM To 01:00PM Business Policy & Strategic Management MBA114 24th January 2012 Tuesday 3rd 10:00 AM To 01:00PM Operations Research MBA115 25th January 2012 Wednesday 3rd 10:00 AM To 01:00PM Elective Subject : Finance Investment Management MBA116 27th January 2012 Friday 3rd 10:00 AM To 01:00PM Merchant Banking and Financial Services MBA117 28th January 2012 Saturday 3rd 10:00 AM To 01:00PM Management of Infrstructure Financing MBA118 30th January 2012 Monday 3rd 10:00 AM To 01:00PM Elective Subject : Marketing Product and Brand Management MBA116 27th January 2012 Friday 3rd 10:00 AM To 01:00PM Services Marketing MBA117 28th January 2012 Saturday 3rd 10:00 AM To 01:00PM Sales and Distribution Management MBA118 30th January 2012 Monday 3rd 10:00 AM To 01:00PM Elective Subject : Human Resources Management of Training and Development MBA116 27th January 2012 Friday 3rd 10:00 AM To 01:00PM Compensation Management MBA117 28th January 2012 Saturday 3rd 10:00 AM To 01:00PM Organisation Development and Change Management MBA118 30th January 2012 Monday 3rd 10:00 AM To 01:00PM Mathematics MCA11 23rd January 2012 Monday 1st 10:00 AM To 01:00PM Data Structure MCA12 24th January 2012 Tuesday 1st 10:00 AM To 01:00PM Programming in C MCA13 25th January 2012 Wednesday 1st 10:00 AM To 01:00PM Financial Accounting MCA14 27th January 2012 Friday 1st 10:00 AM To 01:00PM Discrete Mathematics MCA21 23rd January 2012 Monday 2nd 10:00 AM To 01:00PM DBMS MCA22 24th January 2012 Tuesday 2nd 10:00 AM To 01:00PM OOPS with C++ MCA23 25th January 2012 Wednesday 2nd 10:00 AM To 01:00PM Computer Organization and Architecture MCA24 27th January 2012 Friday 2nd 10:00 AM To 01:00PM Data Communication MCA31 23rd January 2012 Monday 3rd 10:00 AM To 01:00PM Advance Computer Graphics MCA32 24th January 2012 Tuesday 3rd 10:00 AM To 01:00PM Advanced Operating Systems MCA33 30th January 2012 Monday 3rd 10:00 AM To 01:00PM Master in Computer Unix and Shell Programming MCA34 27th January 2012 Friday 3rd 10:00 AM To 01:00PM Applications Advanced Software Engineering MCA41 23rd January 2012 Monday 4th 10:00 AM To 01:00PM Analysis and Design of Algorithm MCA42 1st February 2012 Wednesday 4th 10:00 AM To 01:00PM Advanced Java Programming MCA43 25th January 2012 Wednesday 4th 10:00 AM To 01:00PM System Programming MCA44 27th January 2012 Friday 4th 10:00 AM To 01:00PM Advanced Computer Network and Security MCA51 23rd January 2012 Monday 5th 10:00 AM To 01:00PM Internet Programming and Web Mining MCA52 24th January 2012 Tuesday 5th 10:00 AM To 01:00PM Data Warehousing and data Mining MCA53 25th January 2012 Wednesday 5th 10:00 AM To 01:00PM Elective-1 Computer Design MCA54-1 27th January 2012 Friday 5th 10:00 AM To 01:00PM Pattern Recognition MCA54-2 27th January 2012 Friday 5th 10:00 AM To 01:00PM Client Server Recognition MCA54-3 27th January 2012 Friday 5th 10:00 AM To 01:00PM
  • 10.
    Exam Date &Day Course Subject Subject Code Semester Timing Date Day Computer Programming MSIT11 25th January 2012 Wednesday 1st 10:00 AM To 01:00PM Algorith Analysis and Design MSIT12 24th January 2012 Tuesday 1st 10:00 AM To 01:00PM Discrete Mathematics MSIT13 23rd January 2012 Monday 1st 10:00 AM To 01:00PM M.Sc in Information Advanced RDBMS MSIT14 27th January 2012 Friday 1st 10:00 AM To 01:00PM Software Quality and Testing MSIT21 23rd January 2012 Monday 2nd 10:00 AM To 01:00PM Technology Advanced Communication Networks MSIT22 31st January 2012 Tuesday 2nd 10:00 AM To 01:00PM OOAD and UML MSIT23 25th January 2012 Wednesday 2nd 10:00 AM To 01:00PM Advanced Java MSIT24 27th January 2012 Friday 2nd 10:00 AM To 01:00PM Software Architecture MSIT25 28th January 2012 Saturday 2nd 10:00 AM To 01:00PM Introductory Biology MSM105 23rd January 2012 Monday 1st 10:00 AM To 01:00PM Human Anatomy MSM101 24th January 2012 Tuesday 1st 10:00 AM To 01:00PM Human Physiology MSM102 25th January 2012 Wednesday 1st 10:00 AM To 01:00PM Clinical Bio Chemistry MSM103 27th January 2012 Friday 1st 10:00 AM To 01:00PM Histopathology MSM104 28th January 2012 Saturday 1st 10:00 AM To 01:00PM M.Sc in Microbiology Communication and Soft Skills MSM106 30th January 2012 Monday 1st 10:00 AM To 01:00PM General Bacteriology MSM201 23rd January 2012 Monday 2nd 10:00 AM To 01:00PM Immunology MSM202 24th January 2012 Tuesday 2nd 10:00 AM To 01:00PM Haematology MSM203 25th January 2012 Wednesday 2nd 10:00 AM To 01:00PM Basic Cellular Pathology MSM204 27th January 2012 Friday 2nd 10:00 AM To 01:00PM Introductory Biology MBT101 23rd January 2012 Monday 1st 10:00 AM To 01:00PM Molecular Biology-I MBT102 24th January 2012 Tuesday 1st 10:00 AM To 01:00PM Bioenergetics & Metabolism MBT103 25th January 2012 Wednesday 1st 10:00 AM To 01:00PM Microbiology MBT104 27th January 2012 Friday 1st 10:00 AM To 01:00PM Bio Physical Chemistry and Instrumentation MBT105 28th January 2012 Saturday 1st 10:00 AM To 01:00PM M.Sc in Biotechnology Communication and Soft Skills MBT106 30th January 2012 Monday 1st 10:00 AM To 01:00PM Enzymology and Enzyme Technology MBT201 23rd January 2012 Monday 2nd 10:00 AM To 01:00PM Bio-Informatics MBT202 24th January 2012 Tuesday 2nd 10:00 AM To 01:00PM Molecular Biology-II MBT203 25th January 2012 Wednesday 2nd 10:00 AM To 01:00PM Genetic Engineering MBT204 27th January 2012 Friday 2nd 10:00 AM To 01:00PM Software Engineering MSC301 23rd January 2012 Monday 3rd 10:00 AM To 01:00PM Visual Technologies MSC302 24th January 2012 Tuesday 3rd 10:00 AM To 01:00PM Computer Graphics & Visulization MSC303 25th January 2012 Wednesday 3rd 10:00 AM To 01:00PM M.Sc in Computer Science Electtive 1 Data Mining MSC304-1 27th January 2012 Friday 3rd 10:00 AM To 01:00PM Simulation & Modeling MSC304-2 27th January 2012 Friday 3rd 10:00 AM To 01:00PM Algebra MST101 27th January 2012 Friday 1st 10:00 AM To 01:00PM Real Analysis-I MST102 24th January 2012 Tuesday 1st 10:00 AM To 01:00PM M.Sc in Maths Complex Analysis-I MST103 25th January 2012 Wednesday 1st 10:00 AM To 01:00PM Discrete Mathematics MST104 23rd January 2012 Monday 1st 10:00 AM To 01:00PM Differential Equations MST105 28th January 2012 Saturday 1st 10:00 AM To 01:00PM
  • 11.
    Exam Date &Day Course Subject Subject Code Semester Timing Date Day Numerical Methods in Civil Engineering CP MT CE 01 30th January 2012 Monday 1st 10:00 AM To 01:00PM Applied Elasticity & Plasticity CP MT CE 02 31st January 2012 Tuesday 1st 10:00 AM To 01:00PM Behaviour & Design of reinforced Concrete Structure CP MT CE 03 1st February 2012 Wednesday 1st 10:00 AM To 01:00PM Pavement Material CP MT CE 04 2nd February 2012 Thursday 1st 10:00 AM To 01:00PM M.Tech in Civil Engineering Advanced Structural Analysis MFC5 30th January 2012 Monday 2nd 10:00 AM To 01:00PM Geotechnical Engineering MFC6 31st January 2012 Tuesday 2nd 10:00 AM To 01:00PM Finite Element Method in Engineering MFC7 1st February 2012 Wednesday 2nd 10:00 AM To 01:00PM Highway Engineering MFC8 2nd February 2012 Thursday 2nd 10:00 AM To 01:00PM Machine Drives CP MT EE 01 30th January 2012 Monday 1st 10:00 AM To 01:00PM Power Electronic Converter CP MT EE 02 31st January 2012 Tuesday 1st 10:00 AM To 01:00PM EHV Transmission CP MT EE 03 1st February 2012 Wednesday 1st 10:00 AM To 01:00PM M.Tech in Electrical Control Theory CP MT EE 04 2nd February 2012 Thursday 1st 10:00 AM To 01:00PM Engineering Electrical Engineering & Practices MFE5 30th January 2012 Monday 2nd 10:00 AM To 01:00PM Power Electronic MFE6 31st January 2012 Tuesday 2nd 10:00 AM To 01:00PM Electrical Design, Estimating & Costing MFE7 1st February 2012 Wednesday 2nd 10:00 AM To 01:00PM Computer Aided analysis of E.P.S. MFE8 2nd February 2012 Thursday 2nd 10:00 AM To 01:00PM Semiconductor Devices and Modelling CP MT ETE 01 30th January 2012 Monday 1st 10:00 AM To 01:00PM VLSI Technology and Process Modeling CP MT ETE 02 31st January 2012 Tuesday 1st 10:00 AM To 01:00PM Modern Digital Communication Technology CP MT ETE 03 1st February 2012 Wednesday 1st 10:00 AM To 01:00PM M.Tech in Electronics & Digital Voice and Picture Communication CP MT ETE 04 2nd February 2012 Thursday 1st 10:00 AM To 01:00PM Communication Engineering Solid State Circuits MFET5 30th January 2012 Monday 2nd 10:00 AM To 01:00PM Digital Circuits & Systems MFET6 31st January 2012 Tuesday 2nd 10:00 AM To 01:00PM Optimal Control MFET7 1st February 2012 Wednesday 2nd 10:00 AM To 01:00PM Sattelite Communication System MFET8 2nd February 2012 Thursday 2nd 10:00 AM To 01:00PM Data Structures Object Representation CP MT CPME 01 30th January 2012 Monday 1st 10:00 AM To 01:00PM Advanced Computer System Architectrure CP MT CPME 02 31st January 2012 Tuesday 1st 10:00 AM To 01:00PM Design and Analysis of Algorithm CP MT CPME 03 1st February 2012 Wednesday 1st 10:00 AM To 01:00PM M.Tech in Computer Science & Pattern Recognition and Application CP MT CPME 04 2nd February 2012 Thursday 1st 10:00 AM To 01:00PM Engineering Advanced Operating System MFCO5 30th January 2012 Monday 2nd 10:00 AM To 01:00PM Computer Communications Networks MFCO6 31st January 2012 Tuesday 2nd 10:00 AM To 01:00PM Neural Network and Applications MFCO7 1st February 2012 Wednesday 2nd 10:00 AM To 01:00PM Parallel Processing MFCO8 2nd February 2012 Thursday 2nd 10:00 AM To 01:00PM Machine Vibration Analysis CP MT ME 01 30th January 2012 Monday 1st 10:00 AM To 01:00PM Advanced Mechanics of Solids CP MT ME 02 31st January 2012 Tuesday 1st 10:00 AM To 01:00PM Concurrent Engineering CP MT ME 03 1st February 2012 Wednesday 1st 10:00 AM To 01:00PM M.Tech in Mechanical Management of Technology CP MT ME 04 2nd February 2012 Thursday 1st 10:00 AM To 01:00PM Engineering Applied Elasticity MFM5 30th January 2012 Monday 2nd 10:00 AM To 01:00PM Finite Element Method in Engineering MFM6 31st January 2012 Tuesday 2nd 10:00 AM To 01:00PM Mechanical Estimating & Costing MFM7 1st February 2012 Wednesday 2nd 10:00 AM To 01:00PM
  • 12.
    Exam Date &Day Course Subject Subject Code Semester Timing Date Day Materials Management & Materials Handling MFM8 2nd February 2012 Thursday 2nd 10:00 AM To 01:00PM