NHÖÕNG VAÁN ÑEÀ CÔ BAÛN VEÀ PHAÂN TÍCH HOAÏT ÑOÄNG KINH DOANH THS. NGOÂ THÒ HAÛI XUAÂN
NOÄI DUNG BAÛN CHAÁT CUÛA PHAÂN TÍCH KINH DOANH NGUOÀN TAØI LIEÄU PHÖÔNG PHAÙP SÖÛ DUÏNG TRONG PHAÂN TÍCH HOAÏT ÑOÄNG KINH DOANH TRÌNH TÖÏ PHAÂN TÍCH HOAÏT ÑOÄNG KINH DOANH CUÛA DOANH NGHIEÄP
1. BAÛN CHAÁT CUÛA PHAÂN TÍCH KINH DOANH 1.1 KHAÙI NIEÄM: Phaân tích kinh teá laø söï söû duïng caùc phöông phaùp, caùc chæ tieâu ñònh tính vaø ñònh löôïng nhaèm nghieân cöùu, ñaùnh giaù caùc hieän töôïng kinh teá taøi chính ñeå ñöa ra caùc keát luaän phuïc vuï cho caùc muïc tieâu xaùc ñònh
1. BAÛN CHAÁT CUÛA PHAÂN TÍCH KINH DOANH 1.2 Muïc tieâu phaân tích kinh doanh: Ñöa ra caùc nhaän xeùt ñaùnh giaù veà caùc hieän töôïng taøi chính cuûa doanh nghieäp Nghieân cöùu caùc nhaân toá taùc ñoäng khaùch quan, chuû quan ñeán caùc hieän töôïng kinh teá taøi chính ñoái töôïng ñöôïc phaân tích Ñeà xuaát caùc chieán löôïc hoaëc keá hoaïch hoaëc caùc giaûi phaùp thích hôïp
2. NGUOÀN TAØI LIEÄU 2.1 Nguoàn taøi lieäu phuïc vuï cho ñaùnh gía caùc nhaân toá khaùch quan taùc ñoäng ñeán hoaït ñoäng kinh doanh cuûa doanh nghieäp: Luaät vaø caùc vaên baûn döôùi luaät Caùc chíeân löôïc phaùt trieån kinh teá cuûa Nhaø nöôùc Caùc chính saùch hoã trôï thöông maïi cuûa Nhaø nöôùc Caùc taøi lieäu veà thoâng tin thò tröôøng Caùc hieäp ñònh thöông maïi song phöông vaø ña phöông
2. NGUOÀN TAØI LIEÄU 2.2 Nguoàn taøi lieäu phuïc vuï cho ñaùnh gía caùc nhaân toá chuû quan taùc ñoäng ñeán hoaït ñoäng kinh doanh cuûa doanh nghieäp: Taøi lieäu tình hình kyù keát vaø thöïc hieän nhöõng hôïp ñoàng Taøi lieäu phaân tích tình hình kinh doanh:Baùo caùo keát quûa hoaït ñoäng kinh doanh (Income statement)
2. NGUOÀN TAØI LIEÄU 2.2 Nguoàn taøi lieäu phuïc vuï cho ñaùnh gía caùc nhaân toá chuû quan taùc ñoäng ñeán hoaït ñoäng kinh doanh cuûa doanh nghieäp: (tt) Taøi lieäu phaân tích hình saûn xuaát, maùy moùc – trang thieát bò Taøi lieäu phaân tích tình hình taøi chính:Baûng thuyeát minh baùo caùo taøi chính (Explaination of Finacial Statement), Baùo caùo löu chuyeån tieàn teä (Cash Flows),Baûng caân ñoái keá toaùn,… Taøi lieäu phaân tích tình hình lao ñoäng, tieàn löông
3. MOÄT SOÁ PHÖÔNG PHAÙP CÔ BAÛN SÖÛ DUÏNG TRONG  PHAÂN TÍCH HOAÏT ÑOÄNG KINH DOANH 3.1 Phöông phaùp thoáng keâ 3.3 Phöông phaùp logic bieän chöùng 3.4 Phöông phaùp Khaûo saùt thöïc teá 3.4 Phöông phaùp chuyeân gia
3.1 Phöông phaùp thoáng keâ (3) Phöông phaùp so saùnh Ñaây laø phöông phaùp löôïng hoaù caùc chæ tieâu kinh teá baèng con soá tuyeät ñoái vaø töông ñoái ñeå thöïc hieän so saùnh, qua ñoù ñaùnh giaù ñöôïc caùc hieän töôïng kinh teá.
Phöông phaùp so saùnh (tt) So saùnh soá lieäu thöïc hieän vaø soá lieäu keá hoaïch döï kieán So saùnh soá lieäu kyø thöïc teá naøy vôùi soá lieäu kyø tröôùc So saùnh soá lieäu thöïc teá vôùi caùc chæ tieâu ñònh möùc So saùnh soá lieäu doanh nghieäp naøy vôùi doanh nghieäp khaùc So saùnh treân cô sôû cuøng quy moâ vaø loaïi hình kinh doanh
Phöông phaùp so saùnh (tt) So saùnh giöõa caùc chæ tieâu cuøng baûn chaát Ví duï: giaù voán kyø naøy – giaù voán kyø tröôùc So saùnh giöõa caùc chæ tieâu khoâng cuøng baûn chaát nhöng coù nhöõng moái quan heä raøng buoäc nhaát ñònh vôùi nhau Ví duï: doanh thu – chi phí – lôïi nhuaän Lôïi nhuaän – lao ñoäng, …
Phöông phaùp thay theá lieân hoaøn Ñaây laø phöông phaùp xaùc ñònh möùc ñoä aûnh höôûng cuûa töøng nhaân toá aûnh höôûng leân chæ tieâu caàn ñöôïc nghieân cöùu baèng caùch thay theá laàn löôït vaø lieân tieáp caùc nhaân toá töø giaù trò goác sang kyø phaân tích ñeå xaùc ñònh trò soá cuûa chæ tieâu khi nhaân toá ñoù thay ñoåi.
Phöông phaùp thay theá lieân hoaøn (tt) Vieát coâng thöùc bieåu hieän moái lieân heä giöõa caùc nhaân toá aûnh höôûng ñeán chæ tieâu caàn ñöôïc nghieân cöùu: - Saép xeáp caùc nhaân toá aûnh höôûng trong coâng thöùc theo trình töï nhaát ñònh  Xaùc ñònh nhaân toá naøo thì coá ñònh caùc nhaân toá coøn laïi Q = ab; Q 1  = a 1 b 1 ; Q 0  = a 0 b 0
Phöông phaùp thay theá lieân hoaøn Xaùc ñònh möùc ñoä aûnh höôûng cuûa caùc nhaân toá leân chæ tieâu baèng: Chæ soá töông ñoái Chæ soá tuyeät ñoái Ñaùnh gia,ù nhaän xeùt veà caùc nhaân toá taùc ñoäng leân chæ tieâu ñaõ xaây döïng Ñeà ra nhöõng giaûi phaùp ñeå laøm toát hôn chæ tieâu caàn nghieân cöùu
Phöông phaùp lieân heä caân ñoái: Laø phöông phaùp xaùc ñònh chæ tieâu kinh teá thoâng qua xaùc ñònh moái quan heä cuûa chuùng vôùi caùc nhaân toá khaùc Ví duï: Lôïi nhuaän = Doanh thu – Chi phí Toàn kho ck  = Toàn kho ñk  + Nhaäp tk  – Xuaát tk
3.2 Phöông phaùp logic bieän chöùng: Laø phöông phaùp döa vaøo thöïc traïng hoaït ñoäng kinh doanh cuûa doanh nghieäp qua caùc thôøi kyø maø ruùt ra quy luaät hoaït ñoäng cuûa doanh nghieäp, coäng vôùi caùc nhaân toá taùc ñoäng, caùc döï baùo maø ñöa ra nhöõng ñaùnh giaù, keát luaän veà tình hình hoat ñoäng kinh doanh cuûa doanh nghieäp.
3.3 Phöông phaùp khaûo saùt thöïc teá: Laø phöông phaùp maø caùc doanh nghieäp tieán haønh khaûo saùt, ñieàu tra thöïc teá. Caùc thoâng tin thu thaäp ñöôïc seõ ñöôïc xöû lyù baèng caùc phaàn meàm: Xaây döïng phieáu khaûo saùt Choïn maãu khaûo saùt Xöû lyù caùc soá lieäu thu thaäp
4. TRÌNH TÖÏ PHAÂN TÍCH HOAÏT ÑOÄNG KINH DOANH CUÛA DOANH NGHIEÄP Thu thaäp taøi lieäu vaø xöû lyù soá lieäu Xaây döïng caùc baûng bieåu, chæ tieâu kinh teá phaûn aùnh tình hình hoaït ñoäng kinh doanh cuûa doanh nghieäp Nghieân cöùu caùc nhaân toá aûnh höôûng ñeán thöïc traïng hoaït ñoäng cuûa doanh nghieäp Toång hôïp keát quaû phaân tích, ñöa ra caùc keát luaän ñaùnh giaù thöïc traïng hoaït ñoäng kinh doanh cuûa doanh nghieäp Xaây döïng ñònh höôùng vaø ñöa ra caùc giaûi phaùp cuï theå
PHAÂN TÍCH HOAÏT ÑOÄNG KINH DOANH CUÛA DOANH NGHIEÄP THS. NGOÂ THÒ HAÛI XUAÂN
NOÄI DUNG CAÙC KHAÙI NIEÄM PHAÂN TÍCH TÌNH HÌNH BAÙN HAØNG CAÙC NHAÂN TOÁ AÛNH HÖÔÛNG ÑEÁN TÌNH HÌNH BAÙN HAØNG
1. CAÙC KHAÙI NIEÄM 1.1 Doanh thu: Khaùi nieäm: Theo Chuaån möïc Keá toaùn Vieät Nam soá 01: Doanh thu vaø thu nhaäp khaùc: Laø toång giaù trò caùc lôïi ích kinh teá doanh nghieäp thu ñöôïc trong kyø keá toaùn, phaùt sinh töø caùc hoaït ñoäng saûn xuaát, kinh doanh thoâng thöôøng vaø caùc hoaït ñoäng khaùc cuûa doanh nghieäp, goùp phaàn laøm taêng voán chuû sôû höõu, khoâng bao goàm khoaûn goùp voán cuûa coå ñoâng hoaëc chuû sôû höõu.
Doanh thu phaùt sinh trong quaù trình hoaït ñoäng kinh doanh thoâng thöôøng cuûa doanh nghieäp vaø thöôøng bao goàm: Doanh thu baùn haøng, doanh thu cung caáp dòch vuï, tieàn laõi, tieàn baûn quyeàn, coå töùc vaø lôïi nhuaän ñöôïc chia... 1. CAÙC KHAÙI NIEÄM
1.2 Löu chuyeån haøng hoùa: Khaùi nieäm: LCHH  laø quaù trình luaân chuyeån haøng hoùa töø nôi saûn xuaát hoaëc töø nguoàn nk ñeán nôi tieâu duøng thoâng qua mua baùn  Nghieân cöùu LCHH laø nghieân cöùu trò giaù hoïat ñoäng kinh doanh ñöôïc löu chuyeån qua caùc khaâu:  Mua haøng – Döï tröõ – Baùn haøng (T – H –T’) Toác ñoä LCHH: Laø soá voøng haøng hoùa luaân chuyeån trong 1 kyø kinh doanh Laø thôøi gian caàn thieát ñeå thöïc hieän xong 1 voøng luaân chuyeån töø khi mua vaøo ñeán khi baùn ra   1. CAÙC KHAÙI NIEÄM
1.2 Löu chuyeån haøng hoùa: Coâng thöùc xaùc ñònh Toác ñoä LCHH: 1. CAÙC KHAÙI NIEÄM t: thôøi gian löu chuyeån moät voøng D bp : döï tröõ haøng hoùa bình quaân cho toøan boä thôøi kyø kinh doanh M: Doanh thu trong thôøi kì kinh doanh V: soá voøng haøng hoùa luaân chuyeån trong thôøi kyø kinh doanh D bp  = (d 1 /2 + d 2  + d 3  +…+ d n-1  + d n /2)/(n-1) d 1 ,d 2 ,…,d n  : döï tröõ haøng hoùa ñöôïc xaùc ñònh ôû nhöõng thôøi ñieåm khaûo saùt  trong kyø kinh doanh t =  M  360.D bp   V=  360 t = M D bp
1.2 Löu chuyeån haøng hoùa: Phaân tích LCHH:  laø phaân tích hoaït doäng mua haøng, döï tröõ vaø baùn haøng Phaân tích tình hình baùn haøng: thò tröôøng nöôùc ngoøai vaø noäi ñòa  Phaân tích tình hình mua haøng Phaân tích tình hình döï tröõ 1. CAÙC KHAÙI NIEÄM
2.PHAÂN TÍCH TÌNH HÌNH BAÙN HAØNG 2.1 TÌNH HÌNH CHUNG 2.2 PHAÂN TÍCH TÌNH HÌNH BAÙN HAØNG RA NÖÔÙC NGOAØI (XK) 2.3 PHAÂN TÍCH TÌNH HÌNH BAÙN HAØNG NOÄI ÑÒA
2.PHAÂN TÍCH TÌNH HÌNH BAÙN HAØNG 2.1 TÌNH HÌNH CHUNG Phaân tích tình hình löu chuyeån haøng hoùa Ñaùnh giaù toác ñoä löu chuyeån haøng hoùa
2.PHAÂN TÍCH TÌNH HÌNH BAÙN HAØNG 2.1 TÌNH HÌNH CHUNG Ñaùnh giaù tình hình baùn haøng trong moái quan heä vôùi hoaït ñoäng mua vaø döï tröõ haøng nhaèm xaùc ñònh möùc ñoä ñaùp öùng vaø khaû naêng tieâu thuï Nghieân cöùu nhöõng  nhaân toá taùc ñoäng Ñeà xuaát giaûi phaùp
2.PHAÂN TÍCH TÌNH HÌNH BAÙN HAØNG 2.2 PHAÂN TÍCH TÌNH HÌNH BAÙN HAØNG RA NÖÔÙC NGOAØI (XK) Phöông phaùp phaân tích söû duïng laø phöông phaùp thoáng keâ so saùnh
2.PHAÂN TÍCH TÌNH HÌNH BAÙN HAØNG PHAÂN TÍCH TÌNH HÌNH XK: Phaân tích tình hình KNXK, vaø toác ñoä taêng giaûm XK Phaân tích tình hình kyù keát vaø thöïc hieän hôïp ñoàng XK Phaân tích tình hình XK theo ngaønh haøng Phaân tích tình hình XK theo thò tröôøng Phaân tích tình hình XK theo phöông thöùc kinh doanh Phaân tích tình hình XK theo phöông thöùc thanh toùan quoác teá Phaân tích tình hình XK theo ñieàu kieän thöông maïi
2.PHAÂN TÍCH TÌNH HÌNH BAÙN HAØNG 2.3 PHAÂN TÍCH TÌNH HÌNH BAÙN HAØNG NOÄI ÑÒA
Noäi dung phaân tích hoaït ñoäng baùn haøng treân thò tröôøng noäi ñòa: Phaân tích tình hình baùn haøng theo doanh thu  Phaân tích tình hình baùn haøng theo cô caáu maët haøng Phaân tích tình hình baùn haøng theo khu vöïc kinh doanh Phaân tích tình hình baùn haøng theo phöông thöc tieâu thuï saûn phaåm
Muïc tieâu phaân tích chung: Ñaùnh giaù chung Nghieân cöùu nhöõng nhaân toá khaùch quan vaø chuû quan  Ñeà xuaát giaûi phaùp Phöông phaùp söû duïng: phöông phaùp thoáng keâ so saùnh
3. CAÙC NHAÂN TOÁ AÛNH HÖÔÛNG ÑEÁN TÍCH TÌNH HÌNH BAÙN HAØNG 3.1 CAÙC NHAÂN TOÁ KHAÙCH QUAN 3.2 CAÙC NHAÂN TOÁ CHUÛ QUAN
PHAÂN TÍCH CHI PHÍ KINH DOANH THS. NGOÂ THÒ HAÛI XUAÂN
NOÄI DUNG NHÖÕNG VAÁN ÑEÀ CÔ BAÛN VEÀ CHI PHÍ NHÖÕNG NHAÂN TOÁ TAÙC ÑOÄNG ÑEÁN CHI PHÍ MOÄT SOÁ GIAÛI PHAÙP NHAÈM GIAÛM CHI PHÍ
1. NHÖÕNG VAÁN ÑEÀ CÔ BAÛN VEÀ CHI PHÍ 1.1 KHAÙI NIEÄM 1.2 PHAÂN LOAÏI CHI PHÍ 1.3 CAÙC CHÆ TIEÂU PHAÂN TÍCH - ÑAÙNH GIAÙ TÌNH HÌNH CHI PHÍ
1.1 KHAÙI NIEÄM Chi phí kinh doanh  laø toøan boä chi phí coù lieân quan ñeán hoaït ñoäng kinh doanh cuûa doanh nghieâp
PHÂN LOẠI CHI PHÍ PHÂN LOẠI THEO MỤC ĐÍCH CỦA CHI PHÍ PHÂN LOẠI THEO SỰ BIẾN ĐỔI CỦA KHỐI LƯỢNG HAY DOANH SỐ BÁN HÀNG PHÂN LOẠI THEO ĐẶC TÍNH HÌNH THÀNH CHI PHÍ
PHÂN LOẠI CHI PHÍ PHÂN LOẠI THEO MỤC ĐÍCH CỦA CHI PHÍ: Chi phí kinh doanh  bao gồm các chi phí: chi phí sản xuất, kinh doanh phát sinh trong quá trình hoạt động kinh doanh thông thường của doanh nghiệp và các chi phí khác.  CPKD = GIÁ VỐN HÀNG HÓA + CPBH + CPQLDN + CPTC + CP KHÁC + THUẾ
Chi phí saûn xuaát, kinh doanh  phaùt sinh trong quaù trình hoaït ñoäng kinh doanh thoâng thöôøng cuûa doanh nghieäp, nhö: giaù voán haøng baùn, chi phí baùn haøng, chi phí quaûn lyù doanh nghieäp, chi phí laõi tieàn vay, vaø nhöõng chi phí lieân quan ñeán hoaït ñoäng cho caùc beân khaùc söû duïng taøi saûn sinh ra lôïi töùc, tieàn baûn quyeàn,...
Chi phí khaùc  bao goàm caùc chi phí ngoaøi caùc chi phí saûn xuaát, kinh doanh phaùt sinh trong quaù trình hoaït ñoäng kinh doanh thoâng thöôøng cuûa doanh nghieäp, nhö: chi phí veà thanh lyù, nhöôïng baùn taøi saûn coá ñònh, caùc khoaûn tieàn bò khaùch haøng phaït do vi phaïm hôïp ñoàng,...
PHÂN LOẠI CHI PHÍ PHÂN LOẠI THEO SỰ BIẾN ĐỔI CỦA KHỐI LƯỢNG HAY DOANH SỐ BÁN HÀNG: CHI PHÍ KHẢ BIẾN (BIẾN PHÍ) CHI PHÍ BẤT BIẾN (ĐỊNH PHÍ)
PHÂN LOẠI CHI PHÍ PHÂN LOẠI THEO ĐẶC TÍNH HÌNH THÀNH CHI PHÍ CHI PHÍ XÁC ĐỊNH CHI PHÍ CƠ HỘI
1.3 CAÙC CHÆ TIEÂU ÑAÙNH GIAÙ TÌNH HÌNH CHI PHÍ 1.3.1 TOÅNG CHI PHÍ 1.3.2 TYÛ TROÏNG CAÙC KHOÛAN MUÏC CHI PHÍ 1.3.3 TYÛ SUAÁT CHI PHÍ 1.3.4 CAÙC CHÆ TIEÂU KHAÙC PHAÛN AÙNH TÌNH HÌNH CHI PHÍ KINH DOANH
1.3 CAÙC CHÆ TIEÂU ÑAÙNH GIAÙ TÌNH HÌNH CHI PHÍ 1.3.1 TOÅNG CHI PHÍ ∑   CPKD =  ∑  CP i ∑   CPKD: toång chi phí kinh doanh CP i : caùc loaïi chi phí, nhö gía voán; chi phí baùn haøng; chi phí taøi chính;...  n i=1
1.3 CAÙC CHÆ TIEÂU ÑAÙNH GIAÙ TÌNH HÌNH CHI PHÍ 1.3.2 TYÛ TROÏNG CAÙC KHOÛAN MUÏC CHI PHÍ Tcp = Tyû troïng töøng khoûan muïc chi phí giuùp doanh nghieäp hình dung vai troø cuûa töøng khoûan chi phí trong hoaït ñoäng kinh doanh CP i ∑   CPKD * 100
1.3 CAÙC CHÆ TIEÂU ÑAÙNH GIAÙ TÌNH HÌNH CHI PHÍ 1.3.3 TYÛ SUAÁT CHI PHÍ Laø chæ tieâu ñaùnh giaù hieäu quaû hoaït ñoäng kinh doanh cuûa doanh nghieäp Tsp 1  =   =  =   +  +...+ Tsp 2  =    =  =  +  +...+ ∑  CPKD ∑   DT ∑  CPKD ∑   LN ∑   CP i ∑   DT n i=1 CP 1 ∑   DT CP n ∑   DT CP 2 ∑   DT ∑   CP i ∑   LN n i=1 CP 1 ∑   LN CP 2 ∑   LN CP n ∑   LN
1.3 CAÙC CHÆ TIEÂU ÑAÙNH GIAÙ TÌNH HÌNH CHI PHÍ 1.3.4 CAÙC CHÆ TIEÂU KHAÙC PHAÛN AÙNH TÌNH HÌNH CHI PHÍ KINH DOANH MÖÙC ÑOÄ TAÊNG GIAÛM TYÛ SUAÁT CHI PHÍ Δ   Tsp 1  = Tsp 1 (TT)  - Tsp 1 (KH) Δ   Tsp 2  = Tsp 2 (TT)  - Tsp 2 (KH) TOÁC ÑOÄ TAÊNG GIAÛM TYÛ SUAÁT CHI PHÍ m= (  Tsp/ Tsp  (KH) ) * 100
2. NHÖÕNG NHAÂN TOÁ TAÙC ÑOÄNG ÑEÁN CHI PHÍ 2.1 NHOÙM NHAÂN TOÁ KHAÙCH QUAN 2.2 NHOÙM NHAÂN TOÁ CHUÛ QUAN 2.3 CAÙC NHAÂN TOÁ TAÙC ÑOÄNG ÑEÁN CHI PHÍ BAÙN HAØNG
2. NHÖÕNG NHAÂN TOÁ TAÙC ÑOÄNG ÑEÁN CHI PHÍ 2.1 NHOÙM NHAÂN TOÁ KHAÙCH QUAN Söï thay ñoåi veà cô cheá chính saùch coù lieân quan ñeán thueá, leä phí, chính saùch thöông maïi,... Chính saùch taøi chính, tín duïng Caùc thoûa thuaän spng phöông, ña phöông veà thöông maïi Giaù caû ñaàu vaøo saûn xuaát bieán ñoäng Caïnh tranh ...
2. NHÖÕNG NHAÂN TOÁ TAÙC ÑOÄNG ÑEÁN CHI PHÍ 2.2 NHOÙM NHAÂN TOÁ CHUÛ QUAN Tính hôïp lyù cuûa toå chöùc kinh doanh Möùc ñoä kieåm soùat quaù trình chi phí Trình ñoä kyõ thuaät vaø coâng ngheä Chính saùch khaáu hao taøi saûn coá ñònh Naêng löïc söû duïng voán kinh doanh Chính saùch tieáp thò, khuyeán maïi Trinh ñoä quaûn lyù cuûa nhaø quaûn trò, tay ngheà cuûa coâng nhaân
2. NHÖÕNG NHAÂN TOÁ TAÙC ÑOÄNG ÑEÁN CHI PHÍ 2.3 CAÙC NHAÂN TOÁ TAÙC ÑOÄNG ÑEÁN CHI PHÍ BAÙN HAØNG Chi phí vaän taûi, boác dôõ Chi phí ñoùng goùi bao bì Chi phí baûo quaûn haøng hoùa Chi phí lieân quan ñeán thanh toùan Chi phí traû laõi suaát Chi phí lieân quan ñeán thuû tuïc kinh doanh thöông mai Chi phí lieân quan ñeán giao dòch thöông maïi
3. MOÄT SOÁ GIAÛI PHAÙP NHAÈM GIAÛM CHI PHÍ 3.1 NGUYEÂN TAÉC CHUNG 3.2 CAÙC GIAÛI PHAÙP NHAÈM GIAÛM CHI PHÍ
3. MOÄT SOÁ GIAÛI PHAÙP NHAÈM GIAÛM CHI PHÍ 3.1 NGUYEÂN TAÉC CHUNG Giaûi phaùp nhaèm giaûi quyeát thöc traïng hoïat ñoäng kinh doanh cuûa doanh nghieäp Giaûi phaùp ñeà xuaát phaûi cho pheùp taän duïng caùc cô hoäi giaûm phí vaø haïn cheá caùc nguy cô gia taêng chi phí cuûa doanh nghieäp Giaûi phaùp giaûm chi phí khoâng ñöôc aûnh höôûng xaáu ñeán chaát löôïng saûn phaåm vaø dòch vuï  Giaûi phaùp giaûm chi phí phaûi goùp phaàn naâng cao naêng suaát lao ñoäng
3. MOÄT SOÁ GIAÛI PHAÙP NHAÈM GIAÛM CHI PHÍ 3.2 CAÙC GIAÛI PHAÙP NHAÈM GIAÛM CHI PHÍ 3.2.1 Caùc giaûi phaùp chung 3.2.2 Caùc giaûi phaùp giaûm caùc khoûan chi phí chuû yeáu trong hoaït ñoäng thöông maïi
3. MOÄT SOÁ GIAÛI PHAÙP NHAÈM GIAÛM CHI PHÍ 3.2.1 Caùc giaûi phaùp chung Laäp boä phaän chuyeân nghieân cöùu caùc chính saùch Xaây döïng heä thoáng ñònh möùc Naâng cao yù thöùc tieát kieäm Taêng toác ñoä luaân chuyeån haøng hoùa Khuyeán khích naâng cao hieäu quaû kinh doanh Thaåm ñònh kyõ caùc döï aùn ñaàu tö
Phaân tích LÔÏI NHUAÄN VAØ HIEÄU QUAÛ hoaït ñoäng KINH DOANH THS. NGOÂ THÒ HAÛI XUAÂN
NOÄI DUNG LÔÏI NHUAÄN PHAÂN TÍCH LÔÏI NHUAÄN CAÙC NHAÂN TOÁ AÛNH HÖÔÛNG ÑEÁN LÔÏI NHUAÄN KEÁT QUAÛ  VAØ HIEÄU QUAÛ HOÏAT ÑOÄNG KINH DOANH THÖÔNG MAÏI
1. LÔÏI NHUAÄN 1.1 KHAÙI NIEÄM 1.2 CAÙC BOÄ PHAÄN CAÁU THAØNH CUÛA LÔÏI NHUAÄN
1. LÔÏI NHUAÄN 1.1 KHAÙI NIEÄM ∑   LÔÏI NHUAÄN =  ∑  DOANH THU -  ∑  CHI PHÍ KD
1. LÔÏI NHUAÄN 1.2 CAÙC BOÄ PHAÄN CAÁU THAØNH CUÛA LÔÏI NHUAÄN 1.2.1 LÔÏI NHUAÄN TÖØ HOAÏT ÑOÂNG KINH DOANH 1.2.2 LÔÏI NHUAÄN TÖØ CAÙC HOAÏT ÑOÄNG KHAÙC
1. LÔÏI NHUAÄN 1.2.1 LÔÏI NHUAÄN TÖØ HOAÏT ÑOÄNG KINH DOANH LÔÏI NHUAÄN TÖØ HOAÏT ÑOÄNG BAÙN HAØNG VAØ CUNG CAÁP DÒCH VUÏ LN = DTGB – DTGV – (CPBH + CPQL +    THUEÁ)
LÔÏI NHUAÄN TÖØ HOAÏT ÑOÄNG TAØI CHÍNH LN TC  = THU NHAÄP  TC  – CHI PHÍ  TC LÔÏI NHUAÄN TÖØ HOAÏT ÑOÄNG KHAÙC:  töø caùc hoaït ñoäng nhö thanh lyù taøi saûn coá ñònh, thaéng kieän trong kinh doanh,… LN khaùc  = THU NHAÄP  khaùc  – CHI PHÍ  khaùc
2. PHAÂN TÍCH LÔÏI NHUAÄN 2.1 PHAÂN TÍCH CHUNG TÌNH HÌNH LÔÏI NHUAÄN 2.2 PHAÂN TÍCH CAÙC NHAÂN TOÁ TAÙC ÑOÄNG ÑEÁN LÔÏI NHUAÄN BAÙN HAØNG VAØ CUNG CAÁP DÒCH VUÏ
2.1 PHAÂN TÍCH CHUNG TÌNH HÌNH LÔÏI NHUAÄN Muïc tieâu: Ñaùnh giaù veà tình hình lôïi nhuaän töø caùc hoaït ñoäng cuûa coâng ty mang laïi, söï bieán ñoäng cuûa töng boä phaän lôïi nhuaän Ñaùnh giaù tình hình thöïc hieän keá hoach lôïi nhuaän, tình hình taêng giaûm lôïi nhuaän so vôùi nhöõng naêm tröôùc Phöông phaùp söû duïng: phöông phaùp thoáng keâ soá lieäu vaø so saùnh
2.2 PHAÂN TÍCH CAÙC NHAÂN TOÁ TAÙC ÑOÄNG ÑEÁN LÔÏI NHUAÄN BAÙN HAØNG VAØ CUNG CAÁP DÒCH VUÏ
2.2 PHAÂN TÍCH CAÙC NHAÂN TOÁ TAÙC ÑOÄNG ÑEÁN LÔÏI NHUAÄN BAÙN HAØNG VAØ CUNG CAÁP DÒCH VUÏ Söû duïng phöông phaùp thay theá lieân hoøan ñeå xaùc ñònh caùc nhaân toá aûnh höôûng ñeán lôïi nhuaän töø hoaït ñoäng baùn haøng vaø cung caáp dòch vuï: Khoái löôïng haøng hoùa tieâu thuï Keát caáu maët haøng tieâu thuï Giaù voán haøng baùn Chi phí baùn haøng Chi phí quaûn lyù baùn haøng Giaù baùn
2.2 PHAÂN TÍCH CAÙC NHAÂN TOÁ TAÙC ÑOÄNG ÑEÁN LÔÏI NHUAÄN BAÙN HAØNG VAØ CUNG CAÁP DÒCH VUÏ
KHOÁI LÖÔÏNG HAØNG HOÙA TIEÂU THUÏ T – Tyû leä hoøan thaønh keá hoaïch tieâu thuï saûn phaåm theo khoái löôïng:
KHOÁI LÖÔÏNG HAØNG HOÙA TIEÂU THUÏ Möùc ñoä aûnh höôûng cuûa nhaân toá khoái löôïng tieâu thuï ñeán lôïi nhuaän baùn haøng:
KEÁT CAÁU HAØNG HOÙA TIEÂU THUÏ
GIAÙ VOÁN HAØNG HOAÙ
CHI PHÍ BAÙN HAØNG
CHI PHÍ QUAÛN LYÙ DOANH NGHIEÄP
GIAÙ TIEÂU THUÏ HAØNG BAÙN
3. CAÙC NHAÂN TOÁ AÛNH HÖÔÛNG ÑEÁN LÔÏI NHUAÄN Möùc löu chuyeån haøng hoùa thöông maïi Cô caáu haøng hoùa kinh doanh thöông maïi Nhaân toá giaù caû: + Giaù caû haøng hoùa + Giaù caû chi phí baùn haøng + Tyû giaù hoái ñoaùi Thueá
4. KEÁT QUAÛ VAØ HIEÄU QUAÛ HOÏAT ÑOÄNG KINH DOANH THÖÔNG MAÏI 4.1 KHAÙI NIEÄM 4.2 CAÙC CHÆ TIEÂU ÑAÙNH GIAÙ KEÁT QUAÛ HOAÏT ÑOÄNG KINH DOANH THÖÔNG MAÏI 4.3 HIEÄU QUAÛ HOAÏT ÑOÄNG KINH DOANH THÖÔNG MAÏI
4.1 KHAÙI NIEÄM Keát quaû hoaït ñoäng kinh doanh ñöôïc hieåu laø heä thoáng caùc chæ tieâu kinh teá phaûn aùnh tình hình hoaït ñoäng kinh doanh cuûa doanh nghieäp sau moät thôøi kyø.
4.2 CAÙC CHÆ TIEÂU ÑAÙNH GIAÙ KEÁT QUAÛ HOAÏT ÑOÄNG KINH DOANH THÖÔNG MAÏI Caùc chæ tieâu theo quy ñinh cuûa Nhaø nöôùc  Caùc chæ tieâu maø nhaø quaûn trò söû duïng
4.2 CAÙC CHÆ TIEÂU ÑAÙNH GIAÙ KEÁT QUAÛ HOAÏT ÑOÄNG KINH DOANH THÖÔNG MAÏI Caùc chæ tieâu theo quy ñinh cuûa Nhaø nöôùc  Doanh thu Chi phí  Lôïi nhuaän
4.2 CAÙC CHÆ TIEÂU ÑAÙNH GIAÙ KEÁT QUAÛ HOAÏT ÑOÄNG KINH DOANH THÖÔNG MAÏI Caùc chæ tieâu maø nhaø quaûn trò söû duïng: Doanh thu baùn haøng vaø cung caáp dòch vuï Kim ngaïch XNK Chi phí hoaït ñoäng kinh doanh (bao goàm chi phí baùn haøng) Lôïi nhuaän hoaït ñoäng kinh doanh Caùc khoûan thueá vaø toång thueá coù lieân quan ñeán hoaït ñoäng kinh doanh Toång soá ngöôøi lao ñoäng  Voán kinh doanh
4.3 HIEÄU QUAÛ HOAÏT ÑOÄNG KINH DOANH THÖÔNG MAÏI Tyû suaát lôïi nhuaän: Tyû suaát lôïi nhuaän so vôùi doanh thu baùn haøng: Tyû suaát lôïi nhuaän so vôùi chi phí kinh doanh: Tyû suaát lôïi nhuaän so vôùi voán kinh doanh hoaëc voán chuû sôû höõu
4.3 HIEÄU QUAÛ HOAÏT ÑOÄNG KINH DOANH THÖÔNG MAÏI Söùc saûn xuaát cuûa voán kinh doanh:
4.3 HIEÄU QUAÛ HOAÏT ÑOÄNG KINH DOANH THÖÔNG MAÏI Hieäu suaát chi chí: Naêng suaát lao ñoäng:
4.3 HIEÄU QUAÛ HOAÏT ÑOÄNG KINH DOANH THÖÔNG MAÏI DÖÏ KIEÁN LÔØI (LOÃ) CUÛA MOÄT THÖÔNG VUÏ KINH DOANH XNK TYÛ GIAÙ XK TYÛ GIAÙ NK
T XK  = TNK =     Chi phí kinh doanh (tính baèng VND)     Kim ngaïch XK (tính baèng USD)  DTNK (tính baèng VND)    CPKD NK  (tính baèng USD)
VOÁN VAØ NGUOÀN VOÁN  CUÛA DOANH NGHIEÄP THÖÔNG MAÏI THS. NGOÂ THÒ HAÛI XUAÂN
NOÄI DUNG 1. VOÁN VAØ NGUOÀN VOÁN 2. PHAÂN TÍCH TÌNH HÌNH SÖÛ DUÏNG VOÁN VAØ NGUOÀN VOÁN  3. BAÙO CAÙO LÖU CHUYEÅN TIEÀN TEÄ 4. CAÙC BIEÄN  PHAÙP NAÂNG CAO HIEÄU QUAÛ SÖÛ DUÏNG VOÁN
1. VOÁN VAØ NGUOÀN VOÁN 1.1 KHAÙI NIEÄM VEÀ VOÁN VAØ TAØI SAÛN 1.2 PHAÂN LOAÏI TAØI SAÛN CUÛA DOANH NGHIEÄP 1.3 XAÙC ÑÒNH NHU CAÀU VOÁN LÖU ÑOÄNG 1.4 NGUOÀN VOÁN KINH DOANH
1.1 KHAÙI NIEÄM VEÀ VOÁN VAØ TAØI SAÛN Voán  laø söï bieåu hieän döôùi daïng tieàn teä moïi taøi saûn cuûa doanh nghieäp. Taøi saûn  laø toøan boä phöông tieän vaät chaát vaø phi vaät chaát tham gia tröïc tieáp hoaëc giaùn tieáp vaøo quaù tình kinh doanh nhaèm muïc tieâu lôïi nhuaän. Laø nguoàn löïc do doanh nghieäp kieåm soaùt vaø coù theå thu ñöôïc lôïi ích kinh teá trong töông lai.
1.2 PHAÂN LOAÏI TAØI SAÛN CUÛA DOANH NGHIEÄP Phaân loaïi theo hình thöùc bieåu hieän: Tieàn teä Taøi saûn höõu hình Taøi saûn voâ hình Taøi saûn ñaëc bieät khaùc:  coå phieáu, chöùng khoùan, caùc chöùng chæ taøi chính coù meänh giaù nhö tieàn, vaøng baïc, ñaù quyù,..
1.2 PHAÂN LOAÏI TAØI SAÛN CUÛA DOANH NGHIEÄP Phaân loai theo tính chaát söû duïng cuûa taøi saûn: Taøi saûn coá ñònh Taøi saûn löu ñoäng
1.2 PHAÂN LOAÏI TAØI SAÛN CUÛA DOANH NGHIEÄP Phaân loai theo thôøi haïn söû duïng cuûa taøi saûn: Taøi saûn ngaén haïn  Taøi saûn daøi haïn
1.3 XAÙC ÑÒNH NHU CAÀU VOÁN LÖU ÑOÄNG Nhu caàu voán löu ñoäng: D: Möùc voán daønh cho nhu caàu döï tröõ haøng toàn kho T: caùc khoûan voán phaûi thu töø khaùch haøng Z: Caùc khoûan nôï phaûi traû
1.3 XAÙC ÑÒNH NHU CAÀU VOÁN LÖU ÑOÄNG Coù 2 phöông phaùp xaùc ñònh Nhu caàu voán löu ñoäng: Phöông phaùp tröïc tieáp Phöông phaùp giaùn tieáp
1.3 XAÙC ÑÒNH NHU CAÀU VOÁN LÖU ÑOÄNG Phöông phaùp tröïc tieáp: Xaùc ñònh  D  : D  = döï tröõ thöôøng xuyeân + döï tröõ chuaån bò + döï tröõ baûo hieåm + nhu caàu veà voán cho chi phí traû tröôùc
1.3 XAÙC ÑÒNH NHU CAÀU VOÁN LÖU ÑOÄNG Phöông phaùp tröïc tieáp: Xaùc ñònh  D  : Döï tröõ thöôøng xuyeân:  laø döï tröõ haøng hoùa caàn thieát ñeå ñaûm baûo hoaït ñoäng baùn haøng dieãn ra lieân tuïc giöõa hai kyø mua haøng voâ t i  : thôøi gian trung bình giöõa hai ñôït mua haøng voâ cuûa maët haøng i q: khoái löôïng maët haøng i ñöôïc baùn ra bình quaân trong moät ngaøy ñeâm p: giaù voán maët haøng i n: soá loaïi maët haøng kinh doanh
1.3 XAÙC ÑÒNH NHU CAÀU VOÁN LÖU ÑOÄNG Phöông phaùp tröïc tieáp: Xaùc ñònh  D: Döï tröõ chuaån bò:  moät soá loaïi haøng hoùa tröôùc khi baùn ra phaûi coù söï chuaån bò nhö: pha cheá, choïn löïa, ñoùng goùi, laép raùp,…Ñaây laø döï tröõ chuaån bò
1.3 XAÙC ÑÒNH NHU CAÀU VOÁN LÖU ÑOÄNG Phöông phaùp tröïc tieáp: Xaùc ñònh  D  : Döï tröõ baûo hieåm:  baèng tyû leä % so vôùi döï tröõ thöôøng xuyeân vaø döï tröõ chuaån bò (döïa vaøo phöông phaùp kinh nghieäm)
1.3 XAÙC ÑÒNH NHU CAÀU VOÁN LÖU ÑOÄNG Phöông phaùp tröïc tieáp: Xaùc ñònh  D  : Nhu caàu veà voán cho chi phí traû tröôùc: V tt : nhu caàu voán veà chi phí traû tröôùc trong kyø V dk : soá voán traû tröôùc dö ñaàu kyø kinh doanh V ps : soá voán traû tröôùc döï kieán phaùt sinh trong kyø V pb : soá voán traû tröôùc döï kieán phaân boå vaøo giaù thaønh saûn phaåm trong kyø
1.3 XAÙC ÑÒNH NHU CAÀU VOÁN LÖU ÑOÄNG Phöông phaùp tröïc tieáp: Xaùc ñònh  T – caùc khoûan voán phaûi thu töø khaùch haøng M: doanh thu tieâu thuï cuûa khaùch haøng trong ngaøy t: thôi gian trung bình cho khaùch haøng nôï n: soá löôïng khaùch haøng i: khaùch haøng cuï theå
1.3 XAÙC ÑÒNH NHU CAÀU VOÁN LÖU ÑOÄNG Phöông phaùp tröïc tieáp: Xaùc ñònh  Z – voán cuûa caùc khoûan nôï phaûi traû trong kyø û GT: giaù trò haøng hoùa mua vaøo bình quaân moät ngaøy töø nhaø cung caáp t: thôì gian cho nôï bình quaân töø moät nhaø cung caáp n: soá löôïng nhaø cung caáp i: nhaø cung caáp cuï theå
1.3 XAÙC ÑÒNH NHU CAÀU VOÁN LÖU ÑOÄNG Phöông phaùp giaùn tieáp: döïa vaøo nhu caàu voán löu ñoïng kyø kinh doanh tröôùc ñoù vaø döï baùo taêng giaûm qui moâ kinh doanh vaø chính saùch kinh doanh cuûa coâng ty trong kyø kinh doanh tôùi  (phuï thuoâïc vaøo kinh nghieäm, phöông phaùp döï baùo)
1.4 NGUOÀN VOÁN KINH DOANH KHAÙI NIEÄM:  Nguoàn voán laø toøan boä soá voán ñeå ñaûm baûo ñuû nhu caàu veà taøi saûn phuïc vuï cho hoaït ñoäng kinh doanh ñöôïc tieán haønh lieân tuïc
1.4 NGUOÀN VOÁN KINH DOANH PHAÂN LOAÏI: Theo tính oån ñònh cuûa nguoàn voán Theo nguoàn goác cuûa nguoàn voán
1.4 NGUOÀN VOÁN KINH DOANH Theo tính oån ñònh cuûa nguoàn voán Nguoàn voán taøi trôï thöôøng xuyeân Nguoàn voán taøi trôï taïm thôøi
1.4 NGUOÀN VOÁN KINH DOANH Theo nguoàn goác cuûa nguoàn voán Voán vay = Nôï ngaén haïn + Nôï daøi haïn Voán chuû sôû höõu = Voán chuû sôû höõu + Nguoàn kinh phí vaø quyõ khaùc
2. PHAÂN TÍCH TÌNH HÌNH SÖÛ DUÏNG VOÁN VAØ NGUOÀN VOÁN  2.1 Caùc taøi lieäu duøng ñeå phaân tích 2.2 Phaân Tích Tình Hình Söû Duïng Voán Vaø Nguoàn Voán 2.3 Ñaùnh giaù tình hình coâng nôï vaø khaû naêng thanh toùan coâng nôï  2.4 Ñaùnh gía tinh hình vaø hieäu quaû söû duïng voán löu ñoäng  2.5 Ñaùnh gía tinh hình vaø hieäu quaû söû duïng voán coá ñònh
2. PHAÂN TÍCH TÌNH HÌNH SÖÛ DUÏNG VOÁN VAØ NGUOÀN VOÁN  2.2 Phaân Tích Tình Hình Söû Duïng Voán Vaø Nguoàn Voán TAÙC DUÏNG: Ñoái vôùi nhaø quaûn trò doanh nghieäp: Ñaùnh giaù tình hình söû duïng voán vaø nguoàn voán thoûa maõn nhu caàu hoaït ñoäng cuûa coâng ty Tìm kieám khaû naêng kieám lôøi Ñaùnh giaù tình hình coâng nôï, tìm kíeâm caùch thöùc thu hoài coâng nôï vaø traû nôï Ñeà xuaát caùc giaûi phaùp naâng cao hieäu quaû söû duïng voán vaø nguoàn voán
2. PHAÂN TÍCH TÌNH HÌNH SÖÛ DUÏNG VOÁN VAØ NGUOÀN VOÁN  2.2 Phaân Tích Tình Hình Söû Duïng Voán Vaø Nguoàn Voán Ñoái vôùi nhaø taøi chính vaø cho vay tín duïng Ñaùnh giaù khaû naêng thanh toùan vaø traû nôï cuûa doanh nghieäp, ñeå ñöa ra quyeát ñònh: Cho doanh nghieäp vay hay khoâng vay voán Baûo laõnh hay khoâng baûo laõnh thanh toùan
2. PHAÂN TÍCH TÌNH HÌNH SÖÛ DUÏNG VOÁN VAØ NGUOÀN VOÁN  2.2 Phaân Tích Tình Hình Söû Duïng Voán Vaø Nguoàn Voán Ñoái vôùi nhaø ñaàu tö: Ñaùnh giaù trieån voïng hoaït ñoäng cuûa doanh nghieäp treân nhieàu maët nhö thôøi gian hoøan voán, ñieåm hoøa voán, khaû naêng thanh toùan voán,… ñeå ñöa ra quyeát ñònh ñaàu tö hay khoâng ñaàu tö
2. PHAÂN TÍCH TÌNH HÌNH SÖÛ DUÏNG VOÁN VAØ NGUOÀN VOÁN  2.2 Phaân Tích Tình Hình Söû Duïng Voán Vaø Nguoàn Voán PHAÂN TÍCH: So saùnh con soá ñaàu kyø vaø cuoái kyø cuûa töøng chæ tieâu trong baûng caân ñoái keá toùan ñeå ñaùnh giaù möùc taêng (giaûm) quy moâ hoaït ñoäng taøi chính cuûa doanh nghieäp
2. PHAÂN TÍCH TÌNH HÌNH SÖÛ DUÏNG VOÁN VAØ NGUOÀN VOÁN  2.2 Phaân Tích Tình Hình Söû Duïng Voán Vaø Nguoàn Voán Phaân tích keát caáu voán vaø nguoàn voán; Keát caáu taøi saûn: Tyû leä khoaûn muïc taøi saûn / Toång taøi saûn Trình ñoä trang bò kyõ thuaät cuûa doanh nghieäp thöông maïi theå hieän qua chæ tieâu  Tyû suaát ñaàu tö: Muïc II loaïi B phaàn taøi saûn: TSCÑ Keát caáu nguoàn voán:  Tyû leä khoaûn muïc nguoàn voán / Toång nguoàn voán
2. PHAÂN TÍCH TÌNH HÌNH SÖÛ DUÏNG VOÁN VAØ NGUOÀN VOÁN  2.2 Phaân Tích Tình Hình Söû Duïng Voán Vaø Nguoàn Voán Phaân tích khaùi quaùt veà khaû naêng thanh toùan cuûa doanh nghieäp:  4 chæ tieâu Tyû suaát töï taøi trôï Tyû suaát thanh toùan ngaén haïn Tyû suaát thanh toùan baèng tieàn  Tyû suaát thanh toùan ngay
2. PHAÂN TÍCH TÌNH HÌNH SÖÛ DUÏNG VOÁN VAØ NGUOÀN VOÁN  2.3 Ñaùnh giaù tình hình coâng nôï vaø khaû naêng thanh toùan coâng nôï  PHAÂN TÍCH KHAÛ NAÊNG THANH TOÙAN  PHAÂN TÍCH TÌNH HÌNH COÂNG NÔÏ
2. PHAÂN TÍCH TÌNH HÌNH SÖÛ DUÏNG VOÁN VAØ NGUOÀN VOÁN  PHAÂN TÍCH KHAÛ NAÊNG THANH TOÙAN  - Heä soá thanh toùan toång quaùt (H t ) - Tyû leä caùc khoûan phaûi thu so vôùi caùc khoûan phaûi traû - Heä soá khaû naêng thanh toùan (H)
2. PHAÂN TÍCH TÌNH HÌNH SÖÛ DUÏNG VOÁN VAØ NGUOÀN VOÁN  PHAÂN TÍCH KHAÛ NAÊNG THANH TOÙAN  - Soá voøng luaân chuyeån caùc khoaûn phaûi thu: - Kyø thu tieàn bình quaân cuûa DT baùn chòu (ngaøy) = Soá ngaøy cuûa kyø kinh doanh / Soá voøng luaân chuyeån caùc khoaûn phaûi thu
2. PHAÂN TÍCH TÌNH HÌNH SÖÛ DUÏNG VOÁN VAØ NGUOÀN VOÁN  PHAÂN TÍCH KHAÛ NAÊNG THANH TOÙAN  - Soá voøng luaân chuyeån caùc khoaûn phaûi traû: = Doanh soá mua chòu trong kyø / Nôïi phaûi traû bình quaân trong kyø - Kyø traû tieàn cuûa DT ñoái vôùi caùc khoaûn phaûi traû ngöôøi baùn (ngaøy) = Soá ngaøy cuûa kyø kinh doanh / Soá voøng luaân chuyeån caùc khoaûn phaûi traû
2. PHAÂN TÍCH TÌNH HÌNH SÖÛ DUÏNG VOÁN VAØ NGUOÀN VOÁN  PHAÂN TÍCH TÌNH HÌNH COÂNG NÔÏ Heä soá nôï: YÙ nghóa: Xem xeùt khaû naêng, möùc ñoä coù theå vay voán cuûa doanh nghieäp Giuùp caùc doanh nghieäp cho vay xem xeùt möùc ñoä an toøan voán cho vay
2. PHAÂN TÍCH TÌNH HÌNH SÖÛ DUÏNG VOÁN VAØ NGUOÀN VOÁN  2.4 Ñaùnh gía tinh hình vaø hieäu quaû söû duïng voán löu ñoäng  PHAÂN TÍCH KEÁT CAÁU VOÁN LÖU ÑOÄNG PHAÂN TÍCH TÌNH HÌNH DÖÏ TRÖÕ TAØI SAÛN LÖU ÑOÄNG ÑAÙNH GIAÙ HIEÄU QUAÛ SÖÛ DUÏNG VOÁN LÖU ÑOÄNG
2. PHAÂN TÍCH TÌNH HÌNH SÖÛ DUÏNG VOÁN VAØ NGUOÀN VOÁN  PHAÂN TÍCH TÌNH HÌNH DÖÏ TRÖÕ TAØI SAÛN LÖU ÑOÄNG Muïc ñích  laø nhaèm ñaùnh giaù möùc ñoä haøng hoùa döï tröõ cho quaù trình kinh doanh, traùnh tình traïng öù ñoïng voán. Noäi dung phaân tích:  söï thay ñoåi keát caáu giöõa caùc loaïi taì saûn döï tröõ; ñaùnh giaù möùc ñoä taêng giaûm, möùc ñoä hôïp lyù cuûa taøi saûn döï tröõ; ñaëc bieät laø tình traïng toàn kho: haøng hoùa, nguyeân vaät lieäu ñang söû duïng hoaëc deã baùn; haøng hoùa söï duïng chaäm hoaëc khoù baùn; haøng hoùa khoâng coù nhu caàu söû duïng caàn thanh lyù
2. PHAÂN TÍCH TÌNH HÌNH SÖÛ DUÏNG VOÁN VAØ NGUOÀN VOÁN  ÑAÙNH GIAÙ HIEÄU QUAÛ SÖÛ DUÏNG VOÁN LÖU ÑOÄNG Toác ñoä luaân chuyeån voán löu ñoäng: Soá laàn luaân chuyeån voán löu ñoäng / Heä soá luaân chuyeån voán löu ñoäng (S) M: doanh thu tieâu thuï haøng hoùa Thôøi gian thöïc hieän 1 laàn luaân chuyeån voán: (t)     T: thôøi gian cuûa kyø phaân tích (soá ngaøy, quyù naêm)
2. PHAÂN TÍCH TÌNH HÌNH SÖÛ DUÏNG VOÁN VAØ NGUOÀN VOÁN  ÑAÙNH GIAÙ HIEÄU QUAÛ SÖÛ DUÏNG VOÁN LÖU ÑOÄNG Möùc sinh lôøi cuûa voán löu ñoäng: Soá voøng quay haøng hoùa, thaønh phaåm toàn kho
2. PHAÂN TÍCH TÌNH HÌNH SÖÛ DUÏNG VOÁN VAØ NGUOÀN VOÁN  2.5 Ñaùnh gía tinh hình vaø hieäu quaû söû duïng voán coá ñònh PHAÂN TÍCH TÌNH HÌNH CHUNG VEÀ SÖÛ DUÏNG TAØI SAÛN COÁ ÑÒNH VAØ VOÁN COÁ ÑÒNH PHAÂN TÍCH KEÁT CAÁU TAØI SAÛN COÁ ÑÒNH PHAÂN TÍCH HIEÄU QUAÛ SÖÛ DUÏNG TAØI SAÛN COÁ ÑÒNH VAØ VOÁN COÁ ÑÒNH
2. PHAÂN TÍCH TÌNH HÌNH SÖÛ DUÏNG VOÁN VAØ NGUOÀN VOÁN  PHAÂN TÍCH TÌNH HÌNH CHUNG VEÀ SÖÛ DUÏNG TAØI SAÛN COÁ ÑÒNH VAØ VOÁN COÁ ÑÒNH Ñaùnh giaù tình hình taêng giaûm voán coá ñònh cuoái kyø so vôùi ñaàu kyø Ñaùnh giaù trang bi kyõ thuaät: Möùc trang bò TSCÑ cho 1 lao ñoäng Ñaùng giaù tình traïng kyõ thuaät cuûa taøi saûn coá ñònh Heä soá hao moøn cuûa TSCÑ - Ñaùnh giaù tyû suaát töï taøi trôï taøi saûn coá ñònh
2. PHAÂN TÍCH TÌNH HÌNH SÖÛ DUÏNG VOÁN VAØ NGUOÀN VOÁN  PHAÂN TÍCH KEÁT CAÁU TAØI SAÛN COÁ ÑÒNH Phaân theo tính tham gia tröïc tieáp vaøo quaù trình kinh doanh thöông maïi: + TSCÑ duøng trong kd + TSCÑ duøng cho coâng trình phuùc lôïi + TSCÑ naèm chôø xöû lyù Phaân theo keát caáu taøi saûn coá ñònh duøng trong saûn xuaát: + Maùy moùc thieát bò ñang duøng trong kinh doanh + Baát ñoäng saûn phuïc vuï cho kd +Maùy moùc, TSCÑ naèm chôø phuïc vuï cho kd +TSCÑ naèm chôø xöû lyù
2. PHAÂN TÍCH TÌNH HÌNH SÖÛ DUÏNG VOÁN VAØ NGUOÀN VOÁN  PHAÂN TÍCH HIEÄU QUAÛ SÖÛ DUÏNG TAØI SAÛN COÁ ÑÒNH VAØ VOÁN COÁ ÑÒNH  Ñaùnh giaù hieäu quaû söû duïng taøi saûn coá ñònh Ñaùnh giaù hieäu quaû söû duïng voán coá ñònh: + Möùc lôïi nhuaän thu ñöôïc treân 1 ñoàng giaù trò TSCÑ + Hieäu suaát TSCÑ (H sdVCÑ )
3.  baùo caùo löu chuyeån tieàn teä 3.1 Thuaät ngöõ: Tieàn bao  goàm tieàn taïi quyõ, tieàn ñang chuyeån vaø caùc khoaûn tieàn göûi khoâng kyø haïn. Töông ñöông tieàn:  Laø caùc khoaûn ñaàu tö ngaén haïn (khoâng quaù 3 thaùng), coù khaû naêng chuyeån ñoåi deã daøng  thaønh moät löôïng tieàn xaùc ñònh vaø khoâng coù nhieàu ruûi ro trong chuyeån ñoåi thaønh tieàn.   Luoàng tieàn:  Laø luoàng vaøo vaø luoàng ra cuûa tieàn vaø töông ñöông tieàn, khoâng bao goàm chuyeån dòch noäi boä  giöõa caùc khoaûn tieàn vaø töông ñöông tieàn trong doanh nghieäp.  
3.  baùo caùo löu chuyeån tieàn teä 3.1  Hoaït ñoäng kinh doanh:  Laø caùc hoaït ñoäng taïo ra doanh thu chuû yeáu cuûa doanh nghieäp vaø caùc hoaït  ñoäng khaùc khoâng phaûi laø caùc hoaït ñoäng ñaàu tö hay hoaït ñoäng taøi chính.   Hoaït ñoäng ñaàu tö:  Laø caùc hoaït ñoäng mua saém, xaây döïng, thanh lyù, nhöôïng baùn caùc taøi saûn daøi haïn vaø  caùc khoaûn ñaàu tö khaùc khoâng thuoäc caùc khoaûn töông ñöông tieàn. Hoaït ñoäng taøi chính:   Laø caùc hoaït ñoäng taïo ra caùc thay ñoåi veà quy moâ vaø keát caáu cuûa voán chuû sôû höõu vaø  voán vay cuûa doanh nghieäp.
3.  baùo caùo löu chuyeån tieàn teä 3.2 Luoàng tieàn töø hoaït ñoäng kinh doanh : laø luoàng tieàn coù lieân quan ñeán caùc hoaït ñoäng taïo ra doanh thu chuû yeáu cuûa doanh nghieäp, noù cung caáp thoâng tin cô baûn ñeå ñaùnh giaù khaû naêng taïo tieàn cuûa doanh nghieäp töø caùc hoaït ñoäng kinh doanh ñeå trang traûi caùc khoaûn nôï, duy trì caùc hoaït ñoäng, traû coå töùc vaø tieán haønh caùc hoaït ñoäng ñaàu tö môùi maø khoâng caàn ñeán caùc nguoàn taøi chính beân ngoaøi.
3.  baùo caùo löu chuyeån tieàn teä   3.3 Luoàng tieàn töø hoaït ñoäng ñaàu tö:  laø luoàng tieàn coù lieân quan ñeán vieäc mua saém, xaây döïng, nhöôïng baùn, thanh lyù taøi saûn daøi haïn vaø caùc khoaûn ñaàu tö khaùc khoâng thuoäc caùc khoaûn töông ñöông tieàn.
3.  baùo caùo löu chuyeån tieàn teä 3.4 Luồng tiền từ hoạt động tài chính Luồng tiền từ hoạt động tài chính 1. Tiền thu từ phát hành cổ phiếu, nhận vốn góp của chủ sở hữu 2. Tiền chi trả vốn góp cho các chủ sở hữu, mua lại cổ phiếu của doanh nghiệp đã phát hành 3. Tiền vay ngắn hạn, dài hạn nhận được 4. Tiền chi trả nợ gốc vay 5. Tiền chi trả nợ thuê tài chính

Kinh te thuong mai

  • 1.
    NHÖÕNG VAÁN ÑEÀCÔ BAÛN VEÀ PHAÂN TÍCH HOAÏT ÑOÄNG KINH DOANH THS. NGOÂ THÒ HAÛI XUAÂN
  • 2.
    NOÄI DUNG BAÛNCHAÁT CUÛA PHAÂN TÍCH KINH DOANH NGUOÀN TAØI LIEÄU PHÖÔNG PHAÙP SÖÛ DUÏNG TRONG PHAÂN TÍCH HOAÏT ÑOÄNG KINH DOANH TRÌNH TÖÏ PHAÂN TÍCH HOAÏT ÑOÄNG KINH DOANH CUÛA DOANH NGHIEÄP
  • 3.
    1. BAÛN CHAÁTCUÛA PHAÂN TÍCH KINH DOANH 1.1 KHAÙI NIEÄM: Phaân tích kinh teá laø söï söû duïng caùc phöông phaùp, caùc chæ tieâu ñònh tính vaø ñònh löôïng nhaèm nghieân cöùu, ñaùnh giaù caùc hieän töôïng kinh teá taøi chính ñeå ñöa ra caùc keát luaän phuïc vuï cho caùc muïc tieâu xaùc ñònh
  • 4.
    1. BAÛN CHAÁTCUÛA PHAÂN TÍCH KINH DOANH 1.2 Muïc tieâu phaân tích kinh doanh: Ñöa ra caùc nhaän xeùt ñaùnh giaù veà caùc hieän töôïng taøi chính cuûa doanh nghieäp Nghieân cöùu caùc nhaân toá taùc ñoäng khaùch quan, chuû quan ñeán caùc hieän töôïng kinh teá taøi chính ñoái töôïng ñöôïc phaân tích Ñeà xuaát caùc chieán löôïc hoaëc keá hoaïch hoaëc caùc giaûi phaùp thích hôïp
  • 5.
    2. NGUOÀN TAØILIEÄU 2.1 Nguoàn taøi lieäu phuïc vuï cho ñaùnh gía caùc nhaân toá khaùch quan taùc ñoäng ñeán hoaït ñoäng kinh doanh cuûa doanh nghieäp: Luaät vaø caùc vaên baûn döôùi luaät Caùc chíeân löôïc phaùt trieån kinh teá cuûa Nhaø nöôùc Caùc chính saùch hoã trôï thöông maïi cuûa Nhaø nöôùc Caùc taøi lieäu veà thoâng tin thò tröôøng Caùc hieäp ñònh thöông maïi song phöông vaø ña phöông
  • 6.
    2. NGUOÀN TAØILIEÄU 2.2 Nguoàn taøi lieäu phuïc vuï cho ñaùnh gía caùc nhaân toá chuû quan taùc ñoäng ñeán hoaït ñoäng kinh doanh cuûa doanh nghieäp: Taøi lieäu tình hình kyù keát vaø thöïc hieän nhöõng hôïp ñoàng Taøi lieäu phaân tích tình hình kinh doanh:Baùo caùo keát quûa hoaït ñoäng kinh doanh (Income statement)
  • 7.
    2. NGUOÀN TAØILIEÄU 2.2 Nguoàn taøi lieäu phuïc vuï cho ñaùnh gía caùc nhaân toá chuû quan taùc ñoäng ñeán hoaït ñoäng kinh doanh cuûa doanh nghieäp: (tt) Taøi lieäu phaân tích hình saûn xuaát, maùy moùc – trang thieát bò Taøi lieäu phaân tích tình hình taøi chính:Baûng thuyeát minh baùo caùo taøi chính (Explaination of Finacial Statement), Baùo caùo löu chuyeån tieàn teä (Cash Flows),Baûng caân ñoái keá toaùn,… Taøi lieäu phaân tích tình hình lao ñoäng, tieàn löông
  • 8.
    3. MOÄT SOÁPHÖÔNG PHAÙP CÔ BAÛN SÖÛ DUÏNG TRONG PHAÂN TÍCH HOAÏT ÑOÄNG KINH DOANH 3.1 Phöông phaùp thoáng keâ 3.3 Phöông phaùp logic bieän chöùng 3.4 Phöông phaùp Khaûo saùt thöïc teá 3.4 Phöông phaùp chuyeân gia
  • 9.
    3.1 Phöông phaùpthoáng keâ (3) Phöông phaùp so saùnh Ñaây laø phöông phaùp löôïng hoaù caùc chæ tieâu kinh teá baèng con soá tuyeät ñoái vaø töông ñoái ñeå thöïc hieän so saùnh, qua ñoù ñaùnh giaù ñöôïc caùc hieän töôïng kinh teá.
  • 10.
    Phöông phaùp sosaùnh (tt) So saùnh soá lieäu thöïc hieän vaø soá lieäu keá hoaïch döï kieán So saùnh soá lieäu kyø thöïc teá naøy vôùi soá lieäu kyø tröôùc So saùnh soá lieäu thöïc teá vôùi caùc chæ tieâu ñònh möùc So saùnh soá lieäu doanh nghieäp naøy vôùi doanh nghieäp khaùc So saùnh treân cô sôû cuøng quy moâ vaø loaïi hình kinh doanh
  • 11.
    Phöông phaùp sosaùnh (tt) So saùnh giöõa caùc chæ tieâu cuøng baûn chaát Ví duï: giaù voán kyø naøy – giaù voán kyø tröôùc So saùnh giöõa caùc chæ tieâu khoâng cuøng baûn chaát nhöng coù nhöõng moái quan heä raøng buoäc nhaát ñònh vôùi nhau Ví duï: doanh thu – chi phí – lôïi nhuaän Lôïi nhuaän – lao ñoäng, …
  • 12.
    Phöông phaùp thaytheá lieân hoaøn Ñaây laø phöông phaùp xaùc ñònh möùc ñoä aûnh höôûng cuûa töøng nhaân toá aûnh höôûng leân chæ tieâu caàn ñöôïc nghieân cöùu baèng caùch thay theá laàn löôït vaø lieân tieáp caùc nhaân toá töø giaù trò goác sang kyø phaân tích ñeå xaùc ñònh trò soá cuûa chæ tieâu khi nhaân toá ñoù thay ñoåi.
  • 13.
    Phöông phaùp thaytheá lieân hoaøn (tt) Vieát coâng thöùc bieåu hieän moái lieân heä giöõa caùc nhaân toá aûnh höôûng ñeán chæ tieâu caàn ñöôïc nghieân cöùu: - Saép xeáp caùc nhaân toá aûnh höôûng trong coâng thöùc theo trình töï nhaát ñònh Xaùc ñònh nhaân toá naøo thì coá ñònh caùc nhaân toá coøn laïi Q = ab; Q 1 = a 1 b 1 ; Q 0 = a 0 b 0
  • 14.
    Phöông phaùp thaytheá lieân hoaøn Xaùc ñònh möùc ñoä aûnh höôûng cuûa caùc nhaân toá leân chæ tieâu baèng: Chæ soá töông ñoái Chæ soá tuyeät ñoái Ñaùnh gia,ù nhaän xeùt veà caùc nhaân toá taùc ñoäng leân chæ tieâu ñaõ xaây döïng Ñeà ra nhöõng giaûi phaùp ñeå laøm toát hôn chæ tieâu caàn nghieân cöùu
  • 15.
    Phöông phaùp lieânheä caân ñoái: Laø phöông phaùp xaùc ñònh chæ tieâu kinh teá thoâng qua xaùc ñònh moái quan heä cuûa chuùng vôùi caùc nhaân toá khaùc Ví duï: Lôïi nhuaän = Doanh thu – Chi phí Toàn kho ck = Toàn kho ñk + Nhaäp tk – Xuaát tk
  • 16.
    3.2 Phöông phaùplogic bieän chöùng: Laø phöông phaùp döa vaøo thöïc traïng hoaït ñoäng kinh doanh cuûa doanh nghieäp qua caùc thôøi kyø maø ruùt ra quy luaät hoaït ñoäng cuûa doanh nghieäp, coäng vôùi caùc nhaân toá taùc ñoäng, caùc döï baùo maø ñöa ra nhöõng ñaùnh giaù, keát luaän veà tình hình hoat ñoäng kinh doanh cuûa doanh nghieäp.
  • 17.
    3.3 Phöông phaùpkhaûo saùt thöïc teá: Laø phöông phaùp maø caùc doanh nghieäp tieán haønh khaûo saùt, ñieàu tra thöïc teá. Caùc thoâng tin thu thaäp ñöôïc seõ ñöôïc xöû lyù baèng caùc phaàn meàm: Xaây döïng phieáu khaûo saùt Choïn maãu khaûo saùt Xöû lyù caùc soá lieäu thu thaäp
  • 18.
    4. TRÌNH TÖÏPHAÂN TÍCH HOAÏT ÑOÄNG KINH DOANH CUÛA DOANH NGHIEÄP Thu thaäp taøi lieäu vaø xöû lyù soá lieäu Xaây döïng caùc baûng bieåu, chæ tieâu kinh teá phaûn aùnh tình hình hoaït ñoäng kinh doanh cuûa doanh nghieäp Nghieân cöùu caùc nhaân toá aûnh höôûng ñeán thöïc traïng hoaït ñoäng cuûa doanh nghieäp Toång hôïp keát quaû phaân tích, ñöa ra caùc keát luaän ñaùnh giaù thöïc traïng hoaït ñoäng kinh doanh cuûa doanh nghieäp Xaây döïng ñònh höôùng vaø ñöa ra caùc giaûi phaùp cuï theå
  • 19.
    PHAÂN TÍCH HOAÏTÑOÄNG KINH DOANH CUÛA DOANH NGHIEÄP THS. NGOÂ THÒ HAÛI XUAÂN
  • 20.
    NOÄI DUNG CAÙCKHAÙI NIEÄM PHAÂN TÍCH TÌNH HÌNH BAÙN HAØNG CAÙC NHAÂN TOÁ AÛNH HÖÔÛNG ÑEÁN TÌNH HÌNH BAÙN HAØNG
  • 21.
    1. CAÙC KHAÙINIEÄM 1.1 Doanh thu: Khaùi nieäm: Theo Chuaån möïc Keá toaùn Vieät Nam soá 01: Doanh thu vaø thu nhaäp khaùc: Laø toång giaù trò caùc lôïi ích kinh teá doanh nghieäp thu ñöôïc trong kyø keá toaùn, phaùt sinh töø caùc hoaït ñoäng saûn xuaát, kinh doanh thoâng thöôøng vaø caùc hoaït ñoäng khaùc cuûa doanh nghieäp, goùp phaàn laøm taêng voán chuû sôû höõu, khoâng bao goàm khoaûn goùp voán cuûa coå ñoâng hoaëc chuû sôû höõu.
  • 22.
    Doanh thu phaùtsinh trong quaù trình hoaït ñoäng kinh doanh thoâng thöôøng cuûa doanh nghieäp vaø thöôøng bao goàm: Doanh thu baùn haøng, doanh thu cung caáp dòch vuï, tieàn laõi, tieàn baûn quyeàn, coå töùc vaø lôïi nhuaän ñöôïc chia... 1. CAÙC KHAÙI NIEÄM
  • 23.
    1.2 Löu chuyeånhaøng hoùa: Khaùi nieäm: LCHH laø quaù trình luaân chuyeån haøng hoùa töø nôi saûn xuaát hoaëc töø nguoàn nk ñeán nôi tieâu duøng thoâng qua mua baùn Nghieân cöùu LCHH laø nghieân cöùu trò giaù hoïat ñoäng kinh doanh ñöôïc löu chuyeån qua caùc khaâu: Mua haøng – Döï tröõ – Baùn haøng (T – H –T’) Toác ñoä LCHH: Laø soá voøng haøng hoùa luaân chuyeån trong 1 kyø kinh doanh Laø thôøi gian caàn thieát ñeå thöïc hieän xong 1 voøng luaân chuyeån töø khi mua vaøo ñeán khi baùn ra 1. CAÙC KHAÙI NIEÄM
  • 24.
    1.2 Löu chuyeånhaøng hoùa: Coâng thöùc xaùc ñònh Toác ñoä LCHH: 1. CAÙC KHAÙI NIEÄM t: thôøi gian löu chuyeån moät voøng D bp : döï tröõ haøng hoùa bình quaân cho toøan boä thôøi kyø kinh doanh M: Doanh thu trong thôøi kì kinh doanh V: soá voøng haøng hoùa luaân chuyeån trong thôøi kyø kinh doanh D bp = (d 1 /2 + d 2 + d 3 +…+ d n-1 + d n /2)/(n-1) d 1 ,d 2 ,…,d n : döï tröõ haøng hoùa ñöôïc xaùc ñònh ôû nhöõng thôøi ñieåm khaûo saùt trong kyø kinh doanh t = M 360.D bp V= 360 t = M D bp
  • 25.
    1.2 Löu chuyeånhaøng hoùa: Phaân tích LCHH: laø phaân tích hoaït doäng mua haøng, döï tröõ vaø baùn haøng Phaân tích tình hình baùn haøng: thò tröôøng nöôùc ngoøai vaø noäi ñòa Phaân tích tình hình mua haøng Phaân tích tình hình döï tröõ 1. CAÙC KHAÙI NIEÄM
  • 26.
    2.PHAÂN TÍCH TÌNHHÌNH BAÙN HAØNG 2.1 TÌNH HÌNH CHUNG 2.2 PHAÂN TÍCH TÌNH HÌNH BAÙN HAØNG RA NÖÔÙC NGOAØI (XK) 2.3 PHAÂN TÍCH TÌNH HÌNH BAÙN HAØNG NOÄI ÑÒA
  • 27.
    2.PHAÂN TÍCH TÌNHHÌNH BAÙN HAØNG 2.1 TÌNH HÌNH CHUNG Phaân tích tình hình löu chuyeån haøng hoùa Ñaùnh giaù toác ñoä löu chuyeån haøng hoùa
  • 28.
    2.PHAÂN TÍCH TÌNHHÌNH BAÙN HAØNG 2.1 TÌNH HÌNH CHUNG Ñaùnh giaù tình hình baùn haøng trong moái quan heä vôùi hoaït ñoäng mua vaø döï tröõ haøng nhaèm xaùc ñònh möùc ñoä ñaùp öùng vaø khaû naêng tieâu thuï Nghieân cöùu nhöõng nhaân toá taùc ñoäng Ñeà xuaát giaûi phaùp
  • 29.
    2.PHAÂN TÍCH TÌNHHÌNH BAÙN HAØNG 2.2 PHAÂN TÍCH TÌNH HÌNH BAÙN HAØNG RA NÖÔÙC NGOAØI (XK) Phöông phaùp phaân tích söû duïng laø phöông phaùp thoáng keâ so saùnh
  • 30.
    2.PHAÂN TÍCH TÌNHHÌNH BAÙN HAØNG PHAÂN TÍCH TÌNH HÌNH XK: Phaân tích tình hình KNXK, vaø toác ñoä taêng giaûm XK Phaân tích tình hình kyù keát vaø thöïc hieän hôïp ñoàng XK Phaân tích tình hình XK theo ngaønh haøng Phaân tích tình hình XK theo thò tröôøng Phaân tích tình hình XK theo phöông thöùc kinh doanh Phaân tích tình hình XK theo phöông thöùc thanh toùan quoác teá Phaân tích tình hình XK theo ñieàu kieän thöông maïi
  • 31.
    2.PHAÂN TÍCH TÌNHHÌNH BAÙN HAØNG 2.3 PHAÂN TÍCH TÌNH HÌNH BAÙN HAØNG NOÄI ÑÒA
  • 32.
    Noäi dung phaântích hoaït ñoäng baùn haøng treân thò tröôøng noäi ñòa: Phaân tích tình hình baùn haøng theo doanh thu Phaân tích tình hình baùn haøng theo cô caáu maët haøng Phaân tích tình hình baùn haøng theo khu vöïc kinh doanh Phaân tích tình hình baùn haøng theo phöông thöc tieâu thuï saûn phaåm
  • 33.
    Muïc tieâu phaântích chung: Ñaùnh giaù chung Nghieân cöùu nhöõng nhaân toá khaùch quan vaø chuû quan Ñeà xuaát giaûi phaùp Phöông phaùp söû duïng: phöông phaùp thoáng keâ so saùnh
  • 34.
    3. CAÙC NHAÂNTOÁ AÛNH HÖÔÛNG ÑEÁN TÍCH TÌNH HÌNH BAÙN HAØNG 3.1 CAÙC NHAÂN TOÁ KHAÙCH QUAN 3.2 CAÙC NHAÂN TOÁ CHUÛ QUAN
  • 35.
    PHAÂN TÍCH CHIPHÍ KINH DOANH THS. NGOÂ THÒ HAÛI XUAÂN
  • 36.
    NOÄI DUNG NHÖÕNGVAÁN ÑEÀ CÔ BAÛN VEÀ CHI PHÍ NHÖÕNG NHAÂN TOÁ TAÙC ÑOÄNG ÑEÁN CHI PHÍ MOÄT SOÁ GIAÛI PHAÙP NHAÈM GIAÛM CHI PHÍ
  • 37.
    1. NHÖÕNG VAÁNÑEÀ CÔ BAÛN VEÀ CHI PHÍ 1.1 KHAÙI NIEÄM 1.2 PHAÂN LOAÏI CHI PHÍ 1.3 CAÙC CHÆ TIEÂU PHAÂN TÍCH - ÑAÙNH GIAÙ TÌNH HÌNH CHI PHÍ
  • 38.
    1.1 KHAÙI NIEÄMChi phí kinh doanh laø toøan boä chi phí coù lieân quan ñeán hoaït ñoäng kinh doanh cuûa doanh nghieâp
  • 39.
    PHÂN LOẠI CHIPHÍ PHÂN LOẠI THEO MỤC ĐÍCH CỦA CHI PHÍ PHÂN LOẠI THEO SỰ BIẾN ĐỔI CỦA KHỐI LƯỢNG HAY DOANH SỐ BÁN HÀNG PHÂN LOẠI THEO ĐẶC TÍNH HÌNH THÀNH CHI PHÍ
  • 40.
    PHÂN LOẠI CHIPHÍ PHÂN LOẠI THEO MỤC ĐÍCH CỦA CHI PHÍ: Chi phí kinh doanh bao gồm các chi phí: chi phí sản xuất, kinh doanh phát sinh trong quá trình hoạt động kinh doanh thông thường của doanh nghiệp và các chi phí khác. CPKD = GIÁ VỐN HÀNG HÓA + CPBH + CPQLDN + CPTC + CP KHÁC + THUẾ
  • 41.
    Chi phí saûnxuaát, kinh doanh phaùt sinh trong quaù trình hoaït ñoäng kinh doanh thoâng thöôøng cuûa doanh nghieäp, nhö: giaù voán haøng baùn, chi phí baùn haøng, chi phí quaûn lyù doanh nghieäp, chi phí laõi tieàn vay, vaø nhöõng chi phí lieân quan ñeán hoaït ñoäng cho caùc beân khaùc söû duïng taøi saûn sinh ra lôïi töùc, tieàn baûn quyeàn,...
  • 42.
    Chi phí khaùc bao goàm caùc chi phí ngoaøi caùc chi phí saûn xuaát, kinh doanh phaùt sinh trong quaù trình hoaït ñoäng kinh doanh thoâng thöôøng cuûa doanh nghieäp, nhö: chi phí veà thanh lyù, nhöôïng baùn taøi saûn coá ñònh, caùc khoaûn tieàn bò khaùch haøng phaït do vi phaïm hôïp ñoàng,...
  • 43.
    PHÂN LOẠI CHIPHÍ PHÂN LOẠI THEO SỰ BIẾN ĐỔI CỦA KHỐI LƯỢNG HAY DOANH SỐ BÁN HÀNG: CHI PHÍ KHẢ BIẾN (BIẾN PHÍ) CHI PHÍ BẤT BIẾN (ĐỊNH PHÍ)
  • 44.
    PHÂN LOẠI CHIPHÍ PHÂN LOẠI THEO ĐẶC TÍNH HÌNH THÀNH CHI PHÍ CHI PHÍ XÁC ĐỊNH CHI PHÍ CƠ HỘI
  • 45.
    1.3 CAÙC CHÆTIEÂU ÑAÙNH GIAÙ TÌNH HÌNH CHI PHÍ 1.3.1 TOÅNG CHI PHÍ 1.3.2 TYÛ TROÏNG CAÙC KHOÛAN MUÏC CHI PHÍ 1.3.3 TYÛ SUAÁT CHI PHÍ 1.3.4 CAÙC CHÆ TIEÂU KHAÙC PHAÛN AÙNH TÌNH HÌNH CHI PHÍ KINH DOANH
  • 46.
    1.3 CAÙC CHÆTIEÂU ÑAÙNH GIAÙ TÌNH HÌNH CHI PHÍ 1.3.1 TOÅNG CHI PHÍ ∑ CPKD = ∑ CP i ∑ CPKD: toång chi phí kinh doanh CP i : caùc loaïi chi phí, nhö gía voán; chi phí baùn haøng; chi phí taøi chính;... n i=1
  • 47.
    1.3 CAÙC CHÆTIEÂU ÑAÙNH GIAÙ TÌNH HÌNH CHI PHÍ 1.3.2 TYÛ TROÏNG CAÙC KHOÛAN MUÏC CHI PHÍ Tcp = Tyû troïng töøng khoûan muïc chi phí giuùp doanh nghieäp hình dung vai troø cuûa töøng khoûan chi phí trong hoaït ñoäng kinh doanh CP i ∑ CPKD * 100
  • 48.
    1.3 CAÙC CHÆTIEÂU ÑAÙNH GIAÙ TÌNH HÌNH CHI PHÍ 1.3.3 TYÛ SUAÁT CHI PHÍ Laø chæ tieâu ñaùnh giaù hieäu quaû hoaït ñoäng kinh doanh cuûa doanh nghieäp Tsp 1 = = = + +...+ Tsp 2 = = = + +...+ ∑ CPKD ∑ DT ∑ CPKD ∑ LN ∑ CP i ∑ DT n i=1 CP 1 ∑ DT CP n ∑ DT CP 2 ∑ DT ∑ CP i ∑ LN n i=1 CP 1 ∑ LN CP 2 ∑ LN CP n ∑ LN
  • 49.
    1.3 CAÙC CHÆTIEÂU ÑAÙNH GIAÙ TÌNH HÌNH CHI PHÍ 1.3.4 CAÙC CHÆ TIEÂU KHAÙC PHAÛN AÙNH TÌNH HÌNH CHI PHÍ KINH DOANH MÖÙC ÑOÄ TAÊNG GIAÛM TYÛ SUAÁT CHI PHÍ Δ Tsp 1 = Tsp 1 (TT) - Tsp 1 (KH) Δ Tsp 2 = Tsp 2 (TT) - Tsp 2 (KH) TOÁC ÑOÄ TAÊNG GIAÛM TYÛ SUAÁT CHI PHÍ m= (  Tsp/ Tsp (KH) ) * 100
  • 50.
    2. NHÖÕNG NHAÂNTOÁ TAÙC ÑOÄNG ÑEÁN CHI PHÍ 2.1 NHOÙM NHAÂN TOÁ KHAÙCH QUAN 2.2 NHOÙM NHAÂN TOÁ CHUÛ QUAN 2.3 CAÙC NHAÂN TOÁ TAÙC ÑOÄNG ÑEÁN CHI PHÍ BAÙN HAØNG
  • 51.
    2. NHÖÕNG NHAÂNTOÁ TAÙC ÑOÄNG ÑEÁN CHI PHÍ 2.1 NHOÙM NHAÂN TOÁ KHAÙCH QUAN Söï thay ñoåi veà cô cheá chính saùch coù lieân quan ñeán thueá, leä phí, chính saùch thöông maïi,... Chính saùch taøi chính, tín duïng Caùc thoûa thuaän spng phöông, ña phöông veà thöông maïi Giaù caû ñaàu vaøo saûn xuaát bieán ñoäng Caïnh tranh ...
  • 52.
    2. NHÖÕNG NHAÂNTOÁ TAÙC ÑOÄNG ÑEÁN CHI PHÍ 2.2 NHOÙM NHAÂN TOÁ CHUÛ QUAN Tính hôïp lyù cuûa toå chöùc kinh doanh Möùc ñoä kieåm soùat quaù trình chi phí Trình ñoä kyõ thuaät vaø coâng ngheä Chính saùch khaáu hao taøi saûn coá ñònh Naêng löïc söû duïng voán kinh doanh Chính saùch tieáp thò, khuyeán maïi Trinh ñoä quaûn lyù cuûa nhaø quaûn trò, tay ngheà cuûa coâng nhaân
  • 53.
    2. NHÖÕNG NHAÂNTOÁ TAÙC ÑOÄNG ÑEÁN CHI PHÍ 2.3 CAÙC NHAÂN TOÁ TAÙC ÑOÄNG ÑEÁN CHI PHÍ BAÙN HAØNG Chi phí vaän taûi, boác dôõ Chi phí ñoùng goùi bao bì Chi phí baûo quaûn haøng hoùa Chi phí lieân quan ñeán thanh toùan Chi phí traû laõi suaát Chi phí lieân quan ñeán thuû tuïc kinh doanh thöông mai Chi phí lieân quan ñeán giao dòch thöông maïi
  • 54.
    3. MOÄT SOÁGIAÛI PHAÙP NHAÈM GIAÛM CHI PHÍ 3.1 NGUYEÂN TAÉC CHUNG 3.2 CAÙC GIAÛI PHAÙP NHAÈM GIAÛM CHI PHÍ
  • 55.
    3. MOÄT SOÁGIAÛI PHAÙP NHAÈM GIAÛM CHI PHÍ 3.1 NGUYEÂN TAÉC CHUNG Giaûi phaùp nhaèm giaûi quyeát thöc traïng hoïat ñoäng kinh doanh cuûa doanh nghieäp Giaûi phaùp ñeà xuaát phaûi cho pheùp taän duïng caùc cô hoäi giaûm phí vaø haïn cheá caùc nguy cô gia taêng chi phí cuûa doanh nghieäp Giaûi phaùp giaûm chi phí khoâng ñöôc aûnh höôûng xaáu ñeán chaát löôïng saûn phaåm vaø dòch vuï Giaûi phaùp giaûm chi phí phaûi goùp phaàn naâng cao naêng suaát lao ñoäng
  • 56.
    3. MOÄT SOÁGIAÛI PHAÙP NHAÈM GIAÛM CHI PHÍ 3.2 CAÙC GIAÛI PHAÙP NHAÈM GIAÛM CHI PHÍ 3.2.1 Caùc giaûi phaùp chung 3.2.2 Caùc giaûi phaùp giaûm caùc khoûan chi phí chuû yeáu trong hoaït ñoäng thöông maïi
  • 57.
    3. MOÄT SOÁGIAÛI PHAÙP NHAÈM GIAÛM CHI PHÍ 3.2.1 Caùc giaûi phaùp chung Laäp boä phaän chuyeân nghieân cöùu caùc chính saùch Xaây döïng heä thoáng ñònh möùc Naâng cao yù thöùc tieát kieäm Taêng toác ñoä luaân chuyeån haøng hoùa Khuyeán khích naâng cao hieäu quaû kinh doanh Thaåm ñònh kyõ caùc döï aùn ñaàu tö
  • 58.
    Phaân tích LÔÏINHUAÄN VAØ HIEÄU QUAÛ hoaït ñoäng KINH DOANH THS. NGOÂ THÒ HAÛI XUAÂN
  • 59.
    NOÄI DUNG LÔÏINHUAÄN PHAÂN TÍCH LÔÏI NHUAÄN CAÙC NHAÂN TOÁ AÛNH HÖÔÛNG ÑEÁN LÔÏI NHUAÄN KEÁT QUAÛ VAØ HIEÄU QUAÛ HOÏAT ÑOÄNG KINH DOANH THÖÔNG MAÏI
  • 60.
    1. LÔÏI NHUAÄN1.1 KHAÙI NIEÄM 1.2 CAÙC BOÄ PHAÄN CAÁU THAØNH CUÛA LÔÏI NHUAÄN
  • 61.
    1. LÔÏI NHUAÄN1.1 KHAÙI NIEÄM ∑ LÔÏI NHUAÄN = ∑ DOANH THU - ∑ CHI PHÍ KD
  • 62.
    1. LÔÏI NHUAÄN1.2 CAÙC BOÄ PHAÄN CAÁU THAØNH CUÛA LÔÏI NHUAÄN 1.2.1 LÔÏI NHUAÄN TÖØ HOAÏT ÑOÂNG KINH DOANH 1.2.2 LÔÏI NHUAÄN TÖØ CAÙC HOAÏT ÑOÄNG KHAÙC
  • 63.
    1. LÔÏI NHUAÄN1.2.1 LÔÏI NHUAÄN TÖØ HOAÏT ÑOÄNG KINH DOANH LÔÏI NHUAÄN TÖØ HOAÏT ÑOÄNG BAÙN HAØNG VAØ CUNG CAÁP DÒCH VUÏ LN = DTGB – DTGV – (CPBH + CPQL +  THUEÁ)
  • 64.
    LÔÏI NHUAÄN TÖØHOAÏT ÑOÄNG TAØI CHÍNH LN TC = THU NHAÄP TC – CHI PHÍ TC LÔÏI NHUAÄN TÖØ HOAÏT ÑOÄNG KHAÙC: töø caùc hoaït ñoäng nhö thanh lyù taøi saûn coá ñònh, thaéng kieän trong kinh doanh,… LN khaùc = THU NHAÄP khaùc – CHI PHÍ khaùc
  • 65.
    2. PHAÂN TÍCHLÔÏI NHUAÄN 2.1 PHAÂN TÍCH CHUNG TÌNH HÌNH LÔÏI NHUAÄN 2.2 PHAÂN TÍCH CAÙC NHAÂN TOÁ TAÙC ÑOÄNG ÑEÁN LÔÏI NHUAÄN BAÙN HAØNG VAØ CUNG CAÁP DÒCH VUÏ
  • 66.
    2.1 PHAÂN TÍCHCHUNG TÌNH HÌNH LÔÏI NHUAÄN Muïc tieâu: Ñaùnh giaù veà tình hình lôïi nhuaän töø caùc hoaït ñoäng cuûa coâng ty mang laïi, söï bieán ñoäng cuûa töng boä phaän lôïi nhuaän Ñaùnh giaù tình hình thöïc hieän keá hoach lôïi nhuaän, tình hình taêng giaûm lôïi nhuaän so vôùi nhöõng naêm tröôùc Phöông phaùp söû duïng: phöông phaùp thoáng keâ soá lieäu vaø so saùnh
  • 67.
    2.2 PHAÂN TÍCHCAÙC NHAÂN TOÁ TAÙC ÑOÄNG ÑEÁN LÔÏI NHUAÄN BAÙN HAØNG VAØ CUNG CAÁP DÒCH VUÏ
  • 68.
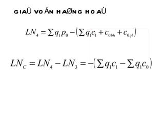
    2.2 PHAÂN TÍCHCAÙC NHAÂN TOÁ TAÙC ÑOÄNG ÑEÁN LÔÏI NHUAÄN BAÙN HAØNG VAØ CUNG CAÁP DÒCH VUÏ Söû duïng phöông phaùp thay theá lieân hoøan ñeå xaùc ñònh caùc nhaân toá aûnh höôûng ñeán lôïi nhuaän töø hoaït ñoäng baùn haøng vaø cung caáp dòch vuï: Khoái löôïng haøng hoùa tieâu thuï Keát caáu maët haøng tieâu thuï Giaù voán haøng baùn Chi phí baùn haøng Chi phí quaûn lyù baùn haøng Giaù baùn
  • 69.
    2.2 PHAÂN TÍCHCAÙC NHAÂN TOÁ TAÙC ÑOÄNG ÑEÁN LÔÏI NHUAÄN BAÙN HAØNG VAØ CUNG CAÁP DÒCH VUÏ
  • 70.
    KHOÁI LÖÔÏNG HAØNGHOÙA TIEÂU THUÏ T – Tyû leä hoøan thaønh keá hoaïch tieâu thuï saûn phaåm theo khoái löôïng:
  • 71.
    KHOÁI LÖÔÏNG HAØNGHOÙA TIEÂU THUÏ Möùc ñoä aûnh höôûng cuûa nhaân toá khoái löôïng tieâu thuï ñeán lôïi nhuaän baùn haøng:
  • 72.
    KEÁT CAÁU HAØNGHOÙA TIEÂU THUÏ
  • 73.
  • 74.
  • 75.
    CHI PHÍ QUAÛNLYÙ DOANH NGHIEÄP
  • 76.
    GIAÙ TIEÂU THUÏHAØNG BAÙN
  • 77.
    3. CAÙC NHAÂNTOÁ AÛNH HÖÔÛNG ÑEÁN LÔÏI NHUAÄN Möùc löu chuyeån haøng hoùa thöông maïi Cô caáu haøng hoùa kinh doanh thöông maïi Nhaân toá giaù caû: + Giaù caû haøng hoùa + Giaù caû chi phí baùn haøng + Tyû giaù hoái ñoaùi Thueá
  • 78.
    4. KEÁT QUAÛVAØ HIEÄU QUAÛ HOÏAT ÑOÄNG KINH DOANH THÖÔNG MAÏI 4.1 KHAÙI NIEÄM 4.2 CAÙC CHÆ TIEÂU ÑAÙNH GIAÙ KEÁT QUAÛ HOAÏT ÑOÄNG KINH DOANH THÖÔNG MAÏI 4.3 HIEÄU QUAÛ HOAÏT ÑOÄNG KINH DOANH THÖÔNG MAÏI
  • 79.
    4.1 KHAÙI NIEÄMKeát quaû hoaït ñoäng kinh doanh ñöôïc hieåu laø heä thoáng caùc chæ tieâu kinh teá phaûn aùnh tình hình hoaït ñoäng kinh doanh cuûa doanh nghieäp sau moät thôøi kyø.
  • 80.
    4.2 CAÙC CHÆTIEÂU ÑAÙNH GIAÙ KEÁT QUAÛ HOAÏT ÑOÄNG KINH DOANH THÖÔNG MAÏI Caùc chæ tieâu theo quy ñinh cuûa Nhaø nöôùc Caùc chæ tieâu maø nhaø quaûn trò söû duïng
  • 81.
    4.2 CAÙC CHÆTIEÂU ÑAÙNH GIAÙ KEÁT QUAÛ HOAÏT ÑOÄNG KINH DOANH THÖÔNG MAÏI Caùc chæ tieâu theo quy ñinh cuûa Nhaø nöôùc Doanh thu Chi phí Lôïi nhuaän
  • 82.
    4.2 CAÙC CHÆTIEÂU ÑAÙNH GIAÙ KEÁT QUAÛ HOAÏT ÑOÄNG KINH DOANH THÖÔNG MAÏI Caùc chæ tieâu maø nhaø quaûn trò söû duïng: Doanh thu baùn haøng vaø cung caáp dòch vuï Kim ngaïch XNK Chi phí hoaït ñoäng kinh doanh (bao goàm chi phí baùn haøng) Lôïi nhuaän hoaït ñoäng kinh doanh Caùc khoûan thueá vaø toång thueá coù lieân quan ñeán hoaït ñoäng kinh doanh Toång soá ngöôøi lao ñoäng Voán kinh doanh
  • 83.
    4.3 HIEÄU QUAÛHOAÏT ÑOÄNG KINH DOANH THÖÔNG MAÏI Tyû suaát lôïi nhuaän: Tyû suaát lôïi nhuaän so vôùi doanh thu baùn haøng: Tyû suaát lôïi nhuaän so vôùi chi phí kinh doanh: Tyû suaát lôïi nhuaän so vôùi voán kinh doanh hoaëc voán chuû sôû höõu
  • 84.
    4.3 HIEÄU QUAÛHOAÏT ÑOÄNG KINH DOANH THÖÔNG MAÏI Söùc saûn xuaát cuûa voán kinh doanh:
  • 85.
    4.3 HIEÄU QUAÛHOAÏT ÑOÄNG KINH DOANH THÖÔNG MAÏI Hieäu suaát chi chí: Naêng suaát lao ñoäng:
  • 86.
    4.3 HIEÄU QUAÛHOAÏT ÑOÄNG KINH DOANH THÖÔNG MAÏI DÖÏ KIEÁN LÔØI (LOÃ) CUÛA MOÄT THÖÔNG VUÏ KINH DOANH XNK TYÛ GIAÙ XK TYÛ GIAÙ NK
  • 87.
    T XK = TNK =  Chi phí kinh doanh (tính baèng VND)  Kim ngaïch XK (tính baèng USD) DTNK (tính baèng VND)  CPKD NK (tính baèng USD)
  • 88.
    VOÁN VAØ NGUOÀNVOÁN CUÛA DOANH NGHIEÄP THÖÔNG MAÏI THS. NGOÂ THÒ HAÛI XUAÂN
  • 89.
    NOÄI DUNG 1.VOÁN VAØ NGUOÀN VOÁN 2. PHAÂN TÍCH TÌNH HÌNH SÖÛ DUÏNG VOÁN VAØ NGUOÀN VOÁN 3. BAÙO CAÙO LÖU CHUYEÅN TIEÀN TEÄ 4. CAÙC BIEÄN PHAÙP NAÂNG CAO HIEÄU QUAÛ SÖÛ DUÏNG VOÁN
  • 90.
    1. VOÁN VAØNGUOÀN VOÁN 1.1 KHAÙI NIEÄM VEÀ VOÁN VAØ TAØI SAÛN 1.2 PHAÂN LOAÏI TAØI SAÛN CUÛA DOANH NGHIEÄP 1.3 XAÙC ÑÒNH NHU CAÀU VOÁN LÖU ÑOÄNG 1.4 NGUOÀN VOÁN KINH DOANH
  • 91.
    1.1 KHAÙI NIEÄMVEÀ VOÁN VAØ TAØI SAÛN Voán laø söï bieåu hieän döôùi daïng tieàn teä moïi taøi saûn cuûa doanh nghieäp. Taøi saûn laø toøan boä phöông tieän vaät chaát vaø phi vaät chaát tham gia tröïc tieáp hoaëc giaùn tieáp vaøo quaù tình kinh doanh nhaèm muïc tieâu lôïi nhuaän. Laø nguoàn löïc do doanh nghieäp kieåm soaùt vaø coù theå thu ñöôïc lôïi ích kinh teá trong töông lai.
  • 92.
    1.2 PHAÂN LOAÏITAØI SAÛN CUÛA DOANH NGHIEÄP Phaân loaïi theo hình thöùc bieåu hieän: Tieàn teä Taøi saûn höõu hình Taøi saûn voâ hình Taøi saûn ñaëc bieät khaùc: coå phieáu, chöùng khoùan, caùc chöùng chæ taøi chính coù meänh giaù nhö tieàn, vaøng baïc, ñaù quyù,..
  • 93.
    1.2 PHAÂN LOAÏITAØI SAÛN CUÛA DOANH NGHIEÄP Phaân loai theo tính chaát söû duïng cuûa taøi saûn: Taøi saûn coá ñònh Taøi saûn löu ñoäng
  • 94.
    1.2 PHAÂN LOAÏITAØI SAÛN CUÛA DOANH NGHIEÄP Phaân loai theo thôøi haïn söû duïng cuûa taøi saûn: Taøi saûn ngaén haïn Taøi saûn daøi haïn
  • 95.
    1.3 XAÙC ÑÒNHNHU CAÀU VOÁN LÖU ÑOÄNG Nhu caàu voán löu ñoäng: D: Möùc voán daønh cho nhu caàu döï tröõ haøng toàn kho T: caùc khoûan voán phaûi thu töø khaùch haøng Z: Caùc khoûan nôï phaûi traû
  • 96.
    1.3 XAÙC ÑÒNHNHU CAÀU VOÁN LÖU ÑOÄNG Coù 2 phöông phaùp xaùc ñònh Nhu caàu voán löu ñoäng: Phöông phaùp tröïc tieáp Phöông phaùp giaùn tieáp
  • 97.
    1.3 XAÙC ÑÒNHNHU CAÀU VOÁN LÖU ÑOÄNG Phöông phaùp tröïc tieáp: Xaùc ñònh D : D = döï tröõ thöôøng xuyeân + döï tröõ chuaån bò + döï tröõ baûo hieåm + nhu caàu veà voán cho chi phí traû tröôùc
  • 98.
    1.3 XAÙC ÑÒNHNHU CAÀU VOÁN LÖU ÑOÄNG Phöông phaùp tröïc tieáp: Xaùc ñònh D : Döï tröõ thöôøng xuyeân: laø döï tröõ haøng hoùa caàn thieát ñeå ñaûm baûo hoaït ñoäng baùn haøng dieãn ra lieân tuïc giöõa hai kyø mua haøng voâ t i : thôøi gian trung bình giöõa hai ñôït mua haøng voâ cuûa maët haøng i q: khoái löôïng maët haøng i ñöôïc baùn ra bình quaân trong moät ngaøy ñeâm p: giaù voán maët haøng i n: soá loaïi maët haøng kinh doanh
  • 99.
    1.3 XAÙC ÑÒNHNHU CAÀU VOÁN LÖU ÑOÄNG Phöông phaùp tröïc tieáp: Xaùc ñònh D: Döï tröõ chuaån bò: moät soá loaïi haøng hoùa tröôùc khi baùn ra phaûi coù söï chuaån bò nhö: pha cheá, choïn löïa, ñoùng goùi, laép raùp,…Ñaây laø döï tröõ chuaån bò
  • 100.
    1.3 XAÙC ÑÒNHNHU CAÀU VOÁN LÖU ÑOÄNG Phöông phaùp tröïc tieáp: Xaùc ñònh D : Döï tröõ baûo hieåm: baèng tyû leä % so vôùi döï tröõ thöôøng xuyeân vaø döï tröõ chuaån bò (döïa vaøo phöông phaùp kinh nghieäm)
  • 101.
    1.3 XAÙC ÑÒNHNHU CAÀU VOÁN LÖU ÑOÄNG Phöông phaùp tröïc tieáp: Xaùc ñònh D : Nhu caàu veà voán cho chi phí traû tröôùc: V tt : nhu caàu voán veà chi phí traû tröôùc trong kyø V dk : soá voán traû tröôùc dö ñaàu kyø kinh doanh V ps : soá voán traû tröôùc döï kieán phaùt sinh trong kyø V pb : soá voán traû tröôùc döï kieán phaân boå vaøo giaù thaønh saûn phaåm trong kyø
  • 102.
    1.3 XAÙC ÑÒNHNHU CAÀU VOÁN LÖU ÑOÄNG Phöông phaùp tröïc tieáp: Xaùc ñònh T – caùc khoûan voán phaûi thu töø khaùch haøng M: doanh thu tieâu thuï cuûa khaùch haøng trong ngaøy t: thôi gian trung bình cho khaùch haøng nôï n: soá löôïng khaùch haøng i: khaùch haøng cuï theå
  • 103.
    1.3 XAÙC ÑÒNHNHU CAÀU VOÁN LÖU ÑOÄNG Phöông phaùp tröïc tieáp: Xaùc ñònh Z – voán cuûa caùc khoûan nôï phaûi traû trong kyø û GT: giaù trò haøng hoùa mua vaøo bình quaân moät ngaøy töø nhaø cung caáp t: thôì gian cho nôï bình quaân töø moät nhaø cung caáp n: soá löôïng nhaø cung caáp i: nhaø cung caáp cuï theå
  • 104.
    1.3 XAÙC ÑÒNHNHU CAÀU VOÁN LÖU ÑOÄNG Phöông phaùp giaùn tieáp: döïa vaøo nhu caàu voán löu ñoïng kyø kinh doanh tröôùc ñoù vaø döï baùo taêng giaûm qui moâ kinh doanh vaø chính saùch kinh doanh cuûa coâng ty trong kyø kinh doanh tôùi (phuï thuoâïc vaøo kinh nghieäm, phöông phaùp döï baùo)
  • 105.
    1.4 NGUOÀN VOÁNKINH DOANH KHAÙI NIEÄM: Nguoàn voán laø toøan boä soá voán ñeå ñaûm baûo ñuû nhu caàu veà taøi saûn phuïc vuï cho hoaït ñoäng kinh doanh ñöôïc tieán haønh lieân tuïc
  • 106.
    1.4 NGUOÀN VOÁNKINH DOANH PHAÂN LOAÏI: Theo tính oån ñònh cuûa nguoàn voán Theo nguoàn goác cuûa nguoàn voán
  • 107.
    1.4 NGUOÀN VOÁNKINH DOANH Theo tính oån ñònh cuûa nguoàn voán Nguoàn voán taøi trôï thöôøng xuyeân Nguoàn voán taøi trôï taïm thôøi
  • 108.
    1.4 NGUOÀN VOÁNKINH DOANH Theo nguoàn goác cuûa nguoàn voán Voán vay = Nôï ngaén haïn + Nôï daøi haïn Voán chuû sôû höõu = Voán chuû sôû höõu + Nguoàn kinh phí vaø quyõ khaùc
  • 109.
    2. PHAÂN TÍCHTÌNH HÌNH SÖÛ DUÏNG VOÁN VAØ NGUOÀN VOÁN 2.1 Caùc taøi lieäu duøng ñeå phaân tích 2.2 Phaân Tích Tình Hình Söû Duïng Voán Vaø Nguoàn Voán 2.3 Ñaùnh giaù tình hình coâng nôï vaø khaû naêng thanh toùan coâng nôï 2.4 Ñaùnh gía tinh hình vaø hieäu quaû söû duïng voán löu ñoäng 2.5 Ñaùnh gía tinh hình vaø hieäu quaû söû duïng voán coá ñònh
  • 110.
    2. PHAÂN TÍCHTÌNH HÌNH SÖÛ DUÏNG VOÁN VAØ NGUOÀN VOÁN 2.2 Phaân Tích Tình Hình Söû Duïng Voán Vaø Nguoàn Voán TAÙC DUÏNG: Ñoái vôùi nhaø quaûn trò doanh nghieäp: Ñaùnh giaù tình hình söû duïng voán vaø nguoàn voán thoûa maõn nhu caàu hoaït ñoäng cuûa coâng ty Tìm kieám khaû naêng kieám lôøi Ñaùnh giaù tình hình coâng nôï, tìm kíeâm caùch thöùc thu hoài coâng nôï vaø traû nôï Ñeà xuaát caùc giaûi phaùp naâng cao hieäu quaû söû duïng voán vaø nguoàn voán
  • 111.
    2. PHAÂN TÍCHTÌNH HÌNH SÖÛ DUÏNG VOÁN VAØ NGUOÀN VOÁN 2.2 Phaân Tích Tình Hình Söû Duïng Voán Vaø Nguoàn Voán Ñoái vôùi nhaø taøi chính vaø cho vay tín duïng Ñaùnh giaù khaû naêng thanh toùan vaø traû nôï cuûa doanh nghieäp, ñeå ñöa ra quyeát ñònh: Cho doanh nghieäp vay hay khoâng vay voán Baûo laõnh hay khoâng baûo laõnh thanh toùan
  • 112.
    2. PHAÂN TÍCHTÌNH HÌNH SÖÛ DUÏNG VOÁN VAØ NGUOÀN VOÁN 2.2 Phaân Tích Tình Hình Söû Duïng Voán Vaø Nguoàn Voán Ñoái vôùi nhaø ñaàu tö: Ñaùnh giaù trieån voïng hoaït ñoäng cuûa doanh nghieäp treân nhieàu maët nhö thôøi gian hoøan voán, ñieåm hoøa voán, khaû naêng thanh toùan voán,… ñeå ñöa ra quyeát ñònh ñaàu tö hay khoâng ñaàu tö
  • 113.
    2. PHAÂN TÍCHTÌNH HÌNH SÖÛ DUÏNG VOÁN VAØ NGUOÀN VOÁN 2.2 Phaân Tích Tình Hình Söû Duïng Voán Vaø Nguoàn Voán PHAÂN TÍCH: So saùnh con soá ñaàu kyø vaø cuoái kyø cuûa töøng chæ tieâu trong baûng caân ñoái keá toùan ñeå ñaùnh giaù möùc taêng (giaûm) quy moâ hoaït ñoäng taøi chính cuûa doanh nghieäp
  • 114.
    2. PHAÂN TÍCHTÌNH HÌNH SÖÛ DUÏNG VOÁN VAØ NGUOÀN VOÁN 2.2 Phaân Tích Tình Hình Söû Duïng Voán Vaø Nguoàn Voán Phaân tích keát caáu voán vaø nguoàn voán; Keát caáu taøi saûn: Tyû leä khoaûn muïc taøi saûn / Toång taøi saûn Trình ñoä trang bò kyõ thuaät cuûa doanh nghieäp thöông maïi theå hieän qua chæ tieâu Tyû suaát ñaàu tö: Muïc II loaïi B phaàn taøi saûn: TSCÑ Keát caáu nguoàn voán: Tyû leä khoaûn muïc nguoàn voán / Toång nguoàn voán
  • 115.
    2. PHAÂN TÍCHTÌNH HÌNH SÖÛ DUÏNG VOÁN VAØ NGUOÀN VOÁN 2.2 Phaân Tích Tình Hình Söû Duïng Voán Vaø Nguoàn Voán Phaân tích khaùi quaùt veà khaû naêng thanh toùan cuûa doanh nghieäp: 4 chæ tieâu Tyû suaát töï taøi trôï Tyû suaát thanh toùan ngaén haïn Tyû suaát thanh toùan baèng tieàn Tyû suaát thanh toùan ngay
  • 116.
    2. PHAÂN TÍCHTÌNH HÌNH SÖÛ DUÏNG VOÁN VAØ NGUOÀN VOÁN 2.3 Ñaùnh giaù tình hình coâng nôï vaø khaû naêng thanh toùan coâng nôï PHAÂN TÍCH KHAÛ NAÊNG THANH TOÙAN PHAÂN TÍCH TÌNH HÌNH COÂNG NÔÏ
  • 117.
    2. PHAÂN TÍCHTÌNH HÌNH SÖÛ DUÏNG VOÁN VAØ NGUOÀN VOÁN PHAÂN TÍCH KHAÛ NAÊNG THANH TOÙAN - Heä soá thanh toùan toång quaùt (H t ) - Tyû leä caùc khoûan phaûi thu so vôùi caùc khoûan phaûi traû - Heä soá khaû naêng thanh toùan (H)
  • 118.
    2. PHAÂN TÍCHTÌNH HÌNH SÖÛ DUÏNG VOÁN VAØ NGUOÀN VOÁN PHAÂN TÍCH KHAÛ NAÊNG THANH TOÙAN - Soá voøng luaân chuyeån caùc khoaûn phaûi thu: - Kyø thu tieàn bình quaân cuûa DT baùn chòu (ngaøy) = Soá ngaøy cuûa kyø kinh doanh / Soá voøng luaân chuyeån caùc khoaûn phaûi thu
  • 119.
    2. PHAÂN TÍCHTÌNH HÌNH SÖÛ DUÏNG VOÁN VAØ NGUOÀN VOÁN PHAÂN TÍCH KHAÛ NAÊNG THANH TOÙAN - Soá voøng luaân chuyeån caùc khoaûn phaûi traû: = Doanh soá mua chòu trong kyø / Nôïi phaûi traû bình quaân trong kyø - Kyø traû tieàn cuûa DT ñoái vôùi caùc khoaûn phaûi traû ngöôøi baùn (ngaøy) = Soá ngaøy cuûa kyø kinh doanh / Soá voøng luaân chuyeån caùc khoaûn phaûi traû
  • 120.
    2. PHAÂN TÍCHTÌNH HÌNH SÖÛ DUÏNG VOÁN VAØ NGUOÀN VOÁN PHAÂN TÍCH TÌNH HÌNH COÂNG NÔÏ Heä soá nôï: YÙ nghóa: Xem xeùt khaû naêng, möùc ñoä coù theå vay voán cuûa doanh nghieäp Giuùp caùc doanh nghieäp cho vay xem xeùt möùc ñoä an toøan voán cho vay
  • 121.
    2. PHAÂN TÍCHTÌNH HÌNH SÖÛ DUÏNG VOÁN VAØ NGUOÀN VOÁN 2.4 Ñaùnh gía tinh hình vaø hieäu quaû söû duïng voán löu ñoäng PHAÂN TÍCH KEÁT CAÁU VOÁN LÖU ÑOÄNG PHAÂN TÍCH TÌNH HÌNH DÖÏ TRÖÕ TAØI SAÛN LÖU ÑOÄNG ÑAÙNH GIAÙ HIEÄU QUAÛ SÖÛ DUÏNG VOÁN LÖU ÑOÄNG
  • 122.
    2. PHAÂN TÍCHTÌNH HÌNH SÖÛ DUÏNG VOÁN VAØ NGUOÀN VOÁN PHAÂN TÍCH TÌNH HÌNH DÖÏ TRÖÕ TAØI SAÛN LÖU ÑOÄNG Muïc ñích laø nhaèm ñaùnh giaù möùc ñoä haøng hoùa döï tröõ cho quaù trình kinh doanh, traùnh tình traïng öù ñoïng voán. Noäi dung phaân tích: söï thay ñoåi keát caáu giöõa caùc loaïi taì saûn döï tröõ; ñaùnh giaù möùc ñoä taêng giaûm, möùc ñoä hôïp lyù cuûa taøi saûn döï tröõ; ñaëc bieät laø tình traïng toàn kho: haøng hoùa, nguyeân vaät lieäu ñang söû duïng hoaëc deã baùn; haøng hoùa söï duïng chaäm hoaëc khoù baùn; haøng hoùa khoâng coù nhu caàu söû duïng caàn thanh lyù
  • 123.
    2. PHAÂN TÍCHTÌNH HÌNH SÖÛ DUÏNG VOÁN VAØ NGUOÀN VOÁN ÑAÙNH GIAÙ HIEÄU QUAÛ SÖÛ DUÏNG VOÁN LÖU ÑOÄNG Toác ñoä luaân chuyeån voán löu ñoäng: Soá laàn luaân chuyeån voán löu ñoäng / Heä soá luaân chuyeån voán löu ñoäng (S) M: doanh thu tieâu thuï haøng hoùa Thôøi gian thöïc hieän 1 laàn luaân chuyeån voán: (t) T: thôøi gian cuûa kyø phaân tích (soá ngaøy, quyù naêm)
  • 124.
    2. PHAÂN TÍCHTÌNH HÌNH SÖÛ DUÏNG VOÁN VAØ NGUOÀN VOÁN ÑAÙNH GIAÙ HIEÄU QUAÛ SÖÛ DUÏNG VOÁN LÖU ÑOÄNG Möùc sinh lôøi cuûa voán löu ñoäng: Soá voøng quay haøng hoùa, thaønh phaåm toàn kho
  • 125.
    2. PHAÂN TÍCHTÌNH HÌNH SÖÛ DUÏNG VOÁN VAØ NGUOÀN VOÁN 2.5 Ñaùnh gía tinh hình vaø hieäu quaû söû duïng voán coá ñònh PHAÂN TÍCH TÌNH HÌNH CHUNG VEÀ SÖÛ DUÏNG TAØI SAÛN COÁ ÑÒNH VAØ VOÁN COÁ ÑÒNH PHAÂN TÍCH KEÁT CAÁU TAØI SAÛN COÁ ÑÒNH PHAÂN TÍCH HIEÄU QUAÛ SÖÛ DUÏNG TAØI SAÛN COÁ ÑÒNH VAØ VOÁN COÁ ÑÒNH
  • 126.
    2. PHAÂN TÍCHTÌNH HÌNH SÖÛ DUÏNG VOÁN VAØ NGUOÀN VOÁN PHAÂN TÍCH TÌNH HÌNH CHUNG VEÀ SÖÛ DUÏNG TAØI SAÛN COÁ ÑÒNH VAØ VOÁN COÁ ÑÒNH Ñaùnh giaù tình hình taêng giaûm voán coá ñònh cuoái kyø so vôùi ñaàu kyø Ñaùnh giaù trang bi kyõ thuaät: Möùc trang bò TSCÑ cho 1 lao ñoäng Ñaùng giaù tình traïng kyõ thuaät cuûa taøi saûn coá ñònh Heä soá hao moøn cuûa TSCÑ - Ñaùnh giaù tyû suaát töï taøi trôï taøi saûn coá ñònh
  • 127.
    2. PHAÂN TÍCHTÌNH HÌNH SÖÛ DUÏNG VOÁN VAØ NGUOÀN VOÁN PHAÂN TÍCH KEÁT CAÁU TAØI SAÛN COÁ ÑÒNH Phaân theo tính tham gia tröïc tieáp vaøo quaù trình kinh doanh thöông maïi: + TSCÑ duøng trong kd + TSCÑ duøng cho coâng trình phuùc lôïi + TSCÑ naèm chôø xöû lyù Phaân theo keát caáu taøi saûn coá ñònh duøng trong saûn xuaát: + Maùy moùc thieát bò ñang duøng trong kinh doanh + Baát ñoäng saûn phuïc vuï cho kd +Maùy moùc, TSCÑ naèm chôø phuïc vuï cho kd +TSCÑ naèm chôø xöû lyù
  • 128.
    2. PHAÂN TÍCHTÌNH HÌNH SÖÛ DUÏNG VOÁN VAØ NGUOÀN VOÁN PHAÂN TÍCH HIEÄU QUAÛ SÖÛ DUÏNG TAØI SAÛN COÁ ÑÒNH VAØ VOÁN COÁ ÑÒNH Ñaùnh giaù hieäu quaû söû duïng taøi saûn coá ñònh Ñaùnh giaù hieäu quaû söû duïng voán coá ñònh: + Möùc lôïi nhuaän thu ñöôïc treân 1 ñoàng giaù trò TSCÑ + Hieäu suaát TSCÑ (H sdVCÑ )
  • 129.
    3. baùocaùo löu chuyeån tieàn teä 3.1 Thuaät ngöõ: Tieàn bao goàm tieàn taïi quyõ, tieàn ñang chuyeån vaø caùc khoaûn tieàn göûi khoâng kyø haïn. Töông ñöông tieàn: Laø caùc khoaûn ñaàu tö ngaén haïn (khoâng quaù 3 thaùng), coù khaû naêng chuyeån ñoåi deã daøng thaønh moät löôïng tieàn xaùc ñònh vaø khoâng coù nhieàu ruûi ro trong chuyeån ñoåi thaønh tieàn.   Luoàng tieàn: Laø luoàng vaøo vaø luoàng ra cuûa tieàn vaø töông ñöông tieàn, khoâng bao goàm chuyeån dòch noäi boä giöõa caùc khoaûn tieàn vaø töông ñöông tieàn trong doanh nghieäp.  
  • 130.
    3. baùocaùo löu chuyeån tieàn teä 3.1 Hoaït ñoäng kinh doanh: Laø caùc hoaït ñoäng taïo ra doanh thu chuû yeáu cuûa doanh nghieäp vaø caùc hoaït ñoäng khaùc khoâng phaûi laø caùc hoaït ñoäng ñaàu tö hay hoaït ñoäng taøi chính.   Hoaït ñoäng ñaàu tö: Laø caùc hoaït ñoäng mua saém, xaây döïng, thanh lyù, nhöôïng baùn caùc taøi saûn daøi haïn vaø caùc khoaûn ñaàu tö khaùc khoâng thuoäc caùc khoaûn töông ñöông tieàn. Hoaït ñoäng taøi chính: Laø caùc hoaït ñoäng taïo ra caùc thay ñoåi veà quy moâ vaø keát caáu cuûa voán chuû sôû höõu vaø voán vay cuûa doanh nghieäp.
  • 131.
    3. baùocaùo löu chuyeån tieàn teä 3.2 Luoàng tieàn töø hoaït ñoäng kinh doanh : laø luoàng tieàn coù lieân quan ñeán caùc hoaït ñoäng taïo ra doanh thu chuû yeáu cuûa doanh nghieäp, noù cung caáp thoâng tin cô baûn ñeå ñaùnh giaù khaû naêng taïo tieàn cuûa doanh nghieäp töø caùc hoaït ñoäng kinh doanh ñeå trang traûi caùc khoaûn nôï, duy trì caùc hoaït ñoäng, traû coå töùc vaø tieán haønh caùc hoaït ñoäng ñaàu tö môùi maø khoâng caàn ñeán caùc nguoàn taøi chính beân ngoaøi.
  • 132.
    3. baùocaùo löu chuyeån tieàn teä   3.3 Luoàng tieàn töø hoaït ñoäng ñaàu tö: laø luoàng tieàn coù lieân quan ñeán vieäc mua saém, xaây döïng, nhöôïng baùn, thanh lyù taøi saûn daøi haïn vaø caùc khoaûn ñaàu tö khaùc khoâng thuoäc caùc khoaûn töông ñöông tieàn.
  • 133.
    3. baùocaùo löu chuyeån tieàn teä 3.4 Luồng tiền từ hoạt động tài chính Luồng tiền từ hoạt động tài chính 1. Tiền thu từ phát hành cổ phiếu, nhận vốn góp của chủ sở hữu 2. Tiền chi trả vốn góp cho các chủ sở hữu, mua lại cổ phiếu của doanh nghiệp đã phát hành 3. Tiền vay ngắn hạn, dài hạn nhận được 4. Tiền chi trả nợ gốc vay 5. Tiền chi trả nợ thuê tài chính