jkpo;ehL nghwpapay; Nrh;f;if
2014
TAMIL NADU ENGINEERING
ADMISSIONS 2014
khzth;fSf;fhd jfty; kw;Wk;
topKiwfs;
INFORMATION AND INSTRUCTIONS TO
CANDIDATES
The following documents should be enclosed with the application:
In Original
1. Filled-in Coding Sheet
2. Special Reservation Form (s) with DD and photocopy of the Relevant Certificate (s) – If applicable
Photocopy of
3. 10th
Mark Sheet
4. HSC / Equivalent Mark Sheet*
5. Transfer Certificate*
6. Permanent Community Certificate Card for ST, SC, SCA, MBC & DNC, BC and BCM
7. HSC Hall Ticket
8. Nativity Certificate – If applicable
9. First Graduate Certificate and First Graduate Joint Declaration and Certificate No. I – If applicable
10. Srilankan Tamil Refugee certificate – If applicable
* Candidates appeared for HSC / Equivalent examination in March 2014 must produce Original
Mark sheet and TC at the time of counselling. However, downloaded copy of the mark sheet
should be enclosed, others to enclose a copy of Mark sheet and TC.
Last Date for Submission of filled-in application
20.05.2014
The filled-in application along with enclosures should be sent to:
The Secretary
Tamil Nadu Engineering Admissions
Anna University
Chennai – 600 025
1
TAMIL NADU ENGINEERING ADMISSIONS 2014
ADMISSIONS TO FIRST YEAR B. E. / B. TECH. DEGREE COURSES
Information and Instructions to Candidates
Common application form to seek admission to University Departments, University Colleges, Government and
Government Aided Engineering Colleges and for the seats surrendered by Self–Financing Engineering Colleges under
Unified Single Window Admission System for Indian Nationals.
1. Application Number printed in the coding sheet is the Registration Number, hence you have to write
this number in all the enclosures.
2. ALLOCATION OF SEATS IN COLLEGES
2.1 (a) Seats in B. E. & B. Tech. Degree Courses in University Departments and University Colleges.
2.1 (b) Seats in B. E. Degree Courses in Mechanical Engineering and Civil Engineering (Tamil Medium)
in University Departments and University Colleges.
2.2 Seats in B. E. & B. Tech. Degree Courses in Government, Government Aided and Seats surrendered
by Self-Financing Engineering Colleges.
a) Category I
(i) Seats in Government Engineering Colleges
(ii) Seats in Aided courses in Government Aided Engineering Colleges
(iii) Seats in Central Electro Chemical Research Institute (CECRI), Karaikudi
b) Category II
(i) Seats in Self-Supporting courses in Government Aided Engineering Colleges
(ii) Seats surrendered by Self Financing Engineering Colleges
(iii) Seats in Central Institute of Plastic Engineering and Technology (CIPET)
2.3 A candidate needs to submit only one application for all the courses/colleges/Institutions mentioned above
irrespective of the category. Candidates seeking admission under special reservation should also enclose a Special
Reservation form for each special reservation category along with the main application as per the instructions given
in Para 5.1 and 5.2 on Pages 4 & 5.
2.4 Duration of the Programme
B. E. / B. Tech. 4 Academic years comprising of 8 semesters
B. E. (Sandwich) 5 Academic years comprising of 10 semesters
3. ELIGIBILITY RULES
General
Candidates satisfying the eligibility conditions given below as on the last date of submission of application are eligible
to apply. Passing the qualifying examination after the last date of submission of application shall not be considered.
3.1 Nativity
i) Tamil Nadu candidates who have passed VIII, IX, X, XI and XII Std. in Tamil Nadu are eligible to apply.
They need not enclose Nativity Certificate.
ii) Children of Central Government Employees may also apply for admission, irrespective of their native,
provided their parents or guardians (only if both parents are not alive) have been serving in Tamil Nadu
continuously for the past FIVE YEARS at the time of submission of application, which should be
supported by enclosing a certificate from the employer of the parent or guardian, to that effect.
2
iii) Sons and daughters of All India service Tamil Nadu cadre officers are eligible to apply.
iv) Children of employees in Public Sector or Government recognised Institutions who at the time of
submission of application for admission employed in Tamil Nadu continuously for the past five years
may also apply irrespective of their domicile. A certificate from the employer has to be enclosed along
with the application stating that the person is a Permanent Employee of the Firm or Institution
concerned with evidence like Income Tax return, PF Slips, etc. and is working in Tamil Nadu
continuously for the past FIVE YEARS.
v) Other State candidates who have studied VIII, IX, X, XI and XII Std. in Tamil Nadu are eligible to apply.
They need not enclose “Nativity Certificate”.
vi) Tamil Nadu native candidates who have passed any of the VIII, IX, X, XI and XII Std. or their equivalent
examination from schools situated outside Tamil Nadu can also apply. They should enclose a copy of
Nativity Certificate.
Note:
1. Applications without proper employer certificate for categories (ii), (iii) and (iv) and nativity
certificate for the category (vi) will not be considered.
2. Tamil Nadu native candidates alone will be considered for communal reservation. Others will
be considered under “Open Competition”.
Srilankan Tamil Refugee
As per G.O. (St) No. 172 Higher Education (J2) Dept. dated: 29.06.2010 candidates who are Srilankan Tamil Refugee
studied in Tamil Nadu will be considered under open competition. They have to enclose the following:
(i) Identification certificate from the Head Quarters Tahsildar
(ii) Those who have not registered in the refugee camp should submit a copy of
passport, visa and letter registered with Police Station.
3.2 Qualifying Examinations and Eligibility
A pass in the HSC (Academic) or its equivalent with a minimum average percentage in Mathematics, Physics and Chemistry
put together as given below.
Sl.
No.
Community
A Pass with
Minimum average marks in
Mathematics, Physics and Chemistry put
together
1. General Category 50.00 %
2.
Backward Class including Backward
Class Muslim
45.00 %
3. MBC & DNC 40.00 %
4. SC/SCA/ST 40.00 %
OR
A pass in any one of the HSC (Vocational Subject) as given below with any one of the Engineering related subjects namely
Mathematics, Physics or Chemistry with a minimum average percentage put together as given below.
Sl.
No.
Community
A Pass with
Minimum average marks in Related
Subjects, Vocational Theory and Practicals
put together
1. General Category 50.00 %
2.
Backward Class including
Backward Class Muslim
45.00 %
3. MBC & DNC 40.00 %
4. SC/SCA/ST 40.00 %
3
Vocational Courses prescribed for B.E. / B. Tech. Degree Admission
Group
Code
Name of the Vocational Subjects
421 General Machinist
422 Electrical Machines and Appliances
423 Electronic Equipments
424 Draughtsman Civil
425 Auto Mechanic
426 Textile Technology
Note:
(i) When the candidates produce grade certificates, they have to produce the actual marks also otherwise only
the minimum marks applicable to the grades in the eligible subjects (Mathematics, Physics, Chemistry and
Fourth Optional Subject) will be taken into account.
(ii) For minimum eligibility rounding of marks and normalised marks will not be considered.
3.3 Improvement marks: As per the G.O. No. 184 HE (J2) Dept. dt: 09.06.2005 and G.O. (st) No. 143 HE (J2)
Dept. dt: 06.05.2008 improvement marks obtained by the candidates including Other State candidates from 2006
onwards will not be considered.
3.4 Marine Engineering Branch
The Director General of Shipping, Ministry of Shipping, Government of India, vide Notification No. II. TR (21) 97
dated: 03.10.2002 have issued notification stating that, for Marine Engineering Degree Programme the candidate
should pass in 10+2 or equivalent examination with Physics (P), Chemistry (C), Mathematics (M) and English as
separate subject with an average of not less than 60 % in PCM. Further a minimum of 50 % in English either at
10th
or 12th
standard is required for all the candidates.
Other Requirements:
(i) Maximum age limit 25 years.
(ii) Minimum Height 157 cm.
(iii) Minimum Weight 48 kg.
(iv) Normal Colour vision
Before selecting the course the candidate shall ensure that they are medically fit for the course.
The candidates will be admitted only on production of physical fitness certificate obtained from the Medical Officer
authorised by the Director General of Shipping, failing which they will lose the admission.
3.5 Mining Engineering Branch
Only Male candidates are eligible.
4. ALLOCATION OF SEATS
4.1. Selection shall be made under seven categories namely OC, BC, BCM (BC Muslim), MBC & DNC, SC,
SCA and ST reservation following the rules of reservation of Government of Tamil Nadu as follows.
69 % Rule of Reservation
Open Competition 31.00 %
Backward Class 26.50 %
Backward Class Muslim 3.50 %
Most Backward Class & Denotified Communities 20.00 %
Scheduled Caste 15.00 %
Scheduled Caste (Arunthathiyars) 3.00 %
Scheduled Tribes 1.00 %
4
4.2 (a) Tamilnadu native candidates alone will be considered for communal reservations. The community recorded in
the certificate of Tamilnadu native candidate should figure in the list of communities approved by the Government of
Tamilnadu (Annexure – I on Pages 24 – 30).
4.2 (b) The applicants from Tamilnadu State should have a valid permanent community certificate in card format
issued by the competent authority (for ST/SC/MBC & DNC, BC and BCM in the format prescribed by Government of
Tamilnadu in G.O. Ms. No. 781 (Revenue Department) dated: 02.05.1988. In the case of ST candidates, the
community certificate should have been issued by the Revenue Divisional Officer / P.A. (General) to the Collector of
Chennai / Sub-Collector of the District concerned (except Chennai) vide Govt. Lr. No. 32061/ADWII/89-2, dt:
27.12.1989 and Lr. No. 21424/ADWII/94-4, dt: 15.11.1994 from the Secretary to Government, Adi Dravidar and
Tribal Welfare Department, Chennai – 600 009. The Permanent Community Certificate Card issued to ST candidates
by Tahsildars upto 11.11.1989 only is valid. Candidates should enclose a photocopy of the Permanent Community
Certificate card along with the application.
4.2 (c) Community Certificate obtained from other states will not be considered for communal reservation.
4.2 (d) For communities linked with Districts (See Annexure-l) the candidates should obtain their community
certificate in the respective districts except the communities mentioned in G.O. (st) No. 95 BC, MBC & Minorities
Welfare Department dt: 28.10.2009. Such of those community certificates obtained on or after 28.10.2009 will be
considered. Community certificate obtained from other than the respective district will not be considered.
4.2 (e) Candidates who have not furnished the photocopy of the Permanent Community Card Certificate
at the time of submission of the application will be treated as belonging to “Open Competition” (OC).
The candidate is further informed that in the event of such a decision, the eligibility conditions & rules prescribed for
OC will be applicable for such candidates and if such candidates do not satisfy the rules of OC, their applications are
liable to be rejected. No correspondence in this connection will be entertained.
4.2 (f) ST / SC / SCA / MBC & DNC / BC / BCM candidates are eligible for selection under Open Competition in
addition to the reservation made for them.
5. SPECIAL RESERVATION
5.1 Special Categories
Since the special reservation applications are processed by separate committees, candidates are instructed to enclose
separate special reservation form along with the main application. They should also enclose a DD for ` 100/- for each
special reservation along with appropriate certificates. If appropriate certificates or supporting documents for special
reservation claim are not enclosed with the Special reservation form, their claim under such categories will not be
considered.
Candidates seeking admission against special reservation of seats under Item No. 21, Code No. 1 for Eminent Sports
Person should submit the main application, the special reservation form for Sports and a Demand draft for ` 100/-
and copies of the relevant certificates in person to the Secretary TNEA as per Annexure II which also contains
the selection procedure.
Only Tamilnadu Native candidates are eligible for Special reservation.
5
Quota for Special Reservation Categories
Item
No.
Code
No.
Category
Number of Seats
University
Depts. and
University
Colleges
Govt. &
Govt.
Aided
Colleges
Self-
Financing
Colleges
TOTAL
20
1 Sons / Daughters of Ex-Servicemen* 8 34 108 150
2 Sons / Daughters of Freedom Fighters** 2 2 6 10
3 Orthopaedically Differently Abled Persons ** 1 % #
4 Hearing Impaired** 1 % #
5 Visually Impaired** 1 % #
University Depts.
University Colleges /
Govt. / Aided and Self
Financing Colleges
21 1 Eminent Sports Persons as per Annexure II* 12 488 500
# 1 % of total seats under Single Window System
* G.O. (Ms) No. 121 HE (J1) Department dt: 03.07.2012.
** G.O. (Ms) No. 198 HE (J1) Dept. dt: 30.05.2003.
Note:
(i) Candidates claiming admission against the reservation of seats under Item No. 20, Code No. 1 should enclose the
certificate in the format (Certificate No. III on Page No. 18) given in the information and instructions to candidates
from an officer of the Department of Ex-servicemen’s Welfare of Tamilnadu not below the rank of Assistant Director of
Ex-servicemen’s Welfare of the district in which the dependent is a native. Candidates called for counselling
should produce discharge certificates and Ex-Servicemen ID card of their parents.
(ii) Candidates claiming admission against reservation under Item No. 20, Code No. 2 should enclose the certificate
as per format given in Certificate No. IV on Page No. 19. In addition, they should also enclose a copy of the Jail
Extracts or in its absence, Co-prisoner’s Certificate or certificate from Ex-Chief Minister or Ex-Minister or
Ex-member of Legislature or Ex-member of Parliament as evidence that the Parent of the candidate is a Freedom
Fighter suffered imprisonment for a period not less than one month subject to verification wherever it is found
necessary.
(iii) Candidates seeking admission against reservation [Item No. 20, Code No. 3, 4 and 5] set apart for
orthopaedically Differently Abled Persons / Hearing impaired (Deaf) / Visually Impaired should produce the certificate
from the Medical Board of the District concerned certifying the nature and extent of disability in percentage
and with regard to his/her suitability for admission to Engineering Colleges specifically mentioned below and in the
format given in this booklet (Certificate No. V/VI/VII). Certificates obtained from an individual Doctor will not be
considered. Further, a separate Board for each category will examine the candidates with reference to
their certificates before counselling.
(iv) Candidates seeking admission against seats under Special reservation categories (Item 20 & 21) should also
satisfy the eligibility rules mentioned in item No. 3. The candidates are also eligible for admission under
general counselling.
5.2. Eligibility criteria for various disabilities
a. Norms for Orthopaedic Disability
Candidates with permanent physical impairment of 40 % and above are considered as disabled. The candidates with
orthopaedic disability of the following types are eligible for claiming Engineering Admission against Differently Abled
Persons category (Certificate No. V on Page No. 20)
(i) Independent in ambulance with or without calipers but without walking aids.
(ii) Good Standing Balance without calipers but without any support.
(iii) Hand Function with normal limit without any aid
(iv) Good control over bladder & bowel
(v) Disease must be non progressive
6
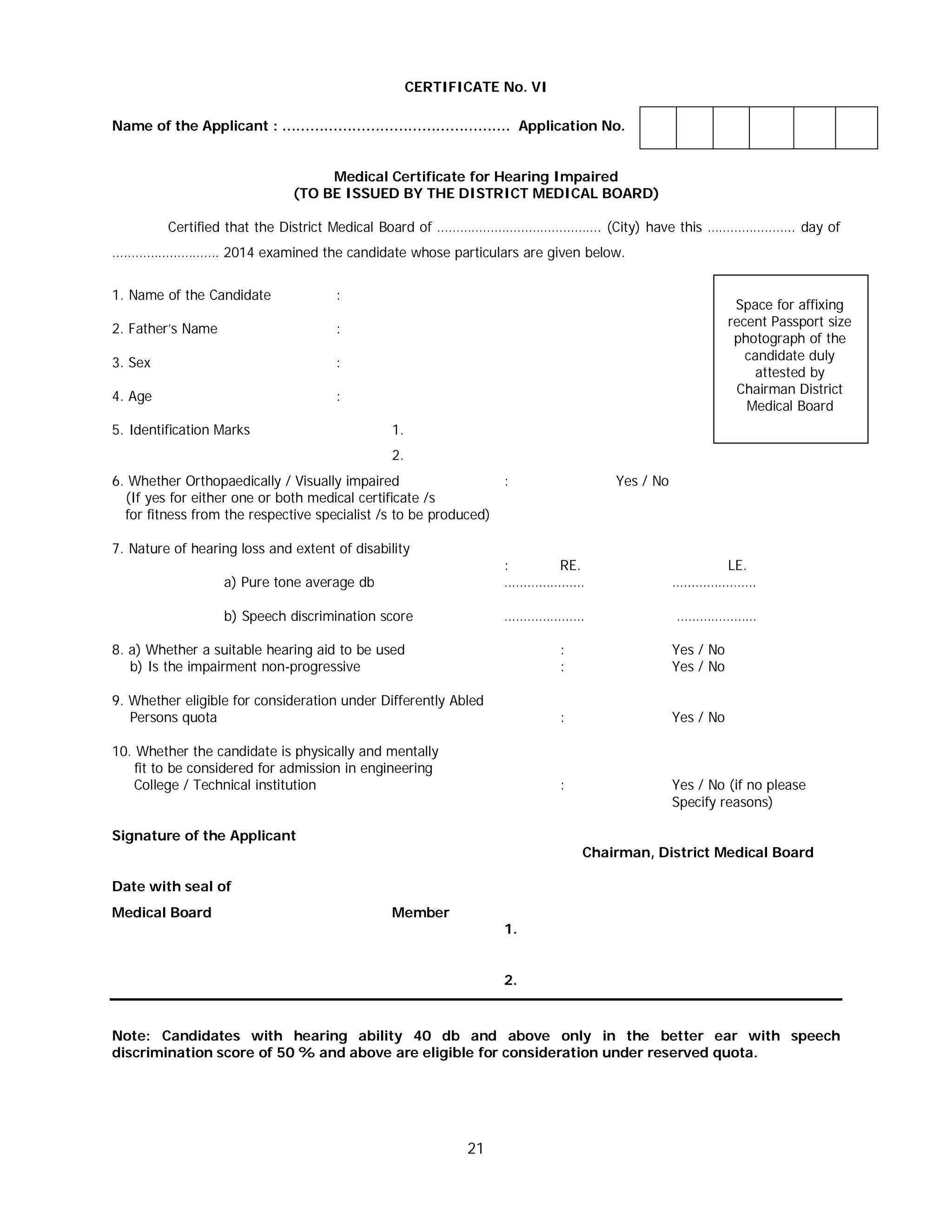
b. Norms for Hearing Disability
Candidates with hearing ability of 40 db and above only in the better ear with speech discrimination score of 50 %
and above are considered disabled and hence eligible for claiming Engineering Admissions against Differently Abled
Persons category (Certificate No. VI on Page No. 21).
c. Norms for Vision Impairment
Candidates with low vision of 40 % and above are considered as disabled, and hence eligible for claiming Engineering
Admission against Differently Abled Persons category (Certificate No. VII on Page No. 22).
Low Vision: Person with low vision means a person with impairment of vision of less than 6/18 to 6/60 with best
correction in the better eye or impairment of field in any one of the following categories:
a) Reduction of fields less than 50 degrees
b) Heminaopia with macular involvement
c) Attitudinal defect involving lower fields categories of Visual Disability all with correction
Category Better eye Worse eye Impairment
Category O 6/9 – 6/18 6/24 to 6/36 20 %
Category I 6/16 – 6/36 6/20 to Nil 40 %
Category II 6/40 – 4/60 or field of vision 10º - 20º 3/60 to Nil 75 %
Category III 3/60 to 1/60 or field of vision 10º F.C at 1 ft. to Nil 100 %
Category IV F.C at 1 ft. to Nil or field of vision 10º F.C at 1 ft. to Nil 100 %
One eyed persons * 6/6 F.C at 1 ft. to Nil or field of vision 10º 30 %
Note: F.C. means Finger Count
* ONE EYED persons with normal vision are not considered as disabled.
6. MODE OF SELECTION
(a) (i) ADMISSION TO GENERAL CATEGORY
The selection of candidates will be based on the marks obtained in the prescribed subjects reduced to 200
(Mathematics – 100, Physics + Chemistry – 100) in the qualifying examination.
(ii) Normalisation of Marks and Inter-se Merit
As per Tamil Nadu Acts No.3 of 2007, dt: 05.03.2007 and G.O. (Ms) No.77 HE (J2) Dept, dt: 05.04.2007, the marks
obtained by the students in the relevant subjects in the qualifying examination conducted by various Boards or
Authority shall be equated with the marks obtained by the students in the same subjects in the qualifying
examination conducted by the State Board of Tamil Nadu by adopting the method of normalisation.
(e.g.) If the highest mark secured by the student of State Board of Tamil Nadu in Physics is 100 and the highest mark
secured by a student of any other Board in the same subject is 90 both the highest marks will be considered to be
equal to 100. If a student of the other Board secures 60 marks in Physics when the first mark in Physics in the same
Board is 90, 60 marks will be considered to be equal to 66.66 marks as arrived below.
100 x 60 = 66.66 %
90
After normalisation of marks in the relevant subjects in the qualifying examination conducted by different Boards, the
qualified students shall be merged into a common merit list.
In the case of candidates who have qualified from National Boards such as CBSE, ISCE etc. the highest mark
obtained in the relevant subject by the candidates at the National Level alone will be taken into consideration for
normalisation.
The Other Boards will be requested to furnish the maximum marks scored in the relevant subjects. In case, such
marks are not available before the preparation of rank, the maximum marks scored in that Board will be considered
as 100 %.
7
For minimum eligibility, normalised marks will not be considered.
A merit list will be prepared based on the total mark of 200. In cases where more than one candidate have got the
same marks in the common merit list, the inter-se-merit among such candidates shall be determined in the order of
priority as specified below.
(1) Percentage of marks in Mathematics, (2) Percentage of marks in Physics, (3) Percentage of marks in the Fourth
optional subject, (4) Date of Birth (elder will be given preference) & (5) Random number assigned (higher value will
be given preference).
The overall rank and Communitywise rank lists will be published in Anna University website
http://www.annauniv.edu/tnea2014. Separate announcement will not be given in Newspapers. The candidates will
also be informed of their rank individually by post through the counselling Call Letter. The college and the branch will
be provisionally allotted through counselling only.
(iii) Admission to Special Reservation Categories
Candidates who are applying for seats under special reservation categories as in item 20 & 21 (Refer section 5.1 and
5.2) should satisfy the rules stipulated for admission. Allocation of these Special Reservation seats will be followed as
per communal reservation.
Selection for item 20 will be based on the ranking as given in 6(a) (i) and (ii).
Selection for item 21 will be based on the total marks obtained for achievements in Sports as per Annexure II.
If any vacancy arises it will be reverted to the general counselling in the respective communities.
(b) ADMISSION OF VOCATIONAL STREAM CANDIDATES
100 seats in Category I and 4 % of seats surrendered in Category II have been set apart vide G.O. (Ms.) No. 290 HE
(J2) Dept. dt: 21.08.2007 for the HSC (vocational stream) candidates. The academic marks in the prescribed subjects
will be reduced to 200 (Related subject 100 marks, vocational subject including theory and practical 100 marks). Seats
are not reserved in University Departments and University Colleges. Selection will be made following the Communal
reservation. Ranking and counselling will be separate for vocational candidates.
Out of 3 % of Vocational seats in Category I and II, the reservation for Differently Abled Persons candidates is 1 % for
Orthopaedically Differently Abled Persons, 1 % for Hearing Impaired and 1 % for Visually Impaired.
(c) ADMISSION TO SANDWICH COURSES
Sandwich courses in Mechanical Engineering, Electrical and Electronics Engineering and Production Engineering are
offered at PSG College of Technology under self-financing scheme. The duration of the course is 5 Years.
It comprises of practical training in the mornings and class work in the evenings. There will be an additional fee
payable towards practical training and it will be intimated by the Principal of the college at the time of admission.
7. COUNSELLING OF CANDIDATES
7.1 Candidates will be called for counselling in the order of their merit. Based on the merit and communal reservation,
allotment of the branch/college chosen by the candidate will be made. Candidates have to opt for colleges and
branches that are available at the time of counselling.
7.2 Candidates have to pay an initial deposit of ` 5000/- (` 1000/- for SC/SCA/ST candidates belonging to Tamilnadu)
by Cash or DD and produce all their original certificates when they attend counselling.
7.3 If a candidate has deposited all the certificates in an Institution where he/she has already been admitted, a letter
from the Head of the Institution should be produced to that effect. In such case only, attested photocopies of
certificates from the Head of the Institution will be accepted for verification. However, the provisional allotment order
will be withheld and it will be released only on production of all the original certificates.
8
7.4 Eligible candidates who have applied may appear for counselling according to their cut-off mark, two hours before
the counselling session along with their original certificates for verification, irrespective of receipt of individual
communication.
7.5 The date, time and venue for counselling will be intimated to the candidates, published in leading dailies and in
Anna University, Chennai website. No change of date/time of counselling is permissible. Authorities are not responsible
for any postal delay; or non receipt of intimation for counselling. Candidates who do not attend counselling have to
forego the claim for admission.
7.6 Due to unforeseen and unavoidable reasons, if a candidate is unable to attend the counselling on the specified
date and time, he/she can authorise his/her parent on his/her behalf and the parent’s decision will be binding on the
candidate.
7.7 Due to unforeseen reasons, if a candidate could not attend the counselling on the specified date and time,
he/she can attend on a subsequent time/date, during the counselling period. But the candidate can only opt for the
seats available at that time and cannot claim any seat as per original rank. If the ranking of a candidate is changed
due to re-totalling/revaluation of mark, he/she can attend counselling as per the new mark and rank, though the call
letter specifies different date (as per original mark).
7.8 Once allotted a seat, the amount ` 5,000/- (` 1,000/- in the case of SC/SCA/ST candidates belonging to
Tamilnadu) already paid at the time of counselling will be adjusted in the tuition fee. If a candidate does not join
after allotment and seeks refund, only 80 % of the initial deposit amount paid at the time of counselling
will be refunded, if original allotment order with acknowledgement for the receipt of payment is
surrendered on or before 31.12.2014. All admissions made through single window system are
provisional.
CHOICE ONCE MADE IS FINAL AND CANNOT BE CHANGED
8. TUITION FEE CONCESSION
8.1 First Graduate Tuition Fee Concession
In the G.O. (st) No. 85 Higher Education (J2) Department dated: 16.04.2010, the Government have ordered to grant
tuition fee concession to the candidates who are to be the first graduate in a family, those who are attending
counselling and joined in professional courses in Government / Aided and Self-Financing Engineering Colleges. They
have to submit the following:
(i) Certificate obtained from Head Quarters Deputy Tahsildar in the format prescribed in G.O. (Certificate No. II)
which necessarily should include name of applicant’s father, mother, father’s father, father’s mother,
mother’s father, mother’s mother, brother (s) and sister (s) and joint declaration by himself and
parent/guardian in the prescribed format.
(ii) The candidates have to furnish Certificate No. I.
If the applicant’s Brother or Sister has already availed First Graduate Tuition Fee concession for
studying Professional Courses, then the applicant is not eligible for such concession.
8.2 AICTE Tuition Fee Waiver (TFW) Scheme
This scheme is applicable in Self-Financing Engineering Colleges and Self-Supporting courses in Government Aided
Engineering Colleges only. AICTE Tuition fee waiver scheme is applicable for B.E./B.Tech. courses only. Seats up to a
maximum of 5 percent of sanctioned intake per course may be available under the scheme. Tuition fee waiver under
First Graduate scheme is provided by Government whereas, AICTE TFW scheme is provided by the Management of
the Institution. Sons and daughters of parents whose annual income is less than ` 4.50 lakhs from all sources shall
only be eligible under this scheme.
All other fees except tuition fee will have to be paid by the candidate under both (8.1) & (8.2). Beneficiary student
admitted under AICTE TFW scheme will not be allowed to change Institution / course under any circumstances.
8.3 Post Matric Scholarship
In the G.O. (st) No. 6 Adi Dravidar and Tribal Welfare (AD3) Department dated 09.01.2012, G.O. (st) No. 92 Adi
Dravidar and Tribal Welfare (AD3) Department dated 11.09.2012 and G.O. (st) No. 16 Adi Dravidar and Tribal Welfare
(AD3) Department dated 24.02.2014, the Government have ordered to grant Post Matric Scholarship to SC/SCA/ST
candidates, whose parental annual income is less than ` 2,50,000/- and for SC/SCA converted Christians annual
income less than ` 2,00,000/- from all the sources shall only be eligible. The eligible candidates have to submit income
certificate obtained from appropriate authorities and get the Post Matric Scholarship from the colleges were they get
admitted.
9
9. PROCEDURE FOR REGISTRATION OF APPLICATION
The application form will be available in the following modes:
i. In person: Through 59 centres for TNEA.
ii. Postal: Only from the Centre for Entrance Examinations & Admissions, Anna University, Chennai – 25.
iii. Internet: Through Anna University website http://www.annauniv.edu/tnea2014.
Candidates have to submit the filled-in application either in person or by post along with photocopies of Mark
Sheet(s), Proof of Age and copies of all other relevant certificates to the Secretary, TNEA, Anna University,
Chennai – 600 025 on or before 20.05.2014.
All the Demand Drafts should be drawn in favour of “The Secretary (TNEA), Anna University” payable at
Chennai.
SC/SCA/ST candidates belonging to Tamilnadu desirous of availing Registration fee concession should submit a
photocopy of the Permanent Community Certificate Card.
Application forms obtained at concessional rates, if submitted by the candidates who does not belong to SC/SCA/ST
will be summarily rejected.
PAYMENT BY ANY OTHER MODE WILL NOT BE ACCEPTED.
10. GENERAL, downloaded copy of the mark sheet should be enclosed, others to enclose a copy of
Mark sheet and TC
10.1. The candidates are directed to enclose the following certificates along with the application:
In Original
1. Filled-in Coding Sheet
2. Special Reservation Form (s) and photocopy of relevant certificate (s) with DD - if applicable
Photocopy of
3. 10th
Mark Sheet
4. HSC/Equivalent Mark Sheet Candidates appeared for HSC/Equivalent Examination in March 2014 must
5. Transfer Certificate produce original Mark sheet and TC at the time of counselling, However,
downloaded copy of mark sheet should be enclosed, others to enclose a copy
of Mark sheet and TC
6. Permanent Community Certificate Card for ST, SC, SCA, MBC & DNC, BC and BCM candidates.
7. HSC Hall Ticket
8. Nativity Certificate – if applicable
9. First Graduate Certificate and First Graduate Joint Declaration and Certificate No. I – if applicable
10. Srilankan Tamil Refugee certificate – if applicable
10. 2. Applications received after the due date, not in the prescribed form, not correctly filled-up or the prescribed
certificates and documents are not enclosed or do not otherwise fulfil the terms of the instructions will be
considered defective and are liable for rejection without notice. The Secretary, TNEA will not be responsible for any
delay in post or otherwise in respect of the receipt of application after the due date. No correspondence will be
entertained in this respect.
10.3. All the columns on both sides of the coding sheet must be filled without fail.
10.4. The candidates have to join the colleges to which they are allotted within the time notified in the Provisional
Allotment Order failing which the seats will be deemed to have fallen vacant. Request for reconsideration of
admission shall not be entertained.
10.5. Detailed information regarding the courses and other facilities are available in the Booklet containing
‘Information about colleges’. Other details like Scholarship, Fee Concession, Hostel Facilities, Examinations etc.,
can be obtained from the Principal / Deans of the Institutions.
10.6. Selected candidates and their parents/ guardians will have to sign a joint declaration form (Page No. 38) and
submit to the college at the time of admission.
10
10.7. The candidates are informed that the admission through counselling is only provisional. In
accordance with the rules prescribed for admission, if they are found ineligible on actual verification
of original certificates / particulars by the Principal / Directorate of Technical Education / University,
they cannot claim any right for admission or continuation of study at any stage they may be.
10.8 Further, the confirmation of Admission is subject to the verification of marks / certificates by the Directorate of
Government Examinations. If the Mark Sheet is found to be BOGUS,
[(i) Admission is liable for cancellation at any stage of study.
(ii) He / she will be debarred from pursuing any course of study for a period of 3 Years.
(iii) Legal action will be taken against him/her for furnishing forged marks.
11. GENERAL INSTRUCTIONS FOR FILLING THE APPLICATION FORM
11.1. Enter your Registration Number as printed in the coding sheet correctly and legibly in all the enclosures.
Failure to do so may result in the application being summarily rejected.
11.2. Encircle the code numbers wherever specified for the entries applicable.
11.3. Tick (√) the qualifying Examination passed on the application cover.
11.4. Enclose the relevant certificates wherever asked for along with the application. Submission of certificates at a
later date shall not be accepted.
11.5. Enter the details in the coding sheet carefully for all the relevant items as per the application form and other
details such as medium of instruction, mother tongue, civic status, income of the parent etc., referring to “specific
Instructions to fill-up the application form” and “Guidelines to fill-up the Coding Sheet”. The small open boxes
corresponding to entries have to be carefully and completely shaded using a HB pencil. The entire data furnished
depends on the shading. The shaded information is scanned using an Optical Mark Reader and any mistake and
improper shading may prejudice your selection.
11.6. Tick (√) the Nativity, Qualifying Examination, Special Reservation and write the address on the application
cover.
11.7. The application along with all the enclosures tied up and Coding sheet kept as loose sheet should reach
The Secretary, Tamil Nadu Engineering Admissions, Anna University, Chennai – 600 025 on or before
20.05.2014 at 5.30 p.m.
11.8. Candidates are advised to post the completed application well in advance so as to reach the Secretary (TNEA),
Anna University, Chennai before the due date and time. If it is sent by post, it is advisable to send by Registered post
/ Speed post to ensure proper delivery.
11.9. Candidates allotted will be given the provisional allotment order and a receipt for ` 5,000/- (or ` 1,000/- in the
case of SC/SCA/ST candidates belonging to Tamilnadu). The remaining tuition fee has to be paid in the designated
banks / colleges before the dates specified in the provisional allotment order. If a candidate fails to report for
admission on or before the date indicated in the provisional allotment order he/she has to forfeit the
seat and cannot claim later and the provisional allotment order will be automatically cancelled.
Selection of the college and branch of study is the sole responsibility of the candidate.
The branches and intake in the colleges given in “Information about Colleges” booklet may have variations. The
approved branches / intake will be available in the counselling centre and in Anna University website
http://www.annauniv.edu/tnea2014
11.10. UNDER ANY CIRCUMSTANCES
(a) THE COLLEGE OR BRANCH ALLOTTED WILL NOT BE CHANGED
(b) THE LAST DATE FOR JOINING IN THE COLLEGE WILL NOT BE EXTENDED
11.11. For any correspondence, kindly quote your Registration Number as printed in the coding sheet.
11.12. The Secretary, TNEA reserves the right to accept or reject any application without assigning any reason.
SECRETARY
TAMIL NADU ENGINEERING ADMISSIONS
11
INSTRUCTIONS TO FILL-UP THE APPLICATION FORM
General
The candidates have to fill-up the details both in the application form and coding sheet supplied. All
the items have to be filled properly in both. First fill-up the application form and then transfer the
data from ‘Application’ to the coding sheet.
Guidelines to fill-up the application form
Use only BALL PEN to fill-up the application form. For many items you have to furnish the required
information by encircling the number applicable to you.
Application form consists of 25 items as given below.
Item No. 1 Application number as printed in the coding sheet is the Registration Number for Tamil Nadu Engineering
Admissions 2014. Enter the Registration Number in this space provided. If the Registration Number
(coding sheet number) is 161279 write it as 1 6 1 2 7 9
Item No. 2 Write your name in BLOCK Letters, with initials at the end (Exactly in the same way as it has been given
in all your other records). If your name is S. DILIP CHANDAR write it as
D I L I P C H A N D A R . S
Item No. 3 Write the name of your Parent. Write your Guardian’s name, if both the parents are not alive.
Item No. 4 Write your mailing address with Pincode, Telephone number with STD code, Mobile number and E-mail
neatly.
Item No. 5 Affix your recently taken passport size photograph in the space provided. Get the photograph attested by
the Head of the Institution where you studied last, or by an Officer of Grade A or B.
Item No. 6 Enter your Date of Birth. If your date of birth is 06.03.1996 enter in the boxes provided as:
0 6 0 3 1 9 9 6
Item No. 7 Encircle 1 for Male and 2 for Female.
Item No. 8 Encircle the number corresponding to your Religion, for eg. If your religion is Hinduism encircle 3.
Item No. 9 Encircle the number corresponding to your community. If your community is BC, encircle 5.
Item No. 10 Fill up the entries from the permanent community certificate card, for the relevant information in
the space provided.
Item No.
10(a)
The caste codes are given in Annexure-I on Pages 24 – 30 for different communities. Choose the
code number corresponding to your caste and enter as a 3 digit number in the boxes provided. If
your caste is Agamudaiyar enter the caste code from the BC list as 001, if the caste is Arayar from
the MBC list enter as 002A in the boxes provided as shown below. Candidates belonging to
communities other than ST, SC, SCA, MBC/DNC and BC & BCM should enter the code as 500.
Agamudaiyar 001 Arayar 002A
0 0 1 0 0 2 A
12
Item No. 11 If you have enclosed the photocopy of community certificate then encircle 1, if you do not belong
to any one of the communities viz. BC, BCM, MBC & DNC, SC, SCA and ST then encircle 3.
Item No. 12 Encircle No. 1 if you are an Indian Citizen otherwise, encircle 2
Item No. 13 If you have studied VIII, IX, X, XI & XII Std. in Tamilnadu, encircle 1.
Item No.
13(a)
If you have claimed Tamilnadu Nativity, encircle 1.
Item No.
13(b)
If you are not a Srilankan Tamil Refugee, encircle 2.
Item No. 14 Fill the details of your school of study in the space provided (all columns have to be filled).
Item No. 15 Encircle the number corresponding to your qualifying examination. If you have passed Tamilnadu
HSC Academic, encircle 1.
Item No.
15(a)
If you have passed the Tamilnadu Higher Secondary Board Examination, enter the code number 01
as in Annexure – III on Page No. 37.
Item No. 16 If you have passed the qualifying examination, encircle 1.
Item No. 17 Give the details about the qualifying examination in the space provided. Enter the Register No. in
eight digits, month in two digits and year in four digits.
Example 1: if you have passed HSC examination in March 2014 with Register No. 336919, enter
the data as
0 0 3 3 6 9 1 9 0 3 2 0 1 4
Item No. 18 Fill-up the Group Code as given in the Mark Sheet (Tamilnadu HSC (Academic) Candidates only).
Fill-up the HSC (Academic) / Equivalent Examination Marks of the subjects in the appropriate
column.
Item No. 19 Fill-up the HSC (Vocational) Examination Group Code as given in the Mark Sheet and Marks of the
subjects in the appropriate column.
Item No. 20 If you claim for any of the special reservations, encircle the number(s) accordingly. More than one
can be encircled provided you claim for more than one special reservation. If your father is an
Ex-serviceman and you are a Differently Abled Person (Orthopaedically) encircle 1 and 3. If you are
not claiming any Special Reservation, encircle 6.
Item No. 21 If you are an Eminent Sports Person and claiming for Sports Quota, encircle 1.
Item No.
22(a)
If you are the first graduate in your family studying in a college, encircle 1.
Item No.
22(b)
If anyone in your family i.e. brother or sister has already availed first graduate tuition fee
concession, encircle 1.
Item No. 23 If you are willing to avail AICTE TFW Scheme, encircle 1.
Item No. 24 If you are eligible for (SC/SCA/ST including converts to Christianity) Post Matric Scholarship,
encircle 1.
Item No. 25 If your parents annual income is ` 2,50,000/- encircle 4.
13
GUIDELINES TO FILL-UP THE CODING SHEET
Coding sheet contains all the items corresponding to the application form, except item 3, 5, 10, 11 and 14.
Fill-up the ‘Coding sheet’ by referring to application.
First transfer the name, encircle the code and additional codes for all the items from the application to the
corresponding item in the coding sheet into the bigger closed boxes using ball pen.
The items that follow are not available in the application form, but the information is required in the coding
sheet. Choose the codes given below for the item and enter in the Coding sheet in the bigger closed boxes
provided for these items.
26) MEDIUM OF INSTRUCTION
If your medium of instruction in HSC is Tamil, write and shade 1.
27) MOTHER TONGUE
Hindi Kannada Malayalam Tamil Telugu Urdu Others
Code No. 1 2 3 4 5 6 7
If your mother tongue is Tamil, write and shade 4.
28) OCCUPATION OF THE PARENT / GUARDIAN
Occupation Agriculture Industry Business
State
Govt.
Central
Govt.
Private
Organisation
Small
Trade
Others
Code No. 1 2 3 4 5 6 7 8
If your father is a State Government Employee, write and shade 4.
29) CIVIC STATUS OF YOUR NATIVE PLACE
Civic status Corporation Municipality Township
Town
Panchayat
Village
Panchayat
Others
Code 1 2 3 4 5 6
If your native place is a town panchayat, write and shade 4.
30) CIVIC STATUS OF THE PLACE OF SCHOOL LAST STUDIED
Civic status Corporation Municipality Township
Town
Panchayat
Village
Panchayat
Others
Code 1 2 3 4 5 6
If your school is located in the Corporation limit, write and shade 1.
Language Tamil English Others
Code No. 1 2 3
14
31) NATIVE DISTRICT
Code No.
Name of the
District
Code No.
Name of the
District
01 Ariyalur 17 Ramanathapuram
02 Chennai 18 Salem
03 Coimbatore 19 Sivaganga
04 Cuddalore 20 Thanjavur
05 Dharmapuri 21 The Nilgiris
06 Dindigul 22 Theni
07 Erode 23 Thiruvallur
08 Kancheepuram 24 Thiruvannamalai
09 Kanyakumari 25 Thiruvarur
10 Karur 26 Tirunelveli
11 Krishnagiri 27 Tiruppur
12 Madurai 28 Trichirappalli
13 Nagapattinam 29 Tuticorin
14 Namakkal 30 Vellore
15 Perambalur 31 Villupuram
16 Pudukottai 32 Virudhunagar
If your native District is Chennai, write and shade 02.
15
MARKS OBTAINED IN THE QUALIFYING EXAMINATIONS
If you are a HSC (Academic) candidate, then fill the Group code as given in the mark sheet and
the marks in item No. 18
If the Group Code of your examination is 102 then enter
If the marks obtained are Physics – 198, Chemistry – 196, Mathematics – 199, Fourth optional subject –
186 and the maximum marks in each subject is 200, enter the marks as given below.
2 0 0 1 9 8 2 0 0 1 9 6
2 0 0 1 9 9 2 0 0 1 8 6
If you are a HSC (Vocational) candidate, then fill the Group code as given in the mark sheet
and the marks in item No. 19
If the Group Code of your examination is 424 then enter
a) Related Subject and Vocational Subjects (e.g. 1)
If the maximum mark in the related subject (say
Mathematics) is 200 and the mark obtained is 197, they
should be entered in related Subject I as (leave the related
subject II blank)
2 0 0 1 9 7
If the vocational subject consists of one theory and two
practicals and if the maximum marks are 200, 200, 200 and
the marks obtained are 176, 196, 200 respectively, they
should be entered as
2 0 0 1 7 6
2 0 0 1 9 6
2 0 0 2 0 0
b) Related Subject and Vocational Subjects (e.g. 2)
If the maximum marks in the two related subjects (say
Mathematics and Physics) are 200 each and the marks
obtained are 190 and 196 respectively, they should be
entered in related subject I and related subject II column
as
2 0 0 1 9 0
2 0 0 1 9 6
If the vocational subject consists of one theory and one
practical and if the maximum marks are 200 and 200 and
the marks obtained are 185 and 190 respectively, then
they should be entered in vocational theory and vocational
practical I column as (leave the practical II column blank)
2 0 0 1 8 5
2 0 0 1 9 0
Shade the small open boxes like ([A], [1], [2], [3]) of corresponding character / number under the
corresponding column using HB pencil only. If you want to change, erase clearly and shade again
correctly.
IMPORTANT NOTE
THE SHADED INFORMATION IN THE CODING SHEET IS SCANNED BY A MACHINE TO CAPTURE THE DATA.
UNCLEAR SHADING AND MISTAKES IN SHADING MAY PREJUDICE YOUR SELECTION. HENCE, SHADE THE
APPROPRIATE SMALL OPEN BOXES CAREFULLY, CORRECTLY AND NEATLY.
DO NOT PUNCH OR STAPLE THE CODING SHEET. DO NOT FOLD, SMUDGE OR SCRIBBLE ON THE
CODING SHEET.
Application and all its enclosures can be stapled together, but the Coding sheet should be kept
separately as a loose sheet in the same cover along with the application.
1 0 2
4 2 4
18
CERTIFICATE No. III
Name of the Applicant: …………………………………………. Application No.
CERTIFICATE OF DEPENDENCY ON EX-SERVICEMEN
No. Dated:
Office of the Assistant Director of Ex-Servicemen’s Welfare Board of Tamilnadu, District Soldiers’, Sailors’ and
Airmen’s Board. ……………………………………………………………………………… (Name of District)
This is to certify that Tmt. / Thiru. / Selvan. / Selvi ………………………………………………………….is the wife / son /
unmarried daughter / widow is solely dependent on the Ex-Serviceman whose particulars are furnished below.
He / She is eligible for consideration for admission to professional courses in Engineering Colleges against the
reservation of seats for:
(i) Wife / Widow of Ex-Servicemen
(ii) Children of Ex-Servicemen
(iii) Children of Ex-Servicemen died / disabled in war / peace time
(iv) Children of Ex-Servicemen died in Kargil War
(Tick the relevant box)
Signature:
Signature of the Candidate : Designation:
ARMY / NAVY / AIR FORCE SERVICE PARTICULARS OF EX-SERVICEMAN
Regimental No. :
Name :
Name of the Unit in which last served :
Date of enrollment :
Date of discharge :
Cause of discharge :
Whether died / disabled in service :
Whether died in Kargil war :
Character assessed at the time of discharge :
Office Seal :
Station : Signature :
Date : Designation :
Note: This Certificate shall be issued by an Officer of the Department of Ex-Servicemen’s Welfare Board of
Tamilnadu not below the rank of Assistant Director of Ex-Servicemen’s Welfare Board of the District in which the
dependent is a NATIVE. This reservation is applicable only to Tamilnadu Native Candidates.
19
DEFINITIONS
“Ex-Serviceman” is a person who has served in any rank (whether as a combatant or as non combatant ) in the
Armed Forces of the Union, including the Armed Forces of the Former Indian States (but excluding the Assam
Rifles, Defence Security Corps, General Reserve Engineering Force, Lok Sahayak Sena and Territorial Army) for
a continuous period of not less than six months after attestation and has been released, otherwise than at his
own request or by way of dismissal or discharge on account of misconduct or inefficiency, or has been
transferred to the reserve pending such release, or has to serve for not more than six months for completing
the period of service requisite for becoming entitled to be released or transferred to the reserve or, has been
released at his own request after completing Five Years’ Service in the Armed Forces of the Union.
(Refer: Department of Personnel and Administrative Reforms Notification No.39016 /10/79 –Estt (C) of December
15, 1979)
Note 1: The term “released” would cover those Armed Forces Personnel who died while in service or were killed in
action.
Note 2: Coys / Recruits who are in receipt of disability pension i.e., attributable to service are deemed to be
“Ex-Servicemen”.
Note 3: Territorial Army personnel under the following Category are deemed as “Ex-Servicemen”:
(a) Pension holders for continuous embodied service
(b) Disabled Territorial Army Personnel with disability attributable to Military Service
(c) Family Pension holder
(d) Gallantry Award winner
(Authority: Director General Resettlement letter No.2667 / DGR / EMP / RES –3, Dated 16-12-1982)
CERTIFICATE No. IV
Name of the Applicant: …………………………………………. Application No.
Certificate of Son / Daughter of Freedom Fighter
Certified that the applicant Thiru/Selvi……………………………………………………is the son / daughter of Thiru /
Tmt………………………………………………………………..who is a Freedom Fighter.
(A certificate as mentioned in “Information and Instruction to Candidates” should also be enclosed with the
Application).
Date : Office Seal
Station :
Signature of the Certifying Authority
Note: This certificate should be obtained from a Revenue Officer not below the rank of a Deputy Tahsildar.
20
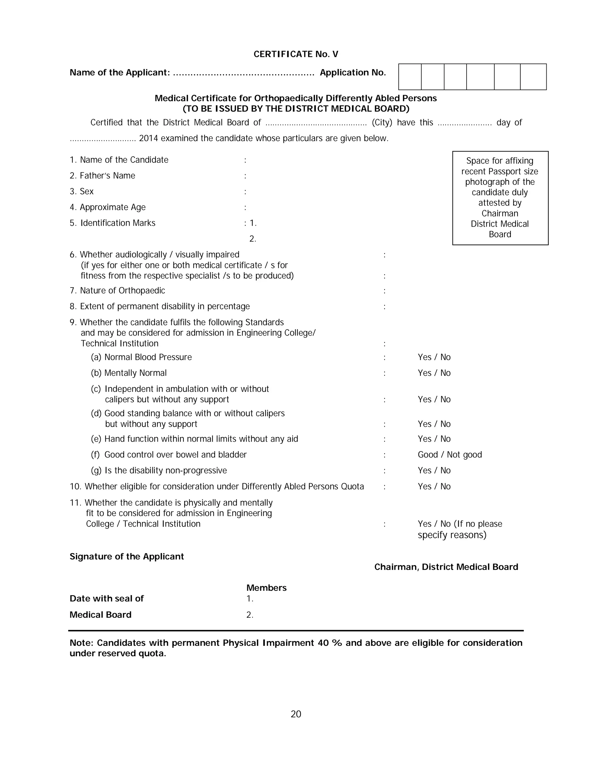
CERTIFICATE No. V
Name of the Applicant: …………………………………………. Application No.
Medical Certificate for Orthopaedically Differently Abled Persons
(TO BE ISSUED BY THE DISTRICT MEDICAL BOARD)
Certified that the District Medical Board of ……………………………………. (City) have this ………………….. day of
………………………. 2014 examined the candidate whose particulars are given below.
1. Name of the Candidate :
2. Father’s Name :
3. Sex :
4. Approximate Age :
5. Identification Marks : 1.
2.
6. Whether audiologically / visually impaired :
(if yes for either one or both medical certificate / s for
fitness from the respective specialist /s to be produced) :
7. Nature of Orthopaedic :
8. Extent of permanent disability in percentage :
9. Whether the candidate fulfils the following Standards
and may be considered for admission in Engineering College/
Technical Institution :
(a) Normal Blood Pressure : Yes / No
(b) Mentally Normal : Yes / No
(c) Independent in ambulation with or without
calipers but without any support : Yes / No
(d) Good standing balance with or without calipers
but without any support : Yes / No
(e) Hand function within normal limits without any aid : Yes / No
(f) Good control over bowel and bladder : Good / Not good
(g) Is the disability non-progressive : Yes / No
10. Whether eligible for consideration under Differently Abled Persons Quota : Yes / No
11. Whether the candidate is physically and mentally
fit to be considered for admission in Engineering
College / Technical Institution : Yes / No (If no please
specify reasons)
Signature of the Applicant
Chairman, District Medical Board
Members
Date with seal of 1.
Medical Board 2.
Note: Candidates with permanent Physical Impairment 40 % and above are eligible for consideration
under reserved quota.
Space for affixing
recent Passport size
photograph of the
candidate duly
attested by
Chairman
District Medical
Board
21
CERTIFICATE No. VI
Name of the Applicant : …………………………………………. Application No.
Medical Certificate for Hearing Impaired
(TO BE ISSUED BY THE DISTRICT MEDICAL BOARD)
Certified that the District Medical Board of ……………………………………. (City) have this ………………….. day of
………………………. 2014 examined the candidate whose particulars are given below.
1. Name of the Candidate :
2. Father’s Name :
3. Sex :
4. Age :
5. Identification Marks 1.
2.
6. Whether Orthopaedically / Visually impaired : Yes / No
(If yes for either one or both medical certificate /s
for fitness from the respective specialist /s to be produced)
7. Nature of hearing loss and extent of disability
: RE. LE.
a) Pure tone average db ………………… ………………….
b) Speech discrimination score ………………… …………………
8. a) Whether a suitable hearing aid to be used : Yes / No
b) Is the impairment non-progressive : Yes / No
9. Whether eligible for consideration under Differently Abled
Persons quota : Yes / No
10. Whether the candidate is physically and mentally
fit to be considered for admission in engineering
College / Technical institution : Yes / No (if no please
Specify reasons)
Signature of the Applicant
Chairman, District Medical Board
Date with seal of
Medical Board Member
1.
2.
Note: Candidates with hearing ability 40 db and above only in the better ear with speech
discrimination score of 50 % and above are eligible for consideration under reserved quota.
Space for affixing
recent Passport size
photograph of the
candidate duly
attested by
Chairman District
Medical Board
22
CERTIFICATE No. VII
Name of the Applicant: …………………………………………. Application No.
Medical Certificate for Visually Impaired (TO BE ISSUED BY THE DISTRICT MEDICAL BOARD)
Certified, that the District Medical Board of ……………………………. (City) have this …………….. day of
……………..2014 examined the candidate whose particulars are given below.
1. Name of the Candidate :
2. Father’s Name :
3. Sex :
4. Age :
5. Identification Marks 1) ……………………... 2)…………………………….
6. Whether Orthopaedically / audiologically impaired : Yes / No
(If yes for either one or both medical certificate /s
for fitness from the respective Board has to be produced)
7. Low vision: (Person with low vision means a person
with impairment of vision of less than 6/18 to 6/60 with
best correction in the better eye or impairment of field in any one
of the following categories)
a) Reduction of fields less than 50 degree :
b) Heminaopia with macular involvement :
c) Attitudinal defect involvement lower fields :
8. Categories of Visual Disability
(Please choose the appropriate box)
Category Better eye Worse eye Impairment
Tick (as
Applicable)
Category O 6/9 – 6/18 6/24 to 6/36 20 %
Category I 6/16 – 6/36 6/20 to Nil 40 %
Category II
6/40 – 4/60 or field of vision 10º -
20º
3/60 to Nil 75 %
Category III 3/60 to 1/60 or field of vision 10º F.C at 1 ft. to Nil 100 %
Category IV
F.C at 1 ft. to Nil or field of
vision 10º
F.C at 1 ft. to Nil 100 %
One eyed persons 6/6
F.C at 1 ft. to Nil or
field of vision 10º
30 %
ONE EYED persons with normal vision are not considered as disabled Note: F. C. means Finger Count
9. Whether eligible for consideration under Differently Abled
Persons quota : Yes / No
10. Whether the candidate is physically and mentally
fit to be considered for admission in engineering
College / Technical institution : Yes / No (if no please
specify reasons)
Signature of the Applicant
Chairman, District Medical Board
Date with seal of
Medical Board Member
1.
2.
Note: Candidates with low vision of 40 % Impairment and above are considered as disabled and are
eligible for consideration under reserved quota.
Space for affixing
recent Passport size
photograph of the
candidate duly
attested by
Chairman District
Medical Board
23
CERTIFICATE No. VIII
Name of the Applicant : …………………………………………. Application No.
Note : This Certificate should be issued by an Officer of Revenue Department not below the rank of a Tahsildar in
the Taluk concerned
INCOME CERTIFICATE
This is to certify that the annual income of Thiru/Thirumathi……………………………………………………… Parent/Guardian*
Parent Name
Thiru / Selvi / Thirumathi …………………………………………… an applicant for admission to B. E. / B. Tech. in Tamilnadu
Applicant Name
residing at ..........................................................................................................................................................
................................... is ` ............................... (Rupees ..............................................................................
......................................... only).
Signature :
Name and Designation :
Station :
Office Seal :
Date :
_______________________________________________________________________________________________
* Applicable only when both parents are deceased
This Certificate should not be issued by Special Tahsildars, Deputy Tahsildars such as Loans, Land acquisition,
Election, excise and HQs. Deputy Tahsildars, Special Deputy Collectors, Asst. Commissioner of Agricultural Income,
Excise, Elections etc.
24
Code I. SCHEDULED TRIBES IN TAMIL NADU
No.
1 Adiyan
2 Aranadan
3 Eravallan
4 Irular
5 Kadar
6 Kammara (excluding Kanyakumari District and
Shenkottah Taluk of Tirunelveli District)
7 Kanikaran, Kanikkar (in Kanyakumari District
and Shenkottah Taluk of Tirunelveli District)
8 Kaniyan, Kanyan
9 Kattunayakan
10 Kochu Velan
11 Konda Kapus
12 Kondareddis
13 Koraga
14 Kota (excluding Kanyakumari District and
Shenkottah Taluk of Tirunelveli District)
15 Kudiya, Melakudi
16 Kurichchan
17 Kurumbas (in the Nilgiris District)
18 Kurumans
19 Maha Malasar
20 Malai Arayan
21 Malai Pandaram
22 Malai Vedan
23 Malakkuravan
24 Malasar
25 Malayali (in Dharmapuri, North Arcot,
Pudukkottai, Salem, South Arcot and
Tiruchirapalli Districts)
26 Malayakandi
27 Mannan
28 Mudugar, Muduvan
29 Muthuvan
30 Pallayan
31 Palliyan
32 Palliyar
33 Paniyan
34 Sholaga
35 Toda (excluding Kanyakumari District and
Shenkottah Taluk of Tirunelveli District)
36 Uraly
Code II. SCHEDULED CASTES IN TAMIL NADU
No.
2 Adi Dravida
3 Adi Karnataka
4 Ajila
6 Ayyanavar (in Kanyakumari District and
Shenkottah Taluk of Tirunelveli District)
7 Baira
8 Bakuda
9 Bandi
10 Bellara
11 Bharatar (in Kanyakumari District and Shenkottah
Taluk of Tirunelveli District)
13 Chalavadi
14 Chamar, Muchi
15 Chandala
16 Cheruman
17 Devendrakulathan
18 Dom, Dombara, Paidi, Pano
19 Domban
20 Godagali
21 Godda
22 Gosargi
23 Holeya
24 Jaggali
25 Jambuvulu
26 Kadaiyan
27 Kakkalan (in Kanyakumari District and Shenkottah
Taluk of Tirunelveli District)
28 Kalladi
29 Kanakkan, Padanna (in the Nilgiris District)
30 Karimpalan
31 Kavara (in Kanyakumari District and Shenkottah
Taluk of Tirunelveli District)
32 Koliyan
33 Koosa
34 Kootan, Koodan (in Kanyakumari District and
Shenkottah Taluk of Tirunelveli District)
35 Kudumban
36 Kuravan, Sidhanar
39 Maila
40 Mala
41 Mannan (in Kanyakumari District and Shenkottah
Taluk of Tirunelveli District)
42 Mavilan
43 Moger
44 Mundala
45 Nalakeyava
ANNEXURE – I
LIST OF COMMUNITIES
25
Code
No.
46 Nayadi
47 Padannan (in Kanyakumari District and
Shenkottah Taluk of Tirunelveli District)
49 Pallan
50 Pulluvan
51 Pambada
52 Panan (in Kanyakumari District and Shenkottah
Taluk of Tirunelveli District)
53 Panchama
54 Pannadi
55 Panniandi
56 Paraiyan, Parayan, Sambavar
57 Paravan (in Kanyakumari District and
Shenkottah Taluk of Tirunelveli District)
58 Pathiyan (in Kanyakumari District and
Shenkottah Taluk of Tirunelveli District)
59 Pulayan, Cheramar
60 Puthirai Vannan
61 Raneyar
62 Samagara
63 Samban
64 Sapari
65 Semman
66 Thandan (in Kanyakumari District and
Shenkottah Taluk of Tirunelveli District)
68 Tiruvalluvar
69 Vallon
70 Valluvan
71 Vannan (in Kanyakumari District and
Shenkottah Taluk of Tirunelveli District)
72 Vathiriyan
73 Velan
74 Venganur Adi-Dravidar (in Vellore Dist.)
75 Veppur Parayan (in Cuddalore District)
76 Vetan (in Kanyakumari District and Shenkottah
Taluk of Tirunelveli District)
77 Vettiyan
78 Vettuvan (in Kanyakumari District and
Shenkottah Taluk of Tirunelveli District)
II (A) SCHEDULED CASTES ARUNTHATHIYARS
IN TAMIL NADU
1 Adi Andhra
5 Arunthathiyar
12 Chakkiliyan
37 Madari
38 Madiga
48 Pagadai
67 Thoti
1. G.O. Ms. No. 85 Backward Classes, Most Backward
Classes and Minorities Welfare Department
dt: 29.07.2008
2. G.O. Ms. No. 96 Backward Classes, Most
Backward Classes and Minorities Welfare
Department dt: 08.09.2008
3. G.O. Ms. No. 97 Backward Classes, Most
Backward Classes and Minorities Welfare
Department dt: 11.09.2008
4. G.O. Ms. No. 37 Backward Classes, Most
Backward Classes and Minorities Welfare
Department dt: 21.05.2009
5. G.O. Ms. No. 98 Backward Classes, Most
Backward Classes and Minorities Welfare
Department dt: 05.11.2009
Code III (A). LIST OF MOST BACKWARD CLASSES
No.
1 Ambalakarar
2 Andipandaram
2A Arayar (in Kanyakumari District)
3 Bestha, Siviar
4 Bhatraju (Other than Kshatriya Raju)
5 Boyar, Oddar
6 Dasari
7 Dommara
8 Eravallar (except in Kanyakumari District and
Shenkottah Taluk of Tirunelveli District where the
Community is a Scheduled Tribe)
9 Isaivellalar
10 Jambuvanodai
11 Jangam
12 Jogi
13 Kongu Chettiar (in Coimbatore and Erode Districts
only)
14 Koracha
15 Kulala (including Kuyavar and Kumbarar)
16 Kunnuvar Mannadi
17 Kurumba, Kurumba Goundar
18 Kuruhini Chetty
18A Latin Catholic Christian Vannar (in Kanyakumari
District)
19 Maruthuvar, Navithar, Mangala, Velakattalavar,
Velakatalanair and Pronopakari
20 Mond Golla
21 Moundadan Chetty
22 Mahendra, Medara
23 Mutlakampatti
24 Narikoravar (Kuruvikars)
25 Nokkar
25A Panisaivan / Panisivan
26
Code
No.
26 Vanniakula Kshatriya (including Vanniyar,
Vanniya, Vannia Gounder, Gounder or Kander,
Padayachi, Palli & Agnikula Kshatriya)
27 Paravar (except in Kanyakumari District and
Shenkottah Taluk of Tirunelveli District where
the Community is Scheduled Caste)
27A Paravar converts to Christianity including the
Paravar converts to Christianity of Kanyakumari
District and Shenkottah Taluk in Tirunelveli
District)
28 Meenavar (Parvatharajakulam, Pattanavar,
Sembadavar) (including converts to Christianity)
29 Mukkuvar or Mukayar (including converts to
Christianity)
30 Punnan Vettuva Gounder
31 Pannayar (other than Kathikarar in Kanyakumari
District)
32 Sathatha Srivaishnava (including Sathani,
Chattadi and Chattada Srivaishnava)
33 Sozhia Chetty
34 Telugupatty Chetty
35 Thottia Naicker (including Rajakambalam,
Gollavar, Sillavar, Thockalavar, Thozhuva
Naicker and Erragollar)
36 Thondaman
36A Thoraiyar (Nilgiris)
36B Thoraiyar (Plains)
37 Valaiyar (including Chettinad Valayars)
38 Vannar (Salaivai Thozhilalar) (including Agasa,
Madivala, Ekali, Rajakula, Veluthadar &
Rajaka) (except in Kanyakumari District and
Shenkottah Taluk of Tirunelveli District where
the Community is a Scheduled Caste)
39 Vettaikarar
40 Vettuva Gounder
41 Yogeeswarar
III (B) LIST OF DENOTIFIED COMMUNITIES
42 Attur Kilnad Koravars (Salem, Namakkal,
Cuddalore, Villupuram, Ramanathapuram,
Sivaganga and Virudhunagar Districts)
43 Attur Melnad Koravars (Salem and Namakkal
District)
44 Appanad Kondayam Kottai Maravar
(Sivaganga, Virudhunagar, Ramanathapuram,
Madurai, Theni and Dindigul Districts)
45 Ambalakarar (Thanjavur, Nagapattinam,
Tiruvarur, Tiruchirappalli, Karur, Perambalur
and Pudukkottai Districts)
46 Ambalakkarar (Suriyanur, Tiruchirapalli
District)
Code
No.
47 Boyas (Tiruchirapalli, Karur, Perambalur,
Pudukkottai, The Nilgiris, Salem, Namakkal,
Dharmapuri and Krishnagiri Districts)
48 Battu Turkas
49 C.K. Koravars (Cuddalore and Villupuram
Districts)
50 Chakkala (Sivaganga, Virudhunagar,
Ramanathapuram, Thanjavur, Nagapattinam,
Thiruvarur, Pudukkottai, Tiruchirapalli, Karur,
Perambalur, Madurai, Theni, Dindigul and the
Nilgiris Districts)
51 Changyampudi Koravars (Vellore and
Thiruvannamalai Districts)
52 Chettinad Valayars (Sivaganga, Virudhunagar and
Ramanathapuram Districts)
53 Dombs (Pudukkottai, Tiruchirapalli, Karur and
Perambalur Districts)
54 Dobba Koravars (Salem and Namakkal Districts)
55 Dommars (Thanjavur, Nagapattinam, Thiruvarur,
Pudukkottai, Vellore and Thiruvannamalai
Districts)
56 Donga Boya
57 Donga Ur. Korachas
58 Devagudi Talayaris
59 Dobbai Korachas (Tiruchirapalli, Karur
Perambalur and Pudukkottai Districts)
60 Dabi Koravars (Thanjavur, Nagapattinam,
Thiruvarur, Tiruchirapalli, Karur, Perambalur,
Pudukkottai, Vellore and Thiruvannamalai
Districts)
61 Donga Dasaris (Kancheepuram, Tiruvallur,
Tiruchirapalli, Karur, Perambalur, Pudukkottai,
Chennai, Salem and Namakkal Districts)
62 Gorrela Dodda Boya
63 Gudu Dasaris
64 Gandarvakottai Koravars (Thanjavur,
Nagapattinam, Thiruvarur, Tiruchirapalli, Karur,
Perambalur, Pudukkottai, Cuddalore and
Villupuram Districts)
65 Gandarvakottai Kallars (Thanjavur, Nagapattinam,
Thiruvarur and Pudukkottai Districts)
66 Inji Koravars (Thanjavur, Nagapattinam,
Thiruvarur, Tiruchirapalli, Karur, Perambalur and
Pudukkottai Districts)
67 Jogis (Kancheepuram, Tiruvallur, Chennai,
Cuddalore, Villupuram, Vellore and
Thiruvannamalai Districts)
68 Jambavanodai
27
Code
No.
69 Kaladis (Sivaganga, Virudhunagar,
Ramanathapuram, Madurai, Theni, Dindigul,
Thanjavur, Nagapattinam, Thiruvarur,
Pudukkottai, Tiruchirapalli, Karur and
Perambalur Districts)
70 Kal Oddars (Kancheepuram, Thiruvallur,
Ramanathapuram, Sivaganga, Virudhunagar,
Madurai, Theni, Dindigul, Pudukkottai,
Thanjavur, Nagapattinam, Tiruvarur,
Tiruchirapalli, Karur, Perambalur, Tirunelveli,
Thoothukudi, Salem and Namakkal Districts)
71 Koravars (Kancheepuram, Tiruvallur,
Ramanathapuram, Sivaganga, Virudhunagar,
Pudukkottai, Thanjavur, Nagapattinam,
Thiruvarur, Tiruchirapalli, Karur, Perambalur,
Tirunelveli, Thoothukudi, Chennai, Madurai,
Theni, Dindigul and The Nilgiris Districts)
72 Kalinji Dabikoravars (Thanjavur, Nagapattinam,
Tiruvarur and Pudukkottai Districts)
73 Kootappal Kallars (Tiruchirapalli, Karur,
Perambalur and Pudukkottai Districts)
74 Kala Koravars (Thanjavur, Nagapattinam,
Thiruvarur, Tiruchirapalli, Karur, Perambalur
and Pudukkottai Districts)
75 Kalavathila Boyas
76 Kepmaris (Kancheepuram, Tiruvallur,
Pudukkottai, Tiruchirapalli, Karur and
Perambalur Districts)
77 Maravars (Thanjavur, Nagapattinam,
Thiruvarur, Pudukkottai, Ramanathapuram,
Sivaganga, Virudhunagar, Tirunelveli and
Thoothukudi Districts)
78 Monda Koravars
79 Monda Golla (Salem and Namakkal Districts)
80 Mutlakampatti (Tiruchirapalli, Karur,
Perambalur and Pudukkottai Districts)
81 Nokkars (Tiruchirapalli, Karur, Perambalur and
Pudukkottai Districts)
82 Nellorepet Oddars (Vellore and
Thiruvannamalai Districts)
83 Oddars (Thanjavur, Nagapattinam, Thiruvarur,
Tiruchirapalli, Karur, Perambalur, Pudukkottai,
Madurai, Theni and Dindigul Districts)
84 Pedda Boyas (Tiruchirapalli, Karur, Perambalur
and Pudukkottai Districts)
85 Ponnai Koravars (Vellore and Thiruvannamalai
Districts)
86 Piramalai Kallars (Sivagangai, Virudhunagar,
Ramanathapuram, Madurai, Theni, Dindigul,
Pudukkottai, Thanjavur, Nagapattinam and
Thiruvarur Districts)
Code
No.
87 Periya Suriyur Kallars (Tiruchirapalli, Karur,
Perambalur, and Pudukkottai Districts)
88 Padayachi (Vellayan Kuppam in Cuddalore District
and Tennore in Tiruchirapalli District)
89 Punnan Vettuva Gounder (Tiruchirapalli, Karur,
Perambalur and Pudukkottai Districts)
90 Servai (Tiruchirapalli, Karur, Perambalur and
Pudukkottai Districts)
91 Salem Melnad Koravars (Madurai, Theni,
Dindigul, Coimbatore, Erode, Pudukkottai,
Tiruchirapalli, Karur, Perambalur, Salem,
Namakkal, Vellore and Thiruvannamalai Districts)
92 Salem Uppu Koravars (Salem and Namakkal Dist.)
93 Sakkaraithamadai Koravars (Vellore and
Thiruvannamalai districts)
94 Saranga Palli Koravars
95 Sooramari Oddars (Salem and Namakkal Districts)
96 Sembanad Maravars (Sivaganga, Virudhunagar and
Ramanathapuram Districts)
97 Thalli Koravars (Salem and Namakkal Districts)
98 Telungapatti Chettis (Tiruchirapalli, Karur,
Perambalur and Pudukkottai Districts)
99 Thottia Naickers (Sivaganga, Virudhunagar,
Ramanathapuram, Kancheepuram, Tiruvallur,
Thanjavur, Nagapattinam, Thiruvarur,
Tiruchirapalli, Karur, Perambalur. Pudukkottai,
Tirunelveli, Thoothukudi, Salem, Namakkal,
Vellore, Thiruvannamalai, Coimbatore & Erode
Districts)
100 Thogamalai Koravars or Kepmaris (Tiruchirapalli,
Karur, Perambalur and Pudukkottai Districts)
101 Uppukoravars or Settipalli Koravars (Thanjavur,
Nagapattinam, Thiruvarur, Pudukkottai, Madurai,
Theni, Dindigul, Vellore and Thiruvannamalai
Dist.)
102 Urali Gounders (Tiruchirapalli, Karur, Perambalur
and Pudukkottai Districts)
103 Wayalpad or Nawalpeta Korachas
104 Vaduvarpatti Koravars (Madurai, Theni, Dindigul,
Ramanathapuram, Sivaganga, Virudhunagar,
Tirunelveli, Thoothukudi, Tiruchirapalli, Karur,
Perambalur and Pudukkottai Districts)
105 Valayars (Madurai, Theni, Dindigul, Tiruchirapalli,
Karur, Perambalur, Pudukkottai, Erode and
Coimbatore Districts)
106 Vettaikarar (Thanjavur, Nagapattinam, Thiruvarur
and Pudukkottai Districts)
107 Vetta koravars (Salem and Namakkal District)
108 Varaganeri Koravars (Tiruchirapalli, Karur,
Perambalur and Pudukkottai Districts)
109 Vettuva Gounder (Tiruchirapalli, Karur,
Perambalur and Pudukkottai Districts)
28
IV. LIST OF BACKWARD CLASSES
Code
No.
1 Agamudayar including Thozhu or Thuluva
Vellala
2 Agaram Vellan Chettiar
3 Alwar, Azhavar and Alavar (in Kanyakumari
District and Shenkottah Taluk of Tirunelveli
District)
4 Servai (except Tiruchirappalli, Karur,
Perambalur and Pudukkottai Districts)
5 Nulayar (in Kanyakumari District and
Shenkottah Taluk of Tirunelveli District)
6 Archakarai Vellala
7 Aryavathi (in Kanyakumari District and
Shenkottah Taluk of Tirunelveli District)
8 Ayira Vaisyar
9 Badagar
10 Billava
11 Bondil
12 Boyas (except Tiruchirappalli, Karur,
Perambalur, Pudukkottai, The Nilgiris, Salem,
Namakkal, Dharmapuri and Krishnagiri
Districts)
Pedda Boyar (except Tiruchirappalli, Karur,
Perambalur and Pudukkottai Districts)
Oddars (except Thanjavur, Nagapattinam,
Thiruvarur, Tiruchirappalli, Karur, Perambalur,
Pudukkottai, Madurai, Theni and Dindigul
Districts) Kaloddars (except Kancheepuram,
Tiruvallur, Ramanathapuram, Sivaganga,
Virudhunagar, Madurai, Theni, Dindigul,
Pudukkottai, Tiruchirappalli, Karur, Perambalur,
Tirunelveli, Thoothukudi, Salem & Namakkal
Districts) Nellorepet Oddars (except Vellore and
Thiruvannamalai Districts) Sooramari Oddars
(except Salem and Namakkal Districts)
13 Chakkala (except Sivaganga, Virudhunagar,
Ramanathapuram, Thanjavur, Nagapattinam,
Thiruvarur, Pudukkottai, Tiruchirappalli, Karur,
Perambalur, Madurai, Theni, Dindigul and The
Nilgiris Districts)
14 Chavalakarar (in Kanyakumari District and
Shenkottah Taluk of Tirunelveli District)
15 Chettu or Chetty (including Kottar Chetty, Elur
Chetty, Pathira Chetty, Valayal Chetty,
Pudukadai Chetty) (in Kanyakumari District
and Shenkottah Taluk of Tirunelveli District)
Code
No.
16 Chowdry
16A Converts to Christianity from Scheduled Castes
irrespective of the generation of conversion (except
the Paravar converts to Christianity of
Kanyakumari District and Shenkottah Taluk of
Tirunelveli District)
16B C.S.I. formerly S.I.U.C. (in Kanyakumari District
and Shenkottah Taluk of Tirunelveli District)
17 Donga Dasaris (except Kancheepuram Tiruvallur,
Tiruchirapalli, Karur, Perambalur, Pudukkottai,
Chennai, Salem and Namakkal Districts)
18 Devangar, Sedar
19 Dombs (except Pudukkottai, Tiruchirapalli, Karur
and Perambalur Districts) Dommars (except
Thanjavur, Nagapattinam, Tiruvarur, Pudukkottai,
Vellore and Thiruvannamalai Districts)
20 Enadi
21 Ezhavathy (in Kanyakumari Districts and
Shenkottah Taluk of Tirunelveli District)
22 Ezhuthachar (in Kanyakumari District and
Shenkottah Taluk of Tirunelveli District)
23 Ezhuva (in Kanyakumari District and Shenkottah
Taluk of Tirunelveli District)
24 Gangavar
25 Gavara, Gavarai & Vadugar (Vaduvar) (other than
Kamma, Kapu, Balija & Reddi)
26 Gounder
27 Gowda (including Gammala, Kalali and Anuppa
Gounder)
28 Hegde
29 Idiga
30 Illathu Pillaimar, Illuvar, Ezhuvar & Illathar
31 Jhetty
32 Jogis (except Kancheepuram, Tiruvallur, Madurai,
Theni, Dindigul, Cuddalore, Villupuram, Vellore
and Thiruvannamalai Districts)
33 Kabbera
34 Kaikolar, Sengunthar
35 Kaladi (except Sivaganga, Virudhunagar,
Ramanathapuram, Madurai, Theni, Dindigul,
Thanjavur, Nagapattinam, Thiruvarur, Pudukkottai,
Tiruchirapalli, Karur and Perambalur Districts)
36 Kalari Kurup including Kalari Panicker (in
Kanyakumari District and Shenkottah Taluk of
Tirunelveli District)
37 Kalingi
29
Code
No.
38 Kallar
Easanattu Kallar
Gandharvakottai Kallars (except Thanjavur,
Nagapattinam, Thiruvarur and Pudukkottai
Districts)
Kottappal Kallars (except Pudukkottai,
Tiruchirapalli, Karur and Perambalur Districts)
Piramalai Kallars (except Sivaganga,
Virudhunagar, Ramanathapuram, Madurai,
Theni, Dindigul, Pudukkottai, Thanjavur,
Nagapattinam and Thiruvarur Districts)
Periyasooriyur Kallars (except Tiruchirapalli,
Karur, Perambalur and Pudukkottai Districts)
39 Kallar Kula Thondaman
40 Kalveli Gounder
41 Kambar
42 Kammalar or Viswakarma, Viswakarmala
(including Thattar, Porkollar, Kannar, Karumar,
Kollar, Thacher, Kal Thacher, Kamsala and
Viswabrahmin)
43 Kani, Kanisu, Kaniyar Panikkar
44 Kaniyala Vellalar
45 Kannada Saineegar, Kannadiyar (Through out
the State) and Dasapalanjika (Coimbatore, Erode
and the Nilgiris Districts)
46 Kannadiya Naidu
47 Karpoora Chettiar
48 Karuneegar (Seer Karuneegar, Sri Karuneegar,
Sarattu Karuneegar, Kaikatti Karuneegar,
Mathuvazhi Kanakkar, Sozhi Kanakkar &
Sunnambu Karuneegar)
49 Kasukkara Chettiar
50 Katesar Pattamkatti
51 Kavuthiyar
52 Kerala Mudali
53 Kharvi
54 Khatri
55 Kongu Vaishnava
56 Kongu Vellalars (including Vellala Gounder,
Nattu Gounder, Narambukatti Gounder,
Tirumudi Vellalar, Thondu Vellalar, Pala
Gounder, Poosari Gounder, Anuppa Vellala
Gounder, Padaithalai Gounder, Chendalai
Gounder, Pavalankatti Vellala Gounder, Palla
Vellala Gounder, Sanku Vellala Gounder, &
Rathinagiri Gounder)
57 Koppala Velama
58 Koteyar
Code
No.
59 Krishnanvaka (in Kanyakumari District and
Shenkottah Taluk of Tirunelveli District)
60 Kudikara Vellalar
61 Kudumbi (in Kanyakumari District and Shenkottah
Taluk of Tirunelveli District)
62 Kuga Vellalar
63 Kunchidigar
63A Latin Catholics except Latin Catholic Vannar in
Kanyakumari District
63B Latin Catholics in Shenkottah Taluk of Tirunelveli
District
64 Lambadi
65 Lingayat (Jangama)
66 Mahratta (NonBrahmin) (including Namadev
Mahratta)
67 Malayar
68 Male
69 Maniagar
70 Maravars (except Thanjavur, Nagapattinam,
Tiruvarur, Pudukkottai, Ramanathapuram,
Sivaganga, Virudhunagar, Tirunelveli and
Thoothukudi Districts) (including Karumaravars.
Appanad Kondayamkottai Maravar (except
Sivaganga, Virudhunagar, Ramanathapuram,
Madurai, Theni and Dindigul Districts) and
Sambanad Maravars (except Sivaganga,
Virudhunagar and Ramanathapuram Districts)
71 Moondrumandai Enbathunalu (84) Ur. Sozhia
Vellalar
72 Mooppan
73 Muthuraja, Muthuracha, Muttiriyar, Mutharaiyar
74 Nadar, Shanar & Gramani including Christian
Nadar, Christian Shanar and Christian Gramani
75 Nagaram
76 Naikkar (in Kanyakumari District and Shenkottah
Taluk of Tirunelveli District)
77 Nangudi Vellalar
78 Nanjil Mudali (in Kanyakumari District and
Shenkottah Taluk of Tirunelveli District)
79 Odar (in Kanyakumari District and Shenkottah
Taluk of Tirunelveli District)
80 Odiya
81 Oottruvalanattu Vellalar
82 O.P.S. Vellalar
83 Ovachar
84 Paiyur Kotta Vellalar
85 Pamulu
30
Code
No.
86 Panar (except in Kanyakumari District and
Shenkottah Taluk of Tirunelveli District where the
Community is a Scheduled Caste)
86A Pandiya Vellalar
87 Omitted
88 Kathikarar in Kanyakumari District
89 Pannirandam Chettiar or Uthama Chettiar
90 Parkavakulam (including Surithimar Nathamar,
Malayamar, Moopanar & Nainar)
91 Perike (including Perike Balija)
92 Perumkollar (in Kanyakumari District and Shenkottah
Taluk of Tirunelveli District)
93 Podikara Vellalar
94 Pooluva Gounder
95 Poraya
96 Pulavar (in Coimbatore and Erode Districts)
97 Pulluvar or Pooluvar
98 Pusala
99 Reddy (Ganjam)
100 Sadhu Chetty (including Telugu Chetty Twenty four
manai Telugu Chetty)
101 Sakkaravar or Kavathi (in Kanyakumari District and
Shenkottah Taluk of Tirunelveli District)
102 Salivagana
103 Saliyar, Padmasaliyar, Pattusaliyar, Pattariyar and
Adhaviyar
104 Savalakkarar
105 Senaithalaivar, Senaikudiyar and IIaivaniar
105A Serakula Vellalar
106 Sourashtra (Patnulkarar)
107 Sozhia Vellalar (including Sozha Vellalar.
Vetrilaikarar, Kodikalkarar and Keeraikarar)
108 Srisayar
109 Sundaram Chetty
110 Thogatta Veerakshatriya
111 Tholkollar (in Kanyakumari District and Shenkottah
Taluk of Tirunelveli District)
112 Tholuva Naicker and Vetalakara Naicker
113 Omitted
114 Thoriyar
115 Ukkirakula Kshatriya Naicker
116 Uppara, Uppillia and Sagara
117 Urali Gounder (except Tiruchirapalli Karur,
Perambalur and Pudukkottai Districts) and Orudaya
Gounder or Oorudaya Gounder (in Madurai, Theni,
Dindigul, Coimbatore, Erode, Tiruchirapalli, Karur,
Perambalur, Pudukkottai, Salem and Namakkal
Districts)
Code
No.
118 Urikkara Nayakkar
118A Virakodi Vellala
119 Vallambar
119A Vallanattu Chettiar
120 Valmiki
121 Vaniyar, Vania Chettiar (including Gandla, Ganika,
Telikula and Chekkalar)
122 Veduvar and Vedar (except in Kanyakumari District and
Shenkottah Taluk of Tirunelveli District where the
Community is a Scheduled Castes)
123 Veerasaiva (in Kanyakumari District and Shenkottah
Taluk of Tirunelveli District)
124 Velar
125 Vellan Chettiar
126 Veluthodathu Nair (in Kanyakumari District and
Shenkottah Taluk of Tirunelveli District)
127 Vokkaligar (including Vakkaligar, Okkaligar,
Kappaliyar, Kappiliya, Okkaliga Gowda, Okkaliya-
Gowder, Okkaliya-Gowda, Okkaliya Gowda)
128 Wynad Chetty (The Nilgiris District)
129 Yadhava (including Idaiyar, Telugu Speaking Idaiyar
known as Vaduga Ayar or Vaduga Idaiyar or Golla and
Asthanthra Golla)
130 Yavana
131 Yerukula
131A Converts to Christianity from any Hindu Backward
Classes Community or Most Backward Classes
Community (except the Converts to Christianity from
Meenavar, Parvatharajakulam, Pattanavar, Sembadavar,
Mukkuvar or Mukayar and Paravar) or Denotified
Communities
132 Orphans and destitutes children who have lost their
Parents before reaching the age of ten and are destitutes;
and who have nobody else to take care of them either by
law or custom; and also who are admitted into any of the
Schools or orphanages run by the Government or
recognised by the Government.
Code V. LIST OF BACKWARD CLASSES
No. MUSLIMS
1 Ansar
2 Dekkani Muslims
3 Dudekula
4 Labbais including Rowthar and Marakayar
(whether their spoken language is Tamil or Urdu)
5 Mapilla
6 Sheik
7 Syed
31
ANNEXURE – II
Item No. 21
SELECTION OF CANDIDATES UNDER QUOTA FOR EMINENT SPORTS PERSONS
1. The purpose of this quota is to recognise and give weightage to the sports eminence of the candidates and
hence marks for sports achievements alone will be considered in ranking the candidates. The candidates are
expected to continue good performance in sports, even after selection.
2. The candidate may submit all the sports certificates, the highest achievement in only one annual
tournament in the sports disciplines in a year will be considered for awarding marks.
3. Selection of the candidate will be based on the marks obtained by the candidate following the guidelines given
in the tables.
Table (I) - Marks for International Achievement
Sl. No Competition Gold Silver Bronze Participation
1.
International (Representing
India Category – I)
1000 850 650 300
2.
International (Representing
India Category – II)
500 450 400 150
Table (II) – Marks for Recognised National Achievement
Sl. No. Competitions
Allocation of Marks
Gold Silver Bronze Participation
1.
National Championships – Organised
by National Federations
190 160 130 50
2.
School Games Federation of India
(SGFI) Meet (National Level)
190 160 130 50
3.
All India Rural Sports Meet / PYKKA
National Level Rural Competition
(National Level)
190 160 130 50
4.
National Sports Festival for Women /
PYKKA National Level Women
Competition (National Level)
190 160 130 50
5.
National Inter School Competition
(National Level)
190 160 130 50
Table (III) – Marks for Recognised State Championship
Sl. No. Competitions
Allocation of Marks
Gold Silver Bronze Participation
1.
State Championship Representing
Revenue District – Organised by State
Associations
95 80 65 20
Table (IV) – Marks for Recognised State Level Achievements
Sl. No. Competitions
Allocation of Marks
Gold Silver Bronze Participation
1. Bharathiar Day Sports Meet (State Level) 80 65 50 15
2. Republic Day Sports Meet (State Level) 80 65 50 15
3.
State Inter School Competition (State
Level)
80 65 50 15
4.
KVS / CBSE National Sports Meet (State
Level)
80 65 50 15
5.
PYKKA (Panchayat Yuva Krida Aurkhel
Abhiyan) State Rural Competition
80 65 50 15
6.
Chief Minister Trophy / SDAT State Games
(State Level)
80 65 50 15
32
Table (V) – Marks for Divisional Level Achievements
Sl. No. Competitions
Allocation of Marks
Gold Silver Bronze Participation
1.
Bharathiar Day Sports Meet (Divisional
Level)
60 45 30 10
2. Republic Day Sports Meet (Divisional Level) 60 45 30 10
3.
KVS Regional / CBSE South Zone Meet
(Divisional Level)
60 45 30 10
Table (VI) – Marks for District Level Achievements
Sl. No. Competitions
Allocation of Marks
Gold Silver Bronze Participation
1.
District Tournaments / Sports Meet /
Championships conducted by District Sports
Associations
45 30 15 5
2.
District Inter School Competition / SAI
Promotion Games (District Level)
45 30 15 5
3. PYKKA – District Level Rural competition 45 30 15 5
4. PYKKA District Level Women competition 45 30 15 5
5.
Chief Minister Trophy / SDAT State Games –
District Level
45 30 15 5
Gold (I Position) Silver (II Position) Bronze (III Position)
4. (a) For International Tournaments:
Category-I : Olympics, World Cup / Commonwealth Games, Asian games (Games organised in 4 years
frequency)
Category – II : All other International tournaments not covered under Category I and wherein, not less
than six countries had participated and events approved by Ministry of Youth Affairs and
Sports / Government of India / Indian Olympics Association (IOA) and cleared by Sports
Authority of India (SAI) and Government of India.
Open / Invitational / Memorial / any indifferent nomenclature or title of tournaments /
Championships at International level will not be considered for marks.
1. Participation / achievement in International tournaments will be considered only with
earlier achievements at National / State / District level tournaments.
2. The highest achievement in only one annual regular tournament, officially conducted in
each year by the IOC for the member NOCs / International Sports Federations affiliated to
the IOC in which the players / sports persons representing the Country through IOA /
respective National Sports Federations recognised by the Ministry of Youth Affairs and
Sports, Government of India / IOA will be considered for award of marks in each year.
3. Only tournaments officially recognised by the Indian Olympic Association / respective
official National Federations will be considered for the award of marks (for each year)
(01.06.2010 to 31.05.2014 (01.06.2010 to 31.05.2011, 01.06.2011 to
31.05.2012, 01.06.2012 to 31.05.2013 and 01.06.2013 to 31.05.2014).
4. Participation / Achievements in tournaments, with Form I alone are eligible for marks
indicated in Table (I) above.
5. Players who participated in any of the above I and II – Table (I) Category should produce
details of VISA / Immigration entry in passport / clearance from Ministry of Youth Affairs
and Sports (Government of India) – Indian Olympic Association – respective National
Sports Federations including BCCI / fixture or draw or schedule of events / players’
accreditation / National Medal – Merit – Participation – Form-I issued by respective
National Sports Federation / Medal – Diploma or certificate singed and issued by the
President / Secretary General of the National Olympic Committee of the Organising
Country and International Federation / Details of Total Number of Countries participated,
etc.
33
(b) For National Tournaments
1. The highest achievement in only one annual tournament, officially recognised as the regular annual
championship / tournament by Ministry of Youth Affairs and Sports / Indian Olympic Association / SAI /
SDAT / respective official National Sports Federation will be considered (for each year) for the award of
marks.
2. Marks will not be awarded for selection trials.
(c) For State Tournaments
The highest achievement in only one annual tournament, officially recognised as the regular annual
championship / tournament by respective official State Association / SAI / SDAT will be considered (for each
year) for the award of marks.
5. General Conditions
1. For consideration of candidates seeking admission under the category of eminent sports person, he / she
should enclose all the attested photocopies of participation certificates and the forms issued by the
relevant and competent sports authorities, along with the application.
2. Participation / achievements in each academic year from 01.06.2010 to 31.05.2014 (01.06.2010 to
31.05.2011, 01.06.2011 to 31.05.2012, 01.06.2012 to 31.05.2013 and 01.06.2013 to 31.05.2014) in
sports / games shown in the list alone will be taken into account. National / State Level Championships or
Tournaments conducted by Sports Federations / Associations recognised by Ministry of Youth Affairs and
Sports / Indian Olympic Association (IOA) / Sports Development Authority of Tamilnadu (SDAT) /
Tamilnadu Olympic Association (TNOA) alone will be considered for award of marks. (Recognition should
be relevant to the year concerned).
3. The relevant attested copies of certificates issued by the appropriate authorities as detailed below are to
be submitted along with the application.
Category Competent Authority
Form /
Certificate
International (Representing Nation)
President / Secretary of the National Sports
Federation (recognised by Ministry of Youth Affairs
and Sports / IOA)
Participation certificate / Diploma should be signed by
the President / Secretary General / Chairman of the
organising Committee of the host Nation
Certificate and
Form – I
National (Representing State)
Member Secretary, SDAT/Secretary of the State
Association (recognised by SDAT/TNOA)
Certificate and
Form – II
National (Representing State)
Chief Inspector of Physical Education for National
School Games competitions
Certificate and
Form – IV
School Games Federation of India (SGFI)
(National Level)
President / Hon. Gen. Secretary, SGFI
Certificates
and Forms
National Inter School Competition
(National Level)
Executive Director / Director-General, Sports
Authority of India
Certificates
and Forms
All India Rural Sports (National Level)
Executive Director / Director-General, Sports
Authority of India
Certificates
and Form – II
National Sports Festival for Women
(National Level)
Executive Director / Director-General, Sports
Authority of India
Certificates
and Form – II
PYKKA (Panchayat Yuva Krida Aurkhel
Abhiyan) National Level Rural Tournament
Executive Director / Director-General, Sports
Authority of India
Certificates
KVS Nationals (State Level) Commissioner / Joint Commissioner of KVS Certificates
CBSE National Sports Meet (State Level) A. E. O. – Sports / Secretary, CBSE Certificates
Bharathiar Day Sports Meet (State Level)
Regional Inspector of Physical Education and Chief
Inspector of Physical Education
Certificates
Republic Day Sports Meet (State Level)
Regional Inspector of Physical Education and Chief
Inspector of Physical Education
Certificates
State Inter School Competitions
(State Level)
Member Secretary, Sports Development Authority of
Tamilnadu
Certificates
34
PYKKA State Rural Competition
Member Secretary, Sports Development Authority of
Tamilnadu
Certificates
Bharathiar Day Sports Meet (Divisional
Level)
Regional Inspector of Physical Education and Chief
Education Officer
Certificates
Republic Day Sports Meet (Divisional Level)
Regional Inspector of Physical Education and Chief
Education Officer
Certificates
KVS Regional Level (Divisional Level) Assistant Commissioner of KVS Certificates
CBSE South Zone Sports Meet (Divisional
Level)
A.E.O. – Sports / Secretary, CBSE Certificates
District Inter School Competitions
(Divisional Level)
District Sports Officer Certificates
PYKKA District Rural Competition Member Secretary and District Sports Officer Certificates
District Level Competitions RIPE and District Education Officer Certificates
4. These Certificates are not valid unless signed personally in ink by the authorities mentioned above.
5. Open / Invitational / Memorial / any indifferent nomenclature or title of tournaments / Championships at
District / State / National / International level will not be considered for marks.
6. District / Inter-District Championship means the championships conducted by the respective recognised
District / State Sports Association for a Revenue District / Revenue Districts in the State of Tamil Nadu.
7. Direct participation / achievement at any level without participating in the qualifying level competitions such
as District / State / National or direct selection conducted by District / State Sports Association / National
Sports Federation to represent the District / State / National / International tournaments or championships
will not be considered for award of marks.
8. For International achievements in Tennis, marks for Gold / Silver / Bronze will be awarded to players who
are ranked first / second / third in the ATP / WTA rankings of International Tennis Federation for awarding
of participation marks for the top 5 ranked players will be considered from the ATP / WTA list published by
the International Tennis Federation. Necessary document / proof should be enclosed by the candidate.
For National / State level achievement in Tennis, marks for Gold / Silver / Bronze will be awarded to players
who are ranked first / second / third in the AITA / TNTA at National / State respectively. For awarding of
participation mark the top 5 ranked players will be considered from the list published by AITA / TNTA at
National / State level based on the ranking. Necessary document / proof should be enclosed by the
candidate.
9. Certificates should be in printed form and necessary Form – I and II should be in prescribed format.
(Certificates / forms issued in letter pads will be invalid).
10. All other sport disciplines in which ranking is the criteria for assessment of achievement, rules indicated in
item 8 above will be applicable for award of marks.
11. For Cricket, the annual official Championships / tournaments conducted within the country under the
auspices of TNCA / BCCI at District / State / National Level alone will be taken into consideration for that
year.
12. Multiple events in a particular sport must be standardised events and in accordance with the events
organised by the approved International Federations. Events newly created and not in accordance with the
requirement will not be considered for award of marks.
13. The participation / achievements of candidates with nativity of Tamil Nadu who represented Tamil Nadu
alone are eligible for marks under National Category.
14. Only Tamil Nadu candidates are eligible to apply for admission under Sports Quota and only the KVS / CBSE
schools within Tamil Nadu are eligible for marks.
15. A Common Committee for Engineering and Medicine constituted for this purpose will rank the candidates
based on the marks assigned to the certificates enclosed along with the application. Candidates with a
minimum sports mark of 5 and above alone will be considered for ranking.
16. All the achievement certificates are to be supported necessarily by the relevant participation certificates and
appropriate forms.
35
17. No further enclosures or certificates will be entertained after the last date for submission of completed
application.
18. Highest achievement / participation certificates obtained by candidate at different levels such as District /
State / National / International in each year along with earlier achievements should be enclosed without fail.
(Nothing prevents a candidate enclosing all eligible certificates for scrutiny but may be arranged according
to year in a serial manner).
19. Required number of candidates will be called to appear for an interview before the Common Committee for
Engineering / Medicine for verification of the Originals, followed by counselling after ranking.
20. If any candidate fails to produce the requisite Original Certificates / Forms, his / her place will be allotted to
the candidate next in rank and so on. The consequential vacancy at the end of the rank list will be filled up
from among the additional candidates according to their ranks.
21. All the highest level of participation / achievement should be supported by earlier achievements at all levels
of competition.
22. Selected candidates will be counselled and allotment of branches and colleges earmarked for the Sports
Quota based on the ranking before the start of main Counselling.
23. Candidates securing admissions under Eminent Sports Persons quota should sign an undertaking at the time
of receiving allotment order assuring of participation in sports activities in the college preferred by them.
24. Legal action would be taken on parents / candidates for furnishing bogus documents under this Sports
Quota. They should ensure that the certificates obtained are from competent authorities.
25. A candidate can utilise the Sports Quota only once for Engineering / Medicine.
SPORTS QUOTA – 2014 – LIST OF SPORTS DISCIPLINES
1. Athletics 28. Netball
2. Atya Patya 29. Powerlifting
3. Badminton 30. Roller Skating
4. Ball Badminton 31. Rowing
5. Baseball 32. Rugby
6. Basketball 33. Sailing
7. Beach Volleyball 34. Sepak Takraw
8. Billiards and Snookers 35. Shooting
9. Body Building 36. Silambam
10. Boxing 37. Soft Ball
11. Carrom 38. Squash Rackets
12. Chess 39. Swimming
13. Cricket 40. Table Tennis
14. Cycling 41. Taek – won – do
15. Fencing 42. Tennikoit
16. Football 43. Tennis
17. Golf 44. Throwball
18. Gymnastics 45. Triathlon
19. Handball 46. Volleyball
20. Hockey 47. Weightlifting
21. Judo 48. Wrestling
22. Kabaddi 49. Wushu
23. Karate – Do 50. Yachting
24. Kho – Kho 51. Yogasanas
25. Korf Ball 52. Cycle Polo
26. Mallakhamb 53. Archery
27. Motor Sports 54. Soft Tennis
36
Total
Marks
EligibleMarks(AspertheGuidelines)
Participation
GrandTotal
Bronze
(IIIPosition)
Silver
(IIPosition)
Gold
(IPosition)
Relevant
Forms
I/II/IV
enclosed
(Yes/No)
Month&Year
(FromJune
2010toMay
2014)
Sports
Discipline
NameoftheSports
Meet
Internatio
nal/
National/
State/
Divisional
Academic
Year
2013–14
(XIIStd.)
2012–13
(XIStd.)
2011–12
(XStd.)
2010–11
(IXStd.)
TotalNo.
of
Certificates
enclosed
*Highestachievement/participationcertificatesobtainedbycandidateatdifferentlevelssuchasDistrict/State/National/Internationalineachyearalongwithearlier
achievementsshouldbeenclosedwithoutfail.(Nothingpreventsacandidateenclosingalleligiblecertificatesforscrutinybutmaybearrangedaspertheserialnumber
startingfromJune2010andsubmittedalongwiththeapplication.
Declaration
Theinformationfurnishedaboveandalltheenclosuressubmittedbymearetrue.Shouldithoweverbefoundthatanyinformationfurnishedthereinisuntrue
withrespecttosportsdetails,IrealisethatIamliableforcriminalprosecutionandIalsoagreetotheforfeitureofmyseatundersportsquota.
SignatureoftheParentSignatureoftheCandidate
Date:
NameoftheCandidate:RegistrationNumber:
(Asprintedinthecodingsheet)
DetailsofSportsCertificatesenclosed*
37
ANNEXURE III
Name of the Examination Boards
Sl.
No
State Name of the Board
Code
No.
1. Tamilnadu Tamilnadu Board of Higher Secondary Education 01
2. All-India Board Central Board of Secondary Education 02
3. All-India Board Council for Indian School Certificate Examinations 03
4. Andhra Pradesh Andhra Pradesh Board of Intermediate Education 04
5. Assam Assam Higher Secondary Education Council 05
6. Bihar Bihar Intermediate Education Council 06
7. Goa Goa Board of Secondary & Higher Secondary Education 07
8. Gujarat Gujarat Secondary & Higher Education Board 08
9. Haryana Haryana Board of Education 09
10. Himachal Pradesh Himachal Pradesh Board of School Education 10
11. Jammu & Kashmir J & K State Board of School Education 11
12. Karnataka Karnataka Board of the Pre-University Education 12
13. Kerala Kerala Board of Higher Secondary Examinations 13
14. Maharashtra Maharashtra State Board of Secondary and Higher Secondary Education 14
15. Madhya Pradesh Madhya Pradesh Board of Secondary Education 15
16. Manipur Manipur Council of Higher Secondary Education 16
17. Meghalaya Meghalaya Board of School Education 17
18. Mizoram Mizoram Board of School Education 18
19. Nagaland Nagaland Board of School Education 19
20. Orissa Orissa Council of Higher Secondary Education 20
21. Punjab Punjab School Education Board 21
22. Rajasthan Rajasthan Board of Secondary Education 22
23. Tripura Tripura Board of Secondary Education 23
24. Uttar Pradesh U.P. Board of High School & Intermediate Education 24
25. West Bengal West Bengal Council of Higher Secondary Education 25
26. Others Other Boards if any 26
38
JOINT DECLARATION BY THE CANDIDATE AND PARENT / GUARDIAN
(This should not be enclosed along with the application.
It should be submitted at the time of admission)
I hereby solemnly and sincerely affirm
1. That the Statements made and information furnished in my son’s / daughter’s / ward’s application and also
in all the enclosures there to submitted by him/her are true. Should it however be found that any
information furnished therein is untrue in material particulars, I realise that I am liable to criminal
prosecution and I also agree to the forfeiture of his/her seat in the Institution.
2. That my son / daughter / ward would confirm strictly to all the rules and regulations in force now or which
may be introduced in the Institution hereafter and that I realise that breach of discipline and rules on my
son’s/daughter’s/Ward’s part would entail summarily forfeiture of his/her seat in the institution.
3. That I am aware that if my son /daughter / ward does not put in a minimum percentage of attendance
prescribed by the University during the year in theory, drawing and practical classes separately, my son
/daughter / ward will not be permitted for the University Examination.
4. That I am aware that the curriculum for the various courses is not rigid and that my son /daughter /ward
will follow the syllabi for the various courses in force at the time of his/her admission and that any revision
or modification made in the syllabi during the course of his/her study in the Institution will be binding on
him/her.
5. That I am aware that if my son /daughter /ward does not get a minimum of 50 per cent of marks in the day
to day valuation of his/her work and progress he/she will not be permitted for the University Examination.
6. That in case of my son’s/daughter’s/ward’s progress in studies is uniformly poor in the Institution his/her
studies are liable to be terminated by the issue of Transfer Certificate.
7. That in case my son/daughter/ward becomes a scholarship holder or enjoy educational concessions like
half-fee, or full-fee etc., and does not show special progress, the scholarships or educational concessions
are liable to be cancelled and that if my son’s/daughter’s/ward’s conduct and character are not good these
will be cancelled.
8. That my son/daughter/ward is aware that breach of discipline and rules or bad conduct in the N.C.C. or
extra-curricular activities will also entail summarily forfeiture of seat in the Institution, in addition to such
other proceedings that may be taken against him/her.
9. That I am aware that if my son/daughter/ward is admitted in the hostel he/she will strictly abide by the
rules and regulations in force in the hostel and that any breach of discipline or rules or any unruly conduct
or undesirable activities will be summarily dealt with by forfeiture of seat both in the hostel and in the
institution in addition to such other proceedings that may be taken against him/her.
10. That I am fully aware, as per the directions of the Hon’ble Supreme Court of India and Tamil Nadu
Prohibition of Ragging Act 1997, Ragging is an offence, as is banned in the Institutions and anyone
indulging in ragging is liable to be punished such as expulsion from the Institution and / or rigorous
imprisonment upto 3 years, and / or fine upto ` 25,000/-
Place :
Date :
Signature of the Candidate Signature of the Parent / Guardian

How to Fill TNEA Application Form

  • 1.
    jkpo;ehL nghwpapay; Nrh;f;if 2014 TAMILNADU ENGINEERING ADMISSIONS 2014 khzth;fSf;fhd jfty; kw;Wk; topKiwfs; INFORMATION AND INSTRUCTIONS TO CANDIDATES
  • 2.
    The following documentsshould be enclosed with the application: In Original 1. Filled-in Coding Sheet 2. Special Reservation Form (s) with DD and photocopy of the Relevant Certificate (s) – If applicable Photocopy of 3. 10th Mark Sheet 4. HSC / Equivalent Mark Sheet* 5. Transfer Certificate* 6. Permanent Community Certificate Card for ST, SC, SCA, MBC & DNC, BC and BCM 7. HSC Hall Ticket 8. Nativity Certificate – If applicable 9. First Graduate Certificate and First Graduate Joint Declaration and Certificate No. I – If applicable 10. Srilankan Tamil Refugee certificate – If applicable * Candidates appeared for HSC / Equivalent examination in March 2014 must produce Original Mark sheet and TC at the time of counselling. However, downloaded copy of the mark sheet should be enclosed, others to enclose a copy of Mark sheet and TC. Last Date for Submission of filled-in application 20.05.2014 The filled-in application along with enclosures should be sent to: The Secretary Tamil Nadu Engineering Admissions Anna University Chennai – 600 025
  • 3.
    1 TAMIL NADU ENGINEERINGADMISSIONS 2014 ADMISSIONS TO FIRST YEAR B. E. / B. TECH. DEGREE COURSES Information and Instructions to Candidates Common application form to seek admission to University Departments, University Colleges, Government and Government Aided Engineering Colleges and for the seats surrendered by Self–Financing Engineering Colleges under Unified Single Window Admission System for Indian Nationals. 1. Application Number printed in the coding sheet is the Registration Number, hence you have to write this number in all the enclosures. 2. ALLOCATION OF SEATS IN COLLEGES 2.1 (a) Seats in B. E. & B. Tech. Degree Courses in University Departments and University Colleges. 2.1 (b) Seats in B. E. Degree Courses in Mechanical Engineering and Civil Engineering (Tamil Medium) in University Departments and University Colleges. 2.2 Seats in B. E. & B. Tech. Degree Courses in Government, Government Aided and Seats surrendered by Self-Financing Engineering Colleges. a) Category I (i) Seats in Government Engineering Colleges (ii) Seats in Aided courses in Government Aided Engineering Colleges (iii) Seats in Central Electro Chemical Research Institute (CECRI), Karaikudi b) Category II (i) Seats in Self-Supporting courses in Government Aided Engineering Colleges (ii) Seats surrendered by Self Financing Engineering Colleges (iii) Seats in Central Institute of Plastic Engineering and Technology (CIPET) 2.3 A candidate needs to submit only one application for all the courses/colleges/Institutions mentioned above irrespective of the category. Candidates seeking admission under special reservation should also enclose a Special Reservation form for each special reservation category along with the main application as per the instructions given in Para 5.1 and 5.2 on Pages 4 & 5. 2.4 Duration of the Programme B. E. / B. Tech. 4 Academic years comprising of 8 semesters B. E. (Sandwich) 5 Academic years comprising of 10 semesters 3. ELIGIBILITY RULES General Candidates satisfying the eligibility conditions given below as on the last date of submission of application are eligible to apply. Passing the qualifying examination after the last date of submission of application shall not be considered. 3.1 Nativity i) Tamil Nadu candidates who have passed VIII, IX, X, XI and XII Std. in Tamil Nadu are eligible to apply. They need not enclose Nativity Certificate. ii) Children of Central Government Employees may also apply for admission, irrespective of their native, provided their parents or guardians (only if both parents are not alive) have been serving in Tamil Nadu continuously for the past FIVE YEARS at the time of submission of application, which should be supported by enclosing a certificate from the employer of the parent or guardian, to that effect.
  • 4.
    2 iii) Sons anddaughters of All India service Tamil Nadu cadre officers are eligible to apply. iv) Children of employees in Public Sector or Government recognised Institutions who at the time of submission of application for admission employed in Tamil Nadu continuously for the past five years may also apply irrespective of their domicile. A certificate from the employer has to be enclosed along with the application stating that the person is a Permanent Employee of the Firm or Institution concerned with evidence like Income Tax return, PF Slips, etc. and is working in Tamil Nadu continuously for the past FIVE YEARS. v) Other State candidates who have studied VIII, IX, X, XI and XII Std. in Tamil Nadu are eligible to apply. They need not enclose “Nativity Certificate”. vi) Tamil Nadu native candidates who have passed any of the VIII, IX, X, XI and XII Std. or their equivalent examination from schools situated outside Tamil Nadu can also apply. They should enclose a copy of Nativity Certificate. Note: 1. Applications without proper employer certificate for categories (ii), (iii) and (iv) and nativity certificate for the category (vi) will not be considered. 2. Tamil Nadu native candidates alone will be considered for communal reservation. Others will be considered under “Open Competition”. Srilankan Tamil Refugee As per G.O. (St) No. 172 Higher Education (J2) Dept. dated: 29.06.2010 candidates who are Srilankan Tamil Refugee studied in Tamil Nadu will be considered under open competition. They have to enclose the following: (i) Identification certificate from the Head Quarters Tahsildar (ii) Those who have not registered in the refugee camp should submit a copy of passport, visa and letter registered with Police Station. 3.2 Qualifying Examinations and Eligibility A pass in the HSC (Academic) or its equivalent with a minimum average percentage in Mathematics, Physics and Chemistry put together as given below. Sl. No. Community A Pass with Minimum average marks in Mathematics, Physics and Chemistry put together 1. General Category 50.00 % 2. Backward Class including Backward Class Muslim 45.00 % 3. MBC & DNC 40.00 % 4. SC/SCA/ST 40.00 % OR A pass in any one of the HSC (Vocational Subject) as given below with any one of the Engineering related subjects namely Mathematics, Physics or Chemistry with a minimum average percentage put together as given below. Sl. No. Community A Pass with Minimum average marks in Related Subjects, Vocational Theory and Practicals put together 1. General Category 50.00 % 2. Backward Class including Backward Class Muslim 45.00 % 3. MBC & DNC 40.00 % 4. SC/SCA/ST 40.00 %
  • 5.
    3 Vocational Courses prescribedfor B.E. / B. Tech. Degree Admission Group Code Name of the Vocational Subjects 421 General Machinist 422 Electrical Machines and Appliances 423 Electronic Equipments 424 Draughtsman Civil 425 Auto Mechanic 426 Textile Technology Note: (i) When the candidates produce grade certificates, they have to produce the actual marks also otherwise only the minimum marks applicable to the grades in the eligible subjects (Mathematics, Physics, Chemistry and Fourth Optional Subject) will be taken into account. (ii) For minimum eligibility rounding of marks and normalised marks will not be considered. 3.3 Improvement marks: As per the G.O. No. 184 HE (J2) Dept. dt: 09.06.2005 and G.O. (st) No. 143 HE (J2) Dept. dt: 06.05.2008 improvement marks obtained by the candidates including Other State candidates from 2006 onwards will not be considered. 3.4 Marine Engineering Branch The Director General of Shipping, Ministry of Shipping, Government of India, vide Notification No. II. TR (21) 97 dated: 03.10.2002 have issued notification stating that, for Marine Engineering Degree Programme the candidate should pass in 10+2 or equivalent examination with Physics (P), Chemistry (C), Mathematics (M) and English as separate subject with an average of not less than 60 % in PCM. Further a minimum of 50 % in English either at 10th or 12th standard is required for all the candidates. Other Requirements: (i) Maximum age limit 25 years. (ii) Minimum Height 157 cm. (iii) Minimum Weight 48 kg. (iv) Normal Colour vision Before selecting the course the candidate shall ensure that they are medically fit for the course. The candidates will be admitted only on production of physical fitness certificate obtained from the Medical Officer authorised by the Director General of Shipping, failing which they will lose the admission. 3.5 Mining Engineering Branch Only Male candidates are eligible. 4. ALLOCATION OF SEATS 4.1. Selection shall be made under seven categories namely OC, BC, BCM (BC Muslim), MBC & DNC, SC, SCA and ST reservation following the rules of reservation of Government of Tamil Nadu as follows. 69 % Rule of Reservation Open Competition 31.00 % Backward Class 26.50 % Backward Class Muslim 3.50 % Most Backward Class & Denotified Communities 20.00 % Scheduled Caste 15.00 % Scheduled Caste (Arunthathiyars) 3.00 % Scheduled Tribes 1.00 %
  • 6.
    4 4.2 (a) Tamilnadunative candidates alone will be considered for communal reservations. The community recorded in the certificate of Tamilnadu native candidate should figure in the list of communities approved by the Government of Tamilnadu (Annexure – I on Pages 24 – 30). 4.2 (b) The applicants from Tamilnadu State should have a valid permanent community certificate in card format issued by the competent authority (for ST/SC/MBC & DNC, BC and BCM in the format prescribed by Government of Tamilnadu in G.O. Ms. No. 781 (Revenue Department) dated: 02.05.1988. In the case of ST candidates, the community certificate should have been issued by the Revenue Divisional Officer / P.A. (General) to the Collector of Chennai / Sub-Collector of the District concerned (except Chennai) vide Govt. Lr. No. 32061/ADWII/89-2, dt: 27.12.1989 and Lr. No. 21424/ADWII/94-4, dt: 15.11.1994 from the Secretary to Government, Adi Dravidar and Tribal Welfare Department, Chennai – 600 009. The Permanent Community Certificate Card issued to ST candidates by Tahsildars upto 11.11.1989 only is valid. Candidates should enclose a photocopy of the Permanent Community Certificate card along with the application. 4.2 (c) Community Certificate obtained from other states will not be considered for communal reservation. 4.2 (d) For communities linked with Districts (See Annexure-l) the candidates should obtain their community certificate in the respective districts except the communities mentioned in G.O. (st) No. 95 BC, MBC & Minorities Welfare Department dt: 28.10.2009. Such of those community certificates obtained on or after 28.10.2009 will be considered. Community certificate obtained from other than the respective district will not be considered. 4.2 (e) Candidates who have not furnished the photocopy of the Permanent Community Card Certificate at the time of submission of the application will be treated as belonging to “Open Competition” (OC). The candidate is further informed that in the event of such a decision, the eligibility conditions & rules prescribed for OC will be applicable for such candidates and if such candidates do not satisfy the rules of OC, their applications are liable to be rejected. No correspondence in this connection will be entertained. 4.2 (f) ST / SC / SCA / MBC & DNC / BC / BCM candidates are eligible for selection under Open Competition in addition to the reservation made for them. 5. SPECIAL RESERVATION 5.1 Special Categories Since the special reservation applications are processed by separate committees, candidates are instructed to enclose separate special reservation form along with the main application. They should also enclose a DD for ` 100/- for each special reservation along with appropriate certificates. If appropriate certificates or supporting documents for special reservation claim are not enclosed with the Special reservation form, their claim under such categories will not be considered. Candidates seeking admission against special reservation of seats under Item No. 21, Code No. 1 for Eminent Sports Person should submit the main application, the special reservation form for Sports and a Demand draft for ` 100/- and copies of the relevant certificates in person to the Secretary TNEA as per Annexure II which also contains the selection procedure. Only Tamilnadu Native candidates are eligible for Special reservation.
  • 7.
    5 Quota for SpecialReservation Categories Item No. Code No. Category Number of Seats University Depts. and University Colleges Govt. & Govt. Aided Colleges Self- Financing Colleges TOTAL 20 1 Sons / Daughters of Ex-Servicemen* 8 34 108 150 2 Sons / Daughters of Freedom Fighters** 2 2 6 10 3 Orthopaedically Differently Abled Persons ** 1 % # 4 Hearing Impaired** 1 % # 5 Visually Impaired** 1 % # University Depts. University Colleges / Govt. / Aided and Self Financing Colleges 21 1 Eminent Sports Persons as per Annexure II* 12 488 500 # 1 % of total seats under Single Window System * G.O. (Ms) No. 121 HE (J1) Department dt: 03.07.2012. ** G.O. (Ms) No. 198 HE (J1) Dept. dt: 30.05.2003. Note: (i) Candidates claiming admission against the reservation of seats under Item No. 20, Code No. 1 should enclose the certificate in the format (Certificate No. III on Page No. 18) given in the information and instructions to candidates from an officer of the Department of Ex-servicemen’s Welfare of Tamilnadu not below the rank of Assistant Director of Ex-servicemen’s Welfare of the district in which the dependent is a native. Candidates called for counselling should produce discharge certificates and Ex-Servicemen ID card of their parents. (ii) Candidates claiming admission against reservation under Item No. 20, Code No. 2 should enclose the certificate as per format given in Certificate No. IV on Page No. 19. In addition, they should also enclose a copy of the Jail Extracts or in its absence, Co-prisoner’s Certificate or certificate from Ex-Chief Minister or Ex-Minister or Ex-member of Legislature or Ex-member of Parliament as evidence that the Parent of the candidate is a Freedom Fighter suffered imprisonment for a period not less than one month subject to verification wherever it is found necessary. (iii) Candidates seeking admission against reservation [Item No. 20, Code No. 3, 4 and 5] set apart for orthopaedically Differently Abled Persons / Hearing impaired (Deaf) / Visually Impaired should produce the certificate from the Medical Board of the District concerned certifying the nature and extent of disability in percentage and with regard to his/her suitability for admission to Engineering Colleges specifically mentioned below and in the format given in this booklet (Certificate No. V/VI/VII). Certificates obtained from an individual Doctor will not be considered. Further, a separate Board for each category will examine the candidates with reference to their certificates before counselling. (iv) Candidates seeking admission against seats under Special reservation categories (Item 20 & 21) should also satisfy the eligibility rules mentioned in item No. 3. The candidates are also eligible for admission under general counselling. 5.2. Eligibility criteria for various disabilities a. Norms for Orthopaedic Disability Candidates with permanent physical impairment of 40 % and above are considered as disabled. The candidates with orthopaedic disability of the following types are eligible for claiming Engineering Admission against Differently Abled Persons category (Certificate No. V on Page No. 20) (i) Independent in ambulance with or without calipers but without walking aids. (ii) Good Standing Balance without calipers but without any support. (iii) Hand Function with normal limit without any aid (iv) Good control over bladder & bowel (v) Disease must be non progressive
  • 8.
    6 b. Norms forHearing Disability Candidates with hearing ability of 40 db and above only in the better ear with speech discrimination score of 50 % and above are considered disabled and hence eligible for claiming Engineering Admissions against Differently Abled Persons category (Certificate No. VI on Page No. 21). c. Norms for Vision Impairment Candidates with low vision of 40 % and above are considered as disabled, and hence eligible for claiming Engineering Admission against Differently Abled Persons category (Certificate No. VII on Page No. 22). Low Vision: Person with low vision means a person with impairment of vision of less than 6/18 to 6/60 with best correction in the better eye or impairment of field in any one of the following categories: a) Reduction of fields less than 50 degrees b) Heminaopia with macular involvement c) Attitudinal defect involving lower fields categories of Visual Disability all with correction Category Better eye Worse eye Impairment Category O 6/9 – 6/18 6/24 to 6/36 20 % Category I 6/16 – 6/36 6/20 to Nil 40 % Category II 6/40 – 4/60 or field of vision 10º - 20º 3/60 to Nil 75 % Category III 3/60 to 1/60 or field of vision 10º F.C at 1 ft. to Nil 100 % Category IV F.C at 1 ft. to Nil or field of vision 10º F.C at 1 ft. to Nil 100 % One eyed persons * 6/6 F.C at 1 ft. to Nil or field of vision 10º 30 % Note: F.C. means Finger Count * ONE EYED persons with normal vision are not considered as disabled. 6. MODE OF SELECTION (a) (i) ADMISSION TO GENERAL CATEGORY The selection of candidates will be based on the marks obtained in the prescribed subjects reduced to 200 (Mathematics – 100, Physics + Chemistry – 100) in the qualifying examination. (ii) Normalisation of Marks and Inter-se Merit As per Tamil Nadu Acts No.3 of 2007, dt: 05.03.2007 and G.O. (Ms) No.77 HE (J2) Dept, dt: 05.04.2007, the marks obtained by the students in the relevant subjects in the qualifying examination conducted by various Boards or Authority shall be equated with the marks obtained by the students in the same subjects in the qualifying examination conducted by the State Board of Tamil Nadu by adopting the method of normalisation. (e.g.) If the highest mark secured by the student of State Board of Tamil Nadu in Physics is 100 and the highest mark secured by a student of any other Board in the same subject is 90 both the highest marks will be considered to be equal to 100. If a student of the other Board secures 60 marks in Physics when the first mark in Physics in the same Board is 90, 60 marks will be considered to be equal to 66.66 marks as arrived below. 100 x 60 = 66.66 % 90 After normalisation of marks in the relevant subjects in the qualifying examination conducted by different Boards, the qualified students shall be merged into a common merit list. In the case of candidates who have qualified from National Boards such as CBSE, ISCE etc. the highest mark obtained in the relevant subject by the candidates at the National Level alone will be taken into consideration for normalisation. The Other Boards will be requested to furnish the maximum marks scored in the relevant subjects. In case, such marks are not available before the preparation of rank, the maximum marks scored in that Board will be considered as 100 %.
  • 9.
    7 For minimum eligibility,normalised marks will not be considered. A merit list will be prepared based on the total mark of 200. In cases where more than one candidate have got the same marks in the common merit list, the inter-se-merit among such candidates shall be determined in the order of priority as specified below. (1) Percentage of marks in Mathematics, (2) Percentage of marks in Physics, (3) Percentage of marks in the Fourth optional subject, (4) Date of Birth (elder will be given preference) & (5) Random number assigned (higher value will be given preference). The overall rank and Communitywise rank lists will be published in Anna University website http://www.annauniv.edu/tnea2014. Separate announcement will not be given in Newspapers. The candidates will also be informed of their rank individually by post through the counselling Call Letter. The college and the branch will be provisionally allotted through counselling only. (iii) Admission to Special Reservation Categories Candidates who are applying for seats under special reservation categories as in item 20 & 21 (Refer section 5.1 and 5.2) should satisfy the rules stipulated for admission. Allocation of these Special Reservation seats will be followed as per communal reservation. Selection for item 20 will be based on the ranking as given in 6(a) (i) and (ii). Selection for item 21 will be based on the total marks obtained for achievements in Sports as per Annexure II. If any vacancy arises it will be reverted to the general counselling in the respective communities. (b) ADMISSION OF VOCATIONAL STREAM CANDIDATES 100 seats in Category I and 4 % of seats surrendered in Category II have been set apart vide G.O. (Ms.) No. 290 HE (J2) Dept. dt: 21.08.2007 for the HSC (vocational stream) candidates. The academic marks in the prescribed subjects will be reduced to 200 (Related subject 100 marks, vocational subject including theory and practical 100 marks). Seats are not reserved in University Departments and University Colleges. Selection will be made following the Communal reservation. Ranking and counselling will be separate for vocational candidates. Out of 3 % of Vocational seats in Category I and II, the reservation for Differently Abled Persons candidates is 1 % for Orthopaedically Differently Abled Persons, 1 % for Hearing Impaired and 1 % for Visually Impaired. (c) ADMISSION TO SANDWICH COURSES Sandwich courses in Mechanical Engineering, Electrical and Electronics Engineering and Production Engineering are offered at PSG College of Technology under self-financing scheme. The duration of the course is 5 Years. It comprises of practical training in the mornings and class work in the evenings. There will be an additional fee payable towards practical training and it will be intimated by the Principal of the college at the time of admission. 7. COUNSELLING OF CANDIDATES 7.1 Candidates will be called for counselling in the order of their merit. Based on the merit and communal reservation, allotment of the branch/college chosen by the candidate will be made. Candidates have to opt for colleges and branches that are available at the time of counselling. 7.2 Candidates have to pay an initial deposit of ` 5000/- (` 1000/- for SC/SCA/ST candidates belonging to Tamilnadu) by Cash or DD and produce all their original certificates when they attend counselling. 7.3 If a candidate has deposited all the certificates in an Institution where he/she has already been admitted, a letter from the Head of the Institution should be produced to that effect. In such case only, attested photocopies of certificates from the Head of the Institution will be accepted for verification. However, the provisional allotment order will be withheld and it will be released only on production of all the original certificates.
  • 10.
    8 7.4 Eligible candidateswho have applied may appear for counselling according to their cut-off mark, two hours before the counselling session along with their original certificates for verification, irrespective of receipt of individual communication. 7.5 The date, time and venue for counselling will be intimated to the candidates, published in leading dailies and in Anna University, Chennai website. No change of date/time of counselling is permissible. Authorities are not responsible for any postal delay; or non receipt of intimation for counselling. Candidates who do not attend counselling have to forego the claim for admission. 7.6 Due to unforeseen and unavoidable reasons, if a candidate is unable to attend the counselling on the specified date and time, he/she can authorise his/her parent on his/her behalf and the parent’s decision will be binding on the candidate. 7.7 Due to unforeseen reasons, if a candidate could not attend the counselling on the specified date and time, he/she can attend on a subsequent time/date, during the counselling period. But the candidate can only opt for the seats available at that time and cannot claim any seat as per original rank. If the ranking of a candidate is changed due to re-totalling/revaluation of mark, he/she can attend counselling as per the new mark and rank, though the call letter specifies different date (as per original mark). 7.8 Once allotted a seat, the amount ` 5,000/- (` 1,000/- in the case of SC/SCA/ST candidates belonging to Tamilnadu) already paid at the time of counselling will be adjusted in the tuition fee. If a candidate does not join after allotment and seeks refund, only 80 % of the initial deposit amount paid at the time of counselling will be refunded, if original allotment order with acknowledgement for the receipt of payment is surrendered on or before 31.12.2014. All admissions made through single window system are provisional. CHOICE ONCE MADE IS FINAL AND CANNOT BE CHANGED 8. TUITION FEE CONCESSION 8.1 First Graduate Tuition Fee Concession In the G.O. (st) No. 85 Higher Education (J2) Department dated: 16.04.2010, the Government have ordered to grant tuition fee concession to the candidates who are to be the first graduate in a family, those who are attending counselling and joined in professional courses in Government / Aided and Self-Financing Engineering Colleges. They have to submit the following: (i) Certificate obtained from Head Quarters Deputy Tahsildar in the format prescribed in G.O. (Certificate No. II) which necessarily should include name of applicant’s father, mother, father’s father, father’s mother, mother’s father, mother’s mother, brother (s) and sister (s) and joint declaration by himself and parent/guardian in the prescribed format. (ii) The candidates have to furnish Certificate No. I. If the applicant’s Brother or Sister has already availed First Graduate Tuition Fee concession for studying Professional Courses, then the applicant is not eligible for such concession. 8.2 AICTE Tuition Fee Waiver (TFW) Scheme This scheme is applicable in Self-Financing Engineering Colleges and Self-Supporting courses in Government Aided Engineering Colleges only. AICTE Tuition fee waiver scheme is applicable for B.E./B.Tech. courses only. Seats up to a maximum of 5 percent of sanctioned intake per course may be available under the scheme. Tuition fee waiver under First Graduate scheme is provided by Government whereas, AICTE TFW scheme is provided by the Management of the Institution. Sons and daughters of parents whose annual income is less than ` 4.50 lakhs from all sources shall only be eligible under this scheme. All other fees except tuition fee will have to be paid by the candidate under both (8.1) & (8.2). Beneficiary student admitted under AICTE TFW scheme will not be allowed to change Institution / course under any circumstances. 8.3 Post Matric Scholarship In the G.O. (st) No. 6 Adi Dravidar and Tribal Welfare (AD3) Department dated 09.01.2012, G.O. (st) No. 92 Adi Dravidar and Tribal Welfare (AD3) Department dated 11.09.2012 and G.O. (st) No. 16 Adi Dravidar and Tribal Welfare (AD3) Department dated 24.02.2014, the Government have ordered to grant Post Matric Scholarship to SC/SCA/ST candidates, whose parental annual income is less than ` 2,50,000/- and for SC/SCA converted Christians annual income less than ` 2,00,000/- from all the sources shall only be eligible. The eligible candidates have to submit income certificate obtained from appropriate authorities and get the Post Matric Scholarship from the colleges were they get admitted.
  • 11.
    9 9. PROCEDURE FORREGISTRATION OF APPLICATION The application form will be available in the following modes: i. In person: Through 59 centres for TNEA. ii. Postal: Only from the Centre for Entrance Examinations & Admissions, Anna University, Chennai – 25. iii. Internet: Through Anna University website http://www.annauniv.edu/tnea2014. Candidates have to submit the filled-in application either in person or by post along with photocopies of Mark Sheet(s), Proof of Age and copies of all other relevant certificates to the Secretary, TNEA, Anna University, Chennai – 600 025 on or before 20.05.2014. All the Demand Drafts should be drawn in favour of “The Secretary (TNEA), Anna University” payable at Chennai. SC/SCA/ST candidates belonging to Tamilnadu desirous of availing Registration fee concession should submit a photocopy of the Permanent Community Certificate Card. Application forms obtained at concessional rates, if submitted by the candidates who does not belong to SC/SCA/ST will be summarily rejected. PAYMENT BY ANY OTHER MODE WILL NOT BE ACCEPTED. 10. GENERAL, downloaded copy of the mark sheet should be enclosed, others to enclose a copy of Mark sheet and TC 10.1. The candidates are directed to enclose the following certificates along with the application: In Original 1. Filled-in Coding Sheet 2. Special Reservation Form (s) and photocopy of relevant certificate (s) with DD - if applicable Photocopy of 3. 10th Mark Sheet 4. HSC/Equivalent Mark Sheet Candidates appeared for HSC/Equivalent Examination in March 2014 must 5. Transfer Certificate produce original Mark sheet and TC at the time of counselling, However, downloaded copy of mark sheet should be enclosed, others to enclose a copy of Mark sheet and TC 6. Permanent Community Certificate Card for ST, SC, SCA, MBC & DNC, BC and BCM candidates. 7. HSC Hall Ticket 8. Nativity Certificate – if applicable 9. First Graduate Certificate and First Graduate Joint Declaration and Certificate No. I – if applicable 10. Srilankan Tamil Refugee certificate – if applicable 10. 2. Applications received after the due date, not in the prescribed form, not correctly filled-up or the prescribed certificates and documents are not enclosed or do not otherwise fulfil the terms of the instructions will be considered defective and are liable for rejection without notice. The Secretary, TNEA will not be responsible for any delay in post or otherwise in respect of the receipt of application after the due date. No correspondence will be entertained in this respect. 10.3. All the columns on both sides of the coding sheet must be filled without fail. 10.4. The candidates have to join the colleges to which they are allotted within the time notified in the Provisional Allotment Order failing which the seats will be deemed to have fallen vacant. Request for reconsideration of admission shall not be entertained. 10.5. Detailed information regarding the courses and other facilities are available in the Booklet containing ‘Information about colleges’. Other details like Scholarship, Fee Concession, Hostel Facilities, Examinations etc., can be obtained from the Principal / Deans of the Institutions. 10.6. Selected candidates and their parents/ guardians will have to sign a joint declaration form (Page No. 38) and submit to the college at the time of admission.
  • 12.
    10 10.7. The candidatesare informed that the admission through counselling is only provisional. In accordance with the rules prescribed for admission, if they are found ineligible on actual verification of original certificates / particulars by the Principal / Directorate of Technical Education / University, they cannot claim any right for admission or continuation of study at any stage they may be. 10.8 Further, the confirmation of Admission is subject to the verification of marks / certificates by the Directorate of Government Examinations. If the Mark Sheet is found to be BOGUS, [(i) Admission is liable for cancellation at any stage of study. (ii) He / she will be debarred from pursuing any course of study for a period of 3 Years. (iii) Legal action will be taken against him/her for furnishing forged marks. 11. GENERAL INSTRUCTIONS FOR FILLING THE APPLICATION FORM 11.1. Enter your Registration Number as printed in the coding sheet correctly and legibly in all the enclosures. Failure to do so may result in the application being summarily rejected. 11.2. Encircle the code numbers wherever specified for the entries applicable. 11.3. Tick (√) the qualifying Examination passed on the application cover. 11.4. Enclose the relevant certificates wherever asked for along with the application. Submission of certificates at a later date shall not be accepted. 11.5. Enter the details in the coding sheet carefully for all the relevant items as per the application form and other details such as medium of instruction, mother tongue, civic status, income of the parent etc., referring to “specific Instructions to fill-up the application form” and “Guidelines to fill-up the Coding Sheet”. The small open boxes corresponding to entries have to be carefully and completely shaded using a HB pencil. The entire data furnished depends on the shading. The shaded information is scanned using an Optical Mark Reader and any mistake and improper shading may prejudice your selection. 11.6. Tick (√) the Nativity, Qualifying Examination, Special Reservation and write the address on the application cover. 11.7. The application along with all the enclosures tied up and Coding sheet kept as loose sheet should reach The Secretary, Tamil Nadu Engineering Admissions, Anna University, Chennai – 600 025 on or before 20.05.2014 at 5.30 p.m. 11.8. Candidates are advised to post the completed application well in advance so as to reach the Secretary (TNEA), Anna University, Chennai before the due date and time. If it is sent by post, it is advisable to send by Registered post / Speed post to ensure proper delivery. 11.9. Candidates allotted will be given the provisional allotment order and a receipt for ` 5,000/- (or ` 1,000/- in the case of SC/SCA/ST candidates belonging to Tamilnadu). The remaining tuition fee has to be paid in the designated banks / colleges before the dates specified in the provisional allotment order. If a candidate fails to report for admission on or before the date indicated in the provisional allotment order he/she has to forfeit the seat and cannot claim later and the provisional allotment order will be automatically cancelled. Selection of the college and branch of study is the sole responsibility of the candidate. The branches and intake in the colleges given in “Information about Colleges” booklet may have variations. The approved branches / intake will be available in the counselling centre and in Anna University website http://www.annauniv.edu/tnea2014 11.10. UNDER ANY CIRCUMSTANCES (a) THE COLLEGE OR BRANCH ALLOTTED WILL NOT BE CHANGED (b) THE LAST DATE FOR JOINING IN THE COLLEGE WILL NOT BE EXTENDED 11.11. For any correspondence, kindly quote your Registration Number as printed in the coding sheet. 11.12. The Secretary, TNEA reserves the right to accept or reject any application without assigning any reason. SECRETARY TAMIL NADU ENGINEERING ADMISSIONS
  • 13.
    11 INSTRUCTIONS TO FILL-UPTHE APPLICATION FORM General The candidates have to fill-up the details both in the application form and coding sheet supplied. All the items have to be filled properly in both. First fill-up the application form and then transfer the data from ‘Application’ to the coding sheet. Guidelines to fill-up the application form Use only BALL PEN to fill-up the application form. For many items you have to furnish the required information by encircling the number applicable to you. Application form consists of 25 items as given below. Item No. 1 Application number as printed in the coding sheet is the Registration Number for Tamil Nadu Engineering Admissions 2014. Enter the Registration Number in this space provided. If the Registration Number (coding sheet number) is 161279 write it as 1 6 1 2 7 9 Item No. 2 Write your name in BLOCK Letters, with initials at the end (Exactly in the same way as it has been given in all your other records). If your name is S. DILIP CHANDAR write it as D I L I P C H A N D A R . S Item No. 3 Write the name of your Parent. Write your Guardian’s name, if both the parents are not alive. Item No. 4 Write your mailing address with Pincode, Telephone number with STD code, Mobile number and E-mail neatly. Item No. 5 Affix your recently taken passport size photograph in the space provided. Get the photograph attested by the Head of the Institution where you studied last, or by an Officer of Grade A or B. Item No. 6 Enter your Date of Birth. If your date of birth is 06.03.1996 enter in the boxes provided as: 0 6 0 3 1 9 9 6 Item No. 7 Encircle 1 for Male and 2 for Female. Item No. 8 Encircle the number corresponding to your Religion, for eg. If your religion is Hinduism encircle 3. Item No. 9 Encircle the number corresponding to your community. If your community is BC, encircle 5. Item No. 10 Fill up the entries from the permanent community certificate card, for the relevant information in the space provided. Item No. 10(a) The caste codes are given in Annexure-I on Pages 24 – 30 for different communities. Choose the code number corresponding to your caste and enter as a 3 digit number in the boxes provided. If your caste is Agamudaiyar enter the caste code from the BC list as 001, if the caste is Arayar from the MBC list enter as 002A in the boxes provided as shown below. Candidates belonging to communities other than ST, SC, SCA, MBC/DNC and BC & BCM should enter the code as 500. Agamudaiyar 001 Arayar 002A 0 0 1 0 0 2 A
  • 14.
    12 Item No. 11If you have enclosed the photocopy of community certificate then encircle 1, if you do not belong to any one of the communities viz. BC, BCM, MBC & DNC, SC, SCA and ST then encircle 3. Item No. 12 Encircle No. 1 if you are an Indian Citizen otherwise, encircle 2 Item No. 13 If you have studied VIII, IX, X, XI & XII Std. in Tamilnadu, encircle 1. Item No. 13(a) If you have claimed Tamilnadu Nativity, encircle 1. Item No. 13(b) If you are not a Srilankan Tamil Refugee, encircle 2. Item No. 14 Fill the details of your school of study in the space provided (all columns have to be filled). Item No. 15 Encircle the number corresponding to your qualifying examination. If you have passed Tamilnadu HSC Academic, encircle 1. Item No. 15(a) If you have passed the Tamilnadu Higher Secondary Board Examination, enter the code number 01 as in Annexure – III on Page No. 37. Item No. 16 If you have passed the qualifying examination, encircle 1. Item No. 17 Give the details about the qualifying examination in the space provided. Enter the Register No. in eight digits, month in two digits and year in four digits. Example 1: if you have passed HSC examination in March 2014 with Register No. 336919, enter the data as 0 0 3 3 6 9 1 9 0 3 2 0 1 4 Item No. 18 Fill-up the Group Code as given in the Mark Sheet (Tamilnadu HSC (Academic) Candidates only). Fill-up the HSC (Academic) / Equivalent Examination Marks of the subjects in the appropriate column. Item No. 19 Fill-up the HSC (Vocational) Examination Group Code as given in the Mark Sheet and Marks of the subjects in the appropriate column. Item No. 20 If you claim for any of the special reservations, encircle the number(s) accordingly. More than one can be encircled provided you claim for more than one special reservation. If your father is an Ex-serviceman and you are a Differently Abled Person (Orthopaedically) encircle 1 and 3. If you are not claiming any Special Reservation, encircle 6. Item No. 21 If you are an Eminent Sports Person and claiming for Sports Quota, encircle 1. Item No. 22(a) If you are the first graduate in your family studying in a college, encircle 1. Item No. 22(b) If anyone in your family i.e. brother or sister has already availed first graduate tuition fee concession, encircle 1. Item No. 23 If you are willing to avail AICTE TFW Scheme, encircle 1. Item No. 24 If you are eligible for (SC/SCA/ST including converts to Christianity) Post Matric Scholarship, encircle 1. Item No. 25 If your parents annual income is ` 2,50,000/- encircle 4.
  • 15.
    13 GUIDELINES TO FILL-UPTHE CODING SHEET Coding sheet contains all the items corresponding to the application form, except item 3, 5, 10, 11 and 14. Fill-up the ‘Coding sheet’ by referring to application. First transfer the name, encircle the code and additional codes for all the items from the application to the corresponding item in the coding sheet into the bigger closed boxes using ball pen. The items that follow are not available in the application form, but the information is required in the coding sheet. Choose the codes given below for the item and enter in the Coding sheet in the bigger closed boxes provided for these items. 26) MEDIUM OF INSTRUCTION If your medium of instruction in HSC is Tamil, write and shade 1. 27) MOTHER TONGUE Hindi Kannada Malayalam Tamil Telugu Urdu Others Code No. 1 2 3 4 5 6 7 If your mother tongue is Tamil, write and shade 4. 28) OCCUPATION OF THE PARENT / GUARDIAN Occupation Agriculture Industry Business State Govt. Central Govt. Private Organisation Small Trade Others Code No. 1 2 3 4 5 6 7 8 If your father is a State Government Employee, write and shade 4. 29) CIVIC STATUS OF YOUR NATIVE PLACE Civic status Corporation Municipality Township Town Panchayat Village Panchayat Others Code 1 2 3 4 5 6 If your native place is a town panchayat, write and shade 4. 30) CIVIC STATUS OF THE PLACE OF SCHOOL LAST STUDIED Civic status Corporation Municipality Township Town Panchayat Village Panchayat Others Code 1 2 3 4 5 6 If your school is located in the Corporation limit, write and shade 1. Language Tamil English Others Code No. 1 2 3
  • 16.
    14 31) NATIVE DISTRICT CodeNo. Name of the District Code No. Name of the District 01 Ariyalur 17 Ramanathapuram 02 Chennai 18 Salem 03 Coimbatore 19 Sivaganga 04 Cuddalore 20 Thanjavur 05 Dharmapuri 21 The Nilgiris 06 Dindigul 22 Theni 07 Erode 23 Thiruvallur 08 Kancheepuram 24 Thiruvannamalai 09 Kanyakumari 25 Thiruvarur 10 Karur 26 Tirunelveli 11 Krishnagiri 27 Tiruppur 12 Madurai 28 Trichirappalli 13 Nagapattinam 29 Tuticorin 14 Namakkal 30 Vellore 15 Perambalur 31 Villupuram 16 Pudukottai 32 Virudhunagar If your native District is Chennai, write and shade 02.
  • 17.
    15 MARKS OBTAINED INTHE QUALIFYING EXAMINATIONS If you are a HSC (Academic) candidate, then fill the Group code as given in the mark sheet and the marks in item No. 18 If the Group Code of your examination is 102 then enter If the marks obtained are Physics – 198, Chemistry – 196, Mathematics – 199, Fourth optional subject – 186 and the maximum marks in each subject is 200, enter the marks as given below. 2 0 0 1 9 8 2 0 0 1 9 6 2 0 0 1 9 9 2 0 0 1 8 6 If you are a HSC (Vocational) candidate, then fill the Group code as given in the mark sheet and the marks in item No. 19 If the Group Code of your examination is 424 then enter a) Related Subject and Vocational Subjects (e.g. 1) If the maximum mark in the related subject (say Mathematics) is 200 and the mark obtained is 197, they should be entered in related Subject I as (leave the related subject II blank) 2 0 0 1 9 7 If the vocational subject consists of one theory and two practicals and if the maximum marks are 200, 200, 200 and the marks obtained are 176, 196, 200 respectively, they should be entered as 2 0 0 1 7 6 2 0 0 1 9 6 2 0 0 2 0 0 b) Related Subject and Vocational Subjects (e.g. 2) If the maximum marks in the two related subjects (say Mathematics and Physics) are 200 each and the marks obtained are 190 and 196 respectively, they should be entered in related subject I and related subject II column as 2 0 0 1 9 0 2 0 0 1 9 6 If the vocational subject consists of one theory and one practical and if the maximum marks are 200 and 200 and the marks obtained are 185 and 190 respectively, then they should be entered in vocational theory and vocational practical I column as (leave the practical II column blank) 2 0 0 1 8 5 2 0 0 1 9 0 Shade the small open boxes like ([A], [1], [2], [3]) of corresponding character / number under the corresponding column using HB pencil only. If you want to change, erase clearly and shade again correctly. IMPORTANT NOTE THE SHADED INFORMATION IN THE CODING SHEET IS SCANNED BY A MACHINE TO CAPTURE THE DATA. UNCLEAR SHADING AND MISTAKES IN SHADING MAY PREJUDICE YOUR SELECTION. HENCE, SHADE THE APPROPRIATE SMALL OPEN BOXES CAREFULLY, CORRECTLY AND NEATLY. DO NOT PUNCH OR STAPLE THE CODING SHEET. DO NOT FOLD, SMUDGE OR SCRIBBLE ON THE CODING SHEET. Application and all its enclosures can be stapled together, but the Coding sheet should be kept separately as a loose sheet in the same cover along with the application. 1 0 2 4 2 4
  • 18.
    18 CERTIFICATE No. III Nameof the Applicant: …………………………………………. Application No. CERTIFICATE OF DEPENDENCY ON EX-SERVICEMEN No. Dated: Office of the Assistant Director of Ex-Servicemen’s Welfare Board of Tamilnadu, District Soldiers’, Sailors’ and Airmen’s Board. ……………………………………………………………………………… (Name of District) This is to certify that Tmt. / Thiru. / Selvan. / Selvi ………………………………………………………….is the wife / son / unmarried daughter / widow is solely dependent on the Ex-Serviceman whose particulars are furnished below. He / She is eligible for consideration for admission to professional courses in Engineering Colleges against the reservation of seats for: (i) Wife / Widow of Ex-Servicemen (ii) Children of Ex-Servicemen (iii) Children of Ex-Servicemen died / disabled in war / peace time (iv) Children of Ex-Servicemen died in Kargil War (Tick the relevant box) Signature: Signature of the Candidate : Designation: ARMY / NAVY / AIR FORCE SERVICE PARTICULARS OF EX-SERVICEMAN Regimental No. : Name : Name of the Unit in which last served : Date of enrollment : Date of discharge : Cause of discharge : Whether died / disabled in service : Whether died in Kargil war : Character assessed at the time of discharge : Office Seal : Station : Signature : Date : Designation : Note: This Certificate shall be issued by an Officer of the Department of Ex-Servicemen’s Welfare Board of Tamilnadu not below the rank of Assistant Director of Ex-Servicemen’s Welfare Board of the District in which the dependent is a NATIVE. This reservation is applicable only to Tamilnadu Native Candidates.
  • 19.
    19 DEFINITIONS “Ex-Serviceman” is aperson who has served in any rank (whether as a combatant or as non combatant ) in the Armed Forces of the Union, including the Armed Forces of the Former Indian States (but excluding the Assam Rifles, Defence Security Corps, General Reserve Engineering Force, Lok Sahayak Sena and Territorial Army) for a continuous period of not less than six months after attestation and has been released, otherwise than at his own request or by way of dismissal or discharge on account of misconduct or inefficiency, or has been transferred to the reserve pending such release, or has to serve for not more than six months for completing the period of service requisite for becoming entitled to be released or transferred to the reserve or, has been released at his own request after completing Five Years’ Service in the Armed Forces of the Union. (Refer: Department of Personnel and Administrative Reforms Notification No.39016 /10/79 –Estt (C) of December 15, 1979) Note 1: The term “released” would cover those Armed Forces Personnel who died while in service or were killed in action. Note 2: Coys / Recruits who are in receipt of disability pension i.e., attributable to service are deemed to be “Ex-Servicemen”. Note 3: Territorial Army personnel under the following Category are deemed as “Ex-Servicemen”: (a) Pension holders for continuous embodied service (b) Disabled Territorial Army Personnel with disability attributable to Military Service (c) Family Pension holder (d) Gallantry Award winner (Authority: Director General Resettlement letter No.2667 / DGR / EMP / RES –3, Dated 16-12-1982) CERTIFICATE No. IV Name of the Applicant: …………………………………………. Application No. Certificate of Son / Daughter of Freedom Fighter Certified that the applicant Thiru/Selvi……………………………………………………is the son / daughter of Thiru / Tmt………………………………………………………………..who is a Freedom Fighter. (A certificate as mentioned in “Information and Instruction to Candidates” should also be enclosed with the Application). Date : Office Seal Station : Signature of the Certifying Authority Note: This certificate should be obtained from a Revenue Officer not below the rank of a Deputy Tahsildar.
  • 20.
    20 CERTIFICATE No. V Nameof the Applicant: …………………………………………. Application No. Medical Certificate for Orthopaedically Differently Abled Persons (TO BE ISSUED BY THE DISTRICT MEDICAL BOARD) Certified that the District Medical Board of ……………………………………. (City) have this ………………….. day of ………………………. 2014 examined the candidate whose particulars are given below. 1. Name of the Candidate : 2. Father’s Name : 3. Sex : 4. Approximate Age : 5. Identification Marks : 1. 2. 6. Whether audiologically / visually impaired : (if yes for either one or both medical certificate / s for fitness from the respective specialist /s to be produced) : 7. Nature of Orthopaedic : 8. Extent of permanent disability in percentage : 9. Whether the candidate fulfils the following Standards and may be considered for admission in Engineering College/ Technical Institution : (a) Normal Blood Pressure : Yes / No (b) Mentally Normal : Yes / No (c) Independent in ambulation with or without calipers but without any support : Yes / No (d) Good standing balance with or without calipers but without any support : Yes / No (e) Hand function within normal limits without any aid : Yes / No (f) Good control over bowel and bladder : Good / Not good (g) Is the disability non-progressive : Yes / No 10. Whether eligible for consideration under Differently Abled Persons Quota : Yes / No 11. Whether the candidate is physically and mentally fit to be considered for admission in Engineering College / Technical Institution : Yes / No (If no please specify reasons) Signature of the Applicant Chairman, District Medical Board Members Date with seal of 1. Medical Board 2. Note: Candidates with permanent Physical Impairment 40 % and above are eligible for consideration under reserved quota. Space for affixing recent Passport size photograph of the candidate duly attested by Chairman District Medical Board
  • 21.
    21 CERTIFICATE No. VI Nameof the Applicant : …………………………………………. Application No. Medical Certificate for Hearing Impaired (TO BE ISSUED BY THE DISTRICT MEDICAL BOARD) Certified that the District Medical Board of ……………………………………. (City) have this ………………….. day of ………………………. 2014 examined the candidate whose particulars are given below. 1. Name of the Candidate : 2. Father’s Name : 3. Sex : 4. Age : 5. Identification Marks 1. 2. 6. Whether Orthopaedically / Visually impaired : Yes / No (If yes for either one or both medical certificate /s for fitness from the respective specialist /s to be produced) 7. Nature of hearing loss and extent of disability : RE. LE. a) Pure tone average db ………………… …………………. b) Speech discrimination score ………………… ………………… 8. a) Whether a suitable hearing aid to be used : Yes / No b) Is the impairment non-progressive : Yes / No 9. Whether eligible for consideration under Differently Abled Persons quota : Yes / No 10. Whether the candidate is physically and mentally fit to be considered for admission in engineering College / Technical institution : Yes / No (if no please Specify reasons) Signature of the Applicant Chairman, District Medical Board Date with seal of Medical Board Member 1. 2. Note: Candidates with hearing ability 40 db and above only in the better ear with speech discrimination score of 50 % and above are eligible for consideration under reserved quota. Space for affixing recent Passport size photograph of the candidate duly attested by Chairman District Medical Board
  • 22.
    22 CERTIFICATE No. VII Nameof the Applicant: …………………………………………. Application No. Medical Certificate for Visually Impaired (TO BE ISSUED BY THE DISTRICT MEDICAL BOARD) Certified, that the District Medical Board of ……………………………. (City) have this …………….. day of ……………..2014 examined the candidate whose particulars are given below. 1. Name of the Candidate : 2. Father’s Name : 3. Sex : 4. Age : 5. Identification Marks 1) ……………………... 2)……………………………. 6. Whether Orthopaedically / audiologically impaired : Yes / No (If yes for either one or both medical certificate /s for fitness from the respective Board has to be produced) 7. Low vision: (Person with low vision means a person with impairment of vision of less than 6/18 to 6/60 with best correction in the better eye or impairment of field in any one of the following categories) a) Reduction of fields less than 50 degree : b) Heminaopia with macular involvement : c) Attitudinal defect involvement lower fields : 8. Categories of Visual Disability (Please choose the appropriate box) Category Better eye Worse eye Impairment Tick (as Applicable) Category O 6/9 – 6/18 6/24 to 6/36 20 % Category I 6/16 – 6/36 6/20 to Nil 40 % Category II 6/40 – 4/60 or field of vision 10º - 20º 3/60 to Nil 75 % Category III 3/60 to 1/60 or field of vision 10º F.C at 1 ft. to Nil 100 % Category IV F.C at 1 ft. to Nil or field of vision 10º F.C at 1 ft. to Nil 100 % One eyed persons 6/6 F.C at 1 ft. to Nil or field of vision 10º 30 % ONE EYED persons with normal vision are not considered as disabled Note: F. C. means Finger Count 9. Whether eligible for consideration under Differently Abled Persons quota : Yes / No 10. Whether the candidate is physically and mentally fit to be considered for admission in engineering College / Technical institution : Yes / No (if no please specify reasons) Signature of the Applicant Chairman, District Medical Board Date with seal of Medical Board Member 1. 2. Note: Candidates with low vision of 40 % Impairment and above are considered as disabled and are eligible for consideration under reserved quota. Space for affixing recent Passport size photograph of the candidate duly attested by Chairman District Medical Board
  • 23.
    23 CERTIFICATE No. VIII Nameof the Applicant : …………………………………………. Application No. Note : This Certificate should be issued by an Officer of Revenue Department not below the rank of a Tahsildar in the Taluk concerned INCOME CERTIFICATE This is to certify that the annual income of Thiru/Thirumathi……………………………………………………… Parent/Guardian* Parent Name Thiru / Selvi / Thirumathi …………………………………………… an applicant for admission to B. E. / B. Tech. in Tamilnadu Applicant Name residing at .......................................................................................................................................................... ................................... is ` ............................... (Rupees .............................................................................. ......................................... only). Signature : Name and Designation : Station : Office Seal : Date : _______________________________________________________________________________________________ * Applicable only when both parents are deceased This Certificate should not be issued by Special Tahsildars, Deputy Tahsildars such as Loans, Land acquisition, Election, excise and HQs. Deputy Tahsildars, Special Deputy Collectors, Asst. Commissioner of Agricultural Income, Excise, Elections etc.
  • 24.
    24 Code I. SCHEDULEDTRIBES IN TAMIL NADU No. 1 Adiyan 2 Aranadan 3 Eravallan 4 Irular 5 Kadar 6 Kammara (excluding Kanyakumari District and Shenkottah Taluk of Tirunelveli District) 7 Kanikaran, Kanikkar (in Kanyakumari District and Shenkottah Taluk of Tirunelveli District) 8 Kaniyan, Kanyan 9 Kattunayakan 10 Kochu Velan 11 Konda Kapus 12 Kondareddis 13 Koraga 14 Kota (excluding Kanyakumari District and Shenkottah Taluk of Tirunelveli District) 15 Kudiya, Melakudi 16 Kurichchan 17 Kurumbas (in the Nilgiris District) 18 Kurumans 19 Maha Malasar 20 Malai Arayan 21 Malai Pandaram 22 Malai Vedan 23 Malakkuravan 24 Malasar 25 Malayali (in Dharmapuri, North Arcot, Pudukkottai, Salem, South Arcot and Tiruchirapalli Districts) 26 Malayakandi 27 Mannan 28 Mudugar, Muduvan 29 Muthuvan 30 Pallayan 31 Palliyan 32 Palliyar 33 Paniyan 34 Sholaga 35 Toda (excluding Kanyakumari District and Shenkottah Taluk of Tirunelveli District) 36 Uraly Code II. SCHEDULED CASTES IN TAMIL NADU No. 2 Adi Dravida 3 Adi Karnataka 4 Ajila 6 Ayyanavar (in Kanyakumari District and Shenkottah Taluk of Tirunelveli District) 7 Baira 8 Bakuda 9 Bandi 10 Bellara 11 Bharatar (in Kanyakumari District and Shenkottah Taluk of Tirunelveli District) 13 Chalavadi 14 Chamar, Muchi 15 Chandala 16 Cheruman 17 Devendrakulathan 18 Dom, Dombara, Paidi, Pano 19 Domban 20 Godagali 21 Godda 22 Gosargi 23 Holeya 24 Jaggali 25 Jambuvulu 26 Kadaiyan 27 Kakkalan (in Kanyakumari District and Shenkottah Taluk of Tirunelveli District) 28 Kalladi 29 Kanakkan, Padanna (in the Nilgiris District) 30 Karimpalan 31 Kavara (in Kanyakumari District and Shenkottah Taluk of Tirunelveli District) 32 Koliyan 33 Koosa 34 Kootan, Koodan (in Kanyakumari District and Shenkottah Taluk of Tirunelveli District) 35 Kudumban 36 Kuravan, Sidhanar 39 Maila 40 Mala 41 Mannan (in Kanyakumari District and Shenkottah Taluk of Tirunelveli District) 42 Mavilan 43 Moger 44 Mundala 45 Nalakeyava ANNEXURE – I LIST OF COMMUNITIES
  • 25.
    25 Code No. 46 Nayadi 47 Padannan(in Kanyakumari District and Shenkottah Taluk of Tirunelveli District) 49 Pallan 50 Pulluvan 51 Pambada 52 Panan (in Kanyakumari District and Shenkottah Taluk of Tirunelveli District) 53 Panchama 54 Pannadi 55 Panniandi 56 Paraiyan, Parayan, Sambavar 57 Paravan (in Kanyakumari District and Shenkottah Taluk of Tirunelveli District) 58 Pathiyan (in Kanyakumari District and Shenkottah Taluk of Tirunelveli District) 59 Pulayan, Cheramar 60 Puthirai Vannan 61 Raneyar 62 Samagara 63 Samban 64 Sapari 65 Semman 66 Thandan (in Kanyakumari District and Shenkottah Taluk of Tirunelveli District) 68 Tiruvalluvar 69 Vallon 70 Valluvan 71 Vannan (in Kanyakumari District and Shenkottah Taluk of Tirunelveli District) 72 Vathiriyan 73 Velan 74 Venganur Adi-Dravidar (in Vellore Dist.) 75 Veppur Parayan (in Cuddalore District) 76 Vetan (in Kanyakumari District and Shenkottah Taluk of Tirunelveli District) 77 Vettiyan 78 Vettuvan (in Kanyakumari District and Shenkottah Taluk of Tirunelveli District) II (A) SCHEDULED CASTES ARUNTHATHIYARS IN TAMIL NADU 1 Adi Andhra 5 Arunthathiyar 12 Chakkiliyan 37 Madari 38 Madiga 48 Pagadai 67 Thoti 1. G.O. Ms. No. 85 Backward Classes, Most Backward Classes and Minorities Welfare Department dt: 29.07.2008 2. G.O. Ms. No. 96 Backward Classes, Most Backward Classes and Minorities Welfare Department dt: 08.09.2008 3. G.O. Ms. No. 97 Backward Classes, Most Backward Classes and Minorities Welfare Department dt: 11.09.2008 4. G.O. Ms. No. 37 Backward Classes, Most Backward Classes and Minorities Welfare Department dt: 21.05.2009 5. G.O. Ms. No. 98 Backward Classes, Most Backward Classes and Minorities Welfare Department dt: 05.11.2009 Code III (A). LIST OF MOST BACKWARD CLASSES No. 1 Ambalakarar 2 Andipandaram 2A Arayar (in Kanyakumari District) 3 Bestha, Siviar 4 Bhatraju (Other than Kshatriya Raju) 5 Boyar, Oddar 6 Dasari 7 Dommara 8 Eravallar (except in Kanyakumari District and Shenkottah Taluk of Tirunelveli District where the Community is a Scheduled Tribe) 9 Isaivellalar 10 Jambuvanodai 11 Jangam 12 Jogi 13 Kongu Chettiar (in Coimbatore and Erode Districts only) 14 Koracha 15 Kulala (including Kuyavar and Kumbarar) 16 Kunnuvar Mannadi 17 Kurumba, Kurumba Goundar 18 Kuruhini Chetty 18A Latin Catholic Christian Vannar (in Kanyakumari District) 19 Maruthuvar, Navithar, Mangala, Velakattalavar, Velakatalanair and Pronopakari 20 Mond Golla 21 Moundadan Chetty 22 Mahendra, Medara 23 Mutlakampatti 24 Narikoravar (Kuruvikars) 25 Nokkar 25A Panisaivan / Panisivan
  • 26.
    26 Code No. 26 Vanniakula Kshatriya(including Vanniyar, Vanniya, Vannia Gounder, Gounder or Kander, Padayachi, Palli & Agnikula Kshatriya) 27 Paravar (except in Kanyakumari District and Shenkottah Taluk of Tirunelveli District where the Community is Scheduled Caste) 27A Paravar converts to Christianity including the Paravar converts to Christianity of Kanyakumari District and Shenkottah Taluk in Tirunelveli District) 28 Meenavar (Parvatharajakulam, Pattanavar, Sembadavar) (including converts to Christianity) 29 Mukkuvar or Mukayar (including converts to Christianity) 30 Punnan Vettuva Gounder 31 Pannayar (other than Kathikarar in Kanyakumari District) 32 Sathatha Srivaishnava (including Sathani, Chattadi and Chattada Srivaishnava) 33 Sozhia Chetty 34 Telugupatty Chetty 35 Thottia Naicker (including Rajakambalam, Gollavar, Sillavar, Thockalavar, Thozhuva Naicker and Erragollar) 36 Thondaman 36A Thoraiyar (Nilgiris) 36B Thoraiyar (Plains) 37 Valaiyar (including Chettinad Valayars) 38 Vannar (Salaivai Thozhilalar) (including Agasa, Madivala, Ekali, Rajakula, Veluthadar & Rajaka) (except in Kanyakumari District and Shenkottah Taluk of Tirunelveli District where the Community is a Scheduled Caste) 39 Vettaikarar 40 Vettuva Gounder 41 Yogeeswarar III (B) LIST OF DENOTIFIED COMMUNITIES 42 Attur Kilnad Koravars (Salem, Namakkal, Cuddalore, Villupuram, Ramanathapuram, Sivaganga and Virudhunagar Districts) 43 Attur Melnad Koravars (Salem and Namakkal District) 44 Appanad Kondayam Kottai Maravar (Sivaganga, Virudhunagar, Ramanathapuram, Madurai, Theni and Dindigul Districts) 45 Ambalakarar (Thanjavur, Nagapattinam, Tiruvarur, Tiruchirappalli, Karur, Perambalur and Pudukkottai Districts) 46 Ambalakkarar (Suriyanur, Tiruchirapalli District) Code No. 47 Boyas (Tiruchirapalli, Karur, Perambalur, Pudukkottai, The Nilgiris, Salem, Namakkal, Dharmapuri and Krishnagiri Districts) 48 Battu Turkas 49 C.K. Koravars (Cuddalore and Villupuram Districts) 50 Chakkala (Sivaganga, Virudhunagar, Ramanathapuram, Thanjavur, Nagapattinam, Thiruvarur, Pudukkottai, Tiruchirapalli, Karur, Perambalur, Madurai, Theni, Dindigul and the Nilgiris Districts) 51 Changyampudi Koravars (Vellore and Thiruvannamalai Districts) 52 Chettinad Valayars (Sivaganga, Virudhunagar and Ramanathapuram Districts) 53 Dombs (Pudukkottai, Tiruchirapalli, Karur and Perambalur Districts) 54 Dobba Koravars (Salem and Namakkal Districts) 55 Dommars (Thanjavur, Nagapattinam, Thiruvarur, Pudukkottai, Vellore and Thiruvannamalai Districts) 56 Donga Boya 57 Donga Ur. Korachas 58 Devagudi Talayaris 59 Dobbai Korachas (Tiruchirapalli, Karur Perambalur and Pudukkottai Districts) 60 Dabi Koravars (Thanjavur, Nagapattinam, Thiruvarur, Tiruchirapalli, Karur, Perambalur, Pudukkottai, Vellore and Thiruvannamalai Districts) 61 Donga Dasaris (Kancheepuram, Tiruvallur, Tiruchirapalli, Karur, Perambalur, Pudukkottai, Chennai, Salem and Namakkal Districts) 62 Gorrela Dodda Boya 63 Gudu Dasaris 64 Gandarvakottai Koravars (Thanjavur, Nagapattinam, Thiruvarur, Tiruchirapalli, Karur, Perambalur, Pudukkottai, Cuddalore and Villupuram Districts) 65 Gandarvakottai Kallars (Thanjavur, Nagapattinam, Thiruvarur and Pudukkottai Districts) 66 Inji Koravars (Thanjavur, Nagapattinam, Thiruvarur, Tiruchirapalli, Karur, Perambalur and Pudukkottai Districts) 67 Jogis (Kancheepuram, Tiruvallur, Chennai, Cuddalore, Villupuram, Vellore and Thiruvannamalai Districts) 68 Jambavanodai
  • 27.
    27 Code No. 69 Kaladis (Sivaganga,Virudhunagar, Ramanathapuram, Madurai, Theni, Dindigul, Thanjavur, Nagapattinam, Thiruvarur, Pudukkottai, Tiruchirapalli, Karur and Perambalur Districts) 70 Kal Oddars (Kancheepuram, Thiruvallur, Ramanathapuram, Sivaganga, Virudhunagar, Madurai, Theni, Dindigul, Pudukkottai, Thanjavur, Nagapattinam, Tiruvarur, Tiruchirapalli, Karur, Perambalur, Tirunelveli, Thoothukudi, Salem and Namakkal Districts) 71 Koravars (Kancheepuram, Tiruvallur, Ramanathapuram, Sivaganga, Virudhunagar, Pudukkottai, Thanjavur, Nagapattinam, Thiruvarur, Tiruchirapalli, Karur, Perambalur, Tirunelveli, Thoothukudi, Chennai, Madurai, Theni, Dindigul and The Nilgiris Districts) 72 Kalinji Dabikoravars (Thanjavur, Nagapattinam, Tiruvarur and Pudukkottai Districts) 73 Kootappal Kallars (Tiruchirapalli, Karur, Perambalur and Pudukkottai Districts) 74 Kala Koravars (Thanjavur, Nagapattinam, Thiruvarur, Tiruchirapalli, Karur, Perambalur and Pudukkottai Districts) 75 Kalavathila Boyas 76 Kepmaris (Kancheepuram, Tiruvallur, Pudukkottai, Tiruchirapalli, Karur and Perambalur Districts) 77 Maravars (Thanjavur, Nagapattinam, Thiruvarur, Pudukkottai, Ramanathapuram, Sivaganga, Virudhunagar, Tirunelveli and Thoothukudi Districts) 78 Monda Koravars 79 Monda Golla (Salem and Namakkal Districts) 80 Mutlakampatti (Tiruchirapalli, Karur, Perambalur and Pudukkottai Districts) 81 Nokkars (Tiruchirapalli, Karur, Perambalur and Pudukkottai Districts) 82 Nellorepet Oddars (Vellore and Thiruvannamalai Districts) 83 Oddars (Thanjavur, Nagapattinam, Thiruvarur, Tiruchirapalli, Karur, Perambalur, Pudukkottai, Madurai, Theni and Dindigul Districts) 84 Pedda Boyas (Tiruchirapalli, Karur, Perambalur and Pudukkottai Districts) 85 Ponnai Koravars (Vellore and Thiruvannamalai Districts) 86 Piramalai Kallars (Sivagangai, Virudhunagar, Ramanathapuram, Madurai, Theni, Dindigul, Pudukkottai, Thanjavur, Nagapattinam and Thiruvarur Districts) Code No. 87 Periya Suriyur Kallars (Tiruchirapalli, Karur, Perambalur, and Pudukkottai Districts) 88 Padayachi (Vellayan Kuppam in Cuddalore District and Tennore in Tiruchirapalli District) 89 Punnan Vettuva Gounder (Tiruchirapalli, Karur, Perambalur and Pudukkottai Districts) 90 Servai (Tiruchirapalli, Karur, Perambalur and Pudukkottai Districts) 91 Salem Melnad Koravars (Madurai, Theni, Dindigul, Coimbatore, Erode, Pudukkottai, Tiruchirapalli, Karur, Perambalur, Salem, Namakkal, Vellore and Thiruvannamalai Districts) 92 Salem Uppu Koravars (Salem and Namakkal Dist.) 93 Sakkaraithamadai Koravars (Vellore and Thiruvannamalai districts) 94 Saranga Palli Koravars 95 Sooramari Oddars (Salem and Namakkal Districts) 96 Sembanad Maravars (Sivaganga, Virudhunagar and Ramanathapuram Districts) 97 Thalli Koravars (Salem and Namakkal Districts) 98 Telungapatti Chettis (Tiruchirapalli, Karur, Perambalur and Pudukkottai Districts) 99 Thottia Naickers (Sivaganga, Virudhunagar, Ramanathapuram, Kancheepuram, Tiruvallur, Thanjavur, Nagapattinam, Thiruvarur, Tiruchirapalli, Karur, Perambalur. Pudukkottai, Tirunelveli, Thoothukudi, Salem, Namakkal, Vellore, Thiruvannamalai, Coimbatore & Erode Districts) 100 Thogamalai Koravars or Kepmaris (Tiruchirapalli, Karur, Perambalur and Pudukkottai Districts) 101 Uppukoravars or Settipalli Koravars (Thanjavur, Nagapattinam, Thiruvarur, Pudukkottai, Madurai, Theni, Dindigul, Vellore and Thiruvannamalai Dist.) 102 Urali Gounders (Tiruchirapalli, Karur, Perambalur and Pudukkottai Districts) 103 Wayalpad or Nawalpeta Korachas 104 Vaduvarpatti Koravars (Madurai, Theni, Dindigul, Ramanathapuram, Sivaganga, Virudhunagar, Tirunelveli, Thoothukudi, Tiruchirapalli, Karur, Perambalur and Pudukkottai Districts) 105 Valayars (Madurai, Theni, Dindigul, Tiruchirapalli, Karur, Perambalur, Pudukkottai, Erode and Coimbatore Districts) 106 Vettaikarar (Thanjavur, Nagapattinam, Thiruvarur and Pudukkottai Districts) 107 Vetta koravars (Salem and Namakkal District) 108 Varaganeri Koravars (Tiruchirapalli, Karur, Perambalur and Pudukkottai Districts) 109 Vettuva Gounder (Tiruchirapalli, Karur, Perambalur and Pudukkottai Districts)
  • 28.
    28 IV. LIST OFBACKWARD CLASSES Code No. 1 Agamudayar including Thozhu or Thuluva Vellala 2 Agaram Vellan Chettiar 3 Alwar, Azhavar and Alavar (in Kanyakumari District and Shenkottah Taluk of Tirunelveli District) 4 Servai (except Tiruchirappalli, Karur, Perambalur and Pudukkottai Districts) 5 Nulayar (in Kanyakumari District and Shenkottah Taluk of Tirunelveli District) 6 Archakarai Vellala 7 Aryavathi (in Kanyakumari District and Shenkottah Taluk of Tirunelveli District) 8 Ayira Vaisyar 9 Badagar 10 Billava 11 Bondil 12 Boyas (except Tiruchirappalli, Karur, Perambalur, Pudukkottai, The Nilgiris, Salem, Namakkal, Dharmapuri and Krishnagiri Districts) Pedda Boyar (except Tiruchirappalli, Karur, Perambalur and Pudukkottai Districts) Oddars (except Thanjavur, Nagapattinam, Thiruvarur, Tiruchirappalli, Karur, Perambalur, Pudukkottai, Madurai, Theni and Dindigul Districts) Kaloddars (except Kancheepuram, Tiruvallur, Ramanathapuram, Sivaganga, Virudhunagar, Madurai, Theni, Dindigul, Pudukkottai, Tiruchirappalli, Karur, Perambalur, Tirunelveli, Thoothukudi, Salem & Namakkal Districts) Nellorepet Oddars (except Vellore and Thiruvannamalai Districts) Sooramari Oddars (except Salem and Namakkal Districts) 13 Chakkala (except Sivaganga, Virudhunagar, Ramanathapuram, Thanjavur, Nagapattinam, Thiruvarur, Pudukkottai, Tiruchirappalli, Karur, Perambalur, Madurai, Theni, Dindigul and The Nilgiris Districts) 14 Chavalakarar (in Kanyakumari District and Shenkottah Taluk of Tirunelveli District) 15 Chettu or Chetty (including Kottar Chetty, Elur Chetty, Pathira Chetty, Valayal Chetty, Pudukadai Chetty) (in Kanyakumari District and Shenkottah Taluk of Tirunelveli District) Code No. 16 Chowdry 16A Converts to Christianity from Scheduled Castes irrespective of the generation of conversion (except the Paravar converts to Christianity of Kanyakumari District and Shenkottah Taluk of Tirunelveli District) 16B C.S.I. formerly S.I.U.C. (in Kanyakumari District and Shenkottah Taluk of Tirunelveli District) 17 Donga Dasaris (except Kancheepuram Tiruvallur, Tiruchirapalli, Karur, Perambalur, Pudukkottai, Chennai, Salem and Namakkal Districts) 18 Devangar, Sedar 19 Dombs (except Pudukkottai, Tiruchirapalli, Karur and Perambalur Districts) Dommars (except Thanjavur, Nagapattinam, Tiruvarur, Pudukkottai, Vellore and Thiruvannamalai Districts) 20 Enadi 21 Ezhavathy (in Kanyakumari Districts and Shenkottah Taluk of Tirunelveli District) 22 Ezhuthachar (in Kanyakumari District and Shenkottah Taluk of Tirunelveli District) 23 Ezhuva (in Kanyakumari District and Shenkottah Taluk of Tirunelveli District) 24 Gangavar 25 Gavara, Gavarai & Vadugar (Vaduvar) (other than Kamma, Kapu, Balija & Reddi) 26 Gounder 27 Gowda (including Gammala, Kalali and Anuppa Gounder) 28 Hegde 29 Idiga 30 Illathu Pillaimar, Illuvar, Ezhuvar & Illathar 31 Jhetty 32 Jogis (except Kancheepuram, Tiruvallur, Madurai, Theni, Dindigul, Cuddalore, Villupuram, Vellore and Thiruvannamalai Districts) 33 Kabbera 34 Kaikolar, Sengunthar 35 Kaladi (except Sivaganga, Virudhunagar, Ramanathapuram, Madurai, Theni, Dindigul, Thanjavur, Nagapattinam, Thiruvarur, Pudukkottai, Tiruchirapalli, Karur and Perambalur Districts) 36 Kalari Kurup including Kalari Panicker (in Kanyakumari District and Shenkottah Taluk of Tirunelveli District) 37 Kalingi
  • 29.
    29 Code No. 38 Kallar Easanattu Kallar GandharvakottaiKallars (except Thanjavur, Nagapattinam, Thiruvarur and Pudukkottai Districts) Kottappal Kallars (except Pudukkottai, Tiruchirapalli, Karur and Perambalur Districts) Piramalai Kallars (except Sivaganga, Virudhunagar, Ramanathapuram, Madurai, Theni, Dindigul, Pudukkottai, Thanjavur, Nagapattinam and Thiruvarur Districts) Periyasooriyur Kallars (except Tiruchirapalli, Karur, Perambalur and Pudukkottai Districts) 39 Kallar Kula Thondaman 40 Kalveli Gounder 41 Kambar 42 Kammalar or Viswakarma, Viswakarmala (including Thattar, Porkollar, Kannar, Karumar, Kollar, Thacher, Kal Thacher, Kamsala and Viswabrahmin) 43 Kani, Kanisu, Kaniyar Panikkar 44 Kaniyala Vellalar 45 Kannada Saineegar, Kannadiyar (Through out the State) and Dasapalanjika (Coimbatore, Erode and the Nilgiris Districts) 46 Kannadiya Naidu 47 Karpoora Chettiar 48 Karuneegar (Seer Karuneegar, Sri Karuneegar, Sarattu Karuneegar, Kaikatti Karuneegar, Mathuvazhi Kanakkar, Sozhi Kanakkar & Sunnambu Karuneegar) 49 Kasukkara Chettiar 50 Katesar Pattamkatti 51 Kavuthiyar 52 Kerala Mudali 53 Kharvi 54 Khatri 55 Kongu Vaishnava 56 Kongu Vellalars (including Vellala Gounder, Nattu Gounder, Narambukatti Gounder, Tirumudi Vellalar, Thondu Vellalar, Pala Gounder, Poosari Gounder, Anuppa Vellala Gounder, Padaithalai Gounder, Chendalai Gounder, Pavalankatti Vellala Gounder, Palla Vellala Gounder, Sanku Vellala Gounder, & Rathinagiri Gounder) 57 Koppala Velama 58 Koteyar Code No. 59 Krishnanvaka (in Kanyakumari District and Shenkottah Taluk of Tirunelveli District) 60 Kudikara Vellalar 61 Kudumbi (in Kanyakumari District and Shenkottah Taluk of Tirunelveli District) 62 Kuga Vellalar 63 Kunchidigar 63A Latin Catholics except Latin Catholic Vannar in Kanyakumari District 63B Latin Catholics in Shenkottah Taluk of Tirunelveli District 64 Lambadi 65 Lingayat (Jangama) 66 Mahratta (NonBrahmin) (including Namadev Mahratta) 67 Malayar 68 Male 69 Maniagar 70 Maravars (except Thanjavur, Nagapattinam, Tiruvarur, Pudukkottai, Ramanathapuram, Sivaganga, Virudhunagar, Tirunelveli and Thoothukudi Districts) (including Karumaravars. Appanad Kondayamkottai Maravar (except Sivaganga, Virudhunagar, Ramanathapuram, Madurai, Theni and Dindigul Districts) and Sambanad Maravars (except Sivaganga, Virudhunagar and Ramanathapuram Districts) 71 Moondrumandai Enbathunalu (84) Ur. Sozhia Vellalar 72 Mooppan 73 Muthuraja, Muthuracha, Muttiriyar, Mutharaiyar 74 Nadar, Shanar & Gramani including Christian Nadar, Christian Shanar and Christian Gramani 75 Nagaram 76 Naikkar (in Kanyakumari District and Shenkottah Taluk of Tirunelveli District) 77 Nangudi Vellalar 78 Nanjil Mudali (in Kanyakumari District and Shenkottah Taluk of Tirunelveli District) 79 Odar (in Kanyakumari District and Shenkottah Taluk of Tirunelveli District) 80 Odiya 81 Oottruvalanattu Vellalar 82 O.P.S. Vellalar 83 Ovachar 84 Paiyur Kotta Vellalar 85 Pamulu
  • 30.
    30 Code No. 86 Panar (exceptin Kanyakumari District and Shenkottah Taluk of Tirunelveli District where the Community is a Scheduled Caste) 86A Pandiya Vellalar 87 Omitted 88 Kathikarar in Kanyakumari District 89 Pannirandam Chettiar or Uthama Chettiar 90 Parkavakulam (including Surithimar Nathamar, Malayamar, Moopanar & Nainar) 91 Perike (including Perike Balija) 92 Perumkollar (in Kanyakumari District and Shenkottah Taluk of Tirunelveli District) 93 Podikara Vellalar 94 Pooluva Gounder 95 Poraya 96 Pulavar (in Coimbatore and Erode Districts) 97 Pulluvar or Pooluvar 98 Pusala 99 Reddy (Ganjam) 100 Sadhu Chetty (including Telugu Chetty Twenty four manai Telugu Chetty) 101 Sakkaravar or Kavathi (in Kanyakumari District and Shenkottah Taluk of Tirunelveli District) 102 Salivagana 103 Saliyar, Padmasaliyar, Pattusaliyar, Pattariyar and Adhaviyar 104 Savalakkarar 105 Senaithalaivar, Senaikudiyar and IIaivaniar 105A Serakula Vellalar 106 Sourashtra (Patnulkarar) 107 Sozhia Vellalar (including Sozha Vellalar. Vetrilaikarar, Kodikalkarar and Keeraikarar) 108 Srisayar 109 Sundaram Chetty 110 Thogatta Veerakshatriya 111 Tholkollar (in Kanyakumari District and Shenkottah Taluk of Tirunelveli District) 112 Tholuva Naicker and Vetalakara Naicker 113 Omitted 114 Thoriyar 115 Ukkirakula Kshatriya Naicker 116 Uppara, Uppillia and Sagara 117 Urali Gounder (except Tiruchirapalli Karur, Perambalur and Pudukkottai Districts) and Orudaya Gounder or Oorudaya Gounder (in Madurai, Theni, Dindigul, Coimbatore, Erode, Tiruchirapalli, Karur, Perambalur, Pudukkottai, Salem and Namakkal Districts) Code No. 118 Urikkara Nayakkar 118A Virakodi Vellala 119 Vallambar 119A Vallanattu Chettiar 120 Valmiki 121 Vaniyar, Vania Chettiar (including Gandla, Ganika, Telikula and Chekkalar) 122 Veduvar and Vedar (except in Kanyakumari District and Shenkottah Taluk of Tirunelveli District where the Community is a Scheduled Castes) 123 Veerasaiva (in Kanyakumari District and Shenkottah Taluk of Tirunelveli District) 124 Velar 125 Vellan Chettiar 126 Veluthodathu Nair (in Kanyakumari District and Shenkottah Taluk of Tirunelveli District) 127 Vokkaligar (including Vakkaligar, Okkaligar, Kappaliyar, Kappiliya, Okkaliga Gowda, Okkaliya- Gowder, Okkaliya-Gowda, Okkaliya Gowda) 128 Wynad Chetty (The Nilgiris District) 129 Yadhava (including Idaiyar, Telugu Speaking Idaiyar known as Vaduga Ayar or Vaduga Idaiyar or Golla and Asthanthra Golla) 130 Yavana 131 Yerukula 131A Converts to Christianity from any Hindu Backward Classes Community or Most Backward Classes Community (except the Converts to Christianity from Meenavar, Parvatharajakulam, Pattanavar, Sembadavar, Mukkuvar or Mukayar and Paravar) or Denotified Communities 132 Orphans and destitutes children who have lost their Parents before reaching the age of ten and are destitutes; and who have nobody else to take care of them either by law or custom; and also who are admitted into any of the Schools or orphanages run by the Government or recognised by the Government. Code V. LIST OF BACKWARD CLASSES No. MUSLIMS 1 Ansar 2 Dekkani Muslims 3 Dudekula 4 Labbais including Rowthar and Marakayar (whether their spoken language is Tamil or Urdu) 5 Mapilla 6 Sheik 7 Syed
  • 31.
    31 ANNEXURE – II ItemNo. 21 SELECTION OF CANDIDATES UNDER QUOTA FOR EMINENT SPORTS PERSONS 1. The purpose of this quota is to recognise and give weightage to the sports eminence of the candidates and hence marks for sports achievements alone will be considered in ranking the candidates. The candidates are expected to continue good performance in sports, even after selection. 2. The candidate may submit all the sports certificates, the highest achievement in only one annual tournament in the sports disciplines in a year will be considered for awarding marks. 3. Selection of the candidate will be based on the marks obtained by the candidate following the guidelines given in the tables. Table (I) - Marks for International Achievement Sl. No Competition Gold Silver Bronze Participation 1. International (Representing India Category – I) 1000 850 650 300 2. International (Representing India Category – II) 500 450 400 150 Table (II) – Marks for Recognised National Achievement Sl. No. Competitions Allocation of Marks Gold Silver Bronze Participation 1. National Championships – Organised by National Federations 190 160 130 50 2. School Games Federation of India (SGFI) Meet (National Level) 190 160 130 50 3. All India Rural Sports Meet / PYKKA National Level Rural Competition (National Level) 190 160 130 50 4. National Sports Festival for Women / PYKKA National Level Women Competition (National Level) 190 160 130 50 5. National Inter School Competition (National Level) 190 160 130 50 Table (III) – Marks for Recognised State Championship Sl. No. Competitions Allocation of Marks Gold Silver Bronze Participation 1. State Championship Representing Revenue District – Organised by State Associations 95 80 65 20 Table (IV) – Marks for Recognised State Level Achievements Sl. No. Competitions Allocation of Marks Gold Silver Bronze Participation 1. Bharathiar Day Sports Meet (State Level) 80 65 50 15 2. Republic Day Sports Meet (State Level) 80 65 50 15 3. State Inter School Competition (State Level) 80 65 50 15 4. KVS / CBSE National Sports Meet (State Level) 80 65 50 15 5. PYKKA (Panchayat Yuva Krida Aurkhel Abhiyan) State Rural Competition 80 65 50 15 6. Chief Minister Trophy / SDAT State Games (State Level) 80 65 50 15
  • 32.
    32 Table (V) –Marks for Divisional Level Achievements Sl. No. Competitions Allocation of Marks Gold Silver Bronze Participation 1. Bharathiar Day Sports Meet (Divisional Level) 60 45 30 10 2. Republic Day Sports Meet (Divisional Level) 60 45 30 10 3. KVS Regional / CBSE South Zone Meet (Divisional Level) 60 45 30 10 Table (VI) – Marks for District Level Achievements Sl. No. Competitions Allocation of Marks Gold Silver Bronze Participation 1. District Tournaments / Sports Meet / Championships conducted by District Sports Associations 45 30 15 5 2. District Inter School Competition / SAI Promotion Games (District Level) 45 30 15 5 3. PYKKA – District Level Rural competition 45 30 15 5 4. PYKKA District Level Women competition 45 30 15 5 5. Chief Minister Trophy / SDAT State Games – District Level 45 30 15 5 Gold (I Position) Silver (II Position) Bronze (III Position) 4. (a) For International Tournaments: Category-I : Olympics, World Cup / Commonwealth Games, Asian games (Games organised in 4 years frequency) Category – II : All other International tournaments not covered under Category I and wherein, not less than six countries had participated and events approved by Ministry of Youth Affairs and Sports / Government of India / Indian Olympics Association (IOA) and cleared by Sports Authority of India (SAI) and Government of India. Open / Invitational / Memorial / any indifferent nomenclature or title of tournaments / Championships at International level will not be considered for marks. 1. Participation / achievement in International tournaments will be considered only with earlier achievements at National / State / District level tournaments. 2. The highest achievement in only one annual regular tournament, officially conducted in each year by the IOC for the member NOCs / International Sports Federations affiliated to the IOC in which the players / sports persons representing the Country through IOA / respective National Sports Federations recognised by the Ministry of Youth Affairs and Sports, Government of India / IOA will be considered for award of marks in each year. 3. Only tournaments officially recognised by the Indian Olympic Association / respective official National Federations will be considered for the award of marks (for each year) (01.06.2010 to 31.05.2014 (01.06.2010 to 31.05.2011, 01.06.2011 to 31.05.2012, 01.06.2012 to 31.05.2013 and 01.06.2013 to 31.05.2014). 4. Participation / Achievements in tournaments, with Form I alone are eligible for marks indicated in Table (I) above. 5. Players who participated in any of the above I and II – Table (I) Category should produce details of VISA / Immigration entry in passport / clearance from Ministry of Youth Affairs and Sports (Government of India) – Indian Olympic Association – respective National Sports Federations including BCCI / fixture or draw or schedule of events / players’ accreditation / National Medal – Merit – Participation – Form-I issued by respective National Sports Federation / Medal – Diploma or certificate singed and issued by the President / Secretary General of the National Olympic Committee of the Organising Country and International Federation / Details of Total Number of Countries participated, etc.
  • 33.
    33 (b) For NationalTournaments 1. The highest achievement in only one annual tournament, officially recognised as the regular annual championship / tournament by Ministry of Youth Affairs and Sports / Indian Olympic Association / SAI / SDAT / respective official National Sports Federation will be considered (for each year) for the award of marks. 2. Marks will not be awarded for selection trials. (c) For State Tournaments The highest achievement in only one annual tournament, officially recognised as the regular annual championship / tournament by respective official State Association / SAI / SDAT will be considered (for each year) for the award of marks. 5. General Conditions 1. For consideration of candidates seeking admission under the category of eminent sports person, he / she should enclose all the attested photocopies of participation certificates and the forms issued by the relevant and competent sports authorities, along with the application. 2. Participation / achievements in each academic year from 01.06.2010 to 31.05.2014 (01.06.2010 to 31.05.2011, 01.06.2011 to 31.05.2012, 01.06.2012 to 31.05.2013 and 01.06.2013 to 31.05.2014) in sports / games shown in the list alone will be taken into account. National / State Level Championships or Tournaments conducted by Sports Federations / Associations recognised by Ministry of Youth Affairs and Sports / Indian Olympic Association (IOA) / Sports Development Authority of Tamilnadu (SDAT) / Tamilnadu Olympic Association (TNOA) alone will be considered for award of marks. (Recognition should be relevant to the year concerned). 3. The relevant attested copies of certificates issued by the appropriate authorities as detailed below are to be submitted along with the application. Category Competent Authority Form / Certificate International (Representing Nation) President / Secretary of the National Sports Federation (recognised by Ministry of Youth Affairs and Sports / IOA) Participation certificate / Diploma should be signed by the President / Secretary General / Chairman of the organising Committee of the host Nation Certificate and Form – I National (Representing State) Member Secretary, SDAT/Secretary of the State Association (recognised by SDAT/TNOA) Certificate and Form – II National (Representing State) Chief Inspector of Physical Education for National School Games competitions Certificate and Form – IV School Games Federation of India (SGFI) (National Level) President / Hon. Gen. Secretary, SGFI Certificates and Forms National Inter School Competition (National Level) Executive Director / Director-General, Sports Authority of India Certificates and Forms All India Rural Sports (National Level) Executive Director / Director-General, Sports Authority of India Certificates and Form – II National Sports Festival for Women (National Level) Executive Director / Director-General, Sports Authority of India Certificates and Form – II PYKKA (Panchayat Yuva Krida Aurkhel Abhiyan) National Level Rural Tournament Executive Director / Director-General, Sports Authority of India Certificates KVS Nationals (State Level) Commissioner / Joint Commissioner of KVS Certificates CBSE National Sports Meet (State Level) A. E. O. – Sports / Secretary, CBSE Certificates Bharathiar Day Sports Meet (State Level) Regional Inspector of Physical Education and Chief Inspector of Physical Education Certificates Republic Day Sports Meet (State Level) Regional Inspector of Physical Education and Chief Inspector of Physical Education Certificates State Inter School Competitions (State Level) Member Secretary, Sports Development Authority of Tamilnadu Certificates
  • 34.
    34 PYKKA State RuralCompetition Member Secretary, Sports Development Authority of Tamilnadu Certificates Bharathiar Day Sports Meet (Divisional Level) Regional Inspector of Physical Education and Chief Education Officer Certificates Republic Day Sports Meet (Divisional Level) Regional Inspector of Physical Education and Chief Education Officer Certificates KVS Regional Level (Divisional Level) Assistant Commissioner of KVS Certificates CBSE South Zone Sports Meet (Divisional Level) A.E.O. – Sports / Secretary, CBSE Certificates District Inter School Competitions (Divisional Level) District Sports Officer Certificates PYKKA District Rural Competition Member Secretary and District Sports Officer Certificates District Level Competitions RIPE and District Education Officer Certificates 4. These Certificates are not valid unless signed personally in ink by the authorities mentioned above. 5. Open / Invitational / Memorial / any indifferent nomenclature or title of tournaments / Championships at District / State / National / International level will not be considered for marks. 6. District / Inter-District Championship means the championships conducted by the respective recognised District / State Sports Association for a Revenue District / Revenue Districts in the State of Tamil Nadu. 7. Direct participation / achievement at any level without participating in the qualifying level competitions such as District / State / National or direct selection conducted by District / State Sports Association / National Sports Federation to represent the District / State / National / International tournaments or championships will not be considered for award of marks. 8. For International achievements in Tennis, marks for Gold / Silver / Bronze will be awarded to players who are ranked first / second / third in the ATP / WTA rankings of International Tennis Federation for awarding of participation marks for the top 5 ranked players will be considered from the ATP / WTA list published by the International Tennis Federation. Necessary document / proof should be enclosed by the candidate. For National / State level achievement in Tennis, marks for Gold / Silver / Bronze will be awarded to players who are ranked first / second / third in the AITA / TNTA at National / State respectively. For awarding of participation mark the top 5 ranked players will be considered from the list published by AITA / TNTA at National / State level based on the ranking. Necessary document / proof should be enclosed by the candidate. 9. Certificates should be in printed form and necessary Form – I and II should be in prescribed format. (Certificates / forms issued in letter pads will be invalid). 10. All other sport disciplines in which ranking is the criteria for assessment of achievement, rules indicated in item 8 above will be applicable for award of marks. 11. For Cricket, the annual official Championships / tournaments conducted within the country under the auspices of TNCA / BCCI at District / State / National Level alone will be taken into consideration for that year. 12. Multiple events in a particular sport must be standardised events and in accordance with the events organised by the approved International Federations. Events newly created and not in accordance with the requirement will not be considered for award of marks. 13. The participation / achievements of candidates with nativity of Tamil Nadu who represented Tamil Nadu alone are eligible for marks under National Category. 14. Only Tamil Nadu candidates are eligible to apply for admission under Sports Quota and only the KVS / CBSE schools within Tamil Nadu are eligible for marks. 15. A Common Committee for Engineering and Medicine constituted for this purpose will rank the candidates based on the marks assigned to the certificates enclosed along with the application. Candidates with a minimum sports mark of 5 and above alone will be considered for ranking. 16. All the achievement certificates are to be supported necessarily by the relevant participation certificates and appropriate forms.
  • 35.
    35 17. No furtherenclosures or certificates will be entertained after the last date for submission of completed application. 18. Highest achievement / participation certificates obtained by candidate at different levels such as District / State / National / International in each year along with earlier achievements should be enclosed without fail. (Nothing prevents a candidate enclosing all eligible certificates for scrutiny but may be arranged according to year in a serial manner). 19. Required number of candidates will be called to appear for an interview before the Common Committee for Engineering / Medicine for verification of the Originals, followed by counselling after ranking. 20. If any candidate fails to produce the requisite Original Certificates / Forms, his / her place will be allotted to the candidate next in rank and so on. The consequential vacancy at the end of the rank list will be filled up from among the additional candidates according to their ranks. 21. All the highest level of participation / achievement should be supported by earlier achievements at all levels of competition. 22. Selected candidates will be counselled and allotment of branches and colleges earmarked for the Sports Quota based on the ranking before the start of main Counselling. 23. Candidates securing admissions under Eminent Sports Persons quota should sign an undertaking at the time of receiving allotment order assuring of participation in sports activities in the college preferred by them. 24. Legal action would be taken on parents / candidates for furnishing bogus documents under this Sports Quota. They should ensure that the certificates obtained are from competent authorities. 25. A candidate can utilise the Sports Quota only once for Engineering / Medicine. SPORTS QUOTA – 2014 – LIST OF SPORTS DISCIPLINES 1. Athletics 28. Netball 2. Atya Patya 29. Powerlifting 3. Badminton 30. Roller Skating 4. Ball Badminton 31. Rowing 5. Baseball 32. Rugby 6. Basketball 33. Sailing 7. Beach Volleyball 34. Sepak Takraw 8. Billiards and Snookers 35. Shooting 9. Body Building 36. Silambam 10. Boxing 37. Soft Ball 11. Carrom 38. Squash Rackets 12. Chess 39. Swimming 13. Cricket 40. Table Tennis 14. Cycling 41. Taek – won – do 15. Fencing 42. Tennikoit 16. Football 43. Tennis 17. Golf 44. Throwball 18. Gymnastics 45. Triathlon 19. Handball 46. Volleyball 20. Hockey 47. Weightlifting 21. Judo 48. Wrestling 22. Kabaddi 49. Wushu 23. Karate – Do 50. Yachting 24. Kho – Kho 51. Yogasanas 25. Korf Ball 52. Cycle Polo 26. Mallakhamb 53. Archery 27. Motor Sports 54. Soft Tennis
  • 36.
    36 Total Marks EligibleMarks(AspertheGuidelines) Participation GrandTotal Bronze (IIIPosition) Silver (IIPosition) Gold (IPosition) Relevant Forms I/II/IV enclosed (Yes/No) Month&Year (FromJune 2010toMay 2014) Sports Discipline NameoftheSports Meet Internatio nal/ National/ State/ Divisional Academic Year 2013–14 (XIIStd.) 2012–13 (XIStd.) 2011–12 (XStd.) 2010–11 (IXStd.) TotalNo. of Certificates enclosed *Highestachievement/participationcertificatesobtainedbycandidateatdifferentlevelssuchasDistrict/State/National/Internationalineachyearalongwithearlier achievementsshouldbeenclosedwithoutfail.(Nothingpreventsacandidateenclosingalleligiblecertificatesforscrutinybutmaybearrangedaspertheserialnumber startingfromJune2010andsubmittedalongwiththeapplication. Declaration Theinformationfurnishedaboveandalltheenclosuressubmittedbymearetrue.Shouldithoweverbefoundthatanyinformationfurnishedthereinisuntrue withrespecttosportsdetails,IrealisethatIamliableforcriminalprosecutionandIalsoagreetotheforfeitureofmyseatundersportsquota. SignatureoftheParentSignatureoftheCandidate Date: NameoftheCandidate:RegistrationNumber: (Asprintedinthecodingsheet) DetailsofSportsCertificatesenclosed*
  • 37.
    37 ANNEXURE III Name ofthe Examination Boards Sl. No State Name of the Board Code No. 1. Tamilnadu Tamilnadu Board of Higher Secondary Education 01 2. All-India Board Central Board of Secondary Education 02 3. All-India Board Council for Indian School Certificate Examinations 03 4. Andhra Pradesh Andhra Pradesh Board of Intermediate Education 04 5. Assam Assam Higher Secondary Education Council 05 6. Bihar Bihar Intermediate Education Council 06 7. Goa Goa Board of Secondary & Higher Secondary Education 07 8. Gujarat Gujarat Secondary & Higher Education Board 08 9. Haryana Haryana Board of Education 09 10. Himachal Pradesh Himachal Pradesh Board of School Education 10 11. Jammu & Kashmir J & K State Board of School Education 11 12. Karnataka Karnataka Board of the Pre-University Education 12 13. Kerala Kerala Board of Higher Secondary Examinations 13 14. Maharashtra Maharashtra State Board of Secondary and Higher Secondary Education 14 15. Madhya Pradesh Madhya Pradesh Board of Secondary Education 15 16. Manipur Manipur Council of Higher Secondary Education 16 17. Meghalaya Meghalaya Board of School Education 17 18. Mizoram Mizoram Board of School Education 18 19. Nagaland Nagaland Board of School Education 19 20. Orissa Orissa Council of Higher Secondary Education 20 21. Punjab Punjab School Education Board 21 22. Rajasthan Rajasthan Board of Secondary Education 22 23. Tripura Tripura Board of Secondary Education 23 24. Uttar Pradesh U.P. Board of High School & Intermediate Education 24 25. West Bengal West Bengal Council of Higher Secondary Education 25 26. Others Other Boards if any 26
  • 38.
    38 JOINT DECLARATION BYTHE CANDIDATE AND PARENT / GUARDIAN (This should not be enclosed along with the application. It should be submitted at the time of admission) I hereby solemnly and sincerely affirm 1. That the Statements made and information furnished in my son’s / daughter’s / ward’s application and also in all the enclosures there to submitted by him/her are true. Should it however be found that any information furnished therein is untrue in material particulars, I realise that I am liable to criminal prosecution and I also agree to the forfeiture of his/her seat in the Institution. 2. That my son / daughter / ward would confirm strictly to all the rules and regulations in force now or which may be introduced in the Institution hereafter and that I realise that breach of discipline and rules on my son’s/daughter’s/Ward’s part would entail summarily forfeiture of his/her seat in the institution. 3. That I am aware that if my son /daughter / ward does not put in a minimum percentage of attendance prescribed by the University during the year in theory, drawing and practical classes separately, my son /daughter / ward will not be permitted for the University Examination. 4. That I am aware that the curriculum for the various courses is not rigid and that my son /daughter /ward will follow the syllabi for the various courses in force at the time of his/her admission and that any revision or modification made in the syllabi during the course of his/her study in the Institution will be binding on him/her. 5. That I am aware that if my son /daughter /ward does not get a minimum of 50 per cent of marks in the day to day valuation of his/her work and progress he/she will not be permitted for the University Examination. 6. That in case of my son’s/daughter’s/ward’s progress in studies is uniformly poor in the Institution his/her studies are liable to be terminated by the issue of Transfer Certificate. 7. That in case my son/daughter/ward becomes a scholarship holder or enjoy educational concessions like half-fee, or full-fee etc., and does not show special progress, the scholarships or educational concessions are liable to be cancelled and that if my son’s/daughter’s/ward’s conduct and character are not good these will be cancelled. 8. That my son/daughter/ward is aware that breach of discipline and rules or bad conduct in the N.C.C. or extra-curricular activities will also entail summarily forfeiture of seat in the Institution, in addition to such other proceedings that may be taken against him/her. 9. That I am aware that if my son/daughter/ward is admitted in the hostel he/she will strictly abide by the rules and regulations in force in the hostel and that any breach of discipline or rules or any unruly conduct or undesirable activities will be summarily dealt with by forfeiture of seat both in the hostel and in the institution in addition to such other proceedings that may be taken against him/her. 10. That I am fully aware, as per the directions of the Hon’ble Supreme Court of India and Tamil Nadu Prohibition of Ragging Act 1997, Ragging is an offence, as is banned in the Institutions and anyone indulging in ragging is liable to be punished such as expulsion from the Institution and / or rigorous imprisonment upto 3 years, and / or fine upto ` 25,000/- Place : Date : Signature of the Candidate Signature of the Parent / Guardian