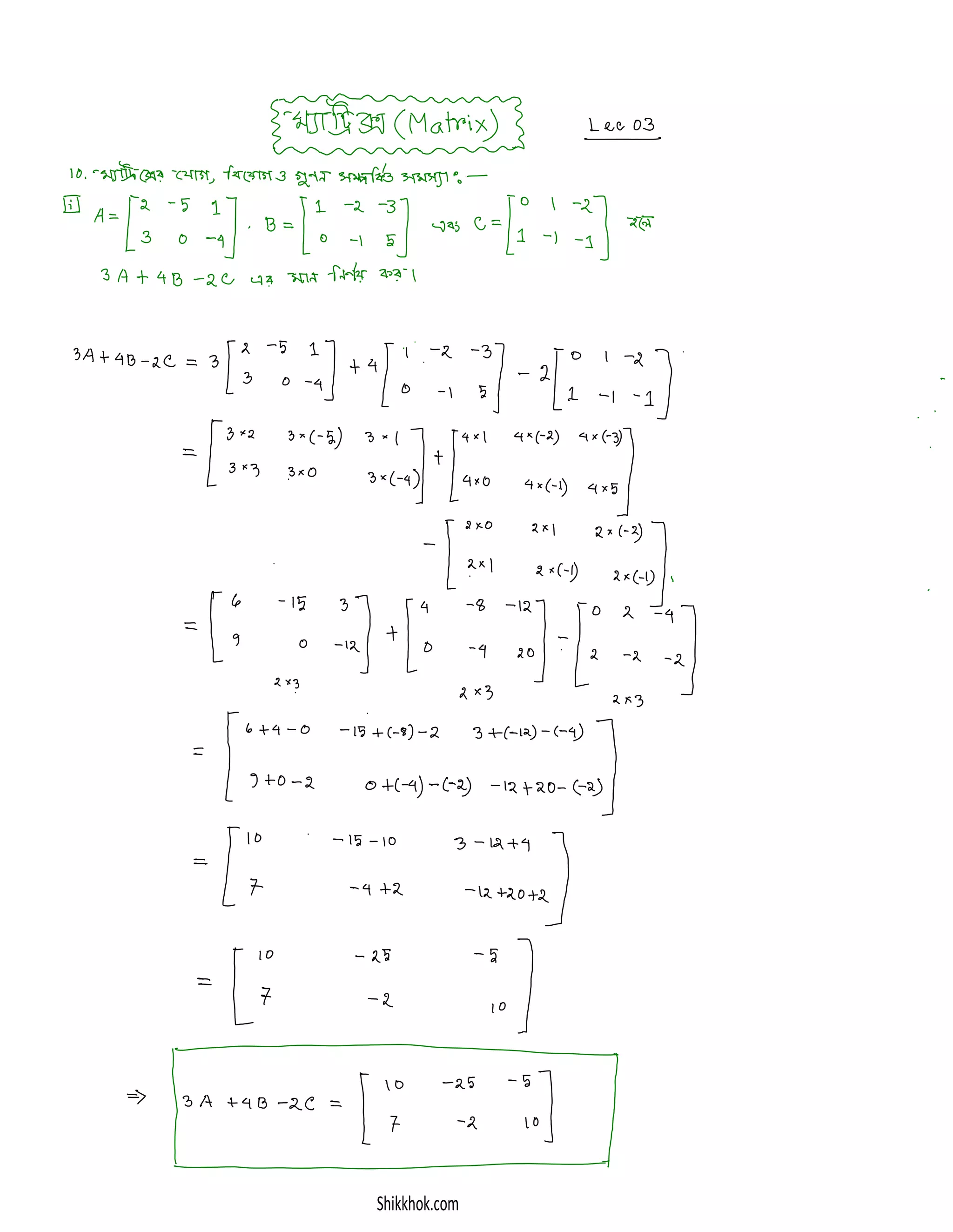
Shikkhok.com is a website mentioned 5 times in the document. No other details are provided about the website or its contents in the short repeating text.