Download free for 30 days
Sign in
Upload
Language (EN)
Support
Business
Mobile
Social Media
Marketing
Technology
Art & Photos
Career
Design
Education
Presentations & Public Speaking
Government & Nonprofit
Healthcare
Internet
Law
Leadership & Management
Automotive
Engineering
Software
Recruiting & HR
Retail
Sales
Services
Science
Small Business & Entrepreneurship
Food
Environment
Economy & Finance
Data & Analytics
Investor Relations
Sports
Spiritual
News & Politics
Travel
Self Improvement
Real Estate
Entertainment & Humor
Health & Medicine
Devices & Hardware
Lifestyle
Change Language
Language
English
Español
Português
Français
Deutsche
Cancel
Save
EN
Uploaded by
Abhishek Srivastava
17,817 views
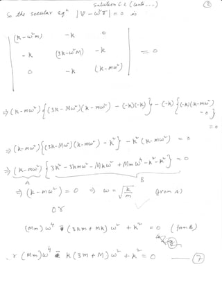
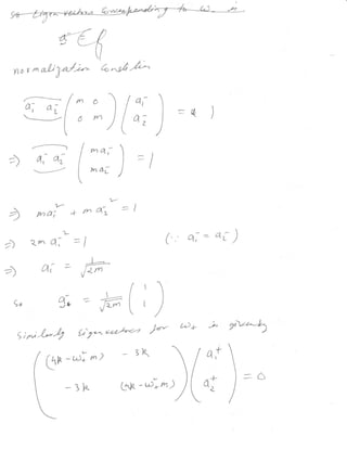
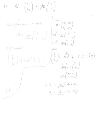
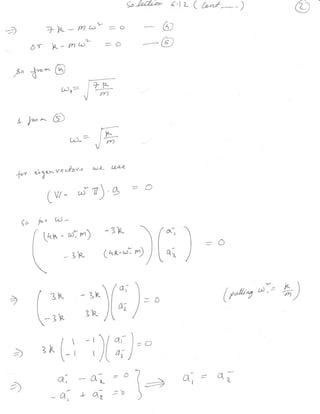
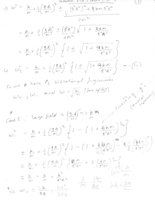
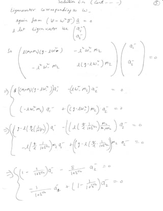
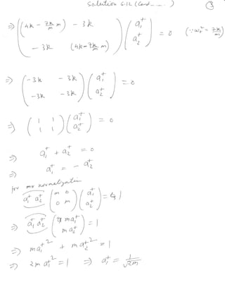
Goldstein Solution chapter 6
Sol 6.2, sol. 6.4, sol. 6.12, sol. 6.18
Science
◦
Read more
17
Save
Share
Embed
Embed presentation
Download
Downloaded 459 times
1
/ 25
2
/ 25
3
/ 25
4
/ 25
5
/ 25
Most read
6
/ 25
7
/ 25
8
/ 25
9
/ 25
10
/ 25
11
/ 25
12
/ 25
13
/ 25
14
/ 25
Most read
15
/ 25
Most read
16
/ 25
17
/ 25
18
/ 25
19
/ 25
20
/ 25
21
/ 25
22
/ 25
23
/ 25
24
/ 25
25
/ 25
More Related Content
PDF
Los peores enemigos de nuestros pueblos
by
DiegoSanguinetti3
PDF
Some-Basic-concepts-of-Chemistry padhlay akshay notes-.pdf
by
jiaarora30
PDF
9702_p2_02_kinematics_till_MJ_2022.pdf.pdf
by
Sajit Chandra Shakya
PDF
Dua e gang ul arsh
by
Mudaser Awan
PDF
resistencia de-materiales-stiopin
by
Danilo Jimenez Calva
PDF
La erupcion del cotopaxi de 1877 por luis sodiro sj
by
Universidad Tecnológica Equinoccial
PDF
бланка - уверение за университет (ВУЗ) - единична
by
subcymen
PDF
Capitulo 24 Sears
by
José Antonio PAYANO YALE
Los peores enemigos de nuestros pueblos
by
DiegoSanguinetti3
Some-Basic-concepts-of-Chemistry padhlay akshay notes-.pdf
by
jiaarora30
9702_p2_02_kinematics_till_MJ_2022.pdf.pdf
by
Sajit Chandra Shakya
Dua e gang ul arsh
by
Mudaser Awan
resistencia de-materiales-stiopin
by
Danilo Jimenez Calva
La erupcion del cotopaxi de 1877 por luis sodiro sj
by
Universidad Tecnológica Equinoccial
бланка - уверение за университет (ВУЗ) - единична
by
subcymen
Capitulo 24 Sears
by
José Antonio PAYANO YALE
What's hot
PDF
[Goldstein herbert] classical_mechanics_solution_m(book_see.org)
by
Debasis Sarkar
PDF
Goldstein solution 4.21
by
Abhishek Srivastava
PDF
how to draw manga - giant robots
by
Bruno Marques
PDF
Goldstein solution ch 10
by
Abhishek Srivastava
PDF
Goldstein 8.35
by
Abhishek Srivastava
PDF
Goldstein solution 4.18
by
Abhishek Srivastava
PDF
كتاب علم الاحياء الانسان وصحته - للصف الثالث متوسط
by
Ayad Haris Beden
PDF
Zagor Ludens Maxi 27 - Meta Bat Batterton
by
Stripovizijacom
PDF
10 como desenhar
by
Artes e Encantos
PDF
01 aprende a dibujar comic
by
Artes e Encantos
PDF
June 2019 payslip
by
PETERJULIUS9
PDF
07 aprende a dibujar comic
by
Artes e Encantos
PDF
TTF.SP.16.CN
by
Arcee327
PDF
Tex lib 042 - Buffalo soldiers
by
StripovizijaStripovi
PDF
Zagor LUD 301 - Krik vile smrti.pdf
by
Stripovizijacom
PDF
010. ZAGOR - KRVAVE PIRAMIDE
by
Tompa *
PDF
0099. Zagor Prica
by
Tompa *
PDF
870 gorka istina
by
Milenko Gavric
PDF
Tex Willer Libellus kolor biblioteka 017 - Cheyenne Club
by
Stripovizijacom
PDF
1079 konacna pobeda
by
Milenko Gavric
[Goldstein herbert] classical_mechanics_solution_m(book_see.org)
by
Debasis Sarkar
Goldstein solution 4.21
by
Abhishek Srivastava
how to draw manga - giant robots
by
Bruno Marques
Goldstein solution ch 10
by
Abhishek Srivastava
Goldstein 8.35
by
Abhishek Srivastava
Goldstein solution 4.18
by
Abhishek Srivastava
كتاب علم الاحياء الانسان وصحته - للصف الثالث متوسط
by
Ayad Haris Beden
Zagor Ludens Maxi 27 - Meta Bat Batterton
by
Stripovizijacom
10 como desenhar
by
Artes e Encantos
01 aprende a dibujar comic
by
Artes e Encantos
June 2019 payslip
by
PETERJULIUS9
07 aprende a dibujar comic
by
Artes e Encantos
TTF.SP.16.CN
by
Arcee327
Tex lib 042 - Buffalo soldiers
by
StripovizijaStripovi
Zagor LUD 301 - Krik vile smrti.pdf
by
Stripovizijacom
010. ZAGOR - KRVAVE PIRAMIDE
by
Tompa *
0099. Zagor Prica
by
Tompa *
870 gorka istina
by
Milenko Gavric
Tex Willer Libellus kolor biblioteka 017 - Cheyenne Club
by
Stripovizijacom
1079 konacna pobeda
by
Milenko Gavric
Recently uploaded
PDF
Machine Learning Lectures -- Loss Functions (2)
by
Zahra Sadeghi
PPTX
Celebrating Breakthroughs in Metal Organic Frameworks - A Poster Showcasing t...
by
RunjhunDutta
PPTX
THE FUTURE OF ROBOTICS PowerPoint presentation.pptx
by
0001aditibasu
PPTX
Phytoextraction_Detail_Presentation-pptx
by
vidhya1172005
PPTX
SCIENCE 4 Q4W3 PPT Characteristic of Weather
by
RuvelynRemitre1
PPTX
10. US Soil Taxonomy, suface, sub-surface, diagnostic horizons.pptx
by
bhaktipragynabehura
PPTX
Q3_Science 8_Week7-Day 3.pptx powerpoint
by
AizaRazonado
PPTX
PPT-Template-Seminar Proposal Skripsi POLINEMA 2025.pptx
by
9arifiansyah
PPTX
Mycology lec 10MJFOJGOJJGOJKGJLKJJK.pptx
by
menaslym69
PDF
Secondary waste water treatment using membrane bioreactor
by
kavyaboopa07
PPTX
BIODEGRADABLE OF PLASTICS AND SUPERBUGS, BIOREMEDIATION.pptx
by
swathin2411
PPTX
Water treatment BOD and COD , dissolved gases
by
NandhiniV90
PDF
Benzene ( बेंजीन ) - Organic Chemistry Notes PDF Download Slide - Irfanullah ...
by
World of Wisdom
PDF
BIOREMEDIATION -MICROBIAL LEACHING OF ORES AND ITS PROCESS
by
swethaviji2005
PDF
UNIT I Stereoisomerism (Pharmaceutical Organic Chemistry III)
by
ssjsphs
PPTX
PPT-Template-Seminar Hasil Skripsi POLINEMA 2025.pptx
by
9arifiansyah
PPTX
FRACTURE NECK OF FEMUR fracture with treatment
by
Harry271308
PDF
Atomic Structure { परमाणु संरचना } Chemistry Study Material PDF @irfanullah_m...
by
World of Wisdom
PDF
Rapid diagnosis and contamination of seafood and aquaculture products
by
Girija90
PPTX
TOPIC - DROUGHT PRIMING AND STRESS MEMORY
by
Abhishekkumawat67
Machine Learning Lectures -- Loss Functions (2)
by
Zahra Sadeghi
Celebrating Breakthroughs in Metal Organic Frameworks - A Poster Showcasing t...
by
RunjhunDutta
THE FUTURE OF ROBOTICS PowerPoint presentation.pptx
by
0001aditibasu
Phytoextraction_Detail_Presentation-pptx
by
vidhya1172005
SCIENCE 4 Q4W3 PPT Characteristic of Weather
by
RuvelynRemitre1
10. US Soil Taxonomy, suface, sub-surface, diagnostic horizons.pptx
by
bhaktipragynabehura
Q3_Science 8_Week7-Day 3.pptx powerpoint
by
AizaRazonado
PPT-Template-Seminar Proposal Skripsi POLINEMA 2025.pptx
by
9arifiansyah
Mycology lec 10MJFOJGOJJGOJKGJLKJJK.pptx
by
menaslym69
Secondary waste water treatment using membrane bioreactor
by
kavyaboopa07
BIODEGRADABLE OF PLASTICS AND SUPERBUGS, BIOREMEDIATION.pptx
by
swathin2411
Water treatment BOD and COD , dissolved gases
by
NandhiniV90
Benzene ( बेंजीन ) - Organic Chemistry Notes PDF Download Slide - Irfanullah ...
by
World of Wisdom
BIOREMEDIATION -MICROBIAL LEACHING OF ORES AND ITS PROCESS
by
swethaviji2005
UNIT I Stereoisomerism (Pharmaceutical Organic Chemistry III)
by
ssjsphs
PPT-Template-Seminar Hasil Skripsi POLINEMA 2025.pptx
by
9arifiansyah
FRACTURE NECK OF FEMUR fracture with treatment
by
Harry271308
Atomic Structure { परमाणु संरचना } Chemistry Study Material PDF @irfanullah_m...
by
World of Wisdom
Rapid diagnosis and contamination of seafood and aquaculture products
by
Girija90
TOPIC - DROUGHT PRIMING AND STRESS MEMORY
by
Abhishekkumawat67
Download