Download free for 30 days
Sign in
Upload
Language (EN)
Support
Business
Mobile
Social Media
Marketing
Technology
Art & Photos
Career
Design
Education
Presentations & Public Speaking
Government & Nonprofit
Healthcare
Internet
Law
Leadership & Management
Automotive
Engineering
Software
Recruiting & HR
Retail
Sales
Services
Science
Small Business & Entrepreneurship
Food
Environment
Economy & Finance
Data & Analytics
Investor Relations
Sports
Spiritual
News & Politics
Travel
Self Improvement
Real Estate
Entertainment & Humor
Health & Medicine
Devices & Hardware
Lifestyle
Change Language
Language
English
Español
Português
Français
Deutsche
Cancel
Save
EN
Uploaded by
Abhishek Srivastava
2,310 views
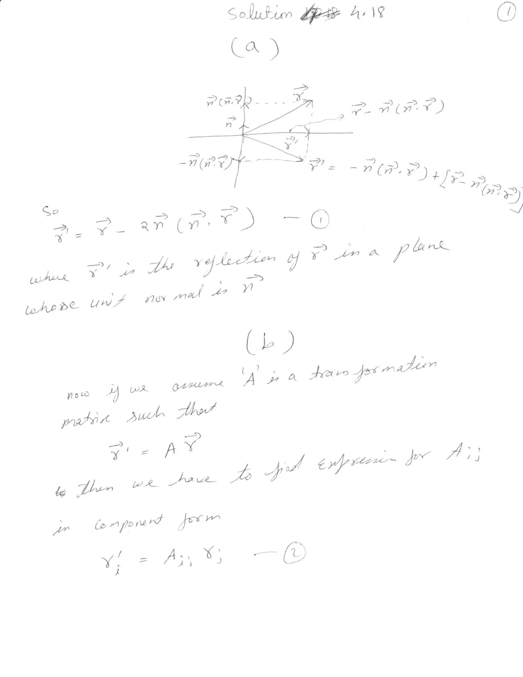
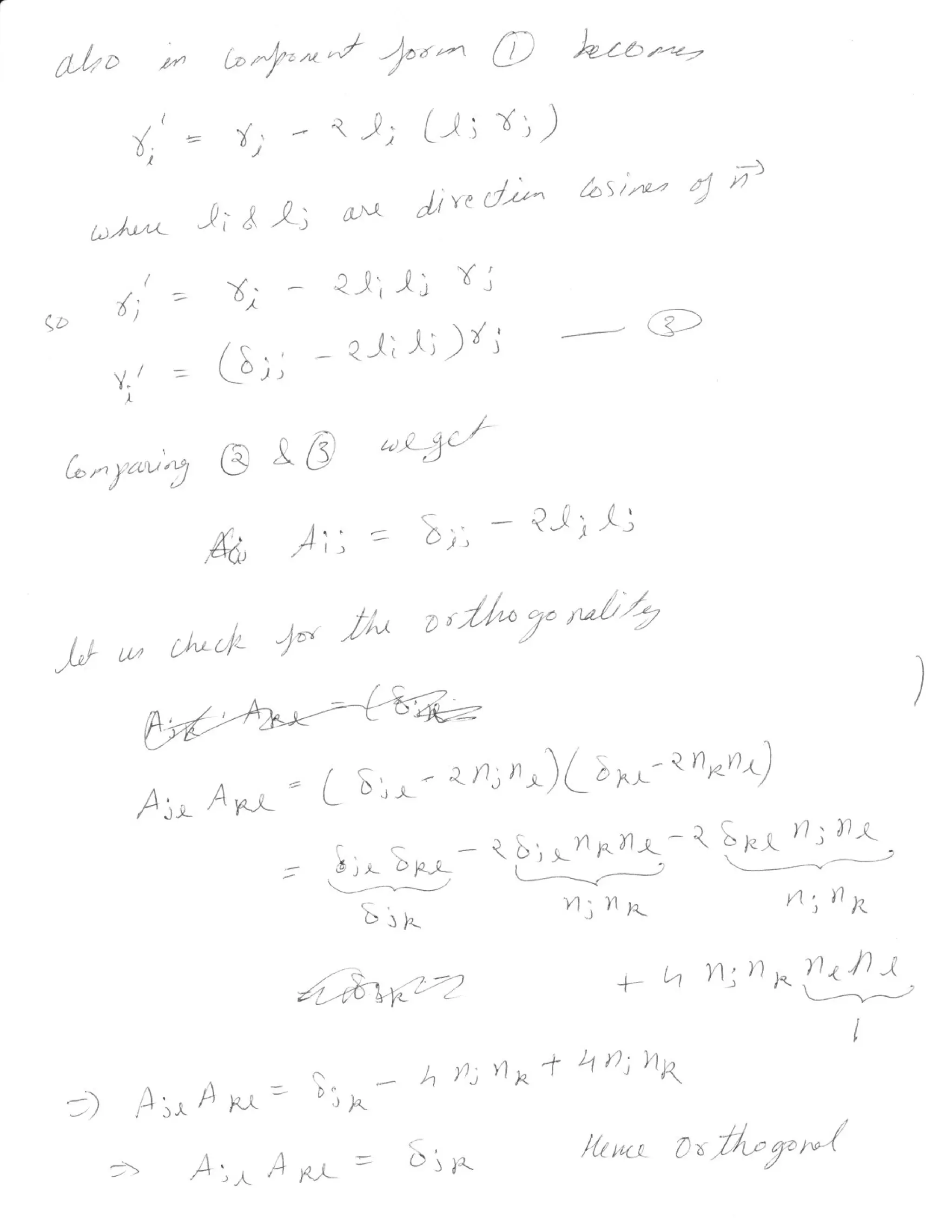
Goldstein solution 4.18
Goldstein Classical Mechanics solution Chapter 4 Problem 18
Science
◦
Read more
1
Save
Share
Embed
Embed presentation
Download
Downloaded 63 times
1
/ 4
2
/ 4
Most read
3
/ 4
Most read
4
/ 4
Most read
More Related Content
PDF
Goldstein solution ch 10
by
Abhishek Srivastava
PDF
Goldstein solution 4.21
by
Abhishek Srivastava
PDF
Zagor sd 024 krv apaca (enwil & emeri)(5 mb)
by
zoran radovic
PDF
Goldstein Solution chapter 6
by
Abhishek Srivastava
PDF
Maxi zagor 31 pripovijesti iz darkwooda
by
Stripovizijacom
PDF
Goldstein Ch 4 (11,17,18,21)
by
Abhishek Srivastava
PDF
how to draw manga - giant robots
by
Bruno Marques
PDF
ZS - 0342 - Komandant Mark - ASTOROVO PROLECE
by
Stripovizijacom
Goldstein solution ch 10
by
Abhishek Srivastava
Goldstein solution 4.21
by
Abhishek Srivastava
Zagor sd 024 krv apaca (enwil & emeri)(5 mb)
by
zoran radovic
Goldstein Solution chapter 6
by
Abhishek Srivastava
Maxi zagor 31 pripovijesti iz darkwooda
by
Stripovizijacom
Goldstein Ch 4 (11,17,18,21)
by
Abhishek Srivastava
how to draw manga - giant robots
by
Bruno Marques
ZS - 0342 - Komandant Mark - ASTOROVO PROLECE
by
Stripovizijacom
What's hot
PDF
Hizb 27
by
steka36
PDF
1 DIVOVI DOBRA I ZLA.pdf
by
Milenko Gavric
PDF
0647 zs dobrotvor (komandant mark) @
by
schugebegy
PDF
Resistência dos Materiais - Hibbeler 5ª Ed.Cap06 - Exercícios resolvidos
by
Andre Luiz Vicente
PDF
Hizb 25
by
steka36
PDF
Zagor - Tajna redstonea
by
Stripovizijacom
PDF
Relaciones metricas triángulos escalenos
by
Widmar Aguilar González
PDF
Adrian Bejan Advanced Engineering Thermodynamics 3Rd Edition Solution Manual (1)
by
Kathryn Patel
PDF
Resistência dos Materiais - Hibbeler 5ª Ed.Cap03 - Exercícios resolvidos
by
Andre Luiz Vicente
PDF
Lms 544 - mister no - crna reka
by
Stripovizijacom
PDF
Zs 0320 teks viler - ruke nocnog orla (scanturion & unregistred & e...
by
zoran radovic
PDF
Capitulo 24 Sears
by
José Antonio PAYANO YALE
PDF
Solucionario del Chrurchill-Variable Compleja
by
mecaunmsm Ruiz Coral
PDF
Zagor Extra 303 - Staza osvete
by
Stripovizijacom
PDF
Monthly Khazina-e-Ruhaniyaat June'23 (Vol.14, Issue 2)
by
Darul Amal Chishtia
PDF
Zagor Ludens Maxi 27 - Meta Bat Batterton
by
Stripovizijacom
PDF
ZS - 0282 - Teks Viler - GUSAR DREJK
by
Stripovizijacom
PDF
0760. PROVALA
by
Tompa *
PDF
01 aprende a dibujar comic
by
Artes e Encantos
PDF
โบรชัวร์โปรโมชั่น Big c compact store 16-2554 วันที่ 13-25 สค.54
by
โปรโมชั่นทูยู
Hizb 27
by
steka36
1 DIVOVI DOBRA I ZLA.pdf
by
Milenko Gavric
0647 zs dobrotvor (komandant mark) @
by
schugebegy
Resistência dos Materiais - Hibbeler 5ª Ed.Cap06 - Exercícios resolvidos
by
Andre Luiz Vicente
Hizb 25
by
steka36
Zagor - Tajna redstonea
by
Stripovizijacom
Relaciones metricas triángulos escalenos
by
Widmar Aguilar González
Adrian Bejan Advanced Engineering Thermodynamics 3Rd Edition Solution Manual (1)
by
Kathryn Patel
Resistência dos Materiais - Hibbeler 5ª Ed.Cap03 - Exercícios resolvidos
by
Andre Luiz Vicente
Lms 544 - mister no - crna reka
by
Stripovizijacom
Zs 0320 teks viler - ruke nocnog orla (scanturion & unregistred & e...
by
zoran radovic
Capitulo 24 Sears
by
José Antonio PAYANO YALE
Solucionario del Chrurchill-Variable Compleja
by
mecaunmsm Ruiz Coral
Zagor Extra 303 - Staza osvete
by
Stripovizijacom
Monthly Khazina-e-Ruhaniyaat June'23 (Vol.14, Issue 2)
by
Darul Amal Chishtia
Zagor Ludens Maxi 27 - Meta Bat Batterton
by
Stripovizijacom
ZS - 0282 - Teks Viler - GUSAR DREJK
by
Stripovizijacom
0760. PROVALA
by
Tompa *
01 aprende a dibujar comic
by
Artes e Encantos
โบรชัวร์โปรโมชั่น Big c compact store 16-2554 วันที่ 13-25 สค.54
by
โปรโมชั่นทูยู
Recently uploaded
PDF
Machine Learning Lectures - Loss Functions (1)
by
Zahra Sadeghi
PPTX
LeoDOS Project NASA cFS Symposium Talk 2026
by
hpgloe
PDF
谷歌留痕技术 [ 𝙩𝙤𝙥 𝟮𝟯𝟯. 𝙘 𝙤𝙢 ]
by
6stynggfo
PDF
Machine Learning Lectures --- Likelihood
by
Zahra Sadeghi
PDF
Redox Reactions ( अपयोपचय अभिक्रियाएं ) Chemistry Notes PDF #irfanullah_mehar...
by
World of Wisdom
PDF
PPT-Boyles-Law.pdf Grade ten science sub
by
jmjcrc67
PPTX
Chapter I Hematologic Disorders Pharmacotherapy (1).pptx
by
najirashimelis
PPTX
Phytoextraction_Detailed_Presentation-2.pptx
by
vidhya1172005
PDF
PHYTOREMEDIATION OF HEAVY METALS IN SOIL
by
swethaviji2005
PPTX
Phytoextraction_Detail_Presentation-pptx
by
vidhya1172005
PPTX
Mycology lec 10MJFOJGOJJGOJKGJLKJJK.pptx
by
menaslym69
PDF
Atomic Structure { परमाणु संरचना } Chemistry Study Material PDF @irfanullah_m...
by
World of Wisdom
PPTX
Aerobic-and-Anaerobic-Digesters-Biological-Waste-Treatment-Technologies.pptx
by
ShanmugaPriya168919
PPTX
SCIENCE 4 Q4W3 PPT Characteristic of Weather
by
RuvelynRemitre1
PPTX
ICSE_Chemistry_Presentation_1.pptx_ICSE 10
by
jagannthdas453
PDF
BIOREMEDIATION -MICROBIAL LEACHING OF ORES AND ITS PROCESS
by
swethaviji2005
PPTX
PPT-Template-Seminar Hasil Skripsi POLINEMA 2025.pptx
by
9arifiansyah
PDF
Machine Learning Lectures Explainable AI
by
Zahra Sadeghi
PDF
Secondary waste water treatment using membrane bioreactor
by
kavyaboopa07
PPTX
BIODEGRADABLE OF PLASTICS AND SUPERBUGS, BIOREMEDIATION.pptx
by
swathin2411
Machine Learning Lectures - Loss Functions (1)
by
Zahra Sadeghi
LeoDOS Project NASA cFS Symposium Talk 2026
by
hpgloe
谷歌留痕技术 [ 𝙩𝙤𝙥 𝟮𝟯𝟯. 𝙘 𝙤𝙢 ]
by
6stynggfo
Machine Learning Lectures --- Likelihood
by
Zahra Sadeghi
Redox Reactions ( अपयोपचय अभिक्रियाएं ) Chemistry Notes PDF #irfanullah_mehar...
by
World of Wisdom
PPT-Boyles-Law.pdf Grade ten science sub
by
jmjcrc67
Chapter I Hematologic Disorders Pharmacotherapy (1).pptx
by
najirashimelis
Phytoextraction_Detailed_Presentation-2.pptx
by
vidhya1172005
PHYTOREMEDIATION OF HEAVY METALS IN SOIL
by
swethaviji2005
Phytoextraction_Detail_Presentation-pptx
by
vidhya1172005
Mycology lec 10MJFOJGOJJGOJKGJLKJJK.pptx
by
menaslym69
Atomic Structure { परमाणु संरचना } Chemistry Study Material PDF @irfanullah_m...
by
World of Wisdom
Aerobic-and-Anaerobic-Digesters-Biological-Waste-Treatment-Technologies.pptx
by
ShanmugaPriya168919
SCIENCE 4 Q4W3 PPT Characteristic of Weather
by
RuvelynRemitre1
ICSE_Chemistry_Presentation_1.pptx_ICSE 10
by
jagannthdas453
BIOREMEDIATION -MICROBIAL LEACHING OF ORES AND ITS PROCESS
by
swethaviji2005
PPT-Template-Seminar Hasil Skripsi POLINEMA 2025.pptx
by
9arifiansyah
Machine Learning Lectures Explainable AI
by
Zahra Sadeghi
Secondary waste water treatment using membrane bioreactor
by
kavyaboopa07
BIODEGRADABLE OF PLASTICS AND SUPERBUGS, BIOREMEDIATION.pptx
by
swathin2411
Download