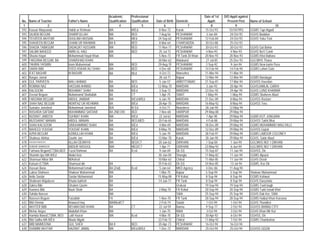
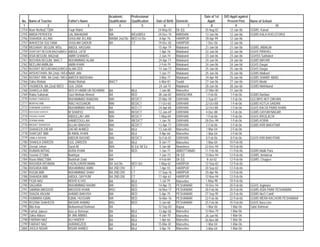
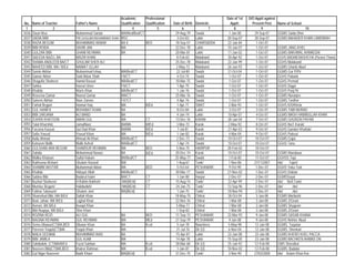
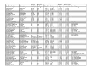
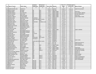
Directorate of Elemnetary & Secondary Education Khyber Pakhtunkhwa Peshawar

                      Tantative Seniority List of C/T Female E&SE Department Khyber Pakhtunkhwa corrected upto 24/01/2011

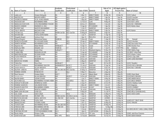
                                                      Academic        Professional                                 Date of 1st   D/O Apptt against
No.   Name of Teacher           Father's Name         Qualification   Qualification   Date of Birth   Domicile        Apptt:       Present Post      Name of School
 1                2                           3               4               5             6                  7        8                 9                             10
 1    BAKHT SULTANA, BA(2nd)    Wazir Muhammad                                         15-May-53      Malakand     13-May-72        13-May-72        GGMS CC Thana
 2    AMINA BIBI                ABDUL KHALIQ          BA              BED/CT           12-Sep-51      D.I.Khan     14-Sep-72        14-Sep-72        GGHSS KULACHI
 3    FARIDA BANO               NOOR AHMAD            BA              CT               11-Mar-53      HARIPUR      11-Apr-73         11-Apr-73
 4    KOUSAR NAHEED             SYED FAKKRUDIN SHAH   MA              BED              25-Feb-57      HANGU        15-May-75        15-May-75        GGHSS University Town
 5    AMINA BUKHARI             SHAHAN SHAH           MA              CT BED           20-Nov-52      D.I.Khan     23-Apr-73         9-Sep-75        GGHS BEHARI COLONY
 6    GULSHAN ARA,BA            MUHAMMAD ISLAM KHAN                                     2-Mar-57      Malakand       1-Jul-76         1-Jul-76       GGHS Batkhela
 7    Khan Maro                 Jumma Khan                                             17-May-56      Mohmand       1-Oct-76          1-Oct-76       GGHSS Ghallanai
 8    Iqbal Yasmin,             Hamesh Gul            BA              B/Ed              4-Jan-54      Karak         8-Jan-77         1-Aug-77        GGHS Terri
 9    MAH JABEEN QUARISHI       Ghulam Abbas          BA              BED              10-Nov-52      PESHAWAR     15-Dec-76        10-Dec-77        GGHSS Begum Shahab/ud/Din
10    ANWAR SULTAN BEGUM        ABDUL WADOOD          MA              BED               2-Feb-53      PESHAWAR     22-Jan-78         22-Jan-78       GGHSS University Town
11    Shamshad Begum,           Gul Sher Khan         MA              B/Ed              8-Nov-57      Karak         9-Feb-78         9-Feb-78        GGHS, T/Nasrati
12    RASHIDA BANO              MUHAMMAD DAUD         BA              BED              10-May-52      PESHAWAR      2-Mar-78          2-Mar-78       GGHS Gul Bahar
13    Amria                     Abid Khan             FA/CT                             5-Aug-56      Swabi        27-Mar-78         27-Mar-78       GGHSS Kalu Khan
14    TAJ BIBI                  SIRAJ MUHAMMAD        MA              B/Ed             25-Aug-57      MARDAN       30-Apr-78         30-Apr-78       GGHS NO 1 MARDAN
15    Hameeda Kausar            Muhammad Ashiq        FA/CT                            23-Sep-52      Swabi         2-May-78         2-May-78        GGHS Marghuz
16    SHAHIDA BEGUM             MUHAMMAD AYUB         BA II           BED               1-Oct-52      CHARSADDA    28-Feb-76         1-Sep-78
17    BUSHRA NAZ                RAHIM KHAN            MA              B/Ed             17-Jan-57      MARDAN        1-Oct-78          1-Oct-78       GGHS LUND KHAWAR
18    RUKHSANA NASREEN          NAZAR ELAHI           BA 2ND DIV      BED               1-Jan-59      HARIPUR      10-Oct-78         10-Oct-78
19    madina                    Malak bashak          BA                               10-Feb-79      Bajaur       10-Feb-79         10-Feb-79       Malak bashak
20    RASHIDA PARVEEN           FAZAL/UR/REHMAN       BA 2nd Div      CT                2-Jun-56      HARIPUR      25-Feb-79         25-Feb-79
21    Bibi Sadiqa Syed          S/H/ Ali Shah         FA/CT                             1-Apr-53      Swabi         31-Jul-71        18-Mar-79       GGCMHS Swabi
22    RASHIDA BIBI              GHULAM RASOOL         SSC             CT                9-Mar-58      HARIPUR       1-Apr-79          1-Apr-79
23    Rooh Afza                 Muhammad yaqub        SSC                              20-Apr-61      Mohmand      28-Apr-79         28-Apr-79       GGHS Dab Kor
24    BUSHRA/TIZ/ZOHRA          Q SAEED/UR/REHMAN     FA              CT               21-Mar-58      HARIPUR      17-Jan-78        21-May-79
25    Tasnim Kawsar             Ahmad Mukhtyar        BA              CT               13-Jan-58      SWAT         19-Nov-79        19-Nov-79        GGHS No/1/Mingora
26    ZAITOON BEGUM             MUHAMMAD RAMZAN       BA                               15-Jan-58      Lakki        25-Nov-79        25-Nov-79        GGHS Dalo Khel
27    TAHIRA                    M SHAFIQ              BA              BED               3-Mar-56      PESHAWAR      9-Oct-78          7-Jan-80       GGHSS Mathra
28    Bibi Saliha BA            Panjarash Khan                                         21-Dec-57      Chitral       9-Mar-78         9-Mar-80        GGHS Booni
29    Mussarat Jahen Sultana,   Mian Sahibzada        BA              B/Ed:            17-Jun-57      Karak        13-Oct-80        13/10/1980       GGHS Terri/
30    Parveen Akhtar            Noor Hussian          FA/CT                            10-Jan-52      Swabi         2-Nov-80         2-Nov-80        GGHS Tordher
31    Khatim Bibi               Rahim Dad Khan        BA                                7-Jan-64      NWA          17-Nov-80        17-Nov-80        GGHS Civil Colony MRN
32    KHADIJA BIBI              PIR GHULAM            SSC                              23-May-55      Lakki        10-Apr-73        17-Dec-80        GGMS BEGU KHEL
33    Shahnaz Begum             Lal Khan              BA              BEd               1-Apr-53      Mansehra     26-Sep-75         21-Feb-81
34    AMINA BIBI                PIR GHULAM            FA                               14-Sep-57      Lakki         2-Oct-76          1-Jul-81       GGMS MICHEN KHEL
35    SURRIYA JABEEN            WAZIR KHAN            SSC             CT                15-Jul-56     KOHAT        20-Sep-81        20-Sep-81        GGHSS JUNGLE KHEL
36    Sabiha Begum              Barra Khan            BA              BEd               1-Jan-56      Mansehra     11-Jun-79         1-Dec-81
37    ABIDA SHAHEEN             GHULAM SARWAR         MA              BED/CT            5-Feb-54      D/I/KHAN      2-Sep-72         18-Jan-82       GGHS NO4 DIKHAN
38    Mah Jabeen                Ghulam Hussain        BA              BEd              16-Aug-57      Mansehra     16-Dec-79         18-Jan-82
39    MUMTAZ BEGUM              SAADULLAH             MA              MEd               8-Jan-59      PESHAWAR     28-Feb-82         28-Feb-82       GGHS Landi Arbab
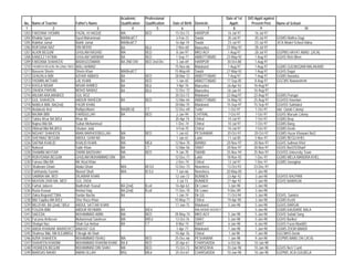
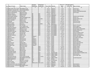
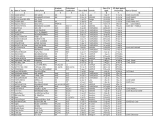
Academic        Professional                                  Date of 1st   D/O Apptt against
No.   Name of Teacher          Father's Name            Qualification   Qualification   Date of Birth   Domicile        Apptt:        Present Post      Name of School
 1                2                           3                 4               5             6                 7          8                9                            10
40    KHALIDA PARVEEN SEEMAB   BAKHSHEH AHMAD           BA              BED              28-Jun-56      PESHAWAR      10-Mar-82         10-Mar-82       GGHSS Begum Shahab/ud/Din
41    Asmat                    Faizur Rahman            BA                                4-Jan-70      Dir (U)       30-Apr-92         30-Apr-82       GGHS, Wari
42    NASEEMA BA(3rd)/B/Ed     MEHMOOD                                                    1-Jan-60      Malakand      29-Aug-82        29-Aug-82        GGHS DHERI (D/Julagram)
43    TASNEEM KAUSAR           RAB NAWAZ                BA              BED/MED/CT       15-May-57      D/I/KHAN      16-Jun-77         1-Sep-82        GGCMHS NO/ 1 DIKHAN
44    Hamida Bano              Said Samiullah           BA              B/Ed              3-Mar-62      MKD            1-Sep-82         1-Sep-82        GGMS Chail Shagai
45    Gul Jamala ,             Gul Muhammad Khan        MA              B/Ed:            10-Oct-63      Karak          8-Mar-82          3-Oct-82       GGHS Takhti Nasratti/
46    BIBI AJMAL KHATOON       MIR ALAM                 BA              CT                3-Jan-64      HARIPUR       12-Oct-82         12-Oct-82
47    Zeenat Perveen BA        A/Hakim Khan                                              10-Feb-55      Chitral       23-Oct-82        23/10/1982       GGMS Ayun
48    Hameeda                  Ikram Ullah              FA/CT                            22-Jun-62      Swabi          1-Sep-82        13-Nov-82        GGHSS Shewa
49    FARIDA BANO              SABIR HUSSAIN            BA              BED               4-Jan-60      PESHAWAR      25-Nov-82        25-Nov-82        GGHS Badaber
50    Seema Nasreen            Arzo Mand Khan           BA              CT               15-Sep-60      SWAT           4-Dec-82         4-Dec-82        GGHSS Odigram
51    Abida Shereen            S,Ibrahim Shah           BA              CT               11-Jan-60      Hangu          9-Dec-82         9-Dec-82        GGHS No,1 Hangu
52    Pashmina                 Zamarood Khan            BA/CT                            4-May-61       Swabi         12-Jan-83         12-Jan-83       GGHS Dagai
53    BADSHAHI TAJ,BA          SAID MALIK                                                16-Aug-62      Malakand       7-Mar-83         7-Mar-83        GGHS Batkhela
54    Mehmoda Khanum           Basher Ahmed             BA              BEd               18-Jul-62     Mansehra      22-Apr-80          3-Apr-83
55    SHABANA BEGUM            SARDAR ABDUR RAUF        MA              BED/CT           15-Oct-64      D/I/KHAN       8-Jan-83         27-Apr-83       GGHSS NO/ 5 DIKHAN
56    ANISAH REHMAN            QAZI MASOOD/UR/REHMAN    BA 2ND DIV      CT                1-Apr-62      HARIPUR       10-May-83        10-May-83
57    Razia Khatoon                                     BA                                              SWA           15-Jun-83         15-Jun-83       GGHS Wana, SWA
58    Tasneem Zuhra            Gul Mohammad             BA                               19-Nov-57      FR Peshawar    8-Aug-83         8-Aug-83        GGHSS Samand Khan Killi
59    KHURSHID BEGUM           MUHAMMAD SULEMAN         BA 3RD DIV      CT                1-Dec-59      HARIPUR       25-Sep-83        21-Sep-83
60    KHURSHEED BEGUM          MUHAMMAD SULIMAN         FA              CT                1-Dec-59      HARIPUR       25-Sep-83        25-Sep-83
61    Ghulshan Begum           Mohd:Ismial              BA              BEd              18-Apr-63      Mansehra      22-Apr-80        29-Sep-83
62    Wazira Bibi BA/B/Ed      Rahmat Panah                                               1-Apr-55      Chitral        7-Oct-74        20/10/1983       GGCMHS Denin
63    Kalsoom Akhtar/          Ghulam Rasool/           B/A/            CT               1-Dec-63       Tank/         16-Nov-83        16/11/1983       GGHS:No/2,Tank/
64    MAH GUL                  FAQIR MUHAMMAD           BA              CT               17-Sep-64      KOHAT         10-Dec-83        10-Dec-83        GGMS MIR AHMAD KHEL
65    Gulzar Bibi              Syed Tajamul Shah        FA/CT                            22-Jun-63      Swabi         11-Dec-83        11-Dec-83        GGHS Zaida
66    Kishwar Sultana          Ghufran Ullah            MA/Med/CT                        17-Nov-62      Swabi         12-Dec-83        12-Dec-83        GGHS dodher
67    Bibi Salma               Qazi Abdul Khaliq        BA/Bed/CT                         2-Jun-64      Swabi         13-Dec-83        13-Dec-83        GGHS Zaida
68    ISMAT ARA                FAIZAN                   BA II           BED              10-Mar-65      CHARSADDA     19-Dec-83        20-Dec-83
69    SAKINA BIBI              IMAM BAKSHAH             BA                                1-Jan-59      Lakki         20-Dec-83        20-Dec-83        GGHS Tajori
70    Yasmin Begum             Abdul Salam              BA              BEd              14-Apr-62      Mansehra      20-Dec-83        20-Dec-83
71    ABIDA NASREEN            AZIZ KHAN                BA II           BED               1-Jan-57      CHARSADDA     21-Feb-84         21-Feb-84
72    SHAHEEN BIBI             FAZUL/UR/REHMAN          FA              CT                5-Dec-62      HARIPUR        5-Mar-84         5-Mar-84
73    Yasmin                   Said Muhammad            BA/Bed/CT                        23-Mar-64      Swabi          1-Apr-84          1-Apr-84       GGHS Dagai
74    RAZIA SULTANA            DILAWAR KHAN             BA                                2-Jan-60      Lakki         21-May-84        21-May-84        GGMS MELA SHAHAB KHEL
75    Khalida Begum            Yar Muhammad Khan        MA/Bed/CT                        18-Jul-54      Swabi         16-Feb-80        23-May-84        GGHS Bamkhel
76    FARAH DEEBA              S FARRUKH HUSSAIN SHAN   BA              CT               16-Jun-61      HARIPUR        1-Sep-84         1-Sep-84
77    Bibi Shakira             Fazal ur Rehman          BA              BEd              15-Jan-64      Mansehra      15-Sep-80        15-Sep-84
78    SHAGUFTA NASEEM          ABDUL HAY                BA              BED              31-Mar-66      PESHAWAR      20-Sep-84        20-Sep-84        GGHSS Begum Shahab/ud/Din
79    Jehan Ara                                                                          12-Sep-63      Bajaur        24-Sep-84        24-Sep-84        GGHS Khar
80    MUSSARAT QAISRA          FAZAL ELAHI              MA/BA 2nd Div   BED 2nd Div:      1-Mar-62      HARIPUR        1-Oct-84          1-Oct-84
81    Shagufta Nasrin          M/Akbar Khan             BA              BEd              11-Jun-61      Mansehra      21-Feb-81          4-Oct-84
82    RAHAT ARA                ALI GOHER                BA              BEd               5-Feb-64      Mansehra       4-Oct-84          4-Oct-84
83    MUHTADIA                 FAQEER MUHAMMAD          BA              B/Ed              1-Jan-64      MARDAN         1-Dec-83         22-Oct-84       GGHS RUSTAM KHEL
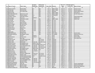
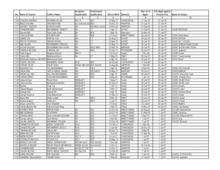
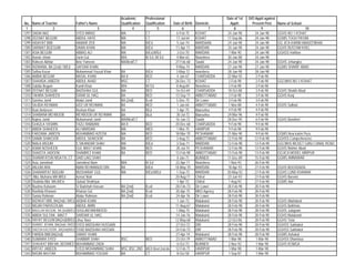
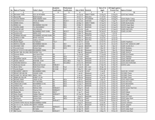
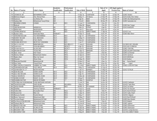
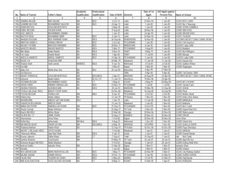
Academic         Professional                                 Date of 1st   D/O Apptt against
No.   Name of Teacher            Father's Name         Qualification    Qualification   Date of Birth   Domicile       Apptt:        Present Post      Name of School
 1                  2                            3             4                5             6                 7         8                 9                              10
84    TAYYABA SHAHEEN            M SARWAR              BA               BED               1-Apr-60      PESHAWAR      8-Nov-84         8-Nov-84        GGHSS Lady Grifth
85    DANISH PARVEEN             GULAB KHAN            BA 3rd Div       BED               2-Oct-60      HARIPUR      18-Nov-84        18-Nov-84
86    SHEHNAZ                    GHULAM SARWAR KHAN    FA                                 3-Feb-55      Lakki        18-Sep-75        23-Dec-84        GGMS KHOIDAD KHEL
87    ABIDA KHATOON              GHULAM FARID          FA               CT                1-Feb-58      PESH         27-Dec-84        27-Dec-84        GGMS BANDA FATEH KHAN KHEL
88    Mir Gul yasmin             Mir Shafiullah Khan   MA                                10-Mar-60      Khyber        1-Jan-85          1-Jan-85       GGMS tehsil Bara
89    TAHIRA PARVEEN             ABDUL ISLAM           MA               MED               1-Oct-59      HARIPUR       1/12/185         12-Jan-85
90    NAZ NISAR SIDDIQE          NISAR AHAMD SIDDIQE   BA               BED              20-Apr-59      PESHAWAR      1-Jun-85          1-Jun-85       GGHSS Comprehencive
91    SHAHEEN IRSHAD             M MUMTAZ              BA               BEd               1-Mar-64      Mansehra     14-Sep-85        14-Sep-85
92    TAUHEED                    FAZLI RABBANI         BA II            BED              22-Apr-63      CHARSADDA    16-Oct-85         16-Oct-85
93    ISHRAT BIBI                GHULAM NABI           BA               BED              15-Apr-60      ABBOTTABAD    2-Oct-80         20-Oct-85       GGHS BIROTE
94    Khadija Parveen            Muhammad Rehman       MA               B/Ed:            15-Feb-66      Karak         1-Oct-84        12-Nov-85        GGHS Khojaki/
95    GHULAM UME RUBAB           M/ HASHIM SHAH        BA               BED/CT           29-Mar-63      D/I/KHAN     11-May-81        18-Nov-85        GGHS BAND KARI
96    Robina Shahnaz,            Mir Baz Khan          MA               M/Ed:             6-Jan-64      Karak        20-Nov-85        20/11/1985       GGHS No/1 Karak/
97    Shah Nasheen Akbar         S/Ali Akbar Jan       MA/Med/CT                          8-Feb-63      Swabi         1-Sep-85        21-Nov-85        GGHS Ismaila
98    MUSARAT BEGUM              MUHAMMAD AKBER        FA                                 4-Apr-58      Lakki        23-Oct-76         4-Dec-85        GGHS DARA PEZU
99    Fozia Sultana              Abdur Rehman          BA               BEd              15-Mar-66      Mansehra     10-Dec-85        10-Dec-85
100   NASREEN AKHTAR             GHULAM JAN            BA II            BED              24-Mar-67      CHARSADDA    16-Dec-85        16-Dec-85
101   NABEELA                    ZAKIR                 BA               BEd              18-Aug-81      Mansehra      7-Jan-82        24-Dec-85
102   FARIDA BANO                KHADIM HUSSAIN        MA               BED              09/11/167      PESHAWAR     12-Jan-86         12-Jan-86       GGHS Passani
103   SHABINA BIBI               M NAWAZ               MA               BED               1-Oct-62      PESHAWAR     15-Jan-86         15-Jan-86       GGHSS Chamkani
104   NISHAT BEGUM               FAZLI GHAFOOR         MA               B/Ed              1-Feb-62      MARDAN       18-Jan-86         18-Jan-86       GGHSS Toru
105   ZENAT SHAHEEN              GHULAM MUHAMMAD       BA II            BED              27-Feb-57      CHARSADDA    16-Jan-82         19-Jan-86
106   ABIDA BEGUM                S TAWWAB SHAH         MA               BED              1-May-61       SWABI        21-Jan-86         21-Jan-86       GGHSS Hayat Abad
107   MUNIZA NAHEED              M MUQARAB AFRADI      BA               BEd               6-Jan-65      Mansehra      9-Mar-86         9-Feb-86
108   FEHMIDA BEGUM              GHULAM NABBI          MA               B/Ed             25-Apr-57      MARDAN        1-Apr-77         13-Mar-86       GGHSS Toru
109   Neelofar                   Mohammad Azeem        B/A              B/ Ed            25-Aug-59      Peshawar      2-May-86         2-May-86
110   Shaheen Alam               Hanif Khan            BA               CT                5-Mar-68      SWAT          8-May-86         8-May-86        GGMS Manyar
111   NASEEM AKHTAR              ABDUL AZIZ            BA               BED              25-Apr-56      ABBOTTABAD   24-Jun-86         24-Jun-86       GGHS Upper Kehal
112   NIZAKAT BEGUM, BA          DOST MUHAMMAD                                           12-May-56      Malakand     23-Jan-74         14-Jul-86       GGCMHS Thana
113   FARAH DEEBA                ABDUL HAY             MSc              BED              30-Dec-68      PESHAWAR     27-Aug-86        27-Aug-86        GGHSS Begum Shahab/ud/Din
114   KISHWAR NAZ                ABDUL JALA            BA               BEd              10-Mar-66      Mansehra     18-Jan-82         3-Sep-86
115   RIFFAT SALEEM              MUHMMAD SALEEM        BA               BED               1-Feb-65      ABBOTTABAD   10-Sep-86        10-Sep-86        GGMS JHANGRA
116   SHAHIDA, BA (2nd) / B/Ed   Umer Wahid                                              10-May-65      Malakand     17-Sep-86        17-Sep-86        GGMS Jalala
117   Wahida Bibi                Said rahman           BA               CT               20-Jun-66      SWAT         17-Sep-86        17-Sep-86        GGMS Shaheen Abad
118   GUL AMINA                  MULA BAKSH            FA               CT               12-Jun-63      KOHAT         1-Aug-84        21-Sep-86        GGHS NO 1 KOHAT
119   NOSHABA BAKHRI             S/ MULAZIM HUSSAIN    BA               BED/CT           15-May-67      D/I/KHAN     27-Sep-86        27-Sep-86        GGMS HAJI MORA
120   JABEEN KOUSAR              MUHAMMAD AKRAM        AM/ BA 2ND DIV   BED              10-Apr-64      HARIPUR      28-Sep-86        28-Sep-86
121   FARZANA ARIF               ALLAHDAD KHAN         BA               BED               30-Jul-62     ABBOTTABAD    1-Oct-86          1-Oct-86       GGHS Saji Kote
122   Razia Begum                Behram Gul            BA               CT                1-Mar-58      SWAT          1-Aug-85          1-Oct-86       GGHS Charbagh
123   SHAHEEN BAGUM              FAIZULLAH KHAN        BA               BED/CT           12-Feb-55      D/I/KHAN     27-Jan-82          8-Oct-86       GGHSS KULACHI
124   NELOFAR YASMEEN            AHMAD NAWAZ           BA               BED 3RD /CT      22-Apr-56      D/I/KHAN     18-Aug-75          9-Oct-86       GGHSS NO6 DIKHAN
125   SHAHNAZ SARDAR             SARDAR BAGGA KHAN     BA               BED               7-Mar-64      HARIPUR      16-Oct-86         16-Oct-86
126   SHAKEELA NAZ               GHULAM RASOOL         BA               CT               11-Dec-63      KOHAT        27-Oct-86         27-Oct-86       GGHS NO 1 KOHAT
127   SHABEEN AKHTER             M/ARIF                BA               BED              28-Oct-66      ABBOTTABAD    1-Nov-86         1-Nov-86        GGHS BIROTE
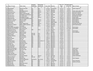
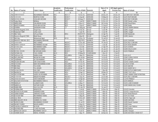
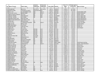
Academic        Professional                                 Date of 1st   D/O Apptt against
No.   Name of Teacher           Father's Name              Qualification   Qualification   Date of Birth   Domicile        Apptt:       Present Post      Name of School
 1                 2                         3                     4               5             6                 7         8                 9                            10
128   Qadar Pari                Fazal Ghani                FA              CT               21-Jan-61      SWAT         12-Mar-86         3-Nov-86        GGHS Panr
129   Salma Perveen             Muhammad Yousaf            FA                               15-May-54      Mohmand       4-Nov-86         4-Nov-86        GGHS Ekka Ghund
130   RIFAT ALMAS               MUHAMMAD QAYUM             BA II           BED              28-Dec-65      CHARSADDA     1-Dec-86         1-Dec-86
131   ZAHIDA PARVEEN            MUHAMMAD BASHIR            BA 2ND DIV      CT                1-Mar-65      HARIPUR       9-Dec-86         9-Dec-86
132   Hashmat Bibi              Azad Khan                  FA/CT                             1-Dec-61      Swabi        10-Dec-86        10-Dec-86        GGHSS Topi
133   SALMA PARVEEN             MUHAMAMD SHAH              MA              MED               4-Jan-57      Lakki        29-Apr-78          1-Jan-87       GGCMHS NO/2 LAKKI
134   FOUZIA SHAHZADI           S QAISER ABBAS             MA              BED              28-Oct-55      PESHAWAR      2-Jan-87          2-Jan-87       GGHSS University Town
135   SALMA MARGHAZAR           HABIBULAH KHAN             BA              BED/CT            1-Aug-73      D/I/KHAN     18-Jan-98         18-Jan-87       GGMS HIMAT
136   Khalida Parveen           Muhammad Din               MA/Bed/CT                         6-Jan-64      Mardan       21-Jan-87         21-Jan-87       GGHS Jehangira
137   NUSRAT HAYAT              SIKANDAR HAYAT             MA              BED/CT           20-May-68      D/I/KHAN     26-Jan-87         22-Jan-87       GGMS GARA ESSA KHAN
138   Tahira Syed               Syed Ahmed Shah            BA              BED              25-Sep-63      ABBOTTABAD   24-Jan-87         24-Jan-87       GGMS Kakote
139   RAZIA FARZANA BHATTI      SIRAJ BHATTI               BA              BED              25-Dec-66      PESHAWAR     12-Mar-87         12-Mar-87       GGHS Dabgari Gate
140   RUKHSANA ASLAM            MUHAMMAD ASLAM KHAN        MA              BED               5-Feb-63      PESHAWAR     12-Mar-87         12-Mar-87       GGHSS No/2 Cantt
141   Shamim Noor               Noor Rehman                FA              CT               24-Apr-61      SWAT         18-Mar-87         18-Mar-87       GGHS No/1/Mingora
142   TASNIM AKHTAR             MUHAMMAD AYUB              BA              CT                5-Sep-68      HARIPUR      29-Apr-87         30-Apr-87
143   Salma Begum                                                                            1-Feb-59      Bajaur         1-Jul-87         1-Jul-87       GGMS Barkhalozo
144   Shahnaz Begum                  Muhammad Nazir        BA/Bed/CT                        25-Mar-58      Swabi         1-Feb-79          1-Jul-87       GGHS Marghuz
145   Aisha Zubar                    Khawaja Zubar         BA              CT                4-Jun-55      SWAT         16-Jan-85          1-Jul-87       GGMS Shin
146   Nehar Begum                    Nebat Khan            MA              M/Ed             18-May-69      SWAT         12-Sep-87        12-Sep-87        GGMS Gogdara
147   TAHIRA BANO                    GHULAM AHMAD          BA              BED               3-Mar-68      PESHAWAR     14-Sep-87        14-Sep-87        GGHSS Mathra
148   AZRA ROBINA                    ABDUL RASHEED         BA              CT                4-Mar-62      KOHAT        20-Sep-87        20-Sep-87        GGMS SIAB
149   Shagufta Naz,                  Misbah ud Din         BA              M/Ed:             6-Mar-64      Karak        22-Sep-87        22/09/1987       GGHS Bogara/
150   FALAK NAZ                      SHER ZAMAN            MA              CT                8-Jun-64      KOHAT        24-Sep-87        24-Sep-87        GGHS NO 1 KOHAT
151   ASMAT NAHEED                   AKBAR SHAH            BA              CT               15-Apr-67      KOHAT        24-Sep-87        24-Sep-87        GGHSS BABRI BANDA
152   QAISARA BEGUM                  MUHABAT KHAN          FA              CT               10-Jun-64      KOHAT         3-Nov-84        28-Sep-87        GGHS BEHZADI CHAKAR KOT
153   ASIA BEGUM                     NADAR KHAN            SSC             CT               12-Jun-63      KOHAT         3-Oct-87          3-Oct-87       GGHS BEHZADI CHAKAR KOT
154   ISMAT JABEEN                   AKBAR KHAN            BA              CT               17-Mar-66      KOHAT         3-Oct-87          3-Oct-87       GGMS SHEIKHAN
155   SAFIA SULTANA                  SULTAN MEHMOOD        MA              BED CT            5-Dec-57      D/I/KHAN      1-May-78          6-Oct-87       GGHS MUSAZAI
156   HAJIRA BIBI                    MUHAMMAD ASHRAF       MA/BA 2nd Div   BED               1-Apr-65      HARIPUR      10-Oct-87         10-Oct-87
157   FARANGAIZ                      ABDUR REHMAN          MA              CT                1-Sep-58      KOHAT        21-Sep-87         10-Oct-87       GGHSS JUNGLE KHEL
158   SHAHEEN KARIM, BA (2Nd) / B/Ed SAID KARIM                                             20-Aug-69      Malakand      1-Nov-87         1-Nov-87        GGMS DOBANDAI
159   NAEEMA BEGUM,BA(2nd))B/Ed MUHAMMAD ALEEM                                              12-Mar-67      Malakand      4-Nov-87         4-Nov-87        GGHS BADAM BAGHICHA (Purana Thana)
160   IREEN MARK                     RAJA MARK             BA              BED              12-Sep-55      PESHAWAR     25-Nov-87        25-Nov-87        GGMS No/3 Cantt/
161   HASEENA BIBI                   MUHAMAMD AZAM         BA              BED              16-Nov-64      PESHAWAR      5-Feb-84        29-Nov-87        GGMS No/3 Cantt/
162   NUSRAT ARA, BA(2nd) / B/Ed MUHAMMAD NAWAZ                                             24-Jun-61      Malakand     26-Oct-82         1-Dec-87        GGHSS Sakhakot
163   RAZIA BEGUM,BA                 AMIR NAWAB                                              4-Apr-61      Malakand      7-Dec-85         6-Dec-87        GGHS Batkhela
164   NASEEM AKHTAR FA, CT           MIR HASSAN                                             14-Mar-68      BUNNER       12-Dec-87        12-Dec-87        GGHS TOTALAI
165   ZEENAT BEGUM                   ABDUL KHALIL          MA              B/Ed              1-Jan-67      MARDAN       12-Dec-87        12-Dec-87        GGMS NO/2 BUGHDADA
166   YASMEEN BEGUM, BA              HABIB UR REHMAN                                        11-Apr-65      Malakand     15-Dec-87        15-Dec-87        GGHS Haryan Kot
167   Robina Bangush                 Inayatullah           BA              CT                4-Jan-68      Hangu        12-Jan-88         12-Jan-88       GGHS W/Road Hangu
168   SANJIDA BIBI                   KHAWAJ MUHAMMAD       MA BA 2ND DIV   M,Ed B,Ed        12-Aug-61      HARIPUR      19-Jan-88         19-Jan-88
169   FARZANA KOUSAR                 M/HUSSAIN             BA              BED              25-Dec-62      ABBOTTABAD   14-Oct-80          9-Feb-88       GGHS Beerote
170   SALIM AKHTAR                   MUHAMMAD DAUD         MA              MED/BEd/         20-Feb-67      HARIPUR      11-Feb-88         11-Feb-88
171   FOUZIA BIBI                    MUHAMMAD YAQOOB       MA BA 2ND DIV   B/ED              1-May-68      HARIPUR      14-Feb-88         14-Feb-88
172   NAHEED AKHTAR                  ABDUR REHMAN ABBASI   FA              CT               11-Aug-66      HARIPUR      14-Feb-88         14-Feb-88
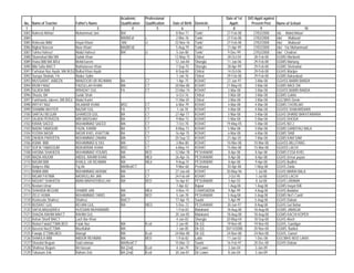
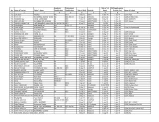
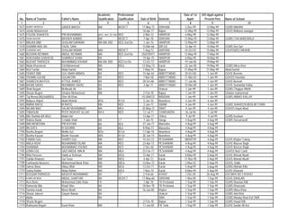
Academic         Professional                                 Date of 1st   D/O Apptt against
No.   Name of Teacher          Father's Name          Qualification    Qualification   Date of Birth   Domicile       Apptt:        Present Post      Name of School
 1                  2                        3                4                5             6                 7        8                  9                           10
173   NAHEED AKHTAR            MUHAMMAD JAN           BA 2ND DIV       BED               5-Apr-67      HARIPUR      15-Feb-88         15-Feb-88
174   Tilawat Begum            Amir Hassan            MA/Bed/CT                         18-Jan-68      Swabi        16-Feb-88         16-Feb-88       GGHSS Shewa
175   RUKHSANA SHAHEEN         MUHAMMAD ZAREEN KHAN   MA/BA 2nd Div    BED               1-Feb-65      HARIPUR      20-Feb-88         20-Feb-88
176   MEHMOONA                 MANZOOR ELLAHI         FA               CT                4-Jan-66      HARIPUR      20-Feb-88         20-Feb-88
177   Nargis Parveen           Firdos Khan            MA/CT                             15-May-59      Swabi        22-Feb-88         22-Feb-88       GGHs Adina
178   RUQIA YOUSAF             MUHAMMAD YOUSAF        BA 2nd DIV       CT               12-Apr-64      HARIPUR      23-Feb-88         23-Feb-88
179   NIGHAT SHAHEEN           GHULAM SARWAR          BA               BED               1-Jun-60      PESHAWAR     23-Nov-86          3-Mar-88       GGMS Shahi Bala
180   SAJIDA BEGUM             MUHAMAMD FARID         MA               B/Ed,M/Ed        27-Sep-59      MARDAN        5-Mar-88          5-Mar-88       GGHS NO 1 MARDAN
181   GUL NAZ                  MUHAMMAD TAJ           BA IST DIV       BED              13-Jan-70      HARIPUR      10-Mar-88         10-Mar-88
182   BAHARISTAN, BA(2nd)      FAZAL WAHID                                               3-Mar-58      Malakand      4-Mar-78          3-Apr-88       GGHSS Sakhakot
183   Shakila Parveen BA,B/Ed; M/Aziz Khan                                              10-Mar-63      Chitral       5-Nov-88        11-May-88        GGMS Sinlasht
184   NAIMA BIBI               MUHAMMAD IQBAL         MA /BA 2ND DIV   BED 2nd Div:      5-Jan-65      HARIPUR      26-May-88        26-May-88
185   NAIMA SALEEM             M SALEEM AHMAD         MA               BED               1-Apr-65      PESHAWAR     31-May-88        31-May-88        GGHSS University Town
186   GHULAM FATIMA            GHULAM HUSSAIN         BA               BED               1-Jan-61      ABBOTTABAD   17-Nov-82          1-Jul-88       GGMS Ghumawan
187   Fahmida                  Muhammad Bakhtyar      BA               CT                1-Jan-54      SWAT          1-Nov-81         1-Sep-88        GGHS No/2/S/Sharif
188   DILSHAD BEGUM            MUSLI SHAH             BA               MEd              14-Sep-64      PESHAWAR     24-Sep-88        24-Sep-88        GGHSS Begum Shahab/ud/Din
189   KOSAE PARVEEN            M SHOAIB               BA               BEd               6-Jul-66      Mansehra      8-Oct-88          8-Oct-88
190   Kausar Perveen           Haji Ghulam yasin      MA                                10-Apr-66      Mohmand       9-Oct-88          9-Oct-88       GGHSS Ghallanai
191   RAZIA SULTANA BEGUM      SAEED KHAN             MA               MED/CT            6-Nov-56      D/I/KHAN     22-Jan-77         20-Oct-88       GGCMHS NO1 DIKHAN
192   ZAKIA BIBI               WALI HUSSAIN           BA               BED              25-Dec-69      ABBOTTABAD   31-Oct-88         31-Oct-88       GGHS Bandi Dhundan
193   NEELOFAR SHAHEEN         MUHAMMAD KHAN          BA               BED               31-Jul-60     MANSEHRA     16-Aug-84         1-Dec-88        GGHSS Comprehencive
194   LUBNA FA/CT              HABIB KHAN                                               15-Feb-67      Malakand      1-Dec-88         1-Dec-88        GGMS SORANA
195   SHAHEEN GUL,MA           SAAD KHAN                                                20-Feb-61      Malakand      4-Dec-88         4-Dec-88        GGHS Batkhela
196   ISHRAT PERVEEN           ABDUL QAYYAM           BA               /BED/CT          15-Feb-67      D/I/KHAN      6-Dec-88         6-Dec-88        GGMS CHA MUGAL
197   NAJMUS SAHAR             INYATULLAH KHAN        B/A              CT BED           20-Oct-63      D/I/KHAN      7-Dec-88         7-Dec-88        GGHSS NO5 DIKHAN
198   Nasrat Yasmeen,          Hasan Shah             MA               M/Ed:            16-May-70      Karak         5-Dec-88          8-Jan-89       GGHS Chowkara/
199   FARHAT JABEENN           HUKAM DAD              BA               BEd              20-Feb-68      Mansehra     21-Jan-89         21-Jan-89
200   Azra Alam                Muhammad Alam          M/A              B/ Ed             4-Jan-66      Nowshera     12-Feb-89         12-Feb-89
201   STEELA PERVEZ            SAMUEL MASTIM          MA               BED              30-Jan-58      CHARSADDA    12-Feb-89         12-Feb-89       GGHS Landi Arbab
202   Naheed ud Nisa,          Gula Mir               BA               B/Ed:             1-Mar-68      Karak        10-Sep-87         11-Apr-89       GGHS Surati Killa/
203   Rahat Deeba MA B/Ed      M/Anwar Khan                                              1-Mar-69      Chitral      18-Sep-89        18-Sep-89        GGHS Drosh
204   SHAMIM FATIMA            MUNZOR AHMAD           BA               BED/CT            2-Oct-65      D/I/KHAN     25-Sep-89        25-Sep-89        GGMS CNTERAL JAIL
205   SHAHIDA BEGUM, BA / B/ED ALAM DIN                                                 15-Jan-70      Malakand     11-May-88        25-Sep-89        GGHS Palai
206   Shagufta Begum           Inayat Ullah           M/A              B/ Ed            15-Oct-65      Nowshera     26-Sep-89        26-Sep-89
207   IMRAZIA KHATOON          SAIDULLAH KHAN         BA               BED              12-Jan-69      ABBOTTABAD    1-Oct-89          1-Oct-89       GGCMS Nawanshehr
208   Shaheen Nazli            Mazza Khan             BA               BED              30-Sep-67      Bannu         1-Oct-89          1-Oct-89       GGHSS Malik Pura
209   Marhaba Sultana          Qazi Sadud Din         BA                                 1-Mar-66      Khyber        1-Oct-89          1-Oct-89       GGMS Ahmad Jan
210   SALMA ,BA                MUHAMMAD UMAR                                             3-Mar-68      Malakand      1-Oct-89          1-Oct-89       GGMS ASHAKAI
211   Farhat Jameen            M/Youns Khan           BA               BEd              12-Dec-68      Mansehra      2-Oct-89          2-Oct-89
212   IMTIAZ KIANI             HAJI M SHAFFI          BA               BED               4-Apr-66      ABBOTTABAD   10-Oct-89         10-Oct-89       GGMS Langra
213   Riffat Shaheen           Mohd:Younas            BA               BEd              16-Nov-66      Mansehra     15-Oct-89         15-Oct-89
214   ZUBEDA BIBI              MUHAMMAD DAIN          MA/ BA 2nd iv    MED B/ed         12-Dec-67      HARIPUR      17-Oct-89         17-Oct-89
215   Fehmida Akhtar           Hafiz Gul              B/A              B/ Ed            5-May-70       Nowshera     19-Oct-89         19-Oct-89
216   SHAHEEN AKHTAR           MIR ZAMAN              BA 2ND           BED               1-Apr-66      HARIPUR      21-Nov-89        21-Nov-89
Academic         Professional                                  Date of 1st   D/O Apptt against
No.   Name of Teacher             Father's Name           Qualification    Qualification   Date of Birth   Domicile        Apptt:        Present Post      Name of School
 1                  2                            3                4                5             6                 7          8                 9                           10
217   DILSHAD BIBI                FEROZ DIN               MA /BA 2ND DIV   BED               2-Mar-63      HARIPUR       23-Nov-89        23-Nov-89
218   NAGINA BIBI                 MALIK MUHAMMAD YOUSAF   BA               BED              1-May-66       ABBOTTABAD    29-Nov-89        29-Nov-89        GGHS Hall Maira
219   Ayesha Bibi BA              Rahmat Wazir                                              16-Jan-57      Chitral       12-Jan-79         1-Dec-89        GGHS Booni
220   FARZANA ROOHI               SYED BAHADER SHAH       MA               BED               1-Jan-66      PESHAWAR       4-Dec-89         4-Dec-89        GGMS No/1 Cantt/
221   SHAHNAZ AKHTAR              ABDUR REHMAN            BA               BED               2-Jan-71      ABBOTTABAD     5-Dec-89         5-Dec-89        GGHSS Hajia Gali
222   Hamida Hatum                Amir Hatam              BA               B/Ed             23-Mar-67      SWAT           5-Dec-89         5-Dec-89        GGHS No/2/S/Sharif
223   Shugafta Yasmeen            Khan Zada               MA               CT                3-Apr-68      SWAT           5-Dec-89         5-Dec-89        GGHS Saidu Sharif
224   TAZEEM AKHTAR               HAYAT KHAN              BA               BED              23-Mar-67      ABBOTTABAD     9-Dec-89         9-Dec-89        GGHSS Sherwan
225   Bibi Hasina BA              Abdul Karim                                                1-Jun-58      Chitral        4-Mar-85        16/12/1989       GGHS Koghuzi
226   Iran Bibi BA                Ghulam Wali Khan                                           1-Jan-69      Chitral       16-Dec-89        16/12/1989       GGHS Booni
227   MAQSOOM BIBI                SYED MANAWAR SHAH       FA               CT               13-May-69      HARIPUR       17-Dec-89        17-Dec-89
228   TAHIRA REHMAN               FAZAL UR REHMAN         MA               BED CT            20-Jul-66     Bannu         20-Dec-89        20-Dec-89        GGMS FIAZ TALAB MANDAN
229   Shahab Kausar               Muzafar khan            BA/Bed/CT                         21-Apr-65      Swabi         22-Sep-84        20-Dec-89        GGHS Marghuz
230   Rovida Hashmi               Sherin Bacha            MA/Med/CT                          1-Aug-69      Swabi         20-Dec-89        20-Dec-89        GGHSS Shewa
231   Farhat Begum                Zamarood Khan           BA/CT                              5-Jun-70      Swabi         20-Dec-89        20-Dec-89        GGHS Dagai
232   SAMINA NAZ                  FAZAL UR REHMAN         BA               BED CT           6-May-69       Bannu          1-May-88        22-Dec-89        GGMS JANGI DAUAD SHAH BANNU/
233   Noor Jehan                  Akbar Ali               B/A              B/ Ed             4-Jan-71      Nowshera      10-May-89          1-Jan-90
234   MARYUM BIBI                 ABDUL HAMEED            MA               BED              15-Nov-67      ABBOTTABAD     4-Jan-90          4-Jan-90       GGCMHS Nothia
235   Miss Robina Shaheen         Wilayat Shah            B/A              B/ Ed            16-Mar-68      Nowshera       9-Jan-90          9-Jan-90
236   SHAHEEN HUSSAIN             HUSSAIN SHAH            BA               CT                4-Aug-70      HARIPUR       10-Jan-90         10-Jan-90
237   ZEENAT BEGUM                MUHAMMAD IBRAHIM        MA               B/Ed              1-Jun-65      MARDAN         8-Oct-84         17-Jan-90       GGHS BAGHICHA DHERI
238   Musharrifa                  Muhamamd Akbar          FA/CT                             15-Jan-63      Swabi          1-Jan-82         17-Jan-90       GGHS Maneri Bala
239   Neelum Kausar               Umer Khitab             BA/Bed/CT                          1-Jan-61      Swabi         10-Mar-84         17-Jan-90       GGMS Jamal Abad
240   Toheed Ara                  S/Chand Bad shah        BA               Bed              12-Dec-66      Nowshra       28-Nov-89         22-Jan-90
241   ANEELA NOOR                 NOOR Ilahi              MA               BED              14-Mar-68      PESHAWAR      23-Jan-90         23-Jan-90       GGCMHS Nothia
242   Shokat Maryum               Mohammad Nisar          MA                                17-Aug-70      FR Peshawar   29-Jan-90         29-Jan-90       GGMS Sadi Khan
243   Dilafraz Begum,             Sher Dad Khan           BA               M/Ed:            23-Mar-57      Karak          4-Nov-78         1-Feb-90        GGHS, Bogara
244   KHANASIBA , BA(I2nd/ B/ED   ISLAM MURAD                                                1-Apr-67      Malakand       7-Feb-90         7-Feb-90        GGCMS Thana
245   FARHAT JEHAN                KHURSHID HUSSAIN        BA               BED CT           15-Oct-68      D/I/KHAN       8-Feb-90         8-Feb-90        GGHSS PAHARPUR
246   FARHANA SHAD                SHADIULLAH KHAN         BA                                10-Feb-71      Lakki         10-Mar-89          8-Feb-90       GGHS Ghazni Khel
247   ANILA BEGUM                 MAQSOOD UR REHMAN       BA               BED               2-Apr-70      ABBOTTABAD    25-Feb-90         25-Feb-90       GGMS BANDA SAIB KHAN
248   Sadiqa Begum                Ihtishamud Din          BA/CT                              5-Apr-67      Swabi         28-Feb-90         28-Feb-90       GGHS Yar Hussain
249   ASMAT ARA                   KHAISTA RAHMAN          BA               B/Ed              1-Mar-68      MARDAN         4-Mar-90          4-Mar-90       GGHS GUJAR GARHI
250   NAHEED BEGUM                SAHIB ZADA              MA               B/Ed/M/Ed        15-Feb-69      MARDAN         5-Mar-90          5-Mar-90       GGMS DHERI KATLANG
251   WAHEEDA BEGUM               MAROOF SHAH             MA               B/Ed,M/Ed        11-Jun-67      MARDAN         5-Mar-90         5-Mar-90        GGMS GHARI DAULAT ZA
252   ZEENAT BIBI                 FAQEER MUHAMMAD         BA               B/Ed              1-Jan-58      MARDAN         1-Dec-82         7-Mar-90        GGHS BAGHICHA DHERI
253   NAHEED BEGUM                WALI KHAN               BA               B/Ed             15-May-69      MARDAN        10-Mar-90         10-Mar-90       GGJICA FATMA
254   MEHMOODA BIBI               MAKHAN SHAH             MA /BA 2ND DIV   MED               1-Jan-67      HARIPUR       15-Mar-90         15-Mar-90
255   TASLEEM                     MUHAMMAD AFZAL          BA II            BED              3-May-66       CHARSADDA     19-Mar-90         19-Mar-90
256   BUSHRA SULTANA KIANI        RAJA MUHAMMAD SADIQ     BA 2ND DIV       BED :             1-Jan-65      HARIPUR       24-Mar-90         24-Mar-90
257   ABIDA PERVEEN               ABDULLAH KHAN           FA               CT               10-Feb-64      KOHAT         25-Mar-90         25-Mar-90       GGHS NO 1 KOHAT
258   MUSARAT NAZNEEN             MUHAMMAD RAMAZAN        BA                                 2-Sep-55      Lakki          3-May-75         25-Mar-90       GGCMHS NO/2 LAKKI
259   TEHSIN KOUSAR               ABDUR REHMAN            BA               BED              23-Apr-64      ABBOTTABAD    25-Feb-90          1-Apr-90       GGHSS Comprehencive
260   Zeenat Jehan                Bakht Rawan             BA               B/Ed              1-Apr-69      SWAT          14-Jan-89          1-Apr-90       GGMS Qambar
261   Fozia Yasmeen               Abdul Samad             MA                                 2-Nov-72      FR Peshawar    8-Apr-90          8-Apr-90       GGHSS Samand Khan Killi
262   Samina Gul                  Basher Ahmed            BA               BEd              15-Aug-69      Mansehra       9-Apr-90          9-Apr-90
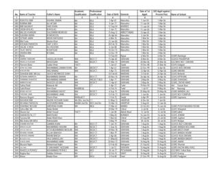
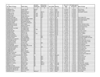
Academic        Professional                                 Date of 1st   D/O Apptt against
No.   Name of Teacher             Father's Name       Qualification   Qualification   Date of Birth   Domicile        Apptt:       Present Post      Name of School
 1                2                              3            4               5            6                  7         8                 9                           10
263   SAMIA KOUSAR                SYED CHANPIR SHAH   BA              BED              31-Aug-61      HARIPUR      29-Oct-87         13-Apr-90
264   KOUSAR SHAHEEN              HUSSAIN BAKHSH      BA              BED/CT            5-Jun-66      D/I/KHAN     12-Jan-85         16-Apr-90       GGMS SAGU
265   JEHAN BANO                  MUHAMMAD JAFFAR     BA              CT               14-May-65      KOHAT        18-Apr-90         18-Apr-90       GGHS USTERZAI PAYAN
266   Tasleem Parveen             Rafaqat yar Khan    B/A             B/ Ed             4-Apr-66      Peshawar     17-Apr-90         18-Apr-90
267   TAJ MAHAL,BA                NIAK MUHAMMAD                                         1-Apr-71      Malakand     21-Apr-90         21-Apr-90       GGMS Gharib Abad
268   SHAKRA                      ALI HAIDAR          BA 2nd Div      CT               20-Mar-70      HARIPUR       2-May-90         2-May-90
269   SURRIYA SULTANA             SULTAN AHMAD        BA              BED               4-Sep-71      HARIPUR       8-May-90         8-May-90        GGMS Pawa
270   Yasmin Akhtir               Ghulam rabani       BA              BEd              22-Dec-65      Mansehra     17-May-90        17-May-90
271   Nadeeda Bano                Fazal ur Rehman     BA              BEd               5-Sep-68      Mansehra      1-May-85        19-May-90
272   SHAMIM AKHTAR               MUHAMMAD YOUSAF     FA              CT               18-Jun-53      PESH         26-May-90        26-May-90        GGMS KHUSHAL GARH
273   NASIM AKHTAR                PIR KHAN            BA              BED               4-Mar-71      ABBOTTABAD    3-Oct-89        28-May-90        GGHS Sumandar Katha
274   Javeda Akhtar,              Muhammad Ali        MA              B/Ed:            15-Nov-63      Karak         3-Dec-81          7-Jul-90       GGHS, Mianki Banda
275   BIBI SADIQA                 S M HUSSAIN SHAH    BA              BEd               3-Jun-62      Mansehra      10-Jul-90        10-Jul-90
276   NABEELA ANWAR               ANWAR GUL           MA              BED               1-Apr-70      PESHAWAR      1-Sep-90         1-Sep-90        GGHS Jogiwara
277   RIFFAT PARVEEN              SHAHID AYAZ         MA              BED              12-Jan-66      PESHAWAR      7-Oct-90          7-Oct-90       GGHSS Hayat Abad
278   SAMINA AKHTAR               MUHAMMAD AKHTAR     BA              BED               5-Feb-64      PESHAWAR      9-Oct-90          9-Oct-90       GGHS Yaka Toot
279   Samin jan                   Umar Ayaz           BA                               25-Oct-67      NWA          10-Oct-90         10-Oct-90       do
280   NIGAR SHAHEEN               ALLAH NAWAZ         MA              BED/CT           19-Jan-57      D/I/KHAN      6-Nov-90         6-Nov-90        GGMS BAND KURAI
281   Shaheen Begum               Buhar Khan          BA (2nd)        B,ed              6-Jan-55      Dir Lower    10-Jan-73        14-Nov-90
282   Hidayat Begum               Bohar Khan          BA (2nd)        B,ed              3-Jan-57      Dir Lower     6-Jan-78        14-Nov-90
283   Maniza Begum                Allauddin Khan      BA (2nd)        B,ed              5-Jan-59      Dir Lower    26-Apr-79        14-Nov-90
284   SAFINA NOUREEN              ABDUR RASHID        BA              CT               15-Mar-66      KOHAT        31-Jan-90        14-Nov-90        GGHS BEHZADI CHAKAR KOT
285   SAMIA NAZ                   MUTAHIR SHAH        BA              CT                2-Sep-66      KOHAT        11-Oct-90        14-Nov-90        GGHS NO 2
286   BIBI HAMIA, BA (2nd) / B/Ed SHUJA KHAN                                           15-Mar-68      Malakand     14-May-85        14-Nov-90        GGMS G/U/KHEL
287   Bibi Khadija BA 3rd B/Ed MA Samandar Khan                                        15-Mar-59      Chitral       20-Jul-82       14/11/1990       GGMS Moghlandeh
288   ZAHIDA                      ABDUS SALAM         FA              CT               20-May-56      KOHAT         3-Mar-80        17-Nov-90        GGMS JUNGLE KHEL
289   BUSHRA                      MUHAMMAD UMMAR      MA              B/Ed             22-Apr-68      MARDAN       29-Nov-90        29-Nov-90        GGHSS Shahbaz Garhi
290   NUSRAT KHATOON              FAZAL KHAN          MA              B/Ed             20-Dec-65      MARDAN        1-Dec-90         1-Dec-90        GGMS KORAGH
291   Raheela Naz                 Sher Zada           BA/Bed/CT                        14-Apr-66      Swabi         1-Dec-90         1-Dec-90        GGHSS Topi
292   Simayat Begum               Said Anwar          BA/Bed/CT                        13-Feb-67      Swabi         1-Dec-90         1-Dec-90        GGHS Marghuz
293   FARIDA RAHMAT               RAHMAT KHAN         BA              B/Ed             23-Apr-68      MARDAN        2-Dec-90         2-Dec-90        GGCMHS BICKET GANJ CANAL ROAD
294   SAMIRA MASOOD               MUHAMAMD ALMAS      MA              BED               5-Dec-90      PESHAWAR      5-Dec-90         5-Dec-90        GGHSS Begum Shahab/ud/Din
295   GULSHAN ARA                 SH:GHULZAR AHMAD    BA              /BED/CT          10-Feb-69      D/I/KHAN      6-Dec-90         6-Dec-90        GGHSS PAHARPUR
296   ZAINUL HARRAM, BA           MUHAMMAD GHANI                                       21-Apr-65      Malakand     10-Dec-90        10-Dec-90        GGHSS Koper
297   Shagufta Naz,               Hamraz Khan         BA              B/Ed:             1-Jan-70      Karak        12-Nov-90        11-Dec-90        GGHS, Nari Panos
298   Saeeda Begum                Fazli Rabbi         MA/CT/Bed                        21-Mar-66      Swabi        16-Jan-86        18-Dec-90        GGCMHS Swabi
299   Hurriat Begum               Fazli Ruban         BA/Bed/CT                        11-Mar-70      Swabi        18-Dec-90        18-Dec-90        GGHS Dobian
300   RUKHSANA BEGUM              QAZI GHULAM YAHYA   MA/BA 2nd Div   BED               2-Feb-55      HARIPUR       4-Feb-74        29-Dec-90
301   RIFAT JAMIL                 MIAN JAMIL AHMAD    MA              BED              17-Aug-62      PESHAWAR      5-Sep-85         1-Jan-91        GGMS Gul Bachah Jee
302   ASMA UL HUSNA               MUHAMMAD YAHYA      MA              BED               5-Jan-70      CHARSADDA     3-Jan-91          3-Jan-91       GGHSS No/2 Cantt
303   Javeeda Gul Zaman/          Gul Zaman/          BA/             CT               28-Dec-59      Tank/        11-Apr-85         7-Jan-91
304   FERHANA YASMEEN             MUHAMMAD NOOR       MA              CT               22-Jan-67      KOHAT         1-Jan-93         7-Jan-91        GGCMHS NO 3 KOHAT
305   Farah Naz/                  Muhammad Ismail/    MA(BE/d)                          1-Mar-70      Tank/          1-Jul-97        7-Jan-91        /do/ Kouru Khan/
306   Farhana Khannum/            Abdul Wahab/        MA(ME/d)        CT               20-Apr-78      Tank/          1-Jul-97        7-Jan-91        /do/     /do/
307   ASIA PARVIN                 SAIFER REHMAN       BA              BEd              15-Feb-70      Mansehra     15-Jan-91         15-Jan-91
308   Rehmat Shaheen              Nimat Ullah         BA              BEd              5-May-69       Mansehra      1-Dec-85         16-Jan-91
309   PARVEEN AKHTAR              KHAWAJ MUHAMMAD     MA/ BA 2nd iv   BED              20-May-65      HARIPUR      21-Jan-91         21-Jan-91
Academic        Professional                                 Date of 1st   D/O Apptt against
No.   Name of Teacher                     Father's Name         Qualification   Qualification   Date of Birth   Domicile        Apptt:       Present Post      Name of School
 1                2                                      3              4               5            6                  7         8                 9                          10
310   KISHWAR JEHAN                       SYED GHULAM           MA              MED              26-Jan-70      Lakki        10-Jan-89         21-Jan-91       GGHS Sardar Maidad Khel
311   FARHAT RANI                         AZIZ/UR/REHMAN        MA BA 2ND DIV   BED :            13-Jun-68      HARIPUR      23-Jan-91         23-Jan-91
312   KOUSAR BEGUM                        AKBAR ALI             BA              BED              27-Jan-72      Lakki        24-Jan-91         24-Jan-91       GGHS Shabaz khel
313   BIBI RAZIA                          DOST MUHAMAD          BA              BED               3-Mar-67      BANNU        24-Jan-91         24-Jan-91       GGHSS No/2 Cantt
314   RIZWaNA TABASSUM                    ABDUL WAHID QURESHI   BA 2ND DIV      CT               10-Jun-68      HARIPUR      29-Jan-91         29-Jan-91
315   SAMIA GUL                           SYED LAL SHAH         MA/ BA          MED               3-Jan-71      HARIPUR      30-Jan-91         30-Jan-91
316   FEHMIDA KOSAR                       MOHD IRFAN            BA              BEd              14-Oct-67      Mansehra     24-Dec-85         30-Jan-91
317   SAMINA WAHEED                       MUHAMMAD BASHIR       MA              /BED/CT           5-Mar-66      D/I/KHAN     31-Jan-91         31-Jan-91       GGMS KIRI ALIZAI
318   SHABANA IQBAL                       MUHAMMAD IQBAL        BA 2ND DIV      BED :            10-May-68      HARIPUR      31-Jan-91         31-Jan-91
319   TAHIRA JABEEN                       MUHAMMAD HUSSAIN      MA BA 2ND DIV   MED              24-Apr-68      HARIPUR      31-Jan-91         31-Jan-91
320   SHAHZIA ZAMAN                       MUHAMMAD ZAMAN        BA              BED              12-May-69      MANSEHRA      2-Feb-91          2-Feb-91       GGHS No/2 A/Abad
321   SADIQA NAZ                          MUHAMMAD AYAZ         MA              BED/CT           25-May-69      D/I/KHAN      2-Feb-91          2-Feb-91       GGHS NO/ 4 DIKHAN
322   NAILA NAZ                           MUHAMMAD SHER KHAN    MA              BED               2-Aug-66      HARIPUR      30-Jan-91          2-Feb-91
323   Sadaqat Siddiqe                     Ghulam Glani          BA              BEd               1-Jun-66      Mansehra       8-Jul-86        2-Feb-91
324   Naveeda bagum                       Abdul Waheed          BA              BEd               4-Oct-65      Mansehra      2-Feb-91         2-Feb-91
325   NAZISH TAYYAB                       TAYYAB LODHI          FA              CT               28-Apr-68      HARIPUR       4-Feb-91         4-Feb-91
326   SHAKEELA BEGUM                      SHER AFZAL            MA/BA 2nd Div   BED              10-Sep-64      HARIPUR      30-Jan-91         11-Feb-91
327   SAMINA BIBI                         AKHTAR NAWAZ          MA/BA 2nd Div   BED              5-May-71       HARIPUR      12-Feb-91         12-Feb-91
328   SAMINA YASMIN                       RUSTAM KHAN           BA              BED              23-Mar-69      ABBOTTABAD   13-Feb-91         13-Feb-91       GGMS MALSA
329   JABEEN AKHTAR                       MUHAMMAD ASHRAF       MA/BA 2nd Div   BED              1-May-67       HARIPUR      15-Feb-91         15-Feb-91
330   KALSOOM SHAMS                       SHAMSUL HUSSAIN       MA              MEd               9-Aug-70      PESHAWAR     17-Feb-91         17-Feb-91       GGHSS Begum Shahab/ud/Din
331   GUL NASREEN                         SHER AHMAD            BA              CT                1-Apr-70      HARIPUR      19-Feb-91         19-Feb-91
332   ROBINA CHAND                        AKHTAR HUSSAIN        MA B/ED         BED 2nd Div:     10-Aug-66      HARIPUR      23-Feb-91         23-Feb-91
333   Nasreen Bano                        Bakht Ali Khan        BA/CT                            15-Apr-66      Swabi        23-Feb-91         23-Feb-91       GGHS Tordher
334   Syeda Fatma Bukhari                 Tahir Bukhari         MA/Med/CT                        23-Feb-71      Swabi        23-Feb-91         23-Feb-91       JICA Model School Lahor
335   FOUZIA BASHIR                       GHANI UR REHMAN       BA              BED              15-Mar-67      PESHAWAR      3-Mar-91          3-Mar-91       GGHS Khyber Colony
336   FAREEDA NOOR                        NOOR MUHAMMAD         MA /BA 2ND      BED 2nd Div:     25-Apr-60      HARIPUR       4-Mar-91          4-Mar-91
337   ABIDA KHATTON                       MUHMMAD HUSSAIN       BA              BED               5-Dec-69      ABBOTTABAD    5-Mar-91         5-Mar-91        GGMS DHODIAL
338   Ghazala Yasmin                      Bahader sher          BA/CT                            27-Apr-67      Swabi         7-Mar-91         7-Mar-91        GGCMHS Swabi
339   FARKHANDA JABEEN                    SHER ALI KHAN         BA 2ND DIV      BED               1-Apr-76      HARIPUR      26-Jan-84         14-Mar-91
340   SALEEMA BEGUM                       ISRAR SHAH            BA              B/Ed             14-Aug-61      MARDAN       12-Dec-83         14-Mar-91       GGCMHS BICKET GANJ CANAL ROAD
341   HAJIRA                              HAMEED ULLAH          MA              B/Ed,M/Ed         5-Aug-61      MARDAN        2-Mar-87         14-Mar-91       GGMS SIKANDARI ROAD PAR HOTI
342   RUQAYYA NOOR                        AHMAD GUL             MA              B/Ed              1-Sep-65      MARDAN        1-Dec-86         14-Mar-91       GGCMHSS For Girls Katlang
343   Bibi Nasima BA                      Shamsul Wahab                                           2-Jun-57      Chitral       1-Feb-84         14/3/1991       GGCMHS Denin
344   MUKHTIAR NASRIN                     HAZRAT JAMAL          BA              B/Ed              1-Nov-66      MARDAN        2-Sep-85          1-Apr-91       GGHSS Gujrat
345   NAEEMA SHAH                         ISRAR SHAH            MA              B/Ed             18-Apr-68      MARDAN       21-Apr-91         21-Apr-91       GGCMHS BICKET GANJ CANAL ROAD
346   RUKHSANA TABASUM, BA (2Nd) / B/Ed   MUHAMMAD AMIN                                           1-Jan-71      Malakand      1-Jun-91          1-Jun-91       GGMS Palonaw
347   MUMLIKAT QADAR,BA                   GHULAM QADAR                                            1-Mar-67      Malakand     19-Sep-88          1-Jun-91       GGMS GUNYAR
348   REHANA BEGUM                        SARDAR KHAN           MA              CT                3-Mar-66      KOHAT         7-May-88         22-Oct-91       GGHS NO 2
349   Shahida Parveen BA                  Karim Bakhsh                                           22-Mar-63      Chitral       2-Dec-89        22/10/1991       GGMS Shahnigar
350   Nargis Shaheen                      Rahman Ullah          BA/CT                            1-May-68       Swabi         1-Nov-86         1-Dec-91        GGMS Gar P/Pir
351   Shahnaz Begum                       Samar Ali Khan        BA/Med/CT                         1-Apr-68      Swabi         7-Dec-91         7-Dec-91        GGHS Gar Munara
352   SHAHIDA BEGUM                       HAZRAT UMAR           BA II           BED              12-Apr-67      CHARSADDA    16-Oct-86        17-Dec-91
353   SAIRA BANO                          FAZAL KARIM           MA              BED               9-Jul-64      PESHAWAR     11-Dec-85          4-Jan-92       GGCMHS Tehkal Bala
354   Zahida Begum,                       Gul Daraz             BA              M/Ed:             1-Mar-70      Karak         1-Apr-92          4-Jan-92       GGHS Latamber/
355   Shahmim Akhtar,                     Ghafoor Muhammad      BA              B/Ed:             3-Feb-67      Karak        10-Oct-85          9-Jan-92       GGHS Chowkara/
356   Naeema Tabassum                     M/ Addullah           B/A             B/ Ed             1-Jan-69      Nowshera      5-Feb-92         5-Feb-92
Academic        Professional                                  Date of 1st   D/O Apptt against
No.   Name of Teacher              Father's Name       Qualification   Qualification   Date of Birth   Domicile        Apptt:        Present Post      Name of School
 1                  2                             3            4               5             6                 7         8                 9                           10
357   Shah Jahan BA                Noor Alim                                             5-Jun-66      Chitral        2-May-92         5-Feb-92        GGHS Shiaqotek
358   Nighat Mushtaq               mushtaq alam        BA Bed          B,ed             15-Aug-59      Mohmand       26-Feb-92         26-Feb-92       GGMS Baz Mohammad
359   Anisa Farzana                Sher Muhammad       BA/Bed/CT                        10-May-72      Swabi          9-Dec-90         26-Feb-92       GGHS Jalsai
360   Shakeela Naz                 Muhamamd Mustaqim   MA/Med/CT                        30-Jun-69      Swabi          1-Oct-88         27-Feb-92       GGHS Zaida
361   Razia begum                  Abdur Rasheed       BA/Bed/CT                        20-Dec-66      Swabi         27-Feb-92         27-Feb-92       GGMS Batakara
362   Khalida Begum                Muhammad Yaqoob     BA/Bed/CT                        20-May-67      Swabi         27-Feb-92         27-Feb-92       GGHS Zaida
363   Zubaida Begum                Abdul Wahab         MA/Med/CT                         4-Mar-70      Swabi         27-Feb-92         27-Feb-92       GGMS Roshan Pura
364   Shazia Rashid                Abdul rashid        MA                               16-Jun-70      FR Peshawar   29-Feb-92         29-Feb-92       GGMS Nauman Killi
365   ZAINAB KHATOON               SALEEM KHAN         MA              BED               4-Jan-67      HARIPUR       29-Feb-92         29-Feb-92
366   NOOR JEHAN                   ABDUL MALIK         MA              B/Ed,M/Ed         1-Sep-65      MARDAN        29-Feb-92         29-Feb-92       GGHS NO 1 MARDAN
367   SAFIA BIBI                   KISHWAR KHAN        MA              B/Ed,M/Ed        30-Apr-70      MARDAN         1-Mar-92          1-Mar-92       GGMS NO/2 BUGHDADA
368   PARVEEN                      TAJ MOHAMMAD        MA              B/Ed,M/Ed        10-Nov-70      MARDAN         1-Mar-92          1-Mar-92       GGHSS Hathian
369   SABIRA NASEEM                ABDUR RAUF          MA              B/Ed             16-Apr-72      MARDAN         1-Mar-92          1-Mar-92       GGHSS Takht Bhai
370   SAMINA YOUNAS                M YOUNAS            MA              BED              24-Jun-72      PESHAWAR       1-Mar-92         1-Mar-92        GGMS Gul Bachah Jee
371   Shazma Ishaq                 Mohammad Ishaq      MA                               15-Mar-65      FR Peshawar    3-Mar-92         3-Mar-92        GGHSS Samand Khan Killi
372   Shamim Ijaz                  Meher Dil           MA/Bed/CT                         1-Apr-63      Swabi         28-Sep-86         3-Mar-92        GGHSS Kalabat
373   Kausar Tehseen               Akbar Said          MSc/Med/CT                       2-May-72       Swabi          5-Mar-92         5-Mar-92        GGHS Yaqoobi
374   Mehrun Nisa BA B/Ed          Zardullah Khan                                        20/4/1968     Chitral        3-May-92         5-Mar-92        GGCMHS Denin
375   RASHIDA BEGUM                HASSAN GHANI        MA              B/Ed,M/Ed        15-Jun-69      MARDAN         9-Mar-92         9-Mar-92        GGHS MIAN KHAN
376   Samina Jabin                 Zahoor ul Haq       M/A             B/ Ed, M/ Ed      6-Sep-70      Nowshera      17-Mar-92         17-Mar-92
377   PARVEEN KHAN                 MUNAWAR KHAN        MA              BED              18-Mar-92      PESHAWAR      18-Mar-92         18-Mar-92       GGPMS HAYAT ABAD (JICA)
378   FARZANA DARWAISH             DARWAISH            MA              BED               1-Apr-70      PESHAWAR      19-Mar-92         19-Mar-92       GGHS Sufaid Sang
379   SHAZIA KARIM                 KARIM BAKSH         MA              MEd               9-Sep-67      PESHAWAR      21-Mar-92         21-Mar-92       GGHS Nishter Abad
380   ZAHIDA PARVEEN               MOHMAMMAD ASHRAF    BA              BED              20-Apr-71      PESHAWAR      22-Mar-92         22-Mar-92       GGHSS Begum Shahab/ud/Din
381   BIBI RAZIA                   ABDUL RAUF          MA              BED              10-Jun-69      PESHAWAR      22-Mar-92         22-Mar-92       GGHSS Begum Shahab/ud/Din
382   SARWAT JABEEN                MUNTAQIMULLAH       MA              BED               4-Mar-69      PESHAWAR      22-Mar-92         22-Mar-92       GGMS Jehangir Pura
383   MUNIRA SULTANA               SAHIBZADA KHAN      BA              BED              15-Nov-62      PESHAWAR      24-Mar-92         24-Mar-92       GGHS Civil Colony
384   Raiba                        Najeebullah         BA/Bed/CT                        30-Jun-68      Swabi         12-Sep-87         29-Mar-92       GGHS Marghuz
385   Naseem Nazir                 Nazir Muhammad      BA/CT/Bed                         6-Feb-68      Swabi         29-Mar-92         29-Mar-92       GGMS Bazargi
386   Zahida Khanum,               Abdul Qayum         MA              B/Ed:             1-Mar-68      Karak         29-Mar-92         29/3/1992       GGHS T Nasratti/
387   KOUSAR ZARIN                 ZARIN KHAN          MA              CT               16-Jan-70      KOHAT         31-Mar-92         31-Mar-92       GGHS NO 1 KOHAT
388   SHAHIDA NAHEED               ALI AHMAD           BA              CT                9-Jun-69      KOHAT          1-Apr-92          1-Apr-92       GGMS JUNGLE KHEL
389   AFTAB TABASUM                JAMAL KHAN          FA              CT                3-Sep-69      KOHAT          2-Apr-92          2-Apr-92       GGHS BEHZADI CHAKAR KOT
390   SHAHNAZ TABASSUM             JAMAL KHAN          BA              CT               11-Dec-65      KOHAT          2-Apr-92          2-Apr-92       GGHS NO 2 KOHAT
391   WAJAHAT SULTANA              SYED ROSHAN ALI     MA              B/Ed              1-Mar-59      MARDAN         9-Mar-87          2-Apr-92       GGMS KATTA KHAT
392   JAAN NISAR                   SYED QAMRISH        MA              B/Ed,M/Ed         1-Jul-68      MARDAN         1-Oct-87          2-Apr-92       GGHS NO 1 MARDAN
393   RAHEEN IHSAN                 ALIF GUL            MA              B/Ed,M/Ed         10-Jul-63     MARDAN        23-Jan-88          2-Apr-92       GGHS RUSTAM KHEL
394   MUNAWAR SULTANA              HAJI M ILYAS        MA              BED              19-Feb-68      PESHAWAR      23-Apr-92         23-Apr-92       GGPMS BUDNI PESHAWAR (JICA)
395   Zeenat Mahal                 Sahib Zada          BA              B/Ed             14-Jan-72      SWAT          16-Apr-92         23-Apr-92       GGHS No/1/Mingora
396   Shahida Begum                ghulam muhammad     MA/B/ED         B,ed             21-May-67      Mohmand       24-Apr-92         24-Apr-92       GGHS Dab Kor
397   Naseem Ara                   Charay Khan         MA              B/Ed             5-May-68       MKD           29-Apr-92         29-Apr-92       GGHS Aboha
398   NASREEN GUL BA/CT            MUKARAM KHAN                                         28-Mar-68      Malakand      30-Apr-92         30-Apr-92       GGHS Malakand
399   Jamila                       Shai Mulk           BA              B/Ed             16-Oct-72      SWAT          30-Apr-92         30-Apr-92       GGHS No/1/Mingora
400   ANEELA AZIZ                  HAJI AZIZ AHMAD     BA              BED              26-Apr-68      ABBOTTABAD     7-Dec-82         1-May-92        GGHS No/2 A/Abad
401   MUFEED BEGUM, BA(2nd)B/Ed FAZAL HAQ                                                1-Mar-71      Malakand       2-May-92         2-May-92        GGHS Allahdand
402   NEELAM WAHID, BA(2nd) / B/ED ABDUL WAHID                                           7-Apr-70      Malakand       2-May-92         2-May-92        GGHS Julagram
403   SHAGUFTA BEGUM, BA(2nd) ABDUL RAZIQ                                                8-Apr-73      Malakand       2-May-92         2-May-92        GGMS Sindani
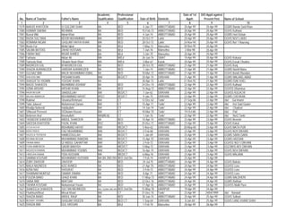
Academic        Professional                                    Date of 1st   D/O Apptt against
No.   Name of Teacher         Father's Name         Qualification   Qualification      Date of Birth   Domicile        Apptt:       Present Post      Name of School
 1                   2                      3               4               5                6                 7         8                9                             10
404   Ishrat Jamshid          Jamshid Ali           BA              B/Ed                26-Mar-73      SWAT         29-Apr-92         2-May-92        GGHS Saidu Sharif
405   RIFAQAT BIBI            MIAN ABDUL QAYUM      MA              B/Ed                 15-Jul-63     MARDAN        1-Sep-85         5-May-92        GGMS BAKHSHALI
406   Shabnam Elahi           Ilhai Bakhsh          MA              B/Ed                 1-Oct-69      SWAT         29-Apr-92         5-May-92        GGHS Saidu Sharif
407   SHABNAM SHAHNAZ         MUHAMMAD RAFIQ        MA/             BED/CT               1-Jan-71      D/I/KHAN      6-May-92         6-May-92        GGHSS NO/ 2 DIKAHN
408   NEELAM BEGUM, BA        JUMA GUL                                                   3-Mar-63      Malakand      7-May-92         7-May-92        GGMS Palonaw
409   NEELOFAR BA(2nd)        ZARIN SHAH                                                 4-Dec-65      Malakand      9-May-92         9-May-92        GGHS DHERI (D/Julagram)
410   RIZWANA TABASSUM        ABDUR REHMAN          MA              MED B/ed 2nd div     1-Feb-67      HARIPUR      10-May-92        10-May-92
411   SHAHEEN KOUSAR          BASHIR AHMAD          FA              CT                   3-Jan-65      HARIPUR      10-May-92        10-May-92
412   SHAIZTA SHARIF          M SHAEIF              BA              BEd                  9/1/1061      Mansehra     10-May-92        10-May-92
413   GHAZALA SHAHEEN         JEHANGIR KHAN         BA              BED                  6-Sep-66      ABBOTTABAD   11-May-92        11-May-92        GGHSS Comprehencive
414   RUKSHANA PARVEEN        MAQBOOL UR REHMAN     BA              BED                  1-May-67      ABBOTTABAD   11-May-92        11-May-92        GGHS Hall Maira
415   GUL NASREEN             FAZAL/E/HAQ           MA              BED                 14-Aug-65      HARIPUR      11-May-92        11-May-92
416   Shazia Rafique          Mohd/Rafique          BA              BEd                   1-Jul-70     Mansehra      3-Sep-86        11-May-92
417   RAKHSANA SHSHEEN        ABDUL RASHEED         BA              BEd                 4-May-71       Mansehra     11-May-92        11-May-92
418   MUSSARAT YASMIN         GHULAM RASOOL         MA              BED CT              13-Apr-69      D/I/KHAN     13-Sep-87        12-May-92        GGHS NO/ 6 DIKHAN
419   IMTIAZ PERVEEN          MUHAMMAD AJOON KHAN   MA              B/Ed,M/Ed           15-Apr-63      MARDAN       11-Feb-84        14-May-92        GGHS HOTI NO2
420   SYEDA NASRA AZAM        S GHULAM HABIB KHAN   MA              MEd                 24-Sep-69      PESHAWAR     14-May-92        14-May-92        GGHS Malogo
421   Naheed Begum            Yousaf Khan           BA/CT                               18-Mar-67      Swabi         7-Sep-95        15-May-92        GGMS Centre Saproona
422   Nabila Bibi             ALIF DEEN             BA              BED                  4-Apr-71      ABBOTTABAD   16-May-92        16-May-92        GGHS Jhangi
423   BIBI TASKEEN            KHAN BAHDUR           BA              BED                  3-Jan-67      ABBOTTABAD   16-May-92        16-May-92        GGHSS Dhamtour
424   Fozia Nasreen           Fazal Hussain         FA                                   1-Jan-73      FR Tank      16-May-92        16-May-92        GGMS Aqal Din Kor
425   SHAZIA MALIK            MALIK MANZOOR AHMAD   MA BA 2ND DIV   BED                 26-Feb-70      HARIPUR      16-May-92        16-May-92
426   NAHEED BANO             SHAMREZ KHAN          BA              BED                 25-Feb-68      ABBOTTABAD   18-May-92        18-May-92        GGCMS A/Abad (NO/1)
427   FARKHANDA SHEREEN       NOOR UL ISLAM         BA              BED                  2-Oct-71      MANSEHRA     18-May-92        18-May-92        GGMS KALU BANDI
428   ABIDA BEGUM             MUHABBAT KHAN         BA              BED                 28-Jun-71      ABBOTTABAD   19-May-92        19-May-92        GGHS Salhad
429   AMRAZIA NAZ             MOHABAT KHAN          BA              BED                  8-Jun-69      ABBOTTABAD   19-May-92        19-May-92        GGMS BANDA PIR KHAN
430   SHERRAZ BIBI            QALNDER KHAN          BA              BED                 29-Mar-68      ABBOTTABAD   20-May-92        20-May-92        GGCMS A/Abad (NO/1)
431   ASMA BIBI               FAZAL UR REHMAN       BA              BED                   1-Jul-70     ABBOTTABAD   20-May-92        20-May-92        GGCMS Nawanshehr
432   NARGIS ZUBAIR           MUHAMMAD ZUBAIR       MA BA 2ND DIV   MED B/ed 2nd div    28-Mar-70      HARIPUR      20-May-92        20-May-92
433   Arab Sultana, MA M/Ed   Amirullah                                                  2-Feb-54      Chitral        1-Jul-81       20-May-92        GGCMHS Denin
434   NAHEED AKHTAR           ASHIQ HUSAIN          BA              BED                 12-Jun-68      ABBOTTABAD   21-May-92        21-May-92        GGHSS Malik Pura
435   RUKHTAJ BIBI            KHANI ZAMAN           BA              BED                 21-May-65      ABBOTTABAD   21-May-92        21-May-92        GGHS Mirpur
436   SHABANA ZEB             M/AURANGZEB           MA/BA 3rd Div   BED 2nd Div:        10-Oct-67      HARIPUR      21-May-92        21-May-92
437   GULRAIZ BIBI            MUZMALL ALI           FA              CT                   2-Apr-67      HARIPUR      21-May-92        21-May-92
438   Asmat Ara               Usman Ali             MA              M/Ed                10-May-68      SWAT         23-May-92        23-May-92        GGMS Amankot
439   UZMA AMBREEN            MIRZA M/JAN           MA/             BED/CT              24-Sep-67      D/I/KHAN     31-May-92        31-May-92        GGCMHS NO/ 1 DIKHAN
440   KOUSAR NAYAB            AMIR NAWAZ            MA              BED                 18-Mar-71      CHARSADDA    31-May-92        31-May-92        GGHS BASHIR ABAD PESHAWAR
441   RUBINA SHAHEEN          ATTAR DIN             BA              BED                 12-Mar-68      ABBOTTABAD   20-May-92         1-Jun-92        GGCMS A/Abad (NO/1)
442   AZRA BEGUM              HANIF ULLAH           MA              BED                  1-Jan-67      MARDAN       27-Nov-90         1-Jun-92        GGHSS Comprehencive
443   NAHEED TABASSUM         ABDUS SALAM           MA              MED                  9-Jun-67      Lakki        22-Sep-87         7-Jun-92        GGHS No/ 1 Naurang
444   HAJIRA GUL              GHULAM KIBRIA         MA              BED                 14-May-68      HARIPUR      21-Jun-92         21-Jun-92
445   Samina Sayed            Hakim Said            BA              B/Ed                10-Jan-69      SWAT          1-Jun-83         23-Jun-92       GGHS K/Khela
446   TAHIRA JABEEN           MANZOOR/UR/REHMAN     FA              CT                   1-Apr-71      HARIPUR       1-Apr-91         28-Jun-92
447   RAZIA SULTANA           AKRAM KHAN            BA              BED                 30-Nov-64      Lakki        10-Jan-86         30-Jun-92       GGHS No/ 2 Naurang
448   Samina Shaheen          Abdul jalil           BA              BEd                 15-Mar-68      Mansehra      4-Feb-87         30-Jun-92
449   SAIRA JABIN             ALI ZAMAN             BA              BEd                 27-Sep-69      Mansehra     10-Feb-87         1-Aug-92
450   BIBI SHANAZ             PIR MOHD              BA              BEd                 15-Jun-65      Mansehra      8-Aug-92         8-Aug-92
Academic        Professional                                 Date of 1st   D/O Apptt against
No.   Name of Teacher                  Father's Name          Qualification   Qualification   Date of Birth   Domicile        Apptt:       Present Post      Name of School
 1                2                                 3                 4               5             6                 7         8                9                           10
451   MUSARAT RANI                     AZIZ UR REHMAN         BA              BED              29-Sep-66      ABBOTTABAD   15-Aug-92        15-Aug-92        GGHS No/2 A/Abad
452   Nusrat Bibi                      Mohd:Hamyun            BA              BEd              20-Oct-71      Mansehra     17-Jun-87        15-Aug-92
453   FOUZIA ANWAR                     MIAN ANWAR SHAH        BA              BED              17-Sep-74      PESHAWAR     18-Aug-92        18-Aug-92        GGHS Khyber Colony
454   NASEEM AKHTER                    FAZAL REHMAN           MA/             BED/CT           28-Oct-65      D/I/KHAN     17-May-92         2-Sep-92        GGHS NO/ 9 DIKHAN
455   SIMAB KHALIL                     M/KHALIL               BA              BED              26-May-72      ABBOTTABAD   14-Sep-92        14-Sep-92        GGMS Bandi phullan
456   RANA GUL                         MUHAMMAD SALEEM        BA              MEd              20-Mar-73      MARDAN       23-Sep-92        23-Sep-92        GGHSS Hayat Abad
457   TAHIRA HABIB                     TAJ MUHAMMAD           BA              MEd               2-Mar-74      MARDAN       23-Sep-92        23-Sep-92        GGHSS Hayat Abad
458   RAZIA BEGUM                      FAIZ RASOOL            BA                               15-Oct-54      Lakki        27-Sep-92        27-Sep-92        GGMS ISAK KHEL
459   SALMA SHAHEEN                    MUHAMMAD RAOF KHAN     MA/             MED/CT           11-Mar-66      D/I/KHAN     28-Sep-92        28-Sep-92        GGMS LACHRA
460   SAJIDA AZIZ                      ABDUL AZIZ             BA              BEd              10-Mar-74      Mansehra      1-Oct-87         1-Oct-92
461   ROMANA ARSHAD                    MUHAMMAD ARSHAD KHAN   MA              BED              13-Mar-66      HARIPUR      12-Aug-92          6-Oct-92
462   SHAKEELA BIBI                    MOHD YAQOOB            BA              BEd              20-Mar-71      Mansehra     10-Oct-87         12-Oct-92
463   Abdia Bagum                      Habib ur Rehman        BA              BEd              25-May-59      Mansehra     12-Nov-87         18-Oct-92
464   Ramim Begum                      Gul Bahader            FA/CT                             2-Jan-73      Swabi        22-Oct-92         22-Oct-92       GGMS Paludhand
465   NAVEED ANJUM                     MUHAMMAD NAEEM         BA              BED              23-Jan-73      SWABI        25-Oct-92         25-Oct-92       GGHS PAF SHAHEEN CAMP
466   HASHMAT ARA                      ABDUR RAHMAN           MA              B/Ed, M/Ed       23-Apr-68      MARDAN        3-Nov-92         3-Nov-92        GGMS SAJAN KILLI
467   Fazeelat Karam                   Roshan Diyar           MA              B/Ed              1-Jun-70      SWAT          5-Nov-92         5-Nov-92        GGHS Shahdara
468   NISHAT PERVEEN, BA(2nd)B/Ed      MUHAMMAD ISMAIL                                          3-Mar-68      Malakand      7-Nov-92         7-Nov-92        GGHS Allahdand
469   NUSRAT BIBI, BA (2Nd) / B/Ed     HAZRAT GUL                                               7-Apr-69      Malakand     12-Nov-92        12-Nov-92        GGMS JALALA
470   Kalsoom Akhtar                   Amir Aman Khan         BA              CT               16-Jun-68      SWAT         17-Sep-86        12-Nov-92        GGMS Koza Bandai
471   Rawasia                          Shah Hussain           MA              B/Ed              7-Feb-69      SWAT         16-Nov-92        16-Nov-92        GGHS Shahdara
472   MUSARRAT NAZIR                   SHAH JEHAN             BA              B/Ed              25-Jul-69     MARDAN       24-Oct-92        21-Nov-92        GGHS TAKKAR
473   ROIDA JABEEN                     MOKAMIL SHAH           MA              B/Ed, M/Ed        9-Mar-70      MARDAN       20-Oct-92        21-Nov-92        GGMS AKBAR ABAD
474   FARZANA NAHEED                   IBAD ULLAH             MA              B/Ed,M/Ed        15-Oct-70      MARDAN       22-Oct-92        21-Nov-92        GGHS KAS KOROONA
475   Rukhsana Hassan                  Muhammad Hassan        BA/Bed/CT                        24-Feb-73      Swabi        21-Nov-92        21-Nov-92        GGHSS Lahor
476   Nasim Akhter                     Mohd Sherin Khan       BA (2nd)        B,ed             13-Jan-60      Dir Lower    30-Apr-78        22-Nov-92
477   Yasmin Begum                     Ghazi Khan             BA (2nd)        B,ed             1-May-70       Dir Lower    30-Nov-88        22-Nov-92
478   MUSARRAT JABEEN                  MUHAMMAD IQBAL         MA              CT               12-Jun-58      KOHAT         2-Jan-85        22-Nov-92        GGHS NO 1 KOHAT
479   NISHAT BEGUM, BA                 GADAIE KHAN                                              1-Jan-62      Malakand       4-Jul-87       22-Nov-92        GGCMHS Thana
480   GOHAR TAJ, MA (isl) / B/ED       ABDUL JALIL                                              4-Jan-64      Malakand      9-Dec-86        22-Nov-92        GGCMHS Thana
481   RABIA BEGUM, BA                  ASMAT ULLAH                                             20-Apr-66      Malakand     24-Jun-87        22-Nov-92        GGCMHS Thana
482   IRSHAD ZAKIR                     ZAKIR ULLAH            BA              B/Ed              1-Jan-67      MARDAN        3-Apr-92        22-Nov-92        GGHS SHER GARH
483   MEHRUN NISA                      PUTTAN MIAN            BA              B/Ed             10-Mar-67      MARDAN       12-Sep-87        22-Nov-92        GGHS HOTI NO2
484   TABASSUM JEHAN                   MOHAMMAD ILYAS         BA              B/Ed             12-Sep-71      MARDAN       22-Oct-92        22-Nov-92        GGHS BUGHDADA
485   FARIDA FAIZ                      FAIZ ULLAH             MA              B/Ed              4-Dec-73      MARDAN       22-Oct-92        22-Nov-92        GGHS JALALA
486   Rubina Qureshi                   Rahman Ullah           MA/Bed/CT                         2-Aug-72      Swabi        23-Nov-92        23-Nov-92        GGHS Sarwar Shah Kote
487   Shahida Shams                    Shamsul Haq            MA/Med/CT                        28-Jan-74      Swabi        23-Nov-92        23-Nov-92        GGHS KSK
488   Rahiat Bibi                      Utman Zay              BA/CT                             1-Jan-71      Swabi        24-Nov-92        24-Nov-92        GGHS Dobian
489   Imtiaz Begum                     Habibur Rahman         MA/Bed/CT                        24-Sep-70      Swabi        26-Nov-92        26-Nov-92        GGHS Dagai
490   NUSRAT BIBI                      MIRAAJ GUL             BA              B/Ed              1-Aug-70      MARDAN       25-Nov-92        28-Nov-92        GGHS HOTI NO2
491   Rukshsane                        Roshan Diyar           MA              M/Ed              4-Mar-73      SWAT         21-Nov-92        28-Nov-92        GGHS Saidu Sharif
492   Farah Deeba                      Mir Hawas              BA/Bed/CT                        24-Feb-68      Swabi        30-Nov-92        30-Nov-92        GGHSS Topi
493   SHABANA KARIM, BA(2nd) / B/Ed    MUHAMMAD KARIM                                           1-Aug-70      Malakand      5-Oct-89         1-Dec-92        GGHSS Sakhakot
494   NAYYAR SULTAN, BA(2ND) (/ B/ED   BAKHT RAWAN                                              1-Jan-67      Malakand     18-Mar-87         1-Dec-92        GGHS Julagram
495   Bibi Yasmin                      Noor Muhammad          MA/Med/CT                        22-Jun-65      Swabi         1-Dec-92         1-Dec-92        GGHS Zaida
496   Shagufta                         Ali Haider             MA              B/Ed             23-Apr-70      SWAT          1-Dec-92         1-Dec-92        GGHS Saidu Sharif
497   Bibi Yasmin                      Taj Muhammad           MA/Bed/CT                        22-Apr-59      Swabi         2-May-78        19-Dec-92        GGHSS Kalu Khan
Academic        Professional                                 Date of 1st   D/O Apptt against
No.   Name of Teacher          Father's Name             Qualification   Qualification   Date of Birth   Domicile       Apptt:        Present Post      Name of School
 1                2                         3                    4               5             6                 7         8                 9                          10
498   NAGINA ZAMAN             S/ZAMAN                   MA              B/Ed,M/Ed        14-Sep-66      MARDAN       27-Dec-92        27-Dec-92        GGHS RUSTAM KHEL
499   SALAMA SHAFIQUE          SULEMAN                   MA              CT               28-Apr-63      KOHAT        22-Apr-87        29-Dec-92        GGHS TOGH BALA
500   FARIDA JAN               MUHAMMAD ZAMAN            MA              CT               28-Nov-66      KOHAT        29-Dec-92        29-Dec-92        GGHS TOGH BALA
501   FARKHANDA IQBAL          MUHAMMAD IQBAL            BA              CT               31-Jan-72      KOHAT         2-Jan-93          2-Jan-93       GGHSS LACHI
502   NASEEM AKHTAR            SYED KAPTAN               MA              BED              10-Oct-74      MARDAN        2-Jan-93          2-Jan-93       GGMS AHMED KHEL PESHAWAR
503   SHAHEEN AKHTAR           SARDAR GUL                MA              MEd               3-Mar-67      PESHAWAR      3-Jan-93          3-Jan-93       GGHS Dabgari Gate
504   SAEEDA BANO              KALA KHAN                 MA              BED              26-Apr-74      HARIPUR       6-Jan-73         21-Jan-93
505   SHAMIM BEGUM             MUHAMMAD ZAMAN            BA              B/Ed              1-Jan-67      MARDAN       21-Jan-93         21-Jan-93       GGHSS Shahbaz Garhi
506   FOZIA AWAN               MASTI GUL                 MA              BED               2-Apr-57      PESHAWAR      1-Aug-77         24-Jan-93       GGMS Jehangir Pura
507   RAKSHNDA NAZ             ABDUL HADEE               MA/             BED/CT           1-May-69       D/I/KHAN     22-Oct-88         21-Feb-93       GGHS NO/ 3 DIKHAN
508   ASAL BIBI                MUHAMMAD ALI              FA                                1-Jan-70      Lakki        23-Feb-93         23-Feb-93       GGMS KHWAJA KHEL
509   ROIDA NOOR               NOOR MUHAMMAD             BA                               19-Jan-69      Lakki        19-Nov-92         23-Feb-93       GGMS KOIDAD KHEL
510   ROBINA FAZAL             FAZAL ELAHI               BA/             BED/CT            3-Jul-64      D/I/KHAN     27-Feb-93         27-Feb-93       GGMS ATTOG
511   Shafqat Jan/             Naimatullah/              (BEd/MEd)       CT               11-Nov-71      Tank/        11-Nov-92        27/02/1993       /do/ Ama Khel/
512   FARHAT ARA               MUHAMAMD IQBAL            MA              BED               1-Apr-67      DIKHAN       28-Feb-93         28-Feb-93       GGMS No/3 Cantt/
513   SHAHEEN AKHTAR           SARDAR GUL                MA              MED               3-Mar-67      PESHAWAR      1-Mar-93          1-Mar-93       GGHS Yaka Toot
514   TASLEEM JAN              ABDUL GHAFOOR KHAN        BA              BED              18-Apr-69      ABBOTTABAD    4-Mar-93         4-Mar-93        GGMS MUJATH
515   SHAKEELA BIBI            MIR ALAM                  BA              BED              25-Mar-67      HARIPUR       4-Mar-93          4-Mar-93
516   RAHEELA FAIZ             FAIZULLAH                 MA/             BED/CT            2-Jul-69      D/I/KHAN     20-May-92         6-Mar-93        GGCMHS NO/ 1 DIKHAN
517   KOUSAR PARVEEN           ASHIQ ELLAHI              MA              MED               1-Apr-70      HARIPUR       6-Mar-93         6-Mar-93
518   SHAHZADI FARAHA NAZ      QAZI MUSHTAQ AHMAD        MA/BA 2ND DIV   BED 2nd Div:      4-Apr-68      HARIPUR       6-Mar-93          6-Mar-93
519   RABIA BEGUM              QALANDAR SHAH             MA/BA 3RD DIV   BED               18-Jul-67     HARIPUR       3-Mar-93         6-Mar-93
520   SAMINA BIBI              ABDUR REHMAN              BA 3rd Div      CT                5-Oct-70      HARIPUR       6-Mar-93         6-Mar-93
521   RUBINA TRAMZAI           SYED NAZAKAT HUSSAIN      BA              BED               6-Aug-69      ABBOTTABAD    7-Mar-93         7-Mar-93        GGHS Rajoya
522   NUSRAT                   BABO NAZIR                BA II           BED               1-Jan-89      PESHAWAR      9-Mar-93         10-Mar-93
523   ZAHIDA SAEED             MOHAMMAD SAEED            BA II           BED              25-Nov-59      CHARSADDA     1-Feb-86         15-Mar-93
524   GHAZALA YASMIN           MIR RAHMAN KHAN           MA              BED               1-Jan-66      PESHAWAR     15-Mar-93         15-Mar-93       GGHS Jogiwara
525   Musrat Begum             Faramosh Khan             FA              CT                1-Dec-64      SWAT         15-Mar-93         15-Mar-93       GGHS Barikot
526   YASMIN YAQOOB            MUHAMMAD YAQOOB           BA              CT               13-Mar-64      HARIPUR      12-May-84         17-Mar-93
527   MUSARAT YASMIN           ABDUL GHAFOOR             BA II           BED              25-Jun-65      CHARSADDA    18-Mar-93         18-Mar-93
528   Niamat Baha              Raja Khan                 B/A             B/ Ed            31-Mar-71      Nowshera     18-Mar-93         18-Mar-93
529   BIBI RUBINA              SARDAR MUHD: HUSSAN       BA              BED              18-Oct-69      ABBOTTABAD   20-Mar-93         20-Mar-93       GGHS Kakul
530   SAIMA BEGUM              TAJ MOHD                  BA              BEd               8-Nov-72      Mansehra      3-Apr-93          3-Apr-93
531   ZINAT BIBI               NAZAR WALI                BA II           BED               3-Oct-69      DARGAI        7-Aug-93          7-Apr-93
532   BILQEES BEGUM            NAWAB KHAN                FA              CT                1-Jan-65      KOHAT         2-Dec-85          7-Apr-93       GGHSS GUMBAT
533   Gohar Naheed             Habibur Rahman            MA              B/Ed              8-Apr-70      SWAT          8-Apr-93          8-Apr-93       GGMS Gadi
534   Hamieda Begum            Sher Barak                BA              B/Ed              1-Apr-72      MKD           8-Apr-93          8-Apr-93       GGHS Barikot
535   SHAGUFTA TEHSEEN,BA(2nd) FAZLI WAHID                                                 4-Mar-69      Malakand     10-Apr-93         10-Apr-93       GGMS SORRANA
536   NOOR JAHA                M AYUB                    BA              BEd              18-May-69      Mansehra     10-Apr-93         10-Apr-93
537   JAMILA BEGUM             MUHAMMAD ASLAM KHAN       BA              BED              16-Jun-70      ABBOTTABAD   11-Apr-93         11-Apr-93       GGHSS Havelian
538   SHAH BANO                HAFIZ MUHAMMAD ABDULLAH   MA BA IST DIV   BED 2nd Div:     23-Nov-72      HARIPUR      11-Apr-93         11-Apr-93
539   Irum Bibi                Mohd Saleem Khan          BA              BEd              10-Mar-69      Mansehra     14-Apr-88         11-Apr-93
540   Irrum Bibi               Mohd:Saleem Khan          BA              BEd              10-Mar-69      Mansehra      5-Jun-88         11-Apr-93
541   ZAHIDA JABEEN            FAREED MUHAMMAD           MA BA 2ND DIV   BED              15-Mar-71      A/ABAD       10-Apr-93         12-Apr-93
542   NUZHAT BEGUM, BA         FAZAL SANI                                                  2-Mar-71      Malakand     12-Apr-93         12-Apr-93       GGHS Allahdand
543   Asmat                    Fakhrud Din               BA(2nd)         M/Ed              12-Jul-71     SWAT         14-Apr-93         14-Apr-93       GGHS No/2/Mingora
544   Wajida Begum             Fazale Manan              BA (2nd)        B,ed              4-Jun-68      Dir Lower    17-Apr-93         17-Apr-93
Academic        Professional                                  Date of 1st   D/O Apptt against
No.   Name of Teacher            Father's Name           Qualification   Qualification   Date of Birth   Domicile         Apptt:       Present Post      Name of School
 1                  2                         3                  4               5            6                  7          8                9                         10
545   RUKSHANDA                  SYED SHAH HANIF         BA              BED               7-Oct-73      ABBOTTABAD    19-Apr-93         19-Apr-93       GGHS GHARI PHULGRAN
546   DILSHAD BIBI               KHALIL/UR/REHMAN        BA 2ND DIV      BED               1-Sep-67      HARIPUR        1-May-88         19-Apr-93
547   RUBINA AWAN                QALANDAR KHAN           BA              BED              4-May-72       ABBOTTABAD    20-Apr-93         20-Apr-93       GGHSS HAVELIAN
548   RAFIA BASHEER              BASHIR AHMED            BA              BED               9-Apr-71      ABBOTTABAD    21-Apr-93         21-Apr-93       GGHS Sheikhul Bandi
549   SHABANA JADOON             AURANG ZEB KHAN         BA              BED              24-Jan-75      ABBOTTABAD    24-Apr-93         24-Apr-93       GGMS Langra
550   SHAHZAD BIBI               MUHAMMAD MUSHTAQ        BA              CT                4-Jan-71      HARIPUR       19-Apr-93         27-Apr-93
551   SUMMAIRA ATTIYA            MUNSIF KHAN JADDON      BA              BED              15-Mar-66      ABBOTTABAD    28-Apr-93         28-Apr-93       GGCMS Nawanshehr
552   Mumtaz Begum               Hazrat Khan             MA                                5-Apr-67      NWA           28-Apr-93         28-Apr-93       GGHS Khan Mir Kot
553   DANISH BIBI                KHALIL/UR/REHMAN        BA              BED              23-Sep-67      HARIPUR        1-Jun-88         28-Apr-93
554   Shamim Ara                 Meher Dil               MA/Med/CT                         5-Feb-69      Swabi         24-Apr-93         28-Apr-93       GGMS Sheikh Jana
555   ROBINA SHAHEEN             MUHAMMAD NAWAZ          BA 2ND DIV      CT                1-Mar-69      HARIPUR        8-May-93         8-May-93
556   Zeenat Jahan BA B/Ed       Bahader Jan                                              20-Dec-74      Chitral        8-May-93         8-May-93        GGHS Mastuj
557   Rehana Yasmin              Khan Mohd               BA (2nd)        B,ed              5-Nov-69      Dir Lower     16-Sep-89        12-May-93
558   Samina Ajmal               Muhamamd Ajmal Khan     BA/CT                            22-Jan-66      Swabi         14-May-93        14-May-93        GGHS Maneri Bala
559   Lubna Ibrahim              Shah Room Zad           BA              B/Ed              7-Jan-72      SWAT          15-May-93        15-May-93        GGHS No/1/Mingora
560   Zubaida Khatoon            Israf Khan              BA                               13-Dec-69      FR Kohat      20-May-93        20-May-93        GGMS noor Ali Kaley
561   Salma Taslim               Bashir Muhamamd         MA/Bed/CT                        11-Feb-69      Swabi         20-May-93        20-May-93        GGHS Sudher
562   SAMINA TABASUM             FAZAL DAD               BA              BED               6-Mar-74      ABBOTTABAD    23-May-93        23-May-93        GGHSS Comprehencive
563   IMTIAZ                     Najab Khan              BA              BED               1-Feb-70      ABBOTTABAD    23-May-93        23-May-93        GGHSS Dhamtour
564   MARAJ YASMIN               SAHIL JAN               MA/             MED/CT            6-Jun-67      D/I/KHAN      23-May-92        23-May-93        GGHS NO7 DIKHAN
565   GULFANIA                   SHAHZADA                BA              B/Ed              1-Feb-65      MARDAN        15-Apr-93        25-May-93        GGHSS SHAH DHAND
566   ISHRAT PARVEEN             MUHAMMAD BAKHSH         MA/             BED/CT           21-Jan-72      D/I/KHAN       4-May-92         1-Jun-93        GGHS BEHARI COLONY
567   Shabana Naheed             Khan Zada               MA              M/Ed              2-Mar-71      SWAT          13-Jan-91         1-Jun-93        GGMS Amankot
568   FARAH NAHEED               GHULAM MEHBOOB          BA 2ND DIV      BED 2nd Div:      1-Aug-67      HARIPUR        6-Jun-93         6-Jun-93
569   Zuhra Waheed               Wahed Yar Khan          MA              CT               15-Nov-69      SWAT          12-Jun-93         12-Jun-93       GGMS Amankot
570   BUSHRA QURESHI             ABDUL WAHID QURESHI     MA/BA 2nd Div   BED 2nd Div:     15-Dec-66      HARIPUR       20-Jun-93         20-Jun-93
571   ROBINA, MA(Pushto) / M/Ed KHUSHAL MUHAMMAD                                          20-Apr-73      Malakand      20-Jun-93         20-Jun-93       GGHS Dargai
572   TAUHEED AKHTAR, BA         SAMAR KHAN                                                5-Oct-70      Malakand      20-Jun-93         20-Jun-93       GGHS Kharkai
573   Naheed Taj                 Taj Muhammad            MA              B/Ed             24-Jan-70      SWAT          21-Jun-93         21-Jun-93       GGHSS Kabal
574   NAHEED BEGUM, FA           BIRADAR KHAN                                              2-Jun-69      Malakand      22-Jun-93         22-Jun-93       GGMS GUNYAR
575   SHAHNEELA, BA(2nd)B/Ed LIBAS KHAN                                                    4-Feb-74      Malakand      23-Jun-93         23-Jun-93       GGHS Allahdand
576   BAKHT ZEBA, BA(2nd) / B/Ed ARSALA KHAN                                              18-Jan-74      Malakand      24-Jun-93         24-Jun-93       GGHS Meherdi
577   LUBNA TANVEER              TANVEER HASSAN YOUSAF   FA              CT                5-Jan-70      HARIPUR       29-Jun-93          3-Jul-93
578   Reheela Parveen            Taj Muhammad            BA              BEd               2-Jan-70      Mansehra      26-Nov-88          3-Jul-93
579   Sultana Begum              Fazal Mohammad          BA              B/Ed:            23-Mar-57      Karak         11-Jan-84          4-Jul-93       GGMS Dagar Nari
580   SYEDA RABIA NAQVI          ARIF SHAH               BA              BED              22-Mar-71      ABBOTTABAD      5-Jul-93         5-Jul-93       GGHS Khuthiala
581   FAUZIA BEGUM/BA(2nd)       SULTANI ROOM                                             15-Jun-72      Malakand        8-Jul-93         8-Jul-93       GGMS Nal
582   FAKHRA SHAMIM              SYED HUSSAN SHAH        BA              CT                4-Jun-67      HARIPUR       29-Jun-93         12-Jul-93
583   ULFAT BEGUM, BA            JUMA GUL KHAN                                            15-Jun-62      Malakand       17-Jul-93        17-Jul-93       GGMS Hero Shah
584   RUKSHANA BEGUM             AFSAR SHAH              BA              BED               1-Apr-61      ABBOTTABAD     28-Jul-93        28-Jul-93       GGHS No/2 A/Abad
585   Shaheen Aman               Amir Aman Khan          MA              B/Ed              6-Jun-71      SWAT           1-Aug-93         1-Aug-93        GGMS Amankot
586   NIZAKAT, BA / B/Ed         ZEGRAWAR SAID                                            10-Jan-72      Malakand       3-Aug-93         3-Aug-93        GGHS Kharkai
587   ZAHOOR BEGUM               ABDUR RAHMAN            BA II           BED              20-May-71      CHARSADDA      7-Aug-89         8-Sep-93
588   RIFFAT SHAHEEN             MIAN MUHAMMAD ARFA      MA              BED              15-Apr-76      PESHAWAR      21-Sep-93        21-Sep-93        GGCMHS Nothia
589   SHAZI BANO                 MUHMMAD ASFRAF          BA              BED              18-Dec-72      ABBOTTABAD     1-Oct-93          1-Oct-93       GGMS JHANGRA
590   Naheed Begum               Nazim Khan              M/A             B/ Ed             3-Oct-63      Nowshera       3-Oct-93          3-Oct-93
591   Safia Begum                Mohammad Sadeeq         BA                               22-Aug-74      FR Peshawar   13-Oct-93         13-Oct-93       GGMS Sadi Khan
Academic        Professional                                      Date of 1st   D/O Apptt against
No.   Name of Teacher         Father's Name         Qualification   Qualification   Date of Birth   Domicile            Apptt:        Present Post      Name of School
 1                 2                       3                4               5             6                 7              8                 9                             10
592   Kausar Maqsooda         Habib ur Rehman       MA              M/Ed:             8-Nov-72      Karak             15-Oct-93        15/10/1993       GGMS Tapi Algadi
593   SAJIDA BEGUM            SHARIFULLAH           MA              BED               7-Aug-56      PESHAWAR           3-Jan-84         24-Oct-93       GGHS Badaber
594   TEHZEEB AKHTAR          GHULAM HASSAN         MA              MEd              24-Sep-62      PESHAWAR          12-Feb-84         24-Oct-93       GGHS Yaka Toot
595   SHAHEEN BEGUM           GHANI UR RAHMAN       BA II           BED               8-Mar-64      CHARSADDA         30-Oct-88         25-Oct-93
596   SHAZIA TABASUM          SADAQAT HUSSAIN       MA              BED              11-Nov-71      PESHAWAR          30-Oct-93         30-Oct-93       GGHS Gul Bahar
597   SALMA NAHEED            AMIN UL HAQ           MA              BED               25-Jul-72     PESHAWAR           4-Nov-93         4-Nov-93        GGHS No1/ Cantt
598   Shazia Hayat            Mohammad Hayat Khan   MA                                5-Nov-73      FR Tank DI Khan   20-Nov-93        20-Nov-93        GGMS Khoi Bahara
599   FARZANA BEGUM, BA       SHAMSHAD KHAN                                          30-Mar-62      Malakand           27-Jul-85       25-Dec-93        GGCMHS Thana
600   TAHIRA YASMIN           Inam Muhammad         MA              BED              29-Aug-70      PESHAWAR           2-Sep-92          9-Jan-94       GGMS New karim Pura
601   SAIRA BIBI              SYED ASKAR ALI SHAH   MA              BED               4-Dec-68      PESHAWAR          14-Feb-94         14-Feb-94       GGMS Lahori Gate
602   IFAT BASHIR             M BASHIR              BA              BEd               4-Oct-72      Mansehra          11-Mar-94         11-Mar-94
603   Nargas Jamal                                                                    28-Jul-71     Bajaur            12-Mar-94         12-Mar-94       GGMS Bandagai
604   GUL PARVEEN             WALI AHMAD            BA              BED               5-Jan-57      ABBOTTABAD        21-Sep-81         17-Mar-94       GGHSS Havelian
605   ROBINA NAZ              HASSAN AHMAD          MA              B/Ed             12-May-70      MARDAN             3-Jan-93         20-Apr-94       GGHSJAMLAL GARHI
606   KALSOOM                 MUHABAT SHAH          MA              B/Ed              3-Sep-72      MARDAN            23-Dec-92         29-Apr-94       GGHS LUND KHAWAR
607   Zeenat Begum            Muhamamd Shafiullah   BA              CT                1-Apr-75      SWAT               1-May-94         1-May-94        GGMS Shaheen Abad
608   FARZANA BEGUM           ABDUL JABBAR          MA              B/Ed,M/Ed         6-Jan-70      MARDAN            21-Dec-89         8-May-94        GGHSS Rustam
609   SHAH NAZ BEGUM          MUMTAZ UR REHMAN      BA              B/Ed             28-Apr-70      MARDAN            16-May-92         8-May-94        GGHSS Toru
610   Sumaira Jamshed         Mohammad Jamshed      B/A             B/ Ed             4-Oct-71      Nowshera          28-Jan-90        12-May-94
611   RASHIDA SAFDAR          MUHAMMAD SAFDAR       BA 2ND DIV      BED               7-Nov-68      HARIPUR           29-May-88        29-May-94
612   NUSRAT JABEEN           SUHBAT KHAN           MA              B/Ed              22-Jul-62     MARDAN             1-Apr-90        29-May-94        GGMS KOT JUNGARA
613   MUSSARAT MANAN          ABDUL MANAN           BA              BED,MED          20-Feb-65      MARDAN             4-Feb-88        29-May-94        GGHSS Takht Bhai
614   SHAH KALSOOM            S/MUHAMMAD SHAH       MA              B/Ed              4-Mar-69      MARDAN            18-Dec-89        29-May-94        GGMS MUHAMMAD WALI KILLI
615   NAHEED YOUSAF           YOUSAF KHAN           MA              B/Ed              8-May-70      MARDAN            12-Dec-89        29-May-94        GGHSS Gujrat
616   AZRA BEGUM              AZIMULLAH KHAN        BA              B/Ed              5-Jun-70      MARDAN            28-Feb-91        29-May-94        GGMS LABOUR COLONEY
617   Shahnaz Akhtar,         Zawhir Jan            BA              B/Ed:            13-Mar-70      Karak             28-Jan-90        29-May-94        GGHS, Sabir Abad
618   KAUSAR PARVEEN          ALLAH DEWAYA          MA              BED/CT           20-Jun-62      D/I/KHAN           1-Sep-84          1-Jun-94       GGCMHS NO/ 1 DIKHAN
619   SHAZIA SHAHEEN          ABDUR RASOOL          MA/             MED/CT            1-Apr-71      D/I/KHAN          23-May-92          6-Jun-94       GGCMHS NO/ 1 DIKHAN
620   Farhana Begum(CT)BA,BED Fazal Rahman          BA              B,ed              9-Jun-69      Dir (U)           15-Sep-87         11-Jun-94       GGHSS, Dir
621   Shamim Ijaz MA B/Ed     Abdul Aziz                                             30-Jan-00      Shangla           17-May-82         11-Jun-94       GGMS Alpurai
622   Shamsun Nihar BA        M/Ashraf                                               10-Mar-63      Chitral           11-Mar-85         11-Jun-94       GGHS Drosh
623   Kalsum (CT)BA           Shamsud din           BA                               25-Feb-63      Dir (U)           24-Nov-85         13-Jul-94       GGMS, Kas Dir
624   Hussan Bano             Mohammad Ismail       BA (2nd)        B,ed              5-Jan-64      MKD Agency         4-Dec-86        11-Aug-94
625   Lubna Shaheen           Shakoor Muhammad      MA                                1-Mar-75      Bajaur             5-Sep-94         5-Sep-94        Shakoor Muhammad
626   Anila Sardar            Sardar Mohammad       BA                               15-May-88      FR Kohat           8-Sep-94         8-Sep-94        GGMS Kohiwal
627   Shabnam Majabeen        Khuda bakhsh          BA                               14-Jun-71      FR Tank            8-Sep-94         8-Sep-94        GGHS Darazinda
628   Zakira Bibi             Ghulam Qasim          BA                                              Orakzai           19-Sep-94        19-Sep-94        GGMS Tooti bagh
629   Humera Bibi             Nazir Shah            BA                               2-May-70       FR Kohat          20-Sep-94        20-Sep-94        GGMS Turki Ismail Khel
630   Zahida Noreen                                 MA                                              SWA               25-Sep-94        25-Sep-94        GGHS Dab Kor, SWA
631   Nasreen Begum           Faizullah             FA                               1-Nov-70       FR Tank           28-Sep-94        28-Sep-94        GGMS Haibat Khan Koroona
632   Bibi Ommia              Anwarul Haq           MA/Med/CT                        2-Feb-74       Swabi              1-Oct-94          1-Oct-94       GGHS Thandkoi
633   AKHTER BIBI             REHAM DAD KHAN        BA              CT               22-Jul-59      Bannu              9-Sep-77          2-Oct-94       GGHSS BANNU CITY
634   Mehar Angez             Abdullah Khan         MA                                1-Jan-75      NWA                3-Oct-94          3-Oct-94       GGHS Khan Mir Kot
635   Hamida Bano(CT)MA, BED Latif Hazrat           MA              B,ed             4-Mar-70       Dir (U)           30-Apr-92          6-Oct-94       GGHSS, Dir
636   Bibi Saliha MA B/Ed     Maula Nigah                                            22-Feb-72      Chitral           11-May-92          7-Oct-94       GGMS Chumlurkon
637   BIBI MAIMOONA           GUL SHER              BA II           BED              20-Apr-73      PESHAWAR          16-Oct-94         16-Oct-94
638   SHAMIM AKHTAR           HAZRAT JAMAL          MA              B/Ed,M/Ed        1-Dec-72       MARDAN            25-Oct-94         25-Oct-94       GGHSS GDZAI
Academic        Professional                                      Date of 1st   D/O Apptt against
No.   Name of Teacher               Father's Name          Qualification   Qualification   Date of Birth   Domicile            Apptt:        Present Post      Name of School
 1                 2                              3                4               5             6                 7              8                9                            10
639   NAEEMA BEGUM                  AZIM KHAN              MA              B/Ed             15-Jun-64      MARDAN            23-Feb-83         26-Oct-94       GGHS GUJAR GARHI
640   TAHIRA YASMIN                 GHULAM AKBAR           MSC             BED              13-Aug-66      Lakki             11-Jan-94         1-Nov-94        GGHS Shabaz khel
641   Nighat Ara                    Bahader sher           BA/CT/Bed                        27-Apr-68      Swabi              8-Oct-86         1-Nov-94        GGCMHS Swabi
642   Basmina Begum                 Fazal Rabbi            MA/Med/CT                        15-Jan-69      Swabi              3-Feb-87         1-Nov-94        GGHS Panj Pir
643   Nihar Sultan                  Muhammad Ullah         MA/CT                            14-Aug-64      Swabi             18-Sep-94         1-Nov-94        GGHSS Shewa
644   NOOR NABIA                    MUHAMMAD JALAL         MA              B/Ed              1-Feb-64      MARDAN            11-Dec-85         2-Nov-94        GGMS LABOUR COLONEY
645   Saiqa Iqbal                   Iqbal Khan             MA/CT                             1-Mar-71      Swabi              2-Nov-94         2-Nov-94        GGHSS Kalu Khan
646   BIBI MARYUM                   M DAOOD                BA              BEd               2-Jan-79      Mansehra           5-Nov-94         5-Nov-94
647   SHAREEN GUL                   NAIK SHAH              BA              BEd              25-Dec-72      Mansehra           5-Nov-94         5-Nov-94
648   MEHMOOD NIJAT                 ZAHEER UD DIN          MA              B/Ed,M/Ed        6-May-70       MARDAN             5-Nov-94         5-Nov-94        GGHS GUJAR GARHI
649   BAKHT BESYAR, BA (2nd) / B/Ed GHULAM AKBAR                                             4-Apr-58      Malakand          29-Sep-80         6-Nov-94        GGHS Khar
650   Ghazala Aziz                  Aziz ur Rehman         BA              BEd               2-Apr-70      Mansehra           2-Oct-89         6-Nov-94
651   TALLAT YASMIN                 IBADULLAH KHAN         MA              B/Ed,M/Ed         7-Nov-62      MARDAN             1-Sep-85         6-Nov-94        GGHS RUSTAM KHEL
652   MRS SHAMIM AKHTAR             ZARSHAHD KHAN          MA              B/Ed              8-Jan-68      MARDAN             8-Jan-86         6-Nov-94        GGMS BIJLI GHAR
653   ISMAT ARA                     MUHAMMAD KHAN          MA              B/Ed             25-May-72      MARDAN             1-Sep-92         6-Nov-94        GGCMHSS For Girls Katlang
654   BUSHRA SAJAWAL                SAJAWAL KHAN           BA              MED               3-May-72      HARIPUR            7-Nov-94         7-Nov-94
655   Bibi Ruqiya                   Pir Zaman shah         BA              BEd               3-Mar-75      Mansehra          17-Feb-90         7-Nov-94
656   HASHMAT ARA                   PORDIL KHAN            MA              B/Ed              1-Jan-72      MARDAN             7-Nov-94         7-Nov-94        GGHSS Takht Bhai
657   JABEEN GUL                    MUHAMMAD SHAMEEM       BA              B/Ed             30-Aug-74      MARDAN             7-Nov-94         7-Nov-94        GGMS SHAHDAND (L/K)
658   Mumtaz Begu                   Muhammad Sher          BA/Bed/CT                        20-Dec-57      Swabi             11-Oct-78         7-Nov-94        GGHSS Kalu Khan
659   FARZANA BIBI                  GULAB KHAN             BA              BED              12-Dec-69      ABBOTTABAD         8-Nov-94         8-Nov-94        GGHS Kakul
660   RABIA KHATOON                 ABDUL AZIZ             BA              BED              23-Sep-79      ABBOTTABAD         8-Nov-94         8-Nov-94        GGHS Rajoya
661   FARZANA BIBI                  MUHMMAD NAZIR          BA              BED              19-Dec-70      ABBOTTABAD         8-Nov-94         8-Nov-94        GGHSS Comprehencive
662   SHAISTA BEGUM                 QAZI MUHAMMAD NASEEM   BA              BED               2-Mar-70      ABBOTTABAD         8-Nov-94         8-Nov-94        GGJICA MODEL MIRPUR
663   RUBIAN FARID                  M FARID KHAN           BA              BED               9-Jan-68      ABBOTTABAD         8-Nov-94         8-Nov-94        GGMS Malik Pura
664   ALIYA AMBREEN                 ABDUL REHMAN           BA              BED              24-Jan-73      ABBOTTABAD        08/11/1194        8-Nov-94        GGCMS A/Abad (NO/1)
665   Naheed Salam                  abas salam             MA Bed          B,ed             17-Apr-68      Mohmand            8-Nov-94         8-Nov-94        Baz Mohammad
666   SHAHIDA PARVEEN               MUZAMMIL SHAH          MA/ BA 2nd iv   MED              30-Mar-65      HARIPUR            8-Nov-94         8-Nov-94
667   TAYYABA                       MUHAMMAD SADIQUE       BA              MED               1-Mar-69      HARIPUR            8-Nov-94         8-Nov-94
668   Methab Akthar                 Abdur Razaq            BA              BEd              16-Mar-75      Mansehra           9-Apr-90         8-Nov-94
669   Nageena Jabeen                Umer Khitab            BA/Bed/CT                         17-Jul-62     Mardan             1-Jul-81         8-Nov-94        GGCMHS Swabi
670   Naheed Bilal                  Muhammad Daraz         MA/Bed/CT                        13-Apr-73      Swabi              8-Nov-94         8-Nov-94        GGHSS Kalu Khan
671   Sadia Bibi                    Mohammad Amin          MA                                6-Dec-73      FR Tank DI Khan    9-Nov-94         9-Nov-94        GGMS Jalal Khan Parwara
672   KHALIDA BIBI                  MUHAMMAD YOUSAF        BA              BED              3-May-71       ABBOTTABAD        10-Nov-94        10-Nov-94        GGMS MUMDAH
673   Chand Bibi                    Bakht Jehan            BA              B/Ed              2-Apr-75      SWAT              10-Nov-94        10-Nov-94        GGHSS Manglor
674   KOUSAR NASREEN                ABDUL JALIL            BA              BED               8-Oct-69      ABBOTTABAD        12-Nov-94        12-Nov-94        GGHS Beerote
675   LUBNA SHAHEEN                 MAQSOOD UR REHMAN      BA              BED               4-May-72      ABBOTTABAD        13-Nov-94        13-Nov-94        GGMS LOON PATTIAN
676   FARZANA NIDA                  MEHAR ANGIZ KHAN       MA/BA 2nd Div   MED              18-Aug-67      HARIPUR           13-Nov-94        13-Nov-94
677   Shazia Niazi                  Mohd:Sadiq Niazi       BA              BEd              27-Dec-71      Mansehra          19-May-90        13-Nov-94
678   BILQUEES BIBI                 ABDUL RAHIM            BA              BEd              11-Mar-65      Mansehra          21-May-90        14-Nov-94
679   NUSRAT BEGUM                  AMIR KHAN              BA              CT                1-Apr-69      KOHAT             15-Nov-94        15-Nov-94        GGHS LACHI PAYAN
680   FOZIA RUKHSHANDA JABEEN SHUJAUD DIN                  BA              BED              11-Jun-69      Lakki             15-Nov-94        15-Nov-94        GGMS KOTKA GIDER
681   BIBI IFFAT                    S M AFZAL KHAN         BA              BEd              20-May-64      Mansehra           8-Jan-92        15-Nov-94
682   Naseem Akhtar                 Qamiat Gul             MA              CT                5-Jun-68      SWAT               4-Nov-80        15-Nov-94        GGHS No/2/S/Sharif
683   Abida Khanum BA,B/Ed          Abdul Amin                                               17-Jul-69     Chitral           15-Nov-94        15/11/1994       GGCMHS Denin
684   Shehnaz Gul                   Yousaf Khan            FA                               18-Nov-94      FR Peshawar       16-Nov-94        16-Nov-94        GGHS Waras Khan Killi
685   SAEEDA BEGUM                  ABDUL HALEEM           BA              CT                1-Mar-72      KOHAT             16-Nov-94        16-Nov-94        GGHS BORI SAGHRI
Academic        Professional                                 Date of 1st   D/O Apptt against
No.   Name of Teacher     Father's Name      Qualification   Qualification   Date of Birth   Domicile        Apptt:       Present Post      Name of School
 1                  2                    3           4               5             6                 7          8              9                               10
686   SHAHNAZ KAREEM      FAZAL E KAREEM     MA              BED               31-Jul-74     PESHAWAR      16-Nov-94       16-Nov-94        GGMS Hazar Khawani No/2
687   Romana Shaheen,     Walaiat Shah       MA              M/Ed:             1-Apr-71      Karak         16-Nov-94       16/11/1994       GGHS Latamber/
688   Rabi Sultana        Muhammad Noor      MA              B/Ed:            15-Oct-70      Karak         28-Dec-92       16/11/1994       GGHS Khojaki/
689   Sabiha Jamal,       Said Hasan         MA              B/Ed:             1-Apr-56      Karak         27-Oct-79       16/11/1994       GGHS, Ahmadi Banda
690   Sadaf Rana,         Main Ainu d Din    MA              B/Ed:             5-Aug-70      Karak         16-Nov-94       16/11/1994       GGHS Terri/
691   Shah Naz Fatima     Sanat Khan         MA              B/Ed:            10-Sep-66      Karak         16-Nov-94       16/11/1994       GGMS Billand Killa
692   Gul Naz Masood      Masood ur Rehman   MA              M/Ed:             5-Aug-72      Karak        16/11//1994      16/11/1994       GGMS Laki Ghundaki
693   KOUSAR SHAHEEN      MUHMMAD IDRESS     BA              BED               4-Apr-66      ABBOTTABAD    17-Nov-94       17-Nov-94        GGMS Samissar
694   Shehnaz Begum       Bakht Zamin        BA (2nd)        B,ed             10-Oct-68      Dir Lower     30-Oct-88       17-Nov-94
695   SHAZIA GUL          M MASOOD           BA              BED 2nd Div:      1-Sep-71      HARIPUR       17-Nov-94       17-Nov-94
696   SHAZIA GUL          MUHAMMAD MASOOD    BA 2ND DIV      BED               1-Sep-71      HARIPUR        6-Nov-94       17-Nov-94
697   RUKHSANA TABASSUM   MEHAR DIL          MA                                8-Oct-66      Lakki         17-Sep-86       17-Nov-94        GGHS Shabaz khel
698   TAHIRA JABEEN       FAZAL RAHIM        MA              MEd              18-Mar-71      PESHAWAR      17-Nov-94       17-Nov-94        GGHS Dabgari Gate
699   SHABNUM             ASHIQ HUSSAIN      MA              MEd               4-Jan-73      PESHAWAR      17-Nov-94       17-Nov-94        GGHS Wadpaga
700   BIBI TAUHEED        AHMAD JAN          BA II           BED               8-Jan-71      CHARSADDA     18-Nov-94       18-Nov-94
701   SAJIDA PERVEEN      ABDUL WAHAB        MA/             BED/CT            5-Dec-65      D/I/KHAN       6-Oct-83       18-Nov-94        GGMS BABER PAKA
702   AMINA               GHULAM MUHAMMAD    BA II           BED              21-May-70      CHARSADDA     19-Nov-94       19-Nov-94
703   KOSAR PARVEEN       BASHIR AHMED       MA              CT               18-Mar-70      KOHAT         19-Nov-94       19-Nov-94        GGMS SHEIKHAN
704   NABILA NAZ          ABDUL SUBHAN       BA              CT               23-Apr-73      KOHAT         19-Nov-94       19-Nov-94        GGHS KDA
705   Samina Naz          Abdul Aziz         M/A             B/ Ed             4-Oct-65      Nowshera      19-Nov-94       19-Nov-94
706   HUMAIRA ILYAS       M ILYAS            MA              BED              14-Feb-69      PESHAWAR      19-Nov-94       19-Nov-94        GGHS LAHORI GATE
707   SHAMIM AKHTAR       MUHAMAMD HASHAM    MA              MEd               4-Apr-63      PESHAWAR      19-Nov-94       19-Nov-94        GGHSS Begum Shahab/ud/Din
708   SAFIA BEGUM         FAZLI KHALIQ       BA II           BED               1-Jan-72      CHARSADDA     20-Nov-94       20-Nov-94
709   SADIA MISHKAT       FAZLI HAQQANI      BA II           BED              29-Apr-72      PESHAWAR      20-Nov-94       20-Nov-94
710   Anjum Jahan         Sayed Muhammad     M/A             B/ Ed, C/T       31-Dec-72      Nowshera      20-Nov-94       20-Nov-94
711   NAZAKAT BEGUM       AMIR ZAMAN         MA              BED              29-Aug-69      PESHAWAR      20-Nov-94       20-Nov-94        GGHS BASHIR ABAD PESHAWAR
712   BIBI TAHIRA         SAIDA GUL KHAN     MA              MEd              16-May-74      PESHAWAR      20-Nov-94       20-Nov-94        GGHS Dabgari Gate
713   Dilshad Begum       Sultan Mahmood     MA              B/Ed              2-Apr-63      SWAT          1-May-92        20-Nov-94        GGHS Saidu Sharif
714   FARAH NAZ           FIRDOS KHAN        BA II           BED              11-Mar-72      CHARSADDA     21-Nov-94       21-Nov-94
715   ASMA BEGUM          GHULAM MUHAMMAD    BA II           BED              10-Jan-73      CHARSADDA     21-Nov-94       21-Nov-94
716   Fozia Shaheen       muhammad sadiq     MA Bed          B,ed             31-Dec-63      Mohmand       21-Nov-94       21-Nov-94        GGMS Zarif Kor
717   AZRA BEGUM MA/CT    MUHAMMAD RASHID                                      1-Jan-76      Malakand      21-Nov-94       21-Nov-94        GGHS Malakand
718   Safia Begum         Syed Feroz Shah    M/A             B/ Ed             5-Jul-69      Nowshera      21-Nov-94       21-Nov-94
719   Riffat Bibi         Syed Feroz Shah    M/A             B/ Ed            15-Apr-71      Nowshera      21-Nov-94       21-Nov-94
720   SHAHNAZ BEGUM       ABDUL JABAR        BA II           BED              25-Dec-67      CHARSADDA     20-Jan-87       22-Nov-94
721   HAINFA BIBI         M/RAMZAN           MA/             MED/CT            8-Mar-68      D/I/KHAN      22-Nov-94       22-Nov-94        GGHSS NO/ 2 DIKAHN
722   SALEEMA BEGUM       ROOH ULLAH         BA II           BED              31-May-69      CHARSADDA      9-Jan-88       23-Nov-94
723   SEEMA NASEER        TILA NASEER        BA              BED               5-Mar-68      charsadda     23-Nov-94       23-Nov-94        GGHS Nishter Abad
724   ARFA ANDLEEB        MUHAMAMAD ALAM     MA              BED               1-Oct-75      Lakki         26-Nov-94       26-Nov-94        GGHS NO/3 LAKKI
725   NAGEENA QAZI        HAMID ULLAH        BA II           BED               2-Sep-72      CHARSADDA     27-Nov-94       27-Nov-94
726   SHAZIA RUHI         GHULAM HUSSAIN     BA              CT               29-May-71      KOHAT         28-Nov-94       28-Nov-94        GGMS CHARGHARI
727   FARIDA YASMIN       SABIR SHAH         BA              CT                3-Jan-70      KOHAT          9-Oct-88       28-Nov-94        GGMS SHAKARDARA NO 2
728   Sajida Noureen      Mohammad Nawaz     BA              B/Ed:             1-Apr-74      Karak         28-Nov-94       28/11/1994       GGMS Mandar Killa
729   ATTIA RANA          NAZIR AHMED        BA              CT                5-Mar-68      KOHAT          2-Feb-87       29-Nov-94        GGHS NO 1 KOHAT
730   Meher un Nisa,      Habib ur Rehman    MA              B/Ed:            12-Jan-72      Karak         30-Nov-94       30/11/1994       GGCMHS Karak/
731   YASMIN BEGUM        AJAB KHAN          MA              CT               10-Jan-66      KOHAT          1-Feb-88        1-Dec-94        GGMS MIR AHMAD KHEL
732   BAHRI KARAM,BA      KAMRAN KHAN                                          3-Mar-66      Malakand      17-Sep-86        1-Dec-94        GGMS CC Thana
Academic         Professional                                  Date of 1st   D/O Apptt against
No.   Name of Teacher                  Father's Name          Qualification    Qualification   Date of Birth   Domicile         Apptt:       Present Post      Name of School
 1                2                                 3                 4                5            6                  7           8               9                         10
733   Safia Bano                       Attaullah              MA               B/Ed              1-Mar-75      SWAT           14-Nov-94        1-Dec-94        GGHS Panr
734   ROZINA BIBI                      MUHAMMAD ASHRAF KHAN   MA               BED 3RD /CT      15-Sep-68      D/I/KHAN       20-Oct-88        4-Dec-94        GGMS KHANO KHEL
735   SHABANA NAZ                      FAZAL UR REHMAN        BA               BED              11-Oct-75      ABBOTTABAD     7-Dec-94         7-Dec-94        GGHS SAJIKOTE
736   ARIFA ASLAM                      MUHMMAD ASLAM KHAN     BA               BED              12-Jul-65      ABBOTTABAD     11-Dec-94       11-Dec-94        GGHS Salhad
737   SHAHIDA HAMAYOUN                 QAZI MUHAMMAD HAMAYOUN MA BA 2ND DIV    MED              9-Sep-73       HARIPUR         7/1/2/94       11-Dec-94
738   Zakia Begum                      Iqbal Ahmad Jan        B/A              B/ Ed, C/T                      Nowshera       13-Dec-94       13-Dec-94
739   Zafran Begum                     Mohammad Jan           MA                                26-Jun-76      FR Bannu       17-Dec-94       17-Dec-94        GGMS Dr/ Rahmatullah
740   ROZINA NAZ                       GHULAM FAROOQ          BA II            BED               4-Nov-68      CHARSADDA      19-Dec-94       19-Dec-94
741   Samina Yasmeen                   Amanullah              MA               B/Ed              10-Jul-65     SWAT           27-Aug-87       20-Dec-94        GGMS Ghalegay
742   FARMANIA MA, MED                 FAZAL MULA                                               14-Jun-72      BUNNER         23-Apr-92       21-Dec-94        GGHS HISAR
743   HAMEEDA BEGUM                    IMAM BAKHSH            BA               CT BED MED        1-Oct-60      D/I/KHAN        1-Dec-87       21-Dec-94        GGHSS NO5 DIKHAN
744   Nasrat BiBi MA B/Ed              Minhajuddin                                               4-Mar-69      Shangla        11-Sep-87       21-Dec-94        GGHS lilownai
745   Naseem Begum                     Zamin Zada             B/Sc             B/Ed/ M/Ed        5-Jun-67      SWAT           26-Apr-93       21-Dec-94        GGHS Saidu Sharif
746   Wahida Abid                      Abid Ali               BA               B/Ed              1-Dec-68      SWAT           21-Dec-94       21-Dec-94        GGMS Jambil
747   Nilofar                          Riaz Muhammad          BA               CT               25-May-72      SWAT           22-Dec-94       22-Dec-94        GGHS Saidu Sharif
748   Furqania Qazi                    Qazi Attaullah         BA               CT               15-Mar-73      SWAT           22-Dec-94       22-Dec-94        GGHS Fazal Abad(K)
749   SHAHNAZ                          SAIF UR REHMAN         MA               B/Ed             16-Oct-72      MARDAN         29-Dec-94       29-Dec-94        GGHS TAKKAR
750   FARANA bibi                      m/ younis              BA               BED              5-May-69       ABBOTTABAD     31-Dec-94       31-Dec-94        GGHS Saji Kote
751   FARKHANDA SADIQ                  MUHAMMAD SADIQ         BA               BED               2-Feb-66      ABBOTTABAD      9-Apr-85        1-Jan-95        GGMS Dheri Maira
752   PHOOL BIBI                       S ZAMAN SHAH           BA               BED              22-Jun-68      ABBOTTABAD      1-Jan-95        1-Jan-95        GGHS No/2 A/Abad
753   BAKHT JAMILA MA, MED             MUHAMMAD YOUSAF                                           8-Jan-69      BUNNER          1-Mar-88        1-Jan-95        GGHS HISAR
754   ZULIKHA BIBI BA, BED             FAZAL MULAH                                              11-Apr-72      BUNNER         17-Sep-90        1-Jan-95        GGMS PACHA KALAY
755   Sarhad Jabeen(CT)BA              Muhd Rashid            FA                                 1-Jan-69      Dir (U)        4-Nov-87         1-Jan-95        GGMS, Kass Dir
756   Nasib Rana(CT)FA                 Sultan Muhd            BA                                 4-Oct-61      Dir (U)        26-Oct-80        1-Jan-95        GGMS, Bibyawar
757   MUKHSNEEN AKHTAR                 GUL ZAMAN              MA               BED              10-Apr-65      HARIPUR        12-Jan-88        1-Jan-95
758   NIGHAT SEEMA                     SYED MISKIN SHAH       BA 2ND DIV       MED              10-Apr-73      HARIPUR         1-Jan-95        1-Jan-95
759   NAHEED AKHTAR                    AHMAD SAEED            BA               CT                9-Jun-67      KOHAT           1-Jan-95        1-Jan-95        GGHSS JUNGLE KHEL
760   HUMAIRA ANDALEEB                 PIR BAKSHAH            MA               CT                5-Dec-69      KOHAT           1-Jan-95        1-Jan-95        GGHS NO 1 KOHAT
761   RIAZ BEGUM                       GUL FARAZ              MA               B/Ed,M/Ed        26-May-70      MARDAN          1-Oct-88        1-Jan-95        GGMS MOTI BANDA
762   Gulzar Begum                     Asad Ullah             BA/CT                              1-Jan-65      Swabi          22-Oct-84        1-Jan-95        GGCMHS Swabi
763   Razia begum                      Faizul Haq             MA/Med/CT                         21-Apr-64      Swabi          5-Sep-85         1-Jan-95        GGHS Shahmansoor
764   Ishrat                           Marooz Khan            MA/Bed/Ct                          1-Nov-71      Swabi           1-Jan-95        1-Jan-95        GGHS Maneri Bala
765   Falak Naz,                       Silawar Khan           MA               M/Ed:             1-Apr-69      Karak           1-Jan-95        1-Jan-95        GGHS Latamber/
766   NAZLI TABASSUM                   INAMUL HAQ             MA               BED              15-Jan-63      PESHAWAR      01/02/19995       2-Jan-95        GGMS Gulbahar No/2
767   SAEEDA BIBI, BA (2nd)/ B/ED      FAZAL KHALIQ                                             15-Mar-71      Malakand        4-Jan-95        4-Jan-95        GGCMS Thana
768   Noor ul Hayat BA/CT              Shawazir Khan                                             7-Aug-74      Shangla        26-Apr-93        4-Jan-95        GGMS Kotkay Puran
769   SHAHNAZ SAFDAR                   SAFDAR KHAN            BA               BED              12-Feb-71      ABBOTTABAD      5-Jan-95        5-Jan-95        GGHS Rajoya
770   Shahi Sultana BA                 Hazrat Khan                                              1-May-74       Chitral        20-Dec-94        6-Jan-95        GGHS Ayun
771   FARIDA KHANAM, BA 2nd) / B/Ed    KHAISTA GUL                                              6-May-73       Malakand        7-Jan-95        7-Jan-95        GGHS Totakan
772   Khudija Bibi                     Fazal Rahman           BA (2nd)         B,ed              1-Jan-74      Dir Lower       8-Jan-95        8-Jan-95
773   SHAZIA NAHEED                    NAZAR DIN              MA/ BA IST DIV   MED              23-Sep-72      HARIPUR         8-Jan-95        8-Jan-95
774   MALIKA HUMAIRA                   ABDUL WADOOD           BA               CT                3-Aug-73      KOHAT           8-Jan-95        8-Jan-95        GGHS NO 1 KOHAT
775   Zakia Shaheen                    Mohammad Saddiq        BA                                12-May-76      FR Peshawar     9-Jan-95        9-Jan-95        GGMS Mohammad Gul Killi
776   SHEHNAZ BIBI                     MALIK GHULAM SARWAR    BA 2ND DIV       BED 2nd Div:      1-Mar-66      HARIPUR        4-Sep-85         9-Jan-95
777   SHAZIA NASEER                    NASEER SHAH            MA               CT               10-Apr-73      KOHAT          24-Nov-94        9-Jan-95        GGMS BEHZADI CHKAR KOT
778   ASMAT PERVEEN, BA (2nd) / B/Ed   MUHAMMAD USMAN                                           20-Apr-65      Malakand       10-Dec-87        9-Jan-95        GGMS Piran
779   RUKHSANA, BA (2nd) / B/Ed        ABDUL WAHAB                                              4-May-69       Malakand       1-Aug-90         9-Jan-95        GGMS Nal
Academic        Professional                                  Date of 1st   D/O Apptt against
No.   Name of Teacher                Father's Name         Qualification   Qualification   Date of Birth   Domicile         Apptt:       Present Post      Name of School
 1                  2                               3              4               5             6                 7          8                 9                          10
780   Alia Bibi MA                   Fazal Khan                                             10-Feb-70      Chitral       21-Sep-89          9-Jan-95       GGMS Moghlandeh
781   YASMEEN SEEMA                  SADIQ HUSSAIN         BA              BED                3-Jul-61     PESHAWAR       9-Jan-89          9-Jan-95       GGMS Hayat Abad
782   BASAR MALIK                    MALIK YOUNIS          BA              BED               4-Jan-72      ABBOTTABAD    10-Jan-95         10-Jan-95       GGHSS Comprehencive
783   SAFIA BANO                     RAHIM GUL             MA              B/Ed,M/Ed        11-Mar-65      MARDAN        13-Mar-90         11-Jan-95       GGHS NO 1 MARDAN
784   Zeenat Begum                   Nabiullah             BA/CT/Bed                         3-Jan-68      Swabi          1-Mar-92         14-Jan-95       GGCMHS Swabi
785   GUL NAYAB                      JAMROZ KHAN           BA II           BED               6-Jun-67      CHARSADDA     15-Jan-95         15-Jan-95
786   Asia Begum                     Muhammad Afzal        BA/Bed/CT                        20-Oct-71      Swabi         15-Jan-95         15-Jan-95       GGHSS Topi
787   SHAKILA BANO                   RAZIULLAH             MA              BED               3-Feb-68      PESHAWAR      17-Jan-95         17-Jan-95       GGPMS HAYAT ABAD I (JICA)
788   AZRA BANO                      SIKANDAR DIN          BA 2ND DIV      BED 2nd Div:      1-Apr-72      A/ABAD        23-Jan-95         23-Jan-95
789   Fazeelat Sadiq                 Muhammad Sadiq        MA              B/Ed             12-Apr-70      SWAT          30-Jan-95         30-Jan-95       GGHS Shahdara
790   SAMINA SHAHEEN                 MUHMMAD ASLAM         BA              BED               1-Feb-73      ABBOTTABAD     1-Feb-95         1-Feb-95        GGMS DHODIAL
791   Yasmin Jamshid                 Jamshid Khan          BA              B/Ed              19-Jul-71     SWAT           1-Feb-95         1-Feb-95        GGHS No/1/Mingora
792   Farida Bibi                    Sani Gul              MA              CT               20-Mar-74      SWAT           1-Feb-95         1-Feb-95        GGMS Guligram
793   ABIDA SHAHEEN                  MOHD YAQOOB           BA              BEd              23-May-67      Mansehra       5-Jun-88         7-Feb-95
794   Sarwat Bahar                   Zarin Jan             MA/Bed/CT                         1-Mar-74      Swabi         13-Feb-95         13-Feb-95       GGHS Turlnadi
795   SHABNAM BEGUM, BA (2nd) / B/ED KHURSHID ALI                                            1-Jun-74      Malakand      19-Feb-95         19-Feb-95       GGCMHS Thana
796   Humaira Mufti                  Wazir Ahmad Jan       FA                               29-Jun-65      FR Peshawar   23-Feb-95         23-Feb-95       IHC Khanzada Killi
797   RIZWANA SHAHEEN                HAJI MUHAMMAD AKBAR   BA              BED              24-Apr-74      ABBOTTABAD    26-Feb-95         26-Feb-95       GGMS Serbhana
798   ZIAFAT BEGUM                   TAHSEEN ULLAH         BA II           BED              20-Mar-71      CHARSADDA      2-Dec-89          1-Mar-95
799   NAYABAT                        TEHSEEN ULLAH         BA II           BED              20-Mar-71      CHARSADDA      2-Dec-89          1-Mar-95
800   SAJIDA PERVEEN                 MUHAMMAD SADIQ        BA              CT                3-Apr-71      KOHAT         18-Mar-93         1-Mar-95        GGHS NO 1 KOHAT
801   Bashera                        Shuja                 MA              B/Ed             10-Mar-69      SWAT          24-Sep-89         1-Mar-95        GGHS Panr
802   TASLEEM, BA/CT                 ABEEL MUHAMMAD                                         16-Jan-69      Malakand      29-Mar-95         29-Mar-95       GGHS Malakand
803   Bibi Iffat                     Said Altaf Hussain    MA              CT               25-May-71      SWAT          12-Aug-90          1-Apr-95       GGMS Afsar Abad
804   Rifaqat Begum                  Attaullah Khan        M/A             B/ Ed            9-May-73       Nowshera       9-Apr-95          9-Apr-95
805   Parveen Akhtar                 Ghulam Muhammad       MA              B/Ed             23-Jun-73      SWAT          10-Apr-95         10-Apr-95       GGMS Chail Shagai
806   Sajida Parveen,                Muhammad Rauf         MA              B/Ed:            14-Aug-74      Karak          4-Oct-95         10-Apr-95       GGHS No/1Karak/
807   Fakhr ul Nissa                 Muhammad Shafi        B/A             B/ Ed, C/T        1-Sep-69      Nowshera      13-Apr-95         13-Apr-95
808   Shabina Akhtar                 Rashid Khan           MA                                5-Apr-77      FR Tank       14-Apr-95         14-Apr-95       GGMS Mosam Khan Kor
809   ASMA FAROOQ                    UMMER FAROOQ          BA              BED              1-May-69       HARIPUR       17-Apr-95         17-Apr-95
810   Zenat parveen                  Sabz Ali              MA                                9-Dec-58      FR Peshawar   24-Apr-95         24-Apr-95       GGHS Waras Khan Killi
811   NAHIDA GUL                     MIR AFZAL             MA/BA 2nd Div   CT               18-Mar-71      HARIPUR        3-May-95         3-May-95
812   FARZANA KOUSAR                 FAZAL E MOULA         MA              BED              23-Mar-73      PESHAWAR       4-May-95         4-May-95        GGHS No1/ Cantt
813   Iffat ara Malik                Malik Riaz Ahmed      B/A             B/ Ed            16-Feb-71      Nowshera       9-May-95         9-May-95
814   Zaheen Akhtar                  Ali Haider Khan       MA                                5-Jan-62      Bajaur        12-May-95        12-May-95        GGMS Civil Colony Khar
815   RUBINA ALAM                    ALAM ZEB              MA              BED,MED           1-Oct-69      MARDAN        18-May-92        21-May-95        GGMS SHAMSHAD ABAD
816   FARHAT GUL                     GUL DAD               FA              CT                3-Feb-74      HARIPUR       23-May-95        23-May-95
817   SAID RUKHTAJ                   SAID AHMAD SHAH       MA              B/Ed,M/Ed        31-Dec-70      MARDAN        24-Feb-91        25-May-95        GGHSS Hathian
818   ZARQA NAZ                      M ABDUL HAMEED        MA              BED              12-Jan-72      PESHAWAR      25-Sep-95        25-May-95        GGMS Gul Bachah Jee
819   TEHZEEB UL ISLAM               ABDUR RAHMAN          MA/             BED/CT            8-Oct-67      D/I/KHAN      24-Sep-92          1-Jun-95       GGCMHS NO1 DIKHAN
820   BIBI REHANA                    MUHMMAD IQBAL         BA              BED               2-Aug-74      ABBOTTABAD     3-Jun-95          3-Jun-95       GGHS Bandi Dhundan
821   Marat Begum                    Chulam Ghafoor        M/A             B/ Ed             1-Mar-74      Dir            3-Jan-93          6-Jun-95
822   NOSHABA FAROOQ                 UMAR FAROOQ           MA/BA           MED              22-Jun-73      HARIPUR       18-Jun-95         18-Jun-95
823   BIBI RAHEELA                   CHAN PIR              BA              BEd              2-May-72       Mansehra      19-Jun-95         19-Jun-95
824   Parveen Akhtar, MA B/Ed        Rahmat Karim                                            5-Jan-73      Chitral       10-Nov-92         20-Jun-95       GGHS Drosh
825   LUBNA SHAHEEN                  MUHAMMAD SHAFI        MA/ BA 2nd iv   MED               8-Dec-73      HARIPUR       21-Jun-95         21-Jun-95
826   Shaida Parveen                 Nobat Khan            M/A             B/ Ed             9-Feb-69      Nowshera        9-Jul-95         9-Jul-95
Academic        Professional                                Date of 1st   D/O Apptt against
No.   Name of Teacher            Father's Name          Qualification   Qualification   Date of Birth Domicile        Apptt:        Present Post      Name of School
 1                2                           3                 4               5             6               7          8                9                            10
827   HAFES BIBI                 ABDUL GHAFFAR          MA/             BED/CT           13-Feb-67 D/I/KHAN         17-Dec-85         26-Jul-95       GGHS NO/ 4 DIKHAN
828   Naheed Akhtar              Khan Jee               MA              M/Ed             20-Mar-74 SWAT              30-Jul-95        30-Jul-95       GGHSS Matta
829   Noor fatima                                       MA                                            SWA            1-Aug-95         1-Aug-95        IHC Mir Badshah Kot SWA
830   Riasat Ameen               Mohammad Ameen         B/A             B/ Ed             1-Dec-72    Nowshera       1-Aug-95         1-Aug-95
831   Dilshad                    Nisar Ahmad            FA              CT               4-May-73     SWAT          24-Jan-95         1-Aug-95        GGHS fatehpur
832   NUSRTA BIBI                KHALIL UR REHAMN       BA              BEd               4-Jan-73    Mansehra      13-Mar-93         4-Aug-95
833   Rizwana Kusar              Shah Zaman             BA              BEd              12-Oct-74 Mansehra         15-Jan-91         7-Aug-95
834   Rozina Akhtar              Rustam Ali             MA/Bed/CT                        16-Jan-72 Swabi             9-Aug-95         9-Aug-95        GGMS Zarobi
835   Roheen                     Kazim Ali Shah         MA/Bed/CT                         4-Mar-77    Swabi          9-Aug-95         9-Aug-95        GGHS M/K/Zaida
836   SHAMIM BIBI,BA(2nd)/B/Ed   FAZAL AHAD                                              18-Sep-75 Malakand         14-Aug-95        14-Aug-95        GGHS Totakan
837   Tawheeda                   Shah Jehan             BA              B/Ed             13-Feb-76 SWAT             15-Aug-95        15-Aug-95        GGHSS Manglor
838   SAJIDA JABEEN              MISKIN SHAH            BA              BEd               27-Jul-70   Mansehra      21-Aug-95        21-Aug-95
839   Qanan Bibi                 Shamsul Huda Mian      BA              B/Ed              2-Jun-72    SWAT          25-Aug-95        25-Aug-95        GGHS Madyan
840   Nighteen Shaheen           A/Razaq Khan           BA              BEd              27-Dec-68 Mansehra         16-Jan-91        27-Aug-95
841   Shaheen Irshad             M/Mumtaz               BA              BEd               1-Mar-64    Abbottabad    14-Sep-85        30-Aug-95
842   SHAMSHAD                   GUL MUHAMMAD           MSC             BED              26-Jun-66 PESHAWAR         31-Aug-95        31-Aug-95        GGMS Hazar Khawani No/1
843   ZAINAB BIBI                SYED MEHDI SHAH        MA              MEd              20-Sep-74 PESHAWAR         31-Aug-95        31-Aug-95        GGHS Wadpaga
844   Yasmeen Khan               Afzal Khan             BA                                3-Dec-70    FR Peshawar    1-Sep-95         1-Sep-95        GGMS Mir Haider
845   Firdus Ambreen             Mohammad Safdar        MA                               15-Sep-74 Khyber            1-Sep-95         1-Sep-95        GGMS Wali Khel
846   Nasira Jabeen              Mohd:Zafran            BA              BEd               3-Sep-74    Mansehra      16-Jan-91         1-Sep-95
847   NAJMA ABDULLAH             ABDULLAH JAN           MA              BED              1-May-68     PESHAWAR       2-Sep-95         2-Sep-95        GGHSS Lady Grifth
848   Najmun Nisa                M/Yousaf               BA              BED              16-Dec-72 ABBOTTABAD        4-Sep-95         4-Sep-95        GGMS Banda Lamba
849   Ulfat                      Muntazir Khan          MA/Bed/CT                         2-Mar-73    Swabi          4-Sep-95         4-Sep-95        JICA Model School Adina
850   Naheed Akhtar              Mian Mohammad          B/A             B/ Ed, M/ Ed      9-Jan-70    Nowshera       9-Sep-95         9-Sep-95
851   Naheed Akhtar              Mian Mohammad          B/A             B/ Ed, M/ Ed      9-Jan-70    Nowshera       9-Sep-95         9-Sep-95
852   Asma Khatoon               Murad Ali              MA                                25-Jul-74   FR Peshawar   14-Sep-95        14-Sep-95        GGHS Waras Khan Killi
853   SHAHNAZ BIBI               ABDUL GHAFFOR          BA              BED              12-Oct-86 ABBOTTABAD       20-Sep-95        20-Sep-95        GGHSS Comprehencive
854   NIGHAT ANWAR               ANWAR ALI SHAH         MA              B/Ed,M/Ed        16-Jan-69 MARDAN           25-May-92        20-Sep-95        GGHS NO 1 MARDAN
855   SHAHIDA PERVEEN, FA        MUHAMMAD SAEED                                          30-Mar-70 Malakand         23-Sep-95        23-Sep-95        GGMS MATKANI
856   Shamim Rashid              Ghulam Rashid          BA              CT                1-Jul-74    SWAT          31-Dec-94        24-Sep-95        GGHS No/1/Mingora
857   Yasmin Begum               Arshad                 BA              CT                            SWAT          24-Sep-95        24-Sep-95        GGMS Arkot
858   RIFFAT NASREEN             mustaq Ahmed           MA              BED              15-Sep-66 PESHAWAR         25-Sep-95        25-Sep-95        GGHSS Begum Shahab/ud/Din
859   GULNAZ SHAHEEN             SYED SHAUKAT HUSSAIN   MA              B/Ed             15-Mar-70 MARDAN           28-Sep-95        28-Sep-95        GGMS QASAM TORU
860   NIGHAT TAHIRA              GUL REHMAN             MA              MEd               1-Jan-73    PESHAWAR      28-Sep-95        28-Sep-95        GGHS Khyber Colony
861   Tayeeba Nasreen            Syed Muzafar Shah      BA                                5-Jul-63    Khyber         2-Oct-95         2-Oct-95        GGHS Spelano Kas
862   Rana Gul                   S/Mumtaz Ali Shah      MA/Bed/CT                        12-Apr-76 Swabi             2-Oct-95         2-Oct-95        GGHS Ismaila
863   Nasreen Akhtar,            Abdul Hanan            BA              B/Ed:             9-Feb-72    Karak          2-Oct-95         2-Oct-95        GGHS, Bahadar Khel
864   SHABANA NAWAZ              MUHAMMAD NAWAZ         MA              CT                9-Mar-73    KOHAT          3-Oct-95         3-Oct-95        GGHSS LACHI
865   Basreena                   Yaqoob Ali             MA/Bed/CT                         7-Aug-67    Swabi         28-Sep-86         10-Oct-95       GGHSS Kalabat
866   SOFIA BANO                 NADIR KHAN             BSC             CT               14-Feb-69 KOHAT            22-Nov-90         12-Oct-95       GGCMHS NO 3 KOHAT
867   NASREEN                    NISAR AHMAD            MA              B/Ed             24-Mar-68 MARDAN            1-Sep-86         12-Oct-95       GGMS SARAI KOROONA
868   Hameeda Khatoon            S/ Jehanger Shah       B/A             B/ Ed            27-Jan-71 Nowshera         16-Oct-95         16-Oct-95
869   Zaia Begum                 hamid rasool           MA                                8-Feb-75    Khyber        18-Oct-95         18-Oct-95       GGMSSarfaraz Killi
870   FARKHANDA JABEEN           SYED ISMAIL JAN        MA              B/Ed,M/Ed        10-May-72 SWABI            25-Oct-94         25-Oct-95       GGHSS SAWAL DHER
871   Shahida Begum              Mirza Barkatullah      BA                               18-Feb-65 Khyber           26-Oct-95         26-Oct-95       GGHS Hanif Jan
872   ROOBI ANDALEEB             WAZIR ZADA             MA              B/Ed, M/Ed       4-May-73     MARDAN        26-Oct-95         26-Oct-95       GGMS MOMAND MAINA
873   MOBEELA BHATTI             SHARIF BHATTI          MA              MEd              11-Oct-70 PESHAWAR         26-Oct-95         26-Oct-95       GGMS No/3 Cantt/
Academic        Professional                                    Date of 1st   D/O Apptt against
No.   Name of Teacher        Father's Name         Qualification   Qualification      Date of Birth   Domicile       Apptt:        Present Post      Name of School
 1                  2                      3               4               5                6                 7         8                9                             10
874   SYEDA GHAZALA NARGIS   S/ABDUL KARIM SHAH    BA              BED                 10-May-70      ABBOTTABAD   30-Oct-95         30-Oct-95       GGHS Khuthiala
875   ZAHIDA BIBI            KALA KHAN             MA BA 2ND DIV   MED/BEd/ 2nd div    12-Mar-73      HARIPUR       1-Nov-95         1-Nov-95
876   NAHEEDA BEGUM          MUHAMMAD IQBAL        BA 2ND DIV      CT                  1-May-71       HARIPUR       1-Nov-95         1-Nov-95
877   Zubeda Khatoon         Gul Said              MA/Bed/CT                           5-May-64       Swabi         5-Mar-86         1-Nov-95        GGHSS Kalabat
878   RAHEELA KHANUM         ABDUL QAYYUM          BA              BED                 15-Aug-66      ABBOTTABAD    4-Nov-95         4-Nov-95        GGMS Banda Lamba
879   NAVEEDA NAZ            ABDUL SATTAR          BA              BED                 15-Feb-72      ABBOTTABAD    4-Nov-95         4-Nov-95        GGCMS Nawanshehr
880   Farzana Bibi           hanif                 M/Sc                                27-Jan-77      NWA           5-Nov-95         5-Nov-95        GGHS Civil Colony MRN
881   NAYYAR SULTAN          GHULAM JAFAR          MA              B/Ed                 5-Jun-64      MARDAN       23-Sep-87         7-Nov-95        GGHSS Shahbaz Garhi
882   RUQIA GUL              MOHD YOUSAF           BA              BEd                  3-Mar-71      Mansehra     11-May-92         8-Nov-95
883   SHUKRIA BEGUM          M ZAMAN KHAN          BA              BEd                  1-Apr-73      Mansehra      8-Nov-95         8-Nov-95
884   Najma Amin             Muhammad Amin         MA/Bed/CT                           15-Jan-71      Swabi         8-Nov-95         8-Nov-95        GGCMHS Swabi
885   FARKHANDA KHATOON      UMAR SHAH             MA              B/Ed                1-May-73       MARDAN       18-Nov-95        18-Nov-95        GGHS NO 1 MARDAN
886   FARKHANDA JABEEN       MUNTAQIMULLAH         MA              BED                 13-Apr-72      PESHAWAR     20-Nov-95        20-Nov-95        GGHSS Lady Grifth
887   GUL JABEEN             M/ASLAM KHAN          BA              BED                  2-Feb-63      ABBOTTABAD   31-May-90        21-Nov-95        GGMS MUMDAH
888   Jehan Zeba             Mohd Karim            BA (2nd)        B,ed                 5-Apr-67      Dir Lower     1-May-87        22/11/1995
889   ZAHIDA BATOOL          SYED FIDA HUSSAIN     MA              BED                 11-Feb-74      PESHAWAR     24-Nov-95        24-Nov-95        GGHS Sheikh Abad
890   Abida Begum            M/ Ishaq              M/A             B/ Ed               22-Apr-70      Nowshera      1-Dec-95         1-Dec-95
891   NAEEM AKHTER           HAYAT MUHAMAMD        BA              BED                  5-Dec-73      ABBOTTABAD    2-Dec-95         2-Dec-95        GGMS Pattan Kalan
892   SAMINA SHAHEEN         ATTAR DIN             BA              BED                  3-Jan-72      MANSEHRA      4-Jan-96         4-Dec-95        GGMS BIGA KOT
893   FIRASAT AMIN           AMIN JAN              BA II           BED                 15-Feb-97      CHARSADDA    13-Dec-95        13-Dec-95
894   Fazeelat Rehman        Fazal/ur/Rehman       B/A             B/ Ed                8-Jul-69      Nowshera      9-Dec-87        13-Dec-95
895   FARA NAZ               GHULAM MUJTABA KHAN   BA              Bed                  5-Apr-72      ABBOTTABAD   18-Dec-95        18-Dec-95        GGMS Malik Pura
896   ASMAT ARA              FIDA MOHAMMAD         MA              B/Ed                22-Apr-70      MARDAN        1-Nov-92        20-Dec-95        GGHSS Gujrat
897   ROSHAN ARA             HABIBUR REHMAN        MA              B/Ed                28-May-72      SWAT          1-Mar-93        20-Dec-95        GGMS MOMAND MAINA
898   Rabia Khatoon BA       Hazratullah                                               25-Dec-72      Chitral      17-Dec-94        20/12/1995       GGMS Lone
899   BIBI SAEEEDA           ABDUR RAZIQ           MSc             B/Ed                15-Jan-65      MARDAN       21-Dec-95        21-Dec-95        GGHS HOTI NO2
900   BIBI SADIA             HABIB AHMED           BA              BEd                  5-Apr-74      Mansehra     21-May-92        28-Dec-95
901   Rashida Bibi           Shafiq ur Rehman      BA              BEd                  9-Feb-70      Mansehra     28-Dec-95        28-Dec-95
902   Mushtari                                                                          1-Jan-78      Bajaur        1-Jan-96         1-Jan-96        GGMS Shah narai
903   Gul Nasreen            Abdul Latif           B/A             B/ Ed                9-Jul-67      Nowshera     24-Jan-87         1-Jan-96
904   PARVEEN AKHTAR         ABDUR REHMAN          MA              BED                  10-Jul-66     PESHAWAR      1-Jan-96         1-Jan-96        GGHS Nishter Abad
905   GUL/E/RANA             FAZAL UR RAHMAN       MA              MEd                 22-Mar-68      PESHAWAR      1-Jan-96         1-Jan-96        GGHS Yaka Toot
906   TAFSEELA               BASHIR AHAMD          MA              BED                  1-Feb-76      PESHAWAR      5-Jan-96         5-Jan-96        GGHS Tarnab Farm
907   PARVEEN AKHTAR         SAEED MUHAMAD         MA              BED                 28-Dec-53      CHARSADDA    30-May-81         6-Jan-96        GGMS No/3 Cantt/
908   Shakila Naz,           Muhammad Iqbal        MA              M/Ed:                1-Sep-72      Karak         1-Jun-96         6-Jan-96        GGCMHS, Karak
909   Syed Farah deeba       S/Habib Ahmed Shah    BA              BEd                  2-Jun-72      Mansehra      1-Jun-92         9-Jan-96
910   FANOOS RANA            INAYATULLAH           BA                                  28-Sep-60      Lakki         10-Jul-78        11-Jan-96       GGMS BEGUK KHEL
911   Farida Bibi MA,B/Ed:   Itibar Khan                                               4-May-70       Chitral      24-Jun-93         12-Jan-96       GGMS Potoniandeh
912   SAMINA YOUNAS          MUHAMMAD YOUNAS       BA              BED                 18-Sep-72      ABBOTTABAD   20-Jan-96         20-Jan-96       GGHS Keri Raiki
913   Ashya Perveen          Mohd Aslam            FA/CT           CT                   2-Jan-63      Manshar/KH   21-Jan-96         21-Jan-96       GGMSoyal
914   ZAKIA KHATOON          GHUAM JAAFAR          MA              /MED/CT              4-Dec-68      D/I/KHAN     13-Sep-87         24-Jan-96       GGMS PAHARPUR
915   ROZINA                 SALEH MUHAMMAD        MA/             MED/CT               4-Oct-67      D/I/KHAN     14-Sep-87         26-Jan-96       GGHS KAICH
916   HUSAN AFROZ            MEHER DIN                                                  1-Jan-48      Lakki        15-Nov-83         31-Jan-96       GGMS GAMBILA
917   DILSHAD BEGUM          ADAM KHAN             BA 3RD          BED/CT              15-Apr-55      D/I/KHAN      6-Nov-78         7-Feb-96        GGHS KARI SHOMOZAI
918   DELSHAD BEGUM          AMANULLAH KHAN        BA/             BED/CT               2-Jun-71      D/I/KHAN      9-Feb-96         9-Feb-96        GGHSSNO/ 2 DIKAHN
919   Shazia Sarwar          Sarwar Din            M/Sc            B/ Ed               11-Aug-72      Nowshera      3-Mar-96         3-Mar-96
920   MEHR/UN/NISA           AKBAR DIN             FA              CT                  28-Oct-66      HARIPUR      15-Sep-87         8-Mar-96
Academic        Professional                                         Date of 1st  D/O Apptt against
No.   Name of Teacher    Father's Name          Qualification   Qualification      Date of Birth   Domicile            Apptt:       Present Post      Name of School
 1                 2                   3                4               5                6                 7              8               9                            10
921   nabila aziz        Ghulam Mohyudin        BA              BED                  4-Mar-74      ABBOTTABAD        20-Mar-96        20-Mar-96       GGHS Salhad
922   NAEEM GUL          BASHIR AHMED           BA              BED                  1-Jan-72      ABBOTTABAD         1-Apr-96         1-Apr-96       GGHSS Havelian
923   YASMEEN ANWAR      S/LAL KHAN ANWAR       BA              BED                  1-May-68      ABBOTTABAD         1-Apr-96         1-Apr-96       GGMS Malik Pura
924   RAZIA BEGUM        MUHAMMAD AMIN          MA              BED                 12-Feb-67      Lakki              9-May-85         1-Apr-96       GGHS NO/1 LAKKI
925   NAHEEDA KHATOON    SYED MUHAMMAD YOUSAF   MA              B/Ed                30-Dec-57      MARDAN             1-Dec-84         1-Apr-96       GGHS NO 1 MARDAN
926   NAHEED ANWAR       ANAWAR UL HAQ          MA              BED                 15-Apr-65      PESHAWAR           1-Apr-96         1-Apr-96       GGHS Nishter Abad
927   NUSRAT NAZ         NAZEER MUHAMMAD        BA              BED                  1-Feb-72      HARIPUR            2-Apr-96         3-Apr-96
928   TALAT ABASSI       MAZHAR KHAN            BA              BED                 23-Mar-69      ABBOTTABAD         5-Apr-96         5-Apr-96       GGHS Bakote
929   FATHIA GUL         MIRZA KLHAN            MA/BA 3rd Div   BED 2nd Div:        10-May-69      HARIPUR            8-Apr-96         8-Apr-96
930   NASRIN BIBI        FAZAL/UR/REHMAN        FA              CT                   1-Jan-71      HARIPUR           11-Apr-96        11-Apr-96
931   Shagufta Begum     Sarfaraz Khan          BA              BEd                  1-Apr-74      Mansehra          30-Jun-92        11-Apr-96
932   Naheed Begum/      Muhammad Nawaz         MA(BE/d)        CT                  13-Nov-69      Tank/             11-Apr-90        11-Apr-96       /do   Ranwal/
933   NOREEN ASGHAR      ALI ASGHAR KHAN        BA              BED                 20-Apr-67      ABBOTTABAD        15-Apr-96        15-Apr-96       GGHSS Havelian
934   RAMISH MISBAH      MUHAMMAD ILYAS         MA              BED                 16-Jan-71      PESHAWAR          15-Apr-96        15-Apr-96       GGMS New karim Pura
935   Anjuman Ara        Abdul Wahab            MA/Med/CT                           15-Apr-75      Swabi              4-Dec-95        17-Apr-96       GGMS Roshan Pura
936   Rukhsana BiBi/     Abdullah Jan/          BA(BE/d)        CT                  10-Jan-74      Tank/              7-Jan-93       21/04/1996       /do/ Dabbara/
937   Zakira Begum       Qasim Khan             Ba/Bed/CT                           25-Jan-76      Malakand Agency   15-Nov-94        22-Apr-96       GGMS Mathra Dagi
938   CHAND BIBI         BURHAN UD DIN          MA              BED                 15-Apr-68      PESHAWAR          15-Apr-88        24-Apr-96       GGCMHS Tehkal Bala
939   MARYAM BEGUM       M ISRAR KHAN           BA              BED                 10-Apr-68      PESHAWAR          24-Apr-96        24-Apr-96       GGHS Khyber Colony
940   FOZIA PARVEEN      M ISLAM                MA              BED                 26-Mar-71      PESHAWAR          24-Apr-96        24-Apr-96       GGHSS Lady Grifth
941   BILQUEES BIBI      MUBARAK ALI            BA/             BED/CT              28-Dec-69      D/I/KHAN          23-Dec-89        25-Apr-96       GGMS GARA MUHABAT
942   WAHEEDA YASMIN     ISMAIL                 MA              MED                 6-May-65       HARIPUR            2-Dec-90        25-Apr-96
943   Tahira Naz         Raza Khan              MA/Med/CT                           12-Apr-71      Swabi             20-Feb-90        26-Apr-96       GGHS Thandkoi
944   SHAGUFTA YASMEEN   MUHAMMAD SALEEM        BA/BA/BED/CT    BED/CT              15-Jan-67      D/I/KHAN          27-Apr-96        27-Apr-96       GGHSS NO/ 6 DIKHAN
945   ZAHIDA PARVEEN     ALLAH WASAYA           BA/             BED/CT               5-Feb-70      D/I/KHAN           4-Dec-94        27-Apr-96       GGHS NO/ 7 DIKHAN
946   NUZHAT JABEEN      ABDUL LATIF            MA BA 2ND DIV   BED 2nd Div:        25-May-72      HARIPUR           27-Apr-96        27-Apr-96
947   RUBINA SHAHIN      M MASKEEN              BA              BEd                 4-May-72       Mansehra           2-May-96        2-May-96
948   Nasir Naseem       Ghulam Mohd            BA/CT           CT                  14-Jan-75      Abbott Abad        2-May-96        2-May-96        GGMS Ghazi Abad
949   FARKHANDA JABEEN   ALLAH BAKHSH           MA/             MED/CT              14-Dec-69      D/I/KHAN          14-Dec-87        3-May-96        GGHSSNO2 DIKAHN
950   NAZRA BANO         QASIM GOHAR            BA              BED                  1-Jan-71      ABBOTTABAD         5-May-96        5-May-96        GGMS MAIRA BAGH
951   ALIA RANI GUL      MUHAMMAD YOUNAS ABBA   MA              B/Ed,M/Ed            1-Mar-74      MARDAN             5-Jun-93        5-May-96        GGHS BAGO BANDA
952   SHAGUFTA BEGUM     NOMAN ALI SHAH         BA              B/Ed                 6-Sep-75      MARDAN            23-Oct-95        5-May-96        GGHSS Shahbaz Garhi
953   RUBINA SHAHEEN     QALANDAR KHAN          BA              BED                  4-Mar-69      ABBOTTABAD         3-Oct-87        6-May-96        GGHS Bagnotar
954   SHAHEEN AKHTER     MUHAMMAD USMAN         MA              CT                  19-Feb-62      KOHAT              7-Nov-84        6-May-96        GGHSS GUMBAT
955   TAYYBA MUMTAZ      MUMTAZ AHMAD           MA/             MED/CT               30-Jul-64     D/I/KHAN          21-May-89        7-May-96        GGHS NO/ 4 DIKHAN
956   AMIR ZADA BEGUM    AJAB GUL               BA                                  9-May-69       Lakki             16-Jan-91        9-May-96        GGMS MELA SHAHAB KHEL
957   GUL ZEBA           SHER ZADA              MA              B/Ed                 5-Apr-71      MARDAN            13-May-93        9-May-96        GGHS SHER GARH
958   SHAHEEN AKHTAR     REHMAT DIN             MA/BA 2nd Div   MED/BEd/ 2nd div     1-Jan-63      HARIPUR            6-May-96       13-May-96
959   MUFEEDA BEGUM      ABDUL MATEEN           BA 2ND DIV      BED 2nd Div:         5-Jan-67      HARIPUR            22/9/895       14-May-96
960   ISHRAT JEHAN       FAZAL RABI             MA              B/Ed                15-Apr-71      MARDAN             1-Mar-92       14-May-96        GGMS KOT TAKHT BHAI
961   WAHEEDA NAZ        YOUNAS KHAN            MA              B/Ed                 1-Dec-72      MARDAN            16-May-96       16-May-96        GGHS TAKKAR
962   FERDOS BIBI        MUHAMMAD IRFAN         MA BA 2ND DIV   BED                 15-Apr-70      HARIPUR           20-May-96       20-May-96
963   FIRDOUS BIBI       MUHAMMAD URFAN         BA 2ND DIV      BED                 15-Apr-70      HARIPUR              16-May-96    20-May-96
964   ZAIB UN NISA       KHALIL UR RAHMAN       MA              B/Ed                 1-Feb-62      MARDAN            18-Oct-80       23-May-96        GGCMHS BICKET GANJ CANAL ROAD
965   FARZANA BEGUM      TOOR MUHAMMAD KHAN     BA II           BED                  1-Apr-67      CHARSADDA         25-May-96       25-May-96
966   Nasim Akhtar       Ghulam Sadiq           MA                                  12-Dec-57      FR Tank           25-May-96       25-May-96        GGMS Jalal Khan Parwana
967   SHAFIA BEGUM       SHAMSUD DIN            MSC HPE         B/Ed                13-Feb-60      MARDAN            16-Feb-78       25-May-96        GGMS BAKRI BANDA
Academic        Professional                                 Date of 1st   D/O Apptt against
 No.   Name of Teacher       Father's Name           Qualification   Qualification   Date of Birth   Domicile       Apptt:        Present Post      Name of School
  1                 2                       3                4               5             6                 7         8                9                           10
968    NUSRAT ZIA            MIAN ILHAM GUL          MA              B/Ed              9-Jun-72      MARDAN       25-Nov-95        25-May-96        GGHS BAGHICHA DHERI
969    NEELAM NAZ            KHAN BADSHAH            BA              B/Ed              2-Feb-74      MARDAN        1-Oct-95        25-May-96        GGHS BUGHDADA
970    SAJIDA BEGUM          ABDUL HAQ SAFI          MA              BED               24-Jul-71     PESHAWAR      7-Feb-96        25-May-96        GGMS Zaryab Colony
971    Jamila Parveen        Alam Zaib               MA/Med/CT                        15-Jan-65      Swabi         1-Mar-92        25-May-96        GGMS Juma Khan Gari
972    Bibi Samina MA B/Ed   Hafiz Saidul Azam                                        1-May-71       Chitral      16-Jan-95        25-May-96        GGHS Ayun
973    MEHNAZ SEEMA          RIAZ REHMAN             BA              CT                3-Oct-68      KOHAT         2-Nov-87        30-May-96        GGMS CHIKERKOT BALA
974    BIBI SAIFOORA         HAIDER SHAH             MSC             CT               24-Jan-66      KOHAT        30-May-96        30-May-96        GGHSS SHAKARDARA
975    DILRUBA BEGUM         MALIK TAJ RIAYAT KHAN   MA              CT               15-May-71      KOHAT        30-May-96        30-May-96        GGMS SHAKARDARA NO 2
976    ZUHRA BEGUM           HALEEM GUL              BA              CT               13-Sep-54      KOHAT         4-Oct-73        30-May-96        GGHSS SHAKARDARA
977    ASIA AHMAD            AHMAD SHAH              BA              CT               25-Dec-75      KOHAT        30-May-96        30-May-96        GGMS CHARGHARI
978    Shabnum Khurshid,     Sardar Muhammad         MA              B/Ed:             8-Feb-72      Karak        30-May-96        30/05/1996       GGHS Easak Chowntra/
979    Rukhsana Shaeen,      Shah Jehan              MA              B/Ed:             4-Sep-73      Karak        11-Sep-94        30/05/1996       GGHS, Palosa Kimanri
980    Gul Marjan            Lat Bat Khan            MA              M/Ed:            9-May-74       Karak        30-May-96        30/05/1996       GGMS Tanga Zanai
981    Fehmeeda Begum        Ghazanfar Ali           MA                                              Orakzai       1-Jun-96         1-Jun-96        GGMS Chapper Mishti
982    KOUSAR SHAHEEN        NAZIR MUH AMMAD         MA              CT                5-Sep-72      KOHAT         1-Jun-96         1-Jun-96        GGHS NO 1 KOHAT
983    ANILA SAJJAD          MIAN SAJJAD             MA              CT               20-Mar-69      KOHAT         9-Oct-95         1-Jun-96        GGHS NO 1 KOHAT
984    Musarrat Jabeen       Gul Sadbargh            MA/Med/CT                        20-Apr-68      Mardan       25-May-87         1-Jun-96        GGHS Kunda
985    NUSRAT PARVIN         ABDUL MAJEED            BA              BED              27-Dec-72      ABBOTTABAD    9-Jun-96         9-Jun-96        GGMS GALI BANIAN
986    BILQEES BEGUM         AZIZ UR REHMAN          MA              CT               1-May-72       KOHAT        13-Jun-96         13-Jun-96       GGMS TOGH PAYAN
987    FARZANA SHAHEEN       BASHIR AHMAD            BA              BED               1-Jan-70      ABBOTTABAD    1-Jun-92         16-Jun-96       GGHS No/2 A/Abad
988    Zakia Abbasi          M/Jaan Abbasi           BA              BEd               4-Jan-70      Mansehra     16-Jun-96         16-Jun-96
989    FARAKH DEEBA          SHER AFZAL              BA II           BED              12-Apr-69      CHARSADDA    23-May-96         23-Jun-96
990    Rafique Begum         M/Khalid                BA              BEd              10-Apr-73      Mansehra      1-Aug-92         26-Jun-96
991    JAMILA AKHTAR         MUSHTAQ HUSSAIN         MA              BED               1-Jan-67      PESHAWAR     31-Jan-91          1-Jul-96       GGHS Yaka Toot
992    NIGHAT BIBI           FIDA HUSSAIN            MA              BED              6-Sep-69       HARIPUR       30-Jul-96        30-Jul-96
993    Iffat Taj             Naik Amal Shah          M/A             B/ Ed            28-Aug-57      Nowshera     30-Apr-79         2-Aug-96
994    LUBNA TABASUM         MUHAMMAD YOUSAF         MA BA 2ND DIV   BED              13-Dec-72      HARIPUR       7-Aug-96         7-Aug-96
995    Haleema bibi          Mohd:Hussain Khan       BA              BEd               4-Apr-73      Mansehra      1-Aug-92         7-Aug-96
996    FAZILAT BEGUM         MOHAMMAD ALI            MA              B/Ed,M/Ed         2-Feb-70      MARDAN        1-Apr-96        30-Aug-96        GGHS QASMI
997    NAZISH SAMREEN        IHSAN ULLAH             MA              B/Ed, M/Ed       14-Dec-76      MARDAN       20-Jan-96        30-Aug-96        GGMS EID GAH
998    HASENA HAMED          SAID HAMID              BA              B/Ed              1-Oct-72      CHARSADDA    24-Mar-92        30-Aug-96        GGMS SERI BEHLOL
999    AISHA KHALIQ          FAZLI KHALIQ            BA II           BED              17-Dec-73      CHARSADDA     1-Sep-96         1-Sep-96
1000   SARWAT JEHAN          SAYYED UMAR             BA II           BED              22-Mar-70      CHARSADDA     1-Sep-96         1-Sep-96
1001   NAVEEDA GUL           NOOR UL WAHID           MA              MEd              17-Apr-74      CHARSADDA     1-Sep-96         1-Sep-96        GGHS No1/ Cantt
1002   SHAHLA YASMIN         SUBHAN SHAH             MA              BED              14-Oct-65      PESHAWAR     22-Mar-93         4-Sep-96        GGMS QASAB KHANA
1003   NUSRAT JEHAN          TAJ MUHAMMAD            BA II           BED               2-Feb-68      CHARSADDA     5-Sep-96         5-Sep-96
1004   TAYYIBA SHAMRAIZ      SHAMRAIZ                BA              BED              16-Apr-70      ABBOTTABAD    5-Sep-96         6-Sep-96        GGHS Bandi Dhundan
1005   NEEMA GUL             HASSAN KHAN             MA              BED               2-Jan-75      CHARSADDA    10-Sep-96        10-Sep-96        GGHS Islamia Collegiate
1006   SALMA YASMIN          AZIZ/UR/REHMAN          BA 2ND DIV      BED              1-May-71       HARIPUR      17-Sep-96        18-Sep-96
1007   Zuhra                 Muhammad Jalal          BA II           BED              15-Jan-71      CHARSADDA    28-Sep-96        28-Sep-96
1008   NARGIS JABEEN         GUL NAWAZ               MA              CT BED           31-Dec-70      D/I/KHAN     22-Feb-93          1-Oct-96       GGHS R/KULACHI
1009   Aisha Taj             Taj Muhammad            BA              B/Ed              2-Jul-70      SWAT         15-Jan-95          1-Oct-96       GGHS No/1/Mingora
1010   HINA JALIL            JALIL                   BA              BED              31-Oct-74      ABBOTTABAD   11-Oct-96         11-Oct-96       GGMS PANJ GRAN
1011   SHUKRIA NAZ           NISAR MUHAMMAD          BA II           BED              10-Nov-75      CHARSADDA    31-Oct-96         31-Oct-96
1012   NAGINA BIBI           SHER BHADUR             MA/BA 2nd Div   BED 2nd Div:      2-Jun-74      HARIPUR      11-Apr-96         1-Nov-96
1013   ZAINAB NASIM          SHAUREZ KHAN            BA              CT               26-Sep-68      KARAK         1-Nov-94         1-Nov-96        GGMS MEROZAI
1014   Nusrat Begum          Gohar Aman              BA              BEd               3-Mar-72      Mansehra     31-Aug-92         1-Nov-96
Academic        Professional                                    Date of 1st   D/O Apptt against
 No.   Name of Teacher             Father's Name           Qualification   Qualification      Date of Birth   Domicile       Apptt:        Present Post      Name of School
  1                2                            3                  4               5                6                 7         8                 9                          10
1015   BEHRAMAND                   NASRULLAH KHAN          BA              BED                 31-Aug-55      CHARSADDA    12-Dec-81         1-Nov-96        GGMS Chughal Pura
1016   Zahida Naz                  Gul Badi                M/A             B/ Ed               26-Jun-68      Nowshera      7-Nov-96         7-Nov-96
1017   ZARQA BEGUM                 MUHAMMAD NASER          MA/             BED/CT               1-Sep-74      D/I/KHAN     10-Nov-96        10-Nov-96        GGMS GANDI UMER KHAN
1018   FARKHANDA AISHA             MEHBOOB ALI             MA/             BED/CT              21-Dec-71      D/I/KHAN     11-Nov-96        11-Nov-96        GGHS NO/ 8 DIKHAN
1019   NOOR JEHAN                  ABDUL GHAFFAR KHAN      MA              BED                  3-Mar-67      Lakki         1-Oct-93        14-Nov-96        GGHS No/ 1 Naurang
1020   SAHAHNAZ AKHTER             MUHAMMAD HUSSAIN MUGAL  MA/             BED/CT              22-Jan-63      D/I/KHAN     27-Nov-85        16-Nov-96        GGMS QAYYAM NAGER
1021   HUSAN AFROZ                 GUL SHER ALAM           MA              BED                  5-Jan-70      Lakki        21-Apr-91        16-Nov-96        GGCMHS NO/2 LAKKI
1022   MAJIDA HASSAN               MUHAMMAD HASSAN         MSC             /BED/CT             15-Mar-73      D/I/KHAN     18-Nov-96        18-Nov-96        GGMS KURAR
1023   NAHID BEGUM                 HAJI NOOR MUHAMMAD KHAN BA                                   5-Jan-72      Lakki        16-May-96        18-Nov-96        GGMS KHWAJA KHEL
1024   TAMSEELA TABASAM            M/AFZAL KARIM           BA/             BED/CT               1-Jan-65      D/I/KHAN     22-Oct-88        20-Nov-96        GGHS NAIVELA
1025   PARVEEN AKHTAR              ASMATULLAH              MA/             BED/CT              19-Jan-65      D/I/KHAN      4-Dec-88        20-Nov-96        GGHS NAIVELA
1026   SAIRA BIBI                  M/IQBAL                 BA              BED                  6-Feb-75      ABBOTTABAD   30-Nov-96        30-Nov-96        GGHS P/K/KHAN
1027   MUKHTIAR BIBI               ZANUL ABIDIN SHAH       MA/             BED/CT              20-Apr-54      D/I/KHAN      1-Feb-74         2-Dec-96        GGCMHS NO1 DIKHAN
1028   SHAGUFTA JABEEN             ABDUL HAMEED QURESHI BA                 BED                  1-Jan-69      HARIPUR       1-Dec-94         6-Dec-96        GGHS Bandi Dhundan
1029   Noor Begum                  Sami/ud/din             M/A             M/ Ed               15-May-64      Nowshera     20-Oct-86        12-Dec-96
1030   HAJRA BIBI, BA((2nd)/B/Ed   FAZLI GHAFAR                                                 1-Jun-78      Dir(U)       17-Dec-96        17-Dec-96        GGHS Kharkai
1031   Shahida Parveen BA,B/Ed     Wazir Ahmad Khan                                             1-Jun-57      Chitral      16-Nov-92        31/12/1996       GGHS Muldeh
1032   Tabassum Parveen            Abdul Hameed            M/A             B/ Ed               12-Jan-62      Nowshera     11-Nov-82          2-Jan-97
1033   Nasima Parveen, BA          Fazal Akbar                                                 20-Jan-74      Chitral       1-Jun-97          6-Jan-97       GGHS Muldeh
1034   GUL KHUBAN BA, BED          ABDUR RASHID                                                 4-Apr-71      BUNNER       12-Apr-89          7-Jan-97       GGHS NAWAGAI
1035   Zahida Parveen              Mohammad Gul            BA (2nd)        B,ed                14-May-72      Dir Lower    21-Mar-92          7-Jan-97
1036   Nasira Nawab                Haji Nawab              BA (2nd)        B,ed                 4-Oct-79      Dir Lower     1-Mar-95          7-Jan-97
1037   FARHAT NAHEED               AQIQ REHMAN             BA              BEd                  1-Jan-74      Mansehra      1-Mar-93          7-Jan-97
1038   Talat Naz                   M/ Shafi Qureshi        M/A             B/ Ed               14-Apr-76      Nowshera      7-Jan-97          7-Jan-97
1039   Dilshad Begum               Abdul Latif             M/A             B/ Ed               15-Mar-65      Nowshera     10-Aug-87          7-Jan-97
1040   Sanjeeda                    Ali Gohar               M/A             B/ Ed                8-Mar-71      Nowshera      7-Jan-97          7-Jan-97
1041   Shahnaz Begum               Ghulam Mehdi            M/A             B/ Ed, M/ Ed, CT     6-Aug-66      Nowshera      10-Jul-87         7-Jan-97
1042   Faral Naz Begum             Hamzullah Khan          M/A             B/ Ed                3-Aug-70      Nowshera     22-Nov-94          7-Jan-97
1043   Shafqat Ara                 Mohammad Younas         M/A             M/ Ed               15-Jan-69      Nowshera     14-Oct-87          7-Jan-97
1044   Rashida Jabin               Bashir Ahmad            B/A             B/ Ed               12-Mar-70      Nowshera      7-Jan-97          7-Jan-97
1045   Gul Shad Begum              Gufran/uddin            B/A             B/ Ed               22-Feb-69      Nowshera     21-Oct-93          7-Jan-97
1046   Rakshand Isma               Mohammad Aslam          B/A             B/ Ed               26-Dec-62      Nowshera     24-Oct-82          7-Jan-97
1047   Noorun Nisa MA,B/Ed:        Mir Mohd Khan                                               12-Feb-74      Chitral      14-May-95          7-Jan-97       GGMS Sinlasht
1048   Bibi Abida, MA , M/Ed       Khair Azam Shah                                              1-Jul-69      Chitral       1-Jul-97          7-Jan-97       GGHS Booni
1049   Gulshan Bibi FA             Sher Lali                                                    1-Jun-71      Chitral       1-Jul-97          7-Jan-97       GGMS Gohkir
1050   Mehrun Nisa                 Faiz Rahmat                                                  29-Jul-71     Chitral       1-Jul-97          7-Jan-97       GGMS Kushum
1051   Afsar Jamal MA              Panah Ali Shah                                              12-Feb-76      Chitral       1-Jul-97          7-Jan-97       GGMS Sonoghur
1052   Rahima Bibi, MA B/Ed        Imam Nizar                                                  20-Sep-76      Chitral       1-Jul-97          7-Jan-97       GGHS Shagram
1053   GHULAM AYESHA SIDDQUA       GHULAM SARWAR           BA              /BED/CT             19-Jun-64      D/I/KHAN      8-Nov-94          8-Jan-97       GGMS HAJI MOHRA
1054   Musarat Shaheen             Amanullah               BA (2nd)        B,ed                 6-Jun-71      Dir Lower     9-Dec-94          8-Jan-97
1055   Hazrat Nisa BA              Himayat Shah                                                 1-Apr-67      Chitral      25-Oct-84          8-Jan-97       GGHS Shiaqotek
1056   REHANA ZAIB                 RAJA M AURANGZEB        MA 2ND DIV      BED 2nd Div:         2-Sep-69      HARIPUR       1-Feb-97          1-Feb-97
1057   BALQEES BEGUM               SHUJAAT ALI             BA              BED                 23-Dec-64      CHARSADDA     9-Jan-85         7-Feb-97        GGHS Shehgi Bala
1058   ABIDA EJAZ                  KOUSAR                  MA              MEd                  7-Oct-69      ATTOK        19-Feb-97         19-Feb-97       GGMS Kas Koroona
1059   Gul Nisa Bibi               Abdul Ghfar Qurashi     BA              BEd                 17-Jan-73      Mansehra     12-Oct-92         20-Feb-97
1060   Shahnaz Alam                Mohd:Alam               BA              BEd                  1-Mar-72      Mansehra     18-Oct-92         20-Feb-97
1061   SADIA AKHLAQ                MOHD AKHLAQ             BA              BEd                  3-Jun-73      Mansehra     20-Feb-97         20-Feb-97
Academic        Professional                                  Date of 1st   D/O Apptt against
 No.   Name of Teacher          Father's Name           Qualification   Qualification    Date of Birth   Domicile       Apptt:        Present Post      Name of School
  1                 2                        3                  4               5             6                  7         8                9                            10
1062   IMTIAZ BIBI              ABDUR REHMAN            BA              BED                1-Mar-70      ABBOTTABAD   19-Mar-97         19-Mar-97       GGMS KARACH
1063   Samina Naz               Mohammad Shafi          M/A             M/ Ed             14-Dec-77      Nowshera      7-Apr-97          7-Apr-97
1064   NUZHAT FARHANA           SYED LAL HUSSAIN SHAH   BA 2nd Div      BED 2nd Div:       4-Dec-59      HARIPUR       3-May-97         3-May-97
1065   ZAHIDA KHATOON           MUHMMAD HUSSAIN KHAN    BA              BED                8-Jan-72      ABBOTTABAD    7-Sep-92        13-May-97        GGCMS Nawanshehr
1066   Saeeda Begum             Umer Mohd               BA (2nd)        B,ed               2-Feb-71      Dir Lower     5-Feb-92        13-May-97
1067   Zakia Minhaj             Mian Mohd               BA (2nd)        B,ed              23-Apr-74      Dir Lower     8-Oct-92        13-May-97
1068   SHERIN GUL               GHULAM NABI             MA              MED               19-Aug-69      Lakki        12-Nov-90        13-May-97        GGMS MAMA KHEL MARWAT
1069   Shamshad Begum           Qazi Muhammad Shah      BA/Bed/CT                         12-Feb-66      Swabi        26-Feb-91        13-May-97        GGHS Jalbai
1070   Saeeda bagum             Abdul Bar               BA              BEd                9-Feb-67      Mansehra      2-Mar-87        28-May-97
1071   SADIA BIBI               HAFIZ MUHAMMAD ABDULLAH B/SC            BED               5-May-76       HARIPUR      29-May-97        29-May-97
1072   ROBINA USMAN             USMAN KHAN              MA              B/Ed               3-Oct-67      MARDAN        7-Dec-88         23-Jun-97       GGMS PIR ABAD
1073   NAHEED ANWAR             SYED ANWAR              MA              B/Ed              10-Oct-68      MARDAN        2-Sep-95         23-Jun-97       GGMS MEHMOOD ABAD GEDDAR
1074   ZULFIA SARWAT            IRSHAD AHMAD            MA              BED,MED           18-Jan-69      MARDAN       26-Jun-96         23-Jun-97       GGMS FEROZ PUR
1075   ANWARYA BEGUM            ABDUL BIAN              BA              B/Ed              25-Apr-69      MARDAN       30-May-95         23-Jun-97       GGMS PATI KALAN
1076   Rehana Kausar            Fazal Qadeem            BA/Bed/CT                         15-Apr-72      Swabi         4-Oct-95         23-Jun-97       GGHS Gar Munara
1077   SHAHIDA YASMIN           MUHAMMAD NAZEER         MA/             BED/CT            27-Jun-70      D/I/KHAN     24-Jun-97         24-Jun-97       GGCMHS NO1 DIKHAN
1078   ROBINA BIBI, MA / B/Ed   FAZLI WADOOD                                              14-Apr-75      Malakand     24-Jun-97         24-Jun-97       GGHS Kharkai
1079   NASIRA BEGUM             ZAREEN SHAH             MA              B/Ed               2-Feb-69      MARDAN        7-Dec-88         24-Jun-97       GGMS EID GAH
1080   ROBINA NAZNEEN           MUKAMIL SHAH            MA              B/Ed,M/Ed          9-Jun-69      MARDAN       22-Jan-92         24-Jun-97       GGMS SHUJAH ABAD
1081   NAILA NAAZ               USMAN ULLAH             MA              B/Ed,M/Ed          3-Mar-71      MARDAN       31-Dec-92         24-Jun-97       GGHS NO 1 MARDAN
1082   MEHRUN NISA              SHEHBAZ KHAN            MA              B/Ed,M/Ed         14-Mar-71      MARDAN       27-Sep-88         24-Jun-97       GGMS SHUJAH ABAD
1083   UMME SALMA               FAZAL MALIK             MA              BED               28-Jun-65      MARDAN       24-Jun-97         24-Jun-97       GGHSS University Town
1084   Bakht Bibi               Fazal Qayum             Ma              B/Ed              10-Apr-65      SWAT         24-Jun-97         24-Jun-97       GGHS Shahdara
1085   Saira Khatoon, BA,B/Ed   Shariki Khan                                               1-Apr-69      Chitral       1-Jan-95         24-Jun-97       GGCMHS Denin
1086   SAFIDA BANO              ABDUR REHMAN            BA              BED               15-Dec-68      ABBOTTABAD   26-Apr-96         25-Jun-97       GGMS AKHORA
1087   RIFFAT REHNA             SARDAR MUHMMAD ASLAM BA                 BED                3-Apr-72      ABBOTTABAD   25-Jun-97         25-Jun-97       GGCMS Nawanshehr
1088   IMTIAZ BIBI              BEQIR HUSSAIN           MA              /BED/CT            1-Oct-57      D/I/KHAN     20-Apr-81         25-Jun-97       GGCMHS NO1 DIKHAN
1089   SHAGUFTA SANOBAR         GHULAM HASSAN           MA/             MED/CT             1-Mar-64      D/I/KHAN     25-Jun-97         25-Jun-97       GGMS RAKNO
1090   Tahira Batto             S/mushtaq Ahmed         BA              BEd               23-Mar-73      Mansehra      1-Mar-93         25-Jun-97
1091   Nafisa Bibi BA           Mir Safdar Khan                                           15-Feb-70      Chitral       8-Feb-96         25-Jun-97       GGMS Singoor
1092   Shabana Naz Nahan BA     Ghulam Khan                                                6-Apr-76      Chitral      25-Jun-97         25-Jun-97       GGMS Shahnigar
1093   TOUHEED JAMAL            JAMAL UDDIN             BA II           BED               18-Jan-70      CHARSADDA    26-Jun-97         26-Jun-97
1094   ROBINA BEGUM             ABDUL KHALIQ            BA II           BED               25-Dec-69      CHARSADDA    26-Jun-97         26-Jun-97
1095   TEHMINA ANJEM            ABDUR REHMAN            MA/             BED/CT             1-Jan-70      D/I/KHAN     26-Jun-97         26-Jun-97       GGHSS NO/ 6 DIKHAN
1096   NASIM BANO               BASHIR AHMAD            BA              MED               18-Aug-66      HARIPUR      26-Jun-97         26-Jun-97
1097   SABIA SHAHEEN            MALIK MUHAMMAD BANARIS MA/BA 2nd Div    MED/ Bed Ist Div   1-Jan-71      HARIPUR      26-Jun-97         26-Jun-97
1098   TAHIRA JABEEN            M RAFIQUE KHAN          MA              BED                4-Apr-72      HARIPUR      15-Apr-96         26-Jun-97
1099   AZMAT IQBAL              MOHAMMAD IQBAL          MA              B/Ed,M/Ed         20-Apr-71      MARDAN       26-Jun-97         26-Jun-97       GGHS SHANKAR MAHAL
1100   Nighat Shaheen           Muaf Gul                B/A             B/ Ed             13-Aug-70      Nowshera     26-Jun-97         26-Jun-97
1101   NUSRAT ARA               SARDAR KHAN FANA        MA              BED                8-Jul-70      PESHAWAR     26-Jun-97         26-Jun-97       GGHSS Lady Grifth
1102   SARWAT SHAHEEN           MUHAMAMD AMIR KHAN      MA              BED               20-May-71      PESHAWAR     26-Jun-97         26-Jun-97       GGMS Chamkani
1103   QAISRAT BEGUM            KHALID ZADA             MA              BED                4-Apr-70      NOWSHERA     26-Jun-97         26-Jun-97       GGMS Mattani
1104   BIBI MARYUM              QAZI SHAUKAT ALI        MA              BED               6-May-65       PESHAWAR     26-Jun-97         26-Jun-97       GGMS Sufaid Dheri
1105   SHAKEELA BANO            ABDUL HANAN             MA              BED                6-Feb-64      PESHAWAR     26-Jun-97         26-Jun-97       GGMS SWATI GATE PESHAWAR
1106   SHAFQAT YOUSAF           MUHAMMAD YOUSAF         MA              MEd                1-Jun-75      PESHAWAR     26-Jun-97         26-Jun-97       GGHS Jogiwara
1107   Fari bano                Bakht Raz Muhammad      MA              M/Ed              24-Feb-75      SWAT         26-Jun-97         26-Jun-97       GGHS Gwelerai
1108   GUL NAZ BIBI             KALA KHAN               BA              BED                9-Dec-75      ABBOTTABAD   27-Jun-97         27-Jun-97       GGHS Rajoya
Academic        Professional                                    Date of 1st   D/O Apptt against
 No.   Name of Teacher            Father's Name          Qualification   Qualification      Date of Birth   Domicile        Apptt:       Present Post      Name of School
  1                  2                          3                4               5                6                 7         8                9                            10
1109   SHAHZIA SARWAT             REHMAN ULLAH           BSC II          BED                 13-May-72      CHARSADDA    27-Jun-97         27-Jun-97
1110   ANEELA KHAN                HASHIM KHAN            BSc HOM 2ND DIV BED                 16-Dec-75      HARIPUR      27-Jun-97         27-Jun-97
1111   NUSRAT TAZEEM              M DAUD KHAN            MA              MED/BEd/ 2nd div    10-Dec-64      HARIPUR      14-Sep-92         27-Jun-97
1112   SHABNUM BIBI               MUHAMMAD HANEEF        BA              CT                   7-Apr-73      KOHAT        27-Jun-97         27-Jun-97       GGMS MEROZAI
1113   Ayesha Bibi                Syed Sabir Shah        BA              BEd                  1-Mar-76      Mansehra     16-Mar-93         27-Jun-97
1114   TASLEEM BIBI               ASLAM KHAN             BA              BED                  6-Feb-67      ABBOTTABAD   28-Jun-97         28-Jun-97       GGMS Dheri Maira
1115   SAIMA GUL                  KHAYAL GUL             MA              CT                  26-Aug-72      KOHAT        28-Jun-97         28-Jun-97       GGHS DHODA
1116   RIFFAT PERVEEN             ABDUR RAZAQ            MA              CT                  24-Mar-73      KOHAT        28-Jun-97         28-Jun-97       GGHS NO 1 KOHAT
1117   BIBI HAJRA                 MUHAMMAD FAROOQ        BA              CT                  25-May-71      KOHAT        28-Jun-97         28-Jun-97       GGMS BANDA PARACHGAN
1118   RUQIA KAUSAR               MUHAMMAD BAZ KHAN      MA              B/Ed, M/Ed          23-Mar-74      MARDAN       28-Jun-97         28-Jun-97       GGMS SHEIKH MALTOON
1119   SHAKILA BEGUM              FARIDULLAH             MA              MEd                 10-Jan-72      PESHAWAR     28-Jun-97         28-Jun-97       GGHS Jogiwara
1120   Safia Begum                Maqbool Ahmad          MA/CT                               15-Feb-63      Swabi         7-Dec-85         28-Jun-97       GGMS Daulat
1121   Salma Bibi                 Mahmood Khan           BA              CT                  5-May-74       SWAT         28-Jun-97         28-Jun-97       GGHS Tatano bandai
1122   Mehbooba Rahman, MA M/Ed   Muhammad Amin                                               6-Apr-70      Chitral      28-Jun-97         28-Jun-97       GGHS Booni
1123   ISHRAT BEGUM               RAHAMDIL KHAN          BA II           BED                 28-Oct-68      CHARSADDA    11-Feb-85         29-Jun-97
1124   FARHAT AFZA                DAUD SHAH              MA BA 2ND DIV   BED 2nd Div:        16-Aug-68      HARIPUR       1-Nov-88         30-Jun-97
1125   RASHIDA TAJ                TAJ MUHAMMAD           BA              B/Ed                 4-Apr-76      MARDAN        8-Nov-94         30-Jun-97       GGMS PATI KALAN
1126   ZAKIA BIBI                  MOLVI ABDUL WAHID     MA              B/Ed,M/Ed           10-May-71      MARDAN       30-Jun-97         30-Jun-97       GGMS BABENI
1127   SADIA SULTAN               SULTAN MUHAMMAD        MA              BED                  4-Apr-75      SWABI        30-Jun-97         30-Jun-97       GGHSS University Town
1128   FARIDA BANO                GHULAM MUHAMMAD        MA              BED                 2-May-56       PESHAWAR      1-Jan-76         30-Jun-97       GGMS Jehangir Pura
1129   Sabeeha Naz                Wasal Khan             MA/Bed/CT                            1-Aug-71      Swabi        30-Jun-97         30-Jun-97       GGMS Sheikh Dheri
1130   Janat un Nisa              Muhammad Ibrahim       MA/Med/CT                           20-Sep-71      Swabi        30-Jun-97         30-Jun-97       GGMS Sheikh Jana
1131   Bushra                     Faqir Taj              MA/Bed/CT                            2-Jan-72      Swabi        30-Jun-97         30-Jun-97       GGHS Ismaila
1132   Tilawat Begum              Nazir Muhammad         MA/Bed/CT                            1-Mar-72      Swabi        30-Jun-97         30-Jun-97       GGHSS Lahor
1133   Shafqat Naz                Nawad Din              MA/Med/CT                            4-Apr-75      Swabi        30-Jun-97         30-Jun-97       GGHS Gulshan Abad
1134   Surriya Noureen            Fida Muhammad          MA/Bed/CT                           11-Mar-76      Swabi        30-Jun-97         30-Jun-97       GGHS Kunda
1135   Aisha Bibi                 Abdur rashid           MA              M/Ed                 8-Mar-74      SWAT         30-Jun-97         30-Jun-97       GGHSS Kabal
1136   Raham Begum                Saida Gul              MA              M/Ed                 3-Jan-75      SWAT         30-Jun-97         30-Jun-97       GGHSS Kabal
1137   Anwar Jamal BA             Sher Abdullah                                               3-Feb-62      Chitral       15-Jul-85        30-Jun-97       GGHS Muldeh
1138   Zahida Mumtaz BA           Rahmat Karim Baig                                           1-Mar-73      Chitral      10-Nov-92         30-Jun-97       GGMS Chumlurkon
1139   KHYBER NISA                MIRZA KHAN             BA              BED                 22-Dec-60      ABBOTTABAD   26-Aug-82          1-Jul-97       GGCMS Nawanshehr
1140   BIBI RIZWANA               M/ ASHRAF              BA              BED                 20-Oct-74      ABBOTTABAD   31-May-95          1-Jul-97       GGMS Samissar
1141   ZAHIDA BANO                HAJI GHULAM HUSSAIN    BA              BED                 11-Feb-67      ABBOTTABAD    5-Nov-95          1-Jul-97       GGCMS A/Abad (NO/1)
1142   Surriya Jabeen             Qazi Ahmed             BA              BED                  8-Oct-69      ABBOTTABAD    1-Jul-97          1-Jul-97       GGHS Kunj
1143   SALMA JABEEN               MUHMMAD YOUSAF         BA              BED                 12-Feb-74      ABBOTTABAD    1-Jul-97          1-Jul-97       GGHSS Sherwan
1144   TAHMEEDA BEGUM             ABDUL SHAKOOR          BA II           BED                 13-Feb-67      CHARSADDA     1-Nov-85          1-Jul-97
1145   ZAHIDA BEGUM               MUHAMMAD SAEED         BA II           BED                  3-Jan-60      CHARSADDA    20-Dec-87          1-Jul-97
1146   TAMANA BEGUM               JAN ALAM               BA II           BED                 30-Nov-73      CHARSADDA     8-Mar-95          1-Jul-97
1147   AMNA BEGUM                 ZAFAR KHAN             BA II           BED                  7-Feb-69      CHARSADDA    12-Mar-96          1-Jul-97
1148   NADIA ROOHI                ROOH ULLAH             BSC II          BED                  16-Jul-71     CHARSADDA      1-Jul-97         1-Jul-97
1149   HUSNA DEDAR GUL            DEDAR GUL              BA II           BED                 10-May-72      CHARSADDA      1-Jul-97         1-Jul-97
1150   NAHEED AKHTAR              ABDUL RAHIM KHAN       MA/ BA 2nd iv   BED 2nd Div:         7-Dec-68      HARIPUR       1-Jul-97          1-Jul-97
1151   RAHEELA ANJUM              MALIK KHALID MEHMOOD   MA/BA 2nd Div   Bed 2nd Div:         5-Oct-73      HARIPUR      15-Feb-96          1-Jul-97
1152   SHABNAM BIBI               M/SARWAR KHAN          MA BA IST DIV   CT                  15-Dec-71      HARIPUR        1-Jul-97         1-Jul-97
1153   SAJIDA ANJUM               HAFIZ ABDUL QUDOOS     BA 2ND DIV      CT                  22-Feb-70      HARIPUR       1-Jul-97          1-Jul-97
1154   IQBAL BEGUM                PIR GHULAM             MA              BED                  3-Mar-72      Lakki         7-Jan-97          1-Jul-97       GGHSS TITTER KHEL
1155   SHABINA, BA(2nd)/B/Ed       RAHIM SHAH                                                 1-Nov-65      Malakand     21-Jan-87          1-Jul-97       GGHSS Sakhakot
Academic        Professional                                 Date of 1st   D/O Apptt against
 No.   Name of Teacher              Father's Name         Qualification   Qualification   Date of Birth   Domicile        Apptt:       Present Post      Name of School
  1                  2                            3               4               5             6                 7         8                9                         10
1156   BIBI HALIMA, MA (U) / B/ED MUHAMMAD ISLAM                                            7-Nov-72      Malakand      1-Jul-97          1-Jul-97       GGHS Dargai
1157   NUSRAT, BA (2nd) / B/ED      GHULAM MUHAMMAD                                         9-Feb-73      Malakand      1-Jul-97          1-Jul-97       GGHS Julagram
1158   SHAISTA AMAN,MA(Urdu) / B/Ed FAZAL AMAN                                              8-Dec-74      Malakand      1-Jul-97          1-Jul-97       GGMS GULMUQAM MALAKAND
1159   Haleema Bibi,BA(2nd)         Muhammad Islam                                         07/Nov/72/     Malakand      1-Jul-97          1-Jul-97       GGHS Dargai
1160   Munaza Naheed                M/Muqarab Afandi      BA              BEd               1-Jun-65      Mansehra     11-Apr-93          1-Jul-97
1161   NIGHUT SHAHEEN               ABDUL RAZAK           BA              BEd              27-Dec-68      Abbottabad    1-Jul-97          1-Jul-97
1162   RUKHSANA SHAHNAZ             USMANI GUL            MA              B/Ed             18-Feb-68      MARDAN       18-Feb-86          1-Jul-97       GGMS ASLAM KOROONA
1163   FARZANA KAUSAR               NOOR MUHAMMAD KHAN    MA              B/Ed              8-Jan-70      MARDAN         1-Jul-97         1-Jul-97       GGHSS Toru
1164   NAHEEDA BEGUM                ASHRAF UD DIN         MA              B/Ed,M/Ed         6-Jan-71      MARDAN        4-Mar-90          1-Jul-97       GGHSS Shahbaz Garhi
1165   LAIL UN NIHAR                AMAN ULLAH            MA              B/Ed             14-Jun-72      MARDAN        1-Jul-97          1-Jul-97       GGHSS Toru
1166   JAN BIBI                     FIRDOS KHAN           MA              B/Ed              5-Nov-72      MARDAN        8-Nov-94          1-Jul-97       GGHS HOTI NO2
1167   SHAZIA SYED                  SHAUKAT HUSSAIN       MA              B/Ed             15-Apr-73      MARDAN       23-Jun-97          1-Jul-97       GGHS HOTI NO2
1168   Bas Jan Akhtar               Nawab Gul             MA              B/Ed/M/Ed          17/9/66      Nowshera     29-Jan-88          1-Jul-97
1169   SUMERA IRUM                  ALI HUSSAIN           MA              BED               8-Oct-74      PESHAWAR      1-Jul-97          1-Jul-97       GGHS Civil Quarters
1170   SEEMA SYED                   SYED SANAUL HAQ       MA              BED              15-Aug-68      PESHAWAR     29-Jan-90          1-Jul-97       GGHS Jogiwara
1171   SAEEDA SHAHEEN               MUHAMAMD ALI SHAH     BA              BED               1-Nov-52      PESHAWAR     30-Sep-72          1-Jul-97       GGHS Nishter Abad
1172   RUBINA WAHEED                WAHEED ULLAH          BA              BED               6-Aug-72      PESHAWAR     20-Nov-94          1-Jul-97       GGHSS Begum Shahab/ud/Din
1173   KHAIRUN NISA                 SHAHBAZ KHAN          MA              BED               4-Dec-65      PESHAWAR     17-Jan-95          1-Jul-97       GGMS Gul Bachah Jee
1174   NASREEN AKHTAR               MUHAMMAD YAQOOB       MA              BED              14-Aug-70      PESHAWAR       1-Jul-97         1-Jul-97       GGHS Nahaqi
1175   ZOO UL QAMAR                 GHULAM JAN            MA              MEd               5-Jan-73      PESHAWAR      1-Jul-97          1-Jul-97       GGHS City Railway Station
1176   AJAB SULTAN                  HAZRAT MIR            MA              MEd              17-Nov-54      PESHAWAR     13-Nov-85          1-Jul-97       GGHSS Comprehencive
1177   SAJIDA SHAHEEN               ASMAT ULLAH           MA              BED              16-Apr-73      PESHAWAR      1-Jul-97          1-Jul-97       GGMS Hazar Khawani No/2
1178   Naheed                       Gulzar Khan           MA/Med/CT                        29-Jun-71      Swabi         5-Dec-89          1-Jul-97       GGHS Lahor Sharqi
1179   Nasreen Akhtar               Asad Khan             BA/CT                             9-Aug-69      Swabi         1-Jul-97          1-Jul-97       JICA Model School Adina
1180   Shaheen                      Said Rauf Shah        BA/Bed/CT                         1-Nov-70      Swabi         1-Jul-97          1-Jul-97       GGHS Zarobi
1181   Aziza Begum                  Jamshaid Khan         MA/Med/CT                         24-Jul-71     Swabi         1-Jul-97          1-Jul-97       GGHS dodher
1182   Aqsam                        Faqir Taj             MA/Bed/CT                        10-Apr-72      Swabi         1-Jul-97          1-Jul-97       GGHSS Kalu Khan
1183   Rasheeda Naz                 Rahman Ullah          MA/Med/CT                         1-May-74      Swabi         1-Jul-97          1-Jul-97       GGHS Sarwar Shah Kote
1184   Nageen Iqbal                 Iqbal Muhammad        MA/CT/Med                        11-Nov-74      Swabi         1-Jul-97          1-Jul-97       GGHS Salim Khan
1185   Shagufta nargis              Muhammad Saeed        MA/Bed/CT                        24-Apr-75      Swabi         1-Jul-97          1-Jul-97       GGHS Sard China
1186   Hajira                       Amir Saleem Khan      BA              B/Ed             10-Apr-64      SWAT          16-Jul-84         1-Jul-97       GGMS Telegram
1187   Anjum Ara                    Abdul Qudos           MA              M/Ed              7-Apr-73      SWAT          1-Mar-93          1-Jul-97       GGMS Sersenai
1188   Abida Parveen                Abdul hamid           MA              B/Ed             16-Apr-75      SWAT         28-Dec-96          1-Jul-97       GGMS Dardyal
1189   Naseem Sahar                 Mian Bad Shah         BA              M/Ed              2-Apr-78      SWAT          1-Jul-97          1-Jul-97       GGHS Chamtalai
1190   SHEHNAZ BEGUM                FATEH KHAN            MA              CT                4-Jan-73      KOHAT         2-Jul-97          2-Jul-97       GGHSS SHAKARDARA
1191   RASHIDA FEROOZ               SHAH JEHAN            MA              BED                4-Jul-65     NOWSHEHRA      2-Jul-97         2-Jul-97       GGPMS BUDNI PESHAWAR (JICA)
1192   NAZIA BANO                   GHAZI KHAN            BA              BED              18-Mar-69      ABBOTTABAD    3-Jul-97          3-Jul-97       GGHS Saji Kote
1193   ROOH AFZA                    GHAZI KHAN            BA              BED              28-Apr-70      ABBOTTABAD    4-Jul-97          4-Jul-97       GGHS Nagri Tutyal
1194   TAHSEEN AKHTAR               SYED SADIQ HUSSAIN    MA              BED 2nd Div:      1-Jan-71      HARIPUR        4-Jul-97         4-Jul-97
1195   NAGINA KALSOOM               MUHAMMAD AYUB KHAN    BA              BED               5-May-68      ABBOTTABAD    5-Jul-97          5-Jul-97       GGCMS Nawanshehr
1196   IRAM AMBAREEN                M ANWAR               BA II           BED               7-Aug-71      KOHAT          5-Jul-97         5-Jul-97
1197   GUL NAZ                      MAQBOOL HUSSAIN       BA II           BED              17-Feb-69      CHARSADDA     5-Nov-88          7-Jul-97
1198   S/Farrah Abid                S/Abid Hussain Shah   BA              BEd               2-Feb-72      Mansehra     24-Apr-93          7-Jul-97
1199   GUL E REHANA                 CHANAN KHAN           MA/BA 2nd Div   BED 2nd Div:     15-Mar-74      HARIPUR       9-Jul-97          9-Jul-97
1200   ANJUM BEGUM, BA (2Nd) / B/Ed ABDUL AMIN                                             20-Mar-70      Malakand      9-Jul-97          9-Jul-97       GGHS Batkhela
1201   MARYAM SADIQ, BA (2ND)/ B/ED MUHAMMAD SADIQ                                          1-Sep-75      Malakand      11-Jul-97        11-Jul-97       GGHS Julagram
1202   Hasina Bibi BA               Hassan Ali                                              3-Apr-69      Chitral      14-Mar-90         14-Jul-97       GGMS Khot Bala
Academic        Professional                                      Date of 1st   D/O Apptt against
 No.   Name of Teacher                Father's Name          Qualification   Qualification   Date of Birth   Domicile            Apptt:        Present Post      Name of School
  1                  2                               3               4               5            6                  7              8                9                            10
1203   FARZANA YASMIN                 FAZAL HI HAQUE         MA              BED              15-Oct-73      HARIPUR            16-Jul-97        16-Jul-97
1204   Khalida Syed                   Syed Muhammad          MA/Med/CT                         3-Feb-72      Swabi              20-Jul-97        20-Jul-97       GGMS Mathra Dagi
1205   Rabihat Jamal                  Bakht Jamal            MA/Bed/CT                        16-Apr-74      Swabi              23-Jul-97        23-Jul-97       JICA Model School Adina
1206   RUKSANA NAZ                    DIN MOHD               BA              BEd               2-Nov-68      Mansehra          23-May-92         28-Jul-97
1207   ALKIN BEGUM                    GHULAM RASHID          MA              BED               8-Jan-97      MKD AGY            1-Aug-97         28-Jul-97       GGPMS HAYAT ABAD (JICA)
1208   KANEEZ FATIMA                  GHULAM SARWAR          BA              BED               1-Sep-71      ABBOTTABAD        23-May-92         1-Aug-97        GGHS Rich Bhen
1209   FARZANA SHAHEEN                BADI/UZ/ZAMAN          BA 2ND DIV      BED 2nd Div:      3-Jan-69      HARIPUR           30-Oct-88         1-Aug-97
1210   YASMEEN BEGUM, BA (2Nd) / B/ED WALI AHMAD                                              15-Nov-66      Malakand           1-Aug-97         1-Aug-97        GGMS GULMUQAM MALAKAND
1211   Naseem Sherin                  Sherin Khan            MA/Bed/CT                        15-May-69      Swabi             27-May-92         1-Aug-97        GGHS Dagai
1212   GHAZALA BIBI                   AZHAR ABBASI           BA              BED              28-Mar-72      ABBOTTABAD         7-Aug-97         7-Aug-97        GGMS Narooka
1213   YASMIN AKTHAR                  LAL KHAN               BA              BED               1-Jan-65      ABBOTTABAD        17-Sep-85         8-Aug-97        GGCMS Nawanshehr
1214   KHOLA NISAR                    NISAR AHMED            BA              BEd               3-Apr-76      Mansehra          26-Apr-93        16-Aug-97
1215   ZAHIDA PARVIN                  MOHD NAWAZ             BA              BEd              12-Dec-72      Mansehra          18-Jan-91        16-Aug-97
1216   ANJUM ARA,MA/B/ED              GUL ROZ                                                 20-Oct-73      Malakand          22-Aug-97        22-Aug-97        GGMS Prangai
1217   GUL SHAHEEN                    ABDUR RAHEEM           BA              BED              12-Mar-64      ABBOTTABAD        16-May-92        25-Aug-97        GGHSS Havelian
1218   NABILA BIBI, BA(2nd)           FAQIR KHAN                                              20-Mar-75      Malakand          15-Sep-97        15-Sep-97        GGHSS Sakhakot
1219   Andaleeb Ara/                  Rafiq/e/Alam/          MA(BE/d)        CT               12-Dec-69      Tank/              1-Oct-97          1-Oct-97       /do/ Qutab Colony/
1220   NAJMA BIBI                     FARIDULLAH             BA              BED               2-Jan-94      CHITRAL            7-Oct-97          7-Oct-97       GGHS Warsak Colony
1221   Tahira Afsar BA B/Ed           Afsar Ali                                               20-Apr-74      Chitral            10-Jul-97         7-Oct-97       GGMS Brep
1222   Najma Bibi BA                  Sultan Mohammad                                          1-Dec-74      Chitral            10-Jul-97         7-Oct-97       GGMS Bang
1223   Dilshad Bibi BA,B/Ed;          Ghulam Jalal                                             4-Feb-75      Chitral            10-Jul-97         7-Oct-97       GGMS Denin
1224   NIGHAT SHAHEEN                 MIAN MARHOOBULLAH      MA              BED               1-Jan-63      PESHAWAR          20-Oct-97         20-Oct-97       GGMS Hazar Khawani No/2
1225   SHEHNAZ BEGUM                  ABDUL GHAFAR           BA                                1-Jan-61      Lakki              11-Jul-85        3-Nov-97        GGMS BEGU KHEL
1226   SAFINA KHALID                  KHALID KHAN            MA              MEd              12-Nov-70      BANNU             20-Nov-97        20-Nov-97        GGHS Suliman Khel
1227   Naheed                         Sabir Khan             BA              CT               12-Mar-56      SWAT              20-Nov-97        20-Nov-97        GGHS No/2/S/Sharif
1228   SHAMIM AKHTAR                  ZARIN BADSHAH          MA              BED               9-Jan-70      SWABI             25-Nov-94        25-Nov-97        GGHSS University Town
1229   RUKHSANA BEGUM                 GHULAM MUHAMMAD DIN    BA                               12-Dec-71      Lakki             18-Nov-92         1-Dec-97        GGMS MELA MANDRA KHEL
1230   Fairooz Bibi BA                Mir Afzal Khan                                           2-Dec-74      Chitral            12-Jul-97        7-Dec-97        GGMS Sonoghur
1231   Shabnam Ghani                  Abdul Ghani            M/A             M/ Ed            12-Dec-73      Nowshera          13-Oct-93        23-Dec-97
1232   Farkhanda Yasmin               Maroof Shah            M/A             B/ Ed             7-Jun-66      Nowshera          20-May-85         1-Jan-98
1233   SAMINA MA, BED                 DILAWAR KHAN                                            12-Jan-72      BUNNER            23-Apr-92         3-Jan-98        GGHSS KALPANI
1234   MUHSIN ZARI MA, MED            GUL ZADA                                                 3-Jul-73      BUNNER            27-Apr-92         3-Jan-98        GGHS NAWAGAI
1235   Farhat Jabeen                  Badhshah Yousaf        BA (2nd)        B,ed             16-Apr-63      Dir Lower          3-Jan-98         3-Jan-98
1236   Razia Kousar                   Aminul Haq             BA (2nd)        B,ed             11-Dec-70      Dir Lower          9-Dec-89         3-Jan-98
1237   Zakia Begum(CT)BA              Sardar Bacha           BA                                1-Jan-74      Dir (U)           11-Oct-94         3-Jan-98        GGHS, Samkot
1238   Bibi Taqdira MA B/Ed           Sher Raza Khan                                          10-May-71      Chitral           19-Apr-90         3-Jan-98        GGMS Kosht
1239   NILOFAR, BA (2nd) / B/Ed       ABDUL SATTAR KHAN                                       11-Jan-75      Malakand           5-Jan-98         5-Jan-98        GGHS DARGAI
1240   FOUZIA BIBI                    ABDUR REHMAN           BA              B/Ed                            MALAKAND AGENCY                     5-Jan-98        GGMS KAUDARE BALA
1241   SAEEDA                         MUHAMMAD AMIN          MA              BED              28-May-74      MKD AGY           5-Jan-98          5-Jan-98        GGHS Sufaid Sang
1242   Farzana Ambreen                Muhammad Saleheen      MA              M/Ed             13-Oct-76      SWAT              5-Jan-98          5-Jan-98        GGHS Barikot
1243   Shafgat Naz                    Shah Gul Ambar         BA              CT                8-Mar-74      SWAT              6-Jan-98          6-Jan-98        GGHS Fazal Abad(K)
1244   ABIDA KHANAM, MA/B/ED/CT ANAYAT GUL                                                     1-Apr-77      Malakand          7-Jan-98          7-Jan-98        GGMS ZOOR MANDI
1245   Shahnaz Bibi, MA B,Ed/M/Ed Chiragh Ali Shah                                            10-Apr-76      Chitral            1-Jul-98         7-Jan-98        GGCMHS Denin
1246   AZRA SHAHEEN                   MUHAMMAD ISHAQ         MA              BED              25-Dec-66      PESHAWAR          1-Jan-98          9-Jan-98        GGPMS BABU ZAI (JICA)
1247   SHAHEEN KHADIM                 MUHAMMAD KHADIM KHAN   BA II           BED              20-Apr-61      CHARSADDA          6-Oct-86         10-Jan-98
1248   YASMEEN BEGUM                  MUHAMMAD DIN SHAH      MA              BED              15-Oct-73      NOWSERHA          10-Jan-98         10-Jan-98       GGHS No1/ Cantt
1249   NARGAS NAHID                   AMAN ULLAH             MSc             MEd              25-Oct-67      CHARSADDA         10-Jan-98         10-Jan-98       GGPMS JICA GULBELA
Academic        Professional                                Date of 1st   D/O Apptt against
 No.   Name of Teacher    Father's Name         Qualification   Qualification   Date of Birth   Domicile      Apptt:        Present Post      Name of School
  1                  2                  3               4               5            6                  7        8                9                         10
1250   ZAITOON BEGUM      GHULAM HUSSAIN        MA              BED               1-Jan-65      PESHAWAR    13-Jan-98         13-Jan-98       GGHSS Begum Shahab/ud/Din
1251   Ulfaq Khattak      Khawas Khan           MA              B/Ed             30-May-68      nowshera    13-Jan-98         13-Jan-98
1252   FAHIM AKHTAR       FAZLI KHUDA           MA              BED              15-Oct-67      PESHAWAR    27-Apr-88         14-Jan-98       GGHSS Begum Shahab/ud/Din
1253   SHAISTA JEHANGIR   JEHANGIR KHAN         MA              BED              10-Jun-71      PESHAWAR    15-Jan-98         15-Jan-98       GGHS No1/ Cantt
1254   FARHAT JABEEN      MUJAHID ALI           BA              BED               2-Jul-66      PESHAWAR    27-Oct-88         15-Jan-98       GGHS Islamia Collegiate
1255   KALSOOM HANIF      MUHAMAMD HANIF        BA              BED              12-Jun-74      PESHAWAR    15-Jan-98         15-Jan-98       GGHS LARAMA
1256   ASMA AYUB          SYED AYUB SHAH        BA              MEd               3-Apr-76      PESHAWAR    15-Jan-98         15-Jan-98       GGHS Tarnab Farm
1257   FARZANA BANO       FARID ULLAH           BA              MEd               4-Apr-70      PESHAWAR    15-Jan-98         15-Jan-98       GGMS Zaryab Colony
1258   Safia Naz          Wazir Muhammad        MA/Med/CT                         4-Jul-71      Swabi       26-May-93         15-Jan-98       GGHS Maini
1259   Kalsoom Bibi       M/Jehan Zeb           MA/Med/CT                        10-Apr-74      Swabi        1-Aug-93         15-Jan-98       GGHS Maini
1260   ROMAN ZARI         MUHAMAMD NABBI        BSC             B/Ed,M/Ed        13-Jan-73      MARDAN      16-Jan-98         16-Jan-98       GGHS NO 1 MARDAN
1261   RAWASIA BEGUM      MUHAMMAD NABI         MA              B/Ed,M/Ed        24-Apr-70      MARDAN      31-Oct-89         16-Jan-98       GGHS RUSTAM KHEL
1262   SUMAIRA NAZ        ATHAR MUHAMMAD        MA              B/Ed             24-May-72      MARDAN      16-Jan-98         16-Jan-98       GGMS SARAI KOROONA
1263   FARKHANDA NAZ      NOOR ALI SHAH         MA              B/Ed              4-Apr-71      MARDAN      17-Jan-98         17-Jan-98       GGHSS Gujrat
1264   MEHER NIGAR        GUL REHMAN            MA              BED              21-Apr-70      PESHAWAR    17-Jan-98         17-Jan-98       GGHS No1/ Cantt
1265   FARHAT AFZA        MUHAMMAD MUMTAZ ALI   MA              MEd               9-Apr-75      BANNU       24-Jan-98         17-Jan-98       GGMS MALAKANDHER
1266   Shabnam Jabeen,    Abdul Khaliq          MA              B/Ed:             6-Nov-68      Karak        3-Jan-90         17-Jan-98       GGHS Terri/
1267   WAQAR UN NISA      ABDUL LATIF           MA/             MED/CT           24-Dec-72      D/I/KHAN    18-Jan-98         18-Jan-98       GGHS NO/ 3 DIKHAN
1268   RAHEELA AKHTER     GHALIB GUL            MA              CT               30-Aug-70      KOHAT       26-May-94         19-Jan-98       GGHS SHEWAKI
1269   TABANA AFZAL       SHER AFZAL            MA              CT                5-Aug-69      KOHAT       19-Jan-98         19-Jan-98       GGHS KOT
1270   Fouzia Begum       Abdul Dayan           M/A             B/ Ed            10-Feb-73      Nowshera    19-Jan-98         19-Jan-98
1271   Fozia Begum        Abdul Dayyan          M/A             B/ Ed            10-Feb-73      Nowshera    19-Jan-98         19-Jan-98
1272   GUL ZAIB           ABDULLAH              MSC             MEd              16-Jan-71      CHARSADDA   19-Jan-98         19-Jan-98       GGHS Budhni
1273   GULI RANA          KIFAYAT ULLAH         BA II           BED               1-Jan-73      CHARSADDA   20-Jan-98         20-Jan-98
1274   MUNEEBA SAJJAD     SAJJAD HUSSAIN SHAH   BA              CT               18-Jun-67      KOHAT       20-Jan-98         20-Jan-98       GGHS KOT
1275   Shamim Ijaz        Bahawal Khan          BA              B/Ed:            12-Jan-70      Karak       17-Nov-94         20-Jan-98       GGMS Algadi Sharki
1276   Shaheen Begum      Umer Daraz            MA              M/Ed:             1-Jan-71      Karak       20-Jan-98         20-Jan-98       GGHS Khojaki/
1277   SHAZIA AMBREEN     ABDUL QAYUME          MA              BED              16-Feb-72      PESHAWAR    20-Jan-98         20-Jan-98       GGHS Sarband
1278   Riffat Begum       Abdullah Shah         MA/Med/CT                        24-Mar-73      Swabi        5-Mar-92         20-Jan-98       GGHs Adina
1279   HAJRA BIBI         MUHAMMAD ALI SHAH     MA              CT               10-Mar-69      KOHAT       21-Jan-98         21-Jan-98       GGMS BANDA PARACHGAN
1280   GULSHAN ARA        AMANULLAH JAN         MA              MEd               6-Oct-70      PESHAWAR    21-Jan-98         21-Jan-98       GGCMHS Tehkal Bala
1281   Basharatuz Zuhra   Muhammad Raziq        BA/Bed/CT                        25-Apr-73      Swabi       20-Jan-93         21-Jan-98       GHSS tordher
1282   Parveen Akhtar     Ibne Yameen           MA/Bed/CT                        11-Sep-70      Swabi       21-Jan-98         21-Jan-98       GGHS Jehangira
1283   Tanveer Akhtar     Feroz Khan            BA/Bed/CT                        31-Jan-71      Swabi       21-Jan-98         21-Jan-98       GGMS Haryan
1284   Nighat Seema       Niaz Muhammad         MA/Bed/CT                        12-Apr-73      Swabi       21-Jan-98         21-Jan-98       GGHSS Kalabat
1285   Parveen Begum      Masood Khan           MA/Med/CT                        11-Oct-73      Swabi       21-Jan-98         21-Jan-98       GGMS Sher Ghund
1286   Bakhtaja Bibi      Azizullah             MA/Bed/CT                         1-Jan-75      Swabi       21-Jan-98         21-Jan-98       GGHS Zaida
1287   Nadia Sultan       Sutlan Muhammad       BA/Bed/CT                         4-Apr-75      Swabi       21-Jan-98         21-Jan-98       JICA Model School Topi
1288   Ume Salma          Shah Nawaz            MA/Bed/CT                        11-Jun-69      Swabi       28-Jan-98         21-Jan-98       JICA Model School Topi
1289   Zulikha Bibi       Pilawar Shah          MA              B/Ed:            16-Jan-75      Karak       11-Jan-94        21/01/1998       GGMS Zarkhan Killa
1290   TAHIRA KALSOOM     JAVED AKHTER          MA              CT                6-Dec-73      KOHAT       22-Jan-98         22-Jan-98       GGMS JUNGLE KHEL
1291   GHAZALA BEGUM      WALI MUHAMAMD         MA              B/Ed              2-Jan-74      MARDAN      22-Jan-98         22-Jan-98       GGHS JALALA
1292   FARHAT JABEEN      MOHIB ULLAH           MA              B/Ed,M/Ed         2-Mar-60      MARDAN      22-Jan-98         22-Jan-98       GGHS SHANKAR MAHAL
1293   NAHEED ALAM        MIR ALAM              MA              B/Ed, M/Ed        3-Mar-72      MARDAN      22-Jan-98         22-Jan-98       GGMS FATEH ABAD
1294   BIBI AMINA         FAZLI MANAN           MA              B/Ed              1-Feb-76      MARDAN      22-Jan-98         22-Jan-98       GGMS SHEIKHANO BANDA
1295   Parveen Akhtar     Rehan Shah            MA/Med/CT                        14-Feb-59      Swabi        1-May-78         22-Jan-98       GGHS Jalbai
1296   Razia begum        Muntazir Khan         MA/Bed/CT                        13-May-76      Swabi       22-Jan-98         22-Jan-98       GGHS Dagai
Academic        Professional                                 Date of 1st   D/O Apptt against
 No.   Name of Teacher                 Father's Name          Qualification   Qualification   Date of Birth   Domicile       Apptt:        Present Post      Name of School
  1                  2                              3                 4               5             6                 7        8                 9                           10
1297   SADIA NAZ                       SYED IMRAZ             MA              CT                6-Feb-75      KOHAT        24-Jan-98         24-Jan-98       GGHS NO 1 KOHAT
1298   ZEENAT BEGUM                    ABDUL HAYE             MA              CT                17-Jul-64     KOHAT        17-Sep-86         24-Jan-98       GGMS TOGH PAYAN
1299   HIDAYAT BIBI                    ANWAR ZEB              MA              B/Ed              5-Jun-74      MARDAAN      24-Jan-98         24-Jan-98       GG JICA KARIM ABAD(T/BHAI)
1300   SARWAT BGEGUM                   DAWA KHAN              MA              B/Ed             11-Apr-71      MARDAN       24-Jan-98         24-Jan-98       GGHS RUSTAM KHEL
1301   ASIA BEGUM                      ABBAS ALI              MA              B/Ed,M/Ed         3-Oct-70      MARDAN        7-Mar-90         24-Jan-98       GGHSS Hathian
1302   Asmat Jehan                     Zarin Gul              M/A             B/ Ed, M/ Ed      4-Mar-63      Nowshera     30-Jan-88         24-Jan-98
1303   Raheen Akhtar                   Ibne Yameen            MA/Bed/CT                        27-Feb-68      Swabi        24-Jan-98         24-Jan-98       GGHS Jehangira
1304   RIZWANA, BA (2nd) / B/Ed        SAFDAR KHAN                                             9-May-74       MARDAN       27-Jan-98         27-Jan-98       GGMS SHARIF ABAD
1305   Safina Kosar                    Muhammad Yousaf Khan   BA              B/Ed             3-May-72       nowshera     28-Jan-98         28-Jan-98
1306   AMBIA BEGUM                     MASAL KHAN             BA II           BED               4-Jan-67      CHARSADDA    22-Mar-92          2-Feb-98
1307   SHAHIDA JABEEN                  ABDUL AHAD             MSC             CT               26-Dec-73      KOHAT         2-Feb-98         2-Feb-98        GGCMHS NO 3 KOHAT
1308   Zubida Begum                    Kamil Khan             M/A             M/ Ed             8-Aug-69      Nowshera      2-Feb-98         2-Feb-98
1309   ZEENAT BEGUM                    BADSHAH GUL            MA              BED              16-Oct-69      CHARSADDA    18-Oct-88         2-Feb-98        GGHS Sheikh Abad
1310   TAHIRA SHAHEEN                  ISRAR UL HAQ           BA              BED              13-Sep-71      ABBOTTABAD    3-Feb-98         3-Feb-98        GGHS Kunj
1311   Samina Jamil                    Abdul Jamil            BA (2nd)        B,ed              5-Dec-75      Dir Lower     3-Feb-98         3-Feb-98
1312   SAJIDA REHMAN                   AZIZ UR REHMAN         BA              BED               1-Jun-64      ABBOTTABAD    1-Nov-88         4-Feb-98        GGHS Salhad
1313   Rani Ambreen                    Roshan Khan            BA              BEd               1-Apr-75      Mansehra      4-Feb-98         4-Feb-98
1314   SHABANA MEHBOOB                 MEHBOOB UR REHMAN      BA              BEd               30-Jul-72     Mansehra     24-Mar-96         4-Feb-98
1315   Najma Jamil                     Muhamamd Jamil         MA/Med/CT                        16-Jan-72      Swabi        28-Dec-95         6-Feb-98        GGHS Bamkhel
1316   GHAZLA YASMIN                   FAZLI RABBANI          BA II           BED              20-Dec-68      CHARSADDA     9-Feb-98          9-Feb-98
1317   ABIDA SHAHEEN                   ALI MARDAN             MA              MED               1-Mar-75      HARIPUR       9-Feb-98          9-Feb-98
1318   FARZANA JABEEN                  MUHAMMAD AZEEM         MA              BED              18-Mar-70      PESHAWAR     21-Mar-90          9-Feb-98       GGMS New karim Pura
1319   SAIMA SHAKOOR                   ABDUL SKAKOOR          BA              BED               3-Aug-73      ABBOTTABAD   12-Feb-98         12-Feb-98       GGHSS Comprehencive
1320   NAILA ANJUM                     S SIKANDAR SHAH        MA              B/Ed              3-Sep-71      MARDAN       12-Feb-98         12-Feb-98       GGCMHS BICKET GANJ CANAL ROAD
1321   ASMA NOSHEEN                    GUL MAST KHAN          MA              BED               20-Jul-74     PESHAWAR     12-Feb-98         12-Feb-98       GGHS Nishter Abad
1322   SHAISTA JADOON                  SHAMREZ KHAN           BA              BED              13-Feb-98      ABBOTTABAD   13-Feb-98         13-Feb-98       GGJICA MODEL MIRPUR
1323   SHARAFATUN NISA FA, CT          SAID LAIQ SHAH                                           4-Jan-71      BUNNER       11-Dec-89         15-Feb-98       GGMS AMNAWAR
1324   Asia Jamshied                   Jamshied Alam          M/A             B/ Ed            22-Apr-71      Nowshera      1-Nov-93         26-Feb-98
1325   ANJUM ARA                       MIAN REHMANUD DIN      BA              B/Ed             18-May-70      MARDAN       18-Apr-93         27-Feb-98       GGHS BUGHDADA
1326   SHARARFAT BDGUM                 MUSHARAF GUL           MA              B/Ed,M/Ed         1-Sep-73      MARDAN       30-May-92         27-Feb-98       GGHS LUND KHAWAR
1327   Bibi, Muhsina MA M/Ed           Azmat Wali                                              20-Aug-71      Chitral      23-Jun-93         27-Feb-98       GGHS Barenis
1328   Shahida Bibi MA,B/Ed:           Qubad Shahriyar                                          1-Apr-72      Chitral       1-Aug-93         27-Feb-98       GGMS Awi
1329   Nazima Kalsoom                  S/ Badshah Hassan      BA (2nd)        B,ed             28-Feb-73      Dir Lower    28-Feb-98         28-Feb-98
1330   Rashida Khanum                  Khaista Gul            BA (2nd)        B,ed             20-Apr-75      MKD Agency   28-Feb-98         28-Feb-98
1331   Samia Rahman                    Abdur Rahman           BA (2nd)        B,ed             24-Apr-76      Dir Lower    28-Feb-98         28-Feb-98
1332   NIZAKAT BIBI, BA(2nd) / B/Ed    AKBAR KHAN                                               1-Jan-73      Malakand     28-Feb-98         28-Feb-98       GGHS Allahdand
1333   NIGAR PARVEEN,BA                ABDUL AMIN                                              11-Aug-67      Malakand     28-Feb-98         28-Feb-98       GGHS Batkhela
1334   MAULLAH BEGUM, BA (2nd)B/Ed     GHULAM MAHMOOD                                          1-May-75       Malakand     28-Feb-98         28-Feb-98       GGHS Julagram
1335   ABIDA SULTAN , MA/CT            SARDAR UL HAQ                                           14-Jan-76      Malakand     28-Feb-98         28-Feb-98       GGHS Malakand
1336   HAYAT BEGUM,BA(2nd)/B/Ed        Lihaz Noor                                              12-May-68      Malakand     22-Oct-86         28-Feb-98       GGHS Totai
1337   ISHRAT JEHAN, BA(2nd) / B/ED    SYED BADSHAH HUSSAIN                                    27-Oct-72      DIR          28-Feb-98         28-Feb-98       GGHSS Sakhakot
1338   SAEEDA KALSOOM , BA(2nd)/B/Ed   SYAD BADSHAH HASSAN                                     24-Feb-73      DIR          28-Feb-98         28-Feb-98       GGHSS Sakhakot
1339   FARIDA BIBI,BA(2nd)             ZIARAT KHAN                                             27-Apr-74      Malakand     28-Feb-98         28-Feb-98       GGMS Ashakai
1340   SUMAIRA SYED                    SHABBIR SHAH           BSC             BED              23-Oct-79      ABBOTTABAD    1-Mar-98         1-Mar-98        GGHSS Dhamtour
1341   SHAUKAT BIBI MA, BED/MED        MUHAMMAD ZADA                                            6-Oct-73      BUNNER        2-Nov-92          1-Mar-98       GGHS KOWGA
1342   RIFFAT JABEEN                   SYED MOHAMMAD SHAH     MSC BSC 2ND MED B/ed 2nd div     12-Feb-71      HARIPUR       1-Mar-98         1-Mar-98
1343   NASIM AKHTAR                    MUHAMMAD YOUSAF        BA          CT                    8-Oct-58      HARIPUR       1-Sep-87          1-Mar-98
Academic        Professional                                    Date of 1st   D/O Apptt against
 No.   Name of Teacher                   Father's Name          Qualification   Qualification      Date of Birth   Domicile       Apptt:        Present Post      Name of School
  1                2                                   3                4               5                6                 7         8               9                               10
1344   SAFIA BEGUM, BA (2nd) / B/Ed      FAKHRI ALAM                                                5-May-72       Malakand      1-Mar-98         1-Mar-98        GGHS D/Allahdand
1345   FARZANA REHMAN, MA (Pashto)       REHMANULLAH KHAN                                           15-Mar-75      Malakand      1-Mar-98         1-Mar-98        GGHS Dargai
1346   KAIFUL WARA, BA(2nd)/B/Ed         WARIS KHAN                                                 15-Mar-75      Malakand      1-Mar-98         1-Mar-98        GGHSS Sakhakot
1347   SHAMIM BEGUM, BA (2nd) / B/ED     HAZRAT BILAL                                               10-Apr-74      Malakand     11-Apr-96         1-Mar-98        GGCMS Thana
1348   Rozina Parveen                    Shahriyar Khan         BA              CT                  12-Jun-71      SWAT          1-Mar-98         1-Mar-98        GGMS Sakhra
1349   Farzan Hilal                      Muhammad Hilal         MA              M/Ed                21-Apr-74      SWAT         24-Sep-94         1-Mar-98        GGMS Guligram
1350   Bibi Nighat Sultana               Raja Sultan Mehmood    BA              BED                 10-Feb-72      ABBOTTABAD    2-Mar-98         2-Mar-98        GGMS Malsa
1351   SAEEDA BEGUM                      MUHAMMAD RUKAN         MA              CT                   8-Apr-72      HARIPUR       2-Mar-98         2-Mar-98
1352   NADIMA SHAHEEN, BA (2nd) / B/ED   GHULAM SADIQ KHAN                                           4-Feb-73      Malakand      2-Mar-98         2-Mar-98        GGCMS Thana
1353   NAZIMA BIBI                       MOHD SHAFI             BA              BEd                  1-Feb-72      Mansehra      2-Mar-98         2-Mar-98
1354   SAEEDA IRFAN                      MOHD IRFAN             BA              BEd                 5-May-78       Mansehra      30-Jul-93        2-Mar-98
1355   ISHRAT SARWAR                     MOHD SARWAR            BA              BEd                  8-Mar-76      Mansehra     25-Aug-93         2-Mar-98
1356   Saiqa talhat                      Mohd: Miskeen          BA              BEd                 10-Mar-70      Mansehra     28-Aug-94         2-Mar-98
1357   Sher Bano                         Taj Muhammad           BA              BEd                  1-Jun-75      Mansehra      7-Nov-94         2-Mar-98
1358   Yasmin Bibi                       Ghulam Akbar           BA              BEd                  1-Jan-74      Mansehra      8-Nov-94         2-Mar-98
1359   RUKHSANA NAZ                      WALI MOHD              BA              BEd                  1-Apr-70      Mansehra      9-Feb-98         2-Mar-98
1360   Haleema bibi                      Malik Mohd:Daud        BA              BEd                  1-Jun-70      Mansehra      2-Mar-98         2-Mar-98
1361   Bakht Jehan                       Bakht Rahman           MA              CT                  24-Jan-68      SWAT          2-Mar-98         2-Mar-98        GGHS Charbagh
1362   Bakht Millat                      Azizur Rahman          MA              M/Ed                6-Sep-71       SWAT          6-Mar-93         2-Mar-98        GGMS Gulibagh
1363   Sarwat Bibi                       Khurshid Khan          BA              B/Ed                 1-Jan-74      SWAT          2-Mar-98         2-Mar-98        GGMS Alaabd
1364   Kosar Parveen                     Ghulam Muhammad        MA              B/Ed                 5-Jan-74      SWAT          2-Mar-98         2-Mar-98        GGHS Saidu Sharif
1365   Shazia Zeb                        Aurang Zeb             MA              B/Ed                 1-Oct-74      SWAT          2-Mar-98         2-Mar-98        GGHSS Odigram
1366   Naheed Akhtar                     Anwar Gul              MA              M/Ed                 1-Jan-75      SWAT          2-Mar-98         2-Mar-98        GGHSS Kabal
1367   Bibi Hafsa                        Bahroz Khan            MA              B/Ed                 6-Jan-76      SWAT          2-Mar-98         2-Mar-98        GGMS Jano
1368   Salma Begum                       Mir Mahmood            MA              M/Ed                25-Apr-76      SWAT          5-Jan-98         2-Mar-98        GGMS Gulibagh
1369   KHOLA JABEEN                      MUHMMAD MUSLIM         BA              BED                  2-Feb-75      ABBOTTABAD    3-Mar-98         3-Mar-98        GGCMS A/Abad (NO/1)
1370   SAEEDA BIBI                       M/SADIQ                BA              BED                 15-Mar-74      ABBOTTABAD    3-Mar-98         3-Mar-98        GGMS Ali Abad
1371   FARHAT BIBI                       NAJAB KHAN             BA              BED                 4-May-74       ABBOTTABAD    3-Mar-98         3-Mar-98        GGMS Aziz Bang
1372   SAEEDA BIBI                       MUHAMMAD YAQOOB KHAN   BA 2ND DIV      CT                  14-Jun-73      HARIPUR       4-Feb-98         3-Mar-98
1373   ROBINA BIBI                       MOHD SAIN              BA              BEd                 15-Nov-72      Mansehra      3-Mar-98         3-Mar-98
1374   SALMA BIBI                        KHALIL UR REHMAN       BSC             BED                 31-Mar-71      ABBOTTABAD    4-Mar-98         4-Mar-98        GGHSS Comprehencive
1375   SHABNUM BANO                      SHEIKH MUHD KHAN       BA              BED                  2-Aug-71      ABBOTTABAD    4-Mar-98         4-Mar-98        GGHSS Dhamtour
1376   BIBI RIZWANA TABBSUM              RAJA SAKIDAR ZAMN      MA /BA 2ND      MED B/ed 2nd div     1-Jan-74      HARIPUR       5-Jan-95         4-Mar-98
1377   ADEEBA SHABNAM                    S/MANZOOR HUSSAIN      BA              BED                 01/Mar:73      ABBOTTABAD    5-Mar-98         5-Mar-98        GGMS KALI DAHAR
1378   NUSRAT SHAHEEN                    SAIF UR REHMAN         BA              BED                 15-Nov-73      ABBOTTABAD    5-Mar-98         5-Mar-98        GGHSS Comprehencive
1379   Sadia Farid Jadoon                Farid Khan Jadoon      BA              BED                 20-Feb-74      ABBOTTABAD    5-Mar-98         5-Mar-98        GGMS KALI DAHAR
1380   SHAMIM AKHTAR                     FAQIR MUHAMMAD         BA              BED                  5-Apr-70      ABBOTTABAD    6-Mar-98         6-Mar-98        GGCMS A/Abad (NO/1)
1381   ANJUM SHAHEEN                     MUMTAZ KHAN            BA              BED                 29-Aug-69      ABBOTTABAD    6-Mar-98         6-Mar-98        GGMS Ghumawan
1382   NIGHAT NAZ                        NASEER/UD/DIN          MA/BA 2ND DIV   BED 2nd Div:        29-Apr-75      HARIPUR       4-Feb-98         6-Mar-98
1383   Talhat Jabar                      Abdul Jabar            BA              BEd                 25-Mar-73      Mansehra     14-Nov-94         6-Mar-98
1384   BUSHRA                            ABDUL REHMAN           BA              BEd                 25-Apr-74      Mansehra      6-Mar-98         6-Mar-98
1385   TEHMINA KAUSAR                    PERVAIZ KHAN           BA              BED                 12-Mar-73      ABBOTTABAD    7-Mar-98         7-Mar-98        GGCMS Nawanshehr
1386   RUQUIIA KHANUM                    MUHMMAD ISMAIL         BA              BED                 19-Oct-58      ABBOTTABAD    7-Mar-98         7-Mar-98        GGHS Havelian Village
1387   FARHEEN TABASSUM                  MUSTAQ                 BA              BED                  1-Jan-75      ABBOTTABAD    7-Mar-98         7-Mar-98        GGHSS Havelian
1388   RIZWANA BIBI                      Malik Ghulam Jan       BA              BED                  7-Jun-72      ABBOTTABAD    7-Mar-98         7-Mar-98        GGMS Chandu Maira
1389   SHAZIA FIRDOOS                    NAZIR MOHD             BA              BEd                 21-Nov-71      Mansehra     28-Dec-94         7-Mar-98
1390   FARHANA SHAHEEN                   ABDUL HAMEED KHAN      BA              BED                  1-Mar-73      ABBOTTABAD    8-Mar-98         8-Mar-98        GGHS Kakul
Academic        Professional                                    Date of 1st   D/O Apptt against
 No.   Name of Teacher          Father's Name         Qualification   Qualification      Date of Birth   Domicile        Apptt:       Present Post      Name of School
  1                   2                      3                4               5                6                 7         8                 9                          10
1391   RUKSANA SHAHEEN          KALA KHAN             BA              BED                 20-Apr-73      ABBOTTABAD    8-Mar-98         8-Mar-98        GGHS No/2 A/Abad
1392   SHABANA NAZIR            MUHAMMAD NAZIR        MA BA 2ND DIV   MED B/ed 2nd div    28-Oct-72      HARIPUR       9-Mar-98         9-Mar-98
1393   SHAZIA NOREEN            MUHAMMAD SHAFIQUE     MA/ BA 2nd iv   MED                 10-Jun-73      HARIPUR       9-Mar-98         9-Mar-98
1394   FARZANA SHAHEEN          MUHAMMAD RAMZAN       MA              MED                 10-Nov-73      HARIPUR       9-Mar-98         9-Mar-98
1395   SAIRA RASHEED            RASHEED AHMED         MA              MED                 5-May-74       HARIPUR      10-Mar-98         10-Mar-98
1396   SHABNAM HAYAT            KHIZER HAYAT          MA              BED                  3-Mar-69      HARIPUR       4-Feb-98         10-Mar-98
1397   TAHSEEN GUL              MUHAMMAD DAUD         MA BA 2ND DIV   BED 2nd Div:         1-Sep-72      HARIPUR      10-Mar-98         10-Mar-98
1398   JAMEELA KHATOON          ALI MUHAMMAD          MA              BED 2nd Div:         10-Jul-71     HARIPUR      10-Mar-98         10-Mar-98
1399   GUL NAZ                  NAJAB KHAN            BA              BED                  7-Apr-66      ABBOTTABAD    4-Sep-85         11-Mar-98       GGHSS Comprehencive
1400   FARHAT SHAMIM            S/SAJAWAL KHAN        BA              BED                 24-Nov-64      ABBOTTABAD   24-Sep-86         11-Mar-98       GGHSS Havelian
1401   Rubeena Shaheen          Pervaiz Khan          BA              BED                 14-Sep-72      ABBOTTABAD   11-Mar-98         11-Mar-98       GGHS Mirpur
1402   NAJUM UN NISA            QALANDAR SHAH         BSC             BED                 20-Dec-70      ABBOTTABAD   11-Mar-98         11-Mar-98       GGHSS Malik Pura
1403   SHAISTA JABEEN           KHAWAJ MUHAMMAD       MA/BA 2nd Div   BED 2nd Div:         17-Jul-73     HARIPUR      11-Mar-98         11-Mar-98
1404   Hasanat Begum            Pashmin Khan          BA              CT                  11-Jan-63      SWAT         22-Nov-81         11-Mar-98       GGHS B/D/Khela
1405   FAKHRUN NISA             JAMSHAID ALAM KHAN    BA              BED                 28-Nov-69      ABBOTTABAD   10-Oct-89         12-Mar-98       GGHSS Sherwan
1406   SHGUFTA BIBI             MUHD PERVAIZ          BA              BED                  1-Feb-78      ABBOTTABAD   12-Mar-98         12-Mar-98       GGMS KAKOTE
1407   BUSHRA BEGUM             GHULAM RASOOL         BA              BED                  3-Feb-72      ABBOTTABAD   12-Mar-98         12-Mar-98       GGHS Mallach
1408   SHABANA                  MUHAMMAD AMIN         MA/BA 2nd Div   BED 2nd Div:        24-Oct-70      HARIPUR      12-Mar-98         12-Mar-98
1409   FARKHANDA SIKANDAR       SIKANDAR KHAN         BA              BED                  9-Sep-75      ABBOTTABAD   13-Mar-98         13-Mar-98       GGMS Serbhana
1410   Rukhsana Sultan(CT)BA    Sultan Zarin          BA                                  19-Feb-84      Dir (U)      14-Mar-98         14-Mar-98       GGHS, Kotkay
1411   Fariha Bibi              S/Habib Ahmed Shah    BA              BEd                 15-Apr-76      Mansehra     19-Jun-95         15-Mar-98
1412   NAHZEEDA IRSHAD          ABDUL IRSHAD          BA 2ND Div      CT                  17-Aug-59      HARIPUR      30-Sep-80         16-Mar-98
1413   Mehrun Nigar MA,B/Ed     Azizur Rahman                                             20-Dec-68      Chitral      12-Nov-92         31-Mar-98       GGMS Jinjirate
1414   Bibi Hafiza BA,B/Ed/MA   Abdur Rabi                                                15-Feb-70      Chitral       10-Jul-93        31-Mar-98       GGMS Potoniandeh
1415   ZUBAIDA NAZ              MALIK ADAM KHAN       BA II           BED                 10-May-74      CHARSADDA     1-Apr-98          1-Apr-98
1416   ISHRAT JEHAN             KHWAJA MUHAMMAD YOUSAF MA             B/Ed,M/Ed           6-May-72       MAlAkAnd     26-Apr-93          1-Apr-98       GGHS GDZAI
1417   NIGHAT SULTANA           RAJA SULTANA          BA              BED                  2-Oct-72      ABBOTTABAD    3-Apr-98          3-Apr-98       GGMS MALSA
1418   SAMINA MIR ALAM          MIR ALAM              BA              BED                 23-Jun-64      ABBOTTABAD   26-Jun-93         15-Apr-98       GGMS BANDA SHOHALIAN
1419   Mehraj Shaheen Khattak   Zarin Gul Khattak     B/A             B/ Ed, M/ Ed         2-Feb-72      Nowshera      4-Nov-95         17-Apr-98
1420   Akhtar Bano                                    MA                                                 SWA          19-Apr-98         19-Apr-98       GGMS Kot Langer Khel SWA
1421   Shagufta                 Muhammad Zaman        BA              CT                  20-Oct-75      SWAT         21-Apr-98         21-Apr-98       GGHS B/D/Khela
1422   NAILA NAZIR              TILA NAZIR            BA II           BED                 21-Jan-73      CHARSADDA    24-Apr-98         24-Apr-98
1423   Parveen Begum            Muhammad Akbar        MA/Bed/CT                           25-Apr-73      Swabi        30-Apr-98         30-Apr-98       GGHS Panjman
1424   Asifa Rahman             Fazlur Rahman         MA              M/Ed;               2-May-92       Battagram     3-May-98         3-May-98        GGMS Choohan
1425   AZRA BEGUM               YARQAND KHAN          BA              B/Ed                 3-Jan-75      MARDAN        4-May-98         4-May-98        GGHS KATTI GARHI
1426   ZOVIA SULTANA            MUHAMMAD ASLAM MASOOM BA              BED                  6-Dec-58      ABBOTTABAD   12-Jun-82        11-May-98        GGMS KOKAL BARSEEN
1427   SHAGUFTA BEGUM           GUL REHMAN            MA              B/Ed,M/Ed            2-Jan-75      MARDAN       16-Jan-98        13-May-98        GGCMHSS For Girls Katlang
1428   NIGHAT                   AMEER MOHAMMAD        MA              B/Ed                 9-Apr-78      MARDAN        1-Sep-04        30-May-98        GGHS PALO DHERI
1429   Rabia Ali                Bakht Rawan           MA              B/Ed                 1-Jan-73      SWAT         25-Jan-97          1-Jun-98       GGMS Gadi
1430   SHAKEELA KOUSAR          ABDUL RASHID          BA              BED                   6-Jul-72     PESHAWAR      2-Jun-98          2-Jun-98       GGHS Civil Quarters
1431   SHAKILA BIBI             MUHMMMAD ASLAM        BA              BED                  2-Oct-71      ABBOTTABAD   15-Jun-98         15-Jun-98       GGHS Rich Bhen
1432   SHAZIA TABASSAM          MUHAMMAD YOUSAF       MA              BED                 13-Dec-72      HARIPUR        8-Jul-98         8-Jul-98
1433   Hajira Said              Hakim Said            BA              B/Ed                 1-Jan-65      SWAT          1-Jun-83        31-Aug-98        GGHS K/Khela
1434   Rozina Kousar            Mohammad Hussain      M/A             B/ Ed               15-Jan-73      Nowshera     12-Apr-94         1-Sep-98
1435   Samina Begum             Mir Nawaz             M/A             M/ Ed               15-May-71      Nowshera      1-Sep-98         1-Sep-98
1436   DILRUS                   MIAN AZIZ UR REHMAN   BA              BED                  9-May-72      NOWSHERA     11-Jan-90         1-Sep-98        GGHS Mian Gujar
1437   Muhabbat Shaheen         Said Muhammad         MA                                  15-Mar-80      Bajaur       19-Sep-98        19-Sep-98        Said Muhammad
Academic        Professional                                 Date of 1st   D/O Apptt against
 No.   Name of Teacher      Father's Name          Qualification   Qualification   Date of Birth   Domicile       Apptt:        Present Post      Name of School
  1                  2                    3                4               5             6                 7         8                 9                            10
1438   ULFAT BEGUM, BA      ABDUL SAEED                                             15-Mar-76      Malakand     19-Sep-98        19-Sep-98        GGMS Hero Shah
1439   Shabnam              Sher Afzal Khan        BA              B/Ed              1-Nov-70      SWAT          8-Apr-95        19-Sep-98        GGHS Tatano bandai
1440   Jauhar Begum         Said Muhammad          MA                               15-Apr-78      Bajaur        19/99/98        19-Sep-98        Said Muhammad
1441   Akhtar Nisa          Gul Akbar              MA                               10-Apr-79      FR Tank      21-Sep-98        21-Sep-98        GGMS Aqal Din Kor
1442   Nusrat Begum         Eida Khan              BA                               23-Dec-79      FR Tank      22-Sep-98        22-Sep-98        GGMS Ghulam Nabi Kor
1443   RUKHSHANDA ARIF      HASHMATULLAH           MA              BED               1-Jan-70      PESHAWAR      2-Dec-90        22-Sep-98        GGHS Jogiwara
1444   Nusrat                                                                        1-Apr-77      Bajaur       24-Sep-98        24-Sep-98        GGMS Civil Colony Khar
1445   NASEEM AKHTAR        HUSSAIN ZADA           BA II           BED              10-May-75      CHARSADDA    28-Sep-98        28-Sep-98
1446   ZAHIDA               HUSSAIN ZADA           BA II           BED               2-Apr-67      CHARSADDA    28-Sep-98        28-Sep-98
1447   WAHEEDA BEGUM        HAKEEM KHAN            FA              CT               14-Feb-68      KOHAT        15-Oct-90        28-Sep-98        GGHSS JUNGLE KHEL
1448   Ruqia London         Afzal Khan             MA                                2-Jan-80      Bajaur       29-Sep-98        29-Sep-98        Afzal Khan
1449   Farida hamid         Abdul hamid            MA                                5-Apr-75      NWA          21-Oct-98         21-Oct-98       GGMS Noor Janat Gul Kot
1450   Maryam Farid         Farid Khan             MA              M/Ed             15-May-73      SWAT          1-Mar-98         1-Nov-98        GGHS Bahrain
1451   NAFEES BEGUM         FAZALE AKBAR           BA              B/Ed, M/Ed        2-Mar-73      DIR          28-Feb-98        18-Nov-98        GGMS FATEH ABAD
1452   NASIRA PARVEEN       MUHAMMAD HAYYAT        BA              CT               25-Jun-62      KOHAT        19-Nov-98        19-Nov-98        GGHS SHERKOT
1453   Neghat Bibi          Nisar Ahmad            BA              CT                4-Jun-75      SWAT          1-Mar-98         1-Dec-98        GGHS No/2/Mingora
1454   Bibi Zulhija         Mir Zaman              BA              BEd               2-Feb-73      Mansehra     27-Aug-95         2-Dec-98
1455   Shujat Begum         Mian Qadarmand         BA              B/Ed              2-Feb-71      SWAT         15-Jan-91        16-Dec-98        GGHS K/Khela
1456   SHAGUFTA PARVEEN     BASHIR AHMAD           BA              CT               27-Jun-67      KOHAT         2-Oct-85        25-Dec-98        GGMS JABBAR
1457   YASMEEN GUL          GUL MUHAMAMD           BA              BED              15-May-76      PESHAWAR      1-Jan-99          1-Jan-99       GGCMHS Tehkal Bala
1458   SHAZIA RAZAQ         MUHAMMAD RAZAQ         MA              BED               6-Jan-74      DIR LOWER    13-Dec-95          4-Jan-99       GGHS Badaber
1459   RUBINA               PIR KHAN               BA              BED              14-Apr-80      ABBOTTABAD    5-Jan-99          5-Jan-99       GGHS Sumandar Katha
1460   Yasmeena Begum/      Abdul Haq/             BA/             CT                5-Feb-73      Tank/        25-May-94          5-Jan-99       /do/ Gul Imam/
1461   Gulshan Zuhra        S,Ali Raza             FA              CT                2-Mar-75      Hangu         11-Jul-94         9-Jan-99       GGHS No,1 Hangu
1462   Bibi Zaiba BA        Safdar Khan                                              5-Jun-59      Chitral       1-Oct-78         10-Jan-99       GGHS Reshun
1463   Samia Bibi           Jehangir Khan          BA              CT               10-Mar-74      SWAT          1-Mar-95         1-Feb-99        GGMS Shin
1464   Shagufta             Amirullah              BA                               28-Jan-77      Mohmand       8-Feb-99         8-Feb-99        GGHSS Ghallanai
1465   Zari Marjan          Khial Shah             MA              CT               20-Feb-78      Hangu         9-Feb-99         9-Feb-99        GGHS No,1 Hangu
1466   RUKHSANDA NAZLI      MUHMMMAD SARWAR        BA              BED               1-Apr-74      ABBOTTABAD   13-Dec-99         13-Feb-99       GGHSS Malik Pura
1467   ASMAT BEGUM          FAQIR MUHAMAMD         BA              BED               3-Feb-69      PESHAWAR      3-May-93         13-Feb-99       GGMS Zaryab Colony
1468   Irshad Begum,        Abdul Azeem Khan       BA              B/Ed:             2-Mar-70      Karak         5-Dec-88         16-Feb-99       GGHS, Jehangiri
1469   Shah Naz Masood      Masood ur Rehman       MSC             M/Ed:             8-Jan-74      Karak        19-Jan-98         16-Feb-99       GGMS Official Colony Karak
1470   SHAGUFTATA TASNEEM   MUHAMMAD ASLA,M KHAN   MA/             MED/CT            1-Aug-71      D/I/KHAN     14-Dec-94         19-Feb-99       GGHS NO/ 1 DIKHAN
1471   ULFAT BEGUM          KAMDAR KHAN            MA              B/Ed             11-May-69      MARDAN        2-Nov-91         1-Mar-99        GGMS GARYALA
1472   SHAFQAT ROHI         ROOH ULLAH             BA II           BED              6-May-74       PESHAWAR     31-Mar-99         31-Mar-99
1473   NAHID AKHTAR         FARDUS KHN             BA              BED               1-Jan-76      CHARSADDA    31-Mar-99         31-Mar-99       GGPMS JICA GULBELA
1474   KHAWAR SULTANA       MAZIM KHAN             BA II           BED               5-Aug-71      CHARSADDA     1-Jan-99          1-Apr-99
1475   HAMED AKHTAR         ROOH ULLAH             BA II           BED               4-Apr-77      CHARSADDA     1-Apr-99          1-Apr-99
1476   KHALIDA BIBI         ABDUL WAHAB            BSC II          BED              13-Oct-75      CHARSADDA     1-Apr-99          1-Apr-99
1477   SHEHNAZ WALI         WALI MUHAMMAD          BSc II          BED              26-May-74      CHARSADDA     1-Apr-99          1-Apr-99
1478   NAGINA ZUHRA         SYED KHALIL HUSSAIN    MA              CT               22-Apr-76      KOHAT         5-Apr-99          5-Apr-99       GGMS CHASHMA MITHA KHAN
1479   FARAH NAZ            ZAFAR IQBAL            BA              BEd               9-Jun-74      Mansehra      5-Apr-99          5-Apr-99
1480   GHAZALA SHABNUM      ABDUL RASHID           BA              BEd               1-Mar-75      Mansehra     25-Oct-95          5-Apr-99
1481   Riffat Shaheen       Bashir Ahmed           BA              BEd               8-Dec-63      Mansehra     30-Nov-95          5-Apr-99
1482   RUQIA                FAZAL REHMAN           BA              BEd               2-Feb-75      Mansehra      5-Apr-99          5-Apr-99
1483   NARGIS KHATOOM       S NAIMAT SHAH          BA              BEd               8-Apr-69      Mansehra      5-Apr-99          5-Apr-99
1484   RIZWANA SHAHEEN      M ASHRAF               BA              BEd              20-Mar-75      Mansehra      5-Apr-99          5-Apr-99
Academic        Professional                                 Date of 1st   D/O Apptt against
 No.   Name of Teacher    Father's Name          Qualification   Qualification   Date of Birth   Domicile       Apptt:        Present Post      Name of School
  1                   2                   3              4               5             6                 7        8                9                              10
1485   HUSAN BASRI        WAZIR GUL              MA              B/Ed,M/Ed        14-Feb-62      MARDAN        5-Apr-99         5-Apr-99        GGHS NO 1 MARDAN
1486   NAZNEEN BEGUM      SAIFUR REHMAN          MSc             B/Ed,M/Ed        20-Dec-71      MARDAN        5-Apr-99         5-Apr-99        GGHS KAS KOROONA
1487   ZAKIA YASMIN       SYED MUHAMMAD SADIQ    MA              B/Ed,M/Ed         1-Jan-72      MARDAN        5-Apr-99         5-Apr-99        GGHSS JANDAR PAR
1488   SHAISTA SHAUKAT    SHAUKAT ALI            MA              B/Ed              1-Apr-75      MARDAN        5-Apr-99         5-Apr-99        GGMS QASAM TORU
1489   SHAZIA GUL         SALEEM KHAN            MA              B/Ed,M/Ed         22-Jul-77     MARDAN        5-Apr-99         5-Apr-99        GGHS HOTI NO2
1490   Hizra Khatoon      Muhammad Yusaf         BA/CT                             1-Dec-71      Swabi        19-Feb-90         5-Apr-99        GGHS Marghuz
1491   Rafaqat            Muhammad Kamal         MA/Bed/Ct`                        2-Apr-75      Swabi         5-Apr-99         5-Apr-99        GGHS Dagai
1492   Zakia Anjum        Ghulam Ahmad           MA/Bed/CT                        30-Mar-76      Swabi         5-Apr-99         5-Apr-99        GGHSS Shewa
1493   Syed Rubina Naz    Akbar Said             BA/Bed/CT                         1-Jan-77      Swabi         5-Apr-99         5-Apr-99        JICA Model School Bachai
1494   Naheed begum       Abdul Samad            BA/Bed/CT                        9-May-77       Swabi         5-Apr-99         5-Apr-99        GGHS Marghuz
1495   Bibi Sheema        Abdul Nazif            MA/Bed/CT                        30-Aug-77      Swabi         5-Apr-99         5-Apr-99        GGHSS Kalu Khan
1496   Fazelat            Mumtaz                 MA              B/Ed             14-Apr-75      SWAT          5-Apr-99         5-Apr-99        GGHS No/2/Mingora
1497   ZUBAIDA BIBI       JANAN KHAN             MA              CT               10-Aug-72      KOHAT        14-Mar-92         6-Apr-99        GGMS DHOK NOOR ALAM
1498   SHAGUFTA BEGUM     RAIS KHAN              MA              CT                2-Jan-75      KOHAT         6-Apr-99         6-Apr-99        GGHS TOGH BALA
1499   SAMINA NOUREEN     SOHRAB GUL             FSC             CT                2-May-71      KOHAT         6-Apr-99         6-Apr-99        GGHS LACHI PAYAN
1500   Attia Khanum       Abdul bari             BA              BEd              8-May-74       Mansehra      6-Apr-99         6-Apr-99
1501   FARZANA BEGUM      BAHDAR SHER            MA              B/Ed             25-Dec-73      MARDAN        6-Apr-99         6-Apr-99        GGMS GHARI DAULAT ZAI
1502   SAJIDA GUL         MUHAMMAD SHOAIB        MA              B/Ed             19-Apr-77      DIR           6-Apr-99         6-Apr-99        GGHSS Takht Bhai
1503   Afnan              Farish Muhammad        MA/Med/CT                         3-Jan-76      Swabi        16-Aug-97         6-Apr-99        GGHS Salim Khan
1504   Yasmin Ali         Shafiullah             MA/BED/CT                         2-Feb-72      Swabi         6-Apr-99         6-Apr-99        GGCMHS Swabi
1505   Zaitoon Nisa       Abdul Hassan           BA/CT                             4-Jan-74      Swabi         6-Apr-99         6-Apr-99        GGHS Tarakai
1506   Hameeda Bibi       Azizullah              MA/Med/CT                        6-May-74       Swabi         6-Apr-99         6-Apr-99        GGMS Ambar
1507   Tasleem Begum      Noor Muhammad          MA/Med/CT                         6-Feb-75      Swabi         6-Apr-99         6-Apr-99        GGMS Dagai
1508   Rubina Begum       Muhammad Israr Khan    BA/Bed/CT                        30-May-75      Swabi         6-Apr-99         6-Apr-99        GGHS Tarakai
1509   Tuheed             Qaiser Khan            BA/CT                             1-Apr-76      Swabi         6-Apr-99         6-Apr-99        GGHS Gulshan Abad
1510   S/Shaiista Naz     S/Hassan Jan           BA/CT                             1-Apr-76      Swabi         6-Apr-99         6-Apr-99        GGHS Ismaila
1511   FOUZIA GHULAM      GHULAM AHMED           MA              CT                29-Jul-70     KOHAT         4-Oct-95         7-Apr-99        GGMS KHUSHAL GARH
1512   Shagufta Bano      Haji Abdul Aziz        BA              BEd               2-Apr-73      Mansehra     24-Mar-96         7-Apr-99
1513   SAMIA JALIL        Haji Abdul Aziz        BA              BEd              20-Mar-73      Mansehra      1-Apr-96         7-Apr-99
1514   Shakeela Begum     Abdur Rehman           BA              BEd               9-Feb-76      Mansehra      7-Apr-99         7-Apr-99
1515   NIGINA AYAZ        MUHAMMAD AYAZ          MA              B/Ed              2-Jan-72      MARDAN        7-Apr-99         7-Apr-99        GGMS GARYALA
1516   NAHEED BEGUM       MARIFAT SHAH           BA              B/Ed             22-Mar-73      MARDAN        7-Apr-99         7-Apr-99        GGMS DHERI LEKPANI
1517   NARGIS BEGUM       SHER ZAMAN             MA              B/Ed,M/Ed        20-Dec-78      MARDAN        7-Apr-99         7-Apr-99        GGHSS Takht Bhai
1518   SHAHISTA NAZ       M/YOUNIS               BA              BED              15-Apr-73      ABBOTTABAD    8-Apr-99         8-Apr-99        GGMS Sultan PUR
1519   FARZANA YASMIN     BASHIR UD DIN          BA II           BED              20-Apr-68      CHARSADDA    16-Oct-86         8-Apr-99
1520   ZEENAT GULZAR      GULZAR MASIH           MA              BED CT            2-Apr-75      Bannu         8-Apr-99         8-Apr-99        GGHSS S/K/BALA BANNU
1521   NIGHAT YASMIN      SARDAR ALI             BA II           BED              30-Sep-77      CHARSADDA     8-Apr-99         8-Apr-99
1522   FARAKH NAZ         INAMULLAH              BA II           BED               1-Jan-75      CHARSADDA     8-Apr-99         8-Apr-99
1523   BUSHRA BEGUM       GHAFOOR KHAN           BA II           BED              15-May-73      CHARSADDA     8-Apr-99         8-Apr-99
1524   SUMAIRA BASHIR     BASHIR UD DIN          BA II           BED               1-Sep-76      CHARSADDA     8-Apr-99         8-Apr-99
1525   FALAK NAZ ZAFAR    MUHAMMAD ZAFAR ARBAB   BA II           BED               6-Apr-74      CHARSADDA     8-Apr-99         8-Apr-99
1526   SANJEEDA BEGUM     MUHAMMAD SARWAR KHAN   MA              BED              27-Mar-59      HARIPUR       8-Apr-99         8-Apr-99
1527   SADIA GUL          GUL ZAR HUSSAIN        BA              CT               15-Mar-75      KOHAT         8-Apr-99         8-Apr-99        GGHSS LACHI
1528   SAMINA BUKHARI     ASMATULLAH KHAN        MA              CT               15-Jan-72      KOHAT         8-Apr-99         8-Apr-99        GGMS LACHI BALA
1529   FARZANA SULTANA    SYED SHAMS GUL         MA              CT               15-Feb-73      KOHAT         8-Apr-99         8-Apr-99        GGMS LACHI BALA
1530   DIL NASHEEN        MANZOOR UR REHMAN      MA              CT                7-Nov-76      KOHAT         8-Apr-99         8-Apr-99        GGHS NO 1 KOHAT
1531   SURRIYA BEGUM      MOHD IQBAL             BA              BEd              15-Mar-73      Mansehra      1-Dec-96         8-Apr-99
Academic         Professional                                    Date of 1st   D/O Apptt against
 No.   Name of Teacher   Father's Name         Qualification    Qualification      Date of Birth   Domicile       Apptt:        Present Post      Name of School
  1                 2                 3                4                5                6                 7         8                9                             10
1532   BIBI SAJIDA       SAIDAN SHAH           BA               BEd                 10-Nov-77      Mansehra     25-Jun-97         8-Apr-99
1533   Farhat Yasmeen    Mir Asfar             BA               BEd                 14-Feb-75      Mansehra     26-Jun-97         8-Apr-99
1534   Tahira Nazir      Mohd:Nazir Khan       BA               BEd                 31-Mar-72      Mansehra     26-Jun-97         8-Apr-99
1535   MUSSRAT JABIN     ATTAI KHAN            BA               BEd                 25-May-79      Mansehra     27-Jun-97         8-Apr-99
1536   SADAF BASHIR      MOHD BASHIR           BA               BEd                  1-Mar-83      Mansehra      1-Jul-97         8-Apr-99
1537   Bibi Memoona      Pir Muhammad Khan     BA               BEd                 27-Jan-77      Mansehra      8-Apr-99         8-Apr-99
1538   BUSHRA REHMANI    GULAM RABANI          BA               BEd                 16-Mar-77      Mansehra      8-Apr-99         8-Apr-99
1539   NUSRAT SHAHEEN    MIR AKBAR KHAN        MA               B/Ed, M/Ed          14-Dec-62      CHARSADDA     8-Apr-99          8-Apr-99       GGMS SAJAN KILLI
1540   NIHAYAT BEGUM     HIRAT GUL             MSC              B/Ed                 1-Feb-74      MARDAN        8-Apr-99         8-Apr-99        GGHS SARO SHAH
1541   RIFFAT BANO       TAJ WALI KHAN         MA               B/Ed                 1-Jan-77      MARDAN        8-Apr-99         8-Apr-99        GGHSJAMLAL GARHI
1542   FOZIA TAJ         TAJ MUHAMMAD MIRZA    MA               BED                 18-Aug-63      PESHAWAR     18-Jan-93         8-Apr-99        GGHS Gul Bahar
1543   SHABANA BEGUM     ZAFAR ALI             BA II            BED                 25-Oct-74      CHARSADDA     9-Apr-99         9-Apr-99
1544   SAMINA KOSAR      MUHAMMAD RIAZ         MA               CT                   15-Jul-72     KOHAT         9-Apr-99         9-Apr-99        GGHS TAPPI
1545   MUSARAT BIBI      ABDUL HAFIZ           BA               CT                   2-Jan-78      KOHAT         9-Apr-99         9-Apr-99        GGHS BORI SAGHRI
1546   Iqbal Bano        Syed Hayat Shah       BA               BEd                 15-Nov-64      Mansehra      1-Oct-87         9-Apr-99
1547   BIBI GUL          AURANG ZEB            BA               BEd                 30-Mar-73      Mansehra      9-Apr-99         9-Apr-99
1548   RUBINA            AMIR RAZA KHAN        MA               B/Ed                22-Feb-72      MARDAN        9-Apr-99         9-Apr-99        GGHS MAHO DHERI
1549   AMBAREEN          ABDUL AWAL            MA               B/Ed,M/Ed            1-Feb-73      MARDAN       23-Jun-97         9-Apr-99        GGHS HOTI NO2
1550   ASMA              MUMTAZ AHMAD          MA               B/Ed                15-Oct-74      MARDAN        9-Apr-99         9-Apr-99        GGHS GHALLA DHER
1551   MUSARAT SHAHEEN   Abdur Rehman          MA               MEd                  1-Feb-72      PESHAWAR      9-Apr-99         9-Apr-99        GGHSS Begum Shahab/ud/Din
1552   GHAZALA BEGUM     NASIR AHMAD           MA               MEd                 23-Nov-74      PESHAWAR      9-Apr-99         9-Apr-99        GGHSS Begum Shahab/ud/Din
1553   SABIHA NAZ        MUNIR SHAH            MA               CT                   1-Mar-72      KOHAT        10-Apr-99         10-Apr-99       GGHSS JUNGLE KHEL
1554   HASEENA BEGUM     MUMTAZ ALI            MA               B/Ed                  09/08/1975   MARDAN       26-Jun-97         10-Apr-99       GGHS MIAN KHAN
1555   SALWA             ABDUL HAQ             MA               BED                 10-Jan-76      PESHAWAR     10-Apr-99         10-Apr-99       GGMS MUHAMMAD ZAI NO/1
1556   RIZWANA GUL       GUL KAMAL KHAN        BA               CT                   5-Apr-74      Lakki         4-Nov-99         11-Apr-99       GGHS No/ 1 Naurang
1557   Fozia Noreen      Akbar Khan            BA               BEd                  7-Feb-73      Mansehra     13-Apr-99         13-Apr-99
1558   NAHEED BIBI       BAHADAR SHER          BA               B/Ed                16-Dec-69      MARDAN        1-Oct-89         13-Apr-99       GGMS KORAGH
1559   GUL SAMINA        MUHAMMAD NAWAZ        MA               MEd                 11-Jan-69      PESHAWAR     13-Apr-99         13-Apr-99       GGHS Civil Quarters
1560   Mukhtiar Zaman    Zaman Shah            MA/Bed/CT                             5-Feb-68      Swabi        21-Apr-87         13-Apr-99       GGMS Batakara
1561   SHAZIA NOUREEN    MUHAMMAD NAZIR KHAN   BA               CT                  14-Apr-74      KOHAT        18-Apr-92         14-Apr-99       GGHS NO 1 KOHAT
1562   SAFIA AKHTAR      AKHTAR HUSSAIN        BA               BED                 13-Apr-72      PESHAWAR     21-Nov-95         14-Apr-99       GGHSS Lady Grifth
1563   Samena Naz        Dilram Khan           MA               B/Ed                25-Mar-74      SWAT         14-Apr-99         14-Apr-99       GGHSS Odigram
1564   Naheed Zuhra      Faqeer Mohammad       M/A              B/ Ed               26-Oct-67      Nowshera      7-Jan-97         16-Apr-99
1565   Fasila Naz        Alif Din              M/A              B/ Ed                5-Jan-75      Nowshera     24-Apr-95         16-Apr-99
1566   SHAHNAZ AKHTAR    DAMSAZ KHAN           MA               BED                 16-Aug-74      Lakki        17-Apr-99         17-Apr-99       GGHSS TITTER KHEL
1567   SABRA PERVEEN     GUL SARWAR            BA                                    6-Jan-72      Lakki        23-Mar-95         17-Apr-99       GGHS DARA PEZU
1568   BIBI SAEEDA       SAADAT ALI SHAH       BA               BED                 12-Jun-71      Lakki         9-Jan-93         17-Apr-99       GGMS NAURANG
1569   SAJIDA IRFAN      MOHD IRFAN            BA               BEd                 15-Apr-80      Mansehra      2-Mar-98         17-Apr-99
1570   MURTAFIA BIBI     QAZI MUHMMAD SHAFIQ   BA               BED                  2-Jan-75      ABBOTTABAD   19-Apr-99         19-Apr-99       GGHS Sheikhul Bandi
1571   LUBNA BIBI        MUHMMAD ANWAR         BA               BED                 18-Aug-72      ABBOTTABAD   19-Apr-99         19-Apr-99       GGMS WAZIRAN
1572   KALSOOM BEGUM     MUMTAZ KHAN           BA               CT                  24-Dec-72      Bannu        19-Apr-99         19-Apr-99       GGMS AFSAR KHAN WALA KHEL BANNU/
1573   RABIA TABASSUM    QAZI SAEED/UR/REHMAN  MA /BA 2ND DIV   MED/BEd/ 2nd div     1-Jun-77      HARIPUR      19-Apr-99         19-Apr-99
1574   ZUBADA BADER      MUMTAZ KHAN           MA               BED                 30-Mar-77      Lakki        19-Apr-99         19-Apr-99       GGMS DARA PEZU
1575   NASRIN BIBI       ZAHIR SHAH            MA               MED                 24-Feb-66      Lakki         1-Aug-88         19-Apr-99       GGMS KOTKA ATLAS KHAN
1576   SAJIDA REHMAN     SARDAR WALI UR REHMAN BA               BED                  1-Apr-71      ABBOTTABAD   24-Nov-90         20-Apr-99       GGHSS Havelian
1577   SADIA BIBI        SYED MEHMOOD SHAH     BA               BED                  4-Apr-77      ABBOTTABAD   20-Apr-99         20-Apr-99       GGHS Rich Bhen
1578   SHAISATA RUBY     ALI ASGHAR            BA               BED                  24-Jul-76     ABBOTTABAD   20-Apr-99         20-Apr-99       GGHSS Hajia Gali
Academic             Professional                                 Date of 1st   D/O Apptt against
 No.   Name of Teacher     Father's Name          Qualification        Qualification   Date of Birth   Domicile       Apptt:        Present Post      Name of School
  1                  2                   3                4                    5             6                 7         8                9                           10
1579   NARJIS KHATOON      S/ GULZAR SHAH         BA                   BED               4-Jan-77      ABBOTTABAD   20-Apr-99         20-Apr-99       GGMS Banda Said Khan
1580   HUMAIR SAKINA       REHMAN                 BA                   BED              15-Feb-73      ABBOTTABAD   20-Apr-99         20-Apr-99       GGHS Kuthwal
1581   Nusrat Bibi         Ajmal Khan             BA                   BED               4-Jun-74      ABBOTTABAD   20-Apr-99         20-Apr-99       GGMS Hari Deban
1582   RAZIA SULTANA       NOOR MUHAMMAD          MA                   BED              20-Oct-77      Lakki        20-Apr-99         20-Apr-99       GGHS NO/1 LAKKI
1583   ROMANA NIGAR        GHULAM YAHYA KHAN      MA                   BED              28-Oct-73      Lakki        24-Nov-94         20-Apr-99       GGHS No/ 1 Naurang
1584   Neelo Far           Mohd Iqbal             BA                   BEd              7-May-73       Mansehra     30-Nov-95         20-Apr-99
1585   SALMA BATOOL        ZAHID HUSSAIN          BA                   BEd               7-Jun-76      Mansehra      2-Mar-98         20-Apr-99
1586   FARAH NAZ           NISAR AHMED            BA                   BEd               3-Jan-70      Mansehra     20-Apr-99         20-Apr-99
1587   Farhana             Akbar Ali              MA                   M/Ed             26-Jun-76      SWAT         10-Apr-99         20-Apr-99       GGHS Kokarai
1588   Tamsela Rani,       Ghulam Nasir Khan      MA                   M/Ed:             3-Mar-67      Karak        20-Apr-99         20-Apr-99       GGHS,Easak Chuntra
1589   NASREEN GUL         M NASREEN GUL          BA                   BED              28-Oct-70      ABBOTTABAD   21-Apr-99         21-Apr-99       GGHS Kunj
1590   SHAZIA AURANGZEB    SARDAR AURANGZEB       BA                   BED               1-Jan-74      ABBOTTABAD   21-Apr-99         21-Apr-99       GGMS Namli Maira
1591   GULNAZ BIBI         MALIK MUHAMMAD IQBAL   BA                   BED              10-Mar-72      ABBOTTABAD   21-Apr-99         21-Apr-99       GGHS Bandi Dhundan
1592   SHEHZAD BIBI        PASHAM KHAN            MA/                  BED/CT           20-Apr-74      D/I/KHAN     21-Apr-99         21-Apr-99       GGMS MALANG ABAD
1593   SHAGUFTA YASMIN     YOUSAF KHAN            BA                                    30-Apr-73      Lakki        21-Nov-92         21-Apr-99       GGMS ISAK KHEL
1594   NAGIS SHAHEEN       MUHMMAD ASHRAF         BA                   BED              24-Dec-74      ABBOTTABAD   22-Apr-99         22-Apr-99       GGHS Kuthwal
1595   UZMA ARSHID         ARSHID KHAN            BA                   BED              14-Aug-73      ABBOTTABAD   22-Apr-99         22-Apr-99       GGHSS Dhamtour
1596   RAZIA BEGUM         SAADULLAH              BA/                  BED/CT            7-Jun-62      D/I/KHAN     22-Apr-99         22-Apr-99       GGHSS KULACHI
1597   WAJIHA AMBREEN      MUHAMMAD HAYAT         MSC/                 BED/CT            9-Jan-75      D/I/KHAN     22-Apr-99         22-Apr-99       GGMS CHEHKAN
1598   Rubina/             Ghani/ur/Rehman/       BA/                  CT               12-Dec-62      Tank/        27-Sep-86         22-Apr-99       /do/ Gul Imam/
1599   Talat Jabeen/       Muhammad Zaman         BA/                  CT               15-Apr-71      Tank/        22-Apr-99         22-Apr-99       /do/ Kot Said Gulan/
1600   Khadija Naheed/     Habibullah/            BA/                  CT               14-Jan-74      Tank/        22-Apr-99         22-Apr-99       /do/ Chadrar/
1601   S/Nusrat Perveen/   S/Ghulam Rasool        BA/                  CT               10-Mar-70      Tank/        19-Oct-88         22-Apr-99       /do/ Pai/
1602   Ambreen Ara/        Amanullah/             MA(ME/d)             CT                1-Jan-76      Tank/        22-Apr-99         22-Apr-99       /do/ No/2,Tank/
1603   TASNEEM SHAKOOR     ABDUL SHAKOOR          BA                   BED              10-Apr-74      ABBOTTABAD   23-Apr-99         23-Apr-99       GGHS Beerote
1604   SAEEDA KHATOON      FAZAL KHAN             BSC                  BED              25-Dec-71      ABBOTTABAD   23-Apr-99         23-Apr-99       GGHS Kakul
1605   ZATOON AKHTAR       MUHAMAD HAYAT          MA/                  MED/CT            5-Nov-62      D/I/KHAN     28-May-84         23-Apr-99       GGHS MATA PUR
1606   AZRA FIRDUS         FAIZ MUHAMMAD          MA/                  BED/CT            2-Feb-68      D/I/KHAN     23-Apr-99         23-Apr-99       GGHS NO9 DIKHAN
1607   SAJEELA TEHSEEN     HAMEEDULLAH            BA/                  BED/CT            1-Jan-69      D/I/KHAN     23-Apr-99         23-Apr-99       GGMS SARA GARA
1608   REHANA BEGUM        MUHAMMAD RAMZAN        MA/                  BED/CT           15-Apr-70      D/I/KHAN     23-Apr-99         23-Apr-99       GGMS HASSAN
1609   TAHIRA BANO         Q/ ABDUL GAHAFFAR      MA/                  BED/CT            2-Feb-72      D/I/KHAN     23-Apr-99         23-Apr-99       GGHSS NO/ 5 DIKHAN
1610   FOZIA AMBEREEN      QADIR BAKHSH           MA/                  MED/CT           5-May-72       D/I/KHAN     23-Apr-99         23-Apr-99       GGCMHS NO1 DIKHAN
1611   NASHEEN KANWAL      MUHAMMAD YOUNIS        MA/                  BED/CT           16-Apr-74      D/I/KHAN     23-Apr-99         23-Apr-99       GGHS NO4 DIKHAN
1612   FAREEIHA RUBAB      FIDA HUSSAIN           MA                   MED/CT           6-May-76       D/I/KHAN     23-Apr-99         23-Apr-99       GGHS MALANA
1613   SAMINA KOUSAR       MUHAMMAD HUSSAIN       MA BA 2ND DIV        BED 2nd Div:      7-Feb-74      HARIPUR      23-Apr-99         23-Apr-99
1614   ZUBY ZAHOOR         ZAHOOR                 BA                   BED               24-Jul-75     ABBOTTABAD   24-Apr-99         24-Apr-99       GGHS Bakote
1615   NAILA NAZNEEN       AZIZ AHMED             BA                   BED              21-Apr-70      ABBOTTABAD   24-Apr-99         24-Apr-99       GGHSS Lora
1616   AZRA NAZ            SHOUKAT                BA                   BED               2-Feb-73      ABBOTTABAD   24-Apr-99         24-Apr-99       GGHSS Lora
1617   SHABNAM MUMTAZ      QAMAR ZAMAN            BA                   BED               8-Apr-71      ABBOTTABAD   24-Apr-99         24-Apr-99       GGHSS Lora
1618   FOUZIA BANO         GHAZI KHAN             BA                   BED              11-May-73      ABBOTTABAD   24-Apr-99         24-Apr-99       GGMS BALDHERI
1619   SABIA BIBI          M/AFSAR                BA                   BED              22-Dec-76      ABBOTTABAD   24-Apr-99         24-Apr-99       GGMS Bathian
1620   TAHIRA KOUSAR       Muhammad Younis        BA                   BED              17-Apr-76      ABBOTTABAD   24-Apr-99         24-Apr-99       GGHSS Malik Pura
1621   SHAKEELA SHAHEEN    SULTAN MEHMOOD         MSC (G)/BA 2ND DIV   BED 2nd Div:     15-May-78      HARIPUR      19-Apr-99         24-Apr-99
1622   Fhakhru/n/Nisa/     Missal Khan/           BA/                  CT               31-Dec-75      Tank/        23-Apr-99        24/04/1999       /do/ Ranwal/
1623   SHAZIA BANO         ABDUL RAUF             BA                   BED              30-Jun-74      ABBOTTABAD   25-Apr-99         25-Apr-99       GGHS Salhad
1624   MUSRAT YASMIN       GHULAM YASEEN          MA                   BED CT            1-Sep-64      D/I/KHAN      8-Jan-84         25-Apr-99       GGHS LANG KHAIR SHAH
1625   SHAZIA BIBI         GUL HASSAN             BA                   BEd               1-Feb-76      Mansehra     28-Apr-99         28-Apr-99
Academic        Professional                                    Date of 1st   D/O Apptt against
 No.   Name of Teacher      Father's Name         Qualification   Qualification      Date of Birth   Domicile       Apptt:        Present Post      Name of School
  1                  2                   3                4               5                6                 7         8                9                          10
1626   SADIA AFSHEEN        NAZIR AHMED           BSC             BED                  1-Nov-76      ABBOTTABAD   29-Apr-99         29-Apr-99       GGHSS Havelian
1627   SAJIDA BIBI          SHATAB KHAN           BA              BED                  1-Sep-75      ABBOTTABAD   29-Apr-99         29-Apr-99       GGHSS Havelian
1628   SHAZIA BIBI          GUL DADA KHAN         BA              B/Ed                15-Apr-75      MARDAN       30-Apr-99         30-Apr-99       GGMS PARKHO DHERI
1629   Rukhsana Bibi                              BA              BED                  2-Sep-65      ABBOTTABAD   27-Apr-88         1-May-99        GGHS Mir Pur
1630   BUSHARA MANZOOR      MANZOOR ELAHAI        BA              BED                 15-Oct-70      ABBOTTABAD   30-Oct-88         1-May-99        GGCMS A/Abad (NO/1)
1631   Amina Khatoon        Shamsur Rahman        BA II           BED                 11-Nov-79      CHARSADDA     1-May-99         1-May-99
1632   ISHARAT CHISHTI      SAID NABI CHISHTI     MA              B/Ed                10-Mar-76      DIR          12-Jan-95         1-May-99        GGMS AKBAR ABAD
1633   Ishrat Nageen        Hazrat Gul            MA/Med/CT                            1-Jan-72      Swabi        18-Apr-92         1-May-99        GGMS Kunda
1634   SOBIA BANO           QAZI MUHD SHABIR      BA              BED                 5-May-72       ABBOTTABAD    3-May-99         3-May-99        GGMS Pawa
1635   Zeenat BiBi          Awal Khan             BA (2nd)        B,ed                20-May-76      Dir Lower     4-May-99         4-May-99
1636   Lubna Muneer         Fazal Munair          BA (2nd)        B,ed                15-Mar-77      Dir Lower     7-Jan-97         4-May-99
1637   Gulshan Ara          Mohd Hafizullah       BA (2nd)        B,ed                24-Apr-74      Dir Lower     3-Jan-93         4-May-99
1638   Naseem Begum         M/ Raheem Khan        BA (2nd)        B,ed                 1-Jun-75      Dir Lower     3-Jan-93         4-May-99
1639   Muharam BiBi         Bahadar Khan          BA (2nd)        B,ed                20-May-75      Dir Lower    24-Mar-95         4-May-99
1640   Nasira Qasim         Qasim Jan             BA (2nd)        B,ed                 7-Jan-76      Dir Lower     4-May-99         4-May-99
1641   Shakila Khatoon      Mughal Sheer          BA (2nd)        B,ed                20-Jan-76      Dir Lower    18-Nov-96         4-May-99
1642   Naheed Begum         Azizullah             BA (2nd)        B,ed                 4-Jan-71      Dir Lower     8-Jan-95         4-May-99
1643   Zakia                Gul Baz Khan          BA (2nd)        B,ed                 5-Oct-76      Dir Lower     7-Jan-97         4-May-99
1644   Bibi Rashida         Ghor Rehman           BA              BEd                 17-Aug-72      Mansehra      8-Jan-90         4-May-99
1645   MARYAM BEGUM         REHMAT SAID           MA              BED                 15-Sep-75      DIR LOWER    13-Dec-95         4-May-99        GGHSS Mathra
1646   RIZWANA NAZNEEN      MUHAMMAD YOUNIS       BA              BED                 20-Nov-69      PESHAWAR      4-May-99         4-May-99        GGMS New karim Pura
1647   Saeeda               Kashmir               BA/Bed/CT                            1-Apr-75      Swabi         6-Jan-94         4-May-99        GGHS Dagai
1648   Bushra Khatoon       Ghulam Sarwar         MA/Med/CT                           14-Apr-76      Swabi         5-Apr-99         4-May-99        GGHS Turlnadi
1649   Jehan Pari           Noor Ullah            MA              M/Ed:               15-Nov-75      Karak        30-May-96         5-May-99        GGHS Mitha Khel/
1650   KOSAR GILLANI        SYED MUDDASAR SHAH    BA              BED 2nd Div:        14-Aug-68      HARIPUR       7-May-99         7-May-99
1651   NIGHAT BIBI          MAQBOOL ELAHI         BA              BED 2nd Div:        15-Sep-76      HARIPUR       7-May-99         7-May-99
1652   NIGHAT BIBI          MISRI KHAN            MA /BA 2ND      MED/BEd/ 2nd div    15-Feb-73      HARIPUR       7-May-99         7-May-99
1653   SHAHEEN AFZAL        MUHAMMAD AFZAL        MA/BA IST DIV   BED                  8-May-75      HARIPUR       7-May-99         7-May-99
1654   SHAZIA JABEEN        MUHAMMAD DAUD         MA BA 2ND DIV   MED/BEd/ 2nd div    20-Feb-70      HARIPUR       7-May-99         7-May-99
1655   KOUSAR GILLANI       SYED MUDDASAR SHAH    BA 2ND DIV      BED 2nd Div:        14-Aug-68      HARIPUR       7-May-99         7-May-99
1656   SHAGUFTA NAZ         MISRI KHAN            MA 2ND DIV      MED B/ed 2nd div    15-Jan-72      HARIPUR       7-May-99         7-May-99
1657   ZAHIDA PARVEEN       MUHAMMAD ASLAM        MA/BA 2nd Div   BED 2nd Div:        8-May-75       HARIPUR       3-Apr-95         7-May-99
1658   NIGHAT BIBI          MUHAMMAD AZIZ         BA 2ND DIV      BED                 15-Sep-76      HARIPUR       6-May-99         7-May-99
1659   NAHEEDA GUL          FAZAL ELAHI           BSc 2ND DIV     CT                   4-Apr-72      HARIPUR       7-May-99         7-May-99
1660   SHEGUFTA NAZ         M/MISRI KHAN          BA              CT                  15-Jan-72      HARIPUR       7-May-99         7-May-99
1661   MUMTAZ BEGUM         SHOUKAT ZAMAN KHAN    MA/ BA 2nd iv   BED 2nd Div:         1-Jan-71      HARIPUR      11-Apr-96         8-May-99
1662   NOSHABA KOUSAR       HIKMAT KHAN           BA 2nd Div      BED 2nd Div:        15-May-70      HARIPUR       1-May-92         8-May-99
1663   RAWASIA BIBI         SARDAR ABDUR REHMAN   M/SC            MED/BEd/ 2nd div     2-Jan-73      HARIPUR       8-May-99         8-May-99
1664   SAJIDA PARVEEN       SULTAN MEHMOOD KHAN   BA              BED                 20-May-72      HARIPUR       8-May-99         8-May-99
1665   RABIA TABASSUM       MUHAMMAD SULIMAN      BA 2ND DIV      BED                  1-Apr-72      HARIPUR       8-May-99         8-May-99
1666   NIGHAT JABEEN        SYED MUHAMMAD SHAH    BA 2ND DIV      CT                  22-Apr-75      HARIPUR       8-May-99         8-May-99
1667   AKHTAR BIBI          BASHIR AHMAD          BA 2ND DIV      BED                   4-Jul-70     HARIPUR      10-May-99        10-May-99
1668   SHAHEEN MAQBOOL      MAQBOOL SHAH          MA / BA 2ND DIV BED                 23-Mar-74      HARIPUR       6-May-99        11-May-99
1669   RUKHSANA BEGUM       ZARI JAN              BA              CT                  14-Jan-76      KOHAT        20-Mar-95        11-May-99        GGHSS SHAKARDARA
1670   SHABANA BASHIR       BASHIR AHMED          BA              CT                   5-Feb-72      KOHAT        29-May-94        11-May-99        GGMS HASSAN ABAD
1671   BIBI KHALIDA         MIR ZALI KHAN         MA              MED                  4-Feb-73      Lakki         5-Nov-99        11-May-99        GGHS Sardar Maidad Khel
1672   NASIRA SUBHANI, BA   GHULAM SUBHANI                                             17-Jul-73     Malakand      10-Jul-93       11-May-99        GGCMS Thana
Academic           Professional                                  Date of 1st   D/O Apptt against
 No.   Name of Teacher         Father's Name         Qualification      Qualification   Date of Birth   Domicile         Apptt:       Present Post      Name of School
  1                2                        3                4                  5            6                  7          8                9                           10
1673   AZMAT NOREEN            QADER BAKSH           BA/                BED/CT           17-May-73      D/I/KHAN       5-Dec-99        12-May-99        GGMS MAHRA
1674   Jamila Muhammad                                                                   18-Apr-77      Bajaur        12-May-99        12-May-99        GGHS Malkana nawagai
1675   FOUZIA SHAHEEN          PIR MUHAMMAD          M/SC BSC IST DIV   BED               2-Mar-72      HARIPUR        6-May-99        12-May-99
1676   SADIA BASHIR            BASHER AHMAD          BA/                BED/CT            7-Apr-78      D/I/KHAN      13-May-99        13-May-99        GGMS CHA BAREWALA
1677   MALIKA BIBI             GHULAM SARWAR         MA /BA 2ND         BED 2nd Div:      1-Jan-76      HARIPUR       13-May-99        13-May-99
1678   SHAMIM ARA, BA          FAZAL SANI                                                15-Mar-66      DIR (U)       12-Apr-93        14-May-99        GGMS Dry Sari
1679   SHABANA NAZ             GHULAM AKBAR          MA/                MED/CT            1-Aug-72      D/I/KHAN      24-Oct-92        15-May-99        GGHSSNO2 DIKAHN
1680   BUSHRA REHMAN           ABDUL REHMAN          MA                 BED 2nd Div:     05/07/0971     HARIPUR       12-May-99        17-May-99
1681   RUKHSANA SHAHEEN        SHAMROZ KHAN          BA                 CT               19-Apr-70      HARIPUR        6-May-99        18-May-99
1682   NUZHAT PARVEEN          MUHAMMAD ASHRAF       MA /BA 2ND         BED Ist Div      13-Oct-72      HARIPUR       19-Jan-00        19-May-99
1683   Abida Khursheed         Eid Mohammad          MA                 B/Ed:            12-May-73      Karak         22-Jan-98        19-May-99        GGMS Mirza Khel
1684   Mst/ Fazilat            Abdul hamid           MA                                   7-May-74      Bajaur        31-May-99        31-May-99        Abdul hamid
1685   ISHRAT BIBI             GUL ANAR ABBASI       BA                 BED              15-Apr-60      ABBOTTABAD    20-Oct-80         1-Jun-99        GGHS Beerote
1686   YASMIN GULAB            GULAN DIN             BA                 BED               7-Mar-58      ABBOTTABAD    11-Mar-83         1-Jun-99        GGHSS Havelian
1687   SHABEEN AKHTER          ATTIQE AHMED          BA                 BED              28-Oct-86      ABBOTTABAD    11-Jan-86         1-Jun-99        GGHS Beerote
1688   NASIM SADIQ             MUHMMAD SADIQ         BA                 BED               3-Apr-71      ABBOTTABAD    10-Mar-89         1-Jun-99        GGHS Sumandar Katha
1689   Shah Begum              Mehboob Ali           BA                                                 Orakzai        1-Jun-99         1-Jun-99        GGMS Chapper Mishti
1690   Shazia Begum            Ghulam Muhammad       MA                                   2-Feb-78      Bajaur         1-Jun-99         1-Jun-99        Ghulam muhammad
1691   Taj Meena,BA(2nd)B/Ed   Sher Ali Khan                                             01/JAN/72/     MARDAN         1-Jun-99         1-Jun-99        GGMS ABBAS KALLAY
1692   Balqees Anjum           Abdul Wahab           B/Sc               B/ Ed             5-Jan-76      Nowshera       4-Jun-99         4-Jun-99
1693   AMRIA RAFIQ             M RAFIQ               MA                 BED               2-Jan-77      SWABI          4-Jun-99         4-Jun-99        GGMS SHAHEEN MUSLIM TOWN
1694   NAJMA NIAZ              SALAR MUHAMMAD        MA                 MEd              20-May-72      SWAT           4-Jun-99         4-Jun-99        GGHSS Hayat Abad
1695   TABASUM                 PEER HIDAYAT ULLAH    BA II              BED               12-Jul-71     CHARSADDA      26-Jul-96         1-Jul-99
1696   Bibi Shahida BA B/Ed    Abdul Hai                                                 13-Apr-77      Chitral         9-Jul-99         9-Jul-99       GGMS Kushum
1697   Robina Badar            S,Habib Shah          BA                 CT                7-Jan-75      Hangu          4-Aug-99         4-Aug-99        GGMS Darsamandf
1698   BIBI MEMOONA            PIR M KHAN            BA                 BEd              27-Jan-77      Mansehra       4-Aug-99         4-Aug-99
1699   BILQUES                 N SULMAN              BA                 BEd               8-May-72      Mansehra       4-Aug-99         4-Aug-99
1700   Nasiha Begum            Mohib Gul             B/Sc               B/ Ed            17-Apr-76      Nowshera       4-Aug-99         4-Aug-99
1701   Bushra Kausar           Bashir Hussain        M/A                B/ Ed            30-Jan-74      Nowshera       4-Aug-99         4-Aug-99
1702   FAWAD GUL               SHARFI GUL            MA                 BED              15-Oct-73      PESHAWAR      08/04/199         4-Aug-99        GGHS Khyber Colony
1703   ANILA ROHI              MUHAMAMD ISLAM        MA                 BED              23-Apr-73      PESHAWAR       4-Aug-99         4-Aug-99        GGHS Wazeer Bagh
1704   SHABANA                 MUHAMMAD YOUNIS       MA                 BED               2-Dec-68      PESHAWAR       4-Aug-99         4-Aug-99        GGHS Wazeer Bagh
1705   UZMA GUL                QAZI ABDUL MALIK      MA                 MEd              23-Feb-77      PESHAWAR       4-Aug-99         4-Aug-99        GGHSS No/2 Cantt
1706   Rifat Parveen,          Habib ur Rehman       MA                 B/Ed:            15-Apr-71      Karak          8-May-99         5-Aug-99        GGHS Ahmad Abad/
1707   Zubida Khanum,          Gul Taraz             MA                 B/Ed:             4-Apr-72      Karak         11-Nov-90         5-Aug-99        GGHS Ahmad Abad/
1708   Farkhanda Noureen,      Muhammad Munir Khan   MA                 M/Ed:            13-Nov-72      Karak          2-May-92         5-Aug-99        GGHS, Dabb
1709   Qamar Bano              Hiday Ullah           MA                 B/Ed:            13-Oct-71      Karak          5-Aug-99         5-Aug-99        GGMS Muhabi Killa
1710   Salma Rahim             Abdul Rahim           MA                 B/Ed:             7-Nov-74      Karak          8-May-99         5-Aug-99        GGHS Khurram
1711   KOUSAR PARVEEN          NASEER MUHAMMAD       BA                 CT                2-Feb-66      KOHAT          1-Dec-85        26-Aug-99        GGCMHS NO 3 KOHAT
1712   KHAIR UN NISA           ABDUL GHAFFAR         BA                 BED/CT           17-May-60      D/I/KHAN       1-Nov-89         1-Sep-99        GGHS D/KALAN
1713   Azra Bano               Mohammad Zahir Khan   FA                                   1-Apr-78      FR Peshawar    1-Sep-99         1-Sep-99        GGMS Nauman Killi
1714   Hameeda Bibi            Khadi Sher            BA                                  18-Nov-78      FR Peshawar    1-Sep-99         1-Sep-99        GGMS Khanzada
1715   Samina masib            Wazir Masih           BA                                  16-Jun-80      Khyber         1-Sep-99         1-Sep-99        GGMS Musa Khan
1716   Shazia Jabeen           Qayum Nawaz           BA                                                 Orakzai        1-Sep-99         1-Sep-99        GGMS And Khel
1717   Abida                                         BA                                                 SWA            1-Sep-99         1-Sep-99        GGMS Maulay Khan Kot SWA
1718   Shazia Begum                                                                      2-Feb-78       Bajaur         1-Sep-99         1-Sep-99        GGMS Inayat Killi
1719   Rukhsana Begum          Surat Khan            MA                                  17-Jun-80      FR Tank        1-Sep-99         1-Sep-99        GGHS Sardar Ali Kor
Academic        Professional                                 Date of 1st   D/O Apptt against
 No.   Name of Teacher                Father's Name       Qualification   Qualification   Date of Birth   Domicile       Apptt:        Present Post      Name of School
  1                  2                               3            4               5             6                 7        8                 9                         10
1720   Parveen Bibi                   Mohammad Sharif     BA                               10-Oct-80      FR Tank       1-Sep-99         1-Sep-99        GGMS Mosam Khan Kor
1721   ROZINA NAZIR                   NAZIR MUHAMMAD      MA              CT                8-Jun-73      KOHAT        25-May-92         1-Sep-99        GGMS HASSAN ABAD
1722   FARZANA NAZ                    MUHAMMAD JOHAR      MA              B/Ed              2-Mar-74      MARDAN        1-Sep-99         1-Sep-99        GGHS RUSTAM KHEL
1723   HAJRA                          AKBAR KHAN          MA              B/Ed, M/Ed       13-Mar-75      MARDAN        1-Sep-99         1-Sep-99        GGMS SANGA
1724   Shaista Naz                    Muhammad Irshad     BA/Med/CT                        10-Jun-75      Swabi         1-Sep-99         1-Sep-99        GGHSS Baja
1725   Soofia Noor                    Noor ul Islam       B/A             B/ Ed             4-Jan-73      Nowshera      4-Sep-99         4-Sep-99
1726   Uzma Afrin                     Mohammad Ali Shah   M/A             B/ Ed, C/T       19-Nov-77      Nowshera      4-Sep-99         4-Sep-99
1727   Parveen Akhter                 Abdul Wahab         B/A             B/ Ed             1-Dec-76      Nowshera      4-Sep-99         4-Sep-99
1728   Samia Ferdos,                  Sultan Mehmood      BA/MA           B/Ed:             6-Dec-76      Karak         9-Sep-99         9-Sep-99        GGHS Takhti Nasratti/
1729   Rizwana Bibi                   Faizur Rahman       BA (2nd)        B,ed             14-Feb-73      Dir Lower    12-Sep-99        12-Sep-99
1730   Samia Begum                    Mustafa Kamal       BA (2nd)        B,ed             15-Jan-77      Dir Lower    12-Sep-99        12-Sep-99
1731   Hurmat Bibi                    Fazal Azim          BA (2nd)        B,ed             13-Feb-77      Dir Lower    12-Sep-99        12-Sep-99
1732   Jamila Nargas                  Mohd Ali            BA (2nd)        B,ed             15-Mar-74      Dir Lower    11-Oct-94        12-Sep-99
1733   Ulfat Naz                      Abdul Razaq         BA (2nd)        B,ed             17-May-78      Dir Lower    12-Sep-99        12-Sep-99
1734   Samina Naz                     Mohd Zubair         BA (2nd)        B,ed             15-Apr-76      Dir Lower    12-Sep-99        12-Sep-99
1735   Pukraj Begum                   Mian Akbar Nasim    BA (2nd)        B,ed             20-Apr-78      Dir Lower    12-Sep-99        12-Sep-99
1736   Nusrat Begum                   Sahibul Haq         BA (2nd)        B,ed              3-Dec-75      Dir Lower    12-Sep-99        12-Sep-99
1737   Shahnila Bibi                  Qaribullah Khan     BA (2nd)        B,ed              1-Jan-78      Dir Lower    12-Sep-99        12-Sep-99
1738   Akhtara BiBi                   Lali                BA (2nd)        B,ed             15-Apr-76      Dir Lower    21-Nov-94        12-Sep-99
1739   Nabila                         Khuna Gul           BA (2nd)        B,ed              6-Sep-78      Dir Lower    12-Sep-99        12-Sep-99
1740   FARZANA SHAHEEN                ZULFIQAR            MA              BED               8-Sep-70      PESHAWAR     30-Aug-97        12-Sep-99        GGMS Hayat Abad
1741   MEENA GUL                      REHAN GUL           MA              MEd              19-May-73      PESHAWAR     12-Sep-99        12-Sep-99        GGHS Urmar Miana
1742   Shaheen Alam                   Nisar Ahmad         MA              M/Ed             14-May-74      SWAT         30-Jun-97        21-Sep-99        GGHS Saidu Sharif
1743   Farah Naz                      Nisar Ahmed         BA              BEd               3-Jan-70      Mansehra      4-Oct-99         4-Oct-99
1744   Rafia Naz                      Gul Said            B/Sc            B/ Ed             2-Jan-77      Nowshera      4-Oct-99         4-Oct-99
1745   Shahida Bano                   Abdul Ghafoor       M/A             B/ Ed             1-Jan-73      Nowshera      4-Oct-99         4-Oct-99
1746   Humaira Nowsheen               Ghulam Rasool       M/A             B/ Ed             1-Jan-75      Nowshera      4-Oct-99         4-Oct-99
1747   Rukhsana Yasmeen               Sardar Hussain      M/Sc            B/ Ed, M/ Ed     21-Apr-75      Nowshera      4-Oct-99         4-Oct-99
1748   SHAZIA QAZI                    IBRAHIM QAZI        MA              BED               4-Mar-71      PESHAWAR      4-Oct-99         4-Oct-99        GGMS Jehangir Pura
1749   SHAHEEN AKHTAR                 RAHAT ELAHI         BA              MEd               1-Jan-75      PESHAWAR      4-Oct-99         4-Oct-99        GGHS Yaka Toot
1750   Yasmin Sultan                  Sultanat Khan       BA              B/Ed             15-Dec-72      SWAT          4-Oct-99         4-Oct-99        GGHS No/1/Mingora
1751   Farida Yasmin                  Mir Mizullah Khan   BA              B/Ed:             1-Jan-73      Karak        11-Sep-98         5-Oct-99        GGHS Khojaki/
1752   Yasmin Nawaz,                  Noor Nawaz          BA              B/Ed:            22-Apr-74      Karak        10-May-99         5-Oct-99        GGHS Nari Panoos/
1753   HASSINA BIBI ,MA(Isl) / B/Ed   ASMAT WALI                                           15-Apr-63      CHITRAL      12-Nov-81         7-Oct-99        GGMS CC THANA/
1754   FIAZ BIBI                      ABDUL GHAFFOR       BA              BED              23-Feb-74      ABBOTTABAD   12-Oct-99         12-Oct-99       GGMS Jarral
1755   SHAGUFTA NAZNEEN               NAZER AHMAD         BA              BED/CT           15-Oct-68      D/I/KHAN     12-Oct-99         12-Oct-99       GGMS SAGO
1756   Kalsoom Bano                   Mohammad Yaqoob     M/A             B/ Ed, M/ Ed     30-Sep-69      Nowshera     25-Nov-90         12-Oct-99
1757   Bibi Hafiza BA                 Mir Quwat Khan                                       21-Dec-67      Chitral      29-Mar-86        13/10/1999       GGMS Singoor
1758   Alia Akhtar                    Sherzada Khan       MA                                9-Jun-73      Khyber        3-Nov-99         3-Nov-99        GGHS jamrud
1759   Parveen Bibi, MA B/Ed          Afzal Ali                                            15-Jun-68      Chitral      27-Mar-90         5-Nov-99        GGMS Charun
1760   KOUSAR SHAHEEN                 HUSSAIN BAKHSH      BA              BED/CT            5-Jun-66      D/I/KHAN      1-Dec-85        12-Nov-99        GGMS SAGGU
1761   Shagufta Kanwal                Mohammad rashid     MA                               26-Feb-70      NWA          12-Nov-99        12-Nov-99        GGHS Khan Mir Kot
1762   SAFINA GUL                     SYE MUTTAHIR SHAH   MA              BED               4-May-72      PESHAWAR     12-Sep-99        12-Nov-99        GGHS Urmar Miana
1763   Zubaida Khatoon                Hassan Din          BA                                1-Jan-68      Khyber       14-Nov-99        14-Nov-99        GGMS Ghazi Gl
1764   Tehseen Gul                    Abdur Rehman        MA                                6-Jan-61      FR Tank      14-Nov-99        14-Nov-99        GGMS Khoi Bahara
1765   Anjum Zarin                    Akbar Shah          BA                                1-Aug-75      FR Tank      15-Nov-99        15-Nov-99        GGMS Khoi Bahara
1766   AFSHEEN AKHTAR                 ABDUS SATTAR        MA/             BED/CT           19-Sep-72      D/I/KHAN     21-Nov-99        21-Nov-99        GGHS F/R/COLONY
Academic        Professional                                 Date of 1st   D/O Apptt against
 No.   Name of Teacher       Father's Name          Qualification   Qualification   Date of Birth   Domicile       Apptt:        Present Post      Name of School
  1                 2                      3                4               5             6                 7        8                9                             10
1767   YASMEEN, BA           MUHAMMAD SHAH                                           14-Apr-76      CHARSADA     17-Apr-95        23-Nov-99        GGMS Sindani
1768   Maimoon Begum         Sher Ahmad Khan        MA                               8-May-77       FR Bannu     27-Nov-99        27-Nov-99        GGHS Kotka Sher Andaz
1769   Samreen               Gul Mehar Din          MA                                4-Apr-81      NWA          27-Nov-99        27-Nov-99        GGMS Atta Mohammad Kot
1770   Sultana Bibi          Mohammad Yousaf Khan   MA                                4-Feb-81      NWA          28-Nov-99        28-Nov-99        GGMS Samandar kot
1771   BASMINA USMAN         USMAN                  BA II           BED              12-Jun-77      CHARSADDA     1-Dec-99         1-Dec-99
1772   Naheed                                                                        14-Mar-80      Bajaur        1-Dec-99         1-Dec-99        GGMS Nari Tangai
1773   JANTAB BEGUM           NAWAB ALI             BA              CT                1-Mar-76      KOHAT         3-Apr-95         1-Dec-99        GGHS KHADIZAI
1774   ABIDA NAZ              NAZIR MOHD            BA              BEd                2-Jul-73     Mansehra      4-Dec-99         4-Dec-99
1775   TAHIRA MUMTAZ          M MUMTAZ              BA              BED               6-Jun-70      ABBOTTABAD   11-Apr-90         6-Dec-99        GGHSS Lora
1776   Nuzhat Zuhra           Hameedul Akbar        BA/Bed/CT                        10-Apr-73      Swabi         8-Dec-99         8-Dec-99        GGMS Mian Dheri
1777   FARZANA BEGUM          TILA MUHAMMAD         BA II           BED               1-Apr-74      CHARSADDA     9-Dec-99         9-Dec-99
1778   ISHRAT BEGUM           GUL BADSHAH           BA II           BED              13-May-77      CHARSADDA     9-Dec-99         9-Dec-99
1779   FARAKH NAZ             FAZLI RAZIQ           BA II           BED               9-Nov-64      CHARSADDA     9-Dec-99         9-Dec-99
1780   HASIBA MEHFOOZ         MEHFOOZ URAHMAN       BA II           BED                3-Jul-77     CHARSADDA     9-Dec-99         9-Dec-99
1781   NAFEES AKHTAR          IMAM BAKHSH           MA              BED MED /CT      11-Jan-67      D/I/KHAN      9-Dec-99         9-Dec-99        GGCMHS NO1 DIKHAN
1782   SAMIN MALIK            GHULAM ABBAS          MA              /BED/CT           6-Apr-70      D/I/KHAN      9-Dec-99         9-Dec-99        GGHS NO/ 9 DINPUR
1783   REHANA BALOCH          ALLAH DAD             BA              BED/CT            6-Feb-75      D/I/KHAN      9-Dec-99         9-Dec-99        GGMS THATHAL
1784   NAGINA BEGUM           TAJUD DIN             BA              B/Ed             12-Apr-75      MARDAN        9-Dec-99         9-Dec-99        GGMS ASLAM KOROONA
1785   Noor Jehan             Amir Hatam            BA              B/Ed             16-Jun-61      SWAT          2-Nov-80         9-Dec-99        GGMS Gul Bandai
1786   Mumtaz Mahal           Muhammad Ghafoor      MA              M/Ed             22-Apr-63      SWAT         12-Dec-85         9-Dec-99        GGHS Gwelerai
1787   Najma Alam             Mian Gul Saeed        MA              M/Ed              31-Jul-75     SWAT          9-Dec-99         9-Dec-99        GGHS B/D/Khela
1788   Sharafat               Dilram Khan           MA              M/Ed             20-May-78      SWAT          9-Dec-99         9-Dec-99        GGHS Barikot
1789   Naheeda Khurshid/      Muhammad Ali/         BA/             CT               23-Nov-57      Tank/         3-Nov-76         9-Dec-99        /do/ Gomal Bazar/
1790   Iram Saba/             Yousaf Khan/          BA/             CT               15-Nov-72      Tank/         9-Dec-99         9-Dec-99        /do/   Tajori/
1791   BIBI GHAZALA SHAHEEN   S/ABBAS ALI SHAH      BA              BED               15-Jul-65     ABBOTTABAD   10-Dec-99        10-Dec-99        GGMS LOON PATTIAN
1792   FARHANDA BEGUM         FAZLI MALIK           BA II           BED               1-May-73      CHARSADDA    15-Sep-92        10-Dec-99
1793   JEHAN ARA FA, CT       NOOR HASSAN                                             1-Jan-75      BUNNER       27-May-93        10-Dec-99        GGHS TOTALAI
1794   ASIA BEGUM             ISRAR UDDIN           BA II           BED               4-Apr-75      CHARSADDA    10-Dec-99        10-Dec-99
1795   GUL NAZ BEGUM          SAHIB ULLAH           BA II           BED               4-Apr-76      CHARSADDA    10-Dec-99        10-Dec-99
1796   GULI NASREEN           NAURANG KHAN          BA II           BED              13-Mar-68      CHARSADDA    10-Dec-99        10-Dec-99
1797   UZMA KOUSAR            RAHAT ULLAH           BA II           BED               8-Aug-74      CHARSADDA    10-Dec-99        10-Dec-99
1798   SHAMIM AKHTAR          ABDUR REHMAN          FA              CT               15-May-71      HARIPUR      14-Apr-96        10-Dec-99
1799   FATIMA KALSOOM,BA(2nd) SYAD BADSHAH HASSAN                                    13-Jan-75      DIR          10-Dec-99        10-Dec-99        GGHSS Sakhakot
1800   TAUHEDA ALAM           SHER ALAM             MA              B/Ed,M/Ed         1-May-76      DIR          10-Dec-99        10-Dec-99        GGHSS Takht Bhai
1801   SAIQA RAHIM            RAHIM BUKHSH          BA              MED              28-Mar-74      PESHAWAR     10-Dec-99        10-Dec-99        GGHS Gul Bahar
1802   Shahida                Shamsur Rahman        MA/Med/CT                         1-Sep-73      Swabi        10-Dec-99        10-Dec-99        GGHS Yar Hussain
1803   Fatima Bibi            Amanullah Khan        MA              B/Ed             19-Apr-73      SWAT          1-Mar-95        10-Dec-99        GGHS No/2/S/Sharif
1804   Hussan Ara             Mian Jan              MA              M/Ed             15-Apr-76      SWAT         10-Dec-99        10-Dec-99        GGHS Saidu Sharif
1805   Ruksana Rashid         Rashid Ahmad          BA              B/Ed             3-May-77       SWAT         10-Dec-99        10-Dec-99        GGHSS Odigram
1806   Nazia Tabussum         Muhammad Ullah        MA              B/Ed             30-May-77      SWAT         10-Dec-99        10-Dec-99        GGHS No/2/S/Sharif
1807   Farzana Begum          Muhammad Ali Shah     BA              CT                1-Nov-79      SWAT         10-Dec-99        10-Dec-99        GGMS Bara Bandai
1808   Gul Nasreen BA,B/Ed MA Mohammad Azam                                          14-Jun-60      Chitral       1-Nov-81        10-Dec-99        GGHS Muldeh
1809   Sultania Bibi FA       Mohammad Ishaq                                         18-Jan-69      Chitral      22-Oct-89        10-Dec-99        GGMS Jughoor
1810   NAHEED BEGUM           YAHYA KHAN            BA              BED               5-Sep-61      ABBOTTABAD    4-Sep-85        11-Dec-99        GGMS Ghumawan
1811   FOUZIA ASLAM           ISLAM UD DIN          BA              BED              20-Apr-68      ABBOTTABAD    9-Sep-86        11-Dec-99        GGMS Ghumawan
1812   MUSARAT BIBI           SHAH ZAMAN            BA              BED               4-May-69      ABBOTTABAD    1-Nov-88        11-Dec-99        GGHSS Comprehencive
1813   MUSARRAT BIBI          SHAH ZAMAN            BA              BED               4-May-69      ABBOTTABAD    1-Nov-88        11-Dec-99        GGCHSS ABBOTTABAD
Academic        Professional                                       Date of 1st   D/O Apptt against
 No.   Name of Teacher         Father's Name          Qualification   Qualification      Date of Birth   Domicile          Apptt:        Present Post      Name of School
  1                2                         3                4               5                6                 7            8               9                              10
1814   SHABNUM BIBI            M/Aslam                BA              BED                 15-May-75      ABBOTTABAD      11-Dec-99        11-Dec-99        GGHS Bandi Maira
1815   SAMINA YAQOUB           SARDAR MUHMMAD YAQUB   BA              BED                 15-Aug-70      ABBOTTABAD      11-Dec-99        11-Dec-99        GGHS Havelian Village
1816   MISS SHERAZ             GUL RAHMAN             BA II           BED                  5-Sep-73      CHARSADDA       11-Dec-99        11-Dec-99
1817   RASHIDA ANDALEEB        M/YONIS KHAN           MA/             BED/CT               3-Mar-65      D/I/KHAN        27-Nov-85        11-Dec-99        GGHS WANDA HISAM
1818   RUKHSANA SHAHEEN        ABID HUSSAIN           MA              CT BED              14-Mar-68      D/I/KHAN        25-May-93        11-Dec-99        GGHSS NO5 DIKHAN
1819   SHAKILA                 AZIZ/UR/REHMAN         MA BA 2ND DIV   BED                 15-Oct-62      HARIPUR          10-Jul-85       11-Dec-99
1820   AYESHA MUSTFA           GHULAM MUSTFA          BA              BED                 14-Sep-73      HARIPUR         11-Dec-99        11-Dec-99
1821   KHALIDA BEGUM           MUHAMMAD AYYUB         MA              MED                  4-Jan-58      HARIPUR          9-Nov-99        11-Dec-99
1822   ROBINA NAZ              MUHAMMAD/ASLAM SHAH    BA IST DIV      BED                 13-Feb-74      HARIPUR         10-Dec-99        11-Dec-99
1823   SHERAZ BIBI             MUHAMMAD ASHRAF        BA              BED                  1-Apr-69      HARIPUR          8-Dec-88        11-Dec-99
1824   Rahmat Bibi             Muhammad Dilo jan      MA              M/Ed                1-May-72       SWAT             7-Mar-95        11-Dec-99        GGMS Koza Bandai
1825   Mumlikat Bibi           Shamsul Huda Mian      BA              B/Ed                 3-Mar-73      SWAT            11-Dec-99        11-Dec-99        GGHS Madyan
1826   Kalsoom Bibi            Ghulam Mohammad        BA                                   2-Nov-80      FR Tank         12-Dec-99        12-Dec-99        GGHS Sardar Ali Kor
1827   Yasmin Taj              Taj Muhammad           MA              B/Ed                 3-Aug-69      SWAT            31-Oct-87        12-Dec-99        GGHS No/1/Mingora
1828   IFFAT BAHAR             CHAN BAHAR             BA              BED                 20-Mar-66      ABBOTTABAD       3-Nov-85        13-Dec-99        GGHSS Sherwan
1829   SAJIDA RAFIQUE          MUHAMMAD RAFIQUE       BA              BED                  3-Jan-67      ABBOTTABAD      13-Dec-99        13-Dec-99        GGMS BIGA KOT
1830   Kusar Jabeen            Amanullah              MA              Med,CT               2-Jul-75      Hangu            9-Jan-94        13-Dec-99        GGHS Bagtoo
1831   RASHIDA BIBI            SALHEEN                MA /BA 2ND      BED/Bed 2nd Div     14-Jan-69      HARIPUR         13-Dec-99        13-Dec-99
1832   KAUSAR HAKEEM           UMAR HAKEEM            BA              B/Ed                 1-Feb-76      BAJAUR AGENCY   13-Dec-99        13-Dec-99        GGMS JARRAI
1833   Farkhanda Akber         Mian Akber Khan        M/A             B/ Ed, C/T          15-Apr-77      Nowshera        13-Dec-99        13-Dec-99
1834   Saeed Tun Nisa          Fazal Karim            M/A             B/ Ed               10-Oct-72      Nowshera        13-Dec-99        13-Dec-99
1835   Shamim Akhtar           Abdul Samad            M/A             B/ Ed, M/ Ed, CT    23-Mar-70      Nowshera        13-Dec-99        13-Dec-99
1836   NOOR JEHAN              MUHAMAMD ULLAH         MA              MEd                  1-Jan-55      PESHAWAR         1-May-77        13-Dec-99        GGHS No1/ Cantt
1837   Farkhanda               Khurshid Khan          BA              B/Ed                1-May-77       SWAT            13-Dec-99        13-Dec-99        GGMS Panjigram
1838   Zakia Anjum             Abdul Wahab            BA              B/Ed                 1-Jan-75      Nowshera        13-Dec-99        13-Dec-99
1839   Shahnaz Iqbal,          Muhammad Iqbal         BA              B/Ed:               29-Jan-68      Karak           14-Jan-90        13/12/1999       GGHSS, Teri
1840   NASRIN BEGUM            MUKARAM KHAN           BA II           BED                 11-Nov-66      CHARSADDA       17-Nov-85        14-Dec-99
1841   AZRA YASMIN             ZAKIR ULLAH            BA II           BED                 27-Oct-68      CHARSADDA       14-Dec-99        14-Dec-99
1842   Shabana Bibi            Saifullah              MA              Med CT              16-Jan-76      Hangu           14-Nov-99        14-Dec-99        GGHS No,2 Hangu
1843   NIAZ PARVEEN            ABDUR RAFIQUE          MA BA 2ND DIV   MED/BEd/ 2nd div     1-Jun-76      HARIPUR         14-Dec-99        14-Dec-99
1844   ZAHIDA IQBAL            MUHAMMAD AMIN          BA              BED                  5-Feb-70      HARIPUR         30-Oct-88        14-Dec-99
1845   NAZIA BIBI              MUMTAZ HUSSAIN         MA/ BA          CT                   2-Apr-74      HARIPUR         25-Jun-97        14-Dec-99
1846   NAZIA BIBI              MUMTAZ HUSSAIN         MA              CT                   2-Apr-74      HARIPUR         25-Jun-97        14-Dec-99
1847   SHAHEENA MALIK          MALIK TAJ MUHAMMAD     BA 2ND DIV      CT                   8-Feb-62      HARIPUR         16-Mar-88        14-Dec-99
1848   SHABINA TARANUM         MOHABAT SHAH           BA              CT                   1-Feb-58      KOHAT            4-Dec-85        14-Dec-99        GGHSS BILLITANG
1849   ATTIA ALMAS             TILLA MUHAMMAD         BA              CT                  10-Aug-68      KOHAT           22-Oct-89        14-Dec-99        GGMS BANDA FATEH KHAN KHEL
1850   REHANA BEGUM            SARDAR KHAN            BA              CT                  1-May-53       KOHAT           10-Feb-87        14-Dec-99        GGMS PAF BASE
1851   Wasaf Nigar             Fazal/e/Malik          M/A             M/ Ed               14-Jan-76      Nowshera        14-Dec-99        14-Dec-99
1852   SADIQA JAMAL            SHER AHMAD             BA              BED                  5-Jan-72      PESHAWAR        14-Dec-99        14-Dec-99        GGMS SWATI GATE PESHAWAR
1853   Shafqat Rahman          Inayatur Rahman        MA/Med/CT                            1-Apr-75      Swabi            4-Mar-96        14-Dec-99        GGMS Naranjee
1854   Naseem Akhtar           Muhammad Amin          MA/Med/CT                            3-Jul-69      Swabi           14-Dec-99        14-Dec-99        GGMS Shamroz Abad Dagai
1855   Naheeda                 Bashir Muhamamd        MA/Bed/CT                           15-Feb-74      Swabi           14-Dec-99        14-Dec-99        GGHSS Lahor
1856   Nageena                 Muhammad Fayaz         MA/Med/CT                            15-Jul-75     Swabi           14-Dec-99        14-Dec-99        GGMS Bazargi
1857   Saeeda Akhtar           Juma Khan              BA              B/Ed                13-Jan-76      SWAT            14-Dec-99        14-Dec-99        GGHS No/1/Mingora
1858   Nazia Begum             Abdul Dayan            MA              M/Ed                 1-Nov-75      Nowshera        18-Jan-98        14/12/1999
1859   Kalsoom Khatoon/        Najeeb Khan/           BA/             CT                   2-Jan-72      Tank/           14-Dec-99        14/12/1999       /do/ Gara Shahbaz/
1860   MUMLIKAT BEGUM MA , BED TAJ MOHAMMAD KHAN                                           3-Jun-77      BUNNER          13-Sep-95        15-Dec-99        GGHS SHALBANDAI
Academic        Professional                                Date of 1st   D/O Apptt against
 No.   Name of Teacher         Father's Name           Qualification   Qualification   Date of Birth   Domicile       Apptt:       Present Post      Name of School
  1                  2                      3                  4               5             6                 7        8               9                            10
1861   NAZMA TABBASUM          NOOR MUHAMMAD           MA              CT                1-Dec-72      KOHAT       15-Dec-99        15-Dec-99        GGMS DHOK LATIF ABAD
1862   SHEHLA RUBY             AMIR MUHAMMAD           BA              CT                6-Mar-66      KOHAT       12-Oct-88        15-Dec-99        GGCMHS NO 3 KOHAT
1863   REFAT BEGUM, BA(2nd)    KHAISTA REHMAN                                           22-Sep-77      DIR         15-Dec-99        15-Dec-99        GGHSS Sakhakot
1864   SAMRA UMBREEN           SMI UD DIN              MA             BED               13-Apr-72      PESHAWAR    15-Dec-99        15-Dec-99        GGHS Dabgari Gate
1865   MEMOONA HABIB           HABIB ULLAH KHAN        MA             BED                2-May-75      PESHAWAR    15-Dec-99        15-Dec-99        GGHS Jogiwara
1866   SHAZIA RANI             ABDUL HAKEEM            MA             BED               19-May-77      PESHAWAR    15-Dec-99        15-Dec-99        GGMS Zaryab Colony
1867   ASMAL YASMIN            IJAZ AHMAD              MA             MEd               20-Mar-75      PESHAWAR    15-Dec-99        15-Dec-99        GGMS ASIA PARK PESHAWAR
1868   Farhat Shamim           Sahibullah              MA/Med/CT                        15-Mar-70      Swabi       21-Apr-99        15-Dec-99        GGMS Marghuz
1869   Zeenat Qadir            Abdul Qadir             BA             CT                 5-Apr-76      SWAT        15-Dec-99        15-Dec-99        GGMS Shalpin
1870   Shahzia Afzal           Sher Afzal              BA             CT                12-Feb-77      SWAT        15-Dec-99        15-Dec-99        GGHS Kokarai
1871   Shabnam Afshan,         Amir Ullah              MA             B/Ed:             15-May-71      Karak        3-Jan-90        15/12/1999       GGHS Terri/
1872   GULSHAN ARA BA, BED     HAFIZULATIF UR RAHMAN                                    13-May-62      BUNNER      26-Mar-87        16-Dec-99        GGHS CHINGLAI
1873   RUKHSANA BEGUM MA,MED   ABDUR RASHID                                              3-Apr-73      BUNNER      27-Apr-92        16-Dec-99        GCMP DAGGAR QILA
1874   MERAJ ZARI MA, MED      TABAN                                                     7-Apr-75      BUNNER      20-May-93        16-Dec-99        GGHS KOWGA
1875   Ambrina Bibi            Gul Zaman               MA                                2-Feb-81      FR Tank     16-Dec-99        16-Dec-99        GGMS Mosam Khan Kor
1876   NAGINA BIBI             MUHAMMAD AYUB           MA /BA 2ND DIV BED               30-Apr-71      HARIPUR     16-Dec-99        16-Dec-99
1877   SHABANA SHAHEEN         ABDUL QADIR KHAN        MA /BA 2ND     BED 2nd Div:      20-Nov-71      HARIPUR     16-Dec-99        16-Dec-99
1878   CHAN TAJ BEGUM          MUHAMMAD LATIF          MA             CT                12-Jan-70      HARIPUR     16-Dec-99        16-Dec-99
1879   RUQIA QADDOS            ABDUL QADDOS            BA             CT                 1-Nov-65      KOHAT       18-Sep-86        16-Dec-99        GGMS PAF BASE
1880   FARAH DEEBA             HAKIM KHAN              BA             CT                15-Mar-67      KOHAT       16-Dec-99        16-Dec-99        GGHS NO 2
1881   Neelam                  Muhammad Ashiq          M/A            B/ Ed              3-Feb-78      Nowshera    16-Dec-99        16-Dec-99
1882   AMBREEN ANNJUM          SAJID ALI SHAH          MSc            BED               18-Jun-71      PESHAWAR    16-Dec-99        16-Dec-99        GGHSS Comprehencive
1883   TAHIRA NASIM            GHULAM ZIKRIYA          MA             BED               21-Mar-74      PESHAWAR    16-Dec-99        16-Dec-99        GGMS Darmangi
1884   Farzana Begum           Said Badshah            BA/Bed/CT                         1-Jan-72      Swabi        1-Jan-98        16-Dec-99        GGHS Marghuz
1885   Parveen                 Qamruz Zaman            BA/Bed/CT                        3-May-72       Swabi       16-Dec-99        16-Dec-99        GGHS Yar Hussain
1886   Bakht Wala              Rahim Gul               MA             B/Ed              22-May-75      SWAT        16-Dec-99        16-Dec-99        GGHS Kalakalay
1887   Asmat Ara               Bakhtyar Ahmad          BA             B/Ed               4-Oct-76      SWAT          1-Jul-97       16-Dec-99        GGHS Kalakalay
1888   Rukhsana Bibi,          Muhammad Rauf Khan      MA             B/Ed:              6-Feb-76      Karak       16-Dec-99        16/12/1999       GGHS Jandari/
1889   Imrana Bibi,            Manzoor Khan            MA             B/Ed:              19-Jul-77     Karak       16-Dec-99        16/12/1999       GGHS Ghundi killa/
1890   NAHEED BEGUM MA, MED    MUHAMMAD KHAN                                            11-Dec-75      BUNNER      17-Dec-94        17-Dec-99        GGHS BAGRA
1891   ZAHIDA MA, BED          ZIARAT KHAN                                               6-May-76      BUNNER      19-Dec-94        17-Dec-99        GGHSS KALPANI
1892   Noreen Fatma            S,Mujtaba Hussain       BA             CT                10-Jan-75      Hangu       17-Dec-99        17-Dec-99        GGHS No,1 Hangu
1893   SAMINA BEGUM            ABDUL JABBAR            BA             BED                5-Dec-72      HARIPUR     10-Dec-99        17-Dec-99
1894   NAVEED FARNAZ           MUKKARAM KHAN           BA             CT                24-May-66      KOHAT        2-Nov-85        17-Dec-99        GGHS KDA
1895   DILSHAD                 SULEMAN KHAN            BA             CT                 2-Dec-69      KOHAT       17-Dec-99        17-Dec-99        GGMS KHADER KHEL
1896   NARGIS                  SARFARAZ                BA             BEd                1-Apr-62      Mansehra    12-Mar-98        17-Dec-99
1897   Almas Jabeen            Mohd:Hamayun Khan       BA             BEd               4-May-63       Mansehra    12-Mar-98        17-Dec-99
1898   Rehman Bibi             Ghaffar Khan            BA             BEd               24-Nov-71      Mansehra     2-May-98        17-Dec-99
1899   Ruqia Jabeen            Meer Zaman              BA             BEd               15-Apr-71      Mansehra    17-Dec-99        17-Dec-99
1900   NAYAB KHATOON           MUHAMMAD SIDDIQ         BSc            BED               10-Oct-65      SWABI       17-Dec-99        17-Dec-99        GGHS Islamia Collegiate
1901   GHAZALA TABASUM         TALIB MEHMOOD           MA             BED               15-Sep-68      PESHAWAR    17-Dec-99        17-Dec-99        GGMS No/1 Cantt/
1902   Shahida Yousaf          Muhamamd Yousaf         BA/Bed/CT                         13-Jul-71     Swabi       17-Dec-99        17-Dec-99        GGMS Hund
1903   Nargis Niazi            Gul Sher                MA/Bed/CT                        15-May-75      Swabi       17-Dec-99        17-Dec-99        GGHS Sard China
1904   IRUM IFTIKHAR           SYED AHMAD SHAH         BA             MED                4-Apr-75      HARIPUR     18-Dec-99        18-Dec-99
1905   IRAM BIBI               SYED AHMAD SHAH         BA             MED                4-Apr-75      HARIPUR     16-Dec-99        18-Dec-99
1906   SHAVIA NAZ              RAHM DIL                MA /BA 3RD Div MED/bed/ 2nd div  13-Mar-71      HARIPUR     18-Dec-99        18-Dec-99
1907   SEEMAB NAZIR            NAZIR KHAN              BA             CT                 1-Apr-76      KOHAT       30-May-96        18-Dec-99        GGHSS JUNGLE KHEL
Academic         Professional                                Date of 1st   D/O Apptt against
 No.   Name of Teacher      Father's Name            Qualification    Qualification   Date of Birth   Domicile      Apptt:        Present Post      Name of School
  1                  2                    3                  4                5             6                 7        8                9                             10
1908   Sarwat Sultana       Mohd:Iqbal               BA               BEd               6-Oct-72      Mansehra    13-Jun-98        18-Dec-99
1909   Naseem Akhtar        Ali Akbar                BA/Bed/CT                         16-Dec-66      Swabi        5-Sep-87        18-Dec-99        GGHSS Kotha
1910   Rasheeda Begum       Ghulam Akbar             MA/Med/CT                          1-Jan-71      Swabi       20-Feb-90        18-Dec-99        GGHSS Kotha
1911   Samina Kausar,       Abkar Khan               BA               B/Ed:            22-Sep-63      Karak       24-Nov-83        18/12/1999       GGHS Chowkara/
1912   Shafqat Ara          Hashim Khan              MA               CT                2-Oct-65      Hangu       27-Jan-90        19-Dec-99        GGHS No,2 Hangu
1913   HABIBA MUZAFFAR      MUZAFFAR DIN             BA 2ND DIV       CT                21-Jul-73     HARIPUR     19-Dec-99        19-Dec-99
1914   FATIMA BIBI          RUSTAM KHAN              BA               CT               11-Oct-73      KOHAT       20-Dec-99        20-Dec-99        GGHS NO 2
1915   GHAZALA JHANGARI     SIKANDAR KHAN            BA               BEd               7-Sep-72      Mansehra    20-Dec-99        20-Dec-99
1916   MARYAM BIBI          SALAHUD DIN              MSC              B/Ed,M/Ed        10-Apr-76      MARDAN      20-Dec-99        20-Dec-99        GGHS SHANKAR MAHAL
1917   SAFIA IQBAL          MUHAMMAD IQBAL           MA               B/Ed,M/Ed         19-Jul-76     DIR         20-Dec-99        20-Dec-99        GGHSS Takht Bhai
1918   Kaneez Fatima        Habib ur Rehman Sheikh   M/A              M/ Ed             5-Jul-64      Nowshera    20-Dec-99        20-Dec-99
1919   ZAHIDA AMNA          MUHAMMAD ABDUR REHMAN    MA               BED              15-Sep-59      PESHAWAR    20-Dec-99        20-Dec-99        GGHS No1/ Cantt
1920   Kausar Parveen       Shafiullah               MA/Edu/CT                          1-Dec-60      Swabi       22-Oct-84        20-Dec-99        GGHS Shahmansoor
1921   Farah Naz            Rahamdil                 BA/Bed/CT                          8-Sep-67      Swabi       20-Dec-99        20-Dec-99        JICA Model School Bachai
1922   Mairaj Falak(CT)BA   Badshah Muhd             BA                                 8-Feb-78      Dir (U)     24-Apr-98        21-Dec-99        GGMS, Bibyawar
1923   SHAHAD BEGUM         ABDUL RAUF KHAN          BA               CT                1-Sep-59      KOHAT        9-Jan-84        21-Dec-99        GGMS DARMALAK
1924   SHAGUFTA BANO        MOHD ILYAS               BA               BEd              30-May-70      Mansehra         f           21-Dec-99
1925   Shahnaz Begum        Fazli Rabbi              BA/Bed/CT                         29-Dec-71      Swabi       18-Feb-90        21-Dec-99        GGMS Jamal Abad
1926   Faiza Shahnaz        Bin Yamin                MA/CT                             25-Dec-71      Swabi       21-Dec-99        21-Dec-99        GGMS Ambar
1927   Sania Fida           Fida Muhammad            BA               B/Ed              2-Jan-72      SWAT        21-Dec-99        21-Dec-99        GGHS No/1/Mingora
1928   SAEEDA AKHTAR        MUHAMMAD DIN             MA /BA IST DIV   0                11-Nov-70      HARIPUR     22-Dec-99        22-Dec-99
1929   Tahira Ayub          Mohd:Ayub                BA               BEd               1-Apr-66      Mansehra    22-Dec-99        22-Dec-99
1930   Maria Syed           S/tariq Ahmaed Shah      BA               BEd              20-May-80      Mansehra     5-Apr-99        22-Dec-99
1931   Shabnam Latif        Abdul Latif              BA               BEd              2-May-67       Mansehra     5-Apr-99        22-Dec-99
1932   BIBI NAHEEMA         MOHD SALEH               BA               BEd              10-Mar-73      Mansehra     6-Apr-99        22-Dec-99
1933   MEMOONA NAZLI        MOHD SULTAN              BA               BEd               3-Feb-72      Mansehra     6-Apr-99        22-Dec-99
1934   ABIDA BIBI           MIR ZAMAN                BA               BEd               1-Jun-60      Mansehra    22-Apr-80        22-Dec-99
1935   SHAGUFTA PARWAR      MADASH KHAN              MA               B/Ed              8-Sep-71      MARdAn      22-Dec-99        22-Dec-99        GGHS PAR HOTI
1936   ZEENAT BEGUM         MUHAMMAD TAWAB           MA               B/Ed              5-Feb-75      MARDAN      22-Dec-99        22-Dec-99        GGCMHS BICKET GANJ CANAL ROAD
1937   WAZZUHA              ABDUL MAROF              BA II            BED              27-Dec-64      CHARSADDA   26-Dec-89        23-Dec-99
1938   NASREEN AKHTER       MUHAMMAD RAMZAN          MA/              BED/CT            2-Jul-73      D/I/KHAN    23-Dec-99        23-Dec-99        GGMS KAHNO KHEL
1939   memoona                                       MA                                               SWA         23-Dec-99        23-Dec-99        GGHS Wana, SWA
1940   RASHIDA AKHTER       SANGEEN KHAN             MA               CT                3-Mar-62      KOHAT        8-Jan-86        23-Dec-99        GGMS PERSHAI
1941   Bibi Shaista         Syed Habib Shah          BA               BEd              25-Mar-77      Mansehra     6-Apr-99        23-Dec-99
1942   Musrrat Begum        Mohd:Anwar               BA               BEd               6-Feb-74      Mansehra    23-Dec-99        23-Dec-99
1943   SAFIA NAZ            FAZAL QAYUM              MSc              B/Ed/M/Ed        27-May-77      MARDAN      23-Dec-99        23-Dec-99        GGMS KAUDARE CHATOO
1944   ALIA                 ABDUL QAYUM              MA               B/Ed,M/Ed        30-Apr-78      MARDAN      23-Dec-99        23-Dec-99        GGMS PARKHO DHERI
1945   NAJMA SEROSH         ALI BAHADAR              BA II            BED              20-Jan-75      CHARSADDA   24-Dec-99        24-Dec-99
1946   NOSHABA RASHID       ABDUL RASHID             BA               BEd               4-Jul-72      Mansehra    24-Dec-99        24-Dec-99
1947   BIBI AMINA           MIR GHULAM               BA               CT               1-May-70       Lakki       27-Dec-99        27-Dec-99        GGHSS TITTER KHEL
1948   NADEEMA BEGUM        JEHAN ZEB KHAN           MA               B/Ed             19-Apr-73      DIR LOWER    1-Oct-02        27-Dec-99        GGMS KAUDARE CHATOO
1949   FARMEEN AKHTAR       M AYUB                   BA               BEd              25-May-75      Mansehra    28-Dec-99        28-Dec-99
1950   Nighat Firdaus       Abdur Rehman             MA                                14-Apr-81      FR Tank     31-Dec-99        31-Dec-99        GGHS Sardar Ali Kor
1951   ALMAS ABBASI         SAD ULLAH KHAN           BA               CT                2-Apr-78      Bannu        1-Jan-00         1-Jan-00        GGHS SALEMA SIIKANDAR KHEL ISSAKI
1952   ZAHIDA PERVEEN       ABDUR REHMAN             BA/CT            BA/CT            10-Mar-60      D/I/KHAN     1-Jan-00         1-Jan-00        GGMS BABER KACHA
1953   ZATOON AKHTAR        SHAHAB UD DIN            MA               CT BED           14-Oct-67      D/I/KHAN    29-Sep-94         1-Jan-00        GGHSS PAHARPUR
1954   Muslim Begum         Faiz Talat Khan          BA (2nd)         B,ed             13-Oct-73      Dir Lower    31-Jul-92        1-Jan-00
Academic        Professional                                Date of 1st   D/O Apptt against
 No.   Name of Teacher             Father's Name         Qualification   Qualification   Date of Birth   Domicile       Apptt:       Present Post      Name of School
  1                   2                         3                4               5            6                  7        8                 9                            10
1955   SAMINA ANJUM                MIR QALAM             MA              BED               4-Oct-74      Lakki       23-Nov-94          1-Jan-00       GGHS NO/1 LAKKI
1956   SHAMIM AKHTAR               MUHAMMAD SALEEM       MA              BED              24-Apr-72      Lakki        1-Jan-00          1-Jan-00       GGHS No/ 2 Naurang
1957   ASMA BATOOL                 GHULAM MUSTAFA        BA                               3-May-78       Lakki        1-Jan-00          1-Jan-00       GGMS SERAI GAMBILA
1958   IQBAL BEGUM                 YAQUB KHAN            BA                               9-Sep-69       Lakki       28-Nov-96          1-Jan-00       GGMS ABA KHEL
1959   AZIZ JABEEN                 MUHAMMAD ZAMAN        BA                                1-Jun-75      Lakki       24-Apr-95          1-Jan-00       GGMS NASAR KHEL
1960   AKHTER NISA                 MUHAMMD AMIR          MA              BED               4-Jan-73      Lakki       24-Nov-94          1-Jan-00       GGHS TAJAZAI
1961   NAHIDA KOUSAR               NEK PARWAR SHAH       BA              B/Ed             26-Sep-66      NOWSHERA    16-Nov-85          1-Jan-00       GGCMHS BICKET GANJ CANAL ROAD
1962   MARTHA HAWELI               HAWALI MASIH          BA              BED               2-Oct-68      PESHAWAR     1-Jan-00          1-Jan-00       GGHS Civil Quarters
1963   NIGHAT FATIMA               MASOOD RAHMAN         MA              BED              28-Nov-71      MANSEHRA     6-Jan-92          1-Jan-00       GGHSS Lady Grifth
1964   NAHEED AMJAD                AMJAD NAVEED          MA              MEd               5-Mar-72      PESHAWAR     4-Aug-99          1-Jan-00       GGHS Badaber
1965   Bibi Abida                  Abdul Wahid           BA              B/Ed             9-Nov-54       SWAT         4-May-75          1-Jan-00       GGHS No/1/Mingora
1966   Fari Zada                   Dawlat Mand           BA              B/Ed              1-Apr-60      SWAT         17-Jul-84         1-Jan-00       GGMS Manyar
1967   ADEELA HAMEED               ABDUL HAMEED          MA              BED              15-Apr-76      PESHAWAR     5-Jan-00          5-Jan-00       GGHSS Lady Grifth
1968   RAZIA, FA                   SHAHZAD MIR                                            20-Mar-79      Malakand    17-Jan-00         17-Jan-00       GGHS Haryan Kot
1969   Shaista Shah                shah zaman            MA/B/ED         B/Ed              9-Jun-76      Mohmand      3-Feb-00         3-Feb-00        GGHS Subhan Khwar
1970   Izat Bibi                                                                           3-Mar-81      Bajaur       1-Mar-00         1-Mar-00        GGMS Raghagan
1971   Naila Zeb                   Mohd:Jhan Zeb         BA              BEd              20-Jun-85      Mansehra     8-Apr-99         27-Mar-00
1972   Gul Nasreen                                       BA                                              SWA          9-Apr-00          9-Apr-00       GGMS Tati Dotani, SWA
1973   RAHAT PARVEEN               GHULAM MURTAZA        MA              B/Ed,M/Ed         2-Apr-67      MARDAN      26-Aug-95         25-Apr-00       GGCMHS BICKET GANJ CANAL ROAD
1974   Kalsoom                     Abdul Hakim           M/A             B/ Ed, C/T       11-Jan-74      Nowshera    19-Nov-96         25-Apr-00
1975   SEEMAB BEGUM                MUHAMMAD SADIQ        BA              CT                1-May-61      KOHAT        2-May-92        20-May-00        GGHS NO 2 KOHAT
1976   SADIA FARID                 ARBAB FARIDULLAH      BA              BED              23-Nov-73      PESHAWAR      1-Jul-00         1-Jul-00       GGHS Tarnab Farm
1977   ZAHIDA PARVEN               HUKAM KHAN            BA              B/Ed              20-Jul-70     MARDAN      19-Mar-90        13-Sep-00        GGHS SOKAI
1978   TOSILA, BA (2nd) / B/Ed     BAKHT FOOR SHAH                                        24-Dec-82      Malakand    16-Sep-00        16-Sep-00        GGMS Piran
1979   FOUZIA BEGUM                HIZBULLAH             MA              MEd               8-Jun-76      PESHAWAR     2-Oct-00          2-Oct-00       GGHS Nishter Abad
1980   Robina Naz                  Abdul Jabbar          BA                               13-Jan-70      FR Bannu     1-Nov-00         1-Nov-00        GGHS Kotka Sher Andaz
1981   NASRIN BIBI                 ABDUS SATTAR KHAN     BSC                               1-Jan-79      Lakki       11-Jan-00         1-Nov-00        GGMS MANGALA
1982   SHAHEEN BEGUM,BA            AMEER ZADA                                             15-Jun-70      Malakand     3-Jan-00         1-Nov-00        GGHS Batkhela
1983   AMNA KALSOOM                AMANULLAH KHAN        MA              BED              15-Sep-75      PESHAWAR    16-Oct-95         1-Nov-00        GGHS No1/ Cantt
1984   Shazia Semab                Abdur Rehman          BA                               25-Aug-77      FR Tank      5-Nov-00         5-Nov-00        GGMS Hayat Khan Kor
1985   Noorin MA B/Ed              Akhtar Munir                                           25-Mar-84      Shangla     30-Nov-06        20-Nov-00        GGMS Makra puran
1986   SAJIDA BA, CT               JAMIL KHAN                                             10-Aug-77      BUNNER      30-Nov-02        30-Nov-00        GGMS DAGAI
1987   Shamshada                   Umar Khan             MA                                7-Feb-80      Bajaur      30-Nov-00        30-Nov-00        Umar Khan
1988   Reffat Naz                  akhunzada             MA Bed          B/Ed              4-Aug-75      Mohmand      1-Dec-00         1-Dec-00        GGMS Ghami Kor
1989   MEHMOOD NIJAT               ZAHIR UD DIN          MA              B/Ed,M/Ed        6-May-70       MARDAN      25/10/994         1-Dec-00        GGHS GHALLA DHER
1990   Shahana Bukhari             Hakim Khan            BA                               12-Sep-74      FR Kohat    16-Dec-00        16-Dec-00        GGMS Paya Sherabaz
1991   NAZIAT I, BA (2nd) / B/ED   FATEH KHAN                                              7-Feb-80      Malakand     1-Jan-01          1-Jan-01       GGHS DARGAI
1992   Tabassum Akhtar             Spin Bad Shah         MA              B/Ed:             4-Jan-75      Karak        3-Jan-01          3-Jan-01       GGMS Kamali Banda
1993   Kousar Jabeen/              Zaffar Khan/          BA/             CT                7-Sep-67      Tank/       14-Sep-87          7-Jan-01       /do/ No/I,Tank/
1994   Samina Khatoon              Fazal Karim           MA                               19-May-79      FR Tank     18-Jan-01         18-Jan-01       GGMS Aqal Din Kor
1995   Kalsoom Begum MA B/Ed       Abdul Wadood                                            5-Feb-83      Shangla      7-Jan-04         28-Jan-01       GGMS Kotkay Malk Khel
1996   taskeen haider              bahader Khan          MA                               31-Mar-82      Bajaur       1-Mar-01         1-Mar-01        bahader Khan
1997   Hamida                                                                              1-Jun-82      Bajaur       1-Mar-01         1-Mar-01        GGMS Ghakai
1998   NEELAM BEGUM                MAIN HIDAYATULLAH     MSc             BED               1-May-77      PESHAWAR    25-Nov-99         1-Mar-01        GGHS City Railway Station
1999   NAJMA SAHAR                 HAMID RASUL           MA              B/Ed             19-Dec-73      PESHAWAR     9-Jan-98         31-Mar-01       GGMS SURKH DHERI
2000   FALAK NAZ                   TAJDAR ALI SHAH       MA              BED               5-May-69      BANNU        9-Feb-95         31-Mar-01       GGMS Haji Banda
2001   BIBI ALIA KHATOON           SYED SAJJAD HUSSAIN   BA              CT                8-May-73      KOHAT       15-Mar-95          1-Apr-01       GGHS KHADIZAI
Academic        Professional                                 Date of 1st   D/O Apptt against
 No.   Name of Teacher         Father's Name         Qualification   Qualification    Date of Birth   Domicile       Apptt:       Present Post      Name of School
  1                  2                        3              4               5              6                 7        8                 9                          10
2002   GUL KHAISTA             NAIK MUHAMMAD         MA              B/Ed,M/Ed          1-Jun-73      DIR LOWER   28-Feb-98          1-Apr-01       GGMS KOT ISMAIL ZAI
2003   Ruqia                   Muhammad Sadiq        BA              CT                 16-Jul-72     SWAT        15-Apr-99          2-Apr-01       GGMS Sapal Bandai
2004   Rabia Bibi              Mohammad hussain      BA                                12-Mar-82      FR Tank     10-Apr-01         10-Apr-01       GGHS Kirri Wam
2005   Namkina Yousaf          Mohammad Yousaf       MA                                15-Oct-82      NWA         13-Apr-01         13-Apr-01       GGMS Noor Khan Banda
2006   NIAZO                   ALI MUHAMMAD          MA              B/Ed,M/Ed         18-May-73      MARDAN       2-Feb-01         18-Apr-01       GGHS MAYAR
2007   Shazia Aziz             aziz ur rehman        MA/B/ED         B/Ed              15-Mar-76      Mohmand     22-Apr-01         22-Apr-01       GGHS Dab Kor
2008   RUKHSANA                HABIBULLAH KHAN       MA              B/Ed               2-Feb-74      DIR LOWER    6-Apr-99         30-Apr-01       GGMS KAUDARE BALA
2009   RASHIDA, FA             BAKHT BILAND                                             1-Mar-77      Malakand     1-Oct-96         1-May-01        GGMS Matkani
2010   NOREEN                  NADIR KHAN            MA              BED                1-Feb-74      PESHAWAR    25-Oct-94         1-May-01        GGHS Gul Bahar
2011   Shazia naz                                                                       4-Feb-80      Bajaur       2-May-01         2-May-01        GGMS Pashat
2012   BALQIAS SARDAR          SARDAR ALI                            CT                 4-May-74      Lakki        6-Feb-04          2-Jun-01       GGHS Dalo Khel
2013   NASREEN BEGUM,BA(2nd)   ABDUL GHANI                                             19-Sep-62      Peshawar     1-Oct-89          1-Jul-01       GGHS Batkhela
2014   NARGIS SHAHEEN          MUHAMMAD ASHRAF       BA II           BED                1-Jan-58      CHARSADDA   29-May-90          4-Oct-01
2015   RIZWANA BIBI            SHOKAT HUSSAIN        BA              BED                 6-Jul-72     MANSEHRA      3-Jul-98         6-Oct-01       GGMS Chandu Maira
2016   Niaz Gul,               Hidayat Ullah         BA/MA           B/Ed:             16-Oct-68      Karak       26-Nov-90        13/11/2001       GGHS Ahmad Abad/
2017   Amna Alam               Fazal Haleem          BA              CT                1-May-63       SWAT        17-Sep-86         1-Dec-01        GGHS No/2/S/Sharif
2018   Zeba Anwar, BSc B/Ed    Muhabbat Khan                                            5-Jun-59      Chitral      1-Oct-78         4-Dec-01        GGHS Reshun
2019   NARGIS BEGUM            MALANG SHAH           MA            CT                  10-Apr-68      HANGU       27-Dec-99        13-Dec-01        GGMS DARMALAK
2020   Noor Jehan(CT)BA        M/Shah Haroon         BA                                 1-Jan-80      Dir (U)       8-Jul-02         4-Jan-02       GGMS, Badalai
2021   AZRA BIBI               QAZI MUHAMMAD NAWAZ   MA BA 2ND DIV MED B/ed 2nd div     6-Mar-75      HARIPUR     12-Feb-98         11-Jan-02
2022   UMMI KALSOOM BA, MED    ABDUL SALAM                                             29-Mar-81      BUNNER      12-Jan-02         12-Jan-02       GGMS KOREYA
2023   QUDSIA BANO             MUHAMMAD FAREED       MA BA 2ND DIV BED 2nd Div:          1-Jul-80     HARIPUR     28-Nov-02         12-Jan-02
2024   Nasrat Begum(CT)BA      Rafiullah             BA                                22-Apr-81      Dir (U)     15-Jan-02         15-Jan-02       GGHS, Kotkay
2025   Nagena Bibi             Talamand Khan         BA            B/Ed                30-Apr-73      SWAT        21-Mar-92         21-Jan-02       GGHS Zara Khela
2026   Salema Khan             Biladar Khan          MA            M/Ed                15-Mar-82      SWAT        19-Nov-02         1-Feb-02        GGMS Fazal Abad(D)
2027   Bibi Suhrab MA          Amir Azam Khan                                            2-Jul-75     Chitral      2-Dec-02         12-Feb-02       GGMS Charun Owir
2028   Nighat Mushtaq          mushtaq alam          BA Bed          B/Ed              15-Aug-59      Mohmand     26-Feb-02         26-Feb-02       GGMS Baz Mohammad
2029   Mst/ Nadia              Shams Khan            MA                                25-May-79      Bajaur      28-Feb-02         28-Feb-02       Shamas Khan
2030   Yasmeen Khaliq          Abdul Khaliq          BA              BEd                15-Jul-76     Mansehra     8-Apr-99         8-Mar-02
2031   Shakeela Rana/          Muhammad Nawaz        MA(BE/d)        CT                15-Apr-76      Tank/        9-Mar-95         12-Mar-02       /do/ Aslam Khan Kor:
2032   Fouzia Gul BA           Sultan Room                                              5-Feb-75      Chitral       1-Jul-97        31/3/2002       GGMS Murdan
2033   IRUM SHEHZADI           MASOOD KHAN           MA              BED               12-Jun-74      HARIPUR     18-Oct-02         11-Apr-02
2034   RASHDA SAFDAR           MUHAMMAD SAFDAR       MA              MED                7-Nov-68      HARIPUR      1-Nov-88         12-Apr-02
2035   HAFEEZA                 MUZAMAL SHAH          MA              MED               21-Feb-71      HARIPUR     26-Feb-91         12-Apr-02
2036   ZUHRA FALAK             SARFARAZ KHAN         MA              MEd               11-Aug-78      DIR LOWER   10-May-02        10-May-02        GGHS MUSA ZAI
2037   Ruqia                   Mir Mahmood           MA              B/Ed               4-Feb-73      SWAT        16-Mar-93         22-Jun-02       GGMS Baboo
2038   Rahana Yasmin           Zamrud Khan           MA                                 7-Feb-82      Bajaur      17-Aug-02        17-Aug-02        Zamrud Khan
2039   Naveed Akhtar           Kifayatullah          MA/Med/CT                          1-Jun-76      Swabi       20-Aug-02        20-Aug-02        GGHS KSK
2040   Nadia                   Shams Khan                                              25-May-79      Bajaur      28-Aug-02        28-Aug-02        GGHS Khar
2041   Robina Ahmad            Ahmad                 MA                                10-Nov-70      FR Tank     29-Aug-02        29-Aug-02        GGMS Gula Din Koroona
2042   kalsoom                                       MA                                               SWA         31-Aug-02        31-Aug-02        GGMS Abbas Khel Tangi SWA
2043   Saima Bibi              Atta Mohammad         MA                                15-Mar-82      FR Kohat     2-Sep-02         2-Sep-02        GGMS Paya Sherabaz
2044   Lubna Balqees           Mehar Din Khan        MA                                 1-Jan-80      FR Tank      2-Sep-02         2-Sep-02        GGMS Haibat Khan Koroona
2045   Naseem Naz/             Bangay Khan/          BA(BE/d)        CT                5-Mar-72       Tank/       22-Apr-99         14/9/2002       /do/ Q/Colony/
2046   Shabnum(CT)BA           Haq Nawaz Khan        BA                                15-Apr-81      Dir (U)     14-Oct-02         14-Oct-02       GGHS, Samkot
2047   Nagina Tabasum          Mohammad Saleem       BA (2nd)        B,ed              27-Apr-78      Dir Lower   15-Oct-02         15-Oct-02
2048   Nuzhat                  Abdur Razaq           BA (2nd)        B,ed              21-Apr-81      Dir Lower   15-Oct-02         15-Oct-02
Academic         Professional                                    Date of 1st   D/O Apptt against
 No.   Name of Teacher            Father's Name         Qualification    Qualification      Date of Birth   Domicile       Apptt:        Present Post      Name of School
  1                  2                          3               4                5                6                 7         8                9                            10
2049   Shazia Qamar               Qamar Zaman           BA (2nd)         B,ed                 9-Jun-77      Dir Lower    15-Oct-02         15-Oct-02
2050   Bibi Rabia                 Hamdullah             BA (2nd)         B,ed                 3-Oct-77      MKD Agency   15-Oct-02         15-Oct-02
2051   Farhat Naseem              M/Hafiz Ullah         BA (2nd)         B,ed                15-Mar-80      Dir Lower    15-Oct-02         15-Oct-02
2052   Alia Begum                 Bakhat Muneer         BA (2nd)         B,ed                16-Jun-75      Dir Lower    22-Nov-94         15-Oct-02
2053   Nighat Iqbal               Muhammad Iqbal        BA (2nd)         B,ed                25-Oct-79      Dir Lower    15-Oct-02         15-Oct-02
2054   Kalsoom Khurshid           Khurshid Ahmad        B,SC(2nd)        B,ed                 5-Jan-82      Dir Lower    15-Oct-02         15-Oct-02
2055   Safina Begum               Mohd Karim            BA (2nd)         B,ed                 1-Jan-82      Dir Lower    15-Oct-02         15-Oct-02
2056   Nadia Ghani                Abdul Ghani Khatak    BA (2nd)         B,ed                 2-Nov-77      Dir Lower    15-Oct-02         15-Oct-02
2057   Musarat Begum              Sher Mohd Khan        BA (2nd)         B,ed                 6-Jun-77      Dir Lower    15-Oct-02         15-Oct-02
2058   Riasat Begum               Ghazi Khan            BA (2nd)         B,ed                 8-Oct-71      Dir Lower    13-Jun-95         15-Oct-02
2059   Azmat Ara                  Amir Rahman           BA (2nd)         B,ed                 5-Aug-84      Dir Lower    15-Oct-02         15-Oct-02
2060   Ruhida (CT)MA,BED          Mirdad Khan           MA               B,ed                15-Feb-77      Dir (U)      15-Oct-02         15-Oct-02       GGHS, Wari
2061   Bibi Zainab(CT)BA          Nik Muhd              BA                                   25-May-77      Dir (U)      15-Oct-02         15-Oct-02       GGMS, Akhagram
2062   Naveeda Begum(CT)MA        Bacha Khan            MA               B,ed                 4-Mar-80      Dir (U)      15-Oct-02         15-Oct-02       GGMS, Akhagram
2063   Fukraj(CT)MA,BED           Yar Muhd              MA               B,ed                14-Mar-82      Dir (U)      15-Oct-02         15-Oct-02       GGHS, Wari
2064   JAMILA HASSAN, MA / B/Ed   HASSAN KHAN                                                15-May-78      Malakand     15-Oct-02         15-Oct-02       GGHS Kharkai
2065   KALSOOM NOOR               NOOR MUHAMMAD KHAN    MA               B/Ed                 2-Jan-76      DIIR          4-Dec-95         15-Oct-02       GGMS JARRAI
2066   RABIA TABASSUM             M/NAZEER              BA               BED                 17-Apr-80      ABBOTTABAD   16-Oct-02         16-Oct-02       GGMS Sultan PUR
2067   RIZWANA BIBI               AFSAR                 BA               BED                  2-Jan-78      ABBOTTABAD   16-Oct-02         16-Oct-02       GGHS Keri Raiki
2068   RABIA BIBI                 KHANIZAMAN            BA               BED                  3-Dec-79      ABBOTTABAD   16-Oct-02         16-Oct-02       GGHS Sumandar Katha
2069   JAMILA FAZAL               FAZAL URRREHMAN       BA               BED                 30-Mar-80      ABBOTTABAD   16-Oct-02         16-Oct-02       GGMS Bagan
2070   Atia Zeb,BA(2nd)           JEHAN ZEB KHAN                                             20-Oct-79      DIR          16-Oct-02         16-Oct-02       GGHSS Sakhakot
2071   Bakht Bena                 Muhammad Ibrahim      MA               B/Ed                10-Apr-80      SWAT         18-Oct-02         18-Oct-02       GGMS Rahim Abad
2072   MEHR/UN/NISA               MUHAMMAD MISRI KHAN   MA/BA 2nd Div    MED/BEd/ IST div     3-Nov-75      HARIPUR      19-Oct-02        19/10/2002
2073   NISBA SHAHEEN              M FAIZ KHAN           MA /BA 3RD Div   BED 2nd Div:         6-May-72      HARIPUR      18-Oct-02        19/10/2002
2074   NABEELA GUL                SABIR KHAN            BA IST DIV       CT                  18-Apr-74      HARIPUR      19-Oct-02        19/10/2002
2075   SAMREEN BIBI               GULFARAZ KHAN         BA 2ND DIV       CT                  23-May-81      HARIPUR      19-Oct-02        19/10/2002
2076   KOUSAR BIBI                IMDAD HUSSAIN SHAH    MA BA 2ND DIV    BED                 28-Feb-80      HARIPUR      29-Apr-99        19/10/2002
2077   IRUM JABEEN                SYED ZAKIR HUSSAIN    MA BA 2ND DIV    BED                 25-Mar-79      A/ABAD       16-Oct-02        20/10/2002
2078   NADIA RASHEED              ABDUL RASHEED         MA /BA 2ND DIV   MED                 15-Aug-78      HARIPUR      21-Oct-02        21/10/2002
2079   NIGHAT PARVEEN             KALA KHAN             MA BA 2ND DIV    BED                  2-Jan-79      HARIPUR      18-Oct-02        21/10/2002
2080   FARZANA SHAHEEN            MUHAMMAD ASLAM        MA/BA 2nd Div    CT                   8-Apr-74      HARIPUR      21-Oct-02        21/10/2002
2081   FARRAH NAZ                 ABDUL QAYYUM          MA /BA 2ND       BED 2nd Div:         5-Jan-75      HARIPUR      22-Oct-02        22/10/2002
2082   TAHIRA JABEEN              MANZOOR ELAHI         MA /BA           BED                  4-Jan-78      HARIPUR      11-Jun-96        22/10/2002
2083   SHAZIA GUL                 AZIZ/UR/REHMAN        BA 2ND DIV       CT                  12-Jun-76      HARIPUR      23-Oct-02        23/10/2002
2084   BUSHRA JABEEN              MIAN DAD              BA               BED                 30-Apr-79      ABBOTTABAD   26-Oct-02         26-Oct-02       GGMS Ali Abad
2085   NAZIA KHANAM               M/YAQUIB              BA               BED                  8-Feb-77      ABBOTTABAD   29-Oct-02         29-Oct-02       GGMS NAMAL
2086   BALQIS ANWAR               NAQIB ULLAH KHAN      MA               BED CT               3-Oct-74      Bannu        28-Mar-95         1-Nov-02        GGHS NAR SHAKRULLAH BANNU
2087   SAEEDA BIBI                UMAR HAYAT            MSC                                  10-Jan-78      Lakki        11-Jan-02         1-Nov-02        GGHS NO/3 LAKKI
2088   NAHEED BEGUM               ZARDAD KHAN           MA               MED                 14-Sep-77      Lakki        11-Jan-02         1-Nov-02        GGHS No/ 1 Naurang
2089   GUL REHANA                 SAADULLAH KHAN        MA               BED                 10-Dec-79      Lakki        11-Jan-02         1-Nov-02        GGHS Sardar Maidad Khel
2090   SHAMSHAD BEGUM             ALI MARJAN            MA               MED                 15-Apr-70                   11-Jan-88         1-Nov-02        GGHS Sardar Maidad Khel
2091   MEHRAUN NISA               ABDUL GHAFAR          BA                                   11-Oct-78      Lakki         7-Jan-97         1-Nov-02        GGMS NASAR KHEL
2092   FARKHANDA YASEEN           MUHAMMAD YASMIN       BA                                    4-Feb-78      Lakki         7-Jan-97         1-Nov-02        GGMS BAIST KHEL
2093   Zakia Bibi                 Samad Khan            BA                                   20-Mar-83      FR Tank       6-Nov-02         6-Nov-02        GGHS Jandola
2094   Samia                      Sabz Ali              MA               B/Ed                10-May-80      SWAT         12-Nov-02        12-Nov-02        GGMS Afsar Abad
2095   Nadia Tabasum              Rozi Khan             BA               CT                   5-Oct-80      SWAT         12-Nov-02        12-Nov-02        GGHS No/2/S/Sharif
Academic        Professional                                Date of 1st   D/O Apptt against
 No.   Name of Teacher         Father's Name         Qualification   Qualification   Date of Birth   Domicile      Apptt:        Present Post      Name of School
  1                   2                       3              4               5             6                 7       8                 9                            10
2096   Begum                   Muhammad Pervish      MA              B/Ed              1-Feb-74      SWAT         9-Sep-95        14-Nov-02        GGMS Jambil
2097   Majida                  Abdul Hassan          BA              B/Ed             18-Feb-70      MKD         12-Nov-95        15-Nov-02        GGHS Aboha
2098   Almas                   Sher Muhamamd         MA              B/Ed             16-Jan-79      SWAT        12-Nov-02        19-Nov-02        GGMS Gogdara
2099   Gulshan Ara             M, Miraj              MSc             Bed CT            3-Jan-73      Hangu       25-Nov-02        20-Nov-02        GGHS No,1 Hangu
2100   Niala Laiq              Laiq Din              FA              CT                1-Jan-75      Hangu       21-Nov-02        20-Nov-02        GGHS Thall
2101   S,Arshe Zuhra           S,Sabte Hussain       BA              CT               24-Mar-77      Hangu       28-Jun-97        20-Nov-02        GGMS Lodhi Khel/
2102   Shagufta Khan           Bakhtpur              BA                                1-Jan-82      Bajaur      21-Nov-02        21-Nov-02        Bakhtpur
2103   Naeem Fatma             Bad Shah Ali          MA              Bed CT           11-Dec-70      Hangu       10-Apr-89        21-Nov-02        GGHS No,1 Hangu
2104   Rozina Ashraf           M,Ashraf              BA              CT               5-May-75       Hangu       21-Nov-02        21-Nov-02        GGMS Mardu Khel,
2105   Fozia Waris             Waris Khan            MA              Bed CT           25-Mar-76      Hangu       22-Feb-95        21-Nov-02        GGMS Warsta Keley
2106   Nik Zana                Naqi Ghulam           MA              Bed CT           13-Mar-77      Hangu       21-Nov-02        21-Nov-02        GGHS No,1 Hangu
2107   Bibi Tehsin Fatma       Ijaz ul Hassan        BA              Bed CT            3-Oct-78      Hangu       11-Jan-02        21-Nov-02        GGHS No,1 Hangu
2108   Mehnaz Bibi             Muhd: Zbair           BA              CT                4-Jan-80      Hangu       24-Apr-99        21-Nov-02        GGHS Togh Sarai
2109   Ravia Mureed            Mureed Shah           MA              CT               20-Aug-81      Hangu       21-Nov-02        21-Nov-02        GGHS Bagatoo
2110   Bente Omees             Mir Alam Shah         MA              Med CT            4-Jan-70      Hangu       22-Nov-02        22-Nov-02        GGHS Ibrahimzai
2111   Husne Zuhra             Khurshid Anwar        BA              CT               28-Feb-82      Hangu       22-Nov-02        22-Nov-02        GGHS Ibrahimzai
2112   Mehnaz Zia              Zia ul Haq Zia        BA              BEd               27-Jul-79     Mansehra    22-Nov-02        22-Nov-02
2113   NAIMA NARGIS            NAWAR KHAN            BA              BED              16-Apr-76      Peshawar    23-Nov-02        23-Nov-02        GGMS DANNAH
2114   Arjumand Shaheen        Said Rahman           MA/CT                            17-Jan-76      Swabi       23-Nov-02        23-Nov-02        GGCMHS Swabi
2115   Rabia Begum             Atteequr Rahman       MA/Bed/CT                         1-Mar-77      Swabi       23-Nov-02        23-Nov-02        GGHS Panj Pir
2116   Tahira Naz              Afrid Khan            MA/Bed/CT                         8-Feb-81      Swabi       23-Nov-02        23-Nov-02        GGMS Pehoor Hemlet
2117   Seema                   Muhamad Yaqoob Shah   BA/Bed/CT                         3-Feb-78      Swabi       25-Nov-02        25-Nov-02        GGHS Sudher
2118   Nizakat Bibi            Sher Ali Khan         BA              CT                6-Apr-81      SWAT        25-Nov-02        25-Nov-02        GGMS Qambar
2119   Azra Khan               Mauwas Khan           BA/Bed/CT                         6-Mar-75      Swabi       26-Nov-02        26-Nov-02        GGMS Shamroz Abad Dagai
2120   Nijat Begum             Hidayat Ullah         MA/Med/CT                         2-Sep-78      Swabi       26-Nov-02        26-Nov-02        GGMS Rafiq Abad
2121   Naheed                  Mughal Baz            MA              CT               20-Jun-77      SWAT        26-Nov-02        26-Nov-02        GGHS Chamtalai
2122   Shazia Begum            Shah Jehan            MA/CT                             6-Feb-78      Swabi       27-Nov-02        27-Nov-02        GGCMHS Swabi
2123   Farida Sardar           Muhammad Sardar       MA/Bed/Ct                         6-Aug-78      Swabi       27-Nov-02        27-Nov-02        GGHSS Topi
2124   BUSHRA BIBI             QUDURULLAH            BA              BEd               1-Jul-74      Mansehra     8-Apr-99        28-Nov-02
2125   Shazia Salim            Muhammad Salim        MA/Bed/CT                        16-Oct-79      Swabi       28-Nov-02        28-Nov-02        GGMS Marghuz
2126   FARHA NELUM             MOHD SULEMAN          BA              BEd              27-Apr-64      Mansehra     8-Apr-99        29-Nov-02
2127   Zahida Jabeen/          Surat Khan/           MSc(BE/d)       CT                1-Jul-77      Tank/       29-Nov-02        29/11/2002       /do/ Darraki/
2128   JAN PERVAIZ FA, CT      NISAR AHMAD                                             7-Apr-76      BUNNER      30-Nov-02        30-Nov-02        GGHS KRAPA
2129   KALSOOM BIBI MA, CT     SYED RAHIM SHAH                                        11-Nov-73      BUNNER      30-Nov-02        30-Nov-02        GGHSS PACHA KALAY
2130   SAQUA KHAN BA, CT       M/ ZAMAN KHAN                                           1-Nov-76      BUNNER      30-Nov-02        30-Nov-02        GGHS TOPAI
2131   SALMA BA, BED           SAID QAMAR                                              1-Aug-80      BUNNER      30-Nov-02        30-Nov-02        GGMS SOWARI
2132   NIZAKAT BEGUM BA, BED   MUHAMMAD HAKIM                                          1-Feb-81      BUNNER      30-Nov-02         1-Dec-02        GGHS BATANAI
2133   Fuzia Gul               Meher Rahman          MA/Med/CT                        13-Sep-71      Swabi        2-Dec-02         2-Dec-02        GGHSS Topi
2134   REHANA TANVEER          ABDUL AZIZ            MA              CT               25-Mar-71      KOHAT       20-Feb-95         3-Dec-02        GGHS TAPPI
2135   SHABEENA HUSSAIN        MUHAMMAD HUSSAIN      MA              CT               12-Mar-73      KOHAT       21-Feb-95         3-Dec-02        GGHSS JUNGLE KHEL
2136   Jehan Begum             Talimand              MA              M/Ed              3-Mar-71      SWAT        14-Dec-02        14-Dec-02        GGHS Bahrain
2137   SAMINA KARIM            FAZAL KARIM           MA              CT                1-Jan-68      KOHAT       22-Nov-90        19-Dec-02        GGHSS BABRI BANDA
2138   BILQEES ARA             SADULLAH KHAN         MA              CT                2-Apr-77      KOHAT        7-Apr-99        22-Dec-02        GGHSS BABRI BANDA
2139   BIBI SAMINA             JUNAB SHAH            MA              CT                5-Oct-77      KOHAT       23-Dec-02        23-Dec-02        GGHS KERI SHEIKHAN
2140   SAEEDA MA, BED          MIRAN SHAH                                              4-Apr-75      BUNNER      15-May-93         6-Jan-03        GGMS KOREYA
2141   NASREEN BEGUM MA, MED   BAKHT MARAJ                                            10-May-76      BUNNER      13-Sep-95         6-Jan-03        GGMS ELAI
2142   TAZKIRA MA, MED         FAZAL HALIM                                             5-Jun-77      BUNNER      23-Aug-96         6-Jan-03        GGMS DAGGAR
Academic         Professional                                 Date of 1st   D/O Apptt against
 No.   Name of Teacher       Father's Name             Qualification    Qualification   Date of Birth   Domicile       Apptt:        Present Post      Name of School
  1                2                       3                   4                5             6                 7         8                 9                         10
2143   NUSRAT MA, BED        KHAN ZADA                                                    4-Aug-79      BUNNER       30-Jun-97          6-Jan-03       GGHSS KALPANI
2144   NAZIA MA, BED         FAZAL RABBI                                                  1-Jan-79      BUNNER        16-Jul-99         6-Jan-03       GGHS BAGRA
2145   SHAHEEN FA, CT        MEHRAN SAID                                                  6-Jan-81      BUNNER        6-Jan-03          6-Jan-03       GGMS DAGGAR
2146   GUL NAZ SALEEM        MUHAMMAD SALEEM           MA               BED              15-Dec-80      PESHAWAR      9-Jan-03          9-Jan-03       GGMS Sheikh Mohammad
2147   KIRAN JAMEEL          MUHAMMAD JAMEEL KHAN      BA               BED              24-Aug-79      MANSEHRA     11-Jan-03         11-Jan-03       GGMS PALOSI MAGHDARZAI
2148   SHAHNAZ BIBI          LAL KHAN                  BA               BED              29-Jan-78      ABBOTTABAD   12-Jan-03         12-Jan-03       GGHS Sial Kote
2149   REHMAT NOOR           S/ZAHOOR HUSSAIN SHAH     MA//BA 2nd Div   BED 2nd Div:      4-Feb-71      HARIPUR       4-Mar-90         12-Jan-03
2150   NASREEN BGUM MA, CT   NOOR HASSAN                                                  3-Jan-78      BUNNER       24-Aug-96         6-Feb-03        GGHS PANJTAR
2151   KAUSAR BIBI           MUHAMMAD KHALID HUSSAIN   BA/              BED/CT            1-Sep-70      D/I/KHAN     22-Oct-88         12-Feb-03       GGHS NO/ 3 DIKHAN
2152   SHAILA NAEEM          NAEEM JAN                 MSc              BED               2-Feb-80      PESHAWAR      3-Mar-03         3-Mar-03        GGHS Urmar payan
2153   BUSHRA YOUNIS         MUHAMMAD YOUNIS           BA               BED               7-Apr-76      ABBOTTABAD    4-Mar-03         4-Mar-03        GGMS Pawa
2154   REKHMINA BA, CT       SHAMSUL                                                     3-May-75       BUNNER        3-Mar-93         5-Mar-03        GGMS ELAI
2155   SHIRAZ AKHTAR         MIRZA KHAN                BA              BED                1-Dec-73      ABBOTTABAD   12-Mar-03         12-Mar-03       GGCMS Nawanshehr
2156   NADIA IRAM            MUZAFFAR KHAN             BA              BED                5-Jan-78      ABBOTTABAD   12-Mar-03         12-Mar-03       GGMS BHURAJ
2157   SHAMIM BIBI           SYED AGHA JAN             MA / BA 2ND DIV BED 2nd Div:      11-Apr-69      HARIPUR       3-Dec-03         12-Mar-03
2158   RUKHSANA SHAHEEN      MUHAMMAD SADIQ            MA              CT                16-Mar-71      HARIPUR      23-Sep-89         12-Mar-03
2159   Bibi Munira MA M/Ed   Sher Nawaz                                                  28-Oct-75      Chitral       1-Nov-95         23-Mar-03       GGHS Barenis
2160   NUZHAT SHAHEEN        MEHDI HUSSAIN             BA               BED              19-May-72      ABBOTTABAD    4-Jan-96         31-Mar-03       GGHS Bagnotar
2161   ROOBINA SHAHEEN       NISAR AHMAD               BA               MEd               4-Feb-65      MARDAN        1-Jan-86         31-Mar-03       GGMS PALOSI MAGHDARZAI
2162   LUBNA TAUHEED         SAID QAMRISH              MA               B/Ed,M/Ed        27-Feb-77      MARDAN        1-Jan-00         11-Apr-03       GGHSSSHAHDHAND
2163   KALSOOM               ABDUL HAMID               BA               BED               9-Feb-78      ABBOTTABAD   12-Apr-03         12-Apr-03       GGCMS A/Abad (NO/1)
2164   MALKA TAJ             TAJ MUHAMMAD              BA               BED              26-Oct-72      ABBOTTABAD   12-Apr-03         12-Apr-03       GGMS Kiayla
2165   FOZIA SHAHEEN         WALIYA KHAN               BA               BED               4-Dec-79      ABBOTTABAD   12-Apr-03         12-Apr-03       GGMS Mohri Bed Bhen
2166   IFFAT ARA             SHAH PASAND               MA               B/Ed,M/Ed         1-Jan-77      MARDAN       12-Apr-03         12-Apr-03       GGHS QASMI
2167   ZAKIRA                IMAMBAD SHAH              MA               B/Ed             7-May-77       MARDAN       12-Apr-03         12-Apr-03       GGHS MADAY BABA
2168   SHABNAM ARA BIBI      SHAH PASAND KHAN          MSc              B/Ed,M/Ed         4-Jan-78      MARDAN       18-Apr-03         18-Apr-03       GGHS ALO
2169   Yasmeen Begum,        Zeenat Gul                BA/MA            M/Ed:             1-Jan-74      Karak        12-Sep-95        21/04/2003       GGHS, Ghundi Killa
2170   Nasreen Akhtar,       Khan Wali                 BA/BA            B/Ed:             22-Jul-75     Karak        31-Oct-96        21/04/2003       GGHS, Mitha Khel
2171   Fahmida Akhtar        Yaqoob Khan               MSC              B/Ed:             6-Jan-77      Karak        21-Apr-03        21/04/2003       GGMS Odin Shah
2172   Nasreen Gul,          Gul Janan                 MA               B/Ed:            10-Dec-77      Karak         3-Oct-96        21/04/2003       GGHS Chowkara/
2173   Haroon Asma           Banarus Khan              MA               B/Ed:             4-Oct-76      Karak        31-Oct-96        22/04/2003       GGMS Tarkha Koi
2174   Janat Ara             Umar Daraz                MA               B/Ed:            20-Apr-75      Karak        22-Apr-03        22/04/2003       GGMS Tanga Zanai
2175   Safia                 sher badar                MA Bed           B/Ed             20-Mar-81      Mohmand      23-Apr-03         23-Apr-03       GGMS Azim Kor
2176   Khalida Aziz          Aziz ur Rehman            MA               B/Ed:            25-Apr-71      Karak         1-Jan-90        28/04/2003       GGMS Jatta Ismail Khel
2177   Khurshid Begum/       Mehrbaz Khan/             F/A /            CT               10-May-54      Tank/         8-Oct-76         8-May-03        GGHS: Ama Khel/
2178   Hayat BiBi/           Taj Muhammad/             BA/              cT                1-Sep-59      Tank/        10-Nov-77         8-May-03        /do/   Ama Khel/
2179   Samina Bibi           Shah Wali Shah            MA                                 1-Jan-82      FR Tank      10-May-03        10-May-03        GGHS Jandola
2180   FARIDA KHANAM FA, CT  ABDUL WAHID                                                 18-Dec-72      BUNNER       25-Apr-92        30-May-03        GGMS SOWARI
2181   SUBAILA NAZ MSC, BED  MOHAMMMAD SHIREEN                                           16-Apr-75      BUNNER       10-Mar-93        30-May-03        GGMS DAGAI
2182   HAMIDA BEGUM BA, BED  MIR GHULAM                                                   5-Mar-77      BUNNER       10-Sep-95        30-May-03        GGHS CHINGLAI
2183   NASEEM AKHTAR FA, CT  SHAH ZAMAN KHAN                                             10-Mar-77      BUNNER       25-Aug-96        30-May-03        GGHSS PACHA KALAY
2184   SHEEMA HARAM FA, CT   DAWOOD KHAN                                                  5-Apr-78      BUNNER       25-Aug-96        30-May-03        GGHSS PACHA KALAY
2185   WAHEEDA MA, BED       MIR MUHAMMAD                                                 1-Jan-73      BUNNER       30-May-03        30-May-03        GGMS SOWAWAI
2186   PAIMAN BEGUM MA,BED   S/ABDUR RASHID                                               1-Apr-75      BUNNER       22-May-93        31-May-03        GGMS DEWANA BABa
2187   PARVEN SHAHEN MA,MED ABDUR RASHID                                                  1-Apr-76      BUNNER       10-Sep-95        31-May-03        GGMS SURA
2188   MAJABEN ZAHIR ME,MED KASHMALAY                                                    12-Dec-71      BUNNER       28-Dec-89          1-Jun-03       GCMP DAGGAR QILA
2189   SHAGUFTA JABEN MA,MED KHALIQ DAD                                                   4-Apr-79      BUNNER       30-Aug-97          1-Jun-03       ADO CIRCLE MIRZAKAY
Academic        Professional                                  Date of 1st   D/O Apptt against
 No.   Name of Teacher          Father's Name          Qualification   Qualification   Date of Birth   Domicile        Apptt:        Present Post      Name of School
  1                 2                          3               4               5             6                 7          8                9                          10
2190   RAZIA BIBI MA,MED        SAID BASHAR                                              1-Jan-80      BUNNER        19-May-98         1-Jun-03        GGHS KRAPA
2191   SHAKIRA BIBI BA,BED      FARIDUL HAQ                                             19-Apr-83      BUNNER         1-Jun-03         1-Jun-03        GGMS SURA
2192   Noor Mahal               Amir Hatam             BA              B/Ed             25-May-60      SWAT           2-Nov-80         1-Jun-03        GGMS Shaheen Abad
2193   SHAHIDA PARVIN, BA       FAQIR UR REHMAN                                         21-Feb-75      Malakand      25-Nov-96         1-Aug-03        GGMS GHUNDO BALA
2194   Anwaz Bibi BA B/Ed       Sher Alam Khan                                            1/3/967      Chitral       22-Apr-85         4-Aug-03        GGHS Reshun
2195   FOZIA KHATIOON           ABDUL QAYYUM qureshi   BA 2nd DIV      BED               9-Apr-70      HARIPUR       17-Dec-99         6-Aug-03
2196   FALAK NAZ                GUL DAD                MA/             BED/CT            6-Apr-69      D/I/KHAN       9-Jan-96         1-Sep-03        GGHS GARAH ASHIQ
2197   Mehad Begum              akhun zada             BA/B/ED         B/Ed             11-Oct-76      Mohmand        1-Sep-03         1-Sep-03        GGMS Navi Killi
2198   Sarwat                   khalil ur rehman       MA/CT                             2-Jun-79      Mohmand        1-Sep-03         1-Sep-03        GGMS Imdad Ullah
2199   Robina Alam              said alam              MA/B/ED         B/Ed              3-Jan-79      Mohmand        1-Sep-03         1-Sep-03        GGMS Navi Killi
2200   khalida Begum            sher zada              BA/B/ED         B/Ed             20-Mar-82      Mohmand        1-Sep-03         1-Sep-03        GGMS Hamid Khan
2201   Haleem Bibi              muhammad anwar         BA/B/ED         B/Ed             13-Jun-77      Mohmand        1-Sep-03         1-Sep-03        GGMS Umar Kor
2202   Husna                    Saidullah Khan         BA                                2-Feb-76      FR Peshawar    1-Sep-03         1-Sep-03        GGMS Khanzada
2203   Tilat Alam               Alam Khan              MA                                6-Jan-77      Khyber         1-Sep-03         1-Sep-03        GGMS Sur Kamar
2204   Zahida                                          MA                                              SWA            1-Sep-03         1-Sep-03        GGMS Nazari Nar SWA
2205   Syeda hasina                                    MA                                              SWA            1-Sep-03         1-Sep-03        GGHS Dab Kot SWA
2206   Alia jaleel                                     MA                                              SWA            1-Sep-03         1-Sep-03        GGHS Wana, SWA
2207   Amina Gul                Ajab Gul               BA                               11-Jan-78      Mohmand        1-Sep-03         1-Sep-03        GGHSS Ghallanai
2208   Nehayat                  Muahammad Wali         MA                               10-Apr-83      Bajaur         1-Sep-03         1-Sep-03        Muhammad Wali
2209   Asmat Bibi                                                                        2-Jun-83      Bajaur         1-Sep-03         1-Sep-03        GGMS Civil Colony Khar
2210   Hamida Bibi              Sultan Khan            BA                               20-May-84      FR Tank        1-Sep-03         1-Sep-03        GGHS Jandola
2211   Ruqia                    adalat sher            BA Bed          B/Ed             15-Apr-84      Mohmand        2-Sep-03         2-Sep-03        GGMS Ghami kor
2212   Taj Bina Kausar          Gul Nawaz              BA                                5-Feb-80      FR Tank        2-Sep-03         2-Sep-03        GGMS Mosam Khan Kor
2213   Nazia Bibi               Ghani Khan             MA                               14-May-78      Bajaur         7-Sep-03         7-Sep-03        Ghani gul
2214   Nouraj Begum             Syed rehman            BA                                7-Apr-85      NWA            9-Sep-03         9-Sep-03        GGMS Sardar Ali Kot
2215   KAUSAR SHAHEEM BA, BED   MIAN SANAULLAH                                           1-Apr-69      BUNNER         1-Sep-90        11-Sep-03        GGMS ANGHAPUR
2216   Zubida Akhtar            Gul Nawar Khan         MA                               18-Jan-81      NWA           11-Sep-03        11-Sep-03        GGMS Azad Pir Kot NWA
2217   Syeda Rukhsana Bibi      Syed Mazhar Haq        MA                                5-Apr-77      FR Tank       11-Sep-03        11-Sep-03        GGMS Haibat Khan Koroona
2218   SHAFIA B/A, CT           AZIZUR RAHMAN                                           29-Sep-81      BUNNER        15-Sep-03        15-Sep-03        GCMP DAGGAR QILA
2219   Farida Bibi              Muhammad Sultan        MA                                4-Apr-78      Bajaur        15-Sep-03        15-Sep-03        Muhammad Sultan
2220   FATIMA BA, CT            FAZAL MAULA                                             14-Mar-76      BUNNER        13-Sep-95        16-Sep-03        GGMS BATAI
2221   NIZAKAT BEGUM MA, BED    SAID MUHAMMAD                                            8-Oct-74      BUNNER        12-Sep-99        16-Sep-03        GGHS TOTALAI
2222   Nadia Naz                Aziz/ur/Rehman         BA                                6-Jan-80      FR Tank       17-Sep-03        17-Sep-03        GGHS Darazinda
2223   FARZANA                  MALAK ZAD              MA              BED CT           21-Nov-72      Bannu         26-Jun-97         1-Oct-03        GGHSS BANNU CITY
2224   Shakila Nasreen          Mohammad Aslam         BA                                1-Oct-73      FR Tank        1-Oct-03         1-Oct-03        GGHS Darazinda
2225   Shabnum Ambreen          Umer Daraz             MA                                1-Oct-80      FR Tank        1-Oct-03         1-Oct-03        GGHS Darazinda
2226   NUSRAT PERVEEN           SHERULLAH KHAN         BA              B/Ed,M/Ed         9-Mar-73      MARDAN        20-Sep-98         1-Oct-03        GGHS LUND KHAWAR
2227   Gul Naz Bibi             Yousaf Khan            MA                               20-Mar-81      NWA           14-Oct-03         14-Oct-03       GGMS Aman Ullah Jan Kot
2228   SAMINA BIBI              RUSTAM KHAN            B/SC 2ND        BED 2nd Div:      1-Jan-80      HARIPUR       18-Oct-03        18/10/2003
2229   Azra Begum               sardar khan            MA/B/ED         B/Ed              1-Jan-75      Mohmand       23-Oct-03         23-Oct-03       GGHS Dab Kor
2230   TABASUM JABEEN           ABDUL GHAFFAR          BA              BEd              10-Feb-73      Mansehra      23-Oct-03         23-Oct-03
2231   Tehmina Naz              Mohammad Rafiq         MA              CT                2-Apr-75      Mansehra      24-Oct-03         24-Oct-03       GGMS Thakote
2232   BIBI SAJIDA              ABDUL RASHID           BA              BEd              10-Apr-76      Mansehra      24-Oct-03         24-Oct-03
2233   TABSUM JABIN             ABDUL GHAFAR           BA              BEd              10-Feb-73      Mansehra      24-Oct-03         24-Oct-03
2234   RAHEELA NASHEEN          GHULAM MUHAMMAD        MA/             BED/CT            2-Oct-76      D/I/KHAN       5-Nov-03         5-Nov-03        GGHS NO7 DIKHAN
2235   Farhat Niaz                                     MA                                              SWA           10-Nov-03        10-Nov-03        GGMS Touda China SWA
2236   NAFEESA JAVED            JAVAID AKHTAR          BA              BED               1-Apr-74      ABBOTTABAD    17-Nov-03        17-Nov-03        GGMS Phallah
Academic        Professional                                    Date of 1st   D/O Apptt against
 No.   Name of Teacher          Father's Name         Qualification   Qualification      Date of Birth   Domicile       Apptt:        Present Post      Name of School
  1                  2                        3               4               5                6                 7         8                9                         10
2237   SAMINA BIBI MA, BED      HAIDAR ALI                                                30-Nov-70      BUNNER       24-Apr-92        27-Nov-03        GGMS PACHA KALAY
2238   Naseera begum            Ali Asghar            BA              BEd                 18-Apr-76      Mansehra     17-Dec-99        27-Nov-03
2239   NADIA AMJAD              M/ IQBAL              BA              BED                  1-Apr-79      ABBOTTABAD    3-Dec-03         3-Dec-03        GGHS Kunj
2240   SOBIA NOREEN             SULTAN KHAN           BA              BED                  8-Jun-72      ABBOTTABAD    3-Dec-03         3-Dec-03        GGJICA MODEL MIRPUR
2241   SOFIA KHANUM             AZIZ KHAN             BA              BED                 14-Jan-64      ABBOTTABAD   23-Oct-86         4-Dec-03        GGCMS A/Abad (NO/1)
2242   Farhat Jabeen            M/ASLAM KHAN          BA              BED                 2-May-76       ABBOTTABAD    4-Dec-03         4-Dec-03        GGHS Kunj
2243   NIGHAT JABEEN            EHSAN ANWAR           BA              BED                  3-Feb-78      ABBOTTABAD    4-Dec-03         4-Dec-03        GGMS PANDO THENA
2244   QURAT/UL/AIN             MAZHAR HUSSAIN        BA 2ND DIV      BED                 19-Jan-81      HARIPUR       3-Dec-03         4-Dec-03
2245   NUZHAT AZIZ              AZIZ KHAN             MA BA 2ND DIV   BED 2nd Div:         3-Mar-72      HARIPUR      11-Feb-98         4-Dec-03
2246   QUART/UL AIN             MAZHOR HUSSAIN        MA              MED                 19-Jan-81      HARIPUR       4-Dec-03         4-Dec-03
2247   SHAHIDA JABEEN           MANZOOR ELAHI         MA /BA 2ND      MED/BEd/ 2nd div    10-Jan-75      HARIPUR      17-Sep-95         4-Dec-03
2248   NAFISA AYUB              MUHAMMAD AYUB         BA              CT                  30-Jun-76      HARIPUR       4-Dec-03         4-Dec-03
2249   NUSRAT DAUD              MUHAMMAD DAUD         FA              CT                  16-Mar-68      HARIPUR      30-Jan-88         4-Dec-03
2250   WAHEEDA KOUSAR           MUHAMMAD ASLAM        FA              CT                  19-Jun-69      HARIPUR       4-Dec-03         4-Dec-03
2251   ANISA BIBI               HAKIM ABDUL SALAM     BA              CT                  24-Nov-58      HARIPUR      25-Jan-87         4-Dec-03
2252   TAHIRA SULTANA           MUBARAK SHAH          FA              CT                  22-Sep-73      HARIPUR       4-Dec-03         4-Dec-03
2253   SAEEDA BIBI              HASSAN DIN            BA              BED                  5-Jan-73      ABBOTTABAD    5-Dec-03         5-Dec-03        GGMS CHAMHAD
2254   CHAN BIBI                MUHAMMAD MISKEEN      BA              CT                  8-May-69       HARIPUR       3-Dec-03         5-Dec-03
2255   SHAISTA PARVEEN          MUHAMMAD SARWAR       MSC             CT                   6-Feb-78      HARIPUR       5-Dec-03         5-Dec-03
2256   SAIRA BIBI               DURE IMAN             BA 2nd Div      CT                  12-Mar-83      HARIPUR       3-Dec-03         5-Dec-03
2257   RUQIA IRSHAD             MUHAMMAD IRSHAD       BA              CT                  27-Sep-72      HARIPUR       3-Dec-03         5-Dec-03
2258   ZAHIDA BIBI              M/MATI/UR/REHMAN      MA              BED                  4-Apr-74      HARIPUR       6-Dec-03         6-Dec-03
2259   GUL NASREEN              MANZOOR ELAHI         MA /BA 2ND      BED 2nd Div:        13-Apr-66      HARIPUR      18-Sep-85         6-Dec-03
2260   ISMAT ROBAB              GHULAM ABBAS          BA 2ND DIV      CT                  26-Jun-71      HARIPUR       6-Dec-03         6-Dec-03
2261   FARZANA KHAN BA, CT      M/ ZAMAN KHAN                                              21-Jul-73     BUNNER        9-Nov-96         9-Dec-03        GGHS TOPAI
2262   REHANA BIBI              NAZAR ELAHI           MA BA 2ND DIV   BED 2nd Div:         3-Sep-56      HARIPUR      18-Jan-77        16/12/2003
2263   Nayab Huma               Ali Bahadar           MA                                   5-Sep-72      FR Tank      19-Dec-03        19-Dec-03        GGMS Hayat Khan Kor
2264   Humera Bibi              Mohammad Aslam        MA                                  10-Mar-75      FR Tank      20-Dec-03        20-Dec-03        GGHS Darazinda
2265   ANEEQA BANO              ABDUL LATIF           BSC             BED                 28-Jun-78      ABBOTTABAD   22-Dec-03        22-Dec-03        GGHS Sheikhul Bandi
2266   SAJIDA NOREEN            MALIK AMAN            BA              CT                  16-Jun-81      HARIPUR      22-Dec-03        22/12/2003
2267   MEHBOOB AKHTAR           MUHAMMAD ISHAQ        BA              BED                 15-May-59      ABBOTTABAD   11-Oct-85        23-Dec-03        GGMS Bodla
2268   SHAHEEN BIBI             M ASLAM               BA              BED                  3-Jun-79      ABBOTTABAD   24-Dec-03        24-Dec-03        GGMS MOHAR KALAN
2269   RAHEELA ALIA             AMANULLAH KHAN        MA/             MED/CT              25-Oct-68      D/I/KHAN     27-Dec-03        27-Dec-03        GGCMHS NO1 DIKHAN
2270   Jehan Khurshid(CT)MA,BED Shamsur Rahman        MA                                   8-Feb-58      Dir (U)      11-Nov-82        31-Dec-03        GGHSS, Dir
2271   Chaman Ara(CT)MA         Gulab Said            MA                                   5-Apr-77      Dir (U)      12-May-95        31-Dec-03        GGHSS, Dir
2272   Naila Mukhtyar(CT)BA     Mukhtiyar Yousaf      BA                                  14-Mar-78      Dir (U)      31-Dec-03        31-Dec-03        GGHS,Gandigar
2273   FARHANA FIDA             FIDA MUHAMMAD         MA/             BED/CT               6-Oct-67      D/I/KHAN      1-Jan-04         1-Jan-04        GGHS FATEH
2274   SHAZIA AMBREEN           Q/ABDUR RAUAF         MA/             BED/CT              15-Sep-69      D/I/KHAN      1-Jan-04         1-Jan-04        GGMS CHA BAREWALA
2275   SHAHIDA GUL              M/SADIQ KHAN BALOCH   MA/             BED/CT              10-Apr-76      D/I/KHAN     23-Apr-99         1-Jan-04        GGMS MADNI TOWN
2276   FARIDA BEGUM MA, BED     ZAR JAMIL KHAN                                            17-Apr-70      BUNNER       25-Apr-88         3-Jan-04        GGHS SHALBANDAI
2277   Hidayat Begum            Sahibur Rahman        BA (2nd)        B,ed                 3-Jan-67      Dir Lower     7-Jul-85         3-Jan-04
2278   Asmat Ara                Muhammad Rokhan       BA (2nd)        B,ed                16-Jan-78      Dir Lower    19-Nov-96         3-Jan-04
2279   Rifat Ara                Amir Nawaz Khan       BA (2nd)        B,ed                 3-Jan-77      Dir Lower     3-Jan-04         3-Jan-04
2280   Maryam Nishad            Mohd Nishad           BA (2nd)        B,ed                 2-Dec-78      Dir Lower     7-Jan-97         3-Jan-04
2281   Ishrat                   Rahman Uddin          BA (2nd)        B,ed                15-Jun-77      Dir Lower     3-Jan-04         3-Jan-04
2282   Shazia Ahmad             Ahmad Gul             BA (2nd)        B,ed                 6-Jun-77      Dir Lower    12-Apr-95         3-Jan-04
2283   Yasmin Syed              Said Malook           BA (2nd)        B,ed                15-Jan-77      Dir Lower     3-Jan-04         3-Jan-04
Academic         Professional                                   Date of 1st   D/O Apptt against
 No.   Name of Teacher          Father's Name         Qualification    Qualification   Date of Birth   Domicile         Apptt:        Present Post      Name of School
  1                  2                         3              4                5             6                 7           8                 9                            10
2284   Fazilat Begum            Namwar said           BA (2nd)         B,ed             15-Aug-80      Dir Lower       3-Jan-04          3-Jan-04
2285   Farzana Naheed           Nazar Gul             BA (2nd)         B,ed              4-Feb-82      Dir Lower       3-Jan-04          3-Jan-04
2286   Zeenat BiBi              NeeK Mohammad         BA (2nd)         B,ed              4-Apr-80      Dir Lower       3-Jan-04          3-Jan-04
2287   Sajida Begum             Amir Rahman           BA (2nd)         B,ed              3-Mar-75      Dir Lower      13-Sep-94          3-Jan-04
2288   Rozeena                  Wali Rahman           BA (2nd)         B,ed              5-Mar-79      Dir Lower      26-Jun-97          3-Jan-04
2289   Safia Begum              Azizur Rahman         BA (2nd)         B,ed              1-Jan-81      Dir Lower       3-Jan-00          3-Jan-04
2290   Tahira Bakht             Azad Bakht            BA (2nd)         B,ed             14-Mar-81      Dir Lower       3-Jan-04          3-Jan-04
2291   Robina Akhter            S/Abdul Hakim         BA (2nd)         B,ed             16-Apr-79      Dir Lower       5-Jan-98          3-Jan-04
2292   Abida Begum              Ghulam Bahadar        BA (2nd)         B,ed              3-Oct-75      Dir Lower      18-Nov-96          3-Jan-04
2293   Zeenat Ara               Syed Sikandar shah    BA (2nd)         B,ed             10-Jan-72      Dir Lower       3-Jan-04          3-Jan-04
2294   Sajida Begum             Naeemullah            BA (2nd)         B,ed             22-Mar-81      Dir Lower       3-Jan-04          3-Jan-04
2295   Khurshid Begum(CT)BA     Sultan Zarin          BA                                15-Jun-67      Dir (U)        14-Dec-85          3-Jan-04       GGMS, Jughabanj
2296   Wahida(CT)BA             Khan Bahadar          BA                                15-Feb-72      Dir (U)        22-Nov-94          3-Jan-04       GGMS, Shenkari
2297   Tasleem Akhtar(CT)BA     Muhd Ayaz             BA                                19-Mar-74      Dir (U)        13-Jun-95          3-Jan-04       GGMS, Panakot
2298   Menhaz Sakhi(CT)BA       Sakhi Rahman          BA                                 7-Mar-76      Dir (U)        25-Mar-97          3-Jan-04       GGMS, Sundrawal
2299   Shamim Ara(CT)BA,BED     Fazal Rahim           BA               B,ed              2-Aug-79      Dir (U)        23-Apr-98          3-Jan-04       GGMS, Panakot
2300   Gulshan Bibi(CT)BA,BED   Muhd Khan             BA               B,ed              3-Jan-78      Dir (U)        26-Apr-99          3-Jan-04       GGHSS, Barawal
2301   Gul Juma(CT)BA           Murad Wali            BA                                4-May-80       Dir (U)         3-Jan-04          3-Jan-04       GGMS, Qulandi
2302   NAHEED AKHTAR            GHULAM RABBANI        BA               BEd               2-Apr-72      Mansehra        3-Jan-04          3-Jan-04
2303   Ayesha Bibi, BA          Fazal Hussain                                           16-Mar-71      Chitral         1-Apr-04          4-Jan-04       GGMS Kuju
2304   AALIA KAMRAN             KHAN MUHAMMAD         BA               /BED/CT           1-Jan-67      D/I/KHAN        7-Jan-04          7-Jan-04       GGMS MALANG ABAD
2305   Farida Bibi BA B/Ed      Muhad Anwar                                              1-Jan-77      Shangla         7-Jan-04          7-Jan-04       GGMS Kotkay Malk Khel
2306   Zakia Bibi BA            Hussain Khan                                            21-Dec-73      Chitral        25-Jun-97          7-Jan-04       GGHS Barenis
2307   Ali Jamil                Mohd Jamil            FA/CT            CT                2-Feb-74      Karachi         9-Jan-04          9-Jan-04       GGMS Shalkan Abad
2308   ALIYA MARWAT             AMANULLAH             MA               BED               20-Jul-81     LAKKI MARWAT    9-Jan-04          9-Jan-04       GGHSS Mathra
2309   NEELAM                   LAL MUHAMMAD          MA               BED              20-Jun-82      PESHAWAR        9-Jan-04          9-Jan-04       GGMS Daman Afghani
2310   GHAZALA AKHTAR           ABDUL GHAFFAR         MA /BA 2ND DIV   BED               7-Sep-70      HARIPUR        31-Dec-98          9-Jan-04
2311   BiBi Hasina BA/CT        Gul Muhad                                               20-Apr-74      Shangla        13-Dec-94         11-Jan-04       GGMS Dehrai
2312   ASMA BIBI MA,BED         MUHAMMAD YAQOUB                                         20-Jan-81      BUNNER         12-Jan-04         12-Jan-04       GGMS AMNAWAR
2313   Falak Naz                Pir Zahir Shah        MA               M/Ed:            26-Nov-61      Karak          11-Jan-94         18-Jan-04       GGMS Algadi Sharki
2314   Asmat Shahwaz,           Shahwaz Khan          MSC              M/Ed:             20-Jul-79     Karak          19-Jan-04        19/01/2004       GGHS Rehmat Abad/
2315   Ameer Zada               Jangi Khan            MA               B/Ed:            25-Mar-75      Karak          19-Jan-04        19/01/2004       GGHS Khurram
2316   Ulfat Safina             Abdul Habib           MA               B/Ed:            15-Dec-75      Karak          19-Jan-04        19/01/2004       Official Colony Karak
2317   Robina Akhtar            Abdul Khaliq          BA               B/Ed:            18-Mar-65      Karak          14-May-90        19/01/2004       GGMS Totaki
2318   Rehana Shaheen           Noor Aslam            MA               B/Ed:            15-Apr-73      Karak          19-Jan-04        19/01/2004       GGMS Kamali Banda
2319   Dil Farib Asma           Banarus Khan          MA               B/Ed:            20-Mar-77      Karak          31-Oct-96        20/01/2004       GGMS Tarkha Koi
2320   FARZANA NAZ              GHULAM HAIDAR         MA               MED BED CT       22-Feb-68      D/I/KHAN       30-Jan-04         30-Jan-04       GGHS R/KULACHI
2321   MAHJABEEN BEGUM          SAMIULLAH KHAN        MA/              BED/CT           18-Apr-79      D/I/KHAN       31-Jan-04         31-Jan-04       GGHS ABDUL KHEL
2322   FARAH DEEBA,MA           SHAH QUBAD KHAN                                         20-Mar-78      Malakand       31-Jan-04         31-Jan-04       GGMS LORYAN DEHRI ALLAHDAND
2323   SHEHLA IRAM              QADER BAKSH           BA 3RD           BED CT           14-May-71      D/I/KHAN       18-Dec-95         1-Feb-04        GGMS SHAHDAO
2324   UMAIRA KEHKASHAN         MUHAMMAD ANWARULLAH   MA               /BED/CT           2-Mar-78      D/I/KHAN        9-Feb-04         9-Feb-04        GGHS BILOT
2325   SAJIDA IFFAT             MUHAMMAD ASLAM        MA/              MED/CT           15-Jun-76      D/I/KHAN        2-Oct-04         10-Feb-04       GGHS RANGPUR SHUMALI
2326   FARHAT REHMAN            SEFUR REHMAN          BA               /BED/CT          25-Nov-79      D/I/KHAN       10-Feb-04         10-Feb-04       GGMS KARI BAKHTIR
2327   Rahila Rahman            Abdur Rahman          Bsc(2nd)         B,ed             2-May-76       Dir Lower      12-Feb-04         12-Feb-04
2328   Sadia                    M/ Musif Khan         BA (2nd)         B,ed             1-May-76       Dir Lower      21-Nov-94         12-Feb-04
2329   Shahida Bibi             Noorul Wahab          BA (2nd)         B,ed             20-Dec-71      Dir Lower      12-Feb-04         12-Feb-04
2330   Zeenat Begum             Mughal Sher Khan      BA (2nd)         B,ed             19-Oct-69      Dir Lower      30-Apr-92         12-Feb-04
Academic        Professional                                Date of 1st   D/O Apptt against
 No.   Name of Teacher          Father's Name         Qualification   Qualification   Date of Birth   Domicile      Apptt:        Present Post      Name of School
  1                  2                       3                4               5            6                  7        8                9                            10
2331   Farkhanda Jabeen         Mohd Shah             BA (2nd)        B,ed              3-Jan-82      Dir Lower   12-Feb-04         12-Feb-04
2332   Tahira Anees             Naik Mohammad         B/A             B/ Ed            14-Sep-64      Nowshera    23-Jan-89         12-Feb-04
2333   Rukhsana Naz             Jumma Khan            MA/B/Ed         B/Ed              8-Feb-89      NWA         23-Feb-04         23-Feb-04       GGHS Miranshah
2334   Naseem Akhtar            Usman Ali             MA              M/Ed              7-Mar-63      SWAT        15-Oct-89         23-Feb-04       GGHS Charbagh
2335   Halema Begum             Abdul Qudos           MA              M/Ed              2-Feb-71      SWAT         5-Dec-89         23-Feb-04       GGMS Koza Bandai
2336   Naheed Tabsum            Abdul Wahid           MA              B/Ed             20-Jan-72      SWAT         1-Jan-98         23-Feb-04       GGHS Charbagh
2337   Najma Begum              Sher Zada             MA              M/Ed             15-Mar-73      SWAT         1-Mar-93         23-Feb-04       GGMS Sersenai
2338   Salma Parveen            Hazrat Umar           MA              M/Ed             19-Jul-74      SWAT        26-Jun-96         23-Feb-04       GGMS Gul Bandai
2339   Maryum                   Fazal Mabood          BA              B/Ed              5-Apr-75      SWAT        23-Feb-95         23-Feb-04       GGMS Bara Bandai
2340   Nishat Perveen           Muhammad Naeem Khan   FA              CT               26-Aug-63      SWAT        24-Feb-04         24-Feb-04       GGMS Sijbanr
2341   Alia                     Nauroz                MA              M/Ed             18-Feb-69      SWAT         1-Jun-92         24-Feb-04       GGMS Ghalegay
2342   Shah Hasrat (CT)MA,BED   Yarmullah             MA              B,ed              2-Oct-77      Dir (U)     20-Jun-95         29-Feb-04       GGMS, Chukiatan
2343   NAEEMA MA,MED            FAZAL HALIM                                            15-Oct-74      BUNNER      17-May-93         1-Mar-04        GCMP DAGGAR QILA
2344   BAKHT NAMIA MA,CT        YAQOB SHAH                                              3-Feb-77      BUNNER      18-Dec-94          1-Mar-04       GGMS KULYARI
2345   Jamila Khatoon                                 MA                                              SWA          1-Mar-04         1-Mar-04        GGHS Wana, SWA
2346   RAJDA BIBI,BA            ALAMGIR KHAN                                            9-Jun-77      DIR(L)       1-Mar-04         1-Mar-04        GGMS KARKANI
2347   ZEBA TABASUM             M MASKEEN             BA              BEd              23-Mar-63      Mansehra     5-Jan-82         1-Mar-04
2348   ASMA SYED                SIKANDAR SHAH         BA              BEd               1-Jan-73      Mansehra    22-Dec-99         1-Mar-04
2349   NAGINA UMER              UMER ZAMAN            BA              BEd              26-Dec-81      Mansehra    22-Dec-99         1-Mar-04
2350   Fatima Andleeb           Ali Asghar            BA              BEd               1-Apr-77      Mansehra    23-Dec-99         1-Mar-04
2351   Riffat Sultan            Mohd:Ayub khan        BA              BEd              9-May-70       Mansehra    27-Mar-00         1-Mar-04
2352   Safia farooq             Mohd:Farooq Awan      BA              BEd              26-Jan-70      Mansehra    28-Nov-02         1-Mar-04
2353   SHAHEEN                  BAHADAR KHAN          MA              B/Ed              1-Jun-67      MARDAN       1-Mar-04         1-Mar-04        GGMS MORCH KHAN KILI
2354   Taj Begum                Ghulam Sarwar         MA              CT               19-Dec-68      SWAT         1-Nov-90         1-Mar-04        GGHSS Kabal
2355   Bibi Sadia               Amir Muhammad         MA              B/Ed             1-May-72       SWAT         1-Mar-93         1-Mar-04        GGHSS Matta
2356   Nasreen                  Abdul Wahid           MA              CT               11-Apr-74      SWAT        28-Apr-99         1-Mar-04        GGMS Alaabd
2357   Zeenat Begum             Muhammad Shafiullah   BA              CT                1-Apr-75      SWAT         1-Mar-04         1-Mar-04        GGMS Sapal Bandai
2358   Gul Bahesta              Jamroz Malak          MA              B/Ed             10-Apr-75      SWAT        11-Nov-95         1-Mar-04        GGHSS Kabal
2359   Bibi Maryum              Mehronash             BA              CT               12-Apr-78      SWAT         1-Mar-04         1-Mar-04        GGMS Haji Baba(M)
2360   Tawheed                  Abdur Rahman          BA              B/Ed             15-Jan-79      SWAT         1-Mar-04         1-Mar-04        GGHS K/Khela
2361   Najma Bano               Bakht Raz Muhammad    MA              B/Ed              9-Apr-80      SWAT        23-Feb-04         1-Mar-04        GGHS Gwelerai
2362   SAEEDA BEGUM BA, BED     MOHAMMAD ISHAQ                                          7-Jul-57      BUNNER      10-Oct-81         3-Mar-04        GGMS ANGHAPUR
2363   TALAT BEGUM BA, CT       MUHAMMAD                                               1-May-66       BUNNER      24-Sep-01         3-Mar-04        GGMS BAMPOKHA
2364   NAHEED AKHTAR,BA         SHAD MUHAMMAD                                          17-Nov-79      Dir(U)       3-Mar-04         3-Mar-04        GGHS Dargai
2365   NIZAKAT BEGUM,BA         MUTABAR KHAN                                            1-Jan-78      Malakand     3-Mar-04         3-Mar-04        GGMS ABBASS KILI
2366   Noreen Bibi              Mohd:Aslam            BA              BEd              26-Nov-75      Mansehra     1-Dec-02         3-Mar-04
2367   BIBI GUL                 AURGHANZEB            BA              BEd              30-Mar-73      Mansehra     5-Apr-99         3-Mar-04
2368   Saira Bano               Alem Muhammad         BA              B/Ed              5-Oct-82      SWAT        23-Feb-04         3-Mar-04        GGMS Ningolai
2369   Haymat Begum BA/CT       Inayat ullah                                           4-May-74       Shangla     28-Nov-92         5-Mar-04        GGMS Chowga
2370   ARJUMAND SHAHEEN MA, BED HABIB UR RAHMAN                                         3-Oct-78      BUNNER      15-Sep-03         12-Mar-04       GGHS PANJTAR
2371   MUSARAT UN NISA          ABDUL HANAN           MA              CT                1-Jan-74      KOHAT       16-Mar-04         16-Mar-04       GGMS PERSHAI
2372   ZEENAT YASMIN            WALI KHAN             BA              BED              5-May-75       BANNU       21-Mar-95         16-Mar-04       GGMS Haji Banda
2373   Alia Tabasum/            Abdus/Samad/          BA/             CT                1-Mar-69      Tank/       23-Oct-88         16-Mar-04       /do/ Mullazai/
2374   Ambreen Gul/             Naimatullah/          BA/             CT               15-Dec-72      Tank/       16-Mar-04         16-Mar-04       /do/ Gul Imam/
2375   RABIA AHMED              ZAHID RAZA KHAN       BA              CT               19-Apr-76      KOHAT       17-Mar-04         17-Mar-04       GGHS KHARMATOO
2376   SAFINA BIBI              MUHAMMAD ZAMAN        MA              CT               11-Jun-76      KOHAT       28-Jun-97         17-Mar-04       GGMS GHURZAI PAYAN
2377   ZAKIA BIBI               JASMSHAID ALI         BA              CT               10-Mar-82      KOHAT       17-Mar-04         17-Mar-04       GGHS USTERZAI PAYAN
Academic        Professional                                Date of 1st   D/O Apptt against
 No.   Name of Teacher               Father's Name       Qualification   Qualification   Date of Birth   Domicile      Apptt:        Present Post      Name of School
  1                   2                            3             4               5             6                 7        8                9                            10
2378   Naheed Akhtar,                Ghulam Qasim        BA/MA           M/Ed:             3-Oct-76      Karak       17-Mar-04         17-Mar-04       GGHS Bahadar Khel/
2379   Ruqia BiBi/                   Attaullah/          MA(BE/d)        CT                1-Apr-76      Tank/        1-Mar-95        19/03/2004       /do/  Dabbara/
2380   GULSHAN BIBI                  PIR INAM SHAH       MA              CT                4-Jul-72      KOHAT       20-Mar-04         20-Mar-04       GGHSS JUNGLE KHEL
2381   ASHA DEVI                     NARAIN LAL          MA              CT                5-Mar-70      KOHAT       20-Mar-04         20-Mar-04       GGMS ALI ZAI
2382   Gulshan Ara BA                Sardar Wali Khan                                     24-Apr-59      Chitral      1-Apr-80         20-Mar-04       GGMS Jughoor
2383   Shamsul Qamar BA              Niaz Mohammad                                        1-May-59       Chitral      8-Oct-80         20-Mar-04       GGMS Ayun
2384   Nasira Gul Bibi BA,b/Ed:      Zardul Khan                                          31-Mar-69      Chitral     24-Mar-92         20-Mar-04       GGHS Drosh
2385   Bibi Sauda MA,B/Ed:           Abdul Ghafoor                                         1-Dec-75      Chitral     17-Dec-94         20-Mar-04       GGMS Kuju
2386   Azra Bibi FA                  Miftahud Din                                          5-Apr-73      Chitral     20-Mar-04         20-Mar-04       GGHS G/Chashma
2387   Goharus Saba BA               Sardar Wali Khan                                     15-Nov-80      Chitral     20-Mar-04         20-Mar-04       GGMS Rayeen
2388   Sahira Banu, BA               Gul Nawaz Khan                                        2-Aug-76      Chitral      17-Jul-97        20-Mar-04       GGMS Kosht
2389   Gulshan Ara, BA               Sardar Wali Khan                                     24-Apr-59      Chitral     12-Apr-80         20-Mar-04       GGMS Jughoor
2390   Hasina Parveen BA,B/Edu:      M/Amin                                               10-Mar-74      Chitral     14-May-95         20-Mar-04       GGMS Jinjirate
2391   Rashida BA/B/Ed;              Azam Khan                                            15-Jan-71      Chitral     22-Mar-04         20-Mar-04       GGMS Charun Owir
2392   Nusratur Rahman BA            Mohd Amin                                             1-Jan-72      Chitral     22-Mar-04         20-Mar-04       GGMS Moroi
2393   Bulbul Nisa MA C/T            Pinin Khan                                           2-May-72       Chitral     22-Mar-04         20-Mar-04       GGHS Booni
2394   Sakita Rahmat MA B/Ed         Rahmat Wazir                                          1-Aug-74      Chitral     22-Mar-04         20-Mar-04       GGMS Sonoghur
2395   Farida Bibi, MA B/Ed          Khalilur Rahman                                      1-May-79       Chitral     22-Mar-04         20-Mar-04       GGMS Singoor
2396   Saeeda Bibi BA                M/Aziz Khan                                           1-Jan-82      Chitral     22-Mar-04         20-Mar-04       GGMS Sonoghur
2397   Bibi Nasima, MA               Jalalud Din                                          1-May-69       Chitral     19-Sep-89         22-Mar-04       GGCMHS Denin
2398   KOUSAR PARVEEN                MUHAMMAD AYUB       MA              CT               22-May-69      KOHAT       22-Mar-04         22-Mar-04       GGMS BAQI ZAI
2399   Hashmat Sultan                Nisar Muhammad      MA/Med/CT                         1-Apr-65      Swabi        2-Jan-87         30-Mar-04       GGHSS Topi
2400   Basmina                       Sutlan Muhammad     MA/Bed/CT                        29-May-76      Swabi        5-Mar-96         30-Mar-04       GGHS Maini
2401   Khalida                       Sher Muhammad       BA/CT                            17-Feb-72      Swabi       31-Mar-04         31-Mar-04       GGMS Mian Dheri
2402   Uzma                          Habibur Rahman      MSc/Bed/CT                       23-May-79      Swabi       31-Mar-04         31-Mar-04       GGHS Panj Pir
2403   Bibi Huraira M/A/Med/ B/Ed/   Amir Khisrow                                         15-Apr-74      Chitral     10-Nov-94         31-Mar-04       GGMS Denin
2404   SAMINA YASMEEN                MUHAMMAD ASHRAF     BA              CT               23-Aug-68      KOHAT       14-Mar-92          1-Apr-04       GGHSS GUMBAT
2405   YASEEN FATIMA                 MUHAMMAD SAGHIR     FA              CT               24-Feb-74      KOHAT       30-May-96          1-Apr-04       GGHS NO 2
2406   Taazeem Akhtar                Abdur rahim Khan    BA/Bed/CT                         5-Jun-65      Swabi       17-Nov-83          1-Apr-04       GGHS Yaqoobi
2407   Safia Bano                    Qazi Abdul Khaliq   BA/Bed/CT                        11-Apr-66      Swabi       24-Sep-86          1-Apr-04       GGHS Zaida
2408   Bibi Salma                    Shamsul Muhammad    BA/CT                            23-Aug-68      Swabi       28-Feb-87          1-Apr-04       GGHS Kaddi
2409   Riffat Begum                  Khanim Ullah        BA/CT                             1-Apr-64      Swabi        9-Mar-87          1-Apr-04       GGCMHS Swabi
2410   Gulhar Parveen                Faqir Rahman        BA/Bed/CT                         3-Nov-69      Swabi        9-May-90          1-Apr-04       GGHS Zaida
2411   Radefa Bibi                   Abdul Malik         BA/Bed/CT                         4-Nov-60      Swabi        1-Mar-92          1-Apr-04       GGHS Maneri Bala
2412   Sarikat Begum                 Faqir Taj           MA/Bed/CT                         1-Jun-71      Swabi       14-Jan-93          1-Apr-04       GGHS Kalu Dher
2413   Shazia Begum                  Sultan Mahmood      MA/Med/CT                         1-Jan-77      Swabi       16-Feb-97          1-Apr-04       GGMS Juma Khan Gari
2414   Mufida Gul                    Meher Rahman        MA/Med/CT                        12-May-76      Swabi        6-Jan-00          1-Apr-04       GGHSS Topi
2415   Fuzia Begum                   Muhammad Irshad     MA/Bed/CT                        10-Mar-70      Swabi        1-Apr-04          1-Apr-04       GGHSS Baja
2416   Tayyeba Kausar                Mamoor Khan         BA/CT                            10-Jan-73      Swabi        1-Apr-04          1-Apr-04       GGHS Kalu Dher
2417   Najma Begum                   Bashir Muhamamd     MA/Med/CT                         5-Mar-73      Swabi        1-Apr-04          1-Apr-04       GGHSS Lahor
2418   Irshad Begum                  Kamdar khan         MA/Bed/CT                        15-Apr-73      Swabi        1-Apr-04          1-Apr-04       GGHS Tano
2419   Sameena Bibi                  Fazal Dad           MA/Bed/CT                        20-Feb-74      Swabi        1-Apr-04          1-Apr-04       GGMS Saproona
2420   Mumlikat Naz                  Abdul Majed         MA/Bed/CT                        30-Apr-74      Swabi        1-Apr-04          1-Apr-04       GGHSS Kotha
2421   Salma Nargis                  Fida Muhammad       MA/Med/CT                        16-Nov-74      Swabi        1-Apr-04          1-Apr-04       GGHS Gandaf
2422   Wajahat Ahmad                 Ahmad Ali Khan      BA/Bed/CT                         19-Jul-75     Swabi        1-Apr-04          1-Apr-04       GGMS Kunda
2423   Nazish Sultana                Muhamamd Farooq     MSc/Med/CT                        9-Jan-79      Swabi        1-Apr-04          1-Apr-04       GGHS Gar Munara
2424   Aneela Begum                  Wasal Khan          BSc/Bed/CT                        1-Feb-80      Swabi        1-Apr-04          1-Apr-04       GGHS Zaida
Academic        Professional                                   Date of 1st   D/O Apptt against
 No.   Name of Teacher                 Father's Name        Qualification   Qualification   Date of Birth   Domicile         Apptt:        Present Post      Name of School
  1                  2                                3             4               5             6                 7           8                9                         10
2425   BEENA MALIK                     MALIK AMAN           MA              B/Ed, M/Ed       20-Jan-79      MARDAN          6-Apr-04         6-Apr-04        GGMS KODNIKA
2426   SHEHLA TABASUM                  QAZI AMIR MUHAMAMD   BSc             BED              27-Nov-72      PESHAWAR        6-Apr-04          6-Apr-04       GGMS SWATI GATE PESHAWAR
2427   Dilnaz                          Iqbal Ahmad          bA/CT                            23-Mar-70      Swabi           9-Apr-04         9-Apr-04        GGHS Beka
2428   FARIDA REHMAN                   ALI REHMAN           BA              B/Ed             30-Apr-80      MARDAN         10-Apr-04         10-Apr-04       GGMS MEHTAR GHUNDI
2429   ALIA BA, CT                     JAMIR KHAN                                             4-Apr-80      BUNNER         30-May-03         13-Apr-04       GGMS PANDIR
2430   Saima Sardar                    Sardar Ul Islam      M/A             B/ Ed, M/ Ed     10-Oct-76      Nowshera       13-Apr-04         13-Apr-04
2431   Saira Hussain                   Hamid Hussain        BA              B/Ed              1-Apr-72      SWAT           29-Sep-94         24-Apr-04       GGHS No/1/Mingora
2432   SULTAN PARI, BA(2nd)B/Ed        ALIF KHAN                                              5-Apr-74      Malakand       26-Apr-04         26-Apr-04       GGHS Kot
2433   SAIMA NOORIN, BA                HAFIZUR REHMAN                                        13-Feb-74      Malakand       27-Apr-04         27-Apr-04       GGMS KACHI KOPER
2434   SAMINA NIAMAT,BA(2nd)B/Ed       NIAMAT ULLAH                                           1-Jun-77      Malakand       27-Apr-04         27-Apr-04       GGMS KARKANI
2435   FARIA BIBI, BA (2nd) / B/Ed     NOOR MUHAMMAD KHAN                                     1-Jan-77      Malakand       14-Nov-02         27-Apr-04       GGMS Qaldara
2436   HAMEEDA BEGUM                   MUMTAZ SHAHZADA      BA II           BED               3-Apr-77      MALAKAND AGY   29-Apr-04         29-Apr-04
2437   Shabina Begum, BA(2nd) / M/Ed   MUHAMMAD ZAMIN                                         1-Apr-80      Malakand       29-Apr-04         29-Apr-04       GGHSS Sakhakot
2438   SAMINA NAZ,MA (Urdu)            HABIBUR REHMAN                                        18-Apr-74      Malakand       29-Apr-04         29-Apr-04       GGMS G/U/KHAIL
2439   WAHIDA BIBI, BA (2nd) / B/Ed    HAMAISH GUL                                           30-Apr-77      Malakand       29-Apr-04         29-Apr-04       GGMS Prangai
2440   Naheed Amir                     Amir Alam Shah       M/A             B/ Ed             8-Aug-75      Mardan          5-Jan-99         29-Apr-04
2441   MARYAM BIBI, BA(2nd)B/Ed        SHER MALIK                                             1-Nov-74      Malakand       30-Apr-04         30-Apr-04       GGHS Allahdand
2442   FARHAT BIBI, MA (Urdu)          SALEH MUHAMMAD                                        15-Feb-75      Malakand       30-Apr-04         30-Apr-04       GGMS DOBANDAI
2443   NIGHAT SEEMA                    MUSA KHAN            BA              B/Ed              1-Jan-78      MAlAkAnd       30-Apr-04         30-Apr-04       GGHS JALALA
2444   ZAKIA BEGUM, BA (2nd) / B/Ed    MUHAMMAD AKRAM                                        15-Apr-72      Malakand        1-Nov-94         1-May-04        GGHS Dargai
2445   RUKHSANA,BA                     MUHAMMAD RASOOL                                       20-Feb-75      Malakand       24-Jan-95         1-May-04        GGMS GHUNDO BALA
2446   YASMIN HASHIM,BA(2nd)/B/Ed      HASHIM KHAN                                           19-Oct-74      Malakand        4-May-04         4-May-04        GGHS Dargai
2447   NOUSHEEN ANJUM, BA              BAKHTI RAWAN                                          24-Feb-72      Malakand        4-May-04         4-May-04        GGHS BATKHELA
2448   FARZANA HALEEM,BA(3rd)          FAZAL AHMED                                           24-Feb-68      Malakand       12-Apr-86         4-May-04        GGMS BAZDARA(B)
2449   Hasina Bibi, MA M/Ed            Abdul Hussain                                          5-Jan-79      Chitral        23-Mar-04         4-May-04        GGHS Werkop
2450   REHANA ASMA, BA(2nd))B/Ed       ABDULLAH                                               1-Jan-81      Malakand       14-Nov-02        10-May-04        GGHSS Koper
2451   RUKHSANA ZAMIN                  MUHAMAMD ZAMIN       MA              BED               1-Jan-75      MKD AGY        17-Sep-95        10-May-04        GGHSS Begum Shahab/ud/Din
2452   ASIA                            ATTAULLAH            BSC II          BED               17-Jul-73     CHARSADDA      12-May-04        12-May-04
2453   FARAH DEBA                      ABDULAH JAN          BA              /BED/CT          15-Dec-70      D/I/KHAN       14-May-04        14-May-04        GGHS LAR
2454   fayaz Begum                     abdul majed          BA Bed          B/Ed             25-Dec-75      Mohmand        19-May-04        19-May-04        GGMS Haleem Sher
2455   Nizakat B/A B/Ed                Saifullah                                              8-Mar-79      Shangla        28-Apr-99        21-May-04        GGMS Martung
2456   NARGIS SULTAN, BA(3RD)          HASHAM KHAN                                            8-Jun-75      Malakand       13-Sep-94        26-May-04        GGMS Dry Sari
2457   NEELUM BEGUM                    DIDAR MUHAMMAD       BA II           BED              30-Apr-78      CHARSADDA       2-Feb-97        29-May-04
2458   ABIDA BEGUM                     AMIR NAWAZ           BE II           BED               1-Sep-93      CHARSADDA      29-May-04        29-May-04
2459   SAMINA NAZ                      MUHAMMAD SIDDIQUE    BA 2nd DIV      BED 2nd Div:     15-Feb-74      HARIPUR        11-May-93        29-May-04
2460   GHAZLA YASMIN                   SAFI ULLAH           BSC I           BED              30-Jun-81      CHARSADDA      30-May-04        30-May-04
2461   AFROZ JEHAN                     AHMAD ALI WARSI      MA              BED              25-Dec-65      PESHAWAR       30-May-04        30-May-04        GGHSS Begum Shahab/ud/Din
2462   IMTIAZ BEGUM                    ABDUR RAZAQ          BA II           BED              20-Apr-66      CHARSADDA      16-Feb-85        31-May-04
2463   BAKHAT SHAD                     SAIF UR RAHMAN       MA              B/Ed             15-Feb-67      MARDAN         23-Feb-85        31-May-04        GGMS ZANDO DHERI
2464   NASEEM AKHTAR                   WAHAB GUL            MA              B/Ed,M/Ed        20-May-71      MARDAN          8-Nov-94        31-May-04        GGHSS JANDAR PAR
2465   FARIDA BEGUM                    NAIK MUHAMMAD        MA              B/Ed              1-Aug-71      MARDAN          7-Mar-95        31-May-04        GGMS NASEER KILLY
2466   FARAH NAZ                       ZARSHEED KHAN        MA              B/Ed             21-Sep-74      MARDAN          1-Oct-93        31-May-04        GGMS CHEENA
2467   SHAKILA BEGUM                   LAL SAID             MA              B/Ed, M/Ed        8-Sep-76      MARDAN         31-May-04        31-May-04        GGMS NASEER KILLY
2468   RABIA BEGUM                     BAKHTAWAR SHAH       MA              B/Ed,M/Ed        22-Sep-76      MARDAN         24-Jun-97        31-May-04        GGMS MUHIB ULLAH BANDA
2469   AQEELA                          MIR AKBAR KHAN       MA              B/Ed, M/Ed       19-Jan-79      MARDAN         30-Jun-97        31-May-04        GGMS KALO SHAH
2470   SUMERA AMBER                    FAZAL KARIM          MA              MED               7-Mar-76      PESHAWAR       27-Nov-95        31-May-04        GGHS Yaka Toot
2471   TABBASUM BEGUM                  JAN ALAM             BA II           BED              20-Feb-75      CHARSADDA      14-Nov-94         1-Jun-04
Academic        Professional                                 Date of 1st   D/O Apptt against
 No.   Name of Teacher              Father's Name         Qualification   Qualification   Date of Birth   Domicile        Apptt:       Present Post      Name of School
  1                   2                            3              4               5             6                  7        8                 9                           10
2472   Bibi Fozia kalsom            Sultan Muhammad       BA              BEd               1-Mar-76      Mansehra      1-Jun-04         1-Jun-04
2473   ABIDA BEGUM                  SHER ALI              MA              B/Ed             16-Mar-66      MARDAN        5-Mar-90         1-Jun-04        GGMS BAKRI BANDA
2474   ZEENAT ARBAB                 TAWAB GUL             MA              B/Ed              5-Mar-67      MARDAN        4-Sep-86         1-Jun-04        GGMS KOT JUNGARA
2475   SHAGUFTA                     GUL SAID              MA              B/Ed              8-Mar-67      MARDAN       17-Sep-86         1-Jun-04        GGCMHS BICKET GANJ CANAL ROAD
2476   ULFAT ARA                    S MEHTAB GHANI        MA              B/Ed             31-Mar-67      MARDAN        1-Jan-85         1-Jun-04        GGHS SOKAI
2477   MUZAYYAN BIBI                SADDIQ UR RAHMAN      MA              B/Ed, M/Ed        6-Feb-70      MARDAN        3-Mar-90          1-Jun-04       GGMS ALI RUSTAM
2478   ROZINA NAAZ                  IBRAR UD DIN          MA              B/Ed, M/Ed       30-Jan-72      MARDAN       30-May-92         1-Jun-04        GGMS QAZI ABAD
2479   ATIA PERVEEN                 SADIQ UR REHMAN       MA              B/Ed              2-Apr-72      MARDAN       15-Oct-95         1-Jun-04        GGMS CHAM DHERI
2480   SAFIA NAZ                    ABDUR RAHIM           MA              B/Ed              4-Oct-72      MARDAN       12-Mar-98         1-Jun-04        GGMS DAKO BABA
2481   SHAGUFATA BIBI               PIR QASIM ALI SHAH    MA              B/Ed,M/Ed         6-Feb-73      MARDAN       30-Jun-97         1-Jun-04        GGHSS Takht Bhai
2482   SHAHEEN BEGUM                GHULAM ALI            MA              B/Ed              6-Feb-73      MARDAN       17-May-94         1-Jun-04        GGHS CHARGULLI
2483   SABIHA GUL                   REHMANULLAH           BA              B/Ed             15-Feb-75      MARDAN       23-Jun-97         1-Jun-04        GGMS KOT ISMAIL ZAI
2484   UMMI KALSOOM                 FAZLI SUBHAN          MA              B/Ed             15-Mar-75      MARDAN        1-Dec-95         1-Jun-04        GGMS GANJI
2485   NIGHAT BEGUM                 SAHIB GUL             MA              B/Ed             13-Jan-76      MARDAN        1-Jun-04         1-Jun-04        GGMS SAMAR QAND KOROONA
2486   MOBINA ROOHI                 NOOR MUHAMMAD         MA              BED              10-Jan-65      PESHAWAR      1-Feb-87         1-Jun-04        GGMS Garhi Malik She
2487   KHIRAJ BIBI                  SYED ZAMAN SHAH       BA              BED              21-May-55      PESHAWAR     24-Nov-80          1-Jun-04       GGHS Tarnab Farm
2488   ZOHRA BIBI                   HABIBI UR REHMAN      MA              BED              22-Dec-75      Lakki        27-Mar-95         2-Jun-04        GGHSS TITTER KHEL
2489   Asma Qasim                   Qasim Ali             BA              CT                8-Oct-76      Battagram     4-Jun-04         4-Jun-04        GGMS Huthal
2490   NUZHAT BAHAR                 CHAN BAHAR            BA              BEd              15-Dec-75      Mansehra     15-Mar-03         11-Jun-04
2491   Saima Bibi                   Q/zahir ud Din        BA              BEd               5-Jan-80      Mansehra     11-Jun-04         11-Jun-04
2492   Farzan                       Sharif Khan           BA/CT           CT               15-May-74      Manshar/KH   12-Jan-94         15-Jun-04       GGMS Jalkot
2493   Zahid Akhtar                 Mohd Akhtar           FA/CT           CT               1-May-78       Kohistan     17-Jun-04         17-Jun-04       GGMS Loohai
2494   ILHAMIA BEGUM                WARIS KHAN            BA II           BED               5-Jun-61      CHARSADDA     3-Jun-87         21-Jun-04
2495   ASMA SADAF                   MUHAMMAD YOUNIS       BA/             BED/CT           15-Feb-72      D/I/KHAN     20-Dec-94          2-Jul-04       GGMS SAHRI FAQIR
2496   Safia Bano                   Gul Mohammad          FA                               11-Apr-80      FR Tank       12-Jul-04        12-Jul-04       GGHS Jandola
2497   Saeeda Jan                   Atta Muhammad         MA              CT               31-Aug-72      Hangu         4-Aug-04         4-Aug-04        GGMS Mardu Khel,
2498   NIGHAT MANZOOR               MANZOOR HUSSAIN       MA              CT                2-Apr-75      KOHAT         8-Apr-99         5-Aug-04        GGHSS BILLITANG
2499   TARANJEET KUMARI MA , CT KAWAL RAM                                                   6-Feb-81      BUNNER       12-Feb-02        12-Aug-04        GGHS CHEENA
2500   Shehri Gul BA CT B/Ed        Faqir Mohammad                                          1-Jul-75      Chitral        1-Jul-97       19-Aug-04        GGHS Broze
2501   SHAKILA KHALIQ               ABDUL KHALIQ          BA                                2-Jan-80      Lakki         5-Mar-99        31-Aug-04        GGMS SARWAR MAMA KHEL
2502   SHAHIDA BEGUM                GHULAM SARWAR KHAN    BA                               24-May-72      Lakki        22-Apr-96        31-Aug-04        GGMS KHOIDAD KHEL
2503   ZOHRA                        UMAR KHAN             BA II           BED              14-Sep-79      CHARSADDA     1-May-98         1-Sep-04
2504   SHABNUM ISHFAQ               MUHAMMAD ISHFAQ       BA              CT               12-Apr-78      Bannu         1-Sep-04         1-Sep-04        GGMS KATCH KOT ASAD KHAN BANNU
2505   Laila                        baz Ali               BA                                7-Apr-83      FR Kohat      1-Sep-04         1-Sep-04        GGMS Sherin Mela
2506   MEMONA ALAM                  GUL SHER ALAM         BA                               14-May-73      Lakki        28-Mar-92         1-Sep-04        GGHS NO/1 LAKKI
2507   SHAHIDA BEGUM                GHULAM SARWAR KHAN    BA                               24-May-72      Lakki        22-Apr-96         1-Sep-04        GGHS NO/1 LAKKI
2508   REHANA YASMIN                NAWAZ KHAN            MA              BED               1-Jan-79      Lakki         9-Jan-04         1-Sep-04        GGHS NO/1 LAKKI
2509   NOOR BEGUM                   MUBARAK SHAH          MA              BED               1-Jan-75      Lakki        21-Apr-96         1-Sep-04        GGHSS TITTER KHEL
2510   SADIQA SAFA                  MUHAMMAD ASLAM KHAN   MA              BED               10-Jul-68     Lakki        13-Jan-87         1-Sep-04        GGHS Ghazni Khel
2511   KOUSAR PARVEEN               SHER ISLAM            MA              BED              30-Jun-74      Lakki        11-Jan-94         1-Sep-04        GGHS Sardar Maidad Khel
2512   ZINAT BIBI                   HAMIDULLAH JAN        MA              BED              19-Apr-78      Lakki        15-Mar-01         1-Sep-04        GGMS ABA KHEL
2513   RIZWANA TABASUM              PIR BAKHASH           BA                               12/114/77      Lakki         5-Mar-99         1-Sep-04        GGMS AHMAD KHAN
2514   RASHIDA KHANUM               EID MUHAMMAD          BA                                3-Apr-77      Lakki        22-Apr-96         1-Sep-04        GGMS AZAD CHANDO KHEL
2515   ROBINA SHAHEEN               AMIR MUHAMMAD         FA                                8-Jan-75      Lakki        23-Nov-94         1-Sep-04        GGMS MANDAN MANJIWALA
2516   HAMIDA BEGUM                 MIR QALAM             BSC                              11-Jan-78      Lakki         5-Mar-99         1-Sep-04        GGMS LANDIWAH
2517   SHAHEEN AKHTER               GUL NAWAZ             BA                                7-Apr-79      Lakki         1-Jan-00         1-Sep-04        GGMS MELA MANDRA KHEL
2518   SHAZIA BIBI, BA (2nd) / B/Ed ZOBAIR SHAH                                            19-Dec-78      MARDAN        1-Sep-04         1-Sep-04        GGHS DARGAI
Academic        Professional                                  Date of 1st   D/O Apptt against
 No.   Name of Teacher              Father's Name           Qualification   Qualification   Date of Birth   Domicile        Apptt:        Present Post      Name of School
  1                2                               3                4               5            6                  7          8                9                           10
2519   YASMIN BEGUM, BA(2nd) / B/ED UMAR KHAN                                                12-Mar-75      DIR           18-Nov-96         1-Sep-04        GGHSS Sakhakot
2520   SALMA NAHEED                 SADI MOHAMMAD           BA              B/Ed              7-Jun-70      MARDAN         1-Sep-04         1-Sep-04        GGHS BAGHICHA DHERI
2521   NAGHMANA                     ABDUL MALIK             BSc             B/Ed             14-Dec-71      MARDAN         1-Sep-04         1-Sep-04        GGMS MOHIB BANDA
2522   FARHEEN BIBI                 ZAHOOR KHAN             MA              B/Ed             16-Jan-73      MARDAN         1-Sep-04         1-Sep-04        GGMS ALAM GUNJ
2523   HUMEERA NAZ                  RIAZ UDDIN              MA              B/Ed,M/Ed        29-May-74      MARDAN         1-Sep-04         1-Sep-04        GGCMHSS For Girls Katlang
2524   SHAHEEN BEGUM                GHULAM NABI             BA              B/Ed             24-Dec-74      MARDAN         1-Sep-04         1-Sep-04        GGMS FATMA
2525   SHAZIA                       MUHAMMADZARIN           MA              B/Ed              7-Jan-75      MARDAN         2-Sep-04         1-Sep-04        GGHS MDAYA BABA
2526   WAHEEDA GUL                  GUL KHAN               MA              B/Ed, M/Ed       20-Mar-75      MARDAN         1-Sep-04         1-Sep-04        GGMS CHAM RANG
2527   HAZRAT KALSOOM               FAZAL QAYUM             MA              B/Ed             20-Mar-75      MARDAN        31-May-04         1-Sep-04        GGMS NOORMAN KHEL HOTI
2528   HASEENA AFZAL                AFZAL UL HAQ            MA              B/Ed              4-Apr-75      MARDAN         1-Sep-04         1-Sep-04        GGMS SHAHDAND (L/K)
2529   ZAIBUN NISA                  WISAL MOHAMMAD          MA              B/Ed/M/Ed        30-Dec-75      MARDAN         1-Sep-04         1-Sep-04        GGMS KHAT KILLI
2530   GHAZLA NAAZ                  AURANG ZEB              MA              B/Ed             27-Jan-76      MARDAN         1-Sep-04         1-Sep-04        GGHS KHAZANA DHER
2531   SABIHA                       SANOBAR KHAN            MA              B/Ed              2-Feb-77      MARDAN         1-Sep-04         1-Sep-04        GGMS MACHI
2532   KHUDIJA BIBI                 UBAID ULLAH             MA              B/Ed              6-Dec-77      MARDAN        29-Sep-92         1-Sep-04        GGMS MORCH KHAN KILI
2533   SHAGUFTA TAJ                 TAJ MOHAMAMD            MA              B/Ed             11-Jan-77      MARDAN         1-Sep-04         1-Sep-04        GGMS SHAH ZAMAN QALA
2534   BUSHRA NAZ                   KHAN BAHDAR             MA              B/Ed,M/Ed        20-Apr-77      MARDAN         1-Sep-04         1-Sep-04        GGMS ALAM GUNJ
2535   SHAZMA SHAH                  MUKAMIL SHAH            MSC             B/Ed              1-Mar-78      MARDAN         1-Sep-04         1-Sep-04        GGHS TAKKAR
2536   TABASUM NAZ                  SARTAJ ALI SHAH         MA              B/Ed             15-Mar-78      MARDAN         1-Sep-04         1-Sep-04        GGMS BAKHSHALI
2537   SADIA RANI                   MUFFAARAH SHAH          MA              B/Ed,M/Ed         4-Apr-79      MARDAN         1-Sep-04         1-Sep-04        GGHSS SAWAL DHER
2538   Salma Shaheen                Fazli Yazdan            MA/CT                            7-May-73       Mardan         1-Sep-04         1-Sep-04        GGHS KSK
2539   Tahira Yasmin                Mohammad Sharif         B/A             B/ Ed             1-Oct-63      Nowshera      20-Oct-85         3-Sep-04
2540   Anees                        Mohammad Den Shah       M/A             B/ Ed            15-Dec-76      Nowshera       3-Sep-04         3-Sep-04
2541   Samina Gul                   Yar gul                 BA                                2-Feb-82      FR Peshawar    9-Sep-04         9-Sep-04        GGMS Mohammad Gul Killi
2542   JEHAN ARA FA, CT             MUHAMMAD ISHAQ                                           26-Apr-70      BUNNER        12-Apr-89        12-Sep-04        GGHS MATWANAI
2543   MAHTALAT BA, BED             SAID HASSAN SHAH                                          9-Sep-76      BUNNER        18-Dec-94        12-Sep-04        GGHS SHADAM
2544   MUBARAK JAN BA, BED          SAID HASSAN SHAH                                          4-Jan-74      BUNNER        22-Dec-94        12-Sep-04        GGHS SHADAM
2545   Ziabul Haram                 Alam Khan               BA                               29-Dec-80      Mohmand       17-Sep-04        17-Sep-04        GGHSS Ghallanai
2546   Izat naseem                  khalil ur rehman        MA/B/ED         B/Ed             11-Apr-81      Mohmand       18-Sep-04        18-Sep-04        GGMS Mian Mandi
2547   Shabana Ibrahim                                      BA                                              SWA           19-Sep-04        19-Sep-04        GGMS Maulay Khan Kot SWA
2548   Abida Bibi BA B/Ed           Ali Madad Khan                                           15-Sep-76      Chitral       20-Sep-04        20-Sep-04        GGHS Warijun
2549   KHALIDA                      KHUSHAHAL KHAN          BA              B/Ed             20-May-73      MARDAN        25-Sep-04        25-Sep-04        GGHS NO 1 MARDAN
2550   Bibi Habiba MA B/ Ed         Fazal Madad Kha                                          15-May-71      Chitral       29-Sep-04        29-Sep-04        GGMS Murdan
2551   Maqsood Nisa BA B/Ed         Haji Murad Khan                                           28-Jul-75     Chitral       29-Sep-04        29-Sep-04        GGHS Mastuj
2552   Gulshan Bibi BA,B/Ed         Jahandar Khan                                             10-Jul-76     Chitral       29-Sep-04        29-Sep-04        GGMS Khot Bala
2553   Nadia Jalil                                          MA                                              SWA            1-Oct-04         1-Oct-04        GGMS Noor Nawaz Kot SWA
2554   Tahira Bibi                  Shafi Ahmed             M/A             B/ Ed             4-Mar-74      Nowshera       3-Oct-04         3-Oct-04
2555   Mehtab Begum                 Liban Gul Khattak       M/A             M/ Ed            15-Apr-73      Nowshera      17-Jan-95         3-Oct-04
2556   Sahira Hashmat               Sijawal Khan            MA/CT                            14-Feb-76      Swabi         21-Oct-04         21-Oct-04       JICA Model School Lahor
2557   Asma Rafiq                   Mohammad Rafiq          M/A             B/ Ed            25-Dec-75      Nowshera       3-Nov-04         3-Nov-04
2558   VERA WANTI KORE MA, MED HANS RAJ                                                       1-Feb-77      BUNNER        13-Dec-04        15-Nov-04        GGHS PANJTAR
2559   Mumlikat Arang               Aurang Zeb              MA                               16-Apr-84      Bajaur        24-Nov-04        24-Nov-04        Aurang Zeb
2560   MRS MINHAS BEGUM             HASAN GHANI             BA              B/Ed              1-Sep-74      MARDAN        27-Nov-04        27-Nov-04        GGMS BIJLI GHAR
2561   SHAMIM BIBI                  MUHAMMAD IBRAHIM KHAN   BA              CT               27-Apr-63      KOHAT          7-Feb-91         1-Dec-04        GGHSS LACHI
2562   MUSARAT BUSHRA               GUL RAIS KHAN           FA                                3-Jul-81      Lakki          1-Jan-00         1-Dec-04        GGMS NAR SAHIB KHAN
2563   SAJIDA BIBI, MA / M/Ed       LUTF UR RAHMAN                                            1-Apr-81      Malakand       3-Dec-04         3-Dec-04        GGHS Batkhela
2564   NARGIS BEGUM                 GHULAM QADAR            MA              B/Ed              1-Jan-75      MARDAN         4-Apr-99        10-Dec-04        GGMS BABA KILLI
2565   Ruqia                        Israr                   B/A             B/ Ed            10-May-74      Nowshera      23-Apr-99        12-Dec-04
Academic        Professional                                 Date of 1st   D/O Apptt against
 No.   Name of Teacher        Father's Name        Qualification   Qualification   Date of Birth   Domicile       Apptt:        Present Post      Name of School
  1                2                        3              4               5             6                 7         8                 9                           10
2566   SAIMA NOSHEEN          MUHAMMAD RAMZAN      BSC             BED CT            10-Oct-76     D/I/KHAN     20-Dec-04        20-Dec-04        GGCMHS NO1 DIKHAN
2567   FOZIA KHAN             MUMTAZ KHAN          MA              BED/CT            6-Sep-84      D/I/KHAN     14-May-04        20-Dec-04        GGHS NO9 DIKHAN
2568   SHEEBA HASSAN          GHULAM HASSAN        MA/             BED/CT            20-Aug-77     D/I/KHAN     21-Dec-04        21-Dec-04        GGHS NO/ 9 DIKHAN
2569   Saiqa Akbar            M/Akbar              BA              BED                1-Jun-83     ABBOTTABAD   22-Dec-04        22-Dec-04        GGMS Banda Lamba
2570   ABIDA BIBI             QALANDAR KHAN        BA              BED                8-Nov-67     ABBOTTABAD   28-Feb-86        23-Dec-04        GGMS Namli Maira
2571   NAVEEN BANO            GHULAM HUSSIN        BA              BED                1-Sep-67     ABBOTTABAD   17-Sep-87        24-Dec-04        GGMS Bodla
2572   ROBINA                 SIKANDAR KHAN        MA              CT               11-May-68      KOHAT        21-Apr-94        25-Dec-04        GGHSS BABRI BANDA
2573   Shahida Begum(CT)FA    Sirajul Haq          FA                                 5-Feb-78     Dir (U)       5-Jan-98          3-Jan-05       GGMS, Gogyal
2574   Rawasia(CT)MA          Jehan Zarin          BA                                 1-Jan-78     Dir (U)       5-Jan-98          4-Jan-05       GGMS, Gogyal
2575   Bibi Tahira            Q/Fazal Rabbi        BA              B/Ed;            05//07/1977    Battagram    23-Apr-96          7-Jan-05       GGMS Batamohri
2576   Nasreen Begum(CT)BA    Muhd Nazar           MA                                 8-Apr-80     Dir (U)      12-Aug-99          7-Jan-05       GGMS, Barikot
2577   Meh Naz                Mohammad Iqbal       M/Sc            B/ Ed             25-Dec-76     Peshawar     10-Jan-05         10-Jan-05
2578   NIHAYAT BIBI MA, BED   MUHAMMAD IBRAHIM                                       29/2/1975     BUNNER        3-Apr-93         11-Jan-05       GGHS SHADAM
2579   SHAZIA IRAM            NIAZ AHMAD           BA/             MED/CT            17-Dec-80     D/I/KHAN     19-Jan-05         19-Jan-05       GGHS NO/ 4 DIKHAN
2580   RABINA TASNEEM         MUHAMMAD ASLAM       MA/             MED/CT            15-Oct-73     D/I/KHAN      1-Jan-00         20-Jan-05       GGHS NO8 DIKAHN
2581   REHANA IQBAL           MUHAMMAD IQBAL       MA/             MED/CT             1-Oct-80     D/I/KHAN     21-Apr-99         20-Jan-05       GGHS DHAKKI
2582   TAHIRA BIBI            MANZOR AHMAD         MA/             BED/CT            1-Dec-82      D/I/KHAN     25-Jan-05         25-Jan-05       GGMS KALA GODH
2583   MEHNAZ HASSAN          M/ HASSAN SHAH       BA/             BED/CT             1-Sep-76     D/I/KHAN     26-Jan-05         26-Jan-05       GGHS PANIALA
2584   SEEMA GUL              FAZLI KARIM          BA II           BED              29-May-05      CHARSADDA     1-Dec-02         1-Feb-05
2585   SHEHLA GUL             DAWA KHAN            MA              B/Ed,M/Ed         1-May-79      MARDAN        9-Feb-05         9-Feb-05        GGHS ALO
2586   NEELAM NAZ             MUSAFAR KHAN         MA              BED               24-Jan-80     MARDAN        9-Feb-05         9-Feb-05        GGMS SURKH DHERI
2587   SHABNAM                ALI MUHAMMAD         MA              B/Ed,M/Ed          1-Apr-74     MARDAN       10-Feb-05         10-Feb-05       GGHS MAYAR
2588   DEEBA BEGUM            ZAR SHAD KHAN        MA              B/Ed               8-Feb-78     MARDAN       10-Feb-05         10-Feb-05       GGHSS SAWAL DHER
2589   AYESHAH                NAIK MUHAMMAD KHAN   MA              B/Ed,M/Ed         11-Oct-78     MARDAN       10-Feb-05         10-Feb-05       GGJICA FATMA
2590   MEHNAZ                 TAJ KHAN             MA              B/Ed,M/Ed         20-Apr-79     MARDAN       10-Feb-05         10-Feb-05       GGHS MAYAR
2591   MEHNAZ                 TAJ AKBAR            MA              B/Ed,M/Ed         20-Apr-79     MARDAN       10-Feb-05         10-Feb-05       GGHS WARD NO 4
2592   GULNAZ BAGUM           GUL DAD              MA/             BED/CT            14-Dec-66     D/I/KHAN      1-Nov-88         11-Feb-05       GGMS KOTLA QAIM SHAH
2593   NAZNEEN                FAQEER AHMAD         MA              B/Ed              15-Apr-72     MARDAN       29-Mar-92         11-Feb-05       GGMS TOOT KILLI
2594   KALSOOM BIBI           SADIQ UR REHMAN      MA              B/Ed              12-Jan-75     MARDAN        7-Mar-95         11-Feb-05       GGMS SAMAR QAND KOROONA
2595   KOUSAR BIBI            ABDUR REHMAN         BA              /BED/CT           1-Sep-70      D/I/KHAN     22-Oct-88         12-Feb-05       GGHS NO/ 3 DIKHAN
2596   SAKINA MUSSARAT        SHER BAHADAR         BA/             BED/CT            14-Apr-69     D/I/KHAN     14-Sep-87         14-Feb-05       G GHS PANIALA
2597   KAUSAR KHTATOON        MUHAMMAD IDREES      BA              B/ED               3-Nov-77     MARDAN       26-Oct-04         14-Feb-05       GGHS MANGA
2598   WAHILAT                LAJBAR KHAN          MA              B/Ed,M/Ed         6-May-77      MARDAN       15-Feb-05         15-Feb-05       GGHS LUND KHAWAR
2599   NABEELA                SAFDAR KHAN          MA              B/Ed              19-Apr-78     MARDAN       15-Feb-05         15-Feb-05       GGMS NARAI KALO SHAH
2600   RABIA BIBI             HAJI GULZAR          BA II           BED               15-Jun-78     MARDAN       16-Jun-97         17-Feb-05
2601   ROBINA BIBI            M/NASEEM             BA              BED                3-Jul-68     ABBOTTABAD   24-Nov-90         1-Mar-05        GGHSS Havelian
2602   NOSHEEN AFSHAN         SARWAR KHAN          BSC             BED                6-Jun-81     ABBOTTABAD    1-Mar-05         1-Mar-05        GGHSS Comprehencive
2603   SAIMA AKBAR            JAMSHED KHAN         BA              BED                6-Jan-83     ABBOTTABAD    1-Mar-05         1-Mar-05        GGHS Bandi Matrach
2604   KOUSAR BIBI            MUHAMMAD ISMAIL      BA              BED               1-May-85      ABBOTTABAD    1-Mar-05         1-Mar-05        GGHS Keri Raiki
2605   GUL NISA               AURANZEB             BA              BED               13-Dec-69     ABBOTTABAD    1-Mar-05         1-Mar-05        GGHSS Hajia Gali
2606   BIBI NAGHAT AFZA       S/ABBAS ALI SHAH     BA              BED                1-Jan-71     ABBOTTABAD    1-Mar-05         1-Mar-05        GGMS AKHORA
2607   NOREEN BIBI            MUHAMMAD ASHRAF      BSc             BED               16-Jul-78     ABBOTTABAD    1-Mar-05         1-Mar-05        GGMS Bandi Chamiali
2608   NASIM YOUNIS           NASIR AHMED          BA              BED                4-Aug-76     ABBOTTABAD    1-Mar-05         1-Mar-05        GGMS Kalas
2609   GHAZALA SHAHEEN        M AYUB               BA              BED              15-May-75      ABBOTTABAD    1-Mar-05         1-Mar-05        GGMS Lower Malkote
2610   BUSHRA BIBI            S ZAID HUSSAIN       BA              BED               25-Oct-83     ABBOTTABAD    1-Mar-05         1-Mar-05        GGMS Malkan
2611   WAHEEDA SAEED          MUHMMAD SAEED        BA              BED                9-Jul-70     ABBOTTABAD    1-Mar-05         1-Mar-05        GGMS Thariyati
2612   SHAMA NOOR             ABDUL KHANAN         BA              CT                 2-Apr-79     HANGU        26-Nov-02         1-Mar-05        GGMS BEHZADI CHKAR KOT
Academic        Professional                                Date of 1st   D/O Apptt against
 No.   Name of Teacher       Father's Name         Qualification   Qualification   Date of Birth   Domicile       Apptt:       Present Post      Name of School
  1                2                       3               4               5             6                 7        8                9                             10
2613   Shazia Bibi           Amir Zada             BA              B/Ed             22-Dec-80      SWAT        29-Apr-99         1-Mar-05        GGHS fatehpur
2614   SHAZIA MISBAHA        MUHAMMAD YAQOOB       MA/             BED/CT            6-Feb-70      D/I/KHAN    13-Dec-95         2-Mar-05        GGMS NAD ALI SHAH
2615   Taj Mahal(CT)MA,BED   Saz Bar Khan          MA              B,ed             25-Apr-75      Dir (U)      4-Jan-96         16-Mar-05       GGMS, Tarpatar
2616   Nezakat Begum         Muhammad Khan         MA              B/Ed             12-Oct-74      SWAT        23-Mar-05         23-Mar-05       GGMS Rahim Abad
2617   Aena                  Qubat Khan            MA              B/Ed              2-Mar-76      SWAT        23-Mar-05         23-Mar-05       GGHS Kalakalay
2618   Balquees Begum        Said Gul              MA              B/Ed              15-Jul-77     SWAT        24-Mar-05         24-Mar-05       GGMS A/Dherai
2619   Bakhtnaz              Afzal Khan            BA              B/Ed             10-May-80      SWAT        24-Mar-05         24-Mar-05       GGHS Barikot
2620   Musarat               Muhammad Said Jan     MA              B/Ed              1-Jan-74      SWAT        25-Mar-05         25-Mar-05       GGMS Telegram
2621   Naheed Muhammad       Dost Muhammad         MA              B/Ed             11-Mar-75      SWAT        25-Mar-05         25-Mar-05       GGHS Shahdara
2622   Hazrat Hafsa          Muhammad Zamin        MA              M/Ed             3-May-78       SWAT        28-Apr-99         25-Mar-05       GGMS Shokdara
2623   Aisha zarin           Muhammad Zarin        BA              CT               19-Dec-78      SWAT        25-Mar-05         25-Mar-05       GGMS Ashray
2624   Ishrat                Zoor Talab Khan       BA              B/Ed              1-Jan-71      SWAT        26-Mar-05         26-Mar-05       GGMS Jano
2625   Shah Naz Khan         Mian Gul Farosh       BA              CT               15-Nov-78      SWAT        26-Mar-05         28-Mar-05       GGMS Shinkat
2626   SHAFIA BIBI           IMAM BAKHSH           MA              /BED/CT          12-Feb-73      D/I/KHAN    28-Apr-99         29-Mar-05       GGHSS PAHARPUR
2627   Salma                 Anwar Khan            BA              B/Ed             25-May-77      SWAT        29-Mar-05         29-Mar-05       GGHS Zara Khela
2628   Sajida Parveen        Saiful Malook         MA              CT               11-Sep-79      SWAT        29-Mar-05         29-Mar-05       GGMS Baboo
2629   Hazrat Hafsa          Muhamamd zamin Khan   MA              CT               3-May-78       SWAT         1-Dec-03          1-Apr-05       GGMS Shokdara
2630   Samia Hilal           Muhammad Hilal        MA              M/Ed              22-Jul-79     SWAT         1-Nov-97          1-Apr-05       GGMS Sangota
2631   SAMIA                 SHAFI MUHAMMAD        MA              B/Ed             16-Jan-75      MARDAN      30-Apr-99          3-Apr-05       GGHS IKRAM PUR
2632   JAMILA QADIR          QADIR BAKHSH          MA/             BED/CT           12-Mar-73      D/I/KHAN     6-Apr-05          6-Apr-05       GGMS JHOK QURESHIAN
2633   ZAHIDA KHANUM         NAJIBULLAH KHAN       BA                               10-May-69      Lakki         4-Jul-05         7-Apr-05       GGMS PAHAR KHEL
2634   FOZIA KALSOOM         MUHAMMAD MUNIR        BA                                5-Mar-80      Lakki       24-Apr-99          7-Apr-05       GGMS NAWAR KHEL
2635   NAHEED FARNAZ         HABIBULLAH KHAN       MA              BED              22-Oct-70      Lakki       11-Jan-88          8-Apr-05       GGHS Ghazni Khel
2636   ZAHORA BEGUM          NIAZ MUHAMMAD         BA                                6-Jun-75      Lakki        5-Mar-99         13-Apr-05       GGMS SAERAI NAURANG
2637   MUSARAT BEGUM         SARFARAZ KHAN         MA              BED CT           27-Mar-80      Bannu       16-Apr-05         16-Apr-05       GGMS FATIMA KHEL BANNU
2638   MUSARAT JABEEN        JUMA KHAN             MA                               25-Dec-79      Lakki       16-Apr-05         16-Apr-05       GGMS MASH HABIBULLAH KHAN
2639   SAEEDA PERVEEN        MUHAMMAD ABDULLAH     BA                                2-Oct-70      Lakki       18-Jan-94         19-Apr-05       GGMS QIMAT MANJIWALA
2640   Mehnaz                sher rehman           MA/B/ED         B/Ed              7-Jan-77      Mohmand     20-Apr-05         20-Apr-05       GGMS Sro Killi
2641   SHAH HARAM,BA         SABAR SADIQ                                            20-Apr-75      Malakand    24-Jan-95         1-May-05        GGMS ZOOR MANDI
2642   Tasleem               Khan Zada             BA              CT               25-May-77      SWAT         2-May-95         1-May-05        GGHS Tatano bandai
2643   Saeeda Tabasum        Hamidul Akbar         FA/CT                            10-Apr-71      Swabi        8-Dec-99         6-May-05        GGHS Bamkhel
2644   IMTIAZ BIBI           MUHAMMAD RAFIQ        BA                               28-Apr-79      Lakki        5-Aug-05         8-May-05        GGMS BASHKEN AHMAD ZAI
2645   SADIA REHMAN          FAZAL REHMAN          BA                               5-May-79       Lakki        5-Sep-05         9-May-05        GGMS CHOKI JAND
2646   MINHAS SARFARAZ       SARFARAZ KHAN         BA              BED CT            9-Oct-82      Bannu       10-May-05        10-May-05        GGMS DHERI GANDI BANNU/
2647   ZEENAT BIBI           IMAM BAKHSH           MA/             BED/CT            1-Apr-73      D/I/KHAN    10-Jan-96        11-May-05        GGMS KHARU WALI
2648   ZEENAT BIBI           IMAM BAKHSH           MA/             BED/CT            4-Jan-78      D/I/KHAN     1-Jan-96        11-May-05        GGMS KAHROWALI
2649   Khair/un/Nisa         Noor Shah jehan       BA                                2-Mar-82      FR Bannu    15-May-05        15-May-05        GGHS Kotka Sher Andaz
2650   REHANA BIBI           YAQUB KHAN            BA                               26-Mar-80      Lakki       16-May-05        16-May-05        GGMS ZANGI KHEL
2651   Noor Shan Pari,       Asal Dad              BA              B/Ed:            15-Feb-78      Karak       18-Dec-99        16-May-05        GGHS, No/ 1 Karak
2652   Noor Wari,            Muhammad Naeem Khan   BA              B/Ed:             5-Jan-62      Karak       10-Oct-85        16-May-05        GGHS, Janderi
2653   Falak Naz Akhtar,     Nawab Khan            MA              M/Ed:             1-Jul-77      Karak       30-Apr-98        16-May-05        GGHS Bahadar Khel/
2654   Mukhtiar Begum        Mir Shah Baz Khan     BA              B/Ed:            4-May-66       Karak       10-Oct-85        17-May-05        GGMS Laki Ghundaki
2655   Dilafraz Begum,       Bonir Gul             BA              B/Ed:            18-Feb-61      Karak       25-Oct-79        18-May-05        GGHS, Bazid Khel
2656   Nasreen Akhtar        Hakim Khan            MA              M/Ed:             1-Dec-70      Karak       12-May-88        18-May-05        GGMS Wanki Siraj Khel
2657   Farukh Waheed         Abdul Waheed          MA              B/Ed:             9-Nov-78      Karak       18-May-05        18-May-05        GGMS Khawaja Khel
2658   Bibi Zainab           Mohammad Ali          B/Sc/MSC        B/Ed:            17-Oct-84      Karak       18-May-05        18-May-05        GGMS Wanki Siraj Khel
2659   SHAMSHAD BEGUM        MUHAMMAD RAMZAN       BA              BED CT           17-Oct-67      D/I/KHAN     4-Feb-87        28-May-05        GGHS HASSA
Academic        Professional                                  Date of 1st   D/O Apptt against
 No.   Name of Teacher     Father's Name           Qualification   Qualification   Date of Birth   Domicile        Apptt:        Present Post      Name of School
  1                2                      3                4               5             6                 7          8                9                         10
2660   SAMINA AKHTAR       ABDUR RASHEED           MA              BED/CT           24-Feb-75      D/I/KHAN      30-May-05        30-May-05        GGHS BEHARI COLONY
2661   SEEMA BGUM          HAMID ULLAH             BA II           BED               1-Mar-70      CHARSADDA      1-Apr-90        31-May-05
2662   AJMIN IQBAL         JEHANZEB KHAN           BA              BED              13-May-70      SWABI         27-Feb-92        31-May-05        GGMS Achini Payan
2663   FOZIA BIBI          SOBA WILIAN             BA              BED/CT            3-Jul-66      D/I/KHAN      15-Nov-94         1-Jun-05        GGMS JATA
2664   RUKHSANA BIBI       FAIZULLAH KHAN          MA              /MED/CT           5-Sep-68      D/I/KHAN      24-Jun-05         24-Jun-05       GGHSS NO5 DIKHAN
2665   SAMINA NIAZ         NIAZ MUHAMMAD           MA/             BED/CT            1-Apr-71      D/I/KHAN      12-May-92         26-Jun-05       GGHS HATHALA
2666   Naseem Akhtar       Ghulam Sarwar           MA/Bed/CT                        18-Jan-65      Swabi          1-Nov-83          1-Jul-05       GGHS Permoli
2667   Fariza Begum        Mohammad Idrees shah    B/Sc, M/A       B/ Ed            1-May-75       Nowshera      22-Jan-98         26-Jul-05
2668   Aisha Raza          Raza Ul Haq             M/A             B/ Ed            23-Apr-83      Nowshera      10-Aug-05        10-Aug-05
2669   Raheela Begum       Muhammad Sher           MA/Med/CT                        20-Apr-78      Swabi          1-Sep-05         1-Sep-05        GGMS Shamroz Abad Dagai
2670   AMBREEN GUL         ALLAH NAWAZ             MA/             BED/CT           22-Feb-79      D/I/KHAN       7-Sep-05         7-Sep-05        GGMS CNTERAL JEAL
2671   Memoona Bibi        Mohammad Hussain        BA                               12-Mar-82      FR Tank       13-Sep-05        13-Sep-05        GGHS Kirri Wam
2672   Hamida begum        kala Khan               MA                                3-Oct-83      FR Peshawar   30-Sep-05        30-Sep-05        GGMS mir Haider
2673   Malika Bibi         S/Mir Ali Shah          MA/Med/CT                        22-Apr-69      Swabi         12-Sep-87        30-Sep-05        GGHS Lahor Sharqi
2674   Sadia Tabasum       Mohammad tahir Shah     BA                               15-Sep-80      FR Kohat       1-Oct-05          1-Oct-05       GGMS Bilal kaley
2675   Bibi Musarrat       Faqir Muhammad          BA/CT                            15-Sep-64      Swabi          7-Mar-87          1-Oct-05       GGMS Nabi
2676   Nureen              Muhammad Akbar          MA/Med/CT                        14-Nov-67      Swabi         25-May-87          1-Oct-05       JICA Model School Bachai
2677   Musarrat Shaheen    Abdul Ghaffar           MA/CT                             1-Apr-78      Swabi          1-Jan-98          1-Oct-05       GGCMHS Swabi
2678   Raqiz Habib         Habibullah              MA/Bed/CT                         1-Dec-72      Swabi          1-Oct-05          1-Oct-05       GGHS Tordher
2679   Fuzia Naz           Khan Badshah            BA/CT                            10-Feb-73      Swabi          1-Oct-05          1-Oct-05       GGHS Zarobi
2680   Bibi Amna           Shaida Muhammad         BSc/CT                            2-Feb-75      Swabi          1-Oct-05          1-Oct-05       GGHS M/K/Zaida
2681   Ravaila             Mir Akbar               MA/Bed/CT                         6-Apr-75      Swabi          1-Oct-05          1-Oct-05       GGMS Takail
2682   Shazia              Said Qamar              MA/Bed/CT                        20-May-77      Swabi          1-Oct-05          1-Oct-05       GGMS Lahor (W)
2683   Sabeha Rahma        Shamsur Rahman          MA/Bed/CT                         4-Feb-78      Swabi          1-Oct-05          1-Oct-05       GGMS Gajai
2684   Safina Akhtar       Rustam Ali              MA/Med/CT                         5-Apr-79      Swabi          1-Oct-05          1-Oct-05       GGHS Zarobi
2685   Nighat Saba         S/Karim ur Raziq        MA/Bed/CT                         14-Jul-80     Swabi          1-Oct-05          1-Oct-05       GGMS Pak Kaya
2686   IMTIAZ BIBI         MUHAMMAD ASLAM          BSC 2ND DIV     BED               4-Feb-75      HARIPUR       15-Oct-05        17/10/2005
2687   SHABANA AHMAD       AHMAD ABDUL AZIZ        BA 2ND DIV      CT               15-Jun-74      HARIPUR       17-Oct-05        17/10/2005
2688   NAZIA               HAFIZ MUHAMMAD ABDULLAH BA              CT                4-Apr-96      HARIPUR       29-Oct-84        17/10/2005
2689   AZRA BATOOL         GHULAM SARWAR           BA              CT                6-Jan-54      HARIPUR       17-Nov-75        17/10/2005
2690   SAEEDA MEHMOOD      MEHMOOD ALAHI           BA              CT                1-Oct-53      HARIPUR        1-Sep-77        18/10/2005
2691   SAJIDA BIBI         FAZAL/UR/REHMAN         BA              CT                3-Jan-65      HARIPUR       24-May-84        18/10/2005
2692   TASLEEM AKHTAR      MUHAMMAD HUSSAIN        BA 2ND DIV      CT                26-Jul-69     HARIPUR       20-Oct-05        20/10/2005
2693   TASLEEM AKHTART     NIAMAT HUSSAIN          BA              CT                26-Jul-69     HARIPUR       15-Oct-05        20/10/2005
2694   SHABANA BEHUM       ZEBAN SHAH              FA              CT               27-Dec-69      HARIPUR       15-Oct-05        21/10/2005
2695   PHOOL BIBI          ZAHOOR/ULISLAM          FA              CT                8-Apr-65      HARIPUR       10-Sep-87        23/10/2005
2696   ALIA NAZ            SHAH IMRAN              BA 2nd Div      BED               8-Aug-73      HARIPUR        1-Apr-96        25/10/2005
2697   NOREEN KOUSAR       NISAR AHMAD             BA 2ND DIV      BED 2nd Div:     5-May-75       HARIPUR       25-Oct-05        25/10/2005
2698   BIBI MUTTAQIA       SIRAJ AHMAD             BA              CT               10-Apr-64      HARIPUR       15-Apr-90        25/10/2005
2699   HAFSA BIBI          MASOODUL HASSAN         BA/             BED/CT            4-Feb-82      D/I/KHAN      31-Oct-05         31-Oct-05       GGHS BILOT
2700   ASIA RANI MA, BED   HAMID UL HAQ                                             12-Jun-84      BUNNER        31-May-03         1-Nov-05        GGMS SURA
2701   Mobina              Raees Khan              BA                                2-Mar-83      FR Tank        1-Nov-05         1-Nov-05        GGMS Haibat Khan Koroona
2702   nasreen Bibi        Said Karim Khan         BA                               16-Apr-78      Bajaur        17-Nov-05        17-Nov-05        Said Karim Khan
2703   Fahim Akhtar        talab khan              BA/B/ED         B/Ed             12-Dec-79      Mohmand       21-Nov-05        21-Nov-05        GGMS Shah Alam Sali
2704   Dil Afsen           zahirullah              MA/B/ED         B/Ed             20-Dec-81      Mohmand       24-Nov-05        24-Nov-05        GGMS Mian Mandi
2705   Shagufta            madad khan              BA/B/ED         B/Ed             24-Apr-82      Mohmand       24-Nov-05        24-Nov-05        GGMS Ilam Kor
2706   Huma Zahid          Zahid Khan              BA                               17-Feb-85      Khyber        25-Nov-05        25-Nov-05        GGHS Jamrud
Academic         Professional                                 Date of 1st   D/O Apptt against
 No.   Name of Teacher          Father's Name         Qualification    Qualification   Date of Birth   Domicile       Apptt:        Present Post      Name of School
  1                2                           3              4                5             6                 7         8                9                            10
2707   SHAMIM BIBI              MIR AFZAL             BA 2ND DIV       BED 2nd Div:      2-Apr-62      HARIPUR      10-Apr-85        26/11/2005
2708   SHAISTA KHAN             CHOUDARY M SHAFFI     MA /BA 2ND DIV   BED              15-May-74      HARIPUR      10-Jun-04        28/11/2005
2709   NIGHAT RANI              LAL MUHAMMAD KHAN     MA/              BED CT            4-Apr-66      D/I/KHAN     14-Oct-93         1-Dec-05        GGMS MADNI TOWN
2710   FARKHANDA JABEEN         MUNIR AHMAD           MA/              BED/CT           25-Nov-74      D/I/KHAN     13-Nov-99         1-Dec-05        GGMS PAHARPUR
2711   Menhaz Begum(CT)BA,BED   Sher Khan             BA               B,ed               2-Jul-79     Dir (U)      24-Apr-98         3-Dec-05        GGMS, Qulandi
2712   NIGHAT KOUSAR            KHAN BADSHAH          MA               BED               9-Feb-78      PESHAWAR      9-Dec-05         9-Dec-05        GGHS Chigher Matti
2713   ZEENAT UN NISA           IJAZ AHMAD            BA               BED               5-May-67      BANNU         9-Dec-05         9-Dec-05        GGHS Chigher Matti
2714   BAHMAN ZARI MA, BED      RAM DAD KHAN                                             2-Jan-74      BUNNER       26-Apr-92        10-Dec-05        GGMS KINGARGALAI
2715   BAKHTIA BEGUM MA, BED    SAID KABOOT SHAH                                         2-Sep-75      BUNNER       13-Oct-93        10-Dec-05        GGMS KINGARGALAI
2716   Sadia Ayub               Mohammad Ayub         FA                                24-Apr-87      FR Tank      20-Dec-05        20-Dec-05        GGHS Darazinda
2717   AZRA KOUSAR              S SHAMSHAD HUSSAION   MA/              BED/CT            3-Feb-68      D/I/KHAN     14-Sep-87        24-Dec-05        GGMS EJAZ ABAD
2718   Bibi Zeba BA             M/Anwar Shah                                             5-Jun-59      Chitral      24-Oct-78        24-Dec-05        GGMS Shotkhar
2719   Bibi Hajira BA/Bed       Fazal Panah                                             11-Sep-67      Chitral       15-Jul-85       24-Dec-05        GGMS Kesu
2720   Habiba Banu BA           Sahib Nizar Khan                                        12-Dec-69      Chitral      20-Sep-89        24-Dec-05        GGMS Lone
2721   Nelofer BA,              Sher Jahan                                               1-Nov-65      Chitral      30-Sep-89        24-Dec-05        GGHS Muldeh
2722   Rifat Nasreen            Faramoz Khan          BA (2nd)         B,ed             18-Jan-63      Dir Lower    21-Apr-90         3-Jan-06
2723   Kousar Naz               Khalil Ur Rahman      BA (2nd)         B,ed             29-Aug-76      Dir Lower     3-Jan-06         3-Jan-06
2724   Kalsoom                  Abdur Rahman          BA (2nd)         B,ed             26-Aug-78      Dir Lower     3-Jan-06         3-Jan-06
2725   Saima Nasreen            Muhammad Zada         BA (2nd)         B,ed              1-Jan-83      Dir Lower     3-Jan-06         3-Jan-06
2726   Nizakat                  Abdul Haq             BA (2nd)         B,ed             10-Apr-80      Dir Lower    22-Oct-02         3-Jan-06
2727   Shamim Akhatar BiBi      Wazir Khan            B,SC(2nd)        B,ed             5-May-80       Dir Lower     4-Jan-04         3-Jan-06
2728    Sana                    Mohammad Darvez       BA (2nd)         B,ed              7-Jun-81      Dir Lower     8-Jan-04         3-Jan-06
2729   SAIMA BANO               MOHD IQBAL            BA               BEd              10-Jan-80      Mansehra      3-Jan-06         3-Jan-06
2730   tahira Parveen           MASOOD UR REHMAN      BA               BEd              14-Nov-71      Mansehra     24-Oct-03         3-Jan-06
2731   SALMA BIBI               MEHMOOD ELLAHI        MA               BED              25-Jun-80      HARIPUR       4-Dec-06         4-Jan-06
2732   NAGINA REHMAN            AZIZ UR REHMAN        BA               BED              21-Feb-81      ABBOTTABAD    8-Jan-06         8-Jan-06        GGMS Banda Said Khan
2733   ZAKIA SULTANA            KARIM BAKHSH          BA/              BED/CT            4-Feb-82      D/I/KHAN      8-Jan-06         8-Jan-06        GGMS, CHAH KHAN WALA
2734   Mansoora Bibi BA         Umar Hayat                                               1-Feb-58      Chitral       5-Aug-76         8-Jan-06        GGHS Drosh
2735   Razia Sultana BA         Azizud Din                                              26-Oct-58      Chitral      12-Apr-80         8-Jan-06        GGMS Kushum
2736   Mehrun Nisa, BA          Adalat Khan                                              1-Jan-60      Chitral      16-Mar-81         8-Jan-06        GGHS Broze
2737   Sharifa Bibi BA          Laal Zumrad                                             15-Nov-66      Chitral      15-Mar-85         8-Jan-06        GGMS Awi
2738   Nasima Bibi BA           Jalalud Din                                             11-May-69      Chitral      19-Sep-89         8-Jan-06        GGCMHS Denin
2739   Kishwar Sultana BA       Usman Ghani                                              1-Sep-72      Chitral      16-May-93         8-Jan-06        GGMS Shahnigar
2740   Zaibun Nisa BA,B/Ed:     Dilawar Baig                                             1-Jan-74      Chitral      15-Nov-94         8-Jan-06        GGMS Harchin
2741   Rashida MA               Bulbul Nadir Khan                                        8-Jan-78      Chitral      16-Dec-02         8-Jan-06        GGMS Charun
2742   Noor Bibi BA,B/Ed:       Yourmas Khan                                             3-Apr-73      Chitral       1-Aug-06         8-Jan-06        GGCMHS Denin
2743   Safida Bibi BA           Shapir Khan                                              5-Apr-74      Chitral       1-Aug-06         8-Jan-06        GGMS Brep
2744   Shahi Bibi BA            Wazir Jan                                                5-Apr-75      Chitral       1-Aug-06         8-Jan-06        GGMS Awi
2745   Bibi Muahida BA          Misl Arab                                                2-Feb-76      Chitral       1-Aug-06         8-Jan-06        GGMS Charun
2746   Sharifa Bibi MA          Mir Afas Khan                                           16-Feb-80      Chitral       1-Aug-06         8-Jan-06        GGMS Kosht
2747   Shaheen Taj              Khursheed Ahmad       BA               B/Ed:            16-Mar-78      Karak         1-Jan-00         9-Jan-06        GGMS Nara Banda
2748   Shafatt Baigum MA B/Ed   Saifullah                                               15-Apr-77      Shangla      17-Dec-99         11-Jan-06       GGHS Chakisar
2749   Zakia BiBi MA B/Ed       Sadullah Khan                                            2-Nov-74      Shangla       7-Jan-93         11-Jan-06       GGMS Makra puran
2750   Shahzia                  Saad Malook           FA               CT               30-Mar-86      Battagram    12-Jan-06         12-Jan-06       GGMS Batamohri
2751   Nahida(CT)BA             Khan Bahadar          FA                                 9-Jan-77      Dir (U)      12-Apr-95         12-Jan-06       GGMS, Duro
2752   Parveen Akhtar(CT)FA     Bacha Muhd            MA                                  2-Jul-80     Dir (U)      12-Jan-06         12-Jan-06       GGMS, Dobando
2753   Farman Akber(CT)MA,BED   Said Akber Kha        BA               B,ed             25-Mar-83      Dir (U)      12-Jan-06         12-Jan-06       GGHS, Sharingal
Academic        Professional                                 Date of 1st   D/O Apptt against
 No.   Name of Teacher                Father's Name           Qualification   Qualification   Date of Birth   Domicile        Apptt:       Present Post      Name of School
  1                 2                              3                  4               5             6                 7         8                9                         10
2754   Noor Nishta(CT)BA              Faqir Muhd              BA                               24-May-83      Dir (U)      20-Aug-02         12-Jan-06       GGMS, Kakad
2755   ABIDA PERVEEN                  LAL BAHADAR             MA              B/Ed,M/Ed        24-Dec-75      MARDAN       12-Jan-06         12-Jan-06       GGMS KALA KHEL(TORU)
2756   SHAHIDA JILLANI                GHULAM JILLANI          MA/BA 2nd Div   BED Ist Div       8-Apr-76      HARIPUR      28-Apr-99         12-Jan-06
2757   WAHEEDA SULTANA                GHULAM QADUR            BA              CT               19-Dec-82      HARIPUR       1-Dec-06         12-Jan-06
2758   MUSARAT BEGUM, M/Sc            ABDUL HASSAN                                             15-Apr-79      Malakand     21-Jan-06         21-Jan-06       GGMS JABAGAI
2759   SHAFQAT BEGUM,BA(2nd)B/Ed      ABDUL LATIF                                               1-Apr-76      Malakand     22-Jan-06         22-Jan-06       GGHS PIRKHEL
2760   ASIA BEGUM, BA(2nd)            AMIR GHAWAS                                               2-Jun-74      Malakand     23-Jan-06         23-Jan-06       GGHSS Sakhakot
2761   BUSHRA BEGUM, MA/CT            MUHAMMAD ALAM                                            24-Apr-71      Malakand     24-Jan-06         24-Jan-06       GGMS MAYAR
2762   NEELAM AMIN,BA                 AMIN KHAN                                                 2-Feb-79      Malakand     24-Jan-06         24-Jan-06       GGHS Dargai
2763   NUSRAT BEGUM,MA(Ur)/B/Ed       ALAM ZEB                                                 14-Jan-73      Malakand     25-Jan-06         25-Jan-06       GGHS Dargai
2764   ARSHISTAWA, BA (2nd) / B/Ed    NAIK JAN                                                  1-Jun-77      Malakand     25-Jan-06         25-Jan-06       GGMS Matkani
2765   NUSRAT BIBI, BA (2nd) / B/Ed   AMEER BADSHAH                                             3-Mar-77      Malakand     24-Apr-98         25-Jan-06       GGMS SHARIF ABAD
2766   Zakia Wahab                    Abdul Wahab             BA/CT                             6-Mar-81      Swabi        27-Jan-06         27-Jan-06       GGHS Manki
2767   YASMEEN, BA (2nd) /B/ED        GUL ZADA                                                  24-Jul-74     Malakand     28-Jan-06         28-Jan-06       GGMS Mekhband
2768   SHAKELA BIBI                   MOLVI HABIB UR REHMAN   BA              BEd               1-Jan-80      Mansehra     27-Mar-00         31-Jan-06
2769   Rabia Sultanan                 Qazi Mehtab Ahmed       BA              BED              28-Jan-82      MANSEHRA      1-Feb-06         1-Feb-06        GGMS Barbian
2770   ISHRAT PARVEEN                 MUHAMMAD RAMZAN         MA/             BED/CT           25-Mar-59      D/I/KHAN      2-Sep-87          1-Feb-06       GGCMHS NO1 DIKHAN
2771   MUMTAZ BIBI                    RIAZ HUSSAION           MA/             BED/CT           11-Oct-65      D/I/KHAN     22-Oct-88         1-Feb-06        GGMS KOTLA SAIDAN
2772   SHAHBAN QURSHI                 MUHAMMAD RAFIQ          BA              BED CT           24-Apr-68      D/I/KHAN     22-Oct-88         1-Feb-06        GGHS KACHI PAIND KHAN
2773   RUKHSANA SHAHEEN               M SHAIFIQ               MA/             BED/CT           12-Jan-69      D/I/KHAN      4-Dec-88         1-Feb-06        GGMS QAYUM NAGAR
2774   FARZANA YASMIN                 ABDULLAH JAN            MA/             BED/CT           1-May-69       D/I/KHAN      1-Feb-06         1-Feb-06        GGHS R/KULACHI
2775   ZOOBIA IRAM                    HAMEEDULLAH             MA              /BED/CT           1-Jan-78      D/I/KHAN     28-Dec-99         1-Feb-06        GGMS KORAI
2776   NIGHAT SHAHEEN                 ALLAH BAKHSH            MA/             BED/CT           13-Apr-71      D/I/KHAN      2-Feb-06          2-Feb-06       GGMS KIRI BAKHTIAR
2777   SHAHEEN ZAFAR                  ZAFAR AHMED             BA              BEd              13-Jun-60      Mansehra      1-Mar-04         2-Feb-06
2778   SHAFQAT BIBI                   M AWAL KHAN             BA              BEd               4-Apr-66      Mansehra      1-Mar-04         2-Feb-06
2779   JAMILA RASHID                  ABDUR RASHID            MA/             BED/CT           16-Feb-81      D/I/KHAN      8-Feb-06          8-Feb-06       GGHS KIRI BAKHTIAR
2780   SHAKILA ZAREEN                 GUL ZAREEN              BA              BEd               8-Jan-77      Mansehra      1-Mar-04         10-Feb-06
2781   Zeenat Jehan                   Syed Ali                M/A             B/ Ed, M/ Ed      4-Jan-68      Nowshera     22-Dec-94         10-Feb-06
2782   RUBIAN IMTIAZ                  BURA KHAN               BA              BED               1-Jun-71      ABBOTTABAD   11-Feb-06         11-Feb-06       GGMS Malik Pura
2783   Yasmin (CT)BA                  Bakhtyar                BA                                7-Jan-73      Dir (U)      13-Nov-94         12-Feb-06       GGMS, Amloknar
2784   Razia Bibi(CT)BA               Badshah Zada            MA                                4-Feb-84      Dir (U)        8-Jul-02        12-Feb-06       GGMS, Chapper
2785   RASHIDA REHMAN                 FAZAL/UR/REHMAN         BA 3rd Div      BED 3rd          1-May-62       HARIPUR      12-Sep-82         12-Feb-06
2786   RASHIDA BIBI                   MUHAMMAD AMIN           BA 2ND DIV      CT                7-Apr-55      HARIPUR      20-Sep-82         12-Feb-06
2787   RUQIA BIBI                     MUHAMMAD SHAH           BA 2ND DIV      CT               17-Sep-76      HARIPUR      25-Apr-96         12-Feb-06
2788   SHAHIDA BIBI                   ABDUL QAYYUM            BA 2ND DIV      CT               17-Apr-62      HARIPUR      12-Nov-94         12-Feb-06
2789   FIQIA NAZ                      MOHD ILYAS              BA              BEd               1-Jul-79      Mansehra      1-May-98         18-Feb-06
2790   SAGHIRA                        MUHAMMAD RAHIM          MA              BED              14-Apr-75      PESHAWAR     10-Dec-94         20-Feb-06       GGHS Jogiwara
2791   SAMINA MASOOD                  MASOOD KHAN             MSC             BED              16-Nov-77      PESHAWAR     20-Feb-06         20-Feb-06       GGMS ASIA PARK PESHAWAR
2792   SHAZIA ANJUM                   AHMAD BAKHSH            MA              BED               5-Apr-75      PESHAWAR     27-Sep-95         22-Feb-06       GGMS No/3 Cantt/
2793   HUMAIRA IQBAL                  IQBAL HUSSAIN           MA              BED              16-Mar-76      PESHAWAR     22-Feb-06         22-Feb-06       GGMS MERA KACHORI PESHAWAR
2794   ROZINA SHAHEEN                 BASHIR AHMAD            MSc             BED               5-Jan-68      PESHAWAR     25-Feb-06         25-Feb-06       GGHS Bara Line
2795   Bibi Asia                      Muhammad Rahman         BA                               12-Sep-83      Bajaur        1-Mar-06         1-Mar-06        Sabir Rahman
2796   Farhat Jabeen                  Aziz ur Rehman          BA              BEd              13-Apr-58      Mansehra     12-Nov-79         1-Mar-06
2797   Zakia Abbasi                   M JAN ABBAS             BA              BEd               4-Jan-70      Mansehra     26-Jun-96         1-Mar-06
2798   FARRAH NAZ                     ALI HAIDER              BA              BEd               1-Apr-66      Mansehra     26-Nov-88         1-Mar-06
2799   FARHAT NAZ                     AURANGZEB               BA              BEd              15-Mar-81      Mansehra      1-Mar-04         1-Mar-06
2800   JHOLA NISAR                    NISAR AHMED             BA              BEd               3-Apr-76      Mansehra      3-Mar-04         1-Mar-06
Academic          Professional                                  Date of 1st   D/O Apptt against
 No.   Name of Teacher         Father's Name          Qualification     Qualification   Date of Birth   Domicile         Apptt:       Present Post      Name of School
  1                2                        3                 4                 5             6                 7          8                 9                           10
2801   RUKHTAJ BIBI            KAHANI ZAMAN           BA                BEd               3-Apr-81      Mansehra       7-Jun-04         1-Mar-06
2802   RUBINA BIBI             ALI AFSAR              BA                BEd               9-Jan-77      Mansehra      11-Jun-04         1-Mar-06
2803   BIBI NAZAKAT            SAID KHAN              BA                BEd              12-Sep-54      MURREE        11-Jun-04         1-Mar-06
2804   SADIA IKHLAQ            M IKHLAQ               BA                BEd               2-Jun-73      Mansehra      11-Jun-04         1-Mar-06
2805   BALQIS KHANUM           SULEMANN MEMOOD        BA                BEd              15-Aug-72      ABBOTTABAD    15-Apr-05         1-Mar-06
2806   SUKANA AWAN             M MASKEEN              BA                BEd              26-Apr-66      Mansehra       3-Jan-06         1-Mar-06
2807   SITRAR JABIN            MOHD RAFIQUEE          BA                BEd               6-Mar-76      Mansehra       1-Mar-06         1-Mar-06
2808   Bibi Fozia              Masha Khan             BA                BEd              22-Jan-80      Mansehra       1-Mar-06         1-Mar-06
2809   AYEAHA PARVEEN          SAIF U REH             BA                BEd              28-Feb-70      Mansehra       1-Mar-06         1-Mar-06
2810   SALAIL U NISA           ALI ASGHAR             BA                BEd               6-Jun-88      Mansehra       1-Mar-06         1-Mar-06
2811   TILAT RAFIQ             M RAFIQUE              BA                BEd              10-Oct-73      Mansehra       1-Mar-06         1-Mar-06
2812   ZAHIDA BIBI             M IQBAL                BA                BEd              12-Dec-79                     1-Mar-06         2-Mar-06
2813   Aisha                                                                             12-Sep-83      Bajaur         6-Mar-06         6-Mar-06        GGMS Bandagai
2814   SAMINA TABASAM          SADULLAH KHAN          MA/               BED CT           15-Apr-84      D/I/KHAN       8-Mar-06          8-Mar-06       GGHSS PAHARPUR
2815   RAHEELA HUSSAIN         M/HUSSAIN              MA/               BED/CT           21-Mar-74      D/I/KHAN      20-Mar-06         20-Mar-06       GGCMHS NO/ 1 DIKHAN
2816   Parveen Bano            Gulbar Khan            FA/CT                               7-Jun-67      Swabi         10-Dec-88         23-Mar-06       GGHS Kabgani
2817   AZRA SULTANA            MUHAMMAD ZAMAN KHAN    BA                /BED/CT           1-Apr-61      D/I/KHAN      22-Dec-99          6-Apr-06       GGHSS NO5 DIKHAN
2818   KHALIDA BIBI            HAQ NAWAZ              MA/               BED/CT            4-Apr-73      D/I/KHAN      12-Apr-06         12-Apr-06       GGMS MAHRA
2819   SHAHIDA BIBI, MA (Is)   SAYED MEHMOOD SHAH                                        10-Feb-65      MARDAN         5-Feb-84         24-Apr-06       GGHS Meherdi
2820   RIZWANA AMBREEN         MUHAMMAD BARAN         BA                BED CT           20-Nov-76      D/I/KHAN      26-Apr-06         26-Apr-06       GGHS K/P/KHAN
2821   SHABANA SHAHEEN         MUHAMMAD ANWAR         MA                /MED/CT BED       3-Apr-77      D/I/KHAN       3-May-06         3-May-06        GGMS SHAHDAO
2822   AMBREEN NAZ             NASEER UD DIN          MA/               BED/CT           11-Apr-81      D/I/KHAN       5-May-06         5-May-06        GGMS, ZAFAR ABAD
2823   Salma Rani/             Mubarak Ali/           BA/               CT                4-Apr-72      Tank/         19-Nov-94         9-May-06        /do/ Touran Nou/
2824   Gul/e/Rana/             Amir Khan/             MA/(ME/d)                           6-Feb-74      Tank/           1-Jul-97        9-May-06        /do/ Nourang/
2825   MISBA HAYYAT            MUHAMMAD HAYAT         MA/               BED/CT            6-Sep-79      D/I/KHAN      25-May-06        25-May-06        GGMS WANDA LALI
2826   FARZANA JAMIL           MUHAMMAD JAMIL         BA/               BED/CT           13-Feb-73      D/I/KHAN       1-Jun-06          1-Jun-06       GGHS NO/ 9 DINPUR
2827   Nasreen Begum           Sherin Khan            MA/Bed/CT                           1-Feb-75      Swabi          6-Apr-99          1-Jun-06       GGMS Saproona
2828   RASHIDA BIBI            NAZAR HUSSAIN SHAH     MA /BSc 2nd Div   CT               12-May-72      HARIPUR        6-Dec-06          1-Jun-06
2829   REHANA PARVEEN          AZIZ/UR/REHMAN         MA/BA 2nd Div     BED 2nd Div:     15-Mar-76      HARIPUR        5-Aug-04         12-Jun-06
2830   SHAHNAZ BEGUM           UMERDAD KHAN           MA                MEd              17-Mar-61      BANNU         22-Oct-83         15-Jun-06       GGMS PUSHTAKHARA PAYAN
2831   Zuhra Bibi, BA          Abdul Wahid                                               24-Mar-79      Chitral         6-Jul-06         6-Jul-06       GGHS Shiaqotek
2832   Shazai Gul              Mohd Yousaf            FA/CT             CT                1-Jan-80      Abbott Abad    12-Jul-06        12-Jul-06       GGMSJalkot
2833   SHAHEEN FA, CT          BAKHSHAD                                                  1-May-83       BUNNER        16-Jun-03         16-Jul-06       GGHS JOWAR
2834   Farzana BA              Abdul Wakil Khan                                           1-Nov-65      Chitral       24-Sep-89         22-Jul-06       GGMS Jughoor
2835   Bibi Amina MA M/Ed      Rahmatullah                                               5-May-79       Chitral        28-Jul-06        28-Jul-06       GGHS Warijun
2836   SHAMIM AKHTAR           GAMMA KHAN             BA                BED CT            7-Jan-70      D/I/KHAN       1-Aug-06         1-Aug-06        GGHSS NO/ 5 DIKHAN
2837   NARGIS ALIZAI           MUHAMMAD HASHIM        BA/               BED/CT            1-Sep-76      D/I/KHAN       1-Aug-06         1-Aug-06        GGMS WANDA MOCHIAN
2838   SHAFQAT ANDLEEB         ATTA MUHAMMAD MUSLIM   MA/               BED/CT           29-Nov-78      D/I/KHAN       1-Aug-06         1-Aug-06        GGMS BASTI DHAP
2839   REHANA YASMIN           ALLAH BAKHSH           MA                BED CT            1-Mar-79      D/I/KHAN       1-Aug-06         1-Aug-06        GGHS WANDA HISAM
2840   KHRSHED ANWAR           RAHIM BAKSH            BA/               BED/CT            2-Apr-80      D/I/KHAN       1-Aug-06         1-Aug-06        GGHSS NO/6 DIKHAN
2841   BILQUEES GUL            HAJI SANAULLAH         MA                /BED/CT          11-May-82      D/I/KHAN       1-Aug-06         1-Aug-06        GGMS WANDA MADAT
2842   SHAZIA AMIN             MUHAMMAD AMIN          BA/               BED/CT           20-Nov-72      D/I/KHAN      10-Aug-06        10-Aug-06        GGMS AWAN
2843   Musarat Najim           Mohammad Najim         BA                CT               12-Feb-82      Battagram     21-Sep-02        15-Aug-06        GGMS Shamlai
2844   GUL NAZ                 S SAKHAWAT HUSSAIN     MA                BED/CT            1-Jul-72      D/I/KHAN      15-Aug-06        15-Aug-06        GGMS KACHA MALI KHEL
2845   RAHEELA PERVEZ          MUHAMMAD PERVEZ        MA                BED               30-Jul-77     PESHAWAR      15-Aug-06        15-Aug-06        GGCMHS Tehkal Bala
2846   Nagina Naz              Habibur Rehman         BA                CT                8-Feb-74      SWAT          16-Aug-06        16-Aug-06        GGHS Kowray
2847   Almas                   Adalat Khan            MA                B/Ed              3-Feb-80      Swat          31-Dec-99        16-Aug-06        GGMS Panjigram
Academic        Professional                                Date of 1st   D/O Apptt against
 No.   Name of Teacher              Father's Name         Qualification   Qualification   Date of Birth   Domicile      Apptt:        Present Post      Name of School
  1                  2                             3              4               5             6                 7        8               9                           10
2848   Nagina Naz                   Habibur Rahman        BA/B/Ed                           8-Feb-74      SWAT        16-Aug-06        16-Aug-06        GGHS Kowray
2849   Najma Sultana                Sulatant Khan         BA/CT                             1-Jan-73      SWAT        16-Nov-94        17-Aug-06        GGMS Sangota
2850   SHAKILA SHAHEEN              ABDUR RASHEED         MA/             BED/CT           1-May-69       D/I/KHAN    21-Aug-06        21-Aug-06        GGHSSNO/ 2 DIKAHN
2851   Musarat Bibi                 Hidayatullah Khan     BA (2nd)        B,ed             26-Dec-65      Dir Lower   30-May-87        26-Aug-06
2852   Gul Nasreen                  Sarfaraz Khan         BA (2nd)        B,ed             22-Jan-00      Dir Lower    3-Jan-86        26-Aug-06
2853   Farida BiBi                  Ghulam Qadir Khan     BA (2nd)        B,ed             11-Oct-74      Dir Lower   11-Dec-94        26-Aug-06
2854   KALSOOM BIBI                 MUMTAZ KHAN           MA              BED               9-Oct-76      Lakki       31-Aug-06        31-Aug-06        GGHS DARA PEZU
2855   TASNEEM AKHTER               RAJA MUHAMMAD AKRAM   BA              CT               26-May-76      Bannu        1-Sep-06         1-Sep-06        GGMS BIZEN KHEL BANNU
2856   GULSHAN MUMTAZ               ZAIN UL ABIDEEN       BA              CT               25-Nov-74      KOHAT       12-May-94         1-Sep-06        GGHS BORI SAGHRI
2857   SADIA BASHIR                 MUHAMMAD BASHIR       BA              CT               1-May-73       KOHAT        1-Sep-06         1-Sep-06        GGHS NO 2
2858   SADIA AMAN                   AMAN ULLAH BANGASH    MA              CT                1-Apr-77      KOHAT        1-Sep-06         1-Sep-06        GGHS NO 2
2859   HAMEEDA BEGUM                SHER ZAMAN            MA              CT               19-Apr-75      KOHAT        1-Sep-06         1-Sep-06        GGMS CHIKERKOT BALA
2860   FARZANA RAZZAQ               ABDUR UR RAZZAQ       MA              CT                4-Feb-75      KOHAT        1-Sep-06         1-Sep-06        GGMS DHOK NOOR ALAM
2861   ASIA BIBI                    ZAR BADSHAH           MA              CT               8-May-74       KOHAT       29-Jun-97         1-Sep-06        GGMS KHADER KHEL
2862   YASMEEN SULEMAN              SULAIMAN KHAN         MA              CT               10-Feb-77      KOHAT        1-Sep-06         1-Sep-06        GGMS SURGUL
2863   SHAHIDA                      SULAIMAN KHAN         MA EDU          CT               23-Mar-81      KOHAT        1-Sep-06         1-Sep-06        GGMS SURGUL
2864   NAGINA BIBI                  ABDUR UR RAZAQ        MA              CT               20-Jun-73      KOHAT       21-Feb-95         1-Sep-06        GGHS NO 1 KOHAT
2865   NAZIA BIBI                   JAMSHED ALI           MA/             CT               20-Nov-80      KOHAT        1-Sep-06         1-Sep-06        GGHS SHERKOT
2866   SAEEDA BIBI                  ISLAH UD DIN          MA (ISL)        CT                1-Dec-71      KOHAT       12-Nov-90         1-Sep-06        GGHSS GUMBAT
2867   ASIA BANGASH                 INAYAT ULLAH          MA              CT               30-Mar-80      KOHAT        1-Sep-06         1-Sep-06        GGHS KOT
2868   NOSHINA BASHIR               BASHIR AHMAD          MA              BED              15-Nov-74      Lakki        9-Jan-97         1-Sep-06        GGMS SARWAR MAMA KHEL
2869   ZAKIA NAHID                  NIAZ MUHAMMAD         MA              BED              15-Oct-71      Lakki        4-Jan-92         1-Sep-06        GGMS MASH HABIBULLAH KHAN
2870   SHAGUFTA SHAHEEN             HAQNAWAZ KHAN         BA                                3-Jan-79      Lakki        9-Jan-06         1-Sep-06        GGMS JABO KHEL
2871   YASMIN AKHTER                MUHAMMAD JAN          BA                               18-Jan-77      Lakki        5-Mar-99         1-Sep-06        GGMS KHERO KHEL PACCA
2872   SURIA SHAHAB                 SYED HUSAIN           BA                               26-Apr-75      Lakki        9-Jan-06         1-Sep-06        GGMS UMER DARAZ TAJORI
2873   NASIM AKHTER                 SHERIN JAN            MA              BED              15-Apr-65      Lakki       26-Oct-87         1-Sep-06        GGMS KHWAJA KHEL
2874    BASIM BIBI                  GHULAM YASIN          BA                               1-May-81       Lakki        9-Jan-06         1-Sep-06        GGMS MANGALA
2875   FARKHANDA JABEEN             MUHAMMAD BIAZ ISLAM   BA                               24-Jan-79      Lakki       11-Jan-02         1-Sep-06        GGMS BAHDER LANDIWAH
2876   SHAHIDA NASREEN              GUL NAWAZ             MA              BED              15-Feb-74      Lakki       19-Nov-82         1-Sep-06        GGMS ISAK KHEL
2877   RASHIDA BANO                 SHEIKH HAMID          BA                                2-Jan-80      Lakki       16-Sep-05         1-Sep-06        GGMS PAHAR KHEL
2878   NAJMUN NISA                  ABDULLAH              BA                               25-Mar-79      Lakki        1-Sep-06         1-Sep-06        GGMS MANGALA
2879   BIBI ARFA                    ABDUL GHAFAR          BA                               30-Mar-74      Lakki       24-Apr-95         1-Sep-06        GGMS KOTKA ATLAS KHAN
2880   ZALIKHA BEGUM                GHULAM RABBANI        BA                                1-Nov-77      Lakki       22-Apr-96         1-Sep-06        GGMS BAIST KHEL
2881   ARFA JABEEN                  GUL NAWAZ             MA                               10-Dec-79      Lakki        1-Sep-06         1-Sep-06        GGMS BACHKEN AHMAD ZAI
2882   SABEENA YASMEEN,MA(Urd)/B/Ed FAZLI WAHAB                                            18-Nov-76      Malakand     1-Sep-06         1-Sep-06        GGHS Dargai
2883   Tasneem Begum                Umara Khan            BA              B/Ed              1-Mar-59      SWAT        11-Oct-86         1-Sep-06        GGMS Rasha Gata
2884   Husnul Wara                  Abdul Ghafoor         BA              B/Ed              5-Jun-64      SWAT        23-May-87         1-Sep-06        GGMS Dadahara
2885   Hayat Begum                  Ghulam Sarwar         MA              B/Ed              10-Jul-67     SWAT         4-Dec-89         1-Sep-06        GGMS Dadahara
2886   Yasmeen Akhtar               Shamsul Arifeen       BA              CT               12-Dec-68      SWAT        12-Apr-87         1-Sep-06        GGMS Sijbanr
2887   Jamila Parveen               Abdul hamid           BA              M/Ed             16-Dec-73      SWAT         1-Mar-93         1-Sep-06        GGHSS Kabal
2888   SHAKILA NAUREEN              Q/ABDUL RAUF          MA              /BED/CT          11-Apr-71      D/I/KHAN    20-Dec-94         3-Sep-06        GGCMHS NO/ 1 DIKHAN
2889   FOZIA NASIR                  NASIR UD DIN          BA/             BED/CT            8-Apr-81      D/I/KHAN    11-Sep-06        11-Sep-06        GGHS BIGWANI SHUMALI
2890   AKHTER NISA                  RAIS KHAN             MA                               15-Jun-80      Lakki       15-Sep-05        14-Sep-06        GGMS BAIST KHEL
2891   ZAHIDA BEGUM MA,MED          INAYATULLAH                                            27-Feb-75      BUNNER      24-Jun-97        15-Sep-06        GGHS CHINGLAI
2892   SAADAF BIBI MA, BED          ABDUL WAHID                                            18-Mar-85      BUNNER       4-Jan-04        15-Sep-06        GGMS CHARORAI
2893   SAEEDA BIBI BA, BED          SAEED UR RAZIQ                                          5-Jan-80      BUNNER      15-Sep-06        15-Sep-06        GGHS BAZARGAI
2894   Fatma Zuhra                  Sultan Sher           MA/Bed/CT                         2-Jan-73      Swabi       15-Sep-06        15-Sep-06        GGHS Kaddi
Academic        Professional                                Date of 1st   D/O Apptt against
 No.   Name of Teacher          Father's Name         Qualification   Qualification   Date of Birth   Domicile      Apptt:        Present Post      Name of School
  1                2                          3               4               5             6                 7        8                9                             10
2895   SHAHEEN BEGUM BA,BED     NASRULLAH KHAN                                          1-Feb-76      BUNNER      13-Sep-95        16-Sep-06        GGMS TANGORA
2896   NAHEED AKHTAR BA, CT     ALI MAND                                                1-Jan-78      BUNNER      24-Aug-96        16-Sep-06        GGMS CHANAR
2897   SHEHNAZ BEGUM BA, BED,CT TAHIR RAHMAN                                            4-Feb-81      BUNNER      12-Jan-02        16-Sep-06        GGMS KATKALA
2898   SHABNAM BA, CT           KAMIL                                                   8-Oct-82      BUNNER      16-Sep-06        16-Sep-06        GGMS KATKALA
2899   AZMAT ISLAM              BASHIR AHMED          FA              CT               15-Apr-68      KOHAT        1-Sep-86        16-Sep-06        GGMS JABBAR
2900   Nabeela Imtiaz           Imtiaz Dil            MA/Med/CT                        25-Mar-77      Swabi        1-Aug-87        16-Sep-06        JICA Model School Topi
2901   Akhtaria                 Razi Khan             MA/Bed/CT                         1-Jan-79      Swabi        1-Jan-98        16-Sep-06        GGHS Yar Hussain
2902   Haleema Farooq           Muhammad Farooq       MA/Med/CT                        1-May-76       Swabi        8-Apr-99        16-Sep-06        GGMS Takail
2903   Ayesha Rahman            Said Rahman           MA/Bed/CT                         9-Feb-77      Swabi        1-Sep-04        16-Sep-06        GGMS Rafiq Abad
2904   Noshin gul               Mirza Muhammad Khan   MA/Bed/CT                        27-Feb-70      Swabi       16-Sep-06        16-Sep-06        GGHS Gandaf
2905   Wakeela Naz              M/Amanullah Khan      MA/bed/CT                        16-Feb-76      Swabi       16-Sep-06        16-Sep-06        GGMS Pehoor Hemlet
2906   Jehan Ara                Mahabat Khan          BA/CT                             8-Mar-76      Swabi       16-Sep-06        16-Sep-06        gGMS Dagai
2907   Neelum Naz               Barkhurdar Khan       BA/Bed/CT                         1-Jan-77      Swabi       16-Sep-06        16-Sep-06        GGHSS Lahor
2908   Firasat Begum            Azeem Khan            MSc/Med/CT                        5-Feb-78      Swabi       16-Sep-06        16-Sep-06        GGMS Paludhand
2909   MUSRAT BEGUM BA, CT      MOHAMMAD SHIREEN                                       15-Mar-77      BUNNER      30-Dec-96        18-Sep-06        GGMS DAGAI
2910   NUSRAT BEGUM MA, CT      MUHAMMAD SHERIN                                        15-Mar-77      BUNNER      30-Dec-96        18-Sep-06        GGMS SOWAWAI
2911   AZRA MA, CT              BAHADUR KHAN                                           2-May-81       BUNNER      18-Sep-06        18-Sep-06        GGMS BATAI
2912   RAHAM ZEBA BA, CT        KHALIL                                                 15-Dec-81      BUNNER       9-Dec-06        18-Sep-06        GGHS BATANAI
2913   Israj begum              Sahar gul Khan        MA/CT                             1-Nov-78      Swabi       18-Sep-06        18-Sep-06        GGHS Panj Pir
2914   Taskeen Bibi             Shams Khan            MSc/Med/CT                        1-Jan-81      Swabi       18-Sep-06        18-Sep-06        JICA Lahor
2915   Taskeen Bibi             Shamas Khan           MSc/Med/CT                        1-Jan-81      Swabi       18-Sep-06        18-Sep-06        JICA Model School Lahor
2916   SHAZIA BEGUM             MUHAMMAD SARIR KHAN   BA II           BED               8-Feb-76      CHARSADDA   31-Dec-99        19-Sep-06
2917   Nabeela Jehan            Jehan Mir             FA/CT                             2-Feb-72      Swabi       16-Aug-97        19-Sep-06        GGMS Jehanda
2918   Jabeena naz              Abdur Rasheed         BA/CT                             6-Dec-74      Swabi       19-Sep-06        19-Sep-06        GGHS Pabaini
2919   QAMER UN NISA            ALI NAWAZ KHAN        MA              BED CT           21-Dec-80      D/I/KHAN    21-Sep-06        21-Sep-06        GGHSS NO/ 5 DIKHAN
2920   Dil Afza                 Fazal Qadar           MA/Med/CT                         5-Dec-62      Swabi       17-Jan-82        21-Sep-06        GGMS Hund
2921   Rahina                   Wasaf Shah            MA/Med/CT                        22-Aug-80      Mardan      17-Apr-03        21-Sep-06        GGMS Sher Ghund
2922   Nargis Begum             Anwar Sher            MA/Bed/CT                         1-Jan-73      Swabi        2-Mar-96        26-Sep-06        GGHS Ismaila
2923   SHABNAM NAHEED           MUHAMMAD AFZAL        BA/             BED/CT            3-Mar-70      D/I/KHAN    16-Apr-95         1-Oct-06        GGHS KARI KHASOR
2924   SYEDA NOUREEN            S/IJAZ HUSSAIN        MA/             MED/CT           11-Jan-77      D/I/KHAN     1-Oct-06         1-Oct-06        GGMS GUNDY UMER KHAN
2925   Nighat Sultana           Muhammad Furqan       MA              BED               1-Jan-63      SWABI       20-Oct-87         2-Oct-06        GGMS Hazar Khawani No/2
2926   Zeenat Perveen/          Naik Muhammad/        BA/             CT                1-Aug-67      Tank/       10-May-06         5-Oct-06        /do/ Touran Nou/
2927   Tasleem Jan/             Hamidullah/           MA/             CT               20-Jun-70      Tank/       10-May-06         5-Oct-06        /do/ No/I,Tank/
2928   Badru/un/Nisa/           Saadullah/            BA/             CT               12-Dec-70      Tank/       10-May-06         5-Oct-06        /do/ Nourang/
2929   Zanobia Gul/             Rehmatullah/          BA/             CT                5-Jan-72      Tank/       10-May-06         5-Oct-06         /do/ Gomal Bazar
2930   Shabnum Naz/             Najeebullah/          MA/             cT               15-Mar-73      Tank/        9-May-06         5-Oct-06        /do/ Muhd:Akbar/
2931   Ruqia Kalsoom/           Gul Muhammad/         MSc/                             20-Apr-74      Tank/       10-May-06         5-Oct-06        /do/ Gul Imam/
2932   SAEEDA FAIZ              FAIZULLAH             BA/             BED/CT            3-Oct-84      D/I/KHAN     9-Oct-06         9-Oct-06        GGHS CHODWAN
2933   SHAHEEN AKHTER           SANAULLAH             MA/             BED/CT           20-Mar-74      D/I/KHAN    10-Oct-06         10-Oct-06       GGHS NO9 DIKHAN
2934   ZAHIDA PERVEEN           GUL SARWAR            FA                                5-Feb-70      Lakki       27-Sep-92         12-Oct-06       GGMS DARA PEZU
2935   SHENAZAN PERVEEN         MUHAMMAD YAQOOB       MA/             MED/CT           31-Aug-78      D/I/KHAN    13-Oct-06         13-Oct-06       GGHS KACHA MALI KHEL
2936   RUBINA YASMIN            M/GHULAM SADDIQUE     MA/             BED               3-Oct-68      D/I/KHAN    14-Oct-06         14-Oct-06       GGCMHS NO/ 1 DIKHAN
2937   ZILL/E/HUMA              GHULAM RABBANI        MA              BED              23-Oct-79      Lakki       14-Oct-06         14-Oct-06       GGHS No/ 1 Naurang
2938   SHAGUFTA PARVEEN         ABDUR RAHIM           BAII            BED              20-Apr-66      CHARSADDA    1-Nov-88         17-Oct-06
2939   Abida BA/ CT             Shah Zaman Khan                                        15-Apr-74      Shangla      6-Jan-96         18-Oct-06       GGHS Alpurai
2940   Nawsheen Alam MA/CT      Alam Gir Khan                                           6-Jan-85      Shangla     18-Oct-06         18-Oct-06       GGMS Maira
2941   Safina Hussain BA/CT     Sher Bahadar                                           15-May-77      Shangla     27-Mar-95         18-Oct-06       GGMS Butyal
Academic         Professional                                Date of 1st   D/O Apptt against
 No.   Name of Teacher         Father's Name          Qualification    Qualification   Date of Birth   Domicile      Apptt:        Present Post      Name of School
  1                2                           3              4                5            6                  7        8                9                          10
2942   SAIMA NUSRAT            MIR QALAM              MA                                20-Apr-78      Lakki        7-Jan-97         19-Oct-06       GGMS GHAZI KHEL
2943   ZATOON BIBI             MUHAMMAD HUSSAIN       BA/              BED/CT           15-Dec-76      D/I/KHAN    20-Oct-06         20-Oct-06       GGHS DHAKKI
2944   Zeenat Haram B/A B/Ed   Amir Dostay                                               1-Jan-70      Shangla     20-Oct-06         20-Oct-06       GGMS Maira
2945   YASMIN ABAS             MIR ABBAS              BA                                15-Apr-80      Lakki       17-Sep-05         21-Oct-06       GGMS PAHAR KHEL
2946   Nageena Hafeez/         Abdul Hafeez/          MA(ME/d)                          30-Jun-75      Tank/       13-Dec-74         5-Nov-06        /do/ Gara Shahbaz/
2947   NAGHMA PARVEEN          MUHAMMAD SULEMAN       MA/              BED/ CT           1-Jan-80      D/I/KHAN     7-Nov-06         7-Nov-06        GGMS NO/ 1 PANIALA
2948   NAZIA GUL               WALI JAN               BA II            BED               8-Jan-80      CHARSADDA   26-Mar-05        17-Nov-06
2949   GUL NAZ                 FAZAL MAHBOD           BA II            BED              11-Dec-79      CHARSADDA   17-Nov-06        17-Nov-06
2950   SHAISTA NAZ             DOST MUHAMMAD          BA II            BED              29-Oct-78      CHARSADDA   17-Nov-06        17-Nov-06
2951   JASMEEN                 NISAR MUHAMMAD         BA II            BED               8-Apr-74      CHARSADDA   18-Apr-92        20-Nov-06
2952   NASEEM AKHTAR           RAHAT GUL              BA II            BED               1-Sep-67      CHARSADDA   17-Mar-93        20-Nov-06
2953   SHAHEEN BEGUM           BAHRAM KHAN            BA II            BED               5-Dec-74      CHARSADDA   20-Nov-06        20-Nov-06
2954   ZAHIDA BIBI             SAYED ALI AKBAR        BA II            BED              11-Apr-76      CHARSADDA   25-Oct-94        21-Nov-06
2955   ZONA BEGUM              ABDUR RAHMAN           BA II            BED              13-Apr-74      CHARSADDA   21-Nov-06        21-Nov-06
2956   NAZNEEN BEGUM           GHAFOOR KHAN           BA II            BED              20-Oct-68      CHARSADDA   14-Jan-98        22-Nov-06
2957   SAJIDA NASREEN          HAQ NAWAZ              MA/              BED/CT            7-Mar-83      D/I/KHAN    22-Nov-06        22-Nov-06        GGHS NO/ 4 DIKHAN
2958   ASIA NAZ                MUHAMMAD YOUSAF        BA II            BED              15-Jan-77      CHARSADDA   17-Nov-06        23-Nov-06
2959   NAEEMA BEGUM            FAZAL HAQ              BA II            BED               2-Jan-64      CHARSADDA    2-Jun-82        27-Nov-06
2960   ANISA BANO              MUHAMMAD ESSA          MA               CT                1-Mar-79      HARIPUR      1-Sep-04        27/11/2006
2961   FOZIA JABEEN            MUHAMMAD AFZAL         MA               CT               13-Feb-75      HARIPUR     27-Nov-06        27/11/2006
2962   SALMA NOREEN            MUHAMMAD YAQOOB        BA               CT               10-Jan-77      HARIPUR     27-Apr-96        27/11/2006
2963   Salma Bibi(CT)MA, BED   Rahimullah             MA               B,ed             15-Aug-79      Dir (U)      8-Aug-02        28-Nov-06        GGHS, Sundal
2964   Asia Bibi(CT)MA         Fazal Raziq            BA                                30-Dec-82      Dir (U)      8-Aug-02        28-Nov-06        GGHS, Sundal
2965   NAZIA AZIZ              AZIZ/UR/REHMAN         BA 2ND DIV       CT               2-Dec-80       HARIPUR     28-Nov-06        28/11/2006
2966   NAYYER SULTANA          KHUSHAL KHAN           BA 2nd Div       BED 2nd Div:     15-Feb-70      HARIPUR     28-Dec-06        28/11/2006
2967   ZOBIA MALIK             MALIK WAZI MUHAMMAD    MA               BED              19-Aug-77      HARIPUR     25-Nov-06        29/11/2006
2968   Ishrat BiBi MA B/Ed     Shah Wazir Khan                                           2-Jan-80      Shangla      4-Jun-99        30-Nov-06        GHSS Aloch
2969   SHAHBANA NAWAZ          RAB NAWAZ              BA II            BED               2-Jul-74      CHARSADDA   25-Apr-98         1-Dec-06
2970   ROBINA TURAB            TURAB KHAN             BA II            BED              19-Jun-72      CHARSADDA   28-Apr-98         1-Dec-06
2971   KALSOOM SALMA           WALI ULLAH             BA II            BED              22-Nov-77      CHARSADDA    1-Dec-06         1-Dec-06
2972   FOZIA JABEEN            AMINULLAH              BA               BED              26-Apr-76      Lakki        4-Nov-05         1-Dec-06        GGHS GANDI
2973   Sajida Bibi             Noor Habash            MA               CT               6-Sep-67       SWAT         9-Nov-86         1-Dec-06        GGMS Parrai
2974   NAZIA KHATOON           MUHAMMAD MUNIR         MA /BA 2ND DIV   MED               6-Feb-72      HARIPUR     25-Nov-06         9-Dec-06
2975   SUMBUL SHERIN           WISAL KHAN             BA II            BED               6-Mar-70      CHARSADDA   25-Sep-89        26-Dec-06
2976   FOZIA PARVEEN           SHAUKAT ULLAH          MA/              BED/CT            2-Mar-73      D/I/KHAN    21-Apr-99        30-Dec-06        GGHS PANIALA
2977   FOZIA SADIQ             MUHAMMAD SADIQ         MA/              BED/CT           15-Sep-72      D/I/KHAN     1-Jan-00         1-Jan-07        GGMS MUSAZAI SHARIF
2978   Syeda Zakia             Syed Mohammad Moiz     B/A              B/ Ed             2-Jun-69      Nowshera     2-Jan-88         2-Jan-07
2979   Bibi Asmat Niaz         Mir Sufaid Niaz        M/A              B/ Ed             4-Jul-72      Nowshera    14-Sep-95         2-Jan-07
2980   Asma                    Sharif                 M/A              B/ Ed, M/ Ed      6-Jul-75      Nowshera    22-Nov-95         2-Jan-07
2981   Fareeza Begum           Muhammad Idrees Shah   M/A              B/ Ed            1-May-75       Nowshera    22-Jan-98         2-Jan-07
2982   HALIMA BEGUM            NASRULLAH JAN          MA               BED              21-Jan-73      NOWSHERA    22-Apr-95         2-Jan-07        GGHSS No/2 Cantt
2983   Sajida                  Ghulam Qadar Khan      BA (2nd)         B,ed             2-Aug-79       Dir Lower   22-Oct-02         3-Jan-07
2984   Saira Nowshin           Ali Mohd               BA (2nd)         B,ed             22-Dec-75      Dir Lower   31-Mar-96         3-Jan-07
2985   Khalida Begum           Munir Khan             BA (2nd)         B,ed             20-Apr-75      Dir Lower   22-Nov-94         3-Jan-07
2986   Zakia Menhas            Fazali Khaliq          BA (2nd)         B,ed              1-Mar-82      Dir Lower    3-Jan-06         3-Jan-07
2987   Falak Naz               Ajabar Khan            BA (2nd)         B,ed             15-Apr-81      Dir Lower   19-Nov-02         3-Jan-07
2988   Nusrat Bibi             Zarif Khan             BA               CT               31-Mar-83      Battagram   26-Sep-02         4-Jan-07        GGMS G/Kherabad
Academic        Professional                                      Date of 1st   D/O Apptt against
 No.   Name of Teacher            Father's Name         Qualification   Qualification   Date of Birth   Domicile             Apptt:       Present Post      Name of School
  1                  2                          3               4               5             6                 7              8                 9                           10
2989   Bibi Samina                S/Mohammad Shah       FA              CT                1-Jan-81      Battagram          4-Jan-07          4-Jan-07       GGMS Matamedan
2990   Amir Begum                 Wazir Ahmad           BA              CT               1-May-67       Battagram          4-Jan-07          4-Jan-07       GGMS N/Shang
2991   Shaguffta Rashid MA B/Ed   Rashid Mehmood                                         25-Apr-82      Shangla           31-Dec-99         10-Jan-07       GGHS lilownai
2992   Anisa Laila MA B/Ed        Gul Baz Khan                                           10-Jan-83      Shangla             8-Jul-04        11-Jan-07       GGMS Shilawlai
2993   Rehnaz Gul                 Gul Hussain           M/A             M/ Ed            1-Sep-78       Nowshera          24-Apr-99         2-Feb-07
2994   SOHAILA HAMEED             ABDUL HAMEED          MA              CT               5-Sep-72       KOHAT             12-Feb-07         13-Feb-07       GGMS REHMAN ABAD
2995   Dil Parshad                Khalil/ur/Rehman      BA                               20-Apr-85      NWA               23-Feb-07         23-Feb-07       GGMS Badshah Mir Kot
2996   Tabusum                    Muhammad Rashad       MA              M/Ed              5-Jan-79      SWAT               1-Mar-05         1-Mar-07        GGHS K/Khela
2997   Shafia Bibi                Abdul Wadood          BA              CT               20-Apr-81      SHANGLA             1-Jul-04        2-Mar-07        GGMS Shinkat
2998   Shazia Khoidad             Khoidad Khan          BA                               23-Jan-86      FR Tank            5-Mar-07         5-Mar-07        GGMS Jalal Khan Parwana
2999   Aniqa Jamal                Jamal Abdul nasir     M/Sc                             10-Mar-83      FR Tank            6-Mar-07         6-Mar-07        GGMS Haibat Khan Koroona
3000   Qandhar BiBi/              Abdul Khaliq/         BA/                               1-Apr-87      Tank/             13-May-07         9-Mar-07        /do/   Pai/
3001   SHAZIA PARVIN              ABDUL RAZZAQ          MA              CT                2-Apr-72      KOHAT             22-Jan-98         10-Mar-07       GGMS DHOK LATIF ABAD
3002   YASMEEN BIBI               TILLA MUHAMMAD        MA              CT                1-Jan-72      KOHAT              8-Apr-99         10-Mar-07       GGMS CHASHMA MITHA KHAN
3003   Shabina Khan               Rustam Khan           M/Sc                             20-Mar-83      FR Tank           13-Mar-07         13-Mar-07       GGMS Guli Jan Koroona
3004   Asma Semab                 Jabar Din             BA                               28-Mar-07      FR Tank DI Khan   28-Mar-07         28-Mar-07       GGHS Darazinda
3005   Gul Num                    Ghulam Akbar          BA              CT                              Mansehra          12-Jan-06         30-Mar-07       GGMS Batamohri
3006   Mahe Kamil                 Aurang Zeb Khan       MA              CT               2-May-82       Mansehra          30-Mar-07         30-Mar-07       GGMS G/M/Abad
3007   Maaria Bibi                Naik Mohammad         BA              CT                3-Jan-81      Mansehra          30-Mar-07         30-Mar-07       GGMS Thakote
3008   Habiba                     Noor Jan              FA                               25-Aug-87      FR Kohat          30-Mar-07         30-Mar-07       GGHS Pirwal Khel
3009   Zafran Begum               Noor Payao Khan       BA                               15-Sep-79      FR Bannu           9-Apr-07          9-Apr-07       GGMS Kotka Miraj/ud/Din
3010   Rahila Momin               Momin Khan            FA                                7-Dec-82      FR Bannu           9-Apr-07          9-Apr-07       GGMS Dr/ Rahmatullah
3011   Yasmin Begum                                                                       1-Jul-80      Bajaur            13-Apr-07         13-Apr-07       GGHS Malkana nawagai
3012   Jawahira Bibi              Yaghistan Khan        BA                                1-Apr-84      FR Tank           14-Apr-07         14-Apr-07       GGMS Gula Din Koroona
3013   RIZWANA BIBI               RAEES KHAN            MSC             BED               4-Nov-82      Lakki              9-Jan-06         16-Apr-07       GGHS Dalo Khel
3014   Lobna begum BA/CT          Razi Mand                                             15/03/19984     Shangla           24-Apr-07         30-Apr-07       GGMSDehrai
3015   TEHMEED BEGUM              MEHOOD JAN            BA II           BED              11-Jun-77      CHARSADDA          8-May-07         8-May-07
3016   Naheed Akhtar              Mohammad Gul          BA/MA           B/Ed:            21-Sep-76      Karak             31-Oct-96        17-May-07        GGMS Mandar Killa
3017   Musarrat Jabeen            Kifayatullah          MA/Med/CT                         5-Feb-76      Mardan             9-Feb-98          1-Jun-07       GGHS Kabgani
3018   Shazia Begum               Ihsan Ullah           M/A             B/ Ed, CT         6-Feb-81      Nowshera           1-Apr-03          2-Jun-07
3019   Bahkti Raja                Janas Khan            MA              CT               15-Mar-56      SWAT              20-Nov-79          2-Jul-07       GGMS Miandam
3020   Nasreen                    Mehmood               MA              CT               15-Jan-73      SWAT              26-Jan-97          3-Jul-07       GGMS Miandam
3021   Saima Zargul               Zargul Khan           BA              B/Ed;            12-Nov-81      Battagram           4-Jul-07         4-Jul-07       GGMS Shingli Pain
3022   Rabeel Hina/Moon/          Ashiq Hussain/        MA(BE/d)                          4-Jan-00      Tank/              3-Sep-96         10-Jul-07       /do/ Yar Muhammad/
3023   NUZHAT MANAN               FAZLI MANAN           BA              BED              27-Dec-84      CHARSADDA          30-Jul-07        31-Jul-07       GGMS Zaryab Colony
3024   NARGIS BIBI, BA            Fazal Wahid                                             1-Apr-68      Malakand          21-Sep-86        31-Aug-07        GGMS CC Thana
3025   ZIABUN NISA                AMIR PIO JAN          BA                               28-Nov-79      Lakki              9-Jan-07         1-Sep-07        GGMS JAMIL KHAN TEKHTI KHEL
3026   FARZANA NOOR               NOOR ASLAM            FA                               25-Dec-78      Lakki              9-Jan-07         1-Sep-07        GGMS JAMIL KHAN TEKHTI KHEL
3027   SAKINA BEGUM               AKBAR ZAMAN           MA                               28-Oct-79      Lakki             26-Sep-05         1-Sep-07        GGMS BACHKEN AHMAD ZAI
3028   BAKHAT NAZIRA, BA          RADI GUL                                                7-Feb-74      Malakand          30-Apr-04         1-Sep-07        GGHS Palai
3029   MEHJABEEN                  MUHAMMAD AJMAL KHAN   BA              BED               1-Jun-78      Lakki              9-Mar-07         3-Sep-07        GGMS NASAR KHEL
3030   Balqees Nisa               Nadar Ali Khan        BA/MA           B/Ed:            22-Mar-75      Karak             10-Sep-07        10-Sep-07        GGMS Palooski
3031   Gul Shah Jani              Sabir Khan            MA              B/Ed:            12-May-74      Karak             10-Sep-07        10-Sep-07        GGMS Charpara
3032   Shereen Taj,               Nisar Ahmad Khan      MA              B/Ed:            26-Sep-76      Karak             10-Sep-07        10-Sep-07        GGMS Billand Killa
3033   NOORHAD BIBI               BAHADER ZAMAN         FA                                4-Apr-74      Lakki             21-Sep-07        21-Sep-07        GGMS BARAT KHEL LANDIWAH
3034   Azra Shaheen/              Muhammad Sharif/      MA(BE/d)        CT               11-Sep-72      Tank/             23-Sep-92        25/09/2007       /do/  Darraki/
3035   Nurina Bibi                Ahmad Ali Khan        MSC/Bed/CT                        2-Jan-75      Swabi             15-Nov-99        29-Sep-07        GGMS Saidu Dher
Academic      Professional                                Date of 1st   D/O Apptt against
 No.   Name of Teacher           Father's Name            Qualification Qualification   Date of Birth   Domicile      Apptt:        Present Post      Name of School
  1                   2                       3                   4             5             6                 7        8                 9                          10
3036   Ziaun Nisa                Muhammad Sardar          MA/Med/Bed/CT                  29-Aug-79      Swabi        1-Jan-00        29-Sep-07        GGMS Saidu Dher
3037   SADIA BIBI                PIR GHULAM MUHAMMAD SHAH MSC                             3-Oct-83      Lakki       30-Sep-07        30-Sep-07        GGMS BAHADER KHAN LANDIWAH
3038   RAZIA BEGUM               MUHAMMAD AKBAR           BA II         BED              18-Sep-57      CHARSADDA   22-Jan-84          1-Oct-07
3039   BIBI ROIDA                SAHIB JAN                MA                             22-Dec-78      Lakki       10-Jan-07          1-Oct-07       GGMS JANG KHEL
3040   GULZAR BIBI               GHANI REHMAN             BA                             20-Mar-81      Lakki       11-Jan-02          1-Oct-07       GGMS BAKHMAL AHMADZAI
3041   SAEEDA NAZLI, BA          WAZIR KHAN                                               8-Feb-63      Malakand    30-Apr-92          1-Oct-07       GGHS BADAM BAGHICHA (Purana Thana)
3042   SHAMA ANDLEEB BA/CT       GHULAM SHER ALI                                         25-Dec-78      Malakand    22-Jan-99          1-Oct-07       GGHS Malakand
3043   NAHEED BIBI, MA / B/Ed    NAIMAT ULLAH                                             2-May-72      Malakand    26-Jun-93          1-Oct-07       GGMS Gharib Abad
3044   Samin Akhtar              Muhammad Ishaq           MA/Bed/CT                       22-Jul-80     Swabi       21-Oct-04          1-Oct-07       GGMS Gar P/Pir
3045   Qamar Akber               Said Akbar Shah          FA/CT                           4-Oct-74      Swabi        1-Oct-07          1-Oct-07       GGHS Pabaini
3046   Shagufta Shaheen          Hamid Rasool             MA/Bed/CT                      10-Mar-75      Swabi        1-Oct-07          1-Oct-07       GGHS Permoli
3047   Sahira                    Hazrat Umer              FA/CT                           1-Apr-75      Swabi        1-Oct-07          1-Oct-07       GGHS Dagai
3048   Khalida                   Waris Khan               MA/Bed/CT                       1-Jan-76      Swabi        1-Oct-07          1-Oct-07       GGHS Panj Pir
3049   Roseena Qamar             Noorul Qamar             MA/CT                          25-Mar-76      Swabi        1-Oct-07          1-Oct-07       GGMS Naranjee
3050   Saleem Akhtar             Noor Zaman               FA?CT                           4-Apr-76      Swabi        1-Oct-07          1-Oct-07       GGMS Tordher
3051   Farhat Begum              Islamul Haq              MA            B/Ed              1-Apr-71      SWAT         2-Mar-93          1-Oct-07       GGHS K/D/Khela
3052   GUL HANIFA                MOHABAT KHAN             BA                              8-Oct-84      Lakki        3-Oct-07          3-Oct-07       GGMS TABI MURAD
3053   BIBI ZARJANA              ALI BAND                 BA                              4-Jan-74      Lakki       10-Apr-07          4-Oct-07       GGMS MASH HABIBULLAH KHAN
3054   ZUHRA KHATOON             AMAN GUL                 MA            CT               13-Dec-76      KARAK       28-Jan-04          7-Oct-07       GGMS GHURZAI PAYAN
3055   Talat Khurshid,           JamalNoor                BA/MA         M/Ed:             3-Mar-73      Karak        2-May-92          8-Oct-07       GGHS No/1 Karak/
3056   Farzana Kausar,           Gul Dad Khan             BA/MA         B/Ed:              7-Jul-81     Karak       27-Apr-03          9-Oct-07       GGHS Ganderi Khattak/
3057   Safia Yousaf,             Yousaf Khan              MA            B/Ed:             1-Jan-82      Karak        4-Mar-04          9-Oct-07       GGHS Palosa/
3058   Aalia Ahmad               Ahmad Ali Khan           MA/Bed/CT                       2-Dec-73      Swabi       10-Oct-07         10-Oct-07       GGMS Gajai
3059   Kalsoom Malik             Malik Ashraf             MA/Bed/CT                       7-Apr-74      Swabi       10-Oct-07         10-Oct-07       GGHS Tano
3060   GULSHAN ARA BEGUM         SHAMSUR REHMAN           MA            BED               5-Nov-75      HARIPUR     20-Feb-02         10-Oct-07
3061   Zubida                    Mohammad Nawaz           BA            B/Ed:            20-Dec-74      Karak       10-Oct-07         10-Oct-07       GGMS Mandawa
3062   Malika Khatoon            Saiful Hakam             BA/Bed/CT                      25-May-77      Swabi        1-Feb-00         11-Oct-07       GGHSS Topi
3063   Rukhsana Afshan/          Ghulam Rasool/           BA/                             1-Aug-67      Tank/        1-Nov-86        21/11/2007       /do/  Tajori/
3064   SHAMIM AKHTAR             Muhammad Akbar           MA            BED               5-Oct-64      PESHAWAR     9-Oct-90         1-Dec-07        GGHS Yaka Toot
3065   Khalida                   Hidayat Ullah            MA/Bed/CT                      30-Mar-77      Swabi       27-Nov-02         1-Dec-07        GGHS Dobian
3066   Sabina Bibi               Badarul Islam            BA/CT         CT                1-Jan-80      Harpur       2-Dec-07         2-Dec-07        GGMSSoyal
3067   Nuzhat Shaheen/           H:Rahim Bakhsh/          MA(BE/d)      CT               15-Aug-74      Tank/       22-Apr-99         2-Dec-07        /do/ No/I,Tank/
3068   Mumtaz Begum/             Habibullah/              MA(BE/d)      CT               24-Jan-75      Tank/       13-Sep-96         2-Dec-07        /do/     /do/
3069   Fatima Tabasum/           Ghulam Jan/              MA(BE/d)                        1-Jan-75      Tank/       10-Nov-94         2-Dec-07        /do/     /do/
3070   Shamshad Bibi, MA B/Ed    Dullah Khan                                             18-May-75      Chitral     28-Oct-04          3-Jan-08       GGMS Morilasht
3071   Noor Jahan, MA B/Ed       Laghal Khan                                             22-Nov-76      Chitral      1-Mar-08          3-Jan-08       GGMS Z/Gram
3072   Asmari, BA B/Ed           Asaqal Khan                                             5-May-77       Chitral      1-Mar-08          3-Jan-08       GGMS Shagram
3073   Bibi Ruqaya, MA B/Ed      Sher Khan                                                1-Sep-82      Chitral      1-Mar-08          3-Jan-08       GGMS Z/Gram
3074   ROZINA ROZI               ALI GUL                  BA            BED              11-Sep-73      PESHAWAR    22-Mar-93          9-Jan-08       GGMS QASAB KHANA
3075   NAGINA REHMAN             GUL REHMAN               MA            MEd              21-Sep-79      PESHAWAR     9-Jan-08          9-Jan-08       GGHS Nishter Abad
3076   Sema Dilawar(CT)BA,BED    Dilawar Khan             BA            B,ed              5-Jun-78      Nawshera     5-May-98         12-Jan-08       GGMS, Tarpatar
3077   Parveen Yaqub(CT)MA       Yaqub Khan               MA                              21-Jul-76     Dir (U)      6-Nov-04         12-Jan-08       GGMS, Shenkari
3078   NAILA SEEMAB              MUHAMMAD RAIS            BA                             15-Apr-81      Lakki       22-Jan-08         22-Jan-08       GGMS KHERO KHEL PACCA
3079   BIBI JAMILA               GUL AJAB                 MA                             14-Apr-78      Lakki       15-Sep-05         23-Jan-08       GGMS BACHKEN AHMAD ZAI
3080   Zahidullah, (CT)MA/B/Ed   Fazal Subhan             MA            B,ed             28-Mar-68      Dir (U)     25-Jun-92         12-Feb-08       GMS Sheratkal
3081   Nasreen Bibi(CT)MA,BED    khairur Rahman           MA            B,ed              1-Jan-81      Dir (U)     10-Nov-02         12-Feb-08       GGMS, Badalai
3082   Gul Nigar Nasreen/        Nadir Khan/              MA(BE/d)                       31-Dec-70      Tank/        3-Nov-90        27/02/2008       /do/ Aslam Khan Kor:
Academic        Professional                                Date of 1st   D/O Apptt against
 No.   Name of Teacher               Father's Name        Qualification   Qualification   Date of Birth   Domicile       Apptt:       Present Post      Name of School
  1                 2                             3               4               5             6                 7         8                9                            10
3083   Naheed Akhtar/                Muhammad Jan/        BA/                               8-Nov-71      Tank/        27-Feb-08       27/02/2008       /do Muhd:Akbar/
3084                                                      MA/B/Ed/        c                 2-Mar-76      Tank/        27-Feb-08       27/02/2008       /do/   Mullazai/
3085   Roheeda BiBi/                 Hayat Khan/          BA/             ct               22-Nov-76      Tank/        27-Feb-08       27/02/2008       /do/   Mullazai/
3086   Nighat Noreen/                Noor Khan/           MA(BE/d)                          5-Aug-79      Tank/        21-Apr-99       27/02/2008       /do/ Yar Muhammad/
3087   Tahira Hafeez/                Abdul Hafeez/        BA/             ct                5-Jun-80      Tank/        9-Dec-99        27/02/2008       /do/ Chadrar/
3088   Shamshad Bibi MA              Dullah Khan                                           12-May-75      Chitral      28-Oct-04        28-Feb-08       GGMS Morilasht
3089   Hsina BiBi MA B/Ed            Mohd karem                                            12-Jan-84      Shangla      11-Jan-06        29-Feb-08       GGMS Martung
3090   Bibi Safia BA/CT              Bakhatareen Khan                                       7-Sep-75      Shangla      28-Apr-99        29-Feb-08       GGMS Shekowlai
3091   Farhatun Naz Ayubi, MA M,Ed   Bulbul Khan Ayubi                                      8-Sep-84      Chitral      14-Oct-06        29-Feb-08       GGHS Warijun
3092   Suraya Shahab, FA             Abdus Salim                                            1-Jan-76      Chitral      29-Feb-08        29-Feb-08       GGMS Bakarabad
3093   MUSSARAT JABEEN               MANZOOR UR REHMAN    BA              CT                1-Apr-75      KOHAT        27-Jun-97        3-Mar-08        GGHSS BABRI BANDA
3094   IRUM FAIAZ                    FAIZULLAH KHAN       MA              CT               20-Mar-80      KOHAT       21-May-05         3-Mar-08        GGMS BAQI ZAI
3095   SAJIDA BIBI                   IRRADAT GUL          FA              CT               23-Mar-74      KOHAT         3-Mar-08        3-Mar-08        GGHSS BABRI BANDA
3096   Shazia, BA                    Gulab Shah                                             6-Oct-76      Chitral       3-Mar-08        3-Mar-08        GGMS Gohkir
3097   Farkhanda Jabeen, MA B/Ed     Abdul Karim                                           11-Mar-81      Chitral       3-Mar-08        3-Mar-08        GGCMHS Denin
3098   RIFFAT NAZ                    DILAWAR KHAN         MSC             CT                6-Mar-79      KOHAT         4-Mar-08        4-Mar-08        GGMS CHORLAKI
3099   SHAMIM AKHTER                 NAZAR GUL            FA              CT                 1-Jul-78     KOHAT         4-Mar-08        4-Mar-08        GGHSS SHAKARDARA
3100   SARTAJ BEGUM                  GHAREEB GUL          BA              CT               27-Apr-77      KOHAT         5-Mar-08        5-Mar-08        GGHS DHAND BAKHTAWARA
3101   SAJIDA PERVEEN                MIR BADSHAH          BA              CT                9-Mar-73      KOHAT         5-Mar-08         5-Mar-08       GGHS DHODA
3102   KIRAN SAEED                   MUHAMMAD SAEED       MA              CT                7-Oct-78      KOHAT       19-May-05         5-Mar-08        GGHS NO 2
3103   NADIA TABASUM                 FAZAL KARIM          BA              CT               8-May-73       KOHAT         5-Mar-08        5-Mar-08        GGMS GANDYALI BALA
3104   YUSRA NASIR                   NASIR KHEL KHATTAK   BA              CT               16-Apr-75      KOHAT         6-Mar-08        6-Mar-08        GGMS SIAB
3105   ZAHIDA PARVEEN                MUHAMMAD ZAMAN       MA              CT               20-Sep-72      KOHAT        21-Apr-05        7-Mar-08        GGMS KAM SAM
3106   ASMA BIBI                     MUHAMMAD ILYAS       MA              CT                3-Mar-80      KOHAT        10-Mar-08        10-Mar-08       GGHSS BILLITANG
3107   SOFIA TABASSUM                MUKARRAK KHAN        MSC             CT                6-May-74      KOHAT        15-Mar-08        15-Mar-08       GGHSS LACHI
3108   HASINA SHAHEEN                MUHAMMAD YOUNIS      MA              BED              12-Mar-78      PESHAWAR      8-Apr-08         8-Apr-08       GGMS ESSA KHEL
3109   NAZIA ANJUM                   ABDUL RAHIM KHAN     MA              MEd              26-Apr-76      PESHAWAR      8-Apr-08         8-Apr-08       GGHS Urmar payan
3110   NASIM BIBI                    KHALIL UR REHMAN     MA              MEd               9-Aug-74      PESHAWAR      8-Apr-08         9-Apr-08       GGHS Budhni
3111   Balqees Bibi                  Taj Ali              MA/Bed/CT                         9-Mar-68      Peshawar     30-Apr-88        1-May-08        GGHS Zaida
3112   RABIA BIBI                    MUHAMMAD AKRAM       MA              CT               27-Jan-68      KOHAT       30-May-96          1-Jul-08       GGHS MARAI BALA
3113   NIGAR FATIMA                  NASRULLAH JAN        BA              CT               24-Feb-69      KOHAT         2-Oct-95         1-Jul-08       GGHSS LACHI
3114   NIGHAT SHAHEEN                MIAN MARHOOBULLAH    MA              BED              16-Apr-81      PESHAWAR      3-Apr-03         8-Jul-08       GGHS LARAMA
3115   Neelam Umar                                                                          7-Apr-82      Bajaur       1-Aug-08         1-Aug-08        GGMS Inayat Killi
3116   SHAHIDA BEGUM                 SHABIR JAN           MA              MEd               4-Nov-74      CHARSADDA     9-Apr-99        4-Aug-08        GGHS Badaber
3117   ZELE HUMA                     MUHAMMAD TARIQ       MA              BED               5-Jan-78      PESHAWAR     5-Aug-08         5-Aug-08        GGMS No/1 Cantt/
3118   Rasheeda Shahroz              Shahroz              BA/CT                            17-Apr-75      Swabi         5-Apr-99        5-Aug-08        GGHS Dobian
3119   NUSRAT GUL                    REHAN GUL            MA              MED               5-Dec-72      PESHAWAR     30-Jun-97        8-Aug-08        GGHS Gul Bahar
3120   SAFIA,MA(Isl)/B/Ed            HUSSAIN MUHAMAMD                                       1-Feb-83      Malakand     18-Aug-08       18-Aug-08        GGMS JABAGAI
3121   SHAZIA RAHIM MA/CT            RAHIM GUL                                             20-Jan-85      Malakand     18-Aug-08       18-Aug-08        GGMS KACHI KOPER
3122   Ashan Sharif BA/CT            Lach Bar Khan                                          4-Jun-83      Shangla     20-May-04        18-Sep-08        GGHS Aloch
3123   Nishat Falak(CT)MA,BED        Falak Naz            MA              B,ed              2-Jun-85      Dir (U)      19-Nov-08       19-Nov-08        GGHS, Gandigar
3124   Baserat Naz(CT)MA             Wazifullah           MA                                1-Jan-85      Dir (U)     20/11//2008      20-Nov-08        GGMS, Barikot
3125   Fawqia (CT)MA,BED             Alamgir              MA              B,ed             24-Mar-80      Dir (U)      24-Nov-08       24-Nov-08        GGHS, Ganori
3126   SHAKILA BIBI                  ABDUR REHMAN         MA              BED               1-Feb-82      Lakki        11-Jan-02        1-Dec-08        GGCMHS NO/2 LAKKI
3127   Sharafat Begum                Said rahman          MA/Bed/CT                        15-Mar-72      Swabi        16-Feb-97       20-Dec-08        GGHS Dobian
3128   Shahnaz Begum                 Ali Hassan           BA (2nd)        B,ed              4-Jan-79      Dir Lower     3-Jan-04         3-Jan-09
3129   Tabasum Zeb                   Raham Zeb            BA (2nd)        B,ed             20-Jan-81      Dir Lower     8-Jan-04         3-Jan-09
Academic         Professional                                  Date of 1st   D/O Apptt against
 No.   Name of Teacher           Father's Name        Qualification    Qualification   Date of Birth   Domicile        Apptt:        Present Post      Name of School
  1                  2                          3             4                5            6                  7          8                 9                            10
3130   Hanifa                    Muhammad             BA (2nd)         B,ed             5-May-84       Dir Lower      4-Jan-04          3-Jan-09
3131   WAHEEDA BIBI              HAJI JUMA KHAN       MA               BED               4-Jan-80      PESHAWAR       3-Mar-03          4-Jan-09       GGHS ALI ZAI
3132   NAJMA BIBI                FARID KHAN           BA               BED               2-Jan-74      CHITRAL       17-Oct-97          4-Jan-09       GGMS QILLA SHER DIL KHAN
3133   GHAZALA BIBI              MUHAMMAD YOUSAF      MA               BED 2nd Div:      1-Jan-75      HARIPUR        1-Apr-09          4-Jan-09
3134   NADIA RIAZ                MUHAMMAD RIAZ KHAN   MA /BA 2ND DIV   BED 2nd Div:     10-Oct-82      HARIPUR       27-Mar-09          4-Jan-09
3135   ROMANA IRUM               MUHAMMAD SALEEM      MA /BA IST DIV   BED Ist Div      30-Nov-76      HARIPUR        1-Apr-09          4-Jan-09
3136   ZAHIDA IRAM               GULZAR ALI SHAH      MA/BA 2nd Div    CT               13-Mar-77      HARIPUR        1-Apr-09          4-Jan-09
3137   MARIAN JAN                RAZA MUHAMMAD        BA 2ND DIV       CT               15-Apr-66      HARIPUR       22-Aug-84          4-Jan-09
3138   NAHEED AKHTAR             ABDUL SALAM          BA 2ND DIV       CT                3-Jan-74      HARIPUR        1-Apr-09          4-Jan-09
3139   SHAHNAZ BEGUM             BANARAS KHAN         BA 2ND DIV       CT               22-Jul-75      HARIPUR       27-Mar-09          4-Jan-09
3140   SHAZIA RIAZ               RIAZ/UL/HASSAN       BA               CT                3-Jan-77      HARIPUR       27-Mar-09          4-Jan-09
3141   Bibi Wahida               Shakh Farid          BA               B/Ed              8-Oct-52      SWAT          22-May-77          9-Jan-09       GGHS Kokarai
3142   Farzana Jamal             Jamal Khan           BA                                               Orakzai        1-Feb-09         1-Feb-09        GGMS Ahmad Khel
3143   Falak Naz(CT)MA,BED       Ghulam Nabi          MA               B,ed             20-May-77      Dir (U)        3-Feb-09         3-Feb-09        GGHS, Jabber
3144   Yasmeen BA                Amanullah                                               3-Aug-74      Chitral       10-Nov-94         3-Feb-09        GGMS Nishku
3145   Bibi Shahida MA B/Ed      Mir Ajab                                                4-Mar-78      Chitral        2-Dec-02         3-Feb-09        GGMS Hinjeel
3146   Sultana Bibi MA           S/Dur Hayat Shah                                        3-Apr-75      Chitral        2-Mar-09         3-Feb-09        GGMS Denin
3147   RAHEELA KHATOON           MUHAMMAD AYUB        BA               CT                3-Mar-75      HARIPUR        2-Apr-90          4-Feb-09
3148   Fazrzana Bibi             Mir ASlam            BA/CT            CT                3-Jun-85      Bunir          7-Feb-09         7-Feb-09        GGMS Gazai Abad
3149   Zakia Jabeen(CT)MA, BED   M/Rashid             MA               B,ed              1-Feb-79      Dir (U)       14-Oct-02         12-Feb-09       GGHS, Ganori
3150   NASIRA BEGUM              MUHAMMAD ZUBAIR      MSC              BED               6-Jan-84      DIR LOWER     14-Feb-09         14-Feb-09       GGMS AHMED KHEL PESHAWAR
3151   Ghuncha Gul               Shah Bahader Khan    MA               CT                3-Feb-79      Battagram     22-Feb-09         22-Feb-09       GGMS K/Banda
3152   Kulsoom, MA B/Ed          Shah Abdul Amin                                         6-Dec-75      Chitral       24-Feb-09         24-Feb-09       GGHS Koghuzi
3153   ROMANA SHAMIM             SHER MUHAMMAD        BA               CT               12-Apr-73      KOHAT         25-Feb-09         25-Feb-09       GGMS CHORLAKI
3154   UZMA BANGASH              AZAM KHAN            MA               CT               30-Nov-80      KOHAT         28-Feb-09         28-Feb-09       GGHSS GUMBAT
3155   ZAINAB SALEEM             SALEEM KHAN          MA               CT                5-Jul-74      KOHAT          1-Mar-09          1-Mar-09       GGHS KHARMATOO
3156   SAMINA NAZ                HASHIM KHAN          BA               CT                5-Dec-70      KOHAT          1-Mar-09          1-Mar-09       GGHS KERI SHEIKHAN
3157   ZEENAT IJAZ               MIR IJAZ             BA II            BED              15-Sep-76      CHARSADDA      2-Mar-09          2-Mar-09
3158   Mumlikat                  Duranay              MA/CT                             11-Feb-76      Swabi          2-Mar-09         2-Mar-09        GGMS Haryan
3159   Khush Ranga               Duranay              BA/CT                              1-Mar-77      Swabi          2-Mar-09         2-Mar-09        GGMS Daulat
3160   YASMIN GUL                MUHAMMAD HUSSAIN     MA               CT               20-Apr-76      KOHAT          7-Aug-04         3-Mar-09        GGMS KAM SAM
3161   SIDRA FATIMA              S/TAHIR HUSSAIN      BA               CT                1-Jun-84      KOHAT          3-Mar-09          3-Mar-09       GGHS MARAI BALA
3162   Huma Rahman               Amir ur Rahman       MA/Bed/CT                          8-Nov-86      Swabi         22-Mar-07         3-Mar-09        GGMS Thandkoi
3163   Farzana Shaheen           Abdul Sattar Khan    MA/Bed/CT                         12-Feb-78      Swabi          3-Mar-09         3-Mar-09        GGMS Jehanda
3164   Nighat Sarwar             Muhamamd Sarwar      MA/Bed/CT                         25-Mar-79      Swabi          3-Mar-09         3-Mar-09        GGMS Lahor (W)
3165   Hashmat                   Samand Khan          MSc/Med/CT                         1-Jan-82      Swabi          3-Mar-09         3-Mar-09        GGHS Salim Khan
3166   Rehana                    Miskeen Khan         MA/Med/CT                          1-Jun-75      Swabi         11-Dec-04         4-Mar-09        GGMS Bhaikot Maneri
3167   Rahat Inayat Ullah        Inayat Ullah         BA/CT                             27-Dec-76      Swabi          4-Mar-09         4-Mar-09        GGMS Ganichatra
3168   Asma                      Miskeen Khan         MA/Bed/CT                          1-Jan-78      Swabi          4-Mar-09         4-Mar-09        GGHS Panj Pir
3169   FARZANA BEGUM             AMIN ULLAH JAN       BA               CT                3-Mar-75      KOHAT         25-Feb-09         5-Mar-09        GGMS REHMAN ABAD
3170   Firasat Ghafoor           Muhammad Ghafoor     BA/CT                              2-Aug-76      Swabi          5-Mar-09         5-Mar-09        GGMS Zarobi
3171   CHAN BIBI                 MUHABAT KHAN         MA               BED              12-Dec-74      HARIPUR       17-Oct-05         28-Mar-09
3172   SHAHIDA                   GUL ZAMAN            MA               CT                3-Apr-73      HARIPUR       27-Mar-09         30-Mar-09
3173   GUL NASREEN               GUL ZAMAN            MA/BA 2ND DIV    CT                3-Apr-73      HARIPUR       30-Mar-09         30-Mar-09
3174   SALMA BIBI                MUHAMMAD YOUNIS      BA 2ND DIV       CT                5-Jul-87      HARIPUR       27-Mar-09         31-Mar-09
3175   ARIFA BIBI                                     MSC              BED               9-Jun-74      HARIPUR       12-Jun-08          3-Apr-09
3176   Sajida Bibi               Javed Khan           MA/CT            CT                3-Mar-82      Abbott Abad    7-Apr-09          7-Apr-09       GGHS Dassu
Academic         Professional                               Date of 1st   D/O Apptt against
 No.   Name of Teacher         Father's Name          Qualification    Qualification   Date of Birth Domicile        Apptt:       Present Post      Name of School
  1                  2                        3               4                5            6                7         8                9                         10
3177   Shagufta Bibi           Mirzaman               BA/CT            CT                1-Jan-83    Swabi         7-Apr-09          7-Apr-09       GGHS Dassu
3178   Shazia Zafar            Zafarullah             CT               CT                                          7-Apr-09          7-Apr-09       GGHS Dassu
3179   JAMILA MA, BED          HAZRAT UMAR                                               8-Oct-82   BUNNER         6-Feb-03         13-Apr-09       GGMS BATARA
3180   NASREEN FA, CT          AMARULLAH KHAN                                            4-Feb-80   BUNNER         6-Apr-09         13-Apr-09       GGHS MATWANAI
3181   KHUSIRAT BA, CT         SHAMSUL QAMAR                                             9-Mar-83   BUNNER        13-Apr-09         13-Apr-09       GGMS PANDIR
3182   YASMEN BA, BED          SAKHAWAT SHAH                                            20-Feb-87   BUNNER        14-Apr-09         14-Apr-09       GGMS DEWANA BABa
3183   RAHAT MA, CT            NASIB GUL                                                 4-Apr-82   BUNNER        12-Feb-02         15-Apr-09       GGMS GULBANDAI
3184   MUZIZA BA, CT           SUBHANULLAH                                              25-May-87   BUNNER        27-Mar-04         16-Apr-09       GGMS GULBANDAI
3185   ABIDA BEGUM             M SALEEM KHAN          MA BA 2ND DIV    BED 2nd Div:     14-Apr-73   HARIPUR       25-Apr-09         25-Apr-09
3186   FAHEEM AKHTAR NOSHEEN   SHIEKH MUHAMMAD UMAR   MSC              CT               16-May-83   Lakki         18-Apr-05         1-May-09        GGHS Shabaz khel
3187   HUMA JAMIL              ABDUL JAMIL            MSC                               2-May-85    Lakki          5-Jan-09         1-May-09        GGHS TAJAZAI
3188   Bibi Aalia              Haji Habib Ullah       BA/CT                             28-Jan-66   Swabi         12-Oct-87         1-May-09        GGHS Beka
3189   Bibi Shafia             Abdul Wahid            BA/CT                             15-Apr-77   Swabi         21-Oct-04         1-May-09        GGMS Thandkoi
3190   NISHAT GUL              HABIBULLAH KHAN        BA                                 4-Dec-76   Lakki          7-Jan-97         2-May-09        GGMS JAMIL KHAN TEKHTI KHEL
3191   QAISER TABASUM          FAIZ ABBAS SHAH        FA                                12-Dec-78   Lakki          2-May-09         2-May-09        GGMS KOTKA AHMAD KHAN
3192   NOUREEN BEGUM           SHER BAHADAR           BA               CT               15-Feb-77   KOHAT          3-May-09         3-May-09        GGMS DHAND BAKHTAWARA
3193   FARZANA YASMEEN         TASAWAR ALI            MA               BED              25-Apr-80   PESHAWAR       5-May-09         5-May-09        GGMS Atta Mohammad
3194   ANJUMN SHEHLA           MIAN FAZAL DAYAN       MA               BED              23-Apr-79   PESHAWAR      15-Jan-07         5-May-09        GGHS Gul Bahar
3195   IMTIAZ BEGUM            M ASGHAR ZAMAN         MA               BED              12-Aug-79   PESHAWAR       5-May-09         5-May-09        GGMS Lala Killi
3196   SADIA KANWAL            ABDULLAH               MA               MEd               6-Jan-72   PESHAWAR      11-Jan-02         5-May-09        GGMS Sirbiland Pura
3197   SADIA KANWAL            MUHAMMAD INAM          MA               MEd              12-Feb-78   PESHAWAR       4-Mar-03         5-May-09        GGHS Jogiwara
3198   ZENAB UL HARAM          IKHTIAR AHMAD          BA               BED               1-Jan-80   PESHAWAR       6-May-09         6-May-09        GGPMS BUDNI PESHAWAR (JICA)
3199   Najia Gul               Gharib Gul             BA/CT                             21-Jun-69   Swabi          6-May-09         6-May-09        GGMS Bazargi
3200   Saima Bibi              Safarsh Khan           BA                                 6-Apr-80   FR Kohat      29-May-09        29-May-09        GGMS Suni Khel
3201   KHURSHID BEGUM          MANZAL MIR KHAN        BA                                15-Mar-82   Lakki         29-May-09        29-May-09        GGMS KHWAJA KHEL
3202   Seema Begum                                                                      2-May-87    Bajaur         5-Jun-09         5-Jun-09        GGMS Pashat
3203   NABILA BEGUM            WAZIR MUHAMMAD         MA               MEd               2-Jul-71   PESHAWAR      20-May-92         5-Jun-09        GGMS Deh Bahader
3204   Sabai Bostan            Bostan                 BA/CT            CT                3-Mar-81   Abbott Abad    7-Jun-09         7-Jun-09        GGMS Madai Kolaui
3205   Faheem                  Sharab Khan            FA/CT            CT                1-Jan-78   Manshar        7-Jun-09         7-Jun-09        GGMS Chakai
3206   Saqai Bibi              Fazal Ahmad            BA/CT            CT               15-Mar-82   Malakand       7-Jun-09         7-Jun-09        GGMS Chakai
3207   Naseem Perveez          Mohd Perveez           FA/CT            CT               22-Sep-80   Manshar        7-Jun-09         7-Jun-09        GGMS Batari
3208   Saeeda Haneef           Mohd Haneef            BA/CT            CT                7-Jan-76   Abbott Abad    7-Jun-09         7-Jun-09        GGMS Guli Bagah
3209   Farkhanda Jabeen        Mohd Afzal             BA/CT            CT                4-Dec-76   Manshar        7-Jun-09         7-Jun-09        GGMS Batari
3210   Rabina Shams            Shamsud Deen           MA/CT            CT                6-Jan-72   Manshar        7-Jun-09         7-Jun-09        GGMS Guli Bagah
3211   Sari Khatoon            Badarul Islam          MA/CT            CT               10-Jun-77   Harpur         7-Jun-09         7-Jun-09        GGMS Dad Boon
3212   Sab Noor                Mohd Anwar             BA/CT            CT                4-Mar-84   Abbott Abad   6/7/2/2009        7-Jun-09        GGMS Dubair
3213   ROBINA BIBI             SHER AHSAM             MA /BA 3RD DIV   BED              11-Oct-71   HARIPUR        9-Jun-09         9-Jun-09
3214   SHAZIA BEGUM            SHER AHSAN             MA /BA 3RD Div   BED               5-Feb-73   HARIPUR        9-Jun-09         9-Jun-09
3215   SHAFIA AZIZ             ABDUL AZIZ             MA               CT               15-Aug-72   HARIPUR       25-Jun-09         25-Jun-09
3216   Asia                    Abdur/Rashid           FA/CT            CT                6-Mar-75   Manshar         7-Jul-09         7-Jul-09       GGMS Dubair
3217   Mehreen Gul             Gul Badsah             BA/CT            CT                4-Jan-88   Charsadda      25-Jul-09        25-Jul-09       GGMS Loohi
3218   Niloofar Shaheen        Khani Zaman            BA/CT            CT               15-Apr-70   Manshar        27-Jul-09        27-Jul-09       GGMS Pattan
3219   Tasbas Shaeen           Jahan Dad              BA/Bed/CT        B/Ed             15-Oct-84   Abbott Abad    27-Jul-09        27-Jul-09       GGMS Madai Kolaui
3220   Nazama Shaheen          Mohd Saeed             BSC/CT           CT               11-Oct-79   Abbott Abad    27-Jul-09        27-Jul-09       GGMS Pattan
3221   GUL AFSHAN NOORIN       SAFIULLAH              MA                                27-Sep-76   Lakki         11-Jan-02         1-Aug-09        GGHS GANDI
3222   HAMEEDA MA, BED         SHEREE                                                    3-Jan-80   BUNNER        30-Nov-02         9-Aug-09        GGHS CHEENA
3223   Gul Fam                 Mir daraz Khan         FA                                 8-Jan-85   FR Bannu      13-Aug-09        13-Aug-09        GGMS Sarwar Jan Bakka Khel
Academic        Professional                                  Date of 1st   D/O Apptt against
 No.   Name of Teacher   Father's Name            Qualification   Qualification   Date of Birth   Domicile        Apptt:        Present Post      Name of School
  1                 2                   3                 4               5             6                 7         8                  9                             10
3224   Bushra            Eid Ma Khan              BA                               16-Apr-83      FR Bannu      13-Aug-09        13-Aug-09        GGMS Syed Rahman FR Bannu
3225   SHAKEELA FA, CT   NOOR UL HAQ                                               21-Nov-85      BUNNER        30-Jun-09        28-Aug-09        GGHS MATWANAI
3226   Bibi Zahida       Shafi/uz/Zaman           MA                               11-Jan-78      FR Bannu       1-Sep-09         1-Sep-09        GGMS Amir Sher
3227   Nabeela Gul       Fazal/ur/Rehman          BA                                6-Jan-85      FR Peshawar    1-Sep-09         1-Sep-09        GGMS Niaz Mir Killi
3228   FARZANA SHAUKAT   SHAUKAT ALI              BA              BED              28-Feb-70      PESHAWAR       5-Sep-09         5-Sep-09        GGMS KARYANA PESHAWAR
3229   Naureen Anwar     Anwar Khan               MA                               20-Jan-80      FR Tank        8-Sep-09         8-Sep-09        GGMS Ghulam Nabi Kor
3230   SAIRA AMBREEN     FAZAL KARIM              BA              BED               3-Jan-74      PESHAWAR      16-Dec-95        19-Sep-09        GGMS Gul Bachah Jee
3231   Mehnaz begum      Mir daraz Khan           BA                                9-Aug-81      FR Bannu      20-Sep-09        20-Sep-09        GGMS Syed Rahman FR Bannu
3232   QURART/UL/AIN     MIFTAH SHAH              BA              CT                3-Jun-74      HARIPUR       27-Mar-09         4-Nov-09
3233   Gul Gehan BA/CT   Sultan                                                     5-Dec-76      Shangla       16-Apr-95        17-Dec-09        GGHS Aloch
3234   Farah Deeba       Mailk Sarfaraz Khan      BA/CT                             10-Jul-73     Swabi         22-Dec-09        22-Dec-09        GGHS Tordher
3235   JAMILA KHATOON    FAZAL/UR/REHMAN          MA              CT                2-Jun-77      HARIPUR        1-Feb-10          2-Jan-10
3236   JAMILA KHATOON    FAZAL/UR/REHMAN          BA              CT                2-Jun-77      HARIPUR        1-Feb-10          2-Jan-10
3237   NOUREEN AKHTAR    UMAR AYAZ                MSC             CT                2-Feb-84      KOHAT         18-May-05          3-Jan-10       GGMS SUDAL
3238   Naseem Akhtar     Mian Bacha               MA              B/Ed              1-Nov-73      SWAT          14-Sep-06         21-Jan-10       GGHS Barikot
3239   Naveeda Waheed    Abdul Wahid              MA                                1-Mar-81      Mohmand        1-Feb-10         1-Feb-10        GGHS Dab Kor
3240   Musrat Farid      Muhammad Farid Khan      BA              CT                1-Apr-70      SWAT          18-Oct-89         1-Feb-10        GGMS Kishwara
3241   Chand Begum       Muhammad Sher Ali Khan   BA              CT               12-Mar-73      SWAT           1-Feb-10         1-Feb-10        GGMS Fazal Abad(D)
3242   Nusrat            Masood Alam              BA              CT               20-Feb-74      SWAT           1-Feb-10         1-Feb-10        GGMS Sakhra
3243   Naseem Begum      Abdur Rauf               MA              CT                1-Jan-75      SWAT           3-Jul-95         1-Feb-10        GGHS Charbagh
3244   Nowsheen          Hamayun Khan             MA              CT               10-Apr-75      SWAT           1-Feb-10         1-Feb-10        GGMS Taghma
3245   Zeenat Begum      Roshan Diyar             MA              CT                1-Mar-76      SWAT           1-Feb-10         1-Feb-10        GGHS No/2Mingora
3246   Saleema Begum     Hussain Ahmad            BA              CT                3-Mar-76      SWAT           1-Feb-10         1-Feb-10        GGMS Shakar Dara
3247   Yasmeen           Noor Shujat Khan         MA              CT                2-Apr-76      SWAT           1-Feb-10         1-Feb-10        GGMS Gat
3248   Husna Begum       Muhammad Wakil           MA              B/Ed             18-Apr-76      SWAT          28-Apr-99         1-Feb-10        GGHS fatehpur
3249   Shazia            Nawab Ali                BA              B/Ed             5-May-76       SWAT           1-Feb-10         1-Feb-10        GGMS Kalgram
3250   Bakhtawara        Amir Sazan Khan          MA              CT                7-Jul-76      SWAT           1-Feb-10         1-Feb-10        GGMS Gat
3251   Nazikat           Sher Malik               MA/B/Ed                           4-Jun-76      SWAT           1-Feb-10         1-Feb-10        GGMS Araq
3252   Hidayat           Sher Ali Khan            MA              B/Ed              1-Feb-77      SWAT           1-Feb-10         1-Feb-10        GGMS Araq
3253   Rahmat Begum      Taj Mukhtyar             MA              B/Ed             12-Feb-77      SWAT           1-Feb-10         1-Feb-10        GGMS Ningolai
3254   Noreen            Hamayun                  MA              CT               19-May-77      SWAT           1-Feb-10         1-Feb-10        GGMS Bar Shawar
3255   Rani Gul          Sanaullah                BA              CT                1-Apr-78      SWAT           1-Feb-10         1-Feb-10        GGMS Kalgram
3256   Shabana           Inayatullah              MA              B/Ed             15-Apr-78      SWAT          24-Mar-05         1-Feb-10        GGHS K/D/Khela
3257   Nazmia            Nawab Ali                BA              CT               14-May-78      SWAT           1-Feb-10         1-Feb-10        GGMS Qandil
3258   Zuhra Begum       Rahim Gul                MA              B/Ed             12-Jun-78      SWAT          14-Sep-06         1-Feb-10        GGMS Ahingaro Dherai
3259   Musarat           Muhammad Sadiq           BA              B/Ed              1-Apr-80      SWAT          28-Apr-99         1-Feb-10        GGHS Matta
3260   Bibi Aisha        Muhammad Khan            MA              CT               1-May-80       SWAT          13-Nov-02         1-Feb-10        GGMS Sumbat
3261   Robina Murad      Muhammad Khan            MA              B/Ed             18-Dec-84      SWAT          27-Nov-06         1-Feb-10        GGMS Dardyal
3262   Naheed Akhtar     Muhammad Khan            MA              CT                3-Mar-85      SWAT           1-Feb-10         1-Feb-10        GGHSS Matta
3263   Nadia             Raham Badshah            MA              CT               12-Nov-85      SWAT           1-Feb-10         1-Feb-10        GGMS Koz Shawar
3264   Husna             Muhammad Dawran          M/Sc            CT               30-Mar-86      SWAT           1-Feb-10         1-Feb-10        GGMS Shokdara
3265   Farzana Yasmeen   Mian Sher Ali Khan       BA              CT                3-Jun-86      SWAT           1-Feb-10         1-Feb-10        GGMS Rasha Gata
3266   Nazia             Ghulam Qadir             BA              CT               14-Jun-86      SWAT           1-Feb-10         1-Feb-10        GGHSS Matta
3267   Fawzia Rahman     Habibur Rahman           BA              CT               28-May-76      SWAT           2-Feb-10         2-Feb-10        GGMS Arkot
3268   RAHAT BANO        ABDUL WAHAB              MA              BED              14-Feb-78      PESHAWAR      20-May-09         9-Feb-10        GGMS Hazar Khawani No/1
3269   Fozia Naz         Fazal Karim              BA                                29-Jul-81     FR Kohat      10-Feb-10         10-Feb-10       GGMS Germany Kalli
3270   Farash Naz        Muhibullah Khan          MA              B/Ed             17-Jan-76      SWAT          25-Jun-97         22-Feb-10       GGMS Parrai
Academic        Professional                                Date of 1st   D/O Apptt against
 No.   Name of Teacher                   Father's Name          Qualification   Qualification   Date of Birth   Domicile      Apptt:        Present Post      Name of School
  1                 2                                  3                4               5            6                  7        8                9                           10
3271   UMMIAT BIBI, BA (2nd) / B/Ed      NASEEB ULLAH                                            16-Apr-69      Malakand    26-Jun-97         23-Feb-10       GGHS KHAR
3272   ZAHIDA BEGUM, BA                  MUHAMMAD HUSSAIN                                         7-Apr-79      Malakand     1-Sep-03         23-Feb-10       GGHSS KOPER
3273   NASEEM BEGUM                      MIR AHMAD                                                4-Mar-79      Malakand     1-Sep-87         23-Feb-10       GGHS MAINA
3274   SHAKILA                           SAID MALOOK                                             10-Feb-71      Malakand     7-Oct-94         23-Feb-10       GGHS PIRKHEL
3275   SASSI BENAZIR, FA                 MINHAJ UD DIN                                            1-Feb-76      Malakand    23-Feb-10         23-Feb-10       GGHS WARTAIR
3276   FARZANA, MA                       HAMAISH GUL                                              1-Jan-79      Malakand    31-Aug-02         23-Feb-10       GGHS WARTAIR
3277   SUMAIRA NAZ, M/Sc (CH:)           TAJ GUL                                                 12-Aug-86      Malakand    23-Feb-10         23-Feb-10       GGMS JABAGAI
3278   NASREEN KAREEM, BA (2nd) / B/ED   SAID KAREEM                                             20-Aug-67      Malakand    26-Oct-85         23-Feb-10       GGMS JALAL KOT
3279   ROHITAN, FA                       ABDUR REHMAN                                             1-Mar-80      Malakand    13-Nov-02         23-Feb-10       GGMS GULU SHAH
3280   SABIQA,                           FAZAL QADIR                                              2-Apr-82      Malakand    23-Feb-10         23-Feb-10       GGMS MEKHBAND
3281   SAMINA BIBI,MA                    SADIQ AHMAD                                             20-Dec-82      Malakand    24-Feb-10         23-Feb-10       GGMS QADAR KALLY
3282   RAZIA BIBI,MA(Urdu)               SULTAN MUHAMMAD                                         9-Sep-78       Malakand    23-Feb-10         23-Feb-10       GGMS QALDARA
3283   ANBAREEN BEGUM BA(2nd)B/Ed        HAKIM KHAN                                              15-Mar-70      Malakand    19-Apr-92         24-Feb-10       GGHS AGRA
3284   SEEMA BANO, MA                    ABDUL WASI                                              7-May-77       Malakand    24-Feb-10         24-Feb-10       GGHS PALAI
3285   SHABNAM,BA                        FAZAL RAHMAN                                             1-Jan-76      Malakand    24-Feb-10         24-Feb-10       GGMS ABBAS KALLAY
3286   FARAH NAZ,MA                      SAID RAHMAN                                             17-Apr-76      Malakand     5-May-09         24-Feb-10       GGMS GARANG DARA
3287   RUKHSANA, BA (2Nd) / B/Ed         AHMAD KHAN                                               7-Jul-75      Malakand    24-Feb-10         24-Feb-10       GGMS MAYAR
3288   SADIA BEGUM, BA (2nd) / B/Ed      AMIR ZADA                                               11-Apr-79      Malakand    20-Nov-02         24-Feb-10       GGMS QADAR KALLY
3289   SAEEDA BEGUM, BA                  IHSAN NABI                                              15-Aug-78      Malakand    12-Mar-03         24-Feb-10       GGMS ZOOR MANDI
3290   SHAZIA AYIN, BA (2Nd) /B/Ed       MUHAMMAD AYIN                                            1-Jan-76      Malakand    25-Feb-10         25-Feb-10       GGHS AGRA
3291   FAHIMA NAZ, BA                    QAMAR ZAMAN                                             26-Oct-71      Malakand    25-Feb-10         25-Feb-10       GGMS BAZDARA BALA
3292   SAMINA QAYUM, BA                  AMJAD ALI SHAH                                           9-Jun-74      Malakand    26-Feb-10         26-Feb-10       GGMS GARANG DARA
3293   NAZIA SALEEM, BA                  MUHAMMAD SALEEM                                         10-Apr-83      Malakand    23-Feb-10         1-Mar-10        GGHS KOT
3294   BIBI FATIMA                       SHER AFZAL             BA              CT               20-Apr-74      KARAK        1-Jun-96         5-Mar-10        GGMS Z/S/A/Dad
3295   Sira Saif                         Saifur Rehman          MA                                6-Apr-84      FR Kohat    15-Mar-10         15-Mar-10       GGMS Surak Toor Chapper
3296   SUCHA BIBI,FA                     SULTAN HUSSAIN SHAH                                     15-Apr-64      Malakand    16-Oct-86         25-Mar-10       GGMS JALAL KOT
3297   SHAMA KHAN                        RIAZ KHAN              FA              CT               15-Apr-73      HARIPUR     26-Mar-10         26-Mar-10
3298   SHAMA KHAN                        MUHAMMAD NADEEM KAHN   FA              CT               15-Apr-73      HARIPUR      26/3/210         26-Mar-10
3299   RAZIA SULTANA                     SULTAN MUHAMMAD        BSC             CT               31-Jan-65      KOHAT       22-Oct-89         30-Mar-10       GGHSS BILLITANG
3300   SAIRA NASEEM                      SYED NAJMUL HUSSAIN    MA              CT               10-Jan-62      KOHAT       26-May-88          5-Apr-10       GGHS USTERZAI PAYAN
3301   Nazia Nosheen                     Nesrullah              B/A             B/ Ed             3-Feb-70      Nowshera    12-Apr-90         13-Apr-10
3302   NISHAD BA(2nd)                    NOOR ZADA                                                1-Apr-87      Malakand    15-Apr-10         15-Apr-10       GGHS AGRA
3303   Jabeen, BA                        Sikandar Khan                                           5-May-70       Chitral     13-Dec-89         17-Apr-10       GGHS Reshun
3304   Saira Waheed                      Abdul Waheed           M/A             B/ Ed, C/T                      Sawabi       3-Apr-96         22-Apr-10
3305   RUQIA ANJUM                       MUHAMMAD AFZAL         BA 2ND DIV      CT                4-Mar-85      HARIPUR     16-Jun-10         16-Jun-10
3306   SAMIYA RAHIM BA, CT               NOOR RAHIM                                              30-Oct-84      BUNNER      30-May-03         4-Aug-10        GGHS BAZARGAI
3307   ASIA MA,CT                        SAID LAYAQ SHAH                                          1-Jan-75      BUNNER      18-Dec-94        11-Aug-10        GGMS KULYARI
3308   Tasneem Kausar                    Farukh Siyar           BA/CT                            21-Feb-71      Swabi        4-Oct-07        11-Aug-10        GGMS Ganichatra
3309   Mir Afzoon                        Abdul Qyyum            BA/CT                            15-Dec-74      Swabi       11-Aug-10        11-Aug-10        GGMS Mangla Chai
3310   Salma Naheed                      Muhammad Amin          MA/Bed/CT                         8-Mar-73      Swabi       12-Aug-10        12-Aug-10        GGHS Panjman
3311   RUKHSANA BEGUM                    GHULAM MUHAMMAD        BA II           BED              17-Jan-75      CHARSADDA    9-Mar-09        17-Aug-10
3312   SHAZIA AMAN                       AMAN ULLAH             BA II           BED               2-Feb-77      PESHAWAR     2-Jun-04         1-Sep-10
3313   MEHER BEGUM                       ABDUL BASIR            BA II           BED               2-Feb-61      CHARSADDA    2-Mar-88         21-Oct-10
3314   SEEMA GUL                         SHAH KHAIR ULKLAH      BA II           BED               1-Mar-77      CHARSADDA   27-Apr-98         21-Oct-10
3315   HASEENA NOOR                      AJAB NOOR              BA II           BED              31-Dec-76      CHARSADDA    1-Feb-97         1-Nov-10
3316   MAMONA                            NAZIR ALI SHAH         BA II           BED              14-Feb-83      CHARSADDA    1-Feb-05         1-Nov-10
3317   AFSHAN BIBI                       ANWAR KHAN             BA II           BED               4-Apr-85      CHARSADDA    1-Nov-10         1-Nov-10
Academic        Professional                                  Date of 1st    D/O Apptt against
 No.   Name of Teacher          Father's Name        Qualification   Qualification   Date of Birth   Domicile        Apptt:         Present Post      Name of School
  1                   2                       3              4               5             6                 7          8                 9                            10
3318   KHALIDA SAMAD            ABDUL SAMAD          BA II           BED               1-Aug-71      CHARSADDA      1-Dec-10          1-Nov-10
3319   TAHIRA JABEEN            ZIKRIYA KHAN         BA              CT                6-Apr-75      KOHAT          7-Apr-93          1-Nov-10        GGHS SHEWAKI
3320   ABIDA PERVEEN            KHAN BADSHAH         BSC             CT               12-Oct-75      KOHAT          2-Nov-10          2-Nov-10        GGMS ALI KACH
3321   BENAZIR BEGUM            MUHAMMAD SAEED       MSC             CT                3-Feb-75      KOHAT          2-Nov-10          2-Nov-10        GGMS GANDYALI BALA
3322   SONIA BANGASH            TAIMOOR KHAN         MA              CT                1-Mar-80      KOHAT          3-Nov-10          3-Nov-10        GGHS KERI SHEIKHAN
3323   NIGHAT BIBI              MUHAMMAD ISRAIL      BA              CT               18-Nov-82      KOHAT          3-Nov-10          3-Nov-10        GGMS MUSA KHEL KACHAI
3324   SHABANA ALI              MIRZA ALI KHAN       MA              CT                3-Jun-80      KOHAT          3-May-99          4-Nov-10        GGMS ALI KACH
3325   SAMAR BATOOL             SYED AWAN ALI SHAH   BA              CT                3-Sep-80      KOHAT          2-Jun-99          5-Nov-10        GGMS ALI ZAI
3326   SHABANA TAJ              TAJ MUHAMMAD         BA              CT               22-Jan-68      KOHAT          5-Nov-10          5-Nov-10        GGMS Z/S/A/Dad
3327   Roqia Khatoon            faqir hussain        MA Bed          B/Ed             28-Dec-80      Mohmand       10-Nov-10         10-Nov-10        GGMS Dag mulla
3328   WAHEEDA NAZ              FAIZ ULLAH KHAN      BA              CT               11-May-72      KOHAT         14-Feb-95         10-Nov-10        GGMS SUDAL
3329   Saira Negar              Nigar Ahmad          BA              B/Ed             6-May-70       DIR            31-Jul-90        14-Nov-10        GGMS Sumbat
3330   Haleema Bibi             Hassan Shah          BA/CT                            12-Apr-75      Swabi         23-Nov-10         23-Nov-10        GGMS Centre Saproona
3331   Bibi Fatima, BA          Wali Khan                                              6-Sep-66      Chitral       24-Nov-10         24/11/2010       GGMS Bakarabad
3332   Kaneez Fatima, BA B/Ed   Haji Hussain Shah                                      7-Mar-71      Chitral       24-Nov-10         24/11/2010       GGMS Morilasht
3333   Nasreen Akhtar, MA       Habibullah                                             2-Feb-72      Chitral       24-Nov-10         24/11/2010       GGMS Shotkhar
3334   Nargis Bibi, BA          Zar Khan                                              10-Dec-72      Chitral       24-Nov-10         24/11/2010       GGMS Shotkhar
3335   Bibi Nasira, BA          Taighoon Shah                                          5-Jun-73      Chitral       24-Nov-10         24/11/2010       GGMS Moroi
3336   Tehseen Nisar            Muhammad Nisar       BA/CT                            21-Aug-73      Swabi          1-Dec-10          1-Dec-10        GGMS Mangla Chai
3337   RUBY                     GUL MUHAMMAD         BA II           BED              15-Mar-77      CHARSADDA      5-Nov-10          8-Dec-10
3338   Seema Gulfam             Mir Ajab Khan        BA              B/Ed:             1-Jul-62      Karak         10-Oct-86         30/12/2010       GGMS Mandar Killa
3339   Nargas Bibi              Nasib Zar            MA              CT               10-Feb-78      Battagram      4-Aug-04          2-Jan-11        GGMS Pahgora
3340   Muhsina Bibi             Molvi Khushal Khan   MA              CT                2-Jan-86      Battagram     12-Jan-06          2-Jan-11        GGMS Gijbori
3341   SURRIYA KHATOON          NAZAR HUSSAIN        BA              CT                1-Mar-74      HANGU         23-Nov-02          12-Jan-11       GGHS USTERZAI PAYAN
3342   Razia Parveen,           Zahar Mulok          MA              M/Ed:             1-Feb-78      Karak         31-Dec-10          18-Jan-11       GGHS, Tarki Khel
3343   Zeenat Firdus,           Abdur ur Rehman      MA              B/Ed:            10-Oct-82      Karak          3-Feb-05          24-Jan-11       GGHS Sabir Abad/




                                                                                                                 Deputy Directress (Estab:)
                                                                                                                 Directorate of Elem: & Secy: Edu:
                                                                                                                 Khyber Pakhtunkhwa Peshawar

Female ct

  • 1.
    Directorate of Elemnetary& Secondary Education Khyber Pakhtunkhwa Peshawar Tantative Seniority List of C/T Female E&SE Department Khyber Pakhtunkhwa corrected upto 24/01/2011 Academic Professional Date of 1st D/O Apptt against No. Name of Teacher Father's Name Qualification Qualification Date of Birth Domicile Apptt: Present Post Name of School 1 2 3 4 5 6 7 8 9 10 1 BAKHT SULTANA, BA(2nd) Wazir Muhammad 15-May-53 Malakand 13-May-72 13-May-72 GGMS CC Thana 2 AMINA BIBI ABDUL KHALIQ BA BED/CT 12-Sep-51 D.I.Khan 14-Sep-72 14-Sep-72 GGHSS KULACHI 3 FARIDA BANO NOOR AHMAD BA CT 11-Mar-53 HARIPUR 11-Apr-73 11-Apr-73 4 KOUSAR NAHEED SYED FAKKRUDIN SHAH MA BED 25-Feb-57 HANGU 15-May-75 15-May-75 GGHSS University Town 5 AMINA BUKHARI SHAHAN SHAH MA CT BED 20-Nov-52 D.I.Khan 23-Apr-73 9-Sep-75 GGHS BEHARI COLONY 6 GULSHAN ARA,BA MUHAMMAD ISLAM KHAN 2-Mar-57 Malakand 1-Jul-76 1-Jul-76 GGHS Batkhela 7 Khan Maro Jumma Khan 17-May-56 Mohmand 1-Oct-76 1-Oct-76 GGHSS Ghallanai 8 Iqbal Yasmin, Hamesh Gul BA B/Ed 4-Jan-54 Karak 8-Jan-77 1-Aug-77 GGHS Terri 9 MAH JABEEN QUARISHI Ghulam Abbas BA BED 10-Nov-52 PESHAWAR 15-Dec-76 10-Dec-77 GGHSS Begum Shahab/ud/Din 10 ANWAR SULTAN BEGUM ABDUL WADOOD MA BED 2-Feb-53 PESHAWAR 22-Jan-78 22-Jan-78 GGHSS University Town 11 Shamshad Begum, Gul Sher Khan MA B/Ed 8-Nov-57 Karak 9-Feb-78 9-Feb-78 GGHS, T/Nasrati 12 RASHIDA BANO MUHAMMAD DAUD BA BED 10-May-52 PESHAWAR 2-Mar-78 2-Mar-78 GGHS Gul Bahar 13 Amria Abid Khan FA/CT 5-Aug-56 Swabi 27-Mar-78 27-Mar-78 GGHSS Kalu Khan 14 TAJ BIBI SIRAJ MUHAMMAD MA B/Ed 25-Aug-57 MARDAN 30-Apr-78 30-Apr-78 GGHS NO 1 MARDAN 15 Hameeda Kausar Muhammad Ashiq FA/CT 23-Sep-52 Swabi 2-May-78 2-May-78 GGHS Marghuz 16 SHAHIDA BEGUM MUHAMMAD AYUB BA II BED 1-Oct-52 CHARSADDA 28-Feb-76 1-Sep-78 17 BUSHRA NAZ RAHIM KHAN MA B/Ed 17-Jan-57 MARDAN 1-Oct-78 1-Oct-78 GGHS LUND KHAWAR 18 RUKHSANA NASREEN NAZAR ELAHI BA 2ND DIV BED 1-Jan-59 HARIPUR 10-Oct-78 10-Oct-78 19 madina Malak bashak BA 10-Feb-79 Bajaur 10-Feb-79 10-Feb-79 Malak bashak 20 RASHIDA PARVEEN FAZAL/UR/REHMAN BA 2nd Div CT 2-Jun-56 HARIPUR 25-Feb-79 25-Feb-79 21 Bibi Sadiqa Syed S/H/ Ali Shah FA/CT 1-Apr-53 Swabi 31-Jul-71 18-Mar-79 GGCMHS Swabi 22 RASHIDA BIBI GHULAM RASOOL SSC CT 9-Mar-58 HARIPUR 1-Apr-79 1-Apr-79 23 Rooh Afza Muhammad yaqub SSC 20-Apr-61 Mohmand 28-Apr-79 28-Apr-79 GGHS Dab Kor 24 BUSHRA/TIZ/ZOHRA Q SAEED/UR/REHMAN FA CT 21-Mar-58 HARIPUR 17-Jan-78 21-May-79 25 Tasnim Kawsar Ahmad Mukhtyar BA CT 13-Jan-58 SWAT 19-Nov-79 19-Nov-79 GGHS No/1/Mingora 26 ZAITOON BEGUM MUHAMMAD RAMZAN BA 15-Jan-58 Lakki 25-Nov-79 25-Nov-79 GGHS Dalo Khel 27 TAHIRA M SHAFIQ BA BED 3-Mar-56 PESHAWAR 9-Oct-78 7-Jan-80 GGHSS Mathra 28 Bibi Saliha BA Panjarash Khan 21-Dec-57 Chitral 9-Mar-78 9-Mar-80 GGHS Booni 29 Mussarat Jahen Sultana, Mian Sahibzada BA B/Ed: 17-Jun-57 Karak 13-Oct-80 13/10/1980 GGHS Terri/ 30 Parveen Akhtar Noor Hussian FA/CT 10-Jan-52 Swabi 2-Nov-80 2-Nov-80 GGHS Tordher 31 Khatim Bibi Rahim Dad Khan BA 7-Jan-64 NWA 17-Nov-80 17-Nov-80 GGHS Civil Colony MRN 32 KHADIJA BIBI PIR GHULAM SSC 23-May-55 Lakki 10-Apr-73 17-Dec-80 GGMS BEGU KHEL 33 Shahnaz Begum Lal Khan BA BEd 1-Apr-53 Mansehra 26-Sep-75 21-Feb-81 34 AMINA BIBI PIR GHULAM FA 14-Sep-57 Lakki 2-Oct-76 1-Jul-81 GGMS MICHEN KHEL 35 SURRIYA JABEEN WAZIR KHAN SSC CT 15-Jul-56 KOHAT 20-Sep-81 20-Sep-81 GGHSS JUNGLE KHEL 36 Sabiha Begum Barra Khan BA BEd 1-Jan-56 Mansehra 11-Jun-79 1-Dec-81 37 ABIDA SHAHEEN GHULAM SARWAR MA BED/CT 5-Feb-54 D/I/KHAN 2-Sep-72 18-Jan-82 GGHS NO4 DIKHAN 38 Mah Jabeen Ghulam Hussain BA BEd 16-Aug-57 Mansehra 16-Dec-79 18-Jan-82 39 MUMTAZ BEGUM SAADULLAH MA MEd 8-Jan-59 PESHAWAR 28-Feb-82 28-Feb-82 GGHS Landi Arbab
  • 2.
    Academic Professional Date of 1st D/O Apptt against No. Name of Teacher Father's Name Qualification Qualification Date of Birth Domicile Apptt: Present Post Name of School 1 2 3 4 5 6 7 8 9 10 40 KHALIDA PARVEEN SEEMAB BAKHSHEH AHMAD BA BED 28-Jun-56 PESHAWAR 10-Mar-82 10-Mar-82 GGHSS Begum Shahab/ud/Din 41 Asmat Faizur Rahman BA 4-Jan-70 Dir (U) 30-Apr-92 30-Apr-82 GGHS, Wari 42 NASEEMA BA(3rd)/B/Ed MEHMOOD 1-Jan-60 Malakand 29-Aug-82 29-Aug-82 GGHS DHERI (D/Julagram) 43 TASNEEM KAUSAR RAB NAWAZ BA BED/MED/CT 15-May-57 D/I/KHAN 16-Jun-77 1-Sep-82 GGCMHS NO/ 1 DIKHAN 44 Hamida Bano Said Samiullah BA B/Ed 3-Mar-62 MKD 1-Sep-82 1-Sep-82 GGMS Chail Shagai 45 Gul Jamala , Gul Muhammad Khan MA B/Ed: 10-Oct-63 Karak 8-Mar-82 3-Oct-82 GGHS Takhti Nasratti/ 46 BIBI AJMAL KHATOON MIR ALAM BA CT 3-Jan-64 HARIPUR 12-Oct-82 12-Oct-82 47 Zeenat Perveen BA A/Hakim Khan 10-Feb-55 Chitral 23-Oct-82 23/10/1982 GGMS Ayun 48 Hameeda Ikram Ullah FA/CT 22-Jun-62 Swabi 1-Sep-82 13-Nov-82 GGHSS Shewa 49 FARIDA BANO SABIR HUSSAIN BA BED 4-Jan-60 PESHAWAR 25-Nov-82 25-Nov-82 GGHS Badaber 50 Seema Nasreen Arzo Mand Khan BA CT 15-Sep-60 SWAT 4-Dec-82 4-Dec-82 GGHSS Odigram 51 Abida Shereen S,Ibrahim Shah BA CT 11-Jan-60 Hangu 9-Dec-82 9-Dec-82 GGHS No,1 Hangu 52 Pashmina Zamarood Khan BA/CT 4-May-61 Swabi 12-Jan-83 12-Jan-83 GGHS Dagai 53 BADSHAHI TAJ,BA SAID MALIK 16-Aug-62 Malakand 7-Mar-83 7-Mar-83 GGHS Batkhela 54 Mehmoda Khanum Basher Ahmed BA BEd 18-Jul-62 Mansehra 22-Apr-80 3-Apr-83 55 SHABANA BEGUM SARDAR ABDUR RAUF MA BED/CT 15-Oct-64 D/I/KHAN 8-Jan-83 27-Apr-83 GGHSS NO/ 5 DIKHAN 56 ANISAH REHMAN QAZI MASOOD/UR/REHMAN BA 2ND DIV CT 1-Apr-62 HARIPUR 10-May-83 10-May-83 57 Razia Khatoon BA SWA 15-Jun-83 15-Jun-83 GGHS Wana, SWA 58 Tasneem Zuhra Gul Mohammad BA 19-Nov-57 FR Peshawar 8-Aug-83 8-Aug-83 GGHSS Samand Khan Killi 59 KHURSHID BEGUM MUHAMMAD SULEMAN BA 3RD DIV CT 1-Dec-59 HARIPUR 25-Sep-83 21-Sep-83 60 KHURSHEED BEGUM MUHAMMAD SULIMAN FA CT 1-Dec-59 HARIPUR 25-Sep-83 25-Sep-83 61 Ghulshan Begum Mohd:Ismial BA BEd 18-Apr-63 Mansehra 22-Apr-80 29-Sep-83 62 Wazira Bibi BA/B/Ed Rahmat Panah 1-Apr-55 Chitral 7-Oct-74 20/10/1983 GGCMHS Denin 63 Kalsoom Akhtar/ Ghulam Rasool/ B/A/ CT 1-Dec-63 Tank/ 16-Nov-83 16/11/1983 GGHS:No/2,Tank/ 64 MAH GUL FAQIR MUHAMMAD BA CT 17-Sep-64 KOHAT 10-Dec-83 10-Dec-83 GGMS MIR AHMAD KHEL 65 Gulzar Bibi Syed Tajamul Shah FA/CT 22-Jun-63 Swabi 11-Dec-83 11-Dec-83 GGHS Zaida 66 Kishwar Sultana Ghufran Ullah MA/Med/CT 17-Nov-62 Swabi 12-Dec-83 12-Dec-83 GGHS dodher 67 Bibi Salma Qazi Abdul Khaliq BA/Bed/CT 2-Jun-64 Swabi 13-Dec-83 13-Dec-83 GGHS Zaida 68 ISMAT ARA FAIZAN BA II BED 10-Mar-65 CHARSADDA 19-Dec-83 20-Dec-83 69 SAKINA BIBI IMAM BAKSHAH BA 1-Jan-59 Lakki 20-Dec-83 20-Dec-83 GGHS Tajori 70 Yasmin Begum Abdul Salam BA BEd 14-Apr-62 Mansehra 20-Dec-83 20-Dec-83 71 ABIDA NASREEN AZIZ KHAN BA II BED 1-Jan-57 CHARSADDA 21-Feb-84 21-Feb-84 72 SHAHEEN BIBI FAZUL/UR/REHMAN FA CT 5-Dec-62 HARIPUR 5-Mar-84 5-Mar-84 73 Yasmin Said Muhammad BA/Bed/CT 23-Mar-64 Swabi 1-Apr-84 1-Apr-84 GGHS Dagai 74 RAZIA SULTANA DILAWAR KHAN BA 2-Jan-60 Lakki 21-May-84 21-May-84 GGMS MELA SHAHAB KHEL 75 Khalida Begum Yar Muhammad Khan MA/Bed/CT 18-Jul-54 Swabi 16-Feb-80 23-May-84 GGHS Bamkhel 76 FARAH DEEBA S FARRUKH HUSSAIN SHAN BA CT 16-Jun-61 HARIPUR 1-Sep-84 1-Sep-84 77 Bibi Shakira Fazal ur Rehman BA BEd 15-Jan-64 Mansehra 15-Sep-80 15-Sep-84 78 SHAGUFTA NASEEM ABDUL HAY BA BED 31-Mar-66 PESHAWAR 20-Sep-84 20-Sep-84 GGHSS Begum Shahab/ud/Din 79 Jehan Ara 12-Sep-63 Bajaur 24-Sep-84 24-Sep-84 GGHS Khar 80 MUSSARAT QAISRA FAZAL ELAHI MA/BA 2nd Div BED 2nd Div: 1-Mar-62 HARIPUR 1-Oct-84 1-Oct-84 81 Shagufta Nasrin M/Akbar Khan BA BEd 11-Jun-61 Mansehra 21-Feb-81 4-Oct-84 82 RAHAT ARA ALI GOHER BA BEd 5-Feb-64 Mansehra 4-Oct-84 4-Oct-84 83 MUHTADIA FAQEER MUHAMMAD BA B/Ed 1-Jan-64 MARDAN 1-Dec-83 22-Oct-84 GGHS RUSTAM KHEL
  • 3.
    Academic Professional Date of 1st D/O Apptt against No. Name of Teacher Father's Name Qualification Qualification Date of Birth Domicile Apptt: Present Post Name of School 1 2 3 4 5 6 7 8 9 10 84 TAYYABA SHAHEEN M SARWAR BA BED 1-Apr-60 PESHAWAR 8-Nov-84 8-Nov-84 GGHSS Lady Grifth 85 DANISH PARVEEN GULAB KHAN BA 3rd Div BED 2-Oct-60 HARIPUR 18-Nov-84 18-Nov-84 86 SHEHNAZ GHULAM SARWAR KHAN FA 3-Feb-55 Lakki 18-Sep-75 23-Dec-84 GGMS KHOIDAD KHEL 87 ABIDA KHATOON GHULAM FARID FA CT 1-Feb-58 PESH 27-Dec-84 27-Dec-84 GGMS BANDA FATEH KHAN KHEL 88 Mir Gul yasmin Mir Shafiullah Khan MA 10-Mar-60 Khyber 1-Jan-85 1-Jan-85 GGMS tehsil Bara 89 TAHIRA PARVEEN ABDUL ISLAM MA MED 1-Oct-59 HARIPUR 1/12/185 12-Jan-85 90 NAZ NISAR SIDDIQE NISAR AHAMD SIDDIQE BA BED 20-Apr-59 PESHAWAR 1-Jun-85 1-Jun-85 GGHSS Comprehencive 91 SHAHEEN IRSHAD M MUMTAZ BA BEd 1-Mar-64 Mansehra 14-Sep-85 14-Sep-85 92 TAUHEED FAZLI RABBANI BA II BED 22-Apr-63 CHARSADDA 16-Oct-85 16-Oct-85 93 ISHRAT BIBI GHULAM NABI BA BED 15-Apr-60 ABBOTTABAD 2-Oct-80 20-Oct-85 GGHS BIROTE 94 Khadija Parveen Muhammad Rehman MA B/Ed: 15-Feb-66 Karak 1-Oct-84 12-Nov-85 GGHS Khojaki/ 95 GHULAM UME RUBAB M/ HASHIM SHAH BA BED/CT 29-Mar-63 D/I/KHAN 11-May-81 18-Nov-85 GGHS BAND KARI 96 Robina Shahnaz, Mir Baz Khan MA M/Ed: 6-Jan-64 Karak 20-Nov-85 20/11/1985 GGHS No/1 Karak/ 97 Shah Nasheen Akbar S/Ali Akbar Jan MA/Med/CT 8-Feb-63 Swabi 1-Sep-85 21-Nov-85 GGHS Ismaila 98 MUSARAT BEGUM MUHAMMAD AKBER FA 4-Apr-58 Lakki 23-Oct-76 4-Dec-85 GGHS DARA PEZU 99 Fozia Sultana Abdur Rehman BA BEd 15-Mar-66 Mansehra 10-Dec-85 10-Dec-85 100 NASREEN AKHTAR GHULAM JAN BA II BED 24-Mar-67 CHARSADDA 16-Dec-85 16-Dec-85 101 NABEELA ZAKIR BA BEd 18-Aug-81 Mansehra 7-Jan-82 24-Dec-85 102 FARIDA BANO KHADIM HUSSAIN MA BED 09/11/167 PESHAWAR 12-Jan-86 12-Jan-86 GGHS Passani 103 SHABINA BIBI M NAWAZ MA BED 1-Oct-62 PESHAWAR 15-Jan-86 15-Jan-86 GGHSS Chamkani 104 NISHAT BEGUM FAZLI GHAFOOR MA B/Ed 1-Feb-62 MARDAN 18-Jan-86 18-Jan-86 GGHSS Toru 105 ZENAT SHAHEEN GHULAM MUHAMMAD BA II BED 27-Feb-57 CHARSADDA 16-Jan-82 19-Jan-86 106 ABIDA BEGUM S TAWWAB SHAH MA BED 1-May-61 SWABI 21-Jan-86 21-Jan-86 GGHSS Hayat Abad 107 MUNIZA NAHEED M MUQARAB AFRADI BA BEd 6-Jan-65 Mansehra 9-Mar-86 9-Feb-86 108 FEHMIDA BEGUM GHULAM NABBI MA B/Ed 25-Apr-57 MARDAN 1-Apr-77 13-Mar-86 GGHSS Toru 109 Neelofar Mohammad Azeem B/A B/ Ed 25-Aug-59 Peshawar 2-May-86 2-May-86 110 Shaheen Alam Hanif Khan BA CT 5-Mar-68 SWAT 8-May-86 8-May-86 GGMS Manyar 111 NASEEM AKHTAR ABDUL AZIZ BA BED 25-Apr-56 ABBOTTABAD 24-Jun-86 24-Jun-86 GGHS Upper Kehal 112 NIZAKAT BEGUM, BA DOST MUHAMMAD 12-May-56 Malakand 23-Jan-74 14-Jul-86 GGCMHS Thana 113 FARAH DEEBA ABDUL HAY MSc BED 30-Dec-68 PESHAWAR 27-Aug-86 27-Aug-86 GGHSS Begum Shahab/ud/Din 114 KISHWAR NAZ ABDUL JALA BA BEd 10-Mar-66 Mansehra 18-Jan-82 3-Sep-86 115 RIFFAT SALEEM MUHMMAD SALEEM BA BED 1-Feb-65 ABBOTTABAD 10-Sep-86 10-Sep-86 GGMS JHANGRA 116 SHAHIDA, BA (2nd) / B/Ed Umer Wahid 10-May-65 Malakand 17-Sep-86 17-Sep-86 GGMS Jalala 117 Wahida Bibi Said rahman BA CT 20-Jun-66 SWAT 17-Sep-86 17-Sep-86 GGMS Shaheen Abad 118 GUL AMINA MULA BAKSH FA CT 12-Jun-63 KOHAT 1-Aug-84 21-Sep-86 GGHS NO 1 KOHAT 119 NOSHABA BAKHRI S/ MULAZIM HUSSAIN BA BED/CT 15-May-67 D/I/KHAN 27-Sep-86 27-Sep-86 GGMS HAJI MORA 120 JABEEN KOUSAR MUHAMMAD AKRAM AM/ BA 2ND DIV BED 10-Apr-64 HARIPUR 28-Sep-86 28-Sep-86 121 FARZANA ARIF ALLAHDAD KHAN BA BED 30-Jul-62 ABBOTTABAD 1-Oct-86 1-Oct-86 GGHS Saji Kote 122 Razia Begum Behram Gul BA CT 1-Mar-58 SWAT 1-Aug-85 1-Oct-86 GGHS Charbagh 123 SHAHEEN BAGUM FAIZULLAH KHAN BA BED/CT 12-Feb-55 D/I/KHAN 27-Jan-82 8-Oct-86 GGHSS KULACHI 124 NELOFAR YASMEEN AHMAD NAWAZ BA BED 3RD /CT 22-Apr-56 D/I/KHAN 18-Aug-75 9-Oct-86 GGHSS NO6 DIKHAN 125 SHAHNAZ SARDAR SARDAR BAGGA KHAN BA BED 7-Mar-64 HARIPUR 16-Oct-86 16-Oct-86 126 SHAKEELA NAZ GHULAM RASOOL BA CT 11-Dec-63 KOHAT 27-Oct-86 27-Oct-86 GGHS NO 1 KOHAT 127 SHABEEN AKHTER M/ARIF BA BED 28-Oct-66 ABBOTTABAD 1-Nov-86 1-Nov-86 GGHS BIROTE
  • 4.
    Academic Professional Date of 1st D/O Apptt against No. Name of Teacher Father's Name Qualification Qualification Date of Birth Domicile Apptt: Present Post Name of School 1 2 3 4 5 6 7 8 9 10 128 Qadar Pari Fazal Ghani FA CT 21-Jan-61 SWAT 12-Mar-86 3-Nov-86 GGHS Panr 129 Salma Perveen Muhammad Yousaf FA 15-May-54 Mohmand 4-Nov-86 4-Nov-86 GGHS Ekka Ghund 130 RIFAT ALMAS MUHAMMAD QAYUM BA II BED 28-Dec-65 CHARSADDA 1-Dec-86 1-Dec-86 131 ZAHIDA PARVEEN MUHAMMAD BASHIR BA 2ND DIV CT 1-Mar-65 HARIPUR 9-Dec-86 9-Dec-86 132 Hashmat Bibi Azad Khan FA/CT 1-Dec-61 Swabi 10-Dec-86 10-Dec-86 GGHSS Topi 133 SALMA PARVEEN MUHAMAMD SHAH MA MED 4-Jan-57 Lakki 29-Apr-78 1-Jan-87 GGCMHS NO/2 LAKKI 134 FOUZIA SHAHZADI S QAISER ABBAS MA BED 28-Oct-55 PESHAWAR 2-Jan-87 2-Jan-87 GGHSS University Town 135 SALMA MARGHAZAR HABIBULAH KHAN BA BED/CT 1-Aug-73 D/I/KHAN 18-Jan-98 18-Jan-87 GGMS HIMAT 136 Khalida Parveen Muhammad Din MA/Bed/CT 6-Jan-64 Mardan 21-Jan-87 21-Jan-87 GGHS Jehangira 137 NUSRAT HAYAT SIKANDAR HAYAT MA BED/CT 20-May-68 D/I/KHAN 26-Jan-87 22-Jan-87 GGMS GARA ESSA KHAN 138 Tahira Syed Syed Ahmed Shah BA BED 25-Sep-63 ABBOTTABAD 24-Jan-87 24-Jan-87 GGMS Kakote 139 RAZIA FARZANA BHATTI SIRAJ BHATTI BA BED 25-Dec-66 PESHAWAR 12-Mar-87 12-Mar-87 GGHS Dabgari Gate 140 RUKHSANA ASLAM MUHAMMAD ASLAM KHAN MA BED 5-Feb-63 PESHAWAR 12-Mar-87 12-Mar-87 GGHSS No/2 Cantt 141 Shamim Noor Noor Rehman FA CT 24-Apr-61 SWAT 18-Mar-87 18-Mar-87 GGHS No/1/Mingora 142 TASNIM AKHTAR MUHAMMAD AYUB BA CT 5-Sep-68 HARIPUR 29-Apr-87 30-Apr-87 143 Salma Begum 1-Feb-59 Bajaur 1-Jul-87 1-Jul-87 GGMS Barkhalozo 144 Shahnaz Begum Muhammad Nazir BA/Bed/CT 25-Mar-58 Swabi 1-Feb-79 1-Jul-87 GGHS Marghuz 145 Aisha Zubar Khawaja Zubar BA CT 4-Jun-55 SWAT 16-Jan-85 1-Jul-87 GGMS Shin 146 Nehar Begum Nebat Khan MA M/Ed 18-May-69 SWAT 12-Sep-87 12-Sep-87 GGMS Gogdara 147 TAHIRA BANO GHULAM AHMAD BA BED 3-Mar-68 PESHAWAR 14-Sep-87 14-Sep-87 GGHSS Mathra 148 AZRA ROBINA ABDUL RASHEED BA CT 4-Mar-62 KOHAT 20-Sep-87 20-Sep-87 GGMS SIAB 149 Shagufta Naz, Misbah ud Din BA M/Ed: 6-Mar-64 Karak 22-Sep-87 22/09/1987 GGHS Bogara/ 150 FALAK NAZ SHER ZAMAN MA CT 8-Jun-64 KOHAT 24-Sep-87 24-Sep-87 GGHS NO 1 KOHAT 151 ASMAT NAHEED AKBAR SHAH BA CT 15-Apr-67 KOHAT 24-Sep-87 24-Sep-87 GGHSS BABRI BANDA 152 QAISARA BEGUM MUHABAT KHAN FA CT 10-Jun-64 KOHAT 3-Nov-84 28-Sep-87 GGHS BEHZADI CHAKAR KOT 153 ASIA BEGUM NADAR KHAN SSC CT 12-Jun-63 KOHAT 3-Oct-87 3-Oct-87 GGHS BEHZADI CHAKAR KOT 154 ISMAT JABEEN AKBAR KHAN BA CT 17-Mar-66 KOHAT 3-Oct-87 3-Oct-87 GGMS SHEIKHAN 155 SAFIA SULTANA SULTAN MEHMOOD MA BED CT 5-Dec-57 D/I/KHAN 1-May-78 6-Oct-87 GGHS MUSAZAI 156 HAJIRA BIBI MUHAMMAD ASHRAF MA/BA 2nd Div BED 1-Apr-65 HARIPUR 10-Oct-87 10-Oct-87 157 FARANGAIZ ABDUR REHMAN MA CT 1-Sep-58 KOHAT 21-Sep-87 10-Oct-87 GGHSS JUNGLE KHEL 158 SHAHEEN KARIM, BA (2Nd) / B/Ed SAID KARIM 20-Aug-69 Malakand 1-Nov-87 1-Nov-87 GGMS DOBANDAI 159 NAEEMA BEGUM,BA(2nd))B/Ed MUHAMMAD ALEEM 12-Mar-67 Malakand 4-Nov-87 4-Nov-87 GGHS BADAM BAGHICHA (Purana Thana) 160 IREEN MARK RAJA MARK BA BED 12-Sep-55 PESHAWAR 25-Nov-87 25-Nov-87 GGMS No/3 Cantt/ 161 HASEENA BIBI MUHAMAMD AZAM BA BED 16-Nov-64 PESHAWAR 5-Feb-84 29-Nov-87 GGMS No/3 Cantt/ 162 NUSRAT ARA, BA(2nd) / B/Ed MUHAMMAD NAWAZ 24-Jun-61 Malakand 26-Oct-82 1-Dec-87 GGHSS Sakhakot 163 RAZIA BEGUM,BA AMIR NAWAB 4-Apr-61 Malakand 7-Dec-85 6-Dec-87 GGHS Batkhela 164 NASEEM AKHTAR FA, CT MIR HASSAN 14-Mar-68 BUNNER 12-Dec-87 12-Dec-87 GGHS TOTALAI 165 ZEENAT BEGUM ABDUL KHALIL MA B/Ed 1-Jan-67 MARDAN 12-Dec-87 12-Dec-87 GGMS NO/2 BUGHDADA 166 YASMEEN BEGUM, BA HABIB UR REHMAN 11-Apr-65 Malakand 15-Dec-87 15-Dec-87 GGHS Haryan Kot 167 Robina Bangush Inayatullah BA CT 4-Jan-68 Hangu 12-Jan-88 12-Jan-88 GGHS W/Road Hangu 168 SANJIDA BIBI KHAWAJ MUHAMMAD MA BA 2ND DIV M,Ed B,Ed 12-Aug-61 HARIPUR 19-Jan-88 19-Jan-88 169 FARZANA KOUSAR M/HUSSAIN BA BED 25-Dec-62 ABBOTTABAD 14-Oct-80 9-Feb-88 GGHS Beerote 170 SALIM AKHTAR MUHAMMAD DAUD MA MED/BEd/ 20-Feb-67 HARIPUR 11-Feb-88 11-Feb-88 171 FOUZIA BIBI MUHAMMAD YAQOOB MA BA 2ND DIV B/ED 1-May-68 HARIPUR 14-Feb-88 14-Feb-88 172 NAHEED AKHTAR ABDUR REHMAN ABBASI FA CT 11-Aug-66 HARIPUR 14-Feb-88 14-Feb-88
  • 5.
    Academic Professional Date of 1st D/O Apptt against No. Name of Teacher Father's Name Qualification Qualification Date of Birth Domicile Apptt: Present Post Name of School 1 2 3 4 5 6 7 8 9 10 173 NAHEED AKHTAR MUHAMMAD JAN BA 2ND DIV BED 5-Apr-67 HARIPUR 15-Feb-88 15-Feb-88 174 Tilawat Begum Amir Hassan MA/Bed/CT 18-Jan-68 Swabi 16-Feb-88 16-Feb-88 GGHSS Shewa 175 RUKHSANA SHAHEEN MUHAMMAD ZAREEN KHAN MA/BA 2nd Div BED 1-Feb-65 HARIPUR 20-Feb-88 20-Feb-88 176 MEHMOONA MANZOOR ELLAHI FA CT 4-Jan-66 HARIPUR 20-Feb-88 20-Feb-88 177 Nargis Parveen Firdos Khan MA/CT 15-May-59 Swabi 22-Feb-88 22-Feb-88 GGHs Adina 178 RUQIA YOUSAF MUHAMMAD YOUSAF BA 2nd DIV CT 12-Apr-64 HARIPUR 23-Feb-88 23-Feb-88 179 NIGHAT SHAHEEN GHULAM SARWAR BA BED 1-Jun-60 PESHAWAR 23-Nov-86 3-Mar-88 GGMS Shahi Bala 180 SAJIDA BEGUM MUHAMAMD FARID MA B/Ed,M/Ed 27-Sep-59 MARDAN 5-Mar-88 5-Mar-88 GGHS NO 1 MARDAN 181 GUL NAZ MUHAMMAD TAJ BA IST DIV BED 13-Jan-70 HARIPUR 10-Mar-88 10-Mar-88 182 BAHARISTAN, BA(2nd) FAZAL WAHID 3-Mar-58 Malakand 4-Mar-78 3-Apr-88 GGHSS Sakhakot 183 Shakila Parveen BA,B/Ed; M/Aziz Khan 10-Mar-63 Chitral 5-Nov-88 11-May-88 GGMS Sinlasht 184 NAIMA BIBI MUHAMMAD IQBAL MA /BA 2ND DIV BED 2nd Div: 5-Jan-65 HARIPUR 26-May-88 26-May-88 185 NAIMA SALEEM M SALEEM AHMAD MA BED 1-Apr-65 PESHAWAR 31-May-88 31-May-88 GGHSS University Town 186 GHULAM FATIMA GHULAM HUSSAIN BA BED 1-Jan-61 ABBOTTABAD 17-Nov-82 1-Jul-88 GGMS Ghumawan 187 Fahmida Muhammad Bakhtyar BA CT 1-Jan-54 SWAT 1-Nov-81 1-Sep-88 GGHS No/2/S/Sharif 188 DILSHAD BEGUM MUSLI SHAH BA MEd 14-Sep-64 PESHAWAR 24-Sep-88 24-Sep-88 GGHSS Begum Shahab/ud/Din 189 KOSAE PARVEEN M SHOAIB BA BEd 6-Jul-66 Mansehra 8-Oct-88 8-Oct-88 190 Kausar Perveen Haji Ghulam yasin MA 10-Apr-66 Mohmand 9-Oct-88 9-Oct-88 GGHSS Ghallanai 191 RAZIA SULTANA BEGUM SAEED KHAN MA MED/CT 6-Nov-56 D/I/KHAN 22-Jan-77 20-Oct-88 GGCMHS NO1 DIKHAN 192 ZAKIA BIBI WALI HUSSAIN BA BED 25-Dec-69 ABBOTTABAD 31-Oct-88 31-Oct-88 GGHS Bandi Dhundan 193 NEELOFAR SHAHEEN MUHAMMAD KHAN BA BED 31-Jul-60 MANSEHRA 16-Aug-84 1-Dec-88 GGHSS Comprehencive 194 LUBNA FA/CT HABIB KHAN 15-Feb-67 Malakand 1-Dec-88 1-Dec-88 GGMS SORANA 195 SHAHEEN GUL,MA SAAD KHAN 20-Feb-61 Malakand 4-Dec-88 4-Dec-88 GGHS Batkhela 196 ISHRAT PERVEEN ABDUL QAYYAM BA /BED/CT 15-Feb-67 D/I/KHAN 6-Dec-88 6-Dec-88 GGMS CHA MUGAL 197 NAJMUS SAHAR INYATULLAH KHAN B/A CT BED 20-Oct-63 D/I/KHAN 7-Dec-88 7-Dec-88 GGHSS NO5 DIKHAN 198 Nasrat Yasmeen, Hasan Shah MA M/Ed: 16-May-70 Karak 5-Dec-88 8-Jan-89 GGHS Chowkara/ 199 FARHAT JABEENN HUKAM DAD BA BEd 20-Feb-68 Mansehra 21-Jan-89 21-Jan-89 200 Azra Alam Muhammad Alam M/A B/ Ed 4-Jan-66 Nowshera 12-Feb-89 12-Feb-89 201 STEELA PERVEZ SAMUEL MASTIM MA BED 30-Jan-58 CHARSADDA 12-Feb-89 12-Feb-89 GGHS Landi Arbab 202 Naheed ud Nisa, Gula Mir BA B/Ed: 1-Mar-68 Karak 10-Sep-87 11-Apr-89 GGHS Surati Killa/ 203 Rahat Deeba MA B/Ed M/Anwar Khan 1-Mar-69 Chitral 18-Sep-89 18-Sep-89 GGHS Drosh 204 SHAMIM FATIMA MUNZOR AHMAD BA BED/CT 2-Oct-65 D/I/KHAN 25-Sep-89 25-Sep-89 GGMS CNTERAL JAIL 205 SHAHIDA BEGUM, BA / B/ED ALAM DIN 15-Jan-70 Malakand 11-May-88 25-Sep-89 GGHS Palai 206 Shagufta Begum Inayat Ullah M/A B/ Ed 15-Oct-65 Nowshera 26-Sep-89 26-Sep-89 207 IMRAZIA KHATOON SAIDULLAH KHAN BA BED 12-Jan-69 ABBOTTABAD 1-Oct-89 1-Oct-89 GGCMS Nawanshehr 208 Shaheen Nazli Mazza Khan BA BED 30-Sep-67 Bannu 1-Oct-89 1-Oct-89 GGHSS Malik Pura 209 Marhaba Sultana Qazi Sadud Din BA 1-Mar-66 Khyber 1-Oct-89 1-Oct-89 GGMS Ahmad Jan 210 SALMA ,BA MUHAMMAD UMAR 3-Mar-68 Malakand 1-Oct-89 1-Oct-89 GGMS ASHAKAI 211 Farhat Jameen M/Youns Khan BA BEd 12-Dec-68 Mansehra 2-Oct-89 2-Oct-89 212 IMTIAZ KIANI HAJI M SHAFFI BA BED 4-Apr-66 ABBOTTABAD 10-Oct-89 10-Oct-89 GGMS Langra 213 Riffat Shaheen Mohd:Younas BA BEd 16-Nov-66 Mansehra 15-Oct-89 15-Oct-89 214 ZUBEDA BIBI MUHAMMAD DAIN MA/ BA 2nd iv MED B/ed 12-Dec-67 HARIPUR 17-Oct-89 17-Oct-89 215 Fehmida Akhtar Hafiz Gul B/A B/ Ed 5-May-70 Nowshera 19-Oct-89 19-Oct-89 216 SHAHEEN AKHTAR MIR ZAMAN BA 2ND BED 1-Apr-66 HARIPUR 21-Nov-89 21-Nov-89
  • 6.
    Academic Professional Date of 1st D/O Apptt against No. Name of Teacher Father's Name Qualification Qualification Date of Birth Domicile Apptt: Present Post Name of School 1 2 3 4 5 6 7 8 9 10 217 DILSHAD BIBI FEROZ DIN MA /BA 2ND DIV BED 2-Mar-63 HARIPUR 23-Nov-89 23-Nov-89 218 NAGINA BIBI MALIK MUHAMMAD YOUSAF BA BED 1-May-66 ABBOTTABAD 29-Nov-89 29-Nov-89 GGHS Hall Maira 219 Ayesha Bibi BA Rahmat Wazir 16-Jan-57 Chitral 12-Jan-79 1-Dec-89 GGHS Booni 220 FARZANA ROOHI SYED BAHADER SHAH MA BED 1-Jan-66 PESHAWAR 4-Dec-89 4-Dec-89 GGMS No/1 Cantt/ 221 SHAHNAZ AKHTAR ABDUR REHMAN BA BED 2-Jan-71 ABBOTTABAD 5-Dec-89 5-Dec-89 GGHSS Hajia Gali 222 Hamida Hatum Amir Hatam BA B/Ed 23-Mar-67 SWAT 5-Dec-89 5-Dec-89 GGHS No/2/S/Sharif 223 Shugafta Yasmeen Khan Zada MA CT 3-Apr-68 SWAT 5-Dec-89 5-Dec-89 GGHS Saidu Sharif 224 TAZEEM AKHTAR HAYAT KHAN BA BED 23-Mar-67 ABBOTTABAD 9-Dec-89 9-Dec-89 GGHSS Sherwan 225 Bibi Hasina BA Abdul Karim 1-Jun-58 Chitral 4-Mar-85 16/12/1989 GGHS Koghuzi 226 Iran Bibi BA Ghulam Wali Khan 1-Jan-69 Chitral 16-Dec-89 16/12/1989 GGHS Booni 227 MAQSOOM BIBI SYED MANAWAR SHAH FA CT 13-May-69 HARIPUR 17-Dec-89 17-Dec-89 228 TAHIRA REHMAN FAZAL UR REHMAN MA BED CT 20-Jul-66 Bannu 20-Dec-89 20-Dec-89 GGMS FIAZ TALAB MANDAN 229 Shahab Kausar Muzafar khan BA/Bed/CT 21-Apr-65 Swabi 22-Sep-84 20-Dec-89 GGHS Marghuz 230 Rovida Hashmi Sherin Bacha MA/Med/CT 1-Aug-69 Swabi 20-Dec-89 20-Dec-89 GGHSS Shewa 231 Farhat Begum Zamarood Khan BA/CT 5-Jun-70 Swabi 20-Dec-89 20-Dec-89 GGHS Dagai 232 SAMINA NAZ FAZAL UR REHMAN BA BED CT 6-May-69 Bannu 1-May-88 22-Dec-89 GGMS JANGI DAUAD SHAH BANNU/ 233 Noor Jehan Akbar Ali B/A B/ Ed 4-Jan-71 Nowshera 10-May-89 1-Jan-90 234 MARYUM BIBI ABDUL HAMEED MA BED 15-Nov-67 ABBOTTABAD 4-Jan-90 4-Jan-90 GGCMHS Nothia 235 Miss Robina Shaheen Wilayat Shah B/A B/ Ed 16-Mar-68 Nowshera 9-Jan-90 9-Jan-90 236 SHAHEEN HUSSAIN HUSSAIN SHAH BA CT 4-Aug-70 HARIPUR 10-Jan-90 10-Jan-90 237 ZEENAT BEGUM MUHAMMAD IBRAHIM MA B/Ed 1-Jun-65 MARDAN 8-Oct-84 17-Jan-90 GGHS BAGHICHA DHERI 238 Musharrifa Muhamamd Akbar FA/CT 15-Jan-63 Swabi 1-Jan-82 17-Jan-90 GGHS Maneri Bala 239 Neelum Kausar Umer Khitab BA/Bed/CT 1-Jan-61 Swabi 10-Mar-84 17-Jan-90 GGMS Jamal Abad 240 Toheed Ara S/Chand Bad shah BA Bed 12-Dec-66 Nowshra 28-Nov-89 22-Jan-90 241 ANEELA NOOR NOOR Ilahi MA BED 14-Mar-68 PESHAWAR 23-Jan-90 23-Jan-90 GGCMHS Nothia 242 Shokat Maryum Mohammad Nisar MA 17-Aug-70 FR Peshawar 29-Jan-90 29-Jan-90 GGMS Sadi Khan 243 Dilafraz Begum, Sher Dad Khan BA M/Ed: 23-Mar-57 Karak 4-Nov-78 1-Feb-90 GGHS, Bogara 244 KHANASIBA , BA(I2nd/ B/ED ISLAM MURAD 1-Apr-67 Malakand 7-Feb-90 7-Feb-90 GGCMS Thana 245 FARHAT JEHAN KHURSHID HUSSAIN BA BED CT 15-Oct-68 D/I/KHAN 8-Feb-90 8-Feb-90 GGHSS PAHARPUR 246 FARHANA SHAD SHADIULLAH KHAN BA 10-Feb-71 Lakki 10-Mar-89 8-Feb-90 GGHS Ghazni Khel 247 ANILA BEGUM MAQSOOD UR REHMAN BA BED 2-Apr-70 ABBOTTABAD 25-Feb-90 25-Feb-90 GGMS BANDA SAIB KHAN 248 Sadiqa Begum Ihtishamud Din BA/CT 5-Apr-67 Swabi 28-Feb-90 28-Feb-90 GGHS Yar Hussain 249 ASMAT ARA KHAISTA RAHMAN BA B/Ed 1-Mar-68 MARDAN 4-Mar-90 4-Mar-90 GGHS GUJAR GARHI 250 NAHEED BEGUM SAHIB ZADA MA B/Ed/M/Ed 15-Feb-69 MARDAN 5-Mar-90 5-Mar-90 GGMS DHERI KATLANG 251 WAHEEDA BEGUM MAROOF SHAH MA B/Ed,M/Ed 11-Jun-67 MARDAN 5-Mar-90 5-Mar-90 GGMS GHARI DAULAT ZA 252 ZEENAT BIBI FAQEER MUHAMMAD BA B/Ed 1-Jan-58 MARDAN 1-Dec-82 7-Mar-90 GGHS BAGHICHA DHERI 253 NAHEED BEGUM WALI KHAN BA B/Ed 15-May-69 MARDAN 10-Mar-90 10-Mar-90 GGJICA FATMA 254 MEHMOODA BIBI MAKHAN SHAH MA /BA 2ND DIV MED 1-Jan-67 HARIPUR 15-Mar-90 15-Mar-90 255 TASLEEM MUHAMMAD AFZAL BA II BED 3-May-66 CHARSADDA 19-Mar-90 19-Mar-90 256 BUSHRA SULTANA KIANI RAJA MUHAMMAD SADIQ BA 2ND DIV BED : 1-Jan-65 HARIPUR 24-Mar-90 24-Mar-90 257 ABIDA PERVEEN ABDULLAH KHAN FA CT 10-Feb-64 KOHAT 25-Mar-90 25-Mar-90 GGHS NO 1 KOHAT 258 MUSARAT NAZNEEN MUHAMMAD RAMAZAN BA 2-Sep-55 Lakki 3-May-75 25-Mar-90 GGCMHS NO/2 LAKKI 259 TEHSIN KOUSAR ABDUR REHMAN BA BED 23-Apr-64 ABBOTTABAD 25-Feb-90 1-Apr-90 GGHSS Comprehencive 260 Zeenat Jehan Bakht Rawan BA B/Ed 1-Apr-69 SWAT 14-Jan-89 1-Apr-90 GGMS Qambar 261 Fozia Yasmeen Abdul Samad MA 2-Nov-72 FR Peshawar 8-Apr-90 8-Apr-90 GGHSS Samand Khan Killi 262 Samina Gul Basher Ahmed BA BEd 15-Aug-69 Mansehra 9-Apr-90 9-Apr-90
  • 7.
    Academic Professional Date of 1st D/O Apptt against No. Name of Teacher Father's Name Qualification Qualification Date of Birth Domicile Apptt: Present Post Name of School 1 2 3 4 5 6 7 8 9 10 263 SAMIA KOUSAR SYED CHANPIR SHAH BA BED 31-Aug-61 HARIPUR 29-Oct-87 13-Apr-90 264 KOUSAR SHAHEEN HUSSAIN BAKHSH BA BED/CT 5-Jun-66 D/I/KHAN 12-Jan-85 16-Apr-90 GGMS SAGU 265 JEHAN BANO MUHAMMAD JAFFAR BA CT 14-May-65 KOHAT 18-Apr-90 18-Apr-90 GGHS USTERZAI PAYAN 266 Tasleem Parveen Rafaqat yar Khan B/A B/ Ed 4-Apr-66 Peshawar 17-Apr-90 18-Apr-90 267 TAJ MAHAL,BA NIAK MUHAMMAD 1-Apr-71 Malakand 21-Apr-90 21-Apr-90 GGMS Gharib Abad 268 SHAKRA ALI HAIDAR BA 2nd Div CT 20-Mar-70 HARIPUR 2-May-90 2-May-90 269 SURRIYA SULTANA SULTAN AHMAD BA BED 4-Sep-71 HARIPUR 8-May-90 8-May-90 GGMS Pawa 270 Yasmin Akhtir Ghulam rabani BA BEd 22-Dec-65 Mansehra 17-May-90 17-May-90 271 Nadeeda Bano Fazal ur Rehman BA BEd 5-Sep-68 Mansehra 1-May-85 19-May-90 272 SHAMIM AKHTAR MUHAMMAD YOUSAF FA CT 18-Jun-53 PESH 26-May-90 26-May-90 GGMS KHUSHAL GARH 273 NASIM AKHTAR PIR KHAN BA BED 4-Mar-71 ABBOTTABAD 3-Oct-89 28-May-90 GGHS Sumandar Katha 274 Javeda Akhtar, Muhammad Ali MA B/Ed: 15-Nov-63 Karak 3-Dec-81 7-Jul-90 GGHS, Mianki Banda 275 BIBI SADIQA S M HUSSAIN SHAH BA BEd 3-Jun-62 Mansehra 10-Jul-90 10-Jul-90 276 NABEELA ANWAR ANWAR GUL MA BED 1-Apr-70 PESHAWAR 1-Sep-90 1-Sep-90 GGHS Jogiwara 277 RIFFAT PARVEEN SHAHID AYAZ MA BED 12-Jan-66 PESHAWAR 7-Oct-90 7-Oct-90 GGHSS Hayat Abad 278 SAMINA AKHTAR MUHAMMAD AKHTAR BA BED 5-Feb-64 PESHAWAR 9-Oct-90 9-Oct-90 GGHS Yaka Toot 279 Samin jan Umar Ayaz BA 25-Oct-67 NWA 10-Oct-90 10-Oct-90 do 280 NIGAR SHAHEEN ALLAH NAWAZ MA BED/CT 19-Jan-57 D/I/KHAN 6-Nov-90 6-Nov-90 GGMS BAND KURAI 281 Shaheen Begum Buhar Khan BA (2nd) B,ed 6-Jan-55 Dir Lower 10-Jan-73 14-Nov-90 282 Hidayat Begum Bohar Khan BA (2nd) B,ed 3-Jan-57 Dir Lower 6-Jan-78 14-Nov-90 283 Maniza Begum Allauddin Khan BA (2nd) B,ed 5-Jan-59 Dir Lower 26-Apr-79 14-Nov-90 284 SAFINA NOUREEN ABDUR RASHID BA CT 15-Mar-66 KOHAT 31-Jan-90 14-Nov-90 GGHS BEHZADI CHAKAR KOT 285 SAMIA NAZ MUTAHIR SHAH BA CT 2-Sep-66 KOHAT 11-Oct-90 14-Nov-90 GGHS NO 2 286 BIBI HAMIA, BA (2nd) / B/Ed SHUJA KHAN 15-Mar-68 Malakand 14-May-85 14-Nov-90 GGMS G/U/KHEL 287 Bibi Khadija BA 3rd B/Ed MA Samandar Khan 15-Mar-59 Chitral 20-Jul-82 14/11/1990 GGMS Moghlandeh 288 ZAHIDA ABDUS SALAM FA CT 20-May-56 KOHAT 3-Mar-80 17-Nov-90 GGMS JUNGLE KHEL 289 BUSHRA MUHAMMAD UMMAR MA B/Ed 22-Apr-68 MARDAN 29-Nov-90 29-Nov-90 GGHSS Shahbaz Garhi 290 NUSRAT KHATOON FAZAL KHAN MA B/Ed 20-Dec-65 MARDAN 1-Dec-90 1-Dec-90 GGMS KORAGH 291 Raheela Naz Sher Zada BA/Bed/CT 14-Apr-66 Swabi 1-Dec-90 1-Dec-90 GGHSS Topi 292 Simayat Begum Said Anwar BA/Bed/CT 13-Feb-67 Swabi 1-Dec-90 1-Dec-90 GGHS Marghuz 293 FARIDA RAHMAT RAHMAT KHAN BA B/Ed 23-Apr-68 MARDAN 2-Dec-90 2-Dec-90 GGCMHS BICKET GANJ CANAL ROAD 294 SAMIRA MASOOD MUHAMAMD ALMAS MA BED 5-Dec-90 PESHAWAR 5-Dec-90 5-Dec-90 GGHSS Begum Shahab/ud/Din 295 GULSHAN ARA SH:GHULZAR AHMAD BA /BED/CT 10-Feb-69 D/I/KHAN 6-Dec-90 6-Dec-90 GGHSS PAHARPUR 296 ZAINUL HARRAM, BA MUHAMMAD GHANI 21-Apr-65 Malakand 10-Dec-90 10-Dec-90 GGHSS Koper 297 Shagufta Naz, Hamraz Khan BA B/Ed: 1-Jan-70 Karak 12-Nov-90 11-Dec-90 GGHS, Nari Panos 298 Saeeda Begum Fazli Rabbi MA/CT/Bed 21-Mar-66 Swabi 16-Jan-86 18-Dec-90 GGCMHS Swabi 299 Hurriat Begum Fazli Ruban BA/Bed/CT 11-Mar-70 Swabi 18-Dec-90 18-Dec-90 GGHS Dobian 300 RUKHSANA BEGUM QAZI GHULAM YAHYA MA/BA 2nd Div BED 2-Feb-55 HARIPUR 4-Feb-74 29-Dec-90 301 RIFAT JAMIL MIAN JAMIL AHMAD MA BED 17-Aug-62 PESHAWAR 5-Sep-85 1-Jan-91 GGMS Gul Bachah Jee 302 ASMA UL HUSNA MUHAMMAD YAHYA MA BED 5-Jan-70 CHARSADDA 3-Jan-91 3-Jan-91 GGHSS No/2 Cantt 303 Javeeda Gul Zaman/ Gul Zaman/ BA/ CT 28-Dec-59 Tank/ 11-Apr-85 7-Jan-91 304 FERHANA YASMEEN MUHAMMAD NOOR MA CT 22-Jan-67 KOHAT 1-Jan-93 7-Jan-91 GGCMHS NO 3 KOHAT 305 Farah Naz/ Muhammad Ismail/ MA(BE/d) 1-Mar-70 Tank/ 1-Jul-97 7-Jan-91 /do/ Kouru Khan/ 306 Farhana Khannum/ Abdul Wahab/ MA(ME/d) CT 20-Apr-78 Tank/ 1-Jul-97 7-Jan-91 /do/ /do/ 307 ASIA PARVIN SAIFER REHMAN BA BEd 15-Feb-70 Mansehra 15-Jan-91 15-Jan-91 308 Rehmat Shaheen Nimat Ullah BA BEd 5-May-69 Mansehra 1-Dec-85 16-Jan-91 309 PARVEEN AKHTAR KHAWAJ MUHAMMAD MA/ BA 2nd iv BED 20-May-65 HARIPUR 21-Jan-91 21-Jan-91
  • 8.
    Academic Professional Date of 1st D/O Apptt against No. Name of Teacher Father's Name Qualification Qualification Date of Birth Domicile Apptt: Present Post Name of School 1 2 3 4 5 6 7 8 9 10 310 KISHWAR JEHAN SYED GHULAM MA MED 26-Jan-70 Lakki 10-Jan-89 21-Jan-91 GGHS Sardar Maidad Khel 311 FARHAT RANI AZIZ/UR/REHMAN MA BA 2ND DIV BED : 13-Jun-68 HARIPUR 23-Jan-91 23-Jan-91 312 KOUSAR BEGUM AKBAR ALI BA BED 27-Jan-72 Lakki 24-Jan-91 24-Jan-91 GGHS Shabaz khel 313 BIBI RAZIA DOST MUHAMAD BA BED 3-Mar-67 BANNU 24-Jan-91 24-Jan-91 GGHSS No/2 Cantt 314 RIZWaNA TABASSUM ABDUL WAHID QURESHI BA 2ND DIV CT 10-Jun-68 HARIPUR 29-Jan-91 29-Jan-91 315 SAMIA GUL SYED LAL SHAH MA/ BA MED 3-Jan-71 HARIPUR 30-Jan-91 30-Jan-91 316 FEHMIDA KOSAR MOHD IRFAN BA BEd 14-Oct-67 Mansehra 24-Dec-85 30-Jan-91 317 SAMINA WAHEED MUHAMMAD BASHIR MA /BED/CT 5-Mar-66 D/I/KHAN 31-Jan-91 31-Jan-91 GGMS KIRI ALIZAI 318 SHABANA IQBAL MUHAMMAD IQBAL BA 2ND DIV BED : 10-May-68 HARIPUR 31-Jan-91 31-Jan-91 319 TAHIRA JABEEN MUHAMMAD HUSSAIN MA BA 2ND DIV MED 24-Apr-68 HARIPUR 31-Jan-91 31-Jan-91 320 SHAHZIA ZAMAN MUHAMMAD ZAMAN BA BED 12-May-69 MANSEHRA 2-Feb-91 2-Feb-91 GGHS No/2 A/Abad 321 SADIQA NAZ MUHAMMAD AYAZ MA BED/CT 25-May-69 D/I/KHAN 2-Feb-91 2-Feb-91 GGHS NO/ 4 DIKHAN 322 NAILA NAZ MUHAMMAD SHER KHAN MA BED 2-Aug-66 HARIPUR 30-Jan-91 2-Feb-91 323 Sadaqat Siddiqe Ghulam Glani BA BEd 1-Jun-66 Mansehra 8-Jul-86 2-Feb-91 324 Naveeda bagum Abdul Waheed BA BEd 4-Oct-65 Mansehra 2-Feb-91 2-Feb-91 325 NAZISH TAYYAB TAYYAB LODHI FA CT 28-Apr-68 HARIPUR 4-Feb-91 4-Feb-91 326 SHAKEELA BEGUM SHER AFZAL MA/BA 2nd Div BED 10-Sep-64 HARIPUR 30-Jan-91 11-Feb-91 327 SAMINA BIBI AKHTAR NAWAZ MA/BA 2nd Div BED 5-May-71 HARIPUR 12-Feb-91 12-Feb-91 328 SAMINA YASMIN RUSTAM KHAN BA BED 23-Mar-69 ABBOTTABAD 13-Feb-91 13-Feb-91 GGMS MALSA 329 JABEEN AKHTAR MUHAMMAD ASHRAF MA/BA 2nd Div BED 1-May-67 HARIPUR 15-Feb-91 15-Feb-91 330 KALSOOM SHAMS SHAMSUL HUSSAIN MA MEd 9-Aug-70 PESHAWAR 17-Feb-91 17-Feb-91 GGHSS Begum Shahab/ud/Din 331 GUL NASREEN SHER AHMAD BA CT 1-Apr-70 HARIPUR 19-Feb-91 19-Feb-91 332 ROBINA CHAND AKHTAR HUSSAIN MA B/ED BED 2nd Div: 10-Aug-66 HARIPUR 23-Feb-91 23-Feb-91 333 Nasreen Bano Bakht Ali Khan BA/CT 15-Apr-66 Swabi 23-Feb-91 23-Feb-91 GGHS Tordher 334 Syeda Fatma Bukhari Tahir Bukhari MA/Med/CT 23-Feb-71 Swabi 23-Feb-91 23-Feb-91 JICA Model School Lahor 335 FOUZIA BASHIR GHANI UR REHMAN BA BED 15-Mar-67 PESHAWAR 3-Mar-91 3-Mar-91 GGHS Khyber Colony 336 FAREEDA NOOR NOOR MUHAMMAD MA /BA 2ND BED 2nd Div: 25-Apr-60 HARIPUR 4-Mar-91 4-Mar-91 337 ABIDA KHATTON MUHMMAD HUSSAIN BA BED 5-Dec-69 ABBOTTABAD 5-Mar-91 5-Mar-91 GGMS DHODIAL 338 Ghazala Yasmin Bahader sher BA/CT 27-Apr-67 Swabi 7-Mar-91 7-Mar-91 GGCMHS Swabi 339 FARKHANDA JABEEN SHER ALI KHAN BA 2ND DIV BED 1-Apr-76 HARIPUR 26-Jan-84 14-Mar-91 340 SALEEMA BEGUM ISRAR SHAH BA B/Ed 14-Aug-61 MARDAN 12-Dec-83 14-Mar-91 GGCMHS BICKET GANJ CANAL ROAD 341 HAJIRA HAMEED ULLAH MA B/Ed,M/Ed 5-Aug-61 MARDAN 2-Mar-87 14-Mar-91 GGMS SIKANDARI ROAD PAR HOTI 342 RUQAYYA NOOR AHMAD GUL MA B/Ed 1-Sep-65 MARDAN 1-Dec-86 14-Mar-91 GGCMHSS For Girls Katlang 343 Bibi Nasima BA Shamsul Wahab 2-Jun-57 Chitral 1-Feb-84 14/3/1991 GGCMHS Denin 344 MUKHTIAR NASRIN HAZRAT JAMAL BA B/Ed 1-Nov-66 MARDAN 2-Sep-85 1-Apr-91 GGHSS Gujrat 345 NAEEMA SHAH ISRAR SHAH MA B/Ed 18-Apr-68 MARDAN 21-Apr-91 21-Apr-91 GGCMHS BICKET GANJ CANAL ROAD 346 RUKHSANA TABASUM, BA (2Nd) / B/Ed MUHAMMAD AMIN 1-Jan-71 Malakand 1-Jun-91 1-Jun-91 GGMS Palonaw 347 MUMLIKAT QADAR,BA GHULAM QADAR 1-Mar-67 Malakand 19-Sep-88 1-Jun-91 GGMS GUNYAR 348 REHANA BEGUM SARDAR KHAN MA CT 3-Mar-66 KOHAT 7-May-88 22-Oct-91 GGHS NO 2 349 Shahida Parveen BA Karim Bakhsh 22-Mar-63 Chitral 2-Dec-89 22/10/1991 GGMS Shahnigar 350 Nargis Shaheen Rahman Ullah BA/CT 1-May-68 Swabi 1-Nov-86 1-Dec-91 GGMS Gar P/Pir 351 Shahnaz Begum Samar Ali Khan BA/Med/CT 1-Apr-68 Swabi 7-Dec-91 7-Dec-91 GGHS Gar Munara 352 SHAHIDA BEGUM HAZRAT UMAR BA II BED 12-Apr-67 CHARSADDA 16-Oct-86 17-Dec-91 353 SAIRA BANO FAZAL KARIM MA BED 9-Jul-64 PESHAWAR 11-Dec-85 4-Jan-92 GGCMHS Tehkal Bala 354 Zahida Begum, Gul Daraz BA M/Ed: 1-Mar-70 Karak 1-Apr-92 4-Jan-92 GGHS Latamber/ 355 Shahmim Akhtar, Ghafoor Muhammad BA B/Ed: 3-Feb-67 Karak 10-Oct-85 9-Jan-92 GGHS Chowkara/ 356 Naeema Tabassum M/ Addullah B/A B/ Ed 1-Jan-69 Nowshera 5-Feb-92 5-Feb-92
  • 9.
    Academic Professional Date of 1st D/O Apptt against No. Name of Teacher Father's Name Qualification Qualification Date of Birth Domicile Apptt: Present Post Name of School 1 2 3 4 5 6 7 8 9 10 357 Shah Jahan BA Noor Alim 5-Jun-66 Chitral 2-May-92 5-Feb-92 GGHS Shiaqotek 358 Nighat Mushtaq mushtaq alam BA Bed B,ed 15-Aug-59 Mohmand 26-Feb-92 26-Feb-92 GGMS Baz Mohammad 359 Anisa Farzana Sher Muhammad BA/Bed/CT 10-May-72 Swabi 9-Dec-90 26-Feb-92 GGHS Jalsai 360 Shakeela Naz Muhamamd Mustaqim MA/Med/CT 30-Jun-69 Swabi 1-Oct-88 27-Feb-92 GGHS Zaida 361 Razia begum Abdur Rasheed BA/Bed/CT 20-Dec-66 Swabi 27-Feb-92 27-Feb-92 GGMS Batakara 362 Khalida Begum Muhammad Yaqoob BA/Bed/CT 20-May-67 Swabi 27-Feb-92 27-Feb-92 GGHS Zaida 363 Zubaida Begum Abdul Wahab MA/Med/CT 4-Mar-70 Swabi 27-Feb-92 27-Feb-92 GGMS Roshan Pura 364 Shazia Rashid Abdul rashid MA 16-Jun-70 FR Peshawar 29-Feb-92 29-Feb-92 GGMS Nauman Killi 365 ZAINAB KHATOON SALEEM KHAN MA BED 4-Jan-67 HARIPUR 29-Feb-92 29-Feb-92 366 NOOR JEHAN ABDUL MALIK MA B/Ed,M/Ed 1-Sep-65 MARDAN 29-Feb-92 29-Feb-92 GGHS NO 1 MARDAN 367 SAFIA BIBI KISHWAR KHAN MA B/Ed,M/Ed 30-Apr-70 MARDAN 1-Mar-92 1-Mar-92 GGMS NO/2 BUGHDADA 368 PARVEEN TAJ MOHAMMAD MA B/Ed,M/Ed 10-Nov-70 MARDAN 1-Mar-92 1-Mar-92 GGHSS Hathian 369 SABIRA NASEEM ABDUR RAUF MA B/Ed 16-Apr-72 MARDAN 1-Mar-92 1-Mar-92 GGHSS Takht Bhai 370 SAMINA YOUNAS M YOUNAS MA BED 24-Jun-72 PESHAWAR 1-Mar-92 1-Mar-92 GGMS Gul Bachah Jee 371 Shazma Ishaq Mohammad Ishaq MA 15-Mar-65 FR Peshawar 3-Mar-92 3-Mar-92 GGHSS Samand Khan Killi 372 Shamim Ijaz Meher Dil MA/Bed/CT 1-Apr-63 Swabi 28-Sep-86 3-Mar-92 GGHSS Kalabat 373 Kausar Tehseen Akbar Said MSc/Med/CT 2-May-72 Swabi 5-Mar-92 5-Mar-92 GGHS Yaqoobi 374 Mehrun Nisa BA B/Ed Zardullah Khan 20/4/1968 Chitral 3-May-92 5-Mar-92 GGCMHS Denin 375 RASHIDA BEGUM HASSAN GHANI MA B/Ed,M/Ed 15-Jun-69 MARDAN 9-Mar-92 9-Mar-92 GGHS MIAN KHAN 376 Samina Jabin Zahoor ul Haq M/A B/ Ed, M/ Ed 6-Sep-70 Nowshera 17-Mar-92 17-Mar-92 377 PARVEEN KHAN MUNAWAR KHAN MA BED 18-Mar-92 PESHAWAR 18-Mar-92 18-Mar-92 GGPMS HAYAT ABAD (JICA) 378 FARZANA DARWAISH DARWAISH MA BED 1-Apr-70 PESHAWAR 19-Mar-92 19-Mar-92 GGHS Sufaid Sang 379 SHAZIA KARIM KARIM BAKSH MA MEd 9-Sep-67 PESHAWAR 21-Mar-92 21-Mar-92 GGHS Nishter Abad 380 ZAHIDA PARVEEN MOHMAMMAD ASHRAF BA BED 20-Apr-71 PESHAWAR 22-Mar-92 22-Mar-92 GGHSS Begum Shahab/ud/Din 381 BIBI RAZIA ABDUL RAUF MA BED 10-Jun-69 PESHAWAR 22-Mar-92 22-Mar-92 GGHSS Begum Shahab/ud/Din 382 SARWAT JABEEN MUNTAQIMULLAH MA BED 4-Mar-69 PESHAWAR 22-Mar-92 22-Mar-92 GGMS Jehangir Pura 383 MUNIRA SULTANA SAHIBZADA KHAN BA BED 15-Nov-62 PESHAWAR 24-Mar-92 24-Mar-92 GGHS Civil Colony 384 Raiba Najeebullah BA/Bed/CT 30-Jun-68 Swabi 12-Sep-87 29-Mar-92 GGHS Marghuz 385 Naseem Nazir Nazir Muhammad BA/CT/Bed 6-Feb-68 Swabi 29-Mar-92 29-Mar-92 GGMS Bazargi 386 Zahida Khanum, Abdul Qayum MA B/Ed: 1-Mar-68 Karak 29-Mar-92 29/3/1992 GGHS T Nasratti/ 387 KOUSAR ZARIN ZARIN KHAN MA CT 16-Jan-70 KOHAT 31-Mar-92 31-Mar-92 GGHS NO 1 KOHAT 388 SHAHIDA NAHEED ALI AHMAD BA CT 9-Jun-69 KOHAT 1-Apr-92 1-Apr-92 GGMS JUNGLE KHEL 389 AFTAB TABASUM JAMAL KHAN FA CT 3-Sep-69 KOHAT 2-Apr-92 2-Apr-92 GGHS BEHZADI CHAKAR KOT 390 SHAHNAZ TABASSUM JAMAL KHAN BA CT 11-Dec-65 KOHAT 2-Apr-92 2-Apr-92 GGHS NO 2 KOHAT 391 WAJAHAT SULTANA SYED ROSHAN ALI MA B/Ed 1-Mar-59 MARDAN 9-Mar-87 2-Apr-92 GGMS KATTA KHAT 392 JAAN NISAR SYED QAMRISH MA B/Ed,M/Ed 1-Jul-68 MARDAN 1-Oct-87 2-Apr-92 GGHS NO 1 MARDAN 393 RAHEEN IHSAN ALIF GUL MA B/Ed,M/Ed 10-Jul-63 MARDAN 23-Jan-88 2-Apr-92 GGHS RUSTAM KHEL 394 MUNAWAR SULTANA HAJI M ILYAS MA BED 19-Feb-68 PESHAWAR 23-Apr-92 23-Apr-92 GGPMS BUDNI PESHAWAR (JICA) 395 Zeenat Mahal Sahib Zada BA B/Ed 14-Jan-72 SWAT 16-Apr-92 23-Apr-92 GGHS No/1/Mingora 396 Shahida Begum ghulam muhammad MA/B/ED B,ed 21-May-67 Mohmand 24-Apr-92 24-Apr-92 GGHS Dab Kor 397 Naseem Ara Charay Khan MA B/Ed 5-May-68 MKD 29-Apr-92 29-Apr-92 GGHS Aboha 398 NASREEN GUL BA/CT MUKARAM KHAN 28-Mar-68 Malakand 30-Apr-92 30-Apr-92 GGHS Malakand 399 Jamila Shai Mulk BA B/Ed 16-Oct-72 SWAT 30-Apr-92 30-Apr-92 GGHS No/1/Mingora 400 ANEELA AZIZ HAJI AZIZ AHMAD BA BED 26-Apr-68 ABBOTTABAD 7-Dec-82 1-May-92 GGHS No/2 A/Abad 401 MUFEED BEGUM, BA(2nd)B/Ed FAZAL HAQ 1-Mar-71 Malakand 2-May-92 2-May-92 GGHS Allahdand 402 NEELAM WAHID, BA(2nd) / B/ED ABDUL WAHID 7-Apr-70 Malakand 2-May-92 2-May-92 GGHS Julagram 403 SHAGUFTA BEGUM, BA(2nd) ABDUL RAZIQ 8-Apr-73 Malakand 2-May-92 2-May-92 GGMS Sindani
  • 10.
    Academic Professional Date of 1st D/O Apptt against No. Name of Teacher Father's Name Qualification Qualification Date of Birth Domicile Apptt: Present Post Name of School 1 2 3 4 5 6 7 8 9 10 404 Ishrat Jamshid Jamshid Ali BA B/Ed 26-Mar-73 SWAT 29-Apr-92 2-May-92 GGHS Saidu Sharif 405 RIFAQAT BIBI MIAN ABDUL QAYUM MA B/Ed 15-Jul-63 MARDAN 1-Sep-85 5-May-92 GGMS BAKHSHALI 406 Shabnam Elahi Ilhai Bakhsh MA B/Ed 1-Oct-69 SWAT 29-Apr-92 5-May-92 GGHS Saidu Sharif 407 SHABNAM SHAHNAZ MUHAMMAD RAFIQ MA/ BED/CT 1-Jan-71 D/I/KHAN 6-May-92 6-May-92 GGHSS NO/ 2 DIKAHN 408 NEELAM BEGUM, BA JUMA GUL 3-Mar-63 Malakand 7-May-92 7-May-92 GGMS Palonaw 409 NEELOFAR BA(2nd) ZARIN SHAH 4-Dec-65 Malakand 9-May-92 9-May-92 GGHS DHERI (D/Julagram) 410 RIZWANA TABASSUM ABDUR REHMAN MA MED B/ed 2nd div 1-Feb-67 HARIPUR 10-May-92 10-May-92 411 SHAHEEN KOUSAR BASHIR AHMAD FA CT 3-Jan-65 HARIPUR 10-May-92 10-May-92 412 SHAIZTA SHARIF M SHAEIF BA BEd 9/1/1061 Mansehra 10-May-92 10-May-92 413 GHAZALA SHAHEEN JEHANGIR KHAN BA BED 6-Sep-66 ABBOTTABAD 11-May-92 11-May-92 GGHSS Comprehencive 414 RUKSHANA PARVEEN MAQBOOL UR REHMAN BA BED 1-May-67 ABBOTTABAD 11-May-92 11-May-92 GGHS Hall Maira 415 GUL NASREEN FAZAL/E/HAQ MA BED 14-Aug-65 HARIPUR 11-May-92 11-May-92 416 Shazia Rafique Mohd/Rafique BA BEd 1-Jul-70 Mansehra 3-Sep-86 11-May-92 417 RAKHSANA SHSHEEN ABDUL RASHEED BA BEd 4-May-71 Mansehra 11-May-92 11-May-92 418 MUSSARAT YASMIN GHULAM RASOOL MA BED CT 13-Apr-69 D/I/KHAN 13-Sep-87 12-May-92 GGHS NO/ 6 DIKHAN 419 IMTIAZ PERVEEN MUHAMMAD AJOON KHAN MA B/Ed,M/Ed 15-Apr-63 MARDAN 11-Feb-84 14-May-92 GGHS HOTI NO2 420 SYEDA NASRA AZAM S GHULAM HABIB KHAN MA MEd 24-Sep-69 PESHAWAR 14-May-92 14-May-92 GGHS Malogo 421 Naheed Begum Yousaf Khan BA/CT 18-Mar-67 Swabi 7-Sep-95 15-May-92 GGMS Centre Saproona 422 Nabila Bibi ALIF DEEN BA BED 4-Apr-71 ABBOTTABAD 16-May-92 16-May-92 GGHS Jhangi 423 BIBI TASKEEN KHAN BAHDUR BA BED 3-Jan-67 ABBOTTABAD 16-May-92 16-May-92 GGHSS Dhamtour 424 Fozia Nasreen Fazal Hussain FA 1-Jan-73 FR Tank 16-May-92 16-May-92 GGMS Aqal Din Kor 425 SHAZIA MALIK MALIK MANZOOR AHMAD MA BA 2ND DIV BED 26-Feb-70 HARIPUR 16-May-92 16-May-92 426 NAHEED BANO SHAMREZ KHAN BA BED 25-Feb-68 ABBOTTABAD 18-May-92 18-May-92 GGCMS A/Abad (NO/1) 427 FARKHANDA SHEREEN NOOR UL ISLAM BA BED 2-Oct-71 MANSEHRA 18-May-92 18-May-92 GGMS KALU BANDI 428 ABIDA BEGUM MUHABBAT KHAN BA BED 28-Jun-71 ABBOTTABAD 19-May-92 19-May-92 GGHS Salhad 429 AMRAZIA NAZ MOHABAT KHAN BA BED 8-Jun-69 ABBOTTABAD 19-May-92 19-May-92 GGMS BANDA PIR KHAN 430 SHERRAZ BIBI QALNDER KHAN BA BED 29-Mar-68 ABBOTTABAD 20-May-92 20-May-92 GGCMS A/Abad (NO/1) 431 ASMA BIBI FAZAL UR REHMAN BA BED 1-Jul-70 ABBOTTABAD 20-May-92 20-May-92 GGCMS Nawanshehr 432 NARGIS ZUBAIR MUHAMMAD ZUBAIR MA BA 2ND DIV MED B/ed 2nd div 28-Mar-70 HARIPUR 20-May-92 20-May-92 433 Arab Sultana, MA M/Ed Amirullah 2-Feb-54 Chitral 1-Jul-81 20-May-92 GGCMHS Denin 434 NAHEED AKHTAR ASHIQ HUSAIN BA BED 12-Jun-68 ABBOTTABAD 21-May-92 21-May-92 GGHSS Malik Pura 435 RUKHTAJ BIBI KHANI ZAMAN BA BED 21-May-65 ABBOTTABAD 21-May-92 21-May-92 GGHS Mirpur 436 SHABANA ZEB M/AURANGZEB MA/BA 3rd Div BED 2nd Div: 10-Oct-67 HARIPUR 21-May-92 21-May-92 437 GULRAIZ BIBI MUZMALL ALI FA CT 2-Apr-67 HARIPUR 21-May-92 21-May-92 438 Asmat Ara Usman Ali MA M/Ed 10-May-68 SWAT 23-May-92 23-May-92 GGMS Amankot 439 UZMA AMBREEN MIRZA M/JAN MA/ BED/CT 24-Sep-67 D/I/KHAN 31-May-92 31-May-92 GGCMHS NO/ 1 DIKHAN 440 KOUSAR NAYAB AMIR NAWAZ MA BED 18-Mar-71 CHARSADDA 31-May-92 31-May-92 GGHS BASHIR ABAD PESHAWAR 441 RUBINA SHAHEEN ATTAR DIN BA BED 12-Mar-68 ABBOTTABAD 20-May-92 1-Jun-92 GGCMS A/Abad (NO/1) 442 AZRA BEGUM HANIF ULLAH MA BED 1-Jan-67 MARDAN 27-Nov-90 1-Jun-92 GGHSS Comprehencive 443 NAHEED TABASSUM ABDUS SALAM MA MED 9-Jun-67 Lakki 22-Sep-87 7-Jun-92 GGHS No/ 1 Naurang 444 HAJIRA GUL GHULAM KIBRIA MA BED 14-May-68 HARIPUR 21-Jun-92 21-Jun-92 445 Samina Sayed Hakim Said BA B/Ed 10-Jan-69 SWAT 1-Jun-83 23-Jun-92 GGHS K/Khela 446 TAHIRA JABEEN MANZOOR/UR/REHMAN FA CT 1-Apr-71 HARIPUR 1-Apr-91 28-Jun-92 447 RAZIA SULTANA AKRAM KHAN BA BED 30-Nov-64 Lakki 10-Jan-86 30-Jun-92 GGHS No/ 2 Naurang 448 Samina Shaheen Abdul jalil BA BEd 15-Mar-68 Mansehra 4-Feb-87 30-Jun-92 449 SAIRA JABIN ALI ZAMAN BA BEd 27-Sep-69 Mansehra 10-Feb-87 1-Aug-92 450 BIBI SHANAZ PIR MOHD BA BEd 15-Jun-65 Mansehra 8-Aug-92 8-Aug-92
  • 11.
    Academic Professional Date of 1st D/O Apptt against No. Name of Teacher Father's Name Qualification Qualification Date of Birth Domicile Apptt: Present Post Name of School 1 2 3 4 5 6 7 8 9 10 451 MUSARAT RANI AZIZ UR REHMAN BA BED 29-Sep-66 ABBOTTABAD 15-Aug-92 15-Aug-92 GGHS No/2 A/Abad 452 Nusrat Bibi Mohd:Hamyun BA BEd 20-Oct-71 Mansehra 17-Jun-87 15-Aug-92 453 FOUZIA ANWAR MIAN ANWAR SHAH BA BED 17-Sep-74 PESHAWAR 18-Aug-92 18-Aug-92 GGHS Khyber Colony 454 NASEEM AKHTER FAZAL REHMAN MA/ BED/CT 28-Oct-65 D/I/KHAN 17-May-92 2-Sep-92 GGHS NO/ 9 DIKHAN 455 SIMAB KHALIL M/KHALIL BA BED 26-May-72 ABBOTTABAD 14-Sep-92 14-Sep-92 GGMS Bandi phullan 456 RANA GUL MUHAMMAD SALEEM BA MEd 20-Mar-73 MARDAN 23-Sep-92 23-Sep-92 GGHSS Hayat Abad 457 TAHIRA HABIB TAJ MUHAMMAD BA MEd 2-Mar-74 MARDAN 23-Sep-92 23-Sep-92 GGHSS Hayat Abad 458 RAZIA BEGUM FAIZ RASOOL BA 15-Oct-54 Lakki 27-Sep-92 27-Sep-92 GGMS ISAK KHEL 459 SALMA SHAHEEN MUHAMMAD RAOF KHAN MA/ MED/CT 11-Mar-66 D/I/KHAN 28-Sep-92 28-Sep-92 GGMS LACHRA 460 SAJIDA AZIZ ABDUL AZIZ BA BEd 10-Mar-74 Mansehra 1-Oct-87 1-Oct-92 461 ROMANA ARSHAD MUHAMMAD ARSHAD KHAN MA BED 13-Mar-66 HARIPUR 12-Aug-92 6-Oct-92 462 SHAKEELA BIBI MOHD YAQOOB BA BEd 20-Mar-71 Mansehra 10-Oct-87 12-Oct-92 463 Abdia Bagum Habib ur Rehman BA BEd 25-May-59 Mansehra 12-Nov-87 18-Oct-92 464 Ramim Begum Gul Bahader FA/CT 2-Jan-73 Swabi 22-Oct-92 22-Oct-92 GGMS Paludhand 465 NAVEED ANJUM MUHAMMAD NAEEM BA BED 23-Jan-73 SWABI 25-Oct-92 25-Oct-92 GGHS PAF SHAHEEN CAMP 466 HASHMAT ARA ABDUR RAHMAN MA B/Ed, M/Ed 23-Apr-68 MARDAN 3-Nov-92 3-Nov-92 GGMS SAJAN KILLI 467 Fazeelat Karam Roshan Diyar MA B/Ed 1-Jun-70 SWAT 5-Nov-92 5-Nov-92 GGHS Shahdara 468 NISHAT PERVEEN, BA(2nd)B/Ed MUHAMMAD ISMAIL 3-Mar-68 Malakand 7-Nov-92 7-Nov-92 GGHS Allahdand 469 NUSRAT BIBI, BA (2Nd) / B/Ed HAZRAT GUL 7-Apr-69 Malakand 12-Nov-92 12-Nov-92 GGMS JALALA 470 Kalsoom Akhtar Amir Aman Khan BA CT 16-Jun-68 SWAT 17-Sep-86 12-Nov-92 GGMS Koza Bandai 471 Rawasia Shah Hussain MA B/Ed 7-Feb-69 SWAT 16-Nov-92 16-Nov-92 GGHS Shahdara 472 MUSARRAT NAZIR SHAH JEHAN BA B/Ed 25-Jul-69 MARDAN 24-Oct-92 21-Nov-92 GGHS TAKKAR 473 ROIDA JABEEN MOKAMIL SHAH MA B/Ed, M/Ed 9-Mar-70 MARDAN 20-Oct-92 21-Nov-92 GGMS AKBAR ABAD 474 FARZANA NAHEED IBAD ULLAH MA B/Ed,M/Ed 15-Oct-70 MARDAN 22-Oct-92 21-Nov-92 GGHS KAS KOROONA 475 Rukhsana Hassan Muhammad Hassan BA/Bed/CT 24-Feb-73 Swabi 21-Nov-92 21-Nov-92 GGHSS Lahor 476 Nasim Akhter Mohd Sherin Khan BA (2nd) B,ed 13-Jan-60 Dir Lower 30-Apr-78 22-Nov-92 477 Yasmin Begum Ghazi Khan BA (2nd) B,ed 1-May-70 Dir Lower 30-Nov-88 22-Nov-92 478 MUSARRAT JABEEN MUHAMMAD IQBAL MA CT 12-Jun-58 KOHAT 2-Jan-85 22-Nov-92 GGHS NO 1 KOHAT 479 NISHAT BEGUM, BA GADAIE KHAN 1-Jan-62 Malakand 4-Jul-87 22-Nov-92 GGCMHS Thana 480 GOHAR TAJ, MA (isl) / B/ED ABDUL JALIL 4-Jan-64 Malakand 9-Dec-86 22-Nov-92 GGCMHS Thana 481 RABIA BEGUM, BA ASMAT ULLAH 20-Apr-66 Malakand 24-Jun-87 22-Nov-92 GGCMHS Thana 482 IRSHAD ZAKIR ZAKIR ULLAH BA B/Ed 1-Jan-67 MARDAN 3-Apr-92 22-Nov-92 GGHS SHER GARH 483 MEHRUN NISA PUTTAN MIAN BA B/Ed 10-Mar-67 MARDAN 12-Sep-87 22-Nov-92 GGHS HOTI NO2 484 TABASSUM JEHAN MOHAMMAD ILYAS BA B/Ed 12-Sep-71 MARDAN 22-Oct-92 22-Nov-92 GGHS BUGHDADA 485 FARIDA FAIZ FAIZ ULLAH MA B/Ed 4-Dec-73 MARDAN 22-Oct-92 22-Nov-92 GGHS JALALA 486 Rubina Qureshi Rahman Ullah MA/Bed/CT 2-Aug-72 Swabi 23-Nov-92 23-Nov-92 GGHS Sarwar Shah Kote 487 Shahida Shams Shamsul Haq MA/Med/CT 28-Jan-74 Swabi 23-Nov-92 23-Nov-92 GGHS KSK 488 Rahiat Bibi Utman Zay BA/CT 1-Jan-71 Swabi 24-Nov-92 24-Nov-92 GGHS Dobian 489 Imtiaz Begum Habibur Rahman MA/Bed/CT 24-Sep-70 Swabi 26-Nov-92 26-Nov-92 GGHS Dagai 490 NUSRAT BIBI MIRAAJ GUL BA B/Ed 1-Aug-70 MARDAN 25-Nov-92 28-Nov-92 GGHS HOTI NO2 491 Rukshsane Roshan Diyar MA M/Ed 4-Mar-73 SWAT 21-Nov-92 28-Nov-92 GGHS Saidu Sharif 492 Farah Deeba Mir Hawas BA/Bed/CT 24-Feb-68 Swabi 30-Nov-92 30-Nov-92 GGHSS Topi 493 SHABANA KARIM, BA(2nd) / B/Ed MUHAMMAD KARIM 1-Aug-70 Malakand 5-Oct-89 1-Dec-92 GGHSS Sakhakot 494 NAYYAR SULTAN, BA(2ND) (/ B/ED BAKHT RAWAN 1-Jan-67 Malakand 18-Mar-87 1-Dec-92 GGHS Julagram 495 Bibi Yasmin Noor Muhammad MA/Med/CT 22-Jun-65 Swabi 1-Dec-92 1-Dec-92 GGHS Zaida 496 Shagufta Ali Haider MA B/Ed 23-Apr-70 SWAT 1-Dec-92 1-Dec-92 GGHS Saidu Sharif 497 Bibi Yasmin Taj Muhammad MA/Bed/CT 22-Apr-59 Swabi 2-May-78 19-Dec-92 GGHSS Kalu Khan
  • 12.
    Academic Professional Date of 1st D/O Apptt against No. Name of Teacher Father's Name Qualification Qualification Date of Birth Domicile Apptt: Present Post Name of School 1 2 3 4 5 6 7 8 9 10 498 NAGINA ZAMAN S/ZAMAN MA B/Ed,M/Ed 14-Sep-66 MARDAN 27-Dec-92 27-Dec-92 GGHS RUSTAM KHEL 499 SALAMA SHAFIQUE SULEMAN MA CT 28-Apr-63 KOHAT 22-Apr-87 29-Dec-92 GGHS TOGH BALA 500 FARIDA JAN MUHAMMAD ZAMAN MA CT 28-Nov-66 KOHAT 29-Dec-92 29-Dec-92 GGHS TOGH BALA 501 FARKHANDA IQBAL MUHAMMAD IQBAL BA CT 31-Jan-72 KOHAT 2-Jan-93 2-Jan-93 GGHSS LACHI 502 NASEEM AKHTAR SYED KAPTAN MA BED 10-Oct-74 MARDAN 2-Jan-93 2-Jan-93 GGMS AHMED KHEL PESHAWAR 503 SHAHEEN AKHTAR SARDAR GUL MA MEd 3-Mar-67 PESHAWAR 3-Jan-93 3-Jan-93 GGHS Dabgari Gate 504 SAEEDA BANO KALA KHAN MA BED 26-Apr-74 HARIPUR 6-Jan-73 21-Jan-93 505 SHAMIM BEGUM MUHAMMAD ZAMAN BA B/Ed 1-Jan-67 MARDAN 21-Jan-93 21-Jan-93 GGHSS Shahbaz Garhi 506 FOZIA AWAN MASTI GUL MA BED 2-Apr-57 PESHAWAR 1-Aug-77 24-Jan-93 GGMS Jehangir Pura 507 RAKSHNDA NAZ ABDUL HADEE MA/ BED/CT 1-May-69 D/I/KHAN 22-Oct-88 21-Feb-93 GGHS NO/ 3 DIKHAN 508 ASAL BIBI MUHAMMAD ALI FA 1-Jan-70 Lakki 23-Feb-93 23-Feb-93 GGMS KHWAJA KHEL 509 ROIDA NOOR NOOR MUHAMMAD BA 19-Jan-69 Lakki 19-Nov-92 23-Feb-93 GGMS KOIDAD KHEL 510 ROBINA FAZAL FAZAL ELAHI BA/ BED/CT 3-Jul-64 D/I/KHAN 27-Feb-93 27-Feb-93 GGMS ATTOG 511 Shafqat Jan/ Naimatullah/ (BEd/MEd) CT 11-Nov-71 Tank/ 11-Nov-92 27/02/1993 /do/ Ama Khel/ 512 FARHAT ARA MUHAMAMD IQBAL MA BED 1-Apr-67 DIKHAN 28-Feb-93 28-Feb-93 GGMS No/3 Cantt/ 513 SHAHEEN AKHTAR SARDAR GUL MA MED 3-Mar-67 PESHAWAR 1-Mar-93 1-Mar-93 GGHS Yaka Toot 514 TASLEEM JAN ABDUL GHAFOOR KHAN BA BED 18-Apr-69 ABBOTTABAD 4-Mar-93 4-Mar-93 GGMS MUJATH 515 SHAKEELA BIBI MIR ALAM BA BED 25-Mar-67 HARIPUR 4-Mar-93 4-Mar-93 516 RAHEELA FAIZ FAIZULLAH MA/ BED/CT 2-Jul-69 D/I/KHAN 20-May-92 6-Mar-93 GGCMHS NO/ 1 DIKHAN 517 KOUSAR PARVEEN ASHIQ ELLAHI MA MED 1-Apr-70 HARIPUR 6-Mar-93 6-Mar-93 518 SHAHZADI FARAHA NAZ QAZI MUSHTAQ AHMAD MA/BA 2ND DIV BED 2nd Div: 4-Apr-68 HARIPUR 6-Mar-93 6-Mar-93 519 RABIA BEGUM QALANDAR SHAH MA/BA 3RD DIV BED 18-Jul-67 HARIPUR 3-Mar-93 6-Mar-93 520 SAMINA BIBI ABDUR REHMAN BA 3rd Div CT 5-Oct-70 HARIPUR 6-Mar-93 6-Mar-93 521 RUBINA TRAMZAI SYED NAZAKAT HUSSAIN BA BED 6-Aug-69 ABBOTTABAD 7-Mar-93 7-Mar-93 GGHS Rajoya 522 NUSRAT BABO NAZIR BA II BED 1-Jan-89 PESHAWAR 9-Mar-93 10-Mar-93 523 ZAHIDA SAEED MOHAMMAD SAEED BA II BED 25-Nov-59 CHARSADDA 1-Feb-86 15-Mar-93 524 GHAZALA YASMIN MIR RAHMAN KHAN MA BED 1-Jan-66 PESHAWAR 15-Mar-93 15-Mar-93 GGHS Jogiwara 525 Musrat Begum Faramosh Khan FA CT 1-Dec-64 SWAT 15-Mar-93 15-Mar-93 GGHS Barikot 526 YASMIN YAQOOB MUHAMMAD YAQOOB BA CT 13-Mar-64 HARIPUR 12-May-84 17-Mar-93 527 MUSARAT YASMIN ABDUL GHAFOOR BA II BED 25-Jun-65 CHARSADDA 18-Mar-93 18-Mar-93 528 Niamat Baha Raja Khan B/A B/ Ed 31-Mar-71 Nowshera 18-Mar-93 18-Mar-93 529 BIBI RUBINA SARDAR MUHD: HUSSAN BA BED 18-Oct-69 ABBOTTABAD 20-Mar-93 20-Mar-93 GGHS Kakul 530 SAIMA BEGUM TAJ MOHD BA BEd 8-Nov-72 Mansehra 3-Apr-93 3-Apr-93 531 ZINAT BIBI NAZAR WALI BA II BED 3-Oct-69 DARGAI 7-Aug-93 7-Apr-93 532 BILQEES BEGUM NAWAB KHAN FA CT 1-Jan-65 KOHAT 2-Dec-85 7-Apr-93 GGHSS GUMBAT 533 Gohar Naheed Habibur Rahman MA B/Ed 8-Apr-70 SWAT 8-Apr-93 8-Apr-93 GGMS Gadi 534 Hamieda Begum Sher Barak BA B/Ed 1-Apr-72 MKD 8-Apr-93 8-Apr-93 GGHS Barikot 535 SHAGUFTA TEHSEEN,BA(2nd) FAZLI WAHID 4-Mar-69 Malakand 10-Apr-93 10-Apr-93 GGMS SORRANA 536 NOOR JAHA M AYUB BA BEd 18-May-69 Mansehra 10-Apr-93 10-Apr-93 537 JAMILA BEGUM MUHAMMAD ASLAM KHAN BA BED 16-Jun-70 ABBOTTABAD 11-Apr-93 11-Apr-93 GGHSS Havelian 538 SHAH BANO HAFIZ MUHAMMAD ABDULLAH MA BA IST DIV BED 2nd Div: 23-Nov-72 HARIPUR 11-Apr-93 11-Apr-93 539 Irum Bibi Mohd Saleem Khan BA BEd 10-Mar-69 Mansehra 14-Apr-88 11-Apr-93 540 Irrum Bibi Mohd:Saleem Khan BA BEd 10-Mar-69 Mansehra 5-Jun-88 11-Apr-93 541 ZAHIDA JABEEN FAREED MUHAMMAD MA BA 2ND DIV BED 15-Mar-71 A/ABAD 10-Apr-93 12-Apr-93 542 NUZHAT BEGUM, BA FAZAL SANI 2-Mar-71 Malakand 12-Apr-93 12-Apr-93 GGHS Allahdand 543 Asmat Fakhrud Din BA(2nd) M/Ed 12-Jul-71 SWAT 14-Apr-93 14-Apr-93 GGHS No/2/Mingora 544 Wajida Begum Fazale Manan BA (2nd) B,ed 4-Jun-68 Dir Lower 17-Apr-93 17-Apr-93
  • 13.
    Academic Professional Date of 1st D/O Apptt against No. Name of Teacher Father's Name Qualification Qualification Date of Birth Domicile Apptt: Present Post Name of School 1 2 3 4 5 6 7 8 9 10 545 RUKSHANDA SYED SHAH HANIF BA BED 7-Oct-73 ABBOTTABAD 19-Apr-93 19-Apr-93 GGHS GHARI PHULGRAN 546 DILSHAD BIBI KHALIL/UR/REHMAN BA 2ND DIV BED 1-Sep-67 HARIPUR 1-May-88 19-Apr-93 547 RUBINA AWAN QALANDAR KHAN BA BED 4-May-72 ABBOTTABAD 20-Apr-93 20-Apr-93 GGHSS HAVELIAN 548 RAFIA BASHEER BASHIR AHMED BA BED 9-Apr-71 ABBOTTABAD 21-Apr-93 21-Apr-93 GGHS Sheikhul Bandi 549 SHABANA JADOON AURANG ZEB KHAN BA BED 24-Jan-75 ABBOTTABAD 24-Apr-93 24-Apr-93 GGMS Langra 550 SHAHZAD BIBI MUHAMMAD MUSHTAQ BA CT 4-Jan-71 HARIPUR 19-Apr-93 27-Apr-93 551 SUMMAIRA ATTIYA MUNSIF KHAN JADDON BA BED 15-Mar-66 ABBOTTABAD 28-Apr-93 28-Apr-93 GGCMS Nawanshehr 552 Mumtaz Begum Hazrat Khan MA 5-Apr-67 NWA 28-Apr-93 28-Apr-93 GGHS Khan Mir Kot 553 DANISH BIBI KHALIL/UR/REHMAN BA BED 23-Sep-67 HARIPUR 1-Jun-88 28-Apr-93 554 Shamim Ara Meher Dil MA/Med/CT 5-Feb-69 Swabi 24-Apr-93 28-Apr-93 GGMS Sheikh Jana 555 ROBINA SHAHEEN MUHAMMAD NAWAZ BA 2ND DIV CT 1-Mar-69 HARIPUR 8-May-93 8-May-93 556 Zeenat Jahan BA B/Ed Bahader Jan 20-Dec-74 Chitral 8-May-93 8-May-93 GGHS Mastuj 557 Rehana Yasmin Khan Mohd BA (2nd) B,ed 5-Nov-69 Dir Lower 16-Sep-89 12-May-93 558 Samina Ajmal Muhamamd Ajmal Khan BA/CT 22-Jan-66 Swabi 14-May-93 14-May-93 GGHS Maneri Bala 559 Lubna Ibrahim Shah Room Zad BA B/Ed 7-Jan-72 SWAT 15-May-93 15-May-93 GGHS No/1/Mingora 560 Zubaida Khatoon Israf Khan BA 13-Dec-69 FR Kohat 20-May-93 20-May-93 GGMS noor Ali Kaley 561 Salma Taslim Bashir Muhamamd MA/Bed/CT 11-Feb-69 Swabi 20-May-93 20-May-93 GGHS Sudher 562 SAMINA TABASUM FAZAL DAD BA BED 6-Mar-74 ABBOTTABAD 23-May-93 23-May-93 GGHSS Comprehencive 563 IMTIAZ Najab Khan BA BED 1-Feb-70 ABBOTTABAD 23-May-93 23-May-93 GGHSS Dhamtour 564 MARAJ YASMIN SAHIL JAN MA/ MED/CT 6-Jun-67 D/I/KHAN 23-May-92 23-May-93 GGHS NO7 DIKHAN 565 GULFANIA SHAHZADA BA B/Ed 1-Feb-65 MARDAN 15-Apr-93 25-May-93 GGHSS SHAH DHAND 566 ISHRAT PARVEEN MUHAMMAD BAKHSH MA/ BED/CT 21-Jan-72 D/I/KHAN 4-May-92 1-Jun-93 GGHS BEHARI COLONY 567 Shabana Naheed Khan Zada MA M/Ed 2-Mar-71 SWAT 13-Jan-91 1-Jun-93 GGMS Amankot 568 FARAH NAHEED GHULAM MEHBOOB BA 2ND DIV BED 2nd Div: 1-Aug-67 HARIPUR 6-Jun-93 6-Jun-93 569 Zuhra Waheed Wahed Yar Khan MA CT 15-Nov-69 SWAT 12-Jun-93 12-Jun-93 GGMS Amankot 570 BUSHRA QURESHI ABDUL WAHID QURESHI MA/BA 2nd Div BED 2nd Div: 15-Dec-66 HARIPUR 20-Jun-93 20-Jun-93 571 ROBINA, MA(Pushto) / M/Ed KHUSHAL MUHAMMAD 20-Apr-73 Malakand 20-Jun-93 20-Jun-93 GGHS Dargai 572 TAUHEED AKHTAR, BA SAMAR KHAN 5-Oct-70 Malakand 20-Jun-93 20-Jun-93 GGHS Kharkai 573 Naheed Taj Taj Muhammad MA B/Ed 24-Jan-70 SWAT 21-Jun-93 21-Jun-93 GGHSS Kabal 574 NAHEED BEGUM, FA BIRADAR KHAN 2-Jun-69 Malakand 22-Jun-93 22-Jun-93 GGMS GUNYAR 575 SHAHNEELA, BA(2nd)B/Ed LIBAS KHAN 4-Feb-74 Malakand 23-Jun-93 23-Jun-93 GGHS Allahdand 576 BAKHT ZEBA, BA(2nd) / B/Ed ARSALA KHAN 18-Jan-74 Malakand 24-Jun-93 24-Jun-93 GGHS Meherdi 577 LUBNA TANVEER TANVEER HASSAN YOUSAF FA CT 5-Jan-70 HARIPUR 29-Jun-93 3-Jul-93 578 Reheela Parveen Taj Muhammad BA BEd 2-Jan-70 Mansehra 26-Nov-88 3-Jul-93 579 Sultana Begum Fazal Mohammad BA B/Ed: 23-Mar-57 Karak 11-Jan-84 4-Jul-93 GGMS Dagar Nari 580 SYEDA RABIA NAQVI ARIF SHAH BA BED 22-Mar-71 ABBOTTABAD 5-Jul-93 5-Jul-93 GGHS Khuthiala 581 FAUZIA BEGUM/BA(2nd) SULTANI ROOM 15-Jun-72 Malakand 8-Jul-93 8-Jul-93 GGMS Nal 582 FAKHRA SHAMIM SYED HUSSAN SHAH BA CT 4-Jun-67 HARIPUR 29-Jun-93 12-Jul-93 583 ULFAT BEGUM, BA JUMA GUL KHAN 15-Jun-62 Malakand 17-Jul-93 17-Jul-93 GGMS Hero Shah 584 RUKSHANA BEGUM AFSAR SHAH BA BED 1-Apr-61 ABBOTTABAD 28-Jul-93 28-Jul-93 GGHS No/2 A/Abad 585 Shaheen Aman Amir Aman Khan MA B/Ed 6-Jun-71 SWAT 1-Aug-93 1-Aug-93 GGMS Amankot 586 NIZAKAT, BA / B/Ed ZEGRAWAR SAID 10-Jan-72 Malakand 3-Aug-93 3-Aug-93 GGHS Kharkai 587 ZAHOOR BEGUM ABDUR RAHMAN BA II BED 20-May-71 CHARSADDA 7-Aug-89 8-Sep-93 588 RIFFAT SHAHEEN MIAN MUHAMMAD ARFA MA BED 15-Apr-76 PESHAWAR 21-Sep-93 21-Sep-93 GGCMHS Nothia 589 SHAZI BANO MUHMMAD ASFRAF BA BED 18-Dec-72 ABBOTTABAD 1-Oct-93 1-Oct-93 GGMS JHANGRA 590 Naheed Begum Nazim Khan M/A B/ Ed 3-Oct-63 Nowshera 3-Oct-93 3-Oct-93 591 Safia Begum Mohammad Sadeeq BA 22-Aug-74 FR Peshawar 13-Oct-93 13-Oct-93 GGMS Sadi Khan
  • 14.
    Academic Professional Date of 1st D/O Apptt against No. Name of Teacher Father's Name Qualification Qualification Date of Birth Domicile Apptt: Present Post Name of School 1 2 3 4 5 6 7 8 9 10 592 Kausar Maqsooda Habib ur Rehman MA M/Ed: 8-Nov-72 Karak 15-Oct-93 15/10/1993 GGMS Tapi Algadi 593 SAJIDA BEGUM SHARIFULLAH MA BED 7-Aug-56 PESHAWAR 3-Jan-84 24-Oct-93 GGHS Badaber 594 TEHZEEB AKHTAR GHULAM HASSAN MA MEd 24-Sep-62 PESHAWAR 12-Feb-84 24-Oct-93 GGHS Yaka Toot 595 SHAHEEN BEGUM GHANI UR RAHMAN BA II BED 8-Mar-64 CHARSADDA 30-Oct-88 25-Oct-93 596 SHAZIA TABASUM SADAQAT HUSSAIN MA BED 11-Nov-71 PESHAWAR 30-Oct-93 30-Oct-93 GGHS Gul Bahar 597 SALMA NAHEED AMIN UL HAQ MA BED 25-Jul-72 PESHAWAR 4-Nov-93 4-Nov-93 GGHS No1/ Cantt 598 Shazia Hayat Mohammad Hayat Khan MA 5-Nov-73 FR Tank DI Khan 20-Nov-93 20-Nov-93 GGMS Khoi Bahara 599 FARZANA BEGUM, BA SHAMSHAD KHAN 30-Mar-62 Malakand 27-Jul-85 25-Dec-93 GGCMHS Thana 600 TAHIRA YASMIN Inam Muhammad MA BED 29-Aug-70 PESHAWAR 2-Sep-92 9-Jan-94 GGMS New karim Pura 601 SAIRA BIBI SYED ASKAR ALI SHAH MA BED 4-Dec-68 PESHAWAR 14-Feb-94 14-Feb-94 GGMS Lahori Gate 602 IFAT BASHIR M BASHIR BA BEd 4-Oct-72 Mansehra 11-Mar-94 11-Mar-94 603 Nargas Jamal 28-Jul-71 Bajaur 12-Mar-94 12-Mar-94 GGMS Bandagai 604 GUL PARVEEN WALI AHMAD BA BED 5-Jan-57 ABBOTTABAD 21-Sep-81 17-Mar-94 GGHSS Havelian 605 ROBINA NAZ HASSAN AHMAD MA B/Ed 12-May-70 MARDAN 3-Jan-93 20-Apr-94 GGHSJAMLAL GARHI 606 KALSOOM MUHABAT SHAH MA B/Ed 3-Sep-72 MARDAN 23-Dec-92 29-Apr-94 GGHS LUND KHAWAR 607 Zeenat Begum Muhamamd Shafiullah BA CT 1-Apr-75 SWAT 1-May-94 1-May-94 GGMS Shaheen Abad 608 FARZANA BEGUM ABDUL JABBAR MA B/Ed,M/Ed 6-Jan-70 MARDAN 21-Dec-89 8-May-94 GGHSS Rustam 609 SHAH NAZ BEGUM MUMTAZ UR REHMAN BA B/Ed 28-Apr-70 MARDAN 16-May-92 8-May-94 GGHSS Toru 610 Sumaira Jamshed Mohammad Jamshed B/A B/ Ed 4-Oct-71 Nowshera 28-Jan-90 12-May-94 611 RASHIDA SAFDAR MUHAMMAD SAFDAR BA 2ND DIV BED 7-Nov-68 HARIPUR 29-May-88 29-May-94 612 NUSRAT JABEEN SUHBAT KHAN MA B/Ed 22-Jul-62 MARDAN 1-Apr-90 29-May-94 GGMS KOT JUNGARA 613 MUSSARAT MANAN ABDUL MANAN BA BED,MED 20-Feb-65 MARDAN 4-Feb-88 29-May-94 GGHSS Takht Bhai 614 SHAH KALSOOM S/MUHAMMAD SHAH MA B/Ed 4-Mar-69 MARDAN 18-Dec-89 29-May-94 GGMS MUHAMMAD WALI KILLI 615 NAHEED YOUSAF YOUSAF KHAN MA B/Ed 8-May-70 MARDAN 12-Dec-89 29-May-94 GGHSS Gujrat 616 AZRA BEGUM AZIMULLAH KHAN BA B/Ed 5-Jun-70 MARDAN 28-Feb-91 29-May-94 GGMS LABOUR COLONEY 617 Shahnaz Akhtar, Zawhir Jan BA B/Ed: 13-Mar-70 Karak 28-Jan-90 29-May-94 GGHS, Sabir Abad 618 KAUSAR PARVEEN ALLAH DEWAYA MA BED/CT 20-Jun-62 D/I/KHAN 1-Sep-84 1-Jun-94 GGCMHS NO/ 1 DIKHAN 619 SHAZIA SHAHEEN ABDUR RASOOL MA/ MED/CT 1-Apr-71 D/I/KHAN 23-May-92 6-Jun-94 GGCMHS NO/ 1 DIKHAN 620 Farhana Begum(CT)BA,BED Fazal Rahman BA B,ed 9-Jun-69 Dir (U) 15-Sep-87 11-Jun-94 GGHSS, Dir 621 Shamim Ijaz MA B/Ed Abdul Aziz 30-Jan-00 Shangla 17-May-82 11-Jun-94 GGMS Alpurai 622 Shamsun Nihar BA M/Ashraf 10-Mar-63 Chitral 11-Mar-85 11-Jun-94 GGHS Drosh 623 Kalsum (CT)BA Shamsud din BA 25-Feb-63 Dir (U) 24-Nov-85 13-Jul-94 GGMS, Kas Dir 624 Hussan Bano Mohammad Ismail BA (2nd) B,ed 5-Jan-64 MKD Agency 4-Dec-86 11-Aug-94 625 Lubna Shaheen Shakoor Muhammad MA 1-Mar-75 Bajaur 5-Sep-94 5-Sep-94 Shakoor Muhammad 626 Anila Sardar Sardar Mohammad BA 15-May-88 FR Kohat 8-Sep-94 8-Sep-94 GGMS Kohiwal 627 Shabnam Majabeen Khuda bakhsh BA 14-Jun-71 FR Tank 8-Sep-94 8-Sep-94 GGHS Darazinda 628 Zakira Bibi Ghulam Qasim BA Orakzai 19-Sep-94 19-Sep-94 GGMS Tooti bagh 629 Humera Bibi Nazir Shah BA 2-May-70 FR Kohat 20-Sep-94 20-Sep-94 GGMS Turki Ismail Khel 630 Zahida Noreen MA SWA 25-Sep-94 25-Sep-94 GGHS Dab Kor, SWA 631 Nasreen Begum Faizullah FA 1-Nov-70 FR Tank 28-Sep-94 28-Sep-94 GGMS Haibat Khan Koroona 632 Bibi Ommia Anwarul Haq MA/Med/CT 2-Feb-74 Swabi 1-Oct-94 1-Oct-94 GGHS Thandkoi 633 AKHTER BIBI REHAM DAD KHAN BA CT 22-Jul-59 Bannu 9-Sep-77 2-Oct-94 GGHSS BANNU CITY 634 Mehar Angez Abdullah Khan MA 1-Jan-75 NWA 3-Oct-94 3-Oct-94 GGHS Khan Mir Kot 635 Hamida Bano(CT)MA, BED Latif Hazrat MA B,ed 4-Mar-70 Dir (U) 30-Apr-92 6-Oct-94 GGHSS, Dir 636 Bibi Saliha MA B/Ed Maula Nigah 22-Feb-72 Chitral 11-May-92 7-Oct-94 GGMS Chumlurkon 637 BIBI MAIMOONA GUL SHER BA II BED 20-Apr-73 PESHAWAR 16-Oct-94 16-Oct-94 638 SHAMIM AKHTAR HAZRAT JAMAL MA B/Ed,M/Ed 1-Dec-72 MARDAN 25-Oct-94 25-Oct-94 GGHSS GDZAI
  • 15.
    Academic Professional Date of 1st D/O Apptt against No. Name of Teacher Father's Name Qualification Qualification Date of Birth Domicile Apptt: Present Post Name of School 1 2 3 4 5 6 7 8 9 10 639 NAEEMA BEGUM AZIM KHAN MA B/Ed 15-Jun-64 MARDAN 23-Feb-83 26-Oct-94 GGHS GUJAR GARHI 640 TAHIRA YASMIN GHULAM AKBAR MSC BED 13-Aug-66 Lakki 11-Jan-94 1-Nov-94 GGHS Shabaz khel 641 Nighat Ara Bahader sher BA/CT/Bed 27-Apr-68 Swabi 8-Oct-86 1-Nov-94 GGCMHS Swabi 642 Basmina Begum Fazal Rabbi MA/Med/CT 15-Jan-69 Swabi 3-Feb-87 1-Nov-94 GGHS Panj Pir 643 Nihar Sultan Muhammad Ullah MA/CT 14-Aug-64 Swabi 18-Sep-94 1-Nov-94 GGHSS Shewa 644 NOOR NABIA MUHAMMAD JALAL MA B/Ed 1-Feb-64 MARDAN 11-Dec-85 2-Nov-94 GGMS LABOUR COLONEY 645 Saiqa Iqbal Iqbal Khan MA/CT 1-Mar-71 Swabi 2-Nov-94 2-Nov-94 GGHSS Kalu Khan 646 BIBI MARYUM M DAOOD BA BEd 2-Jan-79 Mansehra 5-Nov-94 5-Nov-94 647 SHAREEN GUL NAIK SHAH BA BEd 25-Dec-72 Mansehra 5-Nov-94 5-Nov-94 648 MEHMOOD NIJAT ZAHEER UD DIN MA B/Ed,M/Ed 6-May-70 MARDAN 5-Nov-94 5-Nov-94 GGHS GUJAR GARHI 649 BAKHT BESYAR, BA (2nd) / B/Ed GHULAM AKBAR 4-Apr-58 Malakand 29-Sep-80 6-Nov-94 GGHS Khar 650 Ghazala Aziz Aziz ur Rehman BA BEd 2-Apr-70 Mansehra 2-Oct-89 6-Nov-94 651 TALLAT YASMIN IBADULLAH KHAN MA B/Ed,M/Ed 7-Nov-62 MARDAN 1-Sep-85 6-Nov-94 GGHS RUSTAM KHEL 652 MRS SHAMIM AKHTAR ZARSHAHD KHAN MA B/Ed 8-Jan-68 MARDAN 8-Jan-86 6-Nov-94 GGMS BIJLI GHAR 653 ISMAT ARA MUHAMMAD KHAN MA B/Ed 25-May-72 MARDAN 1-Sep-92 6-Nov-94 GGCMHSS For Girls Katlang 654 BUSHRA SAJAWAL SAJAWAL KHAN BA MED 3-May-72 HARIPUR 7-Nov-94 7-Nov-94 655 Bibi Ruqiya Pir Zaman shah BA BEd 3-Mar-75 Mansehra 17-Feb-90 7-Nov-94 656 HASHMAT ARA PORDIL KHAN MA B/Ed 1-Jan-72 MARDAN 7-Nov-94 7-Nov-94 GGHSS Takht Bhai 657 JABEEN GUL MUHAMMAD SHAMEEM BA B/Ed 30-Aug-74 MARDAN 7-Nov-94 7-Nov-94 GGMS SHAHDAND (L/K) 658 Mumtaz Begu Muhammad Sher BA/Bed/CT 20-Dec-57 Swabi 11-Oct-78 7-Nov-94 GGHSS Kalu Khan 659 FARZANA BIBI GULAB KHAN BA BED 12-Dec-69 ABBOTTABAD 8-Nov-94 8-Nov-94 GGHS Kakul 660 RABIA KHATOON ABDUL AZIZ BA BED 23-Sep-79 ABBOTTABAD 8-Nov-94 8-Nov-94 GGHS Rajoya 661 FARZANA BIBI MUHMMAD NAZIR BA BED 19-Dec-70 ABBOTTABAD 8-Nov-94 8-Nov-94 GGHSS Comprehencive 662 SHAISTA BEGUM QAZI MUHAMMAD NASEEM BA BED 2-Mar-70 ABBOTTABAD 8-Nov-94 8-Nov-94 GGJICA MODEL MIRPUR 663 RUBIAN FARID M FARID KHAN BA BED 9-Jan-68 ABBOTTABAD 8-Nov-94 8-Nov-94 GGMS Malik Pura 664 ALIYA AMBREEN ABDUL REHMAN BA BED 24-Jan-73 ABBOTTABAD 08/11/1194 8-Nov-94 GGCMS A/Abad (NO/1) 665 Naheed Salam abas salam MA Bed B,ed 17-Apr-68 Mohmand 8-Nov-94 8-Nov-94 Baz Mohammad 666 SHAHIDA PARVEEN MUZAMMIL SHAH MA/ BA 2nd iv MED 30-Mar-65 HARIPUR 8-Nov-94 8-Nov-94 667 TAYYABA MUHAMMAD SADIQUE BA MED 1-Mar-69 HARIPUR 8-Nov-94 8-Nov-94 668 Methab Akthar Abdur Razaq BA BEd 16-Mar-75 Mansehra 9-Apr-90 8-Nov-94 669 Nageena Jabeen Umer Khitab BA/Bed/CT 17-Jul-62 Mardan 1-Jul-81 8-Nov-94 GGCMHS Swabi 670 Naheed Bilal Muhammad Daraz MA/Bed/CT 13-Apr-73 Swabi 8-Nov-94 8-Nov-94 GGHSS Kalu Khan 671 Sadia Bibi Mohammad Amin MA 6-Dec-73 FR Tank DI Khan 9-Nov-94 9-Nov-94 GGMS Jalal Khan Parwara 672 KHALIDA BIBI MUHAMMAD YOUSAF BA BED 3-May-71 ABBOTTABAD 10-Nov-94 10-Nov-94 GGMS MUMDAH 673 Chand Bibi Bakht Jehan BA B/Ed 2-Apr-75 SWAT 10-Nov-94 10-Nov-94 GGHSS Manglor 674 KOUSAR NASREEN ABDUL JALIL BA BED 8-Oct-69 ABBOTTABAD 12-Nov-94 12-Nov-94 GGHS Beerote 675 LUBNA SHAHEEN MAQSOOD UR REHMAN BA BED 4-May-72 ABBOTTABAD 13-Nov-94 13-Nov-94 GGMS LOON PATTIAN 676 FARZANA NIDA MEHAR ANGIZ KHAN MA/BA 2nd Div MED 18-Aug-67 HARIPUR 13-Nov-94 13-Nov-94 677 Shazia Niazi Mohd:Sadiq Niazi BA BEd 27-Dec-71 Mansehra 19-May-90 13-Nov-94 678 BILQUEES BIBI ABDUL RAHIM BA BEd 11-Mar-65 Mansehra 21-May-90 14-Nov-94 679 NUSRAT BEGUM AMIR KHAN BA CT 1-Apr-69 KOHAT 15-Nov-94 15-Nov-94 GGHS LACHI PAYAN 680 FOZIA RUKHSHANDA JABEEN SHUJAUD DIN BA BED 11-Jun-69 Lakki 15-Nov-94 15-Nov-94 GGMS KOTKA GIDER 681 BIBI IFFAT S M AFZAL KHAN BA BEd 20-May-64 Mansehra 8-Jan-92 15-Nov-94 682 Naseem Akhtar Qamiat Gul MA CT 5-Jun-68 SWAT 4-Nov-80 15-Nov-94 GGHS No/2/S/Sharif 683 Abida Khanum BA,B/Ed Abdul Amin 17-Jul-69 Chitral 15-Nov-94 15/11/1994 GGCMHS Denin 684 Shehnaz Gul Yousaf Khan FA 18-Nov-94 FR Peshawar 16-Nov-94 16-Nov-94 GGHS Waras Khan Killi 685 SAEEDA BEGUM ABDUL HALEEM BA CT 1-Mar-72 KOHAT 16-Nov-94 16-Nov-94 GGHS BORI SAGHRI
  • 16.
    Academic Professional Date of 1st D/O Apptt against No. Name of Teacher Father's Name Qualification Qualification Date of Birth Domicile Apptt: Present Post Name of School 1 2 3 4 5 6 7 8 9 10 686 SHAHNAZ KAREEM FAZAL E KAREEM MA BED 31-Jul-74 PESHAWAR 16-Nov-94 16-Nov-94 GGMS Hazar Khawani No/2 687 Romana Shaheen, Walaiat Shah MA M/Ed: 1-Apr-71 Karak 16-Nov-94 16/11/1994 GGHS Latamber/ 688 Rabi Sultana Muhammad Noor MA B/Ed: 15-Oct-70 Karak 28-Dec-92 16/11/1994 GGHS Khojaki/ 689 Sabiha Jamal, Said Hasan MA B/Ed: 1-Apr-56 Karak 27-Oct-79 16/11/1994 GGHS, Ahmadi Banda 690 Sadaf Rana, Main Ainu d Din MA B/Ed: 5-Aug-70 Karak 16-Nov-94 16/11/1994 GGHS Terri/ 691 Shah Naz Fatima Sanat Khan MA B/Ed: 10-Sep-66 Karak 16-Nov-94 16/11/1994 GGMS Billand Killa 692 Gul Naz Masood Masood ur Rehman MA M/Ed: 5-Aug-72 Karak 16/11//1994 16/11/1994 GGMS Laki Ghundaki 693 KOUSAR SHAHEEN MUHMMAD IDRESS BA BED 4-Apr-66 ABBOTTABAD 17-Nov-94 17-Nov-94 GGMS Samissar 694 Shehnaz Begum Bakht Zamin BA (2nd) B,ed 10-Oct-68 Dir Lower 30-Oct-88 17-Nov-94 695 SHAZIA GUL M MASOOD BA BED 2nd Div: 1-Sep-71 HARIPUR 17-Nov-94 17-Nov-94 696 SHAZIA GUL MUHAMMAD MASOOD BA 2ND DIV BED 1-Sep-71 HARIPUR 6-Nov-94 17-Nov-94 697 RUKHSANA TABASSUM MEHAR DIL MA 8-Oct-66 Lakki 17-Sep-86 17-Nov-94 GGHS Shabaz khel 698 TAHIRA JABEEN FAZAL RAHIM MA MEd 18-Mar-71 PESHAWAR 17-Nov-94 17-Nov-94 GGHS Dabgari Gate 699 SHABNUM ASHIQ HUSSAIN MA MEd 4-Jan-73 PESHAWAR 17-Nov-94 17-Nov-94 GGHS Wadpaga 700 BIBI TAUHEED AHMAD JAN BA II BED 8-Jan-71 CHARSADDA 18-Nov-94 18-Nov-94 701 SAJIDA PERVEEN ABDUL WAHAB MA/ BED/CT 5-Dec-65 D/I/KHAN 6-Oct-83 18-Nov-94 GGMS BABER PAKA 702 AMINA GHULAM MUHAMMAD BA II BED 21-May-70 CHARSADDA 19-Nov-94 19-Nov-94 703 KOSAR PARVEEN BASHIR AHMED MA CT 18-Mar-70 KOHAT 19-Nov-94 19-Nov-94 GGMS SHEIKHAN 704 NABILA NAZ ABDUL SUBHAN BA CT 23-Apr-73 KOHAT 19-Nov-94 19-Nov-94 GGHS KDA 705 Samina Naz Abdul Aziz M/A B/ Ed 4-Oct-65 Nowshera 19-Nov-94 19-Nov-94 706 HUMAIRA ILYAS M ILYAS MA BED 14-Feb-69 PESHAWAR 19-Nov-94 19-Nov-94 GGHS LAHORI GATE 707 SHAMIM AKHTAR MUHAMAMD HASHAM MA MEd 4-Apr-63 PESHAWAR 19-Nov-94 19-Nov-94 GGHSS Begum Shahab/ud/Din 708 SAFIA BEGUM FAZLI KHALIQ BA II BED 1-Jan-72 CHARSADDA 20-Nov-94 20-Nov-94 709 SADIA MISHKAT FAZLI HAQQANI BA II BED 29-Apr-72 PESHAWAR 20-Nov-94 20-Nov-94 710 Anjum Jahan Sayed Muhammad M/A B/ Ed, C/T 31-Dec-72 Nowshera 20-Nov-94 20-Nov-94 711 NAZAKAT BEGUM AMIR ZAMAN MA BED 29-Aug-69 PESHAWAR 20-Nov-94 20-Nov-94 GGHS BASHIR ABAD PESHAWAR 712 BIBI TAHIRA SAIDA GUL KHAN MA MEd 16-May-74 PESHAWAR 20-Nov-94 20-Nov-94 GGHS Dabgari Gate 713 Dilshad Begum Sultan Mahmood MA B/Ed 2-Apr-63 SWAT 1-May-92 20-Nov-94 GGHS Saidu Sharif 714 FARAH NAZ FIRDOS KHAN BA II BED 11-Mar-72 CHARSADDA 21-Nov-94 21-Nov-94 715 ASMA BEGUM GHULAM MUHAMMAD BA II BED 10-Jan-73 CHARSADDA 21-Nov-94 21-Nov-94 716 Fozia Shaheen muhammad sadiq MA Bed B,ed 31-Dec-63 Mohmand 21-Nov-94 21-Nov-94 GGMS Zarif Kor 717 AZRA BEGUM MA/CT MUHAMMAD RASHID 1-Jan-76 Malakand 21-Nov-94 21-Nov-94 GGHS Malakand 718 Safia Begum Syed Feroz Shah M/A B/ Ed 5-Jul-69 Nowshera 21-Nov-94 21-Nov-94 719 Riffat Bibi Syed Feroz Shah M/A B/ Ed 15-Apr-71 Nowshera 21-Nov-94 21-Nov-94 720 SHAHNAZ BEGUM ABDUL JABAR BA II BED 25-Dec-67 CHARSADDA 20-Jan-87 22-Nov-94 721 HAINFA BIBI M/RAMZAN MA/ MED/CT 8-Mar-68 D/I/KHAN 22-Nov-94 22-Nov-94 GGHSS NO/ 2 DIKAHN 722 SALEEMA BEGUM ROOH ULLAH BA II BED 31-May-69 CHARSADDA 9-Jan-88 23-Nov-94 723 SEEMA NASEER TILA NASEER BA BED 5-Mar-68 charsadda 23-Nov-94 23-Nov-94 GGHS Nishter Abad 724 ARFA ANDLEEB MUHAMAMAD ALAM MA BED 1-Oct-75 Lakki 26-Nov-94 26-Nov-94 GGHS NO/3 LAKKI 725 NAGEENA QAZI HAMID ULLAH BA II BED 2-Sep-72 CHARSADDA 27-Nov-94 27-Nov-94 726 SHAZIA RUHI GHULAM HUSSAIN BA CT 29-May-71 KOHAT 28-Nov-94 28-Nov-94 GGMS CHARGHARI 727 FARIDA YASMIN SABIR SHAH BA CT 3-Jan-70 KOHAT 9-Oct-88 28-Nov-94 GGMS SHAKARDARA NO 2 728 Sajida Noureen Mohammad Nawaz BA B/Ed: 1-Apr-74 Karak 28-Nov-94 28/11/1994 GGMS Mandar Killa 729 ATTIA RANA NAZIR AHMED BA CT 5-Mar-68 KOHAT 2-Feb-87 29-Nov-94 GGHS NO 1 KOHAT 730 Meher un Nisa, Habib ur Rehman MA B/Ed: 12-Jan-72 Karak 30-Nov-94 30/11/1994 GGCMHS Karak/ 731 YASMIN BEGUM AJAB KHAN MA CT 10-Jan-66 KOHAT 1-Feb-88 1-Dec-94 GGMS MIR AHMAD KHEL 732 BAHRI KARAM,BA KAMRAN KHAN 3-Mar-66 Malakand 17-Sep-86 1-Dec-94 GGMS CC Thana
  • 17.
    Academic Professional Date of 1st D/O Apptt against No. Name of Teacher Father's Name Qualification Qualification Date of Birth Domicile Apptt: Present Post Name of School 1 2 3 4 5 6 7 8 9 10 733 Safia Bano Attaullah MA B/Ed 1-Mar-75 SWAT 14-Nov-94 1-Dec-94 GGHS Panr 734 ROZINA BIBI MUHAMMAD ASHRAF KHAN MA BED 3RD /CT 15-Sep-68 D/I/KHAN 20-Oct-88 4-Dec-94 GGMS KHANO KHEL 735 SHABANA NAZ FAZAL UR REHMAN BA BED 11-Oct-75 ABBOTTABAD 7-Dec-94 7-Dec-94 GGHS SAJIKOTE 736 ARIFA ASLAM MUHMMAD ASLAM KHAN BA BED 12-Jul-65 ABBOTTABAD 11-Dec-94 11-Dec-94 GGHS Salhad 737 SHAHIDA HAMAYOUN QAZI MUHAMMAD HAMAYOUN MA BA 2ND DIV MED 9-Sep-73 HARIPUR 7/1/2/94 11-Dec-94 738 Zakia Begum Iqbal Ahmad Jan B/A B/ Ed, C/T Nowshera 13-Dec-94 13-Dec-94 739 Zafran Begum Mohammad Jan MA 26-Jun-76 FR Bannu 17-Dec-94 17-Dec-94 GGMS Dr/ Rahmatullah 740 ROZINA NAZ GHULAM FAROOQ BA II BED 4-Nov-68 CHARSADDA 19-Dec-94 19-Dec-94 741 Samina Yasmeen Amanullah MA B/Ed 10-Jul-65 SWAT 27-Aug-87 20-Dec-94 GGMS Ghalegay 742 FARMANIA MA, MED FAZAL MULA 14-Jun-72 BUNNER 23-Apr-92 21-Dec-94 GGHS HISAR 743 HAMEEDA BEGUM IMAM BAKHSH BA CT BED MED 1-Oct-60 D/I/KHAN 1-Dec-87 21-Dec-94 GGHSS NO5 DIKHAN 744 Nasrat BiBi MA B/Ed Minhajuddin 4-Mar-69 Shangla 11-Sep-87 21-Dec-94 GGHS lilownai 745 Naseem Begum Zamin Zada B/Sc B/Ed/ M/Ed 5-Jun-67 SWAT 26-Apr-93 21-Dec-94 GGHS Saidu Sharif 746 Wahida Abid Abid Ali BA B/Ed 1-Dec-68 SWAT 21-Dec-94 21-Dec-94 GGMS Jambil 747 Nilofar Riaz Muhammad BA CT 25-May-72 SWAT 22-Dec-94 22-Dec-94 GGHS Saidu Sharif 748 Furqania Qazi Qazi Attaullah BA CT 15-Mar-73 SWAT 22-Dec-94 22-Dec-94 GGHS Fazal Abad(K) 749 SHAHNAZ SAIF UR REHMAN MA B/Ed 16-Oct-72 MARDAN 29-Dec-94 29-Dec-94 GGHS TAKKAR 750 FARANA bibi m/ younis BA BED 5-May-69 ABBOTTABAD 31-Dec-94 31-Dec-94 GGHS Saji Kote 751 FARKHANDA SADIQ MUHAMMAD SADIQ BA BED 2-Feb-66 ABBOTTABAD 9-Apr-85 1-Jan-95 GGMS Dheri Maira 752 PHOOL BIBI S ZAMAN SHAH BA BED 22-Jun-68 ABBOTTABAD 1-Jan-95 1-Jan-95 GGHS No/2 A/Abad 753 BAKHT JAMILA MA, MED MUHAMMAD YOUSAF 8-Jan-69 BUNNER 1-Mar-88 1-Jan-95 GGHS HISAR 754 ZULIKHA BIBI BA, BED FAZAL MULAH 11-Apr-72 BUNNER 17-Sep-90 1-Jan-95 GGMS PACHA KALAY 755 Sarhad Jabeen(CT)BA Muhd Rashid FA 1-Jan-69 Dir (U) 4-Nov-87 1-Jan-95 GGMS, Kass Dir 756 Nasib Rana(CT)FA Sultan Muhd BA 4-Oct-61 Dir (U) 26-Oct-80 1-Jan-95 GGMS, Bibyawar 757 MUKHSNEEN AKHTAR GUL ZAMAN MA BED 10-Apr-65 HARIPUR 12-Jan-88 1-Jan-95 758 NIGHAT SEEMA SYED MISKIN SHAH BA 2ND DIV MED 10-Apr-73 HARIPUR 1-Jan-95 1-Jan-95 759 NAHEED AKHTAR AHMAD SAEED BA CT 9-Jun-67 KOHAT 1-Jan-95 1-Jan-95 GGHSS JUNGLE KHEL 760 HUMAIRA ANDALEEB PIR BAKSHAH MA CT 5-Dec-69 KOHAT 1-Jan-95 1-Jan-95 GGHS NO 1 KOHAT 761 RIAZ BEGUM GUL FARAZ MA B/Ed,M/Ed 26-May-70 MARDAN 1-Oct-88 1-Jan-95 GGMS MOTI BANDA 762 Gulzar Begum Asad Ullah BA/CT 1-Jan-65 Swabi 22-Oct-84 1-Jan-95 GGCMHS Swabi 763 Razia begum Faizul Haq MA/Med/CT 21-Apr-64 Swabi 5-Sep-85 1-Jan-95 GGHS Shahmansoor 764 Ishrat Marooz Khan MA/Bed/Ct 1-Nov-71 Swabi 1-Jan-95 1-Jan-95 GGHS Maneri Bala 765 Falak Naz, Silawar Khan MA M/Ed: 1-Apr-69 Karak 1-Jan-95 1-Jan-95 GGHS Latamber/ 766 NAZLI TABASSUM INAMUL HAQ MA BED 15-Jan-63 PESHAWAR 01/02/19995 2-Jan-95 GGMS Gulbahar No/2 767 SAEEDA BIBI, BA (2nd)/ B/ED FAZAL KHALIQ 15-Mar-71 Malakand 4-Jan-95 4-Jan-95 GGCMS Thana 768 Noor ul Hayat BA/CT Shawazir Khan 7-Aug-74 Shangla 26-Apr-93 4-Jan-95 GGMS Kotkay Puran 769 SHAHNAZ SAFDAR SAFDAR KHAN BA BED 12-Feb-71 ABBOTTABAD 5-Jan-95 5-Jan-95 GGHS Rajoya 770 Shahi Sultana BA Hazrat Khan 1-May-74 Chitral 20-Dec-94 6-Jan-95 GGHS Ayun 771 FARIDA KHANAM, BA 2nd) / B/Ed KHAISTA GUL 6-May-73 Malakand 7-Jan-95 7-Jan-95 GGHS Totakan 772 Khudija Bibi Fazal Rahman BA (2nd) B,ed 1-Jan-74 Dir Lower 8-Jan-95 8-Jan-95 773 SHAZIA NAHEED NAZAR DIN MA/ BA IST DIV MED 23-Sep-72 HARIPUR 8-Jan-95 8-Jan-95 774 MALIKA HUMAIRA ABDUL WADOOD BA CT 3-Aug-73 KOHAT 8-Jan-95 8-Jan-95 GGHS NO 1 KOHAT 775 Zakia Shaheen Mohammad Saddiq BA 12-May-76 FR Peshawar 9-Jan-95 9-Jan-95 GGMS Mohammad Gul Killi 776 SHEHNAZ BIBI MALIK GHULAM SARWAR BA 2ND DIV BED 2nd Div: 1-Mar-66 HARIPUR 4-Sep-85 9-Jan-95 777 SHAZIA NASEER NASEER SHAH MA CT 10-Apr-73 KOHAT 24-Nov-94 9-Jan-95 GGMS BEHZADI CHKAR KOT 778 ASMAT PERVEEN, BA (2nd) / B/Ed MUHAMMAD USMAN 20-Apr-65 Malakand 10-Dec-87 9-Jan-95 GGMS Piran 779 RUKHSANA, BA (2nd) / B/Ed ABDUL WAHAB 4-May-69 Malakand 1-Aug-90 9-Jan-95 GGMS Nal
  • 18.
    Academic Professional Date of 1st D/O Apptt against No. Name of Teacher Father's Name Qualification Qualification Date of Birth Domicile Apptt: Present Post Name of School 1 2 3 4 5 6 7 8 9 10 780 Alia Bibi MA Fazal Khan 10-Feb-70 Chitral 21-Sep-89 9-Jan-95 GGMS Moghlandeh 781 YASMEEN SEEMA SADIQ HUSSAIN BA BED 3-Jul-61 PESHAWAR 9-Jan-89 9-Jan-95 GGMS Hayat Abad 782 BASAR MALIK MALIK YOUNIS BA BED 4-Jan-72 ABBOTTABAD 10-Jan-95 10-Jan-95 GGHSS Comprehencive 783 SAFIA BANO RAHIM GUL MA B/Ed,M/Ed 11-Mar-65 MARDAN 13-Mar-90 11-Jan-95 GGHS NO 1 MARDAN 784 Zeenat Begum Nabiullah BA/CT/Bed 3-Jan-68 Swabi 1-Mar-92 14-Jan-95 GGCMHS Swabi 785 GUL NAYAB JAMROZ KHAN BA II BED 6-Jun-67 CHARSADDA 15-Jan-95 15-Jan-95 786 Asia Begum Muhammad Afzal BA/Bed/CT 20-Oct-71 Swabi 15-Jan-95 15-Jan-95 GGHSS Topi 787 SHAKILA BANO RAZIULLAH MA BED 3-Feb-68 PESHAWAR 17-Jan-95 17-Jan-95 GGPMS HAYAT ABAD I (JICA) 788 AZRA BANO SIKANDAR DIN BA 2ND DIV BED 2nd Div: 1-Apr-72 A/ABAD 23-Jan-95 23-Jan-95 789 Fazeelat Sadiq Muhammad Sadiq MA B/Ed 12-Apr-70 SWAT 30-Jan-95 30-Jan-95 GGHS Shahdara 790 SAMINA SHAHEEN MUHMMAD ASLAM BA BED 1-Feb-73 ABBOTTABAD 1-Feb-95 1-Feb-95 GGMS DHODIAL 791 Yasmin Jamshid Jamshid Khan BA B/Ed 19-Jul-71 SWAT 1-Feb-95 1-Feb-95 GGHS No/1/Mingora 792 Farida Bibi Sani Gul MA CT 20-Mar-74 SWAT 1-Feb-95 1-Feb-95 GGMS Guligram 793 ABIDA SHAHEEN MOHD YAQOOB BA BEd 23-May-67 Mansehra 5-Jun-88 7-Feb-95 794 Sarwat Bahar Zarin Jan MA/Bed/CT 1-Mar-74 Swabi 13-Feb-95 13-Feb-95 GGHS Turlnadi 795 SHABNAM BEGUM, BA (2nd) / B/ED KHURSHID ALI 1-Jun-74 Malakand 19-Feb-95 19-Feb-95 GGCMHS Thana 796 Humaira Mufti Wazir Ahmad Jan FA 29-Jun-65 FR Peshawar 23-Feb-95 23-Feb-95 IHC Khanzada Killi 797 RIZWANA SHAHEEN HAJI MUHAMMAD AKBAR BA BED 24-Apr-74 ABBOTTABAD 26-Feb-95 26-Feb-95 GGMS Serbhana 798 ZIAFAT BEGUM TAHSEEN ULLAH BA II BED 20-Mar-71 CHARSADDA 2-Dec-89 1-Mar-95 799 NAYABAT TEHSEEN ULLAH BA II BED 20-Mar-71 CHARSADDA 2-Dec-89 1-Mar-95 800 SAJIDA PERVEEN MUHAMMAD SADIQ BA CT 3-Apr-71 KOHAT 18-Mar-93 1-Mar-95 GGHS NO 1 KOHAT 801 Bashera Shuja MA B/Ed 10-Mar-69 SWAT 24-Sep-89 1-Mar-95 GGHS Panr 802 TASLEEM, BA/CT ABEEL MUHAMMAD 16-Jan-69 Malakand 29-Mar-95 29-Mar-95 GGHS Malakand 803 Bibi Iffat Said Altaf Hussain MA CT 25-May-71 SWAT 12-Aug-90 1-Apr-95 GGMS Afsar Abad 804 Rifaqat Begum Attaullah Khan M/A B/ Ed 9-May-73 Nowshera 9-Apr-95 9-Apr-95 805 Parveen Akhtar Ghulam Muhammad MA B/Ed 23-Jun-73 SWAT 10-Apr-95 10-Apr-95 GGMS Chail Shagai 806 Sajida Parveen, Muhammad Rauf MA B/Ed: 14-Aug-74 Karak 4-Oct-95 10-Apr-95 GGHS No/1Karak/ 807 Fakhr ul Nissa Muhammad Shafi B/A B/ Ed, C/T 1-Sep-69 Nowshera 13-Apr-95 13-Apr-95 808 Shabina Akhtar Rashid Khan MA 5-Apr-77 FR Tank 14-Apr-95 14-Apr-95 GGMS Mosam Khan Kor 809 ASMA FAROOQ UMMER FAROOQ BA BED 1-May-69 HARIPUR 17-Apr-95 17-Apr-95 810 Zenat parveen Sabz Ali MA 9-Dec-58 FR Peshawar 24-Apr-95 24-Apr-95 GGHS Waras Khan Killi 811 NAHIDA GUL MIR AFZAL MA/BA 2nd Div CT 18-Mar-71 HARIPUR 3-May-95 3-May-95 812 FARZANA KOUSAR FAZAL E MOULA MA BED 23-Mar-73 PESHAWAR 4-May-95 4-May-95 GGHS No1/ Cantt 813 Iffat ara Malik Malik Riaz Ahmed B/A B/ Ed 16-Feb-71 Nowshera 9-May-95 9-May-95 814 Zaheen Akhtar Ali Haider Khan MA 5-Jan-62 Bajaur 12-May-95 12-May-95 GGMS Civil Colony Khar 815 RUBINA ALAM ALAM ZEB MA BED,MED 1-Oct-69 MARDAN 18-May-92 21-May-95 GGMS SHAMSHAD ABAD 816 FARHAT GUL GUL DAD FA CT 3-Feb-74 HARIPUR 23-May-95 23-May-95 817 SAID RUKHTAJ SAID AHMAD SHAH MA B/Ed,M/Ed 31-Dec-70 MARDAN 24-Feb-91 25-May-95 GGHSS Hathian 818 ZARQA NAZ M ABDUL HAMEED MA BED 12-Jan-72 PESHAWAR 25-Sep-95 25-May-95 GGMS Gul Bachah Jee 819 TEHZEEB UL ISLAM ABDUR RAHMAN MA/ BED/CT 8-Oct-67 D/I/KHAN 24-Sep-92 1-Jun-95 GGCMHS NO1 DIKHAN 820 BIBI REHANA MUHMMAD IQBAL BA BED 2-Aug-74 ABBOTTABAD 3-Jun-95 3-Jun-95 GGHS Bandi Dhundan 821 Marat Begum Chulam Ghafoor M/A B/ Ed 1-Mar-74 Dir 3-Jan-93 6-Jun-95 822 NOSHABA FAROOQ UMAR FAROOQ MA/BA MED 22-Jun-73 HARIPUR 18-Jun-95 18-Jun-95 823 BIBI RAHEELA CHAN PIR BA BEd 2-May-72 Mansehra 19-Jun-95 19-Jun-95 824 Parveen Akhtar, MA B/Ed Rahmat Karim 5-Jan-73 Chitral 10-Nov-92 20-Jun-95 GGHS Drosh 825 LUBNA SHAHEEN MUHAMMAD SHAFI MA/ BA 2nd iv MED 8-Dec-73 HARIPUR 21-Jun-95 21-Jun-95 826 Shaida Parveen Nobat Khan M/A B/ Ed 9-Feb-69 Nowshera 9-Jul-95 9-Jul-95
  • 19.
    Academic Professional Date of 1st D/O Apptt against No. Name of Teacher Father's Name Qualification Qualification Date of Birth Domicile Apptt: Present Post Name of School 1 2 3 4 5 6 7 8 9 10 827 HAFES BIBI ABDUL GHAFFAR MA/ BED/CT 13-Feb-67 D/I/KHAN 17-Dec-85 26-Jul-95 GGHS NO/ 4 DIKHAN 828 Naheed Akhtar Khan Jee MA M/Ed 20-Mar-74 SWAT 30-Jul-95 30-Jul-95 GGHSS Matta 829 Noor fatima MA SWA 1-Aug-95 1-Aug-95 IHC Mir Badshah Kot SWA 830 Riasat Ameen Mohammad Ameen B/A B/ Ed 1-Dec-72 Nowshera 1-Aug-95 1-Aug-95 831 Dilshad Nisar Ahmad FA CT 4-May-73 SWAT 24-Jan-95 1-Aug-95 GGHS fatehpur 832 NUSRTA BIBI KHALIL UR REHAMN BA BEd 4-Jan-73 Mansehra 13-Mar-93 4-Aug-95 833 Rizwana Kusar Shah Zaman BA BEd 12-Oct-74 Mansehra 15-Jan-91 7-Aug-95 834 Rozina Akhtar Rustam Ali MA/Bed/CT 16-Jan-72 Swabi 9-Aug-95 9-Aug-95 GGMS Zarobi 835 Roheen Kazim Ali Shah MA/Bed/CT 4-Mar-77 Swabi 9-Aug-95 9-Aug-95 GGHS M/K/Zaida 836 SHAMIM BIBI,BA(2nd)/B/Ed FAZAL AHAD 18-Sep-75 Malakand 14-Aug-95 14-Aug-95 GGHS Totakan 837 Tawheeda Shah Jehan BA B/Ed 13-Feb-76 SWAT 15-Aug-95 15-Aug-95 GGHSS Manglor 838 SAJIDA JABEEN MISKIN SHAH BA BEd 27-Jul-70 Mansehra 21-Aug-95 21-Aug-95 839 Qanan Bibi Shamsul Huda Mian BA B/Ed 2-Jun-72 SWAT 25-Aug-95 25-Aug-95 GGHS Madyan 840 Nighteen Shaheen A/Razaq Khan BA BEd 27-Dec-68 Mansehra 16-Jan-91 27-Aug-95 841 Shaheen Irshad M/Mumtaz BA BEd 1-Mar-64 Abbottabad 14-Sep-85 30-Aug-95 842 SHAMSHAD GUL MUHAMMAD MSC BED 26-Jun-66 PESHAWAR 31-Aug-95 31-Aug-95 GGMS Hazar Khawani No/1 843 ZAINAB BIBI SYED MEHDI SHAH MA MEd 20-Sep-74 PESHAWAR 31-Aug-95 31-Aug-95 GGHS Wadpaga 844 Yasmeen Khan Afzal Khan BA 3-Dec-70 FR Peshawar 1-Sep-95 1-Sep-95 GGMS Mir Haider 845 Firdus Ambreen Mohammad Safdar MA 15-Sep-74 Khyber 1-Sep-95 1-Sep-95 GGMS Wali Khel 846 Nasira Jabeen Mohd:Zafran BA BEd 3-Sep-74 Mansehra 16-Jan-91 1-Sep-95 847 NAJMA ABDULLAH ABDULLAH JAN MA BED 1-May-68 PESHAWAR 2-Sep-95 2-Sep-95 GGHSS Lady Grifth 848 Najmun Nisa M/Yousaf BA BED 16-Dec-72 ABBOTTABAD 4-Sep-95 4-Sep-95 GGMS Banda Lamba 849 Ulfat Muntazir Khan MA/Bed/CT 2-Mar-73 Swabi 4-Sep-95 4-Sep-95 JICA Model School Adina 850 Naheed Akhtar Mian Mohammad B/A B/ Ed, M/ Ed 9-Jan-70 Nowshera 9-Sep-95 9-Sep-95 851 Naheed Akhtar Mian Mohammad B/A B/ Ed, M/ Ed 9-Jan-70 Nowshera 9-Sep-95 9-Sep-95 852 Asma Khatoon Murad Ali MA 25-Jul-74 FR Peshawar 14-Sep-95 14-Sep-95 GGHS Waras Khan Killi 853 SHAHNAZ BIBI ABDUL GHAFFOR BA BED 12-Oct-86 ABBOTTABAD 20-Sep-95 20-Sep-95 GGHSS Comprehencive 854 NIGHAT ANWAR ANWAR ALI SHAH MA B/Ed,M/Ed 16-Jan-69 MARDAN 25-May-92 20-Sep-95 GGHS NO 1 MARDAN 855 SHAHIDA PERVEEN, FA MUHAMMAD SAEED 30-Mar-70 Malakand 23-Sep-95 23-Sep-95 GGMS MATKANI 856 Shamim Rashid Ghulam Rashid BA CT 1-Jul-74 SWAT 31-Dec-94 24-Sep-95 GGHS No/1/Mingora 857 Yasmin Begum Arshad BA CT SWAT 24-Sep-95 24-Sep-95 GGMS Arkot 858 RIFFAT NASREEN mustaq Ahmed MA BED 15-Sep-66 PESHAWAR 25-Sep-95 25-Sep-95 GGHSS Begum Shahab/ud/Din 859 GULNAZ SHAHEEN SYED SHAUKAT HUSSAIN MA B/Ed 15-Mar-70 MARDAN 28-Sep-95 28-Sep-95 GGMS QASAM TORU 860 NIGHAT TAHIRA GUL REHMAN MA MEd 1-Jan-73 PESHAWAR 28-Sep-95 28-Sep-95 GGHS Khyber Colony 861 Tayeeba Nasreen Syed Muzafar Shah BA 5-Jul-63 Khyber 2-Oct-95 2-Oct-95 GGHS Spelano Kas 862 Rana Gul S/Mumtaz Ali Shah MA/Bed/CT 12-Apr-76 Swabi 2-Oct-95 2-Oct-95 GGHS Ismaila 863 Nasreen Akhtar, Abdul Hanan BA B/Ed: 9-Feb-72 Karak 2-Oct-95 2-Oct-95 GGHS, Bahadar Khel 864 SHABANA NAWAZ MUHAMMAD NAWAZ MA CT 9-Mar-73 KOHAT 3-Oct-95 3-Oct-95 GGHSS LACHI 865 Basreena Yaqoob Ali MA/Bed/CT 7-Aug-67 Swabi 28-Sep-86 10-Oct-95 GGHSS Kalabat 866 SOFIA BANO NADIR KHAN BSC CT 14-Feb-69 KOHAT 22-Nov-90 12-Oct-95 GGCMHS NO 3 KOHAT 867 NASREEN NISAR AHMAD MA B/Ed 24-Mar-68 MARDAN 1-Sep-86 12-Oct-95 GGMS SARAI KOROONA 868 Hameeda Khatoon S/ Jehanger Shah B/A B/ Ed 27-Jan-71 Nowshera 16-Oct-95 16-Oct-95 869 Zaia Begum hamid rasool MA 8-Feb-75 Khyber 18-Oct-95 18-Oct-95 GGMSSarfaraz Killi 870 FARKHANDA JABEEN SYED ISMAIL JAN MA B/Ed,M/Ed 10-May-72 SWABI 25-Oct-94 25-Oct-95 GGHSS SAWAL DHER 871 Shahida Begum Mirza Barkatullah BA 18-Feb-65 Khyber 26-Oct-95 26-Oct-95 GGHS Hanif Jan 872 ROOBI ANDALEEB WAZIR ZADA MA B/Ed, M/Ed 4-May-73 MARDAN 26-Oct-95 26-Oct-95 GGMS MOMAND MAINA 873 MOBEELA BHATTI SHARIF BHATTI MA MEd 11-Oct-70 PESHAWAR 26-Oct-95 26-Oct-95 GGMS No/3 Cantt/
  • 20.
    Academic Professional Date of 1st D/O Apptt against No. Name of Teacher Father's Name Qualification Qualification Date of Birth Domicile Apptt: Present Post Name of School 1 2 3 4 5 6 7 8 9 10 874 SYEDA GHAZALA NARGIS S/ABDUL KARIM SHAH BA BED 10-May-70 ABBOTTABAD 30-Oct-95 30-Oct-95 GGHS Khuthiala 875 ZAHIDA BIBI KALA KHAN MA BA 2ND DIV MED/BEd/ 2nd div 12-Mar-73 HARIPUR 1-Nov-95 1-Nov-95 876 NAHEEDA BEGUM MUHAMMAD IQBAL BA 2ND DIV CT 1-May-71 HARIPUR 1-Nov-95 1-Nov-95 877 Zubeda Khatoon Gul Said MA/Bed/CT 5-May-64 Swabi 5-Mar-86 1-Nov-95 GGHSS Kalabat 878 RAHEELA KHANUM ABDUL QAYYUM BA BED 15-Aug-66 ABBOTTABAD 4-Nov-95 4-Nov-95 GGMS Banda Lamba 879 NAVEEDA NAZ ABDUL SATTAR BA BED 15-Feb-72 ABBOTTABAD 4-Nov-95 4-Nov-95 GGCMS Nawanshehr 880 Farzana Bibi hanif M/Sc 27-Jan-77 NWA 5-Nov-95 5-Nov-95 GGHS Civil Colony MRN 881 NAYYAR SULTAN GHULAM JAFAR MA B/Ed 5-Jun-64 MARDAN 23-Sep-87 7-Nov-95 GGHSS Shahbaz Garhi 882 RUQIA GUL MOHD YOUSAF BA BEd 3-Mar-71 Mansehra 11-May-92 8-Nov-95 883 SHUKRIA BEGUM M ZAMAN KHAN BA BEd 1-Apr-73 Mansehra 8-Nov-95 8-Nov-95 884 Najma Amin Muhammad Amin MA/Bed/CT 15-Jan-71 Swabi 8-Nov-95 8-Nov-95 GGCMHS Swabi 885 FARKHANDA KHATOON UMAR SHAH MA B/Ed 1-May-73 MARDAN 18-Nov-95 18-Nov-95 GGHS NO 1 MARDAN 886 FARKHANDA JABEEN MUNTAQIMULLAH MA BED 13-Apr-72 PESHAWAR 20-Nov-95 20-Nov-95 GGHSS Lady Grifth 887 GUL JABEEN M/ASLAM KHAN BA BED 2-Feb-63 ABBOTTABAD 31-May-90 21-Nov-95 GGMS MUMDAH 888 Jehan Zeba Mohd Karim BA (2nd) B,ed 5-Apr-67 Dir Lower 1-May-87 22/11/1995 889 ZAHIDA BATOOL SYED FIDA HUSSAIN MA BED 11-Feb-74 PESHAWAR 24-Nov-95 24-Nov-95 GGHS Sheikh Abad 890 Abida Begum M/ Ishaq M/A B/ Ed 22-Apr-70 Nowshera 1-Dec-95 1-Dec-95 891 NAEEM AKHTER HAYAT MUHAMAMD BA BED 5-Dec-73 ABBOTTABAD 2-Dec-95 2-Dec-95 GGMS Pattan Kalan 892 SAMINA SHAHEEN ATTAR DIN BA BED 3-Jan-72 MANSEHRA 4-Jan-96 4-Dec-95 GGMS BIGA KOT 893 FIRASAT AMIN AMIN JAN BA II BED 15-Feb-97 CHARSADDA 13-Dec-95 13-Dec-95 894 Fazeelat Rehman Fazal/ur/Rehman B/A B/ Ed 8-Jul-69 Nowshera 9-Dec-87 13-Dec-95 895 FARA NAZ GHULAM MUJTABA KHAN BA Bed 5-Apr-72 ABBOTTABAD 18-Dec-95 18-Dec-95 GGMS Malik Pura 896 ASMAT ARA FIDA MOHAMMAD MA B/Ed 22-Apr-70 MARDAN 1-Nov-92 20-Dec-95 GGHSS Gujrat 897 ROSHAN ARA HABIBUR REHMAN MA B/Ed 28-May-72 SWAT 1-Mar-93 20-Dec-95 GGMS MOMAND MAINA 898 Rabia Khatoon BA Hazratullah 25-Dec-72 Chitral 17-Dec-94 20/12/1995 GGMS Lone 899 BIBI SAEEEDA ABDUR RAZIQ MSc B/Ed 15-Jan-65 MARDAN 21-Dec-95 21-Dec-95 GGHS HOTI NO2 900 BIBI SADIA HABIB AHMED BA BEd 5-Apr-74 Mansehra 21-May-92 28-Dec-95 901 Rashida Bibi Shafiq ur Rehman BA BEd 9-Feb-70 Mansehra 28-Dec-95 28-Dec-95 902 Mushtari 1-Jan-78 Bajaur 1-Jan-96 1-Jan-96 GGMS Shah narai 903 Gul Nasreen Abdul Latif B/A B/ Ed 9-Jul-67 Nowshera 24-Jan-87 1-Jan-96 904 PARVEEN AKHTAR ABDUR REHMAN MA BED 10-Jul-66 PESHAWAR 1-Jan-96 1-Jan-96 GGHS Nishter Abad 905 GUL/E/RANA FAZAL UR RAHMAN MA MEd 22-Mar-68 PESHAWAR 1-Jan-96 1-Jan-96 GGHS Yaka Toot 906 TAFSEELA BASHIR AHAMD MA BED 1-Feb-76 PESHAWAR 5-Jan-96 5-Jan-96 GGHS Tarnab Farm 907 PARVEEN AKHTAR SAEED MUHAMAD MA BED 28-Dec-53 CHARSADDA 30-May-81 6-Jan-96 GGMS No/3 Cantt/ 908 Shakila Naz, Muhammad Iqbal MA M/Ed: 1-Sep-72 Karak 1-Jun-96 6-Jan-96 GGCMHS, Karak 909 Syed Farah deeba S/Habib Ahmed Shah BA BEd 2-Jun-72 Mansehra 1-Jun-92 9-Jan-96 910 FANOOS RANA INAYATULLAH BA 28-Sep-60 Lakki 10-Jul-78 11-Jan-96 GGMS BEGUK KHEL 911 Farida Bibi MA,B/Ed: Itibar Khan 4-May-70 Chitral 24-Jun-93 12-Jan-96 GGMS Potoniandeh 912 SAMINA YOUNAS MUHAMMAD YOUNAS BA BED 18-Sep-72 ABBOTTABAD 20-Jan-96 20-Jan-96 GGHS Keri Raiki 913 Ashya Perveen Mohd Aslam FA/CT CT 2-Jan-63 Manshar/KH 21-Jan-96 21-Jan-96 GGMSoyal 914 ZAKIA KHATOON GHUAM JAAFAR MA /MED/CT 4-Dec-68 D/I/KHAN 13-Sep-87 24-Jan-96 GGMS PAHARPUR 915 ROZINA SALEH MUHAMMAD MA/ MED/CT 4-Oct-67 D/I/KHAN 14-Sep-87 26-Jan-96 GGHS KAICH 916 HUSAN AFROZ MEHER DIN 1-Jan-48 Lakki 15-Nov-83 31-Jan-96 GGMS GAMBILA 917 DILSHAD BEGUM ADAM KHAN BA 3RD BED/CT 15-Apr-55 D/I/KHAN 6-Nov-78 7-Feb-96 GGHS KARI SHOMOZAI 918 DELSHAD BEGUM AMANULLAH KHAN BA/ BED/CT 2-Jun-71 D/I/KHAN 9-Feb-96 9-Feb-96 GGHSSNO/ 2 DIKAHN 919 Shazia Sarwar Sarwar Din M/Sc B/ Ed 11-Aug-72 Nowshera 3-Mar-96 3-Mar-96 920 MEHR/UN/NISA AKBAR DIN FA CT 28-Oct-66 HARIPUR 15-Sep-87 8-Mar-96
  • 21.
    Academic Professional Date of 1st D/O Apptt against No. Name of Teacher Father's Name Qualification Qualification Date of Birth Domicile Apptt: Present Post Name of School 1 2 3 4 5 6 7 8 9 10 921 nabila aziz Ghulam Mohyudin BA BED 4-Mar-74 ABBOTTABAD 20-Mar-96 20-Mar-96 GGHS Salhad 922 NAEEM GUL BASHIR AHMED BA BED 1-Jan-72 ABBOTTABAD 1-Apr-96 1-Apr-96 GGHSS Havelian 923 YASMEEN ANWAR S/LAL KHAN ANWAR BA BED 1-May-68 ABBOTTABAD 1-Apr-96 1-Apr-96 GGMS Malik Pura 924 RAZIA BEGUM MUHAMMAD AMIN MA BED 12-Feb-67 Lakki 9-May-85 1-Apr-96 GGHS NO/1 LAKKI 925 NAHEEDA KHATOON SYED MUHAMMAD YOUSAF MA B/Ed 30-Dec-57 MARDAN 1-Dec-84 1-Apr-96 GGHS NO 1 MARDAN 926 NAHEED ANWAR ANAWAR UL HAQ MA BED 15-Apr-65 PESHAWAR 1-Apr-96 1-Apr-96 GGHS Nishter Abad 927 NUSRAT NAZ NAZEER MUHAMMAD BA BED 1-Feb-72 HARIPUR 2-Apr-96 3-Apr-96 928 TALAT ABASSI MAZHAR KHAN BA BED 23-Mar-69 ABBOTTABAD 5-Apr-96 5-Apr-96 GGHS Bakote 929 FATHIA GUL MIRZA KLHAN MA/BA 3rd Div BED 2nd Div: 10-May-69 HARIPUR 8-Apr-96 8-Apr-96 930 NASRIN BIBI FAZAL/UR/REHMAN FA CT 1-Jan-71 HARIPUR 11-Apr-96 11-Apr-96 931 Shagufta Begum Sarfaraz Khan BA BEd 1-Apr-74 Mansehra 30-Jun-92 11-Apr-96 932 Naheed Begum/ Muhammad Nawaz MA(BE/d) CT 13-Nov-69 Tank/ 11-Apr-90 11-Apr-96 /do Ranwal/ 933 NOREEN ASGHAR ALI ASGHAR KHAN BA BED 20-Apr-67 ABBOTTABAD 15-Apr-96 15-Apr-96 GGHSS Havelian 934 RAMISH MISBAH MUHAMMAD ILYAS MA BED 16-Jan-71 PESHAWAR 15-Apr-96 15-Apr-96 GGMS New karim Pura 935 Anjuman Ara Abdul Wahab MA/Med/CT 15-Apr-75 Swabi 4-Dec-95 17-Apr-96 GGMS Roshan Pura 936 Rukhsana BiBi/ Abdullah Jan/ BA(BE/d) CT 10-Jan-74 Tank/ 7-Jan-93 21/04/1996 /do/ Dabbara/ 937 Zakira Begum Qasim Khan Ba/Bed/CT 25-Jan-76 Malakand Agency 15-Nov-94 22-Apr-96 GGMS Mathra Dagi 938 CHAND BIBI BURHAN UD DIN MA BED 15-Apr-68 PESHAWAR 15-Apr-88 24-Apr-96 GGCMHS Tehkal Bala 939 MARYAM BEGUM M ISRAR KHAN BA BED 10-Apr-68 PESHAWAR 24-Apr-96 24-Apr-96 GGHS Khyber Colony 940 FOZIA PARVEEN M ISLAM MA BED 26-Mar-71 PESHAWAR 24-Apr-96 24-Apr-96 GGHSS Lady Grifth 941 BILQUEES BIBI MUBARAK ALI BA/ BED/CT 28-Dec-69 D/I/KHAN 23-Dec-89 25-Apr-96 GGMS GARA MUHABAT 942 WAHEEDA YASMIN ISMAIL MA MED 6-May-65 HARIPUR 2-Dec-90 25-Apr-96 943 Tahira Naz Raza Khan MA/Med/CT 12-Apr-71 Swabi 20-Feb-90 26-Apr-96 GGHS Thandkoi 944 SHAGUFTA YASMEEN MUHAMMAD SALEEM BA/BA/BED/CT BED/CT 15-Jan-67 D/I/KHAN 27-Apr-96 27-Apr-96 GGHSS NO/ 6 DIKHAN 945 ZAHIDA PARVEEN ALLAH WASAYA BA/ BED/CT 5-Feb-70 D/I/KHAN 4-Dec-94 27-Apr-96 GGHS NO/ 7 DIKHAN 946 NUZHAT JABEEN ABDUL LATIF MA BA 2ND DIV BED 2nd Div: 25-May-72 HARIPUR 27-Apr-96 27-Apr-96 947 RUBINA SHAHIN M MASKEEN BA BEd 4-May-72 Mansehra 2-May-96 2-May-96 948 Nasir Naseem Ghulam Mohd BA/CT CT 14-Jan-75 Abbott Abad 2-May-96 2-May-96 GGMS Ghazi Abad 949 FARKHANDA JABEEN ALLAH BAKHSH MA/ MED/CT 14-Dec-69 D/I/KHAN 14-Dec-87 3-May-96 GGHSSNO2 DIKAHN 950 NAZRA BANO QASIM GOHAR BA BED 1-Jan-71 ABBOTTABAD 5-May-96 5-May-96 GGMS MAIRA BAGH 951 ALIA RANI GUL MUHAMMAD YOUNAS ABBA MA B/Ed,M/Ed 1-Mar-74 MARDAN 5-Jun-93 5-May-96 GGHS BAGO BANDA 952 SHAGUFTA BEGUM NOMAN ALI SHAH BA B/Ed 6-Sep-75 MARDAN 23-Oct-95 5-May-96 GGHSS Shahbaz Garhi 953 RUBINA SHAHEEN QALANDAR KHAN BA BED 4-Mar-69 ABBOTTABAD 3-Oct-87 6-May-96 GGHS Bagnotar 954 SHAHEEN AKHTER MUHAMMAD USMAN MA CT 19-Feb-62 KOHAT 7-Nov-84 6-May-96 GGHSS GUMBAT 955 TAYYBA MUMTAZ MUMTAZ AHMAD MA/ MED/CT 30-Jul-64 D/I/KHAN 21-May-89 7-May-96 GGHS NO/ 4 DIKHAN 956 AMIR ZADA BEGUM AJAB GUL BA 9-May-69 Lakki 16-Jan-91 9-May-96 GGMS MELA SHAHAB KHEL 957 GUL ZEBA SHER ZADA MA B/Ed 5-Apr-71 MARDAN 13-May-93 9-May-96 GGHS SHER GARH 958 SHAHEEN AKHTAR REHMAT DIN MA/BA 2nd Div MED/BEd/ 2nd div 1-Jan-63 HARIPUR 6-May-96 13-May-96 959 MUFEEDA BEGUM ABDUL MATEEN BA 2ND DIV BED 2nd Div: 5-Jan-67 HARIPUR 22/9/895 14-May-96 960 ISHRAT JEHAN FAZAL RABI MA B/Ed 15-Apr-71 MARDAN 1-Mar-92 14-May-96 GGMS KOT TAKHT BHAI 961 WAHEEDA NAZ YOUNAS KHAN MA B/Ed 1-Dec-72 MARDAN 16-May-96 16-May-96 GGHS TAKKAR 962 FERDOS BIBI MUHAMMAD IRFAN MA BA 2ND DIV BED 15-Apr-70 HARIPUR 20-May-96 20-May-96 963 FIRDOUS BIBI MUHAMMAD URFAN BA 2ND DIV BED 15-Apr-70 HARIPUR 16-May-96 20-May-96 964 ZAIB UN NISA KHALIL UR RAHMAN MA B/Ed 1-Feb-62 MARDAN 18-Oct-80 23-May-96 GGCMHS BICKET GANJ CANAL ROAD 965 FARZANA BEGUM TOOR MUHAMMAD KHAN BA II BED 1-Apr-67 CHARSADDA 25-May-96 25-May-96 966 Nasim Akhtar Ghulam Sadiq MA 12-Dec-57 FR Tank 25-May-96 25-May-96 GGMS Jalal Khan Parwana 967 SHAFIA BEGUM SHAMSUD DIN MSC HPE B/Ed 13-Feb-60 MARDAN 16-Feb-78 25-May-96 GGMS BAKRI BANDA
  • 22.
    Academic Professional Date of 1st D/O Apptt against No. Name of Teacher Father's Name Qualification Qualification Date of Birth Domicile Apptt: Present Post Name of School 1 2 3 4 5 6 7 8 9 10 968 NUSRAT ZIA MIAN ILHAM GUL MA B/Ed 9-Jun-72 MARDAN 25-Nov-95 25-May-96 GGHS BAGHICHA DHERI 969 NEELAM NAZ KHAN BADSHAH BA B/Ed 2-Feb-74 MARDAN 1-Oct-95 25-May-96 GGHS BUGHDADA 970 SAJIDA BEGUM ABDUL HAQ SAFI MA BED 24-Jul-71 PESHAWAR 7-Feb-96 25-May-96 GGMS Zaryab Colony 971 Jamila Parveen Alam Zaib MA/Med/CT 15-Jan-65 Swabi 1-Mar-92 25-May-96 GGMS Juma Khan Gari 972 Bibi Samina MA B/Ed Hafiz Saidul Azam 1-May-71 Chitral 16-Jan-95 25-May-96 GGHS Ayun 973 MEHNAZ SEEMA RIAZ REHMAN BA CT 3-Oct-68 KOHAT 2-Nov-87 30-May-96 GGMS CHIKERKOT BALA 974 BIBI SAIFOORA HAIDER SHAH MSC CT 24-Jan-66 KOHAT 30-May-96 30-May-96 GGHSS SHAKARDARA 975 DILRUBA BEGUM MALIK TAJ RIAYAT KHAN MA CT 15-May-71 KOHAT 30-May-96 30-May-96 GGMS SHAKARDARA NO 2 976 ZUHRA BEGUM HALEEM GUL BA CT 13-Sep-54 KOHAT 4-Oct-73 30-May-96 GGHSS SHAKARDARA 977 ASIA AHMAD AHMAD SHAH BA CT 25-Dec-75 KOHAT 30-May-96 30-May-96 GGMS CHARGHARI 978 Shabnum Khurshid, Sardar Muhammad MA B/Ed: 8-Feb-72 Karak 30-May-96 30/05/1996 GGHS Easak Chowntra/ 979 Rukhsana Shaeen, Shah Jehan MA B/Ed: 4-Sep-73 Karak 11-Sep-94 30/05/1996 GGHS, Palosa Kimanri 980 Gul Marjan Lat Bat Khan MA M/Ed: 9-May-74 Karak 30-May-96 30/05/1996 GGMS Tanga Zanai 981 Fehmeeda Begum Ghazanfar Ali MA Orakzai 1-Jun-96 1-Jun-96 GGMS Chapper Mishti 982 KOUSAR SHAHEEN NAZIR MUH AMMAD MA CT 5-Sep-72 KOHAT 1-Jun-96 1-Jun-96 GGHS NO 1 KOHAT 983 ANILA SAJJAD MIAN SAJJAD MA CT 20-Mar-69 KOHAT 9-Oct-95 1-Jun-96 GGHS NO 1 KOHAT 984 Musarrat Jabeen Gul Sadbargh MA/Med/CT 20-Apr-68 Mardan 25-May-87 1-Jun-96 GGHS Kunda 985 NUSRAT PARVIN ABDUL MAJEED BA BED 27-Dec-72 ABBOTTABAD 9-Jun-96 9-Jun-96 GGMS GALI BANIAN 986 BILQEES BEGUM AZIZ UR REHMAN MA CT 1-May-72 KOHAT 13-Jun-96 13-Jun-96 GGMS TOGH PAYAN 987 FARZANA SHAHEEN BASHIR AHMAD BA BED 1-Jan-70 ABBOTTABAD 1-Jun-92 16-Jun-96 GGHS No/2 A/Abad 988 Zakia Abbasi M/Jaan Abbasi BA BEd 4-Jan-70 Mansehra 16-Jun-96 16-Jun-96 989 FARAKH DEEBA SHER AFZAL BA II BED 12-Apr-69 CHARSADDA 23-May-96 23-Jun-96 990 Rafique Begum M/Khalid BA BEd 10-Apr-73 Mansehra 1-Aug-92 26-Jun-96 991 JAMILA AKHTAR MUSHTAQ HUSSAIN MA BED 1-Jan-67 PESHAWAR 31-Jan-91 1-Jul-96 GGHS Yaka Toot 992 NIGHAT BIBI FIDA HUSSAIN MA BED 6-Sep-69 HARIPUR 30-Jul-96 30-Jul-96 993 Iffat Taj Naik Amal Shah M/A B/ Ed 28-Aug-57 Nowshera 30-Apr-79 2-Aug-96 994 LUBNA TABASUM MUHAMMAD YOUSAF MA BA 2ND DIV BED 13-Dec-72 HARIPUR 7-Aug-96 7-Aug-96 995 Haleema bibi Mohd:Hussain Khan BA BEd 4-Apr-73 Mansehra 1-Aug-92 7-Aug-96 996 FAZILAT BEGUM MOHAMMAD ALI MA B/Ed,M/Ed 2-Feb-70 MARDAN 1-Apr-96 30-Aug-96 GGHS QASMI 997 NAZISH SAMREEN IHSAN ULLAH MA B/Ed, M/Ed 14-Dec-76 MARDAN 20-Jan-96 30-Aug-96 GGMS EID GAH 998 HASENA HAMED SAID HAMID BA B/Ed 1-Oct-72 CHARSADDA 24-Mar-92 30-Aug-96 GGMS SERI BEHLOL 999 AISHA KHALIQ FAZLI KHALIQ BA II BED 17-Dec-73 CHARSADDA 1-Sep-96 1-Sep-96 1000 SARWAT JEHAN SAYYED UMAR BA II BED 22-Mar-70 CHARSADDA 1-Sep-96 1-Sep-96 1001 NAVEEDA GUL NOOR UL WAHID MA MEd 17-Apr-74 CHARSADDA 1-Sep-96 1-Sep-96 GGHS No1/ Cantt 1002 SHAHLA YASMIN SUBHAN SHAH MA BED 14-Oct-65 PESHAWAR 22-Mar-93 4-Sep-96 GGMS QASAB KHANA 1003 NUSRAT JEHAN TAJ MUHAMMAD BA II BED 2-Feb-68 CHARSADDA 5-Sep-96 5-Sep-96 1004 TAYYIBA SHAMRAIZ SHAMRAIZ BA BED 16-Apr-70 ABBOTTABAD 5-Sep-96 6-Sep-96 GGHS Bandi Dhundan 1005 NEEMA GUL HASSAN KHAN MA BED 2-Jan-75 CHARSADDA 10-Sep-96 10-Sep-96 GGHS Islamia Collegiate 1006 SALMA YASMIN AZIZ/UR/REHMAN BA 2ND DIV BED 1-May-71 HARIPUR 17-Sep-96 18-Sep-96 1007 Zuhra Muhammad Jalal BA II BED 15-Jan-71 CHARSADDA 28-Sep-96 28-Sep-96 1008 NARGIS JABEEN GUL NAWAZ MA CT BED 31-Dec-70 D/I/KHAN 22-Feb-93 1-Oct-96 GGHS R/KULACHI 1009 Aisha Taj Taj Muhammad BA B/Ed 2-Jul-70 SWAT 15-Jan-95 1-Oct-96 GGHS No/1/Mingora 1010 HINA JALIL JALIL BA BED 31-Oct-74 ABBOTTABAD 11-Oct-96 11-Oct-96 GGMS PANJ GRAN 1011 SHUKRIA NAZ NISAR MUHAMMAD BA II BED 10-Nov-75 CHARSADDA 31-Oct-96 31-Oct-96 1012 NAGINA BIBI SHER BHADUR MA/BA 2nd Div BED 2nd Div: 2-Jun-74 HARIPUR 11-Apr-96 1-Nov-96 1013 ZAINAB NASIM SHAUREZ KHAN BA CT 26-Sep-68 KARAK 1-Nov-94 1-Nov-96 GGMS MEROZAI 1014 Nusrat Begum Gohar Aman BA BEd 3-Mar-72 Mansehra 31-Aug-92 1-Nov-96
  • 23.
    Academic Professional Date of 1st D/O Apptt against No. Name of Teacher Father's Name Qualification Qualification Date of Birth Domicile Apptt: Present Post Name of School 1 2 3 4 5 6 7 8 9 10 1015 BEHRAMAND NASRULLAH KHAN BA BED 31-Aug-55 CHARSADDA 12-Dec-81 1-Nov-96 GGMS Chughal Pura 1016 Zahida Naz Gul Badi M/A B/ Ed 26-Jun-68 Nowshera 7-Nov-96 7-Nov-96 1017 ZARQA BEGUM MUHAMMAD NASER MA/ BED/CT 1-Sep-74 D/I/KHAN 10-Nov-96 10-Nov-96 GGMS GANDI UMER KHAN 1018 FARKHANDA AISHA MEHBOOB ALI MA/ BED/CT 21-Dec-71 D/I/KHAN 11-Nov-96 11-Nov-96 GGHS NO/ 8 DIKHAN 1019 NOOR JEHAN ABDUL GHAFFAR KHAN MA BED 3-Mar-67 Lakki 1-Oct-93 14-Nov-96 GGHS No/ 1 Naurang 1020 SAHAHNAZ AKHTER MUHAMMAD HUSSAIN MUGAL MA/ BED/CT 22-Jan-63 D/I/KHAN 27-Nov-85 16-Nov-96 GGMS QAYYAM NAGER 1021 HUSAN AFROZ GUL SHER ALAM MA BED 5-Jan-70 Lakki 21-Apr-91 16-Nov-96 GGCMHS NO/2 LAKKI 1022 MAJIDA HASSAN MUHAMMAD HASSAN MSC /BED/CT 15-Mar-73 D/I/KHAN 18-Nov-96 18-Nov-96 GGMS KURAR 1023 NAHID BEGUM HAJI NOOR MUHAMMAD KHAN BA 5-Jan-72 Lakki 16-May-96 18-Nov-96 GGMS KHWAJA KHEL 1024 TAMSEELA TABASAM M/AFZAL KARIM BA/ BED/CT 1-Jan-65 D/I/KHAN 22-Oct-88 20-Nov-96 GGHS NAIVELA 1025 PARVEEN AKHTAR ASMATULLAH MA/ BED/CT 19-Jan-65 D/I/KHAN 4-Dec-88 20-Nov-96 GGHS NAIVELA 1026 SAIRA BIBI M/IQBAL BA BED 6-Feb-75 ABBOTTABAD 30-Nov-96 30-Nov-96 GGHS P/K/KHAN 1027 MUKHTIAR BIBI ZANUL ABIDIN SHAH MA/ BED/CT 20-Apr-54 D/I/KHAN 1-Feb-74 2-Dec-96 GGCMHS NO1 DIKHAN 1028 SHAGUFTA JABEEN ABDUL HAMEED QURESHI BA BED 1-Jan-69 HARIPUR 1-Dec-94 6-Dec-96 GGHS Bandi Dhundan 1029 Noor Begum Sami/ud/din M/A M/ Ed 15-May-64 Nowshera 20-Oct-86 12-Dec-96 1030 HAJRA BIBI, BA((2nd)/B/Ed FAZLI GHAFAR 1-Jun-78 Dir(U) 17-Dec-96 17-Dec-96 GGHS Kharkai 1031 Shahida Parveen BA,B/Ed Wazir Ahmad Khan 1-Jun-57 Chitral 16-Nov-92 31/12/1996 GGHS Muldeh 1032 Tabassum Parveen Abdul Hameed M/A B/ Ed 12-Jan-62 Nowshera 11-Nov-82 2-Jan-97 1033 Nasima Parveen, BA Fazal Akbar 20-Jan-74 Chitral 1-Jun-97 6-Jan-97 GGHS Muldeh 1034 GUL KHUBAN BA, BED ABDUR RASHID 4-Apr-71 BUNNER 12-Apr-89 7-Jan-97 GGHS NAWAGAI 1035 Zahida Parveen Mohammad Gul BA (2nd) B,ed 14-May-72 Dir Lower 21-Mar-92 7-Jan-97 1036 Nasira Nawab Haji Nawab BA (2nd) B,ed 4-Oct-79 Dir Lower 1-Mar-95 7-Jan-97 1037 FARHAT NAHEED AQIQ REHMAN BA BEd 1-Jan-74 Mansehra 1-Mar-93 7-Jan-97 1038 Talat Naz M/ Shafi Qureshi M/A B/ Ed 14-Apr-76 Nowshera 7-Jan-97 7-Jan-97 1039 Dilshad Begum Abdul Latif M/A B/ Ed 15-Mar-65 Nowshera 10-Aug-87 7-Jan-97 1040 Sanjeeda Ali Gohar M/A B/ Ed 8-Mar-71 Nowshera 7-Jan-97 7-Jan-97 1041 Shahnaz Begum Ghulam Mehdi M/A B/ Ed, M/ Ed, CT 6-Aug-66 Nowshera 10-Jul-87 7-Jan-97 1042 Faral Naz Begum Hamzullah Khan M/A B/ Ed 3-Aug-70 Nowshera 22-Nov-94 7-Jan-97 1043 Shafqat Ara Mohammad Younas M/A M/ Ed 15-Jan-69 Nowshera 14-Oct-87 7-Jan-97 1044 Rashida Jabin Bashir Ahmad B/A B/ Ed 12-Mar-70 Nowshera 7-Jan-97 7-Jan-97 1045 Gul Shad Begum Gufran/uddin B/A B/ Ed 22-Feb-69 Nowshera 21-Oct-93 7-Jan-97 1046 Rakshand Isma Mohammad Aslam B/A B/ Ed 26-Dec-62 Nowshera 24-Oct-82 7-Jan-97 1047 Noorun Nisa MA,B/Ed: Mir Mohd Khan 12-Feb-74 Chitral 14-May-95 7-Jan-97 GGMS Sinlasht 1048 Bibi Abida, MA , M/Ed Khair Azam Shah 1-Jul-69 Chitral 1-Jul-97 7-Jan-97 GGHS Booni 1049 Gulshan Bibi FA Sher Lali 1-Jun-71 Chitral 1-Jul-97 7-Jan-97 GGMS Gohkir 1050 Mehrun Nisa Faiz Rahmat 29-Jul-71 Chitral 1-Jul-97 7-Jan-97 GGMS Kushum 1051 Afsar Jamal MA Panah Ali Shah 12-Feb-76 Chitral 1-Jul-97 7-Jan-97 GGMS Sonoghur 1052 Rahima Bibi, MA B/Ed Imam Nizar 20-Sep-76 Chitral 1-Jul-97 7-Jan-97 GGHS Shagram 1053 GHULAM AYESHA SIDDQUA GHULAM SARWAR BA /BED/CT 19-Jun-64 D/I/KHAN 8-Nov-94 8-Jan-97 GGMS HAJI MOHRA 1054 Musarat Shaheen Amanullah BA (2nd) B,ed 6-Jun-71 Dir Lower 9-Dec-94 8-Jan-97 1055 Hazrat Nisa BA Himayat Shah 1-Apr-67 Chitral 25-Oct-84 8-Jan-97 GGHS Shiaqotek 1056 REHANA ZAIB RAJA M AURANGZEB MA 2ND DIV BED 2nd Div: 2-Sep-69 HARIPUR 1-Feb-97 1-Feb-97 1057 BALQEES BEGUM SHUJAAT ALI BA BED 23-Dec-64 CHARSADDA 9-Jan-85 7-Feb-97 GGHS Shehgi Bala 1058 ABIDA EJAZ KOUSAR MA MEd 7-Oct-69 ATTOK 19-Feb-97 19-Feb-97 GGMS Kas Koroona 1059 Gul Nisa Bibi Abdul Ghfar Qurashi BA BEd 17-Jan-73 Mansehra 12-Oct-92 20-Feb-97 1060 Shahnaz Alam Mohd:Alam BA BEd 1-Mar-72 Mansehra 18-Oct-92 20-Feb-97 1061 SADIA AKHLAQ MOHD AKHLAQ BA BEd 3-Jun-73 Mansehra 20-Feb-97 20-Feb-97
  • 24.
    Academic Professional Date of 1st D/O Apptt against No. Name of Teacher Father's Name Qualification Qualification Date of Birth Domicile Apptt: Present Post Name of School 1 2 3 4 5 6 7 8 9 10 1062 IMTIAZ BIBI ABDUR REHMAN BA BED 1-Mar-70 ABBOTTABAD 19-Mar-97 19-Mar-97 GGMS KARACH 1063 Samina Naz Mohammad Shafi M/A M/ Ed 14-Dec-77 Nowshera 7-Apr-97 7-Apr-97 1064 NUZHAT FARHANA SYED LAL HUSSAIN SHAH BA 2nd Div BED 2nd Div: 4-Dec-59 HARIPUR 3-May-97 3-May-97 1065 ZAHIDA KHATOON MUHMMAD HUSSAIN KHAN BA BED 8-Jan-72 ABBOTTABAD 7-Sep-92 13-May-97 GGCMS Nawanshehr 1066 Saeeda Begum Umer Mohd BA (2nd) B,ed 2-Feb-71 Dir Lower 5-Feb-92 13-May-97 1067 Zakia Minhaj Mian Mohd BA (2nd) B,ed 23-Apr-74 Dir Lower 8-Oct-92 13-May-97 1068 SHERIN GUL GHULAM NABI MA MED 19-Aug-69 Lakki 12-Nov-90 13-May-97 GGMS MAMA KHEL MARWAT 1069 Shamshad Begum Qazi Muhammad Shah BA/Bed/CT 12-Feb-66 Swabi 26-Feb-91 13-May-97 GGHS Jalbai 1070 Saeeda bagum Abdul Bar BA BEd 9-Feb-67 Mansehra 2-Mar-87 28-May-97 1071 SADIA BIBI HAFIZ MUHAMMAD ABDULLAH B/SC BED 5-May-76 HARIPUR 29-May-97 29-May-97 1072 ROBINA USMAN USMAN KHAN MA B/Ed 3-Oct-67 MARDAN 7-Dec-88 23-Jun-97 GGMS PIR ABAD 1073 NAHEED ANWAR SYED ANWAR MA B/Ed 10-Oct-68 MARDAN 2-Sep-95 23-Jun-97 GGMS MEHMOOD ABAD GEDDAR 1074 ZULFIA SARWAT IRSHAD AHMAD MA BED,MED 18-Jan-69 MARDAN 26-Jun-96 23-Jun-97 GGMS FEROZ PUR 1075 ANWARYA BEGUM ABDUL BIAN BA B/Ed 25-Apr-69 MARDAN 30-May-95 23-Jun-97 GGMS PATI KALAN 1076 Rehana Kausar Fazal Qadeem BA/Bed/CT 15-Apr-72 Swabi 4-Oct-95 23-Jun-97 GGHS Gar Munara 1077 SHAHIDA YASMIN MUHAMMAD NAZEER MA/ BED/CT 27-Jun-70 D/I/KHAN 24-Jun-97 24-Jun-97 GGCMHS NO1 DIKHAN 1078 ROBINA BIBI, MA / B/Ed FAZLI WADOOD 14-Apr-75 Malakand 24-Jun-97 24-Jun-97 GGHS Kharkai 1079 NASIRA BEGUM ZAREEN SHAH MA B/Ed 2-Feb-69 MARDAN 7-Dec-88 24-Jun-97 GGMS EID GAH 1080 ROBINA NAZNEEN MUKAMIL SHAH MA B/Ed,M/Ed 9-Jun-69 MARDAN 22-Jan-92 24-Jun-97 GGMS SHUJAH ABAD 1081 NAILA NAAZ USMAN ULLAH MA B/Ed,M/Ed 3-Mar-71 MARDAN 31-Dec-92 24-Jun-97 GGHS NO 1 MARDAN 1082 MEHRUN NISA SHEHBAZ KHAN MA B/Ed,M/Ed 14-Mar-71 MARDAN 27-Sep-88 24-Jun-97 GGMS SHUJAH ABAD 1083 UMME SALMA FAZAL MALIK MA BED 28-Jun-65 MARDAN 24-Jun-97 24-Jun-97 GGHSS University Town 1084 Bakht Bibi Fazal Qayum Ma B/Ed 10-Apr-65 SWAT 24-Jun-97 24-Jun-97 GGHS Shahdara 1085 Saira Khatoon, BA,B/Ed Shariki Khan 1-Apr-69 Chitral 1-Jan-95 24-Jun-97 GGCMHS Denin 1086 SAFIDA BANO ABDUR REHMAN BA BED 15-Dec-68 ABBOTTABAD 26-Apr-96 25-Jun-97 GGMS AKHORA 1087 RIFFAT REHNA SARDAR MUHMMAD ASLAM BA BED 3-Apr-72 ABBOTTABAD 25-Jun-97 25-Jun-97 GGCMS Nawanshehr 1088 IMTIAZ BIBI BEQIR HUSSAIN MA /BED/CT 1-Oct-57 D/I/KHAN 20-Apr-81 25-Jun-97 GGCMHS NO1 DIKHAN 1089 SHAGUFTA SANOBAR GHULAM HASSAN MA/ MED/CT 1-Mar-64 D/I/KHAN 25-Jun-97 25-Jun-97 GGMS RAKNO 1090 Tahira Batto S/mushtaq Ahmed BA BEd 23-Mar-73 Mansehra 1-Mar-93 25-Jun-97 1091 Nafisa Bibi BA Mir Safdar Khan 15-Feb-70 Chitral 8-Feb-96 25-Jun-97 GGMS Singoor 1092 Shabana Naz Nahan BA Ghulam Khan 6-Apr-76 Chitral 25-Jun-97 25-Jun-97 GGMS Shahnigar 1093 TOUHEED JAMAL JAMAL UDDIN BA II BED 18-Jan-70 CHARSADDA 26-Jun-97 26-Jun-97 1094 ROBINA BEGUM ABDUL KHALIQ BA II BED 25-Dec-69 CHARSADDA 26-Jun-97 26-Jun-97 1095 TEHMINA ANJEM ABDUR REHMAN MA/ BED/CT 1-Jan-70 D/I/KHAN 26-Jun-97 26-Jun-97 GGHSS NO/ 6 DIKHAN 1096 NASIM BANO BASHIR AHMAD BA MED 18-Aug-66 HARIPUR 26-Jun-97 26-Jun-97 1097 SABIA SHAHEEN MALIK MUHAMMAD BANARIS MA/BA 2nd Div MED/ Bed Ist Div 1-Jan-71 HARIPUR 26-Jun-97 26-Jun-97 1098 TAHIRA JABEEN M RAFIQUE KHAN MA BED 4-Apr-72 HARIPUR 15-Apr-96 26-Jun-97 1099 AZMAT IQBAL MOHAMMAD IQBAL MA B/Ed,M/Ed 20-Apr-71 MARDAN 26-Jun-97 26-Jun-97 GGHS SHANKAR MAHAL 1100 Nighat Shaheen Muaf Gul B/A B/ Ed 13-Aug-70 Nowshera 26-Jun-97 26-Jun-97 1101 NUSRAT ARA SARDAR KHAN FANA MA BED 8-Jul-70 PESHAWAR 26-Jun-97 26-Jun-97 GGHSS Lady Grifth 1102 SARWAT SHAHEEN MUHAMAMD AMIR KHAN MA BED 20-May-71 PESHAWAR 26-Jun-97 26-Jun-97 GGMS Chamkani 1103 QAISRAT BEGUM KHALID ZADA MA BED 4-Apr-70 NOWSHERA 26-Jun-97 26-Jun-97 GGMS Mattani 1104 BIBI MARYUM QAZI SHAUKAT ALI MA BED 6-May-65 PESHAWAR 26-Jun-97 26-Jun-97 GGMS Sufaid Dheri 1105 SHAKEELA BANO ABDUL HANAN MA BED 6-Feb-64 PESHAWAR 26-Jun-97 26-Jun-97 GGMS SWATI GATE PESHAWAR 1106 SHAFQAT YOUSAF MUHAMMAD YOUSAF MA MEd 1-Jun-75 PESHAWAR 26-Jun-97 26-Jun-97 GGHS Jogiwara 1107 Fari bano Bakht Raz Muhammad MA M/Ed 24-Feb-75 SWAT 26-Jun-97 26-Jun-97 GGHS Gwelerai 1108 GUL NAZ BIBI KALA KHAN BA BED 9-Dec-75 ABBOTTABAD 27-Jun-97 27-Jun-97 GGHS Rajoya
  • 25.
    Academic Professional Date of 1st D/O Apptt against No. Name of Teacher Father's Name Qualification Qualification Date of Birth Domicile Apptt: Present Post Name of School 1 2 3 4 5 6 7 8 9 10 1109 SHAHZIA SARWAT REHMAN ULLAH BSC II BED 13-May-72 CHARSADDA 27-Jun-97 27-Jun-97 1110 ANEELA KHAN HASHIM KHAN BSc HOM 2ND DIV BED 16-Dec-75 HARIPUR 27-Jun-97 27-Jun-97 1111 NUSRAT TAZEEM M DAUD KHAN MA MED/BEd/ 2nd div 10-Dec-64 HARIPUR 14-Sep-92 27-Jun-97 1112 SHABNUM BIBI MUHAMMAD HANEEF BA CT 7-Apr-73 KOHAT 27-Jun-97 27-Jun-97 GGMS MEROZAI 1113 Ayesha Bibi Syed Sabir Shah BA BEd 1-Mar-76 Mansehra 16-Mar-93 27-Jun-97 1114 TASLEEM BIBI ASLAM KHAN BA BED 6-Feb-67 ABBOTTABAD 28-Jun-97 28-Jun-97 GGMS Dheri Maira 1115 SAIMA GUL KHAYAL GUL MA CT 26-Aug-72 KOHAT 28-Jun-97 28-Jun-97 GGHS DHODA 1116 RIFFAT PERVEEN ABDUR RAZAQ MA CT 24-Mar-73 KOHAT 28-Jun-97 28-Jun-97 GGHS NO 1 KOHAT 1117 BIBI HAJRA MUHAMMAD FAROOQ BA CT 25-May-71 KOHAT 28-Jun-97 28-Jun-97 GGMS BANDA PARACHGAN 1118 RUQIA KAUSAR MUHAMMAD BAZ KHAN MA B/Ed, M/Ed 23-Mar-74 MARDAN 28-Jun-97 28-Jun-97 GGMS SHEIKH MALTOON 1119 SHAKILA BEGUM FARIDULLAH MA MEd 10-Jan-72 PESHAWAR 28-Jun-97 28-Jun-97 GGHS Jogiwara 1120 Safia Begum Maqbool Ahmad MA/CT 15-Feb-63 Swabi 7-Dec-85 28-Jun-97 GGMS Daulat 1121 Salma Bibi Mahmood Khan BA CT 5-May-74 SWAT 28-Jun-97 28-Jun-97 GGHS Tatano bandai 1122 Mehbooba Rahman, MA M/Ed Muhammad Amin 6-Apr-70 Chitral 28-Jun-97 28-Jun-97 GGHS Booni 1123 ISHRAT BEGUM RAHAMDIL KHAN BA II BED 28-Oct-68 CHARSADDA 11-Feb-85 29-Jun-97 1124 FARHAT AFZA DAUD SHAH MA BA 2ND DIV BED 2nd Div: 16-Aug-68 HARIPUR 1-Nov-88 30-Jun-97 1125 RASHIDA TAJ TAJ MUHAMMAD BA B/Ed 4-Apr-76 MARDAN 8-Nov-94 30-Jun-97 GGMS PATI KALAN 1126 ZAKIA BIBI MOLVI ABDUL WAHID MA B/Ed,M/Ed 10-May-71 MARDAN 30-Jun-97 30-Jun-97 GGMS BABENI 1127 SADIA SULTAN SULTAN MUHAMMAD MA BED 4-Apr-75 SWABI 30-Jun-97 30-Jun-97 GGHSS University Town 1128 FARIDA BANO GHULAM MUHAMMAD MA BED 2-May-56 PESHAWAR 1-Jan-76 30-Jun-97 GGMS Jehangir Pura 1129 Sabeeha Naz Wasal Khan MA/Bed/CT 1-Aug-71 Swabi 30-Jun-97 30-Jun-97 GGMS Sheikh Dheri 1130 Janat un Nisa Muhammad Ibrahim MA/Med/CT 20-Sep-71 Swabi 30-Jun-97 30-Jun-97 GGMS Sheikh Jana 1131 Bushra Faqir Taj MA/Bed/CT 2-Jan-72 Swabi 30-Jun-97 30-Jun-97 GGHS Ismaila 1132 Tilawat Begum Nazir Muhammad MA/Bed/CT 1-Mar-72 Swabi 30-Jun-97 30-Jun-97 GGHSS Lahor 1133 Shafqat Naz Nawad Din MA/Med/CT 4-Apr-75 Swabi 30-Jun-97 30-Jun-97 GGHS Gulshan Abad 1134 Surriya Noureen Fida Muhammad MA/Bed/CT 11-Mar-76 Swabi 30-Jun-97 30-Jun-97 GGHS Kunda 1135 Aisha Bibi Abdur rashid MA M/Ed 8-Mar-74 SWAT 30-Jun-97 30-Jun-97 GGHSS Kabal 1136 Raham Begum Saida Gul MA M/Ed 3-Jan-75 SWAT 30-Jun-97 30-Jun-97 GGHSS Kabal 1137 Anwar Jamal BA Sher Abdullah 3-Feb-62 Chitral 15-Jul-85 30-Jun-97 GGHS Muldeh 1138 Zahida Mumtaz BA Rahmat Karim Baig 1-Mar-73 Chitral 10-Nov-92 30-Jun-97 GGMS Chumlurkon 1139 KHYBER NISA MIRZA KHAN BA BED 22-Dec-60 ABBOTTABAD 26-Aug-82 1-Jul-97 GGCMS Nawanshehr 1140 BIBI RIZWANA M/ ASHRAF BA BED 20-Oct-74 ABBOTTABAD 31-May-95 1-Jul-97 GGMS Samissar 1141 ZAHIDA BANO HAJI GHULAM HUSSAIN BA BED 11-Feb-67 ABBOTTABAD 5-Nov-95 1-Jul-97 GGCMS A/Abad (NO/1) 1142 Surriya Jabeen Qazi Ahmed BA BED 8-Oct-69 ABBOTTABAD 1-Jul-97 1-Jul-97 GGHS Kunj 1143 SALMA JABEEN MUHMMAD YOUSAF BA BED 12-Feb-74 ABBOTTABAD 1-Jul-97 1-Jul-97 GGHSS Sherwan 1144 TAHMEEDA BEGUM ABDUL SHAKOOR BA II BED 13-Feb-67 CHARSADDA 1-Nov-85 1-Jul-97 1145 ZAHIDA BEGUM MUHAMMAD SAEED BA II BED 3-Jan-60 CHARSADDA 20-Dec-87 1-Jul-97 1146 TAMANA BEGUM JAN ALAM BA II BED 30-Nov-73 CHARSADDA 8-Mar-95 1-Jul-97 1147 AMNA BEGUM ZAFAR KHAN BA II BED 7-Feb-69 CHARSADDA 12-Mar-96 1-Jul-97 1148 NADIA ROOHI ROOH ULLAH BSC II BED 16-Jul-71 CHARSADDA 1-Jul-97 1-Jul-97 1149 HUSNA DEDAR GUL DEDAR GUL BA II BED 10-May-72 CHARSADDA 1-Jul-97 1-Jul-97 1150 NAHEED AKHTAR ABDUL RAHIM KHAN MA/ BA 2nd iv BED 2nd Div: 7-Dec-68 HARIPUR 1-Jul-97 1-Jul-97 1151 RAHEELA ANJUM MALIK KHALID MEHMOOD MA/BA 2nd Div Bed 2nd Div: 5-Oct-73 HARIPUR 15-Feb-96 1-Jul-97 1152 SHABNAM BIBI M/SARWAR KHAN MA BA IST DIV CT 15-Dec-71 HARIPUR 1-Jul-97 1-Jul-97 1153 SAJIDA ANJUM HAFIZ ABDUL QUDOOS BA 2ND DIV CT 22-Feb-70 HARIPUR 1-Jul-97 1-Jul-97 1154 IQBAL BEGUM PIR GHULAM MA BED 3-Mar-72 Lakki 7-Jan-97 1-Jul-97 GGHSS TITTER KHEL 1155 SHABINA, BA(2nd)/B/Ed RAHIM SHAH 1-Nov-65 Malakand 21-Jan-87 1-Jul-97 GGHSS Sakhakot
  • 26.
    Academic Professional Date of 1st D/O Apptt against No. Name of Teacher Father's Name Qualification Qualification Date of Birth Domicile Apptt: Present Post Name of School 1 2 3 4 5 6 7 8 9 10 1156 BIBI HALIMA, MA (U) / B/ED MUHAMMAD ISLAM 7-Nov-72 Malakand 1-Jul-97 1-Jul-97 GGHS Dargai 1157 NUSRAT, BA (2nd) / B/ED GHULAM MUHAMMAD 9-Feb-73 Malakand 1-Jul-97 1-Jul-97 GGHS Julagram 1158 SHAISTA AMAN,MA(Urdu) / B/Ed FAZAL AMAN 8-Dec-74 Malakand 1-Jul-97 1-Jul-97 GGMS GULMUQAM MALAKAND 1159 Haleema Bibi,BA(2nd) Muhammad Islam 07/Nov/72/ Malakand 1-Jul-97 1-Jul-97 GGHS Dargai 1160 Munaza Naheed M/Muqarab Afandi BA BEd 1-Jun-65 Mansehra 11-Apr-93 1-Jul-97 1161 NIGHUT SHAHEEN ABDUL RAZAK BA BEd 27-Dec-68 Abbottabad 1-Jul-97 1-Jul-97 1162 RUKHSANA SHAHNAZ USMANI GUL MA B/Ed 18-Feb-68 MARDAN 18-Feb-86 1-Jul-97 GGMS ASLAM KOROONA 1163 FARZANA KAUSAR NOOR MUHAMMAD KHAN MA B/Ed 8-Jan-70 MARDAN 1-Jul-97 1-Jul-97 GGHSS Toru 1164 NAHEEDA BEGUM ASHRAF UD DIN MA B/Ed,M/Ed 6-Jan-71 MARDAN 4-Mar-90 1-Jul-97 GGHSS Shahbaz Garhi 1165 LAIL UN NIHAR AMAN ULLAH MA B/Ed 14-Jun-72 MARDAN 1-Jul-97 1-Jul-97 GGHSS Toru 1166 JAN BIBI FIRDOS KHAN MA B/Ed 5-Nov-72 MARDAN 8-Nov-94 1-Jul-97 GGHS HOTI NO2 1167 SHAZIA SYED SHAUKAT HUSSAIN MA B/Ed 15-Apr-73 MARDAN 23-Jun-97 1-Jul-97 GGHS HOTI NO2 1168 Bas Jan Akhtar Nawab Gul MA B/Ed/M/Ed 17/9/66 Nowshera 29-Jan-88 1-Jul-97 1169 SUMERA IRUM ALI HUSSAIN MA BED 8-Oct-74 PESHAWAR 1-Jul-97 1-Jul-97 GGHS Civil Quarters 1170 SEEMA SYED SYED SANAUL HAQ MA BED 15-Aug-68 PESHAWAR 29-Jan-90 1-Jul-97 GGHS Jogiwara 1171 SAEEDA SHAHEEN MUHAMAMD ALI SHAH BA BED 1-Nov-52 PESHAWAR 30-Sep-72 1-Jul-97 GGHS Nishter Abad 1172 RUBINA WAHEED WAHEED ULLAH BA BED 6-Aug-72 PESHAWAR 20-Nov-94 1-Jul-97 GGHSS Begum Shahab/ud/Din 1173 KHAIRUN NISA SHAHBAZ KHAN MA BED 4-Dec-65 PESHAWAR 17-Jan-95 1-Jul-97 GGMS Gul Bachah Jee 1174 NASREEN AKHTAR MUHAMMAD YAQOOB MA BED 14-Aug-70 PESHAWAR 1-Jul-97 1-Jul-97 GGHS Nahaqi 1175 ZOO UL QAMAR GHULAM JAN MA MEd 5-Jan-73 PESHAWAR 1-Jul-97 1-Jul-97 GGHS City Railway Station 1176 AJAB SULTAN HAZRAT MIR MA MEd 17-Nov-54 PESHAWAR 13-Nov-85 1-Jul-97 GGHSS Comprehencive 1177 SAJIDA SHAHEEN ASMAT ULLAH MA BED 16-Apr-73 PESHAWAR 1-Jul-97 1-Jul-97 GGMS Hazar Khawani No/2 1178 Naheed Gulzar Khan MA/Med/CT 29-Jun-71 Swabi 5-Dec-89 1-Jul-97 GGHS Lahor Sharqi 1179 Nasreen Akhtar Asad Khan BA/CT 9-Aug-69 Swabi 1-Jul-97 1-Jul-97 JICA Model School Adina 1180 Shaheen Said Rauf Shah BA/Bed/CT 1-Nov-70 Swabi 1-Jul-97 1-Jul-97 GGHS Zarobi 1181 Aziza Begum Jamshaid Khan MA/Med/CT 24-Jul-71 Swabi 1-Jul-97 1-Jul-97 GGHS dodher 1182 Aqsam Faqir Taj MA/Bed/CT 10-Apr-72 Swabi 1-Jul-97 1-Jul-97 GGHSS Kalu Khan 1183 Rasheeda Naz Rahman Ullah MA/Med/CT 1-May-74 Swabi 1-Jul-97 1-Jul-97 GGHS Sarwar Shah Kote 1184 Nageen Iqbal Iqbal Muhammad MA/CT/Med 11-Nov-74 Swabi 1-Jul-97 1-Jul-97 GGHS Salim Khan 1185 Shagufta nargis Muhammad Saeed MA/Bed/CT 24-Apr-75 Swabi 1-Jul-97 1-Jul-97 GGHS Sard China 1186 Hajira Amir Saleem Khan BA B/Ed 10-Apr-64 SWAT 16-Jul-84 1-Jul-97 GGMS Telegram 1187 Anjum Ara Abdul Qudos MA M/Ed 7-Apr-73 SWAT 1-Mar-93 1-Jul-97 GGMS Sersenai 1188 Abida Parveen Abdul hamid MA B/Ed 16-Apr-75 SWAT 28-Dec-96 1-Jul-97 GGMS Dardyal 1189 Naseem Sahar Mian Bad Shah BA M/Ed 2-Apr-78 SWAT 1-Jul-97 1-Jul-97 GGHS Chamtalai 1190 SHEHNAZ BEGUM FATEH KHAN MA CT 4-Jan-73 KOHAT 2-Jul-97 2-Jul-97 GGHSS SHAKARDARA 1191 RASHIDA FEROOZ SHAH JEHAN MA BED 4-Jul-65 NOWSHEHRA 2-Jul-97 2-Jul-97 GGPMS BUDNI PESHAWAR (JICA) 1192 NAZIA BANO GHAZI KHAN BA BED 18-Mar-69 ABBOTTABAD 3-Jul-97 3-Jul-97 GGHS Saji Kote 1193 ROOH AFZA GHAZI KHAN BA BED 28-Apr-70 ABBOTTABAD 4-Jul-97 4-Jul-97 GGHS Nagri Tutyal 1194 TAHSEEN AKHTAR SYED SADIQ HUSSAIN MA BED 2nd Div: 1-Jan-71 HARIPUR 4-Jul-97 4-Jul-97 1195 NAGINA KALSOOM MUHAMMAD AYUB KHAN BA BED 5-May-68 ABBOTTABAD 5-Jul-97 5-Jul-97 GGCMS Nawanshehr 1196 IRAM AMBAREEN M ANWAR BA II BED 7-Aug-71 KOHAT 5-Jul-97 5-Jul-97 1197 GUL NAZ MAQBOOL HUSSAIN BA II BED 17-Feb-69 CHARSADDA 5-Nov-88 7-Jul-97 1198 S/Farrah Abid S/Abid Hussain Shah BA BEd 2-Feb-72 Mansehra 24-Apr-93 7-Jul-97 1199 GUL E REHANA CHANAN KHAN MA/BA 2nd Div BED 2nd Div: 15-Mar-74 HARIPUR 9-Jul-97 9-Jul-97 1200 ANJUM BEGUM, BA (2Nd) / B/Ed ABDUL AMIN 20-Mar-70 Malakand 9-Jul-97 9-Jul-97 GGHS Batkhela 1201 MARYAM SADIQ, BA (2ND)/ B/ED MUHAMMAD SADIQ 1-Sep-75 Malakand 11-Jul-97 11-Jul-97 GGHS Julagram 1202 Hasina Bibi BA Hassan Ali 3-Apr-69 Chitral 14-Mar-90 14-Jul-97 GGMS Khot Bala
  • 27.
    Academic Professional Date of 1st D/O Apptt against No. Name of Teacher Father's Name Qualification Qualification Date of Birth Domicile Apptt: Present Post Name of School 1 2 3 4 5 6 7 8 9 10 1203 FARZANA YASMIN FAZAL HI HAQUE MA BED 15-Oct-73 HARIPUR 16-Jul-97 16-Jul-97 1204 Khalida Syed Syed Muhammad MA/Med/CT 3-Feb-72 Swabi 20-Jul-97 20-Jul-97 GGMS Mathra Dagi 1205 Rabihat Jamal Bakht Jamal MA/Bed/CT 16-Apr-74 Swabi 23-Jul-97 23-Jul-97 JICA Model School Adina 1206 RUKSANA NAZ DIN MOHD BA BEd 2-Nov-68 Mansehra 23-May-92 28-Jul-97 1207 ALKIN BEGUM GHULAM RASHID MA BED 8-Jan-97 MKD AGY 1-Aug-97 28-Jul-97 GGPMS HAYAT ABAD (JICA) 1208 KANEEZ FATIMA GHULAM SARWAR BA BED 1-Sep-71 ABBOTTABAD 23-May-92 1-Aug-97 GGHS Rich Bhen 1209 FARZANA SHAHEEN BADI/UZ/ZAMAN BA 2ND DIV BED 2nd Div: 3-Jan-69 HARIPUR 30-Oct-88 1-Aug-97 1210 YASMEEN BEGUM, BA (2Nd) / B/ED WALI AHMAD 15-Nov-66 Malakand 1-Aug-97 1-Aug-97 GGMS GULMUQAM MALAKAND 1211 Naseem Sherin Sherin Khan MA/Bed/CT 15-May-69 Swabi 27-May-92 1-Aug-97 GGHS Dagai 1212 GHAZALA BIBI AZHAR ABBASI BA BED 28-Mar-72 ABBOTTABAD 7-Aug-97 7-Aug-97 GGMS Narooka 1213 YASMIN AKTHAR LAL KHAN BA BED 1-Jan-65 ABBOTTABAD 17-Sep-85 8-Aug-97 GGCMS Nawanshehr 1214 KHOLA NISAR NISAR AHMED BA BEd 3-Apr-76 Mansehra 26-Apr-93 16-Aug-97 1215 ZAHIDA PARVIN MOHD NAWAZ BA BEd 12-Dec-72 Mansehra 18-Jan-91 16-Aug-97 1216 ANJUM ARA,MA/B/ED GUL ROZ 20-Oct-73 Malakand 22-Aug-97 22-Aug-97 GGMS Prangai 1217 GUL SHAHEEN ABDUR RAHEEM BA BED 12-Mar-64 ABBOTTABAD 16-May-92 25-Aug-97 GGHSS Havelian 1218 NABILA BIBI, BA(2nd) FAQIR KHAN 20-Mar-75 Malakand 15-Sep-97 15-Sep-97 GGHSS Sakhakot 1219 Andaleeb Ara/ Rafiq/e/Alam/ MA(BE/d) CT 12-Dec-69 Tank/ 1-Oct-97 1-Oct-97 /do/ Qutab Colony/ 1220 NAJMA BIBI FARIDULLAH BA BED 2-Jan-94 CHITRAL 7-Oct-97 7-Oct-97 GGHS Warsak Colony 1221 Tahira Afsar BA B/Ed Afsar Ali 20-Apr-74 Chitral 10-Jul-97 7-Oct-97 GGMS Brep 1222 Najma Bibi BA Sultan Mohammad 1-Dec-74 Chitral 10-Jul-97 7-Oct-97 GGMS Bang 1223 Dilshad Bibi BA,B/Ed; Ghulam Jalal 4-Feb-75 Chitral 10-Jul-97 7-Oct-97 GGMS Denin 1224 NIGHAT SHAHEEN MIAN MARHOOBULLAH MA BED 1-Jan-63 PESHAWAR 20-Oct-97 20-Oct-97 GGMS Hazar Khawani No/2 1225 SHEHNAZ BEGUM ABDUL GHAFAR BA 1-Jan-61 Lakki 11-Jul-85 3-Nov-97 GGMS BEGU KHEL 1226 SAFINA KHALID KHALID KHAN MA MEd 12-Nov-70 BANNU 20-Nov-97 20-Nov-97 GGHS Suliman Khel 1227 Naheed Sabir Khan BA CT 12-Mar-56 SWAT 20-Nov-97 20-Nov-97 GGHS No/2/S/Sharif 1228 SHAMIM AKHTAR ZARIN BADSHAH MA BED 9-Jan-70 SWABI 25-Nov-94 25-Nov-97 GGHSS University Town 1229 RUKHSANA BEGUM GHULAM MUHAMMAD DIN BA 12-Dec-71 Lakki 18-Nov-92 1-Dec-97 GGMS MELA MANDRA KHEL 1230 Fairooz Bibi BA Mir Afzal Khan 2-Dec-74 Chitral 12-Jul-97 7-Dec-97 GGMS Sonoghur 1231 Shabnam Ghani Abdul Ghani M/A M/ Ed 12-Dec-73 Nowshera 13-Oct-93 23-Dec-97 1232 Farkhanda Yasmin Maroof Shah M/A B/ Ed 7-Jun-66 Nowshera 20-May-85 1-Jan-98 1233 SAMINA MA, BED DILAWAR KHAN 12-Jan-72 BUNNER 23-Apr-92 3-Jan-98 GGHSS KALPANI 1234 MUHSIN ZARI MA, MED GUL ZADA 3-Jul-73 BUNNER 27-Apr-92 3-Jan-98 GGHS NAWAGAI 1235 Farhat Jabeen Badhshah Yousaf BA (2nd) B,ed 16-Apr-63 Dir Lower 3-Jan-98 3-Jan-98 1236 Razia Kousar Aminul Haq BA (2nd) B,ed 11-Dec-70 Dir Lower 9-Dec-89 3-Jan-98 1237 Zakia Begum(CT)BA Sardar Bacha BA 1-Jan-74 Dir (U) 11-Oct-94 3-Jan-98 GGHS, Samkot 1238 Bibi Taqdira MA B/Ed Sher Raza Khan 10-May-71 Chitral 19-Apr-90 3-Jan-98 GGMS Kosht 1239 NILOFAR, BA (2nd) / B/Ed ABDUL SATTAR KHAN 11-Jan-75 Malakand 5-Jan-98 5-Jan-98 GGHS DARGAI 1240 FOUZIA BIBI ABDUR REHMAN BA B/Ed MALAKAND AGENCY 5-Jan-98 GGMS KAUDARE BALA 1241 SAEEDA MUHAMMAD AMIN MA BED 28-May-74 MKD AGY 5-Jan-98 5-Jan-98 GGHS Sufaid Sang 1242 Farzana Ambreen Muhammad Saleheen MA M/Ed 13-Oct-76 SWAT 5-Jan-98 5-Jan-98 GGHS Barikot 1243 Shafgat Naz Shah Gul Ambar BA CT 8-Mar-74 SWAT 6-Jan-98 6-Jan-98 GGHS Fazal Abad(K) 1244 ABIDA KHANAM, MA/B/ED/CT ANAYAT GUL 1-Apr-77 Malakand 7-Jan-98 7-Jan-98 GGMS ZOOR MANDI 1245 Shahnaz Bibi, MA B,Ed/M/Ed Chiragh Ali Shah 10-Apr-76 Chitral 1-Jul-98 7-Jan-98 GGCMHS Denin 1246 AZRA SHAHEEN MUHAMMAD ISHAQ MA BED 25-Dec-66 PESHAWAR 1-Jan-98 9-Jan-98 GGPMS BABU ZAI (JICA) 1247 SHAHEEN KHADIM MUHAMMAD KHADIM KHAN BA II BED 20-Apr-61 CHARSADDA 6-Oct-86 10-Jan-98 1248 YASMEEN BEGUM MUHAMMAD DIN SHAH MA BED 15-Oct-73 NOWSERHA 10-Jan-98 10-Jan-98 GGHS No1/ Cantt 1249 NARGAS NAHID AMAN ULLAH MSc MEd 25-Oct-67 CHARSADDA 10-Jan-98 10-Jan-98 GGPMS JICA GULBELA
  • 28.
    Academic Professional Date of 1st D/O Apptt against No. Name of Teacher Father's Name Qualification Qualification Date of Birth Domicile Apptt: Present Post Name of School 1 2 3 4 5 6 7 8 9 10 1250 ZAITOON BEGUM GHULAM HUSSAIN MA BED 1-Jan-65 PESHAWAR 13-Jan-98 13-Jan-98 GGHSS Begum Shahab/ud/Din 1251 Ulfaq Khattak Khawas Khan MA B/Ed 30-May-68 nowshera 13-Jan-98 13-Jan-98 1252 FAHIM AKHTAR FAZLI KHUDA MA BED 15-Oct-67 PESHAWAR 27-Apr-88 14-Jan-98 GGHSS Begum Shahab/ud/Din 1253 SHAISTA JEHANGIR JEHANGIR KHAN MA BED 10-Jun-71 PESHAWAR 15-Jan-98 15-Jan-98 GGHS No1/ Cantt 1254 FARHAT JABEEN MUJAHID ALI BA BED 2-Jul-66 PESHAWAR 27-Oct-88 15-Jan-98 GGHS Islamia Collegiate 1255 KALSOOM HANIF MUHAMAMD HANIF BA BED 12-Jun-74 PESHAWAR 15-Jan-98 15-Jan-98 GGHS LARAMA 1256 ASMA AYUB SYED AYUB SHAH BA MEd 3-Apr-76 PESHAWAR 15-Jan-98 15-Jan-98 GGHS Tarnab Farm 1257 FARZANA BANO FARID ULLAH BA MEd 4-Apr-70 PESHAWAR 15-Jan-98 15-Jan-98 GGMS Zaryab Colony 1258 Safia Naz Wazir Muhammad MA/Med/CT 4-Jul-71 Swabi 26-May-93 15-Jan-98 GGHS Maini 1259 Kalsoom Bibi M/Jehan Zeb MA/Med/CT 10-Apr-74 Swabi 1-Aug-93 15-Jan-98 GGHS Maini 1260 ROMAN ZARI MUHAMAMD NABBI BSC B/Ed,M/Ed 13-Jan-73 MARDAN 16-Jan-98 16-Jan-98 GGHS NO 1 MARDAN 1261 RAWASIA BEGUM MUHAMMAD NABI MA B/Ed,M/Ed 24-Apr-70 MARDAN 31-Oct-89 16-Jan-98 GGHS RUSTAM KHEL 1262 SUMAIRA NAZ ATHAR MUHAMMAD MA B/Ed 24-May-72 MARDAN 16-Jan-98 16-Jan-98 GGMS SARAI KOROONA 1263 FARKHANDA NAZ NOOR ALI SHAH MA B/Ed 4-Apr-71 MARDAN 17-Jan-98 17-Jan-98 GGHSS Gujrat 1264 MEHER NIGAR GUL REHMAN MA BED 21-Apr-70 PESHAWAR 17-Jan-98 17-Jan-98 GGHS No1/ Cantt 1265 FARHAT AFZA MUHAMMAD MUMTAZ ALI MA MEd 9-Apr-75 BANNU 24-Jan-98 17-Jan-98 GGMS MALAKANDHER 1266 Shabnam Jabeen, Abdul Khaliq MA B/Ed: 6-Nov-68 Karak 3-Jan-90 17-Jan-98 GGHS Terri/ 1267 WAQAR UN NISA ABDUL LATIF MA/ MED/CT 24-Dec-72 D/I/KHAN 18-Jan-98 18-Jan-98 GGHS NO/ 3 DIKHAN 1268 RAHEELA AKHTER GHALIB GUL MA CT 30-Aug-70 KOHAT 26-May-94 19-Jan-98 GGHS SHEWAKI 1269 TABANA AFZAL SHER AFZAL MA CT 5-Aug-69 KOHAT 19-Jan-98 19-Jan-98 GGHS KOT 1270 Fouzia Begum Abdul Dayan M/A B/ Ed 10-Feb-73 Nowshera 19-Jan-98 19-Jan-98 1271 Fozia Begum Abdul Dayyan M/A B/ Ed 10-Feb-73 Nowshera 19-Jan-98 19-Jan-98 1272 GUL ZAIB ABDULLAH MSC MEd 16-Jan-71 CHARSADDA 19-Jan-98 19-Jan-98 GGHS Budhni 1273 GULI RANA KIFAYAT ULLAH BA II BED 1-Jan-73 CHARSADDA 20-Jan-98 20-Jan-98 1274 MUNEEBA SAJJAD SAJJAD HUSSAIN SHAH BA CT 18-Jun-67 KOHAT 20-Jan-98 20-Jan-98 GGHS KOT 1275 Shamim Ijaz Bahawal Khan BA B/Ed: 12-Jan-70 Karak 17-Nov-94 20-Jan-98 GGMS Algadi Sharki 1276 Shaheen Begum Umer Daraz MA M/Ed: 1-Jan-71 Karak 20-Jan-98 20-Jan-98 GGHS Khojaki/ 1277 SHAZIA AMBREEN ABDUL QAYUME MA BED 16-Feb-72 PESHAWAR 20-Jan-98 20-Jan-98 GGHS Sarband 1278 Riffat Begum Abdullah Shah MA/Med/CT 24-Mar-73 Swabi 5-Mar-92 20-Jan-98 GGHs Adina 1279 HAJRA BIBI MUHAMMAD ALI SHAH MA CT 10-Mar-69 KOHAT 21-Jan-98 21-Jan-98 GGMS BANDA PARACHGAN 1280 GULSHAN ARA AMANULLAH JAN MA MEd 6-Oct-70 PESHAWAR 21-Jan-98 21-Jan-98 GGCMHS Tehkal Bala 1281 Basharatuz Zuhra Muhammad Raziq BA/Bed/CT 25-Apr-73 Swabi 20-Jan-93 21-Jan-98 GHSS tordher 1282 Parveen Akhtar Ibne Yameen MA/Bed/CT 11-Sep-70 Swabi 21-Jan-98 21-Jan-98 GGHS Jehangira 1283 Tanveer Akhtar Feroz Khan BA/Bed/CT 31-Jan-71 Swabi 21-Jan-98 21-Jan-98 GGMS Haryan 1284 Nighat Seema Niaz Muhammad MA/Bed/CT 12-Apr-73 Swabi 21-Jan-98 21-Jan-98 GGHSS Kalabat 1285 Parveen Begum Masood Khan MA/Med/CT 11-Oct-73 Swabi 21-Jan-98 21-Jan-98 GGMS Sher Ghund 1286 Bakhtaja Bibi Azizullah MA/Bed/CT 1-Jan-75 Swabi 21-Jan-98 21-Jan-98 GGHS Zaida 1287 Nadia Sultan Sutlan Muhammad BA/Bed/CT 4-Apr-75 Swabi 21-Jan-98 21-Jan-98 JICA Model School Topi 1288 Ume Salma Shah Nawaz MA/Bed/CT 11-Jun-69 Swabi 28-Jan-98 21-Jan-98 JICA Model School Topi 1289 Zulikha Bibi Pilawar Shah MA B/Ed: 16-Jan-75 Karak 11-Jan-94 21/01/1998 GGMS Zarkhan Killa 1290 TAHIRA KALSOOM JAVED AKHTER MA CT 6-Dec-73 KOHAT 22-Jan-98 22-Jan-98 GGMS JUNGLE KHEL 1291 GHAZALA BEGUM WALI MUHAMAMD MA B/Ed 2-Jan-74 MARDAN 22-Jan-98 22-Jan-98 GGHS JALALA 1292 FARHAT JABEEN MOHIB ULLAH MA B/Ed,M/Ed 2-Mar-60 MARDAN 22-Jan-98 22-Jan-98 GGHS SHANKAR MAHAL 1293 NAHEED ALAM MIR ALAM MA B/Ed, M/Ed 3-Mar-72 MARDAN 22-Jan-98 22-Jan-98 GGMS FATEH ABAD 1294 BIBI AMINA FAZLI MANAN MA B/Ed 1-Feb-76 MARDAN 22-Jan-98 22-Jan-98 GGMS SHEIKHANO BANDA 1295 Parveen Akhtar Rehan Shah MA/Med/CT 14-Feb-59 Swabi 1-May-78 22-Jan-98 GGHS Jalbai 1296 Razia begum Muntazir Khan MA/Bed/CT 13-May-76 Swabi 22-Jan-98 22-Jan-98 GGHS Dagai
  • 29.
    Academic Professional Date of 1st D/O Apptt against No. Name of Teacher Father's Name Qualification Qualification Date of Birth Domicile Apptt: Present Post Name of School 1 2 3 4 5 6 7 8 9 10 1297 SADIA NAZ SYED IMRAZ MA CT 6-Feb-75 KOHAT 24-Jan-98 24-Jan-98 GGHS NO 1 KOHAT 1298 ZEENAT BEGUM ABDUL HAYE MA CT 17-Jul-64 KOHAT 17-Sep-86 24-Jan-98 GGMS TOGH PAYAN 1299 HIDAYAT BIBI ANWAR ZEB MA B/Ed 5-Jun-74 MARDAAN 24-Jan-98 24-Jan-98 GG JICA KARIM ABAD(T/BHAI) 1300 SARWAT BGEGUM DAWA KHAN MA B/Ed 11-Apr-71 MARDAN 24-Jan-98 24-Jan-98 GGHS RUSTAM KHEL 1301 ASIA BEGUM ABBAS ALI MA B/Ed,M/Ed 3-Oct-70 MARDAN 7-Mar-90 24-Jan-98 GGHSS Hathian 1302 Asmat Jehan Zarin Gul M/A B/ Ed, M/ Ed 4-Mar-63 Nowshera 30-Jan-88 24-Jan-98 1303 Raheen Akhtar Ibne Yameen MA/Bed/CT 27-Feb-68 Swabi 24-Jan-98 24-Jan-98 GGHS Jehangira 1304 RIZWANA, BA (2nd) / B/Ed SAFDAR KHAN 9-May-74 MARDAN 27-Jan-98 27-Jan-98 GGMS SHARIF ABAD 1305 Safina Kosar Muhammad Yousaf Khan BA B/Ed 3-May-72 nowshera 28-Jan-98 28-Jan-98 1306 AMBIA BEGUM MASAL KHAN BA II BED 4-Jan-67 CHARSADDA 22-Mar-92 2-Feb-98 1307 SHAHIDA JABEEN ABDUL AHAD MSC CT 26-Dec-73 KOHAT 2-Feb-98 2-Feb-98 GGCMHS NO 3 KOHAT 1308 Zubida Begum Kamil Khan M/A M/ Ed 8-Aug-69 Nowshera 2-Feb-98 2-Feb-98 1309 ZEENAT BEGUM BADSHAH GUL MA BED 16-Oct-69 CHARSADDA 18-Oct-88 2-Feb-98 GGHS Sheikh Abad 1310 TAHIRA SHAHEEN ISRAR UL HAQ BA BED 13-Sep-71 ABBOTTABAD 3-Feb-98 3-Feb-98 GGHS Kunj 1311 Samina Jamil Abdul Jamil BA (2nd) B,ed 5-Dec-75 Dir Lower 3-Feb-98 3-Feb-98 1312 SAJIDA REHMAN AZIZ UR REHMAN BA BED 1-Jun-64 ABBOTTABAD 1-Nov-88 4-Feb-98 GGHS Salhad 1313 Rani Ambreen Roshan Khan BA BEd 1-Apr-75 Mansehra 4-Feb-98 4-Feb-98 1314 SHABANA MEHBOOB MEHBOOB UR REHMAN BA BEd 30-Jul-72 Mansehra 24-Mar-96 4-Feb-98 1315 Najma Jamil Muhamamd Jamil MA/Med/CT 16-Jan-72 Swabi 28-Dec-95 6-Feb-98 GGHS Bamkhel 1316 GHAZLA YASMIN FAZLI RABBANI BA II BED 20-Dec-68 CHARSADDA 9-Feb-98 9-Feb-98 1317 ABIDA SHAHEEN ALI MARDAN MA MED 1-Mar-75 HARIPUR 9-Feb-98 9-Feb-98 1318 FARZANA JABEEN MUHAMMAD AZEEM MA BED 18-Mar-70 PESHAWAR 21-Mar-90 9-Feb-98 GGMS New karim Pura 1319 SAIMA SHAKOOR ABDUL SKAKOOR BA BED 3-Aug-73 ABBOTTABAD 12-Feb-98 12-Feb-98 GGHSS Comprehencive 1320 NAILA ANJUM S SIKANDAR SHAH MA B/Ed 3-Sep-71 MARDAN 12-Feb-98 12-Feb-98 GGCMHS BICKET GANJ CANAL ROAD 1321 ASMA NOSHEEN GUL MAST KHAN MA BED 20-Jul-74 PESHAWAR 12-Feb-98 12-Feb-98 GGHS Nishter Abad 1322 SHAISTA JADOON SHAMREZ KHAN BA BED 13-Feb-98 ABBOTTABAD 13-Feb-98 13-Feb-98 GGJICA MODEL MIRPUR 1323 SHARAFATUN NISA FA, CT SAID LAIQ SHAH 4-Jan-71 BUNNER 11-Dec-89 15-Feb-98 GGMS AMNAWAR 1324 Asia Jamshied Jamshied Alam M/A B/ Ed 22-Apr-71 Nowshera 1-Nov-93 26-Feb-98 1325 ANJUM ARA MIAN REHMANUD DIN BA B/Ed 18-May-70 MARDAN 18-Apr-93 27-Feb-98 GGHS BUGHDADA 1326 SHARARFAT BDGUM MUSHARAF GUL MA B/Ed,M/Ed 1-Sep-73 MARDAN 30-May-92 27-Feb-98 GGHS LUND KHAWAR 1327 Bibi, Muhsina MA M/Ed Azmat Wali 20-Aug-71 Chitral 23-Jun-93 27-Feb-98 GGHS Barenis 1328 Shahida Bibi MA,B/Ed: Qubad Shahriyar 1-Apr-72 Chitral 1-Aug-93 27-Feb-98 GGMS Awi 1329 Nazima Kalsoom S/ Badshah Hassan BA (2nd) B,ed 28-Feb-73 Dir Lower 28-Feb-98 28-Feb-98 1330 Rashida Khanum Khaista Gul BA (2nd) B,ed 20-Apr-75 MKD Agency 28-Feb-98 28-Feb-98 1331 Samia Rahman Abdur Rahman BA (2nd) B,ed 24-Apr-76 Dir Lower 28-Feb-98 28-Feb-98 1332 NIZAKAT BIBI, BA(2nd) / B/Ed AKBAR KHAN 1-Jan-73 Malakand 28-Feb-98 28-Feb-98 GGHS Allahdand 1333 NIGAR PARVEEN,BA ABDUL AMIN 11-Aug-67 Malakand 28-Feb-98 28-Feb-98 GGHS Batkhela 1334 MAULLAH BEGUM, BA (2nd)B/Ed GHULAM MAHMOOD 1-May-75 Malakand 28-Feb-98 28-Feb-98 GGHS Julagram 1335 ABIDA SULTAN , MA/CT SARDAR UL HAQ 14-Jan-76 Malakand 28-Feb-98 28-Feb-98 GGHS Malakand 1336 HAYAT BEGUM,BA(2nd)/B/Ed Lihaz Noor 12-May-68 Malakand 22-Oct-86 28-Feb-98 GGHS Totai 1337 ISHRAT JEHAN, BA(2nd) / B/ED SYED BADSHAH HUSSAIN 27-Oct-72 DIR 28-Feb-98 28-Feb-98 GGHSS Sakhakot 1338 SAEEDA KALSOOM , BA(2nd)/B/Ed SYAD BADSHAH HASSAN 24-Feb-73 DIR 28-Feb-98 28-Feb-98 GGHSS Sakhakot 1339 FARIDA BIBI,BA(2nd) ZIARAT KHAN 27-Apr-74 Malakand 28-Feb-98 28-Feb-98 GGMS Ashakai 1340 SUMAIRA SYED SHABBIR SHAH BSC BED 23-Oct-79 ABBOTTABAD 1-Mar-98 1-Mar-98 GGHSS Dhamtour 1341 SHAUKAT BIBI MA, BED/MED MUHAMMAD ZADA 6-Oct-73 BUNNER 2-Nov-92 1-Mar-98 GGHS KOWGA 1342 RIFFAT JABEEN SYED MOHAMMAD SHAH MSC BSC 2ND MED B/ed 2nd div 12-Feb-71 HARIPUR 1-Mar-98 1-Mar-98 1343 NASIM AKHTAR MUHAMMAD YOUSAF BA CT 8-Oct-58 HARIPUR 1-Sep-87 1-Mar-98
  • 30.
    Academic Professional Date of 1st D/O Apptt against No. Name of Teacher Father's Name Qualification Qualification Date of Birth Domicile Apptt: Present Post Name of School 1 2 3 4 5 6 7 8 9 10 1344 SAFIA BEGUM, BA (2nd) / B/Ed FAKHRI ALAM 5-May-72 Malakand 1-Mar-98 1-Mar-98 GGHS D/Allahdand 1345 FARZANA REHMAN, MA (Pashto) REHMANULLAH KHAN 15-Mar-75 Malakand 1-Mar-98 1-Mar-98 GGHS Dargai 1346 KAIFUL WARA, BA(2nd)/B/Ed WARIS KHAN 15-Mar-75 Malakand 1-Mar-98 1-Mar-98 GGHSS Sakhakot 1347 SHAMIM BEGUM, BA (2nd) / B/ED HAZRAT BILAL 10-Apr-74 Malakand 11-Apr-96 1-Mar-98 GGCMS Thana 1348 Rozina Parveen Shahriyar Khan BA CT 12-Jun-71 SWAT 1-Mar-98 1-Mar-98 GGMS Sakhra 1349 Farzan Hilal Muhammad Hilal MA M/Ed 21-Apr-74 SWAT 24-Sep-94 1-Mar-98 GGMS Guligram 1350 Bibi Nighat Sultana Raja Sultan Mehmood BA BED 10-Feb-72 ABBOTTABAD 2-Mar-98 2-Mar-98 GGMS Malsa 1351 SAEEDA BEGUM MUHAMMAD RUKAN MA CT 8-Apr-72 HARIPUR 2-Mar-98 2-Mar-98 1352 NADIMA SHAHEEN, BA (2nd) / B/ED GHULAM SADIQ KHAN 4-Feb-73 Malakand 2-Mar-98 2-Mar-98 GGCMS Thana 1353 NAZIMA BIBI MOHD SHAFI BA BEd 1-Feb-72 Mansehra 2-Mar-98 2-Mar-98 1354 SAEEDA IRFAN MOHD IRFAN BA BEd 5-May-78 Mansehra 30-Jul-93 2-Mar-98 1355 ISHRAT SARWAR MOHD SARWAR BA BEd 8-Mar-76 Mansehra 25-Aug-93 2-Mar-98 1356 Saiqa talhat Mohd: Miskeen BA BEd 10-Mar-70 Mansehra 28-Aug-94 2-Mar-98 1357 Sher Bano Taj Muhammad BA BEd 1-Jun-75 Mansehra 7-Nov-94 2-Mar-98 1358 Yasmin Bibi Ghulam Akbar BA BEd 1-Jan-74 Mansehra 8-Nov-94 2-Mar-98 1359 RUKHSANA NAZ WALI MOHD BA BEd 1-Apr-70 Mansehra 9-Feb-98 2-Mar-98 1360 Haleema bibi Malik Mohd:Daud BA BEd 1-Jun-70 Mansehra 2-Mar-98 2-Mar-98 1361 Bakht Jehan Bakht Rahman MA CT 24-Jan-68 SWAT 2-Mar-98 2-Mar-98 GGHS Charbagh 1362 Bakht Millat Azizur Rahman MA M/Ed 6-Sep-71 SWAT 6-Mar-93 2-Mar-98 GGMS Gulibagh 1363 Sarwat Bibi Khurshid Khan BA B/Ed 1-Jan-74 SWAT 2-Mar-98 2-Mar-98 GGMS Alaabd 1364 Kosar Parveen Ghulam Muhammad MA B/Ed 5-Jan-74 SWAT 2-Mar-98 2-Mar-98 GGHS Saidu Sharif 1365 Shazia Zeb Aurang Zeb MA B/Ed 1-Oct-74 SWAT 2-Mar-98 2-Mar-98 GGHSS Odigram 1366 Naheed Akhtar Anwar Gul MA M/Ed 1-Jan-75 SWAT 2-Mar-98 2-Mar-98 GGHSS Kabal 1367 Bibi Hafsa Bahroz Khan MA B/Ed 6-Jan-76 SWAT 2-Mar-98 2-Mar-98 GGMS Jano 1368 Salma Begum Mir Mahmood MA M/Ed 25-Apr-76 SWAT 5-Jan-98 2-Mar-98 GGMS Gulibagh 1369 KHOLA JABEEN MUHMMAD MUSLIM BA BED 2-Feb-75 ABBOTTABAD 3-Mar-98 3-Mar-98 GGCMS A/Abad (NO/1) 1370 SAEEDA BIBI M/SADIQ BA BED 15-Mar-74 ABBOTTABAD 3-Mar-98 3-Mar-98 GGMS Ali Abad 1371 FARHAT BIBI NAJAB KHAN BA BED 4-May-74 ABBOTTABAD 3-Mar-98 3-Mar-98 GGMS Aziz Bang 1372 SAEEDA BIBI MUHAMMAD YAQOOB KHAN BA 2ND DIV CT 14-Jun-73 HARIPUR 4-Feb-98 3-Mar-98 1373 ROBINA BIBI MOHD SAIN BA BEd 15-Nov-72 Mansehra 3-Mar-98 3-Mar-98 1374 SALMA BIBI KHALIL UR REHMAN BSC BED 31-Mar-71 ABBOTTABAD 4-Mar-98 4-Mar-98 GGHSS Comprehencive 1375 SHABNUM BANO SHEIKH MUHD KHAN BA BED 2-Aug-71 ABBOTTABAD 4-Mar-98 4-Mar-98 GGHSS Dhamtour 1376 BIBI RIZWANA TABBSUM RAJA SAKIDAR ZAMN MA /BA 2ND MED B/ed 2nd div 1-Jan-74 HARIPUR 5-Jan-95 4-Mar-98 1377 ADEEBA SHABNAM S/MANZOOR HUSSAIN BA BED 01/Mar:73 ABBOTTABAD 5-Mar-98 5-Mar-98 GGMS KALI DAHAR 1378 NUSRAT SHAHEEN SAIF UR REHMAN BA BED 15-Nov-73 ABBOTTABAD 5-Mar-98 5-Mar-98 GGHSS Comprehencive 1379 Sadia Farid Jadoon Farid Khan Jadoon BA BED 20-Feb-74 ABBOTTABAD 5-Mar-98 5-Mar-98 GGMS KALI DAHAR 1380 SHAMIM AKHTAR FAQIR MUHAMMAD BA BED 5-Apr-70 ABBOTTABAD 6-Mar-98 6-Mar-98 GGCMS A/Abad (NO/1) 1381 ANJUM SHAHEEN MUMTAZ KHAN BA BED 29-Aug-69 ABBOTTABAD 6-Mar-98 6-Mar-98 GGMS Ghumawan 1382 NIGHAT NAZ NASEER/UD/DIN MA/BA 2ND DIV BED 2nd Div: 29-Apr-75 HARIPUR 4-Feb-98 6-Mar-98 1383 Talhat Jabar Abdul Jabar BA BEd 25-Mar-73 Mansehra 14-Nov-94 6-Mar-98 1384 BUSHRA ABDUL REHMAN BA BEd 25-Apr-74 Mansehra 6-Mar-98 6-Mar-98 1385 TEHMINA KAUSAR PERVAIZ KHAN BA BED 12-Mar-73 ABBOTTABAD 7-Mar-98 7-Mar-98 GGCMS Nawanshehr 1386 RUQUIIA KHANUM MUHMMAD ISMAIL BA BED 19-Oct-58 ABBOTTABAD 7-Mar-98 7-Mar-98 GGHS Havelian Village 1387 FARHEEN TABASSUM MUSTAQ BA BED 1-Jan-75 ABBOTTABAD 7-Mar-98 7-Mar-98 GGHSS Havelian 1388 RIZWANA BIBI Malik Ghulam Jan BA BED 7-Jun-72 ABBOTTABAD 7-Mar-98 7-Mar-98 GGMS Chandu Maira 1389 SHAZIA FIRDOOS NAZIR MOHD BA BEd 21-Nov-71 Mansehra 28-Dec-94 7-Mar-98 1390 FARHANA SHAHEEN ABDUL HAMEED KHAN BA BED 1-Mar-73 ABBOTTABAD 8-Mar-98 8-Mar-98 GGHS Kakul
  • 31.
    Academic Professional Date of 1st D/O Apptt against No. Name of Teacher Father's Name Qualification Qualification Date of Birth Domicile Apptt: Present Post Name of School 1 2 3 4 5 6 7 8 9 10 1391 RUKSANA SHAHEEN KALA KHAN BA BED 20-Apr-73 ABBOTTABAD 8-Mar-98 8-Mar-98 GGHS No/2 A/Abad 1392 SHABANA NAZIR MUHAMMAD NAZIR MA BA 2ND DIV MED B/ed 2nd div 28-Oct-72 HARIPUR 9-Mar-98 9-Mar-98 1393 SHAZIA NOREEN MUHAMMAD SHAFIQUE MA/ BA 2nd iv MED 10-Jun-73 HARIPUR 9-Mar-98 9-Mar-98 1394 FARZANA SHAHEEN MUHAMMAD RAMZAN MA MED 10-Nov-73 HARIPUR 9-Mar-98 9-Mar-98 1395 SAIRA RASHEED RASHEED AHMED MA MED 5-May-74 HARIPUR 10-Mar-98 10-Mar-98 1396 SHABNAM HAYAT KHIZER HAYAT MA BED 3-Mar-69 HARIPUR 4-Feb-98 10-Mar-98 1397 TAHSEEN GUL MUHAMMAD DAUD MA BA 2ND DIV BED 2nd Div: 1-Sep-72 HARIPUR 10-Mar-98 10-Mar-98 1398 JAMEELA KHATOON ALI MUHAMMAD MA BED 2nd Div: 10-Jul-71 HARIPUR 10-Mar-98 10-Mar-98 1399 GUL NAZ NAJAB KHAN BA BED 7-Apr-66 ABBOTTABAD 4-Sep-85 11-Mar-98 GGHSS Comprehencive 1400 FARHAT SHAMIM S/SAJAWAL KHAN BA BED 24-Nov-64 ABBOTTABAD 24-Sep-86 11-Mar-98 GGHSS Havelian 1401 Rubeena Shaheen Pervaiz Khan BA BED 14-Sep-72 ABBOTTABAD 11-Mar-98 11-Mar-98 GGHS Mirpur 1402 NAJUM UN NISA QALANDAR SHAH BSC BED 20-Dec-70 ABBOTTABAD 11-Mar-98 11-Mar-98 GGHSS Malik Pura 1403 SHAISTA JABEEN KHAWAJ MUHAMMAD MA/BA 2nd Div BED 2nd Div: 17-Jul-73 HARIPUR 11-Mar-98 11-Mar-98 1404 Hasanat Begum Pashmin Khan BA CT 11-Jan-63 SWAT 22-Nov-81 11-Mar-98 GGHS B/D/Khela 1405 FAKHRUN NISA JAMSHAID ALAM KHAN BA BED 28-Nov-69 ABBOTTABAD 10-Oct-89 12-Mar-98 GGHSS Sherwan 1406 SHGUFTA BIBI MUHD PERVAIZ BA BED 1-Feb-78 ABBOTTABAD 12-Mar-98 12-Mar-98 GGMS KAKOTE 1407 BUSHRA BEGUM GHULAM RASOOL BA BED 3-Feb-72 ABBOTTABAD 12-Mar-98 12-Mar-98 GGHS Mallach 1408 SHABANA MUHAMMAD AMIN MA/BA 2nd Div BED 2nd Div: 24-Oct-70 HARIPUR 12-Mar-98 12-Mar-98 1409 FARKHANDA SIKANDAR SIKANDAR KHAN BA BED 9-Sep-75 ABBOTTABAD 13-Mar-98 13-Mar-98 GGMS Serbhana 1410 Rukhsana Sultan(CT)BA Sultan Zarin BA 19-Feb-84 Dir (U) 14-Mar-98 14-Mar-98 GGHS, Kotkay 1411 Fariha Bibi S/Habib Ahmed Shah BA BEd 15-Apr-76 Mansehra 19-Jun-95 15-Mar-98 1412 NAHZEEDA IRSHAD ABDUL IRSHAD BA 2ND Div CT 17-Aug-59 HARIPUR 30-Sep-80 16-Mar-98 1413 Mehrun Nigar MA,B/Ed Azizur Rahman 20-Dec-68 Chitral 12-Nov-92 31-Mar-98 GGMS Jinjirate 1414 Bibi Hafiza BA,B/Ed/MA Abdur Rabi 15-Feb-70 Chitral 10-Jul-93 31-Mar-98 GGMS Potoniandeh 1415 ZUBAIDA NAZ MALIK ADAM KHAN BA II BED 10-May-74 CHARSADDA 1-Apr-98 1-Apr-98 1416 ISHRAT JEHAN KHWAJA MUHAMMAD YOUSAF MA B/Ed,M/Ed 6-May-72 MAlAkAnd 26-Apr-93 1-Apr-98 GGHS GDZAI 1417 NIGHAT SULTANA RAJA SULTANA BA BED 2-Oct-72 ABBOTTABAD 3-Apr-98 3-Apr-98 GGMS MALSA 1418 SAMINA MIR ALAM MIR ALAM BA BED 23-Jun-64 ABBOTTABAD 26-Jun-93 15-Apr-98 GGMS BANDA SHOHALIAN 1419 Mehraj Shaheen Khattak Zarin Gul Khattak B/A B/ Ed, M/ Ed 2-Feb-72 Nowshera 4-Nov-95 17-Apr-98 1420 Akhtar Bano MA SWA 19-Apr-98 19-Apr-98 GGMS Kot Langer Khel SWA 1421 Shagufta Muhammad Zaman BA CT 20-Oct-75 SWAT 21-Apr-98 21-Apr-98 GGHS B/D/Khela 1422 NAILA NAZIR TILA NAZIR BA II BED 21-Jan-73 CHARSADDA 24-Apr-98 24-Apr-98 1423 Parveen Begum Muhammad Akbar MA/Bed/CT 25-Apr-73 Swabi 30-Apr-98 30-Apr-98 GGHS Panjman 1424 Asifa Rahman Fazlur Rahman MA M/Ed; 2-May-92 Battagram 3-May-98 3-May-98 GGMS Choohan 1425 AZRA BEGUM YARQAND KHAN BA B/Ed 3-Jan-75 MARDAN 4-May-98 4-May-98 GGHS KATTI GARHI 1426 ZOVIA SULTANA MUHAMMAD ASLAM MASOOM BA BED 6-Dec-58 ABBOTTABAD 12-Jun-82 11-May-98 GGMS KOKAL BARSEEN 1427 SHAGUFTA BEGUM GUL REHMAN MA B/Ed,M/Ed 2-Jan-75 MARDAN 16-Jan-98 13-May-98 GGCMHSS For Girls Katlang 1428 NIGHAT AMEER MOHAMMAD MA B/Ed 9-Apr-78 MARDAN 1-Sep-04 30-May-98 GGHS PALO DHERI 1429 Rabia Ali Bakht Rawan MA B/Ed 1-Jan-73 SWAT 25-Jan-97 1-Jun-98 GGMS Gadi 1430 SHAKEELA KOUSAR ABDUL RASHID BA BED 6-Jul-72 PESHAWAR 2-Jun-98 2-Jun-98 GGHS Civil Quarters 1431 SHAKILA BIBI MUHMMMAD ASLAM BA BED 2-Oct-71 ABBOTTABAD 15-Jun-98 15-Jun-98 GGHS Rich Bhen 1432 SHAZIA TABASSAM MUHAMMAD YOUSAF MA BED 13-Dec-72 HARIPUR 8-Jul-98 8-Jul-98 1433 Hajira Said Hakim Said BA B/Ed 1-Jan-65 SWAT 1-Jun-83 31-Aug-98 GGHS K/Khela 1434 Rozina Kousar Mohammad Hussain M/A B/ Ed 15-Jan-73 Nowshera 12-Apr-94 1-Sep-98 1435 Samina Begum Mir Nawaz M/A M/ Ed 15-May-71 Nowshera 1-Sep-98 1-Sep-98 1436 DILRUS MIAN AZIZ UR REHMAN BA BED 9-May-72 NOWSHERA 11-Jan-90 1-Sep-98 GGHS Mian Gujar 1437 Muhabbat Shaheen Said Muhammad MA 15-Mar-80 Bajaur 19-Sep-98 19-Sep-98 Said Muhammad
  • 32.
    Academic Professional Date of 1st D/O Apptt against No. Name of Teacher Father's Name Qualification Qualification Date of Birth Domicile Apptt: Present Post Name of School 1 2 3 4 5 6 7 8 9 10 1438 ULFAT BEGUM, BA ABDUL SAEED 15-Mar-76 Malakand 19-Sep-98 19-Sep-98 GGMS Hero Shah 1439 Shabnam Sher Afzal Khan BA B/Ed 1-Nov-70 SWAT 8-Apr-95 19-Sep-98 GGHS Tatano bandai 1440 Jauhar Begum Said Muhammad MA 15-Apr-78 Bajaur 19/99/98 19-Sep-98 Said Muhammad 1441 Akhtar Nisa Gul Akbar MA 10-Apr-79 FR Tank 21-Sep-98 21-Sep-98 GGMS Aqal Din Kor 1442 Nusrat Begum Eida Khan BA 23-Dec-79 FR Tank 22-Sep-98 22-Sep-98 GGMS Ghulam Nabi Kor 1443 RUKHSHANDA ARIF HASHMATULLAH MA BED 1-Jan-70 PESHAWAR 2-Dec-90 22-Sep-98 GGHS Jogiwara 1444 Nusrat 1-Apr-77 Bajaur 24-Sep-98 24-Sep-98 GGMS Civil Colony Khar 1445 NASEEM AKHTAR HUSSAIN ZADA BA II BED 10-May-75 CHARSADDA 28-Sep-98 28-Sep-98 1446 ZAHIDA HUSSAIN ZADA BA II BED 2-Apr-67 CHARSADDA 28-Sep-98 28-Sep-98 1447 WAHEEDA BEGUM HAKEEM KHAN FA CT 14-Feb-68 KOHAT 15-Oct-90 28-Sep-98 GGHSS JUNGLE KHEL 1448 Ruqia London Afzal Khan MA 2-Jan-80 Bajaur 29-Sep-98 29-Sep-98 Afzal Khan 1449 Farida hamid Abdul hamid MA 5-Apr-75 NWA 21-Oct-98 21-Oct-98 GGMS Noor Janat Gul Kot 1450 Maryam Farid Farid Khan MA M/Ed 15-May-73 SWAT 1-Mar-98 1-Nov-98 GGHS Bahrain 1451 NAFEES BEGUM FAZALE AKBAR BA B/Ed, M/Ed 2-Mar-73 DIR 28-Feb-98 18-Nov-98 GGMS FATEH ABAD 1452 NASIRA PARVEEN MUHAMMAD HAYYAT BA CT 25-Jun-62 KOHAT 19-Nov-98 19-Nov-98 GGHS SHERKOT 1453 Neghat Bibi Nisar Ahmad BA CT 4-Jun-75 SWAT 1-Mar-98 1-Dec-98 GGHS No/2/Mingora 1454 Bibi Zulhija Mir Zaman BA BEd 2-Feb-73 Mansehra 27-Aug-95 2-Dec-98 1455 Shujat Begum Mian Qadarmand BA B/Ed 2-Feb-71 SWAT 15-Jan-91 16-Dec-98 GGHS K/Khela 1456 SHAGUFTA PARVEEN BASHIR AHMAD BA CT 27-Jun-67 KOHAT 2-Oct-85 25-Dec-98 GGMS JABBAR 1457 YASMEEN GUL GUL MUHAMAMD BA BED 15-May-76 PESHAWAR 1-Jan-99 1-Jan-99 GGCMHS Tehkal Bala 1458 SHAZIA RAZAQ MUHAMMAD RAZAQ MA BED 6-Jan-74 DIR LOWER 13-Dec-95 4-Jan-99 GGHS Badaber 1459 RUBINA PIR KHAN BA BED 14-Apr-80 ABBOTTABAD 5-Jan-99 5-Jan-99 GGHS Sumandar Katha 1460 Yasmeena Begum/ Abdul Haq/ BA/ CT 5-Feb-73 Tank/ 25-May-94 5-Jan-99 /do/ Gul Imam/ 1461 Gulshan Zuhra S,Ali Raza FA CT 2-Mar-75 Hangu 11-Jul-94 9-Jan-99 GGHS No,1 Hangu 1462 Bibi Zaiba BA Safdar Khan 5-Jun-59 Chitral 1-Oct-78 10-Jan-99 GGHS Reshun 1463 Samia Bibi Jehangir Khan BA CT 10-Mar-74 SWAT 1-Mar-95 1-Feb-99 GGMS Shin 1464 Shagufta Amirullah BA 28-Jan-77 Mohmand 8-Feb-99 8-Feb-99 GGHSS Ghallanai 1465 Zari Marjan Khial Shah MA CT 20-Feb-78 Hangu 9-Feb-99 9-Feb-99 GGHS No,1 Hangu 1466 RUKHSANDA NAZLI MUHMMMAD SARWAR BA BED 1-Apr-74 ABBOTTABAD 13-Dec-99 13-Feb-99 GGHSS Malik Pura 1467 ASMAT BEGUM FAQIR MUHAMAMD BA BED 3-Feb-69 PESHAWAR 3-May-93 13-Feb-99 GGMS Zaryab Colony 1468 Irshad Begum, Abdul Azeem Khan BA B/Ed: 2-Mar-70 Karak 5-Dec-88 16-Feb-99 GGHS, Jehangiri 1469 Shah Naz Masood Masood ur Rehman MSC M/Ed: 8-Jan-74 Karak 19-Jan-98 16-Feb-99 GGMS Official Colony Karak 1470 SHAGUFTATA TASNEEM MUHAMMAD ASLA,M KHAN MA/ MED/CT 1-Aug-71 D/I/KHAN 14-Dec-94 19-Feb-99 GGHS NO/ 1 DIKHAN 1471 ULFAT BEGUM KAMDAR KHAN MA B/Ed 11-May-69 MARDAN 2-Nov-91 1-Mar-99 GGMS GARYALA 1472 SHAFQAT ROHI ROOH ULLAH BA II BED 6-May-74 PESHAWAR 31-Mar-99 31-Mar-99 1473 NAHID AKHTAR FARDUS KHN BA BED 1-Jan-76 CHARSADDA 31-Mar-99 31-Mar-99 GGPMS JICA GULBELA 1474 KHAWAR SULTANA MAZIM KHAN BA II BED 5-Aug-71 CHARSADDA 1-Jan-99 1-Apr-99 1475 HAMED AKHTAR ROOH ULLAH BA II BED 4-Apr-77 CHARSADDA 1-Apr-99 1-Apr-99 1476 KHALIDA BIBI ABDUL WAHAB BSC II BED 13-Oct-75 CHARSADDA 1-Apr-99 1-Apr-99 1477 SHEHNAZ WALI WALI MUHAMMAD BSc II BED 26-May-74 CHARSADDA 1-Apr-99 1-Apr-99 1478 NAGINA ZUHRA SYED KHALIL HUSSAIN MA CT 22-Apr-76 KOHAT 5-Apr-99 5-Apr-99 GGMS CHASHMA MITHA KHAN 1479 FARAH NAZ ZAFAR IQBAL BA BEd 9-Jun-74 Mansehra 5-Apr-99 5-Apr-99 1480 GHAZALA SHABNUM ABDUL RASHID BA BEd 1-Mar-75 Mansehra 25-Oct-95 5-Apr-99 1481 Riffat Shaheen Bashir Ahmed BA BEd 8-Dec-63 Mansehra 30-Nov-95 5-Apr-99 1482 RUQIA FAZAL REHMAN BA BEd 2-Feb-75 Mansehra 5-Apr-99 5-Apr-99 1483 NARGIS KHATOOM S NAIMAT SHAH BA BEd 8-Apr-69 Mansehra 5-Apr-99 5-Apr-99 1484 RIZWANA SHAHEEN M ASHRAF BA BEd 20-Mar-75 Mansehra 5-Apr-99 5-Apr-99
  • 33.
    Academic Professional Date of 1st D/O Apptt against No. Name of Teacher Father's Name Qualification Qualification Date of Birth Domicile Apptt: Present Post Name of School 1 2 3 4 5 6 7 8 9 10 1485 HUSAN BASRI WAZIR GUL MA B/Ed,M/Ed 14-Feb-62 MARDAN 5-Apr-99 5-Apr-99 GGHS NO 1 MARDAN 1486 NAZNEEN BEGUM SAIFUR REHMAN MSc B/Ed,M/Ed 20-Dec-71 MARDAN 5-Apr-99 5-Apr-99 GGHS KAS KOROONA 1487 ZAKIA YASMIN SYED MUHAMMAD SADIQ MA B/Ed,M/Ed 1-Jan-72 MARDAN 5-Apr-99 5-Apr-99 GGHSS JANDAR PAR 1488 SHAISTA SHAUKAT SHAUKAT ALI MA B/Ed 1-Apr-75 MARDAN 5-Apr-99 5-Apr-99 GGMS QASAM TORU 1489 SHAZIA GUL SALEEM KHAN MA B/Ed,M/Ed 22-Jul-77 MARDAN 5-Apr-99 5-Apr-99 GGHS HOTI NO2 1490 Hizra Khatoon Muhammad Yusaf BA/CT 1-Dec-71 Swabi 19-Feb-90 5-Apr-99 GGHS Marghuz 1491 Rafaqat Muhammad Kamal MA/Bed/Ct` 2-Apr-75 Swabi 5-Apr-99 5-Apr-99 GGHS Dagai 1492 Zakia Anjum Ghulam Ahmad MA/Bed/CT 30-Mar-76 Swabi 5-Apr-99 5-Apr-99 GGHSS Shewa 1493 Syed Rubina Naz Akbar Said BA/Bed/CT 1-Jan-77 Swabi 5-Apr-99 5-Apr-99 JICA Model School Bachai 1494 Naheed begum Abdul Samad BA/Bed/CT 9-May-77 Swabi 5-Apr-99 5-Apr-99 GGHS Marghuz 1495 Bibi Sheema Abdul Nazif MA/Bed/CT 30-Aug-77 Swabi 5-Apr-99 5-Apr-99 GGHSS Kalu Khan 1496 Fazelat Mumtaz MA B/Ed 14-Apr-75 SWAT 5-Apr-99 5-Apr-99 GGHS No/2/Mingora 1497 ZUBAIDA BIBI JANAN KHAN MA CT 10-Aug-72 KOHAT 14-Mar-92 6-Apr-99 GGMS DHOK NOOR ALAM 1498 SHAGUFTA BEGUM RAIS KHAN MA CT 2-Jan-75 KOHAT 6-Apr-99 6-Apr-99 GGHS TOGH BALA 1499 SAMINA NOUREEN SOHRAB GUL FSC CT 2-May-71 KOHAT 6-Apr-99 6-Apr-99 GGHS LACHI PAYAN 1500 Attia Khanum Abdul bari BA BEd 8-May-74 Mansehra 6-Apr-99 6-Apr-99 1501 FARZANA BEGUM BAHDAR SHER MA B/Ed 25-Dec-73 MARDAN 6-Apr-99 6-Apr-99 GGMS GHARI DAULAT ZAI 1502 SAJIDA GUL MUHAMMAD SHOAIB MA B/Ed 19-Apr-77 DIR 6-Apr-99 6-Apr-99 GGHSS Takht Bhai 1503 Afnan Farish Muhammad MA/Med/CT 3-Jan-76 Swabi 16-Aug-97 6-Apr-99 GGHS Salim Khan 1504 Yasmin Ali Shafiullah MA/BED/CT 2-Feb-72 Swabi 6-Apr-99 6-Apr-99 GGCMHS Swabi 1505 Zaitoon Nisa Abdul Hassan BA/CT 4-Jan-74 Swabi 6-Apr-99 6-Apr-99 GGHS Tarakai 1506 Hameeda Bibi Azizullah MA/Med/CT 6-May-74 Swabi 6-Apr-99 6-Apr-99 GGMS Ambar 1507 Tasleem Begum Noor Muhammad MA/Med/CT 6-Feb-75 Swabi 6-Apr-99 6-Apr-99 GGMS Dagai 1508 Rubina Begum Muhammad Israr Khan BA/Bed/CT 30-May-75 Swabi 6-Apr-99 6-Apr-99 GGHS Tarakai 1509 Tuheed Qaiser Khan BA/CT 1-Apr-76 Swabi 6-Apr-99 6-Apr-99 GGHS Gulshan Abad 1510 S/Shaiista Naz S/Hassan Jan BA/CT 1-Apr-76 Swabi 6-Apr-99 6-Apr-99 GGHS Ismaila 1511 FOUZIA GHULAM GHULAM AHMED MA CT 29-Jul-70 KOHAT 4-Oct-95 7-Apr-99 GGMS KHUSHAL GARH 1512 Shagufta Bano Haji Abdul Aziz BA BEd 2-Apr-73 Mansehra 24-Mar-96 7-Apr-99 1513 SAMIA JALIL Haji Abdul Aziz BA BEd 20-Mar-73 Mansehra 1-Apr-96 7-Apr-99 1514 Shakeela Begum Abdur Rehman BA BEd 9-Feb-76 Mansehra 7-Apr-99 7-Apr-99 1515 NIGINA AYAZ MUHAMMAD AYAZ MA B/Ed 2-Jan-72 MARDAN 7-Apr-99 7-Apr-99 GGMS GARYALA 1516 NAHEED BEGUM MARIFAT SHAH BA B/Ed 22-Mar-73 MARDAN 7-Apr-99 7-Apr-99 GGMS DHERI LEKPANI 1517 NARGIS BEGUM SHER ZAMAN MA B/Ed,M/Ed 20-Dec-78 MARDAN 7-Apr-99 7-Apr-99 GGHSS Takht Bhai 1518 SHAHISTA NAZ M/YOUNIS BA BED 15-Apr-73 ABBOTTABAD 8-Apr-99 8-Apr-99 GGMS Sultan PUR 1519 FARZANA YASMIN BASHIR UD DIN BA II BED 20-Apr-68 CHARSADDA 16-Oct-86 8-Apr-99 1520 ZEENAT GULZAR GULZAR MASIH MA BED CT 2-Apr-75 Bannu 8-Apr-99 8-Apr-99 GGHSS S/K/BALA BANNU 1521 NIGHAT YASMIN SARDAR ALI BA II BED 30-Sep-77 CHARSADDA 8-Apr-99 8-Apr-99 1522 FARAKH NAZ INAMULLAH BA II BED 1-Jan-75 CHARSADDA 8-Apr-99 8-Apr-99 1523 BUSHRA BEGUM GHAFOOR KHAN BA II BED 15-May-73 CHARSADDA 8-Apr-99 8-Apr-99 1524 SUMAIRA BASHIR BASHIR UD DIN BA II BED 1-Sep-76 CHARSADDA 8-Apr-99 8-Apr-99 1525 FALAK NAZ ZAFAR MUHAMMAD ZAFAR ARBAB BA II BED 6-Apr-74 CHARSADDA 8-Apr-99 8-Apr-99 1526 SANJEEDA BEGUM MUHAMMAD SARWAR KHAN MA BED 27-Mar-59 HARIPUR 8-Apr-99 8-Apr-99 1527 SADIA GUL GUL ZAR HUSSAIN BA CT 15-Mar-75 KOHAT 8-Apr-99 8-Apr-99 GGHSS LACHI 1528 SAMINA BUKHARI ASMATULLAH KHAN MA CT 15-Jan-72 KOHAT 8-Apr-99 8-Apr-99 GGMS LACHI BALA 1529 FARZANA SULTANA SYED SHAMS GUL MA CT 15-Feb-73 KOHAT 8-Apr-99 8-Apr-99 GGMS LACHI BALA 1530 DIL NASHEEN MANZOOR UR REHMAN MA CT 7-Nov-76 KOHAT 8-Apr-99 8-Apr-99 GGHS NO 1 KOHAT 1531 SURRIYA BEGUM MOHD IQBAL BA BEd 15-Mar-73 Mansehra 1-Dec-96 8-Apr-99
  • 34.
    Academic Professional Date of 1st D/O Apptt against No. Name of Teacher Father's Name Qualification Qualification Date of Birth Domicile Apptt: Present Post Name of School 1 2 3 4 5 6 7 8 9 10 1532 BIBI SAJIDA SAIDAN SHAH BA BEd 10-Nov-77 Mansehra 25-Jun-97 8-Apr-99 1533 Farhat Yasmeen Mir Asfar BA BEd 14-Feb-75 Mansehra 26-Jun-97 8-Apr-99 1534 Tahira Nazir Mohd:Nazir Khan BA BEd 31-Mar-72 Mansehra 26-Jun-97 8-Apr-99 1535 MUSSRAT JABIN ATTAI KHAN BA BEd 25-May-79 Mansehra 27-Jun-97 8-Apr-99 1536 SADAF BASHIR MOHD BASHIR BA BEd 1-Mar-83 Mansehra 1-Jul-97 8-Apr-99 1537 Bibi Memoona Pir Muhammad Khan BA BEd 27-Jan-77 Mansehra 8-Apr-99 8-Apr-99 1538 BUSHRA REHMANI GULAM RABANI BA BEd 16-Mar-77 Mansehra 8-Apr-99 8-Apr-99 1539 NUSRAT SHAHEEN MIR AKBAR KHAN MA B/Ed, M/Ed 14-Dec-62 CHARSADDA 8-Apr-99 8-Apr-99 GGMS SAJAN KILLI 1540 NIHAYAT BEGUM HIRAT GUL MSC B/Ed 1-Feb-74 MARDAN 8-Apr-99 8-Apr-99 GGHS SARO SHAH 1541 RIFFAT BANO TAJ WALI KHAN MA B/Ed 1-Jan-77 MARDAN 8-Apr-99 8-Apr-99 GGHSJAMLAL GARHI 1542 FOZIA TAJ TAJ MUHAMMAD MIRZA MA BED 18-Aug-63 PESHAWAR 18-Jan-93 8-Apr-99 GGHS Gul Bahar 1543 SHABANA BEGUM ZAFAR ALI BA II BED 25-Oct-74 CHARSADDA 9-Apr-99 9-Apr-99 1544 SAMINA KOSAR MUHAMMAD RIAZ MA CT 15-Jul-72 KOHAT 9-Apr-99 9-Apr-99 GGHS TAPPI 1545 MUSARAT BIBI ABDUL HAFIZ BA CT 2-Jan-78 KOHAT 9-Apr-99 9-Apr-99 GGHS BORI SAGHRI 1546 Iqbal Bano Syed Hayat Shah BA BEd 15-Nov-64 Mansehra 1-Oct-87 9-Apr-99 1547 BIBI GUL AURANG ZEB BA BEd 30-Mar-73 Mansehra 9-Apr-99 9-Apr-99 1548 RUBINA AMIR RAZA KHAN MA B/Ed 22-Feb-72 MARDAN 9-Apr-99 9-Apr-99 GGHS MAHO DHERI 1549 AMBAREEN ABDUL AWAL MA B/Ed,M/Ed 1-Feb-73 MARDAN 23-Jun-97 9-Apr-99 GGHS HOTI NO2 1550 ASMA MUMTAZ AHMAD MA B/Ed 15-Oct-74 MARDAN 9-Apr-99 9-Apr-99 GGHS GHALLA DHER 1551 MUSARAT SHAHEEN Abdur Rehman MA MEd 1-Feb-72 PESHAWAR 9-Apr-99 9-Apr-99 GGHSS Begum Shahab/ud/Din 1552 GHAZALA BEGUM NASIR AHMAD MA MEd 23-Nov-74 PESHAWAR 9-Apr-99 9-Apr-99 GGHSS Begum Shahab/ud/Din 1553 SABIHA NAZ MUNIR SHAH MA CT 1-Mar-72 KOHAT 10-Apr-99 10-Apr-99 GGHSS JUNGLE KHEL 1554 HASEENA BEGUM MUMTAZ ALI MA B/Ed 09/08/1975 MARDAN 26-Jun-97 10-Apr-99 GGHS MIAN KHAN 1555 SALWA ABDUL HAQ MA BED 10-Jan-76 PESHAWAR 10-Apr-99 10-Apr-99 GGMS MUHAMMAD ZAI NO/1 1556 RIZWANA GUL GUL KAMAL KHAN BA CT 5-Apr-74 Lakki 4-Nov-99 11-Apr-99 GGHS No/ 1 Naurang 1557 Fozia Noreen Akbar Khan BA BEd 7-Feb-73 Mansehra 13-Apr-99 13-Apr-99 1558 NAHEED BIBI BAHADAR SHER BA B/Ed 16-Dec-69 MARDAN 1-Oct-89 13-Apr-99 GGMS KORAGH 1559 GUL SAMINA MUHAMMAD NAWAZ MA MEd 11-Jan-69 PESHAWAR 13-Apr-99 13-Apr-99 GGHS Civil Quarters 1560 Mukhtiar Zaman Zaman Shah MA/Bed/CT 5-Feb-68 Swabi 21-Apr-87 13-Apr-99 GGMS Batakara 1561 SHAZIA NOUREEN MUHAMMAD NAZIR KHAN BA CT 14-Apr-74 KOHAT 18-Apr-92 14-Apr-99 GGHS NO 1 KOHAT 1562 SAFIA AKHTAR AKHTAR HUSSAIN BA BED 13-Apr-72 PESHAWAR 21-Nov-95 14-Apr-99 GGHSS Lady Grifth 1563 Samena Naz Dilram Khan MA B/Ed 25-Mar-74 SWAT 14-Apr-99 14-Apr-99 GGHSS Odigram 1564 Naheed Zuhra Faqeer Mohammad M/A B/ Ed 26-Oct-67 Nowshera 7-Jan-97 16-Apr-99 1565 Fasila Naz Alif Din M/A B/ Ed 5-Jan-75 Nowshera 24-Apr-95 16-Apr-99 1566 SHAHNAZ AKHTAR DAMSAZ KHAN MA BED 16-Aug-74 Lakki 17-Apr-99 17-Apr-99 GGHSS TITTER KHEL 1567 SABRA PERVEEN GUL SARWAR BA 6-Jan-72 Lakki 23-Mar-95 17-Apr-99 GGHS DARA PEZU 1568 BIBI SAEEDA SAADAT ALI SHAH BA BED 12-Jun-71 Lakki 9-Jan-93 17-Apr-99 GGMS NAURANG 1569 SAJIDA IRFAN MOHD IRFAN BA BEd 15-Apr-80 Mansehra 2-Mar-98 17-Apr-99 1570 MURTAFIA BIBI QAZI MUHMMAD SHAFIQ BA BED 2-Jan-75 ABBOTTABAD 19-Apr-99 19-Apr-99 GGHS Sheikhul Bandi 1571 LUBNA BIBI MUHMMAD ANWAR BA BED 18-Aug-72 ABBOTTABAD 19-Apr-99 19-Apr-99 GGMS WAZIRAN 1572 KALSOOM BEGUM MUMTAZ KHAN BA CT 24-Dec-72 Bannu 19-Apr-99 19-Apr-99 GGMS AFSAR KHAN WALA KHEL BANNU/ 1573 RABIA TABASSUM QAZI SAEED/UR/REHMAN MA /BA 2ND DIV MED/BEd/ 2nd div 1-Jun-77 HARIPUR 19-Apr-99 19-Apr-99 1574 ZUBADA BADER MUMTAZ KHAN MA BED 30-Mar-77 Lakki 19-Apr-99 19-Apr-99 GGMS DARA PEZU 1575 NASRIN BIBI ZAHIR SHAH MA MED 24-Feb-66 Lakki 1-Aug-88 19-Apr-99 GGMS KOTKA ATLAS KHAN 1576 SAJIDA REHMAN SARDAR WALI UR REHMAN BA BED 1-Apr-71 ABBOTTABAD 24-Nov-90 20-Apr-99 GGHSS Havelian 1577 SADIA BIBI SYED MEHMOOD SHAH BA BED 4-Apr-77 ABBOTTABAD 20-Apr-99 20-Apr-99 GGHS Rich Bhen 1578 SHAISATA RUBY ALI ASGHAR BA BED 24-Jul-76 ABBOTTABAD 20-Apr-99 20-Apr-99 GGHSS Hajia Gali
  • 35.
    Academic Professional Date of 1st D/O Apptt against No. Name of Teacher Father's Name Qualification Qualification Date of Birth Domicile Apptt: Present Post Name of School 1 2 3 4 5 6 7 8 9 10 1579 NARJIS KHATOON S/ GULZAR SHAH BA BED 4-Jan-77 ABBOTTABAD 20-Apr-99 20-Apr-99 GGMS Banda Said Khan 1580 HUMAIR SAKINA REHMAN BA BED 15-Feb-73 ABBOTTABAD 20-Apr-99 20-Apr-99 GGHS Kuthwal 1581 Nusrat Bibi Ajmal Khan BA BED 4-Jun-74 ABBOTTABAD 20-Apr-99 20-Apr-99 GGMS Hari Deban 1582 RAZIA SULTANA NOOR MUHAMMAD MA BED 20-Oct-77 Lakki 20-Apr-99 20-Apr-99 GGHS NO/1 LAKKI 1583 ROMANA NIGAR GHULAM YAHYA KHAN MA BED 28-Oct-73 Lakki 24-Nov-94 20-Apr-99 GGHS No/ 1 Naurang 1584 Neelo Far Mohd Iqbal BA BEd 7-May-73 Mansehra 30-Nov-95 20-Apr-99 1585 SALMA BATOOL ZAHID HUSSAIN BA BEd 7-Jun-76 Mansehra 2-Mar-98 20-Apr-99 1586 FARAH NAZ NISAR AHMED BA BEd 3-Jan-70 Mansehra 20-Apr-99 20-Apr-99 1587 Farhana Akbar Ali MA M/Ed 26-Jun-76 SWAT 10-Apr-99 20-Apr-99 GGHS Kokarai 1588 Tamsela Rani, Ghulam Nasir Khan MA M/Ed: 3-Mar-67 Karak 20-Apr-99 20-Apr-99 GGHS,Easak Chuntra 1589 NASREEN GUL M NASREEN GUL BA BED 28-Oct-70 ABBOTTABAD 21-Apr-99 21-Apr-99 GGHS Kunj 1590 SHAZIA AURANGZEB SARDAR AURANGZEB BA BED 1-Jan-74 ABBOTTABAD 21-Apr-99 21-Apr-99 GGMS Namli Maira 1591 GULNAZ BIBI MALIK MUHAMMAD IQBAL BA BED 10-Mar-72 ABBOTTABAD 21-Apr-99 21-Apr-99 GGHS Bandi Dhundan 1592 SHEHZAD BIBI PASHAM KHAN MA/ BED/CT 20-Apr-74 D/I/KHAN 21-Apr-99 21-Apr-99 GGMS MALANG ABAD 1593 SHAGUFTA YASMIN YOUSAF KHAN BA 30-Apr-73 Lakki 21-Nov-92 21-Apr-99 GGMS ISAK KHEL 1594 NAGIS SHAHEEN MUHMMAD ASHRAF BA BED 24-Dec-74 ABBOTTABAD 22-Apr-99 22-Apr-99 GGHS Kuthwal 1595 UZMA ARSHID ARSHID KHAN BA BED 14-Aug-73 ABBOTTABAD 22-Apr-99 22-Apr-99 GGHSS Dhamtour 1596 RAZIA BEGUM SAADULLAH BA/ BED/CT 7-Jun-62 D/I/KHAN 22-Apr-99 22-Apr-99 GGHSS KULACHI 1597 WAJIHA AMBREEN MUHAMMAD HAYAT MSC/ BED/CT 9-Jan-75 D/I/KHAN 22-Apr-99 22-Apr-99 GGMS CHEHKAN 1598 Rubina/ Ghani/ur/Rehman/ BA/ CT 12-Dec-62 Tank/ 27-Sep-86 22-Apr-99 /do/ Gul Imam/ 1599 Talat Jabeen/ Muhammad Zaman BA/ CT 15-Apr-71 Tank/ 22-Apr-99 22-Apr-99 /do/ Kot Said Gulan/ 1600 Khadija Naheed/ Habibullah/ BA/ CT 14-Jan-74 Tank/ 22-Apr-99 22-Apr-99 /do/ Chadrar/ 1601 S/Nusrat Perveen/ S/Ghulam Rasool BA/ CT 10-Mar-70 Tank/ 19-Oct-88 22-Apr-99 /do/ Pai/ 1602 Ambreen Ara/ Amanullah/ MA(ME/d) CT 1-Jan-76 Tank/ 22-Apr-99 22-Apr-99 /do/ No/2,Tank/ 1603 TASNEEM SHAKOOR ABDUL SHAKOOR BA BED 10-Apr-74 ABBOTTABAD 23-Apr-99 23-Apr-99 GGHS Beerote 1604 SAEEDA KHATOON FAZAL KHAN BSC BED 25-Dec-71 ABBOTTABAD 23-Apr-99 23-Apr-99 GGHS Kakul 1605 ZATOON AKHTAR MUHAMAD HAYAT MA/ MED/CT 5-Nov-62 D/I/KHAN 28-May-84 23-Apr-99 GGHS MATA PUR 1606 AZRA FIRDUS FAIZ MUHAMMAD MA/ BED/CT 2-Feb-68 D/I/KHAN 23-Apr-99 23-Apr-99 GGHS NO9 DIKHAN 1607 SAJEELA TEHSEEN HAMEEDULLAH BA/ BED/CT 1-Jan-69 D/I/KHAN 23-Apr-99 23-Apr-99 GGMS SARA GARA 1608 REHANA BEGUM MUHAMMAD RAMZAN MA/ BED/CT 15-Apr-70 D/I/KHAN 23-Apr-99 23-Apr-99 GGMS HASSAN 1609 TAHIRA BANO Q/ ABDUL GAHAFFAR MA/ BED/CT 2-Feb-72 D/I/KHAN 23-Apr-99 23-Apr-99 GGHSS NO/ 5 DIKHAN 1610 FOZIA AMBEREEN QADIR BAKHSH MA/ MED/CT 5-May-72 D/I/KHAN 23-Apr-99 23-Apr-99 GGCMHS NO1 DIKHAN 1611 NASHEEN KANWAL MUHAMMAD YOUNIS MA/ BED/CT 16-Apr-74 D/I/KHAN 23-Apr-99 23-Apr-99 GGHS NO4 DIKHAN 1612 FAREEIHA RUBAB FIDA HUSSAIN MA MED/CT 6-May-76 D/I/KHAN 23-Apr-99 23-Apr-99 GGHS MALANA 1613 SAMINA KOUSAR MUHAMMAD HUSSAIN MA BA 2ND DIV BED 2nd Div: 7-Feb-74 HARIPUR 23-Apr-99 23-Apr-99 1614 ZUBY ZAHOOR ZAHOOR BA BED 24-Jul-75 ABBOTTABAD 24-Apr-99 24-Apr-99 GGHS Bakote 1615 NAILA NAZNEEN AZIZ AHMED BA BED 21-Apr-70 ABBOTTABAD 24-Apr-99 24-Apr-99 GGHSS Lora 1616 AZRA NAZ SHOUKAT BA BED 2-Feb-73 ABBOTTABAD 24-Apr-99 24-Apr-99 GGHSS Lora 1617 SHABNAM MUMTAZ QAMAR ZAMAN BA BED 8-Apr-71 ABBOTTABAD 24-Apr-99 24-Apr-99 GGHSS Lora 1618 FOUZIA BANO GHAZI KHAN BA BED 11-May-73 ABBOTTABAD 24-Apr-99 24-Apr-99 GGMS BALDHERI 1619 SABIA BIBI M/AFSAR BA BED 22-Dec-76 ABBOTTABAD 24-Apr-99 24-Apr-99 GGMS Bathian 1620 TAHIRA KOUSAR Muhammad Younis BA BED 17-Apr-76 ABBOTTABAD 24-Apr-99 24-Apr-99 GGHSS Malik Pura 1621 SHAKEELA SHAHEEN SULTAN MEHMOOD MSC (G)/BA 2ND DIV BED 2nd Div: 15-May-78 HARIPUR 19-Apr-99 24-Apr-99 1622 Fhakhru/n/Nisa/ Missal Khan/ BA/ CT 31-Dec-75 Tank/ 23-Apr-99 24/04/1999 /do/ Ranwal/ 1623 SHAZIA BANO ABDUL RAUF BA BED 30-Jun-74 ABBOTTABAD 25-Apr-99 25-Apr-99 GGHS Salhad 1624 MUSRAT YASMIN GHULAM YASEEN MA BED CT 1-Sep-64 D/I/KHAN 8-Jan-84 25-Apr-99 GGHS LANG KHAIR SHAH 1625 SHAZIA BIBI GUL HASSAN BA BEd 1-Feb-76 Mansehra 28-Apr-99 28-Apr-99
  • 36.
    Academic Professional Date of 1st D/O Apptt against No. Name of Teacher Father's Name Qualification Qualification Date of Birth Domicile Apptt: Present Post Name of School 1 2 3 4 5 6 7 8 9 10 1626 SADIA AFSHEEN NAZIR AHMED BSC BED 1-Nov-76 ABBOTTABAD 29-Apr-99 29-Apr-99 GGHSS Havelian 1627 SAJIDA BIBI SHATAB KHAN BA BED 1-Sep-75 ABBOTTABAD 29-Apr-99 29-Apr-99 GGHSS Havelian 1628 SHAZIA BIBI GUL DADA KHAN BA B/Ed 15-Apr-75 MARDAN 30-Apr-99 30-Apr-99 GGMS PARKHO DHERI 1629 Rukhsana Bibi BA BED 2-Sep-65 ABBOTTABAD 27-Apr-88 1-May-99 GGHS Mir Pur 1630 BUSHARA MANZOOR MANZOOR ELAHAI BA BED 15-Oct-70 ABBOTTABAD 30-Oct-88 1-May-99 GGCMS A/Abad (NO/1) 1631 Amina Khatoon Shamsur Rahman BA II BED 11-Nov-79 CHARSADDA 1-May-99 1-May-99 1632 ISHARAT CHISHTI SAID NABI CHISHTI MA B/Ed 10-Mar-76 DIR 12-Jan-95 1-May-99 GGMS AKBAR ABAD 1633 Ishrat Nageen Hazrat Gul MA/Med/CT 1-Jan-72 Swabi 18-Apr-92 1-May-99 GGMS Kunda 1634 SOBIA BANO QAZI MUHD SHABIR BA BED 5-May-72 ABBOTTABAD 3-May-99 3-May-99 GGMS Pawa 1635 Zeenat BiBi Awal Khan BA (2nd) B,ed 20-May-76 Dir Lower 4-May-99 4-May-99 1636 Lubna Muneer Fazal Munair BA (2nd) B,ed 15-Mar-77 Dir Lower 7-Jan-97 4-May-99 1637 Gulshan Ara Mohd Hafizullah BA (2nd) B,ed 24-Apr-74 Dir Lower 3-Jan-93 4-May-99 1638 Naseem Begum M/ Raheem Khan BA (2nd) B,ed 1-Jun-75 Dir Lower 3-Jan-93 4-May-99 1639 Muharam BiBi Bahadar Khan BA (2nd) B,ed 20-May-75 Dir Lower 24-Mar-95 4-May-99 1640 Nasira Qasim Qasim Jan BA (2nd) B,ed 7-Jan-76 Dir Lower 4-May-99 4-May-99 1641 Shakila Khatoon Mughal Sheer BA (2nd) B,ed 20-Jan-76 Dir Lower 18-Nov-96 4-May-99 1642 Naheed Begum Azizullah BA (2nd) B,ed 4-Jan-71 Dir Lower 8-Jan-95 4-May-99 1643 Zakia Gul Baz Khan BA (2nd) B,ed 5-Oct-76 Dir Lower 7-Jan-97 4-May-99 1644 Bibi Rashida Ghor Rehman BA BEd 17-Aug-72 Mansehra 8-Jan-90 4-May-99 1645 MARYAM BEGUM REHMAT SAID MA BED 15-Sep-75 DIR LOWER 13-Dec-95 4-May-99 GGHSS Mathra 1646 RIZWANA NAZNEEN MUHAMMAD YOUNIS BA BED 20-Nov-69 PESHAWAR 4-May-99 4-May-99 GGMS New karim Pura 1647 Saeeda Kashmir BA/Bed/CT 1-Apr-75 Swabi 6-Jan-94 4-May-99 GGHS Dagai 1648 Bushra Khatoon Ghulam Sarwar MA/Med/CT 14-Apr-76 Swabi 5-Apr-99 4-May-99 GGHS Turlnadi 1649 Jehan Pari Noor Ullah MA M/Ed: 15-Nov-75 Karak 30-May-96 5-May-99 GGHS Mitha Khel/ 1650 KOSAR GILLANI SYED MUDDASAR SHAH BA BED 2nd Div: 14-Aug-68 HARIPUR 7-May-99 7-May-99 1651 NIGHAT BIBI MAQBOOL ELAHI BA BED 2nd Div: 15-Sep-76 HARIPUR 7-May-99 7-May-99 1652 NIGHAT BIBI MISRI KHAN MA /BA 2ND MED/BEd/ 2nd div 15-Feb-73 HARIPUR 7-May-99 7-May-99 1653 SHAHEEN AFZAL MUHAMMAD AFZAL MA/BA IST DIV BED 8-May-75 HARIPUR 7-May-99 7-May-99 1654 SHAZIA JABEEN MUHAMMAD DAUD MA BA 2ND DIV MED/BEd/ 2nd div 20-Feb-70 HARIPUR 7-May-99 7-May-99 1655 KOUSAR GILLANI SYED MUDDASAR SHAH BA 2ND DIV BED 2nd Div: 14-Aug-68 HARIPUR 7-May-99 7-May-99 1656 SHAGUFTA NAZ MISRI KHAN MA 2ND DIV MED B/ed 2nd div 15-Jan-72 HARIPUR 7-May-99 7-May-99 1657 ZAHIDA PARVEEN MUHAMMAD ASLAM MA/BA 2nd Div BED 2nd Div: 8-May-75 HARIPUR 3-Apr-95 7-May-99 1658 NIGHAT BIBI MUHAMMAD AZIZ BA 2ND DIV BED 15-Sep-76 HARIPUR 6-May-99 7-May-99 1659 NAHEEDA GUL FAZAL ELAHI BSc 2ND DIV CT 4-Apr-72 HARIPUR 7-May-99 7-May-99 1660 SHEGUFTA NAZ M/MISRI KHAN BA CT 15-Jan-72 HARIPUR 7-May-99 7-May-99 1661 MUMTAZ BEGUM SHOUKAT ZAMAN KHAN MA/ BA 2nd iv BED 2nd Div: 1-Jan-71 HARIPUR 11-Apr-96 8-May-99 1662 NOSHABA KOUSAR HIKMAT KHAN BA 2nd Div BED 2nd Div: 15-May-70 HARIPUR 1-May-92 8-May-99 1663 RAWASIA BIBI SARDAR ABDUR REHMAN M/SC MED/BEd/ 2nd div 2-Jan-73 HARIPUR 8-May-99 8-May-99 1664 SAJIDA PARVEEN SULTAN MEHMOOD KHAN BA BED 20-May-72 HARIPUR 8-May-99 8-May-99 1665 RABIA TABASSUM MUHAMMAD SULIMAN BA 2ND DIV BED 1-Apr-72 HARIPUR 8-May-99 8-May-99 1666 NIGHAT JABEEN SYED MUHAMMAD SHAH BA 2ND DIV CT 22-Apr-75 HARIPUR 8-May-99 8-May-99 1667 AKHTAR BIBI BASHIR AHMAD BA 2ND DIV BED 4-Jul-70 HARIPUR 10-May-99 10-May-99 1668 SHAHEEN MAQBOOL MAQBOOL SHAH MA / BA 2ND DIV BED 23-Mar-74 HARIPUR 6-May-99 11-May-99 1669 RUKHSANA BEGUM ZARI JAN BA CT 14-Jan-76 KOHAT 20-Mar-95 11-May-99 GGHSS SHAKARDARA 1670 SHABANA BASHIR BASHIR AHMED BA CT 5-Feb-72 KOHAT 29-May-94 11-May-99 GGMS HASSAN ABAD 1671 BIBI KHALIDA MIR ZALI KHAN MA MED 4-Feb-73 Lakki 5-Nov-99 11-May-99 GGHS Sardar Maidad Khel 1672 NASIRA SUBHANI, BA GHULAM SUBHANI 17-Jul-73 Malakand 10-Jul-93 11-May-99 GGCMS Thana
  • 37.
    Academic Professional Date of 1st D/O Apptt against No. Name of Teacher Father's Name Qualification Qualification Date of Birth Domicile Apptt: Present Post Name of School 1 2 3 4 5 6 7 8 9 10 1673 AZMAT NOREEN QADER BAKSH BA/ BED/CT 17-May-73 D/I/KHAN 5-Dec-99 12-May-99 GGMS MAHRA 1674 Jamila Muhammad 18-Apr-77 Bajaur 12-May-99 12-May-99 GGHS Malkana nawagai 1675 FOUZIA SHAHEEN PIR MUHAMMAD M/SC BSC IST DIV BED 2-Mar-72 HARIPUR 6-May-99 12-May-99 1676 SADIA BASHIR BASHER AHMAD BA/ BED/CT 7-Apr-78 D/I/KHAN 13-May-99 13-May-99 GGMS CHA BAREWALA 1677 MALIKA BIBI GHULAM SARWAR MA /BA 2ND BED 2nd Div: 1-Jan-76 HARIPUR 13-May-99 13-May-99 1678 SHAMIM ARA, BA FAZAL SANI 15-Mar-66 DIR (U) 12-Apr-93 14-May-99 GGMS Dry Sari 1679 SHABANA NAZ GHULAM AKBAR MA/ MED/CT 1-Aug-72 D/I/KHAN 24-Oct-92 15-May-99 GGHSSNO2 DIKAHN 1680 BUSHRA REHMAN ABDUL REHMAN MA BED 2nd Div: 05/07/0971 HARIPUR 12-May-99 17-May-99 1681 RUKHSANA SHAHEEN SHAMROZ KHAN BA CT 19-Apr-70 HARIPUR 6-May-99 18-May-99 1682 NUZHAT PARVEEN MUHAMMAD ASHRAF MA /BA 2ND BED Ist Div 13-Oct-72 HARIPUR 19-Jan-00 19-May-99 1683 Abida Khursheed Eid Mohammad MA B/Ed: 12-May-73 Karak 22-Jan-98 19-May-99 GGMS Mirza Khel 1684 Mst/ Fazilat Abdul hamid MA 7-May-74 Bajaur 31-May-99 31-May-99 Abdul hamid 1685 ISHRAT BIBI GUL ANAR ABBASI BA BED 15-Apr-60 ABBOTTABAD 20-Oct-80 1-Jun-99 GGHS Beerote 1686 YASMIN GULAB GULAN DIN BA BED 7-Mar-58 ABBOTTABAD 11-Mar-83 1-Jun-99 GGHSS Havelian 1687 SHABEEN AKHTER ATTIQE AHMED BA BED 28-Oct-86 ABBOTTABAD 11-Jan-86 1-Jun-99 GGHS Beerote 1688 NASIM SADIQ MUHMMAD SADIQ BA BED 3-Apr-71 ABBOTTABAD 10-Mar-89 1-Jun-99 GGHS Sumandar Katha 1689 Shah Begum Mehboob Ali BA Orakzai 1-Jun-99 1-Jun-99 GGMS Chapper Mishti 1690 Shazia Begum Ghulam Muhammad MA 2-Feb-78 Bajaur 1-Jun-99 1-Jun-99 Ghulam muhammad 1691 Taj Meena,BA(2nd)B/Ed Sher Ali Khan 01/JAN/72/ MARDAN 1-Jun-99 1-Jun-99 GGMS ABBAS KALLAY 1692 Balqees Anjum Abdul Wahab B/Sc B/ Ed 5-Jan-76 Nowshera 4-Jun-99 4-Jun-99 1693 AMRIA RAFIQ M RAFIQ MA BED 2-Jan-77 SWABI 4-Jun-99 4-Jun-99 GGMS SHAHEEN MUSLIM TOWN 1694 NAJMA NIAZ SALAR MUHAMMAD MA MEd 20-May-72 SWAT 4-Jun-99 4-Jun-99 GGHSS Hayat Abad 1695 TABASUM PEER HIDAYAT ULLAH BA II BED 12-Jul-71 CHARSADDA 26-Jul-96 1-Jul-99 1696 Bibi Shahida BA B/Ed Abdul Hai 13-Apr-77 Chitral 9-Jul-99 9-Jul-99 GGMS Kushum 1697 Robina Badar S,Habib Shah BA CT 7-Jan-75 Hangu 4-Aug-99 4-Aug-99 GGMS Darsamandf 1698 BIBI MEMOONA PIR M KHAN BA BEd 27-Jan-77 Mansehra 4-Aug-99 4-Aug-99 1699 BILQUES N SULMAN BA BEd 8-May-72 Mansehra 4-Aug-99 4-Aug-99 1700 Nasiha Begum Mohib Gul B/Sc B/ Ed 17-Apr-76 Nowshera 4-Aug-99 4-Aug-99 1701 Bushra Kausar Bashir Hussain M/A B/ Ed 30-Jan-74 Nowshera 4-Aug-99 4-Aug-99 1702 FAWAD GUL SHARFI GUL MA BED 15-Oct-73 PESHAWAR 08/04/199 4-Aug-99 GGHS Khyber Colony 1703 ANILA ROHI MUHAMAMD ISLAM MA BED 23-Apr-73 PESHAWAR 4-Aug-99 4-Aug-99 GGHS Wazeer Bagh 1704 SHABANA MUHAMMAD YOUNIS MA BED 2-Dec-68 PESHAWAR 4-Aug-99 4-Aug-99 GGHS Wazeer Bagh 1705 UZMA GUL QAZI ABDUL MALIK MA MEd 23-Feb-77 PESHAWAR 4-Aug-99 4-Aug-99 GGHSS No/2 Cantt 1706 Rifat Parveen, Habib ur Rehman MA B/Ed: 15-Apr-71 Karak 8-May-99 5-Aug-99 GGHS Ahmad Abad/ 1707 Zubida Khanum, Gul Taraz MA B/Ed: 4-Apr-72 Karak 11-Nov-90 5-Aug-99 GGHS Ahmad Abad/ 1708 Farkhanda Noureen, Muhammad Munir Khan MA M/Ed: 13-Nov-72 Karak 2-May-92 5-Aug-99 GGHS, Dabb 1709 Qamar Bano Hiday Ullah MA B/Ed: 13-Oct-71 Karak 5-Aug-99 5-Aug-99 GGMS Muhabi Killa 1710 Salma Rahim Abdul Rahim MA B/Ed: 7-Nov-74 Karak 8-May-99 5-Aug-99 GGHS Khurram 1711 KOUSAR PARVEEN NASEER MUHAMMAD BA CT 2-Feb-66 KOHAT 1-Dec-85 26-Aug-99 GGCMHS NO 3 KOHAT 1712 KHAIR UN NISA ABDUL GHAFFAR BA BED/CT 17-May-60 D/I/KHAN 1-Nov-89 1-Sep-99 GGHS D/KALAN 1713 Azra Bano Mohammad Zahir Khan FA 1-Apr-78 FR Peshawar 1-Sep-99 1-Sep-99 GGMS Nauman Killi 1714 Hameeda Bibi Khadi Sher BA 18-Nov-78 FR Peshawar 1-Sep-99 1-Sep-99 GGMS Khanzada 1715 Samina masib Wazir Masih BA 16-Jun-80 Khyber 1-Sep-99 1-Sep-99 GGMS Musa Khan 1716 Shazia Jabeen Qayum Nawaz BA Orakzai 1-Sep-99 1-Sep-99 GGMS And Khel 1717 Abida BA SWA 1-Sep-99 1-Sep-99 GGMS Maulay Khan Kot SWA 1718 Shazia Begum 2-Feb-78 Bajaur 1-Sep-99 1-Sep-99 GGMS Inayat Killi 1719 Rukhsana Begum Surat Khan MA 17-Jun-80 FR Tank 1-Sep-99 1-Sep-99 GGHS Sardar Ali Kor
  • 38.
    Academic Professional Date of 1st D/O Apptt against No. Name of Teacher Father's Name Qualification Qualification Date of Birth Domicile Apptt: Present Post Name of School 1 2 3 4 5 6 7 8 9 10 1720 Parveen Bibi Mohammad Sharif BA 10-Oct-80 FR Tank 1-Sep-99 1-Sep-99 GGMS Mosam Khan Kor 1721 ROZINA NAZIR NAZIR MUHAMMAD MA CT 8-Jun-73 KOHAT 25-May-92 1-Sep-99 GGMS HASSAN ABAD 1722 FARZANA NAZ MUHAMMAD JOHAR MA B/Ed 2-Mar-74 MARDAN 1-Sep-99 1-Sep-99 GGHS RUSTAM KHEL 1723 HAJRA AKBAR KHAN MA B/Ed, M/Ed 13-Mar-75 MARDAN 1-Sep-99 1-Sep-99 GGMS SANGA 1724 Shaista Naz Muhammad Irshad BA/Med/CT 10-Jun-75 Swabi 1-Sep-99 1-Sep-99 GGHSS Baja 1725 Soofia Noor Noor ul Islam B/A B/ Ed 4-Jan-73 Nowshera 4-Sep-99 4-Sep-99 1726 Uzma Afrin Mohammad Ali Shah M/A B/ Ed, C/T 19-Nov-77 Nowshera 4-Sep-99 4-Sep-99 1727 Parveen Akhter Abdul Wahab B/A B/ Ed 1-Dec-76 Nowshera 4-Sep-99 4-Sep-99 1728 Samia Ferdos, Sultan Mehmood BA/MA B/Ed: 6-Dec-76 Karak 9-Sep-99 9-Sep-99 GGHS Takhti Nasratti/ 1729 Rizwana Bibi Faizur Rahman BA (2nd) B,ed 14-Feb-73 Dir Lower 12-Sep-99 12-Sep-99 1730 Samia Begum Mustafa Kamal BA (2nd) B,ed 15-Jan-77 Dir Lower 12-Sep-99 12-Sep-99 1731 Hurmat Bibi Fazal Azim BA (2nd) B,ed 13-Feb-77 Dir Lower 12-Sep-99 12-Sep-99 1732 Jamila Nargas Mohd Ali BA (2nd) B,ed 15-Mar-74 Dir Lower 11-Oct-94 12-Sep-99 1733 Ulfat Naz Abdul Razaq BA (2nd) B,ed 17-May-78 Dir Lower 12-Sep-99 12-Sep-99 1734 Samina Naz Mohd Zubair BA (2nd) B,ed 15-Apr-76 Dir Lower 12-Sep-99 12-Sep-99 1735 Pukraj Begum Mian Akbar Nasim BA (2nd) B,ed 20-Apr-78 Dir Lower 12-Sep-99 12-Sep-99 1736 Nusrat Begum Sahibul Haq BA (2nd) B,ed 3-Dec-75 Dir Lower 12-Sep-99 12-Sep-99 1737 Shahnila Bibi Qaribullah Khan BA (2nd) B,ed 1-Jan-78 Dir Lower 12-Sep-99 12-Sep-99 1738 Akhtara BiBi Lali BA (2nd) B,ed 15-Apr-76 Dir Lower 21-Nov-94 12-Sep-99 1739 Nabila Khuna Gul BA (2nd) B,ed 6-Sep-78 Dir Lower 12-Sep-99 12-Sep-99 1740 FARZANA SHAHEEN ZULFIQAR MA BED 8-Sep-70 PESHAWAR 30-Aug-97 12-Sep-99 GGMS Hayat Abad 1741 MEENA GUL REHAN GUL MA MEd 19-May-73 PESHAWAR 12-Sep-99 12-Sep-99 GGHS Urmar Miana 1742 Shaheen Alam Nisar Ahmad MA M/Ed 14-May-74 SWAT 30-Jun-97 21-Sep-99 GGHS Saidu Sharif 1743 Farah Naz Nisar Ahmed BA BEd 3-Jan-70 Mansehra 4-Oct-99 4-Oct-99 1744 Rafia Naz Gul Said B/Sc B/ Ed 2-Jan-77 Nowshera 4-Oct-99 4-Oct-99 1745 Shahida Bano Abdul Ghafoor M/A B/ Ed 1-Jan-73 Nowshera 4-Oct-99 4-Oct-99 1746 Humaira Nowsheen Ghulam Rasool M/A B/ Ed 1-Jan-75 Nowshera 4-Oct-99 4-Oct-99 1747 Rukhsana Yasmeen Sardar Hussain M/Sc B/ Ed, M/ Ed 21-Apr-75 Nowshera 4-Oct-99 4-Oct-99 1748 SHAZIA QAZI IBRAHIM QAZI MA BED 4-Mar-71 PESHAWAR 4-Oct-99 4-Oct-99 GGMS Jehangir Pura 1749 SHAHEEN AKHTAR RAHAT ELAHI BA MEd 1-Jan-75 PESHAWAR 4-Oct-99 4-Oct-99 GGHS Yaka Toot 1750 Yasmin Sultan Sultanat Khan BA B/Ed 15-Dec-72 SWAT 4-Oct-99 4-Oct-99 GGHS No/1/Mingora 1751 Farida Yasmin Mir Mizullah Khan BA B/Ed: 1-Jan-73 Karak 11-Sep-98 5-Oct-99 GGHS Khojaki/ 1752 Yasmin Nawaz, Noor Nawaz BA B/Ed: 22-Apr-74 Karak 10-May-99 5-Oct-99 GGHS Nari Panoos/ 1753 HASSINA BIBI ,MA(Isl) / B/Ed ASMAT WALI 15-Apr-63 CHITRAL 12-Nov-81 7-Oct-99 GGMS CC THANA/ 1754 FIAZ BIBI ABDUL GHAFFOR BA BED 23-Feb-74 ABBOTTABAD 12-Oct-99 12-Oct-99 GGMS Jarral 1755 SHAGUFTA NAZNEEN NAZER AHMAD BA BED/CT 15-Oct-68 D/I/KHAN 12-Oct-99 12-Oct-99 GGMS SAGO 1756 Kalsoom Bano Mohammad Yaqoob M/A B/ Ed, M/ Ed 30-Sep-69 Nowshera 25-Nov-90 12-Oct-99 1757 Bibi Hafiza BA Mir Quwat Khan 21-Dec-67 Chitral 29-Mar-86 13/10/1999 GGMS Singoor 1758 Alia Akhtar Sherzada Khan MA 9-Jun-73 Khyber 3-Nov-99 3-Nov-99 GGHS jamrud 1759 Parveen Bibi, MA B/Ed Afzal Ali 15-Jun-68 Chitral 27-Mar-90 5-Nov-99 GGMS Charun 1760 KOUSAR SHAHEEN HUSSAIN BAKHSH BA BED/CT 5-Jun-66 D/I/KHAN 1-Dec-85 12-Nov-99 GGMS SAGGU 1761 Shagufta Kanwal Mohammad rashid MA 26-Feb-70 NWA 12-Nov-99 12-Nov-99 GGHS Khan Mir Kot 1762 SAFINA GUL SYE MUTTAHIR SHAH MA BED 4-May-72 PESHAWAR 12-Sep-99 12-Nov-99 GGHS Urmar Miana 1763 Zubaida Khatoon Hassan Din BA 1-Jan-68 Khyber 14-Nov-99 14-Nov-99 GGMS Ghazi Gl 1764 Tehseen Gul Abdur Rehman MA 6-Jan-61 FR Tank 14-Nov-99 14-Nov-99 GGMS Khoi Bahara 1765 Anjum Zarin Akbar Shah BA 1-Aug-75 FR Tank 15-Nov-99 15-Nov-99 GGMS Khoi Bahara 1766 AFSHEEN AKHTAR ABDUS SATTAR MA/ BED/CT 19-Sep-72 D/I/KHAN 21-Nov-99 21-Nov-99 GGHS F/R/COLONY
  • 39.
    Academic Professional Date of 1st D/O Apptt against No. Name of Teacher Father's Name Qualification Qualification Date of Birth Domicile Apptt: Present Post Name of School 1 2 3 4 5 6 7 8 9 10 1767 YASMEEN, BA MUHAMMAD SHAH 14-Apr-76 CHARSADA 17-Apr-95 23-Nov-99 GGMS Sindani 1768 Maimoon Begum Sher Ahmad Khan MA 8-May-77 FR Bannu 27-Nov-99 27-Nov-99 GGHS Kotka Sher Andaz 1769 Samreen Gul Mehar Din MA 4-Apr-81 NWA 27-Nov-99 27-Nov-99 GGMS Atta Mohammad Kot 1770 Sultana Bibi Mohammad Yousaf Khan MA 4-Feb-81 NWA 28-Nov-99 28-Nov-99 GGMS Samandar kot 1771 BASMINA USMAN USMAN BA II BED 12-Jun-77 CHARSADDA 1-Dec-99 1-Dec-99 1772 Naheed 14-Mar-80 Bajaur 1-Dec-99 1-Dec-99 GGMS Nari Tangai 1773 JANTAB BEGUM NAWAB ALI BA CT 1-Mar-76 KOHAT 3-Apr-95 1-Dec-99 GGHS KHADIZAI 1774 ABIDA NAZ NAZIR MOHD BA BEd 2-Jul-73 Mansehra 4-Dec-99 4-Dec-99 1775 TAHIRA MUMTAZ M MUMTAZ BA BED 6-Jun-70 ABBOTTABAD 11-Apr-90 6-Dec-99 GGHSS Lora 1776 Nuzhat Zuhra Hameedul Akbar BA/Bed/CT 10-Apr-73 Swabi 8-Dec-99 8-Dec-99 GGMS Mian Dheri 1777 FARZANA BEGUM TILA MUHAMMAD BA II BED 1-Apr-74 CHARSADDA 9-Dec-99 9-Dec-99 1778 ISHRAT BEGUM GUL BADSHAH BA II BED 13-May-77 CHARSADDA 9-Dec-99 9-Dec-99 1779 FARAKH NAZ FAZLI RAZIQ BA II BED 9-Nov-64 CHARSADDA 9-Dec-99 9-Dec-99 1780 HASIBA MEHFOOZ MEHFOOZ URAHMAN BA II BED 3-Jul-77 CHARSADDA 9-Dec-99 9-Dec-99 1781 NAFEES AKHTAR IMAM BAKHSH MA BED MED /CT 11-Jan-67 D/I/KHAN 9-Dec-99 9-Dec-99 GGCMHS NO1 DIKHAN 1782 SAMIN MALIK GHULAM ABBAS MA /BED/CT 6-Apr-70 D/I/KHAN 9-Dec-99 9-Dec-99 GGHS NO/ 9 DINPUR 1783 REHANA BALOCH ALLAH DAD BA BED/CT 6-Feb-75 D/I/KHAN 9-Dec-99 9-Dec-99 GGMS THATHAL 1784 NAGINA BEGUM TAJUD DIN BA B/Ed 12-Apr-75 MARDAN 9-Dec-99 9-Dec-99 GGMS ASLAM KOROONA 1785 Noor Jehan Amir Hatam BA B/Ed 16-Jun-61 SWAT 2-Nov-80 9-Dec-99 GGMS Gul Bandai 1786 Mumtaz Mahal Muhammad Ghafoor MA M/Ed 22-Apr-63 SWAT 12-Dec-85 9-Dec-99 GGHS Gwelerai 1787 Najma Alam Mian Gul Saeed MA M/Ed 31-Jul-75 SWAT 9-Dec-99 9-Dec-99 GGHS B/D/Khela 1788 Sharafat Dilram Khan MA M/Ed 20-May-78 SWAT 9-Dec-99 9-Dec-99 GGHS Barikot 1789 Naheeda Khurshid/ Muhammad Ali/ BA/ CT 23-Nov-57 Tank/ 3-Nov-76 9-Dec-99 /do/ Gomal Bazar/ 1790 Iram Saba/ Yousaf Khan/ BA/ CT 15-Nov-72 Tank/ 9-Dec-99 9-Dec-99 /do/ Tajori/ 1791 BIBI GHAZALA SHAHEEN S/ABBAS ALI SHAH BA BED 15-Jul-65 ABBOTTABAD 10-Dec-99 10-Dec-99 GGMS LOON PATTIAN 1792 FARHANDA BEGUM FAZLI MALIK BA II BED 1-May-73 CHARSADDA 15-Sep-92 10-Dec-99 1793 JEHAN ARA FA, CT NOOR HASSAN 1-Jan-75 BUNNER 27-May-93 10-Dec-99 GGHS TOTALAI 1794 ASIA BEGUM ISRAR UDDIN BA II BED 4-Apr-75 CHARSADDA 10-Dec-99 10-Dec-99 1795 GUL NAZ BEGUM SAHIB ULLAH BA II BED 4-Apr-76 CHARSADDA 10-Dec-99 10-Dec-99 1796 GULI NASREEN NAURANG KHAN BA II BED 13-Mar-68 CHARSADDA 10-Dec-99 10-Dec-99 1797 UZMA KOUSAR RAHAT ULLAH BA II BED 8-Aug-74 CHARSADDA 10-Dec-99 10-Dec-99 1798 SHAMIM AKHTAR ABDUR REHMAN FA CT 15-May-71 HARIPUR 14-Apr-96 10-Dec-99 1799 FATIMA KALSOOM,BA(2nd) SYAD BADSHAH HASSAN 13-Jan-75 DIR 10-Dec-99 10-Dec-99 GGHSS Sakhakot 1800 TAUHEDA ALAM SHER ALAM MA B/Ed,M/Ed 1-May-76 DIR 10-Dec-99 10-Dec-99 GGHSS Takht Bhai 1801 SAIQA RAHIM RAHIM BUKHSH BA MED 28-Mar-74 PESHAWAR 10-Dec-99 10-Dec-99 GGHS Gul Bahar 1802 Shahida Shamsur Rahman MA/Med/CT 1-Sep-73 Swabi 10-Dec-99 10-Dec-99 GGHS Yar Hussain 1803 Fatima Bibi Amanullah Khan MA B/Ed 19-Apr-73 SWAT 1-Mar-95 10-Dec-99 GGHS No/2/S/Sharif 1804 Hussan Ara Mian Jan MA M/Ed 15-Apr-76 SWAT 10-Dec-99 10-Dec-99 GGHS Saidu Sharif 1805 Ruksana Rashid Rashid Ahmad BA B/Ed 3-May-77 SWAT 10-Dec-99 10-Dec-99 GGHSS Odigram 1806 Nazia Tabussum Muhammad Ullah MA B/Ed 30-May-77 SWAT 10-Dec-99 10-Dec-99 GGHS No/2/S/Sharif 1807 Farzana Begum Muhammad Ali Shah BA CT 1-Nov-79 SWAT 10-Dec-99 10-Dec-99 GGMS Bara Bandai 1808 Gul Nasreen BA,B/Ed MA Mohammad Azam 14-Jun-60 Chitral 1-Nov-81 10-Dec-99 GGHS Muldeh 1809 Sultania Bibi FA Mohammad Ishaq 18-Jan-69 Chitral 22-Oct-89 10-Dec-99 GGMS Jughoor 1810 NAHEED BEGUM YAHYA KHAN BA BED 5-Sep-61 ABBOTTABAD 4-Sep-85 11-Dec-99 GGMS Ghumawan 1811 FOUZIA ASLAM ISLAM UD DIN BA BED 20-Apr-68 ABBOTTABAD 9-Sep-86 11-Dec-99 GGMS Ghumawan 1812 MUSARAT BIBI SHAH ZAMAN BA BED 4-May-69 ABBOTTABAD 1-Nov-88 11-Dec-99 GGHSS Comprehencive 1813 MUSARRAT BIBI SHAH ZAMAN BA BED 4-May-69 ABBOTTABAD 1-Nov-88 11-Dec-99 GGCHSS ABBOTTABAD
  • 40.
    Academic Professional Date of 1st D/O Apptt against No. Name of Teacher Father's Name Qualification Qualification Date of Birth Domicile Apptt: Present Post Name of School 1 2 3 4 5 6 7 8 9 10 1814 SHABNUM BIBI M/Aslam BA BED 15-May-75 ABBOTTABAD 11-Dec-99 11-Dec-99 GGHS Bandi Maira 1815 SAMINA YAQOUB SARDAR MUHMMAD YAQUB BA BED 15-Aug-70 ABBOTTABAD 11-Dec-99 11-Dec-99 GGHS Havelian Village 1816 MISS SHERAZ GUL RAHMAN BA II BED 5-Sep-73 CHARSADDA 11-Dec-99 11-Dec-99 1817 RASHIDA ANDALEEB M/YONIS KHAN MA/ BED/CT 3-Mar-65 D/I/KHAN 27-Nov-85 11-Dec-99 GGHS WANDA HISAM 1818 RUKHSANA SHAHEEN ABID HUSSAIN MA CT BED 14-Mar-68 D/I/KHAN 25-May-93 11-Dec-99 GGHSS NO5 DIKHAN 1819 SHAKILA AZIZ/UR/REHMAN MA BA 2ND DIV BED 15-Oct-62 HARIPUR 10-Jul-85 11-Dec-99 1820 AYESHA MUSTFA GHULAM MUSTFA BA BED 14-Sep-73 HARIPUR 11-Dec-99 11-Dec-99 1821 KHALIDA BEGUM MUHAMMAD AYYUB MA MED 4-Jan-58 HARIPUR 9-Nov-99 11-Dec-99 1822 ROBINA NAZ MUHAMMAD/ASLAM SHAH BA IST DIV BED 13-Feb-74 HARIPUR 10-Dec-99 11-Dec-99 1823 SHERAZ BIBI MUHAMMAD ASHRAF BA BED 1-Apr-69 HARIPUR 8-Dec-88 11-Dec-99 1824 Rahmat Bibi Muhammad Dilo jan MA M/Ed 1-May-72 SWAT 7-Mar-95 11-Dec-99 GGMS Koza Bandai 1825 Mumlikat Bibi Shamsul Huda Mian BA B/Ed 3-Mar-73 SWAT 11-Dec-99 11-Dec-99 GGHS Madyan 1826 Kalsoom Bibi Ghulam Mohammad BA 2-Nov-80 FR Tank 12-Dec-99 12-Dec-99 GGHS Sardar Ali Kor 1827 Yasmin Taj Taj Muhammad MA B/Ed 3-Aug-69 SWAT 31-Oct-87 12-Dec-99 GGHS No/1/Mingora 1828 IFFAT BAHAR CHAN BAHAR BA BED 20-Mar-66 ABBOTTABAD 3-Nov-85 13-Dec-99 GGHSS Sherwan 1829 SAJIDA RAFIQUE MUHAMMAD RAFIQUE BA BED 3-Jan-67 ABBOTTABAD 13-Dec-99 13-Dec-99 GGMS BIGA KOT 1830 Kusar Jabeen Amanullah MA Med,CT 2-Jul-75 Hangu 9-Jan-94 13-Dec-99 GGHS Bagtoo 1831 RASHIDA BIBI SALHEEN MA /BA 2ND BED/Bed 2nd Div 14-Jan-69 HARIPUR 13-Dec-99 13-Dec-99 1832 KAUSAR HAKEEM UMAR HAKEEM BA B/Ed 1-Feb-76 BAJAUR AGENCY 13-Dec-99 13-Dec-99 GGMS JARRAI 1833 Farkhanda Akber Mian Akber Khan M/A B/ Ed, C/T 15-Apr-77 Nowshera 13-Dec-99 13-Dec-99 1834 Saeed Tun Nisa Fazal Karim M/A B/ Ed 10-Oct-72 Nowshera 13-Dec-99 13-Dec-99 1835 Shamim Akhtar Abdul Samad M/A B/ Ed, M/ Ed, CT 23-Mar-70 Nowshera 13-Dec-99 13-Dec-99 1836 NOOR JEHAN MUHAMAMD ULLAH MA MEd 1-Jan-55 PESHAWAR 1-May-77 13-Dec-99 GGHS No1/ Cantt 1837 Farkhanda Khurshid Khan BA B/Ed 1-May-77 SWAT 13-Dec-99 13-Dec-99 GGMS Panjigram 1838 Zakia Anjum Abdul Wahab BA B/Ed 1-Jan-75 Nowshera 13-Dec-99 13-Dec-99 1839 Shahnaz Iqbal, Muhammad Iqbal BA B/Ed: 29-Jan-68 Karak 14-Jan-90 13/12/1999 GGHSS, Teri 1840 NASRIN BEGUM MUKARAM KHAN BA II BED 11-Nov-66 CHARSADDA 17-Nov-85 14-Dec-99 1841 AZRA YASMIN ZAKIR ULLAH BA II BED 27-Oct-68 CHARSADDA 14-Dec-99 14-Dec-99 1842 Shabana Bibi Saifullah MA Med CT 16-Jan-76 Hangu 14-Nov-99 14-Dec-99 GGHS No,2 Hangu 1843 NIAZ PARVEEN ABDUR RAFIQUE MA BA 2ND DIV MED/BEd/ 2nd div 1-Jun-76 HARIPUR 14-Dec-99 14-Dec-99 1844 ZAHIDA IQBAL MUHAMMAD AMIN BA BED 5-Feb-70 HARIPUR 30-Oct-88 14-Dec-99 1845 NAZIA BIBI MUMTAZ HUSSAIN MA/ BA CT 2-Apr-74 HARIPUR 25-Jun-97 14-Dec-99 1846 NAZIA BIBI MUMTAZ HUSSAIN MA CT 2-Apr-74 HARIPUR 25-Jun-97 14-Dec-99 1847 SHAHEENA MALIK MALIK TAJ MUHAMMAD BA 2ND DIV CT 8-Feb-62 HARIPUR 16-Mar-88 14-Dec-99 1848 SHABINA TARANUM MOHABAT SHAH BA CT 1-Feb-58 KOHAT 4-Dec-85 14-Dec-99 GGHSS BILLITANG 1849 ATTIA ALMAS TILLA MUHAMMAD BA CT 10-Aug-68 KOHAT 22-Oct-89 14-Dec-99 GGMS BANDA FATEH KHAN KHEL 1850 REHANA BEGUM SARDAR KHAN BA CT 1-May-53 KOHAT 10-Feb-87 14-Dec-99 GGMS PAF BASE 1851 Wasaf Nigar Fazal/e/Malik M/A M/ Ed 14-Jan-76 Nowshera 14-Dec-99 14-Dec-99 1852 SADIQA JAMAL SHER AHMAD BA BED 5-Jan-72 PESHAWAR 14-Dec-99 14-Dec-99 GGMS SWATI GATE PESHAWAR 1853 Shafqat Rahman Inayatur Rahman MA/Med/CT 1-Apr-75 Swabi 4-Mar-96 14-Dec-99 GGMS Naranjee 1854 Naseem Akhtar Muhammad Amin MA/Med/CT 3-Jul-69 Swabi 14-Dec-99 14-Dec-99 GGMS Shamroz Abad Dagai 1855 Naheeda Bashir Muhamamd MA/Bed/CT 15-Feb-74 Swabi 14-Dec-99 14-Dec-99 GGHSS Lahor 1856 Nageena Muhammad Fayaz MA/Med/CT 15-Jul-75 Swabi 14-Dec-99 14-Dec-99 GGMS Bazargi 1857 Saeeda Akhtar Juma Khan BA B/Ed 13-Jan-76 SWAT 14-Dec-99 14-Dec-99 GGHS No/1/Mingora 1858 Nazia Begum Abdul Dayan MA M/Ed 1-Nov-75 Nowshera 18-Jan-98 14/12/1999 1859 Kalsoom Khatoon/ Najeeb Khan/ BA/ CT 2-Jan-72 Tank/ 14-Dec-99 14/12/1999 /do/ Gara Shahbaz/ 1860 MUMLIKAT BEGUM MA , BED TAJ MOHAMMAD KHAN 3-Jun-77 BUNNER 13-Sep-95 15-Dec-99 GGHS SHALBANDAI
  • 41.
    Academic Professional Date of 1st D/O Apptt against No. Name of Teacher Father's Name Qualification Qualification Date of Birth Domicile Apptt: Present Post Name of School 1 2 3 4 5 6 7 8 9 10 1861 NAZMA TABBASUM NOOR MUHAMMAD MA CT 1-Dec-72 KOHAT 15-Dec-99 15-Dec-99 GGMS DHOK LATIF ABAD 1862 SHEHLA RUBY AMIR MUHAMMAD BA CT 6-Mar-66 KOHAT 12-Oct-88 15-Dec-99 GGCMHS NO 3 KOHAT 1863 REFAT BEGUM, BA(2nd) KHAISTA REHMAN 22-Sep-77 DIR 15-Dec-99 15-Dec-99 GGHSS Sakhakot 1864 SAMRA UMBREEN SMI UD DIN MA BED 13-Apr-72 PESHAWAR 15-Dec-99 15-Dec-99 GGHS Dabgari Gate 1865 MEMOONA HABIB HABIB ULLAH KHAN MA BED 2-May-75 PESHAWAR 15-Dec-99 15-Dec-99 GGHS Jogiwara 1866 SHAZIA RANI ABDUL HAKEEM MA BED 19-May-77 PESHAWAR 15-Dec-99 15-Dec-99 GGMS Zaryab Colony 1867 ASMAL YASMIN IJAZ AHMAD MA MEd 20-Mar-75 PESHAWAR 15-Dec-99 15-Dec-99 GGMS ASIA PARK PESHAWAR 1868 Farhat Shamim Sahibullah MA/Med/CT 15-Mar-70 Swabi 21-Apr-99 15-Dec-99 GGMS Marghuz 1869 Zeenat Qadir Abdul Qadir BA CT 5-Apr-76 SWAT 15-Dec-99 15-Dec-99 GGMS Shalpin 1870 Shahzia Afzal Sher Afzal BA CT 12-Feb-77 SWAT 15-Dec-99 15-Dec-99 GGHS Kokarai 1871 Shabnam Afshan, Amir Ullah MA B/Ed: 15-May-71 Karak 3-Jan-90 15/12/1999 GGHS Terri/ 1872 GULSHAN ARA BA, BED HAFIZULATIF UR RAHMAN 13-May-62 BUNNER 26-Mar-87 16-Dec-99 GGHS CHINGLAI 1873 RUKHSANA BEGUM MA,MED ABDUR RASHID 3-Apr-73 BUNNER 27-Apr-92 16-Dec-99 GCMP DAGGAR QILA 1874 MERAJ ZARI MA, MED TABAN 7-Apr-75 BUNNER 20-May-93 16-Dec-99 GGHS KOWGA 1875 Ambrina Bibi Gul Zaman MA 2-Feb-81 FR Tank 16-Dec-99 16-Dec-99 GGMS Mosam Khan Kor 1876 NAGINA BIBI MUHAMMAD AYUB MA /BA 2ND DIV BED 30-Apr-71 HARIPUR 16-Dec-99 16-Dec-99 1877 SHABANA SHAHEEN ABDUL QADIR KHAN MA /BA 2ND BED 2nd Div: 20-Nov-71 HARIPUR 16-Dec-99 16-Dec-99 1878 CHAN TAJ BEGUM MUHAMMAD LATIF MA CT 12-Jan-70 HARIPUR 16-Dec-99 16-Dec-99 1879 RUQIA QADDOS ABDUL QADDOS BA CT 1-Nov-65 KOHAT 18-Sep-86 16-Dec-99 GGMS PAF BASE 1880 FARAH DEEBA HAKIM KHAN BA CT 15-Mar-67 KOHAT 16-Dec-99 16-Dec-99 GGHS NO 2 1881 Neelam Muhammad Ashiq M/A B/ Ed 3-Feb-78 Nowshera 16-Dec-99 16-Dec-99 1882 AMBREEN ANNJUM SAJID ALI SHAH MSc BED 18-Jun-71 PESHAWAR 16-Dec-99 16-Dec-99 GGHSS Comprehencive 1883 TAHIRA NASIM GHULAM ZIKRIYA MA BED 21-Mar-74 PESHAWAR 16-Dec-99 16-Dec-99 GGMS Darmangi 1884 Farzana Begum Said Badshah BA/Bed/CT 1-Jan-72 Swabi 1-Jan-98 16-Dec-99 GGHS Marghuz 1885 Parveen Qamruz Zaman BA/Bed/CT 3-May-72 Swabi 16-Dec-99 16-Dec-99 GGHS Yar Hussain 1886 Bakht Wala Rahim Gul MA B/Ed 22-May-75 SWAT 16-Dec-99 16-Dec-99 GGHS Kalakalay 1887 Asmat Ara Bakhtyar Ahmad BA B/Ed 4-Oct-76 SWAT 1-Jul-97 16-Dec-99 GGHS Kalakalay 1888 Rukhsana Bibi, Muhammad Rauf Khan MA B/Ed: 6-Feb-76 Karak 16-Dec-99 16/12/1999 GGHS Jandari/ 1889 Imrana Bibi, Manzoor Khan MA B/Ed: 19-Jul-77 Karak 16-Dec-99 16/12/1999 GGHS Ghundi killa/ 1890 NAHEED BEGUM MA, MED MUHAMMAD KHAN 11-Dec-75 BUNNER 17-Dec-94 17-Dec-99 GGHS BAGRA 1891 ZAHIDA MA, BED ZIARAT KHAN 6-May-76 BUNNER 19-Dec-94 17-Dec-99 GGHSS KALPANI 1892 Noreen Fatma S,Mujtaba Hussain BA CT 10-Jan-75 Hangu 17-Dec-99 17-Dec-99 GGHS No,1 Hangu 1893 SAMINA BEGUM ABDUL JABBAR BA BED 5-Dec-72 HARIPUR 10-Dec-99 17-Dec-99 1894 NAVEED FARNAZ MUKKARAM KHAN BA CT 24-May-66 KOHAT 2-Nov-85 17-Dec-99 GGHS KDA 1895 DILSHAD SULEMAN KHAN BA CT 2-Dec-69 KOHAT 17-Dec-99 17-Dec-99 GGMS KHADER KHEL 1896 NARGIS SARFARAZ BA BEd 1-Apr-62 Mansehra 12-Mar-98 17-Dec-99 1897 Almas Jabeen Mohd:Hamayun Khan BA BEd 4-May-63 Mansehra 12-Mar-98 17-Dec-99 1898 Rehman Bibi Ghaffar Khan BA BEd 24-Nov-71 Mansehra 2-May-98 17-Dec-99 1899 Ruqia Jabeen Meer Zaman BA BEd 15-Apr-71 Mansehra 17-Dec-99 17-Dec-99 1900 NAYAB KHATOON MUHAMMAD SIDDIQ BSc BED 10-Oct-65 SWABI 17-Dec-99 17-Dec-99 GGHS Islamia Collegiate 1901 GHAZALA TABASUM TALIB MEHMOOD MA BED 15-Sep-68 PESHAWAR 17-Dec-99 17-Dec-99 GGMS No/1 Cantt/ 1902 Shahida Yousaf Muhamamd Yousaf BA/Bed/CT 13-Jul-71 Swabi 17-Dec-99 17-Dec-99 GGMS Hund 1903 Nargis Niazi Gul Sher MA/Bed/CT 15-May-75 Swabi 17-Dec-99 17-Dec-99 GGHS Sard China 1904 IRUM IFTIKHAR SYED AHMAD SHAH BA MED 4-Apr-75 HARIPUR 18-Dec-99 18-Dec-99 1905 IRAM BIBI SYED AHMAD SHAH BA MED 4-Apr-75 HARIPUR 16-Dec-99 18-Dec-99 1906 SHAVIA NAZ RAHM DIL MA /BA 3RD Div MED/bed/ 2nd div 13-Mar-71 HARIPUR 18-Dec-99 18-Dec-99 1907 SEEMAB NAZIR NAZIR KHAN BA CT 1-Apr-76 KOHAT 30-May-96 18-Dec-99 GGHSS JUNGLE KHEL
  • 42.
    Academic Professional Date of 1st D/O Apptt against No. Name of Teacher Father's Name Qualification Qualification Date of Birth Domicile Apptt: Present Post Name of School 1 2 3 4 5 6 7 8 9 10 1908 Sarwat Sultana Mohd:Iqbal BA BEd 6-Oct-72 Mansehra 13-Jun-98 18-Dec-99 1909 Naseem Akhtar Ali Akbar BA/Bed/CT 16-Dec-66 Swabi 5-Sep-87 18-Dec-99 GGHSS Kotha 1910 Rasheeda Begum Ghulam Akbar MA/Med/CT 1-Jan-71 Swabi 20-Feb-90 18-Dec-99 GGHSS Kotha 1911 Samina Kausar, Abkar Khan BA B/Ed: 22-Sep-63 Karak 24-Nov-83 18/12/1999 GGHS Chowkara/ 1912 Shafqat Ara Hashim Khan MA CT 2-Oct-65 Hangu 27-Jan-90 19-Dec-99 GGHS No,2 Hangu 1913 HABIBA MUZAFFAR MUZAFFAR DIN BA 2ND DIV CT 21-Jul-73 HARIPUR 19-Dec-99 19-Dec-99 1914 FATIMA BIBI RUSTAM KHAN BA CT 11-Oct-73 KOHAT 20-Dec-99 20-Dec-99 GGHS NO 2 1915 GHAZALA JHANGARI SIKANDAR KHAN BA BEd 7-Sep-72 Mansehra 20-Dec-99 20-Dec-99 1916 MARYAM BIBI SALAHUD DIN MSC B/Ed,M/Ed 10-Apr-76 MARDAN 20-Dec-99 20-Dec-99 GGHS SHANKAR MAHAL 1917 SAFIA IQBAL MUHAMMAD IQBAL MA B/Ed,M/Ed 19-Jul-76 DIR 20-Dec-99 20-Dec-99 GGHSS Takht Bhai 1918 Kaneez Fatima Habib ur Rehman Sheikh M/A M/ Ed 5-Jul-64 Nowshera 20-Dec-99 20-Dec-99 1919 ZAHIDA AMNA MUHAMMAD ABDUR REHMAN MA BED 15-Sep-59 PESHAWAR 20-Dec-99 20-Dec-99 GGHS No1/ Cantt 1920 Kausar Parveen Shafiullah MA/Edu/CT 1-Dec-60 Swabi 22-Oct-84 20-Dec-99 GGHS Shahmansoor 1921 Farah Naz Rahamdil BA/Bed/CT 8-Sep-67 Swabi 20-Dec-99 20-Dec-99 JICA Model School Bachai 1922 Mairaj Falak(CT)BA Badshah Muhd BA 8-Feb-78 Dir (U) 24-Apr-98 21-Dec-99 GGMS, Bibyawar 1923 SHAHAD BEGUM ABDUL RAUF KHAN BA CT 1-Sep-59 KOHAT 9-Jan-84 21-Dec-99 GGMS DARMALAK 1924 SHAGUFTA BANO MOHD ILYAS BA BEd 30-May-70 Mansehra f 21-Dec-99 1925 Shahnaz Begum Fazli Rabbi BA/Bed/CT 29-Dec-71 Swabi 18-Feb-90 21-Dec-99 GGMS Jamal Abad 1926 Faiza Shahnaz Bin Yamin MA/CT 25-Dec-71 Swabi 21-Dec-99 21-Dec-99 GGMS Ambar 1927 Sania Fida Fida Muhammad BA B/Ed 2-Jan-72 SWAT 21-Dec-99 21-Dec-99 GGHS No/1/Mingora 1928 SAEEDA AKHTAR MUHAMMAD DIN MA /BA IST DIV 0 11-Nov-70 HARIPUR 22-Dec-99 22-Dec-99 1929 Tahira Ayub Mohd:Ayub BA BEd 1-Apr-66 Mansehra 22-Dec-99 22-Dec-99 1930 Maria Syed S/tariq Ahmaed Shah BA BEd 20-May-80 Mansehra 5-Apr-99 22-Dec-99 1931 Shabnam Latif Abdul Latif BA BEd 2-May-67 Mansehra 5-Apr-99 22-Dec-99 1932 BIBI NAHEEMA MOHD SALEH BA BEd 10-Mar-73 Mansehra 6-Apr-99 22-Dec-99 1933 MEMOONA NAZLI MOHD SULTAN BA BEd 3-Feb-72 Mansehra 6-Apr-99 22-Dec-99 1934 ABIDA BIBI MIR ZAMAN BA BEd 1-Jun-60 Mansehra 22-Apr-80 22-Dec-99 1935 SHAGUFTA PARWAR MADASH KHAN MA B/Ed 8-Sep-71 MARdAn 22-Dec-99 22-Dec-99 GGHS PAR HOTI 1936 ZEENAT BEGUM MUHAMMAD TAWAB MA B/Ed 5-Feb-75 MARDAN 22-Dec-99 22-Dec-99 GGCMHS BICKET GANJ CANAL ROAD 1937 WAZZUHA ABDUL MAROF BA II BED 27-Dec-64 CHARSADDA 26-Dec-89 23-Dec-99 1938 NASREEN AKHTER MUHAMMAD RAMZAN MA/ BED/CT 2-Jul-73 D/I/KHAN 23-Dec-99 23-Dec-99 GGMS KAHNO KHEL 1939 memoona MA SWA 23-Dec-99 23-Dec-99 GGHS Wana, SWA 1940 RASHIDA AKHTER SANGEEN KHAN MA CT 3-Mar-62 KOHAT 8-Jan-86 23-Dec-99 GGMS PERSHAI 1941 Bibi Shaista Syed Habib Shah BA BEd 25-Mar-77 Mansehra 6-Apr-99 23-Dec-99 1942 Musrrat Begum Mohd:Anwar BA BEd 6-Feb-74 Mansehra 23-Dec-99 23-Dec-99 1943 SAFIA NAZ FAZAL QAYUM MSc B/Ed/M/Ed 27-May-77 MARDAN 23-Dec-99 23-Dec-99 GGMS KAUDARE CHATOO 1944 ALIA ABDUL QAYUM MA B/Ed,M/Ed 30-Apr-78 MARDAN 23-Dec-99 23-Dec-99 GGMS PARKHO DHERI 1945 NAJMA SEROSH ALI BAHADAR BA II BED 20-Jan-75 CHARSADDA 24-Dec-99 24-Dec-99 1946 NOSHABA RASHID ABDUL RASHID BA BEd 4-Jul-72 Mansehra 24-Dec-99 24-Dec-99 1947 BIBI AMINA MIR GHULAM BA CT 1-May-70 Lakki 27-Dec-99 27-Dec-99 GGHSS TITTER KHEL 1948 NADEEMA BEGUM JEHAN ZEB KHAN MA B/Ed 19-Apr-73 DIR LOWER 1-Oct-02 27-Dec-99 GGMS KAUDARE CHATOO 1949 FARMEEN AKHTAR M AYUB BA BEd 25-May-75 Mansehra 28-Dec-99 28-Dec-99 1950 Nighat Firdaus Abdur Rehman MA 14-Apr-81 FR Tank 31-Dec-99 31-Dec-99 GGHS Sardar Ali Kor 1951 ALMAS ABBASI SAD ULLAH KHAN BA CT 2-Apr-78 Bannu 1-Jan-00 1-Jan-00 GGHS SALEMA SIIKANDAR KHEL ISSAKI 1952 ZAHIDA PERVEEN ABDUR REHMAN BA/CT BA/CT 10-Mar-60 D/I/KHAN 1-Jan-00 1-Jan-00 GGMS BABER KACHA 1953 ZATOON AKHTAR SHAHAB UD DIN MA CT BED 14-Oct-67 D/I/KHAN 29-Sep-94 1-Jan-00 GGHSS PAHARPUR 1954 Muslim Begum Faiz Talat Khan BA (2nd) B,ed 13-Oct-73 Dir Lower 31-Jul-92 1-Jan-00
  • 43.
    Academic Professional Date of 1st D/O Apptt against No. Name of Teacher Father's Name Qualification Qualification Date of Birth Domicile Apptt: Present Post Name of School 1 2 3 4 5 6 7 8 9 10 1955 SAMINA ANJUM MIR QALAM MA BED 4-Oct-74 Lakki 23-Nov-94 1-Jan-00 GGHS NO/1 LAKKI 1956 SHAMIM AKHTAR MUHAMMAD SALEEM MA BED 24-Apr-72 Lakki 1-Jan-00 1-Jan-00 GGHS No/ 2 Naurang 1957 ASMA BATOOL GHULAM MUSTAFA BA 3-May-78 Lakki 1-Jan-00 1-Jan-00 GGMS SERAI GAMBILA 1958 IQBAL BEGUM YAQUB KHAN BA 9-Sep-69 Lakki 28-Nov-96 1-Jan-00 GGMS ABA KHEL 1959 AZIZ JABEEN MUHAMMAD ZAMAN BA 1-Jun-75 Lakki 24-Apr-95 1-Jan-00 GGMS NASAR KHEL 1960 AKHTER NISA MUHAMMD AMIR MA BED 4-Jan-73 Lakki 24-Nov-94 1-Jan-00 GGHS TAJAZAI 1961 NAHIDA KOUSAR NEK PARWAR SHAH BA B/Ed 26-Sep-66 NOWSHERA 16-Nov-85 1-Jan-00 GGCMHS BICKET GANJ CANAL ROAD 1962 MARTHA HAWELI HAWALI MASIH BA BED 2-Oct-68 PESHAWAR 1-Jan-00 1-Jan-00 GGHS Civil Quarters 1963 NIGHAT FATIMA MASOOD RAHMAN MA BED 28-Nov-71 MANSEHRA 6-Jan-92 1-Jan-00 GGHSS Lady Grifth 1964 NAHEED AMJAD AMJAD NAVEED MA MEd 5-Mar-72 PESHAWAR 4-Aug-99 1-Jan-00 GGHS Badaber 1965 Bibi Abida Abdul Wahid BA B/Ed 9-Nov-54 SWAT 4-May-75 1-Jan-00 GGHS No/1/Mingora 1966 Fari Zada Dawlat Mand BA B/Ed 1-Apr-60 SWAT 17-Jul-84 1-Jan-00 GGMS Manyar 1967 ADEELA HAMEED ABDUL HAMEED MA BED 15-Apr-76 PESHAWAR 5-Jan-00 5-Jan-00 GGHSS Lady Grifth 1968 RAZIA, FA SHAHZAD MIR 20-Mar-79 Malakand 17-Jan-00 17-Jan-00 GGHS Haryan Kot 1969 Shaista Shah shah zaman MA/B/ED B/Ed 9-Jun-76 Mohmand 3-Feb-00 3-Feb-00 GGHS Subhan Khwar 1970 Izat Bibi 3-Mar-81 Bajaur 1-Mar-00 1-Mar-00 GGMS Raghagan 1971 Naila Zeb Mohd:Jhan Zeb BA BEd 20-Jun-85 Mansehra 8-Apr-99 27-Mar-00 1972 Gul Nasreen BA SWA 9-Apr-00 9-Apr-00 GGMS Tati Dotani, SWA 1973 RAHAT PARVEEN GHULAM MURTAZA MA B/Ed,M/Ed 2-Apr-67 MARDAN 26-Aug-95 25-Apr-00 GGCMHS BICKET GANJ CANAL ROAD 1974 Kalsoom Abdul Hakim M/A B/ Ed, C/T 11-Jan-74 Nowshera 19-Nov-96 25-Apr-00 1975 SEEMAB BEGUM MUHAMMAD SADIQ BA CT 1-May-61 KOHAT 2-May-92 20-May-00 GGHS NO 2 KOHAT 1976 SADIA FARID ARBAB FARIDULLAH BA BED 23-Nov-73 PESHAWAR 1-Jul-00 1-Jul-00 GGHS Tarnab Farm 1977 ZAHIDA PARVEN HUKAM KHAN BA B/Ed 20-Jul-70 MARDAN 19-Mar-90 13-Sep-00 GGHS SOKAI 1978 TOSILA, BA (2nd) / B/Ed BAKHT FOOR SHAH 24-Dec-82 Malakand 16-Sep-00 16-Sep-00 GGMS Piran 1979 FOUZIA BEGUM HIZBULLAH MA MEd 8-Jun-76 PESHAWAR 2-Oct-00 2-Oct-00 GGHS Nishter Abad 1980 Robina Naz Abdul Jabbar BA 13-Jan-70 FR Bannu 1-Nov-00 1-Nov-00 GGHS Kotka Sher Andaz 1981 NASRIN BIBI ABDUS SATTAR KHAN BSC 1-Jan-79 Lakki 11-Jan-00 1-Nov-00 GGMS MANGALA 1982 SHAHEEN BEGUM,BA AMEER ZADA 15-Jun-70 Malakand 3-Jan-00 1-Nov-00 GGHS Batkhela 1983 AMNA KALSOOM AMANULLAH KHAN MA BED 15-Sep-75 PESHAWAR 16-Oct-95 1-Nov-00 GGHS No1/ Cantt 1984 Shazia Semab Abdur Rehman BA 25-Aug-77 FR Tank 5-Nov-00 5-Nov-00 GGMS Hayat Khan Kor 1985 Noorin MA B/Ed Akhtar Munir 25-Mar-84 Shangla 30-Nov-06 20-Nov-00 GGMS Makra puran 1986 SAJIDA BA, CT JAMIL KHAN 10-Aug-77 BUNNER 30-Nov-02 30-Nov-00 GGMS DAGAI 1987 Shamshada Umar Khan MA 7-Feb-80 Bajaur 30-Nov-00 30-Nov-00 Umar Khan 1988 Reffat Naz akhunzada MA Bed B/Ed 4-Aug-75 Mohmand 1-Dec-00 1-Dec-00 GGMS Ghami Kor 1989 MEHMOOD NIJAT ZAHIR UD DIN MA B/Ed,M/Ed 6-May-70 MARDAN 25/10/994 1-Dec-00 GGHS GHALLA DHER 1990 Shahana Bukhari Hakim Khan BA 12-Sep-74 FR Kohat 16-Dec-00 16-Dec-00 GGMS Paya Sherabaz 1991 NAZIAT I, BA (2nd) / B/ED FATEH KHAN 7-Feb-80 Malakand 1-Jan-01 1-Jan-01 GGHS DARGAI 1992 Tabassum Akhtar Spin Bad Shah MA B/Ed: 4-Jan-75 Karak 3-Jan-01 3-Jan-01 GGMS Kamali Banda 1993 Kousar Jabeen/ Zaffar Khan/ BA/ CT 7-Sep-67 Tank/ 14-Sep-87 7-Jan-01 /do/ No/I,Tank/ 1994 Samina Khatoon Fazal Karim MA 19-May-79 FR Tank 18-Jan-01 18-Jan-01 GGMS Aqal Din Kor 1995 Kalsoom Begum MA B/Ed Abdul Wadood 5-Feb-83 Shangla 7-Jan-04 28-Jan-01 GGMS Kotkay Malk Khel 1996 taskeen haider bahader Khan MA 31-Mar-82 Bajaur 1-Mar-01 1-Mar-01 bahader Khan 1997 Hamida 1-Jun-82 Bajaur 1-Mar-01 1-Mar-01 GGMS Ghakai 1998 NEELAM BEGUM MAIN HIDAYATULLAH MSc BED 1-May-77 PESHAWAR 25-Nov-99 1-Mar-01 GGHS City Railway Station 1999 NAJMA SAHAR HAMID RASUL MA B/Ed 19-Dec-73 PESHAWAR 9-Jan-98 31-Mar-01 GGMS SURKH DHERI 2000 FALAK NAZ TAJDAR ALI SHAH MA BED 5-May-69 BANNU 9-Feb-95 31-Mar-01 GGMS Haji Banda 2001 BIBI ALIA KHATOON SYED SAJJAD HUSSAIN BA CT 8-May-73 KOHAT 15-Mar-95 1-Apr-01 GGHS KHADIZAI
  • 44.
    Academic Professional Date of 1st D/O Apptt against No. Name of Teacher Father's Name Qualification Qualification Date of Birth Domicile Apptt: Present Post Name of School 1 2 3 4 5 6 7 8 9 10 2002 GUL KHAISTA NAIK MUHAMMAD MA B/Ed,M/Ed 1-Jun-73 DIR LOWER 28-Feb-98 1-Apr-01 GGMS KOT ISMAIL ZAI 2003 Ruqia Muhammad Sadiq BA CT 16-Jul-72 SWAT 15-Apr-99 2-Apr-01 GGMS Sapal Bandai 2004 Rabia Bibi Mohammad hussain BA 12-Mar-82 FR Tank 10-Apr-01 10-Apr-01 GGHS Kirri Wam 2005 Namkina Yousaf Mohammad Yousaf MA 15-Oct-82 NWA 13-Apr-01 13-Apr-01 GGMS Noor Khan Banda 2006 NIAZO ALI MUHAMMAD MA B/Ed,M/Ed 18-May-73 MARDAN 2-Feb-01 18-Apr-01 GGHS MAYAR 2007 Shazia Aziz aziz ur rehman MA/B/ED B/Ed 15-Mar-76 Mohmand 22-Apr-01 22-Apr-01 GGHS Dab Kor 2008 RUKHSANA HABIBULLAH KHAN MA B/Ed 2-Feb-74 DIR LOWER 6-Apr-99 30-Apr-01 GGMS KAUDARE BALA 2009 RASHIDA, FA BAKHT BILAND 1-Mar-77 Malakand 1-Oct-96 1-May-01 GGMS Matkani 2010 NOREEN NADIR KHAN MA BED 1-Feb-74 PESHAWAR 25-Oct-94 1-May-01 GGHS Gul Bahar 2011 Shazia naz 4-Feb-80 Bajaur 2-May-01 2-May-01 GGMS Pashat 2012 BALQIAS SARDAR SARDAR ALI CT 4-May-74 Lakki 6-Feb-04 2-Jun-01 GGHS Dalo Khel 2013 NASREEN BEGUM,BA(2nd) ABDUL GHANI 19-Sep-62 Peshawar 1-Oct-89 1-Jul-01 GGHS Batkhela 2014 NARGIS SHAHEEN MUHAMMAD ASHRAF BA II BED 1-Jan-58 CHARSADDA 29-May-90 4-Oct-01 2015 RIZWANA BIBI SHOKAT HUSSAIN BA BED 6-Jul-72 MANSEHRA 3-Jul-98 6-Oct-01 GGMS Chandu Maira 2016 Niaz Gul, Hidayat Ullah BA/MA B/Ed: 16-Oct-68 Karak 26-Nov-90 13/11/2001 GGHS Ahmad Abad/ 2017 Amna Alam Fazal Haleem BA CT 1-May-63 SWAT 17-Sep-86 1-Dec-01 GGHS No/2/S/Sharif 2018 Zeba Anwar, BSc B/Ed Muhabbat Khan 5-Jun-59 Chitral 1-Oct-78 4-Dec-01 GGHS Reshun 2019 NARGIS BEGUM MALANG SHAH MA CT 10-Apr-68 HANGU 27-Dec-99 13-Dec-01 GGMS DARMALAK 2020 Noor Jehan(CT)BA M/Shah Haroon BA 1-Jan-80 Dir (U) 8-Jul-02 4-Jan-02 GGMS, Badalai 2021 AZRA BIBI QAZI MUHAMMAD NAWAZ MA BA 2ND DIV MED B/ed 2nd div 6-Mar-75 HARIPUR 12-Feb-98 11-Jan-02 2022 UMMI KALSOOM BA, MED ABDUL SALAM 29-Mar-81 BUNNER 12-Jan-02 12-Jan-02 GGMS KOREYA 2023 QUDSIA BANO MUHAMMAD FAREED MA BA 2ND DIV BED 2nd Div: 1-Jul-80 HARIPUR 28-Nov-02 12-Jan-02 2024 Nasrat Begum(CT)BA Rafiullah BA 22-Apr-81 Dir (U) 15-Jan-02 15-Jan-02 GGHS, Kotkay 2025 Nagena Bibi Talamand Khan BA B/Ed 30-Apr-73 SWAT 21-Mar-92 21-Jan-02 GGHS Zara Khela 2026 Salema Khan Biladar Khan MA M/Ed 15-Mar-82 SWAT 19-Nov-02 1-Feb-02 GGMS Fazal Abad(D) 2027 Bibi Suhrab MA Amir Azam Khan 2-Jul-75 Chitral 2-Dec-02 12-Feb-02 GGMS Charun Owir 2028 Nighat Mushtaq mushtaq alam BA Bed B/Ed 15-Aug-59 Mohmand 26-Feb-02 26-Feb-02 GGMS Baz Mohammad 2029 Mst/ Nadia Shams Khan MA 25-May-79 Bajaur 28-Feb-02 28-Feb-02 Shamas Khan 2030 Yasmeen Khaliq Abdul Khaliq BA BEd 15-Jul-76 Mansehra 8-Apr-99 8-Mar-02 2031 Shakeela Rana/ Muhammad Nawaz MA(BE/d) CT 15-Apr-76 Tank/ 9-Mar-95 12-Mar-02 /do/ Aslam Khan Kor: 2032 Fouzia Gul BA Sultan Room 5-Feb-75 Chitral 1-Jul-97 31/3/2002 GGMS Murdan 2033 IRUM SHEHZADI MASOOD KHAN MA BED 12-Jun-74 HARIPUR 18-Oct-02 11-Apr-02 2034 RASHDA SAFDAR MUHAMMAD SAFDAR MA MED 7-Nov-68 HARIPUR 1-Nov-88 12-Apr-02 2035 HAFEEZA MUZAMAL SHAH MA MED 21-Feb-71 HARIPUR 26-Feb-91 12-Apr-02 2036 ZUHRA FALAK SARFARAZ KHAN MA MEd 11-Aug-78 DIR LOWER 10-May-02 10-May-02 GGHS MUSA ZAI 2037 Ruqia Mir Mahmood MA B/Ed 4-Feb-73 SWAT 16-Mar-93 22-Jun-02 GGMS Baboo 2038 Rahana Yasmin Zamrud Khan MA 7-Feb-82 Bajaur 17-Aug-02 17-Aug-02 Zamrud Khan 2039 Naveed Akhtar Kifayatullah MA/Med/CT 1-Jun-76 Swabi 20-Aug-02 20-Aug-02 GGHS KSK 2040 Nadia Shams Khan 25-May-79 Bajaur 28-Aug-02 28-Aug-02 GGHS Khar 2041 Robina Ahmad Ahmad MA 10-Nov-70 FR Tank 29-Aug-02 29-Aug-02 GGMS Gula Din Koroona 2042 kalsoom MA SWA 31-Aug-02 31-Aug-02 GGMS Abbas Khel Tangi SWA 2043 Saima Bibi Atta Mohammad MA 15-Mar-82 FR Kohat 2-Sep-02 2-Sep-02 GGMS Paya Sherabaz 2044 Lubna Balqees Mehar Din Khan MA 1-Jan-80 FR Tank 2-Sep-02 2-Sep-02 GGMS Haibat Khan Koroona 2045 Naseem Naz/ Bangay Khan/ BA(BE/d) CT 5-Mar-72 Tank/ 22-Apr-99 14/9/2002 /do/ Q/Colony/ 2046 Shabnum(CT)BA Haq Nawaz Khan BA 15-Apr-81 Dir (U) 14-Oct-02 14-Oct-02 GGHS, Samkot 2047 Nagina Tabasum Mohammad Saleem BA (2nd) B,ed 27-Apr-78 Dir Lower 15-Oct-02 15-Oct-02 2048 Nuzhat Abdur Razaq BA (2nd) B,ed 21-Apr-81 Dir Lower 15-Oct-02 15-Oct-02
  • 45.
    Academic Professional Date of 1st D/O Apptt against No. Name of Teacher Father's Name Qualification Qualification Date of Birth Domicile Apptt: Present Post Name of School 1 2 3 4 5 6 7 8 9 10 2049 Shazia Qamar Qamar Zaman BA (2nd) B,ed 9-Jun-77 Dir Lower 15-Oct-02 15-Oct-02 2050 Bibi Rabia Hamdullah BA (2nd) B,ed 3-Oct-77 MKD Agency 15-Oct-02 15-Oct-02 2051 Farhat Naseem M/Hafiz Ullah BA (2nd) B,ed 15-Mar-80 Dir Lower 15-Oct-02 15-Oct-02 2052 Alia Begum Bakhat Muneer BA (2nd) B,ed 16-Jun-75 Dir Lower 22-Nov-94 15-Oct-02 2053 Nighat Iqbal Muhammad Iqbal BA (2nd) B,ed 25-Oct-79 Dir Lower 15-Oct-02 15-Oct-02 2054 Kalsoom Khurshid Khurshid Ahmad B,SC(2nd) B,ed 5-Jan-82 Dir Lower 15-Oct-02 15-Oct-02 2055 Safina Begum Mohd Karim BA (2nd) B,ed 1-Jan-82 Dir Lower 15-Oct-02 15-Oct-02 2056 Nadia Ghani Abdul Ghani Khatak BA (2nd) B,ed 2-Nov-77 Dir Lower 15-Oct-02 15-Oct-02 2057 Musarat Begum Sher Mohd Khan BA (2nd) B,ed 6-Jun-77 Dir Lower 15-Oct-02 15-Oct-02 2058 Riasat Begum Ghazi Khan BA (2nd) B,ed 8-Oct-71 Dir Lower 13-Jun-95 15-Oct-02 2059 Azmat Ara Amir Rahman BA (2nd) B,ed 5-Aug-84 Dir Lower 15-Oct-02 15-Oct-02 2060 Ruhida (CT)MA,BED Mirdad Khan MA B,ed 15-Feb-77 Dir (U) 15-Oct-02 15-Oct-02 GGHS, Wari 2061 Bibi Zainab(CT)BA Nik Muhd BA 25-May-77 Dir (U) 15-Oct-02 15-Oct-02 GGMS, Akhagram 2062 Naveeda Begum(CT)MA Bacha Khan MA B,ed 4-Mar-80 Dir (U) 15-Oct-02 15-Oct-02 GGMS, Akhagram 2063 Fukraj(CT)MA,BED Yar Muhd MA B,ed 14-Mar-82 Dir (U) 15-Oct-02 15-Oct-02 GGHS, Wari 2064 JAMILA HASSAN, MA / B/Ed HASSAN KHAN 15-May-78 Malakand 15-Oct-02 15-Oct-02 GGHS Kharkai 2065 KALSOOM NOOR NOOR MUHAMMAD KHAN MA B/Ed 2-Jan-76 DIIR 4-Dec-95 15-Oct-02 GGMS JARRAI 2066 RABIA TABASSUM M/NAZEER BA BED 17-Apr-80 ABBOTTABAD 16-Oct-02 16-Oct-02 GGMS Sultan PUR 2067 RIZWANA BIBI AFSAR BA BED 2-Jan-78 ABBOTTABAD 16-Oct-02 16-Oct-02 GGHS Keri Raiki 2068 RABIA BIBI KHANIZAMAN BA BED 3-Dec-79 ABBOTTABAD 16-Oct-02 16-Oct-02 GGHS Sumandar Katha 2069 JAMILA FAZAL FAZAL URRREHMAN BA BED 30-Mar-80 ABBOTTABAD 16-Oct-02 16-Oct-02 GGMS Bagan 2070 Atia Zeb,BA(2nd) JEHAN ZEB KHAN 20-Oct-79 DIR 16-Oct-02 16-Oct-02 GGHSS Sakhakot 2071 Bakht Bena Muhammad Ibrahim MA B/Ed 10-Apr-80 SWAT 18-Oct-02 18-Oct-02 GGMS Rahim Abad 2072 MEHR/UN/NISA MUHAMMAD MISRI KHAN MA/BA 2nd Div MED/BEd/ IST div 3-Nov-75 HARIPUR 19-Oct-02 19/10/2002 2073 NISBA SHAHEEN M FAIZ KHAN MA /BA 3RD Div BED 2nd Div: 6-May-72 HARIPUR 18-Oct-02 19/10/2002 2074 NABEELA GUL SABIR KHAN BA IST DIV CT 18-Apr-74 HARIPUR 19-Oct-02 19/10/2002 2075 SAMREEN BIBI GULFARAZ KHAN BA 2ND DIV CT 23-May-81 HARIPUR 19-Oct-02 19/10/2002 2076 KOUSAR BIBI IMDAD HUSSAIN SHAH MA BA 2ND DIV BED 28-Feb-80 HARIPUR 29-Apr-99 19/10/2002 2077 IRUM JABEEN SYED ZAKIR HUSSAIN MA BA 2ND DIV BED 25-Mar-79 A/ABAD 16-Oct-02 20/10/2002 2078 NADIA RASHEED ABDUL RASHEED MA /BA 2ND DIV MED 15-Aug-78 HARIPUR 21-Oct-02 21/10/2002 2079 NIGHAT PARVEEN KALA KHAN MA BA 2ND DIV BED 2-Jan-79 HARIPUR 18-Oct-02 21/10/2002 2080 FARZANA SHAHEEN MUHAMMAD ASLAM MA/BA 2nd Div CT 8-Apr-74 HARIPUR 21-Oct-02 21/10/2002 2081 FARRAH NAZ ABDUL QAYYUM MA /BA 2ND BED 2nd Div: 5-Jan-75 HARIPUR 22-Oct-02 22/10/2002 2082 TAHIRA JABEEN MANZOOR ELAHI MA /BA BED 4-Jan-78 HARIPUR 11-Jun-96 22/10/2002 2083 SHAZIA GUL AZIZ/UR/REHMAN BA 2ND DIV CT 12-Jun-76 HARIPUR 23-Oct-02 23/10/2002 2084 BUSHRA JABEEN MIAN DAD BA BED 30-Apr-79 ABBOTTABAD 26-Oct-02 26-Oct-02 GGMS Ali Abad 2085 NAZIA KHANAM M/YAQUIB BA BED 8-Feb-77 ABBOTTABAD 29-Oct-02 29-Oct-02 GGMS NAMAL 2086 BALQIS ANWAR NAQIB ULLAH KHAN MA BED CT 3-Oct-74 Bannu 28-Mar-95 1-Nov-02 GGHS NAR SHAKRULLAH BANNU 2087 SAEEDA BIBI UMAR HAYAT MSC 10-Jan-78 Lakki 11-Jan-02 1-Nov-02 GGHS NO/3 LAKKI 2088 NAHEED BEGUM ZARDAD KHAN MA MED 14-Sep-77 Lakki 11-Jan-02 1-Nov-02 GGHS No/ 1 Naurang 2089 GUL REHANA SAADULLAH KHAN MA BED 10-Dec-79 Lakki 11-Jan-02 1-Nov-02 GGHS Sardar Maidad Khel 2090 SHAMSHAD BEGUM ALI MARJAN MA MED 15-Apr-70 11-Jan-88 1-Nov-02 GGHS Sardar Maidad Khel 2091 MEHRAUN NISA ABDUL GHAFAR BA 11-Oct-78 Lakki 7-Jan-97 1-Nov-02 GGMS NASAR KHEL 2092 FARKHANDA YASEEN MUHAMMAD YASMIN BA 4-Feb-78 Lakki 7-Jan-97 1-Nov-02 GGMS BAIST KHEL 2093 Zakia Bibi Samad Khan BA 20-Mar-83 FR Tank 6-Nov-02 6-Nov-02 GGHS Jandola 2094 Samia Sabz Ali MA B/Ed 10-May-80 SWAT 12-Nov-02 12-Nov-02 GGMS Afsar Abad 2095 Nadia Tabasum Rozi Khan BA CT 5-Oct-80 SWAT 12-Nov-02 12-Nov-02 GGHS No/2/S/Sharif
  • 46.
    Academic Professional Date of 1st D/O Apptt against No. Name of Teacher Father's Name Qualification Qualification Date of Birth Domicile Apptt: Present Post Name of School 1 2 3 4 5 6 7 8 9 10 2096 Begum Muhammad Pervish MA B/Ed 1-Feb-74 SWAT 9-Sep-95 14-Nov-02 GGMS Jambil 2097 Majida Abdul Hassan BA B/Ed 18-Feb-70 MKD 12-Nov-95 15-Nov-02 GGHS Aboha 2098 Almas Sher Muhamamd MA B/Ed 16-Jan-79 SWAT 12-Nov-02 19-Nov-02 GGMS Gogdara 2099 Gulshan Ara M, Miraj MSc Bed CT 3-Jan-73 Hangu 25-Nov-02 20-Nov-02 GGHS No,1 Hangu 2100 Niala Laiq Laiq Din FA CT 1-Jan-75 Hangu 21-Nov-02 20-Nov-02 GGHS Thall 2101 S,Arshe Zuhra S,Sabte Hussain BA CT 24-Mar-77 Hangu 28-Jun-97 20-Nov-02 GGMS Lodhi Khel/ 2102 Shagufta Khan Bakhtpur BA 1-Jan-82 Bajaur 21-Nov-02 21-Nov-02 Bakhtpur 2103 Naeem Fatma Bad Shah Ali MA Bed CT 11-Dec-70 Hangu 10-Apr-89 21-Nov-02 GGHS No,1 Hangu 2104 Rozina Ashraf M,Ashraf BA CT 5-May-75 Hangu 21-Nov-02 21-Nov-02 GGMS Mardu Khel, 2105 Fozia Waris Waris Khan MA Bed CT 25-Mar-76 Hangu 22-Feb-95 21-Nov-02 GGMS Warsta Keley 2106 Nik Zana Naqi Ghulam MA Bed CT 13-Mar-77 Hangu 21-Nov-02 21-Nov-02 GGHS No,1 Hangu 2107 Bibi Tehsin Fatma Ijaz ul Hassan BA Bed CT 3-Oct-78 Hangu 11-Jan-02 21-Nov-02 GGHS No,1 Hangu 2108 Mehnaz Bibi Muhd: Zbair BA CT 4-Jan-80 Hangu 24-Apr-99 21-Nov-02 GGHS Togh Sarai 2109 Ravia Mureed Mureed Shah MA CT 20-Aug-81 Hangu 21-Nov-02 21-Nov-02 GGHS Bagatoo 2110 Bente Omees Mir Alam Shah MA Med CT 4-Jan-70 Hangu 22-Nov-02 22-Nov-02 GGHS Ibrahimzai 2111 Husne Zuhra Khurshid Anwar BA CT 28-Feb-82 Hangu 22-Nov-02 22-Nov-02 GGHS Ibrahimzai 2112 Mehnaz Zia Zia ul Haq Zia BA BEd 27-Jul-79 Mansehra 22-Nov-02 22-Nov-02 2113 NAIMA NARGIS NAWAR KHAN BA BED 16-Apr-76 Peshawar 23-Nov-02 23-Nov-02 GGMS DANNAH 2114 Arjumand Shaheen Said Rahman MA/CT 17-Jan-76 Swabi 23-Nov-02 23-Nov-02 GGCMHS Swabi 2115 Rabia Begum Atteequr Rahman MA/Bed/CT 1-Mar-77 Swabi 23-Nov-02 23-Nov-02 GGHS Panj Pir 2116 Tahira Naz Afrid Khan MA/Bed/CT 8-Feb-81 Swabi 23-Nov-02 23-Nov-02 GGMS Pehoor Hemlet 2117 Seema Muhamad Yaqoob Shah BA/Bed/CT 3-Feb-78 Swabi 25-Nov-02 25-Nov-02 GGHS Sudher 2118 Nizakat Bibi Sher Ali Khan BA CT 6-Apr-81 SWAT 25-Nov-02 25-Nov-02 GGMS Qambar 2119 Azra Khan Mauwas Khan BA/Bed/CT 6-Mar-75 Swabi 26-Nov-02 26-Nov-02 GGMS Shamroz Abad Dagai 2120 Nijat Begum Hidayat Ullah MA/Med/CT 2-Sep-78 Swabi 26-Nov-02 26-Nov-02 GGMS Rafiq Abad 2121 Naheed Mughal Baz MA CT 20-Jun-77 SWAT 26-Nov-02 26-Nov-02 GGHS Chamtalai 2122 Shazia Begum Shah Jehan MA/CT 6-Feb-78 Swabi 27-Nov-02 27-Nov-02 GGCMHS Swabi 2123 Farida Sardar Muhammad Sardar MA/Bed/Ct 6-Aug-78 Swabi 27-Nov-02 27-Nov-02 GGHSS Topi 2124 BUSHRA BIBI QUDURULLAH BA BEd 1-Jul-74 Mansehra 8-Apr-99 28-Nov-02 2125 Shazia Salim Muhammad Salim MA/Bed/CT 16-Oct-79 Swabi 28-Nov-02 28-Nov-02 GGMS Marghuz 2126 FARHA NELUM MOHD SULEMAN BA BEd 27-Apr-64 Mansehra 8-Apr-99 29-Nov-02 2127 Zahida Jabeen/ Surat Khan/ MSc(BE/d) CT 1-Jul-77 Tank/ 29-Nov-02 29/11/2002 /do/ Darraki/ 2128 JAN PERVAIZ FA, CT NISAR AHMAD 7-Apr-76 BUNNER 30-Nov-02 30-Nov-02 GGHS KRAPA 2129 KALSOOM BIBI MA, CT SYED RAHIM SHAH 11-Nov-73 BUNNER 30-Nov-02 30-Nov-02 GGHSS PACHA KALAY 2130 SAQUA KHAN BA, CT M/ ZAMAN KHAN 1-Nov-76 BUNNER 30-Nov-02 30-Nov-02 GGHS TOPAI 2131 SALMA BA, BED SAID QAMAR 1-Aug-80 BUNNER 30-Nov-02 30-Nov-02 GGMS SOWARI 2132 NIZAKAT BEGUM BA, BED MUHAMMAD HAKIM 1-Feb-81 BUNNER 30-Nov-02 1-Dec-02 GGHS BATANAI 2133 Fuzia Gul Meher Rahman MA/Med/CT 13-Sep-71 Swabi 2-Dec-02 2-Dec-02 GGHSS Topi 2134 REHANA TANVEER ABDUL AZIZ MA CT 25-Mar-71 KOHAT 20-Feb-95 3-Dec-02 GGHS TAPPI 2135 SHABEENA HUSSAIN MUHAMMAD HUSSAIN MA CT 12-Mar-73 KOHAT 21-Feb-95 3-Dec-02 GGHSS JUNGLE KHEL 2136 Jehan Begum Talimand MA M/Ed 3-Mar-71 SWAT 14-Dec-02 14-Dec-02 GGHS Bahrain 2137 SAMINA KARIM FAZAL KARIM MA CT 1-Jan-68 KOHAT 22-Nov-90 19-Dec-02 GGHSS BABRI BANDA 2138 BILQEES ARA SADULLAH KHAN MA CT 2-Apr-77 KOHAT 7-Apr-99 22-Dec-02 GGHSS BABRI BANDA 2139 BIBI SAMINA JUNAB SHAH MA CT 5-Oct-77 KOHAT 23-Dec-02 23-Dec-02 GGHS KERI SHEIKHAN 2140 SAEEDA MA, BED MIRAN SHAH 4-Apr-75 BUNNER 15-May-93 6-Jan-03 GGMS KOREYA 2141 NASREEN BEGUM MA, MED BAKHT MARAJ 10-May-76 BUNNER 13-Sep-95 6-Jan-03 GGMS ELAI 2142 TAZKIRA MA, MED FAZAL HALIM 5-Jun-77 BUNNER 23-Aug-96 6-Jan-03 GGMS DAGGAR
  • 47.
    Academic Professional Date of 1st D/O Apptt against No. Name of Teacher Father's Name Qualification Qualification Date of Birth Domicile Apptt: Present Post Name of School 1 2 3 4 5 6 7 8 9 10 2143 NUSRAT MA, BED KHAN ZADA 4-Aug-79 BUNNER 30-Jun-97 6-Jan-03 GGHSS KALPANI 2144 NAZIA MA, BED FAZAL RABBI 1-Jan-79 BUNNER 16-Jul-99 6-Jan-03 GGHS BAGRA 2145 SHAHEEN FA, CT MEHRAN SAID 6-Jan-81 BUNNER 6-Jan-03 6-Jan-03 GGMS DAGGAR 2146 GUL NAZ SALEEM MUHAMMAD SALEEM MA BED 15-Dec-80 PESHAWAR 9-Jan-03 9-Jan-03 GGMS Sheikh Mohammad 2147 KIRAN JAMEEL MUHAMMAD JAMEEL KHAN BA BED 24-Aug-79 MANSEHRA 11-Jan-03 11-Jan-03 GGMS PALOSI MAGHDARZAI 2148 SHAHNAZ BIBI LAL KHAN BA BED 29-Jan-78 ABBOTTABAD 12-Jan-03 12-Jan-03 GGHS Sial Kote 2149 REHMAT NOOR S/ZAHOOR HUSSAIN SHAH MA//BA 2nd Div BED 2nd Div: 4-Feb-71 HARIPUR 4-Mar-90 12-Jan-03 2150 NASREEN BGUM MA, CT NOOR HASSAN 3-Jan-78 BUNNER 24-Aug-96 6-Feb-03 GGHS PANJTAR 2151 KAUSAR BIBI MUHAMMAD KHALID HUSSAIN BA/ BED/CT 1-Sep-70 D/I/KHAN 22-Oct-88 12-Feb-03 GGHS NO/ 3 DIKHAN 2152 SHAILA NAEEM NAEEM JAN MSc BED 2-Feb-80 PESHAWAR 3-Mar-03 3-Mar-03 GGHS Urmar payan 2153 BUSHRA YOUNIS MUHAMMAD YOUNIS BA BED 7-Apr-76 ABBOTTABAD 4-Mar-03 4-Mar-03 GGMS Pawa 2154 REKHMINA BA, CT SHAMSUL 3-May-75 BUNNER 3-Mar-93 5-Mar-03 GGMS ELAI 2155 SHIRAZ AKHTAR MIRZA KHAN BA BED 1-Dec-73 ABBOTTABAD 12-Mar-03 12-Mar-03 GGCMS Nawanshehr 2156 NADIA IRAM MUZAFFAR KHAN BA BED 5-Jan-78 ABBOTTABAD 12-Mar-03 12-Mar-03 GGMS BHURAJ 2157 SHAMIM BIBI SYED AGHA JAN MA / BA 2ND DIV BED 2nd Div: 11-Apr-69 HARIPUR 3-Dec-03 12-Mar-03 2158 RUKHSANA SHAHEEN MUHAMMAD SADIQ MA CT 16-Mar-71 HARIPUR 23-Sep-89 12-Mar-03 2159 Bibi Munira MA M/Ed Sher Nawaz 28-Oct-75 Chitral 1-Nov-95 23-Mar-03 GGHS Barenis 2160 NUZHAT SHAHEEN MEHDI HUSSAIN BA BED 19-May-72 ABBOTTABAD 4-Jan-96 31-Mar-03 GGHS Bagnotar 2161 ROOBINA SHAHEEN NISAR AHMAD BA MEd 4-Feb-65 MARDAN 1-Jan-86 31-Mar-03 GGMS PALOSI MAGHDARZAI 2162 LUBNA TAUHEED SAID QAMRISH MA B/Ed,M/Ed 27-Feb-77 MARDAN 1-Jan-00 11-Apr-03 GGHSSSHAHDHAND 2163 KALSOOM ABDUL HAMID BA BED 9-Feb-78 ABBOTTABAD 12-Apr-03 12-Apr-03 GGCMS A/Abad (NO/1) 2164 MALKA TAJ TAJ MUHAMMAD BA BED 26-Oct-72 ABBOTTABAD 12-Apr-03 12-Apr-03 GGMS Kiayla 2165 FOZIA SHAHEEN WALIYA KHAN BA BED 4-Dec-79 ABBOTTABAD 12-Apr-03 12-Apr-03 GGMS Mohri Bed Bhen 2166 IFFAT ARA SHAH PASAND MA B/Ed,M/Ed 1-Jan-77 MARDAN 12-Apr-03 12-Apr-03 GGHS QASMI 2167 ZAKIRA IMAMBAD SHAH MA B/Ed 7-May-77 MARDAN 12-Apr-03 12-Apr-03 GGHS MADAY BABA 2168 SHABNAM ARA BIBI SHAH PASAND KHAN MSc B/Ed,M/Ed 4-Jan-78 MARDAN 18-Apr-03 18-Apr-03 GGHS ALO 2169 Yasmeen Begum, Zeenat Gul BA/MA M/Ed: 1-Jan-74 Karak 12-Sep-95 21/04/2003 GGHS, Ghundi Killa 2170 Nasreen Akhtar, Khan Wali BA/BA B/Ed: 22-Jul-75 Karak 31-Oct-96 21/04/2003 GGHS, Mitha Khel 2171 Fahmida Akhtar Yaqoob Khan MSC B/Ed: 6-Jan-77 Karak 21-Apr-03 21/04/2003 GGMS Odin Shah 2172 Nasreen Gul, Gul Janan MA B/Ed: 10-Dec-77 Karak 3-Oct-96 21/04/2003 GGHS Chowkara/ 2173 Haroon Asma Banarus Khan MA B/Ed: 4-Oct-76 Karak 31-Oct-96 22/04/2003 GGMS Tarkha Koi 2174 Janat Ara Umar Daraz MA B/Ed: 20-Apr-75 Karak 22-Apr-03 22/04/2003 GGMS Tanga Zanai 2175 Safia sher badar MA Bed B/Ed 20-Mar-81 Mohmand 23-Apr-03 23-Apr-03 GGMS Azim Kor 2176 Khalida Aziz Aziz ur Rehman MA B/Ed: 25-Apr-71 Karak 1-Jan-90 28/04/2003 GGMS Jatta Ismail Khel 2177 Khurshid Begum/ Mehrbaz Khan/ F/A / CT 10-May-54 Tank/ 8-Oct-76 8-May-03 GGHS: Ama Khel/ 2178 Hayat BiBi/ Taj Muhammad/ BA/ cT 1-Sep-59 Tank/ 10-Nov-77 8-May-03 /do/ Ama Khel/ 2179 Samina Bibi Shah Wali Shah MA 1-Jan-82 FR Tank 10-May-03 10-May-03 GGHS Jandola 2180 FARIDA KHANAM FA, CT ABDUL WAHID 18-Dec-72 BUNNER 25-Apr-92 30-May-03 GGMS SOWARI 2181 SUBAILA NAZ MSC, BED MOHAMMMAD SHIREEN 16-Apr-75 BUNNER 10-Mar-93 30-May-03 GGMS DAGAI 2182 HAMIDA BEGUM BA, BED MIR GHULAM 5-Mar-77 BUNNER 10-Sep-95 30-May-03 GGHS CHINGLAI 2183 NASEEM AKHTAR FA, CT SHAH ZAMAN KHAN 10-Mar-77 BUNNER 25-Aug-96 30-May-03 GGHSS PACHA KALAY 2184 SHEEMA HARAM FA, CT DAWOOD KHAN 5-Apr-78 BUNNER 25-Aug-96 30-May-03 GGHSS PACHA KALAY 2185 WAHEEDA MA, BED MIR MUHAMMAD 1-Jan-73 BUNNER 30-May-03 30-May-03 GGMS SOWAWAI 2186 PAIMAN BEGUM MA,BED S/ABDUR RASHID 1-Apr-75 BUNNER 22-May-93 31-May-03 GGMS DEWANA BABa 2187 PARVEN SHAHEN MA,MED ABDUR RASHID 1-Apr-76 BUNNER 10-Sep-95 31-May-03 GGMS SURA 2188 MAJABEN ZAHIR ME,MED KASHMALAY 12-Dec-71 BUNNER 28-Dec-89 1-Jun-03 GCMP DAGGAR QILA 2189 SHAGUFTA JABEN MA,MED KHALIQ DAD 4-Apr-79 BUNNER 30-Aug-97 1-Jun-03 ADO CIRCLE MIRZAKAY
  • 48.
    Academic Professional Date of 1st D/O Apptt against No. Name of Teacher Father's Name Qualification Qualification Date of Birth Domicile Apptt: Present Post Name of School 1 2 3 4 5 6 7 8 9 10 2190 RAZIA BIBI MA,MED SAID BASHAR 1-Jan-80 BUNNER 19-May-98 1-Jun-03 GGHS KRAPA 2191 SHAKIRA BIBI BA,BED FARIDUL HAQ 19-Apr-83 BUNNER 1-Jun-03 1-Jun-03 GGMS SURA 2192 Noor Mahal Amir Hatam BA B/Ed 25-May-60 SWAT 2-Nov-80 1-Jun-03 GGMS Shaheen Abad 2193 SHAHIDA PARVIN, BA FAQIR UR REHMAN 21-Feb-75 Malakand 25-Nov-96 1-Aug-03 GGMS GHUNDO BALA 2194 Anwaz Bibi BA B/Ed Sher Alam Khan 1/3/967 Chitral 22-Apr-85 4-Aug-03 GGHS Reshun 2195 FOZIA KHATIOON ABDUL QAYYUM qureshi BA 2nd DIV BED 9-Apr-70 HARIPUR 17-Dec-99 6-Aug-03 2196 FALAK NAZ GUL DAD MA/ BED/CT 6-Apr-69 D/I/KHAN 9-Jan-96 1-Sep-03 GGHS GARAH ASHIQ 2197 Mehad Begum akhun zada BA/B/ED B/Ed 11-Oct-76 Mohmand 1-Sep-03 1-Sep-03 GGMS Navi Killi 2198 Sarwat khalil ur rehman MA/CT 2-Jun-79 Mohmand 1-Sep-03 1-Sep-03 GGMS Imdad Ullah 2199 Robina Alam said alam MA/B/ED B/Ed 3-Jan-79 Mohmand 1-Sep-03 1-Sep-03 GGMS Navi Killi 2200 khalida Begum sher zada BA/B/ED B/Ed 20-Mar-82 Mohmand 1-Sep-03 1-Sep-03 GGMS Hamid Khan 2201 Haleem Bibi muhammad anwar BA/B/ED B/Ed 13-Jun-77 Mohmand 1-Sep-03 1-Sep-03 GGMS Umar Kor 2202 Husna Saidullah Khan BA 2-Feb-76 FR Peshawar 1-Sep-03 1-Sep-03 GGMS Khanzada 2203 Tilat Alam Alam Khan MA 6-Jan-77 Khyber 1-Sep-03 1-Sep-03 GGMS Sur Kamar 2204 Zahida MA SWA 1-Sep-03 1-Sep-03 GGMS Nazari Nar SWA 2205 Syeda hasina MA SWA 1-Sep-03 1-Sep-03 GGHS Dab Kot SWA 2206 Alia jaleel MA SWA 1-Sep-03 1-Sep-03 GGHS Wana, SWA 2207 Amina Gul Ajab Gul BA 11-Jan-78 Mohmand 1-Sep-03 1-Sep-03 GGHSS Ghallanai 2208 Nehayat Muahammad Wali MA 10-Apr-83 Bajaur 1-Sep-03 1-Sep-03 Muhammad Wali 2209 Asmat Bibi 2-Jun-83 Bajaur 1-Sep-03 1-Sep-03 GGMS Civil Colony Khar 2210 Hamida Bibi Sultan Khan BA 20-May-84 FR Tank 1-Sep-03 1-Sep-03 GGHS Jandola 2211 Ruqia adalat sher BA Bed B/Ed 15-Apr-84 Mohmand 2-Sep-03 2-Sep-03 GGMS Ghami kor 2212 Taj Bina Kausar Gul Nawaz BA 5-Feb-80 FR Tank 2-Sep-03 2-Sep-03 GGMS Mosam Khan Kor 2213 Nazia Bibi Ghani Khan MA 14-May-78 Bajaur 7-Sep-03 7-Sep-03 Ghani gul 2214 Nouraj Begum Syed rehman BA 7-Apr-85 NWA 9-Sep-03 9-Sep-03 GGMS Sardar Ali Kot 2215 KAUSAR SHAHEEM BA, BED MIAN SANAULLAH 1-Apr-69 BUNNER 1-Sep-90 11-Sep-03 GGMS ANGHAPUR 2216 Zubida Akhtar Gul Nawar Khan MA 18-Jan-81 NWA 11-Sep-03 11-Sep-03 GGMS Azad Pir Kot NWA 2217 Syeda Rukhsana Bibi Syed Mazhar Haq MA 5-Apr-77 FR Tank 11-Sep-03 11-Sep-03 GGMS Haibat Khan Koroona 2218 SHAFIA B/A, CT AZIZUR RAHMAN 29-Sep-81 BUNNER 15-Sep-03 15-Sep-03 GCMP DAGGAR QILA 2219 Farida Bibi Muhammad Sultan MA 4-Apr-78 Bajaur 15-Sep-03 15-Sep-03 Muhammad Sultan 2220 FATIMA BA, CT FAZAL MAULA 14-Mar-76 BUNNER 13-Sep-95 16-Sep-03 GGMS BATAI 2221 NIZAKAT BEGUM MA, BED SAID MUHAMMAD 8-Oct-74 BUNNER 12-Sep-99 16-Sep-03 GGHS TOTALAI 2222 Nadia Naz Aziz/ur/Rehman BA 6-Jan-80 FR Tank 17-Sep-03 17-Sep-03 GGHS Darazinda 2223 FARZANA MALAK ZAD MA BED CT 21-Nov-72 Bannu 26-Jun-97 1-Oct-03 GGHSS BANNU CITY 2224 Shakila Nasreen Mohammad Aslam BA 1-Oct-73 FR Tank 1-Oct-03 1-Oct-03 GGHS Darazinda 2225 Shabnum Ambreen Umer Daraz MA 1-Oct-80 FR Tank 1-Oct-03 1-Oct-03 GGHS Darazinda 2226 NUSRAT PERVEEN SHERULLAH KHAN BA B/Ed,M/Ed 9-Mar-73 MARDAN 20-Sep-98 1-Oct-03 GGHS LUND KHAWAR 2227 Gul Naz Bibi Yousaf Khan MA 20-Mar-81 NWA 14-Oct-03 14-Oct-03 GGMS Aman Ullah Jan Kot 2228 SAMINA BIBI RUSTAM KHAN B/SC 2ND BED 2nd Div: 1-Jan-80 HARIPUR 18-Oct-03 18/10/2003 2229 Azra Begum sardar khan MA/B/ED B/Ed 1-Jan-75 Mohmand 23-Oct-03 23-Oct-03 GGHS Dab Kor 2230 TABASUM JABEEN ABDUL GHAFFAR BA BEd 10-Feb-73 Mansehra 23-Oct-03 23-Oct-03 2231 Tehmina Naz Mohammad Rafiq MA CT 2-Apr-75 Mansehra 24-Oct-03 24-Oct-03 GGMS Thakote 2232 BIBI SAJIDA ABDUL RASHID BA BEd 10-Apr-76 Mansehra 24-Oct-03 24-Oct-03 2233 TABSUM JABIN ABDUL GHAFAR BA BEd 10-Feb-73 Mansehra 24-Oct-03 24-Oct-03 2234 RAHEELA NASHEEN GHULAM MUHAMMAD MA/ BED/CT 2-Oct-76 D/I/KHAN 5-Nov-03 5-Nov-03 GGHS NO7 DIKHAN 2235 Farhat Niaz MA SWA 10-Nov-03 10-Nov-03 GGMS Touda China SWA 2236 NAFEESA JAVED JAVAID AKHTAR BA BED 1-Apr-74 ABBOTTABAD 17-Nov-03 17-Nov-03 GGMS Phallah
  • 49.
    Academic Professional Date of 1st D/O Apptt against No. Name of Teacher Father's Name Qualification Qualification Date of Birth Domicile Apptt: Present Post Name of School 1 2 3 4 5 6 7 8 9 10 2237 SAMINA BIBI MA, BED HAIDAR ALI 30-Nov-70 BUNNER 24-Apr-92 27-Nov-03 GGMS PACHA KALAY 2238 Naseera begum Ali Asghar BA BEd 18-Apr-76 Mansehra 17-Dec-99 27-Nov-03 2239 NADIA AMJAD M/ IQBAL BA BED 1-Apr-79 ABBOTTABAD 3-Dec-03 3-Dec-03 GGHS Kunj 2240 SOBIA NOREEN SULTAN KHAN BA BED 8-Jun-72 ABBOTTABAD 3-Dec-03 3-Dec-03 GGJICA MODEL MIRPUR 2241 SOFIA KHANUM AZIZ KHAN BA BED 14-Jan-64 ABBOTTABAD 23-Oct-86 4-Dec-03 GGCMS A/Abad (NO/1) 2242 Farhat Jabeen M/ASLAM KHAN BA BED 2-May-76 ABBOTTABAD 4-Dec-03 4-Dec-03 GGHS Kunj 2243 NIGHAT JABEEN EHSAN ANWAR BA BED 3-Feb-78 ABBOTTABAD 4-Dec-03 4-Dec-03 GGMS PANDO THENA 2244 QURAT/UL/AIN MAZHAR HUSSAIN BA 2ND DIV BED 19-Jan-81 HARIPUR 3-Dec-03 4-Dec-03 2245 NUZHAT AZIZ AZIZ KHAN MA BA 2ND DIV BED 2nd Div: 3-Mar-72 HARIPUR 11-Feb-98 4-Dec-03 2246 QUART/UL AIN MAZHOR HUSSAIN MA MED 19-Jan-81 HARIPUR 4-Dec-03 4-Dec-03 2247 SHAHIDA JABEEN MANZOOR ELAHI MA /BA 2ND MED/BEd/ 2nd div 10-Jan-75 HARIPUR 17-Sep-95 4-Dec-03 2248 NAFISA AYUB MUHAMMAD AYUB BA CT 30-Jun-76 HARIPUR 4-Dec-03 4-Dec-03 2249 NUSRAT DAUD MUHAMMAD DAUD FA CT 16-Mar-68 HARIPUR 30-Jan-88 4-Dec-03 2250 WAHEEDA KOUSAR MUHAMMAD ASLAM FA CT 19-Jun-69 HARIPUR 4-Dec-03 4-Dec-03 2251 ANISA BIBI HAKIM ABDUL SALAM BA CT 24-Nov-58 HARIPUR 25-Jan-87 4-Dec-03 2252 TAHIRA SULTANA MUBARAK SHAH FA CT 22-Sep-73 HARIPUR 4-Dec-03 4-Dec-03 2253 SAEEDA BIBI HASSAN DIN BA BED 5-Jan-73 ABBOTTABAD 5-Dec-03 5-Dec-03 GGMS CHAMHAD 2254 CHAN BIBI MUHAMMAD MISKEEN BA CT 8-May-69 HARIPUR 3-Dec-03 5-Dec-03 2255 SHAISTA PARVEEN MUHAMMAD SARWAR MSC CT 6-Feb-78 HARIPUR 5-Dec-03 5-Dec-03 2256 SAIRA BIBI DURE IMAN BA 2nd Div CT 12-Mar-83 HARIPUR 3-Dec-03 5-Dec-03 2257 RUQIA IRSHAD MUHAMMAD IRSHAD BA CT 27-Sep-72 HARIPUR 3-Dec-03 5-Dec-03 2258 ZAHIDA BIBI M/MATI/UR/REHMAN MA BED 4-Apr-74 HARIPUR 6-Dec-03 6-Dec-03 2259 GUL NASREEN MANZOOR ELAHI MA /BA 2ND BED 2nd Div: 13-Apr-66 HARIPUR 18-Sep-85 6-Dec-03 2260 ISMAT ROBAB GHULAM ABBAS BA 2ND DIV CT 26-Jun-71 HARIPUR 6-Dec-03 6-Dec-03 2261 FARZANA KHAN BA, CT M/ ZAMAN KHAN 21-Jul-73 BUNNER 9-Nov-96 9-Dec-03 GGHS TOPAI 2262 REHANA BIBI NAZAR ELAHI MA BA 2ND DIV BED 2nd Div: 3-Sep-56 HARIPUR 18-Jan-77 16/12/2003 2263 Nayab Huma Ali Bahadar MA 5-Sep-72 FR Tank 19-Dec-03 19-Dec-03 GGMS Hayat Khan Kor 2264 Humera Bibi Mohammad Aslam MA 10-Mar-75 FR Tank 20-Dec-03 20-Dec-03 GGHS Darazinda 2265 ANEEQA BANO ABDUL LATIF BSC BED 28-Jun-78 ABBOTTABAD 22-Dec-03 22-Dec-03 GGHS Sheikhul Bandi 2266 SAJIDA NOREEN MALIK AMAN BA CT 16-Jun-81 HARIPUR 22-Dec-03 22/12/2003 2267 MEHBOOB AKHTAR MUHAMMAD ISHAQ BA BED 15-May-59 ABBOTTABAD 11-Oct-85 23-Dec-03 GGMS Bodla 2268 SHAHEEN BIBI M ASLAM BA BED 3-Jun-79 ABBOTTABAD 24-Dec-03 24-Dec-03 GGMS MOHAR KALAN 2269 RAHEELA ALIA AMANULLAH KHAN MA/ MED/CT 25-Oct-68 D/I/KHAN 27-Dec-03 27-Dec-03 GGCMHS NO1 DIKHAN 2270 Jehan Khurshid(CT)MA,BED Shamsur Rahman MA 8-Feb-58 Dir (U) 11-Nov-82 31-Dec-03 GGHSS, Dir 2271 Chaman Ara(CT)MA Gulab Said MA 5-Apr-77 Dir (U) 12-May-95 31-Dec-03 GGHSS, Dir 2272 Naila Mukhtyar(CT)BA Mukhtiyar Yousaf BA 14-Mar-78 Dir (U) 31-Dec-03 31-Dec-03 GGHS,Gandigar 2273 FARHANA FIDA FIDA MUHAMMAD MA/ BED/CT 6-Oct-67 D/I/KHAN 1-Jan-04 1-Jan-04 GGHS FATEH 2274 SHAZIA AMBREEN Q/ABDUR RAUAF MA/ BED/CT 15-Sep-69 D/I/KHAN 1-Jan-04 1-Jan-04 GGMS CHA BAREWALA 2275 SHAHIDA GUL M/SADIQ KHAN BALOCH MA/ BED/CT 10-Apr-76 D/I/KHAN 23-Apr-99 1-Jan-04 GGMS MADNI TOWN 2276 FARIDA BEGUM MA, BED ZAR JAMIL KHAN 17-Apr-70 BUNNER 25-Apr-88 3-Jan-04 GGHS SHALBANDAI 2277 Hidayat Begum Sahibur Rahman BA (2nd) B,ed 3-Jan-67 Dir Lower 7-Jul-85 3-Jan-04 2278 Asmat Ara Muhammad Rokhan BA (2nd) B,ed 16-Jan-78 Dir Lower 19-Nov-96 3-Jan-04 2279 Rifat Ara Amir Nawaz Khan BA (2nd) B,ed 3-Jan-77 Dir Lower 3-Jan-04 3-Jan-04 2280 Maryam Nishad Mohd Nishad BA (2nd) B,ed 2-Dec-78 Dir Lower 7-Jan-97 3-Jan-04 2281 Ishrat Rahman Uddin BA (2nd) B,ed 15-Jun-77 Dir Lower 3-Jan-04 3-Jan-04 2282 Shazia Ahmad Ahmad Gul BA (2nd) B,ed 6-Jun-77 Dir Lower 12-Apr-95 3-Jan-04 2283 Yasmin Syed Said Malook BA (2nd) B,ed 15-Jan-77 Dir Lower 3-Jan-04 3-Jan-04
  • 50.
    Academic Professional Date of 1st D/O Apptt against No. Name of Teacher Father's Name Qualification Qualification Date of Birth Domicile Apptt: Present Post Name of School 1 2 3 4 5 6 7 8 9 10 2284 Fazilat Begum Namwar said BA (2nd) B,ed 15-Aug-80 Dir Lower 3-Jan-04 3-Jan-04 2285 Farzana Naheed Nazar Gul BA (2nd) B,ed 4-Feb-82 Dir Lower 3-Jan-04 3-Jan-04 2286 Zeenat BiBi NeeK Mohammad BA (2nd) B,ed 4-Apr-80 Dir Lower 3-Jan-04 3-Jan-04 2287 Sajida Begum Amir Rahman BA (2nd) B,ed 3-Mar-75 Dir Lower 13-Sep-94 3-Jan-04 2288 Rozeena Wali Rahman BA (2nd) B,ed 5-Mar-79 Dir Lower 26-Jun-97 3-Jan-04 2289 Safia Begum Azizur Rahman BA (2nd) B,ed 1-Jan-81 Dir Lower 3-Jan-00 3-Jan-04 2290 Tahira Bakht Azad Bakht BA (2nd) B,ed 14-Mar-81 Dir Lower 3-Jan-04 3-Jan-04 2291 Robina Akhter S/Abdul Hakim BA (2nd) B,ed 16-Apr-79 Dir Lower 5-Jan-98 3-Jan-04 2292 Abida Begum Ghulam Bahadar BA (2nd) B,ed 3-Oct-75 Dir Lower 18-Nov-96 3-Jan-04 2293 Zeenat Ara Syed Sikandar shah BA (2nd) B,ed 10-Jan-72 Dir Lower 3-Jan-04 3-Jan-04 2294 Sajida Begum Naeemullah BA (2nd) B,ed 22-Mar-81 Dir Lower 3-Jan-04 3-Jan-04 2295 Khurshid Begum(CT)BA Sultan Zarin BA 15-Jun-67 Dir (U) 14-Dec-85 3-Jan-04 GGMS, Jughabanj 2296 Wahida(CT)BA Khan Bahadar BA 15-Feb-72 Dir (U) 22-Nov-94 3-Jan-04 GGMS, Shenkari 2297 Tasleem Akhtar(CT)BA Muhd Ayaz BA 19-Mar-74 Dir (U) 13-Jun-95 3-Jan-04 GGMS, Panakot 2298 Menhaz Sakhi(CT)BA Sakhi Rahman BA 7-Mar-76 Dir (U) 25-Mar-97 3-Jan-04 GGMS, Sundrawal 2299 Shamim Ara(CT)BA,BED Fazal Rahim BA B,ed 2-Aug-79 Dir (U) 23-Apr-98 3-Jan-04 GGMS, Panakot 2300 Gulshan Bibi(CT)BA,BED Muhd Khan BA B,ed 3-Jan-78 Dir (U) 26-Apr-99 3-Jan-04 GGHSS, Barawal 2301 Gul Juma(CT)BA Murad Wali BA 4-May-80 Dir (U) 3-Jan-04 3-Jan-04 GGMS, Qulandi 2302 NAHEED AKHTAR GHULAM RABBANI BA BEd 2-Apr-72 Mansehra 3-Jan-04 3-Jan-04 2303 Ayesha Bibi, BA Fazal Hussain 16-Mar-71 Chitral 1-Apr-04 4-Jan-04 GGMS Kuju 2304 AALIA KAMRAN KHAN MUHAMMAD BA /BED/CT 1-Jan-67 D/I/KHAN 7-Jan-04 7-Jan-04 GGMS MALANG ABAD 2305 Farida Bibi BA B/Ed Muhad Anwar 1-Jan-77 Shangla 7-Jan-04 7-Jan-04 GGMS Kotkay Malk Khel 2306 Zakia Bibi BA Hussain Khan 21-Dec-73 Chitral 25-Jun-97 7-Jan-04 GGHS Barenis 2307 Ali Jamil Mohd Jamil FA/CT CT 2-Feb-74 Karachi 9-Jan-04 9-Jan-04 GGMS Shalkan Abad 2308 ALIYA MARWAT AMANULLAH MA BED 20-Jul-81 LAKKI MARWAT 9-Jan-04 9-Jan-04 GGHSS Mathra 2309 NEELAM LAL MUHAMMAD MA BED 20-Jun-82 PESHAWAR 9-Jan-04 9-Jan-04 GGMS Daman Afghani 2310 GHAZALA AKHTAR ABDUL GHAFFAR MA /BA 2ND DIV BED 7-Sep-70 HARIPUR 31-Dec-98 9-Jan-04 2311 BiBi Hasina BA/CT Gul Muhad 20-Apr-74 Shangla 13-Dec-94 11-Jan-04 GGMS Dehrai 2312 ASMA BIBI MA,BED MUHAMMAD YAQOUB 20-Jan-81 BUNNER 12-Jan-04 12-Jan-04 GGMS AMNAWAR 2313 Falak Naz Pir Zahir Shah MA M/Ed: 26-Nov-61 Karak 11-Jan-94 18-Jan-04 GGMS Algadi Sharki 2314 Asmat Shahwaz, Shahwaz Khan MSC M/Ed: 20-Jul-79 Karak 19-Jan-04 19/01/2004 GGHS Rehmat Abad/ 2315 Ameer Zada Jangi Khan MA B/Ed: 25-Mar-75 Karak 19-Jan-04 19/01/2004 GGHS Khurram 2316 Ulfat Safina Abdul Habib MA B/Ed: 15-Dec-75 Karak 19-Jan-04 19/01/2004 Official Colony Karak 2317 Robina Akhtar Abdul Khaliq BA B/Ed: 18-Mar-65 Karak 14-May-90 19/01/2004 GGMS Totaki 2318 Rehana Shaheen Noor Aslam MA B/Ed: 15-Apr-73 Karak 19-Jan-04 19/01/2004 GGMS Kamali Banda 2319 Dil Farib Asma Banarus Khan MA B/Ed: 20-Mar-77 Karak 31-Oct-96 20/01/2004 GGMS Tarkha Koi 2320 FARZANA NAZ GHULAM HAIDAR MA MED BED CT 22-Feb-68 D/I/KHAN 30-Jan-04 30-Jan-04 GGHS R/KULACHI 2321 MAHJABEEN BEGUM SAMIULLAH KHAN MA/ BED/CT 18-Apr-79 D/I/KHAN 31-Jan-04 31-Jan-04 GGHS ABDUL KHEL 2322 FARAH DEEBA,MA SHAH QUBAD KHAN 20-Mar-78 Malakand 31-Jan-04 31-Jan-04 GGMS LORYAN DEHRI ALLAHDAND 2323 SHEHLA IRAM QADER BAKSH BA 3RD BED CT 14-May-71 D/I/KHAN 18-Dec-95 1-Feb-04 GGMS SHAHDAO 2324 UMAIRA KEHKASHAN MUHAMMAD ANWARULLAH MA /BED/CT 2-Mar-78 D/I/KHAN 9-Feb-04 9-Feb-04 GGHS BILOT 2325 SAJIDA IFFAT MUHAMMAD ASLAM MA/ MED/CT 15-Jun-76 D/I/KHAN 2-Oct-04 10-Feb-04 GGHS RANGPUR SHUMALI 2326 FARHAT REHMAN SEFUR REHMAN BA /BED/CT 25-Nov-79 D/I/KHAN 10-Feb-04 10-Feb-04 GGMS KARI BAKHTIR 2327 Rahila Rahman Abdur Rahman Bsc(2nd) B,ed 2-May-76 Dir Lower 12-Feb-04 12-Feb-04 2328 Sadia M/ Musif Khan BA (2nd) B,ed 1-May-76 Dir Lower 21-Nov-94 12-Feb-04 2329 Shahida Bibi Noorul Wahab BA (2nd) B,ed 20-Dec-71 Dir Lower 12-Feb-04 12-Feb-04 2330 Zeenat Begum Mughal Sher Khan BA (2nd) B,ed 19-Oct-69 Dir Lower 30-Apr-92 12-Feb-04
  • 51.
    Academic Professional Date of 1st D/O Apptt against No. Name of Teacher Father's Name Qualification Qualification Date of Birth Domicile Apptt: Present Post Name of School 1 2 3 4 5 6 7 8 9 10 2331 Farkhanda Jabeen Mohd Shah BA (2nd) B,ed 3-Jan-82 Dir Lower 12-Feb-04 12-Feb-04 2332 Tahira Anees Naik Mohammad B/A B/ Ed 14-Sep-64 Nowshera 23-Jan-89 12-Feb-04 2333 Rukhsana Naz Jumma Khan MA/B/Ed B/Ed 8-Feb-89 NWA 23-Feb-04 23-Feb-04 GGHS Miranshah 2334 Naseem Akhtar Usman Ali MA M/Ed 7-Mar-63 SWAT 15-Oct-89 23-Feb-04 GGHS Charbagh 2335 Halema Begum Abdul Qudos MA M/Ed 2-Feb-71 SWAT 5-Dec-89 23-Feb-04 GGMS Koza Bandai 2336 Naheed Tabsum Abdul Wahid MA B/Ed 20-Jan-72 SWAT 1-Jan-98 23-Feb-04 GGHS Charbagh 2337 Najma Begum Sher Zada MA M/Ed 15-Mar-73 SWAT 1-Mar-93 23-Feb-04 GGMS Sersenai 2338 Salma Parveen Hazrat Umar MA M/Ed 19-Jul-74 SWAT 26-Jun-96 23-Feb-04 GGMS Gul Bandai 2339 Maryum Fazal Mabood BA B/Ed 5-Apr-75 SWAT 23-Feb-95 23-Feb-04 GGMS Bara Bandai 2340 Nishat Perveen Muhammad Naeem Khan FA CT 26-Aug-63 SWAT 24-Feb-04 24-Feb-04 GGMS Sijbanr 2341 Alia Nauroz MA M/Ed 18-Feb-69 SWAT 1-Jun-92 24-Feb-04 GGMS Ghalegay 2342 Shah Hasrat (CT)MA,BED Yarmullah MA B,ed 2-Oct-77 Dir (U) 20-Jun-95 29-Feb-04 GGMS, Chukiatan 2343 NAEEMA MA,MED FAZAL HALIM 15-Oct-74 BUNNER 17-May-93 1-Mar-04 GCMP DAGGAR QILA 2344 BAKHT NAMIA MA,CT YAQOB SHAH 3-Feb-77 BUNNER 18-Dec-94 1-Mar-04 GGMS KULYARI 2345 Jamila Khatoon MA SWA 1-Mar-04 1-Mar-04 GGHS Wana, SWA 2346 RAJDA BIBI,BA ALAMGIR KHAN 9-Jun-77 DIR(L) 1-Mar-04 1-Mar-04 GGMS KARKANI 2347 ZEBA TABASUM M MASKEEN BA BEd 23-Mar-63 Mansehra 5-Jan-82 1-Mar-04 2348 ASMA SYED SIKANDAR SHAH BA BEd 1-Jan-73 Mansehra 22-Dec-99 1-Mar-04 2349 NAGINA UMER UMER ZAMAN BA BEd 26-Dec-81 Mansehra 22-Dec-99 1-Mar-04 2350 Fatima Andleeb Ali Asghar BA BEd 1-Apr-77 Mansehra 23-Dec-99 1-Mar-04 2351 Riffat Sultan Mohd:Ayub khan BA BEd 9-May-70 Mansehra 27-Mar-00 1-Mar-04 2352 Safia farooq Mohd:Farooq Awan BA BEd 26-Jan-70 Mansehra 28-Nov-02 1-Mar-04 2353 SHAHEEN BAHADAR KHAN MA B/Ed 1-Jun-67 MARDAN 1-Mar-04 1-Mar-04 GGMS MORCH KHAN KILI 2354 Taj Begum Ghulam Sarwar MA CT 19-Dec-68 SWAT 1-Nov-90 1-Mar-04 GGHSS Kabal 2355 Bibi Sadia Amir Muhammad MA B/Ed 1-May-72 SWAT 1-Mar-93 1-Mar-04 GGHSS Matta 2356 Nasreen Abdul Wahid MA CT 11-Apr-74 SWAT 28-Apr-99 1-Mar-04 GGMS Alaabd 2357 Zeenat Begum Muhammad Shafiullah BA CT 1-Apr-75 SWAT 1-Mar-04 1-Mar-04 GGMS Sapal Bandai 2358 Gul Bahesta Jamroz Malak MA B/Ed 10-Apr-75 SWAT 11-Nov-95 1-Mar-04 GGHSS Kabal 2359 Bibi Maryum Mehronash BA CT 12-Apr-78 SWAT 1-Mar-04 1-Mar-04 GGMS Haji Baba(M) 2360 Tawheed Abdur Rahman BA B/Ed 15-Jan-79 SWAT 1-Mar-04 1-Mar-04 GGHS K/Khela 2361 Najma Bano Bakht Raz Muhammad MA B/Ed 9-Apr-80 SWAT 23-Feb-04 1-Mar-04 GGHS Gwelerai 2362 SAEEDA BEGUM BA, BED MOHAMMAD ISHAQ 7-Jul-57 BUNNER 10-Oct-81 3-Mar-04 GGMS ANGHAPUR 2363 TALAT BEGUM BA, CT MUHAMMAD 1-May-66 BUNNER 24-Sep-01 3-Mar-04 GGMS BAMPOKHA 2364 NAHEED AKHTAR,BA SHAD MUHAMMAD 17-Nov-79 Dir(U) 3-Mar-04 3-Mar-04 GGHS Dargai 2365 NIZAKAT BEGUM,BA MUTABAR KHAN 1-Jan-78 Malakand 3-Mar-04 3-Mar-04 GGMS ABBASS KILI 2366 Noreen Bibi Mohd:Aslam BA BEd 26-Nov-75 Mansehra 1-Dec-02 3-Mar-04 2367 BIBI GUL AURGHANZEB BA BEd 30-Mar-73 Mansehra 5-Apr-99 3-Mar-04 2368 Saira Bano Alem Muhammad BA B/Ed 5-Oct-82 SWAT 23-Feb-04 3-Mar-04 GGMS Ningolai 2369 Haymat Begum BA/CT Inayat ullah 4-May-74 Shangla 28-Nov-92 5-Mar-04 GGMS Chowga 2370 ARJUMAND SHAHEEN MA, BED HABIB UR RAHMAN 3-Oct-78 BUNNER 15-Sep-03 12-Mar-04 GGHS PANJTAR 2371 MUSARAT UN NISA ABDUL HANAN MA CT 1-Jan-74 KOHAT 16-Mar-04 16-Mar-04 GGMS PERSHAI 2372 ZEENAT YASMIN WALI KHAN BA BED 5-May-75 BANNU 21-Mar-95 16-Mar-04 GGMS Haji Banda 2373 Alia Tabasum/ Abdus/Samad/ BA/ CT 1-Mar-69 Tank/ 23-Oct-88 16-Mar-04 /do/ Mullazai/ 2374 Ambreen Gul/ Naimatullah/ BA/ CT 15-Dec-72 Tank/ 16-Mar-04 16-Mar-04 /do/ Gul Imam/ 2375 RABIA AHMED ZAHID RAZA KHAN BA CT 19-Apr-76 KOHAT 17-Mar-04 17-Mar-04 GGHS KHARMATOO 2376 SAFINA BIBI MUHAMMAD ZAMAN MA CT 11-Jun-76 KOHAT 28-Jun-97 17-Mar-04 GGMS GHURZAI PAYAN 2377 ZAKIA BIBI JASMSHAID ALI BA CT 10-Mar-82 KOHAT 17-Mar-04 17-Mar-04 GGHS USTERZAI PAYAN
  • 52.
    Academic Professional Date of 1st D/O Apptt against No. Name of Teacher Father's Name Qualification Qualification Date of Birth Domicile Apptt: Present Post Name of School 1 2 3 4 5 6 7 8 9 10 2378 Naheed Akhtar, Ghulam Qasim BA/MA M/Ed: 3-Oct-76 Karak 17-Mar-04 17-Mar-04 GGHS Bahadar Khel/ 2379 Ruqia BiBi/ Attaullah/ MA(BE/d) CT 1-Apr-76 Tank/ 1-Mar-95 19/03/2004 /do/ Dabbara/ 2380 GULSHAN BIBI PIR INAM SHAH MA CT 4-Jul-72 KOHAT 20-Mar-04 20-Mar-04 GGHSS JUNGLE KHEL 2381 ASHA DEVI NARAIN LAL MA CT 5-Mar-70 KOHAT 20-Mar-04 20-Mar-04 GGMS ALI ZAI 2382 Gulshan Ara BA Sardar Wali Khan 24-Apr-59 Chitral 1-Apr-80 20-Mar-04 GGMS Jughoor 2383 Shamsul Qamar BA Niaz Mohammad 1-May-59 Chitral 8-Oct-80 20-Mar-04 GGMS Ayun 2384 Nasira Gul Bibi BA,b/Ed: Zardul Khan 31-Mar-69 Chitral 24-Mar-92 20-Mar-04 GGHS Drosh 2385 Bibi Sauda MA,B/Ed: Abdul Ghafoor 1-Dec-75 Chitral 17-Dec-94 20-Mar-04 GGMS Kuju 2386 Azra Bibi FA Miftahud Din 5-Apr-73 Chitral 20-Mar-04 20-Mar-04 GGHS G/Chashma 2387 Goharus Saba BA Sardar Wali Khan 15-Nov-80 Chitral 20-Mar-04 20-Mar-04 GGMS Rayeen 2388 Sahira Banu, BA Gul Nawaz Khan 2-Aug-76 Chitral 17-Jul-97 20-Mar-04 GGMS Kosht 2389 Gulshan Ara, BA Sardar Wali Khan 24-Apr-59 Chitral 12-Apr-80 20-Mar-04 GGMS Jughoor 2390 Hasina Parveen BA,B/Edu: M/Amin 10-Mar-74 Chitral 14-May-95 20-Mar-04 GGMS Jinjirate 2391 Rashida BA/B/Ed; Azam Khan 15-Jan-71 Chitral 22-Mar-04 20-Mar-04 GGMS Charun Owir 2392 Nusratur Rahman BA Mohd Amin 1-Jan-72 Chitral 22-Mar-04 20-Mar-04 GGMS Moroi 2393 Bulbul Nisa MA C/T Pinin Khan 2-May-72 Chitral 22-Mar-04 20-Mar-04 GGHS Booni 2394 Sakita Rahmat MA B/Ed Rahmat Wazir 1-Aug-74 Chitral 22-Mar-04 20-Mar-04 GGMS Sonoghur 2395 Farida Bibi, MA B/Ed Khalilur Rahman 1-May-79 Chitral 22-Mar-04 20-Mar-04 GGMS Singoor 2396 Saeeda Bibi BA M/Aziz Khan 1-Jan-82 Chitral 22-Mar-04 20-Mar-04 GGMS Sonoghur 2397 Bibi Nasima, MA Jalalud Din 1-May-69 Chitral 19-Sep-89 22-Mar-04 GGCMHS Denin 2398 KOUSAR PARVEEN MUHAMMAD AYUB MA CT 22-May-69 KOHAT 22-Mar-04 22-Mar-04 GGMS BAQI ZAI 2399 Hashmat Sultan Nisar Muhammad MA/Med/CT 1-Apr-65 Swabi 2-Jan-87 30-Mar-04 GGHSS Topi 2400 Basmina Sutlan Muhammad MA/Bed/CT 29-May-76 Swabi 5-Mar-96 30-Mar-04 GGHS Maini 2401 Khalida Sher Muhammad BA/CT 17-Feb-72 Swabi 31-Mar-04 31-Mar-04 GGMS Mian Dheri 2402 Uzma Habibur Rahman MSc/Bed/CT 23-May-79 Swabi 31-Mar-04 31-Mar-04 GGHS Panj Pir 2403 Bibi Huraira M/A/Med/ B/Ed/ Amir Khisrow 15-Apr-74 Chitral 10-Nov-94 31-Mar-04 GGMS Denin 2404 SAMINA YASMEEN MUHAMMAD ASHRAF BA CT 23-Aug-68 KOHAT 14-Mar-92 1-Apr-04 GGHSS GUMBAT 2405 YASEEN FATIMA MUHAMMAD SAGHIR FA CT 24-Feb-74 KOHAT 30-May-96 1-Apr-04 GGHS NO 2 2406 Taazeem Akhtar Abdur rahim Khan BA/Bed/CT 5-Jun-65 Swabi 17-Nov-83 1-Apr-04 GGHS Yaqoobi 2407 Safia Bano Qazi Abdul Khaliq BA/Bed/CT 11-Apr-66 Swabi 24-Sep-86 1-Apr-04 GGHS Zaida 2408 Bibi Salma Shamsul Muhammad BA/CT 23-Aug-68 Swabi 28-Feb-87 1-Apr-04 GGHS Kaddi 2409 Riffat Begum Khanim Ullah BA/CT 1-Apr-64 Swabi 9-Mar-87 1-Apr-04 GGCMHS Swabi 2410 Gulhar Parveen Faqir Rahman BA/Bed/CT 3-Nov-69 Swabi 9-May-90 1-Apr-04 GGHS Zaida 2411 Radefa Bibi Abdul Malik BA/Bed/CT 4-Nov-60 Swabi 1-Mar-92 1-Apr-04 GGHS Maneri Bala 2412 Sarikat Begum Faqir Taj MA/Bed/CT 1-Jun-71 Swabi 14-Jan-93 1-Apr-04 GGHS Kalu Dher 2413 Shazia Begum Sultan Mahmood MA/Med/CT 1-Jan-77 Swabi 16-Feb-97 1-Apr-04 GGMS Juma Khan Gari 2414 Mufida Gul Meher Rahman MA/Med/CT 12-May-76 Swabi 6-Jan-00 1-Apr-04 GGHSS Topi 2415 Fuzia Begum Muhammad Irshad MA/Bed/CT 10-Mar-70 Swabi 1-Apr-04 1-Apr-04 GGHSS Baja 2416 Tayyeba Kausar Mamoor Khan BA/CT 10-Jan-73 Swabi 1-Apr-04 1-Apr-04 GGHS Kalu Dher 2417 Najma Begum Bashir Muhamamd MA/Med/CT 5-Mar-73 Swabi 1-Apr-04 1-Apr-04 GGHSS Lahor 2418 Irshad Begum Kamdar khan MA/Bed/CT 15-Apr-73 Swabi 1-Apr-04 1-Apr-04 GGHS Tano 2419 Sameena Bibi Fazal Dad MA/Bed/CT 20-Feb-74 Swabi 1-Apr-04 1-Apr-04 GGMS Saproona 2420 Mumlikat Naz Abdul Majed MA/Bed/CT 30-Apr-74 Swabi 1-Apr-04 1-Apr-04 GGHSS Kotha 2421 Salma Nargis Fida Muhammad MA/Med/CT 16-Nov-74 Swabi 1-Apr-04 1-Apr-04 GGHS Gandaf 2422 Wajahat Ahmad Ahmad Ali Khan BA/Bed/CT 19-Jul-75 Swabi 1-Apr-04 1-Apr-04 GGMS Kunda 2423 Nazish Sultana Muhamamd Farooq MSc/Med/CT 9-Jan-79 Swabi 1-Apr-04 1-Apr-04 GGHS Gar Munara 2424 Aneela Begum Wasal Khan BSc/Bed/CT 1-Feb-80 Swabi 1-Apr-04 1-Apr-04 GGHS Zaida
  • 53.
    Academic Professional Date of 1st D/O Apptt against No. Name of Teacher Father's Name Qualification Qualification Date of Birth Domicile Apptt: Present Post Name of School 1 2 3 4 5 6 7 8 9 10 2425 BEENA MALIK MALIK AMAN MA B/Ed, M/Ed 20-Jan-79 MARDAN 6-Apr-04 6-Apr-04 GGMS KODNIKA 2426 SHEHLA TABASUM QAZI AMIR MUHAMAMD BSc BED 27-Nov-72 PESHAWAR 6-Apr-04 6-Apr-04 GGMS SWATI GATE PESHAWAR 2427 Dilnaz Iqbal Ahmad bA/CT 23-Mar-70 Swabi 9-Apr-04 9-Apr-04 GGHS Beka 2428 FARIDA REHMAN ALI REHMAN BA B/Ed 30-Apr-80 MARDAN 10-Apr-04 10-Apr-04 GGMS MEHTAR GHUNDI 2429 ALIA BA, CT JAMIR KHAN 4-Apr-80 BUNNER 30-May-03 13-Apr-04 GGMS PANDIR 2430 Saima Sardar Sardar Ul Islam M/A B/ Ed, M/ Ed 10-Oct-76 Nowshera 13-Apr-04 13-Apr-04 2431 Saira Hussain Hamid Hussain BA B/Ed 1-Apr-72 SWAT 29-Sep-94 24-Apr-04 GGHS No/1/Mingora 2432 SULTAN PARI, BA(2nd)B/Ed ALIF KHAN 5-Apr-74 Malakand 26-Apr-04 26-Apr-04 GGHS Kot 2433 SAIMA NOORIN, BA HAFIZUR REHMAN 13-Feb-74 Malakand 27-Apr-04 27-Apr-04 GGMS KACHI KOPER 2434 SAMINA NIAMAT,BA(2nd)B/Ed NIAMAT ULLAH 1-Jun-77 Malakand 27-Apr-04 27-Apr-04 GGMS KARKANI 2435 FARIA BIBI, BA (2nd) / B/Ed NOOR MUHAMMAD KHAN 1-Jan-77 Malakand 14-Nov-02 27-Apr-04 GGMS Qaldara 2436 HAMEEDA BEGUM MUMTAZ SHAHZADA BA II BED 3-Apr-77 MALAKAND AGY 29-Apr-04 29-Apr-04 2437 Shabina Begum, BA(2nd) / M/Ed MUHAMMAD ZAMIN 1-Apr-80 Malakand 29-Apr-04 29-Apr-04 GGHSS Sakhakot 2438 SAMINA NAZ,MA (Urdu) HABIBUR REHMAN 18-Apr-74 Malakand 29-Apr-04 29-Apr-04 GGMS G/U/KHAIL 2439 WAHIDA BIBI, BA (2nd) / B/Ed HAMAISH GUL 30-Apr-77 Malakand 29-Apr-04 29-Apr-04 GGMS Prangai 2440 Naheed Amir Amir Alam Shah M/A B/ Ed 8-Aug-75 Mardan 5-Jan-99 29-Apr-04 2441 MARYAM BIBI, BA(2nd)B/Ed SHER MALIK 1-Nov-74 Malakand 30-Apr-04 30-Apr-04 GGHS Allahdand 2442 FARHAT BIBI, MA (Urdu) SALEH MUHAMMAD 15-Feb-75 Malakand 30-Apr-04 30-Apr-04 GGMS DOBANDAI 2443 NIGHAT SEEMA MUSA KHAN BA B/Ed 1-Jan-78 MAlAkAnd 30-Apr-04 30-Apr-04 GGHS JALALA 2444 ZAKIA BEGUM, BA (2nd) / B/Ed MUHAMMAD AKRAM 15-Apr-72 Malakand 1-Nov-94 1-May-04 GGHS Dargai 2445 RUKHSANA,BA MUHAMMAD RASOOL 20-Feb-75 Malakand 24-Jan-95 1-May-04 GGMS GHUNDO BALA 2446 YASMIN HASHIM,BA(2nd)/B/Ed HASHIM KHAN 19-Oct-74 Malakand 4-May-04 4-May-04 GGHS Dargai 2447 NOUSHEEN ANJUM, BA BAKHTI RAWAN 24-Feb-72 Malakand 4-May-04 4-May-04 GGHS BATKHELA 2448 FARZANA HALEEM,BA(3rd) FAZAL AHMED 24-Feb-68 Malakand 12-Apr-86 4-May-04 GGMS BAZDARA(B) 2449 Hasina Bibi, MA M/Ed Abdul Hussain 5-Jan-79 Chitral 23-Mar-04 4-May-04 GGHS Werkop 2450 REHANA ASMA, BA(2nd))B/Ed ABDULLAH 1-Jan-81 Malakand 14-Nov-02 10-May-04 GGHSS Koper 2451 RUKHSANA ZAMIN MUHAMAMD ZAMIN MA BED 1-Jan-75 MKD AGY 17-Sep-95 10-May-04 GGHSS Begum Shahab/ud/Din 2452 ASIA ATTAULLAH BSC II BED 17-Jul-73 CHARSADDA 12-May-04 12-May-04 2453 FARAH DEBA ABDULAH JAN BA /BED/CT 15-Dec-70 D/I/KHAN 14-May-04 14-May-04 GGHS LAR 2454 fayaz Begum abdul majed BA Bed B/Ed 25-Dec-75 Mohmand 19-May-04 19-May-04 GGMS Haleem Sher 2455 Nizakat B/A B/Ed Saifullah 8-Mar-79 Shangla 28-Apr-99 21-May-04 GGMS Martung 2456 NARGIS SULTAN, BA(3RD) HASHAM KHAN 8-Jun-75 Malakand 13-Sep-94 26-May-04 GGMS Dry Sari 2457 NEELUM BEGUM DIDAR MUHAMMAD BA II BED 30-Apr-78 CHARSADDA 2-Feb-97 29-May-04 2458 ABIDA BEGUM AMIR NAWAZ BE II BED 1-Sep-93 CHARSADDA 29-May-04 29-May-04 2459 SAMINA NAZ MUHAMMAD SIDDIQUE BA 2nd DIV BED 2nd Div: 15-Feb-74 HARIPUR 11-May-93 29-May-04 2460 GHAZLA YASMIN SAFI ULLAH BSC I BED 30-Jun-81 CHARSADDA 30-May-04 30-May-04 2461 AFROZ JEHAN AHMAD ALI WARSI MA BED 25-Dec-65 PESHAWAR 30-May-04 30-May-04 GGHSS Begum Shahab/ud/Din 2462 IMTIAZ BEGUM ABDUR RAZAQ BA II BED 20-Apr-66 CHARSADDA 16-Feb-85 31-May-04 2463 BAKHAT SHAD SAIF UR RAHMAN MA B/Ed 15-Feb-67 MARDAN 23-Feb-85 31-May-04 GGMS ZANDO DHERI 2464 NASEEM AKHTAR WAHAB GUL MA B/Ed,M/Ed 20-May-71 MARDAN 8-Nov-94 31-May-04 GGHSS JANDAR PAR 2465 FARIDA BEGUM NAIK MUHAMMAD MA B/Ed 1-Aug-71 MARDAN 7-Mar-95 31-May-04 GGMS NASEER KILLY 2466 FARAH NAZ ZARSHEED KHAN MA B/Ed 21-Sep-74 MARDAN 1-Oct-93 31-May-04 GGMS CHEENA 2467 SHAKILA BEGUM LAL SAID MA B/Ed, M/Ed 8-Sep-76 MARDAN 31-May-04 31-May-04 GGMS NASEER KILLY 2468 RABIA BEGUM BAKHTAWAR SHAH MA B/Ed,M/Ed 22-Sep-76 MARDAN 24-Jun-97 31-May-04 GGMS MUHIB ULLAH BANDA 2469 AQEELA MIR AKBAR KHAN MA B/Ed, M/Ed 19-Jan-79 MARDAN 30-Jun-97 31-May-04 GGMS KALO SHAH 2470 SUMERA AMBER FAZAL KARIM MA MED 7-Mar-76 PESHAWAR 27-Nov-95 31-May-04 GGHS Yaka Toot 2471 TABBASUM BEGUM JAN ALAM BA II BED 20-Feb-75 CHARSADDA 14-Nov-94 1-Jun-04
  • 54.
    Academic Professional Date of 1st D/O Apptt against No. Name of Teacher Father's Name Qualification Qualification Date of Birth Domicile Apptt: Present Post Name of School 1 2 3 4 5 6 7 8 9 10 2472 Bibi Fozia kalsom Sultan Muhammad BA BEd 1-Mar-76 Mansehra 1-Jun-04 1-Jun-04 2473 ABIDA BEGUM SHER ALI MA B/Ed 16-Mar-66 MARDAN 5-Mar-90 1-Jun-04 GGMS BAKRI BANDA 2474 ZEENAT ARBAB TAWAB GUL MA B/Ed 5-Mar-67 MARDAN 4-Sep-86 1-Jun-04 GGMS KOT JUNGARA 2475 SHAGUFTA GUL SAID MA B/Ed 8-Mar-67 MARDAN 17-Sep-86 1-Jun-04 GGCMHS BICKET GANJ CANAL ROAD 2476 ULFAT ARA S MEHTAB GHANI MA B/Ed 31-Mar-67 MARDAN 1-Jan-85 1-Jun-04 GGHS SOKAI 2477 MUZAYYAN BIBI SADDIQ UR RAHMAN MA B/Ed, M/Ed 6-Feb-70 MARDAN 3-Mar-90 1-Jun-04 GGMS ALI RUSTAM 2478 ROZINA NAAZ IBRAR UD DIN MA B/Ed, M/Ed 30-Jan-72 MARDAN 30-May-92 1-Jun-04 GGMS QAZI ABAD 2479 ATIA PERVEEN SADIQ UR REHMAN MA B/Ed 2-Apr-72 MARDAN 15-Oct-95 1-Jun-04 GGMS CHAM DHERI 2480 SAFIA NAZ ABDUR RAHIM MA B/Ed 4-Oct-72 MARDAN 12-Mar-98 1-Jun-04 GGMS DAKO BABA 2481 SHAGUFATA BIBI PIR QASIM ALI SHAH MA B/Ed,M/Ed 6-Feb-73 MARDAN 30-Jun-97 1-Jun-04 GGHSS Takht Bhai 2482 SHAHEEN BEGUM GHULAM ALI MA B/Ed 6-Feb-73 MARDAN 17-May-94 1-Jun-04 GGHS CHARGULLI 2483 SABIHA GUL REHMANULLAH BA B/Ed 15-Feb-75 MARDAN 23-Jun-97 1-Jun-04 GGMS KOT ISMAIL ZAI 2484 UMMI KALSOOM FAZLI SUBHAN MA B/Ed 15-Mar-75 MARDAN 1-Dec-95 1-Jun-04 GGMS GANJI 2485 NIGHAT BEGUM SAHIB GUL MA B/Ed 13-Jan-76 MARDAN 1-Jun-04 1-Jun-04 GGMS SAMAR QAND KOROONA 2486 MOBINA ROOHI NOOR MUHAMMAD MA BED 10-Jan-65 PESHAWAR 1-Feb-87 1-Jun-04 GGMS Garhi Malik She 2487 KHIRAJ BIBI SYED ZAMAN SHAH BA BED 21-May-55 PESHAWAR 24-Nov-80 1-Jun-04 GGHS Tarnab Farm 2488 ZOHRA BIBI HABIBI UR REHMAN MA BED 22-Dec-75 Lakki 27-Mar-95 2-Jun-04 GGHSS TITTER KHEL 2489 Asma Qasim Qasim Ali BA CT 8-Oct-76 Battagram 4-Jun-04 4-Jun-04 GGMS Huthal 2490 NUZHAT BAHAR CHAN BAHAR BA BEd 15-Dec-75 Mansehra 15-Mar-03 11-Jun-04 2491 Saima Bibi Q/zahir ud Din BA BEd 5-Jan-80 Mansehra 11-Jun-04 11-Jun-04 2492 Farzan Sharif Khan BA/CT CT 15-May-74 Manshar/KH 12-Jan-94 15-Jun-04 GGMS Jalkot 2493 Zahid Akhtar Mohd Akhtar FA/CT CT 1-May-78 Kohistan 17-Jun-04 17-Jun-04 GGMS Loohai 2494 ILHAMIA BEGUM WARIS KHAN BA II BED 5-Jun-61 CHARSADDA 3-Jun-87 21-Jun-04 2495 ASMA SADAF MUHAMMAD YOUNIS BA/ BED/CT 15-Feb-72 D/I/KHAN 20-Dec-94 2-Jul-04 GGMS SAHRI FAQIR 2496 Safia Bano Gul Mohammad FA 11-Apr-80 FR Tank 12-Jul-04 12-Jul-04 GGHS Jandola 2497 Saeeda Jan Atta Muhammad MA CT 31-Aug-72 Hangu 4-Aug-04 4-Aug-04 GGMS Mardu Khel, 2498 NIGHAT MANZOOR MANZOOR HUSSAIN MA CT 2-Apr-75 KOHAT 8-Apr-99 5-Aug-04 GGHSS BILLITANG 2499 TARANJEET KUMARI MA , CT KAWAL RAM 6-Feb-81 BUNNER 12-Feb-02 12-Aug-04 GGHS CHEENA 2500 Shehri Gul BA CT B/Ed Faqir Mohammad 1-Jul-75 Chitral 1-Jul-97 19-Aug-04 GGHS Broze 2501 SHAKILA KHALIQ ABDUL KHALIQ BA 2-Jan-80 Lakki 5-Mar-99 31-Aug-04 GGMS SARWAR MAMA KHEL 2502 SHAHIDA BEGUM GHULAM SARWAR KHAN BA 24-May-72 Lakki 22-Apr-96 31-Aug-04 GGMS KHOIDAD KHEL 2503 ZOHRA UMAR KHAN BA II BED 14-Sep-79 CHARSADDA 1-May-98 1-Sep-04 2504 SHABNUM ISHFAQ MUHAMMAD ISHFAQ BA CT 12-Apr-78 Bannu 1-Sep-04 1-Sep-04 GGMS KATCH KOT ASAD KHAN BANNU 2505 Laila baz Ali BA 7-Apr-83 FR Kohat 1-Sep-04 1-Sep-04 GGMS Sherin Mela 2506 MEMONA ALAM GUL SHER ALAM BA 14-May-73 Lakki 28-Mar-92 1-Sep-04 GGHS NO/1 LAKKI 2507 SHAHIDA BEGUM GHULAM SARWAR KHAN BA 24-May-72 Lakki 22-Apr-96 1-Sep-04 GGHS NO/1 LAKKI 2508 REHANA YASMIN NAWAZ KHAN MA BED 1-Jan-79 Lakki 9-Jan-04 1-Sep-04 GGHS NO/1 LAKKI 2509 NOOR BEGUM MUBARAK SHAH MA BED 1-Jan-75 Lakki 21-Apr-96 1-Sep-04 GGHSS TITTER KHEL 2510 SADIQA SAFA MUHAMMAD ASLAM KHAN MA BED 10-Jul-68 Lakki 13-Jan-87 1-Sep-04 GGHS Ghazni Khel 2511 KOUSAR PARVEEN SHER ISLAM MA BED 30-Jun-74 Lakki 11-Jan-94 1-Sep-04 GGHS Sardar Maidad Khel 2512 ZINAT BIBI HAMIDULLAH JAN MA BED 19-Apr-78 Lakki 15-Mar-01 1-Sep-04 GGMS ABA KHEL 2513 RIZWANA TABASUM PIR BAKHASH BA 12/114/77 Lakki 5-Mar-99 1-Sep-04 GGMS AHMAD KHAN 2514 RASHIDA KHANUM EID MUHAMMAD BA 3-Apr-77 Lakki 22-Apr-96 1-Sep-04 GGMS AZAD CHANDO KHEL 2515 ROBINA SHAHEEN AMIR MUHAMMAD FA 8-Jan-75 Lakki 23-Nov-94 1-Sep-04 GGMS MANDAN MANJIWALA 2516 HAMIDA BEGUM MIR QALAM BSC 11-Jan-78 Lakki 5-Mar-99 1-Sep-04 GGMS LANDIWAH 2517 SHAHEEN AKHTER GUL NAWAZ BA 7-Apr-79 Lakki 1-Jan-00 1-Sep-04 GGMS MELA MANDRA KHEL 2518 SHAZIA BIBI, BA (2nd) / B/Ed ZOBAIR SHAH 19-Dec-78 MARDAN 1-Sep-04 1-Sep-04 GGHS DARGAI
  • 55.
    Academic Professional Date of 1st D/O Apptt against No. Name of Teacher Father's Name Qualification Qualification Date of Birth Domicile Apptt: Present Post Name of School 1 2 3 4 5 6 7 8 9 10 2519 YASMIN BEGUM, BA(2nd) / B/ED UMAR KHAN 12-Mar-75 DIR 18-Nov-96 1-Sep-04 GGHSS Sakhakot 2520 SALMA NAHEED SADI MOHAMMAD BA B/Ed 7-Jun-70 MARDAN 1-Sep-04 1-Sep-04 GGHS BAGHICHA DHERI 2521 NAGHMANA ABDUL MALIK BSc B/Ed 14-Dec-71 MARDAN 1-Sep-04 1-Sep-04 GGMS MOHIB BANDA 2522 FARHEEN BIBI ZAHOOR KHAN MA B/Ed 16-Jan-73 MARDAN 1-Sep-04 1-Sep-04 GGMS ALAM GUNJ 2523 HUMEERA NAZ RIAZ UDDIN MA B/Ed,M/Ed 29-May-74 MARDAN 1-Sep-04 1-Sep-04 GGCMHSS For Girls Katlang 2524 SHAHEEN BEGUM GHULAM NABI BA B/Ed 24-Dec-74 MARDAN 1-Sep-04 1-Sep-04 GGMS FATMA 2525 SHAZIA MUHAMMADZARIN MA B/Ed 7-Jan-75 MARDAN 2-Sep-04 1-Sep-04 GGHS MDAYA BABA 2526 WAHEEDA GUL GUL KHAN MA B/Ed, M/Ed 20-Mar-75 MARDAN 1-Sep-04 1-Sep-04 GGMS CHAM RANG 2527 HAZRAT KALSOOM FAZAL QAYUM MA B/Ed 20-Mar-75 MARDAN 31-May-04 1-Sep-04 GGMS NOORMAN KHEL HOTI 2528 HASEENA AFZAL AFZAL UL HAQ MA B/Ed 4-Apr-75 MARDAN 1-Sep-04 1-Sep-04 GGMS SHAHDAND (L/K) 2529 ZAIBUN NISA WISAL MOHAMMAD MA B/Ed/M/Ed 30-Dec-75 MARDAN 1-Sep-04 1-Sep-04 GGMS KHAT KILLI 2530 GHAZLA NAAZ AURANG ZEB MA B/Ed 27-Jan-76 MARDAN 1-Sep-04 1-Sep-04 GGHS KHAZANA DHER 2531 SABIHA SANOBAR KHAN MA B/Ed 2-Feb-77 MARDAN 1-Sep-04 1-Sep-04 GGMS MACHI 2532 KHUDIJA BIBI UBAID ULLAH MA B/Ed 6-Dec-77 MARDAN 29-Sep-92 1-Sep-04 GGMS MORCH KHAN KILI 2533 SHAGUFTA TAJ TAJ MOHAMAMD MA B/Ed 11-Jan-77 MARDAN 1-Sep-04 1-Sep-04 GGMS SHAH ZAMAN QALA 2534 BUSHRA NAZ KHAN BAHDAR MA B/Ed,M/Ed 20-Apr-77 MARDAN 1-Sep-04 1-Sep-04 GGMS ALAM GUNJ 2535 SHAZMA SHAH MUKAMIL SHAH MSC B/Ed 1-Mar-78 MARDAN 1-Sep-04 1-Sep-04 GGHS TAKKAR 2536 TABASUM NAZ SARTAJ ALI SHAH MA B/Ed 15-Mar-78 MARDAN 1-Sep-04 1-Sep-04 GGMS BAKHSHALI 2537 SADIA RANI MUFFAARAH SHAH MA B/Ed,M/Ed 4-Apr-79 MARDAN 1-Sep-04 1-Sep-04 GGHSS SAWAL DHER 2538 Salma Shaheen Fazli Yazdan MA/CT 7-May-73 Mardan 1-Sep-04 1-Sep-04 GGHS KSK 2539 Tahira Yasmin Mohammad Sharif B/A B/ Ed 1-Oct-63 Nowshera 20-Oct-85 3-Sep-04 2540 Anees Mohammad Den Shah M/A B/ Ed 15-Dec-76 Nowshera 3-Sep-04 3-Sep-04 2541 Samina Gul Yar gul BA 2-Feb-82 FR Peshawar 9-Sep-04 9-Sep-04 GGMS Mohammad Gul Killi 2542 JEHAN ARA FA, CT MUHAMMAD ISHAQ 26-Apr-70 BUNNER 12-Apr-89 12-Sep-04 GGHS MATWANAI 2543 MAHTALAT BA, BED SAID HASSAN SHAH 9-Sep-76 BUNNER 18-Dec-94 12-Sep-04 GGHS SHADAM 2544 MUBARAK JAN BA, BED SAID HASSAN SHAH 4-Jan-74 BUNNER 22-Dec-94 12-Sep-04 GGHS SHADAM 2545 Ziabul Haram Alam Khan BA 29-Dec-80 Mohmand 17-Sep-04 17-Sep-04 GGHSS Ghallanai 2546 Izat naseem khalil ur rehman MA/B/ED B/Ed 11-Apr-81 Mohmand 18-Sep-04 18-Sep-04 GGMS Mian Mandi 2547 Shabana Ibrahim BA SWA 19-Sep-04 19-Sep-04 GGMS Maulay Khan Kot SWA 2548 Abida Bibi BA B/Ed Ali Madad Khan 15-Sep-76 Chitral 20-Sep-04 20-Sep-04 GGHS Warijun 2549 KHALIDA KHUSHAHAL KHAN BA B/Ed 20-May-73 MARDAN 25-Sep-04 25-Sep-04 GGHS NO 1 MARDAN 2550 Bibi Habiba MA B/ Ed Fazal Madad Kha 15-May-71 Chitral 29-Sep-04 29-Sep-04 GGMS Murdan 2551 Maqsood Nisa BA B/Ed Haji Murad Khan 28-Jul-75 Chitral 29-Sep-04 29-Sep-04 GGHS Mastuj 2552 Gulshan Bibi BA,B/Ed Jahandar Khan 10-Jul-76 Chitral 29-Sep-04 29-Sep-04 GGMS Khot Bala 2553 Nadia Jalil MA SWA 1-Oct-04 1-Oct-04 GGMS Noor Nawaz Kot SWA 2554 Tahira Bibi Shafi Ahmed M/A B/ Ed 4-Mar-74 Nowshera 3-Oct-04 3-Oct-04 2555 Mehtab Begum Liban Gul Khattak M/A M/ Ed 15-Apr-73 Nowshera 17-Jan-95 3-Oct-04 2556 Sahira Hashmat Sijawal Khan MA/CT 14-Feb-76 Swabi 21-Oct-04 21-Oct-04 JICA Model School Lahor 2557 Asma Rafiq Mohammad Rafiq M/A B/ Ed 25-Dec-75 Nowshera 3-Nov-04 3-Nov-04 2558 VERA WANTI KORE MA, MED HANS RAJ 1-Feb-77 BUNNER 13-Dec-04 15-Nov-04 GGHS PANJTAR 2559 Mumlikat Arang Aurang Zeb MA 16-Apr-84 Bajaur 24-Nov-04 24-Nov-04 Aurang Zeb 2560 MRS MINHAS BEGUM HASAN GHANI BA B/Ed 1-Sep-74 MARDAN 27-Nov-04 27-Nov-04 GGMS BIJLI GHAR 2561 SHAMIM BIBI MUHAMMAD IBRAHIM KHAN BA CT 27-Apr-63 KOHAT 7-Feb-91 1-Dec-04 GGHSS LACHI 2562 MUSARAT BUSHRA GUL RAIS KHAN FA 3-Jul-81 Lakki 1-Jan-00 1-Dec-04 GGMS NAR SAHIB KHAN 2563 SAJIDA BIBI, MA / M/Ed LUTF UR RAHMAN 1-Apr-81 Malakand 3-Dec-04 3-Dec-04 GGHS Batkhela 2564 NARGIS BEGUM GHULAM QADAR MA B/Ed 1-Jan-75 MARDAN 4-Apr-99 10-Dec-04 GGMS BABA KILLI 2565 Ruqia Israr B/A B/ Ed 10-May-74 Nowshera 23-Apr-99 12-Dec-04
  • 56.
    Academic Professional Date of 1st D/O Apptt against No. Name of Teacher Father's Name Qualification Qualification Date of Birth Domicile Apptt: Present Post Name of School 1 2 3 4 5 6 7 8 9 10 2566 SAIMA NOSHEEN MUHAMMAD RAMZAN BSC BED CT 10-Oct-76 D/I/KHAN 20-Dec-04 20-Dec-04 GGCMHS NO1 DIKHAN 2567 FOZIA KHAN MUMTAZ KHAN MA BED/CT 6-Sep-84 D/I/KHAN 14-May-04 20-Dec-04 GGHS NO9 DIKHAN 2568 SHEEBA HASSAN GHULAM HASSAN MA/ BED/CT 20-Aug-77 D/I/KHAN 21-Dec-04 21-Dec-04 GGHS NO/ 9 DIKHAN 2569 Saiqa Akbar M/Akbar BA BED 1-Jun-83 ABBOTTABAD 22-Dec-04 22-Dec-04 GGMS Banda Lamba 2570 ABIDA BIBI QALANDAR KHAN BA BED 8-Nov-67 ABBOTTABAD 28-Feb-86 23-Dec-04 GGMS Namli Maira 2571 NAVEEN BANO GHULAM HUSSIN BA BED 1-Sep-67 ABBOTTABAD 17-Sep-87 24-Dec-04 GGMS Bodla 2572 ROBINA SIKANDAR KHAN MA CT 11-May-68 KOHAT 21-Apr-94 25-Dec-04 GGHSS BABRI BANDA 2573 Shahida Begum(CT)FA Sirajul Haq FA 5-Feb-78 Dir (U) 5-Jan-98 3-Jan-05 GGMS, Gogyal 2574 Rawasia(CT)MA Jehan Zarin BA 1-Jan-78 Dir (U) 5-Jan-98 4-Jan-05 GGMS, Gogyal 2575 Bibi Tahira Q/Fazal Rabbi BA B/Ed; 05//07/1977 Battagram 23-Apr-96 7-Jan-05 GGMS Batamohri 2576 Nasreen Begum(CT)BA Muhd Nazar MA 8-Apr-80 Dir (U) 12-Aug-99 7-Jan-05 GGMS, Barikot 2577 Meh Naz Mohammad Iqbal M/Sc B/ Ed 25-Dec-76 Peshawar 10-Jan-05 10-Jan-05 2578 NIHAYAT BIBI MA, BED MUHAMMAD IBRAHIM 29/2/1975 BUNNER 3-Apr-93 11-Jan-05 GGHS SHADAM 2579 SHAZIA IRAM NIAZ AHMAD BA/ MED/CT 17-Dec-80 D/I/KHAN 19-Jan-05 19-Jan-05 GGHS NO/ 4 DIKHAN 2580 RABINA TASNEEM MUHAMMAD ASLAM MA/ MED/CT 15-Oct-73 D/I/KHAN 1-Jan-00 20-Jan-05 GGHS NO8 DIKAHN 2581 REHANA IQBAL MUHAMMAD IQBAL MA/ MED/CT 1-Oct-80 D/I/KHAN 21-Apr-99 20-Jan-05 GGHS DHAKKI 2582 TAHIRA BIBI MANZOR AHMAD MA/ BED/CT 1-Dec-82 D/I/KHAN 25-Jan-05 25-Jan-05 GGMS KALA GODH 2583 MEHNAZ HASSAN M/ HASSAN SHAH BA/ BED/CT 1-Sep-76 D/I/KHAN 26-Jan-05 26-Jan-05 GGHS PANIALA 2584 SEEMA GUL FAZLI KARIM BA II BED 29-May-05 CHARSADDA 1-Dec-02 1-Feb-05 2585 SHEHLA GUL DAWA KHAN MA B/Ed,M/Ed 1-May-79 MARDAN 9-Feb-05 9-Feb-05 GGHS ALO 2586 NEELAM NAZ MUSAFAR KHAN MA BED 24-Jan-80 MARDAN 9-Feb-05 9-Feb-05 GGMS SURKH DHERI 2587 SHABNAM ALI MUHAMMAD MA B/Ed,M/Ed 1-Apr-74 MARDAN 10-Feb-05 10-Feb-05 GGHS MAYAR 2588 DEEBA BEGUM ZAR SHAD KHAN MA B/Ed 8-Feb-78 MARDAN 10-Feb-05 10-Feb-05 GGHSS SAWAL DHER 2589 AYESHAH NAIK MUHAMMAD KHAN MA B/Ed,M/Ed 11-Oct-78 MARDAN 10-Feb-05 10-Feb-05 GGJICA FATMA 2590 MEHNAZ TAJ KHAN MA B/Ed,M/Ed 20-Apr-79 MARDAN 10-Feb-05 10-Feb-05 GGHS MAYAR 2591 MEHNAZ TAJ AKBAR MA B/Ed,M/Ed 20-Apr-79 MARDAN 10-Feb-05 10-Feb-05 GGHS WARD NO 4 2592 GULNAZ BAGUM GUL DAD MA/ BED/CT 14-Dec-66 D/I/KHAN 1-Nov-88 11-Feb-05 GGMS KOTLA QAIM SHAH 2593 NAZNEEN FAQEER AHMAD MA B/Ed 15-Apr-72 MARDAN 29-Mar-92 11-Feb-05 GGMS TOOT KILLI 2594 KALSOOM BIBI SADIQ UR REHMAN MA B/Ed 12-Jan-75 MARDAN 7-Mar-95 11-Feb-05 GGMS SAMAR QAND KOROONA 2595 KOUSAR BIBI ABDUR REHMAN BA /BED/CT 1-Sep-70 D/I/KHAN 22-Oct-88 12-Feb-05 GGHS NO/ 3 DIKHAN 2596 SAKINA MUSSARAT SHER BAHADAR BA/ BED/CT 14-Apr-69 D/I/KHAN 14-Sep-87 14-Feb-05 G GHS PANIALA 2597 KAUSAR KHTATOON MUHAMMAD IDREES BA B/ED 3-Nov-77 MARDAN 26-Oct-04 14-Feb-05 GGHS MANGA 2598 WAHILAT LAJBAR KHAN MA B/Ed,M/Ed 6-May-77 MARDAN 15-Feb-05 15-Feb-05 GGHS LUND KHAWAR 2599 NABEELA SAFDAR KHAN MA B/Ed 19-Apr-78 MARDAN 15-Feb-05 15-Feb-05 GGMS NARAI KALO SHAH 2600 RABIA BIBI HAJI GULZAR BA II BED 15-Jun-78 MARDAN 16-Jun-97 17-Feb-05 2601 ROBINA BIBI M/NASEEM BA BED 3-Jul-68 ABBOTTABAD 24-Nov-90 1-Mar-05 GGHSS Havelian 2602 NOSHEEN AFSHAN SARWAR KHAN BSC BED 6-Jun-81 ABBOTTABAD 1-Mar-05 1-Mar-05 GGHSS Comprehencive 2603 SAIMA AKBAR JAMSHED KHAN BA BED 6-Jan-83 ABBOTTABAD 1-Mar-05 1-Mar-05 GGHS Bandi Matrach 2604 KOUSAR BIBI MUHAMMAD ISMAIL BA BED 1-May-85 ABBOTTABAD 1-Mar-05 1-Mar-05 GGHS Keri Raiki 2605 GUL NISA AURANZEB BA BED 13-Dec-69 ABBOTTABAD 1-Mar-05 1-Mar-05 GGHSS Hajia Gali 2606 BIBI NAGHAT AFZA S/ABBAS ALI SHAH BA BED 1-Jan-71 ABBOTTABAD 1-Mar-05 1-Mar-05 GGMS AKHORA 2607 NOREEN BIBI MUHAMMAD ASHRAF BSc BED 16-Jul-78 ABBOTTABAD 1-Mar-05 1-Mar-05 GGMS Bandi Chamiali 2608 NASIM YOUNIS NASIR AHMED BA BED 4-Aug-76 ABBOTTABAD 1-Mar-05 1-Mar-05 GGMS Kalas 2609 GHAZALA SHAHEEN M AYUB BA BED 15-May-75 ABBOTTABAD 1-Mar-05 1-Mar-05 GGMS Lower Malkote 2610 BUSHRA BIBI S ZAID HUSSAIN BA BED 25-Oct-83 ABBOTTABAD 1-Mar-05 1-Mar-05 GGMS Malkan 2611 WAHEEDA SAEED MUHMMAD SAEED BA BED 9-Jul-70 ABBOTTABAD 1-Mar-05 1-Mar-05 GGMS Thariyati 2612 SHAMA NOOR ABDUL KHANAN BA CT 2-Apr-79 HANGU 26-Nov-02 1-Mar-05 GGMS BEHZADI CHKAR KOT
  • 57.
    Academic Professional Date of 1st D/O Apptt against No. Name of Teacher Father's Name Qualification Qualification Date of Birth Domicile Apptt: Present Post Name of School 1 2 3 4 5 6 7 8 9 10 2613 Shazia Bibi Amir Zada BA B/Ed 22-Dec-80 SWAT 29-Apr-99 1-Mar-05 GGHS fatehpur 2614 SHAZIA MISBAHA MUHAMMAD YAQOOB MA/ BED/CT 6-Feb-70 D/I/KHAN 13-Dec-95 2-Mar-05 GGMS NAD ALI SHAH 2615 Taj Mahal(CT)MA,BED Saz Bar Khan MA B,ed 25-Apr-75 Dir (U) 4-Jan-96 16-Mar-05 GGMS, Tarpatar 2616 Nezakat Begum Muhammad Khan MA B/Ed 12-Oct-74 SWAT 23-Mar-05 23-Mar-05 GGMS Rahim Abad 2617 Aena Qubat Khan MA B/Ed 2-Mar-76 SWAT 23-Mar-05 23-Mar-05 GGHS Kalakalay 2618 Balquees Begum Said Gul MA B/Ed 15-Jul-77 SWAT 24-Mar-05 24-Mar-05 GGMS A/Dherai 2619 Bakhtnaz Afzal Khan BA B/Ed 10-May-80 SWAT 24-Mar-05 24-Mar-05 GGHS Barikot 2620 Musarat Muhammad Said Jan MA B/Ed 1-Jan-74 SWAT 25-Mar-05 25-Mar-05 GGMS Telegram 2621 Naheed Muhammad Dost Muhammad MA B/Ed 11-Mar-75 SWAT 25-Mar-05 25-Mar-05 GGHS Shahdara 2622 Hazrat Hafsa Muhammad Zamin MA M/Ed 3-May-78 SWAT 28-Apr-99 25-Mar-05 GGMS Shokdara 2623 Aisha zarin Muhammad Zarin BA CT 19-Dec-78 SWAT 25-Mar-05 25-Mar-05 GGMS Ashray 2624 Ishrat Zoor Talab Khan BA B/Ed 1-Jan-71 SWAT 26-Mar-05 26-Mar-05 GGMS Jano 2625 Shah Naz Khan Mian Gul Farosh BA CT 15-Nov-78 SWAT 26-Mar-05 28-Mar-05 GGMS Shinkat 2626 SHAFIA BIBI IMAM BAKHSH MA /BED/CT 12-Feb-73 D/I/KHAN 28-Apr-99 29-Mar-05 GGHSS PAHARPUR 2627 Salma Anwar Khan BA B/Ed 25-May-77 SWAT 29-Mar-05 29-Mar-05 GGHS Zara Khela 2628 Sajida Parveen Saiful Malook MA CT 11-Sep-79 SWAT 29-Mar-05 29-Mar-05 GGMS Baboo 2629 Hazrat Hafsa Muhamamd zamin Khan MA CT 3-May-78 SWAT 1-Dec-03 1-Apr-05 GGMS Shokdara 2630 Samia Hilal Muhammad Hilal MA M/Ed 22-Jul-79 SWAT 1-Nov-97 1-Apr-05 GGMS Sangota 2631 SAMIA SHAFI MUHAMMAD MA B/Ed 16-Jan-75 MARDAN 30-Apr-99 3-Apr-05 GGHS IKRAM PUR 2632 JAMILA QADIR QADIR BAKHSH MA/ BED/CT 12-Mar-73 D/I/KHAN 6-Apr-05 6-Apr-05 GGMS JHOK QURESHIAN 2633 ZAHIDA KHANUM NAJIBULLAH KHAN BA 10-May-69 Lakki 4-Jul-05 7-Apr-05 GGMS PAHAR KHEL 2634 FOZIA KALSOOM MUHAMMAD MUNIR BA 5-Mar-80 Lakki 24-Apr-99 7-Apr-05 GGMS NAWAR KHEL 2635 NAHEED FARNAZ HABIBULLAH KHAN MA BED 22-Oct-70 Lakki 11-Jan-88 8-Apr-05 GGHS Ghazni Khel 2636 ZAHORA BEGUM NIAZ MUHAMMAD BA 6-Jun-75 Lakki 5-Mar-99 13-Apr-05 GGMS SAERAI NAURANG 2637 MUSARAT BEGUM SARFARAZ KHAN MA BED CT 27-Mar-80 Bannu 16-Apr-05 16-Apr-05 GGMS FATIMA KHEL BANNU 2638 MUSARAT JABEEN JUMA KHAN MA 25-Dec-79 Lakki 16-Apr-05 16-Apr-05 GGMS MASH HABIBULLAH KHAN 2639 SAEEDA PERVEEN MUHAMMAD ABDULLAH BA 2-Oct-70 Lakki 18-Jan-94 19-Apr-05 GGMS QIMAT MANJIWALA 2640 Mehnaz sher rehman MA/B/ED B/Ed 7-Jan-77 Mohmand 20-Apr-05 20-Apr-05 GGMS Sro Killi 2641 SHAH HARAM,BA SABAR SADIQ 20-Apr-75 Malakand 24-Jan-95 1-May-05 GGMS ZOOR MANDI 2642 Tasleem Khan Zada BA CT 25-May-77 SWAT 2-May-95 1-May-05 GGHS Tatano bandai 2643 Saeeda Tabasum Hamidul Akbar FA/CT 10-Apr-71 Swabi 8-Dec-99 6-May-05 GGHS Bamkhel 2644 IMTIAZ BIBI MUHAMMAD RAFIQ BA 28-Apr-79 Lakki 5-Aug-05 8-May-05 GGMS BASHKEN AHMAD ZAI 2645 SADIA REHMAN FAZAL REHMAN BA 5-May-79 Lakki 5-Sep-05 9-May-05 GGMS CHOKI JAND 2646 MINHAS SARFARAZ SARFARAZ KHAN BA BED CT 9-Oct-82 Bannu 10-May-05 10-May-05 GGMS DHERI GANDI BANNU/ 2647 ZEENAT BIBI IMAM BAKHSH MA/ BED/CT 1-Apr-73 D/I/KHAN 10-Jan-96 11-May-05 GGMS KHARU WALI 2648 ZEENAT BIBI IMAM BAKHSH MA/ BED/CT 4-Jan-78 D/I/KHAN 1-Jan-96 11-May-05 GGMS KAHROWALI 2649 Khair/un/Nisa Noor Shah jehan BA 2-Mar-82 FR Bannu 15-May-05 15-May-05 GGHS Kotka Sher Andaz 2650 REHANA BIBI YAQUB KHAN BA 26-Mar-80 Lakki 16-May-05 16-May-05 GGMS ZANGI KHEL 2651 Noor Shan Pari, Asal Dad BA B/Ed: 15-Feb-78 Karak 18-Dec-99 16-May-05 GGHS, No/ 1 Karak 2652 Noor Wari, Muhammad Naeem Khan BA B/Ed: 5-Jan-62 Karak 10-Oct-85 16-May-05 GGHS, Janderi 2653 Falak Naz Akhtar, Nawab Khan MA M/Ed: 1-Jul-77 Karak 30-Apr-98 16-May-05 GGHS Bahadar Khel/ 2654 Mukhtiar Begum Mir Shah Baz Khan BA B/Ed: 4-May-66 Karak 10-Oct-85 17-May-05 GGMS Laki Ghundaki 2655 Dilafraz Begum, Bonir Gul BA B/Ed: 18-Feb-61 Karak 25-Oct-79 18-May-05 GGHS, Bazid Khel 2656 Nasreen Akhtar Hakim Khan MA M/Ed: 1-Dec-70 Karak 12-May-88 18-May-05 GGMS Wanki Siraj Khel 2657 Farukh Waheed Abdul Waheed MA B/Ed: 9-Nov-78 Karak 18-May-05 18-May-05 GGMS Khawaja Khel 2658 Bibi Zainab Mohammad Ali B/Sc/MSC B/Ed: 17-Oct-84 Karak 18-May-05 18-May-05 GGMS Wanki Siraj Khel 2659 SHAMSHAD BEGUM MUHAMMAD RAMZAN BA BED CT 17-Oct-67 D/I/KHAN 4-Feb-87 28-May-05 GGHS HASSA
  • 58.
    Academic Professional Date of 1st D/O Apptt against No. Name of Teacher Father's Name Qualification Qualification Date of Birth Domicile Apptt: Present Post Name of School 1 2 3 4 5 6 7 8 9 10 2660 SAMINA AKHTAR ABDUR RASHEED MA BED/CT 24-Feb-75 D/I/KHAN 30-May-05 30-May-05 GGHS BEHARI COLONY 2661 SEEMA BGUM HAMID ULLAH BA II BED 1-Mar-70 CHARSADDA 1-Apr-90 31-May-05 2662 AJMIN IQBAL JEHANZEB KHAN BA BED 13-May-70 SWABI 27-Feb-92 31-May-05 GGMS Achini Payan 2663 FOZIA BIBI SOBA WILIAN BA BED/CT 3-Jul-66 D/I/KHAN 15-Nov-94 1-Jun-05 GGMS JATA 2664 RUKHSANA BIBI FAIZULLAH KHAN MA /MED/CT 5-Sep-68 D/I/KHAN 24-Jun-05 24-Jun-05 GGHSS NO5 DIKHAN 2665 SAMINA NIAZ NIAZ MUHAMMAD MA/ BED/CT 1-Apr-71 D/I/KHAN 12-May-92 26-Jun-05 GGHS HATHALA 2666 Naseem Akhtar Ghulam Sarwar MA/Bed/CT 18-Jan-65 Swabi 1-Nov-83 1-Jul-05 GGHS Permoli 2667 Fariza Begum Mohammad Idrees shah B/Sc, M/A B/ Ed 1-May-75 Nowshera 22-Jan-98 26-Jul-05 2668 Aisha Raza Raza Ul Haq M/A B/ Ed 23-Apr-83 Nowshera 10-Aug-05 10-Aug-05 2669 Raheela Begum Muhammad Sher MA/Med/CT 20-Apr-78 Swabi 1-Sep-05 1-Sep-05 GGMS Shamroz Abad Dagai 2670 AMBREEN GUL ALLAH NAWAZ MA/ BED/CT 22-Feb-79 D/I/KHAN 7-Sep-05 7-Sep-05 GGMS CNTERAL JEAL 2671 Memoona Bibi Mohammad Hussain BA 12-Mar-82 FR Tank 13-Sep-05 13-Sep-05 GGHS Kirri Wam 2672 Hamida begum kala Khan MA 3-Oct-83 FR Peshawar 30-Sep-05 30-Sep-05 GGMS mir Haider 2673 Malika Bibi S/Mir Ali Shah MA/Med/CT 22-Apr-69 Swabi 12-Sep-87 30-Sep-05 GGHS Lahor Sharqi 2674 Sadia Tabasum Mohammad tahir Shah BA 15-Sep-80 FR Kohat 1-Oct-05 1-Oct-05 GGMS Bilal kaley 2675 Bibi Musarrat Faqir Muhammad BA/CT 15-Sep-64 Swabi 7-Mar-87 1-Oct-05 GGMS Nabi 2676 Nureen Muhammad Akbar MA/Med/CT 14-Nov-67 Swabi 25-May-87 1-Oct-05 JICA Model School Bachai 2677 Musarrat Shaheen Abdul Ghaffar MA/CT 1-Apr-78 Swabi 1-Jan-98 1-Oct-05 GGCMHS Swabi 2678 Raqiz Habib Habibullah MA/Bed/CT 1-Dec-72 Swabi 1-Oct-05 1-Oct-05 GGHS Tordher 2679 Fuzia Naz Khan Badshah BA/CT 10-Feb-73 Swabi 1-Oct-05 1-Oct-05 GGHS Zarobi 2680 Bibi Amna Shaida Muhammad BSc/CT 2-Feb-75 Swabi 1-Oct-05 1-Oct-05 GGHS M/K/Zaida 2681 Ravaila Mir Akbar MA/Bed/CT 6-Apr-75 Swabi 1-Oct-05 1-Oct-05 GGMS Takail 2682 Shazia Said Qamar MA/Bed/CT 20-May-77 Swabi 1-Oct-05 1-Oct-05 GGMS Lahor (W) 2683 Sabeha Rahma Shamsur Rahman MA/Bed/CT 4-Feb-78 Swabi 1-Oct-05 1-Oct-05 GGMS Gajai 2684 Safina Akhtar Rustam Ali MA/Med/CT 5-Apr-79 Swabi 1-Oct-05 1-Oct-05 GGHS Zarobi 2685 Nighat Saba S/Karim ur Raziq MA/Bed/CT 14-Jul-80 Swabi 1-Oct-05 1-Oct-05 GGMS Pak Kaya 2686 IMTIAZ BIBI MUHAMMAD ASLAM BSC 2ND DIV BED 4-Feb-75 HARIPUR 15-Oct-05 17/10/2005 2687 SHABANA AHMAD AHMAD ABDUL AZIZ BA 2ND DIV CT 15-Jun-74 HARIPUR 17-Oct-05 17/10/2005 2688 NAZIA HAFIZ MUHAMMAD ABDULLAH BA CT 4-Apr-96 HARIPUR 29-Oct-84 17/10/2005 2689 AZRA BATOOL GHULAM SARWAR BA CT 6-Jan-54 HARIPUR 17-Nov-75 17/10/2005 2690 SAEEDA MEHMOOD MEHMOOD ALAHI BA CT 1-Oct-53 HARIPUR 1-Sep-77 18/10/2005 2691 SAJIDA BIBI FAZAL/UR/REHMAN BA CT 3-Jan-65 HARIPUR 24-May-84 18/10/2005 2692 TASLEEM AKHTAR MUHAMMAD HUSSAIN BA 2ND DIV CT 26-Jul-69 HARIPUR 20-Oct-05 20/10/2005 2693 TASLEEM AKHTART NIAMAT HUSSAIN BA CT 26-Jul-69 HARIPUR 15-Oct-05 20/10/2005 2694 SHABANA BEHUM ZEBAN SHAH FA CT 27-Dec-69 HARIPUR 15-Oct-05 21/10/2005 2695 PHOOL BIBI ZAHOOR/ULISLAM FA CT 8-Apr-65 HARIPUR 10-Sep-87 23/10/2005 2696 ALIA NAZ SHAH IMRAN BA 2nd Div BED 8-Aug-73 HARIPUR 1-Apr-96 25/10/2005 2697 NOREEN KOUSAR NISAR AHMAD BA 2ND DIV BED 2nd Div: 5-May-75 HARIPUR 25-Oct-05 25/10/2005 2698 BIBI MUTTAQIA SIRAJ AHMAD BA CT 10-Apr-64 HARIPUR 15-Apr-90 25/10/2005 2699 HAFSA BIBI MASOODUL HASSAN BA/ BED/CT 4-Feb-82 D/I/KHAN 31-Oct-05 31-Oct-05 GGHS BILOT 2700 ASIA RANI MA, BED HAMID UL HAQ 12-Jun-84 BUNNER 31-May-03 1-Nov-05 GGMS SURA 2701 Mobina Raees Khan BA 2-Mar-83 FR Tank 1-Nov-05 1-Nov-05 GGMS Haibat Khan Koroona 2702 nasreen Bibi Said Karim Khan BA 16-Apr-78 Bajaur 17-Nov-05 17-Nov-05 Said Karim Khan 2703 Fahim Akhtar talab khan BA/B/ED B/Ed 12-Dec-79 Mohmand 21-Nov-05 21-Nov-05 GGMS Shah Alam Sali 2704 Dil Afsen zahirullah MA/B/ED B/Ed 20-Dec-81 Mohmand 24-Nov-05 24-Nov-05 GGMS Mian Mandi 2705 Shagufta madad khan BA/B/ED B/Ed 24-Apr-82 Mohmand 24-Nov-05 24-Nov-05 GGMS Ilam Kor 2706 Huma Zahid Zahid Khan BA 17-Feb-85 Khyber 25-Nov-05 25-Nov-05 GGHS Jamrud
  • 59.
    Academic Professional Date of 1st D/O Apptt against No. Name of Teacher Father's Name Qualification Qualification Date of Birth Domicile Apptt: Present Post Name of School 1 2 3 4 5 6 7 8 9 10 2707 SHAMIM BIBI MIR AFZAL BA 2ND DIV BED 2nd Div: 2-Apr-62 HARIPUR 10-Apr-85 26/11/2005 2708 SHAISTA KHAN CHOUDARY M SHAFFI MA /BA 2ND DIV BED 15-May-74 HARIPUR 10-Jun-04 28/11/2005 2709 NIGHAT RANI LAL MUHAMMAD KHAN MA/ BED CT 4-Apr-66 D/I/KHAN 14-Oct-93 1-Dec-05 GGMS MADNI TOWN 2710 FARKHANDA JABEEN MUNIR AHMAD MA/ BED/CT 25-Nov-74 D/I/KHAN 13-Nov-99 1-Dec-05 GGMS PAHARPUR 2711 Menhaz Begum(CT)BA,BED Sher Khan BA B,ed 2-Jul-79 Dir (U) 24-Apr-98 3-Dec-05 GGMS, Qulandi 2712 NIGHAT KOUSAR KHAN BADSHAH MA BED 9-Feb-78 PESHAWAR 9-Dec-05 9-Dec-05 GGHS Chigher Matti 2713 ZEENAT UN NISA IJAZ AHMAD BA BED 5-May-67 BANNU 9-Dec-05 9-Dec-05 GGHS Chigher Matti 2714 BAHMAN ZARI MA, BED RAM DAD KHAN 2-Jan-74 BUNNER 26-Apr-92 10-Dec-05 GGMS KINGARGALAI 2715 BAKHTIA BEGUM MA, BED SAID KABOOT SHAH 2-Sep-75 BUNNER 13-Oct-93 10-Dec-05 GGMS KINGARGALAI 2716 Sadia Ayub Mohammad Ayub FA 24-Apr-87 FR Tank 20-Dec-05 20-Dec-05 GGHS Darazinda 2717 AZRA KOUSAR S SHAMSHAD HUSSAION MA/ BED/CT 3-Feb-68 D/I/KHAN 14-Sep-87 24-Dec-05 GGMS EJAZ ABAD 2718 Bibi Zeba BA M/Anwar Shah 5-Jun-59 Chitral 24-Oct-78 24-Dec-05 GGMS Shotkhar 2719 Bibi Hajira BA/Bed Fazal Panah 11-Sep-67 Chitral 15-Jul-85 24-Dec-05 GGMS Kesu 2720 Habiba Banu BA Sahib Nizar Khan 12-Dec-69 Chitral 20-Sep-89 24-Dec-05 GGMS Lone 2721 Nelofer BA, Sher Jahan 1-Nov-65 Chitral 30-Sep-89 24-Dec-05 GGHS Muldeh 2722 Rifat Nasreen Faramoz Khan BA (2nd) B,ed 18-Jan-63 Dir Lower 21-Apr-90 3-Jan-06 2723 Kousar Naz Khalil Ur Rahman BA (2nd) B,ed 29-Aug-76 Dir Lower 3-Jan-06 3-Jan-06 2724 Kalsoom Abdur Rahman BA (2nd) B,ed 26-Aug-78 Dir Lower 3-Jan-06 3-Jan-06 2725 Saima Nasreen Muhammad Zada BA (2nd) B,ed 1-Jan-83 Dir Lower 3-Jan-06 3-Jan-06 2726 Nizakat Abdul Haq BA (2nd) B,ed 10-Apr-80 Dir Lower 22-Oct-02 3-Jan-06 2727 Shamim Akhatar BiBi Wazir Khan B,SC(2nd) B,ed 5-May-80 Dir Lower 4-Jan-04 3-Jan-06 2728 Sana Mohammad Darvez BA (2nd) B,ed 7-Jun-81 Dir Lower 8-Jan-04 3-Jan-06 2729 SAIMA BANO MOHD IQBAL BA BEd 10-Jan-80 Mansehra 3-Jan-06 3-Jan-06 2730 tahira Parveen MASOOD UR REHMAN BA BEd 14-Nov-71 Mansehra 24-Oct-03 3-Jan-06 2731 SALMA BIBI MEHMOOD ELLAHI MA BED 25-Jun-80 HARIPUR 4-Dec-06 4-Jan-06 2732 NAGINA REHMAN AZIZ UR REHMAN BA BED 21-Feb-81 ABBOTTABAD 8-Jan-06 8-Jan-06 GGMS Banda Said Khan 2733 ZAKIA SULTANA KARIM BAKHSH BA/ BED/CT 4-Feb-82 D/I/KHAN 8-Jan-06 8-Jan-06 GGMS, CHAH KHAN WALA 2734 Mansoora Bibi BA Umar Hayat 1-Feb-58 Chitral 5-Aug-76 8-Jan-06 GGHS Drosh 2735 Razia Sultana BA Azizud Din 26-Oct-58 Chitral 12-Apr-80 8-Jan-06 GGMS Kushum 2736 Mehrun Nisa, BA Adalat Khan 1-Jan-60 Chitral 16-Mar-81 8-Jan-06 GGHS Broze 2737 Sharifa Bibi BA Laal Zumrad 15-Nov-66 Chitral 15-Mar-85 8-Jan-06 GGMS Awi 2738 Nasima Bibi BA Jalalud Din 11-May-69 Chitral 19-Sep-89 8-Jan-06 GGCMHS Denin 2739 Kishwar Sultana BA Usman Ghani 1-Sep-72 Chitral 16-May-93 8-Jan-06 GGMS Shahnigar 2740 Zaibun Nisa BA,B/Ed: Dilawar Baig 1-Jan-74 Chitral 15-Nov-94 8-Jan-06 GGMS Harchin 2741 Rashida MA Bulbul Nadir Khan 8-Jan-78 Chitral 16-Dec-02 8-Jan-06 GGMS Charun 2742 Noor Bibi BA,B/Ed: Yourmas Khan 3-Apr-73 Chitral 1-Aug-06 8-Jan-06 GGCMHS Denin 2743 Safida Bibi BA Shapir Khan 5-Apr-74 Chitral 1-Aug-06 8-Jan-06 GGMS Brep 2744 Shahi Bibi BA Wazir Jan 5-Apr-75 Chitral 1-Aug-06 8-Jan-06 GGMS Awi 2745 Bibi Muahida BA Misl Arab 2-Feb-76 Chitral 1-Aug-06 8-Jan-06 GGMS Charun 2746 Sharifa Bibi MA Mir Afas Khan 16-Feb-80 Chitral 1-Aug-06 8-Jan-06 GGMS Kosht 2747 Shaheen Taj Khursheed Ahmad BA B/Ed: 16-Mar-78 Karak 1-Jan-00 9-Jan-06 GGMS Nara Banda 2748 Shafatt Baigum MA B/Ed Saifullah 15-Apr-77 Shangla 17-Dec-99 11-Jan-06 GGHS Chakisar 2749 Zakia BiBi MA B/Ed Sadullah Khan 2-Nov-74 Shangla 7-Jan-93 11-Jan-06 GGMS Makra puran 2750 Shahzia Saad Malook FA CT 30-Mar-86 Battagram 12-Jan-06 12-Jan-06 GGMS Batamohri 2751 Nahida(CT)BA Khan Bahadar FA 9-Jan-77 Dir (U) 12-Apr-95 12-Jan-06 GGMS, Duro 2752 Parveen Akhtar(CT)FA Bacha Muhd MA 2-Jul-80 Dir (U) 12-Jan-06 12-Jan-06 GGMS, Dobando 2753 Farman Akber(CT)MA,BED Said Akber Kha BA B,ed 25-Mar-83 Dir (U) 12-Jan-06 12-Jan-06 GGHS, Sharingal
  • 60.
    Academic Professional Date of 1st D/O Apptt against No. Name of Teacher Father's Name Qualification Qualification Date of Birth Domicile Apptt: Present Post Name of School 1 2 3 4 5 6 7 8 9 10 2754 Noor Nishta(CT)BA Faqir Muhd BA 24-May-83 Dir (U) 20-Aug-02 12-Jan-06 GGMS, Kakad 2755 ABIDA PERVEEN LAL BAHADAR MA B/Ed,M/Ed 24-Dec-75 MARDAN 12-Jan-06 12-Jan-06 GGMS KALA KHEL(TORU) 2756 SHAHIDA JILLANI GHULAM JILLANI MA/BA 2nd Div BED Ist Div 8-Apr-76 HARIPUR 28-Apr-99 12-Jan-06 2757 WAHEEDA SULTANA GHULAM QADUR BA CT 19-Dec-82 HARIPUR 1-Dec-06 12-Jan-06 2758 MUSARAT BEGUM, M/Sc ABDUL HASSAN 15-Apr-79 Malakand 21-Jan-06 21-Jan-06 GGMS JABAGAI 2759 SHAFQAT BEGUM,BA(2nd)B/Ed ABDUL LATIF 1-Apr-76 Malakand 22-Jan-06 22-Jan-06 GGHS PIRKHEL 2760 ASIA BEGUM, BA(2nd) AMIR GHAWAS 2-Jun-74 Malakand 23-Jan-06 23-Jan-06 GGHSS Sakhakot 2761 BUSHRA BEGUM, MA/CT MUHAMMAD ALAM 24-Apr-71 Malakand 24-Jan-06 24-Jan-06 GGMS MAYAR 2762 NEELAM AMIN,BA AMIN KHAN 2-Feb-79 Malakand 24-Jan-06 24-Jan-06 GGHS Dargai 2763 NUSRAT BEGUM,MA(Ur)/B/Ed ALAM ZEB 14-Jan-73 Malakand 25-Jan-06 25-Jan-06 GGHS Dargai 2764 ARSHISTAWA, BA (2nd) / B/Ed NAIK JAN 1-Jun-77 Malakand 25-Jan-06 25-Jan-06 GGMS Matkani 2765 NUSRAT BIBI, BA (2nd) / B/Ed AMEER BADSHAH 3-Mar-77 Malakand 24-Apr-98 25-Jan-06 GGMS SHARIF ABAD 2766 Zakia Wahab Abdul Wahab BA/CT 6-Mar-81 Swabi 27-Jan-06 27-Jan-06 GGHS Manki 2767 YASMEEN, BA (2nd) /B/ED GUL ZADA 24-Jul-74 Malakand 28-Jan-06 28-Jan-06 GGMS Mekhband 2768 SHAKELA BIBI MOLVI HABIB UR REHMAN BA BEd 1-Jan-80 Mansehra 27-Mar-00 31-Jan-06 2769 Rabia Sultanan Qazi Mehtab Ahmed BA BED 28-Jan-82 MANSEHRA 1-Feb-06 1-Feb-06 GGMS Barbian 2770 ISHRAT PARVEEN MUHAMMAD RAMZAN MA/ BED/CT 25-Mar-59 D/I/KHAN 2-Sep-87 1-Feb-06 GGCMHS NO1 DIKHAN 2771 MUMTAZ BIBI RIAZ HUSSAION MA/ BED/CT 11-Oct-65 D/I/KHAN 22-Oct-88 1-Feb-06 GGMS KOTLA SAIDAN 2772 SHAHBAN QURSHI MUHAMMAD RAFIQ BA BED CT 24-Apr-68 D/I/KHAN 22-Oct-88 1-Feb-06 GGHS KACHI PAIND KHAN 2773 RUKHSANA SHAHEEN M SHAIFIQ MA/ BED/CT 12-Jan-69 D/I/KHAN 4-Dec-88 1-Feb-06 GGMS QAYUM NAGAR 2774 FARZANA YASMIN ABDULLAH JAN MA/ BED/CT 1-May-69 D/I/KHAN 1-Feb-06 1-Feb-06 GGHS R/KULACHI 2775 ZOOBIA IRAM HAMEEDULLAH MA /BED/CT 1-Jan-78 D/I/KHAN 28-Dec-99 1-Feb-06 GGMS KORAI 2776 NIGHAT SHAHEEN ALLAH BAKHSH MA/ BED/CT 13-Apr-71 D/I/KHAN 2-Feb-06 2-Feb-06 GGMS KIRI BAKHTIAR 2777 SHAHEEN ZAFAR ZAFAR AHMED BA BEd 13-Jun-60 Mansehra 1-Mar-04 2-Feb-06 2778 SHAFQAT BIBI M AWAL KHAN BA BEd 4-Apr-66 Mansehra 1-Mar-04 2-Feb-06 2779 JAMILA RASHID ABDUR RASHID MA/ BED/CT 16-Feb-81 D/I/KHAN 8-Feb-06 8-Feb-06 GGHS KIRI BAKHTIAR 2780 SHAKILA ZAREEN GUL ZAREEN BA BEd 8-Jan-77 Mansehra 1-Mar-04 10-Feb-06 2781 Zeenat Jehan Syed Ali M/A B/ Ed, M/ Ed 4-Jan-68 Nowshera 22-Dec-94 10-Feb-06 2782 RUBIAN IMTIAZ BURA KHAN BA BED 1-Jun-71 ABBOTTABAD 11-Feb-06 11-Feb-06 GGMS Malik Pura 2783 Yasmin (CT)BA Bakhtyar BA 7-Jan-73 Dir (U) 13-Nov-94 12-Feb-06 GGMS, Amloknar 2784 Razia Bibi(CT)BA Badshah Zada MA 4-Feb-84 Dir (U) 8-Jul-02 12-Feb-06 GGMS, Chapper 2785 RASHIDA REHMAN FAZAL/UR/REHMAN BA 3rd Div BED 3rd 1-May-62 HARIPUR 12-Sep-82 12-Feb-06 2786 RASHIDA BIBI MUHAMMAD AMIN BA 2ND DIV CT 7-Apr-55 HARIPUR 20-Sep-82 12-Feb-06 2787 RUQIA BIBI MUHAMMAD SHAH BA 2ND DIV CT 17-Sep-76 HARIPUR 25-Apr-96 12-Feb-06 2788 SHAHIDA BIBI ABDUL QAYYUM BA 2ND DIV CT 17-Apr-62 HARIPUR 12-Nov-94 12-Feb-06 2789 FIQIA NAZ MOHD ILYAS BA BEd 1-Jul-79 Mansehra 1-May-98 18-Feb-06 2790 SAGHIRA MUHAMMAD RAHIM MA BED 14-Apr-75 PESHAWAR 10-Dec-94 20-Feb-06 GGHS Jogiwara 2791 SAMINA MASOOD MASOOD KHAN MSC BED 16-Nov-77 PESHAWAR 20-Feb-06 20-Feb-06 GGMS ASIA PARK PESHAWAR 2792 SHAZIA ANJUM AHMAD BAKHSH MA BED 5-Apr-75 PESHAWAR 27-Sep-95 22-Feb-06 GGMS No/3 Cantt/ 2793 HUMAIRA IQBAL IQBAL HUSSAIN MA BED 16-Mar-76 PESHAWAR 22-Feb-06 22-Feb-06 GGMS MERA KACHORI PESHAWAR 2794 ROZINA SHAHEEN BASHIR AHMAD MSc BED 5-Jan-68 PESHAWAR 25-Feb-06 25-Feb-06 GGHS Bara Line 2795 Bibi Asia Muhammad Rahman BA 12-Sep-83 Bajaur 1-Mar-06 1-Mar-06 Sabir Rahman 2796 Farhat Jabeen Aziz ur Rehman BA BEd 13-Apr-58 Mansehra 12-Nov-79 1-Mar-06 2797 Zakia Abbasi M JAN ABBAS BA BEd 4-Jan-70 Mansehra 26-Jun-96 1-Mar-06 2798 FARRAH NAZ ALI HAIDER BA BEd 1-Apr-66 Mansehra 26-Nov-88 1-Mar-06 2799 FARHAT NAZ AURANGZEB BA BEd 15-Mar-81 Mansehra 1-Mar-04 1-Mar-06 2800 JHOLA NISAR NISAR AHMED BA BEd 3-Apr-76 Mansehra 3-Mar-04 1-Mar-06
  • 61.
    Academic Professional Date of 1st D/O Apptt against No. Name of Teacher Father's Name Qualification Qualification Date of Birth Domicile Apptt: Present Post Name of School 1 2 3 4 5 6 7 8 9 10 2801 RUKHTAJ BIBI KAHANI ZAMAN BA BEd 3-Apr-81 Mansehra 7-Jun-04 1-Mar-06 2802 RUBINA BIBI ALI AFSAR BA BEd 9-Jan-77 Mansehra 11-Jun-04 1-Mar-06 2803 BIBI NAZAKAT SAID KHAN BA BEd 12-Sep-54 MURREE 11-Jun-04 1-Mar-06 2804 SADIA IKHLAQ M IKHLAQ BA BEd 2-Jun-73 Mansehra 11-Jun-04 1-Mar-06 2805 BALQIS KHANUM SULEMANN MEMOOD BA BEd 15-Aug-72 ABBOTTABAD 15-Apr-05 1-Mar-06 2806 SUKANA AWAN M MASKEEN BA BEd 26-Apr-66 Mansehra 3-Jan-06 1-Mar-06 2807 SITRAR JABIN MOHD RAFIQUEE BA BEd 6-Mar-76 Mansehra 1-Mar-06 1-Mar-06 2808 Bibi Fozia Masha Khan BA BEd 22-Jan-80 Mansehra 1-Mar-06 1-Mar-06 2809 AYEAHA PARVEEN SAIF U REH BA BEd 28-Feb-70 Mansehra 1-Mar-06 1-Mar-06 2810 SALAIL U NISA ALI ASGHAR BA BEd 6-Jun-88 Mansehra 1-Mar-06 1-Mar-06 2811 TILAT RAFIQ M RAFIQUE BA BEd 10-Oct-73 Mansehra 1-Mar-06 1-Mar-06 2812 ZAHIDA BIBI M IQBAL BA BEd 12-Dec-79 1-Mar-06 2-Mar-06 2813 Aisha 12-Sep-83 Bajaur 6-Mar-06 6-Mar-06 GGMS Bandagai 2814 SAMINA TABASAM SADULLAH KHAN MA/ BED CT 15-Apr-84 D/I/KHAN 8-Mar-06 8-Mar-06 GGHSS PAHARPUR 2815 RAHEELA HUSSAIN M/HUSSAIN MA/ BED/CT 21-Mar-74 D/I/KHAN 20-Mar-06 20-Mar-06 GGCMHS NO/ 1 DIKHAN 2816 Parveen Bano Gulbar Khan FA/CT 7-Jun-67 Swabi 10-Dec-88 23-Mar-06 GGHS Kabgani 2817 AZRA SULTANA MUHAMMAD ZAMAN KHAN BA /BED/CT 1-Apr-61 D/I/KHAN 22-Dec-99 6-Apr-06 GGHSS NO5 DIKHAN 2818 KHALIDA BIBI HAQ NAWAZ MA/ BED/CT 4-Apr-73 D/I/KHAN 12-Apr-06 12-Apr-06 GGMS MAHRA 2819 SHAHIDA BIBI, MA (Is) SAYED MEHMOOD SHAH 10-Feb-65 MARDAN 5-Feb-84 24-Apr-06 GGHS Meherdi 2820 RIZWANA AMBREEN MUHAMMAD BARAN BA BED CT 20-Nov-76 D/I/KHAN 26-Apr-06 26-Apr-06 GGHS K/P/KHAN 2821 SHABANA SHAHEEN MUHAMMAD ANWAR MA /MED/CT BED 3-Apr-77 D/I/KHAN 3-May-06 3-May-06 GGMS SHAHDAO 2822 AMBREEN NAZ NASEER UD DIN MA/ BED/CT 11-Apr-81 D/I/KHAN 5-May-06 5-May-06 GGMS, ZAFAR ABAD 2823 Salma Rani/ Mubarak Ali/ BA/ CT 4-Apr-72 Tank/ 19-Nov-94 9-May-06 /do/ Touran Nou/ 2824 Gul/e/Rana/ Amir Khan/ MA/(ME/d) 6-Feb-74 Tank/ 1-Jul-97 9-May-06 /do/ Nourang/ 2825 MISBA HAYYAT MUHAMMAD HAYAT MA/ BED/CT 6-Sep-79 D/I/KHAN 25-May-06 25-May-06 GGMS WANDA LALI 2826 FARZANA JAMIL MUHAMMAD JAMIL BA/ BED/CT 13-Feb-73 D/I/KHAN 1-Jun-06 1-Jun-06 GGHS NO/ 9 DINPUR 2827 Nasreen Begum Sherin Khan MA/Bed/CT 1-Feb-75 Swabi 6-Apr-99 1-Jun-06 GGMS Saproona 2828 RASHIDA BIBI NAZAR HUSSAIN SHAH MA /BSc 2nd Div CT 12-May-72 HARIPUR 6-Dec-06 1-Jun-06 2829 REHANA PARVEEN AZIZ/UR/REHMAN MA/BA 2nd Div BED 2nd Div: 15-Mar-76 HARIPUR 5-Aug-04 12-Jun-06 2830 SHAHNAZ BEGUM UMERDAD KHAN MA MEd 17-Mar-61 BANNU 22-Oct-83 15-Jun-06 GGMS PUSHTAKHARA PAYAN 2831 Zuhra Bibi, BA Abdul Wahid 24-Mar-79 Chitral 6-Jul-06 6-Jul-06 GGHS Shiaqotek 2832 Shazai Gul Mohd Yousaf FA/CT CT 1-Jan-80 Abbott Abad 12-Jul-06 12-Jul-06 GGMSJalkot 2833 SHAHEEN FA, CT BAKHSHAD 1-May-83 BUNNER 16-Jun-03 16-Jul-06 GGHS JOWAR 2834 Farzana BA Abdul Wakil Khan 1-Nov-65 Chitral 24-Sep-89 22-Jul-06 GGMS Jughoor 2835 Bibi Amina MA M/Ed Rahmatullah 5-May-79 Chitral 28-Jul-06 28-Jul-06 GGHS Warijun 2836 SHAMIM AKHTAR GAMMA KHAN BA BED CT 7-Jan-70 D/I/KHAN 1-Aug-06 1-Aug-06 GGHSS NO/ 5 DIKHAN 2837 NARGIS ALIZAI MUHAMMAD HASHIM BA/ BED/CT 1-Sep-76 D/I/KHAN 1-Aug-06 1-Aug-06 GGMS WANDA MOCHIAN 2838 SHAFQAT ANDLEEB ATTA MUHAMMAD MUSLIM MA/ BED/CT 29-Nov-78 D/I/KHAN 1-Aug-06 1-Aug-06 GGMS BASTI DHAP 2839 REHANA YASMIN ALLAH BAKHSH MA BED CT 1-Mar-79 D/I/KHAN 1-Aug-06 1-Aug-06 GGHS WANDA HISAM 2840 KHRSHED ANWAR RAHIM BAKSH BA/ BED/CT 2-Apr-80 D/I/KHAN 1-Aug-06 1-Aug-06 GGHSS NO/6 DIKHAN 2841 BILQUEES GUL HAJI SANAULLAH MA /BED/CT 11-May-82 D/I/KHAN 1-Aug-06 1-Aug-06 GGMS WANDA MADAT 2842 SHAZIA AMIN MUHAMMAD AMIN BA/ BED/CT 20-Nov-72 D/I/KHAN 10-Aug-06 10-Aug-06 GGMS AWAN 2843 Musarat Najim Mohammad Najim BA CT 12-Feb-82 Battagram 21-Sep-02 15-Aug-06 GGMS Shamlai 2844 GUL NAZ S SAKHAWAT HUSSAIN MA BED/CT 1-Jul-72 D/I/KHAN 15-Aug-06 15-Aug-06 GGMS KACHA MALI KHEL 2845 RAHEELA PERVEZ MUHAMMAD PERVEZ MA BED 30-Jul-77 PESHAWAR 15-Aug-06 15-Aug-06 GGCMHS Tehkal Bala 2846 Nagina Naz Habibur Rehman BA CT 8-Feb-74 SWAT 16-Aug-06 16-Aug-06 GGHS Kowray 2847 Almas Adalat Khan MA B/Ed 3-Feb-80 Swat 31-Dec-99 16-Aug-06 GGMS Panjigram
  • 62.
    Academic Professional Date of 1st D/O Apptt against No. Name of Teacher Father's Name Qualification Qualification Date of Birth Domicile Apptt: Present Post Name of School 1 2 3 4 5 6 7 8 9 10 2848 Nagina Naz Habibur Rahman BA/B/Ed 8-Feb-74 SWAT 16-Aug-06 16-Aug-06 GGHS Kowray 2849 Najma Sultana Sulatant Khan BA/CT 1-Jan-73 SWAT 16-Nov-94 17-Aug-06 GGMS Sangota 2850 SHAKILA SHAHEEN ABDUR RASHEED MA/ BED/CT 1-May-69 D/I/KHAN 21-Aug-06 21-Aug-06 GGHSSNO/ 2 DIKAHN 2851 Musarat Bibi Hidayatullah Khan BA (2nd) B,ed 26-Dec-65 Dir Lower 30-May-87 26-Aug-06 2852 Gul Nasreen Sarfaraz Khan BA (2nd) B,ed 22-Jan-00 Dir Lower 3-Jan-86 26-Aug-06 2853 Farida BiBi Ghulam Qadir Khan BA (2nd) B,ed 11-Oct-74 Dir Lower 11-Dec-94 26-Aug-06 2854 KALSOOM BIBI MUMTAZ KHAN MA BED 9-Oct-76 Lakki 31-Aug-06 31-Aug-06 GGHS DARA PEZU 2855 TASNEEM AKHTER RAJA MUHAMMAD AKRAM BA CT 26-May-76 Bannu 1-Sep-06 1-Sep-06 GGMS BIZEN KHEL BANNU 2856 GULSHAN MUMTAZ ZAIN UL ABIDEEN BA CT 25-Nov-74 KOHAT 12-May-94 1-Sep-06 GGHS BORI SAGHRI 2857 SADIA BASHIR MUHAMMAD BASHIR BA CT 1-May-73 KOHAT 1-Sep-06 1-Sep-06 GGHS NO 2 2858 SADIA AMAN AMAN ULLAH BANGASH MA CT 1-Apr-77 KOHAT 1-Sep-06 1-Sep-06 GGHS NO 2 2859 HAMEEDA BEGUM SHER ZAMAN MA CT 19-Apr-75 KOHAT 1-Sep-06 1-Sep-06 GGMS CHIKERKOT BALA 2860 FARZANA RAZZAQ ABDUR UR RAZZAQ MA CT 4-Feb-75 KOHAT 1-Sep-06 1-Sep-06 GGMS DHOK NOOR ALAM 2861 ASIA BIBI ZAR BADSHAH MA CT 8-May-74 KOHAT 29-Jun-97 1-Sep-06 GGMS KHADER KHEL 2862 YASMEEN SULEMAN SULAIMAN KHAN MA CT 10-Feb-77 KOHAT 1-Sep-06 1-Sep-06 GGMS SURGUL 2863 SHAHIDA SULAIMAN KHAN MA EDU CT 23-Mar-81 KOHAT 1-Sep-06 1-Sep-06 GGMS SURGUL 2864 NAGINA BIBI ABDUR UR RAZAQ MA CT 20-Jun-73 KOHAT 21-Feb-95 1-Sep-06 GGHS NO 1 KOHAT 2865 NAZIA BIBI JAMSHED ALI MA/ CT 20-Nov-80 KOHAT 1-Sep-06 1-Sep-06 GGHS SHERKOT 2866 SAEEDA BIBI ISLAH UD DIN MA (ISL) CT 1-Dec-71 KOHAT 12-Nov-90 1-Sep-06 GGHSS GUMBAT 2867 ASIA BANGASH INAYAT ULLAH MA CT 30-Mar-80 KOHAT 1-Sep-06 1-Sep-06 GGHS KOT 2868 NOSHINA BASHIR BASHIR AHMAD MA BED 15-Nov-74 Lakki 9-Jan-97 1-Sep-06 GGMS SARWAR MAMA KHEL 2869 ZAKIA NAHID NIAZ MUHAMMAD MA BED 15-Oct-71 Lakki 4-Jan-92 1-Sep-06 GGMS MASH HABIBULLAH KHAN 2870 SHAGUFTA SHAHEEN HAQNAWAZ KHAN BA 3-Jan-79 Lakki 9-Jan-06 1-Sep-06 GGMS JABO KHEL 2871 YASMIN AKHTER MUHAMMAD JAN BA 18-Jan-77 Lakki 5-Mar-99 1-Sep-06 GGMS KHERO KHEL PACCA 2872 SURIA SHAHAB SYED HUSAIN BA 26-Apr-75 Lakki 9-Jan-06 1-Sep-06 GGMS UMER DARAZ TAJORI 2873 NASIM AKHTER SHERIN JAN MA BED 15-Apr-65 Lakki 26-Oct-87 1-Sep-06 GGMS KHWAJA KHEL 2874 BASIM BIBI GHULAM YASIN BA 1-May-81 Lakki 9-Jan-06 1-Sep-06 GGMS MANGALA 2875 FARKHANDA JABEEN MUHAMMAD BIAZ ISLAM BA 24-Jan-79 Lakki 11-Jan-02 1-Sep-06 GGMS BAHDER LANDIWAH 2876 SHAHIDA NASREEN GUL NAWAZ MA BED 15-Feb-74 Lakki 19-Nov-82 1-Sep-06 GGMS ISAK KHEL 2877 RASHIDA BANO SHEIKH HAMID BA 2-Jan-80 Lakki 16-Sep-05 1-Sep-06 GGMS PAHAR KHEL 2878 NAJMUN NISA ABDULLAH BA 25-Mar-79 Lakki 1-Sep-06 1-Sep-06 GGMS MANGALA 2879 BIBI ARFA ABDUL GHAFAR BA 30-Mar-74 Lakki 24-Apr-95 1-Sep-06 GGMS KOTKA ATLAS KHAN 2880 ZALIKHA BEGUM GHULAM RABBANI BA 1-Nov-77 Lakki 22-Apr-96 1-Sep-06 GGMS BAIST KHEL 2881 ARFA JABEEN GUL NAWAZ MA 10-Dec-79 Lakki 1-Sep-06 1-Sep-06 GGMS BACHKEN AHMAD ZAI 2882 SABEENA YASMEEN,MA(Urd)/B/Ed FAZLI WAHAB 18-Nov-76 Malakand 1-Sep-06 1-Sep-06 GGHS Dargai 2883 Tasneem Begum Umara Khan BA B/Ed 1-Mar-59 SWAT 11-Oct-86 1-Sep-06 GGMS Rasha Gata 2884 Husnul Wara Abdul Ghafoor BA B/Ed 5-Jun-64 SWAT 23-May-87 1-Sep-06 GGMS Dadahara 2885 Hayat Begum Ghulam Sarwar MA B/Ed 10-Jul-67 SWAT 4-Dec-89 1-Sep-06 GGMS Dadahara 2886 Yasmeen Akhtar Shamsul Arifeen BA CT 12-Dec-68 SWAT 12-Apr-87 1-Sep-06 GGMS Sijbanr 2887 Jamila Parveen Abdul hamid BA M/Ed 16-Dec-73 SWAT 1-Mar-93 1-Sep-06 GGHSS Kabal 2888 SHAKILA NAUREEN Q/ABDUL RAUF MA /BED/CT 11-Apr-71 D/I/KHAN 20-Dec-94 3-Sep-06 GGCMHS NO/ 1 DIKHAN 2889 FOZIA NASIR NASIR UD DIN BA/ BED/CT 8-Apr-81 D/I/KHAN 11-Sep-06 11-Sep-06 GGHS BIGWANI SHUMALI 2890 AKHTER NISA RAIS KHAN MA 15-Jun-80 Lakki 15-Sep-05 14-Sep-06 GGMS BAIST KHEL 2891 ZAHIDA BEGUM MA,MED INAYATULLAH 27-Feb-75 BUNNER 24-Jun-97 15-Sep-06 GGHS CHINGLAI 2892 SAADAF BIBI MA, BED ABDUL WAHID 18-Mar-85 BUNNER 4-Jan-04 15-Sep-06 GGMS CHARORAI 2893 SAEEDA BIBI BA, BED SAEED UR RAZIQ 5-Jan-80 BUNNER 15-Sep-06 15-Sep-06 GGHS BAZARGAI 2894 Fatma Zuhra Sultan Sher MA/Bed/CT 2-Jan-73 Swabi 15-Sep-06 15-Sep-06 GGHS Kaddi
  • 63.
    Academic Professional Date of 1st D/O Apptt against No. Name of Teacher Father's Name Qualification Qualification Date of Birth Domicile Apptt: Present Post Name of School 1 2 3 4 5 6 7 8 9 10 2895 SHAHEEN BEGUM BA,BED NASRULLAH KHAN 1-Feb-76 BUNNER 13-Sep-95 16-Sep-06 GGMS TANGORA 2896 NAHEED AKHTAR BA, CT ALI MAND 1-Jan-78 BUNNER 24-Aug-96 16-Sep-06 GGMS CHANAR 2897 SHEHNAZ BEGUM BA, BED,CT TAHIR RAHMAN 4-Feb-81 BUNNER 12-Jan-02 16-Sep-06 GGMS KATKALA 2898 SHABNAM BA, CT KAMIL 8-Oct-82 BUNNER 16-Sep-06 16-Sep-06 GGMS KATKALA 2899 AZMAT ISLAM BASHIR AHMED FA CT 15-Apr-68 KOHAT 1-Sep-86 16-Sep-06 GGMS JABBAR 2900 Nabeela Imtiaz Imtiaz Dil MA/Med/CT 25-Mar-77 Swabi 1-Aug-87 16-Sep-06 JICA Model School Topi 2901 Akhtaria Razi Khan MA/Bed/CT 1-Jan-79 Swabi 1-Jan-98 16-Sep-06 GGHS Yar Hussain 2902 Haleema Farooq Muhammad Farooq MA/Med/CT 1-May-76 Swabi 8-Apr-99 16-Sep-06 GGMS Takail 2903 Ayesha Rahman Said Rahman MA/Bed/CT 9-Feb-77 Swabi 1-Sep-04 16-Sep-06 GGMS Rafiq Abad 2904 Noshin gul Mirza Muhammad Khan MA/Bed/CT 27-Feb-70 Swabi 16-Sep-06 16-Sep-06 GGHS Gandaf 2905 Wakeela Naz M/Amanullah Khan MA/bed/CT 16-Feb-76 Swabi 16-Sep-06 16-Sep-06 GGMS Pehoor Hemlet 2906 Jehan Ara Mahabat Khan BA/CT 8-Mar-76 Swabi 16-Sep-06 16-Sep-06 gGMS Dagai 2907 Neelum Naz Barkhurdar Khan BA/Bed/CT 1-Jan-77 Swabi 16-Sep-06 16-Sep-06 GGHSS Lahor 2908 Firasat Begum Azeem Khan MSc/Med/CT 5-Feb-78 Swabi 16-Sep-06 16-Sep-06 GGMS Paludhand 2909 MUSRAT BEGUM BA, CT MOHAMMAD SHIREEN 15-Mar-77 BUNNER 30-Dec-96 18-Sep-06 GGMS DAGAI 2910 NUSRAT BEGUM MA, CT MUHAMMAD SHERIN 15-Mar-77 BUNNER 30-Dec-96 18-Sep-06 GGMS SOWAWAI 2911 AZRA MA, CT BAHADUR KHAN 2-May-81 BUNNER 18-Sep-06 18-Sep-06 GGMS BATAI 2912 RAHAM ZEBA BA, CT KHALIL 15-Dec-81 BUNNER 9-Dec-06 18-Sep-06 GGHS BATANAI 2913 Israj begum Sahar gul Khan MA/CT 1-Nov-78 Swabi 18-Sep-06 18-Sep-06 GGHS Panj Pir 2914 Taskeen Bibi Shams Khan MSc/Med/CT 1-Jan-81 Swabi 18-Sep-06 18-Sep-06 JICA Lahor 2915 Taskeen Bibi Shamas Khan MSc/Med/CT 1-Jan-81 Swabi 18-Sep-06 18-Sep-06 JICA Model School Lahor 2916 SHAZIA BEGUM MUHAMMAD SARIR KHAN BA II BED 8-Feb-76 CHARSADDA 31-Dec-99 19-Sep-06 2917 Nabeela Jehan Jehan Mir FA/CT 2-Feb-72 Swabi 16-Aug-97 19-Sep-06 GGMS Jehanda 2918 Jabeena naz Abdur Rasheed BA/CT 6-Dec-74 Swabi 19-Sep-06 19-Sep-06 GGHS Pabaini 2919 QAMER UN NISA ALI NAWAZ KHAN MA BED CT 21-Dec-80 D/I/KHAN 21-Sep-06 21-Sep-06 GGHSS NO/ 5 DIKHAN 2920 Dil Afza Fazal Qadar MA/Med/CT 5-Dec-62 Swabi 17-Jan-82 21-Sep-06 GGMS Hund 2921 Rahina Wasaf Shah MA/Med/CT 22-Aug-80 Mardan 17-Apr-03 21-Sep-06 GGMS Sher Ghund 2922 Nargis Begum Anwar Sher MA/Bed/CT 1-Jan-73 Swabi 2-Mar-96 26-Sep-06 GGHS Ismaila 2923 SHABNAM NAHEED MUHAMMAD AFZAL BA/ BED/CT 3-Mar-70 D/I/KHAN 16-Apr-95 1-Oct-06 GGHS KARI KHASOR 2924 SYEDA NOUREEN S/IJAZ HUSSAIN MA/ MED/CT 11-Jan-77 D/I/KHAN 1-Oct-06 1-Oct-06 GGMS GUNDY UMER KHAN 2925 Nighat Sultana Muhammad Furqan MA BED 1-Jan-63 SWABI 20-Oct-87 2-Oct-06 GGMS Hazar Khawani No/2 2926 Zeenat Perveen/ Naik Muhammad/ BA/ CT 1-Aug-67 Tank/ 10-May-06 5-Oct-06 /do/ Touran Nou/ 2927 Tasleem Jan/ Hamidullah/ MA/ CT 20-Jun-70 Tank/ 10-May-06 5-Oct-06 /do/ No/I,Tank/ 2928 Badru/un/Nisa/ Saadullah/ BA/ CT 12-Dec-70 Tank/ 10-May-06 5-Oct-06 /do/ Nourang/ 2929 Zanobia Gul/ Rehmatullah/ BA/ CT 5-Jan-72 Tank/ 10-May-06 5-Oct-06 /do/ Gomal Bazar 2930 Shabnum Naz/ Najeebullah/ MA/ cT 15-Mar-73 Tank/ 9-May-06 5-Oct-06 /do/ Muhd:Akbar/ 2931 Ruqia Kalsoom/ Gul Muhammad/ MSc/ 20-Apr-74 Tank/ 10-May-06 5-Oct-06 /do/ Gul Imam/ 2932 SAEEDA FAIZ FAIZULLAH BA/ BED/CT 3-Oct-84 D/I/KHAN 9-Oct-06 9-Oct-06 GGHS CHODWAN 2933 SHAHEEN AKHTER SANAULLAH MA/ BED/CT 20-Mar-74 D/I/KHAN 10-Oct-06 10-Oct-06 GGHS NO9 DIKHAN 2934 ZAHIDA PERVEEN GUL SARWAR FA 5-Feb-70 Lakki 27-Sep-92 12-Oct-06 GGMS DARA PEZU 2935 SHENAZAN PERVEEN MUHAMMAD YAQOOB MA/ MED/CT 31-Aug-78 D/I/KHAN 13-Oct-06 13-Oct-06 GGHS KACHA MALI KHEL 2936 RUBINA YASMIN M/GHULAM SADDIQUE MA/ BED 3-Oct-68 D/I/KHAN 14-Oct-06 14-Oct-06 GGCMHS NO/ 1 DIKHAN 2937 ZILL/E/HUMA GHULAM RABBANI MA BED 23-Oct-79 Lakki 14-Oct-06 14-Oct-06 GGHS No/ 1 Naurang 2938 SHAGUFTA PARVEEN ABDUR RAHIM BAII BED 20-Apr-66 CHARSADDA 1-Nov-88 17-Oct-06 2939 Abida BA/ CT Shah Zaman Khan 15-Apr-74 Shangla 6-Jan-96 18-Oct-06 GGHS Alpurai 2940 Nawsheen Alam MA/CT Alam Gir Khan 6-Jan-85 Shangla 18-Oct-06 18-Oct-06 GGMS Maira 2941 Safina Hussain BA/CT Sher Bahadar 15-May-77 Shangla 27-Mar-95 18-Oct-06 GGMS Butyal
  • 64.
    Academic Professional Date of 1st D/O Apptt against No. Name of Teacher Father's Name Qualification Qualification Date of Birth Domicile Apptt: Present Post Name of School 1 2 3 4 5 6 7 8 9 10 2942 SAIMA NUSRAT MIR QALAM MA 20-Apr-78 Lakki 7-Jan-97 19-Oct-06 GGMS GHAZI KHEL 2943 ZATOON BIBI MUHAMMAD HUSSAIN BA/ BED/CT 15-Dec-76 D/I/KHAN 20-Oct-06 20-Oct-06 GGHS DHAKKI 2944 Zeenat Haram B/A B/Ed Amir Dostay 1-Jan-70 Shangla 20-Oct-06 20-Oct-06 GGMS Maira 2945 YASMIN ABAS MIR ABBAS BA 15-Apr-80 Lakki 17-Sep-05 21-Oct-06 GGMS PAHAR KHEL 2946 Nageena Hafeez/ Abdul Hafeez/ MA(ME/d) 30-Jun-75 Tank/ 13-Dec-74 5-Nov-06 /do/ Gara Shahbaz/ 2947 NAGHMA PARVEEN MUHAMMAD SULEMAN MA/ BED/ CT 1-Jan-80 D/I/KHAN 7-Nov-06 7-Nov-06 GGMS NO/ 1 PANIALA 2948 NAZIA GUL WALI JAN BA II BED 8-Jan-80 CHARSADDA 26-Mar-05 17-Nov-06 2949 GUL NAZ FAZAL MAHBOD BA II BED 11-Dec-79 CHARSADDA 17-Nov-06 17-Nov-06 2950 SHAISTA NAZ DOST MUHAMMAD BA II BED 29-Oct-78 CHARSADDA 17-Nov-06 17-Nov-06 2951 JASMEEN NISAR MUHAMMAD BA II BED 8-Apr-74 CHARSADDA 18-Apr-92 20-Nov-06 2952 NASEEM AKHTAR RAHAT GUL BA II BED 1-Sep-67 CHARSADDA 17-Mar-93 20-Nov-06 2953 SHAHEEN BEGUM BAHRAM KHAN BA II BED 5-Dec-74 CHARSADDA 20-Nov-06 20-Nov-06 2954 ZAHIDA BIBI SAYED ALI AKBAR BA II BED 11-Apr-76 CHARSADDA 25-Oct-94 21-Nov-06 2955 ZONA BEGUM ABDUR RAHMAN BA II BED 13-Apr-74 CHARSADDA 21-Nov-06 21-Nov-06 2956 NAZNEEN BEGUM GHAFOOR KHAN BA II BED 20-Oct-68 CHARSADDA 14-Jan-98 22-Nov-06 2957 SAJIDA NASREEN HAQ NAWAZ MA/ BED/CT 7-Mar-83 D/I/KHAN 22-Nov-06 22-Nov-06 GGHS NO/ 4 DIKHAN 2958 ASIA NAZ MUHAMMAD YOUSAF BA II BED 15-Jan-77 CHARSADDA 17-Nov-06 23-Nov-06 2959 NAEEMA BEGUM FAZAL HAQ BA II BED 2-Jan-64 CHARSADDA 2-Jun-82 27-Nov-06 2960 ANISA BANO MUHAMMAD ESSA MA CT 1-Mar-79 HARIPUR 1-Sep-04 27/11/2006 2961 FOZIA JABEEN MUHAMMAD AFZAL MA CT 13-Feb-75 HARIPUR 27-Nov-06 27/11/2006 2962 SALMA NOREEN MUHAMMAD YAQOOB BA CT 10-Jan-77 HARIPUR 27-Apr-96 27/11/2006 2963 Salma Bibi(CT)MA, BED Rahimullah MA B,ed 15-Aug-79 Dir (U) 8-Aug-02 28-Nov-06 GGHS, Sundal 2964 Asia Bibi(CT)MA Fazal Raziq BA 30-Dec-82 Dir (U) 8-Aug-02 28-Nov-06 GGHS, Sundal 2965 NAZIA AZIZ AZIZ/UR/REHMAN BA 2ND DIV CT 2-Dec-80 HARIPUR 28-Nov-06 28/11/2006 2966 NAYYER SULTANA KHUSHAL KHAN BA 2nd Div BED 2nd Div: 15-Feb-70 HARIPUR 28-Dec-06 28/11/2006 2967 ZOBIA MALIK MALIK WAZI MUHAMMAD MA BED 19-Aug-77 HARIPUR 25-Nov-06 29/11/2006 2968 Ishrat BiBi MA B/Ed Shah Wazir Khan 2-Jan-80 Shangla 4-Jun-99 30-Nov-06 GHSS Aloch 2969 SHAHBANA NAWAZ RAB NAWAZ BA II BED 2-Jul-74 CHARSADDA 25-Apr-98 1-Dec-06 2970 ROBINA TURAB TURAB KHAN BA II BED 19-Jun-72 CHARSADDA 28-Apr-98 1-Dec-06 2971 KALSOOM SALMA WALI ULLAH BA II BED 22-Nov-77 CHARSADDA 1-Dec-06 1-Dec-06 2972 FOZIA JABEEN AMINULLAH BA BED 26-Apr-76 Lakki 4-Nov-05 1-Dec-06 GGHS GANDI 2973 Sajida Bibi Noor Habash MA CT 6-Sep-67 SWAT 9-Nov-86 1-Dec-06 GGMS Parrai 2974 NAZIA KHATOON MUHAMMAD MUNIR MA /BA 2ND DIV MED 6-Feb-72 HARIPUR 25-Nov-06 9-Dec-06 2975 SUMBUL SHERIN WISAL KHAN BA II BED 6-Mar-70 CHARSADDA 25-Sep-89 26-Dec-06 2976 FOZIA PARVEEN SHAUKAT ULLAH MA/ BED/CT 2-Mar-73 D/I/KHAN 21-Apr-99 30-Dec-06 GGHS PANIALA 2977 FOZIA SADIQ MUHAMMAD SADIQ MA/ BED/CT 15-Sep-72 D/I/KHAN 1-Jan-00 1-Jan-07 GGMS MUSAZAI SHARIF 2978 Syeda Zakia Syed Mohammad Moiz B/A B/ Ed 2-Jun-69 Nowshera 2-Jan-88 2-Jan-07 2979 Bibi Asmat Niaz Mir Sufaid Niaz M/A B/ Ed 4-Jul-72 Nowshera 14-Sep-95 2-Jan-07 2980 Asma Sharif M/A B/ Ed, M/ Ed 6-Jul-75 Nowshera 22-Nov-95 2-Jan-07 2981 Fareeza Begum Muhammad Idrees Shah M/A B/ Ed 1-May-75 Nowshera 22-Jan-98 2-Jan-07 2982 HALIMA BEGUM NASRULLAH JAN MA BED 21-Jan-73 NOWSHERA 22-Apr-95 2-Jan-07 GGHSS No/2 Cantt 2983 Sajida Ghulam Qadar Khan BA (2nd) B,ed 2-Aug-79 Dir Lower 22-Oct-02 3-Jan-07 2984 Saira Nowshin Ali Mohd BA (2nd) B,ed 22-Dec-75 Dir Lower 31-Mar-96 3-Jan-07 2985 Khalida Begum Munir Khan BA (2nd) B,ed 20-Apr-75 Dir Lower 22-Nov-94 3-Jan-07 2986 Zakia Menhas Fazali Khaliq BA (2nd) B,ed 1-Mar-82 Dir Lower 3-Jan-06 3-Jan-07 2987 Falak Naz Ajabar Khan BA (2nd) B,ed 15-Apr-81 Dir Lower 19-Nov-02 3-Jan-07 2988 Nusrat Bibi Zarif Khan BA CT 31-Mar-83 Battagram 26-Sep-02 4-Jan-07 GGMS G/Kherabad
  • 65.
    Academic Professional Date of 1st D/O Apptt against No. Name of Teacher Father's Name Qualification Qualification Date of Birth Domicile Apptt: Present Post Name of School 1 2 3 4 5 6 7 8 9 10 2989 Bibi Samina S/Mohammad Shah FA CT 1-Jan-81 Battagram 4-Jan-07 4-Jan-07 GGMS Matamedan 2990 Amir Begum Wazir Ahmad BA CT 1-May-67 Battagram 4-Jan-07 4-Jan-07 GGMS N/Shang 2991 Shaguffta Rashid MA B/Ed Rashid Mehmood 25-Apr-82 Shangla 31-Dec-99 10-Jan-07 GGHS lilownai 2992 Anisa Laila MA B/Ed Gul Baz Khan 10-Jan-83 Shangla 8-Jul-04 11-Jan-07 GGMS Shilawlai 2993 Rehnaz Gul Gul Hussain M/A M/ Ed 1-Sep-78 Nowshera 24-Apr-99 2-Feb-07 2994 SOHAILA HAMEED ABDUL HAMEED MA CT 5-Sep-72 KOHAT 12-Feb-07 13-Feb-07 GGMS REHMAN ABAD 2995 Dil Parshad Khalil/ur/Rehman BA 20-Apr-85 NWA 23-Feb-07 23-Feb-07 GGMS Badshah Mir Kot 2996 Tabusum Muhammad Rashad MA M/Ed 5-Jan-79 SWAT 1-Mar-05 1-Mar-07 GGHS K/Khela 2997 Shafia Bibi Abdul Wadood BA CT 20-Apr-81 SHANGLA 1-Jul-04 2-Mar-07 GGMS Shinkat 2998 Shazia Khoidad Khoidad Khan BA 23-Jan-86 FR Tank 5-Mar-07 5-Mar-07 GGMS Jalal Khan Parwana 2999 Aniqa Jamal Jamal Abdul nasir M/Sc 10-Mar-83 FR Tank 6-Mar-07 6-Mar-07 GGMS Haibat Khan Koroona 3000 Qandhar BiBi/ Abdul Khaliq/ BA/ 1-Apr-87 Tank/ 13-May-07 9-Mar-07 /do/ Pai/ 3001 SHAZIA PARVIN ABDUL RAZZAQ MA CT 2-Apr-72 KOHAT 22-Jan-98 10-Mar-07 GGMS DHOK LATIF ABAD 3002 YASMEEN BIBI TILLA MUHAMMAD MA CT 1-Jan-72 KOHAT 8-Apr-99 10-Mar-07 GGMS CHASHMA MITHA KHAN 3003 Shabina Khan Rustam Khan M/Sc 20-Mar-83 FR Tank 13-Mar-07 13-Mar-07 GGMS Guli Jan Koroona 3004 Asma Semab Jabar Din BA 28-Mar-07 FR Tank DI Khan 28-Mar-07 28-Mar-07 GGHS Darazinda 3005 Gul Num Ghulam Akbar BA CT Mansehra 12-Jan-06 30-Mar-07 GGMS Batamohri 3006 Mahe Kamil Aurang Zeb Khan MA CT 2-May-82 Mansehra 30-Mar-07 30-Mar-07 GGMS G/M/Abad 3007 Maaria Bibi Naik Mohammad BA CT 3-Jan-81 Mansehra 30-Mar-07 30-Mar-07 GGMS Thakote 3008 Habiba Noor Jan FA 25-Aug-87 FR Kohat 30-Mar-07 30-Mar-07 GGHS Pirwal Khel 3009 Zafran Begum Noor Payao Khan BA 15-Sep-79 FR Bannu 9-Apr-07 9-Apr-07 GGMS Kotka Miraj/ud/Din 3010 Rahila Momin Momin Khan FA 7-Dec-82 FR Bannu 9-Apr-07 9-Apr-07 GGMS Dr/ Rahmatullah 3011 Yasmin Begum 1-Jul-80 Bajaur 13-Apr-07 13-Apr-07 GGHS Malkana nawagai 3012 Jawahira Bibi Yaghistan Khan BA 1-Apr-84 FR Tank 14-Apr-07 14-Apr-07 GGMS Gula Din Koroona 3013 RIZWANA BIBI RAEES KHAN MSC BED 4-Nov-82 Lakki 9-Jan-06 16-Apr-07 GGHS Dalo Khel 3014 Lobna begum BA/CT Razi Mand 15/03/19984 Shangla 24-Apr-07 30-Apr-07 GGMSDehrai 3015 TEHMEED BEGUM MEHOOD JAN BA II BED 11-Jun-77 CHARSADDA 8-May-07 8-May-07 3016 Naheed Akhtar Mohammad Gul BA/MA B/Ed: 21-Sep-76 Karak 31-Oct-96 17-May-07 GGMS Mandar Killa 3017 Musarrat Jabeen Kifayatullah MA/Med/CT 5-Feb-76 Mardan 9-Feb-98 1-Jun-07 GGHS Kabgani 3018 Shazia Begum Ihsan Ullah M/A B/ Ed, CT 6-Feb-81 Nowshera 1-Apr-03 2-Jun-07 3019 Bahkti Raja Janas Khan MA CT 15-Mar-56 SWAT 20-Nov-79 2-Jul-07 GGMS Miandam 3020 Nasreen Mehmood MA CT 15-Jan-73 SWAT 26-Jan-97 3-Jul-07 GGMS Miandam 3021 Saima Zargul Zargul Khan BA B/Ed; 12-Nov-81 Battagram 4-Jul-07 4-Jul-07 GGMS Shingli Pain 3022 Rabeel Hina/Moon/ Ashiq Hussain/ MA(BE/d) 4-Jan-00 Tank/ 3-Sep-96 10-Jul-07 /do/ Yar Muhammad/ 3023 NUZHAT MANAN FAZLI MANAN BA BED 27-Dec-84 CHARSADDA 30-Jul-07 31-Jul-07 GGMS Zaryab Colony 3024 NARGIS BIBI, BA Fazal Wahid 1-Apr-68 Malakand 21-Sep-86 31-Aug-07 GGMS CC Thana 3025 ZIABUN NISA AMIR PIO JAN BA 28-Nov-79 Lakki 9-Jan-07 1-Sep-07 GGMS JAMIL KHAN TEKHTI KHEL 3026 FARZANA NOOR NOOR ASLAM FA 25-Dec-78 Lakki 9-Jan-07 1-Sep-07 GGMS JAMIL KHAN TEKHTI KHEL 3027 SAKINA BEGUM AKBAR ZAMAN MA 28-Oct-79 Lakki 26-Sep-05 1-Sep-07 GGMS BACHKEN AHMAD ZAI 3028 BAKHAT NAZIRA, BA RADI GUL 7-Feb-74 Malakand 30-Apr-04 1-Sep-07 GGHS Palai 3029 MEHJABEEN MUHAMMAD AJMAL KHAN BA BED 1-Jun-78 Lakki 9-Mar-07 3-Sep-07 GGMS NASAR KHEL 3030 Balqees Nisa Nadar Ali Khan BA/MA B/Ed: 22-Mar-75 Karak 10-Sep-07 10-Sep-07 GGMS Palooski 3031 Gul Shah Jani Sabir Khan MA B/Ed: 12-May-74 Karak 10-Sep-07 10-Sep-07 GGMS Charpara 3032 Shereen Taj, Nisar Ahmad Khan MA B/Ed: 26-Sep-76 Karak 10-Sep-07 10-Sep-07 GGMS Billand Killa 3033 NOORHAD BIBI BAHADER ZAMAN FA 4-Apr-74 Lakki 21-Sep-07 21-Sep-07 GGMS BARAT KHEL LANDIWAH 3034 Azra Shaheen/ Muhammad Sharif/ MA(BE/d) CT 11-Sep-72 Tank/ 23-Sep-92 25/09/2007 /do/ Darraki/ 3035 Nurina Bibi Ahmad Ali Khan MSC/Bed/CT 2-Jan-75 Swabi 15-Nov-99 29-Sep-07 GGMS Saidu Dher
  • 66.
    Academic Professional Date of 1st D/O Apptt against No. Name of Teacher Father's Name Qualification Qualification Date of Birth Domicile Apptt: Present Post Name of School 1 2 3 4 5 6 7 8 9 10 3036 Ziaun Nisa Muhammad Sardar MA/Med/Bed/CT 29-Aug-79 Swabi 1-Jan-00 29-Sep-07 GGMS Saidu Dher 3037 SADIA BIBI PIR GHULAM MUHAMMAD SHAH MSC 3-Oct-83 Lakki 30-Sep-07 30-Sep-07 GGMS BAHADER KHAN LANDIWAH 3038 RAZIA BEGUM MUHAMMAD AKBAR BA II BED 18-Sep-57 CHARSADDA 22-Jan-84 1-Oct-07 3039 BIBI ROIDA SAHIB JAN MA 22-Dec-78 Lakki 10-Jan-07 1-Oct-07 GGMS JANG KHEL 3040 GULZAR BIBI GHANI REHMAN BA 20-Mar-81 Lakki 11-Jan-02 1-Oct-07 GGMS BAKHMAL AHMADZAI 3041 SAEEDA NAZLI, BA WAZIR KHAN 8-Feb-63 Malakand 30-Apr-92 1-Oct-07 GGHS BADAM BAGHICHA (Purana Thana) 3042 SHAMA ANDLEEB BA/CT GHULAM SHER ALI 25-Dec-78 Malakand 22-Jan-99 1-Oct-07 GGHS Malakand 3043 NAHEED BIBI, MA / B/Ed NAIMAT ULLAH 2-May-72 Malakand 26-Jun-93 1-Oct-07 GGMS Gharib Abad 3044 Samin Akhtar Muhammad Ishaq MA/Bed/CT 22-Jul-80 Swabi 21-Oct-04 1-Oct-07 GGMS Gar P/Pir 3045 Qamar Akber Said Akbar Shah FA/CT 4-Oct-74 Swabi 1-Oct-07 1-Oct-07 GGHS Pabaini 3046 Shagufta Shaheen Hamid Rasool MA/Bed/CT 10-Mar-75 Swabi 1-Oct-07 1-Oct-07 GGHS Permoli 3047 Sahira Hazrat Umer FA/CT 1-Apr-75 Swabi 1-Oct-07 1-Oct-07 GGHS Dagai 3048 Khalida Waris Khan MA/Bed/CT 1-Jan-76 Swabi 1-Oct-07 1-Oct-07 GGHS Panj Pir 3049 Roseena Qamar Noorul Qamar MA/CT 25-Mar-76 Swabi 1-Oct-07 1-Oct-07 GGMS Naranjee 3050 Saleem Akhtar Noor Zaman FA?CT 4-Apr-76 Swabi 1-Oct-07 1-Oct-07 GGMS Tordher 3051 Farhat Begum Islamul Haq MA B/Ed 1-Apr-71 SWAT 2-Mar-93 1-Oct-07 GGHS K/D/Khela 3052 GUL HANIFA MOHABAT KHAN BA 8-Oct-84 Lakki 3-Oct-07 3-Oct-07 GGMS TABI MURAD 3053 BIBI ZARJANA ALI BAND BA 4-Jan-74 Lakki 10-Apr-07 4-Oct-07 GGMS MASH HABIBULLAH KHAN 3054 ZUHRA KHATOON AMAN GUL MA CT 13-Dec-76 KARAK 28-Jan-04 7-Oct-07 GGMS GHURZAI PAYAN 3055 Talat Khurshid, JamalNoor BA/MA M/Ed: 3-Mar-73 Karak 2-May-92 8-Oct-07 GGHS No/1 Karak/ 3056 Farzana Kausar, Gul Dad Khan BA/MA B/Ed: 7-Jul-81 Karak 27-Apr-03 9-Oct-07 GGHS Ganderi Khattak/ 3057 Safia Yousaf, Yousaf Khan MA B/Ed: 1-Jan-82 Karak 4-Mar-04 9-Oct-07 GGHS Palosa/ 3058 Aalia Ahmad Ahmad Ali Khan MA/Bed/CT 2-Dec-73 Swabi 10-Oct-07 10-Oct-07 GGMS Gajai 3059 Kalsoom Malik Malik Ashraf MA/Bed/CT 7-Apr-74 Swabi 10-Oct-07 10-Oct-07 GGHS Tano 3060 GULSHAN ARA BEGUM SHAMSUR REHMAN MA BED 5-Nov-75 HARIPUR 20-Feb-02 10-Oct-07 3061 Zubida Mohammad Nawaz BA B/Ed: 20-Dec-74 Karak 10-Oct-07 10-Oct-07 GGMS Mandawa 3062 Malika Khatoon Saiful Hakam BA/Bed/CT 25-May-77 Swabi 1-Feb-00 11-Oct-07 GGHSS Topi 3063 Rukhsana Afshan/ Ghulam Rasool/ BA/ 1-Aug-67 Tank/ 1-Nov-86 21/11/2007 /do/ Tajori/ 3064 SHAMIM AKHTAR Muhammad Akbar MA BED 5-Oct-64 PESHAWAR 9-Oct-90 1-Dec-07 GGHS Yaka Toot 3065 Khalida Hidayat Ullah MA/Bed/CT 30-Mar-77 Swabi 27-Nov-02 1-Dec-07 GGHS Dobian 3066 Sabina Bibi Badarul Islam BA/CT CT 1-Jan-80 Harpur 2-Dec-07 2-Dec-07 GGMSSoyal 3067 Nuzhat Shaheen/ H:Rahim Bakhsh/ MA(BE/d) CT 15-Aug-74 Tank/ 22-Apr-99 2-Dec-07 /do/ No/I,Tank/ 3068 Mumtaz Begum/ Habibullah/ MA(BE/d) CT 24-Jan-75 Tank/ 13-Sep-96 2-Dec-07 /do/ /do/ 3069 Fatima Tabasum/ Ghulam Jan/ MA(BE/d) 1-Jan-75 Tank/ 10-Nov-94 2-Dec-07 /do/ /do/ 3070 Shamshad Bibi, MA B/Ed Dullah Khan 18-May-75 Chitral 28-Oct-04 3-Jan-08 GGMS Morilasht 3071 Noor Jahan, MA B/Ed Laghal Khan 22-Nov-76 Chitral 1-Mar-08 3-Jan-08 GGMS Z/Gram 3072 Asmari, BA B/Ed Asaqal Khan 5-May-77 Chitral 1-Mar-08 3-Jan-08 GGMS Shagram 3073 Bibi Ruqaya, MA B/Ed Sher Khan 1-Sep-82 Chitral 1-Mar-08 3-Jan-08 GGMS Z/Gram 3074 ROZINA ROZI ALI GUL BA BED 11-Sep-73 PESHAWAR 22-Mar-93 9-Jan-08 GGMS QASAB KHANA 3075 NAGINA REHMAN GUL REHMAN MA MEd 21-Sep-79 PESHAWAR 9-Jan-08 9-Jan-08 GGHS Nishter Abad 3076 Sema Dilawar(CT)BA,BED Dilawar Khan BA B,ed 5-Jun-78 Nawshera 5-May-98 12-Jan-08 GGMS, Tarpatar 3077 Parveen Yaqub(CT)MA Yaqub Khan MA 21-Jul-76 Dir (U) 6-Nov-04 12-Jan-08 GGMS, Shenkari 3078 NAILA SEEMAB MUHAMMAD RAIS BA 15-Apr-81 Lakki 22-Jan-08 22-Jan-08 GGMS KHERO KHEL PACCA 3079 BIBI JAMILA GUL AJAB MA 14-Apr-78 Lakki 15-Sep-05 23-Jan-08 GGMS BACHKEN AHMAD ZAI 3080 Zahidullah, (CT)MA/B/Ed Fazal Subhan MA B,ed 28-Mar-68 Dir (U) 25-Jun-92 12-Feb-08 GMS Sheratkal 3081 Nasreen Bibi(CT)MA,BED khairur Rahman MA B,ed 1-Jan-81 Dir (U) 10-Nov-02 12-Feb-08 GGMS, Badalai 3082 Gul Nigar Nasreen/ Nadir Khan/ MA(BE/d) 31-Dec-70 Tank/ 3-Nov-90 27/02/2008 /do/ Aslam Khan Kor:
  • 67.
    Academic Professional Date of 1st D/O Apptt against No. Name of Teacher Father's Name Qualification Qualification Date of Birth Domicile Apptt: Present Post Name of School 1 2 3 4 5 6 7 8 9 10 3083 Naheed Akhtar/ Muhammad Jan/ BA/ 8-Nov-71 Tank/ 27-Feb-08 27/02/2008 /do Muhd:Akbar/ 3084 MA/B/Ed/ c 2-Mar-76 Tank/ 27-Feb-08 27/02/2008 /do/ Mullazai/ 3085 Roheeda BiBi/ Hayat Khan/ BA/ ct 22-Nov-76 Tank/ 27-Feb-08 27/02/2008 /do/ Mullazai/ 3086 Nighat Noreen/ Noor Khan/ MA(BE/d) 5-Aug-79 Tank/ 21-Apr-99 27/02/2008 /do/ Yar Muhammad/ 3087 Tahira Hafeez/ Abdul Hafeez/ BA/ ct 5-Jun-80 Tank/ 9-Dec-99 27/02/2008 /do/ Chadrar/ 3088 Shamshad Bibi MA Dullah Khan 12-May-75 Chitral 28-Oct-04 28-Feb-08 GGMS Morilasht 3089 Hsina BiBi MA B/Ed Mohd karem 12-Jan-84 Shangla 11-Jan-06 29-Feb-08 GGMS Martung 3090 Bibi Safia BA/CT Bakhatareen Khan 7-Sep-75 Shangla 28-Apr-99 29-Feb-08 GGMS Shekowlai 3091 Farhatun Naz Ayubi, MA M,Ed Bulbul Khan Ayubi 8-Sep-84 Chitral 14-Oct-06 29-Feb-08 GGHS Warijun 3092 Suraya Shahab, FA Abdus Salim 1-Jan-76 Chitral 29-Feb-08 29-Feb-08 GGMS Bakarabad 3093 MUSSARAT JABEEN MANZOOR UR REHMAN BA CT 1-Apr-75 KOHAT 27-Jun-97 3-Mar-08 GGHSS BABRI BANDA 3094 IRUM FAIAZ FAIZULLAH KHAN MA CT 20-Mar-80 KOHAT 21-May-05 3-Mar-08 GGMS BAQI ZAI 3095 SAJIDA BIBI IRRADAT GUL FA CT 23-Mar-74 KOHAT 3-Mar-08 3-Mar-08 GGHSS BABRI BANDA 3096 Shazia, BA Gulab Shah 6-Oct-76 Chitral 3-Mar-08 3-Mar-08 GGMS Gohkir 3097 Farkhanda Jabeen, MA B/Ed Abdul Karim 11-Mar-81 Chitral 3-Mar-08 3-Mar-08 GGCMHS Denin 3098 RIFFAT NAZ DILAWAR KHAN MSC CT 6-Mar-79 KOHAT 4-Mar-08 4-Mar-08 GGMS CHORLAKI 3099 SHAMIM AKHTER NAZAR GUL FA CT 1-Jul-78 KOHAT 4-Mar-08 4-Mar-08 GGHSS SHAKARDARA 3100 SARTAJ BEGUM GHAREEB GUL BA CT 27-Apr-77 KOHAT 5-Mar-08 5-Mar-08 GGHS DHAND BAKHTAWARA 3101 SAJIDA PERVEEN MIR BADSHAH BA CT 9-Mar-73 KOHAT 5-Mar-08 5-Mar-08 GGHS DHODA 3102 KIRAN SAEED MUHAMMAD SAEED MA CT 7-Oct-78 KOHAT 19-May-05 5-Mar-08 GGHS NO 2 3103 NADIA TABASUM FAZAL KARIM BA CT 8-May-73 KOHAT 5-Mar-08 5-Mar-08 GGMS GANDYALI BALA 3104 YUSRA NASIR NASIR KHEL KHATTAK BA CT 16-Apr-75 KOHAT 6-Mar-08 6-Mar-08 GGMS SIAB 3105 ZAHIDA PARVEEN MUHAMMAD ZAMAN MA CT 20-Sep-72 KOHAT 21-Apr-05 7-Mar-08 GGMS KAM SAM 3106 ASMA BIBI MUHAMMAD ILYAS MA CT 3-Mar-80 KOHAT 10-Mar-08 10-Mar-08 GGHSS BILLITANG 3107 SOFIA TABASSUM MUKARRAK KHAN MSC CT 6-May-74 KOHAT 15-Mar-08 15-Mar-08 GGHSS LACHI 3108 HASINA SHAHEEN MUHAMMAD YOUNIS MA BED 12-Mar-78 PESHAWAR 8-Apr-08 8-Apr-08 GGMS ESSA KHEL 3109 NAZIA ANJUM ABDUL RAHIM KHAN MA MEd 26-Apr-76 PESHAWAR 8-Apr-08 8-Apr-08 GGHS Urmar payan 3110 NASIM BIBI KHALIL UR REHMAN MA MEd 9-Aug-74 PESHAWAR 8-Apr-08 9-Apr-08 GGHS Budhni 3111 Balqees Bibi Taj Ali MA/Bed/CT 9-Mar-68 Peshawar 30-Apr-88 1-May-08 GGHS Zaida 3112 RABIA BIBI MUHAMMAD AKRAM MA CT 27-Jan-68 KOHAT 30-May-96 1-Jul-08 GGHS MARAI BALA 3113 NIGAR FATIMA NASRULLAH JAN BA CT 24-Feb-69 KOHAT 2-Oct-95 1-Jul-08 GGHSS LACHI 3114 NIGHAT SHAHEEN MIAN MARHOOBULLAH MA BED 16-Apr-81 PESHAWAR 3-Apr-03 8-Jul-08 GGHS LARAMA 3115 Neelam Umar 7-Apr-82 Bajaur 1-Aug-08 1-Aug-08 GGMS Inayat Killi 3116 SHAHIDA BEGUM SHABIR JAN MA MEd 4-Nov-74 CHARSADDA 9-Apr-99 4-Aug-08 GGHS Badaber 3117 ZELE HUMA MUHAMMAD TARIQ MA BED 5-Jan-78 PESHAWAR 5-Aug-08 5-Aug-08 GGMS No/1 Cantt/ 3118 Rasheeda Shahroz Shahroz BA/CT 17-Apr-75 Swabi 5-Apr-99 5-Aug-08 GGHS Dobian 3119 NUSRAT GUL REHAN GUL MA MED 5-Dec-72 PESHAWAR 30-Jun-97 8-Aug-08 GGHS Gul Bahar 3120 SAFIA,MA(Isl)/B/Ed HUSSAIN MUHAMAMD 1-Feb-83 Malakand 18-Aug-08 18-Aug-08 GGMS JABAGAI 3121 SHAZIA RAHIM MA/CT RAHIM GUL 20-Jan-85 Malakand 18-Aug-08 18-Aug-08 GGMS KACHI KOPER 3122 Ashan Sharif BA/CT Lach Bar Khan 4-Jun-83 Shangla 20-May-04 18-Sep-08 GGHS Aloch 3123 Nishat Falak(CT)MA,BED Falak Naz MA B,ed 2-Jun-85 Dir (U) 19-Nov-08 19-Nov-08 GGHS, Gandigar 3124 Baserat Naz(CT)MA Wazifullah MA 1-Jan-85 Dir (U) 20/11//2008 20-Nov-08 GGMS, Barikot 3125 Fawqia (CT)MA,BED Alamgir MA B,ed 24-Mar-80 Dir (U) 24-Nov-08 24-Nov-08 GGHS, Ganori 3126 SHAKILA BIBI ABDUR REHMAN MA BED 1-Feb-82 Lakki 11-Jan-02 1-Dec-08 GGCMHS NO/2 LAKKI 3127 Sharafat Begum Said rahman MA/Bed/CT 15-Mar-72 Swabi 16-Feb-97 20-Dec-08 GGHS Dobian 3128 Shahnaz Begum Ali Hassan BA (2nd) B,ed 4-Jan-79 Dir Lower 3-Jan-04 3-Jan-09 3129 Tabasum Zeb Raham Zeb BA (2nd) B,ed 20-Jan-81 Dir Lower 8-Jan-04 3-Jan-09
  • 68.
    Academic Professional Date of 1st D/O Apptt against No. Name of Teacher Father's Name Qualification Qualification Date of Birth Domicile Apptt: Present Post Name of School 1 2 3 4 5 6 7 8 9 10 3130 Hanifa Muhammad BA (2nd) B,ed 5-May-84 Dir Lower 4-Jan-04 3-Jan-09 3131 WAHEEDA BIBI HAJI JUMA KHAN MA BED 4-Jan-80 PESHAWAR 3-Mar-03 4-Jan-09 GGHS ALI ZAI 3132 NAJMA BIBI FARID KHAN BA BED 2-Jan-74 CHITRAL 17-Oct-97 4-Jan-09 GGMS QILLA SHER DIL KHAN 3133 GHAZALA BIBI MUHAMMAD YOUSAF MA BED 2nd Div: 1-Jan-75 HARIPUR 1-Apr-09 4-Jan-09 3134 NADIA RIAZ MUHAMMAD RIAZ KHAN MA /BA 2ND DIV BED 2nd Div: 10-Oct-82 HARIPUR 27-Mar-09 4-Jan-09 3135 ROMANA IRUM MUHAMMAD SALEEM MA /BA IST DIV BED Ist Div 30-Nov-76 HARIPUR 1-Apr-09 4-Jan-09 3136 ZAHIDA IRAM GULZAR ALI SHAH MA/BA 2nd Div CT 13-Mar-77 HARIPUR 1-Apr-09 4-Jan-09 3137 MARIAN JAN RAZA MUHAMMAD BA 2ND DIV CT 15-Apr-66 HARIPUR 22-Aug-84 4-Jan-09 3138 NAHEED AKHTAR ABDUL SALAM BA 2ND DIV CT 3-Jan-74 HARIPUR 1-Apr-09 4-Jan-09 3139 SHAHNAZ BEGUM BANARAS KHAN BA 2ND DIV CT 22-Jul-75 HARIPUR 27-Mar-09 4-Jan-09 3140 SHAZIA RIAZ RIAZ/UL/HASSAN BA CT 3-Jan-77 HARIPUR 27-Mar-09 4-Jan-09 3141 Bibi Wahida Shakh Farid BA B/Ed 8-Oct-52 SWAT 22-May-77 9-Jan-09 GGHS Kokarai 3142 Farzana Jamal Jamal Khan BA Orakzai 1-Feb-09 1-Feb-09 GGMS Ahmad Khel 3143 Falak Naz(CT)MA,BED Ghulam Nabi MA B,ed 20-May-77 Dir (U) 3-Feb-09 3-Feb-09 GGHS, Jabber 3144 Yasmeen BA Amanullah 3-Aug-74 Chitral 10-Nov-94 3-Feb-09 GGMS Nishku 3145 Bibi Shahida MA B/Ed Mir Ajab 4-Mar-78 Chitral 2-Dec-02 3-Feb-09 GGMS Hinjeel 3146 Sultana Bibi MA S/Dur Hayat Shah 3-Apr-75 Chitral 2-Mar-09 3-Feb-09 GGMS Denin 3147 RAHEELA KHATOON MUHAMMAD AYUB BA CT 3-Mar-75 HARIPUR 2-Apr-90 4-Feb-09 3148 Fazrzana Bibi Mir ASlam BA/CT CT 3-Jun-85 Bunir 7-Feb-09 7-Feb-09 GGMS Gazai Abad 3149 Zakia Jabeen(CT)MA, BED M/Rashid MA B,ed 1-Feb-79 Dir (U) 14-Oct-02 12-Feb-09 GGHS, Ganori 3150 NASIRA BEGUM MUHAMMAD ZUBAIR MSC BED 6-Jan-84 DIR LOWER 14-Feb-09 14-Feb-09 GGMS AHMED KHEL PESHAWAR 3151 Ghuncha Gul Shah Bahader Khan MA CT 3-Feb-79 Battagram 22-Feb-09 22-Feb-09 GGMS K/Banda 3152 Kulsoom, MA B/Ed Shah Abdul Amin 6-Dec-75 Chitral 24-Feb-09 24-Feb-09 GGHS Koghuzi 3153 ROMANA SHAMIM SHER MUHAMMAD BA CT 12-Apr-73 KOHAT 25-Feb-09 25-Feb-09 GGMS CHORLAKI 3154 UZMA BANGASH AZAM KHAN MA CT 30-Nov-80 KOHAT 28-Feb-09 28-Feb-09 GGHSS GUMBAT 3155 ZAINAB SALEEM SALEEM KHAN MA CT 5-Jul-74 KOHAT 1-Mar-09 1-Mar-09 GGHS KHARMATOO 3156 SAMINA NAZ HASHIM KHAN BA CT 5-Dec-70 KOHAT 1-Mar-09 1-Mar-09 GGHS KERI SHEIKHAN 3157 ZEENAT IJAZ MIR IJAZ BA II BED 15-Sep-76 CHARSADDA 2-Mar-09 2-Mar-09 3158 Mumlikat Duranay MA/CT 11-Feb-76 Swabi 2-Mar-09 2-Mar-09 GGMS Haryan 3159 Khush Ranga Duranay BA/CT 1-Mar-77 Swabi 2-Mar-09 2-Mar-09 GGMS Daulat 3160 YASMIN GUL MUHAMMAD HUSSAIN MA CT 20-Apr-76 KOHAT 7-Aug-04 3-Mar-09 GGMS KAM SAM 3161 SIDRA FATIMA S/TAHIR HUSSAIN BA CT 1-Jun-84 KOHAT 3-Mar-09 3-Mar-09 GGHS MARAI BALA 3162 Huma Rahman Amir ur Rahman MA/Bed/CT 8-Nov-86 Swabi 22-Mar-07 3-Mar-09 GGMS Thandkoi 3163 Farzana Shaheen Abdul Sattar Khan MA/Bed/CT 12-Feb-78 Swabi 3-Mar-09 3-Mar-09 GGMS Jehanda 3164 Nighat Sarwar Muhamamd Sarwar MA/Bed/CT 25-Mar-79 Swabi 3-Mar-09 3-Mar-09 GGMS Lahor (W) 3165 Hashmat Samand Khan MSc/Med/CT 1-Jan-82 Swabi 3-Mar-09 3-Mar-09 GGHS Salim Khan 3166 Rehana Miskeen Khan MA/Med/CT 1-Jun-75 Swabi 11-Dec-04 4-Mar-09 GGMS Bhaikot Maneri 3167 Rahat Inayat Ullah Inayat Ullah BA/CT 27-Dec-76 Swabi 4-Mar-09 4-Mar-09 GGMS Ganichatra 3168 Asma Miskeen Khan MA/Bed/CT 1-Jan-78 Swabi 4-Mar-09 4-Mar-09 GGHS Panj Pir 3169 FARZANA BEGUM AMIN ULLAH JAN BA CT 3-Mar-75 KOHAT 25-Feb-09 5-Mar-09 GGMS REHMAN ABAD 3170 Firasat Ghafoor Muhammad Ghafoor BA/CT 2-Aug-76 Swabi 5-Mar-09 5-Mar-09 GGMS Zarobi 3171 CHAN BIBI MUHABAT KHAN MA BED 12-Dec-74 HARIPUR 17-Oct-05 28-Mar-09 3172 SHAHIDA GUL ZAMAN MA CT 3-Apr-73 HARIPUR 27-Mar-09 30-Mar-09 3173 GUL NASREEN GUL ZAMAN MA/BA 2ND DIV CT 3-Apr-73 HARIPUR 30-Mar-09 30-Mar-09 3174 SALMA BIBI MUHAMMAD YOUNIS BA 2ND DIV CT 5-Jul-87 HARIPUR 27-Mar-09 31-Mar-09 3175 ARIFA BIBI MSC BED 9-Jun-74 HARIPUR 12-Jun-08 3-Apr-09 3176 Sajida Bibi Javed Khan MA/CT CT 3-Mar-82 Abbott Abad 7-Apr-09 7-Apr-09 GGHS Dassu
  • 69.
    Academic Professional Date of 1st D/O Apptt against No. Name of Teacher Father's Name Qualification Qualification Date of Birth Domicile Apptt: Present Post Name of School 1 2 3 4 5 6 7 8 9 10 3177 Shagufta Bibi Mirzaman BA/CT CT 1-Jan-83 Swabi 7-Apr-09 7-Apr-09 GGHS Dassu 3178 Shazia Zafar Zafarullah CT CT 7-Apr-09 7-Apr-09 GGHS Dassu 3179 JAMILA MA, BED HAZRAT UMAR 8-Oct-82 BUNNER 6-Feb-03 13-Apr-09 GGMS BATARA 3180 NASREEN FA, CT AMARULLAH KHAN 4-Feb-80 BUNNER 6-Apr-09 13-Apr-09 GGHS MATWANAI 3181 KHUSIRAT BA, CT SHAMSUL QAMAR 9-Mar-83 BUNNER 13-Apr-09 13-Apr-09 GGMS PANDIR 3182 YASMEN BA, BED SAKHAWAT SHAH 20-Feb-87 BUNNER 14-Apr-09 14-Apr-09 GGMS DEWANA BABa 3183 RAHAT MA, CT NASIB GUL 4-Apr-82 BUNNER 12-Feb-02 15-Apr-09 GGMS GULBANDAI 3184 MUZIZA BA, CT SUBHANULLAH 25-May-87 BUNNER 27-Mar-04 16-Apr-09 GGMS GULBANDAI 3185 ABIDA BEGUM M SALEEM KHAN MA BA 2ND DIV BED 2nd Div: 14-Apr-73 HARIPUR 25-Apr-09 25-Apr-09 3186 FAHEEM AKHTAR NOSHEEN SHIEKH MUHAMMAD UMAR MSC CT 16-May-83 Lakki 18-Apr-05 1-May-09 GGHS Shabaz khel 3187 HUMA JAMIL ABDUL JAMIL MSC 2-May-85 Lakki 5-Jan-09 1-May-09 GGHS TAJAZAI 3188 Bibi Aalia Haji Habib Ullah BA/CT 28-Jan-66 Swabi 12-Oct-87 1-May-09 GGHS Beka 3189 Bibi Shafia Abdul Wahid BA/CT 15-Apr-77 Swabi 21-Oct-04 1-May-09 GGMS Thandkoi 3190 NISHAT GUL HABIBULLAH KHAN BA 4-Dec-76 Lakki 7-Jan-97 2-May-09 GGMS JAMIL KHAN TEKHTI KHEL 3191 QAISER TABASUM FAIZ ABBAS SHAH FA 12-Dec-78 Lakki 2-May-09 2-May-09 GGMS KOTKA AHMAD KHAN 3192 NOUREEN BEGUM SHER BAHADAR BA CT 15-Feb-77 KOHAT 3-May-09 3-May-09 GGMS DHAND BAKHTAWARA 3193 FARZANA YASMEEN TASAWAR ALI MA BED 25-Apr-80 PESHAWAR 5-May-09 5-May-09 GGMS Atta Mohammad 3194 ANJUMN SHEHLA MIAN FAZAL DAYAN MA BED 23-Apr-79 PESHAWAR 15-Jan-07 5-May-09 GGHS Gul Bahar 3195 IMTIAZ BEGUM M ASGHAR ZAMAN MA BED 12-Aug-79 PESHAWAR 5-May-09 5-May-09 GGMS Lala Killi 3196 SADIA KANWAL ABDULLAH MA MEd 6-Jan-72 PESHAWAR 11-Jan-02 5-May-09 GGMS Sirbiland Pura 3197 SADIA KANWAL MUHAMMAD INAM MA MEd 12-Feb-78 PESHAWAR 4-Mar-03 5-May-09 GGHS Jogiwara 3198 ZENAB UL HARAM IKHTIAR AHMAD BA BED 1-Jan-80 PESHAWAR 6-May-09 6-May-09 GGPMS BUDNI PESHAWAR (JICA) 3199 Najia Gul Gharib Gul BA/CT 21-Jun-69 Swabi 6-May-09 6-May-09 GGMS Bazargi 3200 Saima Bibi Safarsh Khan BA 6-Apr-80 FR Kohat 29-May-09 29-May-09 GGMS Suni Khel 3201 KHURSHID BEGUM MANZAL MIR KHAN BA 15-Mar-82 Lakki 29-May-09 29-May-09 GGMS KHWAJA KHEL 3202 Seema Begum 2-May-87 Bajaur 5-Jun-09 5-Jun-09 GGMS Pashat 3203 NABILA BEGUM WAZIR MUHAMMAD MA MEd 2-Jul-71 PESHAWAR 20-May-92 5-Jun-09 GGMS Deh Bahader 3204 Sabai Bostan Bostan BA/CT CT 3-Mar-81 Abbott Abad 7-Jun-09 7-Jun-09 GGMS Madai Kolaui 3205 Faheem Sharab Khan FA/CT CT 1-Jan-78 Manshar 7-Jun-09 7-Jun-09 GGMS Chakai 3206 Saqai Bibi Fazal Ahmad BA/CT CT 15-Mar-82 Malakand 7-Jun-09 7-Jun-09 GGMS Chakai 3207 Naseem Perveez Mohd Perveez FA/CT CT 22-Sep-80 Manshar 7-Jun-09 7-Jun-09 GGMS Batari 3208 Saeeda Haneef Mohd Haneef BA/CT CT 7-Jan-76 Abbott Abad 7-Jun-09 7-Jun-09 GGMS Guli Bagah 3209 Farkhanda Jabeen Mohd Afzal BA/CT CT 4-Dec-76 Manshar 7-Jun-09 7-Jun-09 GGMS Batari 3210 Rabina Shams Shamsud Deen MA/CT CT 6-Jan-72 Manshar 7-Jun-09 7-Jun-09 GGMS Guli Bagah 3211 Sari Khatoon Badarul Islam MA/CT CT 10-Jun-77 Harpur 7-Jun-09 7-Jun-09 GGMS Dad Boon 3212 Sab Noor Mohd Anwar BA/CT CT 4-Mar-84 Abbott Abad 6/7/2/2009 7-Jun-09 GGMS Dubair 3213 ROBINA BIBI SHER AHSAM MA /BA 3RD DIV BED 11-Oct-71 HARIPUR 9-Jun-09 9-Jun-09 3214 SHAZIA BEGUM SHER AHSAN MA /BA 3RD Div BED 5-Feb-73 HARIPUR 9-Jun-09 9-Jun-09 3215 SHAFIA AZIZ ABDUL AZIZ MA CT 15-Aug-72 HARIPUR 25-Jun-09 25-Jun-09 3216 Asia Abdur/Rashid FA/CT CT 6-Mar-75 Manshar 7-Jul-09 7-Jul-09 GGMS Dubair 3217 Mehreen Gul Gul Badsah BA/CT CT 4-Jan-88 Charsadda 25-Jul-09 25-Jul-09 GGMS Loohi 3218 Niloofar Shaheen Khani Zaman BA/CT CT 15-Apr-70 Manshar 27-Jul-09 27-Jul-09 GGMS Pattan 3219 Tasbas Shaeen Jahan Dad BA/Bed/CT B/Ed 15-Oct-84 Abbott Abad 27-Jul-09 27-Jul-09 GGMS Madai Kolaui 3220 Nazama Shaheen Mohd Saeed BSC/CT CT 11-Oct-79 Abbott Abad 27-Jul-09 27-Jul-09 GGMS Pattan 3221 GUL AFSHAN NOORIN SAFIULLAH MA 27-Sep-76 Lakki 11-Jan-02 1-Aug-09 GGHS GANDI 3222 HAMEEDA MA, BED SHEREE 3-Jan-80 BUNNER 30-Nov-02 9-Aug-09 GGHS CHEENA 3223 Gul Fam Mir daraz Khan FA 8-Jan-85 FR Bannu 13-Aug-09 13-Aug-09 GGMS Sarwar Jan Bakka Khel
  • 70.
    Academic Professional Date of 1st D/O Apptt against No. Name of Teacher Father's Name Qualification Qualification Date of Birth Domicile Apptt: Present Post Name of School 1 2 3 4 5 6 7 8 9 10 3224 Bushra Eid Ma Khan BA 16-Apr-83 FR Bannu 13-Aug-09 13-Aug-09 GGMS Syed Rahman FR Bannu 3225 SHAKEELA FA, CT NOOR UL HAQ 21-Nov-85 BUNNER 30-Jun-09 28-Aug-09 GGHS MATWANAI 3226 Bibi Zahida Shafi/uz/Zaman MA 11-Jan-78 FR Bannu 1-Sep-09 1-Sep-09 GGMS Amir Sher 3227 Nabeela Gul Fazal/ur/Rehman BA 6-Jan-85 FR Peshawar 1-Sep-09 1-Sep-09 GGMS Niaz Mir Killi 3228 FARZANA SHAUKAT SHAUKAT ALI BA BED 28-Feb-70 PESHAWAR 5-Sep-09 5-Sep-09 GGMS KARYANA PESHAWAR 3229 Naureen Anwar Anwar Khan MA 20-Jan-80 FR Tank 8-Sep-09 8-Sep-09 GGMS Ghulam Nabi Kor 3230 SAIRA AMBREEN FAZAL KARIM BA BED 3-Jan-74 PESHAWAR 16-Dec-95 19-Sep-09 GGMS Gul Bachah Jee 3231 Mehnaz begum Mir daraz Khan BA 9-Aug-81 FR Bannu 20-Sep-09 20-Sep-09 GGMS Syed Rahman FR Bannu 3232 QURART/UL/AIN MIFTAH SHAH BA CT 3-Jun-74 HARIPUR 27-Mar-09 4-Nov-09 3233 Gul Gehan BA/CT Sultan 5-Dec-76 Shangla 16-Apr-95 17-Dec-09 GGHS Aloch 3234 Farah Deeba Mailk Sarfaraz Khan BA/CT 10-Jul-73 Swabi 22-Dec-09 22-Dec-09 GGHS Tordher 3235 JAMILA KHATOON FAZAL/UR/REHMAN MA CT 2-Jun-77 HARIPUR 1-Feb-10 2-Jan-10 3236 JAMILA KHATOON FAZAL/UR/REHMAN BA CT 2-Jun-77 HARIPUR 1-Feb-10 2-Jan-10 3237 NOUREEN AKHTAR UMAR AYAZ MSC CT 2-Feb-84 KOHAT 18-May-05 3-Jan-10 GGMS SUDAL 3238 Naseem Akhtar Mian Bacha MA B/Ed 1-Nov-73 SWAT 14-Sep-06 21-Jan-10 GGHS Barikot 3239 Naveeda Waheed Abdul Wahid MA 1-Mar-81 Mohmand 1-Feb-10 1-Feb-10 GGHS Dab Kor 3240 Musrat Farid Muhammad Farid Khan BA CT 1-Apr-70 SWAT 18-Oct-89 1-Feb-10 GGMS Kishwara 3241 Chand Begum Muhammad Sher Ali Khan BA CT 12-Mar-73 SWAT 1-Feb-10 1-Feb-10 GGMS Fazal Abad(D) 3242 Nusrat Masood Alam BA CT 20-Feb-74 SWAT 1-Feb-10 1-Feb-10 GGMS Sakhra 3243 Naseem Begum Abdur Rauf MA CT 1-Jan-75 SWAT 3-Jul-95 1-Feb-10 GGHS Charbagh 3244 Nowsheen Hamayun Khan MA CT 10-Apr-75 SWAT 1-Feb-10 1-Feb-10 GGMS Taghma 3245 Zeenat Begum Roshan Diyar MA CT 1-Mar-76 SWAT 1-Feb-10 1-Feb-10 GGHS No/2Mingora 3246 Saleema Begum Hussain Ahmad BA CT 3-Mar-76 SWAT 1-Feb-10 1-Feb-10 GGMS Shakar Dara 3247 Yasmeen Noor Shujat Khan MA CT 2-Apr-76 SWAT 1-Feb-10 1-Feb-10 GGMS Gat 3248 Husna Begum Muhammad Wakil MA B/Ed 18-Apr-76 SWAT 28-Apr-99 1-Feb-10 GGHS fatehpur 3249 Shazia Nawab Ali BA B/Ed 5-May-76 SWAT 1-Feb-10 1-Feb-10 GGMS Kalgram 3250 Bakhtawara Amir Sazan Khan MA CT 7-Jul-76 SWAT 1-Feb-10 1-Feb-10 GGMS Gat 3251 Nazikat Sher Malik MA/B/Ed 4-Jun-76 SWAT 1-Feb-10 1-Feb-10 GGMS Araq 3252 Hidayat Sher Ali Khan MA B/Ed 1-Feb-77 SWAT 1-Feb-10 1-Feb-10 GGMS Araq 3253 Rahmat Begum Taj Mukhtyar MA B/Ed 12-Feb-77 SWAT 1-Feb-10 1-Feb-10 GGMS Ningolai 3254 Noreen Hamayun MA CT 19-May-77 SWAT 1-Feb-10 1-Feb-10 GGMS Bar Shawar 3255 Rani Gul Sanaullah BA CT 1-Apr-78 SWAT 1-Feb-10 1-Feb-10 GGMS Kalgram 3256 Shabana Inayatullah MA B/Ed 15-Apr-78 SWAT 24-Mar-05 1-Feb-10 GGHS K/D/Khela 3257 Nazmia Nawab Ali BA CT 14-May-78 SWAT 1-Feb-10 1-Feb-10 GGMS Qandil 3258 Zuhra Begum Rahim Gul MA B/Ed 12-Jun-78 SWAT 14-Sep-06 1-Feb-10 GGMS Ahingaro Dherai 3259 Musarat Muhammad Sadiq BA B/Ed 1-Apr-80 SWAT 28-Apr-99 1-Feb-10 GGHS Matta 3260 Bibi Aisha Muhammad Khan MA CT 1-May-80 SWAT 13-Nov-02 1-Feb-10 GGMS Sumbat 3261 Robina Murad Muhammad Khan MA B/Ed 18-Dec-84 SWAT 27-Nov-06 1-Feb-10 GGMS Dardyal 3262 Naheed Akhtar Muhammad Khan MA CT 3-Mar-85 SWAT 1-Feb-10 1-Feb-10 GGHSS Matta 3263 Nadia Raham Badshah MA CT 12-Nov-85 SWAT 1-Feb-10 1-Feb-10 GGMS Koz Shawar 3264 Husna Muhammad Dawran M/Sc CT 30-Mar-86 SWAT 1-Feb-10 1-Feb-10 GGMS Shokdara 3265 Farzana Yasmeen Mian Sher Ali Khan BA CT 3-Jun-86 SWAT 1-Feb-10 1-Feb-10 GGMS Rasha Gata 3266 Nazia Ghulam Qadir BA CT 14-Jun-86 SWAT 1-Feb-10 1-Feb-10 GGHSS Matta 3267 Fawzia Rahman Habibur Rahman BA CT 28-May-76 SWAT 2-Feb-10 2-Feb-10 GGMS Arkot 3268 RAHAT BANO ABDUL WAHAB MA BED 14-Feb-78 PESHAWAR 20-May-09 9-Feb-10 GGMS Hazar Khawani No/1 3269 Fozia Naz Fazal Karim BA 29-Jul-81 FR Kohat 10-Feb-10 10-Feb-10 GGMS Germany Kalli 3270 Farash Naz Muhibullah Khan MA B/Ed 17-Jan-76 SWAT 25-Jun-97 22-Feb-10 GGMS Parrai
  • 71.
    Academic Professional Date of 1st D/O Apptt against No. Name of Teacher Father's Name Qualification Qualification Date of Birth Domicile Apptt: Present Post Name of School 1 2 3 4 5 6 7 8 9 10 3271 UMMIAT BIBI, BA (2nd) / B/Ed NASEEB ULLAH 16-Apr-69 Malakand 26-Jun-97 23-Feb-10 GGHS KHAR 3272 ZAHIDA BEGUM, BA MUHAMMAD HUSSAIN 7-Apr-79 Malakand 1-Sep-03 23-Feb-10 GGHSS KOPER 3273 NASEEM BEGUM MIR AHMAD 4-Mar-79 Malakand 1-Sep-87 23-Feb-10 GGHS MAINA 3274 SHAKILA SAID MALOOK 10-Feb-71 Malakand 7-Oct-94 23-Feb-10 GGHS PIRKHEL 3275 SASSI BENAZIR, FA MINHAJ UD DIN 1-Feb-76 Malakand 23-Feb-10 23-Feb-10 GGHS WARTAIR 3276 FARZANA, MA HAMAISH GUL 1-Jan-79 Malakand 31-Aug-02 23-Feb-10 GGHS WARTAIR 3277 SUMAIRA NAZ, M/Sc (CH:) TAJ GUL 12-Aug-86 Malakand 23-Feb-10 23-Feb-10 GGMS JABAGAI 3278 NASREEN KAREEM, BA (2nd) / B/ED SAID KAREEM 20-Aug-67 Malakand 26-Oct-85 23-Feb-10 GGMS JALAL KOT 3279 ROHITAN, FA ABDUR REHMAN 1-Mar-80 Malakand 13-Nov-02 23-Feb-10 GGMS GULU SHAH 3280 SABIQA, FAZAL QADIR 2-Apr-82 Malakand 23-Feb-10 23-Feb-10 GGMS MEKHBAND 3281 SAMINA BIBI,MA SADIQ AHMAD 20-Dec-82 Malakand 24-Feb-10 23-Feb-10 GGMS QADAR KALLY 3282 RAZIA BIBI,MA(Urdu) SULTAN MUHAMMAD 9-Sep-78 Malakand 23-Feb-10 23-Feb-10 GGMS QALDARA 3283 ANBAREEN BEGUM BA(2nd)B/Ed HAKIM KHAN 15-Mar-70 Malakand 19-Apr-92 24-Feb-10 GGHS AGRA 3284 SEEMA BANO, MA ABDUL WASI 7-May-77 Malakand 24-Feb-10 24-Feb-10 GGHS PALAI 3285 SHABNAM,BA FAZAL RAHMAN 1-Jan-76 Malakand 24-Feb-10 24-Feb-10 GGMS ABBAS KALLAY 3286 FARAH NAZ,MA SAID RAHMAN 17-Apr-76 Malakand 5-May-09 24-Feb-10 GGMS GARANG DARA 3287 RUKHSANA, BA (2Nd) / B/Ed AHMAD KHAN 7-Jul-75 Malakand 24-Feb-10 24-Feb-10 GGMS MAYAR 3288 SADIA BEGUM, BA (2nd) / B/Ed AMIR ZADA 11-Apr-79 Malakand 20-Nov-02 24-Feb-10 GGMS QADAR KALLY 3289 SAEEDA BEGUM, BA IHSAN NABI 15-Aug-78 Malakand 12-Mar-03 24-Feb-10 GGMS ZOOR MANDI 3290 SHAZIA AYIN, BA (2Nd) /B/Ed MUHAMMAD AYIN 1-Jan-76 Malakand 25-Feb-10 25-Feb-10 GGHS AGRA 3291 FAHIMA NAZ, BA QAMAR ZAMAN 26-Oct-71 Malakand 25-Feb-10 25-Feb-10 GGMS BAZDARA BALA 3292 SAMINA QAYUM, BA AMJAD ALI SHAH 9-Jun-74 Malakand 26-Feb-10 26-Feb-10 GGMS GARANG DARA 3293 NAZIA SALEEM, BA MUHAMMAD SALEEM 10-Apr-83 Malakand 23-Feb-10 1-Mar-10 GGHS KOT 3294 BIBI FATIMA SHER AFZAL BA CT 20-Apr-74 KARAK 1-Jun-96 5-Mar-10 GGMS Z/S/A/Dad 3295 Sira Saif Saifur Rehman MA 6-Apr-84 FR Kohat 15-Mar-10 15-Mar-10 GGMS Surak Toor Chapper 3296 SUCHA BIBI,FA SULTAN HUSSAIN SHAH 15-Apr-64 Malakand 16-Oct-86 25-Mar-10 GGMS JALAL KOT 3297 SHAMA KHAN RIAZ KHAN FA CT 15-Apr-73 HARIPUR 26-Mar-10 26-Mar-10 3298 SHAMA KHAN MUHAMMAD NADEEM KAHN FA CT 15-Apr-73 HARIPUR 26/3/210 26-Mar-10 3299 RAZIA SULTANA SULTAN MUHAMMAD BSC CT 31-Jan-65 KOHAT 22-Oct-89 30-Mar-10 GGHSS BILLITANG 3300 SAIRA NASEEM SYED NAJMUL HUSSAIN MA CT 10-Jan-62 KOHAT 26-May-88 5-Apr-10 GGHS USTERZAI PAYAN 3301 Nazia Nosheen Nesrullah B/A B/ Ed 3-Feb-70 Nowshera 12-Apr-90 13-Apr-10 3302 NISHAD BA(2nd) NOOR ZADA 1-Apr-87 Malakand 15-Apr-10 15-Apr-10 GGHS AGRA 3303 Jabeen, BA Sikandar Khan 5-May-70 Chitral 13-Dec-89 17-Apr-10 GGHS Reshun 3304 Saira Waheed Abdul Waheed M/A B/ Ed, C/T Sawabi 3-Apr-96 22-Apr-10 3305 RUQIA ANJUM MUHAMMAD AFZAL BA 2ND DIV CT 4-Mar-85 HARIPUR 16-Jun-10 16-Jun-10 3306 SAMIYA RAHIM BA, CT NOOR RAHIM 30-Oct-84 BUNNER 30-May-03 4-Aug-10 GGHS BAZARGAI 3307 ASIA MA,CT SAID LAYAQ SHAH 1-Jan-75 BUNNER 18-Dec-94 11-Aug-10 GGMS KULYARI 3308 Tasneem Kausar Farukh Siyar BA/CT 21-Feb-71 Swabi 4-Oct-07 11-Aug-10 GGMS Ganichatra 3309 Mir Afzoon Abdul Qyyum BA/CT 15-Dec-74 Swabi 11-Aug-10 11-Aug-10 GGMS Mangla Chai 3310 Salma Naheed Muhammad Amin MA/Bed/CT 8-Mar-73 Swabi 12-Aug-10 12-Aug-10 GGHS Panjman 3311 RUKHSANA BEGUM GHULAM MUHAMMAD BA II BED 17-Jan-75 CHARSADDA 9-Mar-09 17-Aug-10 3312 SHAZIA AMAN AMAN ULLAH BA II BED 2-Feb-77 PESHAWAR 2-Jun-04 1-Sep-10 3313 MEHER BEGUM ABDUL BASIR BA II BED 2-Feb-61 CHARSADDA 2-Mar-88 21-Oct-10 3314 SEEMA GUL SHAH KHAIR ULKLAH BA II BED 1-Mar-77 CHARSADDA 27-Apr-98 21-Oct-10 3315 HASEENA NOOR AJAB NOOR BA II BED 31-Dec-76 CHARSADDA 1-Feb-97 1-Nov-10 3316 MAMONA NAZIR ALI SHAH BA II BED 14-Feb-83 CHARSADDA 1-Feb-05 1-Nov-10 3317 AFSHAN BIBI ANWAR KHAN BA II BED 4-Apr-85 CHARSADDA 1-Nov-10 1-Nov-10
  • 72.
    Academic Professional Date of 1st D/O Apptt against No. Name of Teacher Father's Name Qualification Qualification Date of Birth Domicile Apptt: Present Post Name of School 1 2 3 4 5 6 7 8 9 10 3318 KHALIDA SAMAD ABDUL SAMAD BA II BED 1-Aug-71 CHARSADDA 1-Dec-10 1-Nov-10 3319 TAHIRA JABEEN ZIKRIYA KHAN BA CT 6-Apr-75 KOHAT 7-Apr-93 1-Nov-10 GGHS SHEWAKI 3320 ABIDA PERVEEN KHAN BADSHAH BSC CT 12-Oct-75 KOHAT 2-Nov-10 2-Nov-10 GGMS ALI KACH 3321 BENAZIR BEGUM MUHAMMAD SAEED MSC CT 3-Feb-75 KOHAT 2-Nov-10 2-Nov-10 GGMS GANDYALI BALA 3322 SONIA BANGASH TAIMOOR KHAN MA CT 1-Mar-80 KOHAT 3-Nov-10 3-Nov-10 GGHS KERI SHEIKHAN 3323 NIGHAT BIBI MUHAMMAD ISRAIL BA CT 18-Nov-82 KOHAT 3-Nov-10 3-Nov-10 GGMS MUSA KHEL KACHAI 3324 SHABANA ALI MIRZA ALI KHAN MA CT 3-Jun-80 KOHAT 3-May-99 4-Nov-10 GGMS ALI KACH 3325 SAMAR BATOOL SYED AWAN ALI SHAH BA CT 3-Sep-80 KOHAT 2-Jun-99 5-Nov-10 GGMS ALI ZAI 3326 SHABANA TAJ TAJ MUHAMMAD BA CT 22-Jan-68 KOHAT 5-Nov-10 5-Nov-10 GGMS Z/S/A/Dad 3327 Roqia Khatoon faqir hussain MA Bed B/Ed 28-Dec-80 Mohmand 10-Nov-10 10-Nov-10 GGMS Dag mulla 3328 WAHEEDA NAZ FAIZ ULLAH KHAN BA CT 11-May-72 KOHAT 14-Feb-95 10-Nov-10 GGMS SUDAL 3329 Saira Negar Nigar Ahmad BA B/Ed 6-May-70 DIR 31-Jul-90 14-Nov-10 GGMS Sumbat 3330 Haleema Bibi Hassan Shah BA/CT 12-Apr-75 Swabi 23-Nov-10 23-Nov-10 GGMS Centre Saproona 3331 Bibi Fatima, BA Wali Khan 6-Sep-66 Chitral 24-Nov-10 24/11/2010 GGMS Bakarabad 3332 Kaneez Fatima, BA B/Ed Haji Hussain Shah 7-Mar-71 Chitral 24-Nov-10 24/11/2010 GGMS Morilasht 3333 Nasreen Akhtar, MA Habibullah 2-Feb-72 Chitral 24-Nov-10 24/11/2010 GGMS Shotkhar 3334 Nargis Bibi, BA Zar Khan 10-Dec-72 Chitral 24-Nov-10 24/11/2010 GGMS Shotkhar 3335 Bibi Nasira, BA Taighoon Shah 5-Jun-73 Chitral 24-Nov-10 24/11/2010 GGMS Moroi 3336 Tehseen Nisar Muhammad Nisar BA/CT 21-Aug-73 Swabi 1-Dec-10 1-Dec-10 GGMS Mangla Chai 3337 RUBY GUL MUHAMMAD BA II BED 15-Mar-77 CHARSADDA 5-Nov-10 8-Dec-10 3338 Seema Gulfam Mir Ajab Khan BA B/Ed: 1-Jul-62 Karak 10-Oct-86 30/12/2010 GGMS Mandar Killa 3339 Nargas Bibi Nasib Zar MA CT 10-Feb-78 Battagram 4-Aug-04 2-Jan-11 GGMS Pahgora 3340 Muhsina Bibi Molvi Khushal Khan MA CT 2-Jan-86 Battagram 12-Jan-06 2-Jan-11 GGMS Gijbori 3341 SURRIYA KHATOON NAZAR HUSSAIN BA CT 1-Mar-74 HANGU 23-Nov-02 12-Jan-11 GGHS USTERZAI PAYAN 3342 Razia Parveen, Zahar Mulok MA M/Ed: 1-Feb-78 Karak 31-Dec-10 18-Jan-11 GGHS, Tarki Khel 3343 Zeenat Firdus, Abdur ur Rehman MA B/Ed: 10-Oct-82 Karak 3-Feb-05 24-Jan-11 GGHS Sabir Abad/ Deputy Directress (Estab:) Directorate of Elem: & Secy: Edu: Khyber Pakhtunkhwa Peshawar