DÜNYA’NIN İKLİM ZENGİNLİĞİ(İKLİM TİPLERİ)
*** L1 Coğrafya ders kitabı sayfa 83 – 89 arasında konu anlatımı bulunmaktadır.
MAKROKLİMA İKLİM TİPLERİSICAKLIKLARINA GÖRE*SıcakKuşakİklimleri    - Ekvatoral    - Savan ( Yazlarıyağışlıtropikaliklim )    - Muson    - Çöl*IlımanKuşakİklimleri    - Akdeniz    - Ilımanokyanus    - Step ( IlımanKarasal -Bozkır )    - GerçekKarasal ( SoğukKarasal )* SoğukKuşakİklimleri     - Tundra ( Kutupaltıİklimi)     - Kutup ( Soğukİklim)YAĞIŞ REJİMLERİNE GÖRE*Her mevsim bol yağışlı     - Ekvatoral      - Ilıman Okyanusal* Yazı yağışlı , kışı kurak      - Savan      - Muson      -Karasal     - Tundra* Kışı yağışlı , yazı kurak      - Akdeniz* En yağışlı mevsimi ilkbahar olan      - Step ( orta kuşak) *Yağış zamanı belirsiz  olanlar       - Çöl      - Kutup(Yağış rejimleri yok)
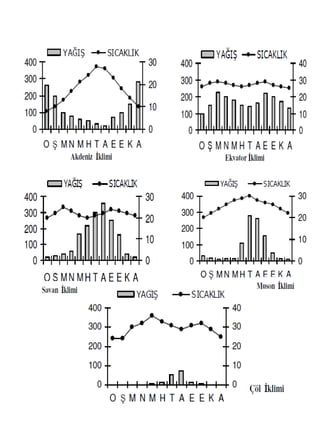
İKLİM GRAFİĞİ ÇALIŞMASIBAAşağıdakisorularıyanıtlayarak yukarıdaki iklimgrafiğininhangiiklimtipineaitolduğunuveDünya’daneredegörülebileceğinibulunuz.
İKLİM TİPLERİ      * Aşağıdaki haritalarda gösterilen makroklima iklim tiplerini   haritanın altına yazınız.    1-................KUTUP..................................                   2-  .......TUNDRA................................   3-............GERÇEK KARASAL................                 4-........ILIMAN KARASAL ( STEP).....    5-.............ÇÖL.................................                   6- ....MUSON................................
  7-.................EKVATORAL( TROPİKAL).........               8-....AKDENİZ...................  9-........OKYANUSAL   ...............................    10-SAVAN( YAZLARI YAĞIŞLI TROPİKAL İKLİM)
İKLİM TİPLERİMakroklima:Sıcaklık,basınç ve nemliliközellikleri benzerlik gösteren, geniş alanlarda etkili olan büyük iklim tipleridir. Örneğin; Akdeniz, Savan, Karasal, Muson gibi.Büyük iklim tiplerinin belirlenmesinde temel etken …kara ve denizlerindağılışıdırMikroklima: Büyük iklim tipleri içinde etki alanı daha …dar..olan, …küçük...iklim gruplarıdır. Etki alanı …geniş….olmayan bu iklimlerin oluşmasında temel etken ……yüzey ..şartlarıdır. Örneğin; Rize yöresi, Iğdır yöresi gibi.Yağış rejimlerine göreDüzenli rejimliler;Ekvatoral İklimOkyanusal iklimDüzensiz rejimliler;………………. iklimi……………… iklimi……………….. İklimi………………. İklimi………………. İklimi…………....... iklim………………   iklimi.................. iklimi10Sıcaklık kuşaklarınagöre*SıcakKuşakİklimleri    - Ekvatoral    - ...Savan.....( Yazlarıyağışlıtropikaliklim )    - Muson    - .Çöl...........*IlımanKuşakİklimleri    - Akdeniz    - Ilımanokyanus    - ..Step.... ( IlımanKarasal -Bozkır )    - GerçekKarasal ( ..soğuk   karasal........)* SoğukKuşakİklimleri     - ...Tundra........( Kutupaltıİklimi)     - Kutup ( Soğukİklim)
11EKVATORAL İKLİM Yaklaşık …10K ile…10G enlemleri arasında görülür. G. Amerika’da Amazon havzası, Kuzey Afrika’da …Kongo .havzası ve …Güney Doğu Asya…….adalarında görülür.
Yıllık sıcaklık ortalaması 25 °C’nin üstündedir
Yıllık ve günlük sıcaklık farkı en az olan iklimdir (1-2 °C civarında). Nedenleri : Yüksek nemlilik.ve  güneş ışınlarının düşme açısının az değişmesidir.)
Yıllık sıcaklık farkı 5ºC yi geçmez
Her mevsim …yağış..alır.Yani yağış rejimi düzenlidir.. Fakat en fazla yağış güneş ışınlarının Ekvatora dik geldiği  …ekinoks……tarihlerinde görülür.
Yıllık yağış miktarı 2000 mm. den fazladır.
Yağışlar oluşum bakımından yükselim…(konveksiyonel)……yağışlarına örnektir.
Bitki örtüsü …yağmur ….ormanlarıdır.Örnek:Örnek:Cevap:CCevap:C
12YAZI YAĞIŞLI TROPİKAL (SAVAN) İKLİM…Ekvatoraliklim ile …Çöl.iklimi arasında görülür ( 10-…20..kuzey ve güney enlemleri arasında görülür)
Bu iklim bölgesinde güneş ışınları yılda …2….kez dik açıyla düşer.

El kitabi iklim-tipleri-_yanitlari

  • 1.
  • 2.
    *** L1 Coğrafyaders kitabı sayfa 83 – 89 arasında konu anlatımı bulunmaktadır.
  • 3.
    MAKROKLİMA İKLİM TİPLERİSICAKLIKLARINAGÖRE*SıcakKuşakİklimleri - Ekvatoral - Savan ( Yazlarıyağışlıtropikaliklim ) - Muson - Çöl*IlımanKuşakİklimleri - Akdeniz - Ilımanokyanus - Step ( IlımanKarasal -Bozkır ) - GerçekKarasal ( SoğukKarasal )* SoğukKuşakİklimleri - Tundra ( Kutupaltıİklimi) - Kutup ( Soğukİklim)YAĞIŞ REJİMLERİNE GÖRE*Her mevsim bol yağışlı - Ekvatoral - Ilıman Okyanusal* Yazı yağışlı , kışı kurak - Savan - Muson -Karasal - Tundra* Kışı yağışlı , yazı kurak - Akdeniz* En yağışlı mevsimi ilkbahar olan - Step ( orta kuşak) *Yağış zamanı belirsiz olanlar - Çöl - Kutup(Yağış rejimleri yok)
  • 4.
    İKLİM GRAFİĞİ ÇALIŞMASIBAAşağıdakisorularıyanıtlayarakyukarıdaki iklimgrafiğininhangiiklimtipineaitolduğunuveDünya’daneredegörülebileceğinibulunuz.
  • 8.
    İKLİM TİPLERİ * Aşağıdaki haritalarda gösterilen makroklima iklim tiplerini haritanın altına yazınız. 1-................KUTUP.................................. 2- .......TUNDRA................................ 3-............GERÇEK KARASAL................ 4-........ILIMAN KARASAL ( STEP)..... 5-.............ÇÖL................................. 6- ....MUSON................................
  • 9.
    7-.................EKVATORAL(TROPİKAL)......... 8-....AKDENİZ................... 9-........OKYANUSAL ............................... 10-SAVAN( YAZLARI YAĞIŞLI TROPİKAL İKLİM)
  • 10.
    İKLİM TİPLERİMakroklima:Sıcaklık,basınç venemliliközellikleri benzerlik gösteren, geniş alanlarda etkili olan büyük iklim tipleridir. Örneğin; Akdeniz, Savan, Karasal, Muson gibi.Büyük iklim tiplerinin belirlenmesinde temel etken …kara ve denizlerindağılışıdırMikroklima: Büyük iklim tipleri içinde etki alanı daha …dar..olan, …küçük...iklim gruplarıdır. Etki alanı …geniş….olmayan bu iklimlerin oluşmasında temel etken ……yüzey ..şartlarıdır. Örneğin; Rize yöresi, Iğdır yöresi gibi.Yağış rejimlerine göreDüzenli rejimliler;Ekvatoral İklimOkyanusal iklimDüzensiz rejimliler;………………. iklimi……………… iklimi……………….. İklimi………………. İklimi………………. İklimi…………....... iklim……………… iklimi.................. iklimi10Sıcaklık kuşaklarınagöre*SıcakKuşakİklimleri - Ekvatoral - ...Savan.....( Yazlarıyağışlıtropikaliklim ) - Muson - .Çöl...........*IlımanKuşakİklimleri - Akdeniz - Ilımanokyanus - ..Step.... ( IlımanKarasal -Bozkır ) - GerçekKarasal ( ..soğuk karasal........)* SoğukKuşakİklimleri - ...Tundra........( Kutupaltıİklimi) - Kutup ( Soğukİklim)
  • 11.
    11EKVATORAL İKLİM Yaklaşık…10K ile…10G enlemleri arasında görülür. G. Amerika’da Amazon havzası, Kuzey Afrika’da …Kongo .havzası ve …Güney Doğu Asya…….adalarında görülür.
  • 12.
    Yıllık sıcaklık ortalaması25 °C’nin üstündedir
  • 13.
    Yıllık ve günlüksıcaklık farkı en az olan iklimdir (1-2 °C civarında). Nedenleri : Yüksek nemlilik.ve güneş ışınlarının düşme açısının az değişmesidir.)
  • 14.
  • 15.
    Her mevsim …yağış..alır.Yaniyağış rejimi düzenlidir.. Fakat en fazla yağış güneş ışınlarının Ekvatora dik geldiği …ekinoks……tarihlerinde görülür.
  • 16.
    Yıllık yağış miktarı2000 mm. den fazladır.
  • 17.
    Yağışlar oluşum bakımındanyükselim…(konveksiyonel)……yağışlarına örnektir.
  • 18.
    Bitki örtüsü …yağmur….ormanlarıdır.Örnek:Örnek:Cevap:CCevap:C
  • 19.
    12YAZI YAĞIŞLI TROPİKAL(SAVAN) İKLİM…Ekvatoraliklim ile …Çöl.iklimi arasında görülür ( 10-…20..kuzey ve güney enlemleri arasında görülür)
  • 20.
    Bu iklim bölgesindegüneş ışınları yılda …2….kez dik açıyla düşer.