Download free for 30 days
Sign in
Upload
Language (EN)
Support
Business
Mobile
Social Media
Marketing
Technology
Art & Photos
Career
Design
Education
Presentations & Public Speaking
Government & Nonprofit
Healthcare
Internet
Law
Leadership & Management
Automotive
Engineering
Software
Recruiting & HR
Retail
Sales
Services
Science
Small Business & Entrepreneurship
Food
Environment
Economy & Finance
Data & Analytics
Investor Relations
Sports
Spiritual
News & Politics
Travel
Self Improvement
Real Estate
Entertainment & Humor
Health & Medicine
Devices & Hardware
Lifestyle
Change Language
Language
English
Español
Português
Français
Deutsche
Cancel
Save
Submit search
EN
Uploaded by
Cesar Jesus Estrada Escobedo
DOCX, PDF
207 views
Ejercicio 8 Pernos
En esta presentación se hablara acerca del ejercicio 8 de Pernos
Read more
0
Save
Share
Embed
Embed presentation
Download
Download to read offline
1
/ 5
2
/ 5
3
/ 5
4
/ 5
5
/ 5
More Related Content
DOCX
Ejercicio 8 Pernos
by
Cesar Jesus Estrada Escobedo
PPTX
Histograma
by
ramirez_cabral
PDF
Silver dollars stock_club_chap2_(marvie_f.)
by
marvie-marv
PDF
Silver dollars stock_club_chap2_(marvie_f.)
by
marvie-marv
PDF
USB pricelist
by
Marketing Press
PDF
хи квадрат тархалт
by
Adilbishiin Gelegjamts
PPTX
Pernos ocho
by
Lúaz Garcia
DOCX
Calidad en la producción
by
luiisalbertoo-laga
Ejercicio 8 Pernos
by
Cesar Jesus Estrada Escobedo
Histograma
by
ramirez_cabral
Silver dollars stock_club_chap2_(marvie_f.)
by
marvie-marv
Silver dollars stock_club_chap2_(marvie_f.)
by
marvie-marv
USB pricelist
by
Marketing Press
хи квадрат тархалт
by
Adilbishiin Gelegjamts
Pernos ocho
by
Lúaz Garcia
Calidad en la producción
by
luiisalbertoo-laga
What's hot
RTF
Anova
by
rismawulanda
PPTX
Iselaa
by
Iselitaa Hernadez
XLS
Simulación excel de la distribución de población y las contribuciones a la fu...
by
Luis Seijo
PPTX
Medidas de tendencia y dispersión
by
Feer ChaVez Reiies
PDF
Tubos rectangulares de acero
by
Tubos de Acero Eduardo Cortina
PDF
Mm 116 calificaciones
by
Mario José
PDF
tabela pcs
by
documentosdiversos
PPTX
Ejercicio 8
by
ing_eduardo
PDF
Reductor linea-gc
by
Fer Lopez
DOCX
Tabla
by
THEBESTSEGADOR
DOCX
ХТНСангийн 2011 оны өдөр тутмын уншигч бүртгэлийн мэдээ
by
Begzsuren Jamsranjav
PDF
Guia 12
by
Jhojana Carrillo
PDF
Tabel t
by
Ageng H
PDF
Elastic Beam on a Winkler Foundation
by
Do Tuan Phong
PDF
Tightening torque
by
PIRECO
Anova
by
rismawulanda
Iselaa
by
Iselitaa Hernadez
Simulación excel de la distribución de población y las contribuciones a la fu...
by
Luis Seijo
Medidas de tendencia y dispersión
by
Feer ChaVez Reiies
Tubos rectangulares de acero
by
Tubos de Acero Eduardo Cortina
Mm 116 calificaciones
by
Mario José
tabela pcs
by
documentosdiversos
Ejercicio 8
by
ing_eduardo
Reductor linea-gc
by
Fer Lopez
Tabla
by
THEBESTSEGADOR
ХТНСангийн 2011 оны өдөр тутмын уншигч бүртгэлийн мэдээ
by
Begzsuren Jamsranjav
Guia 12
by
Jhojana Carrillo
Tabel t
by
Ageng H
Elastic Beam on a Winkler Foundation
by
Do Tuan Phong
Tightening torque
by
PIRECO
Viewers also liked
PDF
Midia kit octavio
by
jetmob
PPTX
Xocolatada
by
montsepl78
PDF
Compliance in Unified Communications & Collaboration- The Financial Sector (1)
by
Steve Hood
PDF
VictorRobinson (1)
by
victor robinson
PPTX
English Conversation in the School
by
Septi Ratnasari
PPTX
Naistepäev
by
Anna K
PDF
Consultores digitais semana 3 dia 4 versao 2.0 (participantes)
by
Bootcamp Consultores Digitais
PDF
Up Norte | Cachambi | Even
by
Rio Towers Imóveis
PPTX
La música
by
juliju123
PPTX
O uso dos computadores na escola - Vivian Lopes - 1º período Letras
by
Vivian Lopes
PDF
Camino Abierto (Fr) v2.0
by
CaminoAbiertoTravels
PDF
online feedback
by
Megan Mead
PPTX
Pj -MAIS
by
Instituto AUÁ de Empreendedorismo Socioambiental
DOCX
1
by
วิจิตร สินสุข
PPTX
Evaluation of Digipak Front Cover
by
dehammondhall
PDF
Consultores Digitais semana 1 dia 4 (participantes)
by
Bootcamp Consultores Digitais
PDF
كريم الشاذلي ما لم يخبرني به أبي عن الحياة
by
Bádēŗ Ħzãzê
PDF
Juan diego martinez rodriguez
by
Nicolasesguerrateckno
PPT
Informática versión97-03
by
ramiro1hmluigisilva
PPT
Avaliação ecossistemica
by
Instituto AUÁ de Empreendedorismo Socioambiental
Midia kit octavio
by
jetmob
Xocolatada
by
montsepl78
Compliance in Unified Communications & Collaboration- The Financial Sector (1)
by
Steve Hood
VictorRobinson (1)
by
victor robinson
English Conversation in the School
by
Septi Ratnasari
Naistepäev
by
Anna K
Consultores digitais semana 3 dia 4 versao 2.0 (participantes)
by
Bootcamp Consultores Digitais
Up Norte | Cachambi | Even
by
Rio Towers Imóveis
La música
by
juliju123
O uso dos computadores na escola - Vivian Lopes - 1º período Letras
by
Vivian Lopes
Camino Abierto (Fr) v2.0
by
CaminoAbiertoTravels
online feedback
by
Megan Mead
Pj -MAIS
by
Instituto AUÁ de Empreendedorismo Socioambiental
1
by
วิจิตร สินสุข
Evaluation of Digipak Front Cover
by
dehammondhall
Consultores Digitais semana 1 dia 4 (participantes)
by
Bootcamp Consultores Digitais
كريم الشاذلي ما لم يخبرني به أبي عن الحياة
by
Bádēŗ Ħzãzê
Juan diego martinez rodriguez
by
Nicolasesguerrateckno
Informática versión97-03
by
ramiro1hmluigisilva
Avaliação ecossistemica
by
Instituto AUÁ de Empreendedorismo Socioambiental
More from Cesar Jesus Estrada Escobedo
DOCX
Tipos de graficos de control
by
Cesar Jesus Estrada Escobedo
DOCX
Gráfico de control para variables
by
Cesar Jesus Estrada Escobedo
DOCX
Diferencia entre grafico xr,xs
by
Cesar Jesus Estrada Escobedo
DOCX
Gráficos de control
by
Cesar Jesus Estrada Escobedo
DOCX
Gráficos de Control
by
Cesar Jesus Estrada Escobedo
DOCX
Cómo interpretar un diagrama de causa efecto, diagrama de pareto
by
Cesar Jesus Estrada Escobedo
DOCX
Ensayo del libro la meta capitulo 1
by
Cesar Jesus Estrada Escobedo
DOCX
Cálculo del nivel de calidad sigma del proceso
by
Cesar Jesus Estrada Escobedo
DOCX
Ensayo del libro la meta, diagrama de pareto, diagrama ishikawa
by
Cesar Jesus Estrada Escobedo
DOCX
Measuring your process capability
by
Cesar Jesus Estrada Escobedo
DOCX
Cpk
by
Cesar Jesus Estrada Escobedo
DOCX
CP,CPK, PPK , PP
by
Cesar Jesus Estrada Escobedo
DOCX
Ejemplos de estratificación
by
Cesar Jesus Estrada Escobedo
DOCX
Estratificación
by
Cesar Jesus Estrada Escobedo
DOCX
Capacidad y habilidad del proceso, Ensayo sobre: El inaceptable costo de los ...
by
Cesar Jesus Estrada Escobedo
DOCX
50 palabras de estadistica
by
Cesar Jesus Estrada Escobedo
DOCX
Preguntas y respuestas de la tarea de estadistica
by
Cesar Jesus Estrada Escobedo
DOCX
Chismes en el trabajo
by
Cesar Jesus Estrada Escobedo
DOCX
Histograma,aplicaciones del histograma
by
Cesar Jesus Estrada Escobedo
DOCX
Las siete nuevas herramientas del control de calidad y las siete herramientas...
by
Cesar Jesus Estrada Escobedo
Tipos de graficos de control
by
Cesar Jesus Estrada Escobedo
Gráfico de control para variables
by
Cesar Jesus Estrada Escobedo
Diferencia entre grafico xr,xs
by
Cesar Jesus Estrada Escobedo
Gráficos de control
by
Cesar Jesus Estrada Escobedo
Gráficos de Control
by
Cesar Jesus Estrada Escobedo
Cómo interpretar un diagrama de causa efecto, diagrama de pareto
by
Cesar Jesus Estrada Escobedo
Ensayo del libro la meta capitulo 1
by
Cesar Jesus Estrada Escobedo
Cálculo del nivel de calidad sigma del proceso
by
Cesar Jesus Estrada Escobedo
Ensayo del libro la meta, diagrama de pareto, diagrama ishikawa
by
Cesar Jesus Estrada Escobedo
Measuring your process capability
by
Cesar Jesus Estrada Escobedo
Cpk
by
Cesar Jesus Estrada Escobedo
CP,CPK, PPK , PP
by
Cesar Jesus Estrada Escobedo
Ejemplos de estratificación
by
Cesar Jesus Estrada Escobedo
Estratificación
by
Cesar Jesus Estrada Escobedo
Capacidad y habilidad del proceso, Ensayo sobre: El inaceptable costo de los ...
by
Cesar Jesus Estrada Escobedo
50 palabras de estadistica
by
Cesar Jesus Estrada Escobedo
Preguntas y respuestas de la tarea de estadistica
by
Cesar Jesus Estrada Escobedo
Chismes en el trabajo
by
Cesar Jesus Estrada Escobedo
Histograma,aplicaciones del histograma
by
Cesar Jesus Estrada Escobedo
Las siete nuevas herramientas del control de calidad y las siete herramientas...
by
Cesar Jesus Estrada Escobedo
Ejercicio 8 Pernos
1.
Categorias o Clases
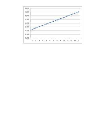
Intervalos Marcas de Clase Frecuencias Medidas de Tendencia Centra Límite Inferior Límite Superior Xi Fi Fai Fri Frai Fi*Xi lXi-Xl*Fi ( 1.349 1.367 1.358 1 1 0,003333333 0,003333333 1.358 0.14262 0. 1.367 1.385 1.376 3 4 0,01 0,013333333 4.129 0.37386 0. 1.385 1.403 1.394 5 9 0,016666667 0,03 6.972 0.5331 0. 1.403 1.421 1.412 8 17 0,026666667 0,056666667 11.3 0.70896 0. 1.421 1.439 1.430 12 29 0,04 0,096666667 17.166 0.84744 0. 1.439 1.457 1.448 35 64 0,116666667 0,213333333 50.697 1.841 0. 1.457 1.475 1.466 14 78 0,046666667 0,26 20.531 0.48468 0. 1.475 1.493 1.484 38 116 0,126666667 0,386666667 56.411 0.63156 0. 1.493 1.511 1.502 48 164 0,16 0,546666667 72.12 0.06624 0. 1.511 1.529 1.520 51 215 0,17 0,716666667 77.545 0.98838 0. 1.529 1.547 1.538 40 255 0,133333333 0,85 61.54 1.495 0. 1.547 1.565 1.556 21 276 0,07 0,92 32.686 1.162 0. 1.565 1.583 1.574 19 295 0,063333333 0,983333333 29.915 3.595 0. 1.583 1.601 1.592 5 300 0,016666667 1 7.962 0.4569 0 300 Totales 450.336 13.329 0 Media a= 1.501 Desviación Media= 0.0444308 Varianza= 0.0 Desviación Estándar= Raíz= 0.
2.
Fi
1.349 1 1.367 3 1.385 5 1.403 8 1.421 12 1.439 35 1.457 14 1.475 38 1.493 48 1.511 51 1.529 40 1.547 21 1.565 19 1.583 5 1.601 300 1800 1600 1400 1200 1000 800 600 400 200 0 1 2 3 4 5 6 7 8 9 10 11 12 13 14 15 16
3.
Fi 1 3 5 8 12 35 14 38 48 51 40 21 19 5
Fi 2 2% 3 14 1 4 2% 0% 1% 3% 5 4% 13 12 6% 7% 6 11% 11 13% 7 5% 8 10 13% 17% 9 16%
4.
Límite Superior
Frai 1.367 0.003333333 1.385 0.013333333 1.403 0.016666666 1.421 0.026666666 1.439 0.04 1.457 0.116666666 1.475 0.046666666 1.493 0.126666666 1.511 0.16 1.529 0.17 1.547 0.133333333 1.565 0.07 1.583 0.063333333 1.601 1 1 0.9 0.8 0.7 0.6 0.5 0.4 0.3 0.2 0.1 0 1
5.
1,650 1,600 1,550 1,500 1,450 1,400 1,350 1,300 1,250
1 2 3 4 5 6 7 8 9 10 11 12 13 14
Download