University of
BRISTOL
Department of Physics
Final year project
Determination of the Hubble
Constant through X-ray and Sunyaev
Zel’Dovich Observations
Author:
Oliver Trampleasure
Degree:
Physics MSc (F303)
Supervisor:
Dr. Katy Lancaster
Assessor:
Prof. Malcolm Bremner
Project number: A2
Word Count: 8347
May 4, 2010
H H Wills Physics Laboratory, University of Bristol, Tyndall Avenue, Bristol, BS8 1TL
Contents
Contents i
1 Introduction 3
2 Theory 4
2.1 X-ray Emission . . . . . . . . . . . . . . . . . . . . . . . . . . . . . 4
2.1.1 Bremsstrahlung . . . . . . . . . . . . . . . . . . . . . . . . . 4
2.1.2 Surface Brightness . . . . . . . . . . . . . . . . . . . . . . . 5
2.1.3 Cool Cores . . . . . . . . . . . . . . . . . . . . . . . . . . . 5
2.2 The Sunyaev Zel’Dovich Effect . . . . . . . . . . . . . . . . . . . . 6
2.3 Signal to Noise Ratio . . . . . . . . . . . . . . . . . . . . . . . . . . 7
2.4 Cosmology . . . . . . . . . . . . . . . . . . . . . . . . . . . . . . . 7
2.4.1 Hubble Constant . . . . . . . . . . . . . . . . . . . . . . . . 8
3 Data 10
3.1 X-ray Data . . . . . . . . . . . . . . . . . . . . . . . . . . . . . . . 10
3.1.1 Chandra Satellite . . . . . . . . . . . . . . . . . . . . . . . . 10
3.1.2 Data Reduction . . . . . . . . . . . . . . . . . . . . . . . . . 11
3.1.3 Merging . . . . . . . . . . . . . . . . . . . . . . . . . . . . . 13
3.2 SZE Data . . . . . . . . . . . . . . . . . . . . . . . . . . . . . . . . 13
3.2.1 One Centimetre Receiving Array (OCRA) . . . . . . . . . . 14
3.3 Sample . . . . . . . . . . . . . . . . . . . . . . . . . . . . . . . . . . 14
3.4 CIAO Script . . . . . . . . . . . . . . . . . . . . . . . . . . . . . . . 14
4 Analysis Methods and Modelling 16
4.1 Radial Profiles . . . . . . . . . . . . . . . . . . . . . . . . . . . . . 16
4.1.1 Isothermal β-Model . . . . . . . . . . . . . . . . . . . . . . 17
4.1.2 Cut-β Model . . . . . . . . . . . . . . . . . . . . . . . . . . 18
4.1.3 Double-β Model . . . . . . . . . . . . . . . . . . . . . . . . 18
4.2 Spectral Analysis . . . . . . . . . . . . . . . . . . . . . . . . . . . . 20
i
ii CONTENTS
4.2.1 Complete Model . . . . . . . . . . . . . . . . . . . . . . . . 20
4.2.2 Core Cut Model . . . . . . . . . . . . . . . . . . . . . . . . 21
5 Results 22
5.1 Radial Profile Results . . . . . . . . . . . . . . . . . . . . . . . . . 22
5.2 Spectral Modelling Results . . . . . . . . . . . . . . . . . . . . . . 23
5.3 Mergers . . . . . . . . . . . . . . . . . . . . . . . . . . . . . . . . . 23
5.4 Hubble Constant . . . . . . . . . . . . . . . . . . . . . . . . . . . . 23
6 Discussion 30
6.1 Radial Models . . . . . . . . . . . . . . . . . . . . . . . . . . . . . . 30
6.1.1 Isothermal β Model . . . . . . . . . . . . . . . . . . . . . . 31
6.1.2 Core Cut Model . . . . . . . . . . . . . . . . . . . . . . . . 31
6.1.3 Double Beta Model . . . . . . . . . . . . . . . . . . . . . . . 32
6.2 Spectral Models . . . . . . . . . . . . . . . . . . . . . . . . . . . . . 33
6.2.1 Complete Model . . . . . . . . . . . . . . . . . . . . . . . . 33
6.2.2 Core Cut Model . . . . . . . . . . . . . . . . . . . . . . . . 34
6.3 Hubble Constant . . . . . . . . . . . . . . . . . . . . . . . . . . . . 34
7 Conclusion 36
A Signal to Noise 39
B Error Analysis 41
Acknowledgements
For constant advice and support throughout the year I would like to thank Dr
Katy Lancaster. Her patient explanations of the Sunyaev Zel’Dovich Effect and
the workings of interferometers was greatly appreciated. Of course without her
SZE data for each of the sixteen clusters analysed, calculating the Hubble Con-
stant could not have been possible.
Additionally it must be mentioned that our numerous mistakes throughout
the year would not have been made possible without the automation of analysis
processes. This automation was only feasible due to the kind willingness of both
Dr Ben Maughan and Paul Giles to help with, the at times painful, CIAO software
package.
The automation of the tasks was not always perfect and both Rhys Morris
and Winnie should both be thanked for their assistance. Dr Rhys Morris’ un-
phased looks after realising we had left a program running for over a week were
particularly kind, along with Ms Winnie Lacesso’s advice that helped in averting
a computing disaster.
Finally it is without doubt necessary to mention Thomas Goffrey, my part-
ner and fellow undergraduate during this long journey. Never have I been so
appreciative of someone looking over my shoulder after an afternoons hard work
on a spreadsheet and pointing out a missing power. The company was always
appreciated in Starlink.
1
Abstract
A statistically complete sample of sixteen galaxy clusters (from the Bright Sky
Survey) were used to determine the Hubble Constant. This was done by combin-
ing X-ray data from the Chandra satellite and Sunyaev Zel’Dovich Effect obser-
vations from OCRA-p. Various models are fit to the data, including a single β
model, a variation with the central core removed and finally a double β model.
Similarly a complete and core-cut variant are applied to the spectral data. The
core-cut models achieve little success due to a poor estimation of the radial extent
of each cluster. The final figure for H0 is found to be 30.3 ± 13.6 using the single
beta and complete spectral models, although this can be improved by removing
obvious outliers. The large fractional errors are contributed by inaccuracies in
the SZE observations and the estimation of the clusters’ core temperatures.
2
1 Introduction
In the past decade many have attempted to determine cosmological parameters,
or limit them through the use of Sunyaev Zel’Dovich Effect (SZE) observations.
The SZE effect is observed as a small decrement in the Cosmic Microwave Back-
ground, caused by the inverse Compton scattering of the photons in the hot gas
at the centre of galaxy clusters.
Techniques have been developed which combine both SZE and X-ray observa-
tions in order to define the cosmological expansion parameter (Hubble’s Constant
H0). This is done by comparing the theoretical distance to the cluster with a
distance calculated using the combination of the data sources.
Initial efforts were hindered by the systematic errors involved in taking SZE
observations, whilst more recently the dominant issue has become the random
errors. Samples large enough to reduce these random errors now exist and it is
this that has allowed recent work to accurately model the Hubble Constant.
The importance of the Hubble Constant should not be underestimated, it is
the constant that describes the rate at which the Universe is expanding. Further-
more it can play a part in limiting further cosmological parameters. Although
satellites such as WMAP and Planck have successfully measured the value of H0
accurately, this simply provides another means of evaluating the effective uses of
SZE observations.
3
2 Theory
Galaxy clusters are the largest known structures in the Universe, some having
masses in the region of 1015Mo. There can be thousands of galaxies in each
cluster, sharing a mutual gravitational centre. Even with this vast number of
galaxies the majority of the mass within a cluster is attributed to dark matter.
The baryonic matter contributes only 5% or so of the overall mass, with an
additional 10% corresponding to hot gases and the remaining 85% to the dark
matter. This gas itself is heated and X-ray emitting as described in Section 2.1.1.
Current cosmology is based upon the assumption that at the largest scales
the universe is homogeneous, meaning that a large galaxy cluster provides a
reasonable representation of the Universe as a whole. By investigating the clusters
it is possible to place limitations on cosmological parameters such as the gas mass
fraction, Hubble Constant, etc. These limitations of the parameters then dictate
past, present and future characteristics of the Universe.
The gas that makes up 10% of the cluster’s mass is located at the centre and is
called the Intra-Cluster Medium (ICM). The gravitational pressures acting upon
the gas lead it to heat to such high temperatures (107 − 108K) that it becomes
ionised.
Although largely consisting of the lighter elements of Hydrogen and Helium,
heavier elements are present in trace amounts. These heavier nuclei are normally
referred to as ‘metals’ and it is these nuclei that have their electrons stripped from
them. This forms a plasma and leads to the characteristic thermal bremsstruh-
lung emission.
2.1 X-ray Emission
Originating from the existence of a cluster’s ICM the X-ray emission is a compli-
cated and important observable quantity. Intra-particle interaction leads to an
emission which can be effected by the internal dynamics of the ICM itself.
2.1.1 Bremsstrahlung
Thermal Bremmstrahlung is the dominant emission mechanism of the ICM. The
free-free emission occurs when a charged particle enters the Coulomb field of
4
2.1. X-RAY EMISSION 5
a second charge, typically between an electron and ion. The process was first
discovered by Nikola Tesla during high frequency research conducted between
1888-1897.
Each time the free electrons collide with an ion they are deflected and slowed.
The kinetic energy lost is emitted as a continuous radiation spectrum. The
plasma is modelled as uniform with an electron temperature Te distributed using
Maxwell-Boltzmann relationship.
2.1.2 Surface Brightness
Free-free emission is not the only process that occurs within the ICM. In addi-
tion there is also rdioactive recombination, two photon decay process and line
emission. The combination of these effects and free-free emission is described in
Equation 2.1 [Sarazin et al 1988].
ϵυ = ΛυnHne (2.1)
where ϵυ is the emission, Λυ is the X-ray Cooling Function, nH and ne are the
number densities of Hydrogen and electrons respectively.
The Cooling Function can be described as Λυ ∝ n2
eT
1/2
e , where Te is the
average electron temperature. It can be calculated using the plasma energy and
temperature in the rest frame, redshifted and finally integrated over the necessary
bandpass [Reese et al. 2002].
Unfortunately the Cooling Function is not directly observable and so X-ray
observations actually investigate the surface brightness given by Equation 2.2.
The X-ray surface brightness is a measure of the emission over a given frequency
band.
Sx0 =
1
4π(1 + z)4
∫
nenHΛdl (2.2)
where Sx0 is the X-ray surface brightness, z is the redshift and nH can be ap-
proximated to ne.
2.1.3 Cool Cores
Clusters can have a unique central feature called a cool core. This is when the
central region of the ICM has a temperature roughly a factor of three lower than
the outer regions. Importantly it is worth noting that the cores are usually far
denser and so you actually see a peak in X-ray emission.
These cool cored clusters are referred to as dynamic clusters due to the flow of
heat away from the core. Relaxed clusters are the opposite, without the central
cool region. In relaxed clusters the density in the central 100kpc is normally high
enough to produce a cooling time that is less than the Hubble time (tH ≈ 1010
6 CHAPTER 2. THEORY
yr). Due to this discrepancy it is expected that the gas will cool, allowing the
inflow of warmer material from outside the central region [Fabian 2003].
When modelling these clusters it can make an impressionable difference if
you attempt to model the central peak separately from the general emission.
The difference between models is described in detail throughout Section 4.1.
2.2 The Sunyaev Zel’Dovich Effect
The Sunyaev Zel’Dovich Effect (SZE) is a decrement observed in the temperature
of the Cosmic Microwave Background (CMB). As photons from the CMB travel
through a galaxy cluster’s ICM there is a small chance (1%) that the photon will
scatter off of a highly energised electron.
This follows the process of Inverse Compton Scattering and results in a typical
decrement of roughly 4mK in the temperature of the CMB. The mean free path
of a low energy photon in an ICM can be described by the optical depth:
τe =
∫
ne(r)σT dl (2.3)
where τ is the optical depth and σT is the Thomson Cross Section.
This then means that the Compton Y-Parameter can be defined in Equation
2.4, where the fractional energy loss of each collision is included.
y =
∫
ne
kBTe
mec2
σT dl (2.4)
where kB is the Boltzmann Constant, me is the mass of an electron and c is the
speed of light.
Importantly the effect is not constant across all frequencies, the shift of the
CMB spectrum actually creates an increment at higher frequencies. The point at
which the SZE moves from being a decrement to an increment is called the ‘null
point’, generalised to 220 GHz. The mathematical expression for this variation
is given in Equation refeq:freqdependence.
f(x) =
(
x
ex + 1
ex − 1
− 4
)
(1 + δSZE(x, Te)) (2.5)
where δSZE is a relativistic correction that can typically be ignored, it’s effects
are minimal compared to the errors normally associated with SZE observations.
Typically measurements are taken in the Rayleigh-Jones limit where the fre-
quency dependence can be taken simplified to -2. At these limits the SZE is
at its most prominent, allowing for an easier and more accurate detection De-
pending upon the instrument used there can be issues associated with taking
measurements at a single frequency range when minimising errors.
2.3. SIGNAL TO NOISE RATIO 7
The final expression for the SZE temperature decrement is given by Equation
2.6, where it is a combination of the previous expressions.
∆T
TCMB
= f(x)y = f(x)
∫
σT ne
kBTe
mec2
dl (2.6)
2.3 Signal to Noise Ratio
When determining the reliability of detections it is crucial to calculate the signal-
to-noise ratio (SNR). This allows for a direction comparison between detections
and for the use of thresholds when examining data. In simplest terms it is the
ratio between the number of counts considered to be part of the source and the
number of counts from the background. Equation 2.7 gives the uncertainty in
both source counts, background counts and detection.
σs =
√
sAt
σb =
√
bAt (2.7)
σ =
√
σ2
s + σ2
b
where s and b number of source and background counts respectively, A is the total
collecting area and t is the exposure time. σs, σb and σ are the uncertainties in
source, background and detection respectively.
The uncertainty in the detection itself is the important factor, as this can
be combined with the total source counts in order to calculate the detection
significance. The complete SNR can be calculated using Equation 2.8, which also
allows for the determination of thresholds.
Σ =
sAt
σ
=
sAt
√
(s + b)At
=
sAt
√
bAt
(2.8)
where Σ is the detection significance.
Typically a SNR with a significance of less than three is considered unreli-
able whilst one greater than five is a firm detection. The intermediate region
often suggests the existence of a source, the nature of which will probably need
confirmation through different or improved techniques.
2.4 Cosmology
The most popular Cosmological model is currently the ΛCDM model. Often
referred to as the standard model it explains the existence of numerous Uni-
versal features. These include the CMB, large scale structure of the Universe,
distribution of elements and the accelerating Universe.
8 CHAPTER 2. THEORY
Based on a few crucial assumptions the model is able to help determine nu-
merous important parameters. The major assumptions are that the Universe is
isotropic, homogeneous and is expanding. Additionally it is based upon the belief
that the Universe itself is flat (not open or closed) and that the expansions of the
Universe can be explained through the existence of Dark Energy.
2.4.1 Hubble Constant
The main aim of the project is to determine Hubble’s constant (H0), it is the
parameter that describes the expansion of the Universe. Within Hubble’s Law
the constant assists in describing the recessional velocity of a galaxy from an
observer, with the velocity being proportional (by the Hubble Constant) to the
distance of the galaxy.
v = H0D (2.9)
where v is the recessional velocity, H0 is the Hubble Constant (km/s/Mpc) and
D is the distance of the object.
The law was first postulated in 1929 by Edwin Hubble after almost a decade
of observations. It clearly described the manner in which various galaxies moved
away from the Earth, as determined by their redshifts. This crucial relationship
founded an important basis of the cosmological models that included Universal
expansion.
The Hubble Constant is not as defined as one would hope, with figures varying
considerably throughout the past depending upon the method used to determine
it. Typically SZE techniques have found the figure to be in the region of the lower
60s, but more reliable methods using the Hubble Space Telescope and Chandra
have determined it to be 74 ± 3.6 and 77 ± 15% km/s/Mpc.
The SZE technique for the calculation of the Hubble Constant includes the
conjunction of both SZE and X-ray data in order to determine the angular di-
ameter distance of a cluster. This can then be used with a theoretical value for
the distance, that relies upon a given cosmology, to eliminate for the Hubble
Constant if all other cosmological parameters are assumed constant.
Angular Diameter Distance
To determine the Hubble Constant it is necessary to compare the angular diam-
eter distance of the cluster (calculated using X-ray surface brightness and SZE
observations) with the theoretical distance. The final relationship between the
two (with the assumed value of H0=100 km/s/Mpc) is given by Equation 2.10,
where the detailed descriptions of the derivations can be read below.
H0 = 100 ×
Dt
De
(2.10)
2.4. COSMOLOGY 9
where De is the experimental angular diameter distance and Dt is the theoretical,
calculated with assumed cosmology.
Experimental It is possible to calculate the distance to a cluster due to the
different dependencies of X-ray and SZE data on the electron density. This allows
the elimination of ne to attain Equation 2.11 which gives the angular diameter
distance. It is worth noting that the same technique can be used to eliminate for
angular distance in order to attain the electron density.
DA ∝
(∆TCMB)2ΛeH0
bx0T2
e0
1
θc
(2.11)
where the quantities are evaluated along the line of site through the centre of the
cluster (subscript 0) and θc refers to the characteristic scale of the cluster along
the line of sight. This can vary depending on the model used, as described in
Section 4. ∆TCMB is the SZE temperature decrement, later simplified to TRJ0.
The full mathematical expression for DA is:
DA =
1
16π1.5σ2
T (1 + z)4
×
(
−TRJO
TCMB
)2 (
ΛeH0
bx0
)2
1
θc
mec2
kBTe0
(2.12)
×
(
Γ(3β − 1/2)
Γ(3β)
) (
Γ(3β/2)
Γ(3β/2 − 1/2)
)2
where the presence of Gamma functions is explained in detail during the deriva-
tion in Section 4.1.
Theoretical The theoretical angular diameter distance to a cluster can be
calculated by assuming a given cosmology. The cosmological parameters need to
be combined with the Friendmann-Walker-Robertson model and evaluated. In
our case we used the mathematical package Maple to calculate the integral before
scripting the calculation of the final theoretical distance.
Dt =
c
H0(1 + z)
∫ Z
0
1
√
(1 + z′)2 + ΩM z′(1 + z′)2 + ΩΛz′(2 + z′)
(2.13)
where c is the speed of light, H0 is an assumed value of Hubble Constant and ΩM ,
ΩΛ are the universal fractions of matter and dark energy respectively. Assumed
values were H0 = 100 km/s/Mpc, ΩM = 0.3 and ΩΛ = 0.7.
3 Data
The sample selected for analysis has X-ray readings from the Chandra satellite
mission, where at least one observation each cluster is already in the public do-
main. The SZE data has been gathered through the use of OCRA during the
1996 observation season. For the purposes of the report the SZE data was not
calibrated but a brief overview of the mission and instrument is given. The sam-
ple of clusters consists of 16 from the Brightest Cluster Sample, for details see
Section 3.3.
3.1 X-ray Data
The X-ray data used for this project was observed using the Chandra satellite
and gathered from the Chandra Chaser website. All of the observations are in
the public domain and are well documented.
3.1.1 Chandra Satellite
The Chandra satellite was launched in 1999 and has an angular resolution a
thousand times greater than the first orbital satellite (0.492 arcseconds). It was
named after the Indian-American scientist Subrahmanyan Chandrasekhar who
was well known for determining the maximum mass of white dwarfs.
The design of the instrument is different from the majority of optical tele-
scopes as it relies on the grazing of X-rays in order to focus them upon the
CCDs. The Walter-Type I design provides the most efficient orientation of gold
plated mirrors to allow X-ray grazing. The angle has to be acute in order to
receive an accurate depiction of an X-ray’s original energy.
The Science Instrument Module controls the two main cameras upon the
satellite, the Advanced CCD Imaging Spectrometer (ACIS) and High Resolution
Camera. For the purposes of this project data from the ACIS-I instrument was
used as spectral information is unnecessary.
The ACIS instrument consists of 10 CCD chips that are capable of both
imaging and spectral data through the use of a grating. The ACIS chips are split
into two instruments as shown by Figure 3.1.1. ACIS-I with four chips in a 2×2
orientation and ACIS-S with the remaining six. The ACIS-I can only be used for
10
3.1. X-RAY DATA 11
Figure 3.1: The layout of the ACIS CCD chips. The four chips denoted with an
I make up the imaging instrument ACIS-I, whilst those denoted by a S make up
ACIS-S. [Kavli Institute for Astrophysics and Space Research, MIT]
imaging data, as required for this project, and works across an energy range of
0.2-10keV.
The CCDs themselves are made of Silicon, with one side designed to absorb
the incoming X-rays. An X-ray requires an energy of roughyly 3.7eV for an
electron to be released, the number of which will then be stored within the chip
before the current time interval ends (3.2s); after which the total reading recorded.
3.1.2 Data Reduction
The Chandra team provide calibrated data for each of their observations but with
time they improve upon their calibration protocols. This means that the pre-
calibrated data is often outdated, and needs to be rerun. All of the observations
used during this project were re-calibrated using the latest updates with CIAO
4.1 software.
This section describes the details of each process run upon the observations
(including mergers). The original data is supplied in a Level 1 Event fits file,
with the purpose of calibration being to recreate a new, more accurate Level 2
Event file.
12 CHAPTER 3. DATA
Bad Pixels
The pixels recorded by the imaging CCDs can be corrupted by numerous occur-
rences, and so a map of these errors needs to be created. This can in turn be
used to remove such erroneous readings from the final event file.
The most common of these events is an afterglow, which occurs after a cosmic
ray interacts with a CDD. These highly charged particles have an excess of energy
which is trapped within the apparatus. This excess charge is then released during
several dozen subsequent frames, sometimes resulting in false identifications of
faint sources.
Level 2 Event File
The Level 2 Event File is the error-adjusted observation file and is created using
the edited Level 1.5 Event File. This is a three stage process; the first accounting
for bad grades and cleaning the status column, the second is the application of
Good Time Intervals (GTIs) and the last is the destreaking of the observation
file.
Filtering Bad Grades Each event identified during a frame is given a
grade based upon whether its neighbouring pixels also register the count. A local
maxima is found and then the 3x3 square is examined before giving the pixel a
grade. The event file needs to be filtered based upon the information provided
so that the status columns are all equal to 0 (i.e. there is no issue with that
observation).
Good Time Intervals (GTIs) Frames can be dropped from ACIS ob-
servations and so GTIs are created to identify the periods during which each
individual CCD correctly gathered frames. Typically this is normally limited
fairly well to the start up and shutdown times of the instrument.
Destreaking A design flaw of the ACIS CCDs is that they can distribute
charge along rows as they are read out. This is a major issue but can be com-
pensated for by examining neighbouring rows. These are seen as streaks across
the observation and so destreaking is the term used for their removal.
Removing Flares
Although the errors from instrument issues and minor stellar events have been
removed the algorithm that is used only detects flares within 20% of the mean
reading. Therefore it is necessary to remove the brighter flares by hand using
‘ds9’ and the region selection tool. In practise this means using ‘chips’ to clean
the event file using a lightcurve that will facilitate the creation of a new GTI file.
3.2. SZE DATA 13
Cluster Obs-IDs Exposure (∆ks)
A1835 7370, 6880, 6881 +80 (+66%)
A773 3588, 5006 +10 (+50%)
A2390 4193, 500 +10 (+10%)
A520 4215, 528 +71 (+700%)
Table 3.1: Table of merged observations, with improvements in exposure time
compared to the observation used otherwise.
Lightcurve Once the bright sources are removed a lightcurve needs to be
created. This is done by binning the entire energy range of the observation, which
can then be used to create a new GTI file.
Updated GTI The lightcurve can be cleaned using ‘lc clean()’ where the
module used highlights the sections of the lightcurve that do not contain strong
flares. The GTI file lists the areas at which the strong flares occur, and so when
this updated GTI file is applied to the event file these flares can no longer affect
any results.
3.1.3 Merging
In many cases there are numerous observations available for each cluster. This
allows for the possibility of merging these observations in order to amalgamate
the exposure times of each. This can lead to a considerable improvement in
results calculated for a cluster.
CIAO does have merging tools but they tend to be temperamental. Of the
clusters that are analysed there were numerous with multiple observations but
only four were successfully merged. Numerous issue were found with the necessary
calibration files being missing from the CIAO’s calibration database (CalDB) and
errors in the transformation of different observation co-ordinates to match each
other. Additionally it is not possible to fit spectra to merged observations so
it is necessary to extract spectra from multiple files at once, an already lengthy
process.
The mergers increase the signal to noise ratio (SNR) for the clusters, by
increasing the effective exposure time. The improvements in exposure times can
be seen in Table 3.1.3 for each of the clusters that were merged.
3.2 SZE Data
The SZE data used for this project was provided by Dr Katy Lancaster, and was
gathered using the One Centimetre Receiving Array Prototype (OCRA-p). As we
14 CHAPTER 3. DATA
did not perform the calibration and reduction of the SZE data it is recommended
that you read the source paper for details [Lancaster et al, in preparation].
3.2.1 One Centimetre Receiving Array (OCRA)
The telescope itself is located in Poland at the Torun Centre for Astrophysics of
the Nicolas Copernicus University. It is a 32m telescope that operates at 30GHz,
a typical frequency range for SZE observations.
The temperature decrements used were corrected for radio point sources found
through the use of the Green Bank telescope and the receiver’s capabilities have
been proven with the detection of four well known clusters in the past [Lancaster
et al, 2007].
As with all SZE readings errors are currently quite considerable (roughly 25%
in most cases), but this will hopefully be improved with an upgrade to the reciever
expected to go online sometime this year. The OCRA-Faraday reciever began
testing in late 2009 and increases the number of elements fourfold (from two to
eight).
The SZE data provided, and associated errors, for each cluster can be found
in Table 3.2.
3.3 Sample
The selection of the sample to be used is important, it needs to to large enough to
minimise the statistical uncertainties but also remain representative of the cluster
population as a whole. Recent work with similar aims has shown that a sample
size n 10 is appropriate [Grego et al. 2001, Reese et al. 2002]. Although
these works have tended to continue investigations into the implications upon
Cosmology the analysis still bears importance for the calculation of Hubble’s
Constant.
The selection made is highly complete with a wide span of redshifts with the
selection criteria including a redshift z > 0.2 and X-ray luminosity greater than
or equal to Abell 773 (12×1044 ergs/s). The sample used for this project includes
16 clusters from the Bright Cluster Sample (BCS, Ebeling et al. 1998), which is
90% flux complete to a limit of 4.4 × 10−12 erg/cm2/s.
3.4 CIAO Script
Due to the large number of clusters and the numerous models that needed to be
fitted it was decided that it would be appropriate to create a script that could
automate as much of the process as possible. Once a process had been understood
and tested upon at least one cluster each we would develop a module to automate
it.
3.4. CIAO SCRIPT 15
Cluster Redshift SZ Decrement RA(J2000) Dec(2000)
A1835 0.2528 4051±500 14 01 02 +02 53 43
ZWCL1953 0.32 1570±349 08 50 03 +36 04 16
RXJ1532.9+3021 0.345 2535±785 15 32 59 +30 21 11
A2390 0.2329 2229±478 21 53 37 +17 40 15
A2219 0.2281 2808±401 16 40 24 +46 40 52
RXJ2129.6+0005 0.235 1710±433 21 29 44 +00 06 06
A2261 0.224 1612±388 17 22 27 +32 07 04
A781 0.298 1392±618 09 20 28 +30 29 58
A697 0.282 2743±419 08 42 58 +36 21 45
A1763 0.223 4042±1069 13 35 26 +41 00 04
A68 0.255 1037±412 00 37 05 +09 09 26
A520 0.199 2583±683 04 54 10 +02 55 21
A267 0.23 1624±466 01 52 42 +01 00 26
RXJ0439.0+0715 0.23 1386±466 04 39 01 +07 16 55
MS1455.0+2232 0.258 2332±695 14 57 20 +22 20 36
A773 0.217 1214±326 09 17 51 +51 43 20
Table 3.2: A list of the sixteen selected clusters, with redshift, SZE decrement
and co-ordinates.
This allowed for the unattended calibration and analysis of many clusters at
once, essentially making the analysis of the large sample possible. The processes
tended to be generic enough for the script to eventually become fairly independent
of user input. From calibration to final model fitting we only needed to create a
few region files at crucial moments. It was possible to automate the process of
the region creation but in some cases is was deemed crucial that we assess the
cluster ourselves.
This automation was not possible when merging observations, where often
unique issues are encountered. Each merger required our full attention as they
so rarely behaved as a typical cluster.
With automation and generalisation comes errors, particularly with a large
sample to analyse. Often these would be encounter whilst my partner and I were
working independently and so we were careful to compile a small database of
errors and worked solutions. A module of the script can search the database by
any phrase (including wildcards) or error reference numbers. This tool proved
incredibly useful in working through CIAO warnings and errors.
By the completion of the project the code included upwards of ten modules,
each comprising hundreds of lines of code. The entire script and all code has
been uploaded to the departmental wiki∗ for reference. A full explanation of
each module and the necessary layout is provided.
∗
sagittarius.star.bris.ac.uk/ayoung/dokuwiki/
4 Analysis Methods and Modelling
To gather the necessary results from the X-ray data it is necessary to perform both
a radial profile fit and a spectral fit. The radial profile allows for the extraction of
the core radii, spectral index and surface brightness whilst the spectral analysis
provides the temperature and emissivity (with the abundance).
Each of these fits can be performed in a manner of ways, each with their own
benefits and drawbacks. In our case we decided to extend the use of the basic
models in order to theoretically model the central emission in a more accurate
manner.
It is also crucial to determine an accurate centre for the core, as otherwise
this will skew the later analysis. Fortunately this can be done using the CIAO
tool centroid repeatedly until the centre is found not to change more than an
arbitrarily small amount.
4.1 Radial Profiles
The first analysis process performed was the modelling of the radial profiles of
the clusters from within Sherpa, the CIAO plotting package. A series of annuli
are created using a large total radius in order to allow the accurate modelling of
the background. In our case we deliberately took the region out quite far and
used a total of 400 bins. Too small a radii can result in the effects of the cooler
cores being problematically large.
The CIAO package was again used to improve the data, accounting for both
background sources and the instrument itself. The sources were found using
‘wavdetect’ and removed from the profile before extraction, additionally the pro-
file was divided through by the exposure map created during the calibration stage
to ensure accuracy.
Importantly it is necessary to account for the effects of the use of an exposure
map during the analysis of Sherpa results as any results are unit less. We make
use of the ACIS response matrices [Grego et al, 1998] when converting bxo into
c.g.s. units. This is done using the observation specific response files and the
CIAO tool ‘modelflux’ (new to Sherpa in version 4.1).
16
4.1. RADIAL PROFILES 17
4.1.1 Isothermal β-Model
The model that was first fitted was the single β model, described by Equation 4.1.
It is based upon the King approximation and was first designed for the modelling
of star clusters, although it was found to be quite adequate at modelling clusters
as well [Cavaliere & Fusco-Femiano 1978].
ne(r) = ne0 (1 +
r2
r2
c
)−3β/2
(4.1)
where ne is the electron number density, ne0 is the number electron density at
the centre of the cluster, r is the radius from the centre of the cluster, rc is the
core radius of the ICM and β is the power law index.
By eliminating ne in both the X-ray surface brightness (Equation 2.2) and
the SZE decrement (Equation 2.6) you can demonstrate that each has an integral
dependent only on the electron number density, temperature and cooling func-
tion. These equations have their own components, each of which have varying
dependencies given below in Equations 4.2.
Additionally we need to change variables so as to attain an expression in
terms of the angular diameter distance. This can be done by using l = DAζ,
removing the dependence on length and replacing it with ζ (an angular measure
of distance down the line of sight l = DAζ).
ns = ne0 fn(θ, ϕ, ζ)
Te(r) = Te0 fT (θ, ϕ, ζ) (4.2)
Λe(E, Te) = Λe0 fΛ(θ, ϕ, ζ)
where the f terms are the form factors of the respective variable and the constants
with an e0 subscript are the central values.
You can then sub ne into the expressions, rearranging to integrate only the
dependent terms. This allows for a large simplification with the integrals shown
in Equations 4.3 and 4.4.
ΘX(θ, ϕ) =
∫
f2
nfΛdζ (4.3)
ΘS(θ, ϕ) =
∫
fnfΛdζ (4.4)
where ΘX and ΘS are the ζ dependant terms of the X-ray and SZE equations
respectively.
Fortunately this can be simplified further by assuming isothermality, leading
to fT = 1 and fΛ = 1. This leaves only fn that needs to be determined. The
factor fn is originally in the form of the β-Model given in Equation 4.1, but a
substitution can be made where rc = θcDA.
18 CHAPTER 4. ANALYSIS METHODS AND MODELLING
fn =
(
1 +
θ2 + ζ2
θ2
c
)−3β/2
(4.5)
You can then manipulate the expression into a form with multiple Gamma
Functions. This simplification allows for the elimination of the integral (now
within the Gamma Functions) so that both expressions are given by Equations
4.6 and 4.7.
ΘX =
√
π
Γ(3β − 1/2)
Γ(3β)
θc
(
1 +
θ2
θ2
c
)1/2−3β
(4.6)
ΘS =
√
π
Γ(3β/2 − 1/2)
Γ(3β/2)
θc
(
1 +
θ2
θ2
c
)1/2−3β/2
(4.7)
where Γ denotes a gamma function which can be evaluated easily once β is known.
These final equations can then be used in Equation 2.11 to calculate the
angular diameter distance of the cluster as shown in Equation 4.8.
DA =
1
16π1.5σ2
T (1 + z)4
×
(
−TRJO
TCMB
)2 (
ΛeH0
bx0
)2
1
θc
mec2
kBTe0
(4.8)
×
(
Γ(3β − 1/2)
Γ(3β)
) (
Γ(3β/2)
Γ(3β/2 − 1/2)
)2
4.1.2 Cut-β Model
As described in Section 2.1.3 disturbed clusters can have peaked central emission.
This can lead to the single β model failing to accurately describe the cluster. In an
effort to account for this skewing of our results we also tested a cut model, which
involves entirely removing the core. To accurately model the core we attempted
to estimate the R500 value, as described in Section 4.2.1.
With a value for the estimated R500 of a cluster we then excluded the central
15%. Importantly this excluded region was smaller than 15% of the region used
for the original β model as we wanted to be able to model the background and
cluster at the same time. The plotting and implementation of the profiles with
this model are no different from the original.
4.1.3 Double-β Model
An alternative to the rather brutal method of entirely removing the core region is
to model both the central emission and main body of the cluster. By effectively
modelling the two areas through the use of two individual single β models results
4.1. RADIAL PROFILES 19
should improve where there is central emission. The basic form of the model is
demonstrated in Equation 4.9, where the individual terms are clear.
ne(r) = ne0
(
f(1 +
r2
r2
c1
)−3β/2
+ (1 − f)(1 +
r2
r2
c2
)−3β/2
)
(4.9)
where rc1 and rc2 are the core radii for either model and f is a constant.
There are numerous variations of the model, with each varying in complexity.
Fitting a double β model to the data is not in itself a challenge, however imple-
menting it within the equation for DA is. With this in mind some of the models
used by others were too detailed for the scope of this project.
One such model was presented by Mohr [Mohr et al 1999] but was inappro-
priate due to the inclusion of an additional term which could not be modelled. A
second model was used by La Roque but when squared during determining the
surface brightness it lead to three integral terms. Unfortunately the third of these
was beyond our abilities to integrate, even though the first two were relatively
simple.
A model more appropriate to this project is presented by Xue and Wu [Xue
et al 2000], wherein the third integral term is not present. By taking the model
present by Mohr and inverting it [Cowie et al 1987] they were then able to deter-
mine a form for n2
e as required by surface brightness modelling. Fortunately they
eliminate the third term present in La Roque’s model by using the the expression
for ne given in Equation 4.10.
ne =
∑
i
nei =
[
ne0
∑
i
˜nei
]1/2
(4.10)
where nei is the electron density calculated by each beta model, and ˜nei is the
fraction of the central electron density for each model.
Due to the inclusion of both parts of the model within the large brackets
it is possible to include it directly within our expression for surface brightness.
This prevents the creation of the third term and allows for the relatively simple
calculation of DA.
Subtly different from the original equation for DA the one for the double β
model simply has a varying core radii term, given in Equation 4.11.
1
θc
→
(
f
θc1
+
(1 − f)
θc2
)
(4.11)
where the model will clearly reduce to a single β model in the case that f = 1 or
f = 0.
20 CHAPTER 4. ANALYSIS METHODS AND MODELLING
4.2 Spectral Analysis
The spectral analysis is undertaken to attain the central temperature (Te0) and
abundance, which in turn can provide the emissivity. This is done by extracting a
region, accurately centred upon the cluster, that is then modelled using XSPEC.
The extraction process creates numerous ancillary files which aid the in re-
duction of response error from the instrument. The most important of these were
the weighted response matrix file (.rmf) and the auxilliary response file (.arf) for
the given observation. These assist in mapping the likelihood of an event being
registered by a CCD across each pixel.
The models used consist of a photoelectric absorption model (wabs) and a
thermal plasma model (apec). It is necessary to both eliminate the readings
from bad bins and certain energy bands before modelling the parameters. In our
case the energy band examined was 0.3-7keV throughout both techniques listed
below.
The most important factor of the spectral analysis is the region selected for
the application of the model. The centre of the cluster was found as described
earlier using the centroid tool, but unlike the radial profile an overestimation of
the cluster’s radius is detrimental to the estimated temperature.
Additionally the central core region can again corrupt results in a similar
manner to the radial profiling, except in the case of spectral analysis it cannot
be modelled as with the double β model and should be excluded as described in
Section 4.2.2.
4.2.1 Complete Model
The first spectrum that the models were fit to included the central core region
and reached to our estimate of the cluster’s radial extent as described below.
This should provide reasonable results although it would be expected that the
temperatures extracted will be lower than their real values due to the inclusion
of the cool core.
The radius calculation was performed by examining the radial profiles already
extracted, and then calculate the average central value of the cluster. It was then
possible to determine the point at which the profile was consistently below 1%
of this value. Ideally we would have determined the R500 radius of the cluster,
which is the radius where the mean total density of the cluster is five hundred
times the mass density of the Universe, but were advised it was beyond our
abilities [K. Lancaster & P. Giles, University of Bristol].
Radial Extent Estimation A comparison between a resultant radii and
a calculated R500 radii [P. Giles, University of Bristol] were reasonably good,
demonstrating that the region used to extract the spectrum should not bias our
4.2. SPECTRAL ANALYSIS 21
temperature upwards a great deal. When experimenting with various methods
to calculate the radius, two methods were used.
The first was a five-point moving average and the second relied upon five
consistent sub-value points. It was found that the five point moving average fell
far below the example radius with a figure of approximately 580px, probably due
to a single anomalous result (even though zero figures were already removed by
this point). The five point consistency model also fell short, but with a figure of
approximately 650px, came a lot closer to the actual figure of roughly 700px.
4.2.2 Core Cut Model
As mentioned earlier the cores of some clusters have an effect upon the results
gathered from model fitting. Previous methods have included the removal of the
central 100kpc [Bonamente et al. 2006] but another valid method is to remove
the central 15% [Maughan, in preparation]. Not able to calculate the point at
which the radius is 100kpc, we opted for the removal of a central region based on
the percentile technique.
The implementation of the model was simple, with a script that created a
annuli region file with an inner radius which was 15% of the original value used
in the previous spectral model. You would expect an increase in temperature
with the removal of the cooler central region.
5 Results
The initial results resulted in a good calculation of H0 for this method, however
the errors are considerable. There were mixed resuls from the attempts to remove
the central emission, with radial cut model being fairly erratic. Fortunately the
double β model generally performed well, and the spectral cut model performed
as expected when compared to the original complete model.
5.1 Radial Profile Results
Isothermal β Model The results for the isothermal β are fairly good, with
the reduced statistics ranging from roughly 1.1 to 1.8. The actual figures, with
associated errors, are presented in Table 5.4 along with temperatures attained
through the use of the complete spectral model. The associated Q-values are also
fairly good.
Cut β Model It appears that the removal of the core during the β model
fitting was less than ideal. Typically the reduced statistic and Q-value were not
much different but the results themselves, given in Table 5.3 are vastly different
from literature values and the original results. The final values for H0 are calcu-
lated using the spectral results from the cut model and show some improvement,
although with increased error. Additionally three clusters failed to fit the model
to a useable standard.
Double β Model The application of the double model improved the statis-
tical probability of our results, without vastly changing their values. The reduced
statistic range from just below 1 to about 1.3, an improvement on the original β
model. The final figures, with H0 calculated using the original complete spectral
analysis, can be seen in Table 5.4. The statistics quoted only apply to the clusters
for which the model was successfully fitted.
22
5.2. SPECTRAL MODELLING RESULTS 23
5.2 Spectral Modelling Results
Complete Model The complete spectral model provided temperatures
within the range expected, however they are not entirely consistent with litera-
ture values. These temperatures are probably slightly more reliable than those
of the cut model, and so are used in conjunction with both the original β model
and the double. The resultant reduced statistic is fairly good as it is in the region
of 1.2.
Core Cut Model The slightly erratic results of our temperatures continued
with the core cut model, however nearly all temperatures did increase compared
to their complete model counterparts. This was by a varying factor and due to
the feasible inconsistencies in our estimation of the radial extent of each cluster it
was decided that these results would only be used in conjunction with the radial
cut β model. With the introduction of the cut the reduced statistic increased to
roughly 1.6, leading to a generally poorer fit.
5.3 Mergers
The merged observations show some improvement, although the small number of
them mean that they had no practical use as a separate sample. The statistical
probabilities associated with each model were better, as expected with increased
exposure time.
5.4 Hubble Constant
The calculation of the Hubble Constant was reasonable with the initial data and
improved slightly with the use of the double β model, however with the cut
models the value was considered less reliable. The figures for each of the models
can be seen in Table 5.1, with the associated errors involved in each. The edited
figure is for the same sample, but with A520 removed due to its unique nature
(see Section 6.3). The number of double β results was considered to few for a
reliable estimation of H0.
24 CHAPTER 5. RESULTS
Radial Profile
Radius
10 100 1000
Counts/area
1e−10
1e−09
1e−08
1e−07
Radial Profile
Radius
10 100 1000
Counts/area
1e−09
1e−08
1e−07
1e−06
Radial Profile [Cut]
Radius
100 1000
Counts/area
1e−10
1e−09
1e−08
Radial Profile [Cut]
Radius
100 1000
Counts/area
1e−09
1e−08
1e−07
Radial Profile
Radius
10 100 1000
Counts/area
1e−10
1e−09
1e−08
1e−07
Radial Profile
Radius
10 100 1000
Counts/area
1e−09
1e−08
1e−07
1e−06
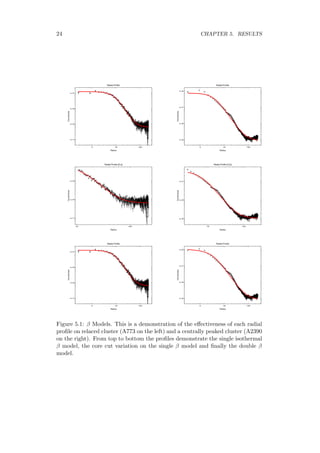
Figure 5.1: β Models. This is a demonstration of the effectiveness of each radial
profile on relaced cluster (A773 on the left) and a centrally peaked cluster (A2390
on the right). From top to bottom the profiles demonstrate the single isothermal
β model, the core cut variation on the single β model and finally the double β
model.
5.4. HUBBLE CONSTANT 25
0.01
0.1
normalizedcountss−1
keV−1
dataandfoldedmodel
10.525
−0.05
0
0.05
residuals
Energy(keV)
ot63223−May−201019:23
0.01
0.1
normalizedcountss−1
keV−1
dataandfoldedmodel
10.525
−0.1
−0.05
0
0.05
residuals
Energy(keV)
ot63223−May−201019:27
0.01
0.1
normalizedcountss−1
keV−1
dataandfoldedmodel
10.525
−0.05
0
0.05
residuals
Energy(keV)
ot63223−May−201019:25
10−3
0.01
0.1
normalizedcountss−1
keV−1
dataandfoldedmodel
10.525
−0.05
0
0.05
residuals
Energy(keV)
ot63223−May−201019:26
Figure 5.2: Spectral Models. An example of the complete, core cut and residuals
from the complete model for a relaxed cluster (A773 on the left) and a cluster
with peaked emission (A2390 on the right).
26 CHAPTER 5. RESULTS
Radial Model Spectral Model Hubble Constant
km/s/Mpc
Single β Complete
Original 30.3 ± 13.6
Edited 45.6 ± 20.5
Cut β Core Cut
Original 32.8 ± 14.8
Edited 44.0 ± 19.8
Table 5.1: The resultant values of H0 for each of the models investigated. The
original result includes all clusters whilst edited includes the removal of A520.
5.4. HUBBLE CONSTANT 27
ClusterNameObsβr0Sx0kTΛDaH0
arcsecergscm−2s−1keVergscm3/sGpckm/Mpc/s
/arcsec2(10−16)10−24
RXJ0439.0+071535830.626±0.00930.0±2.610.9±0.464.96±0.162.901.03±0.4345.1±18.9
A69742170.639±0.01048.1±3.46.70±0.028.76±0.473.001.22±0.4743.6±16.9
A183568800.567±0.0009.6±0.1172±1.76.49±0.673.230.83±0.3359.7±24.0
A239041930.535±0.00118.3±0.424.5±0.0310.65±0.152.970.28±0.13165.5±77.9
RXJ2129.6+00055520.545±0.00510.7±1.361.2±4.53.71±0.153.201.06±0.8044.6±33.8
ZWCL195316590.898±0.12146.4±15.25.12±0.566.77±0.562.731.29±0.7344.3±25.2
A6832500.760±0.02855.8±6.94.34±0.216.79±0.363.020.58±0.4985.6±73.1
RXJ1532.9+302116650.639±0.0079.1±0.7125±0.623.57±0.142.991.25±0.7248.0±27.8
MS1455.0+223241920.607±0.0029.1±0.2123±1.94.02±0.473.241.25±0.9840.4±31.8
A26735800.713±0.01652.7±4.04.34±0.149.76±0.503.380.80±0.4958.5±35.8
A176335910.486±0.00636.5±3.64.67±0.199.28±0.413.372.70±1.5516.9±9.8
A5205280.827±0.044116.0±14.32.57±0.088.35±0.383.282.87±1.6814.8±8.7
A7815340.658±0.03974.7±13.81.21±0.077.55±0.583.131.59±1.4834.5±32.3
A77350060.632±0.00946.9±3.29.43±0.288.40±0.313.370.25±0.14176.6±104.5
MS1455.0+22325430.607±0.0068.8±0.7123±5.63.21±0.103.121.93±1.6926.1±22.9
A221978920.703±0.02471.4±8.27.20±0.310.59±0.653.240.85±0.2954.6±19.2
A226150070.546±0.00418.9±1.029.3±0.866.71±0.183.290.37±0.21124.2±71.1
Table5.2:Isothermalβ&CompleteSpectralModelResults.Theresultsfromtheisothermalsingleβmodelarecombinedwith
theresultsfromthecompletespectralmodel.
28 CHAPTER 5. RESULTS
ClusterNameβr0Sx0kTΛDaH0
arcsecergs/cm2/skeVergscm3/sGpckm/Mpc/s
/arcsec2(10−16)10−24
RXJ0439.0+071535830.667±0.01237.5±3.58.43±0.44.97±0.172.911.23±0.4238.1±13.3
A69742170.640±0.01148.3±4.26.67±0.288.81±0.502.991.21±0.7044.1±25.7
A183568800.568±0.0019.8±0.2165±2.87.06±0.103.220.71±0.3569.4±34.6
RXJ2129.6+00055520.596±0.00919.7±2.726.6±2.53.94±0.173.231.52±1.1831.1±24.2
A6832500.801±0.05363.7±16.93.65±0.656.52±0.383.030.72±0.7769.6±75.1
RXJ1532.9+302116650.661±0.01011.0±1.492.6±9.93.62±0.162.921.42±0.5642.0±16.8
MS1455.0+223241920.638±0.00312.7±0.572.0±2.34.10±0.523.221.63±1.3830.8±26.1
A176335910.486±0.00636.5±3.64.69±0.199.67±0.453.442.53±2.0018.1±14.3
A5205280.597±0.03632.8±37.218.8±0.08.32±0.403.280.76±0.6955.6±51.0
A77350060.687±0.02465.3±12.45.85±0.758.45±0.333.380.34±0.27129.6±105.4
MS1455.0+22325430.620±0.00910.1±1.6100±13.03.17±0.113.102.22±1.9222.7±19.7
ABELL221978920.723±0.02876.0±10.56.78±0.4010.52±0.723.200.89±0.5152.3±30.3
A226150070.561±0.00622.5±2.8231±2.16.56±0.193.260.44±0.32104.2±77.8
Table5.3:Cutβ&CutSpectralModelResults.Theresultsfromtheisothermalsingleβmodelwiththecoreremovedarecombined
withtheresultsfromthespectralmodelwhichhasalsohadthecoreremoved.
5.4. HUBBLE CONSTANT 29
ClusterNamefβr01r02Sx0kTΛDaH0
arcsecarcsecergs/cm2/skeVergscm3Gpckm/Mpc/s
/arcsec2(10−16)/s10−24
RXJ0439.0+07150.710.72±0.0113.8±3.5101.4±5.7176±3.04.96±0.152.901.36±0.6234.4±15.6
A6970.860.94±0.0256.5±4.2313.7±4.06.93±0.578.76±0.303.001.68±0.7231.8±13.6
MS1455.0+22320.480.62±0.0111.1±1.611.4±2.7138±123.21±0.113.121.42±1.3635.5±34.1
ABELL22190.970.65±0.0161.6±10.623.3±4.78.09±0.6710.59±0.633.240.79±0.3058.9±23.0
A22610.490.56±0.028.9±2.848.9±3.135.9±3.036.71±0.173.290.40±0.25114.1±73.1
Table5.4:DoubleβandCompleteSpectralModels.Theresultsfromtheisothermaldoubleβmodelarecombinedwiththeresults
fromthecompletespectralmodel.
ClusterObsβr0Sx0kTΛ
arcsecergs/cm2/s/arcsec2keVergscm3/s
10−1610−24
A1835
7370
0.573±0.00110.5±0.1113±0.96.73±0.053.356880
6881
A773
3588
0.652±0.00850.2±1.42.95±0.167.55±0.053.46
5006
A2390
4193
0.609±0.00233.5±0.412.9±0.166.73±0.053.32
500
A520
4215
0.290±0.00410.6±0.30.698±0.0049.88±0.216.76
528
Table5.5:SingleβandCompletespectralmodelsforthemergedobservations.
6 Discussion
A discussion around the results of each model used, and the resulting value for
the Hubble Constant can be found below. Each model provided mixed results,
with their own successes and failures. For the most part they showed promise
that, with further work and an incorporated approach to analysis, results could
be improved further.
The errors involved in the models were fairly minimal, with the total calcu-
lated error for the X-ray data being in the region of <10%. This was considerably
smaller than that of the SZE data provided which was normally in the region of
25%. The combination of the two errors for the figure of DA increased to approx-
imately 55% by the end of analysis due to an increase in the estimated error of
the temperatures attained (a standard figure of 1keV was adopted - as justified
in Section 6.2). For a detailed description of the error calculations see Appendix
B.
The problems associated with the later models meant that it would not have
been a useful exercise to employ them with the merged data. For this reason,
only the single β, and complete spectral models were tested. There was not a
noticeable improvement, simply a slight deviation from the original results. There
is no doubt that ideally merged observations would be used where ever possible,
but the high failure rate makes it impractical to examine them as a separate
sample. On the whole the merged observations tended towards literature values
[Maughan, in preparation], although this was not always the case.
6.1 Radial Models
The radial results were very good for the most part, closely following figures
attained by others [Maughan, in preparation]. The original β model performed
well, even without the core being modelled accurately. The latter attempts to
better model the core of each cluster provided mixed results, with the core cut
β model probably having been to drastic. The final double β model provided
improved results, although the overall gain in accuracy was fairly nominal.
30
6.1. RADIAL MODELS 31
6.1.1 Isothermal β Model
The single beta model produced fairly good results with values tending to fol-
low figures from the literature well [Maughan, in preparation]. Additionally the
statistical probability of the models were reasonable.
The reduced statistic of the results ranged across the clusters but remained
below 2 which is a rough requirement for reliability. The figures ranged from
roughly 1.1 to 1.8, but there appeared to be to groupings at either end of the
range. Upon closer examination of the plotted profiles it was clear that the profiles
with the higher statistics had a tendency towards greater central emission.
Each cluster should have the greatest emission at its centre, even if it is not
accentuated. An unexpected trend throughout the radial profiles was a dip at
the very centre of each cluster. This suggests an error in the profile, probably in
the centreing, however This seems unlikely as the CIAO documentation on the
centroid tool does not suggests any such issues. The combination of these errors
in modelling and profiling the centre led to the implementation of the core cut
model in an effort to remove them.
6.1.2 Core Cut Model
With the removal of the central core reason it was hoped that the single β model
would be allowed to model the cluster characteristics more accurately, even when
there was central emission. Unfortunately this does not appear to be the case as
the results are erratic and there are a few major failures. For two clusters the
model failed entirely and the error across the sample rose by about 10% to a total
of approximately 65%.
The surface brightness is typically slightly lower, as would be expected from
removing the brighter central reason. The results for the surface brightness were
not too surprising when compared to the original values, unlike those for the core
radii.
Previously the radii agreed fairly consistently with literature values but this
was not the case with this model. The change in core radius was massive and
inconsistent - suggesting a major failure in the model. This was further com-
pounded by two results where the model entirely failed to fit itself to the profile
and core radii were virtually zero.
The slight decrease in surface brightness would result in a small decrease
in the estimated value for the Hubble constant (although it is more likely the
increase in temperature would play a greater part). In reality we found that the
diameter distances calculated were erratic and inconsistent - although they did
lead to a slight improvement in the calculated figure for H0.
The issues with this model are probably due to an imprecise estimation of
the central exclusion region, which was in turn dependent upon the estimation of
32 CHAPTER 6. DISCUSSION
the radial extent for each cluster. This model should have been fairly applicable
but it requires a more accurate modelling of the core region than we were able to
achieve. As the entire removal of the core region was too inaccurate we attempted
to model it using a double β model.
6.1.3 Double Beta Model
The issues involved with the cut model are fortunately not an issue with the
double β model, as it does not simply remove the central region but models it.
In the case of central emission the second beta model accurately depicts it, but
without emission it attempts to reduce to a single model. Within our sample we
only found a few centrally peak clusters, which is lower than expected for such a
statistically representative sample.
In the case of a cluster having peaked central emission the model had a re-
duced Q-value, from roughly 1.8 to 1.2. This improvement demonstrates the
competency of the model when depicting the characteristics of a peaked core.
Unfortunately the model was not as appropriate in the case of a cluster without
such central emission.
The model is designed so as one component tends to zero when there is no
emission, this can occur in different ways. The constant term, f, cancels a term
if it is equal to either zero or one. This is also true of the core radii if they
tend to zero or infinity, where a very large core radii demonstrates the modelling
attempting to depict the background.
With the model reduction the Q-values could tend below one, the ideal figure.
This is known to occur in two situations, the first where the model is over com-
plicated and the second where the background is being modelled. The figures for
the core radii clearly support these conclusions and demonstrate how unnecessary
the double β model is for clusters lacking in central emission.
The likelihood of finding so few centrally peaked clusters is not realistic within
this sample. It is more likely that our calibration processes have minimised
the presence of any such clusters as published papers tend to show a noticeable
difference in central emission. The error in centreing the cluster mentioned in
Section 6.1.1 should be minimal and upon reflection the use of a mono-energetic
exposure map could contribute to the dampening of central emission.
It would be expected that the spectra of the core and outer radius would differ
in a peaked cluster. This would mean that the mono-energetic value adopted
(which would be biased by the higher total count region in the outer radius)
would not be ideal for use within the core. The result would probably be an
underestimation of the core emission which would dampen the visible central
peak. This would in turn effect our estimation for the radial extent of each
cluster (which uses the average central value as a reference).
6.2. SPECTRAL MODELS 33
6.2 Spectral Models
The spectral models were more time consuming than those for the radial profiles.
Having too great a radial extent for a cluster would bias results quite badly,
unlike the radial profiles. The extraction time of spectra meant that numerous
radii could not be tested due to the number of clusters being analysed.
The estimation of the radial extent appears to have had an effect upon our
temperature results as they do not adhere particularly well to literature values.
Although they are of the correct order of magnitude and differences would be
expected from the variation in calibration method there is no proportional differ-
ence to comparative works. This is true for both the complete and cut spectral
models which suggests that the radial extent of the cluster itself was not accu-
rately estimated.
This is not entirely surprising as the temperatures found by different groups
differ considerably within the appropriate range. For the most part our temper-
atures are complimented by the figures given by a paper, although ideally we
would have hoped for a high proportion to agree with a single study.
The resultant abundance remained reasonable throughout both models and
so would not have been an issue compared to the temperatures when calculating
the emissivity of each cluster. Even with the considerable temperature errors
the emissivity is slow changing enough for the effect to be minimal, particularly
as the temperature is present within the equation for angular diameter distance
itself.
6.2.1 Complete Model
Initial attempts to extract complete spectra were met with mixed success, with
the radial extent being far too large. This led to a considerable bias towards
higher temperatures that were completely unreasonable for roughly half of the
clusters. To counter this problem we then reduced the estimated radius by half,
which would then keep a relevant estimation for each cluster. This led to bet-
ter results for the temperatures within acceptable ranges, although they do not
compare particularly well to other works.
It is likely that the temperature is the least accurate of the variables within
our experimental work, rivalling the provided SZE data. This loss is most likely
due to our inaccurate attempt to model the radial extent of each cluster. As
described in Section 6.1.3 in reference to the underestimation of the central emis-
sion. Fortunately the effect upon the emissivity would be fairly minimal due to
it being very slow changing with respect to temperature.
34 CHAPTER 6. DISCUSSION
6.2.2 Core Cut Model
The issues with determining the radial extent of the clusters would also have
had an effect upon the core cut model and so any changes were expected to
be proportional. Fortunately this was the case and the vast majority of the
temperatures extracted increased by at least a small amount.
Inaccuracies in the estimation of the radial extent will have continued to have
had an effect on our results; and as the central core was estimated as 15% of this
figure the core exclusion compounded the issue.
Due to the initial over estimation of the radial extent and the resultant re-
duction of the radial estimate it is feasible that the core region was not entirely
removed. The cases were there was little change in temperature would suggest
that a reasonable proportion of the core remained and that the inner radius of
the annuli used should have been increased.
6.3 Hubble Constant
The calculations for the Hubble Constant were performed using the technique
of linear regression. The theoretical and experimental distances were plotted
against each other and the gradient of a linear trendline, passing through the
origin, was then used to estimate Hubble’s Constant.
Initial estimates using our results proved particularly promising, with the
arithmetic average of the clusters giving H0 ≈ 64 in the case of the isothermal β
model. This lies within the expected range for this technique. Unfortunately with
the more accurate regression modelling the results was less impressive, ultimately
being 30.3±13.6.
The figure for H0 was far too low, even when considering the tendencies of this
method to underestimate the parameter. Slight improvements were made with
the cut model in the final figure but the associated errors increased, additionally
it is clear from some of the radial plots that the cut models are very unreliable.
The final double β model saw some improvement for a few clusters but this
was hampered by the dampening of the central emission. It is likely that the
few clusters successfully modelled using the entire double β model were the most
centrally peaked, with more being missed due to dampening.
The large associated errors are bred from the inaccuracies associated with
both the cluster’s temperature and the SZE decrement. Improvements with the
implementation of OCRA-Faraday should assist in reducing the SZE errors in
the near future. The error in central temperature results from a poor estimation
of a cluster’s radial extent, crucially this could be modelled using the far more
accurate but more complicated R500 method.
Although the value is slightly better with the cut models (H0 = 32.8 ± 14.8),
the data is far less reliable. Without improvement on the accuracy of the model
6.3. HUBBLE CONSTANT 35
it is not reasonable to rely on the final results. This reasoning is accentuated
when considering the two clusters that the cut model failed to fit to.
Considerable improvement in the value for H0 is possible with the removal of
A520. The angular diameter distances for A520 were consistently huge across all
the models. The cluster is known to be very unique, having been described as ‘a
cosmic trainwreck’ [Mahdavi et al. 2007]. It has undergone a major merger in
a similar manner to the Bullet Cluster. The gas content of the two clusters has
been stripped, leaving a central void. The reasons for this are unknown but the
results could certainly have effected our analysis. No such justification exists for
the error in A1763, a second cluster with a particularly high angular diameter
distance, and so it must be assumed that the radial estimations for the cluster
must be badly affected.
It is these editions to the sample that improve the figure to H0 = 45.6 ± 20.5.
Although the regression statistics for either the complete set or the edited subset
are not good, there is a vast improvement with the removal of these clusters.
7 Conclusion
The relative successes of the single β model were counteracted by a fairly poor
radial estimation throughout the other models. Consistently the difficulties in
excluding or modelling the core were mainly bred from the dampening of the
central emission, most likely due to the use of a mono-energetic exposure map.
The difficulties encountered could be overcome, but the process of calculating a
more accurate radial extent are considerable. Additionally it would be reasonable
to examine scaling relationships using a variation on this technique, although the
redshift range of the sample would have to be vastly increased to make this a
useful exercise. The final figure of H0 = 30.3 ± 13.6 is far from precise, although
this would again be solved for the most part by a more accurate temperature.
The improvements with the removal of A520, to a figure of H0 = 45.6 ± 20.5,
demonstrate the possibilities with further development.
36
Bibliography
Birkinshaw M., 1999, Phys.Rep., 310, 97
Bonamente M., Joy M. K., LaRoque S. J., Carlstrom J. E., Reese E. D., Dawson
K. S., 2006, ApJ, 647, 25
Cavaliere A., Fusco-Femiano R., 1978, A&A, 70, 677
Grego L., Vrtilek1 J., Van Speybroeck1 L., David L. P., Forman W., Carlstrom J.
E., Reese E. D., Joy M. K., ‘A Deep Chandra Observation of the Distant Galaxy
Cluster MS1137.5+6625’, 2008, unpublished
Hughes J. P., Birkinshaw M., 1998, ApJ, 501, 1
Lancaster K., Birkinshaw M., Gawronski M. P., Browne I., Feiler R., Kus A.,
Lowe S., Pazderski E., Wilkinson P., 2007, MNRAS, 378, 673
Lancaster K., Birkinshaw M., Gawronski M. P., Browne I., Feiler R., Kus2 A.,
Lowe3 S., Maughan B., 2010, Astron. Soc. not submitted
Reese E. D., Carlstrom J. E., Joy M., Mohr J. J., Grego L., Holzapfel W. L.,
2002, ApJ, 581, 53
Mohr J. J., Mathiesen B., Evrard A. E., 1999, ApJ, 517, 627
Sunyaev R. A., Zeldovich Y. B., 1970, Comments on Astrophysics and Space
Physics, 2, 66
Sunyaev R. A., Zel’dovich Y. B., 1972, Comments on Astrophysics, 4, 173
Xue, Y.-J., & Wu, X.-P. 2000, MNRAS, 318, 715
37
Appendices
38
A Signal to Noise
The Signal to noise ratios for each of the observations is given in the table below.
It is worth noting that all of the observations have good SNRs, with the majority
having very high (¿100) SNRs. Each of the clusters was chosen as it had been
well documented in past X-ray work so this is not unexpected.
39
40 APPENDIX A. SIGNAL TO NOISE
Cluster Name Obs SNR
RXJ0439.0+0715 3583 93
A697 4217 95
A1835 6880 446
A2390 4193 452
RXJ2129.6+0005 552 81
ZWCL1953 1659 25
A68 3250 63
RXJ1532.9+3021 1665 75
MS1455.0+2232 4192 251
A267 3580 84
A1763 3591 93
A520 528 79
A781 534 51
A773 5006 107
MS1455.0+2232 543 76
A2219 7892 83
A2261 5007 127
A1835 6880,6881,7370 553
A2390 4193,500 473
A520 528,4215 206
A773 5006,3588 141
Table A.1: Signal to Noise results for each of the observed clusters in the core
sample, as well as merged.
B Error Analysis
The calculation of the errors involved when determining each cluster’s angular
diameter distance are not particularly complicated. As we know that DA is
dependent upon the terms shown in Equation B.1 it is simply necessary to apply
the normal error calculations.
DA ∝
(∆TSZE)2ΛeH0
Sx0T2
e0
1
θc
(B.1)
Each dependent term’s fractional error contribution must be calculated in-
dependently before being summed as described by Equation B.2. The errors
required are all given by the plotting programs that give the figures themselves.
(
∆DA
DA
)2
=
(
∆TSZE
TSZE
)2
+
1
4
(
∆ΛeH0
ΛeH0
)2
+
(
∆Sx0
Sx0
)2
+ 4
(
∆Te0
Te0
)2
(B.2)
+
(
∆θc
θc
)2
+
(
∆F(Γ)
F(Γ)
)2
where the variables are as given earlier, ∆ denotes the error associated with that
figure and F(Γ) is the combination of all four of the gamma terms.
It is important to note that the squared values in the original equation con-
tribute far more than the other terms. This means that the error in the tem-
perature is the most important and with the estimated flat error of 1keV this
provides a considerable amount.
This increase in the error from the temperature is explained by the difficulties
involved in estimating the radial extent of each cluster accurately (see Section
6.2). Before the inclusion of this additional error (and an increase in the error
for bx0) the X-ray associated error was under 10%.
The error in the gamma function terms was determined using its derivative,
equal to psi-gamma (ψ), and by applying the product rule. This led to the
smallest of the error components at roughly 0.1%.
It is important to note that the error calculated for each cluster’s angular
diameter distance is done separately. The smallest errors are to be found in the
41
42 APPENDIX B. ERROR ANALYSIS
core radius and surface brightness, although this error was increased due to the
mono-energetic assumption of the exposure map. The dominant errors were the
SZE decrement, kT and to a lesser extent the error in bx0.
The errors involved with the single and double beta models were fairly similar,
at roughly 50-55% in total, but the error for the cut model was larger at roughly
65%. This was one of the reasons it was considered less reliable.

dissertation

  • 1.
    University of BRISTOL Department ofPhysics Final year project Determination of the Hubble Constant through X-ray and Sunyaev Zel’Dovich Observations Author: Oliver Trampleasure Degree: Physics MSc (F303) Supervisor: Dr. Katy Lancaster Assessor: Prof. Malcolm Bremner Project number: A2 Word Count: 8347 May 4, 2010 H H Wills Physics Laboratory, University of Bristol, Tyndall Avenue, Bristol, BS8 1TL
  • 2.
    Contents Contents i 1 Introduction3 2 Theory 4 2.1 X-ray Emission . . . . . . . . . . . . . . . . . . . . . . . . . . . . . 4 2.1.1 Bremsstrahlung . . . . . . . . . . . . . . . . . . . . . . . . . 4 2.1.2 Surface Brightness . . . . . . . . . . . . . . . . . . . . . . . 5 2.1.3 Cool Cores . . . . . . . . . . . . . . . . . . . . . . . . . . . 5 2.2 The Sunyaev Zel’Dovich Effect . . . . . . . . . . . . . . . . . . . . 6 2.3 Signal to Noise Ratio . . . . . . . . . . . . . . . . . . . . . . . . . . 7 2.4 Cosmology . . . . . . . . . . . . . . . . . . . . . . . . . . . . . . . 7 2.4.1 Hubble Constant . . . . . . . . . . . . . . . . . . . . . . . . 8 3 Data 10 3.1 X-ray Data . . . . . . . . . . . . . . . . . . . . . . . . . . . . . . . 10 3.1.1 Chandra Satellite . . . . . . . . . . . . . . . . . . . . . . . . 10 3.1.2 Data Reduction . . . . . . . . . . . . . . . . . . . . . . . . . 11 3.1.3 Merging . . . . . . . . . . . . . . . . . . . . . . . . . . . . . 13 3.2 SZE Data . . . . . . . . . . . . . . . . . . . . . . . . . . . . . . . . 13 3.2.1 One Centimetre Receiving Array (OCRA) . . . . . . . . . . 14 3.3 Sample . . . . . . . . . . . . . . . . . . . . . . . . . . . . . . . . . . 14 3.4 CIAO Script . . . . . . . . . . . . . . . . . . . . . . . . . . . . . . . 14 4 Analysis Methods and Modelling 16 4.1 Radial Profiles . . . . . . . . . . . . . . . . . . . . . . . . . . . . . 16 4.1.1 Isothermal β-Model . . . . . . . . . . . . . . . . . . . . . . 17 4.1.2 Cut-β Model . . . . . . . . . . . . . . . . . . . . . . . . . . 18 4.1.3 Double-β Model . . . . . . . . . . . . . . . . . . . . . . . . 18 4.2 Spectral Analysis . . . . . . . . . . . . . . . . . . . . . . . . . . . . 20 i
  • 3.
    ii CONTENTS 4.2.1 CompleteModel . . . . . . . . . . . . . . . . . . . . . . . . 20 4.2.2 Core Cut Model . . . . . . . . . . . . . . . . . . . . . . . . 21 5 Results 22 5.1 Radial Profile Results . . . . . . . . . . . . . . . . . . . . . . . . . 22 5.2 Spectral Modelling Results . . . . . . . . . . . . . . . . . . . . . . 23 5.3 Mergers . . . . . . . . . . . . . . . . . . . . . . . . . . . . . . . . . 23 5.4 Hubble Constant . . . . . . . . . . . . . . . . . . . . . . . . . . . . 23 6 Discussion 30 6.1 Radial Models . . . . . . . . . . . . . . . . . . . . . . . . . . . . . . 30 6.1.1 Isothermal β Model . . . . . . . . . . . . . . . . . . . . . . 31 6.1.2 Core Cut Model . . . . . . . . . . . . . . . . . . . . . . . . 31 6.1.3 Double Beta Model . . . . . . . . . . . . . . . . . . . . . . . 32 6.2 Spectral Models . . . . . . . . . . . . . . . . . . . . . . . . . . . . . 33 6.2.1 Complete Model . . . . . . . . . . . . . . . . . . . . . . . . 33 6.2.2 Core Cut Model . . . . . . . . . . . . . . . . . . . . . . . . 34 6.3 Hubble Constant . . . . . . . . . . . . . . . . . . . . . . . . . . . . 34 7 Conclusion 36 A Signal to Noise 39 B Error Analysis 41
  • 4.
    Acknowledgements For constant adviceand support throughout the year I would like to thank Dr Katy Lancaster. Her patient explanations of the Sunyaev Zel’Dovich Effect and the workings of interferometers was greatly appreciated. Of course without her SZE data for each of the sixteen clusters analysed, calculating the Hubble Con- stant could not have been possible. Additionally it must be mentioned that our numerous mistakes throughout the year would not have been made possible without the automation of analysis processes. This automation was only feasible due to the kind willingness of both Dr Ben Maughan and Paul Giles to help with, the at times painful, CIAO software package. The automation of the tasks was not always perfect and both Rhys Morris and Winnie should both be thanked for their assistance. Dr Rhys Morris’ un- phased looks after realising we had left a program running for over a week were particularly kind, along with Ms Winnie Lacesso’s advice that helped in averting a computing disaster. Finally it is without doubt necessary to mention Thomas Goffrey, my part- ner and fellow undergraduate during this long journey. Never have I been so appreciative of someone looking over my shoulder after an afternoons hard work on a spreadsheet and pointing out a missing power. The company was always appreciated in Starlink. 1
  • 5.
    Abstract A statistically completesample of sixteen galaxy clusters (from the Bright Sky Survey) were used to determine the Hubble Constant. This was done by combin- ing X-ray data from the Chandra satellite and Sunyaev Zel’Dovich Effect obser- vations from OCRA-p. Various models are fit to the data, including a single β model, a variation with the central core removed and finally a double β model. Similarly a complete and core-cut variant are applied to the spectral data. The core-cut models achieve little success due to a poor estimation of the radial extent of each cluster. The final figure for H0 is found to be 30.3 ± 13.6 using the single beta and complete spectral models, although this can be improved by removing obvious outliers. The large fractional errors are contributed by inaccuracies in the SZE observations and the estimation of the clusters’ core temperatures. 2
  • 6.
    1 Introduction In thepast decade many have attempted to determine cosmological parameters, or limit them through the use of Sunyaev Zel’Dovich Effect (SZE) observations. The SZE effect is observed as a small decrement in the Cosmic Microwave Back- ground, caused by the inverse Compton scattering of the photons in the hot gas at the centre of galaxy clusters. Techniques have been developed which combine both SZE and X-ray observa- tions in order to define the cosmological expansion parameter (Hubble’s Constant H0). This is done by comparing the theoretical distance to the cluster with a distance calculated using the combination of the data sources. Initial efforts were hindered by the systematic errors involved in taking SZE observations, whilst more recently the dominant issue has become the random errors. Samples large enough to reduce these random errors now exist and it is this that has allowed recent work to accurately model the Hubble Constant. The importance of the Hubble Constant should not be underestimated, it is the constant that describes the rate at which the Universe is expanding. Further- more it can play a part in limiting further cosmological parameters. Although satellites such as WMAP and Planck have successfully measured the value of H0 accurately, this simply provides another means of evaluating the effective uses of SZE observations. 3
  • 7.
    2 Theory Galaxy clustersare the largest known structures in the Universe, some having masses in the region of 1015Mo. There can be thousands of galaxies in each cluster, sharing a mutual gravitational centre. Even with this vast number of galaxies the majority of the mass within a cluster is attributed to dark matter. The baryonic matter contributes only 5% or so of the overall mass, with an additional 10% corresponding to hot gases and the remaining 85% to the dark matter. This gas itself is heated and X-ray emitting as described in Section 2.1.1. Current cosmology is based upon the assumption that at the largest scales the universe is homogeneous, meaning that a large galaxy cluster provides a reasonable representation of the Universe as a whole. By investigating the clusters it is possible to place limitations on cosmological parameters such as the gas mass fraction, Hubble Constant, etc. These limitations of the parameters then dictate past, present and future characteristics of the Universe. The gas that makes up 10% of the cluster’s mass is located at the centre and is called the Intra-Cluster Medium (ICM). The gravitational pressures acting upon the gas lead it to heat to such high temperatures (107 − 108K) that it becomes ionised. Although largely consisting of the lighter elements of Hydrogen and Helium, heavier elements are present in trace amounts. These heavier nuclei are normally referred to as ‘metals’ and it is these nuclei that have their electrons stripped from them. This forms a plasma and leads to the characteristic thermal bremsstruh- lung emission. 2.1 X-ray Emission Originating from the existence of a cluster’s ICM the X-ray emission is a compli- cated and important observable quantity. Intra-particle interaction leads to an emission which can be effected by the internal dynamics of the ICM itself. 2.1.1 Bremsstrahlung Thermal Bremmstrahlung is the dominant emission mechanism of the ICM. The free-free emission occurs when a charged particle enters the Coulomb field of 4
  • 8.
    2.1. X-RAY EMISSION5 a second charge, typically between an electron and ion. The process was first discovered by Nikola Tesla during high frequency research conducted between 1888-1897. Each time the free electrons collide with an ion they are deflected and slowed. The kinetic energy lost is emitted as a continuous radiation spectrum. The plasma is modelled as uniform with an electron temperature Te distributed using Maxwell-Boltzmann relationship. 2.1.2 Surface Brightness Free-free emission is not the only process that occurs within the ICM. In addi- tion there is also rdioactive recombination, two photon decay process and line emission. The combination of these effects and free-free emission is described in Equation 2.1 [Sarazin et al 1988]. ϵυ = ΛυnHne (2.1) where ϵυ is the emission, Λυ is the X-ray Cooling Function, nH and ne are the number densities of Hydrogen and electrons respectively. The Cooling Function can be described as Λυ ∝ n2 eT 1/2 e , where Te is the average electron temperature. It can be calculated using the plasma energy and temperature in the rest frame, redshifted and finally integrated over the necessary bandpass [Reese et al. 2002]. Unfortunately the Cooling Function is not directly observable and so X-ray observations actually investigate the surface brightness given by Equation 2.2. The X-ray surface brightness is a measure of the emission over a given frequency band. Sx0 = 1 4π(1 + z)4 ∫ nenHΛdl (2.2) where Sx0 is the X-ray surface brightness, z is the redshift and nH can be ap- proximated to ne. 2.1.3 Cool Cores Clusters can have a unique central feature called a cool core. This is when the central region of the ICM has a temperature roughly a factor of three lower than the outer regions. Importantly it is worth noting that the cores are usually far denser and so you actually see a peak in X-ray emission. These cool cored clusters are referred to as dynamic clusters due to the flow of heat away from the core. Relaxed clusters are the opposite, without the central cool region. In relaxed clusters the density in the central 100kpc is normally high enough to produce a cooling time that is less than the Hubble time (tH ≈ 1010
  • 9.
    6 CHAPTER 2.THEORY yr). Due to this discrepancy it is expected that the gas will cool, allowing the inflow of warmer material from outside the central region [Fabian 2003]. When modelling these clusters it can make an impressionable difference if you attempt to model the central peak separately from the general emission. The difference between models is described in detail throughout Section 4.1. 2.2 The Sunyaev Zel’Dovich Effect The Sunyaev Zel’Dovich Effect (SZE) is a decrement observed in the temperature of the Cosmic Microwave Background (CMB). As photons from the CMB travel through a galaxy cluster’s ICM there is a small chance (1%) that the photon will scatter off of a highly energised electron. This follows the process of Inverse Compton Scattering and results in a typical decrement of roughly 4mK in the temperature of the CMB. The mean free path of a low energy photon in an ICM can be described by the optical depth: τe = ∫ ne(r)σT dl (2.3) where τ is the optical depth and σT is the Thomson Cross Section. This then means that the Compton Y-Parameter can be defined in Equation 2.4, where the fractional energy loss of each collision is included. y = ∫ ne kBTe mec2 σT dl (2.4) where kB is the Boltzmann Constant, me is the mass of an electron and c is the speed of light. Importantly the effect is not constant across all frequencies, the shift of the CMB spectrum actually creates an increment at higher frequencies. The point at which the SZE moves from being a decrement to an increment is called the ‘null point’, generalised to 220 GHz. The mathematical expression for this variation is given in Equation refeq:freqdependence. f(x) = ( x ex + 1 ex − 1 − 4 ) (1 + δSZE(x, Te)) (2.5) where δSZE is a relativistic correction that can typically be ignored, it’s effects are minimal compared to the errors normally associated with SZE observations. Typically measurements are taken in the Rayleigh-Jones limit where the fre- quency dependence can be taken simplified to -2. At these limits the SZE is at its most prominent, allowing for an easier and more accurate detection De- pending upon the instrument used there can be issues associated with taking measurements at a single frequency range when minimising errors.
  • 10.
    2.3. SIGNAL TONOISE RATIO 7 The final expression for the SZE temperature decrement is given by Equation 2.6, where it is a combination of the previous expressions. ∆T TCMB = f(x)y = f(x) ∫ σT ne kBTe mec2 dl (2.6) 2.3 Signal to Noise Ratio When determining the reliability of detections it is crucial to calculate the signal- to-noise ratio (SNR). This allows for a direction comparison between detections and for the use of thresholds when examining data. In simplest terms it is the ratio between the number of counts considered to be part of the source and the number of counts from the background. Equation 2.7 gives the uncertainty in both source counts, background counts and detection. σs = √ sAt σb = √ bAt (2.7) σ = √ σ2 s + σ2 b where s and b number of source and background counts respectively, A is the total collecting area and t is the exposure time. σs, σb and σ are the uncertainties in source, background and detection respectively. The uncertainty in the detection itself is the important factor, as this can be combined with the total source counts in order to calculate the detection significance. The complete SNR can be calculated using Equation 2.8, which also allows for the determination of thresholds. Σ = sAt σ = sAt √ (s + b)At = sAt √ bAt (2.8) where Σ is the detection significance. Typically a SNR with a significance of less than three is considered unreli- able whilst one greater than five is a firm detection. The intermediate region often suggests the existence of a source, the nature of which will probably need confirmation through different or improved techniques. 2.4 Cosmology The most popular Cosmological model is currently the ΛCDM model. Often referred to as the standard model it explains the existence of numerous Uni- versal features. These include the CMB, large scale structure of the Universe, distribution of elements and the accelerating Universe.
  • 11.
    8 CHAPTER 2.THEORY Based on a few crucial assumptions the model is able to help determine nu- merous important parameters. The major assumptions are that the Universe is isotropic, homogeneous and is expanding. Additionally it is based upon the belief that the Universe itself is flat (not open or closed) and that the expansions of the Universe can be explained through the existence of Dark Energy. 2.4.1 Hubble Constant The main aim of the project is to determine Hubble’s constant (H0), it is the parameter that describes the expansion of the Universe. Within Hubble’s Law the constant assists in describing the recessional velocity of a galaxy from an observer, with the velocity being proportional (by the Hubble Constant) to the distance of the galaxy. v = H0D (2.9) where v is the recessional velocity, H0 is the Hubble Constant (km/s/Mpc) and D is the distance of the object. The law was first postulated in 1929 by Edwin Hubble after almost a decade of observations. It clearly described the manner in which various galaxies moved away from the Earth, as determined by their redshifts. This crucial relationship founded an important basis of the cosmological models that included Universal expansion. The Hubble Constant is not as defined as one would hope, with figures varying considerably throughout the past depending upon the method used to determine it. Typically SZE techniques have found the figure to be in the region of the lower 60s, but more reliable methods using the Hubble Space Telescope and Chandra have determined it to be 74 ± 3.6 and 77 ± 15% km/s/Mpc. The SZE technique for the calculation of the Hubble Constant includes the conjunction of both SZE and X-ray data in order to determine the angular di- ameter distance of a cluster. This can then be used with a theoretical value for the distance, that relies upon a given cosmology, to eliminate for the Hubble Constant if all other cosmological parameters are assumed constant. Angular Diameter Distance To determine the Hubble Constant it is necessary to compare the angular diam- eter distance of the cluster (calculated using X-ray surface brightness and SZE observations) with the theoretical distance. The final relationship between the two (with the assumed value of H0=100 km/s/Mpc) is given by Equation 2.10, where the detailed descriptions of the derivations can be read below. H0 = 100 × Dt De (2.10)
  • 12.
    2.4. COSMOLOGY 9 whereDe is the experimental angular diameter distance and Dt is the theoretical, calculated with assumed cosmology. Experimental It is possible to calculate the distance to a cluster due to the different dependencies of X-ray and SZE data on the electron density. This allows the elimination of ne to attain Equation 2.11 which gives the angular diameter distance. It is worth noting that the same technique can be used to eliminate for angular distance in order to attain the electron density. DA ∝ (∆TCMB)2ΛeH0 bx0T2 e0 1 θc (2.11) where the quantities are evaluated along the line of site through the centre of the cluster (subscript 0) and θc refers to the characteristic scale of the cluster along the line of sight. This can vary depending on the model used, as described in Section 4. ∆TCMB is the SZE temperature decrement, later simplified to TRJ0. The full mathematical expression for DA is: DA = 1 16π1.5σ2 T (1 + z)4 × ( −TRJO TCMB )2 ( ΛeH0 bx0 )2 1 θc mec2 kBTe0 (2.12) × ( Γ(3β − 1/2) Γ(3β) ) ( Γ(3β/2) Γ(3β/2 − 1/2) )2 where the presence of Gamma functions is explained in detail during the deriva- tion in Section 4.1. Theoretical The theoretical angular diameter distance to a cluster can be calculated by assuming a given cosmology. The cosmological parameters need to be combined with the Friendmann-Walker-Robertson model and evaluated. In our case we used the mathematical package Maple to calculate the integral before scripting the calculation of the final theoretical distance. Dt = c H0(1 + z) ∫ Z 0 1 √ (1 + z′)2 + ΩM z′(1 + z′)2 + ΩΛz′(2 + z′) (2.13) where c is the speed of light, H0 is an assumed value of Hubble Constant and ΩM , ΩΛ are the universal fractions of matter and dark energy respectively. Assumed values were H0 = 100 km/s/Mpc, ΩM = 0.3 and ΩΛ = 0.7.
  • 13.
    3 Data The sampleselected for analysis has X-ray readings from the Chandra satellite mission, where at least one observation each cluster is already in the public do- main. The SZE data has been gathered through the use of OCRA during the 1996 observation season. For the purposes of the report the SZE data was not calibrated but a brief overview of the mission and instrument is given. The sam- ple of clusters consists of 16 from the Brightest Cluster Sample, for details see Section 3.3. 3.1 X-ray Data The X-ray data used for this project was observed using the Chandra satellite and gathered from the Chandra Chaser website. All of the observations are in the public domain and are well documented. 3.1.1 Chandra Satellite The Chandra satellite was launched in 1999 and has an angular resolution a thousand times greater than the first orbital satellite (0.492 arcseconds). It was named after the Indian-American scientist Subrahmanyan Chandrasekhar who was well known for determining the maximum mass of white dwarfs. The design of the instrument is different from the majority of optical tele- scopes as it relies on the grazing of X-rays in order to focus them upon the CCDs. The Walter-Type I design provides the most efficient orientation of gold plated mirrors to allow X-ray grazing. The angle has to be acute in order to receive an accurate depiction of an X-ray’s original energy. The Science Instrument Module controls the two main cameras upon the satellite, the Advanced CCD Imaging Spectrometer (ACIS) and High Resolution Camera. For the purposes of this project data from the ACIS-I instrument was used as spectral information is unnecessary. The ACIS instrument consists of 10 CCD chips that are capable of both imaging and spectral data through the use of a grating. The ACIS chips are split into two instruments as shown by Figure 3.1.1. ACIS-I with four chips in a 2×2 orientation and ACIS-S with the remaining six. The ACIS-I can only be used for 10
  • 14.
    3.1. X-RAY DATA11 Figure 3.1: The layout of the ACIS CCD chips. The four chips denoted with an I make up the imaging instrument ACIS-I, whilst those denoted by a S make up ACIS-S. [Kavli Institute for Astrophysics and Space Research, MIT] imaging data, as required for this project, and works across an energy range of 0.2-10keV. The CCDs themselves are made of Silicon, with one side designed to absorb the incoming X-rays. An X-ray requires an energy of roughyly 3.7eV for an electron to be released, the number of which will then be stored within the chip before the current time interval ends (3.2s); after which the total reading recorded. 3.1.2 Data Reduction The Chandra team provide calibrated data for each of their observations but with time they improve upon their calibration protocols. This means that the pre- calibrated data is often outdated, and needs to be rerun. All of the observations used during this project were re-calibrated using the latest updates with CIAO 4.1 software. This section describes the details of each process run upon the observations (including mergers). The original data is supplied in a Level 1 Event fits file, with the purpose of calibration being to recreate a new, more accurate Level 2 Event file.
  • 15.
    12 CHAPTER 3.DATA Bad Pixels The pixels recorded by the imaging CCDs can be corrupted by numerous occur- rences, and so a map of these errors needs to be created. This can in turn be used to remove such erroneous readings from the final event file. The most common of these events is an afterglow, which occurs after a cosmic ray interacts with a CDD. These highly charged particles have an excess of energy which is trapped within the apparatus. This excess charge is then released during several dozen subsequent frames, sometimes resulting in false identifications of faint sources. Level 2 Event File The Level 2 Event File is the error-adjusted observation file and is created using the edited Level 1.5 Event File. This is a three stage process; the first accounting for bad grades and cleaning the status column, the second is the application of Good Time Intervals (GTIs) and the last is the destreaking of the observation file. Filtering Bad Grades Each event identified during a frame is given a grade based upon whether its neighbouring pixels also register the count. A local maxima is found and then the 3x3 square is examined before giving the pixel a grade. The event file needs to be filtered based upon the information provided so that the status columns are all equal to 0 (i.e. there is no issue with that observation). Good Time Intervals (GTIs) Frames can be dropped from ACIS ob- servations and so GTIs are created to identify the periods during which each individual CCD correctly gathered frames. Typically this is normally limited fairly well to the start up and shutdown times of the instrument. Destreaking A design flaw of the ACIS CCDs is that they can distribute charge along rows as they are read out. This is a major issue but can be com- pensated for by examining neighbouring rows. These are seen as streaks across the observation and so destreaking is the term used for their removal. Removing Flares Although the errors from instrument issues and minor stellar events have been removed the algorithm that is used only detects flares within 20% of the mean reading. Therefore it is necessary to remove the brighter flares by hand using ‘ds9’ and the region selection tool. In practise this means using ‘chips’ to clean the event file using a lightcurve that will facilitate the creation of a new GTI file.
  • 16.
    3.2. SZE DATA13 Cluster Obs-IDs Exposure (∆ks) A1835 7370, 6880, 6881 +80 (+66%) A773 3588, 5006 +10 (+50%) A2390 4193, 500 +10 (+10%) A520 4215, 528 +71 (+700%) Table 3.1: Table of merged observations, with improvements in exposure time compared to the observation used otherwise. Lightcurve Once the bright sources are removed a lightcurve needs to be created. This is done by binning the entire energy range of the observation, which can then be used to create a new GTI file. Updated GTI The lightcurve can be cleaned using ‘lc clean()’ where the module used highlights the sections of the lightcurve that do not contain strong flares. The GTI file lists the areas at which the strong flares occur, and so when this updated GTI file is applied to the event file these flares can no longer affect any results. 3.1.3 Merging In many cases there are numerous observations available for each cluster. This allows for the possibility of merging these observations in order to amalgamate the exposure times of each. This can lead to a considerable improvement in results calculated for a cluster. CIAO does have merging tools but they tend to be temperamental. Of the clusters that are analysed there were numerous with multiple observations but only four were successfully merged. Numerous issue were found with the necessary calibration files being missing from the CIAO’s calibration database (CalDB) and errors in the transformation of different observation co-ordinates to match each other. Additionally it is not possible to fit spectra to merged observations so it is necessary to extract spectra from multiple files at once, an already lengthy process. The mergers increase the signal to noise ratio (SNR) for the clusters, by increasing the effective exposure time. The improvements in exposure times can be seen in Table 3.1.3 for each of the clusters that were merged. 3.2 SZE Data The SZE data used for this project was provided by Dr Katy Lancaster, and was gathered using the One Centimetre Receiving Array Prototype (OCRA-p). As we
  • 17.
    14 CHAPTER 3.DATA did not perform the calibration and reduction of the SZE data it is recommended that you read the source paper for details [Lancaster et al, in preparation]. 3.2.1 One Centimetre Receiving Array (OCRA) The telescope itself is located in Poland at the Torun Centre for Astrophysics of the Nicolas Copernicus University. It is a 32m telescope that operates at 30GHz, a typical frequency range for SZE observations. The temperature decrements used were corrected for radio point sources found through the use of the Green Bank telescope and the receiver’s capabilities have been proven with the detection of four well known clusters in the past [Lancaster et al, 2007]. As with all SZE readings errors are currently quite considerable (roughly 25% in most cases), but this will hopefully be improved with an upgrade to the reciever expected to go online sometime this year. The OCRA-Faraday reciever began testing in late 2009 and increases the number of elements fourfold (from two to eight). The SZE data provided, and associated errors, for each cluster can be found in Table 3.2. 3.3 Sample The selection of the sample to be used is important, it needs to to large enough to minimise the statistical uncertainties but also remain representative of the cluster population as a whole. Recent work with similar aims has shown that a sample size n 10 is appropriate [Grego et al. 2001, Reese et al. 2002]. Although these works have tended to continue investigations into the implications upon Cosmology the analysis still bears importance for the calculation of Hubble’s Constant. The selection made is highly complete with a wide span of redshifts with the selection criteria including a redshift z > 0.2 and X-ray luminosity greater than or equal to Abell 773 (12×1044 ergs/s). The sample used for this project includes 16 clusters from the Bright Cluster Sample (BCS, Ebeling et al. 1998), which is 90% flux complete to a limit of 4.4 × 10−12 erg/cm2/s. 3.4 CIAO Script Due to the large number of clusters and the numerous models that needed to be fitted it was decided that it would be appropriate to create a script that could automate as much of the process as possible. Once a process had been understood and tested upon at least one cluster each we would develop a module to automate it.
  • 18.
    3.4. CIAO SCRIPT15 Cluster Redshift SZ Decrement RA(J2000) Dec(2000) A1835 0.2528 4051±500 14 01 02 +02 53 43 ZWCL1953 0.32 1570±349 08 50 03 +36 04 16 RXJ1532.9+3021 0.345 2535±785 15 32 59 +30 21 11 A2390 0.2329 2229±478 21 53 37 +17 40 15 A2219 0.2281 2808±401 16 40 24 +46 40 52 RXJ2129.6+0005 0.235 1710±433 21 29 44 +00 06 06 A2261 0.224 1612±388 17 22 27 +32 07 04 A781 0.298 1392±618 09 20 28 +30 29 58 A697 0.282 2743±419 08 42 58 +36 21 45 A1763 0.223 4042±1069 13 35 26 +41 00 04 A68 0.255 1037±412 00 37 05 +09 09 26 A520 0.199 2583±683 04 54 10 +02 55 21 A267 0.23 1624±466 01 52 42 +01 00 26 RXJ0439.0+0715 0.23 1386±466 04 39 01 +07 16 55 MS1455.0+2232 0.258 2332±695 14 57 20 +22 20 36 A773 0.217 1214±326 09 17 51 +51 43 20 Table 3.2: A list of the sixteen selected clusters, with redshift, SZE decrement and co-ordinates. This allowed for the unattended calibration and analysis of many clusters at once, essentially making the analysis of the large sample possible. The processes tended to be generic enough for the script to eventually become fairly independent of user input. From calibration to final model fitting we only needed to create a few region files at crucial moments. It was possible to automate the process of the region creation but in some cases is was deemed crucial that we assess the cluster ourselves. This automation was not possible when merging observations, where often unique issues are encountered. Each merger required our full attention as they so rarely behaved as a typical cluster. With automation and generalisation comes errors, particularly with a large sample to analyse. Often these would be encounter whilst my partner and I were working independently and so we were careful to compile a small database of errors and worked solutions. A module of the script can search the database by any phrase (including wildcards) or error reference numbers. This tool proved incredibly useful in working through CIAO warnings and errors. By the completion of the project the code included upwards of ten modules, each comprising hundreds of lines of code. The entire script and all code has been uploaded to the departmental wiki∗ for reference. A full explanation of each module and the necessary layout is provided. ∗ sagittarius.star.bris.ac.uk/ayoung/dokuwiki/
  • 19.
    4 Analysis Methodsand Modelling To gather the necessary results from the X-ray data it is necessary to perform both a radial profile fit and a spectral fit. The radial profile allows for the extraction of the core radii, spectral index and surface brightness whilst the spectral analysis provides the temperature and emissivity (with the abundance). Each of these fits can be performed in a manner of ways, each with their own benefits and drawbacks. In our case we decided to extend the use of the basic models in order to theoretically model the central emission in a more accurate manner. It is also crucial to determine an accurate centre for the core, as otherwise this will skew the later analysis. Fortunately this can be done using the CIAO tool centroid repeatedly until the centre is found not to change more than an arbitrarily small amount. 4.1 Radial Profiles The first analysis process performed was the modelling of the radial profiles of the clusters from within Sherpa, the CIAO plotting package. A series of annuli are created using a large total radius in order to allow the accurate modelling of the background. In our case we deliberately took the region out quite far and used a total of 400 bins. Too small a radii can result in the effects of the cooler cores being problematically large. The CIAO package was again used to improve the data, accounting for both background sources and the instrument itself. The sources were found using ‘wavdetect’ and removed from the profile before extraction, additionally the pro- file was divided through by the exposure map created during the calibration stage to ensure accuracy. Importantly it is necessary to account for the effects of the use of an exposure map during the analysis of Sherpa results as any results are unit less. We make use of the ACIS response matrices [Grego et al, 1998] when converting bxo into c.g.s. units. This is done using the observation specific response files and the CIAO tool ‘modelflux’ (new to Sherpa in version 4.1). 16
  • 20.
    4.1. RADIAL PROFILES17 4.1.1 Isothermal β-Model The model that was first fitted was the single β model, described by Equation 4.1. It is based upon the King approximation and was first designed for the modelling of star clusters, although it was found to be quite adequate at modelling clusters as well [Cavaliere & Fusco-Femiano 1978]. ne(r) = ne0 (1 + r2 r2 c )−3β/2 (4.1) where ne is the electron number density, ne0 is the number electron density at the centre of the cluster, r is the radius from the centre of the cluster, rc is the core radius of the ICM and β is the power law index. By eliminating ne in both the X-ray surface brightness (Equation 2.2) and the SZE decrement (Equation 2.6) you can demonstrate that each has an integral dependent only on the electron number density, temperature and cooling func- tion. These equations have their own components, each of which have varying dependencies given below in Equations 4.2. Additionally we need to change variables so as to attain an expression in terms of the angular diameter distance. This can be done by using l = DAζ, removing the dependence on length and replacing it with ζ (an angular measure of distance down the line of sight l = DAζ). ns = ne0 fn(θ, ϕ, ζ) Te(r) = Te0 fT (θ, ϕ, ζ) (4.2) Λe(E, Te) = Λe0 fΛ(θ, ϕ, ζ) where the f terms are the form factors of the respective variable and the constants with an e0 subscript are the central values. You can then sub ne into the expressions, rearranging to integrate only the dependent terms. This allows for a large simplification with the integrals shown in Equations 4.3 and 4.4. ΘX(θ, ϕ) = ∫ f2 nfΛdζ (4.3) ΘS(θ, ϕ) = ∫ fnfΛdζ (4.4) where ΘX and ΘS are the ζ dependant terms of the X-ray and SZE equations respectively. Fortunately this can be simplified further by assuming isothermality, leading to fT = 1 and fΛ = 1. This leaves only fn that needs to be determined. The factor fn is originally in the form of the β-Model given in Equation 4.1, but a substitution can be made where rc = θcDA.
  • 21.
    18 CHAPTER 4.ANALYSIS METHODS AND MODELLING fn = ( 1 + θ2 + ζ2 θ2 c )−3β/2 (4.5) You can then manipulate the expression into a form with multiple Gamma Functions. This simplification allows for the elimination of the integral (now within the Gamma Functions) so that both expressions are given by Equations 4.6 and 4.7. ΘX = √ π Γ(3β − 1/2) Γ(3β) θc ( 1 + θ2 θ2 c )1/2−3β (4.6) ΘS = √ π Γ(3β/2 − 1/2) Γ(3β/2) θc ( 1 + θ2 θ2 c )1/2−3β/2 (4.7) where Γ denotes a gamma function which can be evaluated easily once β is known. These final equations can then be used in Equation 2.11 to calculate the angular diameter distance of the cluster as shown in Equation 4.8. DA = 1 16π1.5σ2 T (1 + z)4 × ( −TRJO TCMB )2 ( ΛeH0 bx0 )2 1 θc mec2 kBTe0 (4.8) × ( Γ(3β − 1/2) Γ(3β) ) ( Γ(3β/2) Γ(3β/2 − 1/2) )2 4.1.2 Cut-β Model As described in Section 2.1.3 disturbed clusters can have peaked central emission. This can lead to the single β model failing to accurately describe the cluster. In an effort to account for this skewing of our results we also tested a cut model, which involves entirely removing the core. To accurately model the core we attempted to estimate the R500 value, as described in Section 4.2.1. With a value for the estimated R500 of a cluster we then excluded the central 15%. Importantly this excluded region was smaller than 15% of the region used for the original β model as we wanted to be able to model the background and cluster at the same time. The plotting and implementation of the profiles with this model are no different from the original. 4.1.3 Double-β Model An alternative to the rather brutal method of entirely removing the core region is to model both the central emission and main body of the cluster. By effectively modelling the two areas through the use of two individual single β models results
  • 22.
    4.1. RADIAL PROFILES19 should improve where there is central emission. The basic form of the model is demonstrated in Equation 4.9, where the individual terms are clear. ne(r) = ne0 ( f(1 + r2 r2 c1 )−3β/2 + (1 − f)(1 + r2 r2 c2 )−3β/2 ) (4.9) where rc1 and rc2 are the core radii for either model and f is a constant. There are numerous variations of the model, with each varying in complexity. Fitting a double β model to the data is not in itself a challenge, however imple- menting it within the equation for DA is. With this in mind some of the models used by others were too detailed for the scope of this project. One such model was presented by Mohr [Mohr et al 1999] but was inappro- priate due to the inclusion of an additional term which could not be modelled. A second model was used by La Roque but when squared during determining the surface brightness it lead to three integral terms. Unfortunately the third of these was beyond our abilities to integrate, even though the first two were relatively simple. A model more appropriate to this project is presented by Xue and Wu [Xue et al 2000], wherein the third integral term is not present. By taking the model present by Mohr and inverting it [Cowie et al 1987] they were then able to deter- mine a form for n2 e as required by surface brightness modelling. Fortunately they eliminate the third term present in La Roque’s model by using the the expression for ne given in Equation 4.10. ne = ∑ i nei = [ ne0 ∑ i ˜nei ]1/2 (4.10) where nei is the electron density calculated by each beta model, and ˜nei is the fraction of the central electron density for each model. Due to the inclusion of both parts of the model within the large brackets it is possible to include it directly within our expression for surface brightness. This prevents the creation of the third term and allows for the relatively simple calculation of DA. Subtly different from the original equation for DA the one for the double β model simply has a varying core radii term, given in Equation 4.11. 1 θc → ( f θc1 + (1 − f) θc2 ) (4.11) where the model will clearly reduce to a single β model in the case that f = 1 or f = 0.
  • 23.
    20 CHAPTER 4.ANALYSIS METHODS AND MODELLING 4.2 Spectral Analysis The spectral analysis is undertaken to attain the central temperature (Te0) and abundance, which in turn can provide the emissivity. This is done by extracting a region, accurately centred upon the cluster, that is then modelled using XSPEC. The extraction process creates numerous ancillary files which aid the in re- duction of response error from the instrument. The most important of these were the weighted response matrix file (.rmf) and the auxilliary response file (.arf) for the given observation. These assist in mapping the likelihood of an event being registered by a CCD across each pixel. The models used consist of a photoelectric absorption model (wabs) and a thermal plasma model (apec). It is necessary to both eliminate the readings from bad bins and certain energy bands before modelling the parameters. In our case the energy band examined was 0.3-7keV throughout both techniques listed below. The most important factor of the spectral analysis is the region selected for the application of the model. The centre of the cluster was found as described earlier using the centroid tool, but unlike the radial profile an overestimation of the cluster’s radius is detrimental to the estimated temperature. Additionally the central core region can again corrupt results in a similar manner to the radial profiling, except in the case of spectral analysis it cannot be modelled as with the double β model and should be excluded as described in Section 4.2.2. 4.2.1 Complete Model The first spectrum that the models were fit to included the central core region and reached to our estimate of the cluster’s radial extent as described below. This should provide reasonable results although it would be expected that the temperatures extracted will be lower than their real values due to the inclusion of the cool core. The radius calculation was performed by examining the radial profiles already extracted, and then calculate the average central value of the cluster. It was then possible to determine the point at which the profile was consistently below 1% of this value. Ideally we would have determined the R500 radius of the cluster, which is the radius where the mean total density of the cluster is five hundred times the mass density of the Universe, but were advised it was beyond our abilities [K. Lancaster & P. Giles, University of Bristol]. Radial Extent Estimation A comparison between a resultant radii and a calculated R500 radii [P. Giles, University of Bristol] were reasonably good, demonstrating that the region used to extract the spectrum should not bias our
  • 24.
    4.2. SPECTRAL ANALYSIS21 temperature upwards a great deal. When experimenting with various methods to calculate the radius, two methods were used. The first was a five-point moving average and the second relied upon five consistent sub-value points. It was found that the five point moving average fell far below the example radius with a figure of approximately 580px, probably due to a single anomalous result (even though zero figures were already removed by this point). The five point consistency model also fell short, but with a figure of approximately 650px, came a lot closer to the actual figure of roughly 700px. 4.2.2 Core Cut Model As mentioned earlier the cores of some clusters have an effect upon the results gathered from model fitting. Previous methods have included the removal of the central 100kpc [Bonamente et al. 2006] but another valid method is to remove the central 15% [Maughan, in preparation]. Not able to calculate the point at which the radius is 100kpc, we opted for the removal of a central region based on the percentile technique. The implementation of the model was simple, with a script that created a annuli region file with an inner radius which was 15% of the original value used in the previous spectral model. You would expect an increase in temperature with the removal of the cooler central region.
  • 25.
    5 Results The initialresults resulted in a good calculation of H0 for this method, however the errors are considerable. There were mixed resuls from the attempts to remove the central emission, with radial cut model being fairly erratic. Fortunately the double β model generally performed well, and the spectral cut model performed as expected when compared to the original complete model. 5.1 Radial Profile Results Isothermal β Model The results for the isothermal β are fairly good, with the reduced statistics ranging from roughly 1.1 to 1.8. The actual figures, with associated errors, are presented in Table 5.4 along with temperatures attained through the use of the complete spectral model. The associated Q-values are also fairly good. Cut β Model It appears that the removal of the core during the β model fitting was less than ideal. Typically the reduced statistic and Q-value were not much different but the results themselves, given in Table 5.3 are vastly different from literature values and the original results. The final values for H0 are calcu- lated using the spectral results from the cut model and show some improvement, although with increased error. Additionally three clusters failed to fit the model to a useable standard. Double β Model The application of the double model improved the statis- tical probability of our results, without vastly changing their values. The reduced statistic range from just below 1 to about 1.3, an improvement on the original β model. The final figures, with H0 calculated using the original complete spectral analysis, can be seen in Table 5.4. The statistics quoted only apply to the clusters for which the model was successfully fitted. 22
  • 26.
    5.2. SPECTRAL MODELLINGRESULTS 23 5.2 Spectral Modelling Results Complete Model The complete spectral model provided temperatures within the range expected, however they are not entirely consistent with litera- ture values. These temperatures are probably slightly more reliable than those of the cut model, and so are used in conjunction with both the original β model and the double. The resultant reduced statistic is fairly good as it is in the region of 1.2. Core Cut Model The slightly erratic results of our temperatures continued with the core cut model, however nearly all temperatures did increase compared to their complete model counterparts. This was by a varying factor and due to the feasible inconsistencies in our estimation of the radial extent of each cluster it was decided that these results would only be used in conjunction with the radial cut β model. With the introduction of the cut the reduced statistic increased to roughly 1.6, leading to a generally poorer fit. 5.3 Mergers The merged observations show some improvement, although the small number of them mean that they had no practical use as a separate sample. The statistical probabilities associated with each model were better, as expected with increased exposure time. 5.4 Hubble Constant The calculation of the Hubble Constant was reasonable with the initial data and improved slightly with the use of the double β model, however with the cut models the value was considered less reliable. The figures for each of the models can be seen in Table 5.1, with the associated errors involved in each. The edited figure is for the same sample, but with A520 removed due to its unique nature (see Section 6.3). The number of double β results was considered to few for a reliable estimation of H0.
  • 27.
    24 CHAPTER 5.RESULTS Radial Profile Radius 10 100 1000 Counts/area 1e−10 1e−09 1e−08 1e−07 Radial Profile Radius 10 100 1000 Counts/area 1e−09 1e−08 1e−07 1e−06 Radial Profile [Cut] Radius 100 1000 Counts/area 1e−10 1e−09 1e−08 Radial Profile [Cut] Radius 100 1000 Counts/area 1e−09 1e−08 1e−07 Radial Profile Radius 10 100 1000 Counts/area 1e−10 1e−09 1e−08 1e−07 Radial Profile Radius 10 100 1000 Counts/area 1e−09 1e−08 1e−07 1e−06 Figure 5.1: β Models. This is a demonstration of the effectiveness of each radial profile on relaced cluster (A773 on the left) and a centrally peaked cluster (A2390 on the right). From top to bottom the profiles demonstrate the single isothermal β model, the core cut variation on the single β model and finally the double β model.
  • 28.
    5.4. HUBBLE CONSTANT25 0.01 0.1 normalizedcountss−1 keV−1 dataandfoldedmodel 10.525 −0.05 0 0.05 residuals Energy(keV) ot63223−May−201019:23 0.01 0.1 normalizedcountss−1 keV−1 dataandfoldedmodel 10.525 −0.1 −0.05 0 0.05 residuals Energy(keV) ot63223−May−201019:27 0.01 0.1 normalizedcountss−1 keV−1 dataandfoldedmodel 10.525 −0.05 0 0.05 residuals Energy(keV) ot63223−May−201019:25 10−3 0.01 0.1 normalizedcountss−1 keV−1 dataandfoldedmodel 10.525 −0.05 0 0.05 residuals Energy(keV) ot63223−May−201019:26 Figure 5.2: Spectral Models. An example of the complete, core cut and residuals from the complete model for a relaxed cluster (A773 on the left) and a cluster with peaked emission (A2390 on the right).
  • 29.
    26 CHAPTER 5.RESULTS Radial Model Spectral Model Hubble Constant km/s/Mpc Single β Complete Original 30.3 ± 13.6 Edited 45.6 ± 20.5 Cut β Core Cut Original 32.8 ± 14.8 Edited 44.0 ± 19.8 Table 5.1: The resultant values of H0 for each of the models investigated. The original result includes all clusters whilst edited includes the removal of A520.
  • 30.
    5.4. HUBBLE CONSTANT27 ClusterNameObsβr0Sx0kTΛDaH0 arcsecergscm−2s−1keVergscm3/sGpckm/Mpc/s /arcsec2(10−16)10−24 RXJ0439.0+071535830.626±0.00930.0±2.610.9±0.464.96±0.162.901.03±0.4345.1±18.9 A69742170.639±0.01048.1±3.46.70±0.028.76±0.473.001.22±0.4743.6±16.9 A183568800.567±0.0009.6±0.1172±1.76.49±0.673.230.83±0.3359.7±24.0 A239041930.535±0.00118.3±0.424.5±0.0310.65±0.152.970.28±0.13165.5±77.9 RXJ2129.6+00055520.545±0.00510.7±1.361.2±4.53.71±0.153.201.06±0.8044.6±33.8 ZWCL195316590.898±0.12146.4±15.25.12±0.566.77±0.562.731.29±0.7344.3±25.2 A6832500.760±0.02855.8±6.94.34±0.216.79±0.363.020.58±0.4985.6±73.1 RXJ1532.9+302116650.639±0.0079.1±0.7125±0.623.57±0.142.991.25±0.7248.0±27.8 MS1455.0+223241920.607±0.0029.1±0.2123±1.94.02±0.473.241.25±0.9840.4±31.8 A26735800.713±0.01652.7±4.04.34±0.149.76±0.503.380.80±0.4958.5±35.8 A176335910.486±0.00636.5±3.64.67±0.199.28±0.413.372.70±1.5516.9±9.8 A5205280.827±0.044116.0±14.32.57±0.088.35±0.383.282.87±1.6814.8±8.7 A7815340.658±0.03974.7±13.81.21±0.077.55±0.583.131.59±1.4834.5±32.3 A77350060.632±0.00946.9±3.29.43±0.288.40±0.313.370.25±0.14176.6±104.5 MS1455.0+22325430.607±0.0068.8±0.7123±5.63.21±0.103.121.93±1.6926.1±22.9 A221978920.703±0.02471.4±8.27.20±0.310.59±0.653.240.85±0.2954.6±19.2 A226150070.546±0.00418.9±1.029.3±0.866.71±0.183.290.37±0.21124.2±71.1 Table5.2:Isothermalβ&CompleteSpectralModelResults.Theresultsfromtheisothermalsingleβmodelarecombinedwith theresultsfromthecompletespectralmodel.
  • 31.
    28 CHAPTER 5.RESULTS ClusterNameβr0Sx0kTΛDaH0 arcsecergs/cm2/skeVergscm3/sGpckm/Mpc/s /arcsec2(10−16)10−24 RXJ0439.0+071535830.667±0.01237.5±3.58.43±0.44.97±0.172.911.23±0.4238.1±13.3 A69742170.640±0.01148.3±4.26.67±0.288.81±0.502.991.21±0.7044.1±25.7 A183568800.568±0.0019.8±0.2165±2.87.06±0.103.220.71±0.3569.4±34.6 RXJ2129.6+00055520.596±0.00919.7±2.726.6±2.53.94±0.173.231.52±1.1831.1±24.2 A6832500.801±0.05363.7±16.93.65±0.656.52±0.383.030.72±0.7769.6±75.1 RXJ1532.9+302116650.661±0.01011.0±1.492.6±9.93.62±0.162.921.42±0.5642.0±16.8 MS1455.0+223241920.638±0.00312.7±0.572.0±2.34.10±0.523.221.63±1.3830.8±26.1 A176335910.486±0.00636.5±3.64.69±0.199.67±0.453.442.53±2.0018.1±14.3 A5205280.597±0.03632.8±37.218.8±0.08.32±0.403.280.76±0.6955.6±51.0 A77350060.687±0.02465.3±12.45.85±0.758.45±0.333.380.34±0.27129.6±105.4 MS1455.0+22325430.620±0.00910.1±1.6100±13.03.17±0.113.102.22±1.9222.7±19.7 ABELL221978920.723±0.02876.0±10.56.78±0.4010.52±0.723.200.89±0.5152.3±30.3 A226150070.561±0.00622.5±2.8231±2.16.56±0.193.260.44±0.32104.2±77.8 Table5.3:Cutβ&CutSpectralModelResults.Theresultsfromtheisothermalsingleβmodelwiththecoreremovedarecombined withtheresultsfromthespectralmodelwhichhasalsohadthecoreremoved.
  • 32.
    5.4. HUBBLE CONSTANT29 ClusterNamefβr01r02Sx0kTΛDaH0 arcsecarcsecergs/cm2/skeVergscm3Gpckm/Mpc/s /arcsec2(10−16)/s10−24 RXJ0439.0+07150.710.72±0.0113.8±3.5101.4±5.7176±3.04.96±0.152.901.36±0.6234.4±15.6 A6970.860.94±0.0256.5±4.2313.7±4.06.93±0.578.76±0.303.001.68±0.7231.8±13.6 MS1455.0+22320.480.62±0.0111.1±1.611.4±2.7138±123.21±0.113.121.42±1.3635.5±34.1 ABELL22190.970.65±0.0161.6±10.623.3±4.78.09±0.6710.59±0.633.240.79±0.3058.9±23.0 A22610.490.56±0.028.9±2.848.9±3.135.9±3.036.71±0.173.290.40±0.25114.1±73.1 Table5.4:DoubleβandCompleteSpectralModels.Theresultsfromtheisothermaldoubleβmodelarecombinedwiththeresults fromthecompletespectralmodel. ClusterObsβr0Sx0kTΛ arcsecergs/cm2/s/arcsec2keVergscm3/s 10−1610−24 A1835 7370 0.573±0.00110.5±0.1113±0.96.73±0.053.356880 6881 A773 3588 0.652±0.00850.2±1.42.95±0.167.55±0.053.46 5006 A2390 4193 0.609±0.00233.5±0.412.9±0.166.73±0.053.32 500 A520 4215 0.290±0.00410.6±0.30.698±0.0049.88±0.216.76 528 Table5.5:SingleβandCompletespectralmodelsforthemergedobservations.
  • 33.
    6 Discussion A discussionaround the results of each model used, and the resulting value for the Hubble Constant can be found below. Each model provided mixed results, with their own successes and failures. For the most part they showed promise that, with further work and an incorporated approach to analysis, results could be improved further. The errors involved in the models were fairly minimal, with the total calcu- lated error for the X-ray data being in the region of <10%. This was considerably smaller than that of the SZE data provided which was normally in the region of 25%. The combination of the two errors for the figure of DA increased to approx- imately 55% by the end of analysis due to an increase in the estimated error of the temperatures attained (a standard figure of 1keV was adopted - as justified in Section 6.2). For a detailed description of the error calculations see Appendix B. The problems associated with the later models meant that it would not have been a useful exercise to employ them with the merged data. For this reason, only the single β, and complete spectral models were tested. There was not a noticeable improvement, simply a slight deviation from the original results. There is no doubt that ideally merged observations would be used where ever possible, but the high failure rate makes it impractical to examine them as a separate sample. On the whole the merged observations tended towards literature values [Maughan, in preparation], although this was not always the case. 6.1 Radial Models The radial results were very good for the most part, closely following figures attained by others [Maughan, in preparation]. The original β model performed well, even without the core being modelled accurately. The latter attempts to better model the core of each cluster provided mixed results, with the core cut β model probably having been to drastic. The final double β model provided improved results, although the overall gain in accuracy was fairly nominal. 30
  • 34.
    6.1. RADIAL MODELS31 6.1.1 Isothermal β Model The single beta model produced fairly good results with values tending to fol- low figures from the literature well [Maughan, in preparation]. Additionally the statistical probability of the models were reasonable. The reduced statistic of the results ranged across the clusters but remained below 2 which is a rough requirement for reliability. The figures ranged from roughly 1.1 to 1.8, but there appeared to be to groupings at either end of the range. Upon closer examination of the plotted profiles it was clear that the profiles with the higher statistics had a tendency towards greater central emission. Each cluster should have the greatest emission at its centre, even if it is not accentuated. An unexpected trend throughout the radial profiles was a dip at the very centre of each cluster. This suggests an error in the profile, probably in the centreing, however This seems unlikely as the CIAO documentation on the centroid tool does not suggests any such issues. The combination of these errors in modelling and profiling the centre led to the implementation of the core cut model in an effort to remove them. 6.1.2 Core Cut Model With the removal of the central core reason it was hoped that the single β model would be allowed to model the cluster characteristics more accurately, even when there was central emission. Unfortunately this does not appear to be the case as the results are erratic and there are a few major failures. For two clusters the model failed entirely and the error across the sample rose by about 10% to a total of approximately 65%. The surface brightness is typically slightly lower, as would be expected from removing the brighter central reason. The results for the surface brightness were not too surprising when compared to the original values, unlike those for the core radii. Previously the radii agreed fairly consistently with literature values but this was not the case with this model. The change in core radius was massive and inconsistent - suggesting a major failure in the model. This was further com- pounded by two results where the model entirely failed to fit itself to the profile and core radii were virtually zero. The slight decrease in surface brightness would result in a small decrease in the estimated value for the Hubble constant (although it is more likely the increase in temperature would play a greater part). In reality we found that the diameter distances calculated were erratic and inconsistent - although they did lead to a slight improvement in the calculated figure for H0. The issues with this model are probably due to an imprecise estimation of the central exclusion region, which was in turn dependent upon the estimation of
  • 35.
    32 CHAPTER 6.DISCUSSION the radial extent for each cluster. This model should have been fairly applicable but it requires a more accurate modelling of the core region than we were able to achieve. As the entire removal of the core region was too inaccurate we attempted to model it using a double β model. 6.1.3 Double Beta Model The issues involved with the cut model are fortunately not an issue with the double β model, as it does not simply remove the central region but models it. In the case of central emission the second beta model accurately depicts it, but without emission it attempts to reduce to a single model. Within our sample we only found a few centrally peak clusters, which is lower than expected for such a statistically representative sample. In the case of a cluster having peaked central emission the model had a re- duced Q-value, from roughly 1.8 to 1.2. This improvement demonstrates the competency of the model when depicting the characteristics of a peaked core. Unfortunately the model was not as appropriate in the case of a cluster without such central emission. The model is designed so as one component tends to zero when there is no emission, this can occur in different ways. The constant term, f, cancels a term if it is equal to either zero or one. This is also true of the core radii if they tend to zero or infinity, where a very large core radii demonstrates the modelling attempting to depict the background. With the model reduction the Q-values could tend below one, the ideal figure. This is known to occur in two situations, the first where the model is over com- plicated and the second where the background is being modelled. The figures for the core radii clearly support these conclusions and demonstrate how unnecessary the double β model is for clusters lacking in central emission. The likelihood of finding so few centrally peaked clusters is not realistic within this sample. It is more likely that our calibration processes have minimised the presence of any such clusters as published papers tend to show a noticeable difference in central emission. The error in centreing the cluster mentioned in Section 6.1.1 should be minimal and upon reflection the use of a mono-energetic exposure map could contribute to the dampening of central emission. It would be expected that the spectra of the core and outer radius would differ in a peaked cluster. This would mean that the mono-energetic value adopted (which would be biased by the higher total count region in the outer radius) would not be ideal for use within the core. The result would probably be an underestimation of the core emission which would dampen the visible central peak. This would in turn effect our estimation for the radial extent of each cluster (which uses the average central value as a reference).
  • 36.
    6.2. SPECTRAL MODELS33 6.2 Spectral Models The spectral models were more time consuming than those for the radial profiles. Having too great a radial extent for a cluster would bias results quite badly, unlike the radial profiles. The extraction time of spectra meant that numerous radii could not be tested due to the number of clusters being analysed. The estimation of the radial extent appears to have had an effect upon our temperature results as they do not adhere particularly well to literature values. Although they are of the correct order of magnitude and differences would be expected from the variation in calibration method there is no proportional differ- ence to comparative works. This is true for both the complete and cut spectral models which suggests that the radial extent of the cluster itself was not accu- rately estimated. This is not entirely surprising as the temperatures found by different groups differ considerably within the appropriate range. For the most part our temper- atures are complimented by the figures given by a paper, although ideally we would have hoped for a high proportion to agree with a single study. The resultant abundance remained reasonable throughout both models and so would not have been an issue compared to the temperatures when calculating the emissivity of each cluster. Even with the considerable temperature errors the emissivity is slow changing enough for the effect to be minimal, particularly as the temperature is present within the equation for angular diameter distance itself. 6.2.1 Complete Model Initial attempts to extract complete spectra were met with mixed success, with the radial extent being far too large. This led to a considerable bias towards higher temperatures that were completely unreasonable for roughly half of the clusters. To counter this problem we then reduced the estimated radius by half, which would then keep a relevant estimation for each cluster. This led to bet- ter results for the temperatures within acceptable ranges, although they do not compare particularly well to other works. It is likely that the temperature is the least accurate of the variables within our experimental work, rivalling the provided SZE data. This loss is most likely due to our inaccurate attempt to model the radial extent of each cluster. As described in Section 6.1.3 in reference to the underestimation of the central emis- sion. Fortunately the effect upon the emissivity would be fairly minimal due to it being very slow changing with respect to temperature.
  • 37.
    34 CHAPTER 6.DISCUSSION 6.2.2 Core Cut Model The issues with determining the radial extent of the clusters would also have had an effect upon the core cut model and so any changes were expected to be proportional. Fortunately this was the case and the vast majority of the temperatures extracted increased by at least a small amount. Inaccuracies in the estimation of the radial extent will have continued to have had an effect on our results; and as the central core was estimated as 15% of this figure the core exclusion compounded the issue. Due to the initial over estimation of the radial extent and the resultant re- duction of the radial estimate it is feasible that the core region was not entirely removed. The cases were there was little change in temperature would suggest that a reasonable proportion of the core remained and that the inner radius of the annuli used should have been increased. 6.3 Hubble Constant The calculations for the Hubble Constant were performed using the technique of linear regression. The theoretical and experimental distances were plotted against each other and the gradient of a linear trendline, passing through the origin, was then used to estimate Hubble’s Constant. Initial estimates using our results proved particularly promising, with the arithmetic average of the clusters giving H0 ≈ 64 in the case of the isothermal β model. This lies within the expected range for this technique. Unfortunately with the more accurate regression modelling the results was less impressive, ultimately being 30.3±13.6. The figure for H0 was far too low, even when considering the tendencies of this method to underestimate the parameter. Slight improvements were made with the cut model in the final figure but the associated errors increased, additionally it is clear from some of the radial plots that the cut models are very unreliable. The final double β model saw some improvement for a few clusters but this was hampered by the dampening of the central emission. It is likely that the few clusters successfully modelled using the entire double β model were the most centrally peaked, with more being missed due to dampening. The large associated errors are bred from the inaccuracies associated with both the cluster’s temperature and the SZE decrement. Improvements with the implementation of OCRA-Faraday should assist in reducing the SZE errors in the near future. The error in central temperature results from a poor estimation of a cluster’s radial extent, crucially this could be modelled using the far more accurate but more complicated R500 method. Although the value is slightly better with the cut models (H0 = 32.8 ± 14.8), the data is far less reliable. Without improvement on the accuracy of the model
  • 38.
    6.3. HUBBLE CONSTANT35 it is not reasonable to rely on the final results. This reasoning is accentuated when considering the two clusters that the cut model failed to fit to. Considerable improvement in the value for H0 is possible with the removal of A520. The angular diameter distances for A520 were consistently huge across all the models. The cluster is known to be very unique, having been described as ‘a cosmic trainwreck’ [Mahdavi et al. 2007]. It has undergone a major merger in a similar manner to the Bullet Cluster. The gas content of the two clusters has been stripped, leaving a central void. The reasons for this are unknown but the results could certainly have effected our analysis. No such justification exists for the error in A1763, a second cluster with a particularly high angular diameter distance, and so it must be assumed that the radial estimations for the cluster must be badly affected. It is these editions to the sample that improve the figure to H0 = 45.6 ± 20.5. Although the regression statistics for either the complete set or the edited subset are not good, there is a vast improvement with the removal of these clusters.
  • 39.
    7 Conclusion The relativesuccesses of the single β model were counteracted by a fairly poor radial estimation throughout the other models. Consistently the difficulties in excluding or modelling the core were mainly bred from the dampening of the central emission, most likely due to the use of a mono-energetic exposure map. The difficulties encountered could be overcome, but the process of calculating a more accurate radial extent are considerable. Additionally it would be reasonable to examine scaling relationships using a variation on this technique, although the redshift range of the sample would have to be vastly increased to make this a useful exercise. The final figure of H0 = 30.3 ± 13.6 is far from precise, although this would again be solved for the most part by a more accurate temperature. The improvements with the removal of A520, to a figure of H0 = 45.6 ± 20.5, demonstrate the possibilities with further development. 36
  • 40.
    Bibliography Birkinshaw M., 1999,Phys.Rep., 310, 97 Bonamente M., Joy M. K., LaRoque S. J., Carlstrom J. E., Reese E. D., Dawson K. S., 2006, ApJ, 647, 25 Cavaliere A., Fusco-Femiano R., 1978, A&A, 70, 677 Grego L., Vrtilek1 J., Van Speybroeck1 L., David L. P., Forman W., Carlstrom J. E., Reese E. D., Joy M. K., ‘A Deep Chandra Observation of the Distant Galaxy Cluster MS1137.5+6625’, 2008, unpublished Hughes J. P., Birkinshaw M., 1998, ApJ, 501, 1 Lancaster K., Birkinshaw M., Gawronski M. P., Browne I., Feiler R., Kus A., Lowe S., Pazderski E., Wilkinson P., 2007, MNRAS, 378, 673 Lancaster K., Birkinshaw M., Gawronski M. P., Browne I., Feiler R., Kus2 A., Lowe3 S., Maughan B., 2010, Astron. Soc. not submitted Reese E. D., Carlstrom J. E., Joy M., Mohr J. J., Grego L., Holzapfel W. L., 2002, ApJ, 581, 53 Mohr J. J., Mathiesen B., Evrard A. E., 1999, ApJ, 517, 627 Sunyaev R. A., Zeldovich Y. B., 1970, Comments on Astrophysics and Space Physics, 2, 66 Sunyaev R. A., Zel’dovich Y. B., 1972, Comments on Astrophysics, 4, 173 Xue, Y.-J., & Wu, X.-P. 2000, MNRAS, 318, 715 37
  • 41.
  • 42.
    A Signal toNoise The Signal to noise ratios for each of the observations is given in the table below. It is worth noting that all of the observations have good SNRs, with the majority having very high (¿100) SNRs. Each of the clusters was chosen as it had been well documented in past X-ray work so this is not unexpected. 39
  • 43.
    40 APPENDIX A.SIGNAL TO NOISE Cluster Name Obs SNR RXJ0439.0+0715 3583 93 A697 4217 95 A1835 6880 446 A2390 4193 452 RXJ2129.6+0005 552 81 ZWCL1953 1659 25 A68 3250 63 RXJ1532.9+3021 1665 75 MS1455.0+2232 4192 251 A267 3580 84 A1763 3591 93 A520 528 79 A781 534 51 A773 5006 107 MS1455.0+2232 543 76 A2219 7892 83 A2261 5007 127 A1835 6880,6881,7370 553 A2390 4193,500 473 A520 528,4215 206 A773 5006,3588 141 Table A.1: Signal to Noise results for each of the observed clusters in the core sample, as well as merged.
  • 44.
    B Error Analysis Thecalculation of the errors involved when determining each cluster’s angular diameter distance are not particularly complicated. As we know that DA is dependent upon the terms shown in Equation B.1 it is simply necessary to apply the normal error calculations. DA ∝ (∆TSZE)2ΛeH0 Sx0T2 e0 1 θc (B.1) Each dependent term’s fractional error contribution must be calculated in- dependently before being summed as described by Equation B.2. The errors required are all given by the plotting programs that give the figures themselves. ( ∆DA DA )2 = ( ∆TSZE TSZE )2 + 1 4 ( ∆ΛeH0 ΛeH0 )2 + ( ∆Sx0 Sx0 )2 + 4 ( ∆Te0 Te0 )2 (B.2) + ( ∆θc θc )2 + ( ∆F(Γ) F(Γ) )2 where the variables are as given earlier, ∆ denotes the error associated with that figure and F(Γ) is the combination of all four of the gamma terms. It is important to note that the squared values in the original equation con- tribute far more than the other terms. This means that the error in the tem- perature is the most important and with the estimated flat error of 1keV this provides a considerable amount. This increase in the error from the temperature is explained by the difficulties involved in estimating the radial extent of each cluster accurately (see Section 6.2). Before the inclusion of this additional error (and an increase in the error for bx0) the X-ray associated error was under 10%. The error in the gamma function terms was determined using its derivative, equal to psi-gamma (ψ), and by applying the product rule. This led to the smallest of the error components at roughly 0.1%. It is important to note that the error calculated for each cluster’s angular diameter distance is done separately. The smallest errors are to be found in the 41
  • 45.
    42 APPENDIX B.ERROR ANALYSIS core radius and surface brightness, although this error was increased due to the mono-energetic assumption of the exposure map. The dominant errors were the SZE decrement, kT and to a lesser extent the error in bx0. The errors involved with the single and double beta models were fairly similar, at roughly 50-55% in total, but the error for the cut model was larger at roughly 65%. This was one of the reasons it was considered less reliable.