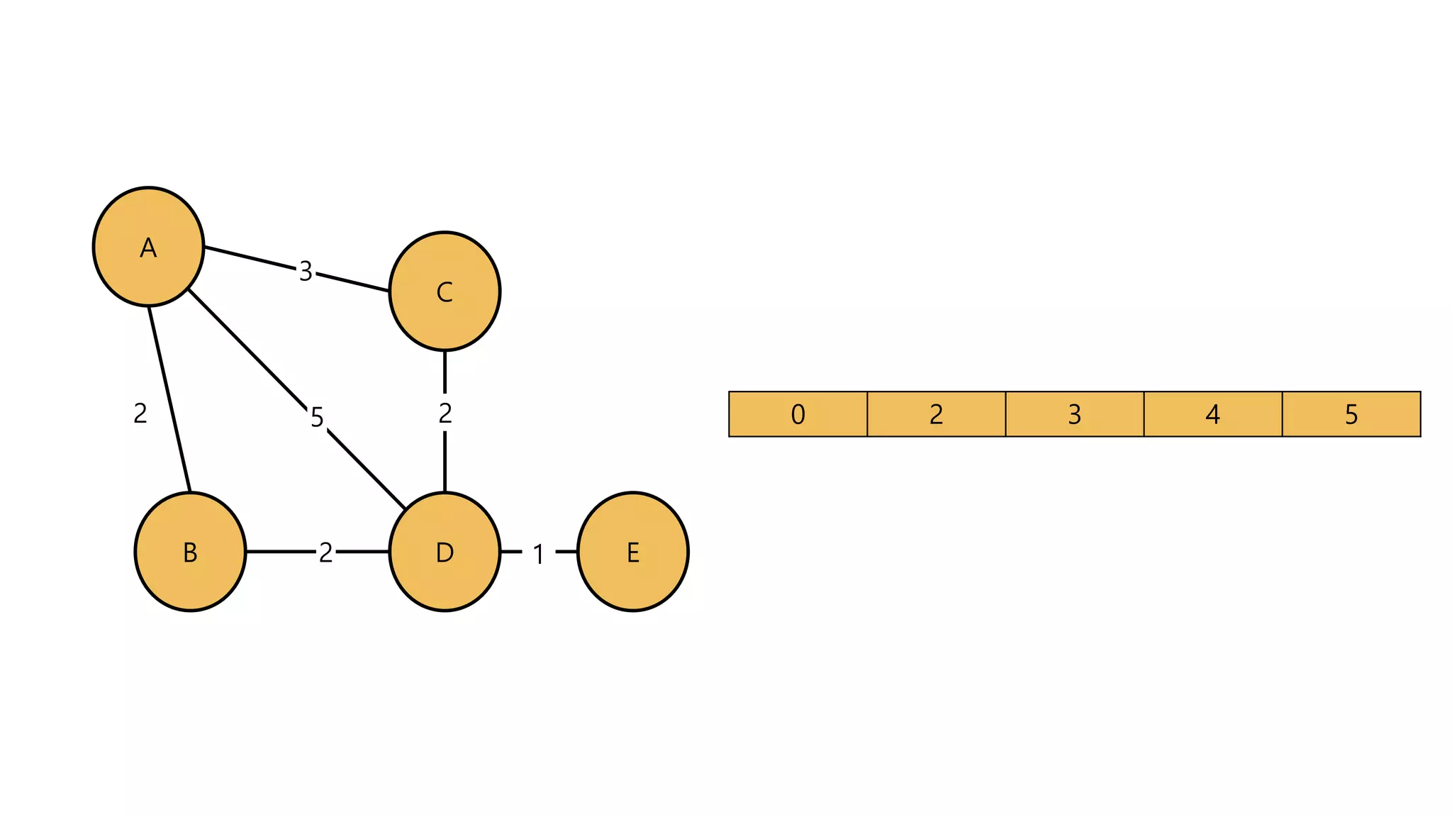
다익스트라 알고리즘(Dijkstra algorithm)
W1 자료구조와 알고리즘
• 특정한 하나의 정점에서 다른 모든 정점으로 가는 최단 경로
내비게이션, 지하철 노선 검색 등에 사용
• 하나의 최단 거리를 구할 때 이전까지 구했던 정보를 그대로 사용
• 음의 간선을 포함하지 않는다
현실 세계에서 사용하기에 적합
구하는 방법
1. 출발 노드 설정
2. 출발 노드를 기준으로 최소 비용을 저장
3. 방문하지 않은 노드 중에서 가장 비용
이 적은 노드를 선택
4. 해당 노드를 거쳐서 특정한 노드로 가
는 경우를 고려하여 최소 비용을 갱신
5. 3번 ~ 4번 반복한다.
A
B
C
D
3
2 25
2 E1
A
B
C
D
3
2 25
2 E1
0 2 3 5 무한
A
B
C
D
3
2 25
2 E1
0 2 3 4 무한
A
B
C
D
3
2 25
2 E1
0 2 3 4 무한
A
B
C
D
3
2 25
2 E1
0 2 3 4 5
A
B
C
D
3
2 25
2 E1
0 2 3 4 5
코드로 살펴보기
최소 거리를 가지는 정점 반환
다익스트라 수행 코드

Dijkstra algorithm