PhD Dissertation Oral Defense Shobeir K. S. Mazinani
School of Molecular Sciences
Shobeir K. S. Mazinani
Molecular Models for Conductance in Junctions
and Electrochemical Electron Transfer.
Dr. Vladimiro Mujica (Co-Chair)
Dr. Tarakeshwar Pilarisetty (Co-Chair)
Dr. C. Austen Angell
Dr. Anne K. Jones
Fri., Nov. 13, 10:15AM, PSC 112
PhD Oral Defense Shobeir K. S. Mazinani
School of
Molecular SciencesOutline
Assessing the Quality of Electron Transport Through Weak Links
and Hydrogen Bond.
In Conductance. {Molecular Electronics}
Electrode Reactions and Catalysis in Confined Spaces.
Using molecular descriptors in three examples of
Electron transfer/transport:
PhD Oral Defense Shobeir K. S. Mazinani
School of
Molecular SciencesRatner & Aviram
Molecular Rectifier
1974
𝐷 − 𝜎 − 𝐴
PhD Oral Defense Shobeir K. S. Mazinani
School of
Molecular SciencesBut 41 years later
There is not a single commercial device!
Intel is fabricating a 14nm node.
Go to 10 nm in 2017!
“I see Moore’s law dying here”
PhD Oral Defense Shobeir K. S. Mazinani
School of
Molecular Sciences
Choi, Yongki, et al. "Single-molecule lysozyme dynamics monitored by an electronic circuit." Science 335.6066 (2012): 319-324.
Credit: Biodesign Institute at ASU
The Opportunity
Recognition and Sensors
PhD Oral Defense Shobeir K. S. Mazinani
School of
Molecular SciencesTheory
𝐼 𝑉 =
2 𝑒
ℎ 𝜇 𝐿
𝜇 𝑅
𝑑𝐸 𝑇 𝐸 𝑓𝑅(𝐸) − 𝑓𝐿(𝐸)
Landauer Formula
𝑔 𝑉 =
𝜕𝐼
𝜕𝑉
Conductance
PhD Oral Defense Shobeir K. S. Mazinani
School of
Molecular Sciences
hormones by Nathalie Dumont from the Noun Project
Chemical Space is BIG!
1060
Polarizability as a molecular descriptor.
QM-Descriptors
PhD Oral Defense Shobeir K. S. Mazinani
School of
Molecular SciencesPolarizability
𝜇 = 𝛼 𝐸
Laser
Frequency
(𝛼 𝜌𝜎) 𝑓𝑖=
2𝜋
ℎ 𝑛≠𝑖,𝑓
< 𝑓|𝜇 𝜌|𝑛 >< 𝑛|𝜇 𝜎|𝑖 >
𝜔 𝑛𝑖 − 𝜔 𝐿 − 𝒊 𝛾𝑛′
Inverse of the
life time of
excited state
Kramers-Dirac-Heisenberg
PhD Oral Defense Shobeir K. S. Mazinani
School of
Molecular SciencesSet Up
ElectrodeBridge
Anchoring
Group
Linker
Molecule Acceptor
Electrode
Donor
PhD Oral Defense Shobeir K. S. Mazinani
School of
Molecular SciencesHalo-benzenes
𝑔0 =
2𝑒2
ℎ
= 7.75 × 10−5
𝑆
Substituent Effect
Venkataraman, L.; Park, Y. S.; Whalley, A. C.; Nuckolls, C.; Hybertsen, M. S.; Steigerwald, M. L. Nano Lett. 2007, 7, 502–506.
PhD Oral Defense Shobeir K. S. Mazinani
School of
Molecular SciencesTrend?
1. F
2. Cl
3. CHF2
4. OCH3
5. SH
6. NO2
7. CH2Cl
8. CCl3
PhD Oral Defense Shobeir K. S. Mazinani
School of
Molecular SciencesHOMO-LUMO GAP
Hypothesis:
HOMO- LUMO gap is an estimate of the tunneling barrier.
PhD Oral Defense Shobeir K. S. Mazinani
School of
Molecular SciencesHOMO-LUMO GAP
1. F
2. Cl
3. CHF2
4. OCH3
5. SH
6. NO2
7. CH2Cl
8. CCl3
PhD Oral Defense Shobeir K. S. Mazinani
School of
Molecular SciencesThiophene-Furan Motif
PhD Oral Defense Shobeir K. S. Mazinani
School of
Molecular Sciences
Amine-Motif
Diamine Bipyridine
PhD Oral Defense Shobeir K. S. Mazinani
School of
Molecular SciencesObservations
There is a robust correlation between
Conductance and Polarizability
Higher Polarizability lower conductance
It holds for families of Molecules.
Created by David Washcusch from the Noun Project
PhD Oral Defense Shobeir K. S. Mazinani
School of
Molecular SciencesEXPLANATION?
Barrier Model of Conductance
Simmons’ model
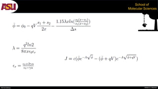
𝜙 = 𝜙0 − 𝑞𝑉
𝑠1+𝑠2
2𝑥
− 𝐵
1
𝜖 𝑟
Dielectric Constant
Barrier height
Simmons, J. G. J. Appl. Phys. 1963, 34, 1793.
𝐵 =
1.15𝜆𝑥
Δ𝑠
𝑙𝑛
𝑠2(𝑥 − 𝑠1)
𝑠1(𝑥 − 𝑠2)
PhD Oral Defense Shobeir K. S. Mazinani
School of
Molecular SciencesClausius-Mossotti
Octavio Fabrizio Mossotti (Institute and Museum of the History of Science / Eurofoto, http://brunelleschi.imss.fi.it/itineraries/image/img33988.html
Gravity, By Joerg Kliemann, The noun project
𝜖 𝑟 =
𝜖0 + 2𝛾𝛼
𝜖0 − 𝛾𝛼
I. Polarization, proportional to the field.
II. Polarizable molecules, Isotropic.
III.Short range interactions, ignored.
Surprise: Seems to be valid in the nanoscopic/molecular regime !!
PhD Oral Defense Shobeir K. S. Mazinani
School of
Molecular Sciences
𝜙 = 𝜙0 − 𝑞𝑉
𝑠1 + 𝑠2
2𝑥
− 𝐵
𝜖0 + 2𝛾𝛼
𝜖0 − 𝛾𝛼
−1
PhD Oral Defense Shobeir K. S. Mazinani
School of
Molecular Sciences
Diamine Bipyridine
Molecular Junction Sensors
PhD Oral Defense Shobeir K. S. Mazinani
School of
Molecular Sciences
Xiao, Xiaoyin, Bingqian Xu, and Nongjian Tao. "Conductance titration of single-peptide molecules." Journal of the American Chemical Society 126.17 (2004): 5370-5371.
PhD Oral Defense Shobeir K. S. Mazinani
School of
Molecular Sciences
Nishino, Tomoaki, Nobuhiko Hayashi, and Phuc T. Bui. "Direct measurement of electron transfer through a hydrogen bond between single molecules." Journal of the American Chemical Society 135.12 (2013): 4592-4595.
Hydrogen Bond
PhD Oral Defense Shobeir K. S. Mazinani
School of
Molecular Sciences
NH…O< NH…N < OH…O < OH…N
Electronic Transport across Hydrogen Bonds in Organic Electronics, R. V. Meidanshahi, S. K. S. Mazinani, V. Mujica, and P. Tarakeshwar, Int. J. Nanotechnol. Volume 12, Numbers 3-4 (2015).
Hydrogen Bond
Highly Neglected!
PhD Oral Defense Shobeir K. S. Mazinani
School of
Molecular Sciences
Electronic Transport across Hydrogen Bonds in Organic Electronics, R. V. Meidanshahi, S. K. S. Mazinani, V. Mujica, and P. Tarakeshwar, Int. J. Nanotechnol. Volume 12, Numbers 3-4 (2015).
Hydrogen Bond
PhD Oral Defense Shobeir K. S. Mazinani
School of
Molecular SciencesHydrogen Production
Bio-Inspired
PhD Oral Defense Shobeir K. S. Mazinani
School of
Molecular SciencesHydrogen Production
Ni-Fe
dppf: Sterically Prohibitive
bdt: Non-innocent Ligand
Gan, Lu, et al. "A Nickel Phosphine Complex as a Fast and Efficient Hydrogen Production Catalyst." Journal of the American Chemical Society 137.3 (2015): 1109-1115.
PhD Oral Defense Shobeir K. S. Mazinani
School of
Molecular SciencesGeometry
1: Ni-dppf-bdt
2: Ni-dppe-bdt
21
E1/2=-1.280 V
E1/2=-0.518 V
PhD Oral Defense Shobeir K. S. Mazinani
School of
Molecular SciencesECEC
PhD Oral Defense Shobeir K. S. Mazinani
School of
Molecular SciencesContribution from Fe?
PhD Oral Defense Shobeir K. S. Mazinani
School of
Molecular SciencesReduction of Ni
Structural Changes
PhD Oral Defense Shobeir K. S. Mazinani
School of
Molecular SciencesWhich Site?
31 is more stable than 32:
3.6 kcal/mol
41 is more stable than 42:
15.3 kcal/mol
PhD Oral Defense Shobeir K. S. Mazinani
School of
Molecular SciencesTransition State
TS: pseudo-octahedral
Dihydral angle changes:
40 degrees!
Ni-S and Ni-P bonds
changed by 0.1 and 0.15 Å
PhD Oral Defense Shobeir K. S. Mazinani
School of
Molecular SciencesObservations
Acts as a mononuclear Ni complex.
No bonding interaction between Ni and Fe.
The bite Angle and rigidity of dppf ligand are more relevant.
Ligand enforces certain geometry on Ni
Modifies electronic structure.
Modifies redox properties.
Created by David Washcusch from the Noun Project
PhD Oral Defense Shobeir K. S. Mazinani
School of
Molecular SciencesAcknowledgement
PhD Oral Defense Shobeir K. S. Mazinani
School of
Molecular SciencesTHANK YOU!
PhD Oral Defense Shobeir K. S. Mazinani
School of
Molecular SciencesAddition
PhD Oral Defense Shobeir K. S. Mazinani
School of
Molecular Sciences
PhD Oral Defense Shobeir K. S. Mazinani
School of
Molecular Sciences
Obtained on November 2015 from: http://betanews.com/2013/10/15/breaking-moores-law/
Moore’s Law
Number of transistors per chip doubles
every 2 years!
1965
Faster and Smaller.
PhD Oral Defense Shobeir K. S. Mazinani
School of
Molecular Sciences
Obtained on November 2015 from: http://muonray.blogspot.com/2012/12/richard-feynman-theres-plenty-of-room.html
Richard Feynman
Top to Bottom
1959
Bottom to Top

defense_2

  • 1.
    PhD Dissertation OralDefense Shobeir K. S. Mazinani School of Molecular Sciences Shobeir K. S. Mazinani Molecular Models for Conductance in Junctions and Electrochemical Electron Transfer. Dr. Vladimiro Mujica (Co-Chair) Dr. Tarakeshwar Pilarisetty (Co-Chair) Dr. C. Austen Angell Dr. Anne K. Jones Fri., Nov. 13, 10:15AM, PSC 112
  • 2.
    PhD Oral DefenseShobeir K. S. Mazinani School of Molecular SciencesOutline Assessing the Quality of Electron Transport Through Weak Links and Hydrogen Bond. In Conductance. {Molecular Electronics} Electrode Reactions and Catalysis in Confined Spaces. Using molecular descriptors in three examples of Electron transfer/transport:
  • 3.
    PhD Oral DefenseShobeir K. S. Mazinani School of Molecular SciencesRatner & Aviram Molecular Rectifier 1974 𝐷 − 𝜎 − 𝐴
  • 4.
    PhD Oral DefenseShobeir K. S. Mazinani School of Molecular SciencesBut 41 years later There is not a single commercial device! Intel is fabricating a 14nm node. Go to 10 nm in 2017! “I see Moore’s law dying here”
  • 5.
    PhD Oral DefenseShobeir K. S. Mazinani School of Molecular Sciences Choi, Yongki, et al. "Single-molecule lysozyme dynamics monitored by an electronic circuit." Science 335.6066 (2012): 319-324. Credit: Biodesign Institute at ASU The Opportunity Recognition and Sensors
  • 6.
    PhD Oral DefenseShobeir K. S. Mazinani School of Molecular SciencesTheory 𝐼 𝑉 = 2 𝑒 ℎ 𝜇 𝐿 𝜇 𝑅 𝑑𝐸 𝑇 𝐸 𝑓𝑅(𝐸) − 𝑓𝐿(𝐸) Landauer Formula 𝑔 𝑉 = 𝜕𝐼 𝜕𝑉 Conductance
  • 7.
    PhD Oral DefenseShobeir K. S. Mazinani School of Molecular Sciences hormones by Nathalie Dumont from the Noun Project Chemical Space is BIG! 1060 Polarizability as a molecular descriptor. QM-Descriptors
  • 8.
    PhD Oral DefenseShobeir K. S. Mazinani School of Molecular SciencesPolarizability 𝜇 = 𝛼 𝐸 Laser Frequency (𝛼 𝜌𝜎) 𝑓𝑖= 2𝜋 ℎ 𝑛≠𝑖,𝑓 < 𝑓|𝜇 𝜌|𝑛 >< 𝑛|𝜇 𝜎|𝑖 > 𝜔 𝑛𝑖 − 𝜔 𝐿 − 𝒊 𝛾𝑛′ Inverse of the life time of excited state Kramers-Dirac-Heisenberg
  • 9.
    PhD Oral DefenseShobeir K. S. Mazinani School of Molecular SciencesSet Up ElectrodeBridge Anchoring Group Linker Molecule Acceptor Electrode Donor
  • 10.
    PhD Oral DefenseShobeir K. S. Mazinani School of Molecular SciencesHalo-benzenes 𝑔0 = 2𝑒2 ℎ = 7.75 × 10−5 𝑆 Substituent Effect Venkataraman, L.; Park, Y. S.; Whalley, A. C.; Nuckolls, C.; Hybertsen, M. S.; Steigerwald, M. L. Nano Lett. 2007, 7, 502–506.
  • 11.
    PhD Oral DefenseShobeir K. S. Mazinani School of Molecular SciencesTrend? 1. F 2. Cl 3. CHF2 4. OCH3 5. SH 6. NO2 7. CH2Cl 8. CCl3
  • 12.
    PhD Oral DefenseShobeir K. S. Mazinani School of Molecular SciencesHOMO-LUMO GAP Hypothesis: HOMO- LUMO gap is an estimate of the tunneling barrier.
  • 13.
    PhD Oral DefenseShobeir K. S. Mazinani School of Molecular SciencesHOMO-LUMO GAP 1. F 2. Cl 3. CHF2 4. OCH3 5. SH 6. NO2 7. CH2Cl 8. CCl3
  • 14.
    PhD Oral DefenseShobeir K. S. Mazinani School of Molecular SciencesThiophene-Furan Motif
  • 15.
    PhD Oral DefenseShobeir K. S. Mazinani School of Molecular Sciences Amine-Motif Diamine Bipyridine
  • 16.
    PhD Oral DefenseShobeir K. S. Mazinani School of Molecular SciencesObservations There is a robust correlation between Conductance and Polarizability Higher Polarizability lower conductance It holds for families of Molecules. Created by David Washcusch from the Noun Project
  • 17.
    PhD Oral DefenseShobeir K. S. Mazinani School of Molecular SciencesEXPLANATION? Barrier Model of Conductance Simmons’ model 𝜙 = 𝜙0 − 𝑞𝑉 𝑠1+𝑠2 2𝑥 − 𝐵 1 𝜖 𝑟 Dielectric Constant Barrier height Simmons, J. G. J. Appl. Phys. 1963, 34, 1793. 𝐵 = 1.15𝜆𝑥 Δ𝑠 𝑙𝑛 𝑠2(𝑥 − 𝑠1) 𝑠1(𝑥 − 𝑠2)
  • 18.
    PhD Oral DefenseShobeir K. S. Mazinani School of Molecular SciencesClausius-Mossotti Octavio Fabrizio Mossotti (Institute and Museum of the History of Science / Eurofoto, http://brunelleschi.imss.fi.it/itineraries/image/img33988.html Gravity, By Joerg Kliemann, The noun project 𝜖 𝑟 = 𝜖0 + 2𝛾𝛼 𝜖0 − 𝛾𝛼 I. Polarization, proportional to the field. II. Polarizable molecules, Isotropic. III.Short range interactions, ignored. Surprise: Seems to be valid in the nanoscopic/molecular regime !!
  • 19.
    PhD Oral DefenseShobeir K. S. Mazinani School of Molecular Sciences 𝜙 = 𝜙0 − 𝑞𝑉 𝑠1 + 𝑠2 2𝑥 − 𝐵 𝜖0 + 2𝛾𝛼 𝜖0 − 𝛾𝛼 −1
  • 20.
    PhD Oral DefenseShobeir K. S. Mazinani School of Molecular Sciences Diamine Bipyridine
  • 21.
    Molecular Junction Sensors PhDOral Defense Shobeir K. S. Mazinani School of Molecular Sciences Xiao, Xiaoyin, Bingqian Xu, and Nongjian Tao. "Conductance titration of single-peptide molecules." Journal of the American Chemical Society 126.17 (2004): 5370-5371.
  • 22.
    PhD Oral DefenseShobeir K. S. Mazinani School of Molecular Sciences Nishino, Tomoaki, Nobuhiko Hayashi, and Phuc T. Bui. "Direct measurement of electron transfer through a hydrogen bond between single molecules." Journal of the American Chemical Society 135.12 (2013): 4592-4595. Hydrogen Bond
  • 23.
    PhD Oral DefenseShobeir K. S. Mazinani School of Molecular Sciences NH…O< NH…N < OH…O < OH…N Electronic Transport across Hydrogen Bonds in Organic Electronics, R. V. Meidanshahi, S. K. S. Mazinani, V. Mujica, and P. Tarakeshwar, Int. J. Nanotechnol. Volume 12, Numbers 3-4 (2015). Hydrogen Bond Highly Neglected!
  • 24.
    PhD Oral DefenseShobeir K. S. Mazinani School of Molecular Sciences Electronic Transport across Hydrogen Bonds in Organic Electronics, R. V. Meidanshahi, S. K. S. Mazinani, V. Mujica, and P. Tarakeshwar, Int. J. Nanotechnol. Volume 12, Numbers 3-4 (2015). Hydrogen Bond
  • 25.
    PhD Oral DefenseShobeir K. S. Mazinani School of Molecular SciencesHydrogen Production Bio-Inspired
  • 26.
    PhD Oral DefenseShobeir K. S. Mazinani School of Molecular SciencesHydrogen Production Ni-Fe dppf: Sterically Prohibitive bdt: Non-innocent Ligand Gan, Lu, et al. "A Nickel Phosphine Complex as a Fast and Efficient Hydrogen Production Catalyst." Journal of the American Chemical Society 137.3 (2015): 1109-1115.
  • 27.
    PhD Oral DefenseShobeir K. S. Mazinani School of Molecular SciencesGeometry 1: Ni-dppf-bdt 2: Ni-dppe-bdt 21 E1/2=-1.280 V E1/2=-0.518 V
  • 28.
    PhD Oral DefenseShobeir K. S. Mazinani School of Molecular SciencesECEC
  • 29.
    PhD Oral DefenseShobeir K. S. Mazinani School of Molecular SciencesContribution from Fe?
  • 30.
    PhD Oral DefenseShobeir K. S. Mazinani School of Molecular SciencesReduction of Ni Structural Changes
  • 31.
    PhD Oral DefenseShobeir K. S. Mazinani School of Molecular SciencesWhich Site? 31 is more stable than 32: 3.6 kcal/mol 41 is more stable than 42: 15.3 kcal/mol
  • 32.
    PhD Oral DefenseShobeir K. S. Mazinani School of Molecular SciencesTransition State TS: pseudo-octahedral Dihydral angle changes: 40 degrees! Ni-S and Ni-P bonds changed by 0.1 and 0.15 Å
  • 33.
    PhD Oral DefenseShobeir K. S. Mazinani School of Molecular SciencesObservations Acts as a mononuclear Ni complex. No bonding interaction between Ni and Fe. The bite Angle and rigidity of dppf ligand are more relevant. Ligand enforces certain geometry on Ni Modifies electronic structure. Modifies redox properties. Created by David Washcusch from the Noun Project
  • 34.
    PhD Oral DefenseShobeir K. S. Mazinani School of Molecular SciencesAcknowledgement
  • 35.
    PhD Oral DefenseShobeir K. S. Mazinani School of Molecular SciencesTHANK YOU!
  • 36.
    PhD Oral DefenseShobeir K. S. Mazinani School of Molecular SciencesAddition
  • 37.
    PhD Oral DefenseShobeir K. S. Mazinani School of Molecular Sciences
  • 38.
    PhD Oral DefenseShobeir K. S. Mazinani School of Molecular Sciences Obtained on November 2015 from: http://betanews.com/2013/10/15/breaking-moores-law/ Moore’s Law Number of transistors per chip doubles every 2 years! 1965 Faster and Smaller.
  • 39.
    PhD Oral DefenseShobeir K. S. Mazinani School of Molecular Sciences Obtained on November 2015 from: http://muonray.blogspot.com/2012/12/richard-feynman-theres-plenty-of-room.html Richard Feynman Top to Bottom 1959 Bottom to Top