Content Analysis is King Emma Persky http://www.flickr.com/photos/98469445@N00/327471676/ #caik
The Web is Full of Interesting Content and Data http://www.flickr.com/photos/bobloo17/188697388/
Without Context Data is Meaningless
Simple Content Analysis is Not Rocket Science http://www.flickr.com/photos/shanelin/4344198946/
Trending Topics http://www.flickr.com/photos/artcomments/382733164/
Recommended Content Content http://www.flickr.com/photos/ginnerobot/2816217528/
Ratings http://www.flickr.com/photos/59067924@N00/270075985/
Shoe A http://www.flickr.com/photos/lomoholga/3213476217/
Shoe B http://www.flickr.com/photos/philliecasablanca/3491078114/
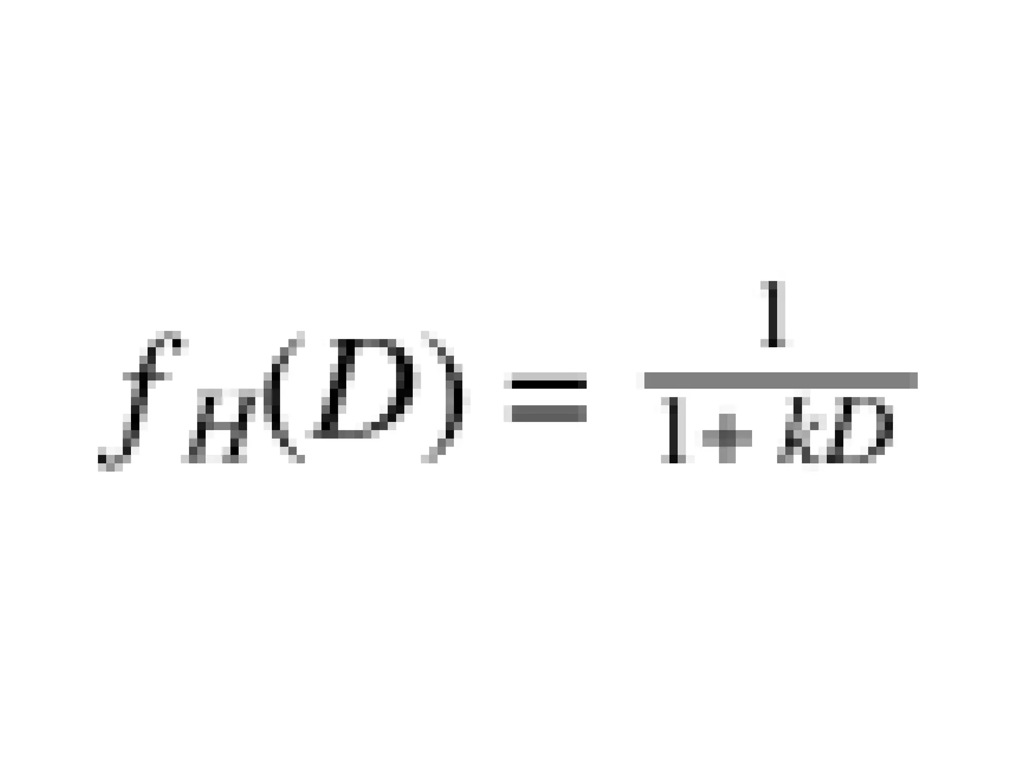
Hyperbolic Discounting
 
select sum ( 1 / (1 + [constant] * datediff(now, v.created_at) * v.vote / [vote_count] ) as discounted_average from votes v
Play with Coefficient to Fit Your Data http://www.flickr.com/photos/juniorvelo/3227437674/
 
Semantic Analysis http://www.flickr.com/photos/nicmcphee/267333555/
Yahoo Term Extractor OpenCalais Topia TermExtractor Kea Maui Maui Maui Maui Maui Maui Maui http:/ / www.flickr.com/photos/bowbrick/142683793/
Emma Persky is a vocal evangelist for the barcamp movement, an avid traveler and a vibrant storyteller. She is easily roped into insane adventures such as Whuffaoke, a karaoke road trip across the US, or a trip across the atlantic to party at SxSWi for 43 hours. You can't miss her with her bright red hair and distinctively British accent, so make sure to say hi. When Emma is not at home in London, England, engineering software for Gumtree or planning another barcamp, she can be found on an intrepid expedition, collecting stories for her blog, travellerwithatale.com. TermExtractor Topia OpenCalais Emma Persky  vocal evangelist  barcamp movement  avid traveler  vibrant storyteller  Whuffaokekaraoke road tripUStrippartySxSWi43 hourshoursEmmahomehome in LondonLondonEnglandengineering softwareGumtreebarcampintrepid expeditionstoriesblog engineering software road trip british accent emma persky barcamp movement trip barcamp emma england expedition accent hair engineering planning london traveler persky storyteller blog party movement evangelist whuffaoke gumtree hours hi atlantic home travellerwithatale.com adventures british stories sxswi road software Topic:  Technology/Internet (95.1%) Social Tags:  Technology_Internet  Time  Traveller Evangelist  GumTree  BarCamp Cities: London Countries: United Kingdom People:  Emma Persky  Relations:  a vocal evangelist for the barcamp movement
Trend Analysis http: / /www.flickr.com/photos/dahlstroms/3852790531/
 
 
Bursty Data http://www.flickr.com/photos/gsfc/4481770213/
Buckets, Trees and Histograms http://www.flickr.com/photos/jonevans/1032687817/
Map/Reduce http://www.flickr.com/photos/paulhammond/2872919132/
Topic Detection and Tracking and Tracking http://www.flickr.com/photos/mamboman/2396881866/
Content  Exploration Exploration http://www.flickr.com/photos/gsfc/3549815271/
Sentiment Analysis http://www.flickr.com/photos/swamibu/2895535441/
Pizza Based Content Analysis http://www.flickr.com/photos/57231735@N00/597174047/
Emma Persky [email_address] @emmapersky @emmapersky @emmapersky http://www.flickr.com/photos/98469445@N00/327471676/

Content Analysis is King