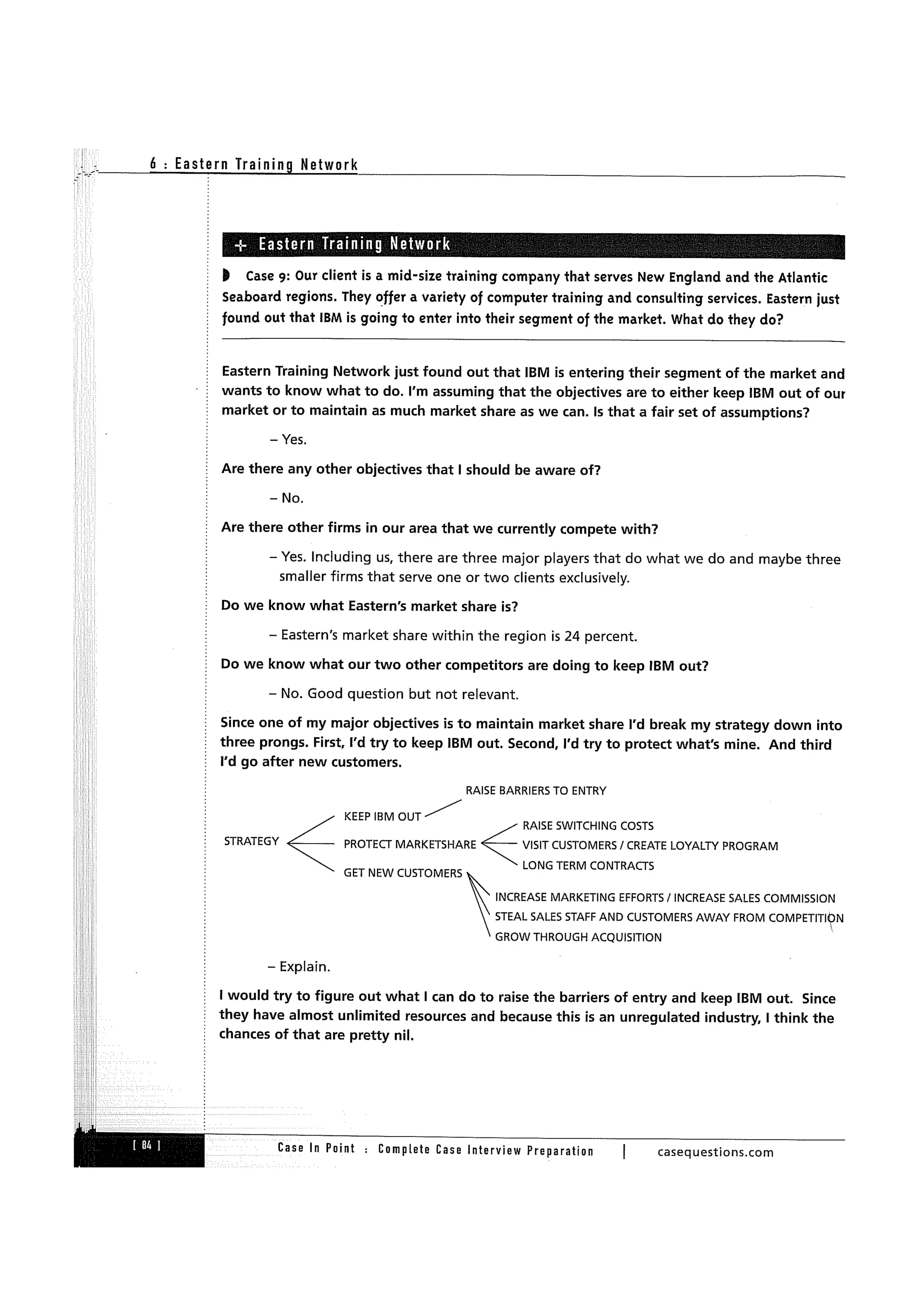
Embed presentation
Downloaded 15 times


























































































































































































The document discusses the history and development of a new technology called blockchain. Blockchain first emerged with bitcoin, using cryptography to allow transactions to be securely recorded and verified across a decentralized network. It has now evolved to have many applications beyond currency, with proponents believing it could transform industries like finance, healthcare, and government services by facilitating secure and anonymous transactions without centralized control.
























































































































































































