Carbon impacts of paper manufacture literature
review study – final report



Prepared for:
The Gaia Partnership
49 Warners Avenue,
Bondi Beach, NSW, 2026




Prepared by:
Glenn Di-Mauro Hayes
Centre for Design,
RMIT University
Building 15, Level 3,
124 La Trobe Street,
Melbourne, 3001


Reviewed by:
Simon Lockrey
Centre for Design,
RMIT University




THE GAIA PARTNERSHIP FINAL REPORT – PRIVATE AND CONFIDENTIAL   1
1. Introduction
The Gaia Partnership has developed a simple and scalable methodology that measures and
manages the often invisible carbon footprint of marketing activity. The CO2counter uniquely
combines the disciplines of marketing science and mathematics to deliver an accurate and
comprehensive analysis of CO2 emissions from all marketing channels.

The Gaia Partnership commissioned the Centre for Design at RMIT University to provide an
overview of life cycle assessment studies (both local and international) focussing on carbon
impacts related to the manufacturing of paper. Detailed research has been carried out on
identifying the key areas pertaining to carbon related impacts in the entire life cycle of paper.
The report is intended to be used for both internal and external purposes.


2. Goal
The goal of the study is to identify key findings through a literature review of life cycle
assessment studies related to paper manufacturing and the related carbon impacts. The
document will be used to:
       Provide insight into studies that have been completed on carbon impacts related to
       paper manufacturing
       Support the existing carbon calculator program with a statement (relating to the study
       validating the methodology) detailing best practice approach and published academic
       research
       Outline significant areas related to carbon impacts in paper manufacture and the
       overall life cycle of paper
       Provide customers with a better understanding of their footprint through carbon
       impact related terminology and assessments

A statement will appear on the Gaia Partnership website relating to the study. The statement
will read as follows:
“The methodology and carbon factors used to measure the resulting CO2 calculation in the
commercial printing section of the CO2counter are based on best practice independent and
published academic research. The carbon factors used for the paper component of the
calculation is also based on a Gaia commissioned review conducted by Centre for Design
RMIT University Melbourne Australia in July 2009. Extracts of the review can studied here
(link to review on Gaia site) and have also been published on the RMIT website (link to where
RMIT publish)”


2.1   Limitations of this study
The study is intended as a supporting document for use in decision making, and is not
intended to be the sole decision driver. The assessment of the options considered will require
consideration for any issues outside of those mentioned in this report.


2.2   Assessment criteria
        The criteria will be based on the principles and guidelines detailed in the life cycle
        assessment ISO 14040 standard
        Key findings and recommendations drawn from each of the LCA studies.

The outcome of the study will be in the form of a written report including:
       Key findings of LCA studies (with the intention of sourcing both local and international
       studies)
       Overview of carbon impacts per tonne of paper produced or to the respective unit
       reported by each individual study
       Specific factors that contribute to the carbon impacts
       Recommendations and points of interest related to the goal of the study




THE GAIA PARTNERSHIP FINAL REPORT – PRIVATE AND CONFIDENTIAL                                        2
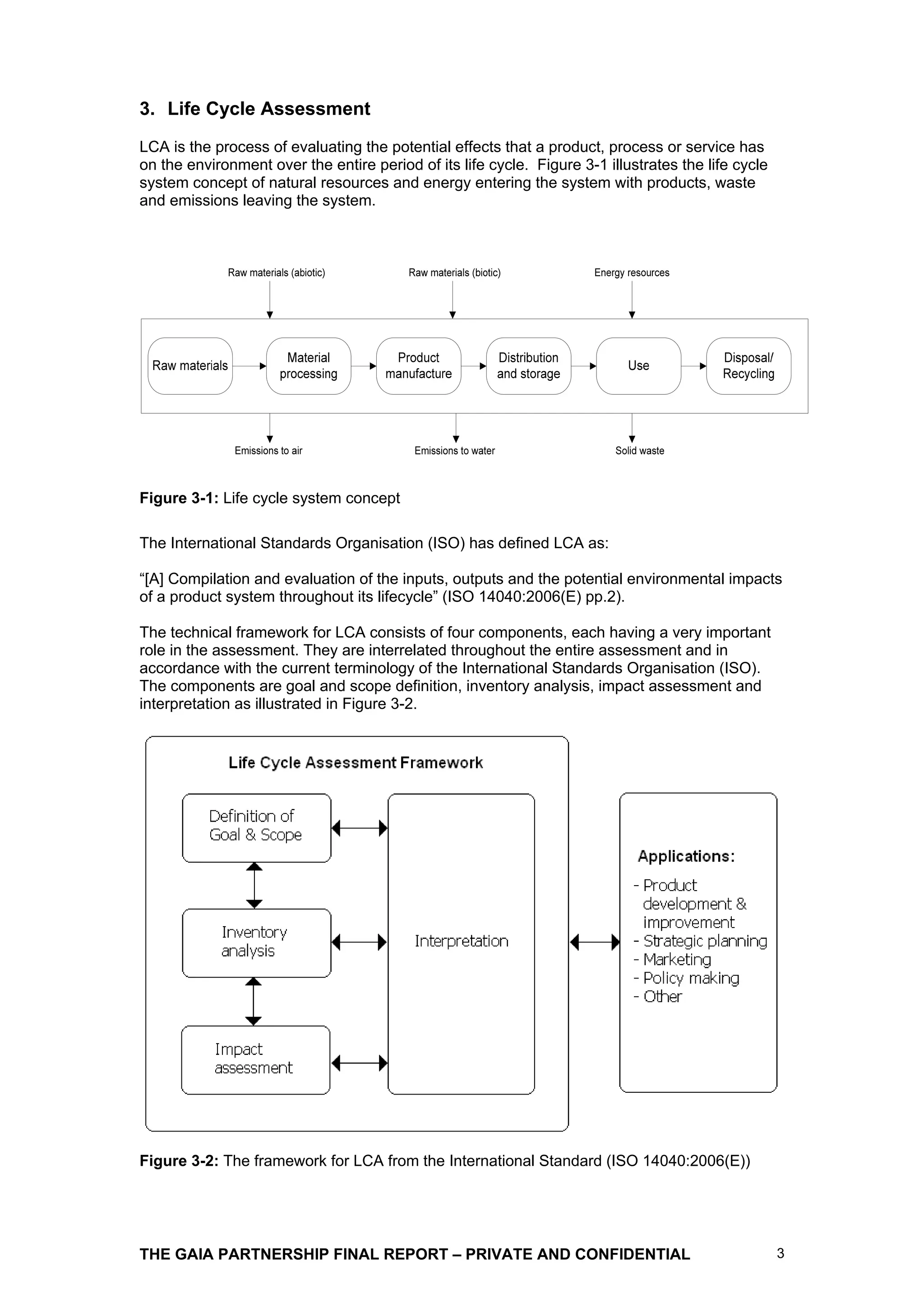
3. Life Cycle Assessment
LCA is the process of evaluating the potential effects that a product, process or service has
on the environment over the entire period of its life cycle. Figure 3-1 illustrates the life cycle
system concept of natural resources and energy entering the system with products, waste
and emissions leaving the system.




Figure 3-1: Life cycle system concept

The International Standards Organisation (ISO) has defined LCA as:

“[A] Compilation and evaluation of the inputs, outputs and the potential environmental impacts
of a product system throughout its lifecycle” (ISO 14040:2006(E) pp.2).

The technical framework for LCA consists of four components, each having a very important
role in the assessment. They are interrelated throughout the entire assessment and in
accordance with the current terminology of the International Standards Organisation (ISO).
The components are goal and scope definition, inventory analysis, impact assessment and
interpretation as illustrated in Figure 3-2.




Figure 3-2: The framework for LCA from the International Standard (ISO 14040:2006(E))




THE GAIA PARTNERSHIP FINAL REPORT – PRIVATE AND CONFIDENTIAL                                         3
3.1   LCA guidelines in practice

Paper is generally used as a material for writing, printing and also as a packaging form. The
National Packaging Covenant has developed a set of guidelines designed to provide
companies with assistance in evaluating the environmental packaging for their existing or new
packaging formats. The Environmental Code of Practice for Packaging (ECoPP) promotes
excellence in packaging as defined by two fundamentally and equally important principles:
        Packaging should be designed to have a minimum net impact on the environment
        (with emphasis on waste, energy, water and emissions)
        The packaging must fully preserve the integrity of the product it contains

The code and guidelines capture all aspects of the supply chain that relate to environmental
impacts, rather than focusing on just one specific area (eg. waste), and applies to the
packaging of all products manufactured or consumed in Australia. The Code is an integral
part of the National Packaging Covenant but the Code and guidelines can also be used to
assist organisations (that are non-signatories to the Covenant) to minimise the environmental
impacts of all the packaging they use (NPC, 2005). It is important to recognise that these
guidelines insist on not only waste minimisation, but recognition of other factors that
contribute to the impacts generated by the entire life cycle of a certain material.


4. The paper life cycle
Paper comprises of a mat of organic fibres bonded together with smaller quantities of fillers,
additives and coatings. The fibre source is usually trees, which is then divided into softwoods
and hardwoods. In Australia, almost two thirds of virgin fibre input is from softwoods and
mostly comprises of plantation-grown radiata pine. Hardwoods are chiefly eucalypts obtained
from native forests. These virgin fibre sources provide about half of the fibre input to paper
products, with the other half being recycled fibre.

Solid wood can be turned into pulp by one of three groups of processes:
    1. Chemical pulping involves dissolving the lignin bonding the fibres together by cooking
        the woodchips in chemicals, leaving primarily the fibres. Chemicals are recovered by
        burning the residual liquor of lignin and chemicals. Chemical pulp is brown and is
        usually bleached prior to paper making. The yield is typically 45-55% of the dry
        woodchip weight
    2. Mechanical pulping involves grinding down the wood to its constituent fibres using a
        large amount of electrical energy. The yield is much higher (90-96%) as only water-
        soluble material in the wood is removed.
    3. Semi-chemical and chemi-mechanical pulping are intermediate technologies which
        use chemical, mechanical and heat energy in various proportions. These processes
        remove about half of the lignin in the wood and obtain 60-90% of the original dry
        mass as pulp.

Some of the organic wastes such as dust and reject chips may be burned for energy recovery
in all these technologies.

In recycling, waste paper is mixed in with water and the slurry product is cleaned and
occasionally de-inked. This process generally requires less energy than virgin fibre pulping
but does produce significant amounts of waste sludge that comprises mainly of fillers and
degraded fibre. (Picken 1996)

Paper making is similar for both virgin and recycled fibre. The pulp is diluted to a watery stock
to which a range of non-fibrous materials, mainly clays and calcium carbonate which act as
fillers, is added. The furnish that results from this process, is fed into a paper machine which
forms the sheet through of a series of rollers and presses, and dries it with large amounts of
heat energy.

Most paper undergoes further processing before sale as a consumer product. Cutting,
coating, folding and gluing are undertaken by ‘paper converting’ companies, and printing is
also required on many paper products.



THE GAIA PARTNERSHIP FINAL REPORT – PRIVATE AND CONFIDENTIAL                                    4
Table 1 aims to provide clear definitions for some of the common terms for the various stages
of paper production listed above:

Term                      Definition
Pulping                   Converting virgin organic material into pulp
Recycling                 Converting recovered waste paper into pulp
Paper making              Converting pulp into paper
Paper manufacturing       Pulping, recycling and paper making
Paper converting          Cutting, gluing, coating, etc of paper to make products
Paper processing          Paper converting, printing and other industrial processing of paper
                          to make paper products
Paper production          Paper manufacturing and processing – all industrial processes
                          involved in producing paper products ready for consumption
Table 1: Paper manufacturing definitions
(Picken 1996)


5. Findings from studies

5.1 Waste management options to reduce greenhouse gas emissions
from paper in Australia (2002)

J. G. Pickin, S. T. S. Yuen and H. Hennings

This paper provides an update on the Pickin (1996) life cycle greenhouse gas emission
(GGE) assessment of paper. The aims of the study were to provide a detailed investigation of
total GGE’s from the paper cycle in Australia, capturing all aspects from the forest through to
landfill, and to assess the effectiveness of a selection of waste management options to
reduce GGE’s from paper.

The GGE’s from the paper production and consumption system are of two clearly defined
origins:

    (i)     fossil fuel use during harvesting, manufacturing and transport and
    (ii)    uptake and emission of carbon-bearing gases during growth and decay of organic
            material used in paper production (the organic material cycle).

In this study, these two major sources of GGEs were divided into eight major emission
categories based on the paper lifecycle, as follows:

1. fossil fuel use in material acquisition and transport;
2. fossil carbon use in pulping and recycling;
3. fossil fuel use in paper making;
4. fossil fuel use in processing and commerce;
5. methane from land filled waste paper;
6. methane and nitrous oxide from other degradation processes;
7. emissions offset by energy recovery from waste paper; and
8. net carbon dioxide balance in the organic material cycle (after carbon accounted for in
categories 5–7 has been deducted).

The analyses aimed to assess the relative importance of GGEs in these key categories.

The calculation of emissions from paper production in Australia during 1999/2000 required
data on material flows in that particular year for each of the system elements, most of which
were estimated from paper production statistics. However, this is not an accurate method for
estimating emissions from decaying organic material, since degradation processes are drawn
out over years or decades and therefore the waste generated during 1999/2000 is not the
material actually decaying in that year. Therefore, the emissions from harvest residue decay
and of land filled waste paper, were estimated on the basis of historical production data and
an assumed exponential decay rate.

THE GAIA PARTNERSHIP FINAL REPORT – PRIVATE AND CONFIDENTIAL                                    5
Analysis 1: Australian greenhouse gas emissions from paper 1999/2000

The GGEs generated by paper in Australia during 1999/2000 were calculated at about
12.1 Mt of CO2 equivalent units. CH4 (methane) represented 57% (6.90 Mt) of the total net
emissions and the rest (5.20 Mt) was almost all CO2 (see Figure 5-1 for breakdown of GGE’s).




Figure 5-1: Greenhouse gas emissions by emission category (kt CO2 eq.)

Analysis 2: emissions from a tonne of paper in a range of scenarios
Figure 5-2 demonstrates the effect of the first waste management option (a)—recycling paper
at different rates for one tonne of paper. GGE’s fall from 6.5 tonne of CO2 equivalent per
tonne of paper with no recycling, to 4.4 tonne of CO2 equivalent per tonne with a recycling
rate of 60%.




Figure 5-2: Greenhouse gas emissions per tonne of paper with different recycling rates
Figure 5-3 gives GGEs in the eight emission categories listed on the previous page. This
shows that higher recycling rates cause changes in five of the categories but the most
significant effect seen is a large decrease in CH4 (methane) emissions from landfills due to a
lower input of paper.




THE GAIA PARTNERSHIP FINAL REPORT – PRIVATE AND CONFIDENTIAL                                     6
Figure 5-3: Greenhouse gas emissions per tonne of paper with different recycling rates for
specific categories

The results of the analyses reveal the significance of landfills as sources of GGE’s from paper
and the importance of controlling these emissions in post-consumer waste management. The
pulp and paper industry's efforts to properly curtail GGE’s have focused on production
processes (Jones, 1995) but improvements in recycling rates in recent years have likely
provided greater advantages, mainly through directing waste paper away from landfills.

Table 2 summarises some of the waste management options for reducing GGE’s across the
paper life cycle. It lists their potential for reducing GGE’s, the time frame over which they
deliver benefits (dependent on whether they affect CH4 or CO2 emissions) and the relevant
organisations likely to initiate change.

Waste management        Potential for reducing   Time frame over         Management
option                  GGE’s                    which benefit occurs    organisation
Increase recycling      High                     Short term              Government, pulp
                                                                         and paper industry
Incinerate waste        Very high                Short & long term       Government, energy
paper with energy                                                        industry
recovery
Recover more landfill   High                     Short & long term       Government, energy
gas                                                                      industry
Compost waste           High                     Short term              Government,
paper                                                                    particularly local

Table 2: Waste management options for reducing GGE’s from paper




THE GAIA PARTNERSHIP FINAL REPORT – PRIVATE AND CONFIDENTIAL                                    7
5.2 The Contribution of the Paper Cycle to global warming (1999)
S.Subak & A.Craighill

This study primarily focussed on assessing greenhouse gases related to the entire life cycle
of the paper industry, capturing fibre production, manufacturing of paper, transport and
disposal from a global perspective. A range of studies were selected with an emphasis placed
on the following issues:
     1. Is the paper industry sustainable in greenhouse gas (GHG) emissions terms?
     2. Does the maintaining of commercial forests and plantations sufficiently offset
        emissions related to the manufacture of paper, transport of pulp and paper and
        disposal in landfills?

The study found that combustion of the fossil fuel to produce pulp and paper (which releases
carbon dioxide) appears to be the greatest source of GHG emissions in the paper cycle. This
source can be estimated with the highest precision of all the paper cycle sources because
fuel consumed by the pulp and paper industry is published for most countries in the
(OECD/IEA 1993) (Organisation of Economic Co-operation and Development/International
Energy Agency) international energy compendia. Almost three quarters of the CO2 emissions
from energy use in the paper industry originate in just six regions – the USA, China,
Commonwealth of Independent States (CIS), Japan, Canada and Germany, according to the
OECD/IEA data. The energy consumption figures published by the OECD/IEA are considered
to be the most accurate for the GHG emissions related activity data, with an accepted range
of 5-10% in the national emissions estimates (Von Hippel et al 1993).

Carbon dioxide emissions from energy use in the paper industry were estimated by applying
the emissions factors for the different fuel types specific to each country (Von Hippel et al
1993) to the energy consumption data from the (OECD/IEA 1993). Carbon dioxide emissions
from wood fuels were not included in the energy related estimates as to avoid double
counting. Wood waste makes up a significant proportion of the energy used by the pulp and
paper industry, particularly in the Scandinavian region (OECD/IEA, 1993; Cooper and
Zetterburg, 1994). This particular characteristic is a factor behind the industry’s green image
in many countries. Although CO2 is emitted when wood is burned, this flux is temporary if tree
stands are replaced. Tree stands are enclosed or open platforms used by hunters to place
themselves at an elevated height above surrounding terrain. Emissions from wood waste
should only be considered a net flux if this fuel source results in depletion of forest land.

It was estimated (using the 1991 fossil fuel consumption data), that the paper industry’s
energy use contributed almost 290 Mt (million tonnes) of CO2 emissions (79 MT carbon), or
about 1.3% of annual CO2 emissions from total global fossil fuel consumption. This estimate
of CO2 emissions from the industry is consistent with OECD’s aggregate estimate of global
emissions from this industry, differing by only 10%. While paper manufacturing is one of the
largest industrial GHG emitters, it releases substantially less than the steel industry and the
chemicals industry, which is believed to account for 4.6% and 5.9% of global CO2 emissions
respectively (IEA/OECD, 1991). Pulp and paper accounts for over 4% of estimated global
energy consumption but the industry’s overall carbon intensity is relatively low because it
fulfils a large amount of its energy requirement from the burning of wood waste.

This analysis concluded that the pulp and paper industry is a significant emitter of GHG.
While plantations maintained to supply fibre (for pulp production) store larger amounts of
carbon on land that was not previously forested, the carbon storage is not sufficient enough to
offset the greater emissions from fossil fuel use in manufacture and from paper disposed in
landfills. Production, consumption and disposal of paper products is estimated to contribute a
net addition of about 469 million tonnes in CO2 equivalent units each year (~130MT carbon),
as indicated in Table 3.




THE GAIA PARTNERSHIP FINAL REPORT – PRIVATE AND CONFIDENTIAL                                      8
Sources                Annual gas        CO2                 CO2-C            Certainty
                          emissions         equivalents         equivalents
                          (MT)              (MT)                (MT)
   Energy Use (CO2)       290               290                 79               High
   Energy extraction      1                 29                  8                Medium
   (CH4)
   Energy Use             4                 4                   1                Medium-low
   recycling (CO2)
   Transport (CO2)        29                29                  8                Medium-low
   Landfills (CH4)        12                278                 76               Medium
   Original forest        55                55                  15               Low-Medium
   conversion
   Total sources                            685                 187
   Sinks
   Waste energy           -3                -3                  -1               Medium
   recovery from
   incineration &
   landfills (CO2)
   Regrowth forests       0                 0                   0                Low
   (CO2)
   Plantations (CO2)      -213              -213                -58              Low-Medium
   Total sinks            -216              -216                -59
   Net emissions flux                       469                 128
Table 3: Annual emissions of GHG from the global paper cycle

Another conclusion of the study was that a reduction in greenhouse gas emissions is possible
at all stages of the paper cycle. The CO2 intensity of pulp and paper manufacturing could be
reduced by fuel switching and also by efficiency improvements. While a high percentage of
natural gas is used by Canada and the UK as their fuel use in the paper industry, coal is used
heavily in many other regions. Switching from coal to natural gas and relying further on wood
waste for fuel could reduce carbon intensity, as well as SO2 emissions and other pollutants.
The Swedish paper industry is likely to be a net zero emitter or a CO2 sink, in part because
fossil fuel related emissions are so low for their region.

Landfill sites have also been found to be nearly as great a source of GHG emissions as the
energy use in manufacturing. Although the pulp and paper industry has less control over the
final fate of paper, advocating various alternative waste disposal practices including recycling,
incineration and composting would undoubtedly serve to help reduce emissions from
disposal.


5.3 Reducing climate change gas emissions by cutting out stages in
the life cycle of office paper (2007)

Thomas A.M. Counsell and Julian M. Allwood

This study considered how to reduce emissions from cut-size office paper by circumventing
various stages in its life cycle. The options considered were:

        incineration, which cuts out landfill;
        localisation, which cuts out transport;
        annual fibre, which cuts out forestry and reduces pulping;
        fibre recycling, which cuts out landfill, forestry and pulping;
        un-printing, which cuts out all stages except printing;
        electronic paper, which cuts out all stages.

A typical energy demand for each stage in the life of office paper was drawn from existing
literature. The energy for producing the chemicals used in pulping, in forestry, in transport and
in printing has been included. It is important to note that translating the energy demand into
THE GAIA PARTNERSHIP FINAL REPORT – PRIVATE AND CONFIDENTIAL                                    9
climate change gas emissions depends on both the mix of fuel used, and any non-energy
related greenhouse gas emissions. The typical set of emissions drawn on from existing
literature and is shown in Table 4.

                                       Energy demand (GJ/t)        Climate change
                                                                   impact (t CO2 t)
           Forestry                                2                         0.1
           Pulping                                25                         0.3
           Paper making                           15                          1
           Printing                                2                         0.1
           Landfill                                1                         4.7
           Total                                  44                         6.3
           (of which transport)                   <1                        <0.1
Table 4: Approximate energy consumption and climate change gas emissions from a typical
cut-size paper. Based on data from (Paper Task Force 1995), (EIPPCB 2001), (USEPA 2002)
and (Ahmadi et al. 2003).

The largest greenhouse gas emission occurs during landfill for the paper life cycle, with
smaller impacts seen for the other categories. A recent survey (NCASI 2004) suggests that
greenhouse gas emissions during paper decomposition in landfill are not fully understood. A
study by (US EPA 2002) suggests that office paper may release up to 398 ml of methane (per
dry gram of paper placed in landfill). The (IPPC 2001) estimated that methane is 23 times
more potent in global warming potential than carbon dioxide over 100 years, implying that
three quarters of the total climate change emissions of the typical paper life cycle could be
contributed to landfill. The lowest value seen, from the (Paper Task Force 2002), allocates
half of climate change impact to the landfill stage, but does not incorporate the lower lignin
content of most office papers (lignin tends to decompose to methane less readily).

It was determined that incineration cuts out emissions from the landfill stage and transforms
waste paper directly into carbon dioxide (without passing through methane). Localisation
reduces impacts of transport by locating pulping and paper-making factories close to the point
of paper consumption. Recycling cuts out the stages for landfill, forestry and pulping by re-
using the fibres from waste paper in the paper-making process. Recycling fibre cuts out
pulping, reducing energy demand by 27 GJ/tonne. However the additional de-inking process
requires 5 GJ/tonne to remove the ink.

Estimates of the potential impact on climate change gas emissions are shown in Table 5. To
translate the estimated energy savings into a reduction in climate change gases, two
adjustments are made: non-fuel climate change gas emissions are included and the mix of
fuels used is also considered.

                    CO2eq. saved        CO2eq. added        Net CO2eq.          % saved
                    from cut out        in replacement      saved
                    stages              for cut out
                                        stages
Incineration        4.7                 0                   4.7                 74
Localisation        0.1                 0                   0.1                 1
Annual crop         0.3                 0.1                 0.2                 3
Recycling           5.1                 0.3                 4.8                 76
Un-printing         6.2                 0.2                 6.0                 95
Electronic paper    6.3                 1.0                 5.3                 85
Table 5: Potential reductions in climate change gases emitted per tonne of office paper
(CO2eq. t/t)

The main non-fuel climate change gas emissions occur in the landfill stage. All the
alternatives discussed above, except annual crop and localisation, cut out this stage and with
it 4.7 t CO2eq. per tonne of paper—about three quarters of the total climate change impact.

Removing various stages in the life cycle of cut-size office paper is likely to reduce climate
change gas emissions per tonne between 1% and 95%, depending on which steps are

THE GAIA PARTNERSHIP FINAL REPORT – PRIVATE AND CONFIDENTIAL                                     10
avoided. Cutting out landfill through introduction of incineration, is likely to reduce climate
change gas emissions from the typical office paper life cycle by 48–74% since landfill is the
stage where the largest climate change gas emissions will occur. Cutting out transport,
through localisation, or cutting out forestry and some pulping through the use of annual fibres
would have little effect on climate change gas emissions as those stages in the life of office
paper emit little net CO2eq. Taking out pulping as well as landfill, through recycling, provides
little extra reduction in climate change gas emissions as most of the emissions from pulping
are from carbon-neutral fuels.

Cutting out paper-making along with landfill, forestry and pulping, through an un-printing
process, would see a reduction in climate change gas emissions by 95% because paper-
making is quite energy intensive and generally won’t use carbon neutral fuels to the same
extent as pulping. Cutting out the paper manufacturing altogether and replacing it with an
electronic equivalent, could reduce climate change gas emissions by 85%.

5.4 Application of life cycle assessment to the Portuguese pulp and
paper industry (2002)

E. Lopes, A. Dias, L. Arroja, I. Capela, F. Pereira.

In this paper, the LCA methodology was applied to Portuguese printing and writing paper in
order to compare the environmental impact of two kinds of fuel use (heavy fuel oil and natural
gas) in the paper and pulp production processes. The purpose of the study was to identify
and assess the environmental impacts associated with the production, use and final disposal
of printing and writing paper produced in Portugal from Eucalyptus globulus kraft pulp and
consumed in Portugal.

The two main reasons for conducting the study were:
   1. to determine the contribution of different groups of processes to the printing and
       writing paper life cycle environmental impact
   2. to compare the potential environmental impacts of two different fossil fuel sources
       used in the eucalyptus pulp production process

The unit under investigation in this study was defined as one tonne of white printing and
writing paper, with a standard weight of 80 gm2 produced from the Portuguese Eucalyptus
globulus kraft pulp and consumed in Portugal. The final disposal alternatives (current for the
time in Portugal) for printing and writing waste paper were landfilling (84%), recycling (11%),
and composting (5%).

The inventory results consisted of a very detailed list of parameters, but for this paper only the
parameters commonly discussed from an environmental perspective were analysed, and they
were:
        renewable energy consumption,
        non-renewable energy consumption,
        non-renewable carbon dioxide (CO2),
        nitrogen oxides (NOx),
        sulphur dioxide (SO2),
        chemical oxygen demand (COD) and
        adsorbable organic halogens (AOX).


Figure 6 shows the breakdown of air emissions at the different stages of the paper life cycle,
for the actual scenario and for the natural gas scenario.




THE GAIA PARTNERSHIP FINAL REPORT – PRIVATE AND CONFIDENTIAL                                   11
Figure 5-4: Inventory results for air emissions

The impact category of major significance was global warming, containing the non-renewable
carbon dioxide (CO2), methane (CH4) and nitrous oxide (N20) parameters.

The results of the impact assessment phase for the actual scenario and for the natural gas
scenario are shown in Figure 7. The global warming results can be seen in the two columns
labelled “GW”. Most of the global warming potential results from the final disposal of printing
and writing waste paper. This important contribution is mainly originated by methane (CH4)
emissions that occur during waste paper land filling. Although the system’s total CO2
emissions are eight (natural gas scenario) to fifteen (heavy fuel oil scenario) times greater
than total CH4 emissions, the latter assumes a more important role in this impact category
since its global warming potential is 24.5 times greater than that of CO2. The second most
important contributor to this potential impact is on-site energy production in paper production,
exclusively due to CO2 emissions. The replacement of heavy fuel oil by natural gas will see a
reduction in the system’s global warming potential of about 20% as a result of the decreased
CO2 emissions in the natural gas scenario as explained in the interpretation of the inventory
analysis results.




Figure 5-5: Impact assessment results

The outcomes from the study showed that the paper production (for printing and writing) is the
most important contributor to non-renewable CO2 emissions due to the on-site energy

THE GAIA PARTNERSHIP FINAL REPORT – PRIVATE AND CONFIDENTIAL                                  12
production, which does not correspond however to a major contribution to the overall global
warming potential. In Portugal this impact category is dominated by CH4 emissions from
waste paper land filling.

The final disposal stage assumes a prominent role in the global warming category as a result
of the CH4 emissions in land filling. Interestingly, the replacement of heavy fuel oil by natural
gas in the eucalyptus pulp and paper production processes appears to be environmentally
positive, provided that a cogeneration unit is installed to produce energy in the paper making
process. This process (in its current form a net energy consumer) becomes an exporter to the
electricity grid, along with the corresponding avoided emissions. This change significantly
reduces the total CO2 emissions leading to a smaller potential contribution from the global
system to global warming (along with other impact categories). Changing the fuel source to
natural gas also sees a decrease of more than 45% in non-renewable resource depletion.


5.5 Eco-Footprint calculators: Technical Background Paper (2005)

EPA Victoria
Ecological footprints (EF’s) have most commonly been applied to cities, regions and
countries, and have been calculated for the total consumption impacts of those areas, which
can be compared to that region’s available resources. As part of the technical background
paper by EPA Victoria highlighting the methodology and key aspects of Eco-footprint
calculators, a section on paper production was included (EPA 2005).

Data was collected for copy papers, as they are a significant contributor in the schools and
office spreadsheets. Copy paper production was modelled using virgin and recycled fibres.
The virgin paper was assumed to be derived from Australian hardwood, while recycled paper
was produced from paper collected from office waste paper collections.

Table 6 details the greenhouse footprint for the two paper types and the impact of a typical
import of a kilogram of paper over 15,000 km (assumed distance form Europe). The
importation is important, as many of the recycled fibre papers are from Europe.


                                                   kg CO2/kg paper produced
              Virgin paper                         2.727
              Recycled paper                       1.781
              Shipping paper from Europe           0.074
Table 6: Footprint for virgin and recycled fibre and international shipping

This paper concluded that the environmental impacts that are associated with manufacturing
office paper result from:
         Using hazardous chemicals
         Emission to air and water from pulp and paper mills
         Energy and water consumption when pulp and paper is produced

The manufacture, use and disposal of paper products can result in a significant burden being
placed on the environment. The main environmental impacts of a paper product will generally
occur in the following phases of the products life cycle:
    1. Managing and harvesting of the forest
    2. Producing pulp and paper
    3. processing the paper product as waste and
    4. processing production waste

Finally, it was concluded that sustainable forestry is essential if the resources of forests are to
be exploited in the long term. It is important that forestry is operated in a way that minimises
the disturbance of natural eco-systems and conserves the biodiversity of forests (EPA 2005).




THE GAIA PARTNERSHIP FINAL REPORT – PRIVATE AND CONFIDENTIAL                                     13
5.6 Extended Environmental Benefits of Recycling (2009)

Centre for Design – RMIT University

The aim of this study was to provide an objective and transparent evaluation of the
environmental benefits and impacts of recycling waste materials from residential, commercial
& industrial (C&I) and construction & demolition (C&D) sources in NSW. In addition, results of
the study were to be deployed in a recycling calculator to be readily used by industry, councils
and other businesses EEBR (2009).

The report considered the recycling benefits and impacts of 21 materials by commonly used
recycling pathways. For most of the materials, two collection pathways were considered:
    i)      kerbside collection of co-mingled waste which must be sorted prior to transfer to
            the material reprocessor, and
    ii)     direct transfer of segregated wastes from C&I, C&D sources to the material
            reprocessor.

The fibre based substrates selected for analysis were:
        Paper & board
        Newsprint
        Office paper
        Liquid paper board

Data was collected from various studies as well as communication with industry stakeholders,
in both Australia and Europe depending on the relevance and integrity of the data sets. Paper
and board materials generated positive net recycling benefits across most indicators (with the
exception of liquid paper board which has large reprocessing impacts). The other papers all
appeared to generate benefits across most of the indicators, however results were found to
be highly dependant upon assumptions made regarding paper degradation in landfill.



                                                                      Greenhouse Gases
      n e Oe e n e c c d
    to n s C 2 p r to n re y le




                                   1.20                                  1.04
                                                                      0.99
                                   1.00                                                                          0.740.67
                                   0.80      0.63
                                          0.60
                                   0.60                                                                                        Kerbside
                                   0.40
                                   0.20                                                                                        C&I,C&D
                                   0.00
                                  -0.20
                                  -0.40
                                                                                             -0.30
                                                                       N w p t/m g z e




                                                                                                iq id a e o rd
                                            a b a /p p r




                                                                                                                   O eP p r
                                           C rd o rd a e




                                                                                                                    ffic a e
                                                                        e s rin a a in




                                                                                               L u p p rb a
                                                            akg g
                                                           p c a in




                                                                                         s




Figure 5-6: Average net benefit of recycling for one tonne of paper and board waste

A core assumption underpinning greenhouse gas results for organic materials was the
treatment of organic waste in landfill. The net benefit of recycling or composting organic waste
was partially determined by the avoided impacts associated with sending organic waste to
landfill. Therefore, the net benefits of recycling increase if landfill processes are highly
greenhouse intensive and will be reduced if landfill processes generate few greenhouse
emissions or if landfills actually absorb organic carbon.

In this study, a baseline assumption was made that carbon in organic material that is
deposited in landfill and not degraded, was sequestered in the landfill. This assumption is
consistent with the Department of Climate Change (2007), but may not be universally
THE GAIA PARTNERSHIP FINAL REPORT – PRIVATE AND CONFIDENTIAL                                                                              14
acknowledged as a fact. To test this assumption, a sensitivity study was undertaken that
tested two alternative landfill scenarios:

                                       Base case (no sequestration): Landfill generates greenhouse gasses as described by
                                       Department of Climate Change (2007), however carbon is not permanently
                                       sequestered and is released as biogenic CO2.
                                       US EPA (2006): Rather than using Department of Climate Change assumptions for
                                       emissions from landfill, assumptions were used from the widely acknowleged study
                                       ‘Solid Waste Management and Greenhouse Gases – A Life Cycle Assessment of
                                       Emissions and sinks (US EPA 2006). This study assumes a portion of carbon is
                                       sequestered


                                                                                           Greenhouse Gases

                                   3.00
                                                                                               2.59
                                   2.50                                                                 2.27
  tonnes CO2e per tonne recycled




                                   2.00
                                                            1.65
                                                                                          1.48
                                   1.50      1.34                                                     1.35
                                                          0.99                                                                                Base case
                                   1.00                                                 0.74                                                  Base case (no sequestration)
                                           0.60                                                                           0.57
                                                                                                                       0.51         0.58      US EPA (2006)
                                   0.50                                                                             0.25         0.32
                                                                            0.19
                                                                                                             0.07
                                   0.00
                                                                                                                                      -0.08
                                   -0.50                                 -0.30 -0.32
                                                                 -0.42
                                                  -0.54
                                   -1.00
                                           Paper &        Newsprint         LPB        Office paper    Timber       Compost - Compost -
                                            board                                                      pallets      Mixed food Garden only
                                                                                                                    and garden




Figure 5-7: Sensitivity of organic materials to changes in landfill assumptions.

Results show the clear increase in the net benefits of recycling, from a greenhouse gases
emission perspective, if carbon is not assumed to be sequestered in landfill (base case with
no sequestration). This is because landfill impacts are significantly increased under this
scenario, increasing the net benefit of recycling which avoids landfill.



6. Summary of findings
Below is a summary of findings from each of the studies, focusing on the main sources of
greenhouse gas emissions for the paper life cycle.

Picken et al (2002)

The result of the analyses completed in this study showed the significance of landfills as
sources of GGE’s from paper and the importance of controlling these emissions in post
consumer waste management. The focus had been on production processes in the attempt to
curtail GGE’s but improvements in recycling rates in recent years have provided greater
advantages, mainly through directing waste paper away from landfills. From the emission
categories identified, the major sources across the paper life cycle were methane from
landfilled waste paper (albeit reduced with increased recycling), fossil fuel use in paper
making and fossil carbon use in pulping and recycling (again reduced with increasing the
recycling rate)




THE GAIA PARTNERSHIP FINAL REPORT – PRIVATE AND CONFIDENTIAL                                                                                                   15
The potential for reducing GGE’s is very high when incinerating waste paper with energy
recovery, with the likelihood also being high for increased recycling overall, higher landfill gas
recovery and composting of waste paper.

The GGEs generated by paper in Australia during 1999/2000 were calculated at about
12.1 Mt of CO2 equivalent units. CH4 (methane) represented 57% of the total net emissions
with the remaining almost all CO2 (carbon dioxide).

Subak & Craighill (1999)

This analysis identified the pulp and paper industry is a significant emitter of GHG. The large
carbon storage (through plantations) maintained to supply fibre is not sufficient enough to
offset the greater emissions from fossil fuel use in manufacturing and from paper disposed in
landfills. Another conclusion of the study was that a reduction in green house gas emissions
is possible at all stages of the paper cycle. The CO2 intensity of pulp and paper
manufacturing could be reduced by fuel switching and also by efficiency improvements.
Switching from coal to natural gas and relying further on wood waste for fuel could reduce
carbon intensity (along with SO2 emissions and other pollutants). Landfill sites have been
found to be nearly as great a source of GHG emissions as the energy used in manufacturing.

It was estimated that the paper industry’s energy use contributed almost 290 million tonnes of
CO2 emissions or about 1.3% of annual CO2 emissions from total global fossil fuel
consumption.

Counsell & Allwood (2007)

Cutting back or taking out stages in the life cycle of cut-size office paper (depending on which
steps are avoided) is likely to reduce climate change gas emissions per tonne between 1%
and 95%. The largest greenhouse gas emission by far for the paper life cycle occurs during
landfill (see Table 2).

Cutting out landfill through introduction of incineration, is likely to reduce climate change gas
emissions from the typical office paper life cycle by 48–74%. Looking at reducing the impacts
of transport, through localisation, or cutting out forestry and some pulping through the use of
annual fibres would have little effect on climate change gas emissions as those stages in the
life of office paper emit little net CO2eq. Cutting down on pulping as well as landfill, through
recycling, provides little extra reduction in climate change gas emissions as most of the
emissions from pulping are from carbon-neutral fuels.

Cutting out paper-making along with landfill, forestry and pulping, through an un-printing
process, would reduce climate change gas emissions by 95% because paper-making is quite
energy intensive and generally will not use carbon neutral fuels to the same extent as pulping.
Cutting out paper altogether and replacing it with an electronic equivalent, could reduce
climate change gas emissions by 85%.

Lopes et al (2002)

Findings from this study showed that most of the global warming potential across the entire
life cycle of paper resulted from the final disposal of printing and writing waste paper.
Methane emissions that occur during the land filling of waste paper has been identified as the
main contributor. The second most important contributor to the potential impact is on-site
energy production in paper production, almost entirely due to carbon dioxide emissions.
The final disposal stage assumes a predominant role in global warming and photochemical
oxidant formation impact categories, as a result of the CH4 emissions in land filling. Replacing
fuel oil with natural gas would also see a significant reduction in carbon dioxide emissions.

EPA technical paper (2005)

This technical background paper found that the environmental impacts associated with
manufacturing office paper results from energy and water consumption when the pulp/paper
is produced, the use of hazardous chemicals and emissions to air and water from pulp and
paper mills.


THE GAIA PARTNERSHIP FINAL REPORT – PRIVATE AND CONFIDENTIAL                                    16
The footprint for imported virgin paper was found to be 2.73 kilograms of carbon dioxide for
every kilogram of paper produced, while the value for the imported recycled paper was 1.78
kilograms of carbon dioxide for every kilogram of paper produced.

The manufacture, use and disposal of paper products can result in a significant burden being
placed on the environment, the impacts generally occur during forest management and
harvesting, pulp and paper production, processing the paper product as waste and
processing the production waste.

Centre for Design – RMIT University (2009)

This report on the extended environmental benefits of recycling for the Department of
Environment and Climate Change found that paper and board materials generated positive
net recycling benefits across most indicators (with the exception of liquid paper board which
has large reprocessing impacts). The other papers all appeared to generate benefits across
most of the indicators, however results were found to be highly dependant upon assumptions
made regarding paper degradation in landfill.

A core assumption underpinning greenhouse gas results for organic materials was the
treatment of organic waste in landfill. It was found that the net benefits of recycling increase if
landfill processes are highly greenhouse intensive and will be reduced if landfill processes
generate few greenhouse emissions or if landfills actually absorb organic carbon.

a baseline assumption was made that carbon in organic material that is deposited in landfill
and not degraded, was sequestered in the landfill. The sensitivity analysis showed a clear
increase in the net benefits of recycling, from a greenhouse gases emission perspective, if
carbon is not assumed to be sequestered in landfill.



7. References

Ahmadi, A., Williamson, B., Theis T., and Powers, S. (2003), Life-cycle inventory of
toner produced for xerographic processes, Journal of Cleaner Production 11 (2003)
(5), pp. 573–582.

EEBR (2009), Extended Environmental Benefits of Recycling Report, Centre for
Design RMIT University, report to Sustainability Divisions Program, Department of
Environment and Climate Change (DECC), Melbourne, Australia.

Counsell, T., A., M., & Allwood, J., M. (2007), “Reducing climate change gas
emissions by cutting out stages in the life cycle of office paper”, Production
Processes Group, Institute for Manufacturing, Department of Engineering,
Cambridge, United Kingdom.

EIPPCB, (2001) Reference Document on Best Available Techniques in the Pulp and
Paper Industry. European Integrated Pollution Prevention and Control Bureau,
Seville, Spain.

EPA Victoria (2005), EPA ecological footprint calculators: technical background
paper, publication 972, February 2005, Melbourne, Australia.

IEA/OECD (1991), Energy Efficiency and the environment, International Energy
Agency/ Organisation of Economic Co-operation and Development, Paris.

IPPC (2001), Technical Summary: Climate Change 2001: Scientific Basis.

Jones, B.R., (1995). The future of recycling wastepaper in Australia - economic and
environmental implications. Proceedings of ‘Outlook 95’ Conference, Canberra.
ABARE, Canberra, pp. 401–407.

THE GAIA PARTNERSHIP FINAL REPORT – PRIVATE AND CONFIDENTIAL                                     17
Lopes, E., Dias, A., Arroja, L., Capela, I., Pereira, F. (2002), Department of
Environment and Planning, University of Aveiro, Portugal.


NCASI (2004), Critical Review of Forest Products Decomposition in Municipal Solid
Waste Landfills. Technical Bulletin No. 0872. National Council for Air and Stream
Improvement, Research Triangle Park, NC; 2004.

NPC (2005), Environmental Code of Practice for Packaging, National Packaging
Covenant, Melbourne, Australia.

OECD/IEA (1993), World Energy Balances, Organisation of Economic Co-operation
and Development/International Energy Agency, Paris.

Paper Task Force, (1995), Paper Task Force Recommendations for Purchasing and
Using Environmentally Preferable Paper. U.S. Environmental Defence Fund

Paper Task Force (2002), Update and Corrections to the Paper Task Force Report.
U.S. Environmental Defence Fund

Pickin, J. G., Yuen, S., T., S., Hennings, H. (2002), “Waste management options to
reduce greenhouse gas emissions from paper in Australia”, Department of Civil and
Environmental engineering, University of Melbourne, Parkville, Australia

Pickin, J.G., (1996), Paper and the greenhouse effect: a life-cycle study. Honours
Thesis. Dept. of Geography and Environmental Studies, University of Melbourne,
Parkville, Australia

Subak, S., Craighill, A., (1999), “The contribution of the Paper Cycle to Global
Warming”, School of environmental sciences, University of East Anglia, Norwich, UK

US EPA, (2002) Solid waste management and greenhouse gases: a life-cycle
assessment of emissions and sinks (2nd ed.), US Environment Protection Agency.

Von Hippel, D., Raskin, P., Subak, S., Stavisky, D., (1993), Estimating greenhouse
gas emissions form energy: two approaches compared, Energy Policy Journal
(March 1993), pp 691-702.




THE GAIA PARTNERSHIP FINAL REPORT – PRIVATE AND CONFIDENTIAL                         18

Carbon Impacts of paper manufacture literature review by RMIT

  • 1.
    Carbon impacts ofpaper manufacture literature review study – final report Prepared for: The Gaia Partnership 49 Warners Avenue, Bondi Beach, NSW, 2026 Prepared by: Glenn Di-Mauro Hayes Centre for Design, RMIT University Building 15, Level 3, 124 La Trobe Street, Melbourne, 3001 Reviewed by: Simon Lockrey Centre for Design, RMIT University THE GAIA PARTNERSHIP FINAL REPORT – PRIVATE AND CONFIDENTIAL 1
  • 2.
    1. Introduction The GaiaPartnership has developed a simple and scalable methodology that measures and manages the often invisible carbon footprint of marketing activity. The CO2counter uniquely combines the disciplines of marketing science and mathematics to deliver an accurate and comprehensive analysis of CO2 emissions from all marketing channels. The Gaia Partnership commissioned the Centre for Design at RMIT University to provide an overview of life cycle assessment studies (both local and international) focussing on carbon impacts related to the manufacturing of paper. Detailed research has been carried out on identifying the key areas pertaining to carbon related impacts in the entire life cycle of paper. The report is intended to be used for both internal and external purposes. 2. Goal The goal of the study is to identify key findings through a literature review of life cycle assessment studies related to paper manufacturing and the related carbon impacts. The document will be used to: Provide insight into studies that have been completed on carbon impacts related to paper manufacturing Support the existing carbon calculator program with a statement (relating to the study validating the methodology) detailing best practice approach and published academic research Outline significant areas related to carbon impacts in paper manufacture and the overall life cycle of paper Provide customers with a better understanding of their footprint through carbon impact related terminology and assessments A statement will appear on the Gaia Partnership website relating to the study. The statement will read as follows: “The methodology and carbon factors used to measure the resulting CO2 calculation in the commercial printing section of the CO2counter are based on best practice independent and published academic research. The carbon factors used for the paper component of the calculation is also based on a Gaia commissioned review conducted by Centre for Design RMIT University Melbourne Australia in July 2009. Extracts of the review can studied here (link to review on Gaia site) and have also been published on the RMIT website (link to where RMIT publish)” 2.1 Limitations of this study The study is intended as a supporting document for use in decision making, and is not intended to be the sole decision driver. The assessment of the options considered will require consideration for any issues outside of those mentioned in this report. 2.2 Assessment criteria The criteria will be based on the principles and guidelines detailed in the life cycle assessment ISO 14040 standard Key findings and recommendations drawn from each of the LCA studies. The outcome of the study will be in the form of a written report including: Key findings of LCA studies (with the intention of sourcing both local and international studies) Overview of carbon impacts per tonne of paper produced or to the respective unit reported by each individual study Specific factors that contribute to the carbon impacts Recommendations and points of interest related to the goal of the study THE GAIA PARTNERSHIP FINAL REPORT – PRIVATE AND CONFIDENTIAL 2
  • 3.
    3. Life CycleAssessment LCA is the process of evaluating the potential effects that a product, process or service has on the environment over the entire period of its life cycle. Figure 3-1 illustrates the life cycle system concept of natural resources and energy entering the system with products, waste and emissions leaving the system. Figure 3-1: Life cycle system concept The International Standards Organisation (ISO) has defined LCA as: “[A] Compilation and evaluation of the inputs, outputs and the potential environmental impacts of a product system throughout its lifecycle” (ISO 14040:2006(E) pp.2). The technical framework for LCA consists of four components, each having a very important role in the assessment. They are interrelated throughout the entire assessment and in accordance with the current terminology of the International Standards Organisation (ISO). The components are goal and scope definition, inventory analysis, impact assessment and interpretation as illustrated in Figure 3-2. Figure 3-2: The framework for LCA from the International Standard (ISO 14040:2006(E)) THE GAIA PARTNERSHIP FINAL REPORT – PRIVATE AND CONFIDENTIAL 3
  • 4.
    3.1 LCA guidelines in practice Paper is generally used as a material for writing, printing and also as a packaging form. The National Packaging Covenant has developed a set of guidelines designed to provide companies with assistance in evaluating the environmental packaging for their existing or new packaging formats. The Environmental Code of Practice for Packaging (ECoPP) promotes excellence in packaging as defined by two fundamentally and equally important principles: Packaging should be designed to have a minimum net impact on the environment (with emphasis on waste, energy, water and emissions) The packaging must fully preserve the integrity of the product it contains The code and guidelines capture all aspects of the supply chain that relate to environmental impacts, rather than focusing on just one specific area (eg. waste), and applies to the packaging of all products manufactured or consumed in Australia. The Code is an integral part of the National Packaging Covenant but the Code and guidelines can also be used to assist organisations (that are non-signatories to the Covenant) to minimise the environmental impacts of all the packaging they use (NPC, 2005). It is important to recognise that these guidelines insist on not only waste minimisation, but recognition of other factors that contribute to the impacts generated by the entire life cycle of a certain material. 4. The paper life cycle Paper comprises of a mat of organic fibres bonded together with smaller quantities of fillers, additives and coatings. The fibre source is usually trees, which is then divided into softwoods and hardwoods. In Australia, almost two thirds of virgin fibre input is from softwoods and mostly comprises of plantation-grown radiata pine. Hardwoods are chiefly eucalypts obtained from native forests. These virgin fibre sources provide about half of the fibre input to paper products, with the other half being recycled fibre. Solid wood can be turned into pulp by one of three groups of processes: 1. Chemical pulping involves dissolving the lignin bonding the fibres together by cooking the woodchips in chemicals, leaving primarily the fibres. Chemicals are recovered by burning the residual liquor of lignin and chemicals. Chemical pulp is brown and is usually bleached prior to paper making. The yield is typically 45-55% of the dry woodchip weight 2. Mechanical pulping involves grinding down the wood to its constituent fibres using a large amount of electrical energy. The yield is much higher (90-96%) as only water- soluble material in the wood is removed. 3. Semi-chemical and chemi-mechanical pulping are intermediate technologies which use chemical, mechanical and heat energy in various proportions. These processes remove about half of the lignin in the wood and obtain 60-90% of the original dry mass as pulp. Some of the organic wastes such as dust and reject chips may be burned for energy recovery in all these technologies. In recycling, waste paper is mixed in with water and the slurry product is cleaned and occasionally de-inked. This process generally requires less energy than virgin fibre pulping but does produce significant amounts of waste sludge that comprises mainly of fillers and degraded fibre. (Picken 1996) Paper making is similar for both virgin and recycled fibre. The pulp is diluted to a watery stock to which a range of non-fibrous materials, mainly clays and calcium carbonate which act as fillers, is added. The furnish that results from this process, is fed into a paper machine which forms the sheet through of a series of rollers and presses, and dries it with large amounts of heat energy. Most paper undergoes further processing before sale as a consumer product. Cutting, coating, folding and gluing are undertaken by ‘paper converting’ companies, and printing is also required on many paper products. THE GAIA PARTNERSHIP FINAL REPORT – PRIVATE AND CONFIDENTIAL 4
  • 5.
    Table 1 aimsto provide clear definitions for some of the common terms for the various stages of paper production listed above: Term Definition Pulping Converting virgin organic material into pulp Recycling Converting recovered waste paper into pulp Paper making Converting pulp into paper Paper manufacturing Pulping, recycling and paper making Paper converting Cutting, gluing, coating, etc of paper to make products Paper processing Paper converting, printing and other industrial processing of paper to make paper products Paper production Paper manufacturing and processing – all industrial processes involved in producing paper products ready for consumption Table 1: Paper manufacturing definitions (Picken 1996) 5. Findings from studies 5.1 Waste management options to reduce greenhouse gas emissions from paper in Australia (2002) J. G. Pickin, S. T. S. Yuen and H. Hennings This paper provides an update on the Pickin (1996) life cycle greenhouse gas emission (GGE) assessment of paper. The aims of the study were to provide a detailed investigation of total GGE’s from the paper cycle in Australia, capturing all aspects from the forest through to landfill, and to assess the effectiveness of a selection of waste management options to reduce GGE’s from paper. The GGE’s from the paper production and consumption system are of two clearly defined origins: (i) fossil fuel use during harvesting, manufacturing and transport and (ii) uptake and emission of carbon-bearing gases during growth and decay of organic material used in paper production (the organic material cycle). In this study, these two major sources of GGEs were divided into eight major emission categories based on the paper lifecycle, as follows: 1. fossil fuel use in material acquisition and transport; 2. fossil carbon use in pulping and recycling; 3. fossil fuel use in paper making; 4. fossil fuel use in processing and commerce; 5. methane from land filled waste paper; 6. methane and nitrous oxide from other degradation processes; 7. emissions offset by energy recovery from waste paper; and 8. net carbon dioxide balance in the organic material cycle (after carbon accounted for in categories 5–7 has been deducted). The analyses aimed to assess the relative importance of GGEs in these key categories. The calculation of emissions from paper production in Australia during 1999/2000 required data on material flows in that particular year for each of the system elements, most of which were estimated from paper production statistics. However, this is not an accurate method for estimating emissions from decaying organic material, since degradation processes are drawn out over years or decades and therefore the waste generated during 1999/2000 is not the material actually decaying in that year. Therefore, the emissions from harvest residue decay and of land filled waste paper, were estimated on the basis of historical production data and an assumed exponential decay rate. THE GAIA PARTNERSHIP FINAL REPORT – PRIVATE AND CONFIDENTIAL 5
  • 6.
    Analysis 1: Australiangreenhouse gas emissions from paper 1999/2000 The GGEs generated by paper in Australia during 1999/2000 were calculated at about 12.1 Mt of CO2 equivalent units. CH4 (methane) represented 57% (6.90 Mt) of the total net emissions and the rest (5.20 Mt) was almost all CO2 (see Figure 5-1 for breakdown of GGE’s). Figure 5-1: Greenhouse gas emissions by emission category (kt CO2 eq.) Analysis 2: emissions from a tonne of paper in a range of scenarios Figure 5-2 demonstrates the effect of the first waste management option (a)—recycling paper at different rates for one tonne of paper. GGE’s fall from 6.5 tonne of CO2 equivalent per tonne of paper with no recycling, to 4.4 tonne of CO2 equivalent per tonne with a recycling rate of 60%. Figure 5-2: Greenhouse gas emissions per tonne of paper with different recycling rates Figure 5-3 gives GGEs in the eight emission categories listed on the previous page. This shows that higher recycling rates cause changes in five of the categories but the most significant effect seen is a large decrease in CH4 (methane) emissions from landfills due to a lower input of paper. THE GAIA PARTNERSHIP FINAL REPORT – PRIVATE AND CONFIDENTIAL 6
  • 7.
    Figure 5-3: Greenhousegas emissions per tonne of paper with different recycling rates for specific categories The results of the analyses reveal the significance of landfills as sources of GGE’s from paper and the importance of controlling these emissions in post-consumer waste management. The pulp and paper industry's efforts to properly curtail GGE’s have focused on production processes (Jones, 1995) but improvements in recycling rates in recent years have likely provided greater advantages, mainly through directing waste paper away from landfills. Table 2 summarises some of the waste management options for reducing GGE’s across the paper life cycle. It lists their potential for reducing GGE’s, the time frame over which they deliver benefits (dependent on whether they affect CH4 or CO2 emissions) and the relevant organisations likely to initiate change. Waste management Potential for reducing Time frame over Management option GGE’s which benefit occurs organisation Increase recycling High Short term Government, pulp and paper industry Incinerate waste Very high Short & long term Government, energy paper with energy industry recovery Recover more landfill High Short & long term Government, energy gas industry Compost waste High Short term Government, paper particularly local Table 2: Waste management options for reducing GGE’s from paper THE GAIA PARTNERSHIP FINAL REPORT – PRIVATE AND CONFIDENTIAL 7
  • 8.
    5.2 The Contributionof the Paper Cycle to global warming (1999) S.Subak & A.Craighill This study primarily focussed on assessing greenhouse gases related to the entire life cycle of the paper industry, capturing fibre production, manufacturing of paper, transport and disposal from a global perspective. A range of studies were selected with an emphasis placed on the following issues: 1. Is the paper industry sustainable in greenhouse gas (GHG) emissions terms? 2. Does the maintaining of commercial forests and plantations sufficiently offset emissions related to the manufacture of paper, transport of pulp and paper and disposal in landfills? The study found that combustion of the fossil fuel to produce pulp and paper (which releases carbon dioxide) appears to be the greatest source of GHG emissions in the paper cycle. This source can be estimated with the highest precision of all the paper cycle sources because fuel consumed by the pulp and paper industry is published for most countries in the (OECD/IEA 1993) (Organisation of Economic Co-operation and Development/International Energy Agency) international energy compendia. Almost three quarters of the CO2 emissions from energy use in the paper industry originate in just six regions – the USA, China, Commonwealth of Independent States (CIS), Japan, Canada and Germany, according to the OECD/IEA data. The energy consumption figures published by the OECD/IEA are considered to be the most accurate for the GHG emissions related activity data, with an accepted range of 5-10% in the national emissions estimates (Von Hippel et al 1993). Carbon dioxide emissions from energy use in the paper industry were estimated by applying the emissions factors for the different fuel types specific to each country (Von Hippel et al 1993) to the energy consumption data from the (OECD/IEA 1993). Carbon dioxide emissions from wood fuels were not included in the energy related estimates as to avoid double counting. Wood waste makes up a significant proportion of the energy used by the pulp and paper industry, particularly in the Scandinavian region (OECD/IEA, 1993; Cooper and Zetterburg, 1994). This particular characteristic is a factor behind the industry’s green image in many countries. Although CO2 is emitted when wood is burned, this flux is temporary if tree stands are replaced. Tree stands are enclosed or open platforms used by hunters to place themselves at an elevated height above surrounding terrain. Emissions from wood waste should only be considered a net flux if this fuel source results in depletion of forest land. It was estimated (using the 1991 fossil fuel consumption data), that the paper industry’s energy use contributed almost 290 Mt (million tonnes) of CO2 emissions (79 MT carbon), or about 1.3% of annual CO2 emissions from total global fossil fuel consumption. This estimate of CO2 emissions from the industry is consistent with OECD’s aggregate estimate of global emissions from this industry, differing by only 10%. While paper manufacturing is one of the largest industrial GHG emitters, it releases substantially less than the steel industry and the chemicals industry, which is believed to account for 4.6% and 5.9% of global CO2 emissions respectively (IEA/OECD, 1991). Pulp and paper accounts for over 4% of estimated global energy consumption but the industry’s overall carbon intensity is relatively low because it fulfils a large amount of its energy requirement from the burning of wood waste. This analysis concluded that the pulp and paper industry is a significant emitter of GHG. While plantations maintained to supply fibre (for pulp production) store larger amounts of carbon on land that was not previously forested, the carbon storage is not sufficient enough to offset the greater emissions from fossil fuel use in manufacture and from paper disposed in landfills. Production, consumption and disposal of paper products is estimated to contribute a net addition of about 469 million tonnes in CO2 equivalent units each year (~130MT carbon), as indicated in Table 3. THE GAIA PARTNERSHIP FINAL REPORT – PRIVATE AND CONFIDENTIAL 8
  • 9.
    Sources Annual gas CO2 CO2-C Certainty emissions equivalents equivalents (MT) (MT) (MT) Energy Use (CO2) 290 290 79 High Energy extraction 1 29 8 Medium (CH4) Energy Use 4 4 1 Medium-low recycling (CO2) Transport (CO2) 29 29 8 Medium-low Landfills (CH4) 12 278 76 Medium Original forest 55 55 15 Low-Medium conversion Total sources 685 187 Sinks Waste energy -3 -3 -1 Medium recovery from incineration & landfills (CO2) Regrowth forests 0 0 0 Low (CO2) Plantations (CO2) -213 -213 -58 Low-Medium Total sinks -216 -216 -59 Net emissions flux 469 128 Table 3: Annual emissions of GHG from the global paper cycle Another conclusion of the study was that a reduction in greenhouse gas emissions is possible at all stages of the paper cycle. The CO2 intensity of pulp and paper manufacturing could be reduced by fuel switching and also by efficiency improvements. While a high percentage of natural gas is used by Canada and the UK as their fuel use in the paper industry, coal is used heavily in many other regions. Switching from coal to natural gas and relying further on wood waste for fuel could reduce carbon intensity, as well as SO2 emissions and other pollutants. The Swedish paper industry is likely to be a net zero emitter or a CO2 sink, in part because fossil fuel related emissions are so low for their region. Landfill sites have also been found to be nearly as great a source of GHG emissions as the energy use in manufacturing. Although the pulp and paper industry has less control over the final fate of paper, advocating various alternative waste disposal practices including recycling, incineration and composting would undoubtedly serve to help reduce emissions from disposal. 5.3 Reducing climate change gas emissions by cutting out stages in the life cycle of office paper (2007) Thomas A.M. Counsell and Julian M. Allwood This study considered how to reduce emissions from cut-size office paper by circumventing various stages in its life cycle. The options considered were: incineration, which cuts out landfill; localisation, which cuts out transport; annual fibre, which cuts out forestry and reduces pulping; fibre recycling, which cuts out landfill, forestry and pulping; un-printing, which cuts out all stages except printing; electronic paper, which cuts out all stages. A typical energy demand for each stage in the life of office paper was drawn from existing literature. The energy for producing the chemicals used in pulping, in forestry, in transport and in printing has been included. It is important to note that translating the energy demand into THE GAIA PARTNERSHIP FINAL REPORT – PRIVATE AND CONFIDENTIAL 9
  • 10.
    climate change gasemissions depends on both the mix of fuel used, and any non-energy related greenhouse gas emissions. The typical set of emissions drawn on from existing literature and is shown in Table 4. Energy demand (GJ/t) Climate change impact (t CO2 t) Forestry 2 0.1 Pulping 25 0.3 Paper making 15 1 Printing 2 0.1 Landfill 1 4.7 Total 44 6.3 (of which transport) <1 <0.1 Table 4: Approximate energy consumption and climate change gas emissions from a typical cut-size paper. Based on data from (Paper Task Force 1995), (EIPPCB 2001), (USEPA 2002) and (Ahmadi et al. 2003). The largest greenhouse gas emission occurs during landfill for the paper life cycle, with smaller impacts seen for the other categories. A recent survey (NCASI 2004) suggests that greenhouse gas emissions during paper decomposition in landfill are not fully understood. A study by (US EPA 2002) suggests that office paper may release up to 398 ml of methane (per dry gram of paper placed in landfill). The (IPPC 2001) estimated that methane is 23 times more potent in global warming potential than carbon dioxide over 100 years, implying that three quarters of the total climate change emissions of the typical paper life cycle could be contributed to landfill. The lowest value seen, from the (Paper Task Force 2002), allocates half of climate change impact to the landfill stage, but does not incorporate the lower lignin content of most office papers (lignin tends to decompose to methane less readily). It was determined that incineration cuts out emissions from the landfill stage and transforms waste paper directly into carbon dioxide (without passing through methane). Localisation reduces impacts of transport by locating pulping and paper-making factories close to the point of paper consumption. Recycling cuts out the stages for landfill, forestry and pulping by re- using the fibres from waste paper in the paper-making process. Recycling fibre cuts out pulping, reducing energy demand by 27 GJ/tonne. However the additional de-inking process requires 5 GJ/tonne to remove the ink. Estimates of the potential impact on climate change gas emissions are shown in Table 5. To translate the estimated energy savings into a reduction in climate change gases, two adjustments are made: non-fuel climate change gas emissions are included and the mix of fuels used is also considered. CO2eq. saved CO2eq. added Net CO2eq. % saved from cut out in replacement saved stages for cut out stages Incineration 4.7 0 4.7 74 Localisation 0.1 0 0.1 1 Annual crop 0.3 0.1 0.2 3 Recycling 5.1 0.3 4.8 76 Un-printing 6.2 0.2 6.0 95 Electronic paper 6.3 1.0 5.3 85 Table 5: Potential reductions in climate change gases emitted per tonne of office paper (CO2eq. t/t) The main non-fuel climate change gas emissions occur in the landfill stage. All the alternatives discussed above, except annual crop and localisation, cut out this stage and with it 4.7 t CO2eq. per tonne of paper—about three quarters of the total climate change impact. Removing various stages in the life cycle of cut-size office paper is likely to reduce climate change gas emissions per tonne between 1% and 95%, depending on which steps are THE GAIA PARTNERSHIP FINAL REPORT – PRIVATE AND CONFIDENTIAL 10
  • 11.
    avoided. Cutting outlandfill through introduction of incineration, is likely to reduce climate change gas emissions from the typical office paper life cycle by 48–74% since landfill is the stage where the largest climate change gas emissions will occur. Cutting out transport, through localisation, or cutting out forestry and some pulping through the use of annual fibres would have little effect on climate change gas emissions as those stages in the life of office paper emit little net CO2eq. Taking out pulping as well as landfill, through recycling, provides little extra reduction in climate change gas emissions as most of the emissions from pulping are from carbon-neutral fuels. Cutting out paper-making along with landfill, forestry and pulping, through an un-printing process, would see a reduction in climate change gas emissions by 95% because paper- making is quite energy intensive and generally won’t use carbon neutral fuels to the same extent as pulping. Cutting out the paper manufacturing altogether and replacing it with an electronic equivalent, could reduce climate change gas emissions by 85%. 5.4 Application of life cycle assessment to the Portuguese pulp and paper industry (2002) E. Lopes, A. Dias, L. Arroja, I. Capela, F. Pereira. In this paper, the LCA methodology was applied to Portuguese printing and writing paper in order to compare the environmental impact of two kinds of fuel use (heavy fuel oil and natural gas) in the paper and pulp production processes. The purpose of the study was to identify and assess the environmental impacts associated with the production, use and final disposal of printing and writing paper produced in Portugal from Eucalyptus globulus kraft pulp and consumed in Portugal. The two main reasons for conducting the study were: 1. to determine the contribution of different groups of processes to the printing and writing paper life cycle environmental impact 2. to compare the potential environmental impacts of two different fossil fuel sources used in the eucalyptus pulp production process The unit under investigation in this study was defined as one tonne of white printing and writing paper, with a standard weight of 80 gm2 produced from the Portuguese Eucalyptus globulus kraft pulp and consumed in Portugal. The final disposal alternatives (current for the time in Portugal) for printing and writing waste paper were landfilling (84%), recycling (11%), and composting (5%). The inventory results consisted of a very detailed list of parameters, but for this paper only the parameters commonly discussed from an environmental perspective were analysed, and they were: renewable energy consumption, non-renewable energy consumption, non-renewable carbon dioxide (CO2), nitrogen oxides (NOx), sulphur dioxide (SO2), chemical oxygen demand (COD) and adsorbable organic halogens (AOX). Figure 6 shows the breakdown of air emissions at the different stages of the paper life cycle, for the actual scenario and for the natural gas scenario. THE GAIA PARTNERSHIP FINAL REPORT – PRIVATE AND CONFIDENTIAL 11
  • 12.
    Figure 5-4: Inventoryresults for air emissions The impact category of major significance was global warming, containing the non-renewable carbon dioxide (CO2), methane (CH4) and nitrous oxide (N20) parameters. The results of the impact assessment phase for the actual scenario and for the natural gas scenario are shown in Figure 7. The global warming results can be seen in the two columns labelled “GW”. Most of the global warming potential results from the final disposal of printing and writing waste paper. This important contribution is mainly originated by methane (CH4) emissions that occur during waste paper land filling. Although the system’s total CO2 emissions are eight (natural gas scenario) to fifteen (heavy fuel oil scenario) times greater than total CH4 emissions, the latter assumes a more important role in this impact category since its global warming potential is 24.5 times greater than that of CO2. The second most important contributor to this potential impact is on-site energy production in paper production, exclusively due to CO2 emissions. The replacement of heavy fuel oil by natural gas will see a reduction in the system’s global warming potential of about 20% as a result of the decreased CO2 emissions in the natural gas scenario as explained in the interpretation of the inventory analysis results. Figure 5-5: Impact assessment results The outcomes from the study showed that the paper production (for printing and writing) is the most important contributor to non-renewable CO2 emissions due to the on-site energy THE GAIA PARTNERSHIP FINAL REPORT – PRIVATE AND CONFIDENTIAL 12
  • 13.
    production, which doesnot correspond however to a major contribution to the overall global warming potential. In Portugal this impact category is dominated by CH4 emissions from waste paper land filling. The final disposal stage assumes a prominent role in the global warming category as a result of the CH4 emissions in land filling. Interestingly, the replacement of heavy fuel oil by natural gas in the eucalyptus pulp and paper production processes appears to be environmentally positive, provided that a cogeneration unit is installed to produce energy in the paper making process. This process (in its current form a net energy consumer) becomes an exporter to the electricity grid, along with the corresponding avoided emissions. This change significantly reduces the total CO2 emissions leading to a smaller potential contribution from the global system to global warming (along with other impact categories). Changing the fuel source to natural gas also sees a decrease of more than 45% in non-renewable resource depletion. 5.5 Eco-Footprint calculators: Technical Background Paper (2005) EPA Victoria Ecological footprints (EF’s) have most commonly been applied to cities, regions and countries, and have been calculated for the total consumption impacts of those areas, which can be compared to that region’s available resources. As part of the technical background paper by EPA Victoria highlighting the methodology and key aspects of Eco-footprint calculators, a section on paper production was included (EPA 2005). Data was collected for copy papers, as they are a significant contributor in the schools and office spreadsheets. Copy paper production was modelled using virgin and recycled fibres. The virgin paper was assumed to be derived from Australian hardwood, while recycled paper was produced from paper collected from office waste paper collections. Table 6 details the greenhouse footprint for the two paper types and the impact of a typical import of a kilogram of paper over 15,000 km (assumed distance form Europe). The importation is important, as many of the recycled fibre papers are from Europe. kg CO2/kg paper produced Virgin paper 2.727 Recycled paper 1.781 Shipping paper from Europe 0.074 Table 6: Footprint for virgin and recycled fibre and international shipping This paper concluded that the environmental impacts that are associated with manufacturing office paper result from: Using hazardous chemicals Emission to air and water from pulp and paper mills Energy and water consumption when pulp and paper is produced The manufacture, use and disposal of paper products can result in a significant burden being placed on the environment. The main environmental impacts of a paper product will generally occur in the following phases of the products life cycle: 1. Managing and harvesting of the forest 2. Producing pulp and paper 3. processing the paper product as waste and 4. processing production waste Finally, it was concluded that sustainable forestry is essential if the resources of forests are to be exploited in the long term. It is important that forestry is operated in a way that minimises the disturbance of natural eco-systems and conserves the biodiversity of forests (EPA 2005). THE GAIA PARTNERSHIP FINAL REPORT – PRIVATE AND CONFIDENTIAL 13
  • 14.
    5.6 Extended EnvironmentalBenefits of Recycling (2009) Centre for Design – RMIT University The aim of this study was to provide an objective and transparent evaluation of the environmental benefits and impacts of recycling waste materials from residential, commercial & industrial (C&I) and construction & demolition (C&D) sources in NSW. In addition, results of the study were to be deployed in a recycling calculator to be readily used by industry, councils and other businesses EEBR (2009). The report considered the recycling benefits and impacts of 21 materials by commonly used recycling pathways. For most of the materials, two collection pathways were considered: i) kerbside collection of co-mingled waste which must be sorted prior to transfer to the material reprocessor, and ii) direct transfer of segregated wastes from C&I, C&D sources to the material reprocessor. The fibre based substrates selected for analysis were: Paper & board Newsprint Office paper Liquid paper board Data was collected from various studies as well as communication with industry stakeholders, in both Australia and Europe depending on the relevance and integrity of the data sets. Paper and board materials generated positive net recycling benefits across most indicators (with the exception of liquid paper board which has large reprocessing impacts). The other papers all appeared to generate benefits across most of the indicators, however results were found to be highly dependant upon assumptions made regarding paper degradation in landfill. Greenhouse Gases n e Oe e n e c c d to n s C 2 p r to n re y le 1.20 1.04 0.99 1.00 0.740.67 0.80 0.63 0.60 0.60 Kerbside 0.40 0.20 C&I,C&D 0.00 -0.20 -0.40 -0.30 N w p t/m g z e iq id a e o rd a b a /p p r O eP p r C rd o rd a e ffic a e e s rin a a in L u p p rb a akg g p c a in s Figure 5-6: Average net benefit of recycling for one tonne of paper and board waste A core assumption underpinning greenhouse gas results for organic materials was the treatment of organic waste in landfill. The net benefit of recycling or composting organic waste was partially determined by the avoided impacts associated with sending organic waste to landfill. Therefore, the net benefits of recycling increase if landfill processes are highly greenhouse intensive and will be reduced if landfill processes generate few greenhouse emissions or if landfills actually absorb organic carbon. In this study, a baseline assumption was made that carbon in organic material that is deposited in landfill and not degraded, was sequestered in the landfill. This assumption is consistent with the Department of Climate Change (2007), but may not be universally THE GAIA PARTNERSHIP FINAL REPORT – PRIVATE AND CONFIDENTIAL 14
  • 15.
    acknowledged as afact. To test this assumption, a sensitivity study was undertaken that tested two alternative landfill scenarios: Base case (no sequestration): Landfill generates greenhouse gasses as described by Department of Climate Change (2007), however carbon is not permanently sequestered and is released as biogenic CO2. US EPA (2006): Rather than using Department of Climate Change assumptions for emissions from landfill, assumptions were used from the widely acknowleged study ‘Solid Waste Management and Greenhouse Gases – A Life Cycle Assessment of Emissions and sinks (US EPA 2006). This study assumes a portion of carbon is sequestered Greenhouse Gases 3.00 2.59 2.50 2.27 tonnes CO2e per tonne recycled 2.00 1.65 1.48 1.50 1.34 1.35 0.99 Base case 1.00 0.74 Base case (no sequestration) 0.60 0.57 0.51 0.58 US EPA (2006) 0.50 0.25 0.32 0.19 0.07 0.00 -0.08 -0.50 -0.30 -0.32 -0.42 -0.54 -1.00 Paper & Newsprint LPB Office paper Timber Compost - Compost - board pallets Mixed food Garden only and garden Figure 5-7: Sensitivity of organic materials to changes in landfill assumptions. Results show the clear increase in the net benefits of recycling, from a greenhouse gases emission perspective, if carbon is not assumed to be sequestered in landfill (base case with no sequestration). This is because landfill impacts are significantly increased under this scenario, increasing the net benefit of recycling which avoids landfill. 6. Summary of findings Below is a summary of findings from each of the studies, focusing on the main sources of greenhouse gas emissions for the paper life cycle. Picken et al (2002) The result of the analyses completed in this study showed the significance of landfills as sources of GGE’s from paper and the importance of controlling these emissions in post consumer waste management. The focus had been on production processes in the attempt to curtail GGE’s but improvements in recycling rates in recent years have provided greater advantages, mainly through directing waste paper away from landfills. From the emission categories identified, the major sources across the paper life cycle were methane from landfilled waste paper (albeit reduced with increased recycling), fossil fuel use in paper making and fossil carbon use in pulping and recycling (again reduced with increasing the recycling rate) THE GAIA PARTNERSHIP FINAL REPORT – PRIVATE AND CONFIDENTIAL 15
  • 16.
    The potential forreducing GGE’s is very high when incinerating waste paper with energy recovery, with the likelihood also being high for increased recycling overall, higher landfill gas recovery and composting of waste paper. The GGEs generated by paper in Australia during 1999/2000 were calculated at about 12.1 Mt of CO2 equivalent units. CH4 (methane) represented 57% of the total net emissions with the remaining almost all CO2 (carbon dioxide). Subak & Craighill (1999) This analysis identified the pulp and paper industry is a significant emitter of GHG. The large carbon storage (through plantations) maintained to supply fibre is not sufficient enough to offset the greater emissions from fossil fuel use in manufacturing and from paper disposed in landfills. Another conclusion of the study was that a reduction in green house gas emissions is possible at all stages of the paper cycle. The CO2 intensity of pulp and paper manufacturing could be reduced by fuel switching and also by efficiency improvements. Switching from coal to natural gas and relying further on wood waste for fuel could reduce carbon intensity (along with SO2 emissions and other pollutants). Landfill sites have been found to be nearly as great a source of GHG emissions as the energy used in manufacturing. It was estimated that the paper industry’s energy use contributed almost 290 million tonnes of CO2 emissions or about 1.3% of annual CO2 emissions from total global fossil fuel consumption. Counsell & Allwood (2007) Cutting back or taking out stages in the life cycle of cut-size office paper (depending on which steps are avoided) is likely to reduce climate change gas emissions per tonne between 1% and 95%. The largest greenhouse gas emission by far for the paper life cycle occurs during landfill (see Table 2). Cutting out landfill through introduction of incineration, is likely to reduce climate change gas emissions from the typical office paper life cycle by 48–74%. Looking at reducing the impacts of transport, through localisation, or cutting out forestry and some pulping through the use of annual fibres would have little effect on climate change gas emissions as those stages in the life of office paper emit little net CO2eq. Cutting down on pulping as well as landfill, through recycling, provides little extra reduction in climate change gas emissions as most of the emissions from pulping are from carbon-neutral fuels. Cutting out paper-making along with landfill, forestry and pulping, through an un-printing process, would reduce climate change gas emissions by 95% because paper-making is quite energy intensive and generally will not use carbon neutral fuels to the same extent as pulping. Cutting out paper altogether and replacing it with an electronic equivalent, could reduce climate change gas emissions by 85%. Lopes et al (2002) Findings from this study showed that most of the global warming potential across the entire life cycle of paper resulted from the final disposal of printing and writing waste paper. Methane emissions that occur during the land filling of waste paper has been identified as the main contributor. The second most important contributor to the potential impact is on-site energy production in paper production, almost entirely due to carbon dioxide emissions. The final disposal stage assumes a predominant role in global warming and photochemical oxidant formation impact categories, as a result of the CH4 emissions in land filling. Replacing fuel oil with natural gas would also see a significant reduction in carbon dioxide emissions. EPA technical paper (2005) This technical background paper found that the environmental impacts associated with manufacturing office paper results from energy and water consumption when the pulp/paper is produced, the use of hazardous chemicals and emissions to air and water from pulp and paper mills. THE GAIA PARTNERSHIP FINAL REPORT – PRIVATE AND CONFIDENTIAL 16
  • 17.
    The footprint forimported virgin paper was found to be 2.73 kilograms of carbon dioxide for every kilogram of paper produced, while the value for the imported recycled paper was 1.78 kilograms of carbon dioxide for every kilogram of paper produced. The manufacture, use and disposal of paper products can result in a significant burden being placed on the environment, the impacts generally occur during forest management and harvesting, pulp and paper production, processing the paper product as waste and processing the production waste. Centre for Design – RMIT University (2009) This report on the extended environmental benefits of recycling for the Department of Environment and Climate Change found that paper and board materials generated positive net recycling benefits across most indicators (with the exception of liquid paper board which has large reprocessing impacts). The other papers all appeared to generate benefits across most of the indicators, however results were found to be highly dependant upon assumptions made regarding paper degradation in landfill. A core assumption underpinning greenhouse gas results for organic materials was the treatment of organic waste in landfill. It was found that the net benefits of recycling increase if landfill processes are highly greenhouse intensive and will be reduced if landfill processes generate few greenhouse emissions or if landfills actually absorb organic carbon. a baseline assumption was made that carbon in organic material that is deposited in landfill and not degraded, was sequestered in the landfill. The sensitivity analysis showed a clear increase in the net benefits of recycling, from a greenhouse gases emission perspective, if carbon is not assumed to be sequestered in landfill. 7. References Ahmadi, A., Williamson, B., Theis T., and Powers, S. (2003), Life-cycle inventory of toner produced for xerographic processes, Journal of Cleaner Production 11 (2003) (5), pp. 573–582. EEBR (2009), Extended Environmental Benefits of Recycling Report, Centre for Design RMIT University, report to Sustainability Divisions Program, Department of Environment and Climate Change (DECC), Melbourne, Australia. Counsell, T., A., M., & Allwood, J., M. (2007), “Reducing climate change gas emissions by cutting out stages in the life cycle of office paper”, Production Processes Group, Institute for Manufacturing, Department of Engineering, Cambridge, United Kingdom. EIPPCB, (2001) Reference Document on Best Available Techniques in the Pulp and Paper Industry. European Integrated Pollution Prevention and Control Bureau, Seville, Spain. EPA Victoria (2005), EPA ecological footprint calculators: technical background paper, publication 972, February 2005, Melbourne, Australia. IEA/OECD (1991), Energy Efficiency and the environment, International Energy Agency/ Organisation of Economic Co-operation and Development, Paris. IPPC (2001), Technical Summary: Climate Change 2001: Scientific Basis. Jones, B.R., (1995). The future of recycling wastepaper in Australia - economic and environmental implications. Proceedings of ‘Outlook 95’ Conference, Canberra. ABARE, Canberra, pp. 401–407. THE GAIA PARTNERSHIP FINAL REPORT – PRIVATE AND CONFIDENTIAL 17
  • 18.
    Lopes, E., Dias,A., Arroja, L., Capela, I., Pereira, F. (2002), Department of Environment and Planning, University of Aveiro, Portugal. NCASI (2004), Critical Review of Forest Products Decomposition in Municipal Solid Waste Landfills. Technical Bulletin No. 0872. National Council for Air and Stream Improvement, Research Triangle Park, NC; 2004. NPC (2005), Environmental Code of Practice for Packaging, National Packaging Covenant, Melbourne, Australia. OECD/IEA (1993), World Energy Balances, Organisation of Economic Co-operation and Development/International Energy Agency, Paris. Paper Task Force, (1995), Paper Task Force Recommendations for Purchasing and Using Environmentally Preferable Paper. U.S. Environmental Defence Fund Paper Task Force (2002), Update and Corrections to the Paper Task Force Report. U.S. Environmental Defence Fund Pickin, J. G., Yuen, S., T., S., Hennings, H. (2002), “Waste management options to reduce greenhouse gas emissions from paper in Australia”, Department of Civil and Environmental engineering, University of Melbourne, Parkville, Australia Pickin, J.G., (1996), Paper and the greenhouse effect: a life-cycle study. Honours Thesis. Dept. of Geography and Environmental Studies, University of Melbourne, Parkville, Australia Subak, S., Craighill, A., (1999), “The contribution of the Paper Cycle to Global Warming”, School of environmental sciences, University of East Anglia, Norwich, UK US EPA, (2002) Solid waste management and greenhouse gases: a life-cycle assessment of emissions and sinks (2nd ed.), US Environment Protection Agency. Von Hippel, D., Raskin, P., Subak, S., Stavisky, D., (1993), Estimating greenhouse gas emissions form energy: two approaches compared, Energy Policy Journal (March 1993), pp 691-702. THE GAIA PARTNERSHIP FINAL REPORT – PRIVATE AND CONFIDENTIAL 18