MERHABA
THE TEAM
KEvin Richard
CEO @ SEObserver, seo tool suite
Sylvain Peyronnet
A.I.director @ Qwant,search engine
YiğitKonur
Baba
NOT
YET ANOTHER
RANKINGFACTORSTUDY
CAN LINKING METRICS
ALONE
PREDICT RANKINGS?
GOOGLE.COM.TR
+
100,000 NON-BRANDEDKEYWORDS x 100positions
+
LINKINGMETRICSONLY
+
MORE THANREGRESSIONTEST
Not nerdy
A bit nerdy
Very nerdy
Nerdiness scale
METHODOLOGY RESULTS
CONCRETE
ACTIONABLE
TAKEAWAYS
DEFINITIONS
TODAY’S PLAN
Ortasehpa
Now, let’s grab the linking metrics
for each ranking
1
2
3
4
5
This is an “orta sehpa”,coffee table
Linking metrics FROMMAJESTIC
Mydomain.com.tr
...................
TrustFlow = quality backlinks strength index
CitationFlow = all backlinks strength index
TF/CF = quality proportion = spam index
Referring domains = well… referring domains
TrustFlowReferring domains
Example:
TRUSTFLOWEXAMPLES
• twitter.com : 100
• google.com : 99
• google.com.tr : 51
• sahibinden.com : 53
• n11.com : 30
• hurriyet.com.tr : 72
• oyunkolu.com : 10
Let’s compareranks with ranks
• Each SERP is unique : looking at absolute linking
metrics values is ludicrous
• List the top 100 URLs, grab their metrics
• Get a “rank” for each metric : relative values
• Create a model that answers the question: “does
this url belongs to top1, top3,top5, top10?”
Ortasehpa
Now, let’s grab the linking metrics
for each ranking
1
2
3
4
5
This is an “orta sehpa”,coffee table
Ortasehpa
Ortasehpa
Let’s order this data
#1
#2
#3
#4
#6
#6
#8
#5
#7
#10
We obtained our
“DomainTF
Rank”
SUMMARY
Keyword“orta sehpa” : 100 results URLs1
Record relative linking metrics (ranks) for each position2
Repeat 100.000 times w/ different keywords3
You get your ~10M records dataset4
100K keywords
2M random
non-branded records
2M random
non-branded records
2M random
non-branded records
80%
training set
20%
test
80%
training set
20%
test
80%
training set
20%
test
METHODOLOGY
Rank Keyword URL URL TF Rank URL RD Rank
1 falan http://url1.com 2 1
2 falan http://url2.com 1 3
3 falan http://url3.com 10 4
TRAINING DATA testing DATA
Keywords sample
• Non-branded queries
• Randomly chosen
içerde, iphone 7, filmler, a spor, 2 kişilik oyunlar, atatürk, akbank direkt, araba oyunu, game of thrones izle, türkiye haritası, xhamster, canlı maç izle, bim
aktüel, netspor, uçak bileti, hd porno, a101, dolar, cuma mesajları, ttnet, kısmetse olur, mp3 indir, araba, sex hikayeleri, periscope, sikiş, haber, taraftarium24,
mp3, yerli film izle, fa, minecraft, film, haberler, galatasaray, ingilizce türkçe çeviri, ateş ve su, omegle, ntv, porn, süper loto, g, e okul, türk porno, brazzers,
güzel sözler, hava durumu, tjk, kırgın çiçekler, survivor, dizi izle, çeviri, oyun, diriliş ertuğrul son bölüm, rüya tabirleri, hız testi, kiralık aşk, poyraz karayel, film
izle, canlı skor, game of thrones, film indir, oyunlar, fenerbahçe, ptt kargo, rokettube, porno, araba oyunları, trt 1, sex, son dakika, trt, vatan, iddaa, yutup,
faceboook, altın fiyatları, canlı tv izle, tv izle, beşiktaş, hotmail.com, diriliş ertuğrul, son dakika haberleri, kredi hesaplama, bets10, outlook giriş, hotmail,
yabancı dizi izle, youtube video indir, xnxx, son dakika haberler, harita, on numara, eşkiya dünyaya hükümdar olmaz, ucuz uçak bileti, olimpiyatlar, gis, euro,
kara sevda, tff, müzik indir, ceviri, dolar kuru, turk porno, türkiye, mhrs, taraftarium, torrent oyun, animasyon, paypal, aksis, dağ 2 izle, ccleaner, içerde son
bölüm, lg g4, zamunda, o ses türkiye, magazin, teen wolf, zaman, mtv, en iyi filmler, ingilizce çeviri, barbie, son dakika haber, kurtlar vadisi pusu, bir garip aşk,
lig tv özet, fuat avni, zenmate, porno film, ayetel kürsi, kurtlar vadisi, türk bayrağı, video indir, youtube video indirme, a, mercedes, the walking dead, türbanlı
porno, lig tv maç özetleri, süper loto sonuçları, çevir, sikis, müzik dinle, gta 5, puan durumu, 29 ekim cumhuriyet bayramı, e, outlook aç, redtube, altin
fiyatlari, s, aşk sözleri, gogle, dünya haritası, aöl, hadise, tempobet, burçlar, yabancı dizi, canli skor, clash of clans, milli piyango sorgula, gazete, hyundai, porno
indir, aleyna tilki, beeg, en uygun, ahmet kaya, otobüs bileti, istanbul, aşk laftan anlamaz, www, komedi filmleri, iphone 6s, istiklal marşı, korku filmleri, kickass,
film izle 2016, açık lise, randevu, deprem, recep ivedik 5, konulu porno, seks, mustafa ceceli, bluestacks, bimer, arka sokaklar, düğün dernek 2, oyun indir,
iphone 6, ttnet hız testi, lig tv izle, euro 2016, deadpool, torrent, atlasjet, fesbuk, windows 10, samsung j7, sayısal loto sonuçları, türkçe porno
Canliskor 1 2
SOWE DID ACORRELATIONTEST..
THISIS ACORRGRAM
What canwe noticehere?
What canwe noticehere?
Googleis complex
asimple regression/Correlationtest
is not enough
DECISION TREES ARENEEDED
LET’S CREATEAN”ALGORITHM”
Algorithm noun
Word used by programmers when they do not
want to explain what they did.
LET’S CREATEAN”ALGORITHM”
According to its metrics,
is this url in the top1, top3,
top5, top10 on this keyword?
Answers “Yes/No”
LET’S CREATEAN”ALGORITHM”
We will put hundreds of decision trees inside,
and they will vote for the answer.
How tobe right 99%of the time?
1. Is http://blabla1.com… #1 ?
2. Is http://blabla2.com… #1 ?
3. Is http://blabla3.com… #1 ?
4. Is http://blabla4.com… #1 ?
…
99. Is http://blabla99.com… #1 ?
100. Is http://blabla100.com… #1 ?
No
No
No
No
…
No
No
No
No
Yes
No
No
…
No
Correct!
Correct!
Wrong!
Correct!
Correct!
…
Correct!
Guess? Expected Result
Ask 100 times the same question,
always answer“no”, you’ll be wrong only 1% of the time
How tobe right 99%of the time?
1. Is http://blabla1.com… #1 ?
2. Is http://blabla2.com… #1 ?
3. Is http://blabla3.com… #1 ?
4. Is http://blabla4.com… #1 ?
…
99. Is http://blabla99.com… #1 ?
100. Is http://blabla100.com… #1 ?
No
No
No
No
…
No
No
No
No
Yes
No
No
…
No
Correct!
Correct!
Wrong!
Correct!
Correct!
…
Correct!
Guess? Expected Result
Always say “no”, you’ll be wrong only 1% of the time
Saçmalama lütfen
How canweeducate ourrobotto avoid
this kind of lazy behavior?
1. DOWNSAMPLING
2. Raise the penaltyfor each mistake
Teaching the right things
https://medium.com/greyatom/what-is-underfitting-and-overfitting-in-machine-learning-and-how-to-deal-with-it-6803a989c76
Random?
How well do weperformvs totalrandomness?
Can a dice be moreaccurate thanour MODEL?
Underthe hood
Input data:non-branded queries only.
Downsampling/Oversamplingof dataset
Random forest balanced : 50 decision trees
K-Folds CrossValidation 80/20
Features:linking metrics
ranking inside of the SERP
for URL an domain
RESULTS
SUCCESS RATES
top1 : 98,25%
top3 : 95,27%
top5 : 92,35%
top10 : 85,3%
(between us, that’s neat)
SO, WHAT IS INSIDE OURBOX?!
FEATURES WEIGHTS IN OURMODEL
FEATURES WEIGHTS IN OURMODEL
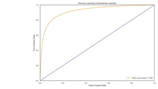
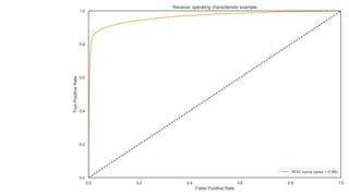
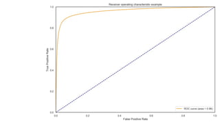
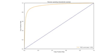
How dowe comparevs randomness?
RANDOM NOT RANDOM
RANDOM NOT RANDOM
Howdo we compare
vs randomness?
TALKINGABOUT Contentstrategy…
withoutMENTIONINGcontent?!
• “Content is king” : yeah, but no.
• Our model worked without anything related to:
– Speed score,
– content length,
– design, etc.
• BUT our keyword sample is quite specific
Key takeaways
• Ranking is overtaking your competitors,
monitoring your environement is crucial.
• build EARN backlinks directly to your URLs
• Get “juice” to your URLs with inner linking
• Host your message on big authority websites
Use yourinternallinkingwisely
Add someexternallinking,too
teşekkür ederim
k@seobserver.com
@512banque

Can linking metrics alone predict Google rankings?

  • 1.
  • 2.
    THE TEAM KEvin Richard CEO@ SEObserver, seo tool suite Sylvain Peyronnet A.I.director @ Qwant,search engine YiğitKonur Baba
  • 3.
  • 4.
  • 5.
    GOOGLE.COM.TR + 100,000 NON-BRANDEDKEYWORDS x100positions + LINKINGMETRICSONLY + MORE THANREGRESSIONTEST
  • 6.
    Not nerdy A bitnerdy Very nerdy Nerdiness scale METHODOLOGY RESULTS CONCRETE ACTIONABLE TAKEAWAYS DEFINITIONS TODAY’S PLAN
  • 7.
    Ortasehpa Now, let’s grabthe linking metrics for each ranking 1 2 3 4 5 This is an “orta sehpa”,coffee table
  • 8.
    Linking metrics FROMMAJESTIC Mydomain.com.tr ................... TrustFlow= quality backlinks strength index CitationFlow = all backlinks strength index TF/CF = quality proportion = spam index Referring domains = well… referring domains TrustFlowReferring domains Example:
  • 9.
    TRUSTFLOWEXAMPLES • twitter.com :100 • google.com : 99 • google.com.tr : 51 • sahibinden.com : 53 • n11.com : 30 • hurriyet.com.tr : 72 • oyunkolu.com : 10
  • 10.
    Let’s compareranks withranks • Each SERP is unique : looking at absolute linking metrics values is ludicrous • List the top 100 URLs, grab their metrics • Get a “rank” for each metric : relative values • Create a model that answers the question: “does this url belongs to top1, top3,top5, top10?”
  • 11.
    Ortasehpa Now, let’s grabthe linking metrics for each ranking 1 2 3 4 5 This is an “orta sehpa”,coffee table
  • 12.
  • 13.
    Ortasehpa Let’s order thisdata #1 #2 #3 #4 #6 #6 #8 #5 #7 #10 We obtained our “DomainTF Rank”
  • 14.
    SUMMARY Keyword“orta sehpa” :100 results URLs1 Record relative linking metrics (ranks) for each position2 Repeat 100.000 times w/ different keywords3 You get your ~10M records dataset4
  • 15.
    100K keywords 2M random non-brandedrecords 2M random non-branded records 2M random non-branded records 80% training set 20% test 80% training set 20% test 80% training set 20% test METHODOLOGY Rank Keyword URL URL TF Rank URL RD Rank 1 falan http://url1.com 2 1 2 falan http://url2.com 1 3 3 falan http://url3.com 10 4
  • 16.
  • 17.
    Keywords sample • Non-brandedqueries • Randomly chosen içerde, iphone 7, filmler, a spor, 2 kişilik oyunlar, atatürk, akbank direkt, araba oyunu, game of thrones izle, türkiye haritası, xhamster, canlı maç izle, bim aktüel, netspor, uçak bileti, hd porno, a101, dolar, cuma mesajları, ttnet, kısmetse olur, mp3 indir, araba, sex hikayeleri, periscope, sikiş, haber, taraftarium24, mp3, yerli film izle, fa, minecraft, film, haberler, galatasaray, ingilizce türkçe çeviri, ateş ve su, omegle, ntv, porn, süper loto, g, e okul, türk porno, brazzers, güzel sözler, hava durumu, tjk, kırgın çiçekler, survivor, dizi izle, çeviri, oyun, diriliş ertuğrul son bölüm, rüya tabirleri, hız testi, kiralık aşk, poyraz karayel, film izle, canlı skor, game of thrones, film indir, oyunlar, fenerbahçe, ptt kargo, rokettube, porno, araba oyunları, trt 1, sex, son dakika, trt, vatan, iddaa, yutup, faceboook, altın fiyatları, canlı tv izle, tv izle, beşiktaş, hotmail.com, diriliş ertuğrul, son dakika haberleri, kredi hesaplama, bets10, outlook giriş, hotmail, yabancı dizi izle, youtube video indir, xnxx, son dakika haberler, harita, on numara, eşkiya dünyaya hükümdar olmaz, ucuz uçak bileti, olimpiyatlar, gis, euro, kara sevda, tff, müzik indir, ceviri, dolar kuru, turk porno, türkiye, mhrs, taraftarium, torrent oyun, animasyon, paypal, aksis, dağ 2 izle, ccleaner, içerde son bölüm, lg g4, zamunda, o ses türkiye, magazin, teen wolf, zaman, mtv, en iyi filmler, ingilizce çeviri, barbie, son dakika haber, kurtlar vadisi pusu, bir garip aşk, lig tv özet, fuat avni, zenmate, porno film, ayetel kürsi, kurtlar vadisi, türk bayrağı, video indir, youtube video indirme, a, mercedes, the walking dead, türbanlı porno, lig tv maç özetleri, süper loto sonuçları, çevir, sikis, müzik dinle, gta 5, puan durumu, 29 ekim cumhuriyet bayramı, e, outlook aç, redtube, altin fiyatlari, s, aşk sözleri, gogle, dünya haritası, aöl, hadise, tempobet, burçlar, yabancı dizi, canli skor, clash of clans, milli piyango sorgula, gazete, hyundai, porno indir, aleyna tilki, beeg, en uygun, ahmet kaya, otobüs bileti, istanbul, aşk laftan anlamaz, www, komedi filmleri, iphone 6s, istiklal marşı, korku filmleri, kickass, film izle 2016, açık lise, randevu, deprem, recep ivedik 5, konulu porno, seks, mustafa ceceli, bluestacks, bimer, arka sokaklar, düğün dernek 2, oyun indir, iphone 6, ttnet hız testi, lig tv izle, euro 2016, deadpool, torrent, atlasjet, fesbuk, windows 10, samsung j7, sayısal loto sonuçları, türkçe porno
  • 18.
  • 19.
  • 20.
  • 21.
  • 22.
  • 23.
  • 24.
  • 25.
    LET’S CREATEAN”ALGORITHM” Algorithm noun Wordused by programmers when they do not want to explain what they did.
  • 26.
    LET’S CREATEAN”ALGORITHM” According toits metrics, is this url in the top1, top3, top5, top10 on this keyword? Answers “Yes/No”
  • 27.
    LET’S CREATEAN”ALGORITHM” We willput hundreds of decision trees inside, and they will vote for the answer.
  • 28.
    How tobe right99%of the time? 1. Is http://blabla1.com… #1 ? 2. Is http://blabla2.com… #1 ? 3. Is http://blabla3.com… #1 ? 4. Is http://blabla4.com… #1 ? … 99. Is http://blabla99.com… #1 ? 100. Is http://blabla100.com… #1 ? No No No No … No No No No Yes No No … No Correct! Correct! Wrong! Correct! Correct! … Correct! Guess? Expected Result Ask 100 times the same question, always answer“no”, you’ll be wrong only 1% of the time
  • 29.
    How tobe right99%of the time? 1. Is http://blabla1.com… #1 ? 2. Is http://blabla2.com… #1 ? 3. Is http://blabla3.com… #1 ? 4. Is http://blabla4.com… #1 ? … 99. Is http://blabla99.com… #1 ? 100. Is http://blabla100.com… #1 ? No No No No … No No No No Yes No No … No Correct! Correct! Wrong! Correct! Correct! … Correct! Guess? Expected Result Always say “no”, you’ll be wrong only 1% of the time Saçmalama lütfen
  • 30.
    How canweeducate ourrobottoavoid this kind of lazy behavior?
  • 31.
  • 32.
    2. Raise thepenaltyfor each mistake
  • 33.
    Teaching the rightthings https://medium.com/greyatom/what-is-underfitting-and-overfitting-in-machine-learning-and-how-to-deal-with-it-6803a989c76
  • 34.
    Random? How well doweperformvs totalrandomness? Can a dice be moreaccurate thanour MODEL?
  • 35.
    Underthe hood Input data:non-brandedqueries only. Downsampling/Oversamplingof dataset Random forest balanced : 50 decision trees K-Folds CrossValidation 80/20 Features:linking metrics ranking inside of the SERP for URL an domain
  • 36.
  • 37.
    SUCCESS RATES top1 :98,25% top3 : 95,27% top5 : 92,35% top10 : 85,3% (between us, that’s neat)
  • 38.
    SO, WHAT ISINSIDE OURBOX?!
  • 39.
  • 40.
  • 46.
    How dowe comparevsrandomness? RANDOM NOT RANDOM
  • 47.
    RANDOM NOT RANDOM Howdowe compare vs randomness?
  • 48.
    TALKINGABOUT Contentstrategy… withoutMENTIONINGcontent?! • “Contentis king” : yeah, but no. • Our model worked without anything related to: – Speed score, – content length, – design, etc. • BUT our keyword sample is quite specific
  • 49.
    Key takeaways • Rankingis overtaking your competitors, monitoring your environement is crucial. • build EARN backlinks directly to your URLs • Get “juice” to your URLs with inner linking • Host your message on big authority websites
  • 50.
  • 51.
  • 52.