Panduan Praktikum Ms. Word 2007 2011

                                                                                                       susmix24.co.cc




                                            PANDUAN
                                            Praktikum
                      TEKNOLOGI INFORMASI DAN KOMUNIKASI
                                             Kelas XII Semester 1




                                                         Oleh
                                                    SUSIANTORO



Fax (0354) 6998iman8kediri@gmail.


     Nama
     Kelas
     No. Absen

     (((                                                                                               )))
                      SMA NEGERI 8 KEDIRI
                    Jalan Pahlawan Kusuma Bangsa 77  (0354) 6787151 Kediri
                        Fax (0354) 699806 E-mail : sman8kediri@gmail.com

                                                                                                                         0
                                                                                                          susmix24.co.cc
tiksman8kediri--------------------------------------------------------------------------------------------- susmix24.co.cc
Panduan Praktikum Ms. Word 2007 2011

                                                       BAB I

                       MEMULAI PROGRAM MICROSOFT WORD 2007

Microsoft Word merupakan program pengolah kata yang cukup lengkap dan lebih otomatis. bahkan
perintah dan fungsi yang disediakan oleh software ini menunjang berbagai keperluan mulai dari
pengetikan atau penyusunan naskah biasa, laporan, surat kabar sampai dengan fax. Pada Bab ini
kita akan berkenalan dengan menu Home.Pada menu ini terdapat kelompok toolbar
   • Clipboard
   • Font
   • Paragraph
   • Styles
   • Editing

A. Cara memulai aplikasi Microsoft Word
   Langkah-langkah :
   1. Pilih tombol Start di pojok kiri bawah tampilan windows.
   2. Setelah muncul tampilan menunya pilih Program, kemudian Microsoft Office dan
      Pilih
   3. Microsoft Office Word 2007.
   4. Muncul Gambar berikut :




  Unsur-unsur utama Layar Ms Word.

Judul Windows
    Baris Judul Menampilkan nama file dan aplikasi Microsoft Word, nama file sebelum dirubah
    adalah Document1, Document2 dan seterusnya.


  Di pojok kanan sebelahnya window terdapat button                                        minimize, maximize dan
  menutup aplikasi word

                                                                                                                         1
tiksman8kediri--------------------------------------------------------------------------------------------- susmix24.co.cc
Panduan Praktikum Ms. Word 2007 2011

Office Button
    Digunakan untuk:
    - Membuat file baru
    - Membuka file
    - Menyimpan file
    - Mencetak
    - Keluar dari word
    Disebelah kanan office button terdapat button                                   yang digunakan untuk menyimpan,
  Undo, Redo dan Customize Quick Access Toolbar
Customize Quick Access Toolbar
    Digunakan untuk menampilkan button2 yang diinginkan untuk tampil pada taskbar,sebagai
    contoh jika kita klik button open dan new document, akan muncul button tersebut pada taskbar
                      sebagai tips, tampilkan button yang sering anda gunakan untuk mempercepat pengerjaan.

Menu
  Menu pada Ms Word 2007 ditunjukkan pada gambar berikut



  Setiap menu yang aktif (yang kita Klik) akan memunculkan toolbar dibawahnya.

Toolbar
    Merupakan deretan tool-tool (gambar-gambar yang berbentuk tombol) yang mewakili perintah
    dan berfungsi untuk mempermudah dan mengefisienkan pengoperasian program. Sebagai contoh
    kalau kita klik menu Home, akan muncul toolbar berikut




Kursor
    Kursor atau Insertion Point merupakan indikator tempat dimana teks akan muncul jika kita akan
    mengetik. Posisi ini perlu diperhatikan karena Ms. Word menggunakannya sebagai dasar dalam
    melakukan suatu pekerjaan yang kita perintahkan.

Penggulung Teks
    Untuk memudahkan dalam membaca suatu dokumen dengan menggulung layar vertical dan
    horizontal.

Memasukkan Teks
    Setelah mengenal dasar-dasar layar Word, teks dapat langsung dimasukkan. Ada beberapa hal
    yang perlu diketahui:
      Tab digunakan untuk mengidentasi pada baris pertama.
      Word secara otomatis akan memulai baris baru sewaktu teks mencapai tepi kanan halaman.
      Apabila terjadi kesalahan mengetik tekan Backspace untuk menghapusnya.
      Tekan enter untuk menambah baris kosong.
      Titik Sisip (kursor) Digunakan untuk memulai memasukkan teks.
      Penunjuk Mouse bergerak dilayar sewaktu mouse digerakkan. Penunjuk ini tampak dalam
        bentuk huruf I atau panah.

                                                                                                                         2
tiksman8kediri--------------------------------------------------------------------------------------------- susmix24.co.cc
Panduan Praktikum Ms. Word 2007 2011

  Sebagai Latihan Ketiklah teks berikut , simpan dengan nama File : Latihan-1A



                  BINA INFORMASI DAN TEKNOLOGI (BIT) SMAN 8 KEDIRI

        Bina Informasi dan Teknologi atau yang disingkat dengan BIT SMAN 8 Kediri
merupakan sebuah unit kegiatan siswa tempat berkumpulnya siswa - siswi SMAN 8 Kediri
yang berminat untuk mendalami bidang teknologi dan informasi.
        Disini akan dipelajari berbagai cabang ilmu dalam bidang IT, seperti
pemrograman, jaringan computer, internet, perakitan dan penginstalan serta teknisi
computer.
        Bagi siswa- siswi yang berminat dalam bidang IT dapat segera mendaftarkan diri,
namun untuk tahap pertama cuma di terima 20 orang, yang ditentukan melalui interview
dan seleksi yang dilakukan oleh panitia.

Memperbaiki Teks
    Ketika suatu dokumen dibuat, seringkali perlu memindahkan titik sisip untuk menambah atau
    menghapus teks di lokasi yang berbeda. Caranya sebagai berikut :

Menggunakan Mouse
    Geser pointer mouse yang berbentuk I-beam ke posisi yang anda kehendaki pada area teks dan
    klik mouse. Jika posisi yang anda tuju tidak tampak, perlu menggulung ke lokasi yang
    diinginkan, gunakan panah atas dan bawah untuk naik atau turun satu baris. Gunakan panah
    double atas dan bawah (dibawah toolbar vertical) untuk naik atau turun satu halaman.

Menggunakan Keyboard
    Jika anda menggunakan tombol pada numeric keypad, pastikan bahwa NUM LOCK dalam
    keadaan off. Perhatikan tabel berikut ini.




Menyimpan Dokumen
    Untuk menyimpan dokumen klik office button kemudian pilih Save atau klik button pada
    Toolbar. Akan muncul gambar berikut:

                                                                                                                         3
tiksman8kediri--------------------------------------------------------------------------------------------- susmix24.co.cc
Panduan Praktikum Ms. Word 2007 2011




  Pilihlah lokasi file (directory) pada bagian Save in:, ketiklah nama file pada bagian File name,
  kemudian tekan tombol Save. Sebagai latihan berilah nama pada file yang sudah diketik dengan
  nama Latihan-1A.doc

Menutup Dokumen
    Bila sudah selesai mengerjakan suatu dokumen dan sudah selesai menyimpannya, mungkin perlu
    menutup dokumen dan setelah itu mengerjakan dokumen lain. Klik office button dan pilih Close.
Membuka Dokumen
    Untuk membuka dokumen klik office button dan pilih Open, Word akan menampilkan dialog
    box berikut:




                                                                                                                         4
tiksman8kediri--------------------------------------------------------------------------------------------- susmix24.co.cc
Panduan Praktikum Ms. Word 2007 2011

  Carilah directory dan Folder Yang menampung file yang akan dibuka pada bagian Look in lalu
  klik file yang akan dibuka kemudian tekan button Open maka file anda akan ditampilkan dilayar
  Word. Sebagai latihan, bukalah kembali file Latihan-1A.doc yang sudah dibuat tadi.

Keluar dari Word
    Click tombol Close yang ada di pojok kanan atas window Word maka aplikasi word akan hilang.




  Latihan 1B :

  Buatlah teks dibawah ini :

  MICROSOFT WORD

      Microsoft Word atau Microsoft Office Word adalah perangkat lunak pengolah kata (word
  processor) andalan Microsoft. Pertama diterbitkan pada 1983 dengan nama Multi- Tool Word
  untuk Xenix, versi-versi lain kemudian dikembangkan untuk berbagai sistem operasi, misalnya
  DOS (1983), Apple Macintosh (1984), SCO UNIX, OS/2, dan Microsoft Windows (1989).
  Setelah menjadi bagian dari Microsoft Office System 2003 dan 2007diberi nama Microsoft
  Office Word.

  Simpanlah file tersebut dengan nama Latihan – 1B.




                                                                                                                         5
tiksman8kediri--------------------------------------------------------------------------------------------- susmix24.co.cc
Panduan Praktikum Ms. Word 2007 2011

                                                      BAB II

                                           MEMBUAT NASKAH

A. Memulai Pembuatan Naskah
   Aktifkan lembar kerja Microsoft Word
   Aturlah Margin lembar kerja
   Ketiklah naskah yang diinginkan

B. Mengatur Setting Halaman ( Margin Dan Ukuran Kertas )

    1. Klik Page Layout
       a. Klik Tab Margin
       b. Pilih bentuk margin yang diinginkan
       c. Jika tidak ada ukuran yang cocok, klik di Custom Margin dan tentukan:
        Top : Jarak antara sisi atas kertas dengan teks/naskah.
        Bottom : Jarak antara sisi bawah kertas dengan teks/naskah.
        Left : Jarak antara sisi kiri kertas dengan sisi kiri naskah.
        Right : Jarak antara sisi kanan kertas dengan sisi kanan naskah.
        Gutter : Jarak spasi tambahan pada margin kiri yang ditujukan sebagai tempat
          penjilidan.
        Gutter Position : Letak gutter.
        Orientation : Pengaturan arah cetakan halaman dengan Portrait (memanjang) dan
          Landscape (melebar).
        Preview : Tampilan layar Word.

    2. Paper Size
       a. Klik di SIZE, kemudian tentukan ukuran kertas yang di inginkan.
       b. Jika tidak ada yang sesuai klik di More Paper Size
       Contoh : A4, Legal, dll.
       Width : Menentukan ukuran lebar kertas.
       Height : Menentukan ukuran tinggi kertas.




C. Tata Cara Penulisan
    Untuk pengetikan huruf besar di awal kata atau kalimat, tekanlah tombol Shift bersamaan
     dengan tombol huruf awal kata (jika Caps Lock tidak hidup)
    Untuk pengetikan naskah dalam huruf besar semua, tekan tombol Caps Lock.
    Untuk menghapus kata atau kalimat sebelah kiri tekan tombol Backspace.
                                                                                                                         6
tiksman8kediri--------------------------------------------------------------------------------------------- susmix24.co.cc
Panduan Praktikum Ms. Word 2007 2011

       Untuk menghapus kata atau kalimat sebelah kanan tekan tombol Delete.
       Untuk menurunkan kursor ke baris berikutnya tekan tombol Enter.
       Untuk masuk ke paragraph baru tekan tombol Tab.
       Untuk memberikan spasi pada suatu kata atau kalimat tekan tombol Spacing.
       Untuk menuju ke awal kalimat teks tekan tombol Home.
       Untuk menuju ke akhir kalimat teks tekan tombol End.
       Untuk mengaktifkan tombol angka keyboard sebelah kanan tekan tombol Num Lock.

D. Pengaturan Perataan Teks
   Untuk meratakan teks, pilih salah satu bentuk perataan yang diinginkan:
         Align Left (Ctrl + L)      : Perataan teks sebelah kiri.
         Center (Ctrl + E)          : Perataan teks di tengah.
         Align Right (Ctrl + R) : Perataan teks sebelah kanan.
         Justify (Ctrl + J)         : Perataan teks sebelah kiri dan kanan

E. Memformat Karakter Huruf Pada Naskah
    Dari menu Format – Font
    Font : Pengaturan huruf.
      Font : Memilih jenis huruf. Contoh : Arial, Tahoma, dll.
      Font Style : Bold (Memilih ketebalan huruf), Italic (Memiringkan huruf),
      Underline (Memilih garis bawah pada huruf).
      Size : Memilih ukuran huruf.
      Font Color : Memilih warna huruf.
      Underline Style : Memilih bentuk dan ketebalan garis bawah huruf.
      Underline Color : Warna garis bawah huruf.
      Effects : Menentukan efek cetak huruf.

        Atau kita bisa mengatur format teks dari icon Toolbar Formatting.
        Font        : Memilih jenis huruf (Ctrl + Shift + F).
        Font Size : Memilih ukuran huruf (Ctrl + Shift + P).
        Bold        : Huruf cetak tebal (Ctrl + B).
        Italic      : Huruf cetak miring (Ctrl + I).
        Underline : Menggaris bawahi huruf (Ctrl + U).
        Font Color : Mewarnai huruf.




                                                                                                                         7
tiksman8kediri--------------------------------------------------------------------------------------------- susmix24.co.cc
Panduan Praktikum Ms. Word 2007 2011

Latihan 2 :

 Buatlah teks dibawah ini :

   Penyebaran virus dewasa ini semakin ganas, motif yang digunakanpun semakin beragam, mulai dari
hanya sekedar ”pamer” , sampai dengan merusak dan mengambil data. Media
penginfeksian pun semakin canggih mulai dari disket,         LAN
                                                        sampai internet. Ada satu hal yang pasti,
penyebaran virus tersebut telah membawa dampak yang cukup besar (dan menyebalkan) bagi para
pengguna komputer baik materiil maupun non materiil.

  Maraknya penyebaran virus dan spyware, rupanya semakin memberikan semangat bagi para pembuat
                                 virus lokal untuk terus ”berkarya”.

                 Hal ini terbukti dengan keluarnya virus lokal baru dengan nama resmi W32/Kang.A atau lebih
              dikenal dengan nama Kangen. Dinamakan Kangen karena setiap komptuer yang terinfeksi akan
                      menampilkan refrain lagu Kangen (Dewa 19) pada file MS Word atau wallpaper. Norman

Virus Control                     mendeteksi virus ini pada tanggal 14 April 2005 sebagai W32 / Kangen.
Cara kerja virus Kangen mempunyai kemiripan dengan virus Pesin dengan beberapa perbedaan kecil.
Sama seperti Pesin / MyHeart, Kangen menyebar melalui disket dan jaringan (File Sharing) dan akan
membuat file yang mengandung virus mirip dengan dengan icon file dokumen MS. Word dengan
ekstensi.EXE (contoh: Kangen.exe dengan ukuran 64kb). Dalam menyebarkan dirinya melalui jaringan (file
sharing), Kangen tidak dapat berjalan secara otomatis melainkan memerlukan bantuan pihak ketiga untuk
menjalankan file yang telah terinfeksi. Jika file ini dijalankan maka akan muncul dokumen MS. Word dengan
teks Refrain lagu Kangen

Pengaturan Page Set Up:
    Kertas : A4
Margin :
    Left       : 3 cm
    Right : 2 cm
    Top        : 3 cm
    Bottom : 2 cm
Orientation     : Portrait
Simpan file tersebut dengan nama : Latihan-2




                                                                                                                          8
 tiksman8kediri--------------------------------------------------------------------------------------------- susmix24.co.cc
Panduan Praktikum Ms. Word 2007 2011

                                                      BAB III

                                            MENGEDIT NASKAH

A. Membuat Block Pada Teks
    Menggunakan Keyboard, tempatkan kursor pada awal kata / kalimat yang akan diblock
    Tekan tombol Shift sambil menekan tanda panah ( _ ) ke awal kata / kalimat.

   Atau bisa menggunakan Mouse
    Klik kiri tanpa dilepas (drag ) pada awal kata / kalimat yang akan diblock
    Seret penunjuk mouse hingga ke akhir kata / kalimat yang akan diblock
    Lepas klik mouse tersebut
     Untuk menghilangkan tanda block di teks klik di sembarang tempat dalam jendela dokumen.

B. Mengcopy Kata / Kalimat
    Block kata / kalimat yang akan di-copy
    Klik icon            atau dengan tombol Ctrl + C

    Letakkan kursor pada tempat yang akan diletakkan hasil copy-an

    Klik icon                  atau dengan tombol Ctrl + V


C. Memindahkan Kata / Kalimat
    Block kata / kalimat yang akan dipindahkan
    Klik klik icon         atau dengan tombol Ctrl + X


    Letakkan kursor pada tempat yang ingin dipindahkan.
    Klik icon        atau dengan tombol Ctrl + V



D. Membatalkan Perintah
   Apabila dalam pengetikan tidak sengaja melakukan kesalahan, baik dalam pengeditan,
   pemformatan dan lain sebagainya maka gunakan:
            Undo (Ctrl + Z) : Membatalkan pengeditan.


                  Redo (Ctrl + Y) : Membatalkan pembatalan pengeditan

E. Change Case
    Blok kalimat / kata yang ingin dirubah format hurufnya.
    Klik menu Home – Change Case
   o Sentence case         : Mengubah kalimat pada teks dengan diawali huruf besar.
   o lowercase             : Mengubah kata atau kalimat dengan huruf kecil.
   o UPPERCASE             : Mengubah kata atau kalimat dengan huruf besar.

                                                                                                                         9
tiksman8kediri--------------------------------------------------------------------------------------------- susmix24.co.cc
Panduan Praktikum Ms. Word 2007 2011

    o Title Case                   : Mengubah setiap awal kata dengan huruf besar.
    o tONGLE cASE                  : Mengubah setiap awal kata dengan huruf kecil

F. Find, Replace, and Go To
   1. Find (Mencari)
      o Klik icon              atau tekan tombol Ctrl + F
      o Ketik kata yang akan dicari di kotak Find What
      o Klik Find Next untuk mencari
      o Tutup jendela tampilan ( X ) Find and Replace
   2. Replace (Mengganti)
      o Klik icon                atau tekan tombol Ctrl + H

       o Ketik kata yang ada pada dokumen yang ingin diganti di kotak Find What
       o Ketik kata pengganti di kotak Replace With
       o Klik Replace All (Untuk mengganti semua kata) atau Replace (untuk mengganti satu
         kata saja)
       o Tutup jendela tampilan Find and Replace
    3. Go To (Menuju Ke Halaman Tertentu)

       o Klik icon               atau tekan tombol Ctrl + G
       o Ketik angka atau nomor halaman yang dituju pada Enter Page Number.
       o Lalu klik Next




                                                                                                                        10
tiksman8kediri--------------------------------------------------------------------------------------------- susmix24.co.cc
Panduan Praktikum Ms. Word 2007 2011

LATIHAN-3A :


                                                      BAB III
                                                 KESIMPULAN

A. SARAN
           Semakin cepatnya perkembangan Teknologi Informasi dan Komunikasi
    (TIK) menuntut manusia untuk mencoba membuat perubahan di segala jenis
    kehidupannya yang tujuannya adalah mendapatkan hasil maupun kondisi yang
    terbaik yang dapat dicapai oleh bangsa.
B. PENUTUP
           Semoga makalah ini dapat menggerakkan manusia Indonesia untuk lebih
    berkarya dan berinovasi sesuai dengan karakteristik masyarakat Indonesia
    sehingga mampu meningkatkan image bangsa di mata bangsa di dunia.


LATIHAN-3B
  a. Copylah paragraph ke 1 dan 2 dengan nama file baru LATIHAN-3B
  b. Blok kata makalah kemudian ubahlah dengan perintah UPPERCASE
  c. Gantilah dengan perintah Repalace kata Indonesia menjadi Nusantara
  d. Carilah dengan perintah Find kata bangsa
  e. Gantilah kata bangsa dengan perintah Replace menjadi Rakyat Indonesia




                                                                                                                        11
tiksman8kediri--------------------------------------------------------------------------------------------- susmix24.co.cc
Panduan Praktikum Ms. Word 2007 2011

                                                      BAB IV

                                             FORMAT NASKAH

A. Mengatur Paragraf dan Spasi
    Klik icon Paragraph
    Klik Indent and Spacing
    Pada Spacing tentukan berapa spasi yang diinginkan
    Klik Ok.
   Atau dengan cara lain :
    Blok kalimat yang ingin diatur paragrafnya
    Tekan tombol kombinasi:
   o Untuk 1 spasi tekan Ctrl + 1 (Single)
   o Untuk 1½ spasi tekan Ctrl + 5 (1,5 lines)
   o Untuk 2 spasi tekan Ctrl + 2 (Double)

B. Bullets and Numbering
    Bullets
    Blok atau tandai bagian naskah yang ingin dibuat Bullets.
    Klik tab Home             klik icon

     Untuk memilih jenis bullet klik tanda panah ke bawah, klik bullet yang anda harapkan.
     Selain itu juga bisa memilih alternatif Bulleted yang lain dengan mengklik Define
      NewBullet.
     Klik Character, lalu pilih jenis Bulleted yang Anda inginkan.
     Klik OK

     Numbered
     Blok atau tandai bagian naskah yang ingin dibuat numbered.
     Klik tab Home               klik icon

     Untuk memilih jenis bullet klik tanda panak ke bawah, klik bullet yang anda harapkan.
     Selain itu juga bisa memilih alternatif Bulleted yang lain dengan mengklik Define
      NewBullet.
     Klik Character, lalu pilih jenis Bulleted yang Anda inginkan.
     Klik OK

C. Borders and Shading
    Dari tab Page Layout

     Klik icon

    o Page Border : Membuat garis bingkai halaman.
        Setting : Memilih bentuk bingkai halaman.
        Style      : Memilih bentuk garis bingkai halaman.
        Color      : Memilih warna garis bingkai halaman.
        Width      : Memilih ketebalan garis bingkai halaman.
                                                                                                                        12
tiksman8kediri--------------------------------------------------------------------------------------------- susmix24.co.cc
Panduan Praktikum Ms. Word 2007 2011

         Art     : Memilih jenis bingkai halaman.
         Options : Memberikan pilihan pada jarak bingkai.
         Klik OK

    Columns
        Klik tab Page Layout

          Klik icon Columns


          Tentukan jumlah kolom yang kalian inginkan
          Jika tidak ada yang sesuai klik di More Coloums, kemudian tentukan jumlah kolom.
           o Number of columns : Menentukan jumlah kolom.
           o Width                  : Menentukan lebar kolom
           o Preview                : Melihat tampilan sementara
          Klik OK

    Drop Cap
        Klik tab insert

          Klik di Icon Drop Cap
          Pilih Dropped atau In Margin
          Seandainya bentuknya tidak sesuai klik di Drop Cap Options
          Tentukan pengaturannya :
           o Position              : Pilih letak teks yang diinginkan.
           o Font                  : Pilih jenis huruf.
           o Lines to drop         : Tentukan jumlah baris tinggi drop cap.
           o Distance from text    : Memodifikasi jarak drop cap dengan teks
          Klik OK




                                                                                                                        13
tiksman8kediri--------------------------------------------------------------------------------------------- susmix24.co.cc
Panduan Praktikum Ms. Word 2007 2011



        LATIHAN : 4 .                       simpan dengan nama file LATIHAN-4



Ketiklah teks dibawah ( halaman 14 dan 15 )

Cara memasak nasi goreng :

Bahan-Bahan:

   1.   2 pinggan nasi putih
   2.   1 cawan udang basah (buang kulitnya)
   3.   1 cawan isi ayam (direbus dan disiat)
   4.   1 cawan kacang peas
   5.   4 biji telur (dipukul)
   6.   5 biji cili merah ] ditumbuk
   7.   5 ulas bawang merah
   8.   1 pokok daun bawang (dihiris)
   9.   Garam secukup rasa


Cara memasak

       Panaskan minyak dan tumiskan cili,
       Kemudian masukkan udang serta daging ayam dan kacang peas.
       Biarkan selama lima minit, kemudain masukkkan telur sambil dikacau-kacau.




       Masukkan nasi serta sedikit garam gaulkan rata-rata dan taburkan daun bawang.
       Bila telah masak angkat dan bolehlah dihidangkan.
       Semasa menghidang, taburkan daun bawang.




                                                                                                                        14
tiksman8kediri--------------------------------------------------------------------------------------------- susmix24.co.cc
Panduan Praktikum Ms. Word 2007 2011



B    atuk merupakan gejala infeksi saluran
     pernapasan bagian atas akibat virus,
yakni infeksi pada hidung, sinus, dan saluran-
                                                                tenggorokan karena keluarnya lendir ke
                                                                bagian belakang tenggorokan. Batuk dimulai
                                                                ketika suatu zat pengganggu mencapai salah
saluran udara anda. Salesma dan influenza                       satu reseptor di hidung,tenggorokan atau
merupakan contoh yang umum. Batuk juga                          dada
dapat timbul akibat iritasi


Atur format paragraph : 1,5 Lines

Pengaturan:
   Buatlah tulisan ini dengan menggunakan bullet and numbering,
    font size huruf 14, jenis font arial, paragraph singel.

    Simpan ketikan anda di dalam folder yang telah di tentukan
     dengan nama latihan 4, jika mengalami kendala harap di tanyakan
     kepada instruktur atau asisten instruktur.

Pengaturan:
    1. Buatlah tulisan ini dengan menggunakan bullet and numbering,
        font size huruf 14, jenis font arial, paragraph double.
    2. Simpan ketikan anda di dalam folder yang telah di tentukan
        dengan nama latihan 4, jika mengalami kendala harap di tanyakan
        kepada instruktur atau asisten instruktur.


Isu SMS 'Santet' Resahkan Masyarakat


P
       akar telematika Roy Suryo meminta masyarakat untuk tidak memercayai
       isu layanan pesan singkat (SMS) santet berbau kematian yang telah
       beredar hingga ke pelosok desa. Ia mengusulkan agar nomor pengirim
       SMS teror tersebut segera dicabut.
       Laporan yang diterimanya dari sejumlah daerah memperlihatkan adanya
       keresahan di kalangan konsumen pengguna ponsel yang menerima SMS-
       SMS teror bernomor khusus, dengan layar berwarna merah. Menurut
       para penerima SMS, kalau SMS tersebut dibalas maka mereka akan
       mendapatkan musibah dan bahkan bisa berujung kematian.



I
    ni telanjur beredar dan dipercaya masyarakat Indonesia. Padahal ini jauh
    dari logika. SMS itu berasal dari nomor 086660666 atau 6666 yang
    dihubung-hubungkan dengan agama tertentu," kata Roy




                                                                                                                        15
tiksman8kediri--------------------------------------------------------------------------------------------- susmix24.co.cc
Panduan Praktikum Ms. Word 2007 2011



                                                      BAB V

                                           FORMAT LANJUTAN

A. Menyisip Nomor Halaman
    Klik tab Insert

     Klik icon Page Number


     Klik tanda panah kebawah dan tentukan posisi number
     Jika tidak ada yang sesuai, klik di Format Page Number
      o Format : Memodifikasikan format nomor halaman.
          Number format : Memilih format nomor halaman.
          Page numbering : Mengatur urutan nomor halaman.
              Continue from previous section : Penomoran halaman secara berurutan
               mulai dari awal hingga akhir.
              Start At : Pengaturan nomor halaman awal

B. Membuat Header dan Footer
    Klik di icon Header                atau Footer
    Klik tanda panah ke bawah dan tentukan posisi Header
    Isikan catatan atas pada kolom Header dan catatan bawah pada kolom Footer
    Klik Close

C. Membuat Teks WordArt
    Klik di icon WrdArt
    Klik tanda panah kebawah dan pilih disain WordArt.
    Edit WordArt Text: Ketik teks pada kotak teks.
      Font        : Memilih jenis huruf.
      Size        : Memilih ukuran huruf.
      B (Bold) : Teks WordArt cetak tebal.
      I (Italic) : teks WordArt cetak miring
    Klik Ok

D. Menyisip Gambar
    Klik icon ClipArt

       Pada pane tag Insert ClipArt, klik Clip Organizer dan pilih gambar yang ada.
       Klik perintah Copy dan tutup jendela Microsoft Clip Organizer
       Klik perintah Paste
     Memasukkan gambar dari File
       Klik Icon Picture


        Pilih file gambar yang ada – Klik tombol Insert




                                                                                                                        16
tiksman8kediri--------------------------------------------------------------------------------------------- susmix24.co.cc
Panduan Praktikum Ms. Word 2007 2011

LATIHAN 5 :




                                                                                                                        17
tiksman8kediri--------------------------------------------------------------------------------------------- susmix24.co.cc
Panduan Praktikum Ms. Word 2007 2011

                                                      BAB VI

                                             MEMBUAT TABEL

A. Membuat Table Word
    Klik tab Insert                    Klik icon Table

     Klik tanda panah kebawah dan tentukan jumlah baris dan kolom yang dibutuhkan.
      Jika tidak ada bentuk kolom yang sesuai, klik Insert Table
          o Table size               : Ukuran table.
              Number of columns : Tentukan jumlah kolom.
              Number of rows        : Tentukan jumlah baris
          o AutoFit behavior         : Pengepasan tabel otomatis.
          o AutoFormat               : Memilih bentuk format tabel.
     OK

B. Fasilitas Pengolahan Tabel
    Dari menu Table, pilih:
     o Draw Table : Menggambar kotak tabel.
     o Insert : Menyisip tabel, kolom, baris atau sel.
     o Delete : Menghapus tabel, kolom, baris atau sel.
     o Select : Memilih tabel, kolom, baris atau sel.
     o Merge Cells : Menggabungkan sel.
     o Split Cells : Membagi sel.
     o Split Table : Membagi tabel.
     o Table AutoFormat : Memilih format tabel.
     o Auto Fit : Mengepas kolom / baris otomatis.
     o Heading Rows Repeat : Mengulangi judul tabel ke tabel halaman berikutnya.
     o Convert : Mengubah jenis penulisan teks menjadi tabel atau sebaliknya.
     o Sort : Mengurutkan data tabel.
     o Formula : Operasi perhitungan data tabel.
     o Hide Gridlines : Menyembunyikan garis bantu tabel.
     o Table Properties : Memodifikasikan tabel, kolom, baris atau sel

    Cara Menggunakan Formula
     Letakkan kursor pada sel yang akan diisi rumus
     Klik tab Layout

     Klik di icon Formula


     Isikan kotak Formula dengan

      o =Product(Left) → Untuk mengalikan semua bilangan yang ada sebelah kiri
      o =Product(Right) → Untuk mengalikan semua bilangan yang ada sebelah kanan
      o =Product(Above) → Untuk mengalikan semua bilangan yang ada diatasnya
      o =Sum(Left ) → Untuk menjumlahkan semua bilangan yang ada sebelah kiri
      o =Sum(Right) → Untuk menjumlahkan semua bilangan yang ada sebelah kanan
      o =Sum(Above) → Untuk menjumlahkan semua bilangan yang ada atasnya
     Klik OK


                                                                                                                        18
tiksman8kediri--------------------------------------------------------------------------------------------- susmix24.co.cc
Panduan Praktikum Ms. Word 2007 2011

LATIHAN 6 A :

     NAMA BARANG              JUMLAH BARANG                  HARGA PER UNIT                  TOTAL HARGA
     TELEVISI                 10                             2000000
     KULKAS                   8                              1200000
     PARABOLA                 12                             1500000
     KOMPUTER                 9                              4000000
     DVD PLAYER               10                              300000

Mengisi kolom TOTAL HARGA
Untuk Perkalian Gunakan Fungsi Product
            =PRODUCT(LEFT)
ATAU
            =B2*C2 MAKA HASILNYA D2


LATIHAN 6 B :

1.
     N       NAMA                          ALAMAT                       PENDIDKAN                   E-MAIL
     O.
     1.   Febryana            Jl Erlangga 45 Kediri                     SMA                   febri@yahoo.com
     2.   Tia Mahardika       Jl Jaya Katwang 23 Nanjuk                 SMP                   tia@gmail.com
     3.   Iqbal Santoso       Jl. Tirtonadi 78 Madiun                   SD                    imun@yahoo.com
     4.   Ida Katnyana        Jl Letjend Sutoyo 37 /Malang              SARJANA               dada@yahoo.com

2.
                                     PERANGKAT KOMPUTER
                                  FLOPPY DISK  CD -ROM

     HARDISK                         RAM                             VGA                     PROCESSOR
                                       Monitor               Keybord

3.
                             TABEL GAJI KARYAWAN PT.MEKROK JAYA
                                            KEDIRI

            NAMA                    GAJI            BONUS                                         TOTAL GAJI
        KARYAWAN                  POKOK           PRESTASI                                         BULANAN
     Syahrial               2500000          1000000
     Baidhowi               5000000          1500000
     Yekti                  3200000          1200000
     Novarina               4000000          2000000
     Zaskia                 3500000          1800000
                          TOTAL PENGELUARAN GAJI

 Kolom yang harus diisi dengan hitungan gunakan Formula
 Untuk mengisi TOTAL GAJI BULANAN : Klik kolom total gaji bulanan yang akan diisi  Klik
 Layout  Formula




                                                                                                                        19
tiksman8kediri--------------------------------------------------------------------------------------------- susmix24.co.cc
Panduan Praktikum Ms. Word 2007 2011

                                                     BAB VII

                                      MENGGUNAKAN DRAWING

Cara Menggunakan AutoShapes
 Membuat AutoShape
    Klik tab Insert     Klik icon Shapes

     Klik tanda panah kebawah
     Pilih bentuk yang diinginkan
     Letakkan penunjuk mouse diawal gambar
      lalu drag (seret) sesuai dengan keinginan, lalu lepas
      drag-nya.

 Memasukkan Teks pada AutoShape
   Klik gambar AutoShape yang ingin diisi teks di
    dalamnya
   Klik icon Text Box
   Klik pointer pada gambar AutoShape yang ingin
    diisi tulisan di dalamnya
   Ketikkan Teks yang diinginkan dalam kotak tersebut

Atau

     Klik kanan gambar AutoShape yang ingin diisi teks di dalamnya
     Klik Add Text
     Ketikkan Teks yang diinginkan dalam kotak tersebut




                       ILMU PENGETAHUAN




                                                                                                                        20
tiksman8kediri--------------------------------------------------------------------------------------------- susmix24.co.cc
Panduan Praktikum Ms. Word 2007 2011

LATIHAN 7 :




                                     GOOD LUCK




           SUKSES SELALU ......!!!!




                                                                                                                        21
tiksman8kediri--------------------------------------------------------------------------------------------- susmix24.co.cc
Panduan Praktikum Ms. Word 2007 2011

                                                     BAB VIII

                                           RUMUS DAN SIMBOL


A. Membuat Typesetting Matematis
    Klik tab Insert       Klik icon Equation

       Klik tanda panah kebawah dan pilih jenis Equation yang anda inginkan
       Jika tidak ada yang cocok klik di Insert New Equation
       Ketik Equation yang anda inginkan
       Jika telah selesai klik sembarang tempat dalam lembaran kerja




                                                  Gambar
                                            Tampilan Equation

B. Subscript (Pangkat bawah) dan Superscript (Pangkat Atas)
    Blok huruf atau kalimat yang akan dijadikan subscript atau superscript
    Klik tab Home            klik icon Subscript atau Superscript

     Dapat juga dengan mtekan tombol kombinasi:
      o Ctrl + = atau klik icon (untuk subscript / huruf agak kecil dan kebawah sedikit)
      o Ctrl + Shift + = atau klik icon (untuk superscript / huruf agak kecil dan sedikit
        ke atas)

C. Menyisipkan Simbol / Karakter Spesial
   Dalam mengetik naskah, terkadang kita harus membuat simbol atau karakter khusus seperti ,
   , ,  pada sebuah lembar kerja yang sedang dikerjakan. Namun tidak peru bingung,ikuti
   langkah berikut:
    Letakan insertion point ditempat simbol yang akan disisipkan.
    Pada Insert dan di grup Symbols, klik Symbol .
    Klik jenis karakter yang diinginkan. Jika tidak ada dalam pilihan, maka klik More Symbol
      maka keluar kotak dialog Symbol :




     Pada kotak pilihan Font klik pada nama simbol yang diingikan lalu klik jenis karakternya
      kemudian klik Insert.

                                                                                                                        22
tiksman8kediri--------------------------------------------------------------------------------------------- susmix24.co.cc
Panduan Praktikum Ms. Word 2007 2011

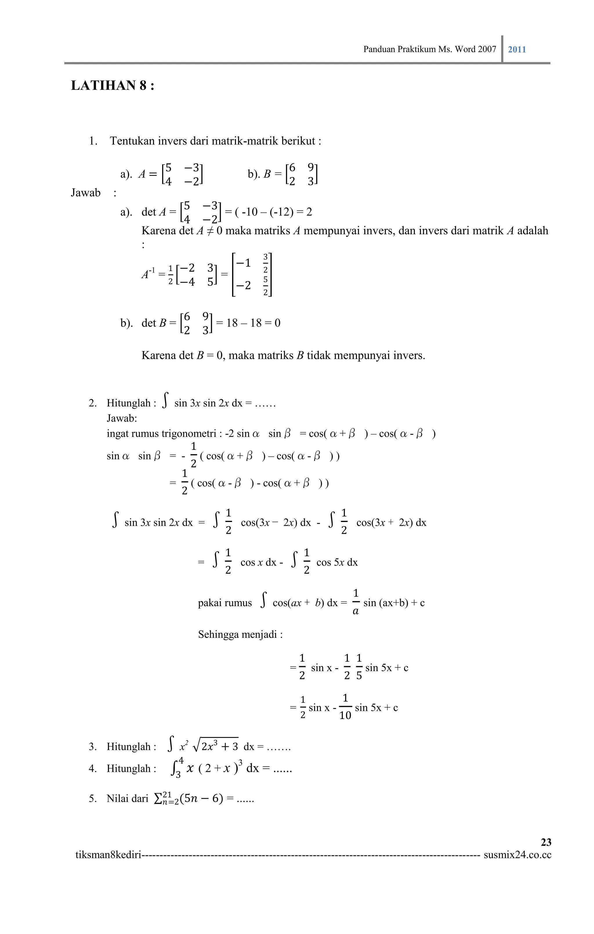
LATIHAN 8 :


   1. Tentukan invers dari matrik-matrik berikut :

                       5 −3                                   6 9
             a). A =                              b). B =
                       4 −2                                   2 3
Jawab    :
                         5 −3
             a). det A =          = ( -10 – (-12) = 2
                         4 −2
                 Karena det A ≠ 0 maka matriks A mempunyai invers, dan invers dari matrik A adalah
                 :
                                                        3
                        1   −2 3                 −1
                                                        2
                 A-1 = 2         =                      5
                            −4 5   −2                   2

                             6 9
             b). det B =         = 18 – 18 = 0
                             2 3

                 Karena det B = 0, maka matriks B tidak mempunyai invers.


   2. Hitunglah :   ∫ sin 3x sin 2x dx = ……
      Jawab:
      ingat rumus trigonometri : -2 sinα sinβ = cos(α+β ) – cos(α-β )
                          1
      sinα sinβ = - ( cos(α+β ) – cos(α-β ) )
                          2
                        1
                    = ( cos(α-β ) - cos(α+β ) )
                        2
                                             1                                  1
        ∫sin 3x sin 2x dx = ∫2                   cos(3x − 2x) dx -       ∫2          cos(3x + 2x) dx

                                             1                    1
                                      =   ∫2     cos x dx -   ∫2       cos 5x dx

                                                                                     1
                                      pakai rumus      ∫cos(ax +       b) dx =
                                                                                     𝑎
                                                                                         sin (ax+b) + c

                                      Sehingga menjadi :

                                                                  1             1 1
                                                              =       sin x -            sin 5x + c
                                                                  2             2 5

                                                                  1             1
                                                              =       sin x -        sin 5x + c
                                                                  2             10

   3. Hitunglah :      ∫x        2
                                       2𝑥3 + 3 dx = …….
                             4
   4. Hitunglah :
                            3
                                     𝑥 ( 2 + x )3 dx = ......
                       21
   5. Nilai dari        𝑛=2(5𝑛         − 6) = ......


                                                                                                                        23
tiksman8kediri--------------------------------------------------------------------------------------------- susmix24.co.cc
Panduan Praktikum Ms. Word 2007 2011

                                 4     2
   6. Hasil penjumlahan :        𝑘=1(3k + 4k)     = ......

   7. Atom pusat dalam molekul NH3 mengalami hibridisasi ….( 14 𝑁 , 1 𝐻 )
                                                              7     1
      A. Sp           B. sp3       E. sp3d2        B. sp2                E. sp3d

   8. Perhatikan diagram siklus berikut :

           2S + 3O2                                   2SO3
                           ∆H = - 700 KJ

                 ∆H = - 393 KJ                               ∆H = x KJ

                              2SO2 + O2


        Harga x adalah ….

   9. Berapa jari-jari suatu bola yang bermuatan 2μC dan potensialnya 12 x 104 volt

   10. Perumuan dari hukum Faraday adalah….
       a. Eind = B.l.sinθ
       b. Eind = –N. dθ/dt
       c. F = B.i.l. sinθ
       d. F = B.q.v. sin

   11. Generator AC menggunakan kumparan dengan 100 lilitan dan luas
       permukaan 10 cm2. Kumparan diputar dalam medan magnet dengan induksi
       magnetic 10-3 tesla. Kecepatan angulernya 100π rad/s.
       Tentukan :
       a. Tegangan maksimumnya. (10-2 π volt)
       b. Persamaan tegangan (10-2 π sin 100 π.t)
       c. Tegangan efektifnya. ( ½ 2 10-2 volt )




                                                                                                                        24
tiksman8kediri--------------------------------------------------------------------------------------------- susmix24.co.cc
Panduan Praktikum Ms. Word 2007 2011

                                                      BAB IX

                                                 MAIL MERGE

Mail merge membantu kita untuk membuat sebuah dokumen (misalnya surat) yang isinya sama untuk
penerima yang berbeda secara cepat dan mudah. Fitur ini sangat membantu terutama bila penerimanya
sangat banyak. Mail merge juga dapat digunakan untuk membuat sertifikat, label, dan amplop.

Langkah-langkah penggunaan mail merge pada microsoft word 2007.

   1. Bukalah dulu program atau aplikasi microsoft word 2007
   2. Setelah Program Microsoft word 2007 terbuka, sebagai latihan ketiklah contoh data seperti di bawah
      ini. Untuk teks yang di beri tanda kurung seperti <nama>, <alamat>, dan <kota> itu nantinya
      sebagai tempat kode mail merge. jadi dikosongkan saja, tidak usah diketik.




   3. Sehingga hasilnya seperti gambar di bawah ini.




                                                                                                                        25
tiksman8kediri--------------------------------------------------------------------------------------------- susmix24.co.cc
Panduan Praktikum Ms. Word 2007 2011

   4. Setelah data di atas selesai diketik, sekarang saatnya membuat data Mail Merge. Klik pada Menu
        Mailings, Kemudian klik pada Toolbar Start maili Merge, lalu klik pada Step by step Mail
        Merge Wizard…




   5. Kemudian perhatikan pada bagian kanan jendela Microsoft word 2007, akan muncul jendela Mail
        Merge. Pada Select document type pilih letters, kemudian klik pada Next: Starting document ,




   6. Tahap selanjutnya pada Select starting document pilih Use the current document, kemudian pilih
        Next: select recipients




                                                                                                                        26
tiksman8kediri--------------------------------------------------------------------------------------------- susmix24.co.cc
Panduan Praktikum Ms. Word 2007 2011




   7. Tahap selanjutnya pada Select recipents pilih pada Type a New list, lalu klik pada Create …




   8. Setelah kamu klik tombol create, Jendela New Address list akan terbuka seperi gambar di bawah
        ini. karena pada latihan ini kita hanya menggunakan tiga address yaitu <nama>, <alamat>, dan
        <kota>, maka kita buat ketiga address tersebut secara manual, dengan cara klik pada tombol
        customize Columns




                                                                                                                        27
tiksman8kediri--------------------------------------------------------------------------------------------- susmix24.co.cc
Panduan Praktikum Ms. Word 2007 2011




   9. Setelah kamu klik Customize Columns, akan terbuka jendela Customize addres list seperti gambar
        di bawah ini. hapuslah semua yang ada pada Field names dengan cara Klik pada tombol Delete,




    10. Jika nanti muncul pertanyaan seperti gambar di bawah ini, klik saja Yes.




                                                                                                                        28
tiksman8kediri--------------------------------------------------------------------------------------------- susmix24.co.cc
Panduan Praktikum Ms. Word 2007 2011

    11. Setelah kamu menghapus semua Field names , klik pada Add.. , untuk menambahkan Field baru,
        kemudian ketikkan nama Field dan klik tombol OK. (nama field pada latihan ini “nama”,
        “alamat”, dan “kota” )




    12. Sehingga hasilnya seperti gambar di bawah ini. kemudian klik tombol OK




    13. Address list yang baru pun akan tampak seperti gambar di bawah ini, dan Klik pada tombol OK




                                                                                                                        29
tiksman8kediri--------------------------------------------------------------------------------------------- susmix24.co.cc
Panduan Praktikum Ms. Word 2007 2011

    14. Setelah kamu klik tombol Ok, akan muncul jendela penyimpanan file. berikan nama file nya pada
        kolom file name (pemberian nama filenya bisa sesukamu), kemudian klik tombol Save.




    15. Sekarang Data mail Merge telah selesai, kemudian klik pada tombol Ok




    16. Sekarang saatnya meletakkan kode mail merge pada ruang kosong yang telah kita sediakan tadi,
        yaitu untuk ruang <nama>, <alamat>, dan <kota>. kita mulai dari <alamat> dulu. Letakkan kursor
        pada ruangan kosong untuk alamat yaitu di bawah tulisan Yth. Bp/Ibu/Sdr.




                                                                                                                        30
tiksman8kediri--------------------------------------------------------------------------------------------- susmix24.co.cc
Panduan Praktikum Ms. Word 2007 2011




    17. Setelah kamu letakkan kursor di situ, klik pada menu Insert Merge Field, sehingga akan muncul
        daftar Fieldnya, pilih klik pada field nama. lakukan langkah yang sama untuk menampilkan alamat,
        dan Kota.




    18. Sehingga hasilnya akan tampak seperti gambar di bawah ini.




                                                                                                                        31
tiksman8kediri--------------------------------------------------------------------------------------------- susmix24.co.cc
Panduan Praktikum Ms. Word 2007 2011

    19. Untuk merubah kode <nama>, <alamat>, dan <kota> menjadi data yang sebenarnya klik pada
        Icon Preview Result




    20. Dan hasilnya akan tampak seperti gambar di bawah ini.




    21. Sedangkan untuk menampilkan data urutan kedua, ketiga dan seterusnya, klik pada tanda panah ke
        kanan, sedangkan untuk kembali klik pada tanda panah ke kiri.




         Sekarang data mail merge telah selesai dibuat, semoga mudah dipahami.




                                                                                                                        32
tiksman8kediri--------------------------------------------------------------------------------------------- susmix24.co.cc
Panduan Praktikum Ms. Word 2007 2011

                                                      BAB X

                                            MENCETAK / PRINT

Langkah yang dilakukan untuk mencetak dokumen adalah :
 Klik icon Office Button
 Pilih Print Atau tekan tombol alternatif Ctrl + P di keyboard




 Tentukan jenis printer pada kotak Printer Name
 Pada kotak Page range :
  o All : Untuk mencetak semua lembaran pada file tersebut
  o Current page : Mencetak hanya pada halaman dimana kursor itu diletakkan
  o Pages : Mengisi halaman dokumen yang akan dicetak
  o Number of Copies → Untuk mencetak dokumen berapa rangkap halaman yang
                              akan di print
  o Properties → Untuk mengatur setup mencetak
 Klik Ok




                                                                                                                        33
tiksman8kediri--------------------------------------------------------------------------------------------- susmix24.co.cc
Panduan Praktikum Ms. Word 2007 2011




                                                                                                                        34
tiksman8kediri--------------------------------------------------------------------------------------------- susmix24.co.cc
Panduan Praktikum Ms. Word 2007 2011




                                                                                                                        35
tiksman8kediri--------------------------------------------------------------------------------------------- susmix24.co.cc
Panduan Praktikum Ms. Word 2007 2011




                                                                                                                        36
tiksman8kediri--------------------------------------------------------------------------------------------- susmix24.co.cc
Panduan Praktikum Ms. Word 2007 2011




                                                                                                                        37
tiksman8kediri--------------------------------------------------------------------------------------------- susmix24.co.cc
Panduan Praktikum Ms. Word 2007 2011




                                                                                                                         0
tiksman8kediri--------------------------------------------------------------------------------------------- susmix24.co.cc
Panduan Praktikum Ms. Word 2007 2011




                                                                                                                         1
tiksman8kediri--------------------------------------------------------------------------------------------- susmix24.co.cc
Panduan Praktikum Ms. Word 2007 2011




                                                                                                                         2
tiksman8kediri--------------------------------------------------------------------------------------------- susmix24.co.cc
Panduan Praktikum Ms. Word 2007 2011




                                                                                                                         3
tiksman8kediri--------------------------------------------------------------------------------------------- susmix24.co.cc
Panduan Praktikum Ms. Word 2007 2011




                                                                                                                         4
tiksman8kediri--------------------------------------------------------------------------------------------- susmix24.co.cc
Panduan Praktikum Ms. Word 2007 2011




                                                                                                                         5
tiksman8kediri--------------------------------------------------------------------------------------------- susmix24.co.cc
Panduan Praktikum Ms. Word 2007 2011




                                                                                                                         6
tiksman8kediri--------------------------------------------------------------------------------------------- susmix24.co.cc
Panduan Praktikum Ms. Word 2007 2011




                                                                                                                         7
tiksman8kediri--------------------------------------------------------------------------------------------- susmix24.co.cc
Panduan Praktikum Ms. Word 2007 2011




                                                                                                                         8
tiksman8kediri--------------------------------------------------------------------------------------------- susmix24.co.cc
Panduan Praktikum Ms. Word 2007 2011




                                                                                                                         9
tiksman8kediri--------------------------------------------------------------------------------------------- susmix24.co.cc
Panduan Praktikum Ms. Word 2007 2011




                                                                                                                        10
tiksman8kediri--------------------------------------------------------------------------------------------- susmix24.co.cc
Panduan Praktikum Ms. Word 2007 2011




                                                                                                                        11
tiksman8kediri--------------------------------------------------------------------------------------------- susmix24.co.cc
Panduan Praktikum Ms. Word 2007 2011




                                                                                                                        12
tiksman8kediri--------------------------------------------------------------------------------------------- susmix24.co.cc
Panduan Praktikum Ms. Word 2007 2011




                                                                                                                        13
tiksman8kediri--------------------------------------------------------------------------------------------- susmix24.co.cc
Panduan Praktikum Ms. Word 2007 2011




                                                                                                                        14
tiksman8kediri--------------------------------------------------------------------------------------------- susmix24.co.cc
Panduan Praktikum Ms. Word 2007 2011




                                                                                                                        15
tiksman8kediri--------------------------------------------------------------------------------------------- susmix24.co.cc
Panduan Praktikum Ms. Word 2007 2011




                                                                                                                        16
tiksman8kediri--------------------------------------------------------------------------------------------- susmix24.co.cc
Panduan Praktikum Ms. Word 2007 2011




                                                                                                                        17
tiksman8kediri--------------------------------------------------------------------------------------------- susmix24.co.cc
Panduan Praktikum Ms. Word 2007 2011




                                                                                                                        18
tiksman8kediri--------------------------------------------------------------------------------------------- susmix24.co.cc
Panduan Praktikum Ms. Word 2007 2011




                                                                                                                        19
tiksman8kediri--------------------------------------------------------------------------------------------- susmix24.co.cc
Panduan Praktikum Ms. Word 2007 2011




                                                                                                                        20
tiksman8kediri--------------------------------------------------------------------------------------------- susmix24.co.cc
Panduan Praktikum Ms. Word 2007 2011




                                                                                                                        21
tiksman8kediri--------------------------------------------------------------------------------------------- susmix24.co.cc
Panduan Praktikum Ms. Word 2007 2011




                                                                                                                        22
tiksman8kediri--------------------------------------------------------------------------------------------- susmix24.co.cc
Panduan Praktikum Ms. Word 2007 2011




                                                                                                                        23
tiksman8kediri--------------------------------------------------------------------------------------------- susmix24.co.cc
Panduan Praktikum Ms. Word 2007 2011




                                                                                                                        24
tiksman8kediri--------------------------------------------------------------------------------------------- susmix24.co.cc
Panduan Praktikum Ms. Word 2007 2011




                                                                                                                        25
tiksman8kediri--------------------------------------------------------------------------------------------- susmix24.co.cc
Panduan Praktikum Ms. Word 2007 2011




                                                                                                                        26
tiksman8kediri--------------------------------------------------------------------------------------------- susmix24.co.cc
Panduan Praktikum Ms. Word 2007 2011




                                                                                                                        27
tiksman8kediri--------------------------------------------------------------------------------------------- susmix24.co.cc
Panduan Praktikum Ms. Word 2007 2011




                                                                                                                        28
tiksman8kediri--------------------------------------------------------------------------------------------- susmix24.co.cc
Panduan Praktikum Ms. Word 2007 2011




                                                                                                                        29
tiksman8kediri--------------------------------------------------------------------------------------------- susmix24.co.cc
Panduan Praktikum Ms. Word 2007 2011




                                                                                                                        30
tiksman8kediri--------------------------------------------------------------------------------------------- susmix24.co.cc
Panduan Praktikum Ms. Word 2007 2011




                                                                                                                        31
tiksman8kediri--------------------------------------------------------------------------------------------- susmix24.co.cc
Panduan Praktikum Ms. Word 2007 2011




                                                                                                                        32
tiksman8kediri--------------------------------------------------------------------------------------------- susmix24.co.cc
Panduan Praktikum Ms. Word 2007 2011




                                                                                                                        33
tiksman8kediri--------------------------------------------------------------------------------------------- susmix24.co.cc
Panduan Praktikum Ms. Word 2007 2011




                                                                                                                        34
tiksman8kediri--------------------------------------------------------------------------------------------- susmix24.co.cc
Panduan Praktikum Ms. Word 2007 2011




                                                                                                                        35
tiksman8kediri--------------------------------------------------------------------------------------------- susmix24.co.cc
Panduan Praktikum Ms. Word 2007 2011




                                                                                                                        36
tiksman8kediri--------------------------------------------------------------------------------------------- susmix24.co.cc
Panduan Praktikum Ms. Word 2007 2011




                                                                                                                        37
tiksman8kediri--------------------------------------------------------------------------------------------- susmix24.co.cc
Panduan Praktikum Ms. Word 2007 2011




                                                                                                                        38
tiksman8kediri--------------------------------------------------------------------------------------------- susmix24.co.cc
Panduan Praktikum Ms. Word 2007 2011




                                                                                                                        39
tiksman8kediri--------------------------------------------------------------------------------------------- susmix24.co.cc
Panduan Praktikum Ms. Word 2007 2011




                                                                                                                        40
tiksman8kediri--------------------------------------------------------------------------------------------- susmix24.co.cc

Buku panduan-praktikum-ms-word-20072

  • 1.
    Panduan Praktikum Ms.Word 2007 2011 susmix24.co.cc PANDUAN Praktikum TEKNOLOGI INFORMASI DAN KOMUNIKASI Kelas XII Semester 1 Oleh SUSIANTORO Fax (0354) 6998iman8kediri@gmail. Nama Kelas No. Absen ((( ))) SMA NEGERI 8 KEDIRI Jalan Pahlawan Kusuma Bangsa 77  (0354) 6787151 Kediri Fax (0354) 699806 E-mail : sman8kediri@gmail.com 0 susmix24.co.cc tiksman8kediri--------------------------------------------------------------------------------------------- susmix24.co.cc
  • 2.
    Panduan Praktikum Ms.Word 2007 2011 BAB I MEMULAI PROGRAM MICROSOFT WORD 2007 Microsoft Word merupakan program pengolah kata yang cukup lengkap dan lebih otomatis. bahkan perintah dan fungsi yang disediakan oleh software ini menunjang berbagai keperluan mulai dari pengetikan atau penyusunan naskah biasa, laporan, surat kabar sampai dengan fax. Pada Bab ini kita akan berkenalan dengan menu Home.Pada menu ini terdapat kelompok toolbar • Clipboard • Font • Paragraph • Styles • Editing A. Cara memulai aplikasi Microsoft Word Langkah-langkah : 1. Pilih tombol Start di pojok kiri bawah tampilan windows. 2. Setelah muncul tampilan menunya pilih Program, kemudian Microsoft Office dan Pilih 3. Microsoft Office Word 2007. 4. Muncul Gambar berikut : Unsur-unsur utama Layar Ms Word. Judul Windows Baris Judul Menampilkan nama file dan aplikasi Microsoft Word, nama file sebelum dirubah adalah Document1, Document2 dan seterusnya. Di pojok kanan sebelahnya window terdapat button minimize, maximize dan menutup aplikasi word 1 tiksman8kediri--------------------------------------------------------------------------------------------- susmix24.co.cc
  • 3.
    Panduan Praktikum Ms.Word 2007 2011 Office Button Digunakan untuk: - Membuat file baru - Membuka file - Menyimpan file - Mencetak - Keluar dari word Disebelah kanan office button terdapat button yang digunakan untuk menyimpan, Undo, Redo dan Customize Quick Access Toolbar Customize Quick Access Toolbar Digunakan untuk menampilkan button2 yang diinginkan untuk tampil pada taskbar,sebagai contoh jika kita klik button open dan new document, akan muncul button tersebut pada taskbar sebagai tips, tampilkan button yang sering anda gunakan untuk mempercepat pengerjaan. Menu Menu pada Ms Word 2007 ditunjukkan pada gambar berikut Setiap menu yang aktif (yang kita Klik) akan memunculkan toolbar dibawahnya. Toolbar Merupakan deretan tool-tool (gambar-gambar yang berbentuk tombol) yang mewakili perintah dan berfungsi untuk mempermudah dan mengefisienkan pengoperasian program. Sebagai contoh kalau kita klik menu Home, akan muncul toolbar berikut   Kursor Kursor atau Insertion Point merupakan indikator tempat dimana teks akan muncul jika kita akan mengetik. Posisi ini perlu diperhatikan karena Ms. Word menggunakannya sebagai dasar dalam melakukan suatu pekerjaan yang kita perintahkan. Penggulung Teks Untuk memudahkan dalam membaca suatu dokumen dengan menggulung layar vertical dan horizontal. Memasukkan Teks Setelah mengenal dasar-dasar layar Word, teks dapat langsung dimasukkan. Ada beberapa hal yang perlu diketahui:  Tab digunakan untuk mengidentasi pada baris pertama.  Word secara otomatis akan memulai baris baru sewaktu teks mencapai tepi kanan halaman.  Apabila terjadi kesalahan mengetik tekan Backspace untuk menghapusnya.  Tekan enter untuk menambah baris kosong.  Titik Sisip (kursor) Digunakan untuk memulai memasukkan teks.  Penunjuk Mouse bergerak dilayar sewaktu mouse digerakkan. Penunjuk ini tampak dalam bentuk huruf I atau panah. 2 tiksman8kediri--------------------------------------------------------------------------------------------- susmix24.co.cc
  • 4.
    Panduan Praktikum Ms.Word 2007 2011 Sebagai Latihan Ketiklah teks berikut , simpan dengan nama File : Latihan-1A BINA INFORMASI DAN TEKNOLOGI (BIT) SMAN 8 KEDIRI Bina Informasi dan Teknologi atau yang disingkat dengan BIT SMAN 8 Kediri merupakan sebuah unit kegiatan siswa tempat berkumpulnya siswa - siswi SMAN 8 Kediri yang berminat untuk mendalami bidang teknologi dan informasi. Disini akan dipelajari berbagai cabang ilmu dalam bidang IT, seperti pemrograman, jaringan computer, internet, perakitan dan penginstalan serta teknisi computer. Bagi siswa- siswi yang berminat dalam bidang IT dapat segera mendaftarkan diri, namun untuk tahap pertama cuma di terima 20 orang, yang ditentukan melalui interview dan seleksi yang dilakukan oleh panitia. Memperbaiki Teks Ketika suatu dokumen dibuat, seringkali perlu memindahkan titik sisip untuk menambah atau menghapus teks di lokasi yang berbeda. Caranya sebagai berikut : Menggunakan Mouse Geser pointer mouse yang berbentuk I-beam ke posisi yang anda kehendaki pada area teks dan klik mouse. Jika posisi yang anda tuju tidak tampak, perlu menggulung ke lokasi yang diinginkan, gunakan panah atas dan bawah untuk naik atau turun satu baris. Gunakan panah double atas dan bawah (dibawah toolbar vertical) untuk naik atau turun satu halaman. Menggunakan Keyboard Jika anda menggunakan tombol pada numeric keypad, pastikan bahwa NUM LOCK dalam keadaan off. Perhatikan tabel berikut ini. Menyimpan Dokumen Untuk menyimpan dokumen klik office button kemudian pilih Save atau klik button pada Toolbar. Akan muncul gambar berikut: 3 tiksman8kediri--------------------------------------------------------------------------------------------- susmix24.co.cc
  • 5.
    Panduan Praktikum Ms.Word 2007 2011 Pilihlah lokasi file (directory) pada bagian Save in:, ketiklah nama file pada bagian File name, kemudian tekan tombol Save. Sebagai latihan berilah nama pada file yang sudah diketik dengan nama Latihan-1A.doc Menutup Dokumen Bila sudah selesai mengerjakan suatu dokumen dan sudah selesai menyimpannya, mungkin perlu menutup dokumen dan setelah itu mengerjakan dokumen lain. Klik office button dan pilih Close. Membuka Dokumen Untuk membuka dokumen klik office button dan pilih Open, Word akan menampilkan dialog box berikut: 4 tiksman8kediri--------------------------------------------------------------------------------------------- susmix24.co.cc
  • 6.
    Panduan Praktikum Ms.Word 2007 2011 Carilah directory dan Folder Yang menampung file yang akan dibuka pada bagian Look in lalu klik file yang akan dibuka kemudian tekan button Open maka file anda akan ditampilkan dilayar Word. Sebagai latihan, bukalah kembali file Latihan-1A.doc yang sudah dibuat tadi. Keluar dari Word Click tombol Close yang ada di pojok kanan atas window Word maka aplikasi word akan hilang. Latihan 1B : Buatlah teks dibawah ini : MICROSOFT WORD Microsoft Word atau Microsoft Office Word adalah perangkat lunak pengolah kata (word processor) andalan Microsoft. Pertama diterbitkan pada 1983 dengan nama Multi- Tool Word untuk Xenix, versi-versi lain kemudian dikembangkan untuk berbagai sistem operasi, misalnya DOS (1983), Apple Macintosh (1984), SCO UNIX, OS/2, dan Microsoft Windows (1989). Setelah menjadi bagian dari Microsoft Office System 2003 dan 2007diberi nama Microsoft Office Word. Simpanlah file tersebut dengan nama Latihan – 1B. 5 tiksman8kediri--------------------------------------------------------------------------------------------- susmix24.co.cc
  • 7.
    Panduan Praktikum Ms.Word 2007 2011 BAB II MEMBUAT NASKAH A. Memulai Pembuatan Naskah Aktifkan lembar kerja Microsoft Word Aturlah Margin lembar kerja Ketiklah naskah yang diinginkan B. Mengatur Setting Halaman ( Margin Dan Ukuran Kertas ) 1. Klik Page Layout a. Klik Tab Margin b. Pilih bentuk margin yang diinginkan c. Jika tidak ada ukuran yang cocok, klik di Custom Margin dan tentukan:  Top : Jarak antara sisi atas kertas dengan teks/naskah.  Bottom : Jarak antara sisi bawah kertas dengan teks/naskah.  Left : Jarak antara sisi kiri kertas dengan sisi kiri naskah.  Right : Jarak antara sisi kanan kertas dengan sisi kanan naskah.  Gutter : Jarak spasi tambahan pada margin kiri yang ditujukan sebagai tempat penjilidan.  Gutter Position : Letak gutter.  Orientation : Pengaturan arah cetakan halaman dengan Portrait (memanjang) dan Landscape (melebar).  Preview : Tampilan layar Word. 2. Paper Size a. Klik di SIZE, kemudian tentukan ukuran kertas yang di inginkan. b. Jika tidak ada yang sesuai klik di More Paper Size Contoh : A4, Legal, dll. Width : Menentukan ukuran lebar kertas. Height : Menentukan ukuran tinggi kertas. C. Tata Cara Penulisan  Untuk pengetikan huruf besar di awal kata atau kalimat, tekanlah tombol Shift bersamaan dengan tombol huruf awal kata (jika Caps Lock tidak hidup)  Untuk pengetikan naskah dalam huruf besar semua, tekan tombol Caps Lock.  Untuk menghapus kata atau kalimat sebelah kiri tekan tombol Backspace. 6 tiksman8kediri--------------------------------------------------------------------------------------------- susmix24.co.cc
  • 8.
    Panduan Praktikum Ms.Word 2007 2011  Untuk menghapus kata atau kalimat sebelah kanan tekan tombol Delete.  Untuk menurunkan kursor ke baris berikutnya tekan tombol Enter.  Untuk masuk ke paragraph baru tekan tombol Tab.  Untuk memberikan spasi pada suatu kata atau kalimat tekan tombol Spacing.  Untuk menuju ke awal kalimat teks tekan tombol Home.  Untuk menuju ke akhir kalimat teks tekan tombol End.  Untuk mengaktifkan tombol angka keyboard sebelah kanan tekan tombol Num Lock. D. Pengaturan Perataan Teks Untuk meratakan teks, pilih salah satu bentuk perataan yang diinginkan: Align Left (Ctrl + L) : Perataan teks sebelah kiri. Center (Ctrl + E) : Perataan teks di tengah. Align Right (Ctrl + R) : Perataan teks sebelah kanan. Justify (Ctrl + J) : Perataan teks sebelah kiri dan kanan E. Memformat Karakter Huruf Pada Naskah  Dari menu Format – Font  Font : Pengaturan huruf.  Font : Memilih jenis huruf. Contoh : Arial, Tahoma, dll.  Font Style : Bold (Memilih ketebalan huruf), Italic (Memiringkan huruf),  Underline (Memilih garis bawah pada huruf).  Size : Memilih ukuran huruf.  Font Color : Memilih warna huruf.  Underline Style : Memilih bentuk dan ketebalan garis bawah huruf.  Underline Color : Warna garis bawah huruf.  Effects : Menentukan efek cetak huruf. Atau kita bisa mengatur format teks dari icon Toolbar Formatting. Font : Memilih jenis huruf (Ctrl + Shift + F). Font Size : Memilih ukuran huruf (Ctrl + Shift + P). Bold : Huruf cetak tebal (Ctrl + B). Italic : Huruf cetak miring (Ctrl + I). Underline : Menggaris bawahi huruf (Ctrl + U). Font Color : Mewarnai huruf. 7 tiksman8kediri--------------------------------------------------------------------------------------------- susmix24.co.cc
  • 9.
    Panduan Praktikum Ms.Word 2007 2011 Latihan 2 :  Buatlah teks dibawah ini : Penyebaran virus dewasa ini semakin ganas, motif yang digunakanpun semakin beragam, mulai dari hanya sekedar ”pamer” , sampai dengan merusak dan mengambil data. Media penginfeksian pun semakin canggih mulai dari disket, LAN sampai internet. Ada satu hal yang pasti, penyebaran virus tersebut telah membawa dampak yang cukup besar (dan menyebalkan) bagi para pengguna komputer baik materiil maupun non materiil. Maraknya penyebaran virus dan spyware, rupanya semakin memberikan semangat bagi para pembuat virus lokal untuk terus ”berkarya”. Hal ini terbukti dengan keluarnya virus lokal baru dengan nama resmi W32/Kang.A atau lebih dikenal dengan nama Kangen. Dinamakan Kangen karena setiap komptuer yang terinfeksi akan menampilkan refrain lagu Kangen (Dewa 19) pada file MS Word atau wallpaper. Norman Virus Control mendeteksi virus ini pada tanggal 14 April 2005 sebagai W32 / Kangen. Cara kerja virus Kangen mempunyai kemiripan dengan virus Pesin dengan beberapa perbedaan kecil. Sama seperti Pesin / MyHeart, Kangen menyebar melalui disket dan jaringan (File Sharing) dan akan membuat file yang mengandung virus mirip dengan dengan icon file dokumen MS. Word dengan ekstensi.EXE (contoh: Kangen.exe dengan ukuran 64kb). Dalam menyebarkan dirinya melalui jaringan (file sharing), Kangen tidak dapat berjalan secara otomatis melainkan memerlukan bantuan pihak ketiga untuk menjalankan file yang telah terinfeksi. Jika file ini dijalankan maka akan muncul dokumen MS. Word dengan teks Refrain lagu Kangen Pengaturan Page Set Up:  Kertas : A4 Margin :  Left : 3 cm  Right : 2 cm  Top : 3 cm  Bottom : 2 cm Orientation : Portrait Simpan file tersebut dengan nama : Latihan-2 8 tiksman8kediri--------------------------------------------------------------------------------------------- susmix24.co.cc
  • 10.
    Panduan Praktikum Ms.Word 2007 2011 BAB III MENGEDIT NASKAH A. Membuat Block Pada Teks  Menggunakan Keyboard, tempatkan kursor pada awal kata / kalimat yang akan diblock  Tekan tombol Shift sambil menekan tanda panah ( _ ) ke awal kata / kalimat. Atau bisa menggunakan Mouse  Klik kiri tanpa dilepas (drag ) pada awal kata / kalimat yang akan diblock  Seret penunjuk mouse hingga ke akhir kata / kalimat yang akan diblock  Lepas klik mouse tersebut Untuk menghilangkan tanda block di teks klik di sembarang tempat dalam jendela dokumen. B. Mengcopy Kata / Kalimat  Block kata / kalimat yang akan di-copy  Klik icon atau dengan tombol Ctrl + C  Letakkan kursor pada tempat yang akan diletakkan hasil copy-an  Klik icon atau dengan tombol Ctrl + V C. Memindahkan Kata / Kalimat  Block kata / kalimat yang akan dipindahkan  Klik klik icon atau dengan tombol Ctrl + X  Letakkan kursor pada tempat yang ingin dipindahkan.  Klik icon atau dengan tombol Ctrl + V D. Membatalkan Perintah Apabila dalam pengetikan tidak sengaja melakukan kesalahan, baik dalam pengeditan, pemformatan dan lain sebagainya maka gunakan: Undo (Ctrl + Z) : Membatalkan pengeditan. Redo (Ctrl + Y) : Membatalkan pembatalan pengeditan E. Change Case  Blok kalimat / kata yang ingin dirubah format hurufnya.  Klik menu Home – Change Case o Sentence case : Mengubah kalimat pada teks dengan diawali huruf besar. o lowercase : Mengubah kata atau kalimat dengan huruf kecil. o UPPERCASE : Mengubah kata atau kalimat dengan huruf besar. 9 tiksman8kediri--------------------------------------------------------------------------------------------- susmix24.co.cc
  • 11.
    Panduan Praktikum Ms.Word 2007 2011 o Title Case : Mengubah setiap awal kata dengan huruf besar. o tONGLE cASE : Mengubah setiap awal kata dengan huruf kecil F. Find, Replace, and Go To 1. Find (Mencari) o Klik icon atau tekan tombol Ctrl + F o Ketik kata yang akan dicari di kotak Find What o Klik Find Next untuk mencari o Tutup jendela tampilan ( X ) Find and Replace 2. Replace (Mengganti) o Klik icon atau tekan tombol Ctrl + H o Ketik kata yang ada pada dokumen yang ingin diganti di kotak Find What o Ketik kata pengganti di kotak Replace With o Klik Replace All (Untuk mengganti semua kata) atau Replace (untuk mengganti satu kata saja) o Tutup jendela tampilan Find and Replace 3. Go To (Menuju Ke Halaman Tertentu) o Klik icon atau tekan tombol Ctrl + G o Ketik angka atau nomor halaman yang dituju pada Enter Page Number. o Lalu klik Next 10 tiksman8kediri--------------------------------------------------------------------------------------------- susmix24.co.cc
  • 12.
    Panduan Praktikum Ms.Word 2007 2011 LATIHAN-3A : BAB III KESIMPULAN A. SARAN Semakin cepatnya perkembangan Teknologi Informasi dan Komunikasi (TIK) menuntut manusia untuk mencoba membuat perubahan di segala jenis kehidupannya yang tujuannya adalah mendapatkan hasil maupun kondisi yang terbaik yang dapat dicapai oleh bangsa. B. PENUTUP Semoga makalah ini dapat menggerakkan manusia Indonesia untuk lebih berkarya dan berinovasi sesuai dengan karakteristik masyarakat Indonesia sehingga mampu meningkatkan image bangsa di mata bangsa di dunia. LATIHAN-3B a. Copylah paragraph ke 1 dan 2 dengan nama file baru LATIHAN-3B b. Blok kata makalah kemudian ubahlah dengan perintah UPPERCASE c. Gantilah dengan perintah Repalace kata Indonesia menjadi Nusantara d. Carilah dengan perintah Find kata bangsa e. Gantilah kata bangsa dengan perintah Replace menjadi Rakyat Indonesia 11 tiksman8kediri--------------------------------------------------------------------------------------------- susmix24.co.cc
  • 13.
    Panduan Praktikum Ms.Word 2007 2011 BAB IV FORMAT NASKAH A. Mengatur Paragraf dan Spasi  Klik icon Paragraph  Klik Indent and Spacing  Pada Spacing tentukan berapa spasi yang diinginkan  Klik Ok. Atau dengan cara lain :  Blok kalimat yang ingin diatur paragrafnya  Tekan tombol kombinasi: o Untuk 1 spasi tekan Ctrl + 1 (Single) o Untuk 1½ spasi tekan Ctrl + 5 (1,5 lines) o Untuk 2 spasi tekan Ctrl + 2 (Double) B. Bullets and Numbering  Bullets  Blok atau tandai bagian naskah yang ingin dibuat Bullets.  Klik tab Home klik icon  Untuk memilih jenis bullet klik tanda panah ke bawah, klik bullet yang anda harapkan.  Selain itu juga bisa memilih alternatif Bulleted yang lain dengan mengklik Define NewBullet.  Klik Character, lalu pilih jenis Bulleted yang Anda inginkan.  Klik OK  Numbered  Blok atau tandai bagian naskah yang ingin dibuat numbered.  Klik tab Home klik icon  Untuk memilih jenis bullet klik tanda panak ke bawah, klik bullet yang anda harapkan.  Selain itu juga bisa memilih alternatif Bulleted yang lain dengan mengklik Define NewBullet.  Klik Character, lalu pilih jenis Bulleted yang Anda inginkan.  Klik OK C. Borders and Shading  Dari tab Page Layout  Klik icon o Page Border : Membuat garis bingkai halaman.  Setting : Memilih bentuk bingkai halaman.  Style : Memilih bentuk garis bingkai halaman.  Color : Memilih warna garis bingkai halaman.  Width : Memilih ketebalan garis bingkai halaman. 12 tiksman8kediri--------------------------------------------------------------------------------------------- susmix24.co.cc
  • 14.
    Panduan Praktikum Ms.Word 2007 2011  Art : Memilih jenis bingkai halaman.  Options : Memberikan pilihan pada jarak bingkai.  Klik OK Columns  Klik tab Page Layout  Klik icon Columns  Tentukan jumlah kolom yang kalian inginkan  Jika tidak ada yang sesuai klik di More Coloums, kemudian tentukan jumlah kolom. o Number of columns : Menentukan jumlah kolom. o Width : Menentukan lebar kolom o Preview : Melihat tampilan sementara  Klik OK Drop Cap  Klik tab insert  Klik di Icon Drop Cap  Pilih Dropped atau In Margin  Seandainya bentuknya tidak sesuai klik di Drop Cap Options  Tentukan pengaturannya : o Position : Pilih letak teks yang diinginkan. o Font : Pilih jenis huruf. o Lines to drop : Tentukan jumlah baris tinggi drop cap. o Distance from text : Memodifikasi jarak drop cap dengan teks  Klik OK 13 tiksman8kediri--------------------------------------------------------------------------------------------- susmix24.co.cc
  • 15.
    Panduan Praktikum Ms.Word 2007 2011 LATIHAN : 4 . simpan dengan nama file LATIHAN-4 Ketiklah teks dibawah ( halaman 14 dan 15 ) Cara memasak nasi goreng : Bahan-Bahan: 1. 2 pinggan nasi putih 2. 1 cawan udang basah (buang kulitnya) 3. 1 cawan isi ayam (direbus dan disiat) 4. 1 cawan kacang peas 5. 4 biji telur (dipukul) 6. 5 biji cili merah ] ditumbuk 7. 5 ulas bawang merah 8. 1 pokok daun bawang (dihiris) 9. Garam secukup rasa Cara memasak  Panaskan minyak dan tumiskan cili,  Kemudian masukkan udang serta daging ayam dan kacang peas.  Biarkan selama lima minit, kemudain masukkkan telur sambil dikacau-kacau.  Masukkan nasi serta sedikit garam gaulkan rata-rata dan taburkan daun bawang.  Bila telah masak angkat dan bolehlah dihidangkan.  Semasa menghidang, taburkan daun bawang. 14 tiksman8kediri--------------------------------------------------------------------------------------------- susmix24.co.cc
  • 16.
    Panduan Praktikum Ms.Word 2007 2011 B atuk merupakan gejala infeksi saluran pernapasan bagian atas akibat virus, yakni infeksi pada hidung, sinus, dan saluran- tenggorokan karena keluarnya lendir ke bagian belakang tenggorokan. Batuk dimulai ketika suatu zat pengganggu mencapai salah saluran udara anda. Salesma dan influenza satu reseptor di hidung,tenggorokan atau merupakan contoh yang umum. Batuk juga dada dapat timbul akibat iritasi Atur format paragraph : 1,5 Lines Pengaturan:  Buatlah tulisan ini dengan menggunakan bullet and numbering, font size huruf 14, jenis font arial, paragraph singel.  Simpan ketikan anda di dalam folder yang telah di tentukan dengan nama latihan 4, jika mengalami kendala harap di tanyakan kepada instruktur atau asisten instruktur. Pengaturan: 1. Buatlah tulisan ini dengan menggunakan bullet and numbering, font size huruf 14, jenis font arial, paragraph double. 2. Simpan ketikan anda di dalam folder yang telah di tentukan dengan nama latihan 4, jika mengalami kendala harap di tanyakan kepada instruktur atau asisten instruktur. Isu SMS 'Santet' Resahkan Masyarakat P akar telematika Roy Suryo meminta masyarakat untuk tidak memercayai isu layanan pesan singkat (SMS) santet berbau kematian yang telah beredar hingga ke pelosok desa. Ia mengusulkan agar nomor pengirim SMS teror tersebut segera dicabut. Laporan yang diterimanya dari sejumlah daerah memperlihatkan adanya keresahan di kalangan konsumen pengguna ponsel yang menerima SMS- SMS teror bernomor khusus, dengan layar berwarna merah. Menurut para penerima SMS, kalau SMS tersebut dibalas maka mereka akan mendapatkan musibah dan bahkan bisa berujung kematian. I ni telanjur beredar dan dipercaya masyarakat Indonesia. Padahal ini jauh dari logika. SMS itu berasal dari nomor 086660666 atau 6666 yang dihubung-hubungkan dengan agama tertentu," kata Roy 15 tiksman8kediri--------------------------------------------------------------------------------------------- susmix24.co.cc
  • 17.
    Panduan Praktikum Ms.Word 2007 2011 BAB V FORMAT LANJUTAN A. Menyisip Nomor Halaman  Klik tab Insert  Klik icon Page Number  Klik tanda panah kebawah dan tentukan posisi number  Jika tidak ada yang sesuai, klik di Format Page Number o Format : Memodifikasikan format nomor halaman.  Number format : Memilih format nomor halaman.  Page numbering : Mengatur urutan nomor halaman.  Continue from previous section : Penomoran halaman secara berurutan mulai dari awal hingga akhir.  Start At : Pengaturan nomor halaman awal B. Membuat Header dan Footer  Klik di icon Header atau Footer  Klik tanda panah ke bawah dan tentukan posisi Header  Isikan catatan atas pada kolom Header dan catatan bawah pada kolom Footer  Klik Close C. Membuat Teks WordArt  Klik di icon WrdArt  Klik tanda panah kebawah dan pilih disain WordArt.  Edit WordArt Text: Ketik teks pada kotak teks.  Font : Memilih jenis huruf.  Size : Memilih ukuran huruf.  B (Bold) : Teks WordArt cetak tebal.  I (Italic) : teks WordArt cetak miring  Klik Ok D. Menyisip Gambar  Klik icon ClipArt  Pada pane tag Insert ClipArt, klik Clip Organizer dan pilih gambar yang ada.  Klik perintah Copy dan tutup jendela Microsoft Clip Organizer  Klik perintah Paste  Memasukkan gambar dari File  Klik Icon Picture  Pilih file gambar yang ada – Klik tombol Insert 16 tiksman8kediri--------------------------------------------------------------------------------------------- susmix24.co.cc
  • 18.
    Panduan Praktikum Ms.Word 2007 2011 LATIHAN 5 : 17 tiksman8kediri--------------------------------------------------------------------------------------------- susmix24.co.cc
  • 19.
    Panduan Praktikum Ms.Word 2007 2011 BAB VI MEMBUAT TABEL A. Membuat Table Word  Klik tab Insert Klik icon Table  Klik tanda panah kebawah dan tentukan jumlah baris dan kolom yang dibutuhkan. Jika tidak ada bentuk kolom yang sesuai, klik Insert Table o Table size : Ukuran table.  Number of columns : Tentukan jumlah kolom.  Number of rows : Tentukan jumlah baris o AutoFit behavior : Pengepasan tabel otomatis. o AutoFormat : Memilih bentuk format tabel.  OK B. Fasilitas Pengolahan Tabel  Dari menu Table, pilih: o Draw Table : Menggambar kotak tabel. o Insert : Menyisip tabel, kolom, baris atau sel. o Delete : Menghapus tabel, kolom, baris atau sel. o Select : Memilih tabel, kolom, baris atau sel. o Merge Cells : Menggabungkan sel. o Split Cells : Membagi sel. o Split Table : Membagi tabel. o Table AutoFormat : Memilih format tabel. o Auto Fit : Mengepas kolom / baris otomatis. o Heading Rows Repeat : Mengulangi judul tabel ke tabel halaman berikutnya. o Convert : Mengubah jenis penulisan teks menjadi tabel atau sebaliknya. o Sort : Mengurutkan data tabel. o Formula : Operasi perhitungan data tabel. o Hide Gridlines : Menyembunyikan garis bantu tabel. o Table Properties : Memodifikasikan tabel, kolom, baris atau sel Cara Menggunakan Formula  Letakkan kursor pada sel yang akan diisi rumus  Klik tab Layout  Klik di icon Formula  Isikan kotak Formula dengan o =Product(Left) → Untuk mengalikan semua bilangan yang ada sebelah kiri o =Product(Right) → Untuk mengalikan semua bilangan yang ada sebelah kanan o =Product(Above) → Untuk mengalikan semua bilangan yang ada diatasnya o =Sum(Left ) → Untuk menjumlahkan semua bilangan yang ada sebelah kiri o =Sum(Right) → Untuk menjumlahkan semua bilangan yang ada sebelah kanan o =Sum(Above) → Untuk menjumlahkan semua bilangan yang ada atasnya  Klik OK 18 tiksman8kediri--------------------------------------------------------------------------------------------- susmix24.co.cc
  • 20.
    Panduan Praktikum Ms.Word 2007 2011 LATIHAN 6 A : NAMA BARANG JUMLAH BARANG HARGA PER UNIT TOTAL HARGA TELEVISI 10 2000000 KULKAS 8 1200000 PARABOLA 12 1500000 KOMPUTER 9 4000000 DVD PLAYER 10 300000 Mengisi kolom TOTAL HARGA Untuk Perkalian Gunakan Fungsi Product =PRODUCT(LEFT) ATAU =B2*C2 MAKA HASILNYA D2 LATIHAN 6 B : 1. N NAMA ALAMAT PENDIDKAN E-MAIL O. 1. Febryana Jl Erlangga 45 Kediri SMA febri@yahoo.com 2. Tia Mahardika Jl Jaya Katwang 23 Nanjuk SMP tia@gmail.com 3. Iqbal Santoso Jl. Tirtonadi 78 Madiun SD imun@yahoo.com 4. Ida Katnyana Jl Letjend Sutoyo 37 /Malang SARJANA dada@yahoo.com 2. PERANGKAT KOMPUTER FLOPPY DISK CD -ROM HARDISK RAM VGA PROCESSOR Monitor Keybord 3. TABEL GAJI KARYAWAN PT.MEKROK JAYA KEDIRI NAMA GAJI BONUS TOTAL GAJI KARYAWAN POKOK PRESTASI BULANAN Syahrial 2500000 1000000 Baidhowi 5000000 1500000 Yekti 3200000 1200000 Novarina 4000000 2000000 Zaskia 3500000 1800000 TOTAL PENGELUARAN GAJI Kolom yang harus diisi dengan hitungan gunakan Formula Untuk mengisi TOTAL GAJI BULANAN : Klik kolom total gaji bulanan yang akan diisi  Klik Layout  Formula 19 tiksman8kediri--------------------------------------------------------------------------------------------- susmix24.co.cc
  • 21.
    Panduan Praktikum Ms.Word 2007 2011 BAB VII MENGGUNAKAN DRAWING Cara Menggunakan AutoShapes  Membuat AutoShape  Klik tab Insert Klik icon Shapes  Klik tanda panah kebawah  Pilih bentuk yang diinginkan  Letakkan penunjuk mouse diawal gambar lalu drag (seret) sesuai dengan keinginan, lalu lepas drag-nya.  Memasukkan Teks pada AutoShape  Klik gambar AutoShape yang ingin diisi teks di dalamnya  Klik icon Text Box  Klik pointer pada gambar AutoShape yang ingin diisi tulisan di dalamnya  Ketikkan Teks yang diinginkan dalam kotak tersebut Atau  Klik kanan gambar AutoShape yang ingin diisi teks di dalamnya  Klik Add Text  Ketikkan Teks yang diinginkan dalam kotak tersebut ILMU PENGETAHUAN 20 tiksman8kediri--------------------------------------------------------------------------------------------- susmix24.co.cc
  • 22.
    Panduan Praktikum Ms.Word 2007 2011 LATIHAN 7 : GOOD LUCK SUKSES SELALU ......!!!! 21 tiksman8kediri--------------------------------------------------------------------------------------------- susmix24.co.cc
  • 23.
    Panduan Praktikum Ms.Word 2007 2011 BAB VIII RUMUS DAN SIMBOL A. Membuat Typesetting Matematis  Klik tab Insert Klik icon Equation  Klik tanda panah kebawah dan pilih jenis Equation yang anda inginkan  Jika tidak ada yang cocok klik di Insert New Equation  Ketik Equation yang anda inginkan  Jika telah selesai klik sembarang tempat dalam lembaran kerja Gambar Tampilan Equation B. Subscript (Pangkat bawah) dan Superscript (Pangkat Atas)  Blok huruf atau kalimat yang akan dijadikan subscript atau superscript  Klik tab Home klik icon Subscript atau Superscript  Dapat juga dengan mtekan tombol kombinasi: o Ctrl + = atau klik icon (untuk subscript / huruf agak kecil dan kebawah sedikit) o Ctrl + Shift + = atau klik icon (untuk superscript / huruf agak kecil dan sedikit ke atas) C. Menyisipkan Simbol / Karakter Spesial Dalam mengetik naskah, terkadang kita harus membuat simbol atau karakter khusus seperti , , ,  pada sebuah lembar kerja yang sedang dikerjakan. Namun tidak peru bingung,ikuti langkah berikut:  Letakan insertion point ditempat simbol yang akan disisipkan.  Pada Insert dan di grup Symbols, klik Symbol .  Klik jenis karakter yang diinginkan. Jika tidak ada dalam pilihan, maka klik More Symbol maka keluar kotak dialog Symbol :  Pada kotak pilihan Font klik pada nama simbol yang diingikan lalu klik jenis karakternya kemudian klik Insert. 22 tiksman8kediri--------------------------------------------------------------------------------------------- susmix24.co.cc
  • 24.
    Panduan Praktikum Ms.Word 2007 2011 LATIHAN 8 : 1. Tentukan invers dari matrik-matrik berikut : 5 −3 6 9 a). A = b). B = 4 −2 2 3 Jawab : 5 −3 a). det A = = ( -10 – (-12) = 2 4 −2 Karena det A ≠ 0 maka matriks A mempunyai invers, dan invers dari matrik A adalah : 3 1 −2 3 −1 2 A-1 = 2 = 5 −4 5 −2 2 6 9 b). det B = = 18 – 18 = 0 2 3 Karena det B = 0, maka matriks B tidak mempunyai invers. 2. Hitunglah : ∫ sin 3x sin 2x dx = …… Jawab: ingat rumus trigonometri : -2 sinα sinβ = cos(α+β ) – cos(α-β ) 1 sinα sinβ = - ( cos(α+β ) – cos(α-β ) ) 2 1 = ( cos(α-β ) - cos(α+β ) ) 2 1 1 ∫sin 3x sin 2x dx = ∫2 cos(3x − 2x) dx - ∫2 cos(3x + 2x) dx 1 1 = ∫2 cos x dx - ∫2 cos 5x dx 1 pakai rumus ∫cos(ax + b) dx = 𝑎 sin (ax+b) + c Sehingga menjadi : 1 1 1 = sin x - sin 5x + c 2 2 5 1 1 = sin x - sin 5x + c 2 10 3. Hitunglah : ∫x 2 2𝑥3 + 3 dx = ……. 4 4. Hitunglah : 3 𝑥 ( 2 + x )3 dx = ...... 21 5. Nilai dari 𝑛=2(5𝑛 − 6) = ...... 23 tiksman8kediri--------------------------------------------------------------------------------------------- susmix24.co.cc
  • 25.
    Panduan Praktikum Ms.Word 2007 2011 4 2 6. Hasil penjumlahan : 𝑘=1(3k + 4k) = ...... 7. Atom pusat dalam molekul NH3 mengalami hibridisasi ….( 14 𝑁 , 1 𝐻 ) 7 1 A. Sp B. sp3 E. sp3d2 B. sp2 E. sp3d 8. Perhatikan diagram siklus berikut : 2S + 3O2 2SO3 ∆H = - 700 KJ ∆H = - 393 KJ ∆H = x KJ 2SO2 + O2 Harga x adalah …. 9. Berapa jari-jari suatu bola yang bermuatan 2μC dan potensialnya 12 x 104 volt 10. Perumuan dari hukum Faraday adalah…. a. Eind = B.l.sinθ b. Eind = –N. dθ/dt c. F = B.i.l. sinθ d. F = B.q.v. sin 11. Generator AC menggunakan kumparan dengan 100 lilitan dan luas permukaan 10 cm2. Kumparan diputar dalam medan magnet dengan induksi magnetic 10-3 tesla. Kecepatan angulernya 100π rad/s. Tentukan : a. Tegangan maksimumnya. (10-2 π volt) b. Persamaan tegangan (10-2 π sin 100 π.t) c. Tegangan efektifnya. ( ½ 2 10-2 volt ) 24 tiksman8kediri--------------------------------------------------------------------------------------------- susmix24.co.cc
  • 26.
    Panduan Praktikum Ms.Word 2007 2011 BAB IX MAIL MERGE Mail merge membantu kita untuk membuat sebuah dokumen (misalnya surat) yang isinya sama untuk penerima yang berbeda secara cepat dan mudah. Fitur ini sangat membantu terutama bila penerimanya sangat banyak. Mail merge juga dapat digunakan untuk membuat sertifikat, label, dan amplop. Langkah-langkah penggunaan mail merge pada microsoft word 2007. 1. Bukalah dulu program atau aplikasi microsoft word 2007 2. Setelah Program Microsoft word 2007 terbuka, sebagai latihan ketiklah contoh data seperti di bawah ini. Untuk teks yang di beri tanda kurung seperti <nama>, <alamat>, dan <kota> itu nantinya sebagai tempat kode mail merge. jadi dikosongkan saja, tidak usah diketik. 3. Sehingga hasilnya seperti gambar di bawah ini. 25 tiksman8kediri--------------------------------------------------------------------------------------------- susmix24.co.cc
  • 27.
    Panduan Praktikum Ms.Word 2007 2011 4. Setelah data di atas selesai diketik, sekarang saatnya membuat data Mail Merge. Klik pada Menu Mailings, Kemudian klik pada Toolbar Start maili Merge, lalu klik pada Step by step Mail Merge Wizard… 5. Kemudian perhatikan pada bagian kanan jendela Microsoft word 2007, akan muncul jendela Mail Merge. Pada Select document type pilih letters, kemudian klik pada Next: Starting document , 6. Tahap selanjutnya pada Select starting document pilih Use the current document, kemudian pilih Next: select recipients 26 tiksman8kediri--------------------------------------------------------------------------------------------- susmix24.co.cc
  • 28.
    Panduan Praktikum Ms.Word 2007 2011 7. Tahap selanjutnya pada Select recipents pilih pada Type a New list, lalu klik pada Create … 8. Setelah kamu klik tombol create, Jendela New Address list akan terbuka seperi gambar di bawah ini. karena pada latihan ini kita hanya menggunakan tiga address yaitu <nama>, <alamat>, dan <kota>, maka kita buat ketiga address tersebut secara manual, dengan cara klik pada tombol customize Columns 27 tiksman8kediri--------------------------------------------------------------------------------------------- susmix24.co.cc
  • 29.
    Panduan Praktikum Ms.Word 2007 2011 9. Setelah kamu klik Customize Columns, akan terbuka jendela Customize addres list seperti gambar di bawah ini. hapuslah semua yang ada pada Field names dengan cara Klik pada tombol Delete, 10. Jika nanti muncul pertanyaan seperti gambar di bawah ini, klik saja Yes. 28 tiksman8kediri--------------------------------------------------------------------------------------------- susmix24.co.cc
  • 30.
    Panduan Praktikum Ms.Word 2007 2011 11. Setelah kamu menghapus semua Field names , klik pada Add.. , untuk menambahkan Field baru, kemudian ketikkan nama Field dan klik tombol OK. (nama field pada latihan ini “nama”, “alamat”, dan “kota” ) 12. Sehingga hasilnya seperti gambar di bawah ini. kemudian klik tombol OK 13. Address list yang baru pun akan tampak seperti gambar di bawah ini, dan Klik pada tombol OK 29 tiksman8kediri--------------------------------------------------------------------------------------------- susmix24.co.cc
  • 31.
    Panduan Praktikum Ms.Word 2007 2011 14. Setelah kamu klik tombol Ok, akan muncul jendela penyimpanan file. berikan nama file nya pada kolom file name (pemberian nama filenya bisa sesukamu), kemudian klik tombol Save. 15. Sekarang Data mail Merge telah selesai, kemudian klik pada tombol Ok 16. Sekarang saatnya meletakkan kode mail merge pada ruang kosong yang telah kita sediakan tadi, yaitu untuk ruang <nama>, <alamat>, dan <kota>. kita mulai dari <alamat> dulu. Letakkan kursor pada ruangan kosong untuk alamat yaitu di bawah tulisan Yth. Bp/Ibu/Sdr. 30 tiksman8kediri--------------------------------------------------------------------------------------------- susmix24.co.cc
  • 32.
    Panduan Praktikum Ms.Word 2007 2011 17. Setelah kamu letakkan kursor di situ, klik pada menu Insert Merge Field, sehingga akan muncul daftar Fieldnya, pilih klik pada field nama. lakukan langkah yang sama untuk menampilkan alamat, dan Kota. 18. Sehingga hasilnya akan tampak seperti gambar di bawah ini. 31 tiksman8kediri--------------------------------------------------------------------------------------------- susmix24.co.cc
  • 33.
    Panduan Praktikum Ms.Word 2007 2011 19. Untuk merubah kode <nama>, <alamat>, dan <kota> menjadi data yang sebenarnya klik pada Icon Preview Result 20. Dan hasilnya akan tampak seperti gambar di bawah ini. 21. Sedangkan untuk menampilkan data urutan kedua, ketiga dan seterusnya, klik pada tanda panah ke kanan, sedangkan untuk kembali klik pada tanda panah ke kiri. Sekarang data mail merge telah selesai dibuat, semoga mudah dipahami. 32 tiksman8kediri--------------------------------------------------------------------------------------------- susmix24.co.cc
  • 34.
    Panduan Praktikum Ms.Word 2007 2011 BAB X MENCETAK / PRINT Langkah yang dilakukan untuk mencetak dokumen adalah :  Klik icon Office Button  Pilih Print Atau tekan tombol alternatif Ctrl + P di keyboard  Tentukan jenis printer pada kotak Printer Name  Pada kotak Page range : o All : Untuk mencetak semua lembaran pada file tersebut o Current page : Mencetak hanya pada halaman dimana kursor itu diletakkan o Pages : Mengisi halaman dokumen yang akan dicetak o Number of Copies → Untuk mencetak dokumen berapa rangkap halaman yang akan di print o Properties → Untuk mengatur setup mencetak  Klik Ok 33 tiksman8kediri--------------------------------------------------------------------------------------------- susmix24.co.cc
  • 35.
    Panduan Praktikum Ms.Word 2007 2011 34 tiksman8kediri--------------------------------------------------------------------------------------------- susmix24.co.cc
  • 36.
    Panduan Praktikum Ms.Word 2007 2011 35 tiksman8kediri--------------------------------------------------------------------------------------------- susmix24.co.cc
  • 37.
    Panduan Praktikum Ms.Word 2007 2011 36 tiksman8kediri--------------------------------------------------------------------------------------------- susmix24.co.cc
  • 38.
    Panduan Praktikum Ms.Word 2007 2011 37 tiksman8kediri--------------------------------------------------------------------------------------------- susmix24.co.cc
  • 39.
    Panduan Praktikum Ms.Word 2007 2011 0 tiksman8kediri--------------------------------------------------------------------------------------------- susmix24.co.cc
  • 40.
    Panduan Praktikum Ms.Word 2007 2011 1 tiksman8kediri--------------------------------------------------------------------------------------------- susmix24.co.cc
  • 41.
    Panduan Praktikum Ms.Word 2007 2011 2 tiksman8kediri--------------------------------------------------------------------------------------------- susmix24.co.cc
  • 42.
    Panduan Praktikum Ms.Word 2007 2011 3 tiksman8kediri--------------------------------------------------------------------------------------------- susmix24.co.cc
  • 43.
    Panduan Praktikum Ms.Word 2007 2011 4 tiksman8kediri--------------------------------------------------------------------------------------------- susmix24.co.cc
  • 44.
    Panduan Praktikum Ms.Word 2007 2011 5 tiksman8kediri--------------------------------------------------------------------------------------------- susmix24.co.cc
  • 45.
    Panduan Praktikum Ms.Word 2007 2011 6 tiksman8kediri--------------------------------------------------------------------------------------------- susmix24.co.cc
  • 46.
    Panduan Praktikum Ms.Word 2007 2011 7 tiksman8kediri--------------------------------------------------------------------------------------------- susmix24.co.cc
  • 47.
    Panduan Praktikum Ms.Word 2007 2011 8 tiksman8kediri--------------------------------------------------------------------------------------------- susmix24.co.cc
  • 48.
    Panduan Praktikum Ms.Word 2007 2011 9 tiksman8kediri--------------------------------------------------------------------------------------------- susmix24.co.cc
  • 49.
    Panduan Praktikum Ms.Word 2007 2011 10 tiksman8kediri--------------------------------------------------------------------------------------------- susmix24.co.cc
  • 50.
    Panduan Praktikum Ms.Word 2007 2011 11 tiksman8kediri--------------------------------------------------------------------------------------------- susmix24.co.cc
  • 51.
    Panduan Praktikum Ms.Word 2007 2011 12 tiksman8kediri--------------------------------------------------------------------------------------------- susmix24.co.cc
  • 52.
    Panduan Praktikum Ms.Word 2007 2011 13 tiksman8kediri--------------------------------------------------------------------------------------------- susmix24.co.cc
  • 53.
    Panduan Praktikum Ms.Word 2007 2011 14 tiksman8kediri--------------------------------------------------------------------------------------------- susmix24.co.cc
  • 54.
    Panduan Praktikum Ms.Word 2007 2011 15 tiksman8kediri--------------------------------------------------------------------------------------------- susmix24.co.cc
  • 55.
    Panduan Praktikum Ms.Word 2007 2011 16 tiksman8kediri--------------------------------------------------------------------------------------------- susmix24.co.cc
  • 56.
    Panduan Praktikum Ms.Word 2007 2011 17 tiksman8kediri--------------------------------------------------------------------------------------------- susmix24.co.cc
  • 57.
    Panduan Praktikum Ms.Word 2007 2011 18 tiksman8kediri--------------------------------------------------------------------------------------------- susmix24.co.cc
  • 58.
    Panduan Praktikum Ms.Word 2007 2011 19 tiksman8kediri--------------------------------------------------------------------------------------------- susmix24.co.cc
  • 59.
    Panduan Praktikum Ms.Word 2007 2011 20 tiksman8kediri--------------------------------------------------------------------------------------------- susmix24.co.cc
  • 60.
    Panduan Praktikum Ms.Word 2007 2011 21 tiksman8kediri--------------------------------------------------------------------------------------------- susmix24.co.cc
  • 61.
    Panduan Praktikum Ms.Word 2007 2011 22 tiksman8kediri--------------------------------------------------------------------------------------------- susmix24.co.cc
  • 62.
    Panduan Praktikum Ms.Word 2007 2011 23 tiksman8kediri--------------------------------------------------------------------------------------------- susmix24.co.cc
  • 63.
    Panduan Praktikum Ms.Word 2007 2011 24 tiksman8kediri--------------------------------------------------------------------------------------------- susmix24.co.cc
  • 64.
    Panduan Praktikum Ms.Word 2007 2011 25 tiksman8kediri--------------------------------------------------------------------------------------------- susmix24.co.cc
  • 65.
    Panduan Praktikum Ms.Word 2007 2011 26 tiksman8kediri--------------------------------------------------------------------------------------------- susmix24.co.cc
  • 66.
    Panduan Praktikum Ms.Word 2007 2011 27 tiksman8kediri--------------------------------------------------------------------------------------------- susmix24.co.cc
  • 67.
    Panduan Praktikum Ms.Word 2007 2011 28 tiksman8kediri--------------------------------------------------------------------------------------------- susmix24.co.cc
  • 68.
    Panduan Praktikum Ms.Word 2007 2011 29 tiksman8kediri--------------------------------------------------------------------------------------------- susmix24.co.cc
  • 69.
    Panduan Praktikum Ms.Word 2007 2011 30 tiksman8kediri--------------------------------------------------------------------------------------------- susmix24.co.cc
  • 70.
    Panduan Praktikum Ms.Word 2007 2011 31 tiksman8kediri--------------------------------------------------------------------------------------------- susmix24.co.cc
  • 71.
    Panduan Praktikum Ms.Word 2007 2011 32 tiksman8kediri--------------------------------------------------------------------------------------------- susmix24.co.cc
  • 72.
    Panduan Praktikum Ms.Word 2007 2011 33 tiksman8kediri--------------------------------------------------------------------------------------------- susmix24.co.cc
  • 73.
    Panduan Praktikum Ms.Word 2007 2011 34 tiksman8kediri--------------------------------------------------------------------------------------------- susmix24.co.cc
  • 74.
    Panduan Praktikum Ms.Word 2007 2011 35 tiksman8kediri--------------------------------------------------------------------------------------------- susmix24.co.cc
  • 75.
    Panduan Praktikum Ms.Word 2007 2011 36 tiksman8kediri--------------------------------------------------------------------------------------------- susmix24.co.cc
  • 76.
    Panduan Praktikum Ms.Word 2007 2011 37 tiksman8kediri--------------------------------------------------------------------------------------------- susmix24.co.cc
  • 77.
    Panduan Praktikum Ms.Word 2007 2011 38 tiksman8kediri--------------------------------------------------------------------------------------------- susmix24.co.cc
  • 78.
    Panduan Praktikum Ms.Word 2007 2011 39 tiksman8kediri--------------------------------------------------------------------------------------------- susmix24.co.cc
  • 79.
    Panduan Praktikum Ms.Word 2007 2011 40 tiksman8kediri--------------------------------------------------------------------------------------------- susmix24.co.cc