DIVINE SHEPHERD SCHOOL OF LIPA
CITY INC.
#50 Col. Felino Paran St., Tambo, Lipa City
Tel. Nos. (043) 756-0820, (043) 784-6027
Ikalawang Buwanang Pagsusulit sa Araling Panlipunan 9
Pangalan:________________________________ Petsa:______________________________________
Baitang:_________________________________ Marka:______________________________________
I. Multiple Choice
Panuto: Basahin at unawain ang sumusunod na pahayag/katanungan. Isulat sa patlang ang letra ng tamang sagot.
_____1. Isa sa mahalagang elemento na sinusuri sa pag-aaral ng microeconomics ay ang konsepto ng demand na
idinidikta o nagmumula sa mga konsyumer. Alin sa sumusunod ang tamang pagpapakahulugan sa konsepto ng demand?
A. Ito ay tumutukoy sa mga produktong kahalili ng mga pangangailangan ng isang konsyumer.
B. Ito ay tumutukoy sa dami ng produkto na handa (willing) at kayang (able) bilhin ng mga konsyumer sa iba’t
ibang halaga o presyo.
C. Ito ay tumutukoy sa kabuuang dami ng produkto na mabibili sa bawat presyo kung ang konsyumer ay
makakabili ng lahat ng kanilang pangangailangan.
D. Ito ay tumutukoy sa dami ng produkto na handa at kayang bilhin ng prodyuser sa iba’t ibang presyo.
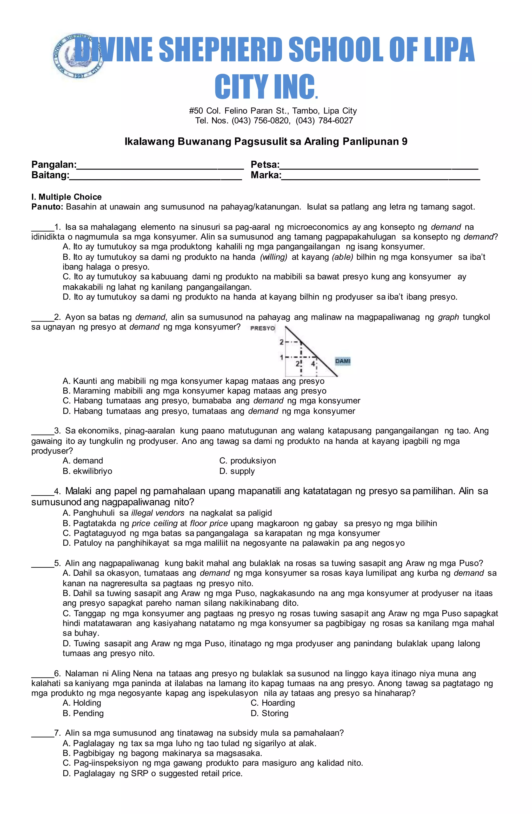
_____2. Ayon sa batas ng demand, alin sa sumusunod na pahayag ang malinaw na magpapaliwanag ng graph tungkol
sa ugnayan ng presyo at demand ng mga konsyumer?
A. Kaunti ang mabibili ng mga konsyumer kapag mataas ang presyo
B. Maraming mabibili ang mga konsyumer kapag mataas ang presyo
C. Habang tumataas ang presyo, bumababa ang demand ng mga konsyumer
D. Habang tumataas ang presyo, tumataas ang demand ng mga konsyumer
_____3. Sa ekonomiks, pinag-aaralan kung paano matutugunan ang walang katapusang pangangailangan ng tao. Ang
gawaing ito ay tungkulin ng prodyuser. Ano ang tawag sa dami ng produkto na handa at kayang ipagbili ng mga
prodyuser?
A. demand C. produksiyon
B. ekwilibriyo D. supply
_____4. Malaki ang papel ng pamahalaan upang mapanatili ang katatatagan ng presyo sa pamilihan. Alin sa
sumusunod ang nagpapaliwanag nito?
A. Panghuhuli sa illegal vendors na nagkalat sa paligid
B. Pagtatakda ng price ceiling at floor price upang magkaroon ng gabay sa presyo ng mga bilihin
C. Pagtataguyod ng mga batas sa pangangalaga sa karapatan ng mga konsyumer
D. Patuloy na panghihikayat sa mga maliliit na negosyante na palawakin pa ang negosyo
_____5. Alin ang nagpapaliwanag kung bakit mahal ang bulaklak na rosas sa tuwing sasapit ang Araw ng mga Puso?
A. Dahil sa okasyon, tumataas ang demand ng mga konsyumer sa rosas kaya lumilipat ang kurba ng demand sa
kanan na nagreresulta sa pagtaas ng presyo nito.
B. Dahil sa tuwing sasapit ang Araw ng mga Puso, nagkakasundo na ang mga konsyumer at prodyuser na itaas
ang presyo sapagkat pareho naman silang nakikinabang dito.
C. Tanggap ng mga konsyumer ang pagtaas ng presyo ng rosas tuwing sasapit ang Araw ng mga Puso sapagkat
hindi matatawaran ang kasiyahang natatamo ng mga konsyumer sa pagbibigay ng rosas sa kanilang mga mahal
sa buhay.
D. Tuwing sasapit ang Araw ng mga Puso, itinatago ng mga prodyuser ang panindang bulaklak upang lalong
tumaas ang presyo nito.
_____6. Nalaman ni Aling Nena na tataas ang presyo ng bulaklak sa susunod na linggo kaya itinago niya muna ang
kalahati sa kaniyang mga paninda at ilalabas na lamang ito kapag tumaas na ang presyo. Anong tawag sa pagtatago ng
mga produkto ng mga negosyante kapag ang ispekulasyon nila ay tataas ang presyo sa hinaharap?
A. Holding C. Hoarding
B. Pending D. Storing
_____7. Alin sa mga sumusunod ang tinatawag na subsidy mula sa pamahalaan?
A. Paglalagay ng tax sa mga luho ng tao tulad ng sigarilyo at alak.
B. Pagbibigay ng bagong makinarya sa magsasaka.
C. Pag-iinspeksiyon ng mga gawang produkto para masiguro ang kalidad nito.
D. Paglalagay ng SRP o suggested retail price.
_____8. Bumili ng dalawang sakong bigas si Mang Juan dahil nabatid niyang tataas ang presyo nito sa susunod na araw.
Ano ang tawag kapag nagaganyak na bumili ng maramihan ang mga mamimili dahil ang ispekulasyon nila ay tataas ang
produkto sa hinaharap?
A. Shortage C. Overpricing
B. Panic Buying D. Hoarding
_____9. Sa Batas ng Supply, kapag tataas ang presyo, ang supply ay _______________?
A. bababa C. tataas
B. walang magbabago D. Bababa at tataas
_____10. Upang makuha ang demand function, ginagamit ang formula na
A. Qd= c+dP C. Qd= a+bP
B. Qd= c-dP D. Qd= a-bP
II. Identification
Panuto: Tukuyin ang hinihingi sa bawat pahayag/katanungan. Isulat sa patlang ang tamang sagot na makikita sa kahon.
Elastisidad Demand function Demand Curve Law of Demand Demand Schedule
Supply Curve Law of supply Ceteris Paribus Supply Function Supply Schedule
____________________1. Antas ng kakayahang tumugon ng isang variable sa pagbabago ng isa pang variable.
____________________2. Talatakdaan ng pangangailangan na nagpapakita ng dami o bilang ng produkto na nabibili
ayon sa itinakdang presyo sa loob ng isang takdang panahon.
____________________3. Talatakdaan ng panustos na nagpapakita ng dami o bilang ng produkto na ipinagbibili o
ibenebenta ayon sa itinakdang presyo sa loob ng isang takdang panahon.
____________________4. Grapikal na representasyon ng iskedyul ng pangangailangan na nagpapakita ng relasyon sa
pagitan ng presyo at dami ng pangangailangan.
____________________5. Ito ay nagsasaad na habang tumataas ang presyo ng bilihin, tumataas din ang dami ng
panustos na ninanais ipagbili ng prodyuser o bahay-kalakal.
____________________6. Matematikal na ekspresyon sa pagitan ng presyo at dami ng panustos.
____________________7. Nagpapakita ng relasyon sa pagitan ng pangangailangan at iba pang mga salik na
nakaaapekto rito.
____________________8. Grapikal na representasyon ng iskedyul ng panustos na nagpapakita ng paayon o positibong
relasyon sa pagitan ng presyo at dami ng panustos.
____________________9. Nagsasaad na habang tumataas ang presyo, bumababa ang dami ng pangangailangan at
habang bumababa ang presyo, tumataas ang dami ng pangangailangan.
___________________10. Nagsasaad na lahat ng salik na nakaaapekto sa pangangailangan ng tao o non-price
determinants ay constant o hindi gumagalaw o nagbabago maliban sa presyo.
III. Demand or Supply
Panuto: Isulat ang salitang DEMAND kung ang mga sumusunod ay salik na nakaaapekto sa demand at SUPPLY kung
ito ay salik na nakaaapekto sa supply.
__________1. Kita ng mamimili
__________2. Laki ng Populasyon
__________3. Pag-unlad ng teknolohiya
__________4 Kalidad ng Produkto
__________5. Pagbabago sa Inaasahang presyo o ekspektasyon ng mga negosyante
__________6. Buwis na itinakda ng pmahalaan
__________7. Inaasahan ng mga mamimili sa presyo
__________8. Presyo ng ibang bilihin
__________9. Klima/Panahon
__________10. Tubo o Interes
__________11.Mga Tulong o subsidy mula sa pamahalaan
__________12. Pagbabago sa bilang o dami ng mga negosyante
__________13. Pautang o Credit Availability
__________14. Kultura at Tradisyon
__________15. Importasyon ng kalakal
__________16. Presyo ng Input o materyales sa produksiyon
__________17. Teknolohiya
__________18. Business Propaganda
__________19.Presyo ng Ibang kalakal
__________20. Kalamidad
IV. Elasticity Symbol
Panuto: Ibigay ang kahulugan ng bawat uri ng elastisidad ng pangangailangan at panustos sa pamamagitan ng simbolo
nito.
Demand Supply
Elastic
Inelastic
Unitary Elastic
Perfectly Elastic
Perfectly Inelastic
V. Demand/Supply Schedule and Curve (Show your Solution)
A. Ipagpalagay na katatapos lamang ng inyong klase sa P.E. Nagkataong may tinda sa kantina na buko juice. Ilang baso
ng buko juice ang handa at kaya mong bilhin sa presyong Php5, Php8, Php11 hanggang Php17 kada baso? Itala ito sa
kolum ng Qd. Ilagay sa talahanayan ang dami ng quantity demanded sa bawat presyo upang mabuo ang demand
schedule.
Ipagpalagay na ang demand function mo ay Qd = 50 - 2P. Pagkatapos nito ay ipakita ito sa pamamagitan ng paggawa ng
demand curve.
B. Nalalapit na ang Buwan ng Pebrero kung kailan ipinagdiriwang ang araw ng mga puso, kaya inaasahan ang pagtaas
ng presyo ng mga bagay na ibinibigay sa inyong mga minamahal partikular ang tsokolate . Gamit ang supply function na
Qs= 0 + 50P at itinakdang presyo sa ibaba, bumuo ng hypothetical na iskedyul na magpapakita ng iyong desisyon kung
ilang kuwaderno ang handa mong ipagbili. Matapos ito ay i-plot ang iskedyul upang mabuo ang supply curve.
Presyo ng
tsokolate
Dami ng
Ibebenta
100
80
60
40
20
VI. Shifting of Demand and supply
A. Panuto: Ipakita sa pamamagitan ng graph ang naging epekto ng pagbabago ng mga salik sa demand ng isang
produkto.
Tumama ng 50 million si Juan sa Lotto Pangit na kalidad ng produktong XY
50% Sale sa Robinson Masaya ang mga tao tuwing Pasko
B. Ipakita sa pamamagitan ng graph ang naging epekto ng pagbabago ng mga salik sa supply ng isang produkto.
Inaasahan ng mga nagbebenta ng asukal na tatas
ang presyo nito sa susunod na linggo.
Makabagong teknolohiya sa pagpaparami ng tilapia at
bangus
Makalumang pamamaraan ng pagtatanim ng palay ang
sinusunod ng nakararaming magsasaka sa bansa
Inaasahan ng mga prodyuser na bababa ang presyo ng
patis at toyo sa susunod na linggo.
“Law of supply inAPexam states that kapag mataas ang iyong marka, mataas ang chance na pumasa ka peroang Law of demand
states na kapag mababa ang iyong marka, mataas ang chance na bumagsak ka.”

Ap 9

  • 1.
    DIVINE SHEPHERD SCHOOLOF LIPA CITY INC. #50 Col. Felino Paran St., Tambo, Lipa City Tel. Nos. (043) 756-0820, (043) 784-6027 Ikalawang Buwanang Pagsusulit sa Araling Panlipunan 9 Pangalan:________________________________ Petsa:______________________________________ Baitang:_________________________________ Marka:______________________________________ I. Multiple Choice Panuto: Basahin at unawain ang sumusunod na pahayag/katanungan. Isulat sa patlang ang letra ng tamang sagot. _____1. Isa sa mahalagang elemento na sinusuri sa pag-aaral ng microeconomics ay ang konsepto ng demand na idinidikta o nagmumula sa mga konsyumer. Alin sa sumusunod ang tamang pagpapakahulugan sa konsepto ng demand? A. Ito ay tumutukoy sa mga produktong kahalili ng mga pangangailangan ng isang konsyumer. B. Ito ay tumutukoy sa dami ng produkto na handa (willing) at kayang (able) bilhin ng mga konsyumer sa iba’t ibang halaga o presyo. C. Ito ay tumutukoy sa kabuuang dami ng produkto na mabibili sa bawat presyo kung ang konsyumer ay makakabili ng lahat ng kanilang pangangailangan. D. Ito ay tumutukoy sa dami ng produkto na handa at kayang bilhin ng prodyuser sa iba’t ibang presyo. _____2. Ayon sa batas ng demand, alin sa sumusunod na pahayag ang malinaw na magpapaliwanag ng graph tungkol sa ugnayan ng presyo at demand ng mga konsyumer? A. Kaunti ang mabibili ng mga konsyumer kapag mataas ang presyo B. Maraming mabibili ang mga konsyumer kapag mataas ang presyo C. Habang tumataas ang presyo, bumababa ang demand ng mga konsyumer D. Habang tumataas ang presyo, tumataas ang demand ng mga konsyumer _____3. Sa ekonomiks, pinag-aaralan kung paano matutugunan ang walang katapusang pangangailangan ng tao. Ang gawaing ito ay tungkulin ng prodyuser. Ano ang tawag sa dami ng produkto na handa at kayang ipagbili ng mga prodyuser? A. demand C. produksiyon B. ekwilibriyo D. supply _____4. Malaki ang papel ng pamahalaan upang mapanatili ang katatatagan ng presyo sa pamilihan. Alin sa sumusunod ang nagpapaliwanag nito? A. Panghuhuli sa illegal vendors na nagkalat sa paligid B. Pagtatakda ng price ceiling at floor price upang magkaroon ng gabay sa presyo ng mga bilihin C. Pagtataguyod ng mga batas sa pangangalaga sa karapatan ng mga konsyumer D. Patuloy na panghihikayat sa mga maliliit na negosyante na palawakin pa ang negosyo _____5. Alin ang nagpapaliwanag kung bakit mahal ang bulaklak na rosas sa tuwing sasapit ang Araw ng mga Puso? A. Dahil sa okasyon, tumataas ang demand ng mga konsyumer sa rosas kaya lumilipat ang kurba ng demand sa kanan na nagreresulta sa pagtaas ng presyo nito. B. Dahil sa tuwing sasapit ang Araw ng mga Puso, nagkakasundo na ang mga konsyumer at prodyuser na itaas ang presyo sapagkat pareho naman silang nakikinabang dito. C. Tanggap ng mga konsyumer ang pagtaas ng presyo ng rosas tuwing sasapit ang Araw ng mga Puso sapagkat hindi matatawaran ang kasiyahang natatamo ng mga konsyumer sa pagbibigay ng rosas sa kanilang mga mahal sa buhay. D. Tuwing sasapit ang Araw ng mga Puso, itinatago ng mga prodyuser ang panindang bulaklak upang lalong tumaas ang presyo nito. _____6. Nalaman ni Aling Nena na tataas ang presyo ng bulaklak sa susunod na linggo kaya itinago niya muna ang kalahati sa kaniyang mga paninda at ilalabas na lamang ito kapag tumaas na ang presyo. Anong tawag sa pagtatago ng mga produkto ng mga negosyante kapag ang ispekulasyon nila ay tataas ang presyo sa hinaharap? A. Holding C. Hoarding B. Pending D. Storing _____7. Alin sa mga sumusunod ang tinatawag na subsidy mula sa pamahalaan? A. Paglalagay ng tax sa mga luho ng tao tulad ng sigarilyo at alak. B. Pagbibigay ng bagong makinarya sa magsasaka. C. Pag-iinspeksiyon ng mga gawang produkto para masiguro ang kalidad nito. D. Paglalagay ng SRP o suggested retail price.
  • 2.
    _____8. Bumili ngdalawang sakong bigas si Mang Juan dahil nabatid niyang tataas ang presyo nito sa susunod na araw. Ano ang tawag kapag nagaganyak na bumili ng maramihan ang mga mamimili dahil ang ispekulasyon nila ay tataas ang produkto sa hinaharap? A. Shortage C. Overpricing B. Panic Buying D. Hoarding _____9. Sa Batas ng Supply, kapag tataas ang presyo, ang supply ay _______________? A. bababa C. tataas B. walang magbabago D. Bababa at tataas _____10. Upang makuha ang demand function, ginagamit ang formula na A. Qd= c+dP C. Qd= a+bP B. Qd= c-dP D. Qd= a-bP II. Identification Panuto: Tukuyin ang hinihingi sa bawat pahayag/katanungan. Isulat sa patlang ang tamang sagot na makikita sa kahon. Elastisidad Demand function Demand Curve Law of Demand Demand Schedule Supply Curve Law of supply Ceteris Paribus Supply Function Supply Schedule ____________________1. Antas ng kakayahang tumugon ng isang variable sa pagbabago ng isa pang variable. ____________________2. Talatakdaan ng pangangailangan na nagpapakita ng dami o bilang ng produkto na nabibili ayon sa itinakdang presyo sa loob ng isang takdang panahon. ____________________3. Talatakdaan ng panustos na nagpapakita ng dami o bilang ng produkto na ipinagbibili o ibenebenta ayon sa itinakdang presyo sa loob ng isang takdang panahon. ____________________4. Grapikal na representasyon ng iskedyul ng pangangailangan na nagpapakita ng relasyon sa pagitan ng presyo at dami ng pangangailangan. ____________________5. Ito ay nagsasaad na habang tumataas ang presyo ng bilihin, tumataas din ang dami ng panustos na ninanais ipagbili ng prodyuser o bahay-kalakal. ____________________6. Matematikal na ekspresyon sa pagitan ng presyo at dami ng panustos. ____________________7. Nagpapakita ng relasyon sa pagitan ng pangangailangan at iba pang mga salik na nakaaapekto rito. ____________________8. Grapikal na representasyon ng iskedyul ng panustos na nagpapakita ng paayon o positibong relasyon sa pagitan ng presyo at dami ng panustos. ____________________9. Nagsasaad na habang tumataas ang presyo, bumababa ang dami ng pangangailangan at habang bumababa ang presyo, tumataas ang dami ng pangangailangan. ___________________10. Nagsasaad na lahat ng salik na nakaaapekto sa pangangailangan ng tao o non-price determinants ay constant o hindi gumagalaw o nagbabago maliban sa presyo. III. Demand or Supply Panuto: Isulat ang salitang DEMAND kung ang mga sumusunod ay salik na nakaaapekto sa demand at SUPPLY kung ito ay salik na nakaaapekto sa supply. __________1. Kita ng mamimili __________2. Laki ng Populasyon __________3. Pag-unlad ng teknolohiya __________4 Kalidad ng Produkto __________5. Pagbabago sa Inaasahang presyo o ekspektasyon ng mga negosyante __________6. Buwis na itinakda ng pmahalaan __________7. Inaasahan ng mga mamimili sa presyo __________8. Presyo ng ibang bilihin __________9. Klima/Panahon __________10. Tubo o Interes __________11.Mga Tulong o subsidy mula sa pamahalaan __________12. Pagbabago sa bilang o dami ng mga negosyante __________13. Pautang o Credit Availability __________14. Kultura at Tradisyon __________15. Importasyon ng kalakal __________16. Presyo ng Input o materyales sa produksiyon __________17. Teknolohiya __________18. Business Propaganda __________19.Presyo ng Ibang kalakal __________20. Kalamidad IV. Elasticity Symbol Panuto: Ibigay ang kahulugan ng bawat uri ng elastisidad ng pangangailangan at panustos sa pamamagitan ng simbolo nito. Demand Supply Elastic Inelastic Unitary Elastic
  • 3.
    Perfectly Elastic Perfectly Inelastic V.Demand/Supply Schedule and Curve (Show your Solution) A. Ipagpalagay na katatapos lamang ng inyong klase sa P.E. Nagkataong may tinda sa kantina na buko juice. Ilang baso ng buko juice ang handa at kaya mong bilhin sa presyong Php5, Php8, Php11 hanggang Php17 kada baso? Itala ito sa kolum ng Qd. Ilagay sa talahanayan ang dami ng quantity demanded sa bawat presyo upang mabuo ang demand schedule. Ipagpalagay na ang demand function mo ay Qd = 50 - 2P. Pagkatapos nito ay ipakita ito sa pamamagitan ng paggawa ng demand curve. B. Nalalapit na ang Buwan ng Pebrero kung kailan ipinagdiriwang ang araw ng mga puso, kaya inaasahan ang pagtaas ng presyo ng mga bagay na ibinibigay sa inyong mga minamahal partikular ang tsokolate . Gamit ang supply function na Qs= 0 + 50P at itinakdang presyo sa ibaba, bumuo ng hypothetical na iskedyul na magpapakita ng iyong desisyon kung ilang kuwaderno ang handa mong ipagbili. Matapos ito ay i-plot ang iskedyul upang mabuo ang supply curve. Presyo ng tsokolate Dami ng Ibebenta 100 80 60 40 20
  • 4.
    VI. Shifting ofDemand and supply A. Panuto: Ipakita sa pamamagitan ng graph ang naging epekto ng pagbabago ng mga salik sa demand ng isang produkto. Tumama ng 50 million si Juan sa Lotto Pangit na kalidad ng produktong XY 50% Sale sa Robinson Masaya ang mga tao tuwing Pasko B. Ipakita sa pamamagitan ng graph ang naging epekto ng pagbabago ng mga salik sa supply ng isang produkto. Inaasahan ng mga nagbebenta ng asukal na tatas ang presyo nito sa susunod na linggo. Makabagong teknolohiya sa pagpaparami ng tilapia at bangus Makalumang pamamaraan ng pagtatanim ng palay ang sinusunod ng nakararaming magsasaka sa bansa Inaasahan ng mga prodyuser na bababa ang presyo ng patis at toyo sa susunod na linggo. “Law of supply inAPexam states that kapag mataas ang iyong marka, mataas ang chance na pumasa ka peroang Law of demand states na kapag mababa ang iyong marka, mataas ang chance na bumagsak ka.”