Embed presentation
Downloaded 25 times































































































































































































































































































































































































































































































































































































































































































































































































































































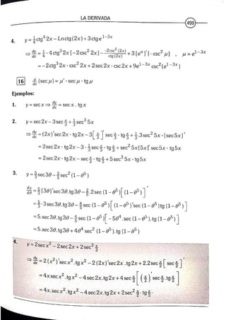
Il documento fornisce una panoramica dettagliata sulle recenti innovazioni tecnologiche nel settore dell'intelligenza artificiale. Viene discusso come queste innovazioni influenzano vari settori, migliorando l'efficienza e l'efficacia delle operazioni. Infine, si analizzano le sfide etiche associate all'adozione dell'IA.





























































































































































































































































































































































































































































































































































































































































































































































































































































