Embed presentation
Download to read offline

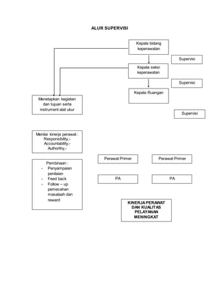
Dokumen ini menjelaskan alur supervisi dalam bidang keperawatan yang melibatkan kepala bidang, kepala seksi, dan kepala ruangan. Fokus utama adalah pada penetapan kegiatan, penilaian kinerja perawat, serta pembinaan melalui feedback dan reward. Tujuannya adalah untuk meningkatkan kinerja perawat dan kualitas pelayanan.
