More Related Content
PPT
PPT
PPT
Senior topics euler's line PPT
POT
PPT
PPTX
Ryan Proctor's POTW solution PPTX
Viewers also liked
PPT
Guia argentina de tratamiento de la EPOC PPT
PPT
PPT
Analysis quadratic questions - solutions PDF
PPT
analysis quadratic questions PPT
PPT
PPT
PPT
PPT
Solution To Problem Of The Week Mike Barney PPT
PPT
Analysis Exam January Revised PPT
More from sabsma
PPS
PPT
C:\Fakepath\Algebra 1 Exam Solution PDF
PPT
POT
PPS
Senior Topics Euler's line PPT
Topics exam 1 solutions october PPTX
PPT
PPTX
PPTX
PPT
PPTX
PPTX
PPT
Jillian Fluets Problem Of The Week PPT
PPT
PPT
PPT
PPT
Recently uploaded
PDF
Overview of Ethiopian Agriculture: Systems and Economic Impact.pdf PPTX
MELA QUIZ 2026 | Silchar Medical College & Hospital | 11-01-2026 PDF
PULSE according to Physiology special pdf for all medical sectors students & ... PDF
19 January 2026 Andreas Schleicher Digital Education Outlook 2026.pdf PDF
1.The-Story-of-Indian-Farming ppt/7th part 2/by k sandeep swamy(MSc,BEd)/samy... PPTX
CHAPTER NO.6 PLANT FIBRES USED AS SURGICAL DRESSINGS.pptx PDF
3.Empires-and-Kingdoms-6th-to-10th-Centuries ppt.pdf/Social science Grade 7 p... PPTX
Redox Titration - Oxidation and Reduction PPTX
OXYGEN ADMINISTRATION/THERAPY ......pptx PDF
eSAT-for-Teachers-2025-2028-ver.2-Nov2025 idp.pdf PPTX
ANTI-TUSSIVE CHAPTER NO.05 PHARMACOGNOSY PPTX
HYDROLYSIS OF EASTER (JHASKETAN).pptx PPTX
Palta Utsav Open to All Quiz Final Set.pptx PPTX
Cash on Delivery (COD) in Odoo 19 website PDF
2.India-and-Her-Neighbours ppt.pdf/Social science Grade 7 part -2 By:K SANDE... PPTX
THEORIES OF LEARNING Shilpa Hotakar.pptx PPTX
GW4 BioMed Interview Support Webinar 2026 PPTX
When UDL is no longer enough: Examining post-UDL reflections on inclusive des... PPTX
Birthday Field in Employee Records Odoo 19 PPTX
Allow Quantity Modification in Combo in Odoo 19 pos Algebra 2 Exam January
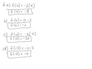
- 1.
- 2.
- 3.
- 4.
- 5.
- 6.
- 7.
- 8.
- 9.
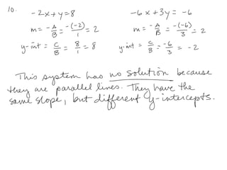
- 10.
- 11.