More Related Content
More from krochester
PPT
A2 Jeopardy Student Example Nakkera PPT
PPT
PDF
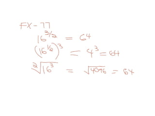
Difference of Two Squares PPT
PPT
PPT
PPT
PPT
PPT
PPT
PPT
PPT
PPT
PPT
PPT
PPT
PPT
PPT
PPT
Recently uploaded
PDF
GenerationAI_Paris_2025_Architecting_Intelligence.pdf PDF
February 2026 Patch Tuesday hosted by Chris Goettl and Todd Schell PDF
20260212 Security-JAWS activity results for 2025 and activity goals for 2026 PDF
Effortless Distributed Systems with Aspire.pdf PDF
HOW TO OVERCOME THE THREATS OF ARTIFICIAL INTELLIGENCE AGAINST HUMANITY.pdf PPTX
Real-Time KPI Dashboard Playbook: What to Track Live and What Not To PDF
apidays New York 2025 | AI in Application Security PDF
Empower your IT team with cloud-based PC management using Dell Management Por... PDF
AI in the Real World: From University to Industry PDF
Escape from the Forbidden Zone: Smuggling green and inclusive tech past the g... PDF
Chapter 5 Security Mechanisms iin computer security.pdf PDF
Bringing AI into R&D, Taking a Human-Centric Approach / Haim Yadid PDF
AI Vector Search Best Practices Multicloud Feb 2026 PDF
apidays Paris 2025 | Zero Trust By Design PDF
Towards a Vibrant AI Hardware Accelerator Ecosystem, invited talk at the 4th ... PDF
Agent to agent service discovery using HashiCorp Consul and Vault PDF
PPTX
The Transformative Technology in Contemporary Businesses PDF
TrustArc Webinar - From Trends to Action: Fitting AI Governance into Privacy Ops PDF
From Artificial Intelligence to African Intelligence: Transforming Research &...