Download free for 30 days
Sign in
Upload
Language (EN)
Support
Business
Mobile
Social Media
Marketing
Technology
Art & Photos
Career
Design
Education
Presentations & Public Speaking
Government & Nonprofit
Healthcare
Internet
Law
Leadership & Management
Automotive
Engineering
Software
Recruiting & HR
Retail
Sales
Services
Science
Small Business & Entrepreneurship
Food
Environment
Economy & Finance
Data & Analytics
Investor Relations
Sports
Spiritual
News & Politics
Travel
Self Improvement
Real Estate
Entertainment & Humor
Health & Medicine
Devices & Hardware
Lifestyle
Change Language
Language
English
Español
Português
Français
Deutsche
Cancel
Save
EN
Uploaded by
krochester
PPT, PDF
190 views
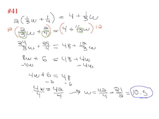
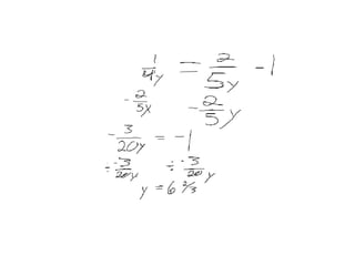
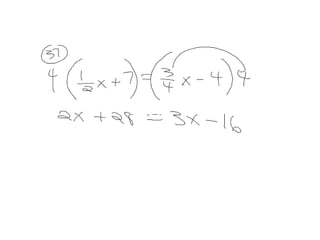
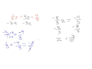
Alg1e Dec12
Solving equations,/ quiz prep
Technology
◦
News & Politics
◦
Read more
0
Save
Share
Embed
Embed presentation
Download
Download to read offline
1
/ 8
2
/ 8
3
/ 8
4
/ 8
5
/ 8
6
/ 8
7
/ 8
8
/ 8
More Related Content
PPT
Alg1b Jan25
by
krochester
PPT
Alg2c Jan10
by
krochester
PPT
Alg1f Dec5
by
krochester
PPT
Algebra Seeley Blogger
by
krochester
PPT
Alg1f Dec19
by
krochester
PPT
Group 7
by
krochester
PPT
Alg1e Dec10
by
krochester
PPT
Alg1b Jan4
by
krochester
Alg1b Jan25
by
krochester
Alg2c Jan10
by
krochester
Alg1f Dec5
by
krochester
Algebra Seeley Blogger
by
krochester
Alg1f Dec19
by
krochester
Group 7
by
krochester
Alg1e Dec10
by
krochester
Alg1b Jan4
by
krochester
Viewers also liked
PPT
Group 7
by
krochester
PPT
Alg1f Nov 27
by
krochester
PPT
Alg1b Nov 21
by
krochester
PPT
Alg1e Dec7
by
krochester
PPT
Alg2c Dec18
by
krochester
PPT
Alg1f Jan9
by
krochester
PPT
Alg1b Dec11
by
krochester
PPT
Alg1f Jan8
by
krochester
Group 7
by
krochester
Alg1f Nov 27
by
krochester
Alg1b Nov 21
by
krochester
Alg1e Dec7
by
krochester
Alg2c Dec18
by
krochester
Alg1f Jan9
by
krochester
Alg1b Dec11
by
krochester
Alg1f Jan8
by
krochester
More from krochester
PPT
A2 Jeopardy Student Example Nakkera
by
krochester
PPT
A2 Jeopardy
by
krochester
PPT
Algebra 1
by
krochester
PDF
Difference of Two Squares
by
krochester
PPT
Fractions
by
krochester
PPT
Fractions
by
krochester
PPT
Alg1e Jan25
by
krochester
PPT
Alg1f Jan25
by
krochester
PPT
Alg2c Jan25
by
krochester
PPT
Alg2c Jan22
by
krochester
PPT
Finally
by
krochester
PPT
Alg1f jan22
by
krochester
PPT
Alg1b Jan16
by
krochester
PPT
Math
by
krochester
PPT
Alg1b
by
krochester
PPT
Alg1b Jan8
by
krochester
PPT
Alg1b Jan7
by
krochester
PPT
Alg2c Jan8
by
krochester
PPT
Alg1f Jan4
by
krochester
PPT
Alg1e Jan4
by
krochester
A2 Jeopardy Student Example Nakkera
by
krochester
A2 Jeopardy
by
krochester
Algebra 1
by
krochester
Difference of Two Squares
by
krochester
Fractions
by
krochester
Fractions
by
krochester
Alg1e Jan25
by
krochester
Alg1f Jan25
by
krochester
Alg2c Jan25
by
krochester
Alg2c Jan22
by
krochester
Finally
by
krochester
Alg1f jan22
by
krochester
Alg1b Jan16
by
krochester
Math
by
krochester
Alg1b
by
krochester
Alg1b Jan8
by
krochester
Alg1b Jan7
by
krochester
Alg2c Jan8
by
krochester
Alg1f Jan4
by
krochester
Alg1e Jan4
by
krochester
Recently uploaded
PDF
Session 1/5: Enhancing Automation with Screenplay & Business Rules
by
suhanisingh58689
PPTX
Introducing VisualSim 2610 The Next Leap in System Level Modeling
by
Deepak Shankar
PDF
GDG Cloud Southlake #49: Pradeep R Kumar: Implications of Agentic AI for Iden...
by
James Anderson
PDF
February 2026 Patch Tuesday hosted by Chris Goettl and Todd Schell
by
Ivanti
PDF
Towards a Vibrant AI Hardware Accelerator Ecosystem, invited talk at the 4th ...
by
Michiaki Tatsubori
PDF
UiPath Automation Developer Associate Training Series 2026 - Session 3
by
DianaGray10
PPTX
Spacecraft Guidance Quick Research Guide by Arthur Morgan
by
Arthur Morgan
PDF
apidays Paris 2025 | API Layer7 Security: Real-World Use Cases (BBVA & Nexi)
by
apidays
PDF
GenerationAI_Paris_2025_Architecting_Intelligence.pdf
by
apidays
PDF
GTM-and-Sales-Plan for a cyber security product
by
Ashish Jangir
PPTX
Exploring-AI-Basics in Artificial Intelligence
by
sharmilas219546
PDF
Chapter 6 Authentication and Access Control.pdf
by
Getnet Tigabie Askale -(GM)
PDF
Effortless Distributed Systems with Aspire.pdf
by
Particular Software
PPTX
The Transformative Technology in Contemporary Businesses
by
greyaudrina
PDF
final~~~~~~~~~~~~~~~~~~~~~~~~~~~~~~~.pdf
by
omarbishtawi04
PDF
Constraint Collapse and Fidelity Decay in Scaled Language Models
by
Semantic Fidelity Lab
PPTX
Workflow and decision Automation with Flowable
by
chakib ch
PDF
How AI Can Help Platform Engineers Build Better Platforms
by
All Things Open
PDF
Automated Governance for FME Flow: Smarter Admin at Scale
by
Safe Software
PDF
apidays Paris 2025 | Zero Trust By Design
by
apidays
Session 1/5: Enhancing Automation with Screenplay & Business Rules
by
suhanisingh58689
Introducing VisualSim 2610 The Next Leap in System Level Modeling
by
Deepak Shankar
GDG Cloud Southlake #49: Pradeep R Kumar: Implications of Agentic AI for Iden...
by
James Anderson
February 2026 Patch Tuesday hosted by Chris Goettl and Todd Schell
by
Ivanti
Towards a Vibrant AI Hardware Accelerator Ecosystem, invited talk at the 4th ...
by
Michiaki Tatsubori
UiPath Automation Developer Associate Training Series 2026 - Session 3
by
DianaGray10
Spacecraft Guidance Quick Research Guide by Arthur Morgan
by
Arthur Morgan
apidays Paris 2025 | API Layer7 Security: Real-World Use Cases (BBVA & Nexi)
by
apidays
GenerationAI_Paris_2025_Architecting_Intelligence.pdf
by
apidays
GTM-and-Sales-Plan for a cyber security product
by
Ashish Jangir
Exploring-AI-Basics in Artificial Intelligence
by
sharmilas219546
Chapter 6 Authentication and Access Control.pdf
by
Getnet Tigabie Askale -(GM)
Effortless Distributed Systems with Aspire.pdf
by
Particular Software
The Transformative Technology in Contemporary Businesses
by
greyaudrina
final~~~~~~~~~~~~~~~~~~~~~~~~~~~~~~~.pdf
by
omarbishtawi04
Constraint Collapse and Fidelity Decay in Scaled Language Models
by
Semantic Fidelity Lab
Workflow and decision Automation with Flowable
by
chakib ch
How AI Can Help Platform Engineers Build Better Platforms
by
All Things Open
Automated Governance for FME Flow: Smarter Admin at Scale
by
Safe Software
apidays Paris 2025 | Zero Trust By Design
by
apidays
Alg1e Dec12
1.
2.
3.
4.
5.
6.
7.
8.
Download