A WHOLE NEW BALL GAME
AN ANALYSIS OF THE INFLUENCES ON AND THE EFFECTS OF
RETIREMENT ON FORMER MUNSTER PROFESSIONAL RUGBY
UNION PLAYERS
by
THOMAS FITZGERALD
A Final Year Project
Submitted in partial fulfillment of the requirements for the degree
DEGREE IN HUMAN RESOURCE MANAGEMENT
Department of Personnel & Employment Relations
Kemmy Business School
University of Limerick
UNIVERSITY OF LIMERICK
2013
PROJECT SUPERVISOR:
Dr. Jean McCarthy
2 | P a g e
ABSTRACT
Research purpose: With its conversion from amateur to professional in 1995, and with increased
growth in popularity ever since, employment as a rugby union professional is now a viable career
option for elite athletes. This profession however, carries similar characteristics as most other
professional sports, which sees its performers having to retire at an age, not commonly associated
with the end of a “typical” career. This transition is a significant time in an athlete’s life (Alfermann,
2001) that is accompanied by a process of transition and change (Taylor et al., 2006). This project
seeks to look at the influences and psychological effects that this transition has had on retired
professional rugby union players, and to identify opportunities for interventions to facilitate a
successful transition into post-sports life.
Research design: The study employed a largely qualitative methodology, interviewing six former
Munster professional rugby players aged from 30 to 50. The interviews were semi-structured in-depth
interviews based on a previously used questionnaire, found in the work of Marthinus (2007). Further
to this, a Sports Career Termination Questionnaire (SCTQ II), designed by Cecic´ Erpicˇ (2000), was
used, to garner additional quantitative data.
Main findings: The players interviewed had transitioned in the main without any serious issues,
which have been found in previous research to include problems at psychological, psychosocial,
physical and occupational levels. There was a common worry amongst those interviewed, for future
retirees from the game. This worry stemmed from their experience, which highlighted a cause of
concern for these new players, who are now turning professional at a younger age.
3 | P a g e
ACKNOWLEDGEMENTS
It is a pleasure to thank the many people who made this final year project possible.
I wish to state my gratitude to my supervisor, Dr. Jean McCarthy, for her guidance and
encouragement during the process of completing this project. Thank you for giving me the enthusiasm
and inspiration to complete a task, I thought was beyond me.
This project, and indeed the completion of my degree would not have been possible without the
support of my two employers, Mr. John Hegarty and Mr. Tony Donlan. Thank you for investing in my
on-going development by not only funding this degree, but providing me with resources, time and
support throughout the two years.
Thank you to the participants in the research who gave so freely of their time, and whose insight into
the subject, was enlightening to me in so many ways, far beyond the extent of this report.
To my father, Tom Fitzgerald, who showed me over my life, that hard work is its own reward. To my
own family, and my adopted families, the Costelloe’s and Gallagher’s, thank you for your continued
support over the years.
Finally to my wife Ellen and our son Thomas. Thanks for the love, encouragement and support you
have showed me over this journey. Without you this would not have been possible.
DEDICATION
Dedicated to the memory of my late uncle, Billy Walsh, whose untimely passing upon retirement
prompted me to delve into this subject matter.
4 | P a g e
Contents
ABSTRACT..................................................................................................................................................2
ACKNOWLEDGEMENTS..........................................................................................................................3
DEDICATION..............................................................................................................................................3
LIST OF TABLES........................................................................................................................................6
DECLARATION..........................................................................................................................................7
CHAPTER 1 - INTRODUCTION................................................................................................................8
CHAPTER 2 - LITERATURE REVIEW...................................................................................................11
2.1 RETIREMENT.................................................................................................................................................11
2.2 SPORT IS WORK ............................................................................................................................................13
2.3 PROFESSIONAL SPORTS AND RETIREMENT..........................................................................................15
2.4 INFLUENCES AFFECTING CAREER TRANSITIONS ...............................................................................16
2.5 DIFFICULTIES EXPERIENCED BY RETIRED PROFESSIONAL RUGBY UNION PLAYERS .........32
2.6 LOCATING THE PROBLEM WITHIN THE LITERATURE........................................................................37
2.7 RESEARCH OBJECTIVES.............................................................................................................................39
CHAPTER THREE – METHODOLOGY .................................................................................................40
CHAPTER 4 – RESULTS AND FINDINGS.............................................................................................45
4.1 FINDINGS ON THE INFLUENCES THAT EFFECT CAREER TRANSITIONS ........................................48
4.2 DIFFICULTIES EXPERIENCED BY RETIRED PROFESSIONAL RUGBY UNION PLAYERS ..............62
4.3 FUTURE PLAYER ISSUES............................................................................................................................66
CHAPTER 5 - DISCUSSION AND CONCLUSION ................................................................................68
5.1 DISCUSSION...................................................................................................................................................68
5.2 LIMITATIONS OF THE RESEARCH ............................................................................................................71
5.3 IMPLICATIONS FOR FUTURE RESEARCH ...............................................................................................72
5.4 CONCLUSION.................................................................................................................................................73
5 | P a g e
BIBLIOGRAPHY.......................................................................................................................................74
APPENDICES ............................................................................................................................................93
APPENDIX 1: QUESTIONNAIRE ............................................................................................................................94
APPENDIX 2: INTERVIEW QUESTIONS .............................................................................................................107
APPENDIX 3: DEMOGRAPHIC OF IRISH AND MUNSTER RUGBY PROFESSIONAL RUGBY TEAMS....109
APPENDIX 4: ETHICAL CLEARANCE ................................................................................................................114
APPENDIX 5: INTERVIEW TRANSCRIPTS........................................................................................................118
APPENDIX 5.1 - PARTICIPANT 1 ....................................................................................................................118
APPENDIX 5.3 - PARTICIPANT 3 ....................................................................................................................148
APPENDIX 5.4 - PARTICIPANT 4 ....................................................................................................................159
APPENDIX 5.5 - PARTICIPANT 5 ....................................................................................................................177
APPENDIX 5.6 - PARTICIPANT 6 ....................................................................................................................191
6 | P a g e
LIST OF TABLES
TABLE 1: ANNUAL ACCOUNTS FROM THE IRFU ...........................................................................................................9
TABLE 2: PRIORITIES IN LIFE OF YOUNG ELITE RUGBY PLAYERS IN AUSTRALIA & NEW ZEALAND...........22
TABLE 3: AGE DEMOGRAPHIC OF PROFESSIONAL RUGBY TEAMS IN IRELAND.................................................26
TABLE 4: FINDINGS ON MEDICAL WELFARE (NZRPA RETIRED PLAYERS SURVEY 2011).................................34
TABLE 5: SALARY FINDINGS OF RETIRED RUGBY PLAYERS IN NEW ZEALAND1).............................................36
TABLE 6: DEMOGRAPHIC INFORMATION OF INTERVIEWEES AND QUESTIONNAIRE RESPONDENTS...........44
TABLE 7: DEMOGRAPHICS AND PARTICIPANTS ADJUSTMENT TO POST SPORT LIFE .......................................45
TABLE 8: TRANSITION PERIOD AND GENERAL ATTITUDE TOWARDS RETIREMENT ........................................46
TABLE 9: AGE AT WHICH PARTICIPANT CONSIDERED RETIREMENT AND THEIR ADJUSTMENT AND
SATISFACTION WITH POST SPORTS LIFE ......................................................................................................................47
TABLE 10: GRADUALNESS OF CAREER TERMINATION AND FINANCIAL DEPENDENCE ON PROFESSIONAL
RUGBY ................................................................................................................................................................................... 48
TABLE 11: ATHLETIC IDENTITY, SPORTS RELATED GOALS AND LIFE ..................................................................53
TABLE 12: IMPORTANT THINGS YOU GAINED FROM YOUR SPORTS CAREER AND INDIVIDUALS WHO
OFFER SUPPORT AFTER RETIREMENT...........................................................................................................................57
TABLE 13: INFLUENCES ON YOUR DECISION TO END YOUR PROFESSIONAL SPORTS CAREER .....................59
TABLE 14: EMOTIONAL STATES EXPERIENCED POST RETIREMENT......................................................................62
TABLE 15: PROBLEMS EXPERIENCED POST RETIREMENT AND THEIR DEGREE OF SEVERITY.......................64
TABLE 16: RECOMMENDATIONS ON POST RETIREMENT SERVICES .....................................................................70
7 | P a g e
DECLARATION
This project is entirely my own work and has not been submitted to any other university or higher
institution or for any other academic award.
Where the work of others has been reported it has been acknowledged and referenced.
______________________________________
Thomas Fitzgerald
Student ID: 11107545
8 | P a g e
CHAPTER 1 - INTRODUCTION
No longer does the maxim – live to work – define a life, today life after work can be equally as
rewarding, (Floyd et al. 1992). For some this new chapter in their lives affords them the opportunity
to engage in society in different ways, however, this sudden adjustment to a new daily routine can be
difficult. Exiting a career is a major life change that transforms one’s social and physical worlds, with
changes in roles, relationships and daily routines (Kim and Moen, 2001).
Much of the current research into retirement centres on how the effects of an ageing population,
flagging fertility rates (OCED, 2007), and growing public expenditure (Phillipson, 2011), will impact
upon current and future economic and social policies of governments. These policies include looking
for ways to delay retirement within the shrinking workforces, with governments such as Ireland
undertaking reforms to the National Pensions Framework, which will see the age entitlement to a state
pension increase from 66 years of age on the 1st January 2014 to 68 years of age from 1st January
2028.
As these economic and social policies talk of extending the working lives of many, it is worth noting
that not all working lives revolve around cessation at a fixed chronological age (Guillemard, 1991).
For some their chosen professions and the nature of their work dictate that retirement from one of
their careers occurs earlier in life and it is in one of these professions that our paper centres.
Professional sportspeople careers are in the main so predisposed, which sees them at a much earlier
stage in life having to cope with retirement, or as some commentators describe it, a “career transition”
(Anderson & Morris 2000, Smith & McManus 2008).This “transition”, which is normally at a
comparatively young age in the majority of professional sports, can be either where they choose to
voluntarily retire or where they are involuntarily discarded for any number of reasons including, de-
selection (Svoboda and Vanek,1982), with the old cliché of “there is no room for sentiment in
professional sport” ringing out, or injury (Elkin, 1981; Rotella and Heyman,1986). This moment for
any professional sportsperson may come at any time, be it as you make your swansong in front of a
packed sports arena, or perhaps sitting alone in a physiotherapist’s office awaiting the results of an
injury, the life of a professional athlete can be both transcendent and fragile (Danish, Petitpas, and
Hale, 1993).
McKenna et al. (2007, p. 19) based on the work of, Stephan et al. (2003) comment that this career
termination can be “associated with numerous health problems, many being underpinned by a
problematic adaptation to a new life outside elite sport”. That retiring professional sportspeople who
have invested so much in their particular field, find that once they are left with no option but to retire
9 | P a g e
from their sport, may be left with “poor employment prospects and compromised physical and
psychological well-being” (McKenna et al. 2007, p. 20).
There are few full time professional sports played in Ireland, in the main due to the small population
size (four and half million, CSO, 2011) which affects their economic viability. One sport, which has
developed a strong full time professional base in Ireland, has been rugby union, which since turning
professional worldwide in 1995, has grown year on year in terms of both popularity and indeed
participation rates in Ireland (IRFU, 2010). The monies earned by the IRFU for television rights, for
both the national team and the provincial teams, (€16 million for year ended 30th April 2009, per the
IRFU in 2010); make it possible to have professional rugby played in Ireland. Personal tax incentives
available to players since 2002 have further facilitated its development as playing domestically and
finishing their careers in Ireland is financially beneficial to players (IRFU, 2010).
Outlined below are the most recent figures from the IRFU annual report and accounts 2012/2013, (p.
66) which outlines to some extent the growth and size of professional rugby, and the cost of
professionalism in terms of players and managers wages.
TABLE 1: ANNUAL ACCOUNTS FROM THE IRFU
2012/2013 2011/2012 2010/2011
€ € €
Total Income 65,666,586 67,181,515 69,276,830
PROFESSIONAL GAME COSTS
Player and Management Costs 28,576,706 28,648,479 28,458,178
% of total income 43.52% 42.64% 41.08%
ELITE PLAYER DEVELOPMENT
Wolfhounds/ Irish “A” team 152,186 90,851 102,488
Under 20’s 407,399 414,440 381,169
Academies 1,348,118 1,337,710 1,276,019
High performance unit 420,379 345,160 379,267
Fitness programme 596,088 443,703 557,238
Total elite player development 2,924,170 2,631,864 2,696,181
% of total income 4.45% 3.92% 3.89%
10 | P a g e
However, the move to professionalism is in the midst of the current economic climate has proven
economically unsustainable for one element of the Irish rugby landscape, club rugby; according to the
2013 IRFU “Club Sustainability Report”. This “Club Sustainability Report” highlights the increased
costs of playing players, coupled with a fall in club sponsorship and other revenue streams, in most
cases linked to the economic downturn, has brought the issue of professionalism to the fore again. In
light of these concerns, the IRFU will effectively return the domestic club rugby game to its amateur
roots from September 2014, when payments to players will be outlawed other than those made by a
province for, Senior, Senior A, and Academy/Development, players (IRFU, 2013).
With organisations now being “increasingly challenged to understand and manage employees’
retirement expectations, and with employees’ relationships to retirement decisions and the age at
which they expect to retire likely to change as their careers unfold” (Post et al., 2013), the relative
youth of the profession of rugby and lack of experience on the transitions of former players, and the
aforementioned “possible problematic adaptation to a new life outside elite sport” (McKenna et al.
,2007, p. 19), there is a need for professional rugby union organisations to both identify and manage
the transitions that their “employees” endure.
With rugby being a relatively new profession it affords an interesting opportunity for research. With
its increased profile as a sport and a number of high profile retirements in the sport for both Munster
and Ireland in the last two years, I felt that an examination of the effects of retirement upon
professional rugby players would be timely. My research centres on the experiences of former
Munster players who kindly made themselves available for my research, and the major issues I have
identified which include;
• its practitioners will have to retire or “transition” out at a relatively young age;
• that there may be numerous reasons for this transition;
• that given the financial rewards on offer from the sport for most players, they have to pursue
careers upon retirement to sustain a standard of living;
• that with its youth as a profession that there will be “growing pains” as issues become
apparent; and
• with different demographics having now come to retirement (players who had played amateur
before professionalism was introduced and subsequently played professional, those who were
professional from the outset but who did not go through provincial academy systems, and
those players who have been professional from progressing from the provincial academy
systems right through to senior status).
11 | P a g e
CHAPTER 2 - LITERATURE REVIEW
This section reviews the relevant literature providing a commentary on the existing state of
knowledge, theories, and empirical evidence. The implications of the findings from the review justify
the proposition to explore the influences on and effects of retirement on professional rugby union
players through qualitative methods. It concludes by building a framework for this study, by
identifying gaps in knowledge on the subject, and outlines the specific research questions and
objectives.
2.1 RETIREMENT
“Retirement is a change in employment status, from working to non-working, that is usually expected
to coincide with a predetermined age (e.g. 65), predetermined length of service (e.g. 20 to 30 years),
or health deterioration (e.g. physical disability) (Streib and Schneider, 1971). Three basic types of
retirement can be defined: (1) on-time retirement, when a worker stops working on or after a
predetermined age or length of service; (2) health-related retirement, when a worker stops working
either on, after, or prior to a predetermined age of length of service because of ill-health and/or
disability; and (3) early retirement, when a worker stops working prior to a predetermined age of
length of service where ill-health and disability are not factors” (Shim et al. 2013, p.278).
Sargent et al. (2013), who reference Anderson, 1985 and Hardy, 2011, state, that “as retirement is an
invention of the late 19th century, one that did not reach full maturity until after the Second World
War. Its extension through the 20th century, with the building of institutional arrangements to provide
retirement income, represents one of the major shifts in life course patterns over the past 200 years
(Anderson, 1985; Hardy, 2011). The experience of retirement as a distinctive life stage was not
widespread before government, firm, and occupational pension schemes became common, along with
well-defined retirement ages”.
Over the last decade, there has been a particular shift away from the notion of the traditional career,
due to increased globalisation (Burke and Ng, 2006) and technological advances (Wallace, 2004;
Burke and Ng, 2006). “A number of broad-based societal level and organizational changes have
occurred in recent years and have led to disruptions in how retirement has been experienced by
individuals, as well as how organizations try to regulate and control the exit of late career workers”
(Sargent et al. 2013). Mallon (1999, p.358) notes that “the demise of the traditional career is widely
heralded (Arthur and Rosseau, 1996; Handy, 1994; Bridges, 1995) as it is replaced by more fluid and
individual career choices”. Cawsey (1995, p.41) argues that “stable, long-term career security is
becoming a thing of the past, requiring new ways of thinking about, and framing relationships among,
12 | P a g e
work, organisations, payment and value for effort”, with Freedman (1993) stating that the
“contemporary labour market provides almost no long-term secure jobs”. “No longer can a career be
envisioned as an upward progression through an organisational or occupational hierarchy. Rather it
must be viewed as boundaryless, variable and portfolio-orientated” (Arthur and Rosseau, 1996, Hall,
1996).
Pleau and Shauman (2009) reference Ekerdt and DeViney (1990) who outlined “five common ways to
define a population as ‘retired’: separation from a career, exit from the labour force, reduced work
hours, public or private pension receipt, or self-definition”, while Szinovacz, 2003 perceive “the
transition from work to retirement as a complex process that can follow various pathways and evolve
from multiple influences”. Pleau and Shauman (2009) highlight the contradiction to the common
notion that retirement means an abrupt end to labour force participation, with research showing that
older workers exit the workforce in complex ways (Hayward et al., 1994; Moen et al., 2000; Quinn
and Kozy, 1996; Warner et al., 2010). Researchers argue that retirement is more of a process than an
event (Marshall et al., 2001; Moen et al., 2000; Pleau, 2010), with dozens of possible combinations of
paid work and time out of the labour force. Working for pay after defining oneself as retired is more
common than generally assumed, and the stereotypical retirement experience – the abrupt ceasing of
all paid work and commencement of a life of leisure – is the experience of only about half of all
workers (Han and Moen, 1999; Maestas, 2010; Moen et al., 2000; Pleau, 2010; Ruhm, 1990).
13 | P a g e
2.2 SPORT IS WORK
“The nature of modern professional sport as a work-like environment for participants means that there
is a focus on performance, production and profit” (Price, 2007, p.42). Horne et al. (1999) summarising
the work of Rigauer (1981), as referenced by Price (2007), who suggested that modern sport has been
shaped by its purposeful, rational, work-life behaviour patterns, which are reflected in its
organisational structure through the characteristics of division of labour, mechanisation,
rationalisation and bureaucratisation which are also evident in modern work, outline six ways that
modern sport and paid employment complement each other;
1.“The repetitive, intensive and demanding training techniques, necessary for achievement in
elite sport, reflect the alienating and dehumanising nature of the factory floor assembly line;
2. The athlete, and in particular, the elite sports team has a host of experts and “support
personnel” allocated to them. These “experts” are responsible for developing strategies and
tactics. The athletes are expected to comply with a prescribed tactical plan and fit into a fixed
division of labour that the individual or team has played no part in developing;
3. As in paid work, the athlete has limited ownership of the product where they may be able to
exercise initiative. Rigauer notes that room for exercising initiative is greater in sports than in
most forms of work but argues that the gap is constantly narrowing;
4. The nature of the bureaucratic administration of sport means that management and officials,
not athletes themselves, decide on sport-related policies;
5. The effect of these changes in modern sport is that a once amateur pastime has developed into
a demanding, achievement-orientated and alienating area of human activity. Consequently
sport loses its potential to be used as an escape from the pressures of work;
6. The idea that sport can fulfil this function of escapism is a “masking ideology”, where the real
functions of sport in modern society are hidden from participants; for example, through the
pretence of leisure, reinforcing an ethic of hard work, achievement and group loyalty, all of
which are necessary for the operation of an advanced industrial capitalist society” (Price, 2007,
p. 42).
Coakley (1994) suggests that professional sports have features, some of which resonate with paid
employment, which include;
• Career opportunities for athletes are highly limited;
• Career opportunities for athletes are short term;
• Most career opportunities in high level sport do not result in fame and fortune;
• Opportunities for women, ethnic minorities, the elderly and disabled are extremely limited.
14 | P a g e
During the past two or three decades, there has been a significant change in how the sports industry
has operated and in particular the increased removal of sport from its amateur foundations. Sport as a
commodity is increasingly integrated with entertainment, media organisations and transnational
corporations, where it has become part of internationally traded goods and services (Price, 2007).
Some participants are now viewed as “media-athletes”, which has increased their social significance
(Torregrosa et al., 2004), and with the current financial rewards being offered to them, further
separate them from “normal” people (Newman, 1989, Marthinus, 2007, p.15 ).
The professional rugby union era is relatively new, both in Ireland and globally compared to other
professional sports. Rugby Union turned professional in 1995, heralding the end of the amateur era at
not just the international level, but also at provincial and club level (RFU website). Since then rugby
union has developed hugely both as a sport and as a global brand. Price (2007) in referencing Kell,
(2002) states that “the globalisation and professionalisation of rugby has many implications for the
experiences of players and introduces new patterns of work, which are characterised by greater
intensity, complexity, mobility and very different connections with notions of club, community and
nation”.
15 | P a g e
2.3 PROFESSIONAL SPORTS AND RETIREMENT
The sports career, which is defined as “the multi-year sports activities of the individual aimed at high
level sports achievements and self-improvement in sport” (European Federation of Sport Psychology,
2000), is not a homogenous entity but is composed of several stages (Cecic Erpic et al, 2004, p.46).
Cecic Erpic et al (2004, p.46) state that “each stage, including sports career transition and adaptation
to post-sports life, is characterized by a set of specific demands requiring adjustment by athletes and
has therefore been comprehended as a transition”. Schlossberg and associates proposed model of
human adaptation to transition (Schlossberg, 1981; Schlossberg, Waters, & Goodman, 1995), outlines
a transition as “an event or non-event which results in a change in assumptions about oneself and the
world and thus requires a corresponding change in one’s behavior and relationships” (Schlossberg,
1981, p. 5), with Marthinus, (2007 p. 2) referencing Baillie and Danish (1992) stating that “retirement
may occur at any stage in an individual’s life and is, in reality, a point of transition from an activity in
which there has been a commitment of time, energy and role identification”.
Research suggests that there are significant consequences for the retiring athlete, which range from
the negative effects, including catastrophic emotional and social effects (Kerr and Dacyshyn, 2000
and McKenna and Thomas, 2007), to others suggesting no change (Torregrosa, Sanchez and Cruz.
2004) to positive effects (Allison and Meyer,1988). A healthy career transition has been defined by
Alfermann and Stambulova (2007, p. 714), as “successful coping with the transition and success in
life”, which Stambulova et al. (2009) going further in saying that it represents “a general feeling of
adjustment and an increase in sport and life satisfaction”. The dichotomy of this, the “retirement
crisis” is said to result according to Taylor and Ogilvie (1994) in a number of undesirable behavioural
symptoms “including psychopathology, substance abuse, occupational, family and social problems”
which was expanded upon by Stambulova (2003) to include “disorientated behaviour, increased sense
of failure, emotional discomfort and decreased self-esteem”.
Marthinus (2007, p26) referencing the work of Rosenberg (1981) states that “for a professional
athlete, retirement from sport is not a conclusion, but often a major, perhaps jarring, shift in
occupational status and mobility. Here retirement and aging are synonymous only within the context
of the sport itself, where athletic life expectancy and productive years differ dramatically from those
to which demographers, gerontologists and other social scientists commonly refer”.
16 | P a g e
2.4 INFLUENCES AFFECTING CAREER TRANSITIONS
Marthinus (2007) comments that too often athletic transitions are portrayed as either traumatic or
liberating, rather than transitions which result in difference of adjustment, based on how each
individual perceives the transition. Werthner and Orlick (1986) and Schlossberg (1981) as referenced
by Marthinus (2007, p.4) highlight that “a multitude of behavioural patterns are associated with
athletic transitions simply because individuals bring their own perceptions of stress, personal
resources, coping strategies, and socialisation experiences to this athletic-career transition. It is a
combination of the individual, and his/her available resources, as well as the type of transition
encountered that mediates adaptive success or failure”.
Sussman’s work in relation to adjustment (1971) as referenced by Marthinus (2007, p. 6) “asserts that
perceptions about retirement will be influenced by the following types of factors:
1. Individual (e.g. motives, values, goals, problem solving skills);
2. Situational (e.g. circumstances of retirement, pre-retirement planning, retirement income);
3. Structural (e.g. social class, marital status, availability of social systems);
4. Social (e.g. family, friends, extended support);
5. Boundary constraints (e.g. societal definitions, economic cycles, employer attitudes)”.
Roberts (2010) noted that cultural differences and the existence of structured pre-retirement planning
programmes have been found to affect the transitional experiences of professional rugby union
players (Roberts, 2010). These findings are echoed in research carried out by Alfermann et al. (2004)
and Stambulova et al. (2007) across other sports which highlighted that the transition out of elite
sports is a dynamic, multidimensional, multilevel, and multifactor process in which nationality/culture
plays an important role (Stambulova, et al., 2007).
In this paper, I will detail information from the New Zealand Rugby Union Players Association
(NZRPA) on the effects of retirement amongst their members. These findings are included for
illustration purposes of the extent of issues encountered amongst other former players, noting the
limitations of applicably to the Irish context per the findings of Roberts (2010).
In looking specifically at the athletic transitions of professional rugby players, the findings of the
2011 “NZRPA Retired Players Survey” highlights the difficulties that have been faced by former
professional rugby players in New Zealand;
17 | P a g e
• Almost one third of players said they were unprepared and struggled during their first 3
months post retirement;
• 29% felt they were not prepared for their eventual retirement;
• 27% struggled to manage the transition in their first three months out of professional rugby
citing depression, feelings of despair, lack of self-esteem and anxiety issues;
• 40% faced complications during their transition – including work, study, financial, physical
and mental;
• 60% took 6 months or longer to “gain control” post retirement;
• Those who studied and/or undertook work experience during their career had a smoother
retirement transition.
To delve into the subject on a structured basis we will look at the five influences according to Crook
and Robertson, (1991) that affect career transitions;
1. Anticipatory socialisation. This is the proactive response of preparing for retirement before
it happens (Crook and Robertson, 1991). The lack of preparation for life post sports can negatively
affect athlete’s ability to adjust, with some athlete’s not contemplating retirement during their
competitive sport because considering it, may be considered defeatist and admitting to failure
(McLaughlin, 1981). Torregrosa, Boixados, Sánchez and Cruz (2004) report “that younger athletes
and those viewing retirement as distant, tend to avoid planning prior to their retirement and that job
choice gained importance as the sporting career progressed”.
“In sport, the retirement of an elite athlete can be extremely difficult to cope with if they have not
adequately prepared or have not planned for such an event” (Price, 2007). The extent to which an
athlete has prepared for the transitioning from professional sport into an alternative working
environment is strongly linked to the issues that arise (Taylor and Ogilvie, 1998; Lavallee and
Anderson, 2000). As quoted by Cecic Erpic (2011) pre-retirement planning of post-sports life broadly
influences the quality of adaptation to life following a competitive sports career (Coakley, 1983;
Pearson and Petitaspas, 1990; Stambulova, 1994; Cecic Erpic, Wylleman and Zupancic, 2004). Blann
and Zaichkowsky, (1986) wrote that “the lack of preparation for retirement and its consequences
makes the athlete vulnerable in the retirement experience”. “The degree and quality of adaptation to
career termination and transition may depend on developmental experiences that occurred since the
inception of their athletic careers” (Taylor and Ogilvie, 1998).
Price (2007) highlights research which indicates that career development and planning for elite
athletes is largely in agreement on the various benefits it provides athletes whilst in the high
18 | P a g e
performance phase of their athletic career (Martens & Lee, 1998; North and Lavalee, 2004,
McGillivrary, 2006). Price (2007, p. 59) states “that career development has the ability to broaden an
athlete’s self-identity, enhance perceptions of control, and develop life-skills. Danish (1993) defines
life-skills as those “skills that enable us to master the tasks necessary to succeed in our social
environment; for example learning to transfer skills from one domain of life to another, in particular
those skills learned in sport that can be applicable at home, at school, or in the workplace”.
Athletes who pre-plan find the transition less disruptive and they can develop passion for the new
challenge they have directed their energy to (Werthner and Orlick, 1986). The development of other
interests encourages athletes to maintain balance in their life (Sinclair and Orlick, 1993), though it
may be impossible for a professional athlete to totally balance sport with other areas of life, “given
that sport at the elite level requires an extreme level of commitment” (Balaque, 1999).
Hawkins and Blann (1996) and Martens and Lee (1999) referenced by Price (2007) identified that
“athletes understanding the career process is an important component of career development, and has
specific implications for athletes in terms of enhancing their awareness of alternative careers beyond
sport”. Yet despite this the findings of studies illustrate that young elite athletes are less likely to
engage in career development and planning activities than non-athletes (Blann and Zaichowsky, 1986;
Kennedy and Dimick, 1987, Murphy, Petitpas and Brewer, 1996). Vitale (2002, p.1) argues that
“professional athletes today have been hampered in planning for their future careers by the intense
demands of training, travel, performance and the ever-present prospect of physical injury”. Further to
this, as referenced by Danish et al (1993), athletes rewarded for their athletic endeavours may choose
not to seek success in academic pursuits or other career opportunities, instead engaging in “identity
foreclosure”, closing off alternative career identities due to this early commitment to their sport
without sufficient exploration of other avenues (Stevenson, 2001; Marcia, 1966). Murphy (1995)
wrote that athletes can feel left behind in terms of career development, as they are often making
education and work decisions later than their peers, as they delay decisions in relation to them until
after their sporting career is finished. Hill and Lowe (1974) argue that with the increased salaries on
offer for sporting professionals, that elite athletes may develop a false sense of security, and may give
low priority to career development and planning, while North and Lavallee (2004) reference these
elite athletes may perceive that they have significantly more time in their sport and fail to make plans
for their future. Cecic Erpic et al. (2004, p.47) outlines a relationship “between post-sports life
planning and a less difficult adaptation to post-sports life which has been empirically supported (e.g.
Stambulova, 1994; Svoboda & Vanek, 1982), yet approximately 45% of athletes (Wylleman et al.,
1993) do not think about their life after active sports involvement”.
19 | P a g e
The lack of preparation for retirement by some professional rugby union players in Ireland, is borne
out as on the June 30th
1999, 41 Irish players were released from their contracts, of which 18 had no
plans for new careers on the 1st
of July (Coughlan, 2009). Hamish McAdams of the Irish Rugby
Union Players Association (IRUPA) outlined that “the average rugby career is only about six years
and the majority of these guys are not earning big money …the facts are that these guys are going to
have to work for 30 to 40 years following a rugby career, so it is imperative that they have something
to go to afterwards” (Coughlan, 2009).
It would appear that from the findings of the 2008 IRUPA survey, that the realisation of life after
rugby is developing and that players are being more proactive in preparing for same; “that of the 150
professional rugby players in Ireland at that time, 75% have degrees/qualifications or are working
towards it” which he outlined “means that our players are amongst the most educated bunch of
professional players in rugby” (Coughlan ,2009).
Maeve Smith, (IRUPA players services advisor for Leinster), speaking to the Score.ie (2013), believes
the game of rugby is gradually coming to terms with the task of preparing players for careers after
they hang up their boots. “Players have to be realistic ….. Something we talk about with all players
and athletes is tomorrow might be the end of rugby for them. If that comes, they face a transition
period, just like everyone else who works must, at one stage or another.” She added; “Before rugby
was professional, players went back to their jobs when they retired. In the early years of
professionalism the awareness was not there, that players needed qualifications or development in
other areas of the life. That is beginning to change now.”
In 2008, an IRUPA survey conducted by BDO Simpson Xavier Consulting found that “Only 6% of
players found the experience easy, with the vast majority of players finding it difficult. Coupled with
financial and medical issues, is the psychological factor, retirement for a pro rugby player represents a
major change in lifestyle, it affects every aspect of your life – not alone are you trying to plan a new
career and experiencing a large salary drop but you are also dealing with the Hero to Zero effect.”
(IRUPA, 2008).
While we have discussed some of the growing literature on the implications of career development
and planning, which highlight improved performance, life-skills and career awareness, which can
stabilise athletes in the present and prepare them for their futures, including the development of the
identity of athletes and their preparation for athletic termination and transition, it is evident that
significant barriers exist in the engagement of athletes with same, and that anticipation of retirement
would appear to be very much a personal preference;
20 | P a g e
Alan Quinlan (former Munster and Irish Professional Rugby Union Player) (2010, p. 243) writing in
his autobiography ; “So, I am planning for the future – I’ve got the same fears and concerns that any
professional sportsman has, but I’m not looking too far ahead”.
DJ Forbes (New Zealand Sevens Captain) comments in NZ Rugby World (2011, p. 93) that “with his
29th birthday arriving soon…he’s already working on a transition plan for when his rugby days are
over. I’m not too fussed. I went into the workforce straight after school and didn’t play rugby right
through so I’m pretty confident I’d be able to get a job if rugby came to a halt”.
Luke Andrews (former rugby union player with Wellington in New Zealand) says in NZ Rugby World
(2011, p. 97) that; “all rugby players, including myself, think that they’re bullet-proof and their
careers are going to last as long as they want it to. I was lucky that mine has but could’ve easily been
injured or got a tap on the shoulder by a coach saying I might want to consider something else next
year. If I’d been left in the lurch, my one regret would’ve been not getting enough work experience.
You’ve got to do it as soon as possible, get proactive and get some sort of qualification behind you”.
2. Identity and self-esteem. The loss of identity and diminished self-esteem are problems
associated with the transition to retirement of professional athletes, as many of them gauge their self-
worth on their athletic identity and ability (Botterill, 1981). Some researchers suggest that one of the
most important determinants of adjustment to retirement, “is the degree to which an athlete’s identity
is immersed in the sport, or self-worth is defined by sport” (Marthinus, 2007, p.10, Baillie and
Danish, 1992; Pearson and Petitpas, 1990; Taylor and Ogilvie, 1994). Webb et al, (1998) and Coakley
(1998) “argue that the danger of such strong and exclusive identification with the athlete role is that it
may result in identity crises and emotional disturbances following termination of athletic
participation” (Price, 2007, p. 147).
“Cecic´ Erpicˇ et al. (2004 p. 47) highlighted “an athlete’s commitment to sports and the consequent
reduction of investment in other social roles (e.g. student, partner, friend) often leads to the formation
of a strong athletic identity (McPherson, 1980), which can have both positive and negative
consequences for participants in sports. It has a positive influence on sports achievements (Danish,
Petitpas, and Hale, 1993; Werthner and Orlick, 1986), exercise adherence, and athletic performance
(Brewer et al., 1993). Other researchers have found evidence to suggest that individuals with strong
athletic identity risk experiencing difficulties after sports career termination (e.g. Blinde and
Greendorfer, 1985; Cecic´ Erpicˇ, 1998; Pearson and Petitpas, 1990; Werthner and Orlick, 1986)
which may also affect the duration of emotional and social adjustment to post-sports life (Grove,
Lavallee, & Gordon, 1997)”.
21 | P a g e
Given the short term nature of professional rugby union career, the development of life skills would
appear particularly important, and given the commitment required for this athletic career, the
involvement in the sport does not necessarily assist in the development of skills in some of these areas
(Horne et al, 1999, McGillivrary et al, 2005). Petitpas et al (1997) argues athletes may struggle in life
after work for a number of reasons, the athlete who possesses effective life-skills are better able to
cope with the challenges of a career outside sport than those who lack these skills. Their argument
goes further in saying that those athletes who were successful in learning important life-skills from
their participation view themselves not just as talented athletes but also as talented people; that they
have transposed their sport success into life success.
Murphy (1995), Martens and Lee (1998), Anderson (1999) and Hickey and Kelly (2005), argue that
socio-economic status, financial dependency on the sport, perceived performance, balance of life and
post-athletic occupational potential would all be positively influence by career development. Price
(2007) also references other studies “which have found that career development and planning that
assists athletes to develop work and social skills enables them to deal more effectively with the
pressures of being elite athletes, and suffer less anxiety about being a late starter in a career outside
sport” (Brewer, Van Raalte and Linder, 1993, Danish, Petitpas and Hale, 1993, Murphy, 1995).
Stephan et al. (2003) speaking of the areas that “contribute to an athlete’s satisfaction with life, which
constitutes the basis for their subjective well-being, highlight that an elite athlete’s life style is
subordinated to sport, which becomes a way of life (Stambulova, 1994). Life style is based on
powerful commitment, both physically and emotionally (Wylleman, De Knop, Menkehorst,
Theeboom and Annerel, 1993), with daily routines and regimes of energetic discharge and physical
exercise, stimulation and efficiency (Steinacker, Lormes, Lehman and Altenburg, 1998).
With evidence suggesting physical activity and sport act as protective factors against stress,
depression and/or unsettling behaviour (risk-taking, experimental behaviours and drugs use) (Ferron
et al., 1999), elite athletes may not experience the gambit of psychological, social or physical
development stages experienced by their non-athletic peers, leaving them ill-equipped for lifestyle
changes upon retirement (Smith and McManus, 2008).
Other factors which complicate transitions include athletes who do not feel that they have achieved
their goals, particularly due to injuries or de-selection (Werthner and Orlick,1986). Consideration of
life after their retirement eases the transition, as athletes develop interests which make their athletic
identity less prominent (Blinde and Greendorfer, 1985). Athletes, who adopt a sense of
accomplishment of achieving their sporting goals, view their athletic experience as positive, and this
makes them more willing to tackle new challenges (Sinclair and Orlick, 1993; Werthner and Orlick,
22 | P a g e
1986). Ian McKinley (former Leinster player) saw his career ended at the age of 21 after suffering a
serious eye injury, stated in an interview; "That's why I was so relieved to have that one year of
playing with Joe (Schmidt) behind me at least. If I didn't do that I would have gone crazy completely
(Boyle, 2012)”.
Roberts’ (2010) research on athletic identity and life satisfaction between former professional rugby
union players from England, Wales and South Africa, found that latter enjoyed higher levels of
athletic identity both during and after their athletic career. She deduced from her research that lack of
pre-retirement planning, combined with high levels of athletic identity equate to low levels of life
satisfaction for the South African athletes.
Price (2007, p. 146 (17 players surveyed ranging in age from 19 to 22)) in his research on young elite
rugby players in both Australia and New Zealand, highlighted the importance to rugby in the
participants identities, when they were asked to rank the top three priorities in their life;
TABLE 2: PRIORITIES IN LIFE OF YOUNG ELITE RUGBY PLAYERS IN AUSTRALIA & NEW ZEALAND
PRIORITIES IN LIFE 1ST
PRIORITY % 2ND
PRIORITY % 3RD
PRIORITY %
Rugby 59% 18% 24%
Family 24% 35% 12%
Education 6% 35% 18%
Religion 12% 0% 6%
Social life 0% 6% 29%
Friends/Girlfriend 0% 12% 0%
Career 0% 0% 6%
Price’s findings, of rugby being of most important priority of this young age group, (which is not
surprising “given that sport at the elite level requires an extreme level of commitment” (Balaque,
1999)) is even more disturbing given the link between athletic identity and transition in retirement,
and the findings from the 2011 “NZRPA Retired Players Survey” which identified the following;
• 15% experienced loss of self-esteem or confidence
• 34% experienced problems due to loss of identity/public profile
• 13% of players still consider themselves to be professional rugby players post retirement
23 | P a g e
• 39% believe their sense of identity (who I am) has improved since retiring.
However, encouragingly the survey found that 87% of current players are undertaking some form of
meaningful career education and/or personal development outside of rugby and 90% are actively
seeking to develop a potential career outside of rugby. 78% believe that since retiring they have
developed a strong interest in things outside of rugby.
Looking at comments made by former and current rugby union professionals, some players would
appear to be acting very diligently, both pre and post retirement, with the development of appropriate
qualifications to secure employment post rugby;
Anton Oliver, who played professionally for Toulon and New Zealand and who retired at the 33.
During his career he managed to acquire degrees in Finance and Physical Education, but he concedes
his concern at a rugby world devoid of the brainy young men who once represented universities like
Oxford and Cambridge and then went on to become respected doctors, lawyers, academics, leaders in
finance and such like. " I think that the player at the end of it, although he will be richer in rugby
experience, will be the poorer as a person overall. But it was always going to happen once rugby
went professional. You are not going to get that any more All Blacks who are Rhodes scholars in the
future. My feeling is that if you are reasonably intelligent and you have got an inquiring mind, a
professional rugby life is not enough now. It's a very uncertain path because of all sorts of things like
injuries that you can't control…Because to me, the game still hasn't sorted out what it is going to do
with all the 32-year-olds that will get spewed out the other end of the system, emerging without any
qualifications or any real life experience”. (Bills, 2008).
Simon Miall who played for Harlequins and who retired at the age of 31, after five years as a
professional, felt that some of his career prospects were hampered as he “ was put off by the prospect
of having to start on the bottom rung of law or accountancy” given his age. He offers a warning to
professionals playing today, saying “you are a long times retired, so keep other things going
alongside rugby” (Edgar, 2010).
3. Personal management skills. Given their oft total commitment to support from an early age,
athletes may grow to depend on their coaches or others for decision making purposes. The sports
environment creates a lifestyle based upon commitment, discipline and routine that is designed to
shelter an athlete from external distractions (Stephan et al. 2003). Nicholi (1987,p. 1096) references
the unusual environments that some athletes evolve in stating “ in one sense, athletic development has
proceeded at the expense of emotional development”. This dependence may hamper the athlete’s
retirement transition because they are dependent on others, for such factors are personal management
(Botterill, 1981). “Studies conducted by Werthner et al. (1986) and Kerr et al. (2000) investigating
24 | P a g e
past athletes’ perceptions of retirement suggest the sports environment may lead to a poor sense of
personal control due to the management of daily routines, behaviours and decision-making by coaches
and sports associations” (Smith and McManus, 2008), with very few athletes indicating a strong sense
of control during their sport career (Werthner et al., 1986; Kerr et al.,2000).
A positive relationship with a coach can ease the transition, allowing the athlete to reach their goals
and to enjoy their athletic experiences, however, a negative relationship, which might include factors
which means that the athlete may be forced to leave the sport earlier than they expected can lead to a
difficult transition (Werthner and Orlick, 1986).
4. Social support systems. Werthner and Orlick (1986) among others highlight that the support
of family and friends can ease the degree of disruption that the transition to retirement often brings,
with Botterill (1981) stating that support from former athletes, family, and sport helps the adjustment
to athletic retirement (Baillie and Danish, 1992; Petitpas, Danish, McKelvain and Murphy, 1992;
Sinclair and Orlick, 1993). Studies by Arviko (1976), Hearle (1975), Mihovilovic (1968) ,Werthner
and Orlick (1986), Gorbett (1985) and Fortunato (1996) indicate according to Marthinus (2007, p.
92), “athletes with a broad-based social identity that includes family, friends, educational, and
occupational components demonstrated better adaptation following retirement”. As often a large
majority of the friends and acquaintances are found in the sport environment and their social activities
revolve around same (Botterill, 1990; Svoboda and Vanek, 1982), retired athletes find themselves
avoided by current players or “socially dead”, a concept used by Rosenberg (1981) and Lerch (1982).
This isolation might be exacerbated by the fact that “training and playing demands limit conventional
social connections, and intense bonding takes place” (Light and Kirk, 2001, p. 85). (The 2011
“NZRPA Retired Players Survey” found that 70% miss the camaraderie of professional rugby). This
avoidance behaviour may be adopted by athletes who are still active to “protect themselves from
admitting the uncertainty of their own careers” Marthinus (2007, p. 93). The loss of a support system
of friends, who continue on in the sport, is said to negatively impact on the transition (Mihovilovic,
1968).
Additionally to this Hill and Lowe (1974) comment “that professional sports teams are unlikely to feel
any obligation to prepare their athletes for the inevitable metathesis” that retirement will bring which
exacerbates the issue of retirement transition. Crook and Robertson (1991) highlight that support
systems, if available, often just help with employment upon retirement, and often fail to provide
emotional support.
25 | P a g e
The 2011 “NZRPA Retired Players Survey” findings in relation to transition support were;
• 83% said family and friends was most crucial;
• Approximately 50% felt that they were not well supported during their initial retirement with
29% finding it difficult to talk to people about their transition;
• Only 19% of players felt well-supported during their transition – players were hesitant in
asking for help and assistance was not as accessible as it is now.
Eoin O'Malley (Leinster and Irish A professional rugby union player) who was forced to announce his
retirement from the game due to a long term knee injury. Commenting at the time to Leinster Rugby
(2013) in relation to the support that he had received he says; “It is obviously an incredibly tough
reality that I am still trying to come to terms with,” ….“After exhausting all options I am devastated
to be retiring from the game. But I am so fortunate to have such a great support base. I would like to
say a very special thank you to my family, girlfriend, friends and Leinster team-mates who have been
so supportive -–especially over the last few months”.
5. Voluntary versus involuntary retirement. Coakley (1983) comments that voluntary
retirement, as defined by Kerr and Dacyshyn (2006), as retirement when an athlete has another
choice of action, can lead to a positive transition as it may be considered part of normal human
development. Research illustrates that adaptation to retirement is dependent, in part, on the nature and
quality of the sport experiences (Kerr and Dacyshyn ,2006). With involuntary transition, athletes find
themselves less prepared and more resistant to retirement, than those who retire voluntarily
(McPherson, 1980). Retirement where the athlete has no control over their retirement decision,
because of age, injury (Werthner and Orlick, 1986), de-selection, conflict with coaches and
management (Kerr and Dacyshyn, 2000; Werthner and Orlick, 1986, Allison and Meyer,1988; Baillie,
1993; Cecic-Erpic, 2004), or for family reasons, appear problematic to retirement transition
(Mihovilovic, 1968).
Age : Marthinus (2007, p36) referencing the work of Khan (1972), Kramer (1969), Mihovilovic
(1968), Weinberg and Arond (1952) and Svodoba and Vanek (1982) states that “age, or more
specifically, the decline in performance due to advancing age, is typically considered to be a primary
cause of retirement”. The 2011 “NZRPA Retired Players Survey” found that the average age of
retirement for players sampled in their survey was 32, with an average career span of 9 years. The
survey indicates that nearly half of the players had an element of choice in regards to retirement, with
26 | P a g e
about half (48% of players retirement was unexpected) having the decision forced on them through a
combination of physical (body can’t cope), medical (injury) or other environmental issues (non-
selection).
Information on the length of the professional career of the current professional Irish rugby union
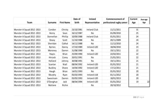
players is not readily available, however in, appendix 3, I have attempted to highlight the current age
demographic for both the professional Irish and Munster teams. A summary of the results highlight
that players over 30 years of age, account for only 22% of the Irish senior team squad and only 17%
of the Munster 1st XV squad.
TABLE 3: AGE DEMOGRAPHIC OF PROFESSIONAL RUGBY TEAMS IN IRELAND
NO. OF
PLAYERS
OLDEST
PLAYER
AGE
YOUNGEST
PLAYER
AGE
AVERAGE
PLAYER
AGE
MODE % UNDER
27 YEARS
OF AGE
% OVER
30 YEARS
OF AGE
Ireland Senior Team
2012 -2013
50 34 20 28 28 46% 22%
Munster 1st XV
Squad 2013-2014
41 34 21 26 26 65.85% 17.07%
Munster A Squad
2012 - 2013
17 31 19 22 24
Ireland Under 20
squad 2012 – 2013
23 20 19 19 20
Munster Academy
2013 - 2014
10 20 18 19 20
Considering that according to IRUPA (2008) the “average rugby career is only about six years”, and
with players committing to rugby in a very serious manner from a young age, such as those chosen for
the Munster “A” squad (average age of 22) and the Irish Under 20 and the Munster Academy,
(average age of 19), the worry has to be what will become of these players should the average career
statistics run true?
Price (2007, p. 132) in his research on young elite rugby players in both Australia and New Zealand
(25 players surveyed ranging in age from 19 to 22) found that while they expected their future
27 | P a g e
professional rugby careers to last in the majority of cases (53%) for the next seven to ten years,
statements from “management and coaches suggested that in fact the majority of players will play
professional rugby for only four seasons or less, a figure in stark contrast to the 71% of players who
indicated they would play elite rugby for between seven and fifteen years”.
The psychological implications of ageing in sport are said to include;
• A decrease in motivation for training and competing (Werthner and Orlic, 1986);
• A change in values and priorities (Cecic-Erpic, 1998, 2000; Svoboda and Vanek, 1982);
• A decline in self confidence in related social activities (Sinclair and Orlick, 1993);
• A loss of status in the sports environment (Sinclair and Orlick, 1993).
Former All Black coach John Mitchell, highlighted a distinguishing feature between the work of a
professional athlete and other types of work, is that age often determines career length for a
professional athlete, when he commented that with “talent being identified earlier and the nature of
the elite game requiring athleticism, power and strength, international rugby careers will start earlier
and finish earlier, beginning at 19 or 20 and finishing at 26 or 27” (Thomas, 2003).
John Hayes (former Munster and Irish Professional Rugby Union Player) (2012, p. 253) in writing in
his autobiography states; “I had just turned thirty-eight. I couldn’t summon up the same sort of
hunger anymore….The level of preparation was increasing every year. Times were changing; the
game doesn’t stand still, and I was starting to struggle to keep up”.
Injury : Retirement due to career ending injuries, which can happen at any age is said to according to
Elkin (1981) and Rotella and Heyman (1986) “ to possibly cause athletes to experience identity crises,
social withdrawal, fear, anxiety, and loss of self-esteem”.
Rugby union is a high injury sport, or to quote Francois Pienaar (former South African Captain).
“Rugby’s not a contact sport anymore. Dancing is a contact sport. Rugby is a collision sport”, which
sums up the physical nature of the sport which belies the injury statistics. Amongst professional rugby
union players, the risk is heightened with findings by Bathgate et al., (2002) highlighting in Australia
a “57% increase in injuries, comparing pre- and post-professionalism (from 47 injuries per 1000 hours
to 72 injuries per 1000 hours)” which parallels the findings of a Scottish study by Garraway et al.
(2000). “For comparison, the rates in field hockey, basketball, and netball are respectively (15.2, 15.1
and 12.1 per 1000 hours” (Stevenson et al.,2002, as quoted by McKenna and Thomas, 2007, p. 21).
As referenced by McKenna and Thomas (2007), “tolerance of these injury rates, may stem from
attitudes which may include respect for authority, club loyalty, and values of “cultural capital” such as
“hegemonic masculinity” (Light and Kirk, 2000), stoicism and being a “real-man”, by tolerating
28 | P a g e
hardship without complaint” (Howe, 2001). The technical ability of players has increased
immeasurably, coupled with the demand for increased levels of fitness and physical and mental
robustness. Recent studies have concluded that the higher the standard of rugby, the higher the
chances of an injury occurring (Traylor). Reasons for this include; longer playing seasons, higher
levels of competitiveness, increased intensity in training techniques and the fact that it is a full time
job so they spend most of their time trying to develop into better players, physically and mentally
(Traylor).
The most recent figures available from the English Rugby Football Union (R.F.U. ) are detailed in a
2013 report carried out by the English Professional Rugby Injury Surveillance Project Steering Group
on behalf of The Rugby Football Union and Premier Rugby Ltd. which presents the high level
findings from the 2011-12 season in relation to injuries, and compares them with the results from the
8 previous Injury and Training surveillance seasons (2002-03, 2003-04, 2005-06, 2006-07, 2007-08,
2008-09, 2009-10 and 2010-11). This report found that:
• “The overall risk (incidence and day’s absence) of match and training injury in Aviva
Premiership Rugby remained stable during the 2011-12 season and was within the ‘normal
range’ of season by season variation seen since the study began in 2002.
• Whilst the incidence or likelihood of sustaining a match injury reduced by 12% (94→82
injuries per 1,000 hours) compared to 2010-11, this was counterbalanced by an increase in
average match injury severity from 21 to 27 days, although this increase was still within the
range attributable to season by season variation. The increase in average severity was largely
as a result of an increase in the number of injuries resulting in 3-6 months out of the game.
This figure is an increase on the findings of Bathgate et al. (2002) as discussed previously.
• 323 training injuries were reported. Therefore, one third of all reported injuries are occurring
in a potentially controllable environment”.
More worryingly would appear to be the statistics in relation to the retirements caused by injuries. The
2013 report from English Professional Rugby Injury Surveillance Project Steering Group, found that
six players retired (out of 574 Aviva Premiership First Team squad members) in the 2011-2012
season as result of injuries sustained (either through first team competitive matches, training or that
were cumulative) that did not resolve during the season. (Note this does not include the number of
retirements as a result of injury from which a player had been deemed to have returned to full fitness
before retirement, and thus this figure does not fully reflect the total number of players who retired
due to injury). This brought the number of retirements since the 2002-03 season to 33 based on the
already mentioned criteria. Alarmingly the RPA (Rugby Players Association) Rugby Director David
29 | P a g e
Barnes says of the forthcoming 2013/2014 English rugby domestic league season "it is a grave
concern to us…. that Rory becomes the 7th player to be forced to retire this season before the Aviva
Premiership season has even got underway. Following on from 22 forced retirements last season
(2012/2013), the highest number recorded, the RPA will be working with the players, Premiership
Rugby and the RFU to ensure that player welfare is the key focus for the game (ESPN, 2013)."
The issue of player welfare and preparation for life after sport, as increased in significance within the
world of sport, and particularly in rugby, and is now widely reported upon in the popular press, as the
popularity of the game grows in the wake of professionalism, and as its players take on the role of
“media-athletes” (Torregrosa et al., 2004); “Eoin O'Malley is the latest to have his dream taken from
him. The Leinster star was forced to announce his retirement last week at just 25 years of age with a
knee injury. He joins an unfortunate group. Players such as Ian Dowling (at 28), Denis Leamy (30),
Darragh Hurley (26) and Shane Horgan (33) have all had their careers brought to a premature end
because of serious injury” Conor George in the Irish Independent (27th
August 2013).
On the 20th
August 2013, at 25 years of age, Eoin O'Malley (Leinster and Irish A professional rugby
union player) was forced to announce his retirement from the game due to a long term knee injury.
Commenting at the time, to Leinster Rugby (2013) he says; "It is obviously an incredibly tough reality
that I am still trying to come to terms with….At the age of 25, it is surreal to be reflecting on your
career, especially when I hoped there were many more years ahead for me.” He had only turned
professional in 2009 for Leinster.
Ian McKinley (former Leinster player) saw his career ended at the age of 21 after suffering a serious
eye injury. Speaking in 2012 to the Donnacha Boyle of the Irish Independent he says of attempting to
return to rugby;"I weighed the pros and cons up with my dad. The pros were fame, for want of a better
word, and playing the sport you love. I didn't care about the money. The cons were, well, your whole
life”. And in closing remarked when asked, “was there life after rugby?”; “"There was life during it."
George (2013) highlights that as rugby has matured from its early days of professionalism, so too has
the cognisance of the governing bodies to the issues surrounding the transition of players into
retirement from the game, and that progress has been made in dealing with same, through IRUPA
which have “player advocates employed in the four provinces to liaise with the players and help the
likes of ….(injured players) and even those retiring on their own terms, to make the transition into the
'real world' after their careers come to an end”.
This progress is probably highlighted best by examining the comments of John O’Neill, who played
with Munster, until he was forced to retire in 2003 at the age of 29. At the time of his retirement he
commented to Munster Rugby (2003), “It goes without saying that I am pretty dejected about having
30 | P a g e
to give up playing rugby. I thought I would have gotten a few more years out of a job I really enjoyed.
But in the end the decision was made for me and now it's a question of getting on with it. ….The
priority now for me is to get myself sorted out work-wise with a view to the future. As I said I thought
up to very recently that I would be involved in rugby for a few years to come but now I have to
readjust my thinking and think of another career.” In an interview with Conor George (2013) he
outlines how this transition unfolded; there was no contingency plan in place, no advisor on what to
do next, no support network. "I had to get a job. We had nothing in place. I thought I had another
four or five years of playing but then we had no systems in place, certainly not what the guys have
now. …It was a shake of the hand, your P45 and out the gate. There's no bitterness, absolutely none.
Back then, neither the provincial sides nor the national team were set up to cater for retiring players.
They had nothing in place….It was trial and error with us…... The generation before us had proper
jobs so it wasn't as much of a wrench. In my case I was lost. I wasn't set up for it."
De-selection : Svoboda and Vanek (1982) recorded that “de-selection is one of the harshest processes
that occur at every level of competitive sport”. Competitive sport is according to Ogilvie and Howe
(1982), “unlike other areas of life in which people may continue to function regardless of level of
competence, and relies on the Darwinian philosophy of “survival of the fittest”.
Alan Quinlan (former Munster and Irish Professional Rugby Union Player) (2010, p. 243) outlines
the dispensability of the modern sportsperson in the professional era ; “I’d like to stay forever as a
player. But that cannot be. Like products on a supermarket shelf, professional sportsmen are a
perishable commodity and my rugby best-before-date is getting closer and closer”.
Voluntary : The perception of control over an athlete’s retirement, does according to Marthinus
(2007, p41) referencing the work of Bandura (1997) aid “mental health and successfully
development, and also is strongly correlated to heightened feeling of self-efficacy, which plays a key
role in behaviour change and adjustment”. Research illustrates that adaptation to retirement is
dependent, in part, on the nature and quality of the sport experiences (Kerr and Dacyshyn ,2006).
With involuntary transition, athletes find themselves less prepared and more resistant to retirement,
than those who retire voluntarily (McPherson, 1980). Some researchers such as Coakley (1983),
Blinde and Greendorfer (1985) and Greendorfer and Blinde (1985) have found that retiring athletes
may actually experience liberation from the pressures and the punishing time commitment of sport.
Marthinus (2007, p41) references Sinclair and Orlick (1993) in stating that “the three most important
reasons for athletes selected for deciding to retire were;
1. They were tired of the lifestyle and decided that it was time to move on;
2. They had achieved their goals;
3. They had difficulties with the coaching staff.”
31 | P a g e
Werthner and Orlick (1986) highlight that athletes “may seek new challenges and go their own way”,
with Greendorfer and Blinde (1985) finding that “they may look for other sources of satisfaction in
other areas of life, or may even have a change in values”.
John Hayes (former Munster and Irish Professional Rugby Union Player) (2012) in writing in his
autobiography states; “It was nice of him to ask, but my mind was made up. I was ready to let go now.
It was settled in my head. My career was over. It had reached its natural, organic end. There wasn’t a
tiny part of me that was tempted to hang on. ”(p.253)…. “Between the farm and the family I’m
looking forward to a long and contented life. I was steeped to get out of the game without any injuries
that could affect the quality of your life in later years” (p.258).
Sean Brophy who played for Leinster in 2004, spoke about his voluntary retirement. Having decided
at the age of 23 to pass up an opportunity to play for Connacht, he decided to study for his masters on
the basis that “pro rugby for me was looking in quite a narrow way, it can be monotonous and hard
work. I need something more than just sport for an income. I’m just glad it worked out”. (Drennan,
2013).
32 | P a g e
2.5 DIFFICULTIES EXPERIENCED BY RETIRED PROFESSIONAL RUGBY
UNION PLAYERS
“The quality of the sports career transition and the adaptation to post-sports life thus depends upon
athletic and non-athletic factors. Their influence can result in a successful, relatively smooth
transition, or in more or less intense difficulties at the psychological, physical, psychosocial, and/or
occupational level” (Cecic´ Erpicˇ, Wylleman and Zupancic,2004, p.48, Wylleman, Lavallee and
Alfermann, 1999).
With retirement, the role transition of athletes to a new career, does according to Drahota and Eitzen
(1998) present a challenge, given that the athlete’s lose the primary source of their identities, coupled
with the loss of financial rewards, hero status amongst fans, media attention, social status and other
extrinsic and intrinsic rewards (Crook and Robertson, 1991; Sinclair and Orlick, 1993).
Omar Hassanein, CEO of IRUPA, and former professional rugby player in Australia, Japan, France
and Italy, who had to retire because of injury, states in an interview with George (2013) talking about
his own transition; "You experience a loss of identity,…. It's a rough transition and elite athletes at
this level are very susceptible to mental and psychological issues because of the heights and depths of
their careers and experiences”.
Emmet Byrne (retired Leinster player) speaking to Joe.ie (2012) outlined that difficulties in transition
into retirement appear commonly amongst former players in Ireland; “I haven’t found anyone within
my close circle of friends, who are professional rugby players, who haven’t struggled in some way or
form once they retired.”
Difficulties recorded on the psychological level include;
• Identity crisis - (e.g. Baillie and Danish, 1992; Crook and Robertson, 1991; Pearson and
Petitpas, 1990),
• loss of self-worth (e.g. Cecic´Erpicˇ, 1998; Wylleman et al., 1993),
• decrease of self-esteem (Werthner and Orlick, 1986),
• decline of life satisfaction (Cecic´ Erpicˇ, 1998; Werthner and Orlick, 1986),
• emotional problems (e.g. Alfermann and Gross, 1997; Cecic´ Erpicˇ, 1998; Werthner and
Orlick, 1986),
• feelings of unaccomplished athletic goals (Cecic´ Erpicˇ, 1998; Werthner and Orlick, 1986),
• and alcohol and drug abuse (Mihovilovic, 1968, Hill and Lowe, 1974).
33 | P a g e
The 2011 “NZRPA Retired Players Survey” highlighted that in relation to physiological and
emotional issues;
• 74% said they coped well with retirement
• 26% cannot say they coped well.
• 35% of retired players experienced depression or feelings of despair – 43% of players who
retire due to injury cited depression or feelings of despair;
• 30% experienced high levels of anxiety and stress;
• 23% experiences alcohol or substance abuse;20% experienced relationship issues;
• 13% experienced aggression issues.
Roberts’ (2010) research between former professional rugby union players from England, Wales and
South Africa found the following in relating to emotions and difficulties; that uncertainty
characterised the transitional period for former English rugby union players; while former South
African players reacted with more anxiety to same. South African players also showed a higher
likelihood to have difficulties in transition. She found that coping mechanism differed according to
nationality, with former English players more prevalent at coming up with strategies and plans,
expressing negative feelings and talking to other people concerning issues. The former Welsh players
were more vocal as a method of “letting unpleasant feelings escape”, while the South African players
were slightly more inclined to refuse to believe in retirement.
Physical difficulties recorded include;
• injuries and health problems (e.g. Svoboda and Vanek, 1982; Werthner and Orlick, 1986),
• problems with detraining (e.g. Cecic´ Erpicˇ, 1998; Wylleman et al., 1993),
• and dietary problems (e.g. Cecic´ Erpicˇ, 1998; Svoboda & Vanek, 1982).
The 2008 IRUPA survey found that “41% of players retired from rugby directly as a result of injury
out of which 72% are in regular pain or discomfort as a result of injuries sustained during their
playing career. Nearly half of players can no longer play rugby of any kind”. Other statistics revealed
by IRUPA include that “30% of players forced out of the game, and claiming insurance from the
injuries that curtailed their career, are under the age of 30” (thescore.ie, 2013).
The 2011 “NZRPA Retired Players Survey” found in relation to medical issues that;
• Players typically averaged 14 major injuries (out for 1 month of more or hospitalised for 1
night or more) during their career.
• Average career was 9 years, which equals 1.5 major injuries per player per year.
34 | P a g e
• 8% sustained an injury that put them out for a year or more, 33% for 6 months or more and
65% 3 months of more.
• 37% of players are suffering major medical problems post rugby career while 51% believe
that injuries suffered during their career have impacted negatively on their current health and
well-being.
• 67% are worried about the implications that injuries sustained will have later in life.
• Average 2.5 medical issues per player post rugby.
The 2011 “NZRPA Retired Players Survey” finding in relation to health issues was;
• 58% of players retired as a result of injury or wear and tear;
• For 30%, one major injury directly resulted in their retirement;
• For 12%, a combination of injuries resulted in their retirement;
• 16% stated that “wear and tear” resulted in retirement.
Further findings from the 2011 survey on medical welfare in the comparing past players with current
players, highlights that while players may still take to the pitch injured under some outside influence
there has been a notable reduction in same;
TABLE 4: FINDINGS ON MEDICAL WELFARE (NZRPA RETIRED PLAYERS SURVEY 2011)
PAST PLAYERS CURRENT PLAYERS (2009 NZRPA SURVEY)
68% felt pressurised to play while injured 10% have been pressured to stay on the field after
a concussion/injury
70% felt pressured to play before fully recovering
from injury
18% have been pressured to play before fully
recovering from injury
52% felt pressured to stay on the field after being
injured
73% hid an injury from medical staff in order to
play
20% have not always told the medical staff about
concussions
3% felt pressured to take performance enhancing
drugs
8% have felt pressure to take performance
enhancing drugs.
35 | P a g e
Difficulties recorded on the psychosocial level include;
• social and cultural loneliness (Botterill, 1988),
• deficiency of social contacts (Cecic´ Erpicˇ, 1998; Danish et al., 1993),
• emotional and psychosocial breakdowns (Hearle, 1975; McPherson, 1980, Mihovilovic,
1968)
• and problems with building new relationships outside of sports (Cecic´ Erpicˇ, 1998;
Mihovilovic, 1968).
Difficulties recorded on the occupational level include;
• lack of an occupational career (Cecic´ Erpicˇ, 1998),
• lack of professional qualification (e.g. Cecic´Erpicˇ, 1998; Wylleman et al., 1993),
• less suitable professional career choices (Wylleman et al.,1993),
• And a decline in financial income (e.g. Cecic´ Erpicˇ, 1998; Werthner and Orlick, 1986;
Wylleman et al., 1993).
Garraway et al, (2000) comments that, in rugby, the worker has a relatively short productive work
life, and is prone to serious injury, with Horne et al, 1999, stating that the chance of maintaining or
improving the level of income after retirement from sports is unlikely for many.
The 2008 IRUPA survey found that professionals; “experience a significant drop in earnings on
retirement. The results show that even two years after retirement most players struggle to achieve the
same salary. 9 out of 10 player’s salaries decreased in the first two years after retirement and of those
players earning up to €100,000 during their career, only 1 in 4 were able to maintain this level on
retirement”.
The 2011 “NZRPA Retired Players Survey” found that since retirement;
• 46% of players had been unemployed at some stage since retiring – of which 82% were
unemployed for a period of 3 months or longer;
• 93% are currently employed;
• 47% believed playing professional rugby inhibited their ability to work/study while 53%
would have liked more opportunities to work or study.
• 87% of current players are undertaking some form of meaningful career education and/or
personal development outside of rugby and 90% are actively seeking to develop a potential
career outside of rugby.
36 | P a g e
• 50% of all players will earn less than $60k in their first 2 years after retirement (28% are still
earning less than $60k.
TABLE 5: SALARY FINDINGS OF RETIRED RUGBY PLAYERS IN NEW ZEALAND (NZRPA RETIRED PLAYERS
SURVEY 2011)
FINAL 2 YEARS PLAYING FIRST 2 YEARS AFTER PLAYING
$200k + / year 48% 7%
$100k+/year 79% 24%
$60k+/year 93% 56%
In relation to personal networks and work experience the survey found;
• 60% said they attained their job through personal networks;
• 28% worked at their current job before or during their rugby career;
• 33% of players ended up working in a rugby related environment;
• 24% found work in a professional services (tertiary education required);
• 15% own a business.
The survey also found that those who studied and/or undertook work experience during their career
had a smoother retirement transition with 88% of players agreeing that having and education or trade
is an important part of life after professional rugby;
• 42% said that the qualifications they obtained before or during their rugby career helped them
gain employment on retirement;
• 40% of past players had a degree before becoming professional rugby players and 29% had a
trade or workplace qualification;
• 52% of players actively studied during their rugby career;
• Only 25% of past players enrolled in an educational institution following their retirement but
47% would like the opportunity now that they have retired.
37 | P a g e
2.6 LOCATING THE PROBLEM WITHIN THE LITERATURE
In the last forty years, research into the career development of talented and elite athletes has evolved
into a growing topic of study among the sport psychology community (Wylleman, Lavallee, &
Theeboom, 2004). The majority of both theoretical and applied sport psychology literature
concentrates on elite competitive sport and means to help athletes achieve top level goals, however,
with the development of sports sciences, due no doubt to the increased commercialisation of
professional sports, there has been a growing interest in conceptualising the sports career termination
process (Torregrosa et al., 2004).
Studies in relation to various aspects of this process include;
• Adaption to the difficulties and trauma associated with career termination -Mihovilovic, 1968;
Ogilvee and Howe, 1986; Taylor and Ogilvie, 1994; Werthner and Orlick, 1986).
• Retirement from competitive sport being a life event that influences former athlete’s well-being
and development – Alfermann and Gross, 1997, Greendorfer and Blinde, 1985; Wylleman, De
Knop, Menkehorst, Theeboom and Annarel, 1993.
Difficulties exist in the research to date which is said to stem from “a divergence between conceptual
and empirical matters” (Marthinus, 2007, p.2).
The conceptual formulations, such as Sussman’s Analytical Model for the Sociological Study of
Retirement, 1972 and Schlossberg’s Model of Human Adaptation to Transition, 1981, are drawn
externally to the world of sport and applied to the sports area without the consideration of findings
already reported in sport literature on retirement (Taylor & Ogilvie, 1994).
The empirical research in the area per Marthinus (2007, p. 3) in quoting Sinclair and Orlick, (2003),
examines the “dynamics of athletic transition and is grounded in crisis orientation”. This is a portrayal
of the post retirement life of an athlete as” traumatic and negative, as well as dysfunctional in terms of
psychological disorders” (Marthinus, 2007, p. 3). Other empirical research on the subject suggests that
there is evidence of relief amongst retiring athletes from the pressures and the extreme time
commitment of sport (Coakley, 1983; Blinde and Greendorfer, 1985;Greendorfer and Blinde, 1985).
Another notable limitation concerns the lack of effective interventions addressing the transitional
needs of athletes before, during and after termination (Smith & McManus 2008). While Schlossberg’s
Model considers characteristics of the individual, the transition and the pre and post retirement
environments in determining adaptation success (Lavallee & Wylleman 2000, Schlossberg 1981,
1984), and has progressed from identifying the causes and consequences of sports retirement to
38 | P a g e
investigating factors influencing the quality of career transitions and strategies preparing athletes for
sport (Anderson & Morris 2000, Smith & McManus 2008) it fails to still identify effective
interventions.
Aside from identifying trends in the factors influencing a positive or negative retirement experience,
limited exploration has been directed towards the broader psychological, social and physical
adjustments encountered by elite athlete’s upon career termination (Smith & McManus 2008). Greater
emphasis should be directed towards these areas in order to ensure a positive adaptation into post-
sports life.
This report will attempt to draw on the previous theoretical work both within and outside of sport,
coupled with both current research in the area and the findings of the research allied to this report, to
study the adaptations of professional rugby union players to retirement from their sport.
Another limitation in the literature is that the concept of “athletic retirement has been disregarded” to
an extent “because this transitional event is equated with the occupational retirement of older adults,
and there is a misconception that only a small number of individuals who compete in elite and
professional sport are likely to be affected by this transition” (Baillie and Danish, 1992). In this paper
we will seek to highlight some of the key differences that exist between the retirement of professional
athletes and the occupational retirement of older adults, which include;
• Athletes finishing their careers at a relatively young age (Baillie, 1983; Blinde and Greendorfer,
1985), often at the approximate age when their peers “are often beginning careers in other non-
sporting domains, getting married, and having children. These comparative situations may add to
the already stressful feelings inherent in athletic retirement” (McKnight et al. 2009).
• That the athlete’s identities are disrupted in their retirement transition (Pearson and Petitpas,
1990). The commitment of athlete’s to their sport from an early age may create a situation where
they may not develop interests in other areas. This “foreclosed identity” (Brewer, Van Raalte and
Linder, 1993) which may disrupt their “normal developmental events such as identity
development”.
Another significant issue, has been alluded to previously, is the relative youth of the game of
professional rugby union. Given that the sport has only adopted a professional status since 1995, the
amount of writing in relation to effects of retirement upon its players is limited. In Ireland, IRUPA
commissioned a report on the effects of retirement amongst players in 2008; however, the findings of
this report are confidential. This report will attempt to tackle the void in the current literature that
these presents.
39 | P a g e
2.7 RESEARCH OBJECTIVES
The main objectives of this report are to;
• Detail a quantitative analysis of the five influences according to Crook and Robertson, (1991)
that affect career transitions;
1. Anticipatory socialisation;
2. Identity and self-esteem;
3. Personal management skills;
4. Social support systems; and
5. Voluntary versus involuntary retirement; and
• Outline the effects on the retired athletes on an psychological, physical, psychosocial and
occupational level; and
• Highlight possible issues that may be make future retirement transitions more difficult for
current players.
40 | P a g e
CHAPTER THREE – METHODOLOGY
The purpose of this chapter is to outline the steps taken in the collection of data with enough detail
that the study could be replicated. It will also provide concise justification for the research strategy
taken.
The hypotheses upon which this research is based, is drawn from the research of (Cecic Erpic, 2000),
“that an involuntary and abrupt sport career termination, a lower evaluation of sports achievement, the
lack of post-sports life planning, and a high athletic identity while playing sports, would lead to a
more difficult sport career termination process” (Marthinus, 2007, p.1138).
This current study would appear to be the first academic research of its kind in Ireland on the subject
matter, which is probably due to the relative youth of professionalism in the sport of rugby union, the
small number of people who fit the demographic of “retired professional rugby union players in
Ireland”, and the minority of retired professional athletes from any sport in Ireland, due to the
inability of most sports to sustain full time professional athletes domestically. The research that has
been commissioned by the Irish Rugby Union Players Association (IRUPA) is confidential in nature,
and the result findings that have been made public are scant in detail. The most up to date academic
information on the effects of retirement of professional rugby players would appear to be the work of
Claire-Marie Roberts of the University of Worcester, who kindly offered me access to her two most
recent presentations of the subject, (her 2008 presentation for the University of Glamorgan Doctoral
Conference “An in-depth appraisal of transitions in rugby union”, and her presentation at the 26th
Annual Conference of the Applied Association of Sport Psychology, Providence, Rhode Island, , “ A
cross-cultural evaluation of rugby union transitions”). Miss Roberts has expressed an interest in the
examining the findings of this paper.
The initial hope for this project was to apply quantitative and qualitative approaches to extrapolate the
information required to answer the research question.
The quantitative approach was to be based on the use of the Sports Career Termination Questionnaire
II (SCTQ II). The SCTQ II assesses characteristics of the retirement from professional sports process,
evaluating the characteristics of an active sports career, sport career termination, transition to post-
sport life, and adaptation to post-sport life. The focus of this element of the report was to explore the
experiences of the retired professional rugby union players as they transitioned to retirement. This
questionnaire has been applied in previous research, and may have provided meaningful comparisons
to the effects felt by retired athletes from other sports and also from different nationalities and
cultures. Dr. Cecic Erpic, the author and copyright owner of the SCTQ II questionnaire gave written
consent for the use of the questionnaire on the 10th
May 2012.
41 | P a g e
It was hoped that through endorsement by IRUPA, that the questionnaire would be circulated to its
members, to achieve a sufficient sample size to draw valid and reliable results, and that interviews (to
be discussed later) with retired players might be arranged, however this endorsement was not
achieved.
Having failed to win an endorsement from IRUPA, and given that there was no available database of
retired professional rugby union players available, I took the decision to abandon the quantitative
aspect of my research, as it became apparent that I would not establish a sufficient sample size to
derive statistical analysis from. The only avenue left to pursue research on the subject was through
interviews with retired professional players who I could access through friends and acquaintances,
and indeed through social media in one example. This narrowed the sample to retired professional
rugby union players who played for Munster, given that through my personal connections these were
the individuals I would most likely gain access to. While all of the sample had also played
professionally for Ireland, given the current set-up of professionally rugby in Ireland, where players
are contracted to either clubs or provincially, and then offered central contracts to play for Ireland, it
is not possible to generalise the findings to an Irish context, as the individuals clubs or provinces may
instigate different approaches towards the transition of players in retirement, and these approaches
may impact on the effects of retirement on the individuals involved, as per the findings of Roberts
(2010).
Despite the lack of quantitative data, the data derived from the interviews undertaken, was considered
to be sufficient, as interviewing has been found to be one of the most effective techniques for gaining
insight into another person’s experiences (Kvale 1983). As the purpose of this research was to delve
into the experiences of former professional rugby union players on their transition into retirement, the
use of the data derived from the interviews appeared to be a legitimate research method, which
allowed for the enrichment and deepening of the body of knowledge on this matter, but not to
generalise or make predictions (Strean, 1998). Additional qualitative research within sports
psychology is gaining increased recognition, as researchers realise the potential benefits of same
(Strean, 1998).
“The interview consisted of a series of planned questions organised into a number of interrelated
sections (Marthinus, 2007);
• Beginning the interview. Introductory remarks and demographics.
• Initiation (training) stage.
• Maturity (performance) stage.
• Anticipation (realisation of retirement) stage.
42 | P a g e
• Interview conclusion.
• Evaluation and summary”.
Each participant was presented with an identical sequence of open-ended questions (Kvale, 1996)
which were needed to stimulate an appropriate depth of disclosure. This is to ensure that responses
from all interviewees will be equal in value in accordance with recommendations of Scanlan, Stein &
Ravizza (1991). Should the interviewee not understand the question when asked, a clarification
process was used to have the athlete repeat and clarify the idea mentioned. In addition, an elaboration
process was used in the interview in order to fully understand what the interviewees have said, and to
elicit further ideas. These predetermined general probes will be utilised to minimise bias by ensuring
that all questions are answered in a similar manner. I personally interviewed all six interviewees to
maximise consistency. No inducements were offered to the interviewees, and they were consistently
reminded that they may withdraw at any stage and that their participation is voluntary.
The questions are drawn from the 2007 research from Marthinus, “Psychological effects of retirement
in elite athletes” and are detailed in appendix 1.
The interviewees were given a brief detail of what the interview will entail, and how their data will be
recorded and analysed. Interviews varied in duration from twenty five minutes to 1 hour and ten
minutes, depending on the openness of the individuals involved to speak on the various subjects. Five
of the interviews were carried out face to face, while one was carried out over the phone, due to work
commitments in that individuals life, however several studies have shown that self-disclosure and
interview responses do not vary between telephone and face to face interviews (Bermack, 1989).
Prior, to the interview, all participants were reminded that the process is voluntarily, and that they
may withdraw at any stage. They were also reminded that they can stop the interview at any stage and
remove their data at any stage up to final submission. They confidential nature of the interview was
also revisited at this time.
The interviews were voice-recorded, and transcribed immediately by me verbatim. This analysis of
one interview before beginning any further one, increased my familiarity with the data, and allowed
me to probe relevant themes in subsequent interviews. This allowed me to test emerging ideas with
the interviewees, what qualitative theorists have referred to as “participant checking” (Lincoln &
Guba, 1985, Rose & Jevne, 1983).
All of the participants in the interviews were asked to complete the questionnaire SCTQ II, of which
five of the six returned same. One other retired professional rugby union player also completed the
questionnaire, though it did not prove possible to interview him for the project. While we did have
43 | P a g e
complete representation from the target population with the questionnaires, which is deemed crucial
for inferences to the whole target population, the insufficient sample size, 6 out of 140 estimated
(there were approximately 140 retired professional rugby union players in Ireland in 2011, according
to Jackman (2011)) is a validity limiting factor and as such no quantitative analysis can be carried out
on same (Slavec and Dmovsek, 2012). These questionnaires will be drawn upon, to not only provide
demographic information on the participants, but to add to, and confirm the open-ended qualitative
data gathered. Trends which become apparent from analysis of the questionnaires are used to
compliment the findings of the qualitative element of the research.
Given the personal nature of this topic, confidentiality is the main ethical issue. With all of the
participants having a high public profile, they will be identified by participant number only and
interviews and personal information which may help in identifying them has been redacted from this
report. “In addition, following the observations of Easterby-Smith, Thorpe and Lowe (1991) the
researcher had, and continues to have, control and ownership of data and will continue to exercise due
ethical responsibility by not publicising or circulating any information that is likely to harm the
interests of participants” (Price, 2007). The recordings from interviews and the completed
questionnaires will be securely stored by myself, and destroyed by deletion from digital format and
cross shredding respectively, once the report has been accepted.
44 | P a g e
TABLE 6: DEMOGRAPHIC INFORMATION OF INTERVIEWEES AND QUESTIONNAIRE RESPONDENTS.
PARTICIPANT 1 PARTICIPANT 2 PARTICIPANT 3 PARTICIPANT 4 PARTICIPANT 5 PARTICIPANT 6 PARTICIPANT 7
Interviewed Yes Yes Yes Yes Yes Yes No
Questionnaire completed Yes Yes Yes Yes No Yes Yes
Current Age range 30-35 36-40 45-50 30-35 36-40 36-40 36-40
Length of professional career 10 - 15 years 10- 15 years 6 - 10years 10 – 15 years 10 -15 years 15 - 20 years 10 - 15 years
Reason for retirement Voluntary- just felt
it was time
Involuntary – injury Voluntary Involuntary – injury Involuntary – injury Voluntary - age Voluntary
Age when you started to consider
retiring
30 - 35 30 -35 30 - 35 30 - 35 36 - 40 30 - 35
Length of time since retirement Less than 1 year Greater than 1 year
– less than 5 years
Between 10 and 15
years
Greater than 1 year
– less than 5 years
Between 5 and 10
years
Greater than 1 year
– less than 5 years
Between 5 and 10
years
Levels played at Munster/Ireland Munster/Ireland Munster/Ireland Munster/Ireland Munster/Ireland Munster/Ireland Munster/Ireland
Highest grade of competition played in Rugby world cup Rugby world cup /
International
touring side
Rugby world cup /
International
touring side
Rugby world cup /
International
touring side
Rugby world cup /
International
touring side
Rugby world cup /
International
touring side
Rugby world cup
Marital status Married/living
together
Married/living
together
Married/living
together
Married/living
together
Married/living
together
Married/living
together
Married/living
together
Current occupation Financial industry Self-employed
business man
Self-employed
business man
Self-employed
business man
Rugby related Self – employed Financial industry
Highest level of completed education Third level Secondary school Secondary school Third level Third level Third level Third level
45 | P a g e
CHAPTER 4 – RESULTS AND FINDINGS
This chapter details the findings from the data collected, and includes tables, figures and quotes from interviews. The findings of the interviews and
questionnaires completed by the participants, highlights that all of participants have either moderately successfully to very successfully adjusted to their
post sports life. The questionnaire results on the topic were as follows;
TABLE 7: DEMOGRAPHICS AND PARTICIPANTS ADJUSTMENT TO POST SPORT LIFE
However, it is noted that when asked how long it had taken them to adjust to the new demands and social roles outside of professional rugby, the
questionnaires revealed; the participant who played rugby at a senior level prior to professionalism, who had the shortest professional career, and who was
retired the longest, adjusted within 0-2 months, the shortest time recorded; while those whose careers were those of full time professionals from
Current age range Age at retirement Age at which he
considered retiring?
Length of time since
retirement
How did you cope with the
adjustment to post sport
life?
How satisfied are
you with your post
sport life?
Participant 1 30-35 30 - 35 34 Less than 1 year Moderately successfully Satisfied
Participant 2 36-40 30 - 35 35 Greater than 1 year – less than
2 years
Successfully Above average level
of satisfaction
Participant 3 45-50 36 - 40 33 Between 10 and 15 years Very successfully Very satisfied
Participant 4 30-35 30 - 35 31 Greater than 1 year – less than
2 years
Very successfully Very satisfied
Participant 5 36-40 30 - 35 Between 5 and 10 years
Participant 6 36-40 36 - 40 37 Greater than 1 year – less than
2 years
Successfully Above average level
of satisfaction
Participant 7 36-40 30 - 35 30 Between 5 and 10 years Moderately successfully Satisfied
46 | P a g e
commencement, took from 3 to 6 months (for two individuals), to 1 -3 years (one participant) to adjust. Two participants, who have retired within the last
two years, recorded having not yet completely adjusted.
TABLE 8: TRANSITION PERIOD AND GENERAL ATTITUDE TOWARDS RETIREMENT
Current Age
Range
Age at retirement
Age at which he
considered
retiring?
Length of time since retirement
How long did it take before you felt
completely adjusted to the new
demands and social roles outside
professional rugby?
How would you
describe your general
attitude towards
retirement?
Participant 1 30-35 30 - 35 30-35 Less than 1 year Not yet completely adjusted Neutral
Participant 2 36-40 30 - 35 30-35
Greater than 1 year – less than 5
years
Not yet completely adjusted Positive
Participant 3 45-50 36 - 40 30-35 Between 10 and 15 years 0 -2 months Positive
Participant 4 30-35 30 - 35 30 - 35
Greater than 1 year – less than 5
years
3 – 6 months Very positive
Participant 5 36-40 30 - 35 Between 5 and 10 years
Participant 6 36-40 36 - 40 36 - 40
Greater than 1 year – less than 5
years
3 – 6 months Positive
Participant 7 36-40 30 - 35 30 - 35 Between 5 and 10 years 1 -3 years Neutral
47 | P a g e
Building on these findings, comments from interviews concerning whether or not there were any unresolved
feelings, emotions about retirement, produced a somewhat mixed reaction, with the negatives stemming
from the handling of injuries both prior to and after retirement, as well as the treatment of retired players by
the province post retirement;
Participant 1 “Within the game, yeah …..I think there is a new batch of guys coming out of it that have just
been professional all their life …. I have noticed that a lot of guys are leaving the game with a bit of
bitterness and animosity towards the organisation because of the way things have finished which is pretty
sad.”
Participant 2 “on reflection……. and a bit of prospective I don’t think that my injury was handled with the
best way possible”.
Participant 3 “I was ready to run out the garden”.
Participant 4 “Not really, no, no I am fine with it, I am completely fine with it. I would have loved to have
played a bit longer…..I am very happy for all the time I had”.
Participant 5 “delighted I retired.”
Participant 6 “I walked out of there as happy as anything”.
NOTE: ON TABLES BELOW (P1) = Participant 1, (P2) = Participant 2, (P3) = Participant 3, (P4) =
Participant 4, (P5) = Participant 5, (P6) = Participant 6, (P7) = Participant 7
TABLE 9: AGE AT WHICH PARTICIPANT CONSIDERED RETIREMENT AND THEIR ADJUSTMENT AND SATISFACTION
WITH POST SPORTS LIFE
Current Age Range Age at
retirement
Age at which
he considered
retiring?
Reason for
retirement
How did you
cope with the
adjustment to
post sport life?
How satisfied
are you with
your post sport
life?
P1 30-35 30 - 35 30-35 Voluntary – just
felt it was time
Moderately
successfully
Satisfied
P2 36-40 30 - 35 30-35 Involuntary -
injury
Successfully Above average
level of
satisfaction
P3 45-50 36 - 40 30-35 Voluntary Very
successfully
Very satisfied
P4 30-35 30 - 35 30 - 35 Involuntary -
injury
Very
successfully
Very satisfied
P5 36-40 30 - 35 Involuntary
injury
P6 36-40 36 - 40 36 - 40 Voluntary - age Successfully Above average
level of
satisfaction
P7 36-40 30 - 35 30 - 35 Voluntary Moderately
successfully
Satisfied
48 | P a g e
4.1 FINDINGS ON THE INFLUENCES THAT EFFECT CAREER TRANSITIONS
To examine why the career transitions for participants appears to have been successful we will look at the
five influences according to Crook and Robertson, (1991) that affect career transitions;
1. Anticipatory socialisation.
The survey findings in relation to the preparation by the participants for retirement and their influences on
the decision to end their sports careers, noted the following;
It would appear from the statistics of the age of retirement and the age when the participants considered
retiring, there was a lack of pre-retirement planning on behalf of all of the participants, with three of the six
participants who completed the questionnaire only contemplating same in the final year of their career.
TABLE 10: GRADUALNESS OF CAREER TERMINATION AND FINANCIAL DEPENDENCE ON PROFESSIONAL RUGBY
Age at
retirement
Age at which
he considered
retiring?
Reason for
retirement?
Did the end of your
professional sports
career come about
gradually?
Have you earned
enough in sport to
ensure yourself a
comfortable post-
sport life?
To what extent
did you depend
on sport
financially at the
end of your
career?
P1 30 - 35 30-35 Voluntary –
just felt it was
time
Slightly abruptly No Completely
P2 30 - 35 30-35 Involuntary -
injury
Abruptly No Completely
P3 36 - 40 30-35 Voluntary Gradually No Below average
P4 30 - 35 30 - 35 Involuntary -
injury
Gradually Yes Average
P5 30 - 35 Involuntary
injury
P6 36 - 40 36 - 40 Voluntary -
age
Gradually Yes Above average
P7 30 - 35 30 - 35 Voluntary Abruptly No Average
49 | P a g e
It is perhaps surprising that so little time was given by participants to contemplating retirement given;
• All participants were over 30 when they retired;
• Only three retired due to injury;
• Three participants said that the end of their retirement career came about gradually;
• Four of the participants said that they had not earned enough in sport to ensure a comfortable post-
sports life for themselves; and
• That only one participant was not dependent averagely or above on sport financially at the end of
their career.
Given that all six participants who completed the questionnaire, registered their adjustment to post sports life
from either moderately successful to very successful, appears to contradict the research which found that
“pre-retirement planning of post-sports life broadly influences the quality of adaptation to life following a
competitive sports career “(Coakley, 1983; Pearson and Petitaspas, 1990; Stambulova, 1994; Cecic Erpic,
Wylleman and Zupancic, 2004).
One notable statistics from the demographic was that five of the seven engaged in further education during
their professional careers (all were part time students) and that of the two who did not partake in education,
one was the individual who had played at a senior level prior to professionalism, and the other person had
decided from an early age that he wished to remain in rugby through coaching. The personal development
that further education brought may have played a part in the successful transition for the individuals. Only
one of the six who completed the questionnaire (and who rated his post sports life as satisfactory – the
lowest grade recorded) did not have some activity to get involved in immediately after his retirement, with
five of the seven individuals embarking upon self-employed careers, based on them trying to use their
“public profile” to develop same.
Examining the interviews on the reluctance of the participants to engage in pre-retirement planning indicated
that there was a marked resistance to entertain the idea, stemming from;
• a personal fear of contemplating not being able to play the sport they had dedicated their lives to;
• that to contemplate the idea was to acknowledge a weakness;
• that the sport did not allow weakness;
• to the notion that their province required them to focus solely on delivering in a rugby context, and that
thoughts beyond a life in rugby were a “distraction”.
50 | P a g e
Participant 1 “I think there was a certain part of me that did not want to admit that it was coming you know.
I think I immersed myself in IRUPA and I did help a lot of guys who were heading that way and I never, I
suppose I never took the time to do it for myself funnily enough and you know I look back on it now and I
was probably thinking that it would stay going forever you know. ..I think there was subconsciously maybe
that I didn’t want to admit it and that’s kind of the hard thing about it I suppose is that you kind of, I
should’ve given myself more time while I was playing and ah part of you then was thinking Jesus did I give
too much to rugby and not enough for myself”.
Participant 2 “I never contemplated retiring until I was injured but in terms of making a decision ….
obviously you are always contemplating retirement. It’s the fear at the back of everyone’s heads whose
playing because you are doing everything in your power during your career that you don’t have to retire
early, that you don’t retire early, that you have a contract or that you don’t pick up an injury so everything is
done with a view to not retiring so actually having to make that decision in the middle of trying to come
back to retire you know that was a total mind change”.
Participant 3 “Am, I knew 12 months before I retired that I was going to retire at the end of the, you know,
I planned myself well, I played another 12 months and that was it”.
Participant 4 “you don’t want to entertain the idea of having to retire because it maybe is that you are
almost entertaining losing or entertaining like what if I don’t win…. And eventually I just had to, I sat down
with my mate and we just considered well look if it doesn’t come right this is what’s going to happen, well
look that is the worst case scenario so then let’s get on with the fxcking thing so, you know let’s get it right”.
Participant 5 (who did not complete the questionnaire) – comments on being open to planning for
retirement; - “what I would say is that a lot of people… don’t have a kind of an overall kind of a balance in
their life and it is just literally rugby, rugby and you know they become very successful but it is one extreme
to the other and they never see it happening and that is where you see a lot of fellas playing on later and later
and older and older and they are absolutely crocked and the whole lot. But they are afraid of their life to
actually retire. Whereas I knew that you know from 26, 27 around that age I said right ok I have this now for
another few years I will make the most of it but I know then I am going to do something else different you
know. The realisation and I just knew that right I had it for a certain amount of time.”
Participant 6 comments on his attitude towards preparing for retirement, and also how professionalism and
the demand for results that this brings, may mean that while the provinces might wish for players to be
prepared for life after rugby, that this comes after delivering for the province during their career; “for a long
time because you don’t want to think about it and you are not allowed think about it or just whatever. Like it
is kind of you know you are just playing like and all you want to see is the next thing like you just don’t
51 | P a g e
think about it and that is what is dangerous about it, that if you haven’t something before that takes over like
you just don’t know like”. And when you say you weren’t allowed to think about it was … but is it part of
the psychology of it is that no negative thoughts? “This is it like yeah. There is definitely a feeling there that
anything like that is a little bit of a distraction now that’s coming like that you are looking at another option
like”. “And there is definitely, there would definitely be a kind of a, whatever is the word from the
management, maybe even other players, players can be saying to themselves, Jesus he is not, he has got one
eye on something else… that if they hear that if someone is doing a course or someone is setting up a
business or getting involved with some partnership or something they kind of see it as ..As a distraction and
they kind of wonder is he really distracted, is he really 100% focused, committed here now anymore”.
Commenting on how some of the younger players may view retirement, and how with age the reality of
same dawns – Participant number four says “you don’t think about it otherwise you know. Like they
mention it to you but it is the same for every young player, you think you are bullet proof and you never
think you are going to have to retire and at the end of every year one of the lads gets up and you know he
makes a speech and it’s a fxcking hugely emotional thing for him and for his team mates. If he is 33 or 34
then there is team mates that played with him for 10 years, it is really tough for them as well. Young fellas
who are in the squad and they just see them and go yeah, yeah that guy is retired, what is the big deal but
they will be there in a few years hopefully as well you know. That’s just the way. That is the cycle of
sport”.
Participant number six commented on how with age comes a realisation that retirement is an approaching
reality which requires some planning, yet for the younger players it would appear to be a notion not on their
horizon;. “we are meeting Hamish from IRUPA and you would be going, oh for fxcks sake like …. Hamish
would be looking down at the young fella and he is there saying I have no more interest in what you are
saying. Now he is 24, he has just been picked and he has no fxcking interest whatsoever….. But Hamish
would know then that if he looked down he might see an older fella who is 31 or 32 who would be listening
like because at that stage there is some bit of a realisation coming like you know”.
This would support the earlier mentioned theme from Torregrosa, Boixados, Sánchez and Cruz (2004) in
that “that younger athletes and those viewing retirement as distant, tend to avoid planning prior to their
retirement and that job choice gained importance as the sporting career progressed”.
52 | P a g e
2. Identity and self-esteem.
While all respondents expressed an average or strong identification as an athlete during their sports career,
which from previous research, such as by Cecic-Erpic (2001), would indicate that they were most likely to
experience negative emotions during the career transition process, my research findings were that in the
main the respondents transitioned favourably, and recorded only marginal problems (detailed later under the
heading “Difficulties experienced by retired professional rugby union players”) in relation to associated
negatives, which are said to include;
• Negative emotions;
• Lack of self-esteem;
• Lack of self-control;
• Lack of self-respect;
• Anxiety over an uncertain future;
• Lack of competence in non-sport activities, such as education, occupation and family life;
• Difficulties organising post-sport life; and
• Slow adaptation to social and emotional aspects of life (Cecic-Erpic, 2001).
The findings in relation to this aspect, point to participants having developed the important life skills which
they require to effectively transition into retirement.
This may stem from the age when they became professional, with all of them being over twenty when
turning professional, as well as their educational status, with all having completed secondary school prior to
turning professional, and with some even having a third level education. Coupled with this, and as
mentioned already, five of the participants engaged in education during the course of their career, which may
have equipped them to better cope with the challenges of a career outside sport.
Five of the six participants who completed the questionnaire, had either somewhat or mostly achieved their
career goals which is also seen as positive in transitioning effectively.
While five of the six questionnaire respondents confirmed that they still enjoy a public reputation because of
their sports career, only one of the seven participants is still actively involved in rugby, with all of the rest
having permanently withdrawn from rugby. Of the six respondents who completed the questionnaire, none
of them replied above neutral to the question, “how important is the role of a former professional rugby
player to you?”, with two rating it as very unimportant and two as not very important, which again might
illustrate another positive influence on an effective retirement transition, as their athletic identities are less
prominent, and they seek new challenges in life.
53 | P a g e
TABLE 11: ATHLETIC IDENTITY, SPORTS RELATED GOALS AND LIFE
During your
sports career,
did you see
yourself mostly
as an athlete?
During your
sports career,
was sport the
most important
aspect of your
life?
Reason for
retirement?
Have you
achieved all of
your sports
related goals?
To what extent
did you miss sport
and the lifestyle
of an athlete after
your career
ended?
Did you feel after a
while that you missed
sport, when you
thought about your
sports career,
achievements, and
the people from the
world of sport?
P1 Higher than
average
Moderately
important
Voluntary – just
felt it was time
Not at all. Neutral No
P2 Higher than
average
Moderately
important
Involuntary -
injury
Somewhat Neutral No
P3 Average Below average
importance
Voluntary Somewhat Not at all Yes
P4 Higher than
average
Extremely
important
Involuntary -
injury
Most goals
achieved
A lot Yes
P5 Involuntary
injury
P6 Higher than
average
Of average
importance
Voluntary - age Most goals
achieved
Slightly Yes
P7 Average Extremely
important
Voluntary Most goals
achieved
Slightly No
Participant 1 “I got involved in a charity and in, you know it’s great for me I suppose to have something
else outside of it and especially with the charity side of things… it’s a huge personal satisfaction from
helping people and you also make connections in business and learn a bit about the world outside of rugby as
well which is valuable for you when you do leave the rugby fraternity you know”.
Participant 2 “I suppose now it is business you know I from a day to day have obviously stepped away
from rugby and for whatever my business interests I am trying to use whatever profile I have from rugby to
you know transfer to those….Yeah, I don’t want to be known as an ex rugby player. I want to be known for
something else now”.
Participant 4 “So some people will too closely link the sport with their own identity and when they no
longer play the sport they feel like who the fxck am I anymore you know. And that didn’t happen me
because I have a good group of mates and I have a good group of friends and ah even in fairness with a lot
of the lads like I play with Munster we all see the value in each other beyond playing sport and that is a good
thing as well….I would say, lads there is nothing to fear about retirement because when you turn the work
ethic that you have from rugby and you apply that in the real world you just fxcking blow people away you
54 | P a g e
know” – a comment that would not have been lost in the research from Petitpas et al. (1997) in their findings
that those athletes who were successful in learning important life-skills from their participation view
themselves not just as talented athletes but also as talented people; that they have transposed their sport
success into life success.
A recurring theme from all participants, was that they had neglected to a degree other important aspects of
their lives that were not related to sport and that they had missed important events and activities due to same,
there was an acceptance on their behalf that this was required for their role.
Participant 4 “ No, I don’t have anything to complain over I think it’s, the sport has always been good for
me and I enjoyed it”.
Participant 6 “ No there would have been friends of mine that I didn’t get to go to a wedding because we
were away on tour, there might have been something like that but there is no way I would have changed any
of it anyway. There are people working in any other type of a job and they could have missed the wedding
or something as well like”.
One participant commented in relation to trying to distance himself from his athletic identity;
Participant 6 “There might be a young fella who is 6 and he won’t recognise you, you know and that can
hurt more than anything else like…. I haven’t been to a Munster training session since I finished because I
don’t want to be there like. But like if you go around hanging around UL or where ever the boys are
training, what are you hanging there for like are you trying to still say I am part of this like because you are
not. Do you want people to recognise you they might because you are in the vicinity of that, and they say
Jesus there is your man who used to play - but like what’s that for like that’s no good to anyone like”.
55 | P a g e
3. Personal management skills.
All of the participants expressed similar statistics in relation the number and duration of training sessions
during the height of their professional sports career – approximately nine per week for 90 minutes each.
However, in delving into these statistics through the interviews, it would appear that these times accounted
for just the physical aspect of training. As the game has evolved in the professional era, coaches and
managers have increased control over the daily routine of the players, with an enormous amount of time and
effort expected of the players on a daily basis in relation to analysis and tactics. This increased management
of the athlete’s daily routines, behaviours and decision making by coaches is thought to infringe on the
athletes developing their own personal management skills, to the detriment of their transition out of
professional sports.
Participant 2 “you are institutionalised your time is not your own so you go along where ever the bubble is
going and other things have to take a back seat…..when you step out of it, it seems that way. When you are
in there no it doesn’t because you are happy to be in there. …. It’s a safety bubble as well you know so it is
hard for people to access you and you are happy with that and it is kinda needed as well”.
One participant was quite vocal in saying that he was of the belief that this “control” had increased over the
years since he had turned professional, and that this “control” also caused issues for players in trying to
develop careers post – retirement, as the distraction of education or possible establishing one’s own business
etc. could be seen as an lack of focus on behalf of the player (see Participant’s 6 comments under the results
heading “Anticipatory socialisation” ).
Participant 6 “So it is nonstop now and that is increased beyond measure from when we started as
professionals and we thought we were in 97 to what it is now…..They are beginning to think there,
distracted is nearly the word for it, that he is going to college now or he is doing that course or like I said he
is setting up a business.”
56 | P a g e
4. Social support systems.
The support of family and friends is highlighted as a factor in minimising the disruption that the retirement
transition brings. The results of the questionnaire highlighted that one’s partner or spouse offered the most
support post retirement, with the player’s parents next most supportive, with little or no support registered
from other family members, teammates, friends, provincial club, coaching staff, IRFU or sports
psychologist. It would appear however that there may be reluctance on the participants to ask for support in
this regard; Participant 6 – “I didn’t need it ….I think even the other fellas would have known… they knew
that I was that kind of a fella that they didn’t have to worry about me or anything like that”.
The findings of the questionnaire and the interviews highlighted the close personal bond that most of the
players developed with their team mates over their career, and these friendships amongst individuals who
would go through the same transition were helpful to most in dealing with any negative effects from same.
Friendship rated the highest on the scale of the “most important things you gained from your sports career”.
Partner rated with all questionnaire participants, in relation to somebody who they felt they could turn to if
they were having a hard or stressful time post retirement, with close friends also figuring prominently. While
all participants rated that they had someone to turn to, the use of professional help did not rate highly. There
was only one reference to the use of a professional, which was the use of a sports psychologist, and none of
the following were rated;
• Counsellor/therapist
• Coach
• Physician
• Other sports-related expert
57 | P a g e
TABLE 12: IMPORTANT THINGS YOU GAINED FROM YOUR SPORTS CAREER AND INDIVIDUALS WHO OFFER
SUPPORT AFTER RETIREMENT
Important things you
gained from your sports
career?
Participant 1 Participant 2 Participant 3 Participant 4 Participant 6 Participant 7
Most Friendship Financial Friendships Work ethic Friendship Achievement
– using a
specific talent
2
nd
most Financial Opportunities
and contacts
Fame Friendships Financial
3
rd
most Fitness Friendship Financial Financial Fitness
4
th
most Fame Fame Fitness Fitness Fame
5
th
most Fitness Fame
If you were having a hard
and stressful time after
retirement, who, if
anybody, would you turn
to for help? (Choices are
not ranked in any
particular order)
Participant 1 Participant 2 Participant 3 Participant 4 Participant 6 Participant 7
Partner Partner Partner Sports
psychologist
Parents Partner
Siblings Siblings Parents Partner
Close friends Close friends Partner Close friends
Close friends
Participant 1 “Yeah, yeah I mean I have a lot of teammates that I would be very close to and we would talk
about very personal things …. I think the support of the guys, I think I am very lucky at the moment because
a lot of my generation has retired in the previous four or five years. A couple have retired XXXX with me
and ah there will be a few more XXXX I would say or the year after so ah we are a kinda group who have
done everything more or less together. We all sort of joined together, we all got married together, we had
kids together and we are all starting to retire around the same time so that support network that is there
amongst ourselves is invaluable really…..I think it’s not something that rugby players would be into anyway
you know, sitting down formally with someone I think is a very hard thing to get a rugby player to do so I
think from that side of things we are kind of our own support network in the sense”.
Participant 4 “It’s more social as well you know, like when you, if you ask most of the lads when they
retire they all say they miss the craic of being in the dressing room with the lads and play and all that sort of
stuff you know…. And you get to do a job you know for close on 10 years and you make so many real good
friends from it and that is something that is brilliant about playing professional rugby, you make so many
friends and they are friends for life you know… If lads come from a solid background, have a good social
support structure, family and friends and ah you know that’s the rock and then you go forward and you can
venture out and you can rip into sport”.
58 | P a g e
Participant 6 “I just what I like about it than other sports, I loved the craic, the camaraderie, the team. …
Fellas were friends, like I am friends with those fellas they were not just team mates they are friends like and
that’s the difference like. You are not just a bunch of fellas brought together to be a team, we ended up
together and we are all, and that is why we played better I think”.
While the questionnaire did highlight that most participants had an above average number of friends from
the world of sport during their professional career, comments made during the interviews highlighted the
importance of one’s friends from outside sport in offering support to the players;
Participant 4 “I am lucky … my friends from when I was a kid who none of them play rugby but they all
supported me playing rugby but they knew me before I played rugby for Munster or Ireland and they just
knew me as XXX and it didn’t matter whether I was playing rugby or not. It was really good to have that
kind of ah that support, that social support structure around you”.
59 | P a g e
5. Voluntary versus involuntary retirement.
In examining the reasons for retirement as outlined by the respondents to the questionnaire, the most two
most prominent appear to be injury and age. The participant, who did not complete the questionnaire,
outlined that he retired involuntarily due to injury.
TABLE 13: INFLUENCES ON YOUR DECISION TO END YOUR PROFESSIONAL SPORTS CAREER
Influences on your
decision to end
your professional
sports career
Participant 1 Participant 2 Participant 3 Participant 4 Participant 6 Participant 7
Strongest Grew tired of
lifestyle
Injury Age Injury Age The contract I
was offered
2
nd
strongest I wasn’t being
selected
My body My age Unsatisfactory
performance
My age
3
rd
strongest Commitment to
family
Being injured all
the time. Was
afraid that I’d
end up hating
the sport I’d
loved my whole
life
Grew tired of life
as a professional.
The way I felt
physically.
Did you have any
doubts about your
decision to end
your professional
sports career?
Some None at all None at all Neutral None at all Some
Reason for
retirement
Voluntary – just
felt it was time
Involuntary –
injury
Voluntary Involuntary –
injury
Voluntary – age Voluntary
Did the end of your
career come about
gradually?
Slightly abruptly Abruptly Gradually Gradually Gradually Abruptly
How did you cope
with the
adjustment to post
sport life?
Moderately
successful
Successfully Very
successfully
Very successfully Successfully Moderately
successfully
Length of time
since retirement
Less than 1 year Greater than
1 year – less
than 5 years
Between 10
and 15 years
Greater than 1
year – less than 5
years
Greater than 1
year – less than 5
years
Between 5 and
ten years
How long did it
take before you
felt completely
adjusted to the
new demands and
social roles outside
professional
rugby?
Not yet
completely
adjusted
Not yet
completely
adjusted
0 - 2 months 3 - 6 months 3 – 6 months 1 – 3 years
Research outlined earlier, has identified that retirement due to injury is prevalent in the sport of professional
rugby union. When looking at the findings from the questionnaires and the interviews, in relation to the
individuals who retired outlining injury as the main cause, they have all registered satisfaction with their
retirement transition. The research in relation to the effect on transitions due to career ending injuries,
60 | P a g e
highlights possible outcomes such as “identity crises, social withdrawal, fear, anxiety, and loss of self-
esteem” (Elkin,1981; Rotella and Heyman,1986). While there were recordings of marginal issues with self-
esteem and anxiety in the questionnaire, they were not hugely significant.
In the case of the three individuals in the sample who retired due to injury, the individual who has not yet
completed adjusted to retirement, was the only one whose injury lead to an abrupt cessation (Participant 2)
of his career, while the other two had on-going injuries which eventually curtailed their careers, which may
indicate that the abruptness of the career termination may affect the retirement transition process.
Participant 2 “from now and a bit of prospective I don’t think that my injury was handled with the best way
possible….I think probably, in some ways it was handled poorly in terms of my rehabilitation with XXXX.
….Am, not really because I think, well I am hoping that I made the right decision I think if I tried to go back
anyway it wouldn’t have been successful and I would be in a worse position now”.
Participant 4 “The main thing is keep yourself right mentally and physically and if you can’t keep going…..
Not really, no, no I am fine with it, I am completely fine with it. I would have loved to have played a bit
longer, you know I still feel sometimes when I am training now I go XXX it would be good to get back but I
know that the last 2 years of my career were mentally very, very hard on me because I was working my
bxllocks off and getting nowhere with my injury you know… I spent 2 years working my bxllocks off and
getting nothing out of the sport what I felt was nothing, I thought I had to retire, I was bitter at the sport and
suddenly out of nowhere I got another 5 or 6 weeks playing for Ireland, playing with my team mates and
you know I said I am after getting that now and I am not going to finish like fxcking angry at the sport, I am
very happy for all the time I had”.
In looking at age as an influence on the decision of some of the participants to retire, the two who counted it
as the strongest influence on them, retired the oldest, with both being over 35 years of age. Their successful
transitions may in part stem from the control that they were able to exert over their own fate. The findings
from the interviews highlight that a decrease in motivation was evident in one individual, while a change in
values and priorities was prominent in both.
Participant 3 “No, I think the reason I decided or started to think about giving up was because my body was
telling me. ….My body would have told me alright, you know that you are coming to an end because
physically and I suppose mentally as well…..It would have because like I had decided a year, maybe a year
and half before I finished that I was going to open the business so..”.
Participant 6 “leaving on a Thursday, flying over, landing in Bristol or Cardiff or something, getting a bus
down, staying in the hotel, go play the game Friday and travel home then that night back into Shannon at 1
o’clock in the morning back here at 2 you know the novelty wore off…. Because I knew I was finishing, I
61 | P a g e
knew tonight was my last time I was ever going to play whereas other players don’t know that, they could be
playing today at 25 like and next thing fxck up their knee like and that is it they might never play again but
they didn’t know that at the time . I was like the fella I suppose on death row or something I knew my time
was coming and that was it”.
The final two participants bowed out on completely voluntary, with one stating that the main reason was
that he was tired of the lifestyle and the other not satisfied with the contract that he was offered. The control
exert by these individuals over their retirement decision is said to aid the ease of transition, which may in
some way explain their successful adjustment to a non-sporting role. Three of the participants in the
questionnaire had no doubts about the decision to end their rugby career, with two expressing some doubts
and one being neutral on the subject.
62 | P a g e
4.2 DIFFICULTIES EXPERIENCED BY RETIRED PROFESSIONAL RUGBY UNION
PLAYERS
The participants in the questionnaire highlight two emotional states which figure strongly in their experience
post retirement, sadness which is experienced frequently by four of the six participants, and relief which is
experienced by all participants.
TABLE 14: EMOTIONAL STATES EXPERIENCED POST RETIREMENT
Participant 1 Participant 2 Participant 3 Participant 4 Participant 6 Participant 7
Dissatisfaction Occasionally Very little Not at all Not at all Not at all Very little
Inability to reconcile
myself with the end of
my professional career
Not at all Very little Not at all Not at all Not at all Neutral
Sadness Frequently Frequently Frequently Frequently Not at all Very little
Fear of an uncertain
future
Frequently Neutral Not at all Very little Not at all Frequently
Relief Frequently Very little Frequently Very little Frequently Very little
The retirement transitions as noted by the participants in both the questionnaires and interviews have ranged
from either moderately successfully to very successfully in their adjusted to their post sports life. However in
delving deeper into the issue, problems were encountered by the participants.
In looking at the problems experienced by the athletes after retirement, the most striking issues, include;
Psychological and psychosocial level:
• The loss of the social aspect of rugby, with all participants noting problems with missing friends
from sport, and the majority noting a problem in missing social activities related to rugby, as well as
missing the lifestyle of a rugby player – social and cultural loneliness , in concurrence with the
findings of Botterill (1988) .
• There are also slight problems noted in establishing social contacts – problems with building new
relationships outside of sports. As was found by Cecic´ Erpicˇ, (1998) and Mihovilovic, (1968).
• Recorded slight problems in relation to feelings of unaccomplished athletic goals. Congruent to the
findings of Cecic´ Erpicˇ (1998) and Werthner and Orlick (1986).
63 | P a g e
• The loss of status as a public figure and the loss of public admiration is noted by three individuals, as
being slightly problematic, together with slight problems in relation to lowered self-confidence and
self-worth – identity crisis - as also found by Baillie and Danish, 1992; Crook and Robertson,
1991; Pearson and Petitpas, 1990 .
Physical level:
• Five of the six interview participants recorded health issues post retirement. It is apparent that the
fifth participant who did not complete the questionnaire, also suffered from health issues post
retirement, which mirrors the findings of Svoboda and Vanek, (1982) and Werthner and Orlick
(1986).
• There were no pronounced findings in relation to detraining or weight problems.
Occupational level:
This level was quite problematic for most of the participants. Issues included;
• Financial difficulties – which affected five of the six questionnaire participants;
• Problems finding a job – affecting four of the six;
• Lack of professional knowledge – affecting five of the six; and
• Difficulty in planning one’s future - affecting four of the six.
64 | P a g e
TABLE 15: PROBLEMS EXPERIENCED POST RETIREMENT AND THEIR DEGREE OF SEVERITY
Participant 1 Participant 2 Participant 3 Participant 4 Participant 6 Participant 7
How did you cope with the
adjustment to post sport life?
Moderately
successfully
Successfully Very
successfully
Very
successfully
Successfully Moderately
successfully
How satisfied are you with your
post sports life?
Satisfied Above
average
level of
satisfaction
Very satisfied Very satisfied Above
average level
of satisfaction
Satisfied
Indicate the magnitude of each
problem as it applied to you after
the end of your sports career-
Health problems
Not problematic Problematic Slightly
problematic
Highly
problematic
Slightly
problematic
Slightly
problematic
Detraining difficulties Not problematic Not
problematic
Not
problematic
Not
problematic
Slightly
problematic
Slightly
problematic
Weight problems Not problematic Not
problematic
Not
problematic
Not
problematic
Slightly
problematic
Problematic
Alcohol abuse Not problematic Slightly
problematic
Not
problematic
Not
problematic
Not
problematic
Slightly
problematic
Drug abuse Not problematic Not
problematic
Not
problematic
Not
problematic
Not
problematic
Not
problematic
Missing friends from world of
sport
Slightly
problematic
Problematic Problematic Problematic Highly
problematic
Problematic
Missing sports related social
activities
Problematic Problematic Problematic Highly
problematic
Slightly
problematic
Not
problematic
Difficulties in establishing social
contacts
Slightly
problematic
Slightly
problematic
Not
problematic
Slightly
problematic
Slightly
problematic
Not
problematic
Missing the lifestyle of an athlete Problematic Slightly
problematic
Problematic Highly
problematic
Problematic Not
problematic
Feelings of underachievement in
sport-related goals
Not problematic Slightly
problematic
Not
problematic
Slightly
problematic
Slightly
problematic
Problematic
Loss of status as public figure Slightly
problematic
Not
problematic
Not
problematic
Slightly
problematic
Slightly
problematic
Not
problematic
Loss of public admiration Slightly
problematic
Not
problematic
Not
problematic
Slightly
problematic
Slightly
problematic
Not
problematic
Financial difficulties Slightly
problematic
Slightly
problematic
Not
problematic
Slightly
problematic
Slightly
problematic
Slightly
problematic
Problem with finding a job Highly
problematic
Not
problematic
Not
problematic
Slightly
problematic
Slightly
problematic
Slightly
problematic
Difficulties with adjustment to
regular school/study
Problematic Not
problematic
Not
problematic
Slightly
problematic
Slightly
problematic
Not
problematic
Feelings of incompetence in
activities other than sport
Problematic Slightly
problematic
Not
problematic
Not
problematic
Slightly
problematic
Slightly
problematic
Lack of professional knowledge Problematic Slightly
problematic
Not
problematic
Slightly
problematic
Slightly
problematic
Highly
problematic
65 | P a g e
Participant 1 Participant 2 Participant 3 Participant 4 Participant 6 Participant 7
Work/school/study pressure Problematic Not
problematic
Not
problematic
Slightly
problematic
Slightly
problematic
Not
problematic
Difficulties with planning one’s
future
Problematic Not
problematic
Not
problematic
Slightly
problematic
Slightly
problematic
Slightly
problematic
Lowered self confidence Problematic Not
problematic
Not
problematic
Not
problematic
Slightly
problematic
Slightly
problematic
Lowered self-worth Problematic Not
problematic
Not
problematic
Not
problematic
Slightly
problematic
Slightly
problematic
Lack of self-control Not problematic Not
problematic
Not
problematic
Not
problematic
Slightly
problematic
Slightly
problematic
Relationship difficulties with
parents/family
Slightly
problematic
Not
problematic
Not
problematic
Problematic Slightly
problematic
Not
problematic
Relationship difficulties with one’s
partner
Problematic Not
problematic
Not
problematic
Not
problematic
Slightly
problematic
Slightly
problematic
Relationship difficulties with one’s
coach
Not problematic Not
problematic
Not
problematic
Slightly
problematic
Slightly
problematic
Not
problematic
Relationship difficulties with one’s
sports academy
Not problematic Not
problematic
Not
problematic
Not
problematic
Slightly
problematic
Not
problematic
Relationship with one’s club Not problematic Not
problematic
Not
problematic
Not
problematic
Slightly
problematic
Not
problematic
Lower self esteem Problematic Not
problematic
Not
problematic
Slightly
problematic
Slightly
problematic
Slightly
problematic
Fear of an uncertain future Slightly
problematic
Not
problematic
Not
problematic
Slightly
problematic
Slightly
problematic
Highly
problematic
66 | P a g e
4.3 FUTURE PLAYER ISSUES
Through the interview process the players expressed a level of concern for the professional players of the
future. In the main these circled around the development of these players outside of the game, such that they
may be equipped for life post retirement. While there was acknowledgement that the setting up of IRUPA
and the services it provides are a positive step for the welfare of players, there were still expressions of
worry about what the future may hold for the players of today and the future;
Participant 6; “like I said you will get a young fella who is good at rugby, he will be in school and he is
thinking I want to play rugby or I am not going to bother or half bother with education like and he can’t
stress enough that fellas have to have it…... You need I suppose there is a lot of onus on that as well that
they will do it and I suppose you need the, you need the teams, the IRFU to put an emphasis on education as
well, that they allow time for it even as you know, even for players that are, that have gone old or are getting
towards the end of their career that they allow time in the week for education.”
Participant four speaking about the rugby pathway in Munster, and how players are coming to the game
professionally at a younger age; “Am, well yeah the pathway is changing all the time now and players would
have come out and I suppose they probably needed to do a certain amount of physical development and a lot
of players kind of go and serve a kind of apprentice then you know playing club rugby and trying to get onto
their club team, when they get onto their club team then at least they are in the shop window then to get
selected for Munster. The way it’s happening now, the way it is moving on is that the players are developing
in school a lot quicker. And schools have strength and conditioning programmes put in place. Sometimes
guys are coming straight out of school and they are ready to step in and play professional rugby straight
away.”
Participant four when asked about if players have to retire in their twenties; “you know if you are in your
30’s you have a little bit more life experience and you can handle retirement a bit better. …when players do
have to retire young it is going to be a bit more difficult for them to… particularly lads who have to retire if
they haven’t felt that they kind of realised their potential in the sport you know, if they feel like they had
unfinished business and they can carry that for a while after they retire but” .
Other issues made by participants echoed some of the issues raised in the popular press, about rugby moving
away from its roots since turning professional, and that this movement has been to the detriment of the game,
through its handling of the players. They suggest that the clubs and national governing bodies as employers,
should adopt an increased onus of care for their employees, even beyond their playing days;
Participant 1; “I still think it’s still a business and the IRFU interest in players after they finish is still fairly
minimal and I think it is important to try and get back to the family way.. . I think you know it is still a
67 | P a g e
business for them but I think we are very different to other businesses and you know when guys commit so
much to a company, not just time but physically and mentally to a company like that you know there has to
be more of a duty of care I think afterwards”.
68 | P a g e
CHAPTER 5 - DISCUSSION AND CONCLUSION
This chapter provides a critical evaluation of the research findings. It pulls together the research questions
and objectives that were explored with the answers that were obtained through the analysis of the data and
provides a commentary on these findings and identifies limitations of the study and makes suggestions for
future research.
5.1 DISCUSSION
Cecic´ Erpicˇ et al. (2004, p. 57) advocates that “the understanding of the sports career termination process,
which incorporates both athletic and non-athletic aspects, provides a complex and multifaceted perspective
of the course of athletic retirement and adaptation to post sports life”. Given the limitation in our research,
through an insufficient sample size it is not possible to authoritatively state the factors which have given rise
to the successful transitions of our participants.
In examining the findings, it would appear that while in the main the participants were not overly proactive
in planning for their retirement, and that some of the participants had to retire due to injury, or had an abrupt
cessation of their career, which has been found to negatively affect the transition to retirement, elements of
the other factors including voluntariness of career termination for some, subjective positive evaluation of
athletic achievement, strong social support systems, and the development of a personal identity outside of
their athletic one, by all, coupled with non-athletic factors, such as education, may have had led to the
successful transitions of the participants with only slight problems being encountered.
While the participant’s athletic identity was rated average or strong by them during their sports career, their
success during their careers, which reduced any negatives that unachieved sports related goals may have
visited, together with their pursuit of outside interests, through education and business interests, sees all
individuals having progressed from this athletic persona. Their ability to distance themselves from their
athletic identity may also have been beneficially affected by the relative youth of the professional game,
which had allowed them to develop as individuals prior to becoming professional, a factor they have
highlighted may lead to more serious issues for future players, who may not be afforded the same
opportunity to develop outside of the game.
The participants all noted strong social support systems, in the shape of partners, family, friends and team
mates. All of the participants lived local to Limerick or its surrounds, so this was also of benefit in having
69 | P a g e
these support systems in close proximity. The existence of these systems is said to ease the disruption caused
by the retirement transition. One of the most problematic issues recorded by participants in retirement was
the social aspect of rugby, with all participants noting problems with missing friends from sport, and the
majority noting a problem in missing social activities related to the sport. Perhaps there is an opportunity for
the provincial set up to address this problem through the setting up of a “Retired Munster Players” alumni,
and organising events to honour them.
The negative effects oft times caused by involuntary retirement, were mitigated in the main by the gradually
transitions they endured. Two of the players who retired due to injury, had recurring injuries for considerable
time before they had to retire, which allowed them to transition gradually. They had access to a sports
psychologist during their rehab process which may also have been beneficial in the transition. Of the two
individuals who retired due to age, their cessations were orchestrated by themselves, which may have
afforded them a level of control over the process which has been found to ease the negative effects of
transitions.
It is noted that some of the most problematic issues faced by the participants revolved around occupation.
The issues recorded included financial difficulties, problems finding a job, lack of professional knowledge
and difficulty in planning one’s future. A more proactive approach to retirement may have helped solve
these problems prior to them becoming issues for the participants.
In examining the services which players thought might be useful after retirement, the following were
considered by many to be useful, with many of them overlapping on the issues detailed in the last paragraph;
• Help in finding a new career or area of interest;
• Help in building your confidence in post sport – life;
• Information on work and educational opportunities;
• Financial counselling;
• Assistance/guidance with medical and health care; and
• Information on how other athletes have dealt with retirement.
While it is noted, that these are all services now offered by IRUPA, perhaps mandating that players engage
in planning for the retirement transition throughout their careers, might increase their effectiveness. To
ensure that all players engage in same, throughout their career, perhaps a career development plan can be
affected alongside the player’s athletic development plan, with penalties and bonuses attached to the
completion of same. The endorsement of this by the provincial management team should be strengthened
with increased flexibility from them, to allow players to undertake further education or to develop skills
identified as necessary for post-retirement careers. As referenced by Wylleman et al. (1999) Baillie (1993),
70 | P a g e
“the emphasis of the sports career assistance programme should be on athlete’s functional adjustments in the
pre-retirement phase, while in the period of post-retirement, the emphasis should be on the provision of
support with regard to emotional adjustment”. In summary, the participants who engaged in my research
recorded little negative effects from their transition into retirement, however, they all express a caveat that, it
is the current players and those who follow, (who may have been immersed in rugby from a very young age,
and who may have neglected, through youthful exuberance or through increased demands from team
management, to develop outside interests or to engage in career development post rugby, through education
or the like), that may encounter more difficult transitions into retirement with the associated negative effects.
TABLE 16: RECOMMENDATIONS ON POST RETIREMENT SERVICES
Participant 1 Participant 2 Participant 3 Participant 4 Participant 6 Participant 7
How did you cope with the
adjustment to post sport life?
Moderately
successfully
Successfully Very
successfully
Very
successfully
Successfully Moderately
successfully
How satisfied are you with your
post sports life?
Satisfied Above
average level
of satisfaction
Very satisfied Very satisfied Above
average level
of satisfaction
Satisfied
How useful would you find the
following services after sports
retirement ;
help in finding a new career or
area of interest?
Very useful Very useful Not useful Not useful Above
average level
of usefulness
Slightly
useful
Help in learning how to transfer
your mental skills to a new career
or area of interest?
Very useful Above
average level
of usefulness
Not useful Not useful Above
average level
of usefulness
Not useful
Help in building your confidence
in post sport – life?
Very useful Above
average level
of usefulness
Not useful Not answered Slightly useful Of average
usefulness
Information on work and
educational opportunities?
Very useful Of average
usefulness
Not useful Not answered Of average
usefulness
Of average
usefulness
Financial counselling? Very useful Very useful Not useful Not answered Above
average level
of usefulness
Slightly
useful
Assistance in finding a new place to
live?
Not very
useful
Slightly useful Not useful Not answered Slightly useful Not useful
Assistance/guidance with medical
and health care?
Very useful Of average
usefulness
Not useful Not answered Above
average level
of usefulness
Slightly
useful
Physiological and dietary
detraining programme?
Very useful Slightly useful Not useful Not answered Slightly useful Not useful
Information on how other
athletes have dealt with
retirement?
Very useful Above
average level
of usefulness
Not useful Not answered Above
average level
of usefulness
Slightly
useful
Workshops with other retired
athletes to share and learn from
each others experiences?
Very useful Of average
usefulness
Not useful Not answered Not useful Slightly
useful
71 | P a g e
5.2 LIMITATIONS OF THE RESEARCH
As noted earlier the sample size from the questionnaires respondents is too small in scale and the
demographic of just retired professional rugby union players who have played for Munster, would need to be
expanded significantly to derive results which could be generalised to the population.
The limitation of the questionnaire scale used is the reliance on self-report measures as opposed to inclusion
of more objective measures. This reliance raises concern regarding self-report bias and common method
bias. The scale does not incorporate any measures such as the inclusion of questions from the “Marlowe-
Crowne Social Desirability Scale” to highlight social desirability bias. This occurs when individuals describe
or rate themselves in a manner that is untruthful or in a way that they feel may be viewed favourably by
others (Steenkamp, et al., 2010). These biased responses are based on cultural norms and the desirability of
certain values, personality traits, attitudes, interests, opinions and behaviours (Steenkamp, et al., 2010).
There is a tendency for respondents to provide answers to certain questions based on their expectations of
what their culture would deem acceptable. This may result in an overly positive or negative bias, so these
individuals can be judged in a favourable way by others (Tourangeau and Yan, 2007). Social desirability
bias compromises data quality and validity (Steenkamp et al., 2010).
For one participant, a telephone interview format was adopted. This format inhibits the detection of non-
verbal respondent cues that accompany a physical interview. I am confident that having establish a level of
trust with the participant, that this did not corrupt the results of this interview.
Potential memory decay may be a limitation in any retrospective study, Wagenaar (1986) as in Strean
(1998). Strean (1998) suggests that “trivial and unimportant incidents have been shown to be much more
receptive to memory decay than major events like the ones that were the focus of interest” (Marthinus,
2007). Gould, Jackson and Finch (1993) also highlight an inherent limitation of this type of investigation,
“that athletic success experienced may bias recall of events”.
72 | P a g e
5.3 IMPLICATIONS FOR FUTURE RESEARCH
The findings of the study raise important questions for future research on the subject;
As the professional rugby union has advanced, and with the development of academy systems in all of the
Irish provinces, the age at which individuals are becoming professional is getting lower. As this research
outlined, part of the possible explanation as to why all of the participants transitioned successfully may lie in
their development as individuals. This it is hypothesised, may be due to the players turning professional at an
older age, or having worked, or engaged in third level education prior to becoming professional rugby union
players, which may have helped develop a personal identity prior to an athletic identity, which may have
eased the transition. In examining a sample of players who had turned professional from their late teens and
early twenties, who were developed through the academy route, may enlighten our knowledge on the
possibility of players developing identity foreclosure, and the role that this may play in the transition of these
athletes on retirement. This research should examine if “individuals who strongly commit themselves to the
athletic role may be less likely to explore other career, education and lifestyle options due to their intensive
involvement in sport” (Brewer et al, 1993, p. 241).
This study focused exclusively on professional rugby union. Research is recommended to be conducted on
other sports, both team and individual, to confirm whether the conclusions drawn from this project are
applicable in those sports. Ball (1976) and Greendorfer and Blinde (1985) suggested that the transition
experience is probably highly related to the specific sport setting and the institutional context of the setting,
and it would be interesting to test this hypothesis.
Cross country and cultural investigations should be carried out, to help identify practices adopted by
associations which lead to more successful transitions for their players. Roberts’ (2010) found that coping
mechanism differed according to nationality and building on this research could give valuable insight into
effective transitions.
The research failed to measure the success of the individual’s transitions. A multiple regression could be
conducted in future research to determine those factors that contributed most to a successful transition from
sports (Marthinus, 2007, p. 177).
Future research should also incorporate interviews and questionnaires prior to retirement, which may
identify potential increases or decreases in subjective well-being from within the sports career to the
transition phase, and possible explanations for this phenomenon.
73 | P a g e
5.4 CONCLUSION
The findings from my research corroborate that there are influences, both athletic and non-athletic, on the
retirement process which may mitigate against the negative psychological effects often associated with the
transitions of professional athletes into retirement.
The athletes themselves play an important role in ensuring that they transition successfully to the next stage
of their life, post retirement from sport. It requires them not just acknowledging that the length of their
professional careers is fickle, it means them being proactive in being prepared to handle the end, no matter
when that arises, and no matter how much they care not to think of it. The focus of interest for athletes and
their representative bodies in the future, has to involve the development of intervention strategies and career-
transition programmes throughout the athletes career, which should seek to “develop professional skills and
to foster broader life skills that will facilitate a smoother transition from elite sports” (Smith and McManus,
2008).
Sporting clubs and teams have to also evolve from attempting to just produce successful athletes and teams.
More awareness has to be given to the fact that these athletes will retire, with lives left to live, and that they
can play an important part in ensuring the success of an athlete beyond his or her playing days. These clubs
and teams should draw on the “experiences of their former players , to develop a programme, appropriate for
the sport in which they play and the players involved, which will guide the players to make appropriate
lifestyle choices to minimise the stress of transition for current and recently retired athletes” (Smith and
McManus, 2008).As mentioned previously, it is the players who are now coming through the rugby system,
who are possibly at the greatest risk of encountering the negative consequences of retirement transitions, due
to factors such as, identities formed exclusively around rugby, low levels of career awareness, and
insufficient life skills. If clubs do not help to address this situation, what future will these players have?
74 | P a g e
6. BIBLIOGRAPHY
Alfermann, D. (2001). Causes and consequences of sport career termination. In D. Lavallee, and P.
Wylleman (Eds.), Career transitions in sport, International perspectives (pp. 45-58). Morgantown, WV:
Fitness Information Technology.
Alfermann, D., and Gross, A. (1997). Coping with career termination: it all depends on freedom of choice.
In R. Lidor, &M. Bar-Eli (Eds.), Proceedings of the ninth world congress on sport psychology (pp. 65–67).
Netanya: Wingate Institute for Physical Education and Sport.
Alfermann,D., Stambulova,N., and Zemaityte, A. (2004).” Reactions to sport career termination: a cross-
national comparison of German, Lithuanian, and Russian athletes”, Psychology of Sport and Exercise,
Volume 5, Issue 1, Pages 61-75
Allison, M.T. and Meyer, C. (1988). Career problems and retirement among elite athletes. The female tennis
professional. Sociology of Sport Journal, Vol. 5, pp. 212-222.
Anderson, D. (1999). Lifeskill intervention and elite athletic performance. Unpublished masters dissertation.
Victoria University of Technology, Victoria, Australia.
Anderson, D., Morris, T. (2000). Athlete lifestyle programs. In D. Lavallee, & P Wylleman (Eds.) Career
transitions in sport: International perspective (pp. 59-80). Morgantown MV : Fitness Information
Technology.
Anderson, M. (1985). The emergence of the modern life cycle in Britain. Social History. Vol. 10(1): pp. 69–
87.
Arthur, M. B. and Rousseau, D.M. (1996). The boundaryless career: A new employment principle for new
organizational era. In Arthur, M.B. and Rousseau, D.M. (Eds), The boundaryless career: A new employment
principle for a new organizational era, pp. 370-82. Oxford, Oxford University Press.
Arviko, I. (1976). Factors influencing the job and life satisfaction of retired baseball players. Unpublished
master’s thesis, University of Waterloo, Ontario.
75 | P a g e
Baillie, P. H. F., and Danish, S. J. (1992). Understanding the career transition of athletes. The Sport
Psychologist, Vol. 6, pp. 77-98. Available at: {http://hk.humankinetics.com/tsp/journalAbout.cfm}.
Accessed 15th
August 2013.
Baillie, P.H.F. (1993). Understanding retirement from sports: Therapeutic ideas for helping athletes in
transition. The Counseling Psychologist, Vol. 21, pp. 399-410.
Balaque, G. (1999). Understanding identity, value, and meaning when working with elite athletes. The Sport
Psychologist, Vol. 13, pp. 89-98.
Ball, D. (1976). Failure in sport. American Sociology Review, Vol. 41, pp. 726-739.
Bathgate, A., Best, J.P., Craig, G., Jamieson, M. and Wiley, J.P. (2002). A prospective study of injuries to
elite Australian rugby union players, British Journal of Sports Medicine, Vol. 36, pp. 265-269.
Bermack, E. (1989). Effect of telephone and face to face communication on rated extend of self disclosure
by female college students. Psychological Reports, Vol, 65, pp. 259-267.
Bills, P. (2008). “Anton Oliver: Taking a career twist”, The Independent, 30th
November, Available at:
{http://www.independent.co.uk/sport/rugby/rugby-union/news-comment/anton-oliver-taking-a-career-twist-
1036448.html}. Accessed on line 7th August 2013.
Blann, F.W. and Zaichkowsky, L. (1986). Career/Life Transition Needs of National Hockey League Players
and Career-Life Transition Needs of National Hockey League Players: Spouses Perspectives. Final Reports
Prepared for the National Hockey League Players' Association. Paper presented at the National Convention
of the American Alliance for Health, Physical Education, Recreation and Dance (Las Vegas, NV, April 13-
17, 1987).
Blinde, E. M., and Greendorfer, S. L. (1985). A reconceptualization of the process of leaving the role of
competitive athlete. International Review for Sociology of Sport, Vol.1 (2), pp.87–92.
Botterill, C. (1981). What “endings” tell us about “beginnings”. In T.Orlick, J. Partington and J. Salmela
(Eds.), Mental training for coaches and athletes (pp. 164-165). Ottawa, ON: Coaching Association of
Canada and Sport in Perspective.
76 | P a g e
Botterill, C. (1988). Preventing burnout and retirement problems. Canadian Academy of Sports Medicine,
Vol. 8, pp. 28–29.
Boyle, D. (2012). “Ian McKinley: 'I'd give anything to go back - but not my right eye”, Irish Independent, 7th
January 2012. Available at: { http://www.independent.ie/sport/rugby/ian-mckinley-id-give-anything-to-go-
back-but-not-my-right-eye-26808787.html}. Accessed 21st
August 2013.
Brewer, B. W., Van Raalte, J.L. and Linder, D.E. (1993). Athletic identity: Hercules’ muscles of Achilles
heel, International Journal of Sports Psychology, Vol. 24, pp. 237-254.
Bridges, W. (1995). Job shift: How to prosper in a workplace within jobs. London: Nicholas Brearley.
Burke, R.J. and Ng, E. (2006). The changing nature of work and organisations: Implications for human
resource management, Human Resource Management Review, Vol. 16 (2), pp. 86-94.
Cawsey, T.F. (1995). The portfolio career as a response to a changing job market. Journal of Career
Planning and Employment. Vol. 56 (1) pp. 41-46.
Cecic Erpic S., Wylleman, P. and Zupancic, M. (2004). The effect of athletic and non-athletic factors on the
sports career termination process, Psychology of Sport and Exercise, Vol. 5 pp. 45–59.
Cecic Erpic, S. (2000). Konec vrhunske sportne kariere in napoved priladogitive na posportno zivljenje
(Elite sports career transition and prediction of the adaptation to the post-sport life). Unpublished doctoral
dissertation, Faculty of Arts, University of Ljubljana, Ljubljana.
Cecić Erpič, S. (2011). Sports career termination and adaptation to post-sports life: a review of
developmental-sport psychological perspectives. In D. Milanović, & G. Sporiš (Eds.), 6th International
Scientific Conference on Kinesiology, Zagreb, Croatia, September 08-11, 2011. Integrative power of
kinesiology : proceedings book (pp. 488-493). Zagreb: Faculty of Kinesiology.
Cecic´ Erpicˇ, S. (1998). Spremljanje razvoja zˇivljenjskih struktur in zˇivljenjskega zadovoljstva v zgodnji
odraslosti: primerjava med bivsˇimi vrhunskimi sˇportniki in nesˇportniki [Following the development of life
structures and life satisfaction: comparison between former top athletes and non-athletes]. Unpublished
master’s thesis, University of Ljubljana, Ljubljana, Slovenia.
77 | P a g e
Cecic-Erpic, S. (2000). Konec vrhunske sportne kariere in napoved prilagoditive na postportno zivljenje
(Elite sports career transition and prediction of the adaptation to post-sport life). Unpublished doctoral
dissertation. Ljubljana: University of Ljubljana.
Centre for Ageing Research and Development in Ireland (2010). Ageing In Ireland, North and South Key
Statistics. Online : [ http://www.cardi.ie/userfiles/Ageing%20in%20Ireland%20key%20stats.pdf ]. Accessed
13th May 2012.
Coakley, J. (1983). Leaving competitive sport: Retirement or rebirth. Quest, Vol. 35, pp. 1-11.
Coughlan, B. (2009). “IRUPA on the ball as players gear-up for retirement”, Irish Examiner, 31st
December
2009. Available at :{ http://www.irishexaminer.com/archives/2009/1231/world/irupa-on-the-ball-as-players-
gear-up-for-retirement-108722.html}. Accessed 19th
August 2013.
Creswell, J. (1994). Research design: Qualitative and quantitative approaches. London: Sage.
Creswell, J. (2005). Educational Research : Planning, conducting, and evaluating quantitative and
qualitative research. New Jersey: Pearson.
Crook, J.M., and Robertson, S.E. (1991). Transitions out of elite sport. International Journal of Sports
Psychology, Vol. 22 (2), pp. 115-127.
CSO (2011). Population 1901 – 2011, Available at :
{http://www.cso.ie/Quicktables/GetQuickTables.aspx?FileName=CNA13.asp&TableName=Population+190
1+-+2011&StatisticalProduct=DB_CN}. Accessed 11th August 2013.
CSO (2012). “Profile 2: Older and Younger”. Available at:{
http://www.cso.ie/en/media/csoie/census/documents/census2011profile2/Profile2_Older_and_Younger_Enti
re_Document.pdf}. Accessed 19th
August 2013.
CSO (2013). “Population and Labour Force Projections 2016-2046”, April, 2013. Available at :
{http://www.cso.ie/en/media/csoie/releasespublications/documents/population/2013/poplabfor2016_2046.pd
f}. Accessed 4th August 2013.
78 | P a g e
CSO (2013). “Press Release Population and Labour Force Projections 2016-2046”, April, 2013. Available
at :
{http://www.cso.ie/en/newsandevents/pressreleases/2013pressreleases/pressreleasepopulationandlabourforce
projections2016-2046/}. Accessed 4th
August 2013.
Danish, S. (1993). Going for Goal handbook. Richmond, Va: Virginia, Commonwealth University.
Danish, S. J., Petitpas, A. J., and Hale, B. D. (1993). Life development intervention for athletes: life skills
through sports. The Counselling Psychologist, Vol. 21(3), pp. 352–385.
Drahota, J. and Eitzen, D. (1998). The role exit of professional athletes, Sociology of Sport Journal, Vol. 15
(3), pp. 263-78.
Durand-Bush, N. and Salmela, J.H. (2002). The development and maintenance of expert athletic
performance: Perceptions of world and Olympic champions. Journal of Applied Sports Psychology, Vol. 14,
pp. 154-171.
Easterby-Smith, M., Thorpe, R. and Lowe, A. (1991). Management research: An introduction. London:
Sage.
Edgar, R. (2010). “What comes after rugby”, Financial Times, March 10. Available at : {
http://www.ft.com/intl/cms/s/0/2e27fd68-2c3c-11df-9187-00144feabdc0.html#axzz2bb67MZaQ}. Accessed
on line 7th August 2013.
Ekerdt, D.J. and DeViney, S. (1990). Eddies in the stream: The prevalence of uncertain plans for retirement.
Journal of Aging Studies. Vol. 4(3): pp. 211−229.
Elkin, D. (1981). The hurried child. Reading, MA: Addison-Wesley.
English Professional Rugby Injury Surveillance Project Steering Group (2013). England Professional Rugby
Injury Surveillance Project 2011-2012 Season Report, March 2013. Available at: {
http://www.irbplayerwelfare.com/pdfs/RFU_Injury_Audit_2013_EN.pdf}. Accessed 21st
August 2013.
Ernst and Young (2011). Available at: {http://www.eoy.tv/news.php?nID=1}. Accessed 18th August 2013.
79 | P a g e
ESPN (2013). Rory Lawson forced to retire. Available at :
{http://www.espn.co.uk/scotland/rugby/story/193487.html}. Accessed 11th
August 2013.
European Federation of Sport (2000). Position statement 3: sports career transitions. In D. Lavallee, & P.
Wylleman (Eds.), Career transitions in sport: International perspective, (pp. 259–261). Morgantown:
Fitness Information Technology.
Eurostat News Release (2011) – Population projections 2010-2060 80/2011. Online
:[http://epp.eurostat.ec.europa.eu/cache/ITY_PUBLIC/3-08062011-BP/EN/3-08062011-BP-EN.PDF ]
Accessed 26th April 2012.
Ferron, C. Narring, F., Cauderay, M. and Michaud, P.A. (1999). Sport activity in adolescence: associations
with health perceptions and experimental behaviours, Health Education Research, Vol. 14 (2), pp. 225-33.
Floyd, F. J., Haynes, S. N., Doll, E. R.; Winemiller, D., Lemsky, C., Burgy, T. M., Werle, M., Heilman, N.
(1992). Assessing retirement satisfaction and perceptions of retirement experiences.
Psychology and Aging, Vol. 7(4), pp. 609-621
Fortuntato, V. (1996). Role transitions of elite Australian rules footballers. Unpublished doctoral
dissertation. Victoria University of Technology, Melbourne, Australia.
Freedman, A. (1993). New jobs lack the old security in a time of disposable workers. New York Times,
March 15th
1993. Available at:{http://www.nytimes.com/1993/03/15/us/new-jobs-lack-the-old-security-in-a-
time-of-disposable-workers.html?pagewanted=all&src=pm}. Accessed 4th
August 2013.
Garraway, A.J., Lee, A.J., Hutton, S.J., Russell, E.B.A.W. and MacLeod, D.A.D. (2000). Impact of
professionalism on injuries in rugby union, British Journal of Sports Medicine, Vol. 34, pp. 348-351.
Garraway, W.M., Lee, A.J., Hutton, S.J., Russell, E.B. and Macleod, D.A. (2000). Impact of professionalism
on injuries in rugby union. British Journal of Sports Medicine, Vol. 34, pp. 348-351.
Gearing, B. (1999). Narratives of identity among former professional footballers in the United Kingdom,
Journal of Aging Studies, Vol. 13 (1), pp. 43-58.
80 | P a g e
George, C. (2013). 'A shake of the hand, your P45 and out the gate', Irish Independent, 27th
August 2013.
Available at: {http://www.independent.ie/sport/rugby/a-shake-of-the-hand-your-p45-and-out-the-gate-
29529725.html}. Accessed 27th
August 2013.
Gorbett, F.J. (1985). Psycho-social adjustment of athletes to retirement. In L.K. Bunker, R.J. Rotella and A.
Reilly (Eds.), Sport psychology: Psychological considerations in maximising sport performance, (pp. 288-
294). NY: Movement Publications.
Gould, D., Jackson, S.A. and Finch, L. (1993). “Life at the top: The experiences of U.S. national champion
figure skaters”, The Sport Psychologist, Vol. 7, pp.353-374.
Greendorfer, S.L., and Blinde, E.M. (1985). Retirement from intercollegiate sport: Theoretical and empirical
considerations. Society of Sport Journal ,Vol. 2 pp. 101-110.
Greendorfer, S.L. and Blinde, E.M. (1985). Retirement from intercollegiate sport: Theoretical and empirical
considerations. Society of Sport Journal, Vol. 2, pp. 101 -110.
Grove, J. R., Lavallee, D., and Gordon, S. (1997). Coping with retirement from sport: the influence of
athletic identity. Journal of Applied Sport Psychology, Vol. 9, pp.191–203.
Guillemard, A. M., and van Gunsteren, H. (1991). Pathways and their prospects: A comparative
interpretation of the meaning of early exit. Time for retirement: Comparative studies for early exit from the
labor force, pp.362-387.
Hall, D.T. (1996). Long live the career. In D.T. Hall and Associates (Eds.), The career is dead – long live the
career. San Francisco: Jossey-Bass.
Han, S.K., and Moen, P. (1999). Clocking out: Temporal patterning of retirement. American Journal of
Sociology. Vol.105 (1): pp. 191−236.
Handy, C. (1994). The empty raincoat: Making sense of the future. London: Hutchinson.
Hardy, M. (2011). Rethinking retirement. In: Settersten, R.A. Jr. and Angel, J.L. (eds.) Handbook of
Sociology of Aging. New York: Springer: pp. 213–227.
81 | P a g e
Hawkins, K. and Blann, F.W. (1986). Athlete/coach career development and transition. Australia: National
Sports Research Centre.
Hayes, J. (2012).The Bull : My Story. London : Simon and Schuster UK Ltd.
Hayward, M.D., Hardy, M.A. and Liu, M.C. (1994). Work after retirement: The experiences of older Men in
the US. Social Science Research. Vol 23: pp. 82−107.
Hearle, R.K. Jnr. (1975). Career patterns and career contingencies of professional baseball players : An
occupational analysis. In D.W. Ball and J.W. Loy (Eds.) Sport and social order (pp. 461-519). Reading ,
MA: Addison – Wesley.
Hickey, C. and Kelly, P. (2005). Professional education and training for early career players in the
Australian Football League: Footy first, second and third. Paper presented AARE Conference, Sydney, Nov
27 – Dec 1 2005.
Hill, P. and Lowe, B. (1974). The inevitable methathesis of the retiring athlete. International Review of Sport
Sociology, Vol. 4, pp. 5-29.
Horne, J., Tomlinson, A. and Whannel, G. (1999). Understanding sport: An introduction to the sociological
and cultural analysis of sport. London: E & FN Spon.
Howe, D. (2001). An ethnography of pain and injury in professional rugby union: the case of Pontypridd
RFC, International Review of Sport Sociology, Vol. 35, (3), pp. 289-303.
Human Resources . Vol. 45(3): pp. 718−748.
I.R.F.U. (2013). “Club Sustainability Report April 2013” Available at:
{http://www.irishrugby.ie/downloads/IRFU_Club_Sustainability_Report_April2013.pdf}. Accessed 21st
August 2013.
I.R.F.U. (2013). IRFU Annual Report and Accounts 2012/13. Available at:
{http://www.irishrugby.ie/downloads/IRFU_Annual_Report_2012-13.pdf}. Accessed 21st
August 2013.
IRFU (2010). Save Irish Rugby - IRFU's Relationship with ERC/Six Nations. Available at: {
http://www.irishrugby.ie/save/the_facts.php}. Accessed 11th August 2013.
82 | P a g e
IRUPA (2008). “Retirement poses major issues for professional rugby players” . Available at:
{http://irupa.ie/2008/12/19/retirement-poses-major-issues-for-professional-rugby-players/}. Accessed 19th
August 2013.
IRUPA (2013). Available at: {http://irupa.ie/member-benefits/}. Accessed 5th
August 2013.
Jackman, B. (2011). Rugby players shoulder a lot – even in retirement. Irish Independent 03/11/2011
Online: [ http://www.independent.ie/opinion/analysis/bernard-jackman-rugby-players-shoulder-a-lot-even-
in-retirement-2927890.html] Accessed on-line 26th April 2012.
Joe.ie (2012). “Leinster’s Mike Ross chats Heineken Cup, leaders at Leinster and his passion for science”.
Available at: {http://www.joe.ie/rugby/rugby-features/leinsters-mike-ross-chats-heineken-cup-leaders-at-
leinster-and-his-passion-for-science/}. Accessed 19th
August 2013.
Joe.ie. (2012). “Top pundit Byrne outlines his retirement from rugby issues”. Available at:
{http://www.joe.ie/rugby/rugby-features/top-pundit-byrne-outlines-his-retirement-from-rugby-issues/}.
Accessed 19th
August 2013.
Kell, P. (2002). Personal communication.
Kennedy, S.R. and Dimick, K.M. (1987). Career maturity and professional sports expectations of college
football and basketball players. Journal of College Student Personnel, Vol. 28, pp. 293-297.
Kerr, G. and Dacyshyn, A. (2000). The retirement experience of elite, female gymnasts. Journal of Applied
Sport Psychology, Vol. 12, pp. 115-133.
Khan, R. (1972). The boys of summer. New York : Harper and Row.
Kim, J.E. and Moen, P. (2001). Is retirement good or bad for subjective well-being? Current Directions in
Psychological Science, Vol. 10, pp. 83-86.
KMPG / Department of Social Protection (2012). “The Actuarial Valuation of the Social Insurance Fund
2010”. Available at: { http://www.welfare.ie/en/downloads/2010actuarialreview.pdf}. Accessed 4th
August
2013.
83 | P a g e
Kramer, J. (1969). Farewell to football. New York : World Books.
Kvale, S. (1983). The qualitative research interview: A phenomenological and a heumenentical mode of
understanding. Journal of Phenomenological Psychology Vol. 14, pp. 171-196.
Lavallee, D. and & Wylleman, P. (2000). Career transitions in sport: International perspective.
Morgantown MV : Fitness Information Technology.
Lavallee, D. and Anderson, M.B. (2000). Leaving sport: Easing career transitions. In M.B. Anderson (Ed.)
Doing sport psychology. Champaign, IL: Human Kinetics.
Leinster Rugby (2013). “O’Malley announces his retirement”. Available at:
{http://www.leinsterrugby.ie/news/10168.php#.UhOclfpOOM8}. Accessed 20th
August 2013.
Lerch, S.H. (1982). Athlete retirement as social death. In N. Therberge and P. Donnelly (Eds.). Sport and the
sociology imagination (pp. 259-272). Fort Worth, TX: Texas Christian University Press.
Lerch, S.H. (1982). Athletic retirement as social death: An overview. Paper presented at the Third Annual
Meeting of NASSS, Toronto.
Light, R. and Kirk, D. (2000). High school rugby, the body and the reproduction of hegemonic masculinity,
Sport, Education and Society, Vol. 5, pp. 153-176.
Light, R. and Kirk, D. (2001). Australian cultural capital: rugby’s social meaning – physical assets, social
advantage and independent schools, Culture, Capital and Society, Vol. 4, pp. 81-98.
Lincoln, Y.S. & Guba, E. (1985). Naturalistic inquiry. Thousand Oaks, CA: Sage.
Loland, N. W. (1999). Some contradictions and tensions in elite sportsmen’s attitudes towards their bodies,
International Review for the Sociology of Sport, Vol. 3, pp. 291-302.
Maestas, N. (2010). Back to work: Expectations and realizations of work after retirement. Journal of
Marcia, J.E. (1966). Development and validation of ego identity status, Journal of Personality and Social
Psychology, Vol. 3, pp. 551-558.
84 | P a g e
Marshall, V.W., Clarke, P.J. and Ballantyne, P.J. (2001). Instability in the retirement transition. Research on
Aging. Vol. 23(4): pp. 379−409.
Martens, M.P. and Lee, F.K. (1998). Promoting life-career development in the student athlete: How can
career centres help? Journal of Career Development, Vol. 25 (2), pp. 123-134.
Marthinus, J.M., (2007). “Psychological effects of retirement in elite athletes”. Dissertation presented for the
degree of Doctor of Philosophy (Sports Science) at Stellenbosch University. Available at:
{http://hdl.handle.net/10019.1/1133}. Accessed 15th August 2013.
McAllister, D.R., Motamedi, A.R., Hame, S.L., Shapiro M.S. and Dorey, F.J. (2001). Quality of life
assessment in elite collegiate athletes, American Journal of Medicine, Vol. 29, pp. 806-810.
McGillivrary, D. (2006). Facilitating change in the educational experiences of professional footballers: The
case of Scottish football. Managing Leisure, Vol.11 pp. 22-38.
McGillivrary, D., Fearn, R. and McIntosh, A. (2005). Caught up in and by the beautiful game, Journal of
Sport and Social Issues, Vol. 29 (1), pp. 102-123.
McKenna, J. and Thomas, H (2007). Enduring injustice : a case study of retirement from professional rugby
union, Sport, Education and Society, Vol. 12, No.1, February, pp. 19-35.
McKnight, K., Bernes, K., Gunn, T., Chorney, D., Orr, D. and Bardick, A. (2009). Life after Sport : Athletic
Career Transition and Transferable Skills, Journal of Excellence, Vol. 13, pp. 63-77. Available at; {
https://www.uleth.ca/dspace/bitstream/handle/10133/1175/Life_After_Sport.pdf?sequence=1}. Accessed
15th
August 2013.
McLaughlin, P. (1981). Retirement: Athlete’s transition ignored by system. Champion, Vol. 5, pp. 14-17.
McPherson, B. D. (1980). Retirement from professional sport: The process and problems of occupational
and psychological adjustment. Sociological Symposium, Vol. 30, pp. 126-143.
Mihovilovic, M. (1968). The status of former sportsmen. International Review for the Sociology of Sport,
Vol. 3, pp. 73-93.
85 | P a g e
Moen, P., Erickson, W.A., Agarwal, M., Fields, V., and Todd, L. (2000). The Cornell Retirement and Well-
Being Study: Final Report 2000. Bronfenbrenner Life Course Center. Ithaca, NY: Cornell University.
Available at:{ http://worlddatabaseofhappiness.eur.nl/hap_bib/freetexts/ moen_p_2000.pdf.}. Accessed 4th
August 2013.
Munster Rugby (2003). “John O’Neill to retire”. 15th
July 2013.Available at:
{http://www.munsterrugby.ie/news/1411.php#.UhxQI_pOOM8}. Accessed: 27th
August 2013.
Murphy, G. (2012). The Outsider. London : Penguin Books.
Murphy, G.M., Petitpas, A.J. and Brewer, B.W. (1986). Identity foreclosure, athletic identity and career
maturity in intercollegiate athletes. The Sport Psychologist, Vol. 10, pp. 239-246.
Murphy, S.M., (Ed.). (1995). Sport psychology interventions. Champaign, IL: Human Kinetics.
New Zealand Rugby Players’ Association (2011). “NZRPA Retired Players Survey”. Available at
{http://www.nzrpa.co.nz/media/documents/NZRPA_Past_Player_MMW_final_edits.pdf}. Accessed on line
10th August 2013
Nicholi, A.M. (1987). Psychiatric consultation in professional football. New England Journal of Medicine,
Vol. 316, pp. 1095-1100.
North, J. and Lavallee, D. (2004). An investigation of potential users of career transition services in the
United Kingdom. Psychology of Sport and Exercise. Vol. 5 (1), pp. 77-84.
NZRPA (2011). “NZRPA Retired Players Research Project” New Zealand Rugby World, October 2011.
Available at:{ http://www.nzrpa.co.nz/media/magazines/5._NZRPA_News_October_2011.pdf}. Accessed
18th
August 2013.
Ogilvie, B.C., and Howe, M. (1986). The trauma of termination from athletics. In J.M. Williams (Ed.)
Applied sports psychology: Personal growth to peak performance pp. 365-382 Mountain View, Palo Alto,
CA : Mayfield Publishing Company.
Organisation for Economic Co-operation and Development (OECD) (2005). Aging and Employment
Policies/Vieillissement et politiques de l’emploi: United States 2005 (NIH Publication No. 54027 2005).
OECD iLibrary. Available at:{ http://dx.doi.org/10.1787/9789264009608-en. }
86 | P a g e
Organisation for Economic Co-operation and Development (OECD) (2007). Can Policies Boost Birth
Rates?, Policy Brief. Available at : http://www.oecd.org/els/family/39970765.pdf}. Accessed 4th August
2013.
Organisation for Economic Co-operation and Development (OECD) (2013). Available at
{http://www.oecdbetterlifeindex.org/countries/ireland/ }. Accessed 4th
August 2013.
Parker, A. (2000). Training for “glory”, schooling for “failure”?: English professional football, traineeship
and educational provision. Journal of Education and Work, Vol. 13 (1) pp. 61-76.
Pearson, R., and Petitpas, A. (1990). Transition of athletes: pitfalls and prevention. Journal of Counselling
and Development, Vol. 69, pp.7–10.
Petitpas, A., Champagne, D., Chartrand, J., Danish, S. and Murphy, S. (1997). Athletes’ guide to career
planning: Keys to success from the playing field to professional life. Champaign: Human Kinetics.
Petitpas, A.J., Danish, S., McKelvain, R., and Murphy, S. (1992). A career assistance program for elite
athletes. Journal of Counselling Development, Vol. 70 , pp.383–386.
Phillipson, C. (2011) Extending working life and re-defining retirement: Problems and challenges for social
policy. In: Ennals R. and Salomon R.H. (eds.) Older Workers in a Sustainable Economy, Vol. 21. Frankfurt
am Main: Peter Lang, pp. 233–243.
Pleau, R. and Shauman, K. (2009). Trends and correlates of post-retirement employment, 1977 -2009.
Human Relations, Vol. 66 (1): pp. 113-141.
Pleau, R.L. (2010) Gender differences in postretirement employment. Research on Aging. Vol. 32(3): pp.
267−303.
Post, C., Schneer, J.A., Reitman, F., Ogilvie, D.T. (2013). Pathways to retirement: A career stage analysis of
retirement age expectations. Human Relation. Vol. (66) 1: pp. 87-112.
Price, N. (2007). Game of two halves: preparing young elite rugby players for a future beyond the game.
PhD thesis, Faculty of Education, University of Wollongong, 2007. Available at: {
http://ro.uow.edu.au/cgi/viewcontent.cgi?article=1045&context=theses}. Accessed 4th
August 2013.
87 | P a g e
Quinlan, A. (2010). Red blooded: The Alan Quinlan Story., Kells: Irish Sports Publishing.
Quinn, J.F., and Kozy, M. (1996). The role of bridge jobs in the retirement transition: Gender, race and
ethnicity. The Gerontologist. Vol. 36(3): pp. 363−372.
Rigauer, B. (1981). Sport and work. New York: Columbia University Press.
Roberts, C-M. (2010).A cross-cultural evaluation of rugby union transitions. Paper presented at the 26th
Annual Conference of the Applied Association of Sport Psychology, Providence, Rhode Island.
Roderick, M. (2006). A very precarious profession: Uncertainty in the working lives of professional
footballers. Work, Employment and Society, Vol. 20 (2) pp. 245-265.
Rose, J. & Jevne, R.F.J. (1993). Psycholosocial processes associated with athletic injuries. The Sport
Psychologist, Vol. 7, pp. 309-328.
Rosenberg, E. (1981). Gerontological theory and athletic retirement. In S.L. Greendorfer and A. Yiannakis
(Eds.). Sociology of sport: Diverse perspectives (pp. 118-127). West Point, NY: Leisure Press.
Rotella, R.J. and Heyman, S.R. (1986). Stress, injury, and the psychological rehabilitation of athletes. In
J.M. Williams (Ed.). Applied sport psychology: Personal growth to peak performance (pp. 343-364). Palo
Alto, CA: Mayfield.
Royal Geographical Society with Institute of British Geographers (2011). “Britain’s ageing population”,
Available at: { http://www.21stcenturychallenges.org/focus/britains-greying-population/}. Accessed 27th
August 2013.
Ruhm, C.J. (1990). Bridge jobs and partial retirement. Journal of Labor Economics. Vol. 8(4): pp. 482−501.
Sargent, L.D., Lee, M.D., Martin, B. and Zikic, J. (2013). Reinventing retirement: New pathways, new
arrangements, new meanings. Human Relations. Vol. 66 (1): pp. 3 -21.
Scanlan, T. K., Stein, G. L., & Ravizza, K. (1991). An in-depth study of former elite figure skaters: III.
Sources of stress. Journal of Sport & Exercise Psychology, Vol. 13, pp. 102-120.
88 | P a g e
Schlossberg, N. K. (1981). A model for analyzing human adaptation to transition. The Counselling
Psychologist, Vol. 9(2), pp.2–18.
Schlossberg, N. K., Waters, E. B., and Goodman, J. (1995). Counselling adults in transition: Linking
practice with theory. New York: Springer.
Schlossberg, N.K. (1984). Counselling adults in transition. New York : Springer.
Schlossberg, N.K., Lynch, A.O. and Chickering, A.W. (1989). Improving higher education environments for
adults. San Francisco, CA: Jossey-Bass.
Sheahan, F., McConnell, D. and Drennan J. (2013). “Government warned to 'prepare for war' over pensions
cut”, Irish Independent, 11th
August 2013. Available at: { http://www.independent.ie/irish-news/government-
warned-to-prepare-for-war-over-pensions-cut-29489715.html}. Accessed 19th August 2013.
Shim, M.J., Gimeno, D., Pruitt, S.L., McLeod, C.B., Foster, M.J. and Amick III, B.C. (2013). “A Systematic
Review of Retirement as a Risk Factor for Mortality” in N. Hoque, M.A. McGehee, B.S. Bradshaw (Eds.)
Applied Demography and Public Health, (p.277-313) NY: Springer Science+Business Media.
Sinclair, D.A. and Orlick, T. (1993). Positive transitions for high-performance sport. The Sports
Psychologist, Vol. 7, pp. 138 -150.
Slavec, A. and Dmovsek, M. (2012). “A perspective on scale development in entrepreneurship research”,
Economic and Business Review, Vol. 14 (1), pp. 39-62.
Smith, J.L. and McManus, A. (2008). A review on transitional implications for retiring elite athletes: What
happens when the spotlight dims? The Open Sports Sciences Journal, Vol. 1, pp. 45-49.
Stambulova, N. (2003). Symptoms of a crisis-transition: A grounded theory study. In N. Hassmen (Ed.)
SIPF Yearbook 2003, (pp.97-109). Orebro : Orebro University.
Stambulova, N. B. (1994). Developmental sports career investigations in Russia. A post-perestroika analysis.
The Sport Psychologist, Vol. 8, pp. 221–237.
89 | P a g e
Stambulova, N., Alfermann, D., Statler, T. and Cote, J. (2009). “Career development and transitions of
athletes: The ISSP position stand”. International Journal of Sport and Exercise Psychology, Vol. 7 (4) pp.
395-412.
Stambulova, N., Stephan, Y.,Jäphag, U. (2007). “Athletic retirement: A cross-national comparison of elite
French and Swedish athletes”, Psychology of Sport and Exercise, Volume 8, Issue 1.
Stambulova, N.B. (2001). Sports career termination of Russian athletes: Readiness to the transition. In A.
Papaioannou, M. Goudas and Y. Theodarakis (Eds.), Proceedings of the 10th
World Congress of Sport
Psychology, Vol. 4 (pp. 29-31). Skiatos: International Society of Sport Psychology.
Steenkamp, J.B., de Jong, M.G. and Baumgartner, H. (2010). "Socially Desirable Response Tendencies in
Survey Research", Journal of Marketing Research, Vol. 47, 199-214.
Steinacker, J.M., Lormes, W., Lehman, M. and Altenburg, D. (1998). Training of rowers before world
championships. Medicine and Science in Sports and Exercise, Vol. 30, pp. 1158-1163.
Stephan, Y., Bilard, J., Ninot, G. and Delignières,G.(2003). Repercussions of transition out elite sport on
subjective well-being: A one-year study, Journal of Applied Sport Psychology, Vol. 15 (4), pp. 354-371.
Stevenson, C. (2001). Becoming an international athlete: Making decisions about identity. In J. Coakley and
P. Donnelly (Eds.). Inside sport, pp. 86-95. London: Routledge.
Stevenson, M.R., Hamer, P., Finch, C.F., Elliot, B., and Kresnow, M.J. (2000). Sport, age, and sex-specific
incidence of sports injuries in Western Australia, British Journal of Sports Medicine, Vol. 34, pp. 188-194.
Strean. W.B. (1998). Possibilities for qualitative research in sport psychology. The Sport Psychologist, Vol.
12 pp. 333-343.
Streib G.F., and Schneider, C.J. (1971). “Retirement in American Society: Impact and Process”. Ithaca,
N.Y.: Cornell University Press.
Super, D.E. and Thompson, A.S. (1979), A Six-Scale, Two-Factor Measure of Adolescent Career or
Vocational Maturity. Vocational Guidance Quarterly, Vol. 28 pp. 6-15.
90 | P a g e
Svoboda, B., and Vanek, M. (1982). Retirement from high level competition. In T. Orlick, J. T. Partington,
and J. H. Salmela (Eds.), Proceedings of the fifth world congress of sport psychology (pp. 166–175).
Ottawa:Coaching Association of Canada.
Szinovacz, M.E. (2003). Contexts and pathways: Retirement as institution, process, and experience. In G.A.
Adams, and T.A. Beehr (Eds.), Retirement. Reasons, processes and results (pp.6-52). New York: Springer.
Taylor, J. and Ogilvie, B (1998). Career transitions among elite athletes: Is there life after sports? In J.
Williams (Ed.), Applied sports psychology: Personal growth to peak performance (3rd
ed.) pp. 429-444.
London: Mayfield Publishing Company.
Taylor, J., and Ogilvie, B. C. (1994). A conceptual model of adaptation to retirement among athletes.
Journal of Applied Sport Psychology, Vol. 6, pp. 1-20.
Taylor, J., Ogilvie, B. and Lavallee, D. (2006). Career transitions among athletes: Is there life after sports? In
J. M. Williams (Ed.), Applied sport psychology (pp. 595-615). New York: McGraw Hill.
Thescore.ie (2013). “30% of Irish rugby players retiring from injury are under 30”, 26th
August 2013.
Available at :{http://thescore.thejournal.ie/irish-rugby-early-retirements-1053551-Aug2013/}. Accessed: 27th
August, 2013.
Thomas, P. (2003). A whole new ball game: Confronting the myths and realities of New Zealand Rugby.
Auckland: Hodder Moa Beckett.
Tourangeau, R., and Yan.T. (2007), "Sensitive questions in surveys." Psychological Bulletin, Vol. 133, (5),
pp. 859-883.
Torregrosa, M., Boixados, M., Sánchez, X. and Cruz, J. (2004). Elite athletes’ image of retirement: the way
to relocation in sport, Psychology of Sport and Exercise, Vol. 5, pp. 35-43.
Torregrosa, M., Sánchez, X. and Cruz, J. (2004). El papel del psicólogo del deporte en el asesoramiento
académico-vocacional del deportista de elite, Revista de psicología del deporte Vol. 13 (2), pp. 215-228.
Traylor, P. “ A Study of Common Knee Injuries in Rugby” Online [
http://www.fitnessthroughexercise.com/common-knee-injuries.htm ] Accessed 12th May 2012.
91 | P a g e
Ungerleider, S. (1997). Olympic athlete’s transition from sport to workplace. Perceptual and Motor Skills,
Vol. 84, pp. 1287-1295.
United Nations Department Of Economic and Social Affairs Population Division (2012). Population Ageing
and Development . Available online at:
{http://www.un.org/esa/population/publications/2012WorldPopAgeingDev_Chart/2012PopAgeingandDev_
WallChart.pdf}. Accessed 20th June 2013.
United Nations Department of Economic and Social Affairs, Population Division (2012 b). Population
Ageing and Development : Ten years after Madrid, No. 2012/4 December 2012. Available at:
{http://www.un.org/esa/population/publications/popfacts/popfacts_2012-4.pdf}. Accessed 31st July 2013.
Vitale, M. (2002). Career training scheme with AGSM. Beyond the try line, Vol. 1 (2) pp. 1-2.
Wagenaar, W. A. (1986). "My Memory: A Study of Autobiographical Memory over Six Years", Cognitive
Psychology, Vol. 18, 225-252.
Wallace, P. (2004). The internet in the workplace: How new technology is transforming work. New York :
Cambridge University Press.
Wang, M. and Shultz, K.S. (2010). Employee Retirement: A review and recommendations for Future
Investigation, Journal of Management, Vol. 36 No. 1 January 2010: 172-206.
Warner, D.F., Hayward, M.D. and Hardy, M.A. (2010). The retirement life course in America at the dawn of
the twenty-first century. Population Research Policy Review. Vol. 29(6): pp. 893−919.
Weinberg, K. and Arond, H. (1952). The occupational culture of the boxer. American journal of Sociology,
Vol. 57, pp. 460-469.
Werthner, P., and Orlick, T. (1986). Retirement experiences of successful Olympic athletes. International
Journal of Sport Psychology, Vol. 17, pp. 337–363.
World Health Organisation. Online [ http://www.who.int/topics/ageing/en/ ] Accessed 13th May 2012.
92 | P a g e
World Health Organization (WHO), (2012). World Health Statistics 2012 (NLM Classification: WA 900.1).
Geneva, Switzerland: World Health Organization.
Wylleman, P., De Knop, P., Menkehorst, H., Theeboom, M., & Annerel, J. (1993). Career termination and
social integration among elite athletes. In S. Serpa, J. Alves, V. Ferreira, & A. Paula-Brito (Eds.),
Proceedings of the eighth world congress of sport psychology (pp. 902–905). Lisbon: Universidade Tecnica
de Lisboa.
Wylleman, P., Lavallee, D. and Alfermann, D. (1999). Career transitions in competitive sports. Biel,
Switzerland: FEPSAC.
Wylleman, P., Lavallee, D., and Theeboom, M. (2004). Successful athletic careers. In C. Spielberger (Ed.),
Encyclopedia of Applied Psychology (pp. 511-518). San Diego, CA: Elsevier Ltd.
Zaidi, A. (2008). “Features and Challenges of Population Ageing :The European Perspective”. European
Centre for Social Welfare Policy and Research, Policy Brief March (1) 2008. Online [
http://www.euro.centre.org/data/1204800003_27721.pdf ] Accessed 13th May 2012.
Zunker, V.G. (1994). Career life planning – applied concepts of life planning (4th
ed.), Pacific Grove,
California: Brooks/Cole Publishing.
93 | P a g e
APPENDICES
94 | P a g e
APPENDIX 1: QUESTIONNAIRE
Dear ________________,
I am currently doing research on “the issues that rugby union players face in their transition from the arena
of playing as a professional to their retirement from the game?” for a BA in Human Resource Management
in the University of Limerick. This research forms part of my Final Year Project which is required to
complete same.
Given the relevant youth of the professional rugby union worldwide, I felt that the retirement effects on its
players was both an interesting area of study and also a timely one.
Although your involvement in this research should require very little of your time, it nevertheless means that
I may be privy to some of your personal information. This information will be treated in the upmost
confidentiality and the ethical guidelines are laid out by the University of Limerick will be adhered to at all
times. Should you wish at any stage to have your questionnaire removed from the data in the report, your
quest will be adhered to. In return for your valuable time and valued information, I plan to provide all of the
individuals who take part with interesting feedback once the report has been finalised that may be of use to
players who are in transition to retirement or to those who have already taken that step.
I would appreciate it, if you would complete and return the enclosed questionnaire to me. In order to finalise
the report in a timely manner, I would appreciate it if you could complete same, no sooner than the 10th
of
November 2012. I envisage being in a position to forward you the results of my report in October 2013,
upon completion and submission of my Final Year Project.
Thanking you in advance for your co-operation in this matter.
Thomas Fitzgerald
Phone : 086-0491039
Email : toddfitzgerald@shannonsidegalv.com
Address : 31 Cragaun, Fr. Russell Road, Limerick.
95 | P a g e
Sports Career Termination Questionnaire
(Adapted version of the SCTQ II)
Name :
This questionnaire deals with the course of your sport career termination and adjustments to post-sport life.
If you are still active in Rugby (e.g. competing at amateur level) consider the questions as referring to your
professional Rugby Union career, which has already ended.
Instructions:
You will be required to answer the majority of the questionnaire items by circling the number that best
represents your opinion on the statement in question.
Example : I started planning my post-sports life during my sports career.
1 means “I strongly disagree” and 5 means “I strongly agree”. So, if you completely agree with the
statement, you will circle 5.
In the case of questions with checkbox answers, check the one that applies.
When completing specific details in the space provided, please print where applicable to ensure legibility.
• Please respond to every statement.
• Make sure that you always choose one response unless specifically advised otherwise.
• It is essential that your answers will be sincere.
• Your answers will be kept in strict confidence and destroyed subsequently using cross- shredding.
• Should you desire at any stage to have your data removed from the sample at any stage their request
will be adhered to immediately.
Thanking you in advance for your willingness to part-take in this research.
Regards
Thomas Fitzgerald
Phone : 086-0491039
Email : toddfitzgerald@shannonsidegalv.com
Address : 31 Cragaun, Fr. Russell Road, Limerick.
96 | P a g e
Biographical Information
1. Age : ____________ Years
2. Marital Status :
Single
Married /living together
Separated/divorced/widowed
Partner relationship but living alone
3. Do you have children? Yes__________ No____________
If “YES” how many children? _______________________
4. Current occupation: _______________________________________________
5. Highest level of completed education:
Primary school
Technical school
Secondary school
Third level certificate
Third level diploma
Bachelor’s Degree
Master’s Degree
Doctoral Degree
Other. Please specify_______________________________________________
Are you still studying? Yes__________ No____________
If “YES”, please specify_____________________________________________
6. Have you taken any educational or training programmes (e.g. coaching certificate programme / course)?
Yes__________ No____________
If “YES”, please specify_____________________________________________
7. How many years did you compete in your sport (all levels)? ____________Years
8. For how many years were you a member of a :
Club Team? _____ Provincial team? _______ Years National team? ________ Years
9. For how many years was sport your top-priority commitment? ____________ Years
97 | P a g e
10. Approximately how many training sessions per week did you have at the height of your professional sports career?
_________________________ Sessions
11. Approximately how long was the average training session?______________ Hours
12. At which level did you compete at the peak of your career?
Club level
Provincial level
International Level
13. Please specify highest grade of competition played in:
Domestic club league i.e. AIL League
Magners / Pro 12 League
Heineken Cup
Friendly international
Six (Five) Nations International
World Cup
International Touring Side
98 | P a g e
Life during your Professional Rugby Union Career
1. Did you study during your professional rugby union career? Yes ________ No___________
If “Yes” at what level? Secondary school _______ Third Level _________ Other__________
If other please specify?___________________________________________________________
2. What was your schooling status at that time?
Did not study
Full-time study
Part-time study
3. Did you stop studying as a result of your sport commitment? Yes__________ No____________
4. During your professional career, were you married or involved in a close relationship? Yes____ No____
NOTE FOR QUESTION 5,7,10 LIKERT SCALE FROM 1 TO 5 WITH (1) INDICATING VERY LITTLE AND (5) A LOT
5. In your opinion, how much have you earned with your sports involvement? 1 2 3 4 5
6. Have you earned enough in sport to ensure yourself a comfortable post-sport life? Yes______ No______
7. How famous were you during your professional sports career? 1 2 3 4 5
8. Did you enjoy a privileged status among your peers due to your sports involvement? Yes_____ No_____
9. Did you enjoy a privileged status among adults due to your sports involvement? Yes___ No__ Uncertain___
10. Because of your total commitment to sport, did you neglect other important aspects of life that were not related to
sport? 1 2 3 4 5
NOTE FOR QUESTION 11 LIKERT SCALE FROM 1 TO 5 WITH (1) INDICATING NOT AT ALL AND (5) A LOT
11. Because of your total commitment to sport, did you miss some important events and activities that were not related
to sport? 1 2 3 4 5
NOTE FOR QUESTION 12 LIKERT SCALE FROM 1 TO 5 WITH (1) INDICATING VERY RARELY AND (5) OFTEN
12. How often did you engage in social activities during your professional sports career? 1 2 3 4 5
NOTE FOR QUESTION 13 LIKERT SCALE FROM 1 TO 5 WITH (1) INDICATING VERY FEW AND (5) MANY
13. How many friends did you have during your elite sports career? 1 2 3 4 5
NOTE FOR QUESTION 14 LIKERT SCALE FROM 1 TO 5 WITH (1) INDICATING NOT AT ALL AND (5) A LOT
14. During your professional career, were most of your friends from the world of sport? 1 2 3 4 5
99 | P a g e
NOTE FOR QUESTION 15 LIKERT SCALE FROM 1 TO 5 WITH (1) INDICATING VERY BAD AND (5) VERY GOOD
15. What was your relationship with your family like during your professional sports career? 1 2 3 4 5
NOTE FOR QUESTION 16 -23 LIKERT SCALE FROM 1 TO 5 WITH (1) INDICATING VERY LITTLE AND (5) A LOT
16. Did your parents offer you support during your sports career? 1 2 3 4 5
17. In your opinion, how much did your parents invest financially in your sports career? 1 2 3 4 5
18. Did you think about the end of your sports career during your professional playing days? 1 2 3 4 5
19. Did you start planning your post-sport life during your sports career? 1 2 3 4 5
20. During your sports career, did you think of yourself mostly as an athlete? 1 2 3 4 5
21. During your sports career, were most of your goals related to sport? 1 2 3 4 5
22. During your sports career, was sport the most important aspect of your life? 1 2 3 4 5
23. During your sports career, did other people see you primarily as an athlete? 1 2 3 4 5
Sport Career Termination
24. Which year did you first start thinking about ending your professional sports career? ________ Year
What age were you then?____________
Comments:___________________________________________________________________________
25. Which year did you terminate your professional sports career? ______________ Year
What age were you then?____________
26. At what time of the season did you terminate your professional sports career?
During pre-season
Commencement of the season
During the season
At the end of the season
27. How strongly did each of the following factors influence your decision to terminate your professional sports career?
Using the 1-to-5 intensity scale, indicate the influence each factor had on your decision to end your sports career. 1 = No
influence at all 5 = Very strong influence
No influence at all Very strong influence
27.1 You achieved most major goals in your sport 1 2 3 4 5
27.2 You grew tired of the lifestyle of a professional rugby union player 1 2 3 4 5
(e.g. travelling/stress)
27.3 You were offered an opportunity outside your sport career 1 2 3 4 5
(e.g. job offer / an educational opportunity)
100 | P a g e
27.4 You committed yourself to school/study 1 2 3 4 5
27.5 You found other employment 1 2 3 4 5
27.6 You committed yourself to your family 1 2 3 4 5
27.7 You wanted to devote more time to your partner relationship 1 2 3 4 5
27.8 You had problems with coaching staff 1 2 3 4 5
27.9 You had problems with your academy 1 2 3 4 5
29.10You suffered an injury of other health problems 1 2 3 4 5
29.11You were in a poor relationship with team mates 1 2 3 4 5
29.12You were in financial difficulties 1 2 3 4 5
29.13You had poor working and training conditions 1 2 3 4 5
29.14You were not being selected 1 2 3 4 5
29.15Your age 1 2 3 4 5
29.16 Changes in competition regulations 1 2 3 4 5
29.17 Changes in techniques 1 2 3 4 5
29.18 Unsatisfactory performance 1 2 3 4 5
29.19 Lack of support from family 1 2 3 4 5
29.20 Lack of support from friends 1 2 3 4 5
29.20ressure from parents 1 2 3 4 5
30. From the list of factors outlined in number 29 above, choose the three factors that had the strongest influence on your
decision to end your professional rugby union playing career?
1. _________________________________________________________________________
2. _________________________________________________________________________
3. _________________________________________________________________________
Not voluntary at all to Completely voluntary
31. How voluntary was your decision to end your professional sports career? 1 2 3 4 5
Not at all to A lot
32. Did the end of your professional sports career come about gradually? 1 2 3 4 5
33. What was the level of your performance when you decided to end your professional sports career?
I was at the peak of my sports career
My performance was improving
My performance was declining
101 | P a g e
General Mental and Emotional State during transition from playing professional to retirement
34. Is you withdrawal from playing rugby union professional as a competitor;
Permanent
Temporary
Unresolved
Not at all to A Lot
35. Did you have doubts about your decision to end your professional sports career? 1 2 3 4 5
36. Below is a list of emotional states that may have accompanied your retirement from professional sport. Using the 1-
to-5 intensity scale, indicate which number best reflects the absence/presence of each of them. 1 = not at all. 5 = a lot.
Not at all to A Lot
36.1 Dissatisfaction 1 2 3 4 5
36.2 Could not reconcile myself to the end of my professional career 1 2 3 4 5
36.3Sadness 1 2 3 4 5
36.4 Fear of an uncertain future 1 2 3 4 5
36.5 Relief 1 2 3 4 5
35.6 Other _____________________________________________ 1 2 3 4 5
Not at all A Lot
37. How much has retirement from professional sport changed your life? 1 2 3 4 5
Very negative Very positive
38. How was the change generally? 1 2 3 4 5
39. Below is a list of problems which elite athletes are often faced with after retirement from sport. Using the 1-to-5
intensity scale, indicate the magnitude of each problem as it applied to you at the end of your elite-sport career. 1 = no
problem at all. 5 = Posed great problems.
Posed no problem Very problematic
39.1 Health problems (injuries) etc. 1 2 3 4 5
39.2 Detraining difficulties 1 2 3 4 5
39.3 Weight problems 1 2 3 4 5
39.4 Alcohol abuse 1 2 3 4 5
39.5 Drug abuse 1 2 3 4 5
39.6 Missing friends from the world of sport environment 1 2 3 4 5
39.7 Missing sport-related social activities 1 2 3 4 5
39.8 Difficulties in establishing social contacts 1 2 3 4 5
39.9 Missing the lifestyle of an athlete 1 2 3 4 5
39.10 Feelings of underachievement in sport-related goals 1 2 3 4 5
39.11 Loss of status as a public figure 1 2 3 4 5
102 | P a g e
39.12 Loss of public admiration 1 2 3 4 5
39.13 Financial difficulties 1 2 3 4 5
39.14 Problems with finding a job 1 2 3 4 5
39.15 Difficulties with adjustment to the requirements of your occupation 1 2 3 4 5
39.16 Difficulties with adjustment to regular school/study 1 2 3 4 5
39.17 Feelings of incompetence in activities other than sport 1 2 3 4 5
39.18 Lack of professional knowledge 1 2 3 4 5
39.19 Work/school/study pressure 1 2 3 4 5
39.20 Difficulties with planning one’s future 1 2 3 4 5
39.21 Lowered self-confidence 1 2 3 4 5
39.22 Lowered self-worth 1 2 3 4 5
39.23 Lack of self-control 1 2 3 4 5
39.24 Relationship difficulties with parents/family 1 2 3 4 5
39.25 Relationship difficulties with one’s partner 1 2 3 4 5
39.26 Relationship difficulties with one’s coach 1 2 3 4 5
39.27 Relationship difficulties with one’s sport academy/association 1 2 3 4 5
39.28 Relationship difficulties with one’s rugby club 1 2 3 4 5
39.29 Low self-esteem 1 2 3 4 5
39.30 Fear of an uncertain future 1 2 3 4 5
39.31 Other _________________________________________ 1 2 3 4 5
Not at all Completely
40. Have you achieved all of your sport-related goals? 1 2 3 4 5
Not at all Completely
41. To what extent did you depend on sport financially at the end of your career? 1 2 3 4 5
42. After your retirement from sport, how much support (e.g. emotional, financial, etc.) did you receive from the
following; 1= None 3 = A little 5 = A Lot
42.1 Partner / Spouse 1 2 3 4 5
42.2 Parents 1 2 3 4 5
42.3 Other family members 1 2 3 4 5
42.4 Teammates 1 2 3 4 5
42.5 Friends 1 2 3 4 5
42.6 Provincial club 1 2 3 4 5
42.7 Coaching staff 1 2 3 4 5
42.8 IRFU 1 2 3 4 5
42.9 Sports psychologist 1 2 3 4 5
Other: _______________________________________ 1 2 3 4 5
103 | P a g e
43. After your retirement from sport, how much support (e.g. emotional, financial, etc.) did you expect from the
following; 1= None 3 = A little 5 = A Lot
43.1 Partner / Spouse 1 2 3 4 5
43.2 Parents 1 2 3 4 5
43.3 Other family members 1 2 3 4 5
43.4 Teammates 1 2 3 4 5
43.5 Friends 1 2 3 4 5
43.6 Provincial club 1 2 3 4 5
43.7 Coaching staff 1 2 3 4 5
43.8 IRFU 1 2 3 4 5
43.9 Sports psychologist 1 2 3 4 5
43.10 Other: _______________________________________ 1 2 3 4 5
Organisation to post-sport life
44. How long did it take before you felt completely adjusted to the new demands and social roles outside professional
rugby?
0-2 months
3-6 months
7-11 months
1-3 years
Not yet completely adjusted
How long has it been since you retired from professional rugby union?________________________
Very negative Very positive
45. How would you describe your general attitude to retirement from sport at this point? 1 2 3 4 5
46. Immediately after retiring from sport, did you have some activity to become involved in right away?
Yes
No
Not at all Very much
47. To what extent did you miss sport and the lifestyle of an athlete after you ended your career? 1 2 3 4 5
48. Did you feel after a while that you missed sport (e.g.) you thought about your sports career, achievements, the
people from the world of sport, etc.)?
Yes
No
Comments ___________________________________________________________________
49. Are you still active in sport? If “No” continue with Q.50. Yes _________ No ___________
If “Yes” what do you do?
49.1 I work professionally in sport as a coach. Yes__________ No____________
104 | P a g e
49.2 I work professionally in sport as a manager. Yes__________ No____________
49.3 I work professionally in sport as a counsellor. Yes__________ No____________
49.4 I work professionally in sport as a referee/official. Yes__________ No____________
49.5 I work professionally in sport as a volunteer (e.g. part-time coaching, etc.).
Please specify __________________________ Yes__________ No____________
49.6 I now play as an amateur. Yes__________ No____________
50. Do you still enjoy a public reputation because of your sports career?
Yes
No
Much less important to Much more important
51. How does your current post-sport life compare with your active sports career in terms of its importance for your
personality? 1 2 3 4 5
Very dissatisfied to Very satisfied
52. In general, how satisfied are you with your post-sport life? 1 2 3 4 5
Very unsuccessfully to Successfully
53. In general, how did you cope with the adjustment to post-sport life? 1 2 3 4 5
Very important to Very unimportant
54. How important is the role of a former professional rugby player to you? 1 2 3 4 5
Completely agree Completely disagree
55. Is sport still the most important aspect of your life? 1 2 3 4 5
Counselling for retirement
56. Did you expect any psychological problems after your retirement from sport?
Yes
No
If “Yes” what kind of problems did you expect?
Specify:_____________________________________________________________________________
____________________________________________________________________________________
105 | P a g e
57. If you were having hard and stressful times after retirement, who, if anyone, would you turn to for help? Check all
that apply.
Sports psychologist
Counsellor/therapist
Coach
Physician
Other sports-related expert (e.g. sport manager, physical therapist, etc.)
Parents
Partner
Siblings
Close friends
No one
Other __________________________________________________________________________
58. How useful would you find the following services after sports retirement? Not Useful to Very Useful
58.1 Help in finding a new career or area of interest 1 2 3 4 5
58.2 Help in learning how to transfer your mental skills to a new career or area of interest
1 2 3 4 5
58.3 Help in building your confidence in post sport – life 1 2 3 4 5
58.4 Information on work and educational opportunities 1 2 3 4 5
58.5 Financial counselling 1 2 3 4 5
58.6 Assistance in finding a place to live 1 2 3 4 5
58.7 Assistance/guidance with medical and health care 1 2 3 4 5
58.8 Physiological and dietary detraining programme 1 2 3 4 5
58.9 Information on how other athletes have dealt with retirement 1 2 3 4 5
58.10 Workshops with other retired athletes to share and learn from each other’s experiences
1 2 3 4 5
106 | P a g e
Retrospect
59. What are the most important things that you gained from your sports career? Rank the following by placing a
number (5 = most important to 1 = least important) next to the aspect.
Financial _____________
Fame_________________
Fitness________________
Friendships____________
Others _______________ Specify :___________________________________________________
60. Would you recommend your children to follow a career similar to yours?
Yes
No
Uncertain
No children
Thank you for your co-operation with completing this questionnaire.
Your answers will be kept in strict confidence and destroyed subsequently using cross-shredding.
Should you desire at any stage to have your data removed from the sample at any stage their request will be adhered to
immediately.
107 | P a g e
APPENDIX 2: INTERVIEW QUESTIONS
Questions are drawn from the following Marthinus, J.M., (2007) “Psychological effects of retirement in
elite athletes”.
Beginning the interview. Introductory remarks and demographics.
• How old were you when you began your athletic career?
• How old were you when you began playing rugby union?
• How old were you when you turned professional?
• What provincial clubs have you played for in Ireland?
• Have you ever played professional outside of Ireland?
• What got you into playing rugby union to begin with?
• Did you have an athletic hero?
• Who was that person and what made them a hero to you?
• What was the most important thing that kept you playing rugby all these years?
• What did you find most enjoyable about playing rugby?
• Can you outline at what levels you have played rugby? (Club/Provincial/International/Touring
sides)
• How long did your professional career last?
• For what reason did you retire? Voluntary / Involuntary. Deselection/Injury/Free choice.
Initiation (Training) stage.
• It is clear that you made a long-term commitment to sport and have achieved a high level in relation to
same. At what age did you begin your competitive sports career and how successful was it in the
initial stages?
• By choosing sport, you made a large commitment. What was your main goal when you began
participating in sport?
• By commitment to sport we mean “Your desire and determination to keep doing what you do best,
and that is keep on winning”. Were results important to you at the beginning and why?
• (Considering everything, both on and off the field, how much did you enjoy playing sport? (1-7 Likert
scale) 1 being not very much 7 being loved it.
• What valuable opportunities did you have taking part in sport? Travel/meeting people/job
opportunities.
108 | P a g e
Maturity (Performance) stage.
• Thinking back to your first major competitive honour when you turned professional. Which was?
How did you feel, and what were you thinking about prior to the contest? How were you focused
during the performance?
• After that win did you begin to think about any other goals? If yes, what sort of goals?
• Did your life change in any way after your first big win? If yes, in what way? Did you experience
any additional demands? If yes, what sort of demands? What was the most stressful?
• Were you prepared to deal with these additional demands? How did you deal with them? What did
you find most effective? Did you have any assistance in preparing yourself to cope with them?
• Do you have any suggestions that might help other professional rugby union players who will face a
similar situation, to help them better prepare and cope with becoming or remaining a champion?
• Did you have any non-sport identities? What would be helpful for the athlete to broaden their social
identity/social support?
• Investing personal resources: What have you invested that you cannot recover if you leave sport?
• Did you feel a sense of obligation to keep competing because of the expectation of other people?
Whose expectations are most important to you? What expectations did these people have?
• Did you feel encouragement and support from other people? Whose encouragement and support
were most important to you? How did these people encourage and support your participation?
Anticipation (realisation of retirement) stage.
• Are you viewed as a former rugby player, who made a good investment in society, who did a good
job by working hard? Describe how you are being viewed by the public?
• Would you say that there was unwillingness on your side to plan for retirement?
• Was there any structure in place to help you with your post-sports-career development? If yes, can
you describe it?
• Do you feel that you have a lot to say, but no one to tell about your unresolved feelings/emotions
about retirement?
• Were there any unresolved feelings that were harmful to your mental well-being? How did you vent
your frustration?
• Did you have any support from your peers, close friends, club or province? Did you share your
thoughts with your peers?
• Describe your emotional distress, if any. Were there any therapeutic interventions?
• What was your coach’s role/obligation in your career termination?
109 | P a g e
APPENDIX 3: DEMOGRAPHIC OF IRISH AND MUNSTER RUGBY PROFESSIONAL RUGBY TEAMS.
•
Team Surname First Name
Date of
birth
Ireland
Representative
Commencement of
prefessional rugby career
Current
Age
Average
Age
Ireland Senior Team 2012-2013 O'Driscoll Brian 21/01/1979 Leinster 1999-2000 34
Ireland Senior Team 2012-2013 O'Callaghan Donnacha 24/03/1979 Munster 2002-2003 34
Ireland Senior Team 2012-2013 O'Connell Paul 20/10/1979 Munster 2001-2002 33
Ireland Senior Team 2012-2013 Ross Mike 21/12/1979 Leinster 2008-2009 33
Ireland Senior Team 2012-2013 D'Arcy Gordan 10/02/1980 Leinster 1999 33
Ireland Senior Team 2012-2013 Court Tom 06/11/1980 Ulster 2008 32
Ireland Senior Team 2012-2013 Reading Eoin 20/11/1980 Leinster 2005-2006 32
Ireland Senior Team 2012-2013 Downey James 23/03/1981 Munster 2012-2013 32
Ireland Senior Team 2012-2013 McCarthy Mike 27/11/1981 Connacht 2011 31
Ireland Senior Team 2012-2013 Best Rory 15/08/1982 Ulster 2005 31
Ireland Senior Team 2012-2013 Fitzpatrick Declan 12/07/1983 Ulster 2011 30
Ireland Senior Team 2012-2013 Ryan Donnacha 11/12/1983 Munster 2008-2009 29
Ireland Senior Team 2012-2013 Heaslip Jamie 15/12/1983 Leinster 2006 29
Ireland Senior Team 2012-2013 Bowe Tommy 22/02/1984 Ulster 2004 29
Ireland Senior Team 2012-2013 McLaughlin Kevin 20/09/1984 Leinster 2009 28
Ireland Senior Team 2012-2013 Henry Chris 17/10/1984 Ulster 2009 28
Ireland Senior Team 2012-2013 Trimble Andrew 20/10/1984 Ulster 2005-2006 28
Ireland Senior Team 2012-2013 Tuohy Dan 18/01/1985 Ulster 2009-2010 28
Ireland Senior Team 2012-2013 Sexton Jonathan 11/07/1985 Leinster 2009-2010 28
Ireland Senior Team 2012-2013 Marshall Paul 26/07/1985 Ulster 2012 28
Ireland Senior Team 2012-2013 Ferris Steve 02/08/1985 Ulster 2006 28
Ireland Senior Team 2012-2013 Strauss Richardt 29/01/1986 Leinster 2012-2013 27
Ireland Senior Team 2012-2013 Kearney Rob 26/03/1986 Leinster 2006 27
Ireland Senior Team 2012-2013 Bent Michael 25/04/1986 Leinster 2012-2013 27
Ireland Senior Team 2012-2013 Cronin Sean 06/05/1986 Leinster 2009 27
Ireland Senior Team 2012-2013 McFadden Fergus 17/06/1986 Leinster 2010 27
Ireland Senior Team 2012-2013 Toner Devin 29/06/1986 Leinster 2010-2011 27
Ireland Senior Team 2012-2013 O'Brien Sean 14/02/1987 Leinster 2009 26
Ireland Senior Team 2012-2013 Cave Darren 05/04/1987 Ulster 2008 26
Ireland Senior Team 2012-2013 Hagan Jamie 15/04/1987 Connacht 2012 26
Ireland Senior Team 2012-2013 O'Donnell Tommy 21/05/1987 Munster 2012-2013 26
Ireland Senior Team 2012-2013 Jones Felix 05/08/1987 Leinster 2011 26
Ireland Senior Team 2012-2013 Fitzgerald Luke 13/09/1987 Leinster 2006 25
Ireland Senior Team 2012-2013 Earls Keith 02/10/1987 Munster 2008-2009 25
Ireland Senior Team 2012-2013 Healy Cian 07/10/1987 Leinster 2009 25
Ireland Senior Team 2012-2013 Archer Stephen 29/01/1988 Munster 2012-2013 25
Ireland Senior Team 2012-2013 Sherry Mike 18/06/1988 Munster 2012-2013 25
Ireland Senior Team 2012-2013 Kilcoyne Dave 14/12/1988 Munster 2012 24
Ireland Senior Team 2012-2013 Madigan Ian 21/03/1989 Leinster 2012 24
Ireland Senior Team 2012-2013 Murray Connor 20/04/1989 Munster 2011 24
Ireland Senior Team 2012-2013 O'Mahony Peter 17/09/1989 Munster 2011-2012 23
Ireland Senior Team 2012-2013 Zebo Simon 16/03/1990 Munster 2011-2012 23
Ireland Senior Team 2012-2013 Boss Isaac 19/04/1990 Ulster 2005 23
Ireland Senior Team 2012-2013 Marshall Luke 03/03/1991 Ulster 2012 22
Ireland Senior Team 2012-2013 Gilroy Craig 11/03/1991 Ulster 2012 22
Ireland Senior Team 2012-2013 Jackson Paddy 05/01/1992 Ulster 2012 21
Ireland Senior Team 2012-2013 Marmion Kieran 11/02/1992 Connacht 2013 21
Ireland Senior Team 2012-2013 Henderson Iain 21/02/1992 Ulster 2012 21
Ireland Senior Team 2012-2013 Olding Stuart 11/03/1993 Ulster 2012-2013 20
Ireland Senior Team 2012-2013 Henshaw Robbie 12/06/1993 Connacht 2012 20 26
Data compiled from databases
found at:
• Irish Squads:
{http://www.irishrugb
y.ie/squads/index.php
}
{http://www.irishrugb
y.ie/squads/ireland_u2
0.php}
• Munster Squads :
{http://www.munsterr
ugby.ie/rugby/squadpr
ofiles.php}
{http://www.munsterr
ugby.ie/rugby/munster
_a_squad.php}
{http://www.munsterr
ugby.ie/rugby/academ
yprofiles.php}
110 | P a g e
Team Surname First Name
Date of
birth
Ireland
Representative
Commencement of
prefessional rugby career
Current
Age
Average
Age
Munster 1st XV Squad 2013-2014 O'Callaghan Donnacha 24/03/1979 Ireland Senior 01/08/1998 34
Munster 1st XV Squad 2013-2014 O'Connell Paul 20/10/1979 Ireland Senior 01/08/2001 33
Munster 1st XV Squad 2013-2014 Botha BJ 04/01/1980 South Africa 01/09/2011 33
Munster 1st XV Squad 2013-2014 Coughlan James 09/12/1980 Ireland 7's 01/01/2006 32
Munster 1st XV Squad 2013-2014 Downey James 23/03/1981 Ireland Senior 01/09/2006 32
Munster 1st XV Squad 2013-2014 Laulala Casey 03/05/1982 New Zealand 01/09/2012 31
Munster 1st XV Squad 2013-2014 Ronan Niall 14/09/1982 Ireland Senior 01/09/2007 30
Munster 1st XV Squad 2013-2014 Varley Damien 29/10/1983 Ireland Senior 01/05/2005 29
Munster 1st XV Squad 2013-2014 Ryan Donnacha 11/12/1983 Ireland Senior 01/09/2004 29
Munster 1st XV Squad 2013-2014 Hurley Gerry 16/05/1984 Ireland Club 01/08/2007 29
Munster 1st XV Squad 2013-2014 Hurley Denis 15/07/1984 Ireland Senior 01/05/2006 29
Munster 1st XV Squad 2013-2014 Murphy Johne 10/11/1984 Ireland Wolfhound 01/09/2010 28
Munster 1st XV Squad 2013-2014 Holland Billy 03/08/1985 Ireland U21 01/09/2007 28
Munster 1st XV Squad 2013-2014 Williams Duncan 17/04/1986 Ireland U21 01/12/2009 27
Munster 1st XV Squad 2013-2014 Cotter Alan 23/09/1986 Ireland Schools 03/05/2012 26
Munster 1st XV Squad 2013-2014 O'Mahony Barry 26/09/1986 Ireland Club 01/09/2012 26
Munster 1st XV Squad 2013-2014 Keatley Ian 01/04/1987 Ireland Senior 01/09/2011 26
Munster 1st XV Squad 2013-2014 O'Donnell Tommy 21/05/1987 Ireland Youth 01/09/2007 26
Munster 1st XV Squad 2013-2014 Dineen Ivan 25/07/1987 Ireland U19 01/01/2010 26
Munster 1st XV Squad 2013-2014 Jones Felix 05/08/1987 Ireland Senior 01/09/2009 26
Munster 1st XV Squad 2013-2014 Earls Keith 02/10/1987 Ireland Senior 01/04/2007 25
Munster 1st XV Squad 2013-2014 Archer Stephen 29/01/1988 Ireland Senior 01/10/2009 25
Munster 1st XV Squad 2013-2014 Foley Dave 16/05/1988 Ireand U19 01/04/2010 25
Munster 1st XV Squad 2013-2014 Sherry Mike 18/06/1988 Ireland U19 01/12/2009 25
Munster 1st XV Squad 2013-2014 Ryan John 02/08/1988 Ireland Club 01/09/2011 25
Munster 1st XV Squad 2013-2014 Nagle Ian 07/10/1988 Ireland A 01/03/2010 24
Munster 1st XV Squad 2013-2014 O'Callaghan Dave 17/10/1988 Ireland A 01/03/2010 24
Munster 1st XV Squad 2013-2014 Kilcoyne Dave 14/12/1988 Ireland Senior 01/12/2011 24
Munster 1st XV Squad 2013-2014 Murray Connor 24/04/1989 Ireland Senior 01/04/2010 24
Munster 1st XV Squad 2013-2014 O'Mahony Ronan 28/05/1989 Ireand U20 03/05/2013 24
Munster 1st XV Squad 2013-2014 O'Mahony Peter 17/09/1989 Ireland Senior 01/01/2010 23
Munster 1st XV Squad 2013-2014 Dougall Sean 28/10/1989 Ireland U19 01/09/2012 23
Munster 1st XV Squad 2013-2014 O'Dea Luke 18/01/1990 Ireland Youth 01/01/2011 23
Munster 1st XV Squad 2013-2014 Zebo Simon 16/03/1990 Ireland Senior 01/04/2010 23
Munster 1st XV Squad 2013-2014 Stander C.J 05/04/1990 No 25/11/2012 23
Munster 1st XV Squad 2013-2014 Casey Duncan 14/11/1990 Ireland U20 01/01/2012 22
Munster 1st XV Squad 2013-2014 Cronin James 23/11/1990 No 01/04/2013 22
Munster 1st XV Squad 2013-2014 Butlre Paddy 01/12/1990 Ireland U20 01/12/2010 22
Munster 1st XV Squad 2013-2014 Bohane Cian 26/01/1991 No 01/05/2013 22
Munster 1st XV Squad 2013-2014 Conway Andrew 11/07/1991 Ireland U20 03/05/2013 22
Munster 1st XV Squad 2013-2014 Hanrahan J.J 27/07/1992 Ireland U20 08/09/2012 21 26
111 | P a g e
Team Surname First Name
Date of
birth
Ireland
Representative
Commencement of
prefessional rugby career
Current
Age
Average
Age
Munster A Squad 2012-2013 Condon Christy 23/10/1981 Ireland Club 11/11/2011 31
Munster A Squad 2012-2013 Henry Sean 16/12/1987 No 01/09/2010 25
Munster A Squad 2012-2013 Donnellan Phillip 10/09/1988 Ireland Club 01/01/2011 24
Munster A Squad 2012-2013 Deasy Scott 11/10/1988 No 20/11/2009 24
Munster A Squad 2012-2013 Sheridan Cathal 14/11/1988 No 11/12/2010 24
Munster A Squad 2012-2013 Byrnes Danny 17/10/1989 Ireland U20 18/04/2010 23
Munster A Squad 2012-2013 Moroney Darren 31/08/1990 No 19/11/2011 22
Munster A Squad 2012-2013 Hayes Brian 25/09/1990 Ireland U20 22/02/2011 22
Munster A Squad 2012-2013 Hircock Corey 20/01/1991 No 21/01/2011 22
Munster A Squad 2012-2013 Holland Johnny 30/08/1991 No 19/11/2011 21
Munster A Squad 2012-2013 Scanlan Niall 08/04/1992 Ireland U20 01/01/2012 21
Munster A Squad 2012-2013 Buckley Shane 14/04/1992 Ireland U20 17/12/2011 21
Munster A Squad 2012-2013 Haugh Brian 14/01/1993 No 01/01/2012 20
Munster A Squad 2012-2013 Murphy Ryan 05/03/1993 Ireland U18 01/11/2012 20
Munster A Squad 2012-2013 Sweetnam Darren 05/05/1993 Ireland U20 18/01/2013 20
Munster A Squad 2012-2013 O'Donghue Jack 08/04/1994 Ireland U20 01/01/2012 19 22
Munster A Squad 2012-2013 Mullane Richie No 20/10/2012
112 | P a g e
Team Surname First Name
Date of
birth
Ireland
Representative
Commencement of
prefessional rugby career
Current
Age
Average
Age
Ireland Under 20 2012-2013 McGrath Luke 03/02/1993 Leinster 2011-2012 20
Ireland Under 20 2012-2013 Panter Dave 03/02/1993 Connacht 2012-2013 20
Ireland Under 20 2012-2013 Caufield Jake 07/02/1993 Ulster 2012-2013 20
Ireland Under 20 2012-2013 McCarty Sean 12/02/1993 Munster 2012-2013 20
Ireland Under 20 2012-2013 Donnan John 16/02/1993 Ulster 2012-2013 20
Ireland Under 20 2012-2013 Murphy Ryan 05/03/1993 Munster 2012-2013 20
Ireland Under 20 2012-2013 Scott Brian 09/03/1993 Leinster 2012-2013 20
Ireland Under 20 2012-2013 Olding Stuart 11/03/1993 Ulster 2011-2012 20
Ireland Under 20 2012-2013 Taylor Chris 11/03/1993 Ulster 2012-2013 20
Ireland Under 20 2012-2013 Creighton John 20/03/1993 Ulster 2012-2013 20
Ireland Under 20 2012-2013 O'Meara Alex 23/03/1993 Exile 2012-2013 20
Ireland Under 20 2012-2013 McGuigan George 30/03/1993 Exile 2012-2013 20
Ireland Under 20 2012-2013 Scholes Rory 23/04/1993 Ulster 2012-2013 20
Ireland Under 20 2012-2013 Van der Flier Josh 25/04/1993 Leinster 2011-2012 20
Ireland Under 20 2012-2013 Sweetnam Darren 05/05/1993 Munster 2012-2013 20
Ireland Under 20 2012-2013 Andrew John 26/05/1993 Ulster 2012-2013 20
Ireland Under 20 2012-2013 Joyce Connor 05/07/1993 Ulster 2012-2013 20
Ireland Under 20 2012-2013 Daly Tom 31/07/1993 Leinster 2012-2013 20
Ireland Under 20 2012-2013 Thronbury Gavin 19/10/1993 Leinster 2012-2013 19
Ireland Under 20 2012-2013 Crosbie Steve 10/12/1993 Leinster 2012-2013 19
Ireland Under 20 2012-2013 Scannell Rory 22/12/1993 Munster 2012-2013 19
Ireland Under 20 2012-2013 Timmins Peadar 08/01/1994 Leinster 2012-2013 19
Ireland Under 20 2012-2013 Dooley Peter 04/08/1994 Leinster 2012-2013 19 19
113 | P a g e
Team Surname First Name
Date of
birth
Ireland
Representative
Commencement of
prefessional rugby career
Current
Age
Average
Age
Munster Academy 2013-2014 O'Shea Darren 12/12/1992 Ireland U20 2013 20
Munster Academy 2013-2014 McCarthy Sean 12/02/1993 Ireland U20 2012 20
Munster Academy 2013-2014 McNulty Harry 05/03/1993 No 2012 20
Munster Academy 2013-2014 Horan Niall 21/04/1993 Ireland U19 2011 20
Munster Academy 2013-2014 Scannell Rory 22/12/1993 Ireland U20 2011 19
Munster Academy 2013-2014 Madigan John 01/09/1994 Ireland U18 2011 18
Munster Academy 2013-2014 O'Shea Greg 23/03/1995 Ireland U18 2012 18
Munster Academy 2013-2014 Lyons Gearoid 13/04/1995 Ireland U18 2012 18
Munster Academy 2013-2014 Cullen Jack 26/05/1995 Ireland U18 2012 18 19
Munster Academy 2013-2014 Johnson David Ireland U19 2012
114 | P a g e
APPENDIX 4: ETHICAL CLEARANCE
From: Mairead.Breathnach [mailto:Mairead.Breathnach@ul.ie]
Sent: 02 July 2012 22:48
To: Todd Fitzgerald
Cc: Michelle.Cunningham; Jean.McCarthy
Subject: RE: KBSREC - June 2012 - BA HRM - Thomas Fitzgerald UL Student ID 11107545
Dear Thomas,
Thank you for your email and earlier clarification. I am happy to grant research ethics approval.
Regards,
Mairead
From: Todd Fitzgerald [mailto:toddfitzgerald@shannonsidegalv.com]
Sent: Mon 02/07/2012 22:21
To: 'Todd Fitzgerald'; Mairead.Breathnach
Cc: Michelle.Cunningham; Jean.McCarthy
Subject: RE: KBSREC - June 2012 - BA HRM - Thomas Fitzgerald UL Student ID 11107545
Mairead,
My apologies for bothering you again. I was just wondering if with my agreement to the changes that
you have suggested whether or not I have attained the ethical clearance to proceed with my FYP, or
am I to await further instructions on the matter.
Regards
Todd
From: Todd Fitzgerald [mailto:toddfitzgerald@shannonsidegalv.com]
Sent: 19 June 2012 17:05
To: 'Mairead.Breathnach'
Cc: 'Michelle.Cunningham'; 'Jean.McCarthy'
Subject: RE: KBSREC - June 2012 - BA HRM - Thomas Fitzgerald UL Student ID 11107545
Mairead,
Duly noted. I think given the scope of my research – there will be no need to identify which province
they are from – as my findings will concentrate on the effects of retirement on the individuals
115 | P a g e
themselves – and I need not concern myself in this research with how these effects differ depending
on which province they may have found themselves representing.
Again should you require any further clarification on this matter or any other, please feel free to
contact me. I appreciate your patience in this regard.
Regards
Todd
From: Mairead.Breathnach [mailto:Mairead.Breathnach@ul.ie]
Sent: 19 June 2012 15:48
To: Todd Fitzgerald
Cc: Michelle.Cunningham; Jean.McCarthy
Subject: RE: KBSREC - June 2012 - BA HRM - Thomas Fitzgerald UL Student ID 11107545
Dear Thomas,
Thank you for your email. The KBS Research Ethics Committee recommendations were made so
that the information given by informants would not allow them to be identified. If you intend to
interview two individuals from each province, and identify them as coming from a particular
province, how will you ensure anonymity and confidentiality?
Regards,
Mairead
From: Todd Fitzgerald [mailto:toddfitzgerald@shannonsidegalv.com]
Sent: 19 June 2012 10:17
To: Michelle.Cunningham; ULStudent:THOMAS.FITZGERALD
Cc: Jean.McCarthy; Mairead.Breathnach
Subject: RE: KBSREC - June 2012 - BA HRM - Thomas Fitzgerald UL Student ID 11107545
Miss Breathnach,
Further to the recommendations of the ethics committee – please note my agreement to same;
You are requested to ensure that information given by informants will not allow them to be
identified. – Agreed.
116 | P a g e
You are also requested to clarify what the sample size of the survey will be. – Assuming co-
operation from IRUPA – the Irish Rugby Union Players Association of Ireland – the maximum
sample for the questionnaire would appear to be 140 – this is the reported figure of the number of
retired Professional Rugby Union players in Ireland. It would be my desire to send the questionnaire
to as many of these players as possible. As regards the interviews – 8 is my sample size – I am hoping
to take 2 from each province - as I believe that the different provincial set ups (like different
employers) might allow a further insight into the effects of retirement on these players.
The following amendments have also been recommended on the phrasing of questions to ensure that
informants cannot be identified:
a. Age – use age categories as opposed to specific age. – Agreed.
b. Current occupation – rugby related or not rugby related. - Agreed
c. Level of education – 2nd level or 3rd level. - Agreed
I thank you for your prompt attention to my request. Should you require any further information
please do not hesitate to contact me.
I will not commence any interviews or submission of questionnaires until such that time as you may
fully validate my research proposal.
Regards
Thomas Fitzgerald UL Student ID 11107545
From: Michelle.Cunningham [mailto:Michelle.Cunningham@ul.ie]
Sent: 19 June 2012 09:07
To: ULStudent:THOMAS.FITZGERALD; toddfitzgerald@shannonsidegalv.com
Cc: Jean.McCarthy; Mairead.Breathnach
Subject: KBSREC - June 2012 - BA HRM - Thomas Fitzgerald
Dear Thomas,
Many thanks for your research ethics application which was reviewed by the KBS Research Ethics
Committee on the12th June. The Committee has made the following recommendations:
You are requested to ensure that information given by informants will not allow them to be
identified.
117 | P a g e
You are also requested to clarify what the sample size of the survey will be.
The following amendments have also been recommended on the phrasing of questions to ensure that
informants cannot be identified:
d. Age – use age categories as opposed to specific age.
e. Current occupation – rugby related or not rugby related.
f. Level of education – 2nd level or 3rd level.
Please reply to Mairead Breathnach, Acting Chair, KBS Research Ethics Committee at
Mairead.Breathnach@ul.ie before Friday, 22nd June confirming the acceptance of the above
recommendations.
Kind regards
Michelle
Michelle Cunningham
118 | P a g e
APPENDIX 5: INTERVIEW TRANSCRIPTS
APPENDIX 5.1 - PARTICIPANT 1
So I will try not to reference you by name right just so.
So how old were you when you began your athletic career?
I suppose I started playing rugby at twelve years of age but am, I suppose kinda serious rugby I
suppose was when I was sixteen, seventeen you know.
Ok and how old were you when you played rugby union I suppose seventeen.
Yeah, yeah.
And how old were you when you turned professional?
Am I was twenty one I think, twenty I think it was actually yeah.
Ok and what provincial clubs have you played for in Ireland?
Just for Munster.
And have you ever played professionally outside of Ireland?
No.
What got you into playing Rugby Union to begin with?
Am my brother really, influence from my brother and going into secondary school, the secondary
school I was in started to play rugby you know I would have been from a GAA background really
you know.
And did you have any athletic hero’s or rugby hero’s?
Am yeah, XXX would have been a rugby hero of mine I suppose when I started getting into rugby
you know. Obviously he was in the same position as me and an Irish player as well you know.
And sorry and what was the most important thing that kept you playing rugby all these years?
Am I just loved the game just loved, I loved everything about it you know, I loved, I suppose the
contact and the scoring trys and ah I suppose the excitement of it but everything that surrounded it
outside the pitch as well you know the friends you make and stuff like that so it was pretty, it was
pretty much the whole package you know.
119 | P a g e
And what do you find most enjoyable about playing rugby?
I suppose the progression am I would have always had targets to maybe play for Irish schools when I
was starting out and moving up along the ladder I suppose I always described it as the ladder and sort
of playing for representative rugby at every age group which I was lucky enough to do. I played Irish
Schools, Munster Schools, Irish schools, Munster Twenties, Ireland 21’s and then Ireland A and then
Ireland Senior. So it was like a progression for me and I really enjoyed hitting those targets every
time you know.
And you played at all levels?
Yeah.
And how long did your career last?
Am my professional career was 14 years.
And the reason you retired was involuntary, it was injury?
No, not injury no, just felt it was time. I was offered another year but I just didn’t feel it was feasible
for me to be keep playing you know and it was time to move on and start something else I think you
know.
Ok.
So just to go to the initiation the kinda training stage. It is clear that you made a long term
commitment to sport and have achieved a high level in relation to same. At what age did you
begin your competitive sports career and how successful was it in the initial stages?
I suppose my professional or my serious first career I suppose started with XXX I was probably
seventeen years of age and ah I got involved with a great XXX team at the time but we had success
straight away with they won XXX and then from there as I said with this progression thing I made it
into the Munster Team which was a great Munster Team and we had great success all the way through
it. So I mean all through my career I experienced great success I suppose with disappointment too but
it was always a driving force to do more and I think that was, that was what kept me so interested in it
as well I think you know.
By choosing sport you made a large commitment. What was your main goal when you began
participating in sport?
Well I suppose I started, when I started the professional side of it didn’t really come into it, I just
really enjoyed it but I suppose my main goal as I said earlier was just about getting to the next level
120 | P a g e
every time you know and trying to get onto Irish Teams and play at the highest level as a I could and
my aim I suppose was always to play for Ireland and I did that back in 2000 which was great you
know.
So even if you had not gone professional you think you would have continued playing rugby
throughout?
Ah I think so yeah, it was just, that was the driving force for me before any of the money side of
things came into it you know and I suppose a lot of us at the time didn’t realise that you could make a
good living out of it you know so that was my driving force I suppose trying to get to the next level
you know.
Yeah. By commitment to sport. “We mean your desire and determination to keep doing what
you do best, and that is to keep on winning”. Were results important to you at the beginning
and why?
Am, I suppose, yeah, I suppose at the beginning because I got involved with a very successful XXX
team and a successful Munster team as well subsequently, I suppose winning was always a big, big
part of it and I suppose it wasn’t so much a pressure but I think it was more a high standard that was
set and I was always trying to achieve that really you know.
And was that a standard that was set by yourself or set by the club that you were involved in?
I think it was set by the group that was there involved you know. I think when you taste a certain
amount of success you want to keep it going and ah the standards each year were being raised I think
you know.
And was that just from the hunger that you had yourselves or was it the fact that as the game
was now getting more and more professional that there was a bit more pressure to perform but
at the same time the results were actually leading to better results for yourselves?
Yeah. I think it was a hunger for us and I remember being back at XXX you know XXX and I
suppose you set a new goal after each one and the hunger was always there for to do stuff and maybe
the Munster thing was a bit different we had success to a certain degree, we got to Heineken Cup
Finals and had bitter disappointment in losing those and our driving force there was the hunger to
actually win one which we got in 2006 you know which was probably a long time coming but you
know we always look for something to motivate us even if it was whether it was defeat or victory
there was always some way of motivating yourself you know.
And say from the accolades that you have won then is there any one which stands out as?
121 | P a g e
Yeah, I suppose the big one for me would be the Grand Slam. I mean the Heineken Cups were
massive because we were on such a journey for them but I suppose for me as a young lad the Grand
Slam, even the sound of it was just ah just a great thing and am you know Triple Crown was sorta the
medium success that we had and we had a couple of those but the Grand Slam was something I
always wanted right from being a kid even before I understood rugby I suppose just from watching it
on TV so to win that I think was extremely special you know.
Considering everything both on and off the field how much did you enjoy playing sport? (1 not
being very much and 7 loved it).
7.
What valuable opportunities did you have taking part in sport? Travel/Meeting People/Job
Opportunities.
Yeah, I mean the travel was just unbelievable. I have seen parts of the world that I would never have
dreamed of going to you know am, I have been to Japan and Tonga and Samoa and you know just
places that you just wouldn’t think of going as a, you know if you were just working in a normal job
and just having been around there and met so many different people as well is a special gift that we
got out of the game too you know and you know I think more so since I have retired now as well the
people side of it, the people I would have played against and I suppose in a professional game we
would not have much time to socialise with our opposition but I think since I have retired now I have
probably gotten in touch with more guys that I did when I was playing and ah that is the side of rugby
that I really like. Guys look out for each other as well you know.
Yeah, I think that is part, just in relation to the project that I am doing is that rugby has this
family kinda element to it and I suppose given some of the very serious injuries that can happen
on the team that it is very important that, that is, but I suppose in some of the stuff that has
been written is that professionalism grew so fast that the family spirit to a degree couldn’t keep
up with because I suppose when it started people didn’t really know how to kind of mesh the
two because professionalism seems more like it’s a job and the family side of it then is kinda put
your arms around so I suppose that seems to be one of the elements that is causing a bit of
concern as well in relation to it insofar as trying to keep onto that family kinda element to it at
the same time it had to move to a professional level where you know maybe you had to have a
chat with somebody to say you weren’t selected or stuff like that’s just kinda the part of the
issue that does seem to be coming out of it as well.
Exactly yeah.
122 | P a g e
Just on your performance stage. Thinking back to your first major competitive honour when
you turned professional what was that?
Am, I suppose am, I suppose getting capped for Ireland I suppose is probably the first one you know.
Ok and how did you feel and what were you thinking about prior to the contest?
Am, I felt very proud and I got capped over in the XXX on a tour of the XXX and I suppose I felt it
was kind of bitter sweet because I had no family there to see it and ah but am it was still very special
to me and ah at the time there was a lot of my teammates from XXXX who were on the Irish team at
the time so that was kinda special and a good memory that I have you know of the boys being over
there and they were very ah supportive of me you know for that day and yeah it is a special day in any
players career I think getting capped for their country.
After that win did you begin to think of any other goals?
Yeah, I suppose the one thing straight away was to try and see when and where I was going to get the
next cap from and I suppose the joke at the time was about being a one cap wonder and never playing
again but as it turned out I didn’t get capped again for another XXX years I think which was a bit of a,
or a XXX maybe but ah it was a bit, yeah that was a bit worrying but ah you know that’s the driving
force to try and get back there and play again you know and I ended up getting a lot more than that so
it was, it was good in the end you know.
You ended up with about, how many caps?
XX caps yeah.
Did your life change in anyway after the cap?
Am, yeah it did and I suppose it was more my naivety about rugby because I would not have had a
huge rugby background but am when I came back I suppose my club XXX were just so proud of
what I had achieved in my ah, my picture goes up on the wall in the clubhouse and I suppose the pride
that some of the Club Members had for the fact that I got it, it really was hammered home to me then
that , you know that this was pretty special and I suppose the fact that I was so new to the sport that
was you know really a wakeup call for me that you know I had done something special and there was
a lot of people very proud of that so you know I think I learned along the way how important these
things were for clubs and for people that you are involved with you know.
So you, throughout all your caps then you were always very proud that it was on the back of
your start with XXX say your..
123 | P a g e
Exactly yeah, and say when I came back to the club for that first one you realise you know that they
took such pride out of the fact that I was there and that meant a lot to me and obviously I didn’t
underestimate the effort that they put into me you know.
Did you experience any additional demands after?
Yeah, I suppose after getting capped I was, I was, I got offers from English Clubs to join them and
stuff like that and I suppose it was set up nicely for me with XXX playing for Munster and there was
talk there that I wouldn’t get a game there for a long time and I suppose the temptation was to leave
but something just said inside me that it wasn’t the right thing to do that I needed to bide my time with
Munster and ah it was the best decision that I think I ever made was just to stay you know because I
did, I did travel to England to meet these people and you know was in talks with them but I don’t
know I trust my instincts and I think I made the right one you know.
Were there any very stressful demands placed on you?
Ah, not really, I think I would have been sheltered from a lot of it because of the more senior guys
there. I would have been, I was always, I suppose the young guy in the squad and you know I had the
experienced guys around me that just made sure that all that stuff was taken care of and I think that is
one of the things about rugby, they can spot when a guy needs a bit of help like that. Some guys can
handle stuff a lot better than others but am you know I would have been sheltered from a lot of that
stuff and I think that helped a lot in my career you know.
When you say sheltered was that through the players just individually or was it through say the
likes of Munster Rugby. I don’t think IRUPA would have been established
No, No it would have been more from the players and again I would have been lucky that a lot of the
players in the Munster team at the time would have been from XXX as well and I suppose that would
have helped hugely in making, making the path easier for me you know and I think that would have
been both on and off the pitch as well because I think when a guy gets a cap like that for Ireland he
might be a bit of a target when he is playing a club game or something so it was always good to know
that I had those senior guys watching my back you know.
How were you prepared to deal with additional demands, had you any training or that to say?
Yeah, I was involved with the Academy. One of the big things was dealing with the press because
obviously if you play a big game and you have done well the press want to talk to you after a game
and it is not something that any of us would have been prepared for but am with the Academy that I
was involved in there was a few I suppose classes with how to deal with the press and we actually did
speak to a few Journalists as well just in a casual sense to find out. That was very helpful and I
124 | P a g e
suppose when you are around guys that are going it a lot as well you can pick up things or two and
that was kinda helpful too you know.
Say when moving to the professional side did you have any assistance in relation to say
contracts wise and stuff like that or did you put a lot of trust in the?
Yeah, no it was very basic, I think my first one I would have done it for a fiver you know but ah.
I am not asking you for figures now.
No, no but it was a case, it was a case of bite their hand off just to play rugby as a professional but ah
to be honest I’d say it took me a while to wise up to that situation. I think the powers that be probably
played on that a fair bit as well and yeah probably played on the fact that we were home grown
players and wanted to stay in Ireland too so the money would have sort of reflected that and in a sense
you know going abroad would have turned up a lot more problems than it would have solved so I
think it was a case of trying to be smart about it and that’s when I suppose later on down the line
agents came into it you know. I would have got an agent to negotiate for me and ah you know it
would have taken away that awkwardness of me having to negotiate you know.
Did you think some of that, say the naivety as you put it there, did that come from the fact
maybe that to a lot of people at that stage professionalism was so new in the game that there
wasn’t an awful lot of people very experienced in the game?
Ah, that was it yeah. I mean to put a value on a player back then I think it was just picking a number
out of the sky and putting it out in front of you and I suppose coupled that with the fact that we
wanted to play for Munster and we wanted to stay there wasn’t a huge amount of negotiation about
the early days and about the early figures but ah I think you know it went two ways. Some guys got a
bit greedy and asked for a bit more than they should have and ah you know, and that was no fault of
their own, they had nothing to go off I think really and it was tough at that time I think starting out in
anything like that is always tough but I think it is very different now.
And did the likes of IRUPA and stuff help players out with that and Agents and stuff?
Yeah, I think in later years when IRUPA was set up it did start coming into it and I think there was a
lot of resistance towards IRUPA from the IRFU but I think it was important and they realised that it is
important now that players have a voice in that side of things because if you still look at it I mean that
naivety is still there it just because the game has moved on the naivety is still there because you still
have young guys coming in and they don’t know how the thing operates and they are just I suppose,
Agents then as well you have to be careful with them because some of them are out for one thing
really you know.
125 | P a g e
You still think the desire for some of the younger players coming through still clouds like,
probably when you yourself started first and signed a contract for a fiver because you were so
eager just to ....
Yeah, Its not there as much I think it’s nearly gone the other way now where young kids and their
parents are coming in thinking right you can make a huge career out of this so I think people have a
clouded judgement on what is there and what can be earned. You know it is not true that every player
is making a huge amount of money. Some of the bigger names are doing really well for themselves
but you know you make a good living but nothing that you can retire on and I think once guys realise
that, it is a bit of a sobering thought when you think the majority of players in a squad aren’t as
cleaning up as they think so, ah, I think guys are coming in with a very different attitude towards it
maybe to a few years ago but you still have that small bit of naivety there as well and it is probably
gone the other way now you know.
When you started you were in college previously so you have a qualification to fall back on. I
am not a 100% sure about the newer players coming through the Academy but I imagine they
are nearly professional nearly before at the age most people are going to college. Is that the
case?
To be honest they have a much better system there now I think. The Academy allows the guys to
finish their college courses and the majority of them are getting through them whether they are
extending the time they are doing it or some guys can just get them done but I am just finding at the
moment that there are a lot of guys that are just finishing their college courses while they are still
playing and am, you know it is hugely beneficial for them in the sense that it takes the pressure off
them you know, they know then that they can go once they get the qualification they can go gung ho
at the rugby and give it a go for maybe 2 years, 3 years and if it is a success for them well and good
they get a career out of it and if not they know they have something to fall back on and I think both
the IRFU, the Academy and IRUPA have really emphasised that with young lads that they try and do
that. Now the majority of guys are trying to do it but we obviously have a couple of guys there that
just want to be playing rugby and they don’t have the time for that sort of thing so you know it is
trying to get those other guys to do something in the meantime is huge you know.
But it is something that the authorities say the likes of IRUPA and them are kind of trying to
get....
Yeah, I think big time some of the Academy’s programmes are designed around their college courses
and ah they encourage the guys to get out and study and ah make sure that they have a good balance
126 | P a g e
there you know. Ok, I suppose it was one of the things I would have had is that maybe the people who
were coming through now were very, they wouldn’t have been as well equipped say as the lads that
were going through the Academy now say they are obviously on top of that kind of thing now as well.
Do you have any suggestions that might help other professional Rugby Unions players who will
be facing a similar situation to help them prepare better and cope with becoming or remaining a
champion?
Am, I suppose it is all about setting targets, I mean am I think for us, I suffered, I suppose we had
great victories in our day with XXX and we kept coming back for more which is great you know you
are setting targets and ah obviously with Munster we had some bitter defeats as well and we came
back from them so to be able to come back from both is a true test of ah of the player and of the group
I think it’s, I think funnily enough it’s probably easier to come back from a defeat and to try and am,
to try and win again I think that is always the driving force but coming back after a victory is ah, is
probably even harder because you can go a bit soft I think after winning a championship and I think
you know that is probably one of the biggest things I would suggest to players is to try find some way
of motivating yourself after those two situations you know.
Did you have any non-sporting identities insofar as when you were playing rugby was it all
consuming for you or, do you know how helpful is it for athletes to broaden their social identity
or their support base?
Yeah, I suppose I did try and while I was still playing I took up a couple of courses, a couple of
college courses and I just found it something efficient for me to have something outside of rugby. I
think it is hugely important and I suppose a lot of years I got involved in a charity and in, you know
it’s great for me I suppose to have something else outside of it and especially with the charity side of
things. It was important for me to use my image maybe to help them and in some small way and I
thought that was very beneficial but yeah I think rugby players are in a privileged position now and
they can offer so much to the community. You know they are held in such high regard and I think it
is a two way street they obviously benefit from being associated with a rugby player but I think for the
rugby players it’s a huge personal satisfaction from helping people and you also make connections in
business and learn a bit about the world outside of rugby as well which is valuable for you when you
do leave the rugby fraternity you know.
What have you invested in rugby that you cannot recover if you leave the sport?
I suppose I have invested a huge amount of time and I sacrificed a lot of time with family and friends
that I will never get back I suppose. You know there was a lot of family occasions that I missed
because of rugby and there was a lot of nights out with friends that I had to turn down because of you
127 | P a g e
know, I had to prepare myself right for games and you know things that, I have sat around tables with
people that they reminisce about and I don’t know what went on in those days so that has been tough I
think but I think the reward I have got from doing that from making those sacrifices has been huge
and I know that those same people got great satisfaction out of those days out that we had too but no
there was definitely a huge amount of sacrifice and time, personal time and am you will never get that
back really you know.
Do you feel a sense of obligation to keep competing because of the expectation of other people?
Yeah, I think so, I think what we created with Munster was pretty huge and ah you know this thing
that we have about to qualifying out of our group every year for Heineken Cup was something that
was maybe a weight around our necks more than anything else. It was a great motivator too but the
expectation of our supporters was huge and you do feel obligated to be performing well and
competing well for these things and I think you know you can probably see it as a negative but I think
it was very much a positive thing you know.
Whose expectations are most important to you?
I suppose my teammates was the prime one because I suppose you never want to let them down I
suppose and I suppose 14 years in a club and you grow up with most of these guys and you know you
feel like, you feel like you owe them something and I think that was a huge motivation for us the fact
that we were with each other for so long you never want to let those guys down and that was part of
that I think you know.
Did you feel encouragement and support from other people?
Yeah, without a doubt I think we knew how much Munster meant to people around us and I think you
know their whole year revolves around Munster games and stuff like that and that was never lost on
us. I think we realise the sacrifices people make to go and watch us and support us around Europe
and I suppose the encouragement they gave us obviously the big slaps on the back but you know
when you see people forking out money am, to go and travel and watch us that was huge
encouragement for us too you know and especially when we were having bad days we would remind
ourselves of that and realise that those people were there to help us you know.
So, their encouragement was the most important was it?
Yeah, I think so, the fans yeah.
128 | P a g e
So, just in relation to the retirement. Are you viewed as a formal rugby player who made a
good investment in society, who did a good job by working hard?
Ah, that’s a tough one to answer from my point of view. Yeah, I think I would be. I think I would be
associated with a successful Munster team, a successful XXX team, a successful Irish team and I have
played my part in that you know. You know, yeah, I would like to think that that is the way it would
be I think am looking from my own family, I think they have travelled to places that they would never
have done only for what rugby brought for us and they have experienced great days that we wouldn’t
have done only for the rugby. So yeah, I think it has contributed someway you know.
Would you say there was unwillingness on your side to plan for retirement?
Am, yeah, I would think so. I think there was a certain part of me that did not want to admit that it
was coming you know. I think I immersed myself in IRUPA and I did help a lot of guys who were
heading that way and I never, I suppose I never took the time to do it for myself funnily enough and
you know I look back on it now and I was probably thinking that it would stay going forever you
know. I suppose, I did retire this year but I was hoping to do another year and you know we made the
decision eventually that it wasn’t the right thing for me to do but you know yeah, I think there was
subconsciously maybe that I didn’t want to admit it and that’s kind of the hard thing about it I suppose
is that you kind of, I should’ve given myself more time while I was playing and ah part of you then
was thinking Jesus did I give too much to rugby and not enough for myself and that kind of thing but
ah that’s just the way its fallen from me you know.
So just given the fact that you were involved in IRUPA and you had seen it nearly up close and
personal and yet you still didn’t want to face it. I imagine there are some of the players who
weren’t as involved on that side of it must be even more difficult for them then as they really ....
Yeah, yeah I think a lot of us think we are invincible and I suppose you know especially the feeling
when you are out playing in Thomond Park you just think this is never going to end I suppose and
then suddenly some guys I suppose with injuries and stuff can feel just like that, just in the split of the
moment it’s all over you know and ah I suppose mine was a bit more gradual and yeah you get
frustrated I suppose the fact that you didn’t do something about it you know but yeah that’s just the
way its fallen and you gotta deal with it now as it comes you know.
Given the fact that rugby is such a physical sport is the fact that having to admit retirement and
it’s somewhat of an emotional thing, does that play a part do you think because are people
afraid to admit ....
Yeah, they think you are showing weakness yeah. It’s a macho sport, there is egos there the whole
time and you know I will be sitting there watching games now and I think, I will be thinking I could
129 | P a g e
do a better job than the guys there but that is just a natural way things are and it is, it’s an ego thing
and it’s like someone telling you, look you are not good enough anymore and you never want to
accept that like but I think when you weigh up other parts of your life and like I have family at home.
I have XXXX kids and that’s hugely important for me now and I don’t think I would have the
experiences with my kids if I was busy with rugby with the travel that’s involved in it and the
commitment that’s involved in it so I have weighed all of that up and this is definitely the right time
for me to leave it you know and get on with other things.
Was there any structure in place to help you with your post-sports career development?
Yeah, there was with IRUPA there was obviously career guidance there and people to talk to and
again probably left it very late to talk to them but again I suppose as I was in negotiations with the
contract I felt I was going to go another year so the plan wasn’t at all for this season ahead that I
would be preparing myself for retirement but it didn’t work that way and I suppose it was a year early
in my head that retirement came you know.
Given that the retirement then was on say, on your terms say for want of a better expression
players whose careers are ended by injury say just through one thing or another it must be even
more difficult for them then because while you admit that you could have made the, spent a bit
more time in it people’s careers that end at a very early age, it must be tougher for them then do
you think because they can’t plan it because obviously they ...
No, look it’s tough I have seen guys that have had promising careers that they have had to give up
because of injury and look I am blessed because I can walk away from the game, I can play other
sports I can go do other things and run and play with the kids without any problems so I am blessed
with that but I don’t know there is a two way thing there with young players I think the younger you
are when you retire obviously if from an injury it is really tough to deal with but I think guys can get
over that and I think younger guys are that bit more resilient and you know they are still young and
they can still start a completely new career and you know there is a couple of ways of looking at it and
in that sense I think it’s a very personal thing. I think some guys react differently to different things
and that’s, I think it is important for the powers that be that they can see who needs more help than
others and I think that’s what the career guidance and development stuff is done in IRUPA you know.
When you say the powers that be do you, there is no good relationship between the IRFU and
IRUPA.
Yeah, It is improving, it’s improving. I still think it’s still a business and the IRFU interest in players
after they finish is still fairly minimal and I think it is important to try and get back to the family way.
I think back in the day when a rugby player got injured with a club and he couldn’t work they would
130 | P a g e
have rallied around and had a fundraiser for him. You know and I think I am not expecting the IRFU
to do that for fellas but that same sort of feeling has to be there in some way. I think you know it is
still a business for them but I think we are very different to other businesses and you know when guys
commit so much to a company, not just time but physically and mentally to a company like that you
know there has to be more of a duty of care I think afterwards.
Do you feel you have a lot to say but no-one to tell about your unresolved feeling and emotions
about retirement?
Within the game, yeah, I suppose there has been very little study done on it with the IRFU and with
IRUPA about how guys are being affected and I think there is a new batch of guys coming out of it
that have just been professional all their life and that has been happening in the last four or five years I
think so. I think number one it is important to keep these guys involved in the game and I have
noticed that a lot of guys are leaving the game with a bit of bitterness and animosity towards the
organisation because of the way things have finished which is pretty sad. And the one thing that this
organisation needs is a bit of fresh blood and young blood into it so am I would hope that they would
spot that and make sure that, that happens down the road you know.
That’s because, and I suppose just going back given the very nature of as we were saying earlier
on about it being a relatively new professional sport and I suppose rugby would have had this I
suppose stereotypical attitude of being a very kind of shirt and tie game at one stage but I
suppose Munster Rugby has done their part to try and transcend that to try and bring it down
to I won’t say the working class but you know kinda spread the love of the game throughout it, I
suppose that is what is contributing there to the need for fresh blood because there probably
needs to be a change to the psyche as well in relation to it.
And IRUPA are trying to do, I know they carryout surveys I think every three years through
the players and it’s along those lines of trying to assess, to the best of my knowledge. As I said
it’s confidential so I have never seen it but just one or two bits and pieces come out in the press,
headline kinda of things. It’s just that sort of stuff that they are trying to highlight is it?
Yeah, they are I think it’s. You see they are fighting a battle there because I suppose it is really only
starting now. The true professionals are coming out of it and I suppose some guys are maybe
reluctant to talk about it and you know it’s, you get a mixed bag, you get a lot of guys who just come
straight out of it and go onto something and are successful and there are other guys that struggle and
ah you know I think just because a guy has a good job doesn’t mean everything is going really well
for him, you know, there is a psychological side to things too, that needs to be addressed for fellas and
131 | P a g e
ah but I just think that trying to keep the guys involved in the game and I think that is more down at
Munster level you know this sort of a social side to things where guys are welcomed back to the club,
that hasn’t happened. I think a lot of guys feel very alienated from the club after they finish and that’s
a side of it I think needs to be fixed you know.
Given the, obviously like a lot of businesses, Munster Rugby would be no different, there is
obviously more and more financial pressure put on them, it is being well documented there at
the moment there is a big overhaul I think there at the moment. This is obviously not helping
matters there either as obviously they don’t have the resources .......
Well I don’t agree with that. I think that, I think they will always give the poor mouth about things
you know and that has been the way my dealings with them has been. I don’t think any of the players
would want anything for free and that’s not what I am getting at, at all. I think what guys want is to
be involved in the club in some way and I think that if their PR people are smart enough they can
utilise the former players in a way to benefit the club as well and everyone is happy I think. There is
models of that done in England with English clubs with less success than us and I think you know
there is opportunities there for both sides and I think it is important to keep fellas involved in the clubs
in some way. I have seen it on a smaller scale with my own club with XXX. It think it is worrying
when you have had some of the best players in the world playing with your club for those particular
years and they walk away from it feeling bitter and unhappy you know and that’s pretty sad you
know.
Where there any unresolved feelings that did effect your mental wellbeing? And how did you
vent your frustrations? (this is obviously in relation to retirement).
I suppose I, yeah I suppose my treatment since I have retired. Things I needed to get done medically
and I suppose this has to be very private because it is ongoing but am. You know this duty of care I
think, is a huge issue for me. Physically putting your body on the line and having medical stuff that
needs doing and the club not wanting anything to do with it is I think is pretty frustrating and I have to
be careful about venting my frustration because I don’t want to end things on bad terms with the club
I love. I loved what I’ve done, I‘ve loved the people that I played with and stuff like that so I don’t
want to end it badly but ah I want the right thing to be done by me as well and it’s about trying to
approach it in the right way you know.
As I said there will be no names on it and I certainly won’t be making any reference to your
conditions or anything like that so
Yeah, that’s fine.
132 | P a g e
Did you have any support from your peers, close friends, club or province? Did you share your
thoughts with any of your peers? (obviously these are all just retirement).
Yeah, yeah I mean I have a lot of teammates that I would be very close to and we would talk about
very personal things I suppose and am a lot of the sentiment is the same from guys who have gone
before me and some guys that are still in there, they feel very frustrated I suppose and, but I think it is
more to do with the fact that you know we would have had this idealistic view of how Munster should
be and you know when we started out first we were a lot like, we are sounding like our parents now,
things were a lot different back in that day and we did things very differently and I suppose that is
more a reflection on us then the guys that are there now because things do change and there is nothing
you can do about that and I think it is a case of trying to marry the two together and I think that it is
very important for the powers that be that they still welcome the older guys in and value their opinion
because I think experience and stuff like that you can’t buy it you know and I think they haven’t got
that balance right yet you know.
If you did have emotional distress was there any interventions in relation to it? Did you receive
any counselling or exit interviews?
No, I had no exit interview, I have had no real dealings with them since I retired but I think the
support of the guys, I think I am very lucky at the moment because a lot of my generation has retired
in the previous four or five years. A couple have retired this year with me and ah there will be a few
more next year I would say or the year after so ah we are a kinda group who have done everything
more or less together, we all sort of joined together, we all got married together, we had kids together
and we are all starting to retire around the same time so that support network that is there amongst
ourselves is invaluable really. The boys are only a phone call away or you know we meet for a coffee
whenever so from that side of it there is great support there.
But it’s very informal, its friends?
Yes, it is.
You have friends more so on a kinda ad hock basis, more so than a need to sit down basis more
so than anything structured say.
I think it’s not something that rugby players would be into anyway you know, sitting down formally
with someone I think is a very hard thing to get a rugby player to do so I think from that side of things
we are kind of our own support network in the sense.
133 | P a g e
Did the work that IRUPA does that at any stage, I know you probably haven’t been through
that since you retired but do you think that, that can lend itself to fellas maybe saying look I
need a help out here because maybe psychologically they are not dealing with this very well.
Ah yeah, I think it is very important because I can see sometimes when we are in a group, as a group
of lads and we are talking about things especially when it is a group you mightn’t exactly say truly
what you feel because it is not the macho thing to say but sometimes it might be better to talk to
someone that you don’t really know and you can let it all out and I can see that, that is probably an
important thing to have there for guys you know and I know that some guys do avail of it and I think
IRUPA are very supportive in that way and they are very much about the player I think but I would
think that sometimes maybe at the end of a guys career that it might be just worth making it
compulsory that a fella sits down and talks to someone because I don’t think guys have the inclination
to go away and organise that themselves you know and ah it might be a good thing to have a sort of an
exit medical which includes having a counselling session with someone you know.
Yeah, I think that I suppose just to prepare them because I suppose Sports Psychologists are
great for preparing you to get onto the pitch to do your best but they should also be prepared
for when say the lights go out and say a fella is walking off that they should put fellas in the
position that look if you feel this way maybe it is time to talk to or we can take it to the next level
as you said yourself given the sport these people might be reluctant to admit a weakness, given
that they probably played games hurt but just to play and not admit the weakness. Just from
that perspective I suppose it is interesting to think that from moving to the professional level
there is an element that hasn’t, now I am sure your diet is well controlled and your training is
well controlled and that ye all have lives to lead after. Nobody finishes at 65 say and a rugby
player in the natural cycle of retirements say where everyone else is.
Just one final question then. What was your Coaches role in your career termination? I think
you have more or less answered it I think.
Ah that is a difficult question. I was only in it a year to be honest but I would have had very little
dealings with him and I suppose the writing was on the wall when I wasn’t talking with him that much
during the year you know.
That’s perfect.
134 | P a g e
5.2 PARTICIPANT 2
So how old were you when you began your athletic career?
Oh God, I can’t even remember, 5, 6 maybe.
And how old were you began playing Rugby Union?
Ah 6, that’s when I started you know.
How old were you when you turned professional?
Technically probably 20.
Ok, what Provincial Clubs have you played for in Ireland.
Just Munster. Sorry, I had a one off game against Ireland with XXXX.
Ok, and have you ever played professionally outside of Ireland.
Am, with a different club, no.
What got you into playing Rugby Union to begin with?
Family.
Do you have an athletic hero?
Am, Mohammad Ali or someone like that.
Who was that person and what made them a hero to you?
I suppose their skills.
What was the most important thing that kept you playing rugby all these years?
Ah, love of the game I suppose, love of playing the game. The friendship around the game and ah I
suppose after a time it just becomes part of you and....
Part of your life is it?
Yeah, part of your life, your social circles, your job, your hobby as it had been kinda all the way
through and am you know families and every sorts bond as well, friends, kids friends and you know
so it just becomes interwoven into your into your am...
What did you find is most enjoyable about playing rugby?
135 | P a g e
I suppose the friendship would have been the biggest thing you know. The camaraderie and the, I
suppose the craic you just have around it. And probably just below that is probably winning you
know.
Can you outline at what levels you played rugby, club, provincial, international and touring
sights?
So am, XXXX, Munster, Ireland, Lions I suppose.
How long did your professional career last?
15 years.
And for what reason did you retire? Voluntary, involuntary?
Involuntary, injury.
It is clear that you made a long term commitment to sport and have achieved a high level in
relation to same. At what age did you begin your competitive sport’s career and how successful
was it in the initial stages?
Competitive, am in terms of representative or ...
I suppose when you, when it became serious more so then when you...
I suppose I was in school really, am, you are going through the representative levels, you know just
going through really senior schools it wasn’t much sixteen’s or anything like that you know. So yeah,
it would have been at school.
And how successful was it in the initial stages?
Ah, phew, not massively so, it was ok . I was an ok player in school.
Ok,
Yeah, I signed a good couple of years after that and then went backwards again for a couple of games.
By choosing sport you made a large commitment. What was your main goal when you began
participating in sport?
Am, I suppose just to play for Ireland at senior international level am....
By commitment to sport. “We mean your desire and determination to keep doing what you do
best, and that is to keep on winning”. Were results important to you at the beginning and why?
136 | P a g e
Ah, I suppose they were important but because eventually I wanted to play for Ireland and if you are
not in a winning team you are not going to progress I suppose representatively. Ah, it was going to be
much harder to progress representatively. So it means back then there wasn’t as much you know
when I was at school there wasn’t as much of a club it was more of an individual sport nearly.
Ok, Even when you were with your first club?
Oh no, not when I was with XXX, I’m talking in school and school is obviously different but at
representative level I was just thrown into a couple of games and that was it but to progress to the next
level, it was a little bit more almost individual.
So it was about progression more so then that was it?
A little bit, yeah, yeah, yeah.
Considering everything both on and off the field how much did you enjoy playing rugby with 1
being not very much and 7 loving it?
Ah, 7, I suppose.
Ok, what valuable opportunities did you have taking part in sports say travel, meeting people,
job opportunities?
What, what, which, what?
Sorry what valuable opportunities did taking part in sports....
All of the above, all of the above yeah.
So you saw a lot of the world and ....
Saw a lot of the world yeah it was amazing yeah and it was a great life experience and ah
Say job opportunities have it in anyway, did you say...
Massively so yeah.
For the contacts was it?
Yeah. Not even, not even I suppose familiar contacts but contacts where you may have met but they
know you through rugby and it makes it a lot easier to talk to those people and they are more willing
to help you.
137 | P a g e
And am because of the work you are related to now it’s not primarily any way to do with rugby
now sure it’s not. You’re a business person say on your own now?
Yeah.
So thinking back to your first major competitive honour when you turned professional what
was that?
When I turned professional?
Yeah.
My first major?
Competitive honour.
As in what did we win?
Yeah.
I suppose it would have been interpro or something like that you know.
How did you feel and what were you thinking prior to the contest?
It was a while ago, yeah it is fair to say it was a while ago. I’m just trying to think, ah, are you
thinking more of a final is it more along those lines?
I think yeah, I suppose part of what we find in the research is that players that achieve a lot of
their goals say in their sports find retirement easier because I suppose they are not looking back
at an unfulfilled say ...
Yeah, yeah you are always going to have things that are unfulfilled generally unless you are very
lucky but you have to be content with what you have achieved yeah. I suppose, I mean I was always
nervous before games and all that and in some ways obviously you know the first two finals, it’s a
specific field, I may be being too specific but am the first two finals there was obviously a lot of
disappointment but the third one where we won was just more relief and it would have been I suppose
the biggest..
So were ye were up for the third one to get the monkey off the back say?
Literally yeah.
138 | P a g e
And to build on the confidence?
Yeah, and not to have lost for the third time I suppose yeah. The second time we won was literally
just more a joyous occasion and enjoying it a bit better you know.
Because ye were over the initial ..?
Yeah, yeah.
But obviously there was players at that stage it was their first time as well so obviously there
was a mixture of emotions?
Yeah, yeah, yeah.
After the win did you think about other goals say moving off say from the Heineken Cup
Finals?
I wanted to win another one yeah, you just got greedy, you love, you love that feeling and ah it felt the
most natural thing to actually want to win another one you know.
Ok, so there was never a stage where you felt even after even the second one where you felt ok
two is...
No, no you just wanted to win more and more because you wanted that feeling again it was a bit like a
drug I suppose.
Did your life change in anyway after your first big win?
I got very drunk, ha ha, am did it change, no.
Did you experience any additional demands?
Am, a little bit yeah, yes of course you know there would be a little bit more of I suppose media or
you know book signings or you know things like that but not intrusively you know or not it didn’t
become a pain of such.
So you didn’t find it very stressful ?
No.
Were you prepared to deal with the additional demands?
Ah, yeah, yeah. I mean, I, there wasn’t massive or major changes you know and I think if there was I
probably would have been less inclined to want to win again so it was just...
139 | P a g e
Ok, so ye kept it on a kinda of a..
I think it wasn’t, you just get on with the next one and the next season and try win it again so it was
nothing really, no hangover from the previous one.
Ok, did ye have any assistance in dealing with the demands on it were ye giving any?
No. But again, they weren’t, there were a few things but ..
There wasn’t anything hugely?
Yeah.
Do you have any suggestions that might help other professional Rugby Union players who
would face a similar situation to help them better prepare and cope with becoming or remaining
a champion?
Ah, there is probably more media attention and probably more..
There is more media attention now?
Yeah. There obviously is but there is probably, rugby is a much bigger sport here in Ireland anyway
but to win it now would be a very different affair then when we won it in 2006 so it is difficult to say
but I am sure ...
Why do you think it would be different, is it?
Because rugby has grown massively you know since we won in 2006, we won it in 2008. Leinster
actually won it three times , there has been a Grand Slam and rugby is just...
So the success that it has brought had different kinda demands and?
Yeah, public opinion and people with public interest in the sport it’s vastly different, so I mean it
would be much more challenging now to win something like that and to
And say just looking at it from that prospective and I suppose it got bigger in the last couple of
years. You still kinda come back to the media side so I know that the Munster Academy...
Well media and public interest as well you know is kind of, one kind of goes in hand with the other.
140 | P a g e
But the Munster Academy do a certain amount of I think media...
Possibly, yeah, yeah, I mean I did do some media when I was kinda in the Irish Academy or
foundation as it was called at the time. Something that was going at the time but it was limited at you
know, I suppose with all this digital guidance or whatever we would have had Coaches who would
have been a Career Guidance so he naturally would have almost being that guide or help in that sense
and in terms of talking to the media they would always give you a team talk before it wasn’t
necessarily a media thing to but it was just more of a team psychology thing we invariably we had our
media thing after it. It ended up unwittingly literally reiterating what he said five minutes before hand
and it was never dressed up like that but that I am sure is what he was trying to do and it certainly
worked and it made life easier in dealing with the media because we would have heard the answers to
the questions five minutes earlier and you were able to just ..
Is that, so that was obviously subliminal maybe to a degree ..
Yeah, yeah very much so yeah.
Say for players now do, you just think that media plays a huge part in it now?
It does and there is probably not as much guidance, yeah, I don’t know, I mean in terms, a lot of it has
to come from the Coaches who would be talking to the players mostly about rugby and am I suppose
they have to be aware that they need a party line or whatever it is you know on certain things. Am, but
there is Media Mangers, well there was back there or did they just get rid of after 13 years or
something so they are recruiting again in a time of a, a bit of a need of one I think.
Do you have any non sport identities as in what would be helpful for an athlete to broaden their
social identity, their social support network?
Say that again.
Say do you have any non sport identities or does everyone kinda associate you with sport?
Sorry, am, non-sport identities. I suppose now it is business you know I from a day to day have
obviously stepped away from rugby and for whatever my business interests I am trying to use
whatever profile I have from rugby to you know transfer to those.
And do you think that, that is helpful to broaden the social identity, is there...
Yeah, I don’t want to be known as an ex rugby player. I want to be known for something else now.
Ok.
141 | P a g e
What have you invested that you cannot recover from your professional sports career?
Invested, obviously not monetary is it or?
No, say time, like I know some of them have commented like time with their families.
Am, yeah, time with family, time with friends, social occasions, weddings, christenings, birthday
parties, you know whatever the list goes on. But obviously you are institutionalised your time is not
your own so you go along where ever the bubble is going and other things have to take a back seat.
So it did feel kind of when you were in the thing, it did feel very institutionalised in so far as
your time was dictated?
I, when you step out of it, it seems that way. When you are in there no it doesn’t because you are
happy to be in there. It’s a safety, it’s a safety bubble as well you know so it is hard for people to
access you and you are happy with that and it is kinda needed as well.
Am, did you feel a sense of obligation to keep competing because of the expectations of other
people?
Am, to keep competing in terms of?
In relation to your rugby career.
The longevity of it or? No, I just loved playing it, ah as long as my body and my mind were happy
with the game I was going to keep playing and ah I obviously, if I still got offered a contract but no I
wanted to play for as long as I could to be honest so I loved it and ah, no there was nothing outside of
that really that ..
Whose expectations were most important to you in your rugby career?
Expectations, well, I suppose my own first and foremost and then family and team mates. It varied
from time to time you know at different points in your career. Starting off you know it was certainly
your parents, am, my father would have travelled everywhere watching the games and stuff so you
obviously, it is natural to want to impress your father in that but am. Down through the years then it
became maybe peers or certain players or but ultimately myself really you know.
And when you say certain players, were they players that you were playing with or people that
you would have admired say in the world of rugby that?
Ah, no probably players you played with yeah.
Did you feel encouragement and support from other people while you were playing?
142 | P a g e
Absolutely. Yeah.
And it was obviously very important to you?
Yeah, of course, yeah, yeah, yeah. I mean it was always a bit of icing on the cake really you know.
I know these questions seem very..
No, it’s ok.
How do you feel these people encouraged you and supported your participation, say the likes of
your family and say?
How do I feel?
Yeah. How did they offer you this support to keep participating?
Am, by family attending games and talking to you about games and performances and congratulating
I suppose.
Say when injury, if you were injured or anything like that was it your family you chose to rely
on or would you have gone back to your club or your team mates or something like that?
Am.
That your family mightn’t have fully understood?
Yeah, you are a bit isolated from your family logistically like my family would have been in all
different parts of Ireland or the world so it was probably more your partner or whatever, my wife now
so. I suppose that’s fair enough.
This is a strange question now but are you viewed as a former rugby player who made a good
investment in society, who did a good job by working hard?
I hope so.
How do you think you are viewed by the public?
Am, I dunno, I suppose, hopefully something like the above.
As regards working hard?
Am, yeah, yeah, I would like to think so yeah.
Would you say there was unwillingness on your side to plan for retirement?
143 | P a g e
Unwillingness?
Yeah.
Am, probably yeah, there probably was some bit not fully but certainly it was something that was
always in the back of your head but am one it’s very hard, I mean you are always, sorry there are
different ways of looking at that there is a fear of thinking about it at times but no, I did actually try
when I think about it, I did actually try and plan for retirement. Everything, in fact everything I was
doing was trying to plan for it I mean trying to invest and have a bit of cash, I suppose I was trying to,
I started off a role in a company or with a partner in a job so that was with a view to retiring and
getting somewhat prepared for the real world. So yeah, no I was always thinking about education but
never really knew what to do or how to go about, not how to go about it but I got frustrated. I tried a
couple of times to go back you know when I was injured it was fine then once rugby rolled around it
was just, it wasn’t feasible to keep doing it so I got frustrated with it. But no I was always trying to do
something but I always felt like I should have been doing more and then but I can see your question
you know, is, you know you don’t want to think of when I did come to actually.
That’s the main stay of the actual piece is that I suppose given when ye are caught up in the
moment when things are successful , I suppose it can happen to people in other walks of life as
well but from ye’re perspective most of ye will retire at least twice in your lives in so far as...
Mentally and then physically.
Well, even say you have now retired say from professional rugby which was one job.
Yeah, oh yeah you are not retired you are just changing job yeah.
Yeah, but I suppose where I am looking at it is that you have retired from the first chapter of
your, the first career you had..
Well, I think nowadays everyone has so many different jobs it’s just kinda going from one job into
another and that’s the way I am looking at it a bit you know.
Ok.
Am, but I think when I, just to answer your question again when I did actually have to start thinking
about when I had the injury, you know it was three, four months into the injury and somebody,
Hamish actually, was talking to me about you know with a view to retiring, you know what are the
consequences and I didn’t want to talk to him, I got very upset, not very upset with him but I got ratty
with him, am, because you know he was bringing it up and I was 100% tunnel vision of getting this
144 | P a g e
back and he had to, you have to kinda do that to try and get back you have to I suppose have that
tunnel vision and you know people with kinda doubting you or whatever you just ignore it and go on
so. There was probably a four week period there where I had to change my mentality from don’t even
talk to me about it to alright let’s talk about it.
Ok.
Just hypothetically.
At what age say would you say that you started to contemplate it say. I imagine that in your...
Ah this was only a four week period in between.
Yeah.
Before you say.
Sorry, what age was I sorry.
Say did you start contemplating say retirement? I know that you say you were saving and stuff
like that.
This was just when I was injured.
Just when you were injured?
Ah, yeah. No I wasn’t contemplating retiring. I never contemplated retiring until I was injured but in
terms of making a decision to it or but I, obviously you are always contemplating retirement, its, it’s
the fear at the back of everyone’s heads whose playing because you are doing everything in your
power during your career that you don’t have to retire early, that you don’t retire early, that you have
a contract or that you don’t pick up an injury so everything is done with a view to not retiring so
actually having to make that decision in the middle of trying to come back to retire you know that was
a total mind change.
Ok. Was there any structure in place to help you with your post sports career development?
Ah, IRUPA offer some things, there was a thing that Declan Kidney and Paul McNulty brought in
which was the, I can’t even remember what it was, was it called the Mentor System for, sorry, in
partnership with BDO and their entrepreneur of the year awards which they have ah, they will pick
players up which started with the Irish squad with say entrepreneurs or people who have won the
entrepreneurs of the year are involved in that system sort of business basically as a Mentor for
players and basically to help and guide them through and put them in whatever way of contacts that
145 | P a g e
they can you know so it is very much the, every relationship is different but they did do that and that
was very beneficial I found.
That was mainly say from transition say work wise, say psychologically wise was there any sort
of counselling or anything say afforded by?
There is, there is a Team Psychologist that was made available.
Ok.
And its, he does do some teamwork in terms of rugby but he is also available on a one on one basis if
you wish. I didn’t avail of it.
Ok.
Do you feel that you have a lot to say but no-one to tell about your unresolved feelings or
emotions about retirement?
No.(silence)
Am, were there any unresolved feelings that were harmful to your mental wellbeing? With
regards the injury, was there a disappointment in you that say that your career was say
obviously in your head you knew that you would have to retire say with the injury bringing it
say forward?
Ah, I suppose I would be on reflection from now and a bit of prospective I don’t think that my injury
was handled with the best way possible.
Ok.
I think probably, in some ways it was handled poorly in terms of my rehabilitation with XXXX.
So It was down to just from the medical staff prospective more so than?
Yeah, from a medical staff prospective yeah. XXXXXXXXXX.
And obviously that would frustrate you?
Am, not really because I think, well I am hoping that I made the right decision I think if I tried to go
back anyway it wouldn’t have been successful and I would be in a worse position now.
Physically?
Physically and financially yeah.
146 | P a g e
Did you have any support from your peers, close friends, club or province? This is obviously
when you retired.
Did I? Yeah, of course yeah. As much as they can you know.
Did the club play much of a role, I know speaking to some of the other lads the club played a
huge role, not so much Munster now as regards say their own like say I think XXX speaks very
highly of XXX say from that prospective you know and I suppose he is still kind of grounded in
XXX. I am just wondering say from the support point of view or had you ..
Not really am, not really a support kind of, in terms of friendship yeah certainly I would go back to
the club and you know hang around with guys in the club who were associated with YYY and
Munster you know and there is weddings you kinda socially probably hang around with them a bit
and...
But you do feel the need to really kind of rely on these people for, as regards when you retired
there was no, you like, I know your family and friends were obviously there for you but you
didn’t feel the need to discuss...
No.
No.
No, I don’t think so.I think you don’t want to, it is probably healthy to almost break ties in some ways
with the club and not feel like you’re still a player, you know you need to kinda move on and do your
own thing. Cut your cloth for your future or whatever so. In that sense I wasn’t really trying to...
And do you think the fact that you had say you had ideas as regards how you wanted to develop
your life post retirement that, that was easier for you to do as regards you weren’t, you didn’t ...
Yeah, I think its kinda sink or swim and you just kinda get out there and break ties and do your own
thing and not be, you know I didn’t want to be going to coaching or when I was still playing I was
talking about it even when I was retiring I was talking about more of a business role with Munster but
that never really came and I never really pushed it as much as I should have to be honest. It was
probably more my side you know, but am ..
What was your Coaches role obligation in your career termination?
Am, nothing I just told, sorry, that’s not fair, I, it was just obviously me telling him that you know I
had made the decision but in terms of how we went about it he was very accommodating in the way I
147 | P a g e
went about it and I asked him to do a few things that he was more than willing to do, you know it
obviously wasn’t in his interest as such but you know he, I suppose I had a plan, an about to exit plan
which he wholeheartedly bought into it and did what he had to do to...
Ok, so obviously you didn’t want to exit but obviously you got the exit to a degree on your own
say..
Yes, yes, very much on my own terms. You know am, the CEO as well, Gareth helped me in that too
so.
And that’s it.
That’s it? It was short, I was expecting ..
148 | P a g e
APPENDIX 5.3 - PARTICIPANT 3
So what age where you when you started your athletic career say in any shape?
When I started to play sport?
Yeah.
Jesus I don’t know about 8 I suppose.
Ok. And when you started playing rugby?
Rugby would’ve been the first thing I played yeah.
First sport yeah?
Yeah.
And how old were you when you turned professional?
In 1997 wasn’t it?
1996 I think was the year..
Yeah, what am I XX now so what is that?
31 is it?
31 I suppose yeah, 31.
What provincial clubs have you played for in Ireland?
XXX.
Have you ever played professionally out of Ireland?
Yes.
How did you find that experience?
Ah, very good actually. I actually played professional outside of Ireland before I played professional
here.
Oh right.
I played with XXXX in the Super 12’s in Australia.
149 | P a g e
And how long where you there?
A season there.
And that was your very first season say professional?
Yeah.
And then you came back to say Munster.
What got you into playing Rugby Union to begin with at the age of 8 say?
My friends I suppose we were living near XXX Rugby Club.
And just was following your friends?
Yeah.
Was your family involved in it?
In rugby at that stage?
Yeah.
My older brother would have been but he would have played for XXXXX.
Do you have an athletic hero?
No.
What was the most important thing that kept you playing rugby all those years?
I enjoyed it, I loved the game.
And the aspect of it say a lot of fellas commented on the camaraderie with the lads in the team..
Yeah. Just friendship as well and you know it was a challenge.
And was the challenge to progress say when you went professional say to get to say to the Irish
team and then to move on to touring sides and stuff like that?
Well you see I played for Ireland before with professional so I suppose the aim when I started taking
it serious or whatever 20 years of age or whatever 21 would have been to play for Ireland yeah.
So it was 21 before you started to think that..
Yeah, yeah, yeah.
150 | P a g e
What was the most enjoyable thing about playing rugby?
Am, the most enjoyable thing? . I suppose people that you would meet and friends, travel, travel all
over the world.
You played rugby at all levels club, provincial, international and touring?
Yeah.
And how long did your professional career last?
1997 to 2002. So that’s 6 years say.
And for what reason did you retire was it voluntary or involuntary?
Ah, oh voluntary.
Ah, it is clear that you made a long term commitment to sport and have achieved a high level in
relation to same what age did you begin your competitive sports career and how successful was
it in the initial stages?
I began competitive I suppose at 16.
And how successful was it say from…
From 16 it was underage success like I won a few cups with XXXX, 16s, 18s and 20s.
By choosing sport you made a large commitment, what was your main goal when you began
participating in sport?
Just to enjoy it.
I suppose the element of that, that comes in I suppose is when you made the commitment to
sport it was still amateur and I suppose some of the other lads I have spoken to it was
professional at that stage so I suppose they were thinking career wise so that is probably why, I
know some of these questions come across a bit stupid for want of a better word.
I know yeah, they are grand.
By commitment to sport we mean your determination to keep doing what you do best and that
is to keep on winning. Were results important to you and why?
Results were important yeah. I hated losing. I was very competitive.
And would you think that you carried that the whole way through your career?
151 | P a g e
Yeah.
And say beyond your career then would that still be something that you still see in yourself?
Yeah.
Considering everything both on and off the field how much did you enjoy playing sport, 1 being
not a lot and 7 loved it?
7.
What valuable opportunities did you have taking part in sport which consider, travel, meeting
people, job opportunities?
Am, opportunities, meeting people I suppose really you know.
Ye would have toured a lot wouldn’t ye, you would have seen parts of the world say?
I travelled all over, the travel was great you know, I have to Australia 4 or 5 times, South Africa, New
Zealand, you know Canada, America all of the place like.
And these were places that say in the normal course you wouldn’t go?
Yeah.
Just thinking back to your first major competitive honour when you turned professional, what
was that?
When I went professional?
Yeah.
Am. I suppose playing for Ireland would have been the first then after that it would have been you
know the Heineken Cup with Munster.
Just say going to the Heineken Cup one how did you feel before that contest?
Before it?
Yeah, say before one of the finals or something like that.
Am, You would be nervous, I suppose you had a fear of losing you know.
With the fear of losing and the competitive side that probably would have brought you to say
the peak of your career do you think?
152 | P a g e
Yeah.
Say after your first initial win say, major honour did you start to think say about other goals?
Say did you try and build on say …
Not really because you know it is a team sport so I suppose you would have played for the team rather
than individual goals you know. I suppose your goal would have been to keep your place on the team.
And that would have been even through your amateur stage, that would have been the same.
(Interviewee takes a phone call)
Did your life change in anyway after your first big win, say was there any extra demands put on
you or?
No, not really. I suppose the first big win that I would have had was the All Ireland League with
XXX .
Say when ye moved to Munster and stuff like that would ye have had more media pressure,
would ye have had more demands say placed on your time say in that respect?
When I went professional yeah, definitely.
So time became?
Time consuming yeah.
Were you prepared to deal with the additional demands say from the time you went
professional?
Yeah.
Ye weren’t given any training in relation to it, how to?
Obviously yeah, you were given training, you were given a schedule and you had to stick to it.
But ye, back then ye wouldn’t have done a lot of media?
No, No.
The media ye kinda did yourselves. I know that the newer lads now would have done elements
or media training and I think in the Munster Academy as well.
153 | P a g e
Do you have any suggestions that might help other professional Rugby Union players who will
face similar situations say going forward. I suppose now looking at the demands and the more
high profile that the game is now. Is there any elements of it that you think that they could
learn or that they could get training on?
I wouldn’t be the perfect role model now for that! With my history!
Ok, am nearly there now..
Is there anything that you invested in rugby that you cannot get back? A lot of the lads said
time, time with their family.
I suppose time with your family and I suppose aches and pains, bruised body. Like it is only in the
last couple of years that, the last 2 or 3 years you know that I am having trouble with my ankles and
stuff and obviously it is through the rugby.
So the injuries are starting to manifest more now say?
Yeah, yeah.
Did you feel a sense of obligation to keep competing because of the expectations of other people?
Am, not of other people no, just I would have done it you know for myself. Like the day I would
have stopped competing is the day I say give it up you know.
So you only did it for yourself, the expectations of other people didn’t kind of, you were more
focused on the goals…
For the team, yeah, yeah.
Are you viewed, this is a very wishy washy question now but are you viewed as a former rugby
player who made a good investment in society who did a good job by working hard?
I think so. I would like to think so anyway.
And, how do you think the public would view you say from your professional rugby career?
Am, I still get loads of good feedback even now though I haven’t played for 10 years.
So you think it has projected a positive image of you?
Yeah.
154 | P a g e
Would you say that there was unwillingness on your side to plan for retirement, say from the
professional side of it now?
Am, I knew 12 months before I retired that I was going to retire at the end of the, you know, I planned
myself well, I played another 12 months and that was it.
Ok, so you had formulated in your own head say?
Yeah.
Before that say because you were playing for about 6 years had it kinda entered your head
about the retirement aspect of it or were you so engrossed in competing that?
I suppose probably 2 years before I gave it up I would have started thinking about it you know, will I
give it another year or will I give it 2 years.
Given the fact that it is such a physical kinda, macho is the wrong word to use but I will use it
because you understand what I am saying, macho sport and showing a weakness is not
something that you want and in the game that ye have I obviously, there is always a chance of
an injury that can at any stage, do you think that psychologically you block out those things
because you don’t want to admit that?
No, I think the reason I decided or started to think about giving up was because my body was telling
me.
Ok. Do you understand what I am saying?
I understand yeah.
You know you don’t want to admit a weakness because the game itself doesn’t allow a weakness
say.
My body would have told me alright, you know that you are coming to an end because physically and
I suppose mentally as well.
Yeah.
Was there any structure in place to help you with your post sports career development?
No.
You obviously had in your head and obviously the fact that you were say in business or you
would have been, so you were conscious say, on looking there at the differentiation between
yourself the other lads who would have been professional all their lives.
155 | P a g e
Yeah.
And not to use the phrase but you would have been more cognisant of the world outside of
rugby?
Yeah.
Do you think that, that helped you to kind of?
It would have because like I had decided a year, maybe a year and half before I finished that I was
going to open the business so.
So you had a plan?
Yeah.
You knew where you were gonna go.
Do you feel that you had a lot to say but no-one to talk to about unresolved feelings after your
retirement?
No.
Say did you find it difficult say to adjust?
I found, say, what I found difficult when I gave it up was the adrenaline rush that you get from the
sport.
Ok.
Like the first couple of months was very hard, what am I going to do with myself you know.
Yeah, yeah.
So I actually bought a XXX, that filled that gap for me there you know.
But that was something you brought upon yourself. That was something , no-one advised you,
you just took this up yourself.
Yeah.
Have you any unresolved feelings that were harmful to your mental wellbeing afterwards?
No.
156 | P a g e
Say, from the fact that maybe your body had broken down but maybe the mind still wanted to
play but that …
No, I mean, no.
No, ok.
What was your Coaches role in your career termination? How did you approach the subject say
at that stage?
How do you mean now?
Say, you obviously had in your head day 12 months before hand, did you talk to the Coach at
that stage or did you wait until later on?
No, I spoke to the Coach, well he actually asked me what was my plan and I said look I am going to
give it another 12 months and it was XXX who was the Irish Coach at the time and in fairness he said
to me, the position is yours he said for the year.
Ok.
At the time so I know I was under no pressure.
Ok, ok, So I suppose because you had formulated that you were going to go and because you
had that kind of frank enough discussion with him you knew ..
Yeah, yeah.
Do you think that, that made the transition easier then say somebody , say if you come to the
end of that 12 months and decided you wanted to go again but at that stage
No, I was well…..
You were well finished at that stage…
I was ready to run out the garden..
And there was no counselling provided for ye upon say retirement?
No, back then there was nothing.
Because I suppose at that stage ye were nearly the first say tranche of people so you don’t say
think at that stage the sport was very well prepared to deal with fellas retiring?
157 | P a g e
It wasn’t I suppose, It was different for me because I had worked before but I don’t know about the
lads afterwards because , I was the first out of our group say to retire after me it was XXX. So he
would have been in the same boat as me. I suppose after that then the younger lads, I know they did
bring some stuff in at a later stage and the lads were doing computer courses and stuff you know so
they started doing it but when I finished they had nothing no.
I know and from talking to a lot of the lads and even the likes of XXX he is finishing a Masters
and stuff like that so maybe they are a bit more cognisant but at the same time they are also the
fellas as I said probably didn’t work prior to going professional.
Yeah.
So they are caught in a kind of different mire in relation to it. Is there, just looking at the
transition then from yourselves like rugby is always seen as a very family, that the clubs are
very family orientated and the transition into professionalism which you would have seen first-
hand..
Yeah.
Did you see any kinda conflicts that kind of arose from that given like because for all intense
and purposes before when it was amateur it was fellas, you know everyone was friends, then it
became fella’s employment and as you know yourself in employment there is issues, there is
other issues that come in and fellas get deselected and it becomes a bit harder to take because
de-selection means that you might lose your livelihood.
Yeah.
Did you see any of the negative side of it and I am not saying, I am just saying….
No, because I was lucky enough, like in my career I was never dropped off a team, like the only time I
didn’t play a match was if I was injured and I have been suspended a couple of times but thankfully
when I was playing I was never you know …
Yeah.
I was always first choice.
But some of the lads, some of the other lads say that would have been playing with you that time
would have probably fallen into the de-selection thing. Because it became a job for ye say at one
158 | P a g e
stage, did ye become more cognisant say of the importance of making sure ye weren’t deselected
say?
Yeah, we would yeah.
Because it was for all intense and purposes your livelihood?
Your career like.
159 | P a g e
APPENDIX 5.4 - PARTICIPANT 4
I know that some of the questions boggled you with the ones that you answered and thanks very
much for doing that. I suppose these questions kind of give a bit more depth onto them. I
suppose where my research is going it is mainly going to be based on the, I was hoping to do it
mainly based on the questionnaires but I am not going to get enough of a sample I think to get
any real statistics from it. I was hoping the time with IRUPA, I think Hamish, you probably
were familiar with Hamish.
Yeah, yeah, he is after going now I think.
Yeah, he is gone from there anyway. So I think he was kinda interested at the start and kinda
getting involved in it but he has since left and I think now they kinda, to be honest I understand
they are kinda saying that they do their own reports every couple of years and that they did not
want to contaminate their own reports by kind of asking fellas to fill out surveys and stuff every
year like that so I think they do it every 2 or 3 years to the best of my knowledge, you probably
know a bit more about it than me.
yeah.
But I suppose what I am doing is, I am interviewing a couple of the lads now that would
predominately be Munster lads which kind of doesn’t help give an overall prospective but I
suppose it is the best I can do in the timeframe I have but I met three lads last week and I am
hoping to have another three this week and I think that is about as much as I am going to have.
But if I can I will just start it there because I know you are on the phone there. Do you want me
to ring you back altogether?
No, just shoot away there.
Ok, how old were you when you began your athletic career?
What do you mean by that like, when I started playing rugby?
No, say sport of any kind of ilk, not professionally say your just career full stop.
I was about 7 years of age.
Ok, 7 and was it rugby then or was it?
Yeah, rugby yeah.
Ok, so am and how old were you when you turned professional?
160 | P a g e
Ah, I think I was just turned 20. 19 or 20 I went on the IRFU young players. They changed the
system now but when I was there it was kind of a 3 year contract you went onto with kind of a
National Academy and that’s where I started there.
Ok, and the provincial clubs you played for in Ireland that was just Munster?
Ah, no, I played for Connaught as well, I had 3 years on the Academy, the National Academy and
then I went up to Connaught so I just thought I would get better game time there and am I played a
couple of games and the following year I played a full season on a full time contract and then I came
back to Munster then.
Ok, and you have never played professionally outside of Ireland?
No, always in Ireland.
Ok, what got you into playing rugby to begin with?
I suppose my father was big into, was a big fan of the sport and he was heavily involved in a local
junior club here called XXX so himself and all his mates brought all their sons out and they started
underage and we all got into it but you are living in Limerick man all the people that you look up to is
rugby is the main sport here.
Did you have any athletic heroes growing up?
Yeah, I suppose I was a big fan of XXX, I was a big fan of XXX, I was a big fan of in other sports I
admired Roy Keane, I was a Chelsea fan when I was younger , a big fan of Denis White who used to
play with them and Terry Dixon, those lads.
And was there any reason that you were particularly drawn to them. Was there any particular
reason that you admired them say. Was there anything in their game that you admired or was
it the fact that …
Yeah, XXX played Hooker and ah he was a standout player whenever he played and he went to XXX
the same school as I went to and he played for Munster and he played for Ireland and then XXX.
When I went into first year in XXX, XXX was older than me but he was the Captain of the Senior
Team when I came into school so I would have looked up to him. And then I saw him after, XXX
would have played with XXX, he would have played with XXX and then he went to XXX, he played
for Munster, he played for Ireland and he captained them all as well so I would have just seen. I
would have looked up and seen that’s the pathway I want to go through and that is probably why I
picked him. I just liked the footballers because I liked the way they played.
161 | P a g e
So the fact that XXX and in particular XXX while you probably didn’t know him at the time,
they appeared somewhat accessible and his success probably appeared accessible given the fact
that you were in the same sort of groove as him say as regards going to the same school and I
suppose …
I looked at it, well if XXX, well the pathway works you know with XXX as well. You go to XXX,
you come out, you play club rugby, you play for your province, you play for your country, you can be
one of the best players in the world so I looked up to them and I just thought that’s what I want to do
so.
Can I just ask did that play any part in you choosing to go to secondary school in XXX?
Ah, at the time it wasn’t because of those. I went to XXX because it was a strong rugby school yeah.
Ok, but rugby did play a part in the choice of say secondary school, say even at that age?
Yeah, yeah, I went to XXX because they were strong for rugby.
What was the most …
Because a lot of the other schools around the place were full of XXXXXXX, everyone who goes to
Munchins is a tough XXX.
It is going to be hard to quote that now in the report isn’t it. I don’t know do UL like the use of
the word XXX very often but we will see can we get it through anyway..
I am just giving you facts man, its reality in XXXX you come across a lot of XXXXXXX you
know…. They produced XXXX but they are not tough XXX like come from XXX you know.
No, alright, ok.
What was the most important thing that kept you playing rugby all these years?
Ah, that I enjoyed it.
That you enjoyed it. You obviously enjoyed the sport itself but did you, was it the success that
made if more enjoyable or was it just the competing element of it?
Yeah, I like competing, I like the fact that ah rugby kind of teaches you about a work ethic, like if you
don’t make an effort in rugby you don’t, you get very little out of the sport but if you make an honest
effort and if you are on it in your approach you will be successful and you know it is a multi-faceted
game so you always have something to work on you know and its ah the fact that it is multi-faceted
you know it’s not just , you can’t just be super fast you have to be able to pass, you have to be strong .
It combines so many elements and it gives you so much to work on and so much to work on yourself
162 | P a g e
that I really like that about the sport and then the fact that when you are playing you get to play with
your 14 team mates and the lads on the bench and you want to, you naturally want to earn their
respect by grafting you know and I think people in rugby, rugby is a team game. It is very rare you
come across someone who wants to play for themselves and I like that aspect of the game. I like the
fact that people play for each other and it feeds into a strong, you know you feel a strong sense of
ownership on the team and you feel a big responsibility to your team mates.
And as a matter of interest while you talk highly there of team sports did you participate in any
solitary sports say like you weren’t a runner or anything like that, do you have any success…
No, no, no.
You liked the team dynamic, that was part of the appeal to you?
Yeah. It’s more social as well you know, like when you, if you ask most of the lads when they retire
they all say they miss the craic of being in the dressing room with the lads and play and all that sort of
stuff you know.
On the camaraderie side of it, that’s one of the biggest elements that you do miss is it say that
you are now retired?
You miss, yeah you miss XXX meeting up with the lads and having a bit of the XXX craic with them
and ah you know that’s when, when you go to the weddings you get back together and that’s why
everyone loves it man because everyone is around together the pressure of game is there but you
know that is a good pressure when you are playing you know, that is a positive thing. But am you
just enjoy each other’s company and am the slagging and the craic and all that stuff you know. And
you get to do a job you know for close on 10 years and you make so many real good friends from it
and that is something that is brilliant about playing professional rugby, you make so many friends and
they are friends for life you know.
Just on the level that you played. You played club, provincial, international, you did all those
and touring sides?
Yes.
How long did your professional career last do you think? 10 years was it?
Am, well altogether strictly it was 12 years professional.
For what reason did you retire, was it voluntary or involuntary?
Ah, it was involuntary, my XXX kept … so I had to retire through injury.
163 | P a g e
It is clear that you made a long term commitment to sport and have achieved a high level in
relation to same at what age did you begin your competitive sports career and how successful
was it in the initial stages? Say going back to school say.
At what age did I begin my competitive sports career?
Yeah, say that was probably to do with XXX when there was cups and stuff involved.
Am, sure we played for cups when I was 7 and 8 and am..
When you were with XXX was it?
Yeah, when I was playing with XXX, we didn’t win a fuckin whole lot now but we didn’t have the
best team but we had a good laugh. That’s pretty much it.
When ye moved to XXX were ye more successful in XXX?
Yeah, yeah, yeah we kicked on a bit and particularly when I was in XXX I played club rugby with
XXX Club as well so we were successful there so. Those kind of things give you, you know you
develop more as a player when you take the confidence from saying yeah we actually are good and
we are winning you know.
So say the XXX team, of those were probably as successful as you were going through the ranks
there?
Yeah, well we like, we would have looked up to the XXX Teams that won all those games you know.
So am, its good, it just sort of feeds into you, you feel like you are playing for something, something
that has a real meaning and that there is a responsibility when you play because there is team the team
that wins.
And say you saw a structure develop in XXX at that time I suppose at that time rugby really
hadn’t gone professional as XXX were just completing the another league win but you were
seeing a kind of a more professional set up as regards in XXX at that stage I imagine given the
level of success that they were enjoying?
Well every year now it gets more professional you know like professional in terms of its better
prepared am and all that you know. I suppose rugby went professional in 1995 and I left school in
199X so I went straight in and trained with the Munster Squad …………… in the off season and
appreciated training so that was brilliant for me to get, to make me feel like I was on the right track
and ah ..
164 | P a g e
You know the way rugby is and I suppose a lot of people consider rugby to be very much a
family sport to a degree, have you seen, then it moved to professionalism to a degree had to take
from that family kind of ethos that was in there because people had to be deselected and stuff
like that, you obviously saw elements of change in relation to that because I suppose given the
fact that people were being paid and I suppose like any job when people don’t perform and they
are being paid there has to be decisions made, did you see much in the way of repercussions
from that?
Yeah, well the biggest damage I saw were occurred at the club level, not really at the provincial,
Munster level and that but at club level because yeah the club would be where lads, like the likes of
XXX and stuff, those clubs shouldn’t be trying to pay players but as rugby went professional all the
AIL clubs started paying their players and it kinda diluted what the good game was about. But
Munster it is a business but it is still very important that you try and keep the intangibles that human
factor in it as well you know and I think the good thing is that whilst most people you know there
might be a little bit of a sour taste at times because some people don’t finish on their own terms, their
contract isn’t renewed or something like that but by in large 12 months down the line people look
back at it and say fxcking hell I was so lucky to get to play and to do a job and play with fellas who
were my best friends for so long and you know I have so many good memories that they so outweigh
when people finish at the end, it doesn’t finish on the terms you would like. But am Munster then on
the other hand has an advantage that the lads that play with Munster , the majority of players that play
for Munster are from Munster and their parents, their families, their friends would support Munster
and they probably would have supported Munster themselves so there is an obligation and a
responsibility when they play because they know they are not over in the for Sale in Manchester or
something like that you know when they are finished playing they will have nothing left to do with
the club you know. They know when they are finished, I knew when I was finished with Munster that
my parents would still go to support Munster games and that my family and friends would still be
Munster fans even when I wasn’t playing so I needed to make sure when I played that I did a good job
you know.
By choosing sport you made a large commitment, what was your main goal when you began
participating in sport? Say go back to the secondary school days. Was the dream always to
play for Ireland and …
It was probably, a lot of it was probably. I just liked competing you know and then competing and the
fact that it was fun and then I wanted to play for Munster and I wanted to play for Ireland and this was
the way to do it. And I suppose you know when you are a kid as well you would have looked up to,
you know when we all came into school we would have looked up to XXX who was the Captain of
the Senior Team and he was like literally the guy that we all looked up to and we looked up to him
165 | P a g e
because he was a rugby player so you kind of looked at it as this is the way I can elevate myself you
know.
Sorry, just there from talking to some of the other lads that I have interviewed I suppose they
would be of the genre that’s there now there would be say a couple of different mixes say, there
is some people say that would have been amateur for a couple of years then would have gone
professional say would only have had a couple of years professional and then there is other lads
probably had more experience say in the domestic leagues probably then yourself, like a lot of
them comment, they talk very highly of trying to make it onto their club teams first.
Sorry say that again. You know that was the longest question ever ...
No just, there is different genres that I am kind of interviewing I suppose some lads that were
kind of amateur before they went professional and then there was the likes of yourself where
you were more or less out of school, out of college, straight professional say. But the lads that
were say amateur they talk, their first real goal was to make it onto their club team. Do you
find that maybe, that kind of, you kind of skipped over that given the fact that you moved
straight to a very professional set up?
Am, well yeah the pathway is changing all the time now and players would have come out and I
suppose they probably needed to do a certain amount of physical development and a lot of players
kind of go and serve a kind of apprentice then you know playing club rugby and trying to get onto
their club team, when they get onto their club team then at least they are in the shop window then to
get selected for Munster. The way it’s happening now, the way it is moving on is that the players are
developing in school a lot quicker. And schools are strength and conditioning programmes put in
place, sometimes guys are coming straight out of school and they are ready to step in and play
professional rugby straight away. So, that’s evolving all the time but by in large the pattern would be
to come out and play with your club and then move on and try get selected for Munster you know.
But say just looking at that pathway now and I know suppose given the fact that it is coming
into other sports as well where they are saying that some of the people participating are getting
so much physically stronger, the hits are getting harder and that really the professional careers
now are starting probably at a younger age say 18. Some lads I suppose aren’t even making
university and they are probably starting with the Academy and stuff like that. Do you see
there like, they should probably given the nature of the hits and the nature of the injuries
involved in rugby which aren’t really going to lessen in the next couple of years. Do you see
issues arising out of that where people see now, some rugby players would be retiring at say 27.
166 | P a g e
Am, I don’t think so. You are right in that saying players are going to start younger and younger but
if players look after themselves well they can get, it’s not just that players that are getting bigger and
bigger and stronger and stronger they are also, you know the medical side of it is getting better as well
so helping improving players, preventing getting injured and then moving on from there. So it is kind
of moving forward on two fronts but it probably, people are noticing just how many more injuries are
there all the time now these days but ah. I think that, I can’t tell you if players are going to be retiring
at 27 to be honest I don’t know.
Yeah, yeah, I suppose just looking at it, given if you look at your own say career where you
retired, you retired probably earlier than you thought you were going to retire when you started
off your career. I suppose most rugby players would have said 35 or 36 is probably...
Its XXX not, 35 or 36 is a good ending in professional rugby, like I ended up retiring at 33 which I
kind of went look, I kind of broke onto the, it’s about miles on the clock really you know and for me
my miles on the clock were, I started playing national rugby at 26, a lot of the lads, you look at
someone like Christian Cullen. Christian Cullen would have started playing international rugby at 19
for the All Blacks and Cully would have retired probably at 31 or so you know. I didn’t have as many
miles on the clock, I started later but once I started playing at a high level then injuries started
cropping up a lot quicker you know.
Again, just going back to the point I was making, given the fact that fellas are starting younger
say that even some of the lads now in the Academy would be starting at an earlier age than
yourself, that it is probably foreseeable that they will on average, that they will probably start
hitting an earlier retirement age. Given the fact that, as you say there miles on the clock will
start affecting their bodies and their performance and injuries and stuff like that.
It is definitely possible. I can’t say if it is going to happen or not but it is possible yes.
And you can see that, that would, given the fact now that I suppose you are of a say, I suppose
people in their 30’s are of a higher maturity then say lads in their 20’s, I suppose we were all 27
at one stage and you wouldn’t exactly be of the settling down mentality, that, that could possibly
cause bigger problems for the likes of somebody say retiring from the professional game at 27.
That is a fair point, a lot of the lads are, you know if you are in your 30’s you have a little bit more life
experience and you can handle retirement a bit better. If players, when players do have to retire
young it is going to be a bit more difficult for them to take but I suppose that’s XXX life in that I do
not know for sure whether this thing is going to kick off in the end but it probably is a little bit more
difficult for some of the younger lads. Particularly lads who have to retire if they haven’t felt that
167 | P a g e
they kind of realised their potential in the sport you know, if they feel like they had unfinished
business and they can carry that for a while after they retire but ...
Yeah, that certainly carries through in some of the stuff that I have been reading anyway is that
at least success in the sport that they have chosen mitigates to some degree, the retirement, the
effects of retirement upon then. I suppose you were very successful so I suppose looking back at
it you know the results when you look back, what you have given up for the sport might be
outweighed by, you know it can be offset by the results that you achieved say through the sport.
Yeah.
Considering everything both on and off the field how much did you enjoy playing sport? 1
being not very much 7 loved it.
7 that I loved it?
Yeah.
7.
What valuable opportunities did taking part in sport offer you such as travel, meeting people
and job opportunities?
Yeah, I got to travel an awful lot with the sport . I learnt an awful lot with regards, I learnt a lot about
myself and what I was capable of doing and made a lot of friends, had a lot of fun. I made a few quid
from it as well and I gained a bit of profile which helps when you are trying to do business afterwards.
The biggest thing is just the work ethic,that is the biggest thing I can take from rugby.
So just thinking back to your first major competitive honour when you turned professional.
What was that?
My first major competitive honour?
Yeah.
I don’t really know what you are asking me, are you asking me my like first thing that I ever won?
No, when you turned professional say with Munster say at that time.
What do you mean by an honour, do you mean like a trophy?
A trophy yeah.
I suppose the first trophy we, when I was professional .The first major, major thing I won was I
suppose was probably the Triple Crown with Ireland in 2006, that is probably the best one I can give
you, you know. I won things before but I think this would probably make it easier to pinpoint.
168 | P a g e
Ok, and after the win did you begin to think about other career goals?
No, well you are always thinking like, rugby you are constantly assessing every single week, you
know it is not like you have a goal and then you leave it off. Like you train Monday to Friday and
then you pretty much go out and you get pissed then on the Saturday and you know whether that week
has been a success or a failure then you know. And you just go then and the thing is to go ok what
can I do to get better now next week and then you start training again Monday to Friday or you know
if you had a good week you would go ok I want to make it even better or , there is no such thing as
like, you are constantly assessing and seeing what is the next thing because there is a test every single
week. You might not play a game every week but that’s your goal and then you got long terms goals
so when we won the Triple Crown in 2006 the next thing on was the next match the following week,
we had to win that and then we were leading into the European Cup Quarter Final 2 or 3 weeks later
which we had to try build back into. That’s why momentum is such a big thing in sport because you
can get on a wining buzz it kind of infiltrates everything you do.
So every week you kind of set yourself a new goal. So it wasn’t so much honours it was just to
get better every week?
Yeah, yeah, every day try and get better. You try and. You might have some stuff say I want to start
getting, I wanna get a whole lot stronger and I would say I would give myself, that would be a goal
over the next 7 or 8 weeks. You might have a goal saying I want to be you know the first choice in
my position for my country and that maybe an 18 months kind of a thing and then you might have a
small thing like say now I want to up my percentages in a line out and I am going to do extra work
and I am going to break that down into a short term goal and say I want to start doing an extra two
sessions on line out throwing every single week as well you know and then at the end of each day you
suss to see well how did I do today and how can I get better and what was my diet like did I. You
know was I tight with my diet or did I get sloppy or how can I get better you know and you are
constantly looking, it is so competitive you are constantly looking for any edge that you can get. If it
just means that you know, you eat more vegetable at breakfast because you know it helps you, you
feel better later on in the day in your second training session, you’ll try that you know. I don’t think
you can even definitely try.
The demands, it is unbelievable I suppose when you are looking on it as a sport you forget about
the kind of every day grind.
It is not a grind because it’s XXX, that’s the best thing about it man like if you can go into a job
where you are completely in control of how successful you are going to be, or how successful you
will be prepared to be that’s what it is like, I mean if you go in and just bust your ass Monday to
169 | P a g e
Friday every single week you go on the field with absolutely no fears you know. What the XXX am I
going to be afraid of, I mean I have trained my bXllocks off I have done everything I can and I am
pretty sure that the guy I am marking won’t have done that and if he has XXX fair play to him but it
just makes you really confident, you know coming out of rugby when you apply that stuff to ordinary
life you have to be patient because it doesn’t, you know, everyday life outside of something like
professional rugby doesn’t , it’s not as reactive in that like you don’t get that I won or I played well at
the weekend on a Saturday to work out whether your week was good or not you know. So, it’s one of
my favourite parts of sport. It weeds out bluffers and people who hide as well.
So your goal setting since you have moved out of professional sport has changed say your goal
setting say where you know you have now to take into account you are not dealing in a rugby
atmosphere anymore so you have to take that into account now with your own business say.
You still set goals. It’s just that very rarely at the end of the week you go that was a complete success
because. If I need to up my tackle account at the weekend I will get out there and I will work my
XXX bXllocks off to try and up my tackle account and I will have a direct impact on it. Whereas, if I
say I want to get the fucking turnover up at the business I go try, I do a few bits and pieces, I can’t
directly get a piece of woven pipe and hunt people into the business you know. There is a little bit
more of a lag in those things you know. But am it’s still, you just have to apply the same concept but
you just have to be a bit more patient.
I understand. Just going back to when ye did make, say when ye had your first success did they
place any extra demands on you say from your own say when you won the Triple Crown were
there any extra demands put upon you after that? Say media wise ..
There would be more media work but it’s am, it’s not really a big deal because you are always like,
when you win something it kind of reinforces, you get kind of an affirmation of like, XXX what I am
doing is right you know, all this training I am doing is right for me and it is working and you know it
just spurs you on and you want to get more success and more and more and more and that’s it, it is
like a drug you just , all you want to do is just keep winning all the time, every XXX trophy you can
because you start then like XXX my career isn’t going to go on all the time so I have to win as much
shit as I can. That’s what you strive for when you finish you know. Some say oh he was a great
player, well what the XXX did he win? He didn’t win anything, he might have been a good player but
he didn’t have a successful career. And if you want to be remembered like I grew up with all these
guys like dad was bringing me down to watch Shannon games and I grew up watching Keith Earl’s
father play and fellas from Young Munsters and fellas from Garryowen and fellas from Shannon and
Thomond and I would look up to fellas all the time because I thought they were great players and they
won things and that’s what you wanna do, you wanna end up when you look back on your career
170 | P a g e
saying well what did I get out of my career and you say I won as much as I could and I was honest
and my team mates respected me and that’s as good as you can get.
Say, just going back to the demands there was there any demands that you found stressful say
that you weren’t comfortable with say in your career?
Ah, I get XXX pissed off people asking me for tickets , that can be XXX annoying but apart from that
it’s fine. Everything else is fine.
Say looking now at the players coming through now and obviously as you were inclined to
discuss there the media attention around rugby is kind of increasing every year and I suppose
the professionalism is increasing every year as well. Do you have any suggestions on how, when
they come to retire or say during their career how they can better cope say with some of the
demands placed upon ye?
I suppose having, I was very lucky in that when I played, social media wasn’t really a big part of it.
And you know it definitely, it grew as it went on but the big thing I think is if you got a lot of lads
there you need kind of a mentor in the sport you know. A mentor somebody who has got an objective
view of where you are in your career and they give a shxt about you, it’s not, the biggest thing is for
lads to be happy themselves and if they are happy they will play well. Now happy means you are not
fighting with your Mrs and shit like that you know and ah if they can get into a good place there then
the rugby will go a lot better as well. I think that you know for players to, the psychology part of the
sport is a big thing and you know I was lucky in that I, a lot of lads when I came into the team, a lot of
the lads were like, they were my best friends and they were all very clued in so if I did something
stupid they would pull me up and say what the fxck are you doing man cop on and I just you know, I
didn’t feel like I was being spoken down to I felt like I had a mate looking out for me. If I had come
into the team and I was 19 and the rest of the lads were all 29, 30, 32 it is a lot harder then. Because
the guys who are 32 don’t want to be telling a 19 year old you know listen, you know you feel like he
is being talked down to whereas when a mate tells you listen you gotta mind your neck there or cop
on or do something you don’t feel you are being talked down to its more oh I better heed this advice
or he wouldn’t have said it to me otherwise. So from that prospective getting a kind of a mentor
whether it’s somebody in your family or something like that, someone who will give you, you know
pretty consistent, objective feedback as to where you are and how they think you are getting on, you
know give you a steer as to, you know just someone that you can trust and who can give you a bit of
guidance when it is required.
So say, did you have any, and I think this is one of the questions you had a problem with on the
questionnaire. Did you have any non-sport identities, say when you were playing sport did you,
171 | P a g e
did everyone just see you as a rugby star or did people see you in a different perspective you
know.
I don’t know what people saw me as but I know that when you are out and about a lot of people will
come up to you and they will, they will just know you from playing rugby. They don’t actually know
what I am like and they think that you are a good guy and stuff like that. I could be a complete prxck
but they don’t know that you know. And am you are kind of playing a little bit of a caricature of
yourself in that like, not a caricature you are playing a character for people a little bit if they come up
to say how are you and you chat with them but they don’t know you, you know. And it’s just
important that it’s your career on the line, you just have to know that people mean well but their
opinion on you isn’t very important because they don’t actually know you, you know so. They come
up to you when you play well and say Jesus you are a great fella you know. Then when you play
badly the same people say you are shxt you know. But they don’t really matter because they kind of,
they don’t know you in the first place, they don’t know what is going on and they just flit in and out.
You know by in large I feel that I was lucky in that Munster supporters have always been very, very
good to me and the same with Irish supporters so. But it is definitely something that players need to
be sort of wary of going along and I was lucky in that I had a lot of, like I said again, a lot of the lads
down there with me when I played with Munster who were very clued in and they would give you a
steering, when you play well for a while don’t let all those people pump your tyres up if you know
what I mean, don’t take any heed of it, people will be telling you, you are great but you are not, they
don’t know you from Adam, they just saw you playing well at the weekend, in a game. And you know
telling you, you are great and a great fella but you just have to have a good solid kind of inner circle
of friends and family and they will give you feedback if you are losing the run of yourself, if you are
being too hard on yourself they will say listen just stay on the right track and all your goals will come
around.
You invested a lot in the sport I suppose, is there anything that you have invested that you think
you can’t recover from the sport? Say is there much that you have missed out on say do you
feel in life because of it?
No, no I probably didn’t. No, I don’t have anything to complain over I think it’s, the sport has always
been good for me and I enjoyed it and.
Did you feel a sense of obligation to keep competing because of the expectations of other people?
To keep competing?
Yeah.
What do you mean?
172 | P a g e
As in say, I know that say from the way you have spoken there, you have set goals for yourself
every week but at any stage in your career did you just say look yeah I am a bit sick of it now
but I will keep going because there is a certain expectation, my family are proud of me and they
want me to keep...
No, No. I suppose you are aware that there is a slight, you feel a slight kind of obligation and that like
when I was injured all the time and my parents used to enjoy going to the games so much and then
when I was injured you know, obviously it was difficult for them as well but that is not really logical.
The main thing is keep yourself right mentally and physically and if you can’t keep going, you can’t
keep going and you know parents and yourself just be thankful for what you got from the sport.
You got a lot of obviously encouragement from your family and friends throughout the sport?
Yeah, they were very good, they were very good. Probably from my mother’s point of view she
found it a bit difficult when I was retiring because I dunno it was a big part of her social life as well
going to games and stuff like that. She may have felt that you know that was going to go. And but by
in large I got an awful lot of support and it was all very good.
Ok, that is very interesting. That is interesting in that your family were, I know, I suppose.
Like am when you did announce your retirement, had you thought about it, obviously you had
the re-occurrence of the injury ...
Yeah, I had spoken to everyone because I knew it was coming for a while. I had been injured for
years and it was coming along and I knew it was looming there for a while and I was aware of the
possibility. For a long time I didn’t even consider retiring. I wouldn’t consider it at all and then
eventually I just had to, I spoke to one of my friends who had retired before me, he had an injury and
he just said, look once you are actually accept it, you know, what is the worst case scenario, you are
retired ok, you are insured, you don’t get to play anymore but you know if you look after yourself you
can still train and still do a lot of other things and you know so when you accept that then you kind of
go back and you can actually go back to rehabbing and trying to get fit without having to be you know
, too, it’s not like a big black cloud hovering over you and when you do, when I did decide to retire it
was like am, I had spoken to my parents, spoken to my friends and family and you know for the day
that you retire it is tough. It’s tough because it is emotional and stuff like that. You have a lot of
people contacting you and saying really nice things to you and its tough, it’s tough from a good point
of view in that like you know if I was working in a job where I retired after 10 years and I did feel like
wow I miss this job so much “It’s such a great job” but I just had to be philosophical and say I know
so many lads who get the sport taken away from them so young with bad injuries but I was lucky
enough to play for so long and to have so much, so many good memories, I made so many good
friends that, I was just very grateful for all the time I got. I hate to hear older players who have played
173 | P a g e
for fxcking 15 years and they kind of go, oh I am just you know, it is really hard on me and I know
sometimes you need to be a bit like cautious but I am like shut the fxck up man, stop whinging you
know what I mean.
Looking back there on some of the stuff that you said earlier like about when you were setting
goals and stuff like that, rugby is such a physical game and it’s a game of strength both
physically and mentally. Do you think that, and you said there that you didn’t really want to
face up to retirement I suppose earlier on in your career even though, from the day you start
you probably know there is only X amount of years in the game, that, do you feel from your
own prospective that part of not thinking about retirement was the fact that it might show a
weakness or it might illustrate that you couldn’t go out to the pitch to say this could be my last
game because if I wreck my knee here it is all over you know..
Yeah, yeah, in relation to when I said I didn’t consider retirement you are correct in what you are
saying is that ah you don’t want to entertain the idea of having to retire because it maybe is that you
are almost entertaining losing or entertaining like what if I don’t win, what if I end up not going back
but my thing was, the last 2 years of my career were just interspersed with constant injury all the time
so it’s not like I was playing, all the time I was rehabbing to get back and I was getting very frustrated
and I was going when the fxck is this injury going to come right for me and eventually I just had to, I
sat down with my mate and we just considered well look if it doesn’t come right this is what’s going
to happen, well look that is the worst case scenario so then let’s get on with the fxcking thing so, you
know let’s get it right.
It was only say with the injury, in the last 2 years that it really entered your mind say?
Yeah, yeah, you don’t think about it otherwise you know. Like they mention it to you but it is the
same for every young player, you think you are bullet proof and you never think you are going to
have to retire and at the end of every year one of the lads gets up and you know he makes a speech
and it’s a fxcking hugely emotional thing for him and for his team mates. If he is 33 or 34 then there
is team mates that played with him for 10 years, it is really tough for them as well. Young fellas who
are in the squad and they just see them and go yeah, yeah that guy is retired, what is the big deal but
they will be there in a few years hopefully as well you know. That’s just the way. That is the cycle
of sport.
Was there much of a structure in place to help you with your post sports career development?
Yeah, there was yeah. Hamish Adams and IRUPA put together a good kind of, preparing players for
when they retire and I found Hamish in IRUPA outstanding. He met with me all the time you know
and he helped me with regards to, like I was preparing stuff for business. Business stuff I was
174 | P a g e
preparing myself, I had kind of gotten involved in a few different businesses and which the main thing
as a rugby player you have a profile but it is also good for you to get involved in the real world as
well, you appreciate your job more like you know when I got involved in the business I appreciated
ok this is graft here in the business you know and I had a bit more freedom. When I am playing
whereas rugby is kind of you might have fxcking 80,000 people watching and you can’t fxck up but
it’s for 2 hours you know whereas with the business you are open from fxcking ten o’clock to fxcking
half twelve that night you know. You mightn’t do as much but it is a different kind of graft. But
mainly I found IRUPA very good from the point of view of just mentally preparing you for all these
little things and you know when you are in, even when you retire you don’t want people coming up to
you saying oh, I am so sorry for you, no-one wants to feel pity. I would be like fxck you I would
rather you didn’t like me than feel sorry for me. And I know people mean well by it but if you are
naturally competitive you never want people to feel sorry for you and that’s why when I retired my
big thing was like, when people said ah I am sorry you retired, I say don’t feel sorry man I had a
fxcking incredible career, I had a brilliant laugh, I was very, very lucky, I had loads of friends, I had a
brilliant time so it is more celebrate it yeah.
Do you feel and I suppose I think I know the answer to this question. Do you have any
unresolved feelings or emotions about retirement?
Not really, no, no I am fine with it, I am completely fine with it. I would have loved to have played a
bit longer, you know I still feel sometimes when I am training now I go XXX it would be good to get
back but I know that the last 2 years of my career were mentally very, very hard on me because I was
working my bxllocks off and getting nowhere with my injury you know. And that is something that I
had never come across in rugby and I was getting bitter towards the sport and then that was it I
actually thought, I spoke to my mate about retiring and I said look I think I am going to have to retire
my XXX is XXX and I went out then and I just said to the National Coach, look I said I am going to
go out and train on Monday, I said I do not know if my XXX is right but if it XXX goes it goes I am
happy with that, if I play well pick me, if I don’t play well don’t pick me but I said I can no longer
keep rehabbing something without ever knowing if I am going to make it or not and I went out and I
started back playing and they monitored me and I took it easy but it was just, it was like a when you
pick up a ball when you were 7 or 8 years of age, I was back playing with all the lads and I loved it
and even though there was a kind of a clock ticking on me, that it was only a matter of time before my
XXX again I enjoyed the time so much it made me realise how much I loved the game and then 4 or 5
weeks into that I kind of went holy fxck I think I am actually ok, I don’t think I am going to have to
retire at all and I savoured every minute we had, whenever we trained, whenever we did anything, all
175 | P a g e
the little mundane things that you would often over look I fxcking loved every single one of them and
then when I got injured again I was very philosophical, I said well I spent 2 years working my
bxllocks off and getting nothing out of the sport what I felt was nothing, I thought I had to retire, I
was bitter at the sport and suddenly out of nowhere I got another 5 or 6 weeks playing for Ireland,
playing with my team mates and you know I said I am after getting that now and I am not going to
finish like fxcking angry at the sport, I am very happy for all the time I had.
You had support from your peers, close friends, club and province I imagine through it all, like
you were able to?
Yeah, yeah there was, well I am lucky again like I said to you a few of my friends had gone through a
lot of some big injuries as well and ah I had spoken to them and they talked me through you know the
physical side of it, the mental side of it, a lot of things that are important in there and you know my
friends as well like my friends from when I was a kid who none of them play rugby but they all
supported me playing rugby but they knew me before I played rugby for Munster or Ireland and they
just knew me as XXX and it didn’t matter whether I was playing rugby or not. It was really good to
have that kind of ah that support, that social support structure around you.
Yeah, so you had a different identity to them say which obviously helped them transition I
suppose they are probably in the mundane 9 to 5 jobs. Did that help you know because they
were saying well now you are kind of joining us in a different role?
No, no they didn’t do that. They always knew me as XXX and the fact that I played rugby they saw
me going from their friend that just played to getting on the Munster and Irish team and then people
were getting to know you, like people would come up to you, you have sort of a bigger profile then
but they always treated me the exact same because I was always just XXX who played rugby with
them or XXX their friend that they hung around with. So some people will too closely link the sport
with their own identity and when they no longer play the sport they feel like who the fxck am I
anymore you know. And that didn’t happen me because I have a good group of mates and I have a
good group of friends and ah even in fairness with a lot of the lads like I play with Munster we all see
the value in each other beyond playing sport and that is a good thing as well. I say to them a lot of the
time since I retired I realise just how you know, it’s not the fact that I was a good rugby player, that I
was successful I was good at rugby because I fucking worked my bxllocks so therefore whatever
industry or whatever I decide to turn my hand to now I just work my bxllocks off and I will be
fxcking brilliant at it as well you know. It is a pretty simple kind of a logic to apply to something you
know and I would say to my friends in Munster as well, I would say, lads there is nothing to fear
about retirement because when you turn the work ethic that you have from rugby and you apply that
in the real world you just fxcking blow people away you know.
176 | P a g e
Just out of a matter of interest, you haven’t been approached to speak to any of the younger
members of say the Academies in relation to discussion about retirement I suppose, like you
know a lot of the themes and stuff and in the research I have done there like you seem to have
indentified athletic identity as a big thing which is ah, which is one of the main causes of
concern say for people when they retire...
If lads come from a solid background, have a good social support structure, family and friends and ah
you know that’s the rock and then you go forward and you can venture out and you can rip into sport.
I haven’t been asked to go and speak to anyone about retirement, I have gone and spoken to the team
a couple of times since I have retired but not on the subject of retirement.
Are we nearly done, I am under a bit of time pressure here man.
About another minute.
Have you any therapeutic preventions, you had no counselling or anything had you?
Ah, we had a Sport Psychologist, I used to use him quite a lot. And I found him very, very good,
because like I said to you, like a Mentor someone who is objective, who is there in the room and all
they are just there, they are just there to talk to you about how you are and I found it that the big thing
is if I was happy, like if I had a fxcking, you know if I was happy myself then I had no problems with
rugby. Sometimes I would go in and I would just sit there and bitch about people for about fxcking
10 minutes and I would get it off my chest, I would be like that guy is a fxcking prick, he is annoying
me and he would sit there, and then we would go through and then I would say yeah, ok, maybe he is
not that much of a prxck then, I was just a bit worked up and then I would come out of the place
feeling very good and very relaxed and ah. You know during my injuries as well then like I used to go
into him constantly angry, you know I was fxcking just really, really angry so I just wanted to fucking
kill people and wanted to blame people for my injury and ah then when I kind of came out of that and
when I got back playing, I remember one week we had a session and I was just completely calm you
know and very happy and it is only when you do that you can tell how angry you really were
beforehand. But yeah, I used to see the Sports Psychologist and mainly just chatting with close
friends you know.
Look, xxx I will let you go at that, look I appreciate the time that you gave me.
No worries man, no worries.
177 | P a g e
APPENDIX 5.5 - PARTICIPANT 5
So how old were you when you began your athletic career?
8.
Ok, and how old were you when you started playing Rugby Union?
12.
How old were you when you turned professional?
21.
And the Provincial Clubs you played for in Ireland, Connaught?
Connaught and Munster.
Have you ever played professionally outside of Ireland?
Yes.
And that was in XXX?
XXX, yeah.
XXX only was it?
That’s it yeah.
Were you, did you play at a high stage amateur wise or were you always say professional say
once it got to ..
Yeah, I played with XXX.
XXX?
Yeah, XXXX was the..
Before you went professional say?
For a year.
What got you into playing Rugby Union to begin with?
The contact element of the game.
178 | P a g e
Say, but was it, your parents weren’t involved in it brother or sister or it was just you were the
first one.
No, no yep.
And it was with XXX was it that you were..
No, XXX.
And was that say in primary school say or start of secondary school or?
It would have been just end of primary yeah.
And the secondary school you went to was there rugby in ..
No, no, no rugby in XXX.
Did you have an athletic hero growing up?
Did I have an athletic hero? No.
What was the most important thing that kept you playing rugby all those years?
I suppose the most important thing, am, all the years before I turned professional is it or?
No, say, say, say even from day one say was there anything that overwhelmingly made you want
to keep playing rugby the whole way through?
It was the one I was best at.
Ok.
Yeah. That was basically it. That was basically the decision I made at 18.
Ok. So you were playing other sports?
Yeah.
Did you play any individual sports? Were you involved in any sort of tennis or running or?
No.
Ok. Did the team aspect of rugby in anyway contribute to or like I suppose all the other sports
you were involved in were team sports as well, which would probably have been hurling or
football.
Mm, yeah.
179 | P a g e
Ok. What do you find most enjoyable about playing rugby?
Winning.
You played at club, provincial, international and I don’t think you played, you didn’t play
touring sides.
I have played, against touring sides or for touring sides?
For touring sides?
Yeah, we went on tour yeah.
How long did your professional career last?
11 years.
And for what reason did you retire, was it voluntary or involuntary?
Am, a bit of both really.
Ok, in so far as injuries?
Injuries yeah and ..
Involuntary?
Involuntary, I just had enough.
You had enough, did the injuries play a part in you having enough?
Yes, it would yeah.
Had you been injured for long?
I was out for a year, my last season I didn’t play anything so it kinda made up my mind really.
Ok. But there was still say..
But I could have come back and played yeah.
You could have come back at that stage but you carried the injury and that was..
Yeah.
180 | P a g e
It is clear that you made a long term commitment to sport and have achieved a high level in
relation to same at what age did you begin your competitive sports career and how successful
was it in its initial stages? So just go back to your rugby say..
Underage with XXXX, yeah, it was a winning mentality straight away.
Ok.
And very successful yeah underage with XXXX and hurling and soccer I would have been ..
And when you say the winning mentality was that team or was that always part of your ..
Ah, yeah, it would have been me on a personal basis yeah.
And do you think that, that is part of the reason that you have stayed involved in rugby?
Ah, it would yeah, definitely, definitely yeah.
What was your main goal when you started participating in sport?
To play, to play hurling for Limerick was my goal.
It’s funny the way life turns out isn’t it?
It is, it’s gas yeah.
And say when you started say, when rugby started to become a main part of your life did you
establish any goals in relation to that?
Oh, I wanted to play for Ireland. You know from about 14, 15 years of age that was my goal to play
for Ireland.
And did you play representative at any underage level?
Yeah. Youths which, would have been club under 18s and then Irish 21s.
And is it fair to say....
And Munster 20s as well obviously.
And is it fair to say that when you, when you said you wanted to play for Ireland at 14, 15 was it
recognised that you had ability at that age say was it...
I kind of knew myself yeah, yeah and I knew personally myself that...
That it was something you could achieve yeah?
Yeah, yeah.
181 | P a g e
It is not like the Man United soccer thing?
Oh yeah..
So yours was a bit more...
Yeah after about 2 or 3 years of playing, I was Jesus I am playing better than these players and better
then everything else and at a higher level than them and that was the, that was the goal.
Yeah, yeah good and by your commitment to sport we mean your desire and determination to
keep going at what you do best and that is to keep on winning. Were results important to you at
the beginning and why?
Yes they were.
Is there a reason, did it just help you strive or?
Yeah. It justified, it justified playing.
And by the playing you mean the sacrifices was it or the training?
Am,
Or did it justify..
No, I just felt that you know if I was playing I was playing to win so then it justified actually making
the commitment to play yeah.
Yeah. Considering both everything on and off the field how much did you enjoy playing sport
with 1 being not very much and 7 loving it?
Ah, about 6, what is 6?
6 is probably just below loving it.
Just loving it?
With maybe one or two issues maybe ..
Yeah, yeah.
Ah, what valuable opportunities did taking part in sport offer you say as in regards travel,
meeting people, job opportunities?
All the above.
All the above?
Yeah. Everything, it opened up your mind from you know, obviously moving from Limerick and the
whole lot and just different ways of life, different cultures just kind of learning life basically.
182 | P a g e
When you say it opened your mind ah, but did it open your mind say beyond rugby if you know
what I mean did it...
Yes.
It did yeah, you were ..
Yeah, because again it wasn’t just. That would be one of the things that from going away even to
play elsewhere it just opened your mind up to, ok you are not, like the guys that I played with, with
Munster, I was with Munster for 5 years and when I retired there was still the same guys in the same
place so for about 12, 13 years playing for Munster and it is like a little fish bowl and you are kind of
conditioned into one kind of way of thinking. So am,
Because I know in some of the theory that comes out is sort of that because you have committed
so much to the sport you may become a bit insular and you may become, you may lose..
No, no I never did. I always had the when I am playing I am playing. When I am training I am
training and I am away from rugby you know.
But when you were playing say and obviously and it will be in one of the questions later on is
you possibly may have contemplated at some stage, I am not physically, I won’t be able to play
rugby. Did you have any plans say or like would you be interested in getting involved in
business or anything like that, was there anything that..
Oh yeah, once after, what was it, when I started hitting around 27, 28 before that you think it will
never end about 27, 28 and then with injuries and I have had a lot of injuries over my career they kind
of am the bit of reality kicks in and you know the realisation you get older and you know you kind of
cop on as well I suppose. You kind of know that it is not going to be forever that you have to have a
plan for, you know you see some of the other stories especially in soccer and stuff like that.
Yeah, yeah so when you say, did you, so you had obviously thought about it, did you do
anything in relation to it? Like had you started like, had you started like getting involved in any
businesses or ..
Yes.
Yeah you had, so you had started to kind of broaden your..
Yes, business and obviously I wanted to like for I would say about 4 years, maybe 3 years before I
retired I knew I wanted to be a Coach.
183 | P a g e
Can I ask was it the fact that, did that hunger come from the time you were in XXX or was it
before that say the coaching am ..
No , it would have been when I went to XXX.
XXX?
XXX, yeah, when I went back to XXX.
And was there any reason why, was there any reason that came into your head just to go or was
it just that you loved the game so much that it was..
Well, it’s not that I loved the game so much as such. It’s just that I knew, I knew that because I did a
bit of coaching with the younger players in XXX because when I was out injured then I would be
more of a senior player and the whole lot that I was going to be asked you know to do these things
and you know bit by bit I kind of realised you know I am quite good at it, and it was something I
wanted to do.
Yeah, yeah. Just coming back to. Just sorry now. Thinking back to your first major
competitive honour when you turned professional, what was that?
First major competitive honour?
When you turned professional.
As in getting selected or?
Yeah. Even like say your first cap or something like that.
Oh, yeah well my first cap for Munster I suppose.
Ok. Yeah.
Yeah. That would have been my first as a pro.
And how did you feel and what were you thinking about prior to that contest? I know it is
going back now.
Am, just wanted to do my best and enjoy it that was basically it and wanted to win.
So after your first say cap did you start setting any other goals for yourself or was it?
When I, yeah it was just bit by bit then once I knew I got to reach the first cap with Munster then it
was just a case of getting, the next stage then would have been short term goals of getting yourself
into a regular on team, getting used to that and then moving on again and again so yeah I did have
little plans in place.
184 | P a g e
Ok. But they were kind of short term plans where you didn’t start...
Yeah, they were short term but, they were short term it was just bit by bit with the long term goal of
playing for Ireland.
Ok.
Yeah. That was always the goal.
Ok.
And, and from a young age I knew that one I had to play for XXX if I wanted that, then I had to go
from XXX to Munster then Munster to Ireland. So I knew that there was a stepping stone to it.
Say after your first cap did life change in any big way for you. Was there, was there any extra
demands placed upon you?
Am. I suppose looking back on it now yes there was. Am you are in the public eye, so from, within
rugby you know there is more pressure on you to perform, there is more work for you to do because
you are expected to do it. And on the outside then you know you are in the public eye and you kind
of have to make sure you don’t...
You have a persona to, that you have to carry and stuff like that?
Yeah.
When you say you am, you had more work to do was that on the pitch or say or were there
other duties say that came with it?
Ah, I would have been yeah obviously the media stuff and stuff like going to clubs and doing this and
doing that and photo shoots and all that kind of that was all starting to kick off at the time because you
know it was it had started back then anyway but on the pitch then you were expected to do more
because you were you know you were more..
Yeah you were seen, you were meant to lead by example say?
Yeah.
Were you prepared to deal with the additional demands, were ye offered any sort of coaching in
relation to say in relation to the media side of it?
Not really, no, no it was very am it was all just thrown together really compared to what it is now.
185 | P a g e
Yeah. My next question as going to be was that because professionalism is still kind of in its
infancy and ..
It was, was it only 4, 5 I think it was 5 years..
1996 I think.
1996 it kicked off and this Was 1999/2000 so everything was just, just taking shape.
Just I suppose, you probably, you experienced really the transition am from rugby say from an
amateur level to a professional level. And I suppose rugby always kind of has this family
connotation say you know families go to watch games and stuff like that and I suppose did you
see much am, I suppose movement into professionalism then, an element of that had to fall to
the side I suppose because people were, de-selection became a kind of a more am, fellas were
being de-selected more or less from their job for all intent and purposes if you weren’t making
the grade you were fired for want of a better phrase or you may lose your contract and
obviously there was more pressure on players.
There was yeah.
Did you see, was that am, was that difficult to kind of a thing where you were playing with a
fella and you knew he tried but maybe you know he just wasn’t getting nowhere.
No, No. For me personally no. It was basically every, it was like everything you said it is every fella
for himself. You know at the end of the day so it didn’t put any extra pressure it was just, it was just
there.
Ok. And just say but when it became say your livelihood there was obviously an extra pressure
there because obviously ..
Oh there is yeah.
Yeah, yeah.
You can’t be worrying about what, you know you can’t let that affect you basically yeah.
Ok, ok.
But that’s the challenge a lot of people it does affect so that is the thing.
Yeah, ok , you probably touched on it there with the kind of the media interest and stuff had, it
gets more and more and I suppose everything now is kind of quicker and everything like that.
186 | P a g e
Do you have any suggestions that might help other professional rugby union players who will
face a similar situation as regards from your first cap say and how they can better cope say?
Am, what could I say. Nothing really you know they can at the end of the day it was a great time you
know to be, to be where I was. No, it’s all about you know while it does happen you have to, I would
say you know just stick to what got you there and keep going you know and that’s the true test of
being a professional. Whereas there are a lot of people that kind of get there and you know then they
go off the rails and do this and do that and all that kind of stuff and they lose the focus. So it is just
about, you know when you get there it is all about staying there then you know.
And say your coaching role is that I suppose in your teens and I am not going to ask you to
identify you seen players probably with a lot of potential that you could say not every player
will obviously will have.
You can bracket your team, you can bracket players or groups of players into different brackets you
know and it’s all about you know trying to get from my point of view trying to get the best out of all
of them but you know, you would know of certain guys who do have potential to go forward then you
would worry then would they have the mental capacity to actually handle it.
Ok. And just do ye do anything as a club to try and develop that, that mental capacity say?
We ah, yeah. We do yeah we have a Sports Psychologist who would work at obviously specifically
rugby but obviously then they transition to how to marry the two together between you know proper
life and then the rugby itself.
Ok. And then say from your own perspective has there been anyone you personally say
identified with or tried to say take under your wing say to develop them because obviously you
have been through the experience and you understand it?
Oh yeah, they again, from a coaching point of view you don’t, me personally I don’t get too close to
the players it’s just but you know you have, there has been a number of guys that you do have a chat
with and try to get, give them instead of telling them what to do or telling them what they should do
you know you try to give them, you know the experiences that I went through you know you try to get
your point across that way. But again at the end of the day you can’t me personally I don’t get too
close to the players but you try to help them as much as you can by giving them the information but
not to...
Yeah, yeah I understand.
You know that kind of way.
That you are not preaching down to them?
187 | P a g e
Yeah.
I, and we just kinda touched on this earlier on. Did you have any non sport identities when you
were playing say, like sport wasn’t all consuming for you I think you had already said like you,
you had other interests outside of it?
Oh I did yeah.
You weren’t playing any other sports at the time no?
No.
But just say on a social side you were...
Yeah on a social side and the whole lot and friends that would have nothing to do with rugby and all
that kind of stuff and ..
You invested a lot in getting to a professional level of rugby is there anything that you invested
that you can’t get back or that kind of am?
My body! Yeah, yeah that would be, it’s in the last couple of years now it is starting to break down.
It was breaking down while I was playing but now there is arthritis, everything you know..
The issues have ..
Yeah, which is a lot you know a lot younger than a guy that wouldn’t have played the game.
Yeah.
So that would be it am other than that...
Like I suppose and what some of the research is showing now is that with the players starting
younger and I suppose and they probably every second newspaper every second article
mentions about players getting bigger in size and the hits are getting more and more and that
retirement will probably start affecting players..
Like you know am, you know the days of playing for like me personally I played for 11 years and
there are guys then that played for 12, 13 it is getting very similar to the NFL you know as a three
year cycle. I know guys, young fellas that were in XXX with me and they were gone at 24, 25 you
know they had a couple of years of it and the body just broke down so it is getting, it is getting ..
So you can see that and even say in your own club I know that the level is slightly down but I
suppose that if a fella hits you, a fella hits you like you know..
188 | P a g e
Oh yeah, it’s still like you know it is still going to have the same effect on you no matter what you
know.
Did you feel a sense of obligation to keep competing because of the expectations of other people?
Am sometimes yeah you would have played, well not necessarily for other people but just for your
sake, for your own sake you know yourself, you know if, very rarely a rugby player plays a 100% (fit)
because there is always something. But not necessarily for anyone else but for myself yeah I would
have gone through it to play.
Did you feel a lot of encouragement and support from other people when you were..?
Oh yeah, yeah.
Maybe family and say..
Family yeah, coaches and team mates the whole lot yeah.
And the time you transitioned say to XXX was that a difficult decision for you or did you see it
as a development?
Yeah. It was time for me to go from Munster am purely from a rugby point of view. I wasn’t
playing, I wasn’t getting a game so again and that would have been something that wouldn’t have
been done very often back then and that was XXXX I think. So it was a case of if you played, if you
were with Munster you were with Munster for life and that was the thing but you know one or two
other guys followed me after that in relation to it’s like soccer if you are not getting a game
somewhere you can go somewhere else and get a game it’s a professional game.
You were still competitive it wasn’t a case of I just want to get paid, it was just the
competitiveness came out?
Yeah there is no point and there are a lot of guys out there who would be happy just to play to be
involved with Munster or to be involved with XXX or any of the teams like that and they go back and
play with their clubs and there would have always be a squad there. They will never be you know..
Exactly and that is ...
They would be at that level and they might be happy with that was something I wasn’t happy with
especially after playing for Ireland and ..
Ok so the thing was I suppose the goal was again to get back playing for Ireland.
That was the goal, that was the goal.
Just in, this is kind of moving on to the retirement side of it now. Do you think that you were
viewed as a former rugby player who made a good investment in society who did a good job by
working hard? I know it is a kind of a ..
189 | P a g e
Am some people might think that, others may not but sure.
Ok, I know it is kind of a tough one.
Do you think there was unwillingness on your side to plan for retirement?
What?
Do you think there was unwillingness on your side?
No, I think I was definitely willing to plan for retirement.
Am, because rugby is such a physical game and no matter what position you play in, it is a
physical game and I suppose given that admitting any sort of a weakness and retirement I
suppose can be construed by some people or that my career could be over today if I get the right
belt that could be it. Do you think that, that maybe contributes to say some individuals not...
Yes.
Yeah.
Yes a lot of, what I would say is that a lot of people that just again don’t have a kind of an overall
kind of a balance in their life and it is just literally rugby, rugby and you know they become very
successful but it is one extreme to the other and they never see it happening and that is where you see
a lot of fellas playing on later and later and older and older and they are absolutely crocked and the
whole lot but they are afraid of their life to actually retire. Whereas I knew that you know from 26, 27
around that age I said right ok I have this now for another few years I will make the most of it but I
know then I am going to do something else different you know. The realisation and I just knew that
right I had it for a certain amount of time a lot of people don’t and people don’t want to be thinking
about that they want to play rugby forever and when that happens then when they go from playing to
not playing they just can’t handle the change. And that is the whole point of it isn’t it?
Yeah. Was there any structure in place to help you with your post sports career development?
Nope, no everyone was on their own.
Do you feel that you have a lot to say but no one to tell about your unresolved feelings, emotions
about retirement?
No, no delighted I retired.
Was it always, were you, was there at any stage where you were a bit say morose or even ..
No, no, no it was just a natural..
Because you had put.
190 | P a g e
Yeah, it was just the natural way that things were going to finish.
Ok.
You didn’t engage in any sort of counselling or anything afterwards you didn’t, no, no. There
was Sports Psychologists I imagine when you were playing?
Yeah, they would have been hit and miss and the whole lot but it would never have been in relation, it
would have been purely about rugby, about your performance on the field. It would never have been,
and whatever it would never have been about retirement or anything like that, that was just when he is
gone he is gone.
Ok when you were injured did you, say did it play any part when you were injured you weren’t
visiting, I suppose you were saying there for about a year before you..
Yeah. But before I got injured I knew that was my last year so it was kind of a bit of both so. When I
knew it was my last year and I wanted to kind of finish playing obviously then with the injury it kind
of married together and there was no worries about it.
I think that is more or less it so thanks very much for that.
No worries.
191 | P a g e
APPENDIX 5.6 - PARTICIPANT 6
If I reference you by name it will be taken out afterwards, it will all be blanked out anyway so.
XXX, how old were you when you began your athletic career?
Athletics was in, athletics as in a professional?
No, any sports say.
Oh, I played Gaelic football under 10. I was 10 years of age like.
Oh, ok. And how old were you when you started playing Ruby Union?
19.
That was the very first time you played it?
Yeah.
And was that for a local club or?
XXX, yeah.
XXX, and how old were you when you turned professional?
24.
24, so you didn’t go through any Academy system or anything like that? You went from XXX
say to Munster yeah?
Yeah, old school.
And you have only played for Munster?
Yeah.
And you have never played outside of Ireland?
No.
What got you into playing Rugby Union to begin with?
Am, watching it on television basically curiosity. I played Gaelic games as a young fella like just
watched it on telly and wanted to give it a go just , which is something you recommend to all young
fellas try different games so that is basically all it was. I have no family connection or background or
192 | P a g e
link or anything it was just purely ah you know my father didn’t play, my uncles didn’t play, I didn’t
go to a school it was nothing at all it was just only watching it on telly and I suppose a young fella of
that age I wanted to give it a go.
Yeah, and just on the sports you did play and you mentioned Gaelic, you didn’t play any
solitary games or say athletic you weren’t into running say?
Nah, like again, like a lot of young fellas as I said trying different sports they do athletics and stuff as
young fellas like went to the Community Games when they were on in XXX and stuff like that and
did a bit of running, threw the shot or whatever ..
So it was always more team orientated games that you or..
Am, yeah.
Or was it just that you were better at or ...
Yeah, like I was a young fella I suppose that fooled around a lot of games but never found one until I
got rugby and then as soon as I played rugby it was just a complete change of attitude to sport. I
couldn’t even begin to describe it like. Playing Gaelic here I would always have been I won’t go
training tonight, ducking and diving and everything as soon as training came for rugby it was all the
time, I never missed a session just completely found the sport for me like.
And just how, do you have any explanation for that or was it just something that you have no
explanation for but it just happened that it was the love of the game.
It just happened to be yeah. It suited me I suppose I preferred it just, like when I was playing Gaelic
football here at XXX and hurling like I played both in the parish, like say I would be ducking training
on Tuesday, nah I won’t go whereas training in XXXX I started there as a young fella straight there
Tuesday nights and Thursday nights always on time never missed, couldn’t wait to get back the next
night it was just different and I found what I wanted to do.
Yeah. I suppose at going to the age of 19 you think that is more than likely where you would
start making excuses because obviously you are kind of...
That is the thing it does happen to the young fellas nowadays but I was just different.
Ok. Did you have any athletic heroes growing up, not just in rugby now or in?
Sporting heroes?
Sporting heroes yeah.
193 | P a g e
Ah, the team I would have followed like, unfortunately whether it is true or not is the great Kerry
team. The football like I loved Bomber Liston and Jack O’Shea and all them fellas like. That would
have been unfortunately like, are you a Limerick man?
I am a Limerick man from Foynes so we are close enough to think if the wind comes in that we
are good enough at Gaelic football as well we have notions.
Am, no in the 80’s like as a young fella growing up it would been watching all those fellas play.
And the success that they had and the skills and stuff like that, that was one ...
I admired them like and I was only a young fella but I remembered like I remembered being heart
broken when they lost the final and all that, I was only 10 or 11 at that stage but I still remember it
like. But they would have been, growing up it would have been those fellas.
And say would you have any idea when you became conscious of rugby say as you said like
yourself watching television and stuff?
It would have been 1985 the Triple Crown, Ireland won in 1985. I remember you know, Ciaran
Fitzgerald I remember watching those games from then on. I remember 1982 as well just about I was
only 9 at that stage I would really have watched much but from 1985 on alright I remember it.
Ok. And just going back to the Kerry say, the Kerry team at that time was there anything in
that team that appealed to you, was there anything, what drew you to kind of?
Well I suppose they were just, they were so good and there was so much being talked about them and
everybody knew their names and stuff like that, you just...
And it was a game you were familiar with as well so you could identify the skills and stuff?
We would be out then in the evening and you would have the ball outside and you were trying to do
something like that you saw Mikey Sheehy doing it.
What was the most important thing that kept you playing rugby all these years?
Loved doing it without question or, there is no other reason, like I say from the minute I started
playing it. Like if I stayed playing GAA I would have retired when I was in my 20’s like, you know I
wouldn’t have gone on but I was 38 when I retired like because I just loved doing it like.
And was there any, is there any, was it the hard work element of it, is it because, like I know one
or two of the other lads commented it’s a very honest sport, you get found out very quickly. If
you haven’t put it in during the week on a Saturday ...
194 | P a g e
Oh you would yeah, you would get found out as in, you can’t bluff like, you can’t fool yourself like
either. If you tell yourself like that you trained hard during the week or fitness in the preseason and
are not fit enough you won’t be long finding out when you are playing that you are not like. I just
what I like about it than other sports, I loved the craic, the camaraderie, the team.
Yeah. I didn’t want to put the word camaraderie into your mouth because that of all, through
all the interviews that is the one...
It definitely was like and some people would ask us you know as Munster player we had it and other
teams like we even see it in the English teams some of those teams are trying to build the team that
they don’t have. They are trying to generate it, they have these team bonding, we didn’t have it we
just had it. Fellas were friends, like I am friends with those fellas they were not just team mates they
are friends like and that’s the difference like. You are not just a bunch of fellas brought together to be
a team, we ended up together and we are all, and that is why we played better I think.
And would you believe that is one of the things, the one of the reasons that they think there
might be problems with people that retire insofar as you lose that kind of family element insofar
as fellas because obviously fellas they disperse to a degree so they think that, that may
contribute to some of the elements of it. And maybe the lads going through the Academy
system, I don’t know would that be better or worse because maybe if, like I think and I am not
trying to put words in your mouth but just from some of the research I have done, because you
came from it at a stage where it went professional and without ye realising it you know, when
you first started playing rugby you probably never said I am going to play this professional ..
When I started playing it wasn’t professional.
Yeah. So when it became then, it wasn’t , it was kind of a gift and I know that you even
referenced that kind of in your autobiography you would have done it for nothing.
Of course I would, fellas had done it for years before that like so.
Yeah. I am just wondering if that is part of the, if that helps build the camaraderie in so far as
look you know it’s a bit of luck, we end up getting paid for something we do rather fellas
starting out with the mentality of well I suppose me, I am an Accountant so when I went to
college I wanted to become an Accountant. Fellas they have the psyche that this is what they
want their profession to be I am wondering does it throw that camaraderie to the side to a
degree like insofar as I need to be the best I need to get on the team whereas ye were look ye
were played at a level and then ye got picked to go professional.
195 | P a g e
Yeah I suppose there is, it probably will change. It definitely will change young fellas focus I
suppose. Finishing school now or whatever like that you know but you will have Career Guidance
Teachers telling them look you need to do this or another but if a young fella was going to a rugby
school or whatever or playing he knows he is fairly good he is on this team etc somewhere in the
back of his mind he is thinking I am going to be playing rugby so I will tell the Career Guidance
Teacher - I want to be an Accountant or I want to do this and I want to do that and I might start off
and apply for some course here or there before deep down they know I am going training, training
and training I want to be on the Munster Academy and I want to be on the Munster Team in 3 years
time when I am 21 like and I want to play then until I am 35 so they think that but it’s not that simple
it might not happen.
Do you think that, that may be a flaw in the current system? That with the, and I know why the
academies are there is to bring on the quality of players and stuff but to a degree do you think
that, that in some way, that like I suppose the average age, the average life span for a
professional rugby player in Ireland is 6 years. Am, and I think in New Zealand I think it is 8,
split it 7. So a fella who starts off say, comes out of the Academy he starts playing for say days
at 21 is hypothetically on average going to retire at 28.
Before he is 30 like.
Before he is 30. You know and I suppose in talking to all the lads no, I don’t think anyone comes
out of rugby on the premiership soccer player wages where you just say..
There is no-one, that is a complete, see, that is what happens and it is happening in soccer for years
and years young fellas have left here gone to England on scout or gone to England with trials with
whatever level of team and didn’t half finish school, finish school thought they do the, had a trial
didn’t work out you know so, it is ruthless like, there is no, there is no mercy like and there is an
element of that while the numbers will never be the same as soccer in England or even the young
fellas leaving here to go it is there and like I said you will get a young fella who is good at rugby, he
will be in school and he is thinking I want to play rugby or I am not going to bother or half bother
with education like and he can’t stress enough that fellas have to have it.
Yeah, that they have to stay, that they have to commit to something ..
I saw there on the paper yesterday or today that Owen O’Malley has retired in Leinster at 25 of an
injury and you know he is a young fella there whose, I would imagine went to rugby school, all the
way through all the Leinster system, had it all in front of him, the next Brian O’Driscoll the whole lot.
And now it is gone at 25 so he just has to change his focus like even if he had qualified say if he had
continued in University did something he would have been parking that degree for 10 years and
196 | P a g e
saying I am going playing now for Ireland or whatever but now he has to pick it up and start using it
and be ready for them, there is a certain amount, fellas have to, to let it go like and try accept it and
that’s, that wouldn’t be easy, you know he might get a job and say I don’t want to fxcking be here
like. The quicker he gets around that the better like.
No, I even would you believe I have even referenced him I was putting in some of the finishing
touches yesterday and I got a quote off him like...
He is the, he is the perfect example now better - than a Brian O’Driscoll to send him to Leinster
Academy, the fellas that are in the Sub Acadamy or the academy and say look lads I was sitting where
you are a few years I am only 25 and it is over for me like. You know whereas Brian O’Driscoll is
coming up 35. You know he is 10 years down the road, he was playing since he was 20. He had 15,
he is the exception to the rule. He will have had 15 years whereas Owen O’Malley is gone at 25 and
he is the fella like they will all look at Brian O’Driscoll and say I want to be like him, I want to be
playing until I am 35 but like Owen O’Malley would have been in, I would imagine in all those
Leinster Academies only a couple of years ago like and he is gone and he is the example of how
quick, how fickle it is, how you just cannot presume like that....
And just are you, I don’t know how aware you are of the work that say the Academies and them
do, are you very aware of it or are you aware of it at all?
I have an idea like you know I was never in it and it wasn’t even there when I was there. I remember
some of the lads were in a foundation thing or something I recall, it was literally just getting off the
ground when I would have been there but that, they have really only grown in the last 10 years so I
was well gone but I just knew from, I just know from being in around Limerick seeing fellas in and
out, coming and going, seeing what they do.
Yeah. Do you think thought that, that is something that possibly say the likes of Munster,
Leinster, Connaught and them should look at is educating those younger players and using
those like and I suppose your right everyone wants to look at the fella who is doing well like the
likes of Brian O’Driscoll and stuff like that who has had a very long career and obviously ..
Obviously you would like fellas to play for years.
Yeah and are more or less you know have a high profile and stuff in relation to it so I suppose
that is part of why people recognise them so much. But do you think there is scope there I
suppose for the academies to use these kind of, the other examples as well to say we’ll look at the
age that ye are at ye need to remain focused because there is a high incident of people who get
hurt in the game and ...
197 | P a g e
Someone has to do it, like as a child, I suppose you wouldn’t call him a child, a young fella you won’t
have that like. I suppose that player’s parents will you know like, any parent would love to see their
child doing their Leaving Cert, going onto college and finishing college and then going doing you
know and I suppose you need. You need I suppose there is a lot of onus on that as well that they will
do it and I suppose you need the, you need the teams, the IRFU to put an emphasis on education as
well, that they allow time for it even as you know, even for players that are, that have gone old or are
getting towards the end of their career that they allow time in the week for education. If a fella wants
to take on any kind of a course even if it’s a night course or any kind of a thing at all. I know some of
the lads did things and suddenly then it was dragged out over months because they couldn’t do it like
you know they would have arrangements to meet, to meet someone to do something practical or
something like that whatever they were doing and the training schedule they think they would be free
on Wednesday afternoon and then training would change and they would have to cancel it and then
they mightn’t be able to get around to it for another 3 weeks and they were trying to do whatever a 2
year Diploma and something like that and it ended up lasting for 4 years because they couldn’t do it
because training wasn’t going to revolve around fellas you know having to do a course because that is
what happens and I suppose the management of the team or whatever would only care about that like
they will think there is a match this week, there is a match next week, there is a match next week and I
don’t care what whether you have to go here or do exams or you have to do this or you have to do
something it’s a case of there isn’t time in the week for it because you start training Monday morning
so we want you in the gym and then we want you to do a review of last Saturdays game then your
race, then your review then you’re doing your fitness or whatever and then it’s the preview of the next
game that when you turn up to training Thursday you have been through the tapes of all the team you
are going playing next Saturday. You park this weeks and you are going starting next weeks and you
have to have done hours on the computer getting an idea of who you are playing, the players you
know the face and if you haven’t done that so they will be saying where are you fitting in this course
you know so there is an onus on management as well do they want or do they see it as a distraction.
I’d say, I’d say some probably even would see it as a distraction that it can be seen I suppose maybe it
was different for me when I was finishing because I did do a course when I was finishing I did, I had
to go to XXXXX and finish my XXXX and I did it like and I got it done but I was near the end of the
road anyway but if you start doing that I have an awful feeling that there is kind of an inkling there
that he is distracted a little bit you know.
I understand what you are saying yeah.
If even a fella tried to open a shop or something or a business you know or if he decided to I don’t
know yeah like a pub or some sort of a thing like that they say he is running that now you know, is he
198 | P a g e
focused this week on the match or is he thinking about you know decking out his new shop you know
that is sometimes they don’t like to see sometimes with that as they will see it as a distraction.
Yeah, and just as you say is that just, you obviously, you have experience of that or you ..
Yeah, I think so yeah. When fellas start getting, the whole thing is about you are going to have to
retire so you can’t just wait until what do I do now. You have to get ready but there is definitely a
kind of a ...
A kind of slight of resistance by the thing to accept, to give the players the opportunity to
prepare for it?
They are beginning to think there, distracted is nearly the word for it, that he is going to college now
or he is doing that course or like I said he is setting up a business or he is doing something and he was
there yesterday now and he had to meet a fella and he was in the gym yesterday morning at 8 o’clock
but he rushed it because he had to meet some fella at 10 o’clock. You know if you wanted to meet a
business or go to the bank or something like that - that you rushed training, that you did your weights
but that you had to leave fast and then you went and you met these two and you went to the bank and
you met someone else because you were setting up something and then training in the afternoon was
at 3 o’clock and you arrived back just on time, didn’t have lunch and you are back training so that’s
not what they want. They want you to be there at 8 o’clock in the morning, train until 10, then rest, do
your review on the laptops inside in the analysis room and then have lunch so that you are rested and
you have your full lunch eaten and then at 3 o’clock the next session is then that you are ready to go at
3 o’clock, that you are there waiting, you done your analysis all day and that you didn’t give the
couple of hours in the middle meeting someone or those things are seen as a distraction. And young
fellas won’t have that because they just have stars in their eyes, they just want to keep it all at rugby,
you can’t like you know keep every bit of information. Whereas as an ould fella getting to the age
you will be looking like what’s next like and that can become and that is a tricky little situation.
Can I ask you and I just suppose I am going on the other lads and they filled in, I have a
questionnaire there as well I just on the training like a lot of them have said they did I think
between say 10 sessions a week but they say about an hour and a half do you, am I right in
thinking then and I didn’t discuss this with them that is probably just the physical side they
were talking about but I obviously there is a lot and as you say as you were pointing out there as
regards reviewing tapes, preparing ..
Oh yeah, that all has to be done so and you have to be seen to be doing it. There is an analysis room
inside for Munster inside in UL and there is a table all along with about 6 computers, three on this
side and three on that side and you are sitting there, three of us even and you are looking through it
199 | P a g e
and if you were if I saw somebody you call them over and you show them and you have to be seen
having done it. If the coach passes in and if they never saw me sitting there if he passed in and out
four times during the day like between training sessions and I wasn’t there he would know you didn’t
do your analysis like. So suddenly then what were you doing and I went well I was meeting someone
there about something then straight away you are not...
Yeah, so am I right in thinking that when they put that down they are only telling me that, that
is the physical?
Oh that’s the time in the gym.
Yeah, that’s it so obviously there is a lot more to it than that say like?
Oh there is, it is a full day. You would want to be in there in the morning and sometimes you would
get your gym time and it might be 8 or it might be 9 in the morning depending on what group they
have to split them. But as soon as you are finished you don’t just go away home you stay in there like
I say you have to be seen to be in there doing all this you don’t just skedaddle like.
So it is really like, it is more or less like a full time job then, time wise?
They are trying to get it and Munster would even be different now because we have always had this
unique two centre thing but they will change that now next year or the year after there are supposed to
be talks that happen and once that comes in then there will be one centre and it will literally be
everyone in there first thing in the morning and you would be there for most of the day, they might
shorten the day then from 8 till 1 or 2 but they will be 5, 6 hours of full..
5 days a week and then you have your match at the weekend?
Yeah, you might get your rest afternoon then or whatever like that. If you get a rest afternoon then
like I used often get slagged about it you know when I was considered a XXX here. Like and the boys
were like oh your off home to your other job now like which I often was like, I was coming home
doing something but you were supposed to go home like and on a big week of say big high coverage
or whatever, you were supposed to be in bed like that was, get rest like you know and Wednesday
afternoon was off and you would go home, you’re not exactly in bed but you are thrown down on the
couch. That rest was seen to be as important as the training you did in the morning and if you were
gone off doing something else which I often was, not alone were you not focused, concentrated but
you were, not rested is as bad as not training like and so..
And ye even so, it is even beyond say the scope of say when your there like, there is still an
element of control which they wish to exert upon you?
200 | P a g e
Yeah, and they, you will train again like in preseason which the boys will finish an hour well in the
middle of now, they might have, they might train Monday, Tuesday, Wednesday, Thursday and they
might take a half day or something, maybe a half day Wednesday. And they will train Thursday
morning like everyone’s legs are fresh now because he had Wednesday afternoon off. So if he went
off doing something, even if he went off playing golf like some other fellas might have, Jesus my legs
are tired that is your own fault. That would have been recreational for you but they have been
presuming your legs are fresh because you were off yesterday evening so you should have been lying
in bed, lying on the couch like to be fresh tomorrow. So it is nonstop now and that is increased
beyond measure from when we started as professionals and we thought we were in 97 to what it is
now.
And as you were kind of pointing out there and you think it will probably get even more intense
say because you said when they move to the centre I think they are talking about moving it
down to the University I think ..
It’s in UL yeah, I thought it would be yeah.
So you think that, that would probably and I suppose where I am kind of going with it then the
more intense that is the less opportunity for fellas to try and develop interests and try and make
a way for themselves after rugby.
Yeah, it’s a very tricky balance.
Yeah.
And there is definitely, there would definitely be a kind of a, whatever is the word from the
management, maybe even other players, players can be saying to themselves, Jesus he is not, he has
got one eye on something else. Now they know that you are in your last year and if they know like
that ah he is only ticking along now, he is getting ready to go, that you are not the same as when you
were 22, 23, 24 whatever you had been building up they know you are, that if they hear that if
someone is doing a course or someone is setting up a business or getting involved with some
partnership or something they kind of see it as ..
As a distraction somewhat?
As a distraction and they kind of wonder is he really distracted, is he really 100% focused, committed
here now anymore.
I know your experience, obviously you were in the Irish set up as well so maybe you just know it
from fellas saying. Do you think that, that is the same with the other provinces or ..
I would imagine so, I would say it is the very same yeah.
201 | P a g e
I know that you wouldn’t know too much but I would imagine that ye discussed bits and pieces
in relation to it.
The way things are going like I was saying they want you there all day like. Analysis now there is so
much to it, when it comes to the end of it now, when it comes to the week like you can’t not know a
player’s name or something like that you just have to sit there in a meeting like they, like you
wouldn’t even call it a trick question now but it might be just did you see those or they presume that
you had seen the scrums or the line outs. You know like I was a XXX or say they would be saying
what do you think of the scrums there from when that team played the other team you know ah I
haven’t seen them yet, if you say that Tuesday or Wednesday it is kinda like what have you been
doing that is how far it has gone.
Ok.
You can’t look at it Friday night like and if you haven’t it done that’s the way it has gone it’s just
nonstop like.
Yeah, I didn’t, like I suppose you know it is professional and I suppose but you think you know
that the professionalism comes into it while there is training involved that it is of the skill that ye
have is the profession is the embodiment of the thing. The levels that you played at, you played
at club, provincial, international and touring sides. How long did your professional career last?
14 seasons.
And for what reason did you retire, voluntary or involuntary?
Old age, voluntary. XX I think I had enough got out of it.
And just at that stage it was the body but you were still fit say, it wasn’t injury related no?
No, I was 100% fit I could have played on. I retired even mid-season and they wanted me to finish it
out and I was like nah.
Do you think that because obviously and you were discussing there some of the fellas coming
into it very young in life that and as we said that there is an issue there with kind of you know
the hits and stuff that they are getting do you think that, that is probably likely to play more of
a role in..
Oh it is because they are definitely putting their bodies under pressure, they are pushing them now
even more than what we pushed them. When I was, like I started when I was 19 and when I started
all I had to do was training, there was no such thing as doing weights or anything like. Whereas now
even a young fella if he is playing in the centre or the back row forward or backs and if he is told, or if
202 | P a g e
he thinks himself I am too light for my position he puts on a stone weight like so they are pushing
their bodies to the limit like the whole time now.
Yeah, Just to move on to the kind of training stage or the initiation stage of the thing. It is clear
that you made a long term commitment to sport and have achieved a high level in relation to
same. At what age did you begin your competitive sport’s career and how successful was it in
the initial stages? Just say at the age of 19 say.
Yeah, I definitely changed to being competitive at that really wanted to win but wouldn’t have been
successful until I was 23.
And say when you said you were successful ye started winning cups and stuff like that.
With XXXX yeah.
What was your main goal when you started? Say when you got to say XXX say. Once you had
progressed say from XXX to XXX did you have it in your, I suppose modesty might prevent you
from saying it but did you have it in your head ok I am after making a step up here I could go
to, there is other levels I could go to at this stage.
Probably, in a way I never set out a goal like that but I kept stepping up and as soon as I stepped up I
found myself comfortable in that environment like. You know I never kind of say Jesus that is one
too far anyway you know. When I started off XXX didn’t have a clue when I started playing and then
when I played with XXXX it was a big senior club. I didn’t set the place on fire like, I am not going
to say that but I fxcking knew that I could compete here like. Then after a couple of years of that I
went to XXX and I played down there, got on the team, got selected and the whole lot and played so
when I came back I got on the Munster squad and you know just found it yeah, I can train with this I
can compete at this level and I just always kept finding that I was able to compete at the level I was at.
I never found myself...
If you set yourself a goal at that, say when you had say, when you realised that say ok look I am
above average say in relation to this and I can maybe move on through it. Did you form any
long term goals or were they kind of short term goals ok I played for XXXX last week I am
going to try make a run of games for XXXX now or ...
No, it would have always been kind of I remember playing for XXXX or whatever like I would have
played against an international fella in another team or something like that. Like I said if he was on it,
then if he was on it like I could be on it. That was more the way the...
Ok, so you set your bench map against kind of who you were playing against, yeah.
203 | P a g e
If I played against a fella, well he is playing full time for Ireland or whatever like you know I played
against him there or I tackled him or I did this or that and I kind went I want to be there, if he can be
there I can be there. That was more the way I was saying you know it was always that way like.
Yeah. By commitment to sport we mean your desire and determination to keep doing what you
do best and that is to keep on winning. Were results important to you at the beginning and
why? Probably moving to XXXX again I suppose.
Results as in?
As in say winning games.
They are yeah, they always are. But there is nothing that beats the feeling of winning at the end of the
day but for me again I am different now because I came to it so late and I changed positions even. I
started off at the back ground and then played in the XXXX and then played in the XXXX so all the
way along even if I lost a game or I maybe didn’t even play that well you know but if I always
thought I learned something today then I am now better in my position but we lost so I would always
try take some sort of, that definitely happened you know. And there was days then we probably won
the match but if I felt I played bad I wouldn’t be happy, you know that kind of way. But there could
be another day then where we might have lost but if I felt I played really well you would definitely
have a kind of a satisfaction that you know. That actually happens, like your team could win but you
would feel you played shxt today, you know you have kind of an empty feeling. It is kind of ok we
won it’s great but there could be another day when it would be the other way around that you might
have lost but you really played well in everything you did like and your sick and you are not happy
because you lost but there is a slight satisfaction there in yourself that you know you did well. You
are not going to shift blame everyone, you know it was all your shxt I was brilliant but you know that
things went well for you.
Do you think that, that comes down to I suppose a lot of the, some of the lads have commented
as well that rugby is such an honest game that based on that because it was honesty of effort
that you rated more so than actually winning.
Yeah.
It was great that you won but it was better if you had won and you had put in a big effort and it
kind of, that everything followed through in the end. That even if you lost that you were honest
with yourself and you know you played an honest game at the end of the day you were happy
enough then as well. So maybe it is the honesty of effort then that drives the..
Absolutely yeah.
204 | P a g e
Ah, considering everything both on and off the field how much did you enjoy playing the sport.
1 is not very much and 7 is loved it.
Oh 7.
What valuable opportunities did you have taking part in sport such as travel, meeting people
and job opportunities? There just, if there is anything else you can..
The travel is brilliant anyway as a young fella, tours and stuff like that and you know like. I went off
to XXXX myself as a young fella when I as 21. And I thought like I would never be out there. But
literally then I didn’t know how it was going to work out I went on tour in New Zealand, Australia,
America, South America so the travel is brilliant like just you get to travel the world.
But you were quick to point out when you were a young fella later on then say I know it’s one of
the things that some of the lads commented on and I suppose especially now that the seasons are
getting so long as well, especially now with summer tours and they are back now but some of
that would have been probably a summer tour in America I think this year in June and then
July off and now they are back for preseason and now they are more or less going to go again
until May touch wood. So, for a very physical game, more physical then the likes of soccer and
that, that you are more or less on the go for at least 11 months of the year.
Oh you are 11 yeah and some of the boys with a Lions tour and stuff like that it could run over it
could even hit the full 12.
Right.
I remember that happened last year for the boys that started training pre World Cup 11 so they started
in the beginning of June 2011 and the tour. They were back in New Zealand again in June 2012 and
they actually hit the full 12 months maybe even a week over it like.. It is fxcking crazy like.
Yeah. With that intensity like you know it is expecting a lot especially you know ..
The tours weren’t too bad but what happened with me if you want to talk about travel if you can call it
travel, it is travel but the games in Wales and Scotland and places leaving on a Thursday, flying over,
landing in Bristol or Cardiff or something, getting a bus down, staying in the hotel, go play the game
Friday and travel home then that night back into Shannon at 1 o’clock in the morning back here at 2
you know the novelty wore off ..
Yeah, and I think it is that is what I picked up from some of the research is that is I think what
gets to fellas the thing that you say yourself like the tours are good because to a degree it is a one
flight thing and ...
205 | P a g e
Tours are different but all the travel for matches you know the novelty wore off very lively.
Just thinking back to your first major competitive honour when you turned professional what
was that?
First major professional honour when I turned professional, for me it was to be picked for a tour to
XXX I was an amateur and I was picked to tour as a professional. My first taste of professionalism
was on a tour. I was still working right up to the week I left like.
You were working for ..
XXXX.
After the cap did you set about any other goals say for your career say once you had say made it
onto that first tour?
The only thing I can honestly remember was when I got one I wanted two.
Ok, you didn’t want to be the one cap wonder?
Yeah, that is actually true I can remember, I remember when I got my first cap I was there Jesus don’t
end up with this now get a second one quickly. I couldn’t wait for the game to come around to get the
second one and then once I got a second one then I suppose I looked at 10 and then after 10 then I just
stopped counting at that stage then it was just I just wanted to play I just wanted to win something for
a finish because we had, had a few close calls at that stage and we finished second in the
championship and stuff and I wanted medals at that stage.
The one cap thing, you are not the first fella to mention that ..
Fxck it, it’s an awful thing to, you are holding your breath Jesus get picked again.
One of them was on it for 2 years he told me he thought he would never get off it.
Did your life change in anyway after your first big win? Say after the cap, did you find was
there any extra demands placed upon you? Say time wise, you know performance wise or..
Not after the cap but I can remember - just from a point of view of even with Munster they all
happened around the same time was you know - recognition on the street and stuff picked up around
the same time you know like. Even when I started out as a young fella and even when we were
playing I remember even in the 90’s and stuff like some of the international fellas wouldn’t be
recognised walking around the street. Like whereas as we started to win in Munster and we got to the
first Heineken Cup and with Ireland we won a few games and stuff suddenly you find, you, the first
thing you would start to notice would be just in a shop in Limerick or someone would come up to you
206 | P a g e
and say well done at the weekend who you don’t know like. You are used to your neighbours and
your friends saying it but a total random stranger would say that to you, they recognised you standing
in a shop and they had seen you playing or something like that and that is when you will realise that it
is, that will change something like that people will recognise who you are like that you don’t know
when you walk into a shop they know who you are like. That is different like.
Yeah. There was obviously extra demands, obviously press, there was obviously more the way
media interest and stuff like that. Did you get any training in relation to that or much in the
way of training?
Yeah, they did yeah, they used to at the start they still do it some bit I think in the academies. There
was from time to time where they would try and tell you how to answer questions properly and stuff
like that you know. Don’t leave yourself wide open like, don’t say something stupid like I think we
will bate the shxt out of this crowd at the weekend, don’t get sucked into something like that you
know how to answer questions properly.
Ok. So there was a level of training there and I suppose a bit of common sense then would have
been...
Yeah, like that’s even, that’s gone up now even more than, more and more nowadays because of..
Social media?
Social media yeah, just shows you how far removed I am I didn’t even know. They have lost control a
bit, you see they liked, when we were there in the old days we had a PRO Officer who would always
be there around or when fellas were doing an interview he would be floating around listening to the
questions and if he thought a dodgy fella was asking dodgy questions he would give them a fxcking,
they would move around you know they could control them but now you have social media like and
the young fella if he is dropped he can send out a tweet, I am pxssed off from being dropped you
know and they can’t control it as much so they will definitely be trying to bring in guidelines now
more and more because of that.
Yeah, that’s ah, that’s very valid now even as much as you think you are not in the loop with it
you probably made the most sense in talking about it and there was one or two of your
colleagues who would probably consider themselves very media savvy didn’t make that point.
I nearly know the answer to this question anyway but when you were playing sport did you
have any other identities say outside of sport and I suppose the XXXX was probably one of
them which you retreated back to. You kept the sport say was one side of say your life which
obviously was say professional took a lot of time but you obviously developed other aspects of
your life as well at the same time.
207 | P a g e
Yeah, well I did anyway yeah. I always did like. I always loved going home and getting away like
you know. Even from the point of view of just being away from home or being back at home and not
you know something like you said there when you suddenly find yourself being recognised you know
if you go into Limerick with a couple of the other lads and you walk down the street you have to be
aware that you are on show - like so people will recognise you when they see you, if you do stuff, so
you always have to be you know doing I don’t know misbehaving like but if you go in for a cup of tea
like and you sit down inside of the café. You know that there is people looking over at you who know
you like, and you know like and they are looking at you or something like that I don’t even know how
to say that without being..
No, I understand.
Well, I love coming home here like as soon as I come in the door there like you know you can just
walk and do what you like, you can just be you know relaxed a little bit more.
Probably the closer you got to home the more you could be yourself say. You weren’t playing
to a persona say maybe that you have to be in a public setting say.
You have to be like because people, like I said if you go back 10 or 15 years or before that you could
walk down the street and people wouldn’t half know you. But you know if myself and a few of the
lads, if four of us said right we will go for tea, we will go for lunch if you go into a place anywhere in
the middle of Limerick, if you walk up William Street or you know people will recognise you and
that’s a fact. Like and you know like, it’s not that you, if the four of you walked abreast on the
footpath and let everybody get out of the way they would say fxcking assholes you know, you have to
be polite like and not that being polite is wrong just, you just always have to be you know conscious
of what you’re doing and as soon as you drive therein home you can lie down here or do what you
want like and relax like.
Is there anything that you invested in rugby that you can’t recover? If that makes sense. Was
there anything that you put into it that you may regret putting into it. Anything you feel like
you have missed out on say?
No.
Some of the lads just mentioned and again I am not trying to put words in your mouth, you
know it’s time, and I know time is a big thing and a lot of the lads say you miss out on, one
person and to be fair it kind of struck a chord with me because he mentioned that for all the
success ye had and obviously he had friends outside of rugby and they would be off and when he
meets them now and they are talking about oh yeah remember the night ye won the Heineken
208 | P a g e
Cup remember we were in Cardiff and we were pxssed off our tree and he says he stands back
because he wasn’t in that because obviously ye were in it.
Yeah, there might have been a wedding or something that I missed but I wouldn’t..
It’s not something that you didn’t...
No, no there would have been friends of mine that I didn’t get to go to a wedding because we were
away on tour, there might have been something like that but there is no way I would have changed
any of it anyway. There are people working in any other type of a job and they could have missed the
wedding or something as well like.
Yeah, there is always obviously yeah there is probably a good excuse for...
So no, there is no way I would ..
Yeah. Did you feel a sense of obligation to keep competing because of the expectations of other
people?
No.
No. Were the expectations of other people important to you at any stage in your career?
No.
Encouragement and support, did you get a lot of that from say your family and say friends for
stuff like that to keep pushing through your career?
Yeah you would from yeah.
Ok. Say management wise, say, like I know like it’s I know the Munster management would
have wanted you to perform well say on a week to week basis but say in an overall prospective I
don’t know am I phrasing that right - did you feel that you know they were, were they very
supportive to ye as individuals as well in the group or did you find that well look I am an
employee and it is up to me to perform and if I don’t perform I mightn’t get my contract next
season. Do you know what I am saying, did it become very business-like more so than..
It probably did towards the end but it wasn’t like that again I can only speak from I started as a
professional in 97, well as a part time professional in 97, full time in 98 and at that stage it wasn’t, it
was we were still an old friendly team but definitely by the end and now I would imagine is becoming
more and more like that. That it’s, still now you try and have some sort of relationships and stuff like
that but it was definitely different back then yeah. It has grown with professionalism, it has definitely
209 | P a g e
changed because that was basically 1997 that was as they call it the cross over from amateur to
professional so a lot of the old amateur things would have still come through the changes and gone on.
Yeah, because I know and that was I suppose the one thing, the new thing that the IRFU were
trying to bring in which is remove the payments to the players at club level because they feel
that some fellas at club level turned into mercenaries more or less.
Oh that is absolutely it yeah.
And that was at a lower level and I suppose they are trying to bring it back to because I suppose
from what I knew of rugby say growing up there wouldn’t have been an awful lot of rugby say
out in West Limerick when we were growing up but I always knew that it was a very genuine
thing and it seemed to be family orientated - probably one of the more family orientated sports
to have been in and then I suppose the question I put to some of the lads is did the move to
professionalism take from that you know whereby it became a business and at times fellas had
to be say “deselected” in so far as your performance wasn’t up to scratch last season.
Well, it is like you know, that is ah, an issue for Coaches now, there was a time if you wanted a
selector even like the Manager of a GAA team now you are only dropping a fella off the panel still he
goes back to work and works away like whereas if you are dropped out of the Munster squad now you
are basically sacking a fella you are unemployed and that is affecting his livelihood so it is definitely a
bigger issue now for a Coach, a Head Coach, a Director of Rugby or whatever, of a club like Munster
or whatever when they cut a fella that he is not just being dropped out of a squad he is being made
redundant like basically so it is a huge, huge issue for them that wouldn’t have been there you know
like 15 years ago, they isn’t there for an inter county Couch, Manager like you know someone drops
someone out of a I think even a big name player like you know he is still he has a job and can go back
to his job and work away whereas for a Munster player or a professional player who gets a phone call
come and see me like or whatever like and you are told listen there is nothing there for you next year,
sometimes the earlier in the year you get the phone call, again I was lucky it didn’t happen to me, I
got my last contract and I retired but like if a fella got a phonecall after Christmas he got told this I
need to see you next week by the CEO or by the Coach whatever and you arrive in and the two of
them are sitting there it is either going to be great news or something or it is either going to be fierce
bad and if it is awful bad why they call you in early is to give you a chance to....
To get something going..
If you are a young enough fella that is getting dropped or cut it gives you a chance to get out there and
look to see if there is anything else and if you are an ould fella that is at the end of the road anyway it
210 | P a g e
is to give you a chance to get going at something else so that I would imagine is harder for them and it
is a new thing that wasn’t there, it isn’t there in other sports it’s not their livelihood like.
I know you say it never happened you but it would obviously be something that you would be
conscious of like every year ye got a contract it was like a performance review aspect of a
normal say job like ok I am doing my job right I got a new contract. So it must have always,
when it became your livelihood you have to become more cognisant of the fact ..
Oh you do, you do yeah and it is like everything then you get married and you have children and stuff
you realise that you need it like and that you have young fellas there and that as soon as they get
money they think it’s great you know. As you get older that’s another thing you start looking at the
end of the road coming and you are kind of going. What have I done now, have I a bit saved up, have
I this or that you know you are trying to keep things right, another thing will I change the car this year
or will I buy the sports car you know. I had XXX children, I had XXXX children by the time I
finished like you know so it is different that way.
But say and I suppose the question is a bit moot for you I suppose because you did come to
slightly the later age. Like when did you start to say, when did it come into your head ok, I have
to make a plan now I have to retire out of this. You know I am sure that you probably one or
two seasons in you probably said ok I am moving on now I am going to be 28 or 29 this isn’t
going to last forever because I am not going to play until I am 65. When did retirement or
planning say...
Not for a long time.
Yeah.
I will be honest about that like not for a long time because you don’t want to think about it and you
are not allowed think about it or just whatever. Like it is kind of you know you are just playing like
and all you want to see is the next thing like you just don’t think about it and that is what is dangerous
about it, that if you haven’t something before that takes over like you just don’t know like.
And when you say you weren’t allowed to think about it was and I know they can’t control your
thoughts but is it part of the psyche the psychology of it is that no negative thoughts.
This is it like yeah. There is definitely a feeling there that anything like that is a little bit of a
distraction now that’s coming like that you are looking at another option like.
Because like I suppose when you I have kind of worked this out in the interviews that I have
done. Rugby is such a physical sport. Injuries happen in it you can’t go out onto the pitch and
play at the level ye are at thinking this could be my last game I could get hurt because you
211 | P a g e
would pull out of everything, you would be over in the sideline hiding for half the game. So you
can’t, to a degree you can’t allow yourself to think to that degree..
No, never.
So do you think that, that’s maybe fellas have to think I am bullet proof and I can’t be thinking
these things? Logic tells me that I should be thinking about it but I know to do what I need to
do in the present moment in time I can’t think about that.
You just can’t think about that, you don’t, you just don’t, you can’t.
Yeah. So it comes down to...
The only time it ever happened me was the morning of my very last game I woke up above in bed, I
remember before I got up I was lying there and I thought Jesus if I broke my neck tonight, that came
into my head like, fxck just get the fxck out of bed straight away, got it out of my head. It is the only
time it ever, ever happened me. What if something happened to me, what if I broke my neck going
into a scrum like, I have been in a fxcking million of them but I just got up out of bed then and got
straight out and started moving around, forgot all about it then and played the match it was over it and
that was it then.
And do you think that was because the line was there ..
Because I knew I was finishing, I knew tonight was my last time I was ever going to play whereas
other players don’t know that, they could be playing today at 25 like and next thing fxck up their
knee like and that is it they might never play again but they didn’t know that at the time . I was like
the fella I suppose on death row or something I knew my time was coming and that was it..
Jesus, and now to be fair to a lot of the lads I have interviewed the injury did curtail them to the
finish. Actually just on one point one of the lads made. Do you think that beyond say and I
know you retired in relatively good health obviously not, most players don’t retire in very good
health but there is kind of stages some fellas, arthritis seems to be a big thing that happened to a
lot of the lads. Do you think that there should be an increased duty of care held by the likes of
say Munster Rugby, the IRFU for the players? You know do you think, like once ye retire do
the shutters come down. You’re a great man, you performed well all these years and we paid
you for those years and there you are now. I am not like going into the financial aspect of it but
I am saying that because it is so professional now and it is like you know more or less ok you
have retired here is the watch more or less if you take for the normal circumstance. Do you
think that there should be more done say from that prospective like should the IRFU should
Munster Rugby do a bit more for say..
212 | P a g e
There is something there like, there is some sort of thing there I didn’t ever do it but I think you can
get like an ankle operated on or something if it was giving you trouble you could get that done there is
some sort of a thing there I am not sure about it.
But say even say beyond say not even the physical side of it even the psychological side of it like
I said my project here is mainly psychological like I am not checking your knees or anything
like that it is mainly to see how the transition went for ye and I suppose like there is a lot of
elements of rugby that can contribute to fellas having a bad transition and it is not even just
rugby professional sports in themselves because lots of fellas retire, not lots of fellas retire at 35
but most professional sports players around that age say 35 they are looking around and there
is a fella down the road and he is well into his normal career and they might be just starting. Ok
they have had great years but they are kind of at the bottom rung of the second say career in
their life.
Oh it is yeah, that is a huge thing like you know for a fella like. You know you are an Accountant or
something you might be qualified as an Accountant then he would be 35 starting off say and he boss
could be 27 like you know. Suddenly you, that is what it does do you know so but back to the
Munster thing sure they do anything, I don’t know like what can they do for you like.
Oh I know, I suppose you know is there counselling offered, is there anything, no.
There is no counselling for that like they would probably try and offer help, employment wise,
coaching wise, no not coaching wise, qualification wise if they thought they might know someone
who could get you on a course or get you to do something like that but there is no help there, like
what, it comes to an end like. Where I said a minute ago about being recognised that is something that
maybe some fellas might have trouble with then is that when you are playing with Munster whatever
when you are playing all along and you are with a few of the boys and you walk up William Street or
something like that some fellas might like that you know they might like the with the track suit on like
you know and after a few years then if they retire and walk around William Street and no one will
know who they are that can hurt like.
Yeah, yeah, yeah.
If that’s your thing like.
Yes.
But like Munster can’t do anything about that like.
Oh, I understand, I understand but I suppose ..
It might be hurtful more than anything sometimes when that starts to happen like that ..
Their identity say, their athletic identity is kind of ..
213 | P a g e
There might be a young fella who is 6 and he won’t recognise you, you know and that can hurt more
than anything else like, that’s like you said at the start about going to training like I haven’t been to a
Munster training session since I finished because I don’t want to be there like. But like if you go
around hanging around UL or where ever the boys are training, what are you hanging there for like
are you trying to still say I am part of this like because you are not. Do you want people to recognise
you they might because you are in the vicinity of that, and they say Jesus there is your man who used
to play - but like what’s that for like that’s no good to anyone like.
Yeah, they also and I don’t know and I am not going to delve too much into it - sometimes
players that are on, that are still on the team that say you would have played on and stuff like
that don’t want to see you either because to see you, maybe somebody that had to leave because
they got injured they don’t want to see that person around because that might remind them of...
It is obvious that this could happen.
So it can lead then to not only is his career over because he is injured which is obviously a very
bad thing to happen he kind of gets somewhat ostracised because fellas not through badness but
simply to do my job I really don’t need to see.......
I really don’t need to see you over there hobbling along like.
Yeah, because I don’t need to be reminded that if, that, that could be me next week.
Yeah, it is brutal.
So I think you know that is just one thing that kind of I picked up on as well. I am very nearly
finished now. Was there any structure in place to help you with your sport’s career, sorry your
post sport’s career development?
Yeah, IRUPA helped me. They are an organisation in rugby like that formed maybe 10 or 12 years
ago you know when they came in..
Hamish was ...
Hamish was one of the first fellas yeah he is gone now.
He is gone now yeah. But I think they are recruiting a couple of other lads now ..
What is the other guys name now Mohammad? He is Australian anyway.
Ok.
Niall Woods was the CEO for a few years. They are good now you know they organise courses for
fellas playing, basically even in some ways and like if you ask Hamish maybe he will tell you like that
he would know that he came to meetings and I know it as well now because I was gone older of what
214 | P a g e
have you, that he came into meetings where they would say right 3 o’clock today we are meeting
Hamish from IRUPA and you would be going oh for fxcks sake like and then inside there Hamish
would be above having done loads of work, having been to colleges or different kind of companies
you might get someone to come in from somewhere about setting up your own business and he would
know, Hamish would be looking down at the young fella and he is there saying I have no more
interest in what you are saying now he is 24 he has just been picked and he has no fxcking interest
whatsoever but this is what Hamish says that is not for me, it’s like when they ask people have you
got your pension set up I’ll do that next year you know, I don’t need that like, that’s nothing to do
with me. But Hamish would know then that if he looked down he might see an older fella who is 31
or 32 who would be listening like because at that stage there is some bit of a realisation coming like
you know.
Yeah, yeah.
But the young fellas around 23, 24, 25 Hamish will tell them about this opportunity now to do this but
they are like “blah blah blah” all I want to hear is rugby like, they don’t want it like.
But you found IRUPA good from your own prospective yeah yeah.
Had you any unresolved feelings when you retired that were harmful to your mental wellbeing?
No.
Did you have any frustrations, no?
No. I walked out of there as happy as anything.
Did you have any support from your peers, close friends, club or province when you retired or
did you need any?
I didn’t need it .
If I can ask you do you think it was because and I am not going to blow smoke up your xss is it
that you were grounded you had a family, you knew what your plan was going to be and you
were never lost, it wasn’t a case of rugby is over what am I going to do. I know what I am going
to do the following day say.
Yeah, no, there was definitely suited me like and you know I think even the other fellas would have
know that was there for me as well like you know they knew that I was that kind of a fella that they
didn’t have to worry about me or anything like that.
215 | P a g e
A lot of the lads I think to be fair to them I think from the lads I have interviewed and I suppose
and one fella put it very distinctly is that we were successes on the pitch and I am confident I
can be a success at something else in my life and I know that I can take my skills fine I can’t
tackle somebody to get a sale or something like that but I can use my determination, I can use
that in order to make myself a success in other parts of my life.
Fellas have definitely found out about themselves like that they had to push themselves to the limit
like and they know that you know how they can achieve or not achieve like they push themselves out
of their comfort zones.
And would that be one of the biggest things you learnt say from the game of rugby was the fact
that no matter how far I think there is a line there that maybe I can’t cross, I know that I can go
another bit yeah.
Absolutely.

A Whole New Ball Game - Final Year Project

  • 1.
    A WHOLE NEWBALL GAME AN ANALYSIS OF THE INFLUENCES ON AND THE EFFECTS OF RETIREMENT ON FORMER MUNSTER PROFESSIONAL RUGBY UNION PLAYERS by THOMAS FITZGERALD A Final Year Project Submitted in partial fulfillment of the requirements for the degree DEGREE IN HUMAN RESOURCE MANAGEMENT Department of Personnel & Employment Relations Kemmy Business School University of Limerick UNIVERSITY OF LIMERICK 2013 PROJECT SUPERVISOR: Dr. Jean McCarthy
  • 2.
    2 | Pa g e ABSTRACT Research purpose: With its conversion from amateur to professional in 1995, and with increased growth in popularity ever since, employment as a rugby union professional is now a viable career option for elite athletes. This profession however, carries similar characteristics as most other professional sports, which sees its performers having to retire at an age, not commonly associated with the end of a “typical” career. This transition is a significant time in an athlete’s life (Alfermann, 2001) that is accompanied by a process of transition and change (Taylor et al., 2006). This project seeks to look at the influences and psychological effects that this transition has had on retired professional rugby union players, and to identify opportunities for interventions to facilitate a successful transition into post-sports life. Research design: The study employed a largely qualitative methodology, interviewing six former Munster professional rugby players aged from 30 to 50. The interviews were semi-structured in-depth interviews based on a previously used questionnaire, found in the work of Marthinus (2007). Further to this, a Sports Career Termination Questionnaire (SCTQ II), designed by Cecic´ Erpicˇ (2000), was used, to garner additional quantitative data. Main findings: The players interviewed had transitioned in the main without any serious issues, which have been found in previous research to include problems at psychological, psychosocial, physical and occupational levels. There was a common worry amongst those interviewed, for future retirees from the game. This worry stemmed from their experience, which highlighted a cause of concern for these new players, who are now turning professional at a younger age.
  • 3.
    3 | Pa g e ACKNOWLEDGEMENTS It is a pleasure to thank the many people who made this final year project possible. I wish to state my gratitude to my supervisor, Dr. Jean McCarthy, for her guidance and encouragement during the process of completing this project. Thank you for giving me the enthusiasm and inspiration to complete a task, I thought was beyond me. This project, and indeed the completion of my degree would not have been possible without the support of my two employers, Mr. John Hegarty and Mr. Tony Donlan. Thank you for investing in my on-going development by not only funding this degree, but providing me with resources, time and support throughout the two years. Thank you to the participants in the research who gave so freely of their time, and whose insight into the subject, was enlightening to me in so many ways, far beyond the extent of this report. To my father, Tom Fitzgerald, who showed me over my life, that hard work is its own reward. To my own family, and my adopted families, the Costelloe’s and Gallagher’s, thank you for your continued support over the years. Finally to my wife Ellen and our son Thomas. Thanks for the love, encouragement and support you have showed me over this journey. Without you this would not have been possible. DEDICATION Dedicated to the memory of my late uncle, Billy Walsh, whose untimely passing upon retirement prompted me to delve into this subject matter.
  • 4.
    4 | Pa g e Contents ABSTRACT..................................................................................................................................................2 ACKNOWLEDGEMENTS..........................................................................................................................3 DEDICATION..............................................................................................................................................3 LIST OF TABLES........................................................................................................................................6 DECLARATION..........................................................................................................................................7 CHAPTER 1 - INTRODUCTION................................................................................................................8 CHAPTER 2 - LITERATURE REVIEW...................................................................................................11 2.1 RETIREMENT.................................................................................................................................................11 2.2 SPORT IS WORK ............................................................................................................................................13 2.3 PROFESSIONAL SPORTS AND RETIREMENT..........................................................................................15 2.4 INFLUENCES AFFECTING CAREER TRANSITIONS ...............................................................................16 2.5 DIFFICULTIES EXPERIENCED BY RETIRED PROFESSIONAL RUGBY UNION PLAYERS .........32 2.6 LOCATING THE PROBLEM WITHIN THE LITERATURE........................................................................37 2.7 RESEARCH OBJECTIVES.............................................................................................................................39 CHAPTER THREE – METHODOLOGY .................................................................................................40 CHAPTER 4 – RESULTS AND FINDINGS.............................................................................................45 4.1 FINDINGS ON THE INFLUENCES THAT EFFECT CAREER TRANSITIONS ........................................48 4.2 DIFFICULTIES EXPERIENCED BY RETIRED PROFESSIONAL RUGBY UNION PLAYERS ..............62 4.3 FUTURE PLAYER ISSUES............................................................................................................................66 CHAPTER 5 - DISCUSSION AND CONCLUSION ................................................................................68 5.1 DISCUSSION...................................................................................................................................................68 5.2 LIMITATIONS OF THE RESEARCH ............................................................................................................71 5.3 IMPLICATIONS FOR FUTURE RESEARCH ...............................................................................................72 5.4 CONCLUSION.................................................................................................................................................73
  • 5.
    5 | Pa g e BIBLIOGRAPHY.......................................................................................................................................74 APPENDICES ............................................................................................................................................93 APPENDIX 1: QUESTIONNAIRE ............................................................................................................................94 APPENDIX 2: INTERVIEW QUESTIONS .............................................................................................................107 APPENDIX 3: DEMOGRAPHIC OF IRISH AND MUNSTER RUGBY PROFESSIONAL RUGBY TEAMS....109 APPENDIX 4: ETHICAL CLEARANCE ................................................................................................................114 APPENDIX 5: INTERVIEW TRANSCRIPTS........................................................................................................118 APPENDIX 5.1 - PARTICIPANT 1 ....................................................................................................................118 APPENDIX 5.3 - PARTICIPANT 3 ....................................................................................................................148 APPENDIX 5.4 - PARTICIPANT 4 ....................................................................................................................159 APPENDIX 5.5 - PARTICIPANT 5 ....................................................................................................................177 APPENDIX 5.6 - PARTICIPANT 6 ....................................................................................................................191
  • 6.
    6 | Pa g e LIST OF TABLES TABLE 1: ANNUAL ACCOUNTS FROM THE IRFU ...........................................................................................................9 TABLE 2: PRIORITIES IN LIFE OF YOUNG ELITE RUGBY PLAYERS IN AUSTRALIA & NEW ZEALAND...........22 TABLE 3: AGE DEMOGRAPHIC OF PROFESSIONAL RUGBY TEAMS IN IRELAND.................................................26 TABLE 4: FINDINGS ON MEDICAL WELFARE (NZRPA RETIRED PLAYERS SURVEY 2011).................................34 TABLE 5: SALARY FINDINGS OF RETIRED RUGBY PLAYERS IN NEW ZEALAND1).............................................36 TABLE 6: DEMOGRAPHIC INFORMATION OF INTERVIEWEES AND QUESTIONNAIRE RESPONDENTS...........44 TABLE 7: DEMOGRAPHICS AND PARTICIPANTS ADJUSTMENT TO POST SPORT LIFE .......................................45 TABLE 8: TRANSITION PERIOD AND GENERAL ATTITUDE TOWARDS RETIREMENT ........................................46 TABLE 9: AGE AT WHICH PARTICIPANT CONSIDERED RETIREMENT AND THEIR ADJUSTMENT AND SATISFACTION WITH POST SPORTS LIFE ......................................................................................................................47 TABLE 10: GRADUALNESS OF CAREER TERMINATION AND FINANCIAL DEPENDENCE ON PROFESSIONAL RUGBY ................................................................................................................................................................................... 48 TABLE 11: ATHLETIC IDENTITY, SPORTS RELATED GOALS AND LIFE ..................................................................53 TABLE 12: IMPORTANT THINGS YOU GAINED FROM YOUR SPORTS CAREER AND INDIVIDUALS WHO OFFER SUPPORT AFTER RETIREMENT...........................................................................................................................57 TABLE 13: INFLUENCES ON YOUR DECISION TO END YOUR PROFESSIONAL SPORTS CAREER .....................59 TABLE 14: EMOTIONAL STATES EXPERIENCED POST RETIREMENT......................................................................62 TABLE 15: PROBLEMS EXPERIENCED POST RETIREMENT AND THEIR DEGREE OF SEVERITY.......................64 TABLE 16: RECOMMENDATIONS ON POST RETIREMENT SERVICES .....................................................................70
  • 7.
    7 | Pa g e DECLARATION This project is entirely my own work and has not been submitted to any other university or higher institution or for any other academic award. Where the work of others has been reported it has been acknowledged and referenced. ______________________________________ Thomas Fitzgerald Student ID: 11107545
  • 8.
    8 | Pa g e CHAPTER 1 - INTRODUCTION No longer does the maxim – live to work – define a life, today life after work can be equally as rewarding, (Floyd et al. 1992). For some this new chapter in their lives affords them the opportunity to engage in society in different ways, however, this sudden adjustment to a new daily routine can be difficult. Exiting a career is a major life change that transforms one’s social and physical worlds, with changes in roles, relationships and daily routines (Kim and Moen, 2001). Much of the current research into retirement centres on how the effects of an ageing population, flagging fertility rates (OCED, 2007), and growing public expenditure (Phillipson, 2011), will impact upon current and future economic and social policies of governments. These policies include looking for ways to delay retirement within the shrinking workforces, with governments such as Ireland undertaking reforms to the National Pensions Framework, which will see the age entitlement to a state pension increase from 66 years of age on the 1st January 2014 to 68 years of age from 1st January 2028. As these economic and social policies talk of extending the working lives of many, it is worth noting that not all working lives revolve around cessation at a fixed chronological age (Guillemard, 1991). For some their chosen professions and the nature of their work dictate that retirement from one of their careers occurs earlier in life and it is in one of these professions that our paper centres. Professional sportspeople careers are in the main so predisposed, which sees them at a much earlier stage in life having to cope with retirement, or as some commentators describe it, a “career transition” (Anderson & Morris 2000, Smith & McManus 2008).This “transition”, which is normally at a comparatively young age in the majority of professional sports, can be either where they choose to voluntarily retire or where they are involuntarily discarded for any number of reasons including, de- selection (Svoboda and Vanek,1982), with the old cliché of “there is no room for sentiment in professional sport” ringing out, or injury (Elkin, 1981; Rotella and Heyman,1986). This moment for any professional sportsperson may come at any time, be it as you make your swansong in front of a packed sports arena, or perhaps sitting alone in a physiotherapist’s office awaiting the results of an injury, the life of a professional athlete can be both transcendent and fragile (Danish, Petitpas, and Hale, 1993). McKenna et al. (2007, p. 19) based on the work of, Stephan et al. (2003) comment that this career termination can be “associated with numerous health problems, many being underpinned by a problematic adaptation to a new life outside elite sport”. That retiring professional sportspeople who have invested so much in their particular field, find that once they are left with no option but to retire
  • 9.
    9 | Pa g e from their sport, may be left with “poor employment prospects and compromised physical and psychological well-being” (McKenna et al. 2007, p. 20). There are few full time professional sports played in Ireland, in the main due to the small population size (four and half million, CSO, 2011) which affects their economic viability. One sport, which has developed a strong full time professional base in Ireland, has been rugby union, which since turning professional worldwide in 1995, has grown year on year in terms of both popularity and indeed participation rates in Ireland (IRFU, 2010). The monies earned by the IRFU for television rights, for both the national team and the provincial teams, (€16 million for year ended 30th April 2009, per the IRFU in 2010); make it possible to have professional rugby played in Ireland. Personal tax incentives available to players since 2002 have further facilitated its development as playing domestically and finishing their careers in Ireland is financially beneficial to players (IRFU, 2010). Outlined below are the most recent figures from the IRFU annual report and accounts 2012/2013, (p. 66) which outlines to some extent the growth and size of professional rugby, and the cost of professionalism in terms of players and managers wages. TABLE 1: ANNUAL ACCOUNTS FROM THE IRFU 2012/2013 2011/2012 2010/2011 € € € Total Income 65,666,586 67,181,515 69,276,830 PROFESSIONAL GAME COSTS Player and Management Costs 28,576,706 28,648,479 28,458,178 % of total income 43.52% 42.64% 41.08% ELITE PLAYER DEVELOPMENT Wolfhounds/ Irish “A” team 152,186 90,851 102,488 Under 20’s 407,399 414,440 381,169 Academies 1,348,118 1,337,710 1,276,019 High performance unit 420,379 345,160 379,267 Fitness programme 596,088 443,703 557,238 Total elite player development 2,924,170 2,631,864 2,696,181 % of total income 4.45% 3.92% 3.89%
  • 10.
    10 | Pa g e However, the move to professionalism is in the midst of the current economic climate has proven economically unsustainable for one element of the Irish rugby landscape, club rugby; according to the 2013 IRFU “Club Sustainability Report”. This “Club Sustainability Report” highlights the increased costs of playing players, coupled with a fall in club sponsorship and other revenue streams, in most cases linked to the economic downturn, has brought the issue of professionalism to the fore again. In light of these concerns, the IRFU will effectively return the domestic club rugby game to its amateur roots from September 2014, when payments to players will be outlawed other than those made by a province for, Senior, Senior A, and Academy/Development, players (IRFU, 2013). With organisations now being “increasingly challenged to understand and manage employees’ retirement expectations, and with employees’ relationships to retirement decisions and the age at which they expect to retire likely to change as their careers unfold” (Post et al., 2013), the relative youth of the profession of rugby and lack of experience on the transitions of former players, and the aforementioned “possible problematic adaptation to a new life outside elite sport” (McKenna et al. ,2007, p. 19), there is a need for professional rugby union organisations to both identify and manage the transitions that their “employees” endure. With rugby being a relatively new profession it affords an interesting opportunity for research. With its increased profile as a sport and a number of high profile retirements in the sport for both Munster and Ireland in the last two years, I felt that an examination of the effects of retirement upon professional rugby players would be timely. My research centres on the experiences of former Munster players who kindly made themselves available for my research, and the major issues I have identified which include; • its practitioners will have to retire or “transition” out at a relatively young age; • that there may be numerous reasons for this transition; • that given the financial rewards on offer from the sport for most players, they have to pursue careers upon retirement to sustain a standard of living; • that with its youth as a profession that there will be “growing pains” as issues become apparent; and • with different demographics having now come to retirement (players who had played amateur before professionalism was introduced and subsequently played professional, those who were professional from the outset but who did not go through provincial academy systems, and those players who have been professional from progressing from the provincial academy systems right through to senior status).
  • 11.
    11 | Pa g e CHAPTER 2 - LITERATURE REVIEW This section reviews the relevant literature providing a commentary on the existing state of knowledge, theories, and empirical evidence. The implications of the findings from the review justify the proposition to explore the influences on and effects of retirement on professional rugby union players through qualitative methods. It concludes by building a framework for this study, by identifying gaps in knowledge on the subject, and outlines the specific research questions and objectives. 2.1 RETIREMENT “Retirement is a change in employment status, from working to non-working, that is usually expected to coincide with a predetermined age (e.g. 65), predetermined length of service (e.g. 20 to 30 years), or health deterioration (e.g. physical disability) (Streib and Schneider, 1971). Three basic types of retirement can be defined: (1) on-time retirement, when a worker stops working on or after a predetermined age or length of service; (2) health-related retirement, when a worker stops working either on, after, or prior to a predetermined age of length of service because of ill-health and/or disability; and (3) early retirement, when a worker stops working prior to a predetermined age of length of service where ill-health and disability are not factors” (Shim et al. 2013, p.278). Sargent et al. (2013), who reference Anderson, 1985 and Hardy, 2011, state, that “as retirement is an invention of the late 19th century, one that did not reach full maturity until after the Second World War. Its extension through the 20th century, with the building of institutional arrangements to provide retirement income, represents one of the major shifts in life course patterns over the past 200 years (Anderson, 1985; Hardy, 2011). The experience of retirement as a distinctive life stage was not widespread before government, firm, and occupational pension schemes became common, along with well-defined retirement ages”. Over the last decade, there has been a particular shift away from the notion of the traditional career, due to increased globalisation (Burke and Ng, 2006) and technological advances (Wallace, 2004; Burke and Ng, 2006). “A number of broad-based societal level and organizational changes have occurred in recent years and have led to disruptions in how retirement has been experienced by individuals, as well as how organizations try to regulate and control the exit of late career workers” (Sargent et al. 2013). Mallon (1999, p.358) notes that “the demise of the traditional career is widely heralded (Arthur and Rosseau, 1996; Handy, 1994; Bridges, 1995) as it is replaced by more fluid and individual career choices”. Cawsey (1995, p.41) argues that “stable, long-term career security is becoming a thing of the past, requiring new ways of thinking about, and framing relationships among,
  • 12.
    12 | Pa g e work, organisations, payment and value for effort”, with Freedman (1993) stating that the “contemporary labour market provides almost no long-term secure jobs”. “No longer can a career be envisioned as an upward progression through an organisational or occupational hierarchy. Rather it must be viewed as boundaryless, variable and portfolio-orientated” (Arthur and Rosseau, 1996, Hall, 1996). Pleau and Shauman (2009) reference Ekerdt and DeViney (1990) who outlined “five common ways to define a population as ‘retired’: separation from a career, exit from the labour force, reduced work hours, public or private pension receipt, or self-definition”, while Szinovacz, 2003 perceive “the transition from work to retirement as a complex process that can follow various pathways and evolve from multiple influences”. Pleau and Shauman (2009) highlight the contradiction to the common notion that retirement means an abrupt end to labour force participation, with research showing that older workers exit the workforce in complex ways (Hayward et al., 1994; Moen et al., 2000; Quinn and Kozy, 1996; Warner et al., 2010). Researchers argue that retirement is more of a process than an event (Marshall et al., 2001; Moen et al., 2000; Pleau, 2010), with dozens of possible combinations of paid work and time out of the labour force. Working for pay after defining oneself as retired is more common than generally assumed, and the stereotypical retirement experience – the abrupt ceasing of all paid work and commencement of a life of leisure – is the experience of only about half of all workers (Han and Moen, 1999; Maestas, 2010; Moen et al., 2000; Pleau, 2010; Ruhm, 1990).
  • 13.
    13 | Pa g e 2.2 SPORT IS WORK “The nature of modern professional sport as a work-like environment for participants means that there is a focus on performance, production and profit” (Price, 2007, p.42). Horne et al. (1999) summarising the work of Rigauer (1981), as referenced by Price (2007), who suggested that modern sport has been shaped by its purposeful, rational, work-life behaviour patterns, which are reflected in its organisational structure through the characteristics of division of labour, mechanisation, rationalisation and bureaucratisation which are also evident in modern work, outline six ways that modern sport and paid employment complement each other; 1.“The repetitive, intensive and demanding training techniques, necessary for achievement in elite sport, reflect the alienating and dehumanising nature of the factory floor assembly line; 2. The athlete, and in particular, the elite sports team has a host of experts and “support personnel” allocated to them. These “experts” are responsible for developing strategies and tactics. The athletes are expected to comply with a prescribed tactical plan and fit into a fixed division of labour that the individual or team has played no part in developing; 3. As in paid work, the athlete has limited ownership of the product where they may be able to exercise initiative. Rigauer notes that room for exercising initiative is greater in sports than in most forms of work but argues that the gap is constantly narrowing; 4. The nature of the bureaucratic administration of sport means that management and officials, not athletes themselves, decide on sport-related policies; 5. The effect of these changes in modern sport is that a once amateur pastime has developed into a demanding, achievement-orientated and alienating area of human activity. Consequently sport loses its potential to be used as an escape from the pressures of work; 6. The idea that sport can fulfil this function of escapism is a “masking ideology”, where the real functions of sport in modern society are hidden from participants; for example, through the pretence of leisure, reinforcing an ethic of hard work, achievement and group loyalty, all of which are necessary for the operation of an advanced industrial capitalist society” (Price, 2007, p. 42). Coakley (1994) suggests that professional sports have features, some of which resonate with paid employment, which include; • Career opportunities for athletes are highly limited; • Career opportunities for athletes are short term; • Most career opportunities in high level sport do not result in fame and fortune; • Opportunities for women, ethnic minorities, the elderly and disabled are extremely limited.
  • 14.
    14 | Pa g e During the past two or three decades, there has been a significant change in how the sports industry has operated and in particular the increased removal of sport from its amateur foundations. Sport as a commodity is increasingly integrated with entertainment, media organisations and transnational corporations, where it has become part of internationally traded goods and services (Price, 2007). Some participants are now viewed as “media-athletes”, which has increased their social significance (Torregrosa et al., 2004), and with the current financial rewards being offered to them, further separate them from “normal” people (Newman, 1989, Marthinus, 2007, p.15 ). The professional rugby union era is relatively new, both in Ireland and globally compared to other professional sports. Rugby Union turned professional in 1995, heralding the end of the amateur era at not just the international level, but also at provincial and club level (RFU website). Since then rugby union has developed hugely both as a sport and as a global brand. Price (2007) in referencing Kell, (2002) states that “the globalisation and professionalisation of rugby has many implications for the experiences of players and introduces new patterns of work, which are characterised by greater intensity, complexity, mobility and very different connections with notions of club, community and nation”.
  • 15.
    15 | Pa g e 2.3 PROFESSIONAL SPORTS AND RETIREMENT The sports career, which is defined as “the multi-year sports activities of the individual aimed at high level sports achievements and self-improvement in sport” (European Federation of Sport Psychology, 2000), is not a homogenous entity but is composed of several stages (Cecic Erpic et al, 2004, p.46). Cecic Erpic et al (2004, p.46) state that “each stage, including sports career transition and adaptation to post-sports life, is characterized by a set of specific demands requiring adjustment by athletes and has therefore been comprehended as a transition”. Schlossberg and associates proposed model of human adaptation to transition (Schlossberg, 1981; Schlossberg, Waters, & Goodman, 1995), outlines a transition as “an event or non-event which results in a change in assumptions about oneself and the world and thus requires a corresponding change in one’s behavior and relationships” (Schlossberg, 1981, p. 5), with Marthinus, (2007 p. 2) referencing Baillie and Danish (1992) stating that “retirement may occur at any stage in an individual’s life and is, in reality, a point of transition from an activity in which there has been a commitment of time, energy and role identification”. Research suggests that there are significant consequences for the retiring athlete, which range from the negative effects, including catastrophic emotional and social effects (Kerr and Dacyshyn, 2000 and McKenna and Thomas, 2007), to others suggesting no change (Torregrosa, Sanchez and Cruz. 2004) to positive effects (Allison and Meyer,1988). A healthy career transition has been defined by Alfermann and Stambulova (2007, p. 714), as “successful coping with the transition and success in life”, which Stambulova et al. (2009) going further in saying that it represents “a general feeling of adjustment and an increase in sport and life satisfaction”. The dichotomy of this, the “retirement crisis” is said to result according to Taylor and Ogilvie (1994) in a number of undesirable behavioural symptoms “including psychopathology, substance abuse, occupational, family and social problems” which was expanded upon by Stambulova (2003) to include “disorientated behaviour, increased sense of failure, emotional discomfort and decreased self-esteem”. Marthinus (2007, p26) referencing the work of Rosenberg (1981) states that “for a professional athlete, retirement from sport is not a conclusion, but often a major, perhaps jarring, shift in occupational status and mobility. Here retirement and aging are synonymous only within the context of the sport itself, where athletic life expectancy and productive years differ dramatically from those to which demographers, gerontologists and other social scientists commonly refer”.
  • 16.
    16 | Pa g e 2.4 INFLUENCES AFFECTING CAREER TRANSITIONS Marthinus (2007) comments that too often athletic transitions are portrayed as either traumatic or liberating, rather than transitions which result in difference of adjustment, based on how each individual perceives the transition. Werthner and Orlick (1986) and Schlossberg (1981) as referenced by Marthinus (2007, p.4) highlight that “a multitude of behavioural patterns are associated with athletic transitions simply because individuals bring their own perceptions of stress, personal resources, coping strategies, and socialisation experiences to this athletic-career transition. It is a combination of the individual, and his/her available resources, as well as the type of transition encountered that mediates adaptive success or failure”. Sussman’s work in relation to adjustment (1971) as referenced by Marthinus (2007, p. 6) “asserts that perceptions about retirement will be influenced by the following types of factors: 1. Individual (e.g. motives, values, goals, problem solving skills); 2. Situational (e.g. circumstances of retirement, pre-retirement planning, retirement income); 3. Structural (e.g. social class, marital status, availability of social systems); 4. Social (e.g. family, friends, extended support); 5. Boundary constraints (e.g. societal definitions, economic cycles, employer attitudes)”. Roberts (2010) noted that cultural differences and the existence of structured pre-retirement planning programmes have been found to affect the transitional experiences of professional rugby union players (Roberts, 2010). These findings are echoed in research carried out by Alfermann et al. (2004) and Stambulova et al. (2007) across other sports which highlighted that the transition out of elite sports is a dynamic, multidimensional, multilevel, and multifactor process in which nationality/culture plays an important role (Stambulova, et al., 2007). In this paper, I will detail information from the New Zealand Rugby Union Players Association (NZRPA) on the effects of retirement amongst their members. These findings are included for illustration purposes of the extent of issues encountered amongst other former players, noting the limitations of applicably to the Irish context per the findings of Roberts (2010). In looking specifically at the athletic transitions of professional rugby players, the findings of the 2011 “NZRPA Retired Players Survey” highlights the difficulties that have been faced by former professional rugby players in New Zealand;
  • 17.
    17 | Pa g e • Almost one third of players said they were unprepared and struggled during their first 3 months post retirement; • 29% felt they were not prepared for their eventual retirement; • 27% struggled to manage the transition in their first three months out of professional rugby citing depression, feelings of despair, lack of self-esteem and anxiety issues; • 40% faced complications during their transition – including work, study, financial, physical and mental; • 60% took 6 months or longer to “gain control” post retirement; • Those who studied and/or undertook work experience during their career had a smoother retirement transition. To delve into the subject on a structured basis we will look at the five influences according to Crook and Robertson, (1991) that affect career transitions; 1. Anticipatory socialisation. This is the proactive response of preparing for retirement before it happens (Crook and Robertson, 1991). The lack of preparation for life post sports can negatively affect athlete’s ability to adjust, with some athlete’s not contemplating retirement during their competitive sport because considering it, may be considered defeatist and admitting to failure (McLaughlin, 1981). Torregrosa, Boixados, Sánchez and Cruz (2004) report “that younger athletes and those viewing retirement as distant, tend to avoid planning prior to their retirement and that job choice gained importance as the sporting career progressed”. “In sport, the retirement of an elite athlete can be extremely difficult to cope with if they have not adequately prepared or have not planned for such an event” (Price, 2007). The extent to which an athlete has prepared for the transitioning from professional sport into an alternative working environment is strongly linked to the issues that arise (Taylor and Ogilvie, 1998; Lavallee and Anderson, 2000). As quoted by Cecic Erpic (2011) pre-retirement planning of post-sports life broadly influences the quality of adaptation to life following a competitive sports career (Coakley, 1983; Pearson and Petitaspas, 1990; Stambulova, 1994; Cecic Erpic, Wylleman and Zupancic, 2004). Blann and Zaichkowsky, (1986) wrote that “the lack of preparation for retirement and its consequences makes the athlete vulnerable in the retirement experience”. “The degree and quality of adaptation to career termination and transition may depend on developmental experiences that occurred since the inception of their athletic careers” (Taylor and Ogilvie, 1998). Price (2007) highlights research which indicates that career development and planning for elite athletes is largely in agreement on the various benefits it provides athletes whilst in the high
  • 18.
    18 | Pa g e performance phase of their athletic career (Martens & Lee, 1998; North and Lavalee, 2004, McGillivrary, 2006). Price (2007, p. 59) states “that career development has the ability to broaden an athlete’s self-identity, enhance perceptions of control, and develop life-skills. Danish (1993) defines life-skills as those “skills that enable us to master the tasks necessary to succeed in our social environment; for example learning to transfer skills from one domain of life to another, in particular those skills learned in sport that can be applicable at home, at school, or in the workplace”. Athletes who pre-plan find the transition less disruptive and they can develop passion for the new challenge they have directed their energy to (Werthner and Orlick, 1986). The development of other interests encourages athletes to maintain balance in their life (Sinclair and Orlick, 1993), though it may be impossible for a professional athlete to totally balance sport with other areas of life, “given that sport at the elite level requires an extreme level of commitment” (Balaque, 1999). Hawkins and Blann (1996) and Martens and Lee (1999) referenced by Price (2007) identified that “athletes understanding the career process is an important component of career development, and has specific implications for athletes in terms of enhancing their awareness of alternative careers beyond sport”. Yet despite this the findings of studies illustrate that young elite athletes are less likely to engage in career development and planning activities than non-athletes (Blann and Zaichowsky, 1986; Kennedy and Dimick, 1987, Murphy, Petitpas and Brewer, 1996). Vitale (2002, p.1) argues that “professional athletes today have been hampered in planning for their future careers by the intense demands of training, travel, performance and the ever-present prospect of physical injury”. Further to this, as referenced by Danish et al (1993), athletes rewarded for their athletic endeavours may choose not to seek success in academic pursuits or other career opportunities, instead engaging in “identity foreclosure”, closing off alternative career identities due to this early commitment to their sport without sufficient exploration of other avenues (Stevenson, 2001; Marcia, 1966). Murphy (1995) wrote that athletes can feel left behind in terms of career development, as they are often making education and work decisions later than their peers, as they delay decisions in relation to them until after their sporting career is finished. Hill and Lowe (1974) argue that with the increased salaries on offer for sporting professionals, that elite athletes may develop a false sense of security, and may give low priority to career development and planning, while North and Lavallee (2004) reference these elite athletes may perceive that they have significantly more time in their sport and fail to make plans for their future. Cecic Erpic et al. (2004, p.47) outlines a relationship “between post-sports life planning and a less difficult adaptation to post-sports life which has been empirically supported (e.g. Stambulova, 1994; Svoboda & Vanek, 1982), yet approximately 45% of athletes (Wylleman et al., 1993) do not think about their life after active sports involvement”.
  • 19.
    19 | Pa g e The lack of preparation for retirement by some professional rugby union players in Ireland, is borne out as on the June 30th 1999, 41 Irish players were released from their contracts, of which 18 had no plans for new careers on the 1st of July (Coughlan, 2009). Hamish McAdams of the Irish Rugby Union Players Association (IRUPA) outlined that “the average rugby career is only about six years and the majority of these guys are not earning big money …the facts are that these guys are going to have to work for 30 to 40 years following a rugby career, so it is imperative that they have something to go to afterwards” (Coughlan, 2009). It would appear that from the findings of the 2008 IRUPA survey, that the realisation of life after rugby is developing and that players are being more proactive in preparing for same; “that of the 150 professional rugby players in Ireland at that time, 75% have degrees/qualifications or are working towards it” which he outlined “means that our players are amongst the most educated bunch of professional players in rugby” (Coughlan ,2009). Maeve Smith, (IRUPA players services advisor for Leinster), speaking to the Score.ie (2013), believes the game of rugby is gradually coming to terms with the task of preparing players for careers after they hang up their boots. “Players have to be realistic ….. Something we talk about with all players and athletes is tomorrow might be the end of rugby for them. If that comes, they face a transition period, just like everyone else who works must, at one stage or another.” She added; “Before rugby was professional, players went back to their jobs when they retired. In the early years of professionalism the awareness was not there, that players needed qualifications or development in other areas of the life. That is beginning to change now.” In 2008, an IRUPA survey conducted by BDO Simpson Xavier Consulting found that “Only 6% of players found the experience easy, with the vast majority of players finding it difficult. Coupled with financial and medical issues, is the psychological factor, retirement for a pro rugby player represents a major change in lifestyle, it affects every aspect of your life – not alone are you trying to plan a new career and experiencing a large salary drop but you are also dealing with the Hero to Zero effect.” (IRUPA, 2008). While we have discussed some of the growing literature on the implications of career development and planning, which highlight improved performance, life-skills and career awareness, which can stabilise athletes in the present and prepare them for their futures, including the development of the identity of athletes and their preparation for athletic termination and transition, it is evident that significant barriers exist in the engagement of athletes with same, and that anticipation of retirement would appear to be very much a personal preference;
  • 20.
    20 | Pa g e Alan Quinlan (former Munster and Irish Professional Rugby Union Player) (2010, p. 243) writing in his autobiography ; “So, I am planning for the future – I’ve got the same fears and concerns that any professional sportsman has, but I’m not looking too far ahead”. DJ Forbes (New Zealand Sevens Captain) comments in NZ Rugby World (2011, p. 93) that “with his 29th birthday arriving soon…he’s already working on a transition plan for when his rugby days are over. I’m not too fussed. I went into the workforce straight after school and didn’t play rugby right through so I’m pretty confident I’d be able to get a job if rugby came to a halt”. Luke Andrews (former rugby union player with Wellington in New Zealand) says in NZ Rugby World (2011, p. 97) that; “all rugby players, including myself, think that they’re bullet-proof and their careers are going to last as long as they want it to. I was lucky that mine has but could’ve easily been injured or got a tap on the shoulder by a coach saying I might want to consider something else next year. If I’d been left in the lurch, my one regret would’ve been not getting enough work experience. You’ve got to do it as soon as possible, get proactive and get some sort of qualification behind you”. 2. Identity and self-esteem. The loss of identity and diminished self-esteem are problems associated with the transition to retirement of professional athletes, as many of them gauge their self- worth on their athletic identity and ability (Botterill, 1981). Some researchers suggest that one of the most important determinants of adjustment to retirement, “is the degree to which an athlete’s identity is immersed in the sport, or self-worth is defined by sport” (Marthinus, 2007, p.10, Baillie and Danish, 1992; Pearson and Petitpas, 1990; Taylor and Ogilvie, 1994). Webb et al, (1998) and Coakley (1998) “argue that the danger of such strong and exclusive identification with the athlete role is that it may result in identity crises and emotional disturbances following termination of athletic participation” (Price, 2007, p. 147). “Cecic´ Erpicˇ et al. (2004 p. 47) highlighted “an athlete’s commitment to sports and the consequent reduction of investment in other social roles (e.g. student, partner, friend) often leads to the formation of a strong athletic identity (McPherson, 1980), which can have both positive and negative consequences for participants in sports. It has a positive influence on sports achievements (Danish, Petitpas, and Hale, 1993; Werthner and Orlick, 1986), exercise adherence, and athletic performance (Brewer et al., 1993). Other researchers have found evidence to suggest that individuals with strong athletic identity risk experiencing difficulties after sports career termination (e.g. Blinde and Greendorfer, 1985; Cecic´ Erpicˇ, 1998; Pearson and Petitpas, 1990; Werthner and Orlick, 1986) which may also affect the duration of emotional and social adjustment to post-sports life (Grove, Lavallee, & Gordon, 1997)”.
  • 21.
    21 | Pa g e Given the short term nature of professional rugby union career, the development of life skills would appear particularly important, and given the commitment required for this athletic career, the involvement in the sport does not necessarily assist in the development of skills in some of these areas (Horne et al, 1999, McGillivrary et al, 2005). Petitpas et al (1997) argues athletes may struggle in life after work for a number of reasons, the athlete who possesses effective life-skills are better able to cope with the challenges of a career outside sport than those who lack these skills. Their argument goes further in saying that those athletes who were successful in learning important life-skills from their participation view themselves not just as talented athletes but also as talented people; that they have transposed their sport success into life success. Murphy (1995), Martens and Lee (1998), Anderson (1999) and Hickey and Kelly (2005), argue that socio-economic status, financial dependency on the sport, perceived performance, balance of life and post-athletic occupational potential would all be positively influence by career development. Price (2007) also references other studies “which have found that career development and planning that assists athletes to develop work and social skills enables them to deal more effectively with the pressures of being elite athletes, and suffer less anxiety about being a late starter in a career outside sport” (Brewer, Van Raalte and Linder, 1993, Danish, Petitpas and Hale, 1993, Murphy, 1995). Stephan et al. (2003) speaking of the areas that “contribute to an athlete’s satisfaction with life, which constitutes the basis for their subjective well-being, highlight that an elite athlete’s life style is subordinated to sport, which becomes a way of life (Stambulova, 1994). Life style is based on powerful commitment, both physically and emotionally (Wylleman, De Knop, Menkehorst, Theeboom and Annerel, 1993), with daily routines and regimes of energetic discharge and physical exercise, stimulation and efficiency (Steinacker, Lormes, Lehman and Altenburg, 1998). With evidence suggesting physical activity and sport act as protective factors against stress, depression and/or unsettling behaviour (risk-taking, experimental behaviours and drugs use) (Ferron et al., 1999), elite athletes may not experience the gambit of psychological, social or physical development stages experienced by their non-athletic peers, leaving them ill-equipped for lifestyle changes upon retirement (Smith and McManus, 2008). Other factors which complicate transitions include athletes who do not feel that they have achieved their goals, particularly due to injuries or de-selection (Werthner and Orlick,1986). Consideration of life after their retirement eases the transition, as athletes develop interests which make their athletic identity less prominent (Blinde and Greendorfer, 1985). Athletes, who adopt a sense of accomplishment of achieving their sporting goals, view their athletic experience as positive, and this makes them more willing to tackle new challenges (Sinclair and Orlick, 1993; Werthner and Orlick,
  • 22.
    22 | Pa g e 1986). Ian McKinley (former Leinster player) saw his career ended at the age of 21 after suffering a serious eye injury, stated in an interview; "That's why I was so relieved to have that one year of playing with Joe (Schmidt) behind me at least. If I didn't do that I would have gone crazy completely (Boyle, 2012)”. Roberts’ (2010) research on athletic identity and life satisfaction between former professional rugby union players from England, Wales and South Africa, found that latter enjoyed higher levels of athletic identity both during and after their athletic career. She deduced from her research that lack of pre-retirement planning, combined with high levels of athletic identity equate to low levels of life satisfaction for the South African athletes. Price (2007, p. 146 (17 players surveyed ranging in age from 19 to 22)) in his research on young elite rugby players in both Australia and New Zealand, highlighted the importance to rugby in the participants identities, when they were asked to rank the top three priorities in their life; TABLE 2: PRIORITIES IN LIFE OF YOUNG ELITE RUGBY PLAYERS IN AUSTRALIA & NEW ZEALAND PRIORITIES IN LIFE 1ST PRIORITY % 2ND PRIORITY % 3RD PRIORITY % Rugby 59% 18% 24% Family 24% 35% 12% Education 6% 35% 18% Religion 12% 0% 6% Social life 0% 6% 29% Friends/Girlfriend 0% 12% 0% Career 0% 0% 6% Price’s findings, of rugby being of most important priority of this young age group, (which is not surprising “given that sport at the elite level requires an extreme level of commitment” (Balaque, 1999)) is even more disturbing given the link between athletic identity and transition in retirement, and the findings from the 2011 “NZRPA Retired Players Survey” which identified the following; • 15% experienced loss of self-esteem or confidence • 34% experienced problems due to loss of identity/public profile • 13% of players still consider themselves to be professional rugby players post retirement
  • 23.
    23 | Pa g e • 39% believe their sense of identity (who I am) has improved since retiring. However, encouragingly the survey found that 87% of current players are undertaking some form of meaningful career education and/or personal development outside of rugby and 90% are actively seeking to develop a potential career outside of rugby. 78% believe that since retiring they have developed a strong interest in things outside of rugby. Looking at comments made by former and current rugby union professionals, some players would appear to be acting very diligently, both pre and post retirement, with the development of appropriate qualifications to secure employment post rugby; Anton Oliver, who played professionally for Toulon and New Zealand and who retired at the 33. During his career he managed to acquire degrees in Finance and Physical Education, but he concedes his concern at a rugby world devoid of the brainy young men who once represented universities like Oxford and Cambridge and then went on to become respected doctors, lawyers, academics, leaders in finance and such like. " I think that the player at the end of it, although he will be richer in rugby experience, will be the poorer as a person overall. But it was always going to happen once rugby went professional. You are not going to get that any more All Blacks who are Rhodes scholars in the future. My feeling is that if you are reasonably intelligent and you have got an inquiring mind, a professional rugby life is not enough now. It's a very uncertain path because of all sorts of things like injuries that you can't control…Because to me, the game still hasn't sorted out what it is going to do with all the 32-year-olds that will get spewed out the other end of the system, emerging without any qualifications or any real life experience”. (Bills, 2008). Simon Miall who played for Harlequins and who retired at the age of 31, after five years as a professional, felt that some of his career prospects were hampered as he “ was put off by the prospect of having to start on the bottom rung of law or accountancy” given his age. He offers a warning to professionals playing today, saying “you are a long times retired, so keep other things going alongside rugby” (Edgar, 2010). 3. Personal management skills. Given their oft total commitment to support from an early age, athletes may grow to depend on their coaches or others for decision making purposes. The sports environment creates a lifestyle based upon commitment, discipline and routine that is designed to shelter an athlete from external distractions (Stephan et al. 2003). Nicholi (1987,p. 1096) references the unusual environments that some athletes evolve in stating “ in one sense, athletic development has proceeded at the expense of emotional development”. This dependence may hamper the athlete’s retirement transition because they are dependent on others, for such factors are personal management (Botterill, 1981). “Studies conducted by Werthner et al. (1986) and Kerr et al. (2000) investigating
  • 24.
    24 | Pa g e past athletes’ perceptions of retirement suggest the sports environment may lead to a poor sense of personal control due to the management of daily routines, behaviours and decision-making by coaches and sports associations” (Smith and McManus, 2008), with very few athletes indicating a strong sense of control during their sport career (Werthner et al., 1986; Kerr et al.,2000). A positive relationship with a coach can ease the transition, allowing the athlete to reach their goals and to enjoy their athletic experiences, however, a negative relationship, which might include factors which means that the athlete may be forced to leave the sport earlier than they expected can lead to a difficult transition (Werthner and Orlick, 1986). 4. Social support systems. Werthner and Orlick (1986) among others highlight that the support of family and friends can ease the degree of disruption that the transition to retirement often brings, with Botterill (1981) stating that support from former athletes, family, and sport helps the adjustment to athletic retirement (Baillie and Danish, 1992; Petitpas, Danish, McKelvain and Murphy, 1992; Sinclair and Orlick, 1993). Studies by Arviko (1976), Hearle (1975), Mihovilovic (1968) ,Werthner and Orlick (1986), Gorbett (1985) and Fortunato (1996) indicate according to Marthinus (2007, p. 92), “athletes with a broad-based social identity that includes family, friends, educational, and occupational components demonstrated better adaptation following retirement”. As often a large majority of the friends and acquaintances are found in the sport environment and their social activities revolve around same (Botterill, 1990; Svoboda and Vanek, 1982), retired athletes find themselves avoided by current players or “socially dead”, a concept used by Rosenberg (1981) and Lerch (1982). This isolation might be exacerbated by the fact that “training and playing demands limit conventional social connections, and intense bonding takes place” (Light and Kirk, 2001, p. 85). (The 2011 “NZRPA Retired Players Survey” found that 70% miss the camaraderie of professional rugby). This avoidance behaviour may be adopted by athletes who are still active to “protect themselves from admitting the uncertainty of their own careers” Marthinus (2007, p. 93). The loss of a support system of friends, who continue on in the sport, is said to negatively impact on the transition (Mihovilovic, 1968). Additionally to this Hill and Lowe (1974) comment “that professional sports teams are unlikely to feel any obligation to prepare their athletes for the inevitable metathesis” that retirement will bring which exacerbates the issue of retirement transition. Crook and Robertson (1991) highlight that support systems, if available, often just help with employment upon retirement, and often fail to provide emotional support.
  • 25.
    25 | Pa g e The 2011 “NZRPA Retired Players Survey” findings in relation to transition support were; • 83% said family and friends was most crucial; • Approximately 50% felt that they were not well supported during their initial retirement with 29% finding it difficult to talk to people about their transition; • Only 19% of players felt well-supported during their transition – players were hesitant in asking for help and assistance was not as accessible as it is now. Eoin O'Malley (Leinster and Irish A professional rugby union player) who was forced to announce his retirement from the game due to a long term knee injury. Commenting at the time to Leinster Rugby (2013) in relation to the support that he had received he says; “It is obviously an incredibly tough reality that I am still trying to come to terms with,” ….“After exhausting all options I am devastated to be retiring from the game. But I am so fortunate to have such a great support base. I would like to say a very special thank you to my family, girlfriend, friends and Leinster team-mates who have been so supportive -–especially over the last few months”. 5. Voluntary versus involuntary retirement. Coakley (1983) comments that voluntary retirement, as defined by Kerr and Dacyshyn (2006), as retirement when an athlete has another choice of action, can lead to a positive transition as it may be considered part of normal human development. Research illustrates that adaptation to retirement is dependent, in part, on the nature and quality of the sport experiences (Kerr and Dacyshyn ,2006). With involuntary transition, athletes find themselves less prepared and more resistant to retirement, than those who retire voluntarily (McPherson, 1980). Retirement where the athlete has no control over their retirement decision, because of age, injury (Werthner and Orlick, 1986), de-selection, conflict with coaches and management (Kerr and Dacyshyn, 2000; Werthner and Orlick, 1986, Allison and Meyer,1988; Baillie, 1993; Cecic-Erpic, 2004), or for family reasons, appear problematic to retirement transition (Mihovilovic, 1968). Age : Marthinus (2007, p36) referencing the work of Khan (1972), Kramer (1969), Mihovilovic (1968), Weinberg and Arond (1952) and Svodoba and Vanek (1982) states that “age, or more specifically, the decline in performance due to advancing age, is typically considered to be a primary cause of retirement”. The 2011 “NZRPA Retired Players Survey” found that the average age of retirement for players sampled in their survey was 32, with an average career span of 9 years. The survey indicates that nearly half of the players had an element of choice in regards to retirement, with
  • 26.
    26 | Pa g e about half (48% of players retirement was unexpected) having the decision forced on them through a combination of physical (body can’t cope), medical (injury) or other environmental issues (non- selection). Information on the length of the professional career of the current professional Irish rugby union players is not readily available, however in, appendix 3, I have attempted to highlight the current age demographic for both the professional Irish and Munster teams. A summary of the results highlight that players over 30 years of age, account for only 22% of the Irish senior team squad and only 17% of the Munster 1st XV squad. TABLE 3: AGE DEMOGRAPHIC OF PROFESSIONAL RUGBY TEAMS IN IRELAND NO. OF PLAYERS OLDEST PLAYER AGE YOUNGEST PLAYER AGE AVERAGE PLAYER AGE MODE % UNDER 27 YEARS OF AGE % OVER 30 YEARS OF AGE Ireland Senior Team 2012 -2013 50 34 20 28 28 46% 22% Munster 1st XV Squad 2013-2014 41 34 21 26 26 65.85% 17.07% Munster A Squad 2012 - 2013 17 31 19 22 24 Ireland Under 20 squad 2012 – 2013 23 20 19 19 20 Munster Academy 2013 - 2014 10 20 18 19 20 Considering that according to IRUPA (2008) the “average rugby career is only about six years”, and with players committing to rugby in a very serious manner from a young age, such as those chosen for the Munster “A” squad (average age of 22) and the Irish Under 20 and the Munster Academy, (average age of 19), the worry has to be what will become of these players should the average career statistics run true? Price (2007, p. 132) in his research on young elite rugby players in both Australia and New Zealand (25 players surveyed ranging in age from 19 to 22) found that while they expected their future
  • 27.
    27 | Pa g e professional rugby careers to last in the majority of cases (53%) for the next seven to ten years, statements from “management and coaches suggested that in fact the majority of players will play professional rugby for only four seasons or less, a figure in stark contrast to the 71% of players who indicated they would play elite rugby for between seven and fifteen years”. The psychological implications of ageing in sport are said to include; • A decrease in motivation for training and competing (Werthner and Orlic, 1986); • A change in values and priorities (Cecic-Erpic, 1998, 2000; Svoboda and Vanek, 1982); • A decline in self confidence in related social activities (Sinclair and Orlick, 1993); • A loss of status in the sports environment (Sinclair and Orlick, 1993). Former All Black coach John Mitchell, highlighted a distinguishing feature between the work of a professional athlete and other types of work, is that age often determines career length for a professional athlete, when he commented that with “talent being identified earlier and the nature of the elite game requiring athleticism, power and strength, international rugby careers will start earlier and finish earlier, beginning at 19 or 20 and finishing at 26 or 27” (Thomas, 2003). John Hayes (former Munster and Irish Professional Rugby Union Player) (2012, p. 253) in writing in his autobiography states; “I had just turned thirty-eight. I couldn’t summon up the same sort of hunger anymore….The level of preparation was increasing every year. Times were changing; the game doesn’t stand still, and I was starting to struggle to keep up”. Injury : Retirement due to career ending injuries, which can happen at any age is said to according to Elkin (1981) and Rotella and Heyman (1986) “ to possibly cause athletes to experience identity crises, social withdrawal, fear, anxiety, and loss of self-esteem”. Rugby union is a high injury sport, or to quote Francois Pienaar (former South African Captain). “Rugby’s not a contact sport anymore. Dancing is a contact sport. Rugby is a collision sport”, which sums up the physical nature of the sport which belies the injury statistics. Amongst professional rugby union players, the risk is heightened with findings by Bathgate et al., (2002) highlighting in Australia a “57% increase in injuries, comparing pre- and post-professionalism (from 47 injuries per 1000 hours to 72 injuries per 1000 hours)” which parallels the findings of a Scottish study by Garraway et al. (2000). “For comparison, the rates in field hockey, basketball, and netball are respectively (15.2, 15.1 and 12.1 per 1000 hours” (Stevenson et al.,2002, as quoted by McKenna and Thomas, 2007, p. 21). As referenced by McKenna and Thomas (2007), “tolerance of these injury rates, may stem from attitudes which may include respect for authority, club loyalty, and values of “cultural capital” such as “hegemonic masculinity” (Light and Kirk, 2000), stoicism and being a “real-man”, by tolerating
  • 28.
    28 | Pa g e hardship without complaint” (Howe, 2001). The technical ability of players has increased immeasurably, coupled with the demand for increased levels of fitness and physical and mental robustness. Recent studies have concluded that the higher the standard of rugby, the higher the chances of an injury occurring (Traylor). Reasons for this include; longer playing seasons, higher levels of competitiveness, increased intensity in training techniques and the fact that it is a full time job so they spend most of their time trying to develop into better players, physically and mentally (Traylor). The most recent figures available from the English Rugby Football Union (R.F.U. ) are detailed in a 2013 report carried out by the English Professional Rugby Injury Surveillance Project Steering Group on behalf of The Rugby Football Union and Premier Rugby Ltd. which presents the high level findings from the 2011-12 season in relation to injuries, and compares them with the results from the 8 previous Injury and Training surveillance seasons (2002-03, 2003-04, 2005-06, 2006-07, 2007-08, 2008-09, 2009-10 and 2010-11). This report found that: • “The overall risk (incidence and day’s absence) of match and training injury in Aviva Premiership Rugby remained stable during the 2011-12 season and was within the ‘normal range’ of season by season variation seen since the study began in 2002. • Whilst the incidence or likelihood of sustaining a match injury reduced by 12% (94→82 injuries per 1,000 hours) compared to 2010-11, this was counterbalanced by an increase in average match injury severity from 21 to 27 days, although this increase was still within the range attributable to season by season variation. The increase in average severity was largely as a result of an increase in the number of injuries resulting in 3-6 months out of the game. This figure is an increase on the findings of Bathgate et al. (2002) as discussed previously. • 323 training injuries were reported. Therefore, one third of all reported injuries are occurring in a potentially controllable environment”. More worryingly would appear to be the statistics in relation to the retirements caused by injuries. The 2013 report from English Professional Rugby Injury Surveillance Project Steering Group, found that six players retired (out of 574 Aviva Premiership First Team squad members) in the 2011-2012 season as result of injuries sustained (either through first team competitive matches, training or that were cumulative) that did not resolve during the season. (Note this does not include the number of retirements as a result of injury from which a player had been deemed to have returned to full fitness before retirement, and thus this figure does not fully reflect the total number of players who retired due to injury). This brought the number of retirements since the 2002-03 season to 33 based on the already mentioned criteria. Alarmingly the RPA (Rugby Players Association) Rugby Director David
  • 29.
    29 | Pa g e Barnes says of the forthcoming 2013/2014 English rugby domestic league season "it is a grave concern to us…. that Rory becomes the 7th player to be forced to retire this season before the Aviva Premiership season has even got underway. Following on from 22 forced retirements last season (2012/2013), the highest number recorded, the RPA will be working with the players, Premiership Rugby and the RFU to ensure that player welfare is the key focus for the game (ESPN, 2013)." The issue of player welfare and preparation for life after sport, as increased in significance within the world of sport, and particularly in rugby, and is now widely reported upon in the popular press, as the popularity of the game grows in the wake of professionalism, and as its players take on the role of “media-athletes” (Torregrosa et al., 2004); “Eoin O'Malley is the latest to have his dream taken from him. The Leinster star was forced to announce his retirement last week at just 25 years of age with a knee injury. He joins an unfortunate group. Players such as Ian Dowling (at 28), Denis Leamy (30), Darragh Hurley (26) and Shane Horgan (33) have all had their careers brought to a premature end because of serious injury” Conor George in the Irish Independent (27th August 2013). On the 20th August 2013, at 25 years of age, Eoin O'Malley (Leinster and Irish A professional rugby union player) was forced to announce his retirement from the game due to a long term knee injury. Commenting at the time, to Leinster Rugby (2013) he says; "It is obviously an incredibly tough reality that I am still trying to come to terms with….At the age of 25, it is surreal to be reflecting on your career, especially when I hoped there were many more years ahead for me.” He had only turned professional in 2009 for Leinster. Ian McKinley (former Leinster player) saw his career ended at the age of 21 after suffering a serious eye injury. Speaking in 2012 to the Donnacha Boyle of the Irish Independent he says of attempting to return to rugby;"I weighed the pros and cons up with my dad. The pros were fame, for want of a better word, and playing the sport you love. I didn't care about the money. The cons were, well, your whole life”. And in closing remarked when asked, “was there life after rugby?”; “"There was life during it." George (2013) highlights that as rugby has matured from its early days of professionalism, so too has the cognisance of the governing bodies to the issues surrounding the transition of players into retirement from the game, and that progress has been made in dealing with same, through IRUPA which have “player advocates employed in the four provinces to liaise with the players and help the likes of ….(injured players) and even those retiring on their own terms, to make the transition into the 'real world' after their careers come to an end”. This progress is probably highlighted best by examining the comments of John O’Neill, who played with Munster, until he was forced to retire in 2003 at the age of 29. At the time of his retirement he commented to Munster Rugby (2003), “It goes without saying that I am pretty dejected about having
  • 30.
    30 | Pa g e to give up playing rugby. I thought I would have gotten a few more years out of a job I really enjoyed. But in the end the decision was made for me and now it's a question of getting on with it. ….The priority now for me is to get myself sorted out work-wise with a view to the future. As I said I thought up to very recently that I would be involved in rugby for a few years to come but now I have to readjust my thinking and think of another career.” In an interview with Conor George (2013) he outlines how this transition unfolded; there was no contingency plan in place, no advisor on what to do next, no support network. "I had to get a job. We had nothing in place. I thought I had another four or five years of playing but then we had no systems in place, certainly not what the guys have now. …It was a shake of the hand, your P45 and out the gate. There's no bitterness, absolutely none. Back then, neither the provincial sides nor the national team were set up to cater for retiring players. They had nothing in place….It was trial and error with us…... The generation before us had proper jobs so it wasn't as much of a wrench. In my case I was lost. I wasn't set up for it." De-selection : Svoboda and Vanek (1982) recorded that “de-selection is one of the harshest processes that occur at every level of competitive sport”. Competitive sport is according to Ogilvie and Howe (1982), “unlike other areas of life in which people may continue to function regardless of level of competence, and relies on the Darwinian philosophy of “survival of the fittest”. Alan Quinlan (former Munster and Irish Professional Rugby Union Player) (2010, p. 243) outlines the dispensability of the modern sportsperson in the professional era ; “I’d like to stay forever as a player. But that cannot be. Like products on a supermarket shelf, professional sportsmen are a perishable commodity and my rugby best-before-date is getting closer and closer”. Voluntary : The perception of control over an athlete’s retirement, does according to Marthinus (2007, p41) referencing the work of Bandura (1997) aid “mental health and successfully development, and also is strongly correlated to heightened feeling of self-efficacy, which plays a key role in behaviour change and adjustment”. Research illustrates that adaptation to retirement is dependent, in part, on the nature and quality of the sport experiences (Kerr and Dacyshyn ,2006). With involuntary transition, athletes find themselves less prepared and more resistant to retirement, than those who retire voluntarily (McPherson, 1980). Some researchers such as Coakley (1983), Blinde and Greendorfer (1985) and Greendorfer and Blinde (1985) have found that retiring athletes may actually experience liberation from the pressures and the punishing time commitment of sport. Marthinus (2007, p41) references Sinclair and Orlick (1993) in stating that “the three most important reasons for athletes selected for deciding to retire were; 1. They were tired of the lifestyle and decided that it was time to move on; 2. They had achieved their goals; 3. They had difficulties with the coaching staff.”
  • 31.
    31 | Pa g e Werthner and Orlick (1986) highlight that athletes “may seek new challenges and go their own way”, with Greendorfer and Blinde (1985) finding that “they may look for other sources of satisfaction in other areas of life, or may even have a change in values”. John Hayes (former Munster and Irish Professional Rugby Union Player) (2012) in writing in his autobiography states; “It was nice of him to ask, but my mind was made up. I was ready to let go now. It was settled in my head. My career was over. It had reached its natural, organic end. There wasn’t a tiny part of me that was tempted to hang on. ”(p.253)…. “Between the farm and the family I’m looking forward to a long and contented life. I was steeped to get out of the game without any injuries that could affect the quality of your life in later years” (p.258). Sean Brophy who played for Leinster in 2004, spoke about his voluntary retirement. Having decided at the age of 23 to pass up an opportunity to play for Connacht, he decided to study for his masters on the basis that “pro rugby for me was looking in quite a narrow way, it can be monotonous and hard work. I need something more than just sport for an income. I’m just glad it worked out”. (Drennan, 2013).
  • 32.
    32 | Pa g e 2.5 DIFFICULTIES EXPERIENCED BY RETIRED PROFESSIONAL RUGBY UNION PLAYERS “The quality of the sports career transition and the adaptation to post-sports life thus depends upon athletic and non-athletic factors. Their influence can result in a successful, relatively smooth transition, or in more or less intense difficulties at the psychological, physical, psychosocial, and/or occupational level” (Cecic´ Erpicˇ, Wylleman and Zupancic,2004, p.48, Wylleman, Lavallee and Alfermann, 1999). With retirement, the role transition of athletes to a new career, does according to Drahota and Eitzen (1998) present a challenge, given that the athlete’s lose the primary source of their identities, coupled with the loss of financial rewards, hero status amongst fans, media attention, social status and other extrinsic and intrinsic rewards (Crook and Robertson, 1991; Sinclair and Orlick, 1993). Omar Hassanein, CEO of IRUPA, and former professional rugby player in Australia, Japan, France and Italy, who had to retire because of injury, states in an interview with George (2013) talking about his own transition; "You experience a loss of identity,…. It's a rough transition and elite athletes at this level are very susceptible to mental and psychological issues because of the heights and depths of their careers and experiences”. Emmet Byrne (retired Leinster player) speaking to Joe.ie (2012) outlined that difficulties in transition into retirement appear commonly amongst former players in Ireland; “I haven’t found anyone within my close circle of friends, who are professional rugby players, who haven’t struggled in some way or form once they retired.” Difficulties recorded on the psychological level include; • Identity crisis - (e.g. Baillie and Danish, 1992; Crook and Robertson, 1991; Pearson and Petitpas, 1990), • loss of self-worth (e.g. Cecic´Erpicˇ, 1998; Wylleman et al., 1993), • decrease of self-esteem (Werthner and Orlick, 1986), • decline of life satisfaction (Cecic´ Erpicˇ, 1998; Werthner and Orlick, 1986), • emotional problems (e.g. Alfermann and Gross, 1997; Cecic´ Erpicˇ, 1998; Werthner and Orlick, 1986), • feelings of unaccomplished athletic goals (Cecic´ Erpicˇ, 1998; Werthner and Orlick, 1986), • and alcohol and drug abuse (Mihovilovic, 1968, Hill and Lowe, 1974).
  • 33.
    33 | Pa g e The 2011 “NZRPA Retired Players Survey” highlighted that in relation to physiological and emotional issues; • 74% said they coped well with retirement • 26% cannot say they coped well. • 35% of retired players experienced depression or feelings of despair – 43% of players who retire due to injury cited depression or feelings of despair; • 30% experienced high levels of anxiety and stress; • 23% experiences alcohol or substance abuse;20% experienced relationship issues; • 13% experienced aggression issues. Roberts’ (2010) research between former professional rugby union players from England, Wales and South Africa found the following in relating to emotions and difficulties; that uncertainty characterised the transitional period for former English rugby union players; while former South African players reacted with more anxiety to same. South African players also showed a higher likelihood to have difficulties in transition. She found that coping mechanism differed according to nationality, with former English players more prevalent at coming up with strategies and plans, expressing negative feelings and talking to other people concerning issues. The former Welsh players were more vocal as a method of “letting unpleasant feelings escape”, while the South African players were slightly more inclined to refuse to believe in retirement. Physical difficulties recorded include; • injuries and health problems (e.g. Svoboda and Vanek, 1982; Werthner and Orlick, 1986), • problems with detraining (e.g. Cecic´ Erpicˇ, 1998; Wylleman et al., 1993), • and dietary problems (e.g. Cecic´ Erpicˇ, 1998; Svoboda & Vanek, 1982). The 2008 IRUPA survey found that “41% of players retired from rugby directly as a result of injury out of which 72% are in regular pain or discomfort as a result of injuries sustained during their playing career. Nearly half of players can no longer play rugby of any kind”. Other statistics revealed by IRUPA include that “30% of players forced out of the game, and claiming insurance from the injuries that curtailed their career, are under the age of 30” (thescore.ie, 2013). The 2011 “NZRPA Retired Players Survey” found in relation to medical issues that; • Players typically averaged 14 major injuries (out for 1 month of more or hospitalised for 1 night or more) during their career. • Average career was 9 years, which equals 1.5 major injuries per player per year.
  • 34.
    34 | Pa g e • 8% sustained an injury that put them out for a year or more, 33% for 6 months or more and 65% 3 months of more. • 37% of players are suffering major medical problems post rugby career while 51% believe that injuries suffered during their career have impacted negatively on their current health and well-being. • 67% are worried about the implications that injuries sustained will have later in life. • Average 2.5 medical issues per player post rugby. The 2011 “NZRPA Retired Players Survey” finding in relation to health issues was; • 58% of players retired as a result of injury or wear and tear; • For 30%, one major injury directly resulted in their retirement; • For 12%, a combination of injuries resulted in their retirement; • 16% stated that “wear and tear” resulted in retirement. Further findings from the 2011 survey on medical welfare in the comparing past players with current players, highlights that while players may still take to the pitch injured under some outside influence there has been a notable reduction in same; TABLE 4: FINDINGS ON MEDICAL WELFARE (NZRPA RETIRED PLAYERS SURVEY 2011) PAST PLAYERS CURRENT PLAYERS (2009 NZRPA SURVEY) 68% felt pressurised to play while injured 10% have been pressured to stay on the field after a concussion/injury 70% felt pressured to play before fully recovering from injury 18% have been pressured to play before fully recovering from injury 52% felt pressured to stay on the field after being injured 73% hid an injury from medical staff in order to play 20% have not always told the medical staff about concussions 3% felt pressured to take performance enhancing drugs 8% have felt pressure to take performance enhancing drugs.
  • 35.
    35 | Pa g e Difficulties recorded on the psychosocial level include; • social and cultural loneliness (Botterill, 1988), • deficiency of social contacts (Cecic´ Erpicˇ, 1998; Danish et al., 1993), • emotional and psychosocial breakdowns (Hearle, 1975; McPherson, 1980, Mihovilovic, 1968) • and problems with building new relationships outside of sports (Cecic´ Erpicˇ, 1998; Mihovilovic, 1968). Difficulties recorded on the occupational level include; • lack of an occupational career (Cecic´ Erpicˇ, 1998), • lack of professional qualification (e.g. Cecic´Erpicˇ, 1998; Wylleman et al., 1993), • less suitable professional career choices (Wylleman et al.,1993), • And a decline in financial income (e.g. Cecic´ Erpicˇ, 1998; Werthner and Orlick, 1986; Wylleman et al., 1993). Garraway et al, (2000) comments that, in rugby, the worker has a relatively short productive work life, and is prone to serious injury, with Horne et al, 1999, stating that the chance of maintaining or improving the level of income after retirement from sports is unlikely for many. The 2008 IRUPA survey found that professionals; “experience a significant drop in earnings on retirement. The results show that even two years after retirement most players struggle to achieve the same salary. 9 out of 10 player’s salaries decreased in the first two years after retirement and of those players earning up to €100,000 during their career, only 1 in 4 were able to maintain this level on retirement”. The 2011 “NZRPA Retired Players Survey” found that since retirement; • 46% of players had been unemployed at some stage since retiring – of which 82% were unemployed for a period of 3 months or longer; • 93% are currently employed; • 47% believed playing professional rugby inhibited their ability to work/study while 53% would have liked more opportunities to work or study. • 87% of current players are undertaking some form of meaningful career education and/or personal development outside of rugby and 90% are actively seeking to develop a potential career outside of rugby.
  • 36.
    36 | Pa g e • 50% of all players will earn less than $60k in their first 2 years after retirement (28% are still earning less than $60k. TABLE 5: SALARY FINDINGS OF RETIRED RUGBY PLAYERS IN NEW ZEALAND (NZRPA RETIRED PLAYERS SURVEY 2011) FINAL 2 YEARS PLAYING FIRST 2 YEARS AFTER PLAYING $200k + / year 48% 7% $100k+/year 79% 24% $60k+/year 93% 56% In relation to personal networks and work experience the survey found; • 60% said they attained their job through personal networks; • 28% worked at their current job before or during their rugby career; • 33% of players ended up working in a rugby related environment; • 24% found work in a professional services (tertiary education required); • 15% own a business. The survey also found that those who studied and/or undertook work experience during their career had a smoother retirement transition with 88% of players agreeing that having and education or trade is an important part of life after professional rugby; • 42% said that the qualifications they obtained before or during their rugby career helped them gain employment on retirement; • 40% of past players had a degree before becoming professional rugby players and 29% had a trade or workplace qualification; • 52% of players actively studied during their rugby career; • Only 25% of past players enrolled in an educational institution following their retirement but 47% would like the opportunity now that they have retired.
  • 37.
    37 | Pa g e 2.6 LOCATING THE PROBLEM WITHIN THE LITERATURE In the last forty years, research into the career development of talented and elite athletes has evolved into a growing topic of study among the sport psychology community (Wylleman, Lavallee, & Theeboom, 2004). The majority of both theoretical and applied sport psychology literature concentrates on elite competitive sport and means to help athletes achieve top level goals, however, with the development of sports sciences, due no doubt to the increased commercialisation of professional sports, there has been a growing interest in conceptualising the sports career termination process (Torregrosa et al., 2004). Studies in relation to various aspects of this process include; • Adaption to the difficulties and trauma associated with career termination -Mihovilovic, 1968; Ogilvee and Howe, 1986; Taylor and Ogilvie, 1994; Werthner and Orlick, 1986). • Retirement from competitive sport being a life event that influences former athlete’s well-being and development – Alfermann and Gross, 1997, Greendorfer and Blinde, 1985; Wylleman, De Knop, Menkehorst, Theeboom and Annarel, 1993. Difficulties exist in the research to date which is said to stem from “a divergence between conceptual and empirical matters” (Marthinus, 2007, p.2). The conceptual formulations, such as Sussman’s Analytical Model for the Sociological Study of Retirement, 1972 and Schlossberg’s Model of Human Adaptation to Transition, 1981, are drawn externally to the world of sport and applied to the sports area without the consideration of findings already reported in sport literature on retirement (Taylor & Ogilvie, 1994). The empirical research in the area per Marthinus (2007, p. 3) in quoting Sinclair and Orlick, (2003), examines the “dynamics of athletic transition and is grounded in crisis orientation”. This is a portrayal of the post retirement life of an athlete as” traumatic and negative, as well as dysfunctional in terms of psychological disorders” (Marthinus, 2007, p. 3). Other empirical research on the subject suggests that there is evidence of relief amongst retiring athletes from the pressures and the extreme time commitment of sport (Coakley, 1983; Blinde and Greendorfer, 1985;Greendorfer and Blinde, 1985). Another notable limitation concerns the lack of effective interventions addressing the transitional needs of athletes before, during and after termination (Smith & McManus 2008). While Schlossberg’s Model considers characteristics of the individual, the transition and the pre and post retirement environments in determining adaptation success (Lavallee & Wylleman 2000, Schlossberg 1981, 1984), and has progressed from identifying the causes and consequences of sports retirement to
  • 38.
    38 | Pa g e investigating factors influencing the quality of career transitions and strategies preparing athletes for sport (Anderson & Morris 2000, Smith & McManus 2008) it fails to still identify effective interventions. Aside from identifying trends in the factors influencing a positive or negative retirement experience, limited exploration has been directed towards the broader psychological, social and physical adjustments encountered by elite athlete’s upon career termination (Smith & McManus 2008). Greater emphasis should be directed towards these areas in order to ensure a positive adaptation into post- sports life. This report will attempt to draw on the previous theoretical work both within and outside of sport, coupled with both current research in the area and the findings of the research allied to this report, to study the adaptations of professional rugby union players to retirement from their sport. Another limitation in the literature is that the concept of “athletic retirement has been disregarded” to an extent “because this transitional event is equated with the occupational retirement of older adults, and there is a misconception that only a small number of individuals who compete in elite and professional sport are likely to be affected by this transition” (Baillie and Danish, 1992). In this paper we will seek to highlight some of the key differences that exist between the retirement of professional athletes and the occupational retirement of older adults, which include; • Athletes finishing their careers at a relatively young age (Baillie, 1983; Blinde and Greendorfer, 1985), often at the approximate age when their peers “are often beginning careers in other non- sporting domains, getting married, and having children. These comparative situations may add to the already stressful feelings inherent in athletic retirement” (McKnight et al. 2009). • That the athlete’s identities are disrupted in their retirement transition (Pearson and Petitpas, 1990). The commitment of athlete’s to their sport from an early age may create a situation where they may not develop interests in other areas. This “foreclosed identity” (Brewer, Van Raalte and Linder, 1993) which may disrupt their “normal developmental events such as identity development”. Another significant issue, has been alluded to previously, is the relative youth of the game of professional rugby union. Given that the sport has only adopted a professional status since 1995, the amount of writing in relation to effects of retirement upon its players is limited. In Ireland, IRUPA commissioned a report on the effects of retirement amongst players in 2008; however, the findings of this report are confidential. This report will attempt to tackle the void in the current literature that these presents.
  • 39.
    39 | Pa g e 2.7 RESEARCH OBJECTIVES The main objectives of this report are to; • Detail a quantitative analysis of the five influences according to Crook and Robertson, (1991) that affect career transitions; 1. Anticipatory socialisation; 2. Identity and self-esteem; 3. Personal management skills; 4. Social support systems; and 5. Voluntary versus involuntary retirement; and • Outline the effects on the retired athletes on an psychological, physical, psychosocial and occupational level; and • Highlight possible issues that may be make future retirement transitions more difficult for current players.
  • 40.
    40 | Pa g e CHAPTER THREE – METHODOLOGY The purpose of this chapter is to outline the steps taken in the collection of data with enough detail that the study could be replicated. It will also provide concise justification for the research strategy taken. The hypotheses upon which this research is based, is drawn from the research of (Cecic Erpic, 2000), “that an involuntary and abrupt sport career termination, a lower evaluation of sports achievement, the lack of post-sports life planning, and a high athletic identity while playing sports, would lead to a more difficult sport career termination process” (Marthinus, 2007, p.1138). This current study would appear to be the first academic research of its kind in Ireland on the subject matter, which is probably due to the relative youth of professionalism in the sport of rugby union, the small number of people who fit the demographic of “retired professional rugby union players in Ireland”, and the minority of retired professional athletes from any sport in Ireland, due to the inability of most sports to sustain full time professional athletes domestically. The research that has been commissioned by the Irish Rugby Union Players Association (IRUPA) is confidential in nature, and the result findings that have been made public are scant in detail. The most up to date academic information on the effects of retirement of professional rugby players would appear to be the work of Claire-Marie Roberts of the University of Worcester, who kindly offered me access to her two most recent presentations of the subject, (her 2008 presentation for the University of Glamorgan Doctoral Conference “An in-depth appraisal of transitions in rugby union”, and her presentation at the 26th Annual Conference of the Applied Association of Sport Psychology, Providence, Rhode Island, , “ A cross-cultural evaluation of rugby union transitions”). Miss Roberts has expressed an interest in the examining the findings of this paper. The initial hope for this project was to apply quantitative and qualitative approaches to extrapolate the information required to answer the research question. The quantitative approach was to be based on the use of the Sports Career Termination Questionnaire II (SCTQ II). The SCTQ II assesses characteristics of the retirement from professional sports process, evaluating the characteristics of an active sports career, sport career termination, transition to post- sport life, and adaptation to post-sport life. The focus of this element of the report was to explore the experiences of the retired professional rugby union players as they transitioned to retirement. This questionnaire has been applied in previous research, and may have provided meaningful comparisons to the effects felt by retired athletes from other sports and also from different nationalities and cultures. Dr. Cecic Erpic, the author and copyright owner of the SCTQ II questionnaire gave written consent for the use of the questionnaire on the 10th May 2012.
  • 41.
    41 | Pa g e It was hoped that through endorsement by IRUPA, that the questionnaire would be circulated to its members, to achieve a sufficient sample size to draw valid and reliable results, and that interviews (to be discussed later) with retired players might be arranged, however this endorsement was not achieved. Having failed to win an endorsement from IRUPA, and given that there was no available database of retired professional rugby union players available, I took the decision to abandon the quantitative aspect of my research, as it became apparent that I would not establish a sufficient sample size to derive statistical analysis from. The only avenue left to pursue research on the subject was through interviews with retired professional players who I could access through friends and acquaintances, and indeed through social media in one example. This narrowed the sample to retired professional rugby union players who played for Munster, given that through my personal connections these were the individuals I would most likely gain access to. While all of the sample had also played professionally for Ireland, given the current set-up of professionally rugby in Ireland, where players are contracted to either clubs or provincially, and then offered central contracts to play for Ireland, it is not possible to generalise the findings to an Irish context, as the individuals clubs or provinces may instigate different approaches towards the transition of players in retirement, and these approaches may impact on the effects of retirement on the individuals involved, as per the findings of Roberts (2010). Despite the lack of quantitative data, the data derived from the interviews undertaken, was considered to be sufficient, as interviewing has been found to be one of the most effective techniques for gaining insight into another person’s experiences (Kvale 1983). As the purpose of this research was to delve into the experiences of former professional rugby union players on their transition into retirement, the use of the data derived from the interviews appeared to be a legitimate research method, which allowed for the enrichment and deepening of the body of knowledge on this matter, but not to generalise or make predictions (Strean, 1998). Additional qualitative research within sports psychology is gaining increased recognition, as researchers realise the potential benefits of same (Strean, 1998). “The interview consisted of a series of planned questions organised into a number of interrelated sections (Marthinus, 2007); • Beginning the interview. Introductory remarks and demographics. • Initiation (training) stage. • Maturity (performance) stage. • Anticipation (realisation of retirement) stage.
  • 42.
    42 | Pa g e • Interview conclusion. • Evaluation and summary”. Each participant was presented with an identical sequence of open-ended questions (Kvale, 1996) which were needed to stimulate an appropriate depth of disclosure. This is to ensure that responses from all interviewees will be equal in value in accordance with recommendations of Scanlan, Stein & Ravizza (1991). Should the interviewee not understand the question when asked, a clarification process was used to have the athlete repeat and clarify the idea mentioned. In addition, an elaboration process was used in the interview in order to fully understand what the interviewees have said, and to elicit further ideas. These predetermined general probes will be utilised to minimise bias by ensuring that all questions are answered in a similar manner. I personally interviewed all six interviewees to maximise consistency. No inducements were offered to the interviewees, and they were consistently reminded that they may withdraw at any stage and that their participation is voluntary. The questions are drawn from the 2007 research from Marthinus, “Psychological effects of retirement in elite athletes” and are detailed in appendix 1. The interviewees were given a brief detail of what the interview will entail, and how their data will be recorded and analysed. Interviews varied in duration from twenty five minutes to 1 hour and ten minutes, depending on the openness of the individuals involved to speak on the various subjects. Five of the interviews were carried out face to face, while one was carried out over the phone, due to work commitments in that individuals life, however several studies have shown that self-disclosure and interview responses do not vary between telephone and face to face interviews (Bermack, 1989). Prior, to the interview, all participants were reminded that the process is voluntarily, and that they may withdraw at any stage. They were also reminded that they can stop the interview at any stage and remove their data at any stage up to final submission. They confidential nature of the interview was also revisited at this time. The interviews were voice-recorded, and transcribed immediately by me verbatim. This analysis of one interview before beginning any further one, increased my familiarity with the data, and allowed me to probe relevant themes in subsequent interviews. This allowed me to test emerging ideas with the interviewees, what qualitative theorists have referred to as “participant checking” (Lincoln & Guba, 1985, Rose & Jevne, 1983). All of the participants in the interviews were asked to complete the questionnaire SCTQ II, of which five of the six returned same. One other retired professional rugby union player also completed the questionnaire, though it did not prove possible to interview him for the project. While we did have
  • 43.
    43 | Pa g e complete representation from the target population with the questionnaires, which is deemed crucial for inferences to the whole target population, the insufficient sample size, 6 out of 140 estimated (there were approximately 140 retired professional rugby union players in Ireland in 2011, according to Jackman (2011)) is a validity limiting factor and as such no quantitative analysis can be carried out on same (Slavec and Dmovsek, 2012). These questionnaires will be drawn upon, to not only provide demographic information on the participants, but to add to, and confirm the open-ended qualitative data gathered. Trends which become apparent from analysis of the questionnaires are used to compliment the findings of the qualitative element of the research. Given the personal nature of this topic, confidentiality is the main ethical issue. With all of the participants having a high public profile, they will be identified by participant number only and interviews and personal information which may help in identifying them has been redacted from this report. “In addition, following the observations of Easterby-Smith, Thorpe and Lowe (1991) the researcher had, and continues to have, control and ownership of data and will continue to exercise due ethical responsibility by not publicising or circulating any information that is likely to harm the interests of participants” (Price, 2007). The recordings from interviews and the completed questionnaires will be securely stored by myself, and destroyed by deletion from digital format and cross shredding respectively, once the report has been accepted.
  • 44.
    44 | Pa g e TABLE 6: DEMOGRAPHIC INFORMATION OF INTERVIEWEES AND QUESTIONNAIRE RESPONDENTS. PARTICIPANT 1 PARTICIPANT 2 PARTICIPANT 3 PARTICIPANT 4 PARTICIPANT 5 PARTICIPANT 6 PARTICIPANT 7 Interviewed Yes Yes Yes Yes Yes Yes No Questionnaire completed Yes Yes Yes Yes No Yes Yes Current Age range 30-35 36-40 45-50 30-35 36-40 36-40 36-40 Length of professional career 10 - 15 years 10- 15 years 6 - 10years 10 – 15 years 10 -15 years 15 - 20 years 10 - 15 years Reason for retirement Voluntary- just felt it was time Involuntary – injury Voluntary Involuntary – injury Involuntary – injury Voluntary - age Voluntary Age when you started to consider retiring 30 - 35 30 -35 30 - 35 30 - 35 36 - 40 30 - 35 Length of time since retirement Less than 1 year Greater than 1 year – less than 5 years Between 10 and 15 years Greater than 1 year – less than 5 years Between 5 and 10 years Greater than 1 year – less than 5 years Between 5 and 10 years Levels played at Munster/Ireland Munster/Ireland Munster/Ireland Munster/Ireland Munster/Ireland Munster/Ireland Munster/Ireland Highest grade of competition played in Rugby world cup Rugby world cup / International touring side Rugby world cup / International touring side Rugby world cup / International touring side Rugby world cup / International touring side Rugby world cup / International touring side Rugby world cup Marital status Married/living together Married/living together Married/living together Married/living together Married/living together Married/living together Married/living together Current occupation Financial industry Self-employed business man Self-employed business man Self-employed business man Rugby related Self – employed Financial industry Highest level of completed education Third level Secondary school Secondary school Third level Third level Third level Third level
  • 45.
    45 | Pa g e CHAPTER 4 – RESULTS AND FINDINGS This chapter details the findings from the data collected, and includes tables, figures and quotes from interviews. The findings of the interviews and questionnaires completed by the participants, highlights that all of participants have either moderately successfully to very successfully adjusted to their post sports life. The questionnaire results on the topic were as follows; TABLE 7: DEMOGRAPHICS AND PARTICIPANTS ADJUSTMENT TO POST SPORT LIFE However, it is noted that when asked how long it had taken them to adjust to the new demands and social roles outside of professional rugby, the questionnaires revealed; the participant who played rugby at a senior level prior to professionalism, who had the shortest professional career, and who was retired the longest, adjusted within 0-2 months, the shortest time recorded; while those whose careers were those of full time professionals from Current age range Age at retirement Age at which he considered retiring? Length of time since retirement How did you cope with the adjustment to post sport life? How satisfied are you with your post sport life? Participant 1 30-35 30 - 35 34 Less than 1 year Moderately successfully Satisfied Participant 2 36-40 30 - 35 35 Greater than 1 year – less than 2 years Successfully Above average level of satisfaction Participant 3 45-50 36 - 40 33 Between 10 and 15 years Very successfully Very satisfied Participant 4 30-35 30 - 35 31 Greater than 1 year – less than 2 years Very successfully Very satisfied Participant 5 36-40 30 - 35 Between 5 and 10 years Participant 6 36-40 36 - 40 37 Greater than 1 year – less than 2 years Successfully Above average level of satisfaction Participant 7 36-40 30 - 35 30 Between 5 and 10 years Moderately successfully Satisfied
  • 46.
    46 | Pa g e commencement, took from 3 to 6 months (for two individuals), to 1 -3 years (one participant) to adjust. Two participants, who have retired within the last two years, recorded having not yet completely adjusted. TABLE 8: TRANSITION PERIOD AND GENERAL ATTITUDE TOWARDS RETIREMENT Current Age Range Age at retirement Age at which he considered retiring? Length of time since retirement How long did it take before you felt completely adjusted to the new demands and social roles outside professional rugby? How would you describe your general attitude towards retirement? Participant 1 30-35 30 - 35 30-35 Less than 1 year Not yet completely adjusted Neutral Participant 2 36-40 30 - 35 30-35 Greater than 1 year – less than 5 years Not yet completely adjusted Positive Participant 3 45-50 36 - 40 30-35 Between 10 and 15 years 0 -2 months Positive Participant 4 30-35 30 - 35 30 - 35 Greater than 1 year – less than 5 years 3 – 6 months Very positive Participant 5 36-40 30 - 35 Between 5 and 10 years Participant 6 36-40 36 - 40 36 - 40 Greater than 1 year – less than 5 years 3 – 6 months Positive Participant 7 36-40 30 - 35 30 - 35 Between 5 and 10 years 1 -3 years Neutral
  • 47.
    47 | Pa g e Building on these findings, comments from interviews concerning whether or not there were any unresolved feelings, emotions about retirement, produced a somewhat mixed reaction, with the negatives stemming from the handling of injuries both prior to and after retirement, as well as the treatment of retired players by the province post retirement; Participant 1 “Within the game, yeah …..I think there is a new batch of guys coming out of it that have just been professional all their life …. I have noticed that a lot of guys are leaving the game with a bit of bitterness and animosity towards the organisation because of the way things have finished which is pretty sad.” Participant 2 “on reflection……. and a bit of prospective I don’t think that my injury was handled with the best way possible”. Participant 3 “I was ready to run out the garden”. Participant 4 “Not really, no, no I am fine with it, I am completely fine with it. I would have loved to have played a bit longer…..I am very happy for all the time I had”. Participant 5 “delighted I retired.” Participant 6 “I walked out of there as happy as anything”. NOTE: ON TABLES BELOW (P1) = Participant 1, (P2) = Participant 2, (P3) = Participant 3, (P4) = Participant 4, (P5) = Participant 5, (P6) = Participant 6, (P7) = Participant 7 TABLE 9: AGE AT WHICH PARTICIPANT CONSIDERED RETIREMENT AND THEIR ADJUSTMENT AND SATISFACTION WITH POST SPORTS LIFE Current Age Range Age at retirement Age at which he considered retiring? Reason for retirement How did you cope with the adjustment to post sport life? How satisfied are you with your post sport life? P1 30-35 30 - 35 30-35 Voluntary – just felt it was time Moderately successfully Satisfied P2 36-40 30 - 35 30-35 Involuntary - injury Successfully Above average level of satisfaction P3 45-50 36 - 40 30-35 Voluntary Very successfully Very satisfied P4 30-35 30 - 35 30 - 35 Involuntary - injury Very successfully Very satisfied P5 36-40 30 - 35 Involuntary injury P6 36-40 36 - 40 36 - 40 Voluntary - age Successfully Above average level of satisfaction P7 36-40 30 - 35 30 - 35 Voluntary Moderately successfully Satisfied
  • 48.
    48 | Pa g e 4.1 FINDINGS ON THE INFLUENCES THAT EFFECT CAREER TRANSITIONS To examine why the career transitions for participants appears to have been successful we will look at the five influences according to Crook and Robertson, (1991) that affect career transitions; 1. Anticipatory socialisation. The survey findings in relation to the preparation by the participants for retirement and their influences on the decision to end their sports careers, noted the following; It would appear from the statistics of the age of retirement and the age when the participants considered retiring, there was a lack of pre-retirement planning on behalf of all of the participants, with three of the six participants who completed the questionnaire only contemplating same in the final year of their career. TABLE 10: GRADUALNESS OF CAREER TERMINATION AND FINANCIAL DEPENDENCE ON PROFESSIONAL RUGBY Age at retirement Age at which he considered retiring? Reason for retirement? Did the end of your professional sports career come about gradually? Have you earned enough in sport to ensure yourself a comfortable post- sport life? To what extent did you depend on sport financially at the end of your career? P1 30 - 35 30-35 Voluntary – just felt it was time Slightly abruptly No Completely P2 30 - 35 30-35 Involuntary - injury Abruptly No Completely P3 36 - 40 30-35 Voluntary Gradually No Below average P4 30 - 35 30 - 35 Involuntary - injury Gradually Yes Average P5 30 - 35 Involuntary injury P6 36 - 40 36 - 40 Voluntary - age Gradually Yes Above average P7 30 - 35 30 - 35 Voluntary Abruptly No Average
  • 49.
    49 | Pa g e It is perhaps surprising that so little time was given by participants to contemplating retirement given; • All participants were over 30 when they retired; • Only three retired due to injury; • Three participants said that the end of their retirement career came about gradually; • Four of the participants said that they had not earned enough in sport to ensure a comfortable post- sports life for themselves; and • That only one participant was not dependent averagely or above on sport financially at the end of their career. Given that all six participants who completed the questionnaire, registered their adjustment to post sports life from either moderately successful to very successful, appears to contradict the research which found that “pre-retirement planning of post-sports life broadly influences the quality of adaptation to life following a competitive sports career “(Coakley, 1983; Pearson and Petitaspas, 1990; Stambulova, 1994; Cecic Erpic, Wylleman and Zupancic, 2004). One notable statistics from the demographic was that five of the seven engaged in further education during their professional careers (all were part time students) and that of the two who did not partake in education, one was the individual who had played at a senior level prior to professionalism, and the other person had decided from an early age that he wished to remain in rugby through coaching. The personal development that further education brought may have played a part in the successful transition for the individuals. Only one of the six who completed the questionnaire (and who rated his post sports life as satisfactory – the lowest grade recorded) did not have some activity to get involved in immediately after his retirement, with five of the seven individuals embarking upon self-employed careers, based on them trying to use their “public profile” to develop same. Examining the interviews on the reluctance of the participants to engage in pre-retirement planning indicated that there was a marked resistance to entertain the idea, stemming from; • a personal fear of contemplating not being able to play the sport they had dedicated their lives to; • that to contemplate the idea was to acknowledge a weakness; • that the sport did not allow weakness; • to the notion that their province required them to focus solely on delivering in a rugby context, and that thoughts beyond a life in rugby were a “distraction”.
  • 50.
    50 | Pa g e Participant 1 “I think there was a certain part of me that did not want to admit that it was coming you know. I think I immersed myself in IRUPA and I did help a lot of guys who were heading that way and I never, I suppose I never took the time to do it for myself funnily enough and you know I look back on it now and I was probably thinking that it would stay going forever you know. ..I think there was subconsciously maybe that I didn’t want to admit it and that’s kind of the hard thing about it I suppose is that you kind of, I should’ve given myself more time while I was playing and ah part of you then was thinking Jesus did I give too much to rugby and not enough for myself”. Participant 2 “I never contemplated retiring until I was injured but in terms of making a decision …. obviously you are always contemplating retirement. It’s the fear at the back of everyone’s heads whose playing because you are doing everything in your power during your career that you don’t have to retire early, that you don’t retire early, that you have a contract or that you don’t pick up an injury so everything is done with a view to not retiring so actually having to make that decision in the middle of trying to come back to retire you know that was a total mind change”. Participant 3 “Am, I knew 12 months before I retired that I was going to retire at the end of the, you know, I planned myself well, I played another 12 months and that was it”. Participant 4 “you don’t want to entertain the idea of having to retire because it maybe is that you are almost entertaining losing or entertaining like what if I don’t win…. And eventually I just had to, I sat down with my mate and we just considered well look if it doesn’t come right this is what’s going to happen, well look that is the worst case scenario so then let’s get on with the fxcking thing so, you know let’s get it right”. Participant 5 (who did not complete the questionnaire) – comments on being open to planning for retirement; - “what I would say is that a lot of people… don’t have a kind of an overall kind of a balance in their life and it is just literally rugby, rugby and you know they become very successful but it is one extreme to the other and they never see it happening and that is where you see a lot of fellas playing on later and later and older and older and they are absolutely crocked and the whole lot. But they are afraid of their life to actually retire. Whereas I knew that you know from 26, 27 around that age I said right ok I have this now for another few years I will make the most of it but I know then I am going to do something else different you know. The realisation and I just knew that right I had it for a certain amount of time.” Participant 6 comments on his attitude towards preparing for retirement, and also how professionalism and the demand for results that this brings, may mean that while the provinces might wish for players to be prepared for life after rugby, that this comes after delivering for the province during their career; “for a long time because you don’t want to think about it and you are not allowed think about it or just whatever. Like it is kind of you know you are just playing like and all you want to see is the next thing like you just don’t
  • 51.
    51 | Pa g e think about it and that is what is dangerous about it, that if you haven’t something before that takes over like you just don’t know like”. And when you say you weren’t allowed to think about it was … but is it part of the psychology of it is that no negative thoughts? “This is it like yeah. There is definitely a feeling there that anything like that is a little bit of a distraction now that’s coming like that you are looking at another option like”. “And there is definitely, there would definitely be a kind of a, whatever is the word from the management, maybe even other players, players can be saying to themselves, Jesus he is not, he has got one eye on something else… that if they hear that if someone is doing a course or someone is setting up a business or getting involved with some partnership or something they kind of see it as ..As a distraction and they kind of wonder is he really distracted, is he really 100% focused, committed here now anymore”. Commenting on how some of the younger players may view retirement, and how with age the reality of same dawns – Participant number four says “you don’t think about it otherwise you know. Like they mention it to you but it is the same for every young player, you think you are bullet proof and you never think you are going to have to retire and at the end of every year one of the lads gets up and you know he makes a speech and it’s a fxcking hugely emotional thing for him and for his team mates. If he is 33 or 34 then there is team mates that played with him for 10 years, it is really tough for them as well. Young fellas who are in the squad and they just see them and go yeah, yeah that guy is retired, what is the big deal but they will be there in a few years hopefully as well you know. That’s just the way. That is the cycle of sport”. Participant number six commented on how with age comes a realisation that retirement is an approaching reality which requires some planning, yet for the younger players it would appear to be a notion not on their horizon;. “we are meeting Hamish from IRUPA and you would be going, oh for fxcks sake like …. Hamish would be looking down at the young fella and he is there saying I have no more interest in what you are saying. Now he is 24, he has just been picked and he has no fxcking interest whatsoever….. But Hamish would know then that if he looked down he might see an older fella who is 31 or 32 who would be listening like because at that stage there is some bit of a realisation coming like you know”. This would support the earlier mentioned theme from Torregrosa, Boixados, Sánchez and Cruz (2004) in that “that younger athletes and those viewing retirement as distant, tend to avoid planning prior to their retirement and that job choice gained importance as the sporting career progressed”.
  • 52.
    52 | Pa g e 2. Identity and self-esteem. While all respondents expressed an average or strong identification as an athlete during their sports career, which from previous research, such as by Cecic-Erpic (2001), would indicate that they were most likely to experience negative emotions during the career transition process, my research findings were that in the main the respondents transitioned favourably, and recorded only marginal problems (detailed later under the heading “Difficulties experienced by retired professional rugby union players”) in relation to associated negatives, which are said to include; • Negative emotions; • Lack of self-esteem; • Lack of self-control; • Lack of self-respect; • Anxiety over an uncertain future; • Lack of competence in non-sport activities, such as education, occupation and family life; • Difficulties organising post-sport life; and • Slow adaptation to social and emotional aspects of life (Cecic-Erpic, 2001). The findings in relation to this aspect, point to participants having developed the important life skills which they require to effectively transition into retirement. This may stem from the age when they became professional, with all of them being over twenty when turning professional, as well as their educational status, with all having completed secondary school prior to turning professional, and with some even having a third level education. Coupled with this, and as mentioned already, five of the participants engaged in education during the course of their career, which may have equipped them to better cope with the challenges of a career outside sport. Five of the six participants who completed the questionnaire, had either somewhat or mostly achieved their career goals which is also seen as positive in transitioning effectively. While five of the six questionnaire respondents confirmed that they still enjoy a public reputation because of their sports career, only one of the seven participants is still actively involved in rugby, with all of the rest having permanently withdrawn from rugby. Of the six respondents who completed the questionnaire, none of them replied above neutral to the question, “how important is the role of a former professional rugby player to you?”, with two rating it as very unimportant and two as not very important, which again might illustrate another positive influence on an effective retirement transition, as their athletic identities are less prominent, and they seek new challenges in life.
  • 53.
    53 | Pa g e TABLE 11: ATHLETIC IDENTITY, SPORTS RELATED GOALS AND LIFE During your sports career, did you see yourself mostly as an athlete? During your sports career, was sport the most important aspect of your life? Reason for retirement? Have you achieved all of your sports related goals? To what extent did you miss sport and the lifestyle of an athlete after your career ended? Did you feel after a while that you missed sport, when you thought about your sports career, achievements, and the people from the world of sport? P1 Higher than average Moderately important Voluntary – just felt it was time Not at all. Neutral No P2 Higher than average Moderately important Involuntary - injury Somewhat Neutral No P3 Average Below average importance Voluntary Somewhat Not at all Yes P4 Higher than average Extremely important Involuntary - injury Most goals achieved A lot Yes P5 Involuntary injury P6 Higher than average Of average importance Voluntary - age Most goals achieved Slightly Yes P7 Average Extremely important Voluntary Most goals achieved Slightly No Participant 1 “I got involved in a charity and in, you know it’s great for me I suppose to have something else outside of it and especially with the charity side of things… it’s a huge personal satisfaction from helping people and you also make connections in business and learn a bit about the world outside of rugby as well which is valuable for you when you do leave the rugby fraternity you know”. Participant 2 “I suppose now it is business you know I from a day to day have obviously stepped away from rugby and for whatever my business interests I am trying to use whatever profile I have from rugby to you know transfer to those….Yeah, I don’t want to be known as an ex rugby player. I want to be known for something else now”. Participant 4 “So some people will too closely link the sport with their own identity and when they no longer play the sport they feel like who the fxck am I anymore you know. And that didn’t happen me because I have a good group of mates and I have a good group of friends and ah even in fairness with a lot of the lads like I play with Munster we all see the value in each other beyond playing sport and that is a good thing as well….I would say, lads there is nothing to fear about retirement because when you turn the work ethic that you have from rugby and you apply that in the real world you just fxcking blow people away you
  • 54.
    54 | Pa g e know” – a comment that would not have been lost in the research from Petitpas et al. (1997) in their findings that those athletes who were successful in learning important life-skills from their participation view themselves not just as talented athletes but also as talented people; that they have transposed their sport success into life success. A recurring theme from all participants, was that they had neglected to a degree other important aspects of their lives that were not related to sport and that they had missed important events and activities due to same, there was an acceptance on their behalf that this was required for their role. Participant 4 “ No, I don’t have anything to complain over I think it’s, the sport has always been good for me and I enjoyed it”. Participant 6 “ No there would have been friends of mine that I didn’t get to go to a wedding because we were away on tour, there might have been something like that but there is no way I would have changed any of it anyway. There are people working in any other type of a job and they could have missed the wedding or something as well like”. One participant commented in relation to trying to distance himself from his athletic identity; Participant 6 “There might be a young fella who is 6 and he won’t recognise you, you know and that can hurt more than anything else like…. I haven’t been to a Munster training session since I finished because I don’t want to be there like. But like if you go around hanging around UL or where ever the boys are training, what are you hanging there for like are you trying to still say I am part of this like because you are not. Do you want people to recognise you they might because you are in the vicinity of that, and they say Jesus there is your man who used to play - but like what’s that for like that’s no good to anyone like”.
  • 55.
    55 | Pa g e 3. Personal management skills. All of the participants expressed similar statistics in relation the number and duration of training sessions during the height of their professional sports career – approximately nine per week for 90 minutes each. However, in delving into these statistics through the interviews, it would appear that these times accounted for just the physical aspect of training. As the game has evolved in the professional era, coaches and managers have increased control over the daily routine of the players, with an enormous amount of time and effort expected of the players on a daily basis in relation to analysis and tactics. This increased management of the athlete’s daily routines, behaviours and decision making by coaches is thought to infringe on the athletes developing their own personal management skills, to the detriment of their transition out of professional sports. Participant 2 “you are institutionalised your time is not your own so you go along where ever the bubble is going and other things have to take a back seat…..when you step out of it, it seems that way. When you are in there no it doesn’t because you are happy to be in there. …. It’s a safety bubble as well you know so it is hard for people to access you and you are happy with that and it is kinda needed as well”. One participant was quite vocal in saying that he was of the belief that this “control” had increased over the years since he had turned professional, and that this “control” also caused issues for players in trying to develop careers post – retirement, as the distraction of education or possible establishing one’s own business etc. could be seen as an lack of focus on behalf of the player (see Participant’s 6 comments under the results heading “Anticipatory socialisation” ). Participant 6 “So it is nonstop now and that is increased beyond measure from when we started as professionals and we thought we were in 97 to what it is now…..They are beginning to think there, distracted is nearly the word for it, that he is going to college now or he is doing that course or like I said he is setting up a business.”
  • 56.
    56 | Pa g e 4. Social support systems. The support of family and friends is highlighted as a factor in minimising the disruption that the retirement transition brings. The results of the questionnaire highlighted that one’s partner or spouse offered the most support post retirement, with the player’s parents next most supportive, with little or no support registered from other family members, teammates, friends, provincial club, coaching staff, IRFU or sports psychologist. It would appear however that there may be reluctance on the participants to ask for support in this regard; Participant 6 – “I didn’t need it ….I think even the other fellas would have known… they knew that I was that kind of a fella that they didn’t have to worry about me or anything like that”. The findings of the questionnaire and the interviews highlighted the close personal bond that most of the players developed with their team mates over their career, and these friendships amongst individuals who would go through the same transition were helpful to most in dealing with any negative effects from same. Friendship rated the highest on the scale of the “most important things you gained from your sports career”. Partner rated with all questionnaire participants, in relation to somebody who they felt they could turn to if they were having a hard or stressful time post retirement, with close friends also figuring prominently. While all participants rated that they had someone to turn to, the use of professional help did not rate highly. There was only one reference to the use of a professional, which was the use of a sports psychologist, and none of the following were rated; • Counsellor/therapist • Coach • Physician • Other sports-related expert
  • 57.
    57 | Pa g e TABLE 12: IMPORTANT THINGS YOU GAINED FROM YOUR SPORTS CAREER AND INDIVIDUALS WHO OFFER SUPPORT AFTER RETIREMENT Important things you gained from your sports career? Participant 1 Participant 2 Participant 3 Participant 4 Participant 6 Participant 7 Most Friendship Financial Friendships Work ethic Friendship Achievement – using a specific talent 2 nd most Financial Opportunities and contacts Fame Friendships Financial 3 rd most Fitness Friendship Financial Financial Fitness 4 th most Fame Fame Fitness Fitness Fame 5 th most Fitness Fame If you were having a hard and stressful time after retirement, who, if anybody, would you turn to for help? (Choices are not ranked in any particular order) Participant 1 Participant 2 Participant 3 Participant 4 Participant 6 Participant 7 Partner Partner Partner Sports psychologist Parents Partner Siblings Siblings Parents Partner Close friends Close friends Partner Close friends Close friends Participant 1 “Yeah, yeah I mean I have a lot of teammates that I would be very close to and we would talk about very personal things …. I think the support of the guys, I think I am very lucky at the moment because a lot of my generation has retired in the previous four or five years. A couple have retired XXXX with me and ah there will be a few more XXXX I would say or the year after so ah we are a kinda group who have done everything more or less together. We all sort of joined together, we all got married together, we had kids together and we are all starting to retire around the same time so that support network that is there amongst ourselves is invaluable really…..I think it’s not something that rugby players would be into anyway you know, sitting down formally with someone I think is a very hard thing to get a rugby player to do so I think from that side of things we are kind of our own support network in the sense”. Participant 4 “It’s more social as well you know, like when you, if you ask most of the lads when they retire they all say they miss the craic of being in the dressing room with the lads and play and all that sort of stuff you know…. And you get to do a job you know for close on 10 years and you make so many real good friends from it and that is something that is brilliant about playing professional rugby, you make so many friends and they are friends for life you know… If lads come from a solid background, have a good social support structure, family and friends and ah you know that’s the rock and then you go forward and you can venture out and you can rip into sport”.
  • 58.
    58 | Pa g e Participant 6 “I just what I like about it than other sports, I loved the craic, the camaraderie, the team. … Fellas were friends, like I am friends with those fellas they were not just team mates they are friends like and that’s the difference like. You are not just a bunch of fellas brought together to be a team, we ended up together and we are all, and that is why we played better I think”. While the questionnaire did highlight that most participants had an above average number of friends from the world of sport during their professional career, comments made during the interviews highlighted the importance of one’s friends from outside sport in offering support to the players; Participant 4 “I am lucky … my friends from when I was a kid who none of them play rugby but they all supported me playing rugby but they knew me before I played rugby for Munster or Ireland and they just knew me as XXX and it didn’t matter whether I was playing rugby or not. It was really good to have that kind of ah that support, that social support structure around you”.
  • 59.
    59 | Pa g e 5. Voluntary versus involuntary retirement. In examining the reasons for retirement as outlined by the respondents to the questionnaire, the most two most prominent appear to be injury and age. The participant, who did not complete the questionnaire, outlined that he retired involuntarily due to injury. TABLE 13: INFLUENCES ON YOUR DECISION TO END YOUR PROFESSIONAL SPORTS CAREER Influences on your decision to end your professional sports career Participant 1 Participant 2 Participant 3 Participant 4 Participant 6 Participant 7 Strongest Grew tired of lifestyle Injury Age Injury Age The contract I was offered 2 nd strongest I wasn’t being selected My body My age Unsatisfactory performance My age 3 rd strongest Commitment to family Being injured all the time. Was afraid that I’d end up hating the sport I’d loved my whole life Grew tired of life as a professional. The way I felt physically. Did you have any doubts about your decision to end your professional sports career? Some None at all None at all Neutral None at all Some Reason for retirement Voluntary – just felt it was time Involuntary – injury Voluntary Involuntary – injury Voluntary – age Voluntary Did the end of your career come about gradually? Slightly abruptly Abruptly Gradually Gradually Gradually Abruptly How did you cope with the adjustment to post sport life? Moderately successful Successfully Very successfully Very successfully Successfully Moderately successfully Length of time since retirement Less than 1 year Greater than 1 year – less than 5 years Between 10 and 15 years Greater than 1 year – less than 5 years Greater than 1 year – less than 5 years Between 5 and ten years How long did it take before you felt completely adjusted to the new demands and social roles outside professional rugby? Not yet completely adjusted Not yet completely adjusted 0 - 2 months 3 - 6 months 3 – 6 months 1 – 3 years Research outlined earlier, has identified that retirement due to injury is prevalent in the sport of professional rugby union. When looking at the findings from the questionnaires and the interviews, in relation to the individuals who retired outlining injury as the main cause, they have all registered satisfaction with their retirement transition. The research in relation to the effect on transitions due to career ending injuries,
  • 60.
    60 | Pa g e highlights possible outcomes such as “identity crises, social withdrawal, fear, anxiety, and loss of self- esteem” (Elkin,1981; Rotella and Heyman,1986). While there were recordings of marginal issues with self- esteem and anxiety in the questionnaire, they were not hugely significant. In the case of the three individuals in the sample who retired due to injury, the individual who has not yet completed adjusted to retirement, was the only one whose injury lead to an abrupt cessation (Participant 2) of his career, while the other two had on-going injuries which eventually curtailed their careers, which may indicate that the abruptness of the career termination may affect the retirement transition process. Participant 2 “from now and a bit of prospective I don’t think that my injury was handled with the best way possible….I think probably, in some ways it was handled poorly in terms of my rehabilitation with XXXX. ….Am, not really because I think, well I am hoping that I made the right decision I think if I tried to go back anyway it wouldn’t have been successful and I would be in a worse position now”. Participant 4 “The main thing is keep yourself right mentally and physically and if you can’t keep going….. Not really, no, no I am fine with it, I am completely fine with it. I would have loved to have played a bit longer, you know I still feel sometimes when I am training now I go XXX it would be good to get back but I know that the last 2 years of my career were mentally very, very hard on me because I was working my bxllocks off and getting nowhere with my injury you know… I spent 2 years working my bxllocks off and getting nothing out of the sport what I felt was nothing, I thought I had to retire, I was bitter at the sport and suddenly out of nowhere I got another 5 or 6 weeks playing for Ireland, playing with my team mates and you know I said I am after getting that now and I am not going to finish like fxcking angry at the sport, I am very happy for all the time I had”. In looking at age as an influence on the decision of some of the participants to retire, the two who counted it as the strongest influence on them, retired the oldest, with both being over 35 years of age. Their successful transitions may in part stem from the control that they were able to exert over their own fate. The findings from the interviews highlight that a decrease in motivation was evident in one individual, while a change in values and priorities was prominent in both. Participant 3 “No, I think the reason I decided or started to think about giving up was because my body was telling me. ….My body would have told me alright, you know that you are coming to an end because physically and I suppose mentally as well…..It would have because like I had decided a year, maybe a year and half before I finished that I was going to open the business so..”. Participant 6 “leaving on a Thursday, flying over, landing in Bristol or Cardiff or something, getting a bus down, staying in the hotel, go play the game Friday and travel home then that night back into Shannon at 1 o’clock in the morning back here at 2 you know the novelty wore off…. Because I knew I was finishing, I
  • 61.
    61 | Pa g e knew tonight was my last time I was ever going to play whereas other players don’t know that, they could be playing today at 25 like and next thing fxck up their knee like and that is it they might never play again but they didn’t know that at the time . I was like the fella I suppose on death row or something I knew my time was coming and that was it”. The final two participants bowed out on completely voluntary, with one stating that the main reason was that he was tired of the lifestyle and the other not satisfied with the contract that he was offered. The control exert by these individuals over their retirement decision is said to aid the ease of transition, which may in some way explain their successful adjustment to a non-sporting role. Three of the participants in the questionnaire had no doubts about the decision to end their rugby career, with two expressing some doubts and one being neutral on the subject.
  • 62.
    62 | Pa g e 4.2 DIFFICULTIES EXPERIENCED BY RETIRED PROFESSIONAL RUGBY UNION PLAYERS The participants in the questionnaire highlight two emotional states which figure strongly in their experience post retirement, sadness which is experienced frequently by four of the six participants, and relief which is experienced by all participants. TABLE 14: EMOTIONAL STATES EXPERIENCED POST RETIREMENT Participant 1 Participant 2 Participant 3 Participant 4 Participant 6 Participant 7 Dissatisfaction Occasionally Very little Not at all Not at all Not at all Very little Inability to reconcile myself with the end of my professional career Not at all Very little Not at all Not at all Not at all Neutral Sadness Frequently Frequently Frequently Frequently Not at all Very little Fear of an uncertain future Frequently Neutral Not at all Very little Not at all Frequently Relief Frequently Very little Frequently Very little Frequently Very little The retirement transitions as noted by the participants in both the questionnaires and interviews have ranged from either moderately successfully to very successfully in their adjusted to their post sports life. However in delving deeper into the issue, problems were encountered by the participants. In looking at the problems experienced by the athletes after retirement, the most striking issues, include; Psychological and psychosocial level: • The loss of the social aspect of rugby, with all participants noting problems with missing friends from sport, and the majority noting a problem in missing social activities related to rugby, as well as missing the lifestyle of a rugby player – social and cultural loneliness , in concurrence with the findings of Botterill (1988) . • There are also slight problems noted in establishing social contacts – problems with building new relationships outside of sports. As was found by Cecic´ Erpicˇ, (1998) and Mihovilovic, (1968). • Recorded slight problems in relation to feelings of unaccomplished athletic goals. Congruent to the findings of Cecic´ Erpicˇ (1998) and Werthner and Orlick (1986).
  • 63.
    63 | Pa g e • The loss of status as a public figure and the loss of public admiration is noted by three individuals, as being slightly problematic, together with slight problems in relation to lowered self-confidence and self-worth – identity crisis - as also found by Baillie and Danish, 1992; Crook and Robertson, 1991; Pearson and Petitpas, 1990 . Physical level: • Five of the six interview participants recorded health issues post retirement. It is apparent that the fifth participant who did not complete the questionnaire, also suffered from health issues post retirement, which mirrors the findings of Svoboda and Vanek, (1982) and Werthner and Orlick (1986). • There were no pronounced findings in relation to detraining or weight problems. Occupational level: This level was quite problematic for most of the participants. Issues included; • Financial difficulties – which affected five of the six questionnaire participants; • Problems finding a job – affecting four of the six; • Lack of professional knowledge – affecting five of the six; and • Difficulty in planning one’s future - affecting four of the six.
  • 64.
    64 | Pa g e TABLE 15: PROBLEMS EXPERIENCED POST RETIREMENT AND THEIR DEGREE OF SEVERITY Participant 1 Participant 2 Participant 3 Participant 4 Participant 6 Participant 7 How did you cope with the adjustment to post sport life? Moderately successfully Successfully Very successfully Very successfully Successfully Moderately successfully How satisfied are you with your post sports life? Satisfied Above average level of satisfaction Very satisfied Very satisfied Above average level of satisfaction Satisfied Indicate the magnitude of each problem as it applied to you after the end of your sports career- Health problems Not problematic Problematic Slightly problematic Highly problematic Slightly problematic Slightly problematic Detraining difficulties Not problematic Not problematic Not problematic Not problematic Slightly problematic Slightly problematic Weight problems Not problematic Not problematic Not problematic Not problematic Slightly problematic Problematic Alcohol abuse Not problematic Slightly problematic Not problematic Not problematic Not problematic Slightly problematic Drug abuse Not problematic Not problematic Not problematic Not problematic Not problematic Not problematic Missing friends from world of sport Slightly problematic Problematic Problematic Problematic Highly problematic Problematic Missing sports related social activities Problematic Problematic Problematic Highly problematic Slightly problematic Not problematic Difficulties in establishing social contacts Slightly problematic Slightly problematic Not problematic Slightly problematic Slightly problematic Not problematic Missing the lifestyle of an athlete Problematic Slightly problematic Problematic Highly problematic Problematic Not problematic Feelings of underachievement in sport-related goals Not problematic Slightly problematic Not problematic Slightly problematic Slightly problematic Problematic Loss of status as public figure Slightly problematic Not problematic Not problematic Slightly problematic Slightly problematic Not problematic Loss of public admiration Slightly problematic Not problematic Not problematic Slightly problematic Slightly problematic Not problematic Financial difficulties Slightly problematic Slightly problematic Not problematic Slightly problematic Slightly problematic Slightly problematic Problem with finding a job Highly problematic Not problematic Not problematic Slightly problematic Slightly problematic Slightly problematic Difficulties with adjustment to regular school/study Problematic Not problematic Not problematic Slightly problematic Slightly problematic Not problematic Feelings of incompetence in activities other than sport Problematic Slightly problematic Not problematic Not problematic Slightly problematic Slightly problematic Lack of professional knowledge Problematic Slightly problematic Not problematic Slightly problematic Slightly problematic Highly problematic
  • 65.
    65 | Pa g e Participant 1 Participant 2 Participant 3 Participant 4 Participant 6 Participant 7 Work/school/study pressure Problematic Not problematic Not problematic Slightly problematic Slightly problematic Not problematic Difficulties with planning one’s future Problematic Not problematic Not problematic Slightly problematic Slightly problematic Slightly problematic Lowered self confidence Problematic Not problematic Not problematic Not problematic Slightly problematic Slightly problematic Lowered self-worth Problematic Not problematic Not problematic Not problematic Slightly problematic Slightly problematic Lack of self-control Not problematic Not problematic Not problematic Not problematic Slightly problematic Slightly problematic Relationship difficulties with parents/family Slightly problematic Not problematic Not problematic Problematic Slightly problematic Not problematic Relationship difficulties with one’s partner Problematic Not problematic Not problematic Not problematic Slightly problematic Slightly problematic Relationship difficulties with one’s coach Not problematic Not problematic Not problematic Slightly problematic Slightly problematic Not problematic Relationship difficulties with one’s sports academy Not problematic Not problematic Not problematic Not problematic Slightly problematic Not problematic Relationship with one’s club Not problematic Not problematic Not problematic Not problematic Slightly problematic Not problematic Lower self esteem Problematic Not problematic Not problematic Slightly problematic Slightly problematic Slightly problematic Fear of an uncertain future Slightly problematic Not problematic Not problematic Slightly problematic Slightly problematic Highly problematic
  • 66.
    66 | Pa g e 4.3 FUTURE PLAYER ISSUES Through the interview process the players expressed a level of concern for the professional players of the future. In the main these circled around the development of these players outside of the game, such that they may be equipped for life post retirement. While there was acknowledgement that the setting up of IRUPA and the services it provides are a positive step for the welfare of players, there were still expressions of worry about what the future may hold for the players of today and the future; Participant 6; “like I said you will get a young fella who is good at rugby, he will be in school and he is thinking I want to play rugby or I am not going to bother or half bother with education like and he can’t stress enough that fellas have to have it…... You need I suppose there is a lot of onus on that as well that they will do it and I suppose you need the, you need the teams, the IRFU to put an emphasis on education as well, that they allow time for it even as you know, even for players that are, that have gone old or are getting towards the end of their career that they allow time in the week for education.” Participant four speaking about the rugby pathway in Munster, and how players are coming to the game professionally at a younger age; “Am, well yeah the pathway is changing all the time now and players would have come out and I suppose they probably needed to do a certain amount of physical development and a lot of players kind of go and serve a kind of apprentice then you know playing club rugby and trying to get onto their club team, when they get onto their club team then at least they are in the shop window then to get selected for Munster. The way it’s happening now, the way it is moving on is that the players are developing in school a lot quicker. And schools have strength and conditioning programmes put in place. Sometimes guys are coming straight out of school and they are ready to step in and play professional rugby straight away.” Participant four when asked about if players have to retire in their twenties; “you know if you are in your 30’s you have a little bit more life experience and you can handle retirement a bit better. …when players do have to retire young it is going to be a bit more difficult for them to… particularly lads who have to retire if they haven’t felt that they kind of realised their potential in the sport you know, if they feel like they had unfinished business and they can carry that for a while after they retire but” . Other issues made by participants echoed some of the issues raised in the popular press, about rugby moving away from its roots since turning professional, and that this movement has been to the detriment of the game, through its handling of the players. They suggest that the clubs and national governing bodies as employers, should adopt an increased onus of care for their employees, even beyond their playing days; Participant 1; “I still think it’s still a business and the IRFU interest in players after they finish is still fairly minimal and I think it is important to try and get back to the family way.. . I think you know it is still a
  • 67.
    67 | Pa g e business for them but I think we are very different to other businesses and you know when guys commit so much to a company, not just time but physically and mentally to a company like that you know there has to be more of a duty of care I think afterwards”.
  • 68.
    68 | Pa g e CHAPTER 5 - DISCUSSION AND CONCLUSION This chapter provides a critical evaluation of the research findings. It pulls together the research questions and objectives that were explored with the answers that were obtained through the analysis of the data and provides a commentary on these findings and identifies limitations of the study and makes suggestions for future research. 5.1 DISCUSSION Cecic´ Erpicˇ et al. (2004, p. 57) advocates that “the understanding of the sports career termination process, which incorporates both athletic and non-athletic aspects, provides a complex and multifaceted perspective of the course of athletic retirement and adaptation to post sports life”. Given the limitation in our research, through an insufficient sample size it is not possible to authoritatively state the factors which have given rise to the successful transitions of our participants. In examining the findings, it would appear that while in the main the participants were not overly proactive in planning for their retirement, and that some of the participants had to retire due to injury, or had an abrupt cessation of their career, which has been found to negatively affect the transition to retirement, elements of the other factors including voluntariness of career termination for some, subjective positive evaluation of athletic achievement, strong social support systems, and the development of a personal identity outside of their athletic one, by all, coupled with non-athletic factors, such as education, may have had led to the successful transitions of the participants with only slight problems being encountered. While the participant’s athletic identity was rated average or strong by them during their sports career, their success during their careers, which reduced any negatives that unachieved sports related goals may have visited, together with their pursuit of outside interests, through education and business interests, sees all individuals having progressed from this athletic persona. Their ability to distance themselves from their athletic identity may also have been beneficially affected by the relative youth of the professional game, which had allowed them to develop as individuals prior to becoming professional, a factor they have highlighted may lead to more serious issues for future players, who may not be afforded the same opportunity to develop outside of the game. The participants all noted strong social support systems, in the shape of partners, family, friends and team mates. All of the participants lived local to Limerick or its surrounds, so this was also of benefit in having
  • 69.
    69 | Pa g e these support systems in close proximity. The existence of these systems is said to ease the disruption caused by the retirement transition. One of the most problematic issues recorded by participants in retirement was the social aspect of rugby, with all participants noting problems with missing friends from sport, and the majority noting a problem in missing social activities related to the sport. Perhaps there is an opportunity for the provincial set up to address this problem through the setting up of a “Retired Munster Players” alumni, and organising events to honour them. The negative effects oft times caused by involuntary retirement, were mitigated in the main by the gradually transitions they endured. Two of the players who retired due to injury, had recurring injuries for considerable time before they had to retire, which allowed them to transition gradually. They had access to a sports psychologist during their rehab process which may also have been beneficial in the transition. Of the two individuals who retired due to age, their cessations were orchestrated by themselves, which may have afforded them a level of control over the process which has been found to ease the negative effects of transitions. It is noted that some of the most problematic issues faced by the participants revolved around occupation. The issues recorded included financial difficulties, problems finding a job, lack of professional knowledge and difficulty in planning one’s future. A more proactive approach to retirement may have helped solve these problems prior to them becoming issues for the participants. In examining the services which players thought might be useful after retirement, the following were considered by many to be useful, with many of them overlapping on the issues detailed in the last paragraph; • Help in finding a new career or area of interest; • Help in building your confidence in post sport – life; • Information on work and educational opportunities; • Financial counselling; • Assistance/guidance with medical and health care; and • Information on how other athletes have dealt with retirement. While it is noted, that these are all services now offered by IRUPA, perhaps mandating that players engage in planning for the retirement transition throughout their careers, might increase their effectiveness. To ensure that all players engage in same, throughout their career, perhaps a career development plan can be affected alongside the player’s athletic development plan, with penalties and bonuses attached to the completion of same. The endorsement of this by the provincial management team should be strengthened with increased flexibility from them, to allow players to undertake further education or to develop skills identified as necessary for post-retirement careers. As referenced by Wylleman et al. (1999) Baillie (1993),
  • 70.
    70 | Pa g e “the emphasis of the sports career assistance programme should be on athlete’s functional adjustments in the pre-retirement phase, while in the period of post-retirement, the emphasis should be on the provision of support with regard to emotional adjustment”. In summary, the participants who engaged in my research recorded little negative effects from their transition into retirement, however, they all express a caveat that, it is the current players and those who follow, (who may have been immersed in rugby from a very young age, and who may have neglected, through youthful exuberance or through increased demands from team management, to develop outside interests or to engage in career development post rugby, through education or the like), that may encounter more difficult transitions into retirement with the associated negative effects. TABLE 16: RECOMMENDATIONS ON POST RETIREMENT SERVICES Participant 1 Participant 2 Participant 3 Participant 4 Participant 6 Participant 7 How did you cope with the adjustment to post sport life? Moderately successfully Successfully Very successfully Very successfully Successfully Moderately successfully How satisfied are you with your post sports life? Satisfied Above average level of satisfaction Very satisfied Very satisfied Above average level of satisfaction Satisfied How useful would you find the following services after sports retirement ; help in finding a new career or area of interest? Very useful Very useful Not useful Not useful Above average level of usefulness Slightly useful Help in learning how to transfer your mental skills to a new career or area of interest? Very useful Above average level of usefulness Not useful Not useful Above average level of usefulness Not useful Help in building your confidence in post sport – life? Very useful Above average level of usefulness Not useful Not answered Slightly useful Of average usefulness Information on work and educational opportunities? Very useful Of average usefulness Not useful Not answered Of average usefulness Of average usefulness Financial counselling? Very useful Very useful Not useful Not answered Above average level of usefulness Slightly useful Assistance in finding a new place to live? Not very useful Slightly useful Not useful Not answered Slightly useful Not useful Assistance/guidance with medical and health care? Very useful Of average usefulness Not useful Not answered Above average level of usefulness Slightly useful Physiological and dietary detraining programme? Very useful Slightly useful Not useful Not answered Slightly useful Not useful Information on how other athletes have dealt with retirement? Very useful Above average level of usefulness Not useful Not answered Above average level of usefulness Slightly useful Workshops with other retired athletes to share and learn from each others experiences? Very useful Of average usefulness Not useful Not answered Not useful Slightly useful
  • 71.
    71 | Pa g e 5.2 LIMITATIONS OF THE RESEARCH As noted earlier the sample size from the questionnaires respondents is too small in scale and the demographic of just retired professional rugby union players who have played for Munster, would need to be expanded significantly to derive results which could be generalised to the population. The limitation of the questionnaire scale used is the reliance on self-report measures as opposed to inclusion of more objective measures. This reliance raises concern regarding self-report bias and common method bias. The scale does not incorporate any measures such as the inclusion of questions from the “Marlowe- Crowne Social Desirability Scale” to highlight social desirability bias. This occurs when individuals describe or rate themselves in a manner that is untruthful or in a way that they feel may be viewed favourably by others (Steenkamp, et al., 2010). These biased responses are based on cultural norms and the desirability of certain values, personality traits, attitudes, interests, opinions and behaviours (Steenkamp, et al., 2010). There is a tendency for respondents to provide answers to certain questions based on their expectations of what their culture would deem acceptable. This may result in an overly positive or negative bias, so these individuals can be judged in a favourable way by others (Tourangeau and Yan, 2007). Social desirability bias compromises data quality and validity (Steenkamp et al., 2010). For one participant, a telephone interview format was adopted. This format inhibits the detection of non- verbal respondent cues that accompany a physical interview. I am confident that having establish a level of trust with the participant, that this did not corrupt the results of this interview. Potential memory decay may be a limitation in any retrospective study, Wagenaar (1986) as in Strean (1998). Strean (1998) suggests that “trivial and unimportant incidents have been shown to be much more receptive to memory decay than major events like the ones that were the focus of interest” (Marthinus, 2007). Gould, Jackson and Finch (1993) also highlight an inherent limitation of this type of investigation, “that athletic success experienced may bias recall of events”.
  • 72.
    72 | Pa g e 5.3 IMPLICATIONS FOR FUTURE RESEARCH The findings of the study raise important questions for future research on the subject; As the professional rugby union has advanced, and with the development of academy systems in all of the Irish provinces, the age at which individuals are becoming professional is getting lower. As this research outlined, part of the possible explanation as to why all of the participants transitioned successfully may lie in their development as individuals. This it is hypothesised, may be due to the players turning professional at an older age, or having worked, or engaged in third level education prior to becoming professional rugby union players, which may have helped develop a personal identity prior to an athletic identity, which may have eased the transition. In examining a sample of players who had turned professional from their late teens and early twenties, who were developed through the academy route, may enlighten our knowledge on the possibility of players developing identity foreclosure, and the role that this may play in the transition of these athletes on retirement. This research should examine if “individuals who strongly commit themselves to the athletic role may be less likely to explore other career, education and lifestyle options due to their intensive involvement in sport” (Brewer et al, 1993, p. 241). This study focused exclusively on professional rugby union. Research is recommended to be conducted on other sports, both team and individual, to confirm whether the conclusions drawn from this project are applicable in those sports. Ball (1976) and Greendorfer and Blinde (1985) suggested that the transition experience is probably highly related to the specific sport setting and the institutional context of the setting, and it would be interesting to test this hypothesis. Cross country and cultural investigations should be carried out, to help identify practices adopted by associations which lead to more successful transitions for their players. Roberts’ (2010) found that coping mechanism differed according to nationality and building on this research could give valuable insight into effective transitions. The research failed to measure the success of the individual’s transitions. A multiple regression could be conducted in future research to determine those factors that contributed most to a successful transition from sports (Marthinus, 2007, p. 177). Future research should also incorporate interviews and questionnaires prior to retirement, which may identify potential increases or decreases in subjective well-being from within the sports career to the transition phase, and possible explanations for this phenomenon.
  • 73.
    73 | Pa g e 5.4 CONCLUSION The findings from my research corroborate that there are influences, both athletic and non-athletic, on the retirement process which may mitigate against the negative psychological effects often associated with the transitions of professional athletes into retirement. The athletes themselves play an important role in ensuring that they transition successfully to the next stage of their life, post retirement from sport. It requires them not just acknowledging that the length of their professional careers is fickle, it means them being proactive in being prepared to handle the end, no matter when that arises, and no matter how much they care not to think of it. The focus of interest for athletes and their representative bodies in the future, has to involve the development of intervention strategies and career- transition programmes throughout the athletes career, which should seek to “develop professional skills and to foster broader life skills that will facilitate a smoother transition from elite sports” (Smith and McManus, 2008). Sporting clubs and teams have to also evolve from attempting to just produce successful athletes and teams. More awareness has to be given to the fact that these athletes will retire, with lives left to live, and that they can play an important part in ensuring the success of an athlete beyond his or her playing days. These clubs and teams should draw on the “experiences of their former players , to develop a programme, appropriate for the sport in which they play and the players involved, which will guide the players to make appropriate lifestyle choices to minimise the stress of transition for current and recently retired athletes” (Smith and McManus, 2008).As mentioned previously, it is the players who are now coming through the rugby system, who are possibly at the greatest risk of encountering the negative consequences of retirement transitions, due to factors such as, identities formed exclusively around rugby, low levels of career awareness, and insufficient life skills. If clubs do not help to address this situation, what future will these players have?
  • 74.
    74 | Pa g e 6. BIBLIOGRAPHY Alfermann, D. (2001). Causes and consequences of sport career termination. In D. Lavallee, and P. Wylleman (Eds.), Career transitions in sport, International perspectives (pp. 45-58). Morgantown, WV: Fitness Information Technology. Alfermann, D., and Gross, A. (1997). Coping with career termination: it all depends on freedom of choice. In R. Lidor, &M. Bar-Eli (Eds.), Proceedings of the ninth world congress on sport psychology (pp. 65–67). Netanya: Wingate Institute for Physical Education and Sport. Alfermann,D., Stambulova,N., and Zemaityte, A. (2004).” Reactions to sport career termination: a cross- national comparison of German, Lithuanian, and Russian athletes”, Psychology of Sport and Exercise, Volume 5, Issue 1, Pages 61-75 Allison, M.T. and Meyer, C. (1988). Career problems and retirement among elite athletes. The female tennis professional. Sociology of Sport Journal, Vol. 5, pp. 212-222. Anderson, D. (1999). Lifeskill intervention and elite athletic performance. Unpublished masters dissertation. Victoria University of Technology, Victoria, Australia. Anderson, D., Morris, T. (2000). Athlete lifestyle programs. In D. Lavallee, & P Wylleman (Eds.) Career transitions in sport: International perspective (pp. 59-80). Morgantown MV : Fitness Information Technology. Anderson, M. (1985). The emergence of the modern life cycle in Britain. Social History. Vol. 10(1): pp. 69– 87. Arthur, M. B. and Rousseau, D.M. (1996). The boundaryless career: A new employment principle for new organizational era. In Arthur, M.B. and Rousseau, D.M. (Eds), The boundaryless career: A new employment principle for a new organizational era, pp. 370-82. Oxford, Oxford University Press. Arviko, I. (1976). Factors influencing the job and life satisfaction of retired baseball players. Unpublished master’s thesis, University of Waterloo, Ontario.
  • 75.
    75 | Pa g e Baillie, P. H. F., and Danish, S. J. (1992). Understanding the career transition of athletes. The Sport Psychologist, Vol. 6, pp. 77-98. Available at: {http://hk.humankinetics.com/tsp/journalAbout.cfm}. Accessed 15th August 2013. Baillie, P.H.F. (1993). Understanding retirement from sports: Therapeutic ideas for helping athletes in transition. The Counseling Psychologist, Vol. 21, pp. 399-410. Balaque, G. (1999). Understanding identity, value, and meaning when working with elite athletes. The Sport Psychologist, Vol. 13, pp. 89-98. Ball, D. (1976). Failure in sport. American Sociology Review, Vol. 41, pp. 726-739. Bathgate, A., Best, J.P., Craig, G., Jamieson, M. and Wiley, J.P. (2002). A prospective study of injuries to elite Australian rugby union players, British Journal of Sports Medicine, Vol. 36, pp. 265-269. Bermack, E. (1989). Effect of telephone and face to face communication on rated extend of self disclosure by female college students. Psychological Reports, Vol, 65, pp. 259-267. Bills, P. (2008). “Anton Oliver: Taking a career twist”, The Independent, 30th November, Available at: {http://www.independent.co.uk/sport/rugby/rugby-union/news-comment/anton-oliver-taking-a-career-twist- 1036448.html}. Accessed on line 7th August 2013. Blann, F.W. and Zaichkowsky, L. (1986). Career/Life Transition Needs of National Hockey League Players and Career-Life Transition Needs of National Hockey League Players: Spouses Perspectives. Final Reports Prepared for the National Hockey League Players' Association. Paper presented at the National Convention of the American Alliance for Health, Physical Education, Recreation and Dance (Las Vegas, NV, April 13- 17, 1987). Blinde, E. M., and Greendorfer, S. L. (1985). A reconceptualization of the process of leaving the role of competitive athlete. International Review for Sociology of Sport, Vol.1 (2), pp.87–92. Botterill, C. (1981). What “endings” tell us about “beginnings”. In T.Orlick, J. Partington and J. Salmela (Eds.), Mental training for coaches and athletes (pp. 164-165). Ottawa, ON: Coaching Association of Canada and Sport in Perspective.
  • 76.
    76 | Pa g e Botterill, C. (1988). Preventing burnout and retirement problems. Canadian Academy of Sports Medicine, Vol. 8, pp. 28–29. Boyle, D. (2012). “Ian McKinley: 'I'd give anything to go back - but not my right eye”, Irish Independent, 7th January 2012. Available at: { http://www.independent.ie/sport/rugby/ian-mckinley-id-give-anything-to-go- back-but-not-my-right-eye-26808787.html}. Accessed 21st August 2013. Brewer, B. W., Van Raalte, J.L. and Linder, D.E. (1993). Athletic identity: Hercules’ muscles of Achilles heel, International Journal of Sports Psychology, Vol. 24, pp. 237-254. Bridges, W. (1995). Job shift: How to prosper in a workplace within jobs. London: Nicholas Brearley. Burke, R.J. and Ng, E. (2006). The changing nature of work and organisations: Implications for human resource management, Human Resource Management Review, Vol. 16 (2), pp. 86-94. Cawsey, T.F. (1995). The portfolio career as a response to a changing job market. Journal of Career Planning and Employment. Vol. 56 (1) pp. 41-46. Cecic Erpic S., Wylleman, P. and Zupancic, M. (2004). The effect of athletic and non-athletic factors on the sports career termination process, Psychology of Sport and Exercise, Vol. 5 pp. 45–59. Cecic Erpic, S. (2000). Konec vrhunske sportne kariere in napoved priladogitive na posportno zivljenje (Elite sports career transition and prediction of the adaptation to the post-sport life). Unpublished doctoral dissertation, Faculty of Arts, University of Ljubljana, Ljubljana. Cecić Erpič, S. (2011). Sports career termination and adaptation to post-sports life: a review of developmental-sport psychological perspectives. In D. Milanović, & G. Sporiš (Eds.), 6th International Scientific Conference on Kinesiology, Zagreb, Croatia, September 08-11, 2011. Integrative power of kinesiology : proceedings book (pp. 488-493). Zagreb: Faculty of Kinesiology. Cecic´ Erpicˇ, S. (1998). Spremljanje razvoja zˇivljenjskih struktur in zˇivljenjskega zadovoljstva v zgodnji odraslosti: primerjava med bivsˇimi vrhunskimi sˇportniki in nesˇportniki [Following the development of life structures and life satisfaction: comparison between former top athletes and non-athletes]. Unpublished master’s thesis, University of Ljubljana, Ljubljana, Slovenia.
  • 77.
    77 | Pa g e Cecic-Erpic, S. (2000). Konec vrhunske sportne kariere in napoved prilagoditive na postportno zivljenje (Elite sports career transition and prediction of the adaptation to post-sport life). Unpublished doctoral dissertation. Ljubljana: University of Ljubljana. Centre for Ageing Research and Development in Ireland (2010). Ageing In Ireland, North and South Key Statistics. Online : [ http://www.cardi.ie/userfiles/Ageing%20in%20Ireland%20key%20stats.pdf ]. Accessed 13th May 2012. Coakley, J. (1983). Leaving competitive sport: Retirement or rebirth. Quest, Vol. 35, pp. 1-11. Coughlan, B. (2009). “IRUPA on the ball as players gear-up for retirement”, Irish Examiner, 31st December 2009. Available at :{ http://www.irishexaminer.com/archives/2009/1231/world/irupa-on-the-ball-as-players- gear-up-for-retirement-108722.html}. Accessed 19th August 2013. Creswell, J. (1994). Research design: Qualitative and quantitative approaches. London: Sage. Creswell, J. (2005). Educational Research : Planning, conducting, and evaluating quantitative and qualitative research. New Jersey: Pearson. Crook, J.M., and Robertson, S.E. (1991). Transitions out of elite sport. International Journal of Sports Psychology, Vol. 22 (2), pp. 115-127. CSO (2011). Population 1901 – 2011, Available at : {http://www.cso.ie/Quicktables/GetQuickTables.aspx?FileName=CNA13.asp&TableName=Population+190 1+-+2011&StatisticalProduct=DB_CN}. Accessed 11th August 2013. CSO (2012). “Profile 2: Older and Younger”. Available at:{ http://www.cso.ie/en/media/csoie/census/documents/census2011profile2/Profile2_Older_and_Younger_Enti re_Document.pdf}. Accessed 19th August 2013. CSO (2013). “Population and Labour Force Projections 2016-2046”, April, 2013. Available at : {http://www.cso.ie/en/media/csoie/releasespublications/documents/population/2013/poplabfor2016_2046.pd f}. Accessed 4th August 2013.
  • 78.
    78 | Pa g e CSO (2013). “Press Release Population and Labour Force Projections 2016-2046”, April, 2013. Available at : {http://www.cso.ie/en/newsandevents/pressreleases/2013pressreleases/pressreleasepopulationandlabourforce projections2016-2046/}. Accessed 4th August 2013. Danish, S. (1993). Going for Goal handbook. Richmond, Va: Virginia, Commonwealth University. Danish, S. J., Petitpas, A. J., and Hale, B. D. (1993). Life development intervention for athletes: life skills through sports. The Counselling Psychologist, Vol. 21(3), pp. 352–385. Drahota, J. and Eitzen, D. (1998). The role exit of professional athletes, Sociology of Sport Journal, Vol. 15 (3), pp. 263-78. Durand-Bush, N. and Salmela, J.H. (2002). The development and maintenance of expert athletic performance: Perceptions of world and Olympic champions. Journal of Applied Sports Psychology, Vol. 14, pp. 154-171. Easterby-Smith, M., Thorpe, R. and Lowe, A. (1991). Management research: An introduction. London: Sage. Edgar, R. (2010). “What comes after rugby”, Financial Times, March 10. Available at : { http://www.ft.com/intl/cms/s/0/2e27fd68-2c3c-11df-9187-00144feabdc0.html#axzz2bb67MZaQ}. Accessed on line 7th August 2013. Ekerdt, D.J. and DeViney, S. (1990). Eddies in the stream: The prevalence of uncertain plans for retirement. Journal of Aging Studies. Vol. 4(3): pp. 211−229. Elkin, D. (1981). The hurried child. Reading, MA: Addison-Wesley. English Professional Rugby Injury Surveillance Project Steering Group (2013). England Professional Rugby Injury Surveillance Project 2011-2012 Season Report, March 2013. Available at: { http://www.irbplayerwelfare.com/pdfs/RFU_Injury_Audit_2013_EN.pdf}. Accessed 21st August 2013. Ernst and Young (2011). Available at: {http://www.eoy.tv/news.php?nID=1}. Accessed 18th August 2013.
  • 79.
    79 | Pa g e ESPN (2013). Rory Lawson forced to retire. Available at : {http://www.espn.co.uk/scotland/rugby/story/193487.html}. Accessed 11th August 2013. European Federation of Sport (2000). Position statement 3: sports career transitions. In D. Lavallee, & P. Wylleman (Eds.), Career transitions in sport: International perspective, (pp. 259–261). Morgantown: Fitness Information Technology. Eurostat News Release (2011) – Population projections 2010-2060 80/2011. Online :[http://epp.eurostat.ec.europa.eu/cache/ITY_PUBLIC/3-08062011-BP/EN/3-08062011-BP-EN.PDF ] Accessed 26th April 2012. Ferron, C. Narring, F., Cauderay, M. and Michaud, P.A. (1999). Sport activity in adolescence: associations with health perceptions and experimental behaviours, Health Education Research, Vol. 14 (2), pp. 225-33. Floyd, F. J., Haynes, S. N., Doll, E. R.; Winemiller, D., Lemsky, C., Burgy, T. M., Werle, M., Heilman, N. (1992). Assessing retirement satisfaction and perceptions of retirement experiences. Psychology and Aging, Vol. 7(4), pp. 609-621 Fortuntato, V. (1996). Role transitions of elite Australian rules footballers. Unpublished doctoral dissertation. Victoria University of Technology, Melbourne, Australia. Freedman, A. (1993). New jobs lack the old security in a time of disposable workers. New York Times, March 15th 1993. Available at:{http://www.nytimes.com/1993/03/15/us/new-jobs-lack-the-old-security-in-a- time-of-disposable-workers.html?pagewanted=all&src=pm}. Accessed 4th August 2013. Garraway, A.J., Lee, A.J., Hutton, S.J., Russell, E.B.A.W. and MacLeod, D.A.D. (2000). Impact of professionalism on injuries in rugby union, British Journal of Sports Medicine, Vol. 34, pp. 348-351. Garraway, W.M., Lee, A.J., Hutton, S.J., Russell, E.B. and Macleod, D.A. (2000). Impact of professionalism on injuries in rugby union. British Journal of Sports Medicine, Vol. 34, pp. 348-351. Gearing, B. (1999). Narratives of identity among former professional footballers in the United Kingdom, Journal of Aging Studies, Vol. 13 (1), pp. 43-58.
  • 80.
    80 | Pa g e George, C. (2013). 'A shake of the hand, your P45 and out the gate', Irish Independent, 27th August 2013. Available at: {http://www.independent.ie/sport/rugby/a-shake-of-the-hand-your-p45-and-out-the-gate- 29529725.html}. Accessed 27th August 2013. Gorbett, F.J. (1985). Psycho-social adjustment of athletes to retirement. In L.K. Bunker, R.J. Rotella and A. Reilly (Eds.), Sport psychology: Psychological considerations in maximising sport performance, (pp. 288- 294). NY: Movement Publications. Gould, D., Jackson, S.A. and Finch, L. (1993). “Life at the top: The experiences of U.S. national champion figure skaters”, The Sport Psychologist, Vol. 7, pp.353-374. Greendorfer, S.L., and Blinde, E.M. (1985). Retirement from intercollegiate sport: Theoretical and empirical considerations. Society of Sport Journal ,Vol. 2 pp. 101-110. Greendorfer, S.L. and Blinde, E.M. (1985). Retirement from intercollegiate sport: Theoretical and empirical considerations. Society of Sport Journal, Vol. 2, pp. 101 -110. Grove, J. R., Lavallee, D., and Gordon, S. (1997). Coping with retirement from sport: the influence of athletic identity. Journal of Applied Sport Psychology, Vol. 9, pp.191–203. Guillemard, A. M., and van Gunsteren, H. (1991). Pathways and their prospects: A comparative interpretation of the meaning of early exit. Time for retirement: Comparative studies for early exit from the labor force, pp.362-387. Hall, D.T. (1996). Long live the career. In D.T. Hall and Associates (Eds.), The career is dead – long live the career. San Francisco: Jossey-Bass. Han, S.K., and Moen, P. (1999). Clocking out: Temporal patterning of retirement. American Journal of Sociology. Vol.105 (1): pp. 191−236. Handy, C. (1994). The empty raincoat: Making sense of the future. London: Hutchinson. Hardy, M. (2011). Rethinking retirement. In: Settersten, R.A. Jr. and Angel, J.L. (eds.) Handbook of Sociology of Aging. New York: Springer: pp. 213–227.
  • 81.
    81 | Pa g e Hawkins, K. and Blann, F.W. (1986). Athlete/coach career development and transition. Australia: National Sports Research Centre. Hayes, J. (2012).The Bull : My Story. London : Simon and Schuster UK Ltd. Hayward, M.D., Hardy, M.A. and Liu, M.C. (1994). Work after retirement: The experiences of older Men in the US. Social Science Research. Vol 23: pp. 82−107. Hearle, R.K. Jnr. (1975). Career patterns and career contingencies of professional baseball players : An occupational analysis. In D.W. Ball and J.W. Loy (Eds.) Sport and social order (pp. 461-519). Reading , MA: Addison – Wesley. Hickey, C. and Kelly, P. (2005). Professional education and training for early career players in the Australian Football League: Footy first, second and third. Paper presented AARE Conference, Sydney, Nov 27 – Dec 1 2005. Hill, P. and Lowe, B. (1974). The inevitable methathesis of the retiring athlete. International Review of Sport Sociology, Vol. 4, pp. 5-29. Horne, J., Tomlinson, A. and Whannel, G. (1999). Understanding sport: An introduction to the sociological and cultural analysis of sport. London: E & FN Spon. Howe, D. (2001). An ethnography of pain and injury in professional rugby union: the case of Pontypridd RFC, International Review of Sport Sociology, Vol. 35, (3), pp. 289-303. Human Resources . Vol. 45(3): pp. 718−748. I.R.F.U. (2013). “Club Sustainability Report April 2013” Available at: {http://www.irishrugby.ie/downloads/IRFU_Club_Sustainability_Report_April2013.pdf}. Accessed 21st August 2013. I.R.F.U. (2013). IRFU Annual Report and Accounts 2012/13. Available at: {http://www.irishrugby.ie/downloads/IRFU_Annual_Report_2012-13.pdf}. Accessed 21st August 2013. IRFU (2010). Save Irish Rugby - IRFU's Relationship with ERC/Six Nations. Available at: { http://www.irishrugby.ie/save/the_facts.php}. Accessed 11th August 2013.
  • 82.
    82 | Pa g e IRUPA (2008). “Retirement poses major issues for professional rugby players” . Available at: {http://irupa.ie/2008/12/19/retirement-poses-major-issues-for-professional-rugby-players/}. Accessed 19th August 2013. IRUPA (2013). Available at: {http://irupa.ie/member-benefits/}. Accessed 5th August 2013. Jackman, B. (2011). Rugby players shoulder a lot – even in retirement. Irish Independent 03/11/2011 Online: [ http://www.independent.ie/opinion/analysis/bernard-jackman-rugby-players-shoulder-a-lot-even- in-retirement-2927890.html] Accessed on-line 26th April 2012. Joe.ie (2012). “Leinster’s Mike Ross chats Heineken Cup, leaders at Leinster and his passion for science”. Available at: {http://www.joe.ie/rugby/rugby-features/leinsters-mike-ross-chats-heineken-cup-leaders-at- leinster-and-his-passion-for-science/}. Accessed 19th August 2013. Joe.ie. (2012). “Top pundit Byrne outlines his retirement from rugby issues”. Available at: {http://www.joe.ie/rugby/rugby-features/top-pundit-byrne-outlines-his-retirement-from-rugby-issues/}. Accessed 19th August 2013. Kell, P. (2002). Personal communication. Kennedy, S.R. and Dimick, K.M. (1987). Career maturity and professional sports expectations of college football and basketball players. Journal of College Student Personnel, Vol. 28, pp. 293-297. Kerr, G. and Dacyshyn, A. (2000). The retirement experience of elite, female gymnasts. Journal of Applied Sport Psychology, Vol. 12, pp. 115-133. Khan, R. (1972). The boys of summer. New York : Harper and Row. Kim, J.E. and Moen, P. (2001). Is retirement good or bad for subjective well-being? Current Directions in Psychological Science, Vol. 10, pp. 83-86. KMPG / Department of Social Protection (2012). “The Actuarial Valuation of the Social Insurance Fund 2010”. Available at: { http://www.welfare.ie/en/downloads/2010actuarialreview.pdf}. Accessed 4th August 2013.
  • 83.
    83 | Pa g e Kramer, J. (1969). Farewell to football. New York : World Books. Kvale, S. (1983). The qualitative research interview: A phenomenological and a heumenentical mode of understanding. Journal of Phenomenological Psychology Vol. 14, pp. 171-196. Lavallee, D. and & Wylleman, P. (2000). Career transitions in sport: International perspective. Morgantown MV : Fitness Information Technology. Lavallee, D. and Anderson, M.B. (2000). Leaving sport: Easing career transitions. In M.B. Anderson (Ed.) Doing sport psychology. Champaign, IL: Human Kinetics. Leinster Rugby (2013). “O’Malley announces his retirement”. Available at: {http://www.leinsterrugby.ie/news/10168.php#.UhOclfpOOM8}. Accessed 20th August 2013. Lerch, S.H. (1982). Athlete retirement as social death. In N. Therberge and P. Donnelly (Eds.). Sport and the sociology imagination (pp. 259-272). Fort Worth, TX: Texas Christian University Press. Lerch, S.H. (1982). Athletic retirement as social death: An overview. Paper presented at the Third Annual Meeting of NASSS, Toronto. Light, R. and Kirk, D. (2000). High school rugby, the body and the reproduction of hegemonic masculinity, Sport, Education and Society, Vol. 5, pp. 153-176. Light, R. and Kirk, D. (2001). Australian cultural capital: rugby’s social meaning – physical assets, social advantage and independent schools, Culture, Capital and Society, Vol. 4, pp. 81-98. Lincoln, Y.S. & Guba, E. (1985). Naturalistic inquiry. Thousand Oaks, CA: Sage. Loland, N. W. (1999). Some contradictions and tensions in elite sportsmen’s attitudes towards their bodies, International Review for the Sociology of Sport, Vol. 3, pp. 291-302. Maestas, N. (2010). Back to work: Expectations and realizations of work after retirement. Journal of Marcia, J.E. (1966). Development and validation of ego identity status, Journal of Personality and Social Psychology, Vol. 3, pp. 551-558.
  • 84.
    84 | Pa g e Marshall, V.W., Clarke, P.J. and Ballantyne, P.J. (2001). Instability in the retirement transition. Research on Aging. Vol. 23(4): pp. 379−409. Martens, M.P. and Lee, F.K. (1998). Promoting life-career development in the student athlete: How can career centres help? Journal of Career Development, Vol. 25 (2), pp. 123-134. Marthinus, J.M., (2007). “Psychological effects of retirement in elite athletes”. Dissertation presented for the degree of Doctor of Philosophy (Sports Science) at Stellenbosch University. Available at: {http://hdl.handle.net/10019.1/1133}. Accessed 15th August 2013. McAllister, D.R., Motamedi, A.R., Hame, S.L., Shapiro M.S. and Dorey, F.J. (2001). Quality of life assessment in elite collegiate athletes, American Journal of Medicine, Vol. 29, pp. 806-810. McGillivrary, D. (2006). Facilitating change in the educational experiences of professional footballers: The case of Scottish football. Managing Leisure, Vol.11 pp. 22-38. McGillivrary, D., Fearn, R. and McIntosh, A. (2005). Caught up in and by the beautiful game, Journal of Sport and Social Issues, Vol. 29 (1), pp. 102-123. McKenna, J. and Thomas, H (2007). Enduring injustice : a case study of retirement from professional rugby union, Sport, Education and Society, Vol. 12, No.1, February, pp. 19-35. McKnight, K., Bernes, K., Gunn, T., Chorney, D., Orr, D. and Bardick, A. (2009). Life after Sport : Athletic Career Transition and Transferable Skills, Journal of Excellence, Vol. 13, pp. 63-77. Available at; { https://www.uleth.ca/dspace/bitstream/handle/10133/1175/Life_After_Sport.pdf?sequence=1}. Accessed 15th August 2013. McLaughlin, P. (1981). Retirement: Athlete’s transition ignored by system. Champion, Vol. 5, pp. 14-17. McPherson, B. D. (1980). Retirement from professional sport: The process and problems of occupational and psychological adjustment. Sociological Symposium, Vol. 30, pp. 126-143. Mihovilovic, M. (1968). The status of former sportsmen. International Review for the Sociology of Sport, Vol. 3, pp. 73-93.
  • 85.
    85 | Pa g e Moen, P., Erickson, W.A., Agarwal, M., Fields, V., and Todd, L. (2000). The Cornell Retirement and Well- Being Study: Final Report 2000. Bronfenbrenner Life Course Center. Ithaca, NY: Cornell University. Available at:{ http://worlddatabaseofhappiness.eur.nl/hap_bib/freetexts/ moen_p_2000.pdf.}. Accessed 4th August 2013. Munster Rugby (2003). “John O’Neill to retire”. 15th July 2013.Available at: {http://www.munsterrugby.ie/news/1411.php#.UhxQI_pOOM8}. Accessed: 27th August 2013. Murphy, G. (2012). The Outsider. London : Penguin Books. Murphy, G.M., Petitpas, A.J. and Brewer, B.W. (1986). Identity foreclosure, athletic identity and career maturity in intercollegiate athletes. The Sport Psychologist, Vol. 10, pp. 239-246. Murphy, S.M., (Ed.). (1995). Sport psychology interventions. Champaign, IL: Human Kinetics. New Zealand Rugby Players’ Association (2011). “NZRPA Retired Players Survey”. Available at {http://www.nzrpa.co.nz/media/documents/NZRPA_Past_Player_MMW_final_edits.pdf}. Accessed on line 10th August 2013 Nicholi, A.M. (1987). Psychiatric consultation in professional football. New England Journal of Medicine, Vol. 316, pp. 1095-1100. North, J. and Lavallee, D. (2004). An investigation of potential users of career transition services in the United Kingdom. Psychology of Sport and Exercise. Vol. 5 (1), pp. 77-84. NZRPA (2011). “NZRPA Retired Players Research Project” New Zealand Rugby World, October 2011. Available at:{ http://www.nzrpa.co.nz/media/magazines/5._NZRPA_News_October_2011.pdf}. Accessed 18th August 2013. Ogilvie, B.C., and Howe, M. (1986). The trauma of termination from athletics. In J.M. Williams (Ed.) Applied sports psychology: Personal growth to peak performance pp. 365-382 Mountain View, Palo Alto, CA : Mayfield Publishing Company. Organisation for Economic Co-operation and Development (OECD) (2005). Aging and Employment Policies/Vieillissement et politiques de l’emploi: United States 2005 (NIH Publication No. 54027 2005). OECD iLibrary. Available at:{ http://dx.doi.org/10.1787/9789264009608-en. }
  • 86.
    86 | Pa g e Organisation for Economic Co-operation and Development (OECD) (2007). Can Policies Boost Birth Rates?, Policy Brief. Available at : http://www.oecd.org/els/family/39970765.pdf}. Accessed 4th August 2013. Organisation for Economic Co-operation and Development (OECD) (2013). Available at {http://www.oecdbetterlifeindex.org/countries/ireland/ }. Accessed 4th August 2013. Parker, A. (2000). Training for “glory”, schooling for “failure”?: English professional football, traineeship and educational provision. Journal of Education and Work, Vol. 13 (1) pp. 61-76. Pearson, R., and Petitpas, A. (1990). Transition of athletes: pitfalls and prevention. Journal of Counselling and Development, Vol. 69, pp.7–10. Petitpas, A., Champagne, D., Chartrand, J., Danish, S. and Murphy, S. (1997). Athletes’ guide to career planning: Keys to success from the playing field to professional life. Champaign: Human Kinetics. Petitpas, A.J., Danish, S., McKelvain, R., and Murphy, S. (1992). A career assistance program for elite athletes. Journal of Counselling Development, Vol. 70 , pp.383–386. Phillipson, C. (2011) Extending working life and re-defining retirement: Problems and challenges for social policy. In: Ennals R. and Salomon R.H. (eds.) Older Workers in a Sustainable Economy, Vol. 21. Frankfurt am Main: Peter Lang, pp. 233–243. Pleau, R. and Shauman, K. (2009). Trends and correlates of post-retirement employment, 1977 -2009. Human Relations, Vol. 66 (1): pp. 113-141. Pleau, R.L. (2010) Gender differences in postretirement employment. Research on Aging. Vol. 32(3): pp. 267−303. Post, C., Schneer, J.A., Reitman, F., Ogilvie, D.T. (2013). Pathways to retirement: A career stage analysis of retirement age expectations. Human Relation. Vol. (66) 1: pp. 87-112. Price, N. (2007). Game of two halves: preparing young elite rugby players for a future beyond the game. PhD thesis, Faculty of Education, University of Wollongong, 2007. Available at: { http://ro.uow.edu.au/cgi/viewcontent.cgi?article=1045&context=theses}. Accessed 4th August 2013.
  • 87.
    87 | Pa g e Quinlan, A. (2010). Red blooded: The Alan Quinlan Story., Kells: Irish Sports Publishing. Quinn, J.F., and Kozy, M. (1996). The role of bridge jobs in the retirement transition: Gender, race and ethnicity. The Gerontologist. Vol. 36(3): pp. 363−372. Rigauer, B. (1981). Sport and work. New York: Columbia University Press. Roberts, C-M. (2010).A cross-cultural evaluation of rugby union transitions. Paper presented at the 26th Annual Conference of the Applied Association of Sport Psychology, Providence, Rhode Island. Roderick, M. (2006). A very precarious profession: Uncertainty in the working lives of professional footballers. Work, Employment and Society, Vol. 20 (2) pp. 245-265. Rose, J. & Jevne, R.F.J. (1993). Psycholosocial processes associated with athletic injuries. The Sport Psychologist, Vol. 7, pp. 309-328. Rosenberg, E. (1981). Gerontological theory and athletic retirement. In S.L. Greendorfer and A. Yiannakis (Eds.). Sociology of sport: Diverse perspectives (pp. 118-127). West Point, NY: Leisure Press. Rotella, R.J. and Heyman, S.R. (1986). Stress, injury, and the psychological rehabilitation of athletes. In J.M. Williams (Ed.). Applied sport psychology: Personal growth to peak performance (pp. 343-364). Palo Alto, CA: Mayfield. Royal Geographical Society with Institute of British Geographers (2011). “Britain’s ageing population”, Available at: { http://www.21stcenturychallenges.org/focus/britains-greying-population/}. Accessed 27th August 2013. Ruhm, C.J. (1990). Bridge jobs and partial retirement. Journal of Labor Economics. Vol. 8(4): pp. 482−501. Sargent, L.D., Lee, M.D., Martin, B. and Zikic, J. (2013). Reinventing retirement: New pathways, new arrangements, new meanings. Human Relations. Vol. 66 (1): pp. 3 -21. Scanlan, T. K., Stein, G. L., & Ravizza, K. (1991). An in-depth study of former elite figure skaters: III. Sources of stress. Journal of Sport & Exercise Psychology, Vol. 13, pp. 102-120.
  • 88.
    88 | Pa g e Schlossberg, N. K. (1981). A model for analyzing human adaptation to transition. The Counselling Psychologist, Vol. 9(2), pp.2–18. Schlossberg, N. K., Waters, E. B., and Goodman, J. (1995). Counselling adults in transition: Linking practice with theory. New York: Springer. Schlossberg, N.K. (1984). Counselling adults in transition. New York : Springer. Schlossberg, N.K., Lynch, A.O. and Chickering, A.W. (1989). Improving higher education environments for adults. San Francisco, CA: Jossey-Bass. Sheahan, F., McConnell, D. and Drennan J. (2013). “Government warned to 'prepare for war' over pensions cut”, Irish Independent, 11th August 2013. Available at: { http://www.independent.ie/irish-news/government- warned-to-prepare-for-war-over-pensions-cut-29489715.html}. Accessed 19th August 2013. Shim, M.J., Gimeno, D., Pruitt, S.L., McLeod, C.B., Foster, M.J. and Amick III, B.C. (2013). “A Systematic Review of Retirement as a Risk Factor for Mortality” in N. Hoque, M.A. McGehee, B.S. Bradshaw (Eds.) Applied Demography and Public Health, (p.277-313) NY: Springer Science+Business Media. Sinclair, D.A. and Orlick, T. (1993). Positive transitions for high-performance sport. The Sports Psychologist, Vol. 7, pp. 138 -150. Slavec, A. and Dmovsek, M. (2012). “A perspective on scale development in entrepreneurship research”, Economic and Business Review, Vol. 14 (1), pp. 39-62. Smith, J.L. and McManus, A. (2008). A review on transitional implications for retiring elite athletes: What happens when the spotlight dims? The Open Sports Sciences Journal, Vol. 1, pp. 45-49. Stambulova, N. (2003). Symptoms of a crisis-transition: A grounded theory study. In N. Hassmen (Ed.) SIPF Yearbook 2003, (pp.97-109). Orebro : Orebro University. Stambulova, N. B. (1994). Developmental sports career investigations in Russia. A post-perestroika analysis. The Sport Psychologist, Vol. 8, pp. 221–237.
  • 89.
    89 | Pa g e Stambulova, N., Alfermann, D., Statler, T. and Cote, J. (2009). “Career development and transitions of athletes: The ISSP position stand”. International Journal of Sport and Exercise Psychology, Vol. 7 (4) pp. 395-412. Stambulova, N., Stephan, Y.,Jäphag, U. (2007). “Athletic retirement: A cross-national comparison of elite French and Swedish athletes”, Psychology of Sport and Exercise, Volume 8, Issue 1. Stambulova, N.B. (2001). Sports career termination of Russian athletes: Readiness to the transition. In A. Papaioannou, M. Goudas and Y. Theodarakis (Eds.), Proceedings of the 10th World Congress of Sport Psychology, Vol. 4 (pp. 29-31). Skiatos: International Society of Sport Psychology. Steenkamp, J.B., de Jong, M.G. and Baumgartner, H. (2010). "Socially Desirable Response Tendencies in Survey Research", Journal of Marketing Research, Vol. 47, 199-214. Steinacker, J.M., Lormes, W., Lehman, M. and Altenburg, D. (1998). Training of rowers before world championships. Medicine and Science in Sports and Exercise, Vol. 30, pp. 1158-1163. Stephan, Y., Bilard, J., Ninot, G. and Delignières,G.(2003). Repercussions of transition out elite sport on subjective well-being: A one-year study, Journal of Applied Sport Psychology, Vol. 15 (4), pp. 354-371. Stevenson, C. (2001). Becoming an international athlete: Making decisions about identity. In J. Coakley and P. Donnelly (Eds.). Inside sport, pp. 86-95. London: Routledge. Stevenson, M.R., Hamer, P., Finch, C.F., Elliot, B., and Kresnow, M.J. (2000). Sport, age, and sex-specific incidence of sports injuries in Western Australia, British Journal of Sports Medicine, Vol. 34, pp. 188-194. Strean. W.B. (1998). Possibilities for qualitative research in sport psychology. The Sport Psychologist, Vol. 12 pp. 333-343. Streib G.F., and Schneider, C.J. (1971). “Retirement in American Society: Impact and Process”. Ithaca, N.Y.: Cornell University Press. Super, D.E. and Thompson, A.S. (1979), A Six-Scale, Two-Factor Measure of Adolescent Career or Vocational Maturity. Vocational Guidance Quarterly, Vol. 28 pp. 6-15.
  • 90.
    90 | Pa g e Svoboda, B., and Vanek, M. (1982). Retirement from high level competition. In T. Orlick, J. T. Partington, and J. H. Salmela (Eds.), Proceedings of the fifth world congress of sport psychology (pp. 166–175). Ottawa:Coaching Association of Canada. Szinovacz, M.E. (2003). Contexts and pathways: Retirement as institution, process, and experience. In G.A. Adams, and T.A. Beehr (Eds.), Retirement. Reasons, processes and results (pp.6-52). New York: Springer. Taylor, J. and Ogilvie, B (1998). Career transitions among elite athletes: Is there life after sports? In J. Williams (Ed.), Applied sports psychology: Personal growth to peak performance (3rd ed.) pp. 429-444. London: Mayfield Publishing Company. Taylor, J., and Ogilvie, B. C. (1994). A conceptual model of adaptation to retirement among athletes. Journal of Applied Sport Psychology, Vol. 6, pp. 1-20. Taylor, J., Ogilvie, B. and Lavallee, D. (2006). Career transitions among athletes: Is there life after sports? In J. M. Williams (Ed.), Applied sport psychology (pp. 595-615). New York: McGraw Hill. Thescore.ie (2013). “30% of Irish rugby players retiring from injury are under 30”, 26th August 2013. Available at :{http://thescore.thejournal.ie/irish-rugby-early-retirements-1053551-Aug2013/}. Accessed: 27th August, 2013. Thomas, P. (2003). A whole new ball game: Confronting the myths and realities of New Zealand Rugby. Auckland: Hodder Moa Beckett. Tourangeau, R., and Yan.T. (2007), "Sensitive questions in surveys." Psychological Bulletin, Vol. 133, (5), pp. 859-883. Torregrosa, M., Boixados, M., Sánchez, X. and Cruz, J. (2004). Elite athletes’ image of retirement: the way to relocation in sport, Psychology of Sport and Exercise, Vol. 5, pp. 35-43. Torregrosa, M., Sánchez, X. and Cruz, J. (2004). El papel del psicólogo del deporte en el asesoramiento académico-vocacional del deportista de elite, Revista de psicología del deporte Vol. 13 (2), pp. 215-228. Traylor, P. “ A Study of Common Knee Injuries in Rugby” Online [ http://www.fitnessthroughexercise.com/common-knee-injuries.htm ] Accessed 12th May 2012.
  • 91.
    91 | Pa g e Ungerleider, S. (1997). Olympic athlete’s transition from sport to workplace. Perceptual and Motor Skills, Vol. 84, pp. 1287-1295. United Nations Department Of Economic and Social Affairs Population Division (2012). Population Ageing and Development . Available online at: {http://www.un.org/esa/population/publications/2012WorldPopAgeingDev_Chart/2012PopAgeingandDev_ WallChart.pdf}. Accessed 20th June 2013. United Nations Department of Economic and Social Affairs, Population Division (2012 b). Population Ageing and Development : Ten years after Madrid, No. 2012/4 December 2012. Available at: {http://www.un.org/esa/population/publications/popfacts/popfacts_2012-4.pdf}. Accessed 31st July 2013. Vitale, M. (2002). Career training scheme with AGSM. Beyond the try line, Vol. 1 (2) pp. 1-2. Wagenaar, W. A. (1986). "My Memory: A Study of Autobiographical Memory over Six Years", Cognitive Psychology, Vol. 18, 225-252. Wallace, P. (2004). The internet in the workplace: How new technology is transforming work. New York : Cambridge University Press. Wang, M. and Shultz, K.S. (2010). Employee Retirement: A review and recommendations for Future Investigation, Journal of Management, Vol. 36 No. 1 January 2010: 172-206. Warner, D.F., Hayward, M.D. and Hardy, M.A. (2010). The retirement life course in America at the dawn of the twenty-first century. Population Research Policy Review. Vol. 29(6): pp. 893−919. Weinberg, K. and Arond, H. (1952). The occupational culture of the boxer. American journal of Sociology, Vol. 57, pp. 460-469. Werthner, P., and Orlick, T. (1986). Retirement experiences of successful Olympic athletes. International Journal of Sport Psychology, Vol. 17, pp. 337–363. World Health Organisation. Online [ http://www.who.int/topics/ageing/en/ ] Accessed 13th May 2012.
  • 92.
    92 | Pa g e World Health Organization (WHO), (2012). World Health Statistics 2012 (NLM Classification: WA 900.1). Geneva, Switzerland: World Health Organization. Wylleman, P., De Knop, P., Menkehorst, H., Theeboom, M., & Annerel, J. (1993). Career termination and social integration among elite athletes. In S. Serpa, J. Alves, V. Ferreira, & A. Paula-Brito (Eds.), Proceedings of the eighth world congress of sport psychology (pp. 902–905). Lisbon: Universidade Tecnica de Lisboa. Wylleman, P., Lavallee, D. and Alfermann, D. (1999). Career transitions in competitive sports. Biel, Switzerland: FEPSAC. Wylleman, P., Lavallee, D., and Theeboom, M. (2004). Successful athletic careers. In C. Spielberger (Ed.), Encyclopedia of Applied Psychology (pp. 511-518). San Diego, CA: Elsevier Ltd. Zaidi, A. (2008). “Features and Challenges of Population Ageing :The European Perspective”. European Centre for Social Welfare Policy and Research, Policy Brief March (1) 2008. Online [ http://www.euro.centre.org/data/1204800003_27721.pdf ] Accessed 13th May 2012. Zunker, V.G. (1994). Career life planning – applied concepts of life planning (4th ed.), Pacific Grove, California: Brooks/Cole Publishing.
  • 93.
    93 | Pa g e APPENDICES
  • 94.
    94 | Pa g e APPENDIX 1: QUESTIONNAIRE Dear ________________, I am currently doing research on “the issues that rugby union players face in their transition from the arena of playing as a professional to their retirement from the game?” for a BA in Human Resource Management in the University of Limerick. This research forms part of my Final Year Project which is required to complete same. Given the relevant youth of the professional rugby union worldwide, I felt that the retirement effects on its players was both an interesting area of study and also a timely one. Although your involvement in this research should require very little of your time, it nevertheless means that I may be privy to some of your personal information. This information will be treated in the upmost confidentiality and the ethical guidelines are laid out by the University of Limerick will be adhered to at all times. Should you wish at any stage to have your questionnaire removed from the data in the report, your quest will be adhered to. In return for your valuable time and valued information, I plan to provide all of the individuals who take part with interesting feedback once the report has been finalised that may be of use to players who are in transition to retirement or to those who have already taken that step. I would appreciate it, if you would complete and return the enclosed questionnaire to me. In order to finalise the report in a timely manner, I would appreciate it if you could complete same, no sooner than the 10th of November 2012. I envisage being in a position to forward you the results of my report in October 2013, upon completion and submission of my Final Year Project. Thanking you in advance for your co-operation in this matter. Thomas Fitzgerald Phone : 086-0491039 Email : toddfitzgerald@shannonsidegalv.com Address : 31 Cragaun, Fr. Russell Road, Limerick.
  • 95.
    95 | Pa g e Sports Career Termination Questionnaire (Adapted version of the SCTQ II) Name : This questionnaire deals with the course of your sport career termination and adjustments to post-sport life. If you are still active in Rugby (e.g. competing at amateur level) consider the questions as referring to your professional Rugby Union career, which has already ended. Instructions: You will be required to answer the majority of the questionnaire items by circling the number that best represents your opinion on the statement in question. Example : I started planning my post-sports life during my sports career. 1 means “I strongly disagree” and 5 means “I strongly agree”. So, if you completely agree with the statement, you will circle 5. In the case of questions with checkbox answers, check the one that applies. When completing specific details in the space provided, please print where applicable to ensure legibility. • Please respond to every statement. • Make sure that you always choose one response unless specifically advised otherwise. • It is essential that your answers will be sincere. • Your answers will be kept in strict confidence and destroyed subsequently using cross- shredding. • Should you desire at any stage to have your data removed from the sample at any stage their request will be adhered to immediately. Thanking you in advance for your willingness to part-take in this research. Regards Thomas Fitzgerald Phone : 086-0491039 Email : toddfitzgerald@shannonsidegalv.com Address : 31 Cragaun, Fr. Russell Road, Limerick.
  • 96.
    96 | Pa g e Biographical Information 1. Age : ____________ Years 2. Marital Status : Single Married /living together Separated/divorced/widowed Partner relationship but living alone 3. Do you have children? Yes__________ No____________ If “YES” how many children? _______________________ 4. Current occupation: _______________________________________________ 5. Highest level of completed education: Primary school Technical school Secondary school Third level certificate Third level diploma Bachelor’s Degree Master’s Degree Doctoral Degree Other. Please specify_______________________________________________ Are you still studying? Yes__________ No____________ If “YES”, please specify_____________________________________________ 6. Have you taken any educational or training programmes (e.g. coaching certificate programme / course)? Yes__________ No____________ If “YES”, please specify_____________________________________________ 7. How many years did you compete in your sport (all levels)? ____________Years 8. For how many years were you a member of a : Club Team? _____ Provincial team? _______ Years National team? ________ Years 9. For how many years was sport your top-priority commitment? ____________ Years
  • 97.
    97 | Pa g e 10. Approximately how many training sessions per week did you have at the height of your professional sports career? _________________________ Sessions 11. Approximately how long was the average training session?______________ Hours 12. At which level did you compete at the peak of your career? Club level Provincial level International Level 13. Please specify highest grade of competition played in: Domestic club league i.e. AIL League Magners / Pro 12 League Heineken Cup Friendly international Six (Five) Nations International World Cup International Touring Side
  • 98.
    98 | Pa g e Life during your Professional Rugby Union Career 1. Did you study during your professional rugby union career? Yes ________ No___________ If “Yes” at what level? Secondary school _______ Third Level _________ Other__________ If other please specify?___________________________________________________________ 2. What was your schooling status at that time? Did not study Full-time study Part-time study 3. Did you stop studying as a result of your sport commitment? Yes__________ No____________ 4. During your professional career, were you married or involved in a close relationship? Yes____ No____ NOTE FOR QUESTION 5,7,10 LIKERT SCALE FROM 1 TO 5 WITH (1) INDICATING VERY LITTLE AND (5) A LOT 5. In your opinion, how much have you earned with your sports involvement? 1 2 3 4 5 6. Have you earned enough in sport to ensure yourself a comfortable post-sport life? Yes______ No______ 7. How famous were you during your professional sports career? 1 2 3 4 5 8. Did you enjoy a privileged status among your peers due to your sports involvement? Yes_____ No_____ 9. Did you enjoy a privileged status among adults due to your sports involvement? Yes___ No__ Uncertain___ 10. Because of your total commitment to sport, did you neglect other important aspects of life that were not related to sport? 1 2 3 4 5 NOTE FOR QUESTION 11 LIKERT SCALE FROM 1 TO 5 WITH (1) INDICATING NOT AT ALL AND (5) A LOT 11. Because of your total commitment to sport, did you miss some important events and activities that were not related to sport? 1 2 3 4 5 NOTE FOR QUESTION 12 LIKERT SCALE FROM 1 TO 5 WITH (1) INDICATING VERY RARELY AND (5) OFTEN 12. How often did you engage in social activities during your professional sports career? 1 2 3 4 5 NOTE FOR QUESTION 13 LIKERT SCALE FROM 1 TO 5 WITH (1) INDICATING VERY FEW AND (5) MANY 13. How many friends did you have during your elite sports career? 1 2 3 4 5 NOTE FOR QUESTION 14 LIKERT SCALE FROM 1 TO 5 WITH (1) INDICATING NOT AT ALL AND (5) A LOT 14. During your professional career, were most of your friends from the world of sport? 1 2 3 4 5
  • 99.
    99 | Pa g e NOTE FOR QUESTION 15 LIKERT SCALE FROM 1 TO 5 WITH (1) INDICATING VERY BAD AND (5) VERY GOOD 15. What was your relationship with your family like during your professional sports career? 1 2 3 4 5 NOTE FOR QUESTION 16 -23 LIKERT SCALE FROM 1 TO 5 WITH (1) INDICATING VERY LITTLE AND (5) A LOT 16. Did your parents offer you support during your sports career? 1 2 3 4 5 17. In your opinion, how much did your parents invest financially in your sports career? 1 2 3 4 5 18. Did you think about the end of your sports career during your professional playing days? 1 2 3 4 5 19. Did you start planning your post-sport life during your sports career? 1 2 3 4 5 20. During your sports career, did you think of yourself mostly as an athlete? 1 2 3 4 5 21. During your sports career, were most of your goals related to sport? 1 2 3 4 5 22. During your sports career, was sport the most important aspect of your life? 1 2 3 4 5 23. During your sports career, did other people see you primarily as an athlete? 1 2 3 4 5 Sport Career Termination 24. Which year did you first start thinking about ending your professional sports career? ________ Year What age were you then?____________ Comments:___________________________________________________________________________ 25. Which year did you terminate your professional sports career? ______________ Year What age were you then?____________ 26. At what time of the season did you terminate your professional sports career? During pre-season Commencement of the season During the season At the end of the season 27. How strongly did each of the following factors influence your decision to terminate your professional sports career? Using the 1-to-5 intensity scale, indicate the influence each factor had on your decision to end your sports career. 1 = No influence at all 5 = Very strong influence No influence at all Very strong influence 27.1 You achieved most major goals in your sport 1 2 3 4 5 27.2 You grew tired of the lifestyle of a professional rugby union player 1 2 3 4 5 (e.g. travelling/stress) 27.3 You were offered an opportunity outside your sport career 1 2 3 4 5 (e.g. job offer / an educational opportunity)
  • 100.
    100 | Pa g e 27.4 You committed yourself to school/study 1 2 3 4 5 27.5 You found other employment 1 2 3 4 5 27.6 You committed yourself to your family 1 2 3 4 5 27.7 You wanted to devote more time to your partner relationship 1 2 3 4 5 27.8 You had problems with coaching staff 1 2 3 4 5 27.9 You had problems with your academy 1 2 3 4 5 29.10You suffered an injury of other health problems 1 2 3 4 5 29.11You were in a poor relationship with team mates 1 2 3 4 5 29.12You were in financial difficulties 1 2 3 4 5 29.13You had poor working and training conditions 1 2 3 4 5 29.14You were not being selected 1 2 3 4 5 29.15Your age 1 2 3 4 5 29.16 Changes in competition regulations 1 2 3 4 5 29.17 Changes in techniques 1 2 3 4 5 29.18 Unsatisfactory performance 1 2 3 4 5 29.19 Lack of support from family 1 2 3 4 5 29.20 Lack of support from friends 1 2 3 4 5 29.20ressure from parents 1 2 3 4 5 30. From the list of factors outlined in number 29 above, choose the three factors that had the strongest influence on your decision to end your professional rugby union playing career? 1. _________________________________________________________________________ 2. _________________________________________________________________________ 3. _________________________________________________________________________ Not voluntary at all to Completely voluntary 31. How voluntary was your decision to end your professional sports career? 1 2 3 4 5 Not at all to A lot 32. Did the end of your professional sports career come about gradually? 1 2 3 4 5 33. What was the level of your performance when you decided to end your professional sports career? I was at the peak of my sports career My performance was improving My performance was declining
  • 101.
    101 | Pa g e General Mental and Emotional State during transition from playing professional to retirement 34. Is you withdrawal from playing rugby union professional as a competitor; Permanent Temporary Unresolved Not at all to A Lot 35. Did you have doubts about your decision to end your professional sports career? 1 2 3 4 5 36. Below is a list of emotional states that may have accompanied your retirement from professional sport. Using the 1- to-5 intensity scale, indicate which number best reflects the absence/presence of each of them. 1 = not at all. 5 = a lot. Not at all to A Lot 36.1 Dissatisfaction 1 2 3 4 5 36.2 Could not reconcile myself to the end of my professional career 1 2 3 4 5 36.3Sadness 1 2 3 4 5 36.4 Fear of an uncertain future 1 2 3 4 5 36.5 Relief 1 2 3 4 5 35.6 Other _____________________________________________ 1 2 3 4 5 Not at all A Lot 37. How much has retirement from professional sport changed your life? 1 2 3 4 5 Very negative Very positive 38. How was the change generally? 1 2 3 4 5 39. Below is a list of problems which elite athletes are often faced with after retirement from sport. Using the 1-to-5 intensity scale, indicate the magnitude of each problem as it applied to you at the end of your elite-sport career. 1 = no problem at all. 5 = Posed great problems. Posed no problem Very problematic 39.1 Health problems (injuries) etc. 1 2 3 4 5 39.2 Detraining difficulties 1 2 3 4 5 39.3 Weight problems 1 2 3 4 5 39.4 Alcohol abuse 1 2 3 4 5 39.5 Drug abuse 1 2 3 4 5 39.6 Missing friends from the world of sport environment 1 2 3 4 5 39.7 Missing sport-related social activities 1 2 3 4 5 39.8 Difficulties in establishing social contacts 1 2 3 4 5 39.9 Missing the lifestyle of an athlete 1 2 3 4 5 39.10 Feelings of underachievement in sport-related goals 1 2 3 4 5 39.11 Loss of status as a public figure 1 2 3 4 5
  • 102.
    102 | Pa g e 39.12 Loss of public admiration 1 2 3 4 5 39.13 Financial difficulties 1 2 3 4 5 39.14 Problems with finding a job 1 2 3 4 5 39.15 Difficulties with adjustment to the requirements of your occupation 1 2 3 4 5 39.16 Difficulties with adjustment to regular school/study 1 2 3 4 5 39.17 Feelings of incompetence in activities other than sport 1 2 3 4 5 39.18 Lack of professional knowledge 1 2 3 4 5 39.19 Work/school/study pressure 1 2 3 4 5 39.20 Difficulties with planning one’s future 1 2 3 4 5 39.21 Lowered self-confidence 1 2 3 4 5 39.22 Lowered self-worth 1 2 3 4 5 39.23 Lack of self-control 1 2 3 4 5 39.24 Relationship difficulties with parents/family 1 2 3 4 5 39.25 Relationship difficulties with one’s partner 1 2 3 4 5 39.26 Relationship difficulties with one’s coach 1 2 3 4 5 39.27 Relationship difficulties with one’s sport academy/association 1 2 3 4 5 39.28 Relationship difficulties with one’s rugby club 1 2 3 4 5 39.29 Low self-esteem 1 2 3 4 5 39.30 Fear of an uncertain future 1 2 3 4 5 39.31 Other _________________________________________ 1 2 3 4 5 Not at all Completely 40. Have you achieved all of your sport-related goals? 1 2 3 4 5 Not at all Completely 41. To what extent did you depend on sport financially at the end of your career? 1 2 3 4 5 42. After your retirement from sport, how much support (e.g. emotional, financial, etc.) did you receive from the following; 1= None 3 = A little 5 = A Lot 42.1 Partner / Spouse 1 2 3 4 5 42.2 Parents 1 2 3 4 5 42.3 Other family members 1 2 3 4 5 42.4 Teammates 1 2 3 4 5 42.5 Friends 1 2 3 4 5 42.6 Provincial club 1 2 3 4 5 42.7 Coaching staff 1 2 3 4 5 42.8 IRFU 1 2 3 4 5 42.9 Sports psychologist 1 2 3 4 5 Other: _______________________________________ 1 2 3 4 5
  • 103.
    103 | Pa g e 43. After your retirement from sport, how much support (e.g. emotional, financial, etc.) did you expect from the following; 1= None 3 = A little 5 = A Lot 43.1 Partner / Spouse 1 2 3 4 5 43.2 Parents 1 2 3 4 5 43.3 Other family members 1 2 3 4 5 43.4 Teammates 1 2 3 4 5 43.5 Friends 1 2 3 4 5 43.6 Provincial club 1 2 3 4 5 43.7 Coaching staff 1 2 3 4 5 43.8 IRFU 1 2 3 4 5 43.9 Sports psychologist 1 2 3 4 5 43.10 Other: _______________________________________ 1 2 3 4 5 Organisation to post-sport life 44. How long did it take before you felt completely adjusted to the new demands and social roles outside professional rugby? 0-2 months 3-6 months 7-11 months 1-3 years Not yet completely adjusted How long has it been since you retired from professional rugby union?________________________ Very negative Very positive 45. How would you describe your general attitude to retirement from sport at this point? 1 2 3 4 5 46. Immediately after retiring from sport, did you have some activity to become involved in right away? Yes No Not at all Very much 47. To what extent did you miss sport and the lifestyle of an athlete after you ended your career? 1 2 3 4 5 48. Did you feel after a while that you missed sport (e.g.) you thought about your sports career, achievements, the people from the world of sport, etc.)? Yes No Comments ___________________________________________________________________ 49. Are you still active in sport? If “No” continue with Q.50. Yes _________ No ___________ If “Yes” what do you do? 49.1 I work professionally in sport as a coach. Yes__________ No____________
  • 104.
    104 | Pa g e 49.2 I work professionally in sport as a manager. Yes__________ No____________ 49.3 I work professionally in sport as a counsellor. Yes__________ No____________ 49.4 I work professionally in sport as a referee/official. Yes__________ No____________ 49.5 I work professionally in sport as a volunteer (e.g. part-time coaching, etc.). Please specify __________________________ Yes__________ No____________ 49.6 I now play as an amateur. Yes__________ No____________ 50. Do you still enjoy a public reputation because of your sports career? Yes No Much less important to Much more important 51. How does your current post-sport life compare with your active sports career in terms of its importance for your personality? 1 2 3 4 5 Very dissatisfied to Very satisfied 52. In general, how satisfied are you with your post-sport life? 1 2 3 4 5 Very unsuccessfully to Successfully 53. In general, how did you cope with the adjustment to post-sport life? 1 2 3 4 5 Very important to Very unimportant 54. How important is the role of a former professional rugby player to you? 1 2 3 4 5 Completely agree Completely disagree 55. Is sport still the most important aspect of your life? 1 2 3 4 5 Counselling for retirement 56. Did you expect any psychological problems after your retirement from sport? Yes No If “Yes” what kind of problems did you expect? Specify:_____________________________________________________________________________ ____________________________________________________________________________________
  • 105.
    105 | Pa g e 57. If you were having hard and stressful times after retirement, who, if anyone, would you turn to for help? Check all that apply. Sports psychologist Counsellor/therapist Coach Physician Other sports-related expert (e.g. sport manager, physical therapist, etc.) Parents Partner Siblings Close friends No one Other __________________________________________________________________________ 58. How useful would you find the following services after sports retirement? Not Useful to Very Useful 58.1 Help in finding a new career or area of interest 1 2 3 4 5 58.2 Help in learning how to transfer your mental skills to a new career or area of interest 1 2 3 4 5 58.3 Help in building your confidence in post sport – life 1 2 3 4 5 58.4 Information on work and educational opportunities 1 2 3 4 5 58.5 Financial counselling 1 2 3 4 5 58.6 Assistance in finding a place to live 1 2 3 4 5 58.7 Assistance/guidance with medical and health care 1 2 3 4 5 58.8 Physiological and dietary detraining programme 1 2 3 4 5 58.9 Information on how other athletes have dealt with retirement 1 2 3 4 5 58.10 Workshops with other retired athletes to share and learn from each other’s experiences 1 2 3 4 5
  • 106.
    106 | Pa g e Retrospect 59. What are the most important things that you gained from your sports career? Rank the following by placing a number (5 = most important to 1 = least important) next to the aspect. Financial _____________ Fame_________________ Fitness________________ Friendships____________ Others _______________ Specify :___________________________________________________ 60. Would you recommend your children to follow a career similar to yours? Yes No Uncertain No children Thank you for your co-operation with completing this questionnaire. Your answers will be kept in strict confidence and destroyed subsequently using cross-shredding. Should you desire at any stage to have your data removed from the sample at any stage their request will be adhered to immediately.
  • 107.
    107 | Pa g e APPENDIX 2: INTERVIEW QUESTIONS Questions are drawn from the following Marthinus, J.M., (2007) “Psychological effects of retirement in elite athletes”. Beginning the interview. Introductory remarks and demographics. • How old were you when you began your athletic career? • How old were you when you began playing rugby union? • How old were you when you turned professional? • What provincial clubs have you played for in Ireland? • Have you ever played professional outside of Ireland? • What got you into playing rugby union to begin with? • Did you have an athletic hero? • Who was that person and what made them a hero to you? • What was the most important thing that kept you playing rugby all these years? • What did you find most enjoyable about playing rugby? • Can you outline at what levels you have played rugby? (Club/Provincial/International/Touring sides) • How long did your professional career last? • For what reason did you retire? Voluntary / Involuntary. Deselection/Injury/Free choice. Initiation (Training) stage. • It is clear that you made a long-term commitment to sport and have achieved a high level in relation to same. At what age did you begin your competitive sports career and how successful was it in the initial stages? • By choosing sport, you made a large commitment. What was your main goal when you began participating in sport? • By commitment to sport we mean “Your desire and determination to keep doing what you do best, and that is keep on winning”. Were results important to you at the beginning and why? • (Considering everything, both on and off the field, how much did you enjoy playing sport? (1-7 Likert scale) 1 being not very much 7 being loved it. • What valuable opportunities did you have taking part in sport? Travel/meeting people/job opportunities.
  • 108.
    108 | Pa g e Maturity (Performance) stage. • Thinking back to your first major competitive honour when you turned professional. Which was? How did you feel, and what were you thinking about prior to the contest? How were you focused during the performance? • After that win did you begin to think about any other goals? If yes, what sort of goals? • Did your life change in any way after your first big win? If yes, in what way? Did you experience any additional demands? If yes, what sort of demands? What was the most stressful? • Were you prepared to deal with these additional demands? How did you deal with them? What did you find most effective? Did you have any assistance in preparing yourself to cope with them? • Do you have any suggestions that might help other professional rugby union players who will face a similar situation, to help them better prepare and cope with becoming or remaining a champion? • Did you have any non-sport identities? What would be helpful for the athlete to broaden their social identity/social support? • Investing personal resources: What have you invested that you cannot recover if you leave sport? • Did you feel a sense of obligation to keep competing because of the expectation of other people? Whose expectations are most important to you? What expectations did these people have? • Did you feel encouragement and support from other people? Whose encouragement and support were most important to you? How did these people encourage and support your participation? Anticipation (realisation of retirement) stage. • Are you viewed as a former rugby player, who made a good investment in society, who did a good job by working hard? Describe how you are being viewed by the public? • Would you say that there was unwillingness on your side to plan for retirement? • Was there any structure in place to help you with your post-sports-career development? If yes, can you describe it? • Do you feel that you have a lot to say, but no one to tell about your unresolved feelings/emotions about retirement? • Were there any unresolved feelings that were harmful to your mental well-being? How did you vent your frustration? • Did you have any support from your peers, close friends, club or province? Did you share your thoughts with your peers? • Describe your emotional distress, if any. Were there any therapeutic interventions? • What was your coach’s role/obligation in your career termination?
  • 109.
    109 | Pa g e APPENDIX 3: DEMOGRAPHIC OF IRISH AND MUNSTER RUGBY PROFESSIONAL RUGBY TEAMS. • Team Surname First Name Date of birth Ireland Representative Commencement of prefessional rugby career Current Age Average Age Ireland Senior Team 2012-2013 O'Driscoll Brian 21/01/1979 Leinster 1999-2000 34 Ireland Senior Team 2012-2013 O'Callaghan Donnacha 24/03/1979 Munster 2002-2003 34 Ireland Senior Team 2012-2013 O'Connell Paul 20/10/1979 Munster 2001-2002 33 Ireland Senior Team 2012-2013 Ross Mike 21/12/1979 Leinster 2008-2009 33 Ireland Senior Team 2012-2013 D'Arcy Gordan 10/02/1980 Leinster 1999 33 Ireland Senior Team 2012-2013 Court Tom 06/11/1980 Ulster 2008 32 Ireland Senior Team 2012-2013 Reading Eoin 20/11/1980 Leinster 2005-2006 32 Ireland Senior Team 2012-2013 Downey James 23/03/1981 Munster 2012-2013 32 Ireland Senior Team 2012-2013 McCarthy Mike 27/11/1981 Connacht 2011 31 Ireland Senior Team 2012-2013 Best Rory 15/08/1982 Ulster 2005 31 Ireland Senior Team 2012-2013 Fitzpatrick Declan 12/07/1983 Ulster 2011 30 Ireland Senior Team 2012-2013 Ryan Donnacha 11/12/1983 Munster 2008-2009 29 Ireland Senior Team 2012-2013 Heaslip Jamie 15/12/1983 Leinster 2006 29 Ireland Senior Team 2012-2013 Bowe Tommy 22/02/1984 Ulster 2004 29 Ireland Senior Team 2012-2013 McLaughlin Kevin 20/09/1984 Leinster 2009 28 Ireland Senior Team 2012-2013 Henry Chris 17/10/1984 Ulster 2009 28 Ireland Senior Team 2012-2013 Trimble Andrew 20/10/1984 Ulster 2005-2006 28 Ireland Senior Team 2012-2013 Tuohy Dan 18/01/1985 Ulster 2009-2010 28 Ireland Senior Team 2012-2013 Sexton Jonathan 11/07/1985 Leinster 2009-2010 28 Ireland Senior Team 2012-2013 Marshall Paul 26/07/1985 Ulster 2012 28 Ireland Senior Team 2012-2013 Ferris Steve 02/08/1985 Ulster 2006 28 Ireland Senior Team 2012-2013 Strauss Richardt 29/01/1986 Leinster 2012-2013 27 Ireland Senior Team 2012-2013 Kearney Rob 26/03/1986 Leinster 2006 27 Ireland Senior Team 2012-2013 Bent Michael 25/04/1986 Leinster 2012-2013 27 Ireland Senior Team 2012-2013 Cronin Sean 06/05/1986 Leinster 2009 27 Ireland Senior Team 2012-2013 McFadden Fergus 17/06/1986 Leinster 2010 27 Ireland Senior Team 2012-2013 Toner Devin 29/06/1986 Leinster 2010-2011 27 Ireland Senior Team 2012-2013 O'Brien Sean 14/02/1987 Leinster 2009 26 Ireland Senior Team 2012-2013 Cave Darren 05/04/1987 Ulster 2008 26 Ireland Senior Team 2012-2013 Hagan Jamie 15/04/1987 Connacht 2012 26 Ireland Senior Team 2012-2013 O'Donnell Tommy 21/05/1987 Munster 2012-2013 26 Ireland Senior Team 2012-2013 Jones Felix 05/08/1987 Leinster 2011 26 Ireland Senior Team 2012-2013 Fitzgerald Luke 13/09/1987 Leinster 2006 25 Ireland Senior Team 2012-2013 Earls Keith 02/10/1987 Munster 2008-2009 25 Ireland Senior Team 2012-2013 Healy Cian 07/10/1987 Leinster 2009 25 Ireland Senior Team 2012-2013 Archer Stephen 29/01/1988 Munster 2012-2013 25 Ireland Senior Team 2012-2013 Sherry Mike 18/06/1988 Munster 2012-2013 25 Ireland Senior Team 2012-2013 Kilcoyne Dave 14/12/1988 Munster 2012 24 Ireland Senior Team 2012-2013 Madigan Ian 21/03/1989 Leinster 2012 24 Ireland Senior Team 2012-2013 Murray Connor 20/04/1989 Munster 2011 24 Ireland Senior Team 2012-2013 O'Mahony Peter 17/09/1989 Munster 2011-2012 23 Ireland Senior Team 2012-2013 Zebo Simon 16/03/1990 Munster 2011-2012 23 Ireland Senior Team 2012-2013 Boss Isaac 19/04/1990 Ulster 2005 23 Ireland Senior Team 2012-2013 Marshall Luke 03/03/1991 Ulster 2012 22 Ireland Senior Team 2012-2013 Gilroy Craig 11/03/1991 Ulster 2012 22 Ireland Senior Team 2012-2013 Jackson Paddy 05/01/1992 Ulster 2012 21 Ireland Senior Team 2012-2013 Marmion Kieran 11/02/1992 Connacht 2013 21 Ireland Senior Team 2012-2013 Henderson Iain 21/02/1992 Ulster 2012 21 Ireland Senior Team 2012-2013 Olding Stuart 11/03/1993 Ulster 2012-2013 20 Ireland Senior Team 2012-2013 Henshaw Robbie 12/06/1993 Connacht 2012 20 26 Data compiled from databases found at: • Irish Squads: {http://www.irishrugb y.ie/squads/index.php } {http://www.irishrugb y.ie/squads/ireland_u2 0.php} • Munster Squads : {http://www.munsterr ugby.ie/rugby/squadpr ofiles.php} {http://www.munsterr ugby.ie/rugby/munster _a_squad.php} {http://www.munsterr ugby.ie/rugby/academ yprofiles.php}
  • 110.
    110 | Pa g e Team Surname First Name Date of birth Ireland Representative Commencement of prefessional rugby career Current Age Average Age Munster 1st XV Squad 2013-2014 O'Callaghan Donnacha 24/03/1979 Ireland Senior 01/08/1998 34 Munster 1st XV Squad 2013-2014 O'Connell Paul 20/10/1979 Ireland Senior 01/08/2001 33 Munster 1st XV Squad 2013-2014 Botha BJ 04/01/1980 South Africa 01/09/2011 33 Munster 1st XV Squad 2013-2014 Coughlan James 09/12/1980 Ireland 7's 01/01/2006 32 Munster 1st XV Squad 2013-2014 Downey James 23/03/1981 Ireland Senior 01/09/2006 32 Munster 1st XV Squad 2013-2014 Laulala Casey 03/05/1982 New Zealand 01/09/2012 31 Munster 1st XV Squad 2013-2014 Ronan Niall 14/09/1982 Ireland Senior 01/09/2007 30 Munster 1st XV Squad 2013-2014 Varley Damien 29/10/1983 Ireland Senior 01/05/2005 29 Munster 1st XV Squad 2013-2014 Ryan Donnacha 11/12/1983 Ireland Senior 01/09/2004 29 Munster 1st XV Squad 2013-2014 Hurley Gerry 16/05/1984 Ireland Club 01/08/2007 29 Munster 1st XV Squad 2013-2014 Hurley Denis 15/07/1984 Ireland Senior 01/05/2006 29 Munster 1st XV Squad 2013-2014 Murphy Johne 10/11/1984 Ireland Wolfhound 01/09/2010 28 Munster 1st XV Squad 2013-2014 Holland Billy 03/08/1985 Ireland U21 01/09/2007 28 Munster 1st XV Squad 2013-2014 Williams Duncan 17/04/1986 Ireland U21 01/12/2009 27 Munster 1st XV Squad 2013-2014 Cotter Alan 23/09/1986 Ireland Schools 03/05/2012 26 Munster 1st XV Squad 2013-2014 O'Mahony Barry 26/09/1986 Ireland Club 01/09/2012 26 Munster 1st XV Squad 2013-2014 Keatley Ian 01/04/1987 Ireland Senior 01/09/2011 26 Munster 1st XV Squad 2013-2014 O'Donnell Tommy 21/05/1987 Ireland Youth 01/09/2007 26 Munster 1st XV Squad 2013-2014 Dineen Ivan 25/07/1987 Ireland U19 01/01/2010 26 Munster 1st XV Squad 2013-2014 Jones Felix 05/08/1987 Ireland Senior 01/09/2009 26 Munster 1st XV Squad 2013-2014 Earls Keith 02/10/1987 Ireland Senior 01/04/2007 25 Munster 1st XV Squad 2013-2014 Archer Stephen 29/01/1988 Ireland Senior 01/10/2009 25 Munster 1st XV Squad 2013-2014 Foley Dave 16/05/1988 Ireand U19 01/04/2010 25 Munster 1st XV Squad 2013-2014 Sherry Mike 18/06/1988 Ireland U19 01/12/2009 25 Munster 1st XV Squad 2013-2014 Ryan John 02/08/1988 Ireland Club 01/09/2011 25 Munster 1st XV Squad 2013-2014 Nagle Ian 07/10/1988 Ireland A 01/03/2010 24 Munster 1st XV Squad 2013-2014 O'Callaghan Dave 17/10/1988 Ireland A 01/03/2010 24 Munster 1st XV Squad 2013-2014 Kilcoyne Dave 14/12/1988 Ireland Senior 01/12/2011 24 Munster 1st XV Squad 2013-2014 Murray Connor 24/04/1989 Ireland Senior 01/04/2010 24 Munster 1st XV Squad 2013-2014 O'Mahony Ronan 28/05/1989 Ireand U20 03/05/2013 24 Munster 1st XV Squad 2013-2014 O'Mahony Peter 17/09/1989 Ireland Senior 01/01/2010 23 Munster 1st XV Squad 2013-2014 Dougall Sean 28/10/1989 Ireland U19 01/09/2012 23 Munster 1st XV Squad 2013-2014 O'Dea Luke 18/01/1990 Ireland Youth 01/01/2011 23 Munster 1st XV Squad 2013-2014 Zebo Simon 16/03/1990 Ireland Senior 01/04/2010 23 Munster 1st XV Squad 2013-2014 Stander C.J 05/04/1990 No 25/11/2012 23 Munster 1st XV Squad 2013-2014 Casey Duncan 14/11/1990 Ireland U20 01/01/2012 22 Munster 1st XV Squad 2013-2014 Cronin James 23/11/1990 No 01/04/2013 22 Munster 1st XV Squad 2013-2014 Butlre Paddy 01/12/1990 Ireland U20 01/12/2010 22 Munster 1st XV Squad 2013-2014 Bohane Cian 26/01/1991 No 01/05/2013 22 Munster 1st XV Squad 2013-2014 Conway Andrew 11/07/1991 Ireland U20 03/05/2013 22 Munster 1st XV Squad 2013-2014 Hanrahan J.J 27/07/1992 Ireland U20 08/09/2012 21 26
  • 111.
    111 | Pa g e Team Surname First Name Date of birth Ireland Representative Commencement of prefessional rugby career Current Age Average Age Munster A Squad 2012-2013 Condon Christy 23/10/1981 Ireland Club 11/11/2011 31 Munster A Squad 2012-2013 Henry Sean 16/12/1987 No 01/09/2010 25 Munster A Squad 2012-2013 Donnellan Phillip 10/09/1988 Ireland Club 01/01/2011 24 Munster A Squad 2012-2013 Deasy Scott 11/10/1988 No 20/11/2009 24 Munster A Squad 2012-2013 Sheridan Cathal 14/11/1988 No 11/12/2010 24 Munster A Squad 2012-2013 Byrnes Danny 17/10/1989 Ireland U20 18/04/2010 23 Munster A Squad 2012-2013 Moroney Darren 31/08/1990 No 19/11/2011 22 Munster A Squad 2012-2013 Hayes Brian 25/09/1990 Ireland U20 22/02/2011 22 Munster A Squad 2012-2013 Hircock Corey 20/01/1991 No 21/01/2011 22 Munster A Squad 2012-2013 Holland Johnny 30/08/1991 No 19/11/2011 21 Munster A Squad 2012-2013 Scanlan Niall 08/04/1992 Ireland U20 01/01/2012 21 Munster A Squad 2012-2013 Buckley Shane 14/04/1992 Ireland U20 17/12/2011 21 Munster A Squad 2012-2013 Haugh Brian 14/01/1993 No 01/01/2012 20 Munster A Squad 2012-2013 Murphy Ryan 05/03/1993 Ireland U18 01/11/2012 20 Munster A Squad 2012-2013 Sweetnam Darren 05/05/1993 Ireland U20 18/01/2013 20 Munster A Squad 2012-2013 O'Donghue Jack 08/04/1994 Ireland U20 01/01/2012 19 22 Munster A Squad 2012-2013 Mullane Richie No 20/10/2012
  • 112.
    112 | Pa g e Team Surname First Name Date of birth Ireland Representative Commencement of prefessional rugby career Current Age Average Age Ireland Under 20 2012-2013 McGrath Luke 03/02/1993 Leinster 2011-2012 20 Ireland Under 20 2012-2013 Panter Dave 03/02/1993 Connacht 2012-2013 20 Ireland Under 20 2012-2013 Caufield Jake 07/02/1993 Ulster 2012-2013 20 Ireland Under 20 2012-2013 McCarty Sean 12/02/1993 Munster 2012-2013 20 Ireland Under 20 2012-2013 Donnan John 16/02/1993 Ulster 2012-2013 20 Ireland Under 20 2012-2013 Murphy Ryan 05/03/1993 Munster 2012-2013 20 Ireland Under 20 2012-2013 Scott Brian 09/03/1993 Leinster 2012-2013 20 Ireland Under 20 2012-2013 Olding Stuart 11/03/1993 Ulster 2011-2012 20 Ireland Under 20 2012-2013 Taylor Chris 11/03/1993 Ulster 2012-2013 20 Ireland Under 20 2012-2013 Creighton John 20/03/1993 Ulster 2012-2013 20 Ireland Under 20 2012-2013 O'Meara Alex 23/03/1993 Exile 2012-2013 20 Ireland Under 20 2012-2013 McGuigan George 30/03/1993 Exile 2012-2013 20 Ireland Under 20 2012-2013 Scholes Rory 23/04/1993 Ulster 2012-2013 20 Ireland Under 20 2012-2013 Van der Flier Josh 25/04/1993 Leinster 2011-2012 20 Ireland Under 20 2012-2013 Sweetnam Darren 05/05/1993 Munster 2012-2013 20 Ireland Under 20 2012-2013 Andrew John 26/05/1993 Ulster 2012-2013 20 Ireland Under 20 2012-2013 Joyce Connor 05/07/1993 Ulster 2012-2013 20 Ireland Under 20 2012-2013 Daly Tom 31/07/1993 Leinster 2012-2013 20 Ireland Under 20 2012-2013 Thronbury Gavin 19/10/1993 Leinster 2012-2013 19 Ireland Under 20 2012-2013 Crosbie Steve 10/12/1993 Leinster 2012-2013 19 Ireland Under 20 2012-2013 Scannell Rory 22/12/1993 Munster 2012-2013 19 Ireland Under 20 2012-2013 Timmins Peadar 08/01/1994 Leinster 2012-2013 19 Ireland Under 20 2012-2013 Dooley Peter 04/08/1994 Leinster 2012-2013 19 19
  • 113.
    113 | Pa g e Team Surname First Name Date of birth Ireland Representative Commencement of prefessional rugby career Current Age Average Age Munster Academy 2013-2014 O'Shea Darren 12/12/1992 Ireland U20 2013 20 Munster Academy 2013-2014 McCarthy Sean 12/02/1993 Ireland U20 2012 20 Munster Academy 2013-2014 McNulty Harry 05/03/1993 No 2012 20 Munster Academy 2013-2014 Horan Niall 21/04/1993 Ireland U19 2011 20 Munster Academy 2013-2014 Scannell Rory 22/12/1993 Ireland U20 2011 19 Munster Academy 2013-2014 Madigan John 01/09/1994 Ireland U18 2011 18 Munster Academy 2013-2014 O'Shea Greg 23/03/1995 Ireland U18 2012 18 Munster Academy 2013-2014 Lyons Gearoid 13/04/1995 Ireland U18 2012 18 Munster Academy 2013-2014 Cullen Jack 26/05/1995 Ireland U18 2012 18 19 Munster Academy 2013-2014 Johnson David Ireland U19 2012
  • 114.
    114 | Pa g e APPENDIX 4: ETHICAL CLEARANCE From: Mairead.Breathnach [mailto:Mairead.Breathnach@ul.ie] Sent: 02 July 2012 22:48 To: Todd Fitzgerald Cc: Michelle.Cunningham; Jean.McCarthy Subject: RE: KBSREC - June 2012 - BA HRM - Thomas Fitzgerald UL Student ID 11107545 Dear Thomas, Thank you for your email and earlier clarification. I am happy to grant research ethics approval. Regards, Mairead From: Todd Fitzgerald [mailto:toddfitzgerald@shannonsidegalv.com] Sent: Mon 02/07/2012 22:21 To: 'Todd Fitzgerald'; Mairead.Breathnach Cc: Michelle.Cunningham; Jean.McCarthy Subject: RE: KBSREC - June 2012 - BA HRM - Thomas Fitzgerald UL Student ID 11107545 Mairead, My apologies for bothering you again. I was just wondering if with my agreement to the changes that you have suggested whether or not I have attained the ethical clearance to proceed with my FYP, or am I to await further instructions on the matter. Regards Todd From: Todd Fitzgerald [mailto:toddfitzgerald@shannonsidegalv.com] Sent: 19 June 2012 17:05 To: 'Mairead.Breathnach' Cc: 'Michelle.Cunningham'; 'Jean.McCarthy' Subject: RE: KBSREC - June 2012 - BA HRM - Thomas Fitzgerald UL Student ID 11107545 Mairead, Duly noted. I think given the scope of my research – there will be no need to identify which province they are from – as my findings will concentrate on the effects of retirement on the individuals
  • 115.
    115 | Pa g e themselves – and I need not concern myself in this research with how these effects differ depending on which province they may have found themselves representing. Again should you require any further clarification on this matter or any other, please feel free to contact me. I appreciate your patience in this regard. Regards Todd From: Mairead.Breathnach [mailto:Mairead.Breathnach@ul.ie] Sent: 19 June 2012 15:48 To: Todd Fitzgerald Cc: Michelle.Cunningham; Jean.McCarthy Subject: RE: KBSREC - June 2012 - BA HRM - Thomas Fitzgerald UL Student ID 11107545 Dear Thomas, Thank you for your email. The KBS Research Ethics Committee recommendations were made so that the information given by informants would not allow them to be identified. If you intend to interview two individuals from each province, and identify them as coming from a particular province, how will you ensure anonymity and confidentiality? Regards, Mairead From: Todd Fitzgerald [mailto:toddfitzgerald@shannonsidegalv.com] Sent: 19 June 2012 10:17 To: Michelle.Cunningham; ULStudent:THOMAS.FITZGERALD Cc: Jean.McCarthy; Mairead.Breathnach Subject: RE: KBSREC - June 2012 - BA HRM - Thomas Fitzgerald UL Student ID 11107545 Miss Breathnach, Further to the recommendations of the ethics committee – please note my agreement to same; You are requested to ensure that information given by informants will not allow them to be identified. – Agreed.
  • 116.
    116 | Pa g e You are also requested to clarify what the sample size of the survey will be. – Assuming co- operation from IRUPA – the Irish Rugby Union Players Association of Ireland – the maximum sample for the questionnaire would appear to be 140 – this is the reported figure of the number of retired Professional Rugby Union players in Ireland. It would be my desire to send the questionnaire to as many of these players as possible. As regards the interviews – 8 is my sample size – I am hoping to take 2 from each province - as I believe that the different provincial set ups (like different employers) might allow a further insight into the effects of retirement on these players. The following amendments have also been recommended on the phrasing of questions to ensure that informants cannot be identified: a. Age – use age categories as opposed to specific age. – Agreed. b. Current occupation – rugby related or not rugby related. - Agreed c. Level of education – 2nd level or 3rd level. - Agreed I thank you for your prompt attention to my request. Should you require any further information please do not hesitate to contact me. I will not commence any interviews or submission of questionnaires until such that time as you may fully validate my research proposal. Regards Thomas Fitzgerald UL Student ID 11107545 From: Michelle.Cunningham [mailto:Michelle.Cunningham@ul.ie] Sent: 19 June 2012 09:07 To: ULStudent:THOMAS.FITZGERALD; toddfitzgerald@shannonsidegalv.com Cc: Jean.McCarthy; Mairead.Breathnach Subject: KBSREC - June 2012 - BA HRM - Thomas Fitzgerald Dear Thomas, Many thanks for your research ethics application which was reviewed by the KBS Research Ethics Committee on the12th June. The Committee has made the following recommendations: You are requested to ensure that information given by informants will not allow them to be identified.
  • 117.
    117 | Pa g e You are also requested to clarify what the sample size of the survey will be. The following amendments have also been recommended on the phrasing of questions to ensure that informants cannot be identified: d. Age – use age categories as opposed to specific age. e. Current occupation – rugby related or not rugby related. f. Level of education – 2nd level or 3rd level. Please reply to Mairead Breathnach, Acting Chair, KBS Research Ethics Committee at Mairead.Breathnach@ul.ie before Friday, 22nd June confirming the acceptance of the above recommendations. Kind regards Michelle Michelle Cunningham
  • 118.
    118 | Pa g e APPENDIX 5: INTERVIEW TRANSCRIPTS APPENDIX 5.1 - PARTICIPANT 1 So I will try not to reference you by name right just so. So how old were you when you began your athletic career? I suppose I started playing rugby at twelve years of age but am, I suppose kinda serious rugby I suppose was when I was sixteen, seventeen you know. Ok and how old were you when you played rugby union I suppose seventeen. Yeah, yeah. And how old were you when you turned professional? Am I was twenty one I think, twenty I think it was actually yeah. Ok and what provincial clubs have you played for in Ireland? Just for Munster. And have you ever played professionally outside of Ireland? No. What got you into playing Rugby Union to begin with? Am my brother really, influence from my brother and going into secondary school, the secondary school I was in started to play rugby you know I would have been from a GAA background really you know. And did you have any athletic hero’s or rugby hero’s? Am yeah, XXX would have been a rugby hero of mine I suppose when I started getting into rugby you know. Obviously he was in the same position as me and an Irish player as well you know. And sorry and what was the most important thing that kept you playing rugby all these years? Am I just loved the game just loved, I loved everything about it you know, I loved, I suppose the contact and the scoring trys and ah I suppose the excitement of it but everything that surrounded it outside the pitch as well you know the friends you make and stuff like that so it was pretty, it was pretty much the whole package you know.
  • 119.
    119 | Pa g e And what do you find most enjoyable about playing rugby? I suppose the progression am I would have always had targets to maybe play for Irish schools when I was starting out and moving up along the ladder I suppose I always described it as the ladder and sort of playing for representative rugby at every age group which I was lucky enough to do. I played Irish Schools, Munster Schools, Irish schools, Munster Twenties, Ireland 21’s and then Ireland A and then Ireland Senior. So it was like a progression for me and I really enjoyed hitting those targets every time you know. And you played at all levels? Yeah. And how long did your career last? Am my professional career was 14 years. And the reason you retired was involuntary, it was injury? No, not injury no, just felt it was time. I was offered another year but I just didn’t feel it was feasible for me to be keep playing you know and it was time to move on and start something else I think you know. Ok. So just to go to the initiation the kinda training stage. It is clear that you made a long term commitment to sport and have achieved a high level in relation to same. At what age did you begin your competitive sports career and how successful was it in the initial stages? I suppose my professional or my serious first career I suppose started with XXX I was probably seventeen years of age and ah I got involved with a great XXX team at the time but we had success straight away with they won XXX and then from there as I said with this progression thing I made it into the Munster Team which was a great Munster Team and we had great success all the way through it. So I mean all through my career I experienced great success I suppose with disappointment too but it was always a driving force to do more and I think that was, that was what kept me so interested in it as well I think you know. By choosing sport you made a large commitment. What was your main goal when you began participating in sport? Well I suppose I started, when I started the professional side of it didn’t really come into it, I just really enjoyed it but I suppose my main goal as I said earlier was just about getting to the next level
  • 120.
    120 | Pa g e every time you know and trying to get onto Irish Teams and play at the highest level as a I could and my aim I suppose was always to play for Ireland and I did that back in 2000 which was great you know. So even if you had not gone professional you think you would have continued playing rugby throughout? Ah I think so yeah, it was just, that was the driving force for me before any of the money side of things came into it you know and I suppose a lot of us at the time didn’t realise that you could make a good living out of it you know so that was my driving force I suppose trying to get to the next level you know. Yeah. By commitment to sport. “We mean your desire and determination to keep doing what you do best, and that is to keep on winning”. Were results important to you at the beginning and why? Am, I suppose, yeah, I suppose at the beginning because I got involved with a very successful XXX team and a successful Munster team as well subsequently, I suppose winning was always a big, big part of it and I suppose it wasn’t so much a pressure but I think it was more a high standard that was set and I was always trying to achieve that really you know. And was that a standard that was set by yourself or set by the club that you were involved in? I think it was set by the group that was there involved you know. I think when you taste a certain amount of success you want to keep it going and ah the standards each year were being raised I think you know. And was that just from the hunger that you had yourselves or was it the fact that as the game was now getting more and more professional that there was a bit more pressure to perform but at the same time the results were actually leading to better results for yourselves? Yeah. I think it was a hunger for us and I remember being back at XXX you know XXX and I suppose you set a new goal after each one and the hunger was always there for to do stuff and maybe the Munster thing was a bit different we had success to a certain degree, we got to Heineken Cup Finals and had bitter disappointment in losing those and our driving force there was the hunger to actually win one which we got in 2006 you know which was probably a long time coming but you know we always look for something to motivate us even if it was whether it was defeat or victory there was always some way of motivating yourself you know. And say from the accolades that you have won then is there any one which stands out as?
  • 121.
    121 | Pa g e Yeah, I suppose the big one for me would be the Grand Slam. I mean the Heineken Cups were massive because we were on such a journey for them but I suppose for me as a young lad the Grand Slam, even the sound of it was just ah just a great thing and am you know Triple Crown was sorta the medium success that we had and we had a couple of those but the Grand Slam was something I always wanted right from being a kid even before I understood rugby I suppose just from watching it on TV so to win that I think was extremely special you know. Considering everything both on and off the field how much did you enjoy playing sport? (1 not being very much and 7 loved it). 7. What valuable opportunities did you have taking part in sport? Travel/Meeting People/Job Opportunities. Yeah, I mean the travel was just unbelievable. I have seen parts of the world that I would never have dreamed of going to you know am, I have been to Japan and Tonga and Samoa and you know just places that you just wouldn’t think of going as a, you know if you were just working in a normal job and just having been around there and met so many different people as well is a special gift that we got out of the game too you know and you know I think more so since I have retired now as well the people side of it, the people I would have played against and I suppose in a professional game we would not have much time to socialise with our opposition but I think since I have retired now I have probably gotten in touch with more guys that I did when I was playing and ah that is the side of rugby that I really like. Guys look out for each other as well you know. Yeah, I think that is part, just in relation to the project that I am doing is that rugby has this family kinda element to it and I suppose given some of the very serious injuries that can happen on the team that it is very important that, that is, but I suppose in some of the stuff that has been written is that professionalism grew so fast that the family spirit to a degree couldn’t keep up with because I suppose when it started people didn’t really know how to kind of mesh the two because professionalism seems more like it’s a job and the family side of it then is kinda put your arms around so I suppose that seems to be one of the elements that is causing a bit of concern as well in relation to it insofar as trying to keep onto that family kinda element to it at the same time it had to move to a professional level where you know maybe you had to have a chat with somebody to say you weren’t selected or stuff like that’s just kinda the part of the issue that does seem to be coming out of it as well. Exactly yeah.
  • 122.
    122 | Pa g e Just on your performance stage. Thinking back to your first major competitive honour when you turned professional what was that? Am, I suppose am, I suppose getting capped for Ireland I suppose is probably the first one you know. Ok and how did you feel and what were you thinking about prior to the contest? Am, I felt very proud and I got capped over in the XXX on a tour of the XXX and I suppose I felt it was kind of bitter sweet because I had no family there to see it and ah but am it was still very special to me and ah at the time there was a lot of my teammates from XXXX who were on the Irish team at the time so that was kinda special and a good memory that I have you know of the boys being over there and they were very ah supportive of me you know for that day and yeah it is a special day in any players career I think getting capped for their country. After that win did you begin to think of any other goals? Yeah, I suppose the one thing straight away was to try and see when and where I was going to get the next cap from and I suppose the joke at the time was about being a one cap wonder and never playing again but as it turned out I didn’t get capped again for another XXX years I think which was a bit of a, or a XXX maybe but ah it was a bit, yeah that was a bit worrying but ah you know that’s the driving force to try and get back there and play again you know and I ended up getting a lot more than that so it was, it was good in the end you know. You ended up with about, how many caps? XX caps yeah. Did your life change in anyway after the cap? Am, yeah it did and I suppose it was more my naivety about rugby because I would not have had a huge rugby background but am when I came back I suppose my club XXX were just so proud of what I had achieved in my ah, my picture goes up on the wall in the clubhouse and I suppose the pride that some of the Club Members had for the fact that I got it, it really was hammered home to me then that , you know that this was pretty special and I suppose the fact that I was so new to the sport that was you know really a wakeup call for me that you know I had done something special and there was a lot of people very proud of that so you know I think I learned along the way how important these things were for clubs and for people that you are involved with you know. So you, throughout all your caps then you were always very proud that it was on the back of your start with XXX say your..
  • 123.
    123 | Pa g e Exactly yeah, and say when I came back to the club for that first one you realise you know that they took such pride out of the fact that I was there and that meant a lot to me and obviously I didn’t underestimate the effort that they put into me you know. Did you experience any additional demands after? Yeah, I suppose after getting capped I was, I was, I got offers from English Clubs to join them and stuff like that and I suppose it was set up nicely for me with XXX playing for Munster and there was talk there that I wouldn’t get a game there for a long time and I suppose the temptation was to leave but something just said inside me that it wasn’t the right thing to do that I needed to bide my time with Munster and ah it was the best decision that I think I ever made was just to stay you know because I did, I did travel to England to meet these people and you know was in talks with them but I don’t know I trust my instincts and I think I made the right one you know. Were there any very stressful demands placed on you? Ah, not really, I think I would have been sheltered from a lot of it because of the more senior guys there. I would have been, I was always, I suppose the young guy in the squad and you know I had the experienced guys around me that just made sure that all that stuff was taken care of and I think that is one of the things about rugby, they can spot when a guy needs a bit of help like that. Some guys can handle stuff a lot better than others but am you know I would have been sheltered from a lot of that stuff and I think that helped a lot in my career you know. When you say sheltered was that through the players just individually or was it through say the likes of Munster Rugby. I don’t think IRUPA would have been established No, No it would have been more from the players and again I would have been lucky that a lot of the players in the Munster team at the time would have been from XXX as well and I suppose that would have helped hugely in making, making the path easier for me you know and I think that would have been both on and off the pitch as well because I think when a guy gets a cap like that for Ireland he might be a bit of a target when he is playing a club game or something so it was always good to know that I had those senior guys watching my back you know. How were you prepared to deal with additional demands, had you any training or that to say? Yeah, I was involved with the Academy. One of the big things was dealing with the press because obviously if you play a big game and you have done well the press want to talk to you after a game and it is not something that any of us would have been prepared for but am with the Academy that I was involved in there was a few I suppose classes with how to deal with the press and we actually did speak to a few Journalists as well just in a casual sense to find out. That was very helpful and I
  • 124.
    124 | Pa g e suppose when you are around guys that are going it a lot as well you can pick up things or two and that was kinda helpful too you know. Say when moving to the professional side did you have any assistance in relation to say contracts wise and stuff like that or did you put a lot of trust in the? Yeah, no it was very basic, I think my first one I would have done it for a fiver you know but ah. I am not asking you for figures now. No, no but it was a case, it was a case of bite their hand off just to play rugby as a professional but ah to be honest I’d say it took me a while to wise up to that situation. I think the powers that be probably played on that a fair bit as well and yeah probably played on the fact that we were home grown players and wanted to stay in Ireland too so the money would have sort of reflected that and in a sense you know going abroad would have turned up a lot more problems than it would have solved so I think it was a case of trying to be smart about it and that’s when I suppose later on down the line agents came into it you know. I would have got an agent to negotiate for me and ah you know it would have taken away that awkwardness of me having to negotiate you know. Did you think some of that, say the naivety as you put it there, did that come from the fact maybe that to a lot of people at that stage professionalism was so new in the game that there wasn’t an awful lot of people very experienced in the game? Ah, that was it yeah. I mean to put a value on a player back then I think it was just picking a number out of the sky and putting it out in front of you and I suppose coupled that with the fact that we wanted to play for Munster and we wanted to stay there wasn’t a huge amount of negotiation about the early days and about the early figures but ah I think you know it went two ways. Some guys got a bit greedy and asked for a bit more than they should have and ah you know, and that was no fault of their own, they had nothing to go off I think really and it was tough at that time I think starting out in anything like that is always tough but I think it is very different now. And did the likes of IRUPA and stuff help players out with that and Agents and stuff? Yeah, I think in later years when IRUPA was set up it did start coming into it and I think there was a lot of resistance towards IRUPA from the IRFU but I think it was important and they realised that it is important now that players have a voice in that side of things because if you still look at it I mean that naivety is still there it just because the game has moved on the naivety is still there because you still have young guys coming in and they don’t know how the thing operates and they are just I suppose, Agents then as well you have to be careful with them because some of them are out for one thing really you know.
  • 125.
    125 | Pa g e You still think the desire for some of the younger players coming through still clouds like, probably when you yourself started first and signed a contract for a fiver because you were so eager just to .... Yeah, Its not there as much I think it’s nearly gone the other way now where young kids and their parents are coming in thinking right you can make a huge career out of this so I think people have a clouded judgement on what is there and what can be earned. You know it is not true that every player is making a huge amount of money. Some of the bigger names are doing really well for themselves but you know you make a good living but nothing that you can retire on and I think once guys realise that, it is a bit of a sobering thought when you think the majority of players in a squad aren’t as cleaning up as they think so, ah, I think guys are coming in with a very different attitude towards it maybe to a few years ago but you still have that small bit of naivety there as well and it is probably gone the other way now you know. When you started you were in college previously so you have a qualification to fall back on. I am not a 100% sure about the newer players coming through the Academy but I imagine they are nearly professional nearly before at the age most people are going to college. Is that the case? To be honest they have a much better system there now I think. The Academy allows the guys to finish their college courses and the majority of them are getting through them whether they are extending the time they are doing it or some guys can just get them done but I am just finding at the moment that there are a lot of guys that are just finishing their college courses while they are still playing and am, you know it is hugely beneficial for them in the sense that it takes the pressure off them you know, they know then that they can go once they get the qualification they can go gung ho at the rugby and give it a go for maybe 2 years, 3 years and if it is a success for them well and good they get a career out of it and if not they know they have something to fall back on and I think both the IRFU, the Academy and IRUPA have really emphasised that with young lads that they try and do that. Now the majority of guys are trying to do it but we obviously have a couple of guys there that just want to be playing rugby and they don’t have the time for that sort of thing so you know it is trying to get those other guys to do something in the meantime is huge you know. But it is something that the authorities say the likes of IRUPA and them are kind of trying to get.... Yeah, I think big time some of the Academy’s programmes are designed around their college courses and ah they encourage the guys to get out and study and ah make sure that they have a good balance
  • 126.
    126 | Pa g e there you know. Ok, I suppose it was one of the things I would have had is that maybe the people who were coming through now were very, they wouldn’t have been as well equipped say as the lads that were going through the Academy now say they are obviously on top of that kind of thing now as well. Do you have any suggestions that might help other professional Rugby Unions players who will be facing a similar situation to help them prepare better and cope with becoming or remaining a champion? Am, I suppose it is all about setting targets, I mean am I think for us, I suffered, I suppose we had great victories in our day with XXX and we kept coming back for more which is great you know you are setting targets and ah obviously with Munster we had some bitter defeats as well and we came back from them so to be able to come back from both is a true test of ah of the player and of the group I think it’s, I think funnily enough it’s probably easier to come back from a defeat and to try and am, to try and win again I think that is always the driving force but coming back after a victory is ah, is probably even harder because you can go a bit soft I think after winning a championship and I think you know that is probably one of the biggest things I would suggest to players is to try find some way of motivating yourself after those two situations you know. Did you have any non-sporting identities insofar as when you were playing rugby was it all consuming for you or, do you know how helpful is it for athletes to broaden their social identity or their support base? Yeah, I suppose I did try and while I was still playing I took up a couple of courses, a couple of college courses and I just found it something efficient for me to have something outside of rugby. I think it is hugely important and I suppose a lot of years I got involved in a charity and in, you know it’s great for me I suppose to have something else outside of it and especially with the charity side of things. It was important for me to use my image maybe to help them and in some small way and I thought that was very beneficial but yeah I think rugby players are in a privileged position now and they can offer so much to the community. You know they are held in such high regard and I think it is a two way street they obviously benefit from being associated with a rugby player but I think for the rugby players it’s a huge personal satisfaction from helping people and you also make connections in business and learn a bit about the world outside of rugby as well which is valuable for you when you do leave the rugby fraternity you know. What have you invested in rugby that you cannot recover if you leave the sport? I suppose I have invested a huge amount of time and I sacrificed a lot of time with family and friends that I will never get back I suppose. You know there was a lot of family occasions that I missed because of rugby and there was a lot of nights out with friends that I had to turn down because of you
  • 127.
    127 | Pa g e know, I had to prepare myself right for games and you know things that, I have sat around tables with people that they reminisce about and I don’t know what went on in those days so that has been tough I think but I think the reward I have got from doing that from making those sacrifices has been huge and I know that those same people got great satisfaction out of those days out that we had too but no there was definitely a huge amount of sacrifice and time, personal time and am you will never get that back really you know. Do you feel a sense of obligation to keep competing because of the expectation of other people? Yeah, I think so, I think what we created with Munster was pretty huge and ah you know this thing that we have about to qualifying out of our group every year for Heineken Cup was something that was maybe a weight around our necks more than anything else. It was a great motivator too but the expectation of our supporters was huge and you do feel obligated to be performing well and competing well for these things and I think you know you can probably see it as a negative but I think it was very much a positive thing you know. Whose expectations are most important to you? I suppose my teammates was the prime one because I suppose you never want to let them down I suppose and I suppose 14 years in a club and you grow up with most of these guys and you know you feel like, you feel like you owe them something and I think that was a huge motivation for us the fact that we were with each other for so long you never want to let those guys down and that was part of that I think you know. Did you feel encouragement and support from other people? Yeah, without a doubt I think we knew how much Munster meant to people around us and I think you know their whole year revolves around Munster games and stuff like that and that was never lost on us. I think we realise the sacrifices people make to go and watch us and support us around Europe and I suppose the encouragement they gave us obviously the big slaps on the back but you know when you see people forking out money am, to go and travel and watch us that was huge encouragement for us too you know and especially when we were having bad days we would remind ourselves of that and realise that those people were there to help us you know. So, their encouragement was the most important was it? Yeah, I think so, the fans yeah.
  • 128.
    128 | Pa g e So, just in relation to the retirement. Are you viewed as a formal rugby player who made a good investment in society, who did a good job by working hard? Ah, that’s a tough one to answer from my point of view. Yeah, I think I would be. I think I would be associated with a successful Munster team, a successful XXX team, a successful Irish team and I have played my part in that you know. You know, yeah, I would like to think that that is the way it would be I think am looking from my own family, I think they have travelled to places that they would never have done only for what rugby brought for us and they have experienced great days that we wouldn’t have done only for the rugby. So yeah, I think it has contributed someway you know. Would you say there was unwillingness on your side to plan for retirement? Am, yeah, I would think so. I think there was a certain part of me that did not want to admit that it was coming you know. I think I immersed myself in IRUPA and I did help a lot of guys who were heading that way and I never, I suppose I never took the time to do it for myself funnily enough and you know I look back on it now and I was probably thinking that it would stay going forever you know. I suppose, I did retire this year but I was hoping to do another year and you know we made the decision eventually that it wasn’t the right thing for me to do but you know yeah, I think there was subconsciously maybe that I didn’t want to admit it and that’s kind of the hard thing about it I suppose is that you kind of, I should’ve given myself more time while I was playing and ah part of you then was thinking Jesus did I give too much to rugby and not enough for myself and that kind of thing but ah that’s just the way its fallen from me you know. So just given the fact that you were involved in IRUPA and you had seen it nearly up close and personal and yet you still didn’t want to face it. I imagine there are some of the players who weren’t as involved on that side of it must be even more difficult for them then as they really .... Yeah, yeah I think a lot of us think we are invincible and I suppose you know especially the feeling when you are out playing in Thomond Park you just think this is never going to end I suppose and then suddenly some guys I suppose with injuries and stuff can feel just like that, just in the split of the moment it’s all over you know and ah I suppose mine was a bit more gradual and yeah you get frustrated I suppose the fact that you didn’t do something about it you know but yeah that’s just the way its fallen and you gotta deal with it now as it comes you know. Given the fact that rugby is such a physical sport is the fact that having to admit retirement and it’s somewhat of an emotional thing, does that play a part do you think because are people afraid to admit .... Yeah, they think you are showing weakness yeah. It’s a macho sport, there is egos there the whole time and you know I will be sitting there watching games now and I think, I will be thinking I could
  • 129.
    129 | Pa g e do a better job than the guys there but that is just a natural way things are and it is, it’s an ego thing and it’s like someone telling you, look you are not good enough anymore and you never want to accept that like but I think when you weigh up other parts of your life and like I have family at home. I have XXXX kids and that’s hugely important for me now and I don’t think I would have the experiences with my kids if I was busy with rugby with the travel that’s involved in it and the commitment that’s involved in it so I have weighed all of that up and this is definitely the right time for me to leave it you know and get on with other things. Was there any structure in place to help you with your post-sports career development? Yeah, there was with IRUPA there was obviously career guidance there and people to talk to and again probably left it very late to talk to them but again I suppose as I was in negotiations with the contract I felt I was going to go another year so the plan wasn’t at all for this season ahead that I would be preparing myself for retirement but it didn’t work that way and I suppose it was a year early in my head that retirement came you know. Given that the retirement then was on say, on your terms say for want of a better expression players whose careers are ended by injury say just through one thing or another it must be even more difficult for them then because while you admit that you could have made the, spent a bit more time in it people’s careers that end at a very early age, it must be tougher for them then do you think because they can’t plan it because obviously they ... No, look it’s tough I have seen guys that have had promising careers that they have had to give up because of injury and look I am blessed because I can walk away from the game, I can play other sports I can go do other things and run and play with the kids without any problems so I am blessed with that but I don’t know there is a two way thing there with young players I think the younger you are when you retire obviously if from an injury it is really tough to deal with but I think guys can get over that and I think younger guys are that bit more resilient and you know they are still young and they can still start a completely new career and you know there is a couple of ways of looking at it and in that sense I think it’s a very personal thing. I think some guys react differently to different things and that’s, I think it is important for the powers that be that they can see who needs more help than others and I think that’s what the career guidance and development stuff is done in IRUPA you know. When you say the powers that be do you, there is no good relationship between the IRFU and IRUPA. Yeah, It is improving, it’s improving. I still think it’s still a business and the IRFU interest in players after they finish is still fairly minimal and I think it is important to try and get back to the family way. I think back in the day when a rugby player got injured with a club and he couldn’t work they would
  • 130.
    130 | Pa g e have rallied around and had a fundraiser for him. You know and I think I am not expecting the IRFU to do that for fellas but that same sort of feeling has to be there in some way. I think you know it is still a business for them but I think we are very different to other businesses and you know when guys commit so much to a company, not just time but physically and mentally to a company like that you know there has to be more of a duty of care I think afterwards. Do you feel you have a lot to say but no-one to tell about your unresolved feeling and emotions about retirement? Within the game, yeah, I suppose there has been very little study done on it with the IRFU and with IRUPA about how guys are being affected and I think there is a new batch of guys coming out of it that have just been professional all their life and that has been happening in the last four or five years I think so. I think number one it is important to keep these guys involved in the game and I have noticed that a lot of guys are leaving the game with a bit of bitterness and animosity towards the organisation because of the way things have finished which is pretty sad. And the one thing that this organisation needs is a bit of fresh blood and young blood into it so am I would hope that they would spot that and make sure that, that happens down the road you know. That’s because, and I suppose just going back given the very nature of as we were saying earlier on about it being a relatively new professional sport and I suppose rugby would have had this I suppose stereotypical attitude of being a very kind of shirt and tie game at one stage but I suppose Munster Rugby has done their part to try and transcend that to try and bring it down to I won’t say the working class but you know kinda spread the love of the game throughout it, I suppose that is what is contributing there to the need for fresh blood because there probably needs to be a change to the psyche as well in relation to it. And IRUPA are trying to do, I know they carryout surveys I think every three years through the players and it’s along those lines of trying to assess, to the best of my knowledge. As I said it’s confidential so I have never seen it but just one or two bits and pieces come out in the press, headline kinda of things. It’s just that sort of stuff that they are trying to highlight is it? Yeah, they are I think it’s. You see they are fighting a battle there because I suppose it is really only starting now. The true professionals are coming out of it and I suppose some guys are maybe reluctant to talk about it and you know it’s, you get a mixed bag, you get a lot of guys who just come straight out of it and go onto something and are successful and there are other guys that struggle and ah you know I think just because a guy has a good job doesn’t mean everything is going really well for him, you know, there is a psychological side to things too, that needs to be addressed for fellas and
  • 131.
    131 | Pa g e ah but I just think that trying to keep the guys involved in the game and I think that is more down at Munster level you know this sort of a social side to things where guys are welcomed back to the club, that hasn’t happened. I think a lot of guys feel very alienated from the club after they finish and that’s a side of it I think needs to be fixed you know. Given the, obviously like a lot of businesses, Munster Rugby would be no different, there is obviously more and more financial pressure put on them, it is being well documented there at the moment there is a big overhaul I think there at the moment. This is obviously not helping matters there either as obviously they don’t have the resources ....... Well I don’t agree with that. I think that, I think they will always give the poor mouth about things you know and that has been the way my dealings with them has been. I don’t think any of the players would want anything for free and that’s not what I am getting at, at all. I think what guys want is to be involved in the club in some way and I think that if their PR people are smart enough they can utilise the former players in a way to benefit the club as well and everyone is happy I think. There is models of that done in England with English clubs with less success than us and I think you know there is opportunities there for both sides and I think it is important to keep fellas involved in the clubs in some way. I have seen it on a smaller scale with my own club with XXX. It think it is worrying when you have had some of the best players in the world playing with your club for those particular years and they walk away from it feeling bitter and unhappy you know and that’s pretty sad you know. Where there any unresolved feelings that did effect your mental wellbeing? And how did you vent your frustrations? (this is obviously in relation to retirement). I suppose I, yeah I suppose my treatment since I have retired. Things I needed to get done medically and I suppose this has to be very private because it is ongoing but am. You know this duty of care I think, is a huge issue for me. Physically putting your body on the line and having medical stuff that needs doing and the club not wanting anything to do with it is I think is pretty frustrating and I have to be careful about venting my frustration because I don’t want to end things on bad terms with the club I love. I loved what I’ve done, I‘ve loved the people that I played with and stuff like that so I don’t want to end it badly but ah I want the right thing to be done by me as well and it’s about trying to approach it in the right way you know. As I said there will be no names on it and I certainly won’t be making any reference to your conditions or anything like that so Yeah, that’s fine.
  • 132.
    132 | Pa g e Did you have any support from your peers, close friends, club or province? Did you share your thoughts with any of your peers? (obviously these are all just retirement). Yeah, yeah I mean I have a lot of teammates that I would be very close to and we would talk about very personal things I suppose and am a lot of the sentiment is the same from guys who have gone before me and some guys that are still in there, they feel very frustrated I suppose and, but I think it is more to do with the fact that you know we would have had this idealistic view of how Munster should be and you know when we started out first we were a lot like, we are sounding like our parents now, things were a lot different back in that day and we did things very differently and I suppose that is more a reflection on us then the guys that are there now because things do change and there is nothing you can do about that and I think it is a case of trying to marry the two together and I think that it is very important for the powers that be that they still welcome the older guys in and value their opinion because I think experience and stuff like that you can’t buy it you know and I think they haven’t got that balance right yet you know. If you did have emotional distress was there any interventions in relation to it? Did you receive any counselling or exit interviews? No, I had no exit interview, I have had no real dealings with them since I retired but I think the support of the guys, I think I am very lucky at the moment because a lot of my generation has retired in the previous four or five years. A couple have retired this year with me and ah there will be a few more next year I would say or the year after so ah we are a kinda group who have done everything more or less together, we all sort of joined together, we all got married together, we had kids together and we are all starting to retire around the same time so that support network that is there amongst ourselves is invaluable really. The boys are only a phone call away or you know we meet for a coffee whenever so from that side of it there is great support there. But it’s very informal, its friends? Yes, it is. You have friends more so on a kinda ad hock basis, more so than a need to sit down basis more so than anything structured say. I think it’s not something that rugby players would be into anyway you know, sitting down formally with someone I think is a very hard thing to get a rugby player to do so I think from that side of things we are kind of our own support network in the sense.
  • 133.
    133 | Pa g e Did the work that IRUPA does that at any stage, I know you probably haven’t been through that since you retired but do you think that, that can lend itself to fellas maybe saying look I need a help out here because maybe psychologically they are not dealing with this very well. Ah yeah, I think it is very important because I can see sometimes when we are in a group, as a group of lads and we are talking about things especially when it is a group you mightn’t exactly say truly what you feel because it is not the macho thing to say but sometimes it might be better to talk to someone that you don’t really know and you can let it all out and I can see that, that is probably an important thing to have there for guys you know and I know that some guys do avail of it and I think IRUPA are very supportive in that way and they are very much about the player I think but I would think that sometimes maybe at the end of a guys career that it might be just worth making it compulsory that a fella sits down and talks to someone because I don’t think guys have the inclination to go away and organise that themselves you know and ah it might be a good thing to have a sort of an exit medical which includes having a counselling session with someone you know. Yeah, I think that I suppose just to prepare them because I suppose Sports Psychologists are great for preparing you to get onto the pitch to do your best but they should also be prepared for when say the lights go out and say a fella is walking off that they should put fellas in the position that look if you feel this way maybe it is time to talk to or we can take it to the next level as you said yourself given the sport these people might be reluctant to admit a weakness, given that they probably played games hurt but just to play and not admit the weakness. Just from that perspective I suppose it is interesting to think that from moving to the professional level there is an element that hasn’t, now I am sure your diet is well controlled and your training is well controlled and that ye all have lives to lead after. Nobody finishes at 65 say and a rugby player in the natural cycle of retirements say where everyone else is. Just one final question then. What was your Coaches role in your career termination? I think you have more or less answered it I think. Ah that is a difficult question. I was only in it a year to be honest but I would have had very little dealings with him and I suppose the writing was on the wall when I wasn’t talking with him that much during the year you know. That’s perfect.
  • 134.
    134 | Pa g e 5.2 PARTICIPANT 2 So how old were you when you began your athletic career? Oh God, I can’t even remember, 5, 6 maybe. And how old were you began playing Rugby Union? Ah 6, that’s when I started you know. How old were you when you turned professional? Technically probably 20. Ok, what Provincial Clubs have you played for in Ireland. Just Munster. Sorry, I had a one off game against Ireland with XXXX. Ok, and have you ever played professionally outside of Ireland. Am, with a different club, no. What got you into playing Rugby Union to begin with? Family. Do you have an athletic hero? Am, Mohammad Ali or someone like that. Who was that person and what made them a hero to you? I suppose their skills. What was the most important thing that kept you playing rugby all these years? Ah, love of the game I suppose, love of playing the game. The friendship around the game and ah I suppose after a time it just becomes part of you and.... Part of your life is it? Yeah, part of your life, your social circles, your job, your hobby as it had been kinda all the way through and am you know families and every sorts bond as well, friends, kids friends and you know so it just becomes interwoven into your into your am... What did you find is most enjoyable about playing rugby?
  • 135.
    135 | Pa g e I suppose the friendship would have been the biggest thing you know. The camaraderie and the, I suppose the craic you just have around it. And probably just below that is probably winning you know. Can you outline at what levels you played rugby, club, provincial, international and touring sights? So am, XXXX, Munster, Ireland, Lions I suppose. How long did your professional career last? 15 years. And for what reason did you retire? Voluntary, involuntary? Involuntary, injury. It is clear that you made a long term commitment to sport and have achieved a high level in relation to same. At what age did you begin your competitive sport’s career and how successful was it in the initial stages? Competitive, am in terms of representative or ... I suppose when you, when it became serious more so then when you... I suppose I was in school really, am, you are going through the representative levels, you know just going through really senior schools it wasn’t much sixteen’s or anything like that you know. So yeah, it would have been at school. And how successful was it in the initial stages? Ah, phew, not massively so, it was ok . I was an ok player in school. Ok, Yeah, I signed a good couple of years after that and then went backwards again for a couple of games. By choosing sport you made a large commitment. What was your main goal when you began participating in sport? Am, I suppose just to play for Ireland at senior international level am.... By commitment to sport. “We mean your desire and determination to keep doing what you do best, and that is to keep on winning”. Were results important to you at the beginning and why?
  • 136.
    136 | Pa g e Ah, I suppose they were important but because eventually I wanted to play for Ireland and if you are not in a winning team you are not going to progress I suppose representatively. Ah, it was going to be much harder to progress representatively. So it means back then there wasn’t as much you know when I was at school there wasn’t as much of a club it was more of an individual sport nearly. Ok, Even when you were with your first club? Oh no, not when I was with XXX, I’m talking in school and school is obviously different but at representative level I was just thrown into a couple of games and that was it but to progress to the next level, it was a little bit more almost individual. So it was about progression more so then that was it? A little bit, yeah, yeah, yeah. Considering everything both on and off the field how much did you enjoy playing rugby with 1 being not very much and 7 loving it? Ah, 7, I suppose. Ok, what valuable opportunities did you have taking part in sports say travel, meeting people, job opportunities? What, what, which, what? Sorry what valuable opportunities did taking part in sports.... All of the above, all of the above yeah. So you saw a lot of the world and .... Saw a lot of the world yeah it was amazing yeah and it was a great life experience and ah Say job opportunities have it in anyway, did you say... Massively so yeah. For the contacts was it? Yeah. Not even, not even I suppose familiar contacts but contacts where you may have met but they know you through rugby and it makes it a lot easier to talk to those people and they are more willing to help you.
  • 137.
    137 | Pa g e And am because of the work you are related to now it’s not primarily any way to do with rugby now sure it’s not. You’re a business person say on your own now? Yeah. So thinking back to your first major competitive honour when you turned professional what was that? When I turned professional? Yeah. My first major? Competitive honour. As in what did we win? Yeah. I suppose it would have been interpro or something like that you know. How did you feel and what were you thinking prior to the contest? It was a while ago, yeah it is fair to say it was a while ago. I’m just trying to think, ah, are you thinking more of a final is it more along those lines? I think yeah, I suppose part of what we find in the research is that players that achieve a lot of their goals say in their sports find retirement easier because I suppose they are not looking back at an unfulfilled say ... Yeah, yeah you are always going to have things that are unfulfilled generally unless you are very lucky but you have to be content with what you have achieved yeah. I suppose, I mean I was always nervous before games and all that and in some ways obviously you know the first two finals, it’s a specific field, I may be being too specific but am the first two finals there was obviously a lot of disappointment but the third one where we won was just more relief and it would have been I suppose the biggest.. So were ye were up for the third one to get the monkey off the back say? Literally yeah.
  • 138.
    138 | Pa g e And to build on the confidence? Yeah, and not to have lost for the third time I suppose yeah. The second time we won was literally just more a joyous occasion and enjoying it a bit better you know. Because ye were over the initial ..? Yeah, yeah. But obviously there was players at that stage it was their first time as well so obviously there was a mixture of emotions? Yeah, yeah, yeah. After the win did you think about other goals say moving off say from the Heineken Cup Finals? I wanted to win another one yeah, you just got greedy, you love, you love that feeling and ah it felt the most natural thing to actually want to win another one you know. Ok, so there was never a stage where you felt even after even the second one where you felt ok two is... No, no you just wanted to win more and more because you wanted that feeling again it was a bit like a drug I suppose. Did your life change in anyway after your first big win? I got very drunk, ha ha, am did it change, no. Did you experience any additional demands? Am, a little bit yeah, yes of course you know there would be a little bit more of I suppose media or you know book signings or you know things like that but not intrusively you know or not it didn’t become a pain of such. So you didn’t find it very stressful ? No. Were you prepared to deal with the additional demands? Ah, yeah, yeah. I mean, I, there wasn’t massive or major changes you know and I think if there was I probably would have been less inclined to want to win again so it was just...
  • 139.
    139 | Pa g e Ok, so ye kept it on a kinda of a.. I think it wasn’t, you just get on with the next one and the next season and try win it again so it was nothing really, no hangover from the previous one. Ok, did ye have any assistance in dealing with the demands on it were ye giving any? No. But again, they weren’t, there were a few things but .. There wasn’t anything hugely? Yeah. Do you have any suggestions that might help other professional Rugby Union players who would face a similar situation to help them better prepare and cope with becoming or remaining a champion? Ah, there is probably more media attention and probably more.. There is more media attention now? Yeah. There obviously is but there is probably, rugby is a much bigger sport here in Ireland anyway but to win it now would be a very different affair then when we won it in 2006 so it is difficult to say but I am sure ... Why do you think it would be different, is it? Because rugby has grown massively you know since we won in 2006, we won it in 2008. Leinster actually won it three times , there has been a Grand Slam and rugby is just... So the success that it has brought had different kinda demands and? Yeah, public opinion and people with public interest in the sport it’s vastly different, so I mean it would be much more challenging now to win something like that and to And say just looking at it from that prospective and I suppose it got bigger in the last couple of years. You still kinda come back to the media side so I know that the Munster Academy... Well media and public interest as well you know is kind of, one kind of goes in hand with the other.
  • 140.
    140 | Pa g e But the Munster Academy do a certain amount of I think media... Possibly, yeah, yeah, I mean I did do some media when I was kinda in the Irish Academy or foundation as it was called at the time. Something that was going at the time but it was limited at you know, I suppose with all this digital guidance or whatever we would have had Coaches who would have been a Career Guidance so he naturally would have almost being that guide or help in that sense and in terms of talking to the media they would always give you a team talk before it wasn’t necessarily a media thing to but it was just more of a team psychology thing we invariably we had our media thing after it. It ended up unwittingly literally reiterating what he said five minutes before hand and it was never dressed up like that but that I am sure is what he was trying to do and it certainly worked and it made life easier in dealing with the media because we would have heard the answers to the questions five minutes earlier and you were able to just .. Is that, so that was obviously subliminal maybe to a degree .. Yeah, yeah very much so yeah. Say for players now do, you just think that media plays a huge part in it now? It does and there is probably not as much guidance, yeah, I don’t know, I mean in terms, a lot of it has to come from the Coaches who would be talking to the players mostly about rugby and am I suppose they have to be aware that they need a party line or whatever it is you know on certain things. Am, but there is Media Mangers, well there was back there or did they just get rid of after 13 years or something so they are recruiting again in a time of a, a bit of a need of one I think. Do you have any non sport identities as in what would be helpful for an athlete to broaden their social identity, their social support network? Say that again. Say do you have any non sport identities or does everyone kinda associate you with sport? Sorry, am, non-sport identities. I suppose now it is business you know I from a day to day have obviously stepped away from rugby and for whatever my business interests I am trying to use whatever profile I have from rugby to you know transfer to those. And do you think that, that is helpful to broaden the social identity, is there... Yeah, I don’t want to be known as an ex rugby player. I want to be known for something else now. Ok.
  • 141.
    141 | Pa g e What have you invested that you cannot recover from your professional sports career? Invested, obviously not monetary is it or? No, say time, like I know some of them have commented like time with their families. Am, yeah, time with family, time with friends, social occasions, weddings, christenings, birthday parties, you know whatever the list goes on. But obviously you are institutionalised your time is not your own so you go along where ever the bubble is going and other things have to take a back seat. So it did feel kind of when you were in the thing, it did feel very institutionalised in so far as your time was dictated? I, when you step out of it, it seems that way. When you are in there no it doesn’t because you are happy to be in there. It’s a safety, it’s a safety bubble as well you know so it is hard for people to access you and you are happy with that and it is kinda needed as well. Am, did you feel a sense of obligation to keep competing because of the expectations of other people? Am, to keep competing in terms of? In relation to your rugby career. The longevity of it or? No, I just loved playing it, ah as long as my body and my mind were happy with the game I was going to keep playing and ah I obviously, if I still got offered a contract but no I wanted to play for as long as I could to be honest so I loved it and ah, no there was nothing outside of that really that .. Whose expectations were most important to you in your rugby career? Expectations, well, I suppose my own first and foremost and then family and team mates. It varied from time to time you know at different points in your career. Starting off you know it was certainly your parents, am, my father would have travelled everywhere watching the games and stuff so you obviously, it is natural to want to impress your father in that but am. Down through the years then it became maybe peers or certain players or but ultimately myself really you know. And when you say certain players, were they players that you were playing with or people that you would have admired say in the world of rugby that? Ah, no probably players you played with yeah. Did you feel encouragement and support from other people while you were playing?
  • 142.
    142 | Pa g e Absolutely. Yeah. And it was obviously very important to you? Yeah, of course, yeah, yeah, yeah. I mean it was always a bit of icing on the cake really you know. I know these questions seem very.. No, it’s ok. How do you feel these people encouraged you and supported your participation, say the likes of your family and say? How do I feel? Yeah. How did they offer you this support to keep participating? Am, by family attending games and talking to you about games and performances and congratulating I suppose. Say when injury, if you were injured or anything like that was it your family you chose to rely on or would you have gone back to your club or your team mates or something like that? Am. That your family mightn’t have fully understood? Yeah, you are a bit isolated from your family logistically like my family would have been in all different parts of Ireland or the world so it was probably more your partner or whatever, my wife now so. I suppose that’s fair enough. This is a strange question now but are you viewed as a former rugby player who made a good investment in society, who did a good job by working hard? I hope so. How do you think you are viewed by the public? Am, I dunno, I suppose, hopefully something like the above. As regards working hard? Am, yeah, yeah, I would like to think so yeah. Would you say there was unwillingness on your side to plan for retirement?
  • 143.
    143 | Pa g e Unwillingness? Yeah. Am, probably yeah, there probably was some bit not fully but certainly it was something that was always in the back of your head but am one it’s very hard, I mean you are always, sorry there are different ways of looking at that there is a fear of thinking about it at times but no, I did actually try when I think about it, I did actually try and plan for retirement. Everything, in fact everything I was doing was trying to plan for it I mean trying to invest and have a bit of cash, I suppose I was trying to, I started off a role in a company or with a partner in a job so that was with a view to retiring and getting somewhat prepared for the real world. So yeah, no I was always thinking about education but never really knew what to do or how to go about, not how to go about it but I got frustrated. I tried a couple of times to go back you know when I was injured it was fine then once rugby rolled around it was just, it wasn’t feasible to keep doing it so I got frustrated with it. But no I was always trying to do something but I always felt like I should have been doing more and then but I can see your question you know, is, you know you don’t want to think of when I did come to actually. That’s the main stay of the actual piece is that I suppose given when ye are caught up in the moment when things are successful , I suppose it can happen to people in other walks of life as well but from ye’re perspective most of ye will retire at least twice in your lives in so far as... Mentally and then physically. Well, even say you have now retired say from professional rugby which was one job. Yeah, oh yeah you are not retired you are just changing job yeah. Yeah, but I suppose where I am looking at it is that you have retired from the first chapter of your, the first career you had.. Well, I think nowadays everyone has so many different jobs it’s just kinda going from one job into another and that’s the way I am looking at it a bit you know. Ok. Am, but I think when I, just to answer your question again when I did actually have to start thinking about when I had the injury, you know it was three, four months into the injury and somebody, Hamish actually, was talking to me about you know with a view to retiring, you know what are the consequences and I didn’t want to talk to him, I got very upset, not very upset with him but I got ratty with him, am, because you know he was bringing it up and I was 100% tunnel vision of getting this
  • 144.
    144 | Pa g e back and he had to, you have to kinda do that to try and get back you have to I suppose have that tunnel vision and you know people with kinda doubting you or whatever you just ignore it and go on so. There was probably a four week period there where I had to change my mentality from don’t even talk to me about it to alright let’s talk about it. Ok. Just hypothetically. At what age say would you say that you started to contemplate it say. I imagine that in your... Ah this was only a four week period in between. Yeah. Before you say. Sorry, what age was I sorry. Say did you start contemplating say retirement? I know that you say you were saving and stuff like that. This was just when I was injured. Just when you were injured? Ah, yeah. No I wasn’t contemplating retiring. I never contemplated retiring until I was injured but in terms of making a decision to it or but I, obviously you are always contemplating retirement, its, it’s the fear at the back of everyone’s heads whose playing because you are doing everything in your power during your career that you don’t have to retire early, that you don’t retire early, that you have a contract or that you don’t pick up an injury so everything is done with a view to not retiring so actually having to make that decision in the middle of trying to come back to retire you know that was a total mind change. Ok. Was there any structure in place to help you with your post sports career development? Ah, IRUPA offer some things, there was a thing that Declan Kidney and Paul McNulty brought in which was the, I can’t even remember what it was, was it called the Mentor System for, sorry, in partnership with BDO and their entrepreneur of the year awards which they have ah, they will pick players up which started with the Irish squad with say entrepreneurs or people who have won the entrepreneurs of the year are involved in that system sort of business basically as a Mentor for players and basically to help and guide them through and put them in whatever way of contacts that
  • 145.
    145 | Pa g e they can you know so it is very much the, every relationship is different but they did do that and that was very beneficial I found. That was mainly say from transition say work wise, say psychologically wise was there any sort of counselling or anything say afforded by? There is, there is a Team Psychologist that was made available. Ok. And its, he does do some teamwork in terms of rugby but he is also available on a one on one basis if you wish. I didn’t avail of it. Ok. Do you feel that you have a lot to say but no-one to tell about your unresolved feelings or emotions about retirement? No.(silence) Am, were there any unresolved feelings that were harmful to your mental wellbeing? With regards the injury, was there a disappointment in you that say that your career was say obviously in your head you knew that you would have to retire say with the injury bringing it say forward? Ah, I suppose I would be on reflection from now and a bit of prospective I don’t think that my injury was handled with the best way possible. Ok. I think probably, in some ways it was handled poorly in terms of my rehabilitation with XXXX. So It was down to just from the medical staff prospective more so than? Yeah, from a medical staff prospective yeah. XXXXXXXXXX. And obviously that would frustrate you? Am, not really because I think, well I am hoping that I made the right decision I think if I tried to go back anyway it wouldn’t have been successful and I would be in a worse position now. Physically? Physically and financially yeah.
  • 146.
    146 | Pa g e Did you have any support from your peers, close friends, club or province? This is obviously when you retired. Did I? Yeah, of course yeah. As much as they can you know. Did the club play much of a role, I know speaking to some of the other lads the club played a huge role, not so much Munster now as regards say their own like say I think XXX speaks very highly of XXX say from that prospective you know and I suppose he is still kind of grounded in XXX. I am just wondering say from the support point of view or had you .. Not really am, not really a support kind of, in terms of friendship yeah certainly I would go back to the club and you know hang around with guys in the club who were associated with YYY and Munster you know and there is weddings you kinda socially probably hang around with them a bit and... But you do feel the need to really kind of rely on these people for, as regards when you retired there was no, you like, I know your family and friends were obviously there for you but you didn’t feel the need to discuss... No. No. No, I don’t think so.I think you don’t want to, it is probably healthy to almost break ties in some ways with the club and not feel like you’re still a player, you know you need to kinda move on and do your own thing. Cut your cloth for your future or whatever so. In that sense I wasn’t really trying to... And do you think the fact that you had say you had ideas as regards how you wanted to develop your life post retirement that, that was easier for you to do as regards you weren’t, you didn’t ... Yeah, I think its kinda sink or swim and you just kinda get out there and break ties and do your own thing and not be, you know I didn’t want to be going to coaching or when I was still playing I was talking about it even when I was retiring I was talking about more of a business role with Munster but that never really came and I never really pushed it as much as I should have to be honest. It was probably more my side you know, but am .. What was your Coaches role obligation in your career termination? Am, nothing I just told, sorry, that’s not fair, I, it was just obviously me telling him that you know I had made the decision but in terms of how we went about it he was very accommodating in the way I
  • 147.
    147 | Pa g e went about it and I asked him to do a few things that he was more than willing to do, you know it obviously wasn’t in his interest as such but you know he, I suppose I had a plan, an about to exit plan which he wholeheartedly bought into it and did what he had to do to... Ok, so obviously you didn’t want to exit but obviously you got the exit to a degree on your own say.. Yes, yes, very much on my own terms. You know am, the CEO as well, Gareth helped me in that too so. And that’s it. That’s it? It was short, I was expecting ..
  • 148.
    148 | Pa g e APPENDIX 5.3 - PARTICIPANT 3 So what age where you when you started your athletic career say in any shape? When I started to play sport? Yeah. Jesus I don’t know about 8 I suppose. Ok. And when you started playing rugby? Rugby would’ve been the first thing I played yeah. First sport yeah? Yeah. And how old were you when you turned professional? In 1997 wasn’t it? 1996 I think was the year.. Yeah, what am I XX now so what is that? 31 is it? 31 I suppose yeah, 31. What provincial clubs have you played for in Ireland? XXX. Have you ever played professionally out of Ireland? Yes. How did you find that experience? Ah, very good actually. I actually played professional outside of Ireland before I played professional here. Oh right. I played with XXXX in the Super 12’s in Australia.
  • 149.
    149 | Pa g e And how long where you there? A season there. And that was your very first season say professional? Yeah. And then you came back to say Munster. What got you into playing Rugby Union to begin with at the age of 8 say? My friends I suppose we were living near XXX Rugby Club. And just was following your friends? Yeah. Was your family involved in it? In rugby at that stage? Yeah. My older brother would have been but he would have played for XXXXX. Do you have an athletic hero? No. What was the most important thing that kept you playing rugby all those years? I enjoyed it, I loved the game. And the aspect of it say a lot of fellas commented on the camaraderie with the lads in the team.. Yeah. Just friendship as well and you know it was a challenge. And was the challenge to progress say when you went professional say to get to say to the Irish team and then to move on to touring sides and stuff like that? Well you see I played for Ireland before with professional so I suppose the aim when I started taking it serious or whatever 20 years of age or whatever 21 would have been to play for Ireland yeah. So it was 21 before you started to think that.. Yeah, yeah, yeah.
  • 150.
    150 | Pa g e What was the most enjoyable thing about playing rugby? Am, the most enjoyable thing? . I suppose people that you would meet and friends, travel, travel all over the world. You played rugby at all levels club, provincial, international and touring? Yeah. And how long did your professional career last? 1997 to 2002. So that’s 6 years say. And for what reason did you retire was it voluntary or involuntary? Ah, oh voluntary. Ah, it is clear that you made a long term commitment to sport and have achieved a high level in relation to same what age did you begin your competitive sports career and how successful was it in the initial stages? I began competitive I suppose at 16. And how successful was it say from… From 16 it was underage success like I won a few cups with XXXX, 16s, 18s and 20s. By choosing sport you made a large commitment, what was your main goal when you began participating in sport? Just to enjoy it. I suppose the element of that, that comes in I suppose is when you made the commitment to sport it was still amateur and I suppose some of the other lads I have spoken to it was professional at that stage so I suppose they were thinking career wise so that is probably why, I know some of these questions come across a bit stupid for want of a better word. I know yeah, they are grand. By commitment to sport we mean your determination to keep doing what you do best and that is to keep on winning. Were results important to you and why? Results were important yeah. I hated losing. I was very competitive. And would you think that you carried that the whole way through your career?
  • 151.
    151 | Pa g e Yeah. And say beyond your career then would that still be something that you still see in yourself? Yeah. Considering everything both on and off the field how much did you enjoy playing sport, 1 being not a lot and 7 loved it? 7. What valuable opportunities did you have taking part in sport which consider, travel, meeting people, job opportunities? Am, opportunities, meeting people I suppose really you know. Ye would have toured a lot wouldn’t ye, you would have seen parts of the world say? I travelled all over, the travel was great you know, I have to Australia 4 or 5 times, South Africa, New Zealand, you know Canada, America all of the place like. And these were places that say in the normal course you wouldn’t go? Yeah. Just thinking back to your first major competitive honour when you turned professional, what was that? When I went professional? Yeah. Am. I suppose playing for Ireland would have been the first then after that it would have been you know the Heineken Cup with Munster. Just say going to the Heineken Cup one how did you feel before that contest? Before it? Yeah, say before one of the finals or something like that. Am, You would be nervous, I suppose you had a fear of losing you know. With the fear of losing and the competitive side that probably would have brought you to say the peak of your career do you think?
  • 152.
    152 | Pa g e Yeah. Say after your first initial win say, major honour did you start to think say about other goals? Say did you try and build on say … Not really because you know it is a team sport so I suppose you would have played for the team rather than individual goals you know. I suppose your goal would have been to keep your place on the team. And that would have been even through your amateur stage, that would have been the same. (Interviewee takes a phone call) Did your life change in anyway after your first big win, say was there any extra demands put on you or? No, not really. I suppose the first big win that I would have had was the All Ireland League with XXX . Say when ye moved to Munster and stuff like that would ye have had more media pressure, would ye have had more demands say placed on your time say in that respect? When I went professional yeah, definitely. So time became? Time consuming yeah. Were you prepared to deal with the additional demands say from the time you went professional? Yeah. Ye weren’t given any training in relation to it, how to? Obviously yeah, you were given training, you were given a schedule and you had to stick to it. But ye, back then ye wouldn’t have done a lot of media? No, No. The media ye kinda did yourselves. I know that the newer lads now would have done elements or media training and I think in the Munster Academy as well.
  • 153.
    153 | Pa g e Do you have any suggestions that might help other professional Rugby Union players who will face similar situations say going forward. I suppose now looking at the demands and the more high profile that the game is now. Is there any elements of it that you think that they could learn or that they could get training on? I wouldn’t be the perfect role model now for that! With my history! Ok, am nearly there now.. Is there anything that you invested in rugby that you cannot get back? A lot of the lads said time, time with their family. I suppose time with your family and I suppose aches and pains, bruised body. Like it is only in the last couple of years that, the last 2 or 3 years you know that I am having trouble with my ankles and stuff and obviously it is through the rugby. So the injuries are starting to manifest more now say? Yeah, yeah. Did you feel a sense of obligation to keep competing because of the expectations of other people? Am, not of other people no, just I would have done it you know for myself. Like the day I would have stopped competing is the day I say give it up you know. So you only did it for yourself, the expectations of other people didn’t kind of, you were more focused on the goals… For the team, yeah, yeah. Are you viewed, this is a very wishy washy question now but are you viewed as a former rugby player who made a good investment in society who did a good job by working hard? I think so. I would like to think so anyway. And, how do you think the public would view you say from your professional rugby career? Am, I still get loads of good feedback even now though I haven’t played for 10 years. So you think it has projected a positive image of you? Yeah.
  • 154.
    154 | Pa g e Would you say that there was unwillingness on your side to plan for retirement, say from the professional side of it now? Am, I knew 12 months before I retired that I was going to retire at the end of the, you know, I planned myself well, I played another 12 months and that was it. Ok, so you had formulated in your own head say? Yeah. Before that say because you were playing for about 6 years had it kinda entered your head about the retirement aspect of it or were you so engrossed in competing that? I suppose probably 2 years before I gave it up I would have started thinking about it you know, will I give it another year or will I give it 2 years. Given the fact that it is such a physical kinda, macho is the wrong word to use but I will use it because you understand what I am saying, macho sport and showing a weakness is not something that you want and in the game that ye have I obviously, there is always a chance of an injury that can at any stage, do you think that psychologically you block out those things because you don’t want to admit that? No, I think the reason I decided or started to think about giving up was because my body was telling me. Ok. Do you understand what I am saying? I understand yeah. You know you don’t want to admit a weakness because the game itself doesn’t allow a weakness say. My body would have told me alright, you know that you are coming to an end because physically and I suppose mentally as well. Yeah. Was there any structure in place to help you with your post sports career development? No. You obviously had in your head and obviously the fact that you were say in business or you would have been, so you were conscious say, on looking there at the differentiation between yourself the other lads who would have been professional all their lives.
  • 155.
    155 | Pa g e Yeah. And not to use the phrase but you would have been more cognisant of the world outside of rugby? Yeah. Do you think that, that helped you to kind of? It would have because like I had decided a year, maybe a year and half before I finished that I was going to open the business so. So you had a plan? Yeah. You knew where you were gonna go. Do you feel that you had a lot to say but no-one to talk to about unresolved feelings after your retirement? No. Say did you find it difficult say to adjust? I found, say, what I found difficult when I gave it up was the adrenaline rush that you get from the sport. Ok. Like the first couple of months was very hard, what am I going to do with myself you know. Yeah, yeah. So I actually bought a XXX, that filled that gap for me there you know. But that was something you brought upon yourself. That was something , no-one advised you, you just took this up yourself. Yeah. Have you any unresolved feelings that were harmful to your mental wellbeing afterwards? No.
  • 156.
    156 | Pa g e Say, from the fact that maybe your body had broken down but maybe the mind still wanted to play but that … No, I mean, no. No, ok. What was your Coaches role in your career termination? How did you approach the subject say at that stage? How do you mean now? Say, you obviously had in your head day 12 months before hand, did you talk to the Coach at that stage or did you wait until later on? No, I spoke to the Coach, well he actually asked me what was my plan and I said look I am going to give it another 12 months and it was XXX who was the Irish Coach at the time and in fairness he said to me, the position is yours he said for the year. Ok. At the time so I know I was under no pressure. Ok, ok, So I suppose because you had formulated that you were going to go and because you had that kind of frank enough discussion with him you knew .. Yeah, yeah. Do you think that, that made the transition easier then say somebody , say if you come to the end of that 12 months and decided you wanted to go again but at that stage No, I was well….. You were well finished at that stage… I was ready to run out the garden.. And there was no counselling provided for ye upon say retirement? No, back then there was nothing. Because I suppose at that stage ye were nearly the first say tranche of people so you don’t say think at that stage the sport was very well prepared to deal with fellas retiring?
  • 157.
    157 | Pa g e It wasn’t I suppose, It was different for me because I had worked before but I don’t know about the lads afterwards because , I was the first out of our group say to retire after me it was XXX. So he would have been in the same boat as me. I suppose after that then the younger lads, I know they did bring some stuff in at a later stage and the lads were doing computer courses and stuff you know so they started doing it but when I finished they had nothing no. I know and from talking to a lot of the lads and even the likes of XXX he is finishing a Masters and stuff like that so maybe they are a bit more cognisant but at the same time they are also the fellas as I said probably didn’t work prior to going professional. Yeah. So they are caught in a kind of different mire in relation to it. Is there, just looking at the transition then from yourselves like rugby is always seen as a very family, that the clubs are very family orientated and the transition into professionalism which you would have seen first- hand.. Yeah. Did you see any kinda conflicts that kind of arose from that given like because for all intense and purposes before when it was amateur it was fellas, you know everyone was friends, then it became fella’s employment and as you know yourself in employment there is issues, there is other issues that come in and fellas get deselected and it becomes a bit harder to take because de-selection means that you might lose your livelihood. Yeah. Did you see any of the negative side of it and I am not saying, I am just saying…. No, because I was lucky enough, like in my career I was never dropped off a team, like the only time I didn’t play a match was if I was injured and I have been suspended a couple of times but thankfully when I was playing I was never you know … Yeah. I was always first choice. But some of the lads, some of the other lads say that would have been playing with you that time would have probably fallen into the de-selection thing. Because it became a job for ye say at one
  • 158.
    158 | Pa g e stage, did ye become more cognisant say of the importance of making sure ye weren’t deselected say? Yeah, we would yeah. Because it was for all intense and purposes your livelihood? Your career like.
  • 159.
    159 | Pa g e APPENDIX 5.4 - PARTICIPANT 4 I know that some of the questions boggled you with the ones that you answered and thanks very much for doing that. I suppose these questions kind of give a bit more depth onto them. I suppose where my research is going it is mainly going to be based on the, I was hoping to do it mainly based on the questionnaires but I am not going to get enough of a sample I think to get any real statistics from it. I was hoping the time with IRUPA, I think Hamish, you probably were familiar with Hamish. Yeah, yeah, he is after going now I think. Yeah, he is gone from there anyway. So I think he was kinda interested at the start and kinda getting involved in it but he has since left and I think now they kinda, to be honest I understand they are kinda saying that they do their own reports every couple of years and that they did not want to contaminate their own reports by kind of asking fellas to fill out surveys and stuff every year like that so I think they do it every 2 or 3 years to the best of my knowledge, you probably know a bit more about it than me. yeah. But I suppose what I am doing is, I am interviewing a couple of the lads now that would predominately be Munster lads which kind of doesn’t help give an overall prospective but I suppose it is the best I can do in the timeframe I have but I met three lads last week and I am hoping to have another three this week and I think that is about as much as I am going to have. But if I can I will just start it there because I know you are on the phone there. Do you want me to ring you back altogether? No, just shoot away there. Ok, how old were you when you began your athletic career? What do you mean by that like, when I started playing rugby? No, say sport of any kind of ilk, not professionally say your just career full stop. I was about 7 years of age. Ok, 7 and was it rugby then or was it? Yeah, rugby yeah. Ok, so am and how old were you when you turned professional?
  • 160.
    160 | Pa g e Ah, I think I was just turned 20. 19 or 20 I went on the IRFU young players. They changed the system now but when I was there it was kind of a 3 year contract you went onto with kind of a National Academy and that’s where I started there. Ok, and the provincial clubs you played for in Ireland that was just Munster? Ah, no, I played for Connaught as well, I had 3 years on the Academy, the National Academy and then I went up to Connaught so I just thought I would get better game time there and am I played a couple of games and the following year I played a full season on a full time contract and then I came back to Munster then. Ok, and you have never played professionally outside of Ireland? No, always in Ireland. Ok, what got you into playing rugby to begin with? I suppose my father was big into, was a big fan of the sport and he was heavily involved in a local junior club here called XXX so himself and all his mates brought all their sons out and they started underage and we all got into it but you are living in Limerick man all the people that you look up to is rugby is the main sport here. Did you have any athletic heroes growing up? Yeah, I suppose I was a big fan of XXX, I was a big fan of XXX, I was a big fan of in other sports I admired Roy Keane, I was a Chelsea fan when I was younger , a big fan of Denis White who used to play with them and Terry Dixon, those lads. And was there any reason that you were particularly drawn to them. Was there any particular reason that you admired them say. Was there anything in their game that you admired or was it the fact that … Yeah, XXX played Hooker and ah he was a standout player whenever he played and he went to XXX the same school as I went to and he played for Munster and he played for Ireland and then XXX. When I went into first year in XXX, XXX was older than me but he was the Captain of the Senior Team when I came into school so I would have looked up to him. And then I saw him after, XXX would have played with XXX, he would have played with XXX and then he went to XXX, he played for Munster, he played for Ireland and he captained them all as well so I would have just seen. I would have looked up and seen that’s the pathway I want to go through and that is probably why I picked him. I just liked the footballers because I liked the way they played.
  • 161.
    161 | Pa g e So the fact that XXX and in particular XXX while you probably didn’t know him at the time, they appeared somewhat accessible and his success probably appeared accessible given the fact that you were in the same sort of groove as him say as regards going to the same school and I suppose … I looked at it, well if XXX, well the pathway works you know with XXX as well. You go to XXX, you come out, you play club rugby, you play for your province, you play for your country, you can be one of the best players in the world so I looked up to them and I just thought that’s what I want to do so. Can I just ask did that play any part in you choosing to go to secondary school in XXX? Ah, at the time it wasn’t because of those. I went to XXX because it was a strong rugby school yeah. Ok, but rugby did play a part in the choice of say secondary school, say even at that age? Yeah, yeah, I went to XXX because they were strong for rugby. What was the most … Because a lot of the other schools around the place were full of XXXXXXX, everyone who goes to Munchins is a tough XXX. It is going to be hard to quote that now in the report isn’t it. I don’t know do UL like the use of the word XXX very often but we will see can we get it through anyway.. I am just giving you facts man, its reality in XXXX you come across a lot of XXXXXXX you know…. They produced XXXX but they are not tough XXX like come from XXX you know. No, alright, ok. What was the most important thing that kept you playing rugby all these years? Ah, that I enjoyed it. That you enjoyed it. You obviously enjoyed the sport itself but did you, was it the success that made if more enjoyable or was it just the competing element of it? Yeah, I like competing, I like the fact that ah rugby kind of teaches you about a work ethic, like if you don’t make an effort in rugby you don’t, you get very little out of the sport but if you make an honest effort and if you are on it in your approach you will be successful and you know it is a multi-faceted game so you always have something to work on you know and its ah the fact that it is multi-faceted you know it’s not just , you can’t just be super fast you have to be able to pass, you have to be strong . It combines so many elements and it gives you so much to work on and so much to work on yourself
  • 162.
    162 | Pa g e that I really like that about the sport and then the fact that when you are playing you get to play with your 14 team mates and the lads on the bench and you want to, you naturally want to earn their respect by grafting you know and I think people in rugby, rugby is a team game. It is very rare you come across someone who wants to play for themselves and I like that aspect of the game. I like the fact that people play for each other and it feeds into a strong, you know you feel a strong sense of ownership on the team and you feel a big responsibility to your team mates. And as a matter of interest while you talk highly there of team sports did you participate in any solitary sports say like you weren’t a runner or anything like that, do you have any success… No, no, no. You liked the team dynamic, that was part of the appeal to you? Yeah. It’s more social as well you know, like when you, if you ask most of the lads when they retire they all say they miss the craic of being in the dressing room with the lads and play and all that sort of stuff you know. On the camaraderie side of it, that’s one of the biggest elements that you do miss is it say that you are now retired? You miss, yeah you miss XXX meeting up with the lads and having a bit of the XXX craic with them and ah you know that’s when, when you go to the weddings you get back together and that’s why everyone loves it man because everyone is around together the pressure of game is there but you know that is a good pressure when you are playing you know, that is a positive thing. But am you just enjoy each other’s company and am the slagging and the craic and all that stuff you know. And you get to do a job you know for close on 10 years and you make so many real good friends from it and that is something that is brilliant about playing professional rugby, you make so many friends and they are friends for life you know. Just on the level that you played. You played club, provincial, international, you did all those and touring sides? Yes. How long did your professional career last do you think? 10 years was it? Am, well altogether strictly it was 12 years professional. For what reason did you retire, was it voluntary or involuntary? Ah, it was involuntary, my XXX kept … so I had to retire through injury.
  • 163.
    163 | Pa g e It is clear that you made a long term commitment to sport and have achieved a high level in relation to same at what age did you begin your competitive sports career and how successful was it in the initial stages? Say going back to school say. At what age did I begin my competitive sports career? Yeah, say that was probably to do with XXX when there was cups and stuff involved. Am, sure we played for cups when I was 7 and 8 and am.. When you were with XXX was it? Yeah, when I was playing with XXX, we didn’t win a fuckin whole lot now but we didn’t have the best team but we had a good laugh. That’s pretty much it. When ye moved to XXX were ye more successful in XXX? Yeah, yeah, yeah we kicked on a bit and particularly when I was in XXX I played club rugby with XXX Club as well so we were successful there so. Those kind of things give you, you know you develop more as a player when you take the confidence from saying yeah we actually are good and we are winning you know. So say the XXX team, of those were probably as successful as you were going through the ranks there? Yeah, well we like, we would have looked up to the XXX Teams that won all those games you know. So am, its good, it just sort of feeds into you, you feel like you are playing for something, something that has a real meaning and that there is a responsibility when you play because there is team the team that wins. And say you saw a structure develop in XXX at that time I suppose at that time rugby really hadn’t gone professional as XXX were just completing the another league win but you were seeing a kind of a more professional set up as regards in XXX at that stage I imagine given the level of success that they were enjoying? Well every year now it gets more professional you know like professional in terms of its better prepared am and all that you know. I suppose rugby went professional in 1995 and I left school in 199X so I went straight in and trained with the Munster Squad …………… in the off season and appreciated training so that was brilliant for me to get, to make me feel like I was on the right track and ah ..
  • 164.
    164 | Pa g e You know the way rugby is and I suppose a lot of people consider rugby to be very much a family sport to a degree, have you seen, then it moved to professionalism to a degree had to take from that family kind of ethos that was in there because people had to be deselected and stuff like that, you obviously saw elements of change in relation to that because I suppose given the fact that people were being paid and I suppose like any job when people don’t perform and they are being paid there has to be decisions made, did you see much in the way of repercussions from that? Yeah, well the biggest damage I saw were occurred at the club level, not really at the provincial, Munster level and that but at club level because yeah the club would be where lads, like the likes of XXX and stuff, those clubs shouldn’t be trying to pay players but as rugby went professional all the AIL clubs started paying their players and it kinda diluted what the good game was about. But Munster it is a business but it is still very important that you try and keep the intangibles that human factor in it as well you know and I think the good thing is that whilst most people you know there might be a little bit of a sour taste at times because some people don’t finish on their own terms, their contract isn’t renewed or something like that but by in large 12 months down the line people look back at it and say fxcking hell I was so lucky to get to play and to do a job and play with fellas who were my best friends for so long and you know I have so many good memories that they so outweigh when people finish at the end, it doesn’t finish on the terms you would like. But am Munster then on the other hand has an advantage that the lads that play with Munster , the majority of players that play for Munster are from Munster and their parents, their families, their friends would support Munster and they probably would have supported Munster themselves so there is an obligation and a responsibility when they play because they know they are not over in the for Sale in Manchester or something like that you know when they are finished playing they will have nothing left to do with the club you know. They know when they are finished, I knew when I was finished with Munster that my parents would still go to support Munster games and that my family and friends would still be Munster fans even when I wasn’t playing so I needed to make sure when I played that I did a good job you know. By choosing sport you made a large commitment, what was your main goal when you began participating in sport? Say go back to the secondary school days. Was the dream always to play for Ireland and … It was probably, a lot of it was probably. I just liked competing you know and then competing and the fact that it was fun and then I wanted to play for Munster and I wanted to play for Ireland and this was the way to do it. And I suppose you know when you are a kid as well you would have looked up to, you know when we all came into school we would have looked up to XXX who was the Captain of the Senior Team and he was like literally the guy that we all looked up to and we looked up to him
  • 165.
    165 | Pa g e because he was a rugby player so you kind of looked at it as this is the way I can elevate myself you know. Sorry, just there from talking to some of the other lads that I have interviewed I suppose they would be of the genre that’s there now there would be say a couple of different mixes say, there is some people say that would have been amateur for a couple of years then would have gone professional say would only have had a couple of years professional and then there is other lads probably had more experience say in the domestic leagues probably then yourself, like a lot of them comment, they talk very highly of trying to make it onto their club teams first. Sorry say that again. You know that was the longest question ever ... No just, there is different genres that I am kind of interviewing I suppose some lads that were kind of amateur before they went professional and then there was the likes of yourself where you were more or less out of school, out of college, straight professional say. But the lads that were say amateur they talk, their first real goal was to make it onto their club team. Do you find that maybe, that kind of, you kind of skipped over that given the fact that you moved straight to a very professional set up? Am, well yeah the pathway is changing all the time now and players would have come out and I suppose they probably needed to do a certain amount of physical development and a lot of players kind of go and serve a kind of apprentice then you know playing club rugby and trying to get onto their club team, when they get onto their club team then at least they are in the shop window then to get selected for Munster. The way it’s happening now, the way it is moving on is that the players are developing in school a lot quicker. And schools are strength and conditioning programmes put in place, sometimes guys are coming straight out of school and they are ready to step in and play professional rugby straight away. So, that’s evolving all the time but by in large the pattern would be to come out and play with your club and then move on and try get selected for Munster you know. But say just looking at that pathway now and I know suppose given the fact that it is coming into other sports as well where they are saying that some of the people participating are getting so much physically stronger, the hits are getting harder and that really the professional careers now are starting probably at a younger age say 18. Some lads I suppose aren’t even making university and they are probably starting with the Academy and stuff like that. Do you see there like, they should probably given the nature of the hits and the nature of the injuries involved in rugby which aren’t really going to lessen in the next couple of years. Do you see issues arising out of that where people see now, some rugby players would be retiring at say 27.
  • 166.
    166 | Pa g e Am, I don’t think so. You are right in that saying players are going to start younger and younger but if players look after themselves well they can get, it’s not just that players that are getting bigger and bigger and stronger and stronger they are also, you know the medical side of it is getting better as well so helping improving players, preventing getting injured and then moving on from there. So it is kind of moving forward on two fronts but it probably, people are noticing just how many more injuries are there all the time now these days but ah. I think that, I can’t tell you if players are going to be retiring at 27 to be honest I don’t know. Yeah, yeah, I suppose just looking at it, given if you look at your own say career where you retired, you retired probably earlier than you thought you were going to retire when you started off your career. I suppose most rugby players would have said 35 or 36 is probably... Its XXX not, 35 or 36 is a good ending in professional rugby, like I ended up retiring at 33 which I kind of went look, I kind of broke onto the, it’s about miles on the clock really you know and for me my miles on the clock were, I started playing national rugby at 26, a lot of the lads, you look at someone like Christian Cullen. Christian Cullen would have started playing international rugby at 19 for the All Blacks and Cully would have retired probably at 31 or so you know. I didn’t have as many miles on the clock, I started later but once I started playing at a high level then injuries started cropping up a lot quicker you know. Again, just going back to the point I was making, given the fact that fellas are starting younger say that even some of the lads now in the Academy would be starting at an earlier age than yourself, that it is probably foreseeable that they will on average, that they will probably start hitting an earlier retirement age. Given the fact that, as you say there miles on the clock will start affecting their bodies and their performance and injuries and stuff like that. It is definitely possible. I can’t say if it is going to happen or not but it is possible yes. And you can see that, that would, given the fact now that I suppose you are of a say, I suppose people in their 30’s are of a higher maturity then say lads in their 20’s, I suppose we were all 27 at one stage and you wouldn’t exactly be of the settling down mentality, that, that could possibly cause bigger problems for the likes of somebody say retiring from the professional game at 27. That is a fair point, a lot of the lads are, you know if you are in your 30’s you have a little bit more life experience and you can handle retirement a bit better. If players, when players do have to retire young it is going to be a bit more difficult for them to take but I suppose that’s XXX life in that I do not know for sure whether this thing is going to kick off in the end but it probably is a little bit more difficult for some of the younger lads. Particularly lads who have to retire if they haven’t felt that
  • 167.
    167 | Pa g e they kind of realised their potential in the sport you know, if they feel like they had unfinished business and they can carry that for a while after they retire but ... Yeah, that certainly carries through in some of the stuff that I have been reading anyway is that at least success in the sport that they have chosen mitigates to some degree, the retirement, the effects of retirement upon then. I suppose you were very successful so I suppose looking back at it you know the results when you look back, what you have given up for the sport might be outweighed by, you know it can be offset by the results that you achieved say through the sport. Yeah. Considering everything both on and off the field how much did you enjoy playing sport? 1 being not very much 7 loved it. 7 that I loved it? Yeah. 7. What valuable opportunities did taking part in sport offer you such as travel, meeting people and job opportunities? Yeah, I got to travel an awful lot with the sport . I learnt an awful lot with regards, I learnt a lot about myself and what I was capable of doing and made a lot of friends, had a lot of fun. I made a few quid from it as well and I gained a bit of profile which helps when you are trying to do business afterwards. The biggest thing is just the work ethic,that is the biggest thing I can take from rugby. So just thinking back to your first major competitive honour when you turned professional. What was that? My first major competitive honour? Yeah. I don’t really know what you are asking me, are you asking me my like first thing that I ever won? No, when you turned professional say with Munster say at that time. What do you mean by an honour, do you mean like a trophy? A trophy yeah. I suppose the first trophy we, when I was professional .The first major, major thing I won was I suppose was probably the Triple Crown with Ireland in 2006, that is probably the best one I can give you, you know. I won things before but I think this would probably make it easier to pinpoint.
  • 168.
    168 | Pa g e Ok, and after the win did you begin to think about other career goals? No, well you are always thinking like, rugby you are constantly assessing every single week, you know it is not like you have a goal and then you leave it off. Like you train Monday to Friday and then you pretty much go out and you get pissed then on the Saturday and you know whether that week has been a success or a failure then you know. And you just go then and the thing is to go ok what can I do to get better now next week and then you start training again Monday to Friday or you know if you had a good week you would go ok I want to make it even better or , there is no such thing as like, you are constantly assessing and seeing what is the next thing because there is a test every single week. You might not play a game every week but that’s your goal and then you got long terms goals so when we won the Triple Crown in 2006 the next thing on was the next match the following week, we had to win that and then we were leading into the European Cup Quarter Final 2 or 3 weeks later which we had to try build back into. That’s why momentum is such a big thing in sport because you can get on a wining buzz it kind of infiltrates everything you do. So every week you kind of set yourself a new goal. So it wasn’t so much honours it was just to get better every week? Yeah, yeah, every day try and get better. You try and. You might have some stuff say I want to start getting, I wanna get a whole lot stronger and I would say I would give myself, that would be a goal over the next 7 or 8 weeks. You might have a goal saying I want to be you know the first choice in my position for my country and that maybe an 18 months kind of a thing and then you might have a small thing like say now I want to up my percentages in a line out and I am going to do extra work and I am going to break that down into a short term goal and say I want to start doing an extra two sessions on line out throwing every single week as well you know and then at the end of each day you suss to see well how did I do today and how can I get better and what was my diet like did I. You know was I tight with my diet or did I get sloppy or how can I get better you know and you are constantly looking, it is so competitive you are constantly looking for any edge that you can get. If it just means that you know, you eat more vegetable at breakfast because you know it helps you, you feel better later on in the day in your second training session, you’ll try that you know. I don’t think you can even definitely try. The demands, it is unbelievable I suppose when you are looking on it as a sport you forget about the kind of every day grind. It is not a grind because it’s XXX, that’s the best thing about it man like if you can go into a job where you are completely in control of how successful you are going to be, or how successful you will be prepared to be that’s what it is like, I mean if you go in and just bust your ass Monday to
  • 169.
    169 | Pa g e Friday every single week you go on the field with absolutely no fears you know. What the XXX am I going to be afraid of, I mean I have trained my bXllocks off I have done everything I can and I am pretty sure that the guy I am marking won’t have done that and if he has XXX fair play to him but it just makes you really confident, you know coming out of rugby when you apply that stuff to ordinary life you have to be patient because it doesn’t, you know, everyday life outside of something like professional rugby doesn’t , it’s not as reactive in that like you don’t get that I won or I played well at the weekend on a Saturday to work out whether your week was good or not you know. So, it’s one of my favourite parts of sport. It weeds out bluffers and people who hide as well. So your goal setting since you have moved out of professional sport has changed say your goal setting say where you know you have now to take into account you are not dealing in a rugby atmosphere anymore so you have to take that into account now with your own business say. You still set goals. It’s just that very rarely at the end of the week you go that was a complete success because. If I need to up my tackle account at the weekend I will get out there and I will work my XXX bXllocks off to try and up my tackle account and I will have a direct impact on it. Whereas, if I say I want to get the fucking turnover up at the business I go try, I do a few bits and pieces, I can’t directly get a piece of woven pipe and hunt people into the business you know. There is a little bit more of a lag in those things you know. But am it’s still, you just have to apply the same concept but you just have to be a bit more patient. I understand. Just going back to when ye did make, say when ye had your first success did they place any extra demands on you say from your own say when you won the Triple Crown were there any extra demands put upon you after that? Say media wise .. There would be more media work but it’s am, it’s not really a big deal because you are always like, when you win something it kind of reinforces, you get kind of an affirmation of like, XXX what I am doing is right you know, all this training I am doing is right for me and it is working and you know it just spurs you on and you want to get more success and more and more and more and that’s it, it is like a drug you just , all you want to do is just keep winning all the time, every XXX trophy you can because you start then like XXX my career isn’t going to go on all the time so I have to win as much shit as I can. That’s what you strive for when you finish you know. Some say oh he was a great player, well what the XXX did he win? He didn’t win anything, he might have been a good player but he didn’t have a successful career. And if you want to be remembered like I grew up with all these guys like dad was bringing me down to watch Shannon games and I grew up watching Keith Earl’s father play and fellas from Young Munsters and fellas from Garryowen and fellas from Shannon and Thomond and I would look up to fellas all the time because I thought they were great players and they won things and that’s what you wanna do, you wanna end up when you look back on your career
  • 170.
    170 | Pa g e saying well what did I get out of my career and you say I won as much as I could and I was honest and my team mates respected me and that’s as good as you can get. Say, just going back to the demands there was there any demands that you found stressful say that you weren’t comfortable with say in your career? Ah, I get XXX pissed off people asking me for tickets , that can be XXX annoying but apart from that it’s fine. Everything else is fine. Say looking now at the players coming through now and obviously as you were inclined to discuss there the media attention around rugby is kind of increasing every year and I suppose the professionalism is increasing every year as well. Do you have any suggestions on how, when they come to retire or say during their career how they can better cope say with some of the demands placed upon ye? I suppose having, I was very lucky in that when I played, social media wasn’t really a big part of it. And you know it definitely, it grew as it went on but the big thing I think is if you got a lot of lads there you need kind of a mentor in the sport you know. A mentor somebody who has got an objective view of where you are in your career and they give a shxt about you, it’s not, the biggest thing is for lads to be happy themselves and if they are happy they will play well. Now happy means you are not fighting with your Mrs and shit like that you know and ah if they can get into a good place there then the rugby will go a lot better as well. I think that you know for players to, the psychology part of the sport is a big thing and you know I was lucky in that I, a lot of lads when I came into the team, a lot of the lads were like, they were my best friends and they were all very clued in so if I did something stupid they would pull me up and say what the fxck are you doing man cop on and I just you know, I didn’t feel like I was being spoken down to I felt like I had a mate looking out for me. If I had come into the team and I was 19 and the rest of the lads were all 29, 30, 32 it is a lot harder then. Because the guys who are 32 don’t want to be telling a 19 year old you know listen, you know you feel like he is being talked down to whereas when a mate tells you listen you gotta mind your neck there or cop on or do something you don’t feel you are being talked down to its more oh I better heed this advice or he wouldn’t have said it to me otherwise. So from that prospective getting a kind of a mentor whether it’s somebody in your family or something like that, someone who will give you, you know pretty consistent, objective feedback as to where you are and how they think you are getting on, you know give you a steer as to, you know just someone that you can trust and who can give you a bit of guidance when it is required. So say, did you have any, and I think this is one of the questions you had a problem with on the questionnaire. Did you have any non-sport identities, say when you were playing sport did you,
  • 171.
    171 | Pa g e did everyone just see you as a rugby star or did people see you in a different perspective you know. I don’t know what people saw me as but I know that when you are out and about a lot of people will come up to you and they will, they will just know you from playing rugby. They don’t actually know what I am like and they think that you are a good guy and stuff like that. I could be a complete prxck but they don’t know that you know. And am you are kind of playing a little bit of a caricature of yourself in that like, not a caricature you are playing a character for people a little bit if they come up to say how are you and you chat with them but they don’t know you, you know. And it’s just important that it’s your career on the line, you just have to know that people mean well but their opinion on you isn’t very important because they don’t actually know you, you know so. They come up to you when you play well and say Jesus you are a great fella you know. Then when you play badly the same people say you are shxt you know. But they don’t really matter because they kind of, they don’t know you in the first place, they don’t know what is going on and they just flit in and out. You know by in large I feel that I was lucky in that Munster supporters have always been very, very good to me and the same with Irish supporters so. But it is definitely something that players need to be sort of wary of going along and I was lucky in that I had a lot of, like I said again, a lot of the lads down there with me when I played with Munster who were very clued in and they would give you a steering, when you play well for a while don’t let all those people pump your tyres up if you know what I mean, don’t take any heed of it, people will be telling you, you are great but you are not, they don’t know you from Adam, they just saw you playing well at the weekend, in a game. And you know telling you, you are great and a great fella but you just have to have a good solid kind of inner circle of friends and family and they will give you feedback if you are losing the run of yourself, if you are being too hard on yourself they will say listen just stay on the right track and all your goals will come around. You invested a lot in the sport I suppose, is there anything that you have invested that you think you can’t recover from the sport? Say is there much that you have missed out on say do you feel in life because of it? No, no I probably didn’t. No, I don’t have anything to complain over I think it’s, the sport has always been good for me and I enjoyed it and. Did you feel a sense of obligation to keep competing because of the expectations of other people? To keep competing? Yeah. What do you mean?
  • 172.
    172 | Pa g e As in say, I know that say from the way you have spoken there, you have set goals for yourself every week but at any stage in your career did you just say look yeah I am a bit sick of it now but I will keep going because there is a certain expectation, my family are proud of me and they want me to keep... No, No. I suppose you are aware that there is a slight, you feel a slight kind of obligation and that like when I was injured all the time and my parents used to enjoy going to the games so much and then when I was injured you know, obviously it was difficult for them as well but that is not really logical. The main thing is keep yourself right mentally and physically and if you can’t keep going, you can’t keep going and you know parents and yourself just be thankful for what you got from the sport. You got a lot of obviously encouragement from your family and friends throughout the sport? Yeah, they were very good, they were very good. Probably from my mother’s point of view she found it a bit difficult when I was retiring because I dunno it was a big part of her social life as well going to games and stuff like that. She may have felt that you know that was going to go. And but by in large I got an awful lot of support and it was all very good. Ok, that is very interesting. That is interesting in that your family were, I know, I suppose. Like am when you did announce your retirement, had you thought about it, obviously you had the re-occurrence of the injury ... Yeah, I had spoken to everyone because I knew it was coming for a while. I had been injured for years and it was coming along and I knew it was looming there for a while and I was aware of the possibility. For a long time I didn’t even consider retiring. I wouldn’t consider it at all and then eventually I just had to, I spoke to one of my friends who had retired before me, he had an injury and he just said, look once you are actually accept it, you know, what is the worst case scenario, you are retired ok, you are insured, you don’t get to play anymore but you know if you look after yourself you can still train and still do a lot of other things and you know so when you accept that then you kind of go back and you can actually go back to rehabbing and trying to get fit without having to be you know , too, it’s not like a big black cloud hovering over you and when you do, when I did decide to retire it was like am, I had spoken to my parents, spoken to my friends and family and you know for the day that you retire it is tough. It’s tough because it is emotional and stuff like that. You have a lot of people contacting you and saying really nice things to you and its tough, it’s tough from a good point of view in that like you know if I was working in a job where I retired after 10 years and I did feel like wow I miss this job so much “It’s such a great job” but I just had to be philosophical and say I know so many lads who get the sport taken away from them so young with bad injuries but I was lucky enough to play for so long and to have so much, so many good memories, I made so many good friends that, I was just very grateful for all the time I got. I hate to hear older players who have played
  • 173.
    173 | Pa g e for fxcking 15 years and they kind of go, oh I am just you know, it is really hard on me and I know sometimes you need to be a bit like cautious but I am like shut the fxck up man, stop whinging you know what I mean. Looking back there on some of the stuff that you said earlier like about when you were setting goals and stuff like that, rugby is such a physical game and it’s a game of strength both physically and mentally. Do you think that, and you said there that you didn’t really want to face up to retirement I suppose earlier on in your career even though, from the day you start you probably know there is only X amount of years in the game, that, do you feel from your own prospective that part of not thinking about retirement was the fact that it might show a weakness or it might illustrate that you couldn’t go out to the pitch to say this could be my last game because if I wreck my knee here it is all over you know.. Yeah, yeah, in relation to when I said I didn’t consider retirement you are correct in what you are saying is that ah you don’t want to entertain the idea of having to retire because it maybe is that you are almost entertaining losing or entertaining like what if I don’t win, what if I end up not going back but my thing was, the last 2 years of my career were just interspersed with constant injury all the time so it’s not like I was playing, all the time I was rehabbing to get back and I was getting very frustrated and I was going when the fxck is this injury going to come right for me and eventually I just had to, I sat down with my mate and we just considered well look if it doesn’t come right this is what’s going to happen, well look that is the worst case scenario so then let’s get on with the fxcking thing so, you know let’s get it right. It was only say with the injury, in the last 2 years that it really entered your mind say? Yeah, yeah, you don’t think about it otherwise you know. Like they mention it to you but it is the same for every young player, you think you are bullet proof and you never think you are going to have to retire and at the end of every year one of the lads gets up and you know he makes a speech and it’s a fxcking hugely emotional thing for him and for his team mates. If he is 33 or 34 then there is team mates that played with him for 10 years, it is really tough for them as well. Young fellas who are in the squad and they just see them and go yeah, yeah that guy is retired, what is the big deal but they will be there in a few years hopefully as well you know. That’s just the way. That is the cycle of sport. Was there much of a structure in place to help you with your post sports career development? Yeah, there was yeah. Hamish Adams and IRUPA put together a good kind of, preparing players for when they retire and I found Hamish in IRUPA outstanding. He met with me all the time you know and he helped me with regards to, like I was preparing stuff for business. Business stuff I was
  • 174.
    174 | Pa g e preparing myself, I had kind of gotten involved in a few different businesses and which the main thing as a rugby player you have a profile but it is also good for you to get involved in the real world as well, you appreciate your job more like you know when I got involved in the business I appreciated ok this is graft here in the business you know and I had a bit more freedom. When I am playing whereas rugby is kind of you might have fxcking 80,000 people watching and you can’t fxck up but it’s for 2 hours you know whereas with the business you are open from fxcking ten o’clock to fxcking half twelve that night you know. You mightn’t do as much but it is a different kind of graft. But mainly I found IRUPA very good from the point of view of just mentally preparing you for all these little things and you know when you are in, even when you retire you don’t want people coming up to you saying oh, I am so sorry for you, no-one wants to feel pity. I would be like fxck you I would rather you didn’t like me than feel sorry for me. And I know people mean well by it but if you are naturally competitive you never want people to feel sorry for you and that’s why when I retired my big thing was like, when people said ah I am sorry you retired, I say don’t feel sorry man I had a fxcking incredible career, I had a brilliant laugh, I was very, very lucky, I had loads of friends, I had a brilliant time so it is more celebrate it yeah. Do you feel and I suppose I think I know the answer to this question. Do you have any unresolved feelings or emotions about retirement? Not really, no, no I am fine with it, I am completely fine with it. I would have loved to have played a bit longer, you know I still feel sometimes when I am training now I go XXX it would be good to get back but I know that the last 2 years of my career were mentally very, very hard on me because I was working my bxllocks off and getting nowhere with my injury you know. And that is something that I had never come across in rugby and I was getting bitter towards the sport and then that was it I actually thought, I spoke to my mate about retiring and I said look I think I am going to have to retire my XXX is XXX and I went out then and I just said to the National Coach, look I said I am going to go out and train on Monday, I said I do not know if my XXX is right but if it XXX goes it goes I am happy with that, if I play well pick me, if I don’t play well don’t pick me but I said I can no longer keep rehabbing something without ever knowing if I am going to make it or not and I went out and I started back playing and they monitored me and I took it easy but it was just, it was like a when you pick up a ball when you were 7 or 8 years of age, I was back playing with all the lads and I loved it and even though there was a kind of a clock ticking on me, that it was only a matter of time before my XXX again I enjoyed the time so much it made me realise how much I loved the game and then 4 or 5 weeks into that I kind of went holy fxck I think I am actually ok, I don’t think I am going to have to retire at all and I savoured every minute we had, whenever we trained, whenever we did anything, all
  • 175.
    175 | Pa g e the little mundane things that you would often over look I fxcking loved every single one of them and then when I got injured again I was very philosophical, I said well I spent 2 years working my bxllocks off and getting nothing out of the sport what I felt was nothing, I thought I had to retire, I was bitter at the sport and suddenly out of nowhere I got another 5 or 6 weeks playing for Ireland, playing with my team mates and you know I said I am after getting that now and I am not going to finish like fxcking angry at the sport, I am very happy for all the time I had. You had support from your peers, close friends, club and province I imagine through it all, like you were able to? Yeah, yeah there was, well I am lucky again like I said to you a few of my friends had gone through a lot of some big injuries as well and ah I had spoken to them and they talked me through you know the physical side of it, the mental side of it, a lot of things that are important in there and you know my friends as well like my friends from when I was a kid who none of them play rugby but they all supported me playing rugby but they knew me before I played rugby for Munster or Ireland and they just knew me as XXX and it didn’t matter whether I was playing rugby or not. It was really good to have that kind of ah that support, that social support structure around you. Yeah, so you had a different identity to them say which obviously helped them transition I suppose they are probably in the mundane 9 to 5 jobs. Did that help you know because they were saying well now you are kind of joining us in a different role? No, no they didn’t do that. They always knew me as XXX and the fact that I played rugby they saw me going from their friend that just played to getting on the Munster and Irish team and then people were getting to know you, like people would come up to you, you have sort of a bigger profile then but they always treated me the exact same because I was always just XXX who played rugby with them or XXX their friend that they hung around with. So some people will too closely link the sport with their own identity and when they no longer play the sport they feel like who the fxck am I anymore you know. And that didn’t happen me because I have a good group of mates and I have a good group of friends and ah even in fairness with a lot of the lads like I play with Munster we all see the value in each other beyond playing sport and that is a good thing as well. I say to them a lot of the time since I retired I realise just how you know, it’s not the fact that I was a good rugby player, that I was successful I was good at rugby because I fucking worked my bxllocks so therefore whatever industry or whatever I decide to turn my hand to now I just work my bxllocks off and I will be fxcking brilliant at it as well you know. It is a pretty simple kind of a logic to apply to something you know and I would say to my friends in Munster as well, I would say, lads there is nothing to fear about retirement because when you turn the work ethic that you have from rugby and you apply that in the real world you just fxcking blow people away you know.
  • 176.
    176 | Pa g e Just out of a matter of interest, you haven’t been approached to speak to any of the younger members of say the Academies in relation to discussion about retirement I suppose, like you know a lot of the themes and stuff and in the research I have done there like you seem to have indentified athletic identity as a big thing which is ah, which is one of the main causes of concern say for people when they retire... If lads come from a solid background, have a good social support structure, family and friends and ah you know that’s the rock and then you go forward and you can venture out and you can rip into sport. I haven’t been asked to go and speak to anyone about retirement, I have gone and spoken to the team a couple of times since I have retired but not on the subject of retirement. Are we nearly done, I am under a bit of time pressure here man. About another minute. Have you any therapeutic preventions, you had no counselling or anything had you? Ah, we had a Sport Psychologist, I used to use him quite a lot. And I found him very, very good, because like I said to you, like a Mentor someone who is objective, who is there in the room and all they are just there, they are just there to talk to you about how you are and I found it that the big thing is if I was happy, like if I had a fxcking, you know if I was happy myself then I had no problems with rugby. Sometimes I would go in and I would just sit there and bitch about people for about fxcking 10 minutes and I would get it off my chest, I would be like that guy is a fxcking prick, he is annoying me and he would sit there, and then we would go through and then I would say yeah, ok, maybe he is not that much of a prxck then, I was just a bit worked up and then I would come out of the place feeling very good and very relaxed and ah. You know during my injuries as well then like I used to go into him constantly angry, you know I was fxcking just really, really angry so I just wanted to fucking kill people and wanted to blame people for my injury and ah then when I kind of came out of that and when I got back playing, I remember one week we had a session and I was just completely calm you know and very happy and it is only when you do that you can tell how angry you really were beforehand. But yeah, I used to see the Sports Psychologist and mainly just chatting with close friends you know. Look, xxx I will let you go at that, look I appreciate the time that you gave me. No worries man, no worries.
  • 177.
    177 | Pa g e APPENDIX 5.5 - PARTICIPANT 5 So how old were you when you began your athletic career? 8. Ok, and how old were you when you started playing Rugby Union? 12. How old were you when you turned professional? 21. And the Provincial Clubs you played for in Ireland, Connaught? Connaught and Munster. Have you ever played professionally outside of Ireland? Yes. And that was in XXX? XXX, yeah. XXX only was it? That’s it yeah. Were you, did you play at a high stage amateur wise or were you always say professional say once it got to .. Yeah, I played with XXX. XXX? Yeah, XXXX was the.. Before you went professional say? For a year. What got you into playing Rugby Union to begin with? The contact element of the game.
  • 178.
    178 | Pa g e Say, but was it, your parents weren’t involved in it brother or sister or it was just you were the first one. No, no yep. And it was with XXX was it that you were.. No, XXX. And was that say in primary school say or start of secondary school or? It would have been just end of primary yeah. And the secondary school you went to was there rugby in .. No, no, no rugby in XXX. Did you have an athletic hero growing up? Did I have an athletic hero? No. What was the most important thing that kept you playing rugby all those years? I suppose the most important thing, am, all the years before I turned professional is it or? No, say, say, say even from day one say was there anything that overwhelmingly made you want to keep playing rugby the whole way through? It was the one I was best at. Ok. Yeah. That was basically it. That was basically the decision I made at 18. Ok. So you were playing other sports? Yeah. Did you play any individual sports? Were you involved in any sort of tennis or running or? No. Ok. Did the team aspect of rugby in anyway contribute to or like I suppose all the other sports you were involved in were team sports as well, which would probably have been hurling or football. Mm, yeah.
  • 179.
    179 | Pa g e Ok. What do you find most enjoyable about playing rugby? Winning. You played at club, provincial, international and I don’t think you played, you didn’t play touring sides. I have played, against touring sides or for touring sides? For touring sides? Yeah, we went on tour yeah. How long did your professional career last? 11 years. And for what reason did you retire, was it voluntary or involuntary? Am, a bit of both really. Ok, in so far as injuries? Injuries yeah and .. Involuntary? Involuntary, I just had enough. You had enough, did the injuries play a part in you having enough? Yes, it would yeah. Had you been injured for long? I was out for a year, my last season I didn’t play anything so it kinda made up my mind really. Ok. But there was still say.. But I could have come back and played yeah. You could have come back at that stage but you carried the injury and that was.. Yeah.
  • 180.
    180 | Pa g e It is clear that you made a long term commitment to sport and have achieved a high level in relation to same at what age did you begin your competitive sports career and how successful was it in its initial stages? So just go back to your rugby say.. Underage with XXXX, yeah, it was a winning mentality straight away. Ok. And very successful yeah underage with XXXX and hurling and soccer I would have been .. And when you say the winning mentality was that team or was that always part of your .. Ah, yeah, it would have been me on a personal basis yeah. And do you think that, that is part of the reason that you have stayed involved in rugby? Ah, it would yeah, definitely, definitely yeah. What was your main goal when you started participating in sport? To play, to play hurling for Limerick was my goal. It’s funny the way life turns out isn’t it? It is, it’s gas yeah. And say when you started say, when rugby started to become a main part of your life did you establish any goals in relation to that? Oh, I wanted to play for Ireland. You know from about 14, 15 years of age that was my goal to play for Ireland. And did you play representative at any underage level? Yeah. Youths which, would have been club under 18s and then Irish 21s. And is it fair to say.... And Munster 20s as well obviously. And is it fair to say that when you, when you said you wanted to play for Ireland at 14, 15 was it recognised that you had ability at that age say was it... I kind of knew myself yeah, yeah and I knew personally myself that... That it was something you could achieve yeah? Yeah, yeah.
  • 181.
    181 | Pa g e It is not like the Man United soccer thing? Oh yeah.. So yours was a bit more... Yeah after about 2 or 3 years of playing, I was Jesus I am playing better than these players and better then everything else and at a higher level than them and that was the, that was the goal. Yeah, yeah good and by your commitment to sport we mean your desire and determination to keep going at what you do best and that is to keep on winning. Were results important to you at the beginning and why? Yes they were. Is there a reason, did it just help you strive or? Yeah. It justified, it justified playing. And by the playing you mean the sacrifices was it or the training? Am, Or did it justify.. No, I just felt that you know if I was playing I was playing to win so then it justified actually making the commitment to play yeah. Yeah. Considering both everything on and off the field how much did you enjoy playing sport with 1 being not very much and 7 loving it? Ah, about 6, what is 6? 6 is probably just below loving it. Just loving it? With maybe one or two issues maybe .. Yeah, yeah. Ah, what valuable opportunities did taking part in sport offer you say as in regards travel, meeting people, job opportunities? All the above. All the above? Yeah. Everything, it opened up your mind from you know, obviously moving from Limerick and the whole lot and just different ways of life, different cultures just kind of learning life basically.
  • 182.
    182 | Pa g e When you say it opened your mind ah, but did it open your mind say beyond rugby if you know what I mean did it... Yes. It did yeah, you were .. Yeah, because again it wasn’t just. That would be one of the things that from going away even to play elsewhere it just opened your mind up to, ok you are not, like the guys that I played with, with Munster, I was with Munster for 5 years and when I retired there was still the same guys in the same place so for about 12, 13 years playing for Munster and it is like a little fish bowl and you are kind of conditioned into one kind of way of thinking. So am, Because I know in some of the theory that comes out is sort of that because you have committed so much to the sport you may become a bit insular and you may become, you may lose.. No, no I never did. I always had the when I am playing I am playing. When I am training I am training and I am away from rugby you know. But when you were playing say and obviously and it will be in one of the questions later on is you possibly may have contemplated at some stage, I am not physically, I won’t be able to play rugby. Did you have any plans say or like would you be interested in getting involved in business or anything like that, was there anything that.. Oh yeah, once after, what was it, when I started hitting around 27, 28 before that you think it will never end about 27, 28 and then with injuries and I have had a lot of injuries over my career they kind of am the bit of reality kicks in and you know the realisation you get older and you know you kind of cop on as well I suppose. You kind of know that it is not going to be forever that you have to have a plan for, you know you see some of the other stories especially in soccer and stuff like that. Yeah, yeah so when you say, did you, so you had obviously thought about it, did you do anything in relation to it? Like had you started like, had you started like getting involved in any businesses or .. Yes. Yeah you had, so you had started to kind of broaden your.. Yes, business and obviously I wanted to like for I would say about 4 years, maybe 3 years before I retired I knew I wanted to be a Coach.
  • 183.
    183 | Pa g e Can I ask was it the fact that, did that hunger come from the time you were in XXX or was it before that say the coaching am .. No , it would have been when I went to XXX. XXX? XXX, yeah, when I went back to XXX. And was there any reason why, was there any reason that came into your head just to go or was it just that you loved the game so much that it was.. Well, it’s not that I loved the game so much as such. It’s just that I knew, I knew that because I did a bit of coaching with the younger players in XXX because when I was out injured then I would be more of a senior player and the whole lot that I was going to be asked you know to do these things and you know bit by bit I kind of realised you know I am quite good at it, and it was something I wanted to do. Yeah, yeah. Just coming back to. Just sorry now. Thinking back to your first major competitive honour when you turned professional, what was that? First major competitive honour? When you turned professional. As in getting selected or? Yeah. Even like say your first cap or something like that. Oh, yeah well my first cap for Munster I suppose. Ok. Yeah. Yeah. That would have been my first as a pro. And how did you feel and what were you thinking about prior to that contest? I know it is going back now. Am, just wanted to do my best and enjoy it that was basically it and wanted to win. So after your first say cap did you start setting any other goals for yourself or was it? When I, yeah it was just bit by bit then once I knew I got to reach the first cap with Munster then it was just a case of getting, the next stage then would have been short term goals of getting yourself into a regular on team, getting used to that and then moving on again and again so yeah I did have little plans in place.
  • 184.
    184 | Pa g e Ok. But they were kind of short term plans where you didn’t start... Yeah, they were short term but, they were short term it was just bit by bit with the long term goal of playing for Ireland. Ok. Yeah. That was always the goal. Ok. And, and from a young age I knew that one I had to play for XXX if I wanted that, then I had to go from XXX to Munster then Munster to Ireland. So I knew that there was a stepping stone to it. Say after your first cap did life change in any big way for you. Was there, was there any extra demands placed upon you? Am. I suppose looking back on it now yes there was. Am you are in the public eye, so from, within rugby you know there is more pressure on you to perform, there is more work for you to do because you are expected to do it. And on the outside then you know you are in the public eye and you kind of have to make sure you don’t... You have a persona to, that you have to carry and stuff like that? Yeah. When you say you am, you had more work to do was that on the pitch or say or were there other duties say that came with it? Ah, I would have been yeah obviously the media stuff and stuff like going to clubs and doing this and doing that and photo shoots and all that kind of that was all starting to kick off at the time because you know it was it had started back then anyway but on the pitch then you were expected to do more because you were you know you were more.. Yeah you were seen, you were meant to lead by example say? Yeah. Were you prepared to deal with the additional demands, were ye offered any sort of coaching in relation to say in relation to the media side of it? Not really, no, no it was very am it was all just thrown together really compared to what it is now.
  • 185.
    185 | Pa g e Yeah. My next question as going to be was that because professionalism is still kind of in its infancy and .. It was, was it only 4, 5 I think it was 5 years.. 1996 I think. 1996 it kicked off and this Was 1999/2000 so everything was just, just taking shape. Just I suppose, you probably, you experienced really the transition am from rugby say from an amateur level to a professional level. And I suppose rugby always kind of has this family connotation say you know families go to watch games and stuff like that and I suppose did you see much am, I suppose movement into professionalism then, an element of that had to fall to the side I suppose because people were, de-selection became a kind of a more am, fellas were being de-selected more or less from their job for all intent and purposes if you weren’t making the grade you were fired for want of a better phrase or you may lose your contract and obviously there was more pressure on players. There was yeah. Did you see, was that am, was that difficult to kind of a thing where you were playing with a fella and you knew he tried but maybe you know he just wasn’t getting nowhere. No, No. For me personally no. It was basically every, it was like everything you said it is every fella for himself. You know at the end of the day so it didn’t put any extra pressure it was just, it was just there. Ok. And just say but when it became say your livelihood there was obviously an extra pressure there because obviously .. Oh there is yeah. Yeah, yeah. You can’t be worrying about what, you know you can’t let that affect you basically yeah. Ok, ok. But that’s the challenge a lot of people it does affect so that is the thing. Yeah, ok , you probably touched on it there with the kind of the media interest and stuff had, it gets more and more and I suppose everything now is kind of quicker and everything like that.
  • 186.
    186 | Pa g e Do you have any suggestions that might help other professional rugby union players who will face a similar situation as regards from your first cap say and how they can better cope say? Am, what could I say. Nothing really you know they can at the end of the day it was a great time you know to be, to be where I was. No, it’s all about you know while it does happen you have to, I would say you know just stick to what got you there and keep going you know and that’s the true test of being a professional. Whereas there are a lot of people that kind of get there and you know then they go off the rails and do this and do that and all that kind of stuff and they lose the focus. So it is just about, you know when you get there it is all about staying there then you know. And say your coaching role is that I suppose in your teens and I am not going to ask you to identify you seen players probably with a lot of potential that you could say not every player will obviously will have. You can bracket your team, you can bracket players or groups of players into different brackets you know and it’s all about you know trying to get from my point of view trying to get the best out of all of them but you know, you would know of certain guys who do have potential to go forward then you would worry then would they have the mental capacity to actually handle it. Ok. And just do ye do anything as a club to try and develop that, that mental capacity say? We ah, yeah. We do yeah we have a Sports Psychologist who would work at obviously specifically rugby but obviously then they transition to how to marry the two together between you know proper life and then the rugby itself. Ok. And then say from your own perspective has there been anyone you personally say identified with or tried to say take under your wing say to develop them because obviously you have been through the experience and you understand it? Oh yeah, they again, from a coaching point of view you don’t, me personally I don’t get too close to the players it’s just but you know you have, there has been a number of guys that you do have a chat with and try to get, give them instead of telling them what to do or telling them what they should do you know you try to give them, you know the experiences that I went through you know you try to get your point across that way. But again at the end of the day you can’t me personally I don’t get too close to the players but you try to help them as much as you can by giving them the information but not to... Yeah, yeah I understand. You know that kind of way. That you are not preaching down to them?
  • 187.
    187 | Pa g e Yeah. I, and we just kinda touched on this earlier on. Did you have any non sport identities when you were playing say, like sport wasn’t all consuming for you I think you had already said like you, you had other interests outside of it? Oh I did yeah. You weren’t playing any other sports at the time no? No. But just say on a social side you were... Yeah on a social side and the whole lot and friends that would have nothing to do with rugby and all that kind of stuff and .. You invested a lot in getting to a professional level of rugby is there anything that you invested that you can’t get back or that kind of am? My body! Yeah, yeah that would be, it’s in the last couple of years now it is starting to break down. It was breaking down while I was playing but now there is arthritis, everything you know.. The issues have .. Yeah, which is a lot you know a lot younger than a guy that wouldn’t have played the game. Yeah. So that would be it am other than that... Like I suppose and what some of the research is showing now is that with the players starting younger and I suppose and they probably every second newspaper every second article mentions about players getting bigger in size and the hits are getting more and more and that retirement will probably start affecting players.. Like you know am, you know the days of playing for like me personally I played for 11 years and there are guys then that played for 12, 13 it is getting very similar to the NFL you know as a three year cycle. I know guys, young fellas that were in XXX with me and they were gone at 24, 25 you know they had a couple of years of it and the body just broke down so it is getting, it is getting .. So you can see that and even say in your own club I know that the level is slightly down but I suppose that if a fella hits you, a fella hits you like you know..
  • 188.
    188 | Pa g e Oh yeah, it’s still like you know it is still going to have the same effect on you no matter what you know. Did you feel a sense of obligation to keep competing because of the expectations of other people? Am sometimes yeah you would have played, well not necessarily for other people but just for your sake, for your own sake you know yourself, you know if, very rarely a rugby player plays a 100% (fit) because there is always something. But not necessarily for anyone else but for myself yeah I would have gone through it to play. Did you feel a lot of encouragement and support from other people when you were..? Oh yeah, yeah. Maybe family and say.. Family yeah, coaches and team mates the whole lot yeah. And the time you transitioned say to XXX was that a difficult decision for you or did you see it as a development? Yeah. It was time for me to go from Munster am purely from a rugby point of view. I wasn’t playing, I wasn’t getting a game so again and that would have been something that wouldn’t have been done very often back then and that was XXXX I think. So it was a case of if you played, if you were with Munster you were with Munster for life and that was the thing but you know one or two other guys followed me after that in relation to it’s like soccer if you are not getting a game somewhere you can go somewhere else and get a game it’s a professional game. You were still competitive it wasn’t a case of I just want to get paid, it was just the competitiveness came out? Yeah there is no point and there are a lot of guys out there who would be happy just to play to be involved with Munster or to be involved with XXX or any of the teams like that and they go back and play with their clubs and there would have always be a squad there. They will never be you know.. Exactly and that is ... They would be at that level and they might be happy with that was something I wasn’t happy with especially after playing for Ireland and .. Ok so the thing was I suppose the goal was again to get back playing for Ireland. That was the goal, that was the goal. Just in, this is kind of moving on to the retirement side of it now. Do you think that you were viewed as a former rugby player who made a good investment in society who did a good job by working hard? I know it is a kind of a ..
  • 189.
    189 | Pa g e Am some people might think that, others may not but sure. Ok, I know it is kind of a tough one. Do you think there was unwillingness on your side to plan for retirement? What? Do you think there was unwillingness on your side? No, I think I was definitely willing to plan for retirement. Am, because rugby is such a physical game and no matter what position you play in, it is a physical game and I suppose given that admitting any sort of a weakness and retirement I suppose can be construed by some people or that my career could be over today if I get the right belt that could be it. Do you think that, that maybe contributes to say some individuals not... Yes. Yeah. Yes a lot of, what I would say is that a lot of people that just again don’t have a kind of an overall kind of a balance in their life and it is just literally rugby, rugby and you know they become very successful but it is one extreme to the other and they never see it happening and that is where you see a lot of fellas playing on later and later and older and older and they are absolutely crocked and the whole lot but they are afraid of their life to actually retire. Whereas I knew that you know from 26, 27 around that age I said right ok I have this now for another few years I will make the most of it but I know then I am going to do something else different you know. The realisation and I just knew that right I had it for a certain amount of time a lot of people don’t and people don’t want to be thinking about that they want to play rugby forever and when that happens then when they go from playing to not playing they just can’t handle the change. And that is the whole point of it isn’t it? Yeah. Was there any structure in place to help you with your post sports career development? Nope, no everyone was on their own. Do you feel that you have a lot to say but no one to tell about your unresolved feelings, emotions about retirement? No, no delighted I retired. Was it always, were you, was there at any stage where you were a bit say morose or even .. No, no, no it was just a natural.. Because you had put.
  • 190.
    190 | Pa g e Yeah, it was just the natural way that things were going to finish. Ok. You didn’t engage in any sort of counselling or anything afterwards you didn’t, no, no. There was Sports Psychologists I imagine when you were playing? Yeah, they would have been hit and miss and the whole lot but it would never have been in relation, it would have been purely about rugby, about your performance on the field. It would never have been, and whatever it would never have been about retirement or anything like that, that was just when he is gone he is gone. Ok when you were injured did you, say did it play any part when you were injured you weren’t visiting, I suppose you were saying there for about a year before you.. Yeah. But before I got injured I knew that was my last year so it was kind of a bit of both so. When I knew it was my last year and I wanted to kind of finish playing obviously then with the injury it kind of married together and there was no worries about it. I think that is more or less it so thanks very much for that. No worries.
  • 191.
    191 | Pa g e APPENDIX 5.6 - PARTICIPANT 6 If I reference you by name it will be taken out afterwards, it will all be blanked out anyway so. XXX, how old were you when you began your athletic career? Athletics was in, athletics as in a professional? No, any sports say. Oh, I played Gaelic football under 10. I was 10 years of age like. Oh, ok. And how old were you when you started playing Ruby Union? 19. That was the very first time you played it? Yeah. And was that for a local club or? XXX, yeah. XXX, and how old were you when you turned professional? 24. 24, so you didn’t go through any Academy system or anything like that? You went from XXX say to Munster yeah? Yeah, old school. And you have only played for Munster? Yeah. And you have never played outside of Ireland? No. What got you into playing Rugby Union to begin with? Am, watching it on television basically curiosity. I played Gaelic games as a young fella like just watched it on telly and wanted to give it a go just , which is something you recommend to all young fellas try different games so that is basically all it was. I have no family connection or background or
  • 192.
    192 | Pa g e link or anything it was just purely ah you know my father didn’t play, my uncles didn’t play, I didn’t go to a school it was nothing at all it was just only watching it on telly and I suppose a young fella of that age I wanted to give it a go. Yeah, and just on the sports you did play and you mentioned Gaelic, you didn’t play any solitary games or say athletic you weren’t into running say? Nah, like again, like a lot of young fellas as I said trying different sports they do athletics and stuff as young fellas like went to the Community Games when they were on in XXX and stuff like that and did a bit of running, threw the shot or whatever .. So it was always more team orientated games that you or.. Am, yeah. Or was it just that you were better at or ... Yeah, like I was a young fella I suppose that fooled around a lot of games but never found one until I got rugby and then as soon as I played rugby it was just a complete change of attitude to sport. I couldn’t even begin to describe it like. Playing Gaelic here I would always have been I won’t go training tonight, ducking and diving and everything as soon as training came for rugby it was all the time, I never missed a session just completely found the sport for me like. And just how, do you have any explanation for that or was it just something that you have no explanation for but it just happened that it was the love of the game. It just happened to be yeah. It suited me I suppose I preferred it just, like when I was playing Gaelic football here at XXX and hurling like I played both in the parish, like say I would be ducking training on Tuesday, nah I won’t go whereas training in XXXX I started there as a young fella straight there Tuesday nights and Thursday nights always on time never missed, couldn’t wait to get back the next night it was just different and I found what I wanted to do. Yeah. I suppose at going to the age of 19 you think that is more than likely where you would start making excuses because obviously you are kind of... That is the thing it does happen to the young fellas nowadays but I was just different. Ok. Did you have any athletic heroes growing up, not just in rugby now or in? Sporting heroes? Sporting heroes yeah.
  • 193.
    193 | Pa g e Ah, the team I would have followed like, unfortunately whether it is true or not is the great Kerry team. The football like I loved Bomber Liston and Jack O’Shea and all them fellas like. That would have been unfortunately like, are you a Limerick man? I am a Limerick man from Foynes so we are close enough to think if the wind comes in that we are good enough at Gaelic football as well we have notions. Am, no in the 80’s like as a young fella growing up it would been watching all those fellas play. And the success that they had and the skills and stuff like that, that was one ... I admired them like and I was only a young fella but I remembered like I remembered being heart broken when they lost the final and all that, I was only 10 or 11 at that stage but I still remember it like. But they would have been, growing up it would have been those fellas. And say would you have any idea when you became conscious of rugby say as you said like yourself watching television and stuff? It would have been 1985 the Triple Crown, Ireland won in 1985. I remember you know, Ciaran Fitzgerald I remember watching those games from then on. I remember 1982 as well just about I was only 9 at that stage I would really have watched much but from 1985 on alright I remember it. Ok. And just going back to the Kerry say, the Kerry team at that time was there anything in that team that appealed to you, was there anything, what drew you to kind of? Well I suppose they were just, they were so good and there was so much being talked about them and everybody knew their names and stuff like that, you just... And it was a game you were familiar with as well so you could identify the skills and stuff? We would be out then in the evening and you would have the ball outside and you were trying to do something like that you saw Mikey Sheehy doing it. What was the most important thing that kept you playing rugby all these years? Loved doing it without question or, there is no other reason, like I say from the minute I started playing it. Like if I stayed playing GAA I would have retired when I was in my 20’s like, you know I wouldn’t have gone on but I was 38 when I retired like because I just loved doing it like. And was there any, is there any, was it the hard work element of it, is it because, like I know one or two of the other lads commented it’s a very honest sport, you get found out very quickly. If you haven’t put it in during the week on a Saturday ...
  • 194.
    194 | Pa g e Oh you would yeah, you would get found out as in, you can’t bluff like, you can’t fool yourself like either. If you tell yourself like that you trained hard during the week or fitness in the preseason and are not fit enough you won’t be long finding out when you are playing that you are not like. I just what I like about it than other sports, I loved the craic, the camaraderie, the team. Yeah. I didn’t want to put the word camaraderie into your mouth because that of all, through all the interviews that is the one... It definitely was like and some people would ask us you know as Munster player we had it and other teams like we even see it in the English teams some of those teams are trying to build the team that they don’t have. They are trying to generate it, they have these team bonding, we didn’t have it we just had it. Fellas were friends, like I am friends with those fellas they were not just team mates they are friends like and that’s the difference like. You are not just a bunch of fellas brought together to be a team, we ended up together and we are all, and that is why we played better I think. And would you believe that is one of the things, the one of the reasons that they think there might be problems with people that retire insofar as you lose that kind of family element insofar as fellas because obviously fellas they disperse to a degree so they think that, that may contribute to some of the elements of it. And maybe the lads going through the Academy system, I don’t know would that be better or worse because maybe if, like I think and I am not trying to put words in your mouth but just from some of the research I have done, because you came from it at a stage where it went professional and without ye realising it you know, when you first started playing rugby you probably never said I am going to play this professional .. When I started playing it wasn’t professional. Yeah. So when it became then, it wasn’t , it was kind of a gift and I know that you even referenced that kind of in your autobiography you would have done it for nothing. Of course I would, fellas had done it for years before that like so. Yeah. I am just wondering if that is part of the, if that helps build the camaraderie in so far as look you know it’s a bit of luck, we end up getting paid for something we do rather fellas starting out with the mentality of well I suppose me, I am an Accountant so when I went to college I wanted to become an Accountant. Fellas they have the psyche that this is what they want their profession to be I am wondering does it throw that camaraderie to the side to a degree like insofar as I need to be the best I need to get on the team whereas ye were look ye were played at a level and then ye got picked to go professional.
  • 195.
    195 | Pa g e Yeah I suppose there is, it probably will change. It definitely will change young fellas focus I suppose. Finishing school now or whatever like that you know but you will have Career Guidance Teachers telling them look you need to do this or another but if a young fella was going to a rugby school or whatever or playing he knows he is fairly good he is on this team etc somewhere in the back of his mind he is thinking I am going to be playing rugby so I will tell the Career Guidance Teacher - I want to be an Accountant or I want to do this and I want to do that and I might start off and apply for some course here or there before deep down they know I am going training, training and training I want to be on the Munster Academy and I want to be on the Munster Team in 3 years time when I am 21 like and I want to play then until I am 35 so they think that but it’s not that simple it might not happen. Do you think that, that may be a flaw in the current system? That with the, and I know why the academies are there is to bring on the quality of players and stuff but to a degree do you think that, that in some way, that like I suppose the average age, the average life span for a professional rugby player in Ireland is 6 years. Am, and I think in New Zealand I think it is 8, split it 7. So a fella who starts off say, comes out of the Academy he starts playing for say days at 21 is hypothetically on average going to retire at 28. Before he is 30 like. Before he is 30. You know and I suppose in talking to all the lads no, I don’t think anyone comes out of rugby on the premiership soccer player wages where you just say.. There is no-one, that is a complete, see, that is what happens and it is happening in soccer for years and years young fellas have left here gone to England on scout or gone to England with trials with whatever level of team and didn’t half finish school, finish school thought they do the, had a trial didn’t work out you know so, it is ruthless like, there is no, there is no mercy like and there is an element of that while the numbers will never be the same as soccer in England or even the young fellas leaving here to go it is there and like I said you will get a young fella who is good at rugby, he will be in school and he is thinking I want to play rugby or I am not going to bother or half bother with education like and he can’t stress enough that fellas have to have it. Yeah, that they have to stay, that they have to commit to something .. I saw there on the paper yesterday or today that Owen O’Malley has retired in Leinster at 25 of an injury and you know he is a young fella there whose, I would imagine went to rugby school, all the way through all the Leinster system, had it all in front of him, the next Brian O’Driscoll the whole lot. And now it is gone at 25 so he just has to change his focus like even if he had qualified say if he had continued in University did something he would have been parking that degree for 10 years and
  • 196.
    196 | Pa g e saying I am going playing now for Ireland or whatever but now he has to pick it up and start using it and be ready for them, there is a certain amount, fellas have to, to let it go like and try accept it and that’s, that wouldn’t be easy, you know he might get a job and say I don’t want to fxcking be here like. The quicker he gets around that the better like. No, I even would you believe I have even referenced him I was putting in some of the finishing touches yesterday and I got a quote off him like... He is the, he is the perfect example now better - than a Brian O’Driscoll to send him to Leinster Academy, the fellas that are in the Sub Acadamy or the academy and say look lads I was sitting where you are a few years I am only 25 and it is over for me like. You know whereas Brian O’Driscoll is coming up 35. You know he is 10 years down the road, he was playing since he was 20. He had 15, he is the exception to the rule. He will have had 15 years whereas Owen O’Malley is gone at 25 and he is the fella like they will all look at Brian O’Driscoll and say I want to be like him, I want to be playing until I am 35 but like Owen O’Malley would have been in, I would imagine in all those Leinster Academies only a couple of years ago like and he is gone and he is the example of how quick, how fickle it is, how you just cannot presume like that.... And just are you, I don’t know how aware you are of the work that say the Academies and them do, are you very aware of it or are you aware of it at all? I have an idea like you know I was never in it and it wasn’t even there when I was there. I remember some of the lads were in a foundation thing or something I recall, it was literally just getting off the ground when I would have been there but that, they have really only grown in the last 10 years so I was well gone but I just knew from, I just know from being in around Limerick seeing fellas in and out, coming and going, seeing what they do. Yeah. Do you think thought that, that is something that possibly say the likes of Munster, Leinster, Connaught and them should look at is educating those younger players and using those like and I suppose your right everyone wants to look at the fella who is doing well like the likes of Brian O’Driscoll and stuff like that who has had a very long career and obviously .. Obviously you would like fellas to play for years. Yeah and are more or less you know have a high profile and stuff in relation to it so I suppose that is part of why people recognise them so much. But do you think there is scope there I suppose for the academies to use these kind of, the other examples as well to say we’ll look at the age that ye are at ye need to remain focused because there is a high incident of people who get hurt in the game and ...
  • 197.
    197 | Pa g e Someone has to do it, like as a child, I suppose you wouldn’t call him a child, a young fella you won’t have that like. I suppose that player’s parents will you know like, any parent would love to see their child doing their Leaving Cert, going onto college and finishing college and then going doing you know and I suppose you need. You need I suppose there is a lot of onus on that as well that they will do it and I suppose you need the, you need the teams, the IRFU to put an emphasis on education as well, that they allow time for it even as you know, even for players that are, that have gone old or are getting towards the end of their career that they allow time in the week for education. If a fella wants to take on any kind of a course even if it’s a night course or any kind of a thing at all. I know some of the lads did things and suddenly then it was dragged out over months because they couldn’t do it like you know they would have arrangements to meet, to meet someone to do something practical or something like that whatever they were doing and the training schedule they think they would be free on Wednesday afternoon and then training would change and they would have to cancel it and then they mightn’t be able to get around to it for another 3 weeks and they were trying to do whatever a 2 year Diploma and something like that and it ended up lasting for 4 years because they couldn’t do it because training wasn’t going to revolve around fellas you know having to do a course because that is what happens and I suppose the management of the team or whatever would only care about that like they will think there is a match this week, there is a match next week, there is a match next week and I don’t care what whether you have to go here or do exams or you have to do this or you have to do something it’s a case of there isn’t time in the week for it because you start training Monday morning so we want you in the gym and then we want you to do a review of last Saturdays game then your race, then your review then you’re doing your fitness or whatever and then it’s the preview of the next game that when you turn up to training Thursday you have been through the tapes of all the team you are going playing next Saturday. You park this weeks and you are going starting next weeks and you have to have done hours on the computer getting an idea of who you are playing, the players you know the face and if you haven’t done that so they will be saying where are you fitting in this course you know so there is an onus on management as well do they want or do they see it as a distraction. I’d say, I’d say some probably even would see it as a distraction that it can be seen I suppose maybe it was different for me when I was finishing because I did do a course when I was finishing I did, I had to go to XXXXX and finish my XXXX and I did it like and I got it done but I was near the end of the road anyway but if you start doing that I have an awful feeling that there is kind of an inkling there that he is distracted a little bit you know. I understand what you are saying yeah. If even a fella tried to open a shop or something or a business you know or if he decided to I don’t know yeah like a pub or some sort of a thing like that they say he is running that now you know, is he
  • 198.
    198 | Pa g e focused this week on the match or is he thinking about you know decking out his new shop you know that is sometimes they don’t like to see sometimes with that as they will see it as a distraction. Yeah, and just as you say is that just, you obviously, you have experience of that or you .. Yeah, I think so yeah. When fellas start getting, the whole thing is about you are going to have to retire so you can’t just wait until what do I do now. You have to get ready but there is definitely a kind of a ... A kind of slight of resistance by the thing to accept, to give the players the opportunity to prepare for it? They are beginning to think there, distracted is nearly the word for it, that he is going to college now or he is doing that course or like I said he is setting up a business or he is doing something and he was there yesterday now and he had to meet a fella and he was in the gym yesterday morning at 8 o’clock but he rushed it because he had to meet some fella at 10 o’clock. You know if you wanted to meet a business or go to the bank or something like that - that you rushed training, that you did your weights but that you had to leave fast and then you went and you met these two and you went to the bank and you met someone else because you were setting up something and then training in the afternoon was at 3 o’clock and you arrived back just on time, didn’t have lunch and you are back training so that’s not what they want. They want you to be there at 8 o’clock in the morning, train until 10, then rest, do your review on the laptops inside in the analysis room and then have lunch so that you are rested and you have your full lunch eaten and then at 3 o’clock the next session is then that you are ready to go at 3 o’clock, that you are there waiting, you done your analysis all day and that you didn’t give the couple of hours in the middle meeting someone or those things are seen as a distraction. And young fellas won’t have that because they just have stars in their eyes, they just want to keep it all at rugby, you can’t like you know keep every bit of information. Whereas as an ould fella getting to the age you will be looking like what’s next like and that can become and that is a tricky little situation. Can I ask you and I just suppose I am going on the other lads and they filled in, I have a questionnaire there as well I just on the training like a lot of them have said they did I think between say 10 sessions a week but they say about an hour and a half do you, am I right in thinking then and I didn’t discuss this with them that is probably just the physical side they were talking about but I obviously there is a lot and as you say as you were pointing out there as regards reviewing tapes, preparing .. Oh yeah, that all has to be done so and you have to be seen to be doing it. There is an analysis room inside for Munster inside in UL and there is a table all along with about 6 computers, three on this side and three on that side and you are sitting there, three of us even and you are looking through it
  • 199.
    199 | Pa g e and if you were if I saw somebody you call them over and you show them and you have to be seen having done it. If the coach passes in and if they never saw me sitting there if he passed in and out four times during the day like between training sessions and I wasn’t there he would know you didn’t do your analysis like. So suddenly then what were you doing and I went well I was meeting someone there about something then straight away you are not... Yeah, so am I right in thinking that when they put that down they are only telling me that, that is the physical? Oh that’s the time in the gym. Yeah, that’s it so obviously there is a lot more to it than that say like? Oh there is, it is a full day. You would want to be in there in the morning and sometimes you would get your gym time and it might be 8 or it might be 9 in the morning depending on what group they have to split them. But as soon as you are finished you don’t just go away home you stay in there like I say you have to be seen to be in there doing all this you don’t just skedaddle like. So it is really like, it is more or less like a full time job then, time wise? They are trying to get it and Munster would even be different now because we have always had this unique two centre thing but they will change that now next year or the year after there are supposed to be talks that happen and once that comes in then there will be one centre and it will literally be everyone in there first thing in the morning and you would be there for most of the day, they might shorten the day then from 8 till 1 or 2 but they will be 5, 6 hours of full.. 5 days a week and then you have your match at the weekend? Yeah, you might get your rest afternoon then or whatever like that. If you get a rest afternoon then like I used often get slagged about it you know when I was considered a XXX here. Like and the boys were like oh your off home to your other job now like which I often was like, I was coming home doing something but you were supposed to go home like and on a big week of say big high coverage or whatever, you were supposed to be in bed like that was, get rest like you know and Wednesday afternoon was off and you would go home, you’re not exactly in bed but you are thrown down on the couch. That rest was seen to be as important as the training you did in the morning and if you were gone off doing something else which I often was, not alone were you not focused, concentrated but you were, not rested is as bad as not training like and so.. And ye even so, it is even beyond say the scope of say when your there like, there is still an element of control which they wish to exert upon you?
  • 200.
    200 | Pa g e Yeah, and they, you will train again like in preseason which the boys will finish an hour well in the middle of now, they might have, they might train Monday, Tuesday, Wednesday, Thursday and they might take a half day or something, maybe a half day Wednesday. And they will train Thursday morning like everyone’s legs are fresh now because he had Wednesday afternoon off. So if he went off doing something, even if he went off playing golf like some other fellas might have, Jesus my legs are tired that is your own fault. That would have been recreational for you but they have been presuming your legs are fresh because you were off yesterday evening so you should have been lying in bed, lying on the couch like to be fresh tomorrow. So it is nonstop now and that is increased beyond measure from when we started as professionals and we thought we were in 97 to what it is now. And as you were kind of pointing out there and you think it will probably get even more intense say because you said when they move to the centre I think they are talking about moving it down to the University I think .. It’s in UL yeah, I thought it would be yeah. So you think that, that would probably and I suppose where I am kind of going with it then the more intense that is the less opportunity for fellas to try and develop interests and try and make a way for themselves after rugby. Yeah, it’s a very tricky balance. Yeah. And there is definitely, there would definitely be a kind of a, whatever is the word from the management, maybe even other players, players can be saying to themselves, Jesus he is not, he has got one eye on something else. Now they know that you are in your last year and if they know like that ah he is only ticking along now, he is getting ready to go, that you are not the same as when you were 22, 23, 24 whatever you had been building up they know you are, that if they hear that if someone is doing a course or someone is setting up a business or getting involved with some partnership or something they kind of see it as .. As a distraction somewhat? As a distraction and they kind of wonder is he really distracted, is he really 100% focused, committed here now anymore. I know your experience, obviously you were in the Irish set up as well so maybe you just know it from fellas saying. Do you think that, that is the same with the other provinces or .. I would imagine so, I would say it is the very same yeah.
  • 201.
    201 | Pa g e I know that you wouldn’t know too much but I would imagine that ye discussed bits and pieces in relation to it. The way things are going like I was saying they want you there all day like. Analysis now there is so much to it, when it comes to the end of it now, when it comes to the week like you can’t not know a player’s name or something like that you just have to sit there in a meeting like they, like you wouldn’t even call it a trick question now but it might be just did you see those or they presume that you had seen the scrums or the line outs. You know like I was a XXX or say they would be saying what do you think of the scrums there from when that team played the other team you know ah I haven’t seen them yet, if you say that Tuesday or Wednesday it is kinda like what have you been doing that is how far it has gone. Ok. You can’t look at it Friday night like and if you haven’t it done that’s the way it has gone it’s just nonstop like. Yeah, I didn’t, like I suppose you know it is professional and I suppose but you think you know that the professionalism comes into it while there is training involved that it is of the skill that ye have is the profession is the embodiment of the thing. The levels that you played at, you played at club, provincial, international and touring sides. How long did your professional career last? 14 seasons. And for what reason did you retire, voluntary or involuntary? Old age, voluntary. XX I think I had enough got out of it. And just at that stage it was the body but you were still fit say, it wasn’t injury related no? No, I was 100% fit I could have played on. I retired even mid-season and they wanted me to finish it out and I was like nah. Do you think that because obviously and you were discussing there some of the fellas coming into it very young in life that and as we said that there is an issue there with kind of you know the hits and stuff that they are getting do you think that, that is probably likely to play more of a role in.. Oh it is because they are definitely putting their bodies under pressure, they are pushing them now even more than what we pushed them. When I was, like I started when I was 19 and when I started all I had to do was training, there was no such thing as doing weights or anything like. Whereas now even a young fella if he is playing in the centre or the back row forward or backs and if he is told, or if
  • 202.
    202 | Pa g e he thinks himself I am too light for my position he puts on a stone weight like so they are pushing their bodies to the limit like the whole time now. Yeah, Just to move on to the kind of training stage or the initiation stage of the thing. It is clear that you made a long term commitment to sport and have achieved a high level in relation to same. At what age did you begin your competitive sport’s career and how successful was it in the initial stages? Just say at the age of 19 say. Yeah, I definitely changed to being competitive at that really wanted to win but wouldn’t have been successful until I was 23. And say when you said you were successful ye started winning cups and stuff like that. With XXXX yeah. What was your main goal when you started? Say when you got to say XXX say. Once you had progressed say from XXX to XXX did you have it in your, I suppose modesty might prevent you from saying it but did you have it in your head ok I am after making a step up here I could go to, there is other levels I could go to at this stage. Probably, in a way I never set out a goal like that but I kept stepping up and as soon as I stepped up I found myself comfortable in that environment like. You know I never kind of say Jesus that is one too far anyway you know. When I started off XXX didn’t have a clue when I started playing and then when I played with XXXX it was a big senior club. I didn’t set the place on fire like, I am not going to say that but I fxcking knew that I could compete here like. Then after a couple of years of that I went to XXX and I played down there, got on the team, got selected and the whole lot and played so when I came back I got on the Munster squad and you know just found it yeah, I can train with this I can compete at this level and I just always kept finding that I was able to compete at the level I was at. I never found myself... If you set yourself a goal at that, say when you had say, when you realised that say ok look I am above average say in relation to this and I can maybe move on through it. Did you form any long term goals or were they kind of short term goals ok I played for XXXX last week I am going to try make a run of games for XXXX now or ... No, it would have always been kind of I remember playing for XXXX or whatever like I would have played against an international fella in another team or something like that. Like I said if he was on it, then if he was on it like I could be on it. That was more the way the... Ok, so you set your bench map against kind of who you were playing against, yeah.
  • 203.
    203 | Pa g e If I played against a fella, well he is playing full time for Ireland or whatever like you know I played against him there or I tackled him or I did this or that and I kind went I want to be there, if he can be there I can be there. That was more the way I was saying you know it was always that way like. Yeah. By commitment to sport we mean your desire and determination to keep doing what you do best and that is to keep on winning. Were results important to you at the beginning and why? Probably moving to XXXX again I suppose. Results as in? As in say winning games. They are yeah, they always are. But there is nothing that beats the feeling of winning at the end of the day but for me again I am different now because I came to it so late and I changed positions even. I started off at the back ground and then played in the XXXX and then played in the XXXX so all the way along even if I lost a game or I maybe didn’t even play that well you know but if I always thought I learned something today then I am now better in my position but we lost so I would always try take some sort of, that definitely happened you know. And there was days then we probably won the match but if I felt I played bad I wouldn’t be happy, you know that kind of way. But there could be another day then where we might have lost but if I felt I played really well you would definitely have a kind of a satisfaction that you know. That actually happens, like your team could win but you would feel you played shxt today, you know you have kind of an empty feeling. It is kind of ok we won it’s great but there could be another day when it would be the other way around that you might have lost but you really played well in everything you did like and your sick and you are not happy because you lost but there is a slight satisfaction there in yourself that you know you did well. You are not going to shift blame everyone, you know it was all your shxt I was brilliant but you know that things went well for you. Do you think that, that comes down to I suppose a lot of the, some of the lads have commented as well that rugby is such an honest game that based on that because it was honesty of effort that you rated more so than actually winning. Yeah. It was great that you won but it was better if you had won and you had put in a big effort and it kind of, that everything followed through in the end. That even if you lost that you were honest with yourself and you know you played an honest game at the end of the day you were happy enough then as well. So maybe it is the honesty of effort then that drives the.. Absolutely yeah.
  • 204.
    204 | Pa g e Ah, considering everything both on and off the field how much did you enjoy playing the sport. 1 is not very much and 7 is loved it. Oh 7. What valuable opportunities did you have taking part in sport such as travel, meeting people and job opportunities? There just, if there is anything else you can.. The travel is brilliant anyway as a young fella, tours and stuff like that and you know like. I went off to XXXX myself as a young fella when I as 21. And I thought like I would never be out there. But literally then I didn’t know how it was going to work out I went on tour in New Zealand, Australia, America, South America so the travel is brilliant like just you get to travel the world. But you were quick to point out when you were a young fella later on then say I know it’s one of the things that some of the lads commented on and I suppose especially now that the seasons are getting so long as well, especially now with summer tours and they are back now but some of that would have been probably a summer tour in America I think this year in June and then July off and now they are back for preseason and now they are more or less going to go again until May touch wood. So, for a very physical game, more physical then the likes of soccer and that, that you are more or less on the go for at least 11 months of the year. Oh you are 11 yeah and some of the boys with a Lions tour and stuff like that it could run over it could even hit the full 12. Right. I remember that happened last year for the boys that started training pre World Cup 11 so they started in the beginning of June 2011 and the tour. They were back in New Zealand again in June 2012 and they actually hit the full 12 months maybe even a week over it like.. It is fxcking crazy like. Yeah. With that intensity like you know it is expecting a lot especially you know .. The tours weren’t too bad but what happened with me if you want to talk about travel if you can call it travel, it is travel but the games in Wales and Scotland and places leaving on a Thursday, flying over, landing in Bristol or Cardiff or something, getting a bus down, staying in the hotel, go play the game Friday and travel home then that night back into Shannon at 1 o’clock in the morning back here at 2 you know the novelty wore off .. Yeah, and I think it is that is what I picked up from some of the research is that is I think what gets to fellas the thing that you say yourself like the tours are good because to a degree it is a one flight thing and ...
  • 205.
    205 | Pa g e Tours are different but all the travel for matches you know the novelty wore off very lively. Just thinking back to your first major competitive honour when you turned professional what was that? First major professional honour when I turned professional, for me it was to be picked for a tour to XXX I was an amateur and I was picked to tour as a professional. My first taste of professionalism was on a tour. I was still working right up to the week I left like. You were working for .. XXXX. After the cap did you set about any other goals say for your career say once you had say made it onto that first tour? The only thing I can honestly remember was when I got one I wanted two. Ok, you didn’t want to be the one cap wonder? Yeah, that is actually true I can remember, I remember when I got my first cap I was there Jesus don’t end up with this now get a second one quickly. I couldn’t wait for the game to come around to get the second one and then once I got a second one then I suppose I looked at 10 and then after 10 then I just stopped counting at that stage then it was just I just wanted to play I just wanted to win something for a finish because we had, had a few close calls at that stage and we finished second in the championship and stuff and I wanted medals at that stage. The one cap thing, you are not the first fella to mention that .. Fxck it, it’s an awful thing to, you are holding your breath Jesus get picked again. One of them was on it for 2 years he told me he thought he would never get off it. Did your life change in anyway after your first big win? Say after the cap, did you find was there any extra demands placed upon you? Say time wise, you know performance wise or.. Not after the cap but I can remember - just from a point of view of even with Munster they all happened around the same time was you know - recognition on the street and stuff picked up around the same time you know like. Even when I started out as a young fella and even when we were playing I remember even in the 90’s and stuff like some of the international fellas wouldn’t be recognised walking around the street. Like whereas as we started to win in Munster and we got to the first Heineken Cup and with Ireland we won a few games and stuff suddenly you find, you, the first thing you would start to notice would be just in a shop in Limerick or someone would come up to you
  • 206.
    206 | Pa g e and say well done at the weekend who you don’t know like. You are used to your neighbours and your friends saying it but a total random stranger would say that to you, they recognised you standing in a shop and they had seen you playing or something like that and that is when you will realise that it is, that will change something like that people will recognise who you are like that you don’t know when you walk into a shop they know who you are like. That is different like. Yeah. There was obviously extra demands, obviously press, there was obviously more the way media interest and stuff like that. Did you get any training in relation to that or much in the way of training? Yeah, they did yeah, they used to at the start they still do it some bit I think in the academies. There was from time to time where they would try and tell you how to answer questions properly and stuff like that you know. Don’t leave yourself wide open like, don’t say something stupid like I think we will bate the shxt out of this crowd at the weekend, don’t get sucked into something like that you know how to answer questions properly. Ok. So there was a level of training there and I suppose a bit of common sense then would have been... Yeah, like that’s even, that’s gone up now even more than, more and more nowadays because of.. Social media? Social media yeah, just shows you how far removed I am I didn’t even know. They have lost control a bit, you see they liked, when we were there in the old days we had a PRO Officer who would always be there around or when fellas were doing an interview he would be floating around listening to the questions and if he thought a dodgy fella was asking dodgy questions he would give them a fxcking, they would move around you know they could control them but now you have social media like and the young fella if he is dropped he can send out a tweet, I am pxssed off from being dropped you know and they can’t control it as much so they will definitely be trying to bring in guidelines now more and more because of that. Yeah, that’s ah, that’s very valid now even as much as you think you are not in the loop with it you probably made the most sense in talking about it and there was one or two of your colleagues who would probably consider themselves very media savvy didn’t make that point. I nearly know the answer to this question anyway but when you were playing sport did you have any other identities say outside of sport and I suppose the XXXX was probably one of them which you retreated back to. You kept the sport say was one side of say your life which obviously was say professional took a lot of time but you obviously developed other aspects of your life as well at the same time.
  • 207.
    207 | Pa g e Yeah, well I did anyway yeah. I always did like. I always loved going home and getting away like you know. Even from the point of view of just being away from home or being back at home and not you know something like you said there when you suddenly find yourself being recognised you know if you go into Limerick with a couple of the other lads and you walk down the street you have to be aware that you are on show - like so people will recognise you when they see you, if you do stuff, so you always have to be you know doing I don’t know misbehaving like but if you go in for a cup of tea like and you sit down inside of the café. You know that there is people looking over at you who know you like, and you know like and they are looking at you or something like that I don’t even know how to say that without being.. No, I understand. Well, I love coming home here like as soon as I come in the door there like you know you can just walk and do what you like, you can just be you know relaxed a little bit more. Probably the closer you got to home the more you could be yourself say. You weren’t playing to a persona say maybe that you have to be in a public setting say. You have to be like because people, like I said if you go back 10 or 15 years or before that you could walk down the street and people wouldn’t half know you. But you know if myself and a few of the lads, if four of us said right we will go for tea, we will go for lunch if you go into a place anywhere in the middle of Limerick, if you walk up William Street or you know people will recognise you and that’s a fact. Like and you know like, it’s not that you, if the four of you walked abreast on the footpath and let everybody get out of the way they would say fxcking assholes you know, you have to be polite like and not that being polite is wrong just, you just always have to be you know conscious of what you’re doing and as soon as you drive therein home you can lie down here or do what you want like and relax like. Is there anything that you invested in rugby that you can’t recover? If that makes sense. Was there anything that you put into it that you may regret putting into it. Anything you feel like you have missed out on say? No. Some of the lads just mentioned and again I am not trying to put words in your mouth, you know it’s time, and I know time is a big thing and a lot of the lads say you miss out on, one person and to be fair it kind of struck a chord with me because he mentioned that for all the success ye had and obviously he had friends outside of rugby and they would be off and when he meets them now and they are talking about oh yeah remember the night ye won the Heineken
  • 208.
    208 | Pa g e Cup remember we were in Cardiff and we were pxssed off our tree and he says he stands back because he wasn’t in that because obviously ye were in it. Yeah, there might have been a wedding or something that I missed but I wouldn’t.. It’s not something that you didn’t... No, no there would have been friends of mine that I didn’t get to go to a wedding because we were away on tour, there might have been something like that but there is no way I would have changed any of it anyway. There are people working in any other type of a job and they could have missed the wedding or something as well like. Yeah, there is always obviously yeah there is probably a good excuse for... So no, there is no way I would .. Yeah. Did you feel a sense of obligation to keep competing because of the expectations of other people? No. No. Were the expectations of other people important to you at any stage in your career? No. Encouragement and support, did you get a lot of that from say your family and say friends for stuff like that to keep pushing through your career? Yeah you would from yeah. Ok. Say management wise, say, like I know like it’s I know the Munster management would have wanted you to perform well say on a week to week basis but say in an overall prospective I don’t know am I phrasing that right - did you feel that you know they were, were they very supportive to ye as individuals as well in the group or did you find that well look I am an employee and it is up to me to perform and if I don’t perform I mightn’t get my contract next season. Do you know what I am saying, did it become very business-like more so than.. It probably did towards the end but it wasn’t like that again I can only speak from I started as a professional in 97, well as a part time professional in 97, full time in 98 and at that stage it wasn’t, it was we were still an old friendly team but definitely by the end and now I would imagine is becoming more and more like that. That it’s, still now you try and have some sort of relationships and stuff like that but it was definitely different back then yeah. It has grown with professionalism, it has definitely
  • 209.
    209 | Pa g e changed because that was basically 1997 that was as they call it the cross over from amateur to professional so a lot of the old amateur things would have still come through the changes and gone on. Yeah, because I know and that was I suppose the one thing, the new thing that the IRFU were trying to bring in which is remove the payments to the players at club level because they feel that some fellas at club level turned into mercenaries more or less. Oh that is absolutely it yeah. And that was at a lower level and I suppose they are trying to bring it back to because I suppose from what I knew of rugby say growing up there wouldn’t have been an awful lot of rugby say out in West Limerick when we were growing up but I always knew that it was a very genuine thing and it seemed to be family orientated - probably one of the more family orientated sports to have been in and then I suppose the question I put to some of the lads is did the move to professionalism take from that you know whereby it became a business and at times fellas had to be say “deselected” in so far as your performance wasn’t up to scratch last season. Well, it is like you know, that is ah, an issue for Coaches now, there was a time if you wanted a selector even like the Manager of a GAA team now you are only dropping a fella off the panel still he goes back to work and works away like whereas if you are dropped out of the Munster squad now you are basically sacking a fella you are unemployed and that is affecting his livelihood so it is definitely a bigger issue now for a Coach, a Head Coach, a Director of Rugby or whatever, of a club like Munster or whatever when they cut a fella that he is not just being dropped out of a squad he is being made redundant like basically so it is a huge, huge issue for them that wouldn’t have been there you know like 15 years ago, they isn’t there for an inter county Couch, Manager like you know someone drops someone out of a I think even a big name player like you know he is still he has a job and can go back to his job and work away whereas for a Munster player or a professional player who gets a phone call come and see me like or whatever like and you are told listen there is nothing there for you next year, sometimes the earlier in the year you get the phone call, again I was lucky it didn’t happen to me, I got my last contract and I retired but like if a fella got a phonecall after Christmas he got told this I need to see you next week by the CEO or by the Coach whatever and you arrive in and the two of them are sitting there it is either going to be great news or something or it is either going to be fierce bad and if it is awful bad why they call you in early is to give you a chance to.... To get something going.. If you are a young enough fella that is getting dropped or cut it gives you a chance to get out there and look to see if there is anything else and if you are an ould fella that is at the end of the road anyway it
  • 210.
    210 | Pa g e is to give you a chance to get going at something else so that I would imagine is harder for them and it is a new thing that wasn’t there, it isn’t there in other sports it’s not their livelihood like. I know you say it never happened you but it would obviously be something that you would be conscious of like every year ye got a contract it was like a performance review aspect of a normal say job like ok I am doing my job right I got a new contract. So it must have always, when it became your livelihood you have to become more cognisant of the fact .. Oh you do, you do yeah and it is like everything then you get married and you have children and stuff you realise that you need it like and that you have young fellas there and that as soon as they get money they think it’s great you know. As you get older that’s another thing you start looking at the end of the road coming and you are kind of going. What have I done now, have I a bit saved up, have I this or that you know you are trying to keep things right, another thing will I change the car this year or will I buy the sports car you know. I had XXX children, I had XXXX children by the time I finished like you know so it is different that way. But say and I suppose the question is a bit moot for you I suppose because you did come to slightly the later age. Like when did you start to say, when did it come into your head ok, I have to make a plan now I have to retire out of this. You know I am sure that you probably one or two seasons in you probably said ok I am moving on now I am going to be 28 or 29 this isn’t going to last forever because I am not going to play until I am 65. When did retirement or planning say... Not for a long time. Yeah. I will be honest about that like not for a long time because you don’t want to think about it and you are not allowed think about it or just whatever. Like it is kind of you know you are just playing like and all you want to see is the next thing like you just don’t think about it and that is what is dangerous about it, that if you haven’t something before that takes over like you just don’t know like. And when you say you weren’t allowed to think about it was and I know they can’t control your thoughts but is it part of the psyche the psychology of it is that no negative thoughts. This is it like yeah. There is definitely a feeling there that anything like that is a little bit of a distraction now that’s coming like that you are looking at another option like. Because like I suppose when you I have kind of worked this out in the interviews that I have done. Rugby is such a physical sport. Injuries happen in it you can’t go out onto the pitch and play at the level ye are at thinking this could be my last game I could get hurt because you
  • 211.
    211 | Pa g e would pull out of everything, you would be over in the sideline hiding for half the game. So you can’t, to a degree you can’t allow yourself to think to that degree.. No, never. So do you think that, that’s maybe fellas have to think I am bullet proof and I can’t be thinking these things? Logic tells me that I should be thinking about it but I know to do what I need to do in the present moment in time I can’t think about that. You just can’t think about that, you don’t, you just don’t, you can’t. Yeah. So it comes down to... The only time it ever happened me was the morning of my very last game I woke up above in bed, I remember before I got up I was lying there and I thought Jesus if I broke my neck tonight, that came into my head like, fxck just get the fxck out of bed straight away, got it out of my head. It is the only time it ever, ever happened me. What if something happened to me, what if I broke my neck going into a scrum like, I have been in a fxcking million of them but I just got up out of bed then and got straight out and started moving around, forgot all about it then and played the match it was over it and that was it then. And do you think that was because the line was there .. Because I knew I was finishing, I knew tonight was my last time I was ever going to play whereas other players don’t know that, they could be playing today at 25 like and next thing fxck up their knee like and that is it they might never play again but they didn’t know that at the time . I was like the fella I suppose on death row or something I knew my time was coming and that was it.. Jesus, and now to be fair to a lot of the lads I have interviewed the injury did curtail them to the finish. Actually just on one point one of the lads made. Do you think that beyond say and I know you retired in relatively good health obviously not, most players don’t retire in very good health but there is kind of stages some fellas, arthritis seems to be a big thing that happened to a lot of the lads. Do you think that there should be an increased duty of care held by the likes of say Munster Rugby, the IRFU for the players? You know do you think, like once ye retire do the shutters come down. You’re a great man, you performed well all these years and we paid you for those years and there you are now. I am not like going into the financial aspect of it but I am saying that because it is so professional now and it is like you know more or less ok you have retired here is the watch more or less if you take for the normal circumstance. Do you think that there should be more done say from that prospective like should the IRFU should Munster Rugby do a bit more for say..
  • 212.
    212 | Pa g e There is something there like, there is some sort of thing there I didn’t ever do it but I think you can get like an ankle operated on or something if it was giving you trouble you could get that done there is some sort of a thing there I am not sure about it. But say even say beyond say not even the physical side of it even the psychological side of it like I said my project here is mainly psychological like I am not checking your knees or anything like that it is mainly to see how the transition went for ye and I suppose like there is a lot of elements of rugby that can contribute to fellas having a bad transition and it is not even just rugby professional sports in themselves because lots of fellas retire, not lots of fellas retire at 35 but most professional sports players around that age say 35 they are looking around and there is a fella down the road and he is well into his normal career and they might be just starting. Ok they have had great years but they are kind of at the bottom rung of the second say career in their life. Oh it is yeah, that is a huge thing like you know for a fella like. You know you are an Accountant or something you might be qualified as an Accountant then he would be 35 starting off say and he boss could be 27 like you know. Suddenly you, that is what it does do you know so but back to the Munster thing sure they do anything, I don’t know like what can they do for you like. Oh I know, I suppose you know is there counselling offered, is there anything, no. There is no counselling for that like they would probably try and offer help, employment wise, coaching wise, no not coaching wise, qualification wise if they thought they might know someone who could get you on a course or get you to do something like that but there is no help there, like what, it comes to an end like. Where I said a minute ago about being recognised that is something that maybe some fellas might have trouble with then is that when you are playing with Munster whatever when you are playing all along and you are with a few of the boys and you walk up William Street or something like that some fellas might like that you know they might like the with the track suit on like you know and after a few years then if they retire and walk around William Street and no one will know who they are that can hurt like. Yeah, yeah, yeah. If that’s your thing like. Yes. But like Munster can’t do anything about that like. Oh, I understand, I understand but I suppose .. It might be hurtful more than anything sometimes when that starts to happen like that .. Their identity say, their athletic identity is kind of ..
  • 213.
    213 | Pa g e There might be a young fella who is 6 and he won’t recognise you, you know and that can hurt more than anything else like, that’s like you said at the start about going to training like I haven’t been to a Munster training session since I finished because I don’t want to be there like. But like if you go around hanging around UL or where ever the boys are training, what are you hanging there for like are you trying to still say I am part of this like because you are not. Do you want people to recognise you they might because you are in the vicinity of that, and they say Jesus there is your man who used to play - but like what’s that for like that’s no good to anyone like. Yeah, they also and I don’t know and I am not going to delve too much into it - sometimes players that are on, that are still on the team that say you would have played on and stuff like that don’t want to see you either because to see you, maybe somebody that had to leave because they got injured they don’t want to see that person around because that might remind them of... It is obvious that this could happen. So it can lead then to not only is his career over because he is injured which is obviously a very bad thing to happen he kind of gets somewhat ostracised because fellas not through badness but simply to do my job I really don’t need to see....... I really don’t need to see you over there hobbling along like. Yeah, because I don’t need to be reminded that if, that, that could be me next week. Yeah, it is brutal. So I think you know that is just one thing that kind of I picked up on as well. I am very nearly finished now. Was there any structure in place to help you with your sport’s career, sorry your post sport’s career development? Yeah, IRUPA helped me. They are an organisation in rugby like that formed maybe 10 or 12 years ago you know when they came in.. Hamish was ... Hamish was one of the first fellas yeah he is gone now. He is gone now yeah. But I think they are recruiting a couple of other lads now .. What is the other guys name now Mohammad? He is Australian anyway. Ok. Niall Woods was the CEO for a few years. They are good now you know they organise courses for fellas playing, basically even in some ways and like if you ask Hamish maybe he will tell you like that he would know that he came to meetings and I know it as well now because I was gone older of what
  • 214.
    214 | Pa g e have you, that he came into meetings where they would say right 3 o’clock today we are meeting Hamish from IRUPA and you would be going oh for fxcks sake like and then inside there Hamish would be above having done loads of work, having been to colleges or different kind of companies you might get someone to come in from somewhere about setting up your own business and he would know, Hamish would be looking down at the young fella and he is there saying I have no more interest in what you are saying now he is 24 he has just been picked and he has no fxcking interest whatsoever but this is what Hamish says that is not for me, it’s like when they ask people have you got your pension set up I’ll do that next year you know, I don’t need that like, that’s nothing to do with me. But Hamish would know then that if he looked down he might see an older fella who is 31 or 32 who would be listening like because at that stage there is some bit of a realisation coming like you know. Yeah, yeah. But the young fellas around 23, 24, 25 Hamish will tell them about this opportunity now to do this but they are like “blah blah blah” all I want to hear is rugby like, they don’t want it like. But you found IRUPA good from your own prospective yeah yeah. Had you any unresolved feelings when you retired that were harmful to your mental wellbeing? No. Did you have any frustrations, no? No. I walked out of there as happy as anything. Did you have any support from your peers, close friends, club or province when you retired or did you need any? I didn’t need it . If I can ask you do you think it was because and I am not going to blow smoke up your xss is it that you were grounded you had a family, you knew what your plan was going to be and you were never lost, it wasn’t a case of rugby is over what am I going to do. I know what I am going to do the following day say. Yeah, no, there was definitely suited me like and you know I think even the other fellas would have know that was there for me as well like you know they knew that I was that kind of a fella that they didn’t have to worry about me or anything like that.
  • 215.
    215 | Pa g e A lot of the lads I think to be fair to them I think from the lads I have interviewed and I suppose and one fella put it very distinctly is that we were successes on the pitch and I am confident I can be a success at something else in my life and I know that I can take my skills fine I can’t tackle somebody to get a sale or something like that but I can use my determination, I can use that in order to make myself a success in other parts of my life. Fellas have definitely found out about themselves like that they had to push themselves to the limit like and they know that you know how they can achieve or not achieve like they push themselves out of their comfort zones. And would that be one of the biggest things you learnt say from the game of rugby was the fact that no matter how far I think there is a line there that maybe I can’t cross, I know that I can go another bit yeah. Absolutely.