Physical Health / Mental Health:
        Evidence based exploration of co-morbidity




 Alex J Mitchell                   ajm80@le.ac.uk




Long term conditions and mental health, Northampton November 2012
Alex J Mitchell (2012)
Contents

 1.   Psychiatric ‐ Physical illness Comorbidity

 2.   Psychiatric complications of Specific Physical illnesses

 3.   Psychiatric Physical Comorbidity => Burden

 4.   Psychiatric Physical Comorbidity => Mortality

 5.   Medical Care for Psychiatric Patients

 6.   Monitoring and Treatment
National Reports




Alex J Mitchell (2012)
1. Psychiatric ‐ Physical illness Comorbidity

      Large Surveys
Alex J Mitchell (2012)
2007 Australian National Survey of Mental
Health and Wellbeing (n= 8841, 16-85 years)

                        Women
      19%
                                                       8%
               anxiety                     affective
                               3.9
                 12.6
                                           2.5
                               1.6
                                     0.2
                         0.8

                         substance use

                               1.7


                                           4%
Alex J Mitchell (2012)
Washington State Survey (n=23,000)


                                     69%
                                     31% alone




    32%
    5% alone



                                      36%
                                      5% alone
Alex J Mitchell (2012)
Depressive Symptoms in Medical
Conditions (on CES-D8) n=8400
Alex J Mitchell (2012)
Mental Health Comorbidity in Medical dis
(n=8800 (WMH-CIDI 3.0)
 35
                                                                                                                                                                                 50%
                      Any affective disorder

                      Any anxiety disorder                                                                                                         29.7
 30
                      Any affective or anxiety disorder
                                                                                                                                            25.6
 25                                                                                                       23.3                23.4
                                                                                                   22.5
                                                                                                                                                                                   21.9
                                                                                      21.2
                                                           20.5
                                                                                                                       19.7
 20                                                                                                                                                                         18.7
                                                    17.4                       17.6


 15                           13.5
                                                                                                                                     12.8
                       11.4
                                                                      10                                         9.6
 10
                                                                                                                                                                   7.9
                                              7                                              6.8
                  5
  5



  0
                       n




                                                     es




                                                                            HD




                                                                                                 er




                                                                                                                                                                             n
                                                                                                                       a




                                                                                                                                           is
                       o




                                                                                                                     m




                                                                                                                                                                         tio
                                                                                               nc




                                                                                                                                       rit
                                                  et
                    iti




                                                                          rC




                                                                                                                   th




                                                                                                                                                                       di
                                                                                                                                       th
                  nd




                                               ab




                                                                                             Ca




                                                                                                                 As




                                                                                                                                                                     n
                                                                        o




                                                                                                                                     Ar
                                             Di
             Co




                                                                                                                                                                  Co
                                                                     ke
                                                                     ro
              l




                                                                                                                                                                  al
           ica




                                                                                                                                                               sic
                                                                  St
         ys




                                                                                                                                                             hy
      Ph




                                                                                                                                                           yP
   No




                                                                                                                                                          An
Data from Teesson et al.Affective and anxiety disorders and their relationship with chronic physical conditions in Australia: findings of the 2007
                                                  National Survey of Mental Health and Wellbeing. Aus NZJP 2011 Nov;45(11):939-46.
Alex J Mitchell (2012)
Gili: Mental Comorbidity in Medical dis
(n=8000 PRIME-MD Spain)
                                                                                                                                                                                   >
 0.7                                                                                                                                                                                               42%
                                                                                                                                                          0.604
 0.6                              Affective Disorder                  Anxiety Disorder           Alcohol Use Disorder
                                                                                                                                                                                                                    0.566

                                                                                                                                                                                   0.514
 0.5                                                                       0.477                                                                                  0.47                                    >
                                      0.411                                                      0.412                        0.418                                                              0.42

 0.4            0.38                                                                                                                                                                                                    0.385
                                                                                                                                                                                         0.365
                                                                               0.346

                                              0.294
 0.3                                                                                                     0.281
                                                                                                                                      0.259
                    0.217

 0.2

                                                      0.13                          0.129
                         0.093                                                                                0.084
 0.1                                                                                                                                       0.064                       0.072                                                  0.066



    0




                                                                                                                                                                                                                          e
                                                                                                                                                                                          e
                                                                                                                                                                   e
                     e




                                                                                                          e
                                               e




                                                                                e




                                                                                                                                       e




                                                                                                                                                                                                                        as
                                                                                                                                                                                        as
                                                                                                                                                                 as
                   as




                                                                                                        as
                                             as




                                                                              as




                                                                                                                                     as




                                                                                                                                                                                                                     ise
                                                                                                                                                                                      se
                                                                                                     ise




                                                                                                                                                             ise
                                          ise
                ise




                                                                           ise




                                                                                                                                  ise




                                                                                                                                                                                    di




                                                                                                                                                                                                                  ld
                                                                                                                                                           ld
                                                                                                    d
                                        d
               d




                                                                        d




                                                                                                                               d




                                                                                                                                                                                   tic
                                                                                                lic
           lar




                                     ry




                                                                                                                                                                                                               ica
                                                                     al




                                                                                                                                                        ica
                                                                                                                            al
                                     to




                                                                                                                                                                                 pa
                                                                                                bo
                                                                     tin




                                                                                                                            let
            u




                                                                                                                                                                                                                g
                                                                                                                                                     og
          sc




                                  ira




                                                                                                                                                                                                             lo
                                                                                                                                                                               He
                                                                                              ta
                                                                   es




                                                                                                                          ke




                                                                                                                                                   ol
        va




                                                                                                                                                                                                          co
                               sp




                                                                                            Me
                                                                st




                                                                                                                        os




                                                                                                                                                 ur
     io




                                                                                                                                                                                                        On
                                                              in
                             Re




                                                                                                                      ul




                                                                                                                                               Ne
  rd




                                                            ro




                                                                                                                    sc
Ca




                                                         st




                                                                                                                 Mu
                                                       Ga




Data from Gili et al.- Comorbidity between common mental disorders and chronic somatic diseases in primary care patients. General Hospital
Psychiatry 2010; 32: 240-245 PRIME-MD interview DSMIV 1925 GPs 8000 patients. 57% vs 49%
2. Psychiatric complications of Specific Phys illness

      Whats new?
Prevalence of depression in Oncology settings             Plumb & Holland (1981)
                                                                                             Proportion meta-analysis plot [random effects]

                                                                                                                                                0.7750 (0.6679, 0.8609)

                                                                Levine et al (1978)                                                             0.5600 (0.4572, 0.6592)

                                                        Ciaramella and Poli (2001)                                                              0.4900 (0.3886, 0.5920)

                                                               Massie et al (1979)                                                              0.4850 (0.4303, 0.5401)


70 studies involving 10,071 individuals;14 countries.         Bukberg et al (1984)

                                                                Passik et al (2001)
                                                                                                                                                0.4194 (0.2951, 0.5515)

                                                                                                                                                0.4167 (0.2907, 0.5512)



16.3% (95% CI = 13.9% to 19.5%)                                  Baile et al (1992)

                                                               Morton et al (1984)

                                                                   Hall et al (1999)
                                                                                                                                                0.4000 (0.2570, 0.5567)

                                                                                                                                                0.3958 (0.2577, 0.5473)

                                                                                                                                                0.3722 (0.3139, 0.4333)

                                                              Burgess et al (2005)                                                              0.3317 (0.2672, 0.4012)

                                                               Jenkins et al (1991)                                                             0.3182 (0.1386, 0.5487)



Mj 15% Mn 19% Adj 20% Anx 10% Dysthymia 3%
                                                                Green et al (1998)                                                              0.3125 (0.2417, 0.3904)

                                                                Kathol et al (1990)                                                             0.2961 (0.2248, 0.3754)

                                                          Hosaka and Aoki (1996)                                                                0.2800 (0.1623, 0.4249)

                                                           Fallowfield et al (1990)                                                             0.2565 (0.2054, 0.3131)

                                                               Golden et al (1991)                                                              0.2308 (0.1353, 0.3519)

                                                               Spiegel et al (1984)                                                             0.2292 (0.1495, 0.3261)

                                                                Evans et al (1986)                                                              0.2289 (0.1438, 0.3342)

                                                                Grandi et al (1987)                                                             0.2222 (0.0641, 0.4764)

                                                             Maunsell et al (1992)                                                              0.2146 (0.1605, 0.2772)

                                                                Berard et al (1998)                                                             0.2100 (0.1349, 0.3029)

                                                                  Joffe et al (1986)                                                            0.1905 (0.0545, 0.4191)

                                                                Berard et al (1998)                                                             0.1900 (0.1184, 0.2807)

                                                               Devlen et al (1987)                                                              0.1889 (0.1141, 0.2851)

                                                              Leopold et al (1998)                                                              0.1887 (0.0944, 0.3197)

                                                               Akizuki et al (2005)                                                             0.1797 (0.1376, 0.2283)

                                                               Razavi et al (1990)                                                              0.1667 (0.1189, 0.2241)

                                                            Gandubert et al (2009)                                                              0.1597 (0.1040, 0.2300)

                                                            Alexander et al (1993)                                                              0.1333 (0.0594, 0.2459)

                                                               Kugaya et al (1998)                                                              0.1328 (0.0793, 0.2041)

                                                                Payne et al (1999)                                                              0.1290 (0.0363, 0.2983)

                                                              Ibbotson et al (1994)                                                             0.1242 (0.0776, 0.1853)

                                                                 Prieto et al (2002)                                                            0.1227 (0.0825, 0.1735)

                                                              Morasso et al (1996)                                                              0.1121 (0.0593, 0.1877)

                                                          Desai et al (1999) [early]                                                            0.1111 (0.0371, 0.2405)

                                                             Silberfarb et al (1980)                                                            0.1027 (0.0587, 0.1638)

                                                            Costantini et al (1999)                                                             0.0985 (0.0535, 0.1625)

                                                              Morasso et al (2001)                                                              0.0985 (0.0535, 0.1625)

                                                                 Ozalp et al (2008)                                                             0.0971 (0.0576, 0.1510)

                                                                  Love et al (2002)                                                             0.0957 (0.0650, 0.1346)

                                                            Alexander et al (2010)                                                              0.0900 (0.0542, 0.1385)

                                                                Coyne et al (2004)                                                              0.0885 (0.0433, 0.1567)

                                                              Kawase et al (2006)                                                               0.0851 (0.0553, 0.1240)

                                                               Walker et al (2007)                                                              0.0831 (0.0568, 0.1165)

                                                                Grassi et al (1993)                                                             0.0828 (0.0448, 0.1374)

                                                                Grassi et al (2009)                                                             0.0826 (0.0385, 0.1510)

                                                           Reuter and Hart (2001)                                                               0.0761 (0.0422, 0.1244)

                                                                   Lee et al (1992)                                                             0.0660 (0.0356, 0.1102)

                                                            Pasacreta et al (1997)                                                              0.0633 (0.0209, 0.1416)

                                                              Sneeuw et al (1994)                                                               0.0540 (0.0367, 0.0761)

                                                                Singer et al (2008)                                                             0.0519 (0.0300, 0.0830)

                                                                  Katz et al (2004)                                                             0.0500 (0.0104, 0.1392)

                                                              Mehnert et al (2007)                                                              0.0472 (0.0175, 0.1000)

                                                               Lansky et al (1985)                                                              0.0455 (0.0291, 0.0676)

                                                             Derogatis et al (1983)                                                             0.0372 (0.0162, 0.0720)

                                                             Hardman et al (1989)                                                               0.0317 (0.0087, 0.0793)

                                                        Massie and Holland (1987)                                                               0.0147 (0.0063, 0.0287)

                                                                Colon et al (1991)                                                              0.0100 (0.0003, 0.0545)

                                                                         combined                                                               0.1730 (0.1375, 0.2116)

                                                                                       0.0                 0.3                    0.6         0.9
                                                                                                       proportion (95% confidence interval)
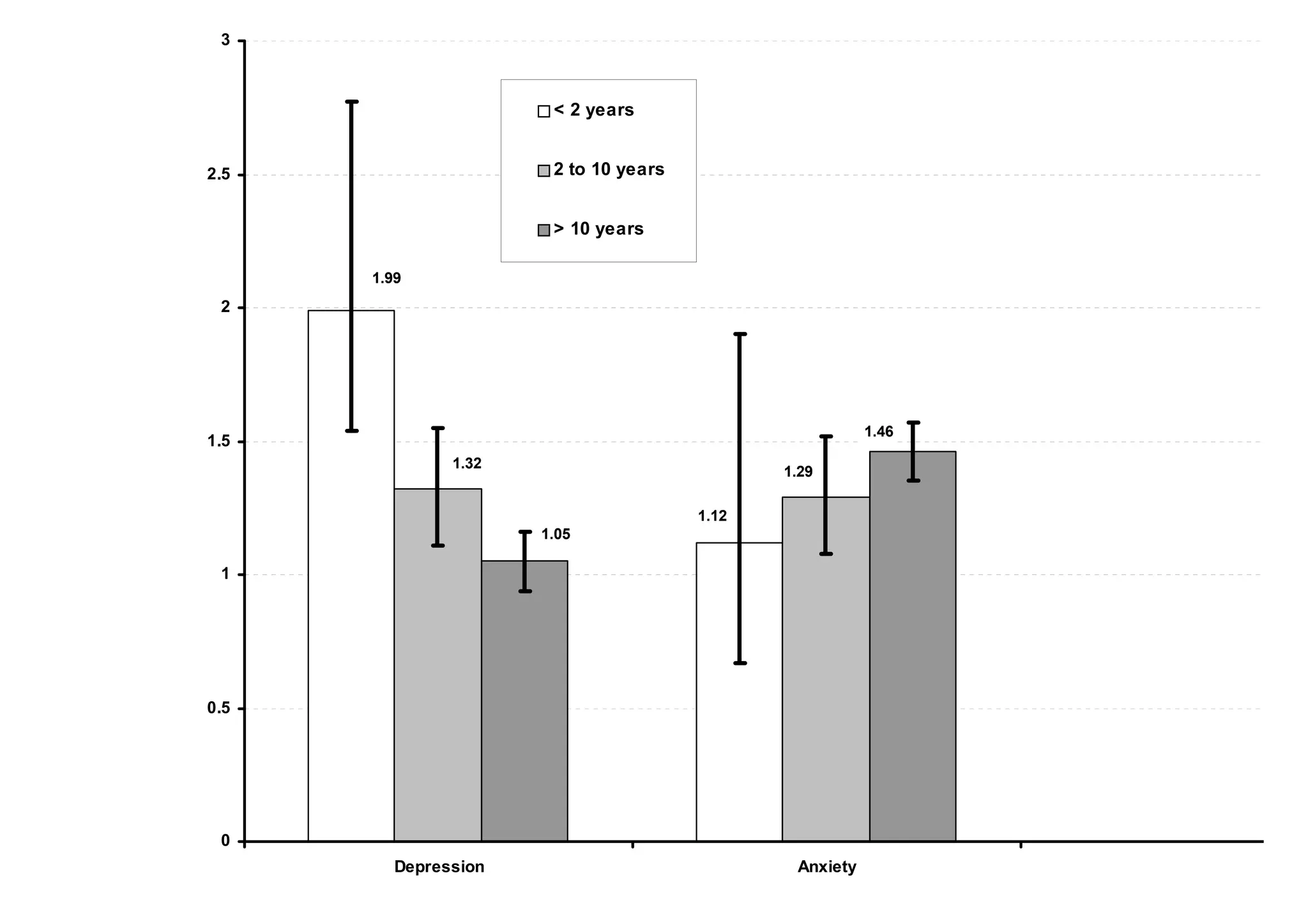
3



                       < 2 years


2.5                    2 to 10 years


                       > 10 years

      1.99
 2




                                                         1.46
1.5
               1.32
                                              1.29

                                       1.12
                      1.05

 1




0.5




 0
         Depression                            Anxiety
3. Psychiatric Physical Comorbidity => Burden

      How to measure burden?

            Subjective

            Objective
Impairment: Days totally out of role per year 
50
     (Alonso n=63,000) WHO WHM survey x 24co.
       Yearly DOR
45     Unique
                       42.9             42.7
       PAR%
                                                                                                     41.2
                                                                                                                      39.8
40                                                                              39.3

                                                                                                                                                           36.6

35   34.4
                                                             33.8


                                                                                                                                        30.6
30




25




20
                                                                                                        17.3

                                               15.2
15                         14.3




10          9
                                                                                       7.3                                   7.7

                5.1
5                                                                   3.9
                                  2.6                 2.2                                                                                                         2.5
                                                                          1.8                1.7                                               1.9
                                                                                                               1.4                 1
                                                                                                                                                     0.3                0.1
0
     Depression       Panic disorder       PTSD             Specific phobia     Social phobia      Bipolar disorder          GAD       Alcohol abuse       Drug abuse
Alex J Mitchell (2012)
2007 Auz National Survey of Mental Health
& Wellbeing(n=8800 18-65)
                      120
                                                                                                                                                                                                                                                                          109.2


                      100



                          80                                                                                                                                                  73.2                               72
                                                                                                                                                                                                                                             64.8

                          60
                                                                           48

                          40
                                                                                                                               31.2
                                                                                                  26.4

                          20
                                             12


                          0
                                                                                                                               ly




                                                                                                                                                                                                                                        n
                                                                                                                                                  ity
                                        on




                                                                                                                                                                                                           n




                                                                                                                                                                                                                                                                     n
                                                                                                  ly
                                                                       y




                                                                                                                                                                           er




                                                                                                                                                                                                                                        io
                                                                                                                          on




                                                                                                                                                                                                             o




                                                                                                                                                                                                                                                                    tio
                                                                     nl




                                                                                               on




                                                                                                                                               id




                                                                                                                                                                         rd
                                     iti




                                                                                                                                                                                                          iti




                                                                                                                                                                                                                                    dit
                                                                   ro




                                                                                                                                                                                                                                                                  di
                                                                                                                                            rb
                                  nd




                                                                                                                          on




                                                                                                                                                                       so




                                                                                                                                                                                                       nd
                                                                                            er




                                                                                                                                                                                                                                   on




                                                                                                                                                                                                                                                                on
                                                                 de




                                                                                                                                         mo
                               co




                                                                                                                       iti
                                                                                          rd




                                                                                                                                                                                                    co
                                                                                                                                                                    di




                                                                                                                                                                                                                                 lc




                                                                                                                                                                                                                                                              lc
                                                               or




                                                                                                                    nd
                                                                                        so




                                                                                                                                                                    ty
                                                                                                                                      Co
                                l




                                                                                                                                                                                                 al




                                                                                                                                                                                                                              ica
                            ica




                                                           dis




                                                                                                                                                                                                                                                           ica
                                                                                                                                                                 xie
                                                                                                                 co
                                                                                      di




                                                                                                                                                                                              ic




                                                                                                                                                                                                                           ys
                          ys




                                                                                                                                                                                            ys




                                                                                                                                                                                                                                                        ys
                                                                                      ty




                                                                                                                                                              an
                                                                                                                  l
                                                            e




                                                                                                              ica
                                                         tiv




                                                                                                                                                                                                                         ph
                                                                                   xie
                       ph




                                                                                                                                                                                                                                                      ph
                                                                                                                                                                                         ph
                                                                                                                                                               d
                                                                                                            ys
                                                     fec




                                                                                                                                                            an
                                                                                An




                                                                                                                                                                                                                      nd
                    or




                                                                                                                                                                                          d




                                                                                                                                                                                                                                                       d
                                                                                                         Ph




                                                                                                                                                                                       an




                                                                                                                                                                                                                                                    an
                                                  Af




                                                                                                                                                                                                                     a
                      ,




                                                                                                                                                        ive
                  ety




                                                                                                                                                                                                                  ty
                                                                                                                                                                                   ive




                                                                                                                                                                                                                                                 y,
                                                                                                                                                     ct




                                                                                                                                                                                                               ie
                xi




                                                                                                                                                                                                                                             iet
                                                                                                                                                  ffe




                                                                                                                                                                                ct




                                                                                                                                                                                                             nx
              an




                                                                                                                                                                                                                                           nx
                                                                                                                                                                             ffe
                                                                                                                                                ]A




                                                                                                                                                                                                           ]A
           e,




                                                                                                                                                                                                                                         ,a
                                                                                                                                                                           ]A
                                                                                                                                              [2
        tiv




                                                                                                                                                                                                         [2




                                                                                                                                                                                                                                      ive
                                                                                                                                                                         [2
     fec




                                                                                                                                                                                                                                   ct
  af




                                                                                                                                                                                                                                ffe
 No




                                                                                                                                                                                                                              ]A
                                                                                                                                                                                                                            [3
Teesson et al.Affective and anxiety disorders and their relationship with chronic physical conditions in Australia: findings of the 2007 National
                                                                       Survey of Mental Health and Wellbeing. Aus NZJP 2011 Nov;45(11):939-46.
n=245 404 participants from 60 countries




Quality of life: Moussavi et al (2007) Lancet 2007; 370: 851–58
4. Psychiatric Physical Comorbidity => Mortality

      Whats new?

      Morbidity 

      Mortality
Alex J Mitchell (2012)
Mortality and Depression - IHD




                                 Psychosomatic Med (2004) Barth et al
Alex J Mitchell (2012)
Mortality after MI => +11%
Alex J Mitchell (2012)
           Five-year Mortality rates

    30                   People with schizophrenia                     28%

                         People without schizophrenia
    25
               22%

    20                                 19%


    15
                                                                                 12%

    10                                           9%
                      8%


     5

     0
                  CHD                   Diabetes                          Stroke




Hippisley-Cox J et al (2006) A comparison of survival rates for people with mental health
problems and the remaining population with specific conditions.
Disability Rights Commission. Equal treatment: closing the gap, July 2006

                                             Slide credit: Dr Alan Farmer, Worcestershire Mental Health Partnership NHS Trust
Alex J Mitchell (2012)
Schizophrenia – all cause mortality



                                         >




Pooled estimate=2.50
                                 Saha (2007) AGP
 (95% CI=2.18‐2.83)


Mortality Gap: 22.5 
yrs
Alex J Mitchell (2012)
Osborne – Mortality CVD
Alex J Mitchell (2012)
Problem….poor matching

  Severity and type of mental illness
  Age matched

  Suicides

  socioec, IQ, education

  BP, smoking, BMI
Alex J Mitchell (2012)
Mortality HR by Hospital Admission Diag.
for 1million men born b1951-b1958

                         10
                                       9.01
                           9

                           8                              7.66

                           7

                           6

                           5                                                  4.3
                                                                                               3.9
                           4                                                                                   3.56               3.41          3.28
                                                                                                                                                                 2.98
                           3
                           2

                           1

                           0




                                                                                                                                               58
                                        8




                                                                                                                              58




                                                                                                                                                              58
                                                                                            8




                                                                                                            58
                                                                         58
                                                      8
                                     95




                                                                                         95
                                                     95




                                                                                                                                             19
                                                                                                                           19




                                                                                                                                                            19
                                                                      19




                                                                                                          19
                                  -1




                                                                                       -1
                                                   -1




                                                                                                                                           1-
                                                                                                                         1-




                                                                                                                                                             -
                                                                     -




                                                                                                        1-
                               51




                                                                                      51




                                                                                                                                                          51
                                                                  51
                                                 51




                                                                                                                                         95
                                                                                                                          5
                                                                                                        5
                          19




                                                                                                                       19




                                                                                                                                                       19
                                                                                    19
                                                                 19
                                               19




                                                                                                     19




                                                                                                                                      t1
                                                                                                                   ar
                          ol




                                                                                                                                                      a
                                                                                 y




                                                                                                   on
                                                             es
                                               e




                                                                                                                                    en




                                                                                                                                                    ni
                                                                                  it
                                            us
                        oh




                                                                                                                 ol
                                                          os




                                                                               al




                                                                                                si




                                                                                                                                                 re
                                                                                                                                  tm
                                                                                                               ip
                                                                            on
                     lc




                                         e




                                                                                                 s
                                                       ch




                                                                                                                                               ph
                                                                                                                                us
                                                                                                               B
                                      nc




                                                                                              re
                     A




                                                                         rs
                                                        y




                                                                                                                                               zo
                                                                                           ep




                                                                                                                              dj
                                   ta




                                                     Ps




                                                                      Pe
                                 bs




                                                                                                                              A




                                                                                                                                             hi
                                                                                       D




                                                                                                                                          Sc
                                                  er




                                                                                                                         ic
                               Su




                                                                                                                         t
                                               th




                                                                                                                      ro
                                              O




                                                                                                                   eu
                                                                                                                   N
Gale CR, Arch Gen Psychiatry. 2012 Aug;69(8):823-31. Adj for suicide, age socioec, bmi, IQ, BP, education
Sc
                                                                                                                 hi
                                                                                                                   zo
                                                                                                                        ph
                                                                                                            Sc            re
                                                                                                                 hi            ni
                                                                                                                   zo            a
                                                                                                                        ph           19
                                                                                                            Sc            re      51




                                                                                                                                               0
                                                                                                                                                   2
                                                                                                                                                       4
                                                                                                                                                                     6
                                                                                                                                                                                 8
                                                                                                                                                                                        10
                                                                                                                                                                                             12
                                                                                                                                                                                                  14
                                                                                                                                                                                                         16
                                                                                                                                                                                                              18
                                                                                                                                                                                                                     20




                                                                                                                 hi            ni    -1
                                                                                                                   zo            a      95
                                                                                                                    ph         19          8
                                                                                                                        re        59




                                                                                                                                                       2.98
                                                                                                                           ni        -1
                                                                                                                             a          96
                                                                                                                               19          7
                                                                                                                                  68



                                                                                                                                                              4.12
                                                                                                                                     -1
                                                                                                                                        97
                                                                                                                     B                     6
                                                                                                                       ip                                            5.05
                                                                                                                         ol
                                                                                                                            ar
                                                                                                                     B         19
                                                                                                                       ip         51
                                                                                                                         ol
                                                                                                                            ar       -1
                                                                                                                                        95
                                                                                                                     B         19          8
                                                                                                                       ip         59
                                                                                                                                                        3.41



                                                                                                                         ol
                                                                                                                            ar       -1
                                                                                                                                        96
                                                                                                                               19          7
                                                                                                                                  68
                                                                                                               D                     -1
                                                                                                                 ep                     97
                                                                                                                    re                     6
                                                                                                                       ss
                                                                                                               D
                                                                                                                                                              4.21 4.44




                                                                                                                          io
                                                                                                                 ep         n
                                                                                                                    re         19
                                                                                                                       ss         51
                                                                                                               D          io        -1
                                                                                                                 ep         n          95
                                                                                                                    re         19         8
                                                                                                                                                                                                                              for 1million men born b1951-b1958




                                                                                                                       ss         59
                                                                                                                          io        -1
                                                                                                                            n          96
                                                                                                            Su
                                                                                                                               19         7
                                                                                                                                  68
                                                                                                                                                         3.56 3.83




                                                                                                              bs                    -1
                                                                                                                 ta                    97
                                                                                                                    nc                    6
                                                                                                            Su         e
                                                                                                                                                                          5.75




                                                                                                              bs         us
                                                                                                                 ta          e
                                                                                                                                                                                                                              Mortality HR by Hospital Admission Diag.




                                                                                                                    nc         19
                                                                                                            Su         e         51
                                                                                                              bs         us         -1
                                                                                                                 ta          e         95
                                                                                                                    nc         19         8
                                                                                                                       e         59
                                                                                                                                                                                 7.66




                                                                                                                         us         -1
                                                                                                                             e         96
                                                                                                                               19         7
                                                                                                                                 68
                                                                                                                                                                                                  13.1




                                                                                                                                    -1
                                                                                                                                       97
                                                                                                                                          6
                                                                                                                                                                                                              17.2




Gale CR, Arch Gen Psychiatry. 2012 Aug;69(8):823-31. Adj for suicide, age socioec, bmi, IQ, BP, education




                                                                                                                                                                                                                          Alex J Mitchell (2012)
Alex J Mitchell (2012)
Mortality trends in Stockholm County
1976–79 to 1990–95, cardiovascular causes of death


                                  1.4
                                                               Patients with schizophrenia*
    1976–79 period of reference




                                  1.2

                                  1.0
         Deaths/100,000




                                  0.8

                                  0.6
                                                                      General population**
                                  0.4

                                  0.2

                                   0
                                        1976–79   1980–85   1986–89      1990–95

**Standardised by the sex and age distribution of the patients                     Osby et al 2000
Alex J Mitchell (2012)
Cardiovascular disease is primary cause of
death in persons with mental illness*

                            50
    Percentage of deaths




                            40                                                 10-20%


                            30

                            20

                            10

                              0
                                       MO     OK          RI           TX         UT              VA

                           Heart disease    Cancer       Cerebrovascular         Chronic respiratory

                           Accidents        Diabetes     Influenza/pneumonia            Suicide


*Average data from 1996–2000                           Lutterman et al 2003; Colton & Manderscheid 2006
Alex J Mitchell (2012)
Depression as a
risk for dementia




 RR = 1.75
 Over mean of 7 years
5. Medical Care for Psychiatric Patients

      Psychiatric Care

      Comparative Care
Alex J Mitchell (2012)
Quality of Care comparisons


   Psychiatric Care           vs   Psychiatric Care
                                           General patients
           Medical patients




   Psychiatric Care           vs    Medical Care
                                           Medical patients
          Medical patients




    Medical Care              vs   Medical Care
        Medical patients              Psychiatric patients
Alex J Mitchell (2012)
% Receiving Any treatment for Depression

    20
                 n=84,850 face-to-face interviews                                                                               17.9
    18


    16                                                                                                                                                                        15.4

                                                                                                                13.8
    14


    12                             11.3
                            10.9                                                                 10.9

    10
                                                           8.8
                                              8.1
        8                                                                                                                                                                                 7.2
                                                                                                                        6.8

        6                                                                            5.6                                                                        5.5

                                                                     4.3
        4                                                                                                                                           3.4


        2


        0



                                                                                                                               SA
                                                                                                                        n




                                                                                                                                                                         ca
                                                                                                                                        e
                                                                                 n
                       m




                                                                                                                                                            a
                                                                    ly




                                                                                                                                               na
                                             y
             e




                                                          el




                                                                                                                                                                                     e
                                  ce




                                                                                                           nd
                                                                                           ds




                                                                                                                                       m
                                                                                                                      ai
            m




                                                                                                                                                          bi
                                          an




                                                                              pa




                                                                                                                                                                                      n
                                                                 Ita
                                                       ra
                        u




                                                                                                                                                                          i
                                                                                                                                             hi
                                an




                                                                                                                              U




                                                                                                                                                                                   ai
                                                                                                        la




                                                                                                                                                                       fr
                                                                                                                                      co
                                                                                            n




                                                                                                                   Sp




                                                                                                                                                       om
      co



                     gi




                                          m




                                                                           Ja
                                                    Is




                                                                                        rla




                                                                                                                                            C




                                                                                                                                                                      A



                                                                                                                                                                                 kr
                                                                                                     a
                              Fr
                  el




                                                                                                                                    In
                                        er
    In




                                                                                                  Ze




                                                                                                                                                     ol




                                                                                                                                                                                U
                                                                                                                                                                  h
                 B




                                                                                     he
                                       G




                                                                                                                                 w




                                                                                                                                                               ut
    h




                                                                                                                                                    C
                                                                                                 ew
                                                                                et
 ig




                                                                                                                               Lo




                                                                                                                                                            So
H




                                                                               N


                                                                                                N




                                                                                                Wang P et al (2007) Lancet 2007; 370: 841–50
Alex J Mitchell (2012)
               12mo Service Use (NIH, 2002)


40

                               34.6
35                                 32.7                                                                                                                          Cancer n=4878
                                                                                                                                                                 No Cancer n=90,737
30


25                                                                    % Receiving Any treatment for Mental Health
                                                                                                                                                                          19.1
20
                                                                                                                                                                                     16.1
                                                                                                                                                                                                 14
15
                                                                                                                                           11.7 11
                                                                                                                                                                                                                     8.9
10                                                                                                                      7.7
         7.2                                                                                                                                                                                              6.5
                    5.7                               5.7 5                         6.3                       6.4                                                                                                             6.2
                                                                                           5
5                                                                                                                                                                                                                                       3.9             3.2
                                                                                                                                                                                                                                                  2.3         1.8

0
                                                       alth
                                       th




                                                                                    ons




                                                                                                                    n




                                                                                                                                                  ns




                                                                                                                                                                                ns
               ts




                                                                                                                                                                                                                                                        75+
                                                                                                                                                                                                     rs




                                                                                                                                                                                                                         rs




                                                                                                                                                                                                                                             rs
                                                                                                                itio
                                   eal
           tien




                                                                                                                                              itio




                                                                                                                                                                            itio




                                                                                                                                                                                                  yea




                                                                                                                                                                                                                      yea




                                                                                                                                                                                                                                          yea
                                                     He




                                                                                    diti




                                                                                                             ond
                              Ill H




                                                                                                                                           ond




                                                                                                                                                                         ond
         Pa




                                                                                 con
                                                    l Ill




                                                                                                                                                                                               44




                                                                                                                                                                                                                   64




                                                                                                                                                                                                                                       74
                                                                                                         al c
                                l




                                                                                                                                       al c




                                                                                                                                                                     al c
                                                 nta
     All




                            nt a




                                                                                                                                                                                            18-




                                                                                                                                                                                                                45-




                                                                                                                                                                                                                                    65-
                                                                             cal




                                                                                                      dic
                                               Me




                                                                                                                                    dic




                                                                                                                                                                  dic
                          Me




                                                                         edi




                                                                                                    me




                                                                                                                                  me




                                                                                                                                                                me
                                            No




                                                                       cm




                                                                                                nic




                                                                                                                              nic




                                                                                                                                                            nic
                                                                    oni




                                                                                             hro




                                                                                                                           hro




                                                                                                                                                         hro
                                                                 chr




                                                                                           1c




                                                                                                                         2c




                                                                                                                                                       3c
                                                              No




        Maria Hewitt, Julia H. Rowland Mental Health Service Use Among Adult Cancer Survivors: Analyses of the National Health Interview Survey Journal of Clinical
                                                                                                          Oncology, Vol 20, Issue 23 (December), 2002: 4581-4590
Alex J Mitchell (2012)
  1660 Cancer Patients in Florida (Jacobsen, 2010)

100                                    Emotional Wellbeing Assessed                            97                                                        52%
                             95
                                       Pain Assessed                                                                                                93
                                                                 90
90                                                                                                                          88            88                   88
      86
               84                       84                                     84
                                                     82

80
                                                73                                        74


70



60                                                                                                     57
                                                                                                            55

                                                                      50
50                                                          47                                                                                            47



40                                38
                                                                                                                                               34


30
                                                                                                                                 26



20
                                                                                                                   14
                    12

10



 0
           A             B             C             D           E         F                G               H           I             J             K     Mean
                                                                                    Psychooncology. 2011 Nov;20(11):1221-7. doi: 10.1002/pon.1849. Epub 2010 Sep 27.
Alex J Mitchell (2012)
Quality of care medical vs psychiatric


                                    High income                  Low & middle income
                                     % treated                        % treated

 Physical disorders
 Diabetes                                 94%                           77%
 Heart disease                            78%                           51%
 Asthma                                   65%                           44%
 Mental disorders
 Depression                               29%                            8%
 Bipolar disorder                         29%                           13%

 Panic disorder                           33%                            9%
 Ormel J. et al (2008) British Journal of Psychiatry, 192, 368‐375
 Thornicroft, G. (2007) Lancet, 370, 807‐808
Alex J Mitchell (2012)
Adherence to Quality Indicators by Condition
(McGlynn/ Rand, 2003)



        Condition                    % Of Recommended Care

         Senile Cataract             78.7
         Breast Cancer               75.7
         Prenatal Care               73.0
         Low Back Pain               68.5
         Coronary Artery Disease     68.0

         Hypertension                64.7
         Congestive Health Disease   63.9

         Depression                  57.7
         Osteoarthritis              57.3
         Asthma                      53.5
         Diabetes Mellitus           45.4
         Headache                    45.2
         Urinary Track Infection     40.7
         Atrial Fibrillation         24.7
         Alcohol Dependence          10.5
Quality of medical care
Alex J Mitchell (2012)
Mammography and Schizophrenia

    Chochinov (2009) Canada n=110,240
            In comparison to the general population (without schizophrenia)
            (n=108,792), women with schizophrenia (n=1448)
             OR 0.64 of mammography in the selected two year period.
    Carney and Jones (2006) n=191,356
           No difference over five years
           less likely in the last two years
              OR 0.31 (95% CI 0.12-0.83).
    Werenke (2006) UK n= 533,340
           Those with a diagnosis of psychosis were the least likely to attend
            for mammography
            OR 0.33 (95% CI 0.18-0.61)
    Druss (2002) US
           less likely to have had a mammogram in last 2 years (for women
            aged 50-69 years) adjusted
                OR 0.78 (95% CI 0.67-0.91).
OR 0.69    mental illness (n=29)
OR 0.53    Psychosis (n=7)
OR 0.82    Affective (n=7)
Quality of Medical Treatment i Procedures
                                           Summary meta-analysis plot [random effects]


           [Angiography] Petersen 2003                                                         0.90 (0.83, 0.98)

 [Any Revascularisation] Abrams 2009 IP                                                        1.00 (0.91, 1.10)

[Any Revascularisation] Abrams 2009 OP                                                         0.92 (0.85, 0.99)

     [Any Revascularisation] Druss 2001                                                        0.74 (0.56, 0.95)

     [Any Revascularisation] Druss 2001                                                        0.87 (0.79, 0.95)

     [Any Revascularisation] Kisely 2007                                                       0.92 (0.86, 1.07)
                                                                                                                                                             Summary meta-analysis plot [random effects]

   [Any Revascularisation] Laursen et al                                                       0.69 (0.68, 0.70)
                                                                                                                      [Any Revascularisation Men] Lawrence 2003                                                          0.31 (0.21, 0.45)
  [Any Revascularisation] Petersen 2003                                                        0.89 (0.79, 0.98)

                    [CABG] Druss 2000                                                          0.90 (0.85, 0.96)   [Any Revascularisation Women] Lawrence 2003                                                           0.34 (0.18, 0.64)

                    [CABG] Jones 2005                                                          0.91 (0.75, 1.09)                             [CABG] Jones 2005                                                           0.24 (0.04, 1.41)
               [CABG] Plomondon 2007                                                           1.02 (0.99, 1.06)
                                                                                                                             [CABG] Young et al 2000 [Younger]                                                           0.71 (0.54, 0.92)
               [CABG] Young et al 2000                                                         0.79 (0.75, 0.84)
                                                                                                                                [CABG] Young et al 2000 [Older]                                                          0.67 (0.46, 0.95)
               [CABG] Young et al 2000                                                         0.67 (0.62, 0.72)

                      [Cath] Druss 2000                                                        0.74 (0.70, 0.78)                  [Cath] Young et al 2000 [Older]                                                        0.51 (0.42, 0.62)

                [Cath] Plomondon 2007                                                          1.05 (0.98, 1.13)               [Cath] Young et al 2000 [Younger]                                                         0.70 (0.63, 0.77)

                [Cath] Young et al 2000                                                        0.88 (0.86, 0.90)
                                                                                                                                             [PTCA] Jones 2005                                                           0.74 (0.41, 1.08)
                [Cath] Young et al 2000                                                        0.77 (0.75, 0.80)
                                                                                                                             [PTCA] Young et al 2000 [Younger]                                                           0.55 (0.46, 0.65)
           [PTCA/PCI] Plomondon 2007                                                           1.06 (0.97, 1.15)

                     [PTCA] Druss 2000                                                         0.96 (0.91, 1.02)                 [PTCA] Young et al 2000 [Older]                                                         0.32 (0.21, 0.47)

                    [PTCA] Jones 2005                                                          1.04 (0.98, 1.10)                                       combined                                                          0.53 (0.44, 0.64)

               [PTCA] Young et al 2000                                                         0.70 (0.68, 0.73)                                                0.01                 0.1    0.2       0.5        1   2
               [PTCA] Young et al 2000                                                         0.68 (0.65, 0.72)                                                       relative risk (95% confidence interval)

                              combined                                                         0.86 (0.80, 0.92)

                                           0.5                       1                     2
                                                    odds ratio (95% confidence interval)




 Any Mental illness                                                                                                                        Schizophrenia
HR = 0.86 (0.80-0.92)                                                                                                                   HR = 0.53 (0.44 – 0.64)
Quality of Medical Treatment ii Medication

                               OR =0.92                                                                                               OR =0.79                                                                                                             OR =0.72
                                   Summary meta-analysis plot [random effects]                                                              Summary meta-analysis plot [random effects]                                                                  Summary meta-analysis plot [random effects]

                                                                                                                ACE (Kreyenbuhl)                                                                    0.23 (0.12, 0.44)
          ACE (Druss2001)                                                            0.81 (0.65, 0.98)                                                                                                                           ACE (Kreyenbuhl)                                                           0.46 (0.18, 1.19)
                                                                                                           ACE-I or ARBb (Weiss)                                                                    0.83 (0.61, 1.14)

            ACE (Petersen)                                                           0.92 (0.79, 1.09)                                                                                                                              Aspirin (Desai)                                                         0.75 (0.39, 1.43)
                                                                                                             Arthritis (Redelmeier)                                                                 0.59 (0.57, 0.62)

 ACE-I or ARBb (Plomondon)                                                           0.93 (0.84, 1.01)             Aspirin (Desai)                                                                  1.07 (0.49, 2.30)             Bblocker (Desai)                                                          0.70 (0.48, 1.03)

                                                                                                           Aspirin (Hippisley-Cox)                                                                  1.00 (0.97, 1.04)
        Aspirin (Druss2001)                                                          0.81 (0.65, 0.98)                                                                                                                    Bblocker (Hippisley-Cox)                                                          1.18 (0.94, 1.56)
                                                                                                                   Aspirin (Weiss)                                                                  0.89 (0.64, 1.24)
          Aspirin (Petersen)                                                         0.96 (0.81, 1.15)                                                                                                                            Bblocker (Wang)                                                           0.55 (0.45, 0.55)
                                                                                                                 Bblocker (Desai)                                                                   0.70 (0.43, 1.15)

        Aspirin (Plomondon)                                                          0.93 (0.83, 1.04)    Bblocker (Hippisley-Cox)                                                                  0.96 (0.88, 1.06)    Chemotherapy (Goodwin)                                                             0.65 (0.43, 1.00)


       Bblocker (Druss2001)                                                          0.85 (0.72, 0.98)
                                                                                                                 Bblocker (Weiss)                                                                   0.96 (0.54, 1.71)           Cholesterol (Desai)                                                         1.31 (0.57, 3.00)

                                                                                                               Cholesterol (Desai)                                                                  1.01 (0.37, 2.77)
                                                                                                                                                                                                                        Cholesterol (Hippisley-Cox)                                                         0.86 (0.70, 12.30)
      Bblocker (Plomondon)                                                           1.11 (0.97, 1.28)
                                                                                                              Cholesterol (Weiss)                                                                   1.85 (1.11, 3.09)
                                                                                                                                                                                                                                  HAART (Tegger)                                                            0.36 (0.25, 0.50)
       BBlockers (Petersen)                                                          0.78 (0.69, 0.92)             Insulin (Weiss)                                                                  1.44 (0.96, 2.16)

                                                                                                            Osteoporosis (Bishop)                                                                   0.38 (0.15, 0.97)
                                                                                                                                                                                                                                     HAART (Yun)                                                            1.43 (1.18, 1.74)
             HAART (Mijch)                                                           1.28 (1.04, 1.57)
                                                                                                            Statin (Hippisley-Cox)                                                                  0.85 (0.80, 0.91)        Statin (Hippisley-Cox)                                                         1.15 (0.80, 1.95)
   HAART (Himelhoch2004)                                                             2.28 (1.24, 32.50)
                                                                                                               Statin (Kreyenbuhl)                                                                  0.29 (0.11, 0.77)
                                                                                                                                                                                                                                Statin (Kreyenbuhl)                                                         0.14 (0.05, 0.44)
   HAART (Himelhoch2007)                                                             0.85 (0.71, 1.23)
                                                                                                                    Statin (Weiss)                                                                  0.54 (0.36, 0.51)
                                                                                                                                                                                                                                         combined                                                           0.72 (0.51, 1.00)
                  combined                                                           0.92 (0.85, 1.00)                  combined                                                                    0.79 (0.66, 0.95)

                                                                                                                                      0.1      0.2            0.5            1              2   5                                                 0.01          0.1   0.2    0.5   1     2      5    10   100
                             0.5     1      2           5        10                100
                                                                                                                                                     odds ratio (95% confidence interval)                                                                         odds ratio (95% confidence interval)
                                            odds ratio (95% confidence interval)




                                         SMI                                                                                                         Schz                                                                                                              Affective
Alex J Mitchell (2012)
Example

    If you have cancer, how likely is it that you will
     receive treatment?

    Would this be affected by your mental health
     condition?
Chances of No Treatment for Colorectal Ca (2011)

14



12



10



8



6



4



2



0
     No m ental     Substance       Other m ental    Mood disorder      Any m ental      Psychotic         Dem entia
      disorder    abuse disorder      disorder                           disorder        disorder


     Baillargeon et al Effect of mental disorders on diagnosis, treatment, and survival of older adults with colon cancer.
                                                                                J Am Geriatr Soc. 2011 Jul;59(7):1268-73.
6. Monitoring and Treatment

      Monitoring metabolic problems

      Treating metabolic complications
Alex J Mitchell (2012)
CATIE: rates of pharmacological interventions for
abnormal blood pressure, lipids and glucose
                                                                     Nasrallah et al 2006


                        n=1488              n=685                    n=690
                 100
                                                                           89.4

                  80
                                                                68.3
  Patients (%)




                               62.4
                  60
                                                 45.3
                  40    33.2

                  20                      10.9

                   0
                       n=481 n=300        n=75   n=34           n=471 n=421

                       Hypertension        Diabetes            Dyslipidaemia

                        Prevalence    Lack of medical intervention
Alex J Mitchell (2012)
Don’t just SCREEN – INTERVENE
Alex J Mitchell (2012)
END: ……..Rule of 50’s

    Cancer, neurological disease: 50% clinical disorder
    Hepatic disease: almost 50% AUD
    Affective disorder: 50 days lost per year
    Two people with Schz will suffer 50 years YLL
    50% have evidence of depression assessment
    50% of CNS identify depression in cancer
    50% of identified depressions are treated (1yr)
    50% of Schz receive CABG after MI
    50% on antipsychotics receive Gc testing
    50% on antipsychotics with diabetes receive treatment
50 slides on Physical health Mental health Comorbidity (ajmitchell Nov2012))

50 slides on Physical health Mental health Comorbidity (ajmitchell Nov2012))

  • 1.
    Physical Health /Mental Health: Evidence based exploration of co-morbidity Alex J Mitchell ajm80@le.ac.uk Long term conditions and mental health, Northampton November 2012
  • 2.
    Alex J Mitchell (2012) Contents 1. Psychiatric ‐ Physical illness Comorbidity 2. Psychiatric complications of Specific Physical illnesses 3. Psychiatric Physical Comorbidity => Burden 4. Psychiatric Physical Comorbidity => Mortality 5. Medical Care for Psychiatric Patients 6. Monitoring and Treatment
  • 3.
  • 4.
  • 5.
    Alex J Mitchell (2012) 2007 Australian NationalSurvey of Mental Health and Wellbeing (n= 8841, 16-85 years) Women 19% 8% anxiety affective 3.9 12.6 2.5 1.6 0.2 0.8 substance use 1.7 4%
  • 6.
    Alex J Mitchell (2012) Washington State Survey(n=23,000) 69% 31% alone 32% 5% alone 36% 5% alone
  • 7.
    Alex J Mitchell (2012) Depressive Symptoms inMedical Conditions (on CES-D8) n=8400
  • 8.
    Alex J Mitchell (2012) Mental Health Comorbidityin Medical dis (n=8800 (WMH-CIDI 3.0) 35 50% Any affective disorder Any anxiety disorder 29.7 30 Any affective or anxiety disorder 25.6 25 23.3 23.4 22.5 21.9 21.2 20.5 19.7 20 18.7 17.4 17.6 15 13.5 12.8 11.4 10 9.6 10 7.9 7 6.8 5 5 0 n es HD er n a is o m tio nc rit et iti rC th di th nd ab Ca As n o Ar Di Co Co ke ro l al ica sic St ys hy Ph yP No An Data from Teesson et al.Affective and anxiety disorders and their relationship with chronic physical conditions in Australia: findings of the 2007 National Survey of Mental Health and Wellbeing. Aus NZJP 2011 Nov;45(11):939-46.
  • 9.
    Alex J Mitchell (2012) Gili: Mental Comorbidityin Medical dis (n=8000 PRIME-MD Spain) > 0.7 42% 0.604 0.6 Affective Disorder Anxiety Disorder Alcohol Use Disorder 0.566 0.514 0.5 0.477 0.47 > 0.411 0.412 0.418 0.42 0.4 0.38 0.385 0.365 0.346 0.294 0.3 0.281 0.259 0.217 0.2 0.13 0.129 0.093 0.084 0.1 0.064 0.072 0.066 0 e e e e e e e e as as as as as as as as ise se ise ise ise ise ise ise di ld ld d d d d d tic lic lar ry ica al ica al to pa bo tin let u g og sc ira lo He ta es ke ol va co sp Me st os ur io On in Re ul Ne rd ro sc Ca st Mu Ga Data from Gili et al.- Comorbidity between common mental disorders and chronic somatic diseases in primary care patients. General Hospital Psychiatry 2010; 32: 240-245 PRIME-MD interview DSMIV 1925 GPs 8000 patients. 57% vs 49%
  • 10.
  • 11.
    Prevalence of depression in Oncology settings Plumb & Holland (1981) Proportion meta-analysis plot [random effects] 0.7750 (0.6679, 0.8609) Levine et al (1978) 0.5600 (0.4572, 0.6592) Ciaramella and Poli (2001) 0.4900 (0.3886, 0.5920) Massie et al (1979) 0.4850 (0.4303, 0.5401) 70 studies involving 10,071 individuals;14 countries. Bukberg et al (1984) Passik et al (2001) 0.4194 (0.2951, 0.5515) 0.4167 (0.2907, 0.5512) 16.3% (95% CI = 13.9% to 19.5%) Baile et al (1992) Morton et al (1984) Hall et al (1999) 0.4000 (0.2570, 0.5567) 0.3958 (0.2577, 0.5473) 0.3722 (0.3139, 0.4333) Burgess et al (2005) 0.3317 (0.2672, 0.4012) Jenkins et al (1991) 0.3182 (0.1386, 0.5487) Mj 15% Mn 19% Adj 20% Anx 10% Dysthymia 3% Green et al (1998) 0.3125 (0.2417, 0.3904) Kathol et al (1990) 0.2961 (0.2248, 0.3754) Hosaka and Aoki (1996) 0.2800 (0.1623, 0.4249) Fallowfield et al (1990) 0.2565 (0.2054, 0.3131) Golden et al (1991) 0.2308 (0.1353, 0.3519) Spiegel et al (1984) 0.2292 (0.1495, 0.3261) Evans et al (1986) 0.2289 (0.1438, 0.3342) Grandi et al (1987) 0.2222 (0.0641, 0.4764) Maunsell et al (1992) 0.2146 (0.1605, 0.2772) Berard et al (1998) 0.2100 (0.1349, 0.3029) Joffe et al (1986) 0.1905 (0.0545, 0.4191) Berard et al (1998) 0.1900 (0.1184, 0.2807) Devlen et al (1987) 0.1889 (0.1141, 0.2851) Leopold et al (1998) 0.1887 (0.0944, 0.3197) Akizuki et al (2005) 0.1797 (0.1376, 0.2283) Razavi et al (1990) 0.1667 (0.1189, 0.2241) Gandubert et al (2009) 0.1597 (0.1040, 0.2300) Alexander et al (1993) 0.1333 (0.0594, 0.2459) Kugaya et al (1998) 0.1328 (0.0793, 0.2041) Payne et al (1999) 0.1290 (0.0363, 0.2983) Ibbotson et al (1994) 0.1242 (0.0776, 0.1853) Prieto et al (2002) 0.1227 (0.0825, 0.1735) Morasso et al (1996) 0.1121 (0.0593, 0.1877) Desai et al (1999) [early] 0.1111 (0.0371, 0.2405) Silberfarb et al (1980) 0.1027 (0.0587, 0.1638) Costantini et al (1999) 0.0985 (0.0535, 0.1625) Morasso et al (2001) 0.0985 (0.0535, 0.1625) Ozalp et al (2008) 0.0971 (0.0576, 0.1510) Love et al (2002) 0.0957 (0.0650, 0.1346) Alexander et al (2010) 0.0900 (0.0542, 0.1385) Coyne et al (2004) 0.0885 (0.0433, 0.1567) Kawase et al (2006) 0.0851 (0.0553, 0.1240) Walker et al (2007) 0.0831 (0.0568, 0.1165) Grassi et al (1993) 0.0828 (0.0448, 0.1374) Grassi et al (2009) 0.0826 (0.0385, 0.1510) Reuter and Hart (2001) 0.0761 (0.0422, 0.1244) Lee et al (1992) 0.0660 (0.0356, 0.1102) Pasacreta et al (1997) 0.0633 (0.0209, 0.1416) Sneeuw et al (1994) 0.0540 (0.0367, 0.0761) Singer et al (2008) 0.0519 (0.0300, 0.0830) Katz et al (2004) 0.0500 (0.0104, 0.1392) Mehnert et al (2007) 0.0472 (0.0175, 0.1000) Lansky et al (1985) 0.0455 (0.0291, 0.0676) Derogatis et al (1983) 0.0372 (0.0162, 0.0720) Hardman et al (1989) 0.0317 (0.0087, 0.0793) Massie and Holland (1987) 0.0147 (0.0063, 0.0287) Colon et al (1991) 0.0100 (0.0003, 0.0545) combined 0.1730 (0.1375, 0.2116) 0.0 0.3 0.6 0.9 proportion (95% confidence interval)
  • 12.
    3 < 2 years 2.5 2 to 10 years > 10 years 1.99 2 1.46 1.5 1.32 1.29 1.12 1.05 1 0.5 0 Depression Anxiety
  • 13.
    3. Psychiatric Physical Comorbidity => Burden How to measure burden? Subjective Objective
  • 14.
    Impairment: Days totally out of role per year  50 (Alonso n=63,000) WHO WHM survey x 24co. Yearly DOR 45 Unique 42.9 42.7 PAR% 41.2 39.8 40 39.3 36.6 35 34.4 33.8 30.6 30 25 20 17.3 15.2 15 14.3 10 9 7.3 7.7 5.1 5 3.9 2.6 2.2 2.5 1.8 1.7 1.9 1.4 1 0.3 0.1 0 Depression Panic disorder PTSD Specific phobia Social phobia Bipolar disorder GAD Alcohol abuse Drug abuse
  • 15.
    Alex J Mitchell (2012) 2007 Auz NationalSurvey of Mental Health & Wellbeing(n=8800 18-65) 120 109.2 100 80 73.2 72 64.8 60 48 40 31.2 26.4 20 12 0 ly n ity on n n ly y er io on o tio nl on id rd iti iti dit ro di rb nd on so nd er on on de mo co iti rd co di lc lc or nd so ty Co l al ica ica dis ica xie co di ic ys ys ys ys ty an l e ica tiv ph xie ph ph ph d ys fec an An nd or d d Ph an an Af a , ive ety ty ive y, ct ie xi iet ffe ct nx an nx ffe ]A ]A e, ,a ]A [2 tiv [2 ive [2 fec ct af ffe No ]A [3 Teesson et al.Affective and anxiety disorders and their relationship with chronic physical conditions in Australia: findings of the 2007 National Survey of Mental Health and Wellbeing. Aus NZJP 2011 Nov;45(11):939-46.
  • 16.
    n=245 404 participantsfrom 60 countries Quality of life: Moussavi et al (2007) Lancet 2007; 370: 851–58
  • 17.
  • 18.
    Alex J Mitchell (2012) Mortality and Depression- IHD Psychosomatic Med (2004) Barth et al
  • 19.
  • 20.
    Alex J Mitchell (2012) Five-year Mortality rates 30 People with schizophrenia 28% People without schizophrenia 25 22% 20 19% 15 12% 10 9% 8% 5 0 CHD Diabetes Stroke Hippisley-Cox J et al (2006) A comparison of survival rates for people with mental health problems and the remaining population with specific conditions. Disability Rights Commission. Equal treatment: closing the gap, July 2006 Slide credit: Dr Alan Farmer, Worcestershire Mental Health Partnership NHS Trust
  • 21.
    Alex J Mitchell (2012) Schizophrenia – allcause mortality > Pooled estimate=2.50 Saha (2007) AGP (95% CI=2.18‐2.83) Mortality Gap: 22.5  yrs
  • 22.
  • 23.
    Alex J Mitchell (2012) Problem….poor matching Severity and type of mental illness  Age matched  Suicides  socioec, IQ, education  BP, smoking, BMI
  • 24.
    Alex J Mitchell (2012) Mortality HR byHospital Admission Diag. for 1million men born b1951-b1958 10 9.01 9 8 7.66 7 6 5 4.3 3.9 4 3.56 3.41 3.28 2.98 3 2 1 0 58 8 58 58 8 58 58 8 95 95 95 19 19 19 19 19 -1 -1 -1 1- 1- - - 1- 51 51 51 51 51 95 5 5 19 19 19 19 19 19 19 t1 ar ol a y on es e en ni it us oh ol os al si re tm ip on lc e s ch ph us B nc re A rs y zo ep dj ta Ps Pe bs A hi D Sc er ic Su t th ro O eu N Gale CR, Arch Gen Psychiatry. 2012 Aug;69(8):823-31. Adj for suicide, age socioec, bmi, IQ, BP, education
  • 25.
    Sc hi zo ph Sc re hi ni zo a ph 19 Sc re 51 0 2 4 6 8 10 12 14 16 18 20 hi ni -1 zo a 95 ph 19 8 re 59 2.98 ni -1 a 96 19 7 68 4.12 -1 97 B 6 ip 5.05 ol ar B 19 ip 51 ol ar -1 95 B 19 8 ip 59 3.41 ol ar -1 96 19 7 68 D -1 ep 97 re 6 ss D 4.21 4.44 io ep n re 19 ss 51 D io -1 ep n 95 re 19 8 for 1million men born b1951-b1958 ss 59 io -1 n 96 Su 19 7 68 3.56 3.83 bs -1 ta 97 nc 6 Su e 5.75 bs us ta e Mortality HR by Hospital Admission Diag. nc 19 Su e 51 bs us -1 ta e 95 nc 19 8 e 59 7.66 us -1 e 96 19 7 68 13.1 -1 97 6 17.2 Gale CR, Arch Gen Psychiatry. 2012 Aug;69(8):823-31. Adj for suicide, age socioec, bmi, IQ, BP, education Alex J Mitchell (2012)
  • 26.
    Alex J Mitchell (2012) Mortality trends inStockholm County 1976–79 to 1990–95, cardiovascular causes of death 1.4 Patients with schizophrenia* 1976–79 period of reference 1.2 1.0 Deaths/100,000 0.8 0.6 General population** 0.4 0.2 0 1976–79 1980–85 1986–89 1990–95 **Standardised by the sex and age distribution of the patients Osby et al 2000
  • 27.
    Alex J Mitchell (2012) Cardiovascular disease isprimary cause of death in persons with mental illness* 50 Percentage of deaths 40 10-20% 30 20 10 0 MO OK RI TX UT VA Heart disease Cancer Cerebrovascular Chronic respiratory Accidents Diabetes Influenza/pneumonia Suicide *Average data from 1996–2000 Lutterman et al 2003; Colton & Manderscheid 2006
  • 28.
  • 29.
    Depression as a riskfor dementia RR = 1.75 Over mean of 7 years
  • 30.
    5. Medical Care for Psychiatric Patients Psychiatric Care Comparative Care
  • 31.
    Alex J Mitchell (2012) Quality of Carecomparisons Psychiatric Care vs Psychiatric Care General patients Medical patients Psychiatric Care vs Medical Care Medical patients Medical patients Medical Care vs Medical Care Medical patients Psychiatric patients
  • 32.
    Alex J Mitchell (2012) % Receiving Anytreatment for Depression 20 n=84,850 face-to-face interviews 17.9 18 16 15.4 13.8 14 12 11.3 10.9 10.9 10 8.8 8.1 8 7.2 6.8 6 5.6 5.5 4.3 4 3.4 2 0 SA n ca e n m a ly na y e el e ce nd ds m ai m bi an pa n Ita ra u i hi an U ai la fr co n Sp om co gi m Ja Is rla C A kr a Fr el In er In Ze ol U h B he G w ut h C ew et ig Lo So H N N Wang P et al (2007) Lancet 2007; 370: 841–50
  • 33.
    Alex J Mitchell (2012) 12mo Service Use (NIH, 2002) 40 34.6 35 32.7 Cancer n=4878 No Cancer n=90,737 30 25 % Receiving Any treatment for Mental Health 19.1 20 16.1 14 15 11.7 11 8.9 10 7.7 7.2 6.5 5.7 5.7 5 6.3 6.4 6.2 5 5 3.9 3.2 2.3 1.8 0 alth th ons n ns ns ts 75+ rs rs rs itio eal tien itio itio yea yea yea He diti ond Ill H ond ond Pa con l Ill 44 64 74 al c l al c al c nta All nt a 18- 45- 65- cal dic Me dic dic Me edi me me me No cm nic nic nic oni hro hro hro chr 1c 2c 3c No Maria Hewitt, Julia H. Rowland Mental Health Service Use Among Adult Cancer Survivors: Analyses of the National Health Interview Survey Journal of Clinical Oncology, Vol 20, Issue 23 (December), 2002: 4581-4590
  • 34.
    Alex J Mitchell (2012) 1660Cancer Patients in Florida (Jacobsen, 2010) 100 Emotional Wellbeing Assessed 97 52% 95 Pain Assessed 93 90 90 88 88 88 86 84 84 84 82 80 73 74 70 60 57 55 50 50 47 47 40 38 34 30 26 20 14 12 10 0 A B C D E F G H I J K Mean Psychooncology. 2011 Nov;20(11):1221-7. doi: 10.1002/pon.1849. Epub 2010 Sep 27.
  • 35.
    Alex J Mitchell (2012) Quality of caremedical vs psychiatric High income Low & middle income % treated % treated Physical disorders Diabetes 94% 77% Heart disease 78% 51% Asthma 65% 44% Mental disorders Depression 29% 8% Bipolar disorder 29% 13% Panic disorder 33% 9% Ormel J. et al (2008) British Journal of Psychiatry, 192, 368‐375 Thornicroft, G. (2007) Lancet, 370, 807‐808
  • 36.
    Alex J Mitchell (2012) Adherence to QualityIndicators by Condition (McGlynn/ Rand, 2003) Condition % Of Recommended Care Senile Cataract 78.7 Breast Cancer 75.7 Prenatal Care 73.0 Low Back Pain 68.5 Coronary Artery Disease 68.0 Hypertension 64.7 Congestive Health Disease 63.9 Depression 57.7 Osteoarthritis 57.3 Asthma 53.5 Diabetes Mellitus 45.4 Headache 45.2 Urinary Track Infection 40.7 Atrial Fibrillation 24.7 Alcohol Dependence 10.5
  • 37.
  • 38.
    Alex J Mitchell (2012) Mammography and Schizophrenia  Chochinov (2009) Canada n=110,240  In comparison to the general population (without schizophrenia) (n=108,792), women with schizophrenia (n=1448)  OR 0.64 of mammography in the selected two year period.  Carney and Jones (2006) n=191,356  No difference over five years  less likely in the last two years  OR 0.31 (95% CI 0.12-0.83).  Werenke (2006) UK n= 533,340  Those with a diagnosis of psychosis were the least likely to attend for mammography  OR 0.33 (95% CI 0.18-0.61)  Druss (2002) US  less likely to have had a mammogram in last 2 years (for women aged 50-69 years) adjusted  OR 0.78 (95% CI 0.67-0.91).
  • 39.
    OR 0.69  mental illness (n=29) OR 0.53  Psychosis (n=7) OR 0.82  Affective (n=7)
  • 40.
    Quality of MedicalTreatment i Procedures Summary meta-analysis plot [random effects] [Angiography] Petersen 2003 0.90 (0.83, 0.98) [Any Revascularisation] Abrams 2009 IP 1.00 (0.91, 1.10) [Any Revascularisation] Abrams 2009 OP 0.92 (0.85, 0.99) [Any Revascularisation] Druss 2001 0.74 (0.56, 0.95) [Any Revascularisation] Druss 2001 0.87 (0.79, 0.95) [Any Revascularisation] Kisely 2007 0.92 (0.86, 1.07) Summary meta-analysis plot [random effects] [Any Revascularisation] Laursen et al 0.69 (0.68, 0.70) [Any Revascularisation Men] Lawrence 2003 0.31 (0.21, 0.45) [Any Revascularisation] Petersen 2003 0.89 (0.79, 0.98) [CABG] Druss 2000 0.90 (0.85, 0.96) [Any Revascularisation Women] Lawrence 2003 0.34 (0.18, 0.64) [CABG] Jones 2005 0.91 (0.75, 1.09) [CABG] Jones 2005 0.24 (0.04, 1.41) [CABG] Plomondon 2007 1.02 (0.99, 1.06) [CABG] Young et al 2000 [Younger] 0.71 (0.54, 0.92) [CABG] Young et al 2000 0.79 (0.75, 0.84) [CABG] Young et al 2000 [Older] 0.67 (0.46, 0.95) [CABG] Young et al 2000 0.67 (0.62, 0.72) [Cath] Druss 2000 0.74 (0.70, 0.78) [Cath] Young et al 2000 [Older] 0.51 (0.42, 0.62) [Cath] Plomondon 2007 1.05 (0.98, 1.13) [Cath] Young et al 2000 [Younger] 0.70 (0.63, 0.77) [Cath] Young et al 2000 0.88 (0.86, 0.90) [PTCA] Jones 2005 0.74 (0.41, 1.08) [Cath] Young et al 2000 0.77 (0.75, 0.80) [PTCA] Young et al 2000 [Younger] 0.55 (0.46, 0.65) [PTCA/PCI] Plomondon 2007 1.06 (0.97, 1.15) [PTCA] Druss 2000 0.96 (0.91, 1.02) [PTCA] Young et al 2000 [Older] 0.32 (0.21, 0.47) [PTCA] Jones 2005 1.04 (0.98, 1.10) combined 0.53 (0.44, 0.64) [PTCA] Young et al 2000 0.70 (0.68, 0.73) 0.01 0.1 0.2 0.5 1 2 [PTCA] Young et al 2000 0.68 (0.65, 0.72) relative risk (95% confidence interval) combined 0.86 (0.80, 0.92) 0.5 1 2 odds ratio (95% confidence interval) Any Mental illness Schizophrenia HR = 0.86 (0.80-0.92) HR = 0.53 (0.44 – 0.64)
  • 41.
    Quality of MedicalTreatment ii Medication OR =0.92 OR =0.79 OR =0.72 Summary meta-analysis plot [random effects] Summary meta-analysis plot [random effects] Summary meta-analysis plot [random effects] ACE (Kreyenbuhl) 0.23 (0.12, 0.44) ACE (Druss2001) 0.81 (0.65, 0.98) ACE (Kreyenbuhl) 0.46 (0.18, 1.19) ACE-I or ARBb (Weiss) 0.83 (0.61, 1.14) ACE (Petersen) 0.92 (0.79, 1.09) Aspirin (Desai) 0.75 (0.39, 1.43) Arthritis (Redelmeier) 0.59 (0.57, 0.62) ACE-I or ARBb (Plomondon) 0.93 (0.84, 1.01) Aspirin (Desai) 1.07 (0.49, 2.30) Bblocker (Desai) 0.70 (0.48, 1.03) Aspirin (Hippisley-Cox) 1.00 (0.97, 1.04) Aspirin (Druss2001) 0.81 (0.65, 0.98) Bblocker (Hippisley-Cox) 1.18 (0.94, 1.56) Aspirin (Weiss) 0.89 (0.64, 1.24) Aspirin (Petersen) 0.96 (0.81, 1.15) Bblocker (Wang) 0.55 (0.45, 0.55) Bblocker (Desai) 0.70 (0.43, 1.15) Aspirin (Plomondon) 0.93 (0.83, 1.04) Bblocker (Hippisley-Cox) 0.96 (0.88, 1.06) Chemotherapy (Goodwin) 0.65 (0.43, 1.00) Bblocker (Druss2001) 0.85 (0.72, 0.98) Bblocker (Weiss) 0.96 (0.54, 1.71) Cholesterol (Desai) 1.31 (0.57, 3.00) Cholesterol (Desai) 1.01 (0.37, 2.77) Cholesterol (Hippisley-Cox) 0.86 (0.70, 12.30) Bblocker (Plomondon) 1.11 (0.97, 1.28) Cholesterol (Weiss) 1.85 (1.11, 3.09) HAART (Tegger) 0.36 (0.25, 0.50) BBlockers (Petersen) 0.78 (0.69, 0.92) Insulin (Weiss) 1.44 (0.96, 2.16) Osteoporosis (Bishop) 0.38 (0.15, 0.97) HAART (Yun) 1.43 (1.18, 1.74) HAART (Mijch) 1.28 (1.04, 1.57) Statin (Hippisley-Cox) 0.85 (0.80, 0.91) Statin (Hippisley-Cox) 1.15 (0.80, 1.95) HAART (Himelhoch2004) 2.28 (1.24, 32.50) Statin (Kreyenbuhl) 0.29 (0.11, 0.77) Statin (Kreyenbuhl) 0.14 (0.05, 0.44) HAART (Himelhoch2007) 0.85 (0.71, 1.23) Statin (Weiss) 0.54 (0.36, 0.51) combined 0.72 (0.51, 1.00) combined 0.92 (0.85, 1.00) combined 0.79 (0.66, 0.95) 0.1 0.2 0.5 1 2 5 0.01 0.1 0.2 0.5 1 2 5 10 100 0.5 1 2 5 10 100 odds ratio (95% confidence interval) odds ratio (95% confidence interval) odds ratio (95% confidence interval) SMI Schz Affective
  • 42.
    Alex J Mitchell (2012) Example  If you have cancer, how likely is it that you will receive treatment?  Would this be affected by your mental health condition?
  • 43.
    Chances of NoTreatment for Colorectal Ca (2011) 14 12 10 8 6 4 2 0 No m ental Substance Other m ental Mood disorder Any m ental Psychotic Dem entia disorder abuse disorder disorder disorder disorder Baillargeon et al Effect of mental disorders on diagnosis, treatment, and survival of older adults with colon cancer. J Am Geriatr Soc. 2011 Jul;59(7):1268-73.
  • 44.
    6. Monitoring and Treatment Monitoring metabolic problems Treating metabolic complications
  • 47.
    Alex J Mitchell (2012) CATIE: rates ofpharmacological interventions for abnormal blood pressure, lipids and glucose Nasrallah et al 2006 n=1488 n=685 n=690 100 89.4 80 68.3 Patients (%) 62.4 60 45.3 40 33.2 20 10.9 0 n=481 n=300 n=75 n=34 n=471 n=421 Hypertension Diabetes Dyslipidaemia Prevalence Lack of medical intervention
  • 48.
  • 49.
    Alex J Mitchell (2012) END: ……..Rule of50’s  Cancer, neurological disease: 50% clinical disorder  Hepatic disease: almost 50% AUD  Affective disorder: 50 days lost per year  Two people with Schz will suffer 50 years YLL  50% have evidence of depression assessment  50% of CNS identify depression in cancer  50% of identified depressions are treated (1yr)  50% of Schz receive CABG after MI  50% on antipsychotics receive Gc testing  50% on antipsychotics with diabetes receive treatment