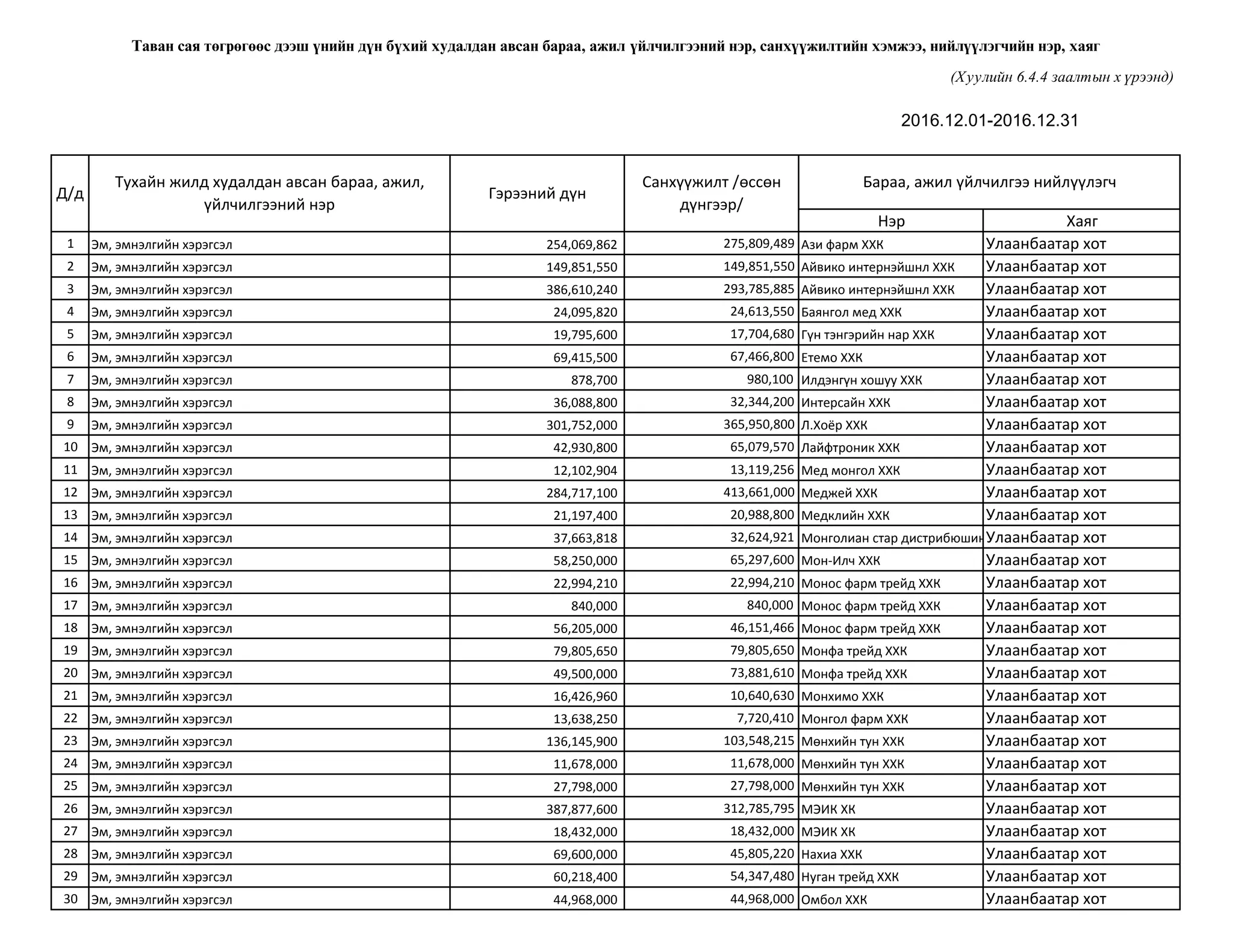
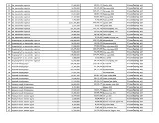
(Õóóëèéí 6.4.4 çààëòûí õ ðýýíä)
Нэр Хаяг
1 Эм, эмнэлгийн хэрэгсэл 254,069,862 275,809,489 Ази фарм ХХК Улаанбаатар хот
2 Эм, эмнэлгийн хэрэгсэл 149,851,550 149,851,550 Айвико интернэйшнл ХХК Улаанбаатар хот
3 Эм, эмнэлгийн хэрэгсэл 386,610,240 293,785,885 Айвико интернэйшнл ХХК Улаанбаатар хот
4 Эм, эмнэлгийн хэрэгсэл 24,095,820 24,613,550 Баянгол мед ХХК Улаанбаатар хот
5 Эм, эмнэлгийн хэрэгсэл 19,795,600 17,704,680 Гүн тэнгэрийн нар ХХК Улаанбаатар хот
6 Эм, эмнэлгийн хэрэгсэл 69,415,500 67,466,800 Етемо ХХК Улаанбаатар хот
7 Эм, эмнэлгийн хэрэгсэл 878,700 980,100 Илдэнгүн хошуу ХХК Улаанбаатар хот
8 Эм, эмнэлгийн хэрэгсэл 36,088,800 32,344,200 Интерсайн ХХК Улаанбаатар хот
9 Эм, эмнэлгийн хэрэгсэл 301,752,000 365,950,800 Л.Хоёр ХХК Улаанбаатар хот
10 Эм, эмнэлгийн хэрэгсэл 42,930,800 65,079,570 Лайфтроник ХХК Улаанбаатар хот
11 Эм, эмнэлгийн хэрэгсэл 12,102,904 13,119,256 Мед монгол ХХК Улаанбаатар хот
12 Эм, эмнэлгийн хэрэгсэл 284,717,100 413,661,000 Меджей ХХК Улаанбаатар хот
13 Эм, эмнэлгийн хэрэгсэл 21,197,400 20,988,800 Медклийн ХХК Улаанбаатар хот
14 Эм, эмнэлгийн хэрэгсэл 37,663,818 32,624,921 Монголиан стар дистрибюшин ХХКУлаанбаатар хот
15 Эм, эмнэлгийн хэрэгсэл 58,250,000 65,297,600 Мон-Илч ХХК Улаанбаатар хот
16 Эм, эмнэлгийн хэрэгсэл 22,994,210 22,994,210 Монос фарм трейд ХХК Улаанбаатар хот
17 Эм, эмнэлгийн хэрэгсэл 840,000 840,000 Монос фарм трейд ХХК Улаанбаатар хот
18 Эм, эмнэлгийн хэрэгсэл 56,205,000 46,151,466 Монос фарм трейд ХХК Улаанбаатар хот
19 Эм, эмнэлгийн хэрэгсэл 79,805,650 79,805,650 Монфа трейд ХХК Улаанбаатар хот
20 Эм, эмнэлгийн хэрэгсэл 49,500,000 73,881,610 Монфа трейд ХХК Улаанбаатар хот
21 Эм, эмнэлгийн хэрэгсэл 16,426,960 10,640,630 Монхимо ХХК Улаанбаатар хот
22 Эм, эмнэлгийн хэрэгсэл 13,638,250 7,720,410 Монгол фарм ХХК Улаанбаатар хот
23 Эм, эмнэлгийн хэрэгсэл 136,145,900 103,548,215 Мөнхийн тун ХХК Улаанбаатар хот
24 Эм, эмнэлгийн хэрэгсэл 11,678,000 11,678,000 Мөнхийн тун ХХК Улаанбаатар хот
25 Эм, эмнэлгийн хэрэгсэл 27,798,000 27,798,000 Мөнхийн тун ХХК Улаанбаатар хот
26 Эм, эмнэлгийн хэрэгсэл 387,877,600 312,785,795 МЭИК ХК Улаанбаатар хот
27 Эм, эмнэлгийн хэрэгсэл 18,432,000 18,432,000 МЭИК ХК Улаанбаатар хот
28 Эм, эмнэлгийн хэрэгсэл 69,600,000 45,805,220 Нахиа ХХК Улаанбаатар хот
29 Эм, эмнэлгийн хэрэгсэл 60,218,400 54,347,480 Нуган трейд ХХК Улаанбаатар хот
30 Эм, эмнэлгийн хэрэгсэл 44,968,000 44,968,000 Омбол ХХК Улаанбаатар хот
Òàâàí ñàÿ ò ãð ã ñ äýýø íèéí ä í á õèé õóäàëäàí àâñàí áàðàà, àæèë éë÷èëãýýíèé íýð, ñàíõ æèëòèéí õýìæýý, íèéë ëýã÷èéí íýð, õàÿã
2016.12.01-2016.12.31
Д/д
Тухайн жилд худалдан авсан бараа, ажил,
үйлчилгээний нэр
Гэрээний дүн
Санхүүжилт /өссөн
дүнгээр/
Бараа, ажил үйлчилгээ нийлүүлэгч
31 Эм, эмнэлгийн хэрэгсэл 57,600,000 23,553,235 Омбол ХХК Улаанбаатар хот
32 Эм, эмнэлгийн хэрэгсэл 16,784,200 26,345,800 Пролианс ХХК Улаанбаатар хот
33 Эм, эмнэлгийн хэрэгсэл 646,810,916 669,401,121 Сетунари ХХК Улаанбаатар хот
34 Эм, эмнэлгийн хэрэгсэл 23,013,600 28,083,840 Сүвэн уул ХХК Улаанбаатар хот
35 Эм, эмнэлгийн хэрэгсэл 17,347,000 40,860,400 Тавин ус ХХК Улаанбаатар хот
36 Эм, эмнэлгийн хэрэгсэл 7,750,000 7,750,000 Тавин ус ХХК Улаанбаатар хот
37 Эм, эмнэлгийн хэрэгсэл 1,011,491,800 935,455,432 Цомбо ХХК Улаанбаатар хот
38 Эм, эмнэлгийн хэрэгсэл 2,071,590 2,071,590 Цомбо ХХК Улаанбаатар хот
39 Эм, эмнэлгийн хэрэгсэл 107,703,240 107,703,240 Чоноголтрейд ХХК Улаанбаатар хот
40 Эм, эмнэлгийн хэрэгсэл 54,864,000 15,533,648 Чоноголтрейд ХХК Улаанбаатар хот
41 Эм, эмнэлгийн хэрэгсэл 39,985,000 34,298,500 ЭНТО ХХК Улаанбаатар хот
42 Эм, эмнэлгийн хэрэгсэл 41,400,000 9,126,400 Энхийн шүүдэр ХХК Улаанбаатар хот
43 Өндөр өртөгт эм эмнэлгийн хэрэгсэл 634,688,000 626,745,000 Меджей ХХК Улаанбаатар хот
44 Өндөр өртөгт эм эмнэлгийн хэрэгсэл 36,918,420 36,918,420 Мед монгол ХХК Улаанбаатар хот
45 Өндөр өртөгт эм эмнэлгийн хэрэгсэл 57,080,000 57,080,000 Санчир ундрах ХХК Улаанбаатар хот
46 Өндөр өртөгт эм эмнэлгийн хэрэгсэл 145,875,000 225,849,000 Санчир ундрах ХХК Улаанбаатар хот
47 Өндөр өртөгт эм эмнэлгийн хэрэгсэл 71,200,000 71,200,000 Ази фарм ХХК Улаанбаатар хот
48 Өндөр өртөгт эм эмнэлгийн хэрэгсэл 178,000,000 164,949,360 Ази фарм ХХК Улаанбаатар хот
49 Өндөр өртөгт эм эмнэлгийн хэрэгсэл 1,880,000 1,512,000 Зонне ХХК Улаанбаатар хот
50 Өндөр өртөгт эм эмнэлгийн хэрэгсэл 42,042,000 29,725,960 Чоноголтрейд ХХК Улаанбаатар хот
51 Хүнсний бүтээгдэхүүн 158,435,000 211,628,675 Банни ХХК Улаанбаатар хот
52 Хүнсний бүтээгдэхүүн 12,756,000 12,756,000 Банни ХХК Улаанбаатар хот
53 Хүнсний бүтээгдэхүүн 147,628,000 28,713,870 Бүствалюшин Улаанбаатар хот
54 Хүнсний бүтээгдэхүүн 20,975,500 - Бүствалюшин Улаанбаатар хот
55 Хүнсний бүтээгдэхүүн 49,061,500 49,061,500 Дарь-Угтаал ХХК Улаанбаатар хот
56 Хүнсний бүтээгдэхүүн 33,636,000 48,239,200 Дарь-Угтаал ХХК Улаанбаатар хот
57 Хүнсний бүтээгдэхүүн 57,510,000 45,740,910 Эрдэнэ-Энх трейд Улаанбаатар хот
58 Цэвэрлэгээний бүтээгдэхүүн 84,800,000 42,332,275 Их мандах очир ХХК Улаанбаатар хот
59 Цэвэрлэгээний бүтээгдэхүүн 8,319,800 - Дүүхээ ХХК Улаанбаатар хот
60 Цэвэрлэгээний бүтээгдэхүүн 47,529,100 16,614,755 Дүүхээ ХХК Улаанбаатар хот
61 Цэвэрлэгээний бүтээгдэхүүн 15,900,400 15,900,400 Баяжихговь ХХК Улаанбаатар хот
62 Нормын болон зөөлөн эдлэл 10,777,500 11,937,500 Их уул ХХК Улаанбаатар хот
63 Нормын болон зөөлөн эдлэл 2,628,000 2,628,000 Их уул ХХК Улаанбаатар хот
64 Нормын болон зөөлөн эдлэл 9,658,000 9,658,000 Коттон текстайг групп ХХК Улаанбаатар хот
65 Нормын болон зөөлөн эдлэл 8,250,000 8,250,000 Содчавон ХХК Улаанбаатар хот
66 Нормын болон зөөлөн эдлэл 7,082,000 7,082,000 СЭС Бенифит ХХК Улаанбаатар хот
67 Нормын болон зөөлөн эдлэл 13,250,000 13,250,000 Алтан-Оч бадрал ХХК Улаанбаатар хот

5 say hudaldan avalt

  • 1.
    (Õóóëèéí 6.4.4 çààëòûíõ ðýýíä) Нэр Хаяг 1 Эм, эмнэлгийн хэрэгсэл 254,069,862 275,809,489 Ази фарм ХХК Улаанбаатар хот 2 Эм, эмнэлгийн хэрэгсэл 149,851,550 149,851,550 Айвико интернэйшнл ХХК Улаанбаатар хот 3 Эм, эмнэлгийн хэрэгсэл 386,610,240 293,785,885 Айвико интернэйшнл ХХК Улаанбаатар хот 4 Эм, эмнэлгийн хэрэгсэл 24,095,820 24,613,550 Баянгол мед ХХК Улаанбаатар хот 5 Эм, эмнэлгийн хэрэгсэл 19,795,600 17,704,680 Гүн тэнгэрийн нар ХХК Улаанбаатар хот 6 Эм, эмнэлгийн хэрэгсэл 69,415,500 67,466,800 Етемо ХХК Улаанбаатар хот 7 Эм, эмнэлгийн хэрэгсэл 878,700 980,100 Илдэнгүн хошуу ХХК Улаанбаатар хот 8 Эм, эмнэлгийн хэрэгсэл 36,088,800 32,344,200 Интерсайн ХХК Улаанбаатар хот 9 Эм, эмнэлгийн хэрэгсэл 301,752,000 365,950,800 Л.Хоёр ХХК Улаанбаатар хот 10 Эм, эмнэлгийн хэрэгсэл 42,930,800 65,079,570 Лайфтроник ХХК Улаанбаатар хот 11 Эм, эмнэлгийн хэрэгсэл 12,102,904 13,119,256 Мед монгол ХХК Улаанбаатар хот 12 Эм, эмнэлгийн хэрэгсэл 284,717,100 413,661,000 Меджей ХХК Улаанбаатар хот 13 Эм, эмнэлгийн хэрэгсэл 21,197,400 20,988,800 Медклийн ХХК Улаанбаатар хот 14 Эм, эмнэлгийн хэрэгсэл 37,663,818 32,624,921 Монголиан стар дистрибюшин ХХКУлаанбаатар хот 15 Эм, эмнэлгийн хэрэгсэл 58,250,000 65,297,600 Мон-Илч ХХК Улаанбаатар хот 16 Эм, эмнэлгийн хэрэгсэл 22,994,210 22,994,210 Монос фарм трейд ХХК Улаанбаатар хот 17 Эм, эмнэлгийн хэрэгсэл 840,000 840,000 Монос фарм трейд ХХК Улаанбаатар хот 18 Эм, эмнэлгийн хэрэгсэл 56,205,000 46,151,466 Монос фарм трейд ХХК Улаанбаатар хот 19 Эм, эмнэлгийн хэрэгсэл 79,805,650 79,805,650 Монфа трейд ХХК Улаанбаатар хот 20 Эм, эмнэлгийн хэрэгсэл 49,500,000 73,881,610 Монфа трейд ХХК Улаанбаатар хот 21 Эм, эмнэлгийн хэрэгсэл 16,426,960 10,640,630 Монхимо ХХК Улаанбаатар хот 22 Эм, эмнэлгийн хэрэгсэл 13,638,250 7,720,410 Монгол фарм ХХК Улаанбаатар хот 23 Эм, эмнэлгийн хэрэгсэл 136,145,900 103,548,215 Мөнхийн тун ХХК Улаанбаатар хот 24 Эм, эмнэлгийн хэрэгсэл 11,678,000 11,678,000 Мөнхийн тун ХХК Улаанбаатар хот 25 Эм, эмнэлгийн хэрэгсэл 27,798,000 27,798,000 Мөнхийн тун ХХК Улаанбаатар хот 26 Эм, эмнэлгийн хэрэгсэл 387,877,600 312,785,795 МЭИК ХК Улаанбаатар хот 27 Эм, эмнэлгийн хэрэгсэл 18,432,000 18,432,000 МЭИК ХК Улаанбаатар хот 28 Эм, эмнэлгийн хэрэгсэл 69,600,000 45,805,220 Нахиа ХХК Улаанбаатар хот 29 Эм, эмнэлгийн хэрэгсэл 60,218,400 54,347,480 Нуган трейд ХХК Улаанбаатар хот 30 Эм, эмнэлгийн хэрэгсэл 44,968,000 44,968,000 Омбол ХХК Улаанбаатар хот Òàâàí ñàÿ ò ãð ã ñ äýýø íèéí ä í á õèé õóäàëäàí àâñàí áàðàà, àæèë éë÷èëãýýíèé íýð, ñàíõ æèëòèéí õýìæýý, íèéë ëýã÷èéí íýð, õàÿã 2016.12.01-2016.12.31 Д/д Тухайн жилд худалдан авсан бараа, ажил, үйлчилгээний нэр Гэрээний дүн Санхүүжилт /өссөн дүнгээр/ Бараа, ажил үйлчилгээ нийлүүлэгч
  • 2.
    31 Эм, эмнэлгийнхэрэгсэл 57,600,000 23,553,235 Омбол ХХК Улаанбаатар хот 32 Эм, эмнэлгийн хэрэгсэл 16,784,200 26,345,800 Пролианс ХХК Улаанбаатар хот 33 Эм, эмнэлгийн хэрэгсэл 646,810,916 669,401,121 Сетунари ХХК Улаанбаатар хот 34 Эм, эмнэлгийн хэрэгсэл 23,013,600 28,083,840 Сүвэн уул ХХК Улаанбаатар хот 35 Эм, эмнэлгийн хэрэгсэл 17,347,000 40,860,400 Тавин ус ХХК Улаанбаатар хот 36 Эм, эмнэлгийн хэрэгсэл 7,750,000 7,750,000 Тавин ус ХХК Улаанбаатар хот 37 Эм, эмнэлгийн хэрэгсэл 1,011,491,800 935,455,432 Цомбо ХХК Улаанбаатар хот 38 Эм, эмнэлгийн хэрэгсэл 2,071,590 2,071,590 Цомбо ХХК Улаанбаатар хот 39 Эм, эмнэлгийн хэрэгсэл 107,703,240 107,703,240 Чоноголтрейд ХХК Улаанбаатар хот 40 Эм, эмнэлгийн хэрэгсэл 54,864,000 15,533,648 Чоноголтрейд ХХК Улаанбаатар хот 41 Эм, эмнэлгийн хэрэгсэл 39,985,000 34,298,500 ЭНТО ХХК Улаанбаатар хот 42 Эм, эмнэлгийн хэрэгсэл 41,400,000 9,126,400 Энхийн шүүдэр ХХК Улаанбаатар хот 43 Өндөр өртөгт эм эмнэлгийн хэрэгсэл 634,688,000 626,745,000 Меджей ХХК Улаанбаатар хот 44 Өндөр өртөгт эм эмнэлгийн хэрэгсэл 36,918,420 36,918,420 Мед монгол ХХК Улаанбаатар хот 45 Өндөр өртөгт эм эмнэлгийн хэрэгсэл 57,080,000 57,080,000 Санчир ундрах ХХК Улаанбаатар хот 46 Өндөр өртөгт эм эмнэлгийн хэрэгсэл 145,875,000 225,849,000 Санчир ундрах ХХК Улаанбаатар хот 47 Өндөр өртөгт эм эмнэлгийн хэрэгсэл 71,200,000 71,200,000 Ази фарм ХХК Улаанбаатар хот 48 Өндөр өртөгт эм эмнэлгийн хэрэгсэл 178,000,000 164,949,360 Ази фарм ХХК Улаанбаатар хот 49 Өндөр өртөгт эм эмнэлгийн хэрэгсэл 1,880,000 1,512,000 Зонне ХХК Улаанбаатар хот 50 Өндөр өртөгт эм эмнэлгийн хэрэгсэл 42,042,000 29,725,960 Чоноголтрейд ХХК Улаанбаатар хот 51 Хүнсний бүтээгдэхүүн 158,435,000 211,628,675 Банни ХХК Улаанбаатар хот 52 Хүнсний бүтээгдэхүүн 12,756,000 12,756,000 Банни ХХК Улаанбаатар хот 53 Хүнсний бүтээгдэхүүн 147,628,000 28,713,870 Бүствалюшин Улаанбаатар хот 54 Хүнсний бүтээгдэхүүн 20,975,500 - Бүствалюшин Улаанбаатар хот 55 Хүнсний бүтээгдэхүүн 49,061,500 49,061,500 Дарь-Угтаал ХХК Улаанбаатар хот 56 Хүнсний бүтээгдэхүүн 33,636,000 48,239,200 Дарь-Угтаал ХХК Улаанбаатар хот 57 Хүнсний бүтээгдэхүүн 57,510,000 45,740,910 Эрдэнэ-Энх трейд Улаанбаатар хот 58 Цэвэрлэгээний бүтээгдэхүүн 84,800,000 42,332,275 Их мандах очир ХХК Улаанбаатар хот 59 Цэвэрлэгээний бүтээгдэхүүн 8,319,800 - Дүүхээ ХХК Улаанбаатар хот 60 Цэвэрлэгээний бүтээгдэхүүн 47,529,100 16,614,755 Дүүхээ ХХК Улаанбаатар хот 61 Цэвэрлэгээний бүтээгдэхүүн 15,900,400 15,900,400 Баяжихговь ХХК Улаанбаатар хот 62 Нормын болон зөөлөн эдлэл 10,777,500 11,937,500 Их уул ХХК Улаанбаатар хот 63 Нормын болон зөөлөн эдлэл 2,628,000 2,628,000 Их уул ХХК Улаанбаатар хот 64 Нормын болон зөөлөн эдлэл 9,658,000 9,658,000 Коттон текстайг групп ХХК Улаанбаатар хот 65 Нормын болон зөөлөн эдлэл 8,250,000 8,250,000 Содчавон ХХК Улаанбаатар хот 66 Нормын болон зөөлөн эдлэл 7,082,000 7,082,000 СЭС Бенифит ХХК Улаанбаатар хот 67 Нормын болон зөөлөн эдлэл 13,250,000 13,250,000 Алтан-Оч бадрал ХХК Улаанбаатар хот