Download free for 30 days
Sign in
Upload
Language (EN)
Support
Business
Mobile
Social Media
Marketing
Technology
Art & Photos
Career
Design
Education
Presentations & Public Speaking
Government & Nonprofit
Healthcare
Internet
Law
Leadership & Management
Automotive
Engineering
Software
Recruiting & HR
Retail
Sales
Services
Science
Small Business & Entrepreneurship
Food
Environment
Economy & Finance
Data & Analytics
Investor Relations
Sports
Spiritual
News & Politics
Travel
Self Improvement
Real Estate
Entertainment & Humor
Health & Medicine
Devices & Hardware
Lifestyle
Change Language
Language
English
Español
Português
Français
Deutsche
Cancel
Save
Submit search
EN
Uploaded by
Nilesh Baglekar
PDF, PPTX
157 views
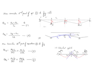
3.7 three moment equation derivation
Derivation of three moment theorem.
Engineering
◦
Read more
0
Save
Share
Embed
Embed presentation
Download
Download as PDF, PPTX
1
/ 9
2
/ 9
3
/ 9
4
/ 9
5
/ 9
6
/ 9
7
/ 9
8
/ 9
9
/ 9
More Related Content
PDF
Castigliano's thm for beam and frame
by
Nilesh Baglekar
PDF
3.6 force method problems (final)
by
Nilesh Baglekar
PDF
3.5 force method problems using matrices.
by
Nilesh Baglekar
PDF
3.4 portal frames by force method
by
Nilesh Baglekar
PDF
3.3 force method (beam problems)
by
Nilesh Baglekar
PDF
3.2 force method
by
Nilesh Baglekar
PDF
3.1 betti's law and maxwell's receprocal theorem
by
Nilesh Baglekar
PDF
1.4 vertual work method method problems
by
Nilesh Baglekar
Castigliano's thm for beam and frame
by
Nilesh Baglekar
3.6 force method problems (final)
by
Nilesh Baglekar
3.5 force method problems using matrices.
by
Nilesh Baglekar
3.4 portal frames by force method
by
Nilesh Baglekar
3.3 force method (beam problems)
by
Nilesh Baglekar
3.2 force method
by
Nilesh Baglekar
3.1 betti's law and maxwell's receprocal theorem
by
Nilesh Baglekar
1.4 vertual work method method problems
by
Nilesh Baglekar
Recently uploaded
DOCX
Hallucination Reduction In Generative Artificial Intelligence (1).docx
by
21nitinsinha
PPTX
ccs336 unit I.pptx cloud service management
by
vjsnetcafe
PPTX
battery energy storage system (BESS).pptx
by
manish99skp
PPTX
Diagram of Control Valves used in Industrial Fluid Power.pptx
by
SBM Polytechnic
PDF
Software Engineering : Process Models.
by
GunjalSanjay
PPTX
Tips for Designing Flex Circuits for Medical Applications
by
Epec Engineered Technologies
PDF
TRUSTWORTHY AI: BUILDING SAFE AND ETHICAL MACHINE LEARNING SYSTEMS
by
Adri Jovin
PPTX
Next-Gen Satellite Imaging: Optimizing High-Resolution Remote Sensing with Ad...
by
raghabBsingh
PDF
Software Engineering : Process Model
by
GunjalSanjay
PPTX
FROM MEASUREMENT TO MEANING : Metrology-Driven Battery Testing for Reliable ...
by
RunjhunDutta
PDF
BCS402 MICROCONTROLLERS MODULE 1
by
Abhijith L Kotian
PPTX
24ME402-ENGINEERING MATERIALS AND METALLURGY --- UNIT-II
by
DJAGADEESH1
PDF
PROBLEM SLOVING AND PYTHON PROGRAMMING UNIT 2.pdf
by
A R SIVANESH M.E., QIP-PG (Cyber Security)., (Ph.D)
PPTX
An Early Production Facility (EPF) is a modular, temporary system for rapidly...
by
DrAdelSalem1
PPTX
Lecture 2 Machine tool - time calculations
by
pushkarkamble2
PPT
Chapter_4 Diffusion (1) Chapter_4 Diffusion (1 Chapter_4 Diffusion (1 Chapter...
by
AlazarAlemu1
PDF
Requirement Engineering : Capturing the Requirements
by
GunjalSanjay
PPTX
24ME402-ENGINEERING MATERIALS AND METALLURGY --- UNIT-I
by
DJAGADEESH1
PPTX
Module 1- foundation of data science IT25201.pptx
by
RSUMATHY1
PDF
Software Engineering : Nature of Software
by
GunjalSanjay
Hallucination Reduction In Generative Artificial Intelligence (1).docx
by
21nitinsinha
ccs336 unit I.pptx cloud service management
by
vjsnetcafe
battery energy storage system (BESS).pptx
by
manish99skp
Diagram of Control Valves used in Industrial Fluid Power.pptx
by
SBM Polytechnic
Software Engineering : Process Models.
by
GunjalSanjay
Tips for Designing Flex Circuits for Medical Applications
by
Epec Engineered Technologies
TRUSTWORTHY AI: BUILDING SAFE AND ETHICAL MACHINE LEARNING SYSTEMS
by
Adri Jovin
Next-Gen Satellite Imaging: Optimizing High-Resolution Remote Sensing with Ad...
by
raghabBsingh
Software Engineering : Process Model
by
GunjalSanjay
FROM MEASUREMENT TO MEANING : Metrology-Driven Battery Testing for Reliable ...
by
RunjhunDutta
BCS402 MICROCONTROLLERS MODULE 1
by
Abhijith L Kotian
24ME402-ENGINEERING MATERIALS AND METALLURGY --- UNIT-II
by
DJAGADEESH1
PROBLEM SLOVING AND PYTHON PROGRAMMING UNIT 2.pdf
by
A R SIVANESH M.E., QIP-PG (Cyber Security)., (Ph.D)
An Early Production Facility (EPF) is a modular, temporary system for rapidly...
by
DrAdelSalem1
Lecture 2 Machine tool - time calculations
by
pushkarkamble2
Chapter_4 Diffusion (1) Chapter_4 Diffusion (1 Chapter_4 Diffusion (1 Chapter...
by
AlazarAlemu1
Requirement Engineering : Capturing the Requirements
by
GunjalSanjay
24ME402-ENGINEERING MATERIALS AND METALLURGY --- UNIT-I
by
DJAGADEESH1
Module 1- foundation of data science IT25201.pptx
by
RSUMATHY1
Software Engineering : Nature of Software
by
GunjalSanjay
Featured
PDF
2024 Trend Updates: What Really Works In SEO & Content Marketing
by
Search Engine Journal
PDF
Storytelling For The Web: Integrate Storytelling in your Design Process
by
Chiara Aliotta
PDF
Artificial Intelligence, Data and Competition – SCHREPEL – June 2024 OECD dis...
by
OECD Directorate for Financial and Enterprise Affairs
PDF
How to Leverage AI to Boost Employee Wellness - Lydia Di Francesco - SocialHR...
by
SocialHRCamp
PDF
2024 State of Marketing Report – by Hubspot
by
Marius Sescu
PDF
Everything You Need To Know About ChatGPT
by
Expeed Software
PDF
Product Design Trends in 2024 | Teenage Engineerings
by
Pixeldarts
PDF
How Race, Age and Gender Shape Attitudes Towards Mental Health
by
ThinkNow
PDF
AI Trends in Creative Operations 2024 by Artwork Flow.pdf
by
marketingartwork
PDF
Skeleton Culture Code
by
Skeleton Technologies
PDF
PEPSICO Presentation to CAGNY Conference Feb 2024
by
Neil Kimberley
PDF
Content Methodology: A Best Practices Report (Webinar)
by
contently
PPTX
How to Prepare For a Successful Job Search for 2024
by
Albert Qian
PDF
Social Media Marketing Trends 2024 // The Global Indie Insights
by
Kurio // The Social Media Age(ncy)
PDF
Trends In Paid Search: Navigating The Digital Landscape In 2024
by
Search Engine Journal
PDF
5 Public speaking tips from TED - Visualized summary
by
SpeakerHub
PDF
ChatGPT and the Future of Work - Clark Boyd
by
Clark Boyd
PDF
Getting into the tech field. what next
by
Tessa Mero
PDF
Google's Just Not That Into You: Understanding Core Updates & Search Intent
by
Lily Ray
PDF
How to have difficult conversations
by
Rajiv Jayarajah, MAppComm, ACC
2024 Trend Updates: What Really Works In SEO & Content Marketing
by
Search Engine Journal
Storytelling For The Web: Integrate Storytelling in your Design Process
by
Chiara Aliotta
Artificial Intelligence, Data and Competition – SCHREPEL – June 2024 OECD dis...
by
OECD Directorate for Financial and Enterprise Affairs
How to Leverage AI to Boost Employee Wellness - Lydia Di Francesco - SocialHR...
by
SocialHRCamp
2024 State of Marketing Report – by Hubspot
by
Marius Sescu
Everything You Need To Know About ChatGPT
by
Expeed Software
Product Design Trends in 2024 | Teenage Engineerings
by
Pixeldarts
How Race, Age and Gender Shape Attitudes Towards Mental Health
by
ThinkNow
AI Trends in Creative Operations 2024 by Artwork Flow.pdf
by
marketingartwork
Skeleton Culture Code
by
Skeleton Technologies
PEPSICO Presentation to CAGNY Conference Feb 2024
by
Neil Kimberley
Content Methodology: A Best Practices Report (Webinar)
by
contently
How to Prepare For a Successful Job Search for 2024
by
Albert Qian
Social Media Marketing Trends 2024 // The Global Indie Insights
by
Kurio // The Social Media Age(ncy)
Trends In Paid Search: Navigating The Digital Landscape In 2024
by
Search Engine Journal
5 Public speaking tips from TED - Visualized summary
by
SpeakerHub
ChatGPT and the Future of Work - Clark Boyd
by
Clark Boyd
Getting into the tech field. what next
by
Tessa Mero
Google's Just Not That Into You: Understanding Core Updates & Search Intent
by
Lily Ray
How to have difficult conversations
by
Rajiv Jayarajah, MAppComm, ACC
Download