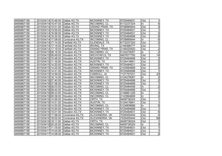
Wireless Number Date Time Orig. City/State Called City/State Dialed Number In/Out Minutes
4695867156 2015/04/09 07:06:00 Dallas 4G,TX GLENDALE, TX 8172237324 Out 1
4695867156 2015/04/09 07:07:00 Dallas 4G,TX GLENDALE, TX 8172237324 Out 10
4695867156 2015/04/09 09:14:00 Dallas 4G,TX GRAND PRAR, TX 9724894919 Out 7
4695867156 2015/04/09 09:42:00 Dallas 4G,TX GRAND PRAR, TX 2147148932 Out 8
4695867156 2015/04/09 12:32:00 Dallas 4G,TX GLENDALE, TX 8172237324 Out 2
4695867156 2015/04/09 12:54:00 Dallas 4G,TX WICHITAFLS, TX 9407825636 Out 1
4695867156 2015/04/09 13:06:00 Dallas 4G,TX GLENDALE, TX 8172237324 Out 4
4695867156 2015/04/09 15:17:00 Dallas 4G,TX AUSTIN, TX 5124419941 Out 6
4695867156 2015/04/09 15:34:00 Dallas 4G,TX MCKINNEY, TX 9725484698 Out 1
4695867156 2015/04/09 15:34:00 Dallas 4G,TX WICHITAFLS, TX 9407825636 Out 1
4695867156 2015/04/09 15:41:00 Dallas 4G,TX INCOMING, CL 9407825636 In 7
4695867156 2015/04/09 16:43:00 Dallas 4G,TX PLANO, TX 9727583800 Out 6
4695867156 2015/04/10 11:48:00 Dallas 4G,TX MCKINNEY, TX 9725484631 Out 1
4695867156 2015/04/10 13:55:00 Dallas 4G,TX GRAND PRAR, TX 2149246900 Out 2
4695867156 2015/04/10 13:57:00 Dallas 4G,TX INCOMING, CL 2149246900 In 4
4695867156 2015/04/10 14:05:00 Dallas 4G,TX MCKINNEY, TX 9725484631 Out 1
4695867156 2015/04/10 14:51:00 Dallas 4G,TX MCKINNEY, TX 9725484631 Out 2
4695867156 2015/04/10 14:55:00 Dallas 4G,TX INCOMING, CL 4695867156 In 1
4695867156 2015/04/12 16:20:00 Dallas 4G,TX GLENDALE, TX 8172237324 Out 7
4695867156 2015/04/13 15:32:00 Dallas 4G,TX AUSTIN, TX 5124630594 Out 2
4695867156 2015/04/13 15:35:00 Dallas 4G,TX AUSTIN, TX 5125897868 Out 1
4695867156 2015/04/13 15:36:00 Dallas 4G,TX INCOMING, CL 5125897868 In 3
4695867156 2015/04/13 16:45:00 Dallas 4G,TX INCOMING, CL 2144443064 In 8
4695867156 2015/04/14 08:43:00 Dallas 4G,TX GRAND PRAR, TX 2147148932 Out 2
4695867156 2015/04/14 11:09:00 Dallas 4G,TX MCKINNEY, TX 9725484631 Out 2
4695867156 2015/04/14 11:59:00 Dallas 4G,TX DALLAS, TX 2142435202 Out 2
4695867156 2015/04/14 12:06:00 Dallas 4G,TX GRAND PRAR, TX 2146867106 Out 2
4695867156 2015/04/14 13:23:00 Dallas 4G,TX MCKINNEY, TX 9725484631 Out 1
4695867156 2015/04/14 13:29:00 Dallas 4G,TX GLENDALE, TX 8172237324 Out 5
4695867156 2015/04/14 14:51:00 Dallas 4G,TX MCKINNEY, TX 9725484698 Out 1
4695867156 2015/04/14 15:16:00 Dallas 4G,TX IRVING, TX 2146368777 Out 4
4695867156 2015/04/14 15:21:00 Dallas 4G,TX AUSTIN, TX 5124630112 Out 1
4695867156 2015/04/14 15:24:00 Dallas 4G,TX INCOMING, CL 2146368777 In 2
4695867156 2015/04/14 15:26:00 Dallas 4G,TX GLENDALE, TX 8172237324 Out 1
4695867156 2015/04/14 15:40:00 Dallas 4G,TX MCKINNEY, TX 9725484631 Out 4
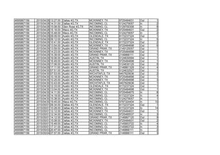
4695867156 2015/04/14 15:46:00 Dallas 4G,TX MCKINNEY, TX 9725484631 Out 1
4695867156 2015/04/14 15:47:00 Dallas 4G,TX INCOMING, CL 8172237324 In 4
4695867156 2015/04/14 15:51:00 Dallas 4G,TX GRAND PRAR, TX 9728980644 Out 2
4695867156 2015/04/14 15:55:00 Dallas 4G,TX MCKINNEY, TX 9725484631 Out 1
4695867156 2015/04/14 16:06:00 Dallas 4G,TX MCKINNEY, TX 9725484631 Out 3
4695867156 2015/04/14 16:30:00 Dallas 4G,TX MCKINNEY, TX 9725484698 Out 6
4695867156 2015/04/14 17:08:00 Corsicana 4G,TX INCOMING, CL 9728980644 In 6
4695867156 2015/04/14 17:14:00 Fairfield 4G,TX GLENDALE, TX 8172237324 Out 2
4695867156 2015/04/14 17:15:00 Fairfield 4G,TX IRVING, TX 2146368777 Out 1
4695867156 2015/04/14 17:19:00 Fairfield 4G,TX GRAND PRAR, TX 2146420920 Out 2
4695867156 2015/04/15 09:16:00 Houston 4G,TX INCOMING, CL 5124279057 In 2
4695867156 2015/04/15 09:49:00 Houston 4G,TX WICHITAFLS, TX 9407677750 Out 14
4695867156 2015/04/15 10:48:00 Houston 4G,TX MCKINNEY, TX 9725484698 Out 2
4695867156 2015/04/15 11:16:00 Houston 4G,TX AUSTIN, TX 5124419941 Out 2
4695867156 2015/04/15 14:20:00 Houston 4G,TX MCKINNEY, TX 9725484631 Out 2
4695867156 2015/04/15 14:22:00 Houston 4G,TX GRAND PRAR, TX 2143564808 Out 2
4695867156 2015/04/15 14:41:00 Houston 4G,TX MCKINNEY, TX 9725484698 Out 1
4695867156 2015/04/15 14:59:00 Houston 4G,TX CARROLL, IA 7127757031 Out 23
4695867156 2015/04/15 16:14:00 Houston 4G,TX INCOMING, CL 5124279057 In 2
4695867156 2015/04/16 07:40:00 Houston 4G,TX MCKINNEY, TX 9725484698 Out 2
4695867156 2015/04/16 07:58:00 Houston 4G,TX MCKINNEY, TX 9725484698 Out 1
4695867156 2015/04/16 08:03:00 Houston 4G,TX INCOMING, CL 9725484548 In 2
4695867156 2015/04/16 08:42:00 Houston 4G,TX MCKINNEY, TX 9725484698 Out 1
4695867156 2015/04/16 08:43:00 Houston 4G,TX INCOMING, CL 2146861329 In 3
4695867156 2015/04/16 09:39:00 Houston 4G,TX INCOMING, CL 2143564808 In 2
4695867156 2015/04/16 14:06:00 Houston 4G,TX ORTH, TX 9408738324 Out 1
4695867156 2015/04/16 14:51:00 Houston 4G,TX AUSTIN, TX 5124419941 Out 1
4695867156 2015/04/16 14:53:00 Houston 4G,TX INCOMING, CL 5124809688 In 5
4695867156 2015/04/16 15:00:00 Houston 4G,TX MCKINNEY, TX 9725484698 Out 1
4695867156 2015/04/16 15:01:00 Houston 4G,TX MCKINNEY, TX 9725484631 Out 6
4695867156 2015/04/16 17:58:00 Corsicana 4G,TX ALEXANDRIA, VA 7035455444 Out 4
4695867156 2015/04/16 18:02:00 Corsicana 4G,TX ALEXANDRIA, VA 7035455444 Out 69
4695867156 2015/04/16 19:11:00 Dallas 4G,TX ORTH, TX 9408738324 Out 1
4695867156 2015/04/16 20:25:00 Dallas 4G,TX INCOMING, CL 9408738324 In 3
4695867156 2015/04/17 11:18:00 Dallas 4G,TX MCKINNEY, TX 9725484631 Out 1
4695867156 2015/04/17 14:04:00 Dallas 4G,TX MCKINNEY, TX 9725484631 Out 1
4695867156 2015/04/17 14:08:00 Dallas 4G,TX MCKINNEY, TX 9725484631 Out 2
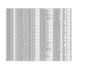
4695867156 2015/04/17 14:11:00 Dallas 4G,TX AUSTIN, TX 5124419941 Out 1
4695867156 2015/04/17 14:14:00 Dallas 4G,TX MCKINNEY, TX 9725484675 Out 1
4695867156 2015/04/17 15:18:00 Dallas 4G,TX INCOMING, CL 5124809688 In 8
4695867156 2015/04/17 15:58:00 Dallas 4G,TX MCKINNEY, TX 9725484698 Out 1
4695867156 2015/04/17 16:16:00 Dallas 4G,TX MCKINNEY, TX 9725484631 Out 2
4695867156 2015/04/18 11:47:00 Dallas 4G,TX INCOMING, CL 9408738324 In 3
4695867156 2015/04/20 09:41:00 Dallas 4G,TX GREENVILLE, TX 9033039371 Out 7
4695867156 2015/04/20 10:35:00 Dallas 4G,TX ORTH, TX 9408738324 Out 1
4695867156 2015/04/20 12:12:00 Dallas 4G,TX INCOMING, CL 9408738324 In 1
4695867156 2015/04/20 15:33:00 Dallas 4G,TX ARLINGTON, TX 8172711200 Out 3
4695867156 2015/04/20 15:58:00 Dallas 4G,TX MCKINNEY, TX 9725484631 Out 2
4695867156 2015/04/20 16:08:00 Dallas 4G,TX INCOMING, CL 9725484631 In 2
4695867156 2015/04/21 07:44:00 Austin 4G,TX MCKINNEY, TX 9725484631 Out 2
4695867156 2015/04/21 07:49:00 Austin 4G,TX AUSTIN, TX 5126362527 Out 1
4695867156 2015/04/21 07:56:00 Austin 4G,TX INCOMING, CL 9725484631 In 2
4695867156 2015/04/21 08:00:00 Austin 4G,TX INCOMING, CL 9725484631 In 1
4695867156 2015/04/21 09:25:00 Austin 4G,TX MCKINNEY, TX 9725484631 Out 1
4695867156 2015/04/21 09:26:00 Austin 4G,TX MCKINNEY, TX 9725484675 Out 1
4695867156 2015/04/21 09:27:00 Austin 4G,TX MCKINNEY, TX 9725484631 Out 2
4695867156 2015/04/21 09:46:00 Austin 4G,TX MCKINNEY, TX 9725484698 Out 1
4695867156 2015/04/21 09:51:00 Austin 4G,TX GRAND PRAR, TX 2144443064 Out 6
4695867156 2015/04/21 09:57:00 Austin 4G,TX MCKINNEY, TX 9725484631 Out 1
4695867156 2015/04/21 11:12:00 Austin 4G,TX MCKINNEY, TX 9725484631 Out 1
4695867156 2015/04/21 13:19:00 Austin 4G,TX MCKINNEY, TX 9725484631 Out 1
4695867156 2015/04/21 13:57:00 Austin 4G,TX MCKINNEY, TX 9725484698 Out 1
4695867156 2015/04/21 14:01:00 Austin 4G,TX MCKINNEY, TX 9725484631 Out 2
4695867156 2015/04/21 14:17:00 Austin 4G,TX INCOMING, CL 2144443064 In 1
4695867156 2015/04/21 14:18:00 Austin 4G,TX INCOMING, CL 2144443064 In 10
4695867156 2015/04/21 14:36:00 Temple/Kileen 4G,TX MCKINNEY, TX 9725484698 Out 1
4695867156 2015/04/21 15:23:00 Waco 4G,TX INCOMING, CL 9725484675 In 10
4695867156 2015/04/21 15:44:00 Waco 4G,TX MCKINNEY, TX 9725484698 Out 1
4695867156 2015/04/21 15:56:00 Dallas 4G,TX INCOMING, CL 9725484675 In 2
4695867156 2015/04/21 16:28:00 Dallas 4G,TX MCKINNEY, TX 9725484698 Out 4
4695867156 2015/04/22 09:41:00 Dallas 4G,TX PLANO, TX 4693040382 Out 1
4695867156 2015/04/22 15:22:00 Dallas 4G,TX MCKINNEY, TX 9725484698 Out 1
4695867156 2015/04/22 15:49:00 Dallas 4G,TX INCOMING, CL 2144443064 In 2
4695867156 2015/04/22 15:58:00 Dallas 4G,TX SCRM MAIN, CA 9165587514 Out 39
4695867156 2015/04/22 16:48:00 Dallas 4G,TX IRVING, TX 2146368777 Out 2
4695867156 2015/04/22 17:13:00 Dallas 4G,TX GRAND PRAR, TX 2146861329 Out 1
4695867156 2015/04/22 19:45:00 Dallas 4G,TX INCOMING, CL 2146861329 In 4
4695867156 2015/04/23 11:21:00 Dallas 4G,TX MCKINNEY, TX 9725484698 Out 1
4695867156 2015/04/23 11:22:00 Dallas 4G,TX GRAND PRAR, TX 2146866111 Out 1
4695867156 2015/04/23 11:24:00 Dallas 4G,TX MCKINNEY, TX 9725484186 Out 6
4695867156 2015/04/23 11:29:00 Dallas 4G,TX GRAND PRAR, TX 2146866111 Out 1
4695867156 2015/04/23 11:30:00 Dallas 4G,TX GRAND PRAR, TX 2146866111 Out 1
4695867156 2015/04/23 11:32:00 Dallas 4G,TX MCKINNEY, TX 9725290246 Out 2
4695867156 2015/04/23 11:39:00 Dallas 4G,TX INCOMING, CL 9725290246 In 2
4695867156 2015/04/23 13:58:00 Dallas 4G,TX INCOMING, CL 9728980644 In 3
4695867156 2015/04/23 14:01:00 Dallas 4G,TX MCKINNEY, TX 9725484698 Out 1
4695867156 2015/04/23 14:08:00 Dallas 4G,TX MCKINNEY, TX 9725484698 Out 3
4695867156 2015/04/23 15:04:00 Dallas 4G,TX INCOMING, CL 4326178426 In 1
4695867156 2015/04/23 15:14:00 Dallas 4G,TX MCKINNEY, TX 9725484186 Out 3
4695867156 2015/04/23 15:33:00 Dallas 4G,TX INCOMING, CL 9725485537 In 1
4695867156 2015/04/23 15:35:00 Dallas 4G,TX MCKINNEY, TX 9725484186 Out 1
4695867156 2015/04/23 16:09:00 Dallas 4G,TX MCKINNEY, TX 9725484631 Out 1
4695867156 2015/04/24 14:35:00 Dallas 4G,TX MCKINNEY, TX 9725484186 Out 2
4695867156 2015/04/24 14:38:00 Dallas 4G,TX INCOMING, CL 9725484186 In 2
4695867156 2015/04/24 15:05:00 Dallas 4G,TX INCOMING, CL 9725484186 In 1
4695867156 2015/04/24 15:38:00 Dallas 4G,TX MCKINNEY, TX 9725484186 Out 1
4695867156 2015/04/24 16:03:00 Dallas 4G,TX INCOMING, CL 9725484186 In 3
4695867156 2015/04/24 16:09:00 Dallas 4G,TX MCKINNEY, TX 9725484186 Out 1
4695867156 2015/04/24 16:10:00 Dallas 4G,TX GRAND PRAR, TX 2146867116 Out 5
4695867156 2015/04/24 16:17:00 Dallas 4G,TX INCOMING, CL 5124279057 In 7
4695867156 2015/04/27 08:00:00 Dallas 4G,TX INCOMING, CL 2144488316 In 8
4695867156 2015/04/27 10:27:00 Dallas 4G,TX MCKINNEY, TX 9725484186 Out 1
4695867156 2015/04/27 10:44:00 Dallas 4G,TX GRAND PRAR, TX 2146867116 Out 2
4695867156 2015/04/27 14:02:00 Dallas 4G,TX GRAND PRAR, TX 2148011272 Out 2
4695867156 2015/04/27 15:06:00 Dallas 4G,TX MCKINNEY, TX 9725484698 Out 1
4695867156 2015/04/27 15:12:00 Dallas 4G,TX AUSTIN, TX 5124630186 Out 3
4695867156 2015/04/27 15:29:00 Dallas 4G,TX INCOMING, CL 9725484675 In 1
4695867156 2015/04/27 15:50:00 Dallas 4G,TX MCKINNEY, TX 9725484631 Out 2
4695867156 2015/04/28 10:50:00 Dallas 4G,TX GLENDALE, TX 8172237324 Out 9
4695867156 2015/04/28 11:07:00 Dallas 4G,TX AUSTIN, TX 5124419941 Out 1
4695867156 2015/04/28 12:26:00 Dallas 4G,TX AUSTIN, TX 5124632527 Out 1
4695867156 2015/04/28 13:27:00 Dallas 4G,TX MCKINNEY, TX 9725484631 Out 1
4695867156 2015/04/28 14:31:00 Dallas 4G,TX INCOMING, CL 5124279057 In 2
4695867156 2015/04/28 15:08:00 Glen Rose 4G,TX INCOMING, CL 5129700308 In 8
4695867156 2015/04/28 15:16:00 Waco 4G,TX MCKINNEY, TX 9725484631 Out 2
4695867156 2015/04/28 15:48:00 Waco 4G,TX INCOMING, CL 5124279057 In 2
4695867156 2015/04/29 09:09:00 Austin 4G,TX GLENDALE, TX 8172237324 Out 1
4695867156 2015/04/29 09:12:00 Austin 4G,TX INCOMING, CL 8172237324 In 5
4695867156 2015/04/29 10:41:00 Austin 4G,TX GLENDALE, TX 8172237324 Out 2
4695867156 2015/04/29 13:54:00 Austin 4G,TX MCKINNEY, TX 9725484698 Out 6
4695867156 2015/04/29 13:59:00 Austin 4G,TX GRAND PRAR, TX 2149125057 Out 1
4695867156 2015/04/29 14:23:00 Austin 4G,TX MCKINNEY, TX 9725484698 Out 1
4695867156 2015/04/29 15:39:00 Austin 4G,TX GRAND PRAR, TX 2146866111 Out 1
4695867156 2015/04/29 16:06:00 Austin 4G,TX AUSTIN, TX 5124630594 Out 1
4695867156 2015/04/29 16:49:00 Austin 4G,TX MCKINNEY, TX 9725484698 Out 1
4695867156 2015/04/29 17:06:00 Austin 4G,TX AUSTIN, TX 5124630125 Out 5
4695867156 2015/04/29 17:11:00 Austin 4G,TX GRAND PRAR, TX 2146861329 Out 4
4695867156 2015/04/30 07:51:00 Austin 4G,TX AUSTIN, TX 5124632527 Out 1
4695867156 2015/04/30 07:53:00 Austin 4G,TX WICHITAFLS, TX 9407825636 Out 2
4695867156 2015/04/30 10:18:00 Austin 4G,TX MCKINNEY, TX 9725484698 Out 1
4695867156 2015/04/30 10:25:00 Austin 4G,TX MCKINNEY, TX 9725484698 Out 3
4695867156 2015/04/30 10:43:00 Austin 4G,TX WICHITAFLS, TX 9407825636 Out 1
4695867156 2015/04/30 12:33:00 Austin 4G,TX GLENDALE, TX 8172237324 Out 1
4695867156 2015/04/30 13:04:00 Austin 4G,TX MCKINNEY, TX 9725484698 Out 1
4695867156 2015/04/30 14:11:00 Austin 4G,TX INCOMING, CL 9725484675 In 8
4695867156 2015/04/30 14:19:00 Austin 4G,TX INCOMING, CL 8172237324 In 4
4695867156 2015/04/30 15:38:00 Austin 4G,TX INCOMING, CL 5124279057 In 1
4695867156 2015/04/30 19:45:00 Waco 4G,TX INCOMING, CL 9797324404 In 10
4695867156 2015/05/01 09:34:00 Dallas 4G,TX GLENDALE, TX 8172237324 Out 1
4695867156 2015/05/01 10:28:00 Dallas 4G,TX INCOMING, CL 8172237324 In 14
4695867156 2015/05/01 12:12:00 Dallas 4G,TX MCKINNEY, TX 9725484631 Out 1
4695867156 2015/05/01 12:34:00 Dallas 4G,TX INCOMING, CL 9725485537 In 3
4695867156 2015/05/01 14:12:00 Dallas 4G,TX GRAND PRAR, TX 2146867120 Out 9
4695867156 2015/05/01 15:08:00 Dallas 4G,TX MCKINNEY, TX 9725484631 Out 2
4695867156 2015/05/01 15:49:00 Dallas 4G,TX INCOMING, CL 2145663722 In 4
4695867156 2015/05/01 17:31:00 Dallas 4G,TX INCOMING, CL 2145663722 In 3
4695867156 2015/05/03 20:47:00 Dallas 4G,TX INCOMING, CL 2146866111 In 2
4695867156 2015/05/04 07:57:00 Dallas 4G,TX GRAND PRAR, TX 2146866111 Out 3
4695867156 2015/05/04 15:21:00 Dallas 4G,TX MCKINNEY, TX 9725484631 Out 2
4695867156 2015/05/04 16:25:00 Dallas 4G,TX PLANO, TX 9725993142 Out 2
4695867156 2015/05/04 16:26:00 Dallas 4G,TX MCKINNEY, TX 9725484631 Out 1
4695867156 2015/05/05 08:03:00 Dallas 4G,TX MCKINNEY, TX 9725484631 Out 2
4695867156 2015/05/05 08:05:00 Dallas 4G,TX MCKINNEY, TX 9725484631 Out 1
4695867156 2015/05/05 11:35:00 Dallas 4G,TX MCKINNEY, TX 9725483723 Out 2
4695867156 2015/05/05 11:37:00 Dallas 4G,TX MCKINNEY, TX 9725484631 Out 2
4695867156 2015/05/05 14:07:00 Dallas 4G,TX INCOMING, CL 2146867106 In 2
4695867156 2015/05/06 08:59:00 Dallas 4G,TX MCKINNEY, TX 9725484136 Out 5
4695867156 2015/05/06 09:40:00 Dallas 4G,TX INCOMING, CL 9727581222 In 4
4695867156 2015/05/06 11:45:00 Dallas 4G,TX MCKINNEY, TX 9725484186 Out 2
4695867156 2015/05/06 12:02:00 Dallas 4G,TX AUSTIN, TX 5124630594 Out 1
4695867156 2015/05/06 13:58:00 Dallas 4G,TX MCKINNEY, TX 9725484186 Out 4
4695867156 2015/05/06 14:08:00 Dallas 4G,TX MCKINNEY, TX 9725475100 Out 4
4695867156 2015/05/06 14:24:00 Dallas 4G,TX MCKINNEY, TX 9725484186 Out 1
4695867156 2015/05/06 14:28:00 Dallas 4G,TX INCOMING, CL 9725484186 In 1
4695867156 2015/05/06 15:08:00 Dallas 4G,TX MCKINNEY, TX 9725484698 Out 2
4695867156 2015/05/06 15:21:00 Dallas 4G,TX INCOMING, CL 9724894919 In 5
4695867156 2015/05/07 13:25:00 Dallas 4G,TX MCKINNEY, TX 9725484698 Out 1
4695867156 2015/05/07 13:55:00 Dallas 4G,TX MCKINNEY, TX 9725484631 Out 1
4695867156 2015/05/07 15:13:00 Dallas 4G,TX MCKINNEY, TX 9725484631 Out 1
4695867156 2015/05/07 16:07:00 Dallas 4G,TX MCKINNEY, TX 9725484631 Out 1
4695867156 2015/05/08 07:30:00 Dallas 4G,TX MCKINNEY, TX 9725484698 Out 2
4695867156 2015/05/08 09:46:00 Dallas 4G,TX MCKINNEY, TX 9725484631 Out 1
4695867156 2015/05/08 09:48:00 Dallas 4G,TX MCKINNEY, TX 9725484631 Out 1
4695867156 2015/05/08 11:02:00 Dallas 4G,TX MCKINNEY, TX 4696677750 Out 1
4695867156 2015/05/08 11:45:00 Dallas 4G,TX INCOMING, CL 8173329710 In 3
4695867156 2015/05/08 16:54:00 Dallas 4G,TX WICHITAFLS, TX 9407825636 Out 1
4695867156 2015/05/08 18:07:00 Dallas 4G,TX INCOMING, CL 9407825636 In 4

2015 05

  • 1.
    Wireless Number DateTime Orig. City/State Called City/State Dialed Number In/Out Minutes 4695867156 2015/04/09 07:06:00 Dallas 4G,TX GLENDALE, TX 8172237324 Out 1 4695867156 2015/04/09 07:07:00 Dallas 4G,TX GLENDALE, TX 8172237324 Out 10 4695867156 2015/04/09 09:14:00 Dallas 4G,TX GRAND PRAR, TX 9724894919 Out 7 4695867156 2015/04/09 09:42:00 Dallas 4G,TX GRAND PRAR, TX 2147148932 Out 8 4695867156 2015/04/09 12:32:00 Dallas 4G,TX GLENDALE, TX 8172237324 Out 2 4695867156 2015/04/09 12:54:00 Dallas 4G,TX WICHITAFLS, TX 9407825636 Out 1 4695867156 2015/04/09 13:06:00 Dallas 4G,TX GLENDALE, TX 8172237324 Out 4 4695867156 2015/04/09 15:17:00 Dallas 4G,TX AUSTIN, TX 5124419941 Out 6 4695867156 2015/04/09 15:34:00 Dallas 4G,TX MCKINNEY, TX 9725484698 Out 1 4695867156 2015/04/09 15:34:00 Dallas 4G,TX WICHITAFLS, TX 9407825636 Out 1 4695867156 2015/04/09 15:41:00 Dallas 4G,TX INCOMING, CL 9407825636 In 7 4695867156 2015/04/09 16:43:00 Dallas 4G,TX PLANO, TX 9727583800 Out 6 4695867156 2015/04/10 11:48:00 Dallas 4G,TX MCKINNEY, TX 9725484631 Out 1 4695867156 2015/04/10 13:55:00 Dallas 4G,TX GRAND PRAR, TX 2149246900 Out 2 4695867156 2015/04/10 13:57:00 Dallas 4G,TX INCOMING, CL 2149246900 In 4 4695867156 2015/04/10 14:05:00 Dallas 4G,TX MCKINNEY, TX 9725484631 Out 1 4695867156 2015/04/10 14:51:00 Dallas 4G,TX MCKINNEY, TX 9725484631 Out 2 4695867156 2015/04/10 14:55:00 Dallas 4G,TX INCOMING, CL 4695867156 In 1 4695867156 2015/04/12 16:20:00 Dallas 4G,TX GLENDALE, TX 8172237324 Out 7 4695867156 2015/04/13 15:32:00 Dallas 4G,TX AUSTIN, TX 5124630594 Out 2 4695867156 2015/04/13 15:35:00 Dallas 4G,TX AUSTIN, TX 5125897868 Out 1 4695867156 2015/04/13 15:36:00 Dallas 4G,TX INCOMING, CL 5125897868 In 3 4695867156 2015/04/13 16:45:00 Dallas 4G,TX INCOMING, CL 2144443064 In 8 4695867156 2015/04/14 08:43:00 Dallas 4G,TX GRAND PRAR, TX 2147148932 Out 2 4695867156 2015/04/14 11:09:00 Dallas 4G,TX MCKINNEY, TX 9725484631 Out 2 4695867156 2015/04/14 11:59:00 Dallas 4G,TX DALLAS, TX 2142435202 Out 2 4695867156 2015/04/14 12:06:00 Dallas 4G,TX GRAND PRAR, TX 2146867106 Out 2 4695867156 2015/04/14 13:23:00 Dallas 4G,TX MCKINNEY, TX 9725484631 Out 1 4695867156 2015/04/14 13:29:00 Dallas 4G,TX GLENDALE, TX 8172237324 Out 5 4695867156 2015/04/14 14:51:00 Dallas 4G,TX MCKINNEY, TX 9725484698 Out 1 4695867156 2015/04/14 15:16:00 Dallas 4G,TX IRVING, TX 2146368777 Out 4 4695867156 2015/04/14 15:21:00 Dallas 4G,TX AUSTIN, TX 5124630112 Out 1 4695867156 2015/04/14 15:24:00 Dallas 4G,TX INCOMING, CL 2146368777 In 2 4695867156 2015/04/14 15:26:00 Dallas 4G,TX GLENDALE, TX 8172237324 Out 1 4695867156 2015/04/14 15:40:00 Dallas 4G,TX MCKINNEY, TX 9725484631 Out 4
  • 2.
    4695867156 2015/04/14 15:46:00Dallas 4G,TX MCKINNEY, TX 9725484631 Out 1 4695867156 2015/04/14 15:47:00 Dallas 4G,TX INCOMING, CL 8172237324 In 4 4695867156 2015/04/14 15:51:00 Dallas 4G,TX GRAND PRAR, TX 9728980644 Out 2 4695867156 2015/04/14 15:55:00 Dallas 4G,TX MCKINNEY, TX 9725484631 Out 1 4695867156 2015/04/14 16:06:00 Dallas 4G,TX MCKINNEY, TX 9725484631 Out 3 4695867156 2015/04/14 16:30:00 Dallas 4G,TX MCKINNEY, TX 9725484698 Out 6 4695867156 2015/04/14 17:08:00 Corsicana 4G,TX INCOMING, CL 9728980644 In 6 4695867156 2015/04/14 17:14:00 Fairfield 4G,TX GLENDALE, TX 8172237324 Out 2 4695867156 2015/04/14 17:15:00 Fairfield 4G,TX IRVING, TX 2146368777 Out 1 4695867156 2015/04/14 17:19:00 Fairfield 4G,TX GRAND PRAR, TX 2146420920 Out 2 4695867156 2015/04/15 09:16:00 Houston 4G,TX INCOMING, CL 5124279057 In 2 4695867156 2015/04/15 09:49:00 Houston 4G,TX WICHITAFLS, TX 9407677750 Out 14 4695867156 2015/04/15 10:48:00 Houston 4G,TX MCKINNEY, TX 9725484698 Out 2 4695867156 2015/04/15 11:16:00 Houston 4G,TX AUSTIN, TX 5124419941 Out 2 4695867156 2015/04/15 14:20:00 Houston 4G,TX MCKINNEY, TX 9725484631 Out 2 4695867156 2015/04/15 14:22:00 Houston 4G,TX GRAND PRAR, TX 2143564808 Out 2 4695867156 2015/04/15 14:41:00 Houston 4G,TX MCKINNEY, TX 9725484698 Out 1 4695867156 2015/04/15 14:59:00 Houston 4G,TX CARROLL, IA 7127757031 Out 23 4695867156 2015/04/15 16:14:00 Houston 4G,TX INCOMING, CL 5124279057 In 2 4695867156 2015/04/16 07:40:00 Houston 4G,TX MCKINNEY, TX 9725484698 Out 2 4695867156 2015/04/16 07:58:00 Houston 4G,TX MCKINNEY, TX 9725484698 Out 1 4695867156 2015/04/16 08:03:00 Houston 4G,TX INCOMING, CL 9725484548 In 2 4695867156 2015/04/16 08:42:00 Houston 4G,TX MCKINNEY, TX 9725484698 Out 1 4695867156 2015/04/16 08:43:00 Houston 4G,TX INCOMING, CL 2146861329 In 3 4695867156 2015/04/16 09:39:00 Houston 4G,TX INCOMING, CL 2143564808 In 2 4695867156 2015/04/16 14:06:00 Houston 4G,TX ORTH, TX 9408738324 Out 1 4695867156 2015/04/16 14:51:00 Houston 4G,TX AUSTIN, TX 5124419941 Out 1 4695867156 2015/04/16 14:53:00 Houston 4G,TX INCOMING, CL 5124809688 In 5 4695867156 2015/04/16 15:00:00 Houston 4G,TX MCKINNEY, TX 9725484698 Out 1 4695867156 2015/04/16 15:01:00 Houston 4G,TX MCKINNEY, TX 9725484631 Out 6 4695867156 2015/04/16 17:58:00 Corsicana 4G,TX ALEXANDRIA, VA 7035455444 Out 4 4695867156 2015/04/16 18:02:00 Corsicana 4G,TX ALEXANDRIA, VA 7035455444 Out 69 4695867156 2015/04/16 19:11:00 Dallas 4G,TX ORTH, TX 9408738324 Out 1 4695867156 2015/04/16 20:25:00 Dallas 4G,TX INCOMING, CL 9408738324 In 3 4695867156 2015/04/17 11:18:00 Dallas 4G,TX MCKINNEY, TX 9725484631 Out 1 4695867156 2015/04/17 14:04:00 Dallas 4G,TX MCKINNEY, TX 9725484631 Out 1 4695867156 2015/04/17 14:08:00 Dallas 4G,TX MCKINNEY, TX 9725484631 Out 2
  • 3.
    4695867156 2015/04/17 14:11:00Dallas 4G,TX AUSTIN, TX 5124419941 Out 1 4695867156 2015/04/17 14:14:00 Dallas 4G,TX MCKINNEY, TX 9725484675 Out 1 4695867156 2015/04/17 15:18:00 Dallas 4G,TX INCOMING, CL 5124809688 In 8 4695867156 2015/04/17 15:58:00 Dallas 4G,TX MCKINNEY, TX 9725484698 Out 1 4695867156 2015/04/17 16:16:00 Dallas 4G,TX MCKINNEY, TX 9725484631 Out 2 4695867156 2015/04/18 11:47:00 Dallas 4G,TX INCOMING, CL 9408738324 In 3 4695867156 2015/04/20 09:41:00 Dallas 4G,TX GREENVILLE, TX 9033039371 Out 7 4695867156 2015/04/20 10:35:00 Dallas 4G,TX ORTH, TX 9408738324 Out 1 4695867156 2015/04/20 12:12:00 Dallas 4G,TX INCOMING, CL 9408738324 In 1 4695867156 2015/04/20 15:33:00 Dallas 4G,TX ARLINGTON, TX 8172711200 Out 3 4695867156 2015/04/20 15:58:00 Dallas 4G,TX MCKINNEY, TX 9725484631 Out 2 4695867156 2015/04/20 16:08:00 Dallas 4G,TX INCOMING, CL 9725484631 In 2 4695867156 2015/04/21 07:44:00 Austin 4G,TX MCKINNEY, TX 9725484631 Out 2 4695867156 2015/04/21 07:49:00 Austin 4G,TX AUSTIN, TX 5126362527 Out 1 4695867156 2015/04/21 07:56:00 Austin 4G,TX INCOMING, CL 9725484631 In 2 4695867156 2015/04/21 08:00:00 Austin 4G,TX INCOMING, CL 9725484631 In 1 4695867156 2015/04/21 09:25:00 Austin 4G,TX MCKINNEY, TX 9725484631 Out 1 4695867156 2015/04/21 09:26:00 Austin 4G,TX MCKINNEY, TX 9725484675 Out 1 4695867156 2015/04/21 09:27:00 Austin 4G,TX MCKINNEY, TX 9725484631 Out 2 4695867156 2015/04/21 09:46:00 Austin 4G,TX MCKINNEY, TX 9725484698 Out 1 4695867156 2015/04/21 09:51:00 Austin 4G,TX GRAND PRAR, TX 2144443064 Out 6 4695867156 2015/04/21 09:57:00 Austin 4G,TX MCKINNEY, TX 9725484631 Out 1 4695867156 2015/04/21 11:12:00 Austin 4G,TX MCKINNEY, TX 9725484631 Out 1 4695867156 2015/04/21 13:19:00 Austin 4G,TX MCKINNEY, TX 9725484631 Out 1 4695867156 2015/04/21 13:57:00 Austin 4G,TX MCKINNEY, TX 9725484698 Out 1 4695867156 2015/04/21 14:01:00 Austin 4G,TX MCKINNEY, TX 9725484631 Out 2 4695867156 2015/04/21 14:17:00 Austin 4G,TX INCOMING, CL 2144443064 In 1 4695867156 2015/04/21 14:18:00 Austin 4G,TX INCOMING, CL 2144443064 In 10 4695867156 2015/04/21 14:36:00 Temple/Kileen 4G,TX MCKINNEY, TX 9725484698 Out 1 4695867156 2015/04/21 15:23:00 Waco 4G,TX INCOMING, CL 9725484675 In 10 4695867156 2015/04/21 15:44:00 Waco 4G,TX MCKINNEY, TX 9725484698 Out 1 4695867156 2015/04/21 15:56:00 Dallas 4G,TX INCOMING, CL 9725484675 In 2 4695867156 2015/04/21 16:28:00 Dallas 4G,TX MCKINNEY, TX 9725484698 Out 4 4695867156 2015/04/22 09:41:00 Dallas 4G,TX PLANO, TX 4693040382 Out 1 4695867156 2015/04/22 15:22:00 Dallas 4G,TX MCKINNEY, TX 9725484698 Out 1 4695867156 2015/04/22 15:49:00 Dallas 4G,TX INCOMING, CL 2144443064 In 2 4695867156 2015/04/22 15:58:00 Dallas 4G,TX SCRM MAIN, CA 9165587514 Out 39
  • 4.
    4695867156 2015/04/22 16:48:00Dallas 4G,TX IRVING, TX 2146368777 Out 2 4695867156 2015/04/22 17:13:00 Dallas 4G,TX GRAND PRAR, TX 2146861329 Out 1 4695867156 2015/04/22 19:45:00 Dallas 4G,TX INCOMING, CL 2146861329 In 4 4695867156 2015/04/23 11:21:00 Dallas 4G,TX MCKINNEY, TX 9725484698 Out 1 4695867156 2015/04/23 11:22:00 Dallas 4G,TX GRAND PRAR, TX 2146866111 Out 1 4695867156 2015/04/23 11:24:00 Dallas 4G,TX MCKINNEY, TX 9725484186 Out 6 4695867156 2015/04/23 11:29:00 Dallas 4G,TX GRAND PRAR, TX 2146866111 Out 1 4695867156 2015/04/23 11:30:00 Dallas 4G,TX GRAND PRAR, TX 2146866111 Out 1 4695867156 2015/04/23 11:32:00 Dallas 4G,TX MCKINNEY, TX 9725290246 Out 2 4695867156 2015/04/23 11:39:00 Dallas 4G,TX INCOMING, CL 9725290246 In 2 4695867156 2015/04/23 13:58:00 Dallas 4G,TX INCOMING, CL 9728980644 In 3 4695867156 2015/04/23 14:01:00 Dallas 4G,TX MCKINNEY, TX 9725484698 Out 1 4695867156 2015/04/23 14:08:00 Dallas 4G,TX MCKINNEY, TX 9725484698 Out 3 4695867156 2015/04/23 15:04:00 Dallas 4G,TX INCOMING, CL 4326178426 In 1 4695867156 2015/04/23 15:14:00 Dallas 4G,TX MCKINNEY, TX 9725484186 Out 3 4695867156 2015/04/23 15:33:00 Dallas 4G,TX INCOMING, CL 9725485537 In 1 4695867156 2015/04/23 15:35:00 Dallas 4G,TX MCKINNEY, TX 9725484186 Out 1 4695867156 2015/04/23 16:09:00 Dallas 4G,TX MCKINNEY, TX 9725484631 Out 1 4695867156 2015/04/24 14:35:00 Dallas 4G,TX MCKINNEY, TX 9725484186 Out 2 4695867156 2015/04/24 14:38:00 Dallas 4G,TX INCOMING, CL 9725484186 In 2 4695867156 2015/04/24 15:05:00 Dallas 4G,TX INCOMING, CL 9725484186 In 1 4695867156 2015/04/24 15:38:00 Dallas 4G,TX MCKINNEY, TX 9725484186 Out 1 4695867156 2015/04/24 16:03:00 Dallas 4G,TX INCOMING, CL 9725484186 In 3 4695867156 2015/04/24 16:09:00 Dallas 4G,TX MCKINNEY, TX 9725484186 Out 1 4695867156 2015/04/24 16:10:00 Dallas 4G,TX GRAND PRAR, TX 2146867116 Out 5 4695867156 2015/04/24 16:17:00 Dallas 4G,TX INCOMING, CL 5124279057 In 7 4695867156 2015/04/27 08:00:00 Dallas 4G,TX INCOMING, CL 2144488316 In 8 4695867156 2015/04/27 10:27:00 Dallas 4G,TX MCKINNEY, TX 9725484186 Out 1 4695867156 2015/04/27 10:44:00 Dallas 4G,TX GRAND PRAR, TX 2146867116 Out 2 4695867156 2015/04/27 14:02:00 Dallas 4G,TX GRAND PRAR, TX 2148011272 Out 2 4695867156 2015/04/27 15:06:00 Dallas 4G,TX MCKINNEY, TX 9725484698 Out 1 4695867156 2015/04/27 15:12:00 Dallas 4G,TX AUSTIN, TX 5124630186 Out 3 4695867156 2015/04/27 15:29:00 Dallas 4G,TX INCOMING, CL 9725484675 In 1 4695867156 2015/04/27 15:50:00 Dallas 4G,TX MCKINNEY, TX 9725484631 Out 2 4695867156 2015/04/28 10:50:00 Dallas 4G,TX GLENDALE, TX 8172237324 Out 9 4695867156 2015/04/28 11:07:00 Dallas 4G,TX AUSTIN, TX 5124419941 Out 1 4695867156 2015/04/28 12:26:00 Dallas 4G,TX AUSTIN, TX 5124632527 Out 1
  • 5.
    4695867156 2015/04/28 13:27:00Dallas 4G,TX MCKINNEY, TX 9725484631 Out 1 4695867156 2015/04/28 14:31:00 Dallas 4G,TX INCOMING, CL 5124279057 In 2 4695867156 2015/04/28 15:08:00 Glen Rose 4G,TX INCOMING, CL 5129700308 In 8 4695867156 2015/04/28 15:16:00 Waco 4G,TX MCKINNEY, TX 9725484631 Out 2 4695867156 2015/04/28 15:48:00 Waco 4G,TX INCOMING, CL 5124279057 In 2 4695867156 2015/04/29 09:09:00 Austin 4G,TX GLENDALE, TX 8172237324 Out 1 4695867156 2015/04/29 09:12:00 Austin 4G,TX INCOMING, CL 8172237324 In 5 4695867156 2015/04/29 10:41:00 Austin 4G,TX GLENDALE, TX 8172237324 Out 2 4695867156 2015/04/29 13:54:00 Austin 4G,TX MCKINNEY, TX 9725484698 Out 6 4695867156 2015/04/29 13:59:00 Austin 4G,TX GRAND PRAR, TX 2149125057 Out 1 4695867156 2015/04/29 14:23:00 Austin 4G,TX MCKINNEY, TX 9725484698 Out 1 4695867156 2015/04/29 15:39:00 Austin 4G,TX GRAND PRAR, TX 2146866111 Out 1 4695867156 2015/04/29 16:06:00 Austin 4G,TX AUSTIN, TX 5124630594 Out 1 4695867156 2015/04/29 16:49:00 Austin 4G,TX MCKINNEY, TX 9725484698 Out 1 4695867156 2015/04/29 17:06:00 Austin 4G,TX AUSTIN, TX 5124630125 Out 5 4695867156 2015/04/29 17:11:00 Austin 4G,TX GRAND PRAR, TX 2146861329 Out 4 4695867156 2015/04/30 07:51:00 Austin 4G,TX AUSTIN, TX 5124632527 Out 1 4695867156 2015/04/30 07:53:00 Austin 4G,TX WICHITAFLS, TX 9407825636 Out 2 4695867156 2015/04/30 10:18:00 Austin 4G,TX MCKINNEY, TX 9725484698 Out 1 4695867156 2015/04/30 10:25:00 Austin 4G,TX MCKINNEY, TX 9725484698 Out 3 4695867156 2015/04/30 10:43:00 Austin 4G,TX WICHITAFLS, TX 9407825636 Out 1 4695867156 2015/04/30 12:33:00 Austin 4G,TX GLENDALE, TX 8172237324 Out 1 4695867156 2015/04/30 13:04:00 Austin 4G,TX MCKINNEY, TX 9725484698 Out 1 4695867156 2015/04/30 14:11:00 Austin 4G,TX INCOMING, CL 9725484675 In 8 4695867156 2015/04/30 14:19:00 Austin 4G,TX INCOMING, CL 8172237324 In 4 4695867156 2015/04/30 15:38:00 Austin 4G,TX INCOMING, CL 5124279057 In 1 4695867156 2015/04/30 19:45:00 Waco 4G,TX INCOMING, CL 9797324404 In 10 4695867156 2015/05/01 09:34:00 Dallas 4G,TX GLENDALE, TX 8172237324 Out 1 4695867156 2015/05/01 10:28:00 Dallas 4G,TX INCOMING, CL 8172237324 In 14 4695867156 2015/05/01 12:12:00 Dallas 4G,TX MCKINNEY, TX 9725484631 Out 1 4695867156 2015/05/01 12:34:00 Dallas 4G,TX INCOMING, CL 9725485537 In 3 4695867156 2015/05/01 14:12:00 Dallas 4G,TX GRAND PRAR, TX 2146867120 Out 9 4695867156 2015/05/01 15:08:00 Dallas 4G,TX MCKINNEY, TX 9725484631 Out 2 4695867156 2015/05/01 15:49:00 Dallas 4G,TX INCOMING, CL 2145663722 In 4 4695867156 2015/05/01 17:31:00 Dallas 4G,TX INCOMING, CL 2145663722 In 3 4695867156 2015/05/03 20:47:00 Dallas 4G,TX INCOMING, CL 2146866111 In 2 4695867156 2015/05/04 07:57:00 Dallas 4G,TX GRAND PRAR, TX 2146866111 Out 3
  • 6.
    4695867156 2015/05/04 15:21:00Dallas 4G,TX MCKINNEY, TX 9725484631 Out 2 4695867156 2015/05/04 16:25:00 Dallas 4G,TX PLANO, TX 9725993142 Out 2 4695867156 2015/05/04 16:26:00 Dallas 4G,TX MCKINNEY, TX 9725484631 Out 1 4695867156 2015/05/05 08:03:00 Dallas 4G,TX MCKINNEY, TX 9725484631 Out 2 4695867156 2015/05/05 08:05:00 Dallas 4G,TX MCKINNEY, TX 9725484631 Out 1 4695867156 2015/05/05 11:35:00 Dallas 4G,TX MCKINNEY, TX 9725483723 Out 2 4695867156 2015/05/05 11:37:00 Dallas 4G,TX MCKINNEY, TX 9725484631 Out 2 4695867156 2015/05/05 14:07:00 Dallas 4G,TX INCOMING, CL 2146867106 In 2 4695867156 2015/05/06 08:59:00 Dallas 4G,TX MCKINNEY, TX 9725484136 Out 5 4695867156 2015/05/06 09:40:00 Dallas 4G,TX INCOMING, CL 9727581222 In 4 4695867156 2015/05/06 11:45:00 Dallas 4G,TX MCKINNEY, TX 9725484186 Out 2 4695867156 2015/05/06 12:02:00 Dallas 4G,TX AUSTIN, TX 5124630594 Out 1 4695867156 2015/05/06 13:58:00 Dallas 4G,TX MCKINNEY, TX 9725484186 Out 4 4695867156 2015/05/06 14:08:00 Dallas 4G,TX MCKINNEY, TX 9725475100 Out 4 4695867156 2015/05/06 14:24:00 Dallas 4G,TX MCKINNEY, TX 9725484186 Out 1 4695867156 2015/05/06 14:28:00 Dallas 4G,TX INCOMING, CL 9725484186 In 1 4695867156 2015/05/06 15:08:00 Dallas 4G,TX MCKINNEY, TX 9725484698 Out 2 4695867156 2015/05/06 15:21:00 Dallas 4G,TX INCOMING, CL 9724894919 In 5 4695867156 2015/05/07 13:25:00 Dallas 4G,TX MCKINNEY, TX 9725484698 Out 1 4695867156 2015/05/07 13:55:00 Dallas 4G,TX MCKINNEY, TX 9725484631 Out 1 4695867156 2015/05/07 15:13:00 Dallas 4G,TX MCKINNEY, TX 9725484631 Out 1 4695867156 2015/05/07 16:07:00 Dallas 4G,TX MCKINNEY, TX 9725484631 Out 1 4695867156 2015/05/08 07:30:00 Dallas 4G,TX MCKINNEY, TX 9725484698 Out 2 4695867156 2015/05/08 09:46:00 Dallas 4G,TX MCKINNEY, TX 9725484631 Out 1 4695867156 2015/05/08 09:48:00 Dallas 4G,TX MCKINNEY, TX 9725484631 Out 1 4695867156 2015/05/08 11:02:00 Dallas 4G,TX MCKINNEY, TX 4696677750 Out 1 4695867156 2015/05/08 11:45:00 Dallas 4G,TX INCOMING, CL 8173329710 In 3 4695867156 2015/05/08 16:54:00 Dallas 4G,TX WICHITAFLS, TX 9407825636 Out 1 4695867156 2015/05/08 18:07:00 Dallas 4G,TX INCOMING, CL 9407825636 In 4