10 сентября 2013
 Приняли

участие- 3193 Прошли- 3163
 0,93% получили справку:











МБОУ «СОШ №108», МБОУ «СОШ №37»,
МБОУ «СОШ №60»,МБОУ «Лицей №3»,
МБОУ»Лицей №129»,(2) МБОУ «СОШ №84»,
МБОУ «СОШ №96», МБОУ «СОШ №64»,
МБОУ «СОШ №52», МБОУ«Гимназия №74»,
МБОУ «СОШ№54»,МБОУ «СОШ №6»
МБОУ»СОШ №91»,МБОУ «Лицей №86»(1)
О(с)ОШ №6»(3)
 13 уч-ся входили в «группу риска»
 Русский

язык - 3 место
 Математика – 7 место
 Физика - 12 место
 Химия – 11 место
 Информатика и ИКТ – 11 место
 Биология – 9 место
 История – 13 место
 География

-19 место
 Английский язык – 8 место
 Немецкий язык – 10 место
 Французский язык - , испанский -1
 Обществознание – 5 место
 Литература – 36 место
№ОУ

МБОУ «Лицей №124»
МБОУ «Гимназия
№42»
МБОУ «СОШ №59»
МБОУ «Гимназия
№22»
МБОУ «Гимназия
№69»
МБОУ «СОШ №128»
МБОУ «Лицей №112»
МБОУ «Лицей
«Сигма»
МБОУ «СОШ №89»
МБОУ «Гимназия
№80»

Средний балл ЕГЭ

Процент качества по итогам
года

72,02
70,43

57,87
39,49

70,31
67,95

33,34
57,06

67,48

30,66

66,77
65,65
65,10

42,57
33,67
42,11

65,03

30,65

64,6

43,5
№ОУ

МБОУ «СОШ №»78
МБОУ «СОШ №106»
МБОУ «СОШ №54»
МБОУ «СОШ №91»

МБОУ «СОШ №84»
МБОУ «СОШ №10»
МБОУ «СОШ №6»

Средний балл
ЕГЭ
49,04
48,89
48,77
48,23

47,96
46,06
45,97

МБОУ «СОШ №1»

45,88

МБОУ «СОШ№60»

44,43

МБОУ «СОШ№88»

42,92

Процент
качества по
итогам года
29,17

27,27
37,50
42,86
41,94
40,00

45,45
25,00
41,90
32,26
район

Показатели ЕГЭ выше городского

Показатели ЕГЭ ниже городского

Железнодор. Информатика, география,
район
литература

Русский язык, химия, биология, история,
немецкий язык

Индустр.
район

История, английский,
немецкий

Математика, химия, информатика,
биология, география, фран.язык

Лен. район

Русский язык, математика, Английский язык, география.
химия,
информатика, немецкий язык
биология, история, физика,
обществознание

Октяб.район География, английский
язык, обществознание,
Немецкий

Центр.
район

Информатика

Русский язык,
математика,химия,биология,
История ,обществознание, литература

Русский язык, математика, химия,
биология, история, обществознание,
Нормативные показатели:
 г.Барнаул-1.60

 Плановое

показатель-1.68
 Показатель Алтайского края- 1.73
Результаты ТБ2

40

35

30

25
математика

20

рус.яз.
обществознание
15

10

5

0
Желез.район

Инд.район

Ленин. Район

Октябр.район

Центр.район
 ОУ:

МБОУ «СОШ №1», МБОУ «СОШ
№13»,МБОУ «СОШ №91», МБОУ «Лицей
№129»,МБОУ «СОШ№60»- выпускники
набрали по русскому языку и математике
от 36 до 48 баллов
НИЗКИЕ РЕЗУЛЬТАТЫ








Статусные школы:
МБОУ «Лицей №2»
МБОУ «Лицей №3»
МБОУ «Гимназия №74»
МБОУ «Лицей №86»
МБОУ «Лицей «122»
МБОУ «Гимназия №131»

ВЫСОКИЕ РЕЗУЛЬТАТЫ:







МБОУ «СОШ № 128»
МБОУ «СОШ №55»
МБОУ «СОШ №59»
МБОУ «СОШ №126»
Результаты выполнения заданий КИМ ЕГЭ-2013. 01 - Русский язык
063 - г. Барнаул
Количество участников экзамена - 3159
Часть A
Не приступал

0 баллов

1 балл

Уровень
сложности

Макс. балл
за задание

% выполнения
задания

кол-во

%

кол-во

%

кол-во

%

A1

базовый

1

74,83

0

0,00

795

25,17

2364

74,83

A2

базовый

1

77,24

0

0,00

719

22,76

2440

77,24

A3

базовый

1

73,03

0

0,00

852

26,97

2307

73,03

A4

базовый

1

81,67

0

0,00

579

18,33

2580

81,67

A5

базовый

1

61,63

0

0,00

1212

38,37

1947

61,63

A6

базовый

1

82,62

0

0,00

549

17,38

2610

82,62

A7

базовый

1

92,75

0

0,00

229

7,25

2930

92,75

A8

базовый

1

90,28

0

0,00

307

9,72

2852

90,28

A9

базовый

1

51,73

0

0,00

1525

48,27

1634

51,73

A10

базовый

1

75,66

0

0,00

769

24,34

2390

75,66

A11

базовый

1

60,21

0

0,00

1257

39,79

1902

60,21

A12

базовый

1

88,57

0

0,00

361

11,43

2798

88,57

A13

базовый

1

64,83

0

0,00

1111

35,17

2048

64,83

A14

базовый

1

85,98

0

0,00

443

14,02

2716

85,98

A15

базовый

1

70,88

0

0,00

920

29,12

2239

70,88

A16

базовый

1

76,48

0

0,00

743

23,52

2416

76,48

A17

базовый

1

81,32

0

0,00

590

18,68

2569

81,32

A18

базовый

1

73,35

0

0,00

842

26,65

2317

73,35

A19

базовый

1

62,93

0

0,00

1171

37,07

1988

62,93

Задание
Результаты выполнения заданий КИМ ЕГЭ-2013. 02 - Математика
063 - г. Барнаул
Количество участников экзамена - 3159
Часть B
Не приступал

0 баллов

1 балл

Задание

Уровень
сложности

Макс. балл
за задание

% выполнения
задания

кол-во

%

кол-во

%

кол-во

%

B1

базовый

1

88,92

6

0,19

344

10,89

2809

88,92

B2

базовый

1

97,37

0

0,00

83

2,63

3076

97,37

B3

базовый

1

89,65

17

0,54

310

9,81

2832

89,65

B4

базовый

1

85,19

23

0,73

445

14,09

2691

85,19

B5

базовый

1

83,86

42

1,33

468

14,81

2649

83,86

B6

базовый

1

88,35

62

1,96

306

9,69

2791

88,35

B7

базовый

1

72,21

190

6,01

688

21,78

2281

72,21

B8

базовый

1

60,53

161

5,10

1086

34,38

1912

60,53

B9

базовый

1

77,65

120

3,80

586

18,55

2453

77,65

B10

базовый

1

85,79

50

1,58

399

12,63

2710

85,79

B11

базовый

1

57,8

294

9,31

1039

32,89

1826

57,80

B12

базовый

1

63,03

376

11,90

792

25,07

1991

63,03

B13

базовый

1

64,42

313

9,91

811

25,67

2035

64,42

B14

базовый

1

60,11

496

15,70

764

24,18

1899

60,11

Задание

Уровень
сложности

Макс. балл
за задание

% выполнения
задания

кол-во

%

кол-во

%

кол-во

%

C1

повышенный

2

25,28

1482

46,91

759

24,03

239

7,57

C2

повышенный

2

15,29

2113

66,89

424

13,42

278

8,80

Часть C
Не приступал

0 баллов

1 балл
Сравнение школ в динамике:
Темпы прироста среднего балла участников ЕГЭ в 2013 г. по сравнению с 2012 г. по ОУ
(относительно среднего балла МОУО, %)*
063 - г. Барнаул
Код
9101
9102
9103
9105
9107
9108
9109
9110
9111
9112
9113
9114
9115
9202
9203
9205
9207
9208
9209
9210
9211

ОУ
МБОУ "СОШ №10"
МБОУ "СОШ №103"
МБОУ "СОШ №110"
МБОУ "СОШ №37"
МБОУ "СОШ №60"
МБОУ "СОШ №64"
МБОУ "СОШ №68"
МБОУ "СОШ №78"
МБОУ "Гимназия №80"
МБОУ "Гимназия №69"
МБОУ "Гимназия №42"
МБОУ "Лицей №86"
МБОУ "Лицей №3"
МБОУ "СОШ №117"
МБОУ "СОШ №84"
МБОУ "СОШ №102"
МБОУ "СОШ №118"
МБОУ "СОШ №120"
МБОУ "СОШ №127"
МБОУ "СОШ №50"
МБОУ "СОШ №51"

рус

мат

физ

9,72
3,98
-13,24
0,2
-2,82
-11,53
-3,75
-12,63
12,25
-5,07
2,35
2,31
-6,07
-5,27
4,79
-0,37
4,52
3,76
-9,71
2,79
-11,9

5,87
-0,27
10,42
-1,88
-12,04
-25,9
4,78
-33,31
13,61
-0,62
-0,27
7,87
7,94
0,51
-10,12
-3,33
-4,25
-0,92
-9,88
0,12
-18,07

3,5
-2,13
-10,66
-17,71
3,8
-17,79
-7,28
8,78
-2,98
5,98
-6,91
-9,49
2,61
-6,3
-21,07
-3,22
-2,4
5,27
7,18
-12,55
-18,57

хим инф
-13,65
13,28
17,21
14,75
34,19
38,32
-18,54
11,1
24,17
-12,75
-4,39
-5,06

2,55
2,08
-29,39
-16,08

-13,04 -36,77

13,92
99,14 -27,83
60,65

био

ист

-20,69
-5,5
-14,76
4,01
-26,39
-24,16
-16,95
21,89
10,03
-19,66
-14,57
-17,54
-11,12
12,01
12,15
-3,22
13,13
20,58
18,45
25,69
44,31

14,58
-11,28
-44,49
-33,12
-34,74
6,3
-6,27
-13,41
6,95
-13,42
3,16
32,65
21,14
6,71
-24,45
16,82
0,4
21,84
26,71

гео

анг

нем

-17,14

147,62
0,11 -18,62
-10,35
-9,4
64,61
26,28 6,01 -9,42
21,05
6,98 18,48

-21,29 67,01

фра

исп общ
-5,72
1,65
-11,28
4,32
-13,08
-11,67
-2,21
-11,88
4,03
-6,99
4,18
0,39
-5,02
2,69
10,58
-5,81
-4,04
0,19
1,56
6,67
-0,38

лит
-3,64
-7,52

-20,46

-6,49
7,9
9,48
51,93
-30,53
20,09
30,27

-35,37
-32,83
-11,9
 Отсутствие индивидуальной

работы с

учащимися
 Низкая информированность участников
ОП
 Нежелание учителей –предметников
 1.

Провести подробный анализ результатов
 2.Составить план работы по подготовке к
ЕГЭ
 3.Проведение информационной работы со
всеми участниками образовательного
процесса
 4. Исключить подготовку на платной основе
к ЕГЭ и ГИА
 5.Активизировать работу учителей
предметников
 4448

учащихся сдавали
 Математика- 81 учащийся получили
«2»,русский язык – 63 человека, физика – 1
человек.
Итоги государственной (итоговой) аттестации в общеобразовательных учреждениях

063 - г. Барнаул

Код

ОУ

Всего
участников

Прошли Г(И)А

Не прошли Г(И)А

Не сдали только
русский язык

Не сдали только
математику

Не сдали и русский язык
и математику

чел.
0

г. Барнаул

%

чел.

%

чел.

%

чел.

%

чел.

%

3158

3129

99,08

29

0,92

0

0,00

18

0,57

11

0,35

9101

МБОУ "СОШ №10"

12

12

100,00

0

0,00

0

0,00

0

0,00

0

0,00

9102

МБОУ "СОШ №103"

38

37

97,37

1

2,63

0

0,00

1

2,63

0

0,00

9103

МБОУ "СОШ №110"

33

33

100,00

0

0,00

0

0,00

0

0,00

0

0,00

9105

МБОУ "СОШ №37"

31

29

93,55

2

6,45

0

0,00

1

3,23

1

3,23

9107

МБОУ "СОШ №60"

16

14

87,50

2

12,50

0

0,00

0

0,00

2

12,50

9108

МБОУ "СОШ №64"

21

20

95,24

1

4,76

0

0,00

1

4,76

0

0,00

9109

МБОУ "СОШ №68"

30

30

100,00

0

0,00

0

0,00

0

0,00

0

0,00

9110

МБОУ "СОШ №78"

24

22

91,67

2

8,33

0

0,00

2

8,33

0

0,00

9111

МБОУ "Гимназия №80"

72

72

100,00

0

0,00

0

0,00

0

0,00

0

0,00

9112

МБОУ "Гимназия №69"

65

65

100,00

0

0,00

0

0,00

0

0,00

0

0,00

9113

МБОУ "Гимназия №42"

146

146

100,00

0

0,00

0

0,00

0

0,00

0

0,00

9114

МБОУ "Лицей №86"

75

74

98,67

1

1,33

0

0,00

0

0,00

1

1,33

9115

МБОУ "Лицей №3"

68

66

97,06

2

2,94

0

0,00

1

1,47

1

1,47

9202

МБОУ "СОШ №117"

29

29

100,00

0

0,00

0

0,00

0

0,00

0

0,00

9203

МБОУ "СОШ №84"

20

19

95,00

1

5,00

0

0,00

1

5,00

0

0,00

9205

МБОУ "СОШ №102"

46

46

100,00

0

0,00

0

0,00

0

0,00

0

0,00

9207

МБОУ "СОШ №118"

21

21

100,00

0

0,00

0

0,00

0

0,00

0

0,00

9208

МБОУ "СОШ №120"

25

25

100,00

0

0,00

0

0,00

0

0,00

0

0,00

9209

МБОУ "СОШ №127"

58

58

100,00

0

0,00

0

0,00

0

0,00

0

0,00

9210

МБОУ "СОШ №50"

25

25

100,00

0

0,00

0

0,00

0

0,00

0

0,00

9211

МБОУ "СОШ №51"

18

18

100,00

0

0,00

0

0,00

0

0,00

0

0,00

9212

МБОУ "СОШ №81"

22

21

95,45

1

4,55

0

0,00

1

4,55

0

0,00

9213

МБОУ "СОШ №88"

21

21

100,00

0

0,00

0

0,00

0

0,00

0

0,00
 Высокие

результаты ГИА не
подтверждают результатов
 обучения в 10 классе.
 «Нереальные»

результаты приводят в 10
класс учащихся с низкой уровнем знаний.
 П10.

В приложении №2 перечисляются
индивидуальные достижения
выпускника за период обучения как
победителя или призера международных
олимпиад, всероссийской олимпиады
школьников, олимпиад и иных
конкурсных мероприятий, по итогам
которых присуждаются премии
Президента РФ
 Приказ

Министерства образования и науки
РФ от 26 октября 2012 г. N 869
"Об утверждении Перечня олимпиад и
иных конкурсных мероприятий, по итогам
которых присуждаются премии для
поддержки талантливой молодежи в 2013
году»

итоги егэ 2013 г.Барнаул

  • 1.
  • 2.
     Приняли участие- 3193Прошли- 3163  0,93% получили справку:         МБОУ «СОШ №108», МБОУ «СОШ №37», МБОУ «СОШ №60»,МБОУ «Лицей №3», МБОУ»Лицей №129»,(2) МБОУ «СОШ №84», МБОУ «СОШ №96», МБОУ «СОШ №64», МБОУ «СОШ №52», МБОУ«Гимназия №74», МБОУ «СОШ№54»,МБОУ «СОШ №6» МБОУ»СОШ №91»,МБОУ «Лицей №86»(1) О(с)ОШ №6»(3)  13 уч-ся входили в «группу риска»
  • 3.
     Русский язык -3 место  Математика – 7 место  Физика - 12 место  Химия – 11 место  Информатика и ИКТ – 11 место  Биология – 9 место  История – 13 место
  • 4.
     География -19 место Английский язык – 8 место  Немецкий язык – 10 место  Французский язык - , испанский -1  Обществознание – 5 место  Литература – 36 место
  • 5.
    №ОУ МБОУ «Лицей №124» МБОУ«Гимназия №42» МБОУ «СОШ №59» МБОУ «Гимназия №22» МБОУ «Гимназия №69» МБОУ «СОШ №128» МБОУ «Лицей №112» МБОУ «Лицей «Сигма» МБОУ «СОШ №89» МБОУ «Гимназия №80» Средний балл ЕГЭ Процент качества по итогам года 72,02 70,43 57,87 39,49 70,31 67,95 33,34 57,06 67,48 30,66 66,77 65,65 65,10 42,57 33,67 42,11 65,03 30,65 64,6 43,5
  • 6.
    №ОУ МБОУ «СОШ №»78 МБОУ«СОШ №106» МБОУ «СОШ №54» МБОУ «СОШ №91» МБОУ «СОШ №84» МБОУ «СОШ №10» МБОУ «СОШ №6» Средний балл ЕГЭ 49,04 48,89 48,77 48,23 47,96 46,06 45,97 МБОУ «СОШ №1» 45,88 МБОУ «СОШ№60» 44,43 МБОУ «СОШ№88» 42,92 Процент качества по итогам года 29,17 27,27 37,50 42,86 41,94 40,00 45,45 25,00 41,90 32,26
  • 7.
    район Показатели ЕГЭ вышегородского Показатели ЕГЭ ниже городского Железнодор. Информатика, география, район литература Русский язык, химия, биология, история, немецкий язык Индустр. район История, английский, немецкий Математика, химия, информатика, биология, география, фран.язык Лен. район Русский язык, математика, Английский язык, география. химия, информатика, немецкий язык биология, история, физика, обществознание Октяб.район География, английский язык, обществознание, Немецкий Центр. район Информатика Русский язык, математика,химия,биология, История ,обществознание, литература Русский язык, математика, химия, биология, история, обществознание,
  • 8.
    Нормативные показатели:  г.Барнаул-1.60 Плановое показатель-1.68  Показатель Алтайского края- 1.73
  • 9.
  • 10.
     ОУ: МБОУ «СОШ№1», МБОУ «СОШ №13»,МБОУ «СОШ №91», МБОУ «Лицей №129»,МБОУ «СОШ№60»- выпускники набрали по русскому языку и математике от 36 до 48 баллов
  • 11.
    НИЗКИЕ РЕЗУЛЬТАТЫ       Статусные школы: МБОУ«Лицей №2» МБОУ «Лицей №3» МБОУ «Гимназия №74» МБОУ «Лицей №86» МБОУ «Лицей «122» МБОУ «Гимназия №131» ВЫСОКИЕ РЕЗУЛЬТАТЫ:     МБОУ «СОШ № 128» МБОУ «СОШ №55» МБОУ «СОШ №59» МБОУ «СОШ №126»
  • 12.
    Результаты выполнения заданийКИМ ЕГЭ-2013. 01 - Русский язык 063 - г. Барнаул Количество участников экзамена - 3159 Часть A Не приступал 0 баллов 1 балл Уровень сложности Макс. балл за задание % выполнения задания кол-во % кол-во % кол-во % A1 базовый 1 74,83 0 0,00 795 25,17 2364 74,83 A2 базовый 1 77,24 0 0,00 719 22,76 2440 77,24 A3 базовый 1 73,03 0 0,00 852 26,97 2307 73,03 A4 базовый 1 81,67 0 0,00 579 18,33 2580 81,67 A5 базовый 1 61,63 0 0,00 1212 38,37 1947 61,63 A6 базовый 1 82,62 0 0,00 549 17,38 2610 82,62 A7 базовый 1 92,75 0 0,00 229 7,25 2930 92,75 A8 базовый 1 90,28 0 0,00 307 9,72 2852 90,28 A9 базовый 1 51,73 0 0,00 1525 48,27 1634 51,73 A10 базовый 1 75,66 0 0,00 769 24,34 2390 75,66 A11 базовый 1 60,21 0 0,00 1257 39,79 1902 60,21 A12 базовый 1 88,57 0 0,00 361 11,43 2798 88,57 A13 базовый 1 64,83 0 0,00 1111 35,17 2048 64,83 A14 базовый 1 85,98 0 0,00 443 14,02 2716 85,98 A15 базовый 1 70,88 0 0,00 920 29,12 2239 70,88 A16 базовый 1 76,48 0 0,00 743 23,52 2416 76,48 A17 базовый 1 81,32 0 0,00 590 18,68 2569 81,32 A18 базовый 1 73,35 0 0,00 842 26,65 2317 73,35 A19 базовый 1 62,93 0 0,00 1171 37,07 1988 62,93 Задание
  • 13.
    Результаты выполнения заданийКИМ ЕГЭ-2013. 02 - Математика 063 - г. Барнаул Количество участников экзамена - 3159 Часть B Не приступал 0 баллов 1 балл Задание Уровень сложности Макс. балл за задание % выполнения задания кол-во % кол-во % кол-во % B1 базовый 1 88,92 6 0,19 344 10,89 2809 88,92 B2 базовый 1 97,37 0 0,00 83 2,63 3076 97,37 B3 базовый 1 89,65 17 0,54 310 9,81 2832 89,65 B4 базовый 1 85,19 23 0,73 445 14,09 2691 85,19 B5 базовый 1 83,86 42 1,33 468 14,81 2649 83,86 B6 базовый 1 88,35 62 1,96 306 9,69 2791 88,35 B7 базовый 1 72,21 190 6,01 688 21,78 2281 72,21 B8 базовый 1 60,53 161 5,10 1086 34,38 1912 60,53 B9 базовый 1 77,65 120 3,80 586 18,55 2453 77,65 B10 базовый 1 85,79 50 1,58 399 12,63 2710 85,79 B11 базовый 1 57,8 294 9,31 1039 32,89 1826 57,80 B12 базовый 1 63,03 376 11,90 792 25,07 1991 63,03 B13 базовый 1 64,42 313 9,91 811 25,67 2035 64,42 B14 базовый 1 60,11 496 15,70 764 24,18 1899 60,11 Задание Уровень сложности Макс. балл за задание % выполнения задания кол-во % кол-во % кол-во % C1 повышенный 2 25,28 1482 46,91 759 24,03 239 7,57 C2 повышенный 2 15,29 2113 66,89 424 13,42 278 8,80 Часть C Не приступал 0 баллов 1 балл
  • 14.
    Сравнение школ вдинамике: Темпы прироста среднего балла участников ЕГЭ в 2013 г. по сравнению с 2012 г. по ОУ (относительно среднего балла МОУО, %)* 063 - г. Барнаул Код 9101 9102 9103 9105 9107 9108 9109 9110 9111 9112 9113 9114 9115 9202 9203 9205 9207 9208 9209 9210 9211 ОУ МБОУ "СОШ №10" МБОУ "СОШ №103" МБОУ "СОШ №110" МБОУ "СОШ №37" МБОУ "СОШ №60" МБОУ "СОШ №64" МБОУ "СОШ №68" МБОУ "СОШ №78" МБОУ "Гимназия №80" МБОУ "Гимназия №69" МБОУ "Гимназия №42" МБОУ "Лицей №86" МБОУ "Лицей №3" МБОУ "СОШ №117" МБОУ "СОШ №84" МБОУ "СОШ №102" МБОУ "СОШ №118" МБОУ "СОШ №120" МБОУ "СОШ №127" МБОУ "СОШ №50" МБОУ "СОШ №51" рус мат физ 9,72 3,98 -13,24 0,2 -2,82 -11,53 -3,75 -12,63 12,25 -5,07 2,35 2,31 -6,07 -5,27 4,79 -0,37 4,52 3,76 -9,71 2,79 -11,9 5,87 -0,27 10,42 -1,88 -12,04 -25,9 4,78 -33,31 13,61 -0,62 -0,27 7,87 7,94 0,51 -10,12 -3,33 -4,25 -0,92 -9,88 0,12 -18,07 3,5 -2,13 -10,66 -17,71 3,8 -17,79 -7,28 8,78 -2,98 5,98 -6,91 -9,49 2,61 -6,3 -21,07 -3,22 -2,4 5,27 7,18 -12,55 -18,57 хим инф -13,65 13,28 17,21 14,75 34,19 38,32 -18,54 11,1 24,17 -12,75 -4,39 -5,06 2,55 2,08 -29,39 -16,08 -13,04 -36,77 13,92 99,14 -27,83 60,65 био ист -20,69 -5,5 -14,76 4,01 -26,39 -24,16 -16,95 21,89 10,03 -19,66 -14,57 -17,54 -11,12 12,01 12,15 -3,22 13,13 20,58 18,45 25,69 44,31 14,58 -11,28 -44,49 -33,12 -34,74 6,3 -6,27 -13,41 6,95 -13,42 3,16 32,65 21,14 6,71 -24,45 16,82 0,4 21,84 26,71 гео анг нем -17,14 147,62 0,11 -18,62 -10,35 -9,4 64,61 26,28 6,01 -9,42 21,05 6,98 18,48 -21,29 67,01 фра исп общ -5,72 1,65 -11,28 4,32 -13,08 -11,67 -2,21 -11,88 4,03 -6,99 4,18 0,39 -5,02 2,69 10,58 -5,81 -4,04 0,19 1,56 6,67 -0,38 лит -3,64 -7,52 -20,46 -6,49 7,9 9,48 51,93 -30,53 20,09 30,27 -35,37 -32,83 -11,9
  • 15.
     Отсутствие индивидуальной работыс учащимися  Низкая информированность участников ОП  Нежелание учителей –предметников
  • 16.
     1. Провести подробныйанализ результатов  2.Составить план работы по подготовке к ЕГЭ  3.Проведение информационной работы со всеми участниками образовательного процесса  4. Исключить подготовку на платной основе к ЕГЭ и ГИА  5.Активизировать работу учителей предметников
  • 17.
     4448 учащихся сдавали Математика- 81 учащийся получили «2»,русский язык – 63 человека, физика – 1 человек.
  • 18.
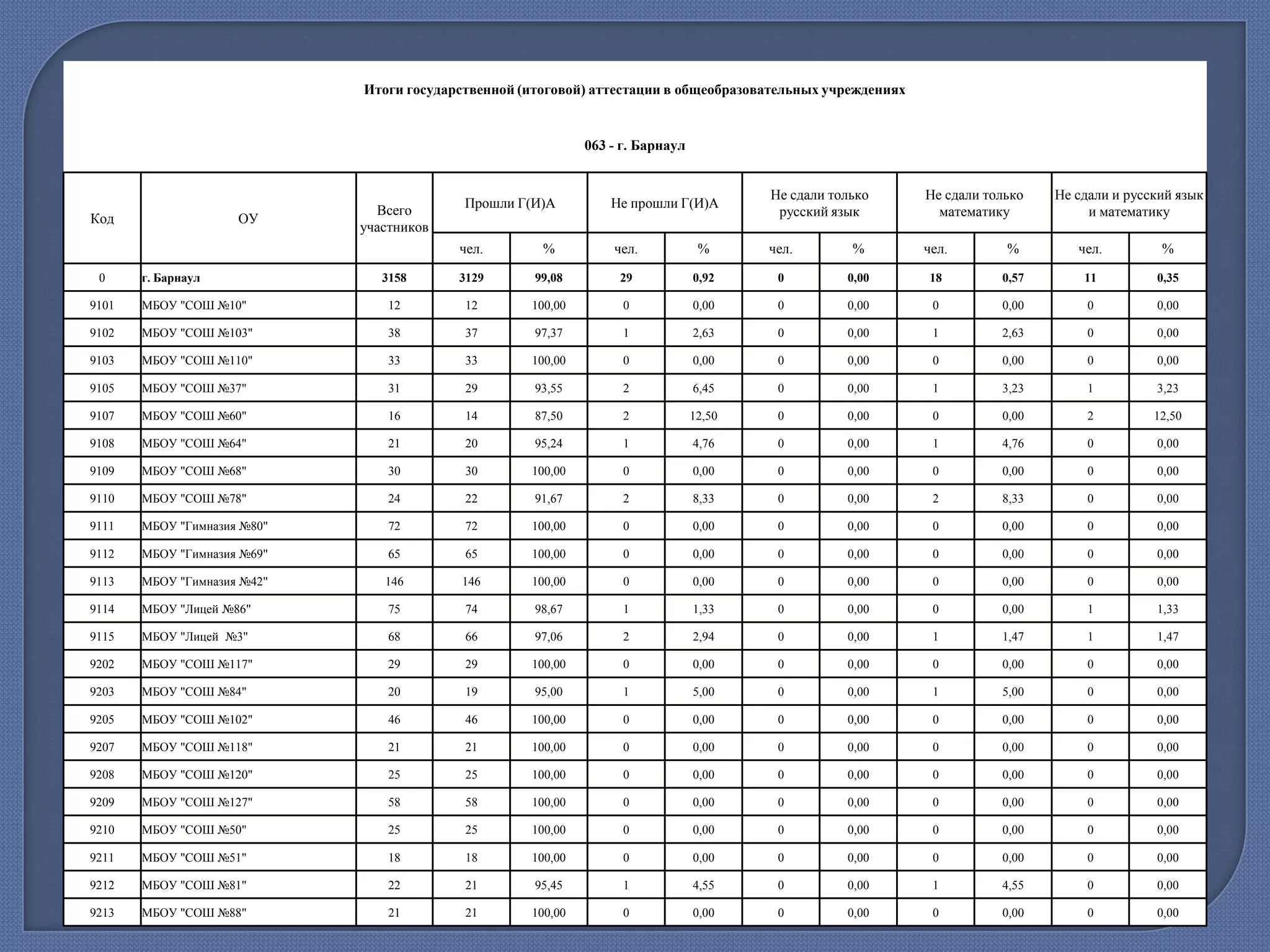
    Итоги государственной (итоговой)аттестации в общеобразовательных учреждениях 063 - г. Барнаул Код ОУ Всего участников Прошли Г(И)А Не прошли Г(И)А Не сдали только русский язык Не сдали только математику Не сдали и русский язык и математику чел. 0 г. Барнаул % чел. % чел. % чел. % чел. % 3158 3129 99,08 29 0,92 0 0,00 18 0,57 11 0,35 9101 МБОУ "СОШ №10" 12 12 100,00 0 0,00 0 0,00 0 0,00 0 0,00 9102 МБОУ "СОШ №103" 38 37 97,37 1 2,63 0 0,00 1 2,63 0 0,00 9103 МБОУ "СОШ №110" 33 33 100,00 0 0,00 0 0,00 0 0,00 0 0,00 9105 МБОУ "СОШ №37" 31 29 93,55 2 6,45 0 0,00 1 3,23 1 3,23 9107 МБОУ "СОШ №60" 16 14 87,50 2 12,50 0 0,00 0 0,00 2 12,50 9108 МБОУ "СОШ №64" 21 20 95,24 1 4,76 0 0,00 1 4,76 0 0,00 9109 МБОУ "СОШ №68" 30 30 100,00 0 0,00 0 0,00 0 0,00 0 0,00 9110 МБОУ "СОШ №78" 24 22 91,67 2 8,33 0 0,00 2 8,33 0 0,00 9111 МБОУ "Гимназия №80" 72 72 100,00 0 0,00 0 0,00 0 0,00 0 0,00 9112 МБОУ "Гимназия №69" 65 65 100,00 0 0,00 0 0,00 0 0,00 0 0,00 9113 МБОУ "Гимназия №42" 146 146 100,00 0 0,00 0 0,00 0 0,00 0 0,00 9114 МБОУ "Лицей №86" 75 74 98,67 1 1,33 0 0,00 0 0,00 1 1,33 9115 МБОУ "Лицей №3" 68 66 97,06 2 2,94 0 0,00 1 1,47 1 1,47 9202 МБОУ "СОШ №117" 29 29 100,00 0 0,00 0 0,00 0 0,00 0 0,00 9203 МБОУ "СОШ №84" 20 19 95,00 1 5,00 0 0,00 1 5,00 0 0,00 9205 МБОУ "СОШ №102" 46 46 100,00 0 0,00 0 0,00 0 0,00 0 0,00 9207 МБОУ "СОШ №118" 21 21 100,00 0 0,00 0 0,00 0 0,00 0 0,00 9208 МБОУ "СОШ №120" 25 25 100,00 0 0,00 0 0,00 0 0,00 0 0,00 9209 МБОУ "СОШ №127" 58 58 100,00 0 0,00 0 0,00 0 0,00 0 0,00 9210 МБОУ "СОШ №50" 25 25 100,00 0 0,00 0 0,00 0 0,00 0 0,00 9211 МБОУ "СОШ №51" 18 18 100,00 0 0,00 0 0,00 0 0,00 0 0,00 9212 МБОУ "СОШ №81" 22 21 95,45 1 4,55 0 0,00 1 4,55 0 0,00 9213 МБОУ "СОШ №88" 21 21 100,00 0 0,00 0 0,00 0 0,00 0 0,00
  • 19.
     Высокие результаты ГИАне подтверждают результатов  обучения в 10 классе.  «Нереальные» результаты приводят в 10 класс учащихся с низкой уровнем знаний.
  • 20.
     П10. В приложении№2 перечисляются индивидуальные достижения выпускника за период обучения как победителя или призера международных олимпиад, всероссийской олимпиады школьников, олимпиад и иных конкурсных мероприятий, по итогам которых присуждаются премии Президента РФ
  • 21.
     Приказ Министерства образованияи науки РФ от 26 октября 2012 г. N 869 "Об утверждении Перечня олимпиад и иных конкурсных мероприятий, по итогам которых присуждаются премии для поддержки талантливой молодежи в 2013 году»