1300 Math Formulas
=
=
=
=
=
=
=
=
=
=
=
=
=
=
=
=
=
=
=
=
=
=
=
=
=
=
=
=
=
=
fp_k= =VVQVNMTTQN=
=
`çéóêáÖÜí=«=OMMQ=^KpîáêáåK=^ää=oáÖÜíë=oÉëÉêîÉÇK=
i
=
qÜáë=é~ÖÉ=áë=áåíÉåíáçå~ääó=äÉÑí=Ää~åâK=
ii
Preface
=
=
=
=
qÜáë= Ü~åÇÄççâ= áë= ~= ÅçãéäÉíÉ= ÇÉëâíçé= êÉÑÉêÉåÅÉ= Ñçê= ëíì-
ÇÉåíë= ~åÇ= ÉåÖáåÉÉêëK= fí= Ü~ë= ÉîÉêóíÜáåÖ= Ñêçã= ÜáÖÜ= ëÅÜççä=
ã~íÜ=íç=ã~íÜ=Ñçê=~Çî~åÅÉÇ=ìåÇÉêÖê~Çì~íÉë=áå=ÉåÖáåÉÉêáåÖI=
ÉÅçåçãáÅëI=éÜóëáÅ~ä=ëÅáÉåÅÉëI=~åÇ=ã~íÜÉã~íáÅëK=qÜÉ=ÉÄççâ=
Åçåí~áåë= ÜìåÇêÉÇë= çÑ= Ñçêãìä~ëI= í~ÄäÉëI= ~åÇ= ÑáÖìêÉë= Ñêçã=
kìãÄÉê=pÉíëI=^äÖÉÄê~I=dÉçãÉíêóI=qêáÖçåçãÉíêóI=j~íêáÅÉë=
~åÇ= aÉíÉêãáå~åíëI= sÉÅíçêëI= ^å~äóíáÅ= dÉçãÉíêóI= `~äÅìäìëI=
aáÑÑÉêÉåíá~ä=bèì~íáçåëI=pÉêáÉëI=~åÇ=mêçÄ~Äáäáíó=qÜÉçêóK==
qÜÉ= ëíêìÅíìêÉÇ= í~ÄäÉ= çÑ= ÅçåíÉåíëI= äáåâëI= ~åÇ= ä~óçìí= ã~âÉ=
ÑáåÇáåÖ= íÜÉ= êÉäÉî~åí= áåÑçêã~íáçå= èìáÅâ= ~åÇ= é~áåäÉëëI= ëç= áí=
Å~å=ÄÉ=ìëÉÇ=~ë=~å=ÉîÉêóÇ~ó=çåäáåÉ=êÉÑÉêÉåÅÉ=ÖìáÇÉK===
=
=
iii
Contents
=
=
=
=
1 krj_bo=pbqp=
NKN= pÉí=fÇÉåíáíáÉë==1=
NKO= pÉíë=çÑ=kìãÄÉêë==5=
NKP= _~ëáÅ=fÇÉåíáíáÉë==7=
NKQ= `çãéäÉñ=kìãÄÉêë==8=
=
2 ^idb_o^=
OKN= c~ÅíçêáåÖ=cçêãìä~ë==12=
OKO= mêçÇìÅí=cçêãìä~ë==13=
OKP= mçïÉêë==14=
OKQ= oççíë==15=
OKR= içÖ~êáíÜãë==16=
OKS= bèì~íáçåë==18=
OKT= fåÉèì~äáíáÉë==19=
OKU= `çãéçìåÇ=fåíÉêÉëí=cçêãìä~ë==22=
=
3 dbljbqov=
PKN= oáÖÜí=qêá~åÖäÉ==24=
PKO= fëçëÅÉäÉë=qêá~åÖäÉ==27=
PKP= bèìáä~íÉê~ä=qêá~åÖäÉ==28=
PKQ= pÅ~äÉåÉ=qêá~åÖäÉ==29=
PKR= pèì~êÉ==33=
PKS= oÉÅí~åÖäÉ==34=
PKT= m~ê~ääÉäçÖê~ã==35=
PKU= oÜçãÄìë==36=
PKV= qê~éÉòçáÇ==37=
PKNM= fëçëÅÉäÉë=qê~éÉòçáÇ==38=
PKNN= fëçëÅÉäÉë=qê~éÉòçáÇ=ïáíÜ=fåëÅêáÄÉÇ=`áêÅäÉ==40=
PKNO= qê~éÉòçáÇ=ïáíÜ=fåëÅêáÄÉÇ=`áêÅäÉ==41=
iv
PKNP= háíÉ==42=
PKNQ= `óÅäáÅ=nì~Çêáä~íÉê~ä==43=
PKNR= q~åÖÉåíá~ä=nì~Çêáä~íÉê~ä==45=
PKNS= dÉåÉê~ä=nì~Çêáä~íÉê~ä==46=
PKNT= oÉÖìä~ê=eÉñ~Öçå==47=
PKNU= oÉÖìä~ê=mçäóÖçå==48=
PKNV= `áêÅäÉ==50=
PKOM= pÉÅíçê=çÑ=~=`áêÅäÉ==53=
PKON= pÉÖãÉåí=çÑ=~=`áêÅäÉ==54=
PKOO= `ìÄÉ==55=
PKOP= oÉÅí~åÖìä~ê=m~ê~ääÉäÉéáéÉÇ==56=
PKOQ= mêáëã==57=
PKOR= oÉÖìä~ê=qÉíê~ÜÉÇêçå==58=
PKOS= oÉÖìä~ê=móê~ãáÇ==59=
PKOT= cêìëíìã=çÑ=~=oÉÖìä~ê=móê~ãáÇ==61=
PKOU= oÉÅí~åÖìä~ê=oáÖÜí=tÉÇÖÉ==62=
PKOV= mä~íçåáÅ=pçäáÇë==63=
PKPM= oáÖÜí=`áêÅìä~ê=`óäáåÇÉê==66=
PKPN= oáÖÜí=`áêÅìä~ê=`óäáåÇÉê=ïáíÜ=~å=lÄäáèìÉ=mä~åÉ=c~ÅÉ==68=
PKPO= oáÖÜí=`áêÅìä~ê=`çåÉ==69=
PKPP= cêìëíìã=çÑ=~=oáÖÜí=`áêÅìä~ê=`çåÉ==70=
PKPQ= péÜÉêÉ==72=
PKPR= péÜÉêáÅ~ä=`~é==72=
PKPS= péÜÉêáÅ~ä=pÉÅíçê==73=
PKPT= péÜÉêáÅ~ä=pÉÖãÉåí==74=
PKPU= péÜÉêáÅ~ä=tÉÇÖÉ==75=
PKPV= bääáéëçáÇ==76=
PKQM= `áêÅìä~ê=qçêìë==78=
= =
4 qofdlkljbqov=
QKN= o~Çá~å=~åÇ=aÉÖêÉÉ=jÉ~ëìêÉë=çÑ=^åÖäÉë==80=
QKO= aÉÑáåáíáçåë=~åÇ=dê~éÜë=çÑ=qêáÖçåçãÉíêáÅ=cìåÅíáçåë==81=
QKP= páÖåë=çÑ=qêáÖçåçãÉíêáÅ=cìåÅíáçåë==86=
QKQ= qêáÖçåçãÉíêáÅ=cìåÅíáçåë=çÑ=`çããçå=^åÖäÉë==87=
QKR= jçëí=fãéçêí~åí=cçêãìä~ë==88=
v
QKS= oÉÇìÅíáçå=cçêãìä~ë==89=
QKT= mÉêáçÇáÅáíó=çÑ=qêáÖçåçãÉíêáÅ=cìåÅíáçåë==90=
QKU= oÉä~íáçåë=ÄÉíïÉÉå=qêáÖçåçãÉíêáÅ=cìåÅíáçåë==90=
QKV= ^ÇÇáíáçå=~åÇ=pìÄíê~Åíáçå=cçêãìä~ë==91=
QKNM= açìÄäÉ=^åÖäÉ=cçêãìä~ë==92=
QKNN= jìäíáéäÉ=^åÖäÉ=cçêãìä~ë==93=
QKNO= e~äÑ=^åÖäÉ=cçêãìä~ë==94=
QKNP= e~äÑ=^åÖäÉ=q~åÖÉåí=fÇÉåíáíáÉë==94=
QKNQ= qê~åëÑçêãáåÖ=çÑ=qêáÖçåçãÉíêáÅ=bñéêÉëëáçåë=íç=mêçÇìÅí==95=
QKNR= qê~åëÑçêãáåÖ=çÑ=qêáÖçåçãÉíêáÅ=bñéêÉëëáçåë=íç=pìã==97===
QKNS= mçïÉêë=çÑ=qêáÖçåçãÉíêáÅ=cìåÅíáçåë==98=
QKNT= dê~éÜë=çÑ=fåîÉêëÉ=qêáÖçåçãÉíêáÅ=cìåÅíáçåë==99=
QKNU= mêáåÅáé~ä=s~äìÉë=çÑ=fåîÉêëÉ=qêáÖçåçãÉíêáÅ=cìåÅíáçåë==102=
QKNV= oÉä~íáçåë=ÄÉíïÉÉå=fåîÉêëÉ=qêáÖçåçãÉíêáÅ=cìåÅíáçåë==103=
QKOM= qêáÖçåçãÉíêáÅ=bèì~íáçåë==106=
QKON= oÉä~íáçåë=íç=eóéÉêÄçäáÅ=cìåÅíáçåë==106=
= =
5 j^qof`bp=^ka=abqbojfk^kqp=
RKN= aÉíÉêãáå~åíë==107=
RKO= mêçéÉêíáÉë=çÑ=aÉíÉêãáå~åíë==109=
RKP= j~íêáÅÉë==110=
RKQ= léÉê~íáçåë=ïáíÜ=j~íêáÅÉë==111=
RKR= póëíÉãë=çÑ=iáåÉ~ê=bèì~íáçåë==114=
= =
6 sb`qlop=
SKN= sÉÅíçê=`ççêÇáå~íÉë==118=
SKO= sÉÅíçê=^ÇÇáíáçå==120=
SKP= sÉÅíçê=pìÄíê~Åíáçå==122=
SKQ= pÅ~äáåÖ=sÉÅíçêë==122=
SKR= pÅ~ä~ê=mêçÇìÅí==123=
SKS= sÉÅíçê=mêçÇìÅí==125=
SKT= qêáéäÉ=mêçÇìÅí=127=
= =
7 ^k^ivqf`=dbljbqov=
TKN= låÉ=-aáãÉåëáçå~ä=`ççêÇáå~íÉ=póëíÉã==130=
vi
TKO= qïç=-aáãÉåëáçå~ä=`ççêÇáå~íÉ=póëíÉã==131=
TKP= píê~áÖÜí=iáåÉ=áå=mä~åÉ==139=
TKQ= `áêÅäÉ==149=
TKR= bääáéëÉ==152=
TKS= eóéÉêÄçä~==154=
TKT= m~ê~Äçä~==158=
TKU= qÜêÉÉ=-aáãÉåëáçå~ä=`ççêÇáå~íÉ=póëíÉã==161=
TKV= mä~åÉ==165=
TKNM= píê~áÖÜí=iáåÉ=áå=pé~ÅÉ==175=
TKNN= nì~ÇêáÅ=pìêÑ~ÅÉë==180=
TKNO= péÜÉêÉ==189=
= =
8 afccbobkqf^i=`^i`rirp=
UKN= cìåÅíáçåë=~åÇ=qÜÉáê=dê~éÜë==191=
UKO= iáãáíë=çÑ=cìåÅíáçåë==208=
UKP= aÉÑáåáíáçå=~åÇ=mêçéÉêíáÉë=çÑ=íÜÉ=aÉêáî~íáîÉ==209=
UKQ= q~ÄäÉ=çÑ=aÉêáî~íáîÉë==211=
UKR= eáÖÜÉê=lêÇÉê=aÉêáî~íáîÉë==215=
UKS= ^ééäáÅ~íáçåë=çÑ=aÉêáî~íáîÉ==217=
UKT= aáÑÑÉêÉåíá~ä==221=
UKU= jìäíáî~êá~ÄäÉ=cìåÅíáçåë==222=
UKV= aáÑÑÉêÉåíá~ä=léÉê~íçêë==225=
= =
9 fkqbdo^i=`^i`rirp=
VKN= fåÇÉÑáåáíÉ=fåíÉÖê~ä==227=
VKO= fåíÉÖê~äë=çÑ=o~íáçå~ä=cìåÅíáçåë==228=
VKP= fåíÉÖê~äë=çÑ=fêê~íáçå~ä=cìåÅíáçåë==231=
VKQ= fåíÉÖê~äë=çÑ=qêáÖçåçãÉíêáÅ=cìåÅíáçåë==237=
VKR= fåíÉÖê~äë=çÑ=eóéÉêÄçäáÅ=cìåÅíáçåë==241=
VKS= fåíÉÖê~äë=çÑ=bñéçåÉåíá~ä=~åÇ=içÖ~êáíÜãáÅ=cìåÅíáçåë==242=
VKT= oÉÇìÅíáçå=cçêãìä~ë==243=
VKU= aÉÑáåáíÉ=fåíÉÖê~ä==247=
VKV= fãéêçéÉê=fåíÉÖê~ä==253=
VKNM= açìÄäÉ=fåíÉÖê~ä==257=
VKNN= qêáéäÉ=fåíÉÖê~ä==269=
vii
VKNO= iáåÉ=fåíÉÖê~ä==275=
VKNP= pìêÑ~ÅÉ=fåíÉÖê~ä==285=
= =
10 afccbobkqf^i=bnr^qflkp=
NMKN= cáêëí=lêÇÉê=lêÇáå~êó=aáÑÑÉêÉåíá~ä=bèì~íáçåë==295=
NMKO= pÉÅçåÇ=lêÇÉê=lêÇáå~êó=aáÑÑÉêÉåíá~ä=bèì~íáçåë==298=
NMKP= pçãÉ=m~êíá~ä=aáÑÑÉêÉåíá~ä=bèì~íáçåë==302=
= =
11 pbofbp=
NNKN= ^êáíÜãÉíáÅ=pÉêáÉë==304=
NNKO= dÉçãÉíêáÅ=pÉêáÉë==305=
NNKP= pçãÉ=cáåáíÉ=pÉêáÉë==305=
NNKQ= fåÑáåáíÉ=pÉêáÉë==307=
NNKR= mêçéÉêíáÉë=çÑ=`çåîÉêÖÉåí=pÉêáÉë==307=
NNKS= `çåîÉêÖÉåÅÉ=qÉëíë==308=
NNKT= ^äíÉêå~íáåÖ=pÉêáÉë==310=
NNKU= mçïÉê=pÉêáÉë==311=
NNKV= aáÑÑÉêÉåíá~íáçå=~åÇ=fåíÉÖê~íáçå=çÑ=mçïÉê=pÉêáÉë==312=
NNKNM= q~óäçê=~åÇ=j~Åä~ìêáå=pÉêáÉë==313=
NNKNN= mçïÉê=pÉêáÉë=bñé~åëáçåë=Ñçê=pçãÉ=cìåÅíáçåë==314=
NNKNO= _áåçãá~ä=pÉêáÉë==316=
NNKNP= cçìêáÉê=pÉêáÉë==316=
= =
12 mol_^_fifqv=
NOKN= mÉêãìí~íáçåë=~åÇ=`çãÄáå~íáçåë==318=
NOKO= mêçÄ~Äáäáíó=cçêãìä~ë==319=
= =
=
=
=
viii
=
qÜáë=é~ÖÉ=áë=áåíÉåíáçå~ääó=äÉÑí=Ää~åâK=
=
1
Chapter 1
Number Sets
=
=
=
=
1.1 Set Identities
=
pÉíëW=^I=_I=`=
råáîÉêë~ä=ëÉíW=f=
`çãéäÉãÉåí=W= ^′ =
mêçéÉê=ëìÄëÉíW= _
^ ⊂ ==
bãéíó=ëÉíW=∅=
råáçå=çÑ=ëÉíëW= _
^ ∪ =
fåíÉêëÉÅíáçå=çÑ=ëÉíëW= _
^ ∩ =
aáÑÑÉêÉåÅÉ=çÑ=ëÉíëW= _
y
^ =
=
=
1. f
^ ⊂ =
=
2. ^
^ ⊂ =
=
3. _
^ = =áÑ= _
^ ⊂ =~åÇ= ^
_ ⊂ .=
=
4. bãéíó=pÉí=
^
⊂
∅ =
=
5. råáçå=çÑ=pÉíë==
{ }
_
ñ
çê
^
ñ
ö
ñ
_
^
` ∈
∈
=
∪
= =
=
CHAPTER 1. NUMBER SETS
2
===== =
=
Figure 1.
=
6. `çããìí~íáîáíó=
^
_
_
^ ∪
=
∪ =
=
7. ^ëëçÅá~íáîáíó=
( ) ( ) `
_
^
`
_
^ ∪
∪
=
∪
∪ =
=
8. fåíÉêëÉÅíáçå=çÑ=pÉíë=
{ }
_
ñ
~åÇ
^
ñ
ö
ñ
_
^
` ∈
∈
=
∪
= = =
=
===== =
=
Figure 2.
=
9. `çããìí~íáîáíó=
^
_
_
^ ∩
=
∩ =
=
10. ^ëëçÅá~íáîáíó=
( ) ( ) `
_
^
`
_
^ ∩
∩
=
∩
∩ =
=
CHAPTER 1. NUMBER SETS
3
11. aáëíêáÄìíáîáíó=
( ) ( ) ( )
`
^
_
^
`
_
^ ∪
∩
∪
=
∩
∪ I=
( ) ( ) ( )
`
^
_
^
`
_
^ ∩
∪
∩
=
∪
∩ K=
=
12. fÇÉãéçíÉåÅó=
^
^
^ =
∩ I==
^
^
^ =
∪ =
=
13. açãáå~íáçå=
∅
=
∅
∩
^ I=
f
f
^ =
∪ =
=
14. fÇÉåíáíó=
^
^ =
∅
∪ I==
^
f
^ =
∩
=
15. `çãéäÉãÉåí=
{ }
^
ñ
ö
f
ñ
^ ∉
∈
=
′
=
16. `çãéäÉãÉåí=çÑ=fåíÉêëÉÅíáçå=~åÇ=råáçå
f
^
^ =
′
∪ I==
∅
=
′
∩ ^
^ =
=
17. aÉ=jçêÖ~å∞ë=i~ïë
( ) _
^
_
^ ′
∩
′
=
′
∪ I==
( ) _
^
_
^ ′
∪
′
=
′
∩ =
=
18. aáÑÑÉêÉåÅÉ=çÑ=pÉíë
{ }
^
ñ
~åÇ
_
ñ
ö
ñ
^
y
_
` ∉
∈
=
= =
=
CHAPTER 1. NUMBER SETS
4
===== =
=
Figure 3.
=
19. ( )
_
^
y
_
^
y
_ ∩
=
=
20. ^
_
^
y
_ ′
∩
=
=
21. ∅
=
^
y
^
=
22. ^
_
y
^ = =áÑ= ∅
=
∩_
^ .
=
===== =
=
Figure 4.
=
23. ( ) ( ) ( )
`
_
y
`
^
`
_
y
^ ∩
∩
=
∩
24. ^
y
f
^ =
′
25. `~êíÉëá~å=mêçÇìÅí
( )
{ }
_
ó
~åÇ
^
ñ
ö
ó
I
ñ
_
^
` ∈
∈
=
×
=
=
=
CHAPTER 1. NUMBER SETS
5
1.2 Sets of Numbers
=
k~íìê~ä=åìãÄÉêëW=k=
tÜçäÉ=åìãÄÉêëW= M
k =
fåíÉÖÉêëW=w=
mçëáíáîÉ=áåíÉÖÉêëW= +
w =
kÉÖ~íáîÉ=áåíÉÖÉêëW= −
w =
o~íáçå~ä=åìãÄÉêëW=n=
oÉ~ä=åìãÄÉêëW=o==
`çãéäÉñ=åìãÄÉêëW=`==
=
=
26. k~íìê~ä=kìãÄÉêë
`çìåíáåÖ=åìãÄÉêëW { }
K
I
P
I
O
I
N
k = K=
27. tÜçäÉ=kìãÄÉêë
`çìåíáåÖ=åìãÄÉêë=~åÇ=òÉêçW= { }
K
I
P
I
O
I
N
I
M
kM = K=
=
28. fåíÉÖÉêë
tÜçäÉ=åìãÄÉêë=~åÇ=íÜÉáê=çééçëáíÉë=~åÇ=òÉêçW=
{ }
K
I
P
I
O
I
N
k
w =
=
+
I=
{ }
N
I
O
I
P
I
w −
−
−
=
−
K I=
{ } { }
K
K I
P
I
O
I
N
I
M
I
N
I
O
I
P
I
w
M
w
w −
−
−
=
∪
∪
= +
−
K=
=
29. o~íáçå~ä=kìãÄÉêë
oÉéÉ~íáåÖ=çê=íÉêãáå~íáåÖ=ÇÉÅáã~äëW==






≠
∈
∈
=
= M
Ä
~åÇ
w
Ä
~åÇ
w
~
~åÇ
Ä
~
ñ
ö
ñ
n K=
=
30. fêê~íáçå~ä=kìãÄÉêë
kçåêÉéÉ~íáåÖ=~åÇ=åçåíÉêãáå~íáåÖ=ÇÉÅáã~äëK
=
CHAPTER 1. NUMBER SETS
6
31. oÉ~ä=kìãÄÉêë==
råáçå=çÑ=ê~íáçå~ä=~åÇ=áêê~íáçå~ä=åìãÄÉêëW=oK=
=
32. `çãéäÉñ=kìãÄÉêë
{ }
o
ó
~åÇ
o
ñ
ö
áó
ñ
` ∈
∈
+
= I==
ïÜÉêÉ=á=áë=íÜÉ=áã~Öáå~êó=ìåáíK
=
33. `
o
n
w
k ⊂
⊂
⊂
⊂ =
=
=== =
=
Figure 5.
=
=
=
=
=
=
CHAPTER 1. NUMBER SETS
7
1.3 Basic Identities
=
oÉ~ä=åìãÄÉêëW=~I=ÄI=Å=
=
=
34. ^ÇÇáíáîÉ=fÇÉåíáíó=
~
M
~ =
+ =
=
35. ^ÇÇáíáîÉ=fåîÉêëÉ=
( ) M
~
~ =
−
+ =
=
36. `çããìí~íáîÉ=çÑ=^ÇÇáíáçå=
~
Ä
Ä
~ +
=
+ =
=
37. ^ëëçÅá~íáîÉ=çÑ=^ÇÇáíáçå=
( ) ( )
Å
Ä
~
Å
Ä
~ +
+
=
+
+ =
=
38. aÉÑáåáíáçå=çÑ=pìÄíê~Åíáçå=
( )
Ä
~
Ä
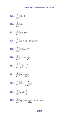
~ −
+
=
− =
=
39. jìäíáéäáÅ~íáîÉ=fÇÉåíáíó=
~
N
~ =
⋅ =
=
40. jìäíáéäáÅ~íáîÉ=fåîÉêëÉ=
N
~
N
~ =
⋅ I= M
~ ≠
=
41. jìäíáéäáÅ~íáçå=qáãÉë=M
M
M
~ =
⋅
=
42. `çããìí~íáîÉ=çÑ=jìäíáéäáÅ~íáçå=
~
Ä
Ä
~ ⋅
=
⋅
=
=
CHAPTER 1. NUMBER SETS
8
43. ^ëëçÅá~íáîÉ=çÑ=jìäíáéäáÅ~íáçå=
( ) ( )
Å
Ä
~
Å
Ä
~ ⋅
⋅
=
⋅
⋅
=
44. aáëíêáÄìíáîÉ=i~ï=
( ) ~Å
~Ä
Å
Ä
~ +
=
+ =
=
45. aÉÑáåáíáçå=çÑ=aáîáëáçå=
Ä
N
~
Ä
~
⋅
= =
=
=
=
1.4 Complex Numbers
=
k~íìê~ä=åìãÄÉêW=å=
fã~Öáå~êó=ìåáíW=á=
`çãéäÉñ=åìãÄÉêW=ò=
oÉ~ä=é~êíW=~I=Å=
fã~Öáå~êó=é~êíW=ÄáI=Çá=
jçÇìäìë=çÑ=~=ÅçãéäÉñ=åìãÄÉêW=êI= N
ê I= O
ê =
^êÖìãÉåí=çÑ=~=ÅçãéäÉñ=åìãÄÉêW=ϕ I= N
ϕ I= O
ϕ =
=
=
á
áN
= = á
áR
= = á
á N
å
Q
=
+
=
N
áO
−
= = N
áS
−
= = N
á O
å
Q
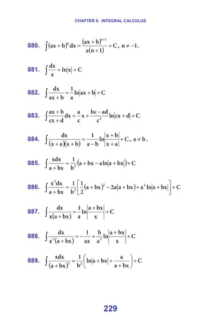
−
=
+
=
á
áP
−
= = á
áT
−
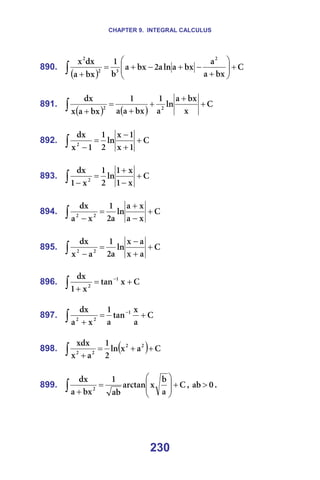
= = á
á P
å
Q
−
=
+
=
46.
N
áQ
= = N
áU
= = N
á å
Q
= =
=
47. Äá
~
ò +
= =
=
48. `çãéäÉñ=mä~åÉ=
=
CHAPTER 1. NUMBER SETS
9
===== =
=
Figure 6.
=
49. ( ) ( ) ( ) ( )á
Ç
Ä
Å
~
Çá
Å
Äá
~ +
+
+
=
+
+
+ =
=
50. ( ) ( ) ( ) ( )á
Ç
Ä
Å
~
Çá
Å
Äá
~ −
+
−
=
+
−
+ =
=
51. ( )( ) ( ) ( )á
ÄÅ
~Ç
ÄÇ
~Å
Çá
Å
Äá
~ +
+
−
=
+
+ =
=
52. á
Ç
Å
~Ç
ÄÅ
Ç
Å
ÄÇ
~Å
Çá
Å
Äá
~
O
O
O
O
⋅
+
−
+
+
+
=
+
+
=
=
53. `çåàìÖ~íÉ=`çãéäÉñ=kìãÄÉêë=
Äá
~
Äá
~
|||||||
−
=
+ =
=
54. ϕ
= Åçë
ê
~ I= ϕ
= ëáå
ê
Ä ==
=
CHAPTER 1. NUMBER SETS
10
=
=
Figure 7.
=
55. mçä~ê=mêÉëÉåí~íáçå=çÑ=`çãéäÉñ=kìãÄÉêë=
( )
ϕ
+
ϕ
=
+ ëáå
á
Åçë
ê
Äá
~ =
=
56. jçÇìäìë=~åÇ=^êÖìãÉåí=çÑ=~=`çãéäÉñ=kìãÄÉê=
fÑ= Äá
~ + =áë=~=ÅçãéäÉñ=åìãÄÉêI=íÜÉå=
O
O
Ä
~
ê +
= =EãçÇìäìëFI==
~
Ä
~êÅí~å
=
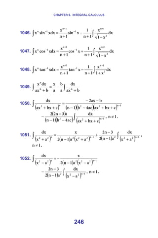
ϕ =E~êÖìãÉåíFK=
=
57. mêçÇìÅí=áå=mçä~ê=oÉéêÉëÉåí~íáçå=
( ) ( )
O
O
O
N
N
N
O
N ëáå
á
Åçë
ê
ëáå
á
Åçë
ê
ò
ò ϕ
+
ϕ
⋅
ϕ
+
ϕ
=
⋅ =
( ) ( )
[ ]
O
N
O
N
O
N ëáå
á
Åçë
ê
ê ϕ
+
ϕ
+
ϕ
+
ϕ
= =
=
58. `çåàìÖ~íÉ=kìãÄÉêë=áå=mçä~ê=oÉéêÉëÉåí~íáçå=
( ) ( ) ( )
[ ]
ϕ
−
+
ϕ
−
=
ϕ
+
ϕ ëáå
á
Åçë
ê
ëáå
á
Åçë
ê
|
||||||||||
||||||||||
=
=
59. fåîÉêëÉ=çÑ=~=`çãéäÉñ=kìãÄÉê=áå=mçä~ê=oÉéêÉëÉåí~íáçå=
( )
( ) ( )
[ ]
ϕ
−
+
ϕ
−
=
ϕ
+
ϕ
ëáå
á
Åçë
ê
N
ëáå
á
Åçë
ê
N
=
CHAPTER 1. NUMBER SETS
11
60. nìçíáÉåí=áå=mçä~ê=oÉéêÉëÉåí~íáçå=
( )
( )
( ) ( )
[ ]
O
N
O
N
O
N
O
O
O
N
N
N
O
N
ëáå
á
Åçë
ê
ê
ëáå
á
Åçë
ê
ëáå
á
Åçë
ê
ò
ò
ϕ
−
ϕ
+
ϕ
−
ϕ
=
ϕ
+
ϕ
ϕ
+
ϕ
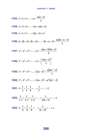
= =
=
61. mçïÉê=çÑ=~=`çãéäÉñ=kìãÄÉê=
( )
[ ] ( ) ( )
[ ]
ϕ
+
ϕ
=
ϕ
+
ϕ
= å
ëáå
á
å
Åçë
ê
ëáå
á
Åçë
ê
ò å
å
å
=
=
62. cçêãìä~=±aÉ=jçáîêÉ≤=
( ) ( ) ( )
ϕ
+
ϕ
=
ϕ
+
ϕ å
ëáå
á
å
Åçë
ëáå
á
Åçë
å
=
=
63. kíÜ=oççí=çÑ=~=`çãéäÉñ=kìãÄÉê=
( ) 




 π
+
ϕ
+
π
+
ϕ
=
ϕ
+
ϕ
=
å
â
O
ëáå
á
å
â
O
Åçë
ê
ëáå
á
Åçë
ê
ò å
å
å
I==
ïÜÉêÉ==
N
å
I
I
O
I
N
I
M
â −
= K K==
=
64. bìäÉê∞ë=cçêãìä~=
ñ
ëáå
á
ñ
Åçë
Éáñ
+
= =
=
=
12
Chapter 2
Algebra
=
=
=
=
2.1 Factoring Formulas
=
oÉ~ä=åìãÄÉêëW=~I=ÄI=Å==
k~íìê~ä=åìãÄÉêW=å=
=
=
65. ( )( )
Ä
~
Ä
~
Ä
~ O
O
−
+
=
− =
=
66. ( )( )
O
O
P
P
Ä
~Ä
~
Ä
~
Ä
~ +
+
−
=
− =
=
67. ( )( )
O
O
P
P
Ä
~Ä
~
Ä
~
Ä
~ +
−
+
=
+ =
=
68. ( )( ) ( )( )( )
O
O
O
O
O
O
Q
Q
Ä
~
Ä
~
Ä
~
Ä
~
Ä
~
Ä
~ +
+
−
=
+
−
=
− =
=
69. ( )( )
Q
P
O
O
P
Q
R
R
Ä
~Ä
Ä
~
Ä
~
~
Ä
~
Ä
~ +
+
+
+
−
=
− =
=
70. ( )( )
Q
P
O
O
P
Q
R
R
Ä
~Ä
Ä
~
Ä
~
~
Ä
~
Ä
~ +
−
+
−
+
=
+ =
=
71. fÑ=å=áë=çÇÇI=íÜÉå=
( )( )
N
å
O
å
O
P
å
O
å
N
å
å
å
Ä
~Ä
Ä
~
Ä
~
~
Ä
~
Ä
~ −
−
−
−
−
+
−
−
+
−
+
=
+ K K==
=
72. fÑ=å=áë=ÉîÉåI=íÜÉå==
( )( )
N
å
O
å
O
P
å
O
å
N
å
å
å
Ä
~Ä
Ä
~
Ä
~
~
Ä
~
Ä
~ −
−
−
−
−
+
+
+
+
+
−
=
− K I==
CHAPTER 2. ALGEBRA
13
( )( )
N
å
O
å
O
P
å
O
å
N
å
å
å
Ä
~Ä
Ä
~
Ä
~
~
Ä
~
Ä
~ −
−
−
−
−
−
+
−
+
−
+
=
+ K K=
=
=
=
2.2 Product Formulas
oÉ~ä=åìãÄÉêëW=~I=ÄI=Å==
tÜçäÉ=åìãÄÉêëW=åI=â=
=
=
73. ( ) O
O
O
Ä
~Ä
O
~
Ä
~ +
−
=
− =
=
74. ( ) O
O
O
Ä
~Ä
O
~
Ä
~ +
+
=
+ =
=
75. ( ) P
O
O
P
P
Ä
~Ä
P
Ä
~
P
~
Ä
~ −
+
−
=
− =
=
76. ( ) P
O
O
P
P
Ä
~Ä
P
Ä
~
P
~
Ä
~ +
+
+
=
+ =
=
77. ( ) Q
P
O
O
P
Q
Q
Ä
~Ä
Q
Ä
~
S
Ä
~
Q
~
Ä
~ +
−
+
−
=
− =
=
78. ( ) Q
P
O
O
P
Q
Q
Ä
~Ä
Q
Ä
~
S
Ä
~
Q
~
Ä
~ +
+
+
+
=
+ =
=
79. _áåçãá~ä=cçêãìä~=
( ) I
Ä
`
~Ä
`
Ä
~
`
Ä
~
`
~
`
Ä
~ å
å
å
N
å
N
å
å
O
O
å
O
å
N
å
N
å
å
M
å
å
+
+
+
+
+
=
+ −
−
−
−
K
ïÜÉêÉ=
( )>
â
å
>
â
>
å
`â
å
−
= =~êÉ=íÜÉ=Äáåçãá~ä=ÅçÉÑÑáÅáÉåíëK=
=
80. ( ) ÄÅ
O
~Å
O
~Ä
O
Å
Ä
~
Å
Ä
~ O
O
O
O
+
+
+
+
+
=
+
+ =
=
81. ( ) +
+
+
+
+
+
=
+
+
+
+
+ O
O
O
O
O
O
î
ì
Å
Ä
~
î
ì
Å
Ä
~ K
K =
( )
ìî
Äî
Äì
ÄÅ
~î
~ì
~Å
~Ä
O +
+
+
+
+
+
+
+
+
+
+ K
K
K =
CHAPTER 2. ALGEBRA
14
2.3 Powers
=
_~ëÉë=EéçëáíáîÉ=êÉ~ä=åìãÄÉêëFW=~I=Ä==
mçïÉêë=Eê~íáçå~ä=åìãÄÉêëFW=åI=ã=
=
=
82. å
ã
å
ã
~
~
~ +
= =
=
83. å
ã
å
ã
~
~
~ −
= =
=
84. ( ) ã
ã
ã
Ä
~
~Ä = =
=
85. ã
ã
ã
Ä
~
Ä
~
=






=
=
86. ( ) ãå
å
ã
~
~ = =
=
87. N
~M
= I= M
~ ≠ =
=
88. N
~N
= =
=
89. ã
ã
~
N
~ =
−
=
=
90. å ã
å
ã
~
~ = =
=
=
=
=
=
CHAPTER 2. ALGEBRA
15
2.4 Roots
=
_~ëÉëW=~I=Ä==
mçïÉêë=Eê~íáçå~ä=åìãÄÉêëFW=åI=ã=
M
Ä
I
~ ≥ =Ñçê=ÉîÉå=êççíë=E â
O
å = I= k
â∈ F=
=
=
91. å
å
å
Ä
~
~Ä = =
=
92. åã å
ã
ã
å
Ä
~
Ä
~ = =
=
93. å
å
å
Ä
~
Ä
~
= I= M
Ä ≠ =
=
94. åã
å
ã
åã å
åã ã
ã
å
Ä
~
Ä
~
Ä
~
=
= I= M
Ä ≠ K=
=
95. ( ) å ãé
é
å ã
~
~ = =
=
96. ( ) ~
~
å
å
= =
=
97.
åé ãé
å ã
~
~ = =
=
98. å
ã
å ã
~
~ = =
=
99. ãå
ã å
~
~ = =
=
100. ( ) å ã
ã
å
~
~ = =
=
CHAPTER 2. ALGEBRA
16
101.
~
~
~
N å N
å
å
−
= I= M
~ ≠ K=
=
102.
O
Ä
~
~
O
Ä
~
~
Ä
~
O
O
−
−
±
−
+
=
± =
=
103.
Ä
~
Ä
~
Ä
~
N
−
=
±
m
=
=
=
=
2.5 Logarithms
=
mçëáíáîÉ=êÉ~ä=åìãÄÉêëW=ñI=óI=~I=ÅI=â=
k~íìê~ä=åìãÄÉêW=å==
=
=
104. aÉÑáåáíáçå=çÑ=içÖ~êáíÜã=
ñ
äçÖ
ó ~
= =áÑ=~åÇ=çåäó=áÑ= ó
~
ñ = I= M
~ > I= N
~ ≠ K=
=
105. M
N
äçÖ~ = =
=
106. N
~
äçÖ~ = =
=
107.



<
∞
+
>
∞
−
=
N
~
áÑ
N
~
áÑ
M
äçÖ~ =
=
108. ( ) ó
äçÖ
ñ
äçÖ
ñó
äçÖ ~
~
~ +
= =
=
109. ó
äçÖ
ñ
äçÖ
ó
ñ
äçÖ ~
~
~ −
= =
CHAPTER 2. ALGEBRA
17
110. ( ) ñ
äçÖ
å
ñ
äçÖ ~
å
~ = =
=
111. ñ
äçÖ
å
N
ñ
äçÖ ~
å
~ = =
=
112. Å
äçÖ
ñ
äçÖ
~
äçÖ
ñ
äçÖ
ñ
äçÖ ~
Å
Å
Å
~ ⋅
=
= I= M
Å > I= N
Å ≠ K=
=
113.
~
äçÖ
N
Å
äçÖ
Å
~ = =
=
114. ñ
äçÖ~
~
ñ = =
=
115. içÖ~êáíÜã=íç=_~ëÉ=NM=
ñ
äçÖ
ñ
äçÖNM = =
=
116. k~íìê~ä=içÖ~êáíÜã=
ñ
äå
ñ
äçÖÉ = I==
ïÜÉêÉ= K
TNUOUNUOU
K
O
â
N
N
äáã
É
â
â
=






+
=
∞
→
=
=
117. ñ
äå
QPQOVQ
K
M
ñ
äå
NM
äå
N
ñ
äçÖ =
= =
=
118. ñ
äçÖ
PMORUR
K
O
ñ
äçÖ
É
äçÖ
N
ñ
äå =
= =
=
=
=
=
=
CHAPTER 2. ALGEBRA
18
2.6 Equations
=
oÉ~ä=åìãÄÉêëW=~I=ÄI=ÅI=éI=èI=ìI=î=
pçäìíáçåëW= N
ñ I= O
ñ I= N
ó I= O
ó I= P
ó =
=
=
119. iáåÉ~ê=bèì~íáçå=áå=låÉ=s~êá~ÄäÉ=
M
Ä
~ñ =
+ I=
~
Ä
ñ −
= K==
=
120. nì~Çê~íáÅ=bèì~íáçå=
M
Å
Äñ
~ñO
=
+
+ I=
~
O
~Å
Q
Ä
Ä
ñ
O
O
I
N
−
±
−
= K=
=
121. aáëÅêáãáå~åí=
~Å
Q
Ä
a O
−
= =
=
122. sáÉíÉ∞ë=cçêãìä~ë=
fÑ= M
è
éñ
ñO
=
+
+ I=íÜÉå==



=
−
=
+
è
ñ
ñ
é
ñ
ñ
O
N
O
N
K=
=
123. M
Äñ
~ñO
=
+ I= M
ñN = I=
~
Ä
ñO −
= K=
=
124. M
Å
~ñO
=
+ I=
~
Å
ñ O
I
N −
±
= K=
=
125. `ìÄáÅ=bèì~íáçåK=`~êÇ~åç∞ë=cçêãìä~K==
M
è
éó
óP
=
+
+ I==
CHAPTER 2. ALGEBRA
19
î
ì
óN +
= I= ( ) ( )á
î
ì
O
P
î
ì
O
N
ó P
I
O +
±
+
−
= I==
ïÜÉêÉ==
P
O
O
P
é
O
è
O
è
ì 





+






+
−
= I= P
O
O
P
é
O
è
O
è
î 





+






−
−
= K==
=
=
2.7 Inequalities
s~êá~ÄäÉëW=ñI=óI=ò=
oÉ~ä=åìãÄÉêëW=



å
P
O
N ~
I
I
~
I
~
I
~
Ç
I
Å
I
Ä
I
~
K
I=ãI=å=
aÉíÉêãáå~åíëW=aI= ñ
a I= ó
a I= ò
a ==
=
=
126. fåÉèì~äáíáÉëI=fåíÉêî~ä=kçí~íáçåë=~åÇ=dê~éÜë==
=
fåÉèì~äáíó= fåíÉêî~ä=kçí~íáçå= dê~éÜ=
Ä
ñ
~ ≤
≤ = [ ]
Ä
I
~ =
=
Ä
ñ
~ ≤
< = ( ]
Ä
I
~ =
=
Ä
ñ
~ <
≤ = [ )
Ä
I
~ =
=
Ä
ñ
~ <
< = ( )
Ä
I
~ =
=
Ä
ñ ≤
<
∞
− I=
Ä
ñ ≤ =
( ]
Ä
I
∞
− =
=
Ä
ñ <
<
∞
− I=
Ä
ñ < =
( )
Ä
I
∞
− =
=
∞
<
≤ ñ
~ I=
~
ñ ≥ =
[ )
∞
I
~ =
=
∞
<
< ñ
~ I=
~
ñ > =
( )
∞
I
~ =
=
CHAPTER 2. ALGEBRA
20
127. fÑ= Ä
~ > I=íÜÉå= ~
Ä < K=
=
128. fÑ= Ä
~ > I=íÜÉå= M
Ä
~ >
− =çê= M
~
Ä <
− K=
=
129. fÑ= Ä
~ > I=íÜÉå= Å
Ä
Å
~ +
>
+ K=
=
130. fÑ= Ä
~ > I=íÜÉå= Å
Ä
Å
~ −
>
− K=
=
131. fÑ= Ä
~ > =~åÇ= Ç
Å > I=íÜÉå= Ç
Ä
Å
~ +
>
+ K=
=
132. fÑ= Ä
~ > =~åÇ= Ç
Å > I=íÜÉå= Å
Ä
Ç
~ −
>
− K=
=
133. fÑ= Ä
~ > =~åÇ= M
ã > I=íÜÉå= ãÄ
ã~ > K=
=
134. fÑ= Ä
~ > =~åÇ= M
ã > I=íÜÉå=
ã
Ä
ã
~
> K=
=
135. fÑ= Ä
~ > =~åÇ= M
ã < I=íÜÉå= ãÄ
ã~ < K=
=
136. fÑ= Ä
~ > =~åÇ= M
ã < I=íÜÉå=
ã
Ä
ã
~
< K=
=
137. fÑ= Ä
~
M <
< =~åÇ= M
å > I=íÜÉå= å
å
Ä
~ < K=
=
138. fÑ= Ä
~
M <
< =~åÇ= M
å < I=íÜÉå= å
å
Ä
~ > K=
=
139. fÑ= Ä
~
M <
< I=íÜÉå= å
å
Ä
~ < K=
=
140.
O
Ä
~
~Ä
+
≤ I==
ïÜÉêÉ= M
~ > =I= M
Ä > X=~å=Éèì~äáíó=áë=î~äáÇ=çåäó=áÑ= Ä
~ = K==
=
141. O
~
N
~ ≥
+ I=ïÜÉêÉ= M
~ > X=~å=Éèì~äáíó=í~âÉë=éä~ÅÉ=çåäó=~í= N
~ = K=
CHAPTER 2. ALGEBRA
21
142.
å
~
~
~
~
~
~ å
O
N
å
å
O
N
+
+
+
≤
K
K I=ïÜÉêÉ= M
~
I
I
~
I
~ å
O
N >
K K=
=
143. fÑ= M
Ä
~ñ >
+ =~åÇ= M
~ > I=íÜÉå=
~
Ä
ñ −
> K=
=
144. fÑ= M
Ä
~ñ >
+ =~åÇ= M
~ < I=íÜÉå=
~
Ä
ñ −
< K==
=
145. M
Å
Äñ
~ñO
>
+
+ =
=
= M
~ > = M
~ < =
=
=
=
M
a > =
=
=
N
ñ
ñ < I= O
ñ
ñ > =
=
=
=
O
N ñ
ñ
ñ <
< =
=
=
=
M
a = =
=
ñ
ñN < I= N
ñ
ñ > =
=
=
∅
∈
ñ =
=
=
=
M
a< =
=
=
∞
<
<
∞
− ñ =
=
=
=
∅
∈
ñ =
=
CHAPTER 2. ALGEBRA
22
146. Ä
~
Ä
~ +
≤
+ =
=
147. fÑ= ~
ñ < I=íÜÉå= ~
ñ
~ <
<
− I=ïÜÉêÉ= M
~ > K=
=
148. fÑ= ~
ñ > I=íÜÉå= ~
ñ −
< =~åÇ= ~
ñ > I=ïÜÉêÉ= M
~ > K=
=
149. fÑ= ~
ñO
< I=íÜÉå= ~
ñ < I=ïÜÉêÉ= M
~ > K=
=
150. fÑ= ~
ñO
> I=íÜÉå= ~
ñ > I=ïÜÉêÉ= M
~ > K=
=
151. fÑ=
( )
( )
M
ñ
Ö
ñ
Ñ
> I=íÜÉå=
( ) ( )
( )



≠
>
⋅
M
ñ
Ö
M
ñ
Ö
ñ
Ñ
K=
=
152.
( )
( )
M
ñ
Ö
ñ
Ñ
< I=íÜÉå=
( ) ( )
( )



≠
<
⋅
M
ñ
Ö
M
ñ
Ö
ñ
Ñ
K=
=
=
=
2.8 Compound Interest Formulas
=
cìíìêÉ=î~äìÉW=^=
fåáíá~ä=ÇÉéçëáíW=`=
^ååì~ä=ê~íÉ=çÑ=áåíÉêÉëíW=ê=
kìãÄÉê=çÑ=óÉ~êë=áåîÉëíÉÇW=í=
kìãÄÉê=çÑ=íáãÉë=ÅçãéçìåÇÉÇ=éÉê=óÉ~êW=å=
=
=
153. dÉåÉê~ä=`çãéçìåÇ=fåíÉêÉëí=cçêãìä~=
åí
å
ê
N
`
^ 





+
= =
=
CHAPTER 2. ALGEBRA
23
154. páãéäáÑáÉÇ=`çãéçìåÇ=fåíÉêÉëí=cçêãìä~=
fÑ=áåíÉêÉëí=áë=ÅçãéçìåÇÉÇ=çåÅÉ=éÉê=óÉ~êI=íÜÉå=íÜÉ=éêÉîáçìë=
Ñçêãìä~=ëáãéäáÑáÉë=íçW=
( )í
ê
N
`
^ +
= K=
=
155. `çåíáåìçìë=`çãéçìåÇ=fåíÉêÉëí=
fÑ=áåíÉêÉëí=áë=ÅçãéçìåÇÉÇ=Åçåíáåì~ääó=E ∞
→
å FI=íÜÉå==
êí
`É
^ = K=
=
=
24
Chapter 3
Geometry
=
=
=
=
3.1 Right Triangle
=
iÉÖë=çÑ=~=êáÖÜí=íêá~åÖäÉW=~I=Ä=
eóéçíÉåìëÉW=Å=
^äíáíìÇÉW=Ü=
jÉÇá~åëW= ~
ã I= Ä
ã I= Å
ã =
^åÖäÉëW=α Iβ =
o~Çáìë=çÑ=ÅáêÅìãëÅêáÄÉÇ=ÅáêÅäÉW=o=
o~Çáìë=çÑ=áåëÅêáÄÉÇ=ÅáêÅäÉW=ê=
^êÉ~W=p=
=
=
=
=
Figure 8.
=
156. °
=
β
+
α VM =
=
CHAPTER 3. GEOMETRY
25
157. β
=
=
α Åçë
Å
~
ëáå =
=
158. β
=
=
α ëáå
Å
Ä
Åçë =
=
159. β
=
=
α Åçí
Ä
~
í~å =
=
160. β
=
=
α í~å
~
Ä
Åçí =
=
161. β
=
=
α ÉÅ
Åçë
Ä
Å
ëÉÅ =
=
162. β
=
=
α ëÉÅ
~
Å
ÉÅ
Åçë =
=
163. móíÜ~ÖçêÉ~å=qÜÉçêÉã=
O
O
O
Å
Ä
~ =
+ =
=
164. ÑÅ
~O
= I= ÖÅ
ÄO
= I==
ïÜÉêÉ= Ñ= ~åÇ= Å= ~êÉ= éêçàÉÅíáçåë= çÑ= íÜÉ= äÉÖë= ~= ~åÇ= ÄI= êÉëéÉÅ-
íáîÉäóI=çåíç=íÜÉ=ÜóéçíÉåìëÉ=ÅK=
=
===== =
=
Figure 9.
=
CHAPTER 3. GEOMETRY
26
165. ÑÖ
ÜO
= I===
ïÜÉêÉ=Ü=áë=íÜÉ=~äíáíìÇÉ=Ñêçã=íÜÉ=êáÖÜí=~åÖäÉK==
=
166.
Q
~
Ä
ã
O
O
O
~ −
= I=
Q
Ä
~
ã
O
O
O
Ä −
= I===
ïÜÉêÉ= ~
ã =~åÇ= Ä
ã =~êÉ=íÜÉ=ãÉÇá~åë=íç=íÜÉ=äÉÖë=~=~åÇ=ÄK==
=
=
=
Figure 10.
=
167.
O
Å
ãÅ = I==
ïÜÉêÉ= Å
ã =áë=íÜÉ=ãÉÇá~å=íç=íÜÉ=ÜóéçíÉåìëÉ=ÅK=
=
168. Å
ã
O
Å
o =
= =
=
169.
Å
Ä
~
~Ä
O
Å
Ä
~
ê
+
+
=
−
+
= =
=
170. ÅÜ
~Ä = =
=
=
CHAPTER 3. GEOMETRY
27
171.
O
ÅÜ
O
~Ä
p =
= =
=
=
=
3.2 Isosceles Triangle
=
_~ëÉW=~=
iÉÖëW=Ä=
_~ëÉ=~åÖäÉW=β =
sÉêíÉñ=~åÖäÉW=α =
^äíáíìÇÉ=íç=íÜÉ=Ä~ëÉW=Ü=
mÉêáãÉíÉêW=i=
^êÉ~W=p=
=
=
=
=
Figure 11.
=
172.
O
VM
α
−
°
=
β =
=
173.
Q
~
Ä
Ü
O
O
O
−
= =
CHAPTER 3. GEOMETRY
28
174. Ä
O
~
i +
= =
=
175. α
=
= ëáå
O
Ä
O
~Ü
p
O
=
=
=
=
3.3 Equilateral Triangle
=
páÇÉ=çÑ=~=Éèìáä~íÉê~ä=íêá~åÖäÉW=~=
^äíáíìÇÉW=Ü=
o~Çáìë=çÑ=ÅáêÅìãëÅêáÄÉÇ=ÅáêÅäÉW=o=
o~Çáìë=çÑ=áåëÅêáÄÉÇ=ÅáêÅäÉW=ê=
mÉêáãÉíÉêW=i=
^êÉ~W=p=
=
=
=
=
Figure 12.
=
176.
O
P
~
Ü = =
=
CHAPTER 3. GEOMETRY
29
177.
P
P
~
Ü
P
O
o =
= =
=
178.
O
o
S
P
~
Ü
P
N
ê =
=
= =
=
179. ~
P
i = =
=
180.
Q
P
~
O
~Ü
p
O
=
= =
=
=
=
3.4 Scalene Triangle
E^=íêá~åÖäÉ=ïáíÜ=åç=íïç=ëáÇÉë=Éèì~äF=
=
=
páÇÉë=çÑ=~=íêá~åÖäÉW=~I=ÄI=Å=
pÉãáéÉêáãÉíÉêW=
O
Å
Ä
~
é
+
+
= ==
^åÖäÉë=çÑ=~=íêá~åÖäÉW= γ
β
α I
I =
^äíáíìÇÉë=íç=íÜÉ=ëáÇÉë=~I=ÄI=ÅW= Å
Ä
~ Ü
I
Ü
I
Ü =
jÉÇá~åë=íç=íÜÉ=ëáÇÉë=~I=ÄI=ÅW= Å
Ä
~ ã
I
ã
I
ã =
_áëÉÅíçêë=çÑ=íÜÉ=~åÖäÉë= γ
β
α I
I W= Å
Ä
~ í
I
í
I
í =
o~Çáìë=çÑ=ÅáêÅìãëÅêáÄÉÇ=ÅáêÅäÉW=o=
o~Çáìë=çÑ=áåëÅêáÄÉÇ=ÅáêÅäÉW=ê=
^êÉ~W=p=
=
=
CHAPTER 3. GEOMETRY
30
===== =
=
Figure 13.
=
181. °
=
γ
+
β
+
α NUM =
=
182. Å
Ä
~ >
+ I==
~
Å
Ä >
+ I==
Ä
Å
~ >
+ K=
=
183. Å
Ä
~ <
− I==
~
Å
Ä <
− I==
Ä
Å
~ <
− K=
=
184. jáÇäáåÉ=
O
~
è = I= ~
öö
è K=
=
===== =
=
Figure 14.
=
CHAPTER 3. GEOMETRY
31
185. i~ï=çÑ=`çëáåÉë=
α
−
+
= Åçë
ÄÅ
O
Å
Ä
~ O
O
O
I=
β
−
+
= Åçë
~Å
O
Å
~
Ä O
O
O
I=
γ
−
+
= Åçë
~Ä
O
Ä
~
Å O
O
O
K=
=
186. i~ï=çÑ=páåÉë=
o
O
ëáå
Å
ëáå
Ä
ëáå
~
=
γ
=
β
=
α
I==
ïÜÉêÉ=o=áë=íÜÉ=ê~Çáìë=çÑ=íÜÉ=ÅáêÅìãëÅêáÄÉÇ=ÅáêÅäÉK==
=
187.
p
Q
~ÄÅ
Ü
O
~Ä
Ü
O
~Å
Ü
O
ÄÅ
ëáå
O
Å
ëáå
O
Ä
ëáå
O
~
o
Å
Ä
~
=
=
=
=
γ
=
β
=
α
= =
=
188.
( )( )( )
é
Å
é
Ä
é
~
é
êO −
−
−
= I==
Å
Ä
~ Ü
N
Ü
N
Ü
N
ê
N
+
+
= K=
=
189.
( )( )
ÄÅ
Å
é
Ä
é
O
ëáå
−
−
=
α
I=
( )
ÄÅ
~
é
é
O
Åçë
−
=
α
I=
( )( )
( )
~
é
é
Å
é
Ä
é
O
í~å
−
−
−
=
α
K=
=
190. ( )( )( )
Å
é
Ä
é
~
é
é
~
O
Ü~ −
−
−
= I=
( )( )( )
Å
é
Ä
é
~
é
é
Ä
O
ÜÄ −
−
−
= I=
( )( )( )
Å
é
Ä
é
~
é
é
Å
O
ÜÅ −
−
−
= K=
CHAPTER 3. GEOMETRY
32
191. β
=
γ
= ëáå
Å
ëáå
Ä
Ü~ I=
α
=
γ
= ëáå
Å
ëáå
~
ÜÄ I=
α
=
β
= ëáå
Ä
ëáå
~
ÜÅ K=
=
192.
Q
~
O
Å
Ä
ã
O
O
O
O
~ −
+
= I==
Q
Ä
O
Å
~
ã
O
O
O
O
Ä −
+
= I==
Q
Å
O
Ä
~
ã
O
O
O
O
Å −
+
= K=
=
===== =
=
Figure 15.
=
193. ~
ã
P
O
^j = I= Ä
ã
P
O
_j = I= Å
ã
P
O
`j = =EcáÖKNRFK=
=
194.
( )
( )O
O
~
Å
Ä
~
é
ÄÅé
Q
í
+
−
= I==
( )
( )O
O
Ä
Å
~
Ä
é
~Åé
Q
í
+
−
= I==
( )
( )O
O
Å
Ä
~
Å
é
~Äé
Q
í
+
−
= K=
=
CHAPTER 3. GEOMETRY
33
195.
O
ÅÜ
O
ÄÜ
O
~Ü
p Å
Ä
~
=
=
= I==
O
ëáå
ÄÅ
O
ëáå
~Å
O
ëáå
~Ä
p
α
=
β
=
γ
= I==
( )( )( )
Å
é
Ä
é
~
é
é
p −
−
−
= =EeÉêçå∞ë=cçêãìä~FI=
éê
p = I==
o
Q
~ÄÅ
p = I=
γ
β
α
= ëáå
ëáå
ëáå
o
O
p O
I=
O
í~å
O
í~å
O
í~å
é
p O γ
β
α
= K=
=
=
=
3.5 Square
páÇÉ=çÑ=~=ëèì~êÉW=~=
aá~Öçå~äW=Ç=
o~Çáìë=çÑ=ÅáêÅìãëÅêáÄÉÇ=ÅáêÅäÉW=o=
o~Çáìë=çÑ=áåëÅêáÄÉÇ=ÅáêÅäÉW=ê=
mÉêáãÉíÉêW=i=
^êÉ~W=p=
=
=
=
Figure 16.
CHAPTER 3. GEOMETRY
34
196. O
~
Ç = ==
=
197.
O
O
~
O
Ç
o =
= =
=
198.
O
~
ê = =
=
199. ~
Q
i = =
=
200. O
~
p = =
=
=
=
3.6 Rectangle
=
páÇÉë=çÑ=~=êÉÅí~åÖäÉW=~I=Ä=
aá~Öçå~äW=Ç=
o~Çáìë=çÑ=ÅáêÅìãëÅêáÄÉÇ=ÅáêÅäÉW=o=
mÉêáãÉíÉêW=i=
^êÉ~W=p=
=
=
=
=
Figure 17.
=
201. O
O
Ä
~
Ç +
= ==
CHAPTER 3. GEOMETRY
35
202.
O
Ç
o = =
=
203. ( )
Ä
~
O
i +
= =
=
204. ~Ä
p = =
=
=
=
3.7 Parallelogram
=
páÇÉë=çÑ=~=é~ê~ääÉäçÖê~ãW=~I=Ä=
aá~Öçå~äëW= O
N Ç
I
Ç =
`çåëÉÅìíáîÉ=~åÖäÉëW= β
αI =
^åÖäÉ=ÄÉíïÉÉå=íÜÉ=Çá~Öçå~äëW=ϕ =
^äíáíìÇÉW=Ü==
mÉêáãÉíÉêW=i=
^êÉ~W=p=
=
=
===== =
=
Figure 18.
=
205. °
=
β
+
α NUM =
=
206. ( )
O
O
O
O
O
N Ä
~
O
Ç
Ç +
=
+ =
=
CHAPTER 3. GEOMETRY
36
207. β
=
α
= ëáå
Ä
ëáå
Ä
Ü =
=
208. ( )
Ä
~
O
i +
= =
=
209. α
=
= ëáå
~Ä
~Ü
p I==
ϕ
= ëáå
Ç
Ç
O
N
p O
N K=
=
=
=
3.8 Rhombus
=
páÇÉ=çÑ=~=êÜçãÄìëW=~=
aá~Öçå~äëW= O
N Ç
I
Ç =
`çåëÉÅìíáîÉ=~åÖäÉëW= β
αI =
^äíáíìÇÉW=e=
o~Çáìë=çÑ=áåëÅêáÄÉÇ=ÅáêÅäÉW=ê=
mÉêáãÉíÉêW=i=
^êÉ~W=p=
=
=
===== =
=
Figure 19.
=
CHAPTER 3. GEOMETRY
37
210. °
=
β
+
α NUM =
=
211. O
O
O
O
N ~
Q
Ç
Ç =
+ =
=
212.
~
O
Ç
Ç
ëáå
~
Ü O
N
=
α
= =
=
213.
O
ëáå
~
~
Q
Ç
Ç
O
Ü
ê O
N α
=
=
= =
=
214. ~
Q
i = =
=
215. α
=
= ëáå
~
~Ü
p O
I==
O
NÇ
Ç
O
N
p = K=
=
=
=
3.9 Trapezoid
=
_~ëÉë=çÑ=~=íê~éÉòçáÇW=~I=Ä=
jáÇäáåÉW=è=
^äíáíìÇÉW=Ü=
^êÉ~W=p=
=
=
CHAPTER 3. GEOMETRY
38
=
=
Figure 20.
=
216.
O
Ä
~
è
+
= =
=
217. èÜ
Ü
O
Ä
~
p =
⋅
+
= =
=
=
=
3.10 Isosceles Trapezoid
=
_~ëÉë=çÑ=~=íê~éÉòçáÇW=~I=Ä=
iÉÖW=Å=
jáÇäáåÉW=è=
^äíáíìÇÉW=Ü=
aá~Öçå~äW=Ç=
o~Çáìë=çÑ=ÅáêÅìãëÅêáÄÉÇ=ÅáêÅäÉW=o=
^êÉ~W=p=
=
=
CHAPTER 3. GEOMETRY
39
=
=
Figure 21.
=
218.
O
Ä
~
è
+
= =
=
219. O
Å
~Ä
Ç +
= =
=
220. ( )O
O
~
Ä
Q
N
Å
Ü −
−
= =
=
221.
( )( )
Ä
~
Å
O
Ä
~
Å
O
Å
~Ä
Å
o
O
−
+
+
−
+
= =
=
222. èÜ
Ü
O
Ä
~
p =
⋅
+
= =
=
=
=
=
=
=
CHAPTER 3. GEOMETRY
40
3.11 Isosceles Trapezoid with
Inscribed Circle
=
_~ëÉë=çÑ=~=íê~éÉòçáÇW=~I=Ä=
iÉÖW=Å=
jáÇäáåÉW=è=
^äíáíìÇÉW=Ü=
aá~Öçå~äW=Ç=
o~Çáìë=çÑ=áåëÅêáÄÉÇ=ÅáêÅäÉW=o=
o~Çáìë=çÑ=ÅáêÅìãëÅêáÄÉÇ=ÅáêÅäÉW=ê=
mÉêáãÉíÉêW=i=
^êÉ~W=p=
=
=
=
=
Figure 22.
=
223. Å
O
Ä
~ =
+ =
=
224. Å
O
Ä
~
è =
+
= =
=
225. O
O
O
Å
Ü
Ç +
= =
=
CHAPTER 3. GEOMETRY
41
226.
O
~Ä
O
Ü
ê =
= =
=
227.
~
Ä
S
Ä
~
U
Ä
~
Å
Ü
Ü
O
Å
~Ä
Å
N
O
Å
ê
Q
ÅÇ
Ü
O
ÅÇ
o O
O
O
+
+
+
=
+
=
+
=
=
= =
=
228. ( ) Å
Q
Ä
~
O
i =
+
= =
=
229.
( )
O
iê
ÅÜ
èÜ
O
~Ä
Ä
~
Ü
O
Ä
~
p =
=
=
+
=
⋅
+
= ==
=
=
=
3.12 Trapezoid with Inscribed Circle
=
_~ëÉë=çÑ=~=íê~éÉòçáÇW=~I=Ä=
i~íÉê~ä=ëáÇÉëW=ÅI=Ç=
jáÇäáåÉW=è=
^äíáíìÇÉW=Ü=
aá~Öçå~äëW= O
N Ç
I
Ç =
^åÖäÉ=ÄÉíïÉÉå=íÜÉ=Çá~Öçå~äëW=ϕ =
o~Çáìë=çÑ=áåëÅêáÄÉÇ=ÅáêÅäÉW=ê=
o~Çáìë=çÑ=ÅáêÅìãëÅêáÄÉÇ=ÅáêÅäÉW=o=
mÉêáãÉíÉêW=i=
^êÉ~W=p=
=
CHAPTER 3. GEOMETRY
42
=
=
Figure 23.
=
230. Ç
Å
Ä
~ +
=
+ =
=
231.
O
Ç
Å
O
Ä
~
è
+
=
+
= =
=
232. ( ) ( )
Ç
Å
O
Ä
~
O
i +
=
+
= =
=
233. èÜ
Ü
O
Ç
Å
Ü
O
Ä
~
p =
⋅
+
=
⋅
+
= I==
ϕ
= ëáå
Ç
Ç
O
N
p O
N K=
=
=
=
3.13 Kite
=
páÇÉë=çÑ=~=âáíÉW=~I=Ä=
aá~Öçå~äëW= O
N Ç
I
Ç =
^åÖäÉëW= γ
β
α I
I =
mÉêáãÉíÉêW=i=
^êÉ~W=p=
=
=
CHAPTER 3. GEOMETRY
43
=
=
Figure 24.
=
234. °
=
γ
+
β
+
α PSM
O =
=
235. ( )
Ä
~
O
i +
= =
=
236.
O
Ç
Ç
p O
N
= =
=
=
=
3.14 Cyclic Quadrilateral
páÇÉë=çÑ=~=èì~Çêáä~íÉê~äW=~I=ÄI=ÅI=Ç=
aá~Öçå~äëW= O
N Ç
I
Ç =
^åÖäÉ=ÄÉíïÉÉå=íÜÉ=Çá~Öçå~äëW=ϕ =
fåíÉêå~ä=~åÖäÉëW= δ
γ
β
α I
I
I =
o~Çáìë=çÑ=ÅáêÅìãëÅêáÄÉÇ=ÅáêÅäÉW=o=
mÉêáãÉíÉêW=i=
pÉãáéÉêáãÉíÉêW=é==
^êÉ~W=p=
CHAPTER 3. GEOMETRY
44
=
=
Figure 25.
=
237. °
=
δ
+
β
=
γ
+
α NUM =
=
238. míçäÉãó∞ë=qÜÉçêÉã=
O
NÇ
Ç
ÄÇ
~Å =
+ =
=
239. Ç
Å
Ä
~
i +
+
+
= =
=
240.
( )( )( )
( )( )( )( )
Ç
é
Å
é
Ä
é
~
é
ÅÇ
~Ä
ÄÅ
~Ç
ÄÇ
~Å
Q
N
o
−
−
−
−
+
+
+
= I==
ïÜÉêÉ=
O
i
é = K=
=
241. ϕ
= ëáå
Ç
Ç
O
N
p O
N I==
( )( )( )( )
Ç
é
Å
é
Ä
é
~
é
p −
−
−
−
= I==
ïÜÉêÉ=
O
i
é = K=
=
=
=
CHAPTER 3. GEOMETRY
45
3.15 Tangential Quadrilateral
=
páÇÉë=çÑ=~=èì~Çêáä~íÉê~äW=~I=ÄI=ÅI=Ç=
aá~Öçå~äëW= O
N Ç
I
Ç =
^åÖäÉ=ÄÉíïÉÉå=íÜÉ=Çá~Öçå~äëW=ϕ =
o~Çáìë=çÑ=áåëÅêáÄÉÇ=ÅáêÅäÉW=ê=
mÉêáãÉíÉêW=i=
pÉãáéÉêáãÉíÉêW=é==
^êÉ~W=p=
=
=
=
=
Figure 26.
=
242. Ç
Ä
Å
~ +
=
+ =
=
243. ( ) ( )
Ç
Ä
O
Å
~
O
Ç
Å
Ä
~
i +
=
+
=
+
+
+
= =
=
244.
( ) ( )
é
O
é
Ä
~
Ä
~
Ç
Ç
ê
O
O
O
O
O
N −
+
−
−
= I==
ïÜÉêÉ=
O
i
é = K==
=
CHAPTER 3. GEOMETRY
46
245. ϕ
=
= ëáå
Ç
Ç
O
N
éê
p O
N =
=
=
=
3.16 General Quadrilateral
=
páÇÉë=çÑ=~=èì~Çêáä~íÉê~äW=~I=ÄI=ÅI=Ç=
aá~Öçå~äëW= O
N Ç
I
Ç =
^åÖäÉ=ÄÉíïÉÉå=íÜÉ=Çá~Öçå~äëW=ϕ =
fåíÉêå~ä=~åÖäÉëW= δ
γ
β
α I
I
I =
mÉêáãÉíÉêW=i=
^êÉ~W=p=
=
=
======= =
=
Figure 27.
=
246. °
=
δ
+
γ
+
β
+
α PSM =
=
247. Ç
Å
Ä
~
i +
+
+
= =
=
CHAPTER 3. GEOMETRY
47
248. ϕ
= ëáå
Ç
Ç
O
N
p O
N =
=
=
=
3.17 Regular Hexagon
=
páÇÉW=~=
fåíÉêå~ä=~åÖäÉW=α =
pä~åí=ÜÉáÖÜíW=ã=
o~Çáìë=çÑ=áåëÅêáÄÉÇ=ÅáêÅäÉW=ê=
o~Çáìë=çÑ=ÅáêÅìãëÅêáÄÉÇ=ÅáêÅäÉW=o=
mÉêáãÉíÉêW=i=
pÉãáéÉêáãÉíÉêW=é==
^êÉ~W=p=
=
=
=
=
Figure 28.
=
249. °
=
α NOM =
=
250.
O
P
~
ã
ê =
= =
CHAPTER 3. GEOMETRY
48
251. ~
o = =
=
252. ~
S
i = =
=
253.
O
P
P
~
éê
p
O
=
= I==
ïÜÉêÉ=
O
i
é = K=
=
=
=
3.18 Regular Polygon
=
páÇÉW=~=
kìãÄÉê=çÑ=ëáÇÉëW=å=
fåíÉêå~ä=~åÖäÉW=α =
pä~åí=ÜÉáÖÜíW=ã=
o~Çáìë=çÑ=áåëÅêáÄÉÇ=ÅáêÅäÉW=ê=
o~Çáìë=çÑ=ÅáêÅìãëÅêáÄÉÇ=ÅáêÅäÉW=o=
mÉêáãÉíÉêW=i=
pÉãáéÉêáãÉíÉêW=é==
^êÉ~W=p=
=
=
CHAPTER 3. GEOMETRY
49
=
=
Figure 29.
=
254. °
⋅
−
=
α NUM
O
O
å
=
=
255. °
⋅
−
=
α NUM
O
O
å
=
=
256.
å
ëáå
O
~
o
π
= =
=
257.
Q
~
o
å
í~å
O
~
ã
ê
O
O
−
=
π
=
= =
=
258. å~
i = =
=
259.
å
O
ëáå
O
åo
p
O
π
= I==
Q
~
o
é
éê
p
O
O
−
=
= I==
CHAPTER 3. GEOMETRY
50
ïÜÉêÉ=
O
i
é = K==
=
=
=
3.19 Circle
=
o~ÇáìëW=o=
aá~ãÉíÉêW=Ç=
`ÜçêÇW=~=
pÉÅ~åí=ëÉÖãÉåíëW=ÉI=Ñ=
q~åÖÉåí=ëÉÖãÉåíW=Ö=
`Éåíê~ä=~åÖäÉW=α =
fåëÅêáÄÉÇ=~åÖäÉW=β =
mÉêáãÉíÉêW=i=
^êÉ~W=p=
=
=
260.
O
ëáå
o
O
~
α
= =
=
=
=
Figure 30.
=
CHAPTER 3. GEOMETRY
51
261. O
N
O
N Ä
Ä
~
~ = =
=
=
=
Figure 31.
=
262. N
N ÑÑ
ÉÉ = =
=
===== =
=
Figure 32.
=
263. N
O
ÑÑ
Ö = =
=
CHAPTER 3. GEOMETRY
52
===== =
=
Figure 33.
=
264.
O
α
=
β =
=
=
=
Figure 34.
=
265. Ç
o
O
i π
=
π
= =
=
266.
O
io
Q
Ç
o
p
O
O
=
π
=
π
= ==
=
CHAPTER 3. GEOMETRY
53
3.20 Sector of a Circle
=
o~Çáìë=çÑ=~=ÅáêÅäÉW=o=
^êÅ=äÉåÖíÜW=ë=
`Éåíê~ä=~åÖäÉ=Eáå=ê~Çá~åëFW=ñ=
`Éåíê~ä=~åÖäÉ=Eáå=ÇÉÖêÉÉëFW=α=
mÉêáãÉíÉêW=i=
^êÉ~W=p=
=
=
=
=
Figure 35.
=
267. oñ
ë = =
=
268.
°
α
π
=
NUM
o
ë =
=
269. o
O
ë
i +
= =
=
270.
°
α
π
=
=
=
PSM
o
O
ñ
o
O
oë
p
O
O
==
=
=
CHAPTER 3. GEOMETRY
54
3.21 Segment of a Circle
=
o~Çáìë=çÑ=~=ÅáêÅäÉW=o=
^êÅ=äÉåÖíÜW=ë=
`ÜçêÇW=~=
`Éåíê~ä=~åÖäÉ=Eáå=ê~Çá~åëFW=ñ=
`Éåíê~ä=~åÖäÉ=Eáå=ÇÉÖêÉÉëFW=α=
eÉáÖÜí=çÑ=íÜÉ=ëÉÖãÉåíW=Ü=
mÉêáãÉíÉêW=i=
^êÉ~W=p=
=
=
=
=
Figure 36.
=
271. O
Ü
Üo
O
O
~ −
= =
=
272. O
O
~
o
Q
O
N
o
Ü −
−
= I= o
Ü < =
=
273. ~
ë
i +
= =
=
CHAPTER 3. GEOMETRY
55
274. ( )
[ ] ( )
ñ
ëáå
ñ
O
o
ëáå
NUM
O
o
Ü
o
~
ëo
O
N
p
O
O
−
=






α
−
°
απ
=
−
−
= I==
Ü~
P
O
p ≈ K=
=
=
=
3.22 Cube
=
bÇÖÉW=~==
aá~Öçå~äW=Ç=
o~Çáìë=çÑ=áåëÅêáÄÉÇ=ëéÜÉêÉW=ê=
o~Çáìë=çÑ=ÅáêÅìãëÅêáÄÉÇ=ëéÜÉêÉW=ê=
pìêÑ~ÅÉ=~êÉ~W=p=
sçäìãÉW=s=
=
=
=== =
=
Figure 37.
=
275. P
~
Ç = =
=
276.
O
~
ê = =
=
CHAPTER 3. GEOMETRY
56
277.
O
P
~
o = =
=
278. O
~
S
p = =
=
279. P
~
s = ==
=
=
=
3.23 Rectangular Parallelepiped
=
bÇÖÉëW=~I=ÄI=Å==
aá~Öçå~äW=Ç=
pìêÑ~ÅÉ=~êÉ~W=p=
sçäìãÉW=s=
=
=
===== =
=
Figure 38.
=
280. O
O
O
Å
Ä
~
Ç +
+
= =
=
281. ( )
ÄÅ
~Å
~Ä
O
p +
+
= =
=
282. ~ÄÅ
s = ==
CHAPTER 3. GEOMETRY
57
3.24 Prism
=
i~íÉê~ä=ÉÇÖÉW=ä=
eÉáÖÜíW=Ü=
i~íÉê~ä=~êÉ~W= i
p =
^êÉ~=çÑ=Ä~ëÉW= _
p =
qçí~ä=ëìêÑ~ÅÉ=~êÉ~W=p=
sçäìãÉW=s=
=
=
===== =
=
Figure 39.
=
283. _
i p
O
p
p +
= K==
=
284. i~íÉê~ä=^êÉ~=çÑ=~=oáÖÜí=mêáëã=
( )ä
~
~
~
~
p å
P
O
N
i +
+
+
+
= K =
=
285. i~íÉê~ä=^êÉ~=çÑ=~å=lÄäáèìÉ=mêáëã=
éä
pi = I==
ïÜÉêÉ=é=áë=íÜÉ=éÉêáãÉíÉê=çÑ=íÜÉ=Åêçëë=ëÉÅíáçåK=
=
CHAPTER 3. GEOMETRY
58
286. Ü
p
s _
= =
=
287. `~î~äáÉêáDë=mêáåÅáéäÉ==
dáîÉå=íïç=ëçäáÇë=áåÅäìÇÉÇ=ÄÉíïÉÉå=é~ê~ääÉä=éä~åÉëK=fÑ=ÉîÉêó=
éä~åÉ=Åêçëë=ëÉÅíáçå=é~ê~ääÉä=íç=íÜÉ=ÖáîÉå=éä~åÉë=Ü~ë=íÜÉ=ë~ãÉ=
~êÉ~=áå=ÄçíÜ=ëçäáÇëI=íÜÉå=íÜÉ=îçäìãÉë=çÑ=íÜÉ=ëçäáÇë=~êÉ=Éèì~äK=
=
=
=
3.25 Regular Tetrahedron
=
qêá~åÖäÉ=ëáÇÉ=äÉåÖíÜW=~=
eÉáÖÜíW=Ü=
^êÉ~=çÑ=Ä~ëÉW= _
p =
pìêÑ~ÅÉ=~êÉ~W=p=
sçäìãÉW=s=
=
=
=
=
Figure 40.
=
288. ~
P
O
Ü = =
=
CHAPTER 3. GEOMETRY
59
289.
Q
~
P
p
O
_ = =
=
290. O
~
P
p = =
=
291.
O
S
~
Ü
p
P
N
s
P
_ =
= K==
=
=
=
3.26 Regular Pyramid
=
páÇÉ=çÑ=Ä~ëÉW=~=
i~íÉê~ä=ÉÇÖÉW=Ä=
eÉáÖÜíW=Ü=
pä~åí=ÜÉáÖÜíW=ã==
kìãÄÉê=çÑ=ëáÇÉëW=å==
pÉãáéÉêáãÉíÉê=çÑ=Ä~ëÉW=é=
o~Çáìë=çÑ=áåëÅêáÄÉÇ=ëéÜÉêÉ=çÑ=Ä~ëÉW=ê=
^êÉ~=çÑ=Ä~ëÉW= _
p =
i~íÉê~ä=ëìêÑ~ÅÉ=~êÉ~W= i
p =
qçí~ä=ëìêÑ~ÅÉ=~êÉ~W=p=
sçäìãÉW=s=
=
=
CHAPTER 3. GEOMETRY
60
=
=
Figure 41.
=
292.
Q
~
Ä
ã
O
O
−
= =
=
293.
å
ëáå
O
~
å
ëáå
Ä
Q
Ü
O
O
O
π
−
π
= =
=
294. éã
~
Ä
Q
å~
Q
N
å~ã
O
N
p O
O
i =
−
=
= =
=
295. éê
p_ = =
=
296. i
_ p
p
p +
= =
=
297. éêÜ
P
N
Ü
p
P
N
s _ =
= ==
=
=
=
CHAPTER 3. GEOMETRY
61
3.27 Frustum of a Regular Pyramid
=
_~ëÉ=~åÇ=íçé=ëáÇÉ=äÉåÖíÜëW=



å
P
O
N
å
P
O
N
Ä
I
I
Ä
I
Ä
I
Ä
~
I
I
~
I
~
I
~
K
K
=
eÉáÖÜíW=Ü=
pä~åí=ÜÉáÖÜíW=ã==
^êÉ~=çÑ=Ä~ëÉëW= N
p I= O
p =
i~íÉê~ä=ëìêÑ~ÅÉ=~êÉ~W= i
p =
mÉêáãÉíÉê=çÑ=Ä~ëÉëW= N
m I= O
m =
pÅ~äÉ=Ñ~ÅíçêW=â=
qçí~ä=ëìêÑ~ÅÉ=~êÉ~W=p=
sçäìãÉW=s=
=
=
=
=
Figure 42.
=
298. â
~
Ä
~
Ä
~
Ä
~
Ä
~
Ä
å
å
P
P
O
O
N
N
=
=
=
=
=
= K =
=
CHAPTER 3. GEOMETRY
62
299. O
N
O
â
p
p
= =
=
300.
( )
O
m
m
ã
p O
N
i
+
= =
=
301. O
N
i p
p
p
p +
+
= =
=
302. ( )
O
O
N
N p
p
p
p
P
Ü
s +
+
= =
=
303. [ ]
O
N
O
N
â
â
N
P
Üp
~
Ä
~
Ä
N
P
Üp
s +
+
=














+
+
= =
=
=
=
3.28 Rectangular Right Wedge
=
páÇÉë=çÑ=Ä~ëÉW=~I=Ä=
qçé=ÉÇÖÉW=Å=
eÉáÖÜíW=Ü=
i~íÉê~ä=ëìêÑ~ÅÉ=~êÉ~W= i
p =
^êÉ~=çÑ=Ä~ëÉW= _
p =
qçí~ä=ëìêÑ~ÅÉ=~êÉ~W=p=
sçäìãÉW=s=
=
=
CHAPTER 3. GEOMETRY
63
=
=
Figure 43.
=
304. ( ) ( )O
O
O
O
i Å
~
Ü
Ä
Ä
Ü
Q
Å
~
O
N
p −
+
+
+
+
= =
=
305. ~Ä
p_ = =
=
306. i
_ p
p
p +
= =
=
307. ( )
Å
~
O
S
ÄÜ
s +
= =
=
=
=
3.29 Platonic Solids
=
bÇÖÉW=~=
o~Çáìë=çÑ=áåëÅêáÄÉÇ=ÅáêÅäÉW=ê=
o~Çáìë=çÑ=ÅáêÅìãëÅêáÄÉÇ=ÅáêÅäÉW=o=
pìêÑ~ÅÉ=~êÉ~W=p=
sçäìãÉW=s=
=
=
CHAPTER 3. GEOMETRY
64
308. cáîÉ=mä~íçåáÅ=pçäáÇë=
qÜÉ= éä~íçåáÅ= ëçäáÇë= ~êÉ= ÅçåîÉñ= éçäóÜÉÇê~= ïáíÜ= Éèìáî~äÉåí=
Ñ~ÅÉë=ÅçãéçëÉÇ=çÑ=ÅçåÖêìÉåí=ÅçåîÉñ=êÉÖìä~ê=éçäóÖçåëK==
=
pçäáÇ= kìãÄÉê=
çÑ=sÉêíáÅÉë
kìãÄÉê=
çÑ=bÇÖÉë=
kìãÄÉê=
çÑ=c~ÅÉë=
pÉÅíáçå=
qÉíê~ÜÉÇêçå== Q= S= Q= PKOR=
`ìÄÉ= U= NO= S= PKOO=
lÅí~ÜÉÇêçå= S= NO= U= PKOT=
fÅçë~ÜÉÇêçå= NO= PM= OM= PKOT=
açÇÉÅ~ÜÉÇêçå= OM= PM= NO= PKOT=
=
=
Octahedron
=
=
=
Figure 44.
=
309.
S
S
~
ê = =
=
310.
O
O
~
o = =
=
CHAPTER 3. GEOMETRY
65
311. P
~
O
p O
= =
=
312.
P
O
~
s
P
= =
=
=
Icosahedron
=
=
=
Figure 45.
=
313.
( )
NO
R
P
P
~
ê
+
= =
=
314. ( )
R
R
O
Q
~
o +
= =
=
315. P
~
R
p O
= =
=
316.
( )
NO
R
P
~
R
s
P
+
= =
=
=
CHAPTER 3. GEOMETRY
66
Dodecahedron
=
=
=
Figure 46.
=
317.
( )
O
R
NN
OR
NM
~
ê
+
= =
=
318.
( )
Q
R
N
P
~
o
+
= =
=
319. ( )
R
O
R
R
~
P
p O
+
= =
=
320.
( )
Q
R
T
NR
~
s
P
+
= =
=
=
=
3.30 Right Circular Cylinder
=
o~Çáìë=çÑ=Ä~ëÉW=o=
aá~ãÉíÉê=çÑ=Ä~ëÉW=Ç=
CHAPTER 3. GEOMETRY
67
eÉáÖÜíW=e=
i~íÉê~ä=ëìêÑ~ÅÉ=~êÉ~W= i
p =
^êÉ~=çÑ=Ä~ëÉW= _
p =
qçí~ä=ëìêÑ~ÅÉ=~êÉ~W=p=
sçäìãÉW=s=
=
=
===== =
=
Figure 47.
=
321. oe
O
pi π
= =
=
322. ( ) 





+
π
=
+
π
=
+
=
O
Ç
e
Ç
o
e
o
O
p
O
p
p _
i =
=
323. e
o
e
p
s O
_ π
=
= =
=
=
=
CHAPTER 3. GEOMETRY
68
3.31 Right Circular Cylinder with
an Oblique Plane Face
=
o~Çáìë=çÑ=Ä~ëÉW=o=
qÜÉ=ÖêÉ~íÉëí=ÜÉáÖÜí=çÑ=~=ëáÇÉW= N
Ü =
qÜÉ=ëÜçêíÉëí=ÜÉáÖÜí=çÑ=~=ëáÇÉW= O
Ü =
i~íÉê~ä=ëìêÑ~ÅÉ=~êÉ~W= i
p =
^êÉ~=çÑ=éä~åÉ=ÉåÇ=Ñ~ÅÉëW= _
p =
qçí~ä=ëìêÑ~ÅÉ=~êÉ~W=p=
sçäìãÉW=s=
=
=
=
=
Figure 48.
=
324. ( )
O
N
i Ü
Ü
o
p +
π
= =
=
325.
O
O
N
O
O
_
O
Ü
Ü
o
o
o
p 




 −
+
π
+
π
= =
=
CHAPTER 3. GEOMETRY
69
326.













 −
+
+
+
+
π
=
+
=
O
O
N
O
O
N
_
i
O
Ü
Ü
o
o
Ü
Ü
o
p
p
p =
=
327. ( )
O
N
O
Ü
Ü
O
o
s +
π
= =
=
=
=
3.32 Right Circular Cone
o~Çáìë=çÑ=Ä~ëÉW=o=
aá~ãÉíÉê=çÑ=Ä~ëÉW=Ç=
eÉáÖÜíW=e=
pä~åí=ÜÉáÖÜíW=ã=
i~íÉê~ä=ëìêÑ~ÅÉ=~êÉ~W= i
p =
^êÉ~=çÑ=Ä~ëÉW= _
p =
qçí~ä=ëìêÑ~ÅÉ=~êÉ~W=p=
sçäìãÉW=s=
=
=
=
=
Figure 49.
CHAPTER 3. GEOMETRY
70
328. O
O
o
ã
e −
= =
=
329.
O
ãÇ
oã
pi
π
=
π
= =
=
330. O
_ o
p π
= =
=
331. ( ) 





+
π
=
+
π
=
+
=
O
Ç
ã
Ç
O
N
o
ã
o
p
p
p _
i =
=
332. e
o
P
N
e
p
P
N
s O
_ π
=
= =
=
=
=
3.33 Frustum of a Right Circular Cone
=
o~Çáìë=çÑ=Ä~ëÉëW=oI=ê=
eÉáÖÜíW=e=
pä~åí=ÜÉáÖÜíW=ã=
pÅ~äÉ=Ñ~ÅíçêW=â=
^êÉ~=çÑ=Ä~ëÉëW= N
p I= O
p =
i~íÉê~ä=ëìêÑ~ÅÉ=~êÉ~W= i
p =
qçí~ä=ëìêÑ~ÅÉ=~êÉ~W=p=
sçäìãÉW=s=
=
=
CHAPTER 3. GEOMETRY
71
=
=
Figure 50.
=
333. ( )O
O
ê
o
ã
e −
−
= =
=
334. â
ê
o
= =
=
335. O
O
O
N
O
â
ê
o
p
p
=
= =
=
336. ( )
ê
o
ã
pi +
π
= =
=
337. ( )
[ ]
ê
o
ã
ê
o
p
p
p
p O
O
i
O
N +
+
+
π
=
+
+
= =
=
338. ( )
O
O
N
N p
p
p
p
P
Ü
s +
+
= =
=
339. [ ]
O
N
O
N
â
â
N
P
Üp
ê
o
ê
o
N
P
Üp
s +
+
=














+
+
= =
=
=
=
CHAPTER 3. GEOMETRY
72
3.34 Sphere
=
o~ÇáìëW=o=
aá~ãÉíÉêW=Ç=
pìêÑ~ÅÉ=~êÉ~W=p=
sçäìãÉW=s=
=
=
=
Figure 51.
=
340. O
o
Q
p π
= =
=
341. po
P
N
Ç
S
N
e
o
P
Q
s P
P
=
π
=
π
= =
=
=
=
3.35 Spherical Cap
o~Çáìë=çÑ=ëéÜÉêÉW=o=
o~Çáìë=çÑ=Ä~ëÉW=ê=
eÉáÖÜíW=Ü=
^êÉ~=çÑ=éä~åÉ=Ñ~ÅÉW= _
p =
^êÉ~=çÑ=ëéÜÉêáÅ~ä=Å~éW= `
p =
qçí~ä=ëìêÑ~ÅÉ=~êÉ~W=p=
sçäìãÉW=s=
CHAPTER 3. GEOMETRY
73
=
=
Figure 52.
=
342.
Ü
O
Ü
ê
o
O
O
+
= =
=
343. O
_ ê
p π
= =
=
344. ( )
O
O
` ê
Ü
p +
π
= =
=
345. ( ) ( )
O
O
O
`
_ ê
oÜ
O
ê
O
Ü
p
p
p +
π
=
+
π
=
+
= =
=
346. ( ) ( )
O
O
O
Ü
ê
P
Ü
S
Ü
o
P
Ü
S
s +
π
=
−
π
= =
=
=
=
3.36 Spherical Sector
=
o~Çáìë=çÑ=ëéÜÉêÉW=o=
o~Çáìë=çÑ=Ä~ëÉ=çÑ=ëéÜÉêáÅ~ä=Å~éW=ê=
eÉáÖÜíW=Ü=
qçí~ä=ëìêÑ~ÅÉ=~êÉ~W=p=
sçäìãÉW=s=
=
CHAPTER 3. GEOMETRY
74
====== === =
=
Figure 53.
=
347. ( )
ê
Ü
O
o
p +
π
= =
=
348. Ü
o
P
O
s O
π
= =
=
kçíÉW=qÜÉ=ÖáîÉå=Ñçêãìä~ë=~êÉ=ÅçêêÉÅí=ÄçíÜ=Ñçê=±çéÉå≤=~åÇ=
±ÅäçëÉÇ≤=ëéÜÉêáÅ~ä=ëÉÅíçêK=
=
=
=
3.37 Spherical Segment
=
o~Çáìë=çÑ=ëéÜÉêÉW=o=
o~Çáìë=çÑ=Ä~ëÉëW= N
ê I= O
ê =
eÉáÖÜíW=Ü=
^êÉ~=çÑ=ëéÜÉêáÅ~ä=ëìêÑ~ÅÉW= p
p =
^êÉ~=çÑ=éä~åÉ=ÉåÇ=Ñ~ÅÉëW= N
p I= O
p =
qçí~ä=ëìêÑ~ÅÉ=~êÉ~W=p=
sçäìãÉW=s=
=
CHAPTER 3. GEOMETRY
75
===== =
=
Figure 54.
=
349. oÜ
O
pp π
= =
=
350. ( )
O
O
O
N
O
N
p ê
ê
oÜ
O
p
p
p
p +
+
π
=
+
+
= =
=
351. ( )
O
O
O
O
N Ü
ê
P
ê
P
Ü
S
N
s +
+
π
= =
=
=
=
3.38 Spherical Wedge
=
o~ÇáìëW=o=
aáÜÉÇê~ä=~åÖäÉ=áå=ÇÉÖêÉÉëW=ñ=
aáÜÉÇê~ä=~åÖäÉ=áå=ê~Çá~åëW=α=
^êÉ~=çÑ=ëéÜÉêáÅ~ä=äìåÉW= i
p =
qçí~ä=ëìêÑ~ÅÉ=~êÉ~W=p=
sçäìãÉW=s=
=
=
CHAPTER 3. GEOMETRY
76
=
=
Figure 55.
=
352. ñ
o
O
VM
o
p O
O
i =
α
π
= =
=
353. ñ
o
O
o
VM
o
o
p O
O
O
O
+
π
=
α
π
+
π
= =
=
354. ñ
o
P
O
OTM
o
s P
P
=
α
π
= =
=
=
=
3.39 Ellipsoid
=
pÉãá-~ñÉëW=~I=ÄI=Å=
sçäìãÉW=s=
CHAPTER 3. GEOMETRY
77
======= =
=
Figure 56.
=
355. ~ÄÅ
P
Q
s π
= =
=
=
=
Prolate Spheroid
=
pÉãá-~ñÉëW=~I=ÄI=Ä=E Ä
~ > F=
pìêÑ~ÅÉ=~êÉ~W=p=
sçäìãÉW=s=
=
=
356. 





+
π
=
É
É
~êÅëáå
~
Ä
Ä
O
p I==
ïÜÉêÉ=
~
Ä
~
É
O
O
−
= K=
=
357. ~
Ä
P
Q
s O
π
= =
=
CHAPTER 3. GEOMETRY
78
Oblate Spheroid
=
pÉãá-~ñÉëW=~I=ÄI=Ä=E Ä
~ < F=
pìêÑ~ÅÉ=~êÉ~W=p=
sçäìãÉW=s=
=
=
358.


















+
π
=
~
L
ÄÉ
~
ÄÉ
~êÅëáåÜ
~
Ä
Ä
O
p I==
ïÜÉêÉ=
Ä
~
Ä
É
O
O
−
= K=
=
359. ~
Ä
P
Q
s O
π
= =
=
=
=
3.40 Circular Torus
=
j~àçê=ê~ÇáìëW=o=
jáåçê=ê~ÇáìëW=ê=
pìêÑ~ÅÉ=~êÉ~W=p=
sçäìãÉW=s=
=
CHAPTER 3. GEOMETRY
79
== =
Picture 57.
=
360. oê
Q
p O
π
= =
=
361. O
O
oê
O
s π
= =
=
=
80
Chapter 4
Trigonometry
=
=
=
=
^åÖäÉëW=α I=β =
oÉ~ä=åìãÄÉêë=EÅççêÇáå~íÉë=çÑ=~=éçáåíFW=ñI=ó==
tÜçäÉ=åìãÄÉêW=â=
=
=
4.1 Radian and Degree Measures of Angles
=
362. ?
QR
D
NT
RT
NUM
ê~Ç
N °
≈
π
°
= =
=
363. ê~Ç
MNTQRP
K
M
ê~Ç
NUM
N ≈
π
=
° =
=
364. ê~Ç
MMMOVN
K
M
ê~Ç
SM
NUM
D
N ≈
⋅
π
= =
=
365. ê~Ç
MMMMMR
K
M
ê~Ç
PSMM
NUM
?
N ≈
⋅
π
= =
=
366. =
=
^åÖäÉ=
EÇÉÖêÉÉëF=
M= PM= QR= SM= VM= NUM= OTM= PSM=
^åÖäÉ=
Eê~Çá~åëF= M=
S
π
=
Q
π
=
P
π
=
O
π
= π=
O
Pπ
= π
O =
=
=
=
CHAPTER 4. TRIGONOMETRY
81
4.2 Definitions and Graphs of Trigonometric
Functions
=
= =
=
Figure 58.
=
367.
ê
ó
ëáå =
α =
=
368.
ê
ñ
Åçë =
α =
=
369.
ñ
ó
í~å =
α =
=
370.
ó
ñ
Åçí =
α =
=
CHAPTER 4. TRIGONOMETRY
82
371.
ñ
ê
ëÉÅ =
α =
=
372.
ó
ê
ÅçëÉÅ =
α =
=
373. páåÉ=cìåÅíáçå=
ñ
ëáå
ó = I= N
ñ
ëáå
N ≤
≤
− K=
=
=
Figure 59.
=
374. `çëáåÉ=cìåÅíáçå==
ñ
Åçë
ó = I= N
ñ
Åçë
N ≤
≤
− K=
CHAPTER 4. TRIGONOMETRY
83
=
=
Figure 60.
=
375. q~åÖÉåí=cìåÅíáçå=
ñ
í~å
ó = I= ( )
O
N
â
O
ñ
π
+
≠ I= K
ñ
í~å ∞
≤
≤
∞
− =
=
=
=
Figure 61.
=
CHAPTER 4. TRIGONOMETRY
84
376. `çí~åÖÉåí=cìåÅíáçå==
ñ
Åçí
ó = I= π
≠ â
ñ I== ∞
≤
≤
∞
− ñ
Åçí K=
=
=
=
Figure 62.
=
377. pÉÅ~åí=cìåÅíáçå=
ñ
ëÉÅ
ó = I= ( )
O
N
â
O
ñ
π
+
≠ K=
==
CHAPTER 4. TRIGONOMETRY
85
=
=
Figure 63.
=
378. `çëÉÅ~åí=cìåÅíáçå==
ñ
ÉÅ
Åçë
ó = I= π
≠ â
ñ K=
=
Figure 64.
CHAPTER 4. TRIGONOMETRY
86
4.3. Signs of Trigonometric Functions
379. =
=
nì~Çê~åí=
páå
α =
`çë
α =
q~å
α =
`çí
α =
pÉÅ
α =
`çëÉÅ=
α =
f= H= H= H= H= H= H=
ff= H= = = = = H=
fff= = = H= H= = =
fs= = H= = = H= =
=
=
=
380. =
=
=
Figure 65.
=
=
=
=
=
=
=
=
=
=
CHAPTER 4. TRIGONOMETRY
87
4.4 Trigonometric Functions of Common
Angles
381. =
°
α = ê~Ç
α = α
ëáå = α
Åçë = α
í~å = α
Åçí α
ëÉÅ = α
ÅçëÉÅ =
M= M= M= N= M= ∞= N= ∞=
PM=
S
π
=
O
N
=
O
P
=
P
N
= P =
P
O
= O=
QR=
Q
π
=
O
O
=
O
O
= N= N= O = O =
SM=
P
π
=
O
P
=
O
N
= P =
P
N
= O=
P
O
=
VM=
O
π
= N= M= ∞ = M= ∞ = N=
NOM=
P
Oπ
=
O
P
=
O
N
− = P
− =
P
N
− O
− =
P
O
=
NUM= π= M= N
− = M= ∞ = N
− = ∞ =
OTM=
O
Pπ
= N
− = M= ∞= M= ∞= N
− =
PSM= π
O = M= N= M= ∞ = N= ∞ =
=
=
=
=
=
=
=
=
=
=
=
=
=
CHAPTER 4. TRIGONOMETRY
88
382. =
°
α = ê~Ç
α = α
ëáå = α
Åçë = α
í~å = α
Åçí =
NR=
NO
π
=
Q
O
S −
=
Q
O
S +
= P
O− = P
O+ =
NU=
NM
π
=
Q
N
R −
=
Q
R
O
NM +
R
R
O
R−
= R
O
R+ =
PS=
R
π
=
Q
R
O
NM −
Q
N
R +
=
N
R
R
O
NM
+
−
R
O
NM
N
R
−
+
=
RQ=
NM
Pπ
=
Q
N
R +
=
Q
R
O
NM −
R
O
NM
N
R
−
+
N
R
R
O
NM
+
−
=
TO=
R
Oπ
=
Q
R
O
NM +
Q
N
R −
= R
O
R+ = R
R
O
R−
=
TR=
NO
Rπ
=
Q
O
S +
=
Q
O
S −
= P
O+ = P
O− =
=
=
=
4.5 Most Important Formulas
=
383. N
Åçë
ëáå O
O
=
α
+
α =
=
384. N
í~å
ëÉÅ O
O
=
α
−
α =
=
385. N
Åçí
ÅëÅ O
O
=
α
−
α =
=
386.
α
α
=
α
Åçë
ëáå
í~å =
CHAPTER 4. TRIGONOMETRY
89
387.
α
α
=
α
ëáå
Åçë
Åçí =
=
388. N
Åçí
í~å =
α
⋅
α =
=
389.
α
=
α
Åçë
N
ëÉÅ =
=
390.
α
=
α
ëáå
N
ÅçëÉÅ =
=
=
=
4.6 Reduction Formulas
=
391. =
=
β = β
ëáå = β
Åçë = β
í~å = β
Åçí =
α
− = α
− ëáå = α
+ Åçë = α
− í~å = α
− Åçí =
α
−
°
VM = α
+ Åçë = α
+ ëáå = α
+ Åçí = α
+ í~å =
α
+
°
VM = α
+ Åçë = α
− ëáå = α
− Åçí = α
− í~å =
α
−
°
NUM α
+ ëáå = α
− Åçë = α
− í~å = α
− Åçí =
α
+
°
NUM α
− ëáå = α
− Åçë = α
+ í~å = α
+ Åçí =
α
−
°
OTM α
− Åçë = α
− ëáå = α
+ Åçí = α
+ í~å =
α
+
°
OTM α
− Åçë = α
+ ëáå = α
− Åçí = α
− í~å =
α
−
°
PSM α
− ëáå = α
+ Åçë = α
− í~å = α
− Åçí =
α
+
°
PSM α
+ ëáå = α
+ Åçë = α
+ í~å = α
+ Åçí =
=
=
=
=
=
=
CHAPTER 4. TRIGONOMETRY
90
4.7 Periodicity of Trigonometric Functions
=
392. ( ) α
=
π
±
α ëáå
å
O
ëáå I=éÉêáçÇ= π
O =çê= °
PSM K=
=
393. ( ) α
=
π
±
α Åçë
å
O
Åçë I=éÉêáçÇ= π
O =çê= °
PSM K=
=
394. ( ) α
=
π
±
α í~å
å
í~å I=éÉêáçÇ=π=çê= °
NUM K=
=
395. ( ) α
=
π
±
α Åçí
å
Åçí I=éÉêáçÇ=π=çê= °
NUM K=
=
=
=
4.8 Relations between Trigonometric
Functions
=
396. ( ) N
Q
O
Åçë
O
O
Åçë
N
O
N
Åçë
N
ëáå O
O
−





 π
−
α
=
α
−
±
=
α
−
±
=
α =
=
O
í~å
N
O
í~å
O
O α
+
α
= =
=
397. ( ) N
O
Åçë
O
O
Åçë
N
O
N
ëáå
N
Åçë O
O
−
α
=
α
+
±
=
α
−
±
=
α =
=
O
í~å
N
O
í~å
N
O
O
α
+
α
−
= =
=
398.
α
α
−
=
α
+
α
=
−
α
±
=
α
α
=
α
O
ëáå
O
Åçë
N
O
Åçë
N
O
ëáå
N
ëÉÅ
Åçë
ëáå
í~å O
=
CHAPTER 4. TRIGONOMETRY
91
=
O
í~å
N
O
í~å
O
O
Åçë
N
O
Åçë
N
O α
+
α
=
α
+
α
−
±
= =
=
399.
α
−
α
=
α
α
+
=
−
α
±
=
α
α
=
α
O
Åçë
N
O
ëáå
O
ëáå
O
Åçë
N
N
ÅëÅ
ëáå
Åçë
Åçí O
=
=
O
í~å
O
O
í~å
N
O
Åçë
N
O
Åçë
N
O
α
α
−
=
α
−
α
+
±
= =
=
400.
O
í~å
N
O
í~å
N
í~å
N
Åçë
N
ëÉÅ
O
O
O
α
−
α
+
=
α
+
±
=
α
=
α =
=
401.
O
í~å
O
O
í~å
N
Åçí
N
ëáå
N
ÅëÅ
O
O
α
α
+
=
α
+
±
=
α
=
α =
=
=
=
4.9 Addition and Subtraction Formulas
=
402. ( ) α
β
+
β
α
=
β
+
α Åçë
ëáå
Åçë
ëáå
ëáå =
=
403. ( ) α
β
−
β
α
=
−
α Åçë
ëáå
Åçë
ëáå
ó
ëáå =
=
404. ( ) β
α
−
β
α
=
β
+
α ëáå
ëáå
Åçë
Åçë
Åçë =
=
405. ( ) β
α
+
β
α
=
β
−
α ëáå
ëáå
Åçë
Åçë
Åçë =
CHAPTER 4. TRIGONOMETRY
92
406. ( )
β
α
−
β
+
α
=
β
+
α
í~å
í~å
N
í~å
í~å
í~å =
=
407. ( )
β
α
+
β
−
α
=
β
−
α
í~å
í~å
N
í~å
í~å
í~å =
=
408. ( )
β
+
α
β
α
−
=
β
+
α
í~å
í~å
í~å
í~å
N
Åçí =
=
409. ( )
β
−
α
β
α
+
=
β
−
α
í~å
í~å
í~å
í~å
N
Åçí =
=
=
=
4.10 Double Angle Formulas
=
410. α
⋅
α
=
α Åçë
ëáå
O
O
ëáå =
=
411. N
Åçë
O
ëáå
O
N
ëáå
Åçë
O
Åçë O
O
O
O
−
α
=
α
−
=
α
−
α
=
α =
=
412.
α
−
α
=
α
−
α
=
α
í~å
Åçí
O
í~å
N
í~å
O
O
í~å O
=
=
413.
O
í~å
Åçí
Åçí
O
N
Åçí
O
Åçí
O
α
−
α
=
α
−
α
=
α =
=
=
=
=
=
=
CHAPTER 4. TRIGONOMETRY
93
4.11 Multiple Angle Formulas
=
414. α
−
α
⋅
α
=
α
−
α
=
α P
O
P
ëáå
ëáå
Åçë
P
ëáå
Q
ëáå
P
P
ëáå =
=
415. α
⋅
α
−
α
⋅
α
=
α Åçë
ëáå
U
Åçë
ëáå
Q
Q
ëáå P
=
=
416. α
+
α
−
α
=
α R
P
ëáå
NS
ëáå
OM
ëáå
R
R
ëáå =
=
417. α
⋅
α
−
α
=
α
−
α
=
α O
P
P
ëáå
Åçë
P
Åçë
Åçë
P
Åçë
Q
P
Åçë =
=
418. N
Åçë
U
Åçë
U
Q
Åçë O
Q
+
α
−
α
=
α =
=
419. α
+
α
−
α
=
α Åçë
R
Åçë
OM
Åçë
NS
R
Åçë P
R
=
=
420.
α
−
α
−
α
=
α O
P
í~å
P
N
í~å
í~å
P
P
í~å =
=
421.
α
+
α
−
α
−
α
=
α Q
O
P
í~å
í~å
S
N
í~å
Q
í~å
Q
Q
í~å =
=
422.
α
+
α
−
α
+
α
−
α
=
α Q
O
P
R
í~å
R
í~å
NM
N
í~å
R
í~å
NM
í~å
R
í~å =
=
423.
N
Åçí
P
Åçí
P
Åçí
P
Åçí O
P
−
α
α
−
α
=
α =
=
424.
α
−
α
α
+
α
−
=
α P
Q
O
í~å
Q
í~å
Q
í~å
í~å
S
N
Q
Åçí ==
=
CHAPTER 4. TRIGONOMETRY
94
425.
α
+
α
−
α
α
+
α
−
=
α
í~å
R
í~å
NM
í~å
í~å
R
í~å
NM
N
R
Åçí P
R
Q
O
=
=
=
=
4.12 Half Angle Formulas
=
426.
O
Åçë
N
O
ëáå
α
−
±
=
α
=
=
427.
O
Åçë
N
O
Åçë
α
+
±
=
α
=
=
428. α
−
α
=
α
α
−
=
α
+
α
=
α
+
α
−
±
=
α
Åçí
ÅëÅ
ëáå
Åçë
N
Åçë
N
ëáå
Åçë
N
Åçë
N
O
í~å =
=
429. α
+
α
=
α
α
+
=
α
−
α
=
α
−
α
+
±
=
α
Åçí
ÅëÅ
ëáå
Åçë
N
Åçë
N
ëáå
Åçë
N
Åçë
N
O
Åçí =
=
=
=
4.13 Half Angle Tangent Identities
=
430.
O
í~å
N
O
í~å
O
ëáå
O α
+
α
=
α =
=
CHAPTER 4. TRIGONOMETRY
95
431.
O
í~å
N
O
í~å
N
Åçë
O
O
α
+
α
−
=
α =
=
432.
O
í~å
N
O
í~å
O
í~å
O α
−
α
=
α =
=
433.
O
í~å
O
O
í~å
N
Åçí
O
α
α
−
=
α =
=
=
=
4.14 Transforming of Trigonometric
Expressions to Product
=
434.
O
Åçë
O
ëáå
O
ëáå
ëáå
β
−
α
β
+
α
=
β
+
α =
=
435.
O
ëáå
O
Åçë
O
ëáå
ëáå
β
−
α
β
+
α
=
β
−
α =
=
436.
O
Åçë
O
Åçë
O
Åçë
Åçë
β
−
α
β
+
α
=
β
+
α =
=
437.
O
ëáå
O
ëáå
O
Åçë
Åçë
β
−
α
β
+
α
−
=
β
−
α =
=
CHAPTER 4. TRIGONOMETRY
96
438.
( )
β
⋅
α
β
+
α
=
β
+
α
Åçë
Åçë
ëáå
í~å
í~å =
=
439.
( )
β
⋅
α
β
−
α
=
β
−
α
Åçë
Åçë
ëáå
í~å
í~å =
=
440.
( )
β
⋅
α
α
+
β
=
β
+
α
ëáå
ëáå
ëáå
Åçí
Åçí =
=
441.
( )
β
⋅
α
α
−
β
=
β
−
α
ëáå
ëáå
ëáå
Åçí
Åçí =
=
442. 





α
+
π
=






α
−
π
=
α
+
α
Q
ëáå
O
Q
Åçë
O
ëáå
Åçë =
=
443. 





α
+
π
=






α
−
π
=
α
−
α
Q
Åçë
O
Q
ëáå
O
ëáå
Åçë =
=
444.
( )
β
⋅
α
β
−
α
=
β
+
α
ëáå
Åçë
Åçë
Åçí
í~å =
=
445.
( )
β
⋅
α
β
+
α
−
=
β
−
α
ëáå
Åçë
Åçë
Åçí
í~å =
=
446.
O
Åçë
O
Åçë
N O α
=
α
+ =
=
447.
O
ëáå
O
Åçë
N O α
=
α
− =
=
CHAPTER 4. TRIGONOMETRY
97
448. 




 α
−
π
=
α
+
O
Q
Åçë
O
ëáå
N O
=
=
449. 




 α
−
π
=
α
−
O
Q
ëáå
O
ëáå
N O
=
=
=
=
4.15 Transforming of Trigonometric
Expressions to Sum
=
450.
( ) ( )
O
Åçë
Åçë
ëáå
ëáå
β
+
α
−
β
−
α
=
β
⋅
α =
=
451.
( ) ( )
O
Åçë
Åçë
Åçë
Åçë
β
+
α
+
β
−
α
=
β
⋅
α =
=
452.
( ) ( )
O
ëáå
ëáå
Åçë
ëáå
β
+
α
+
β
−
α
=
β
⋅
α =
=
453.
β
+
α
β
+
α
=
β
⋅
α
Åçí
Åçí
í~å
í~å
í~å
í~å =
=
454.
β
+
α
β
+
α
=
β
⋅
α
í~å
í~å
Åçí
Åçí
Åçí
Åçí =
=
455.
β
+
α
β
+
α
=
β
⋅
α
í~å
Åçí
Åçí
í~å
Åçí
í~å =
=
=
=
CHAPTER 4. TRIGONOMETRY
98
4.16 Powers of Trigonometric Functions
=
456.
O
O
Åçë
N
ëáåO α
−
=
α =
=
457.
Q
P
ëáå
ëáå
P
ëáåP α
−
α
=
α =
=
458.
U
P
O
Åçë
Q
Q
Åçë
ëáåQ +
α
−
α
=
α =
=
459.
NS
R
ëáå
P
ëáå
R
ëáå
NM
ëáåR α
+
α
−
α
=
α =
=
460.
PO
S
Åçë
Q
Åçë
S
O
Åçë
NR
NM
ëáåS α
−
α
+
α
−
=
α =
=
461.
O
O
Åçë
N
ÅçëO α
+
=
α =
=
462.
Q
P
Åçë
Åçë
P
ÅçëP α
+
α
=
α =
=
463.
U
P
O
Åçë
Q
Q
Åçë
ÅçëQ +
α
+
α
=
α =
=
464.
NS
R
Åçë
P
ëáå
R
Åçë
NM
ÅçëR α
+
α
+
α
=
α =
=
465.
PO
S
Åçë
Q
Åçë
S
O
Åçë
NR
NM
ÅçëS α
+
α
+
α
+
=
α =
=
CHAPTER 4. TRIGONOMETRY
99
4.17 Graphs of Inverse Trigonometric
Functions
=
466. fåîÉêëÉ=páåÉ=cìåÅíáçå==
ñ
~êÅëáå
ó = I= N
ñ
N ≤
≤
− I=
O
ñ
~êÅëáå
O
π
≤
≤
π
− K=
=
=
=
Figure 66.
=
467. fåîÉêëÉ=`çëáåÉ=cìåÅíáçå==
ñ
~êÅÅçë
ó = I= N
ñ
N ≤
≤
− I= π
≤
≤ ñ
~êÅÅçë
M K=
=
CHAPTER 4. TRIGONOMETRY
100
=
=
Figure 67.
=
468. fåîÉêëÉ=q~åÖÉåí=cìåÅíáçå==
ñ
~êÅí~å
ó = I= ∞
≤
≤
∞
− ñ I=
O
ñ
~êÅí~å
O
π
<
<
π
− K=
=
===== =
=
Figure 68.
CHAPTER 4. TRIGONOMETRY
101
469. fåîÉêëÉ=`çí~åÖÉåí=cìåÅíáçå==
ñ
Åçí
~êÅ
ó = I= ∞
≤
≤
∞
− ñ I= π
<
< ñ
Åçí
~êÅ
M K=
===== =
Figure 69.
=
470. fåîÉêëÉ=pÉÅ~åí=cìåÅíáçå==
( ] [ ) K
I
O
O
I
M
ñ
ëÉÅ
~êÅ
I
I
N
N
I
ñ
I
ñ
=
~êÅëÉÅ
ó 





π
π
∪





 π
∈
∞
∪
−
∞
−
∈
=
=
Figure 70.
CHAPTER 4. TRIGONOMETRY
102
471. fåîÉêëÉ=`çëÉÅ~åí=cìåÅíáçå==
( ] [ ) K
O
I
M
M
I
O
ñ
ÅëÅ
~êÅ
I
I
N
N
I
ñ
I
ñ
~êÅÅëÅ
ó 




 π
∪





 π
−
∈
∞
∪
−
∞
−
∈
=
=
=
Figure 71.
=
=
4.18 Principal Values of Inverse
Trigonometric Functions
472.
ñ = M=
O
N
=
O
O
=
O
P
N=
ñ
~êÅëáå = °
M = °
PM = °
QR = °
SM °
VM
ñ
~êÅÅçë = °
VM °
SM = °
QR = °
PM °
M =
ñ = O
N
−
O
O
−
O
P
− N
− = =
ñ
~êÅëáå =
°
−PM
=
°
− QR °
− SM
°
− VM
=
=
ñ
~êÅÅçë =
°
NOM
=
°
NPR = °
NRM =
°
NUM
=
=
CHAPTER 4. TRIGONOMETRY
103
473.
ñ = M=
P
P
N= P =
P
P
− N
− = P
− =
ñ
~êÅí~å = °
M = °
PM °
QR °
SM °
−PM
°
− QR
=
°
− SM =
ñ
Åçí
~êÅ = °
VM °
SM °
QR °
PM °
NOM =
°
NPR
=
°
NRM =
=
=
=
4.19 Relations between Inverse
Trigonometric Functions
=
474. ( ) ñ
~êÅëáå
ñ
~êÅëáå −
=
− =
=
475. ñ
~êÅÅçë
O
ñ
~êÅëáå −
π
= =
=
476. O
ñ
N
~êÅÅçë
ñ
~êÅëáå −
= I= N
ñ
M ≤
≤ K=
=
477. O
ñ
N
~êÅÅçë
ñ
~êÅëáå −
−
= I= M
ñ
N ≤
≤
− K=
=
478.
O
ñ
N
ñ
~êÅí~å
ñ
~êÅëáå
−
= I= N
ñO
< K=
=
479.
ñ
ñ
N
Åçí
~êÅ
ñ
~êÅëáå
O
−
= I= N
ñ
M ≤
< K=
=
480. π
−
−
=
ñ
ñ
N
Åçí
~êÅ
ñ
~êÅëáå
O
I= M
ñ
N <
≤
− K=
=
481. ( ) ñ
~êÅÅçë
ñ
~êÅÅçë −
π
=
− =
CHAPTER 4. TRIGONOMETRY
104
482. ñ
~êÅëáå
O
ñ
~êÅÅçë −
π
= =
=
483. O
ñ
N
~êÅëáå
ñ
~êÅÅçë −
= I= N
ñ
M ≤
≤ K=
=
484. O
ñ
N
~êÅëáå
ñ
~êÅÅçë −
−
π
= I= M
ñ
N ≤
≤
− K=
=
485.
ñ
ñ
N
~êÅí~å
ñ
~êÅÅçë
O
−
= I= N
ñ
M ≤
< K=
=
486.
ñ
ñ
N
~êÅí~å
ñ
~êÅÅçë
O
−
+
π
= I= M
ñ
N <
≤
− K=
=
487.
O
ñ
N
ñ
Åçí
~êÅ
ñ
~êÅÅçë
−
= I= N
ñ
N ≤
≤
− K=
=
488. ( ) ñ
~êÅí~å
ñ
~êÅí~å −
=
− =
=
489. ñ
Åçí
~êÅ
O
ñ
~êÅí~å −
π
= =
=
490.
O
ñ
N
ñ
~êÅëáå
ñ
~êÅí~å
+
= =
=
491.
O
ñ
N
N
~êÅÅçë
ñ
~êÅí~å
+
= I= M
ñ ≥ K=
=
492.
O
ñ
N
N
~êÅÅçë
ñ
~êÅí~å
+
−
= I= M
ñ ≤ K=
=
CHAPTER 4. TRIGONOMETRY
105
493.
ñ
N
~êÅí~å
O
ñ
~êÅí~å −
π
= I= M
ñ > K=
=
494.
ñ
N
~êÅí~å
O
ñ
~êÅí~å −
π
−
= I= M
ñ < K=
=
495.
ñ
N
Åçí
~êÅ
ñ
~êÅí~å = I= M
ñ > K=
=
496. π
−
=
ñ
N
Åçí
~êÅ
ñ
~êÅí~å I= M
ñ < K=
=
497. ( ) ñ
Åçí
~êÅ
ñ
Åçí
~êÅ −
π
=
− =
=
498. ñ
~êÅí~å
O
ñ
Åçí
~êÅ −
π
= =
=
499.
O
ñ
N
N
~êÅëáå
ñ
Åçí
~êÅ
+
= I= M
ñ > K=
=
500.
O
ñ
N
N
~êÅëáå
ñ
Åçí
~êÅ
+
−
π
= I= M
ñ < K=
=
501.
O
ñ
N
ñ
~êÅÅçë
ñ
Åçí
~êÅ
+
= =
=
502.
ñ
N
~êÅí~å
ñ
Åçí
~êÅ = I= M
ñ > K=
=
503.
ñ
N
~êÅí~å
ñ
Åçí
~êÅ +
π
= I= M
ñ < K=
=
=
CHAPTER 4. TRIGONOMETRY
106
4.20 Trigonometric Equations
=
tÜçäÉ=åìãÄÉêW=å=
=
=
504. ~
ñ
ëáå = I= ( ) å
~
~êÅëáå
N
ñ
å
π
+
−
= =
=
505. ~
ñ
Åçë = I= å
O
~
~êÅÅçë
ñ π
+
±
= =
=
506. ~
ñ
í~å = I= å
~
~êÅí~å
ñ π
+
= =
=
507. ~
ñ
Åçí = I= å
~
Åçí
~êÅ
ñ π
+
= =
=
=
=
4.21 Relations to Hyperbolic Functions
=
fã~Öáå~êó=ìåáíW=á=
=
=
508. ( ) ñ
ëáåÜ
á
áñ
ëáå = =
=
509. ( ) ñ
í~åÜ
á
áñ
í~å = =
=
510. ( ) ñ
ÅçíÜ
á
áñ
Åçí −
= =
=
511. ( ) ñ
ëÉÅÜ
áñ
ëÉÅ = =
=
512. ( ) ñ
ÅëÅÜ
á
áñ
ÅëÅ −
= =
=
=
=
107
Chapter 5
Matrices and Determinants
=
=
=
=
j~íêáÅÉëW=^I=_I=`=
bäÉãÉåíë=çÑ=~=ã~íêáñW= á
~ I= á
Ä I= áà
~ I= áà
Ä I= áà
Å =
aÉíÉêãáå~åí=çÑ=~=ã~íêáñW= ^
ÇÉí =
jáåçê=çÑ=~å=ÉäÉãÉåí= áà
~ W= áà
j =
`çÑ~Åíçê=çÑ=~å=ÉäÉãÉåí= áà
~ W= áà
` =
qê~åëéçëÉ=çÑ=~=ã~íêáñW= q
^ I= ^
ú
=
^Çàçáåí=çÑ=~=ã~íêáñW= ^
~Çà =
qê~ÅÉ=çÑ=~=ã~íêáñW= ^
íê =
fåîÉêëÉ=çÑ=~=ã~íêáñW= N
^−
=
oÉ~ä=åìãÄÉêW=â=
oÉ~ä=î~êá~ÄäÉëW= á
ñ =
k~íìê~ä=åìãÄÉêëW=ãI=å===
=
=
5.1 Determinants
=
513. pÉÅçåÇ=lêÇÉê=aÉíÉêãáå~åí=
N
O
O
N
O
O
N
N
Ä
~
Ä
~
Ä
~
Ä
~
^
ÇÉí −
=
= =
=
=
=
=
=
CHAPTER 5. MATRICES AND DETERMINANTS
108
514. qÜáêÇ=lêÇÉê=aÉíÉêãáå~åí=
−
+
+
=
= PO
ON
NP
PN
OP
NO
PP
OO
NN
PP
PO
PN
OP
OO
ON
NP
NO
NN
~
~
~
~
~
~
~
~
~
~
~
~
~
~
~
~
~
~
^
ÇÉí =
PN
OO
NP
PP
ON
NO
PO
OP
NN ~
~
~
~
~
~
~
~
~ −
−
− =
=
515. p~êêìë=oìäÉ=E^êêçï=oìäÉF=
=
=
Figure 72.
=
516. k-íÜ=lêÇÉê=aÉíÉêãáå~åí=
åå
åà
O
å
N
å
áå
áà
O
á
N
á
å
O
à
O
OO
ON
å
N
à
N
NO
NN
~
~
~
~
~
~
~
~
~
~
~
~
~
~
~
~
^
ÇÉí
K
K
K
K
K
K
K
K
K
K
K
K
K
K
K
K
K
K
K
K
= =
=
517. jáåçê=
qÜÉ=ãáåçê= áà
j =~ëëçÅá~íÉÇ=ïáíÜ=íÜÉ=ÉäÉãÉåí= áà
~ =çÑ=å-íÜ=çêÇÉê=
ã~íêáñ=^=áë=íÜÉ= ( )
N
å − -íÜ=çêÇÉê=ÇÉíÉêãáå~åí=ÇÉêáîÉÇ=Ñêçã=
íÜÉ=ã~íêáñ=^=Äó=ÇÉäÉíáçå=çÑ=áíë=á-íÜ=êçï=~åÇ=à-íÜ=ÅçäìãåK===
=
CHAPTER 5. MATRICES AND DETERMINANTS
109
518. `çÑ~Åíçê=
( ) áà
à
á
áà j
N
`
+
−
= =
=
519. i~éä~ÅÉ=bñé~åëáçå=çÑ=å-íÜ=lêÇÉê=aÉíÉêãáå~åí=
i~éä~ÅÉ=Éñé~åëáçå=Äó=ÉäÉãÉåíë=çÑ=íÜÉ=á-íÜ=êçï=
∑
=
=
å
N
à
áà
áà`
~
^
ÇÉí I= å
I
I
O
I
N
á K
= K=
i~éä~ÅÉ=Éñé~åëáçå=Äó=ÉäÉãÉåíë=çÑ=íÜÉ=à-íÜ=Åçäìãå=
∑
=
=
å
N
á
áà
áà`
~
^
ÇÉí I= å
I
I
O
I
N
à K
= K==
=
=
=
5.2 Properties of Determinants
=
520. qÜÉ==î~äìÉ==çÑ=~=ÇÉíÉêãáå~åí=êÉã~áåë==ìåÅÜ~åÖÉÇ=áÑ=êçïë=~êÉ=
ÅÜ~åÖÉÇ=íç=Åçäìãåë=~åÇ=Åçäìãåë=íç=êçïëK=
=
O
O
N
N
O
N
O
N
Ä
~
Ä
~
Ä
Ä
~
~
= ==
=
521. fÑ=íïç==êçïë==Eçê=íïç=ÅçäìãåëF=~êÉ==áåíÉêÅÜ~åÖÉÇI=íÜÉ=ëáÖå=çÑ=
íÜÉ=ÇÉíÉêãáå~åí=áë=ÅÜ~åÖÉÇK=
N
N
O
O
O
O
N
N
Ä
~
Ä
~
Ä
~
Ä
~
−
= =
=
522. fÑ=íïç=êçïë==Eçê=íïç=ÅçäìãåëF=~êÉ==áÇÉåíáÅ~äI=íÜÉ=î~äìÉ=çÑ=íÜÉ=
ÇÉíÉêãáå~åí=áë=òÉêçK=
M
~
~
~
~
O
O
N
N
= =
=
CHAPTER 5. MATRICES AND DETERMINANTS
110
523. fÑ==íÜÉ===ÉäÉãÉåíë==çÑ==~åó=êçï==Eçê=ÅçäìãåF=~êÉ=ãìäíáéäáÉÇ=Äó=====
~==Åçããçå==Ñ~ÅíçêI==íÜÉ==ÇÉíÉêãáå~åí==áë==ãìäíáéäáÉÇ==Äó==íÜ~í=
Ñ~ÅíçêK=
O
O
N
N
O
O
N
N
Ä
~
Ä
~
â
Ä
~
âÄ
â~
= =
=
524. fÑ==íÜÉ==ÉäÉãÉåíë==çÑ==~åó==êçï==Eçê==ÅçäìãåF=~êÉ=áåÅêÉ~ëÉÇ=Eçê=
ÇÉÅêÉ~ëÉÇFÄó=Éèì~ä=ãìäíáéäÉë=çÑ=íÜÉ=ÅçêêÉëéçåÇáåÖ=ÉäÉãÉåíë=
çÑ=~åó=çíÜÉê=êçï==Eçê=ÅçäìãåFI==íÜÉ=î~äìÉ=çÑ=íÜÉ=ÇÉíÉêãáå~åí=
áë=ìåÅÜ~åÖÉÇK=
O
O
N
N
O
O
O
N
N
N
Ä
~
Ä
~
Ä
âÄ
~
Ä
âÄ
~
=
+
+
=
=
=
=
5.3 Matrices
=
525. aÉÑáåáíáçå=
^å= å
ã× =ã~íêáñ=^=áë=~=êÉÅí~åÖìä~ê=~êê~ó=çÑ=ÉäÉãÉåíë=Eåìã-
ÄÉêë=çê=ÑìåÅíáçåëF=ïáíÜ=ã=êçïë=~åÇ=å=ÅçäìãåëK==
[ ]












=
=
ãå
O
ã
N
ã
å
O
OO
ON
å
N
NO
NN
áà
~
~
~
~
~
~
~
~
~
~
^
K
M
M
M
K
K
==
=
526. pèì~êÉ=ã~íêáñ=áë=~=ã~íêáñ=çÑ=çêÇÉê= å
å× K==
=
527. ^=ëèì~êÉ=ã~íêáñ==[ ]
áà
~ ==áë==ëóããÉíêáÅ==áÑ== àá
áà ~
~ = I==áKÉK==áí==áë=
ëóããÉíêáÅ=~Äçìí=íÜÉ=äÉ~ÇáåÖ=Çá~Öçå~äK==
=
528. ^=ëèì~êÉ=ã~íêáñ=[ ]
áà
~ =áë=ëâÉï-ëóããÉíêáÅ=áÑ= àá
áà ~
~ −
= K==
=
CHAPTER 5. MATRICES AND DETERMINANTS
111
529. aá~Öçå~ä=ã~íêáñ==áë==~=ëèì~êÉ==ã~íêáñ=ïáíÜ=~ää==ÉäÉãÉåíë==òÉêç=
ÉñÅÉéí=íÜçëÉ=çå=íÜÉ=äÉ~ÇáåÖ=Çá~Öçå~äK==
=
530. råáí=ã~íêáñ==áë==~=Çá~Öçå~ä==ã~íêáñ==áå=ïÜáÅÜ=íÜÉ=ÉäÉãÉåíë=çå=
íÜÉ=äÉ~ÇáåÖ=Çá~Öçå~ä=~êÉ=~ää=ìåáíóK=qÜÉ=ìåáí=ã~íêáñ=áë===========
ÇÉåçíÉÇ=Äó=fK==
=
531. ^=åìää=ã~íêáñ=áë=çåÉ=ïÜçëÉ=ÉäÉãÉåíë=~êÉ=~ää=òÉêçK=
=
=
=
5.4 Operations with Matrices
=
532. qïç=ã~íêáÅÉë=^=~åÇ=_=~êÉ=Éèì~ä=áÑI=~åÇ=çåäó=áÑI=íÜÉó=~êÉ=ÄçíÜ=
çÑ==íÜÉ==ë~ãÉ==ëÜ~éÉ== å
ã× ==~åÇ=ÅçêêÉëéçåÇáåÖ=ÉäÉãÉåíë=~êÉ=
Éèì~äK=
=
533. qïç=ã~íêáÅÉë==^=~åÇ=_==Å~å=ÄÉ=~ÇÇÉÇ=Eçê=ëìÄíê~ÅíÉÇF=çÑI=~åÇ=
çåäó=áÑI=íÜÉó=Ü~îÉ=íÜÉ=ë~ãÉ=ëÜ~éÉ= å
ã× K=fÑ==
[ ]












=
=
ãå
O
ã
N
ã
å
O
OO
ON
å
N
NO
NN
áà
~
~
~
~
~
~
~
~
~
~
^
K
M
M
M
K
K
I==
[ ]












=
=
ãå
O
ã
N
ã
å
O
OO
ON
å
N
NO
NN
áà
Ä
Ä
Ä
Ä
Ä
Ä
Ä
Ä
Ä
Ä
_
K
M
M
M
K
K
I==
=
=
=
=
=
CHAPTER 5. MATRICES AND DETERMINANTS
112
íÜÉå==












+
+
+
+
+
+
+
+
+
=
+
ãå
ãå
O
ã
O
ã
N
ã
N
ã
å
O
å
O
OO
OO
ON
ON
å
N
å
N
NO
NO
NN
NN
Ä
~
Ä
~
Ä
~
Ä
~
Ä
~
Ä
~
Ä
~
Ä
~
Ä
~
_
^
K
M
M
M
K
K
K=
=
534. fÑ=â=áë=~=ëÅ~ä~êI=~åÇ= [ ]
áà
~
^ = =áë=~=ã~íêáñI=íÜÉå=
[ ]












=
=
ãå
O
ã
N
ã
å
O
OO
ON
å
N
NO
NN
áà
â~
â~
â~
â~
â~
â~
â~
â~
â~
â~
â^
K
M
M
M
K
K
K=
=
535. jìäíáéäáÅ~íáçå=çÑ=qïç=j~íêáÅÉë=
qïç= ã~íêáÅÉë= Å~å= ÄÉ= ãìäíáéäáÉÇ= íçÖÉíÜÉê= çåäó= ïÜÉå= íÜÉ=
åìãÄÉê=çÑ=Åçäìãåë=áå=íÜÉ=Ñáêëí=áë=Éèì~ä=íç=íÜÉ=åìãÄÉê=çÑ=
êçïë=áå=íÜÉ=ëÉÅçåÇK==
=
fÑ=
[ ]












=
=
ãå
O
ã
N
ã
å
O
OO
ON
å
N
NO
NN
áà
~
~
~
~
~
~
~
~
~
~
^
K
M
M
M
K
K
I==
[ ]












=
=
åâ
O
å
N
å
â
O
OO
ON
â
N
NO
NN
áà
Ä
Ä
Ä
Ä
Ä
Ä
Ä
Ä
Ä
Ä
_
K
M
M
M
K
K
I=
=
=
=
=
=
CHAPTER 5. MATRICES AND DETERMINANTS
113
íÜÉå==












=
=
ãâ
O
ã
N
ã
â
O
OO
ON
â
N
NO
NN
Å
Å
Ä
Å
Å
Å
Å
Å
Å
`
^_
K
M
M
M
K
K
I==
ïÜÉêÉ==
∑
=
λ
λ
λ
=
+
+
+
=
å
N
à
á
åà
áå
à
O
O
á
à
N
N
á
áà Ä
~
Ä
~
Ä
~
Ä
~
Å K =
E ã
I
I
O
I
N
á K
= X â
I
I
O
I
N
à K
= FK==
=
qÜìë=áÑ=
[ ] 





=
=
OP
OO
ON
NP
NO
NN
áà
~
~
~
~
~
~
~
^ I= [ ]










=
=
P
O
N
á
Ä
Ä
Ä
Ä
_ I==
íÜÉå==






=










⋅






=
P
OP
O
OO
N
ON
P
NP
O
NO
N
NN
P
O
N
OP
OO
ON
NP
NO
NN
Ä
~
Ä
~
Ä
~
Ä
~
Ä
~
Ä
~
Ä
Ä
Ä
~
~
~
~
~
~
^_ K==
=
536. qê~åëéçëÉ=çÑ=~=j~íêáñ=
fÑ=íÜÉ=êçïë=~åÇ=Åçäìãåë=çÑ=~=ã~íêáñ=~êÉ=áåíÉêÅÜ~åÖÉÇI=íÜÉå=
íÜÉ=åÉï=ã~íêáñ=áë=Å~ääÉÇ=íÜÉ=íê~åëéçëÉ=çÑ=íÜÉ=çêáÖáå~ä=ã~íêáñK===
fÑ=^=áë=íÜÉ=çêáÖáå~ä=ã~íêáñI=áíë=íê~åëéçëÉ=áë=ÇÉåçíÉÇ= q
^ =çê=
^
ú
K==
=
537. qÜÉ=ã~íêáñ=^=áë=çêíÜçÖçå~ä=áÑ= f
^^q
= K==
=
538. fÑ=íÜÉ=ã~íêáñ=éêçÇìÅí=^_=áë=ÇÉÑáåÉÇI=íÜÉå==
( ) q
q
q
^
_
^_ = K=
=
=
CHAPTER 5. MATRICES AND DETERMINANTS
114
539. ^Çàçáåí=çÑ=j~íêáñ=
fÑ=^=áë=~=ëèì~êÉ= å
å× ã~íêáñI=áíë=~ÇàçáåíI=ÇÉåçíÉÇ=Äó= ^
~Çà I=
áë=íÜÉ=íê~åëéçëÉ=çÑ=íÜÉ=ã~íêáñ=çÑ=ÅçÑ~Åíçêë= áà
` =çÑ=^W=
[ ]q
áà
`
^
~Çà = K==
=
540. qê~ÅÉ=çÑ=~=j~íêáñ=
fÑ=^=áë=~=ëèì~êÉ= å
å× ã~íêáñI=áíë=íê~ÅÉI=ÇÉåçíÉÇ=Äó= ^
íê I=áë=
ÇÉÑáåÉÇ=íç=ÄÉ==íÜÉ=ëìã=çÑ==íÜÉ=íÉêãë=çå=íÜÉ=äÉ~ÇáåÖ=Çá~Öçå~äW=
åå
OO
NN ~
~
~
^
íê +
+
+
= K K=
=
541. fåîÉêëÉ=çÑ=~=j~íêáñ=
fÑ=^=áë=~=ëèì~êÉ= å
å× ã~íêáñ=ïáíÜ=~=åçåëáåÖìä~ê=ÇÉíÉêãáå~åí=
^
ÇÉí I=íÜÉå=áíë=áåîÉêëÉ= N
^−
=áë=ÖáîÉå=Äó=
^
ÇÉí
^
~Çà
^ N
=
−
K=
=
542. fÑ=íÜÉ=ã~íêáñ=éêçÇìÅí=^_=áë=ÇÉÑáåÉÇI=íÜÉå==
( ) N
N
N
^
_
^_ −
−
−
= K=
=
543. fÑ==^==áë=~=ëèì~êÉ=== å
å× ==ã~íêáñI==íÜÉ==ÉáÖÉåîÉÅíçêë==u===ë~íáëÑó=
íÜÉ=Éèì~íáçå=
u
^u λ
= I==
ïÜáäÉ=íÜÉ=ÉáÖÉåî~äìÉë=λ =ë~íáëÑó=íÜÉ=ÅÜ~ê~ÅíÉêáëíáÅ=Éèì~íáçå=
M
f
^ =
λ
− K===
=
=
=
5.5 Systems of Linear Equations
=
=
s~êá~ÄäÉëW=ñI=óI=òI= N
ñ I= K
I
ñO =
oÉ~ä=åìãÄÉêëW= K
I
~
I
~
I
Ä
I
~
I
~
I
~ NO
NN
N
P
O
N =
CHAPTER 5. MATRICES AND DETERMINANTS
115
aÉíÉêãáå~åíëW=aI= ñ
a I= ó
a I= ò
a ==
j~íêáÅÉëW=^I=_I=u=
=
=
544.



=
+
=
+
O
O
O
N
N
N
Ç
ó
Ä
ñ
~
Ç
ó
Ä
ñ
~
I==
a
a
ñ ñ
= I=
a
a
ó
ó
= =E`ê~ãÉê∞ë=êìäÉFI==
ïÜÉêÉ==
N
O
O
N
O
O
N
N
Ä
~
Ä
~
Ä
~
Ä
~
a −
=
= I==
N
O
O
N
O
O
N
N
ñ Ä
Ç
Ä
Ç
Ä
Ç
Ä
Ç
a −
=
= I==
N
O
O
N
O
O
N
N
ó Ç
~
Ç
~
Ç
~
Ç
~
a −
=
= K==
=
545. fÑ= M
a ≠ I=íÜÉå=íÜÉ=ëóëíÉã=Ü~ë=~=ëáåÖäÉ=ëçäìíáçåW==
a
a
ñ ñ
= I=
a
a
ó
ó
= K=
fÑ= M
a = =~åÇ= M
añ ≠ Eçê= M
aó ≠ FI=íÜÉå=íÜÉ=ëóëíÉã=Ü~ë==åç==
ëçäìíáçåK=
fÑ= M
a
a
a ó
ñ =
=
= I= íÜÉå= íÜÉ= ëóëíÉã= Ü~ë= = áåÑáåáíÉäó= = ã~åó==
ëçäìíáçåëK=
=
546.





=
+
+
=
+
+
=
+
+
P
P
P
P
O
O
O
O
N
N
N
N
Ç
ò
Å
ó
Ä
ñ
~
Ç
ò
Å
ó
Ä
ñ
~
=
Ç
ò
Å
ó
Ä
ñ
~
I==
a
a
ñ ñ
= I=
a
a
ó
ó
= I=
a
a
ò ò
= =E`ê~ãÉê∞ë=êìäÉFI==
=
CHAPTER 5. MATRICES AND DETERMINANTS
116
ïÜÉêÉ==
P
P
P
O
O
O
N
N
N
Å
Ä
~
Å
Ä
~
Å
Ä
~
a = I=
P
P
P
O
O
O
N
N
N
ñ
Å
Ä
Ç
Å
Ä
Ç
Å
Ä
Ç
a = I=
P
P
P
O
O
O
N
N
N
ó
Å
Ç
~
Å
Ç
~
Å
Ç
~
a = I=
P
P
P
O
O
O
N
N
N
ò
Ç
Ä
~
Ç
Ä
~
Ç
Ä
~
a = K==
=
547. fÑ= M
a ≠ I=íÜÉå=íÜÉ=ëóëíÉã=Ü~ë=~=ëáåÖäÉ=ëçäìíáçåW==
a
a
ñ ñ
= I=
a
a
ó
ó
= I=
a
a
ò ò
= K=
fÑ= M
a = =~åÇ= M
añ ≠ Eçê= M
aó ≠ =çê= M
aò ≠ FI=íÜÉå=íÜÉ=ëóëíÉã=
Ü~ë=åç=ëçäìíáçåK=
fÑ= M
a
a
a
a ò
ó
ñ =
=
=
= I= íÜÉå= íÜÉ= ëóëíÉã= Ü~ë= áåÑáåáíÉäó=
ã~åó=ëçäìíáçåëK=
=
548. j~íêáñ=cçêã=çÑ=~=póëíÉã=çÑ=å=iáåÉ~ê=bèì~íáçåë=áå=================
å=råâåçïåë=
qÜÉ=ëÉí=çÑ=äáåÉ~ê=Éèì~íáçåë==







=
+
+
+
=
+
+
+
=
+
+
+
å
å
åå
O
O
å
N
N
å
O
å
å
O
O
OO
N
ON
N
å
å
N
O
NO
N
NN
Ä
ñ
~
ñ
~
ñ
~
Ä
ñ
~
ñ
~
ñ
~
Ä
ñ
~
ñ
~
ñ
~
K
K
K
K
K
K
K
K
K
K
K
K
K
K
K
=
Å~å=ÄÉ=ïêáííÉå=áå=ã~íêáñ=Ñçêã=














=














⋅














å
O
N
å
O
N
åå
O
å
N
å
å
O
OO
ON
å
N
NO
NN
Ä
Ä
Ä
ñ
ñ
ñ
~
~
~
~
~
~
~
~
~
M
M
K
M
M
M
K
K
I==
áKÉK==
_
u
^ =
⋅ I==
CHAPTER 5. MATRICES AND DETERMINANTS
117
ïÜÉêÉ==














=
åå
O
å
N
å
å
O
OO
ON
å
N
NO
NN
~
~
~
~
~
~
~
~
~
^
K
M
M
M
K
K
I=














=
å
O
N
ñ
ñ
ñ
u
M
I=














=
å
O
N
Ä
Ä
Ä
_
M
K==
=
549. pçäìíáçå=çÑ=~=pÉí=çÑ=iáåÉ~ê=bèì~íáçåë= å
å× =
_
^
u N
⋅
= −
I==
ïÜÉêÉ= N
^−
=áë=íÜÉ=áåîÉêëÉ=çÑ=^K=
=
=
118
Chapter 6
Vectors
=
=
=
=
sÉÅíçêëW=ì
r
I= î
r
I= ï
r
I= ê
r
I=
→
^_ I=£=
sÉÅíçê=äÉåÖíÜW= ì
r
I= î
r
I=£=
råáí=îÉÅíçêëW= á
r
I= à
r
I=â
r
=
kìää=îÉÅíçêW=M
r
=
`ççêÇáå~íÉë=çÑ=îÉÅíçê=ì
r
W= N
N
N w
I
v
I
u =
`ççêÇáå~íÉë=çÑ=îÉÅíçê= î
r
W= O
O
O w
I
v
I
u =
pÅ~ä~êëW=λ Iµ=
aáêÉÅíáçå=ÅçëáåÉëW= α
Åçë I= β
Åçë I= γ
Åçë =
^åÖäÉ=ÄÉíïÉÉå=íïç=îÉÅíçêëW=θ =
=
=
6.1 Vector Coordinates
=
550. råáí=sÉÅíçêë=
( )
M
I
M
I
N
á =
r
I=
( )
M
I
N
I
M
à =
r
I=
( )
N
I
M
I
M
â =
r
I=
N
â
à
á =
=
=
r
r
r
K=
=
551. ( ) ( ) ( )â
ò
ò
à
ó
ó
á
ñ
ñ
^_
ê M
N
M
N
M
N
r
r
r
r
−
+
−
+
−
=
=
→
=
=
CHAPTER 6. VECTORS
119
======= =
=
Figure 73.
=
552. ( ) ( ) ( )O
M
N
O
M
N
O
M
N ò
ò
ó
ó
ñ
ñ
^_
ê −
+
−
+
−
=
=
→
r
=
=
553. fÑ= ê
^_
r
=
→
I=íÜÉå= ê
_^
r
−
=
→
K=
=
=
=
Figure 74.
=
554. α
= Åçë
ê
u
r
I=
β
= Åçë
ê
v
r
I=
γ
= Åçë
ê
w
r
K=
CHAPTER 6. VECTORS
120
===== =
=
Figure 75.
=
555. fÑ= ( ) ( )
N
N
N
N w
I
v
I
u
ê
w
I
v
I
u
ê
r
r
= I=íÜÉå==
N
u
u = I= N
v
v = I= N
w
w = K==
==
=
6.2 Vector Addition
=
556. î
ì
ï
r
r
r
+
= =
=
== =
=
Figure 76.
CHAPTER 6. VECTORS
121
== =
=
Figure 77.
=
557. å
P
O
N ì
ì
ì
ì
ï
r
K
r
r
r
r
+
+
+
+
= =
=
== =
=
Figure 78.
=
558. `çããìí~íáîÉ=i~ï=
ì
î
î
ì
r
r
r
r
+
=
+ =
=
559. ^ëëçÅá~íáîÉ=i~ï=
( ) ( )
ï
î
ì
ï
î
ì
r
r
r
r
r
r
+
+
=
+
+ =
=
560. ( )
O
N
O
N
O
N w
w
I
v
v
I
u
u
î
ì +
+
+
=
+
r
r
=
=
=
=
=
=
=
CHAPTER 6. VECTORS
122
6.3 Vector Subtraction
=
561. î
ì
ï
r
r
r
−
= =áÑ= ì
ï
î
r
r
r
=
+ K=
=
=
=
Figure 79.
=
== =
=
Figure 80.
=
562. ( )
î
ì
î
ì
r
r
r
r
−
+
=
− =
=
563. ( )
M
I
M
I
M
M
ì
ì =
=
−
r
r
r
=
=
564. M
M =
r
=
=
565. ( )
O
N
O
N
O
N w
w
I
v
v
I
u
u
î
ì −
−
−
=
−
r
r
I==
=
=
=
6.4 Scaling Vectors
=
566. ì
ï
r
r
λ
= =
CHAPTER 6. VECTORS
123
=
=
Figure 81.
=
567. ì
ï
r
r
⋅
λ
= =
=
568. ( )
w
I
v
I
u
ì λ
λ
λ
=
λ
r
=
=
569. λ
=
λ ì
ì
r
r
=
=
570. ( ) ì
ì
ì
r
r
r
µ
+
λ
=
µ
+
λ =
=
571. ( ) ( ) ( )ì
ì
ì
r
r
r
λµ
=
λ
µ
=
µ
λ =
=
572. ( ) î
ì
î
ì
r
r
r
r
λ
+
λ
=
+
λ =
=
=
=
6.5 Scalar Product
=
573. pÅ~ä~ê=mêçÇìÅí=çÑ=sÉÅíçêë=ì
r
=~åÇ î
r
=
θ
⋅
⋅
=
⋅ Åçë
î
ì
î
ì
r
r
r
r
I==
ïÜÉêÉ=θ =áë=íÜÉ=~åÖäÉ=ÄÉíïÉÉå=îÉÅíçêë=ì
r
=~åÇ î
r
K====
=
CHAPTER 6. VECTORS
124
= =
=
Figure 82.
=
574. pÅ~ä~ê=mêçÇìÅí=áå=`ççêÇáå~íÉ=cçêã=
fÑ= ( )
N
N
N w
I
v
I
u
ì =
r
I= ( )
O
O
O w
I
v
I
u
î =
r
I=íÜÉå==
O
N
O
N
O
N w
w
v
v
u
u
î
ì +
+
=
⋅
r
r
K=
=
575. ^åÖäÉ=_ÉíïÉÉå=qïç=sÉÅíçêë==
fÑ= ( )
N
N
N w
I
v
I
u
ì =
r
I= ( )
O
O
O w
I
v
I
u
î =
r
I=íÜÉå==
O
O
O
O
O
O
O
N
O
N
O
N
O
N
O
N
O
N
w
v
u
w
v
u
w
w
v
v
u
u
Åçë
+
+
+
+
+
+
=
θ K=
=
576. `çããìí~íáîÉ=mêçéÉêíó=
ì
î
î
ì
r
r
r
r
⋅
=
⋅ =
=
577. ^ëëçÅá~íáîÉ=mêçéÉêíó=
( ) ( ) î
ì
î
ì
r
r
r
r
⋅
λµ
=
µ
⋅
λ =
=
578. aáëíêáÄìíáîÉ=mêçéÉêíó=
( ) ï
ì
î
ì
ï
î
ì
r
r
r
r
r
r
r
⋅
+
⋅
=
+
⋅ =
=
579. M
î
ì =
⋅
r
r
=áÑ=ì
r
I î
r
=~êÉ=çêíÜçÖçå~ä=E
O
π
=
θ FK=
=
580. M
î
ì >
⋅
r
r
=áÑ=
O
M
π
<
θ
< K=
=
CHAPTER 6. VECTORS
125
581. M
î
ì <
⋅
r
r
=áÑ= π
<
θ
<
π
O
K=
=
582. î
ì
î
ì
r
r
r
r
⋅
≤
⋅ =
=
583. î
ì
î
ì
r
r
r
r
⋅
=
⋅ =áÑ=ì
r
I î
r
=~êÉ=é~ê~ääÉä=E M
=
θ FK=
=
584. fÑ= ( )
N
N
N w
I
v
I
u
ì =
r
I=íÜÉå==
O
N
O
N
O
N
O
O
w
v
u
ì
ì
ì
ì +
+
=
=
=
⋅
r
r
r
r
K=
=
585. N
â
â
à
à
á
á =
⋅
=
⋅
=
⋅
r
r
r
r
r
r
=
=
586. M
á
â
â
à
à
á =
⋅
=
⋅
=
⋅
r
r
r
r
r
r
=
=
=
=
6.6 Vector Product
=
587. sÉÅíçê=mêçÇìÅí=çÑ=sÉÅíçêë=ì
r
=~åÇ î
r
=
ï
î
ì
r
r
r
=
× I=ïÜÉêÉ==
• θ
⋅
⋅
= ëáå
î
ì
ï
r
r
r
I=ïÜÉêÉ=
O
M
π
≤
θ
≤ X=
• ì
ï
r
r
⊥ = ~åÇ= î
ï
r
r
⊥ X=
• =sÉÅíçêë=ì
r
I= î
r
I= ï
r
=Ñçêã=~=êáÖÜí-Ü~åÇÉÇ=ëÅêÉïK=
=
CHAPTER 6. VECTORS
126
======= =
=
Figure 83.
=
588.
O
O
O
N
N
N
w
v
u
w
v
u
â
à
á
î
ì
ï
r
r
r
r
r
r
=
×
= =
=
589. 







−
=
×
=
O
O
N
N
O
O
N
N
O
O
N
N
v
u
v
u
I
w
u
w
u
I
w
v
w
v
î
ì
ï
r
r
r
=
=
590. θ
⋅
⋅
=
×
= ëáå
î
ì
î
ì
p
r
r
r
r
=EcáÖKUPF=
=
591. ^åÖäÉ=_ÉíïÉÉå=qïç=sÉÅíçêë=EcáÖKUPF=
î
ì
î
ì
ëáå r
r
r
r
⋅
×
=
θ =
=
592. kçåÅçããìí~íáîÉ=mêçéÉêíó=
( )
ì
î
î
ì
r
r
r
r
×
−
=
× ==
=
593. ^ëëçÅá~íáîÉ=mêçéÉêíó=
( ) ( ) î
ì
î
ì
r
r
r
r
×
λµ
=
µ
×
λ =
=
=
CHAPTER 6. VECTORS
127
594. aáëíêáÄìíáîÉ=mêçéÉêíó=
( ) ï
ì
î
ì
ï
î
ì
r
r
r
r
r
r
r
×
+
×
=
+
× =
=
595. M
î
ì
r
r
r
=
× =áÑ=ì
r
=~åÇ= î
r
=~êÉ=é~ê~ääÉä=E M
=
θ FK=
=
596. M
â
â
à
à
á
á
r
r
r
r
r
r
r
=
×
=
×
=
× =
=
597. â
à
á
r
r
r
=
× I= á
â
à
r
r
r
=
× I= à
á
â
r
r
r
=
× =
=
=
=
6.7 Triple Product
=
598. pÅ~ä~ê=qêáéäÉ=mêçÇìÅí=
[ ] ( ) ( ) ( )
î
ì
ï
ì
ï
î
ï
î
ì
ï
î
ì
r
r
r
r
r
r
r
r
r
r
r
r
×
⋅
=
×
⋅
=
×
⋅
= =
=
599. [ ] [ ] [ ] [ ] [ ] [ ]
î
ï
ì
ì
î
ï
ï
ì
î
ì
ï
î
î
ì
ï
ï
î
ì
r
r
r
r
r
r
r
r
r
r
r
r
r
r
r
r
r
r
−
=
−
=
−
=
=
= =
=
600. ( ) [ ]
ï
î
ì
â
ï
î
ì
â
r
r
r
r
r
r
=
×
⋅ =
=
601. pÅ~ä~ê=qêáéäÉ=mêçÇìÅí=áå=`ççêÇáå~íÉ=cçêã=
( )
P
P
P
O
O
O
N
N
N
w
v
u
w
v
u
w
v
u
ï
î
ì =
×
⋅
r
r
r
I==
ïÜÉêÉ==
( )
N
N
N w
I
v
I
u
ì =
r
I= ( )
O
O
O w
I
v
I
u
î =
r
I= ( )
P
P
P w
I
v
I
u
ï =
r
K==
=
602. sçäìãÉ=çÑ=m~ê~ääÉäÉéáéÉÇ=
( )
ï
î
ì
s
r
r
r
×
⋅
= =
=
CHAPTER 6. VECTORS
128
============ =
=
Figure 84.
=
603. sçäìãÉ=çÑ=móê~ãáÇ=
( )
ï
î
ì
S
N
s
r
r
r
×
⋅
= =
=
=
=
Figure 85.
=
604. fÑ== ( ) M
ï
î
ì =
×
⋅
r
r
r
I=íÜÉå=íÜÉ=îÉÅíçêë==ì
r
I= î
r
I=~åÇ= ï
r
=~êÉ=äáåÉ~êäó=
ÇÉéÉåÇÉåí=I=ëç= î
ì
ï
r
r
r
µ
+
λ
= =Ñçê=ëçãÉ=ëÅ~ä~êë=λ =~åÇ=µK==
=
605. fÑ== ( ) M
ï
î
ì ≠
×
⋅
r
r
r
I=íÜÉå=íÜÉ=îÉÅíçêë==ì
r
I= î
r
I=~åÇ= ï
r
=~êÉ=äáåÉ~êäó=
áåÇÉéÉåÇÉåíK=
=
CHAPTER 6. VECTORS
129
606. sÉÅíçê=qêáéäÉ=mêçÇìÅí=
( ) ( ) ( )ï
î
ì
î
ï
ì
ï
î
ì
r
r
r
r
r
r
r
r
r
⋅
−
⋅
=
×
× ==
=
=
=
=
=
=
=
=
130
Chapter 7
Analytic Geometry
=
=
=
=
7.1 One-Dimensional Coordinate System
=
mçáåí=ÅççêÇáå~íÉëW= M
ñ I= N
ñ I= O
ñ I= M
ó I= N
ó I= O
ó =
oÉ~ä=åìãÄÉêW=λ ==
aáëí~åÅÉ=ÄÉíïÉÉå=íïç=éçáåíëW=Ç=
=
=
607. aáëí~åÅÉ=_ÉíïÉÉå=qïç=mçáåíë=
O
N
N
O ñ
ñ
ñ
ñ
^_
Ç −
=
−
=
= =
=
=
=
Figure 86.
=
608. aáîáÇáåÖ=~=iáåÉ=pÉÖãÉåí=áå=íÜÉ=o~íáç=λ =
λ
+
λ
+
=
N
ñ
ñ
ñ O
N
M I=
`_
^`
=
λ I= N
−
≠
λ K=
=
======== =
=
Figure 87.
CHAPTER 7. ANALYTIC GEOMETRY
131
609. jáÇéçáåí=çÑ=~=iáåÉ=pÉÖãÉåí=
O
ñ
ñ
ñ O
N
M
+
= I= N
=
λ K=
=
=
=
7.2 Two-Dimensional Coordinate System
=
mçáåí=ÅççêÇáå~íÉëW= M
ñ I= N
ñ I= O
ñ I= M
ó I= N
ó I= O
ó =
mçä~ê=ÅççêÇáå~íÉëW= ϕ
I
ê =
oÉ~ä=åìãÄÉêW=λ ==
mçëáíáîÉ=êÉ~ä=åìãÄÉêëW=~I=ÄI=ÅI==
aáëí~åÅÉ=ÄÉíïÉÉå=íïç=éçáåíëW=Ç=
^êÉ~W=p=
=
=
610. aáëí~åÅÉ=_ÉíïÉÉå=qïç=mçáåíë=
( ) ( )O
N
O
O
N
O ó
ó
ñ
ñ
^_
Ç −
+
−
=
= =
=
=
=
Figure 88.
CHAPTER 7. ANALYTIC GEOMETRY
132
611. aáîáÇáåÖ=~=iáåÉ=pÉÖãÉåí=áå=íÜÉ=o~íáç=λ =
λ
+
λ
+
=
N
ñ
ñ
ñ O
N
M I=
λ
+
λ
+
=
N
ó
ó
ó O
N
M I==
`_
^`
=
λ I= N
−
≠
λ K=
=
======= =
=
Figure 89.
=
=
CHAPTER 7. ANALYTIC GEOMETRY
133
======= =
=
Figure 90.
=
612. jáÇéçáåí=çÑ=~=iáåÉ=pÉÖãÉåí=
O
ñ
ñ
ñ O
N
M
+
= I=
O
ó
ó
ó O
N
M
+
= I= N
=
λ K=
=
613. `ÉåíêçáÇ=EfåíÉêëÉÅíáçå=çÑ=jÉÇá~åëF=çÑ=~=qêá~åÖäÉ=
P
ñ
ñ
ñ
ñ P
O
N
M
+
+
= I=
P
ó
ó
ó
ó P
O
N
M
+
+
= I==
ïÜÉêÉ== ( )
N
N ó
I
ñ
^ I== ( )
O
O ó
I
ñ
_ I==~åÇ== ( )
P
P ó
I
ñ
` ==~êÉ=îÉêíáÅÉë=çÑ=
íÜÉ=íêá~åÖäÉ= ^_` K= =
=
CHAPTER 7. ANALYTIC GEOMETRY
134
========= =
=
Figure 91.
=
614. fåÅÉåíÉê=EfåíÉêëÉÅíáçå=çÑ=^åÖäÉ=_áëÉÅíçêëF=çÑ=~=qêá~åÖäÉ=
Å
Ä
~
Åñ
Äñ
~ñ
ñ P
O
N
M
+
+
+
+
= I=
Å
Ä
~
Åó
Äó
~ó
ó P
O
N
M
+
+
+
+
= I==
ïÜÉêÉ= _`
~ = I= `^
Ä = I= ^_
Å = K==
=
======== =
=
Figure 92.
CHAPTER 7. ANALYTIC GEOMETRY
135
615. `áêÅìãÅÉåíÉê=EfåíÉêëÉÅíáçå=çÑ=íÜÉ=páÇÉ=mÉêéÉåÇáÅìä~ê======================
_áëÉÅíçêëF=çÑ=~=qêá~åÖäÉ=
N
ó
ñ
N
ó
ñ
N
ó
ñ
O
N
ó
ó
ñ
N
ó
ó
ñ
N
ó
ó
ñ
ñ
P
P
O
O
N
N
P
O
P
O
P
O
O
O
O
O
N
O
N
O
N
M
+
+
+
= I=
N
ó
ñ
N
ó
ñ
N
ó
ñ
O
N
ó
ñ
ñ
N
ó
ñ
ñ
N
ó
ñ
ñ
ó
P
P
O
O
N
N
O
P
O
P
P
O
O
O
O
O
O
N
O
N
N
M
+
+
+
= =
=
======== =
==
Figure 93.
=
=
=
=
=
=
=
CHAPTER 7. ANALYTIC GEOMETRY
136
616. lêíÜçÅÉåíÉê=EfåíÉêëÉÅíáçå=çÑ=^äíáíìÇÉëF=çÑ=~=qêá~åÖäÉ=
N
ó
ñ
N
ó
ñ
N
ó
ñ
N
ó
ñ
ñ
ó
N
ó
ñ
ñ
ó
N
ó
ñ
ñ
ó
ñ
P
P
O
O
N
N
O
P
O
N
P
O
O
N
P
O
O
N
P
O
N
M
+
+
+
= I=
N
ó
ñ
N
ó
ñ
N
ó
ñ
N
ñ
ó
ó
ñ
N
ñ
ó
ó
ñ
N
ñ
ó
ó
ñ
ó
P
P
O
O
N
N
P
O
N
O
P
O
N
P
O
O
N
P
O
O
N
M
+
+
+
= =
=
====== =
=
Figure 94.
=
617. ^êÉ~=çÑ=~=qêá~åÖäÉ=
( ) ( )
N
P
N
P
N
O
N
O
P
P
O
O
N
N
ó
ó
ñ
ñ
ó
ó
ñ
ñ
O
N
N
ó
ñ
N
ó
ñ
N
ó
ñ
O
N
p
−
−
−
−
±
=
±
= =
=
=
=
CHAPTER 7. ANALYTIC GEOMETRY
137
618. ^êÉ~=çÑ=~=nì~Çêáä~íÉê~ä=
( ) ( )( ) ( )( )
[ +
+
−
+
+
−
±
= P
O
P
O
O
N
O
N ó
ó
ñ
ñ
ó
ó
ñ
ñ
O
N
p =
( )( ) ( )( )]
N
Q
N
Q
Q
P
Q
P ó
ó
ñ
ñ
ó
ó
ñ
ñ +
−
+
+
−
+ =
=
=== =
=
Figure 95.
=
kçíÉW=få=Ñçêãìä~ë=SNTI=SNU=ïÉ=ÅÜççëÉ=íÜÉ=ëáÖå=EHF=çê=E¥F=ëç=
íÜ~í=íç=ÖÉí=~=éçëáíáîÉ=~åëïÉê=Ñçê=~êÉ~K==
=
619. aáëí~åÅÉ=_ÉíïÉÉå=qïç=mçáåíë=áå=mçä~ê=`ççêÇáå~íÉë=
( )
N
O
O
N
O
O
O
N Åçë
ê
ê
O
ê
ê
^_
Ç ϕ
−
ϕ
−
+
=
= =
=
CHAPTER 7. ANALYTIC GEOMETRY
138
=
=
Figure 96.
=
620. `çåîÉêíáåÖ=oÉÅí~åÖìä~ê=`ççêÇáå~íÉë=íç=mçä~ê=`ççêÇáå~íÉë=
ϕ
= Åçë
ê
ñ I= ϕ
= ëáå
ê
ó K=
=
=
=
Figure 97.
=
621. `çåîÉêíáåÖ=mçä~ê=`ççêÇáå~íÉë=íç=oÉÅí~åÖìä~ê=`ççêÇáå~íÉë=
O
O
ó
ñ
ê +
= I=
ñ
ó
í~å =
ϕ K=
CHAPTER 7. ANALYTIC GEOMETRY
139
7.3 Straight Line in Plane
=
mçáåí=ÅççêÇáå~íÉëW=uI=vI=ñI= M
ñ I= N
ñ I== M
ó I= N
ó I= N
~ I= O
~ I=£==
oÉ~ä=åìãÄÉêëW=âI=~I=ÄI=éI=íI=^I=_I=`I= N
^ I= O
^ I=£=
^åÖäÉëW=α I=β =
^åÖäÉ=ÄÉíïÉÉå=íïç=äáåÉëW=ϕ =
kçêã~ä=îÉÅíçêW=å
r
=
mçëáíáçå=îÉÅíçêëW= ê
r
I=~
r
I= Ä
r
=
=
=
622. dÉåÉê~ä=bèì~íáçå=çÑ=~=píê~áÖÜí=iáåÉ=
M
`
_ó
^ñ =
+
+ =
=
623. kçêã~ä=sÉÅíçê=íç=~=píê~áÖÜí=iáåÉ=
qÜÉ=îÉÅíçê= ( )
_
I
^
å
r
=áë=åçêã~ä=íç=íÜÉ=äáåÉ= M
`
_ó
^ñ =
+
+ K=
=
=
=
Figure 98.
=
624. bñéäáÅáí=bèì~íáçå=çÑ=~=píê~áÖÜí=iáåÉ=EpäçéÉ-fåíÉêÅÉéí=cçêãF=
Ä
âñ
ó +
= K==
CHAPTER 7. ANALYTIC GEOMETRY
140
qÜÉ=Öê~ÇáÉåí=çÑ=íÜÉ=äáåÉ=áë= α
= í~å
â K=
=
=
=
Figure 99.
=
625. dê~ÇáÉåí=çÑ=~=iáåÉ==
N
O
N
O
ñ
ñ
ó
ó
í~å
â
−
−
=
α
= =
=
=
=
Figure 100.
CHAPTER 7. ANALYTIC GEOMETRY
141
626. bèì~íáçå=çÑ=~=iáåÉ=dáîÉå=~=mçáåí=~åÇ=íÜÉ=dê~ÇáÉåí=
( )
M
M ñ
ñ
â
ó
ó −
+
= I==
ïÜÉêÉ=â=áë=íÜÉ=Öê~ÇáÉåíI= ( )
M
M ó
I
ñ
m =áë=~=éçáåí=çå=íÜÉ=äáåÉK=
=
=
=
Figure 101.
=
627. bèì~íáçå=çÑ=~=iáåÉ=qÜ~í=m~ëëÉë=qÜêçìÖÜ=qïç=mçáåíë=
N
O
N
N
O
N
ñ
ñ
ñ
ñ
ó
ó
ó
ó
−
−
=
−
−
==
çê=
M
N
ó
ñ
N
ó
ñ
N
ó
ñ
O
O
N
N = K=
=
CHAPTER 7. ANALYTIC GEOMETRY
142
=
=
Figure 102.
=
628. fåíÉêÅÉéí=cçêã=
N
Ä
ó
~
ñ
=
+ =
=
=
=
Figure 103.
=
=
CHAPTER 7. ANALYTIC GEOMETRY
143
629. kçêã~ä=cçêã=
M
é
ëáå
ó
Åçë
ñ =
−
β
+
β =
=
=
=
Figure 104.
=
630. mçáåí=aáêÉÅíáçå=cçêã=
v
ó
ó
u
ñ
ñ N
N −
=
−
I==
ïÜÉêÉ= ( )
v
I
u =áë=íÜÉ=ÇáêÉÅíáçå=çÑ=íÜÉ=äáåÉ=~åÇ= ( )
N
N
N ó
I
ñ
m =äáÉë=
çå=íÜÉ=äáåÉK=
=
CHAPTER 7. ANALYTIC GEOMETRY
144
=
=
Figure 105.
=
631. sÉêíáÅ~ä=iáåÉ=
~
ñ = =
=
632. eçêáòçåí~ä=iáåÉ=
Ä
ó = =
=
633. sÉÅíçê=bèì~íáçå=çÑ=~=píê~áÖÜí=iáåÉ=
Ä
í
~
ê
r
r
r
+
= I==
ïÜÉêÉ==
l=áë=íÜÉ=çêáÖáå=çÑ=íÜÉ=ÅççêÇáå~íÉëI=
u=áë=~åó=î~êá~ÄäÉ=éçáåí=çå=íÜÉ=äáåÉI==
~
r
=áë=íÜÉ=éçëáíáçå=îÉÅíçê=çÑ=~=âåçïå=éçáåí=^=çå=íÜÉ=äáåÉ=I=
Ä
r
=áë=~=âåçïå=îÉÅíçê=çÑ=ÇáêÉÅíáçåI=é~ê~ääÉä=íç=íÜÉ=äáåÉI==
í=áë=~=é~ê~ãÉíÉêI==
→
= lu
ê
r
=áë=íÜÉ=éçëáíáçå=îÉÅíçê=çÑ=~åó=éçáåí=u=çå=íÜÉ=äáåÉK==
=
CHAPTER 7. ANALYTIC GEOMETRY
145
=
=
Figure 106.
=
634. píê~áÖÜí=iáåÉ=áå=m~ê~ãÉíêáÅ=cçêã=



+
=
+
=
O
O
N
N
íÄ
~
ó
íÄ
~
ñ
I==
ïÜÉêÉ==
( )
ó
I
ñ ~êÉ=íÜÉ=ÅççêÇáå~íÉë=çÑ=~åó=ìåâåçïå=éçáåí=çå=íÜÉ=äáåÉI==
( )
O
N ~
I
~ =~êÉ=íÜÉ=ÅççêÇáå~íÉë=çÑ=~=âåçïå=éçáåí=çå=íÜÉ=äáåÉI==
( )
O
N Ä
I
Ä =~êÉ=íÜÉ=ÅççêÇáå~íÉë=çÑ=~=îÉÅíçê=é~ê~ääÉä=íç=íÜÉ=äáåÉI==
í=áë=~=é~ê~ãÉíÉêK=
=
CHAPTER 7. ANALYTIC GEOMETRY
146
=
Figure 107.
=
635. aáëí~åÅÉ=cêçã=~=mçáåí=qç=~=iáåÉ=
qÜÉ=Çáëí~åÅÉ=Ñêçã=íÜÉ=éçáåí= ( )
Ä
I
~
m =íç=íÜÉ=äáåÉ=
M
`
_ó
^ñ =
+
+ =áë==
O
O
_
^
`
_Ä
^~
Ç
+
+
+
= K=
=
=
=
Figure 108.
CHAPTER 7. ANALYTIC GEOMETRY
147
636. m~ê~ääÉä=iáåÉë=
qïç=äáåÉë= N
N Ä
ñ
â
ó +
= =~åÇ= O
O Ä
ñ
â
ó +
= =~êÉ=é~ê~ääÉä=áÑ==
O
N â
â = K=
qïç= äáåÉë= M
`
ó
_
ñ
^ N
N
N =
+
+ = ~åÇ= M
`
ó
_
ñ
^ O
O
O =
+
+ = ~êÉ=
é~ê~ääÉä=áÑ=
O
N
O
N
_
_
^
^
= K=
=
=
=
Figure 109.
=
637. mÉêéÉåÇáÅìä~ê=iáåÉë=
qïç=äáåÉë= N
N Ä
ñ
â
ó +
= =~åÇ= O
O Ä
ñ
â
ó +
= =~êÉ=éÉêéÉåÇáÅìä~ê=áÑ==
N
O
â
N
â −
= =çêI=Éèìáî~äÉåíäóI= N
â
â O
N −
= K=
qïç= äáåÉë= M
`
ó
_
ñ
^ N
N
N =
+
+ = ~åÇ= M
`
ó
_
ñ
^ O
O
O =
+
+ = ~êÉ=
éÉêéÉåÇáÅìä~ê=áÑ=
M
_
_
^
^ O
N
O
N =
+ K=
=
CHAPTER 7. ANALYTIC GEOMETRY
148
=
=
Figure 110.
=
638. ^åÖäÉ=_ÉíïÉÉå=qïç=iáåÉë=
O
N
N
O
â
â
N
â
â
í~å
+
−
=
ϕ I==
O
O
O
O
O
N
O
N
O
N
O
N
_
^
_
^
_
_
^
^
Åçë
+
⋅
+
+
=
ϕ K=
=
CHAPTER 7. ANALYTIC GEOMETRY
149
=
=
Figure 111.
=
639. fåíÉêëÉÅíáçå=çÑ=qïç=iáåÉë=
fÑ=íïç=äáåÉë= M
`
ó
_
ñ
^ N
N
N =
+
+ =~åÇ= M
`
ó
_
ñ
^ O
O
O =
+
+ =áåíÉê-
ëÉÅíI=íÜÉ=áåíÉêëÉÅíáçå=éçáåí=Ü~ë=ÅççêÇáå~íÉë=
N
O
O
N
N
O
O
N
M
_
^
_
^
_
`
_
`
ñ
−
+
−
= I=
N
O
O
N
N
O
O
N
M
_
^
_
^
`
^
`
^
ó
−
+
−
= K=
=
=
=
7.4 Circle
=
o~ÇáìëW=o=
`ÉåíÉê=çÑ=ÅáêÅäÉW=( )
Ä
I
~ =
mçáåí=ÅççêÇáå~íÉëW=ñI=óI= N
ñ I= N
ó I=£=
oÉ~ä=åìãÄÉêëW=^I=_I=`I=aI=bI=cI=í=
CHAPTER 7. ANALYTIC GEOMETRY
150
640. bèì~íáçå=çÑ=~=`áêÅäÉ=`ÉåíÉêÉÇ=~í=íÜÉ=lêáÖáå=Epí~åÇ~êÇ=
cçêãF=
O
O
O
o
ó
ñ =
+ =
====== =
=
Figure 112.
=
641. bèì~íáçå=çÑ=~=`áêÅäÉ=`ÉåíÉêÉÇ=~í=^åó=mçáåí=( )
Ä
I
~
( ) ( ) O
O
O
o
Ä
ó
~
ñ =
−
+
−
Figure 113.
CHAPTER 7. ANALYTIC GEOMETRY
151
642. qÜêÉÉ=mçáåí=cçêã
M
N
ó
ñ
ó
ñ
N
ó
ñ
ó
ñ
N
ó
ñ
ó
ñ
N
ó
ñ
ó
ñ
P
P
O
P
O
P
O
O
O
O
O
O
N
N
O
N
O
N
O
O
=
+
+
+
+
=
=
=
Figure 114.
=
643. m~ê~ãÉíêáÅ=cçêã



=
=
í
ëáå
o
ó
í
Åçë
o
ñ
I= π
≤
≤ O
í
M K
=
644. dÉåÉê~ä=cçêã
M
c
bó
añ
^ó
^ñ O
O
=
+
+
+
+ =E^=åçåòÉêçI= ^c
Q
b
a O
O
>
+ FK==
qÜÉ=ÅÉåíÉê=çÑ=íÜÉ=ÅáêÅäÉ=Ü~ë=ÅççêÇáå~íÉë=( )
Ä
I
~ I=ïÜÉêÉ==
^
O
a
~ −
= I=
^
O
b
Ä −
= K=
qÜÉ=ê~Çáìë=çÑ=íÜÉ=ÅáêÅäÉ=áë
CHAPTER 7. ANALYTIC GEOMETRY
152
^
O
^c
Q
b
a
o
O
O
−
+
= K
=
=
=
7.5 Ellipse
=
pÉãáã~àçê=~ñáëW=~=
pÉãáãáåçê=~ñáëW=Ä=
cçÅáW= ( )
M
I
Å
cN − I= ( )
M
I
Å
cO =
aáëí~åÅÉ=ÄÉíïÉÉå=íÜÉ=ÑçÅáW=OÅ= =
bÅÅÉåíêáÅáíóW=É==
oÉ~ä=åìãÄÉêëW=^I=_I=`I=aI=bI=cI=í=
mÉêáãÉíÉêW=i=
^êÉ~W=p=
=
=
645. bèì~íáçå=çÑ=~å=bääáéëÉ=Epí~åÇ~êÇ=cçêãF
N
Ä
ó
~
ñ
O
O
O
O
=
+
=
=
Figure 115.
CHAPTER 7. ANALYTIC GEOMETRY
153
646. ~
O
ê
ê O
N =
+ I=
ïÜÉêÉ== N
ê I== O
ê ==~êÉ==Çáëí~åÅÉë==Ñêçã==~åó==éçáåí== ( )
ó
I
ñ
m ==çå=
íÜÉ=ÉääáéëÉ=íç=íÜÉ=íïç=ÑçÅáK=
=
=
=
Figure 116.
=
647. O
O
O
Å
Ä
~ +
=
=
648. bÅÅÉåíêáÅáíó
N
~
Å
É <
= =
=
649. bèì~íáçåë=çÑ=aáêÉÅíêáÅÉë
Å
~
É
~
ñ
O
±
=
±
= =
=
650. m~ê~ãÉíêáÅ=cçêã



=
=
í
ëáå
Ä
ó
í
Åçë
~
ñ
I= π
≤
≤ O
í
M K
=
=
CHAPTER 7. ANALYTIC GEOMETRY
154
651. dÉåÉê~ä=cçêã
M
c
bó
añ
`ó
_ñó
^ñ O
O
=
+
+
+
+
+ I==
ïÜÉêÉ= M
^`
Q
_O
<
− K=
=
652. dÉåÉê~ä=cçêã=ïáíÜ=^ñÉë=m~ê~ääÉä=íç=íÜÉ=`ççêÇáå~íÉ=^ñÉë
M
c
bó
añ
`ó
^ñ O
O
=
+
+
+
+ I==
ïÜÉêÉ= M
^` > K
=
653. `áêÅìãÑÉêÉåÅÉ
( )
É
~b
Q
i = I==
ïÜÉêÉ==íÜÉ==ÑìåÅíáçå=b==áë==íÜÉ=ÅçãéäÉíÉ==ÉääáéíáÅ=áåíÉÖê~ä==çÑ=
íÜÉ=ëÉÅçåÇ=âáåÇK==
=
654. ^ééêçñáã~íÉ=cçêãìä~ë=çÑ=íÜÉ=`áêÅìãÑÉêÉåÅÉ
( )
( )
~Ä
Ä
~
R
K
N
i −
+
π
= I==
( )
O
O
Ä
~
O
i +
π
= K=
=
655. ~Ä
p π
= =
=
=
=
7.6 Hyperbola
=
qê~åëîÉêëÉ=~ñáëW=~=
`çåàìÖ~íÉ=~ñáëW=Ä=
cçÅáW= ( )
M
I
Å
cN − I= ( )
M
I
Å
cO =
aáëí~åÅÉ=ÄÉíïÉÉå=íÜÉ=ÑçÅáW=OÅ= =
bÅÅÉåíêáÅáíóW=É==
^ëóãéíçíÉëW=ëI=í=
oÉ~ä=åìãÄÉêëW=^I=_I=`I=aI=bI=cI=íI=â=
=
=
=
CHAPTER 7. ANALYTIC GEOMETRY
155
656. bèì~íáçå=çÑ=~=eóéÉêÄçä~=Epí~åÇ~êÇ=cçêãF=
N
Ä
ó
~
ñ
O
O
O
O
=
− =
=
=
=
Figure 117.
=
657. ~
O
ê
ê O
N =
− I=
ïÜÉêÉ== N
ê I== O
ê ==~êÉ==Çáëí~åÅÉë==Ñêçã==~åó=éçáåí== ( )
ó
I
ñ
m ==çå=
íÜÉ=ÜóéÉêÄçä~=íç=íÜÉ=íïç=ÑçÅáK=
=
CHAPTER 7. ANALYTIC GEOMETRY
156
=
=
Figure 118.
=
658. bèì~íáçåë=çÑ=^ëóãéíçíÉë=
ñ
~
Ä
ó ±
= =
=
659. O
O
O
Ä
~
Å +
= =
=
660. bÅÅÉåíêáÅáíó
N
~
Å
É >
= =
=
661. bèì~íáçåë=çÑ=aáêÉÅíêáÅÉë
Å
~
É
~
ñ
O
±
=
±
= =
=
=
=
CHAPTER 7. ANALYTIC GEOMETRY
157
662. m~ê~ãÉíêáÅ=bèì~íáçåë=çÑ=íÜÉ=oáÖÜí=_ê~åÅÜ=çÑ=~=eóéÉêÄçä~=



=
=
í
ëáåÜ
Ä
ó
í
ÅçëÜ
~
ñ
I= π
≤
≤ O
í
M K
=
663. dÉåÉê~ä=cçêã
M
c
bó
añ
`ó
_ñó
^ñ O
O
=
+
+
+
+
+ I==
ïÜÉêÉ= M
^`
Q
_O
>
− K=
=
664. dÉåÉê~ä=cçêã=ïáíÜ=^ñÉë=m~ê~ääÉä=íç=íÜÉ=`ççêÇáå~íÉ=^ñÉë
M
c
bó
añ
`ó
^ñ O
O
=
+
+
+
+ I==
ïÜÉêÉ= M
^` < K=
665. ^ëóãéíçíáÅ=cçêã=
Q
É
ñó
O
= I==
çê==
ñ
â
ó = I=ïÜÉêÉ=
Q
É
â
O
= K=
få= íÜáë= Å~ëÉ= I= íÜÉ= ~ëóãéíçíÉë= Ü~îÉ= Éèì~íáçåë= M
ñ = = ~åÇ=
M
ó = K==
=
CHAPTER 7. ANALYTIC GEOMETRY
158
=
=
Figure 119.
=
=
=
7.7 Parabola
=
cçÅ~ä=é~ê~ãÉíÉêW=é=
cçÅìëW=c=
sÉêíÉñW= ( )
M
M ó
I
ñ
j =
oÉ~ä=åìãÄÉêëW=^I=_I=`I=aI=bI=cI=éI=~I=ÄI=Å=
=
=
666. bèì~íáçå=çÑ=~=m~ê~Äçä~=Epí~åÇ~êÇ=cçêãF
éñ
O
óO
=
=
CHAPTER 7. ANALYTIC GEOMETRY
159
=
=
Figure 120.
=
bèì~íáçå=çÑ=íÜÉ=ÇáêÉÅíêáñ
O
é
ñ −
= I=
`ççêÇáå~íÉë=çÑ=íÜÉ=ÑçÅìë=






M
I
O
é
c I=
`ççêÇáå~íÉë=çÑ=íÜÉ=îÉêíÉñ=
( )
M
I
M
j K=
=
667. dÉåÉê~ä=cçêã
M
c
bó
añ
`ó
_ñó
^ñ O
O
=
+
+
+
+
+ I==
ïÜÉêÉ= M
^`
Q
_O
=
− K=
=
668. O
~ñ
ó = I=
~
O
N
é = K=
bèì~íáçå=çÑ=íÜÉ=ÇáêÉÅíêáñ
CHAPTER 7. ANALYTIC GEOMETRY
160
O
é
ó −
= I=
`ççêÇáå~íÉë=çÑ=íÜÉ=ÑçÅìë=






O
é
I
M
c I=
`ççêÇáå~íÉë=çÑ=íÜÉ=îÉêíÉñ=
( )
M
I
M
j K=
=
=
=
Figure 121.
=
669. dÉåÉê~ä=cçêãI=^ñáë=m~ê~ääÉä=íç=íÜÉ=ó-~ñáë==
M
c
bó
añ
^ñO
=
+
+
+ =E^I=b=åçåòÉêçFI==
Å
Äñ
~ñ
ó O
+
+
= I=
~
O
N
é = K==
bèì~íáçå=çÑ=íÜÉ=ÇáêÉÅíêáñ
O
é
ó
ó M −
= I=
`ççêÇáå~íÉë=çÑ=íÜÉ=ÑçÅìë=
CHAPTER 7. ANALYTIC GEOMETRY
161






+
O
é
ó
I
ñ
c M
M I=
`ççêÇáå~íÉë=çÑ=íÜÉ=îÉêíÉñ=
~
O
Ä
ñM −
= I=
~
Q
Ä
~Å
Q
Å
Äñ
~ñ
ó
O
M
O
M
M
−
=
+
+
= K=
=
=
=
Figure 122.
=
=
=
7.8 Three-Dimensional Coordinate System
=
mçáåí=ÅççêÇáå~íÉëW= M
ñ I= M
ó I= M
ò I= N
ñ I= N
ó I= N
ò I=£=
oÉ~ä=åìãÄÉêW=λ ==
aáëí~åÅÉ=ÄÉíïÉÉå=íïç=éçáåíëW=Ç=
^êÉ~W=p=
sçäìãÉW=s=
=
CHAPTER 7. ANALYTIC GEOMETRY
162
670. aáëí~åÅÉ=_ÉíïÉÉå=qïç=mçáåíë=
( ) ( ) ( )O
N
O
O
N
O
O
N
O ò
ò
ó
ó
ñ
ñ
^_
Ç −
+
−
+
−
=
= =
=
=== =
=
Figure 123.
=
671. aáîáÇáåÖ=~=iáåÉ=pÉÖãÉåí=áå=íÜÉ=o~íáç=λ =
λ
+
λ
+
=
N
ñ
ñ
ñ O
N
M I=
λ
+
λ
+
=
N
ó
ó
ó O
N
M I=
λ
+
λ
+
=
N
ò
ò
ò O
N
M I==
ïÜÉêÉ=
`_
^`
=
λ I= N
−
≠
λ K=
=
CHAPTER 7. ANALYTIC GEOMETRY
163
======== =
=
Figure 124.
=
=
Figure 125.
CHAPTER 7. ANALYTIC GEOMETRY
164
672. jáÇéçáåí=çÑ=~=iáåÉ=pÉÖãÉåí=
O
ñ
ñ
ñ O
N
M
+
= I=
O
ó
ó
ó O
N
M
+
= I=
O
ò
ò
ò O
N
M
+
= I= N
=
λ K=
=
673. ^êÉ~=çÑ=~=qêá~åÖäÉ=
qÜÉ=~êÉ~=çÑ=~=íêá~åÖäÉ=ïáíÜ=îÉêíáÅÉë= ( )
N
N
N
N ò
I
ó
I
ñ
m I=
( )
O
O
O
O ò
I
ó
I
ñ
m I=~åÇ= ( )
P
P
P
P ò
I
ó
I
ñ
m =áë=ÖáîÉå=Äó==
O
P
P
O
O
N
N
O
P
P
O
O
N
N
O
P
P
O
O
N
N
N
ó
ñ
N
ó
ñ
N
ó
ñ
N
ñ
ò
N
ñ
ò
N
ñ
ò
N
ò
ó
N
ò
ó
N
ò
ó
O
N
p +
+
= K=
=
674. sçäìãÉ=çÑ=~=qÉíê~ÜÉÇêçå=
qÜÉ=îçäìãÉ=çÑ=~=íÉíê~ÜÉÇêçå=ïáíÜ=îÉêíáÅÉë= ( )
N
N
N
N ò
I
ó
I
ñ
m I=
( )
O
O
O
O ò
I
ó
I
ñ
m I= ( )
P
P
P
P ò
I
ó
I
ñ
m I=~åÇ= ( )
Q
Q
Q
Q ò
I
ó
I
ñ
m =áë=ÖáîÉå=Äó==
N
ò
ó
ñ
N
ò
ó
ñ
N
ò
ó
ñ
N
ò
ó
ñ
S
N
s
Q
Q
Q
P
P
P
O
O
O
N
N
N
±
= I==
çê=
Q
P
Q
P
Q
P
Q
O
Q
O
Q
O
Q
N
Q
N
Q
N
ò
ò
ó
ó
ñ
ñ
ò
ò
ó
ó
ñ
ñ
ò
ò
ó
ó
ñ
ñ
S
N
s
−
−
−
−
−
−
−
−
−
±
= K=
kçíÉW=tÉ=ÅÜççëÉ=íÜÉ=ëáÖå=EHF=çê=E¥F=ëç=íÜ~í=íç=ÖÉí=~=éçëáíáîÉ=
~åëïÉê=Ñçê=îçäìãÉK==
=
CHAPTER 7. ANALYTIC GEOMETRY
165
==== =
=
Figure 126.
=
=
=
7.9 Plane
=
mçáåí=ÅççêÇáå~íÉëW=ñI=óI=òI= M
ñ I= M
ó I= M
ò I= N
ñ I= N
ó I= N
ò I=£=
oÉ~ä=åìãÄÉêëW=^I=_I=`I=aI= N
^ I= O
^ I=~I=ÄI=ÅI= N
~ I= O
~ I=λ I=éI=íI=£==
kçêã~ä=îÉÅíçêëW=å
r
I= N
å
r
I= O
å
r
=
aáêÉÅíáçå=ÅçëáåÉëW= α
Åçë I= β
Åçë I= γ
Åçë =
aáëí~åÅÉ=Ñêçã=éçáåí=íç=éä~åÉW=Ç=
=
=
675. dÉåÉê~ä=bèì~íáçå=çÑ=~=mä~åÉ=
M
a
`ò
_ó
^ñ =
+
+
+ =
=
=
CHAPTER 7. ANALYTIC GEOMETRY
166
676. kçêã~ä=sÉÅíçê=íç=~=mä~åÉ=
qÜÉ=îÉÅíçê= ( )
`
I
_
I
^
å
r
=áë=åçêã~ä=íç=íÜÉ=éä~åÉ=
M
a
`ò
_ó
^ñ =
+
+
+ K=
=
=== =
=
Figure 127.
=
677. m~êíáÅìä~ê=`~ëÉë=çÑ=íÜÉ=bèì~íáçå=çÑ=~=mä~åÉ=
M
a
`ò
_ó
^ñ =
+
+
+ =
=
fÑ= M
^ = I=íÜÉ=éä~åÉ=áë=é~ê~ääÉä=íç=íÜÉ=ñ-~ñáëK=
fÑ= M
_ = I=íÜÉ=éä~åÉ=áë=é~ê~ääÉä=íç=íÜÉ=ó-~ñáëK=
fÑ= M
` = I=íÜÉ=éä~åÉ=áë=é~ê~ääÉä=íç=íÜÉ=ò-~ñáëK=
fÑ= M
a = I=íÜÉ=éä~åÉ=äáÉë=çå=íÜÉ=çêáÖáåK==
=
fÑ= M
_
^ =
= I=íÜÉ=éä~åÉ=áë=é~ê~ääÉä=íç=íÜÉ=ñó-éä~åÉK=
fÑ= M
`
_ =
= I=íÜÉ=éä~åÉ=áë=é~ê~ääÉä=íç=íÜÉ=óò-éä~åÉK=
fÑ= M
`
^ =
= I=íÜÉ=éä~åÉ=áë=é~ê~ääÉä=íç=íÜÉ=ñò-éä~åÉK=
=
CHAPTER 7. ANALYTIC GEOMETRY
167
678. mçáåí=aáêÉÅíáçå=cçêã=
( ) ( ) ( ) M
ò
ò
`
ó
ó
_
ñ
ñ
^ M
M
M =
−
+
−
+
− I==
ïÜÉêÉ=íÜÉ=éçáåí= ( )
M
M
M ò
I
ó
I
ñ
m =äáÉë=áå=íÜÉ=éä~åÉI=~åÇ=íÜÉ=îÉÅ-
íçê=( )
`
I
_
I
^ =áë=åçêã~ä=íç=íÜÉ=éä~åÉK===
=
==== =
=
Figure 128.
=
679. fåíÉêÅÉéí=cçêã=
N
Å
ò
Ä
ó
~
ñ
=
+
+ =
=
CHAPTER 7. ANALYTIC GEOMETRY
168
===== =
=
Figure 129.
=
680. qÜêÉÉ=mçáåí=cçêã=
M
ò
ò
ó
ó
ñ
ñ
ò
ò
ó
ó
ñ
ñ
ò
ò
ó
ó
ñ
ñ
P
O
P
O
P
O
P
N
P
N
P
N
P
P
P
=
−
−
−
−
−
−
−
−
−
I==
çê==
M
N
ò
ó
ñ
N
ò
ó
ñ
N
ò
ó
ñ
N
ò
ó
ñ
P
P
P
O
O
O
N
N
N
= K=
=
CHAPTER 7. ANALYTIC GEOMETRY
169
===== =
=
Figure 130.
=
681. kçêã~ä=cçêã=
M
é
Åçë
ò
Åçë
ó
Åçë
ñ =
−
γ
+
β
+
α I==
ïÜÉêÉ==é==áë==íÜÉ==éÉêéÉåÇáÅìä~ê==Çáëí~åÅÉ==Ñêçã==íÜÉ=çêáÖáå=íç=
íÜÉ=éä~åÉ=I=~åÇ= α
Åçë I= β
Åçë I= γ
Åçë =~êÉ=íÜÉ=ÇáêÉÅíáçå=ÅçëáåÉë=
çÑ=~åó=äáåÉ=åçêã~ä=íç=íÜÉ=éä~åÉK==
=
CHAPTER 7. ANALYTIC GEOMETRY
170
====== =
=
Figure 131.
=
682. m~ê~ãÉíêáÅ=cçêã=





+
+
=
+
+
=
+
+
=
í
Å
ë
Å
ò
ò
í
Ä
ë
Ä
ó
ó
í
~
ë
~
ñ
ñ
O
N
N
O
N
N
O
N
N
I==
ïÜÉêÉ=( )
ò
I
ó
I
ñ =~êÉ=íÜÉ=ÅççêÇáå~íÉë=çÑ=~åó=ìåâåçïå=éçáåí=çå=
íÜÉ=äáåÉ=I=íÜÉ=éçáåí= ( )
N
N
N ò
I
ó
I
ñ
m =äáÉë=áå=íÜÉ=éä~åÉI=íÜÉ=îÉÅíçêë=
( )
N
N
N Å
I
Ä
I
~ =~åÇ=( )
O
O
O Å
I
Ä
I
~ =~êÉ=é~ê~ääÉä=íç=íÜÉ=éä~åÉK=
=
CHAPTER 7. ANALYTIC GEOMETRY
171
===== =
=
Figure 132.
=
683. aáÜÉÇê~ä=^åÖäÉ=_ÉíïÉÉå=qïç=mä~åÉë=
fÑ=íÜÉ=éä~åÉë=~êÉ=ÖáîÉå=Äó==
M
a
ò
`
ó
_
ñ
^ N
N
N
N =
+
+
+ I==
M
a
ò
`
ó
_
ñ
^ O
O
O
O =
+
+
+ I==
íÜÉå=íÜÉ=ÇáÜÉÇê~ä=~åÖäÉ=ÄÉíïÉÉå=íÜÉã=áë==
O
O
O
O
O
O
O
N
O
N
O
N
O
N
O
N
O
N
O
N
O
N
`
_
^
`
_
^
`
`
_
_
^
^
å
å
å
å
Åçë
+
+
⋅
+
+
+
+
=
⋅
⋅
=
ϕ r
r
r
r
K=
=
CHAPTER 7. ANALYTIC GEOMETRY
172
====== =
=
Figure 133.
=
684. m~ê~ääÉä=mä~åÉë=
qïç=éä~åÉë= M
a
ò
`
ó
_
ñ
^ N
N
N
N =
+
+
+ =~åÇ=
M
a
ò
`
ó
_
ñ
^ O
O
O
O =
+
+
+ =~êÉ=é~ê~ääÉä=áÑ==
O
N
O
N
O
N
`
`
_
_
^
^
=
= K=
=
685. mÉêéÉåÇáÅìä~ê=mä~åÉë=
qïç=éä~åÉë= M
a
ò
`
ó
_
ñ
^ N
N
N
N =
+
+
+ =~åÇ=
M
a
ò
`
ó
_
ñ
^ O
O
O
O =
+
+
+ =~êÉ=éÉêéÉåÇáÅìä~ê=áÑ==
M
`
`
_
_
^
^ O
N
O
N
O
N =
+
+ K=
=
686. bèì~íáçå=çÑ=~=mä~åÉ=qÜêçìÖÜ= ( )
N
N
N ò
I
ó
I
ñ
m =~åÇ=m~ê~ääÉä=qç=
íÜÉ=sÉÅíçêë=( )
N
N
N Å
I
Ä
I
~ =~åÇ=( )
O
O
O Å
I
Ä
I
~ =EcáÖKNPOF=
CHAPTER 7. ANALYTIC GEOMETRY
173
M
Å
Ä
~
Å
Ä
~
ò
ò
ó
ó
ñ
ñ
O
O
O
N
N
N
N
N
N
=
−
−
−
=
=
687. bèì~íáçå=çÑ=~=mä~åÉ=qÜêçìÖÜ= ( )
N
N
N
N ò
I
ó
I
ñ
m =~åÇ= ( )
O
O
O
O ò
I
ó
I
ñ
m I=
~åÇ=m~ê~ääÉä=qç=íÜÉ=sÉÅíçê=( )
Å
I
Ä
I
~ =
M
Å
Ä
~
ò
ò
ó
ó
ñ
ñ
ò
ò
ó
ó
ñ
ñ
N
O
N
O
N
O
N
N
N
=
−
−
−
−
−
−
=
=
=
Figure 134.
=
688. aáëí~åÅÉ=cêçã=~=mçáåí=qç=~=mä~åÉ=
qÜÉ=Çáëí~åÅÉ=Ñêçã=íÜÉ=éçáåí= ( )
N
N
N
N ò
I
ó
I
ñ
m =íç=íÜÉ=éä~åÉ=
M
a
`ò
_ó
^ñ =
+
+
+ =áë==
CHAPTER 7. ANALYTIC GEOMETRY
174
O
O
O
N
N
N
`
_
^
a
`ò
_ó
^ñ
Ç
+
+
+
+
+
= K=
=
====== =
=
Figure 135.
=
689. fåíÉêëÉÅíáçå=çÑ=qïç=mä~åÉë=
fÑ=íïç=éä~åÉë= M
a
ò
`
ó
_
ñ
^ N
N
N
N =
+
+
+ =~åÇ=
M
a
ò
`
ó
_
ñ
^ O
O
O
O =
+
+
+ =áåíÉêëÉÅíI=íÜÉ=áåíÉêëÉÅíáçå=ëíê~áÖÜí=
äáåÉ=áë=ÖáîÉå=Äó=





+
=
+
=
+
=
Åí
ò
ò
Äí
ó
ó
~í
ñ
ñ
N
N
N
I==
çê==
Å
ò
ò
Ä
ó
ó
~
ñ
ñ N
N
N −
=
−
=
−
I==
ïÜÉêÉ==
CHAPTER 7. ANALYTIC GEOMETRY
175
O
O
N
N
`
_
`
_
~ = I=
O
O
N
N
^
`
^
`
Ä = I=
O
O
N
N
_
^
_
^
Å = I==
O
O
O
O
O
N
N
O
O
N
N
N
Å
Ä
~
_
a
_
a
Å
`
a
`
a
Ä
ñ
+
+
−
= I==
O
O
O
O
O
N
N
O
O
N
N
N
Å
Ä
~
`
a
`
a
~
^
a
^
a
Å
ó
+
+
−
= I==
O
O
O
O
O
N
N
O
O
N
N
N
Å
Ä
~
^
a
^
a
Ä
_
a
_
a
~
ò
+
+
−
= K==
=
=
=
7.10 Straight Line in Space
=
mçáåí=ÅççêÇáå~íÉëW=ñI=óI=òI= N
ñ I= N
ó I= N
ò I=£=
aáêÉÅíáçå=ÅçëáåÉëW= α
Åçë I= β
Åçë I= γ
Åçë =
oÉ~ä=åìãÄÉêëW=^I=_I=`I=aI=~I=ÄI=ÅI= N
~ I= O
~ I=íI=£==
aáêÉÅíáçå=îÉÅíçêë=çÑ=~=äáåÉW= ë
r
I= N
ë
r
I= O
ë
r
=
kçêã~ä=îÉÅíçê=íç=~=éä~åÉW=å
r
=
^åÖäÉ=ÄÉíïÉÉå=íïç=äáåÉëW=ϕ =
=
690. mçáåí=aáêÉÅíáçå=cçêã=çÑ=íÜÉ=bèì~íáçå=çÑ=~=iáåÉ==
Å
ò
ò
Ä
ó
ó
~
ñ
ñ N
N
N −
=
−
=
−
I==
ïÜÉêÉ=íÜÉ=éçáåí= ( )
N
N
N
N ò
I
ó
I
ñ
m =äáÉë=çå=íÜÉ=äáåÉI=~åÇ= ( )
Å
I
Ä
I
~ =áë=
íÜÉ=ÇáêÉÅíáçå=îÉÅíçê=çÑ=íÜÉ=äáåÉK==
=
CHAPTER 7. ANALYTIC GEOMETRY
176
===== =
=
Figure 136.
=
691. qïç=mçáåí=cçêã=
N
O
N
N
O
N
N
O
N
ò
ò
ò
ò
ó
ó
ó
ó
ñ
ñ
ñ
ñ
−
−
=
−
−
=
−
−
==
=
===== =
Figure 137.
CHAPTER 7. ANALYTIC GEOMETRY
177
692. m~ê~ãÉíêáÅ=cçêã==





γ
+
=
β
+
=
α
+
=
Åçë
í
ò
ò
Åçë
í
ó
ó
Åçë
í
ñ
ñ
N
N
N
I==
ïÜÉêÉ=íÜÉ=éçáåí= ( )
N
N
N
N ò
I
ó
I
ñ
m =äáÉë=çå=íÜÉ=ëíê~áÖÜí=äáåÉI=
α
Åçë I= β
Åçë I= γ
Åçë =~êÉ=íÜÉ=ÇáêÉÅíáçå=ÅçëáåÉë=çÑ=íÜÉ=ÇáêÉÅíáçå=
îÉÅíçê=çÑ=íÜÉ=äáåÉI=íÜÉ=é~ê~ãÉíÉê=í=áë=~åó=êÉ~ä=åìãÄÉêK==
=
===== =
=
Figure 138.
=
693. ^åÖäÉ=_ÉíïÉÉå=qïç=píê~áÖÜí=iáåÉë=
O
O
O
O
O
O
O
N
O
N
O
N
O
N
O
N
O
N
O
N
O
N
Å
Ä
~
Å
Ä
~
Å
Å
Ä
Ä
~
~
ë
ë
ë
ë
Åçë
+
+
⋅
+
+
+
+
=
⋅
⋅
=
ϕ r
r
r
r
=
=
CHAPTER 7. ANALYTIC GEOMETRY
178
===== =
=
Figure 139.
=
694. m~ê~ääÉä=iáåÉë=
qïç=äáåÉë=~êÉ=é~ê~ääÉä=áÑ==
O
N ë
öö
ë
r
r
I==
çê==
O
N
O
N
O
N
Å
Å
Ä
Ä
~
~
=
= K=
=
695. mÉêéÉåÇáÅìä~ê=iáåÉë=
qïç=äáåÉë=~êÉ=é~ê~ääÉä=áÑ==
M
ë
ë O
N =
⋅
r
r
I==
çê==
M
Å
Å
Ä
Ä
~
~ O
N
O
N
O
N =
+
+ K=
=
696. fåíÉêëÉÅíáçå=çÑ=qïç=iáåÉë=
qïç=äáåÉë=
N
N
N
N
N
N
Å
ò
ò
Ä
ó
ó
~
ñ
ñ −
=
−
=
−
=~åÇ=
CHAPTER 7. ANALYTIC GEOMETRY
179
O
O
O
O
O
O
Å
ò
ò
Ä
ó
ó
~
ñ
ñ −
=
−
=
−
=áåíÉêëÉÅí=áÑ==
M
Å
Ä
~
Å
Ä
~
ò
ò
ó
ó
ñ
ñ
O
O
O
N
N
N
N
O
N
O
N
O
=
−
−
−
K=
=
697. m~ê~ääÉä=iáåÉ=~åÇ=mä~åÉ==
qÜÉ=ëíê~áÖÜí=äáåÉ=
Å
ò
ò
Ä
ó
ó
~
ñ
ñ N
N
N −
=
−
=
−
=~åÇ=íÜÉ=éä~åÉ=
M
a
`ò
_ó
^ñ =
+
+
+ =~êÉ=é~ê~ääÉä=áÑ=
M
ë
å =
⋅
r
r
I==
çê==
M
`Å
_Ä
^~ =
+
+ K=
=
===== =
=
Figure 140.
=
=
CHAPTER 7. ANALYTIC GEOMETRY
180
698. mÉêéÉåÇáÅìä~ê=iáåÉ=~åÇ=mä~åÉ==
qÜÉ=ëíê~áÖÜí=äáåÉ=
Å
ò
ò
Ä
ó
ó
~
ñ
ñ N
N
N −
=
−
=
−
=~åÇ=íÜÉ=éä~åÉ=
M
a
`ò
_ó
^ñ =
+
+
+ =~êÉ=éÉêéÉåÇáÅìä~ê=áÑ=
ë
öö
å
r
r
I==
çê==
Å
`
Ä
_
~
^
=
= K=
=
==== =
=
Figure 141.
=
=
7.11 Quadric Surfaces
=
mçáåí=ÅççêÇáå~íÉë=çÑ=íÜÉ=èì~ÇêáÅ=ëìêÑ~ÅÉëW=ñI=óI=ò=
oÉ~ä=åìãÄÉêëW=^I=_I=`I=~I=ÄI=ÅI= P
O
N â
I
â
I
â I=£=
CHAPTER 7. ANALYTIC GEOMETRY
181
699. dÉåÉê~ä=nì~Çê~íáÅ=bèì~íáçå=
M
a
oò
O
nó
O
mñ
O
eñó
O
dòñ
O
cóò
O
`ò
_ó
^ñ O
O
O
=
+
+
+
+
+
+
+
+
+
=
700. `ä~ëëáÑáÅ~íáçå=çÑ=nì~ÇêáÅ=pìêÑ~ÅÉë=
=
`~ëÉ= o~åâEÉF= o~åâEbF= ∆= â=ëáÖåë= qóéÉ=çÑ=pìêÑ~ÅÉ=
N= P= Q= M
< = p~ãÉ= oÉ~ä=bääáéëçáÇ=
O= P= Q= M
> = p~ãÉ= fã~Öáå~êó=bääáéëçáÇ=
P= P= Q= M
> = aáÑÑÉêÉåí= eóéÉêÄçäçáÇ=çÑ=N=pÜÉÉí=
Q= P= Q= M
< = aáÑÑÉêÉåí= eóéÉêÄçäçáÇ=çÑ=O=pÜÉÉíë=
R= P= P= = aáÑÑÉêÉåí= oÉ~ä=nì~ÇêáÅ=`çåÉ=
S= P= P= = p~ãÉ= fã~Öáå~êó=nì~ÇêáÅ=`çåÉ=
T= O= Q= M
< = p~ãÉ= bääáéíáÅ=m~ê~ÄçäçáÇ=
U= O= Q= M
> = aáÑÑÉêÉåí= eóéÉêÄçäáÅ=m~ê~ÄçäçáÇ=
V= O= P= = p~ãÉ= oÉ~ä=bääáéíáÅ=`óäáåÇÉê=
NM= O= P= = p~ãÉ= fã~Öáå~êó=bääáéíáÅ=`óäáåÇÉê=
NN= O= P= = aáÑÑÉêÉåí= eóéÉêÄçäáÅ=`óäáåÇÉê=
NO= O= O= = aáÑÑÉêÉåí= oÉ~ä=fåíÉêëÉÅíáåÖ=mä~åÉë=
NP= O= O= = p~ãÉ= fã~Öáå~êó=fåíÉêëÉÅíáåÖ=mä~åÉë=
NQ= N= P= = = m~ê~ÄçäáÅ=`óäáåÇÉê=
NR= N= O= = = oÉ~ä=m~ê~ääÉä=mä~åÉë=
NS= N= O= = = fã~Öáå~êó=m~ê~ääÉä=mä~åÉë=
NT= N= N= = = `çáåÅáÇÉåí=mä~åÉë=
=
eÉêÉ==










=
`
c
d
c
_
e
d
e
^
É I=














=
a
o
n
m
o
`
c
d
n
c
_
e
m
n
e
^
b I= ( )
b
ÇÉí
=
∆ I==
P
O
N â
I
â
I
â =~êÉ=íÜÉ=êççíë=çÑ=íÜÉ=Éèì~íáçåI==
M
ñ
`
c
d
c
ñ
_
e
d
e
ñ
^
=
−
−
−
K=
=
=
CHAPTER 7. ANALYTIC GEOMETRY
182
701. oÉ~ä=bääáéëçáÇ=E`~ëÉ=NF=
N
Å
ò
Ä
ó
~
ñ
O
O
O
O
O
O
=
+
+ =
=
===== =
=
Figure 142.
=
702. fã~Öáå~êó=bääáéëçáÇ=E`~ëÉ=OF=
N
Å
ò
Ä
ó
~
ñ
O
O
O
O
O
O
−
=
+
+ =
=
703. eóéÉêÄçäçáÇ=çÑ=N=pÜÉÉí=E`~ëÉ=PF=
N
Å
ò
Ä
ó
~
ñ
O
O
O
O
O
O
=
−
+ =
=
CHAPTER 7. ANALYTIC GEOMETRY
183
===== =
=
Figure 143.
=
704. eóéÉêÄçäçáÇ=çÑ=O=pÜÉÉíë=E`~ëÉ=QF=
N
Å
ò
Ä
ó
~
ñ
O
O
O
O
O
O
−
=
−
+ =
=
= =
=
Figure 144.
CHAPTER 7. ANALYTIC GEOMETRY
184
705. oÉ~ä=nì~ÇêáÅ=`çåÉ=E`~ëÉ=RF=
M
Å
ò
Ä
ó
~
ñ
O
O
O
O
O
O
=
−
+ =
=
== =
=
Figure 145.
=
706. fã~Öáå~êó=nì~ÇêáÅ=`çåÉ=E`~ëÉ=SF=
M
Å
ò
Ä
ó
~
ñ
O
O
O
O
O
O
=
+
+ =
=
707. bääáéíáÅ=m~ê~ÄçäçáÇ=E`~ëÉ=TF=
M
ò
Ä
ó
~
ñ
O
O
O
O
=
−
+ =
=
CHAPTER 7. ANALYTIC GEOMETRY
185
====== =
Figure 146.
708. eóéÉêÄçäáÅ=m~ê~ÄçäçáÇ=E`~ëÉ=UF=
M
ò
Ä
ó
~
ñ
O
O
O
O
=
−
− =
==== =
Figure 147.
CHAPTER 7. ANALYTIC GEOMETRY
186
709. oÉ~ä=bääáéíáÅ=`óäáåÇÉê=E`~ëÉ=VF=
N
Ä
ó
~
ñ
O
O
O
O
=
+ =
=
===== =
=
Figure 148.
=
710. fã~Öáå~êó=bääáéíáÅ=`óäáåÇÉê=E`~ëÉ=NMF=
N
Ä
ó
~
ñ
O
O
O
O
−
=
+ =
=
711. eóéÉêÄçäáÅ=`óäáåÇÉê=E`~ëÉ=NNF=
N
Ä
ó
~
ñ
O
O
O
O
=
− =
=
CHAPTER 7. ANALYTIC GEOMETRY
187
====== =
=
Figure 149.
=
712. oÉ~ä=fåíÉêëÉÅíáåÖ=mä~åÉë=E`~ëÉ=NOF=
M
Ä
ó
~
ñ
O
O
O
O
=
− =
=
713. fã~Öáå~êó=fåíÉêëÉÅíáåÖ=mä~åÉë=E`~ëÉ=NPF=
M
Ä
ó
~
ñ
O
O
O
O
=
+ =
=
714. m~ê~ÄçäáÅ=`óäáåÇÉê=E`~ëÉ=NQF=
M
ó
~
ñ
O
O
=
− =
=
CHAPTER 7. ANALYTIC GEOMETRY
188
===== =
=
Figure 150.
=
715. oÉ~ä=m~ê~ääÉä=mä~åÉë=E`~ëÉ=NRF=
N
~
ñ
O
O
= =
=
716. fã~Öáå~êó=m~ê~ääÉä=mä~åÉë=E`~ëÉ=NSF=
N
~
ñ
O
O
−
= =
=
717. `çáåÅáÇÉåí=mä~åÉë=E`~ëÉ=NTF=
M
ñO
= =
=
=
=
=
=
CHAPTER 7. ANALYTIC GEOMETRY
189
7.12 Sphere
=
o~Çáìë=çÑ=~=ëéÜÉêÉW=o=
mçáåí=ÅççêÇáå~íÉëW=ñI=óI=òI= N
ñ I= N
ó I= N
ò I=£=
`ÉåíÉê=çÑ=~=ëéÜÉêÉW=( )
Å
I
Ä
I
~ =
oÉ~ä=åìãÄÉêëW=^I=aI=bI=cI=j=
=
=
718. bèì~íáçå=çÑ=~=péÜÉêÉ=`ÉåíÉêÉÇ=~í=íÜÉ=lêáÖáå=Epí~åÇ~êÇ=
cçêãF=
O
O
O
O
o
ò
ó
ñ =
+
+ =
=
====== =
=
Figure 151.
=
719. bèì~íáçå=çÑ=~=`áêÅäÉ=`ÉåíÉêÉÇ=~í=^åó=mçáåí=( )
Å
I
Ä
I
~
( ) ( ) ( ) O
O
O
O
o
Å
ò
Ä
ó
~
ñ =
−
+
−
+
−
720. aá~ãÉíÉê=cçêã
( )( ) ( )( ) ( )( ) M
ò
ò
ò
ò
ó
ó
ó
ó
ñ
ñ
ñ
ñ O
N
O
N
O
N =
−
−
+
−
−
+
−
− I==
CHAPTER 7. ANALYTIC GEOMETRY
190
ïÜÉêÉ==
( )
N
N
N
N ò
I
ó
I
ñ
m I= ( )
O
O
O
O ò
I
ó
I
ñ
m =~êÉ=íÜÉ=ÉåÇë=çÑ=~=Çá~ãÉíÉêK==
=
721. cçìê=mçáåí=cçêã=
M
N
ò
ó
ñ
ñ
ó
ñ
N
ò
ó
ñ
ñ
ó
ñ
N
ò
ó
ñ
ñ
ó
ñ
N
ò
ó
ñ
ñ
ó
ñ
N
ò
ó
ñ
ò
ó
ñ
Q
Q
Q
O
Q
O
Q
O
Q
P
P
P
O
P
O
P
O
P
O
O
O
O
O
O
O
O
O
N
N
N
O
N
O
N
O
N
O
O
O
=
+
+
+
+
+
+
+
+
+
+
=
=
722. dÉåÉê~ä=cçêã
M
j
cò
bó
añ
^ò
^ó
^ñ O
O
O
=
+
+
+
+
+
+ =E^=áë=åçåòÉêçFK==
qÜÉ=ÅÉåíÉê=çÑ=íÜÉ=ëéÜÉêÉ=Ü~ë=ÅççêÇáå~íÉë=( )
Å
I
Ä
I
~ I=ïÜÉêÉ==
^
O
a
~ −
= I=
^
O
b
Ä −
= I=
^
O
c
Å −
= K=
qÜÉ=ê~Çáìë=çÑ=íÜÉ=ëéÜÉêÉ=áë
^
O
j
^
Q
c
b
a
o
O
O
O
O
−
+
+
= K
=
=
191
Chapter 8
Differential Calculus
=
=
=
=
cìåÅíáçåëW=ÑI=ÖI=óI=ìI=î=
^êÖìãÉåí=EáåÇÉéÉåÇÉåí=î~êá~ÄäÉFW=ñ=
oÉ~ä=åìãÄÉêëW=~I=ÄI=ÅI=Ç=
k~íìê~ä=åìãÄÉêW=å=
^åÖäÉW=α=
fåîÉêëÉ=ÑìåÅíáçåW= N
Ñ −
=
=
=
8.1 Functions and Their Graphs
=
723. bîÉå=cìåÅíáçå=
( ) ( )
ñ
Ñ
ñ
Ñ =
− =
=
724. lÇÇ=cìåÅíáçå=
( ) ( )
ñ
Ñ
ñ
Ñ −
=
− =
=
725. mÉêáçÇáÅ=cìåÅíáçå=
( ) ( )
ñ
Ñ
åq
ñ
Ñ =
+ =
=
726. fåîÉêëÉ=cìåÅíáçå=
( )
ñ
Ñ
ó = =áë=~åó=ÑìåÅíáçåI= ( )
ó
Ö
ñ = =çê= ( )
ñ
Ñ
ó N
−
= =áë=áíë=áåîÉêëÉ=
ÑìåÅíáçåK==
=
CHAPTER 8. DIFFERENTIAL CALCULUS
192
===== =
=
Figure 152.
=
727. `çãéçëáíÉ=cìåÅíáçå=
( )
ì
Ñ
ó = I= ( )
ñ
Ö
ì = I= ( )
( )
ñ
Ö
Ñ
ó = =áë=~=ÅçãéçëáíÉ=ÑìåÅíáçåK=
=
728. iáåÉ~ê=cìåÅíáçå=
Ä
~ñ
ó +
= I== o
ñ∈ I== α
= í~å
~ ==áë=íÜÉ=ëäçéÉ=çÑ=íÜÉ=äáåÉI==Ä==áë=
íÜÉ=ó-áåíÉêÅÉéíK=
=
CHAPTER 8. DIFFERENTIAL CALCULUS
193
====== =
=
Figure 153.
=
729. nì~Çê~íáÅ=cìåÅíáçå==
O
ñ
ó = I= o
ñ∈ K=
=
====== =
=
Figure 154.
=
CHAPTER 8. DIFFERENTIAL CALCULUS
194
730. Å
Äñ
~ñ
ó O
+
+
= I= o
ñ∈ K=
=
=== =
=
Figure 155.
=
731. `ìÄáÅ=cìåÅíáçå==
P
ñ
ó = I= o
ñ∈ K=
=
CHAPTER 8. DIFFERENTIAL CALCULUS
195
= =
=
Figure 156.
=
732. Ç
Åñ
Äñ
~ñ
ó O
P
+
+
+
= I= o
ñ∈ K=
=
CHAPTER 8. DIFFERENTIAL CALCULUS
196
== =
=
Figure 157.
=
733. mçïÉê=cìåÅíáçå==
å
ñ
ó = I= k
å∈ K=
=
CHAPTER 8. DIFFERENTIAL CALCULUS
197
====== =
Figure 158.
=
=
Figure 159.
=
CHAPTER 8. DIFFERENTIAL CALCULUS
198
734. pèì~êÉ=oççí=cìåÅíáçå==
ñ
ó = I= [ )
∞
∈ I
M
ñ K=
=
======= =
Figure 160.
=
735. bñéçåÉåíá~ä=cìåÅíáçåë=
ñ
~
ó = I= M
~ > I= N
~ ≠ I=
ñ
É
ó = =áÑ= É
~ = I= K
S
TNUOUNUOUQ
K
O
É = =
=
= =
=
Figure 161.
CHAPTER 8. DIFFERENTIAL CALCULUS
199
736. içÖ~êáíÜãáÅ=cìåÅíáçåë=
ñ
äçÖ
ó ~
= I= ( )
∞
∈ I
M
ñ I= M
~ > I= N
~ ≠ I=
ñ
äå
ó = =áÑ= É
~ = I= M
ñ > K=
=
=
=
Figure 162.
=
737. eóéÉêÄçäáÅ=páåÉ=cìåÅíáçå==
ñ
ëáåÜ
ó = I=
O
É
É
ñ
ëáåÜ
ñ
ñ −
−
= I= o
ñ∈ K=
=
CHAPTER 8. DIFFERENTIAL CALCULUS
200
==== =
=
Figure 163.
=
738. eóéÉêÄçäáÅ=`çëáåÉ=cìåÅíáçå==
ñ
Ü
Åçë
ó = I=
O
É
É
ñ
Ü
Åçë
ñ
ñ −
+
= I= o
ñ∈ K=
====== =
=
Figure 164.
CHAPTER 8. DIFFERENTIAL CALCULUS
201
739. eóéÉêÄçäáÅ=q~åÖÉåí=cìåÅíáçå==
ñ
í~åÜ
ó = I= ñ
ñ
ñ
ñ
É
É
É
É
ñ
ÅçëÜ
ñ
ëáåÜ
ñ
í~åÜ
ó −
−
+
−
=
=
= I= o
ñ∈ K=
=
====== =
=
Figure 165.
=
740. eóéÉêÄçäáÅ=`çí~åÖÉåí=cìåÅíáçå==
ñ
Ü
Åçí
ó = I= ñ
ñ
ñ
ñ
É
É
É
É
ñ
ëáåÜ
ñ
ÅçëÜ
ñ
Ü
Åçí
ó −
−
−
+
=
=
= I= o
ñ∈ I= M
ñ ≠ K=
=
CHAPTER 8. DIFFERENTIAL CALCULUS
202
====== =
=
Figure 166.
=
741. eóéÉêÄçäáÅ=pÉÅ~åí=cìåÅíáçå==
ñ
Ü
ëÉÅ
ó = I= ñ
ñ
É
É
O
ñ
ÅçëÜ
N
ñ
Ü
ëÉÅ
ó −
+
=
=
= I= o
ñ∈ K=
=
Figure 167.
CHAPTER 8. DIFFERENTIAL CALCULUS
203
742. eóéÉêÄçäáÅ=`çëÉÅ~åí=cìåÅíáçå==
ñ
ÅëÅÜ
ó = I= ñ
ñ
É
É
O
ñ
ëáåÜ
N
ñ
ÅëÅÜ
ó −
−
=
=
= I= o
ñ∈ I= M
ñ ≠ K=
=
====== =
=
Figure 168.
=
743. fåîÉêëÉ=eóéÉêÄçäáÅ=páåÉ=cìåÅíáçå==
ñ
~êÅëáåÜ
ó = I= o
ñ∈ K=
=
CHAPTER 8. DIFFERENTIAL CALCULUS
204
===== =
=
Figure 169.
=
744. fåîÉêëÉ=eóéÉêÄçäáÅ=`çëáåÉ=cìåÅíáçå==
ñ
~êÅÅçëÜ
ó = I= [ )
∞
∈ I
N
ñ K=
=
===== =
=
Figure 170.
=
745. fåîÉêëÉ=eóéÉêÄçäáÅ=q~åÖÉåí=cìåÅíáçå==
ñ
~êÅí~åÜ
ó = I= ( )
N
I
N
ñ −
∈ K=
=
CHAPTER 8. DIFFERENTIAL CALCULUS
205
===== =
=
Figure 171.
=
746. fåîÉêëÉ=eóéÉêÄçäáÅ=`çí~åÖÉåí=cìåÅíáçå==
ñ
~êÅÅçíÜ
ó = I= ( ) ( )
∞
∪
−
∞
−
∈ I
N
N
I
ñ K==
=
CHAPTER 8. DIFFERENTIAL CALCULUS
206
===== =
=
Figure 172.
=
747. fåîÉêëÉ=eóéÉêÄçäáÅ=pÉÅ~åí=cìåÅíáçå==
ñ
~êÅëÉÅÜ
ó = I= ( ]
N
I
M
ñ∈ K=
=
CHAPTER 8. DIFFERENTIAL CALCULUS
207
=
Figure 173.
=
748. fåîÉêëÉ=eóéÉêÄçäáÅ=`çëÉÅ~åí=cìåÅíáçå==
ñ
~êÅÅëÅÜ
ó = I= o
ñ∈ I= M
ñ ≠ K==
=
Figure 174.
=
CHAPTER 8. DIFFERENTIAL CALCULUS
208
8.2 Limits of Functions
=
cìåÅíáçåëW= ( )
ñ
Ñ I= ( )
ñ
Ö =
^êÖìãÉåíW=ñ=
oÉ~ä=Åçåëí~åíëW=~I=â=
=
=
749. ( ) ( )
[ ] ( ) ( )
ñ
Ö
äáã
ñ
Ñ
äáã
ñ
Ö
ñ
Ñ
äáã
~
ñ
~
ñ
~
ñ →
→
→
+
=
+ =
=
750. ( ) ( )
[ ] ( ) ( )
ñ
Ö
äáã
ñ
Ñ
äáã
ñ
Ö
ñ
Ñ
äáã
~
ñ
~
ñ
~
ñ →
→
→
−
=
− =
=
751. ( ) ( )
[ ] ( ) ( )
ñ
Ö
äáã
ñ
Ñ
äáã
ñ
Ö
ñ
Ñ
äáã
~
ñ
~
ñ
~
ñ →
→
→
⋅
=
⋅ =
=
752.
( )
( )
( )
( )
ñ
Ö
äáã
ñ
Ñ
äáã
ñ
Ö
ñ
Ñ
äáã
~
ñ
~
ñ
~
ñ
→
→
→
= I=áÑ= ( ) M
ñ
Ö
äáã
~
ñ
≠
→
K=
=
753. ( )
[ ] ( )
ñ
Ñ
äáã
â
ñ
âÑ
äáã
~
ñ
~
ñ →
→
= =
=
754. ( )
( ) ( )
( )
ñ
Ö
äáã
Ñ
ñ
Ö
Ñ
äáã
~
ñ
~
ñ →
→
= =
=
755. ( ) ( )
~
Ñ
ñ
Ñ
äáã
~
ñ
=
→
I=áÑ=íÜÉ=ÑìåÅíáçå= ( )
ñ
Ñ =áë=Åçåíáåìçìë=~í= ~
ñ = K=
=
756. N
ñ
ñ
ëáå
äáã
M
ñ
=
→
=
=
757. N
ñ
ñ
í~å
äáã
M
ñ
=
→
=
=
758. N
ñ
ñ
ëáå
äáã
N
M
ñ
=
−
→
=
CHAPTER 8. DIFFERENTIAL CALCULUS
209
759. N
ñ
ñ
í~å
äáã
N
M
ñ
=
−
→
=
=
760.
( ) N
ñ
ñ
N
äå
äáã
M
ñ
=
+
→
=
=
761. É
ñ
N
N
äáã
ñ
ñ
=






+
∞
→
=
=
762. â
ñ
ñ
É
ñ
â
N
äáã =






+
∞
→
=
=
763. N
~
äáã ñ
M
ñ
=
→
=
=
=
=
8.3 Definition and Properties of the Derivative
=
cìåÅíáçåëW=ÑI=ÖI=óI=ìI=î=
fåÇÉéÉåÇÉåí=î~êá~ÄäÉW=ñ=
oÉ~ä=Åçåëí~åíW=â=
^åÖäÉW=α=
=
=
764. ( ) ( ) ( )
Çñ
Çó
ñ
ó
äáã
ñ
ñ
Ñ
ñ
ñ
Ñ
äáã
ñ
ó
M
ñ
M
ñ
=
∆
∆
=
∆
−
∆
+
=
′
→
∆
→
∆
==
=
CHAPTER 8. DIFFERENTIAL CALCULUS
210
== =
=
Figure 175.
=
765. α
= í~å
Çñ
Çó
==
=
766.
( )
Çñ
Çî
Çñ
Çì
Çñ
î
ì
Ç
+
=
+
=
=
767.
( )
Çñ
Çî
Çñ
Çì
Çñ
î
ì
Ç
−
=
−
=
=
768.
( )
Çñ
Çì
â
Çñ
âì
Ç
= =
=
769. mêçÇìÅí=oìäÉ=
( )
Çñ
Çî
ì
î
Çñ
Çì
Çñ
î
ì
Ç
⋅
+
⋅
=
⋅
==
=
=
CHAPTER 8. DIFFERENTIAL CALCULUS
211
770. nìçíáÉåí=oìäÉ=
O
î
Çñ
Çî
ì
î
Çñ
Çì
î
ì
Çñ
Ç
⋅
−
⋅
=






=
=
771. `Ü~áå=oìäÉ=
( )
( )
ñ
Ö
Ñ
ó = I= ( )
ñ
Ö
ì = I==
Çñ
Çì
Çì
Çó
Çñ
Çó
⋅
= K=
=
772. aÉêáî~íáîÉ=çÑ=fåîÉêëÉ=cìåÅíáçå=
Çó
Çñ
N
Çñ
Çó
= I==
ïÜÉêÉ= ( )
ó
ñ áë=íÜÉ=áåîÉêëÉ=ÑìåÅíáçå=çÑ= ( )
ñ
ó K==
=
773. oÉÅáéêçÅ~ä=oìäÉ=
O
ó
Çñ
Çó
ó
N
Çñ
Ç
−
=








=
=
774. içÖ~êáíÜãáÅ=aáÑÑÉêÉåíá~íáçå=
( )
ñ
Ñ
ó = I= ( )
ñ
Ñ
äå
ó
äå = I==
( ) ( )
[ ]
ñ
Ñ
äå
Çñ
Ç
ñ
Ñ
Çñ
Çó
⋅
= K=
=
=
8.4 Table of Derivatives
=
fåÇÉéÉåÇÉåí=î~êá~ÄäÉW=ñ=
oÉ~ä=Åçåëí~åíëW=`I=~I=ÄI=Å=
k~íìê~ä=åìãÄÉêW=å=
CHAPTER 8. DIFFERENTIAL CALCULUS
212
775. ( ) M
`
Çñ
Ç
= =
=
776. ( ) N
ñ
Çñ
Ç
= =
=
777. ( ) ~
Ä
~ñ
Çñ
Ç
=
+ =
=
778. ( ) Ä
~ñ
Å
Äñ
~ñ
Çñ
Ç O
+
=
+
+ =
=
779. ( ) N
å
å
åñ
ñ
Çñ
Ç −
= =
=
780. ( ) N
å
å
ñ
å
ñ
Çñ
Ç
+
−
−
= =
=
781. O
ñ
N
ñ
N
Çñ
Ç
−
=






=
=
782. ( ) ñ
O
N
ñ
Çñ
Ç
= =
=
783. ( ) å N
å
å
ñ
å
N
ñ
Çñ
Ç
−
= =
=
784. ( )
ñ
N
ñ
äå
Çñ
Ç
= =
=
785. ( )
~
äå
ñ
N
ñ
äçÖ
Çñ
Ç
~ = I= M
~ > I= N
~ ≠ K=
=
CHAPTER 8. DIFFERENTIAL CALCULUS
213
786. ( ) ~
äå
~
~
Çñ
Ç ñ
ñ
= I= M
~ > I= N
~ ≠ K=
=
787. ( ) ñ
ñ
É
É
Çñ
Ç
= =
=
788. ( ) ñ
Åçë
ñ
ëáå
Çñ
Ç
= =
=
789. ( ) ñ
ëáå
ñ
Åçë
Çñ
Ç
−
= =
=
790. ( ) ñ
ëÉÅ
ñ
Åçë
N
ñ
í~å
Çñ
Ç O
O
=
= =
=
791. ( ) ñ
ÅëÅ
ñ
ëáå
N
ñ
Åçí
Çñ
Ç O
O
−
=
−
= =
=
792. ( ) ñ
ëÉÅ
ñ
í~å
ñ
ëÉÅ
Çñ
Ç
⋅
= =
=
793. ( ) ñ
ÅëÅ
ñ
Åçí
ñ
ÅëÅ
Çñ
Ç
⋅
−
= =
=
794. ( ) O
ñ
N
N
ñ
~êÅëáå
Çñ
Ç
−
= =
=
795. ( ) O
ñ
N
N
ñ
~êÅÅçë
Çñ
Ç
−
−
= =
=
796. ( ) O
ñ
N
N
ñ
~êÅí~å
Çñ
Ç
+
= =
=
CHAPTER 8. DIFFERENTIAL CALCULUS
214
797. ( ) O
ñ
N
N
ñ
Åçí
~êÅ
Çñ
Ç
+
−
= =
=
798. ( )
N
ñ
ñ
N
ñ
ëÉÅ
~êÅ
Çñ
Ç
O
−
= =
=
799. ( )
N
ñ
ñ
N
ñ
ÅëÅ
~êÅ
Çñ
Ç
O
−
−
= =
=
800. ( ) ñ
ÅçëÜ
ñ
ëáåÜ
Çñ
Ç
= =
=
801. ( ) ñ
ëáåÜ
ñ
ÅçëÜ
Çñ
Ç
= =
=
802. ( ) ñ
ëÉÅÜ
ñ
ÅçëÜ
N
ñ
í~åÜ
Çñ
Ç O
O
=
= =
=
803. ( ) ñ
ÅëÅÜ
ñ
ëáåÜ
N
ñ
ÅçíÜ
Çñ
Ç O
O
−
=
−
= =
=
804. ( ) ñ
í~åÜ
ñ
ëÉÅÜ
ñ
ëÉÅÜ
Çñ
Ç
⋅
−
= =
=
805. ( ) ñ
ÅçíÜ
ñ
ÅëÅÜ
ñ
ÅëÅÜ
Çñ
Ç
⋅
−
= =
=
806. ( )
N
ñ
N
ñ
=
~êÅëáåÜ
Çñ
Ç
O
+
= =
=
807. ( )
N
ñ
N
ñ
=
~êÅÅçëÜ
Çñ
Ç
O
−
= =
CHAPTER 8. DIFFERENTIAL CALCULUS
215
808. ( ) O
ñ
N
N
ñ
=
~êÅí~åÜ
Çñ
Ç
−
= I= N
ñ < K=
=
809. ( )
N
ñ
N
ñ
=
~êÅÅçíÜ
Çñ
Ç
O
−
−
= I= N
ñ > K=
=
810. ( ) Çñ
Çî
ì
äå
ì
Çñ
Çì
îì
ì
Çñ
Ç î
N
î
î
⋅
+
⋅
= −
=
=
=
=
8.5 Higher Order Derivatives
=
cìåÅíáçåëW=ÑI=óI=ìI=î=
fåÇÉéÉåÇÉåí=î~êá~ÄäÉW=ñ=
k~íìê~ä=åìãÄÉêW=å=
=
=
811. pÉÅçåÇ=ÇÉêáî~íáîÉ=
( ) O
O
Çñ
ó
Ç
Çñ
Çó
Çñ
Ç
Çñ
Çó
Ñ
Ñ =






=
′






=
′
′
=
′
′ =
=
812. eáÖÜÉê-lêÇÉê=ÇÉêáî~íáîÉ=
( ) ( ) ( )
( )′
=
=
= −N
å
å
å
å
å
Ñ
ó
Çñ
ó
Ç
Ñ =
=
813. ( )( ) ( ) ( )
å
å
å
î
ì
î
ì +
=
+ =
=
814. ( )( ) ( ) ( )
å
å
å
î
ì
î
ì −
=
− =
=
815. iÉáÄåáíò∞ë=cçêãìä~ë=
( ) î
ì
î
ì
O
î
ì
ìî ′
′
+
′
′
+
′
′
=
′′
=
CHAPTER 8. DIFFERENTIAL CALCULUS
216
( ) î
ì
î
ì
P
î
ì
P
î
ì
ìî ′
′
′
+
′
′
′
+
′
′
′
+
′
′
′
=
′′′
=
( )( ) ( ) ( ) ( ) ( ) ( )
å
O
å
N
å
å
å
ìî
î
ì
O
N
N
å
å
î
åì
î
ì
ìî +
+
′
′
⋅
−
+
′
+
= −
−
K =
=
816. ( )( )
( )
å
ã
å
ã
ñ
>
å
ã
>
ã
ñ −
−
= =
=
817. ( )( )
>
å
ñ
å
å
= =
=
818. ( )( ) ( ) ( )
~
äå
ñ
>
N
å
N
ñ
äçÖ å
N
å
å
~
−
−
=
−
=
=
819. ( )( ) ( ) ( )
å
N
å
å
ñ
>
N
å
N
ñ
äå
−
−
=
−
=
=
820. ( )( )
~
äå
~
~ å
ñ
å
ñ
= =
=
821. ( )( ) ñ
å
ñ
É
É = =
=
822. ( )( )
~
äå
~
ã
~ å
ãñ
å
å
ãñ
= =
=
823. ( )( )





 π
+
=
O
å
ñ
ëáå
ñ
ëáå
å
=
=
824. ( )( )





 π
+
=
O
å
ñ
Åçë
ñ
Åçë
å
=
=
=
=
CHAPTER 8. DIFFERENTIAL CALCULUS
217
8.6 Applications of Derivative
=
cìåÅíáçåëW=ÑI=ÖI=ó=
mçëáíáçå=çÑ=~å=çÄàÉÅíW=ë==
sÉäçÅáíóW=î=
^ÅÅÉäÉê~íáçåW=ï=
fåÇÉéÉåÇÉåí=î~êá~ÄäÉW=ñ=
qáãÉW=í=
k~íìê~ä=åìãÄÉêW=å=
=
=
825. sÉäçÅáíó=~åÇ=^ÅÅÉäÉê~íáçå=
( )
í
Ñ
ë = =áë=íÜÉ=éçëáíáçå=çÑ=~å=çÄàÉÅí=êÉä~íáîÉ=íç=~=ÑáñÉÇ=
ÅççêÇáå~íÉ=ëóëíÉã=~í=~=íáãÉ=íI==
( )
í
Ñ
ë
î ′
=
′
= =áë=íÜÉ=áåëí~åí~åÉçìë=îÉäçÅáíó=çÑ=íÜÉ=çÄàÉÅíI=
( )
í
Ñ
ë
î
ï ′
′
=
′
′
=
′
= =áë=íÜÉ=áåëí~åí~åÉçìë=~ÅÅÉäÉê~íáçå=çÑ=
íÜÉ=çÄàÉÅíK==
=
826. q~åÖÉåí=iáåÉ=
( )( )
M
M
M ñ
ñ
ñ
Ñ
ó
ó −
′
=
− =
=
CHAPTER 8. DIFFERENTIAL CALCULUS
218
=
=
Figure 176.
=
827. kçêã~ä=iáåÉ=
( )
( )
M
M
M ñ
ñ
ñ
Ñ
N
ó
ó −
′
−
=
− =EcáÖ=NTSF=
=
828. fåÅêÉ~ëáåÖ=~åÇ=aÉÅêÉ~ëáåÖ=cìåÅíáçåëK==
fÑ= ( ) M
ñ
Ñ M >
′ I=íÜÉå=ÑEñF=áë=áåÅêÉ~ëáåÖ=~í= M
ñ K=EcáÖ=NTTI= N
ñ
ñ < I=
ñ
ñO < FI=
fÑ= ( ) M
ñ
Ñ M <
′ I=íÜÉå=ÑEñF=áë=ÇÉÅêÉ~ëáåÖ=~í= M
ñ K=EcáÖ=NTTI=
O
N ñ
ñ
ñ <
< FI=
fÑ= ( )
M
ñ
Ñ′ =ÇçÉë=åçí=Éñáëí=çê=áë=òÉêçI=íÜÉå=íÜÉ=íÉëí=Ñ~áäëK==
=
CHAPTER 8. DIFFERENTIAL CALCULUS
219
=
=
Figure 177.
=
829. içÅ~ä=ÉñíêÉã~=
^=ÑìåÅíáçå=ÑEñF=Ü~ë=~=äçÅ~ä=ã~ñáãìã=~í= N
ñ =áÑ=~åÇ=çåäó=áÑ=
íÜÉêÉ=Éñáëíë=ëçãÉ=áåíÉêî~ä=Åçåí~áåáåÖ= N
ñ =ëìÅÜ=íÜ~í=
( ) ( )
ñ
Ñ
ñ
Ñ N ≥ =Ñçê=~ää=ñ=áå=íÜÉ=áåíÉêî~ä=EcáÖKNTTFK==
=
^=ÑìåÅíáçå=ÑEñF=Ü~ë=~=äçÅ~ä=ãáåáãìã=~í= O
ñ =áÑ=~åÇ=çåäó=áÑ=
íÜÉêÉ=Éñáëíë=ëçãÉ=áåíÉêî~ä=Åçåí~áåáåÖ= O
ñ =ëìÅÜ=íÜ~í=
( ) ( )
ñ
Ñ
ñ
Ñ O ≤ =Ñçê=~ää=ñ=áå=íÜÉ=áåíÉêî~ä=EcáÖKNTTFK=
=
830. `êáíáÅ~ä=mçáåíë=
^=ÅêáíáÅ~ä=éçáåí=çå=ÑEñF=çÅÅìêë=~í= M
ñ =áÑ=~åÇ=çåäó=áÑ=ÉáíÜÉê=
( )
M
ñ
Ñ′ =áë=òÉêç=çê=íÜÉ=ÇÉêáî~íáîÉ=ÇçÉëå∞í=ÉñáëíK=
=
831. cáêëí=aÉêáî~íáîÉ=qÉëí=Ñçê=içÅ~ä=bñíêÉã~K=
fÑ=ÑEñF=áë==áåÅêÉ~ëáåÖ==E ( ) M
ñ
Ñ >
′ F=Ñçê==~ää==ñ==áå==ëçãÉ==áåíÉêî~ä=
( ]
N
ñ
I
~ ==~åÇ==ÑEñF==áë==ÇÉÅêÉ~ëáåÖ==E ( ) M
ñ
Ñ <
′ F==Ñçê=~ää==ñ=áå=ëçãÉ=
áåíÉêî~ä== [ )
Ä
I
ñN I==íÜÉå=ÑEñF=Ü~ë=~==äçÅ~ä=ã~ñáãìã==~í== N
ñ =
EcáÖKNTTFK==
CHAPTER 8. DIFFERENTIAL CALCULUS
220
832. fÑ=ÑEñF=áë=ÇÉÅêÉ~ëáåÖ=E ( ) M
ñ
Ñ <
′ F=Ñçê=~ää=ñ=áå=ëçãÉ=áåíÉêî~ä=
( ]
O
ñ
I
~ =~åÇ=ÑEñF=áë=áåÅêÉ~ëáåÖ=E ( ) M
ñ
Ñ >
′ F=Ñçê=~ää=ñ=áå=ëçãÉ=
áåíÉêî~ä=[ )
Ä
I
ñO I=íÜÉå=ÑEñF=Ü~ë=~=äçÅ~ä=ãáåáãìã=~í= O
ñ K==
EcáÖKNTTFK=
=
833. pÉÅçåÇ=aÉêáî~íáîÉ=qÉëí=Ñçê=içÅ~ä=bñíêÉã~K=
fÑ= ( ) M
ñ
Ñ N =
′ =~åÇ= ( ) M
ñ
Ñ N <
′
′ I=íÜÉå=ÑEñF=Ü~ë=~=äçÅ~ä=ã~ñáãìã=
~í== N
ñ K=
fÑ= ( ) M
ñ
Ñ O =
′ =~åÇ= ( ) M
ñ
Ñ O >
′
′ I=íÜÉå=ÑEñF=Ü~ë=~=äçÅ~ä=ãáåáãìã=
~í= O
ñ K=EcáÖKNTTF=
=
834. `çåÅ~îáíóK==
ÑEñF=áë==ÅçåÅ~îÉ=ìéï~êÇ=~í== M
ñ ==áÑ==~åÇ==çåäó==áÑ== ( )
ñ
Ñ′ =áë============
áåÅêÉ~ëáåÖ=~í= M
ñ =EcáÖKNTTI= ñ
ñP < FK===
ÑEñF=áë==ÅçåÅ~îÉ==Ççïåï~êÇ=~í== M
ñ ==áÑ=~åÇ=çåäó=áÑ== ( )
ñ
Ñ′ ==áë===============
ÇÉÅêÉ~ëáåÖ=~í= M
ñ K=EcáÖKNTTI= P
ñ
ñ < FK===
=
835. pÉÅçåÇ=aÉêáî~íáîÉ=qÉëí=Ñçê=`çåÅ~îáíóK==
fÑ= ( ) M
ñ
Ñ M >
′
′ I=íÜÉå=ÑEñF=áë=ÅçåÅ~îÉ=ìéï~êÇ=~í= M
ñ K==
fÑ= ( ) M
ñ
Ñ M <
′
′ I=íÜÉå=ÑEñF=áë=ÅçåÅ~îÉ=Ççïåï~êÇ=~í= M
ñ K=
fÑ= ( )
ñ
Ñ ′
′ =ÇçÉë=åçí=Éñáëí=çê=áë=òÉêçI=íÜÉå=íÜÉ=íÉëí=Ñ~áäëK=
=
836. fåÑäÉÅíáçå=mçáåíë=
fÑ== ( )
P
ñ
Ñ′ ==Éñáëíë==~åÇ== ( )
ñ
Ñ ′
′ ==ÅÜ~åÖÉë=ëáÖå=~í= P
ñ
ñ = I==íÜÉå=
íÜÉ=éçáåí= ( )
( )
P
P ñ
Ñ
I
ñ =áë=~å=áåÑäÉÅíáçå=éçáåí=çÑ=íÜÉ=Öê~éÜ=çÑ=
( )
ñ
Ñ K=fÑ= ( )
P
ñ
Ñ ′
′ =Éñáëíë=~í=íÜÉ=áåÑäÉÅíáçå=éçáåíI=íÜÉå= ( ) M
ñ
Ñ P =
′
′ =
EcáÖKNTTFK=
=
837. i∞eçéáí~ä∞ë=oìäÉ=
( )
( )
( )
( )
ñ
Ö
ñ
Ñ
äáã
ñ
Ö
ñ
Ñ
äáã
Å
ñ
Å
ñ ′
′
=
→
→
=áÑ= ( ) ( )



∞
=
=
→
→
M
ñ
Ö
äáã
ñ
Ñ
äáã
Å
ñ
Å
ñ
K==
=
CHAPTER 8. DIFFERENTIAL CALCULUS
221
8.7 Differential
=
cìåÅíáçåëW=ÑI=ìI=î=
fåÇÉéÉåÇÉåí=î~êá~ÄäÉW=ñ=
aÉêáî~íáîÉ=çÑ=~=ÑìåÅíáçåW= ( )
ñ
ó′ I= ( )
ñ
Ñ′ =
oÉ~ä=Åçåëí~åíW=`=
aáÑÑÉêÉåíá~ä=çÑ=ÑìåÅíáçå= ( )
ñ
Ñ
ó = W=Çó=
aáÑÑÉêÉåíá~ä=çÑ=ñW=Çñ=
pã~ää=ÅÜ~åÖÉ=áå=ñW= ñ
∆ =
pã~ää=ÅÜ~åÖÉ=áå=óW= ó
∆ =
=
=
838. Çñ
ó
Çó ′
= =
=
839. ( ) ( ) ( ) ñ
ñ
Ñ
ñ
Ñ
ñ
ñ
Ñ ∆
′
+
=
∆
+ =
=
=
=
Figure 178.
CHAPTER 8. DIFFERENTIAL CALCULUS
222
840. pã~ää=`Ü~åÖÉ=áå=ó=
( ) ( )
ñ
Ñ
ñ
ñ
Ñ
ó −
∆
+
=
∆ =
=
841. ( ) Çî
Çì
î
ì
Ç +
=
+ =
=
842. ( ) Çî
Çì
î
ì
Ç −
=
− =
=
843. ( ) `Çì
`ì
Ç = =
=
844. ( ) ìÇî
îÇì
ìî
Ç +
= =
=
845. O
î
ìÇî
îÇì
î
ì
Ç
−
=






=
=
=
=
8.8 Multivariable Functions
=
cìåÅíáçåë=çÑ=íïç=î~êá~ÄäÉëW= ( )
ó
I
ñ
ò I= ( )
ó
I
ñ
Ñ I= ( )
ó
I
ñ
Ö I= ( )
ó
I
ñ
Ü ==
^êÖìãÉåíëW=ñI=óI=í=
pã~ää=ÅÜ~åÖÉë=áå=ñI=óI=òI=êÉëéÉÅíáîÉäóW= ñ
∆ I= ó
∆ I= ò
∆ K=
=
=
846. cáêëí=lêÇÉê=m~êíá~ä=aÉêáî~íáîÉë=
qÜÉ=é~êíá~ä=ÇÉêáî~íáîÉ=ïáíÜ=êÉëéÉÅí=íç=ñ=
ñ
Ñ
ñ
Ñ
=
∂
∂
=E~äëç= ñ
ò
ñ
ò
=
∂
∂
FI=
qÜÉ=é~êíá~ä=ÇÉêáî~íáîÉ=ïáíÜ=êÉëéÉÅí=íç=ó=
ó
Ñ
ó
Ñ
=
∂
∂
=E~äëç= ó
ò
ó
ò
=
∂
∂
FK=
=
=
CHAPTER 8. DIFFERENTIAL CALCULUS
223
847. pÉÅçåÇ=lêÇÉê=m~êíá~ä=aÉêáî~íáîÉë=
ññ
O
O
Ñ
ñ
Ñ
ñ
Ñ
ñ
=
∂
∂
=






∂
∂
∂
∂
I==
óó
O
O
Ñ
ó
Ñ
ó
Ñ
ó
=
∂
∂
=








∂
∂
∂
∂
I==
ñó
O
Ñ
ñ
ó
Ñ
ñ
Ñ
ó
=
∂
∂
∂
=






∂
∂
∂
∂
I==
óñ
O
Ñ
ó
ñ
Ñ
ó
Ñ
ñ
=
∂
∂
∂
=








∂
∂
∂
∂
K==
fÑ=íÜÉ=ÇÉêáî~íáîÉë=~êÉ=ÅçåíáåìçìëI=íÜÉå==
ó
ñ
Ñ
ñ
ó
Ñ O
O
∂
∂
∂
=
∂
∂
∂
K==
=
848. `Ü~áå=oìäÉë==
fÑ= ( ) ( )
( )
ó
I
ñ
Ü
Ö
ó
I
ñ
Ñ = =EÖ=áë=~=ÑìåÅíáçå=çÑ=çåÉ=î~êá~ÄäÉ=ÜFI=íÜÉå==
( )
( )
ñ
Ü
ó
I
ñ
Ü
Ö
ñ
Ñ
∂
∂
′
=
∂
∂
I= ( )
( )
ó
Ü
ó
I
ñ
Ü
Ö
ó
Ñ
∂
∂
′
=
∂
∂
K==
=
fÑ= ( ) ( ) ( )
( )
í
ó
I
í
ñ
Ñ
í
Ü = I=íÜÉå= ( )
Çí
Çó
ó
Ñ
Çí
Çñ
ñ
Ñ
í
Ü
∂
∂
+
∂
∂
=
′ K==
=
fÑ= ( ) ( )
( )
î
I
ì
ó
I
î
I
ì
ñ
Ñ
ò = I=íÜÉå==
ì
ó
ó
Ñ
ì
ñ
ñ
Ñ
ì
ò
∂
∂
∂
∂
+
∂
∂
∂
∂
=
∂
∂
I=
î
ó
ó
Ñ
î
ñ
ñ
Ñ
î
ò
∂
∂
∂
∂
+
∂
∂
∂
∂
=
∂
∂
K==
=
849. pã~ää=`Ü~åÖÉë=
ó
ó
Ñ
ñ
ñ
Ñ
ò ∆
∂
∂
+
∆
∂
∂
≈
∆ =
=
=
CHAPTER 8. DIFFERENTIAL CALCULUS
224
850. içÅ~ä=j~ñáã~=~åÇ=jáåáã~=
( )
ó
I
ñ
Ñ =Ü~ë=~=äçÅ~ä=ã~ñáãìã=~í=( )
M
M ó
I
ñ =áÑ= ( ) ( )
M
M ó
I
ñ
Ñ
ó
I
ñ
Ñ ≤ =
Ñçê=~ää=( )
ó
I
ñ =ëìÑÑáÅáÉåíäó=ÅäçëÉ=íç=( )
M
M ó
I
ñ K==
=
( )
ó
I
ñ
Ñ =Ü~ë=~=äçÅ~ä=ãáåáãìã=~í=( )
M
M ó
I
ñ =áÑ= ( ) ( )
M
M ó
I
ñ
Ñ
ó
I
ñ
Ñ ≥ =
Ñçê=~ää=( )
ó
I
ñ =ëìÑÑáÅáÉåíäó=ÅäçëÉ=íç=( )
M
M ó
I
ñ K=
=
851. pí~íáçå~êó=mçáåíë=
M
ó
Ñ
ñ
Ñ
=
∂
∂
=
∂
∂
K=
içÅ~ä=ã~ñáã~=~åÇ=äçÅ~ä=ãáåáã~=çÅÅìê=~í=ëí~íáçå~êó=éçáåíëK=
==
852. p~ÇÇäÉ=mçáåí=
^=ëí~íáçå~êó==éçáåí==ïÜáÅÜ==áë==åÉáíÜÉê==~==äçÅ~ä==ã~ñáãìã=
åçê=~=äçÅ~ä=ãáåáãìã=
=
853. pÉÅçåÇ=aÉêáî~íáîÉ=qÉëí=Ñçê=pí~íáçå~êó=mçáåíë=
iÉí=( )
M
M ó
I
ñ =ÄÉ=~=ëí~íáçå~êó=éçáåí=E M
ó
Ñ
ñ
Ñ
=
∂
∂
=
∂
∂
FK==
( ) ( )
( ) ( )
M
M
óó
M
M
óñ
M
M
ñó
M
M
ññ
ó
I
ñ
Ñ
ó
I
ñ
Ñ
ó
I
ñ
Ñ
ó
I
ñ
Ñ
a = K==
=
fÑ= M
a > I= ( ) M
ó
I
ñ
Ñ M
M
ññ > I==( )
M
M ó
I
ñ ==áë=~=éçáåí=çÑ=äçÅ~ä=ãáåáã~K=
fÑ= M
a > I= ( ) M
ó
I
ñ
Ñ M
M
ññ < I==( )
M
M ó
I
ñ ==áë=~=éçáåí=çÑ=äçÅ~ä=ã~ñáã~K=
fÑ= M
a< I=( )
M
M ó
I
ñ =áë=~=ë~ÇÇäÉ=éçáåíK=
fÑ= M
a = I=íÜÉ=íÉëí=Ñ~áäëK=
=
854. q~åÖÉåí=mä~åÉ=
qÜÉ=Éèì~íáçå=çÑ=íÜÉ=í~åÖÉåí=éä~åÉ=íç=íÜÉ=ëìêÑ~ÅÉ= ( )
ó
I
ñ
Ñ
ò = =
~í=( )
M
M
M ò
I
ó
I
ñ =áë==
( )( ) ( )( )
M
M
M
ó
M
M
M
ñ
M ó
ó
ó
I
ñ
Ñ
ñ
ñ
ó
I
ñ
Ñ
ò
ò −
+
−
=
− K=
=
CHAPTER 8. DIFFERENTIAL CALCULUS
225
855. kçêã~ä=íç=pìêÑ~ÅÉ=
qÜÉ=Éèì~íáçå=çÑ=íÜÉ=åçêã~ä=íç=íÜÉ=ëìêÑ~ÅÉ= ( )
ó
I
ñ
Ñ
ò = =~í=
( )
M
M
M ò
I
ó
I
ñ =áë==
( ) ( ) N
ò
ò
ó
I
ñ
Ñ
ó
ó
ó
I
ñ
Ñ
ñ
ñ M
M
M
ó
M
M
M
ñ
M
−
−
=
−
=
−
K=
=
=
=
8.9 Differential Operators
=
råáí=îÉÅíçêë=~äçåÖ=íÜÉ=ÅççêÇáå~íÉ=~ñÉëW= á
r
I= à
r
I= â
r
=
pÅ~ä~ê=ÑìåÅíáçåë=EëÅ~ä~ê=ÑáÉäÇëFW= ( )
ò
I
ó
I
ñ
Ñ I= ( )
å
O
N ñ
I
I
ñ
I
ñ
ì K =
dê~ÇáÉåí=çÑ=~=ëÅ~ä~ê=ÑáÉäÇW= ì
Öê~Ç I= ì
∇ =
aáêÉÅíáçå~ä=ÇÉêáî~íáîÉW=
ä
Ñ
∂
∂
=
sÉÅíçê=ÑìåÅíáçå=EîÉÅíçê=ÑáÉäÇFW= ( )
o
I
n
I
m
c
r
=
aáîÉêÖÉåÅÉ=çÑ=~=îÉÅíçê=ÑáÉäÇW= c
Çáî
r
I= c
r
⋅
∇ =
`ìêä=çÑ=~=îÉÅíçê=ÑáÉäÇW= c
Åìêä
r
I= c
r
×
∇ =
i~éä~Åá~å=çéÉê~íçêW= O
∇ =
=
=
856. dê~ÇáÉåí=çÑ=~=pÅ~ä~ê=cìåÅíáçå=








∂
∂
∂
∂
∂
∂
=
∇
=
ò
Ñ
I
ó
Ñ
I
ñ
Ñ
Ñ
Ñ
Öê~Ç I==








∂
∂
∂
∂
∂
∂
=
∇
=
å
O
N ñ
ì
I
I
ñ
ì
I
ñ
ì
ì
ì
Öê~Ç K K=
=
857. aáêÉÅíáçå~ä=aÉêáî~íáîÉ=
γ
∂
∂
+
β
∂
∂
+
α
∂
∂
=
∂
∂
Åçë
ò
Ñ
Åçë
ó
Ñ
Åçë
ñ
Ñ
ä
Ñ
I==
CHAPTER 8. DIFFERENTIAL CALCULUS
226
ïÜÉêÉ=íÜÉ=ÇáêÉÅíáçå=áë=ÇÉÑáåÉÇ=Äó=íÜÉ=îÉÅíçê=
( )
γ
β
α Åçë
I
Åçë
I
Åçë
ä
r
I= N
Åçë
Åçë
Åçë O
O
O
=
γ
+
β
+
α K==
=
858. aáîÉêÖÉåÅÉ=çÑ=~=sÉÅíçê=cáÉäÇ=
ò
o
ó
n
ñ
m
c
c
Çáî
∂
∂
+
∂
∂
+
∂
∂
=
⋅
∇
=
r
r
=
=
859. `ìêä=çÑ=~=sÉÅíçê=cáÉäÇ=
o
n
m
ñ
ñ
ñ
â
à
á
c
c
Åìêä
∂
∂
∂
∂
∂
∂
=
×
∇
=
r
r
r
r
r
=
â
ó
m
ñ
n
à
ñ
o
ò
m
á
ò
n
ó
o r
r
r








∂
∂
−
∂
∂
+






∂
∂
−
∂
∂
+








∂
∂
−
∂
∂
= =
=
860. i~éä~Åá~å=léÉê~íçê=
O
O
O
O
O
O
O
ò
Ñ
ó
Ñ
ñ
Ñ
Ñ
∂
∂
+
∂
∂
+
∂
∂
=
∇ =
=
861. ( ) ( ) M
c
c
Åìêä
Çáî ≡
×
∇
⋅
∇
=
r
r
=
=
862. ( ) ( ) M
Ñ
Ñ
Öê~Ç
Åìêä ≡
∇
×
∇
= =
=
863. ( ) ( ) Ñ
Ñ
Ñ
Öê~Ç
Çáî O
∇
=
∇
⋅
∇
= =
=
864. ( ) ( ) ( ) c
c
c
c
Çáî
Öê~Ç
c
Åìêä
Åìêä O
O
r
r
r
r
r
∇
−
⋅
∇
∇
=
∇
−
= =
=
=
227
Chapter 9
Integral Calculus
=
=
=
=
cìåÅíáçåëW=ÑI=ÖI=ìI=î=
fåÇÉéÉåÇÉåí=î~êá~ÄäÉëW=ñI=íI=ξ =
fåÇÉÑáåáíÉ=áåíÉÖê~ä=çÑ=~=ÑìåÅíáçåW= ( )
∫ Çñ
ñ
Ñ I= ( )
∫ Çñ
ñ
Ö I=£=
aÉêáî~íáîÉ=çÑ=~=ÑìåÅíáçåW= ( )
ñ
ó′ I= ( )
ñ
Ñ′ I= ( )
ñ
c′ I=£=
oÉ~ä=Åçåëí~åíëW=`I=~I=ÄI=ÅI=ÇI=â=
k~íìê~ä=åìãÄÉêëW=ãI=åI=áI=à=
=
=
9.1 Indefinite Integral
=
865. ( ) ( ) `
ñ
c
Çñ
ñ
Ñ +
=
∫ =áÑ= ( ) ( )
ñ
Ñ
ñ
c =
′ K=
=
866. ( )
( ) ( )
ñ
Ñ
Çñ
ñ
Ñ =
′
∫ =
=
867. ( ) ( )
∫
∫ = Çñ
ñ
Ñ
â
Çñ
ñ
âÑ =
=
868. ( ) ( )
[ ] ( ) ( )
∫
∫
∫ +
=
+ Çñ
ñ
Ö
Çñ
ñ
Ñ
Çñ
ñ
Ö
ñ
Ñ =
=
869. ( ) ( )
[ ] ( ) ( )
∫
∫
∫ −
=
− Çñ
ñ
Ö
Çñ
ñ
Ñ
Çñ
ñ
Ö
ñ
Ñ =
=
870. ( ) ( ) `
~ñ
c
~
N
Çñ
~ñ
Ñ +
=
∫ =
CHAPTER 9. INTEGRAL CALCULUS
228
871. ( ) ( ) `
Ä
~ñ
c
~
N
Çñ
Ä
~ñ
Ñ +
+
=
+
∫ =
=
872. ( ) ( ) ( ) `
ñ
Ñ
O
N
Çñ
ñ
Ñ
ñ
Ñ O
+
=
′
∫ =
=
873.
( )
( )
( ) `
ñ
Ñ
äå
Çñ
ñ
Ñ
ñ
Ñ
+
=
′
∫ =
=
874. jÉíÜçÇ=çÑ=pìÄëíáíìíáçå=
( ) ( )
( ) ( )
∫
∫ ′
= Çí
í
ì
í
ì
Ñ
Çñ
ñ
Ñ =áÑ= ( )
í
ì
ñ = K=
=
875. fåíÉÖê~íáçå=Äó=m~êíë=
∫
∫ −
= îÇì
ìî
ìÇî I==
ïÜÉêÉ= ( )
ñ
ì I= ( )
ñ
î =~êÉ=ÇáÑÑÉêÉåíá~ÄäÉ=ÑìåÅíáçåëK==
=
=
=
9.2 Integrals of Rational Functions
=
876. `
~ñ
~Çñ +
=
∫ =
=
877. `
O
ñ
ñÇñ
O
+
=
∫ =
=
878. `
P
ñ
Çñ
ñ
P
O
+
=
∫ =
=
879. `
N
é
ñ
Çñ
ñ
N
é
é
+
+
=
+
∫ I= N
é −
≠ K=
=
CHAPTER 9. INTEGRAL CALCULUS
229
880. ( ) ( )
( )
`
N
å
~
Ä
~ñ
Çñ
Ä
~ñ
N
å
å
+
+
+
=
+
+
∫ I= N
å −
≠ K=
=
881. `
ñ
äå
ñ
Çñ
+
=
∫ =
=
882. `
Ä
~ñ
äå
~
N
Ä
~ñ
Çñ
+
+
=
+
∫ =
=
883. `
Ç
Åñ
äå
Å
~Ç
ÄÅ
ñ
Å
~
Çñ
Ç
Åñ
Ä
~ñ
O
+
+
−
+
=
+
+
∫ =
=
884.
( )( )
`
~
ñ
Ä
ñ
äå
Ä
~
N
Ä
ñ
~
ñ
Çñ
+
+
+
−
=
+
+
∫ I= Ä
~ ≠ K=
=
885. ( ) `
Äñ
~
äå
~
Äñ
~
Ä
N
Äñ
~
ñÇñ
O
+
+
−
+
=
+
∫ =
=
886. ( ) ( ) `
Äñ
~
äå
~
Äñ
~
~
O
Äñ
~
O
N
Ä
N
Äñ
~
Çñ
ñ O
O
P
O
+






+
+
+
−
+
=
+
∫ =
=
887.
( )
`
ñ
Äñ
~
äå
~
N
Äñ
~
ñ
Çñ
+
+
=
+
∫ =
=
888.
( )
`
ñ
Äñ
~
äå
~
Ä
~ñ
N
Äñ
~
ñ
Çñ
O
O
+
+
+
−
=
+
∫ =
=
889.
( )
`
Äñ
~
~
Äñ
~
äå
Ä
N
Äñ
~
ñÇñ
O
O
+






+
+
+
=
+
∫ =
=
CHAPTER 9. INTEGRAL CALCULUS
230
890.
( )
`
Äñ
~
~
Äñ
~
äå
~
O
Äñ
~
Ä
N
Äñ
~
Çñ
ñ O
P
O
O
+








+
−
+
−
+
=
+
∫ =
=
891.
( ) ( )
`
ñ
Äñ
~
äå
~
N
Äñ
~
~
N
Äñ
~
ñ
Çñ
O
O
+
+
+
+
=
+
∫ =
=
892. `
N
ñ
N
ñ
äå
O
N
N
ñ
Çñ
O
+
+
−
=
−
∫ =
=
893. `
ñ
N
ñ
N
äå
O
N
ñ
N
Çñ
O
+
−
+
=
−
∫ =
=
894. `
ñ
~
ñ
~
äå
~
O
N
ñ
~
Çñ
O
O
+
−
+
=
−
∫ =
=
895. `
~
ñ
~
ñ
äå
~
O
N
~
ñ
Çñ
O
O
+
+
−
=
−
∫ =
=
896. `
ñ
í~å
ñ
N
Çñ N
O
+
=
+
−
∫ =
=
897. `
~
ñ
í~å
~
N
ñ
~
Çñ N
O
O
+
=
+
−
∫ =
=
898. ( ) `
~
ñ
äå
O
N
~
ñ
ñÇñ O
O
O
O
+
+
=
+
∫ =
=
899. `
~
Ä
ñ
~êÅí~å
~Ä
N
Äñ
~
Çñ
O
+








=
+
∫ I= M
~Ä > K=
=
CHAPTER 9. INTEGRAL CALCULUS
231
900. `
Ä
~
ñ
äå
Ä
O
N
Äñ
~
ñÇñ O
O
+
+
=
+
∫ =
=
901.
( ) `
Äñ
~
ñ
äå
~
O
N
Äñ
~
ñ
Çñ
O
O
O
+
+
=
+
∫ =
=
902. `
Äñ
~
Äñ
~
äå
~Ä
O
N
ñ
Ä
~
Çñ
O
O
O
+
−
+
=
−
∫ =
=
903. `
~Å
Q
Ä
Ä
~ñ
O
~Å
Q
Ä
Ä
~ñ
O
äå
~Å
Q
Ä
N
Å
Äñ
~ñ
Çñ
O
O
O
O
+
−
+
+
−
−
+
−
=
+
+
∫ I=
M
~Å
Q
ÄO
>
− K=
=
904. `
Ä
~Å
Q
Ä
~ñ
O
~êÅí~å
Ä
~Å
Q
O
Å
Äñ
~ñ
Çñ
O
O
O
+
−
+
−
=
+
+
∫ I=
M
~Å
Q
ÄO
<
− K=
=
=
=
9.3 Integrals of Irrational Functions
=
905. `
Ä
~ñ
~
O
Ä
~ñ
Çñ
+
+
=
+
∫ =
=
906. ( ) `
Ä
~ñ
~
P
O
Çñ
Ä
~ñ O
P
+
+
=
+
∫ =
=
907.
( ) `
Ä
~ñ
~
P
Ä
O
~ñ
O
Ä
~ñ
ñÇñ
O
+
+
−
=
+
∫ =
=
CHAPTER 9. INTEGRAL CALCULUS
232
908.
( )( ) `
Ä
~ñ
~
NR
Ä
O
~ñ
P
O
Çñ
Ä
~ñ
ñ O
P
O
+
+
−
=
+
∫ =
=
909.
( )
`
~Å
Ä
Ä
~ñ
~Å
Ä
Ä
~ñ
äå
~Å
Ä
N
Ä
~ñ
Å
ñ
Çñ
+
−
+
+
−
−
+
−
=
+
+
∫ I==
M
~Å
Ä >
− K=
=
910.
( )
`
Ä
~Å
Ä
~ñ
~êÅí~å
Ä
~Å
N
Ä
~ñ
Å
ñ
Çñ
+
−
+
−
=
+
+
∫ I==
M
~Å
Ä <
− K=
=
911. ( )( )−
+
+
=
+
+
∫ Ç
Åñ
Ä
~ñ
Å
N
Çñ
Ç
Åñ
Ä
~ñ
=
( ) ( ) `
Ä
~ñ
Å
Ç
Åñ
~
äå
~Å
Å
ÄÅ
~Ç
+
+
+
+
−
− I= M
~ > K=
=
912. ( )( )−
+
+
=
+
+
∫ Ç
Åñ
Ä
~ñ
Å
N
Çñ
Ç
Åñ
Ä
~ñ
=
( )
( )
`
Ä
~ñ
Å
Ç
Åñ
~
~êÅí~å
~Å
Å
ÄÅ
~Ç
+
+
+
−
− I=E M
~ < I= M
Å > FK==
=
913.
( ) ( ) `
Äñ
~
Ä
NMR
ñ
Ä
NR
~Äñ
NO
~
U
O
Çñ
Äñ
~
ñ
P
P
O
O
O
O
+
+
+
−
=
+
∫ =
=
914.
( ) `
Äñ
~
Ä
NR
ñ
Ä
P
~Äñ
Q
~
U
O
Äñ
~
Çñ
ñ
P
O
O
O
O
+
+
+
−
=
+
∫ =
=
915. `
~
Äñ
~
~
Äñ
~
äå
~
N
Äñ
~
ñ
Çñ
+
+
+
−
+
=
+
∫ I= M
~ > K=
=
CHAPTER 9. INTEGRAL CALCULUS
233
916. `
~
Äñ
~
~êÅí~å
~
O
Äñ
~
ñ
Çñ
+
−
+
−
=
+
∫ I= M
~ < K=
=
917. ( )( ) ( ) `
Ä
~
Ä
ñ
~êÅëáå
Ä
~
ñ
Ä
ñ
~
Çñ
ñ
Ä
ñ
~
+
+
+
+
+
+
−
=
+
−
∫ =
=
918. ( )( ) ( ) `
Ä
~
ñ
Ä
~êÅëáå
Ä
~
ñ
Ä
ñ
~
Çñ
ñ
Ä
ñ
~
+
+
−
+
−
−
+
−
=
−
+
∫ =
=
919. `
ñ
~êÅëáå
ñ
N
Çñ
ñ
N
ñ
N O
+
+
−
−
=
−
+
∫ =
=
920.
( )( )
`
~
Ä
~
ñ
~êÅëáå
O
~
Ä
~
ñ
Çñ
+
−
−
=
−
−
∫ =
=
921. +
−
+
−
=
−
+
∫
O
O
Åñ
Äñ
~
Å
Q
Ä
Åñ
O
Çñ
Åñ
Äñ
~ =
`
~Å
Q
Ä
Ä
Åñ
O
~êÅëáå
Å
U
~Å
Q
Ä
O
P
O
+
+
−
−
+ =
=
922. ( ) `
Å
Äñ
~ñ
~
O
Ä
~ñ
O
äå
~
N
Å
Äñ
~ñ
Çñ O
O
+
+
+
+
+
=
+
+
∫ I==
M
~ > K=
=
923. `
~Å
Q
Ä
~
Q
Ä
~ñ
O
~êÅëáå
~
N
Å
Äñ
~ñ
Çñ O
O
+
−
+
−
=
+
+
∫ I= M
~ < K=
=
924. `
~
ñ
ñ
äå
O
~
~
ñ
O
ñ
Çñ
~
ñ O
O
O
O
O
O
O
+
+
+
+
+
=
+
∫ =
=
CHAPTER 9. INTEGRAL CALCULUS
234
925. ( ) `
~
ñ
P
N
Çñ
~
ñ
ñ O
P
O
O
O
O
+
+
=
+
∫ =
=
926. ( ) −
+
+
=
+
∫
O
O
O
O
O
O
O
~
ñ
~
ñ
O
U
ñ
Çñ
~
ñ
ñ =
`
~
ñ
ñ
äå
U
~ O
O
Q
+
+
+
− =
=
927. `
~
ñ
ñ
äå
ñ
~
ñ
Çñ
ñ
~
ñ O
O
O
O
O
O
O
+
+
+
+
+
−
=
+
∫ =
=
928. `
~
ñ
ñ
äå
~
ñ
Çñ O
O
O
O
+
+
+
=
+
∫ =
=
929. `
~
ñ
~
ñ
äå
~
~
ñ
Çñ
ñ
~
ñ
O
O
O
O
O
O
+
+
+
+
+
=
+
∫ =
=
930. `
~
ñ
~
ñ
ñÇñ O
O
O
O
+
+
=
+
∫ =
=
931. `
~
ñ
ñ
äå
O
~
~
ñ
O
ñ
~
ñ
Çñ
ñ O
O
O
O
O
O
O
O
+
+
+
−
+
=
+
∫ =
=
932. `
~
ñ
~
ñ
äå
~
N
~
ñ
ñ
Çñ
O
O
O
O
+
+
+
=
+
∫ =
=
933. `
~
ñ
ñ
äå
O
~
~
ñ
O
ñ
Çñ
~
ñ O
O
O
O
O
O
O
+
−
+
−
−
=
−
∫ =
=
934. ( ) `
~
ñ
P
N
Çñ
~
ñ
ñ O
P
O
O
O
O
+
−
=
−
∫ =
CHAPTER 9. INTEGRAL CALCULUS
235
935. `
ñ
~
~êÅëáå
~
~
ñ
Çñ
ñ
~
ñ O
O
O
O
+
+
−
=
−
∫ =
=
936. `
~
ñ
ñ
äå
ñ
~
ñ
Çñ
ñ
~
ñ O
O
O
O
O
O
O
+
−
+
+
−
−
=
−
∫ =
=
937. `
~
ñ
ñ
äå
~
ñ
Çñ O
O
O
O
+
−
+
=
−
∫ =
=
938. `
~
ñ
~
ñ
ñÇñ O
O
O
O
+
−
=
−
∫ =
=
939. `
~
ñ
ñ
äå
O
~
~
ñ
O
ñ
~
ñ
Çñ
ñ O
O
O
O
O
O
O
O
+
−
+
+
−
=
−
∫ =
=
940. `
ñ
~
~êÅëáå
~
N
~
ñ
ñ
Çñ
O
O
+
−
=
−
∫ =
=
941.
( )
`
~
ñ
~
ñ
~
N
~
ñ
~
ñ
Çñ
O
O
+
+
−
=
−
+
∫ =
=
942.
( )
`
~
ñ
~
ñ
~
N
~
ñ
~
ñ
Çñ
O
O
+
−
+
−
=
−
−
∫ =
=
943. `
ñ
~
~
ñ
~
ñ
ñ
Çñ
O
O
O
O
O
O
+
−
=
−
∫ =
=
944.
( )
`
~
ñ
~
ñ
~
ñ
Çñ
O
O
O
O
P
O
O
+
−
−
=
−
∫ =
=
CHAPTER 9. INTEGRAL CALCULUS
236
945. ( ) ( ) +
−
−
−
=
−
∫
O
O
O
O
O
P
O
O
~
ñ
~
R
ñ
O
U
ñ
Çñ
~
ñ =
`
~
ñ
ñ
äå
U
~
P O
O
Q
+
−
+
+ =
=
946. `
~
ñ
~êÅëáå
O
~
ñ
~
O
ñ
Çñ
ñ
~
O
O
O
O
O
+
+
−
=
−
∫ =
=
947. ( ) `
ñ
~
P
N
Çñ
ñ
~
ñ O
P
O
O
O
O
+
−
−
=
−
∫ =
=
948. ( ) `
~
ñ
~êÅëáå
U
~
ñ
~
~
ñ
O
U
ñ
Çñ
ñ
~
ñ
Q
O
O
O
O
O
O
O
+
+
−
−
=
−
∫ =
=
949. `
ñ
~
~
ñ
äå
~
ñ
~
Çñ
ñ
ñ
~
O
O
O
O
O
O
+
−
+
+
−
=
−
∫ =
=
950. `
~
ñ
~êÅëáå
ñ
ñ
~
Çñ
ñ
ñ
~ O
O
O
O
O
+
−
−
−
=
−
∫ =
=
951. `
ñ
~êÅëáå
ñ
N
Çñ
O
+
=
−
∫ =
=
952. `
~
ñ
ëáå
ñ
~
Çñ
O
O
+
=
−
∫ =
=
953. `
ñ
~
ñ
~
ñÇñ O
O
O
O
+
−
−
=
−
∫ =
=
954. `
~
ñ
~êÅëáå
O
~
ñ
~
O
ñ
ñ
~
Çñ
ñ O
O
O
O
O
O
+
+
−
−
=
−
∫ =
CHAPTER 9. INTEGRAL CALCULUS
237
955.
( )
`
ñ
~
ñ
~
O
N
ñ
~
~
ñ
Çñ
O
O
+
+
−
−
=
−
+
∫ =
=
956.
( )
`
ñ
~
ñ
~
O
N
ñ
~
~
ñ
Çñ
O
O
+
−
+
−
=
−
−
∫ =
=
957.
( ) ( )
`
Ä
ñ
~
~
Äñ
~êÅëáå
~
Ä
N
ñ
~
Ä
ñ
Çñ O
O
O
O
O
+
+
+
−
=
−
+
∫ I= ~
Ä > K=
=
958.
( )
I
`
Äñ
~
ñ
~
Ä
~
Ä
ñ
äå
Ä
~
N
ñ
~
Ä
ñ
Çñ
O
O
O
O
O
O
O
O
O
+
+
+
−
−
+
−
=
−
+
∫ =
~
Ä < K=
=
959. `
ñ
~
ñ
~
ñ
~
ñ
Çñ
O
O
O
O
O
O
+
−
−
=
−
∫ =
=
960. ( ) ( ) `
~
ñ
~êÅëáå
U
~
P
ñ
~
ñ
O
~
R
U
ñ
Çñ
ñ
~
Q
O
O
O
O
O
P
O
O
+
+
−
−
=
−
∫ =
=
961.
( )
`
ñ
~
~
ñ
ñ
~
Çñ
O
O
O
O
P
O
O
+
−
=
−
∫ =
=
=
=
9.4 Integrals of Trigonometric Functions
=
962. `
ñ
Åçë
ñÇñ
ëáå +
−
=
∫ =
=
963. `
ñ
ëáå
ñÇñ
Åçë +
=
∫ =
CHAPTER 9. INTEGRAL CALCULUS
238
964. `
ñ
O
ëáå
Q
N
O
ñ
Çñ
ñ
ëáåO
+
−
=
∫ =
=
965. `
ñ
O
ëáå
Q
N
O
ñ
Çñ
ñ
ÅçëO
+
+
=
∫ =
=
966. `
ñ
Åçë
Q
P
ñ
P
Åçë
NO
N
`
ñ
Åçë
ñ
Åçë
P
N
Çñ
ñ
ëáå P
P
+
−
=
+
−
=
∫ =
=
967. `
ñ
ëáå
Q
P
ñ
P
ëáå
NO
N
`
ñ
ëáå
P
N
ñ
ëáå
Çñ
ñ
Åçë P
P
+
+
=
+
−
=
∫ =
=
968. `
O
ñ
í~å
äå
Çñ
ñ
ÅëÅ
ñ
ëáå
Çñ
+
=
= ∫
∫ =
=
969. `
Q
O
ñ
í~å
äå
Çñ
ñ
ëÉÅ
ñ
Åçë
Çñ
+





 π
+
=
= ∫
∫ =
=
970. `
ñ
Åçí
Çñ
ñ
ÅëÅ
ñ
ëáå
Çñ O
O
+
−
=
= ∫
∫ =
=
971. `
ñ
í~å
Çñ
ñ
ëÉÅ
ñ
Åçë
Çñ O
O
+
=
= ∫
∫ =
=
972. `
O
ñ
í~å
äå
O
N
ñ
ëáå
O
ñ
Åçë
Çñ
ñ
ÅëÅ
ñ
ëáå
Çñ
O
P
P
+
+
−
=
= ∫
∫ =
=
973. `
Q
O
ñ
í~å
äå
O
N
ñ
Åçë
O
ñ
ëáå
Çñ
ñ
ëÉÅ
ñ
Åçë
Çñ
O
P
P
+





 π
+
+
=
= ∫
∫ =
=
974. `
ñ
O
Åçë
Q
N
Çñ
ñ
Åçë
ñ
ëáå +
−
=
∫ =
CHAPTER 9. INTEGRAL CALCULUS
239
975. `
ñ
ëáå
P
N
Çñ
ñ
Åçë
ñ
ëáå P
O
+
=
∫ =
=
976. `
ñ
Åçë
P
N
Çñ
ñ
Åçë
ñ
ëáå P
O
+
−
=
∫ =
=
977. `
ñ
Q
ëáå
PO
N
U
ñ
Çñ
ñ
Åçë
ñ
ëáå O
O
+
−
=
∫ =
=
978. `
ñ
Åçë
äå
ñÇñ
í~å +
−
=
∫ =
=
979. `
ñ
ëÉÅ
`
ñ
Åçë
N
Çñ
ñ
Åçë
ñ
ëáå
O
+
=
+
=
∫ =
=
980. `
ñ
ëáå
Q
O
ñ
í~å
äå
Çñ
ñ
Åçë
ñ
ëáåO
+
−





 π
+
=
∫ =
=
981. `
ñ
ñ
í~å
Çñ
ñ
í~åO
+
−
=
∫ =
=
982. `
ñ
ëáå
äå
ñÇñ
Åçí +
=
∫ =
=
983. `
ñ
ÅëÅ
`
ñ
ëáå
N
Çñ
ñ
ëáå
ñ
Åçë
O
+
−
=
+
−
=
∫ =
=
984. `
ñ
Åçë
O
ñ
í~å
äå
Çñ
ñ
ëáå
ñ
ÅçëO
+
+
=
∫ =
=
985. `
ñ
ñ
Åçí
Çñ
ñ
ÅçíO
+
−
−
=
∫ =
=
986. `
ñ
í~å
äå
ñ
ëáå
ñ
Åçë
Çñ
+
=
∫ =
CHAPTER 9. INTEGRAL CALCULUS
240
987. `
Q
O
ñ
í~å
äå
ñ
ëáå
N
ñ
Åçë
ñ
ëáå
Çñ
O
+





 π
+
+
−
=
∫ =
=
988. `
O
ñ
í~å
äå
ñ
Åçë
N
ñ
Åçë
ñ
ëáå
Çñ
O
+
+
=
∫ =
=
989. `
ñ
Åçí
ñ
í~å
ñ
Åçë
ñ
ëáå
Çñ
O
O
+
−
=
∫ =
=
990.
( )
( )
( )
( )
`
å
ã
O
ñ
å
ã
ëáå
å
ã
O
ñ
å
ã
ëáå
Çñ
åñ
ëáå
ãñ
ëáå +
−
−
+
+
+
−
=
∫ I=
O
O
å
ã ≠ K=
=
991.
( )
( )
( )
( )
`
å
ã
O
ñ
å
ã
Åçë
å
ã
O
ñ
å
ã
Åçë
Çñ
åñ
Åçë
ãñ
ëáå +
−
−
−
+
+
−
=
∫ I=
O
O
å
ã ≠ K=
=
992.
( )
( )
( )
( )
`
å
ã
O
ñ
å
ã
ëáå
å
ã
O
ñ
å
ã
ëáå
Çñ
åñ
Åçë
ãñ
Åçë +
−
−
+
+
+
=
∫ I=
O
O
å
ã ≠ K=
=
993. `
ñ
ëÉÅ
ñÇñ
í~å
ñ
ëÉÅ +
=
∫ =
=
994. `
ñ
ÅëÅ
ñÇñ
Åçí
ñ
ÅëÅ +
−
=
∫ =
=
995. `
N
å
ñ
Åçë
Çñ
ñ
Åçë
ñ
ëáå
N
å
å
+
+
−
=
+
∫ =
=
996. `
N
å
ñ
ëáå
Çñ
ñ
Åçë
ñ
ëáå
N
å
å
+
+
=
+
∫ =
=
CHAPTER 9. INTEGRAL CALCULUS
241
997. `
ñ
N
ñ
~êÅëáå
ñ
Çñ
ñ
~êÅëáå O
+
−
+
=
∫ =
=
998. `
ñ
N
ñ
~êÅÅçë
ñ
Çñ
ñ
~êÅÅçë O
+
−
−
=
∫ =
=
999. ( ) `
N
ñ
äå
O
N
ñ
~êÅí~å
ñ
Çñ
ñ
~êÅí~å O
+
+
−
=
∫ =
=
1000. ( ) `
N
ñ
äå
O
N
ñ
Åçí
~êÅ
ñ
Çñ
ñ
Åçí
~êÅ O
+
+
+
=
∫ =
=
=
=
9.5 Integrals of Hyperbolic Functions
=
1001. `
ñ
ÅçëÜ
ñÇñ
ëáåÜ +
=
∫ =
=
1002. `
ñ
ëáåÜ
ñÇñ
ÅçëÜ +
=
∫ =
=
1003. `
ñ
ÅçëÜ
äå
Çñ
ñ
í~åÜ +
=
∫ =
=
1004. `
ñ
ëáåÜ
äå
Çñ
ñ
ÅçíÜ +
=
∫ =
=
1005. `
ñ
í~åÜ
ñÇñ
ëÉÅÜO
+
=
∫ =
=
1006. `
ñ
ÅçíÜ
ñÇñ
ÅëÅÜO
+
−
=
∫ =
=
1007. `
ñ
ëÉÅÜ
ñÇñ
í~åÜ
ñ
ëÉÅÜ +
−
=
∫ =
=
CHAPTER 9. INTEGRAL CALCULUS
242
1008. `
ñ
ÅëÅÜ
ñÇñ
ÅçíÜ
ñ
ÅëÅÜ +
−
=
∫ =
=
=
=
9.6 Integrals of Exponential and Logarithmic
Functions
=
1009. `
É
Çñ
É ñ
ñ
+
=
∫ =
=
1010. `
~
äå
~
Çñ
~
ñ
ñ
+
=
∫ =
=
1011. `
~
É
Çñ
É
~ñ
~ñ
+
=
∫ =
=
1012. ( ) `
N
~ñ
~
É
Çñ
ñÉ O
~ñ
~ñ
+
−
=
∫ =
=
1013. `
ñ
ñ
äå
ñ
Çñ
ñ
äå +
−
=
∫ =
=
1014. `
ñ
äå
äå
ñ
äå
ñ
Çñ
+
=
∫ =
=
1015.
( )
`
N
å
N
N
å
ñ
äå
ñ
Çñ
ñ
äå
ñ O
N
å
å
+






+
−
+
= +
∫ =
=
1016. `
É
Ä
~
Äñ
Åçë
Ä
Äñ
ëáå
~
Çñ
Äñ
ëáå
É ~ñ
O
O
~ñ
+
+
−
=
∫ =
=
CHAPTER 9. INTEGRAL CALCULUS
243
1017. `
É
Ä
~
Äñ
ëáå
Ä
Äñ
Åçë
~
Çñ
Äñ
Åçë
É ~ñ
O
O
~ñ
+
+
+
=
∫ =
=
=
=
9.7 Reduction Formulas
=
1018. ∫
∫
−
−
= Çñ
É
ñ
ã
å
É
ñ
ã
N
Çñ
É
ñ ãñ
N
å
ãñ
å
ãñ
å
=
=
1019.
( ) ∫
∫ −
−
−
+
−
−
= Çñ
ñ
É
N
å
ã
ñ
N
å
É
Çñ
ñ
É
N
å
ãñ
N
å
ãñ
å
ãñ
I= N
å ≠ K=
=
1020. ∫
∫
−
− −
−
= ñÇñ
ëáåÜ
å
N
å
ñ
ÅçëÜ
ñ
ëáåÜ
å
N
ñÇñ
ëáåÜ O
å
N
å
å
=
=
1021.
( ) ∫
∫ −
−
−
−
−
−
−
=
ñ
ëáåÜ
Çñ
N
å
O
å
ñ
ëáåÜ
N
å
ñ
ÅçëÜ
ñ
ëáåÜ
Çñ
O
å
N
å
å
I= N
å ≠ K=
=
1022. ∫
∫
−
− −
+
= ñÇñ
ÅçëÜ
å
N
å
ñ
ÅçëÜ
ñ
ÅçëÜ
ñ
ëáåÜ
å
N
ñÇñ
ÅçëÜ O
å
N
å
å
=
=
1023.
( ) ∫
∫ −
−
−
−
+
−
−
=
ñ
ÅçëÜ
Çñ
N
å
O
å
ñ
ÅçëÜ
N
å
ñ
ëáåÜ
ñ
ÅçëÜ
Çñ
O
å
N
å
å
I= N
å ≠ K=
=
1024.
ã
å
ñ
ÅçëÜ
ñ
ëáåÜ
ñÇñ
ÅçëÜ
ñ
ëáåÜ
N
ã
N
å
ã
å
+
=
−
+
∫ =
∫
−
+
−
+ ñÇñ
ÅçëÜ
ñ
ëáåÜ
ã
å
N
ã O
ã
å
=
=
1025.
ã
å
ñ
ÅçëÜ
ñ
ëáåÜ
ñÇñ
ÅçëÜ
ñ
ëáåÜ
N
ã
N
å
ã
å
+
=
+
−
∫ =
CHAPTER 9. INTEGRAL CALCULUS
244
∫
−
+
−
− ñÇñ
ÅçëÜ
ñ
ëáåÜ
ã
å
N
å ã
O
å
=
=
1026. ∫
∫
−
−
+
−
−
= ñÇñ
í~åÜ
ñ
í~åÜ
N
å
N
ñÇñ
í~åÜ O
å
N
å
å
I= N
å ≠ K=
=
1027. ∫
∫
−
−
+
−
−
= ñÇñ
ÅçíÜ
ñ
ÅçíÜ
N
å
N
ñÇñ
ÅçíÜ O
å
N
å
å
I= N
å ≠ K=
=
1028. ∫
∫
−
−
−
−
+
−
= ñÇñ
ëÉÅÜ
N
å
O
å
N
å
ñ
í~åÜ
ñ
ëÉÅÜ
ñÇñ
ëÉÅÜ O
å
O
å
å
I= N
å ≠ K=
=
1029. ∫
∫
−
− −
+
−
= ñÇñ
ëáå
å
N
å
ñ
Åçë
ñ
ëáå
å
N
ñÇñ
ëáå O
å
N
å
å
=
=
1030.
( ) ∫
∫ −
−
−
−
+
−
−
=
ñ
ëáå
Çñ
N
å
O
å
ñ
ëáå
N
å
ñ
Åçë
ñ
ëáå
Çñ
O
å
N
å
å
I= N
å ≠ K=
=
1031. ∫
∫
−
− −
+
= ñÇñ
Åçë
å
N
å
ñ
Åçë
ñ
ëáå
å
N
ñÇñ
Åçë O
å
N
å
å
=
=
1032.
( ) ∫
∫ −
−
−
−
+
−
=
ñ
Åçë
Çñ
N
å
O
å
ñ
Åçë
N
å
ñ
ëáå
ñ
Åçë
Çñ
O
å
N
å
å
I= N
å ≠ K=
=
1033.
ã
å
ñ
Åçë
ñ
ëáå
ñÇñ
Åçë
ñ
ëáå
N
ã
N
å
ã
å
+
=
−
+
∫ =
∫
−
+
−
+ ñÇñ
Åçë
ñ
ëáå
ã
å
N
ã O
ã
å
=
=
1034.
ã
å
ñ
Åçë
ñ
ëáå
ñÇñ
Åçë
ñ
ëáå
N
ã
N
å
ã
å
+
−
=
+
−
∫ =
CHAPTER 9. INTEGRAL CALCULUS
245
∫
−
+
−
+ ñÇñ
Åçë
ñ
ëáå
ã
å
N
å ã
O
å
=
=
1035. ∫
∫
−
−
−
−
= ñÇñ
í~å
ñ
í~å
N
å
N
ñÇñ
í~å O
å
N
å
å
I= N
å ≠ K=
=
1036. ∫
∫
−
−
−
−
−
= ñÇñ
Åçí
ñ
Åçí
N
å
N
ñÇñ
Åçí O
å
N
å
å
I= N
å ≠ K=
=
1037. ∫
∫
−
−
−
−
+
−
= ñÇñ
ëÉÅ
N
å
O
å
N
å
ñ
í~å
ñ
ëÉÅ
ñÇñ
ëÉÅ O
å
O
å
å
I= N
å ≠ K=
=
1038. ∫
∫
−
−
−
−
+
−
−
= ñÇñ
ÅëÅ
N
å
O
å
N
å
ñ
Åçí
ñ
ÅëÅ
ñÇñ
ÅëÅ O
å
O
å
å
I= N
å ≠ K=
=
1039. ∫
∫
−
+
+
−
+
= ñÇñ
äå
ñ
N
å
ã
N
å
ñ
äå
ñ
ñÇñ
äå
ñ N
ã
å
ã
N
å
ã
å
=
=
1040.
( ) ∫
∫
−
−
−
+
−
−
= Çñ
ñ
ñ
äå
N
å
ã
ñ
N
å
ñ
äå
Çñ
ñ
ñ
äå
å
N
ã
N
å
ã
å
ã
I= N
å ≠ K=
=
1041. ∫
∫
−
−
= ñÇñ
äå
å
ñ
äå
ñ
ñÇñ
äå N
å
å
å
=
=
1042. ∫
∫
−
−
= ñÇñ
ÅçëÜ
ñ
å
ñ
ÅçëÜ
ñ
ñÇñ
ëáåÜ
ñ N
å
å
å
=
=
1043. ∫
∫
−
−
= ñÇñ
ëáåÜ
ñ
å
ñ
ëáåÜ
ñ
ñÇñ
ÅçëÜ
ñ N
å
å
å
=
=
1044. ∫
∫
−
+
−
= ñÇñ
Åçë
ñ
å
ñ
Åçë
ñ
ñÇñ
ëáå
ñ N
å
å
å
=
=
1045. ∫
∫
−
−
= ñÇñ
ëáå
ñ
å
ñ
ëáå
ñ
ñÇñ
Åçë
ñ N
å
å
å
=
CHAPTER 9. INTEGRAL CALCULUS
246
1046. ∫
∫ −
+
−
+
=
+
−
+
−
Çñ
ñ
N
ñ
N
å
N
ñ
ëáå
N
å
ñ
ñÇñ
ëáå
ñ
O
N
å
N
N
å
N
å
=
=
1047. ∫
∫ −
+
+
+
=
+
−
+
−
Çñ
ñ
N
ñ
N
å
N
ñ
Åçë
N
å
ñ
ñÇñ
Åçë
ñ
O
N
å
N
N
å
N
å
=
=
1048. ∫
∫ +
+
−
+
=
+
−
+
−
Çñ
ñ
N
ñ
N
å
N
ñ
í~å
N
å
ñ
ñÇñ
í~å
ñ O
N
å
N
N
å
N
å
=
=
1049. ∫
∫ +
−
=
+ Ä
~ñ
Çñ
~
Ä
~
ñ
Ä
~ñ
Çñ
ñ
å
å
å
=
=
1050.
( ) ( )( )( ) N
å
O
O
å
O
Å
Äñ
~ñ
~Å
Q
Ä
N
å
Ä
~ñ
O
Å
Äñ
~ñ
Çñ
−
+
+
−
−
−
−
=
+
+
∫ =
( )
( )( ) ( )
∫ −
+
+
−
−
−
− N
å
O
O
Å
Äñ
~ñ
Çñ
~Å
Q
Ä
N
å
~
P
å
O
O
I= N
å ≠ K=
=
1051.
( ) ( ) ( ) ( ) ( )
I
~
ñ
Çñ
~
N
å
O
P
å
O
~
ñ
~
N
å
O
ñ
~
ñ
Çñ
N
å
O
O
O
N
å
O
O
O
å
O
O ∫
∫ −
−
+
−
−
+
+
−
=
+
N
å ≠ K=
=
1052.
( ) ( ) ( ) N
å
O
O
O
å
O
O
~
ñ
~
N
å
O
ñ
~
ñ
Çñ
−
−
−
−
=
−
∫ =
( ) ( )
∫ −
−
−
−
− N
å
O
O
O
~
ñ
Çñ
~
N
å
O
P
å
O
I= N
å ≠ K=
=
=
=
=
=
CHAPTER 9. INTEGRAL CALCULUS
247
9.8 Definite Integral
=
aÉÑáåáíÉ=áåíÉÖê~ä=çÑ=~=ÑìåÅíáçåW= ( )
∫
Ä
~
Çñ
ñ
Ñ I= ( )
∫
Ä
~
Çñ
ñ
Ö I=£=
oáÉã~åå=ëìãW= ( )
∑
=
∆
ξ
å
N
á
á
á ñ
Ñ ==
pã~ää=ÅÜ~åÖÉëW= á
ñ
∆ ==
^åíáÇÉêáî~íáîÉëW= ( )
ñ
c I= ( )
ñ
d ==
iáãáíë=çÑ=áåíÉÖê~íáçåëW=~I=ÄI=ÅI=Ç=
=
=
1053. ( ) ( )
∑
∫ =
→
∆
∞
→
∆
ξ
=
å
N
á
á
á
M
ñ
ã~ñ
å
Ä
~
ñ
Ñ
äáã
Çñ
ñ
Ñ
á
I==
ïÜÉêÉ== N
á
á
á ñ
ñ
ñ −
−
=
∆ I== á
á
N
á ñ
ñ ≤
ξ
≤
− K==
=
=
=
Figure 179.
=
CHAPTER 9. INTEGRAL CALCULUS
248
1054. ~
Ä
Çñ
N
Ä
~
−
=
∫ =
=
1055. ( ) ( )
∫
∫ =
Ä
~
Ä
~
Çñ
ñ
Ñ
â
Çñ
ñ
âÑ =
=
1056. ( ) ( )
[ ] ( ) ( )
∫
∫
∫ +
=
+
Ä
~
Ä
~
Ä
~
Çñ
ñ
Ö
Çñ
ñ
Ñ
Çñ
ñ
Ö
ñ
Ñ =
=
1057. ( ) ( )
[ ] ( ) ( )
∫
∫
∫ −
=
−
Ä
~
Ä
~
Ä
~
Çñ
ñ
Ö
Çñ
ñ
Ñ
Çñ
ñ
Ö
ñ
Ñ =
=
1058. ( ) M
Çñ
ñ
Ñ
~
~
=
∫ =
=
1059. ( ) ( )
∫
∫ −
=
~
Ä
Ä
~
Çñ
ñ
Ñ
Çñ
ñ
Ñ =
=
1060. ( ) ( ) ( )
∫
∫
∫ +
=
Ä
Å
Å
~
Ä
~
Çñ
ñ
Ñ
Çñ
ñ
Ñ
Çñ
ñ
Ñ =Ñçê= Ä
Å
~ <
< K=
=
1061. ( ) M
Çñ
ñ
Ñ
Ä
~
≥
∫ =áÑ= ( ) M
ñ
Ñ ≥ =çå=[ ]
Ä
I
~ K=
=
1062. ( ) M
Çñ
ñ
Ñ
Ä
~
≤
∫ =áÑ= ( ) M
ñ
Ñ ≤ =çå=[ ]
Ä
I
~ K=
=
=
=
=
CHAPTER 9. INTEGRAL CALCULUS
249
1063. cìåÇ~ãÉåí~ä=qÜÉçêÉã=çÑ=`~äÅìäìë=
( ) ( ) ( ) ( )
~
c
Ä
c
ñ
c
Çñ
ñ
Ñ
Ä
~
Ä
~
−
=
=
∫ =áÑ= ( ) ( )
ñ
Ñ
ñ
c =
′ K=
=
1064. jÉíÜçÇ=çÑ=pìÄëíáíìíáçå==
fÑ= ( )
í
Ö
ñ = I=íÜÉå==
( ) ( )
( ) ( )
∫
∫ ′
=
Ç
Å
Ä
~
Çí
í
Ö
í
Ö
Ñ
Çñ
ñ
Ñ I==
ïÜÉêÉ=
( )
~
Ö
Å N
−
= I= ( )
Ä
Ö
Ç N
−
= K=
=
1065. fåíÉÖê~íáçå=Äó=m~êíë=
( ) ∫
∫ −
=
Ä
~
Ä
~
Ä
~
îÇì
ìî
ìÇî =
=
1066. qê~éÉòçáÇ~ä=oìäÉ=
( ) ( ) ( ) ( )





+
+
−
= ∑
∫
−
=
N
å
N
á
á
å
M
Ä
~
ñ
Ñ
O
ñ
Ñ
ñ
Ñ
å
O
~
Ä
Çñ
ñ
Ñ =
=
CHAPTER 9. INTEGRAL CALCULUS
250
=
=
Figure 180.
=
1067. páãéëçå∞ë=oìäÉ==
( ) ( ) ( ) ( ) ( )
[ +
+
+
+
−
=
∫ P
O
N
M
Ä
~
ñ
Ñ
Q
ñ
Ñ
O
ñ
Ñ
Q
ñ
Ñ
å
P
~
Ä
Çñ
ñ
Ñ =
( ) ( ) ( )]
å
N
å
Q ñ
Ñ
ñ
Ñ
Q
ñ
Ñ
O +
+
+
+ −
K I==
ïÜÉêÉ==
á
å
~
Ä
~
ñá
−
+
= I= å
I
I
O
I
N
I
M
á K
= K==
=
CHAPTER 9. INTEGRAL CALCULUS
251
=
=
Figure 181.
=
1068. ^êÉ~=råÇÉê=~=`ìêîÉ=
( ) ( ) ( )
~
c
Ä
c
Çñ
ñ
Ñ
p
Ä
~
−
=
= ∫ I==
ïÜÉêÉ= ( ) ( )
ñ
Ñ
ñ
c =
′ K=
=
CHAPTER 9. INTEGRAL CALCULUS
252
=
=
Figure 182.
=
1069. ^êÉ~=_ÉíïÉÉå=qïç=`ìêîÉë=
( ) ( )
[ ] ( ) ( ) ( ) ( )
~
d
~
c
Ä
d
Ä
c
Çñ
ñ
Ö
ñ
Ñ
p
Ä
~
+
−
−
=
−
= ∫ I==
ïÜÉêÉ= ( ) ( )
ñ
Ñ
ñ
c =
′ I= ( ) ( )
ñ
Ö
ñ
d =
′ K=
=
CHAPTER 9. INTEGRAL CALCULUS
253
=
=
Figure 183.
=
=
=
9.9 Improper Integral
=
1070. qÜÉ=ÇÉÑáåáíÉ=áåíÉÖê~ä== ( )
∫
Ä
~
Çñ
ñ
Ñ =áë=Å~ääÉÇ=~å=áãéêçéÉê=áåíÉÖê~ä=
áÑ==
• ~=çê=Ä=áë=áåÑáåáíÉI=
• ( )
ñ
Ñ ==Ü~ë==çåÉ==çê==ãçêÉ=éçáåíë=çÑ==ÇáëÅçåíáåìáíó=
=====áå=íÜÉ=áåíÉêî~ä=[ ]
Ä
I
~ K=
=
1071. fÑ= ( )
ñ
Ñ =áë=~=Åçåíáåìçìë=ÑìåÅíáçå=çå=[ )
∞
I
~ I=íÜÉå==
( ) ( )
∫
∫ ∞
→
∞
=
å
~
å
~
Çñ
ñ
Ñ
äáã
Çñ
ñ
Ñ K=
=
CHAPTER 9. INTEGRAL CALCULUS
254
=
=
Figure 184.
=
1072. fÑ= ( )
ñ
Ñ =áë=~=Åçåíáåìçìë=ÑìåÅíáçå=çå=( ]
Ä
I
∞
− I=íÜÉå==
( ) ( )
∫
∫ ∞
−
→
∞
−
=
Ä
å
å
Ä
Çñ
ñ
Ñ
äáã
Çñ
ñ
Ñ K=
=
=
=
Figure 185.
CHAPTER 9. INTEGRAL CALCULUS
255
kçíÉ=W=qÜÉ=áãéêçéÉê=áåíÉÖê~äë=áå=NMTNI=NMTO=~êÉ=ÅçåîÉêÖÉåí=
áÑ=íÜÉ=äáãáíë=Éñáëí=~åÇ=~êÉ=ÑáåáíÉX=çíÜÉêïáëÉ=íÜÉ=áåíÉÖê~äë=~êÉ=
ÇáîÉêÖÉåíK=
=
1073. ( ) ( ) ( )
∫
∫
∫
∞
∞
−
∞
∞
−
+
=
Å
Å
Çñ
ñ
Ñ
Çñ
ñ
Ñ
Çñ
ñ
Ñ =
=
=
=
Figure 186.
=
fÑ=Ñçê=ëçãÉ=êÉ~ä=åìãÄÉê=ÅI=ÄçíÜ=çÑ=íÜÉ=áåíÉÖê~äë=áå=íÜÉ=êáÖÜí=
ëáÇÉ= ~êÉ= ÅçåîÉêÖÉåíI= íÜÉå= íÜÉ= áåíÉÖê~ä= ( )
∫
∞
∞
−
Çñ
ñ
Ñ = áë= ~äëç=====
ÅçåîÉêÖÉåíX=çíÜÉêïáëÉ=áí=áë=ÇáîÉêÖÉåíK=
=
1074. `çãé~êáëçå=qÜÉçêÉãë=
iÉí== ( )
ñ
Ñ =~åÇ== ( )
ñ
Ö ==ÄÉ==Åçåíáåìçìë==ÑìåÅíáçåë==çå=íÜÉ=ÅäçëÉÇ=
áåíÉêî~ä= [ )
∞
I
~ K= pìééçëÉ= íÜ~í= ( ) ( )
ñ
Ñ
ñ
Ö
M ≤
≤ = Ñçê= ~ää= ñ= áå=
[ )
∞
I
~ K=
CHAPTER 9. INTEGRAL CALCULUS
256
• fÑ= ( )
∫
∞
~
Çñ
ñ
Ñ =áë=ÅçåîÉêÖÉåíI=íÜÉå= ( )
∫
∞
~
Çñ
ñ
Ö =áë=~äëç=
=====ÅçåîÉêÖÉåíI=
• fÑ= ( )
∫
∞
~
Çñ
ñ
Ö =áë=ÇáîÉêÖÉåíI=íÜÉå= ( )
∫
∞
~
Çñ
ñ
Ñ =áë=~äëç=ÇáîÉêÖÉåíK=
=
1075. ^ÄëçäìíÉ=`çåîÉêÖÉåÅÉ=
=
fÑ= ( )
∫
∞
~
Çñ
ñ
Ñ =áë=ÅçåîÉêÖÉåíI=íÜÉå=íÜÉ=áåíÉÖê~ä ( )
∫
∞
~
Çñ
ñ
Ñ =áë=~Äëç-
äìíÉäó=ÅçåîÉêÖÉåíK===
=
1076. aáëÅçåíáåìçìë=fåíÉÖê~åÇ=
iÉí= ( )
ñ
Ñ =ÄÉ=~=ÑìåÅíáçå=ïÜáÅÜ=áë=Åçåíáåìçìë=çå=íÜÉ=áåíÉêî~ä==
[ )
Ä
I
~ =Äìí=áë=ÇáëÅçåíáåìçìë=~í= Ä
ñ = K=qÜÉå==
( ) ( )
∫
∫
ε
−
+
→
ε
=
Ä
~
M
Ä
~
Çñ
ñ
Ñ
äáã
Çñ
ñ
Ñ =
=
=
=
Figure 187.
CHAPTER 9. INTEGRAL CALCULUS
257
1077. iÉí= ( )
ñ
Ñ =ÄÉ=~=Åçåíáåìçìë=ÑìåÅíáçå=Ñçê=~ää=êÉ~ä=åìãÄÉêë==ñ==áå=
íÜÉ=áåíÉêî~ä==[ ]
Ä
I
~ ==ÉñÅÉéí==Ñçê==ëçãÉ=éçáåí==Å==áå=( )
Ä
I
~ K=qÜÉå=
( ) ( ) ( )
∫
∫
∫ δ
+
+
→
δ
ε
−
+
→
ε
+
=
Ä
Å
M
Å
~
M
Ä
~
Çñ
ñ
Ñ
äáã
Çñ
ñ
Ñ
äáã
Çñ
ñ
Ñ K=
=
=
=
Figure 188.
=
=
=
9.10 Double Integral
=
cìåÅíáçåë=çÑ=íïç=î~êá~ÄäÉëW= ( )
ó
I
ñ
Ñ I= ( )
î
I
ì
Ñ I=£=
açìÄäÉ=áåíÉÖê~äëW= ( )
∫∫
o
ÇñÇó
ó
I
ñ
Ñ I= ( )
∫∫
o
ÇñÇó
ó
I
ñ
Ö I=£=
oáÉã~åå=ëìãW= ( )
∑∑
= =
∆
∆
ã
N
á
å
N
à
à
á
à
á ó
ñ
î
I
ì
Ñ =
pã~ää=ÅÜ~åÖÉëW= á
ñ
∆ I= à
ó
∆ =
oÉÖáçåë=çÑ=áåíÉÖê~íáçåW=oI=p==
mçä~ê=ÅççêÇáå~íÉëW=êI=θ =
CHAPTER 9. INTEGRAL CALCULUS
258
^êÉ~W=^=
pìêÑ~ÅÉ=~êÉ~W=p=
sçäìãÉ=çÑ=~=ëçäáÇW=s=
j~ëë=çÑ=~=ä~ãáå~W=ã=
aÉåëáíóW= ( )
ó
I
ñ
ρ =
cáêëí=ãçãÉåíëW= ñ
j I= ó
j =
jçãÉåíë=çÑ=áåÉêíá~W= ñ
f I= ó
f I= M
f =
`Ü~êÖÉ=çÑ=~=éä~íÉW=n=
`Ü~êÖÉ=ÇÉåëáíóW= ( )
ó
I
ñ
σ =
`ççêÇáå~íÉë=çÑ=ÅÉåíÉê=çÑ=ã~ëëW= ñ I= ó =
^îÉê~ÖÉ=çÑ=~=ÑìåÅíáçåW=µ=
=
1078. aÉÑáåáíáçå=çÑ=açìÄäÉ=fåíÉÖê~ä=
qÜÉ=ÇçìÄäÉ=áåíÉÖê~ä=çîÉê=~=êÉÅí~åÖäÉ= [ ] [ ]
Ç
I
Å
Ä
I
~ × =áë=ÇÉÑáåÉÇ=
íç=ÄÉ==
( )
[ ] [ ]
( )
∑∑
∫∫ = =
→
∆
→
∆
×
∆
∆
=
ã
N
á
å
N
à
à
á
à
á
M
ó
ã~ñ
M
ñ
ã~ñ
Ç
I
Å
Ä
I
~
ó
ñ
î
I
ì
Ñ
äáã
Ç^
ó
I
ñ
Ñ
à
á
I==
ïÜÉêÉ=( )
à
á î
I
ì =áë=ëçãÉ=éçáåí=áå=íÜÉ=êÉÅí~åÖäÉ=
( ) ( )
à
N
à
á
N
á ó
I
ó
ñ
I
ñ −
− × I=~åÇ= N
á
á
á ñ
ñ
ñ −
−
=
∆ I= N
à
à
à ó
ó
ó −
−
=
∆ K=
=
=== =
Figure 189.
CHAPTER 9. INTEGRAL CALCULUS
259
qÜÉ=ÇçìÄäÉ=áåíÉÖê~ä=çîÉê=~=ÖÉåÉê~ä=êÉÖáçå=o=áë==
( ) ( )
[ ] [ ]
∫∫
∫∫ ×
=
Ç
I
Å
Ä
I
~
o
Ç^
ó
I
ñ
Ö
Ç^
ó
I
ñ
Ñ I==
ïÜÉêÉ=êÉÅí~åÖäÉ=[ ] [ ]
Ç
I
Å
Ä
I
~ × =Åçåí~áåë=oI==
( ) ( )
ó
I
ñ
Ñ
ó
I
ñ
Ö = =áÑ= ( )
ó
I
ñ
Ñ =áë=áå=o=~åÇ= ( ) M
ó
I
ñ
Ö = =çíÜÉêïáëÉK=
=
=
=
Figure 190.
=
1079. ( ) ( )
[ ] ( ) ( )
∫∫
∫∫
∫∫ +
=
+
o
o
o
Ç^
ó
I
ñ
Ö
Ç^
ó
I
ñ
Ñ
Ç^
ó
I
ñ
Ö
ó
I
ñ
Ñ =
=
1080. ( ) ( )
[ ] ( ) ( )
∫∫
∫∫
∫∫ −
=
−
o
o
o
Ç^
ó
I
ñ
Ö
Ç^
ó
I
ñ
Ñ
Ç^
ó
I
ñ
Ö
ó
I
ñ
Ñ =
=
1081. ( ) ( )
∫∫
∫∫ =
o
o
Ç^
ó
I
ñ
Ñ
â
Ç^
ó
I
ñ
âÑ I==
ïÜÉêÉ=â=áë=~=Åçåëí~åíK=
=
1082. fÑ= ( ) ( )
ó
I
ñ
Ö
ó
I
ñ
Ñ ≤ =çå=oI=íÜÉå= ( ) ( )
∫∫
∫∫ ≤
o
o
Ç^
ó
I
ñ
Ö
Ç^
ó
I
ñ
Ñ K=
=
1083. fÑ= ( ) M
ó
I
ñ
Ñ ≥ =çå=o=~åÇ= o
p ⊂ I=íÜÉå=
CHAPTER 9. INTEGRAL CALCULUS
260
= ( ) ( )
∫∫
∫∫ ≤
o
p
Ç^
ó
I
ñ
Ñ
Ç^
ó
I
ñ
Ñ K=
=
=
=
Figure 191.
=
1084. fÑ= ( ) M
ó
I
ñ
Ñ ≥ =çå=o=~åÇ=o=~åÇ=p=~êÉ=åçå-çîÉêä~ééáåÖ=
êÉÖáçåëI=íÜÉå= ( ) ( ) ( )
∫∫
∫∫
∫∫ +
=
∪ p
o
p
o
Ç^
ó
I
ñ
Ñ
Ç^
ó
I
ñ
Ñ
Ç^
ó
I
ñ
Ñ K==
eÉêÉ= p
o ∪ =áë=íÜÉ=ìåáçå=çÑ=íÜÉ=êÉÖáçåë=o=~åÇ=pK=
=
=
=
Figure 192.
=
=
CHAPTER 9. INTEGRAL CALCULUS
261
1085. fíÉê~íÉÇ=fåíÉÖê~äë=~åÇ=cìÄáåá∞ë=qÜÉçêÉã=
( ) ( )
( )
( )
∫ ∫
∫∫ =
Ä
~
ñ
è
ñ
é
o
ÇóÇñ
ó
I
ñ
Ñ
Ç^
ó
I
ñ
Ñ ==
Ñçê=~=êÉÖáçå=çÑ=íóéÉ=fI==
( ) ( ) ( )
{ }
ñ
è
ó
ñ
é
I
Ä
ñ
~
ö
ó
I
ñ
o ≤
≤
≤
≤
= K=
=
=
=
Figure 193.
=
( ) ( )
( )
( )
∫ ∫
∫∫ =
Ç
Å
ó
î
ó
ì
o
ÇñÇó
ó
I
ñ
Ñ
Ç^
ó
I
ñ
Ñ ==
Ñçê=~=êÉÖáçå=çÑ=íóéÉ=ffI=
( ) ( ) ( )
{ }
Ç
ó
Å
I
ó
î
ñ
ó
ì
ö
ó
I
ñ
o ≤
≤
≤
≤
= K=
=
CHAPTER 9. INTEGRAL CALCULUS
262
=
=
Figure 194.
=
1086. açìÄäÉ=fåíÉÖê~äë=çîÉê=oÉÅí~åÖìä~ê=oÉÖáçåë=
=
fÑ=o=áë=íÜÉ=êÉÅí~åÖìä~ê=êÉÖáçå=[ ] [ ]
Ç
I
Å
Ä
I
~ × I=íÜÉå==
( ) ( ) ( )
∫ ∫
∫ ∫
∫∫ 







=








=
Ç
Å
Ä
~
Ä
~
Ç
Å
o
Çó
Çñ
ó
I
ñ
Ñ
Çñ
Çó
ó
I
ñ
Ñ
ÇñÇó
ó
I
ñ
Ñ K==
=
få=íÜÉ=ëéÉÅá~ä=Å~ëÉ=ïÜÉêÉ=íÜÉ=áåíÉÖê~åÇ= ( )
ó
I
ñ
Ñ =Å~å=ÄÉ=ïêáí-
íÉå=~ë= ( ) ( )
ó
Ü
ñ
Ö =ïÉ=Ü~îÉ==
( ) ( ) ( ) ( ) ( ) 















=
= ∫
∫
∫∫
∫∫
Ç
Å
Ä
~
o
o
Çó
ó
Ü
Çñ
ñ
Ö
ÇñÇó
ó
Ü
ñ
Ö
ÇñÇó
ó
I
ñ
Ñ K==
=
1087. `Ü~åÖÉ=çÑ=s~êá~ÄäÉë=
( ) ( ) ( )
[ ] ( )
( )
ÇìÇî
î
I
ì
ó
I
ñ
î
I
ì
ó
I
î
I
ì
ñ
Ñ
ÇñÇó
ó
I
ñ
Ñ
p
o
∂
∂
= ∫∫
∫∫ I==
ïÜÉêÉ=
( )
( )
M
î
ó
ì
ó
î
ñ
ì
ñ
î
I
ì
ó
I
ñ
≠
∂
∂
∂
∂
∂
∂
∂
∂
=
∂
∂
áë= íÜÉ= à~ÅçÄá~å= çÑ= íÜÉ= íê~åë-
Ñçêã~íáçåë= ( ) ( )
î
I
ì
ó
I
ñ → I=~åÇ=p=áë=íÜÉ=éìääÄ~Åâ=çÑ=o=ïÜáÅÜ=
CHAPTER 9. INTEGRAL CALCULUS
263
Å~å=ÄÉ=ÅçãéìíÉÇ=Äó= ( )
î
I
ì
ñ
ñ = I= ( )
î
I
ì
ó
ó = =áåíç=íÜÉ=ÇÉÑáåá-
íáçå=çÑ=oK==
=
1088. mçä~ê=`ççêÇáå~íÉë=
θ
= Åçë
ê
ñ I= θ
= ëáå
ê
ó K==
=
=
=
Figure 195.
=
1089. açìÄäÉ=fåíÉÖê~äë=áå=mçä~ê=`ççêÇáå~íÉë=
=
qÜÉ=aáÑÑÉêÉåíá~ä=ÇñÇó=Ñçê=mçä~ê=`ççêÇáå~íÉë=áë==
( )
( )
θ
=
θ
θ
∂
∂
= êÇêÇ
ÇêÇ
I
ê
ó
I
ñ
ÇñÇó K==
=
iÉí=íÜÉ=êÉÖáçå=o=áë=ÇÉíÉêãáåÉÇ=~ë=ÑçääçïëW=
( ) ( )
θ
≤
≤
θ
≤ Ü
ê
Ö
M I= β
≤
θ
≤
α I=ïÜÉêÉ= π
≤
α
−
β O K==
qÜÉå==
( ) ( )
( )
( )
∫ ∫
∫∫
β
α
θ
θ
θ
θ
θ
=
Ü
Ö
o
êÇêÇ
ëáå
ê
I
Åçë
ê
Ñ
ÇñÇó
ó
I
ñ
Ñ K=
=
CHAPTER 9. INTEGRAL CALCULUS
264
=
=
Figure 196.
=
fÑ=íÜÉ=êÉÖáçå=o=áë=íÜÉ=éçä~ê=êÉÅí~åÖäÉ=ÖáîÉå=Äó==
Ä
ê
~
M ≤
≤
≤ I= β
≤
θ
≤
α I=ïÜÉêÉ= π
≤
α
−
β O I===
íÜÉå==
( ) ( )
∫∫
∫∫
β
α
θ
θ
θ
=
Ä
~
o
êÇêÇ
ëáå
ê
I
Åçë
ê
Ñ
ÇñÇó
ó
I
ñ
Ñ K==
=
=
=
Figure 197.
=
=
CHAPTER 9. INTEGRAL CALCULUS
265
1090. ^êÉ~=çÑ=~=oÉÖáçå=
( )
( )
∫ ∫
=
Ä
~
ñ
Ñ
ñ
Ö
ÇóÇñ
^ =EÑçê=~=íóéÉ=f=êÉÖáçåFK=
=
=
=
Figure 198.
=
( )
( )
∫ ∫
=
Ç
Å
ó
è
ó
é
ÇñÇó
^ =EÑçê=~=íóéÉ=ff=êÉÖáçåFK=
=
=
=
Figure 199.
=
=
CHAPTER 9. INTEGRAL CALCULUS
266
1091. sçäìãÉ=çÑ=~=pçäáÇ=
( )
∫∫
=
o
Ç^
ó
I
ñ
Ñ
s K==
=
=
=
Figure 200.
=
fÑ=o=áë=~=íóéÉ=f=êÉÖáçå=ÄçìåÇÉÇ=Äó= ~
ñ = I= Ä
ñ = I= ( )
ñ
Ü
ó = I=
( )
ñ
Ö
ó = I=íÜÉå==
( ) ( )
( )
( )
∫ ∫
∫∫ =
=
Ä
~
ñ
Ö
ñ
Ü
o
ÇóÇñ
ó
I
ñ
Ñ
Ç^
ó
I
ñ
Ñ
s K==
=
fÑ=o=áë=~=íóéÉ=ff=êÉÖáçå=ÄçìåÇÉÇ=Äó= Å
ó = I= Ç
ó = I= ( )
ó
è
ñ = I=
( )
ó
é
ñ = I=íÜÉå=
( ) ( )
( )
( )
∫ ∫
∫∫ =
=
Ç
Å
ó
è
ó
é
o
ÇñÇó
ó
I
ñ
Ñ
Ç^
ó
I
ñ
Ñ
s K==
=
CHAPTER 9. INTEGRAL CALCULUS
267
fÑ== ( ) ( )
ó
I
ñ
Ö
ó
I
ñ
Ñ ≥ ==çîÉê==~==êÉÖáçå==oI==íÜÉå==íÜÉ==îçäìãÉ==çÑ=
íÜÉ= ëçäáÇ= ÄÉíïÉÉå= ( )
ó
I
ñ
Ñ
òN = = ~åÇ= ( )
ó
I
ñ
Ö
òO = = çîÉê= o= áë=
ÖáîÉå=Äó=
( ) ( )
[ ]
∫∫ −
=
o
Ç^
ó
I
ñ
Ö
ó
I
ñ
Ñ
s K==
=
1092. ^êÉ~=~åÇ=sçäìãÉ=áå=mçä~ê=`ççêÇáå~íÉë=
fÑ=p=áë=~=êÉÖáçå=áå=íÜÉ=ñó-éä~åÉ=ÄçìåÇÉÇ=Äó= α
=
θ I= β
=
θ I=
( )
θ
= Ü
ê I= ( )
θ
= Ö
ê I==
íÜÉå==
( )
( )
∫ ∫
∫∫
β
α
θ
θ
θ
=
=
Ö
Ü
p
êÇêÇ
Ç^
^ I==
( )
∫∫ θ
θ
=
p
êÇêÇ
I
ê
Ñ
s K==
=
=
=
Figure 201.
=
1093. pìêÑ~ÅÉ=^êÉ~=
ÇñÇó
ó
ò
ñ
ò
N
p
o
O
O
∫∫ 







∂
∂
+






∂
∂
+
= =
=
CHAPTER 9. INTEGRAL CALCULUS
268
1094. j~ëë=çÑ=~=i~ãáå~=
( )
∫∫ρ
=
o
Ç^
ó
I
ñ
ã I==
ïÜÉêÉ==íÜÉ==ä~ãáå~==çÅÅìéáÉë==~==êÉÖáçå==o=~åÇ==áíë==ÇÉåëáíó==~í=
~=éçáåí=EñIóF=áë= ( )
ó
I
ñ
ρ K===
=
1095. jçãÉåíë=
qÜÉ=ãçãÉåí=çÑ=íÜÉ=ä~ãáå~=~Äçìí=íÜÉ==ñ-~ñáë==áë=ÖáîÉå=Äó=Ñçê-
ãìä~=
( )
∫∫ ρ
=
o
ñ Ç^
ó
I
ñ
ó
j K==
=
qÜÉ=ãçãÉåí=çÑ=íÜÉ=ä~ãáå~=~Äçìí=íÜÉ=ó-~ñáë=áë=
( )
∫∫ ρ
=
o
ó Ç^
ó
I
ñ
ñ
j K=
=
qÜÉ=ãçãÉåí=çÑ=áåÉêíá~=~Äçìí=íÜÉ=ñ-~ñáë=áë=
( )
∫∫ ρ
=
o
O
ñ Ç^
ó
I
ñ
ó
f K==
=
qÜÉ=ãçãÉåí=çÑ=áåÉêíá~=~Äçìí=íÜÉ=ó-~ñáë=áë=
( )
∫∫ ρ
=
o
O
ó Ç^
ó
I
ñ
ñ
f K==
=
qÜÉ=éçä~ê=ãçãÉåí=çÑ=áåÉêíá~=áë=
( ) ( )
∫∫ ρ
+
=
o
O
O
M Ç^
ó
I
ñ
ó
ñ
f K==
=
1096. `ÉåíÉê=çÑ=j~ëë=
( )
( )
( )
∫∫
∫∫
∫∫ ρ
ρ
=
ρ
=
=
o
o
o
ó
Ç^
ó
I
ñ
Ç^
ó
I
ñ
ñ
Ç^
ó
I
ñ
ñ
ã
N
ã
j
ñ I==
CHAPTER 9. INTEGRAL CALCULUS
269
( )
( )
( )
∫∫
∫∫
∫∫ ρ
ρ
=
ρ
=
=
o
o
o
ñ
Ç^
ó
I
ñ
Ç^
ó
I
ñ
ó
Ç^
ó
I
ñ
ó
ã
N
ã
j
ó K==
=
1097. `Ü~êÖÉ=çÑ=~=mä~íÉ=
( )
∫∫σ
=
o
Ç^
ó
I
ñ
n I==
ïÜÉêÉ=ÉäÉÅíêáÅ~ä=ÅÜ~êÖÉ=áë=ÇáëíêáÄìíÉÇ=çîÉê=~=êÉÖáçå=o=~åÇ=áíë=
ÅÜ~êÖÉ=ÇÉåëáíó=~í=~=éçáåí=EñIóF=áë= ( )
ó
I
ñ
σ K===
=
1098. ^îÉê~ÖÉ=çÑ=~=cìåÅíáçå=
( )
∫∫
=
µ
o
Ç^
ó
I
ñ
Ñ
p
N
I==
ïÜÉêÉ= ∫∫
=
o
Ç^
p K==
=
=
=
9.11 Triple Integral
=
cìåÅíáçåë=çÑ=íÜêÉÉ=î~êá~ÄäÉëW= ( )
ò
I
ó
I
ñ
Ñ I= ( )
ò
I
ó
I
ñ
Ö I=£=
qêáéäÉ=áåíÉÖê~äëW= ( )
∫∫∫
d
Çs
ò
I
ó
I
ñ
Ñ I= ( )
∫∫∫
d
Çs
ò
I
ó
I
ñ
Ö I=£=
oáÉã~åå=ëìãW= ( )
∑∑∑
= = =
∆
∆
∆
ã
N
á
å
N
à
é
N
â
â
à
á
â
à
á ò
ó
ñ
ï
I
î
I
ì
Ñ =
pã~ää=ÅÜ~åÖÉëW= á
ñ
∆ I= à
ó
∆ I= â
ò
∆ =
iáãáíë=çÑ=áåíÉÖê~íáçåW=~I=ÄI=ÅI=ÇI=êI=ë=
oÉÖáçåë=çÑ=áåíÉÖê~íáçåW=dI=qI=p==
`óäáåÇêáÅ~ä=ÅççêÇáå~íÉëW=êI=θ I=ò=
péÜÉêáÅ~ä=ÅççêÇáå~íÉëW=êI=θ I=ϕ =
sçäìãÉ=çÑ=~=ëçäáÇW=s=
CHAPTER 9. INTEGRAL CALCULUS
270
j~ëë=çÑ=~=ëçäáÇW=ã==
aÉåëáíóW= ( )
ò
I
ó
I
ñ
µ =
`ççêÇáå~íÉë=çÑ=ÅÉåíÉê=çÑ=ã~ëëW= ñ I= ó I= ò =
cáêëí=ãçãÉåíëW= ñó
j I= óò
j I= ñò
j =
jçãÉåíë=çÑ=áåÉêíá~W= ñó
f I= óò
f I= ñò
f I= ñ
f I= ó
f I= ò
f I= M
f =
=
=
1099. aÉÑáåáíáçå=çÑ=qêáéäÉ=fåíÉÖê~ä=
qÜÉ=íêáéäÉ=áåíÉÖê~ä=çîÉê=~=é~ê~ääÉäÉéáéÉÇ= [ ] [ ] [ ]
ë
I
ê
Ç
I
Å
Ä
I
~ ×
× =
áë=ÇÉÑáåÉÇ=íç=ÄÉ==
( )
[ ] [ ] [ ]
( ) I
ò
ó
ñ
ï
I
î
I
ì
Ñ
äáã
Çs
ò
I
ó
I
ñ
Ñ
ã
N
á
å
N
à
é
N
â
â
à
á
â
à
á
M
ò
ã~ñ
M
ó
ã~ñ
M
ñ
ã~ñ
ë
I
ê
Ç
I
Å
Ä
I
~
â
à
á
∑∑∑
∫∫∫ = = =
→
∆
→
∆
→
∆
×
×
∆
∆
∆
=
ïÜÉêÉ=( )
â
à
á ï
I
î
I
ì =áë=ëçãÉ=éçáåí=áå=íÜÉ=é~ê~ääÉäÉéáéÉÇ=
( ) ( ) ( )
â
N
â
à
N
à
á
N
á ò
I
ò
ó
I
ó
ñ
I
ñ −
−
− ×
× I=~åÇ= N
á
á
á ñ
ñ
ñ −
−
=
∆ I=
N
à
à
à ó
ó
ó −
−
=
∆ I= N
â
â
â ò
ò
ò −
−
=
∆ K=
=
1100. ( ) ( )
[ ] ( ) ( )
∫∫∫
∫∫∫
∫∫∫ +
=
+
d
d
d
Çs
ò
I
ó
I
ñ
Ö
Çs
ò
I
ó
I
ñ
Ñ
Çs
ò
I
ó
I
ñ
Ö
ò
I
ó
I
ñ
Ñ
=
1101. ( ) ( )
[ ] ( ) ( )
∫∫∫
∫∫∫
∫∫∫ −
=
−
d
d
d
Çs
ò
I
ó
I
ñ
Ö
Çs
ò
I
ó
I
ñ
Ñ
Çs
ò
I
ó
I
ñ
Ö
ò
I
ó
I
ñ
Ñ
=
1102. ( ) ( )
∫∫∫
∫∫∫ =
d
d
Çs
ò
I
ó
I
ñ
Ñ
â
Çs
ò
I
ó
I
ñ
âÑ I==
ïÜÉêÉ=â=áë=~=Åçåëí~åíK=
=
1103. fÑ== ( ) M
ò
I
ó
I
ñ
Ñ ≥ =~åÇ=d=~åÇ=q=~êÉ=åçåçîÉêä~ééáåÖ=Ä~ëáÅ=
êÉÖáçåëI=íÜÉå==
( ) ( ) ( )
∫∫∫
∫∫∫
∫∫∫ +
=
∪ q
d
q
d
Çs
ò
I
ó
I
ñ
Ñ
Çs
ò
I
ó
I
ñ
Ñ
Çs
ò
I
ó
I
ñ
Ñ K==
eÉêÉ= q
d∪ =áë=íÜÉ=ìåáçå=çÑ=íÜÉ=êÉÖáçåë=d=~åÇ=qK=
=
CHAPTER 9. INTEGRAL CALCULUS
271
1104. bî~äì~íáçå=çÑ=qêáéäÉ=fåíÉÖê~äë=Äó=oÉéÉ~íÉÇ=fåíÉÖê~äë=
fÑ=íÜÉ=ëçäáÇ=d=áë=íÜÉ=ëÉí=çÑ=éçáåíë=( )
ò
I
ó
I
ñ =ëìÅÜ=íÜ~í=
=( ) ( ) ( )
ó
I
ñ
ò
ó
I
ñ
I
o
ó
I
ñ O
N χ
≤
≤
χ
∈ I=íÜÉå==
= ( ) ( )
( )
( )
ÇñÇó
Çò
ò
I
ó
I
ñ
Ñ
ÇñÇóÇò
ò
I
ó
I
ñ
Ñ
o
ó
I
ñ
ó
I
ñ
d
O
N
∫∫ ∫
∫∫∫ 







=
χ
χ
I==
ïÜÉêÉ=o=áë=éêçàÉÅíáçå=çÑ=d=çåíç=íÜÉ=ñó-éä~åÉK=
=
fÑ=íÜÉ=ëçäáÇ=d=áë=íÜÉ=ëÉí=çÑ=éçáåíë=( )
ò
I
ó
I
ñ =ëìÅÜ=íÜ~í=
( ) ( ) ( ) ( )
ó
I
ñ
ò
ó
I
ñ
I
ñ
ó
ñ
I
Ä
ñ
~ O
N
O
N χ
≤
≤
χ
ϕ
≤
≤
ϕ
≤
≤ I=íÜÉå==
( ) ( )
( )
( )
( )
( )
Çñ
Çó
Çò
ò
I
ó
I
ñ
Ñ
ÇñÇóÇò
ò
I
ó
I
ñ
Ñ
Ä
~
ñ
ñ
ó
I
ñ
ó
I
ñ
d
O
N
O
N
∫ ∫ ∫
∫∫∫ 















=
ϕ
ϕ
χ
χ
==
=
1105. qêáéäÉ=fåíÉÖê~äë=çîÉê=m~ê~ääÉäÉéáéÉÇ=
fÑ=d=áë=~=é~ê~ääÉäÉéáéÉÇ=[ ] [ ] [ ]
ë
I
ê
Ç
I
Å
Ä
I
~ ×
× I=íÜÉå=
( ) ( ) Çñ
Çó
Çò
ò
I
ó
I
ñ
Ñ
ÇñÇóÇò
ò
I
ó
I
ñ
Ñ
Ä
~
Ç
Å
ë
ê
d
∫ ∫ ∫
∫∫∫ 















= K==
=
få==íÜÉ=ëéÉÅá~ä=Å~ëÉ==ïÜÉêÉ=íÜÉ=áåíÉÖê~åÇ== ( )
ò
I
ó
I
ñ
Ñ ==Å~å=ÄÉ=
ïêáííÉå=~ë= ( ) ( ) ( )
ò
â
ó
Ü
ñ
Ö =ïÉ=Ü~îÉ==
( ) ( ) ( ) ( ) 























= ∫
∫
∫
∫∫∫
ë
ê
Ç
Å
Ä
~
d
Çò
ò
â
Çó
ó
Ü
Çñ
ñ
Ö
ÇñÇóÇò
ò
I
ó
I
ñ
Ñ K==
=
1106. `Ü~åÖÉ=çÑ=s~êá~ÄäÉë=
( ) =
∫∫∫
d
ÇñÇóÇò
ò
I
ó
I
ñ
Ñ =
( ) ( ) ( )
[ ] ( )
( )
I
ÇñÇóÇò
ï
I
î
I
ì
ò
I
ó
I
ñ
ï
I
î
I
ì
ò
I
ï
I
î
I
ì
ó
I
ï
I
î
I
ì
ñ
Ñ
p
∫∫∫ ∂
∂
= =
CHAPTER 9. INTEGRAL CALCULUS
272
ïÜÉêÉ==
( )
( )
M
ï
ò
î
ò
ì
ò
ï
ó
î
ó
ì
ó
ï
ñ
î
ñ
ì
ñ
ï
I
î
I
ì
ò
I
ó
I
ñ
≠
∂
∂
∂
∂
∂
∂
∂
∂
∂
∂
∂
∂
∂
∂
∂
∂
∂
∂
=
∂
∂
==áë==íÜÉ==à~ÅçÄá~å==çÑ=
íÜÉ= íê~åëÑçêã~íáçåë= ( ) ( )
ï
I
î
I
ì
ò
I
ó
I
ñ → I= ~åÇ= p= áë= íÜÉ= éìää-
Ä~Åâ= çÑ= d= ïÜáÅÜ= Å~å= ÄÉ= ÅçãéìíÉÇ= Äó= ( )
ï
I
î
I
ì
ñ
ñ = I=
( )
ï
I
î
I
ì
ó
ó = =
( )
ï
I
î
I
ì
ò
ò = =áåíç=íÜÉ=ÇÉÑáåáíáçå=çÑ=dK=
=
=
1107. qêáéäÉ=fåíÉÖê~äë=áå=`óäáåÇêáÅ~ä=`ççêÇáå~íÉë=
qÜÉ=ÇáÑÑÉêÉåíá~ä=ÇñÇóÇò=Ñçê=ÅóäáåÇêáÅ~ä=ÅççêÇáå~íÉë=áë==
( )
( )
Çò
êÇêÇ
Çò
ÇêÇ
ò
I
I
ê
ò
I
ó
I
ñ
ÇñÇóÇò θ
=
θ
θ
∂
∂
= K==
=
iÉí=íÜÉ=ëçäáÇ=d=áë=ÇÉíÉêãáåÉÇ=~ë=ÑçääçïëW=
( ) ( ) ( )
ó
I
ñ
ò
ó
I
ñ
I
o
ó
I
ñ O
N χ
≤
≤
χ
∈ I=
ïÜÉêÉ=o=áë=éêçàÉÅíáçå=çÑ=d=çåíç=íÜÉ=ñó-éä~åÉK=qÜÉå==
( ) ( )
∫∫∫
∫∫∫ θ
θ
θ
=
p
d
Çò
êÇêÇ
ò
I
ëáå
ê
I
Åçë
ê
Ñ
ÇñÇóÇò
ò
I
ó
I
ñ
Ñ =
( )
( )
( )
( )
θ








θ
θ
= ∫∫ ∫
θ
θ
θ
χ
θ
θ
χ
êÇêÇ
Çò
ò
I
ëáå
ê
I
Åçë
ê
Ñ
I
ê
o
ëáå
ê
I
Åçë
ê
ëáå
ê
I
Åçë
ê
O
N
K=
eÉêÉ=p=áë=íÜÉ=éìääÄ~Åâ=çÑ=d=áå=ÅóäáåÇêáÅ~ä=ÅççêÇáå~íÉëK=
=
1108. qêáéäÉ=fåíÉÖê~äë=áå=péÜÉêáÅ~ä=`ççêÇáå~íÉë=
qÜÉ=aáÑÑÉêÉåíá~ä=ÇñÇóÇò=Ñçê=péÜÉêáÅ~ä=`ççêÇáå~íÉë=áë==
( )
( )
ϕ
θ
θ
=
ϕ
θ
ϕ
θ
∂
∂
= Ç
ÇêÇ
ëáå
ê
Ç
ÇêÇ
I
I
ê
ò
I
ó
I
ñ
ÇñÇóÇò O
==
=
( ) =
∫∫∫
d
ÇñÇóÇò
ò
I
ó
I
ñ
Ñ =
CHAPTER 9. INTEGRAL CALCULUS
273
========= ( )
∫∫∫ ϕ
θ
θ
θ
ϕ
θ
ϕ
θ
=
p
O
Ç
ÇêÇ
ëáå
ê
Åçë
ê
I
ëáå
ëáå
ê
I
Åçë
ëáå
ê
Ñ I==
ïÜÉêÉ=íÜÉ=ëçäáÇ=p=áë=íÜÉ=éìääÄ~Åâ=çÑ=d=áå=ëéÜÉêáÅ~ä=ÅççêÇá-
å~íÉëK=qÜÉ=~åÖäÉ==θ ==ê~åÖÉë==Ñêçã==M=íç== π
O I==íÜÉ==~åÖäÉ==ϕ =
ê~åÖÉë=Ñêçã=M=íç=πK==
=
======= =
=
Figure 202.
=
1109. sçäìãÉ=çÑ=~=pçäáÇ=
∫∫∫
=
d
ÇñÇóÇò
s =
=
1110. sçäìãÉ=áå=`óäáåÇêáÅ~ä=`ççêÇáå~íÉë=
( )
Çò
êÇêÇ
s
ò
I
I
ê
p
∫∫∫
θ
θ
= =
=
1111. sçäìãÉ=áå=péÜÉêáÅ~ä=`ççêÇáå~íÉë=
( )
ϕ
θ
θ
= ∫∫∫ϕ
θ
Ç
ÇêÇ
ëáå
ê
s
I
I
ê
p
O
=
=
CHAPTER 9. INTEGRAL CALCULUS
274
1112. j~ëë=çÑ=~=pçäáÇ=
( )
∫∫∫ µ
=
d
Çs
ò
I
ó
I
ñ
ã I==
ïÜÉêÉ= íÜÉ= ëçäáÇ= çÅÅìéáÉë= ~= êÉÖáçå= d= ~åÇ= áíë= ÇÉåëáíó= ~í============
~=éçáåí=( )
ò
I
ó
I
ñ =áë= ( )
ò
I
ó
I
ñ
µ K===
=
1113. `ÉåíÉê=çÑ=j~ëë=çÑ=~=pçäáÇ=
ã
j
ñ
óò
= I=
ã
j
ó ñò
= I=
ã
j
ò
ñó
= I==
ïÜÉêÉ==
( )
∫∫∫ µ
=
d
óò Çs
ò
I
ó
I
ñ
ñ
j I==
( )
∫∫∫ µ
=
d
ñò Çs
ò
I
ó
I
ñ
ó
j I==
( )
∫∫∫ µ
=
d
ñó Çs
ò
I
ó
I
ñ
ò
j =
~êÉ==íÜÉ==Ñáêëí==ãçãÉåíë==~Äçìí==íÜÉ==ÅççêÇáå~íÉ=éä~åÉë= M
ñ = I=
M
ó = I= M
ò = I=êÉëéÉÅíáîÉäóI== ( )
ò
I
ó
I
ñ
µ =áë=íÜÉ=ÇÉåëáíó=ÑìåÅíáçåK==
=
1114. jçãÉåíë=çÑ=fåÉêíá~=~Äçìí==íÜÉ==ñó-éä~åÉ=Eçê= M
ò = FI=óò-éä~åÉ==
E M
ñ = FI=~åÇ=ñò-éä~åÉ=E M
ó = F=
( )
∫∫∫ µ
=
d
O
ñó Çs
ò
I
ó
I
ñ
ò
f I==
( )
∫∫∫ µ
=
d
O
óò Çs
ò
I
ó
I
ñ
ñ
f I==
( )
∫∫∫ µ
=
d
O
ñò Çs
ò
I
ó
I
ñ
ó
f K==
=
1115. jçãÉåíë=çÑ=fåÉêíá~=~Äçìí=íÜÉ=ñ-~ñáëI=ó-~ñáëI=~åÇ=ò-~ñáë=
( ) ( )
∫∫∫ µ
+
=
+
=
d
O
O
ñò
ñó
ñ Çs
ò
I
ó
I
ñ
ó
ò
f
f
f I==
( ) ( )
∫∫∫ µ
+
=
+
=
d
O
O
óò
ñó
ó Çs
ò
I
ó
I
ñ
ñ
ò
f
f
f I==
CHAPTER 9. INTEGRAL CALCULUS
275
( ) ( )
∫∫∫ µ
+
=
+
=
d
O
O
óò
ñò
ò Çs
ò
I
ó
I
ñ
ñ
ó
f
f
f K==
=
1116. mçä~ê=jçãÉåí=çÑ=fåÉêíá~=
( ) ( )
∫∫∫ µ
+
+
=
+
+
=
d
O
O
O
ñò
óò
ñó
M Çs
ò
I
ó
I
ñ
ò
ó
ñ
f
f
f
f =
=
=
9.12 Line Integral
=
pÅ~ä~ê=ÑìåÅíáçåëW= ( )
ò
I
ó
I
ñ
c I= ( )
ó
I
ñ
c I= ( )
ñ
Ñ =
pÅ~ä~ê=éçíÉåíá~äW= ( )
ò
I
ó
I
ñ
ì =
`ìêîÉëW=`I= N
` I= O
` =
iáãáíë=çÑ=áåíÉÖê~íáçåëW=~I=ÄI=α I=β =
m~ê~ãÉíÉêëW=íI=ë=
mçä~ê=ÅççêÇáå~íÉëW=êI=θ =
sÉÅíçê=ÑáÉäÇW= ( )
o
I
n
I
m
c
r
=
mçëáíáçå=îÉÅíçêW= ( )
ë
ê
r
=
råáí=îÉÅíçêëW= á
r
I= à
r
I=â
r
I= τ
r
=
^êÉ~=çÑ=êÉÖáçåW=p=
iÉåÖíÜ=çÑ=~=ÅìêîÉW=i=
j~ëë=çÑ=~=ïáêÉW=ã=
aÉåëáíóW= ( )
ò
I
ó
I
ñ
ρ I= ( )
ó
I
ñ
ρ =
`ççêÇáå~íÉë=çÑ=ÅÉåíÉê=çÑ=ã~ëëW= ñ I= ó I=ò =
cáêëí=ãçãÉåíëW= ñó
j I= óò
j I= ñò
j =
jçãÉåíë=çÑ=áåÉêíá~W= ñ
f I= ó
f I= ò
f =
sçäìãÉ=çÑ=~=ëçäáÇW=s=
tçêâW=t=
j~ÖåÉíáÅ=ÑáÉäÇW=_
r
=
`ìêêÉåíW=f=
bäÉÅíêçãçíáîÉ=ÑçêÅÉW=ε =
j~ÖåÉíáÅ=ÑäìñW=ψ =
CHAPTER 9. INTEGRAL CALCULUS
276
1117. iáåÉ=fåíÉÖê~ä=çÑ=~=pÅ~ä~ê=cìåÅíáçå=
iÉí=~=ÅìêîÉ=`=ÄÉ=ÖáîÉå=Äó=íÜÉ=îÉÅíçê=ÑìåÅíáçå= ( )
ë
ê
ê
r
r
= I=
p
ë
M ≤
≤ I=~åÇ=~=ëÅ~ä~ê=ÑìåÅíáçå=c=áë=ÇÉÑáåÉÇ=çîÉê=íÜÉ=ÅìêîÉ=`K==
qÜÉå==
( )
( ) ( ) ∫
∫
∫ =
=
`
`
p
M
cÇë
Çë
ò
I
ó
I
ñ
c
Çë
ë
ê
c
r
I==
ïÜÉêÉ=Çë=áë=íÜÉ=~êÅ=äÉåÖíÜ=ÇáÑÑÉêÉåíá~äK==
=
1118. ∫
∫
∫ +
=
∪ O
N
O
N `
`
`
`
Çë
c
Çë
c
Çë
c =
=
=
=
Figure 203.
=
1119. fÑ=íÜÉ=ëãççíÜ=ÅìêîÉ=`=áë=é~ê~ãÉíêáòÉÇ=Äó= ( )
í
ê
ê
r
r
= I=
β
≤
≤
α í I=íÜÉå==
( ) ( ) ( ) ( )
( ) ( )
( ) ( )
( ) ( )
( )
∫
∫
β
α
′
+
′
+
′
= Çí
í
ò
í
ó
í
ñ
í
ò
I
í
ó
I
í
ñ
c
Çë
ò
I
ó
I
ñ
c
O
O
O
`
K=
=
1120. fÑ=`=áë=~=ëãççíÜ=ÅìêîÉ=áå=íÜÉ=ñó-éä~åÉ=ÖáîÉå=Äó=íÜÉ=Éèì~íáçå=
( )
ñ
Ñ
ó = I= Ä
ñ
~ ≤
≤ I=íÜÉå==
( ) ( )
( ) ( )
( )
∫
∫ ′
+
=
Ä
~
O
`
Çñ
ñ
Ñ
N
ñ
Ñ
I
ñ
c
Çë
ó
I
ñ
c K==
=
1121. iáåÉ=fåíÉÖê~ä=çÑ=pÅ~ä~ê=cìåÅíáçå=áå=mçä~ê=`ççêÇáå~íÉë=
CHAPTER 9. INTEGRAL CALCULUS
277
( ) ( )
∫
∫
β
α
θ






θ
+
θ
θ
= Ç
Ç
Çê
ê
ëáå
ê
I
Åçë
ê
c
Çë
ó
I
ñ
c
O
O
`
I==
ïÜÉêÉ=íÜÉ=ÅìêîÉ=`=áë=ÇÉÑáåÉÇ=Äó=íÜÉ=éçä~ê=ÑìåÅíáçå= F
E
ê θ K=
=
1122. iáåÉ=fåíÉÖê~ä=çÑ=sÉÅíçê=cáÉäÇ=
iÉí=~=ÅìêîÉ=`=ÄÉ=ÇÉÑáåÉÇ=Äó=íÜÉ=îÉÅíçê=ÑìåÅíáçå= ( )
ë
ê
ê
r
r
= I=
p
ë
M ≤
≤ K=qÜÉå==
( )
γ
β
α
=
τ
= Åçë
I
Åçë
I
Åçë
Çë
ê
Ç r
r
==
áë=íÜÉ=ìåáí=îÉÅíçê=çÑ=íÜÉ=í~åÖÉåí=äáåÉ=íç=íÜáë=ÅìêîÉK==
=
=
=
Figure 204.
=
iÉí= ~= îÉÅíçê= ÑáÉäÇ= ( )
o
I
n
I
m
c
r
= áë= ÇÉÑáåÉÇ= çîÉê= íÜÉ= ÅìêîÉ= `K=
qÜÉå=íÜÉ=äáåÉ=áåíÉÖê~ä=çÑ=íÜÉ=îÉÅíçê=ÑáÉäÇ= c
r
=~äçåÖ=íÜÉ=ÅìêîÉ=
`=áë==
( )
∫
∫ γ
+
β
+
α
=
+
+
p
M
`
Çë
Åçë
o
Åçë
n
Åçë
m
oÇò
nÇó
mÇñ K=
=
=
CHAPTER 9. INTEGRAL CALCULUS
278
1123. mêçéÉêíáÉë=çÑ=iáåÉ=fåíÉÖê~äë=çÑ=sÉÅíçê=cáÉäÇë=
( ) ( )
∫
∫ ⋅
−
=
⋅
− `
`
ê
Ç
c
ê
Ç
c
r
r
r
r
I==
ïÜÉêÉ=-`=ÇÉåçíÉ==íÜÉ=ÅìêîÉ=ïáíÜ=íÜÉ=çééçëáíÉ=çêáÉåí~íáçåK=
=
( ) ( ) ( ) ( )
∫
∫
∫
∫ ⋅
+
⋅
=
⋅
=
⋅
∪ O
N
O
N `
`
`
`
`
ê
Ç
c
ê
Ç
c
ê
Ç
c
ê
Ç
c
r
r
r
r
r
r
r
r
I==
ïÜÉêÉ=`=áë=íÜÉ=ìåáçå=çÑ=íÜÉ=ÅìêîÉë= N
` =~åÇ= O
` K==
=
1124. fÑ=íÜÉ=ÅìêîÉ=`=áë=é~ê~ãÉíÉêáòÉÇ=Äó= ( ) ( ) ( ) ( )
í
ò
I
í
ó
I
í
ñ
í
ê =
r
I=
β
≤
≤
α í I=íÜÉå==
=
+
+
∫
`
oÇò
nÇó
mÇñ =
( ) ( ) ( )
( ) ( ) ( ) ( )
( ) ( ) ( ) ( )
( )
∫
β
α






+
+
= Çí
Çí
Çò
í
ò
I
í
ó
I
í
ñ
o
Çí
Çó
í
ò
I
í
ó
I
í
ñ
n
Çí
Çñ
í
ò
I
í
ó
I
í
ñ
m
=
1125. fÑ=`=äáÉë=áå=íÜÉ=ñó-éä~åÉ=~åÇ=ÖáîÉå=Äó=íÜÉ=Éèì~íáçå= ( )
ñ
Ñ
ó = I=
íÜÉå==
( )
( ) ( )
( )
∫
∫ 





+
=
+
Ä
~
`
Çñ
Çñ
ÇÑ
ñ
Ñ
I
ñ
n
ñ
Ñ
I
ñ
m
nÇó
mÇñ K==
=
1126. dêÉÉå∞ë=qÜÉçêÉã=
∫
∫∫ +
=








∂
∂
−
∂
∂
`
o
nÇó
mÇñ
ÇñÇó
ó
m
ñ
n
I==
ïÜÉêÉ= ( ) ( )à
ó
I
ñ
n
á
ó
I
ñ
m
c
r
r
r
+
= = áë= ~= Åçåíáåìçìë= îÉÅíçê= ÑìåÅ-
íáçå=ïáíÜ==Åçåíáåìçìë==Ñáêëí=é~êíá~ä==ÇÉêáî~íáîÉë=
ó
m
∂
∂
I=
ñ
n
∂
∂
=áå=~=
ëçãÉ= Ççã~áå= oI= ïÜáÅÜ= áë= ÄçìåÇÉÇ= Äó= ~= ÅäçëÉÇI= éáÉÅÉïáëÉ=
ëãççíÜ=ÅìêîÉ=`K==
=
=
CHAPTER 9. INTEGRAL CALCULUS
279
1127. ^êÉ~=çÑ=~=oÉÖáçå=o=_çìåÇÉÇ=Äó=íÜÉ=`ìêîÉ=`=
∫
∫∫ −
=
=
`
o
óÇñ
ñÇó
O
N
ÇñÇó
p =
=
1128. m~íÜ=fåÇÉéÉåÇÉåÅÉ=çÑ=iáåÉ=fåíÉÖê~äë=
qÜÉ= äáåÉ= áåíÉÖê~ä= çÑ= ~= îÉÅíçê= ÑìåÅíáçå= â
o
à
n
á
m
c
r
r
r
r
+
+
= = áë=
ë~áÇ=íç=ÄÉ=é~íÜ=áåÇÉéÉåÇÉåíI=áÑ=~åÇ=çåäó=áÑ=mI=nI=~åÇ=o=~êÉ=
Åçåíáåìçìë=áå=~=Ççã~áå=aI=~åÇ=áÑ=íÜÉêÉ=Éñáëíë=ëçãÉ=ëÅ~ä~ê=
ÑìåÅíáçå== ( )
ò
I
ó
I
ñ
ì
ì = ==E~==ëÅ~ä~ê==éçíÉåíá~äF==áå==a==ëìÅÜ=íÜ~í=
ì
Öê~Ç
c =
r
I=çê= m
ñ
ì
=
∂
∂
I= n
ó
ì
=
∂
∂
I= o
ò
ì
=
∂
∂
K==
qÜÉå==
( ) ( ) ( )
^
ì
_
ì
oÇò
nÇó
mÇñ
ê
Ç
ê
c
`
`
−
=
+
+
=
⋅ ∫
∫
r
r
r
K==
=
1129. qÉëí=Ñçê=~=`çåëÉêî~íáîÉ=cáÉäÇ=
^=îÉÅíçê=ÑáÉäÇ=çÑ=íÜÉ=Ñçêã= ì
Öê~Ç
c =
r
=áë=Å~ääÉÇ=~=ÅçåëÉêî~íáîÉ=
ÑáÉäÇK=qÜÉ=äáåÉ=áåíÉÖê~ä=çÑ=~=îÉÅíçê=ÑìåÅíáçå= â
o
à
n
á
m
c
r
r
r
r
+
+
= =
áë=é~íÜ=áåÇÉéÉåÇÉåí=áÑ=~åÇ=çåäó=áÑ==
M
o
n
m
ò
ó
ñ
â
à
á
c
Åìêä
r
r
r
r
r
=
∂
∂
∂
∂
∂
∂
= K==
=
fÑ=íÜÉ=äáåÉ=áåíÉÖê~ä=áë=í~âÉå=áå=ñó-éä~åÉ=ëç=íÜ~í==
( ) ( )
^
ì
_
ì
nÇó
mÇñ
`
−
=
+
∫ I==
íÜÉå=íÜÉ=íÉëí=Ñçê=ÇÉíÉêãáåáåÖ=áÑ=~=îÉÅíçê=ÑáÉäÇ=áë=ÅçåëÉêî~íáîÉ=
Å~å=ÄÉ=ïêáííÉå=áå=íÜÉ=Ñçêã==
ñ
n
ó
m
∂
∂
=
∂
∂
K==
=
CHAPTER 9. INTEGRAL CALCULUS
280
1130. iÉåÖíÜ=çÑ=~=`ìêîÉ=
( ) ∫
∫
∫
β
α
β
α






+






+






=
=
= Çí
Çí
Çò
Çí
Çó
Çí
Çñ
Çí
í
Çí
ê
Ç
Çë
i
O
O
O
`
r
I=
ïÜÉêÉ=`=á~=~=éáÉÅÉïáëÉ=ëãççíÜ=ÅìêîÉ=ÇÉëÅêáÄÉÇ=Äó=íÜÉ=éçëá-
íáçå=îÉÅíçê= ( )
í
ê
r
I= β
≤
≤
α í K=
=
fÑ=íÜÉ=ÅìêîÉ=`=áë=íïç-ÇáãÉåëáçå~äI=íÜÉå=
( ) ∫
∫
∫
β
α
β
α






+






=
=
= Çí
Çí
Çó
Çí
Çñ
Çí
í
Çí
ê
Ç
Çë
i
O
O
`
r
K==
=
fÑ=íÜÉ=ÅìêîÉ=`=áë=íÜÉ=Öê~éÜ=çÑ=~=ÑìåÅíáçå= ( )
ñ
Ñ
ó = =áå=íÜÉ=ñó-
éä~åÉ=( )
Ä
ñ
~ ≤
≤ I=íÜÉå==
∫ 





+
=
Ä
~
O
Çñ
Çñ
Çó
N
i K==
=
1131. iÉåÖíÜ=çÑ=~=`ìêîÉ=áå=mçä~ê=`ççêÇáå~íÉë=
∫
β
α
θ
+






θ
= Ç
ê
Ç
Çê
i O
O
I==
ïÜÉêÉ=íÜÉ=ÅìêîÉ=`=áë=ÖáîÉå=Äó=íÜÉ=Éèì~íáçå= ( )
θ
= ê
ê I=
β
≤
θ
≤
α =áå=éçä~ê=ÅççêÇáå~íÉëK===
=
1132. j~ëë=çÑ=~=táêÉ=
( )
∫ρ
=
`
Çë
ò
I
ó
I
ñ
ã I==
ïÜÉêÉ= ( )
ò
I
ó
I
ñ
ρ =áë=íÜÉ=ã~ëë=éÉê=ìåáí=äÉåÖíÜ=çÑ=íÜÉ=ïáêÉK=
=
fÑ=`=áë=~=ÅìêîÉ=é~ê~ãÉíêáòÉÇ=Äó=íÜÉ=îÉÅíçê=ÑìåÅíáçå
( ) ( ) ( ) ( )
í
ò
I
í
ó
I
í
ñ
í
ê =
r
I==íÜÉå==íÜÉ==ã~ëë==Å~å==ÄÉ==ÅçãéìíÉÇ=Äó=
íÜÉ=Ñçêãìä~=
CHAPTER 9. INTEGRAL CALCULUS
281
( ) ( ) ( )
( )
∫
β
α






+






+






ρ
= Çí
Çí
Çò
Çí
Çó
Çí
Çñ
í
ò
I
í
ó
I
í
ñ
ã
O
O
O
K==
=
fÑ=`=áë=~=ÅìêîÉ=áå=ñó-éä~åÉI=íÜÉå=íÜÉ=ã~ëë=çÑ=íÜÉ=ïáêÉ=áë=ÖáîÉå=
Äó==
( )
∫ρ
=
`
Çë
ó
I
ñ
ã I=
çê=
( ) ( )
( )
∫
β
α






+






ρ
= Çí
Çí
Çó
Çí
Çñ
í
ó
I
í
ñ
ã
O
O
=Eáå=é~ê~ãÉíêáÅ=ÑçêãFK=
=
1133. `ÉåíÉê=çÑ=j~ëë=çÑ=~=táêÉ=
ã
j
ñ
óò
= I=
ã
j
ó ñò
= I=
ã
j
ò
ñó
= I=
ïÜÉêÉ==
( )
∫ ρ
=
`
óò Çë
ò
I
ó
I
ñ
ñ
j I==
( )
∫ ρ
=
`
ñò Çë
ò
I
ó
I
ñ
ó
j I==
( )
∫ ρ
=
`
ñó Çë
ò
I
ó
I
ñ
ò
j K=
=
1134. jçãÉåíë=çÑ=fåÉêíá~=
qÜÉ=ãçãÉåíë=çÑ=áåÉêíá~=~Äçìí=íÜÉ=ñ-~ñáëI=ó-~ñáëI=~åÇ=ò-~ñáë=
~êÉ=ÖáîÉå=Äó=íÜÉ=Ñçêãìä~ë=
( ) ( )
∫ ρ
+
=
`
O
O
ñ Çë
ò
I
ó
I
ñ
ò
ó
f I==
( ) ( )
∫ ρ
+
=
`
O
O
ó Çë
ò
I
ó
I
ñ
ò
ñ
f I==
( ) ( )
∫ ρ
+
=
`
O
O
ò Çë
ò
I
ó
I
ñ
ó
ñ
f K==
=
CHAPTER 9. INTEGRAL CALCULUS
282
1135. ^êÉ~=çÑ=~=oÉÖáçå=_çìåÇÉÇ=Äó=~=`äçëÉÇ=`ìêîÉ=
∫
∫
∫ −
=
−
=
=
`
`
`
óÇñ
ñÇó
O
N
óÇñ
ñÇó
p K==
=
=
=
Figure 205.
=
fÑ=íÜÉ=ÅäçëÉÇ=ÅìêîÉ=`=áë=ÖáîÉå=áå=é~ê~ãÉíêáÅ=Ñçêã=
( ) ( ) ( )
í
ó
I
í
ñ
í
ê =
r
I=íÜÉå=íÜÉ=~êÉ~=Å~å=ÄÉ=Å~äÅìä~íÉÇ=Äó=íÜÉ=Ñçê-
ãìä~=
( ) ( ) ( ) ( )
∫
∫
∫
β
α
β
α
β
α






−
=
−
=
= Çí
Çí
Çñ
í
ó
Çí
Çó
í
ñ
O
N
Çí
Çí
Çñ
í
ó
Çí
Çí
Çó
í
ñ
p K==
=
1136. sçäìãÉ=çÑ=~=pçäáÇ=cçêãÉÇ=Äó=oçí~íáåÖ=~=`äçëÉÇ=`ìêîÉ=
~Äçìí=íÜÉ=ñ-~ñáë=
∫
∫
∫ +
π
−
=
π
−
=
π
−
=
`
O
`
`
O
Çñ
ó
ñóÇó
O
O
ñóÇó
O
Çñ
ó
s ==
=
CHAPTER 9. INTEGRAL CALCULUS
283
=
=
Figure 206.
=
1137. tçêâ=
tçêâ=ÇçåÉ=Äó=~=ÑçêÅÉ= c
r
=çå=~å=çÄàÉÅí=ãçîáåÖ=~äçåÖ=~=ÅìêîÉ=
`=áë=ÖáîÉå=Äó=íÜÉ=äáåÉ=áåíÉÖê~ä=
∫ ⋅
=
`
ê
Ç
c
t
r
r
I=
ïÜÉêÉ= c
r
=áë=íÜÉ=îÉÅíçê=ÑçêÅÉ=ÑáÉäÇ=~ÅíáåÖ=çå=íÜÉ=çÄàÉÅíI= ê
Ç
r
=áë=
íÜÉ=ìåáí=í~åÖÉåí=îÉÅíçêK==
=
=
Figure 207.
CHAPTER 9. INTEGRAL CALCULUS
284
fÑ=íÜÉ=çÄàÉÅí=áë=ãçîÉÇ=~äçåÖ=~=ÅìêîÉ=`=áå=íÜÉ=ñó-éä~åÉI=íÜÉå=
∫
∫ +
=
⋅
=
`
`
nÇó
mÇñ
ê
Ç
c
t
r
r
I==
=
fÑ= ~= é~íÜ= `= áë= ëéÉÅáÑáÉÇ= Äó= ~= é~ê~ãÉíÉê= í= Eí= çÑíÉå= ãÉ~åë=
íáãÉFI=íÜÉ=Ñçêãìä~=Ñçê=Å~äÅìä~íáåÖ=ïçêâ=ÄÉÅçãÉë=
( ) ( ) ( )
( ) ( ) ( ) ( )
( ) ( ) ( ) ( )
( ) I
Çí
Çí
Çò
í
ò
I
í
ó
I
í
ñ
o
Çí
Çó
í
ò
I
í
ó
I
í
ñ
n
Çí
Çñ
í
ò
I
í
ó
I
í
ñ
m
t ∫
β
α






+
+
=
ïÜÉêÉ=í=ÖçÉë=Ñêçã=α =íç=β K==
=
fÑ=~=îÉÅíçê=ÑáÉäÇ= c
r
=áë=ÅçåëÉêî~íáîÉ=~åÇ= ( )
ò
I
ó
I
ñ
ì =áë=~=ëÅ~ä~ê=
éçíÉåíá~ä=çÑ=íÜÉ=ÑáÉäÇI=íÜÉå=íÜÉ=ïçêâ=çå=~å=çÄàÉÅí=ãçîáåÖ=
Ñêçã=^=íç=_=Å~å=ÄÉ=ÑçìåÇ=Äó=íÜÉ=Ñçêãìä~=
( ) ( )
^
ì
_
ì
t −
= K==
=
1138. ^ãéÉêÉ∞ë=i~ï=
f
ê
Ç
_ M
`
µ
=
⋅
∫
r
r
K==
qÜÉ=äáåÉ=áåíÉÖê~ä=çÑ=~=ã~ÖåÉíáÅ=ÑáÉäÇ=_
r
=~êçìåÇ=~=ÅäçëÉÇ=é~íÜ=
`=áë=Éèì~ä=íç=íÜÉ=íçí~ä=ÅìêêÉåí=f=ÑäçïáåÖ=íÜêçìÖÜ=íÜÉ=~êÉ~=
ÄçìåÇÉÇ=Äó=íÜÉ=é~íÜK==
=
=
Figure 208.
CHAPTER 9. INTEGRAL CALCULUS
285
1139. c~ê~Ç~ó∞ë=i~ï=
Çí
Ç
ê
Ç
b
`
ψ
−
=
⋅
=
ε ∫
r
r
=
=
qÜÉ=ÉäÉÅíêçãçíáîÉ=ÑçêÅÉ=EÉãÑF= ε =áåÇìÅÉÇ=~êçìåÇ=~=ÅäçëÉÇ=
äççé=`=áë=Éèì~ä=íç=íÜÉ=ê~íÉ=çÑ=íÜÉ=ÅÜ~åÖÉ=çÑ=ã~ÖåÉíáÅ=Ñäìñ= ψ =
é~ëëáåÖ=íÜêçìÖÜ=íÜÉ=äççéK===
=
=
=
Figure 209.
=
=
=
9.13 Surface Integral
=
pÅ~ä~ê=ÑìåÅíáçåëW= ( )
ò
I
ó
I
ñ
Ñ I= ( )
ó
I
ñ
ò =
mçëáíáçå=îÉÅíçêëW= ( )
î
I
ì
ê
r
I= ( )
ò
I
ó
I
ñ
ê
r
=
råáí=îÉÅíçêëW= á
r
I= à
r
I=â
r
=
pìêÑ~ÅÉW=p=
sÉÅíçê=ÑáÉäÇW= ( )
o
I
n
I
m
c
r
=
aáîÉêÖÉåÅÉ=çÑ=~=îÉÅíçê=ÑáÉäÇW= c
c
Çáî
r
r
⋅
∇
= =
CHAPTER 9. INTEGRAL CALCULUS
286
`ìêä=çÑ=~=îÉÅíçê=ÑáÉäÇW= c
c
Åìêä
r
r
×
∇
= ==
sÉÅíçê=ÉäÉãÉåí=çÑ=~=ëìêÑ~ÅÉW= p
Ç
r
=
kçêã~ä=íç=ëìêÑ~ÅÉW=å
r
=
pìêÑ~ÅÉ=~êÉ~W=^=
j~ëë=çÑ=~=ëìêÑ~ÅÉW=ã=
aÉåëáíóW= ( )
ò
I
ó
I
ñ
µ =
`ççêÇáå~íÉë=çÑ=ÅÉåíÉê=çÑ=ã~ëëW= ñ I= ó I=ò =
cáêëí=ãçãÉåíëW= ñó
j I= óò
j I= ñò
j =
jçãÉåíë=çÑ=áåÉêíá~W= ñó
f I= óò
f I= ñò
f I= ñ
f I= ó
f I= ò
f =
sçäìãÉ=çÑ=~=ëçäáÇW=s=
cçêÅÉW=c
r
=
dê~îáí~íáçå~ä=Åçåëí~åíW=d=
cäìáÇ=îÉäçÅáíóW= ( )
ê
î
r
r
=
cäìáÇ=ÇÉåëáíóW=ρ =
mêÉëëìêÉW= ( )
ê
é
r
=
j~ëë=ÑäìñI=ÉäÉÅíêáÅ=ÑäìñW=Φ =
pìêÑ~ÅÉ=ÅÜ~êÖÉW=n=
`Ü~êÖÉ=ÇÉåëáíóW= ( )
ó
I
ñ
σ =
j~ÖåáíìÇÉ=çÑ=íÜÉ=ÉäÉÅíêáÅ=ÑáÉäÇW=b
r
=
=
=
1140. pìêÑ~ÅÉ=fåíÉÖê~ä=çÑ=~=pÅ~ä~ê=cìåÅíáçå=
iÉí=~=ëìêÑ~ÅÉ=p=ÄÉ=ÖáîÉå=Äó=íÜÉ=éçëáíáçå=îÉÅíçê=
( ) ( ) ( ) ( )â
î
I
ì
ò
à
î
I
ì
ó
á
î
I
ì
ñ
î
I
ì
ê
r
r
r
r
+
+
= I==
ïÜÉêÉ= ( )
î
I
ì =ê~åÖÉë=çîÉê=ëçãÉ=Ççã~áå= ( )
î
I
ì
a =çÑ=íÜÉ=ìî-
éä~åÉK=
qÜÉ==ëìêÑ~ÅÉ==áåíÉÖê~ä==çÑ==~==ëÅ~ä~ê=ÑìåÅíáçå== ( )
ò
I
ó
I
ñ
Ñ =çîÉê=
íÜÉ=ëìêÑ~ÅÉ=p=áë=ÇÉÑáåÉÇ=~ë==
( ) ( ) ( ) ( )
( )
( )
∫∫
∫∫ ∂
∂
×
∂
∂
=
î
I
ì
a
p
ÇìÇî
î
ê
ì
ê
î
I
ì
ò
I
î
I
ì
ó
I
î
I
ì
ñ
Ñ
Çp
ò
I
ó
I
ñ
Ñ
r
r
I==
ïÜÉêÉ=íÜÉ=é~êíá~ä=ÇÉêáî~íáîÉë=
ì
ê
∂
∂
r
=~åÇ=
î
ê
∂
∂
r
=~êÉ=ÖáîÉå=Äó==
CHAPTER 9. INTEGRAL CALCULUS
287
( ) ( ) ( )â
î
I
ì
ì
ò
à
î
I
ì
ì
ó
á
î
I
ì
ì
ñ
ì
ê r
r
r
r
∂
∂
+
∂
∂
+
∂
∂
=
∂
∂
I==
( ) ( ) ( )â
î
I
ì
î
ò
à
î
I
ì
î
ó
á
î
I
ì
î
ñ
î
ê r
r
r
r
∂
∂
+
∂
∂
+
∂
∂
=
∂
∂
=
~åÇ=
î
ê
ì
ê
∂
∂
×
∂
∂
r
r
=áë=íÜÉ=Åêçëë=éêçÇìÅíK==
=
1141. fÑ==íÜÉ==ëìêÑ~ÅÉ==p==áë==ÖáîÉå=Äó==íÜÉ=Éèì~íáçå= ( )
ó
I
ñ
ò
ò = =ïÜÉêÉ=
( )
ó
I
ñ
ò ==áë==~==ÇáÑÑÉêÉåíá~ÄäÉ==ÑìåÅíáçå==áå=íÜÉ=Ççã~áå= ( )
ó
I
ñ
a I=
íÜÉå==
( ) ( )
( )
( )
∫∫
∫∫ 







∂
∂
+






∂
∂
+
=
ó
I
ñ
a
O
O
p
ÇñÇó
ó
ò
ñ
ò
N
ó
I
ñ
ò
I
ó
I
ñ
Ñ
Çp
ò
I
ó
I
ñ
Ñ K==
=
1142. pìêÑ~ÅÉ=fåíÉÖê~ä=çÑ=íÜÉ=sÉÅíçê=cáÉäÇ=c
r
=çîÉê=íÜÉ=pìêÑ~ÅÉ=p=
• fÑ=p=áë=çêáÉåíÉÇ=çìíï~êÇI=íÜÉå==
===== ( ) ( )
∫∫
∫∫ ⋅
=
⋅
p
p
Çp
å
ò
I
ó
I
ñ
c
p
Ç
ò
I
ó
I
ñ
c
r
r
r
r
=
====== ( ) ( ) ( )
( )
( )
∫∫ 





∂
∂
×
∂
∂
⋅
=
î
I
ì
a
ÇìÇî
î
ê
ì
ê
î
I
ì
ò
I
î
I
ì
ó
I
î
I
ì
ñ
c
r
r
r
K==
=
• fÑ=p=áë=çêáÉåíÉÇ=áåï~êÇI=íÜÉå==
===== ( ) ( )
∫∫
∫∫ ⋅
=
⋅
p
p
Çp
å
ò
I
ó
I
ñ
c
p
Ç
ò
I
ó
I
ñ
c
r
r
r
r
=
====== ( ) ( ) ( )
( )
( )
∫∫ 





∂
∂
×
∂
∂
⋅
=
î
I
ì
a
ÇìÇî
ì
ê
î
ê
î
I
ì
ò
I
î
I
ì
ó
I
î
I
ì
ñ
c
r
r
r
K==
=
Çp
å
p
Ç
r
r
= ==áë==Å~ääÉÇ==íÜÉ==îÉÅíçê=ÉäÉãÉåí=çÑ=íÜÉ=ëìêÑ~ÅÉK==açí=
ãÉ~åë==íÜÉ==ëÅ~ä~ê==éêçÇìÅí==çÑ==íÜÉ==~ééêçéêá~íÉ==îÉÅíçêëK=
qÜÉ=é~êíá~ä=ÇÉêáî~íáîÉë=
ì
ê
∂
∂
r
=~åÇ==
î
ê
∂
∂
r
=~êÉ=ÖáîÉå=Äó==
CHAPTER 9. INTEGRAL CALCULUS
288
( ) ( ) ( ) â
î
I
ì
ì
ò
à
î
I
ì
ì
ó
á
î
I
ì
ì
ñ
ì
ê r
r
r
r
⋅
∂
∂
+
⋅
∂
∂
+
⋅
∂
∂
=
∂
∂
I==
( ) ( ) ( ) â
î
I
ì
î
ò
à
î
I
ì
î
ó
á
î
I
ì
î
ñ
î
ê r
r
r
r
⋅
∂
∂
+
⋅
∂
∂
+
⋅
∂
∂
=
∂
∂
K==
=
1143. fÑ==íÜÉ==ëìêÑ~ÅÉ==p==áë==ÖáîÉå=Äó=íÜÉ=Éèì~íáçå= ( )
ó
I
ñ
ò
ò = I=ïÜÉêÉ=
( )
ó
I
ñ
ò ==áë==~==ÇáÑÑÉêÉåíá~ÄäÉ==ÑìåÅíáçå==áå==íÜÉ=Ççã~áå= ( )
ó
I
ñ
a I=
íÜÉå==
• fÑ=p=áë=çêáÉåíÉÇ=ìéï~êÇI=áKÉK=íÜÉ=â-íÜ=ÅçãéçåÉåí=çÑ=íÜÉ=
åçêã~ä=îÉÅíçê=áë=éçëáíáîÉI=íÜÉå===
===== ( ) ( )
∫∫
∫∫ ⋅
=
⋅
p
p
Çp
å
ò
I
ó
I
ñ
c
p
Ç
ò
I
ó
I
ñ
c
r
r
r
r
=
====== ( )
( )
∫∫ 







+
∂
∂
−
∂
∂
−
⋅
=
ó
I
ñ
a
ÇñÇó
â
à
ó
ò
á
ñ
ò
ò
I
ó
I
ñ
c
r
r
r
r
I==
=
• fÑ=p=áë=çêáÉåíÉÇ=Ççïåï~êÇI=áKÉK=íÜÉ=â-íÜ=ÅçãéçåÉåí=çÑ=íÜÉ=
åçêã~ä=îÉÅíçê=áë=åÉÖ~íáîÉI=íÜÉå===
===== ( ) ( )
∫∫
∫∫ ⋅
=
⋅
p
p
Çp
å
ò
I
ó
I
ñ
c
p
Ç
ò
I
ó
I
ñ
c
r
r
r
r
====== ( )
( )
∫∫ 







−
∂
∂
+
∂
∂
⋅
=
ó
I
ñ
a
ÇñÇó
â
à
ó
ò
á
ñ
ò
ò
I
ó
I
ñ
c
r
r
r
r
K==
=
1144. ( ) ∫∫
∫∫ +
+
=
⋅
p
p
oÇñÇó
nÇòÇñ
mÇóÇò
Çp
å
c
r
r
=
( )
∫∫ γ
+
β
+
α
=
p
Çp
Åçë
o
Åçë
n
Åçë
m I==
ïÜÉêÉ= ( )
ò
I
ó
I
ñ
m I= ( )
ò
I
ó
I
ñ
n I= ( )
ò
I
ó
I
ñ
o =~êÉ=íÜÉ=ÅçãéçåÉåíë=çÑ=
íÜÉ=îÉÅíçê= ÑáÉäÇ= c
r
K==
α
Åçë I= β
Åçë I= γ
Åçë ==~êÉ=íÜÉ= ~åÖäÉë= ÄÉíïÉÉå=íÜÉ=çìíÉê=ìåáí=
åçêã~ä=îÉÅíçê= å
r
=~åÇ=íÜÉ=ñ-~ñáëI=ó-~ñáëI=~åÇ=ò-~ñáëI=êÉëéÉÅí-
áîÉäóK=
=
CHAPTER 9. INTEGRAL CALCULUS
289
1145. fÑ=íÜÉ=ëìêÑ~ÅÉ=p=áë=ÖáîÉå=áå=é~ê~ãÉíêáÅ=Ñçêã=Äó=íÜÉ=îÉÅíçê=
( ) ( ) ( )
( )
î
I
ì
ò
I
î
I
ì
ó
I
î
I
ì
ñ
ê
r
I==íÜÉå==íÜÉ==ä~ííÉê=Ñçêãìä~=Å~å=ÄÉ=
ïêáííÉå=~ë==
( )
( )
I
ÇìÇî
î
ò
î
ó
î
ñ
ì
ò
ì
ó
ì
ñ
o
n
m
oÇñÇó
nÇòÇñ
mÇóÇò
Çp
å
c
î
I
ì
a
p
p
∫∫
∫∫
∫∫
∂
∂
∂
∂
∂
∂
∂
∂
∂
∂
∂
∂
=
+
+
=
⋅
r
r
ïÜÉêÉ= ( )
î
I
ì = ê~åÖÉë= çîÉê= ëçãÉ= Ççã~áå= ( )
î
I
ì
a = çÑ= íÜÉ= ìî-
éä~åÉK=
=
1146. aáîÉêÖÉåÅÉ=qÜÉçêÉã=
( )
∫∫∫
∫∫ ⋅
∇
=
⋅
d
p
Çs
c
p
Ç
c
r
r
r
I==
ïÜÉêÉ==
( ) ( ) ( ) ( )
ò
I
ó
I
ñ
o
I
ò
I
ó
I
ñ
n
I
ò
I
ó
I
ñ
m
ò
I
ó
I
ñ
c =
r
===
áë==~==îÉÅíçê==ÑáÉäÇ==ïÜçëÉ==ÅçãéçåÉåíë==mI==nI==~åÇ==o==Ü~îÉ==
Åçåíáåìçìë=é~êíá~ä=ÇÉêáî~íáîÉëI==
ò
o
ó
n
ñ
m
c
∂
∂
+
∂
∂
+
∂
∂
=
⋅
∇
r
==
áë==íÜÉ==ÇáîÉêÖÉåÅÉ==çÑ==c
r
I==~äëç==ÇÉåçíÉÇ== c
Çáî
r
K==qÜÉ==ëóãÄçä=
∫∫ =áåÇáÅ~íÉë==íÜ~í=íÜÉ=ëìêÑ~ÅÉ=áåíÉÖê~ä=áë=í~âÉå=çîÉê=~=ÅäçëÉÇ=
ëìêÑ~ÅÉK==
=
1147. aáîÉêÖÉåÅÉ=qÜÉçêÉã=áå=`ççêÇáå~íÉ=cçêã=
∫∫∫
∫∫ 







∂
∂
+
∂
∂
+
∂
∂
=
+
+
d
p
ÇñÇóÇò
ò
o
ó
n
ñ
m
oÇñÇó
nÇñÇò
mÇóÇò K==
=
1148. píçâÉ∞ë=qÜÉçêÉã=
( )
∫∫
∫ ⋅
×
∇
=
⋅
p
`
p
Ç
c
ê
Ç
c
r
r
r
r
I==
CHAPTER 9. INTEGRAL CALCULUS
290
ïÜÉêÉ==
( ) ( ) ( ) ( )
ò
I
ó
I
ñ
o
I
ò
I
ó
I
ñ
n
I
ò
I
ó
I
ñ
m
ò
I
ó
I
ñ
c =
r
===
áë==~=îÉÅíçê==ÑáÉäÇ==ïÜçëÉ==ÅçãéçåÉåíë==mI==nI==~åÇ=o==Ü~îÉ=
Åçåíáåìçìë=é~êíá~ä=ÇÉêáî~íáîÉëI==
â
ó
m
ñ
n
à
ñ
o
ò
m
á
ò
n
ó
o
o
n
m
ñ
ñ
ñ
â
à
á
c
r
r
r
r
r
r
r








∂
∂
−
∂
∂
+






∂
∂
−
∂
∂
+








∂
∂
−
∂
∂
=
∂
∂
∂
∂
∂
∂
=
×
∇
áë=íÜÉ=Åìêä=çÑ=c
r
I=~äëç=ÇÉåçíÉÇ= c
Åìêä
r
K==
qÜÉ=ëóãÄçä== ∫ =áåÇáÅ~íÉë=íÜ~í=íÜÉ=äáåÉ=áåíÉÖê~ä=áë=í~âÉå=çîÉê=
~=ÅäçëÉÇ=ÅìêîÉK==
=
1149. píçâÉ∞ë=qÜÉçêÉã=áå=`ççêÇáå~íÉ=cçêã=
∫ +
+
`
oÇò
nÇó
mÇñ =
∫∫ 







∂
∂
−
∂
∂
+






∂
∂
−
∂
∂
+








∂
∂
−
∂
∂
=
p
ÇñÇó
ó
m
ñ
n
ÇòÇñ
ñ
o
ò
m
ÇóÇò
ò
n
ó
o
==
1150. pìêÑ~ÅÉ=^êÉ~=
∫∫
=
p
Çp
^ =
=
1151. fÑ=íÜÉ=ëìêÑ~ÅÉ=p=áë=é~ê~ãÉíÉêáòÉÇ=Äó=íÜÉ=îÉÅíçê==
( ) ( ) ( ) ( )â
î
I
ì
ò
à
î
I
ì
ó
á
î
I
ì
ñ
î
I
ì
ê
r
r
r
r
+
+
= I==
íÜÉå=íÜÉ=ëìêÑ~ÅÉ=~êÉ~=áë==
( )
∫∫ ∂
∂
×
∂
∂
=
î
I
ì
a
ÇìÇî
î
ê
ì
ê
^
r
r
I==
ïÜÉêÉ== ( )
î
I
ì
a ==áë==íÜÉ==Ççã~áå==ïÜÉêÉ==íÜÉ=ëìêÑ~ÅÉ= ( )
î
I
ì
ê
r
=áë=
ÇÉÑáåÉÇK==
=
CHAPTER 9. INTEGRAL CALCULUS
291
1152. fÑ=p=áë=ÖáîÉå=ÉñéäáÅáíäó=Äó=íÜÉ=ÑìåÅíáçå= ( )
ó
I
ñ
ò I==íÜÉå==íÜÉ==ëìê-
Ñ~ÅÉ=~êÉ~=áë==
( )
∫∫ 







∂
∂
+






∂
∂
+
=
ó
I
ñ
a
O
O
ÇñÇó
ó
ò
ñ
ò
N
^ I==
ïÜÉêÉ= ( )
ó
I
ñ
a =áë=íÜÉ=éêçàÉÅíáçå=çÑ=íÜÉ=ëìêÑ~ÅÉ=p=çåíç=íÜÉ=ñó-
éä~åÉK==
=
1153. j~ëë=çÑ=~=pìêÑ~ÅÉ=
( )
∫∫µ
=
p
Çp
ò
I
ó
I
ñ
ã I==
ïÜÉêÉ= ( )
ò
I
ó
I
ñ
µ = áë= íÜÉ= ã~ëë= éÉê= ìåáí= ~êÉ~= = EÇÉåëáíó= ÑìåÅ-
íáçåFK=
=
1154. `ÉåíÉê=çÑ=j~ëë=çÑ=~=pÜÉää=
ã
j
ñ
óò
= I=
ã
j
ó ñò
= I=
ã
j
ò
ñó
= I==
ïÜÉêÉ==
( )
∫∫ µ
=
p
óò Çp
ò
I
ó
I
ñ
ñ
j I==
( )
∫∫ µ
=
p
ñò Çp
ò
I
ó
I
ñ
ó
j I==
( )
∫∫ µ
=
p
ñó Çp
ò
I
ó
I
ñ
ò
j =
~êÉ==íÜÉ==Ñáêëí==ãçãÉåíë==~Äçìí===íÜÉ=ÅççêÇáå~íÉ=éä~åÉë= M
ñ = I=
M
ó = I= M
ò = I==êÉëéÉÅíáîÉäóK== ( )
ò
I
ó
I
ñ
µ =áë=íÜÉ=ÇÉåëáíó=ÑìåÅíáçåK=
=
1155. jçãÉåíë=çÑ=fåÉêíá~=~Äçìí=íÜÉ=ñó-éä~åÉ=Eçê= M
ò = FI==óò-éä~åÉ==
E M
ñ = FI=~åÇ=ñò-éä~åÉ=E M
ó = F=
( )
∫∫ µ
=
p
O
ñó Çp
ò
I
ó
I
ñ
ò
f I==
( )
∫∫ µ
=
p
O
óò Çp
ò
I
ó
I
ñ
ñ
f I==
CHAPTER 9. INTEGRAL CALCULUS
292
( )
∫∫ µ
=
p
O
ñò Çp
ò
I
ó
I
ñ
ó
f K=
=
1156. jçãÉåíë=çÑ=fåÉêíá~=~Äçìí=íÜÉ=ñ-~ñáëI=ó-~ñáëI=~åÇ=ò-~ñáë=
( ) ( )
∫∫ µ
+
=
p
O
O
ñ Çp
ò
I
ó
I
ñ
ò
ó
f I==
( ) ( )
∫∫ µ
+
=
p
O
O
ó Çp
ò
I
ó
I
ñ
ò
ñ
f I==
( ) ( )
∫∫ µ
+
=
p
O
O
ò Çp
ò
I
ó
I
ñ
ó
ñ
f K==
=
1157. sçäìãÉ=çÑ=~=pçäáÇ=_çìåÇÉÇ=Äó=~=`äçëÉÇ=pìêÑ~ÅÉ=
∫∫ +
+
=
p
òÇñÇó
óÇñÇò
ñÇóÇò
P
N
s ==
=
1158. dê~îáí~íáçå~ä=cçêÅÉ=
( )
∫∫µ
=
p
P
Çp
ê
ê
ò
I
ó
I
ñ
dã
c
r
r
I=
ïÜÉêÉ=ã=áë=~=ã~ëë=~í=~=éçáåí= M
M
M ò
I
ó
I
ñ =çìíëáÇÉ=íÜÉ=ëìêÑ~ÅÉI==
M
M
M ò
ò
I
ó
ó
I
ñ
ñ
ê −
−
−
=
r
I==
( )
ò
I
ó
I
ñ
µ =áë=íÜÉ=ÇÉåëáíó=ÑìåÅíáçåI==
~åÇ=d=áë=Öê~îáí~íáçå~ä=Åçåëí~åíK=
=
1159. mêÉëëìêÉ=cçêÅÉ=
( )
∫∫
=
p
p
Ç
ê
é
c
r
r
r
I==
ïÜÉêÉ=íÜÉ=éêÉëëìêÉ== ( )
ê
é
r
==~Åíë==çå==íÜÉ==ëìêÑ~ÅÉ==p==ÖáîÉå==Äó=
íÜÉ=éçëáíáçå=îÉÅíçê= ê
r
K=
=
1160. cäìáÇ=cäìñ=E~Åêçëë=íÜÉ=ëìêÑ~ÅÉ=pF=
( )
∫∫ ⋅
=
Φ
p
p
Ç
ê
î
r
r
r
I==
CHAPTER 9. INTEGRAL CALCULUS
293
ïÜÉêÉ= ( )
ê
î
r
r
=áë=íÜÉ=ÑäìáÇ=îÉäçÅáíóK=
==
1161. j~ëë=cäìñ=E~Åêçëë=íÜÉ=ëìêÑ~ÅÉ=pF=
( )
∫∫ ⋅
ρ
=
Φ
p
p
Ç
ê
î
r
r
r
I==
ïÜÉêÉ= î
c
r
r
ρ
= =áë=íÜÉ=îÉÅíçê=ÑáÉäÇI=ρ =áë=íÜÉ=ÑäìáÇ=ÇÉåëáíóK=
=
1162. pìêÑ~ÅÉ=`Ü~êÖÉ=
( )
∫∫σ
=
p
Çp
ó
I
ñ
n I==
ïÜÉêÉ= ( )
ó
I
ñ
σ =áë=íÜÉ=ëìêÑ~ÅÉ=ÅÜ~êÖÉ=ÇÉåëáíóK=
=
1163. d~ìëë∞=i~ï=
qÜÉ=ÉäÉÅíêáÅ=Ñäìñ=íÜêçìÖÜ=~åó=ÅäçëÉÇ=ëìêÑ~ÅÉ=áë=éêçéçêíáçå~ä=
íç=íÜÉ=ÅÜ~êÖÉ=n=ÉåÅäçëÉÇ=Äó=íÜÉ=ëìêÑ~ÅÉ=
M
p
n
p
Ç
b
ε
=
⋅
=
Φ ∫∫
r
r
I==
ïÜÉêÉ==
Φ =áë=íÜÉ=ÉäÉÅíêáÅ=ÑäìñI==
b
r
=áë=íÜÉ=ã~ÖåáíìÇÉ=çÑ=íÜÉ=ÉäÉÅíêáÅ=ÑáÉäÇ=ëíêÉåÖíÜI=
ã
c
NM
UR
I
U NO
M
−
×
=
ε =áë=éÉêãáííáîáíó=çÑ=ÑêÉÉ=ëé~ÅÉK==
=
=
294
Chapter 10
Differential Equations
=
=
=
=
cìåÅíáçåë=çÑ=çåÉ=î~êá~ÄäÉW=óI=éI=èI=ìI=ÖI=ÜI=dI=eI=êI=ò==
^êÖìãÉåíë=EáåÇÉéÉåÇÉåí=î~êá~ÄäÉëFW=ñI=ó=
cìåÅíáçåë=çÑ=íïç=î~êá~ÄäÉëW= ( )
ó
I
ñ
Ñ I= ( )
ó
I
ñ
j I= ( )
ó
I
ñ
k =
cáêëí=çêÇÉê=ÇÉêáî~íáîÉW= ó′ I=ì′ I= ó
& I=
Çí
Çó
I=£=
pÉÅçåÇ=çêÇÉê=ÇÉêáî~íáîÉëW= ó ′
′ I= ó
&
& I= O
O
Çí
f
Ç
I=£=
m~êíá~ä=ÇÉêáî~íáîÉëW=
í
ì
∂
∂
I= O
O
ñ
ì
∂
∂
I=£=
k~íìê~ä=åìãÄÉêW=å=
m~êíáÅìä~ê=ëçäìíáçåëW= N
ó I= é
ó =
oÉ~ä=åìãÄÉêëW=âI=íI=`I= N
` I= O
` I=éI=èI=α I=β =
oççíë=çÑ=íÜÉ=ÅÜ~ê~ÅíÉêáëíáÅ=Éèì~íáçåëW= N
λ I= O
λ =
qáãÉW=í=
qÉãéÉê~íìêÉW=qI=p=
mçéìä~íáçå=ÑìåÅíáçåW= ( )
í
m ==
j~ëë=çÑ=~å=çÄàÉÅíW=ã=
píáÑÑåÉëë=çÑ=~=ëéêáåÖW=â=
aáëéä~ÅÉãÉåí=çÑ=íÜÉ=ã~ëë=Ñêçã=ÉèìáäáÄêáìãW=ó=
^ãéäáíìÇÉ=çÑ=íÜÉ=Çáëéä~ÅÉãÉåíW=^=
cêÉèìÉåÅóW=ω=
a~ãéáåÖ=ÅçÉÑÑáÅáÉåíW= γ =
mÜ~ëÉ=~åÖäÉ=çÑ=íÜÉ=Çáëéä~ÅÉãÉåíW=δ =
^åÖìä~ê=Çáëéä~ÅÉãÉåíW=θ =
mÉåÇìäìã=äÉåÖíÜW=i=
CHAPTER 10. DIFFERENTIAL EQUATIONS
295
^ÅÅÉäÉê~íáçå=çÑ=Öê~îáíóW=Ö=
`ìêêÉåíW=f=
oÉëáëí~åÅÉW=o=
fåÇìÅí~åÅÉW=i=
`~é~Åáí~åÅÉW=`=
=
=
10.1 First Order Ordinary Differential
Equations
=
1164. iáåÉ~ê=bèì~íáçåë=
( ) ( )
ñ
è
ó
ñ
é
Çñ
Çó
=
+ K==
=
qÜÉ=ÖÉåÉê~ä=ëçäìíáçå=áë==
( ) ( )
( )
ñ
ì
`
Çñ
ñ
è
ñ
ì
ó
+
=
∫ I==
ïÜÉêÉ==
( ) ( )
( )
∫
= Çñ
ñ
é
Éñé
ñ
ì K=
=
1165. pÉé~ê~ÄäÉ=bèì~íáçåë=
( ) ( ) ( )
ó
Ü
ñ
Ö
ó
I
ñ
Ñ
Çñ
Çó
=
= =
=
qÜÉ=ÖÉåÉê~ä=ëçäìíáçå=áë=ÖáîÉå=Äó=
( )
( ) `
Çñ
ñ
Ö
ó
Ü
Çó
+
= ∫
∫ I==
çê=
( ) ( ) `
ñ
d
ó
e +
= K=
=
=
=
CHAPTER 10. DIFFERENTIAL EQUATIONS
296
1166. eçãçÖÉåÉçìë=bèì~íáçåë=
qÜÉ= ÇáÑÑÉêÉåíá~ä= Éèì~íáçå= ( )
ó
I
ñ
Ñ
Çñ
Çó
= = áë= ÜçãçÖÉåÉçìëI= áÑ=
íÜÉ=ÑìåÅíáçå= ( )
ó
I
ñ
Ñ =áë=ÜçãçÖÉåÉçìëI=íÜ~í=áë==
( ) ( )
ó
I
ñ
Ñ
íó
I
íñ
Ñ = K==
=
qÜÉ=ëìÄëíáíìíáçå=
ñ
ó
ò = =EíÜÉå= òñ
ó = F=äÉ~Çë=íç=íÜÉ=ëÉé~ê~ÄäÉ=
Éèì~íáçå=
( )
ò
I
N
Ñ
ò
Çñ
Çò
ñ =
+ K==
=
1167. _Éêåçìääá=bèì~íáçå=
( ) ( ) å
ó
ñ
è
ó
ñ
é
Çñ
Çó
=
+ K==
=
qÜÉ=ëìÄëíáíìíáçå= å
N
ó
ò −
= =äÉ~Çë=íç=íÜÉ=äáåÉ~ê=Éèì~íáçå==
( ) ( ) ( ) ( )
ñ
è
å
N
ò
ñ
é
å
N
Çñ
Çò
−
=
−
+ K==
=
1168. oáÅÅ~íá=bèì~íáçå=
( ) ( ) ( ) O
ó
ñ
ê
ó
ñ
è
ñ
é
Çñ
Çó
+
+
= =
=
fÑ=~=é~êíáÅìä~ê=ëçäìíáçå= N
ó =áë=âåçïåI=íÜÉå=íÜÉ=ÖÉåÉê~ä=ëçäì-
íáçå=Å~å=ÄÉ=çÄí~áåÉÇ=ïáíÜ=íÜÉ=ÜÉäé=çÑ=ëìÄëíáíìíáçå=
N
ó
ó
N
ò
−
= I=ïÜáÅÜ=äÉ~Çë=íç=íÜÉ=Ñáêëí=çêÇÉê=äáåÉ~ê=Éèì~íáçå==
( ) ( )
[ ] ( )
ñ
ê
ò
ñ
ê
ó
O
ñ
è
Çñ
Çò
N −
+
−
= K==
=
=
=
CHAPTER 10. DIFFERENTIAL EQUATIONS
297
1169. bñ~Åí=~åÇ=kçåÉñ~Åí=bèì~íáçåë=
qÜÉ=Éèì~íáçå==
( ) ( ) M
Çó
ó
I
ñ
k
Çñ
ó
I
ñ
j =
+ ==
áë=Å~ääÉÇ=Éñ~Åí=áÑ==
ñ
k
ó
j
∂
∂
=
∂
∂
I==
~åÇ=åçåÉñ~Åí=çíÜÉêïáëÉK=
=
qÜÉ=ÖÉåÉê~ä=ëçäìíáçå=áë==
( ) ( ) `
Çó
ó
I
ñ
k
Çñ
ó
I
ñ
j =
+ ∫
∫ K==
=
1170. o~Çáç~ÅíáîÉ=aÉÅ~ó=
âó
Çí
Çó
−
= I==
ïÜÉêÉ= ( )
í
ó =áë=íÜÉ=~ãçìåí=çÑ=ê~Çáç~ÅíáîÉ=ÉäÉãÉåí=~í=íáãÉ=íI=â=
áë=íÜÉ=ê~íÉ=çÑ=ÇÉÅ~óK==
=
qÜÉ=ëçäìíáçå=áë==
( ) âí
MÉ
ó
í
ó −
= I=ïÜÉêÉ= ( )
M
ó
óM = =áë=íÜÉ=áåáíá~ä=~ãçìåíK=
=
1171. kÉïíçå∞ë=i~ï=çÑ=`ççäáåÖ=
( )
p
q
â
Çí
Çq
−
−
= I==
ïÜÉêÉ= ( )
í
q =áë=íÜÉ=íÉãéÉê~íìêÉ=çÑ=~å=çÄàÉÅí=~í=íáãÉ=íI=p=áë=íÜÉ=
íÉãéÉê~íìêÉ=çÑ=íÜÉ=ëìêêçìåÇáåÖ=ÉåîáêçåãÉåíI=â=áë=~=éçëá-
íáîÉ=Åçåëí~åíK==
=
qÜÉ=ëçäìíáçå=áë=
( ) ( ) âí
M É
p
q
p
í
q −
−
+
= I==
ïÜÉêÉ= ( )
M
q
qM = =áë=íÜÉ=áåáíá~ä=íÉãéÉê~íìêÉ=çÑ=íÜÉ=çÄàÉÅí=~í=
íáãÉ= M
í = K==
=
=
CHAPTER 10. DIFFERENTIAL EQUATIONS
298
1172. mçéìä~íáçå=aóå~ãáÅë=EiçÖáëíáÅ=jçÇÉäF=






−
=
j
m
N
âm
Çí
Çm
I==
ïÜÉêÉ= ( )
í
m =áë=éçéìä~íáçå=~í=íáãÉ=íI=â=áë=~=éçëáíáîÉ=Åçåëí~åíI=
j=áë=~=äáãáíáåÖ=ëáòÉ=Ñçê=íÜÉ=éçéìä~íáçåK==
=
qÜÉ=ëçäìíáçå=çÑ=íÜÉ=ÇáÑÑÉêÉåíá~ä=Éèì~íáçå=áë==
( )
( ) âí
M
M
M
É
m
j
m
jm
í
m −
−
+
= I=ïÜÉêÉ= ( )
M
m
mM = =áë=íÜÉ=áåáíá~ä=éçéì-
ä~íáçå=~í=íáãÉ= M
í = K===
=
=
=
10.2 Second Order Ordinary Differential
Equations
=
1173. eçãçÖÉåÉçìë=iáåÉ~ê=bèì~íáçåë=ïáíÜ=`çåëí~åí=`çÉÑÑáÅáÉåíë==
M
èó
ó
é
ó =
+
′
+
′
′ K==
qÜÉ=ÅÜ~ê~ÅíÉêáëíáÅ=Éèì~íáçå=áë==
M
è
é
O
=
+
λ
+
λ K==
=
fÑ= N
λ = ~åÇ= O
λ = ~êÉ= ÇáëíáåÅí= êÉ~ä= êççíë= çÑ= íÜÉ= ÅÜ~ê~ÅíÉêáëíáÅ=
Éèì~íáçåI=íÜÉå=íÜÉ=ÖÉåÉê~ä=ëçäìíáçå=áë==
ñ
O
ñ
N
O
N
É
`
É
`
ó λ
λ
+
= I=ïÜÉêÉ==
N
` =~åÇ= O
` =~êÉ=áåíÉÖê~íáçå=Åçåëí~åíëK==
==
fÑ=
O
é
O
N −
=
λ
=
λ I=íÜÉå=íÜÉ=ÖÉåÉê~ä=ëçäìíáçå=áë==
( )
ñ
O
é
O
N É
ñ
`
`
ó
−
+
= K==
=
fÑ= N
λ =~åÇ= O
λ =~êÉ=ÅçãéäÉñ=åìãÄÉêëW=
CHAPTER 10. DIFFERENTIAL EQUATIONS
299
á
N β
+
α
=
λ I= á
O β
−
α
=
λ I=ïÜÉêÉ==
O
é
−
=
α I=
O
é
è
Q O
−
=
β I==
íÜÉå=íÜÉ=ÖÉåÉê~ä=ëçäìíáçå=áë==
( )
ñ
ëáå
`
ñ
Åçë
`
É
ó O
N
ñ
β
+
β
= α
K==
=
1174. fåÜçãçÖÉåÉçìë=iáåÉ~ê=bèì~íáçåë=ïáíÜ=`çåëí~åí=======================
`çÉÑÑáÅáÉåíë==
( )
ñ
Ñ
èó
ó
é
ó =
+
′
+
′
′ K==
=
qÜÉ=ÖÉåÉê~ä=ëçäìíáçå=áë=ÖáîÉå=Äó==
Ü
é ó
ó
ó +
= I=ïÜÉêÉ==
é
ó =áë==~=é~êíáÅìä~ê==ëçäìíáçå=çÑ==íÜÉ=áåÜçãçÖÉåÉçìë=Éèì~íáçå=
~åÇ= Ü
ó =áë=íÜÉ=ÖÉåÉê~ä=ëçäìíáçå=çÑ=íÜÉ=~ëëçÅá~íÉÇ=ÜçãçÖÉåÉ-
çìë=Éèì~íáçå=EëÉÉ=íÜÉ=éêÉîáçìë=íçéáÅ=NNTPFK=
=
fÑ=íÜÉ=êáÖÜí=ëáÇÉ=Ü~ë=íÜÉ=Ñçêã==
( ) ( ) ( )
( )
ñ
ëáå
ñ
m
ñ
Åçë
ñ
m
É
ñ
Ñ N
N
ñ
β
+
β
= α
I==
íÜÉå=íÜÉ==é~êíáÅìä~ê=ëçäìíáçå= é
ó =áë=ÖáîÉå=Äó==
( ) ( )
( )
ñ
ëáå
ñ
o
ñ
Åçë
ñ
o
É
ñ
ó O
N
ñ
â
é β
+
β
= α
I==
ïÜÉêÉ=íÜÉ=éçäóåçãá~äë= ( )
ñ
oN =~åÇ= ( )
ñ
oO =Ü~îÉ=íç=ÄÉ=ÑçìåÇ=
Äó=ìëáåÖ=íÜÉ=ãÉíÜçÇ=çÑ=ìåÇÉíÉêãáåÉÇ=ÅçÉÑÑáÅáÉåíëK==
• fÑ= á
β
+
α =áë=åçí=~=êççí=çÑ=íÜÉ=ÅÜ~ê~ÅíÉêáëíáÅ=Éèì~íáçåI=íÜÉå=
íÜÉ=éçïÉê= M
â = I=
• fÑ= á
β
+
α =áë=~=ëáãéäÉ=êççíI=íÜÉå= N
â = I=
• fÑ= á
β
+
α =áë=~=ÇçìÄäÉ=êççíI=íÜÉå= O
â = K==
=
1175. aáÑÑÉêÉåíá~ä=bèì~íáçåë=ïáíÜ=ó=jáëëáåÖ=
( )
ó
I
ñ
Ñ
ó ′
=
′
′ K==
pÉí= ó
ì ′
= K=qÜÉå=íÜÉ=åÉï=Éèì~íáçå=ë~íáëÑáÉÇ=Äó=î=áë==
( )
ì
I
ñ
Ñ
ì =
′ I==
ïÜáÅÜ=áë=~=Ñáêëí=çêÇÉê=ÇáÑÑÉêÉåíá~ä=Éèì~íáçåK=
CHAPTER 10. DIFFERENTIAL EQUATIONS
300
1176. aáÑÑÉêÉåíá~ä=bèì~íáçåë=ïáíÜ=ñ=jáëëáåÖ=
( )
ó
I
ó
Ñ
ó ′
=
′
′ K==
pÉí= ó
ì ′
= K=páåÅÉ==
Çó
Çì
ì
Çñ
Çó
Çó
Çì
Çñ
Çì
ó =
=
=
′
′ I==
ïÉ=Ü~îÉ=
( )
ì
I
ó
Ñ
Çó
Çì
ì = I==
ïÜáÅÜ=áë=~=Ñáêëí=çêÇÉê=ÇáÑÑÉêÉåíá~ä=Éèì~íáçåK==
=
1177. cêÉÉ=råÇ~ãéÉÇ=sáÄê~íáçåë=
qÜÉ=ãçíáçå=çÑ=~=j~ëë=çå=~=péêáåÖ=áë=ÇÉëÅêáÄÉÇ=Äó=íÜÉ=Éèì~-
íáçå==
M
âó
ó
ã =
+
&
& I==
ïÜÉêÉ==
ã=áë=íÜÉ=ã~ëë=çÑ=íÜÉ=çÄàÉÅíI=
â=áë=íÜÉ=ëíáÑÑåÉëë=çÑ=íÜÉ=ëéêáåÖI=
ó=áë=Çáëéä~ÅÉãÉåí=çÑ=íÜÉ=ã~ëë=Ñêçã=ÉèìáäáÄêáìãK=
=
qÜÉ=ÖÉåÉê~ä=ëçäìíáçå=áë==
( )
δ
−
ω
= í
Åçë
^
ó M I==
ïÜÉêÉ==
^=áë=íÜÉ=~ãéäáíìÇÉ=çÑ=íÜÉ=Çáëéä~ÅÉãÉåíI=
M
ω =áë=íÜÉ=ÑìåÇ~ãÉåí~ä=ÑêÉèìÉåÅóI=íÜÉ=éÉêáçÇ=áë=
M
O
q
ω
π
= I=
δ =áë=éÜ~ëÉ=~åÖäÉ=çÑ=íÜÉ=Çáëéä~ÅÉãÉåíK=
qÜáë=áë=~å=Éñ~ãéäÉ=çÑ=ëáãéäÉ=Ü~êãçåáÅ=ãçíáçåK==
=
1178. cêÉÉ=a~ãéÉÇ=sáÄê~íáçåë=
M
âó
ó
ó
ã =
+
γ
+ &
&
& I=ïÜÉêÉ==
γ =áë=íÜÉ=Ç~ãéáåÖ=ÅçÉÑÑáÅáÉåíK==
qÜÉêÉ=~êÉ=P=Å~ëÉë=Ñçê=íÜÉ=ÖÉåÉê~ä=ëçäìíáçåW=
=
CHAPTER 10. DIFFERENTIAL EQUATIONS
301
`~ëÉ=NK âã
Q
O
>
γ =EçîÉêÇ~ãéÉÇF=
( ) í
í O
N
_É
^É
í
ó λ
λ
+
= I==
ïÜÉêÉ==
ã
O
âã
Q
O
N
−
γ
−
γ
−
=
λ I=
ã
O
âã
Q
O
O
−
γ
+
γ
−
=
λ K==
=
`~ëÉ=OK= âã
Q
O
=
γ EÅêáíáÅ~ääó=Ç~ãéÉÇF=
( ) ( ) í
É
_í
^
í
ó λ
+
= I==
ïÜÉêÉ==
ã
O
γ
−
=
λ K=
=
`~ëÉ=PK= âã
Q
O
<
γ =EìåÇÉêÇ~ãéÉÇF==
( ) ( )
δ
−
ω
=
γ
−
í
Åçë
^
É
í
ó
í
ã
O
I=ïÜÉêÉ==
O
âã
Q γ
−
=
ω K==
=
1179. páãéäÉ=mÉåÇìäìã=
M
i
Ö
Çí
Ç
O
O
=
θ
+
θ
I=
ïÜÉêÉ= θ = áë= íÜÉ= ~åÖìä~ê= Çáëéä~ÅÉãÉåíI= i= áë= íÜÉ= éÉåÇìäìã=
äÉåÖíÜI=Ö=áë=íÜÉ=~ÅÅÉäÉê~íáçå=çÑ=Öê~îáíóK=
=
qÜÉ=ÖÉåÉê~ä=ëçäìíáçå=Ñçê=ëã~ää=~åÖäÉë=θ =áë==
( ) í
i
Ö
ëáå
í ã~ñ
θ
=
θ I=íÜÉ=éÉêáçÇ=áë=
Ö
i
O
q π
= K==
=
1180. oi`=`áêÅìáí=
( ) ( )
í
Åçë
b
í
s
f
`
N
Çí
Çf
o
Çí
f
Ç
i M
O
O
ω
ω
=
′
=
+
+ I=
CHAPTER 10. DIFFERENTIAL EQUATIONS
302
ïÜÉêÉ=f=áë=íÜÉ=ÅìêêÉåí=áå=~å=oi`=ÅáêÅìáí=ïáíÜ=~å=~Å=îçäí~ÖÉ=
ëçìêÅÉ= ( ) ( )
í
ëáå
b
í
s M ω
= K===
=
qÜÉ=ÖÉåÉê~ä=ëçäìíáçå=áë==
( ) ( )
ϕ
−
ω
+
+
= í
ëáå
^
É
`
É
`
í
f í
ê
O
í
ê
N
O
N
I=
ïÜÉêÉ==
i
O
`
i
Q
o
o
ê
O
O
I
N
−
±
−
= I==
O
O
O
O
M
o
`
N
i
b
^
ω
+






−
ω
ω
= I==






ω
−
ω
=
ϕ
o`
N
o
i
~êÅí~å I==
N
` I= O
` =~êÉ=Åçåëí~åíë=ÇÉéÉåÇáåÖ=çå=áåáíá~ä=ÅçåÇáíáçåëK=
=
=
=
10.3. Some Partial Differential Equations
=
1181. qÜÉ=i~éä~ÅÉ=bèì~íáçå=
M
ó
ì
ñ
ì
O
O
O
O
=
∂
∂
+
∂
∂
=
~ééäáÉë=íç=éçíÉåíá~ä=ÉåÉêÖó=ÑìåÅíáçå= ( )
ó
I
ñ
ì ==Ñçê==~==ÅçåëÉê-
î~íáîÉ=ÑçêÅÉ=ÑáÉäÇ=áå=íÜÉ=ñó-éä~åÉK=m~êíá~ä=ÇáÑÑÉêÉåíá~ä=Éèì~-
íáçåë=çÑ=íÜáë=íóéÉ=~êÉ=Å~ääÉÇ=ÉääáéíáÅK==
=
1182. qÜÉ=eÉ~í=bèì~íáçå=
í
ì
ó
ì
ñ
ì
O
O
O
O
∂
∂
=
∂
∂
+
∂
∂
=
CHAPTER 10. DIFFERENTIAL EQUATIONS
303
~ééäáÉë= íç= íÜÉ= íÉãéÉê~íìêÉ= ÇáëíêáÄìíáçå= ( )
ó
I
ñ
ì = áå= íÜÉ= ñó-
éä~åÉ=ïÜÉå=ÜÉ~í=áë=~ääçïÉÇ=íç=Ñäçï=Ñêçã=ï~êã=~êÉ~ë=íç=Åççä=
çåÉëK=qÜÉ=Éèì~íáçåë=çÑ=íÜáë=íóéÉ=~êÉ=Å~ääÉÇ=é~ê~ÄçäáÅK==
=
1183. qÜÉ=t~îÉ=bèì~íáçå=
O
O
O
O
O
O
í
ì
ó
ì
ñ
ì
∂
∂
=
∂
∂
+
∂
∂
=
~ééäáÉë=íç=íÜÉ=Çáëéä~ÅÉãÉåí= ( )
ó
I
ñ
ì =çÑ=îáÄê~íáåÖ=ãÉãÄê~åÉë=
~åÇ= çíÜÉê= ï~îÉ= ÑìåÅíáçåëK= qÜÉ= Éèì~íáçåë= çÑ= íÜáë= íóéÉ= ~êÉ=
Å~ääÉÇ=ÜóéÉêÄçäáÅK==
=
=
304
Chapter 11
Series
=
=
=
=
11.1 Arithmetic Series
=
fåáíá~ä=íÉêãW= N
~ =
kíÜ=íÉêãW= å
~ =
aáÑÑÉêÉåÅÉ=ÄÉíïÉÉå=ëìÅÅÉëëáîÉ=íÉêãëW=Ç=
kìãÄÉê=çÑ=íÉêãë=áå=íÜÉ=ëÉêáÉëW=å=
pìã=çÑ=íÜÉ=Ñáêëí=å=íÉêãëW= å
p =
=
=
1184. ( )Ç
N
å
~
Ç
O
~
Ç
~
~ N
O
å
N
å
å −
+
=
=
+
=
+
= −
− K =
=
1185. á
N
å
á
N
å
O
å
N ~
~
~
~
~
~ −
+
− +
=
=
+
=
+ K =
=
1186.
O
~
~
~ N
á
N
á
á
+
− +
= =
=
1187.
( ) å
O
Ç
N
å
~
O
å
O
~
~
p N
å
N
å ⋅
−
+
=
⋅
+
= =
=
=
=
=
=
CHAPTER 11. SERIES
305
11.2 Geometric Series
=
fåáíá~ä=íÉêãW= N
~ =
kíÜ=íÉêãW= å
~ =
`çããçå=ê~íáçW=è=
kìãÄÉê=çÑ=íÉêãë=áå=íÜÉ=ëÉêáÉëW=å=
pìã=çÑ=íÜÉ=Ñáêëí=å=íÉêãëW= å
p =
pìã=íç=áåÑáåáíóW=p=
=
=
1188. N
å
N
N
å
å è
~
è~
~ −
− =
= =
=
1189. á
N
å
á
N
å
O
å
N ~
~
~
~
~
~ −
+
− ⋅
=
=
⋅
=
⋅ K =
=
1190. N
á
N
á
á ~
~
~ +
− ⋅
= =
=
1191.
( )
N
è
N
è
~
N
è
~
è
~
p
å
N
N
å
å
−
−
=
−
−
= =
=
1192.
è
N
~
p
äáã
p N
å
å −
=
=
∞
→
=
cçê= N
è < I=íÜÉ=ëìã=p=ÅçåîÉêÖÉë=~ë= ∞
→
å K=
=
=
=
11.3 Some Finite Series
=
kìãÄÉê=çÑ=íÉêãë=áå=íÜÉ=ëÉêáÉëW=å=
=
=
CHAPTER 11. SERIES
306
1193.
( )
O
N
å
å
å
P
O
N
+
=
+
+
+
+ K =
=
1194. ( )
N
å
å
å
O
S
Q
O +
=
+
+
+
+ K =
=
1195. ( ) O
å
N
å
O
R
P
N =
−
+
+
+
+ K =
=
1196. ( ) ( ) ( ) ( )
O
N
å
â
O
å
N
å
â
O
â
N
â
â
−
+
=
−
+
+
+
+
+
+
+ K =
=
1197.
( )( )
S
N
å
O
N
å
å
å
P
O
N O
O
O
O +
+
=
+
+
+
+ K =
=
1198.
( ) O
P
P
P
P
O
N
å
å
å
P
O
N 




 +
=
+
+
+
+ K =
=
1199. ( ) ( )
P
N
å
Q
å
N
å
O
R
P
N
O
O
O
O
O −
=
−
+
+
+
+ K =
=
1200. ( ) ( )
N
å
O
å
N
å
O
R
P
N O
O
P
P
P
P
−
=
−
+
+
+
+ K =
=
1201. O
O
N
U
N
Q
N
O
N
N å
=
+
+
+
+
+
+ K
K =
=
1202.
( )
N
N
å
å
N
Q
P
N
P
O
N
O
N
N
=
+
+
+
+
⋅
+
⋅
+
⋅
K
K =
=
1203.
( )
É
>
N
å
N
>
P
N
>
O
N
>
N
N
N =
+
−
+
+
+
+
+ K
K =
=
=
=
CHAPTER 11. SERIES
307
11.4 Infinite Series
=
pÉèìÉåÅÉW={ }
å
~ =
cáêëí=íÉêãW= N
~ =
kíÜ=íÉêãW= å
~ =
=
=
1204. fåÑáåáíÉ=pÉêáÉë=
K
K +
+
+
+
=
∑
∞
=
å
O
N
N
å
å ~
~
~
~ =
=
1205. kíÜ=m~êíá~ä=pìã=
å
O
N
å
N
å
å
å ~
~
~
~
p +
+
+
=
= ∑
=
K =
=
1206. `çåîÉêÖÉåÅÉ=çÑ=fåÑáåáíÉ=pÉêáÉë=
i
~
N
å
å =
∑
∞
=
I=áÑ= i
p
äáã å
å
=
∞
→
=
=
1207. kíÜ=qÉêã=qÉëí=
• fÑ=íÜÉ=ëÉêáÉë=∑
∞
=N
å
å
~ áë=ÅçåîÉêÖÉåíI=íÜÉå= M
~
äáã å
å
=
∞
→
K==
• fÑ= M
~
äáã å
å
≠
∞
→
I=íÜÉå=íÜÉ=ëÉêáÉë=áë=ÇáîÉêÖÉåíK=
=
=
=
11.5 Properties of Convergent Series
=
`çåîÉêÖÉåí=pÉêáÉëW= ^
~
N
å
å =
∑
∞
=
I= _
Ä
N
å
å =
∑
∞
=
=
oÉ~ä=åìãÄÉêW=Å=
CHAPTER 11. SERIES
308
1208. ( ) _
^
Ä
~
Ä
~
N
å
å
N
å
å
N
å
å
å +
=
+
=
+ ∑
∑
∑
∞
=
∞
=
∞
=
=
=
1209. Å^
~
Å
Å~
N
å
å
N
å
å =
= ∑
∑
∞
=
∞
=
K==
=
=
=
11.6 Convergence Tests
=
1210. qÜÉ=`çãé~êáëçå=qÉëí=
iÉí=∑
∞
=N
å
å
~ =~åÇ=∑
∞
=N
å
å
Ä =ÄÉ=ëÉêáÉë=ëìÅÜ=íÜ~í= å
å Ä
~
M ≤
< =Ñçê=~ää=åK==
• fÑ=∑
∞
=N
å
å
Ä áë=ÅçåîÉêÖÉåí=íÜÉå= ∑
∞
=N
å
å
~ áë=~äëç=ÅçåîÉêÖÉåíK==
• fÑ=∑
∞
=N
å
å
~ áë=ÇáîÉêÖÉåí=íÜÉå=∑
∞
=N
å
å
Ä áë=~äëç=ÇáîÉêÖÉåíK=
=
1211. qÜÉ=iáãáí=`çãé~êáëçå=qÉëí=
iÉí=∑
∞
=N
å
å
~ =~åÇ=∑
∞
=N
å
å
Ä =ÄÉ=ëÉêáÉë=ëìÅÜ=íÜ~í= å
~ =~åÇ= å
Ä =~êÉ=éçëá-
íáîÉ=Ñçê=~ää=åK==
• fÑ= ∞
<
<
∞
→
å
å
å Ä
~
äáã
M = íÜÉå= ∑
∞
=N
å
å
~ = ~åÇ= ∑
∞
=N
å
å
Ä ~êÉ= ÉáíÜÉê= ÄçíÜ=
ÅçåîÉêÖÉåí=çê=ÄçíÜ=ÇáîÉêÖÉåíK=
• fÑ= M
Ä
~
äáã
å
å
å
=
∞
→
=íÜÉå= ∑
∞
=N
å
å
Ä ÅçåîÉêÖÉåí=áãéäáÉë=íÜ~í=∑
∞
=N
å
å
~ =áë=
~äëç=ÅçåîÉêÖÉåíK=
CHAPTER 11. SERIES
309
• fÑ= ∞
=
∞
→
å
å
å Ä
~
äáã =íÜÉå= ∑
∞
=N
å
å
Ä ÇáîÉêÖÉåí=áãéäáÉë=íÜ~í= ∑
∞
=N
å
å
~ =áë=
~äëç=ÇáîÉêÖÉåíK=
=
1212. é-ëÉêáÉë=
é-ëÉêáÉë=∑
∞
=N
å
é
å
N
=ÅçåîÉêÖÉë=Ñçê= N
é > =~åÇ=ÇáîÉêÖÉë=Ñçê=
N
é
M ≤
< K=
=
1213. qÜÉ=fåíÉÖê~ä=qÉëí=
iÉí= ( )
ñ
Ñ = ÄÉ= ~= ÑìåÅíáçå= ïÜáÅÜ= áë= ÅçåíáåìçìëI= éçëáíáîÉI= ~åÇ=
ÇÉÅêÉ~ëáåÖ=Ñçê=~ää= N
ñ ≥ K=qÜÉ=ëÉêáÉë==
( ) ( ) ( ) ( ) ( ) K
K +
+
+
+
+
=
∑
∞
=
å
Ñ
P
Ñ
O
Ñ
N
Ñ
å
Ñ
N
å
=
ÅçåîÉêÖÉë=áÑ= ( )
∫
∞
N
Çñ
ñ
Ñ ÅçåîÉêÖÉëI=~åÇ=ÇáîÉêÖÉë=áÑ=
( ) ∞
→
∫
å
N
Çñ
ñ
Ñ =~ë= ∞
→
å K=
=
1214. qÜÉ=o~íáç=qÉëí=
iÉí=∑
∞
=N
å
å
~ =ÄÉ=~=ëÉêáÉë=ïáíÜ=éçëáíáîÉ=íÉêãëK=
• fÑ= N
~
~
äáã
å
N
å
å
<
+
∞
→
=íÜÉå=∑
∞
=N
å
å
~ áë=ÅçåîÉêÖÉåíK=
• fÑ= N
~
~
äáã
å
N
å
å
>
+
∞
→
=íÜÉå=∑
∞
=N
å
å
~ =áë=ÇáîÉêÖÉåíK=
• fÑ= N
~
~
äáã
å
N
å
å
=
+
∞
→
=íÜÉå= ∑
∞
=N
å
å
~ =ã~ó=ÅçåîÉêÖÉ=çê=ÇáîÉêÖÉ=~åÇ=
íÜÉ=ê~íáç=íÉëí=áë=áåÅçåÅäìëáîÉX=ëçãÉ=çíÜÉê=íÉëíë= ãìëí=ÄÉ=
ìëÉÇK==
=
CHAPTER 11. SERIES
310
1215. qÜÉ=oççí=qÉëí=
iÉí=∑
∞
=N
å
å
~ =ÄÉ=~=ëÉêáÉë=ïáíÜ=éçëáíáîÉ=íÉêãëK=
• fÑ= N
~
äáãå
å
å
<
∞
→
=íÜÉå=∑
∞
=N
å
å
~ =áë=ÅçåîÉêÖÉåíK=
• fÑ= N
~
äáãå
å
å
>
∞
→
=íÜÉå=∑
∞
=N
å
å
~ =áë=ÇáîÉêÖÉåíK=
• fÑ= N
~
äáãå
å
å
=
∞
→
=íÜÉå= ∑
∞
=N
å
å
~ =ã~ó=ÅçåîÉêÖÉ=çê=ÇáîÉêÖÉI=Äìí=
åç=ÅçåÅäìëáçå=Å~å=ÄÉ=Çê~ïå=Ñêçã=íÜáë=íÉëíK=
=
=
=
11.7 Alternating Series
=
1216. qÜÉ=^äíÉêå~íáåÖ=pÉêáÉë=qÉëí=EiÉáÄåáò∞ë=qÜÉçêÉãF=
=
iÉí={ }
å
~ =ÄÉ=~=ëÉèìÉåÅÉ=çÑ=éçëáíáîÉ=åìãÄÉêë=ëìÅÜ=íÜ~í=
å
N
å ~
~ <
+ =Ñçê=~ää=åK=
M
~
äáã å
å
=
∞
→
K==
qÜÉå= íÜÉ= ~äíÉêå~íáåÖ= ëÉêáÉë= ( )
∑
∞
=
−
N
å
å
å
~
N = ~åÇ= ( )
∑
∞
=
−
−
N
å
å
N
å
~
N =
ÄçíÜ=ÅçåîÉêÖÉK====
=
1217. ^ÄëçäìíÉ=`çåîÉêÖÉåÅÉ=
• ^= ëÉêáÉë= ∑
∞
=N
å
å
~ = áë= ~ÄëçäìíÉäó= ÅçåîÉêÖÉåí= áÑ= íÜÉ= ëÉêáÉë=
∑
∞
=N
å
å
~ =áë=ÅçåîÉêÖÉåíK==
CHAPTER 11. SERIES
311
• fÑ=íÜÉ=ëÉêáÉë= ∑
∞
=N
å
å
~ áë=~ÄëçäìíÉäó=ÅçåîÉêÖÉåí=íÜÉå=áí=áë=Åçå-
îÉêÖÉåíK=
=
1218. `çåÇáíáçå~ä=`çåîÉêÖÉåÅÉ=
^= ëÉêáÉë= ∑
∞
=N
å
å
~ áë= ÅçåÇáíáçå~ääó= ÅçåîÉêÖÉåí= áÑ= íÜÉ= ëÉêáÉë= áë=
ÅçåîÉêÖÉåí=Äìí=áë=åçí=~ÄëçäìíÉäó=ÅçåîÉêÖÉåíK=
=
=
=
11.8 Power Series
=
oÉ~ä=åìãÄÉêëW=ñI= M
ñ =
mçïÉê=ëÉêáÉëW=∑
∞
=M
å
å
åñ
~ I= ( )
∑
∞
=
−
M
å
å
M
å ñ
ñ
~ =
tÜçäÉ=åìãÄÉêW=å=
o~Çáìë=çÑ=`çåîÉêÖÉåÅÉW=o=
=
1219. mçïÉê=pÉêáÉë=áå=ñ=
K
K +
+
+
+
+
=
∑
∞
=
å
å
O
O
N
M
M
å
å
å ñ
~
ñ
~
ñ
~
~
ñ
~ =
=
1220. mçïÉê=pÉêáÉë=áå=( )
M
ñ
ñ − =
( ) ( ) ( ) ( ) K
K +
−
+
+
−
+
−
+
=
−
∑
∞
=
å
M
å
O
M
O
M
N
M
M
å
å
M
å ñ
ñ
~
ñ
ñ
~
ñ
ñ
~
~
ñ
ñ
~
=
1221. fåíÉêî~ä=çÑ=`çåîÉêÖÉåÅÉ===
qÜÉ=ëÉí=çÑ=íÜçëÉ=î~äìÉë=çÑ=ñ=Ñçê=ïÜáÅÜ=íÜÉ=ÑìåÅíáçå=
( ) ( )
∑
∞
=
−
=
M
å
å
M
å ñ
ñ
~
ñ
Ñ =áë=ÅçåîÉêÖÉåí=áë=Å~ääÉÇ==íÜÉ==áåíÉêî~ä=çÑ=
ÅçåîÉêÖÉåÅÉK=
CHAPTER 11. SERIES
312
1222. o~Çáìë=çÑ=`çåîÉêÖÉåÅÉ=
fÑ=íÜÉ=áåíÉêî~ä=çÑ=ÅçåîÉêÖÉåÅÉ=áë==( )
o
ñ
I
o
ñ M
M +
− ==Ñçê==ëçãÉ=
M
o ≥ I=íÜÉ=o=áë=Å~ääÉÇ==íÜÉ=ê~Çáìë=çÑ=ÅçåîÉêÖÉåÅÉK==fí=áë=ÖáîÉå=
~ë=
å
å
å ~
N
äáã
o
∞
→
= =çê=
N
å
å
å ~
~
äáã
o
+
∞
→
= K==
=
=
=
11.9 Differentiation and Integration of Power
Series
=
`çåíáåìçìë=ÑìåÅíáçåW= ( )
ñ
Ñ =
mçïÉê=ëÉêáÉëW=∑
∞
=M
å
å
åñ
~ =
tÜçäÉ=åìãÄÉêW=å=
o~Çáìë=çÑ=`çåîÉêÖÉåÅÉW=o=
=
=
1223. aáÑÑÉêÉåíá~íáçå=çÑ=mçïÉê=pÉêáÉë=
iÉí= ( ) K
+
+
+
=
= ∑
∞
=
O
O
N
M
M
å
å
å ñ
~
ñ
~
~
ñ
~
ñ
Ñ =Ñçê= o
ñ < K==
qÜÉåI==Ñçê= o
ñ < I= ( )
ñ
Ñ =áë=ÅçåíáåìçìëI=íÜÉ=ÇÉêáî~íáîÉ= ( )
ñ
Ñ′ =
Éñáëíë=~åÇ=
( ) K
+
+
+
=
′ O
O
N
M ñ
~
Çñ
Ç
ñ
~
Çñ
Ç
~
Çñ
Ç
ñ
Ñ =
∑
∞
=
−
=
+
+
+
=
N
å
N
å
å
O
P
O
N ñ
å~
ñ
~
P
ñ
~
O
~ K K=
=
=
=
CHAPTER 11. SERIES
313
1224. fåíÉÖê~íáçå=çÑ=mçïÉê=pÉêáÉë=
iÉí= ( ) K
+
+
+
=
= ∑
∞
=
O
O
N
M
M
å
å
å ñ
~
ñ
~
~
ñ
~
ñ
Ñ =Ñçê= o
ñ < K==
qÜÉåI==Ñçê= o
ñ < I=íÜÉ=áåÇÉÑáåáíÉ=áåíÉÖê~ä= ( )
∫ Çñ
ñ
Ñ Éñáëíë=~åÇ==
( ) K
+
+
+
= ∫
∫
∫
∫ Çñ
ñ
~
ñÇñ
~
Çñ
~
Çñ
ñ
Ñ O
O
N
M =
`
N
å
ñ
~
P
ñ
~
O
ñ
~
ñ
~
M
å
N
å
å
P
O
O
N
M +
+
=
+
+
+
= ∑
∞
=
+
K K=
=
=
=
11.10 Taylor and Maclaurin Series
=
tÜçäÉ=åìãÄÉêW=å=
aáÑÑÉêÉåíá~ÄäÉ=ÑìåÅíáçåW= ( )
ñ
Ñ =
oÉã~áåÇÉê=íÉêãW= å
o =
=
=
1225. q~óäçê=pÉêáÉë=
( ) ( )
( )( ) ( ) ( )( ) ( )( ) K
+
−
′
′
+
−
′
+
=
−
= ∑
∞
= >
O
~
ñ
~
Ñ
~
ñ
~
Ñ
~
Ñ
>
å
~
ñ
~
Ñ
ñ
Ñ
O
M
å
å
å
= =
( )
( )( )
å
å
å
o
>
å
~
ñ
~
Ñ
+
−
+ K==
=
1226. qÜÉ=oÉã~áåÇÉê=^ÑíÉê=åHN=qÉêãë=áë=ÖáîÉå=Äó==
( )
( )( )
( )>
N
å
~
ñ
Ñ
o
N
å
N
å
å
+
−
ξ
=
+
+
I=== ñ
~ <
ξ
< K=
=
1227. j~Åä~ìêáå=pÉêáÉë=
CHAPTER 11. SERIES
314
( ) ( )
( ) ( ) ( ) ( ) ( )
( )
å
å
å
O
M
å
å
å
o
>
å
ñ
M
Ñ
>
O
ñ
M
Ñ
ñ
M
Ñ
M
Ñ
>
å
ñ
M
Ñ
ñ
Ñ +
+
+
′
′
+
′
+
=
= ∑
∞
=
K
=
=
=
=
11.11 Power Series Expansions for Some
Functions
=
tÜçäÉ=åìãÄÉêW=å=
oÉ~ä=åìãÄÉêW=ñ=
=
=
1228. K
K +
+
+
+
+
+
=
>
å
ñ
>
P
ñ
>
O
ñ
ñ
N
É
å
P
O
ñ
=
=
1229.
( ) ( ) ( ) K
K +
+
+
+
+
+
=
>
å
~
äå
ñ
>
P
~
äå
ñ
>
O
~
äå
ñ
>
N
~
äå
ñ
N
~
å
P
O
ñ
=
=
1230. ( ) ( ) K
K ±
+
−
+
+
−
+
−
=
+
+
N
å
ñ
N
Q
ñ
P
ñ
O
ñ
ñ
ñ
N
äå
N
å
å
Q
P
O
I= N
ñ
N ≤
<
− K=
=
1231. 







+
+
+
+
=
−
+
K
T
ñ
R
ñ
P
ñ
ñ
O
ñ
N
ñ
N
äå
T
R
P
I= N
ñ < K=
=
1232.














+
−
+






+
−
+
+
−
= K
R
P
N
ñ
N
ñ
R
N
N
ñ
N
ñ
P
N
N
ñ
N
ñ
O
ñ
äå I= M
ñ > K=
=
1233.
( )
( )
K
K ±
−
+
+
−
+
−
=
>
å
O
ñ
N
>
S
ñ
>
Q
ñ
>
O
ñ
N
ñ
Åçë
å
O
å
S
Q
O
=
=
CHAPTER 11. SERIES
315
1234.
( )
( )
K
K ±
+
−
+
+
−
+
−
=
+
>
N
å
O
ñ
N
>
T
ñ
>
R
ñ
>
P
ñ
ñ
ñ
ëáå
N
å
O
å
T
R
P
=
=
1235. K
+
+
+
+
+
=
OUPR
ñ
SO
PNR
ñ
NT
NR
ñ
O
P
ñ
ñ
ñ
í~å
V
T
R
P
I=
O
ñ
π
< K=
=
1236. 







+
+
+
+
−
= K
QTOR
ñ
O
VQR
ñ
O
QR
ñ
P
ñ
ñ
N
ñ
Åçí
T
R
P
I= π
<
ñ K=
=
1237.
( )
( )( )
K
K
K
K +
+
⋅
⋅
−
⋅
⋅
+
+
⋅
⋅
⋅
+
⋅
+
=
+
N
å
O
å
O
S
Q
O
ñ
N
å
O
R
P
N
R
Q
O
ñ
P
N
P
O
ñ
ñ
ñ
~êÅëáå
N
å
O
R
P
I=
N
ñ < K=
=
1238.
( )
( )( )
I
N
å
O
å
O
S
Q
O
ñ
N
å
O
R
P
N
R
Q
O
ñ
P
N
P
O
ñ
ñ
O
ñ
~êÅÅçë
N
å
O
R
P








+
+
⋅
⋅
−
⋅
⋅
+
+
⋅
⋅
⋅
+
⋅
+
−
π
=
+
K
K
K
K
N
ñ < K=
=
1239.
( ) K
K ±
+
−
+
+
−
+
−
=
+
N
å
O
ñ
N
T
ñ
R
ñ
P
ñ
ñ
ñ
~êÅí~å
N
å
O
å
T
R
P
I= N
ñ ≤ K=
=
1240.
( )
K
K +
+
+
+
+
+
=
>
å
O
ñ
>
S
ñ
>
Q
ñ
>
O
ñ
N
ñ
ÅçëÜ
å
O
S
Q
O
=
=
1241.
( )
K
K +
+
+
+
+
+
+
=
+
>
N
å
O
ñ
>
T
ñ
>
R
ñ
>
P
ñ
ñ
ñ
ëáåÜ
N
å
O
T
R
P
=
=
=
=
=
=
CHAPTER 11. SERIES
316
11.12 Binomial Series
=
tÜçäÉ=åìãÄÉêëW=åI=ã=
oÉ~ä=åìãÄÉêW=ñ=
`çãÄáå~íáçåëW= ã
å
` =
=
=
1242. ( ) å
ã
å
ã
O
O
å
N
å
å
ñ
ñ
`
ñ
`
ñ
`
N
ñ
N +
+
+
+
+
+
=
+ K
K =
=
1243.
( ) ( )
[ ]
>
ã
N
ã
å
N
å
å
`ã
å −
−
−
=
K
I= N
ñ < K=
=
1244. K
+
−
+
−
=
+
P
O
ñ
ñ
ñ
N
ñ
N
N
I= N
ñ < K=
=
1245. K
+
+
+
+
=
−
P
O
ñ
ñ
ñ
N
ñ
N
N
I= N
ñ < K=
=
1246. K
+
⋅
⋅
⋅
⋅
⋅
−
⋅
⋅
⋅
+
⋅
−
+
=
+
U
S
Q
O
ñ
R
P
N
S
Q
O
ñ
P
N
Q
O
ñ
O
ñ
N
ñ
N
Q
P
O
I= N
ñ ≤ K=
=
1247. K
+
⋅
⋅
⋅
⋅
⋅
⋅
−
⋅
⋅
⋅
⋅
+
⋅
⋅
−
+
=
+
NO
V
S
P
ñ
U
R
O
N
V
S
P
ñ
R
O
N
S
P
ñ
O
N
P
ñ
N
ñ
N
Q
P
O
P
I= N
ñ ≤ K=
=
=
=
11.13 Fourier Series
=
fåíÉÖê~ÄäÉ=ÑìåÅíáçåW= ( )
ñ
Ñ =
cçìêáÉê=ÅçÉÑÑáÅáÉåíëW= M
~ I= å
~ I= å
Ä =
tÜçäÉ=åìãÄÉêW=å==
CHAPTER 11. SERIES
317
1248. ( ) ( )
∑
∞
=
+
+
=
N
å
å
å
M
åñ
ëáå
Ä
åñ
Åçë
~
O
~
ñ
Ñ =
=
1249. ( )
∫
π
π
−
π
= Çñ
åñ
Åçë
ñ
Ñ
N
~å ==
=
1250. ( )
∫
π
π
−
π
= Çñ
åñ
ëáå
ñ
Ñ
N
Äå ==
=
=
318
Chapter 12
Probability
=
=
=
=
12.1 Permutations and Combinations
=
mÉêãìí~íáçåëW= ã
å
m =
`çãÄáå~íáçåëW= ã
å
` =
tÜçäÉ=åìãÄÉêëW=åI=ã=
=
=
1251. c~Åíçêá~ä=
( )( )å
N
å
O
å
P
O
N
>
å −
−
⋅
⋅
= K =
N
>
M = =
=
1252. >
å
må
å
= =
=
1253.
( )>
ã
å
>
å
mã
å
−
= =
=
1254. _áåçãá~ä=`çÉÑÑáÅáÉåí=
( )>
ã
å
>
ã
>
å
ã
å
`ã
å
−
=








= =
=
1255. ã
å
å
ã
å
`
` −
= =
=
1256. N
ã
N
å
N
ã
å
ã
å
`
`
` +
+
+ =
+ =
=
CHAPTER 12. PROBABILITY
319
1257. å
å
å
O
å
N
å
M
å
O
`
`
`
` =
+
+
+
+ K =
=
1258. m~ëÅ~ä∞ë=qêá~åÖäÉ=
=
oçï=M= = = = = = = N= = = = = = =
oçï=N= = = = = = N= = N= = = = = =
oçï=O= = = = = N= = O= = N= = = = =
oçï=P= = = = N= = P= = P= = N= = = =
oçï=Q= = = N= = Q= = S= = Q= = N= = =
oçï=R= = N= = R= = NM= = NM= = R= = N= =
oçï=S= N= = S= = NR= = OM= = NR= = S= = N=
=
=
=
12.2 Probability Formulas
=
bîÉåíëW=^I=_=
mêçÄ~ÄáäáíóW=m=
o~åÇçã=î~êá~ÄäÉëW=uI=vI=w=
s~äìÉë=çÑ=ê~åÇçã=î~êá~ÄäÉëW=ñI=óI=ò=
bñéÉÅíÉÇ=î~äìÉ=çÑ=uW=µ=
^åó=éçëáíáîÉ=êÉ~ä=åìãÄÉêW=ε ==
pí~åÇ~êÇ=ÇÉîá~íáçåW=σ =
s~êá~åÅÉW= O
σ =
aÉåëáíó=ÑìåÅíáçåëW= ( )
ñ
Ñ I= ( )
í
Ñ =
=
=
1259. mêçÄ~Äáäáíó=çÑ=~å=bîÉåí=
( )
å
ã
^
m = I==
ïÜÉêÉ==
ã=áë=íÜÉ=åìãÄÉê=çÑ=éçëëáÄäÉ=éçëáíáîÉ=çìíÅçãÉëI==
å=áë=íÜÉ=íçí~ä=åìãÄÉê=çÑ=éçëëáÄäÉ=çìíÅçãÉëK=
=
CHAPTER 12. PROBABILITY
320
1260. o~åÖÉ=çÑ=mêçÄ~Äáäáíó=s~äìÉë=
( ) N
^
m
M ≤
≤ =
=
1261. `Éêí~áå=bîÉåí=
( ) N
^
m = =
=
1262. fãéçëëáÄäÉ=bîÉåí=
( ) M
^
m = =
=
1263. `çãéäÉãÉåí=
( ) ( )
^
m
N
^
m −
= =
=
1264. fåÇÉéÉåÇÉåí=bîÉåíë=
( ) ( )
^
m
_
L
^
m = I==
( ) ( )
_
m
^
L
_
m = =
=
1265. ^ÇÇáíáçå=oìäÉ=Ñçê=fåÇÉéÉåÇÉåí=bîÉåíë=
( ) ( ) ( )
_
m
^
m
_
^
m +
=
∪ =
=
1266. jìäíáéäáÅ~íáçå=oìäÉ=Ñçê=fåÇÉéÉåÇÉåí=bîÉåíë=
( ) ( ) ( )
_
m
^
m
_
^
m ⋅
=
∩ =
=
1267. dÉåÉê~ä=^ÇÇáíáçå=oìäÉ=
( ) ( ) ( ) ( )
_
^
m
_
m
^
m
_
^
m ∩
−
+
=
∪ I==
ïÜÉêÉ==
_
^ ∪ =áë=íÜÉ=ìåáçå=çÑ=ÉîÉåíë=^=~åÇ=_I==
_
^ ∩ =áë=íÜÉ=áåíÉêëÉÅíáçå=çÑ=ÉîÉåíë=^=~åÇ=_K=
=
1268. `çåÇáíáçå~ä=mêçÄ~Äáäáíó=
( ) ( )
( )
_
m
_
^
m
_
L
^
m
∩
= =
=
1269. ( ) ( ) ( ) ( ) ( )
^
L
_
m
^
m
_
L
^
m
_
m
_
^
m ⋅
=
⋅
=
∩ =
CHAPTER 12. PROBABILITY
321
1270. i~ï=çÑ=qçí~ä=mêçÄ~Äáäáíó=
( ) ( ) ( )
∑
=
=
ã
N
á
á
á _
L
^
m
_
m
^
m I==
ïÜÉêÉ= á
_ =áë=~=ëÉèìÉåÅÉ=çÑ=ãìíì~ääó=ÉñÅäìëáîÉ=ÉîÉåíëK==
=
1271. _~óÉë∞=qÜÉçêÉã=
( ) ( ) ( )
( )
^
m
_
m
_
L
^
m
^
L
_
m
⋅
= =
=
1272. _~óÉë∞=cçêãìä~=
( )
( ) ( )
( ) ( )
∑
=
⋅
⋅
= ã
N
â
á
á
á
á
á
_
L
^
m
_
m
_
L
^
m
_
m
^
L
_
m I==
ïÜÉêÉ==
á
_ =áë=~=ëÉí=çÑ=ãìíì~ääó=ÉñÅäìëáîÉ=ÉîÉåíë=EÜóéçíÜÉëÉëFI=
^ =áë=íÜÉ=Ñáå~ä=ÉîÉåíI==
( )
á
_
m =~êÉ=íÜÉ=éêáçê=éêçÄ~ÄáäáíáÉëI=
( )
^
L
_
m á =~êÉ=íÜÉ=éçëíÉêáçê=éêçÄ~ÄáäáíáÉëK=
=
1273. i~ï=çÑ=i~êÖÉ=kìãÄÉêë=
M
å
p
m å
→






ε
≥
µ
− =~ë= ∞
→
å I==
N
å
p
m å
→






ε
<
µ
− =~ë= ∞
→
å I==
ïÜÉêÉ==
å
p =áë=íÜÉ=ëìã=çÑ=ê~åÇçã=î~êá~ÄäÉëI=
å=áë=íÜÉ=åìãÄÉê=çÑ=éçëëáÄäÉ=çìíÅçãÉëK=
=
1274. `ÜÉÄóëÜÉî=fåÉèì~äáíó=
( ) ( )
O
u
s
u
m
ε
≤
ε
≥
µ
− I==
ïÜÉêÉ= ( )
u
s =áë=íÜÉ=î~êá~åÅÉ=çÑ=uK=
CHAPTER 12. PROBABILITY
322
1275. kçêã~ä=aÉåëáíó=cìåÅíáçå=
( )
( )
O
O
O
ñ
É
O
N
ñ σ
µ
−
−
π
σ
=
ϕ I==
ïÜÉêÉ=ñ=áë=~=é~êíáÅìä~ê=çìíÅçãÉK=
=
1276. pí~åÇ~êÇ=kçêã~ä=aÉåëáíó=cìåÅíáçå=
( ) O
ò O
É
O
N
ò
−
π
=
ϕ =
^îÉê~ÖÉ=î~äìÉ= M
=
µ I=ÇÉîá~íáçå= N
=
σ K=
=
===== =
=
Figure 210.
=
1277. pí~åÇ~êÇ=w=s~äìÉ=
σ
µ
−
=
u
w =
=
1278. `ìãìä~íáîÉ=kçêã~ä=aáëíêáÄìíáçå=cìåÅíáçå=
( )
( )
∫∞
−
σ
µ
−
−
π
σ
=
ñ
O
í
Çí
É
O
N
ñ
c
O
O
I==
CHAPTER 12. PROBABILITY
323
ïÜÉêÉ==
ñ=áë=~=é~êíáÅìä~ê=çìíÅçãÉI==
í =áë=~=î~êá~ÄäÉ=çÑ=áåíÉÖê~íáçåK=
=
1279. ( ) 





σ
µ
−
β
−






σ
µ
−
α
=
β
<
<
α c
c
u
m I=
ïÜÉêÉ=
u=áë=åçêã~ääó=ÇáëíêáÄìíÉÇ=ê~åÇçã=î~êá~ÄäÉI=
c=áë=Åìãìä~íáîÉ=åçêã~ä=ÇáëíêáÄìíáçå=ÑìåÅíáçåI==
( )
β
<
<
α u
m =áë=áåíÉêî~ä=éêçÄ~ÄáäáíóK=
=
1280. ( ) 





σ
ε
=
ε
<
µ
− c
O
u
m I==
ïÜÉêÉ==
u=áë=åçêã~ääó=ÇáëíêáÄìíÉÇ=ê~åÇçã=î~êá~ÄäÉI=
c=áë=Åìãìä~íáîÉ=åçêã~ä=ÇáëíêáÄìíáçå=ÑìåÅíáçåK=
=
1281. `ìãìä~íáîÉ=aáëíêáÄìíáçå=cìåÅíáçå=
( ) ( ) ( )
∫∞
−
=
<
=
ñ
Çí
í
Ñ
ñ
u
m
ñ
c I==
ïÜÉêÉ=í=áë=~=î~êá~ÄäÉ=çÑ=áåíÉÖê~íáçåK=
=
1282. _Éêåçìääá=qêá~äë=mêçÅÉëë=
åé
=
µ = I= åéè
O
=
σ I==
ïÜÉêÉ==
å=áë=~=ëÉèìÉåÅÉ=çÑ=ÉñéÉêáãÉåíëI==
é =áë=íÜÉ=éêçÄ~Äáäáíó=çÑ=ëìÅÅÉëë=çÑ=É~ÅÜ=ÉñéÉêáãÉåíëI=
è =áë=íÜÉ=éêçÄ~Äáäáíó=çÑ=Ñ~áäìêÉI= é
N
è −
= K=
=
1283. _áåçãá~ä=aáëíêáÄìíáçå=cìåÅíáçå=======
( ) â
å
â
è
é
â
å
è
I
é
I
å
Ä −








= I==
CHAPTER 12. PROBABILITY
324
åé
=
µ I= åéè
O
=
σ I=
( ) ( )å
ñ
éÉ
è
ñ
Ñ +
= I==
ïÜÉêÉ==
å=áë=íÜÉ=åìãÄÉê=çÑ=íêá~äë=çÑ=ëÉäÉÅíáçåëI=
é=áë=íÜÉ=éêçÄ~Äáäáíó=çÑ=ëìÅÅÉëëI=
è=áë=íÜÉ=éêçÄ~Äáäáíó=çÑ=Ñ~áäìêÉI= é
N
è −
= K=
=
1284. dÉçãÉíêáÅ=aáëíêáÄìíáçå=
( ) é
è
à
q
m N
à−
=
= I==
é
N
=
µ I= O
O
é
è
=
σ I==
ïÜÉêÉ==
q=áë=íÜÉ=Ñáêëí=ëìÅÅÉëëÑìä=ÉîÉåí=áë=íÜÉ=ëÉêáÉëI=
à=áë=íÜÉ=ÉîÉåí=åìãÄÉêI=
é=áë=íÜÉ=éêçÄ~Äáäáíó=íÜ~í=~åó=çåÉ=ÉîÉåí=áë=ëìÅÅÉëëÑìäI==
è=áë=íÜÉ=éêçÄ~Äáäáíó=çÑ=Ñ~áäìêÉI= é
N
è −
= K=
=
1285. mçáëëçå=aáëíêáÄìíáçå=
( ) λ
−
λ
≈
= É
>
â
â
u
m
â
I= åé
=
λ I==
λ
=
µ I= λ
=
σO
I==
ïÜÉêÉ==
λ =áë=íÜÉ=ê~íÉ=çÑ=çÅÅìêêÉåÅÉI=
â=áë=íÜÉ=åìãÄÉê=çÑ=éçëáíáîÉ=çìíÅçãÉëK=
=
1286. aÉåëáíó=cìåÅíáçå==
( ) ( )
∫
=
≤
≤
Ä
~
Çñ
ñ
Ñ
Ä
u
~
m ==
=
1287. `çåíáåìçìë=råáÑçêã=aÉåëáíó=
~
Ä
N
Ñ
−
= I=
O
Ä
~ +
=
µ I==
CHAPTER 12. PROBABILITY
325
ïÜÉêÉ=Ñ=áë=íÜÉ=ÇÉåëáíó=ÑìåÅíáçåK=
=
1288. bñéçåÉåíá~ä=aÉåëáíó=cìåÅíáçå=
( ) í
É
í
Ñ λ
−
λ
= I= λ
=
µ I= O
O
λ
=
σ =
ïÜÉêÉ=í=áë=íáãÉI=λ =áë=íÜÉ=Ñ~áäìêÉ=ê~íÉK=
=
1289. bñéçåÉåíá~ä=aáëíêáÄìíáçå=cìåÅíáçå=
( ) í
É
N
í
c λ
−
−
= I==
ïÜÉêÉ=í=áë=íáãÉI=λ =áë=íÜÉ=Ñ~áäìêÉ=ê~íÉK=
=
1290. bñéÉÅíÉÇ=s~äìÉ=çÑ=aáëÅêÉíÉ=o~åÇçã=s~êá~ÄäÉë=
( ) ∑
=
=
=
µ
å
N
á
á
áé
ñ
u
b I==
ïÜÉêÉ= á
ñ =áë=~=é~êíáÅìä~ê=çìíÅçãÉI= á
é =áë=áíë=éêçÄ~ÄáäáíóK=
=
1291. bñéÉÅíÉÇ=s~äìÉ=çÑ=`çåíáåìçìë=o~åÇçã=s~êá~ÄäÉë=
( ) ( )
∫
∞
∞
−
=
=
µ Çñ
ñ
ñÑ
u
b ==
=
1292. mêçéÉêíáÉë=çÑ=bñéÉÅí~íáçåë=
( ) ( ) ( )
v
b
u
b
v
u
b +
=
+ I==
( ) ( ) ( )
v
b
u
b
v
u
b −
=
− I=
( ) ( )
u
Åb
Åu
b = I==
( ) ( ) ( )
v
b
u
b
uv
b ⋅
= I==
ïÜÉêÉ=Å=áë=~=Åçåëí~åíK=
=
1293. ( ) ( ) O
O
u
s
u
b µ
+
= I==
ïÜÉêÉ==
( )
u
b
=
µ =áë=íÜÉ=ÉñéÉÅíÉÇ=î~äìÉI===
( )
u
s =áë=íÜÉ=î~êá~åÅÉK=
=
=
=
CHAPTER 12. PROBABILITY
326
1294. j~êâçî=fåÉèì~äáíó=
( ) ( )
â
u
b
â
u
m ≤
> I==
ïÜÉêÉ=â=áë=ëçãÉ=Åçåëí~åíK=
=
1295. s~êá~åÅÉ=çÑ=aáëÅêÉíÉ=o~åÇçã=s~êá~ÄäÉë=
( ) ( )
[ ] ( )
∑
=
µ
−
=
µ
−
=
=
σ
å
N
á
á
O
á
O
O
é
ñ
u
b
u
s I==
ïÜÉêÉ==
á
ñ =áë=~=é~êíáÅìä~ê=çìíÅçãÉI=
á
é =áë=áíë=éêçÄ~ÄáäáíóK=
=
1296. s~êá~åÅÉ=çÑ=`çåíáåìçìë=o~åÇçã=s~êá~ÄäÉë=
( ) ( )
[ ] ( ) ( )
∫
∞
∞
−
µ
−
=
µ
−
=
=
σ Çñ
ñ
Ñ
ñ
u
b
u
s
O
O
O
==
=
1297. mêçéÉêíáÉë=çÑ=s~êá~åÅÉ=
( ) ( ) ( )
v
s
u
s
v
u
s +
=
+ I==
( ) ( ) ( )
v
s
u
s
v
u
s +
=
− I=
( ) ( )
u
s
Å
u
s =
+ I=
( ) ( )
u
s
Å
Åu
s O
= I=
ïÜÉêÉ=Å=áë=~=Åçåëí~åíK=
=
1298. pí~åÇ~êÇ=aÉîá~íáçå=
( ) ( ) ( )
[ ]
O
u
b
u
s
u
a µ
−
=
= =
=
1299. `çî~êá~åÅÉ=
( ) ( )
( ) ( )
( )
[ ] ( ) ( ) ( )
v
u
uv
b
v
v
u
u
b
v
I
u
Åçî µ
µ
−
=
µ
−
µ
−
= I==
ïÜÉêÉ==
u =áë=ê~åÇçã=î~êá~ÄäÉI==
( )
u
s =áë=íÜÉ=î~êá~åÅÉ=çÑ=uI==
µ=áë=íÜÉ=ÉñéÉÅíÉÇ=î~äìÉ=çÑ=u=çê=vK=
CHAPTER 12. PROBABILITY
327
=
1300. `çêêÉä~íáçå=
( ) ( )
( ) ( )
v
s
u
s
v
I
u
Åçî
v
I
u =
ρ I==
ïÜÉêÉ==
( )
u
s =áë=íÜÉ=î~êá~åÅÉ=çÑ=uI==
( )
v
s =áë=íÜÉ=î~êá~åÅÉ=çÑ=vK=
=
=
=
=
=
=
=
=
=
=
=
=
=
=
=
=
=
=
=
=
=
=
=
=
=
=
=
=
=
iççâ=Ñçê=çíÜÉê=Ü~åÇÄççâë=~åÇ=ëçäîÉÇ=éêçÄäÉã=ÖìáÇÉë=~í=
ïïïKã~íÜ-ÉÄççâëKÅçãK=
=
=
=
=

1300 MATHS FORMULA.pdf

  • 2.
    1300 Math Formulas = = = = = = = = = = = = = = = = = = = = = = = = = = = = = = fp_k==VVQVNMTTQN= = `çéóêáÖÜí=«=OMMQ=^KpîáêáåK=^ää=oáÖÜíë=oÉëÉêîÉÇK=
  • 3.
  • 4.
    ii Preface = = = = qÜáë= Ü~åÇÄççâ= áë=~= ÅçãéäÉíÉ= ÇÉëâíçé= êÉÑÉêÉåÅÉ= Ñçê= ëíì- ÇÉåíë= ~åÇ= ÉåÖáåÉÉêëK= fí= Ü~ë= ÉîÉêóíÜáåÖ= Ñêçã= ÜáÖÜ= ëÅÜççä= ã~íÜ=íç=ã~íÜ=Ñçê=~Çî~åÅÉÇ=ìåÇÉêÖê~Çì~íÉë=áå=ÉåÖáåÉÉêáåÖI= ÉÅçåçãáÅëI=éÜóëáÅ~ä=ëÅáÉåÅÉëI=~åÇ=ã~íÜÉã~íáÅëK=qÜÉ=ÉÄççâ= Åçåí~áåë= ÜìåÇêÉÇë= çÑ= Ñçêãìä~ëI= í~ÄäÉëI= ~åÇ= ÑáÖìêÉë= Ñêçã= kìãÄÉê=pÉíëI=^äÖÉÄê~I=dÉçãÉíêóI=qêáÖçåçãÉíêóI=j~íêáÅÉë= ~åÇ= aÉíÉêãáå~åíëI= sÉÅíçêëI= ^å~äóíáÅ= dÉçãÉíêóI= `~äÅìäìëI= aáÑÑÉêÉåíá~ä=bèì~íáçåëI=pÉêáÉëI=~åÇ=mêçÄ~Äáäáíó=qÜÉçêóK== qÜÉ= ëíêìÅíìêÉÇ= í~ÄäÉ= çÑ= ÅçåíÉåíëI= äáåâëI= ~åÇ= ä~óçìí= ã~âÉ= ÑáåÇáåÖ= íÜÉ= êÉäÉî~åí= áåÑçêã~íáçå= èìáÅâ= ~åÇ= é~áåäÉëëI= ëç= áí= Å~å=ÄÉ=ìëÉÇ=~ë=~å=ÉîÉêóÇ~ó=çåäáåÉ=êÉÑÉêÉåÅÉ=ÖìáÇÉK=== = =
  • 5.
    iii Contents = = = = 1 krj_bo=pbqp= NKN= pÉí=fÇÉåíáíáÉë==1= NKO=pÉíë=çÑ=kìãÄÉêë==5= NKP= _~ëáÅ=fÇÉåíáíáÉë==7= NKQ= `çãéäÉñ=kìãÄÉêë==8= = 2 ^idb_o^= OKN= c~ÅíçêáåÖ=cçêãìä~ë==12= OKO= mêçÇìÅí=cçêãìä~ë==13= OKP= mçïÉêë==14= OKQ= oççíë==15= OKR= içÖ~êáíÜãë==16= OKS= bèì~íáçåë==18= OKT= fåÉèì~äáíáÉë==19= OKU= `çãéçìåÇ=fåíÉêÉëí=cçêãìä~ë==22= = 3 dbljbqov= PKN= oáÖÜí=qêá~åÖäÉ==24= PKO= fëçëÅÉäÉë=qêá~åÖäÉ==27= PKP= bèìáä~íÉê~ä=qêá~åÖäÉ==28= PKQ= pÅ~äÉåÉ=qêá~åÖäÉ==29= PKR= pèì~êÉ==33= PKS= oÉÅí~åÖäÉ==34= PKT= m~ê~ääÉäçÖê~ã==35= PKU= oÜçãÄìë==36= PKV= qê~éÉòçáÇ==37= PKNM= fëçëÅÉäÉë=qê~éÉòçáÇ==38= PKNN= fëçëÅÉäÉë=qê~éÉòçáÇ=ïáíÜ=fåëÅêáÄÉÇ=`áêÅäÉ==40= PKNO= qê~éÉòçáÇ=ïáíÜ=fåëÅêáÄÉÇ=`áêÅäÉ==41=
  • 6.
    iv PKNP= háíÉ==42= PKNQ= `óÅäáÅ=nì~Çêáä~íÉê~ä==43= PKNR=q~åÖÉåíá~ä=nì~Çêáä~íÉê~ä==45= PKNS= dÉåÉê~ä=nì~Çêáä~íÉê~ä==46= PKNT= oÉÖìä~ê=eÉñ~Öçå==47= PKNU= oÉÖìä~ê=mçäóÖçå==48= PKNV= `áêÅäÉ==50= PKOM= pÉÅíçê=çÑ=~=`áêÅäÉ==53= PKON= pÉÖãÉåí=çÑ=~=`áêÅäÉ==54= PKOO= `ìÄÉ==55= PKOP= oÉÅí~åÖìä~ê=m~ê~ääÉäÉéáéÉÇ==56= PKOQ= mêáëã==57= PKOR= oÉÖìä~ê=qÉíê~ÜÉÇêçå==58= PKOS= oÉÖìä~ê=móê~ãáÇ==59= PKOT= cêìëíìã=çÑ=~=oÉÖìä~ê=móê~ãáÇ==61= PKOU= oÉÅí~åÖìä~ê=oáÖÜí=tÉÇÖÉ==62= PKOV= mä~íçåáÅ=pçäáÇë==63= PKPM= oáÖÜí=`áêÅìä~ê=`óäáåÇÉê==66= PKPN= oáÖÜí=`áêÅìä~ê=`óäáåÇÉê=ïáíÜ=~å=lÄäáèìÉ=mä~åÉ=c~ÅÉ==68= PKPO= oáÖÜí=`áêÅìä~ê=`çåÉ==69= PKPP= cêìëíìã=çÑ=~=oáÖÜí=`áêÅìä~ê=`çåÉ==70= PKPQ= péÜÉêÉ==72= PKPR= péÜÉêáÅ~ä=`~é==72= PKPS= péÜÉêáÅ~ä=pÉÅíçê==73= PKPT= péÜÉêáÅ~ä=pÉÖãÉåí==74= PKPU= péÜÉêáÅ~ä=tÉÇÖÉ==75= PKPV= bääáéëçáÇ==76= PKQM= `áêÅìä~ê=qçêìë==78= = = 4 qofdlkljbqov= QKN= o~Çá~å=~åÇ=aÉÖêÉÉ=jÉ~ëìêÉë=çÑ=^åÖäÉë==80= QKO= aÉÑáåáíáçåë=~åÇ=dê~éÜë=çÑ=qêáÖçåçãÉíêáÅ=cìåÅíáçåë==81= QKP= páÖåë=çÑ=qêáÖçåçãÉíêáÅ=cìåÅíáçåë==86= QKQ= qêáÖçåçãÉíêáÅ=cìåÅíáçåë=çÑ=`çããçå=^åÖäÉë==87= QKR= jçëí=fãéçêí~åí=cçêãìä~ë==88=
  • 7.
    v QKS= oÉÇìÅíáçå=cçêãìä~ë==89= QKT= mÉêáçÇáÅáíó=çÑ=qêáÖçåçãÉíêáÅ=cìåÅíáçåë==90= QKU=oÉä~íáçåë=ÄÉíïÉÉå=qêáÖçåçãÉíêáÅ=cìåÅíáçåë==90= QKV= ^ÇÇáíáçå=~åÇ=pìÄíê~Åíáçå=cçêãìä~ë==91= QKNM= açìÄäÉ=^åÖäÉ=cçêãìä~ë==92= QKNN= jìäíáéäÉ=^åÖäÉ=cçêãìä~ë==93= QKNO= e~äÑ=^åÖäÉ=cçêãìä~ë==94= QKNP= e~äÑ=^åÖäÉ=q~åÖÉåí=fÇÉåíáíáÉë==94= QKNQ= qê~åëÑçêãáåÖ=çÑ=qêáÖçåçãÉíêáÅ=bñéêÉëëáçåë=íç=mêçÇìÅí==95= QKNR= qê~åëÑçêãáåÖ=çÑ=qêáÖçåçãÉíêáÅ=bñéêÉëëáçåë=íç=pìã==97=== QKNS= mçïÉêë=çÑ=qêáÖçåçãÉíêáÅ=cìåÅíáçåë==98= QKNT= dê~éÜë=çÑ=fåîÉêëÉ=qêáÖçåçãÉíêáÅ=cìåÅíáçåë==99= QKNU= mêáåÅáé~ä=s~äìÉë=çÑ=fåîÉêëÉ=qêáÖçåçãÉíêáÅ=cìåÅíáçåë==102= QKNV= oÉä~íáçåë=ÄÉíïÉÉå=fåîÉêëÉ=qêáÖçåçãÉíêáÅ=cìåÅíáçåë==103= QKOM= qêáÖçåçãÉíêáÅ=bèì~íáçåë==106= QKON= oÉä~íáçåë=íç=eóéÉêÄçäáÅ=cìåÅíáçåë==106= = = 5 j^qof`bp=^ka=abqbojfk^kqp= RKN= aÉíÉêãáå~åíë==107= RKO= mêçéÉêíáÉë=çÑ=aÉíÉêãáå~åíë==109= RKP= j~íêáÅÉë==110= RKQ= léÉê~íáçåë=ïáíÜ=j~íêáÅÉë==111= RKR= póëíÉãë=çÑ=iáåÉ~ê=bèì~íáçåë==114= = = 6 sb`qlop= SKN= sÉÅíçê=`ççêÇáå~íÉë==118= SKO= sÉÅíçê=^ÇÇáíáçå==120= SKP= sÉÅíçê=pìÄíê~Åíáçå==122= SKQ= pÅ~äáåÖ=sÉÅíçêë==122= SKR= pÅ~ä~ê=mêçÇìÅí==123= SKS= sÉÅíçê=mêçÇìÅí==125= SKT= qêáéäÉ=mêçÇìÅí=127= = = 7 ^k^ivqf`=dbljbqov= TKN= låÉ=-aáãÉåëáçå~ä=`ççêÇáå~íÉ=póëíÉã==130=
  • 8.
    vi TKO= qïç=-aáãÉåëáçå~ä=`ççêÇáå~íÉ=póëíÉã==131= TKP= píê~áÖÜí=iáåÉ=áå=mä~åÉ==139= TKQ=`áêÅäÉ==149= TKR= bääáéëÉ==152= TKS= eóéÉêÄçä~==154= TKT= m~ê~Äçä~==158= TKU= qÜêÉÉ=-aáãÉåëáçå~ä=`ççêÇáå~íÉ=póëíÉã==161= TKV= mä~åÉ==165= TKNM= píê~áÖÜí=iáåÉ=áå=pé~ÅÉ==175= TKNN= nì~ÇêáÅ=pìêÑ~ÅÉë==180= TKNO= péÜÉêÉ==189= = = 8 afccbobkqf^i=`^i`rirp= UKN= cìåÅíáçåë=~åÇ=qÜÉáê=dê~éÜë==191= UKO= iáãáíë=çÑ=cìåÅíáçåë==208= UKP= aÉÑáåáíáçå=~åÇ=mêçéÉêíáÉë=çÑ=íÜÉ=aÉêáî~íáîÉ==209= UKQ= q~ÄäÉ=çÑ=aÉêáî~íáîÉë==211= UKR= eáÖÜÉê=lêÇÉê=aÉêáî~íáîÉë==215= UKS= ^ééäáÅ~íáçåë=çÑ=aÉêáî~íáîÉ==217= UKT= aáÑÑÉêÉåíá~ä==221= UKU= jìäíáî~êá~ÄäÉ=cìåÅíáçåë==222= UKV= aáÑÑÉêÉåíá~ä=léÉê~íçêë==225= = = 9 fkqbdo^i=`^i`rirp= VKN= fåÇÉÑáåáíÉ=fåíÉÖê~ä==227= VKO= fåíÉÖê~äë=çÑ=o~íáçå~ä=cìåÅíáçåë==228= VKP= fåíÉÖê~äë=çÑ=fêê~íáçå~ä=cìåÅíáçåë==231= VKQ= fåíÉÖê~äë=çÑ=qêáÖçåçãÉíêáÅ=cìåÅíáçåë==237= VKR= fåíÉÖê~äë=çÑ=eóéÉêÄçäáÅ=cìåÅíáçåë==241= VKS= fåíÉÖê~äë=çÑ=bñéçåÉåíá~ä=~åÇ=içÖ~êáíÜãáÅ=cìåÅíáçåë==242= VKT= oÉÇìÅíáçå=cçêãìä~ë==243= VKU= aÉÑáåáíÉ=fåíÉÖê~ä==247= VKV= fãéêçéÉê=fåíÉÖê~ä==253= VKNM= açìÄäÉ=fåíÉÖê~ä==257= VKNN= qêáéäÉ=fåíÉÖê~ä==269=
  • 9.
    vii VKNO= iáåÉ=fåíÉÖê~ä==275= VKNP= pìêÑ~ÅÉ=fåíÉÖê~ä==285= == 10 afccbobkqf^i=bnr^qflkp= NMKN= cáêëí=lêÇÉê=lêÇáå~êó=aáÑÑÉêÉåíá~ä=bèì~íáçåë==295= NMKO= pÉÅçåÇ=lêÇÉê=lêÇáå~êó=aáÑÑÉêÉåíá~ä=bèì~íáçåë==298= NMKP= pçãÉ=m~êíá~ä=aáÑÑÉêÉåíá~ä=bèì~íáçåë==302= = = 11 pbofbp= NNKN= ^êáíÜãÉíáÅ=pÉêáÉë==304= NNKO= dÉçãÉíêáÅ=pÉêáÉë==305= NNKP= pçãÉ=cáåáíÉ=pÉêáÉë==305= NNKQ= fåÑáåáíÉ=pÉêáÉë==307= NNKR= mêçéÉêíáÉë=çÑ=`çåîÉêÖÉåí=pÉêáÉë==307= NNKS= `çåîÉêÖÉåÅÉ=qÉëíë==308= NNKT= ^äíÉêå~íáåÖ=pÉêáÉë==310= NNKU= mçïÉê=pÉêáÉë==311= NNKV= aáÑÑÉêÉåíá~íáçå=~åÇ=fåíÉÖê~íáçå=çÑ=mçïÉê=pÉêáÉë==312= NNKNM= q~óäçê=~åÇ=j~Åä~ìêáå=pÉêáÉë==313= NNKNN= mçïÉê=pÉêáÉë=bñé~åëáçåë=Ñçê=pçãÉ=cìåÅíáçåë==314= NNKNO= _áåçãá~ä=pÉêáÉë==316= NNKNP= cçìêáÉê=pÉêáÉë==316= = = 12 mol_^_fifqv= NOKN= mÉêãìí~íáçåë=~åÇ=`çãÄáå~íáçåë==318= NOKO= mêçÄ~Äáäáíó=cçêãìä~ë==319= = = = = =
  • 10.
  • 11.
    1 Chapter 1 Number Sets = = = = 1.1Set Identities = pÉíëW=^I=_I=`= råáîÉêë~ä=ëÉíW=f= `çãéäÉãÉåí=W= ^′ = mêçéÉê=ëìÄëÉíW= _ ^ ⊂ == bãéíó=ëÉíW=∅= råáçå=çÑ=ëÉíëW= _ ^ ∪ = fåíÉêëÉÅíáçå=çÑ=ëÉíëW= _ ^ ∩ = aáÑÑÉêÉåÅÉ=çÑ=ëÉíëW= _ y ^ = = = 1. f ^ ⊂ = = 2. ^ ^ ⊂ = = 3. _ ^ = =áÑ= _ ^ ⊂ =~åÇ= ^ _ ⊂ .= = 4. bãéíó=pÉí= ^ ⊂ ∅ = = 5. råáçå=çÑ=pÉíë== { } _ ñ çê ^ ñ ö ñ _ ^ ` ∈ ∈ = ∪ = = =
  • 12.
    CHAPTER 1. NUMBERSETS 2 ===== = = Figure 1. = 6. `çããìí~íáîáíó= ^ _ _ ^ ∪ = ∪ = = 7. ^ëëçÅá~íáîáíó= ( ) ( ) ` _ ^ ` _ ^ ∪ ∪ = ∪ ∪ = = 8. fåíÉêëÉÅíáçå=çÑ=pÉíë= { } _ ñ ~åÇ ^ ñ ö ñ _ ^ ` ∈ ∈ = ∪ = = = = ===== = = Figure 2. = 9. `çããìí~íáîáíó= ^ _ _ ^ ∩ = ∩ = = 10. ^ëëçÅá~íáîáíó= ( ) ( ) ` _ ^ ` _ ^ ∩ ∩ = ∩ ∩ = =
  • 13.
    CHAPTER 1. NUMBERSETS 3 11. aáëíêáÄìíáîáíó= ( ) ( ) ( ) ` ^ _ ^ ` _ ^ ∪ ∩ ∪ = ∩ ∪ I= ( ) ( ) ( ) ` ^ _ ^ ` _ ^ ∩ ∪ ∩ = ∪ ∩ K= = 12. fÇÉãéçíÉåÅó= ^ ^ ^ = ∩ I== ^ ^ ^ = ∪ = = 13. açãáå~íáçå= ∅ = ∅ ∩ ^ I= f f ^ = ∪ = = 14. fÇÉåíáíó= ^ ^ = ∅ ∪ I== ^ f ^ = ∩ = 15. `çãéäÉãÉåí= { } ^ ñ ö f ñ ^ ∉ ∈ = ′ = 16. `çãéäÉãÉåí=çÑ=fåíÉêëÉÅíáçå=~åÇ=råáçå f ^ ^ = ′ ∪ I== ∅ = ′ ∩ ^ ^ = = 17. aÉ=jçêÖ~å∞ë=i~ïë ( ) _ ^ _ ^ ′ ∩ ′ = ′ ∪ I== ( ) _ ^ _ ^ ′ ∪ ′ = ′ ∩ = = 18. aáÑÑÉêÉåÅÉ=çÑ=pÉíë { } ^ ñ ~åÇ _ ñ ö ñ ^ y _ ` ∉ ∈ = = = =
  • 14.
    CHAPTER 1. NUMBERSETS 4 ===== = = Figure 3. = 19. ( ) _ ^ y _ ^ y _ ∩ = = 20. ^ _ ^ y _ ′ ∩ = = 21. ∅ = ^ y ^ = 22. ^ _ y ^ = =áÑ= ∅ = ∩_ ^ . = ===== = = Figure 4. = 23. ( ) ( ) ( ) ` _ y ` ^ ` _ y ^ ∩ ∩ = ∩ 24. ^ y f ^ = ′ 25. `~êíÉëá~å=mêçÇìÅí ( ) { } _ ó ~åÇ ^ ñ ö ó I ñ _ ^ ` ∈ ∈ = × = = =
  • 15.
    CHAPTER 1. NUMBERSETS 5 1.2 Sets of Numbers = k~íìê~ä=åìãÄÉêëW=k= tÜçäÉ=åìãÄÉêëW= M k = fåíÉÖÉêëW=w= mçëáíáîÉ=áåíÉÖÉêëW= + w = kÉÖ~íáîÉ=áåíÉÖÉêëW= − w = o~íáçå~ä=åìãÄÉêëW=n= oÉ~ä=åìãÄÉêëW=o== `çãéäÉñ=åìãÄÉêëW=`== = = 26. k~íìê~ä=kìãÄÉêë `çìåíáåÖ=åìãÄÉêëW { } K I P I O I N k = K= 27. tÜçäÉ=kìãÄÉêë `çìåíáåÖ=åìãÄÉêë=~åÇ=òÉêçW= { } K I P I O I N I M kM = K= = 28. fåíÉÖÉêë tÜçäÉ=åìãÄÉêë=~åÇ=íÜÉáê=çééçëáíÉë=~åÇ=òÉêçW= { } K I P I O I N k w = = + I= { } N I O I P I w − − − = − K I= { } { } K K I P I O I N I M I N I O I P I w M w w − − − = ∪ ∪ = + − K= = 29. o~íáçå~ä=kìãÄÉêë oÉéÉ~íáåÖ=çê=íÉêãáå~íáåÖ=ÇÉÅáã~äëW==       ≠ ∈ ∈ = = M Ä ~åÇ w Ä ~åÇ w ~ ~åÇ Ä ~ ñ ö ñ n K= = 30. fêê~íáçå~ä=kìãÄÉêë kçåêÉéÉ~íáåÖ=~åÇ=åçåíÉêãáå~íáåÖ=ÇÉÅáã~äëK =
  • 16.
    CHAPTER 1. NUMBERSETS 6 31. oÉ~ä=kìãÄÉêë== råáçå=çÑ=ê~íáçå~ä=~åÇ=áêê~íáçå~ä=åìãÄÉêëW=oK= = 32. `çãéäÉñ=kìãÄÉêë { } o ó ~åÇ o ñ ö áó ñ ` ∈ ∈ + = I== ïÜÉêÉ=á=áë=íÜÉ=áã~Öáå~êó=ìåáíK = 33. ` o n w k ⊂ ⊂ ⊂ ⊂ = = === = = Figure 5. = = = = = =
  • 17.
    CHAPTER 1. NUMBERSETS 7 1.3 Basic Identities = oÉ~ä=åìãÄÉêëW=~I=ÄI=Å= = = 34. ^ÇÇáíáîÉ=fÇÉåíáíó= ~ M ~ = + = = 35. ^ÇÇáíáîÉ=fåîÉêëÉ= ( ) M ~ ~ = − + = = 36. `çããìí~íáîÉ=çÑ=^ÇÇáíáçå= ~ Ä Ä ~ + = + = = 37. ^ëëçÅá~íáîÉ=çÑ=^ÇÇáíáçå= ( ) ( ) Å Ä ~ Å Ä ~ + + = + + = = 38. aÉÑáåáíáçå=çÑ=pìÄíê~Åíáçå= ( ) Ä ~ Ä ~ − + = − = = 39. jìäíáéäáÅ~íáîÉ=fÇÉåíáíó= ~ N ~ = ⋅ = = 40. jìäíáéäáÅ~íáîÉ=fåîÉêëÉ= N ~ N ~ = ⋅ I= M ~ ≠ = 41. jìäíáéäáÅ~íáçå=qáãÉë=M M M ~ = ⋅ = 42. `çããìí~íáîÉ=çÑ=jìäíáéäáÅ~íáçå= ~ Ä Ä ~ ⋅ = ⋅ = =
  • 18.
    CHAPTER 1. NUMBERSETS 8 43. ^ëëçÅá~íáîÉ=çÑ=jìäíáéäáÅ~íáçå= ( ) ( ) Å Ä ~ Å Ä ~ ⋅ ⋅ = ⋅ ⋅ = 44. aáëíêáÄìíáîÉ=i~ï= ( ) ~Å ~Ä Å Ä ~ + = + = = 45. aÉÑáåáíáçå=çÑ=aáîáëáçå= Ä N ~ Ä ~ ⋅ = = = = = 1.4 Complex Numbers = k~íìê~ä=åìãÄÉêW=å= fã~Öáå~êó=ìåáíW=á= `çãéäÉñ=åìãÄÉêW=ò= oÉ~ä=é~êíW=~I=Å= fã~Öáå~êó=é~êíW=ÄáI=Çá= jçÇìäìë=çÑ=~=ÅçãéäÉñ=åìãÄÉêW=êI= N ê I= O ê = ^êÖìãÉåí=çÑ=~=ÅçãéäÉñ=åìãÄÉêW=ϕ I= N ϕ I= O ϕ = = = á áN = = á áR = = á á N å Q = + = N áO − = = N áS − = = N á O å Q − = + = á áP − = = á áT − = = á á P å Q − = + = 46. N áQ = = N áU = = N á å Q = = = 47. Äá ~ ò + = = = 48. `çãéäÉñ=mä~åÉ= =
  • 19.
    CHAPTER 1. NUMBERSETS 9 ===== = = Figure 6. = 49. ( ) ( ) ( ) ( )á Ç Ä Å ~ Çá Å Äá ~ + + + = + + + = = 50. ( ) ( ) ( ) ( )á Ç Ä Å ~ Çá Å Äá ~ − + − = + − + = = 51. ( )( ) ( ) ( )á ÄÅ ~Ç ÄÇ ~Å Çá Å Äá ~ + + − = + + = = 52. á Ç Å ~Ç ÄÅ Ç Å ÄÇ ~Å Çá Å Äá ~ O O O O ⋅ + − + + + = + + = = 53. `çåàìÖ~íÉ=`çãéäÉñ=kìãÄÉêë= Äá ~ Äá ~ ||||||| − = + = = 54. ϕ = Åçë ê ~ I= ϕ = ëáå ê Ä == =
  • 20.
    CHAPTER 1. NUMBERSETS 10 = = Figure 7. = 55. mçä~ê=mêÉëÉåí~íáçå=çÑ=`çãéäÉñ=kìãÄÉêë= ( ) ϕ + ϕ = + ëáå á Åçë ê Äá ~ = = 56. jçÇìäìë=~åÇ=^êÖìãÉåí=çÑ=~=`çãéäÉñ=kìãÄÉê= fÑ= Äá ~ + =áë=~=ÅçãéäÉñ=åìãÄÉêI=íÜÉå= O O Ä ~ ê + = =EãçÇìäìëFI== ~ Ä ~êÅí~å = ϕ =E~êÖìãÉåíFK= = 57. mêçÇìÅí=áå=mçä~ê=oÉéêÉëÉåí~íáçå= ( ) ( ) O O O N N N O N ëáå á Åçë ê ëáå á Åçë ê ò ò ϕ + ϕ ⋅ ϕ + ϕ = ⋅ = ( ) ( ) [ ] O N O N O N ëáå á Åçë ê ê ϕ + ϕ + ϕ + ϕ = = = 58. `çåàìÖ~íÉ=kìãÄÉêë=áå=mçä~ê=oÉéêÉëÉåí~íáçå= ( ) ( ) ( ) [ ] ϕ − + ϕ − = ϕ + ϕ ëáå á Åçë ê ëáå á Åçë ê | |||||||||| |||||||||| = = 59. fåîÉêëÉ=çÑ=~=`çãéäÉñ=kìãÄÉê=áå=mçä~ê=oÉéêÉëÉåí~íáçå= ( ) ( ) ( ) [ ] ϕ − + ϕ − = ϕ + ϕ ëáå á Åçë ê N ëáå á Åçë ê N =
  • 21.
    CHAPTER 1. NUMBERSETS 11 60. nìçíáÉåí=áå=mçä~ê=oÉéêÉëÉåí~íáçå= ( ) ( ) ( ) ( ) [ ] O N O N O N O O O N N N O N ëáå á Åçë ê ê ëáå á Åçë ê ëáå á Åçë ê ò ò ϕ − ϕ + ϕ − ϕ = ϕ + ϕ ϕ + ϕ = = = 61. mçïÉê=çÑ=~=`çãéäÉñ=kìãÄÉê= ( ) [ ] ( ) ( ) [ ] ϕ + ϕ = ϕ + ϕ = å ëáå á å Åçë ê ëáå á Åçë ê ò å å å = = 62. cçêãìä~=±aÉ=jçáîêÉ≤= ( ) ( ) ( ) ϕ + ϕ = ϕ + ϕ å ëáå á å Åçë ëáå á Åçë å = = 63. kíÜ=oççí=çÑ=~=`çãéäÉñ=kìãÄÉê= ( )       π + ϕ + π + ϕ = ϕ + ϕ = å â O ëáå á å â O Åçë ê ëáå á Åçë ê ò å å å I== ïÜÉêÉ== N å I I O I N I M â − = K K== = 64. bìäÉê∞ë=cçêãìä~= ñ ëáå á ñ Åçë Éáñ + = = = =
  • 22.
    12 Chapter 2 Algebra = = = = 2.1 FactoringFormulas = oÉ~ä=åìãÄÉêëW=~I=ÄI=Å== k~íìê~ä=åìãÄÉêW=å= = = 65. ( )( ) Ä ~ Ä ~ Ä ~ O O − + = − = = 66. ( )( ) O O P P Ä ~Ä ~ Ä ~ Ä ~ + + − = − = = 67. ( )( ) O O P P Ä ~Ä ~ Ä ~ Ä ~ + − + = + = = 68. ( )( ) ( )( )( ) O O O O O O Q Q Ä ~ Ä ~ Ä ~ Ä ~ Ä ~ Ä ~ + + − = + − = − = = 69. ( )( ) Q P O O P Q R R Ä ~Ä Ä ~ Ä ~ ~ Ä ~ Ä ~ + + + + − = − = = 70. ( )( ) Q P O O P Q R R Ä ~Ä Ä ~ Ä ~ ~ Ä ~ Ä ~ + − + − + = + = = 71. fÑ=å=áë=çÇÇI=íÜÉå= ( )( ) N å O å O P å O å N å å å Ä ~Ä Ä ~ Ä ~ ~ Ä ~ Ä ~ − − − − − + − − + − + = + K K== = 72. fÑ=å=áë=ÉîÉåI=íÜÉå== ( )( ) N å O å O P å O å N å å å Ä ~Ä Ä ~ Ä ~ ~ Ä ~ Ä ~ − − − − − + + + + + − = − K I==
  • 23.
    CHAPTER 2. ALGEBRA 13 ()( ) N å O å O P å O å N å å å Ä ~Ä Ä ~ Ä ~ ~ Ä ~ Ä ~ − − − − − − + − + − + = + K K= = = = 2.2 Product Formulas oÉ~ä=åìãÄÉêëW=~I=ÄI=Å== tÜçäÉ=åìãÄÉêëW=åI=â= = = 73. ( ) O O O Ä ~Ä O ~ Ä ~ + − = − = = 74. ( ) O O O Ä ~Ä O ~ Ä ~ + + = + = = 75. ( ) P O O P P Ä ~Ä P Ä ~ P ~ Ä ~ − + − = − = = 76. ( ) P O O P P Ä ~Ä P Ä ~ P ~ Ä ~ + + + = + = = 77. ( ) Q P O O P Q Q Ä ~Ä Q Ä ~ S Ä ~ Q ~ Ä ~ + − + − = − = = 78. ( ) Q P O O P Q Q Ä ~Ä Q Ä ~ S Ä ~ Q ~ Ä ~ + + + + = + = = 79. _áåçãá~ä=cçêãìä~= ( ) I Ä ` ~Ä ` Ä ~ ` Ä ~ ` ~ ` Ä ~ å å å N å N å å O O å O å N å N å å M å å + + + + + = + − − − − K ïÜÉêÉ= ( )> â å > â > å `â å − = =~êÉ=íÜÉ=Äáåçãá~ä=ÅçÉÑÑáÅáÉåíëK= = 80. ( ) ÄÅ O ~Å O ~Ä O Å Ä ~ Å Ä ~ O O O O + + + + + = + + = = 81. ( ) + + + + + + = + + + + + O O O O O O î ì Å Ä ~ î ì Å Ä ~ K K = ( ) ìî Äî Äì ÄÅ ~î ~ì ~Å ~Ä O + + + + + + + + + + + K K K =
  • 24.
    CHAPTER 2. ALGEBRA 14 2.3Powers = _~ëÉë=EéçëáíáîÉ=êÉ~ä=åìãÄÉêëFW=~I=Ä== mçïÉêë=Eê~íáçå~ä=åìãÄÉêëFW=åI=ã= = = 82. å ã å ã ~ ~ ~ + = = = 83. å ã å ã ~ ~ ~ − = = = 84. ( ) ã ã ã Ä ~ ~Ä = = = 85. ã ã ã Ä ~ Ä ~ =       = = 86. ( ) ãå å ã ~ ~ = = = 87. N ~M = I= M ~ ≠ = = 88. N ~N = = = 89. ã ã ~ N ~ = − = = 90. å ã å ã ~ ~ = = = = = = =
  • 25.
    CHAPTER 2. ALGEBRA 15 2.4Roots = _~ëÉëW=~I=Ä== mçïÉêë=Eê~íáçå~ä=åìãÄÉêëFW=åI=ã= M Ä I ~ ≥ =Ñçê=ÉîÉå=êççíë=E â O å = I= k â∈ F= = = 91. å å å Ä ~ ~Ä = = = 92. åã å ã ã å Ä ~ Ä ~ = = = 93. å å å Ä ~ Ä ~ = I= M Ä ≠ = = 94. åã å ã åã å åã ã ã å Ä ~ Ä ~ Ä ~ = = I= M Ä ≠ K= = 95. ( ) å ãé é å ã ~ ~ = = = 96. ( ) ~ ~ å å = = = 97. åé ãé å ã ~ ~ = = = 98. å ã å ã ~ ~ = = = 99. ãå ã å ~ ~ = = = 100. ( ) å ã ã å ~ ~ = = =
  • 26.
    CHAPTER 2. ALGEBRA 16 101. ~ ~ ~ Nå N å å − = I= M ~ ≠ K= = 102. O Ä ~ ~ O Ä ~ ~ Ä ~ O O − − ± − + = ± = = 103. Ä ~ Ä ~ Ä ~ N − = ± m = = = = 2.5 Logarithms = mçëáíáîÉ=êÉ~ä=åìãÄÉêëW=ñI=óI=~I=ÅI=â= k~íìê~ä=åìãÄÉêW=å== = = 104. aÉÑáåáíáçå=çÑ=içÖ~êáíÜã= ñ äçÖ ó ~ = =áÑ=~åÇ=çåäó=áÑ= ó ~ ñ = I= M ~ > I= N ~ ≠ K= = 105. M N äçÖ~ = = = 106. N ~ äçÖ~ = = = 107.    < ∞ + > ∞ − = N ~ áÑ N ~ áÑ M äçÖ~ = = 108. ( ) ó äçÖ ñ äçÖ ñó äçÖ ~ ~ ~ + = = = 109. ó äçÖ ñ äçÖ ó ñ äçÖ ~ ~ ~ − = =
  • 27.
    CHAPTER 2. ALGEBRA 17 110.( ) ñ äçÖ å ñ äçÖ ~ å ~ = = = 111. ñ äçÖ å N ñ äçÖ ~ å ~ = = = 112. Å äçÖ ñ äçÖ ~ äçÖ ñ äçÖ ñ äçÖ ~ Å Å Å ~ ⋅ = = I= M Å > I= N Å ≠ K= = 113. ~ äçÖ N Å äçÖ Å ~ = = = 114. ñ äçÖ~ ~ ñ = = = 115. içÖ~êáíÜã=íç=_~ëÉ=NM= ñ äçÖ ñ äçÖNM = = = 116. k~íìê~ä=içÖ~êáíÜã= ñ äå ñ äçÖÉ = I== ïÜÉêÉ= K TNUOUNUOU K O â N N äáã É â â =       + = ∞ → = = 117. ñ äå QPQOVQ K M ñ äå NM äå N ñ äçÖ = = = = 118. ñ äçÖ PMORUR K O ñ äçÖ É äçÖ N ñ äå = = = = = = = =
  • 28.
    CHAPTER 2. ALGEBRA 18 2.6Equations = oÉ~ä=åìãÄÉêëW=~I=ÄI=ÅI=éI=èI=ìI=î= pçäìíáçåëW= N ñ I= O ñ I= N ó I= O ó I= P ó = = = 119. iáåÉ~ê=bèì~íáçå=áå=låÉ=s~êá~ÄäÉ= M Ä ~ñ = + I= ~ Ä ñ − = K== = 120. nì~Çê~íáÅ=bèì~íáçå= M Å Äñ ~ñO = + + I= ~ O ~Å Q Ä Ä ñ O O I N − ± − = K= = 121. aáëÅêáãáå~åí= ~Å Q Ä a O − = = = 122. sáÉíÉ∞ë=cçêãìä~ë= fÑ= M è éñ ñO = + + I=íÜÉå==    = − = + è ñ ñ é ñ ñ O N O N K= = 123. M Äñ ~ñO = + I= M ñN = I= ~ Ä ñO − = K= = 124. M Å ~ñO = + I= ~ Å ñ O I N − ± = K= = 125. `ìÄáÅ=bèì~íáçåK=`~êÇ~åç∞ë=cçêãìä~K== M è éó óP = + + I==
  • 29.
    CHAPTER 2. ALGEBRA 19 î ì óN+ = I= ( ) ( )á î ì O P î ì O N ó P I O + ± + − = I== ïÜÉêÉ== P O O P é O è O è ì       +       + − = I= P O O P é O è O è î       +       − − = K== = = 2.7 Inequalities s~êá~ÄäÉëW=ñI=óI=ò= oÉ~ä=åìãÄÉêëW=    å P O N ~ I I ~ I ~ I ~ Ç I Å I Ä I ~ K I=ãI=å= aÉíÉêãáå~åíëW=aI= ñ a I= ó a I= ò a == = = 126. fåÉèì~äáíáÉëI=fåíÉêî~ä=kçí~íáçåë=~åÇ=dê~éÜë== = fåÉèì~äáíó= fåíÉêî~ä=kçí~íáçå= dê~éÜ= Ä ñ ~ ≤ ≤ = [ ] Ä I ~ = = Ä ñ ~ ≤ < = ( ] Ä I ~ = = Ä ñ ~ < ≤ = [ ) Ä I ~ = = Ä ñ ~ < < = ( ) Ä I ~ = = Ä ñ ≤ < ∞ − I= Ä ñ ≤ = ( ] Ä I ∞ − = = Ä ñ < < ∞ − I= Ä ñ < = ( ) Ä I ∞ − = = ∞ < ≤ ñ ~ I= ~ ñ ≥ = [ ) ∞ I ~ = = ∞ < < ñ ~ I= ~ ñ > = ( ) ∞ I ~ = =
  • 30.
    CHAPTER 2. ALGEBRA 20 127.fÑ= Ä ~ > I=íÜÉå= ~ Ä < K= = 128. fÑ= Ä ~ > I=íÜÉå= M Ä ~ > − =çê= M ~ Ä < − K= = 129. fÑ= Ä ~ > I=íÜÉå= Å Ä Å ~ + > + K= = 130. fÑ= Ä ~ > I=íÜÉå= Å Ä Å ~ − > − K= = 131. fÑ= Ä ~ > =~åÇ= Ç Å > I=íÜÉå= Ç Ä Å ~ + > + K= = 132. fÑ= Ä ~ > =~åÇ= Ç Å > I=íÜÉå= Å Ä Ç ~ − > − K= = 133. fÑ= Ä ~ > =~åÇ= M ã > I=íÜÉå= ãÄ ã~ > K= = 134. fÑ= Ä ~ > =~åÇ= M ã > I=íÜÉå= ã Ä ã ~ > K= = 135. fÑ= Ä ~ > =~åÇ= M ã < I=íÜÉå= ãÄ ã~ < K= = 136. fÑ= Ä ~ > =~åÇ= M ã < I=íÜÉå= ã Ä ã ~ < K= = 137. fÑ= Ä ~ M < < =~åÇ= M å > I=íÜÉå= å å Ä ~ < K= = 138. fÑ= Ä ~ M < < =~åÇ= M å < I=íÜÉå= å å Ä ~ > K= = 139. fÑ= Ä ~ M < < I=íÜÉå= å å Ä ~ < K= = 140. O Ä ~ ~Ä + ≤ I== ïÜÉêÉ= M ~ > =I= M Ä > X=~å=Éèì~äáíó=áë=î~äáÇ=çåäó=áÑ= Ä ~ = K== = 141. O ~ N ~ ≥ + I=ïÜÉêÉ= M ~ > X=~å=Éèì~äáíó=í~âÉë=éä~ÅÉ=çåäó=~í= N ~ = K=
  • 31.
    CHAPTER 2. ALGEBRA 21 142. å ~ ~ ~ ~ ~ ~å O N å å O N + + + ≤ K K I=ïÜÉêÉ= M ~ I I ~ I ~ å O N > K K= = 143. fÑ= M Ä ~ñ > + =~åÇ= M ~ > I=íÜÉå= ~ Ä ñ − > K= = 144. fÑ= M Ä ~ñ > + =~åÇ= M ~ < I=íÜÉå= ~ Ä ñ − < K== = 145. M Å Äñ ~ñO > + + = = = M ~ > = M ~ < = = = = M a > = = = N ñ ñ < I= O ñ ñ > = = = = O N ñ ñ ñ < < = = = = M a = = = ñ ñN < I= N ñ ñ > = = = ∅ ∈ ñ = = = = M a< = = = ∞ < < ∞ − ñ = = = = ∅ ∈ ñ = =
  • 32.
    CHAPTER 2. ALGEBRA 22 146.Ä ~ Ä ~ + ≤ + = = 147. fÑ= ~ ñ < I=íÜÉå= ~ ñ ~ < < − I=ïÜÉêÉ= M ~ > K= = 148. fÑ= ~ ñ > I=íÜÉå= ~ ñ − < =~åÇ= ~ ñ > I=ïÜÉêÉ= M ~ > K= = 149. fÑ= ~ ñO < I=íÜÉå= ~ ñ < I=ïÜÉêÉ= M ~ > K= = 150. fÑ= ~ ñO > I=íÜÉå= ~ ñ > I=ïÜÉêÉ= M ~ > K= = 151. fÑ= ( ) ( ) M ñ Ö ñ Ñ > I=íÜÉå= ( ) ( ) ( )    ≠ > ⋅ M ñ Ö M ñ Ö ñ Ñ K= = 152. ( ) ( ) M ñ Ö ñ Ñ < I=íÜÉå= ( ) ( ) ( )    ≠ < ⋅ M ñ Ö M ñ Ö ñ Ñ K= = = = 2.8 Compound Interest Formulas = cìíìêÉ=î~äìÉW=^= fåáíá~ä=ÇÉéçëáíW=`= ^ååì~ä=ê~íÉ=çÑ=áåíÉêÉëíW=ê= kìãÄÉê=çÑ=óÉ~êë=áåîÉëíÉÇW=í= kìãÄÉê=çÑ=íáãÉë=ÅçãéçìåÇÉÇ=éÉê=óÉ~êW=å= = = 153. dÉåÉê~ä=`çãéçìåÇ=fåíÉêÉëí=cçêãìä~= åí å ê N ` ^       + = = =
  • 33.
    CHAPTER 2. ALGEBRA 23 154.páãéäáÑáÉÇ=`çãéçìåÇ=fåíÉêÉëí=cçêãìä~= fÑ=áåíÉêÉëí=áë=ÅçãéçìåÇÉÇ=çåÅÉ=éÉê=óÉ~êI=íÜÉå=íÜÉ=éêÉîáçìë= Ñçêãìä~=ëáãéäáÑáÉë=íçW= ( )í ê N ` ^ + = K= = 155. `çåíáåìçìë=`çãéçìåÇ=fåíÉêÉëí= fÑ=áåíÉêÉëí=áë=ÅçãéçìåÇÉÇ=Åçåíáåì~ääó=E ∞ → å FI=íÜÉå== êí `É ^ = K= = =
  • 34.
    24 Chapter 3 Geometry = = = = 3.1 RightTriangle = iÉÖë=çÑ=~=êáÖÜí=íêá~åÖäÉW=~I=Ä= eóéçíÉåìëÉW=Å= ^äíáíìÇÉW=Ü= jÉÇá~åëW= ~ ã I= Ä ã I= Å ã = ^åÖäÉëW=α Iβ = o~Çáìë=çÑ=ÅáêÅìãëÅêáÄÉÇ=ÅáêÅäÉW=o= o~Çáìë=çÑ=áåëÅêáÄÉÇ=ÅáêÅäÉW=ê= ^êÉ~W=p= = = = = Figure 8. = 156. ° = β + α VM = =
  • 35.
    CHAPTER 3. GEOMETRY 25 157.β = = α Åçë Å ~ ëáå = = 158. β = = α ëáå Å Ä Åçë = = 159. β = = α Åçí Ä ~ í~å = = 160. β = = α í~å ~ Ä Åçí = = 161. β = = α ÉÅ Åçë Ä Å ëÉÅ = = 162. β = = α ëÉÅ ~ Å ÉÅ Åçë = = 163. móíÜ~ÖçêÉ~å=qÜÉçêÉã= O O O Å Ä ~ = + = = 164. ÑÅ ~O = I= ÖÅ ÄO = I== ïÜÉêÉ= Ñ= ~åÇ= Å= ~êÉ= éêçàÉÅíáçåë= çÑ= íÜÉ= äÉÖë= ~= ~åÇ= ÄI= êÉëéÉÅ- íáîÉäóI=çåíç=íÜÉ=ÜóéçíÉåìëÉ=ÅK= = ===== = = Figure 9. =
  • 36.
    CHAPTER 3. GEOMETRY 26 165.ÑÖ ÜO = I=== ïÜÉêÉ=Ü=áë=íÜÉ=~äíáíìÇÉ=Ñêçã=íÜÉ=êáÖÜí=~åÖäÉK== = 166. Q ~ Ä ã O O O ~ − = I= Q Ä ~ ã O O O Ä − = I=== ïÜÉêÉ= ~ ã =~åÇ= Ä ã =~êÉ=íÜÉ=ãÉÇá~åë=íç=íÜÉ=äÉÖë=~=~åÇ=ÄK== = = = Figure 10. = 167. O Å ãÅ = I== ïÜÉêÉ= Å ã =áë=íÜÉ=ãÉÇá~å=íç=íÜÉ=ÜóéçíÉåìëÉ=ÅK= = 168. Å ã O Å o = = = = 169. Å Ä ~ ~Ä O Å Ä ~ ê + + = − + = = = 170. ÅÜ ~Ä = = = =
  • 37.
    CHAPTER 3. GEOMETRY 27 171. O ÅÜ O ~Ä p= = = = = = 3.2 Isosceles Triangle = _~ëÉW=~= iÉÖëW=Ä= _~ëÉ=~åÖäÉW=β = sÉêíÉñ=~åÖäÉW=α = ^äíáíìÇÉ=íç=íÜÉ=Ä~ëÉW=Ü= mÉêáãÉíÉêW=i= ^êÉ~W=p= = = = = Figure 11. = 172. O VM α − ° = β = = 173. Q ~ Ä Ü O O O − = =
  • 38.
    CHAPTER 3. GEOMETRY 28 174.Ä O ~ i + = = = 175. α = = ëáå O Ä O ~Ü p O = = = = 3.3 Equilateral Triangle = páÇÉ=çÑ=~=Éèìáä~íÉê~ä=íêá~åÖäÉW=~= ^äíáíìÇÉW=Ü= o~Çáìë=çÑ=ÅáêÅìãëÅêáÄÉÇ=ÅáêÅäÉW=o= o~Çáìë=çÑ=áåëÅêáÄÉÇ=ÅáêÅäÉW=ê= mÉêáãÉíÉêW=i= ^êÉ~W=p= = = = = Figure 12. = 176. O P ~ Ü = = =
  • 39.
    CHAPTER 3. GEOMETRY 29 177. P P ~ Ü P O o= = = = 178. O o S P ~ Ü P N ê = = = = = 179. ~ P i = = = 180. Q P ~ O ~Ü p O = = = = = = 3.4 Scalene Triangle E^=íêá~åÖäÉ=ïáíÜ=åç=íïç=ëáÇÉë=Éèì~äF= = = páÇÉë=çÑ=~=íêá~åÖäÉW=~I=ÄI=Å= pÉãáéÉêáãÉíÉêW= O Å Ä ~ é + + = == ^åÖäÉë=çÑ=~=íêá~åÖäÉW= γ β α I I = ^äíáíìÇÉë=íç=íÜÉ=ëáÇÉë=~I=ÄI=ÅW= Å Ä ~ Ü I Ü I Ü = jÉÇá~åë=íç=íÜÉ=ëáÇÉë=~I=ÄI=ÅW= Å Ä ~ ã I ã I ã = _áëÉÅíçêë=çÑ=íÜÉ=~åÖäÉë= γ β α I I W= Å Ä ~ í I í I í = o~Çáìë=çÑ=ÅáêÅìãëÅêáÄÉÇ=ÅáêÅäÉW=o= o~Çáìë=çÑ=áåëÅêáÄÉÇ=ÅáêÅäÉW=ê= ^êÉ~W=p= = =
  • 40.
    CHAPTER 3. GEOMETRY 30 ====== = Figure 13. = 181. ° = γ + β + α NUM = = 182. Å Ä ~ > + I== ~ Å Ä > + I== Ä Å ~ > + K= = 183. Å Ä ~ < − I== ~ Å Ä < − I== Ä Å ~ < − K= = 184. jáÇäáåÉ= O ~ è = I= ~ öö è K= = ===== = = Figure 14. =
  • 41.
    CHAPTER 3. GEOMETRY 31 185.i~ï=çÑ=`çëáåÉë= α − + = Åçë ÄÅ O Å Ä ~ O O O I= β − + = Åçë ~Å O Å ~ Ä O O O I= γ − + = Åçë ~Ä O Ä ~ Å O O O K= = 186. i~ï=çÑ=páåÉë= o O ëáå Å ëáå Ä ëáå ~ = γ = β = α I== ïÜÉêÉ=o=áë=íÜÉ=ê~Çáìë=çÑ=íÜÉ=ÅáêÅìãëÅêáÄÉÇ=ÅáêÅäÉK== = 187. p Q ~ÄÅ Ü O ~Ä Ü O ~Å Ü O ÄÅ ëáå O Å ëáå O Ä ëáå O ~ o Å Ä ~ = = = = γ = β = α = = = 188. ( )( )( ) é Å é Ä é ~ é êO − − − = I== Å Ä ~ Ü N Ü N Ü N ê N + + = K= = 189. ( )( ) ÄÅ Å é Ä é O ëáå − − = α I= ( ) ÄÅ ~ é é O Åçë − = α I= ( )( ) ( ) ~ é é Å é Ä é O í~å − − − = α K= = 190. ( )( )( ) Å é Ä é ~ é é ~ O Ü~ − − − = I= ( )( )( ) Å é Ä é ~ é é Ä O ÜÄ − − − = I= ( )( )( ) Å é Ä é ~ é é Å O ÜÅ − − − = K=
  • 42.
    CHAPTER 3. GEOMETRY 32 191.β = γ = ëáå Å ëáå Ä Ü~ I= α = γ = ëáå Å ëáå ~ ÜÄ I= α = β = ëáå Ä ëáå ~ ÜÅ K= = 192. Q ~ O Å Ä ã O O O O ~ − + = I== Q Ä O Å ~ ã O O O O Ä − + = I== Q Å O Ä ~ ã O O O O Å − + = K= = ===== = = Figure 15. = 193. ~ ã P O ^j = I= Ä ã P O _j = I= Å ã P O `j = =EcáÖKNRFK= = 194. ( ) ( )O O ~ Å Ä ~ é ÄÅé Q í + − = I== ( ) ( )O O Ä Å ~ Ä é ~Åé Q í + − = I== ( ) ( )O O Å Ä ~ Å é ~Äé Q í + − = K= =
  • 43.
    CHAPTER 3. GEOMETRY 33 195. O ÅÜ O ÄÜ O ~Ü pÅ Ä ~ = = = I== O ëáå ÄÅ O ëáå ~Å O ëáå ~Ä p α = β = γ = I== ( )( )( ) Å é Ä é ~ é é p − − − = =EeÉêçå∞ë=cçêãìä~FI= éê p = I== o Q ~ÄÅ p = I= γ β α = ëáå ëáå ëáå o O p O I= O í~å O í~å O í~å é p O γ β α = K= = = = 3.5 Square páÇÉ=çÑ=~=ëèì~êÉW=~= aá~Öçå~äW=Ç= o~Çáìë=çÑ=ÅáêÅìãëÅêáÄÉÇ=ÅáêÅäÉW=o= o~Çáìë=çÑ=áåëÅêáÄÉÇ=ÅáêÅäÉW=ê= mÉêáãÉíÉêW=i= ^êÉ~W=p= = = = Figure 16.
  • 44.
    CHAPTER 3. GEOMETRY 34 196.O ~ Ç = == = 197. O O ~ O Ç o = = = = 198. O ~ ê = = = 199. ~ Q i = = = 200. O ~ p = = = = = 3.6 Rectangle = páÇÉë=çÑ=~=êÉÅí~åÖäÉW=~I=Ä= aá~Öçå~äW=Ç= o~Çáìë=çÑ=ÅáêÅìãëÅêáÄÉÇ=ÅáêÅäÉW=o= mÉêáãÉíÉêW=i= ^êÉ~W=p= = = = = Figure 17. = 201. O O Ä ~ Ç + = ==
  • 45.
    CHAPTER 3. GEOMETRY 35 202. O Ç o= = = 203. ( ) Ä ~ O i + = = = 204. ~Ä p = = = = = 3.7 Parallelogram = páÇÉë=çÑ=~=é~ê~ääÉäçÖê~ãW=~I=Ä= aá~Öçå~äëW= O N Ç I Ç = `çåëÉÅìíáîÉ=~åÖäÉëW= β αI = ^åÖäÉ=ÄÉíïÉÉå=íÜÉ=Çá~Öçå~äëW=ϕ = ^äíáíìÇÉW=Ü== mÉêáãÉíÉêW=i= ^êÉ~W=p= = = ===== = = Figure 18. = 205. ° = β + α NUM = = 206. ( ) O O O O O N Ä ~ O Ç Ç + = + = =
  • 46.
    CHAPTER 3. GEOMETRY 36 207.β = α = ëáå Ä ëáå Ä Ü = = 208. ( ) Ä ~ O i + = = = 209. α = = ëáå ~Ä ~Ü p I== ϕ = ëáå Ç Ç O N p O N K= = = = 3.8 Rhombus = páÇÉ=çÑ=~=êÜçãÄìëW=~= aá~Öçå~äëW= O N Ç I Ç = `çåëÉÅìíáîÉ=~åÖäÉëW= β αI = ^äíáíìÇÉW=e= o~Çáìë=çÑ=áåëÅêáÄÉÇ=ÅáêÅäÉW=ê= mÉêáãÉíÉêW=i= ^êÉ~W=p= = = ===== = = Figure 19. =
  • 47.
    CHAPTER 3. GEOMETRY 37 210.° = β + α NUM = = 211. O O O O N ~ Q Ç Ç = + = = 212. ~ O Ç Ç ëáå ~ Ü O N = α = = = 213. O ëáå ~ ~ Q Ç Ç O Ü ê O N α = = = = = 214. ~ Q i = = = 215. α = = ëáå ~ ~Ü p O I== O NÇ Ç O N p = K= = = = 3.9 Trapezoid = _~ëÉë=çÑ=~=íê~éÉòçáÇW=~I=Ä= jáÇäáåÉW=è= ^äíáíìÇÉW=Ü= ^êÉ~W=p= = =
  • 48.
    CHAPTER 3. GEOMETRY 38 = = Figure20. = 216. O Ä ~ è + = = = 217. èÜ Ü O Ä ~ p = ⋅ + = = = = = 3.10 Isosceles Trapezoid = _~ëÉë=çÑ=~=íê~éÉòçáÇW=~I=Ä= iÉÖW=Å= jáÇäáåÉW=è= ^äíáíìÇÉW=Ü= aá~Öçå~äW=Ç= o~Çáìë=çÑ=ÅáêÅìãëÅêáÄÉÇ=ÅáêÅäÉW=o= ^êÉ~W=p= = =
  • 49.
    CHAPTER 3. GEOMETRY 39 = = Figure21. = 218. O Ä ~ è + = = = 219. O Å ~Ä Ç + = = = 220. ( )O O ~ Ä Q N Å Ü − − = = = 221. ( )( ) Ä ~ Å O Ä ~ Å O Å ~Ä Å o O − + + − + = = = 222. èÜ Ü O Ä ~ p = ⋅ + = = = = = = = =
  • 50.
    CHAPTER 3. GEOMETRY 40 3.11Isosceles Trapezoid with Inscribed Circle = _~ëÉë=çÑ=~=íê~éÉòçáÇW=~I=Ä= iÉÖW=Å= jáÇäáåÉW=è= ^äíáíìÇÉW=Ü= aá~Öçå~äW=Ç= o~Çáìë=çÑ=áåëÅêáÄÉÇ=ÅáêÅäÉW=o= o~Çáìë=çÑ=ÅáêÅìãëÅêáÄÉÇ=ÅáêÅäÉW=ê= mÉêáãÉíÉêW=i= ^êÉ~W=p= = = = = Figure 22. = 223. Å O Ä ~ = + = = 224. Å O Ä ~ è = + = = = 225. O O O Å Ü Ç + = = =
  • 51.
    CHAPTER 3. GEOMETRY 41 226. O ~Ä O Ü ê= = = = 227. ~ Ä S Ä ~ U Ä ~ Å Ü Ü O Å ~Ä Å N O Å ê Q ÅÇ Ü O ÅÇ o O O O + + + = + = + = = = = = 228. ( ) Å Q Ä ~ O i = + = = = 229. ( ) O iê ÅÜ èÜ O ~Ä Ä ~ Ü O Ä ~ p = = = + = ⋅ + = == = = = 3.12 Trapezoid with Inscribed Circle = _~ëÉë=çÑ=~=íê~éÉòçáÇW=~I=Ä= i~íÉê~ä=ëáÇÉëW=ÅI=Ç= jáÇäáåÉW=è= ^äíáíìÇÉW=Ü= aá~Öçå~äëW= O N Ç I Ç = ^åÖäÉ=ÄÉíïÉÉå=íÜÉ=Çá~Öçå~äëW=ϕ = o~Çáìë=çÑ=áåëÅêáÄÉÇ=ÅáêÅäÉW=ê= o~Çáìë=çÑ=ÅáêÅìãëÅêáÄÉÇ=ÅáêÅäÉW=o= mÉêáãÉíÉêW=i= ^êÉ~W=p= =
  • 52.
    CHAPTER 3. GEOMETRY 42 = = Figure23. = 230. Ç Å Ä ~ + = + = = 231. O Ç Å O Ä ~ è + = + = = = 232. ( ) ( ) Ç Å O Ä ~ O i + = + = = = 233. èÜ Ü O Ç Å Ü O Ä ~ p = ⋅ + = ⋅ + = I== ϕ = ëáå Ç Ç O N p O N K= = = = 3.13 Kite = páÇÉë=çÑ=~=âáíÉW=~I=Ä= aá~Öçå~äëW= O N Ç I Ç = ^åÖäÉëW= γ β α I I = mÉêáãÉíÉêW=i= ^êÉ~W=p= = =
  • 53.
    CHAPTER 3. GEOMETRY 43 = = Figure24. = 234. ° = γ + β + α PSM O = = 235. ( ) Ä ~ O i + = = = 236. O Ç Ç p O N = = = = = 3.14 Cyclic Quadrilateral páÇÉë=çÑ=~=èì~Çêáä~íÉê~äW=~I=ÄI=ÅI=Ç= aá~Öçå~äëW= O N Ç I Ç = ^åÖäÉ=ÄÉíïÉÉå=íÜÉ=Çá~Öçå~äëW=ϕ = fåíÉêå~ä=~åÖäÉëW= δ γ β α I I I = o~Çáìë=çÑ=ÅáêÅìãëÅêáÄÉÇ=ÅáêÅäÉW=o= mÉêáãÉíÉêW=i= pÉãáéÉêáãÉíÉêW=é== ^êÉ~W=p=
  • 54.
    CHAPTER 3. GEOMETRY 44 = = Figure25. = 237. ° = δ + β = γ + α NUM = = 238. míçäÉãó∞ë=qÜÉçêÉã= O NÇ Ç ÄÇ ~Å = + = = 239. Ç Å Ä ~ i + + + = = = 240. ( )( )( ) ( )( )( )( ) Ç é Å é Ä é ~ é ÅÇ ~Ä ÄÅ ~Ç ÄÇ ~Å Q N o − − − − + + + = I== ïÜÉêÉ= O i é = K= = 241. ϕ = ëáå Ç Ç O N p O N I== ( )( )( )( ) Ç é Å é Ä é ~ é p − − − − = I== ïÜÉêÉ= O i é = K= = = =
  • 55.
    CHAPTER 3. GEOMETRY 45 3.15Tangential Quadrilateral = páÇÉë=çÑ=~=èì~Çêáä~íÉê~äW=~I=ÄI=ÅI=Ç= aá~Öçå~äëW= O N Ç I Ç = ^åÖäÉ=ÄÉíïÉÉå=íÜÉ=Çá~Öçå~äëW=ϕ = o~Çáìë=çÑ=áåëÅêáÄÉÇ=ÅáêÅäÉW=ê= mÉêáãÉíÉêW=i= pÉãáéÉêáãÉíÉêW=é== ^êÉ~W=p= = = = = Figure 26. = 242. Ç Ä Å ~ + = + = = 243. ( ) ( ) Ç Ä O Å ~ O Ç Å Ä ~ i + = + = + + + = = = 244. ( ) ( ) é O é Ä ~ Ä ~ Ç Ç ê O O O O O N − + − − = I== ïÜÉêÉ= O i é = K== =
  • 56.
    CHAPTER 3. GEOMETRY 46 245.ϕ = = ëáå Ç Ç O N éê p O N = = = = 3.16 General Quadrilateral = páÇÉë=çÑ=~=èì~Çêáä~íÉê~äW=~I=ÄI=ÅI=Ç= aá~Öçå~äëW= O N Ç I Ç = ^åÖäÉ=ÄÉíïÉÉå=íÜÉ=Çá~Öçå~äëW=ϕ = fåíÉêå~ä=~åÖäÉëW= δ γ β α I I I = mÉêáãÉíÉêW=i= ^êÉ~W=p= = = ======= = = Figure 27. = 246. ° = δ + γ + β + α PSM = = 247. Ç Å Ä ~ i + + + = = =
  • 57.
    CHAPTER 3. GEOMETRY 47 248.ϕ = ëáå Ç Ç O N p O N = = = = 3.17 Regular Hexagon = páÇÉW=~= fåíÉêå~ä=~åÖäÉW=α = pä~åí=ÜÉáÖÜíW=ã= o~Çáìë=çÑ=áåëÅêáÄÉÇ=ÅáêÅäÉW=ê= o~Çáìë=çÑ=ÅáêÅìãëÅêáÄÉÇ=ÅáêÅäÉW=o= mÉêáãÉíÉêW=i= pÉãáéÉêáãÉíÉêW=é== ^êÉ~W=p= = = = = Figure 28. = 249. ° = α NOM = = 250. O P ~ ã ê = = =
  • 58.
    CHAPTER 3. GEOMETRY 48 251.~ o = = = 252. ~ S i = = = 253. O P P ~ éê p O = = I== ïÜÉêÉ= O i é = K= = = = 3.18 Regular Polygon = páÇÉW=~= kìãÄÉê=çÑ=ëáÇÉëW=å= fåíÉêå~ä=~åÖäÉW=α = pä~åí=ÜÉáÖÜíW=ã= o~Çáìë=çÑ=áåëÅêáÄÉÇ=ÅáêÅäÉW=ê= o~Çáìë=çÑ=ÅáêÅìãëÅêáÄÉÇ=ÅáêÅäÉW=o= mÉêáãÉíÉêW=i= pÉãáéÉêáãÉíÉêW=é== ^êÉ~W=p= = =
  • 59.
    CHAPTER 3. GEOMETRY 49 = = Figure29. = 254. ° ⋅ − = α NUM O O å = = 255. ° ⋅ − = α NUM O O å = = 256. å ëáå O ~ o π = = = 257. Q ~ o å í~å O ~ ã ê O O − = π = = = = 258. å~ i = = = 259. å O ëáå O åo p O π = I== Q ~ o é éê p O O − = = I==
  • 60.
    CHAPTER 3. GEOMETRY 50 ïÜÉêÉ= O i é= K== = = = 3.19 Circle = o~ÇáìëW=o= aá~ãÉíÉêW=Ç= `ÜçêÇW=~= pÉÅ~åí=ëÉÖãÉåíëW=ÉI=Ñ= q~åÖÉåí=ëÉÖãÉåíW=Ö= `Éåíê~ä=~åÖäÉW=α = fåëÅêáÄÉÇ=~åÖäÉW=β = mÉêáãÉíÉêW=i= ^êÉ~W=p= = = 260. O ëáå o O ~ α = = = = = Figure 30. =
  • 61.
    CHAPTER 3. GEOMETRY 51 261.O N O N Ä Ä ~ ~ = = = = = Figure 31. = 262. N N ÑÑ ÉÉ = = = ===== = = Figure 32. = 263. N O ÑÑ Ö = = =
  • 62.
    CHAPTER 3. GEOMETRY 52 ====== = Figure 33. = 264. O α = β = = = = Figure 34. = 265. Ç o O i π = π = = = 266. O io Q Ç o p O O = π = π = == =
  • 63.
    CHAPTER 3. GEOMETRY 53 3.20Sector of a Circle = o~Çáìë=çÑ=~=ÅáêÅäÉW=o= ^êÅ=äÉåÖíÜW=ë= `Éåíê~ä=~åÖäÉ=Eáå=ê~Çá~åëFW=ñ= `Éåíê~ä=~åÖäÉ=Eáå=ÇÉÖêÉÉëFW=α= mÉêáãÉíÉêW=i= ^êÉ~W=p= = = = = Figure 35. = 267. oñ ë = = = 268. ° α π = NUM o ë = = 269. o O ë i + = = = 270. ° α π = = = PSM o O ñ o O oë p O O == = =
  • 64.
    CHAPTER 3. GEOMETRY 54 3.21Segment of a Circle = o~Çáìë=çÑ=~=ÅáêÅäÉW=o= ^êÅ=äÉåÖíÜW=ë= `ÜçêÇW=~= `Éåíê~ä=~åÖäÉ=Eáå=ê~Çá~åëFW=ñ= `Éåíê~ä=~åÖäÉ=Eáå=ÇÉÖêÉÉëFW=α= eÉáÖÜí=çÑ=íÜÉ=ëÉÖãÉåíW=Ü= mÉêáãÉíÉêW=i= ^êÉ~W=p= = = = = Figure 36. = 271. O Ü Üo O O ~ − = = = 272. O O ~ o Q O N o Ü − − = I= o Ü < = = 273. ~ ë i + = = =
  • 65.
    CHAPTER 3. GEOMETRY 55 274.( ) [ ] ( ) ñ ëáå ñ O o ëáå NUM O o Ü o ~ ëo O N p O O − =       α − ° απ = − − = I== Ü~ P O p ≈ K= = = = 3.22 Cube = bÇÖÉW=~== aá~Öçå~äW=Ç= o~Çáìë=çÑ=áåëÅêáÄÉÇ=ëéÜÉêÉW=ê= o~Çáìë=çÑ=ÅáêÅìãëÅêáÄÉÇ=ëéÜÉêÉW=ê= pìêÑ~ÅÉ=~êÉ~W=p= sçäìãÉW=s= = = === = = Figure 37. = 275. P ~ Ç = = = 276. O ~ ê = = =
  • 66.
    CHAPTER 3. GEOMETRY 56 277. O P ~ o= = = 278. O ~ S p = = = 279. P ~ s = == = = = 3.23 Rectangular Parallelepiped = bÇÖÉëW=~I=ÄI=Å== aá~Öçå~äW=Ç= pìêÑ~ÅÉ=~êÉ~W=p= sçäìãÉW=s= = = ===== = = Figure 38. = 280. O O O Å Ä ~ Ç + + = = = 281. ( ) ÄÅ ~Å ~Ä O p + + = = = 282. ~ÄÅ s = ==
  • 67.
    CHAPTER 3. GEOMETRY 57 3.24Prism = i~íÉê~ä=ÉÇÖÉW=ä= eÉáÖÜíW=Ü= i~íÉê~ä=~êÉ~W= i p = ^êÉ~=çÑ=Ä~ëÉW= _ p = qçí~ä=ëìêÑ~ÅÉ=~êÉ~W=p= sçäìãÉW=s= = = ===== = = Figure 39. = 283. _ i p O p p + = K== = 284. i~íÉê~ä=^êÉ~=çÑ=~=oáÖÜí=mêáëã= ( )ä ~ ~ ~ ~ p å P O N i + + + + = K = = 285. i~íÉê~ä=^êÉ~=çÑ=~å=lÄäáèìÉ=mêáëã= éä pi = I== ïÜÉêÉ=é=áë=íÜÉ=éÉêáãÉíÉê=çÑ=íÜÉ=Åêçëë=ëÉÅíáçåK= =
  • 68.
    CHAPTER 3. GEOMETRY 58 286.Ü p s _ = = = 287. `~î~äáÉêáDë=mêáåÅáéäÉ== dáîÉå=íïç=ëçäáÇë=áåÅäìÇÉÇ=ÄÉíïÉÉå=é~ê~ääÉä=éä~åÉëK=fÑ=ÉîÉêó= éä~åÉ=Åêçëë=ëÉÅíáçå=é~ê~ääÉä=íç=íÜÉ=ÖáîÉå=éä~åÉë=Ü~ë=íÜÉ=ë~ãÉ= ~êÉ~=áå=ÄçíÜ=ëçäáÇëI=íÜÉå=íÜÉ=îçäìãÉë=çÑ=íÜÉ=ëçäáÇë=~êÉ=Éèì~äK= = = = 3.25 Regular Tetrahedron = qêá~åÖäÉ=ëáÇÉ=äÉåÖíÜW=~= eÉáÖÜíW=Ü= ^êÉ~=çÑ=Ä~ëÉW= _ p = pìêÑ~ÅÉ=~êÉ~W=p= sçäìãÉW=s= = = = = Figure 40. = 288. ~ P O Ü = = =
  • 69.
    CHAPTER 3. GEOMETRY 59 289. Q ~ P p O _= = = 290. O ~ P p = = = 291. O S ~ Ü p P N s P _ = = K== = = = 3.26 Regular Pyramid = páÇÉ=çÑ=Ä~ëÉW=~= i~íÉê~ä=ÉÇÖÉW=Ä= eÉáÖÜíW=Ü= pä~åí=ÜÉáÖÜíW=ã== kìãÄÉê=çÑ=ëáÇÉëW=å== pÉãáéÉêáãÉíÉê=çÑ=Ä~ëÉW=é= o~Çáìë=çÑ=áåëÅêáÄÉÇ=ëéÜÉêÉ=çÑ=Ä~ëÉW=ê= ^êÉ~=çÑ=Ä~ëÉW= _ p = i~íÉê~ä=ëìêÑ~ÅÉ=~êÉ~W= i p = qçí~ä=ëìêÑ~ÅÉ=~êÉ~W=p= sçäìãÉW=s= = =
  • 70.
    CHAPTER 3. GEOMETRY 60 = = Figure41. = 292. Q ~ Ä ã O O − = = = 293. å ëáå O ~ å ëáå Ä Q Ü O O O π − π = = = 294. éã ~ Ä Q å~ Q N å~ã O N p O O i = − = = = = 295. éê p_ = = = 296. i _ p p p + = = = 297. éêÜ P N Ü p P N s _ = = == = = =
  • 71.
    CHAPTER 3. GEOMETRY 61 3.27Frustum of a Regular Pyramid = _~ëÉ=~åÇ=íçé=ëáÇÉ=äÉåÖíÜëW=    å P O N å P O N Ä I I Ä I Ä I Ä ~ I I ~ I ~ I ~ K K = eÉáÖÜíW=Ü= pä~åí=ÜÉáÖÜíW=ã== ^êÉ~=çÑ=Ä~ëÉëW= N p I= O p = i~íÉê~ä=ëìêÑ~ÅÉ=~êÉ~W= i p = mÉêáãÉíÉê=çÑ=Ä~ëÉëW= N m I= O m = pÅ~äÉ=Ñ~ÅíçêW=â= qçí~ä=ëìêÑ~ÅÉ=~êÉ~W=p= sçäìãÉW=s= = = = = Figure 42. = 298. â ~ Ä ~ Ä ~ Ä ~ Ä ~ Ä å å P P O O N N = = = = = = K = =
  • 72.
    CHAPTER 3. GEOMETRY 62 299.O N O â p p = = = 300. ( ) O m m ã p O N i + = = = 301. O N i p p p p + + = = = 302. ( ) O O N N p p p p P Ü s + + = = = 303. [ ] O N O N â â N P Üp ~ Ä ~ Ä N P Üp s + + =               + + = = = = = 3.28 Rectangular Right Wedge = páÇÉë=çÑ=Ä~ëÉW=~I=Ä= qçé=ÉÇÖÉW=Å= eÉáÖÜíW=Ü= i~íÉê~ä=ëìêÑ~ÅÉ=~êÉ~W= i p = ^êÉ~=çÑ=Ä~ëÉW= _ p = qçí~ä=ëìêÑ~ÅÉ=~êÉ~W=p= sçäìãÉW=s= = =
  • 73.
    CHAPTER 3. GEOMETRY 63 = = Figure43. = 304. ( ) ( )O O O O i Å ~ Ü Ä Ä Ü Q Å ~ O N p − + + + + = = = 305. ~Ä p_ = = = 306. i _ p p p + = = = 307. ( ) Å ~ O S ÄÜ s + = = = = = 3.29 Platonic Solids = bÇÖÉW=~= o~Çáìë=çÑ=áåëÅêáÄÉÇ=ÅáêÅäÉW=ê= o~Çáìë=çÑ=ÅáêÅìãëÅêáÄÉÇ=ÅáêÅäÉW=o= pìêÑ~ÅÉ=~êÉ~W=p= sçäìãÉW=s= = =
  • 74.
    CHAPTER 3. GEOMETRY 64 308.cáîÉ=mä~íçåáÅ=pçäáÇë= qÜÉ= éä~íçåáÅ= ëçäáÇë= ~êÉ= ÅçåîÉñ= éçäóÜÉÇê~= ïáíÜ= Éèìáî~äÉåí= Ñ~ÅÉë=ÅçãéçëÉÇ=çÑ=ÅçåÖêìÉåí=ÅçåîÉñ=êÉÖìä~ê=éçäóÖçåëK== = pçäáÇ= kìãÄÉê= çÑ=sÉêíáÅÉë kìãÄÉê= çÑ=bÇÖÉë= kìãÄÉê= çÑ=c~ÅÉë= pÉÅíáçå= qÉíê~ÜÉÇêçå== Q= S= Q= PKOR= `ìÄÉ= U= NO= S= PKOO= lÅí~ÜÉÇêçå= S= NO= U= PKOT= fÅçë~ÜÉÇêçå= NO= PM= OM= PKOT= açÇÉÅ~ÜÉÇêçå= OM= PM= NO= PKOT= = = Octahedron = = = Figure 44. = 309. S S ~ ê = = = 310. O O ~ o = = =
  • 75.
    CHAPTER 3. GEOMETRY 65 311.P ~ O p O = = = 312. P O ~ s P = = = = Icosahedron = = = Figure 45. = 313. ( ) NO R P P ~ ê + = = = 314. ( ) R R O Q ~ o + = = = 315. P ~ R p O = = = 316. ( ) NO R P ~ R s P + = = = =
  • 76.
    CHAPTER 3. GEOMETRY 66 Dodecahedron = = = Figure46. = 317. ( ) O R NN OR NM ~ ê + = = = 318. ( ) Q R N P ~ o + = = = 319. ( ) R O R R ~ P p O + = = = 320. ( ) Q R T NR ~ s P + = = = = = 3.30 Right Circular Cylinder = o~Çáìë=çÑ=Ä~ëÉW=o= aá~ãÉíÉê=çÑ=Ä~ëÉW=Ç=
  • 77.
    CHAPTER 3. GEOMETRY 67 eÉáÖÜíW=e= i~íÉê~ä=ëìêÑ~ÅÉ=~êÉ~W=i p = ^êÉ~=çÑ=Ä~ëÉW= _ p = qçí~ä=ëìêÑ~ÅÉ=~êÉ~W=p= sçäìãÉW=s= = = ===== = = Figure 47. = 321. oe O pi π = = = 322. ( )       + π = + π = + = O Ç e Ç o e o O p O p p _ i = = 323. e o e p s O _ π = = = = = =
  • 78.
    CHAPTER 3. GEOMETRY 68 3.31Right Circular Cylinder with an Oblique Plane Face = o~Çáìë=çÑ=Ä~ëÉW=o= qÜÉ=ÖêÉ~íÉëí=ÜÉáÖÜí=çÑ=~=ëáÇÉW= N Ü = qÜÉ=ëÜçêíÉëí=ÜÉáÖÜí=çÑ=~=ëáÇÉW= O Ü = i~íÉê~ä=ëìêÑ~ÅÉ=~êÉ~W= i p = ^êÉ~=çÑ=éä~åÉ=ÉåÇ=Ñ~ÅÉëW= _ p = qçí~ä=ëìêÑ~ÅÉ=~êÉ~W=p= sçäìãÉW=s= = = = = Figure 48. = 324. ( ) O N i Ü Ü o p + π = = = 325. O O N O O _ O Ü Ü o o o p       − + π + π = = =
  • 79.
    CHAPTER 3. GEOMETRY 69 326.              − + + + + π = + = O O N O O N _ i O Ü Ü o o Ü Ü o p p p = = 327. ( ) O N O Ü Ü O o s + π = = = = = 3.32 Right Circular Cone o~Çáìë=çÑ=Ä~ëÉW=o= aá~ãÉíÉê=çÑ=Ä~ëÉW=Ç= eÉáÖÜíW=e= pä~åí=ÜÉáÖÜíW=ã= i~íÉê~ä=ëìêÑ~ÅÉ=~êÉ~W= i p = ^êÉ~=çÑ=Ä~ëÉW= _ p = qçí~ä=ëìêÑ~ÅÉ=~êÉ~W=p= sçäìãÉW=s= = = = = Figure 49.
  • 80.
    CHAPTER 3. GEOMETRY 70 328.O O o ã e − = = = 329. O ãÇ oã pi π = π = = = 330. O _ o p π = = = 331. ( )       + π = + π = + = O Ç ã Ç O N o ã o p p p _ i = = 332. e o P N e p P N s O _ π = = = = = = 3.33 Frustum of a Right Circular Cone = o~Çáìë=çÑ=Ä~ëÉëW=oI=ê= eÉáÖÜíW=e= pä~åí=ÜÉáÖÜíW=ã= pÅ~äÉ=Ñ~ÅíçêW=â= ^êÉ~=çÑ=Ä~ëÉëW= N p I= O p = i~íÉê~ä=ëìêÑ~ÅÉ=~êÉ~W= i p = qçí~ä=ëìêÑ~ÅÉ=~êÉ~W=p= sçäìãÉW=s= = =
  • 81.
    CHAPTER 3. GEOMETRY 71 = = Figure50. = 333. ( )O O ê o ã e − − = = = 334. â ê o = = = 335. O O O N O â ê o p p = = = = 336. ( ) ê o ã pi + π = = = 337. ( ) [ ] ê o ã ê o p p p p O O i O N + + + π = + + = = = 338. ( ) O O N N p p p p P Ü s + + = = = 339. [ ] O N O N â â N P Üp ê o ê o N P Üp s + + =               + + = = = = =
  • 82.
    CHAPTER 3. GEOMETRY 72 3.34Sphere = o~ÇáìëW=o= aá~ãÉíÉêW=Ç= pìêÑ~ÅÉ=~êÉ~W=p= sçäìãÉW=s= = = = Figure 51. = 340. O o Q p π = = = 341. po P N Ç S N e o P Q s P P = π = π = = = = = 3.35 Spherical Cap o~Çáìë=çÑ=ëéÜÉêÉW=o= o~Çáìë=çÑ=Ä~ëÉW=ê= eÉáÖÜíW=Ü= ^êÉ~=çÑ=éä~åÉ=Ñ~ÅÉW= _ p = ^êÉ~=çÑ=ëéÜÉêáÅ~ä=Å~éW= ` p = qçí~ä=ëìêÑ~ÅÉ=~êÉ~W=p= sçäìãÉW=s=
  • 83.
    CHAPTER 3. GEOMETRY 73 = = Figure52. = 342. Ü O Ü ê o O O + = = = 343. O _ ê p π = = = 344. ( ) O O ` ê Ü p + π = = = 345. ( ) ( ) O O O ` _ ê oÜ O ê O Ü p p p + π = + π = + = = = 346. ( ) ( ) O O O Ü ê P Ü S Ü o P Ü S s + π = − π = = = = = 3.36 Spherical Sector = o~Çáìë=çÑ=ëéÜÉêÉW=o= o~Çáìë=çÑ=Ä~ëÉ=çÑ=ëéÜÉêáÅ~ä=Å~éW=ê= eÉáÖÜíW=Ü= qçí~ä=ëìêÑ~ÅÉ=~êÉ~W=p= sçäìãÉW=s= =
  • 84.
    CHAPTER 3. GEOMETRY 74 ========= = = Figure 53. = 347. ( ) ê Ü O o p + π = = = 348. Ü o P O s O π = = = kçíÉW=qÜÉ=ÖáîÉå=Ñçêãìä~ë=~êÉ=ÅçêêÉÅí=ÄçíÜ=Ñçê=±çéÉå≤=~åÇ= ±ÅäçëÉÇ≤=ëéÜÉêáÅ~ä=ëÉÅíçêK= = = = 3.37 Spherical Segment = o~Çáìë=çÑ=ëéÜÉêÉW=o= o~Çáìë=çÑ=Ä~ëÉëW= N ê I= O ê = eÉáÖÜíW=Ü= ^êÉ~=çÑ=ëéÜÉêáÅ~ä=ëìêÑ~ÅÉW= p p = ^êÉ~=çÑ=éä~åÉ=ÉåÇ=Ñ~ÅÉëW= N p I= O p = qçí~ä=ëìêÑ~ÅÉ=~êÉ~W=p= sçäìãÉW=s= =
  • 85.
    CHAPTER 3. GEOMETRY 75 ====== = Figure 54. = 349. oÜ O pp π = = = 350. ( ) O O O N O N p ê ê oÜ O p p p p + + π = + + = = = 351. ( ) O O O O N Ü ê P ê P Ü S N s + + π = = = = = 3.38 Spherical Wedge = o~ÇáìëW=o= aáÜÉÇê~ä=~åÖäÉ=áå=ÇÉÖêÉÉëW=ñ= aáÜÉÇê~ä=~åÖäÉ=áå=ê~Çá~åëW=α= ^êÉ~=çÑ=ëéÜÉêáÅ~ä=äìåÉW= i p = qçí~ä=ëìêÑ~ÅÉ=~êÉ~W=p= sçäìãÉW=s= = =
  • 86.
    CHAPTER 3. GEOMETRY 76 = = Figure55. = 352. ñ o O VM o p O O i = α π = = = 353. ñ o O o VM o o p O O O O + π = α π + π = = = 354. ñ o P O OTM o s P P = α π = = = = = 3.39 Ellipsoid = pÉãá-~ñÉëW=~I=ÄI=Å= sçäìãÉW=s=
  • 87.
    CHAPTER 3. GEOMETRY 77 ======== = Figure 56. = 355. ~ÄÅ P Q s π = = = = = Prolate Spheroid = pÉãá-~ñÉëW=~I=ÄI=Ä=E Ä ~ > F= pìêÑ~ÅÉ=~êÉ~W=p= sçäìãÉW=s= = = 356.       + π = É É ~êÅëáå ~ Ä Ä O p I== ïÜÉêÉ= ~ Ä ~ É O O − = K= = 357. ~ Ä P Q s O π = = =
  • 88.
    CHAPTER 3. GEOMETRY 78 OblateSpheroid = pÉãá-~ñÉëW=~I=ÄI=Ä=E Ä ~ < F= pìêÑ~ÅÉ=~êÉ~W=p= sçäìãÉW=s= = = 358.                   + π = ~ L ÄÉ ~ ÄÉ ~êÅëáåÜ ~ Ä Ä O p I== ïÜÉêÉ= Ä ~ Ä É O O − = K= = 359. ~ Ä P Q s O π = = = = = 3.40 Circular Torus = j~àçê=ê~ÇáìëW=o= jáåçê=ê~ÇáìëW=ê= pìêÑ~ÅÉ=~êÉ~W=p= sçäìãÉW=s= =
  • 89.
    CHAPTER 3. GEOMETRY 79 === Picture 57. = 360. oê Q p O π = = = 361. O O oê O s π = = = =
  • 90.
    80 Chapter 4 Trigonometry = = = = ^åÖäÉëW=α I=β= oÉ~ä=åìãÄÉêë=EÅççêÇáå~íÉë=çÑ=~=éçáåíFW=ñI=ó== tÜçäÉ=åìãÄÉêW=â= = = 4.1 Radian and Degree Measures of Angles = 362. ? QR D NT RT NUM ê~Ç N ° ≈ π ° = = = 363. ê~Ç MNTQRP K M ê~Ç NUM N ≈ π = ° = = 364. ê~Ç MMMOVN K M ê~Ç SM NUM D N ≈ ⋅ π = = = 365. ê~Ç MMMMMR K M ê~Ç PSMM NUM ? N ≈ ⋅ π = = = 366. = = ^åÖäÉ= EÇÉÖêÉÉëF= M= PM= QR= SM= VM= NUM= OTM= PSM= ^åÖäÉ= Eê~Çá~åëF= M= S π = Q π = P π = O π = π= O Pπ = π O = = = =
  • 91.
    CHAPTER 4. TRIGONOMETRY 81 4.2Definitions and Graphs of Trigonometric Functions = = = = Figure 58. = 367. ê ó ëáå = α = = 368. ê ñ Åçë = α = = 369. ñ ó í~å = α = = 370. ó ñ Åçí = α = =
  • 92.
    CHAPTER 4. TRIGONOMETRY 82 371. ñ ê ëÉÅ= α = = 372. ó ê ÅçëÉÅ = α = = 373. páåÉ=cìåÅíáçå= ñ ëáå ó = I= N ñ ëáå N ≤ ≤ − K= = = Figure 59. = 374. `çëáåÉ=cìåÅíáçå== ñ Åçë ó = I= N ñ Åçë N ≤ ≤ − K=
  • 93.
    CHAPTER 4. TRIGONOMETRY 83 = = Figure60. = 375. q~åÖÉåí=cìåÅíáçå= ñ í~å ó = I= ( ) O N â O ñ π + ≠ I= K ñ í~å ∞ ≤ ≤ ∞ − = = = = Figure 61. =
  • 94.
    CHAPTER 4. TRIGONOMETRY 84 376.`çí~åÖÉåí=cìåÅíáçå== ñ Åçí ó = I= π ≠ â ñ I== ∞ ≤ ≤ ∞ − ñ Åçí K= = = = Figure 62. = 377. pÉÅ~åí=cìåÅíáçå= ñ ëÉÅ ó = I= ( ) O N â O ñ π + ≠ K= ==
  • 95.
    CHAPTER 4. TRIGONOMETRY 85 = = Figure63. = 378. `çëÉÅ~åí=cìåÅíáçå== ñ ÉÅ Åçë ó = I= π ≠ â ñ K= = Figure 64.
  • 96.
    CHAPTER 4. TRIGONOMETRY 86 4.3.Signs of Trigonometric Functions 379. = = nì~Çê~åí= páå α = `çë α = q~å α = `çí α = pÉÅ α = `çëÉÅ= α = f= H= H= H= H= H= H= ff= H= = = = = H= fff= = = H= H= = = fs= = H= = = H= = = = = 380. = = = Figure 65. = = = = = = = = = =
  • 97.
    CHAPTER 4. TRIGONOMETRY 87 4.4Trigonometric Functions of Common Angles 381. = ° α = ê~Ç α = α ëáå = α Åçë = α í~å = α Åçí α ëÉÅ = α ÅçëÉÅ = M= M= M= N= M= ∞= N= ∞= PM= S π = O N = O P = P N = P = P O = O= QR= Q π = O O = O O = N= N= O = O = SM= P π = O P = O N = P = P N = O= P O = VM= O π = N= M= ∞ = M= ∞ = N= NOM= P Oπ = O P = O N − = P − = P N − O − = P O = NUM= π= M= N − = M= ∞ = N − = ∞ = OTM= O Pπ = N − = M= ∞= M= ∞= N − = PSM= π O = M= N= M= ∞ = N= ∞ = = = = = = = = = = = = = =
  • 98.
    CHAPTER 4. TRIGONOMETRY 88 382.= ° α = ê~Ç α = α ëáå = α Åçë = α í~å = α Åçí = NR= NO π = Q O S − = Q O S + = P O− = P O+ = NU= NM π = Q N R − = Q R O NM + R R O R− = R O R+ = PS= R π = Q R O NM − Q N R + = N R R O NM + − R O NM N R − + = RQ= NM Pπ = Q N R + = Q R O NM − R O NM N R − + N R R O NM + − = TO= R Oπ = Q R O NM + Q N R − = R O R+ = R R O R− = TR= NO Rπ = Q O S + = Q O S − = P O+ = P O− = = = = 4.5 Most Important Formulas = 383. N Åçë ëáå O O = α + α = = 384. N í~å ëÉÅ O O = α − α = = 385. N Åçí ÅëÅ O O = α − α = = 386. α α = α Åçë ëáå í~å =
  • 99.
    CHAPTER 4. TRIGONOMETRY 89 387. α α = α ëáå Åçë Åçí= = 388. N Åçí í~å = α ⋅ α = = 389. α = α Åçë N ëÉÅ = = 390. α = α ëáå N ÅçëÉÅ = = = = 4.6 Reduction Formulas = 391. = = β = β ëáå = β Åçë = β í~å = β Åçí = α − = α − ëáå = α + Åçë = α − í~å = α − Åçí = α − ° VM = α + Åçë = α + ëáå = α + Åçí = α + í~å = α + ° VM = α + Åçë = α − ëáå = α − Åçí = α − í~å = α − ° NUM α + ëáå = α − Åçë = α − í~å = α − Åçí = α + ° NUM α − ëáå = α − Åçë = α + í~å = α + Åçí = α − ° OTM α − Åçë = α − ëáå = α + Åçí = α + í~å = α + ° OTM α − Åçë = α + ëáå = α − Åçí = α − í~å = α − ° PSM α − ëáå = α + Åçë = α − í~å = α − Åçí = α + ° PSM α + ëáå = α + Åçë = α + í~å = α + Åçí = = = = = = =
  • 100.
    CHAPTER 4. TRIGONOMETRY 90 4.7Periodicity of Trigonometric Functions = 392. ( ) α = π ± α ëáå å O ëáå I=éÉêáçÇ= π O =çê= ° PSM K= = 393. ( ) α = π ± α Åçë å O Åçë I=éÉêáçÇ= π O =çê= ° PSM K= = 394. ( ) α = π ± α í~å å í~å I=éÉêáçÇ=π=çê= ° NUM K= = 395. ( ) α = π ± α Åçí å Åçí I=éÉêáçÇ=π=çê= ° NUM K= = = = 4.8 Relations between Trigonometric Functions = 396. ( ) N Q O Åçë O O Åçë N O N Åçë N ëáå O O −       π − α = α − ± = α − ± = α = = O í~å N O í~å O O α + α = = = 397. ( ) N O Åçë O O Åçë N O N ëáå N Åçë O O − α = α + ± = α − ± = α = = O í~å N O í~å N O O α + α − = = = 398. α α − = α + α = − α ± = α α = α O ëáå O Åçë N O Åçë N O ëáå N ëÉÅ Åçë ëáå í~å O =
  • 101.
    CHAPTER 4. TRIGONOMETRY 91 = O í~å N O í~å O O Åçë N O Åçë N Oα + α = α + α − ± = = = 399. α − α = α α + = − α ± = α α = α O Åçë N O ëáå O ëáå O Åçë N N ÅëÅ ëáå Åçë Åçí O = = O í~å O O í~å N O Åçë N O Åçë N O α α − = α − α + ± = = = 400. O í~å N O í~å N í~å N Åçë N ëÉÅ O O O α − α + = α + ± = α = α = = 401. O í~å O O í~å N Åçí N ëáå N ÅëÅ O O α α + = α + ± = α = α = = = = 4.9 Addition and Subtraction Formulas = 402. ( ) α β + β α = β + α Åçë ëáå Åçë ëáå ëáå = = 403. ( ) α β − β α = − α Åçë ëáå Åçë ëáå ó ëáå = = 404. ( ) β α − β α = β + α ëáå ëáå Åçë Åçë Åçë = = 405. ( ) β α + β α = β − α ëáå ëáå Åçë Åçë Åçë =
  • 102.
    CHAPTER 4. TRIGONOMETRY 92 406.( ) β α − β + α = β + α í~å í~å N í~å í~å í~å = = 407. ( ) β α + β − α = β − α í~å í~å N í~å í~å í~å = = 408. ( ) β + α β α − = β + α í~å í~å í~å í~å N Åçí = = 409. ( ) β − α β α + = β − α í~å í~å í~å í~å N Åçí = = = = 4.10 Double Angle Formulas = 410. α ⋅ α = α Åçë ëáå O O ëáå = = 411. N Åçë O ëáå O N ëáå Åçë O Åçë O O O O − α = α − = α − α = α = = 412. α − α = α − α = α í~å Åçí O í~å N í~å O O í~å O = = 413. O í~å Åçí Åçí O N Åçí O Åçí O α − α = α − α = α = = = = = = =
  • 103.
    CHAPTER 4. TRIGONOMETRY 93 4.11Multiple Angle Formulas = 414. α − α ⋅ α = α − α = α P O P ëáå ëáå Åçë P ëáå Q ëáå P P ëáå = = 415. α ⋅ α − α ⋅ α = α Åçë ëáå U Åçë ëáå Q Q ëáå P = = 416. α + α − α = α R P ëáå NS ëáå OM ëáå R R ëáå = = 417. α ⋅ α − α = α − α = α O P P ëáå Åçë P Åçë Åçë P Åçë Q P Åçë = = 418. N Åçë U Åçë U Q Åçë O Q + α − α = α = = 419. α + α − α = α Åçë R Åçë OM Åçë NS R Åçë P R = = 420. α − α − α = α O P í~å P N í~å í~å P P í~å = = 421. α + α − α − α = α Q O P í~å í~å S N í~å Q í~å Q Q í~å = = 422. α + α − α + α − α = α Q O P R í~å R í~å NM N í~å R í~å NM í~å R í~å = = 423. N Åçí P Åçí P Åçí P Åçí O P − α α − α = α = = 424. α − α α + α − = α P Q O í~å Q í~å Q í~å í~å S N Q Åçí == =
  • 104.
    CHAPTER 4. TRIGONOMETRY 94 425. α + α − α α + α − = α í~å R í~å NM í~å í~å R í~å NM N R ÅçíP R Q O = = = = 4.12 Half Angle Formulas = 426. O Åçë N O ëáå α − ± = α = = 427. O Åçë N O Åçë α + ± = α = = 428. α − α = α α − = α + α = α + α − ± = α Åçí ÅëÅ ëáå Åçë N Åçë N ëáå Åçë N Åçë N O í~å = = 429. α + α = α α + = α − α = α − α + ± = α Åçí ÅëÅ ëáå Åçë N Åçë N ëáå Åçë N Åçë N O Åçí = = = = 4.13 Half Angle Tangent Identities = 430. O í~å N O í~å O ëáå O α + α = α = =
  • 105.
    CHAPTER 4. TRIGONOMETRY 95 431. O í~å N O í~å N Åçë O O α + α − = α= = 432. O í~å N O í~å O í~å O α − α = α = = 433. O í~å O O í~å N Åçí O α α − = α = = = = 4.14 Transforming of Trigonometric Expressions to Product = 434. O Åçë O ëáå O ëáå ëáå β − α β + α = β + α = = 435. O ëáå O Åçë O ëáå ëáå β − α β + α = β − α = = 436. O Åçë O Åçë O Åçë Åçë β − α β + α = β + α = = 437. O ëáå O ëáå O Åçë Åçë β − α β + α − = β − α = =
  • 106.
    CHAPTER 4. TRIGONOMETRY 96 438. () β ⋅ α β + α = β + α Åçë Åçë ëáå í~å í~å = = 439. ( ) β ⋅ α β − α = β − α Åçë Åçë ëáå í~å í~å = = 440. ( ) β ⋅ α α + β = β + α ëáå ëáå ëáå Åçí Åçí = = 441. ( ) β ⋅ α α − β = β − α ëáå ëáå ëáå Åçí Åçí = = 442.       α + π =       α − π = α + α Q ëáå O Q Åçë O ëáå Åçë = = 443.       α + π =       α − π = α − α Q Åçë O Q ëáå O ëáå Åçë = = 444. ( ) β ⋅ α β − α = β + α ëáå Åçë Åçë Åçí í~å = = 445. ( ) β ⋅ α β + α − = β − α ëáå Åçë Åçë Åçí í~å = = 446. O Åçë O Åçë N O α = α + = = 447. O ëáå O Åçë N O α = α − = =
  • 107.
    CHAPTER 4. TRIGONOMETRY 97 448.      α − π = α + O Q Åçë O ëáå N O = = 449.       α − π = α − O Q ëáå O ëáå N O = = = = 4.15 Transforming of Trigonometric Expressions to Sum = 450. ( ) ( ) O Åçë Åçë ëáå ëáå β + α − β − α = β ⋅ α = = 451. ( ) ( ) O Åçë Åçë Åçë Åçë β + α + β − α = β ⋅ α = = 452. ( ) ( ) O ëáå ëáå Åçë ëáå β + α + β − α = β ⋅ α = = 453. β + α β + α = β ⋅ α Åçí Åçí í~å í~å í~å í~å = = 454. β + α β + α = β ⋅ α í~å í~å Åçí Åçí Åçí Åçí = = 455. β + α β + α = β ⋅ α í~å Åçí Åçí í~å Åçí í~å = = = =
  • 108.
    CHAPTER 4. TRIGONOMETRY 98 4.16Powers of Trigonometric Functions = 456. O O Åçë N ëáåO α − = α = = 457. Q P ëáå ëáå P ëáåP α − α = α = = 458. U P O Åçë Q Q Åçë ëáåQ + α − α = α = = 459. NS R ëáå P ëáå R ëáå NM ëáåR α + α − α = α = = 460. PO S Åçë Q Åçë S O Åçë NR NM ëáåS α − α + α − = α = = 461. O O Åçë N ÅçëO α + = α = = 462. Q P Åçë Åçë P ÅçëP α + α = α = = 463. U P O Åçë Q Q Åçë ÅçëQ + α + α = α = = 464. NS R Åçë P ëáå R Åçë NM ÅçëR α + α + α = α = = 465. PO S Åçë Q Åçë S O Åçë NR NM ÅçëS α + α + α + = α = =
  • 109.
    CHAPTER 4. TRIGONOMETRY 99 4.17Graphs of Inverse Trigonometric Functions = 466. fåîÉêëÉ=páåÉ=cìåÅíáçå== ñ ~êÅëáå ó = I= N ñ N ≤ ≤ − I= O ñ ~êÅëáå O π ≤ ≤ π − K= = = = Figure 66. = 467. fåîÉêëÉ=`çëáåÉ=cìåÅíáçå== ñ ~êÅÅçë ó = I= N ñ N ≤ ≤ − I= π ≤ ≤ ñ ~êÅÅçë M K= =
  • 110.
    CHAPTER 4. TRIGONOMETRY 100 = = Figure67. = 468. fåîÉêëÉ=q~åÖÉåí=cìåÅíáçå== ñ ~êÅí~å ó = I= ∞ ≤ ≤ ∞ − ñ I= O ñ ~êÅí~å O π < < π − K= = ===== = = Figure 68.
  • 111.
    CHAPTER 4. TRIGONOMETRY 101 469.fåîÉêëÉ=`çí~åÖÉåí=cìåÅíáçå== ñ Åçí ~êÅ ó = I= ∞ ≤ ≤ ∞ − ñ I= π < < ñ Åçí ~êÅ M K= ===== = Figure 69. = 470. fåîÉêëÉ=pÉÅ~åí=cìåÅíáçå== ( ] [ ) K I O O I M ñ ëÉÅ ~êÅ I I N N I ñ I ñ = ~êÅëÉÅ ó       π π ∪       π ∈ ∞ ∪ − ∞ − ∈ = = Figure 70.
  • 112.
    CHAPTER 4. TRIGONOMETRY 102 471.fåîÉêëÉ=`çëÉÅ~åí=cìåÅíáçå== ( ] [ ) K O I M M I O ñ ÅëÅ ~êÅ I I N N I ñ I ñ ~êÅÅëÅ ó       π ∪       π − ∈ ∞ ∪ − ∞ − ∈ = = = Figure 71. = = 4.18 Principal Values of Inverse Trigonometric Functions 472. ñ = M= O N = O O = O P N= ñ ~êÅëáå = ° M = ° PM = ° QR = ° SM ° VM ñ ~êÅÅçë = ° VM ° SM = ° QR = ° PM ° M = ñ = O N − O O − O P − N − = = ñ ~êÅëáå = ° −PM = ° − QR ° − SM ° − VM = = ñ ~êÅÅçë = ° NOM = ° NPR = ° NRM = ° NUM = =
  • 113.
    CHAPTER 4. TRIGONOMETRY 103 473. ñ= M= P P N= P = P P − N − = P − = ñ ~êÅí~å = ° M = ° PM ° QR ° SM ° −PM ° − QR = ° − SM = ñ Åçí ~êÅ = ° VM ° SM ° QR ° PM ° NOM = ° NPR = ° NRM = = = = 4.19 Relations between Inverse Trigonometric Functions = 474. ( ) ñ ~êÅëáå ñ ~êÅëáå − = − = = 475. ñ ~êÅÅçë O ñ ~êÅëáå − π = = = 476. O ñ N ~êÅÅçë ñ ~êÅëáå − = I= N ñ M ≤ ≤ K= = 477. O ñ N ~êÅÅçë ñ ~êÅëáå − − = I= M ñ N ≤ ≤ − K= = 478. O ñ N ñ ~êÅí~å ñ ~êÅëáå − = I= N ñO < K= = 479. ñ ñ N Åçí ~êÅ ñ ~êÅëáå O − = I= N ñ M ≤ < K= = 480. π − − = ñ ñ N Åçí ~êÅ ñ ~êÅëáå O I= M ñ N < ≤ − K= = 481. ( ) ñ ~êÅÅçë ñ ~êÅÅçë − π = − =
  • 114.
    CHAPTER 4. TRIGONOMETRY 104 482.ñ ~êÅëáå O ñ ~êÅÅçë − π = = = 483. O ñ N ~êÅëáå ñ ~êÅÅçë − = I= N ñ M ≤ ≤ K= = 484. O ñ N ~êÅëáå ñ ~êÅÅçë − − π = I= M ñ N ≤ ≤ − K= = 485. ñ ñ N ~êÅí~å ñ ~êÅÅçë O − = I= N ñ M ≤ < K= = 486. ñ ñ N ~êÅí~å ñ ~êÅÅçë O − + π = I= M ñ N < ≤ − K= = 487. O ñ N ñ Åçí ~êÅ ñ ~êÅÅçë − = I= N ñ N ≤ ≤ − K= = 488. ( ) ñ ~êÅí~å ñ ~êÅí~å − = − = = 489. ñ Åçí ~êÅ O ñ ~êÅí~å − π = = = 490. O ñ N ñ ~êÅëáå ñ ~êÅí~å + = = = 491. O ñ N N ~êÅÅçë ñ ~êÅí~å + = I= M ñ ≥ K= = 492. O ñ N N ~êÅÅçë ñ ~êÅí~å + − = I= M ñ ≤ K= =
  • 115.
    CHAPTER 4. TRIGONOMETRY 105 493. ñ N ~êÅí~å O ñ ~êÅí~å− π = I= M ñ > K= = 494. ñ N ~êÅí~å O ñ ~êÅí~å − π − = I= M ñ < K= = 495. ñ N Åçí ~êÅ ñ ~êÅí~å = I= M ñ > K= = 496. π − = ñ N Åçí ~êÅ ñ ~êÅí~å I= M ñ < K= = 497. ( ) ñ Åçí ~êÅ ñ Åçí ~êÅ − π = − = = 498. ñ ~êÅí~å O ñ Åçí ~êÅ − π = = = 499. O ñ N N ~êÅëáå ñ Åçí ~êÅ + = I= M ñ > K= = 500. O ñ N N ~êÅëáå ñ Åçí ~êÅ + − π = I= M ñ < K= = 501. O ñ N ñ ~êÅÅçë ñ Åçí ~êÅ + = = = 502. ñ N ~êÅí~å ñ Åçí ~êÅ = I= M ñ > K= = 503. ñ N ~êÅí~å ñ Åçí ~êÅ + π = I= M ñ < K= = =
  • 116.
    CHAPTER 4. TRIGONOMETRY 106 4.20Trigonometric Equations = tÜçäÉ=åìãÄÉêW=å= = = 504. ~ ñ ëáå = I= ( ) å ~ ~êÅëáå N ñ å π + − = = = 505. ~ ñ Åçë = I= å O ~ ~êÅÅçë ñ π + ± = = = 506. ~ ñ í~å = I= å ~ ~êÅí~å ñ π + = = = 507. ~ ñ Åçí = I= å ~ Åçí ~êÅ ñ π + = = = = = 4.21 Relations to Hyperbolic Functions = fã~Öáå~êó=ìåáíW=á= = = 508. ( ) ñ ëáåÜ á áñ ëáå = = = 509. ( ) ñ í~åÜ á áñ í~å = = = 510. ( ) ñ ÅçíÜ á áñ Åçí − = = = 511. ( ) ñ ëÉÅÜ áñ ëÉÅ = = = 512. ( ) ñ ÅëÅÜ á áñ ÅëÅ − = = = = =
  • 117.
    107 Chapter 5 Matrices andDeterminants = = = = j~íêáÅÉëW=^I=_I=`= bäÉãÉåíë=çÑ=~=ã~íêáñW= á ~ I= á Ä I= áà ~ I= áà Ä I= áà Å = aÉíÉêãáå~åí=çÑ=~=ã~íêáñW= ^ ÇÉí = jáåçê=çÑ=~å=ÉäÉãÉåí= áà ~ W= áà j = `çÑ~Åíçê=çÑ=~å=ÉäÉãÉåí= áà ~ W= áà ` = qê~åëéçëÉ=çÑ=~=ã~íêáñW= q ^ I= ^ ú = ^Çàçáåí=çÑ=~=ã~íêáñW= ^ ~Çà = qê~ÅÉ=çÑ=~=ã~íêáñW= ^ íê = fåîÉêëÉ=çÑ=~=ã~íêáñW= N ^− = oÉ~ä=åìãÄÉêW=â= oÉ~ä=î~êá~ÄäÉëW= á ñ = k~íìê~ä=åìãÄÉêëW=ãI=å=== = = 5.1 Determinants = 513. pÉÅçåÇ=lêÇÉê=aÉíÉêãáå~åí= N O O N O O N N Ä ~ Ä ~ Ä ~ Ä ~ ^ ÇÉí − = = = = = = = =
  • 118.
    CHAPTER 5. MATRICESAND DETERMINANTS 108 514. qÜáêÇ=lêÇÉê=aÉíÉêãáå~åí= − + + = = PO ON NP PN OP NO PP OO NN PP PO PN OP OO ON NP NO NN ~ ~ ~ ~ ~ ~ ~ ~ ~ ~ ~ ~ ~ ~ ~ ~ ~ ~ ^ ÇÉí = PN OO NP PP ON NO PO OP NN ~ ~ ~ ~ ~ ~ ~ ~ ~ − − − = = 515. p~êêìë=oìäÉ=E^êêçï=oìäÉF= = = Figure 72. = 516. k-íÜ=lêÇÉê=aÉíÉêãáå~åí= åå åà O å N å áå áà O á N á å O à O OO ON å N à N NO NN ~ ~ ~ ~ ~ ~ ~ ~ ~ ~ ~ ~ ~ ~ ~ ~ ^ ÇÉí K K K K K K K K K K K K K K K K K K K K = = = 517. jáåçê= qÜÉ=ãáåçê= áà j =~ëëçÅá~íÉÇ=ïáíÜ=íÜÉ=ÉäÉãÉåí= áà ~ =çÑ=å-íÜ=çêÇÉê= ã~íêáñ=^=áë=íÜÉ= ( ) N å − -íÜ=çêÇÉê=ÇÉíÉêãáå~åí=ÇÉêáîÉÇ=Ñêçã= íÜÉ=ã~íêáñ=^=Äó=ÇÉäÉíáçå=çÑ=áíë=á-íÜ=êçï=~åÇ=à-íÜ=ÅçäìãåK=== =
  • 119.
    CHAPTER 5. MATRICESAND DETERMINANTS 109 518. `çÑ~Åíçê= ( ) áà à á áà j N ` + − = = = 519. i~éä~ÅÉ=bñé~åëáçå=çÑ=å-íÜ=lêÇÉê=aÉíÉêãáå~åí= i~éä~ÅÉ=Éñé~åëáçå=Äó=ÉäÉãÉåíë=çÑ=íÜÉ=á-íÜ=êçï= ∑ = = å N à áà áà` ~ ^ ÇÉí I= å I I O I N á K = K= i~éä~ÅÉ=Éñé~åëáçå=Äó=ÉäÉãÉåíë=çÑ=íÜÉ=à-íÜ=Åçäìãå= ∑ = = å N á áà áà` ~ ^ ÇÉí I= å I I O I N à K = K== = = = 5.2 Properties of Determinants = 520. qÜÉ==î~äìÉ==çÑ=~=ÇÉíÉêãáå~åí=êÉã~áåë==ìåÅÜ~åÖÉÇ=áÑ=êçïë=~êÉ= ÅÜ~åÖÉÇ=íç=Åçäìãåë=~åÇ=Åçäìãåë=íç=êçïëK= = O O N N O N O N Ä ~ Ä ~ Ä Ä ~ ~ = == = 521. fÑ=íïç==êçïë==Eçê=íïç=ÅçäìãåëF=~êÉ==áåíÉêÅÜ~åÖÉÇI=íÜÉ=ëáÖå=çÑ= íÜÉ=ÇÉíÉêãáå~åí=áë=ÅÜ~åÖÉÇK= N N O O O O N N Ä ~ Ä ~ Ä ~ Ä ~ − = = = 522. fÑ=íïç=êçïë==Eçê=íïç=ÅçäìãåëF=~êÉ==áÇÉåíáÅ~äI=íÜÉ=î~äìÉ=çÑ=íÜÉ= ÇÉíÉêãáå~åí=áë=òÉêçK= M ~ ~ ~ ~ O O N N = = =
  • 120.
    CHAPTER 5. MATRICESAND DETERMINANTS 110 523. fÑ==íÜÉ===ÉäÉãÉåíë==çÑ==~åó=êçï==Eçê=ÅçäìãåF=~êÉ=ãìäíáéäáÉÇ=Äó===== ~==Åçããçå==Ñ~ÅíçêI==íÜÉ==ÇÉíÉêãáå~åí==áë==ãìäíáéäáÉÇ==Äó==íÜ~í= Ñ~ÅíçêK= O O N N O O N N Ä ~ Ä ~ â Ä ~ âÄ â~ = = = 524. fÑ==íÜÉ==ÉäÉãÉåíë==çÑ==~åó==êçï==Eçê==ÅçäìãåF=~êÉ=áåÅêÉ~ëÉÇ=Eçê= ÇÉÅêÉ~ëÉÇFÄó=Éèì~ä=ãìäíáéäÉë=çÑ=íÜÉ=ÅçêêÉëéçåÇáåÖ=ÉäÉãÉåíë= çÑ=~åó=çíÜÉê=êçï==Eçê=ÅçäìãåFI==íÜÉ=î~äìÉ=çÑ=íÜÉ=ÇÉíÉêãáå~åí= áë=ìåÅÜ~åÖÉÇK= O O N N O O O N N N Ä ~ Ä ~ Ä âÄ ~ Ä âÄ ~ = + + = = = = 5.3 Matrices = 525. aÉÑáåáíáçå= ^å= å ã× =ã~íêáñ=^=áë=~=êÉÅí~åÖìä~ê=~êê~ó=çÑ=ÉäÉãÉåíë=Eåìã- ÄÉêë=çê=ÑìåÅíáçåëF=ïáíÜ=ã=êçïë=~åÇ=å=ÅçäìãåëK== [ ]             = = ãå O ã N ã å O OO ON å N NO NN áà ~ ~ ~ ~ ~ ~ ~ ~ ~ ~ ^ K M M M K K == = 526. pèì~êÉ=ã~íêáñ=áë=~=ã~íêáñ=çÑ=çêÇÉê= å å× K== = 527. ^=ëèì~êÉ=ã~íêáñ==[ ] áà ~ ==áë==ëóããÉíêáÅ==áÑ== àá áà ~ ~ = I==áKÉK==áí==áë= ëóããÉíêáÅ=~Äçìí=íÜÉ=äÉ~ÇáåÖ=Çá~Öçå~äK== = 528. ^=ëèì~êÉ=ã~íêáñ=[ ] áà ~ =áë=ëâÉï-ëóããÉíêáÅ=áÑ= àá áà ~ ~ − = K== =
  • 121.
    CHAPTER 5. MATRICESAND DETERMINANTS 111 529. aá~Öçå~ä=ã~íêáñ==áë==~=ëèì~êÉ==ã~íêáñ=ïáíÜ=~ää==ÉäÉãÉåíë==òÉêç= ÉñÅÉéí=íÜçëÉ=çå=íÜÉ=äÉ~ÇáåÖ=Çá~Öçå~äK== = 530. råáí=ã~íêáñ==áë==~=Çá~Öçå~ä==ã~íêáñ==áå=ïÜáÅÜ=íÜÉ=ÉäÉãÉåíë=çå= íÜÉ=äÉ~ÇáåÖ=Çá~Öçå~ä=~êÉ=~ää=ìåáíóK=qÜÉ=ìåáí=ã~íêáñ=áë=========== ÇÉåçíÉÇ=Äó=fK== = 531. ^=åìää=ã~íêáñ=áë=çåÉ=ïÜçëÉ=ÉäÉãÉåíë=~êÉ=~ää=òÉêçK= = = = 5.4 Operations with Matrices = 532. qïç=ã~íêáÅÉë=^=~åÇ=_=~êÉ=Éèì~ä=áÑI=~åÇ=çåäó=áÑI=íÜÉó=~êÉ=ÄçíÜ= çÑ==íÜÉ==ë~ãÉ==ëÜ~éÉ== å ã× ==~åÇ=ÅçêêÉëéçåÇáåÖ=ÉäÉãÉåíë=~êÉ= Éèì~äK= = 533. qïç=ã~íêáÅÉë==^=~åÇ=_==Å~å=ÄÉ=~ÇÇÉÇ=Eçê=ëìÄíê~ÅíÉÇF=çÑI=~åÇ= çåäó=áÑI=íÜÉó=Ü~îÉ=íÜÉ=ë~ãÉ=ëÜ~éÉ= å ã× K=fÑ== [ ]             = = ãå O ã N ã å O OO ON å N NO NN áà ~ ~ ~ ~ ~ ~ ~ ~ ~ ~ ^ K M M M K K I== [ ]             = = ãå O ã N ã å O OO ON å N NO NN áà Ä Ä Ä Ä Ä Ä Ä Ä Ä Ä _ K M M M K K I== = = = = =
  • 122.
    CHAPTER 5. MATRICESAND DETERMINANTS 112 íÜÉå==             + + + + + + + + + = + ãå ãå O ã O ã N ã N ã å O å O OO OO ON ON å N å N NO NO NN NN Ä ~ Ä ~ Ä ~ Ä ~ Ä ~ Ä ~ Ä ~ Ä ~ Ä ~ _ ^ K M M M K K K= = 534. fÑ=â=áë=~=ëÅ~ä~êI=~åÇ= [ ] áà ~ ^ = =áë=~=ã~íêáñI=íÜÉå= [ ]             = = ãå O ã N ã å O OO ON å N NO NN áà â~ â~ â~ â~ â~ â~ â~ â~ â~ â~ â^ K M M M K K K= = 535. jìäíáéäáÅ~íáçå=çÑ=qïç=j~íêáÅÉë= qïç= ã~íêáÅÉë= Å~å= ÄÉ= ãìäíáéäáÉÇ= íçÖÉíÜÉê= çåäó= ïÜÉå= íÜÉ= åìãÄÉê=çÑ=Åçäìãåë=áå=íÜÉ=Ñáêëí=áë=Éèì~ä=íç=íÜÉ=åìãÄÉê=çÑ= êçïë=áå=íÜÉ=ëÉÅçåÇK== = fÑ= [ ]             = = ãå O ã N ã å O OO ON å N NO NN áà ~ ~ ~ ~ ~ ~ ~ ~ ~ ~ ^ K M M M K K I== [ ]             = = åâ O å N å â O OO ON â N NO NN áà Ä Ä Ä Ä Ä Ä Ä Ä Ä Ä _ K M M M K K I= = = = = =
  • 123.
    CHAPTER 5. MATRICESAND DETERMINANTS 113 íÜÉå==             = = ãâ O ã N ã â O OO ON â N NO NN Å Å Ä Å Å Å Å Å Å ` ^_ K M M M K K I== ïÜÉêÉ== ∑ = λ λ λ = + + + = å N à á åà áå à O O á à N N á áà Ä ~ Ä ~ Ä ~ Ä ~ Å K = E ã I I O I N á K = X â I I O I N à K = FK== = qÜìë=áÑ= [ ]       = = OP OO ON NP NO NN áà ~ ~ ~ ~ ~ ~ ~ ^ I= [ ]           = = P O N á Ä Ä Ä Ä _ I== íÜÉå==       =           ⋅       = P OP O OO N ON P NP O NO N NN P O N OP OO ON NP NO NN Ä ~ Ä ~ Ä ~ Ä ~ Ä ~ Ä ~ Ä Ä Ä ~ ~ ~ ~ ~ ~ ^_ K== = 536. qê~åëéçëÉ=çÑ=~=j~íêáñ= fÑ=íÜÉ=êçïë=~åÇ=Åçäìãåë=çÑ=~=ã~íêáñ=~êÉ=áåíÉêÅÜ~åÖÉÇI=íÜÉå= íÜÉ=åÉï=ã~íêáñ=áë=Å~ääÉÇ=íÜÉ=íê~åëéçëÉ=çÑ=íÜÉ=çêáÖáå~ä=ã~íêáñK=== fÑ=^=áë=íÜÉ=çêáÖáå~ä=ã~íêáñI=áíë=íê~åëéçëÉ=áë=ÇÉåçíÉÇ= q ^ =çê= ^ ú K== = 537. qÜÉ=ã~íêáñ=^=áë=çêíÜçÖçå~ä=áÑ= f ^^q = K== = 538. fÑ=íÜÉ=ã~íêáñ=éêçÇìÅí=^_=áë=ÇÉÑáåÉÇI=íÜÉå== ( ) q q q ^ _ ^_ = K= = =
  • 124.
    CHAPTER 5. MATRICESAND DETERMINANTS 114 539. ^Çàçáåí=çÑ=j~íêáñ= fÑ=^=áë=~=ëèì~êÉ= å å× ã~íêáñI=áíë=~ÇàçáåíI=ÇÉåçíÉÇ=Äó= ^ ~Çà I= áë=íÜÉ=íê~åëéçëÉ=çÑ=íÜÉ=ã~íêáñ=çÑ=ÅçÑ~Åíçêë= áà ` =çÑ=^W= [ ]q áà ` ^ ~Çà = K== = 540. qê~ÅÉ=çÑ=~=j~íêáñ= fÑ=^=áë=~=ëèì~êÉ= å å× ã~íêáñI=áíë=íê~ÅÉI=ÇÉåçíÉÇ=Äó= ^ íê I=áë= ÇÉÑáåÉÇ=íç=ÄÉ==íÜÉ=ëìã=çÑ==íÜÉ=íÉêãë=çå=íÜÉ=äÉ~ÇáåÖ=Çá~Öçå~äW= åå OO NN ~ ~ ~ ^ íê + + + = K K= = 541. fåîÉêëÉ=çÑ=~=j~íêáñ= fÑ=^=áë=~=ëèì~êÉ= å å× ã~íêáñ=ïáíÜ=~=åçåëáåÖìä~ê=ÇÉíÉêãáå~åí= ^ ÇÉí I=íÜÉå=áíë=áåîÉêëÉ= N ^− =áë=ÖáîÉå=Äó= ^ ÇÉí ^ ~Çà ^ N = − K= = 542. fÑ=íÜÉ=ã~íêáñ=éêçÇìÅí=^_=áë=ÇÉÑáåÉÇI=íÜÉå== ( ) N N N ^ _ ^_ − − − = K= = 543. fÑ==^==áë=~=ëèì~êÉ=== å å× ==ã~íêáñI==íÜÉ==ÉáÖÉåîÉÅíçêë==u===ë~íáëÑó= íÜÉ=Éèì~íáçå= u ^u λ = I== ïÜáäÉ=íÜÉ=ÉáÖÉåî~äìÉë=λ =ë~íáëÑó=íÜÉ=ÅÜ~ê~ÅíÉêáëíáÅ=Éèì~íáçå= M f ^ = λ − K=== = = = 5.5 Systems of Linear Equations = = s~êá~ÄäÉëW=ñI=óI=òI= N ñ I= K I ñO = oÉ~ä=åìãÄÉêëW= K I ~ I ~ I Ä I ~ I ~ I ~ NO NN N P O N =
  • 125.
    CHAPTER 5. MATRICESAND DETERMINANTS 115 aÉíÉêãáå~åíëW=aI= ñ a I= ó a I= ò a == j~íêáÅÉëW=^I=_I=u= = = 544.    = + = + O O O N N N Ç ó Ä ñ ~ Ç ó Ä ñ ~ I== a a ñ ñ = I= a a ó ó = =E`ê~ãÉê∞ë=êìäÉFI== ïÜÉêÉ== N O O N O O N N Ä ~ Ä ~ Ä ~ Ä ~ a − = = I== N O O N O O N N ñ Ä Ç Ä Ç Ä Ç Ä Ç a − = = I== N O O N O O N N ó Ç ~ Ç ~ Ç ~ Ç ~ a − = = K== = 545. fÑ= M a ≠ I=íÜÉå=íÜÉ=ëóëíÉã=Ü~ë=~=ëáåÖäÉ=ëçäìíáçåW== a a ñ ñ = I= a a ó ó = K= fÑ= M a = =~åÇ= M añ ≠ Eçê= M aó ≠ FI=íÜÉå=íÜÉ=ëóëíÉã=Ü~ë==åç== ëçäìíáçåK= fÑ= M a a a ó ñ = = = I= íÜÉå= íÜÉ= ëóëíÉã= Ü~ë= = áåÑáåáíÉäó= = ã~åó== ëçäìíáçåëK= = 546.      = + + = + + = + + P P P P O O O O N N N N Ç ò Å ó Ä ñ ~ Ç ò Å ó Ä ñ ~ = Ç ò Å ó Ä ñ ~ I== a a ñ ñ = I= a a ó ó = I= a a ò ò = =E`ê~ãÉê∞ë=êìäÉFI== =
  • 126.
    CHAPTER 5. MATRICESAND DETERMINANTS 116 ïÜÉêÉ== P P P O O O N N N Å Ä ~ Å Ä ~ Å Ä ~ a = I= P P P O O O N N N ñ Å Ä Ç Å Ä Ç Å Ä Ç a = I= P P P O O O N N N ó Å Ç ~ Å Ç ~ Å Ç ~ a = I= P P P O O O N N N ò Ç Ä ~ Ç Ä ~ Ç Ä ~ a = K== = 547. fÑ= M a ≠ I=íÜÉå=íÜÉ=ëóëíÉã=Ü~ë=~=ëáåÖäÉ=ëçäìíáçåW== a a ñ ñ = I= a a ó ó = I= a a ò ò = K= fÑ= M a = =~åÇ= M añ ≠ Eçê= M aó ≠ =çê= M aò ≠ FI=íÜÉå=íÜÉ=ëóëíÉã= Ü~ë=åç=ëçäìíáçåK= fÑ= M a a a a ò ó ñ = = = = I= íÜÉå= íÜÉ= ëóëíÉã= Ü~ë= áåÑáåáíÉäó= ã~åó=ëçäìíáçåëK= = 548. j~íêáñ=cçêã=çÑ=~=póëíÉã=çÑ=å=iáåÉ~ê=bèì~íáçåë=áå================= å=råâåçïåë= qÜÉ=ëÉí=çÑ=äáåÉ~ê=Éèì~íáçåë==        = + + + = + + + = + + + å å åå O O å N N å O å å O O OO N ON N å å N O NO N NN Ä ñ ~ ñ ~ ñ ~ Ä ñ ~ ñ ~ ñ ~ Ä ñ ~ ñ ~ ñ ~ K K K K K K K K K K K K K K K = Å~å=ÄÉ=ïêáííÉå=áå=ã~íêáñ=Ñçêã=               =               ⋅               å O N å O N åå O å N å å O OO ON å N NO NN Ä Ä Ä ñ ñ ñ ~ ~ ~ ~ ~ ~ ~ ~ ~ M M K M M M K K I== áKÉK== _ u ^ = ⋅ I==
  • 127.
    CHAPTER 5. MATRICESAND DETERMINANTS 117 ïÜÉêÉ==               = åå O å N å å O OO ON å N NO NN ~ ~ ~ ~ ~ ~ ~ ~ ~ ^ K M M M K K I=               = å O N ñ ñ ñ u M I=               = å O N Ä Ä Ä _ M K== = 549. pçäìíáçå=çÑ=~=pÉí=çÑ=iáåÉ~ê=bèì~íáçåë= å å× = _ ^ u N ⋅ = − I== ïÜÉêÉ= N ^− =áë=íÜÉ=áåîÉêëÉ=çÑ=^K= = =
  • 128.
    118 Chapter 6 Vectors = = = = sÉÅíçêëW=ì r I= î r I=ï r I= ê r I= → ^_ I=£= sÉÅíçê=äÉåÖíÜW= ì r I= î r I=£= råáí=îÉÅíçêëW= á r I= à r I=â r = kìää=îÉÅíçêW=M r = `ççêÇáå~íÉë=çÑ=îÉÅíçê=ì r W= N N N w I v I u = `ççêÇáå~íÉë=çÑ=îÉÅíçê= î r W= O O O w I v I u = pÅ~ä~êëW=λ Iµ= aáêÉÅíáçå=ÅçëáåÉëW= α Åçë I= β Åçë I= γ Åçë = ^åÖäÉ=ÄÉíïÉÉå=íïç=îÉÅíçêëW=θ = = = 6.1 Vector Coordinates = 550. råáí=sÉÅíçêë= ( ) M I M I N á = r I= ( ) M I N I M à = r I= ( ) N I M I M â = r I= N â à á = = = r r r K= = 551. ( ) ( ) ( )â ò ò à ó ó á ñ ñ ^_ ê M N M N M N r r r r − + − + − = = → = =
  • 129.
    CHAPTER 6. VECTORS 119 ======== = Figure 73. = 552. ( ) ( ) ( )O M N O M N O M N ò ò ó ó ñ ñ ^_ ê − + − + − = = → r = = 553. fÑ= ê ^_ r = → I=íÜÉå= ê _^ r − = → K= = = = Figure 74. = 554. α = Åçë ê u r I= β = Åçë ê v r I= γ = Åçë ê w r K=
  • 130.
    CHAPTER 6. VECTORS 120 ====== = Figure 75. = 555. fÑ= ( ) ( ) N N N N w I v I u ê w I v I u ê r r = I=íÜÉå== N u u = I= N v v = I= N w w = K== == = 6.2 Vector Addition = 556. î ì ï r r r + = = = == = = Figure 76.
  • 131.
    CHAPTER 6. VECTORS 121 === = Figure 77. = 557. å P O N ì ì ì ì ï r K r r r r + + + + = = = == = = Figure 78. = 558. `çããìí~íáîÉ=i~ï= ì î î ì r r r r + = + = = 559. ^ëëçÅá~íáîÉ=i~ï= ( ) ( ) ï î ì ï î ì r r r r r r + + = + + = = 560. ( ) O N O N O N w w I v v I u u î ì + + + = + r r = = = = = = =
  • 132.
    CHAPTER 6. VECTORS 122 6.3Vector Subtraction = 561. î ì ï r r r − = =áÑ= ì ï î r r r = + K= = = = Figure 79. = == = = Figure 80. = 562. ( ) î ì î ì r r r r − + = − = = 563. ( ) M I M I M M ì ì = = − r r r = = 564. M M = r = = 565. ( ) O N O N O N w w I v v I u u î ì − − − = − r r I== = = = 6.4 Scaling Vectors = 566. ì ï r r λ = =
  • 133.
    CHAPTER 6. VECTORS 123 = = Figure81. = 567. ì ï r r ⋅ λ = = = 568. ( ) w I v I u ì λ λ λ = λ r = = 569. λ = λ ì ì r r = = 570. ( ) ì ì ì r r r µ + λ = µ + λ = = 571. ( ) ( ) ( )ì ì ì r r r λµ = λ µ = µ λ = = 572. ( ) î ì î ì r r r r λ + λ = + λ = = = = 6.5 Scalar Product = 573. pÅ~ä~ê=mêçÇìÅí=çÑ=sÉÅíçêë=ì r =~åÇ î r = θ ⋅ ⋅ = ⋅ Åçë î ì î ì r r r r I== ïÜÉêÉ=θ =áë=íÜÉ=~åÖäÉ=ÄÉíïÉÉå=îÉÅíçêë=ì r =~åÇ î r K==== =
  • 134.
    CHAPTER 6. VECTORS 124 == = Figure 82. = 574. pÅ~ä~ê=mêçÇìÅí=áå=`ççêÇáå~íÉ=cçêã= fÑ= ( ) N N N w I v I u ì = r I= ( ) O O O w I v I u î = r I=íÜÉå== O N O N O N w w v v u u î ì + + = ⋅ r r K= = 575. ^åÖäÉ=_ÉíïÉÉå=qïç=sÉÅíçêë== fÑ= ( ) N N N w I v I u ì = r I= ( ) O O O w I v I u î = r I=íÜÉå== O O O O O O O N O N O N O N O N O N w v u w v u w w v v u u Åçë + + + + + + = θ K= = 576. `çããìí~íáîÉ=mêçéÉêíó= ì î î ì r r r r ⋅ = ⋅ = = 577. ^ëëçÅá~íáîÉ=mêçéÉêíó= ( ) ( ) î ì î ì r r r r ⋅ λµ = µ ⋅ λ = = 578. aáëíêáÄìíáîÉ=mêçéÉêíó= ( ) ï ì î ì ï î ì r r r r r r r ⋅ + ⋅ = + ⋅ = = 579. M î ì = ⋅ r r =áÑ=ì r I î r =~êÉ=çêíÜçÖçå~ä=E O π = θ FK= = 580. M î ì > ⋅ r r =áÑ= O M π < θ < K= =
  • 135.
    CHAPTER 6. VECTORS 125 581.M î ì < ⋅ r r =áÑ= π < θ < π O K= = 582. î ì î ì r r r r ⋅ ≤ ⋅ = = 583. î ì î ì r r r r ⋅ = ⋅ =áÑ=ì r I î r =~êÉ=é~ê~ääÉä=E M = θ FK= = 584. fÑ= ( ) N N N w I v I u ì = r I=íÜÉå== O N O N O N O O w v u ì ì ì ì + + = = = ⋅ r r r r K= = 585. N â â à à á á = ⋅ = ⋅ = ⋅ r r r r r r = = 586. M á â â à à á = ⋅ = ⋅ = ⋅ r r r r r r = = = = 6.6 Vector Product = 587. sÉÅíçê=mêçÇìÅí=çÑ=sÉÅíçêë=ì r =~åÇ î r = ï î ì r r r = × I=ïÜÉêÉ== • θ ⋅ ⋅ = ëáå î ì ï r r r I=ïÜÉêÉ= O M π ≤ θ ≤ X= • ì ï r r ⊥ = ~åÇ= î ï r r ⊥ X= • =sÉÅíçêë=ì r I= î r I= ï r =Ñçêã=~=êáÖÜí-Ü~åÇÉÇ=ëÅêÉïK= =
  • 136.
    CHAPTER 6. VECTORS 126 ======== = Figure 83. = 588. O O O N N N w v u w v u â à á î ì ï r r r r r r = × = = = 589.         − = × = O O N N O O N N O O N N v u v u I w u w u I w v w v î ì ï r r r = = 590. θ ⋅ ⋅ = × = ëáå î ì î ì p r r r r =EcáÖKUPF= = 591. ^åÖäÉ=_ÉíïÉÉå=qïç=sÉÅíçêë=EcáÖKUPF= î ì î ì ëáå r r r r ⋅ × = θ = = 592. kçåÅçããìí~íáîÉ=mêçéÉêíó= ( ) ì î î ì r r r r × − = × == = 593. ^ëëçÅá~íáîÉ=mêçéÉêíó= ( ) ( ) î ì î ì r r r r × λµ = µ × λ = = =
  • 137.
    CHAPTER 6. VECTORS 127 594.aáëíêáÄìíáîÉ=mêçéÉêíó= ( ) ï ì î ì ï î ì r r r r r r r × + × = + × = = 595. M î ì r r r = × =áÑ=ì r =~åÇ= î r =~êÉ=é~ê~ääÉä=E M = θ FK= = 596. M â â à à á á r r r r r r r = × = × = × = = 597. â à á r r r = × I= á â à r r r = × I= à á â r r r = × = = = = 6.7 Triple Product = 598. pÅ~ä~ê=qêáéäÉ=mêçÇìÅí= [ ] ( ) ( ) ( ) î ì ï ì ï î ï î ì ï î ì r r r r r r r r r r r r × ⋅ = × ⋅ = × ⋅ = = = 599. [ ] [ ] [ ] [ ] [ ] [ ] î ï ì ì î ï ï ì î ì ï î î ì ï ï î ì r r r r r r r r r r r r r r r r r r − = − = − = = = = = 600. ( ) [ ] ï î ì â ï î ì â r r r r r r = × ⋅ = = 601. pÅ~ä~ê=qêáéäÉ=mêçÇìÅí=áå=`ççêÇáå~íÉ=cçêã= ( ) P P P O O O N N N w v u w v u w v u ï î ì = × ⋅ r r r I== ïÜÉêÉ== ( ) N N N w I v I u ì = r I= ( ) O O O w I v I u î = r I= ( ) P P P w I v I u ï = r K== = 602. sçäìãÉ=çÑ=m~ê~ääÉäÉéáéÉÇ= ( ) ï î ì s r r r × ⋅ = = =
  • 138.
    CHAPTER 6. VECTORS 128 ============= = Figure 84. = 603. sçäìãÉ=çÑ=móê~ãáÇ= ( ) ï î ì S N s r r r × ⋅ = = = = = Figure 85. = 604. fÑ== ( ) M ï î ì = × ⋅ r r r I=íÜÉå=íÜÉ=îÉÅíçêë==ì r I= î r I=~åÇ= ï r =~êÉ=äáåÉ~êäó= ÇÉéÉåÇÉåí=I=ëç= î ì ï r r r µ + λ = =Ñçê=ëçãÉ=ëÅ~ä~êë=λ =~åÇ=µK== = 605. fÑ== ( ) M ï î ì ≠ × ⋅ r r r I=íÜÉå=íÜÉ=îÉÅíçêë==ì r I= î r I=~åÇ= ï r =~êÉ=äáåÉ~êäó= áåÇÉéÉåÇÉåíK= =
  • 139.
    CHAPTER 6. VECTORS 129 606.sÉÅíçê=qêáéäÉ=mêçÇìÅí= ( ) ( ) ( )ï î ì î ï ì ï î ì r r r r r r r r r ⋅ − ⋅ = × × == = = = = = = = =
  • 140.
    130 Chapter 7 Analytic Geometry = = = = 7.1One-Dimensional Coordinate System = mçáåí=ÅççêÇáå~íÉëW= M ñ I= N ñ I= O ñ I= M ó I= N ó I= O ó = oÉ~ä=åìãÄÉêW=λ == aáëí~åÅÉ=ÄÉíïÉÉå=íïç=éçáåíëW=Ç= = = 607. aáëí~åÅÉ=_ÉíïÉÉå=qïç=mçáåíë= O N N O ñ ñ ñ ñ ^_ Ç − = − = = = = = = Figure 86. = 608. aáîáÇáåÖ=~=iáåÉ=pÉÖãÉåí=áå=íÜÉ=o~íáç=λ = λ + λ + = N ñ ñ ñ O N M I= `_ ^` = λ I= N − ≠ λ K= = ======== = = Figure 87.
  • 141.
    CHAPTER 7. ANALYTICGEOMETRY 131 609. jáÇéçáåí=çÑ=~=iáåÉ=pÉÖãÉåí= O ñ ñ ñ O N M + = I= N = λ K= = = = 7.2 Two-Dimensional Coordinate System = mçáåí=ÅççêÇáå~íÉëW= M ñ I= N ñ I= O ñ I= M ó I= N ó I= O ó = mçä~ê=ÅççêÇáå~íÉëW= ϕ I ê = oÉ~ä=åìãÄÉêW=λ == mçëáíáîÉ=êÉ~ä=åìãÄÉêëW=~I=ÄI=ÅI== aáëí~åÅÉ=ÄÉíïÉÉå=íïç=éçáåíëW=Ç= ^êÉ~W=p= = = 610. aáëí~åÅÉ=_ÉíïÉÉå=qïç=mçáåíë= ( ) ( )O N O O N O ó ó ñ ñ ^_ Ç − + − = = = = = = Figure 88.
  • 142.
    CHAPTER 7. ANALYTICGEOMETRY 132 611. aáîáÇáåÖ=~=iáåÉ=pÉÖãÉåí=áå=íÜÉ=o~íáç=λ = λ + λ + = N ñ ñ ñ O N M I= λ + λ + = N ó ó ó O N M I== `_ ^` = λ I= N − ≠ λ K= = ======= = = Figure 89. = =
  • 143.
    CHAPTER 7. ANALYTICGEOMETRY 133 ======= = = Figure 90. = 612. jáÇéçáåí=çÑ=~=iáåÉ=pÉÖãÉåí= O ñ ñ ñ O N M + = I= O ó ó ó O N M + = I= N = λ K= = 613. `ÉåíêçáÇ=EfåíÉêëÉÅíáçå=çÑ=jÉÇá~åëF=çÑ=~=qêá~åÖäÉ= P ñ ñ ñ ñ P O N M + + = I= P ó ó ó ó P O N M + + = I== ïÜÉêÉ== ( ) N N ó I ñ ^ I== ( ) O O ó I ñ _ I==~åÇ== ( ) P P ó I ñ ` ==~êÉ=îÉêíáÅÉë=çÑ= íÜÉ=íêá~åÖäÉ= ^_` K= = =
  • 144.
    CHAPTER 7. ANALYTICGEOMETRY 134 ========= = = Figure 91. = 614. fåÅÉåíÉê=EfåíÉêëÉÅíáçå=çÑ=^åÖäÉ=_áëÉÅíçêëF=çÑ=~=qêá~åÖäÉ= Å Ä ~ Åñ Äñ ~ñ ñ P O N M + + + + = I= Å Ä ~ Åó Äó ~ó ó P O N M + + + + = I== ïÜÉêÉ= _` ~ = I= `^ Ä = I= ^_ Å = K== = ======== = = Figure 92.
  • 145.
    CHAPTER 7. ANALYTICGEOMETRY 135 615. `áêÅìãÅÉåíÉê=EfåíÉêëÉÅíáçå=çÑ=íÜÉ=páÇÉ=mÉêéÉåÇáÅìä~ê====================== _áëÉÅíçêëF=çÑ=~=qêá~åÖäÉ= N ó ñ N ó ñ N ó ñ O N ó ó ñ N ó ó ñ N ó ó ñ ñ P P O O N N P O P O P O O O O O N O N O N M + + + = I= N ó ñ N ó ñ N ó ñ O N ó ñ ñ N ó ñ ñ N ó ñ ñ ó P P O O N N O P O P P O O O O O O N O N N M + + + = = = ======== = == Figure 93. = = = = = = =
  • 146.
    CHAPTER 7. ANALYTICGEOMETRY 136 616. lêíÜçÅÉåíÉê=EfåíÉêëÉÅíáçå=çÑ=^äíáíìÇÉëF=çÑ=~=qêá~åÖäÉ= N ó ñ N ó ñ N ó ñ N ó ñ ñ ó N ó ñ ñ ó N ó ñ ñ ó ñ P P O O N N O P O N P O O N P O O N P O N M + + + = I= N ó ñ N ó ñ N ó ñ N ñ ó ó ñ N ñ ó ó ñ N ñ ó ó ñ ó P P O O N N P O N O P O N P O O N P O O N M + + + = = = ====== = = Figure 94. = 617. ^êÉ~=çÑ=~=qêá~åÖäÉ= ( ) ( ) N P N P N O N O P P O O N N ó ó ñ ñ ó ó ñ ñ O N N ó ñ N ó ñ N ó ñ O N p − − − − ± = ± = = = = =
  • 147.
    CHAPTER 7. ANALYTICGEOMETRY 137 618. ^êÉ~=çÑ=~=nì~Çêáä~íÉê~ä= ( ) ( )( ) ( )( ) [ + + − + + − ± = P O P O O N O N ó ó ñ ñ ó ó ñ ñ O N p = ( )( ) ( )( )] N Q N Q Q P Q P ó ó ñ ñ ó ó ñ ñ + − + + − + = = === = = Figure 95. = kçíÉW=få=Ñçêãìä~ë=SNTI=SNU=ïÉ=ÅÜççëÉ=íÜÉ=ëáÖå=EHF=çê=E¥F=ëç= íÜ~í=íç=ÖÉí=~=éçëáíáîÉ=~åëïÉê=Ñçê=~êÉ~K== = 619. aáëí~åÅÉ=_ÉíïÉÉå=qïç=mçáåíë=áå=mçä~ê=`ççêÇáå~íÉë= ( ) N O O N O O O N Åçë ê ê O ê ê ^_ Ç ϕ − ϕ − + = = = =
  • 148.
    CHAPTER 7. ANALYTICGEOMETRY 138 = = Figure 96. = 620. `çåîÉêíáåÖ=oÉÅí~åÖìä~ê=`ççêÇáå~íÉë=íç=mçä~ê=`ççêÇáå~íÉë= ϕ = Åçë ê ñ I= ϕ = ëáå ê ó K= = = = Figure 97. = 621. `çåîÉêíáåÖ=mçä~ê=`ççêÇáå~íÉë=íç=oÉÅí~åÖìä~ê=`ççêÇáå~íÉë= O O ó ñ ê + = I= ñ ó í~å = ϕ K=
  • 149.
    CHAPTER 7. ANALYTICGEOMETRY 139 7.3 Straight Line in Plane = mçáåí=ÅççêÇáå~íÉëW=uI=vI=ñI= M ñ I= N ñ I== M ó I= N ó I= N ~ I= O ~ I=£== oÉ~ä=åìãÄÉêëW=âI=~I=ÄI=éI=íI=^I=_I=`I= N ^ I= O ^ I=£= ^åÖäÉëW=α I=β = ^åÖäÉ=ÄÉíïÉÉå=íïç=äáåÉëW=ϕ = kçêã~ä=îÉÅíçêW=å r = mçëáíáçå=îÉÅíçêëW= ê r I=~ r I= Ä r = = = 622. dÉåÉê~ä=bèì~íáçå=çÑ=~=píê~áÖÜí=iáåÉ= M ` _ó ^ñ = + + = = 623. kçêã~ä=sÉÅíçê=íç=~=píê~áÖÜí=iáåÉ= qÜÉ=îÉÅíçê= ( ) _ I ^ å r =áë=åçêã~ä=íç=íÜÉ=äáåÉ= M ` _ó ^ñ = + + K= = = = Figure 98. = 624. bñéäáÅáí=bèì~íáçå=çÑ=~=píê~áÖÜí=iáåÉ=EpäçéÉ-fåíÉêÅÉéí=cçêãF= Ä âñ ó + = K==
  • 150.
    CHAPTER 7. ANALYTICGEOMETRY 140 qÜÉ=Öê~ÇáÉåí=çÑ=íÜÉ=äáåÉ=áë= α = í~å â K= = = = Figure 99. = 625. dê~ÇáÉåí=çÑ=~=iáåÉ== N O N O ñ ñ ó ó í~å â − − = α = = = = = Figure 100.
  • 151.
    CHAPTER 7. ANALYTICGEOMETRY 141 626. bèì~íáçå=çÑ=~=iáåÉ=dáîÉå=~=mçáåí=~åÇ=íÜÉ=dê~ÇáÉåí= ( ) M M ñ ñ â ó ó − + = I== ïÜÉêÉ=â=áë=íÜÉ=Öê~ÇáÉåíI= ( ) M M ó I ñ m =áë=~=éçáåí=çå=íÜÉ=äáåÉK= = = = Figure 101. = 627. bèì~íáçå=çÑ=~=iáåÉ=qÜ~í=m~ëëÉë=qÜêçìÖÜ=qïç=mçáåíë= N O N N O N ñ ñ ñ ñ ó ó ó ó − − = − − == çê= M N ó ñ N ó ñ N ó ñ O O N N = K= =
  • 152.
    CHAPTER 7. ANALYTICGEOMETRY 142 = = Figure 102. = 628. fåíÉêÅÉéí=cçêã= N Ä ó ~ ñ = + = = = = Figure 103. = =
  • 153.
    CHAPTER 7. ANALYTICGEOMETRY 143 629. kçêã~ä=cçêã= M é ëáå ó Åçë ñ = − β + β = = = = Figure 104. = 630. mçáåí=aáêÉÅíáçå=cçêã= v ó ó u ñ ñ N N − = − I== ïÜÉêÉ= ( ) v I u =áë=íÜÉ=ÇáêÉÅíáçå=çÑ=íÜÉ=äáåÉ=~åÇ= ( ) N N N ó I ñ m =äáÉë= çå=íÜÉ=äáåÉK= =
  • 154.
    CHAPTER 7. ANALYTICGEOMETRY 144 = = Figure 105. = 631. sÉêíáÅ~ä=iáåÉ= ~ ñ = = = 632. eçêáòçåí~ä=iáåÉ= Ä ó = = = 633. sÉÅíçê=bèì~íáçå=çÑ=~=píê~áÖÜí=iáåÉ= Ä í ~ ê r r r + = I== ïÜÉêÉ== l=áë=íÜÉ=çêáÖáå=çÑ=íÜÉ=ÅççêÇáå~íÉëI= u=áë=~åó=î~êá~ÄäÉ=éçáåí=çå=íÜÉ=äáåÉI== ~ r =áë=íÜÉ=éçëáíáçå=îÉÅíçê=çÑ=~=âåçïå=éçáåí=^=çå=íÜÉ=äáåÉ=I= Ä r =áë=~=âåçïå=îÉÅíçê=çÑ=ÇáêÉÅíáçåI=é~ê~ääÉä=íç=íÜÉ=äáåÉI== í=áë=~=é~ê~ãÉíÉêI== → = lu ê r =áë=íÜÉ=éçëáíáçå=îÉÅíçê=çÑ=~åó=éçáåí=u=çå=íÜÉ=äáåÉK== =
  • 155.
    CHAPTER 7. ANALYTICGEOMETRY 145 = = Figure 106. = 634. píê~áÖÜí=iáåÉ=áå=m~ê~ãÉíêáÅ=cçêã=    + = + = O O N N íÄ ~ ó íÄ ~ ñ I== ïÜÉêÉ== ( ) ó I ñ ~êÉ=íÜÉ=ÅççêÇáå~íÉë=çÑ=~åó=ìåâåçïå=éçáåí=çå=íÜÉ=äáåÉI== ( ) O N ~ I ~ =~êÉ=íÜÉ=ÅççêÇáå~íÉë=çÑ=~=âåçïå=éçáåí=çå=íÜÉ=äáåÉI== ( ) O N Ä I Ä =~êÉ=íÜÉ=ÅççêÇáå~íÉë=çÑ=~=îÉÅíçê=é~ê~ääÉä=íç=íÜÉ=äáåÉI== í=áë=~=é~ê~ãÉíÉêK= =
  • 156.
    CHAPTER 7. ANALYTICGEOMETRY 146 = Figure 107. = 635. aáëí~åÅÉ=cêçã=~=mçáåí=qç=~=iáåÉ= qÜÉ=Çáëí~åÅÉ=Ñêçã=íÜÉ=éçáåí= ( ) Ä I ~ m =íç=íÜÉ=äáåÉ= M ` _ó ^ñ = + + =áë== O O _ ^ ` _Ä ^~ Ç + + + = K= = = = Figure 108.
  • 157.
    CHAPTER 7. ANALYTICGEOMETRY 147 636. m~ê~ääÉä=iáåÉë= qïç=äáåÉë= N N Ä ñ â ó + = =~åÇ= O O Ä ñ â ó + = =~êÉ=é~ê~ääÉä=áÑ== O N â â = K= qïç= äáåÉë= M ` ó _ ñ ^ N N N = + + = ~åÇ= M ` ó _ ñ ^ O O O = + + = ~êÉ= é~ê~ääÉä=áÑ= O N O N _ _ ^ ^ = K= = = = Figure 109. = 637. mÉêéÉåÇáÅìä~ê=iáåÉë= qïç=äáåÉë= N N Ä ñ â ó + = =~åÇ= O O Ä ñ â ó + = =~êÉ=éÉêéÉåÇáÅìä~ê=áÑ== N O â N â − = =çêI=Éèìáî~äÉåíäóI= N â â O N − = K= qïç= äáåÉë= M ` ó _ ñ ^ N N N = + + = ~åÇ= M ` ó _ ñ ^ O O O = + + = ~êÉ= éÉêéÉåÇáÅìä~ê=áÑ= M _ _ ^ ^ O N O N = + K= =
  • 158.
    CHAPTER 7. ANALYTICGEOMETRY 148 = = Figure 110. = 638. ^åÖäÉ=_ÉíïÉÉå=qïç=iáåÉë= O N N O â â N â â í~å + − = ϕ I== O O O O O N O N O N O N _ ^ _ ^ _ _ ^ ^ Åçë + ⋅ + + = ϕ K= =
  • 159.
    CHAPTER 7. ANALYTICGEOMETRY 149 = = Figure 111. = 639. fåíÉêëÉÅíáçå=çÑ=qïç=iáåÉë= fÑ=íïç=äáåÉë= M ` ó _ ñ ^ N N N = + + =~åÇ= M ` ó _ ñ ^ O O O = + + =áåíÉê- ëÉÅíI=íÜÉ=áåíÉêëÉÅíáçå=éçáåí=Ü~ë=ÅççêÇáå~íÉë= N O O N N O O N M _ ^ _ ^ _ ` _ ` ñ − + − = I= N O O N N O O N M _ ^ _ ^ ` ^ ` ^ ó − + − = K= = = = 7.4 Circle = o~ÇáìëW=o= `ÉåíÉê=çÑ=ÅáêÅäÉW=( ) Ä I ~ = mçáåí=ÅççêÇáå~íÉëW=ñI=óI= N ñ I= N ó I=£= oÉ~ä=åìãÄÉêëW=^I=_I=`I=aI=bI=cI=í=
  • 160.
    CHAPTER 7. ANALYTICGEOMETRY 150 640. bèì~íáçå=çÑ=~=`áêÅäÉ=`ÉåíÉêÉÇ=~í=íÜÉ=lêáÖáå=Epí~åÇ~êÇ= cçêãF= O O O o ó ñ = + = ====== = = Figure 112. = 641. bèì~íáçå=çÑ=~=`áêÅäÉ=`ÉåíÉêÉÇ=~í=^åó=mçáåí=( ) Ä I ~ ( ) ( ) O O O o Ä ó ~ ñ = − + − Figure 113.
  • 161.
    CHAPTER 7. ANALYTICGEOMETRY 151 642. qÜêÉÉ=mçáåí=cçêã M N ó ñ ó ñ N ó ñ ó ñ N ó ñ ó ñ N ó ñ ó ñ P P O P O P O O O O O O N N O N O N O O = + + + + = = = Figure 114. = 643. m~ê~ãÉíêáÅ=cçêã    = = í ëáå o ó í Åçë o ñ I= π ≤ ≤ O í M K = 644. dÉåÉê~ä=cçêã M c bó añ ^ó ^ñ O O = + + + + =E^=åçåòÉêçI= ^c Q b a O O > + FK== qÜÉ=ÅÉåíÉê=çÑ=íÜÉ=ÅáêÅäÉ=Ü~ë=ÅççêÇáå~íÉë=( ) Ä I ~ I=ïÜÉêÉ== ^ O a ~ − = I= ^ O b Ä − = K= qÜÉ=ê~Çáìë=çÑ=íÜÉ=ÅáêÅäÉ=áë
  • 162.
    CHAPTER 7. ANALYTICGEOMETRY 152 ^ O ^c Q b a o O O − + = K = = = 7.5 Ellipse = pÉãáã~àçê=~ñáëW=~= pÉãáãáåçê=~ñáëW=Ä= cçÅáW= ( ) M I Å cN − I= ( ) M I Å cO = aáëí~åÅÉ=ÄÉíïÉÉå=íÜÉ=ÑçÅáW=OÅ= = bÅÅÉåíêáÅáíóW=É== oÉ~ä=åìãÄÉêëW=^I=_I=`I=aI=bI=cI=í= mÉêáãÉíÉêW=i= ^êÉ~W=p= = = 645. bèì~íáçå=çÑ=~å=bääáéëÉ=Epí~åÇ~êÇ=cçêãF N Ä ó ~ ñ O O O O = + = = Figure 115.
  • 163.
    CHAPTER 7. ANALYTICGEOMETRY 153 646. ~ O ê ê O N = + I= ïÜÉêÉ== N ê I== O ê ==~êÉ==Çáëí~åÅÉë==Ñêçã==~åó==éçáåí== ( ) ó I ñ m ==çå= íÜÉ=ÉääáéëÉ=íç=íÜÉ=íïç=ÑçÅáK= = = = Figure 116. = 647. O O O Å Ä ~ + = = 648. bÅÅÉåíêáÅáíó N ~ Å É < = = = 649. bèì~íáçåë=çÑ=aáêÉÅíêáÅÉë Å ~ É ~ ñ O ± = ± = = = 650. m~ê~ãÉíêáÅ=cçêã    = = í ëáå Ä ó í Åçë ~ ñ I= π ≤ ≤ O í M K = =
  • 164.
    CHAPTER 7. ANALYTICGEOMETRY 154 651. dÉåÉê~ä=cçêã M c bó añ `ó _ñó ^ñ O O = + + + + + I== ïÜÉêÉ= M ^` Q _O < − K= = 652. dÉåÉê~ä=cçêã=ïáíÜ=^ñÉë=m~ê~ääÉä=íç=íÜÉ=`ççêÇáå~íÉ=^ñÉë M c bó añ `ó ^ñ O O = + + + + I== ïÜÉêÉ= M ^` > K = 653. `áêÅìãÑÉêÉåÅÉ ( ) É ~b Q i = I== ïÜÉêÉ==íÜÉ==ÑìåÅíáçå=b==áë==íÜÉ=ÅçãéäÉíÉ==ÉääáéíáÅ=áåíÉÖê~ä==çÑ= íÜÉ=ëÉÅçåÇ=âáåÇK== = 654. ^ééêçñáã~íÉ=cçêãìä~ë=çÑ=íÜÉ=`áêÅìãÑÉêÉåÅÉ ( ) ( ) ~Ä Ä ~ R K N i − + π = I== ( ) O O Ä ~ O i + π = K= = 655. ~Ä p π = = = = = 7.6 Hyperbola = qê~åëîÉêëÉ=~ñáëW=~= `çåàìÖ~íÉ=~ñáëW=Ä= cçÅáW= ( ) M I Å cN − I= ( ) M I Å cO = aáëí~åÅÉ=ÄÉíïÉÉå=íÜÉ=ÑçÅáW=OÅ= = bÅÅÉåíêáÅáíóW=É== ^ëóãéíçíÉëW=ëI=í= oÉ~ä=åìãÄÉêëW=^I=_I=`I=aI=bI=cI=íI=â= = = =
  • 165.
    CHAPTER 7. ANALYTICGEOMETRY 155 656. bèì~íáçå=çÑ=~=eóéÉêÄçä~=Epí~åÇ~êÇ=cçêãF= N Ä ó ~ ñ O O O O = − = = = = Figure 117. = 657. ~ O ê ê O N = − I= ïÜÉêÉ== N ê I== O ê ==~êÉ==Çáëí~åÅÉë==Ñêçã==~åó=éçáåí== ( ) ó I ñ m ==çå= íÜÉ=ÜóéÉêÄçä~=íç=íÜÉ=íïç=ÑçÅáK= =
  • 166.
    CHAPTER 7. ANALYTICGEOMETRY 156 = = Figure 118. = 658. bèì~íáçåë=çÑ=^ëóãéíçíÉë= ñ ~ Ä ó ± = = = 659. O O O Ä ~ Å + = = = 660. bÅÅÉåíêáÅáíó N ~ Å É > = = = 661. bèì~íáçåë=çÑ=aáêÉÅíêáÅÉë Å ~ É ~ ñ O ± = ± = = = = =
  • 167.
    CHAPTER 7. ANALYTICGEOMETRY 157 662. m~ê~ãÉíêáÅ=bèì~íáçåë=çÑ=íÜÉ=oáÖÜí=_ê~åÅÜ=çÑ=~=eóéÉêÄçä~=    = = í ëáåÜ Ä ó í ÅçëÜ ~ ñ I= π ≤ ≤ O í M K = 663. dÉåÉê~ä=cçêã M c bó añ `ó _ñó ^ñ O O = + + + + + I== ïÜÉêÉ= M ^` Q _O > − K= = 664. dÉåÉê~ä=cçêã=ïáíÜ=^ñÉë=m~ê~ääÉä=íç=íÜÉ=`ççêÇáå~íÉ=^ñÉë M c bó añ `ó ^ñ O O = + + + + I== ïÜÉêÉ= M ^` < K= 665. ^ëóãéíçíáÅ=cçêã= Q É ñó O = I== çê== ñ â ó = I=ïÜÉêÉ= Q É â O = K= få= íÜáë= Å~ëÉ= I= íÜÉ= ~ëóãéíçíÉë= Ü~îÉ= Éèì~íáçåë= M ñ = = ~åÇ= M ó = K== =
  • 168.
    CHAPTER 7. ANALYTICGEOMETRY 158 = = Figure 119. = = = 7.7 Parabola = cçÅ~ä=é~ê~ãÉíÉêW=é= cçÅìëW=c= sÉêíÉñW= ( ) M M ó I ñ j = oÉ~ä=åìãÄÉêëW=^I=_I=`I=aI=bI=cI=éI=~I=ÄI=Å= = = 666. bèì~íáçå=çÑ=~=m~ê~Äçä~=Epí~åÇ~êÇ=cçêãF éñ O óO = =
  • 169.
    CHAPTER 7. ANALYTICGEOMETRY 159 = = Figure 120. = bèì~íáçå=çÑ=íÜÉ=ÇáêÉÅíêáñ O é ñ − = I= `ççêÇáå~íÉë=çÑ=íÜÉ=ÑçÅìë=       M I O é c I= `ççêÇáå~íÉë=çÑ=íÜÉ=îÉêíÉñ= ( ) M I M j K= = 667. dÉåÉê~ä=cçêã M c bó añ `ó _ñó ^ñ O O = + + + + + I== ïÜÉêÉ= M ^` Q _O = − K= = 668. O ~ñ ó = I= ~ O N é = K= bèì~íáçå=çÑ=íÜÉ=ÇáêÉÅíêáñ
  • 170.
    CHAPTER 7. ANALYTICGEOMETRY 160 O é ó − = I= `ççêÇáå~íÉë=çÑ=íÜÉ=ÑçÅìë=       O é I M c I= `ççêÇáå~íÉë=çÑ=íÜÉ=îÉêíÉñ= ( ) M I M j K= = = = Figure 121. = 669. dÉåÉê~ä=cçêãI=^ñáë=m~ê~ääÉä=íç=íÜÉ=ó-~ñáë== M c bó añ ^ñO = + + + =E^I=b=åçåòÉêçFI== Å Äñ ~ñ ó O + + = I= ~ O N é = K== bèì~íáçå=çÑ=íÜÉ=ÇáêÉÅíêáñ O é ó ó M − = I= `ççêÇáå~íÉë=çÑ=íÜÉ=ÑçÅìë=
  • 171.
    CHAPTER 7. ANALYTICGEOMETRY 161       + O é ó I ñ c M M I= `ççêÇáå~íÉë=çÑ=íÜÉ=îÉêíÉñ= ~ O Ä ñM − = I= ~ Q Ä ~Å Q Å Äñ ~ñ ó O M O M M − = + + = K= = = = Figure 122. = = = 7.8 Three-Dimensional Coordinate System = mçáåí=ÅççêÇáå~íÉëW= M ñ I= M ó I= M ò I= N ñ I= N ó I= N ò I=£= oÉ~ä=åìãÄÉêW=λ == aáëí~åÅÉ=ÄÉíïÉÉå=íïç=éçáåíëW=Ç= ^êÉ~W=p= sçäìãÉW=s= =
  • 172.
    CHAPTER 7. ANALYTICGEOMETRY 162 670. aáëí~åÅÉ=_ÉíïÉÉå=qïç=mçáåíë= ( ) ( ) ( )O N O O N O O N O ò ò ó ó ñ ñ ^_ Ç − + − + − = = = = === = = Figure 123. = 671. aáîáÇáåÖ=~=iáåÉ=pÉÖãÉåí=áå=íÜÉ=o~íáç=λ = λ + λ + = N ñ ñ ñ O N M I= λ + λ + = N ó ó ó O N M I= λ + λ + = N ò ò ò O N M I== ïÜÉêÉ= `_ ^` = λ I= N − ≠ λ K= =
  • 173.
    CHAPTER 7. ANALYTICGEOMETRY 163 ======== = = Figure 124. = = Figure 125.
  • 174.
    CHAPTER 7. ANALYTICGEOMETRY 164 672. jáÇéçáåí=çÑ=~=iáåÉ=pÉÖãÉåí= O ñ ñ ñ O N M + = I= O ó ó ó O N M + = I= O ò ò ò O N M + = I= N = λ K= = 673. ^êÉ~=çÑ=~=qêá~åÖäÉ= qÜÉ=~êÉ~=çÑ=~=íêá~åÖäÉ=ïáíÜ=îÉêíáÅÉë= ( ) N N N N ò I ó I ñ m I= ( ) O O O O ò I ó I ñ m I=~åÇ= ( ) P P P P ò I ó I ñ m =áë=ÖáîÉå=Äó== O P P O O N N O P P O O N N O P P O O N N N ó ñ N ó ñ N ó ñ N ñ ò N ñ ò N ñ ò N ò ó N ò ó N ò ó O N p + + = K= = 674. sçäìãÉ=çÑ=~=qÉíê~ÜÉÇêçå= qÜÉ=îçäìãÉ=çÑ=~=íÉíê~ÜÉÇêçå=ïáíÜ=îÉêíáÅÉë= ( ) N N N N ò I ó I ñ m I= ( ) O O O O ò I ó I ñ m I= ( ) P P P P ò I ó I ñ m I=~åÇ= ( ) Q Q Q Q ò I ó I ñ m =áë=ÖáîÉå=Äó== N ò ó ñ N ò ó ñ N ò ó ñ N ò ó ñ S N s Q Q Q P P P O O O N N N ± = I== çê= Q P Q P Q P Q O Q O Q O Q N Q N Q N ò ò ó ó ñ ñ ò ò ó ó ñ ñ ò ò ó ó ñ ñ S N s − − − − − − − − − ± = K= kçíÉW=tÉ=ÅÜççëÉ=íÜÉ=ëáÖå=EHF=çê=E¥F=ëç=íÜ~í=íç=ÖÉí=~=éçëáíáîÉ= ~åëïÉê=Ñçê=îçäìãÉK== =
  • 175.
    CHAPTER 7. ANALYTICGEOMETRY 165 ==== = = Figure 126. = = = 7.9 Plane = mçáåí=ÅççêÇáå~íÉëW=ñI=óI=òI= M ñ I= M ó I= M ò I= N ñ I= N ó I= N ò I=£= oÉ~ä=åìãÄÉêëW=^I=_I=`I=aI= N ^ I= O ^ I=~I=ÄI=ÅI= N ~ I= O ~ I=λ I=éI=íI=£== kçêã~ä=îÉÅíçêëW=å r I= N å r I= O å r = aáêÉÅíáçå=ÅçëáåÉëW= α Åçë I= β Åçë I= γ Åçë = aáëí~åÅÉ=Ñêçã=éçáåí=íç=éä~åÉW=Ç= = = 675. dÉåÉê~ä=bèì~íáçå=çÑ=~=mä~åÉ= M a `ò _ó ^ñ = + + + = = =
  • 176.
    CHAPTER 7. ANALYTICGEOMETRY 166 676. kçêã~ä=sÉÅíçê=íç=~=mä~åÉ= qÜÉ=îÉÅíçê= ( ) ` I _ I ^ å r =áë=åçêã~ä=íç=íÜÉ=éä~åÉ= M a `ò _ó ^ñ = + + + K= = === = = Figure 127. = 677. m~êíáÅìä~ê=`~ëÉë=çÑ=íÜÉ=bèì~íáçå=çÑ=~=mä~åÉ= M a `ò _ó ^ñ = + + + = = fÑ= M ^ = I=íÜÉ=éä~åÉ=áë=é~ê~ääÉä=íç=íÜÉ=ñ-~ñáëK= fÑ= M _ = I=íÜÉ=éä~åÉ=áë=é~ê~ääÉä=íç=íÜÉ=ó-~ñáëK= fÑ= M ` = I=íÜÉ=éä~åÉ=áë=é~ê~ääÉä=íç=íÜÉ=ò-~ñáëK= fÑ= M a = I=íÜÉ=éä~åÉ=äáÉë=çå=íÜÉ=çêáÖáåK== = fÑ= M _ ^ = = I=íÜÉ=éä~åÉ=áë=é~ê~ääÉä=íç=íÜÉ=ñó-éä~åÉK= fÑ= M ` _ = = I=íÜÉ=éä~åÉ=áë=é~ê~ääÉä=íç=íÜÉ=óò-éä~åÉK= fÑ= M ` ^ = = I=íÜÉ=éä~åÉ=áë=é~ê~ääÉä=íç=íÜÉ=ñò-éä~åÉK= =
  • 177.
    CHAPTER 7. ANALYTICGEOMETRY 167 678. mçáåí=aáêÉÅíáçå=cçêã= ( ) ( ) ( ) M ò ò ` ó ó _ ñ ñ ^ M M M = − + − + − I== ïÜÉêÉ=íÜÉ=éçáåí= ( ) M M M ò I ó I ñ m =äáÉë=áå=íÜÉ=éä~åÉI=~åÇ=íÜÉ=îÉÅ- íçê=( ) ` I _ I ^ =áë=åçêã~ä=íç=íÜÉ=éä~åÉK=== = ==== = = Figure 128. = 679. fåíÉêÅÉéí=cçêã= N Å ò Ä ó ~ ñ = + + = =
  • 178.
    CHAPTER 7. ANALYTICGEOMETRY 168 ===== = = Figure 129. = 680. qÜêÉÉ=mçáåí=cçêã= M ò ò ó ó ñ ñ ò ò ó ó ñ ñ ò ò ó ó ñ ñ P O P O P O P N P N P N P P P = − − − − − − − − − I== çê== M N ò ó ñ N ò ó ñ N ò ó ñ N ò ó ñ P P P O O O N N N = K= =
  • 179.
    CHAPTER 7. ANALYTICGEOMETRY 169 ===== = = Figure 130. = 681. kçêã~ä=cçêã= M é Åçë ò Åçë ó Åçë ñ = − γ + β + α I== ïÜÉêÉ==é==áë==íÜÉ==éÉêéÉåÇáÅìä~ê==Çáëí~åÅÉ==Ñêçã==íÜÉ=çêáÖáå=íç= íÜÉ=éä~åÉ=I=~åÇ= α Åçë I= β Åçë I= γ Åçë =~êÉ=íÜÉ=ÇáêÉÅíáçå=ÅçëáåÉë= çÑ=~åó=äáåÉ=åçêã~ä=íç=íÜÉ=éä~åÉK== =
  • 180.
    CHAPTER 7. ANALYTICGEOMETRY 170 ====== = = Figure 131. = 682. m~ê~ãÉíêáÅ=cçêã=      + + = + + = + + = í Å ë Å ò ò í Ä ë Ä ó ó í ~ ë ~ ñ ñ O N N O N N O N N I== ïÜÉêÉ=( ) ò I ó I ñ =~êÉ=íÜÉ=ÅççêÇáå~íÉë=çÑ=~åó=ìåâåçïå=éçáåí=çå= íÜÉ=äáåÉ=I=íÜÉ=éçáåí= ( ) N N N ò I ó I ñ m =äáÉë=áå=íÜÉ=éä~åÉI=íÜÉ=îÉÅíçêë= ( ) N N N Å I Ä I ~ =~åÇ=( ) O O O Å I Ä I ~ =~êÉ=é~ê~ääÉä=íç=íÜÉ=éä~åÉK= =
  • 181.
    CHAPTER 7. ANALYTICGEOMETRY 171 ===== = = Figure 132. = 683. aáÜÉÇê~ä=^åÖäÉ=_ÉíïÉÉå=qïç=mä~åÉë= fÑ=íÜÉ=éä~åÉë=~êÉ=ÖáîÉå=Äó== M a ò ` ó _ ñ ^ N N N N = + + + I== M a ò ` ó _ ñ ^ O O O O = + + + I== íÜÉå=íÜÉ=ÇáÜÉÇê~ä=~åÖäÉ=ÄÉíïÉÉå=íÜÉã=áë== O O O O O O O N O N O N O N O N O N O N O N ` _ ^ ` _ ^ ` ` _ _ ^ ^ å å å å Åçë + + ⋅ + + + + = ⋅ ⋅ = ϕ r r r r K= =
  • 182.
    CHAPTER 7. ANALYTICGEOMETRY 172 ====== = = Figure 133. = 684. m~ê~ääÉä=mä~åÉë= qïç=éä~åÉë= M a ò ` ó _ ñ ^ N N N N = + + + =~åÇ= M a ò ` ó _ ñ ^ O O O O = + + + =~êÉ=é~ê~ääÉä=áÑ== O N O N O N ` ` _ _ ^ ^ = = K= = 685. mÉêéÉåÇáÅìä~ê=mä~åÉë= qïç=éä~åÉë= M a ò ` ó _ ñ ^ N N N N = + + + =~åÇ= M a ò ` ó _ ñ ^ O O O O = + + + =~êÉ=éÉêéÉåÇáÅìä~ê=áÑ== M ` ` _ _ ^ ^ O N O N O N = + + K= = 686. bèì~íáçå=çÑ=~=mä~åÉ=qÜêçìÖÜ= ( ) N N N ò I ó I ñ m =~åÇ=m~ê~ääÉä=qç= íÜÉ=sÉÅíçêë=( ) N N N Å I Ä I ~ =~åÇ=( ) O O O Å I Ä I ~ =EcáÖKNPOF=
  • 183.
    CHAPTER 7. ANALYTICGEOMETRY 173 M Å Ä ~ Å Ä ~ ò ò ó ó ñ ñ O O O N N N N N N = − − − = = 687. bèì~íáçå=çÑ=~=mä~åÉ=qÜêçìÖÜ= ( ) N N N N ò I ó I ñ m =~åÇ= ( ) O O O O ò I ó I ñ m I= ~åÇ=m~ê~ääÉä=qç=íÜÉ=sÉÅíçê=( ) Å I Ä I ~ = M Å Ä ~ ò ò ó ó ñ ñ ò ò ó ó ñ ñ N O N O N O N N N = − − − − − − = = = Figure 134. = 688. aáëí~åÅÉ=cêçã=~=mçáåí=qç=~=mä~åÉ= qÜÉ=Çáëí~åÅÉ=Ñêçã=íÜÉ=éçáåí= ( ) N N N N ò I ó I ñ m =íç=íÜÉ=éä~åÉ= M a `ò _ó ^ñ = + + + =áë==
  • 184.
    CHAPTER 7. ANALYTICGEOMETRY 174 O O O N N N ` _ ^ a `ò _ó ^ñ Ç + + + + + = K= = ====== = = Figure 135. = 689. fåíÉêëÉÅíáçå=çÑ=qïç=mä~åÉë= fÑ=íïç=éä~åÉë= M a ò ` ó _ ñ ^ N N N N = + + + =~åÇ= M a ò ` ó _ ñ ^ O O O O = + + + =áåíÉêëÉÅíI=íÜÉ=áåíÉêëÉÅíáçå=ëíê~áÖÜí= äáåÉ=áë=ÖáîÉå=Äó=      + = + = + = Åí ò ò Äí ó ó ~í ñ ñ N N N I== çê== Å ò ò Ä ó ó ~ ñ ñ N N N − = − = − I== ïÜÉêÉ==
  • 185.
    CHAPTER 7. ANALYTICGEOMETRY 175 O O N N ` _ ` _ ~ = I= O O N N ^ ` ^ ` Ä = I= O O N N _ ^ _ ^ Å = I== O O O O O N N O O N N N Å Ä ~ _ a _ a Å ` a ` a Ä ñ + + − = I== O O O O O N N O O N N N Å Ä ~ ` a ` a ~ ^ a ^ a Å ó + + − = I== O O O O O N N O O N N N Å Ä ~ ^ a ^ a Ä _ a _ a ~ ò + + − = K== = = = 7.10 Straight Line in Space = mçáåí=ÅççêÇáå~íÉëW=ñI=óI=òI= N ñ I= N ó I= N ò I=£= aáêÉÅíáçå=ÅçëáåÉëW= α Åçë I= β Åçë I= γ Åçë = oÉ~ä=åìãÄÉêëW=^I=_I=`I=aI=~I=ÄI=ÅI= N ~ I= O ~ I=íI=£== aáêÉÅíáçå=îÉÅíçêë=çÑ=~=äáåÉW= ë r I= N ë r I= O ë r = kçêã~ä=îÉÅíçê=íç=~=éä~åÉW=å r = ^åÖäÉ=ÄÉíïÉÉå=íïç=äáåÉëW=ϕ = = 690. mçáåí=aáêÉÅíáçå=cçêã=çÑ=íÜÉ=bèì~íáçå=çÑ=~=iáåÉ== Å ò ò Ä ó ó ~ ñ ñ N N N − = − = − I== ïÜÉêÉ=íÜÉ=éçáåí= ( ) N N N N ò I ó I ñ m =äáÉë=çå=íÜÉ=äáåÉI=~åÇ= ( ) Å I Ä I ~ =áë= íÜÉ=ÇáêÉÅíáçå=îÉÅíçê=çÑ=íÜÉ=äáåÉK== =
  • 186.
    CHAPTER 7. ANALYTICGEOMETRY 176 ===== = = Figure 136. = 691. qïç=mçáåí=cçêã= N O N N O N N O N ò ò ò ò ó ó ó ó ñ ñ ñ ñ − − = − − = − − == = ===== = Figure 137.
  • 187.
    CHAPTER 7. ANALYTICGEOMETRY 177 692. m~ê~ãÉíêáÅ=cçêã==      γ + = β + = α + = Åçë í ò ò Åçë í ó ó Åçë í ñ ñ N N N I== ïÜÉêÉ=íÜÉ=éçáåí= ( ) N N N N ò I ó I ñ m =äáÉë=çå=íÜÉ=ëíê~áÖÜí=äáåÉI= α Åçë I= β Åçë I= γ Åçë =~êÉ=íÜÉ=ÇáêÉÅíáçå=ÅçëáåÉë=çÑ=íÜÉ=ÇáêÉÅíáçå= îÉÅíçê=çÑ=íÜÉ=äáåÉI=íÜÉ=é~ê~ãÉíÉê=í=áë=~åó=êÉ~ä=åìãÄÉêK== = ===== = = Figure 138. = 693. ^åÖäÉ=_ÉíïÉÉå=qïç=píê~áÖÜí=iáåÉë= O O O O O O O N O N O N O N O N O N O N O N Å Ä ~ Å Ä ~ Å Å Ä Ä ~ ~ ë ë ë ë Åçë + + ⋅ + + + + = ⋅ ⋅ = ϕ r r r r = =
  • 188.
    CHAPTER 7. ANALYTICGEOMETRY 178 ===== = = Figure 139. = 694. m~ê~ääÉä=iáåÉë= qïç=äáåÉë=~êÉ=é~ê~ääÉä=áÑ== O N ë öö ë r r I== çê== O N O N O N Å Å Ä Ä ~ ~ = = K= = 695. mÉêéÉåÇáÅìä~ê=iáåÉë= qïç=äáåÉë=~êÉ=é~ê~ääÉä=áÑ== M ë ë O N = ⋅ r r I== çê== M Å Å Ä Ä ~ ~ O N O N O N = + + K= = 696. fåíÉêëÉÅíáçå=çÑ=qïç=iáåÉë= qïç=äáåÉë= N N N N N N Å ò ò Ä ó ó ~ ñ ñ − = − = − =~åÇ=
  • 189.
    CHAPTER 7. ANALYTICGEOMETRY 179 O O O O O O Å ò ò Ä ó ó ~ ñ ñ − = − = − =áåíÉêëÉÅí=áÑ== M Å Ä ~ Å Ä ~ ò ò ó ó ñ ñ O O O N N N N O N O N O = − − − K= = 697. m~ê~ääÉä=iáåÉ=~åÇ=mä~åÉ== qÜÉ=ëíê~áÖÜí=äáåÉ= Å ò ò Ä ó ó ~ ñ ñ N N N − = − = − =~åÇ=íÜÉ=éä~åÉ= M a `ò _ó ^ñ = + + + =~êÉ=é~ê~ääÉä=áÑ= M ë å = ⋅ r r I== çê== M `Å _Ä ^~ = + + K= = ===== = = Figure 140. = =
  • 190.
    CHAPTER 7. ANALYTICGEOMETRY 180 698. mÉêéÉåÇáÅìä~ê=iáåÉ=~åÇ=mä~åÉ== qÜÉ=ëíê~áÖÜí=äáåÉ= Å ò ò Ä ó ó ~ ñ ñ N N N − = − = − =~åÇ=íÜÉ=éä~åÉ= M a `ò _ó ^ñ = + + + =~êÉ=éÉêéÉåÇáÅìä~ê=áÑ= ë öö å r r I== çê== Å ` Ä _ ~ ^ = = K= = ==== = = Figure 141. = = 7.11 Quadric Surfaces = mçáåí=ÅççêÇáå~íÉë=çÑ=íÜÉ=èì~ÇêáÅ=ëìêÑ~ÅÉëW=ñI=óI=ò= oÉ~ä=åìãÄÉêëW=^I=_I=`I=~I=ÄI=ÅI= P O N â I â I â I=£=
  • 191.
    CHAPTER 7. ANALYTICGEOMETRY 181 699. dÉåÉê~ä=nì~Çê~íáÅ=bèì~íáçå= M a oò O nó O mñ O eñó O dòñ O cóò O `ò _ó ^ñ O O O = + + + + + + + + + = 700. `ä~ëëáÑáÅ~íáçå=çÑ=nì~ÇêáÅ=pìêÑ~ÅÉë= = `~ëÉ= o~åâEÉF= o~åâEbF= ∆= â=ëáÖåë= qóéÉ=çÑ=pìêÑ~ÅÉ= N= P= Q= M < = p~ãÉ= oÉ~ä=bääáéëçáÇ= O= P= Q= M > = p~ãÉ= fã~Öáå~êó=bääáéëçáÇ= P= P= Q= M > = aáÑÑÉêÉåí= eóéÉêÄçäçáÇ=çÑ=N=pÜÉÉí= Q= P= Q= M < = aáÑÑÉêÉåí= eóéÉêÄçäçáÇ=çÑ=O=pÜÉÉíë= R= P= P= = aáÑÑÉêÉåí= oÉ~ä=nì~ÇêáÅ=`çåÉ= S= P= P= = p~ãÉ= fã~Öáå~êó=nì~ÇêáÅ=`çåÉ= T= O= Q= M < = p~ãÉ= bääáéíáÅ=m~ê~ÄçäçáÇ= U= O= Q= M > = aáÑÑÉêÉåí= eóéÉêÄçäáÅ=m~ê~ÄçäçáÇ= V= O= P= = p~ãÉ= oÉ~ä=bääáéíáÅ=`óäáåÇÉê= NM= O= P= = p~ãÉ= fã~Öáå~êó=bääáéíáÅ=`óäáåÇÉê= NN= O= P= = aáÑÑÉêÉåí= eóéÉêÄçäáÅ=`óäáåÇÉê= NO= O= O= = aáÑÑÉêÉåí= oÉ~ä=fåíÉêëÉÅíáåÖ=mä~åÉë= NP= O= O= = p~ãÉ= fã~Öáå~êó=fåíÉêëÉÅíáåÖ=mä~åÉë= NQ= N= P= = = m~ê~ÄçäáÅ=`óäáåÇÉê= NR= N= O= = = oÉ~ä=m~ê~ääÉä=mä~åÉë= NS= N= O= = = fã~Öáå~êó=m~ê~ääÉä=mä~åÉë= NT= N= N= = = `çáåÅáÇÉåí=mä~åÉë= = eÉêÉ==           = ` c d c _ e d e ^ É I=               = a o n m o ` c d n c _ e m n e ^ b I= ( ) b ÇÉí = ∆ I== P O N â I â I â =~êÉ=íÜÉ=êççíë=çÑ=íÜÉ=Éèì~íáçåI== M ñ ` c d c ñ _ e d e ñ ^ = − − − K= = =
  • 192.
    CHAPTER 7. ANALYTICGEOMETRY 182 701. oÉ~ä=bääáéëçáÇ=E`~ëÉ=NF= N Å ò Ä ó ~ ñ O O O O O O = + + = = ===== = = Figure 142. = 702. fã~Öáå~êó=bääáéëçáÇ=E`~ëÉ=OF= N Å ò Ä ó ~ ñ O O O O O O − = + + = = 703. eóéÉêÄçäçáÇ=çÑ=N=pÜÉÉí=E`~ëÉ=PF= N Å ò Ä ó ~ ñ O O O O O O = − + = =
  • 193.
    CHAPTER 7. ANALYTICGEOMETRY 183 ===== = = Figure 143. = 704. eóéÉêÄçäçáÇ=çÑ=O=pÜÉÉíë=E`~ëÉ=QF= N Å ò Ä ó ~ ñ O O O O O O − = − + = = = = = Figure 144.
  • 194.
    CHAPTER 7. ANALYTICGEOMETRY 184 705. oÉ~ä=nì~ÇêáÅ=`çåÉ=E`~ëÉ=RF= M Å ò Ä ó ~ ñ O O O O O O = − + = = == = = Figure 145. = 706. fã~Öáå~êó=nì~ÇêáÅ=`çåÉ=E`~ëÉ=SF= M Å ò Ä ó ~ ñ O O O O O O = + + = = 707. bääáéíáÅ=m~ê~ÄçäçáÇ=E`~ëÉ=TF= M ò Ä ó ~ ñ O O O O = − + = =
  • 195.
    CHAPTER 7. ANALYTICGEOMETRY 185 ====== = Figure 146. 708. eóéÉêÄçäáÅ=m~ê~ÄçäçáÇ=E`~ëÉ=UF= M ò Ä ó ~ ñ O O O O = − − = ==== = Figure 147.
  • 196.
    CHAPTER 7. ANALYTICGEOMETRY 186 709. oÉ~ä=bääáéíáÅ=`óäáåÇÉê=E`~ëÉ=VF= N Ä ó ~ ñ O O O O = + = = ===== = = Figure 148. = 710. fã~Öáå~êó=bääáéíáÅ=`óäáåÇÉê=E`~ëÉ=NMF= N Ä ó ~ ñ O O O O − = + = = 711. eóéÉêÄçäáÅ=`óäáåÇÉê=E`~ëÉ=NNF= N Ä ó ~ ñ O O O O = − = =
  • 197.
    CHAPTER 7. ANALYTICGEOMETRY 187 ====== = = Figure 149. = 712. oÉ~ä=fåíÉêëÉÅíáåÖ=mä~åÉë=E`~ëÉ=NOF= M Ä ó ~ ñ O O O O = − = = 713. fã~Öáå~êó=fåíÉêëÉÅíáåÖ=mä~åÉë=E`~ëÉ=NPF= M Ä ó ~ ñ O O O O = + = = 714. m~ê~ÄçäáÅ=`óäáåÇÉê=E`~ëÉ=NQF= M ó ~ ñ O O = − = =
  • 198.
    CHAPTER 7. ANALYTICGEOMETRY 188 ===== = = Figure 150. = 715. oÉ~ä=m~ê~ääÉä=mä~åÉë=E`~ëÉ=NRF= N ~ ñ O O = = = 716. fã~Öáå~êó=m~ê~ääÉä=mä~åÉë=E`~ëÉ=NSF= N ~ ñ O O − = = = 717. `çáåÅáÇÉåí=mä~åÉë=E`~ëÉ=NTF= M ñO = = = = = = =
  • 199.
    CHAPTER 7. ANALYTICGEOMETRY 189 7.12 Sphere = o~Çáìë=çÑ=~=ëéÜÉêÉW=o= mçáåí=ÅççêÇáå~íÉëW=ñI=óI=òI= N ñ I= N ó I= N ò I=£= `ÉåíÉê=çÑ=~=ëéÜÉêÉW=( ) Å I Ä I ~ = oÉ~ä=åìãÄÉêëW=^I=aI=bI=cI=j= = = 718. bèì~íáçå=çÑ=~=péÜÉêÉ=`ÉåíÉêÉÇ=~í=íÜÉ=lêáÖáå=Epí~åÇ~êÇ= cçêãF= O O O O o ò ó ñ = + + = = ====== = = Figure 151. = 719. bèì~íáçå=çÑ=~=`áêÅäÉ=`ÉåíÉêÉÇ=~í=^åó=mçáåí=( ) Å I Ä I ~ ( ) ( ) ( ) O O O O o Å ò Ä ó ~ ñ = − + − + − 720. aá~ãÉíÉê=cçêã ( )( ) ( )( ) ( )( ) M ò ò ò ò ó ó ó ó ñ ñ ñ ñ O N O N O N = − − + − − + − − I==
  • 200.
    CHAPTER 7. ANALYTICGEOMETRY 190 ïÜÉêÉ== ( ) N N N N ò I ó I ñ m I= ( ) O O O O ò I ó I ñ m =~êÉ=íÜÉ=ÉåÇë=çÑ=~=Çá~ãÉíÉêK== = 721. cçìê=mçáåí=cçêã= M N ò ó ñ ñ ó ñ N ò ó ñ ñ ó ñ N ò ó ñ ñ ó ñ N ò ó ñ ñ ó ñ N ò ó ñ ò ó ñ Q Q Q O Q O Q O Q P P P O P O P O P O O O O O O O O O N N N O N O N O N O O O = + + + + + + + + + + = = 722. dÉåÉê~ä=cçêã M j cò bó añ ^ò ^ó ^ñ O O O = + + + + + + =E^=áë=åçåòÉêçFK== qÜÉ=ÅÉåíÉê=çÑ=íÜÉ=ëéÜÉêÉ=Ü~ë=ÅççêÇáå~íÉë=( ) Å I Ä I ~ I=ïÜÉêÉ== ^ O a ~ − = I= ^ O b Ä − = I= ^ O c Å − = K= qÜÉ=ê~Çáìë=çÑ=íÜÉ=ëéÜÉêÉ=áë ^ O j ^ Q c b a o O O O O − + + = K = =
  • 201.
    191 Chapter 8 Differential Calculus = = = = cìåÅíáçåëW=ÑI=ÖI=óI=ìI=î= ^êÖìãÉåí=EáåÇÉéÉåÇÉåí=î~êá~ÄäÉFW=ñ= oÉ~ä=åìãÄÉêëW=~I=ÄI=ÅI=Ç= k~íìê~ä=åìãÄÉêW=å= ^åÖäÉW=α= fåîÉêëÉ=ÑìåÅíáçåW=N Ñ − = = = 8.1 Functions and Their Graphs = 723. bîÉå=cìåÅíáçå= ( ) ( ) ñ Ñ ñ Ñ = − = = 724. lÇÇ=cìåÅíáçå= ( ) ( ) ñ Ñ ñ Ñ − = − = = 725. mÉêáçÇáÅ=cìåÅíáçå= ( ) ( ) ñ Ñ åq ñ Ñ = + = = 726. fåîÉêëÉ=cìåÅíáçå= ( ) ñ Ñ ó = =áë=~åó=ÑìåÅíáçåI= ( ) ó Ö ñ = =çê= ( ) ñ Ñ ó N − = =áë=áíë=áåîÉêëÉ= ÑìåÅíáçåK== =
  • 202.
    CHAPTER 8. DIFFERENTIALCALCULUS 192 ===== = = Figure 152. = 727. `çãéçëáíÉ=cìåÅíáçå= ( ) ì Ñ ó = I= ( ) ñ Ö ì = I= ( ) ( ) ñ Ö Ñ ó = =áë=~=ÅçãéçëáíÉ=ÑìåÅíáçåK= = 728. iáåÉ~ê=cìåÅíáçå= Ä ~ñ ó + = I== o ñ∈ I== α = í~å ~ ==áë=íÜÉ=ëäçéÉ=çÑ=íÜÉ=äáåÉI==Ä==áë= íÜÉ=ó-áåíÉêÅÉéíK= =
  • 203.
    CHAPTER 8. DIFFERENTIALCALCULUS 193 ====== = = Figure 153. = 729. nì~Çê~íáÅ=cìåÅíáçå== O ñ ó = I= o ñ∈ K= = ====== = = Figure 154. =
  • 204.
    CHAPTER 8. DIFFERENTIALCALCULUS 194 730. Å Äñ ~ñ ó O + + = I= o ñ∈ K= = === = = Figure 155. = 731. `ìÄáÅ=cìåÅíáçå== P ñ ó = I= o ñ∈ K= =
  • 205.
    CHAPTER 8. DIFFERENTIALCALCULUS 195 = = = Figure 156. = 732. Ç Åñ Äñ ~ñ ó O P + + + = I= o ñ∈ K= =
  • 206.
    CHAPTER 8. DIFFERENTIALCALCULUS 196 == = = Figure 157. = 733. mçïÉê=cìåÅíáçå== å ñ ó = I= k å∈ K= =
  • 207.
    CHAPTER 8. DIFFERENTIALCALCULUS 197 ====== = Figure 158. = = Figure 159. =
  • 208.
    CHAPTER 8. DIFFERENTIALCALCULUS 198 734. pèì~êÉ=oççí=cìåÅíáçå== ñ ó = I= [ ) ∞ ∈ I M ñ K= = ======= = Figure 160. = 735. bñéçåÉåíá~ä=cìåÅíáçåë= ñ ~ ó = I= M ~ > I= N ~ ≠ I= ñ É ó = =áÑ= É ~ = I= K S TNUOUNUOUQ K O É = = = = = = Figure 161.
  • 209.
    CHAPTER 8. DIFFERENTIALCALCULUS 199 736. içÖ~êáíÜãáÅ=cìåÅíáçåë= ñ äçÖ ó ~ = I= ( ) ∞ ∈ I M ñ I= M ~ > I= N ~ ≠ I= ñ äå ó = =áÑ= É ~ = I= M ñ > K= = = = Figure 162. = 737. eóéÉêÄçäáÅ=páåÉ=cìåÅíáçå== ñ ëáåÜ ó = I= O É É ñ ëáåÜ ñ ñ − − = I= o ñ∈ K= =
  • 210.
    CHAPTER 8. DIFFERENTIALCALCULUS 200 ==== = = Figure 163. = 738. eóéÉêÄçäáÅ=`çëáåÉ=cìåÅíáçå== ñ Ü Åçë ó = I= O É É ñ Ü Åçë ñ ñ − + = I= o ñ∈ K= ====== = = Figure 164.
  • 211.
    CHAPTER 8. DIFFERENTIALCALCULUS 201 739. eóéÉêÄçäáÅ=q~åÖÉåí=cìåÅíáçå== ñ í~åÜ ó = I= ñ ñ ñ ñ É É É É ñ ÅçëÜ ñ ëáåÜ ñ í~åÜ ó − − + − = = = I= o ñ∈ K= = ====== = = Figure 165. = 740. eóéÉêÄçäáÅ=`çí~åÖÉåí=cìåÅíáçå== ñ Ü Åçí ó = I= ñ ñ ñ ñ É É É É ñ ëáåÜ ñ ÅçëÜ ñ Ü Åçí ó − − − + = = = I= o ñ∈ I= M ñ ≠ K= =
  • 212.
    CHAPTER 8. DIFFERENTIALCALCULUS 202 ====== = = Figure 166. = 741. eóéÉêÄçäáÅ=pÉÅ~åí=cìåÅíáçå== ñ Ü ëÉÅ ó = I= ñ ñ É É O ñ ÅçëÜ N ñ Ü ëÉÅ ó − + = = = I= o ñ∈ K= = Figure 167.
  • 213.
    CHAPTER 8. DIFFERENTIALCALCULUS 203 742. eóéÉêÄçäáÅ=`çëÉÅ~åí=cìåÅíáçå== ñ ÅëÅÜ ó = I= ñ ñ É É O ñ ëáåÜ N ñ ÅëÅÜ ó − − = = = I= o ñ∈ I= M ñ ≠ K= = ====== = = Figure 168. = 743. fåîÉêëÉ=eóéÉêÄçäáÅ=páåÉ=cìåÅíáçå== ñ ~êÅëáåÜ ó = I= o ñ∈ K= =
  • 214.
    CHAPTER 8. DIFFERENTIALCALCULUS 204 ===== = = Figure 169. = 744. fåîÉêëÉ=eóéÉêÄçäáÅ=`çëáåÉ=cìåÅíáçå== ñ ~êÅÅçëÜ ó = I= [ ) ∞ ∈ I N ñ K= = ===== = = Figure 170. = 745. fåîÉêëÉ=eóéÉêÄçäáÅ=q~åÖÉåí=cìåÅíáçå== ñ ~êÅí~åÜ ó = I= ( ) N I N ñ − ∈ K= =
  • 215.
    CHAPTER 8. DIFFERENTIALCALCULUS 205 ===== = = Figure 171. = 746. fåîÉêëÉ=eóéÉêÄçäáÅ=`çí~åÖÉåí=cìåÅíáçå== ñ ~êÅÅçíÜ ó = I= ( ) ( ) ∞ ∪ − ∞ − ∈ I N N I ñ K== =
  • 216.
    CHAPTER 8. DIFFERENTIALCALCULUS 206 ===== = = Figure 172. = 747. fåîÉêëÉ=eóéÉêÄçäáÅ=pÉÅ~åí=cìåÅíáçå== ñ ~êÅëÉÅÜ ó = I= ( ] N I M ñ∈ K= =
  • 217.
    CHAPTER 8. DIFFERENTIALCALCULUS 207 = Figure 173. = 748. fåîÉêëÉ=eóéÉêÄçäáÅ=`çëÉÅ~åí=cìåÅíáçå== ñ ~êÅÅëÅÜ ó = I= o ñ∈ I= M ñ ≠ K== = Figure 174. =
  • 218.
    CHAPTER 8. DIFFERENTIALCALCULUS 208 8.2 Limits of Functions = cìåÅíáçåëW= ( ) ñ Ñ I= ( ) ñ Ö = ^êÖìãÉåíW=ñ= oÉ~ä=Åçåëí~åíëW=~I=â= = = 749. ( ) ( ) [ ] ( ) ( ) ñ Ö äáã ñ Ñ äáã ñ Ö ñ Ñ äáã ~ ñ ~ ñ ~ ñ → → → + = + = = 750. ( ) ( ) [ ] ( ) ( ) ñ Ö äáã ñ Ñ äáã ñ Ö ñ Ñ äáã ~ ñ ~ ñ ~ ñ → → → − = − = = 751. ( ) ( ) [ ] ( ) ( ) ñ Ö äáã ñ Ñ äáã ñ Ö ñ Ñ äáã ~ ñ ~ ñ ~ ñ → → → ⋅ = ⋅ = = 752. ( ) ( ) ( ) ( ) ñ Ö äáã ñ Ñ äáã ñ Ö ñ Ñ äáã ~ ñ ~ ñ ~ ñ → → → = I=áÑ= ( ) M ñ Ö äáã ~ ñ ≠ → K= = 753. ( ) [ ] ( ) ñ Ñ äáã â ñ âÑ äáã ~ ñ ~ ñ → → = = = 754. ( ) ( ) ( ) ( ) ñ Ö äáã Ñ ñ Ö Ñ äáã ~ ñ ~ ñ → → = = = 755. ( ) ( ) ~ Ñ ñ Ñ äáã ~ ñ = → I=áÑ=íÜÉ=ÑìåÅíáçå= ( ) ñ Ñ =áë=Åçåíáåìçìë=~í= ~ ñ = K= = 756. N ñ ñ ëáå äáã M ñ = → = = 757. N ñ ñ í~å äáã M ñ = → = = 758. N ñ ñ ëáå äáã N M ñ = − → =
  • 219.
    CHAPTER 8. DIFFERENTIALCALCULUS 209 759. N ñ ñ í~å äáã N M ñ = − → = = 760. ( ) N ñ ñ N äå äáã M ñ = + → = = 761. É ñ N N äáã ñ ñ =       + ∞ → = = 762. â ñ ñ É ñ â N äáã =       + ∞ → = = 763. N ~ äáã ñ M ñ = → = = = = 8.3 Definition and Properties of the Derivative = cìåÅíáçåëW=ÑI=ÖI=óI=ìI=î= fåÇÉéÉåÇÉåí=î~êá~ÄäÉW=ñ= oÉ~ä=Åçåëí~åíW=â= ^åÖäÉW=α= = = 764. ( ) ( ) ( ) Çñ Çó ñ ó äáã ñ ñ Ñ ñ ñ Ñ äáã ñ ó M ñ M ñ = ∆ ∆ = ∆ − ∆ + = ′ → ∆ → ∆ == =
  • 220.
    CHAPTER 8. DIFFERENTIALCALCULUS 210 == = = Figure 175. = 765. α = í~å Çñ Çó == = 766. ( ) Çñ Çî Çñ Çì Çñ î ì Ç + = + = = 767. ( ) Çñ Çî Çñ Çì Çñ î ì Ç − = − = = 768. ( ) Çñ Çì â Çñ âì Ç = = = 769. mêçÇìÅí=oìäÉ= ( ) Çñ Çî ì î Çñ Çì Çñ î ì Ç ⋅ + ⋅ = ⋅ == = =
  • 221.
    CHAPTER 8. DIFFERENTIALCALCULUS 211 770. nìçíáÉåí=oìäÉ= O î Çñ Çî ì î Çñ Çì î ì Çñ Ç ⋅ − ⋅ =       = = 771. `Ü~áå=oìäÉ= ( ) ( ) ñ Ö Ñ ó = I= ( ) ñ Ö ì = I== Çñ Çì Çì Çó Çñ Çó ⋅ = K= = 772. aÉêáî~íáîÉ=çÑ=fåîÉêëÉ=cìåÅíáçå= Çó Çñ N Çñ Çó = I== ïÜÉêÉ= ( ) ó ñ áë=íÜÉ=áåîÉêëÉ=ÑìåÅíáçå=çÑ= ( ) ñ ó K== = 773. oÉÅáéêçÅ~ä=oìäÉ= O ó Çñ Çó ó N Çñ Ç − =         = = 774. içÖ~êáíÜãáÅ=aáÑÑÉêÉåíá~íáçå= ( ) ñ Ñ ó = I= ( ) ñ Ñ äå ó äå = I== ( ) ( ) [ ] ñ Ñ äå Çñ Ç ñ Ñ Çñ Çó ⋅ = K= = = 8.4 Table of Derivatives = fåÇÉéÉåÇÉåí=î~êá~ÄäÉW=ñ= oÉ~ä=Åçåëí~åíëW=`I=~I=ÄI=Å= k~íìê~ä=åìãÄÉêW=å=
  • 222.
    CHAPTER 8. DIFFERENTIALCALCULUS 212 775. ( ) M ` Çñ Ç = = = 776. ( ) N ñ Çñ Ç = = = 777. ( ) ~ Ä ~ñ Çñ Ç = + = = 778. ( ) Ä ~ñ Å Äñ ~ñ Çñ Ç O + = + + = = 779. ( ) N å å åñ ñ Çñ Ç − = = = 780. ( ) N å å ñ å ñ Çñ Ç + − − = = = 781. O ñ N ñ N Çñ Ç − =       = = 782. ( ) ñ O N ñ Çñ Ç = = = 783. ( ) å N å å ñ å N ñ Çñ Ç − = = = 784. ( ) ñ N ñ äå Çñ Ç = = = 785. ( ) ~ äå ñ N ñ äçÖ Çñ Ç ~ = I= M ~ > I= N ~ ≠ K= =
  • 223.
    CHAPTER 8. DIFFERENTIALCALCULUS 213 786. ( ) ~ äå ~ ~ Çñ Ç ñ ñ = I= M ~ > I= N ~ ≠ K= = 787. ( ) ñ ñ É É Çñ Ç = = = 788. ( ) ñ Åçë ñ ëáå Çñ Ç = = = 789. ( ) ñ ëáå ñ Åçë Çñ Ç − = = = 790. ( ) ñ ëÉÅ ñ Åçë N ñ í~å Çñ Ç O O = = = = 791. ( ) ñ ÅëÅ ñ ëáå N ñ Åçí Çñ Ç O O − = − = = = 792. ( ) ñ ëÉÅ ñ í~å ñ ëÉÅ Çñ Ç ⋅ = = = 793. ( ) ñ ÅëÅ ñ Åçí ñ ÅëÅ Çñ Ç ⋅ − = = = 794. ( ) O ñ N N ñ ~êÅëáå Çñ Ç − = = = 795. ( ) O ñ N N ñ ~êÅÅçë Çñ Ç − − = = = 796. ( ) O ñ N N ñ ~êÅí~å Çñ Ç + = = =
  • 224.
    CHAPTER 8. DIFFERENTIALCALCULUS 214 797. ( ) O ñ N N ñ Åçí ~êÅ Çñ Ç + − = = = 798. ( ) N ñ ñ N ñ ëÉÅ ~êÅ Çñ Ç O − = = = 799. ( ) N ñ ñ N ñ ÅëÅ ~êÅ Çñ Ç O − − = = = 800. ( ) ñ ÅçëÜ ñ ëáåÜ Çñ Ç = = = 801. ( ) ñ ëáåÜ ñ ÅçëÜ Çñ Ç = = = 802. ( ) ñ ëÉÅÜ ñ ÅçëÜ N ñ í~åÜ Çñ Ç O O = = = = 803. ( ) ñ ÅëÅÜ ñ ëáåÜ N ñ ÅçíÜ Çñ Ç O O − = − = = = 804. ( ) ñ í~åÜ ñ ëÉÅÜ ñ ëÉÅÜ Çñ Ç ⋅ − = = = 805. ( ) ñ ÅçíÜ ñ ÅëÅÜ ñ ÅëÅÜ Çñ Ç ⋅ − = = = 806. ( ) N ñ N ñ = ~êÅëáåÜ Çñ Ç O + = = = 807. ( ) N ñ N ñ = ~êÅÅçëÜ Çñ Ç O − = =
  • 225.
    CHAPTER 8. DIFFERENTIALCALCULUS 215 808. ( ) O ñ N N ñ = ~êÅí~åÜ Çñ Ç − = I= N ñ < K= = 809. ( ) N ñ N ñ = ~êÅÅçíÜ Çñ Ç O − − = I= N ñ > K= = 810. ( ) Çñ Çî ì äå ì Çñ Çì îì ì Çñ Ç î N î î ⋅ + ⋅ = − = = = = 8.5 Higher Order Derivatives = cìåÅíáçåëW=ÑI=óI=ìI=î= fåÇÉéÉåÇÉåí=î~êá~ÄäÉW=ñ= k~íìê~ä=åìãÄÉêW=å= = = 811. pÉÅçåÇ=ÇÉêáî~íáîÉ= ( ) O O Çñ ó Ç Çñ Çó Çñ Ç Çñ Çó Ñ Ñ =       = ′       = ′ ′ = ′ ′ = = 812. eáÖÜÉê-lêÇÉê=ÇÉêáî~íáîÉ= ( ) ( ) ( ) ( )′ = = = −N å å å å å Ñ ó Çñ ó Ç Ñ = = 813. ( )( ) ( ) ( ) å å å î ì î ì + = + = = 814. ( )( ) ( ) ( ) å å å î ì î ì − = − = = 815. iÉáÄåáíò∞ë=cçêãìä~ë= ( ) î ì î ì O î ì ìî ′ ′ + ′ ′ + ′ ′ = ′′ =
  • 226.
    CHAPTER 8. DIFFERENTIALCALCULUS 216 ( ) î ì î ì P î ì P î ì ìî ′ ′ ′ + ′ ′ ′ + ′ ′ ′ + ′ ′ ′ = ′′′ = ( )( ) ( ) ( ) ( ) ( ) ( ) å O å N å å å ìî î ì O N N å å î åì î ì ìî + + ′ ′ ⋅ − + ′ + = − − K = = 816. ( )( ) ( ) å ã å ã ñ > å ã > ã ñ − − = = = 817. ( )( ) > å ñ å å = = = 818. ( )( ) ( ) ( ) ~ äå ñ > N å N ñ äçÖ å N å å ~ − − = − = = 819. ( )( ) ( ) ( ) å N å å ñ > N å N ñ äå − − = − = = 820. ( )( ) ~ äå ~ ~ å ñ å ñ = = = 821. ( )( ) ñ å ñ É É = = = 822. ( )( ) ~ äå ~ ã ~ å ãñ å å ãñ = = = 823. ( )( )       π + = O å ñ ëáå ñ ëáå å = = 824. ( )( )       π + = O å ñ Åçë ñ Åçë å = = = =
  • 227.
    CHAPTER 8. DIFFERENTIALCALCULUS 217 8.6 Applications of Derivative = cìåÅíáçåëW=ÑI=ÖI=ó= mçëáíáçå=çÑ=~å=çÄàÉÅíW=ë== sÉäçÅáíóW=î= ^ÅÅÉäÉê~íáçåW=ï= fåÇÉéÉåÇÉåí=î~êá~ÄäÉW=ñ= qáãÉW=í= k~íìê~ä=åìãÄÉêW=å= = = 825. sÉäçÅáíó=~åÇ=^ÅÅÉäÉê~íáçå= ( ) í Ñ ë = =áë=íÜÉ=éçëáíáçå=çÑ=~å=çÄàÉÅí=êÉä~íáîÉ=íç=~=ÑáñÉÇ= ÅççêÇáå~íÉ=ëóëíÉã=~í=~=íáãÉ=íI== ( ) í Ñ ë î ′ = ′ = =áë=íÜÉ=áåëí~åí~åÉçìë=îÉäçÅáíó=çÑ=íÜÉ=çÄàÉÅíI= ( ) í Ñ ë î ï ′ ′ = ′ ′ = ′ = =áë=íÜÉ=áåëí~åí~åÉçìë=~ÅÅÉäÉê~íáçå=çÑ= íÜÉ=çÄàÉÅíK== = 826. q~åÖÉåí=iáåÉ= ( )( ) M M M ñ ñ ñ Ñ ó ó − ′ = − = =
  • 228.
    CHAPTER 8. DIFFERENTIALCALCULUS 218 = = Figure 176. = 827. kçêã~ä=iáåÉ= ( ) ( ) M M M ñ ñ ñ Ñ N ó ó − ′ − = − =EcáÖ=NTSF= = 828. fåÅêÉ~ëáåÖ=~åÇ=aÉÅêÉ~ëáåÖ=cìåÅíáçåëK== fÑ= ( ) M ñ Ñ M > ′ I=íÜÉå=ÑEñF=áë=áåÅêÉ~ëáåÖ=~í= M ñ K=EcáÖ=NTTI= N ñ ñ < I= ñ ñO < FI= fÑ= ( ) M ñ Ñ M < ′ I=íÜÉå=ÑEñF=áë=ÇÉÅêÉ~ëáåÖ=~í= M ñ K=EcáÖ=NTTI= O N ñ ñ ñ < < FI= fÑ= ( ) M ñ Ñ′ =ÇçÉë=åçí=Éñáëí=çê=áë=òÉêçI=íÜÉå=íÜÉ=íÉëí=Ñ~áäëK== =
  • 229.
    CHAPTER 8. DIFFERENTIALCALCULUS 219 = = Figure 177. = 829. içÅ~ä=ÉñíêÉã~= ^=ÑìåÅíáçå=ÑEñF=Ü~ë=~=äçÅ~ä=ã~ñáãìã=~í= N ñ =áÑ=~åÇ=çåäó=áÑ= íÜÉêÉ=Éñáëíë=ëçãÉ=áåíÉêî~ä=Åçåí~áåáåÖ= N ñ =ëìÅÜ=íÜ~í= ( ) ( ) ñ Ñ ñ Ñ N ≥ =Ñçê=~ää=ñ=áå=íÜÉ=áåíÉêî~ä=EcáÖKNTTFK== = ^=ÑìåÅíáçå=ÑEñF=Ü~ë=~=äçÅ~ä=ãáåáãìã=~í= O ñ =áÑ=~åÇ=çåäó=áÑ= íÜÉêÉ=Éñáëíë=ëçãÉ=áåíÉêî~ä=Åçåí~áåáåÖ= O ñ =ëìÅÜ=íÜ~í= ( ) ( ) ñ Ñ ñ Ñ O ≤ =Ñçê=~ää=ñ=áå=íÜÉ=áåíÉêî~ä=EcáÖKNTTFK= = 830. `êáíáÅ~ä=mçáåíë= ^=ÅêáíáÅ~ä=éçáåí=çå=ÑEñF=çÅÅìêë=~í= M ñ =áÑ=~åÇ=çåäó=áÑ=ÉáíÜÉê= ( ) M ñ Ñ′ =áë=òÉêç=çê=íÜÉ=ÇÉêáî~íáîÉ=ÇçÉëå∞í=ÉñáëíK= = 831. cáêëí=aÉêáî~íáîÉ=qÉëí=Ñçê=içÅ~ä=bñíêÉã~K= fÑ=ÑEñF=áë==áåÅêÉ~ëáåÖ==E ( ) M ñ Ñ > ′ F=Ñçê==~ää==ñ==áå==ëçãÉ==áåíÉêî~ä= ( ] N ñ I ~ ==~åÇ==ÑEñF==áë==ÇÉÅêÉ~ëáåÖ==E ( ) M ñ Ñ < ′ F==Ñçê=~ää==ñ=áå=ëçãÉ= áåíÉêî~ä== [ ) Ä I ñN I==íÜÉå=ÑEñF=Ü~ë=~==äçÅ~ä=ã~ñáãìã==~í== N ñ = EcáÖKNTTFK==
  • 230.
    CHAPTER 8. DIFFERENTIALCALCULUS 220 832. fÑ=ÑEñF=áë=ÇÉÅêÉ~ëáåÖ=E ( ) M ñ Ñ < ′ F=Ñçê=~ää=ñ=áå=ëçãÉ=áåíÉêî~ä= ( ] O ñ I ~ =~åÇ=ÑEñF=áë=áåÅêÉ~ëáåÖ=E ( ) M ñ Ñ > ′ F=Ñçê=~ää=ñ=áå=ëçãÉ= áåíÉêî~ä=[ ) Ä I ñO I=íÜÉå=ÑEñF=Ü~ë=~=äçÅ~ä=ãáåáãìã=~í= O ñ K== EcáÖKNTTFK= = 833. pÉÅçåÇ=aÉêáî~íáîÉ=qÉëí=Ñçê=içÅ~ä=bñíêÉã~K= fÑ= ( ) M ñ Ñ N = ′ =~åÇ= ( ) M ñ Ñ N < ′ ′ I=íÜÉå=ÑEñF=Ü~ë=~=äçÅ~ä=ã~ñáãìã= ~í== N ñ K= fÑ= ( ) M ñ Ñ O = ′ =~åÇ= ( ) M ñ Ñ O > ′ ′ I=íÜÉå=ÑEñF=Ü~ë=~=äçÅ~ä=ãáåáãìã= ~í= O ñ K=EcáÖKNTTF= = 834. `çåÅ~îáíóK== ÑEñF=áë==ÅçåÅ~îÉ=ìéï~êÇ=~í== M ñ ==áÑ==~åÇ==çåäó==áÑ== ( ) ñ Ñ′ =áë============ áåÅêÉ~ëáåÖ=~í= M ñ =EcáÖKNTTI= ñ ñP < FK=== ÑEñF=áë==ÅçåÅ~îÉ==Ççïåï~êÇ=~í== M ñ ==áÑ=~åÇ=çåäó=áÑ== ( ) ñ Ñ′ ==áë=============== ÇÉÅêÉ~ëáåÖ=~í= M ñ K=EcáÖKNTTI= P ñ ñ < FK=== = 835. pÉÅçåÇ=aÉêáî~íáîÉ=qÉëí=Ñçê=`çåÅ~îáíóK== fÑ= ( ) M ñ Ñ M > ′ ′ I=íÜÉå=ÑEñF=áë=ÅçåÅ~îÉ=ìéï~êÇ=~í= M ñ K== fÑ= ( ) M ñ Ñ M < ′ ′ I=íÜÉå=ÑEñF=áë=ÅçåÅ~îÉ=Ççïåï~êÇ=~í= M ñ K= fÑ= ( ) ñ Ñ ′ ′ =ÇçÉë=åçí=Éñáëí=çê=áë=òÉêçI=íÜÉå=íÜÉ=íÉëí=Ñ~áäëK= = 836. fåÑäÉÅíáçå=mçáåíë= fÑ== ( ) P ñ Ñ′ ==Éñáëíë==~åÇ== ( ) ñ Ñ ′ ′ ==ÅÜ~åÖÉë=ëáÖå=~í= P ñ ñ = I==íÜÉå= íÜÉ=éçáåí= ( ) ( ) P P ñ Ñ I ñ =áë=~å=áåÑäÉÅíáçå=éçáåí=çÑ=íÜÉ=Öê~éÜ=çÑ= ( ) ñ Ñ K=fÑ= ( ) P ñ Ñ ′ ′ =Éñáëíë=~í=íÜÉ=áåÑäÉÅíáçå=éçáåíI=íÜÉå= ( ) M ñ Ñ P = ′ ′ = EcáÖKNTTFK= = 837. i∞eçéáí~ä∞ë=oìäÉ= ( ) ( ) ( ) ( ) ñ Ö ñ Ñ äáã ñ Ö ñ Ñ äáã Å ñ Å ñ ′ ′ = → → =áÑ= ( ) ( )    ∞ = = → → M ñ Ö äáã ñ Ñ äáã Å ñ Å ñ K== =
  • 231.
    CHAPTER 8. DIFFERENTIALCALCULUS 221 8.7 Differential = cìåÅíáçåëW=ÑI=ìI=î= fåÇÉéÉåÇÉåí=î~êá~ÄäÉW=ñ= aÉêáî~íáîÉ=çÑ=~=ÑìåÅíáçåW= ( ) ñ ó′ I= ( ) ñ Ñ′ = oÉ~ä=Åçåëí~åíW=`= aáÑÑÉêÉåíá~ä=çÑ=ÑìåÅíáçå= ( ) ñ Ñ ó = W=Çó= aáÑÑÉêÉåíá~ä=çÑ=ñW=Çñ= pã~ää=ÅÜ~åÖÉ=áå=ñW= ñ ∆ = pã~ää=ÅÜ~åÖÉ=áå=óW= ó ∆ = = = 838. Çñ ó Çó ′ = = = 839. ( ) ( ) ( ) ñ ñ Ñ ñ Ñ ñ ñ Ñ ∆ ′ + = ∆ + = = = = Figure 178.
  • 232.
    CHAPTER 8. DIFFERENTIALCALCULUS 222 840. pã~ää=`Ü~åÖÉ=áå=ó= ( ) ( ) ñ Ñ ñ ñ Ñ ó − ∆ + = ∆ = = 841. ( ) Çî Çì î ì Ç + = + = = 842. ( ) Çî Çì î ì Ç − = − = = 843. ( ) `Çì `ì Ç = = = 844. ( ) ìÇî îÇì ìî Ç + = = = 845. O î ìÇî îÇì î ì Ç − =       = = = = 8.8 Multivariable Functions = cìåÅíáçåë=çÑ=íïç=î~êá~ÄäÉëW= ( ) ó I ñ ò I= ( ) ó I ñ Ñ I= ( ) ó I ñ Ö I= ( ) ó I ñ Ü == ^êÖìãÉåíëW=ñI=óI=í= pã~ää=ÅÜ~åÖÉë=áå=ñI=óI=òI=êÉëéÉÅíáîÉäóW= ñ ∆ I= ó ∆ I= ò ∆ K= = = 846. cáêëí=lêÇÉê=m~êíá~ä=aÉêáî~íáîÉë= qÜÉ=é~êíá~ä=ÇÉêáî~íáîÉ=ïáíÜ=êÉëéÉÅí=íç=ñ= ñ Ñ ñ Ñ = ∂ ∂ =E~äëç= ñ ò ñ ò = ∂ ∂ FI= qÜÉ=é~êíá~ä=ÇÉêáî~íáîÉ=ïáíÜ=êÉëéÉÅí=íç=ó= ó Ñ ó Ñ = ∂ ∂ =E~äëç= ó ò ó ò = ∂ ∂ FK= = =
  • 233.
    CHAPTER 8. DIFFERENTIALCALCULUS 223 847. pÉÅçåÇ=lêÇÉê=m~êíá~ä=aÉêáî~íáîÉë= ññ O O Ñ ñ Ñ ñ Ñ ñ = ∂ ∂ =       ∂ ∂ ∂ ∂ I== óó O O Ñ ó Ñ ó Ñ ó = ∂ ∂ =         ∂ ∂ ∂ ∂ I== ñó O Ñ ñ ó Ñ ñ Ñ ó = ∂ ∂ ∂ =       ∂ ∂ ∂ ∂ I== óñ O Ñ ó ñ Ñ ó Ñ ñ = ∂ ∂ ∂ =         ∂ ∂ ∂ ∂ K== fÑ=íÜÉ=ÇÉêáî~íáîÉë=~êÉ=ÅçåíáåìçìëI=íÜÉå== ó ñ Ñ ñ ó Ñ O O ∂ ∂ ∂ = ∂ ∂ ∂ K== = 848. `Ü~áå=oìäÉë== fÑ= ( ) ( ) ( ) ó I ñ Ü Ö ó I ñ Ñ = =EÖ=áë=~=ÑìåÅíáçå=çÑ=çåÉ=î~êá~ÄäÉ=ÜFI=íÜÉå== ( ) ( ) ñ Ü ó I ñ Ü Ö ñ Ñ ∂ ∂ ′ = ∂ ∂ I= ( ) ( ) ó Ü ó I ñ Ü Ö ó Ñ ∂ ∂ ′ = ∂ ∂ K== = fÑ= ( ) ( ) ( ) ( ) í ó I í ñ Ñ í Ü = I=íÜÉå= ( ) Çí Çó ó Ñ Çí Çñ ñ Ñ í Ü ∂ ∂ + ∂ ∂ = ′ K== = fÑ= ( ) ( ) ( ) î I ì ó I î I ì ñ Ñ ò = I=íÜÉå== ì ó ó Ñ ì ñ ñ Ñ ì ò ∂ ∂ ∂ ∂ + ∂ ∂ ∂ ∂ = ∂ ∂ I= î ó ó Ñ î ñ ñ Ñ î ò ∂ ∂ ∂ ∂ + ∂ ∂ ∂ ∂ = ∂ ∂ K== = 849. pã~ää=`Ü~åÖÉë= ó ó Ñ ñ ñ Ñ ò ∆ ∂ ∂ + ∆ ∂ ∂ ≈ ∆ = = =
  • 234.
    CHAPTER 8. DIFFERENTIALCALCULUS 224 850. içÅ~ä=j~ñáã~=~åÇ=jáåáã~= ( ) ó I ñ Ñ =Ü~ë=~=äçÅ~ä=ã~ñáãìã=~í=( ) M M ó I ñ =áÑ= ( ) ( ) M M ó I ñ Ñ ó I ñ Ñ ≤ = Ñçê=~ää=( ) ó I ñ =ëìÑÑáÅáÉåíäó=ÅäçëÉ=íç=( ) M M ó I ñ K== = ( ) ó I ñ Ñ =Ü~ë=~=äçÅ~ä=ãáåáãìã=~í=( ) M M ó I ñ =áÑ= ( ) ( ) M M ó I ñ Ñ ó I ñ Ñ ≥ = Ñçê=~ää=( ) ó I ñ =ëìÑÑáÅáÉåíäó=ÅäçëÉ=íç=( ) M M ó I ñ K= = 851. pí~íáçå~êó=mçáåíë= M ó Ñ ñ Ñ = ∂ ∂ = ∂ ∂ K= içÅ~ä=ã~ñáã~=~åÇ=äçÅ~ä=ãáåáã~=çÅÅìê=~í=ëí~íáçå~êó=éçáåíëK= == 852. p~ÇÇäÉ=mçáåí= ^=ëí~íáçå~êó==éçáåí==ïÜáÅÜ==áë==åÉáíÜÉê==~==äçÅ~ä==ã~ñáãìã= åçê=~=äçÅ~ä=ãáåáãìã= = 853. pÉÅçåÇ=aÉêáî~íáîÉ=qÉëí=Ñçê=pí~íáçå~êó=mçáåíë= iÉí=( ) M M ó I ñ =ÄÉ=~=ëí~íáçå~êó=éçáåí=E M ó Ñ ñ Ñ = ∂ ∂ = ∂ ∂ FK== ( ) ( ) ( ) ( ) M M óó M M óñ M M ñó M M ññ ó I ñ Ñ ó I ñ Ñ ó I ñ Ñ ó I ñ Ñ a = K== = fÑ= M a > I= ( ) M ó I ñ Ñ M M ññ > I==( ) M M ó I ñ ==áë=~=éçáåí=çÑ=äçÅ~ä=ãáåáã~K= fÑ= M a > I= ( ) M ó I ñ Ñ M M ññ < I==( ) M M ó I ñ ==áë=~=éçáåí=çÑ=äçÅ~ä=ã~ñáã~K= fÑ= M a< I=( ) M M ó I ñ =áë=~=ë~ÇÇäÉ=éçáåíK= fÑ= M a = I=íÜÉ=íÉëí=Ñ~áäëK= = 854. q~åÖÉåí=mä~åÉ= qÜÉ=Éèì~íáçå=çÑ=íÜÉ=í~åÖÉåí=éä~åÉ=íç=íÜÉ=ëìêÑ~ÅÉ= ( ) ó I ñ Ñ ò = = ~í=( ) M M M ò I ó I ñ =áë== ( )( ) ( )( ) M M M ó M M M ñ M ó ó ó I ñ Ñ ñ ñ ó I ñ Ñ ò ò − + − = − K= =
  • 235.
    CHAPTER 8. DIFFERENTIALCALCULUS 225 855. kçêã~ä=íç=pìêÑ~ÅÉ= qÜÉ=Éèì~íáçå=çÑ=íÜÉ=åçêã~ä=íç=íÜÉ=ëìêÑ~ÅÉ= ( ) ó I ñ Ñ ò = =~í= ( ) M M M ò I ó I ñ =áë== ( ) ( ) N ò ò ó I ñ Ñ ó ó ó I ñ Ñ ñ ñ M M M ó M M M ñ M − − = − = − K= = = = 8.9 Differential Operators = råáí=îÉÅíçêë=~äçåÖ=íÜÉ=ÅççêÇáå~íÉ=~ñÉëW= á r I= à r I= â r = pÅ~ä~ê=ÑìåÅíáçåë=EëÅ~ä~ê=ÑáÉäÇëFW= ( ) ò I ó I ñ Ñ I= ( ) å O N ñ I I ñ I ñ ì K = dê~ÇáÉåí=çÑ=~=ëÅ~ä~ê=ÑáÉäÇW= ì Öê~Ç I= ì ∇ = aáêÉÅíáçå~ä=ÇÉêáî~íáîÉW= ä Ñ ∂ ∂ = sÉÅíçê=ÑìåÅíáçå=EîÉÅíçê=ÑáÉäÇFW= ( ) o I n I m c r = aáîÉêÖÉåÅÉ=çÑ=~=îÉÅíçê=ÑáÉäÇW= c Çáî r I= c r ⋅ ∇ = `ìêä=çÑ=~=îÉÅíçê=ÑáÉäÇW= c Åìêä r I= c r × ∇ = i~éä~Åá~å=çéÉê~íçêW= O ∇ = = = 856. dê~ÇáÉåí=çÑ=~=pÅ~ä~ê=cìåÅíáçå=         ∂ ∂ ∂ ∂ ∂ ∂ = ∇ = ò Ñ I ó Ñ I ñ Ñ Ñ Ñ Öê~Ç I==         ∂ ∂ ∂ ∂ ∂ ∂ = ∇ = å O N ñ ì I I ñ ì I ñ ì ì ì Öê~Ç K K= = 857. aáêÉÅíáçå~ä=aÉêáî~íáîÉ= γ ∂ ∂ + β ∂ ∂ + α ∂ ∂ = ∂ ∂ Åçë ò Ñ Åçë ó Ñ Åçë ñ Ñ ä Ñ I==
  • 236.
    CHAPTER 8. DIFFERENTIALCALCULUS 226 ïÜÉêÉ=íÜÉ=ÇáêÉÅíáçå=áë=ÇÉÑáåÉÇ=Äó=íÜÉ=îÉÅíçê= ( ) γ β α Åçë I Åçë I Åçë ä r I= N Åçë Åçë Åçë O O O = γ + β + α K== = 858. aáîÉêÖÉåÅÉ=çÑ=~=sÉÅíçê=cáÉäÇ= ò o ó n ñ m c c Çáî ∂ ∂ + ∂ ∂ + ∂ ∂ = ⋅ ∇ = r r = = 859. `ìêä=çÑ=~=sÉÅíçê=cáÉäÇ= o n m ñ ñ ñ â à á c c Åìêä ∂ ∂ ∂ ∂ ∂ ∂ = × ∇ = r r r r r = â ó m ñ n à ñ o ò m á ò n ó o r r r         ∂ ∂ − ∂ ∂ +       ∂ ∂ − ∂ ∂ +         ∂ ∂ − ∂ ∂ = = = 860. i~éä~Åá~å=léÉê~íçê= O O O O O O O ò Ñ ó Ñ ñ Ñ Ñ ∂ ∂ + ∂ ∂ + ∂ ∂ = ∇ = = 861. ( ) ( ) M c c Åìêä Çáî ≡ × ∇ ⋅ ∇ = r r = = 862. ( ) ( ) M Ñ Ñ Öê~Ç Åìêä ≡ ∇ × ∇ = = = 863. ( ) ( ) Ñ Ñ Ñ Öê~Ç Çáî O ∇ = ∇ ⋅ ∇ = = = 864. ( ) ( ) ( ) c c c c Çáî Öê~Ç c Åìêä Åìêä O O r r r r r ∇ − ⋅ ∇ ∇ = ∇ − = = = =
  • 237.
    227 Chapter 9 Integral Calculus = = = = cìåÅíáçåëW=ÑI=ÖI=ìI=î= fåÇÉéÉåÇÉåí=î~êá~ÄäÉëW=ñI=íI=ξ= fåÇÉÑáåáíÉ=áåíÉÖê~ä=çÑ=~=ÑìåÅíáçåW= ( ) ∫ Çñ ñ Ñ I= ( ) ∫ Çñ ñ Ö I=£= aÉêáî~íáîÉ=çÑ=~=ÑìåÅíáçåW= ( ) ñ ó′ I= ( ) ñ Ñ′ I= ( ) ñ c′ I=£= oÉ~ä=Åçåëí~åíëW=`I=~I=ÄI=ÅI=ÇI=â= k~íìê~ä=åìãÄÉêëW=ãI=åI=áI=à= = = 9.1 Indefinite Integral = 865. ( ) ( ) ` ñ c Çñ ñ Ñ + = ∫ =áÑ= ( ) ( ) ñ Ñ ñ c = ′ K= = 866. ( ) ( ) ( ) ñ Ñ Çñ ñ Ñ = ′ ∫ = = 867. ( ) ( ) ∫ ∫ = Çñ ñ Ñ â Çñ ñ âÑ = = 868. ( ) ( ) [ ] ( ) ( ) ∫ ∫ ∫ + = + Çñ ñ Ö Çñ ñ Ñ Çñ ñ Ö ñ Ñ = = 869. ( ) ( ) [ ] ( ) ( ) ∫ ∫ ∫ − = − Çñ ñ Ö Çñ ñ Ñ Çñ ñ Ö ñ Ñ = = 870. ( ) ( ) ` ~ñ c ~ N Çñ ~ñ Ñ + = ∫ =
  • 238.
    CHAPTER 9. INTEGRALCALCULUS 228 871. ( ) ( ) ` Ä ~ñ c ~ N Çñ Ä ~ñ Ñ + + = + ∫ = = 872. ( ) ( ) ( ) ` ñ Ñ O N Çñ ñ Ñ ñ Ñ O + = ′ ∫ = = 873. ( ) ( ) ( ) ` ñ Ñ äå Çñ ñ Ñ ñ Ñ + = ′ ∫ = = 874. jÉíÜçÇ=çÑ=pìÄëíáíìíáçå= ( ) ( ) ( ) ( ) ∫ ∫ ′ = Çí í ì í ì Ñ Çñ ñ Ñ =áÑ= ( ) í ì ñ = K= = 875. fåíÉÖê~íáçå=Äó=m~êíë= ∫ ∫ − = îÇì ìî ìÇî I== ïÜÉêÉ= ( ) ñ ì I= ( ) ñ î =~êÉ=ÇáÑÑÉêÉåíá~ÄäÉ=ÑìåÅíáçåëK== = = = 9.2 Integrals of Rational Functions = 876. ` ~ñ ~Çñ + = ∫ = = 877. ` O ñ ñÇñ O + = ∫ = = 878. ` P ñ Çñ ñ P O + = ∫ = = 879. ` N é ñ Çñ ñ N é é + + = + ∫ I= N é − ≠ K= =
  • 239.
    CHAPTER 9. INTEGRALCALCULUS 229 880. ( ) ( ) ( ) ` N å ~ Ä ~ñ Çñ Ä ~ñ N å å + + + = + + ∫ I= N å − ≠ K= = 881. ` ñ äå ñ Çñ + = ∫ = = 882. ` Ä ~ñ äå ~ N Ä ~ñ Çñ + + = + ∫ = = 883. ` Ç Åñ äå Å ~Ç ÄÅ ñ Å ~ Çñ Ç Åñ Ä ~ñ O + + − + = + + ∫ = = 884. ( )( ) ` ~ ñ Ä ñ äå Ä ~ N Ä ñ ~ ñ Çñ + + + − = + + ∫ I= Ä ~ ≠ K= = 885. ( ) ` Äñ ~ äå ~ Äñ ~ Ä N Äñ ~ ñÇñ O + + − + = + ∫ = = 886. ( ) ( ) ` Äñ ~ äå ~ Äñ ~ ~ O Äñ ~ O N Ä N Äñ ~ Çñ ñ O O P O +       + + + − + = + ∫ = = 887. ( ) ` ñ Äñ ~ äå ~ N Äñ ~ ñ Çñ + + = + ∫ = = 888. ( ) ` ñ Äñ ~ äå ~ Ä ~ñ N Äñ ~ ñ Çñ O O + + + − = + ∫ = = 889. ( ) ` Äñ ~ ~ Äñ ~ äå Ä N Äñ ~ ñÇñ O O +       + + + = + ∫ = =
  • 240.
    CHAPTER 9. INTEGRALCALCULUS 230 890. ( ) ` Äñ ~ ~ Äñ ~ äå ~ O Äñ ~ Ä N Äñ ~ Çñ ñ O P O O +         + − + − + = + ∫ = = 891. ( ) ( ) ` ñ Äñ ~ äå ~ N Äñ ~ ~ N Äñ ~ ñ Çñ O O + + + + = + ∫ = = 892. ` N ñ N ñ äå O N N ñ Çñ O + + − = − ∫ = = 893. ` ñ N ñ N äå O N ñ N Çñ O + − + = − ∫ = = 894. ` ñ ~ ñ ~ äå ~ O N ñ ~ Çñ O O + − + = − ∫ = = 895. ` ~ ñ ~ ñ äå ~ O N ~ ñ Çñ O O + + − = − ∫ = = 896. ` ñ í~å ñ N Çñ N O + = + − ∫ = = 897. ` ~ ñ í~å ~ N ñ ~ Çñ N O O + = + − ∫ = = 898. ( ) ` ~ ñ äå O N ~ ñ ñÇñ O O O O + + = + ∫ = = 899. ` ~ Ä ñ ~êÅí~å ~Ä N Äñ ~ Çñ O +         = + ∫ I= M ~Ä > K= =
  • 241.
    CHAPTER 9. INTEGRALCALCULUS 231 900. ` Ä ~ ñ äå Ä O N Äñ ~ ñÇñ O O + + = + ∫ = = 901. ( ) ` Äñ ~ ñ äå ~ O N Äñ ~ ñ Çñ O O O + + = + ∫ = = 902. ` Äñ ~ Äñ ~ äå ~Ä O N ñ Ä ~ Çñ O O O + − + = − ∫ = = 903. ` ~Å Q Ä Ä ~ñ O ~Å Q Ä Ä ~ñ O äå ~Å Q Ä N Å Äñ ~ñ Çñ O O O O + − + + − − + − = + + ∫ I= M ~Å Q ÄO > − K= = 904. ` Ä ~Å Q Ä ~ñ O ~êÅí~å Ä ~Å Q O Å Äñ ~ñ Çñ O O O + − + − = + + ∫ I= M ~Å Q ÄO < − K= = = = 9.3 Integrals of Irrational Functions = 905. ` Ä ~ñ ~ O Ä ~ñ Çñ + + = + ∫ = = 906. ( ) ` Ä ~ñ ~ P O Çñ Ä ~ñ O P + + = + ∫ = = 907. ( ) ` Ä ~ñ ~ P Ä O ~ñ O Ä ~ñ ñÇñ O + + − = + ∫ = =
  • 242.
    CHAPTER 9. INTEGRALCALCULUS 232 908. ( )( ) ` Ä ~ñ ~ NR Ä O ~ñ P O Çñ Ä ~ñ ñ O P O + + − = + ∫ = = 909. ( ) ` ~Å Ä Ä ~ñ ~Å Ä Ä ~ñ äå ~Å Ä N Ä ~ñ Å ñ Çñ + − + + − − + − = + + ∫ I== M ~Å Ä > − K= = 910. ( ) ` Ä ~Å Ä ~ñ ~êÅí~å Ä ~Å N Ä ~ñ Å ñ Çñ + − + − = + + ∫ I== M ~Å Ä < − K= = 911. ( )( )− + + = + + ∫ Ç Åñ Ä ~ñ Å N Çñ Ç Åñ Ä ~ñ = ( ) ( ) ` Ä ~ñ Å Ç Åñ ~ äå ~Å Å ÄÅ ~Ç + + + + − − I= M ~ > K= = 912. ( )( )− + + = + + ∫ Ç Åñ Ä ~ñ Å N Çñ Ç Åñ Ä ~ñ = ( ) ( ) ` Ä ~ñ Å Ç Åñ ~ ~êÅí~å ~Å Å ÄÅ ~Ç + + + − − I=E M ~ < I= M Å > FK== = 913. ( ) ( ) ` Äñ ~ Ä NMR ñ Ä NR ~Äñ NO ~ U O Çñ Äñ ~ ñ P P O O O O + + + − = + ∫ = = 914. ( ) ` Äñ ~ Ä NR ñ Ä P ~Äñ Q ~ U O Äñ ~ Çñ ñ P O O O O + + + − = + ∫ = = 915. ` ~ Äñ ~ ~ Äñ ~ äå ~ N Äñ ~ ñ Çñ + + + − + = + ∫ I= M ~ > K= =
  • 243.
    CHAPTER 9. INTEGRALCALCULUS 233 916. ` ~ Äñ ~ ~êÅí~å ~ O Äñ ~ ñ Çñ + − + − = + ∫ I= M ~ < K= = 917. ( )( ) ( ) ` Ä ~ Ä ñ ~êÅëáå Ä ~ ñ Ä ñ ~ Çñ ñ Ä ñ ~ + + + + + + − = + − ∫ = = 918. ( )( ) ( ) ` Ä ~ ñ Ä ~êÅëáå Ä ~ ñ Ä ñ ~ Çñ ñ Ä ñ ~ + + − + − − + − = − + ∫ = = 919. ` ñ ~êÅëáå ñ N Çñ ñ N ñ N O + + − − = − + ∫ = = 920. ( )( ) ` ~ Ä ~ ñ ~êÅëáå O ~ Ä ~ ñ Çñ + − − = − − ∫ = = 921. + − + − = − + ∫ O O Åñ Äñ ~ Å Q Ä Åñ O Çñ Åñ Äñ ~ = ` ~Å Q Ä Ä Åñ O ~êÅëáå Å U ~Å Q Ä O P O + + − − + = = 922. ( ) ` Å Äñ ~ñ ~ O Ä ~ñ O äå ~ N Å Äñ ~ñ Çñ O O + + + + + = + + ∫ I== M ~ > K= = 923. ` ~Å Q Ä ~ Q Ä ~ñ O ~êÅëáå ~ N Å Äñ ~ñ Çñ O O + − + − = + + ∫ I= M ~ < K= = 924. ` ~ ñ ñ äå O ~ ~ ñ O ñ Çñ ~ ñ O O O O O O O + + + + + = + ∫ = =
  • 244.
    CHAPTER 9. INTEGRALCALCULUS 234 925. ( ) ` ~ ñ P N Çñ ~ ñ ñ O P O O O O + + = + ∫ = = 926. ( ) − + + = + ∫ O O O O O O O ~ ñ ~ ñ O U ñ Çñ ~ ñ ñ = ` ~ ñ ñ äå U ~ O O Q + + + − = = 927. ` ~ ñ ñ äå ñ ~ ñ Çñ ñ ~ ñ O O O O O O O + + + + + − = + ∫ = = 928. ` ~ ñ ñ äå ~ ñ Çñ O O O O + + + = + ∫ = = 929. ` ~ ñ ~ ñ äå ~ ~ ñ Çñ ñ ~ ñ O O O O O O + + + + + = + ∫ = = 930. ` ~ ñ ~ ñ ñÇñ O O O O + + = + ∫ = = 931. ` ~ ñ ñ äå O ~ ~ ñ O ñ ~ ñ Çñ ñ O O O O O O O O + + + − + = + ∫ = = 932. ` ~ ñ ~ ñ äå ~ N ~ ñ ñ Çñ O O O O + + + = + ∫ = = 933. ` ~ ñ ñ äå O ~ ~ ñ O ñ Çñ ~ ñ O O O O O O O + − + − − = − ∫ = = 934. ( ) ` ~ ñ P N Çñ ~ ñ ñ O P O O O O + − = − ∫ =
  • 245.
    CHAPTER 9. INTEGRALCALCULUS 235 935. ` ñ ~ ~êÅëáå ~ ~ ñ Çñ ñ ~ ñ O O O O + + − = − ∫ = = 936. ` ~ ñ ñ äå ñ ~ ñ Çñ ñ ~ ñ O O O O O O O + − + + − − = − ∫ = = 937. ` ~ ñ ñ äå ~ ñ Çñ O O O O + − + = − ∫ = = 938. ` ~ ñ ~ ñ ñÇñ O O O O + − = − ∫ = = 939. ` ~ ñ ñ äå O ~ ~ ñ O ñ ~ ñ Çñ ñ O O O O O O O O + − + + − = − ∫ = = 940. ` ñ ~ ~êÅëáå ~ N ~ ñ ñ Çñ O O + − = − ∫ = = 941. ( ) ` ~ ñ ~ ñ ~ N ~ ñ ~ ñ Çñ O O + + − = − + ∫ = = 942. ( ) ` ~ ñ ~ ñ ~ N ~ ñ ~ ñ Çñ O O + − + − = − − ∫ = = 943. ` ñ ~ ~ ñ ~ ñ ñ Çñ O O O O O O + − = − ∫ = = 944. ( ) ` ~ ñ ~ ñ ~ ñ Çñ O O O O P O O + − − = − ∫ = =
  • 246.
    CHAPTER 9. INTEGRALCALCULUS 236 945. ( ) ( ) + − − − = − ∫ O O O O O P O O ~ ñ ~ R ñ O U ñ Çñ ~ ñ = ` ~ ñ ñ äå U ~ P O O Q + − + + = = 946. ` ~ ñ ~êÅëáå O ~ ñ ~ O ñ Çñ ñ ~ O O O O O + + − = − ∫ = = 947. ( ) ` ñ ~ P N Çñ ñ ~ ñ O P O O O O + − − = − ∫ = = 948. ( ) ` ~ ñ ~êÅëáå U ~ ñ ~ ~ ñ O U ñ Çñ ñ ~ ñ Q O O O O O O O + + − − = − ∫ = = 949. ` ñ ~ ~ ñ äå ~ ñ ~ Çñ ñ ñ ~ O O O O O O + − + + − = − ∫ = = 950. ` ~ ñ ~êÅëáå ñ ñ ~ Çñ ñ ñ ~ O O O O O + − − − = − ∫ = = 951. ` ñ ~êÅëáå ñ N Çñ O + = − ∫ = = 952. ` ~ ñ ëáå ñ ~ Çñ O O + = − ∫ = = 953. ` ñ ~ ñ ~ ñÇñ O O O O + − − = − ∫ = = 954. ` ~ ñ ~êÅëáå O ~ ñ ~ O ñ ñ ~ Çñ ñ O O O O O O + + − − = − ∫ =
  • 247.
    CHAPTER 9. INTEGRALCALCULUS 237 955. ( ) ` ñ ~ ñ ~ O N ñ ~ ~ ñ Çñ O O + + − − = − + ∫ = = 956. ( ) ` ñ ~ ñ ~ O N ñ ~ ~ ñ Çñ O O + − + − = − − ∫ = = 957. ( ) ( ) ` Ä ñ ~ ~ Äñ ~êÅëáå ~ Ä N ñ ~ Ä ñ Çñ O O O O O + + + − = − + ∫ I= ~ Ä > K= = 958. ( ) I ` Äñ ~ ñ ~ Ä ~ Ä ñ äå Ä ~ N ñ ~ Ä ñ Çñ O O O O O O O O O + + + − − + − = − + ∫ = ~ Ä < K= = 959. ` ñ ~ ñ ~ ñ ~ ñ Çñ O O O O O O + − − = − ∫ = = 960. ( ) ( ) ` ~ ñ ~êÅëáå U ~ P ñ ~ ñ O ~ R U ñ Çñ ñ ~ Q O O O O O P O O + + − − = − ∫ = = 961. ( ) ` ñ ~ ~ ñ ñ ~ Çñ O O O O P O O + − = − ∫ = = = = 9.4 Integrals of Trigonometric Functions = 962. ` ñ Åçë ñÇñ ëáå + − = ∫ = = 963. ` ñ ëáå ñÇñ Åçë + = ∫ =
  • 248.
    CHAPTER 9. INTEGRALCALCULUS 238 964. ` ñ O ëáå Q N O ñ Çñ ñ ëáåO + − = ∫ = = 965. ` ñ O ëáå Q N O ñ Çñ ñ ÅçëO + + = ∫ = = 966. ` ñ Åçë Q P ñ P Åçë NO N ` ñ Åçë ñ Åçë P N Çñ ñ ëáå P P + − = + − = ∫ = = 967. ` ñ ëáå Q P ñ P ëáå NO N ` ñ ëáå P N ñ ëáå Çñ ñ Åçë P P + + = + − = ∫ = = 968. ` O ñ í~å äå Çñ ñ ÅëÅ ñ ëáå Çñ + = = ∫ ∫ = = 969. ` Q O ñ í~å äå Çñ ñ ëÉÅ ñ Åçë Çñ +       π + = = ∫ ∫ = = 970. ` ñ Åçí Çñ ñ ÅëÅ ñ ëáå Çñ O O + − = = ∫ ∫ = = 971. ` ñ í~å Çñ ñ ëÉÅ ñ Åçë Çñ O O + = = ∫ ∫ = = 972. ` O ñ í~å äå O N ñ ëáå O ñ Åçë Çñ ñ ÅëÅ ñ ëáå Çñ O P P + + − = = ∫ ∫ = = 973. ` Q O ñ í~å äå O N ñ Åçë O ñ ëáå Çñ ñ ëÉÅ ñ Åçë Çñ O P P +       π + + = = ∫ ∫ = = 974. ` ñ O Åçë Q N Çñ ñ Åçë ñ ëáå + − = ∫ =
  • 249.
    CHAPTER 9. INTEGRALCALCULUS 239 975. ` ñ ëáå P N Çñ ñ Åçë ñ ëáå P O + = ∫ = = 976. ` ñ Åçë P N Çñ ñ Åçë ñ ëáå P O + − = ∫ = = 977. ` ñ Q ëáå PO N U ñ Çñ ñ Åçë ñ ëáå O O + − = ∫ = = 978. ` ñ Åçë äå ñÇñ í~å + − = ∫ = = 979. ` ñ ëÉÅ ` ñ Åçë N Çñ ñ Åçë ñ ëáå O + = + = ∫ = = 980. ` ñ ëáå Q O ñ í~å äå Çñ ñ Åçë ñ ëáåO + −       π + = ∫ = = 981. ` ñ ñ í~å Çñ ñ í~åO + − = ∫ = = 982. ` ñ ëáå äå ñÇñ Åçí + = ∫ = = 983. ` ñ ÅëÅ ` ñ ëáå N Çñ ñ ëáå ñ Åçë O + − = + − = ∫ = = 984. ` ñ Åçë O ñ í~å äå Çñ ñ ëáå ñ ÅçëO + + = ∫ = = 985. ` ñ ñ Åçí Çñ ñ ÅçíO + − − = ∫ = = 986. ` ñ í~å äå ñ ëáå ñ Åçë Çñ + = ∫ =
  • 250.
    CHAPTER 9. INTEGRALCALCULUS 240 987. ` Q O ñ í~å äå ñ ëáå N ñ Åçë ñ ëáå Çñ O +       π + + − = ∫ = = 988. ` O ñ í~å äå ñ Åçë N ñ Åçë ñ ëáå Çñ O + + = ∫ = = 989. ` ñ Åçí ñ í~å ñ Åçë ñ ëáå Çñ O O + − = ∫ = = 990. ( ) ( ) ( ) ( ) ` å ã O ñ å ã ëáå å ã O ñ å ã ëáå Çñ åñ ëáå ãñ ëáå + − − + + + − = ∫ I= O O å ã ≠ K= = 991. ( ) ( ) ( ) ( ) ` å ã O ñ å ã Åçë å ã O ñ å ã Åçë Çñ åñ Åçë ãñ ëáå + − − − + + − = ∫ I= O O å ã ≠ K= = 992. ( ) ( ) ( ) ( ) ` å ã O ñ å ã ëáå å ã O ñ å ã ëáå Çñ åñ Åçë ãñ Åçë + − − + + + = ∫ I= O O å ã ≠ K= = 993. ` ñ ëÉÅ ñÇñ í~å ñ ëÉÅ + = ∫ = = 994. ` ñ ÅëÅ ñÇñ Åçí ñ ÅëÅ + − = ∫ = = 995. ` N å ñ Åçë Çñ ñ Åçë ñ ëáå N å å + + − = + ∫ = = 996. ` N å ñ ëáå Çñ ñ Åçë ñ ëáå N å å + + = + ∫ = =
  • 251.
    CHAPTER 9. INTEGRALCALCULUS 241 997. ` ñ N ñ ~êÅëáå ñ Çñ ñ ~êÅëáå O + − + = ∫ = = 998. ` ñ N ñ ~êÅÅçë ñ Çñ ñ ~êÅÅçë O + − − = ∫ = = 999. ( ) ` N ñ äå O N ñ ~êÅí~å ñ Çñ ñ ~êÅí~å O + + − = ∫ = = 1000. ( ) ` N ñ äå O N ñ Åçí ~êÅ ñ Çñ ñ Åçí ~êÅ O + + + = ∫ = = = = 9.5 Integrals of Hyperbolic Functions = 1001. ` ñ ÅçëÜ ñÇñ ëáåÜ + = ∫ = = 1002. ` ñ ëáåÜ ñÇñ ÅçëÜ + = ∫ = = 1003. ` ñ ÅçëÜ äå Çñ ñ í~åÜ + = ∫ = = 1004. ` ñ ëáåÜ äå Çñ ñ ÅçíÜ + = ∫ = = 1005. ` ñ í~åÜ ñÇñ ëÉÅÜO + = ∫ = = 1006. ` ñ ÅçíÜ ñÇñ ÅëÅÜO + − = ∫ = = 1007. ` ñ ëÉÅÜ ñÇñ í~åÜ ñ ëÉÅÜ + − = ∫ = =
  • 252.
    CHAPTER 9. INTEGRALCALCULUS 242 1008. ` ñ ÅëÅÜ ñÇñ ÅçíÜ ñ ÅëÅÜ + − = ∫ = = = = 9.6 Integrals of Exponential and Logarithmic Functions = 1009. ` É Çñ É ñ ñ + = ∫ = = 1010. ` ~ äå ~ Çñ ~ ñ ñ + = ∫ = = 1011. ` ~ É Çñ É ~ñ ~ñ + = ∫ = = 1012. ( ) ` N ~ñ ~ É Çñ ñÉ O ~ñ ~ñ + − = ∫ = = 1013. ` ñ ñ äå ñ Çñ ñ äå + − = ∫ = = 1014. ` ñ äå äå ñ äå ñ Çñ + = ∫ = = 1015. ( ) ` N å N N å ñ äå ñ Çñ ñ äå ñ O N å å +       + − + = + ∫ = = 1016. ` É Ä ~ Äñ Åçë Ä Äñ ëáå ~ Çñ Äñ ëáå É ~ñ O O ~ñ + + − = ∫ = =
  • 253.
    CHAPTER 9. INTEGRALCALCULUS 243 1017. ` É Ä ~ Äñ ëáå Ä Äñ Åçë ~ Çñ Äñ Åçë É ~ñ O O ~ñ + + + = ∫ = = = = 9.7 Reduction Formulas = 1018. ∫ ∫ − − = Çñ É ñ ã å É ñ ã N Çñ É ñ ãñ N å ãñ å ãñ å = = 1019. ( ) ∫ ∫ − − − + − − = Çñ ñ É N å ã ñ N å É Çñ ñ É N å ãñ N å ãñ å ãñ I= N å ≠ K= = 1020. ∫ ∫ − − − − = ñÇñ ëáåÜ å N å ñ ÅçëÜ ñ ëáåÜ å N ñÇñ ëáåÜ O å N å å = = 1021. ( ) ∫ ∫ − − − − − − − = ñ ëáåÜ Çñ N å O å ñ ëáåÜ N å ñ ÅçëÜ ñ ëáåÜ Çñ O å N å å I= N å ≠ K= = 1022. ∫ ∫ − − − + = ñÇñ ÅçëÜ å N å ñ ÅçëÜ ñ ÅçëÜ ñ ëáåÜ å N ñÇñ ÅçëÜ O å N å å = = 1023. ( ) ∫ ∫ − − − − + − − = ñ ÅçëÜ Çñ N å O å ñ ÅçëÜ N å ñ ëáåÜ ñ ÅçëÜ Çñ O å N å å I= N å ≠ K= = 1024. ã å ñ ÅçëÜ ñ ëáåÜ ñÇñ ÅçëÜ ñ ëáåÜ N ã N å ã å + = − + ∫ = ∫ − + − + ñÇñ ÅçëÜ ñ ëáåÜ ã å N ã O ã å = = 1025. ã å ñ ÅçëÜ ñ ëáåÜ ñÇñ ÅçëÜ ñ ëáåÜ N ã N å ã å + = + − ∫ =
  • 254.
    CHAPTER 9. INTEGRALCALCULUS 244 ∫ − + − − ñÇñ ÅçëÜ ñ ëáåÜ ã å N å ã O å = = 1026. ∫ ∫ − − + − − = ñÇñ í~åÜ ñ í~åÜ N å N ñÇñ í~åÜ O å N å å I= N å ≠ K= = 1027. ∫ ∫ − − + − − = ñÇñ ÅçíÜ ñ ÅçíÜ N å N ñÇñ ÅçíÜ O å N å å I= N å ≠ K= = 1028. ∫ ∫ − − − − + − = ñÇñ ëÉÅÜ N å O å N å ñ í~åÜ ñ ëÉÅÜ ñÇñ ëÉÅÜ O å O å å I= N å ≠ K= = 1029. ∫ ∫ − − − + − = ñÇñ ëáå å N å ñ Åçë ñ ëáå å N ñÇñ ëáå O å N å å = = 1030. ( ) ∫ ∫ − − − − + − − = ñ ëáå Çñ N å O å ñ ëáå N å ñ Åçë ñ ëáå Çñ O å N å å I= N å ≠ K= = 1031. ∫ ∫ − − − + = ñÇñ Åçë å N å ñ Åçë ñ ëáå å N ñÇñ Åçë O å N å å = = 1032. ( ) ∫ ∫ − − − − + − = ñ Åçë Çñ N å O å ñ Åçë N å ñ ëáå ñ Åçë Çñ O å N å å I= N å ≠ K= = 1033. ã å ñ Åçë ñ ëáå ñÇñ Åçë ñ ëáå N ã N å ã å + = − + ∫ = ∫ − + − + ñÇñ Åçë ñ ëáå ã å N ã O ã å = = 1034. ã å ñ Åçë ñ ëáå ñÇñ Åçë ñ ëáå N ã N å ã å + − = + − ∫ =
  • 255.
    CHAPTER 9. INTEGRALCALCULUS 245 ∫ − + − + ñÇñ Åçë ñ ëáå ã å N å ã O å = = 1035. ∫ ∫ − − − − = ñÇñ í~å ñ í~å N å N ñÇñ í~å O å N å å I= N å ≠ K= = 1036. ∫ ∫ − − − − − = ñÇñ Åçí ñ Åçí N å N ñÇñ Åçí O å N å å I= N å ≠ K= = 1037. ∫ ∫ − − − − + − = ñÇñ ëÉÅ N å O å N å ñ í~å ñ ëÉÅ ñÇñ ëÉÅ O å O å å I= N å ≠ K= = 1038. ∫ ∫ − − − − + − − = ñÇñ ÅëÅ N å O å N å ñ Åçí ñ ÅëÅ ñÇñ ÅëÅ O å O å å I= N å ≠ K= = 1039. ∫ ∫ − + + − + = ñÇñ äå ñ N å ã N å ñ äå ñ ñÇñ äå ñ N ã å ã N å ã å = = 1040. ( ) ∫ ∫ − − − + − − = Çñ ñ ñ äå N å ã ñ N å ñ äå Çñ ñ ñ äå å N ã N å ã å ã I= N å ≠ K= = 1041. ∫ ∫ − − = ñÇñ äå å ñ äå ñ ñÇñ äå N å å å = = 1042. ∫ ∫ − − = ñÇñ ÅçëÜ ñ å ñ ÅçëÜ ñ ñÇñ ëáåÜ ñ N å å å = = 1043. ∫ ∫ − − = ñÇñ ëáåÜ ñ å ñ ëáåÜ ñ ñÇñ ÅçëÜ ñ N å å å = = 1044. ∫ ∫ − + − = ñÇñ Åçë ñ å ñ Åçë ñ ñÇñ ëáå ñ N å å å = = 1045. ∫ ∫ − − = ñÇñ ëáå ñ å ñ ëáå ñ ñÇñ Åçë ñ N å å å =
  • 256.
    CHAPTER 9. INTEGRALCALCULUS 246 1046. ∫ ∫ − + − + = + − + − Çñ ñ N ñ N å N ñ ëáå N å ñ ñÇñ ëáå ñ O N å N N å N å = = 1047. ∫ ∫ − + + + = + − + − Çñ ñ N ñ N å N ñ Åçë N å ñ ñÇñ Åçë ñ O N å N N å N å = = 1048. ∫ ∫ + + − + = + − + − Çñ ñ N ñ N å N ñ í~å N å ñ ñÇñ í~å ñ O N å N N å N å = = 1049. ∫ ∫ + − = + Ä ~ñ Çñ ~ Ä ~ ñ Ä ~ñ Çñ ñ å å å = = 1050. ( ) ( )( )( ) N å O O å O Å Äñ ~ñ ~Å Q Ä N å Ä ~ñ O Å Äñ ~ñ Çñ − + + − − − − = + + ∫ = ( ) ( )( ) ( ) ∫ − + + − − − − N å O O Å Äñ ~ñ Çñ ~Å Q Ä N å ~ P å O O I= N å ≠ K= = 1051. ( ) ( ) ( ) ( ) ( ) I ~ ñ Çñ ~ N å O P å O ~ ñ ~ N å O ñ ~ ñ Çñ N å O O O N å O O O å O O ∫ ∫ − − + − − + + − = + N å ≠ K= = 1052. ( ) ( ) ( ) N å O O O å O O ~ ñ ~ N å O ñ ~ ñ Çñ − − − − = − ∫ = ( ) ( ) ∫ − − − − − N å O O O ~ ñ Çñ ~ N å O P å O I= N å ≠ K= = = = = =
  • 257.
    CHAPTER 9. INTEGRALCALCULUS 247 9.8 Definite Integral = aÉÑáåáíÉ=áåíÉÖê~ä=çÑ=~=ÑìåÅíáçåW= ( ) ∫ Ä ~ Çñ ñ Ñ I= ( ) ∫ Ä ~ Çñ ñ Ö I=£= oáÉã~åå=ëìãW= ( ) ∑ = ∆ ξ å N á á á ñ Ñ == pã~ää=ÅÜ~åÖÉëW= á ñ ∆ == ^åíáÇÉêáî~íáîÉëW= ( ) ñ c I= ( ) ñ d == iáãáíë=çÑ=áåíÉÖê~íáçåëW=~I=ÄI=ÅI=Ç= = = 1053. ( ) ( ) ∑ ∫ = → ∆ ∞ → ∆ ξ = å N á á á M ñ ã~ñ å Ä ~ ñ Ñ äáã Çñ ñ Ñ á I== ïÜÉêÉ== N á á á ñ ñ ñ − − = ∆ I== á á N á ñ ñ ≤ ξ ≤ − K== = = = Figure 179. =
  • 258.
    CHAPTER 9. INTEGRALCALCULUS 248 1054. ~ Ä Çñ N Ä ~ − = ∫ = = 1055. ( ) ( ) ∫ ∫ = Ä ~ Ä ~ Çñ ñ Ñ â Çñ ñ âÑ = = 1056. ( ) ( ) [ ] ( ) ( ) ∫ ∫ ∫ + = + Ä ~ Ä ~ Ä ~ Çñ ñ Ö Çñ ñ Ñ Çñ ñ Ö ñ Ñ = = 1057. ( ) ( ) [ ] ( ) ( ) ∫ ∫ ∫ − = − Ä ~ Ä ~ Ä ~ Çñ ñ Ö Çñ ñ Ñ Çñ ñ Ö ñ Ñ = = 1058. ( ) M Çñ ñ Ñ ~ ~ = ∫ = = 1059. ( ) ( ) ∫ ∫ − = ~ Ä Ä ~ Çñ ñ Ñ Çñ ñ Ñ = = 1060. ( ) ( ) ( ) ∫ ∫ ∫ + = Ä Å Å ~ Ä ~ Çñ ñ Ñ Çñ ñ Ñ Çñ ñ Ñ =Ñçê= Ä Å ~ < < K= = 1061. ( ) M Çñ ñ Ñ Ä ~ ≥ ∫ =áÑ= ( ) M ñ Ñ ≥ =çå=[ ] Ä I ~ K= = 1062. ( ) M Çñ ñ Ñ Ä ~ ≤ ∫ =áÑ= ( ) M ñ Ñ ≤ =çå=[ ] Ä I ~ K= = = = =
  • 259.
    CHAPTER 9. INTEGRALCALCULUS 249 1063. cìåÇ~ãÉåí~ä=qÜÉçêÉã=çÑ=`~äÅìäìë= ( ) ( ) ( ) ( ) ~ c Ä c ñ c Çñ ñ Ñ Ä ~ Ä ~ − = = ∫ =áÑ= ( ) ( ) ñ Ñ ñ c = ′ K= = 1064. jÉíÜçÇ=çÑ=pìÄëíáíìíáçå== fÑ= ( ) í Ö ñ = I=íÜÉå== ( ) ( ) ( ) ( ) ∫ ∫ ′ = Ç Å Ä ~ Çí í Ö í Ö Ñ Çñ ñ Ñ I== ïÜÉêÉ= ( ) ~ Ö Å N − = I= ( ) Ä Ö Ç N − = K= = 1065. fåíÉÖê~íáçå=Äó=m~êíë= ( ) ∫ ∫ − = Ä ~ Ä ~ Ä ~ îÇì ìî ìÇî = = 1066. qê~éÉòçáÇ~ä=oìäÉ= ( ) ( ) ( ) ( )      + + − = ∑ ∫ − = N å N á á å M Ä ~ ñ Ñ O ñ Ñ ñ Ñ å O ~ Ä Çñ ñ Ñ = =
  • 260.
    CHAPTER 9. INTEGRALCALCULUS 250 = = Figure 180. = 1067. páãéëçå∞ë=oìäÉ== ( ) ( ) ( ) ( ) ( ) [ + + + + − = ∫ P O N M Ä ~ ñ Ñ Q ñ Ñ O ñ Ñ Q ñ Ñ å P ~ Ä Çñ ñ Ñ = ( ) ( ) ( )] å N å Q ñ Ñ ñ Ñ Q ñ Ñ O + + + + − K I== ïÜÉêÉ== á å ~ Ä ~ ñá − + = I= å I I O I N I M á K = K== =
  • 261.
    CHAPTER 9. INTEGRALCALCULUS 251 = = Figure 181. = 1068. ^êÉ~=råÇÉê=~=`ìêîÉ= ( ) ( ) ( ) ~ c Ä c Çñ ñ Ñ p Ä ~ − = = ∫ I== ïÜÉêÉ= ( ) ( ) ñ Ñ ñ c = ′ K= =
  • 262.
    CHAPTER 9. INTEGRALCALCULUS 252 = = Figure 182. = 1069. ^êÉ~=_ÉíïÉÉå=qïç=`ìêîÉë= ( ) ( ) [ ] ( ) ( ) ( ) ( ) ~ d ~ c Ä d Ä c Çñ ñ Ö ñ Ñ p Ä ~ + − − = − = ∫ I== ïÜÉêÉ= ( ) ( ) ñ Ñ ñ c = ′ I= ( ) ( ) ñ Ö ñ d = ′ K= =
  • 263.
    CHAPTER 9. INTEGRALCALCULUS 253 = = Figure 183. = = = 9.9 Improper Integral = 1070. qÜÉ=ÇÉÑáåáíÉ=áåíÉÖê~ä== ( ) ∫ Ä ~ Çñ ñ Ñ =áë=Å~ääÉÇ=~å=áãéêçéÉê=áåíÉÖê~ä= áÑ== • ~=çê=Ä=áë=áåÑáåáíÉI= • ( ) ñ Ñ ==Ü~ë==çåÉ==çê==ãçêÉ=éçáåíë=çÑ==ÇáëÅçåíáåìáíó= =====áå=íÜÉ=áåíÉêî~ä=[ ] Ä I ~ K= = 1071. fÑ= ( ) ñ Ñ =áë=~=Åçåíáåìçìë=ÑìåÅíáçå=çå=[ ) ∞ I ~ I=íÜÉå== ( ) ( ) ∫ ∫ ∞ → ∞ = å ~ å ~ Çñ ñ Ñ äáã Çñ ñ Ñ K= =
  • 264.
    CHAPTER 9. INTEGRALCALCULUS 254 = = Figure 184. = 1072. fÑ= ( ) ñ Ñ =áë=~=Åçåíáåìçìë=ÑìåÅíáçå=çå=( ] Ä I ∞ − I=íÜÉå== ( ) ( ) ∫ ∫ ∞ − → ∞ − = Ä å å Ä Çñ ñ Ñ äáã Çñ ñ Ñ K= = = = Figure 185.
  • 265.
    CHAPTER 9. INTEGRALCALCULUS 255 kçíÉ=W=qÜÉ=áãéêçéÉê=áåíÉÖê~äë=áå=NMTNI=NMTO=~êÉ=ÅçåîÉêÖÉåí= áÑ=íÜÉ=äáãáíë=Éñáëí=~åÇ=~êÉ=ÑáåáíÉX=çíÜÉêïáëÉ=íÜÉ=áåíÉÖê~äë=~êÉ= ÇáîÉêÖÉåíK= = 1073. ( ) ( ) ( ) ∫ ∫ ∫ ∞ ∞ − ∞ ∞ − + = Å Å Çñ ñ Ñ Çñ ñ Ñ Çñ ñ Ñ = = = = Figure 186. = fÑ=Ñçê=ëçãÉ=êÉ~ä=åìãÄÉê=ÅI=ÄçíÜ=çÑ=íÜÉ=áåíÉÖê~äë=áå=íÜÉ=êáÖÜí= ëáÇÉ= ~êÉ= ÅçåîÉêÖÉåíI= íÜÉå= íÜÉ= áåíÉÖê~ä= ( ) ∫ ∞ ∞ − Çñ ñ Ñ = áë= ~äëç===== ÅçåîÉêÖÉåíX=çíÜÉêïáëÉ=áí=áë=ÇáîÉêÖÉåíK= = 1074. `çãé~êáëçå=qÜÉçêÉãë= iÉí== ( ) ñ Ñ =~åÇ== ( ) ñ Ö ==ÄÉ==Åçåíáåìçìë==ÑìåÅíáçåë==çå=íÜÉ=ÅäçëÉÇ= áåíÉêî~ä= [ ) ∞ I ~ K= pìééçëÉ= íÜ~í= ( ) ( ) ñ Ñ ñ Ö M ≤ ≤ = Ñçê= ~ää= ñ= áå= [ ) ∞ I ~ K=
  • 266.
    CHAPTER 9. INTEGRALCALCULUS 256 • fÑ= ( ) ∫ ∞ ~ Çñ ñ Ñ =áë=ÅçåîÉêÖÉåíI=íÜÉå= ( ) ∫ ∞ ~ Çñ ñ Ö =áë=~äëç= =====ÅçåîÉêÖÉåíI= • fÑ= ( ) ∫ ∞ ~ Çñ ñ Ö =áë=ÇáîÉêÖÉåíI=íÜÉå= ( ) ∫ ∞ ~ Çñ ñ Ñ =áë=~äëç=ÇáîÉêÖÉåíK= = 1075. ^ÄëçäìíÉ=`çåîÉêÖÉåÅÉ= = fÑ= ( ) ∫ ∞ ~ Çñ ñ Ñ =áë=ÅçåîÉêÖÉåíI=íÜÉå=íÜÉ=áåíÉÖê~ä ( ) ∫ ∞ ~ Çñ ñ Ñ =áë=~Äëç- äìíÉäó=ÅçåîÉêÖÉåíK=== = 1076. aáëÅçåíáåìçìë=fåíÉÖê~åÇ= iÉí= ( ) ñ Ñ =ÄÉ=~=ÑìåÅíáçå=ïÜáÅÜ=áë=Åçåíáåìçìë=çå=íÜÉ=áåíÉêî~ä== [ ) Ä I ~ =Äìí=áë=ÇáëÅçåíáåìçìë=~í= Ä ñ = K=qÜÉå== ( ) ( ) ∫ ∫ ε − + → ε = Ä ~ M Ä ~ Çñ ñ Ñ äáã Çñ ñ Ñ = = = = Figure 187.
  • 267.
    CHAPTER 9. INTEGRALCALCULUS 257 1077. iÉí= ( ) ñ Ñ =ÄÉ=~=Åçåíáåìçìë=ÑìåÅíáçå=Ñçê=~ää=êÉ~ä=åìãÄÉêë==ñ==áå= íÜÉ=áåíÉêî~ä==[ ] Ä I ~ ==ÉñÅÉéí==Ñçê==ëçãÉ=éçáåí==Å==áå=( ) Ä I ~ K=qÜÉå= ( ) ( ) ( ) ∫ ∫ ∫ δ + + → δ ε − + → ε + = Ä Å M Å ~ M Ä ~ Çñ ñ Ñ äáã Çñ ñ Ñ äáã Çñ ñ Ñ K= = = = Figure 188. = = = 9.10 Double Integral = cìåÅíáçåë=çÑ=íïç=î~êá~ÄäÉëW= ( ) ó I ñ Ñ I= ( ) î I ì Ñ I=£= açìÄäÉ=áåíÉÖê~äëW= ( ) ∫∫ o ÇñÇó ó I ñ Ñ I= ( ) ∫∫ o ÇñÇó ó I ñ Ö I=£= oáÉã~åå=ëìãW= ( ) ∑∑ = = ∆ ∆ ã N á å N à à á à á ó ñ î I ì Ñ = pã~ää=ÅÜ~åÖÉëW= á ñ ∆ I= à ó ∆ = oÉÖáçåë=çÑ=áåíÉÖê~íáçåW=oI=p== mçä~ê=ÅççêÇáå~íÉëW=êI=θ =
  • 268.
    CHAPTER 9. INTEGRALCALCULUS 258 ^êÉ~W=^= pìêÑ~ÅÉ=~êÉ~W=p= sçäìãÉ=çÑ=~=ëçäáÇW=s= j~ëë=çÑ=~=ä~ãáå~W=ã= aÉåëáíóW= ( ) ó I ñ ρ = cáêëí=ãçãÉåíëW= ñ j I= ó j = jçãÉåíë=çÑ=áåÉêíá~W= ñ f I= ó f I= M f = `Ü~êÖÉ=çÑ=~=éä~íÉW=n= `Ü~êÖÉ=ÇÉåëáíóW= ( ) ó I ñ σ = `ççêÇáå~íÉë=çÑ=ÅÉåíÉê=çÑ=ã~ëëW= ñ I= ó = ^îÉê~ÖÉ=çÑ=~=ÑìåÅíáçåW=µ= = 1078. aÉÑáåáíáçå=çÑ=açìÄäÉ=fåíÉÖê~ä= qÜÉ=ÇçìÄäÉ=áåíÉÖê~ä=çîÉê=~=êÉÅí~åÖäÉ= [ ] [ ] Ç I Å Ä I ~ × =áë=ÇÉÑáåÉÇ= íç=ÄÉ== ( ) [ ] [ ] ( ) ∑∑ ∫∫ = = → ∆ → ∆ × ∆ ∆ = ã N á å N à à á à á M ó ã~ñ M ñ ã~ñ Ç I Å Ä I ~ ó ñ î I ì Ñ äáã Ç^ ó I ñ Ñ à á I== ïÜÉêÉ=( ) à á î I ì =áë=ëçãÉ=éçáåí=áå=íÜÉ=êÉÅí~åÖäÉ= ( ) ( ) à N à á N á ó I ó ñ I ñ − − × I=~åÇ= N á á á ñ ñ ñ − − = ∆ I= N à à à ó ó ó − − = ∆ K= = === = Figure 189.
  • 269.
    CHAPTER 9. INTEGRALCALCULUS 259 qÜÉ=ÇçìÄäÉ=áåíÉÖê~ä=çîÉê=~=ÖÉåÉê~ä=êÉÖáçå=o=áë== ( ) ( ) [ ] [ ] ∫∫ ∫∫ × = Ç I Å Ä I ~ o Ç^ ó I ñ Ö Ç^ ó I ñ Ñ I== ïÜÉêÉ=êÉÅí~åÖäÉ=[ ] [ ] Ç I Å Ä I ~ × =Åçåí~áåë=oI== ( ) ( ) ó I ñ Ñ ó I ñ Ö = =áÑ= ( ) ó I ñ Ñ =áë=áå=o=~åÇ= ( ) M ó I ñ Ö = =çíÜÉêïáëÉK= = = = Figure 190. = 1079. ( ) ( ) [ ] ( ) ( ) ∫∫ ∫∫ ∫∫ + = + o o o Ç^ ó I ñ Ö Ç^ ó I ñ Ñ Ç^ ó I ñ Ö ó I ñ Ñ = = 1080. ( ) ( ) [ ] ( ) ( ) ∫∫ ∫∫ ∫∫ − = − o o o Ç^ ó I ñ Ö Ç^ ó I ñ Ñ Ç^ ó I ñ Ö ó I ñ Ñ = = 1081. ( ) ( ) ∫∫ ∫∫ = o o Ç^ ó I ñ Ñ â Ç^ ó I ñ âÑ I== ïÜÉêÉ=â=áë=~=Åçåëí~åíK= = 1082. fÑ= ( ) ( ) ó I ñ Ö ó I ñ Ñ ≤ =çå=oI=íÜÉå= ( ) ( ) ∫∫ ∫∫ ≤ o o Ç^ ó I ñ Ö Ç^ ó I ñ Ñ K= = 1083. fÑ= ( ) M ó I ñ Ñ ≥ =çå=o=~åÇ= o p ⊂ I=íÜÉå=
  • 270.
    CHAPTER 9. INTEGRALCALCULUS 260 = ( ) ( ) ∫∫ ∫∫ ≤ o p Ç^ ó I ñ Ñ Ç^ ó I ñ Ñ K= = = = Figure 191. = 1084. fÑ= ( ) M ó I ñ Ñ ≥ =çå=o=~åÇ=o=~åÇ=p=~êÉ=åçå-çîÉêä~ééáåÖ= êÉÖáçåëI=íÜÉå= ( ) ( ) ( ) ∫∫ ∫∫ ∫∫ + = ∪ p o p o Ç^ ó I ñ Ñ Ç^ ó I ñ Ñ Ç^ ó I ñ Ñ K== eÉêÉ= p o ∪ =áë=íÜÉ=ìåáçå=çÑ=íÜÉ=êÉÖáçåë=o=~åÇ=pK= = = = Figure 192. = =
  • 271.
    CHAPTER 9. INTEGRALCALCULUS 261 1085. fíÉê~íÉÇ=fåíÉÖê~äë=~åÇ=cìÄáåá∞ë=qÜÉçêÉã= ( ) ( ) ( ) ( ) ∫ ∫ ∫∫ = Ä ~ ñ è ñ é o ÇóÇñ ó I ñ Ñ Ç^ ó I ñ Ñ == Ñçê=~=êÉÖáçå=çÑ=íóéÉ=fI== ( ) ( ) ( ) { } ñ è ó ñ é I Ä ñ ~ ö ó I ñ o ≤ ≤ ≤ ≤ = K= = = = Figure 193. = ( ) ( ) ( ) ( ) ∫ ∫ ∫∫ = Ç Å ó î ó ì o ÇñÇó ó I ñ Ñ Ç^ ó I ñ Ñ == Ñçê=~=êÉÖáçå=çÑ=íóéÉ=ffI= ( ) ( ) ( ) { } Ç ó Å I ó î ñ ó ì ö ó I ñ o ≤ ≤ ≤ ≤ = K= =
  • 272.
    CHAPTER 9. INTEGRALCALCULUS 262 = = Figure 194. = 1086. açìÄäÉ=fåíÉÖê~äë=çîÉê=oÉÅí~åÖìä~ê=oÉÖáçåë= = fÑ=o=áë=íÜÉ=êÉÅí~åÖìä~ê=êÉÖáçå=[ ] [ ] Ç I Å Ä I ~ × I=íÜÉå== ( ) ( ) ( ) ∫ ∫ ∫ ∫ ∫∫         =         = Ç Å Ä ~ Ä ~ Ç Å o Çó Çñ ó I ñ Ñ Çñ Çó ó I ñ Ñ ÇñÇó ó I ñ Ñ K== = få=íÜÉ=ëéÉÅá~ä=Å~ëÉ=ïÜÉêÉ=íÜÉ=áåíÉÖê~åÇ= ( ) ó I ñ Ñ =Å~å=ÄÉ=ïêáí- íÉå=~ë= ( ) ( ) ó Ü ñ Ö =ïÉ=Ü~îÉ== ( ) ( ) ( ) ( ) ( )                 = = ∫ ∫ ∫∫ ∫∫ Ç Å Ä ~ o o Çó ó Ü Çñ ñ Ö ÇñÇó ó Ü ñ Ö ÇñÇó ó I ñ Ñ K== = 1087. `Ü~åÖÉ=çÑ=s~êá~ÄäÉë= ( ) ( ) ( ) [ ] ( ) ( ) ÇìÇî î I ì ó I ñ î I ì ó I î I ì ñ Ñ ÇñÇó ó I ñ Ñ p o ∂ ∂ = ∫∫ ∫∫ I== ïÜÉêÉ= ( ) ( ) M î ó ì ó î ñ ì ñ î I ì ó I ñ ≠ ∂ ∂ ∂ ∂ ∂ ∂ ∂ ∂ = ∂ ∂ áë= íÜÉ= à~ÅçÄá~å= çÑ= íÜÉ= íê~åë- Ñçêã~íáçåë= ( ) ( ) î I ì ó I ñ → I=~åÇ=p=áë=íÜÉ=éìääÄ~Åâ=çÑ=o=ïÜáÅÜ=
  • 273.
    CHAPTER 9. INTEGRALCALCULUS 263 Å~å=ÄÉ=ÅçãéìíÉÇ=Äó= ( ) î I ì ñ ñ = I= ( ) î I ì ó ó = =áåíç=íÜÉ=ÇÉÑáåá- íáçå=çÑ=oK== = 1088. mçä~ê=`ççêÇáå~íÉë= θ = Åçë ê ñ I= θ = ëáå ê ó K== = = = Figure 195. = 1089. açìÄäÉ=fåíÉÖê~äë=áå=mçä~ê=`ççêÇáå~íÉë= = qÜÉ=aáÑÑÉêÉåíá~ä=ÇñÇó=Ñçê=mçä~ê=`ççêÇáå~íÉë=áë== ( ) ( ) θ = θ θ ∂ ∂ = êÇêÇ ÇêÇ I ê ó I ñ ÇñÇó K== = iÉí=íÜÉ=êÉÖáçå=o=áë=ÇÉíÉêãáåÉÇ=~ë=ÑçääçïëW= ( ) ( ) θ ≤ ≤ θ ≤ Ü ê Ö M I= β ≤ θ ≤ α I=ïÜÉêÉ= π ≤ α − β O K== qÜÉå== ( ) ( ) ( ) ( ) ∫ ∫ ∫∫ β α θ θ θ θ θ = Ü Ö o êÇêÇ ëáå ê I Åçë ê Ñ ÇñÇó ó I ñ Ñ K= =
  • 274.
    CHAPTER 9. INTEGRALCALCULUS 264 = = Figure 196. = fÑ=íÜÉ=êÉÖáçå=o=áë=íÜÉ=éçä~ê=êÉÅí~åÖäÉ=ÖáîÉå=Äó== Ä ê ~ M ≤ ≤ ≤ I= β ≤ θ ≤ α I=ïÜÉêÉ= π ≤ α − β O I=== íÜÉå== ( ) ( ) ∫∫ ∫∫ β α θ θ θ = Ä ~ o êÇêÇ ëáå ê I Åçë ê Ñ ÇñÇó ó I ñ Ñ K== = = = Figure 197. = =
  • 275.
    CHAPTER 9. INTEGRALCALCULUS 265 1090. ^êÉ~=çÑ=~=oÉÖáçå= ( ) ( ) ∫ ∫ = Ä ~ ñ Ñ ñ Ö ÇóÇñ ^ =EÑçê=~=íóéÉ=f=êÉÖáçåFK= = = = Figure 198. = ( ) ( ) ∫ ∫ = Ç Å ó è ó é ÇñÇó ^ =EÑçê=~=íóéÉ=ff=êÉÖáçåFK= = = = Figure 199. = =
  • 276.
    CHAPTER 9. INTEGRALCALCULUS 266 1091. sçäìãÉ=çÑ=~=pçäáÇ= ( ) ∫∫ = o Ç^ ó I ñ Ñ s K== = = = Figure 200. = fÑ=o=áë=~=íóéÉ=f=êÉÖáçå=ÄçìåÇÉÇ=Äó= ~ ñ = I= Ä ñ = I= ( ) ñ Ü ó = I= ( ) ñ Ö ó = I=íÜÉå== ( ) ( ) ( ) ( ) ∫ ∫ ∫∫ = = Ä ~ ñ Ö ñ Ü o ÇóÇñ ó I ñ Ñ Ç^ ó I ñ Ñ s K== = fÑ=o=áë=~=íóéÉ=ff=êÉÖáçå=ÄçìåÇÉÇ=Äó= Å ó = I= Ç ó = I= ( ) ó è ñ = I= ( ) ó é ñ = I=íÜÉå= ( ) ( ) ( ) ( ) ∫ ∫ ∫∫ = = Ç Å ó è ó é o ÇñÇó ó I ñ Ñ Ç^ ó I ñ Ñ s K== =
  • 277.
    CHAPTER 9. INTEGRALCALCULUS 267 fÑ== ( ) ( ) ó I ñ Ö ó I ñ Ñ ≥ ==çîÉê==~==êÉÖáçå==oI==íÜÉå==íÜÉ==îçäìãÉ==çÑ= íÜÉ= ëçäáÇ= ÄÉíïÉÉå= ( ) ó I ñ Ñ òN = = ~åÇ= ( ) ó I ñ Ö òO = = çîÉê= o= áë= ÖáîÉå=Äó= ( ) ( ) [ ] ∫∫ − = o Ç^ ó I ñ Ö ó I ñ Ñ s K== = 1092. ^êÉ~=~åÇ=sçäìãÉ=áå=mçä~ê=`ççêÇáå~íÉë= fÑ=p=áë=~=êÉÖáçå=áå=íÜÉ=ñó-éä~åÉ=ÄçìåÇÉÇ=Äó= α = θ I= β = θ I= ( ) θ = Ü ê I= ( ) θ = Ö ê I== íÜÉå== ( ) ( ) ∫ ∫ ∫∫ β α θ θ θ = = Ö Ü p êÇêÇ Ç^ ^ I== ( ) ∫∫ θ θ = p êÇêÇ I ê Ñ s K== = = = Figure 201. = 1093. pìêÑ~ÅÉ=^êÉ~= ÇñÇó ó ò ñ ò N p o O O ∫∫         ∂ ∂ +       ∂ ∂ + = = =
  • 278.
    CHAPTER 9. INTEGRALCALCULUS 268 1094. j~ëë=çÑ=~=i~ãáå~= ( ) ∫∫ρ = o Ç^ ó I ñ ã I== ïÜÉêÉ==íÜÉ==ä~ãáå~==çÅÅìéáÉë==~==êÉÖáçå==o=~åÇ==áíë==ÇÉåëáíó==~í= ~=éçáåí=EñIóF=áë= ( ) ó I ñ ρ K=== = 1095. jçãÉåíë= qÜÉ=ãçãÉåí=çÑ=íÜÉ=ä~ãáå~=~Äçìí=íÜÉ==ñ-~ñáë==áë=ÖáîÉå=Äó=Ñçê- ãìä~= ( ) ∫∫ ρ = o ñ Ç^ ó I ñ ó j K== = qÜÉ=ãçãÉåí=çÑ=íÜÉ=ä~ãáå~=~Äçìí=íÜÉ=ó-~ñáë=áë= ( ) ∫∫ ρ = o ó Ç^ ó I ñ ñ j K= = qÜÉ=ãçãÉåí=çÑ=áåÉêíá~=~Äçìí=íÜÉ=ñ-~ñáë=áë= ( ) ∫∫ ρ = o O ñ Ç^ ó I ñ ó f K== = qÜÉ=ãçãÉåí=çÑ=áåÉêíá~=~Äçìí=íÜÉ=ó-~ñáë=áë= ( ) ∫∫ ρ = o O ó Ç^ ó I ñ ñ f K== = qÜÉ=éçä~ê=ãçãÉåí=çÑ=áåÉêíá~=áë= ( ) ( ) ∫∫ ρ + = o O O M Ç^ ó I ñ ó ñ f K== = 1096. `ÉåíÉê=çÑ=j~ëë= ( ) ( ) ( ) ∫∫ ∫∫ ∫∫ ρ ρ = ρ = = o o o ó Ç^ ó I ñ Ç^ ó I ñ ñ Ç^ ó I ñ ñ ã N ã j ñ I==
  • 279.
    CHAPTER 9. INTEGRALCALCULUS 269 ( ) ( ) ( ) ∫∫ ∫∫ ∫∫ ρ ρ = ρ = = o o o ñ Ç^ ó I ñ Ç^ ó I ñ ó Ç^ ó I ñ ó ã N ã j ó K== = 1097. `Ü~êÖÉ=çÑ=~=mä~íÉ= ( ) ∫∫σ = o Ç^ ó I ñ n I== ïÜÉêÉ=ÉäÉÅíêáÅ~ä=ÅÜ~êÖÉ=áë=ÇáëíêáÄìíÉÇ=çîÉê=~=êÉÖáçå=o=~åÇ=áíë= ÅÜ~êÖÉ=ÇÉåëáíó=~í=~=éçáåí=EñIóF=áë= ( ) ó I ñ σ K=== = 1098. ^îÉê~ÖÉ=çÑ=~=cìåÅíáçå= ( ) ∫∫ = µ o Ç^ ó I ñ Ñ p N I== ïÜÉêÉ= ∫∫ = o Ç^ p K== = = = 9.11 Triple Integral = cìåÅíáçåë=çÑ=íÜêÉÉ=î~êá~ÄäÉëW= ( ) ò I ó I ñ Ñ I= ( ) ò I ó I ñ Ö I=£= qêáéäÉ=áåíÉÖê~äëW= ( ) ∫∫∫ d Çs ò I ó I ñ Ñ I= ( ) ∫∫∫ d Çs ò I ó I ñ Ö I=£= oáÉã~åå=ëìãW= ( ) ∑∑∑ = = = ∆ ∆ ∆ ã N á å N à é N â â à á â à á ò ó ñ ï I î I ì Ñ = pã~ää=ÅÜ~åÖÉëW= á ñ ∆ I= à ó ∆ I= â ò ∆ = iáãáíë=çÑ=áåíÉÖê~íáçåW=~I=ÄI=ÅI=ÇI=êI=ë= oÉÖáçåë=çÑ=áåíÉÖê~íáçåW=dI=qI=p== `óäáåÇêáÅ~ä=ÅççêÇáå~íÉëW=êI=θ I=ò= péÜÉêáÅ~ä=ÅççêÇáå~íÉëW=êI=θ I=ϕ = sçäìãÉ=çÑ=~=ëçäáÇW=s=
  • 280.
    CHAPTER 9. INTEGRALCALCULUS 270 j~ëë=çÑ=~=ëçäáÇW=ã== aÉåëáíóW= ( ) ò I ó I ñ µ = `ççêÇáå~íÉë=çÑ=ÅÉåíÉê=çÑ=ã~ëëW= ñ I= ó I= ò = cáêëí=ãçãÉåíëW= ñó j I= óò j I= ñò j = jçãÉåíë=çÑ=áåÉêíá~W= ñó f I= óò f I= ñò f I= ñ f I= ó f I= ò f I= M f = = = 1099. aÉÑáåáíáçå=çÑ=qêáéäÉ=fåíÉÖê~ä= qÜÉ=íêáéäÉ=áåíÉÖê~ä=çîÉê=~=é~ê~ääÉäÉéáéÉÇ= [ ] [ ] [ ] ë I ê Ç I Å Ä I ~ × × = áë=ÇÉÑáåÉÇ=íç=ÄÉ== ( ) [ ] [ ] [ ] ( ) I ò ó ñ ï I î I ì Ñ äáã Çs ò I ó I ñ Ñ ã N á å N à é N â â à á â à á M ò ã~ñ M ó ã~ñ M ñ ã~ñ ë I ê Ç I Å Ä I ~ â à á ∑∑∑ ∫∫∫ = = = → ∆ → ∆ → ∆ × × ∆ ∆ ∆ = ïÜÉêÉ=( ) â à á ï I î I ì =áë=ëçãÉ=éçáåí=áå=íÜÉ=é~ê~ääÉäÉéáéÉÇ= ( ) ( ) ( ) â N â à N à á N á ò I ò ó I ó ñ I ñ − − − × × I=~åÇ= N á á á ñ ñ ñ − − = ∆ I= N à à à ó ó ó − − = ∆ I= N â â â ò ò ò − − = ∆ K= = 1100. ( ) ( ) [ ] ( ) ( ) ∫∫∫ ∫∫∫ ∫∫∫ + = + d d d Çs ò I ó I ñ Ö Çs ò I ó I ñ Ñ Çs ò I ó I ñ Ö ò I ó I ñ Ñ = 1101. ( ) ( ) [ ] ( ) ( ) ∫∫∫ ∫∫∫ ∫∫∫ − = − d d d Çs ò I ó I ñ Ö Çs ò I ó I ñ Ñ Çs ò I ó I ñ Ö ò I ó I ñ Ñ = 1102. ( ) ( ) ∫∫∫ ∫∫∫ = d d Çs ò I ó I ñ Ñ â Çs ò I ó I ñ âÑ I== ïÜÉêÉ=â=áë=~=Åçåëí~åíK= = 1103. fÑ== ( ) M ò I ó I ñ Ñ ≥ =~åÇ=d=~åÇ=q=~êÉ=åçåçîÉêä~ééáåÖ=Ä~ëáÅ= êÉÖáçåëI=íÜÉå== ( ) ( ) ( ) ∫∫∫ ∫∫∫ ∫∫∫ + = ∪ q d q d Çs ò I ó I ñ Ñ Çs ò I ó I ñ Ñ Çs ò I ó I ñ Ñ K== eÉêÉ= q d∪ =áë=íÜÉ=ìåáçå=çÑ=íÜÉ=êÉÖáçåë=d=~åÇ=qK= =
  • 281.
    CHAPTER 9. INTEGRALCALCULUS 271 1104. bî~äì~íáçå=çÑ=qêáéäÉ=fåíÉÖê~äë=Äó=oÉéÉ~íÉÇ=fåíÉÖê~äë= fÑ=íÜÉ=ëçäáÇ=d=áë=íÜÉ=ëÉí=çÑ=éçáåíë=( ) ò I ó I ñ =ëìÅÜ=íÜ~í= =( ) ( ) ( ) ó I ñ ò ó I ñ I o ó I ñ O N χ ≤ ≤ χ ∈ I=íÜÉå== = ( ) ( ) ( ) ( ) ÇñÇó Çò ò I ó I ñ Ñ ÇñÇóÇò ò I ó I ñ Ñ o ó I ñ ó I ñ d O N ∫∫ ∫ ∫∫∫         = χ χ I== ïÜÉêÉ=o=áë=éêçàÉÅíáçå=çÑ=d=çåíç=íÜÉ=ñó-éä~åÉK= = fÑ=íÜÉ=ëçäáÇ=d=áë=íÜÉ=ëÉí=çÑ=éçáåíë=( ) ò I ó I ñ =ëìÅÜ=íÜ~í= ( ) ( ) ( ) ( ) ó I ñ ò ó I ñ I ñ ó ñ I Ä ñ ~ O N O N χ ≤ ≤ χ ϕ ≤ ≤ ϕ ≤ ≤ I=íÜÉå== ( ) ( ) ( ) ( ) ( ) ( ) Çñ Çó Çò ò I ó I ñ Ñ ÇñÇóÇò ò I ó I ñ Ñ Ä ~ ñ ñ ó I ñ ó I ñ d O N O N ∫ ∫ ∫ ∫∫∫                 = ϕ ϕ χ χ == = 1105. qêáéäÉ=fåíÉÖê~äë=çîÉê=m~ê~ääÉäÉéáéÉÇ= fÑ=d=áë=~=é~ê~ääÉäÉéáéÉÇ=[ ] [ ] [ ] ë I ê Ç I Å Ä I ~ × × I=íÜÉå= ( ) ( ) Çñ Çó Çò ò I ó I ñ Ñ ÇñÇóÇò ò I ó I ñ Ñ Ä ~ Ç Å ë ê d ∫ ∫ ∫ ∫∫∫                 = K== = få==íÜÉ=ëéÉÅá~ä=Å~ëÉ==ïÜÉêÉ=íÜÉ=áåíÉÖê~åÇ== ( ) ò I ó I ñ Ñ ==Å~å=ÄÉ= ïêáííÉå=~ë= ( ) ( ) ( ) ò â ó Ü ñ Ö =ïÉ=Ü~îÉ== ( ) ( ) ( ) ( )                         = ∫ ∫ ∫ ∫∫∫ ë ê Ç Å Ä ~ d Çò ò â Çó ó Ü Çñ ñ Ö ÇñÇóÇò ò I ó I ñ Ñ K== = 1106. `Ü~åÖÉ=çÑ=s~êá~ÄäÉë= ( ) = ∫∫∫ d ÇñÇóÇò ò I ó I ñ Ñ = ( ) ( ) ( ) [ ] ( ) ( ) I ÇñÇóÇò ï I î I ì ò I ó I ñ ï I î I ì ò I ï I î I ì ó I ï I î I ì ñ Ñ p ∫∫∫ ∂ ∂ = =
  • 282.
    CHAPTER 9. INTEGRALCALCULUS 272 ïÜÉêÉ== ( ) ( ) M ï ò î ò ì ò ï ó î ó ì ó ï ñ î ñ ì ñ ï I î I ì ò I ó I ñ ≠ ∂ ∂ ∂ ∂ ∂ ∂ ∂ ∂ ∂ ∂ ∂ ∂ ∂ ∂ ∂ ∂ ∂ ∂ = ∂ ∂ ==áë==íÜÉ==à~ÅçÄá~å==çÑ= íÜÉ= íê~åëÑçêã~íáçåë= ( ) ( ) ï I î I ì ò I ó I ñ → I= ~åÇ= p= áë= íÜÉ= éìää- Ä~Åâ= çÑ= d= ïÜáÅÜ= Å~å= ÄÉ= ÅçãéìíÉÇ= Äó= ( ) ï I î I ì ñ ñ = I= ( ) ï I î I ì ó ó = = ( ) ï I î I ì ò ò = =áåíç=íÜÉ=ÇÉÑáåáíáçå=çÑ=dK= = = 1107. qêáéäÉ=fåíÉÖê~äë=áå=`óäáåÇêáÅ~ä=`ççêÇáå~íÉë= qÜÉ=ÇáÑÑÉêÉåíá~ä=ÇñÇóÇò=Ñçê=ÅóäáåÇêáÅ~ä=ÅççêÇáå~íÉë=áë== ( ) ( ) Çò êÇêÇ Çò ÇêÇ ò I I ê ò I ó I ñ ÇñÇóÇò θ = θ θ ∂ ∂ = K== = iÉí=íÜÉ=ëçäáÇ=d=áë=ÇÉíÉêãáåÉÇ=~ë=ÑçääçïëW= ( ) ( ) ( ) ó I ñ ò ó I ñ I o ó I ñ O N χ ≤ ≤ χ ∈ I= ïÜÉêÉ=o=áë=éêçàÉÅíáçå=çÑ=d=çåíç=íÜÉ=ñó-éä~åÉK=qÜÉå== ( ) ( ) ∫∫∫ ∫∫∫ θ θ θ = p d Çò êÇêÇ ò I ëáå ê I Åçë ê Ñ ÇñÇóÇò ò I ó I ñ Ñ = ( ) ( ) ( ) ( ) θ         θ θ = ∫∫ ∫ θ θ θ χ θ θ χ êÇêÇ Çò ò I ëáå ê I Åçë ê Ñ I ê o ëáå ê I Åçë ê ëáå ê I Åçë ê O N K= eÉêÉ=p=áë=íÜÉ=éìääÄ~Åâ=çÑ=d=áå=ÅóäáåÇêáÅ~ä=ÅççêÇáå~íÉëK= = 1108. qêáéäÉ=fåíÉÖê~äë=áå=péÜÉêáÅ~ä=`ççêÇáå~íÉë= qÜÉ=aáÑÑÉêÉåíá~ä=ÇñÇóÇò=Ñçê=péÜÉêáÅ~ä=`ççêÇáå~íÉë=áë== ( ) ( ) ϕ θ θ = ϕ θ ϕ θ ∂ ∂ = Ç ÇêÇ ëáå ê Ç ÇêÇ I I ê ò I ó I ñ ÇñÇóÇò O == = ( ) = ∫∫∫ d ÇñÇóÇò ò I ó I ñ Ñ =
  • 283.
    CHAPTER 9. INTEGRALCALCULUS 273 ========= ( ) ∫∫∫ ϕ θ θ θ ϕ θ ϕ θ = p O Ç ÇêÇ ëáå ê Åçë ê I ëáå ëáå ê I Åçë ëáå ê Ñ I== ïÜÉêÉ=íÜÉ=ëçäáÇ=p=áë=íÜÉ=éìääÄ~Åâ=çÑ=d=áå=ëéÜÉêáÅ~ä=ÅççêÇá- å~íÉëK=qÜÉ=~åÖäÉ==θ ==ê~åÖÉë==Ñêçã==M=íç== π O I==íÜÉ==~åÖäÉ==ϕ = ê~åÖÉë=Ñêçã=M=íç=πK== = ======= = = Figure 202. = 1109. sçäìãÉ=çÑ=~=pçäáÇ= ∫∫∫ = d ÇñÇóÇò s = = 1110. sçäìãÉ=áå=`óäáåÇêáÅ~ä=`ççêÇáå~íÉë= ( ) Çò êÇêÇ s ò I I ê p ∫∫∫ θ θ = = = 1111. sçäìãÉ=áå=péÜÉêáÅ~ä=`ççêÇáå~íÉë= ( ) ϕ θ θ = ∫∫∫ϕ θ Ç ÇêÇ ëáå ê s I I ê p O = =
  • 284.
    CHAPTER 9. INTEGRALCALCULUS 274 1112. j~ëë=çÑ=~=pçäáÇ= ( ) ∫∫∫ µ = d Çs ò I ó I ñ ã I== ïÜÉêÉ= íÜÉ= ëçäáÇ= çÅÅìéáÉë= ~= êÉÖáçå= d= ~åÇ= áíë= ÇÉåëáíó= ~í============ ~=éçáåí=( ) ò I ó I ñ =áë= ( ) ò I ó I ñ µ K=== = 1113. `ÉåíÉê=çÑ=j~ëë=çÑ=~=pçäáÇ= ã j ñ óò = I= ã j ó ñò = I= ã j ò ñó = I== ïÜÉêÉ== ( ) ∫∫∫ µ = d óò Çs ò I ó I ñ ñ j I== ( ) ∫∫∫ µ = d ñò Çs ò I ó I ñ ó j I== ( ) ∫∫∫ µ = d ñó Çs ò I ó I ñ ò j = ~êÉ==íÜÉ==Ñáêëí==ãçãÉåíë==~Äçìí==íÜÉ==ÅççêÇáå~íÉ=éä~åÉë= M ñ = I= M ó = I= M ò = I=êÉëéÉÅíáîÉäóI== ( ) ò I ó I ñ µ =áë=íÜÉ=ÇÉåëáíó=ÑìåÅíáçåK== = 1114. jçãÉåíë=çÑ=fåÉêíá~=~Äçìí==íÜÉ==ñó-éä~åÉ=Eçê= M ò = FI=óò-éä~åÉ== E M ñ = FI=~åÇ=ñò-éä~åÉ=E M ó = F= ( ) ∫∫∫ µ = d O ñó Çs ò I ó I ñ ò f I== ( ) ∫∫∫ µ = d O óò Çs ò I ó I ñ ñ f I== ( ) ∫∫∫ µ = d O ñò Çs ò I ó I ñ ó f K== = 1115. jçãÉåíë=çÑ=fåÉêíá~=~Äçìí=íÜÉ=ñ-~ñáëI=ó-~ñáëI=~åÇ=ò-~ñáë= ( ) ( ) ∫∫∫ µ + = + = d O O ñò ñó ñ Çs ò I ó I ñ ó ò f f f I== ( ) ( ) ∫∫∫ µ + = + = d O O óò ñó ó Çs ò I ó I ñ ñ ò f f f I==
  • 285.
    CHAPTER 9. INTEGRALCALCULUS 275 ( ) ( ) ∫∫∫ µ + = + = d O O óò ñò ò Çs ò I ó I ñ ñ ó f f f K== = 1116. mçä~ê=jçãÉåí=çÑ=fåÉêíá~= ( ) ( ) ∫∫∫ µ + + = + + = d O O O ñò óò ñó M Çs ò I ó I ñ ò ó ñ f f f f = = = 9.12 Line Integral = pÅ~ä~ê=ÑìåÅíáçåëW= ( ) ò I ó I ñ c I= ( ) ó I ñ c I= ( ) ñ Ñ = pÅ~ä~ê=éçíÉåíá~äW= ( ) ò I ó I ñ ì = `ìêîÉëW=`I= N ` I= O ` = iáãáíë=çÑ=áåíÉÖê~íáçåëW=~I=ÄI=α I=β = m~ê~ãÉíÉêëW=íI=ë= mçä~ê=ÅççêÇáå~íÉëW=êI=θ = sÉÅíçê=ÑáÉäÇW= ( ) o I n I m c r = mçëáíáçå=îÉÅíçêW= ( ) ë ê r = råáí=îÉÅíçêëW= á r I= à r I=â r I= τ r = ^êÉ~=çÑ=êÉÖáçåW=p= iÉåÖíÜ=çÑ=~=ÅìêîÉW=i= j~ëë=çÑ=~=ïáêÉW=ã= aÉåëáíóW= ( ) ò I ó I ñ ρ I= ( ) ó I ñ ρ = `ççêÇáå~íÉë=çÑ=ÅÉåíÉê=çÑ=ã~ëëW= ñ I= ó I=ò = cáêëí=ãçãÉåíëW= ñó j I= óò j I= ñò j = jçãÉåíë=çÑ=áåÉêíá~W= ñ f I= ó f I= ò f = sçäìãÉ=çÑ=~=ëçäáÇW=s= tçêâW=t= j~ÖåÉíáÅ=ÑáÉäÇW=_ r = `ìêêÉåíW=f= bäÉÅíêçãçíáîÉ=ÑçêÅÉW=ε = j~ÖåÉíáÅ=ÑäìñW=ψ =
  • 286.
    CHAPTER 9. INTEGRALCALCULUS 276 1117. iáåÉ=fåíÉÖê~ä=çÑ=~=pÅ~ä~ê=cìåÅíáçå= iÉí=~=ÅìêîÉ=`=ÄÉ=ÖáîÉå=Äó=íÜÉ=îÉÅíçê=ÑìåÅíáçå= ( ) ë ê ê r r = I= p ë M ≤ ≤ I=~åÇ=~=ëÅ~ä~ê=ÑìåÅíáçå=c=áë=ÇÉÑáåÉÇ=çîÉê=íÜÉ=ÅìêîÉ=`K== qÜÉå== ( ) ( ) ( ) ∫ ∫ ∫ = = ` ` p M cÇë Çë ò I ó I ñ c Çë ë ê c r I== ïÜÉêÉ=Çë=áë=íÜÉ=~êÅ=äÉåÖíÜ=ÇáÑÑÉêÉåíá~äK== = 1118. ∫ ∫ ∫ + = ∪ O N O N ` ` ` ` Çë c Çë c Çë c = = = = Figure 203. = 1119. fÑ=íÜÉ=ëãççíÜ=ÅìêîÉ=`=áë=é~ê~ãÉíêáòÉÇ=Äó= ( ) í ê ê r r = I= β ≤ ≤ α í I=íÜÉå== ( ) ( ) ( ) ( ) ( ) ( ) ( ) ( ) ( ) ( ) ( ) ∫ ∫ β α ′ + ′ + ′ = Çí í ò í ó í ñ í ò I í ó I í ñ c Çë ò I ó I ñ c O O O ` K= = 1120. fÑ=`=áë=~=ëãççíÜ=ÅìêîÉ=áå=íÜÉ=ñó-éä~åÉ=ÖáîÉå=Äó=íÜÉ=Éèì~íáçå= ( ) ñ Ñ ó = I= Ä ñ ~ ≤ ≤ I=íÜÉå== ( ) ( ) ( ) ( ) ( ) ∫ ∫ ′ + = Ä ~ O ` Çñ ñ Ñ N ñ Ñ I ñ c Çë ó I ñ c K== = 1121. iáåÉ=fåíÉÖê~ä=çÑ=pÅ~ä~ê=cìåÅíáçå=áå=mçä~ê=`ççêÇáå~íÉë=
  • 287.
    CHAPTER 9. INTEGRALCALCULUS 277 ( ) ( ) ∫ ∫ β α θ       θ + θ θ = Ç Ç Çê ê ëáå ê I Åçë ê c Çë ó I ñ c O O ` I== ïÜÉêÉ=íÜÉ=ÅìêîÉ=`=áë=ÇÉÑáåÉÇ=Äó=íÜÉ=éçä~ê=ÑìåÅíáçå= F E ê θ K= = 1122. iáåÉ=fåíÉÖê~ä=çÑ=sÉÅíçê=cáÉäÇ= iÉí=~=ÅìêîÉ=`=ÄÉ=ÇÉÑáåÉÇ=Äó=íÜÉ=îÉÅíçê=ÑìåÅíáçå= ( ) ë ê ê r r = I= p ë M ≤ ≤ K=qÜÉå== ( ) γ β α = τ = Åçë I Åçë I Åçë Çë ê Ç r r == áë=íÜÉ=ìåáí=îÉÅíçê=çÑ=íÜÉ=í~åÖÉåí=äáåÉ=íç=íÜáë=ÅìêîÉK== = = = Figure 204. = iÉí= ~= îÉÅíçê= ÑáÉäÇ= ( ) o I n I m c r = áë= ÇÉÑáåÉÇ= çîÉê= íÜÉ= ÅìêîÉ= `K= qÜÉå=íÜÉ=äáåÉ=áåíÉÖê~ä=çÑ=íÜÉ=îÉÅíçê=ÑáÉäÇ= c r =~äçåÖ=íÜÉ=ÅìêîÉ= `=áë== ( ) ∫ ∫ γ + β + α = + + p M ` Çë Åçë o Åçë n Åçë m oÇò nÇó mÇñ K= = =
  • 288.
    CHAPTER 9. INTEGRALCALCULUS 278 1123. mêçéÉêíáÉë=çÑ=iáåÉ=fåíÉÖê~äë=çÑ=sÉÅíçê=cáÉäÇë= ( ) ( ) ∫ ∫ ⋅ − = ⋅ − ` ` ê Ç c ê Ç c r r r r I== ïÜÉêÉ=-`=ÇÉåçíÉ==íÜÉ=ÅìêîÉ=ïáíÜ=íÜÉ=çééçëáíÉ=çêáÉåí~íáçåK= = ( ) ( ) ( ) ( ) ∫ ∫ ∫ ∫ ⋅ + ⋅ = ⋅ = ⋅ ∪ O N O N ` ` ` ` ` ê Ç c ê Ç c ê Ç c ê Ç c r r r r r r r r I== ïÜÉêÉ=`=áë=íÜÉ=ìåáçå=çÑ=íÜÉ=ÅìêîÉë= N ` =~åÇ= O ` K== = 1124. fÑ=íÜÉ=ÅìêîÉ=`=áë=é~ê~ãÉíÉêáòÉÇ=Äó= ( ) ( ) ( ) ( ) í ò I í ó I í ñ í ê = r I= β ≤ ≤ α í I=íÜÉå== = + + ∫ ` oÇò nÇó mÇñ = ( ) ( ) ( ) ( ) ( ) ( ) ( ) ( ) ( ) ( ) ( ) ( ) ∫ β α       + + = Çí Çí Çò í ò I í ó I í ñ o Çí Çó í ò I í ó I í ñ n Çí Çñ í ò I í ó I í ñ m = 1125. fÑ=`=äáÉë=áå=íÜÉ=ñó-éä~åÉ=~åÇ=ÖáîÉå=Äó=íÜÉ=Éèì~íáçå= ( ) ñ Ñ ó = I= íÜÉå== ( ) ( ) ( ) ( ) ∫ ∫       + = + Ä ~ ` Çñ Çñ ÇÑ ñ Ñ I ñ n ñ Ñ I ñ m nÇó mÇñ K== = 1126. dêÉÉå∞ë=qÜÉçêÉã= ∫ ∫∫ + =         ∂ ∂ − ∂ ∂ ` o nÇó mÇñ ÇñÇó ó m ñ n I== ïÜÉêÉ= ( ) ( )à ó I ñ n á ó I ñ m c r r r + = = áë= ~= Åçåíáåìçìë= îÉÅíçê= ÑìåÅ- íáçå=ïáíÜ==Åçåíáåìçìë==Ñáêëí=é~êíá~ä==ÇÉêáî~íáîÉë= ó m ∂ ∂ I= ñ n ∂ ∂ =áå=~= ëçãÉ= Ççã~áå= oI= ïÜáÅÜ= áë= ÄçìåÇÉÇ= Äó= ~= ÅäçëÉÇI= éáÉÅÉïáëÉ= ëãççíÜ=ÅìêîÉ=`K== = =
  • 289.
    CHAPTER 9. INTEGRALCALCULUS 279 1127. ^êÉ~=çÑ=~=oÉÖáçå=o=_çìåÇÉÇ=Äó=íÜÉ=`ìêîÉ=`= ∫ ∫∫ − = = ` o óÇñ ñÇó O N ÇñÇó p = = 1128. m~íÜ=fåÇÉéÉåÇÉåÅÉ=çÑ=iáåÉ=fåíÉÖê~äë= qÜÉ= äáåÉ= áåíÉÖê~ä= çÑ= ~= îÉÅíçê= ÑìåÅíáçå= â o à n á m c r r r r + + = = áë= ë~áÇ=íç=ÄÉ=é~íÜ=áåÇÉéÉåÇÉåíI=áÑ=~åÇ=çåäó=áÑ=mI=nI=~åÇ=o=~êÉ= Åçåíáåìçìë=áå=~=Ççã~áå=aI=~åÇ=áÑ=íÜÉêÉ=Éñáëíë=ëçãÉ=ëÅ~ä~ê= ÑìåÅíáçå== ( ) ò I ó I ñ ì ì = ==E~==ëÅ~ä~ê==éçíÉåíá~äF==áå==a==ëìÅÜ=íÜ~í= ì Öê~Ç c = r I=çê= m ñ ì = ∂ ∂ I= n ó ì = ∂ ∂ I= o ò ì = ∂ ∂ K== qÜÉå== ( ) ( ) ( ) ^ ì _ ì oÇò nÇó mÇñ ê Ç ê c ` ` − = + + = ⋅ ∫ ∫ r r r K== = 1129. qÉëí=Ñçê=~=`çåëÉêî~íáîÉ=cáÉäÇ= ^=îÉÅíçê=ÑáÉäÇ=çÑ=íÜÉ=Ñçêã= ì Öê~Ç c = r =áë=Å~ääÉÇ=~=ÅçåëÉêî~íáîÉ= ÑáÉäÇK=qÜÉ=äáåÉ=áåíÉÖê~ä=çÑ=~=îÉÅíçê=ÑìåÅíáçå= â o à n á m c r r r r + + = = áë=é~íÜ=áåÇÉéÉåÇÉåí=áÑ=~åÇ=çåäó=áÑ== M o n m ò ó ñ â à á c Åìêä r r r r r = ∂ ∂ ∂ ∂ ∂ ∂ = K== = fÑ=íÜÉ=äáåÉ=áåíÉÖê~ä=áë=í~âÉå=áå=ñó-éä~åÉ=ëç=íÜ~í== ( ) ( ) ^ ì _ ì nÇó mÇñ ` − = + ∫ I== íÜÉå=íÜÉ=íÉëí=Ñçê=ÇÉíÉêãáåáåÖ=áÑ=~=îÉÅíçê=ÑáÉäÇ=áë=ÅçåëÉêî~íáîÉ= Å~å=ÄÉ=ïêáííÉå=áå=íÜÉ=Ñçêã== ñ n ó m ∂ ∂ = ∂ ∂ K== =
  • 290.
    CHAPTER 9. INTEGRALCALCULUS 280 1130. iÉåÖíÜ=çÑ=~=`ìêîÉ= ( ) ∫ ∫ ∫ β α β α       +       +       = = = Çí Çí Çò Çí Çó Çí Çñ Çí í Çí ê Ç Çë i O O O ` r I= ïÜÉêÉ=`=á~=~=éáÉÅÉïáëÉ=ëãççíÜ=ÅìêîÉ=ÇÉëÅêáÄÉÇ=Äó=íÜÉ=éçëá- íáçå=îÉÅíçê= ( ) í ê r I= β ≤ ≤ α í K= = fÑ=íÜÉ=ÅìêîÉ=`=áë=íïç-ÇáãÉåëáçå~äI=íÜÉå= ( ) ∫ ∫ ∫ β α β α       +       = = = Çí Çí Çó Çí Çñ Çí í Çí ê Ç Çë i O O ` r K== = fÑ=íÜÉ=ÅìêîÉ=`=áë=íÜÉ=Öê~éÜ=çÑ=~=ÑìåÅíáçå= ( ) ñ Ñ ó = =áå=íÜÉ=ñó- éä~åÉ=( ) Ä ñ ~ ≤ ≤ I=íÜÉå== ∫       + = Ä ~ O Çñ Çñ Çó N i K== = 1131. iÉåÖíÜ=çÑ=~=`ìêîÉ=áå=mçä~ê=`ççêÇáå~íÉë= ∫ β α θ +       θ = Ç ê Ç Çê i O O I== ïÜÉêÉ=íÜÉ=ÅìêîÉ=`=áë=ÖáîÉå=Äó=íÜÉ=Éèì~íáçå= ( ) θ = ê ê I= β ≤ θ ≤ α =áå=éçä~ê=ÅççêÇáå~íÉëK=== = 1132. j~ëë=çÑ=~=táêÉ= ( ) ∫ρ = ` Çë ò I ó I ñ ã I== ïÜÉêÉ= ( ) ò I ó I ñ ρ =áë=íÜÉ=ã~ëë=éÉê=ìåáí=äÉåÖíÜ=çÑ=íÜÉ=ïáêÉK= = fÑ=`=áë=~=ÅìêîÉ=é~ê~ãÉíêáòÉÇ=Äó=íÜÉ=îÉÅíçê=ÑìåÅíáçå ( ) ( ) ( ) ( ) í ò I í ó I í ñ í ê = r I==íÜÉå==íÜÉ==ã~ëë==Å~å==ÄÉ==ÅçãéìíÉÇ=Äó= íÜÉ=Ñçêãìä~=
  • 291.
    CHAPTER 9. INTEGRALCALCULUS 281 ( ) ( ) ( ) ( ) ∫ β α       +       +       ρ = Çí Çí Çò Çí Çó Çí Çñ í ò I í ó I í ñ ã O O O K== = fÑ=`=áë=~=ÅìêîÉ=áå=ñó-éä~åÉI=íÜÉå=íÜÉ=ã~ëë=çÑ=íÜÉ=ïáêÉ=áë=ÖáîÉå= Äó== ( ) ∫ρ = ` Çë ó I ñ ã I= çê= ( ) ( ) ( ) ∫ β α       +       ρ = Çí Çí Çó Çí Çñ í ó I í ñ ã O O =Eáå=é~ê~ãÉíêáÅ=ÑçêãFK= = 1133. `ÉåíÉê=çÑ=j~ëë=çÑ=~=táêÉ= ã j ñ óò = I= ã j ó ñò = I= ã j ò ñó = I= ïÜÉêÉ== ( ) ∫ ρ = ` óò Çë ò I ó I ñ ñ j I== ( ) ∫ ρ = ` ñò Çë ò I ó I ñ ó j I== ( ) ∫ ρ = ` ñó Çë ò I ó I ñ ò j K= = 1134. jçãÉåíë=çÑ=fåÉêíá~= qÜÉ=ãçãÉåíë=çÑ=áåÉêíá~=~Äçìí=íÜÉ=ñ-~ñáëI=ó-~ñáëI=~åÇ=ò-~ñáë= ~êÉ=ÖáîÉå=Äó=íÜÉ=Ñçêãìä~ë= ( ) ( ) ∫ ρ + = ` O O ñ Çë ò I ó I ñ ò ó f I== ( ) ( ) ∫ ρ + = ` O O ó Çë ò I ó I ñ ò ñ f I== ( ) ( ) ∫ ρ + = ` O O ò Çë ò I ó I ñ ó ñ f K== =
  • 292.
    CHAPTER 9. INTEGRALCALCULUS 282 1135. ^êÉ~=çÑ=~=oÉÖáçå=_çìåÇÉÇ=Äó=~=`äçëÉÇ=`ìêîÉ= ∫ ∫ ∫ − = − = = ` ` ` óÇñ ñÇó O N óÇñ ñÇó p K== = = = Figure 205. = fÑ=íÜÉ=ÅäçëÉÇ=ÅìêîÉ=`=áë=ÖáîÉå=áå=é~ê~ãÉíêáÅ=Ñçêã= ( ) ( ) ( ) í ó I í ñ í ê = r I=íÜÉå=íÜÉ=~êÉ~=Å~å=ÄÉ=Å~äÅìä~íÉÇ=Äó=íÜÉ=Ñçê- ãìä~= ( ) ( ) ( ) ( ) ∫ ∫ ∫ β α β α β α       − = − = = Çí Çí Çñ í ó Çí Çó í ñ O N Çí Çí Çñ í ó Çí Çí Çó í ñ p K== = 1136. sçäìãÉ=çÑ=~=pçäáÇ=cçêãÉÇ=Äó=oçí~íáåÖ=~=`äçëÉÇ=`ìêîÉ= ~Äçìí=íÜÉ=ñ-~ñáë= ∫ ∫ ∫ + π − = π − = π − = ` O ` ` O Çñ ó ñóÇó O O ñóÇó O Çñ ó s == =
  • 293.
    CHAPTER 9. INTEGRALCALCULUS 283 = = Figure 206. = 1137. tçêâ= tçêâ=ÇçåÉ=Äó=~=ÑçêÅÉ= c r =çå=~å=çÄàÉÅí=ãçîáåÖ=~äçåÖ=~=ÅìêîÉ= `=áë=ÖáîÉå=Äó=íÜÉ=äáåÉ=áåíÉÖê~ä= ∫ ⋅ = ` ê Ç c t r r I= ïÜÉêÉ= c r =áë=íÜÉ=îÉÅíçê=ÑçêÅÉ=ÑáÉäÇ=~ÅíáåÖ=çå=íÜÉ=çÄàÉÅíI= ê Ç r =áë= íÜÉ=ìåáí=í~åÖÉåí=îÉÅíçêK== = = Figure 207.
  • 294.
    CHAPTER 9. INTEGRALCALCULUS 284 fÑ=íÜÉ=çÄàÉÅí=áë=ãçîÉÇ=~äçåÖ=~=ÅìêîÉ=`=áå=íÜÉ=ñó-éä~åÉI=íÜÉå= ∫ ∫ + = ⋅ = ` ` nÇó mÇñ ê Ç c t r r I== = fÑ= ~= é~íÜ= `= áë= ëéÉÅáÑáÉÇ= Äó= ~= é~ê~ãÉíÉê= í= Eí= çÑíÉå= ãÉ~åë= íáãÉFI=íÜÉ=Ñçêãìä~=Ñçê=Å~äÅìä~íáåÖ=ïçêâ=ÄÉÅçãÉë= ( ) ( ) ( ) ( ) ( ) ( ) ( ) ( ) ( ) ( ) ( ) ( ) I Çí Çí Çò í ò I í ó I í ñ o Çí Çó í ò I í ó I í ñ n Çí Çñ í ò I í ó I í ñ m t ∫ β α       + + = ïÜÉêÉ=í=ÖçÉë=Ñêçã=α =íç=β K== = fÑ=~=îÉÅíçê=ÑáÉäÇ= c r =áë=ÅçåëÉêî~íáîÉ=~åÇ= ( ) ò I ó I ñ ì =áë=~=ëÅ~ä~ê= éçíÉåíá~ä=çÑ=íÜÉ=ÑáÉäÇI=íÜÉå=íÜÉ=ïçêâ=çå=~å=çÄàÉÅí=ãçîáåÖ= Ñêçã=^=íç=_=Å~å=ÄÉ=ÑçìåÇ=Äó=íÜÉ=Ñçêãìä~= ( ) ( ) ^ ì _ ì t − = K== = 1138. ^ãéÉêÉ∞ë=i~ï= f ê Ç _ M ` µ = ⋅ ∫ r r K== qÜÉ=äáåÉ=áåíÉÖê~ä=çÑ=~=ã~ÖåÉíáÅ=ÑáÉäÇ=_ r =~êçìåÇ=~=ÅäçëÉÇ=é~íÜ= `=áë=Éèì~ä=íç=íÜÉ=íçí~ä=ÅìêêÉåí=f=ÑäçïáåÖ=íÜêçìÖÜ=íÜÉ=~êÉ~= ÄçìåÇÉÇ=Äó=íÜÉ=é~íÜK== = = Figure 208.
  • 295.
    CHAPTER 9. INTEGRALCALCULUS 285 1139. c~ê~Ç~ó∞ë=i~ï= Çí Ç ê Ç b ` ψ − = ⋅ = ε ∫ r r = = qÜÉ=ÉäÉÅíêçãçíáîÉ=ÑçêÅÉ=EÉãÑF= ε =áåÇìÅÉÇ=~êçìåÇ=~=ÅäçëÉÇ= äççé=`=áë=Éèì~ä=íç=íÜÉ=ê~íÉ=çÑ=íÜÉ=ÅÜ~åÖÉ=çÑ=ã~ÖåÉíáÅ=Ñäìñ= ψ = é~ëëáåÖ=íÜêçìÖÜ=íÜÉ=äççéK=== = = = Figure 209. = = = 9.13 Surface Integral = pÅ~ä~ê=ÑìåÅíáçåëW= ( ) ò I ó I ñ Ñ I= ( ) ó I ñ ò = mçëáíáçå=îÉÅíçêëW= ( ) î I ì ê r I= ( ) ò I ó I ñ ê r = råáí=îÉÅíçêëW= á r I= à r I=â r = pìêÑ~ÅÉW=p= sÉÅíçê=ÑáÉäÇW= ( ) o I n I m c r = aáîÉêÖÉåÅÉ=çÑ=~=îÉÅíçê=ÑáÉäÇW= c c Çáî r r ⋅ ∇ = =
  • 296.
    CHAPTER 9. INTEGRALCALCULUS 286 `ìêä=çÑ=~=îÉÅíçê=ÑáÉäÇW= c c Åìêä r r × ∇ = == sÉÅíçê=ÉäÉãÉåí=çÑ=~=ëìêÑ~ÅÉW= p Ç r = kçêã~ä=íç=ëìêÑ~ÅÉW=å r = pìêÑ~ÅÉ=~êÉ~W=^= j~ëë=çÑ=~=ëìêÑ~ÅÉW=ã= aÉåëáíóW= ( ) ò I ó I ñ µ = `ççêÇáå~íÉë=çÑ=ÅÉåíÉê=çÑ=ã~ëëW= ñ I= ó I=ò = cáêëí=ãçãÉåíëW= ñó j I= óò j I= ñò j = jçãÉåíë=çÑ=áåÉêíá~W= ñó f I= óò f I= ñò f I= ñ f I= ó f I= ò f = sçäìãÉ=çÑ=~=ëçäáÇW=s= cçêÅÉW=c r = dê~îáí~íáçå~ä=Åçåëí~åíW=d= cäìáÇ=îÉäçÅáíóW= ( ) ê î r r = cäìáÇ=ÇÉåëáíóW=ρ = mêÉëëìêÉW= ( ) ê é r = j~ëë=ÑäìñI=ÉäÉÅíêáÅ=ÑäìñW=Φ = pìêÑ~ÅÉ=ÅÜ~êÖÉW=n= `Ü~êÖÉ=ÇÉåëáíóW= ( ) ó I ñ σ = j~ÖåáíìÇÉ=çÑ=íÜÉ=ÉäÉÅíêáÅ=ÑáÉäÇW=b r = = = 1140. pìêÑ~ÅÉ=fåíÉÖê~ä=çÑ=~=pÅ~ä~ê=cìåÅíáçå= iÉí=~=ëìêÑ~ÅÉ=p=ÄÉ=ÖáîÉå=Äó=íÜÉ=éçëáíáçå=îÉÅíçê= ( ) ( ) ( ) ( )â î I ì ò à î I ì ó á î I ì ñ î I ì ê r r r r + + = I== ïÜÉêÉ= ( ) î I ì =ê~åÖÉë=çîÉê=ëçãÉ=Ççã~áå= ( ) î I ì a =çÑ=íÜÉ=ìî- éä~åÉK= qÜÉ==ëìêÑ~ÅÉ==áåíÉÖê~ä==çÑ==~==ëÅ~ä~ê=ÑìåÅíáçå== ( ) ò I ó I ñ Ñ =çîÉê= íÜÉ=ëìêÑ~ÅÉ=p=áë=ÇÉÑáåÉÇ=~ë== ( ) ( ) ( ) ( ) ( ) ( ) ∫∫ ∫∫ ∂ ∂ × ∂ ∂ = î I ì a p ÇìÇî î ê ì ê î I ì ò I î I ì ó I î I ì ñ Ñ Çp ò I ó I ñ Ñ r r I== ïÜÉêÉ=íÜÉ=é~êíá~ä=ÇÉêáî~íáîÉë= ì ê ∂ ∂ r =~åÇ= î ê ∂ ∂ r =~êÉ=ÖáîÉå=Äó==
  • 297.
    CHAPTER 9. INTEGRALCALCULUS 287 ( ) ( ) ( )â î I ì ì ò à î I ì ì ó á î I ì ì ñ ì ê r r r r ∂ ∂ + ∂ ∂ + ∂ ∂ = ∂ ∂ I== ( ) ( ) ( )â î I ì î ò à î I ì î ó á î I ì î ñ î ê r r r r ∂ ∂ + ∂ ∂ + ∂ ∂ = ∂ ∂ = ~åÇ= î ê ì ê ∂ ∂ × ∂ ∂ r r =áë=íÜÉ=Åêçëë=éêçÇìÅíK== = 1141. fÑ==íÜÉ==ëìêÑ~ÅÉ==p==áë==ÖáîÉå=Äó==íÜÉ=Éèì~íáçå= ( ) ó I ñ ò ò = =ïÜÉêÉ= ( ) ó I ñ ò ==áë==~==ÇáÑÑÉêÉåíá~ÄäÉ==ÑìåÅíáçå==áå=íÜÉ=Ççã~áå= ( ) ó I ñ a I= íÜÉå== ( ) ( ) ( ) ( ) ∫∫ ∫∫         ∂ ∂ +       ∂ ∂ + = ó I ñ a O O p ÇñÇó ó ò ñ ò N ó I ñ ò I ó I ñ Ñ Çp ò I ó I ñ Ñ K== = 1142. pìêÑ~ÅÉ=fåíÉÖê~ä=çÑ=íÜÉ=sÉÅíçê=cáÉäÇ=c r =çîÉê=íÜÉ=pìêÑ~ÅÉ=p= • fÑ=p=áë=çêáÉåíÉÇ=çìíï~êÇI=íÜÉå== ===== ( ) ( ) ∫∫ ∫∫ ⋅ = ⋅ p p Çp å ò I ó I ñ c p Ç ò I ó I ñ c r r r r = ====== ( ) ( ) ( ) ( ) ( ) ∫∫       ∂ ∂ × ∂ ∂ ⋅ = î I ì a ÇìÇî î ê ì ê î I ì ò I î I ì ó I î I ì ñ c r r r K== = • fÑ=p=áë=çêáÉåíÉÇ=áåï~êÇI=íÜÉå== ===== ( ) ( ) ∫∫ ∫∫ ⋅ = ⋅ p p Çp å ò I ó I ñ c p Ç ò I ó I ñ c r r r r = ====== ( ) ( ) ( ) ( ) ( ) ∫∫       ∂ ∂ × ∂ ∂ ⋅ = î I ì a ÇìÇî ì ê î ê î I ì ò I î I ì ó I î I ì ñ c r r r K== = Çp å p Ç r r = ==áë==Å~ääÉÇ==íÜÉ==îÉÅíçê=ÉäÉãÉåí=çÑ=íÜÉ=ëìêÑ~ÅÉK==açí= ãÉ~åë==íÜÉ==ëÅ~ä~ê==éêçÇìÅí==çÑ==íÜÉ==~ééêçéêá~íÉ==îÉÅíçêëK= qÜÉ=é~êíá~ä=ÇÉêáî~íáîÉë= ì ê ∂ ∂ r =~åÇ== î ê ∂ ∂ r =~êÉ=ÖáîÉå=Äó==
  • 298.
    CHAPTER 9. INTEGRALCALCULUS 288 ( ) ( ) ( ) â î I ì ì ò à î I ì ì ó á î I ì ì ñ ì ê r r r r ⋅ ∂ ∂ + ⋅ ∂ ∂ + ⋅ ∂ ∂ = ∂ ∂ I== ( ) ( ) ( ) â î I ì î ò à î I ì î ó á î I ì î ñ î ê r r r r ⋅ ∂ ∂ + ⋅ ∂ ∂ + ⋅ ∂ ∂ = ∂ ∂ K== = 1143. fÑ==íÜÉ==ëìêÑ~ÅÉ==p==áë==ÖáîÉå=Äó=íÜÉ=Éèì~íáçå= ( ) ó I ñ ò ò = I=ïÜÉêÉ= ( ) ó I ñ ò ==áë==~==ÇáÑÑÉêÉåíá~ÄäÉ==ÑìåÅíáçå==áå==íÜÉ=Ççã~áå= ( ) ó I ñ a I= íÜÉå== • fÑ=p=áë=çêáÉåíÉÇ=ìéï~êÇI=áKÉK=íÜÉ=â-íÜ=ÅçãéçåÉåí=çÑ=íÜÉ= åçêã~ä=îÉÅíçê=áë=éçëáíáîÉI=íÜÉå=== ===== ( ) ( ) ∫∫ ∫∫ ⋅ = ⋅ p p Çp å ò I ó I ñ c p Ç ò I ó I ñ c r r r r = ====== ( ) ( ) ∫∫         + ∂ ∂ − ∂ ∂ − ⋅ = ó I ñ a ÇñÇó â à ó ò á ñ ò ò I ó I ñ c r r r r I== = • fÑ=p=áë=çêáÉåíÉÇ=Ççïåï~êÇI=áKÉK=íÜÉ=â-íÜ=ÅçãéçåÉåí=çÑ=íÜÉ= åçêã~ä=îÉÅíçê=áë=åÉÖ~íáîÉI=íÜÉå=== ===== ( ) ( ) ∫∫ ∫∫ ⋅ = ⋅ p p Çp å ò I ó I ñ c p Ç ò I ó I ñ c r r r r ====== ( ) ( ) ∫∫         − ∂ ∂ + ∂ ∂ ⋅ = ó I ñ a ÇñÇó â à ó ò á ñ ò ò I ó I ñ c r r r r K== = 1144. ( ) ∫∫ ∫∫ + + = ⋅ p p oÇñÇó nÇòÇñ mÇóÇò Çp å c r r = ( ) ∫∫ γ + β + α = p Çp Åçë o Åçë n Åçë m I== ïÜÉêÉ= ( ) ò I ó I ñ m I= ( ) ò I ó I ñ n I= ( ) ò I ó I ñ o =~êÉ=íÜÉ=ÅçãéçåÉåíë=çÑ= íÜÉ=îÉÅíçê= ÑáÉäÇ= c r K== α Åçë I= β Åçë I= γ Åçë ==~êÉ=íÜÉ= ~åÖäÉë= ÄÉíïÉÉå=íÜÉ=çìíÉê=ìåáí= åçêã~ä=îÉÅíçê= å r =~åÇ=íÜÉ=ñ-~ñáëI=ó-~ñáëI=~åÇ=ò-~ñáëI=êÉëéÉÅí- áîÉäóK= =
  • 299.
    CHAPTER 9. INTEGRALCALCULUS 289 1145. fÑ=íÜÉ=ëìêÑ~ÅÉ=p=áë=ÖáîÉå=áå=é~ê~ãÉíêáÅ=Ñçêã=Äó=íÜÉ=îÉÅíçê= ( ) ( ) ( ) ( ) î I ì ò I î I ì ó I î I ì ñ ê r I==íÜÉå==íÜÉ==ä~ííÉê=Ñçêãìä~=Å~å=ÄÉ= ïêáííÉå=~ë== ( ) ( ) I ÇìÇî î ò î ó î ñ ì ò ì ó ì ñ o n m oÇñÇó nÇòÇñ mÇóÇò Çp å c î I ì a p p ∫∫ ∫∫ ∫∫ ∂ ∂ ∂ ∂ ∂ ∂ ∂ ∂ ∂ ∂ ∂ ∂ = + + = ⋅ r r ïÜÉêÉ= ( ) î I ì = ê~åÖÉë= çîÉê= ëçãÉ= Ççã~áå= ( ) î I ì a = çÑ= íÜÉ= ìî- éä~åÉK= = 1146. aáîÉêÖÉåÅÉ=qÜÉçêÉã= ( ) ∫∫∫ ∫∫ ⋅ ∇ = ⋅ d p Çs c p Ç c r r r I== ïÜÉêÉ== ( ) ( ) ( ) ( ) ò I ó I ñ o I ò I ó I ñ n I ò I ó I ñ m ò I ó I ñ c = r === áë==~==îÉÅíçê==ÑáÉäÇ==ïÜçëÉ==ÅçãéçåÉåíë==mI==nI==~åÇ==o==Ü~îÉ== Åçåíáåìçìë=é~êíá~ä=ÇÉêáî~íáîÉëI== ò o ó n ñ m c ∂ ∂ + ∂ ∂ + ∂ ∂ = ⋅ ∇ r == áë==íÜÉ==ÇáîÉêÖÉåÅÉ==çÑ==c r I==~äëç==ÇÉåçíÉÇ== c Çáî r K==qÜÉ==ëóãÄçä= ∫∫ =áåÇáÅ~íÉë==íÜ~í=íÜÉ=ëìêÑ~ÅÉ=áåíÉÖê~ä=áë=í~âÉå=çîÉê=~=ÅäçëÉÇ= ëìêÑ~ÅÉK== = 1147. aáîÉêÖÉåÅÉ=qÜÉçêÉã=áå=`ççêÇáå~íÉ=cçêã= ∫∫∫ ∫∫         ∂ ∂ + ∂ ∂ + ∂ ∂ = + + d p ÇñÇóÇò ò o ó n ñ m oÇñÇó nÇñÇò mÇóÇò K== = 1148. píçâÉ∞ë=qÜÉçêÉã= ( ) ∫∫ ∫ ⋅ × ∇ = ⋅ p ` p Ç c ê Ç c r r r r I==
  • 300.
    CHAPTER 9. INTEGRALCALCULUS 290 ïÜÉêÉ== ( ) ( ) ( ) ( ) ò I ó I ñ o I ò I ó I ñ n I ò I ó I ñ m ò I ó I ñ c = r === áë==~=îÉÅíçê==ÑáÉäÇ==ïÜçëÉ==ÅçãéçåÉåíë==mI==nI==~åÇ=o==Ü~îÉ= Åçåíáåìçìë=é~êíá~ä=ÇÉêáî~íáîÉëI== â ó m ñ n à ñ o ò m á ò n ó o o n m ñ ñ ñ â à á c r r r r r r r         ∂ ∂ − ∂ ∂ +       ∂ ∂ − ∂ ∂ +         ∂ ∂ − ∂ ∂ = ∂ ∂ ∂ ∂ ∂ ∂ = × ∇ áë=íÜÉ=Åìêä=çÑ=c r I=~äëç=ÇÉåçíÉÇ= c Åìêä r K== qÜÉ=ëóãÄçä== ∫ =áåÇáÅ~íÉë=íÜ~í=íÜÉ=äáåÉ=áåíÉÖê~ä=áë=í~âÉå=çîÉê= ~=ÅäçëÉÇ=ÅìêîÉK== = 1149. píçâÉ∞ë=qÜÉçêÉã=áå=`ççêÇáå~íÉ=cçêã= ∫ + + ` oÇò nÇó mÇñ = ∫∫         ∂ ∂ − ∂ ∂ +       ∂ ∂ − ∂ ∂ +         ∂ ∂ − ∂ ∂ = p ÇñÇó ó m ñ n ÇòÇñ ñ o ò m ÇóÇò ò n ó o == 1150. pìêÑ~ÅÉ=^êÉ~= ∫∫ = p Çp ^ = = 1151. fÑ=íÜÉ=ëìêÑ~ÅÉ=p=áë=é~ê~ãÉíÉêáòÉÇ=Äó=íÜÉ=îÉÅíçê== ( ) ( ) ( ) ( )â î I ì ò à î I ì ó á î I ì ñ î I ì ê r r r r + + = I== íÜÉå=íÜÉ=ëìêÑ~ÅÉ=~êÉ~=áë== ( ) ∫∫ ∂ ∂ × ∂ ∂ = î I ì a ÇìÇî î ê ì ê ^ r r I== ïÜÉêÉ== ( ) î I ì a ==áë==íÜÉ==Ççã~áå==ïÜÉêÉ==íÜÉ=ëìêÑ~ÅÉ= ( ) î I ì ê r =áë= ÇÉÑáåÉÇK== =
  • 301.
    CHAPTER 9. INTEGRALCALCULUS 291 1152. fÑ=p=áë=ÖáîÉå=ÉñéäáÅáíäó=Äó=íÜÉ=ÑìåÅíáçå= ( ) ó I ñ ò I==íÜÉå==íÜÉ==ëìê- Ñ~ÅÉ=~êÉ~=áë== ( ) ∫∫         ∂ ∂ +       ∂ ∂ + = ó I ñ a O O ÇñÇó ó ò ñ ò N ^ I== ïÜÉêÉ= ( ) ó I ñ a =áë=íÜÉ=éêçàÉÅíáçå=çÑ=íÜÉ=ëìêÑ~ÅÉ=p=çåíç=íÜÉ=ñó- éä~åÉK== = 1153. j~ëë=çÑ=~=pìêÑ~ÅÉ= ( ) ∫∫µ = p Çp ò I ó I ñ ã I== ïÜÉêÉ= ( ) ò I ó I ñ µ = áë= íÜÉ= ã~ëë= éÉê= ìåáí= ~êÉ~= = EÇÉåëáíó= ÑìåÅ- íáçåFK= = 1154. `ÉåíÉê=çÑ=j~ëë=çÑ=~=pÜÉää= ã j ñ óò = I= ã j ó ñò = I= ã j ò ñó = I== ïÜÉêÉ== ( ) ∫∫ µ = p óò Çp ò I ó I ñ ñ j I== ( ) ∫∫ µ = p ñò Çp ò I ó I ñ ó j I== ( ) ∫∫ µ = p ñó Çp ò I ó I ñ ò j = ~êÉ==íÜÉ==Ñáêëí==ãçãÉåíë==~Äçìí===íÜÉ=ÅççêÇáå~íÉ=éä~åÉë= M ñ = I= M ó = I= M ò = I==êÉëéÉÅíáîÉäóK== ( ) ò I ó I ñ µ =áë=íÜÉ=ÇÉåëáíó=ÑìåÅíáçåK= = 1155. jçãÉåíë=çÑ=fåÉêíá~=~Äçìí=íÜÉ=ñó-éä~åÉ=Eçê= M ò = FI==óò-éä~åÉ== E M ñ = FI=~åÇ=ñò-éä~åÉ=E M ó = F= ( ) ∫∫ µ = p O ñó Çp ò I ó I ñ ò f I== ( ) ∫∫ µ = p O óò Çp ò I ó I ñ ñ f I==
  • 302.
    CHAPTER 9. INTEGRALCALCULUS 292 ( ) ∫∫ µ = p O ñò Çp ò I ó I ñ ó f K= = 1156. jçãÉåíë=çÑ=fåÉêíá~=~Äçìí=íÜÉ=ñ-~ñáëI=ó-~ñáëI=~åÇ=ò-~ñáë= ( ) ( ) ∫∫ µ + = p O O ñ Çp ò I ó I ñ ò ó f I== ( ) ( ) ∫∫ µ + = p O O ó Çp ò I ó I ñ ò ñ f I== ( ) ( ) ∫∫ µ + = p O O ò Çp ò I ó I ñ ó ñ f K== = 1157. sçäìãÉ=çÑ=~=pçäáÇ=_çìåÇÉÇ=Äó=~=`äçëÉÇ=pìêÑ~ÅÉ= ∫∫ + + = p òÇñÇó óÇñÇò ñÇóÇò P N s == = 1158. dê~îáí~íáçå~ä=cçêÅÉ= ( ) ∫∫µ = p P Çp ê ê ò I ó I ñ dã c r r I= ïÜÉêÉ=ã=áë=~=ã~ëë=~í=~=éçáåí= M M M ò I ó I ñ =çìíëáÇÉ=íÜÉ=ëìêÑ~ÅÉI== M M M ò ò I ó ó I ñ ñ ê − − − = r I== ( ) ò I ó I ñ µ =áë=íÜÉ=ÇÉåëáíó=ÑìåÅíáçåI== ~åÇ=d=áë=Öê~îáí~íáçå~ä=Åçåëí~åíK= = 1159. mêÉëëìêÉ=cçêÅÉ= ( ) ∫∫ = p p Ç ê é c r r r I== ïÜÉêÉ=íÜÉ=éêÉëëìêÉ== ( ) ê é r ==~Åíë==çå==íÜÉ==ëìêÑ~ÅÉ==p==ÖáîÉå==Äó= íÜÉ=éçëáíáçå=îÉÅíçê= ê r K= = 1160. cäìáÇ=cäìñ=E~Åêçëë=íÜÉ=ëìêÑ~ÅÉ=pF= ( ) ∫∫ ⋅ = Φ p p Ç ê î r r r I==
  • 303.
    CHAPTER 9. INTEGRALCALCULUS 293 ïÜÉêÉ= ( ) ê î r r =áë=íÜÉ=ÑäìáÇ=îÉäçÅáíóK= == 1161. j~ëë=cäìñ=E~Åêçëë=íÜÉ=ëìêÑ~ÅÉ=pF= ( ) ∫∫ ⋅ ρ = Φ p p Ç ê î r r r I== ïÜÉêÉ= î c r r ρ = =áë=íÜÉ=îÉÅíçê=ÑáÉäÇI=ρ =áë=íÜÉ=ÑäìáÇ=ÇÉåëáíóK= = 1162. pìêÑ~ÅÉ=`Ü~êÖÉ= ( ) ∫∫σ = p Çp ó I ñ n I== ïÜÉêÉ= ( ) ó I ñ σ =áë=íÜÉ=ëìêÑ~ÅÉ=ÅÜ~êÖÉ=ÇÉåëáíóK= = 1163. d~ìëë∞=i~ï= qÜÉ=ÉäÉÅíêáÅ=Ñäìñ=íÜêçìÖÜ=~åó=ÅäçëÉÇ=ëìêÑ~ÅÉ=áë=éêçéçêíáçå~ä= íç=íÜÉ=ÅÜ~êÖÉ=n=ÉåÅäçëÉÇ=Äó=íÜÉ=ëìêÑ~ÅÉ= M p n p Ç b ε = ⋅ = Φ ∫∫ r r I== ïÜÉêÉ== Φ =áë=íÜÉ=ÉäÉÅíêáÅ=ÑäìñI== b r =áë=íÜÉ=ã~ÖåáíìÇÉ=çÑ=íÜÉ=ÉäÉÅíêáÅ=ÑáÉäÇ=ëíêÉåÖíÜI= ã c NM UR I U NO M − × = ε =áë=éÉêãáííáîáíó=çÑ=ÑêÉÉ=ëé~ÅÉK== = =
  • 304.
    294 Chapter 10 Differential Equations = = = = cìåÅíáçåë=çÑ=çåÉ=î~êá~ÄäÉW=óI=éI=èI=ìI=ÖI=ÜI=dI=eI=êI=ò== ^êÖìãÉåíë=EáåÇÉéÉåÇÉåí=î~êá~ÄäÉëFW=ñI=ó= cìåÅíáçåë=çÑ=íïç=î~êá~ÄäÉëW=( ) ó I ñ Ñ I= ( ) ó I ñ j I= ( ) ó I ñ k = cáêëí=çêÇÉê=ÇÉêáî~íáîÉW= ó′ I=ì′ I= ó & I= Çí Çó I=£= pÉÅçåÇ=çêÇÉê=ÇÉêáî~íáîÉëW= ó ′ ′ I= ó & & I= O O Çí f Ç I=£= m~êíá~ä=ÇÉêáî~íáîÉëW= í ì ∂ ∂ I= O O ñ ì ∂ ∂ I=£= k~íìê~ä=åìãÄÉêW=å= m~êíáÅìä~ê=ëçäìíáçåëW= N ó I= é ó = oÉ~ä=åìãÄÉêëW=âI=íI=`I= N ` I= O ` I=éI=èI=α I=β = oççíë=çÑ=íÜÉ=ÅÜ~ê~ÅíÉêáëíáÅ=Éèì~íáçåëW= N λ I= O λ = qáãÉW=í= qÉãéÉê~íìêÉW=qI=p= mçéìä~íáçå=ÑìåÅíáçåW= ( ) í m == j~ëë=çÑ=~å=çÄàÉÅíW=ã= píáÑÑåÉëë=çÑ=~=ëéêáåÖW=â= aáëéä~ÅÉãÉåí=çÑ=íÜÉ=ã~ëë=Ñêçã=ÉèìáäáÄêáìãW=ó= ^ãéäáíìÇÉ=çÑ=íÜÉ=Çáëéä~ÅÉãÉåíW=^= cêÉèìÉåÅóW=ω= a~ãéáåÖ=ÅçÉÑÑáÅáÉåíW= γ = mÜ~ëÉ=~åÖäÉ=çÑ=íÜÉ=Çáëéä~ÅÉãÉåíW=δ = ^åÖìä~ê=Çáëéä~ÅÉãÉåíW=θ = mÉåÇìäìã=äÉåÖíÜW=i=
  • 305.
    CHAPTER 10. DIFFERENTIALEQUATIONS 295 ^ÅÅÉäÉê~íáçå=çÑ=Öê~îáíóW=Ö= `ìêêÉåíW=f= oÉëáëí~åÅÉW=o= fåÇìÅí~åÅÉW=i= `~é~Åáí~åÅÉW=`= = = 10.1 First Order Ordinary Differential Equations = 1164. iáåÉ~ê=bèì~íáçåë= ( ) ( ) ñ è ó ñ é Çñ Çó = + K== = qÜÉ=ÖÉåÉê~ä=ëçäìíáçå=áë== ( ) ( ) ( ) ñ ì ` Çñ ñ è ñ ì ó + = ∫ I== ïÜÉêÉ== ( ) ( ) ( ) ∫ = Çñ ñ é Éñé ñ ì K= = 1165. pÉé~ê~ÄäÉ=bèì~íáçåë= ( ) ( ) ( ) ó Ü ñ Ö ó I ñ Ñ Çñ Çó = = = = qÜÉ=ÖÉåÉê~ä=ëçäìíáçå=áë=ÖáîÉå=Äó= ( ) ( ) ` Çñ ñ Ö ó Ü Çó + = ∫ ∫ I== çê= ( ) ( ) ` ñ d ó e + = K= = = =
  • 306.
    CHAPTER 10. DIFFERENTIALEQUATIONS 296 1166. eçãçÖÉåÉçìë=bèì~íáçåë= qÜÉ= ÇáÑÑÉêÉåíá~ä= Éèì~íáçå= ( ) ó I ñ Ñ Çñ Çó = = áë= ÜçãçÖÉåÉçìëI= áÑ= íÜÉ=ÑìåÅíáçå= ( ) ó I ñ Ñ =áë=ÜçãçÖÉåÉçìëI=íÜ~í=áë== ( ) ( ) ó I ñ Ñ íó I íñ Ñ = K== = qÜÉ=ëìÄëíáíìíáçå= ñ ó ò = =EíÜÉå= òñ ó = F=äÉ~Çë=íç=íÜÉ=ëÉé~ê~ÄäÉ= Éèì~íáçå= ( ) ò I N Ñ ò Çñ Çò ñ = + K== = 1167. _Éêåçìääá=bèì~íáçå= ( ) ( ) å ó ñ è ó ñ é Çñ Çó = + K== = qÜÉ=ëìÄëíáíìíáçå= å N ó ò − = =äÉ~Çë=íç=íÜÉ=äáåÉ~ê=Éèì~íáçå== ( ) ( ) ( ) ( ) ñ è å N ò ñ é å N Çñ Çò − = − + K== = 1168. oáÅÅ~íá=bèì~íáçå= ( ) ( ) ( ) O ó ñ ê ó ñ è ñ é Çñ Çó + + = = = fÑ=~=é~êíáÅìä~ê=ëçäìíáçå= N ó =áë=âåçïåI=íÜÉå=íÜÉ=ÖÉåÉê~ä=ëçäì- íáçå=Å~å=ÄÉ=çÄí~áåÉÇ=ïáíÜ=íÜÉ=ÜÉäé=çÑ=ëìÄëíáíìíáçå= N ó ó N ò − = I=ïÜáÅÜ=äÉ~Çë=íç=íÜÉ=Ñáêëí=çêÇÉê=äáåÉ~ê=Éèì~íáçå== ( ) ( ) [ ] ( ) ñ ê ò ñ ê ó O ñ è Çñ Çò N − + − = K== = = =
  • 307.
    CHAPTER 10. DIFFERENTIALEQUATIONS 297 1169. bñ~Åí=~åÇ=kçåÉñ~Åí=bèì~íáçåë= qÜÉ=Éèì~íáçå== ( ) ( ) M Çó ó I ñ k Çñ ó I ñ j = + == áë=Å~ääÉÇ=Éñ~Åí=áÑ== ñ k ó j ∂ ∂ = ∂ ∂ I== ~åÇ=åçåÉñ~Åí=çíÜÉêïáëÉK= = qÜÉ=ÖÉåÉê~ä=ëçäìíáçå=áë== ( ) ( ) ` Çó ó I ñ k Çñ ó I ñ j = + ∫ ∫ K== = 1170. o~Çáç~ÅíáîÉ=aÉÅ~ó= âó Çí Çó − = I== ïÜÉêÉ= ( ) í ó =áë=íÜÉ=~ãçìåí=çÑ=ê~Çáç~ÅíáîÉ=ÉäÉãÉåí=~í=íáãÉ=íI=â= áë=íÜÉ=ê~íÉ=çÑ=ÇÉÅ~óK== = qÜÉ=ëçäìíáçå=áë== ( ) âí MÉ ó í ó − = I=ïÜÉêÉ= ( ) M ó óM = =áë=íÜÉ=áåáíá~ä=~ãçìåíK= = 1171. kÉïíçå∞ë=i~ï=çÑ=`ççäáåÖ= ( ) p q â Çí Çq − − = I== ïÜÉêÉ= ( ) í q =áë=íÜÉ=íÉãéÉê~íìêÉ=çÑ=~å=çÄàÉÅí=~í=íáãÉ=íI=p=áë=íÜÉ= íÉãéÉê~íìêÉ=çÑ=íÜÉ=ëìêêçìåÇáåÖ=ÉåîáêçåãÉåíI=â=áë=~=éçëá- íáîÉ=Åçåëí~åíK== = qÜÉ=ëçäìíáçå=áë= ( ) ( ) âí M É p q p í q − − + = I== ïÜÉêÉ= ( ) M q qM = =áë=íÜÉ=áåáíá~ä=íÉãéÉê~íìêÉ=çÑ=íÜÉ=çÄàÉÅí=~í= íáãÉ= M í = K== = =
  • 308.
    CHAPTER 10. DIFFERENTIALEQUATIONS 298 1172. mçéìä~íáçå=aóå~ãáÅë=EiçÖáëíáÅ=jçÇÉäF=       − = j m N âm Çí Çm I== ïÜÉêÉ= ( ) í m =áë=éçéìä~íáçå=~í=íáãÉ=íI=â=áë=~=éçëáíáîÉ=Åçåëí~åíI= j=áë=~=äáãáíáåÖ=ëáòÉ=Ñçê=íÜÉ=éçéìä~íáçåK== = qÜÉ=ëçäìíáçå=çÑ=íÜÉ=ÇáÑÑÉêÉåíá~ä=Éèì~íáçå=áë== ( ) ( ) âí M M M É m j m jm í m − − + = I=ïÜÉêÉ= ( ) M m mM = =áë=íÜÉ=áåáíá~ä=éçéì- ä~íáçå=~í=íáãÉ= M í = K=== = = = 10.2 Second Order Ordinary Differential Equations = 1173. eçãçÖÉåÉçìë=iáåÉ~ê=bèì~íáçåë=ïáíÜ=`çåëí~åí=`çÉÑÑáÅáÉåíë== M èó ó é ó = + ′ + ′ ′ K== qÜÉ=ÅÜ~ê~ÅíÉêáëíáÅ=Éèì~íáçå=áë== M è é O = + λ + λ K== = fÑ= N λ = ~åÇ= O λ = ~êÉ= ÇáëíáåÅí= êÉ~ä= êççíë= çÑ= íÜÉ= ÅÜ~ê~ÅíÉêáëíáÅ= Éèì~íáçåI=íÜÉå=íÜÉ=ÖÉåÉê~ä=ëçäìíáçå=áë== ñ O ñ N O N É ` É ` ó λ λ + = I=ïÜÉêÉ== N ` =~åÇ= O ` =~êÉ=áåíÉÖê~íáçå=Åçåëí~åíëK== == fÑ= O é O N − = λ = λ I=íÜÉå=íÜÉ=ÖÉåÉê~ä=ëçäìíáçå=áë== ( ) ñ O é O N É ñ ` ` ó − + = K== = fÑ= N λ =~åÇ= O λ =~êÉ=ÅçãéäÉñ=åìãÄÉêëW=
  • 309.
    CHAPTER 10. DIFFERENTIALEQUATIONS 299 á N β + α = λ I= á O β − α = λ I=ïÜÉêÉ== O é − = α I= O é è Q O − = β I== íÜÉå=íÜÉ=ÖÉåÉê~ä=ëçäìíáçå=áë== ( ) ñ ëáå ` ñ Åçë ` É ó O N ñ β + β = α K== = 1174. fåÜçãçÖÉåÉçìë=iáåÉ~ê=bèì~íáçåë=ïáíÜ=`çåëí~åí======================= `çÉÑÑáÅáÉåíë== ( ) ñ Ñ èó ó é ó = + ′ + ′ ′ K== = qÜÉ=ÖÉåÉê~ä=ëçäìíáçå=áë=ÖáîÉå=Äó== Ü é ó ó ó + = I=ïÜÉêÉ== é ó =áë==~=é~êíáÅìä~ê==ëçäìíáçå=çÑ==íÜÉ=áåÜçãçÖÉåÉçìë=Éèì~íáçå= ~åÇ= Ü ó =áë=íÜÉ=ÖÉåÉê~ä=ëçäìíáçå=çÑ=íÜÉ=~ëëçÅá~íÉÇ=ÜçãçÖÉåÉ- çìë=Éèì~íáçå=EëÉÉ=íÜÉ=éêÉîáçìë=íçéáÅ=NNTPFK= = fÑ=íÜÉ=êáÖÜí=ëáÇÉ=Ü~ë=íÜÉ=Ñçêã== ( ) ( ) ( ) ( ) ñ ëáå ñ m ñ Åçë ñ m É ñ Ñ N N ñ β + β = α I== íÜÉå=íÜÉ==é~êíáÅìä~ê=ëçäìíáçå= é ó =áë=ÖáîÉå=Äó== ( ) ( ) ( ) ñ ëáå ñ o ñ Åçë ñ o É ñ ó O N ñ â é β + β = α I== ïÜÉêÉ=íÜÉ=éçäóåçãá~äë= ( ) ñ oN =~åÇ= ( ) ñ oO =Ü~îÉ=íç=ÄÉ=ÑçìåÇ= Äó=ìëáåÖ=íÜÉ=ãÉíÜçÇ=çÑ=ìåÇÉíÉêãáåÉÇ=ÅçÉÑÑáÅáÉåíëK== • fÑ= á β + α =áë=åçí=~=êççí=çÑ=íÜÉ=ÅÜ~ê~ÅíÉêáëíáÅ=Éèì~íáçåI=íÜÉå= íÜÉ=éçïÉê= M â = I= • fÑ= á β + α =áë=~=ëáãéäÉ=êççíI=íÜÉå= N â = I= • fÑ= á β + α =áë=~=ÇçìÄäÉ=êççíI=íÜÉå= O â = K== = 1175. aáÑÑÉêÉåíá~ä=bèì~íáçåë=ïáíÜ=ó=jáëëáåÖ= ( ) ó I ñ Ñ ó ′ = ′ ′ K== pÉí= ó ì ′ = K=qÜÉå=íÜÉ=åÉï=Éèì~íáçå=ë~íáëÑáÉÇ=Äó=î=áë== ( ) ì I ñ Ñ ì = ′ I== ïÜáÅÜ=áë=~=Ñáêëí=çêÇÉê=ÇáÑÑÉêÉåíá~ä=Éèì~íáçåK=
  • 310.
    CHAPTER 10. DIFFERENTIALEQUATIONS 300 1176. aáÑÑÉêÉåíá~ä=bèì~íáçåë=ïáíÜ=ñ=jáëëáåÖ= ( ) ó I ó Ñ ó ′ = ′ ′ K== pÉí= ó ì ′ = K=páåÅÉ== Çó Çì ì Çñ Çó Çó Çì Çñ Çì ó = = = ′ ′ I== ïÉ=Ü~îÉ= ( ) ì I ó Ñ Çó Çì ì = I== ïÜáÅÜ=áë=~=Ñáêëí=çêÇÉê=ÇáÑÑÉêÉåíá~ä=Éèì~íáçåK== = 1177. cêÉÉ=råÇ~ãéÉÇ=sáÄê~íáçåë= qÜÉ=ãçíáçå=çÑ=~=j~ëë=çå=~=péêáåÖ=áë=ÇÉëÅêáÄÉÇ=Äó=íÜÉ=Éèì~- íáçå== M âó ó ã = + & & I== ïÜÉêÉ== ã=áë=íÜÉ=ã~ëë=çÑ=íÜÉ=çÄàÉÅíI= â=áë=íÜÉ=ëíáÑÑåÉëë=çÑ=íÜÉ=ëéêáåÖI= ó=áë=Çáëéä~ÅÉãÉåí=çÑ=íÜÉ=ã~ëë=Ñêçã=ÉèìáäáÄêáìãK= = qÜÉ=ÖÉåÉê~ä=ëçäìíáçå=áë== ( ) δ − ω = í Åçë ^ ó M I== ïÜÉêÉ== ^=áë=íÜÉ=~ãéäáíìÇÉ=çÑ=íÜÉ=Çáëéä~ÅÉãÉåíI= M ω =áë=íÜÉ=ÑìåÇ~ãÉåí~ä=ÑêÉèìÉåÅóI=íÜÉ=éÉêáçÇ=áë= M O q ω π = I= δ =áë=éÜ~ëÉ=~åÖäÉ=çÑ=íÜÉ=Çáëéä~ÅÉãÉåíK= qÜáë=áë=~å=Éñ~ãéäÉ=çÑ=ëáãéäÉ=Ü~êãçåáÅ=ãçíáçåK== = 1178. cêÉÉ=a~ãéÉÇ=sáÄê~íáçåë= M âó ó ó ã = + γ + & & & I=ïÜÉêÉ== γ =áë=íÜÉ=Ç~ãéáåÖ=ÅçÉÑÑáÅáÉåíK== qÜÉêÉ=~êÉ=P=Å~ëÉë=Ñçê=íÜÉ=ÖÉåÉê~ä=ëçäìíáçåW= =
  • 311.
    CHAPTER 10. DIFFERENTIALEQUATIONS 301 `~ëÉ=NK âã Q O > γ =EçîÉêÇ~ãéÉÇF= ( ) í í O N _É ^É í ó λ λ + = I== ïÜÉêÉ== ã O âã Q O N − γ − γ − = λ I= ã O âã Q O O − γ + γ − = λ K== = `~ëÉ=OK= âã Q O = γ EÅêáíáÅ~ääó=Ç~ãéÉÇF= ( ) ( ) í É _í ^ í ó λ + = I== ïÜÉêÉ== ã O γ − = λ K= = `~ëÉ=PK= âã Q O < γ =EìåÇÉêÇ~ãéÉÇF== ( ) ( ) δ − ω = γ − í Åçë ^ É í ó í ã O I=ïÜÉêÉ== O âã Q γ − = ω K== = 1179. páãéäÉ=mÉåÇìäìã= M i Ö Çí Ç O O = θ + θ I= ïÜÉêÉ= θ = áë= íÜÉ= ~åÖìä~ê= Çáëéä~ÅÉãÉåíI= i= áë= íÜÉ= éÉåÇìäìã= äÉåÖíÜI=Ö=áë=íÜÉ=~ÅÅÉäÉê~íáçå=çÑ=Öê~îáíóK= = qÜÉ=ÖÉåÉê~ä=ëçäìíáçå=Ñçê=ëã~ää=~åÖäÉë=θ =áë== ( ) í i Ö ëáå í ã~ñ θ = θ I=íÜÉ=éÉêáçÇ=áë= Ö i O q π = K== = 1180. oi`=`áêÅìáí= ( ) ( ) í Åçë b í s f ` N Çí Çf o Çí f Ç i M O O ω ω = ′ = + + I=
  • 312.
    CHAPTER 10. DIFFERENTIALEQUATIONS 302 ïÜÉêÉ=f=áë=íÜÉ=ÅìêêÉåí=áå=~å=oi`=ÅáêÅìáí=ïáíÜ=~å=~Å=îçäí~ÖÉ= ëçìêÅÉ= ( ) ( ) í ëáå b í s M ω = K=== = qÜÉ=ÖÉåÉê~ä=ëçäìíáçå=áë== ( ) ( ) ϕ − ω + + = í ëáå ^ É ` É ` í f í ê O í ê N O N I= ïÜÉêÉ== i O ` i Q o o ê O O I N − ± − = I== O O O O M o ` N i b ^ ω +       − ω ω = I==       ω − ω = ϕ o` N o i ~êÅí~å I== N ` I= O ` =~êÉ=Åçåëí~åíë=ÇÉéÉåÇáåÖ=çå=áåáíá~ä=ÅçåÇáíáçåëK= = = = 10.3. Some Partial Differential Equations = 1181. qÜÉ=i~éä~ÅÉ=bèì~íáçå= M ó ì ñ ì O O O O = ∂ ∂ + ∂ ∂ = ~ééäáÉë=íç=éçíÉåíá~ä=ÉåÉêÖó=ÑìåÅíáçå= ( ) ó I ñ ì ==Ñçê==~==ÅçåëÉê- î~íáîÉ=ÑçêÅÉ=ÑáÉäÇ=áå=íÜÉ=ñó-éä~åÉK=m~êíá~ä=ÇáÑÑÉêÉåíá~ä=Éèì~- íáçåë=çÑ=íÜáë=íóéÉ=~êÉ=Å~ääÉÇ=ÉääáéíáÅK== = 1182. qÜÉ=eÉ~í=bèì~íáçå= í ì ó ì ñ ì O O O O ∂ ∂ = ∂ ∂ + ∂ ∂ =
  • 313.
    CHAPTER 10. DIFFERENTIALEQUATIONS 303 ~ééäáÉë= íç= íÜÉ= íÉãéÉê~íìêÉ= ÇáëíêáÄìíáçå= ( ) ó I ñ ì = áå= íÜÉ= ñó- éä~åÉ=ïÜÉå=ÜÉ~í=áë=~ääçïÉÇ=íç=Ñäçï=Ñêçã=ï~êã=~êÉ~ë=íç=Åççä= çåÉëK=qÜÉ=Éèì~íáçåë=çÑ=íÜáë=íóéÉ=~êÉ=Å~ääÉÇ=é~ê~ÄçäáÅK== = 1183. qÜÉ=t~îÉ=bèì~íáçå= O O O O O O í ì ó ì ñ ì ∂ ∂ = ∂ ∂ + ∂ ∂ = ~ééäáÉë=íç=íÜÉ=Çáëéä~ÅÉãÉåí= ( ) ó I ñ ì =çÑ=îáÄê~íáåÖ=ãÉãÄê~åÉë= ~åÇ= çíÜÉê= ï~îÉ= ÑìåÅíáçåëK= qÜÉ= Éèì~íáçåë= çÑ= íÜáë= íóéÉ= ~êÉ= Å~ääÉÇ=ÜóéÉêÄçäáÅK== = =
  • 314.
    304 Chapter 11 Series = = = = 11.1 ArithmeticSeries = fåáíá~ä=íÉêãW= N ~ = kíÜ=íÉêãW= å ~ = aáÑÑÉêÉåÅÉ=ÄÉíïÉÉå=ëìÅÅÉëëáîÉ=íÉêãëW=Ç= kìãÄÉê=çÑ=íÉêãë=áå=íÜÉ=ëÉêáÉëW=å= pìã=çÑ=íÜÉ=Ñáêëí=å=íÉêãëW= å p = = = 1184. ( )Ç N å ~ Ç O ~ Ç ~ ~ N O å N å å − + = = + = + = − − K = = 1185. á N å á N å O å N ~ ~ ~ ~ ~ ~ − + − + = = + = + K = = 1186. O ~ ~ ~ N á N á á + − + = = = 1187. ( ) å O Ç N å ~ O å O ~ ~ p N å N å ⋅ − + = ⋅ + = = = = = = =
  • 315.
    CHAPTER 11. SERIES 305 11.2Geometric Series = fåáíá~ä=íÉêãW= N ~ = kíÜ=íÉêãW= å ~ = `çããçå=ê~íáçW=è= kìãÄÉê=çÑ=íÉêãë=áå=íÜÉ=ëÉêáÉëW=å= pìã=çÑ=íÜÉ=Ñáêëí=å=íÉêãëW= å p = pìã=íç=áåÑáåáíóW=p= = = 1188. N å N N å å è ~ è~ ~ − − = = = = 1189. á N å á N å O å N ~ ~ ~ ~ ~ ~ − + − ⋅ = = ⋅ = ⋅ K = = 1190. N á N á á ~ ~ ~ + − ⋅ = = = 1191. ( ) N è N è ~ N è ~ è ~ p å N N å å − − = − − = = = 1192. è N ~ p äáã p N å å − = = ∞ → = cçê= N è < I=íÜÉ=ëìã=p=ÅçåîÉêÖÉë=~ë= ∞ → å K= = = = 11.3 Some Finite Series = kìãÄÉê=çÑ=íÉêãë=áå=íÜÉ=ëÉêáÉëW=å= = =
  • 316.
    CHAPTER 11. SERIES 306 1193. () O N å å å P O N + = + + + + K = = 1194. ( ) N å å å O S Q O + = + + + + K = = 1195. ( ) O å N å O R P N = − + + + + K = = 1196. ( ) ( ) ( ) ( ) O N å â O å N å â O â N â â − + = − + + + + + + + K = = 1197. ( )( ) S N å O N å å å P O N O O O O + + = + + + + K = = 1198. ( ) O P P P P O N å å å P O N       + = + + + + K = = 1199. ( ) ( ) P N å Q å N å O R P N O O O O O − = − + + + + K = = 1200. ( ) ( ) N å O å N å O R P N O O P P P P − = − + + + + K = = 1201. O O N U N Q N O N N å = + + + + + + K K = = 1202. ( ) N N å å N Q P N P O N O N N = + + + + ⋅ + ⋅ + ⋅ K K = = 1203. ( ) É > N å N > P N > O N > N N N = + − + + + + + K K = = = =
  • 317.
    CHAPTER 11. SERIES 307 11.4Infinite Series = pÉèìÉåÅÉW={ } å ~ = cáêëí=íÉêãW= N ~ = kíÜ=íÉêãW= å ~ = = = 1204. fåÑáåáíÉ=pÉêáÉë= K K + + + + = ∑ ∞ = å O N N å å ~ ~ ~ ~ = = 1205. kíÜ=m~êíá~ä=pìã= å O N å N å å å ~ ~ ~ ~ p + + + = = ∑ = K = = 1206. `çåîÉêÖÉåÅÉ=çÑ=fåÑáåáíÉ=pÉêáÉë= i ~ N å å = ∑ ∞ = I=áÑ= i p äáã å å = ∞ → = = 1207. kíÜ=qÉêã=qÉëí= • fÑ=íÜÉ=ëÉêáÉë=∑ ∞ =N å å ~ áë=ÅçåîÉêÖÉåíI=íÜÉå= M ~ äáã å å = ∞ → K== • fÑ= M ~ äáã å å ≠ ∞ → I=íÜÉå=íÜÉ=ëÉêáÉë=áë=ÇáîÉêÖÉåíK= = = = 11.5 Properties of Convergent Series = `çåîÉêÖÉåí=pÉêáÉëW= ^ ~ N å å = ∑ ∞ = I= _ Ä N å å = ∑ ∞ = = oÉ~ä=åìãÄÉêW=Å=
  • 318.
    CHAPTER 11. SERIES 308 1208.( ) _ ^ Ä ~ Ä ~ N å å N å å N å å å + = + = + ∑ ∑ ∑ ∞ = ∞ = ∞ = = = 1209. Å^ ~ Å Å~ N å å N å å = = ∑ ∑ ∞ = ∞ = K== = = = 11.6 Convergence Tests = 1210. qÜÉ=`çãé~êáëçå=qÉëí= iÉí=∑ ∞ =N å å ~ =~åÇ=∑ ∞ =N å å Ä =ÄÉ=ëÉêáÉë=ëìÅÜ=íÜ~í= å å Ä ~ M ≤ < =Ñçê=~ää=åK== • fÑ=∑ ∞ =N å å Ä áë=ÅçåîÉêÖÉåí=íÜÉå= ∑ ∞ =N å å ~ áë=~äëç=ÅçåîÉêÖÉåíK== • fÑ=∑ ∞ =N å å ~ áë=ÇáîÉêÖÉåí=íÜÉå=∑ ∞ =N å å Ä áë=~äëç=ÇáîÉêÖÉåíK= = 1211. qÜÉ=iáãáí=`çãé~êáëçå=qÉëí= iÉí=∑ ∞ =N å å ~ =~åÇ=∑ ∞ =N å å Ä =ÄÉ=ëÉêáÉë=ëìÅÜ=íÜ~í= å ~ =~åÇ= å Ä =~êÉ=éçëá- íáîÉ=Ñçê=~ää=åK== • fÑ= ∞ < < ∞ → å å å Ä ~ äáã M = íÜÉå= ∑ ∞ =N å å ~ = ~åÇ= ∑ ∞ =N å å Ä ~êÉ= ÉáíÜÉê= ÄçíÜ= ÅçåîÉêÖÉåí=çê=ÄçíÜ=ÇáîÉêÖÉåíK= • fÑ= M Ä ~ äáã å å å = ∞ → =íÜÉå= ∑ ∞ =N å å Ä ÅçåîÉêÖÉåí=áãéäáÉë=íÜ~í=∑ ∞ =N å å ~ =áë= ~äëç=ÅçåîÉêÖÉåíK=
  • 319.
    CHAPTER 11. SERIES 309 •fÑ= ∞ = ∞ → å å å Ä ~ äáã =íÜÉå= ∑ ∞ =N å å Ä ÇáîÉêÖÉåí=áãéäáÉë=íÜ~í= ∑ ∞ =N å å ~ =áë= ~äëç=ÇáîÉêÖÉåíK= = 1212. é-ëÉêáÉë= é-ëÉêáÉë=∑ ∞ =N å é å N =ÅçåîÉêÖÉë=Ñçê= N é > =~åÇ=ÇáîÉêÖÉë=Ñçê= N é M ≤ < K= = 1213. qÜÉ=fåíÉÖê~ä=qÉëí= iÉí= ( ) ñ Ñ = ÄÉ= ~= ÑìåÅíáçå= ïÜáÅÜ= áë= ÅçåíáåìçìëI= éçëáíáîÉI= ~åÇ= ÇÉÅêÉ~ëáåÖ=Ñçê=~ää= N ñ ≥ K=qÜÉ=ëÉêáÉë== ( ) ( ) ( ) ( ) ( ) K K + + + + + = ∑ ∞ = å Ñ P Ñ O Ñ N Ñ å Ñ N å = ÅçåîÉêÖÉë=áÑ= ( ) ∫ ∞ N Çñ ñ Ñ ÅçåîÉêÖÉëI=~åÇ=ÇáîÉêÖÉë=áÑ= ( ) ∞ → ∫ å N Çñ ñ Ñ =~ë= ∞ → å K= = 1214. qÜÉ=o~íáç=qÉëí= iÉí=∑ ∞ =N å å ~ =ÄÉ=~=ëÉêáÉë=ïáíÜ=éçëáíáîÉ=íÉêãëK= • fÑ= N ~ ~ äáã å N å å < + ∞ → =íÜÉå=∑ ∞ =N å å ~ áë=ÅçåîÉêÖÉåíK= • fÑ= N ~ ~ äáã å N å å > + ∞ → =íÜÉå=∑ ∞ =N å å ~ =áë=ÇáîÉêÖÉåíK= • fÑ= N ~ ~ äáã å N å å = + ∞ → =íÜÉå= ∑ ∞ =N å å ~ =ã~ó=ÅçåîÉêÖÉ=çê=ÇáîÉêÖÉ=~åÇ= íÜÉ=ê~íáç=íÉëí=áë=áåÅçåÅäìëáîÉX=ëçãÉ=çíÜÉê=íÉëíë= ãìëí=ÄÉ= ìëÉÇK== =
  • 320.
    CHAPTER 11. SERIES 310 1215.qÜÉ=oççí=qÉëí= iÉí=∑ ∞ =N å å ~ =ÄÉ=~=ëÉêáÉë=ïáíÜ=éçëáíáîÉ=íÉêãëK= • fÑ= N ~ äáãå å å < ∞ → =íÜÉå=∑ ∞ =N å å ~ =áë=ÅçåîÉêÖÉåíK= • fÑ= N ~ äáãå å å > ∞ → =íÜÉå=∑ ∞ =N å å ~ =áë=ÇáîÉêÖÉåíK= • fÑ= N ~ äáãå å å = ∞ → =íÜÉå= ∑ ∞ =N å å ~ =ã~ó=ÅçåîÉêÖÉ=çê=ÇáîÉêÖÉI=Äìí= åç=ÅçåÅäìëáçå=Å~å=ÄÉ=Çê~ïå=Ñêçã=íÜáë=íÉëíK= = = = 11.7 Alternating Series = 1216. qÜÉ=^äíÉêå~íáåÖ=pÉêáÉë=qÉëí=EiÉáÄåáò∞ë=qÜÉçêÉãF= = iÉí={ } å ~ =ÄÉ=~=ëÉèìÉåÅÉ=çÑ=éçëáíáîÉ=åìãÄÉêë=ëìÅÜ=íÜ~í= å N å ~ ~ < + =Ñçê=~ää=åK= M ~ äáã å å = ∞ → K== qÜÉå= íÜÉ= ~äíÉêå~íáåÖ= ëÉêáÉë= ( ) ∑ ∞ = − N å å å ~ N = ~åÇ= ( ) ∑ ∞ = − − N å å N å ~ N = ÄçíÜ=ÅçåîÉêÖÉK==== = 1217. ^ÄëçäìíÉ=`çåîÉêÖÉåÅÉ= • ^= ëÉêáÉë= ∑ ∞ =N å å ~ = áë= ~ÄëçäìíÉäó= ÅçåîÉêÖÉåí= áÑ= íÜÉ= ëÉêáÉë= ∑ ∞ =N å å ~ =áë=ÅçåîÉêÖÉåíK==
  • 321.
    CHAPTER 11. SERIES 311 •fÑ=íÜÉ=ëÉêáÉë= ∑ ∞ =N å å ~ áë=~ÄëçäìíÉäó=ÅçåîÉêÖÉåí=íÜÉå=áí=áë=Åçå- îÉêÖÉåíK= = 1218. `çåÇáíáçå~ä=`çåîÉêÖÉåÅÉ= ^= ëÉêáÉë= ∑ ∞ =N å å ~ áë= ÅçåÇáíáçå~ääó= ÅçåîÉêÖÉåí= áÑ= íÜÉ= ëÉêáÉë= áë= ÅçåîÉêÖÉåí=Äìí=áë=åçí=~ÄëçäìíÉäó=ÅçåîÉêÖÉåíK= = = = 11.8 Power Series = oÉ~ä=åìãÄÉêëW=ñI= M ñ = mçïÉê=ëÉêáÉëW=∑ ∞ =M å å åñ ~ I= ( ) ∑ ∞ = − M å å M å ñ ñ ~ = tÜçäÉ=åìãÄÉêW=å= o~Çáìë=çÑ=`çåîÉêÖÉåÅÉW=o= = 1219. mçïÉê=pÉêáÉë=áå=ñ= K K + + + + + = ∑ ∞ = å å O O N M M å å å ñ ~ ñ ~ ñ ~ ~ ñ ~ = = 1220. mçïÉê=pÉêáÉë=áå=( ) M ñ ñ − = ( ) ( ) ( ) ( ) K K + − + + − + − + = − ∑ ∞ = å M å O M O M N M M å å M å ñ ñ ~ ñ ñ ~ ñ ñ ~ ~ ñ ñ ~ = 1221. fåíÉêî~ä=çÑ=`çåîÉêÖÉåÅÉ=== qÜÉ=ëÉí=çÑ=íÜçëÉ=î~äìÉë=çÑ=ñ=Ñçê=ïÜáÅÜ=íÜÉ=ÑìåÅíáçå= ( ) ( ) ∑ ∞ = − = M å å M å ñ ñ ~ ñ Ñ =áë=ÅçåîÉêÖÉåí=áë=Å~ääÉÇ==íÜÉ==áåíÉêî~ä=çÑ= ÅçåîÉêÖÉåÅÉK=
  • 322.
    CHAPTER 11. SERIES 312 1222.o~Çáìë=çÑ=`çåîÉêÖÉåÅÉ= fÑ=íÜÉ=áåíÉêî~ä=çÑ=ÅçåîÉêÖÉåÅÉ=áë==( ) o ñ I o ñ M M + − ==Ñçê==ëçãÉ= M o ≥ I=íÜÉ=o=áë=Å~ääÉÇ==íÜÉ=ê~Çáìë=çÑ=ÅçåîÉêÖÉåÅÉK==fí=áë=ÖáîÉå= ~ë= å å å ~ N äáã o ∞ → = =çê= N å å å ~ ~ äáã o + ∞ → = K== = = = 11.9 Differentiation and Integration of Power Series = `çåíáåìçìë=ÑìåÅíáçåW= ( ) ñ Ñ = mçïÉê=ëÉêáÉëW=∑ ∞ =M å å åñ ~ = tÜçäÉ=åìãÄÉêW=å= o~Çáìë=çÑ=`çåîÉêÖÉåÅÉW=o= = = 1223. aáÑÑÉêÉåíá~íáçå=çÑ=mçïÉê=pÉêáÉë= iÉí= ( ) K + + + = = ∑ ∞ = O O N M M å å å ñ ~ ñ ~ ~ ñ ~ ñ Ñ =Ñçê= o ñ < K== qÜÉåI==Ñçê= o ñ < I= ( ) ñ Ñ =áë=ÅçåíáåìçìëI=íÜÉ=ÇÉêáî~íáîÉ= ( ) ñ Ñ′ = Éñáëíë=~åÇ= ( ) K + + + = ′ O O N M ñ ~ Çñ Ç ñ ~ Çñ Ç ~ Çñ Ç ñ Ñ = ∑ ∞ = − = + + + = N å N å å O P O N ñ å~ ñ ~ P ñ ~ O ~ K K= = = =
  • 323.
    CHAPTER 11. SERIES 313 1224.fåíÉÖê~íáçå=çÑ=mçïÉê=pÉêáÉë= iÉí= ( ) K + + + = = ∑ ∞ = O O N M M å å å ñ ~ ñ ~ ~ ñ ~ ñ Ñ =Ñçê= o ñ < K== qÜÉåI==Ñçê= o ñ < I=íÜÉ=áåÇÉÑáåáíÉ=áåíÉÖê~ä= ( ) ∫ Çñ ñ Ñ Éñáëíë=~åÇ== ( ) K + + + = ∫ ∫ ∫ ∫ Çñ ñ ~ ñÇñ ~ Çñ ~ Çñ ñ Ñ O O N M = ` N å ñ ~ P ñ ~ O ñ ~ ñ ~ M å N å å P O O N M + + = + + + = ∑ ∞ = + K K= = = = 11.10 Taylor and Maclaurin Series = tÜçäÉ=åìãÄÉêW=å= aáÑÑÉêÉåíá~ÄäÉ=ÑìåÅíáçåW= ( ) ñ Ñ = oÉã~áåÇÉê=íÉêãW= å o = = = 1225. q~óäçê=pÉêáÉë= ( ) ( ) ( )( ) ( ) ( )( ) ( )( ) K + − ′ ′ + − ′ + = − = ∑ ∞ = > O ~ ñ ~ Ñ ~ ñ ~ Ñ ~ Ñ > å ~ ñ ~ Ñ ñ Ñ O M å å å = = ( ) ( )( ) å å å o > å ~ ñ ~ Ñ + − + K== = 1226. qÜÉ=oÉã~áåÇÉê=^ÑíÉê=åHN=qÉêãë=áë=ÖáîÉå=Äó== ( ) ( )( ) ( )> N å ~ ñ Ñ o N å N å å + − ξ = + + I=== ñ ~ < ξ < K= = 1227. j~Åä~ìêáå=pÉêáÉë=
  • 324.
    CHAPTER 11. SERIES 314 () ( ) ( ) ( ) ( ) ( ) ( ) ( ) å å å O M å å å o > å ñ M Ñ > O ñ M Ñ ñ M Ñ M Ñ > å ñ M Ñ ñ Ñ + + + ′ ′ + ′ + = = ∑ ∞ = K = = = = 11.11 Power Series Expansions for Some Functions = tÜçäÉ=åìãÄÉêW=å= oÉ~ä=åìãÄÉêW=ñ= = = 1228. K K + + + + + + = > å ñ > P ñ > O ñ ñ N É å P O ñ = = 1229. ( ) ( ) ( ) K K + + + + + + = > å ~ äå ñ > P ~ äå ñ > O ~ äå ñ > N ~ äå ñ N ~ å P O ñ = = 1230. ( ) ( ) K K ± + − + + − + − = + + N å ñ N Q ñ P ñ O ñ ñ ñ N äå N å å Q P O I= N ñ N ≤ < − K= = 1231.         + + + + = − + K T ñ R ñ P ñ ñ O ñ N ñ N äå T R P I= N ñ < K= = 1232.               + − +       + − + + − = K R P N ñ N ñ R N N ñ N ñ P N N ñ N ñ O ñ äå I= M ñ > K= = 1233. ( ) ( ) K K ± − + + − + − = > å O ñ N > S ñ > Q ñ > O ñ N ñ Åçë å O å S Q O = =
  • 325.
    CHAPTER 11. SERIES 315 1234. () ( ) K K ± + − + + − + − = + > N å O ñ N > T ñ > R ñ > P ñ ñ ñ ëáå N å O å T R P = = 1235. K + + + + + = OUPR ñ SO PNR ñ NT NR ñ O P ñ ñ ñ í~å V T R P I= O ñ π < K= = 1236.         + + + + − = K QTOR ñ O VQR ñ O QR ñ P ñ ñ N ñ Åçí T R P I= π < ñ K= = 1237. ( ) ( )( ) K K K K + + ⋅ ⋅ − ⋅ ⋅ + + ⋅ ⋅ ⋅ + ⋅ + = + N å O å O S Q O ñ N å O R P N R Q O ñ P N P O ñ ñ ñ ~êÅëáå N å O R P I= N ñ < K= = 1238. ( ) ( )( ) I N å O å O S Q O ñ N å O R P N R Q O ñ P N P O ñ ñ O ñ ~êÅÅçë N å O R P         + + ⋅ ⋅ − ⋅ ⋅ + + ⋅ ⋅ ⋅ + ⋅ + − π = + K K K K N ñ < K= = 1239. ( ) K K ± + − + + − + − = + N å O ñ N T ñ R ñ P ñ ñ ñ ~êÅí~å N å O å T R P I= N ñ ≤ K= = 1240. ( ) K K + + + + + + = > å O ñ > S ñ > Q ñ > O ñ N ñ ÅçëÜ å O S Q O = = 1241. ( ) K K + + + + + + + = + > N å O ñ > T ñ > R ñ > P ñ ñ ñ ëáåÜ N å O T R P = = = = = =
  • 326.
    CHAPTER 11. SERIES 316 11.12Binomial Series = tÜçäÉ=åìãÄÉêëW=åI=ã= oÉ~ä=åìãÄÉêW=ñ= `çãÄáå~íáçåëW= ã å ` = = = 1242. ( ) å ã å ã O O å N å å ñ ñ ` ñ ` ñ ` N ñ N + + + + + + = + K K = = 1243. ( ) ( ) [ ] > ã N ã å N å å `ã å − − − = K I= N ñ < K= = 1244. K + − + − = + P O ñ ñ ñ N ñ N N I= N ñ < K= = 1245. K + + + + = − P O ñ ñ ñ N ñ N N I= N ñ < K= = 1246. K + ⋅ ⋅ ⋅ ⋅ ⋅ − ⋅ ⋅ ⋅ + ⋅ − + = + U S Q O ñ R P N S Q O ñ P N Q O ñ O ñ N ñ N Q P O I= N ñ ≤ K= = 1247. K + ⋅ ⋅ ⋅ ⋅ ⋅ ⋅ − ⋅ ⋅ ⋅ ⋅ + ⋅ ⋅ − + = + NO V S P ñ U R O N V S P ñ R O N S P ñ O N P ñ N ñ N Q P O P I= N ñ ≤ K= = = = 11.13 Fourier Series = fåíÉÖê~ÄäÉ=ÑìåÅíáçåW= ( ) ñ Ñ = cçìêáÉê=ÅçÉÑÑáÅáÉåíëW= M ~ I= å ~ I= å Ä = tÜçäÉ=åìãÄÉêW=å==
  • 327.
    CHAPTER 11. SERIES 317 1248.( ) ( ) ∑ ∞ = + + = N å å å M åñ ëáå Ä åñ Åçë ~ O ~ ñ Ñ = = 1249. ( ) ∫ π π − π = Çñ åñ Åçë ñ Ñ N ~å == = 1250. ( ) ∫ π π − π = Çñ åñ ëáå ñ Ñ N Äå == = =
  • 328.
    318 Chapter 12 Probability = = = = 12.1 Permutationsand Combinations = mÉêãìí~íáçåëW= ã å m = `çãÄáå~íáçåëW= ã å ` = tÜçäÉ=åìãÄÉêëW=åI=ã= = = 1251. c~Åíçêá~ä= ( )( )å N å O å P O N > å − − ⋅ ⋅ = K = N > M = = = 1252. > å må å = = = 1253. ( )> ã å > å mã å − = = = 1254. _áåçãá~ä=`çÉÑÑáÅáÉåí= ( )> ã å > ã > å ã å `ã å − =         = = = 1255. ã å å ã å ` ` − = = = 1256. N ã N å N ã å ã å ` ` ` + + + = + = =
  • 329.
    CHAPTER 12. PROBABILITY 319 1257.å å å O å N å M å O ` ` ` ` = + + + + K = = 1258. m~ëÅ~ä∞ë=qêá~åÖäÉ= = oçï=M= = = = = = = N= = = = = = = oçï=N= = = = = = N= = N= = = = = = oçï=O= = = = = N= = O= = N= = = = = oçï=P= = = = N= = P= = P= = N= = = = oçï=Q= = = N= = Q= = S= = Q= = N= = = oçï=R= = N= = R= = NM= = NM= = R= = N= = oçï=S= N= = S= = NR= = OM= = NR= = S= = N= = = = 12.2 Probability Formulas = bîÉåíëW=^I=_= mêçÄ~ÄáäáíóW=m= o~åÇçã=î~êá~ÄäÉëW=uI=vI=w= s~äìÉë=çÑ=ê~åÇçã=î~êá~ÄäÉëW=ñI=óI=ò= bñéÉÅíÉÇ=î~äìÉ=çÑ=uW=µ= ^åó=éçëáíáîÉ=êÉ~ä=åìãÄÉêW=ε == pí~åÇ~êÇ=ÇÉîá~íáçåW=σ = s~êá~åÅÉW= O σ = aÉåëáíó=ÑìåÅíáçåëW= ( ) ñ Ñ I= ( ) í Ñ = = = 1259. mêçÄ~Äáäáíó=çÑ=~å=bîÉåí= ( ) å ã ^ m = I== ïÜÉêÉ== ã=áë=íÜÉ=åìãÄÉê=çÑ=éçëëáÄäÉ=éçëáíáîÉ=çìíÅçãÉëI== å=áë=íÜÉ=íçí~ä=åìãÄÉê=çÑ=éçëëáÄäÉ=çìíÅçãÉëK= =
  • 330.
    CHAPTER 12. PROBABILITY 320 1260.o~åÖÉ=çÑ=mêçÄ~Äáäáíó=s~äìÉë= ( ) N ^ m M ≤ ≤ = = 1261. `Éêí~áå=bîÉåí= ( ) N ^ m = = = 1262. fãéçëëáÄäÉ=bîÉåí= ( ) M ^ m = = = 1263. `çãéäÉãÉåí= ( ) ( ) ^ m N ^ m − = = = 1264. fåÇÉéÉåÇÉåí=bîÉåíë= ( ) ( ) ^ m _ L ^ m = I== ( ) ( ) _ m ^ L _ m = = = 1265. ^ÇÇáíáçå=oìäÉ=Ñçê=fåÇÉéÉåÇÉåí=bîÉåíë= ( ) ( ) ( ) _ m ^ m _ ^ m + = ∪ = = 1266. jìäíáéäáÅ~íáçå=oìäÉ=Ñçê=fåÇÉéÉåÇÉåí=bîÉåíë= ( ) ( ) ( ) _ m ^ m _ ^ m ⋅ = ∩ = = 1267. dÉåÉê~ä=^ÇÇáíáçå=oìäÉ= ( ) ( ) ( ) ( ) _ ^ m _ m ^ m _ ^ m ∩ − + = ∪ I== ïÜÉêÉ== _ ^ ∪ =áë=íÜÉ=ìåáçå=çÑ=ÉîÉåíë=^=~åÇ=_I== _ ^ ∩ =áë=íÜÉ=áåíÉêëÉÅíáçå=çÑ=ÉîÉåíë=^=~åÇ=_K= = 1268. `çåÇáíáçå~ä=mêçÄ~Äáäáíó= ( ) ( ) ( ) _ m _ ^ m _ L ^ m ∩ = = = 1269. ( ) ( ) ( ) ( ) ( ) ^ L _ m ^ m _ L ^ m _ m _ ^ m ⋅ = ⋅ = ∩ =
  • 331.
    CHAPTER 12. PROBABILITY 321 1270.i~ï=çÑ=qçí~ä=mêçÄ~Äáäáíó= ( ) ( ) ( ) ∑ = = ã N á á á _ L ^ m _ m ^ m I== ïÜÉêÉ= á _ =áë=~=ëÉèìÉåÅÉ=çÑ=ãìíì~ääó=ÉñÅäìëáîÉ=ÉîÉåíëK== = 1271. _~óÉë∞=qÜÉçêÉã= ( ) ( ) ( ) ( ) ^ m _ m _ L ^ m ^ L _ m ⋅ = = = 1272. _~óÉë∞=cçêãìä~= ( ) ( ) ( ) ( ) ( ) ∑ = ⋅ ⋅ = ã N â á á á á á _ L ^ m _ m _ L ^ m _ m ^ L _ m I== ïÜÉêÉ== á _ =áë=~=ëÉí=çÑ=ãìíì~ääó=ÉñÅäìëáîÉ=ÉîÉåíë=EÜóéçíÜÉëÉëFI= ^ =áë=íÜÉ=Ñáå~ä=ÉîÉåíI== ( ) á _ m =~êÉ=íÜÉ=éêáçê=éêçÄ~ÄáäáíáÉëI= ( ) ^ L _ m á =~êÉ=íÜÉ=éçëíÉêáçê=éêçÄ~ÄáäáíáÉëK= = 1273. i~ï=çÑ=i~êÖÉ=kìãÄÉêë= M å p m å →       ε ≥ µ − =~ë= ∞ → å I== N å p m å →       ε < µ − =~ë= ∞ → å I== ïÜÉêÉ== å p =áë=íÜÉ=ëìã=çÑ=ê~åÇçã=î~êá~ÄäÉëI= å=áë=íÜÉ=åìãÄÉê=çÑ=éçëëáÄäÉ=çìíÅçãÉëK= = 1274. `ÜÉÄóëÜÉî=fåÉèì~äáíó= ( ) ( ) O u s u m ε ≤ ε ≥ µ − I== ïÜÉêÉ= ( ) u s =áë=íÜÉ=î~êá~åÅÉ=çÑ=uK=
  • 332.
    CHAPTER 12. PROBABILITY 322 1275.kçêã~ä=aÉåëáíó=cìåÅíáçå= ( ) ( ) O O O ñ É O N ñ σ µ − − π σ = ϕ I== ïÜÉêÉ=ñ=áë=~=é~êíáÅìä~ê=çìíÅçãÉK= = 1276. pí~åÇ~êÇ=kçêã~ä=aÉåëáíó=cìåÅíáçå= ( ) O ò O É O N ò − π = ϕ = ^îÉê~ÖÉ=î~äìÉ= M = µ I=ÇÉîá~íáçå= N = σ K= = ===== = = Figure 210. = 1277. pí~åÇ~êÇ=w=s~äìÉ= σ µ − = u w = = 1278. `ìãìä~íáîÉ=kçêã~ä=aáëíêáÄìíáçå=cìåÅíáçå= ( ) ( ) ∫∞ − σ µ − − π σ = ñ O í Çí É O N ñ c O O I==
  • 333.
    CHAPTER 12. PROBABILITY 323 ïÜÉêÉ== ñ=áë=~=é~êíáÅìä~ê=çìíÅçãÉI== í=áë=~=î~êá~ÄäÉ=çÑ=áåíÉÖê~íáçåK= = 1279. ( )       σ µ − β −       σ µ − α = β < < α c c u m I= ïÜÉêÉ= u=áë=åçêã~ääó=ÇáëíêáÄìíÉÇ=ê~åÇçã=î~êá~ÄäÉI= c=áë=Åìãìä~íáîÉ=åçêã~ä=ÇáëíêáÄìíáçå=ÑìåÅíáçåI== ( ) β < < α u m =áë=áåíÉêî~ä=éêçÄ~ÄáäáíóK= = 1280. ( )       σ ε = ε < µ − c O u m I== ïÜÉêÉ== u=áë=åçêã~ääó=ÇáëíêáÄìíÉÇ=ê~åÇçã=î~êá~ÄäÉI= c=áë=Åìãìä~íáîÉ=åçêã~ä=ÇáëíêáÄìíáçå=ÑìåÅíáçåK= = 1281. `ìãìä~íáîÉ=aáëíêáÄìíáçå=cìåÅíáçå= ( ) ( ) ( ) ∫∞ − = < = ñ Çí í Ñ ñ u m ñ c I== ïÜÉêÉ=í=áë=~=î~êá~ÄäÉ=çÑ=áåíÉÖê~íáçåK= = 1282. _Éêåçìääá=qêá~äë=mêçÅÉëë= åé = µ = I= åéè O = σ I== ïÜÉêÉ== å=áë=~=ëÉèìÉåÅÉ=çÑ=ÉñéÉêáãÉåíëI== é =áë=íÜÉ=éêçÄ~Äáäáíó=çÑ=ëìÅÅÉëë=çÑ=É~ÅÜ=ÉñéÉêáãÉåíëI= è =áë=íÜÉ=éêçÄ~Äáäáíó=çÑ=Ñ~áäìêÉI= é N è − = K= = 1283. _áåçãá~ä=aáëíêáÄìíáçå=cìåÅíáçå======= ( ) â å â è é â å è I é I å Ä −         = I==
  • 334.
    CHAPTER 12. PROBABILITY 324 åé = µI= åéè O = σ I= ( ) ( )å ñ éÉ è ñ Ñ + = I== ïÜÉêÉ== å=áë=íÜÉ=åìãÄÉê=çÑ=íêá~äë=çÑ=ëÉäÉÅíáçåëI= é=áë=íÜÉ=éêçÄ~Äáäáíó=çÑ=ëìÅÅÉëëI= è=áë=íÜÉ=éêçÄ~Äáäáíó=çÑ=Ñ~áäìêÉI= é N è − = K= = 1284. dÉçãÉíêáÅ=aáëíêáÄìíáçå= ( ) é è à q m N à− = = I== é N = µ I= O O é è = σ I== ïÜÉêÉ== q=áë=íÜÉ=Ñáêëí=ëìÅÅÉëëÑìä=ÉîÉåí=áë=íÜÉ=ëÉêáÉëI= à=áë=íÜÉ=ÉîÉåí=åìãÄÉêI= é=áë=íÜÉ=éêçÄ~Äáäáíó=íÜ~í=~åó=çåÉ=ÉîÉåí=áë=ëìÅÅÉëëÑìäI== è=áë=íÜÉ=éêçÄ~Äáäáíó=çÑ=Ñ~áäìêÉI= é N è − = K= = 1285. mçáëëçå=aáëíêáÄìíáçå= ( ) λ − λ ≈ = É > â â u m â I= åé = λ I== λ = µ I= λ = σO I== ïÜÉêÉ== λ =áë=íÜÉ=ê~íÉ=çÑ=çÅÅìêêÉåÅÉI= â=áë=íÜÉ=åìãÄÉê=çÑ=éçëáíáîÉ=çìíÅçãÉëK= = 1286. aÉåëáíó=cìåÅíáçå== ( ) ( ) ∫ = ≤ ≤ Ä ~ Çñ ñ Ñ Ä u ~ m == = 1287. `çåíáåìçìë=råáÑçêã=aÉåëáíó= ~ Ä N Ñ − = I= O Ä ~ + = µ I==
  • 335.
    CHAPTER 12. PROBABILITY 325 ïÜÉêÉ=Ñ=áë=íÜÉ=ÇÉåëáíó=ÑìåÅíáçåK= = 1288.bñéçåÉåíá~ä=aÉåëáíó=cìåÅíáçå= ( ) í É í Ñ λ − λ = I= λ = µ I= O O λ = σ = ïÜÉêÉ=í=áë=íáãÉI=λ =áë=íÜÉ=Ñ~áäìêÉ=ê~íÉK= = 1289. bñéçåÉåíá~ä=aáëíêáÄìíáçå=cìåÅíáçå= ( ) í É N í c λ − − = I== ïÜÉêÉ=í=áë=íáãÉI=λ =áë=íÜÉ=Ñ~áäìêÉ=ê~íÉK= = 1290. bñéÉÅíÉÇ=s~äìÉ=çÑ=aáëÅêÉíÉ=o~åÇçã=s~êá~ÄäÉë= ( ) ∑ = = = µ å N á á áé ñ u b I== ïÜÉêÉ= á ñ =áë=~=é~êíáÅìä~ê=çìíÅçãÉI= á é =áë=áíë=éêçÄ~ÄáäáíóK= = 1291. bñéÉÅíÉÇ=s~äìÉ=çÑ=`çåíáåìçìë=o~åÇçã=s~êá~ÄäÉë= ( ) ( ) ∫ ∞ ∞ − = = µ Çñ ñ ñÑ u b == = 1292. mêçéÉêíáÉë=çÑ=bñéÉÅí~íáçåë= ( ) ( ) ( ) v b u b v u b + = + I== ( ) ( ) ( ) v b u b v u b − = − I= ( ) ( ) u Åb Åu b = I== ( ) ( ) ( ) v b u b uv b ⋅ = I== ïÜÉêÉ=Å=áë=~=Åçåëí~åíK= = 1293. ( ) ( ) O O u s u b µ + = I== ïÜÉêÉ== ( ) u b = µ =áë=íÜÉ=ÉñéÉÅíÉÇ=î~äìÉI=== ( ) u s =áë=íÜÉ=î~êá~åÅÉK= = = =
  • 336.
    CHAPTER 12. PROBABILITY 326 1294.j~êâçî=fåÉèì~äáíó= ( ) ( ) â u b â u m ≤ > I== ïÜÉêÉ=â=áë=ëçãÉ=Åçåëí~åíK= = 1295. s~êá~åÅÉ=çÑ=aáëÅêÉíÉ=o~åÇçã=s~êá~ÄäÉë= ( ) ( ) [ ] ( ) ∑ = µ − = µ − = = σ å N á á O á O O é ñ u b u s I== ïÜÉêÉ== á ñ =áë=~=é~êíáÅìä~ê=çìíÅçãÉI= á é =áë=áíë=éêçÄ~ÄáäáíóK= = 1296. s~êá~åÅÉ=çÑ=`çåíáåìçìë=o~åÇçã=s~êá~ÄäÉë= ( ) ( ) [ ] ( ) ( ) ∫ ∞ ∞ − µ − = µ − = = σ Çñ ñ Ñ ñ u b u s O O O == = 1297. mêçéÉêíáÉë=çÑ=s~êá~åÅÉ= ( ) ( ) ( ) v s u s v u s + = + I== ( ) ( ) ( ) v s u s v u s + = − I= ( ) ( ) u s Å u s = + I= ( ) ( ) u s Å Åu s O = I= ïÜÉêÉ=Å=áë=~=Åçåëí~åíK= = 1298. pí~åÇ~êÇ=aÉîá~íáçå= ( ) ( ) ( ) [ ] O u b u s u a µ − = = = = 1299. `çî~êá~åÅÉ= ( ) ( ) ( ) ( ) ( ) [ ] ( ) ( ) ( ) v u uv b v v u u b v I u Åçî µ µ − = µ − µ − = I== ïÜÉêÉ== u =áë=ê~åÇçã=î~êá~ÄäÉI== ( ) u s =áë=íÜÉ=î~êá~åÅÉ=çÑ=uI== µ=áë=íÜÉ=ÉñéÉÅíÉÇ=î~äìÉ=çÑ=u=çê=vK=
  • 337.
    CHAPTER 12. PROBABILITY 327 = 1300.`çêêÉä~íáçå= ( ) ( ) ( ) ( ) v s u s v I u Åçî v I u = ρ I== ïÜÉêÉ== ( ) u s =áë=íÜÉ=î~êá~åÅÉ=çÑ=uI== ( ) v s =áë=íÜÉ=î~êá~åÅÉ=çÑ=vK= = = = = = = = = = = = = = = = = = = = = = = = = = = = =
  • 338.