Embed presentation
Downloaded 277 times




































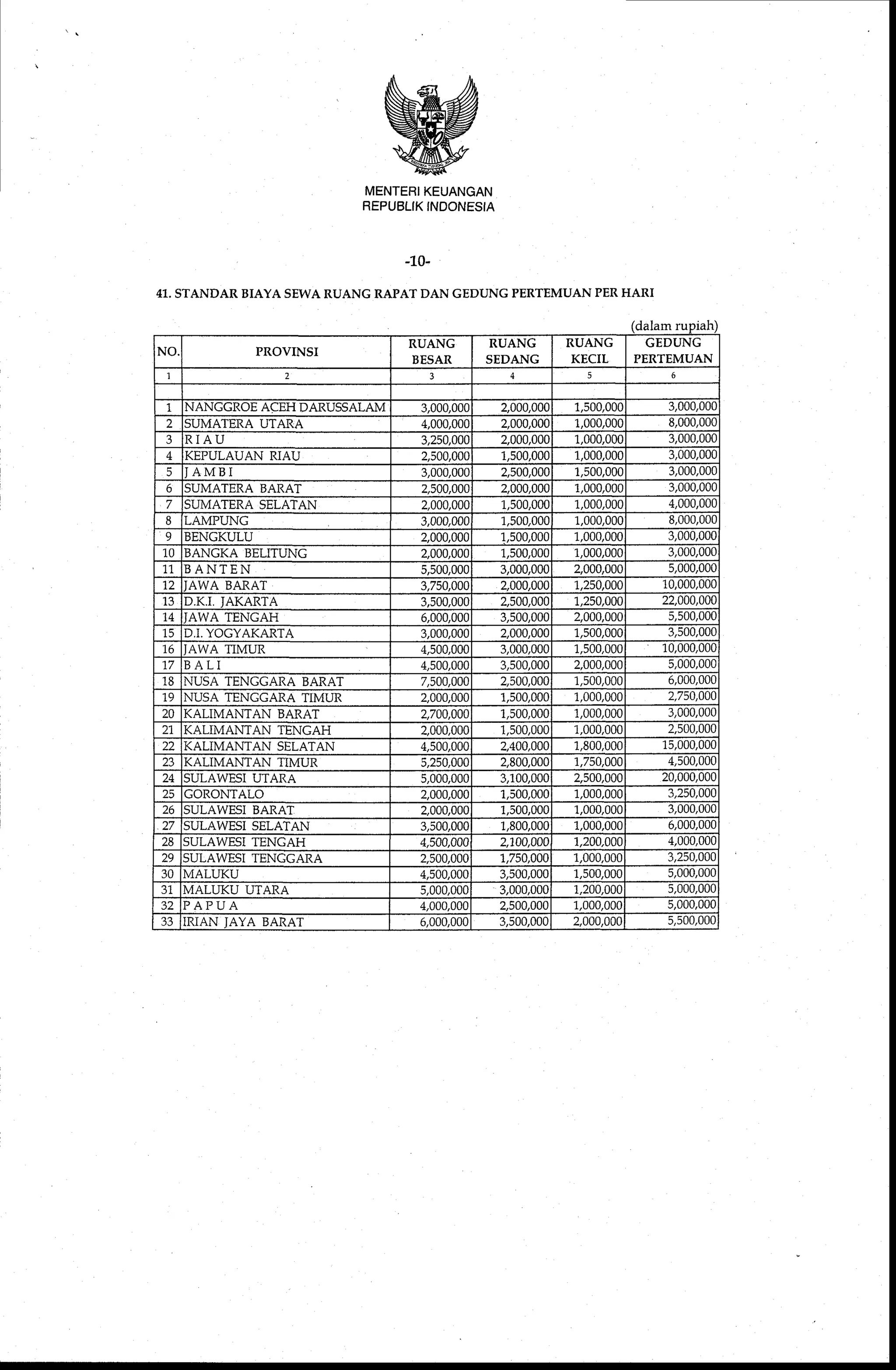
Peraturan Menteri Keuangan No. 64/PMK.02/2008 menetapkan Standar Biaya Umum Tahun Anggaran 2009 yang terdiri dari satuan biaya masukan dan keluaran. Standar Biaya Umum digunakan sebagai pedoman dalam menyusun biaya kegiatan Rencana Kerja dan Anggaran Kementerian/Lembaga Tahun 2009 dan meliputi berbagai biaya seperti gaji penanggung jawab, sewa ruang rapat, perjalanan dinas, dan lainnya.


































