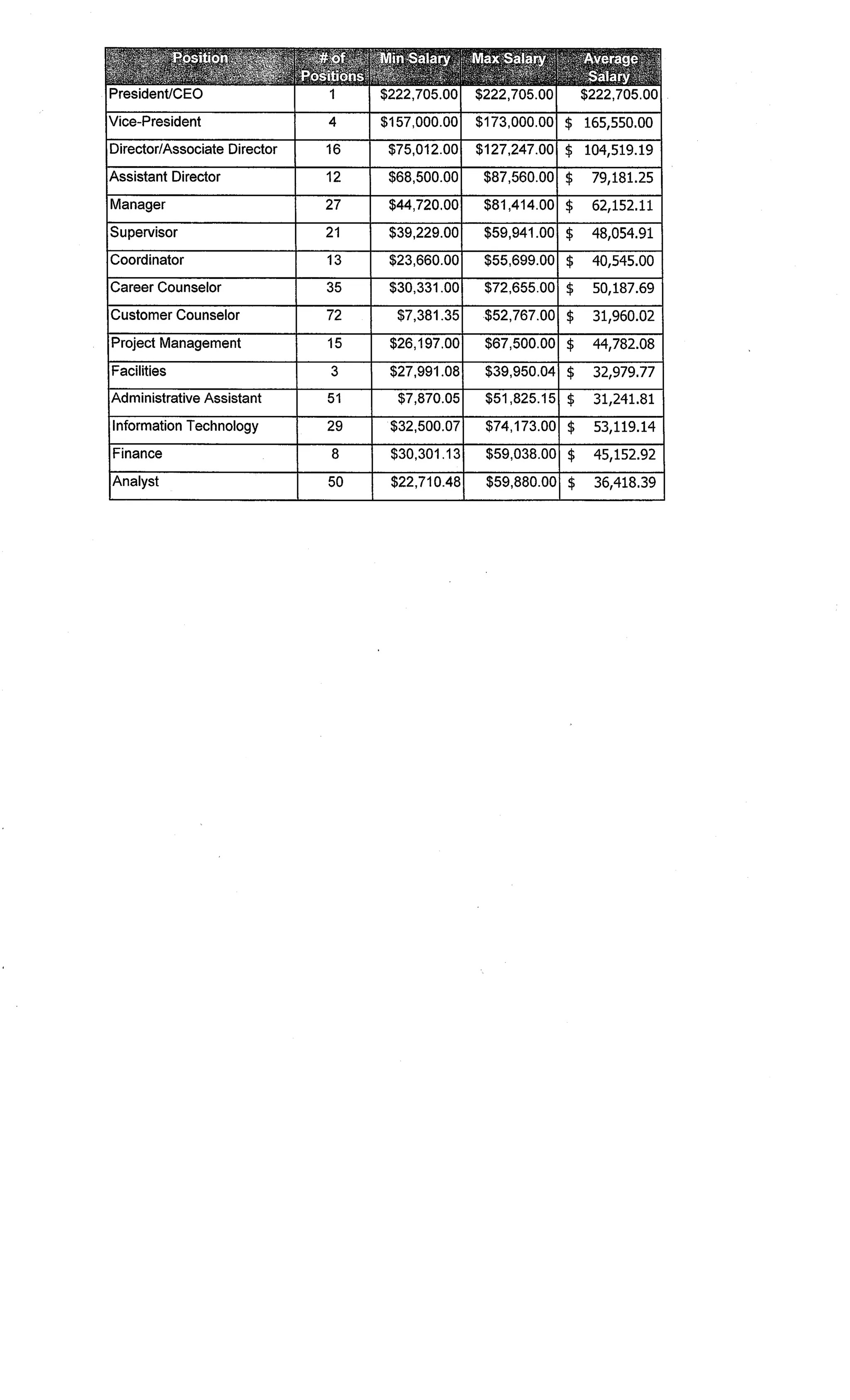
This does not include various insurance benefits, retirement packages, bonuses or perks. No one seems to know how much VSAC executives receive in total compensation.