Embed presentation
Download as DOC, PPTX











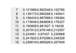
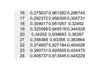
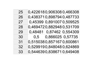
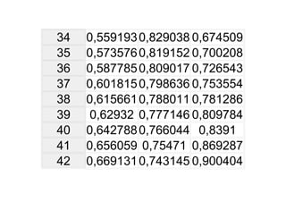
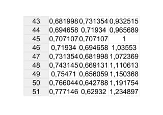
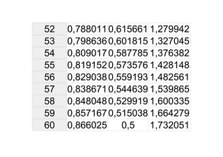
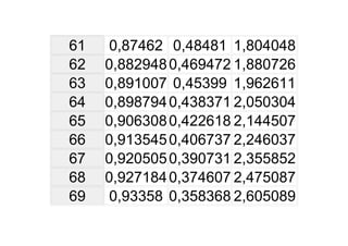
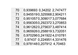
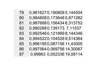
Документ содержит тригонометрическую таблицу значений синусов, косинусов и тангенсов для углов от 1° до 90°. Каждая строка таблицы включает угол, значение синуса, косинуса и тангенса. Это полезный ресурс для студентов и специалистов в области математики и физики.










