μαθηματικά προσανατολισμού
γ' λυκείου
1ο μερος
τακης τσακαλακος
Ш
όριο συνάρτησης
γιατι ...
μια εικονα, χιλιες λεξεις ...
ΟΡΙΟ ΣΤΟ χ0
Τακης Τσακαλακος Κερκυρα 2018
4
ΟΡΙΟ ΣΥΝΑΡΤΗΣΗΣ ...
Nα βρεθουν τα ορια της συναρ-
τησης f στις θεσεις:
x0 = - 2, - 1, 1
οταν η γραφικη της παρασταση
φαινεται στο διπλανο σχημα.
Α π α ν τ η σ η
-
- +
+
-
+
0
x -2
x -2 x -2
x -2
0
0
x -1
x -1
Για x =-2
lim f(x)= 2
lim f(x) lim f(x)
lim f(x)= 1
οποτε δεν υπαρχει οριο της f στο x =-2.
Για x =-1
lim f(x)=-1
lim f(x)=-
- +
-
- +
+
x -1 x -1
0 x -1
0
x 1
x 1 x 1
x 1
lim f(x)= lim f(x)=-1
1
οποτε υπαρχει οριο της f στο x =-1 με lim f(x)=-1.
Για x = 1
lim f(x)= 3
lim f(x) lim f(x)
lim f(x)= 1
ο 0
ποτε δεν υπαρχει οριο της f στο x = 1.
ΠΑΡΑΔΕΙΓΜΑ 1
Ε Υ Ρ Ε Σ Η Ο Ρ Ι Ο Υ ( Γ Ε Ω Μ Ε Τ Ρ Ι Κ Α )
Αντιμετωπιση :
1. Για καθε τιμη x 0 παιρνουμε πλευρικα ορια .
2. Αν = = τοτε .
Τακης Τσακαλακος Κερκυρα 2018
5
ΟΡΙΟ ΣΥΝΑΡΤΗΣΗΣ ...
x -1
Με τη βοηθεια του ορισμου του οριου, να δειχτει οτι:
lim(3-2x)= 5
Α π α ν τ η σ η
Με βαση τον ορισμο του οριου, για καθε
ε> 0 θα πρεπει να υπαρχει δ> 0
Ειναι
| f(x)-5|< ε | 3-2x-5|< ε
|
, ωστε:
Για καθε x με 0<| x+1|< δ να ισχυει
| f(x)-5|< ε
Ετσι
ε
Γιαδ= ειναι:
2
ε
| x+1|<
-2x-2|< ε
δ | x+1|<
2
2| x+1|< ε
ε
2| x+1|< ε
| 2x+2|< ε
| x+1|<
2
|-2x-2|< ε
| 3-2x-5|< ε
| f(x)-5|< ε
ΠΑΡΑΔΕΙΓΜΑ 2
Ε Υ Ρ Ε Σ Η Ο Ρ Ι Ο Υ ( ΜΕ Ο Ρ Ι Σ Μ Ο )
Αν = λ
1. Για | f ( x ) – λ | < ε , με πραξεις καταληγουμε στη σχεση
α∙| x – x0 | < ε .
2. Θετουμε δ = ε/α , παιρνουμε τη σχεση | x – x ₀ | < δ και
στη συνεχεια καταληγουμε στη σχεση |f(x) - λ| < ε .
Τακης Τσακαλακος Κερκυρα 2018
6
ΟΡΙΟ ΣΥΝΑΡΤΗΣΗΣ ...
2
2 2 x
x -1 x 0 x 0 x 2
Nα υπολογισετε τα ορια:
x +5
lim (3-2x+x ) lim(2συν x+x) limln(1+e-e ) lim
2x-1
Α π α ν τ η σ η
0
2
2 2
x -1
0
Για x =-1, οριζεται η συναρτηση
f(x)= 3-2x+x και
lim (3-2x+x )= 3-2(-1)+(-1)
= 3+2+1= 6
Για x = 0, οριζεται η συναρτηση
2
2 2
x 0
0
x
x 0
x 0
0
g(x)= 2συν x+x και
lim(2συν x+x)= 2συν 0+0= 2× 1+0= 2
Για x = 0, οριζεται η συναρτηση
h(x)= 1+e-e και
limln(1+e-e )= ln(1+e-e )= ln(1+e-1)= lne= 1
Για x = 2, οριζε
2
2 2
x 2
x +5
ται η συναρτηση r(x)= και
2x-1
x +5 2 +5 4+5 9 3
lim = = = = = 1
2x-1 2× 2-1 4-1 3 3
ΠΑΡΑΔΕΙΓΜΑ 3
Ε Υ Ρ Ε Σ Η Ο Ρ Ι Ο Υ Σ Τ Ο x 0
1. Ελεγχουμε αν για x = x0 οριζεται η συναρτηση f(x) .
2. Eφαρμοζουμε τις ιδιοτητες των οριων... πραξεων ....
Τακης Τσακαλακος Κερκυρα 2018
7
ΟΡΙΟ ΣΥΝΑΡΤΗΣΗΣ ...
2 2
2 2x 1 x 1
Nα βρεθει η σχεση μεταξυ των παραμετρων κ, λ ωστε να ισχυει:
x -λ x-λ
lim = lim με κ ±1.
x -κ x-κ
Α π α ν τ η σ η
2 2 2
22 2 2x 1
2 2
2
x 1
Ειναι
x -λ 1-λ
lim =
1-λ 1-λx -κ 1-κ
= (1-κ)(1-λ )=(
(1-κ)(1-λ) (1-λ)(
1-λ)(1-κ )
1-κ 1-κx-λ 1-λ
lim =
x-κ 1-κ
(1+λ)- (1+κ)= 0 (1-κ)(1-λ)(1+λ-1-κ)= 0
κ= 1 απορριπτ
(1-κ)(1-λ)(λ-κ)=
1-κ
0
)
εται
λ= 1
κ= λ
λ= 1
κ= λ
ΠΑΡΑΔΕΙΓΜΑ 4 παραμετρος
Τακης Τσακαλακος Κερκυρα 2018
8
ΟΡΙΟ ΣΥΝΑΡΤΗΣΗΣ ...
0 0
0
x x x x
Nα υπολογισετε τα ορια των f και g στο x , αν:
lim (3f(x)-g(x))=3 lim (2f(x)+5g(x))=19
Α π α ν τ η σ η
0 0x x x x
Aν h(x)= 3f(x)-g(x) και p(x)= 2f(x)+5g(x) τοτε
lim h(x)= 3 lim p(x)= 19 (1)
και
h(x)= 3f(x)-g(x) 5h(x)= 15f(x)-5g(x)
p(x)= 2f(x)+5g(x) p(x)= 2f(x)+5g(x)
5h(x)+p(x)= 17
0 0x x x x
5h(x)+p(x)
f(x)=
f(x) 17
p(x)= 2f(x)+5g(x) 10h(x)+2p(x)
p(x)= +5g(x)
17
5h(x)+p(x)
5h(x)+p(x) f(x)=
f(x)= 17
17
3p(x)-2h(x)
17p(x)= 10h(x)+2p(x)+85g(x) g(x)=
17
Οποτε
5h
lim f(x)= lim 0 0
0 0
0 0
(1)
x x x x
(1)
x x x x
x x x x
5 lim h(x)+ lim p(x)(x)+p(x) 5 3+19
= = = 2
17 17 17
3 lim p(x)-2 lim h(x)3p(x)-2h(x) 3 19-2 3
lim g(x)= lim = = = 3
17 17 17
ΠΑΡΑΔΕΙΓΜΑ 5
ΕΥΡΕΣΗ ΟΡΙΟΥ - ΒΟΗΘΗΤΙΚΗ ΣΥΝΑΡΤΗΣΗ
1. Θετουμε h1 (x), h2 (x) τις αλγεβρικες παραστασεις των
οριων.
Οποτε ειναι γνωστα τα ορια: .
2. Λυνουμε τις εξισωσεις που προκυπτουν ως προς f(x),
g(x) (σε συναρτηση με τις h1 (x), h2 (x)) .
3. Βρισκουμε τα ορια με τη βοηθεια
των οριων που ειναι γνωστα .
Τακης Τσακαλακος Κερκυρα 2018
9
ΟΡΙΟ ΣΥΝΑΡΤΗΣΗΣ ...
2
3
x 2
2 2
Nα υπολογισετε το οριο:
x +2 ανx 2
limf(x)ανf(x)= x -3x+4
ανx> 2
x-1
Να βρεθει ο α, ωστε να εχει οριο στο x= 3 η συναρτηση:
α x -αx-
g(x)=
2 2
10 ανx< 3
x +α x-1 ανx> 3
Α π α ν τ η σ η
- -
+ +
2
x 2 x 2
3
x 2 x 2
lim f(x)= lim (x +2)= 4+2= 6
x -3x+4 8-6 +4
lim f(x)= lim = = 6
x-1 2-1
Αρα υπαρχει το οριο της f στο x= 2 και
ειναι
x 2 x 2
x 2
lim f(x)= lim f(x)= 6
limf(x)
→
→
→
- +
- +
- +
x 3 x 3
2 2 2 2
x 3 x 3
2 2 2 2 2
Για να υπαρχει το οριο της συναρτησης
g στο x= 3, πρεπει:
lim g(x)= lim g(x)
lim (α x -αx-10)= lim (x +α x-1)
α × 3 -α× 3-10= 3 +α × 3-1 9α -3α-10= 9
= 6
2
2 2
+3α -1
6α -3α-18= 0 2α -α-6 = 0
α= 2
3
α=-
2
ΠΑΡΑΔΕΙΓΜΑ 6
ΕΥΡΕΣΗ ΟΡΙΟΥ - ΠΟΛΛΑΠΛΟΣ ΤΥΠΟΣ
1. Βρισκουμε τα πλευρικα ορια για την συναρτηση f.
2. Aν τα πλευρικα ορια ειναι ισα, τοτε υπαρχει το οριο στη
θεση αλλαγης τυπου, που ειναι και το ζητουμενο.
Π α ρ α τ η ρ η σ η :
Στη περιπτωση ευρεσης παραμετρου, ωστε να υπαρχει οριο
της συναρτησης στη θεση αλλαγης τυπου, βρισκουμε τα
πλευρικα ορια για την συναρτηση f και απαιτουμε να ειναι
ισα .
.
Τακης Τσακαλακος Κερκυρα 2018
10
ΟΡΙΟ ΣΥΝΑΡΤΗΣΗΣ ...
x 1
x 3
Αν για καθε x ισχυει f(x-2)= f(x) και lim[f(x)-3x-2]= 5
να βρεθει το οριο: limf(x)
Α π α ν τ η σ η
x 1
x 1
x 1 x 1 x
Ειναι
lim [f(x)-3x-2]= 5
και (1)
f(x-2)= f(x)
Θετουμε
h(x)= f(x)-3x-2
και (2)
limh(x)= 5
Ετσι
f(x)= h(x)+3x+2 και
limf(x)= lim[h(x)+3x+2]= lim
(2)
1 x 1 x 1
y 1
(1) Για y=x-2 (3)
x 3 x 3 y 1 y 1
h(x)+3limx+lim2= 5+3+2= 10
Aρα και για x= y: limf(y)= 10 (3)
Oποτε
= limf(x-2) = limf(y) =
x 3
limf(x) 10
ΠΑΡΑΔΕΙΓΜΑ 7
ΕΥΡΕΣΗ ΟΡΙΟΥ
(ΣΥΝΑΡΤΗΣΙΑΚΗ ΣΧΕΣΗ - ΑΛΛΑΓΗ ΜΕΤΑΒΛΗΤΗΣ)
1. Θετουμε h(x) τη παρασταση που περιεχει την f(x).
2. Λυνουμε ως προς f(x).
3. Βρισκουμε το οριο της συναρτησης f(x) στη θεση x 1 .
4. Θετουμε y = x – (x 2 – x 1 ), αν x 1 < x 2
(οποτε αν x → x 2 τοτε το y → x 1 )
5. Βρισκουμε το ζητουμενο οριο, κανοντας τη πιο πανω
αντικατασταση.
Τακης Τσακαλακος Κερκυρα 2018
11
ΟΡΙΟ ΣΥΝΑΡΤΗΣΗΣ ...
3
2x 3 x 0
Nα υπολογισετε τα ορια:
x -27 x+4-2
lim lim
x -9 x
Α π α ν τ η σ η
3 3
2 2
3 3
2 2x 3
(Πρεπει να γινει απαλειφ
Για x= 3 ειναι:
x -27 3 -27
=
x -9 3 -9
27-27 0
η
του ορου (x-3))
= = ,
9-9 0
οποτε
x -3
= lim
x -3
3
2x 3
x -27
lim
x -9
2
x 3
2
x 3
πολ/σμος
x+4+2
(x +3x+9)
= lim =
(x+3)
x +3x+9
= lim =
x+3
Για x= 0 ειναι:
x+4-2 0+4-
(Πρεπει να γινει απαλειφη του ορου x)
2 2-2 0
= = = , οποτε
x 0 0
(x
0
-3)
=
(x-3)
x 0
9
2
x+4-2
lim
x
2 2
x 0 x 0
x 0 x 0
( x+4-2)( x+4 +2) ( x+4) -2
lim = lim =
x( x+4 +2) x( x+4 +2)
x+4-4
= lim = lim
x( x
x
+4 +2) x
1
= =
( x+4 +2) 4 +2
1
4
ΠΑΡΑΔΕΙΓΜΑ 8
ΑΠΡΟΣΔΙΟΡΙΣΤΙΑ 0/0 (ΣΤΗ ΘΕΣΗ χ0 )
1. Παραγοντοποιουμε αριθμητη και παρονομαστη
(συνηθως με Horner, μια ριζα ειναι παντα η x 0 ) .
2. Απαλειφουμε τον ορο της μορφης x - x0 .
3. Στη συνεχεια βρισκουμε το οριο πηλικου.
Τακης Τσακαλακος Κερκυρα 2018
12
ΟΡΙΟ ΣΥΝΑΡΤΗΣΗΣ ...
x 1
Nα υπολογισετε το οριο:
x+3-2
lim
x-1
Α π α ν τ η σ η
x 1
x 1
x 1
=
( x+3-2)( x+3 +2)
= lim =
(x-1)( x+3 +2)
x+3-4
= lim =
(x-1)( x+3 +2)
= lim
x-1
x 1
x+3-2
lim
x-1
(x-1)
=
( x+3 +2)
1
= =
1+3 +2)
=
1
4
ΠΑΡΑΔΕΙΓΜΑ 9
ΑΠΡΟΣΔΙΟΡΙΣΤΙΑ 0/0 (... ΜΕ ΑΡΡΗΤΟ ΑΡΙΘΜΗΤΗ)
1. Παραγοντοποιουμε αριθμητη και παρονομαστη (μεθοδος
συζυγους παραστασης) .
2. Απαλειφουμε τον ορο της μορφης x - x0 .
3. Στη συνεχεια βρισκουμε το οριο πηλικου.
Τακης Τσακαλακος Κερκυρα 2018
13
ΟΡΙΟ ΣΥΝΑΡΤΗΣΗΣ ...
x 1
x-1
Nα υπολογισετε το οριο: lim
3 x + x+3-5
Α π α ν τ η σ η
Για x= 1 ειναι:
x-1 1-1
=
3 x + x+3-5 3 1 + 1+3-5
0 0
= = ,
3+2-5 0
οποτε
βρισκουμε το οριο του
αντιστροφου κλασματος.
Δηλαδη
(3 x-3)+( x+3-2)3 x + x+3-5
=
x-1 x-1
3 x-3 x+3-2
= +
x-1 x-1
Με τη μεθοδο της συζυγους παραστασης θα βρουμε τα ορια των
κλασματων
3 x-3 x+3-2
και .
x-1 x-1
ΠΑΡΑΔΕΙΓΜΑ 10
ΑΠΡΟΣΔΙΟΡΙΣΤΙΑ 0/0 (... ΜΕ ΑΡΡΗΤΟ ΠΑΡΟΝΟΜΑΣΤΗ)
1. Αν ο αριθμητης ειναι πολυ πιο απλος του παρονομαστη,
βρισκουμε το οριο του αντιστροφου κλασματος.
Αντιστρεφουμε το κλασμα και το “σπαμε“ σε αλγεβρικο
αθροισμα απλουστερων κλασματων
(με απροσδιοριστια 0 : 0).
2. Στη συνεχεια βρισκουμε το οριο του πιο πανω αλγεβρι -
κου αθροισματος, που το αντιστροφο του ειναι το ζη-
τουμενο οριο.
Τακης Τσακαλακος Κερκυρα 2018
14
ΟΡΙΟ ΣΥΝΑΡΤΗΣΗΣ ...
→
x 1 x 1 x 1
33( x-1) 3( x-1)( x +1)
= lim = lim = lim
x-1 (x-1
(
)( x +1)
x-1)
x 1
3 x-3
lim
x-1 (x-1)
→
x 1
x 1 x 1
x 1
=
( x +1)
3
= lim =
( x +1)
( x+3-2)( x+3 +2) x+3-4
= lim = lim =
(x-1)( x+3 +2) (x-1)( x+3 +2)
x-
= lim
1
x 1
3
2
x+3-2
lim
x-1
(x-1)
→
→
x 1 x 1
1
= =
1+3 +2)( x+3 +2)
Oποτε
3 x-3 x+3-2 3 1
= lim +lim = + =
x-1 x-1 2 4
Και τελικα:
x 1
x 1
1
4
3 x + x+3-5 7
lim
x-1 4
x-1 4
lim =
73 x + x+3-5
Τακης Τσακαλακος Κερκυρα 2018
15
ΟΡΙΟ ΣΥΝΑΡΤΗΣΗΣ ...
3 2
x 2
x +5x+13- 2x+5
Nα υπολογισετε το οριο: lim
x-2
Α π α ν τ η σ η
1 2
3 2
x 2
x 2
3 2
3 2
3 2
L L
(Προσθετουμε και αφαιρουμε
στον αριθμητη τον αριθμο
lim x +5x+13 = 3
lim 2x+5 = 3
Οποτε
x +5x+13- 2x+5
=
x-2
x +5x+13-3- 2x+5 +3
= =
x-2
x +5x+13-3 2x+5-3
= -
x-2
3
x-2
)
3 2
x 2
3 32 2 2 23
3x 2 2 2 23
2
3x 2 2 2 23
x +5x+13-3
lim
x-2
( x +5x+13-3)( (x +5x+13) +3 x +5x+13 +9)
= lim
(x-2)( (x +5x+13) +3 x +5x+13 +9)
x +5x+13-27
= lim
(x-2)( (x +5x+13) +3 x +5x+13 +9)
1
L
x 2
(x-2)
= lim
(x+7)
(x-2) 32 2 23
( (x +5x+13) +3 x +5x+13+9)
ΠΑΡΑΔΕΙΓΜΑ 11
ΑΠΡΟΣΔΙΟΡΙΣΤΙΑ 0/0 (... ΜΕ ΑΡΡΗΤΟ ΑΡΙΘΜΗΤΗ)
1. Αν ο παρονομαστης ειναι πολυ πιο απλος του αριθμητη,
“σπαμε“ το κλασμα σε αλγεβρικο αθροισμα απλουστερων
κλασματων (με απροσδιοριστια 0 : 0).
2. Στη συνεχεια βρισκουμε το οριο του πιο πανω αλγεβρι -
κου αθροισματος.
Π α ρ α τ η ρ η σ η :
Αν ο αριθμητης αποτελειται απο δυο ριζες, που το οριο
τους ειναι ο ιδιος πραγματικος αριθμος, τοτε προσθετουμε
και αφαιρουμε αυτον τον πραγματικο αριθμο στον αριθμητη
Τακης Τσακαλακος Κερκυρα 2018
16
ΟΡΙΟ ΣΥΝΑΡΤΗΣΗΣ ...
323
x 2
x 2
x 2
x 2
2+7 9 9
= = = =
9 +9 +9 27(27) +3 27 +9
2x+5-3
lim
x-2
( 2x+5-3)( 2x+5 +3)
= lim
(x-2)( 2x+5 +3)
2x+5-9
= lim
(x-2)( 2x+5 +3)
2x-4
= lim
(x-2)( 2x+5 +3)
2
1
3
L
x 2
2(x-2)
= lim
(x-2)
3 2
x 2 x 2
( 2x+5 +3)
2 2 2
= = = =
3+3 69 +3
Και τελικα:
x +5x+13-3 2x+5-3
= lim - lim =
x-2 x-2
1 1
= - =
3 3
3 2
x 2
1
3
x +5x+13- 2x+5
lim
x-2
0
Τακης Τσακαλακος Κερκυρα 2018
17
ΟΡΙΟ ΣΥΝΑΡΤΗΣΗΣ ...
6
3 6x 0
Nα υπολογισετε το οριο:
x+1- x+1
lim
x+1- x+1
Α π α ν τ η σ η

6
3
32
6 6
x 0
3(1)
2y 1
Το Ε.Κ.Π. των ταξεων των
ριζων ειναι:6
Θετουμε y= x+1
Oποτε
y = x+1
y = x+1 (1)
lim x+1= 0+1= 1
δηλαδη y 1
Eτσι
y -y
=lim =
y -y
6
3 6x 0
x+1- x+1
lim
x+1- x+1
y 1
y 1
y (y-1)
y(y-1)
(y+1)
= lim =
= lim(y+1)= 1+1= 2
ΠΑΡΑΔΕΙΓΜΑ 12
ΑΠΡΟΣΔΙΟΡΙΣΤΙΑ 0/0 (... ΡΙΖΙΚΑ ΜΕ ΙΔΙΟ ΥΠΟΡΡΙΖΟ)
1. Βρισκουμε το ΕΚΠ των ταξεων των ριζων και θετουμε y
τη ριζα με ταξη το ΕΚΠ, της οποιας βρισκω το οριο για
να βρω που τεινει ο y .
2. Αντικαθιστω τις ριζες με δυναμεις του y και βρισκω το
ζητουμενο οριο με μεταβλητη τον y .
Τακης Τσακαλακος Κερκυρα 2018
18
ΟΡΙΟ ΣΥΝΑΡΤΗΣΗΣ ...
→
x 1
x 2
x 2
1. Nα υπολογισετε το οριο της συναρτησης f στη θεση x= 1 αν:
5f(x)-2
lim = 2
2f(x)-3
f(x)-3x+2
2.Nα υπολογισετε το οριο lim αν ισχυει:
x-2
f(x)-4
lim = 7
x-2
Α π α ν τ η σ η
x 1
1.
5f(x)-2
Θετουμε h(x)= (1)
2f(x)-3
oποτε
limh(x)= 2 (2)
Απ'την (1) προκυπτει:
5f(x)-2
h(x)= 5f(x)-2= h(x)(2f(x)-3)
2f(x)-3
→
(2)
x 1
5f(x)-2= 2h(x)f(x)-3h(x)
5f(x)-2h(x)f(x)= 2-3h(x)
2-3h(x)
f(x)=
5-2h(x)
Αρα
2-3h(x) 2-3×
= lim =
5-2h(x)x 1
limf(x)
2 2-6 -4
= = =
5-2× 2 5-4 1
-4
ΠΑΡΑΔΕΙΓΜΑ 13
ΑΠΡΟΣΔΙΟΡΙΣΤΙΑ 0/0 (... ΒΟΗΘΗΤΙΚΗ ΣΥΝΑΡΤΗΣΗ)
1. Θετουμε την παρασταση της f, της οποιας το οριο ειναι
γνωστο, σαν μια συναρτηση εστω h(x) και λυνουμε την
παρασταση ως προς f(x) .
2. Στη συνεχεια βρισκουμε το οριο της f(x) .
3. Aν στη πιο πανω περιπτωση ζητειται το οριο αλλης πα -
ραστασης της συναρτησης f, τοτε βρισκουμε οπως πιο
πανω το οριο της και στη συνε χεια στο ” σπασιμο ” του
κλασματος, εμφανιζουμε τη βοηθητικη συναρτηση .
Τακης Τσακαλακος Κερκυρα 2018
19
ΟΡΙΟ ΣΥΝΑΡΤΗΣΗΣ ...
x 1
2.
f(x)-4
Θετουμε h(x)= (3)
x-2
oποτε
limh(x)= 7 (4)
Απ'την (1) προκυπτει:
f(x)-4
h(x)= f(x)-4= h(x)(x-2)
x-2
f(x)= h(x)(x-2
(4)
x 2
x 2
)+4
Αρα
= lim[h(x)(x-2)+4]= 7× 0+4=
f(x)-3x+2 0
Ετσι για το lim απροσδιοριστια .
x-2 0
Ειναι
f(x)-3x+2 f(x) -3x+2
=
x-2 x-2
f(x)-4-3(x-2)
=
x-2
-4 +4
x 2
lim f(x) 4
3(x-2)f(x)-4
= -
x-2 x-2
(3)
(4)
x 2
= h(x)-3
Συνεπως
= lim(h(x)-3)= 7-3=
x 2
f(x)-3x+2
lim 4
x-2
Τακης Τσακαλακος Κερκυρα 2018
20
ΟΡΙΟ ΣΥΝΑΡΤΗΣΗΣ ...
x 4
| x-4|
Nα υπολογισετε το οριο: lim
| x-4| +1-1
Α π α ν τ η σ η
-
-
-
x 4
x 4
x 4
| x-4|
Θετουμε f(x)=
| x-4| +1-1
Eιναι
x< 4 x-4< 0 | x-4|=-x+4
x> 4 x-4> 0 | x-4|= x-4
Οποτε
| x-4|
lim
| x-4| +1-1
-x+4
= lim
-x+4+1-1
(-x+4)( -x+5 +1)
= lim
( -x+5-1)( -x+5
1
L
-
-
-
-
2x 4
x 4
x 4
x 4
+1)
(-x+4)( -x+5 +1)
= lim
( -x+5) -1
(-x+4)( -x+5 +1)
= lim
-x+5-1
( -x+5 +1)
= lim
= lim -x+5 +1
(-
= -4+5 +1
x+
- 4
=
4)
x+
2
ΠΑΡΑΔΕΙΓΜΑ 14
ΑΠΡΟΣΔΙΟΡΙΣΤΙΑ 0/0 (... ΑΠΟΛΥΤΑ)
 Εξεταζουμε αν στη θεση x0 αλλαζει προσημο η παρα-
σταση στο απολυτο:
 Αν αλλαζει
1. Βρισκουμε τα πλευρικα ορια για την συναρτηση f .
2. Aν τα πλευρικα ορια ειναι ισα, τοτε υπαρχει το οριο
στη θεση αλλαγης προσημου, που ειναι και το ζη-
τουμενο.
 Αν δεν αλλαζει,
τοτε βγαζουμε το απολυτο με βαση τη περιοχη που
βρισκεται το x0 .
Τακης Τσακαλακος Κερκυρα 2018
21
ΟΡΙΟ ΣΥΝΑΡΤΗΣΗΣ ...
+
+
+
+
+
+
x 4
x 4
x 4
2x 4
x 4
x 4
| x-4|
lim
| x-4| +1-1
x-4
= lim
x-4+1-1
(x-4)( x-3 +1)
= lim
( x-3-1)( x-3 +1)
(x-4)( x-3 +1)
= lim
( x-3) -1
(x-4)( x-3 +1)
= lim
x-3-1
= l
(x
im
2
L
+
x 4
( x-3 +1)
= lim x-3 +1= 4-3 +1=
Δηλαδη,
που σημαινει οτι υπαρχει το οριο της f στη θεση x= 4
και ειναι:
-4)
x-4
x 4 x 4
x 4
2
lim f(x)= lim f(x)= 2
limf(x)= 2
- +
Τακης Τσακαλακος Κερκυρα 2018
22
ΟΡΙΟ ΣΥΝΑΡΤΗΣΗΣ ...
2
2 3 2 πx 0 x 0
x
2
Να βρεθoυν τα ορια:
ημ(ημx) εφ x-3x συνx
lim lim lim
2x -x x +2x -x π-2x
Α π α ν τ η σ η
2x 0
x 0
x 0
x 0 x 0 x 0
ημx x
η
ημ(ημx)
lim
2x -x
ημ(ημx) ημx
= lim ×
ημx x(2x-1)
ημ( ) ημ 1
= lim × ×
2x-1
ημ( ) ημ 1
= lim × lim × lim
2x
μx x
ημx x
η -1
1
= 1× 1× = 1
2-
μx x
1
1
L
2
3 2x 0
2
:x
2x 0
2
2
2x 0
2
2x 0
ημ0=0
συν0=1
εφ x-3x
lim
x +2x -x
εφ x
-3
x= lim
x +2x-1
ημ x
-3
xσυν x= lim
x +2x-1
ημ ημx
× -3
συν x= lim
x +2x-1
0
1× -3
-31= = =
0+0-1 -1
x
x
2
L
3
ΠΑΡΑΔΕΙΓΜΑ 15
ΑΠΡΟΣΔΙΟΡΙΣΤΙΑ 0/0 (... ΤΡΙΓΩΝΟΜΕΤΡΙΚΟΙ ΑΡΙΘΜΟΙ)
Φερνουμε τη παρασταση, της οποιας ζητουμε το οριο,
στην πιο πανω μορφη πολλαπλασιαζοντας και διαιρωντας
με καταλληλους ορους η μετασχηματιζοντας γνωστες
τριγωνομετρικες σχεσεις .
Τακης Τσακαλακος Κερκυρα 2018
23
ΟΡΙΟ ΣΥΝΑΡΤΗΣΗΣ ...

π
συνx=ημ( -x)
2
π
x
2
π
x
2
=
π
ημ( -x)
2lim =
π
2( -x)
2
ημ
1
= × lim =
2
1
=
π
( -x)
2
π
-x
=
2
× 1
2
3 π
x
2
συνx
L lim
π-2x
1
2
Τακης Τσακαλακος Κερκυρα 2018
24
ΟΡΙΟ ΣΥΝΑΡΤΗΣΗΣ ...
Εστω F μια αρχικη της συνεχους συναρτησης f :  με την
ιδιοτητα : 2αF(x2
) α2
+ F2
(x) για καθε x , οπου α 0
Να δειξετε οτι
α) F(0) = F(1) = α
β) Η εξισωση f(x) = 0 εχει μια τουλαχιστον ριζα στο
Α π α ν τ η σ η
x
x
2x x
2x+1 xx 1
x 2 x
x 2 xx 1
23 =u
u 3 u 3
0
Εχουμε απροσδιοριστια
0
Θετουμε 3 = u
Oποτε αν x 1 τοτε u 3
Ετσι
2× 3 -7× 3 +3
lim
3 -7× 3 -6
2×(3 ) -7× 3 +3
= lim
3×(3 ) -7× 3 -6
2u -7u+3
= lim
3u
L=
2
u 3
u 3
-7u-6
(2u-1)
= lim
(3u+2)
2u-1
= lim =
3u+2
2× 3-1
(u-3)
(u-
= =
3× 3
3
=
)
+2
5
11
ΠΑΡΑΔΕΙΓΜΑ 16
ΑΠΡΟΣΔΙΟΡΙΣΤΙΑ 0/0 (... ΡΗΤΗ ΕΚΘΕΤΙΚΗ)
1. Με τη βοηθεια των δυναμεων σχηματιζουμε δυναμεις
ιδιας βασης .
2. Θετουμε την κοινη δυναμη, εστω y .
3. Βρισκουμε που τεινει το y, οταν το x → x 0
4. Βρισκουμε το ισοδυναμο οριο .
Τακης Τσακαλακος Κερκυρα 2018
25
ΟΡΙΟ ΣΥΝΑΡΤΗΣΗΣ ...
x
x ex 0
e -1 lnx-1
Nα βρεθoυν τα ορια: lim και lim
εφx x-e
Α π α ν τ η σ η
x x
x 0 x 0
x 0
x 0
x 0 x 0
x
x 0
e -1
lim
e -1 e -1 x
lim = lim ×
εφx x εφx
x
= × lim
εφx
x
= × lim
ημx
συνx
1
= limσυνx×
x
l m
1
i
η
x 0 x
x 0
x e x e x e
0
ημx x
lim = 1 αρα και lim = 1
x η
μx
x
1
= 1×
ημx
lim
x
=1
x
ln
lnx-1 lnx-lne 1 elim = lim = lim ×
xx-e x-e e -
x
1
e
μ
x
Θετουμε u=
e
x e , u 1 u 1
1 lnu 1
= × lim =
e u-1 e
ΠΑΡΑΔΕΙΓΜΑ 17
ΑΠΡΟΣΔΙΟΡΙΣΤΙΑ 0/0 (... ΕΚΘΕΤΙΚΗ - ΛΟΓΑΡΙΘΜΙΚΗ)
μετασχηματισουμε τη ρητη συναρτηση σε μορφη
.
 Φερουμε τη συναρτηση f σε μια απ’τις παραπανω μορφες
 Ισχυει :
 (ευκολα με D.L.H.).
 (ευκολα με D.L.H.).
Τακης Τσακαλακος Κερκυρα 2018
26
ΟΡΙΟ ΣΥΝΑΡΤΗΣΗΣ ...
2
2
2
2
Να βρεθoυν τα α και β, ωστε να εχει πραγματικο οριο στο x= 2 η
x +2αx-β
ανx 2
x -4
συναρτηση: f(x)=
x -αx
ανx> 2
x -3x+2
Α π α ν τ η σ η
-
-
-
+
2
x 2 2
x 2
x 2
2
x 2x 2
2
x 2
x 2
Eιναι
lim (x -4)= 0
lim (x +2αx-β)= 0 4+4α-β= 0 (1)
limf(x)
( ν lim (x +2αx-β) 0 τοτε limf(x)= η δεν υπαρχει)
lim (x -3x+2)= 0
limf(x)
+
+
2
x 2
2
x 2x 2
lim x -αx)= 0 4-2α= 0
(2)
( ν lim (x -αx) 0 τοτε limf(x)= η δεν υπαρχει)
Ετσι, η (1) λογω της (2):4+8-β= 0
α= 2
β= 12
(
Για α=2 και β=12 η εξισωση γινεται:
ΠΑΡΑΔΕΙΓΜΑ 18
ΑΠΡΟΣΔΙΟΡΙΣΤΙΑ 0/0 (... ΠΟΛΛΑΠΛΟΣ ΤΥΠΟΣ)
Ο καθε κλαδος του τυπου της συναρτησης f ειναι κλασμα
με οριο του παρονομαστη ισο με μηδεν .
1. Απαιτουμε το οριο των αριθμητων να ειναι ισο με μηδεν,
για να υπαρχει το οριο του κλασματος η να μην ειν αι ισο
με ± þ .
2. Λυνουμε το συστημα των εξισωσεων που προκυπτουν
προσδιοριζοντας τις παραμετρους .
3. Αντικαθιστουμε τις τιμες των παραμετρων που βρηκαμε
και ελεγχουμε αν τα πλευρικα ορια ειναι ισα, οποτε υ-
παρχει το οριο στη θεση αλλαγης τυπου και ειναι πραγ -
ματικος αριθμος .
Τακης Τσακαλακος Κερκυρα 2018
27
ΟΡΙΟ ΣΥΝΑΡΤΗΣΗΣ ...
2
2
2
2
x +4x-12
ανx 2
x -4
f(x)=
x -2x
ανx> 2
x -3x+2
- - -
2
2x 2 x 2 x 2
(x+6)(x-2)x +4x-12
lim f(x)= lim = lim
x -4 (x+2)(x-2)
-
+ + +
x 2
2
2x 2 x 2 x 2
x+6 2+6 8
= lim = = = 2
x+2 2+2 4
x(x-2)x -2x
lim f(x)= lim = lim
x -3x+2 (x-1)(x-2)
+
x 2
x 2
x 2 2
= lim = = = 2
x-1 2-1 1
Aρα limf(x)= 2
Τακης Τσακαλακος Κερκυρα 2018
28
ΟΡΙΟ ΣΥΝΑΡΤΗΣΗΣ ...
2 2
x 0
Η συναρτηση f ορισμενη στο ( ,0] και για καθε x ( ,0] ισχυει:
συνx+x f(x) 4x +ημ x+1. Να βρεθει το οριο: lim f(x)
Aν για καθε x> 0 ειναι: 4 x f(x) x+4, να βρεθουν:
x 4 x 4
f(x)-8
limf(x) lim
x-4
Α π α ν τ η σ η
2 2
x 0
2 2
x 0 x 0 x 0
x 0
x 0 x 0
Ειναι
lim (4x +ημ x+1)
= lim 4x + lim ημ x+ lim 1
= 0+0+1=
lim (συνx+x)
= lim συνx+ lim x
=
1
2
L =
1
L =
1+0=
Οποτε, συμφωνα με το κρι-
τηριο παρεμβολης:
x 0
1
lim f(x)= 1

ΠΑΡΑΔΕΙΓΜΑ 19
ΚΡΙΤΗΡΙΟ ΠΑΡΕΜΒΟΛΗΣ
1. Με καταλληλες πραξεις «απομονωνουμε» την συναρ -
τηση f στο μεσαιο μελος τ ης διπλης ανισοτητας η σχη-
ματιζουμε την παρασταση της συναρτησης f το οριο
της οποιας ζητουμε.
2. Βρισκουμε τα ορια των ακραιων μελων της ανισοτικης
σχεσης.
3. Αν τα πιο πανω ορια ειναι ισα με α, τοτε και το ζητουμενο
οριο ειναι ισο με α, συμφωνα με το κριτηριο παρεμβολης
Π α ρ α τ η ρ η σ η :
Στη περιπτωση που η παρασταση, της οποιας το οριο ζη-
τουμε, ειναι κλασμα με παρονομαστη ενα ακραιο μελος της
δοσμενης ανισοτικης σχεσης, τοτε:
 Διαιρουμε και τα τρια μελη της ανισοτικης σχεσης με το
μελος αυτο (το ενα ακραιο μελος γινεται ισο με 1).
 Παιρνουμε πλευρικα ορια και δειχνουμε οτι ειναι ισα με 1 .
Τακης Τσακαλακος Κερκυρα 2018
29
ΟΡΙΟ ΣΥΝΑΡΤΗΣΗΣ ...
Ειναι
= 4 4 = 4× 2=
= 4+4=
Οποτε, συμφωνα με το κριτηριο
παρεμβολης:
4 x f(x) x+4
4 x-8 f(x)-8 x-4
Για x< 4 ειναι:
4 x-8
x-
x 4
x 4
x 4
lim 4 x 8
lim(x+4) 8
limf(x)= 8
± ± ±
x 4 x 4 x 4
f(x)-8 x-4
= 1
4 x-4 x-4
f(x)-84 x-8
1
x-4 x-4
Για x> 4 ειναι:
f(x)-8 f(x)-84 x-8 x-4 4 x-8
= 1 1
x-4 x-4 x-4 x-4 x-4
4( x-2)( x +2) 44 x-8
lim = lim = lim
x-4 (x-4)( x +
x 4)
2)
( - 4
= = 1
2+2( x +2)
Συμφωνα με το κριτηριο παρεμβολης:
Aρα, τ
(x-4
ε
)
λικα:
- +
x 4 x 4
x 4
f(x)-8 f(x)-8
lim = lim = 1
x-4 x-4
f(x)-8
lim = 1
x-4
Τακης Τσακαλακος Κερκυρα 2018
30
ΟΡΙΟ ΣΥΝΑΡΤΗΣΗΣ ...
x 2
x 2 x 2
Aν για καθε x ειναι g(x) 2 και ισχυουν:
g(x)-2
4 g(x)+2 f(x) g(x)+6 και lim , να βρεθουν:
x-2
f(x)-8
limf(x) lim
x-2
Α π α ν τ η σ η
x 2
x 2 x 2
x 2
g(x)-2
Θετουμε h(x)= oποτε
x-2
limh(x)= 1
g(x)-2
h(x)=
x-2
(x-2)× h(x)= g(x)-2
g(x)=(x-2)× h(x)+2
και
limg(x)= lim[(x-2)× h(x)+2]
= lim(x-2)× l
x 2 x 2
x 2 x 2
imh(x)+ lim2
= 0× 1+2= 2
Eτσι
lim[4× g(x)+2]= 4× limg(x)+2 = 4× 2+2 = 8
ΠΑΡΑΔΕΙΓΜΑ 20
ΚΡΙΤΗΡΙΟ ΠΑΡΕΜΒΟΛΗΣ
1. Θετουμε h(x) την παρασταση της συναρτησης g στο
οριο (οποτε γνωστο το οριο της h(x)) .
2. Λυνουμε την εξισωση που προκυπτει ως προς g(x) .
3. Βρισκουμε το οριο της συναρτησης g(x) .
4. Αντικαθιστουμε την g(x) στην δοσμενη διπλη ανισοτητα
και βρισκουμε τα ορια των ακραιων μελων της ανισοτι-
κης σχεσης .
5. Αν τα πιο πανω ορια ειναι ισα με α, τοτε και το ζητουμενο
οριο ειναι ισο με α, συμφωνα με το κριτηριο παρεμβολης
Π α ρ α τ η ρ η σ η :
Στη περιπτωση που το ζητουμενο οριο ειναι παρασταση της
συναρτησης f, με καταλληλες πραξεις εμφανιζουμε στο
μεσαιο μελος της ανισοτικης σχεσης την παρασταση αυτη
και ... κριτηριο παρεμβολης .
Τακης Τσακαλακος Κερκυρα 2018
31
ΟΡΙΟ ΣΥΝΑΡΤΗΣΗΣ ...
x 2 x 2 x 2
x 2
lim[g(x)+6]= limg(x)+ lim6 = 2+6 = 8
Οποτε, συμφωνα με το κριτηριο παρεμβολης: limf(x)= 8
±
x 2
Ειναι
4 g(x)+2 f(x) g(x)+6
4( g(x)+2-2) f(x)-8 g(x)+6-8
4 g(x)+2-8 f(x)-8 g(x)-2
2 g(x)+2-2) f(x)-8 g(x)-2
x> 2:
x-2 x-2 x-2
4 g(x)+2-2)g(x)-2 f(x)-8
x< 2:
x-2 x-2 x-2
4 g(x)+2
lim ±
±
±
x 2
x 2
x 2
-2 4 g(x)+2-2)
= lim
x-2 (x-2)
4(g(x)+2-4)
= lim
(x-2)( g(x)+2 +2)
4(g(x
= lim
( g(x)+2 +2)
( g(x)+2 +2)
± ±
x 2 x 2
)-2)
(x-2)( g(x)+2 +2)
g(x)-2 4
= lim × lim
x-2 g(x)+2 +2
4 4 4
= 1× = = = 1=
42+2 +2 4 +2
±
x 2
g(x)-2
= lim
x-2
Συμφωνα με το κριτηριο παρεμβολης:
Aρα,τελικα:
- +
x 2 x 2
x 2
f(x)-8 f(x)-8
lim = lim = 1
x-2 x-2
f(x)-8
lim = 1
x-2
Τακης Τσακαλακος Κερκυρα 2018
32
ΟΡΙΟ ΣΥΝΑΡΤΗΣΗΣ ...
x 0
f(x)
Aν ισχυει | f(x)-ημx| 1-συν2x, να δειχτει οτι: lim =1
x
Α π α ν τ η σ η
2
2
2
2 2
2 2
Ειναι:
συν2x= 1-2ημ x
2ημ x= 1-συν2x
Ετσι η δοσμενη ανισοτητα
γινεται
| f(x)-ημx| 1-συν2x
| f(x)-ημx| 2ημ x
-2ημ x f(x)-ημx 2ημ x
ημx-2ημ x f(x) ημx+2ημ x (1)
Διαιρουμε την (1) με x.
Aν x> 0 η (1) δινει:
2 2
2 2
ημx ημ x f(x) ημx ημ x
-2 +2
x x x x x
ημx ημx f(x) ημx ημx
-2x +2x
x x x x x
ΠΑΡΑΔΕΙΓΜΑ 21
ΚΡΙΤΗΡΙΟ ΠΑΡΕΜΒΟΛΗΣ (... ΠΑΡΑΣΤΑΣΗ ΤΗΣ f)
1. Με καταλληλες πραξεις «απομονωνουμε» την συναρ -
τηση f στο μεσαιο μελος της διπλης ανισοτητας η σχη -
ματιζουμε την παρασταση της συναρτησης f το οριο
της οποιας ζητουμε.
2. Βρισκουμε τα ορια των ακραιων μελων της ανισοτικης
σχεσης.
3. Αν τα πιο πανω ορια ειναι ισα με α, τοτε και το ζητουμενο
οριο ειναι ισο με α, συμφωνα με το κριτηριο παρεμβολης
Π α ρ α τ η ρ η σ η :
Στη περιπτωση που η παρασταση, της οποιας το οριο ζη-
τουμε, ειναι της μορφης και πρεπει να διαιρεσω με x,
εξεταζω τις περιπτωσεις x<x0 και x>x0 (πλευρικα ορια) .
Σε συνδυασμο με χρησιμο το οριο
Τακης Τσακαλακος Κερκυρα 2018
33
ΟΡΙΟ ΣΥΝΑΡΤΗΣΗΣ ...
+ + + +
+
2 2
x 0 x 0 x 0 x 0
2
x 0
ημx ημx ημx ημx
lim -2x = lim -2 lim x lim
x x x x
= 1-2× 0× 1 = 1
ημx η
lim +2x
x + + +
2 2
x 0 x 0 x 0
2
μx ημx ημx
= lim +2 lim x lim
x x x
= 1+2× 0× 1 1
Οποτε, συμφωνα με το κριτηριο παρεμβολης: l
=
- -
2 2
2 2
2
x 0 x 0 x 0
Aν x< 0 η (1) δινει:
ημx ημ x f(x) ημx ημ x
+2 -2
x x x x x
ημx ημx f(x) ημx ημx
+2x -2x
x x x x x
ημx ημx ημx
lim +2x = lim +2 lim
x x x
+
x 0
f(x)
im = 1
x
- -
- - - -
2
x 0
2
2
x 0 x 0 x 0 x 0
ημx
x lim
x
= 1+2× 0× 1 1
ημx ημx ημx ημx
lim -2x = lim -2 lim x lim
x x x x
=
2
2
x 0
= 1-2× 0× 1 1
Οποτε, συμφωναμε το κριτηριο παρεμβολης:
Eτσι τελικα
-
x 0
f(x)
lim = 1
x
f(x)
lim = 1
x
=
Τακης Τσακαλακος Κερκυρα 2018
34
ΟΡΙΟ ΣΥΝΑΡΤΗΣΗΣ ...
Ο
0 0
2 2
2 2x x
x x x x
f(x)-3 g(x)-2
Αν lim + = 0, να βρεθουν τα ορια:
x +3 x +2
lim f(x) lim g(x)
Α π α ν τ η σ η
0 0
0
2 2 2
2 2 2
2 2 2
2 2 2x x x x
2x x
Ειναι
f(x)-3 f(x)-3 g(x)-2
0 +
x +3 x +3 x +2
f(x)-3 f(x)-3 g(x)-2
0 lim lim +
x +3 x +3 x +2
f(x)-3
0 lim
x +3
2
0
Οποτε, συμφωνα με το κριτηριο παρεμβολης:
0 0
2
2 2x x x x
f(x)-3 f(x)-3
lim =0 lim =0
x +3 x +3
ΠΑΡΑΔΕΙΓΜΑ 22
ΚΡΙΤΗΡΙΟ ΠΑΡΕΜΒΟΛΗΣ
(,,, ΟΡΙΟ ΠΑΡΑΣΤΑΣΗΣ ΣΥΝΑΡΤΗΣΕΩΝ)
1. Προσπαθουμε να δημιουργησουμε διπλη ανισοτητα της
μορφης
 0 ≤ f(x) ≤ f(x) + g(x), αν f(x) > 0 και g(x) > 0
 0 ≤ f 2
(x) ≤ f 2
(x) + g 2
(x), που ισχυει .
ωστε το οριο των (f(x) + g(x)) η (f 2
(x) + g 2
(x)) να ειναι
ισο με μηδεν .
Ετσι απ’το κριτηριο παρεμβολης και το οριο των f (x) η
f 2
(x) ειναι ισο με μηδεν .
2. Στη περιπτωση που η f(x) πιο πανω ειναι παρασταση που
περιεχει την συναρτηση f(x), της οποιας το οριο ζητου-
με:
 Θετουμε την παραπανω παρασταση ιση με h(x) και
λυνουμε την εξσωση που προκυπτει ως προς f(x)
 Βρισκουμε τo οριo της f(x) (με γνωστο οτι το οριο της
h(x) ειναι 0) .
Π α ρ α τ η ρ η σ η :
Αν εχουμε και δευτερη συναρτηση g (η παρασταση της)
κανουμε την παρομοια διαδικασια .
Τακης Τσακαλακος Κερκυρα 2018
35
ΟΡΙΟ ΣΥΝΑΡΤΗΣΗΣ ...
0
0
2
2
x x
2
0
x x
2 2 2
2 2 2
f(x)-3
Θετουμε = h(x) οποτε
x +3
f(x)=(x +3)h(x)+3 και lim h(x)= 0
Ετσι, lim f(x)=(x +3) 0+3= 3
Ειναι
g(x)-2 f(x)-3 g(x)-2
0 +
x +2 x +3 x +2
0 0
0
2 2 2
2 2 2x x x x
2
2x x
x x
g(x)-2 f(x)-3 g(x)-2
0 lim lim +
x +2 x +3 x +2
g(x)-2
0 lim 0
x +2
Οποτε, συμφωνα με το κριτηριο παρεμβολης:
lim
0 0
0
0
2
2 2x x
2
2
x x
2
0
x x
g(x)-2 g(x)-2
= 0 lim = 0
x +2 x +2
g(x)-2
Θετουμε = r(x) οποτε
x +2
g(x)=(x +2)r(x)+2 και lim r(x)= 0
Ετσι, lim g(x)=(x +2) 0+2= 2
Τακης Τσακαλακος Κερκυρα 2018
36
ΟΡΙΟ ΣΥΝΑΡΤΗΣΗΣ ...
ΜΗ ΠΕΠΕΡΑΣΜΕΝΟ ΟΡΙΟ
ΣΤΟ χ0
Τακης Τσακαλακος Κερκυρα 2018
37
ΟΡΙΟ ΣΥΝΑΡΤΗΣΗΣ ...
Να βρειτε, εφοσον υπαρχει, το οριο
x 9
-12
lim
3 9 27
Α π α ν τ η σ η
Θεωρουμε τη συναρτηση
f(x)=
-12
3 9 27
Ειναι διαδοχικα
● f(x)=
-12
3 9 27
2
-12
=
(χ-9) χ-3(χ-9)
-12
=
(χ-9)( χ-3)
-12
=
( χ +3)( χ-3)( χ-3)
-12 1
=
χ +3 ( χ-3)
Εχουμε ●
x 9
-12 -12 -12
lim 2
6χ +3 9 +3
●
2
( χ-3) 0
2
2x 9 x 9
1
lim[( χ-3) ] 0 ~ lim
( χ-3)
Ετσι
2x 9 x 9 x 9
2x 9 x 9
-12 -12 1
lim ` limf(x)` lim
3 9 27 χ +3 ( χ-3)
-12 1
` lim lim ` 2 ( )
χ +3 ( χ-3)
ΜΗ ΠΕΠΕΡΑΣΜΕΝΟ ΟΡΙΟ ΣΥΝΑΡΤΗΣΗΣ
● Ελεγχουμε στο γραφημα αν η συναρτηση οριζεται
κοντα στο χ0
● Αν στο χ0 δεν υπαρχουν τα πλευρικα ορια, τοτε δεν
υπαρχει το οριο της συναρτησης στο χ0
● Αν στο χ0 υπαρχουν τα πλευρικα ορια και
● ειναι ισα, τοτε υπαρχει το οριο της συναρτησης στο χ0
● ειναι ανισα, τοτε δεν υπαρχει το οριο της συναρτησης
στο χ0
ΠΑΡΑΔΕΙΓΜΑ 23
Τακης Τσακαλακος Κερκυρα 2018
38
ΟΡΙΟ ΣΥΝΑΡΤΗΣΗΣ ...
Δινονται οι συναρτησεις
f(x)=
2
2
(λ-1)χ -2
χ 1
και g(x)=
2
χ 2 +μ
χ
Να βρειτε τις τιμες των λ,μ , για τις οποιες υπαρχουν στο
τα ορια
x 1
lim f(x) και
x 0
lim g(x)
Α π α ν τ η σ η
Ειναι
2
x 1
lim(χ 1) 0
● Αν
x 1
lim f(x)
(αφού 2
x 1
lim(χ 1) 0)
πρέπει
2
x 1
2
lim[(λ-1)χ -2]= 0`
(λ-1) 1 1-2]= 0`
λ-1-1= 2
(αν 2
x 1
lim[(λ-1)χ -2] 0 τότε
x 1
lim f(x) άτοπο)
● Για λ=2 εχουμε
f(x)=
2
2
(2-1)χ -2
χ 1
2
2
(χ-1)χ -2
χ 1
(χ+2)
(χ-1)
χ+2
=
χ+1(χ+1)
x 1 x 1
χ+2 1+2 3
lim f(x)= lim
χ+1 1+1 2
ΠΑΡΑΔΕΙΓΜΑ 24
ΜΗ ΠΕΠΕΡΑΣΜΕΝΟ ΟΡΙΟ ΣΥΝΑΡΤΗΣΗΣ
(ΠΑΡΑΜΕΡΤΡΟΣ)
" Πραγματικο οριο της f ... ρητη παρασταση της συναρτη-
σης f ... ... παραμετρος ... "
● Απαιτουμε το οριο του αριθμητη να ειναι 0, γιατι διαφο-
ρετικα, το οριο της f δεν ειναι πραγματικος αριθμος
● Για τη τιμη της παραμετρου που βρηκαμε, υπολογιζουμε
το οριο της f
● ειτε γιατι ζητειται
● ειτε για να αποδειξουμε οτι το οριο ειναι πραγματικος
αριθμος και ειναι δεκτηή η τιμη της παραμετρου.
Τακης Τσακαλακος Κερκυρα 2018
39
ΟΡΙΟ ΣΥΝΑΡΤΗΣΗΣ ...
Ειναι
x 0
lim χ 0
● Αν
x 0
lim g(x) (αφού
x 0
lim χ 0) πρέπει
2
x 0
lim (χ 2 +μ)=0`0 0+μ=0`μ=0
(αν 2
x 0
lim (χ 2 +μ) 0 τότε
x 1
lim g(x) άτοπο)
● Για μ=0 εχουμε
g(x)=
2
χ(χ+2)χ 2
χ+2
χ χ
x 0 x 0
lim g(x)= lim(χ+2) 0+2 2
Τακης Τσακαλακος Κερκυρα 2018
40
ΟΡΙΟ ΣΥΝΑΡΤΗΣΗΣ ...
Αν 2x 0
2ημx f(x)
lim =-
x -x
να βρεθεί το
x 0
lim f(x)
Α π α ν τ η σ η
Θεωρούμε τη συνάρτηση
h(x)= 2
2ημx f(x)
x -x
κοντά στο χ0=0 με
x 0
lim h(χ)=- (1)
Έτσι
2
2
2
2ημx f(x)
h(x) `
x -x
(x -x) h(x)
f(x) `
2ημx
x -x
f(x) h(x)
2ημx
Όμως
2
x 0 x 0 x 0 x 0 x 0
x 0 x 0 x 0
x 0
x(x-1)x -x 1 x 1 x
lim lim lim (x-1) lim lim(x-1)
2ημx 2ημx 2 ημx 2 ημx
1 1 1 1
lim lim(x-1) lim(x-1)
ημx ημx2 2
lim
x x
1 1 1
(-1)=- (2)
2 1 2
Συνεπώς,
2 (1)
x 0 x 0 x 0 x 0 (2)
x -x 1
lim f(x) lim lim limh(x)= ( )
2ημx 2
ΠΑΡΑΔΕΙΓΜΑ 25
ΜΗ ΠΕΠΕΡΑΣΜΕΝΟ ΟΡΙΟ ΣΥΝΑΡΤΗΣΗΣ
(ΒΟΗΘΗΤΙΚΗ ΣΥΝΑΡΤΗΣΗ)
● Θετουμε την παρασταση της f, της οποιας το οριο ειναι
γνωστο, σαν μια συναρτηση, εστω h(x) και λυνουμε την
παρασταση ως προς f(x)
● Στη συνεχεια βρισκουμε το οριο της f, με τη βοηθεια
των πραξεων των μη πεπερασμενων οριων
● Aν στη πιο πανω περιπτωση ζητειται το οριο αλλης πα-
ραστασης της συναρτησης f, τοτε βρισκουμε οπως πιο
πανω το οριο της και στη συνεχεια στο ” σπασιμο” του
κλασματος, εμφανιζουμε τη βοηθητικη συναρτηση.
Τακης Τσακαλακος Κερκυρα 2018
41
ΟΡΙΟ ΣΥΝΑΡΤΗΣΗΣ ...
ΟΡΙΟ ΣΤΟ ΑΠΕΙΡΟ
Τακης Τσακαλακος Κερκυρα 2018
42
ΟΡΙΟ ΣΥΝΑΡΤΗΣΗΣ ...
Nα βρεθουν τα ορια της
συναρτησης f στις θεσεις:
x0 = - þ, + þ
οταν η γραφικη της παραστα-
ση φαινεται στο διπλανο σχημα.
Α π α ν τ η σ η
0
x -
0
x +
Για x =-
lim f(x)= +
Για x = +
lim f(x)= 1
ΠΑΡΑΔΕΙΓΜΑ 26
ΟΡΙΟ ΣΤΟ ΑΠΕΙΡΟ (... ΓΕΩΜΕΤΡΙΚΑ )
1. Για x → + þ,
βλεπουμε που «φτανει» η Cf δεξια στο σχημα
(στον αξονα y’y) .
2. Για x → - þ,
βλεπουμε που «φτανει» η Cf αριστερα στο σχημα
(στον αξονα y’y) .
Τακης Τσακαλακος Κερκυρα 2018
43
ΟΡΙΟ ΣΥΝΑΡΤΗΣΗΣ ...
5 2
x +
2ν 2ν+1
x -
5 2
x +
Να βρεθουν τα ορια:
lim (2x +3x +x+1)
lim [(x-1) +(x+1) ]
lim ((α-1)x +(α+1)x +x+1))
Α π α ν τ η σ η
5 2
x
5
x +
2ν 2ν+1
x -
x -
5 2
x
2v 1
+
+
Ειναι
lim(2x +3x +x+1)
= lim (2x )=
lim [(x-1) +(x+1) ]
= lim (x )=
Για α= 1:
lim ((α-1)x +(α+1)x +x
1
2
3
L
L
L
+
-
2
x +
5 2 5
x + x +
+1))= lim (2x )=
Για α 1:
lim ((α-1)x +(α+1)x +x+1))=(α-1) lim x )=
Tελικα για καθε α
=
:
3
5 2
3 x +
L
L
+
+
lim ((α-1)x +(α+1)x +x+1)) +
(
ΠΑΡΑΔΕΙΓΜΑ 27
ΟΡΙΟ ΣΤΟ ΑΠΕΙΡΟ (... ΠΟΛΥΩΝΥΜΙΚΗ ΣΥΝΑΡΤΗΣΗ )
1. Το οριο της πολυωνυμικης συναρτησης ειναι ισο με το
οριο του μεγιστοβαθμιου ορου της.
2. Αν στο συντελεστη του μεγιστοβαθμιου ορου της
πολυωνυμικης συναρτησης υπαρχει παραμετρος, τοτε
βρισκουμε το οριο:
 για εκεινη τη τιμη της παραμετρου που μηδενιζει το
συντελεστη.
 για εκεινες τις τιμες της παραμετρου που δεν μηδε -
νιζουν το συντελεστη.
Τακης Τσακαλακος Κερκυρα 2018
44
ΟΡΙΟ ΣΥΝΑΡΤΗΣΗΣ ...
5 2 5 2
1 22 5x - x +
3
3 4 2x -
Να βρεθουν τα ορια:
2x +3x +x+1 2x +3x +x+1
L lim L lim
3x +x+1 x +x+1
x -x+1
L lim
2x +x +1
Α π α ν τ η σ η
5 2
2x -
5
2x - x -
x -
5 2
5x +
3
5
x
3
+
2x +3x +x+1
lim
3x +x+1
2x 2
= lim ( )= lim ( x )
3x 3
2 2
= lim (x )= (- )=
3 3
2x +3x +x+1
lim
x +x+1
2x
= lim (
1
2
L =
-
L =
5
3
4 2x -
3
4x - x -
)=
x
x -x+1
lim
2x +x +1
x 1 1 1
= lim ( )= lim ( )= 0=
2x 2 x 2
3
2
L =
0
ΠΑΡΑΔΕΙΓΜΑ 28
ΟΡΙΟ ΣΤΟ ΑΠΕΙΡΟ (... ΡΗΤΗ ΣΥΝΑΡΤΗΣΗ)
1. Το οριο της ρητης συναρτησης ειναι ισο με το οριο του
πηλικου των μεγιστοβαθμιων ορων της.
2. Επιπλεον αν:
 ο βαθμος του μεγιστοβαθμιου ορου του αριθμητη ειναι
μεγαλυτερος απ’το βαθμο του μεγιστοβαθμιου ορου
του παρονομαστη, το οριο ισουται με + þ η - þ.
 ο βαθμος του μεγιστοβαθμιου ορου του αριθμητη ειναι
μικροτερος απο το βαθμο του μεγιστοβαθμιου ορου
του παρονομαστη, το οριο ισουται με 0 .
 ο βαθμος του μεγιστοβαθμιου ορου του αριθμητη ειναι
ισος με το βαθμο του μεγιστοβαθμιου ορου του παρο -
νομαστη, το οριο ισουται με το πηλικο των συντελε-
στων τους.
Τακης Τσακαλακος Κερκυρα 2018
45
ΟΡΙΟ ΣΥΝΑΡΤΗΣΗΣ ...
3 2
2x -
Να βρεθουν οι τιμες των α και β, ωστε:
(α+β-5)x +(α-1)x +2
lim = 2
(β-1)x +αx+1
Α π α ν τ η σ η
3 2 3
2 2x x
3 2
2x
Ειναι για β 1
(α+β-5)x +(α-1)x +2 (α+β-5)x α+β-5
lim = lim = ×(- )
(β-1)x +αx+1 (β-1)x β-1
α+β-5
Αν 0, τοτε
β-1
(α+β-5)x +(α-1)x +2
lim =± , ατοπο (αφου ειναι ι
(β-1)x +αx+1
2
2x x
2
2
σο με 2).
Αρα
α+β-5
= 0 α+β-5= 0 (1)
β-1
Το οριο ομως γινεται (λογω της (1)):
(α-1)x +2 (α-1) α-1
lim = 2 lim = 2 = 2
(β-1)x +αx+1 (β-1) β-1
α-1= 2β-2
x
(2)
Οποτε
x
,
α+β= 5
α-2β=-1
(+)
λυνοντας το συστημα των (1) και (2)
α+β= 5 2α+2β= 10 3α= 9 α= 3
α-2β=-1 α-2β=-1 α-2β=-1 3-2β=-1
α= 3
β= 2
ΠΑΡΑΔΕΙΓΜΑ 29 (ΠΑΡΑΜΕΤΡΟΣ)
Τακης Τσακαλακος Κερκυρα 2018
46
ΟΡΙΟ ΣΥΝΑΡΤΗΣΗΣ ...
2 2
1 x -
2 2
2 x +
Να βρεθουν τα ορια:
1. L lim ( 9x -x+1- 4x +2x+1)
2. L lim ( 16x +8x + 4x -1-6x)
Α π α ν τ η σ η
1.
2 2
1 x -
2 2
2 2x -
2 2x -
x<0
x -
Επειδη x - τοτε
Οποτε
L lim ( 9x -x+1- 4x +2x+1)
1 1 2 1
= lim x (9- + )- x (4+ + )
x x x x
1 1 2 1
= lim | x| 9- + -| x| 4+ +
x x x x
= lim -x 9
x< 0 .
2 2
1 1 2 1
- + +x 4+ +
x x x x
ΠΑΡΑΔΕΙΓΜΑ 30
ΟΡΙΟ ΣΤΟ ΑΠΕΙΡΟ (... ΑΠΡΟΣΔΙΟΡΙΣΤΙΑ)
ΡΙΖΙΚΑ-ΟΧΙ ΚΛΑΣΜΑΤΙΚΗ ΣΥΝΑΡΤΗΣΗ
1. Βγαζουμε κοινο παραγοντα το μεγιστοβαθμιο x των
ριζικων (προσοχη στο προσημο του).
2. Συνεχιζουμε εχοντας υποψιν μας οτι .
3. Αν με τη πιο πανω διαδικασια καταληξουμε παλι σε
απροσδιοριστια, τοτε βρισκουμε το αρχικο οριο με
 τη μεθοδο της συζυγους παραστασης
 διαχωρισμο σε αθροισμα δυο ορων και ... μεθοδο συ-
ζυγους παραστασης.
Π α ρ α τ η ρ η σ η :
 Οσον αφορα το προσημο του μεγιστοβαθμιου x, αν
 x → + þ τοτε x > 0 και | x | = x
 x → - þ τοτε x < 0 και | x | = - x
 Στην περιπτωση που το οριο περιεχει αθροισμα (δυο ρι -
ζικων και εναν που δεν ειναι ριζικο), μετασχηματιζουμε
τον ορο, που δεν ειναι ριζικο, σε δυο προσθετεους (ανα -
λογους με τις ριζες των συντελεστων των μεγιστοβαθ -
μιων ορων των ριζικων).
Τακης Τσακαλακος Κερκυρα 2018
47
ΟΡΙΟ ΣΥΝΑΡΤΗΣΗΣ ...
2 2x -
2 2x - x -
2 2
2 x +
1 1 2 1
= lim - 9- + + 4+ +
x x x x
1 1 2 1
= lim x lim - 9- + + 4+ + =
x x x x
=- (- 9-0+0 + 4+0+0)=- (- 9 + 4)=- (-1)=
2.
Eιναι
L lim ( 16x +8x + 4x -1
+
2 2
x +
2 2
x + x +
2 2
x + 2
2 2
x +
- )
= lim ( 16x +8x- )+( 4x -1- )
= lim ( 16x +8x-4x)+ lim ( 4x -1-2x)
( 16x +8x-4x)( 16x +8x +4x)
= lim
16x +8x +4x
( 4x -1-2x)( 4x -1
6x
4x 2
+
x
lim
2
2 2 2 2
x + x + 2
2
x + x + 2
x>0
x + x + 2
+2x)
4x -1 +2x
16x +8x-16x 4x -1-4x
= lim + lim
8 ( 4x -1 +2x)
x (16 + ) +4x)
x
8x -1
= lim + lim
8 ( 4x -1 +2x)
| x| 16 + +4x
x
8 -1
= lim + lim
8 ( 4x
( 16
x
+ +4)
x
x
x + x + 2
-1 +2x)
8 -1
= lim + lim
8 ( 4x -1 +2x)
16 + +4
x
8 8
= +0= =
816 +0 +4
1
Τακης Τσακαλακος Κερκυρα 2018
48
ΟΡΙΟ ΣΥΝΑΡΤΗΣΗΣ ...
2 2
x +
ινεται η συναρτηση f(x)= x +2x+3 + 4x +4x+5 +αx+β.
Να βρεθουν οι τιμες των α και β, ετσι ωστε lim f(x)=6.
Δ
Α π α ν τ η σ η
2
x +
2 2x +
x +
x +
Θεωρουμε (x + ), οποτε
(διαιρωντας με x ):
L lim f(x)
β2 3 4 5
= lim x 1+ + + 4+ + +α+
x x x x x
=
Αν 3+α 0 τοτε lim f(x)=± , ατοπο
(αφου lim
x> 0
+ (3+α)
2 2
2 2
συζυγη
2 2
f(x)= 6)
Αρα 3+α= 0
Για α=-3 ειναι
= x +2x+3 + 4x +4x+5- +β
=( x +2x+3- )+( 4x +4x+5- )+β
2x+3 4x+5
= + +β
x +2x+3 +x 4x +4x+5 +2x
3x
x 2x
=
2
α=-3
f(x)
3 5
2+ 4+
x x+
2 3 4 5
1+ + +1 4+ +
x x x x
x
Aρα
2 4
lim f(x)= 6 + +β= 6
1+1 2+2
2
+β
+2
β= 4
ΠΑΡΑΔΕΙΓΜΑ 31
ΟΡΙΟ ΣΤΟ ΑΠΕΙΡΟ (... ΑΠΡΟΣΔΙΟΡΙΣΤΙΑ)
ΡΙΖΙΚΑ-ΟΧΙ ΚΛΑΣΜΑΤΙΚΗ ΣΥΝΑΡΤΗΣΗ-ΠΑΡΑΜΕΤΡΟΣ
... οπως στο προηγουμενο παραδειγμα και
4. Προκειμενου να προσδιορισουμε τις (την) παραμετρους
(ο) απαιτουμε το οριο του πηλικου των μεγιστοβαθμιων
ορων της παραστασης να μην ειναι ± þ.
Τακης Τσακαλακος Κερκυρα 2018
49
ΟΡΙΟ ΣΥΝΑΡΤΗΣΗΣ ...
2
2
x + x -
4x +2x+3 +3x+2
ινεται η συναρτηση: f(x)=
x +x+1+4x+3
Να βρεθουν τα ορια: lim f(x) lim f(x)
Δ
Α π α ν τ η σ η
x +
2
x + 2
2
2
x +
2
2
2
x +
2
1.
Επειδη x + τοτε και
lim f(x)
4x +2x+3 +3x+2
= lim
x +x+1 +4x+3
2 3
x (4+ + ) +3x+2
x x
= lim
1 1
x (1+ + ) +4x+3
x x
2 3
| x| 4+ + +3x+2
x x
= lim
1 1
| x| 1+ +
x x
1
x> 0
L
2x>0 2
x + x +
22
+4x+3
2 3 2 2 3 2x 4+ + +3+ 4+ + +3+
x x x x x x
= lim = lim
1 1 31 1 3
1+ + +4+x 1+ + +4+
x x xx x x
ΠΑΡΑΔΕΙΓΜΑ 32
ΟΡΙΟ ΣΤΟ ΑΠΕΙΡΟ (... ΑΠΡΟΣΔΙΟΡΙΣΤΙΑ)
ΡΙΖΙΚΑ-ΚΛΑΣΜΑΤΙΚΗ ΣΥΝΑΡΤΗΣΗ
1. Βγαζουμε κοινο παραγοντα το μεγιστοβαθμιο x των
ριζικων (προσοχη στο προσημο του) σε αριθμητη και
παρονομαστη .
2. Απαλειφουμε τον κοινο παραγοντα που βγαλαμε σε
αριθμητη και παρονομαστη .
3. Συνεχιζουμε εχοντας υποψιν μας οτι .
Π α ρ α τ η ρ η σ η :
 Οσον αφορα το προσημο του μεγιστοβαθμιου x, αν
 x → + þ τοτε x > 0 και | x | = x
 x → - þ τοτε x < 0 και | x | = - x
Τακης Τσακαλακος Κερκυρα 2018
50
ΟΡΙΟ ΣΥΝΑΡΤΗΣΗΣ ...
2x<0
x - x -
2
4+0+0 +3+0 4 +3
= = =
1+0+0 +4+0 1 +4
2.
Επειδη x - τοτε ... ομοια
2 3 2
-x 4+ + -3-
x x x 4-3 -1
lim f(x)=... = lim =... = = =
-31-41 1 3
-x 1+ + -4-
x x x
2
1
x< 0
1
L =
3
Τακης Τσακαλακος Κερκυρα 2018
51
ΟΡΙΟ ΣΥΝΑΡΤΗΣΗΣ ...
x + x +
2
2 3 2x x +
f(x)
Αν lim = 3 και lim (3f(x)-x)= 2, να δειχτει οτι:
x
xf(x)+5x -2x+11 2f(x)-2x-1
lim = 4 lim = 2
3x f(x)-x +3x+1 3xf(x)-x +3x
Α π α ν τ η σ η
2
( x ) 2
x +
2
Eιναι
f(x) 2 11
+5- +
x x x= lim =
3 1
(3f(x)-x)+ +
x x
3+5-0+0
= =
2+0+0
2
2 3x +
x
xf(x)+5x -2x+11
lim
3x f(x)-x +3x+1
4
lim
( x)
x +
f(x) 1
2× -2-
x x= lim =
3
(3f(x)-x)+
x
6-2-0
= =
2+0
2+
2f(x)-2x-1
3xf(x)-x +3x
2
ΟΡΙΟ ΣΤΟ ΑΠΕΙΡΟ (... ΠΑΡΑΣΤΑΣΗΣ)
Σ κ ο π ο ς :
Να «εμφανισουμε» την δοσμενη παρασταση της f
προκειμενου να βρουμε το ζητουμενο οριο.
A ν τ ι μ ε τ ω π ι σ η :
1. Μετασχηματιζουμε καταλληλα το προς αποδειξη οριο,
συνηθως διαιρωντας, πολλαπλασιαζοντας καταλληλα,
ωστε να προκυψουν τα γνωστα ορια.
2. Στη συνεχεια βρισκουμε το ζητουμενο οριο της f(x) .
ΠΑΡΑΔΕΙΓΜΑ 33
Τακης Τσακαλακος Κερκυρα 2018
52
ΟΡΙΟ ΣΥΝΑΡΤΗΣΗΣ ...
2
2
x +
2
Δινεται η συναρτηση f: , για την οποια ισχυει:
3f(x)+f(-x)= x +x, x .
3
f(x)+x+ x
4Να βρειτε το οριο: L= lim
7
2f(x)-1+ x
2
Α π α ν τ η σ η
ΠΑΡΑΔΕΙΓΜΑ 34
ΟΡΙΟ ΣΤΟ ΑΠΕΙΡΟ (...ΣΧΕΣΗ ΜΕ f(x), f(-x))
1. Μετασχηματιζουμε την δοσμενη σχεση, εστω (1), θε -
τοντας οπου x το - x οποτε προκυπτει νεα ισοτητα,
εστω (2)
2. Απαλειφουμε την f(-x) στις ισοτητες (1) και (2), οποτε
προκυπτει ο τυπος της συναρτησης f .
3. Στη συνεχεια βρισκουμε το ζητουμενο οριο, αντικαθι-
στωτας την f(x) σε αυτο .
Τακης Τσακαλακος Κερκυρα 2018
53
ΟΡΙΟ ΣΥΝΑΡΤΗΣΗΣ ...
2
2
2
2
2
2
Στη δοσμενη σχεση για x=-x,
προκυπτει:
3f(-x)+f(x)= x -x
Λυνουμε το συστημα
f(-x)+3f(x)= x +x ×(-3)
3f(-x)+f(x)= x -x
-3f(-x)-9f(x)=-3x -3x
3f(-x)+f(x)= x -x
-8f(x)=-2x -4x f(x 2
2 2 2
2x + x +
2 2
2
x +
2
1 1
)= x - x
4 2
Ετσι
1 1 3 1
x - x+x+ x x + x
4 2 4 2= lim = lim =
1 7 4x -x-1x -x-1+ x
2 2
1
x 1+
2x
= lim
x 4-
2
x +
2
3
f(x)+x+ x
4lim
7
2f(x)-1+ x
2
x +
22
1
1+
1+02x= lim = =
1 11 1 4-04- --
x xx x
1
4
Τακης Τσακαλακος Κερκυρα 2018
54
ΟΡΙΟ ΣΥΝΑΡΤΗΣΗΣ ...
2
2
x +
2
Δινεται η συναρτηση f: , για την οποια ισχυει:
3f(x)+f(-x)= x +x, x .
3
f(x)+x+ x
4Να βρειτε το οριο: L= lim
7
2f(x)-1+ x
2
Α π α ν τ η σ η
2
Θετουμε:
τοτε
(x-2) -(2x+1)
= =(x+1)(2x+1)-(x-2)(2x+3)=
(x+1) -(2x+3)
= x
D
2
(x-2)f(x)-(2x+1)g(x)= h(x)
(x+1)f(x)-(2x+3)g(x)= p(x)
+ x+2x 2
+1- 2x - 3x
f(x)
g(x)
4x+7
D h(x)(-2x-3)-p(x)(
+4x+6 =
h(x) -(2x+1)
= =
p(x) -(2x+3)
(x-2) h(x)
=
-2x-1)
D p(x)(x-2)-=
(x+1) p
h(x)(x+
(
1
x)
Eτσι
)
ΠΑΡΑΔΕΙΓΜΑ 35
ΟΡΙΟ ΣΤΟ ΑΠΕΙΡΟ (...ΒΟΗΘΗΤΙΚΗ ΣΥΝΑΡΤΗΣΗ)
1. Θετουμε την παρασταση της f, της οποιας το ο ριο ειναι
γνωστο, σαν μια συναρτηση εστω h(x) και λυνουμε την
παρασταση ως προς f(x) .
2. Στη συνεχεια βρισκουμε το οριο της f(x) .
3. Aν στη πιο πανω περιπτωση ζητειται το οριο αλλης πα -
ραστασης της συναρτησης f, τοτε βρισκουμε οπως πιο
πανω το οριο της και στη συνεεια στο ” σπασιμο ” του
κλασματος, εμφανιζουμε τη βοηθητικη συναρτηση .
Π α ρ α τ η ρ η σ η :
Σε περιπτωση που εχουμε δυο συναρτησεις f, g (αρα και
δυο δοσμενα ορια παραστασεων των f, g), θετουμε τις
παραστασεις της f, g, των οποιων το οριο ειναι γνωστο,
σαν συναρτησεις εστω h(x), p(x) και λυνουμε το συστημα
των εξισωσεων που προκυπτουν, ως προ f(x), g(x) .
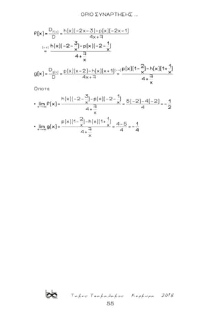
Τακης Τσακαλακος Κερκυρα 2018
55
ΟΡΙΟ ΣΥΝΑΡΤΗΣΗΣ ...
f(x)
( x)
( x)
g(x)
D h(x)(-2x-3)-p(x)(-2x-1)
=
D 4x+7
=
D p(x)(x-2)-h(x)(x+1)
= = =
D 4x+7
Oποτε
3
h(x)(-2- )-p(x)(-2-
x=
x +
f(x)=
3 1
h(x)(-2- )-p(x)(-2- )
x x
7
4+
x
2 1
p(x)(1- )-h(x)(1+ )
x xg(x)
7
4+
x
lim f(x)
1
)
5(-2)-4(-2)x = =
7 44+
x
2 1
p(x)(1- )-h(x)(1+ )
4-5x x= = =
7 44+
x
x +
1
-
2
1
lim g(x) -
4
Τακης Τσακαλακος Κερκυρα 2018
56
ΟΡΙΟ ΣΥΝΑΡΤΗΣΗΣ ...
2 3 2
1 2 4 4x + x +
Nα βρεθουν τα ορια:
6x+ημ x-2συν2x x συνx+x ημx+2
L lim L lim
3x+συνx x +ημ x+x
Α π α ν τ η σ η
x +
x +
2
1 x +
( x)
x +
x +
ημx
lim =0
x
συνx
lim =0
x
6x+ημ x-2συν2x
L = lim
3x+συνx
ημx συν2x
x 6 +ημx× -4
x 2x
= lim
συνx
x 3+
x
ημx συν2x
6 +ημx -4
x 2x= lim
συνx
3+
x
6 +0+0
= =
3+0
2
4
x
x +
4
3 2 ( x ) 2 4
2 44 4x + x +
4
4 3
lim
4
4x + συνx
lim =0
x
3
ημxσυνx 2
x + +
x συνx+x ημx+2 x x x
L = lim = lim =
ημ xx +ημ x+x 1
x 1+ +
x x
ημxσυνx 1 2
+ × +
x x x x= lim =
ημx 1
1+ +
x x
+
ημx
=0
x 0+0+0
=
1+0+0
0
ΠΑΡΑΔΕΙΓΜΑ 36
ΟΡΙΟ ΣΤΟ ΑΠΕΙΡΟ (...ΤΡΙΓΩΝΟΜΕΤΡΙΚΟΙ ΑΡΙΘΜΟΙ)
Σ κ ο π ο ς :
Να προσδιορισουμε το ζητουμενο με βοηθεια το οριο
A ν τ ι μ ε τ ω π ι σ η :
Φερνουμε τη παρασταση, της οποιας ζητουμε το οριο,
στην πιο πανω μορφη πολλαπλασιαζοντας και διαιρωντας
με καταλληλους ορους η μετασχηματιζοντας γνωστες
τριγωνομετρικες σχεσεις .
Τακης Τσακαλακος Κερκυρα 2018
57
ΟΡΙΟ ΣΥΝΑΡΤΗΣΗΣ ...
x+2 x+1 x+2 x+1
1 2x x+1 x x+1x + x -
Nα βρεθουν τα ορια:
3× 2 -8× 3 +2 3× 2 -8× 3
1. L lim 2. L lim
4× 3 +3× 2 -1 4× 3 +3× 2
Α π α ν τ η σ η
x+2
x +
1.
Αφου x + δημιουργουμε
βασεις μικροτερες του 1, ωσ-
τε το οριο τους να ισουται με
0 (διαιρουμε αριθμητη-παρο-
νομαστη με τη μεγαλυτερη
βαση).
Ετσι
3× 2 -8× 3
lim1
L
x
x+1
x x+1
x x
x xx +
x x
( 3 )
x xx +
+2
4× 3 +3× 2 -1
3× 4× 2 -8× 3× 3 +2
= lim
4× 3 +3× 2× 2 -1
2 1
12× -24+2
12× 0-24+2× 03 3
= lim = =
4+6 × 0-1× 02 1
4+6 × -
3 3
-6
ΠΑΡΑΔΕΙΓΜΑ 37
ΟΡΙΟ ΣΤΟ ΑΠΕΙΡΟ (... ΡΗΤΗ ΕΚΘΕΤΙΚΗ)
 Αν x → + þ :
Δημιουργουμε βασεις μικροτερες του 1, ωστε το οριο
τους να ειναι ισο με 0 .
(Διαιρουμε αριθμητη – παρονομαστη με τον εκθετικο ορο
που εχει μεγαλυτερη βαση).
.
 Αν x → - þ :
Δημιουργουμε βασεις μεγαλυτερες του 1, ωστε το οριο
τους να ειναι ισο με 0 .
(Διαιρουμε αριθμητη – παρονομαστη με τον εκθετικο ορο
που εχει μικροτερη βαση).
.
Τακης Τσακαλακος Κερκυρα 2018
58
ΟΡΙΟ ΣΥΝΑΡΤΗΣΗΣ ...
x+2 x+1
xx -
Αφου x - δημιουργουμε βασεις μεγαλυτερες του 1, ωστε
το οριο τους να ισουται με 0
(διαιρουμε αριθμητη-παρονομαστη με τη μικροτερη βαση).
Ετσι
3× 2 -8× 3
lim
4× 3
2
L
x
x+1
x x
x xx -
x
( 2 )
xx -
+3× 2
3× 4× 2 -8× 3× 3
= lim
4× 3 +3× 2× 2
3
12-24×
2
= lim
3
4× +6
2
12-24× 0
= =
4× 0+6
2
Τακης Τσακαλακος Κερκυρα 2018
59
ΟΡΙΟ ΣΥΝΑΡΤΗΣΗΣ ...
x+2 x+2
x+1 x+1x -
α -2
Nα βρεθει το οριο: lim , α 2.
α -2
Α π α ν τ η σ η
x+2 x+2 2 x 2 x 2 x x
x+1 x+1 x x x x
x+2 x+2 2 x x
x+1 x+1 x xx - x -
α -2 α × α -2 × 2 α × α -4× 2
Ειναι: = =
α -2 α× α -2× 2 α× α -2× 2
Αν α< 2
α -2 α × α -4× 2
lim = lim
α -2 α× α -2× 2
x x
2
x x
x xx -
x x
x
2
xx -
α 2
α × -4×
α α= lim
α 2
α× -2×
α α
2
α -4×
α
= lim
2
α-2×
α
2
x -
x+2 x+2
x+1 xx
x
x -
-
α -4× 0
= li
2 2
m = α
α-2
lim = 0, αφου x - και > 1
α α
× 0
Αν α> 2
α -2
lim
α -2
2 x x
+1 x xx -
x x
2
x x
x xx -
x x
2
x -
α × α -4× 2
= lim
α× α -2× 2
α 2
α × -4×
2 2= lim
α 2
α× -2×
2 2
α
α ×
2
= lim
x
x
x
2
x
x -
-
α α
lim = 0,αφου x - κα
-4
α
α× -2
2
α × 0-4
= lim = 2
α× 0-
ι
2
> 1
2 2
.
ΠΑΡΑΔΕΙΓΜΑ 38 (ΜΕ ΠΑΡΑΜΕΤΡΟ)
Τακης Τσακαλακος Κερκυρα 2018
60
ΟΡΙΟ ΣΥΝΑΡΤΗΣΗΣ ...
1 1
- ×ημx x×ημ
x x
x
Nα βρεθει το οριo:
L= lim[e +e ]
Α π α ν τ η σ η
x x
x
x
x
1 1
- ημx x ημ
x x
x
1 1
- ημx x ημ
x x
x x
1 1
lim - ημx lim ημ
x x
1
ημ
xlim
ημx
- lim
x
l
ημx
lim
x
1
x
x
Ειναι
lim[e +e ]
= lim e + lim e (1)
= e +e
= e +e
1
= +e
e
L=
x
1
ημ
xim
1
x
1
0
1
= +e
e
= 1+e
α λ λ ι ω ς
1
- ημx
x
1 0x x x ημx
x
(1)
1
x ημ
1x
x x x x1
0
x
1 1 1 1
lim ημx 0 lim e lim 1
x e 1
e
L 1 e1
ημ
1 xlim x ημ lim 1 lim e lim e e
1x
x
ΠΑΡΑΔΕΙΓΜΑ 39
ΟΡΙΟ ΣΤΟ ΑΠΕΙΡΟ (...ΕΚΘΕΤΙΚΗ ΜΟΡΦΗΣ f(x)=ag( x)
)
 Βρισκουμε το οριο του εκθετη της εχοντας υποψιν
 Ισχυουν
x
1
Οταν x τοτε 0
x
1
ημ
xΕτσι, lim = 1
1
x
Τακης Τσακαλακος Κερκυρα 2018
61
ΟΡΙΟ ΣΥΝΑΡΤΗΣΗΣ ...
x+1
x
Nα βρεθει το οριο: L= lim[ln(e -1)-x]
Α π α ν τ η σ η
x+1
x
x+1
x
x+1 x
x
x+1
xx
x+1
x xx
x
Eιναι
lim[ln(e -1)-x]
= lim[ln(e -1)-x]
= lim[ln(e -1)-lne ]
e -1
= lim[ln ]
e
e 1
= lim[ln( - )]
e e
= lim[ln(e-
L=
x
xx
x
1
)]
e
1
=ln[lim(e- )]
e
=ln(e-0)
1
e
= e
- >
e
=
0
ln 1
ΠΑΡΑΔΕΙΓΜΑ 40
ΟΡΙΟ ΣΤΟ ΑΠΕΙΡΟ (... ΛΟΓΑΡΙΘΜΙΚΗ)
 Απλοποιουμε οσο γινεται τη συναρτηση g(x) .
 Aν το οριο της g(x) τεινει στο
 κ > 0 τοτε .
 0+
τοτε .
 þ τοτε .
 Ισχυουν :
 x = lnex
για
 x = e ln x
για x > 0
 .
Τακης Τσακαλακος Κερκυρα 2018
62
ΟΡΙΟ ΣΥΝΑΡΤΗΣΗΣ ...
2x+1
x
x+4
Nα βρεθει το οριο: L= lim
x+3
Α π α ν τ η σ η
2x+1
x
2x+1
x
2(x+3)-5
x
2(x+3) -5
x
x
E
x+4
lim
x+3
x+3+1
= lim
x+3
1
= lim 1+
x+3
1 1
= lim 1+ 1+
x+3 x+3
1
= lim 1+
x+3
L=
2
x+3 -5
x
2
x+3 -5
x x
2 -5 2
x
1
lim = 0
1
lim 1+
x+3
1 1
= lim 1+ lim 1+ =
x+3 x+3
=e
x
(1+0) e
3
=
+
ΠΑΡΑΔΕΙΓΜΑ 41
ΟΡΙΟ ΣΤΟ ΑΠΕΙΡΟ (... ΡΗΤΗ ΕΚΘΕΤΙΚΗ)
Σ κ ο π ο ς :
Nα μετασχηματισουμε τη ρητη συναρτηση σε μορφη
η .
A ν τ ι μ ε τ ω π ι σ η :
 Φερουμε τη συναρτηση f σε μια απ’τις παραπανω μορφες
 Ισχυει :
.
Τακης Τσακαλακος Κερκυρα 2018
63
ΟΡΙΟ ΣΥΝΑΡΤΗΣΗΣ ...
2x+1
x
x+4
Nα βρεθει το οριο: L= lim
x+3
Α π α ν τ η σ η
x
x
x
x
x 1
-
= lim
x 1
+
1
1-
1-0x= lim =
1 1+01+
x
x 2
-
= lim
x 2
+
2
1-
1-0x= lim =
2 1+01+
x
Οποτε, συμφωνα με
x x
x x
x x
x x
το
x
x
x-1
lim
x+1
1
x-2
lim
x+2
1
=
=
x
κριτηριο παρεμβολης:
lim (f(x)-1)= 1
x
lim f(x)= 2
ΠΑΡΑΔΕΙΓΜΑ 42
ΟΡΙΟ ΣΤΟ ΑΠΕΙΡΟ (... ΚΡΙΤΗΡΙΟ ΠΑΡΕΜΒΟΛΗΣ)
1. Με καταλληλες πραξεις «απομονωνουμε» την συναρ -
τηση f στο μεσαιο μελος της διπλης ανισοτητας η σχη-
ματιζουμε την παρασταση της συναρτησης f το οριο
της οποιας ζητουμε.
2. Βρισκουμε τα ορια των ακραιων μελων της ανισοτικης
σχεσης.
3. Αν τα πιο πανω ορια ειναι ισα με α, τοτε και το ζητουμενο
οριο ειναι ισο με α, συμφωνα με το κριτηριο παρεμβολης
Π α ρ α τ η ρ η σ η :
Στη περιπτωση που η παρασταση, της οποιας το οριο ζη-
τουμε, ειναι κλασμα με παρονομαστη ενα ακραιο μελος της
δοσμενης ανισοτικης σχεσης, τοτε :
 Διαιρουμε και τα τρια μελη της ανισοτικης σχεσης με το
μελος αυτο (το ενα ακραιο μελος γινεται ισο με 1).
 Παιρνουμε πλευρικα ορια και δειχνουμε οτι ειναι ισα με 1 .
Τακης Τσακαλακος Κερκυρα 2018
64
ΟΡΙΟ ΣΥΝΑΡΤΗΣΗΣ ...
x
1 22 2 xx +x 1
Nα βρεθουν τα ορια:
lnx x+e
1. L lim 2. L lim
x -1 x +e
Α π α ν τ η σ η
0
0
2 2x 1 DLH x 1
2x 1 x 1
+
xx +
2 x 2 xx + xDLH
x
1.
(lnx)'lnx
lim = lim
x -1 (x -1)'
1
1x=lim = lim
2x 2x
1
= =
2 1
2.
(x+e )'x+e
lim = lim
x +e (x +e )'
= lim
1
2
L =
1
2
L =
+
xx +
x xxDLH
+
xx +
x xx xDLH
x
xx
(1+e )'1+e
= lim
2x+e (2x+e )'
(e )'e
= lim = lim
2+e (2+e )'
e
= lim =
e
1
ΠΑΡΑΔΕΙΓΜΑ 43
DE L' HOSPITAL (... ΑΠΡΟΣΔΙΟΡΙΣΤΙΑ 0/0 Ή þ/þ)
1. Το οριο καταληγει σε απροσδιοριστια η .
2. Παιρνουμε το ισοδυναμο οριο του πηλικου των παραγω -
γων (αριθμητη και παρονομαστη) .
3. Αν προκυψει νεα απροσδιοριστια, επαναλαμβανουμε το
βημα 2 .
4. Βρισκουμε το ισοδυναμο οριο, κατα τα γνωστα .
Τακης Τσακαλακος Κερκυρα 2018
65
ΟΡΙΟ ΣΥΝΑΡΤΗΣΗΣ ...
2x 0
Nα βρεθουν οι τιμες των παραμετρων α και β αν ισχυει:
x(α-συνx)+β-2συνx
lim
x
Α π α ν τ η σ η
συν0=1
x 0
2
x 0
lim[x(α-συνx)+β-2συνx]= 0 (α-συν0)+β-2συν0 = β-2 και
limx = 0
Αν β-2 0 τοτε το οριο θα ειναι ,
ατοπο αφου το οριο ειναι πραγματικος αριθμος.
Ετσιβ-2= 0 .
Για β= 2
β= 2
0
0
2 2x 0 DLHx 0
x 0
το οριο γινεται ισοδυναμα:
x(α-συνx)+2-2συνx x(α-συνx)+2-2συνx
lim = lim
x (x )'
α-συνx+xημx+2ημx
= lim
2x
[ ]'
x 0
x 0
lim[α-συνx+xημx+2ημx]= α-1+x× 0+2× 0= α-1 και
lim2x= 0
Αν α-1 0 τοτε το οριο θα ειναι ,
ατοπο αφου το οριο ειναι πραγματικος αριθμος.
Ετσι α-1= 0 .
Για α= 2 και β=
α= 1
2x 0
x 0
1 το οριο γινεται ισοδυναμα:
[x(1-συνx)+2-2συνx]'
= lim
(x )'
1-συνx+xημx+2ημx
= lim
2x
2x 0
x(1-συνx)+2-2συνx
lim
x
0
0
DLHx 0
x 0
[1-συνx+xημx+2ημx]'
= lim
(2x)'
-1+0+0
= lim =
2
1
-
2
ΠΑΡΑΔΕΙΓΜΑ 44 (ΠΑΡΑΜΕΤΡΟΣ)
Τακης Τσακαλακος Κερκυρα 2018
66
ΟΡΙΟ ΣΥΝΑΡΤΗΣΗΣ ...
+
π
x
2
Nα βρεθει το οριο: L= lim (π-2x)εφx
Α π α ν τ η σ η
+
+
+
+
+
+
π
x
2
π
x
2
π
x
2
(0 )
π
x
2
π
x
2 2
2
π
x
2
2
Ειναι
lim (π-2x)εφx
π-2x
= lim
1
εφx
π-2x
= lim
σφx
(π-2x)'
= lim
(σφx)'
-2
= lim
1
-
ημx
= lim 2ημx
π
= 2 ημ
2
=
L=
2
2× 1 = 2
ΠΑΡΑΔΕΙΓΜΑ 45
DE L' HOSPITAL (... ΑΠΡΟΣΔΙΟΡΙΣΤΙΑ 0 × þ)
1. Το οριο καταληγει σε απροσδιοριστια 0 ∙ þ
2. Αντιστρεφουμε μια απ’τις δυο συναρτησεις και την βα -
ζουμε παρονομαστη, οποτε προκυπτει οριο ρητης συν-
αρτησης.
3. Παιρνουμε το ισοδυναμο οριο του πηλικου των παραγω -
γων (αριθμητη και παρονομαστη).
4. Αν προκυψει νεα απροσδιοριστια, επαναλαμβανουμε το
βημα 3 .
5. Βρισκουμε το ισοδυναμο οριο, κατα τα γνωστα.
Τακης Τσακαλακος Κερκυρα 2018
67
ΟΡΙΟ ΣΥΝΑΡΤΗΣΗΣ ...
x
x +
Nα βρεθει το οριο: L= lim (lnx-e )
Α π α ν τ η σ η
x
x +
x
xx
x
xx x
+
+
x
xx xDLH
x
xx x
Ειναι
lim (lnx-e )
lnx
= lim e -1
e
lnx
= lim e lim -1
e
(lnx)'
= lim e lim -1
(e )'
1
x= lim e lim
e
L=
x
xx x
-1
1
= lim e lim -1
xe
1
= + ( -1)= + (0-1)=
+ 1
-
ΠΑΡΑΔΕΙΓΜΑ 46
DE L' HOSPITAL (... ΑΠΡΟΣΔΙΟΡΙΣΤΙΑ þ - þ)
1. Το οριο καταληγει σε απροσδιοριστια þ - þ
2. Βγαζουμε κοινο παραγοντα τον ενα ορο της διαφορας
f - g και προκυπτει: .
3. Παιρνουμε το ισοδυναμο γινομενο οριων, της μιας απ’τις
f, g επι την ρητη που προκυπτει.
4. Αν για τη ρητη συναρτηση προκυπτει απροσδιοριστια,
παιρνουμε το οριο του πηλικου των παραγωγων
(αριθμητη και παρονομαστη).
5. Αν προκυψει νεα απροσδιοριστια, επαναλαμβανουμε το
βημα 4.
6. Βρισκουμε το ισοδυναμο οριο, κατα τα γνωστα.
Τακης Τσακαλακος Κερκυρα 2018
68
ΟΡΙΟ ΣΥΝΑΡΤΗΣΗΣ ...
εφx
ημx
1 2
x 0 x 0
Nα βρεθουν τα ορια:
1
1. L lim x 2. L lim
Α π α ν τ η σ η
x
x +
x
xx
x
xx x
+
+
x
xx xDLH
x
xx x
Ειναι
lim (lnx-e )
lnx
= lim e -1
e
lnx
= lim e lim -1
e
(lnx)'
= lim e lim -1
(e )'
1
x= lim e lim
e
L=
x
xx x
-1
1
= lim e lim -1
xe
1
= + ( -1)= + (0-1)=
+ 1
-
ΠΑΡΑΔΕΙΓΜΑ 47
DE L' HOSPITAL (... ΑΠΡΟΣΔΙΟΡΙΣΤΙΑ )
ΜΟΡΦΗ f(x)g( x)
Σ κ ο π ο ς :
Nα μετατρεψουμε καταλληλα την ωστε να φτα-
σουμε σε μια απ’τις προηγουμενες περιπτωσεις .
A ν τ ι μ ε τ ω π ι σ η :
1. Ισχυει :
2. Ετσι :
3. Η απροσδιοριστια εμφανιζεται στον εκθετη του e .
4. Συνεχιζουμε συμφωνα με τις προηγουμενες περιπτω -
σεις.
Τακης Τσακαλακος Κερκυρα 2018
69
ΟΡΙΟ ΣΥΝΑΡΤΗΣΗΣ ...
x
e -x
1 2 xx 0
Nα βρεθουν τα ορια:
x-ημx x+2
1. L lim 2. L lim
x x+1
-x
e
Α π α ν τ η σ η
+ +
+
+
x
x 0 x 0
x 0
x 0
x 0
e -x 1
x 0
x-ημx ημx
lim( )= lim(1- )
x x
ημx
= 1- lim
x
= 1-1= 0
lim(e -x)= e -0= 1
Ετσι
x-ημx
lim( ) = 0 =
x
1
L = 0
→
→
→
→
-x
x x
1
<1
e
-x x
x x
e
0
x
x+2 x
lim = lim = 1
x+1 x
1
lim(e )= lim( ) = 0
e
Ετσι
x+2
lim = 1 =
x+1
2
L = 1
ΠΑΡΑΔΕΙΓΜΑ 48
DE L' HOSPITAL (... OXI ΑΠΡΟΣΔΙΟΡΙΣΤΙΑ )
ΜΟΡΦΗ f(x)g( x)
(ΑΝΤΙ ... DE L' HOSPITAL)
Σ κ ο π ο ς :
Nα μετατρεψουμε καταλληλα την ωστε να φτα-
σουμε σε μια απ’τις προηγουμενες περιπτωσεις .
A ν τ ι μ ε τ ω π ι σ η :
1. Ισχυει :
2. Ετσι : Βρισκουμε το οριο της f και το οριο της g και
φτανουμε στο ζητουμενο αποτελεσμα .
Τακης Τσακαλακος Κερκυρα 2018
70
ΟΡΙΟ ΣΥΝΑΡΤΗΣΗΣ ...
Δινεται η συναρτηση με τυπο f(x)= 2
1
1 x
, χ>0 και ο λ
Nα βρειτε το +
λ 0
lim Ε(λ) οπου Ε(λ) εμβαδον,του χωριου, που
περικλειεται απο τη Cf , τον αξονα χ’χ και τις ευθειες χ=1,
χ=λ αν 0<λ<1
Α π α ν τ η σ η
● 2
1
> 0
(1+x)
f(χ)= στο (0,1)
● Για 0<λ<1 το εμβαδον Ε(λ)
ειναι
1 1
2λ
1
λ
1
Ε(λ)= f(x)dx dx
(1+x)
1 1 1
=- +
1+χ 1+1 1+λ
1 1
2 1
=
=-
και το ζητουμενο οριο ειναι
+ +
λ 0 λ 0
1 1 1 1
lim Ε(λ)= lim ( )= =
2 1 2 1 0
1
2
L=
Σ χ ο λ ι ο
... αρεσει ... εχει φανει σε εξετασεις ... και θα ...
ΠΑΡΑΔΕΙΓΜΑ 49
ΟΡΙΟ ... ΕΜΒΑΔΟΥ ΧΩΡΙΟΥ (ΑΝΟΙΚΤΟ ΕΝΑ ΑΚΡΟ)
(ΧΩΡΙΟ ΠΟΥ ΟΡΙΖΕΤΑΙ ΑΠΟ Cf , x=a, x=λ)
1. Bρισκουμε τη μονοτονονια της f στο διαστημα [α, λ] ή
[λ,α]
2. Βρισκουμε το προσημο της f στo [α, λ] ή [λ,α].
3. Το εμβαδον, σε συναρτηση με το λ, ειναι
Ε(λ) = ή Ε(λ) =
4. Για τον υπολογισμο του ζητουμενου οριου Ε(Ω:
● αν 0<λ<α τοτε Ε(Ω)=
● αν λ>α τοτε Ε(Ω)=
Τακης Τσακαλακος Κερκυρα 2018
71
ΟΡΙΟ ΣΥΝΑΡΤΗΣΗΣ ...
Δίνεται η παραγωγισιμη συναρτηση f: , για την οποια
f'(0)=f(0)=0 για καθε χ
Nα υπολογισετε το οριο
2018
2017x 0
f (x)
L lim
χ ημ(1953χ)
Α π α ν τ η σ η
●
x 0
f(x)
lim =0f'(0)=0 στο
Eτσι
2018
2018
2018
2017 2017x 0 x 0
f (x)
f (x) χlim lim
χ ημ(1953χ) χ
L
2018
ημ(1953χ)
χ
2018
x 0
2018
x 0
f(x)
χ
= lim
ημ(1953χ)
χ
f(x)
χ 1 0
lim
ημ(1953χ) 19
1
1953 53 1
χ1953
0
αφου
1953χ u
x 0 x 0 u 0 u 0
ημ(1953χ) ημu
lim lim 1
1953χ u
... Για περισσοτερα και ..., εδω
ΠΑΡΑΔΕΙΓΜΑ 50
... ΠΙΟ ΣΥΝΘΕΤΑ ΟΡΙΑ
Φερνουμε τη παρασταση, της οποιας ζητουμε το οριο,
στην πιο πανω μορφη πολλαπλασιαζοντας και διαιρωντας
με καταλληλους ορους η μετασχηματιζοντας γνωστες
τριγωνομετρικες σχεσεις .
ΣΧΟΛΙΟ:
... Ιδιαιτερα ορια θα βρεις στα βιβλια της lisari team,
στο μαυρο, κατα κυριο λογο, στο κοκκινο για να μην πω και
στο βιβλια για τα ΕΠΑΛ
2018τακης τσακαλακος
τακης τσακαλακος
βασικων συναρτησεων
Ш
γραφηματα
ΓΡΑΦΗΜΑ ΣΥΝΑΡΤΗΣΗΣ
Τακης Τσακαλακος Κερκυρα 2018
3
ΓΡΑΦΗΜΑ ΒΑΣΙΚΩΝ ΣΥΝΑΡΤΗΣΕΩΝ ...
 ως προς αξονα χ'χ
1
C : f(x) c
στο παραδειγμα: f(x)=-1
 ως προς αξονα y'y
η ιδια η C
 ως προς σημειο Ο(0,0)
1
C : f(x) c
στο παραδειγμα: f(x)=-1
 ως προς την ευθεια y=x
(αντιστροφη)
2
C : x c
στο παραδειγμα: x=1
(προσοχη, η 2
C ΔΕΝ ειναι αντιστροφη τη C, αφου δεν
αποτελει συναρτηση)
 προς τα πανω κατα β, β>0
3
C : x c
 προς τα κατω κατα α, α>0
4
C : x c
 προς τα δεξια-αριστερα
δεν εχει νοημα
ω=0~εφω=λ=0
 τεμνει τον χ'χ: πουθενα
 τεμνει τον y'y: στο σημειο (0,c)
1. ΣΤΑΘΕΡΗ ΣΥΝΑΡΤΗΣΗ
.
ΣΥΜΜΕΤΡΙΕΣ
ΜΕΤΑΤΟΠΙΣΕΙΣ
ΚΛΙΣΗ
ΤΟΜΗ ΜΕ ΑΞΟΝΕΣ
Τακης Τσακαλακος Κερκυρα 2018
4
ΓΡΑΦΗΜΑ ΒΑΣΙΚΩΝ ΣΥΝΑΡΤΗΣΕΩΝ ...
 ως προς αξονα χ'χ
1
C : f(x)
στο σχημα: f(x)=-2χ-1
 ως προς αξονα y'y
2
C : f(x)
στο σχημα: f(x)=-2χ+1
 ως προς σημειο Ο(0,0)
3
C : f(x)
στο σχημα: f(x)=2χ+1
 ως προς την ευθεια y=x
(αντιστροφη)
1
4
x-β
C : f (x)=
στο σχημα 1 x+1
f (x)=
2
 προς τα πανω κατα ζ, ζ>0
C:f(x)=αχ+(β )
 προς τα κατω κατα ε, ε>0
C:f(x)=αχ+(β )
 προς τα δεξια κατα δ, δ>0
C:f(x)=α(χ-δ)+β
 προς τα αριστερα κατα γ,
γ>0
C:f(x)=α(χ+γ)+β
... αναλογα, αν α<0
λ=α
 τεμνει τον χ'χ: στο σημειο (-β/α,0)
 τεμνει τον y'y: στο σημειο (0,β)
2. ΓΡΑΜΜΙΚΗ ΣΥΝΑΡΤΗΣΗ
. (στο παραδειγμα f(x)=2x-1)
ΣΥΜΜΕΤΡΙΕΣ
ΜΕΤΑΤΟΠΙΣΕΙΣ
ΚΛΙΣΗ
ΤΟΜΗ ΜΕ ΑΞΟΝΕΣ
Τακης Τσακαλακος Κερκυρα 2018
5
ΓΡΑΦΗΜΑ ΒΑΣΙΚΩΝ ΣΥΝΑΡΤΗΣΕΩΝ ...
 ως προς αξονα χ'χ
1
C : f(x)
στο σχημα: f(x)=-2χ
 ως προς αξονα y'y
1
C : f(x)
στο σχημα: f(x)=-2χ
 ως προς σημειο Ο(0,0)
C: f(x)
στο σχημα: f(x)=2χ
 ως προς την ευθεια y=x
(αντιστροφη)
1
2
x
C : f (x)=
στο σχημα 1 x
f (x)=
2
 προς τα πανω κατα ζ, ζ>0
C:f(x)=αχ+
 προς τα κατω κατα ε, ε>0
C:f(x)=αχ
 προς τα δεξια κατα δ, δ>0
C:f(x)=α(χ-δ)
 προς τα αριστερα κατα γ, γ>0
C:f(x)=α(χ+γ)
λ=α
 τεμνει τους αξονες χ'χ και y'y: στο σημειο (0,0)
3. ΓΡΑΜΜΙΚΗ ΣΥΝΑΡΤΗΣΗ
(ειδικη μορφη της προηγουμενης περιπτωσης β=0)
. (στο παραδειγμα f(x)=2x)
ΣΥΜΜΕΤΡΙΕΣ
ΜΕΤΑΤΟΠΙΣΕΙΣ
ΚΛΙΣΗ
ΤΟΜΗ ΜΕ ΑΞΟΝΕΣ
Τακης Τσακαλακος Κερκυρα 2018
6
ΓΡΑΦΗΜΑ ΒΑΣΙΚΩΝ ΣΥΝΑΡΤΗΣΕΩΝ ...
Γνησιως αυξουσα στο πεδιο ορισμου της.
... αναλογα, αν α<0
στο παραδειγμα του σχημα-
τος f(x)=-2x
... γνησιως φθινουσα στο
πεδιο ορισμου της
ΜΟΝΟΤΟΝΙΑ
Τακης Τσακαλακος Κερκυρα 2018
7
ΓΡΑΦΗΜΑ ΒΑΣΙΚΩΝ ΣΥΝΑΡΤΗΣΕΩΝ ...
 αν α>0
αξονας συμμετριας:
x
2
στο σχημα: x=2
,
2 4
στο σχημα: Α(2,-1)
 τεμνει τον χ'χ:
στα σημεια (ρ1 ,0), (ρ2 ,0) οπου ρ1 , ρ2 οι ριζες του τριωνυμου
 τεμνει τον y'y: στο σημειο (0,γ)
 γνησιως φθινουσα στο διαστημα ,
2
(σχ. (-þ,2])
 γνησιως αυξουσα στο διαστημα ,
2
(σχ. [2,+þ))
 παρουσιαζει ελαχιστο, το ,
2 4
(σχ. Α(2,-1))
 προς τα πανω κατα δ, δ>0: 2
C:f(x)=αχ +βχ+(γ )
 προς τα κατω κατα ζ, ζ>0: 2
C:f(x)=αχ +βχ+(γ )
 προς τα δεξια κατα ε, ε>0: 2
C:f(x)=α(χ-ε) +β(χ-ε)+γ
 προς τα αριστερα κατα η, η>0: 2
C:f(x)=α(χ+ε) +β(χ+ε)+γ
κυρτη και δεν εχει σημεια καμπης
4. ΤΡΙΩΝΥΜΙΚΗ (ΤΕΤΡΑΓΩΝΙΚΗ) ΣΥΝΑΡΤΗΣΗ
.
(στο παραδειγμα f(x)=χ2
-4x+3)
ΣΥΜΜΕΤΡΙΕΣ
ΜΕΤΑΤΟΠΙΣΕΙΣ
ΜΟΝΟΤΟΝΙΑ
ΤΟΜΗ ΜΕ ΑΞΟΝΕΣ
ΚΟΡΥΦΗ
ΚΥΡΤΟΤΗΤΑ
Τακης Τσακαλακος Κερκυρα 2018
8
ΓΡΑΦΗΜΑ ΒΑΣΙΚΩΝ ΣΥΝΑΡΤΗΣΕΩΝ ...
 αν α<0
(στο παραδειγμα
f(x)=-χ2
+4x-3)
ομοια με προηγουμενο και
 γνησιως αυξουσα στο
διαστημα ,
2
(σχημα (-þ,2])
 γνησιως φθινουσα στο
διαστημα ,
2
(σχημα [2,+þ))
κοιλη και δεν εχει σημεια καμπης
Π Α Ρ Α Τ Η Ρ Η Σ Η
 Αν Δ>0
τοτε το γραφημα της f
τεμνει τον αξονα χ'χ
σε ΔΥΟ σημεια
 Αν Δ=0
τοτε το γραφημα της f
τεμνει τον αξονα χ'χ
σε ΕΝΑ σημεια
 Αν Δ<0
τοτε το γραφημα της f
ΔΕΝ τεμνει τον αξονα χ'χ.
ΜΟΝΟΤΟΝΙΑ
ΚΥΡΤΟΤΗΤΑ
Τακης Τσακαλακος Κερκυρα 2018
9
ΓΡΑΦΗΜΑ ΒΑΣΙΚΩΝ ΣΥΝΑΡΤΗΣΕΩΝ ...
 αν α>0
αξονας συμμετριας:
x 0 (y'y)
O(0,0)
 τεμνει τους χ'χ και y'y:
στo σημειo (0,0)
 γνησιως φθινουσα στο διαστημα (-þ,0)
 γνησιως αυξουσα στο διαστημα [0,+þ)
 παρουσιαζει ελαχιστο, το O(0,0)
 προς τα πανω κατα δ, δ>0: 2
C:f(x)=αχ +
 προς τα κατω κατα ζ, ζ>0: 2
C:f(x)=αχ
 προς τα δεξια κατα ε, ε>0: 2
C:f(x)=α(χ-ε)
 προς τα αριστερα κατα η, η>0: 2
C:f(x)=α(χ+ε)
κυρτη και δεν εχει σημεια καμπης
 αν α<0,
ομοια με προηγουμενο και
 γνησιως αυξουσα στο διαστημα (-þ,0)
 γνησιως φθινουσα στο στο διαστημα [0,+þ)
κοιλη και δεν εχει σημεια καμπης
5. ΤΕΤΡΑΓΩΝΙΚΗ ΣΥΝΑΡΤΗΣΗ
(ειδικη μορφη της προηγουμενης περιπτωσης β=γ=0)
ΣΥΜΜΕΤΡΙΕΣ
ΜΕΤΑΤΟΠΙΣΕΙΣ
ΜΟΝΟΤΟΝΙΑ
ΤΟΜΗ ΜΕ ΑΞΟΝΕΣ
ΚΟΡΥΦΗ
ΚΥΡΤΟΤΗΤΑ
ΜΟΝΟΤΟΝΙΑ
ΚΥΡΤΟΤΗΤΑ
Τακης Τσακαλακος Κερκυρα 2018
10
ΓΡΑΦΗΜΑ ΒΑΣΙΚΩΝ ΣΥΝΑΡΤΗΣΕΩΝ ...
Α= *
κεντρο συμμετριας:
O(0,0)
 κατακορυφη: χ=0 (y'y)
οριζοντια: y=0 (χ'χ)
 γνησιως φθινουσα στα διαστηματα (-þ,0), (0,+þ) αν α>0
 γνησιως αυξουσα στα διαστηματα (-þ,0), (0,+þ) αν α<0
 αν α<0
 κυρτη στο διαστημα (-þ,0), κοιλη στο διαστημα (0,+þ)
 δεν εχει σημεια καμπης
 αν α>0
 κοιλη στο διαστημα (-þ,0), κυρτη στο διαστημα (0,+þ)
 δεν εχει σημεια καμπης
 προς τα πανω κατα δ, δ>0:
α
C:f(x)= +
χ
 προς τα κατω κατα ζ, ζ>0:
α
C:f(x)=
χ
 προς τα δεξια κατα ε, ε>0:
α
C: f(x)=
χ-ε
 προς τα αριστερα κατα η, η>0:
α
C:f(x)=
χ+η
6. ΡΗΤΗ ΣΥΝΑΡΤΗΣΗ
ΠΕΔΙΟ ΟΡΙΣΜΟΥ
ΜΕΤΑΤΟΠΙΣΕΙΣ
ΜΟΝΟΤΟΝΙΑ
ΑΣΥΜΠΤΩΤΕΣ
ΣΥΜΜΕΤΡΙΕΣ
ΚΥΡΤΟΤΗΤΑ
Τακης Τσακαλακος Κερκυρα 2018
11
ΓΡΑΦΗΜΑ ΒΑΣΙΚΩΝ ΣΥΝΑΡΤΗΣΕΩΝ ...
Α= *
αξονας συμμετριας:
ο αξονας y'y
 κατακορυφη: χ=0 (y'y)
οριζοντια: y=0 (χ'χ)
 αν α>0 η f ειναι γνησιως
 αυξουσα στο διαστημα (-þ,0),
 φθινουσα στο διαστημα (0,+þ)
 αν α<0 η f ειναι γνησιως
 φθινουσα στο διαστημα (-þ,0),
 αυξουσα στο διαστημα (0,+þ)
 αν α>0 η f ειναι κυρτη στα διαστηματα (-þ,0), (0,+þ)
 δεν εχει σημεια καμπης
 αν α<0 η f ειναι κοιλη στα διαστηματα (-þ,0), (0,+þ)
 δεν εχει σημεια καμπης
 προς τα πανω κατα δ, δ>0: 2
α
C: f(x)= +
χ
 προς τα κατω κατα ζ, ζ>0: 2
α
C: f(x)=
χ
 προς τα δεξια κατα ε, ε>0: 2
α
C: f(x)=
(χ-ε)
 προς τα αριστερα κατα η, η>0: 2
α
C: f(x)=
(χ+η)
7. ΡΗΤΗ ΣΥΝΑΡΤΗΣΗ
ΠΕΔΙΟ ΟΡΙΣΜΟΥ
ΜΕΤΑΤΟΠΙΣΕΙΣ
ΜΟΝΟΤΟΝΙΑ
ΑΣΥΜΠΤΩΤΕΣ
ΣΥΜΜΕΤΡΙΕΣ
ΚΥΡΤΟΤΗΤΑ
Τακης Τσακαλακος Κερκυρα 2018
12
ΓΡΑΦΗΜΑ ΒΑΣΙΚΩΝ ΣΥΝΑΡΤΗΣΕΩΝ ...
Α=[0, +þ)
 ως προς τον αξονα χ'χ:
C:f(x)=- με χ 0
 ως προς την ευθεια y=χ:
(αντιστροφη της f)
1 2
C:f (x)=χ με χ 0
 αν α>0 η f ειναι γνησιως
αυξουσα στο διαστημα [0,+þ)
 παρουσιαζει ελαχιστο το Ο(0,0)
 η f ειναι κοιλη στο διαστημα [0,+þ)
 δεν εχει σημεια καμπης
 προς τα πανω κατα δ, δ>0: C:f(x)= +
 προς τα κατω κατα ζ, ζ>0: C:f(x)= χ
 προς τα δεξια κατα ε, ε>0: C:f(x)= χ-ε
 προς τα αριστερα κατα η, η>0: C:f(x)= χ+η
Π Α Ρ Α Τ Η Ρ Η Σ Η
Στη περιπτωση που εχουμε
C:f(x)= α-χ
το πεδιο ορισμου ειναι (-þ,α]
και το γραφημα της ειναι συμ-
μετρικο, ως προς την ευθεια
χ=α, του γραφηματος της
C:f(x)= χ-α
8. ΤΕΤΡΑΓΩΝΙΚΗ ΡΙΖΑ - ΣΥΝΑΡΤΗΣΗ
ΠΕΔΙΟ ΟΡΙΣΜΟΥ
ΜΕΤΑΤΟΠΙΣΕΙΣ
ΜΟΝΟΤΟΝΙΑ
ΣΥΜΜΕΤΡΙΕΣ
ΚΥΡΤΟΤΗΤΑ
Τακης Τσακαλακος Κερκυρα 2018
13
ΓΡΑΦΗΜΑ ΒΑΣΙΚΩΝ ΣΥΝΑΡΤΗΣΕΩΝ ...
Α=
 Aν α>1
 ως προς τον αξονα χ'χ:
x
C:f(x)=- με χ
 ως προς τον αξονα y'y:
x
1
C:f(x)= με χ
 ως προς την ευθεια y=χ:
(αντιστροφη της f)
1
α
C:f (x)=log χ με χ
 αν α>1 η f ειναι γνησιως αυξουσα στο
 οριζοντια: y=0 (χ'χ)
 η f ειναι κυρτη στο
 δεν εχει σημεια καμπης
 προς τα πανω κατα δ, δ>0: x
C:f(x)=α +
 προς τα κατω κατα ζ, ζ>0: x
C:f(x)=α
 προς τα δεξια κατα ε, ε>0: x-ε
C:f(x)=α
 προς τα αριστερα κατα η, η>0: x+η
C:f(x)=α
9. ΕΚΘΕΤΙΚΗ ΣΥΝΑΡΤΗΣΗ
ΠΕΔΙΟ ΟΡΙΣΜΟΥ
ΜΕΤΑΤΟΠΙΣΕΙΣ
ΜΟΝΟΤΟΝΙΑ
ΣΥΜΜΕΤΡΙΕΣ
ΚΥΡΤΟΤΗΤΑ
ΑΣΥΜΠΤΩΤΕΣ
Τακης Τσακαλακος Κερκυρα 2018
14
ΓΡΑΦΗΜΑ ΒΑΣΙΚΩΝ ΣΥΝΑΡΤΗΣΕΩΝ ...
 Aν 0<α<1
 ως προς τον αξονα χ'χ:
x
1
C:f(x)=- με χ
 ως προς τον αξονα y'y:
x
C:f(x)= με χ
 ως προς την ευθεια y=χ:
(αντιστροφη της f)
1
1
α
C: f (x)= log χ με χ
 αν 0<α<1 η f ειναι γνησιως φθινουσα στο
 οριζοντια: y=0 (χ'χ)
 η f ειναι κυρτη στο
 δεν εχει σημεια καμπης
 προς τα πανω κατα δ, δ>0:
x
1
C: f(x)= +
α
 προς τα κατω κατα ζ, ζ>0:
x
1
C: f(x)=
α
 προς τα δεξια κατα ε, ε>0:
x-ε
1
C: f(x)=
α
 προς τα αριστερα κατα η, η>0:
x+η
1
C: f(x)=
α
ΜΕΤΑΤΟΠΙΣΕΙΣ
ΜΟΝΟΤΟΝΙΑ
ΣΥΜΜΕΤΡΙΕΣ
ΚΥΡΤΟΤΗΤΑ
ΑΣΥΜΠΤΩΤΕΣ
Τακης Τσακαλακος Κερκυρα 2018
15
ΓΡΑΦΗΜΑ ΒΑΣΙΚΩΝ ΣΥΝΑΡΤΗΣΕΩΝ ...
Α=
 ως προς τον αξονα χ'χ:
x
C:f(x)=-e με χ
 ως προς τον αξονα y'y:
x
1
C:f(x)= με χ
e
 ως προς την ευθεια y=χ:
(αντιστροφη της f)
1
C:f (x)=lnχ με χ 0
 η f ειναι γνησιως αυξουσα στο
 οριζοντια: y=0 (χ'χ)
 η f ειναι κυρτη στο
 δεν εχει σημεια καμπης
 προς τα πανω κατα δ, δ>0: x
C:f(x)=e +
 προς τα κατω κατα ζ, ζ>0: x
C:f(x)=e
 προς τα δεξια κατα ε, ε>0: x-ε
C:f(x)=e
 προς τα αριστερα κατα η, η>0: x+η
C:f(x)=e
10. ΕΚΘΕΤΙΚΗ ΣΥΝΑΡΤΗΣΗ
ΠΕΔΙΟ ΟΡΙΣΜΟΥ
ΜΕΤΑΤΟΠΙΣΕΙΣ
ΜΟΝΟΤΟΝΙΑ
ΣΥΜΜΕΤΡΙΕΣ
ΚΥΡΤΟΤΗΤΑ
ΑΣΥΜΠΤΩΤΕΣ
Τακης Τσακαλακος Κερκυρα 2018
16
ΓΡΑΦΗΜΑ ΒΑΣΙΚΩΝ ΣΥΝΑΡΤΗΣΕΩΝ ...
Α=(0,+þ)
 ως προς τον αξονα χ'χ:
C:f(x)=-log x, χ 0
 ως προς τον αξονα y'y:
C:f(x)=log (-x), χ 0
 ως προς την ευθεια y=χ:
(αντιστροφη της f)
1 x
C:f (x)=α με χ
 η f ειναι γνησιως αυξουσα στο (0,+þ)
 κατακορυφη: x=0 (y'y)
 η f ειναι κοιλη στο (0,+þ)
 δεν εχει σημεια καμπης
 προς τα πανω κατα δ, δ>0: C: f(x)=log x+
 προς τα κατω κατα ζ, ζ>0: C: f(x)=log x
 προς τα δεξια κατα ε, ε>0: C: f(x)=log (x-ε)
 προς τα αριστερα κατα η, η>0: C:f(x)=log (x+η)
11. ΛΟΓΑΡΙΘΜΙΚΗ ΣΥΝΑΡΤΗΣΗ
ΠΕΔΙΟ ΟΡΙΣΜΟΥ
ΜΕΤΑΤΟΠΙΣΕΙΣ
ΜΟΝΟΤΟΝΙΑ
ΣΥΜΜΕΤΡΙΕΣ
ΚΥΡΤΟΤΗΤΑ
ΑΣΥΜΠΤΩΤΕΣ
Τακης Τσακαλακος Κερκυρα 2018
17
ΓΡΑΦΗΜΑ ΒΑΣΙΚΩΝ ΣΥΝΑΡΤΗΣΕΩΝ ...
Α=(0,+þ)
 ως προς τον αξονα χ'χ:
C:f(x)=-lnx με χ 0
 ως προς τον αξονα y'y:
C:f(x)=ln(-x) με χ>0
 ως προς την ευθεια y=χ:
(αντιστροφη της f)
1 x
C:f (x)=e με χ
 η f ειναι γνησιως αυξουσα στο (0,+þ)
 κατακορυφη: x=0 (y'y)
 η f ειναι κοιλη στο (0,+þ)
 δεν εχει σημεια καμπης
 προς τα πανω κατα δ, δ>0: C:f(x)=lnx+δ
 προς τα κατω κατα ζ, ζ>0: C:f(x)=lnx
 προς τα δεξια κατα ε, ε>0: C:f(x)=ln(x-ε)
 προς τα αριστερα κατα η, η>0: C:f(x)=ln(x+η)
12. ΛΟΓΑΡΙΘΜΙΚΗ ΣΥΝΑΡΤΗΣΗ
ΠΕΔΙΟ ΟΡΙΣΜΟΥ
ΜΕΤΑΤΟΠΙΣΕΙΣ
ΜΟΝΟΤΟΝΙΑ
ΣΥΜΜΕΤΡΙΕΣ
ΚΥΡΤΟΤΗΤΑ
ΑΣΥΜΠΤΩΤΕΣ
Τακης Τσακαλακος Κερκυρα 2018
18
ΓΡΑΦΗΜΑ ΒΑΣΙΚΩΝ ΣΥΝΑΡΤΗΣΕΩΝ ...
Α=
 αξονας συμμετριας:
ο αξονας y'y
 ως προς τον αξονα χ'χ:
C:f(x)=-| x| με χ
 η f ειναι γνησιως
 φθινουσα στο διαστημα
(-þ,0],
 αυξουσα στο διαστημα [0,+þ)
 η f παρουσιαζει ελαχιστο το Ο(0,0)
 προς τα πανω κατα δ, δ>0: C:f(x)=| x| +δ
 προς τα κατω κατα ζ, ζ>0: C:f(x)=| x|
 προς τα δεξια κατα ε, ε>0: C:f(x)=| x-ε|
 προς τα αριστερα κατα η, η>0: C:f(x)=| x+η|
13. ΑΠΟΛΥΤΗ ΤΙΜΗ - ΣΥΝΑΡΤΗΣΗ
ΠΕΔΙΟ ΟΡΙΣΜΟΥ
ΜΕΤΑΤΟΠΙΣΕΙΣ
ΜΟΝΟΤΟΝΙΑ
ΣΥΜΜΕΤΡΙΕΣ
Τακης Τσακαλακος Κερκυρα 2018
19
ΓΡΑΦΗΜΑ ΒΑΣΙΚΩΝ ΣΥΝΑΡΤΗΣΕΩΝ ...
Α=
Τ=2π
 αξονας συμμετριας:
ο αξονας y'y
 ως προς τον αξονα χ'χ: C:f(x)=-ημx με χ
 στο [0,2π)=Τ: κεντρο συμμετριας το σημειο (π,0)
 η f ειναι γνησιως
 αυξουσα στα διαστηματα
π 3π
0, , ,2π
2 2
 φθινουσα στο διαστημα
π 3π
,
2 2
 η f παρουσιαζει ελαχιστο με τιμη -1 και μεγιστο με τιμη 1.
 προς τα πανω κατα δ, δ>0: C:f(x)=ημx+δ
 προς τα κατω κατα ζ, ζ>0: C:f(x)=ημx
 προς τα δεξια κατα ε, ε>0: C:f(x)=ημ(x-ε)
 προς τα αριστερα κατα η, η>0: C:f(x)=ημ(x+η)
 περιοδικη συναρτηση με περιοδο:
2π
Τ=
ω
 παρουσιαζει ελαχιστο με τιμη -ρ και μεγιστο με τιμη ρ.
14. ΤΡΙΓΩΝΟΜΕΤΡΙΚΗ ΣΥΝΑΡΤΗΣΗ
ΠΕΔΙΟ ΟΡΙΣΜΟΥ
ΜΕΤΑΤΟΠΙΣΕΙΣ
ΜΟΝΟΤΟΝΙΑ:[0,2π]
ΣΥΜΜΕΤΡΙΕΣ
ΠΕΡΙΟΔΟΣ
f(x)=ρημ(ωχ):ρ,ω>0
Τακης Τσακαλακος Κερκυρα 2018
20
ΓΡΑΦΗΜΑ ΒΑΣΙΚΩΝ ΣΥΝΑΡΤΗΣΕΩΝ ...
Α=
Τ=2π
 αξονας συμμετριας:
ο αξονας y'y
 ως προς τον αξονα χ'χ: C:f(x)=-συνx με χ
 στο [0,2π)=Τ: αξονας συμμετριας η ευθεια χ=π
 η f ειναι γνησιως
 φθινουσα στο διαστημα [0,π]
 αυξουσα στο διαστημα [π,2π]
 η f παρουσιαζει ελαχιστο με τιμη -1 και μεγιστο με τιμη 1.
 προς τα πανω κατα δ, δ>0: C:f(x)=συνx+δ
 προς τα κατω κατα ζ, ζ>0: C:f(x)=συνx
 προς τα δεξια κατα ε, ε>0: C:f(x)=συν(x-ε)
 προς τα αριστερα κατα η, η>0: C:f(x)=συν(x+η)
 περιοδικη συναρτηση με περιοδο:
2π
Τ=
ω
 παρουσιαζει ελαχιστο με τιμη -ρ και μεγιστο με τιμη ρ.
15. ΤΡΙΓΩΝΟΜΕΤΡΙΚΗ ΣΥΝΑΡΤΗΣΗ
ΠΕΔΙΟ ΟΡΙΣΜΟΥ
ΜΕΤΑΤΟΠΙΣΕΙΣ
ΜΟΝΟΤΟΝΙΑ:[0,2π]
ΣΥΜΜΕΤΡΙΕΣ
ΠΕΡΙΟΔΟΣ
f(x)=ρσυν(ωχ):ρ,ω>0
Τακης Τσακαλακος Κερκυρα 2018
21
ΓΡΑΦΗΜΑ ΒΑΣΙΚΩΝ ΣΥΝΑΡΤΗΣΕΩΝ ...
Α={χ /
π
χ κπ+ ,κ
2
}
Τ=π
 κεντρο συμμετριας στο ,
2 2
=Τ :
το σημειο Ο(0,0)
 ως προς τους αξονες χ'χ, y'y:
π
C: f(x)=-εφx με χ κπ+ ,κ
2
 η f ειναι γνησιως αυξουσα για καθε
π
χ κπ+ ,κ
2
κατακορυφες τις ευθειες:
π
χ κπ+ ,κ
2
 προς τα πανω κατα δ, δ>0: C:f(x)=εφx+δ
 προς τα κατω κατα ζ, ζ>0: C:f(x)=εφx
 προς τα δεξια κατα ε, ε>0: C:f(x)=εφ(x-ε)
 προς τα αριστερα κατα η, η>0: C:f(x)=εφ(x+η)
16. ΤΡΙΓΩΝΟΜΕΤΡΙΚΗ ΣΥΝΑΡΤΗΣΗ
ΠΕΔΙΟ ΟΡΙΣΜΟΥ
ΜΕΤΑΤΟΠΙΣΕΙΣ
ΜΟΝΟΤΟΝΙΑ
ΣΥΜΜΕΤΡΙΕΣ
ΠΕΡΙΟΔΟΣ
ΑΣΥΜΠΤΩΤΕΣ
2018τακης τσακαλακος
Όρια - γραφικές παραστάσεις - τριγωνομετρία - Υλικό Γ Λυκείου

Όρια - γραφικές παραστάσεις - τριγωνομετρία - Υλικό Γ Λυκείου

  • 1.
    μαθηματικά προσανατολισμού γ' λυκείου 1ομερος τακης τσακαλακος Ш όριο συνάρτησης
  • 2.
    γιατι ... μια εικονα,χιλιες λεξεις ...
  • 3.
  • 4.
    Τακης Τσακαλακος Κερκυρα2018 4 ΟΡΙΟ ΣΥΝΑΡΤΗΣΗΣ ... Nα βρεθουν τα ορια της συναρ- τησης f στις θεσεις: x0 = - 2, - 1, 1 οταν η γραφικη της παρασταση φαινεται στο διπλανο σχημα. Α π α ν τ η σ η - - + + - + 0 x -2 x -2 x -2 x -2 0 0 x -1 x -1 Για x =-2 lim f(x)= 2 lim f(x) lim f(x) lim f(x)= 1 οποτε δεν υπαρχει οριο της f στο x =-2. Για x =-1 lim f(x)=-1 lim f(x)=- - + - - + + x -1 x -1 0 x -1 0 x 1 x 1 x 1 x 1 lim f(x)= lim f(x)=-1 1 οποτε υπαρχει οριο της f στο x =-1 με lim f(x)=-1. Για x = 1 lim f(x)= 3 lim f(x) lim f(x) lim f(x)= 1 ο 0 ποτε δεν υπαρχει οριο της f στο x = 1. ΠΑΡΑΔΕΙΓΜΑ 1 Ε Υ Ρ Ε Σ Η Ο Ρ Ι Ο Υ ( Γ Ε Ω Μ Ε Τ Ρ Ι Κ Α ) Αντιμετωπιση : 1. Για καθε τιμη x 0 παιρνουμε πλευρικα ορια . 2. Αν = = τοτε .
  • 5.
    Τακης Τσακαλακος Κερκυρα2018 5 ΟΡΙΟ ΣΥΝΑΡΤΗΣΗΣ ... x -1 Με τη βοηθεια του ορισμου του οριου, να δειχτει οτι: lim(3-2x)= 5 Α π α ν τ η σ η Με βαση τον ορισμο του οριου, για καθε ε> 0 θα πρεπει να υπαρχει δ> 0 Ειναι | f(x)-5|< ε | 3-2x-5|< ε | , ωστε: Για καθε x με 0<| x+1|< δ να ισχυει | f(x)-5|< ε Ετσι ε Γιαδ= ειναι: 2 ε | x+1|< -2x-2|< ε δ | x+1|< 2 2| x+1|< ε ε 2| x+1|< ε | 2x+2|< ε | x+1|< 2 |-2x-2|< ε | 3-2x-5|< ε | f(x)-5|< ε ΠΑΡΑΔΕΙΓΜΑ 2 Ε Υ Ρ Ε Σ Η Ο Ρ Ι Ο Υ ( ΜΕ Ο Ρ Ι Σ Μ Ο ) Αν = λ 1. Για | f ( x ) – λ | < ε , με πραξεις καταληγουμε στη σχεση α∙| x – x0 | < ε . 2. Θετουμε δ = ε/α , παιρνουμε τη σχεση | x – x ₀ | < δ και στη συνεχεια καταληγουμε στη σχεση |f(x) - λ| < ε .
  • 6.
    Τακης Τσακαλακος Κερκυρα2018 6 ΟΡΙΟ ΣΥΝΑΡΤΗΣΗΣ ... 2 2 2 x x -1 x 0 x 0 x 2 Nα υπολογισετε τα ορια: x +5 lim (3-2x+x ) lim(2συν x+x) limln(1+e-e ) lim 2x-1 Α π α ν τ η σ η 0 2 2 2 x -1 0 Για x =-1, οριζεται η συναρτηση f(x)= 3-2x+x και lim (3-2x+x )= 3-2(-1)+(-1) = 3+2+1= 6 Για x = 0, οριζεται η συναρτηση 2 2 2 x 0 0 x x 0 x 0 0 g(x)= 2συν x+x και lim(2συν x+x)= 2συν 0+0= 2× 1+0= 2 Για x = 0, οριζεται η συναρτηση h(x)= 1+e-e και limln(1+e-e )= ln(1+e-e )= ln(1+e-1)= lne= 1 Για x = 2, οριζε 2 2 2 x 2 x +5 ται η συναρτηση r(x)= και 2x-1 x +5 2 +5 4+5 9 3 lim = = = = = 1 2x-1 2× 2-1 4-1 3 3 ΠΑΡΑΔΕΙΓΜΑ 3 Ε Υ Ρ Ε Σ Η Ο Ρ Ι Ο Υ Σ Τ Ο x 0 1. Ελεγχουμε αν για x = x0 οριζεται η συναρτηση f(x) . 2. Eφαρμοζουμε τις ιδιοτητες των οριων... πραξεων ....
  • 7.
    Τακης Τσακαλακος Κερκυρα2018 7 ΟΡΙΟ ΣΥΝΑΡΤΗΣΗΣ ... 2 2 2 2x 1 x 1 Nα βρεθει η σχεση μεταξυ των παραμετρων κ, λ ωστε να ισχυει: x -λ x-λ lim = lim με κ ±1. x -κ x-κ Α π α ν τ η σ η 2 2 2 22 2 2x 1 2 2 2 x 1 Ειναι x -λ 1-λ lim = 1-λ 1-λx -κ 1-κ = (1-κ)(1-λ )=( (1-κ)(1-λ) (1-λ)( 1-λ)(1-κ ) 1-κ 1-κx-λ 1-λ lim = x-κ 1-κ (1+λ)- (1+κ)= 0 (1-κ)(1-λ)(1+λ-1-κ)= 0 κ= 1 απορριπτ (1-κ)(1-λ)(λ-κ)= 1-κ 0 ) εται λ= 1 κ= λ λ= 1 κ= λ ΠΑΡΑΔΕΙΓΜΑ 4 παραμετρος
  • 8.
    Τακης Τσακαλακος Κερκυρα2018 8 ΟΡΙΟ ΣΥΝΑΡΤΗΣΗΣ ... 0 0 0 x x x x Nα υπολογισετε τα ορια των f και g στο x , αν: lim (3f(x)-g(x))=3 lim (2f(x)+5g(x))=19 Α π α ν τ η σ η 0 0x x x x Aν h(x)= 3f(x)-g(x) και p(x)= 2f(x)+5g(x) τοτε lim h(x)= 3 lim p(x)= 19 (1) και h(x)= 3f(x)-g(x) 5h(x)= 15f(x)-5g(x) p(x)= 2f(x)+5g(x) p(x)= 2f(x)+5g(x) 5h(x)+p(x)= 17 0 0x x x x 5h(x)+p(x) f(x)= f(x) 17 p(x)= 2f(x)+5g(x) 10h(x)+2p(x) p(x)= +5g(x) 17 5h(x)+p(x) 5h(x)+p(x) f(x)= f(x)= 17 17 3p(x)-2h(x) 17p(x)= 10h(x)+2p(x)+85g(x) g(x)= 17 Οποτε 5h lim f(x)= lim 0 0 0 0 0 0 (1) x x x x (1) x x x x x x x x 5 lim h(x)+ lim p(x)(x)+p(x) 5 3+19 = = = 2 17 17 17 3 lim p(x)-2 lim h(x)3p(x)-2h(x) 3 19-2 3 lim g(x)= lim = = = 3 17 17 17 ΠΑΡΑΔΕΙΓΜΑ 5 ΕΥΡΕΣΗ ΟΡΙΟΥ - ΒΟΗΘΗΤΙΚΗ ΣΥΝΑΡΤΗΣΗ 1. Θετουμε h1 (x), h2 (x) τις αλγεβρικες παραστασεις των οριων. Οποτε ειναι γνωστα τα ορια: . 2. Λυνουμε τις εξισωσεις που προκυπτουν ως προς f(x), g(x) (σε συναρτηση με τις h1 (x), h2 (x)) . 3. Βρισκουμε τα ορια με τη βοηθεια των οριων που ειναι γνωστα .
  • 9.
    Τακης Τσακαλακος Κερκυρα2018 9 ΟΡΙΟ ΣΥΝΑΡΤΗΣΗΣ ... 2 3 x 2 2 2 Nα υπολογισετε το οριο: x +2 ανx 2 limf(x)ανf(x)= x -3x+4 ανx> 2 x-1 Να βρεθει ο α, ωστε να εχει οριο στο x= 3 η συναρτηση: α x -αx- g(x)= 2 2 10 ανx< 3 x +α x-1 ανx> 3 Α π α ν τ η σ η - - + + 2 x 2 x 2 3 x 2 x 2 lim f(x)= lim (x +2)= 4+2= 6 x -3x+4 8-6 +4 lim f(x)= lim = = 6 x-1 2-1 Αρα υπαρχει το οριο της f στο x= 2 και ειναι x 2 x 2 x 2 lim f(x)= lim f(x)= 6 limf(x) → → → - + - + - + x 3 x 3 2 2 2 2 x 3 x 3 2 2 2 2 2 Για να υπαρχει το οριο της συναρτησης g στο x= 3, πρεπει: lim g(x)= lim g(x) lim (α x -αx-10)= lim (x +α x-1) α × 3 -α× 3-10= 3 +α × 3-1 9α -3α-10= 9 = 6 2 2 2 +3α -1 6α -3α-18= 0 2α -α-6 = 0 α= 2 3 α=- 2 ΠΑΡΑΔΕΙΓΜΑ 6 ΕΥΡΕΣΗ ΟΡΙΟΥ - ΠΟΛΛΑΠΛΟΣ ΤΥΠΟΣ 1. Βρισκουμε τα πλευρικα ορια για την συναρτηση f. 2. Aν τα πλευρικα ορια ειναι ισα, τοτε υπαρχει το οριο στη θεση αλλαγης τυπου, που ειναι και το ζητουμενο. Π α ρ α τ η ρ η σ η : Στη περιπτωση ευρεσης παραμετρου, ωστε να υπαρχει οριο της συναρτησης στη θεση αλλαγης τυπου, βρισκουμε τα πλευρικα ορια για την συναρτηση f και απαιτουμε να ειναι ισα . .
  • 10.
    Τακης Τσακαλακος Κερκυρα2018 10 ΟΡΙΟ ΣΥΝΑΡΤΗΣΗΣ ... x 1 x 3 Αν για καθε x ισχυει f(x-2)= f(x) και lim[f(x)-3x-2]= 5 να βρεθει το οριο: limf(x) Α π α ν τ η σ η x 1 x 1 x 1 x 1 x Ειναι lim [f(x)-3x-2]= 5 και (1) f(x-2)= f(x) Θετουμε h(x)= f(x)-3x-2 και (2) limh(x)= 5 Ετσι f(x)= h(x)+3x+2 και limf(x)= lim[h(x)+3x+2]= lim (2) 1 x 1 x 1 y 1 (1) Για y=x-2 (3) x 3 x 3 y 1 y 1 h(x)+3limx+lim2= 5+3+2= 10 Aρα και για x= y: limf(y)= 10 (3) Oποτε = limf(x-2) = limf(y) = x 3 limf(x) 10 ΠΑΡΑΔΕΙΓΜΑ 7 ΕΥΡΕΣΗ ΟΡΙΟΥ (ΣΥΝΑΡΤΗΣΙΑΚΗ ΣΧΕΣΗ - ΑΛΛΑΓΗ ΜΕΤΑΒΛΗΤΗΣ) 1. Θετουμε h(x) τη παρασταση που περιεχει την f(x). 2. Λυνουμε ως προς f(x). 3. Βρισκουμε το οριο της συναρτησης f(x) στη θεση x 1 . 4. Θετουμε y = x – (x 2 – x 1 ), αν x 1 < x 2 (οποτε αν x → x 2 τοτε το y → x 1 ) 5. Βρισκουμε το ζητουμενο οριο, κανοντας τη πιο πανω αντικατασταση.
  • 11.
    Τακης Τσακαλακος Κερκυρα2018 11 ΟΡΙΟ ΣΥΝΑΡΤΗΣΗΣ ... 3 2x 3 x 0 Nα υπολογισετε τα ορια: x -27 x+4-2 lim lim x -9 x Α π α ν τ η σ η 3 3 2 2 3 3 2 2x 3 (Πρεπει να γινει απαλειφ Για x= 3 ειναι: x -27 3 -27 = x -9 3 -9 27-27 0 η του ορου (x-3)) = = , 9-9 0 οποτε x -3 = lim x -3 3 2x 3 x -27 lim x -9 2 x 3 2 x 3 πολ/σμος x+4+2 (x +3x+9) = lim = (x+3) x +3x+9 = lim = x+3 Για x= 0 ειναι: x+4-2 0+4- (Πρεπει να γινει απαλειφη του ορου x) 2 2-2 0 = = = , οποτε x 0 0 (x 0 -3) = (x-3) x 0 9 2 x+4-2 lim x 2 2 x 0 x 0 x 0 x 0 ( x+4-2)( x+4 +2) ( x+4) -2 lim = lim = x( x+4 +2) x( x+4 +2) x+4-4 = lim = lim x( x x +4 +2) x 1 = = ( x+4 +2) 4 +2 1 4 ΠΑΡΑΔΕΙΓΜΑ 8 ΑΠΡΟΣΔΙΟΡΙΣΤΙΑ 0/0 (ΣΤΗ ΘΕΣΗ χ0 ) 1. Παραγοντοποιουμε αριθμητη και παρονομαστη (συνηθως με Horner, μια ριζα ειναι παντα η x 0 ) . 2. Απαλειφουμε τον ορο της μορφης x - x0 . 3. Στη συνεχεια βρισκουμε το οριο πηλικου.
  • 12.
    Τακης Τσακαλακος Κερκυρα2018 12 ΟΡΙΟ ΣΥΝΑΡΤΗΣΗΣ ... x 1 Nα υπολογισετε το οριο: x+3-2 lim x-1 Α π α ν τ η σ η x 1 x 1 x 1 = ( x+3-2)( x+3 +2) = lim = (x-1)( x+3 +2) x+3-4 = lim = (x-1)( x+3 +2) = lim x-1 x 1 x+3-2 lim x-1 (x-1) = ( x+3 +2) 1 = = 1+3 +2) = 1 4 ΠΑΡΑΔΕΙΓΜΑ 9 ΑΠΡΟΣΔΙΟΡΙΣΤΙΑ 0/0 (... ΜΕ ΑΡΡΗΤΟ ΑΡΙΘΜΗΤΗ) 1. Παραγοντοποιουμε αριθμητη και παρονομαστη (μεθοδος συζυγους παραστασης) . 2. Απαλειφουμε τον ορο της μορφης x - x0 . 3. Στη συνεχεια βρισκουμε το οριο πηλικου.
  • 13.
    Τακης Τσακαλακος Κερκυρα2018 13 ΟΡΙΟ ΣΥΝΑΡΤΗΣΗΣ ... x 1 x-1 Nα υπολογισετε το οριο: lim 3 x + x+3-5 Α π α ν τ η σ η Για x= 1 ειναι: x-1 1-1 = 3 x + x+3-5 3 1 + 1+3-5 0 0 = = , 3+2-5 0 οποτε βρισκουμε το οριο του αντιστροφου κλασματος. Δηλαδη (3 x-3)+( x+3-2)3 x + x+3-5 = x-1 x-1 3 x-3 x+3-2 = + x-1 x-1 Με τη μεθοδο της συζυγους παραστασης θα βρουμε τα ορια των κλασματων 3 x-3 x+3-2 και . x-1 x-1 ΠΑΡΑΔΕΙΓΜΑ 10 ΑΠΡΟΣΔΙΟΡΙΣΤΙΑ 0/0 (... ΜΕ ΑΡΡΗΤΟ ΠΑΡΟΝΟΜΑΣΤΗ) 1. Αν ο αριθμητης ειναι πολυ πιο απλος του παρονομαστη, βρισκουμε το οριο του αντιστροφου κλασματος. Αντιστρεφουμε το κλασμα και το “σπαμε“ σε αλγεβρικο αθροισμα απλουστερων κλασματων (με απροσδιοριστια 0 : 0). 2. Στη συνεχεια βρισκουμε το οριο του πιο πανω αλγεβρι - κου αθροισματος, που το αντιστροφο του ειναι το ζη- τουμενο οριο.
  • 14.
    Τακης Τσακαλακος Κερκυρα2018 14 ΟΡΙΟ ΣΥΝΑΡΤΗΣΗΣ ... → x 1 x 1 x 1 33( x-1) 3( x-1)( x +1) = lim = lim = lim x-1 (x-1 ( )( x +1) x-1) x 1 3 x-3 lim x-1 (x-1) → x 1 x 1 x 1 x 1 = ( x +1) 3 = lim = ( x +1) ( x+3-2)( x+3 +2) x+3-4 = lim = lim = (x-1)( x+3 +2) (x-1)( x+3 +2) x- = lim 1 x 1 3 2 x+3-2 lim x-1 (x-1) → → x 1 x 1 1 = = 1+3 +2)( x+3 +2) Oποτε 3 x-3 x+3-2 3 1 = lim +lim = + = x-1 x-1 2 4 Και τελικα: x 1 x 1 1 4 3 x + x+3-5 7 lim x-1 4 x-1 4 lim = 73 x + x+3-5
  • 15.
    Τακης Τσακαλακος Κερκυρα2018 15 ΟΡΙΟ ΣΥΝΑΡΤΗΣΗΣ ... 3 2 x 2 x +5x+13- 2x+5 Nα υπολογισετε το οριο: lim x-2 Α π α ν τ η σ η 1 2 3 2 x 2 x 2 3 2 3 2 3 2 L L (Προσθετουμε και αφαιρουμε στον αριθμητη τον αριθμο lim x +5x+13 = 3 lim 2x+5 = 3 Οποτε x +5x+13- 2x+5 = x-2 x +5x+13-3- 2x+5 +3 = = x-2 x +5x+13-3 2x+5-3 = - x-2 3 x-2 ) 3 2 x 2 3 32 2 2 23 3x 2 2 2 23 2 3x 2 2 2 23 x +5x+13-3 lim x-2 ( x +5x+13-3)( (x +5x+13) +3 x +5x+13 +9) = lim (x-2)( (x +5x+13) +3 x +5x+13 +9) x +5x+13-27 = lim (x-2)( (x +5x+13) +3 x +5x+13 +9) 1 L x 2 (x-2) = lim (x+7) (x-2) 32 2 23 ( (x +5x+13) +3 x +5x+13+9) ΠΑΡΑΔΕΙΓΜΑ 11 ΑΠΡΟΣΔΙΟΡΙΣΤΙΑ 0/0 (... ΜΕ ΑΡΡΗΤΟ ΑΡΙΘΜΗΤΗ) 1. Αν ο παρονομαστης ειναι πολυ πιο απλος του αριθμητη, “σπαμε“ το κλασμα σε αλγεβρικο αθροισμα απλουστερων κλασματων (με απροσδιοριστια 0 : 0). 2. Στη συνεχεια βρισκουμε το οριο του πιο πανω αλγεβρι - κου αθροισματος. Π α ρ α τ η ρ η σ η : Αν ο αριθμητης αποτελειται απο δυο ριζες, που το οριο τους ειναι ο ιδιος πραγματικος αριθμος, τοτε προσθετουμε και αφαιρουμε αυτον τον πραγματικο αριθμο στον αριθμητη
  • 16.
    Τακης Τσακαλακος Κερκυρα2018 16 ΟΡΙΟ ΣΥΝΑΡΤΗΣΗΣ ... 323 x 2 x 2 x 2 x 2 2+7 9 9 = = = = 9 +9 +9 27(27) +3 27 +9 2x+5-3 lim x-2 ( 2x+5-3)( 2x+5 +3) = lim (x-2)( 2x+5 +3) 2x+5-9 = lim (x-2)( 2x+5 +3) 2x-4 = lim (x-2)( 2x+5 +3) 2 1 3 L x 2 2(x-2) = lim (x-2) 3 2 x 2 x 2 ( 2x+5 +3) 2 2 2 = = = = 3+3 69 +3 Και τελικα: x +5x+13-3 2x+5-3 = lim - lim = x-2 x-2 1 1 = - = 3 3 3 2 x 2 1 3 x +5x+13- 2x+5 lim x-2 0
  • 17.
    Τακης Τσακαλακος Κερκυρα2018 17 ΟΡΙΟ ΣΥΝΑΡΤΗΣΗΣ ... 6 3 6x 0 Nα υπολογισετε το οριο: x+1- x+1 lim x+1- x+1 Α π α ν τ η σ η  6 3 32 6 6 x 0 3(1) 2y 1 Το Ε.Κ.Π. των ταξεων των ριζων ειναι:6 Θετουμε y= x+1 Oποτε y = x+1 y = x+1 (1) lim x+1= 0+1= 1 δηλαδη y 1 Eτσι y -y =lim = y -y 6 3 6x 0 x+1- x+1 lim x+1- x+1 y 1 y 1 y (y-1) y(y-1) (y+1) = lim = = lim(y+1)= 1+1= 2 ΠΑΡΑΔΕΙΓΜΑ 12 ΑΠΡΟΣΔΙΟΡΙΣΤΙΑ 0/0 (... ΡΙΖΙΚΑ ΜΕ ΙΔΙΟ ΥΠΟΡΡΙΖΟ) 1. Βρισκουμε το ΕΚΠ των ταξεων των ριζων και θετουμε y τη ριζα με ταξη το ΕΚΠ, της οποιας βρισκω το οριο για να βρω που τεινει ο y . 2. Αντικαθιστω τις ριζες με δυναμεις του y και βρισκω το ζητουμενο οριο με μεταβλητη τον y .
  • 18.
    Τακης Τσακαλακος Κερκυρα2018 18 ΟΡΙΟ ΣΥΝΑΡΤΗΣΗΣ ... → x 1 x 2 x 2 1. Nα υπολογισετε το οριο της συναρτησης f στη θεση x= 1 αν: 5f(x)-2 lim = 2 2f(x)-3 f(x)-3x+2 2.Nα υπολογισετε το οριο lim αν ισχυει: x-2 f(x)-4 lim = 7 x-2 Α π α ν τ η σ η x 1 1. 5f(x)-2 Θετουμε h(x)= (1) 2f(x)-3 oποτε limh(x)= 2 (2) Απ'την (1) προκυπτει: 5f(x)-2 h(x)= 5f(x)-2= h(x)(2f(x)-3) 2f(x)-3 → (2) x 1 5f(x)-2= 2h(x)f(x)-3h(x) 5f(x)-2h(x)f(x)= 2-3h(x) 2-3h(x) f(x)= 5-2h(x) Αρα 2-3h(x) 2-3× = lim = 5-2h(x)x 1 limf(x) 2 2-6 -4 = = = 5-2× 2 5-4 1 -4 ΠΑΡΑΔΕΙΓΜΑ 13 ΑΠΡΟΣΔΙΟΡΙΣΤΙΑ 0/0 (... ΒΟΗΘΗΤΙΚΗ ΣΥΝΑΡΤΗΣΗ) 1. Θετουμε την παρασταση της f, της οποιας το οριο ειναι γνωστο, σαν μια συναρτηση εστω h(x) και λυνουμε την παρασταση ως προς f(x) . 2. Στη συνεχεια βρισκουμε το οριο της f(x) . 3. Aν στη πιο πανω περιπτωση ζητειται το οριο αλλης πα - ραστασης της συναρτησης f, τοτε βρισκουμε οπως πιο πανω το οριο της και στη συνε χεια στο ” σπασιμο ” του κλασματος, εμφανιζουμε τη βοηθητικη συναρτηση .
  • 19.
    Τακης Τσακαλακος Κερκυρα2018 19 ΟΡΙΟ ΣΥΝΑΡΤΗΣΗΣ ... x 1 2. f(x)-4 Θετουμε h(x)= (3) x-2 oποτε limh(x)= 7 (4) Απ'την (1) προκυπτει: f(x)-4 h(x)= f(x)-4= h(x)(x-2) x-2 f(x)= h(x)(x-2 (4) x 2 x 2 )+4 Αρα = lim[h(x)(x-2)+4]= 7× 0+4= f(x)-3x+2 0 Ετσι για το lim απροσδιοριστια . x-2 0 Ειναι f(x)-3x+2 f(x) -3x+2 = x-2 x-2 f(x)-4-3(x-2) = x-2 -4 +4 x 2 lim f(x) 4 3(x-2)f(x)-4 = - x-2 x-2 (3) (4) x 2 = h(x)-3 Συνεπως = lim(h(x)-3)= 7-3= x 2 f(x)-3x+2 lim 4 x-2
  • 20.
    Τακης Τσακαλακος Κερκυρα2018 20 ΟΡΙΟ ΣΥΝΑΡΤΗΣΗΣ ... x 4 | x-4| Nα υπολογισετε το οριο: lim | x-4| +1-1 Α π α ν τ η σ η - - - x 4 x 4 x 4 | x-4| Θετουμε f(x)= | x-4| +1-1 Eιναι x< 4 x-4< 0 | x-4|=-x+4 x> 4 x-4> 0 | x-4|= x-4 Οποτε | x-4| lim | x-4| +1-1 -x+4 = lim -x+4+1-1 (-x+4)( -x+5 +1) = lim ( -x+5-1)( -x+5 1 L - - - - 2x 4 x 4 x 4 x 4 +1) (-x+4)( -x+5 +1) = lim ( -x+5) -1 (-x+4)( -x+5 +1) = lim -x+5-1 ( -x+5 +1) = lim = lim -x+5 +1 (- = -4+5 +1 x+ - 4 = 4) x+ 2 ΠΑΡΑΔΕΙΓΜΑ 14 ΑΠΡΟΣΔΙΟΡΙΣΤΙΑ 0/0 (... ΑΠΟΛΥΤΑ)  Εξεταζουμε αν στη θεση x0 αλλαζει προσημο η παρα- σταση στο απολυτο:  Αν αλλαζει 1. Βρισκουμε τα πλευρικα ορια για την συναρτηση f . 2. Aν τα πλευρικα ορια ειναι ισα, τοτε υπαρχει το οριο στη θεση αλλαγης προσημου, που ειναι και το ζη- τουμενο.  Αν δεν αλλαζει, τοτε βγαζουμε το απολυτο με βαση τη περιοχη που βρισκεται το x0 .
  • 21.
    Τακης Τσακαλακος Κερκυρα2018 21 ΟΡΙΟ ΣΥΝΑΡΤΗΣΗΣ ... + + + + + + x 4 x 4 x 4 2x 4 x 4 x 4 | x-4| lim | x-4| +1-1 x-4 = lim x-4+1-1 (x-4)( x-3 +1) = lim ( x-3-1)( x-3 +1) (x-4)( x-3 +1) = lim ( x-3) -1 (x-4)( x-3 +1) = lim x-3-1 = l (x im 2 L + x 4 ( x-3 +1) = lim x-3 +1= 4-3 +1= Δηλαδη, που σημαινει οτι υπαρχει το οριο της f στη θεση x= 4 και ειναι: -4) x-4 x 4 x 4 x 4 2 lim f(x)= lim f(x)= 2 limf(x)= 2 - +
  • 22.
    Τακης Τσακαλακος Κερκυρα2018 22 ΟΡΙΟ ΣΥΝΑΡΤΗΣΗΣ ... 2 2 3 2 πx 0 x 0 x 2 Να βρεθoυν τα ορια: ημ(ημx) εφ x-3x συνx lim lim lim 2x -x x +2x -x π-2x Α π α ν τ η σ η 2x 0 x 0 x 0 x 0 x 0 x 0 ημx x η ημ(ημx) lim 2x -x ημ(ημx) ημx = lim × ημx x(2x-1) ημ( ) ημ 1 = lim × × 2x-1 ημ( ) ημ 1 = lim × lim × lim 2x μx x ημx x η -1 1 = 1× 1× = 1 2- μx x 1 1 L 2 3 2x 0 2 :x 2x 0 2 2 2x 0 2 2x 0 ημ0=0 συν0=1 εφ x-3x lim x +2x -x εφ x -3 x= lim x +2x-1 ημ x -3 xσυν x= lim x +2x-1 ημ ημx × -3 συν x= lim x +2x-1 0 1× -3 -31= = = 0+0-1 -1 x x 2 L 3 ΠΑΡΑΔΕΙΓΜΑ 15 ΑΠΡΟΣΔΙΟΡΙΣΤΙΑ 0/0 (... ΤΡΙΓΩΝΟΜΕΤΡΙΚΟΙ ΑΡΙΘΜΟΙ) Φερνουμε τη παρασταση, της οποιας ζητουμε το οριο, στην πιο πανω μορφη πολλαπλασιαζοντας και διαιρωντας με καταλληλους ορους η μετασχηματιζοντας γνωστες τριγωνομετρικες σχεσεις .
  • 23.
    Τακης Τσακαλακος Κερκυρα2018 23 ΟΡΙΟ ΣΥΝΑΡΤΗΣΗΣ ...  π συνx=ημ( -x) 2 π x 2 π x 2 = π ημ( -x) 2lim = π 2( -x) 2 ημ 1 = × lim = 2 1 = π ( -x) 2 π -x = 2 × 1 2 3 π x 2 συνx L lim π-2x 1 2
  • 24.
    Τακης Τσακαλακος Κερκυρα2018 24 ΟΡΙΟ ΣΥΝΑΡΤΗΣΗΣ ... Εστω F μια αρχικη της συνεχους συναρτησης f :  με την ιδιοτητα : 2αF(x2 ) α2 + F2 (x) για καθε x , οπου α 0 Να δειξετε οτι α) F(0) = F(1) = α β) Η εξισωση f(x) = 0 εχει μια τουλαχιστον ριζα στο Α π α ν τ η σ η x x 2x x 2x+1 xx 1 x 2 x x 2 xx 1 23 =u u 3 u 3 0 Εχουμε απροσδιοριστια 0 Θετουμε 3 = u Oποτε αν x 1 τοτε u 3 Ετσι 2× 3 -7× 3 +3 lim 3 -7× 3 -6 2×(3 ) -7× 3 +3 = lim 3×(3 ) -7× 3 -6 2u -7u+3 = lim 3u L= 2 u 3 u 3 -7u-6 (2u-1) = lim (3u+2) 2u-1 = lim = 3u+2 2× 3-1 (u-3) (u- = = 3× 3 3 = ) +2 5 11 ΠΑΡΑΔΕΙΓΜΑ 16 ΑΠΡΟΣΔΙΟΡΙΣΤΙΑ 0/0 (... ΡΗΤΗ ΕΚΘΕΤΙΚΗ) 1. Με τη βοηθεια των δυναμεων σχηματιζουμε δυναμεις ιδιας βασης . 2. Θετουμε την κοινη δυναμη, εστω y . 3. Βρισκουμε που τεινει το y, οταν το x → x 0 4. Βρισκουμε το ισοδυναμο οριο .
  • 25.
    Τακης Τσακαλακος Κερκυρα2018 25 ΟΡΙΟ ΣΥΝΑΡΤΗΣΗΣ ... x x ex 0 e -1 lnx-1 Nα βρεθoυν τα ορια: lim και lim εφx x-e Α π α ν τ η σ η x x x 0 x 0 x 0 x 0 x 0 x 0 x x 0 e -1 lim e -1 e -1 x lim = lim × εφx x εφx x = × lim εφx x = × lim ημx συνx 1 = limσυνx× x l m 1 i η x 0 x x 0 x e x e x e 0 ημx x lim = 1 αρα και lim = 1 x η μx x 1 = 1× ημx lim x =1 x ln lnx-1 lnx-lne 1 elim = lim = lim × xx-e x-e e - x 1 e μ x Θετουμε u= e x e , u 1 u 1 1 lnu 1 = × lim = e u-1 e ΠΑΡΑΔΕΙΓΜΑ 17 ΑΠΡΟΣΔΙΟΡΙΣΤΙΑ 0/0 (... ΕΚΘΕΤΙΚΗ - ΛΟΓΑΡΙΘΜΙΚΗ) μετασχηματισουμε τη ρητη συναρτηση σε μορφη .  Φερουμε τη συναρτηση f σε μια απ’τις παραπανω μορφες  Ισχυει :  (ευκολα με D.L.H.).  (ευκολα με D.L.H.).
  • 26.
    Τακης Τσακαλακος Κερκυρα2018 26 ΟΡΙΟ ΣΥΝΑΡΤΗΣΗΣ ... 2 2 2 2 Να βρεθoυν τα α και β, ωστε να εχει πραγματικο οριο στο x= 2 η x +2αx-β ανx 2 x -4 συναρτηση: f(x)= x -αx ανx> 2 x -3x+2 Α π α ν τ η σ η - - - + 2 x 2 2 x 2 x 2 2 x 2x 2 2 x 2 x 2 Eιναι lim (x -4)= 0 lim (x +2αx-β)= 0 4+4α-β= 0 (1) limf(x) ( ν lim (x +2αx-β) 0 τοτε limf(x)= η δεν υπαρχει) lim (x -3x+2)= 0 limf(x) + + 2 x 2 2 x 2x 2 lim x -αx)= 0 4-2α= 0 (2) ( ν lim (x -αx) 0 τοτε limf(x)= η δεν υπαρχει) Ετσι, η (1) λογω της (2):4+8-β= 0 α= 2 β= 12 ( Για α=2 και β=12 η εξισωση γινεται: ΠΑΡΑΔΕΙΓΜΑ 18 ΑΠΡΟΣΔΙΟΡΙΣΤΙΑ 0/0 (... ΠΟΛΛΑΠΛΟΣ ΤΥΠΟΣ) Ο καθε κλαδος του τυπου της συναρτησης f ειναι κλασμα με οριο του παρονομαστη ισο με μηδεν . 1. Απαιτουμε το οριο των αριθμητων να ειναι ισο με μηδεν, για να υπαρχει το οριο του κλασματος η να μην ειν αι ισο με ± þ . 2. Λυνουμε το συστημα των εξισωσεων που προκυπτουν προσδιοριζοντας τις παραμετρους . 3. Αντικαθιστουμε τις τιμες των παραμετρων που βρηκαμε και ελεγχουμε αν τα πλευρικα ορια ειναι ισα, οποτε υ- παρχει το οριο στη θεση αλλαγης τυπου και ειναι πραγ - ματικος αριθμος .
  • 27.
    Τακης Τσακαλακος Κερκυρα2018 27 ΟΡΙΟ ΣΥΝΑΡΤΗΣΗΣ ... 2 2 2 2 x +4x-12 ανx 2 x -4 f(x)= x -2x ανx> 2 x -3x+2 - - - 2 2x 2 x 2 x 2 (x+6)(x-2)x +4x-12 lim f(x)= lim = lim x -4 (x+2)(x-2) - + + + x 2 2 2x 2 x 2 x 2 x+6 2+6 8 = lim = = = 2 x+2 2+2 4 x(x-2)x -2x lim f(x)= lim = lim x -3x+2 (x-1)(x-2) + x 2 x 2 x 2 2 = lim = = = 2 x-1 2-1 1 Aρα limf(x)= 2
  • 28.
    Τακης Τσακαλακος Κερκυρα2018 28 ΟΡΙΟ ΣΥΝΑΡΤΗΣΗΣ ... 2 2 x 0 Η συναρτηση f ορισμενη στο ( ,0] και για καθε x ( ,0] ισχυει: συνx+x f(x) 4x +ημ x+1. Να βρεθει το οριο: lim f(x) Aν για καθε x> 0 ειναι: 4 x f(x) x+4, να βρεθουν: x 4 x 4 f(x)-8 limf(x) lim x-4 Α π α ν τ η σ η 2 2 x 0 2 2 x 0 x 0 x 0 x 0 x 0 x 0 Ειναι lim (4x +ημ x+1) = lim 4x + lim ημ x+ lim 1 = 0+0+1= lim (συνx+x) = lim συνx+ lim x = 1 2 L = 1 L = 1+0= Οποτε, συμφωνα με το κρι- τηριο παρεμβολης: x 0 1 lim f(x)= 1  ΠΑΡΑΔΕΙΓΜΑ 19 ΚΡΙΤΗΡΙΟ ΠΑΡΕΜΒΟΛΗΣ 1. Με καταλληλες πραξεις «απομονωνουμε» την συναρ - τηση f στο μεσαιο μελος τ ης διπλης ανισοτητας η σχη- ματιζουμε την παρασταση της συναρτησης f το οριο της οποιας ζητουμε. 2. Βρισκουμε τα ορια των ακραιων μελων της ανισοτικης σχεσης. 3. Αν τα πιο πανω ορια ειναι ισα με α, τοτε και το ζητουμενο οριο ειναι ισο με α, συμφωνα με το κριτηριο παρεμβολης Π α ρ α τ η ρ η σ η : Στη περιπτωση που η παρασταση, της οποιας το οριο ζη- τουμε, ειναι κλασμα με παρονομαστη ενα ακραιο μελος της δοσμενης ανισοτικης σχεσης, τοτε:  Διαιρουμε και τα τρια μελη της ανισοτικης σχεσης με το μελος αυτο (το ενα ακραιο μελος γινεται ισο με 1).  Παιρνουμε πλευρικα ορια και δειχνουμε οτι ειναι ισα με 1 .
  • 29.
    Τακης Τσακαλακος Κερκυρα2018 29 ΟΡΙΟ ΣΥΝΑΡΤΗΣΗΣ ... Ειναι = 4 4 = 4× 2= = 4+4= Οποτε, συμφωνα με το κριτηριο παρεμβολης: 4 x f(x) x+4 4 x-8 f(x)-8 x-4 Για x< 4 ειναι: 4 x-8 x- x 4 x 4 x 4 lim 4 x 8 lim(x+4) 8 limf(x)= 8 ± ± ± x 4 x 4 x 4 f(x)-8 x-4 = 1 4 x-4 x-4 f(x)-84 x-8 1 x-4 x-4 Για x> 4 ειναι: f(x)-8 f(x)-84 x-8 x-4 4 x-8 = 1 1 x-4 x-4 x-4 x-4 x-4 4( x-2)( x +2) 44 x-8 lim = lim = lim x-4 (x-4)( x + x 4) 2) ( - 4 = = 1 2+2( x +2) Συμφωνα με το κριτηριο παρεμβολης: Aρα, τ (x-4 ε ) λικα: - + x 4 x 4 x 4 f(x)-8 f(x)-8 lim = lim = 1 x-4 x-4 f(x)-8 lim = 1 x-4
  • 30.
    Τακης Τσακαλακος Κερκυρα2018 30 ΟΡΙΟ ΣΥΝΑΡΤΗΣΗΣ ... x 2 x 2 x 2 Aν για καθε x ειναι g(x) 2 και ισχυουν: g(x)-2 4 g(x)+2 f(x) g(x)+6 και lim , να βρεθουν: x-2 f(x)-8 limf(x) lim x-2 Α π α ν τ η σ η x 2 x 2 x 2 x 2 g(x)-2 Θετουμε h(x)= oποτε x-2 limh(x)= 1 g(x)-2 h(x)= x-2 (x-2)× h(x)= g(x)-2 g(x)=(x-2)× h(x)+2 και limg(x)= lim[(x-2)× h(x)+2] = lim(x-2)× l x 2 x 2 x 2 x 2 imh(x)+ lim2 = 0× 1+2= 2 Eτσι lim[4× g(x)+2]= 4× limg(x)+2 = 4× 2+2 = 8 ΠΑΡΑΔΕΙΓΜΑ 20 ΚΡΙΤΗΡΙΟ ΠΑΡΕΜΒΟΛΗΣ 1. Θετουμε h(x) την παρασταση της συναρτησης g στο οριο (οποτε γνωστο το οριο της h(x)) . 2. Λυνουμε την εξισωση που προκυπτει ως προς g(x) . 3. Βρισκουμε το οριο της συναρτησης g(x) . 4. Αντικαθιστουμε την g(x) στην δοσμενη διπλη ανισοτητα και βρισκουμε τα ορια των ακραιων μελων της ανισοτι- κης σχεσης . 5. Αν τα πιο πανω ορια ειναι ισα με α, τοτε και το ζητουμενο οριο ειναι ισο με α, συμφωνα με το κριτηριο παρεμβολης Π α ρ α τ η ρ η σ η : Στη περιπτωση που το ζητουμενο οριο ειναι παρασταση της συναρτησης f, με καταλληλες πραξεις εμφανιζουμε στο μεσαιο μελος της ανισοτικης σχεσης την παρασταση αυτη και ... κριτηριο παρεμβολης .
  • 31.
    Τακης Τσακαλακος Κερκυρα2018 31 ΟΡΙΟ ΣΥΝΑΡΤΗΣΗΣ ... x 2 x 2 x 2 x 2 lim[g(x)+6]= limg(x)+ lim6 = 2+6 = 8 Οποτε, συμφωνα με το κριτηριο παρεμβολης: limf(x)= 8 ± x 2 Ειναι 4 g(x)+2 f(x) g(x)+6 4( g(x)+2-2) f(x)-8 g(x)+6-8 4 g(x)+2-8 f(x)-8 g(x)-2 2 g(x)+2-2) f(x)-8 g(x)-2 x> 2: x-2 x-2 x-2 4 g(x)+2-2)g(x)-2 f(x)-8 x< 2: x-2 x-2 x-2 4 g(x)+2 lim ± ± ± x 2 x 2 x 2 -2 4 g(x)+2-2) = lim x-2 (x-2) 4(g(x)+2-4) = lim (x-2)( g(x)+2 +2) 4(g(x = lim ( g(x)+2 +2) ( g(x)+2 +2) ± ± x 2 x 2 )-2) (x-2)( g(x)+2 +2) g(x)-2 4 = lim × lim x-2 g(x)+2 +2 4 4 4 = 1× = = = 1= 42+2 +2 4 +2 ± x 2 g(x)-2 = lim x-2 Συμφωνα με το κριτηριο παρεμβολης: Aρα,τελικα: - + x 2 x 2 x 2 f(x)-8 f(x)-8 lim = lim = 1 x-2 x-2 f(x)-8 lim = 1 x-2
  • 32.
    Τακης Τσακαλακος Κερκυρα2018 32 ΟΡΙΟ ΣΥΝΑΡΤΗΣΗΣ ... x 0 f(x) Aν ισχυει | f(x)-ημx| 1-συν2x, να δειχτει οτι: lim =1 x Α π α ν τ η σ η 2 2 2 2 2 2 2 Ειναι: συν2x= 1-2ημ x 2ημ x= 1-συν2x Ετσι η δοσμενη ανισοτητα γινεται | f(x)-ημx| 1-συν2x | f(x)-ημx| 2ημ x -2ημ x f(x)-ημx 2ημ x ημx-2ημ x f(x) ημx+2ημ x (1) Διαιρουμε την (1) με x. Aν x> 0 η (1) δινει: 2 2 2 2 ημx ημ x f(x) ημx ημ x -2 +2 x x x x x ημx ημx f(x) ημx ημx -2x +2x x x x x x ΠΑΡΑΔΕΙΓΜΑ 21 ΚΡΙΤΗΡΙΟ ΠΑΡΕΜΒΟΛΗΣ (... ΠΑΡΑΣΤΑΣΗ ΤΗΣ f) 1. Με καταλληλες πραξεις «απομονωνουμε» την συναρ - τηση f στο μεσαιο μελος της διπλης ανισοτητας η σχη - ματιζουμε την παρασταση της συναρτησης f το οριο της οποιας ζητουμε. 2. Βρισκουμε τα ορια των ακραιων μελων της ανισοτικης σχεσης. 3. Αν τα πιο πανω ορια ειναι ισα με α, τοτε και το ζητουμενο οριο ειναι ισο με α, συμφωνα με το κριτηριο παρεμβολης Π α ρ α τ η ρ η σ η : Στη περιπτωση που η παρασταση, της οποιας το οριο ζη- τουμε, ειναι της μορφης και πρεπει να διαιρεσω με x, εξεταζω τις περιπτωσεις x<x0 και x>x0 (πλευρικα ορια) . Σε συνδυασμο με χρησιμο το οριο
  • 33.
    Τακης Τσακαλακος Κερκυρα2018 33 ΟΡΙΟ ΣΥΝΑΡΤΗΣΗΣ ... + + + + + 2 2 x 0 x 0 x 0 x 0 2 x 0 ημx ημx ημx ημx lim -2x = lim -2 lim x lim x x x x = 1-2× 0× 1 = 1 ημx η lim +2x x + + + 2 2 x 0 x 0 x 0 2 μx ημx ημx = lim +2 lim x lim x x x = 1+2× 0× 1 1 Οποτε, συμφωνα με το κριτηριο παρεμβολης: l = - - 2 2 2 2 2 x 0 x 0 x 0 Aν x< 0 η (1) δινει: ημx ημ x f(x) ημx ημ x +2 -2 x x x x x ημx ημx f(x) ημx ημx +2x -2x x x x x x ημx ημx ημx lim +2x = lim +2 lim x x x + x 0 f(x) im = 1 x - - - - - - 2 x 0 2 2 x 0 x 0 x 0 x 0 ημx x lim x = 1+2× 0× 1 1 ημx ημx ημx ημx lim -2x = lim -2 lim x lim x x x x = 2 2 x 0 = 1-2× 0× 1 1 Οποτε, συμφωναμε το κριτηριο παρεμβολης: Eτσι τελικα - x 0 f(x) lim = 1 x f(x) lim = 1 x =
  • 34.
    Τακης Τσακαλακος Κερκυρα2018 34 ΟΡΙΟ ΣΥΝΑΡΤΗΣΗΣ ... Ο 0 0 2 2 2 2x x x x x x f(x)-3 g(x)-2 Αν lim + = 0, να βρεθουν τα ορια: x +3 x +2 lim f(x) lim g(x) Α π α ν τ η σ η 0 0 0 2 2 2 2 2 2 2 2 2 2 2 2x x x x 2x x Ειναι f(x)-3 f(x)-3 g(x)-2 0 + x +3 x +3 x +2 f(x)-3 f(x)-3 g(x)-2 0 lim lim + x +3 x +3 x +2 f(x)-3 0 lim x +3 2 0 Οποτε, συμφωνα με το κριτηριο παρεμβολης: 0 0 2 2 2x x x x f(x)-3 f(x)-3 lim =0 lim =0 x +3 x +3 ΠΑΡΑΔΕΙΓΜΑ 22 ΚΡΙΤΗΡΙΟ ΠΑΡΕΜΒΟΛΗΣ (,,, ΟΡΙΟ ΠΑΡΑΣΤΑΣΗΣ ΣΥΝΑΡΤΗΣΕΩΝ) 1. Προσπαθουμε να δημιουργησουμε διπλη ανισοτητα της μορφης  0 ≤ f(x) ≤ f(x) + g(x), αν f(x) > 0 και g(x) > 0  0 ≤ f 2 (x) ≤ f 2 (x) + g 2 (x), που ισχυει . ωστε το οριο των (f(x) + g(x)) η (f 2 (x) + g 2 (x)) να ειναι ισο με μηδεν . Ετσι απ’το κριτηριο παρεμβολης και το οριο των f (x) η f 2 (x) ειναι ισο με μηδεν . 2. Στη περιπτωση που η f(x) πιο πανω ειναι παρασταση που περιεχει την συναρτηση f(x), της οποιας το οριο ζητου- με:  Θετουμε την παραπανω παρασταση ιση με h(x) και λυνουμε την εξσωση που προκυπτει ως προς f(x)  Βρισκουμε τo οριo της f(x) (με γνωστο οτι το οριο της h(x) ειναι 0) . Π α ρ α τ η ρ η σ η : Αν εχουμε και δευτερη συναρτηση g (η παρασταση της) κανουμε την παρομοια διαδικασια .
  • 35.
    Τακης Τσακαλακος Κερκυρα2018 35 ΟΡΙΟ ΣΥΝΑΡΤΗΣΗΣ ... 0 0 2 2 x x 2 0 x x 2 2 2 2 2 2 f(x)-3 Θετουμε = h(x) οποτε x +3 f(x)=(x +3)h(x)+3 και lim h(x)= 0 Ετσι, lim f(x)=(x +3) 0+3= 3 Ειναι g(x)-2 f(x)-3 g(x)-2 0 + x +2 x +3 x +2 0 0 0 2 2 2 2 2 2x x x x 2 2x x x x g(x)-2 f(x)-3 g(x)-2 0 lim lim + x +2 x +3 x +2 g(x)-2 0 lim 0 x +2 Οποτε, συμφωνα με το κριτηριο παρεμβολης: lim 0 0 0 0 2 2 2x x 2 2 x x 2 0 x x g(x)-2 g(x)-2 = 0 lim = 0 x +2 x +2 g(x)-2 Θετουμε = r(x) οποτε x +2 g(x)=(x +2)r(x)+2 και lim r(x)= 0 Ετσι, lim g(x)=(x +2) 0+2= 2
  • 36.
    Τακης Τσακαλακος Κερκυρα2018 36 ΟΡΙΟ ΣΥΝΑΡΤΗΣΗΣ ... ΜΗ ΠΕΠΕΡΑΣΜΕΝΟ ΟΡΙΟ ΣΤΟ χ0
  • 37.
    Τακης Τσακαλακος Κερκυρα2018 37 ΟΡΙΟ ΣΥΝΑΡΤΗΣΗΣ ... Να βρειτε, εφοσον υπαρχει, το οριο x 9 -12 lim 3 9 27 Α π α ν τ η σ η Θεωρουμε τη συναρτηση f(x)= -12 3 9 27 Ειναι διαδοχικα ● f(x)= -12 3 9 27 2 -12 = (χ-9) χ-3(χ-9) -12 = (χ-9)( χ-3) -12 = ( χ +3)( χ-3)( χ-3) -12 1 = χ +3 ( χ-3) Εχουμε ● x 9 -12 -12 -12 lim 2 6χ +3 9 +3 ● 2 ( χ-3) 0 2 2x 9 x 9 1 lim[( χ-3) ] 0 ~ lim ( χ-3) Ετσι 2x 9 x 9 x 9 2x 9 x 9 -12 -12 1 lim ` limf(x)` lim 3 9 27 χ +3 ( χ-3) -12 1 ` lim lim ` 2 ( ) χ +3 ( χ-3) ΜΗ ΠΕΠΕΡΑΣΜΕΝΟ ΟΡΙΟ ΣΥΝΑΡΤΗΣΗΣ ● Ελεγχουμε στο γραφημα αν η συναρτηση οριζεται κοντα στο χ0 ● Αν στο χ0 δεν υπαρχουν τα πλευρικα ορια, τοτε δεν υπαρχει το οριο της συναρτησης στο χ0 ● Αν στο χ0 υπαρχουν τα πλευρικα ορια και ● ειναι ισα, τοτε υπαρχει το οριο της συναρτησης στο χ0 ● ειναι ανισα, τοτε δεν υπαρχει το οριο της συναρτησης στο χ0 ΠΑΡΑΔΕΙΓΜΑ 23
  • 38.
    Τακης Τσακαλακος Κερκυρα2018 38 ΟΡΙΟ ΣΥΝΑΡΤΗΣΗΣ ... Δινονται οι συναρτησεις f(x)= 2 2 (λ-1)χ -2 χ 1 και g(x)= 2 χ 2 +μ χ Να βρειτε τις τιμες των λ,μ , για τις οποιες υπαρχουν στο τα ορια x 1 lim f(x) και x 0 lim g(x) Α π α ν τ η σ η Ειναι 2 x 1 lim(χ 1) 0 ● Αν x 1 lim f(x) (αφού 2 x 1 lim(χ 1) 0) πρέπει 2 x 1 2 lim[(λ-1)χ -2]= 0` (λ-1) 1 1-2]= 0` λ-1-1= 2 (αν 2 x 1 lim[(λ-1)χ -2] 0 τότε x 1 lim f(x) άτοπο) ● Για λ=2 εχουμε f(x)= 2 2 (2-1)χ -2 χ 1 2 2 (χ-1)χ -2 χ 1 (χ+2) (χ-1) χ+2 = χ+1(χ+1) x 1 x 1 χ+2 1+2 3 lim f(x)= lim χ+1 1+1 2 ΠΑΡΑΔΕΙΓΜΑ 24 ΜΗ ΠΕΠΕΡΑΣΜΕΝΟ ΟΡΙΟ ΣΥΝΑΡΤΗΣΗΣ (ΠΑΡΑΜΕΡΤΡΟΣ) " Πραγματικο οριο της f ... ρητη παρασταση της συναρτη- σης f ... ... παραμετρος ... " ● Απαιτουμε το οριο του αριθμητη να ειναι 0, γιατι διαφο- ρετικα, το οριο της f δεν ειναι πραγματικος αριθμος ● Για τη τιμη της παραμετρου που βρηκαμε, υπολογιζουμε το οριο της f ● ειτε γιατι ζητειται ● ειτε για να αποδειξουμε οτι το οριο ειναι πραγματικος αριθμος και ειναι δεκτηή η τιμη της παραμετρου.
  • 39.
    Τακης Τσακαλακος Κερκυρα2018 39 ΟΡΙΟ ΣΥΝΑΡΤΗΣΗΣ ... Ειναι x 0 lim χ 0 ● Αν x 0 lim g(x) (αφού x 0 lim χ 0) πρέπει 2 x 0 lim (χ 2 +μ)=0`0 0+μ=0`μ=0 (αν 2 x 0 lim (χ 2 +μ) 0 τότε x 1 lim g(x) άτοπο) ● Για μ=0 εχουμε g(x)= 2 χ(χ+2)χ 2 χ+2 χ χ x 0 x 0 lim g(x)= lim(χ+2) 0+2 2
  • 40.
    Τακης Τσακαλακος Κερκυρα2018 40 ΟΡΙΟ ΣΥΝΑΡΤΗΣΗΣ ... Αν 2x 0 2ημx f(x) lim =- x -x να βρεθεί το x 0 lim f(x) Α π α ν τ η σ η Θεωρούμε τη συνάρτηση h(x)= 2 2ημx f(x) x -x κοντά στο χ0=0 με x 0 lim h(χ)=- (1) Έτσι 2 2 2 2ημx f(x) h(x) ` x -x (x -x) h(x) f(x) ` 2ημx x -x f(x) h(x) 2ημx Όμως 2 x 0 x 0 x 0 x 0 x 0 x 0 x 0 x 0 x 0 x(x-1)x -x 1 x 1 x lim lim lim (x-1) lim lim(x-1) 2ημx 2ημx 2 ημx 2 ημx 1 1 1 1 lim lim(x-1) lim(x-1) ημx ημx2 2 lim x x 1 1 1 (-1)=- (2) 2 1 2 Συνεπώς, 2 (1) x 0 x 0 x 0 x 0 (2) x -x 1 lim f(x) lim lim limh(x)= ( ) 2ημx 2 ΠΑΡΑΔΕΙΓΜΑ 25 ΜΗ ΠΕΠΕΡΑΣΜΕΝΟ ΟΡΙΟ ΣΥΝΑΡΤΗΣΗΣ (ΒΟΗΘΗΤΙΚΗ ΣΥΝΑΡΤΗΣΗ) ● Θετουμε την παρασταση της f, της οποιας το οριο ειναι γνωστο, σαν μια συναρτηση, εστω h(x) και λυνουμε την παρασταση ως προς f(x) ● Στη συνεχεια βρισκουμε το οριο της f, με τη βοηθεια των πραξεων των μη πεπερασμενων οριων ● Aν στη πιο πανω περιπτωση ζητειται το οριο αλλης πα- ραστασης της συναρτησης f, τοτε βρισκουμε οπως πιο πανω το οριο της και στη συνεχεια στο ” σπασιμο” του κλασματος, εμφανιζουμε τη βοηθητικη συναρτηση.
  • 41.
    Τακης Τσακαλακος Κερκυρα2018 41 ΟΡΙΟ ΣΥΝΑΡΤΗΣΗΣ ... ΟΡΙΟ ΣΤΟ ΑΠΕΙΡΟ
  • 42.
    Τακης Τσακαλακος Κερκυρα2018 42 ΟΡΙΟ ΣΥΝΑΡΤΗΣΗΣ ... Nα βρεθουν τα ορια της συναρτησης f στις θεσεις: x0 = - þ, + þ οταν η γραφικη της παραστα- ση φαινεται στο διπλανο σχημα. Α π α ν τ η σ η 0 x - 0 x + Για x =- lim f(x)= + Για x = + lim f(x)= 1 ΠΑΡΑΔΕΙΓΜΑ 26 ΟΡΙΟ ΣΤΟ ΑΠΕΙΡΟ (... ΓΕΩΜΕΤΡΙΚΑ ) 1. Για x → + þ, βλεπουμε που «φτανει» η Cf δεξια στο σχημα (στον αξονα y’y) . 2. Για x → - þ, βλεπουμε που «φτανει» η Cf αριστερα στο σχημα (στον αξονα y’y) .
  • 43.
    Τακης Τσακαλακος Κερκυρα2018 43 ΟΡΙΟ ΣΥΝΑΡΤΗΣΗΣ ... 5 2 x + 2ν 2ν+1 x - 5 2 x + Να βρεθουν τα ορια: lim (2x +3x +x+1) lim [(x-1) +(x+1) ] lim ((α-1)x +(α+1)x +x+1)) Α π α ν τ η σ η 5 2 x 5 x + 2ν 2ν+1 x - x - 5 2 x 2v 1 + + Ειναι lim(2x +3x +x+1) = lim (2x )= lim [(x-1) +(x+1) ] = lim (x )= Για α= 1: lim ((α-1)x +(α+1)x +x 1 2 3 L L L + - 2 x + 5 2 5 x + x + +1))= lim (2x )= Για α 1: lim ((α-1)x +(α+1)x +x+1))=(α-1) lim x )= Tελικα για καθε α = : 3 5 2 3 x + L L + + lim ((α-1)x +(α+1)x +x+1)) + ( ΠΑΡΑΔΕΙΓΜΑ 27 ΟΡΙΟ ΣΤΟ ΑΠΕΙΡΟ (... ΠΟΛΥΩΝΥΜΙΚΗ ΣΥΝΑΡΤΗΣΗ ) 1. Το οριο της πολυωνυμικης συναρτησης ειναι ισο με το οριο του μεγιστοβαθμιου ορου της. 2. Αν στο συντελεστη του μεγιστοβαθμιου ορου της πολυωνυμικης συναρτησης υπαρχει παραμετρος, τοτε βρισκουμε το οριο:  για εκεινη τη τιμη της παραμετρου που μηδενιζει το συντελεστη.  για εκεινες τις τιμες της παραμετρου που δεν μηδε - νιζουν το συντελεστη.
  • 44.
    Τακης Τσακαλακος Κερκυρα2018 44 ΟΡΙΟ ΣΥΝΑΡΤΗΣΗΣ ... 5 2 5 2 1 22 5x - x + 3 3 4 2x - Να βρεθουν τα ορια: 2x +3x +x+1 2x +3x +x+1 L lim L lim 3x +x+1 x +x+1 x -x+1 L lim 2x +x +1 Α π α ν τ η σ η 5 2 2x - 5 2x - x - x - 5 2 5x + 3 5 x 3 + 2x +3x +x+1 lim 3x +x+1 2x 2 = lim ( )= lim ( x ) 3x 3 2 2 = lim (x )= (- )= 3 3 2x +3x +x+1 lim x +x+1 2x = lim ( 1 2 L = - L = 5 3 4 2x - 3 4x - x - )= x x -x+1 lim 2x +x +1 x 1 1 1 = lim ( )= lim ( )= 0= 2x 2 x 2 3 2 L = 0 ΠΑΡΑΔΕΙΓΜΑ 28 ΟΡΙΟ ΣΤΟ ΑΠΕΙΡΟ (... ΡΗΤΗ ΣΥΝΑΡΤΗΣΗ) 1. Το οριο της ρητης συναρτησης ειναι ισο με το οριο του πηλικου των μεγιστοβαθμιων ορων της. 2. Επιπλεον αν:  ο βαθμος του μεγιστοβαθμιου ορου του αριθμητη ειναι μεγαλυτερος απ’το βαθμο του μεγιστοβαθμιου ορου του παρονομαστη, το οριο ισουται με + þ η - þ.  ο βαθμος του μεγιστοβαθμιου ορου του αριθμητη ειναι μικροτερος απο το βαθμο του μεγιστοβαθμιου ορου του παρονομαστη, το οριο ισουται με 0 .  ο βαθμος του μεγιστοβαθμιου ορου του αριθμητη ειναι ισος με το βαθμο του μεγιστοβαθμιου ορου του παρο - νομαστη, το οριο ισουται με το πηλικο των συντελε- στων τους.
  • 45.
    Τακης Τσακαλακος Κερκυρα2018 45 ΟΡΙΟ ΣΥΝΑΡΤΗΣΗΣ ... 3 2 2x - Να βρεθουν οι τιμες των α και β, ωστε: (α+β-5)x +(α-1)x +2 lim = 2 (β-1)x +αx+1 Α π α ν τ η σ η 3 2 3 2 2x x 3 2 2x Ειναι για β 1 (α+β-5)x +(α-1)x +2 (α+β-5)x α+β-5 lim = lim = ×(- ) (β-1)x +αx+1 (β-1)x β-1 α+β-5 Αν 0, τοτε β-1 (α+β-5)x +(α-1)x +2 lim =± , ατοπο (αφου ειναι ι (β-1)x +αx+1 2 2x x 2 2 σο με 2). Αρα α+β-5 = 0 α+β-5= 0 (1) β-1 Το οριο ομως γινεται (λογω της (1)): (α-1)x +2 (α-1) α-1 lim = 2 lim = 2 = 2 (β-1)x +αx+1 (β-1) β-1 α-1= 2β-2 x (2) Οποτε x , α+β= 5 α-2β=-1 (+) λυνοντας το συστημα των (1) και (2) α+β= 5 2α+2β= 10 3α= 9 α= 3 α-2β=-1 α-2β=-1 α-2β=-1 3-2β=-1 α= 3 β= 2 ΠΑΡΑΔΕΙΓΜΑ 29 (ΠΑΡΑΜΕΤΡΟΣ)
  • 46.
    Τακης Τσακαλακος Κερκυρα2018 46 ΟΡΙΟ ΣΥΝΑΡΤΗΣΗΣ ... 2 2 1 x - 2 2 2 x + Να βρεθουν τα ορια: 1. L lim ( 9x -x+1- 4x +2x+1) 2. L lim ( 16x +8x + 4x -1-6x) Α π α ν τ η σ η 1. 2 2 1 x - 2 2 2 2x - 2 2x - x<0 x - Επειδη x - τοτε Οποτε L lim ( 9x -x+1- 4x +2x+1) 1 1 2 1 = lim x (9- + )- x (4+ + ) x x x x 1 1 2 1 = lim | x| 9- + -| x| 4+ + x x x x = lim -x 9 x< 0 . 2 2 1 1 2 1 - + +x 4+ + x x x x ΠΑΡΑΔΕΙΓΜΑ 30 ΟΡΙΟ ΣΤΟ ΑΠΕΙΡΟ (... ΑΠΡΟΣΔΙΟΡΙΣΤΙΑ) ΡΙΖΙΚΑ-ΟΧΙ ΚΛΑΣΜΑΤΙΚΗ ΣΥΝΑΡΤΗΣΗ 1. Βγαζουμε κοινο παραγοντα το μεγιστοβαθμιο x των ριζικων (προσοχη στο προσημο του). 2. Συνεχιζουμε εχοντας υποψιν μας οτι . 3. Αν με τη πιο πανω διαδικασια καταληξουμε παλι σε απροσδιοριστια, τοτε βρισκουμε το αρχικο οριο με  τη μεθοδο της συζυγους παραστασης  διαχωρισμο σε αθροισμα δυο ορων και ... μεθοδο συ- ζυγους παραστασης. Π α ρ α τ η ρ η σ η :  Οσον αφορα το προσημο του μεγιστοβαθμιου x, αν  x → + þ τοτε x > 0 και | x | = x  x → - þ τοτε x < 0 και | x | = - x  Στην περιπτωση που το οριο περιεχει αθροισμα (δυο ρι - ζικων και εναν που δεν ειναι ριζικο), μετασχηματιζουμε τον ορο, που δεν ειναι ριζικο, σε δυο προσθετεους (ανα - λογους με τις ριζες των συντελεστων των μεγιστοβαθ - μιων ορων των ριζικων).
  • 47.
    Τακης Τσακαλακος Κερκυρα2018 47 ΟΡΙΟ ΣΥΝΑΡΤΗΣΗΣ ... 2 2x - 2 2x - x - 2 2 2 x + 1 1 2 1 = lim - 9- + + 4+ + x x x x 1 1 2 1 = lim x lim - 9- + + 4+ + = x x x x =- (- 9-0+0 + 4+0+0)=- (- 9 + 4)=- (-1)= 2. Eιναι L lim ( 16x +8x + 4x -1 + 2 2 x + 2 2 x + x + 2 2 x + 2 2 2 x + - ) = lim ( 16x +8x- )+( 4x -1- ) = lim ( 16x +8x-4x)+ lim ( 4x -1-2x) ( 16x +8x-4x)( 16x +8x +4x) = lim 16x +8x +4x ( 4x -1-2x)( 4x -1 6x 4x 2 + x lim 2 2 2 2 2 x + x + 2 2 x + x + 2 x>0 x + x + 2 +2x) 4x -1 +2x 16x +8x-16x 4x -1-4x = lim + lim 8 ( 4x -1 +2x) x (16 + ) +4x) x 8x -1 = lim + lim 8 ( 4x -1 +2x) | x| 16 + +4x x 8 -1 = lim + lim 8 ( 4x ( 16 x + +4) x x x + x + 2 -1 +2x) 8 -1 = lim + lim 8 ( 4x -1 +2x) 16 + +4 x 8 8 = +0= = 816 +0 +4 1
  • 48.
    Τακης Τσακαλακος Κερκυρα2018 48 ΟΡΙΟ ΣΥΝΑΡΤΗΣΗΣ ... 2 2 x + ινεται η συναρτηση f(x)= x +2x+3 + 4x +4x+5 +αx+β. Να βρεθουν οι τιμες των α και β, ετσι ωστε lim f(x)=6. Δ Α π α ν τ η σ η 2 x + 2 2x + x + x + Θεωρουμε (x + ), οποτε (διαιρωντας με x ): L lim f(x) β2 3 4 5 = lim x 1+ + + 4+ + +α+ x x x x x = Αν 3+α 0 τοτε lim f(x)=± , ατοπο (αφου lim x> 0 + (3+α) 2 2 2 2 συζυγη 2 2 f(x)= 6) Αρα 3+α= 0 Για α=-3 ειναι = x +2x+3 + 4x +4x+5- +β =( x +2x+3- )+( 4x +4x+5- )+β 2x+3 4x+5 = + +β x +2x+3 +x 4x +4x+5 +2x 3x x 2x = 2 α=-3 f(x) 3 5 2+ 4+ x x+ 2 3 4 5 1+ + +1 4+ + x x x x x Aρα 2 4 lim f(x)= 6 + +β= 6 1+1 2+2 2 +β +2 β= 4 ΠΑΡΑΔΕΙΓΜΑ 31 ΟΡΙΟ ΣΤΟ ΑΠΕΙΡΟ (... ΑΠΡΟΣΔΙΟΡΙΣΤΙΑ) ΡΙΖΙΚΑ-ΟΧΙ ΚΛΑΣΜΑΤΙΚΗ ΣΥΝΑΡΤΗΣΗ-ΠΑΡΑΜΕΤΡΟΣ ... οπως στο προηγουμενο παραδειγμα και 4. Προκειμενου να προσδιορισουμε τις (την) παραμετρους (ο) απαιτουμε το οριο του πηλικου των μεγιστοβαθμιων ορων της παραστασης να μην ειναι ± þ.
  • 49.
    Τακης Τσακαλακος Κερκυρα2018 49 ΟΡΙΟ ΣΥΝΑΡΤΗΣΗΣ ... 2 2 x + x - 4x +2x+3 +3x+2 ινεται η συναρτηση: f(x)= x +x+1+4x+3 Να βρεθουν τα ορια: lim f(x) lim f(x) Δ Α π α ν τ η σ η x + 2 x + 2 2 2 x + 2 2 2 x + 2 1. Επειδη x + τοτε και lim f(x) 4x +2x+3 +3x+2 = lim x +x+1 +4x+3 2 3 x (4+ + ) +3x+2 x x = lim 1 1 x (1+ + ) +4x+3 x x 2 3 | x| 4+ + +3x+2 x x = lim 1 1 | x| 1+ + x x 1 x> 0 L 2x>0 2 x + x + 22 +4x+3 2 3 2 2 3 2x 4+ + +3+ 4+ + +3+ x x x x x x = lim = lim 1 1 31 1 3 1+ + +4+x 1+ + +4+ x x xx x x ΠΑΡΑΔΕΙΓΜΑ 32 ΟΡΙΟ ΣΤΟ ΑΠΕΙΡΟ (... ΑΠΡΟΣΔΙΟΡΙΣΤΙΑ) ΡΙΖΙΚΑ-ΚΛΑΣΜΑΤΙΚΗ ΣΥΝΑΡΤΗΣΗ 1. Βγαζουμε κοινο παραγοντα το μεγιστοβαθμιο x των ριζικων (προσοχη στο προσημο του) σε αριθμητη και παρονομαστη . 2. Απαλειφουμε τον κοινο παραγοντα που βγαλαμε σε αριθμητη και παρονομαστη . 3. Συνεχιζουμε εχοντας υποψιν μας οτι . Π α ρ α τ η ρ η σ η :  Οσον αφορα το προσημο του μεγιστοβαθμιου x, αν  x → + þ τοτε x > 0 και | x | = x  x → - þ τοτε x < 0 και | x | = - x
  • 50.
    Τακης Τσακαλακος Κερκυρα2018 50 ΟΡΙΟ ΣΥΝΑΡΤΗΣΗΣ ... 2x<0 x - x - 2 4+0+0 +3+0 4 +3 = = = 1+0+0 +4+0 1 +4 2. Επειδη x - τοτε ... ομοια 2 3 2 -x 4+ + -3- x x x 4-3 -1 lim f(x)=... = lim =... = = = -31-41 1 3 -x 1+ + -4- x x x 2 1 x< 0 1 L = 3
  • 51.
    Τακης Τσακαλακος Κερκυρα2018 51 ΟΡΙΟ ΣΥΝΑΡΤΗΣΗΣ ... x + x + 2 2 3 2x x + f(x) Αν lim = 3 και lim (3f(x)-x)= 2, να δειχτει οτι: x xf(x)+5x -2x+11 2f(x)-2x-1 lim = 4 lim = 2 3x f(x)-x +3x+1 3xf(x)-x +3x Α π α ν τ η σ η 2 ( x ) 2 x + 2 Eιναι f(x) 2 11 +5- + x x x= lim = 3 1 (3f(x)-x)+ + x x 3+5-0+0 = = 2+0+0 2 2 3x + x xf(x)+5x -2x+11 lim 3x f(x)-x +3x+1 4 lim ( x) x + f(x) 1 2× -2- x x= lim = 3 (3f(x)-x)+ x 6-2-0 = = 2+0 2+ 2f(x)-2x-1 3xf(x)-x +3x 2 ΟΡΙΟ ΣΤΟ ΑΠΕΙΡΟ (... ΠΑΡΑΣΤΑΣΗΣ) Σ κ ο π ο ς : Να «εμφανισουμε» την δοσμενη παρασταση της f προκειμενου να βρουμε το ζητουμενο οριο. A ν τ ι μ ε τ ω π ι σ η : 1. Μετασχηματιζουμε καταλληλα το προς αποδειξη οριο, συνηθως διαιρωντας, πολλαπλασιαζοντας καταλληλα, ωστε να προκυψουν τα γνωστα ορια. 2. Στη συνεχεια βρισκουμε το ζητουμενο οριο της f(x) . ΠΑΡΑΔΕΙΓΜΑ 33
  • 52.
    Τακης Τσακαλακος Κερκυρα2018 52 ΟΡΙΟ ΣΥΝΑΡΤΗΣΗΣ ... 2 2 x + 2 Δινεται η συναρτηση f: , για την οποια ισχυει: 3f(x)+f(-x)= x +x, x . 3 f(x)+x+ x 4Να βρειτε το οριο: L= lim 7 2f(x)-1+ x 2 Α π α ν τ η σ η ΠΑΡΑΔΕΙΓΜΑ 34 ΟΡΙΟ ΣΤΟ ΑΠΕΙΡΟ (...ΣΧΕΣΗ ΜΕ f(x), f(-x)) 1. Μετασχηματιζουμε την δοσμενη σχεση, εστω (1), θε - τοντας οπου x το - x οποτε προκυπτει νεα ισοτητα, εστω (2) 2. Απαλειφουμε την f(-x) στις ισοτητες (1) και (2), οποτε προκυπτει ο τυπος της συναρτησης f . 3. Στη συνεχεια βρισκουμε το ζητουμενο οριο, αντικαθι- στωτας την f(x) σε αυτο .
  • 53.
    Τακης Τσακαλακος Κερκυρα2018 53 ΟΡΙΟ ΣΥΝΑΡΤΗΣΗΣ ... 2 2 2 2 2 2 Στη δοσμενη σχεση για x=-x, προκυπτει: 3f(-x)+f(x)= x -x Λυνουμε το συστημα f(-x)+3f(x)= x +x ×(-3) 3f(-x)+f(x)= x -x -3f(-x)-9f(x)=-3x -3x 3f(-x)+f(x)= x -x -8f(x)=-2x -4x f(x 2 2 2 2 2x + x + 2 2 2 x + 2 1 1 )= x - x 4 2 Ετσι 1 1 3 1 x - x+x+ x x + x 4 2 4 2= lim = lim = 1 7 4x -x-1x -x-1+ x 2 2 1 x 1+ 2x = lim x 4- 2 x + 2 3 f(x)+x+ x 4lim 7 2f(x)-1+ x 2 x + 22 1 1+ 1+02x= lim = = 1 11 1 4-04- -- x xx x 1 4
  • 54.
    Τακης Τσακαλακος Κερκυρα2018 54 ΟΡΙΟ ΣΥΝΑΡΤΗΣΗΣ ... 2 2 x + 2 Δινεται η συναρτηση f: , για την οποια ισχυει: 3f(x)+f(-x)= x +x, x . 3 f(x)+x+ x 4Να βρειτε το οριο: L= lim 7 2f(x)-1+ x 2 Α π α ν τ η σ η 2 Θετουμε: τοτε (x-2) -(2x+1) = =(x+1)(2x+1)-(x-2)(2x+3)= (x+1) -(2x+3) = x D 2 (x-2)f(x)-(2x+1)g(x)= h(x) (x+1)f(x)-(2x+3)g(x)= p(x) + x+2x 2 +1- 2x - 3x f(x) g(x) 4x+7 D h(x)(-2x-3)-p(x)( +4x+6 = h(x) -(2x+1) = = p(x) -(2x+3) (x-2) h(x) = -2x-1) D p(x)(x-2)-= (x+1) p h(x)(x+ ( 1 x) Eτσι ) ΠΑΡΑΔΕΙΓΜΑ 35 ΟΡΙΟ ΣΤΟ ΑΠΕΙΡΟ (...ΒΟΗΘΗΤΙΚΗ ΣΥΝΑΡΤΗΣΗ) 1. Θετουμε την παρασταση της f, της οποιας το ο ριο ειναι γνωστο, σαν μια συναρτηση εστω h(x) και λυνουμε την παρασταση ως προς f(x) . 2. Στη συνεχεια βρισκουμε το οριο της f(x) . 3. Aν στη πιο πανω περιπτωση ζητειται το οριο αλλης πα - ραστασης της συναρτησης f, τοτε βρισκουμε οπως πιο πανω το οριο της και στη συνεεια στο ” σπασιμο ” του κλασματος, εμφανιζουμε τη βοηθητικη συναρτηση . Π α ρ α τ η ρ η σ η : Σε περιπτωση που εχουμε δυο συναρτησεις f, g (αρα και δυο δοσμενα ορια παραστασεων των f, g), θετουμε τις παραστασεις της f, g, των οποιων το οριο ειναι γνωστο, σαν συναρτησεις εστω h(x), p(x) και λυνουμε το συστημα των εξισωσεων που προκυπτουν, ως προ f(x), g(x) .
  • 55.
    Τακης Τσακαλακος Κερκυρα2018 55 ΟΡΙΟ ΣΥΝΑΡΤΗΣΗΣ ... f(x) ( x) ( x) g(x) D h(x)(-2x-3)-p(x)(-2x-1) = D 4x+7 = D p(x)(x-2)-h(x)(x+1) = = = D 4x+7 Oποτε 3 h(x)(-2- )-p(x)(-2- x= x + f(x)= 3 1 h(x)(-2- )-p(x)(-2- ) x x 7 4+ x 2 1 p(x)(1- )-h(x)(1+ ) x xg(x) 7 4+ x lim f(x) 1 ) 5(-2)-4(-2)x = = 7 44+ x 2 1 p(x)(1- )-h(x)(1+ ) 4-5x x= = = 7 44+ x x + 1 - 2 1 lim g(x) - 4
  • 56.
    Τακης Τσακαλακος Κερκυρα2018 56 ΟΡΙΟ ΣΥΝΑΡΤΗΣΗΣ ... 2 3 2 1 2 4 4x + x + Nα βρεθουν τα ορια: 6x+ημ x-2συν2x x συνx+x ημx+2 L lim L lim 3x+συνx x +ημ x+x Α π α ν τ η σ η x + x + 2 1 x + ( x) x + x + ημx lim =0 x συνx lim =0 x 6x+ημ x-2συν2x L = lim 3x+συνx ημx συν2x x 6 +ημx× -4 x 2x = lim συνx x 3+ x ημx συν2x 6 +ημx -4 x 2x= lim συνx 3+ x 6 +0+0 = = 3+0 2 4 x x + 4 3 2 ( x ) 2 4 2 44 4x + x + 4 4 3 lim 4 4x + συνx lim =0 x 3 ημxσυνx 2 x + + x συνx+x ημx+2 x x x L = lim = lim = ημ xx +ημ x+x 1 x 1+ + x x ημxσυνx 1 2 + × + x x x x= lim = ημx 1 1+ + x x + ημx =0 x 0+0+0 = 1+0+0 0 ΠΑΡΑΔΕΙΓΜΑ 36 ΟΡΙΟ ΣΤΟ ΑΠΕΙΡΟ (...ΤΡΙΓΩΝΟΜΕΤΡΙΚΟΙ ΑΡΙΘΜΟΙ) Σ κ ο π ο ς : Να προσδιορισουμε το ζητουμενο με βοηθεια το οριο A ν τ ι μ ε τ ω π ι σ η : Φερνουμε τη παρασταση, της οποιας ζητουμε το οριο, στην πιο πανω μορφη πολλαπλασιαζοντας και διαιρωντας με καταλληλους ορους η μετασχηματιζοντας γνωστες τριγωνομετρικες σχεσεις .
  • 57.
    Τακης Τσακαλακος Κερκυρα2018 57 ΟΡΙΟ ΣΥΝΑΡΤΗΣΗΣ ... x+2 x+1 x+2 x+1 1 2x x+1 x x+1x + x - Nα βρεθουν τα ορια: 3× 2 -8× 3 +2 3× 2 -8× 3 1. L lim 2. L lim 4× 3 +3× 2 -1 4× 3 +3× 2 Α π α ν τ η σ η x+2 x + 1. Αφου x + δημιουργουμε βασεις μικροτερες του 1, ωσ- τε το οριο τους να ισουται με 0 (διαιρουμε αριθμητη-παρο- νομαστη με τη μεγαλυτερη βαση). Ετσι 3× 2 -8× 3 lim1 L x x+1 x x+1 x x x xx + x x ( 3 ) x xx + +2 4× 3 +3× 2 -1 3× 4× 2 -8× 3× 3 +2 = lim 4× 3 +3× 2× 2 -1 2 1 12× -24+2 12× 0-24+2× 03 3 = lim = = 4+6 × 0-1× 02 1 4+6 × - 3 3 -6 ΠΑΡΑΔΕΙΓΜΑ 37 ΟΡΙΟ ΣΤΟ ΑΠΕΙΡΟ (... ΡΗΤΗ ΕΚΘΕΤΙΚΗ)  Αν x → + þ : Δημιουργουμε βασεις μικροτερες του 1, ωστε το οριο τους να ειναι ισο με 0 . (Διαιρουμε αριθμητη – παρονομαστη με τον εκθετικο ορο που εχει μεγαλυτερη βαση). .  Αν x → - þ : Δημιουργουμε βασεις μεγαλυτερες του 1, ωστε το οριο τους να ειναι ισο με 0 . (Διαιρουμε αριθμητη – παρονομαστη με τον εκθετικο ορο που εχει μικροτερη βαση). .
  • 58.
    Τακης Τσακαλακος Κερκυρα2018 58 ΟΡΙΟ ΣΥΝΑΡΤΗΣΗΣ ... x+2 x+1 xx - Αφου x - δημιουργουμε βασεις μεγαλυτερες του 1, ωστε το οριο τους να ισουται με 0 (διαιρουμε αριθμητη-παρονομαστη με τη μικροτερη βαση). Ετσι 3× 2 -8× 3 lim 4× 3 2 L x x+1 x x x xx - x ( 2 ) xx - +3× 2 3× 4× 2 -8× 3× 3 = lim 4× 3 +3× 2× 2 3 12-24× 2 = lim 3 4× +6 2 12-24× 0 = = 4× 0+6 2
  • 59.
    Τακης Τσακαλακος Κερκυρα2018 59 ΟΡΙΟ ΣΥΝΑΡΤΗΣΗΣ ... x+2 x+2 x+1 x+1x - α -2 Nα βρεθει το οριο: lim , α 2. α -2 Α π α ν τ η σ η x+2 x+2 2 x 2 x 2 x x x+1 x+1 x x x x x+2 x+2 2 x x x+1 x+1 x xx - x - α -2 α × α -2 × 2 α × α -4× 2 Ειναι: = = α -2 α× α -2× 2 α× α -2× 2 Αν α< 2 α -2 α × α -4× 2 lim = lim α -2 α× α -2× 2 x x 2 x x x xx - x x x 2 xx - α 2 α × -4× α α= lim α 2 α× -2× α α 2 α -4× α = lim 2 α-2× α 2 x - x+2 x+2 x+1 xx x x - - α -4× 0 = li 2 2 m = α α-2 lim = 0, αφου x - και > 1 α α × 0 Αν α> 2 α -2 lim α -2 2 x x +1 x xx - x x 2 x x x xx - x x 2 x - α × α -4× 2 = lim α× α -2× 2 α 2 α × -4× 2 2= lim α 2 α× -2× 2 2 α α × 2 = lim x x x 2 x x - - α α lim = 0,αφου x - κα -4 α α× -2 2 α × 0-4 = lim = 2 α× 0- ι 2 > 1 2 2 . ΠΑΡΑΔΕΙΓΜΑ 38 (ΜΕ ΠΑΡΑΜΕΤΡΟ)
  • 60.
    Τακης Τσακαλακος Κερκυρα2018 60 ΟΡΙΟ ΣΥΝΑΡΤΗΣΗΣ ... 1 1 - ×ημx x×ημ x x x Nα βρεθει το οριo: L= lim[e +e ] Α π α ν τ η σ η x x x x x 1 1 - ημx x ημ x x x 1 1 - ημx x ημ x x x x 1 1 lim - ημx lim ημ x x 1 ημ xlim ημx - lim x l ημx lim x 1 x x Ειναι lim[e +e ] = lim e + lim e (1) = e +e = e +e 1 = +e e L= x 1 ημ xim 1 x 1 0 1 = +e e = 1+e α λ λ ι ω ς 1 - ημx x 1 0x x x ημx x (1) 1 x ημ 1x x x x x1 0 x 1 1 1 1 lim ημx 0 lim e lim 1 x e 1 e L 1 e1 ημ 1 xlim x ημ lim 1 lim e lim e e 1x x ΠΑΡΑΔΕΙΓΜΑ 39 ΟΡΙΟ ΣΤΟ ΑΠΕΙΡΟ (...ΕΚΘΕΤΙΚΗ ΜΟΡΦΗΣ f(x)=ag( x) )  Βρισκουμε το οριο του εκθετη της εχοντας υποψιν  Ισχυουν x 1 Οταν x τοτε 0 x 1 ημ xΕτσι, lim = 1 1 x
  • 61.
    Τακης Τσακαλακος Κερκυρα2018 61 ΟΡΙΟ ΣΥΝΑΡΤΗΣΗΣ ... x+1 x Nα βρεθει το οριο: L= lim[ln(e -1)-x] Α π α ν τ η σ η x+1 x x+1 x x+1 x x x+1 xx x+1 x xx x Eιναι lim[ln(e -1)-x] = lim[ln(e -1)-x] = lim[ln(e -1)-lne ] e -1 = lim[ln ] e e 1 = lim[ln( - )] e e = lim[ln(e- L= x xx x 1 )] e 1 =ln[lim(e- )] e =ln(e-0) 1 e = e - > e = 0 ln 1 ΠΑΡΑΔΕΙΓΜΑ 40 ΟΡΙΟ ΣΤΟ ΑΠΕΙΡΟ (... ΛΟΓΑΡΙΘΜΙΚΗ)  Απλοποιουμε οσο γινεται τη συναρτηση g(x) .  Aν το οριο της g(x) τεινει στο  κ > 0 τοτε .  0+ τοτε .  þ τοτε .  Ισχυουν :  x = lnex για  x = e ln x για x > 0  .
  • 62.
    Τακης Τσακαλακος Κερκυρα2018 62 ΟΡΙΟ ΣΥΝΑΡΤΗΣΗΣ ... 2x+1 x x+4 Nα βρεθει το οριο: L= lim x+3 Α π α ν τ η σ η 2x+1 x 2x+1 x 2(x+3)-5 x 2(x+3) -5 x x E x+4 lim x+3 x+3+1 = lim x+3 1 = lim 1+ x+3 1 1 = lim 1+ 1+ x+3 x+3 1 = lim 1+ x+3 L= 2 x+3 -5 x 2 x+3 -5 x x 2 -5 2 x 1 lim = 0 1 lim 1+ x+3 1 1 = lim 1+ lim 1+ = x+3 x+3 =e x (1+0) e 3 = + ΠΑΡΑΔΕΙΓΜΑ 41 ΟΡΙΟ ΣΤΟ ΑΠΕΙΡΟ (... ΡΗΤΗ ΕΚΘΕΤΙΚΗ) Σ κ ο π ο ς : Nα μετασχηματισουμε τη ρητη συναρτηση σε μορφη η . A ν τ ι μ ε τ ω π ι σ η :  Φερουμε τη συναρτηση f σε μια απ’τις παραπανω μορφες  Ισχυει : .
  • 63.
    Τακης Τσακαλακος Κερκυρα2018 63 ΟΡΙΟ ΣΥΝΑΡΤΗΣΗΣ ... 2x+1 x x+4 Nα βρεθει το οριο: L= lim x+3 Α π α ν τ η σ η x x x x x 1 - = lim x 1 + 1 1- 1-0x= lim = 1 1+01+ x x 2 - = lim x 2 + 2 1- 1-0x= lim = 2 1+01+ x Οποτε, συμφωνα με x x x x x x x x το x x x-1 lim x+1 1 x-2 lim x+2 1 = = x κριτηριο παρεμβολης: lim (f(x)-1)= 1 x lim f(x)= 2 ΠΑΡΑΔΕΙΓΜΑ 42 ΟΡΙΟ ΣΤΟ ΑΠΕΙΡΟ (... ΚΡΙΤΗΡΙΟ ΠΑΡΕΜΒΟΛΗΣ) 1. Με καταλληλες πραξεις «απομονωνουμε» την συναρ - τηση f στο μεσαιο μελος της διπλης ανισοτητας η σχη- ματιζουμε την παρασταση της συναρτησης f το οριο της οποιας ζητουμε. 2. Βρισκουμε τα ορια των ακραιων μελων της ανισοτικης σχεσης. 3. Αν τα πιο πανω ορια ειναι ισα με α, τοτε και το ζητουμενο οριο ειναι ισο με α, συμφωνα με το κριτηριο παρεμβολης Π α ρ α τ η ρ η σ η : Στη περιπτωση που η παρασταση, της οποιας το οριο ζη- τουμε, ειναι κλασμα με παρονομαστη ενα ακραιο μελος της δοσμενης ανισοτικης σχεσης, τοτε :  Διαιρουμε και τα τρια μελη της ανισοτικης σχεσης με το μελος αυτο (το ενα ακραιο μελος γινεται ισο με 1).  Παιρνουμε πλευρικα ορια και δειχνουμε οτι ειναι ισα με 1 .
  • 64.
    Τακης Τσακαλακος Κερκυρα2018 64 ΟΡΙΟ ΣΥΝΑΡΤΗΣΗΣ ... x 1 22 2 xx +x 1 Nα βρεθουν τα ορια: lnx x+e 1. L lim 2. L lim x -1 x +e Α π α ν τ η σ η 0 0 2 2x 1 DLH x 1 2x 1 x 1 + xx + 2 x 2 xx + xDLH x 1. (lnx)'lnx lim = lim x -1 (x -1)' 1 1x=lim = lim 2x 2x 1 = = 2 1 2. (x+e )'x+e lim = lim x +e (x +e )' = lim 1 2 L = 1 2 L = + xx + x xxDLH + xx + x xx xDLH x xx (1+e )'1+e = lim 2x+e (2x+e )' (e )'e = lim = lim 2+e (2+e )' e = lim = e 1 ΠΑΡΑΔΕΙΓΜΑ 43 DE L' HOSPITAL (... ΑΠΡΟΣΔΙΟΡΙΣΤΙΑ 0/0 Ή þ/þ) 1. Το οριο καταληγει σε απροσδιοριστια η . 2. Παιρνουμε το ισοδυναμο οριο του πηλικου των παραγω - γων (αριθμητη και παρονομαστη) . 3. Αν προκυψει νεα απροσδιοριστια, επαναλαμβανουμε το βημα 2 . 4. Βρισκουμε το ισοδυναμο οριο, κατα τα γνωστα .
  • 65.
    Τακης Τσακαλακος Κερκυρα2018 65 ΟΡΙΟ ΣΥΝΑΡΤΗΣΗΣ ... 2x 0 Nα βρεθουν οι τιμες των παραμετρων α και β αν ισχυει: x(α-συνx)+β-2συνx lim x Α π α ν τ η σ η συν0=1 x 0 2 x 0 lim[x(α-συνx)+β-2συνx]= 0 (α-συν0)+β-2συν0 = β-2 και limx = 0 Αν β-2 0 τοτε το οριο θα ειναι , ατοπο αφου το οριο ειναι πραγματικος αριθμος. Ετσιβ-2= 0 . Για β= 2 β= 2 0 0 2 2x 0 DLHx 0 x 0 το οριο γινεται ισοδυναμα: x(α-συνx)+2-2συνx x(α-συνx)+2-2συνx lim = lim x (x )' α-συνx+xημx+2ημx = lim 2x [ ]' x 0 x 0 lim[α-συνx+xημx+2ημx]= α-1+x× 0+2× 0= α-1 και lim2x= 0 Αν α-1 0 τοτε το οριο θα ειναι , ατοπο αφου το οριο ειναι πραγματικος αριθμος. Ετσι α-1= 0 . Για α= 2 και β= α= 1 2x 0 x 0 1 το οριο γινεται ισοδυναμα: [x(1-συνx)+2-2συνx]' = lim (x )' 1-συνx+xημx+2ημx = lim 2x 2x 0 x(1-συνx)+2-2συνx lim x 0 0 DLHx 0 x 0 [1-συνx+xημx+2ημx]' = lim (2x)' -1+0+0 = lim = 2 1 - 2 ΠΑΡΑΔΕΙΓΜΑ 44 (ΠΑΡΑΜΕΤΡΟΣ)
  • 66.
    Τακης Τσακαλακος Κερκυρα2018 66 ΟΡΙΟ ΣΥΝΑΡΤΗΣΗΣ ... + π x 2 Nα βρεθει το οριο: L= lim (π-2x)εφx Α π α ν τ η σ η + + + + + + π x 2 π x 2 π x 2 (0 ) π x 2 π x 2 2 2 π x 2 2 Ειναι lim (π-2x)εφx π-2x = lim 1 εφx π-2x = lim σφx (π-2x)' = lim (σφx)' -2 = lim 1 - ημx = lim 2ημx π = 2 ημ 2 = L= 2 2× 1 = 2 ΠΑΡΑΔΕΙΓΜΑ 45 DE L' HOSPITAL (... ΑΠΡΟΣΔΙΟΡΙΣΤΙΑ 0 × þ) 1. Το οριο καταληγει σε απροσδιοριστια 0 ∙ þ 2. Αντιστρεφουμε μια απ’τις δυο συναρτησεις και την βα - ζουμε παρονομαστη, οποτε προκυπτει οριο ρητης συν- αρτησης. 3. Παιρνουμε το ισοδυναμο οριο του πηλικου των παραγω - γων (αριθμητη και παρονομαστη). 4. Αν προκυψει νεα απροσδιοριστια, επαναλαμβανουμε το βημα 3 . 5. Βρισκουμε το ισοδυναμο οριο, κατα τα γνωστα.
  • 67.
    Τακης Τσακαλακος Κερκυρα2018 67 ΟΡΙΟ ΣΥΝΑΡΤΗΣΗΣ ... x x + Nα βρεθει το οριο: L= lim (lnx-e ) Α π α ν τ η σ η x x + x xx x xx x + + x xx xDLH x xx x Ειναι lim (lnx-e ) lnx = lim e -1 e lnx = lim e lim -1 e (lnx)' = lim e lim -1 (e )' 1 x= lim e lim e L= x xx x -1 1 = lim e lim -1 xe 1 = + ( -1)= + (0-1)= + 1 - ΠΑΡΑΔΕΙΓΜΑ 46 DE L' HOSPITAL (... ΑΠΡΟΣΔΙΟΡΙΣΤΙΑ þ - þ) 1. Το οριο καταληγει σε απροσδιοριστια þ - þ 2. Βγαζουμε κοινο παραγοντα τον ενα ορο της διαφορας f - g και προκυπτει: . 3. Παιρνουμε το ισοδυναμο γινομενο οριων, της μιας απ’τις f, g επι την ρητη που προκυπτει. 4. Αν για τη ρητη συναρτηση προκυπτει απροσδιοριστια, παιρνουμε το οριο του πηλικου των παραγωγων (αριθμητη και παρονομαστη). 5. Αν προκυψει νεα απροσδιοριστια, επαναλαμβανουμε το βημα 4. 6. Βρισκουμε το ισοδυναμο οριο, κατα τα γνωστα.
  • 68.
    Τακης Τσακαλακος Κερκυρα2018 68 ΟΡΙΟ ΣΥΝΑΡΤΗΣΗΣ ... εφx ημx 1 2 x 0 x 0 Nα βρεθουν τα ορια: 1 1. L lim x 2. L lim Α π α ν τ η σ η x x + x xx x xx x + + x xx xDLH x xx x Ειναι lim (lnx-e ) lnx = lim e -1 e lnx = lim e lim -1 e (lnx)' = lim e lim -1 (e )' 1 x= lim e lim e L= x xx x -1 1 = lim e lim -1 xe 1 = + ( -1)= + (0-1)= + 1 - ΠΑΡΑΔΕΙΓΜΑ 47 DE L' HOSPITAL (... ΑΠΡΟΣΔΙΟΡΙΣΤΙΑ ) ΜΟΡΦΗ f(x)g( x) Σ κ ο π ο ς : Nα μετατρεψουμε καταλληλα την ωστε να φτα- σουμε σε μια απ’τις προηγουμενες περιπτωσεις . A ν τ ι μ ε τ ω π ι σ η : 1. Ισχυει : 2. Ετσι : 3. Η απροσδιοριστια εμφανιζεται στον εκθετη του e . 4. Συνεχιζουμε συμφωνα με τις προηγουμενες περιπτω - σεις.
  • 69.
    Τακης Τσακαλακος Κερκυρα2018 69 ΟΡΙΟ ΣΥΝΑΡΤΗΣΗΣ ... x e -x 1 2 xx 0 Nα βρεθουν τα ορια: x-ημx x+2 1. L lim 2. L lim x x+1 -x e Α π α ν τ η σ η + + + + x x 0 x 0 x 0 x 0 x 0 e -x 1 x 0 x-ημx ημx lim( )= lim(1- ) x x ημx = 1- lim x = 1-1= 0 lim(e -x)= e -0= 1 Ετσι x-ημx lim( ) = 0 = x 1 L = 0 → → → → -x x x 1 <1 e -x x x x e 0 x x+2 x lim = lim = 1 x+1 x 1 lim(e )= lim( ) = 0 e Ετσι x+2 lim = 1 = x+1 2 L = 1 ΠΑΡΑΔΕΙΓΜΑ 48 DE L' HOSPITAL (... OXI ΑΠΡΟΣΔΙΟΡΙΣΤΙΑ ) ΜΟΡΦΗ f(x)g( x) (ΑΝΤΙ ... DE L' HOSPITAL) Σ κ ο π ο ς : Nα μετατρεψουμε καταλληλα την ωστε να φτα- σουμε σε μια απ’τις προηγουμενες περιπτωσεις . A ν τ ι μ ε τ ω π ι σ η : 1. Ισχυει : 2. Ετσι : Βρισκουμε το οριο της f και το οριο της g και φτανουμε στο ζητουμενο αποτελεσμα .
  • 70.
    Τακης Τσακαλακος Κερκυρα2018 70 ΟΡΙΟ ΣΥΝΑΡΤΗΣΗΣ ... Δινεται η συναρτηση με τυπο f(x)= 2 1 1 x , χ>0 και ο λ Nα βρειτε το + λ 0 lim Ε(λ) οπου Ε(λ) εμβαδον,του χωριου, που περικλειεται απο τη Cf , τον αξονα χ’χ και τις ευθειες χ=1, χ=λ αν 0<λ<1 Α π α ν τ η σ η ● 2 1 > 0 (1+x) f(χ)= στο (0,1) ● Για 0<λ<1 το εμβαδον Ε(λ) ειναι 1 1 2λ 1 λ 1 Ε(λ)= f(x)dx dx (1+x) 1 1 1 =- + 1+χ 1+1 1+λ 1 1 2 1 = =- και το ζητουμενο οριο ειναι + + λ 0 λ 0 1 1 1 1 lim Ε(λ)= lim ( )= = 2 1 2 1 0 1 2 L= Σ χ ο λ ι ο ... αρεσει ... εχει φανει σε εξετασεις ... και θα ... ΠΑΡΑΔΕΙΓΜΑ 49 ΟΡΙΟ ... ΕΜΒΑΔΟΥ ΧΩΡΙΟΥ (ΑΝΟΙΚΤΟ ΕΝΑ ΑΚΡΟ) (ΧΩΡΙΟ ΠΟΥ ΟΡΙΖΕΤΑΙ ΑΠΟ Cf , x=a, x=λ) 1. Bρισκουμε τη μονοτονονια της f στο διαστημα [α, λ] ή [λ,α] 2. Βρισκουμε το προσημο της f στo [α, λ] ή [λ,α]. 3. Το εμβαδον, σε συναρτηση με το λ, ειναι Ε(λ) = ή Ε(λ) = 4. Για τον υπολογισμο του ζητουμενου οριου Ε(Ω: ● αν 0<λ<α τοτε Ε(Ω)= ● αν λ>α τοτε Ε(Ω)=
  • 71.
    Τακης Τσακαλακος Κερκυρα2018 71 ΟΡΙΟ ΣΥΝΑΡΤΗΣΗΣ ... Δίνεται η παραγωγισιμη συναρτηση f: , για την οποια f'(0)=f(0)=0 για καθε χ Nα υπολογισετε το οριο 2018 2017x 0 f (x) L lim χ ημ(1953χ) Α π α ν τ η σ η ● x 0 f(x) lim =0f'(0)=0 στο Eτσι 2018 2018 2018 2017 2017x 0 x 0 f (x) f (x) χlim lim χ ημ(1953χ) χ L 2018 ημ(1953χ) χ 2018 x 0 2018 x 0 f(x) χ = lim ημ(1953χ) χ f(x) χ 1 0 lim ημ(1953χ) 19 1 1953 53 1 χ1953 0 αφου 1953χ u x 0 x 0 u 0 u 0 ημ(1953χ) ημu lim lim 1 1953χ u ... Για περισσοτερα και ..., εδω ΠΑΡΑΔΕΙΓΜΑ 50 ... ΠΙΟ ΣΥΝΘΕΤΑ ΟΡΙΑ Φερνουμε τη παρασταση, της οποιας ζητουμε το οριο, στην πιο πανω μορφη πολλαπλασιαζοντας και διαιρωντας με καταλληλους ορους η μετασχηματιζοντας γνωστες τριγωνομετρικες σχεσεις . ΣΧΟΛΙΟ: ... Ιδιαιτερα ορια θα βρεις στα βιβλια της lisari team, στο μαυρο, κατα κυριο λογο, στο κοκκινο για να μην πω και στο βιβλια για τα ΕΠΑΛ
  • 72.
  • 73.
  • 74.
  • 75.
    Τακης Τσακαλακος Κερκυρα2018 3 ΓΡΑΦΗΜΑ ΒΑΣΙΚΩΝ ΣΥΝΑΡΤΗΣΕΩΝ ...  ως προς αξονα χ'χ 1 C : f(x) c στο παραδειγμα: f(x)=-1  ως προς αξονα y'y η ιδια η C  ως προς σημειο Ο(0,0) 1 C : f(x) c στο παραδειγμα: f(x)=-1  ως προς την ευθεια y=x (αντιστροφη) 2 C : x c στο παραδειγμα: x=1 (προσοχη, η 2 C ΔΕΝ ειναι αντιστροφη τη C, αφου δεν αποτελει συναρτηση)  προς τα πανω κατα β, β>0 3 C : x c  προς τα κατω κατα α, α>0 4 C : x c  προς τα δεξια-αριστερα δεν εχει νοημα ω=0~εφω=λ=0  τεμνει τον χ'χ: πουθενα  τεμνει τον y'y: στο σημειο (0,c) 1. ΣΤΑΘΕΡΗ ΣΥΝΑΡΤΗΣΗ . ΣΥΜΜΕΤΡΙΕΣ ΜΕΤΑΤΟΠΙΣΕΙΣ ΚΛΙΣΗ ΤΟΜΗ ΜΕ ΑΞΟΝΕΣ
  • 76.
    Τακης Τσακαλακος Κερκυρα2018 4 ΓΡΑΦΗΜΑ ΒΑΣΙΚΩΝ ΣΥΝΑΡΤΗΣΕΩΝ ...  ως προς αξονα χ'χ 1 C : f(x) στο σχημα: f(x)=-2χ-1  ως προς αξονα y'y 2 C : f(x) στο σχημα: f(x)=-2χ+1  ως προς σημειο Ο(0,0) 3 C : f(x) στο σχημα: f(x)=2χ+1  ως προς την ευθεια y=x (αντιστροφη) 1 4 x-β C : f (x)= στο σχημα 1 x+1 f (x)= 2  προς τα πανω κατα ζ, ζ>0 C:f(x)=αχ+(β )  προς τα κατω κατα ε, ε>0 C:f(x)=αχ+(β )  προς τα δεξια κατα δ, δ>0 C:f(x)=α(χ-δ)+β  προς τα αριστερα κατα γ, γ>0 C:f(x)=α(χ+γ)+β ... αναλογα, αν α<0 λ=α  τεμνει τον χ'χ: στο σημειο (-β/α,0)  τεμνει τον y'y: στο σημειο (0,β) 2. ΓΡΑΜΜΙΚΗ ΣΥΝΑΡΤΗΣΗ . (στο παραδειγμα f(x)=2x-1) ΣΥΜΜΕΤΡΙΕΣ ΜΕΤΑΤΟΠΙΣΕΙΣ ΚΛΙΣΗ ΤΟΜΗ ΜΕ ΑΞΟΝΕΣ
  • 77.
    Τακης Τσακαλακος Κερκυρα2018 5 ΓΡΑΦΗΜΑ ΒΑΣΙΚΩΝ ΣΥΝΑΡΤΗΣΕΩΝ ...  ως προς αξονα χ'χ 1 C : f(x) στο σχημα: f(x)=-2χ  ως προς αξονα y'y 1 C : f(x) στο σχημα: f(x)=-2χ  ως προς σημειο Ο(0,0) C: f(x) στο σχημα: f(x)=2χ  ως προς την ευθεια y=x (αντιστροφη) 1 2 x C : f (x)= στο σχημα 1 x f (x)= 2  προς τα πανω κατα ζ, ζ>0 C:f(x)=αχ+  προς τα κατω κατα ε, ε>0 C:f(x)=αχ  προς τα δεξια κατα δ, δ>0 C:f(x)=α(χ-δ)  προς τα αριστερα κατα γ, γ>0 C:f(x)=α(χ+γ) λ=α  τεμνει τους αξονες χ'χ και y'y: στο σημειο (0,0) 3. ΓΡΑΜΜΙΚΗ ΣΥΝΑΡΤΗΣΗ (ειδικη μορφη της προηγουμενης περιπτωσης β=0) . (στο παραδειγμα f(x)=2x) ΣΥΜΜΕΤΡΙΕΣ ΜΕΤΑΤΟΠΙΣΕΙΣ ΚΛΙΣΗ ΤΟΜΗ ΜΕ ΑΞΟΝΕΣ
  • 78.
    Τακης Τσακαλακος Κερκυρα2018 6 ΓΡΑΦΗΜΑ ΒΑΣΙΚΩΝ ΣΥΝΑΡΤΗΣΕΩΝ ... Γνησιως αυξουσα στο πεδιο ορισμου της. ... αναλογα, αν α<0 στο παραδειγμα του σχημα- τος f(x)=-2x ... γνησιως φθινουσα στο πεδιο ορισμου της ΜΟΝΟΤΟΝΙΑ
  • 79.
    Τακης Τσακαλακος Κερκυρα2018 7 ΓΡΑΦΗΜΑ ΒΑΣΙΚΩΝ ΣΥΝΑΡΤΗΣΕΩΝ ...  αν α>0 αξονας συμμετριας: x 2 στο σχημα: x=2 , 2 4 στο σχημα: Α(2,-1)  τεμνει τον χ'χ: στα σημεια (ρ1 ,0), (ρ2 ,0) οπου ρ1 , ρ2 οι ριζες του τριωνυμου  τεμνει τον y'y: στο σημειο (0,γ)  γνησιως φθινουσα στο διαστημα , 2 (σχ. (-þ,2])  γνησιως αυξουσα στο διαστημα , 2 (σχ. [2,+þ))  παρουσιαζει ελαχιστο, το , 2 4 (σχ. Α(2,-1))  προς τα πανω κατα δ, δ>0: 2 C:f(x)=αχ +βχ+(γ )  προς τα κατω κατα ζ, ζ>0: 2 C:f(x)=αχ +βχ+(γ )  προς τα δεξια κατα ε, ε>0: 2 C:f(x)=α(χ-ε) +β(χ-ε)+γ  προς τα αριστερα κατα η, η>0: 2 C:f(x)=α(χ+ε) +β(χ+ε)+γ κυρτη και δεν εχει σημεια καμπης 4. ΤΡΙΩΝΥΜΙΚΗ (ΤΕΤΡΑΓΩΝΙΚΗ) ΣΥΝΑΡΤΗΣΗ . (στο παραδειγμα f(x)=χ2 -4x+3) ΣΥΜΜΕΤΡΙΕΣ ΜΕΤΑΤΟΠΙΣΕΙΣ ΜΟΝΟΤΟΝΙΑ ΤΟΜΗ ΜΕ ΑΞΟΝΕΣ ΚΟΡΥΦΗ ΚΥΡΤΟΤΗΤΑ
  • 80.
    Τακης Τσακαλακος Κερκυρα2018 8 ΓΡΑΦΗΜΑ ΒΑΣΙΚΩΝ ΣΥΝΑΡΤΗΣΕΩΝ ...  αν α<0 (στο παραδειγμα f(x)=-χ2 +4x-3) ομοια με προηγουμενο και  γνησιως αυξουσα στο διαστημα , 2 (σχημα (-þ,2])  γνησιως φθινουσα στο διαστημα , 2 (σχημα [2,+þ)) κοιλη και δεν εχει σημεια καμπης Π Α Ρ Α Τ Η Ρ Η Σ Η  Αν Δ>0 τοτε το γραφημα της f τεμνει τον αξονα χ'χ σε ΔΥΟ σημεια  Αν Δ=0 τοτε το γραφημα της f τεμνει τον αξονα χ'χ σε ΕΝΑ σημεια  Αν Δ<0 τοτε το γραφημα της f ΔΕΝ τεμνει τον αξονα χ'χ. ΜΟΝΟΤΟΝΙΑ ΚΥΡΤΟΤΗΤΑ
  • 81.
    Τακης Τσακαλακος Κερκυρα2018 9 ΓΡΑΦΗΜΑ ΒΑΣΙΚΩΝ ΣΥΝΑΡΤΗΣΕΩΝ ...  αν α>0 αξονας συμμετριας: x 0 (y'y) O(0,0)  τεμνει τους χ'χ και y'y: στo σημειo (0,0)  γνησιως φθινουσα στο διαστημα (-þ,0)  γνησιως αυξουσα στο διαστημα [0,+þ)  παρουσιαζει ελαχιστο, το O(0,0)  προς τα πανω κατα δ, δ>0: 2 C:f(x)=αχ +  προς τα κατω κατα ζ, ζ>0: 2 C:f(x)=αχ  προς τα δεξια κατα ε, ε>0: 2 C:f(x)=α(χ-ε)  προς τα αριστερα κατα η, η>0: 2 C:f(x)=α(χ+ε) κυρτη και δεν εχει σημεια καμπης  αν α<0, ομοια με προηγουμενο και  γνησιως αυξουσα στο διαστημα (-þ,0)  γνησιως φθινουσα στο στο διαστημα [0,+þ) κοιλη και δεν εχει σημεια καμπης 5. ΤΕΤΡΑΓΩΝΙΚΗ ΣΥΝΑΡΤΗΣΗ (ειδικη μορφη της προηγουμενης περιπτωσης β=γ=0) ΣΥΜΜΕΤΡΙΕΣ ΜΕΤΑΤΟΠΙΣΕΙΣ ΜΟΝΟΤΟΝΙΑ ΤΟΜΗ ΜΕ ΑΞΟΝΕΣ ΚΟΡΥΦΗ ΚΥΡΤΟΤΗΤΑ ΜΟΝΟΤΟΝΙΑ ΚΥΡΤΟΤΗΤΑ
  • 82.
    Τακης Τσακαλακος Κερκυρα2018 10 ΓΡΑΦΗΜΑ ΒΑΣΙΚΩΝ ΣΥΝΑΡΤΗΣΕΩΝ ... Α= * κεντρο συμμετριας: O(0,0)  κατακορυφη: χ=0 (y'y) οριζοντια: y=0 (χ'χ)  γνησιως φθινουσα στα διαστηματα (-þ,0), (0,+þ) αν α>0  γνησιως αυξουσα στα διαστηματα (-þ,0), (0,+þ) αν α<0  αν α<0  κυρτη στο διαστημα (-þ,0), κοιλη στο διαστημα (0,+þ)  δεν εχει σημεια καμπης  αν α>0  κοιλη στο διαστημα (-þ,0), κυρτη στο διαστημα (0,+þ)  δεν εχει σημεια καμπης  προς τα πανω κατα δ, δ>0: α C:f(x)= + χ  προς τα κατω κατα ζ, ζ>0: α C:f(x)= χ  προς τα δεξια κατα ε, ε>0: α C: f(x)= χ-ε  προς τα αριστερα κατα η, η>0: α C:f(x)= χ+η 6. ΡΗΤΗ ΣΥΝΑΡΤΗΣΗ ΠΕΔΙΟ ΟΡΙΣΜΟΥ ΜΕΤΑΤΟΠΙΣΕΙΣ ΜΟΝΟΤΟΝΙΑ ΑΣΥΜΠΤΩΤΕΣ ΣΥΜΜΕΤΡΙΕΣ ΚΥΡΤΟΤΗΤΑ
  • 83.
    Τακης Τσακαλακος Κερκυρα2018 11 ΓΡΑΦΗΜΑ ΒΑΣΙΚΩΝ ΣΥΝΑΡΤΗΣΕΩΝ ... Α= * αξονας συμμετριας: ο αξονας y'y  κατακορυφη: χ=0 (y'y) οριζοντια: y=0 (χ'χ)  αν α>0 η f ειναι γνησιως  αυξουσα στο διαστημα (-þ,0),  φθινουσα στο διαστημα (0,+þ)  αν α<0 η f ειναι γνησιως  φθινουσα στο διαστημα (-þ,0),  αυξουσα στο διαστημα (0,+þ)  αν α>0 η f ειναι κυρτη στα διαστηματα (-þ,0), (0,+þ)  δεν εχει σημεια καμπης  αν α<0 η f ειναι κοιλη στα διαστηματα (-þ,0), (0,+þ)  δεν εχει σημεια καμπης  προς τα πανω κατα δ, δ>0: 2 α C: f(x)= + χ  προς τα κατω κατα ζ, ζ>0: 2 α C: f(x)= χ  προς τα δεξια κατα ε, ε>0: 2 α C: f(x)= (χ-ε)  προς τα αριστερα κατα η, η>0: 2 α C: f(x)= (χ+η) 7. ΡΗΤΗ ΣΥΝΑΡΤΗΣΗ ΠΕΔΙΟ ΟΡΙΣΜΟΥ ΜΕΤΑΤΟΠΙΣΕΙΣ ΜΟΝΟΤΟΝΙΑ ΑΣΥΜΠΤΩΤΕΣ ΣΥΜΜΕΤΡΙΕΣ ΚΥΡΤΟΤΗΤΑ
  • 84.
    Τακης Τσακαλακος Κερκυρα2018 12 ΓΡΑΦΗΜΑ ΒΑΣΙΚΩΝ ΣΥΝΑΡΤΗΣΕΩΝ ... Α=[0, +þ)  ως προς τον αξονα χ'χ: C:f(x)=- με χ 0  ως προς την ευθεια y=χ: (αντιστροφη της f) 1 2 C:f (x)=χ με χ 0  αν α>0 η f ειναι γνησιως αυξουσα στο διαστημα [0,+þ)  παρουσιαζει ελαχιστο το Ο(0,0)  η f ειναι κοιλη στο διαστημα [0,+þ)  δεν εχει σημεια καμπης  προς τα πανω κατα δ, δ>0: C:f(x)= +  προς τα κατω κατα ζ, ζ>0: C:f(x)= χ  προς τα δεξια κατα ε, ε>0: C:f(x)= χ-ε  προς τα αριστερα κατα η, η>0: C:f(x)= χ+η Π Α Ρ Α Τ Η Ρ Η Σ Η Στη περιπτωση που εχουμε C:f(x)= α-χ το πεδιο ορισμου ειναι (-þ,α] και το γραφημα της ειναι συμ- μετρικο, ως προς την ευθεια χ=α, του γραφηματος της C:f(x)= χ-α 8. ΤΕΤΡΑΓΩΝΙΚΗ ΡΙΖΑ - ΣΥΝΑΡΤΗΣΗ ΠΕΔΙΟ ΟΡΙΣΜΟΥ ΜΕΤΑΤΟΠΙΣΕΙΣ ΜΟΝΟΤΟΝΙΑ ΣΥΜΜΕΤΡΙΕΣ ΚΥΡΤΟΤΗΤΑ
  • 85.
    Τακης Τσακαλακος Κερκυρα2018 13 ΓΡΑΦΗΜΑ ΒΑΣΙΚΩΝ ΣΥΝΑΡΤΗΣΕΩΝ ... Α=  Aν α>1  ως προς τον αξονα χ'χ: x C:f(x)=- με χ  ως προς τον αξονα y'y: x 1 C:f(x)= με χ  ως προς την ευθεια y=χ: (αντιστροφη της f) 1 α C:f (x)=log χ με χ  αν α>1 η f ειναι γνησιως αυξουσα στο  οριζοντια: y=0 (χ'χ)  η f ειναι κυρτη στο  δεν εχει σημεια καμπης  προς τα πανω κατα δ, δ>0: x C:f(x)=α +  προς τα κατω κατα ζ, ζ>0: x C:f(x)=α  προς τα δεξια κατα ε, ε>0: x-ε C:f(x)=α  προς τα αριστερα κατα η, η>0: x+η C:f(x)=α 9. ΕΚΘΕΤΙΚΗ ΣΥΝΑΡΤΗΣΗ ΠΕΔΙΟ ΟΡΙΣΜΟΥ ΜΕΤΑΤΟΠΙΣΕΙΣ ΜΟΝΟΤΟΝΙΑ ΣΥΜΜΕΤΡΙΕΣ ΚΥΡΤΟΤΗΤΑ ΑΣΥΜΠΤΩΤΕΣ
  • 86.
    Τακης Τσακαλακος Κερκυρα2018 14 ΓΡΑΦΗΜΑ ΒΑΣΙΚΩΝ ΣΥΝΑΡΤΗΣΕΩΝ ...  Aν 0<α<1  ως προς τον αξονα χ'χ: x 1 C:f(x)=- με χ  ως προς τον αξονα y'y: x C:f(x)= με χ  ως προς την ευθεια y=χ: (αντιστροφη της f) 1 1 α C: f (x)= log χ με χ  αν 0<α<1 η f ειναι γνησιως φθινουσα στο  οριζοντια: y=0 (χ'χ)  η f ειναι κυρτη στο  δεν εχει σημεια καμπης  προς τα πανω κατα δ, δ>0: x 1 C: f(x)= + α  προς τα κατω κατα ζ, ζ>0: x 1 C: f(x)= α  προς τα δεξια κατα ε, ε>0: x-ε 1 C: f(x)= α  προς τα αριστερα κατα η, η>0: x+η 1 C: f(x)= α ΜΕΤΑΤΟΠΙΣΕΙΣ ΜΟΝΟΤΟΝΙΑ ΣΥΜΜΕΤΡΙΕΣ ΚΥΡΤΟΤΗΤΑ ΑΣΥΜΠΤΩΤΕΣ
  • 87.
    Τακης Τσακαλακος Κερκυρα2018 15 ΓΡΑΦΗΜΑ ΒΑΣΙΚΩΝ ΣΥΝΑΡΤΗΣΕΩΝ ... Α=  ως προς τον αξονα χ'χ: x C:f(x)=-e με χ  ως προς τον αξονα y'y: x 1 C:f(x)= με χ e  ως προς την ευθεια y=χ: (αντιστροφη της f) 1 C:f (x)=lnχ με χ 0  η f ειναι γνησιως αυξουσα στο  οριζοντια: y=0 (χ'χ)  η f ειναι κυρτη στο  δεν εχει σημεια καμπης  προς τα πανω κατα δ, δ>0: x C:f(x)=e +  προς τα κατω κατα ζ, ζ>0: x C:f(x)=e  προς τα δεξια κατα ε, ε>0: x-ε C:f(x)=e  προς τα αριστερα κατα η, η>0: x+η C:f(x)=e 10. ΕΚΘΕΤΙΚΗ ΣΥΝΑΡΤΗΣΗ ΠΕΔΙΟ ΟΡΙΣΜΟΥ ΜΕΤΑΤΟΠΙΣΕΙΣ ΜΟΝΟΤΟΝΙΑ ΣΥΜΜΕΤΡΙΕΣ ΚΥΡΤΟΤΗΤΑ ΑΣΥΜΠΤΩΤΕΣ
  • 88.
    Τακης Τσακαλακος Κερκυρα2018 16 ΓΡΑΦΗΜΑ ΒΑΣΙΚΩΝ ΣΥΝΑΡΤΗΣΕΩΝ ... Α=(0,+þ)  ως προς τον αξονα χ'χ: C:f(x)=-log x, χ 0  ως προς τον αξονα y'y: C:f(x)=log (-x), χ 0  ως προς την ευθεια y=χ: (αντιστροφη της f) 1 x C:f (x)=α με χ  η f ειναι γνησιως αυξουσα στο (0,+þ)  κατακορυφη: x=0 (y'y)  η f ειναι κοιλη στο (0,+þ)  δεν εχει σημεια καμπης  προς τα πανω κατα δ, δ>0: C: f(x)=log x+  προς τα κατω κατα ζ, ζ>0: C: f(x)=log x  προς τα δεξια κατα ε, ε>0: C: f(x)=log (x-ε)  προς τα αριστερα κατα η, η>0: C:f(x)=log (x+η) 11. ΛΟΓΑΡΙΘΜΙΚΗ ΣΥΝΑΡΤΗΣΗ ΠΕΔΙΟ ΟΡΙΣΜΟΥ ΜΕΤΑΤΟΠΙΣΕΙΣ ΜΟΝΟΤΟΝΙΑ ΣΥΜΜΕΤΡΙΕΣ ΚΥΡΤΟΤΗΤΑ ΑΣΥΜΠΤΩΤΕΣ
  • 89.
    Τακης Τσακαλακος Κερκυρα2018 17 ΓΡΑΦΗΜΑ ΒΑΣΙΚΩΝ ΣΥΝΑΡΤΗΣΕΩΝ ... Α=(0,+þ)  ως προς τον αξονα χ'χ: C:f(x)=-lnx με χ 0  ως προς τον αξονα y'y: C:f(x)=ln(-x) με χ>0  ως προς την ευθεια y=χ: (αντιστροφη της f) 1 x C:f (x)=e με χ  η f ειναι γνησιως αυξουσα στο (0,+þ)  κατακορυφη: x=0 (y'y)  η f ειναι κοιλη στο (0,+þ)  δεν εχει σημεια καμπης  προς τα πανω κατα δ, δ>0: C:f(x)=lnx+δ  προς τα κατω κατα ζ, ζ>0: C:f(x)=lnx  προς τα δεξια κατα ε, ε>0: C:f(x)=ln(x-ε)  προς τα αριστερα κατα η, η>0: C:f(x)=ln(x+η) 12. ΛΟΓΑΡΙΘΜΙΚΗ ΣΥΝΑΡΤΗΣΗ ΠΕΔΙΟ ΟΡΙΣΜΟΥ ΜΕΤΑΤΟΠΙΣΕΙΣ ΜΟΝΟΤΟΝΙΑ ΣΥΜΜΕΤΡΙΕΣ ΚΥΡΤΟΤΗΤΑ ΑΣΥΜΠΤΩΤΕΣ
  • 90.
    Τακης Τσακαλακος Κερκυρα2018 18 ΓΡΑΦΗΜΑ ΒΑΣΙΚΩΝ ΣΥΝΑΡΤΗΣΕΩΝ ... Α=  αξονας συμμετριας: ο αξονας y'y  ως προς τον αξονα χ'χ: C:f(x)=-| x| με χ  η f ειναι γνησιως  φθινουσα στο διαστημα (-þ,0],  αυξουσα στο διαστημα [0,+þ)  η f παρουσιαζει ελαχιστο το Ο(0,0)  προς τα πανω κατα δ, δ>0: C:f(x)=| x| +δ  προς τα κατω κατα ζ, ζ>0: C:f(x)=| x|  προς τα δεξια κατα ε, ε>0: C:f(x)=| x-ε|  προς τα αριστερα κατα η, η>0: C:f(x)=| x+η| 13. ΑΠΟΛΥΤΗ ΤΙΜΗ - ΣΥΝΑΡΤΗΣΗ ΠΕΔΙΟ ΟΡΙΣΜΟΥ ΜΕΤΑΤΟΠΙΣΕΙΣ ΜΟΝΟΤΟΝΙΑ ΣΥΜΜΕΤΡΙΕΣ
  • 91.
    Τακης Τσακαλακος Κερκυρα2018 19 ΓΡΑΦΗΜΑ ΒΑΣΙΚΩΝ ΣΥΝΑΡΤΗΣΕΩΝ ... Α= Τ=2π  αξονας συμμετριας: ο αξονας y'y  ως προς τον αξονα χ'χ: C:f(x)=-ημx με χ  στο [0,2π)=Τ: κεντρο συμμετριας το σημειο (π,0)  η f ειναι γνησιως  αυξουσα στα διαστηματα π 3π 0, , ,2π 2 2  φθινουσα στο διαστημα π 3π , 2 2  η f παρουσιαζει ελαχιστο με τιμη -1 και μεγιστο με τιμη 1.  προς τα πανω κατα δ, δ>0: C:f(x)=ημx+δ  προς τα κατω κατα ζ, ζ>0: C:f(x)=ημx  προς τα δεξια κατα ε, ε>0: C:f(x)=ημ(x-ε)  προς τα αριστερα κατα η, η>0: C:f(x)=ημ(x+η)  περιοδικη συναρτηση με περιοδο: 2π Τ= ω  παρουσιαζει ελαχιστο με τιμη -ρ και μεγιστο με τιμη ρ. 14. ΤΡΙΓΩΝΟΜΕΤΡΙΚΗ ΣΥΝΑΡΤΗΣΗ ΠΕΔΙΟ ΟΡΙΣΜΟΥ ΜΕΤΑΤΟΠΙΣΕΙΣ ΜΟΝΟΤΟΝΙΑ:[0,2π] ΣΥΜΜΕΤΡΙΕΣ ΠΕΡΙΟΔΟΣ f(x)=ρημ(ωχ):ρ,ω>0
  • 92.
    Τακης Τσακαλακος Κερκυρα2018 20 ΓΡΑΦΗΜΑ ΒΑΣΙΚΩΝ ΣΥΝΑΡΤΗΣΕΩΝ ... Α= Τ=2π  αξονας συμμετριας: ο αξονας y'y  ως προς τον αξονα χ'χ: C:f(x)=-συνx με χ  στο [0,2π)=Τ: αξονας συμμετριας η ευθεια χ=π  η f ειναι γνησιως  φθινουσα στο διαστημα [0,π]  αυξουσα στο διαστημα [π,2π]  η f παρουσιαζει ελαχιστο με τιμη -1 και μεγιστο με τιμη 1.  προς τα πανω κατα δ, δ>0: C:f(x)=συνx+δ  προς τα κατω κατα ζ, ζ>0: C:f(x)=συνx  προς τα δεξια κατα ε, ε>0: C:f(x)=συν(x-ε)  προς τα αριστερα κατα η, η>0: C:f(x)=συν(x+η)  περιοδικη συναρτηση με περιοδο: 2π Τ= ω  παρουσιαζει ελαχιστο με τιμη -ρ και μεγιστο με τιμη ρ. 15. ΤΡΙΓΩΝΟΜΕΤΡΙΚΗ ΣΥΝΑΡΤΗΣΗ ΠΕΔΙΟ ΟΡΙΣΜΟΥ ΜΕΤΑΤΟΠΙΣΕΙΣ ΜΟΝΟΤΟΝΙΑ:[0,2π] ΣΥΜΜΕΤΡΙΕΣ ΠΕΡΙΟΔΟΣ f(x)=ρσυν(ωχ):ρ,ω>0
  • 93.
    Τακης Τσακαλακος Κερκυρα2018 21 ΓΡΑΦΗΜΑ ΒΑΣΙΚΩΝ ΣΥΝΑΡΤΗΣΕΩΝ ... Α={χ / π χ κπ+ ,κ 2 } Τ=π  κεντρο συμμετριας στο , 2 2 =Τ : το σημειο Ο(0,0)  ως προς τους αξονες χ'χ, y'y: π C: f(x)=-εφx με χ κπ+ ,κ 2  η f ειναι γνησιως αυξουσα για καθε π χ κπ+ ,κ 2 κατακορυφες τις ευθειες: π χ κπ+ ,κ 2  προς τα πανω κατα δ, δ>0: C:f(x)=εφx+δ  προς τα κατω κατα ζ, ζ>0: C:f(x)=εφx  προς τα δεξια κατα ε, ε>0: C:f(x)=εφ(x-ε)  προς τα αριστερα κατα η, η>0: C:f(x)=εφ(x+η) 16. ΤΡΙΓΩΝΟΜΕΤΡΙΚΗ ΣΥΝΑΡΤΗΣΗ ΠΕΔΙΟ ΟΡΙΣΜΟΥ ΜΕΤΑΤΟΠΙΣΕΙΣ ΜΟΝΟΤΟΝΙΑ ΣΥΜΜΕΤΡΙΕΣ ΠΕΡΙΟΔΟΣ ΑΣΥΜΠΤΩΤΕΣ
  • 94.