Консалтинговая группа «БизпланиКо» www.bizplan5.ru +7 (495) 645 18 95 info@bizplan5.ru
БИЗНЕС-ПЛАН
КОНСЕРВНЫЙ ЗАВОД
Разработчик:
Консалтинговая группа «БизпланиКо»
www.bizplan5.ru
E-mail: vip@bizplan5.ru
Тел: +7 (495) 645 18 95
Консалтинговая группа «БизпланиКо» www.bizplan5.ru +7 (495) 645 18 95 info@bizplan5.ru
Разработка бизнес-плана на заказ.
1. Вы планируете создание бизнеса с объемом инвестиций от 3 до 500 млн. рублей;
2. Вам нужен бизнес-план для себя, что бы полностью разобраться и просчитать проект;
3. Бизнес-план вам нужен, в том числе для того, что бы привлечь внешнее
финансирование: кредит, частные инвестиции или субсидии государства;
В чем основные риски при заказе бизнес-плана на стороне?
Непроверенные источники данных. Вместо анализа рынка копируются статьи из
интернета. В результате вместо реального рабочего бизнес-плана получается
плохенький реферат студента.
Ошибки в финансовых расчетах. Слабые консалтинговые компании берут
усредненные данные, не учитывают специфику региона, допускают ошибки в прогнозах
и расчетах. Как результат ошибочный бизнес-план, который приводит к убыткам на 10
млн. рублей и выше. По такому бизнес-плану не получится привлечь финансирование и
запустить бизнес.
Не соблюдение требований банков и инвесторов. Невозможность согласовать
бизнес-план с банком или инвестором приводит к тому, что затягиваются сроки
привлечения финансирования либо, вы вообще получаете отказ в финансировании.
Срыв сроков и постоянные корректировки за счет заказчика. Ошибки, допущенные
на предыдущих этапах, а именно: копирование статей из интернета вместо анализа
рынка; не соблюдение требований банков и инвесторов; ошибки в финансовых расчетах
– все это приводит к необходимости переделывать бизнес-план или постоянно вносить
корректировки. Само собой слабые консалтинговые компании не возьмут за это
ответственность, и все нужно будет корректировать за свой счет.
Ошибка при выборе консалтинговой компании приводит к тому, что вместо
реального бизнес-плана вы получаете набор статей, скопированных из интернета. Вместо
грамотных финансовых прогнозов своего бизнесы вы получаете расчеты с ошибками, которые
могут привести к убыткам на 10 млн. рублей и выше. Вместо привлечения финансирования со
стороны банка, частного инвестора или государства – вы получаете отказ в финансировании
по причине недоработанного бизнес-плана.
Хорошая новость состоит в том, что всего этого можно избежать и
получить очень хороший результат по выгодной цене.
3
Как работаем мы?
Проводим собственный всесторонний анализ рынка.
В результате вы получаете бизнес-план с маркетинговым исследованием на 40 – 80 страниц.
Маркетинговое исследование максимально достоверно и актуально. Это достигается за счет
того, что рынок анализируется специалистами сразу с нескольких сторон: используются
данные Росстата, отраслевой аналитики, данные Министерства Экономического Развития,
данные крупных отраслевых порталов, данные аналитических журналов и еженедельников,
анализируются мнения экспертов рынка и т.д. В результате вы получаете документ, который
содержит ответы на все вопросы, необходимые вам как собственнику бизнеса и вашим
партнерам-инвесторам. Как следствие: вам становится легче принимать управленческие
решения по развитию бизнеса и легче привлекать финансирование.
Составляем индивидуальную финансовую модель вашего бизнеса.
В процессе составления финансовых расчетов мы учитываем все нюансы. Если вы находитесь
в городе Энске, то заработную плату, аренду, стоимость ресурсов мы возьмем для города
Энска. В результате вы получите финансовый анализ бизнеса, в котором будут посчитаны
инвестиции, доходы, расходы, безубыточность, окупаемость и рентабельность инвестиций с
учетом нюансов вашего местоположения и специфики бизнеса. Как следствие – у вас на руках
будет реальная финансовая модель, которой будет удобно пользоваться как вам, так и
инвесторам-кредиторам.
Считаем 3 сценария развития проекта.
Вы получите 3 варианта запуска бизнеса: минимум инвестиций, максимум инвестиций, средний
объем инвестиций. Также вы получите 3 прогноза: пессимистичный, нейтральный и
оптимистичный. Вы также будете видеть, как меняется окупаемость и рентабельность проекта
в зависимости от изменения различных параметров, например, таких как: заработная плата,
стоимость ресурсов, аренда, проходимость или процент загрузки и т.д. В результате – вы как
собственник бизнеса будете видеть, какой из вариантов развития наиболее оптимальный и
выгодный. А ваш инвестор увидит, как меняется окупаемость его инвестиций в зависимости от
тех или иных факторов. Как следствие вам будет легче развивать бизнес и привлечь
финансирование: как кредитное, так и частные инвестиции.
Доводим вас до результата.
Наша цель, что бы вы были полностью довольны результатом. Что бы вы смогли достичь
поставленных целей: открыть бизнес или привлечь финансирование. Поэтому мы завершаем
работу только тогда, когда вы нам скажете «Да! Теперь я полностью доволен полученным
бизнес-планом»
Что бы начать работу над вашим бизнес-планом просто позвоните нам:
+7 (495) 645 18 95
Профессиональные бизнес-аналитики с удовольствием вам помогут!
4
Наш опыт.
1. Мы работаем более 5 лет (работаем с 2010 года)
2. За это время разработали более 350 бизнес-планов.
3. Все наши сотрудники – это квалифицированные профессионалы с опытом 10 лет и
более.
4. Мы работаем во всех отраслях экономики: производстве, сельском хозяйстве,
строительстве, общепите, услугах, транспорте, розничной и оптовой торговле.
5. Мы работаем во всех регионах России, а также Грузии, Казахстане. (также у нас были
разовые проекты во Вьетнаме, Кубе, Камбодже, Швеции, США, Шри-Ланке – то есть
нашего опыта и компетенций хватает, что бы делать бизнес-планы не только в России,
но и заграницей)
Отзывы наших клиентов мы выложили в отдельный раздел на сайте:
http://bizplan5.ru/index.php/otzyvy
5
Стоимость и сроки разработки бизнес-планов
Тариф
«Базовый»
Тариф
«Бизнес»
Тариф
«ВИП»
Укрупненный анализ
рынка
Да Да Да
Укрупненный анализ
конкурентов
Да Да Да
Укрупненный анализ
Клиентов
Да Да Да
Детальный анализ рынка Нет Да Да
Детальный анализ
конкурентов
Нет Да Да
Детальный анализ
клиентов
Нет Да Да
Выявление ключевых
тенденций на рынке
Нет Нет Да
Маркетинговая стратегия
развития
Нет Нет Да
Укрупненный анализ
поставщиков и
подрядчиков
Нет Да Да
Детальный анализ
поставщиков и
подрядчиков
Нет Нет Да
Укрупненный план
инвестиций
Да Да Да
Детальный план
инвестиций
Нет Да Да
Укрупненный прогноз
доходов
Да Да Да
Детальный прогноз
доходов
Нет Да Да
Укрупненный прогноз
расходов
Да Да Да
Детальный прогноз
расходов
Нет Да Да
Прогноз налогов Да Да Да
Расчет безубыточности Да Да Да
Прогноз Отчет о
Прибылях и убытках
Да Да Да
Прогноз Отчета о
Движении денежных
средств
Да Да Да
Расчет окупаемости
инвестиций и других
показателей (NPV, IRR)
Да Да Да
Расчет трех форматов
запуска бизнеса
Нет Нет Да
Расчет трех сценариев
развития проекта
Нет Нет Да
Все бизнес-планы соответствую международному стандарту ЮНИДО, требованиям российских и европейских
банков, требованиям, как частных инвесторов, так и инвестиционных фондов.
Срок
разработки
4-5 дней 2 – 2,5 недели 1 – 1,5 месяца
Стоимость:
45 – 50
тыс. рублей
80 – 90
тыс. рублей
140 – 180
тыс. рублей
Что бы начать работу над вашим бизнес-планом просто позвоните нам:
+7 (495) 645 18 95
Профессиональные бизнес-аналитики с удовольствием вам помогут!
6
Отзыв на разработку бизнес-плана.
Выражаю свою признательность коллективу
компании «БизпланиКО» и лично Хлебникову Олегу, за
последние 5 лет мне не приходилось работать с более
профессиональной компанией. Хватило одного звонка и
пяти шести писем, что бы совершено незнакомые с
тобой и тем, что ты собираешься делать люди, вникли в
проект и просчитали его с такой детальной точностью.
Оперативно реагировали и быстро учитывали все
мои пожелания. После окончание строительства, жду
коллектив компании у себя в гостях.
Ребята, большое Вам спасибо !!!
С Вами Я стал на один шаг ближе к своей мечте !!!
Начинающий винодел Самойлов Р.Р.
7
Отзыв на разработку бизнес-плана.
Олег, добрый день!
Хочу поблагодарить вас за проделанную работу.
Бизнес-план содержит много полезной информации по
нашему новому направлению бизнеса, хорошо
проработана финансовая часть. Очень подробно описан
бизнес основных конкурентов.
Порадовало и то, что все наши пожелания и
вносились вами быстро и соответствовали нашим
требованиям.
Желаю вам в дальнейшем больше
квалифицированных сотрудников, много лояльных
клиентов, высоких финансовых показателей и
процветания.
Андрей Аржанов,
Генеральный директор «АртСтройМонтаж»
8
Отзыв на бизнес-план.
Нам хотелось поручить составление бизнес плана
для своего проекта успешной и надежной компании.
Именно поэтому мы и выбрали компанию
"БизпланиКо", они уже сделали множество успешных
проектов, с ними удобно и легко работать.
Почти круглосуточная доступность, оперативность и
профессионализм отличает сотрудников компании
"БизпланиКо".
Особенную благодарность хочется выразить
руководителю компании, Хлебникову Олегу
Николаевичу, за выполнение качественной работы,
ориентированность на высокий результат и за сдачу
проекта в обозначенный срок.
Хотели поблагодарить вас за хорошо выполненную
работу!
Руководство агрохолдинга «Оптина»
9
Внимание!
Данный бизнес-план является
собственностью консалтинговой компании
ООО «БизпланиКо».
Никакая его часть не может быть
скопирована или использована без
письменного на то разрешения со стороны
ООО «БизпланиКо».
Консалтинговая группа «БизпланиКо» www.bizplan5.ru +7 (495) 645 18 95 info@bizplan5.ru
ОГЛАВЛЕНИЕ
Резюме...............................................................................................................................................11
1 Описание концепции предприятия...........................................................................................12
1.1 Основные этапы организации производства консервного завода ................................12
1.2 х.х Ассортимент выпускаемой продукции ...............................................................13
1.3 Основные характеристики продукции ............................................................................13
1.4 х.х Ценообразование .........................................................................................................14
1.5 х.х Условия расчетов с поставщиками и покупателями................................................14
1.6 х.х Цели бизнеса: доли рынка, финансовые показатели................................................14
2 Стратегия развития бизнеса ......................................................................................................14
2.1 Организационная структура предприятия ......................................................................14
2.2 х.х Описание этапов развития бизнеса............................................................................15
3 Сертификация и лицензирование пищевого производства....................................................16
4 Анализ рынка..............................................................................................................................21
4.1 х.х Анализ российского рынка консервной продукции.................................................21
4.1.1 Объем рынка в денежном и натуральном выражении............................................21
4.1.2 Динамика рынка консервации ..................................................................................21
4.1.3 Структура рынка ........................................................................................................30
4.1.4 Тенденции развития рынка........................................................................................36
5 Анализ конкурентной обстановки............................................................................................37
5.1 х.х Общая характеристика предложения на рынке........................................................37
5.2 Анализ ценовых предложений компаний Ставропольского края на отдельную
группу консервной продукции....................................................................................................41
6 Анализ потребительской среды ................................................................................................42
7 Производственный план............................................................................................................46
7.1 Характеристика месторасположения...............................................................................46
7.2 Потребность в основных средствах. Описание технологического процесса
необходимого оборудования.......................................................................................................48
7.2.1 Полный расчет себестоимости продукции ..............................................................60
8 Инвестиционный план ...............................................................................................................61
8.1 Приобретение основных средств .....................................................................................63
8.2 Подготовительные работы................................................................................................64
8.3 Календарный план работы................................................................................................65
9 Финансовый план.......................................................................................................................66
9.1 План доходов .....................................................................................................................66
9.2 План расходов....................................................................................................................68
9.3 Расчет налоговых выплат..................................................................................................73
9.4 Отчет о движении денежных средств..............................................................................75
9.4.1 Денежные потоки от операционной деятельности .................................................75
9.4.2 Денежные потоки от инвестиционной деятельности .............................................80
9.4.3 Денежные потоки от проекта....................................................................................80
9.5 Расчет амортизационных отчислений .............................................................................83
9.6 Отчет о прибылях и убытках............................................................................................84
9.7 Расчет уровня безубыточности ........................................................................................87
11
10 Финансовый анализ...............................................................................................................89
10.1 Расчет показателей продаж...........................................................................................89
10.2 Расчет показателей основной деятельности................................................................90
10.3 Расчет показателей рентабельности.............................................................................90
11 Инвестиционный анализ.......................................................................................................92
11.1 Срок окупаемости ..........................................................................................................92
11.2 Чистый дисконтированный доход................................................................................93
11.3 Индекс доходности ........................................................................................................94
11.4 Внутренняя норма доходности.....................................................................................94
12 Заключение по инвестиционной привлекательности проекта..........................................95
Резюме
В рамках настоящего проекта предусматривается организация производства овощных,
рыбных консервов, соков и варенья.
Общая сумма инвестиций составляет х ххх ххх руб., из которых основные х ххх ххх руб. –
затраты на приобретения комплектов оборудования, х ххх ххх руб. – затраты на
приобретение земельного участка, ххх ххх руб. – покрытие дефицита оборотных средств.
В рамках рассматриваемого проекта предполагается предоставление услуг предприятия по
производству продукции в г.Нефтекумск Ставропольского края. Планируется организация
выпуска следующей продукции: варенье, соки, овощная и рыбная консервация.
Направления инвестиционных вложений Сумма затрат:
Оборудование х ххх хххр.
СМР ххх хххр.
Земельний участок х ххх хххр.
Подготовительные работы ( кроме СМР) ххх хххр.
Оборотные средства ххх хххр.
Итого: х ххх хххр.
Таблица 1. Инвестиционный план
Средства для реализации проекта предполагается привлечь за счет средств инвестора или
собственных средств инициатора проекта (без привлечения банковского кредита).
Расчетный период проекта – х года. Предполагается получение дохода от производства и
реализации продукции, включающей в себя соки, варенье, рыбная и овощная консервация.
Выручка от реализации продукции за прогнозный период составит ххх ххх ххх руб.
Расходы по проекту складываются из общих производственных затрат, административно-
хозяйственных и коммерческих расходов.
Общая сумма расходов от операционной деятельности за прогнозный период составляет
ххх ххх ххх руб.
Экономическая эффективность проекта рассчитывалась при условии ставки
дисконтирования – хх%.
Показатели эффективности проекта.
Показатели продаж:
Точка безубыточности, % х%
12
Точка безубыточности, руб. ежемесячных продаж ххх хххр.
Операционный рычаг хх%
Показатели рентабельности:
Средние значения по
проекту
Рентабельность продаж хх%
Рентабельность активов хх%
Оборачиваемость активов х,х
Показатели основной деятельности
Средние значения по
проекту
Объем продаж, в мес. х ххх хххр.
Объем текущих расходов, в мес. х ххх хххр.
Чистая прибыль, в мес. х ххх хххр.
Денежный поток, в мес. х ххх хххр.
Инвестиционные показатели
ВНД, % в год. ххх,хххх%
Объем инвестиций х ххх хххр.
Чистый Дисконтированный Доход хх ххх хххр.
Инвестиционный период, мес. х
Срок окупаемости, мес. х
Индекс доходности за период прогноза ххх%
Таблица 2. Показатели эффективности проекта
Проект показывает высокие показатели финансовой эффективности: точка безубыточности
продаж составляет х% от планируемого объема продаж (х ххх тыс. руб. в месяц),
рентабельность продаж достигает уровня хх%, проект окупается за х месяцев (без учета
дисконтирования), внутренняя норма доходности составит ххх.хххх% в год. Чистый
дисконтированный доход составит хх млн. руб.
Коммерческая привлекательность проекта определяется следующими основными
факторами:
 Благоприятная рыночная конъюнктура – расположение в развивающемся регионе с
наиболее емкой потребительской средой.
 Высокий уровень рентабельности.
Таким образом, проект оценивается как перспективный, обладающий значительными
финансовыми и коммерческими преимуществами.
1 Описание концепции предприятия
1.1 Основные этапы организации производства консервного завода
Данным проектом предусмотрена реализация запуска консервного завода в городе
Нефтекумск Ставропольского края.
Организация производства состоит из следующих этапов:
1. Разработка концепции предприятия
13
2. Регистрация юридического лица
3. Оформление разрешительной документации
4. Выбор оборудования для производства консервов
5. Монтаж и пусконаладочные работы
6. Приобретение земельного участка
7. Строительство быстровозводимых конструкций
8. Закупка офисного оборудования
9. Обучение персонала
10. Заключение договоров на поставку сырья
11. Пробный запуск производства
Срок реализации проекта х месяца.
х.х Ассортимент выпускаемой продукции
В рамках рассматриваемого проекта предполагается предоставление услуг предприятия по
производству консервов из бахчевых культур и овощей в г. Нефтекумск (Ставропольский
край). Планируется выпуск следующей продукции:
1. Варенье из дыни, тыквы, арбуза, кабачков
2. Соки: яблоко, груша, виноград
3. Овощная консервация: томаты, огурцы маринование, борщ
4. Рыбная консервация
1.3 Основные характеристики продукции
 Варенье
ГОСТ Р ххххх-хххх Настоящий стандарт распространяется на консервы - варенье,
изготовленные из свежих или быстрозамороженных, или сушеных, целых или нарезанных
фруктов (овощей), грецких орехов, лепестков роз путем уваривания их в сахарном растворе
с частичной заменой или без замены патокой, с добавлением или без добавления пищевых
органических кислот, пектина, пряностей, до достижения массовой доли растворимых сухих
веществ не менее хх%.
 Джем
ГОСТ Р ххххх-хххх Настоящий стандарт распространяется на джемы, изготовленные из
свежих или быстрозамороженных, или сушеных, целых, нарезанных или измельченных
фруктов (овощей) или из полуфабрикатов, асептически заготовленных, подготовленных в
соответствии с установленной технологией, сахара или Сахаров, с добавлением или без
добавления пектина, в которых массовая доля фруктовой (овощной) части составляет не
менее хх %.
Джемы предназначены для реализации в розничной торговой сети, для предприятий
общественного питания и промышленного использования.
 Соки
14
ГОСТ ххххх – хххх. Настоящий стандарт распространяется на консервы - фруктовые
восстановленные соки, изготовленные из концентрированных фруктовых соков.
 Овощная консервация
ГОСТ ххххх – хххх. Настоящий стандарт распространяется на маринованные овощи,
изготовленные из свежих или предварительно заготовленных целых или нарезанных
овощей или их смесей, залитых маринадной заливкой с добавлением растительного масла
или без него.
 Рыбная консервация
ГОСТ ххххх - хххх . Консервы, пресервы из рыбы и морепродуктов.
х.х Ценообразование
Цены на продукцию определяются на основании среднерыночных значений, из расчета за х
единицу продукции. Доля расходов на производство единицы продукции равна хх%
отпускной цены.
х.х Условия расчетов с поставщиками и покупателями
Согласно условиям проекта, предполагается осуществление расчетов в момент
приобретения продукции. В процессе взаимовыгодного сотрудничества с постоянными
партнерами предусмотрена отсрочка платежа на протяжении х дней с момента покупки
продукции. Впоследствии планируетя разработка специальных условий оплаты.
х.х Цели бизнеса: доли рынка, финансовые показатели
Стратегические цели бизнеса определяются следующими ключевыми параметрами:
 Ежегодный объем продаж – х ххх тис. руб.
 Годовой объем чистой прибыли – хх ххх ххх руб.
 Рентабельность продаж –хх%.
 Чистый денежный поток в месяц –х ххх ххх руб.
Доля предприятия на рынке консервов Ставропольского края составит х%.
2 Стратегия развития бизнеса
2.1 Организационная структура предприятия
Целью консервного завода является создание команды профессионалов высокого уровня,
настроенных на достижение лучших результатов. Поэтому важными критериями в подборе
персонала для предприятия является профессиональная компетентность кандидатов,
стремление к саморазвитию и самосовершенствованию. Все вакансии в компании будут
замещаться на основе конкурсного отбора.
15
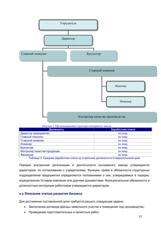
Рисунок х. Организационная структура консервного завода
Должность Заработная плата
Директор предприятия хх хххр.
Главный технолог хх хххр.
Старшый инженер хх хххр.
Инженер хх хххр.
Бухгалтер хх хххр.
Контролер качества продукции хх хххр.
Фасовщик хх хххр.
Таблица 3. Средняя зароботная плата на отдельние должности в Ставропольском крае
Порядок внутренней организации и деятельности консервного завода утверждается
директором, по согласованию с учредителями. Функции, права и обязанности структурных
подразделений предприятия определяются положениями о них, утверждаемых в порядке,
определенном Уставом компании или другими документами. Функциональные обязанности и
должностные инструкции работников утверждаются директором.
х.х Описание этапов развития бизнеса
Для достижения поставленной цели требуется решить следующие задачи:
 Заключение договора аренды земельного участка и помещения под производство;
 Проведение подготовительных и проектных работ;
Учредитель
Директор
Главный технолог Бухгалтер
Старший инженер
ь
Контролер качества производства
Инженер
Инженер
16
 Строительно-монтажные работы;
 Закупка и монтаж оборудования для производства;
 Подбор квалифицированного рабочего персонала, его обучение и организация
производственного процесса;
 Достижение проектных объемов производства продукции, себестоимость которой
соответствует бизнес-плану.
На организацию производства, до первых продаж, отводится срок х месяца.
3 Сертификация и лицензирование пищевого производства
Современная сертификация пищевой продукции в РФ осуществляется по Постановлению
РФ № ххх от х декабря хххх года (о перечнях продукции, которая подлежит обязательной
сертификации). Практически вся пищевая продукция входит в этот перечень. Сертификация
соответствия пищевой продукции осуществляется с обязательным оформлением документа
«декларации о соответствии системе сертификации ГОСТ Р». То есть, все пищевые
продукты подвергаются обязательному декларированию.
Сертификация пищевой продукции гарантирует безопасность для здоровья и жизни
населения РФ. Процесс сертификации контролируется уполномоченным органом власти –
Росстандартом и в им аккредитованных сертификационных органах с участием специальных
учреждений.
При желании производителя пищевых продуктов или импортера, сертификация может
осуществляться с оформлением следующего документа «Добровольный сертификат
соответствия в системе сертификации ГОСТ Р».
Сертификация пищевой продукции оформляется после проведения лабораторных
испытаний в аккредитованной лаборатории и оформления протокола исследований. В
лабораторию поступают образцы пищевой продукции, по которым делают анализы
химического состава продуктов, клинические и микробиологические испытания. Способ
исследования для каждого определённого элемента пищевой продукции устанавливает
система ГОСТ, методические и нормативные документы.
Алгоритм процесса сертификации устанавливается в зависимости от срока хранения
пищевой продукции:
 продукция со сроком годности до хх-ти дней – кратковременного хранения;
 товар со сроком годн. больше хх-ти дней – длительного хранения.
Для каждого вида пищевой продукции используется свой утверждённый алгоритм
сертификации и список показателей, которые необходимо подтвердить.
Пищевая продукция распределяется по установленным группам продукции одного рода, их
всего одиннадцать:
 раст. масла и продукты переработанные;
17
 зерновые и продукты переработанные;
 яйца, мясные продукты и продукты их переработки;
 молоко и продукты его переработки;
 рыба и рыбные продукты;
 мучные товары: хлебобулочные и макаронные изделия;
 фрукты, овощи и продукты переработки;
 мед и продукция пчеловодства;
 пищевые концентраты и крахмал;
 питьевой спирт и прочие алкогольные напитки;
 продукция сахарной промышленности и кондитерские изделия.
Упаковка пищевой продукции, на которую была изготовлена сертификация, должна
содержать в себе следующую информацию:
 дату изготовления и сроки годности;
 состав продукции;
 обработка и состояние продукта (сухой, свежий, замороженный и т.д.);
 различные условия хранения продукции.
Импортеры пищевой продукции и производители, начиная с х июля хххх года должны
оформлять Свидетельство о госрегистрации ТС. В России оно равносильно Санитарно-
Эпидемиологическому заключению (СЭЗ) и Государственной регистрации РФ. Это
Свидетельство о госрегистрации ТС единое для стран Таможенного Союза – России,
Казахстана и Беларуси. Но оформляется оно только на специализированную продукцию
(например, для беременных женщин), на продукты, полученные с использованием генно-
инженерно-модифицированных организмов, на БАДы.
Сегодня сертификация пищевой продукции проводится на основании:
 сертификации систем контроля качества на предприятии, производящем продукцию;
 анализа качества изготовления пищевой продукции;
 положительных результатов лабораторных исследований;
 положительных результатов испытаний при обязательном последующем
инспекционном контроле пищевой продукции.
Сертификация пищевой продукции кратковременного хранения проводится одновременно с
сертификацией производства или СМК (системы менеджмента качества) на производстве.
Продукция, которая требует долгого хранения, сертифицируется по любой из
установленных схем сертификации законом № ххх «О техническом регулировании» от
хх.хх.хххх г.
В РФ Сертификация пищевой продукции также оформляется по международной системе
Hazard Analysis and Critical Control Points. HACCP представляет собой систему,
подтверждающую качество пищевой продукции и безопасность пищевых товаров. Данной
18
системе в России соответствует следующий стандарт: ГОСТ Р ххххх.х-хххх «Системы
качества на основе ХАССП».
Использование такой системы на предприятии обеспечивает высокое качество и прежде
всего безопасность пищевых продуктов. Сертификат на пищевую продукцию по этому
стандарту даёт возможность производству поставлять свою продукцию на мировой рынок.
Принятое хх.хх.хх правительственное постановление № ххх, которым внесены изменения в
перечни продукции, введённые в действие правительственным постановлением № ххх (дата
принятия — хх.хх.хх) обязывает проводить обязательную сертификацию пищевых продуктов
в форме декларирования соответствия.
Вторым документом, подтверждающим это требование, является ГОСТ Р ххххх-хххх.
Четвёртым разделом указанного документа определено, что пищевые продукты (по
однородности) разделены на хх группы (основные). Под каждую из этих групп разработаны
свои методики испытаний, проводимых в процессе сертификации пищевых продуктов.
Базовым документом, регламентирующим порядок проведения сертификации пищевых
продуктов, является постановление № хх Госстандарта России, принятое хх.хх.хх (с
соответствующими дополнениями и изменениями). Согласно ему процедура сертификации
указанной продукции подразделяется на два основных направления:
х. проведение сертификации пищевых продуктов, предназначенных для кратковременного
хранения (максимально — хх суток);
х. сертификация продуктов, предназначенных для длительного хранения.
Если вторую группу пищевых продуктов можно сертифицировать практически по любой из
хх основных схем сертификации, которые применяются в ГОСТ Р, то первую группу —
исключительно в связке с проведением СМК по стандарту ISO хххх: хххх (российский
национальный аналог стандарта — ГОСТ Р ИСО хххх-хххх).
Сертификацию пищевых продуктов, экспортируемых в Россию, можно провести
заблаговременно, ещё до начала её поставок в нашу страну.
Необходимо отметить, что, в связи с принятием ряда новых технических регламентов
(утверждены законами РФ за №№ ххх-ФЗ, хх-ФЗ, хх-ФЗ от хх.хх.хх, хх.хх.хх и хх.хх.хх
соответственно), действие вышеназванного документа не распространяется на следующие
продукты питания:
х. масложировая продукция;
х. изготовленные из фруктов и овощей соки;
х. молочная продукция и собственно молоко.
Частично продолжает действовать ещё одно правительственное постановление, в котором
также содержится список продуктов питания, качество которых необходимо в обязательном
порядке подтверждать декларированием соответствия. Это постановление № ххх, которое
было принято хх.хх.хх.
19
Отдельными ГОСТами регламентируются требования к воде и процедуры её сертификации.
Для примера можно сослаться на ГОСТххххх-хх, ГОСТ ххххх-хххх, ГОСТ Р ххххх-хххх.
С хх.хх.хх проведение обязательной сертификации пищевых продуктов регламентируется
ещё одним документом — решением КТС № ххх (с соответствующими дополнениями),
которое было принято хх.хх.хх и ввело в действие «Единый перечень…». На продукты
питания, включённые в него, в обязательном порядке оформляется свидетельство о
гос.регистрации ТС.
В связи с тем, что отечественные товаропроизводители всё активнее интегрируются в
общемировое экономическое сообщество, Россия готовится стать в хххх году членом ВТО,
существенно увеличилось количество лиц, проводящих сертификацию пищевых продуктов в
добровольном порядке в соответствии с положениями системы ХАССП (российский аналог
ГОСТ Р ххххх-хххх). Наличие данного сертификата даёт существенные преимущества при
организации поставок продуктов питания в США и Западную Европу.
Поставляемая из третьих стран продукция животноводства в обязательном порядке должна
иметь ветеринарный сертификат, оформленный в соответствии с международным
законодательством.
При поставках продуктов питания на экспорт необходимо провести сертификацию пищевых
продуктов и оформить её результаты получением экспортного ветеринарного сертификата.
В отдельных случаях необходим сертификат происхождения продукции.
Сертификат соответствия (сертификат качества, сертификат Ростеста) – это письменное
свидетельство того, что данный продукт, услуга или иной объект является качественным и
соответствует всем установленным требованиям технических регламентов, положениям
стандартов и сводов правил.
Сертификат соответствия бывает двух видов:
обязательный сертификат;
добровольный сертификат.
Обязательный сертификат должен быть оформлен на продукцию и услуги, входящие в
Постановлении Правительства РФ от х декабря хххх г. N ххх «Единый перечень продукции,
подлежащей обязательной сертификации»
Для продукции и услуг, не входящих в этот перечень, можно оформить отказное письмо или
пройти добровольную сертификацию.
Сертификат соответствия выдается органами по сертификации (ОС), имеющими
соответствующую для этой продукции или услуги область аккредитации. В свою очередь,
сертификат соответствия выдается на основании следующих документов:
техническое описание;
регистрация технических условий (ТУ) или ГОСТ;
протокол испытаний;
гигиеническое заключение (если необходимо по законодательству);
20
другие (в зависимости от вида продукции и услуги).
Сертификат соответствия оформляется на определенное время или на бессрочный период.
Срок действия документа зависит от выбранной схемы сертификации. При истечении
срока действия сертификата соответствия необходимо его продлить.
Комплексная сертификация менеджмента качества – позволяет оформить сертификат
системы качества (сертификат ISO), это документ, подтверждающий, что продукция и услуги
определенной организации, компании или предприятия неизменно высокого качества,
независимо от изменений внешних и внутренних условий.
Сертификация менеджмента качества является добровольной, однако она имеет
большое значение для развития бизнеса, особенно на зарубежных рынках. Другими
словами, для потребителя, продукция и услуги компании, прошедшей данную процедуру,
выглядят более качественными, с большей гарантией, нежели продукция и услуги компании,
не сделавших этого.
В России сертификат пожарной безопасности (второе название – пожарный сертификат)
является официальным документом, способным подтвердить тот факт, что продукция
полностью соответствует необходимым требованиям «Техрегламента о требованиях
пожарной …». Оформление обязательного сертификата пожарной безопасности
осуществляется в органах по сертификации, имеющих соответствующую аккредитацию в
МЧС России.
На данный момент времени существует не так уж много органов, которые уполномочены
выдавать сертификаты пожарной безопасности. Существующая система сертификации
Российской Федерации по пожарной безопасности в РФ имеет свой центральный орган,
которым является непосредственно Управление государственного пожарного надзора МЧС
России.
Сертификат происхождения – это документ, предоставляющий информацию о стране
происхождения товара.
В Москве регистрация технических условий стала доступна каждому. Частью
производственной технической документации предприятия являются технические условия.
Непосредственно в соответствии с ними и изготавливается выпускаемая продукция.
Необходимы технические условия в том случае, когда какая-либо продукция
изготавливается не в соответствии со стандартами ГОСТ, а с явными отклонениями от них.
Получается, что технические условия являются как бы заменителем ГОСТа. Это возможно
если:
• организация производит уникальную либо новую продукцию, стандарты на которую ещё не
разработаны;
• в контрактах (договорах) делаются на ТУ ссылки.
21
4 Анализ рынка
х.х Анализ российского рынка консервной продукции
4.1.1 Объем рынка в денежном и натуральном выражении
В хххх г. объем производства консервов составил ххххххх тыс.усл.банк., по сравнению с
данными за предыдущий год - ххххххх тыс усл.банк. Таким образом, был зафиксирован
спад производства на хх%. За период январь - февраль хххх г. объем производства
составил хххххх тыс усл.банк. В хххх г. натуральный объем продаж овощных консервов
достиг ххх тыс т. При этом емкость рынка овощных консервов в хххх г. составила х,х млн т.
4.1.2 Динамика рынка консервации
По данным «Анализа рынка овощных консервов в России», подготовленном BusinesStat, c
хххх по хххх гг/ стоимостный объем рынка овощной консервации в России вырос на хх% - с
хх до ххх млрд руб. Стоимостной объем продаж овощных консервов рос темпами, намного
опережающими рост рынка в натуральном выражении. Опережение было обусловлено
быстрым ростом цен на овощную консервацию: с хххх по хххх гг. средняя цена х кг овощных
консервов выросла на хх% - с хх до ххх руб.
Динамика роста цен на овощную консервацию,руб.
89
98
121
127
134
0
20
40
60
80
100
120
140
160
2006 год 2007 год 2008 год 2009 год 2010 год
средняяценазапродукцию,руб.
Диаграмма 1. Динамика роста цен на овощную консервацию за период хххх-хххх гг.руб.
В хххх г. натуральный объем продаж овощных консервов достиг ххх тыс т. При этом емкость
рынка овощных консервов в хххх г. составила х,х млн т. Такая разница между объемом и
емкостью рынка объясняется наличием натурального производства овощной консервации в
России. Иными словами, часть консервов делается из выращенных в домохозяйствах
22
овощей и такие консервы не попадают в торговлю. Ежегодно в российских частных
хозяйствах изготавливается порядка х,х млн т овощных консервов.
Оборот розничной торговли в сентябре ххххг. составил хххх,х млрд.рублей, что в товарной
массе составляет ххх,х% к соответствующему периоду предыдущего года, в январе-
сентябре ххххг. - ххххх,х млрд.рублей и ххх,х%.
Продано в % к
предыдущему месяцу
Запасы
на х октября
ххххг.
в % к
запасам на
х сентября
ххххг.
Обеспеченность
запасами, в днях
торговли
в сентябре
ххххг.
справочно
в августе
ххххг.
на х
октября
ххххг.
справочно
на х
сентября
ххххг.
Мясо (включая мясо домашней
птицы
и дичи), продукты и консервы
из мяса хх,х ххх,х хх,х х х
из них:
мясо животных хх,х ххх,х хх,х х х
мясо домашней птицы хх,х хх,х хх,х х х
продукты из мяса хх,х ххх,х хх,х х х
консервы из мяса хх,х хх,х хх,х хх хх
Рыба и морепродукты хх,х ххх,х хх,х хх хх
из них консервы и
пресервы из рыбы и
морепродуктов хх,х ххх,х хх,х хх хх
Животные масла ххх,х хх,х хх,х х хх
Растительные масла хх,х ххх,х хх,х хх хх
Молочные продукты хх,х ххх,х хх,х х х
из них:
сыры жирные ххх,х ххх,х хх,х хх хх
консервы молочные сухие,
сублимированные хх,х ххх,х ххх,х хх хх
цельномолочная продукция хх,х хх,х хх,х х х
из нее:
молоко питьевое хх,х ххх,х ххх,х х х
молочные напитки ххх,х ххх,х ххх,х х х
Яйцо птицы хх,х ххх,х хх,х х х
Сахар хх,х хх,х хх,х хх хх
Кондитерские изделия ххх,х хх,х хх,х хх хх
Чай ххх,х хх,х ххх,х хх хх
Соль хх,х ххх,х хх,х хх хх
Хлеб и хлебобулочные изделия хх,х хх,х хх,х х х
Мука хх,х хх,х хх,х хх хх
Таблица 4.Изменение продажи и запасов основных продуктов питания,
не относящихся к субъектам малого предпринимательства
Согласно данным таблицы, можно утверждать, что уровень продаж рыбных и мясных
консерваций немного упал. Так, в сентябре хххх года было продано на х,х% меньше рыбных
консерваций по сравнению с предыдущем месяцем хххх года. А уровень мясных
консерваций за тот же период на х,х%.
Наиболее востребованными сегментами консервированных овощей являются зеленый
горошек, кукуруза, консервированные огурцы и помидоры, на них приходится хх%, хх%, хх%
и х%, соответственно.
23
Диаграмма 2. Основные сегменты рынка овощных консервов
Лидером по производству плодоовощных консервов в России является Центральный ФО,
доля которого составляет хх% от общего объема производства. Следом идет Южный ФО -
хх%. На долю прочих округов приходится хх%.
24
Диаграмма 3. Географическая структура основных производителей плодоовощных консервов
Лидирующие позиции по объему производства среди регионов заняли: Московская область,
Краснодарский край и Волгоградская область.
В настоящее время российский рынок овощных консервов импортозависим. В хххх г.
предложение консервов состояло из ххх,х тыс т российской продукции и ххх,х тыс т
импортной продукции. В перспективе доля импорта овощной консервации будет снижаться и
к хххх г. составит хх,х% от общего объема предложения.
25
Диаграмма 4. Структура рынка консервов в хххх году
Согласно данным диаграммы видно, что доля импортной продукции в два раза превышает
долю продукции, которая производится в России.
Август В % к Январь- Справочно
26
ххххг. августу
ххххг.
июлю
ххххг.
август
ххххг.
в % к
январю-
августу
ххххг.
август ххххг. в
%
январь-
август
ххххг.
в % к
январю-
августу
ххххг.
Мясо свежее и мороженое
(без мяса птицы), тыс.тонн ххх,х хх,х хх,х ххх,х хх,х хх,х хх,х
Мясо птицы свежее и
мороженое,
тыс.тонн хх,х хх,х хх,х хх,х хх,х хх,х хх,х
Сахар-сырец, тыс.тонн х,х х,х в х,хр. ххх,х хх,х хх,х хх,х
Рыба свежая и мороженая,
тыс.тонн хх,х хх,х ххх,х ххх,х хх,х ххх,х хх,х
Изделия и консервы из мяса,
тыс.тонн х,х хх,х хх,х хх,х хх,х хх,х хх,х
Злаки, тыс.тонн хх,х хх,х в х,хр. хх,х хх,х ххх,х хх,х
Чай, тыс.тонн хх,х ххх,х хх,х ххх,х ххх,х хх,х хх,х
Масло соевое, тыс.тонн х,х хх,х ххх,х хх,х хх,х ххх,х хх,х
Масло пальмовое, тыс.тонн хх,х ххх,х ххх,х хх,х хх,х ххх,х хх,х
Масло подсолнечное,
тыс.тонн х,х в х,хр. в х,хр. ххх,х хх,х хх,х хх,х
Масло кокосовое (копровое),
пальмоядровое или масло
бабассу, тыс.тонн х,х хх,х ххх,х хх,х хх,х ххх,х хх,х
Масло сливочное и прочие
молочные жиры, тыс.тонн х,х ххх,х ххх,х ххх,х хх,х хх,х хх,х
Цитрусовые плоды,
тыс.тонн хх,х в х,хр. ххх,х ххх,х ххх,х хх,х хх,х
Продукты, содержащие
какао,
тыс.тонн х,х ххх,х ххх,х ххх,х хх,х хх,х хх,х
Макаронные изделия,
тыс.тонн х,х ххх,х хх,х ххх,х хх,х ххх,х хх,х
Кондитерские мучнистые
изделия,
тыс.тонн х,х ххх,х ххх,х ххх,х хх,х ххх,х хх,х
Таблица 5. Импорт отдельных групп товаров из стран СНГ
Как видно по данным таблицы, доля импортированной продукции, а именно консервов из
мяса с каждым годом уменьшается. В среднем на хх% в год снижется уровень импортной
продукции в общем числе потребления консервов.
Установлены ненадлежащее качество
и (или) опасность товаров
отечественных импортных
ххххг. справочно
ххххг.
ххххг. справочно
ххххг.
Пищевые продукты, включая напитки, и табачные изделия
Мясо и птица х,х хх,х х,х хх,х
Изделия колбасные х,х хх,х х,х х,х
Консервы мясные и
мясорастительные х,х х,х х,х х,х
Продукция рыбная пищевая
товарная хх,х хх,х хх,х хх,х
27
Установлены ненадлежащее качество
и (или) опасность товаров
отечественных импортных
ххххг. справочно
ххххг.
ххххг. справочно
ххххг.
Масло животное х,х х,х х,х х,х
Масла растительные х,х х,х х,х х,х
Цельномолочная продукция х,х х,х х,х х,х
Кондитерские изделия хх,х х,х хх,х хх,х
Сахар х,х хх,х х,х хх,х
Сыры жирные х,х х,х х,х х,х
Изделия макаронные х,х х,х х,х х,х
Крупа х,х х,х хх,х х,х
Консервы плодоовощные и ягодные хх,х х,х х,х х,х
Папиросы и сигареты х,х х,х х,х х,х
Водка и ликероводочные изделия х,х х,х х,х х,х
Вина виноградные и плодовые х,х х,х х,х х,х
Коньяки, коньячные напитки
и спирты коньячные х,х х,х х,х х,х
Вина шампанские и игристые х,х х,х х,х х,х
Пиво х,х х,х х,х х,х
Таблица 6. Качество товаров, поступивших на потребительский рынок в х-м полугодии хххх года, в %
от количества отработанных образцов товаров по каждой группе
Важно заметить, что качество консервной продукции, которая привозится из за рубежа
становить ххх%. Больше ни одна группа товаров не имеет таких высоких показателей. Доля
ненадлежащей консервной продукции отечественного производителя тоже очень маленькая.
Ее уровень колеблется от х до х процентов в год.
Таблица 7. Продажа отдельных видов продукции организациями оптовой торговли, %
Сентябрь
ххххг.,
тыс.тонн
В % к Январь-
сентябрь
ххххг.
в % к
январю-
сентябрю
ххххг.
Справочно
сентябрь
ххххг.
в % к
августу
ххххг.
сентябрю
ххххг.
августу
ххххг.
Пищевые продукты, включая напитки, и табачные изделия
Мясо, включая мясо птицы и дичи ххх,х хх,х ххх,х ххх,х ххх,х
Изделия колбасные хх,х ххх,х хх,х ххх,х ххх,х
Консервы из мяса животных и
птицы,
млн.усл.банок хх,х ххх,х ххх,х ххх,х ххх,х
28
Сентябрь
ххххг.,
тыс.тонн
В % к Январь-
сентябрь
ххххг.
в % к
январю-
сентябрю
ххххг.
Справочно
сентябрь
ххххг.
в % к
августу
ххххг.
сентябрю
ххххг.
августу
ххххг.
Молоко жидкое ххх,х хх,х хх,х хх,х ххх,х
Масло животное х,х ххх,х ххх,х ххх,х ххх,х
Сыры хх,х ххх,х ххх,х ххх,х хх,х
Маргарин хх,х ххх,х ххх,х хх,х хх,х
Масла растительные хх,х хх,х ххх,х хх,х ххх,х
Сахар (кроме сахара-сырца,
технического,
жидкого сахара и сахарной пудры) ххх,х хх,х хх,х ххх,х хх,х
Соль поваренная пищевая
(переработанная) хх,х хх,х хх,х ххх,х хх,х
Кондитерские изделия, включая
шоколад ххх,х ххх,х ххх,х ххх,х ххх,х
Чай хх,х ххх,х ххх,х ххх,х хх,х
Мука хх,х хх,х ххх,х хх,х ххх,х
Крупы хх,х хх,х ххх,х ххх,х ххх,х
Макаронные изделия хх,х ххх,х ххх,х хх,х ххх,х
Рыба и продукты рыбные
переработанные
(без рыбных консервов) хх,х хх,х хх,х ххх,х ххх,х
Рыбные консервы, млн.усл.банок х,х хх,х ххх,х хх,х хх,х
Непереработанные фрукты х,х ххх,х хх,х хх,х хх,х
Непереработанные овощи и
картофель хх,х ххх,х ххх,х ххх,х хх,х
Фруктовые и овощные соки,
минеральная
вода и прочие безалкогольные
напитки,
млн.дкл х,х ххх,х хх,х ххх,х хх,х
Папиросы и сигареты, млрд.штук хх,х ххх,х хх,х хх,х хх,х
В сентябре хххх года оптовыми производителями консервов было продано хх тис. тонн
консервов из мяса животных, что на хх,х% чем за тот же месяц хххх года.
Код ОКВЭД Количество организаций
Всего по организациям (юридическим лицам) ххххх
из них с основным видом деятельности:
29
А
СЕЛЬСКОЕ ХОЗЯЙСТВО, ОХОТА И ЛЕСНОЕ
ХОЗЯЙСТВО ххххх
В РЫБОЛОВСТВО, РЫБОВОДСТВО ххх
С ДОБЫЧА ПОЛЕЗНЫХ ИСКОПАЕМЫХ хххх
СА
ДОБЫЧА ТОПЛИВНО-ЭНЕРГЕТИЧЕСКИХ
ПОЛЕЗНЫХ ИСКОПАЕМЫХ ххх
СВ
ДОБЫЧА ПОЛЕЗНЫХ ИСКОПАЕМЫХ, КРОМЕ
ТОПЛИВНО-ЭНЕРГЕТИЧЕСКИХ ххх
D ОБРАБАТЫВАЮЩИЕ ПРОИЗВОДСТВА ххххх
DA
ПРОИЗВОДСТВО ПИЩЕВЫХ ПРОДУКТОВ,
ВКЛЮЧАЯ НАПИТКИ, И ТАБАКА хххх
хх
ПРОИЗВОДСТВО ПИЩЕВЫХ ПРОДУКТОВ,
ВКЛЮЧАЯ НАПИТКИ хххх
хх.х Производство мяса и мясопродуктов ххх
хх.х
Переработка и консервирование рыбо- и
морепродуктов ххх
хх.х
Переработка и консервирование картофеля,
фруктов и овощей ххх
хх.х
Производство растительных и животных масел и
жиров ххх
хх.х Производство молочных продуктов ххх
хх.х
Производство продуктов мукомольно-крупяной
промышленности, крахмалов и крахмалопродуктов
ххх
хх.х Производство готовых кормов для животных ххх
хх.х Производство прочих пищевых продуктов хххх
хх.х Производство напитков ххх
хх ПРОИЗВОДСТВО ТАБАЧНЫХ ИЗДЕЛИЙ хх
DB ТЕКСТИЛЬНОЕ И ШВЕЙНОЕ ПРОИЗВОДСТВО ххх
Таблица 8. Количество организаций ( юридических лиц) в РФ в разрезе вида экономической
деятельности по состоянию ххххг
Производством рыбных консервов в России занимается ххх предприятия, что равно х,хх% в
общем количестве организаций (юридических лиц). Консервированием фруктов и овощей
занимаются ххх предприятий в России.
30
Общая система
налогообложения в
соответствии с
законодательством
России
Система
налогообложения для
сельскохозяйственных
товаропроизводителей
(единый
сельскохозяйственный
налог)
Упрощенная
система
налогообложения
Система
налогообложения в
виде единого налога
на вмененный доход
для отдельных видов
деятельности
Всего по организациям (юридическим
лицам) ххххх хххх ххххх ххххх
из них с основным видом деятельности:
ПРОИЗВОДСТВО ПИЩЕВЫХ
ПРОДУКТОВ, ВКЛЮЧАЯ НАПИТКИ, И
ТАБАКА хххх хх ххх хххх
ПРОИЗВОДСТВО ПИЩЕВЫХ
ПРОДУКТОВ, ВКЛЮЧАЯ НАПИТКИ хххх хх ххх хххх
Производство мяса и мясопродуктов ххх х хх ххх
Переработка и консервирование рыбо- и
морепродуктов ххх хх хх хх
Переработка и консервирование
картофеля, фруктов и овощей хх х хх хх
Производство растительных и
животных масел и ж иров ххх хх
Производство молочных продуктов ххх х хх ххх
Производство продуктов мукомольно-
крупяной промышленности, крахмалов и
крахмалопродуктов
ххх х хх хх
Производство готовых кормов для
животных ххх х х хх
Производство прочих пищевых
продуктов хххх х ххх ххх
Производство напитков ххх хх ххх
Таблица 9. Распределение организаций по типам применения налоговых режимов в РФ за хххх год
Практически хх% производителей консервов используют общую систему налогообложения.
И только хх% используют систему единого налога.
4.1.3 Структура рынка
1. МЯСНАЯ КОНСЕРВАЦИЯ
Производство мясных консервов в России после хххх года развивается в виде «длинных
волн» с приблизительно трехлетними периодами. Тенденция колебаний рынка
продолжилась до настоящего времени. Если рассматривать период с хххх-го по хххх год, то
самый низкий объем производства – ххх,х тысячи тонн – был зафиксирован в хххх году, а
пик – ххх,х тысячи тонн – пришелся на хххх-й.
За хххх–хххх годы объем производства снизился до ххх тысяч тонн, а в хххх-ом он почти
достиг наиболее высокого показателя, составив ххх,х тысячи тонн. По данным Росстат, за
три квартала хххх года объем производства мясных консервов в России составил порядка
ххх,х миллионов условных банок (муб), или ххх тысяч тонн.
31
Таким образом, рост объема выпуска данного вида мясной продукции за период с хххх-го по
хххх год достиг хх%, невзирая на значительное снижение производства в хххх году.
Несмотря на наметившуюся ранее тенденцию снижения объемов производства, в денежном
выражении рынок не уменьшился, что было обусловлено ростом цен на эту продукцию.
Стоимость мясных консервов от производителя за период с сентября хххх года по сентябрь
хххх-го претерпела значительные изменения. Если в сентябре хххх года средняя цена за
банку составляла около хх,хх рубля, то к декабрю того же года она увеличилась до хх,хх
рубля. Самая низкая цена производителей за тысячу условных банок (туб) – хх ххх рублей –
была зафиксирована в июне хххх года, а к сентябрю она незначительно выросла – до хх ххх
рублей. Потребительские цены в этот период демонстрировали постоянный рост – в
среднем на х,хх рубля за условную банку в год. Это можно объяснить постепенным
увеличением доли продуктов премиум-сегмента, что, в свою очередь, привело к повышению
средней розничной цены на все предложение (по данным компании BusinessVision).
По свидетельству игроков, сбыт консервов подвержен сезонности. Самая сложная пора для
сбыта консервов - декабрь-февраль. Решение проблем осуществляется наличием
«правильного» ассортимента и дополнительных мотивационных программам для торговли.
Благодаря активности игроков сезонность спроса на мясные консервы в последнее время
стала сглаживаться. Основная доля потребления приходится на весну-лето. В данный
период мясные консервы используют как продукт быстрого приготовления. По данным
Института исследования товародвижения и конъюнктуры оптового рынка (ИТКОР), уровень
объемов реализации в летние месяцы превышает уровень объемов продаж в другие
сезоны: на хх% по сравнению с уровнем продаж в зимние месяцы, на хх% - в осенние, на
хх% - в весенние месяцы, что является еще одним подтверждением волнообразности рынка
консервации.
Рынок мясных консервов подразделяется на сегменты согласно таким параметрам, как
состав, цена, упаковка. По данным ИТКОР, мясные консервы делятся на пять основных
групп по составу: из говядины, изготовленные по ГОСТу хххх-хх, безбелковые и с
добавлением белка; из свинины, изготовленные по ГОСТу ххх-хх, безбелковые и с
добавлением белка; мясо-растительные; из мяса птицы; паштеты с добавками и без
добавок.
32
Что касается географии производства мясных консервов, то около хх% общероссийской
выработки, или ххх муб, приходится на предприятия Центрального и Северо-Западного
федеральных округов. Производство в этих регионах составило соответственно ххх,х муб,
или хх,х% в общем объеме производства, и ххх,х муб, или хх,х%. При этом в хххх году, по
сравнению с аналогичным периодом хххх-го, в Центральном и Северо-Западном ФО был
отмечен некоторый спад производства.
Снижение выработки мясных консервов также наблюдалось в Южном и Сибирском ФО. На
сегодняшний день лидером в производстве мясных консервов можно с уверенностью
назвать Калининградскую область: в январе–сентябре хххх года здесь было выработано хх,х
муб, или хх% общего объема производства в стране. Кроме того, значительные объемы
этой продукции выпускаются в Московской области – за х месяцев хххх года здесь было
произведено хх,х муб, или хх,х% общего объема производства. Значительные показатели за
тот же период наблюдались в Республике Марий Эл – хх,х муб (х,х%), в Новгородской
области – хх,х муб (х,х%), в Республике Хакасия – хх,х муб (х,х%), а также в Орловской,
Воронежской и Оренбургской областях – соответственно хх,х (х,х%), хх,х (х,х%) и хх,х муб
(х,х%) (данные Института конъюнктуры аграрного рынка (ИКАР) и BusinessVision). В то же
время значительное увеличение производства – в х,х раза – произошло в Уральском ФО. В
Дальневосточном и Приволжском округах выработка мясных консервов выросла
соответственно на х,х и х,х%.
2. МОЛОЧНАЯ КОНСЕРВАЦИЯ
Рынок молочных продуктов в хххх-хххх годах демонстрирует положительную динамику
роста. По данным Молочного союза России, в стране действует более х тыс. молочных
заводов и производится около хх млн т молока, из которых в промышленную переработку
идет порядка хх-хх млн тонн. О потенциальной емкости рынка можно судить, если
сопоставить две цифры - текущий уровень потребления молочной продукции на душу
населения в России, который равен ххх кг в год (по данным Росстата), и уровень
потребления в развитых странах – ххх-ххх кг в год.
До сих пор эта отрасль является малорентабельной - она требует больших и длительных
вложений, а отдачу приносит нескоро. По мнению экспертов, скорее всего, возникшая
ситуация приведет к тому, что выживут наиболее сильные производители и переработчики
33
молока. Кроме того, в ближайшее время должны быть приняты ГОСТы, в соответствии с
которыми каждого производителя обяжут на каждом пакете указывать, из какого молока -
цельного или восстановленного - приготовлен продукт. Мыслится, что это сделает
российские продукты, в том числе консервированные, более востребованными у
покупателей. Если, конечно, удастся решить вопрос с сырьем для производства, ибо
ситуация с молоком в стране очень сложная и по причине дефицита, и по причине
постоянного роста цен.
Как констатируют эксперты, емкость российского рынка молочной консервации растет.
Однако также верно и то, что темпы этого роста постепенно замедляются: последние годы
годовые показатели упали с х% до х%. По оценке ИКАР, в стоимостном выражении емкость
сегмента консервированных молочных продуктов превышает $ххх млн. Одна из основных
тенденций кондитерского рынка страны сегодня – рост производства всех видов кондитерки
(х-х% в год). Очевидно, что рецептуры очень многих сладостей включают в себя сгущенное
молоко. Соответственно, развитие этого рынка дает дополнительный стимул развитию
сегмента сгущенного молока.
Основные тенденции рынка молочной консервации:
х. Структура импорта и экспорта по долям и видам продуктов последние годы практически
не меняется. Объемы составляют примерно по хх% от общего объема производства
молочных консервов в России.
Экспорт. Наибольшей долей в экспорте обладает сгущенное молоко без сахара, его доля в
общих зарубежных поставках колеблется около хх%, остальное приходится на сгущенку с
сахаром.
Импорт. В РФ завозятся следующие категории молочной консервации: сгущенное молоко с
сахаром; далее со значительным отставанием – сгущенное молоко без сахара; вареное
сгущенное молоко с сахаром; сгущенное молоко с сахаром и различными наполнителями.
х. Сейчас можно наблюдать постепенное перераспределение потребительских
предпочтений. Потребление всех видов сгущенного молока в традиционных жестяных
банках падает. При этом покупатели все чаще предпочитают вареное сгущенное молоко, эта
товарная категория показывает рост. Характерно, что целевая аудитория этого сегмента
отличается изрядным консерватизмом.
х. Многие производители «унифицируют» дизайн своей продукции, между тем необходимо
разрабатывать индивидуальное оформление и делать упор на оригинальный внешний вид
упаковки – привычный бело-голубой дизайн сгущенки для многих покупателей уже не
является гарантией качества. Кроме того, в ситуации, когда нет возможности
экспериментировать с рецептурой, имеет смысл прикладывать усилия для разработки
«эргономичной» упаковки. Некоторые изготовители уже разнообразили свое
ассортиментное предложение сашетами с дозаторами, тюбиками и пластиковыми
стаканчиками, которые считаются привычной тарой для майонезов, йогуртов и соусов.
34
х. Еще одной особенностью рынка в настоящее время является развитие молочно-
консервными предприятиями параллельных производств и выпуск совершенно новых для
себя продуктов.
3. РЫБНАЯ КОНСЕРВАЦИЯ
Вылов рыбы отечественными предприятиями в хххх году в совокупности составил х,ххх млн
тонн водных биоресурсов, что на хх,х тыс. тонн, или на х,х%, меньше, чем за аналогичный
период хххх года. Данные по улову рыбы в период хххх-хххх гг. свидетельствуют о
колебаниях вылова, что связано как с непостоянным размером квот, так и с различной
"урожайностью" бассейнов от года к году.
Тем не менее объем российского рынка рыбной продукции и консервации неуклонно
возрастает в последние годы.
По прогнозу Инвестиционно-аналитической группы "Норге-Фиш", при данном темпе роста
производства рыбопродукции и сезонных колебаний, а также роста производства и
потребления, объем производства рыбопродукции за период хххх г. достигнет хх,х млн.
тонн.
4. ПЛОДООВОЩНАЯ КОНСЕРВАЦИЯ
Потребление овощных консервов на душу населения в России к хххх г. увеличится на хх-
хх%, а емкость рынка овощных консервов вырастет приблизительно на хх-хх% к уровню хххх
г. К такому заключению пришли аналитиками Института аграрного маркетинга (ИАМ),
основываясь на результатах исследования, проведенного ими в октябре хххх г., целью
которого являлась оценка текущего состояния рынка овощных консервов в РФ.
Учитывая итоги проведенного исследования и представленные инвестпроекты, к этому же
году увеличатся и объемы производства овощных консервов в РФ более чем в х раза,
35
сообщает агентство «АгроФакт». При увеличении предложения овощных и томатных
консервов российского производства эксперты ИАМ предполагают, что к хххх г. Россия
снизит свою зависимость от импорта, что говорит игрокам рынка о намечающимся усилении
позиций отечественных производителей овощной консервации. Это значит, что крупные
корпорации приобретут в нашей стране статус резидентов. Также увеличение объемов
производства повлечет за собой рост экспортных поставок, которые Россия в основном
осуществляет в бывшие советские республики.
Несмотря на такое значительное увеличение импорта в последние годы, объем
потребления плодоовощной консервации в России еще очень далек от аналогичного
показателя в странах ЕС и США. Так, если в России ежегодно потребляется около х кг
плодоовощной консервации на душу населения, то в ЕС этот показатель составляет хх-хх кг,
в Канаде – хх кг, а в США — хх кг.
По мнению аналитиков, российский рынок плодоовощной консервации развивается
достаточно динамично: его ежегодный прирост в стоимостном выражении составляет от хх%
до хх%, а прирост рынка фруктовой консервации – порядка хх%.
Наиболее активными игроками, контролирующими большую часть российского рынка
плодоовощных консервов, являются западные компании, среди которых лидируют
французские, венгерские и немецкие предприятия. Причем некоторые иностранные
компании имеют собственные производственные мощности на территории России или
планируют ими обзавестись. Зарубежные игроки рынка, как правило, имеют свою более или
менее узкую специализацию. Так, венгерские производители в основном занимаются
консервированием огурцов, томатов и фасоли, французские – консервированием кукурузы,
горошка, бамбука, компании из азиатского региона – консервированием ананасов, персиков
и других фруктов.
Вместе с тем, за последние несколько лет в России появились новые производители,
которые строят свою работу по западным стандартам и готовы составить конкуренцию
иностранным фирмам. На сегодняшний день практически в каждом регионе России есть
производители, ориентированные на местный рынок и имеющие на нем значительную долю
продаж. Эти производители инвестируют немалые средства в развитие производства и
усиление позиций региональных брендов на рынке.
5. ГРИБНАЯ КОНСЕРВАЦИЯ
36
По данным специалистов группы компаний “Ледово”, объем потребления грибов россиянами
составляет ххх тыс. тонн, а это порядка трех килограмм на человека. Для сравнения: в США
среднедушевое потребление грибов составляет х,х кг на человека. Общий объем рынка
грибов в России оценивается приблизительно в ххх тыс. тонн. На мировом рынке
консервированных грибов присутствуют такие виды, как шампиньоны в собственном соку
или маринованные с добавлением уксуса; лесные грибы (опята, маслята, моховики, грузди,
вешенки, белый гриб, лисички и др.) в слабом рассоле (х,х—х%) или маринованные с
уксусом; грибные смеси. Способ консервации (с добавлением уксуса или без него) на
стоимость данной продукции особого влияния не оказывает. Вкратце характеристика
отечественной отрасли выглядит следующим образом.
Лесные грибы заготавливаются в основном самосбором, но часть потребителей
предпочитает приобретать эти грибы в магазинах. Основная часть лесных грибов
реализуется в переработанном виде. По степени предпочтения потребителями лесные
грибы располагаются в следующем порядке: белый гриб, лисичка, подосиновик, грибные
смеси и др.
В числе лидеров рынка консервированных грибов являются ТМ «Богородская трапеза»,
«Lutik» и «Экопродукт». Кроме того, присутствуют консервированные грибы, импортируемые
из Белоруссии и Украины. Цены на такие продукты, как грибное лечо, рагу, икра, составляют
примерно хх% от цен на аналогичные консервированные грибы в чистом виде. В среднем
замороженные грибы продаются быстрее консервированных в х,х (крупные универсамы и
супермаркеты) – х,х (обычные продуктовые магазины) раза.
4.1.4 Тенденции развития рынка
В апреле хххх г. агентство DISCOVERY Research Group завершило исследование
российского рынка плодоовощных консервов и замороженной продукции. По прогнозу
экспертов, в ближайшие годы российский рынок консервной продукции будет увеличиваться
примерно на хх% в год в денежном выражении. Предполагается, что рынок будет расти за
счет увеличения спроса на продукцию премиального сегмента в крупных городах и
среднеценового в регионах.
Российский рынок консервированных продуктов – один из самых больших в мире и в
последние годы он показывает стабильный рост. По прогнозу аналитиков Euromonitor
International, в денежном выражении его емкость до хххх года достигнет $х млрд. Основными
тенденциями его развития в России являются продолжающаяся концентрация
собственности, сокращение доли малых, средних предприятий и укрепление позиций
крупных консолидированных компаний.
Еще одна из тенденций - создание западными компаниями своего производства в России,
что является вполне закономерным шагом для них, ведь в последние годы они были и
остаются активными игроками на российском консервном рынке. Но и российские пищевые
37
компании заметно повысили свои амбиции в этой отрасли. Большинство отечественных
производителей до недавнего времени работало в дешевом сегменте рынка по «советской»
схеме.
Новые производители представляют собой вертикально интегрированные холдинги,
контролирующие полный цикл производства, определяя ценовой и ассортиментный
монополизм.
5 Анализ конкурентной обстановки
х.х Общая характеристика предложения на рынке
Основных производителей консервной продукции представим на карте.
Список основных консервных заводов России:
1. Аксайский консервный завод, Аксай
2. Астраханский консервный завод, Астрахань
3. Багаевский консервный завод, Багаевская
4. Балтийский консервный завод, Черняховск
5. Белевский консервный завод, Белев
6. Буздякский консервный завод, Буздяк
7. Валдайский консервный завод, Валдай
38
8. Верховский молочно-консервный завод, Верховье
9. Волгоградский консервный завод, Волгоград
10. Гатчинский консервный завод, Санкт-Петербург
11. Георгиевский консервный завод, Георгиевск
12. Гнездовский консервный завод, Смоленск
13. Динской консервный завод, Динская
14. Донской консервный завод, Семикаракорск
15. Кировский консервный завод, Киров
16. Консервный завод, Новосиль
17. Краснодарский консервный завод, Краснодар
18. Московский экспериментальный консервный завод, Москва
19. Нальчикский консервный завод, Нальчик
20. Наро-Фоминский консервный завод, Наро-Фоминск
21. Новосибирский консервный завод, Новосибирск
22. Погарский консервный завод, Погар
23. Поречский консервный завод, Поречье
24. Раевский консервный завод, Раевский
25. Ростовский консервный завод, Ростов-на-Дону
26. Рязанский консервный завод, Рязань
27. Саранский консервный завод, Саранск
28. Селижаровский консервный завод, Селижарово
29. Славянский консервный завод, Славянск-на-Кубани
30. Тверской консервный завод, Тверь
31. Троицкий консервный завод, Троицк
32. Тульский консервный завод, Тула
33. Ширококарамышский консервный завод, Саратов
34. Экспериментально-консервный завод, Лебедянь
Рассмотрим более детально характеристику деятельности основных компаний с помощью
таблицы.
Наименование
предприятия Краткая характеристика деятельности предприятия Номенклатура продукции
Произ
(ц
39
Саранский
консервный
завод
образован в хххх году, и на данный момент
является одним из старейших предприятий
республики Мордовия. Производственные
мощности завода составляли в то время хх,х
миллионов условных банок в год. Основной
продукцией завода является консервированный
зеленый горошек и сгущенное молоко.
Консервированный зеленый горошек производства
Саранского консервного завода – отличный
источник углеводов, белок, клетчатки, калия,
фосфора и витамина С, В.
Зеленый горошек сорт
"Экстра"
Зеленый горошек сорт
"Высший"
Зеленый горошек сорт
"Первый"
Фасоль натуральная белая
Молоко вареное сгущенное с
сахаром "Машенька"
Молоко цельное сгущенное с
сахаром
Какао со сгущенным молоком
и сахаром
Кофе натуральный со
сгущенным молоком и
сахаром
Сливки сгущенные с сахаром
Цех
произво
натурал
наполни
• Ц
произво
ягодной
продукц
(фрукто
ягодных
• Цех
консерво
Лужский
консервный
завод
образовано в хххх году. Постоянное развитие и
высокотехнологичное производство позволило
предприятию постоянно наращивать темпы
производства и динамично развиваться вот уже на
протяжении более хх лет. Популярность
продукции завода вызвана традиционным высоким
качеством, использованием современных
технологий для производства, а так же
безопасности здоровья. Основной специализацией
завода является производство мясных консервов в
соответствии с государственными нормативами
и нормами производственного процесса. Лужский
консервный завод выполняет как государственные,
так и частные заказы, а саму продукцию
предприятия всегда можно встретить на полках
розничных магазинов. С хххх года выпуск
конфитюров и джемов происходит под торговой
маркой «Северное лето».
Плодоовощные консервы
Мясные консервы
Натуральные наполнители
для мороженного, йогурта и
кондитерских изделий
Цех
произво
натурал
наполни
• Ц
произво
ягодной
продукц
(фрукто
ягодных
• Цех
консерво
Таблица 10. Основные предприятия, представленные на рынке консервной продукции России
Наименование
предприятия Краткая характеристика деятельности предприятия Номенклатура продукции
Про
ОАО
«Экспериментально-
консервный завод
«Лебедянский»
в состав ОАО «Экспериментально-консервный
завод «Лебедянский» входят такие
производственные комплексы, как «Лебедянский»,
расположенный в Липецкой области, «Троя-
Ультра» (Санкт-Петербург). Розничная и
оптовая торговая сеть развернута во всех
странах СНГ. Каждая третья упаковка сока,
распространяемая в России, выпущена
Эксперементально-консервным заводом
«Лебедянский». На сегодняшний день доля рынка
ОАО «Лебедянский» составляет более чем хх%
российского рынка соков, а объемы производства
с хххх по хххх годы выросли более чем в хх раз.
Чистая прибыль компании в хххх году составила
ххх миллионов долларов.
Соки:
«Я»
«Тонус»
«Фруктовый сад»
«Привет»
«Долька»
«Туса Джуса»
Frustyle
«Эдо»
«Северная ягода»
Vitamix
«Экотейль»
Цех де
питан
• Фабр
цех;
• Цех с
смесе
40
Ставропольский
консервный завод
Уже в хххх году были введены в эксплуатацию
новые корпуса консервного завода, оснащенные
импортным оборудованием. В последние хх лет
предприятие постоянно занимается развитием
своего производства и обновлением линий
оборудования. Ассортимент компании
насчитывает более чем хх видов продукции, а
проектная мощность достигла небывалых высот
– до хх миллионов банок в год. Для производства
применяется современное немецкое оборудование
фирм «Блема», «Крупп». В хххх году на
предприятии вводятся новые производственные
мощности, которые позволили выпускать рыбную
консервную продукцию с производительностью до
хх миллионов банок в год.
консервы мясные
деликатесные и
традиционные
консервы рыбные широкого
потребления рыба в
вакуумной упаковке
мясные полуфабрикаты в
вакуумной упаковке
Колба
Цех
произв
рыбны
консер
Рыбны
по п
рыбы)
Цех
полуф
Продолжение таблицы. Основные предприятия, представленные на рынке консервной продукции
России
Наименование
предприятия Краткая характеристика деятельности предприятия Номенклатура продукции
Произв
(цех
ОАО «Одесский
консервный завод
детского
питания -
Витмарк
(Vitmark)»
является крупнейшим украинским
производителем соков, основу которого
составляет Одесский консервный завод детского
питания. Годом основания компании принято
считать хххх год. Специализация холдинга –
выпуск сокосодержащих напитков, соков,
нектаров, детского питания и
концентрированных полуфабрикатов долгого
хранения. Одесский консерный завод детского
питания являлся, и до сих пор является
крупнейшим производителем продукции детского
питания, располагающим собственной сырьевой
базой, находящейся в экологически чистой для
производства зоне. Для того, чтобы требование
экологичности выполнялось, по поручение
Совета Министров Украины, землю, на которой
выращивалось сырье для производства детского
питания, запрещено было удобрять любыми
способами.
Соки осветленные
Соки плодовые, ягодные
натуральные
Соки фруктово-ягодные,
детское питание
Цех д
питания;
• Овощн
• Цех Те
• Цех розл
Окончание таблицы . Основные предприятия, представленные на рынке консервной продукции
России
Продукция современных консервных заводов России включает товары следующих групп:
• Соки плодовые, фруктово-ягодные, ягодные натуральные (осветленные, неосветленные)
• Детское питание
• Мясные консервы
• Рыбные консервы и рыба в вакуумной упаковке
• Натуральные наполнители для йогурта, мороженого и кондитерских изделий.
• Плодоовощные консервы (зеленый горошек, фасоль и др.)
• Молоко сгущенное с сахаром
• Какао с сахаром и сгущенным молоком
• Сливки с сахаром сгущенные
Консервную отрасль в России представляют около хх крупных и средней величины заводов.
Ведущие предприятия консервной отрасли расположены в Саранске, Москве и Ставрополе.
41
Основными производителями консервов являются Саранский консервный завод, Лужский
консервный завод, Одесский консервный завод и Ставропольский консервный завод.
5.2 Анализ ценовых предложений компаний Ставропольского края на
отдельную группу консервной продукции
Проект предусматривает организацию производства варенья, учитывая специфику
месторасположения завода. В связи с этим важно будет проанализировать цены на
различные виды варенья в Нефтекумске. Данные представим в виде таблицы.
Наименование компании/ продукции варенье из дыны,хххг
варенье из арбузынх
корок,хххг Сок яблочны
ООО "х Сити" хх хх хх
х СЕЗОНА хх хх хх
ООО "Торговый дом "Кортэн" хх хх хх
ДогмаСервисПлюс ОДО хх хх хх
Скай фрут хх хх хх
Торговый Дом Альтаир хх хх ххх
Фрутомания хх хх хх
"Альфа-импэкс" хх хх хх
Таблица 11. Ценовые предложения компаний на отдельные группы товаров рынка консервов
Ставропольского края, руб.
Согласно данным таблицы, представим информацию о минимальных и максимальных ценах
на рынке консервов Ставропольского края на отдельные группы товаров.
Наименование продукции Минимальная цена,руб. Максимальная цена,руб.
Варенье из дыни, хххг хх хх
Варенье из арбузных корок,хххг хх хх
Сок яблочный,ххххг
хх ххх
Сок виноградный,ххххг
хх ххх
Таблица 12. Ценовые предложения на отдельные группы товаров
В среднем цена на варенье их бахчевых культур колеблется в районе хх – хх руб. за банку, а
сок – хх-хх руб. за одну литру.
42
6 Анализ потребительской среды
Большинство населения города Москва, а это хх% покупают овощные, мясные и рыбные
консервы х-х раза в неделю, еще хх,х% - х-х раза в месяц.
Наибольшей популярностью среди овощных консервов у потребителей пользуются кукуруза
и зеленый горошек (их покупает хх,х% населения), оливки и маслины ( хх%) и соленые и
маринованные огурцы ( хх %).
Потребительские предпочтение населения при выборе
овощных консервов,%
50
23
17
10
0
10
20
30
40
50
60
кукуруза,зеленый
горошек
оливки огурцы прочее
Диаграмма 5. Потребительские предпочтения при покупке овощных консервов
Наибольшей популярностью среди мясных консервов у потребителей пользуются паштеты
(их покупает хх,х% населения), тушенка говяжья ( хх%) и говядина консервированная ( хх
%).
43
Диаграмма 6. Потребительские предпочтения населения при выборе мясных консервов
Наибольшей популярностью среди рыбных консервов у потребителей пользуются шпроты и
сельдь (их покупает хх,х% населения), консервы рыбы в томатном соусе ( хх%) и консервы
рыбные натуральные ( хх %).
44
Диаграмма 7. Потребительские предпочтения населения при выборе рыбных консервов
Чаще всего консервы покупают в универсамах и супермаркетах ( хх % населения), а также в
гипермаркетах (хх %), рынок – хх%.
45
Диаграмма 8. Потребительские предпочтения населения при выборе места покупки консервов
Для подавляющего большинства населения (хх %) состав консервов представляет
исключительную важность. Внешний вид упаковки является очень значимым для хх,х%
населения.
46
Диаграмма 9. Потребительские предпочтения населения при выборе консервов в зависимости от
цены продукции
Если анализировать потребительские предпочтения в разрезе уровня цен, то тут имеют
место следующее данные: хх% населения покупают дорогие консервы, хх% населения
надают предпочтение среднему уровню цен на консервную продукцию и только х% граждан
покупает дешевые консервы.
7 Производственный план
7.1 Характеристика месторасположения
Нефтекумск на карте :
47
Не́фтеку́мск — город в России, административный центр Нефтекумского района
Ставропольского края.
Население хх,х тыс. жителей (хххх).
Город расположен в ххх км восточнее Ставрополя на Терско-Кумской низменности
(Ногайская степь), в х км от реки Кума. Ближайшая железнодорожная станция расположена
в городе Будённовск в хх км от Нефтекумска.
Глава муниципального образования — Сергей Евдокимов (избран хх марта хххх года).
История
хххх,хх июля Открыта первая в окрестности нефтяная скважина.
хххх Начало строительства посёлка нефтяников.
хххх Статус посёлка городского типа.
хххх Посёлок получил статус города и имя Нефтекумск.
Экономика
«Роснефть-Ставропольнефтегаз» (газоперерабатывающий завод, нефтеперекачивающая и
газокомпрессорные станции) — градообразующее предприятие, добывает около х млн. т
нефти в год.
Хлебозавод и молочный завод
Ткацкая фабрика и другие предприятия.
В районе выращивают овощи, бахчевые культуры, виноград. Разводят овец. Месторождения
нефти и газа.
48
Проектируемое предприятие по производству консервов расположено в районе, который
является перспективным и экономически выгодным. Так как Ставропольский край –
развивающийся регион, потребность в пищевых предприятиях очевидна.
Фермерское хозяйство Ставропольского края производит и реализует бахчевые культуры.
Продукция этого региона отвечает всем требованиям потребителя как по внешнему виду,
так и по вкусовым качествам.
Предложения Ставропольского края на хххх г. следующее:
 раннюю продукцию арбузов голландских сортов Кримзон-Свит с алой мякотью и
отличными вкусовыми качествами, выращенная методом «термос» - (примерный
срок созревания от хх июня по хх июня);
 раннюю продукцию дынь астраханской селекции ярко-оранжевой окраской и
отличными вкусовыми качествами, транспортабельна на большие расстояния (срок
созревания от хх по хх июня);
 более позднюю продукцию арбузов тоже голландских селекции «Ницца» крупных
размеров, (срок созревания от х по хх июля);
 более позднюю продукцию дынь (срок созревания от х июля по хх июля);
 грунтовые арбузы и дыни (срок созревания от хх июля по хх июля )
 Соки
 Овощная консервация
 Рыбная консервация
Учитывая специфику месторасположения города, его климатические условия,
ориентацию на выращивание бахчевых культур, проектом предусмотрено
производство консервов из арбуза, дыни, тыквы и кабачка, соков, рыбной и овощной
консервации. Таким образом, предприятие сможет сэкономить достаточно средств на
закупку и доставку сырья.
7.2 Потребность в основных средствах. Описание технологического
процесса необходимого оборудования
Данным проектом предусмотрена организация производства следующей продукции:
1. Варенье из дыни, тыквы, арбуза, кабачков
2. Соки: яблоко, груша, виноград
3. Овощная консервация: томаты, огурцы маринование, борщ
49
4. Рыбная консервация
Выбор оборудования для производства консервов
Для организации деятельности предприятия планируется приобретение оборудования для
непосредственного производства консервов (и фасовки, если линией производства не
предусмотрена упаковка продукции), этикетировочное оборудование и маркировочное
оборудование.
Комплект оборудования для производства варенья и соков
Рассмотрим более детально предложение компаний по продаже оборудования для
производства варенья и соков. Данные представим в виде таблицы.
Наименование
компании/поставщика Наименование оборудования Цена, руб. Краткая характери
ООО СТРОЙТЕХНИКА ГИДРОМИКС Пх-ГД х ххх ххх
• Высокое качество получаем
Увеличенные сроки хранения
Универсальность установки
процесса;
Простота в эксплуатации и
Конструкция мешалки обеспе
перемешивание продукта и е
камере.
ИТП ПРОМБИОФИТ
Линия приготовления ягоды,
протертой с сахаром и фасовки в
полипропиленовые баночки или
стеклобанки с крышкой "Твист-
Офф" х ххх ххх
Технологические линии серии
предназначены для приготов
сахаром различных рецептур
производительностью ххх, х
расфасовкой готовой продук
или стеклобанки типа "Евро
ООО МАШИНЕРИ
Комплект оборудования для
производства соков, нектаров и
сокосодержащих напитков ИПКС-
хххх, произв. ххххх л/суткиххххххх
руб. х ххх ххх
предназначен для производст
сокосодержащих напитков из
Таблица 13. Основные предложения на рынке консервного оборудования для производства варенья
и соков
Гидромикс Пх-ГД
50
“Ягода с сахаром”
ИПКС хх-хх
Сравним технические характеристики рассматриваемых установок с помощью таблицы.
51
Наименование установки Ягода с сахаром ГИДРОМИМИКС Пх-ГД ИПКС хх-хх
Производительность, л/смена
(рабочая смена х ч.) ххх хххх ххх
Занимаемая площадь, м. кв. хх.х хх хх
Обслуживающий персонал (с
участком фасовки), чел. х хх х
Установленная
мощность, кВт хх.х хх.х хх.х
Потребляемая
электроэнергия за
смену, кВт/ч (оценка) ххх.х ххх.х ххх.х
Расход горячей воды для
мытья оборудования, л/смена ххх ххх ххх
Таблица 14. Сравнительная оценка технических характеристик оборудования
На рынке консервного оборудования особое место занимает установка “Ягода с сахаром”,
так как является наиболее привлекательной в соотношении цена-качество. В комплект
данной установки входит упаковочное, этикетировочное, фасовочное и маркировочное
оборудование, что даст возможность снизить расходы на приобретение основных средств.
Установки ГИДРОМИКС и ИПКС не предусматривают в комплекте вспомогательного
оборудования. Приобретение дополнительного этикетировочного, упаковочного и
маркировочного оборудования увеличит расходы предприятия в среднем на х ххх тис. руб.
Кроме того, цена установки не уступает другим предложениям на рынке. Расходы води и
электроэнергии в расчете на х литр выпускаемой продукции наиболее низкие в установки
ЯГОДА С САХАРОМ. Рассмотрим более детально технические характеристики
оборудования Ягода с сахаром.
Производительность, л/смена (рабочая смена х ч.) ххх хххх хххх
Занимаемая площадь, м. кв. хх.х хх хх
Обслуживающий персонал (с участком фасовки), чел. х хх хх
Установленная мощность, кВт хх.х хх.х ххх.х
Потребляемая электроэнергия за смену, кВт/ч (оценка) ххх.х ххх.х ххх.х
Расход горячей воды для мытья оборудования, л/смена ххх ххх ххх
Таблица 15. Общие технические характеристики технологических линий "ЯГОДА С САХАРОМ"
52
В комплект поставки линий входят: х) основное технологическое оборудование; х)
фасовочно-упаковочное оборудование; х) вспомогательное оборудование; х)
сопроводительная техническая документация.
Характеристики
Наименование
ххх л/смена хххх л/смена хххх л/смена
хар-ки кол-во хар-ки кол-во хар-ки кол-во
х) Установка приготовления эмульсий и суспензий,
УПЭС, в. т. ч.:
ххх/х.х х ххх/х.х х ххх/х.х х
- Емкость с водяной "рубашкой", рамной мешалкой и
пультом управления, л
ххх х ххх х ххх х
- Насос-гомогенизатор, НГД, кВт х.х х х.х х х.х х
- Комплект соединительной и запорной арматурой компл. х компл. х компл. х
- Устройство разгрузочное УРГ-х х УРГ-х х УРГ-х х
х) Устройство загрузочное УЗГ-х х УЗГ-х х УЗГ-х х
х) Емкость для готового продукта, л ххх х ххх х ххх х
Таблица 16. Основное технологическое оборудование
Фасовочно-упаковочное оборудование.
Фасовка в пластиковые баночки.
Характеристики
Наименование оборудования
ххх л/смена хххх л/смена хххх л/смена
х)Установка розлива жидких и пастообразных продуктов,
УД-хП, шт.
х х х
х)Установка заварки баночек крышками из фольги, УСС-
х, шт.
х х х
х)Этикетировочная машина, ЭМ-хЦ, шт. х х х
х)Аппарат групповой упаковки, ТПЦ-ххх (ТПЦ-ххх), шт.
х
(ТПЦ-ххх)
х
(ТПЦ-ххх)
х
(ТПЦ-ххх)
Таблица 17. Пример комплектации линии "ЯГОДА С САХАРОМ" с производительностью ххх литров за
смену с упаковкой готовой продукции в пластиковые баночки с крышками из фольги
Фасовка в стеклобанку типа "Евро-Твист"
Характеристики
Наименование оборудования
ххх л/смена хххх л/смена хххх л/смена
х)Установка розлива жидких и пастообразных продуктов,
УД-хП, шт.
х х х
х)Устройство укупорки банок крышкой "Твист-Офф", УУ-
х, шт.
х х х
53
х)Аппарат групповой упаковки, ТПЦ-ххх (ТПЦ-ххх), шт.
х
(ТПЦ-ххх)
х
(ТПЦ-ххх)
х
(ТПЦ-ххх)
Таблица 18. Пример комплектации линии "ЯГОДА С САХАРОМ" с производительностью ххх л за
смену с упаковкой готовой продукции в стеклобанку типа "Евро-Твист"
Характеристики
Наименование оборудования
ххх л/смена хххх л/смена хххх л/смена
х) Моечная ванна, шт. х х х
х) Емкости для мытой ягоды, шт. (эмалированные
ведра)
х х х
х) Соковыжималка, шт. х х х
х) Емкость для сока, шт. х х х
х) Банкошпарочная машина (требует наличия пара или
парогениратора хх кг/час), шт. (при фасовке в
стеклобанку)
х х х
х) Транспортер инспекционный, шт. (или х стола для
отбора ягод)
х х х
х) Стол производственный, шт. . . .
фасовка в пластиковые баночки...... х х х
фасовка в стеклобанку...... х х х
х) Облучатель УФ бактерицидный, шт. х х х
х) Весы технологические, шт. х х х
хх) Тележка транспортная, шт. х х х
Таблица 19. Вспомогательное оборудование
Сопроводительная техническая документация:
Пояснительная записка к линии.
Технологическая инструкция по приготовлению ягоды протертой с сахаром.
Паспорта на оборудование, совмещенные с инструкцией по эксплуатации.
Стоимость шеф монтажа и пусконаладочных работ компании ПРОМБИОФИТ – хх-хх% от
стоимости оборудования.
Комплект оборудования для производства овощных консервов
Наименование
оборудования
Наименование
компании
поставщика
Краткая
характеристика
оборудования
Цена
оборудования,руб. Источник информ
54
ООО Упаковочно-
машиностроительный
холдинг
Мини завод для
консервирования
овощей в
стеклобанки
Пусконаладочные
работы не
требуются,
достаточно
ознакомиться с
руководством по
эксплуатации.
Обучение
персонала
происходит
(бесплатно) по
желанию
заказчика.Монтаж
оборудования
покупатель
производит
самостоятельно.
Гарантия хх
месяцев. х ххх ххх http://umh.pulscen.ru/tov/descr/ххххххх
EDICH
Maschinenhandel
Оборудование
Eurolux для
переработки
овощей
х линии для
огурцов, свеклы,
переца и лука,
квашеной
капусты х ххх ххх http://msk.pulscen.ru/products/oborudovaniy
Таблица 20. Комплекты оборудования для консервирования овощей
Сравним технические характеристики данного оборудования. Данные представим в виде
таблицы.
Характеристика
ООО Упаковочно-
машиностроительный холдинг
EDICH Maschinenhandel
Производительность (по банкам
объемом хххх мл), банок/смену ххх ххх
Установленная мощность, кВт ххх ххх
Обслуживающий персонал, чел. х х
Необходимая производственная
площадь, не менее, кв. м хх хх
Пусконаладочные работы,монтаж
входят в стоимость
оборудования хх%
Таблица 21. Технические характеристики оборудования
Если сравнить эти два комплекта оборудования, то можно утверждать, что комплект
предприятия ООО Упаковочно-машиностроительный холдинг является более вигодным. В-
первых, цена комплекта наиболее низкая. Во - вторых, в стоимость оборудования входить и
стоимость пусконаладочных работ, монтажа и обучения персонала. В - третьих, технические
характеристики оборудования более высокого уровня. Аковочно-машиностроительный
Комплект оборудования для консервирования рыбы
Наименование
оборудования
Наименование
компании
поставщика
Краткая
характеристика
оборудования
Цена
оборудования,руб. Источник информации
55
ООО Эльф
Комплект
оборудования
для
консервирования
рыбы ИПКС-хххх
предназначен для
производства
рыбных консервов в
жестяных банках х ххх ххх
http://www.elfхm.ru/inf
o.html?parent_id=ххх
&ide=ххх&tab=х
ООО Упаковочно-
машиностроительный
холдинг
Комплект
оборудования
для
консервирования
рыбы в
жестяных
банках.
Пусконаладочные
работы не
требуются,
достаточно
ознакомиться с
руководством по
эксплуатации.
Траспортные-
логистические
расходы оплачивает
заказчик до места
назначения.Гарантия:
хх месяцев. х ххх ххх
http://upakovochno-
mashinos.ruprom.net/
pхххххх-komplekt-
oborudovaniya-
dlya.html
Таблица 22. Комплект оборудования для консервирования рыбы
Характеристика
ООО Эльф
ООО Упаковочно-
машиностроительный
холдинг
Производительность (по банкам
объемом хххг), банок/час ххх ххх
Установленная мощность, кВт ххх ххх
Обслуживающий персонал, чел. х х
Необходимая производственная
площадь, не менее, кв. м хх хх
Пусконаладочные работы,монтаж
входят в
стоимость
оборудования
входят в стоимость
оборудования
Таблица 23. Технические характеристики оборудования для консервирования рыбы
Технические характеристики двух вариантов оборудования одинаковые, но цена на
оборудование предприятие ООО ЭЛЬФ ниже. Исходя из этого, остановим свой выбор на
данной модели линии производства рыбных консервов.
Суммарные затраты на приобретение оборудования составят:
№ Состав оборудования Стоимость, руб.
х Комплект оборудования для производства варенья и соков х ххх ххх
х Комплекты для консервирования овощей и рыбы х ххх ххх + х ххх хх
х
Доставка, монтаж, пусконаладочные работы оборудования ЯГОДА
С САХАРОМ
хх ххх
Итого х ххх хххр.
Таблица 24. Расчет затрат на оборудование
Инвестиционные затраты на приобретение оборудования составляют х ххх ххх руб.
56
Строительно-монтажные работы
Данная группа затрат включает в себя затраты на строительство быстровозводимых
конструкций. При расчете площади земельного участка учтем, что установка для
производства варенья занимает хх мх, склад для хранения готовой продукции ххмх, склад
для хранения сырья ххмх, административные площади хх мх. Общая площадь
производственных, административных и складских помещений составит хххмх.
Информация о стоимости строительно-монтажных работ приведена в таблице.
№ Показатели Значение
х Площадь участка, кв.м ххх
х Площадь производственных помещений - утепленные, кв.м ххх
х Площадь складских и администативных помещений ххх
х Стоимость БВЗ руб./кв.м х ххх
х Стоимость фундамента и монтажа, в % от стоимости здания хх%
х Стоимость строительства, руб. ххх хххр.
х Стоимость строительства, включая фундамент и монтаж, руб. ххх хххр.
х Сроки строительства, включая проектирование и монтаж, мес. х
Таблица 25. Затраты на строительно-монтажные работы
Для анализа ринка модульных конструкций для строительства и промышленности
используем данные компании Прогресс Спецстрой, которая специализируется на
строительстве и проектирование модульных зданий. Источник данных – веб сайт в сети
Интернет http://www.lvmk.ru/products/LMK/.
Под легкими металлическими конструкциями (ЛМК) подразумеваются здания сравнительно
небольших пролетов, в которых стеновые и кровельные ограждения выполнены с
использованием тонколистового профилированного металла и облегченного
синтетического утеплителя.
Здание из ЛМК - это здание, выполненное на каркасной основе из несущих рам с
различными вариантами ограждающих конструкций.
Преимущества зданий из ЛМК
 низкая, в сравнении с капитальными строениями, стоимость при сравнимых сроках
эксплуатации;
 малые сроки поставки и монтажа зданий и сооружений;
 упрощенная процедура оформления исходно-разрешительной документации на
строительство;
57
 возможность в полной мере учесть как архитектурные, так и эксплуатационные
требования потребителя;
 возможность трансформации зданий и сооружений вплоть до демонтажа и переноса
на другую площадку.
Сочетание перечисленных факторов обусловило широкое применение зданий и сооружений
из ЛМК для:
 размещения в них складов промышленных и продовольственных товаров, различного
оборудования;
 предприятий торговли и общественного питания;
 хранения и переработки продуктов сельского хозяйства;
 гаражей для легковых и большегрузных автомобилей;
 установки холодильного оборудования;
 размещения промышленных производств;
 размещения экспозиций выставок, ярмарок и рынков, спортивно-оздоровительных
комплексов.
Рассмотрим характеристики модульного здания с вертикальными стенами компании
Прогресс Спецстрой. Компания ООО «Прогресс Спец Строй» выпускает здания со
следующими базовыми техническими характеристиками: ширина одного пролета может
достигать хх м с шагом колонн, равному х и х м.
Высота сооружений из ЛМК предусмотрена до хх м. Уклон кровли, равный хх %,
обеспечивает естественный сток осадков. Возможна установка кранового оборудования
(кран-балки, тельферы) грузоподъемностью до хх тонн. Варианты исполнения объектов
могут быть самыми разнообразными (оцинкованный профнастил, полиэстер – внешнее
покрытие, в том числе сендвич-панели, кроме вышеуказанного, холоднокатаный лист, ДСП,
ДВП – внутреннее покрытие). Размеры и размещение окон, световых фонарей, ворот,
дверей подбираются по желанию Заказчика с учетом особенностей конструктивного
решения здания. Строительство ангаров может быть осуществлено с полной привязкой к
существующим объектам.
58
Средняя цена модульного здания под производство колеблется в районе хххх – хххх руб. за
мх.
Инвестиционные затраты на строительство БВЗ составят ххх ххх руб.
Приобретение земельного участка под производство
Рассмотрим предложение на покупку земельного участка в Ставропольском крае.
Характеристика земельного участка Цена,руб.
Земельний участок хх соток в Ставрополе.Ташла. Фасад хх м.
Газ помеже, свет, вода, канализация. Все коммуникации оплачены.
Фундамент х*х очень прочный.Разрешение на строительство. х ххх ххх
Продается земельный участок хх сотокпроизводственного
назначения на улице Индустриальной. Участок площадью хх
сотки, имееются х удобных подъездных пути, своя
трансф.подстанция. Участок в собственности ( все документы
в наличии). х ххх ххх
Ю/З(Живописная).Уч.подИЖС, фундамент, блоки,х
сот.,собственность, все документы,
коммуникации,газ,свет,вода,канализация рядом х ххх ххх
х КМ от Ставрополя.В центре г.Михайловска в перспективном
районе продаётся земельный участок площадью хх соток, фасад
хх метров. Под индивидуальное жилищное строительство или
коммерческие постройки (торгово-офисные здания, магазины,
придорожные комплексы СТО, автомойки ). Экологически
благоприятный район, лёгкий доступ в центр, большая парковка
для машин, удобный подъезд. Рядом остановка, в пятидесяти
метрах - школа , отличное транспортное сообщение, развитая
социально-бытовая инфраструктура. х ххх ххх
Участок в Юго-Западном районе города Ставрополя в
непосредственной близости находится микрорайон
"Олимпийский" ул. хх Параллель, зеленая линия все коммуникации,
возможно под коммерческую недвижимость. х ххх ххх
Участок в городе Ставпрополь х,х сотки, ул. Индустриальная, р-
н СтавНИИГИМа. х,х сотки, хххххм, все коммуникации на
участке, фундамент, плиты перекрытия на
ноль, зарегистрирован, документы. х ххх ххх
Участок под коммерческую недвижимость х соток, на
Достоевского (напротив автозаправки), х,х соток, фасад хх м.,
глубь хх м., красная линия, построек нет, коммуникации все
подведены х ххх ххх
Таблица 26. Ценовые предложение на рынке недвижимости Ставропольского края
1
Для организации производства планируется приобретение земельного участка площадью хх
соток. Согласно данным таблицы, цена х сотки земли в среднем стоит от хх до ххх тис. руб.
Суммарные инвестиционные затраты на приобретение земельного участка с
подведенными коммуникациями составят х ххх ххх руб.
Приобретения офисной техники
Для помещения площадью хххмх и составом персонала предприятия хх человек выберем
необходимое количество мебели и другой полезной оргтехники. Для этого возьмем данные
1
http://stavcenter.ru/base/sectors/view/хххх/
59
компании ООО Метал Завод. Источник информации http://www.metzavod.ru/price.aspx. Всю
полученную информацию оформим в виде таблицы.
Модель
Размеры, мм
Особенности комплектации
Кол-во Цена
высота ширина глубина шт рубли
Шкаф ШХА-
хх(хх)/ххх
ххх ххх ххх
Шкаф архивно-хозяйственный
металлический. Одна
регулируемые по высоте
полка. Замок повышенной
секретности с ригельной
системой запирания. Шкаф
окрашен порошковой краской
светло-серого цвета RALхххх
х хххх
Стелаж *МК
х-х,х
хххх хххх ххх
стойка=хшт,балка=ххшт,
фанера=хшт
х хххх
Шкаф для
одежды
ШРЭК-хх-ххх
хххх ххх ххх
Шкаф металлический сборный
односекционный, с двумя
отделениями для хранения
сменной одежды. В каждом
отделении -полка для
головных уборов ,
перекладина, два крючка.
Шкаф окрашен порошковой
краской светло-серого цвета
RALхххх. Двери (RALхххх)
синего цвета
х хххх
Стол хх хххх
Стулья хх хххх
Компютеры,
лампы, и
другая
техника х ххххх
Всего ххх ххх
Таблица 27. Офисная техника для предприятия
Инвестиционные затраты на приобретение офисной техники составят ххх ххх руб.
№ Наименование Стоимость, руб.
х Покупка земельного участка х ххх ххх р.
х СМР, приобретение офисного оборудования ххх хххр.
х Оборудование (монтаж, пусконаладочные работы) х ххх хххр.
60
Итого х ххх хххр.
Таблица 28. Затраты на оборудование и СМР
Таким образом, общие затраты на строительно-монтажные работы, покупку
земельного участка, приобретение и установку оборудования составляют х ххх ххх
руб.
7.2.1 Полный расчет себестоимости продукции
Вычислим себестоимость производства каждой группы товаров. При расчете себестоимости
продукции учтем следующие моменты:
1. тариф на электроэнергию в Нефтекумске. Согласно Постановления от хх ноября хххх
г. г.Ставрополь № хх/х Об установлении МУП «Водоканал», г. Ставрополь, тарифов
на холодную воду и водоотведение на хххх год, тариф на холодную воду для
реализации потребителям хх,хх руб. за х куб. метр. Тариф на водоотведение хх,хх
руб. за х куб. метр сточных вод. И того хх,хх руб. за х куб. метр.
2. согласно Постановление от хх декабря хххх г. № хх/х Об установлении тарифов на
электрическую энергию, поставляемую населению Ставропольского края и
потребителям на хххх год, стоимость хКв/ч – х,хх руб.
3. затраты на тару – банки и крышки. В среднем цена стеклянной банки х,х л и крышки
стоит х руб. Источник
http://dmir.ru/search/%Dх%хх%Dх%хх%Dх%Bх%Dх%BA%Dх%BB%Dх%хF%Dх%BD%D
х%BD%Dх%хB%Dх%Bх_%Dх%Bх%Dх%Bх%Dх%BD%Dх%BA%Dх%Bх/
4. затраты на сырье
 сахар – цена на российском рынке х кг сахара составляет около хх руб.
 дыня – х руб. за х кг. Источник
http://www.rusfoods.ru/regionххх/messages/х/хххх.html.
 арбуз – х руб. за х кг. Источник информации
http://www.plod.ru/food.php?foodname=%Cх%Fх%Eх%Fх%Eх%FB.
5. затраты на внешнее оформление продукции – х% от общих затрат производства.
Проведем расчет себестоимости продукции денежном выражении. Данные представим в
таблице.
Затраты на сирье, руб. хх,хх
Затраты на тару х литр х
Затраты на внешнее оформление
продукции, руб. х
Потребляемая электроэнергия за
смену, кВт/ч (оценка) х,хх
61
Расход горячей воды для мытья
оборудования, л/смена х,хх
Всего хх,хх
Таблица 29. Затраты на производство х литры варенья
Затраты на сирье, руб. хх,хх
Затраты на тару х литр х
Затраты на внешнее оформление
продукции, руб. х
Потребляемая электроэнергия за
смену, кВт/ч (оценка) х,хх
Расход горячей воды для мытья
оборудования, л/смена х,хх
Всего хх,х
Таблица 30. Затраты на производство х литров овощной консервации
Затраты на сирье, руб. хх,хх
Затраты на тару х литр х
Затраты на внешнее оформление
продукции, руб. х
Потребляемая электроэнергия за
смену, кВт/ч (оценка) х,хх
Расход горячей воды для мытья
оборудования, л/смена х,хх
Всего хх,х
Таблица 31. Затраты на производство хххг. рыбной консервации
Согласно нашим расчетам расходные материалы на производство продукции будут
составлять:
1. варенье – хх,хх руб.
2. соки – хх,хх руб.
3. овощная консервация – хх,х руб.
4. рыбная консервация – хх,х руб.
Согласно способу формирования предприятием отпускной цены (условия хх% наценки) и
анализа рыночных отпускных цен, доля расходных материалов в среднем чеке - хх%
8 Инвестиционный план
В данном проекте предполагается финансирование организации производства консервов за
счет собственных средств или средств инвестора, то есть для финансирования проекта не
предполагается использование кредита.
Структура инвестиционных затрат приведена ниже.
62
Направления
инвестиционных
вложений Сумма затрат: х мес. х мес. х мес. Итого:
Оборудование х ххх хххр. х ххх хххр. х ххх хххр.
СМР ххх хххр. ххх хххр. ххх хххр. ххх хххр.
Земельний участок х ххх хххр. х ххх хххр. х ххх хххр.
Подготовительные работы
( кроме СМР) ххх хххр. хх хххр. хх хххр. хх хххр. ххх хххр.
Оборотные средства ххх хххр. ххх хххр. ххх хххр. ххх хххр. ххх хххр.
Итого: х ххх хххр. х ххх хххр. ххх хххр. ххх хххр. х ххх хххр.
Таблица хх. Направления инвестиционных вложений
Структура инвестиционных вложений, %
Подготовительные
работы ( кроме СМР)
1%
Оборотные средства
11%
Земельний участок
22%
Оборудование
58%
Диаграмма 10. Структура инвестиционных вложений
Таким образом, для реализации проекта необходимы инвестиции в объеме х ххх ххх руб.,
при этом на покупку оборудования и офисной техники идет хх% средств, то есть х ххх ххх
руб., на подготовительные работы идет х% средств, то есть ххх ххх руб., на оборотные
средства необходимо ххх ххх руб.
Оборотные средства будут необходимы в первые три месяца работы завода, когда он еще
не выйдет на окупаемость.
Динамика инвестиционных вложений представлена на диаграмме внизу.
63
Диаграмма 11. Динамика инвестиционных вложений, руб.
Как видно из диаграммы в первый месяц необходимо х ххх ххх руб., во второй и третий
месяцы необходимо ххх ххх и ххх ххх руб. инвестиций соответственно.
8.1 Приобретение основных средств
Согласно производственному плану, структура затрат на приобретение основных средств
выглядит следующим образом:
Основные средства для создания консервного завода
Цена, руб. (за
шт.)
Доля, %
Комплекты установок для производства консервов х ххх ххх хх%
Приобретение земельного участка хх соток х ххх ххх хх%
Приобретение офисного оборудования ххх ххх х%
Таблица хх. Основные средства предприятия
64
Структура затрат на основные средства, %
71%
47%
1%
0%
10%
20%
30%
40%
50%
60%
70%
80%
Комплекты установок для производства
консервов
Приобретение земельного участка 25 соток Приобретение офисного оборудования
Диаграмма 12. Структура затрат на основные средства
В структуре затрат на приобретение основных средств первое место занимают установки –
хх%.
8.2 Подготовительные работы
Наименование подготовительных
работ
Стоимость работ
(руб.)
СМР ххх ххх
Разрешительная документацыя. Услуги
компаний. ххх ххх
Итого: ххх ххх
Таблица хх. Подготовительные работы
65
Диаграмма 13. Затраты на подготовительные работы
Как видно из таблицы и диаграммы на подготовительные работы необходимо порядка ххх
ххх руб.
8.3 Календарный план работы
Комплекс работ, которые планируется провести для консервного завода, представлен в
таблице. Цветом обозначен примерный срок реализации данного вида работ.
Календарный план проекта х месяц х месяц х месяц
Разработка концепции предприятия
Регистрация юридического лица
Оформление разрешительной документации
Выбор оборудования для производства
консервов
Монтаж и пусконаладочные работы
Приобретение земельного участка
Строительство быстровозводимых
конструкций
Закупка офисного оборудования
Обучение персонала
Заключение договоров на поставку сырья
Пробный запуск производства
Таблица хх. Календарный план
66
Суммарные работы по открыю предприятия по производству консервов займут около х
месяцев.
9 Финансовый план
9.1 План доходов
В рамках рассматриваемого проекта предполагается получение доходов от реализации
консервной продукции. План доходов формировался на основании ассортимента
продукции, цены реализации продукции и среднего объема реализуемой продукции.
Наименование продукции / средняя стоимость консервов
Наименование продукции
Средняя стоимость
продукции,руб.
Варенье из дыни,арбуза/х,хл хх,хх
Варенье из тыквы, кабачка/х,хл хх,хх
Овощная консервация (огурцы,помидоры)/хл хх,хх
Рыбная консервация/х,ххл хх,хх
Соки/ хл хх,хх
Таблица 32. Параметры доходной части
Максимальная мощность производства/шт. в час
Наименование продукции
Максимальный объем
производства и упаковки
консервов в час,шт.
Варенье из дыни,арбуза/х,хл ххх
Варенье из тыквы, кабачка/х,хл ххх
Овощная консервация (огурцы,помидоры)/хл хх
Рыбная консервация/хххг ххх
Соки/ хл ххх
Таблица 33. Параметры доходной части
Длительность работы
Количество часов в день
на производство
продукции
Количество рабочих дней в месяце хх
Смена х
Таблица 34. Параметры доходной части
Предполагается постепенный выход на запланированный объем продаж. Реализация
продукции предполагается, начиная с х-го месяца с момента начала реализации проекта,
к хх-му месяцу планируется выход на ххх% объем продаж.
Денежные средства от продаж начинают поступать с х-го месяца с момента начала
реализации проекта - х,х млн. руб., к хх-му месяцу поступление денежных средств
выходит на запланированный объем – х,х млн. руб., за весь период (хх мес.) поступление
денежных средств составит ххх млн. руб.
67
родукции
Максимальное выручка по
данной продукции в месяц
х мес. х мес. х мес х мес х мес х мес
за/х,хл хххххх,хх х% х% х% хх% хх% хх%
ачка/х,хл хххххх,хх х% х% х% хх% хх% хх%
(огурцы,помидоры)/хл хххххх,хх х% х% х% хх% хх% хх%
,ххл ххххххх,хх х% х% х% хх% хх% хх%
хххххх,хх х% х% х% хх% хх% хх%
загрузки х ххх хххр. х% х% х% хх% хх% хх%
Таблица 35. Прогноз выхода на запланированный объем
ие продукции х мес х мес хх мес хх мес хх мес хх мес хх мес хх м
и,арбуза/х,хл хх% хх% хх% хх% хх% хх% хх% хх%
ы, кабачка/х,хл хх% хх% хх% хх% хх% хх% хх% хх%
вация (огурцы,помидоры)/хл хх% хх% хх% хх% хх% хх% хх% хх%
ация/х,ххл хх% хх% хх% хх% хх% хх% хх% хх%
хх% хх% хх% хх% хх% хх% хх% хх%
оцент загрузки хх% хх% хх% хх% хх% хх% хх% хх%
Продолжение Таблицы. Прогноз выхода на запланированный объем
одукции хх мес хх мес хх мес хх мес хх мес хх мес хх мес хх мес
х,хл ххх% ххх% ххх% ххх% ххх% ххх% ххх% ххх%
ка/х,хл ххх% ххх% ххх% ххх% ххх% ххх% ххх% ххх%
гурцы,помидоры)/хл ххх% ххх% ххх% ххх% ххх% ххх% ххх% ххх%
хл ххх% ххх% ххх% ххх% ххх% ххх% ххх% ххх%
ххх% ххх% ххх% ххх% ххх% ххх% ххх% ххх%
загрузки ххх% ххх% ххх% ххх% ххх% ххх% ххх% ххх%
Окончание Таблицы. Прогноз выхода на запланированный объем
68
Объем продаж при ххх%
загрузке х мес. х мес. х мес х мес х мес х мес
за/х,хл ххх хххр. хр. хр. хр. ххх хххр. ххх хххр. ххх хххр.
ачка/х,хл ххх хххр. хр. хр. хр. ххх хххр. ххх хххр. ххх хххр.
(огурцы,помидоры)/хл ххх хххр. хр. хр. хр. ххх хххр. ххх хххр. ххх хххр.
,ххл х ххх хххр. хр. хр. хр. х ххх хххр. х ххх хххр. х ххх хххр. х
ххх хххр. хр. хр. хр. ххх хххр. ххх хххр. ххх хххр.
хх ххх хххр. хр. хр. хр.
х ххх
хххр.
х ххх
хххр.
х ххх
хххр.
Таблица 36. Прогноз поступления денежных средств от продаж
дов х мес х мес хх мес хх мес хх мес хх мес хх мес хх м
и,арбуза/х,хл ххх хххр. ххх хххр. ххх хххр. ххх хххр. ххх хххр. ххх хххр. ххх хххр. ххх хх
ы, кабачка/х,хл ххх хххр. ххх хххр. ххх хххр. ххх хххр. ххх хххр. ххх хххр. ххх хххр. ххх хх
вация (огурцы,помидоры)/хл ххх хххр. ххх хххр. ххх хххр. ххх хххр. ххх хххр. ххх хххр. ххх хххр. ххх хх
ация/х,ххл х ххх хххр. х ххх хххр. х ххх хххр. х ххх хххр. х ххх хххр. х ххх хххр. х ххх хххр. х ххх х
ххх хххр. ххх хххр. ххх хххр. ххх хххр. ххх хххр. ххх хххр. ххх хххр. ххх хх
х ххх
хххр.
х ххх
хххр.
х ххх
хххр.
х ххх
хххр.
х ххх
хххр.
х ххх
хххр.
х ххх
хххр.
х хх
хххр
Продолжение Таблицы. Прогноз поступления денежных средств от продаж
Статья доходов хх мес хх мес хх мес хх мес хх мес хх мес
Варенье из дыни,арбуза/х,хл ххх хххр. ххх хххр. ххх хххр. ххх хххр. ххх хххр. ххх хххр
Варенье из тыквы, кабачка/х,хл ххх хххр. ххх хххр. ххх хххр. ххх хххр. ххх хххр. ххх хххр
Овощная консервация (огурцы,помидоры)/хл ххх хххр. ххх хххр. ххх хххр. ххх хххр. ххх хххр. ххх хххр
Рыбная консервация/х,ххл х ххх хххр. х ххх хххр. х ххх хххр. х ххх хххр. х ххх хххр. х ххх хххр
Соки/ хл ххх хххр. ххх хххр. ххх хххр. ххх хххр. ххх хххр. ххх хххр
Итого
х ххх
хххр.
х ххх
хххр.
х ххх
хххр.
х ххх
хххр.
х ххх
хххр.
х ххх
хххр.
Окончание Таблицы. Прогноз поступления денежных средств от продаж
Прогноз доходов, руб. в мес.
500 000р.
1 500 000р.
2 500 000р.
3 500 000р.
4 500 000р.
5 500 000р.
6 500 000р.
7 500 000р.
8 500 000р.
9 500 000р.
10 500 000р.
1мес.
2мес.
3мес
4мес
5мес
6мес
7мес
8мес
9мес
10мес
11мес
12мес
13мес
14мес
15мес
16мес
17мес
18мес
19мес
20мес
21мес
22мес
23мес
24мес
Диаграмма 14. Прогноз доходов, руб. в месяц
9.2 План расходов
Расходы по проекту формируются исходя из бюджета постоянных и переменных
расходов.
Расходы на коммунальные платежи помещения / месяц
Параметр Значение
69
Помещение, мх ххх
Коммункальные платежи, в месяц хх ххх
Итого: хх ххх
Таблица 37 Расходы на аренду офиса и коммунальные платежи
Коммунальные платежи представляют собой плату за электроэнергию, воду, отопление,
канализацию.
Расчет фонда оплаты труда представлен в таблице
Расходы на персонал
Штатная еденица Заработная плата Количество Итого з/п
Директор предприятия хх хххр. х хх хххр.
Главный технолог хх хххр. х хх хххр.
Старшый инженер хх хххр. х хх хххр.
Инженер хх хххр. х хх хххр.
Бухгалтер хх хххр. х хх хххр.
Контролер качества продукции хх хххр. х хх хххр.
Фасовщик хх хххр. х хх хххр.
Итого: ххх хххр. хх ххх хххр.
Таблица 38. Фонд оплаты труда (постоянная часть), руб. в месяц
На оплату труда ежемесячно требуется бюджет в размере ххх тыс. руб.
В структуре фонда оплаты труда хх% принадлежит затратам на содержание старшого
инженера, на содержание инженеров – хх% от общей суммы затрат на персонал.
Диаграмма 15. Структура затрат на персонал
70
Общая сумма расходов от операционной деятельности растет от ххх ххх руб. на
протяжении х-х месяца до х ххх ххх руб. – в хх-м месяце. За весь период выбытие
денежных средств составит ххх ххх ххх руб.
Статьи расходов Расходы при ххх% загрузке х мес.
Варенье из дыни,арбуза/х,хл ххх хххр. хр.
Варенье из тыквы, кабачка/х,хл ххх хххр. хр.
Овощная консервация (огурцы,помидоры)/хл ххх хххр. хр.
Рыбная консервация/х,ххл х ххх хххр. хр.
Соки/ хл ххх хххр. хр.
Аренда и коммунальные платежи хх хххр. хх хххр.
Заработная плата ххх хххр. ххх хххр.
Расходы на внешнее оформление продукции ххх хххр. хр.
Коммерческие расходы, расходи на маркетинг % от объема
продаж ххх хххр. хр.
Расходы на ремонт оборудования хххр. хр.
Итого: х ххх хххр. ххх хххр
Таблица 39. Прогноз общих расходов
в х мес х мес х мес х мес х м
,арбуза/х,хл ххх хххр. ххх хххр. ххх хххр. ххх хххр. ххх х
ы, кабачка/х,хл ххх хххр. ххх хххр. ххх хххр. ххх хххр. ххх х
вация (огурцы,помидоры)/хл ххх хххр. ххх хххр. ххх хххр. ххх хххр. ххх х
ация/х,ххл х ххх хххр. х ххх хххр. х ххх хххр. х ххх хххр. х ххх
ххх хххр. ххх хххр. ххх хххр. ххх хххр. ххх х
льные платежи хх хххр. хх хххр. хх хххр. хх хххр. хх х
а ххх хххр. ххх хххр. ххх хххр. ххх хххр. ххх х
шнее оформление продукции ххх хххр. ххх хххр. ххх хххр. ххх хххр. ххх х
асходы, расходи на маркетинг % от объема
ххх хххр. ххх хххр. ххх хххр. ххх хххр. ххх х
онт оборудования хххр. хххр. хххр. хххр. ххх
х ххх хххр. х ххх хххр. х ххх хххр. х ххх хххр. х ххх
Продолжение Таблицы. Прогноз общих расходов
71
ов хх мес хх мес хх мес хх мес хх м
и,арбуза/х,хл ххх хххр. ххх хххр. ххх хххр. ххх хххр. ххх х
ы, кабачка/х,хл ххх хххр. ххх хххр. ххх хххр. ххх хххр. ххх х
рвация (огурцы,помидоры)/хл ххх хххр. ххх хххр. ххх хххр. ххх хххр. ххх х
ация/х,ххл х ххх хххр. х ххх хххр. х ххх хххр. х ххх хххр. х ххх
ххх хххр. ххх хххр. ххх хххр. ххх хххр. ххх х
льные платежи хх хххр. хх хххр. хх хххр. хх хххр. хх х
та ххх хххр. ххх хххр. ххх хххр. ххх хххр. ххх х
шнее оформление продукции ххх хххр. ххх хххр. ххх хххр. ххх хххр. ххх х
асходы, расходи на маркетинг % от объема
ххх хххр. ххх хххр. ххх хххр. ххх хххр. ххх х
онт оборудования хххр. хххр. хххр. хххр. ххх
х ххх хххр. х ххх хххр. х ххх хххр. х ххх хххр. х ххх
Продолжение Таблицы. Прогноз общих расходов
дов хх мес хх мес хх мес хх мес хх ме
ни,арбуза/х,хл ххх хххр. ххх хххр. ххх хххр. ххх хххр. ххх хх
квы, кабачка/х,хл ххх хххр. ххх хххр. ххх хххр. ххх хххр. ххх хх
ервация (огурцы,помидоры)/хл ххх хххр. ххх хххр. ххх хххр. ххх хххр. ххх хх
рвация/х,ххл х ххх хххр. х ххх хххр. х ххх хххр. х ххх хххр. х ххх хх
ххх хххр. ххх хххр. ххх хххр. ххх хххр. ххх хх
нальные платежи хх хххр. хх хххр. хх хххр. хх хххр. хх ххх
ата ххх хххр. ххх хххр. ххх хххр. ххх хххр. ххх хх
ешнее оформление продукции ххх хххр. ххх хххр. ххх хххр. ххх хххр. ххх хх
расходы, расходи на маркетинг % от объема
ххх хххр. ххх хххр. ххх хххр. ххх хххр. ххх хх
монт оборудования хххр. хххр. хххр. хххр. хххр
х ххх хххр. х ххх хххр. х ххх хххр. х ххх хххр. х ххх х
Продолжение Таблицы. Прогноз общих расходов
дов хх мес хх мес хх мес хх мес хх м
ни,арбуза/х,хл ххх хххр. ххх хххр. ххх хххр. ххх хххр. ххх хх
вы, кабачка/х,хл ххх хххр. ххх хххр. ххх хххр. ххх хххр. ххх хх
ервация (огурцы,помидоры)/хл ххх хххр. ххх хххр. ххх хххр. ххх хххр. ххх хх
вация/х,ххл х ххх хххр. х ххх хххр. х ххх хххр. х ххх хххр. х ххх х
ххх хххр. ххх хххр. ххх хххр. ххх хххр. ххх хх
нальные платежи хх хххр. хх хххр. хх хххр. хх хххр. хх хх
ата ххх хххр. ххх хххр. ххх хххр. ххх хххр. ххх хх
ешнее оформление продукции ххх хххр. ххх хххр. ххх хххр. ххх хххр. ххх хх
расходы, расходи на маркетинг % от объема
ххх хххр. ххх хххр. ххх хххр. ххх хххр. ххх хх
монт оборудования хххр. хххр. хххр. хххр. ххх
х ххх хххр. х ххх хххр. х ххх хххр. х ххх хххр. х ххх х
Продолжение Таблицы. Прогноз общих расходов
72
Диаграмма 16. Прогноз операционных расходов, руб. в месяц
Структура расходов, руб. в мес.
276 797р.
70 250р. 165 000р.
502 700р.
3 578 112р.
437 289р.
268 128р.
466 678р.
0р.
500 000р.
1 000 000р.
1 500 000р.
2 000 000р.
2 500 000р.
3 000 000р.
3 500 000р.
4 000 000р.
Вареньеиз
дыни,арбуза/0,5л
Вареньеизтыквы,
кабачка/0,5л
Овощнаяконсервация
(огурцы,помидоры)/1л
Рыбная
консервация/0,25л
Соки/1л
Арендаи
коммунальные
платежи
Заработнаяплата
Расходынавнешнее
оформление
продукции
Диаграмма 17. Структура расходов операционной деятельности, руб.
В структуре операционных расходов преобладают расходы на производство рыбных
консервов, а также расходы на внешнее оформление продукции.
73
Диаграмма 18. Структура расходов операционной деятельности, %
9.3 Расчет налоговых выплат
Налоговые выплаты рассчитывались на основании налоговых ставок, базы расчетов и
периодичности уплаты в бюджет.
Налоговые ставки: % База для уплаты
Частота
начисления
Ставка отчислений от ФЗП хх% ФОТ ежемесячно
Ставка налога на имущество х,х% Имущество на балансе х раз в квартал
Ставка земельного налога х,х% Кадастровая стоимость участка х раз в квартал
Ставка НДС хх% Облагаемая НДС выручка ежемесячно
Ставка налога на прибыль,% в мес. хх% Прибыль ежемесячно
Таблица 40. Исходные данные для расчета налоговых платежей
Ставка отчислений с заработной платы состоит из следующих составляющих: отчисления
в пенсионный фонд, фонд социального страхования, фонд обязательного медицинского
страхования.
Состав ставки отчислений с ЗП
Пенсионный фонд хх%
Фонд социального страхования х,хх%
Фонд обязательного медицинского страхования х,хх%
Таблица 41. Состав ставки отчислений с заработной платы
Ставки налогов и налогооблагаемая база определяет структуру налоговых выплат.
74
Диаграмма 19. Структура налоговых выплат
В структуре налоговых выплат преобладает налог на прибыль (хх%) и НДС (хх%).
Динамика доли налогов в выручке, %
0% 0% 0%
7% 7%
14%
14% 14% 14% 14% 14% 14% 14% 14% 14% 14% 14% 14% 14% 14% 14% 14% 14% 14%
0%
2%
4%
6%
8%
10%
12%
14%
16%
1мес.
2мес.
3мес
4мес
5мес
6мес
7мес
8мес
9мес
10мес
11мес
12мес
13мес
14мес
15мес
16мес
17мес
18мес
19мес
20мес
21мес
22мес
23мес
24мес
75
Диаграмма 20. Динамика доли налогов в выручке
Доля налогов в выручке колеблется по месяцам, в связи с графиком выплат налогов, и
после выхода на запланированный объем составляет хх%
Сумма налоговых выплат растет от ххх тыс. руб. в х-м месяце до х,х млн. руб. – в хх-м. За
весь период планирования сумма налоговых выплат составит хх,х млн. руб.
х мес. х мес. х мес х мес х мес х мес
хр. хр. хр. хх хххр. хх хххр. хх хххр.
иммущество хр. хр. хр. хр. хр. хх хххр.
хр. хр. хр. хр. хр. ххх хххр.
прибыль хр. хр. хр. ххх хххр. ххх хххр. ххх хххр.
хр. хр. хр. ххх хххр. ххх хххр. х ххх хххр.
Таблица 42. Расчет налоговых выплат
х мес х мес х мес хх мес хх мес хх мес
хх хххр. хх хххр. хх хххр. хх хххр. хх хххр. хх хххр.
иммущество хр. хр. хх хххр. хр. хр. хх хххр.
ххх хххр. ххх хххр. ххх хххр. ххх хххр. ххх хххр. ххх хххр.
прибыль ххх хххр. ххх хххр. ххх хххр. ххх хххр. ххх хххр. ххх хххр.
х ххх хххр. х ххх хххр. х ххх хххр. х ххх хххр. х ххх хххр. х ххх хххр.
Продолжение Таблицы. Расчет налоговых выплат
и хх мес хх мес хх мес хх мес хх мес хх мес
хх хххр. хх хххр. хх хххр. хх хххр. хх хххр. хх хххр.
на иммущество хр. хр. хх хххр. хр. хр. хх хххр.
ххх хххр. ххх хххр. ххх хххр. ххх хххр. ххх хххр. ххх хххр.
на прибыль ххх хххр. ххх хххр. ххх хххр. ххх хххр. ххх хххр. ххх хххр.
х ххх хххр. х ххх хххр. х ххх хххр. х ххх хххр. х ххх хххр. х ххх хххр.
Продолжение Таблицы. Расчет налоговых выплат
хх мес хх мес хх мес хх мес хх мес хх мес
хх хххр. хх хххр. хх хххр. хх хххр. хх хххр. хх хххр.
а иммущество хр. хр. х хххр. хр. хр. х хххр.
ххх хххр. ххх хххр. ххх хххр. ххх хххр. ххх хххр. ххх хххр.
а прибыль ххх хххр. ххх хххр. ххх хххр. ххх хххр. ххх хххр. ххх хххр.
х ххх хххр. х ххх хххр. х ххх хххр. х ххх хххр. х ххх хххр. х ххх хххр.
Продолжение Таблицы. Расчет налоговых выплат
9.4 Отчет о движении денежных средств
Потоки денежных средств формируются за счет потоков операционной деятельности,
инвестиционной и финансовой деятельности.
9.4.1 Денежные потоки от операционной деятельности
Денежный поток от основной деятельности становится положительным в х-м месяце,
достигнув уровня х ххх тыс. руб., далее денежный поток продолжает расти, и в хх-м
месяце достигнет хх ххх тис. руб. За рассматриваемый период накопленный поток
денежных средств от операционной деятельности составит хх ххх тыс. руб.
ятельность
Месячные
Показатели при
ххх% загрузке
х мес. х мес. х мес х мес х мес х
основной деятельности хх ххх хххр. хр. хр. хр. х ххх хххр. х ххх хххр. х ххх
буза/х,хл ххх хххр. хр. хр. хр. ххх хххр. ххх хххр. ххх
абачка/х,хл ххх хххр. хр. хр. хр. ххх хххр. ххх хххр. ххх
ия (огурцы,помидоры)/хл ххх хххр. хр. хр. хр. ххх хххр. ххх хххр. ххх
76
я/х,ххл х ххх хххр. хр. хр. хр. х ххх хххр. х ххх хххр. х ххх
ххх хххр. хр. хр. хр. ххх хххр. ххх хххр. ххх
щей деятельности х ххх хххр. ххх хххр. ххх хххр. ххх хххр. х ххх хххр. х ххх хххр. х ххх
буза/х,хл ххх хххр. хр. хр. хр. ххх хххр. ххх хххр. ххх
абачка/х,хл ххх хххр. хр. хр. хр. ххх хххр. ххх хххр. ххх
ия (огурцы,помидоры)/хл ххх хххр. хр. хр. хр. ххх хххр. ххх хххр. ххх
я/х,ххл х ххх хххр. хр. хр. хр. х ххх хххр. х ххх хххр. х ххх
ххх хххр. хр. хр. хр. ххх хххр. ххх хххр. ххх
ьные платежи хх хххр. хх хххр. хх хххр. хх хххр. хх хххр. хх хххр. хх х
ххх хххр. ххх хххр. ххх хххр. ххх хххр. ххх хххр. ххх хххр. ххх
е оформление продукции ххх хххр. хр. хр. хр. ххх хххр. ххх хххр. ххх
оды, расходи на маркетинг % от объема
ххх хххр. хр. хр. хр. ххх хххр. ххх хххр. ххх
оборудования хххр. хр. хр. хр. хххр. хххр. хх
хр. хр. хр. хр. ххх хххр. ххх хххр. х ххх
хр. хр. хр. хр. хх хххр. хх хххр. хх х
ммущество хр. хр. хр. хр. хр. хр. хх х
хр. хр. хр. хр. хр. хр. ххх
ибыль хр. хр. хр. хр. ххх хххр. ххх хххр. ххх
ной деятельности х ххх хххр. -ххх хххр. -ххх хххр. -ххх хххр. х ххх хххр. х ххх хххр. х ххх
нным итогом х -ххх хххр. -ххх хххр. -ххх хххр. х ххх хххр. х ххх хххр. х ххх
Таблица 43. Денежные потоки от основной деятельности
77
ятельность х мес х мес х мес хх мес хх мес хх мес хх мес
сновной деятельности х ххх хххр. х ххх хххр. х ххх хххр. х ххх хххр. х ххх хххр. х ххх хххр. х ххх хххр. х х
уза/х,хл ххх хххр. ххх хххр. ххх хххр. ххх хххр. ххх хххр. ххх хххр. ххх хххр. х
бачка/х,хл ххх хххр. ххх хххр. ххх хххр. ххх хххр. ххх хххр. ххх хххр. ххх хххр. х
я (огурцы,помидоры)/хл ххх хххр. ххх хххр. ххх хххр. ххх хххр. ххх хххр. ххх хххр. ххх хххр. х
/х,ххл х ххх хххр. х ххх хххр. х ххх хххр. х ххх хххр. х ххх хххр. х ххх хххр. х ххх хххр. х
ххх хххр. ххх хххр. ххх хххр. ххх хххр. ххх хххр. ххх хххр. ххх хххр. х
щей деятельности х ххх хххр. х ххх хххр. х ххх хххр. х ххх хххр. х ххх хххр. х ххх хххр. х ххх хххр. х х
уза/х,хл ххх хххр. ххх хххр. ххх хххр. ххх хххр. ххх хххр. ххх хххр. ххх хххр. х
бачка/х,хл ххх хххр. ххх хххр. ххх хххр. ххх хххр. ххх хххр. ххх хххр. ххх хххр. х
я (огурцы,помидоры)/хл ххх хххр. ххх хххр. ххх хххр. ххх хххр. ххх хххр. ххх хххр. ххх хххр. х
/х,ххл х ххх хххр. х ххх хххр. х ххх хххр. х ххх хххр. х ххх хххр. х ххх хххр. х ххх хххр. х
ххх хххр. ххх хххр. ххх хххр. ххх хххр. ххх хххр. ххх хххр. ххх хххр. х
ные платежи хх хххр. хх хххр. хх хххр. хх хххр. хх хххр. хх хххр. хх хххр. х
ххх хххр. ххх хххр. ххх хххр. ххх хххр. ххх хххр. ххх хххр. ххх хххр. х
оформление продукции ххх хххр. ххх хххр. ххх хххр. ххх хххр. ххх хххр. ххх хххр. ххх хххр. х
ды, расходи на маркетинг % от объема
ххх хххр. ххх хххр. ххх хххр. ххх хххр. ххх хххр. ххх хххр. ххх хххр. х
борудования хххр. хххр. хххр. хххр. хххр. хххр. хххр.
х ххх хххр. х ххх хххр. х ххх хххр. х ххх хххр. х ххх хххр. х ххх хххр. х ххх хххр. х
хх хххр. хх хххр. хх хххр. хх хххр. хх хххр. хх хххр. хх хххр. х
мущество хр. хр. хх хххр. хр. хр. хх хххр. хр.
ххх хххр. ххх хххр. ххх хххр. ххх хххр. ххх хххр. ххх хххр. ххх хххр. х
ибыль ххх хххр. ххх хххр. ххх хххр. ххх хххр. ххх хххр. ххх хххр. ххх хххр. х
ной деятельности х ххх хххр. х ххх хххр. х ххх хххр. х ххх хххр. х ххх хххр. х ххх хххр. х ххх хххр. х х
ным итогом х ххх хххр. х ххх хххр. хх ххх хххр. хх ххх хххр. хх ххх хххр. хх ххх хххр. хх ххх хххр. хх
Продолжение Таблицы. Денежные потоки от основной деятельности
78
ятельность хх мес хх мес хх мес хх мес хх мес хх
сновной деятельности х ххх хххр. хх ххх хххр. хх ххх хххр. хх ххх хххр. хх ххх хххр. хх хх
буза/х,хл ххх хххр. ххх хххр. ххх хххр. ххх хххр. ххх хххр. ххх
абачка/х,хл ххх хххр. ххх хххр. ххх хххр. ххх хххр. ххх хххр. ххх
ия (огурцы,помидоры)/хл ххх хххр. ххх хххр. ххх хххр. ххх хххр. ххх хххр. ххх
/х,ххл х ххх хххр. х ххх хххр. х ххх хххр. х ххх хххр. х ххх хххр. х хх
ххх хххр. ххх хххр. ххх хххр. ххх хххр. ххх хххр. ххх
щей деятельности х ххх хххр. х ххх хххр. х ххх хххр. х ххх хххр. х ххх хххр. х хх
буза/х,хл ххх хххр. ххх хххр. ххх хххр. ххх хххр. ххх хххр. ххх
абачка/х,хл ххх хххр. ххх хххр. ххх хххр. ххх хххр. ххх хххр. ххх
ия (огурцы,помидоры)/хл ххх хххр. ххх хххр. ххх хххр. ххх хххр. ххх хххр. ххх
/х,ххл х ххх хххр. х ххх хххр. х ххх хххр. х ххх хххр. х ххх хххр. х хх
ххх хххр. ххх хххр. ххх хххр. ххх хххр. ххх хххр. ххх
ные платежи хх хххр. хх хххр. хх хххр. хх хххр. хх хххр. хх
ххх хххр. ххх хххр. ххх хххр. ххх хххр. ххх хххр. ххх
оформление продукции ххх хххр. ххх хххр. ххх хххр. ххх хххр. ххх хххр. ххх
ды, расходи на маркетинг % от объема продаж ххх хххр. ххх хххр. ххх хххр. ххх хххр. ххх хххр. ххх
оборудования хххр. хххр. хххр. хххр. хххр. х
х ххх хххр. х ххх хххр. х ххх хххр. х ххх хххр. х ххх хххр. х хх
хх хххр. хх хххр. хх хххр. хх хххр. хх хххр. хх
мущество хх хххр. хр. хр. хх хххр. хр.
ххх хххр. ххх хххр. ххх хххр. ххх хххр. ххх хххр. ххх
ибыль ххх хххр. ххх хххр. ххх хххр. ххх хххр. ххх хххр. ххх
ной деятельности х ххх хххр. х ххх хххр. х ххх хххр. х ххх хххр. х ххх хххр. х хх
ным итогом хх ххх хххр. хх ххх хххр. хх ххх хххр. хх ххх хххр. хх ххх хххр. хх хх
Продолжение Таблицы. Денежные потоки от основной деятельности
Основная деятельность хх мес хх мес хх ме
Поступления от основной деятельности хх ххх хххр. хх ххх хххр. хх ххх х
Варенье из дыни,арбуза/х,хл ххх хххр. ххх хххр. ххх ххх
Варенье из тыквы, кабачка/х,хл ххх хххр. ххх хххр. ххх ххх
Овощная консервация (огурцы,помидоры)/хл ххх хххр. ххх хххр. ххх ххх
Рыбная консервация/х,ххл х ххх хххр. х ххх хххр. х ххх хх
Соки/ хл ххх хххр. ххх хххр. ххх ххх
Выбытия от текущей деятельности х ххх хххр. х ххх хххр. х ххх хх
Варенье из дыни,арбуза/х,хл ххх хххр. ххх хххр. ххх ххх
Варенье из тыквы, кабачка/х,хл ххх хххр. ххх хххр. ххх ххх
Овощная консервация (огурцы,помидоры)/хл ххх хххр. ххх хххр. ххх ххх
Рыбная консервация/х,ххл х ххх хххр. х ххх хххр. х ххх хх
Соки/ хл ххх хххр. ххх хххр. ххх ххх
Аренда и коммунальные платежи хх хххр. хх хххр. хх ххх
Заработная плата ххх хххр. ххх хххр. ххх ххх
Расходы на внешнее оформление продукции ххх хххр. ххх хххр. ххх ххх
Коммерческие расходы, расходи на маркетинг % от объема продаж ххх хххр. ххх хххр. ххх ххх
Расходы на ремонт оборудования хххр. хххр. хххр.
79
Налоги: х ххх хххр. х ххх хххр. х ххх хх
ЕСН хх хххр. хх хххр. хх ххх
Налог на иммущество х хххр. хр. хр.
НДС ххх хххр. ххх хххр. ххх ххх
Налог на прибыль ххх хххр. ххх хххр. ххх ххх
Сальдо от основной деятельности х ххх хххр. х ххх хххр. х ххх хх
Сальдо накопленным итогом хх ххх хххр. хх ххх хххр. хх ххх х
Продолжение Таблицы. Денежные потоки от основной деятельности
80
9.4.2 Денежные потоки от инвестиционной деятельности
нная деятельность Начальные значения х мес. х мес. х мес х мес х мес х м
инвестиционной деятельности х ххх хххр. х ххх хххр. хр. хр. хр. хр. хр
стора (учредителя) х ххх хххр. х ххх хххр.
естиционной деятельности х ххх хххр. х ххх хххр. ххх хххр. хх хххр. х ххх хххр. х ххх хххр. х ххх
борудования и земельного участка х ххх хххр. х ххх хххр. хр. хр.
ые работы ( кроме СМР) ххх хххр. хх хххр. хх хххр. хх хххр.
ххх хххр. ххх хххр. ххх хххр.
дства ххх хххр.
иций хр. хр. хр. хр. х ххх хххр. х ххх хххр. х ххх
иционной деятельности хр. х ххх хххр. -ххх хххр. -хх хххр. -х ххх хххр. -х ххх хххр. -х ххх
Таблица 44. Денежные потоки от инвестиционной деятельности
ная деятельность х мес х мес х мес хх мес хх мес хх мес хх мес х
нвестиционной деятельности хр. хр. хр. хр. хр. хр. хр.
тора (учредителя)
стиционной деятельности х ххх хххр. х ххх хххр. х ххх хххр. х ххх хххр. х ххх хххр. х ххх хххр. х ххх хххр. х х
борудования и земельного участка
ые работы ( кроме СМР)
ства
ций х ххх хххр. х ххх хххр. х ххх хххр. х ххх хххр. х ххх хххр. х ххх хххр. х ххх хххр. х х
ционной деятельности -х ххх хххр. -х ххх хххр. -х ххх хххр. -х ххх хххр. -х ххх хххр. -х ххх хххр. -х ххх хххр. -х х
Продолжение Таблицы. Денежные потоки от инвестиционной деятельности
нная деятельность хх мес хх мес хх мес хх мес хх мес хх м
инвестиционной деятельности хр. хр. хр. хр. хр. хр
стора (учредителя)
естиционной деятельности х ххх хххр. х ххх хххр. х ххх хххр. х ххх хххр. х ххх хххр. х ххх х
оборудования и земельного участка
ные работы ( кроме СМР)
дства
иций х ххх хххр. х ххх хххр. х ххх хххр. х ххх хххр. х ххх хххр. х ххх х
иционной деятельности -х ххх хххр. -х ххх хххр. -х ххх хххр. -х ххх хххр. -х ххх хххр. -х ххх
Продолжение Таблицы. Денежные потоки от инвестиционной деятельности
нная деятельность хх мес хх мес хх мес хх мес Итог
инвестиционной деятельности хр. хр. хр. хр. хр.
стора (учредителя)
естиционной деятельности х ххх хххр. х ххх хххр. х ххх хххр. х ххх хххр. хх ххх х
оборудования и земельного участка
ные работы ( кроме СМР)
дства
иций х ххх хххр. х ххх хххр. х ххх хххр. х ххх хххр. хх ххх х
иционной деятельности -х ххх хххр. -х ххх хххр. -х ххх хххр. -х ххх хххр.
Продолжение Таблицы. Денежные потоки от инвестиционной деятельности
9.4.3 Денежные потоки от проекта
чало периода хр. хр. х ххх хххр. ххх хххр. хр. хр. хр
хр. х ххх хххр. хр. хр. х ххх хххр. х ххх хххр. х ххх х
хр. х ххх хххр. ххх хххр. ххх хххр. х ххх хххр. х ххх хххр. х ххх х
ец периода хр. х ххх хххр. ххх хххр. хр. хр. хр. хр
81
от проекта хр. хр. хр. хр. х ххх хххр. х ххх хххр. х ххх х
Таблица 45. Денежный поток от проекта
чало периода хр. хр. хр. хр. хр. хр. хр.
х ххх хххр. х ххх хххр. х ххх хххр. х ххх хххр. х ххх хххр. х ххх хххр. х ххх хххр. х х
х ххх хххр. х ххх хххр. х ххх хххр. х ххх хххр. х ххх хххр. х ххх хххр. х ххх хххр. х х
ц периода хр. хр. хр. хр. хр. хр. хр.
от проекта х ххх хххр. х ххх хххр. х ххх хххр. х ххх хххр. х ххх хххр. х ххх хххр. х ххх хххр. х хх
Продолжение Таблицы. Денежный поток от проекта
82
ДС на начало периода хр. хр. хр. хр. хр. хр.
туплений х ххх хххр. хх ххх хххр. хх ххх хххр. хх ххх хххр. хх ххх хххр. хх ххх хххр.
ытий х ххх хххр. хх ххх хххр. хх ххх хххр. хх ххх хххр. хх ххх хххр. хх ххх хххр.
ДС на конец периода хр. хр. хр. хр. хр. хр.
ый поток от проекта х ххх хххр. х ххх хххр. х ххх хххр. х ххх хххр. х ххх хххр. х ххх хххр.
Продолжение Таблицы. Денежный поток от проекта
ДС на начало периода хр. хр. хр. хр. хр.
туплений хх ххх хххр. хх ххх хххр. хх ххх хххр. хх ххх хххр. ххх ххх хххр.
бытий хх ххх хххр. хх ххх хххр. хх ххх хххр. хх ххх хххр. ххх ххх хххр.
ДС на конец периода хр. хр. хр. хр. хр.
ый поток от проекта х ххх хххр. х ххх хххр. х ххх хххр. х ххх хххр. хх ххх хххр.
Продолжение Таблицы. Денежный поток от проекта
Денежный поток от проекта, руб. в мес.
0р.
10 000 000р.
20 000 000р.
30 000 000р.
40 000 000р.
50 000 000р.
60 000 000р.
1мес.
2мес.
3мес
4мес
5мес
6мес
7мес
8мес
9мес
10мес
11мес
12мес
13мес
14мес
15мес
16мес
17мес
18мес
19мес
20мес
21мес
22мес
23мес
24мес
Денежные средства накопленным итогом Динамика движения денежных средств
Диаграмма 21. Динамика денежных потоков от проекта
Денежный поток от проекта в целом, сформированный из трех основных направлений
(операционной, инвестиционной и финансовой деятельности) становится положительным
в х-м месяце, достигнув уровня х,х тыс. руб. За хх месяца накопленный поток денежных
средств составит хх ххх тыс. руб.
83
9.5 Расчет амортизационных отчислений
В данных расчетах приняты следующие параметры для расчета амортизации:
Парметры для расчета
амортизации
Количество
лет
Срок амортизации помещений х
Срок амортизации оборудования х
Таблица 46. Параметры для расчета амортизационных отчислений
Имущество на балансе х мес. х мес. х мес х мес х мес х мес х мес
Оборудование хр. хр. хр. х ххх хххр. х ххх хххр. х ххх хххр. х ххх хххр.
Помещение хр. хр. хр. ххх хххр. ххх хххр. ххх хххр. ххх хххр.
Итого: хр. хр. хр. х ххх хххр. х ххх хххр. х ххх хххр. х ххх хххр.
Таблица 47. Имущество на балансе
ество на балансе хх мес хх мес хх мес хх мес хх мес хх мес хх мес
ование х ххх хххр. х ххх хххр. х ххх хххр. х ххх хххр. х ххх хххр. х ххх хххр. х ххх хххр.
ение ххх хххр. ххх хххр. ххх хххр. ххх хххр. ххх хххр. ххх хххр. ххх хххр.
х ххх хххр. х ххх хххр. х ххх хххр. х ххх хххр. х ххх хххр. х ххх хххр. х ххх хххр.
Продолжение Таблицы. Имущество на балансе
Имущество на балансе хх мес хх мес хх мес хх мес хх мес хх м
Оборудование х ххх хххр. х ххх хххр. х ххх хххр. х ххх хххр. х ххх хххр. х ххх х
Помещение ххх хххр. ххх хххр. ххх хххр. ххх хххр. ххх хххр. ххх х
Итого: х ххх хххр. х ххх хххр. х ххх хххр. х ххх хххр. х ххх хххр. х ххх х
Окончание Таблицы. Имущество на балансе
84
ия х мес. х мес. х мес х мес х мес х мес х мес х мес х мес
ие хр. хр. хр. ххх хххр. ххх хххр. ххх хххр. ххх хххр. ххх хххр. ххх хххр
хр. хр. хр. хх хххр. хх хххр. хх хххр. хх хххр. хх хххр. хх хххр
хр. хр. хр. ххх хххр. ххх хххр. ххх хххр. ххх хххр. ххх хххр. ххх ххх
Таблица 48. Динамика амортизационных отчислений
ция хх мес хх мес хх мес хх мес хх мес хх мес хх мес хх мес хх мес
ние ххх хххр. ххх хххр. ххх хххр. ххх хххр. ххх хххр. ххх хххр. ххх хххр. ххх хххр. ххх хххр
хх хххр. хх хххр. хх хххр. хх хххр. хх хххр. хх хххр. хх хххр. хх хххр. хх хххр.
ххх хххр. ххх хххр. ххх хххр. ххх хххр. ххх хххр. ххх хххр. ххх хххр. ххх хххр. ххх хххр
Продолжение Таблицы. Динамика амортизационных отчислений
ция хх мес хх мес хх мес хх мес хх мес хх мес Итого:
ние ххх хххр. ххх хххр. ххх хххр. ххх хххр. ххх хххр. ххх хххр. х ххх хххр.
хх хххр. хх хххр. хх хххр. хх хххр. хх хххр. хх хххр. ххх хххр.
ххх хххр. ххх хххр. ххх хххр. ххх хххр. ххх хххр. ххх хххр. х ххх хххр
Окончание Таблицы. Динамика амортизационных отчислений
Расчет имущества на балансе и амортизации, руб. в мес.
0р.
1 000 000р.
2 000 000р.
3 000 000р.
4 000 000р.
5 000 000р.
6 000 000р.
7 000 000р.
1 2 3 4 5 6 7 8 9 10 11 12 13 14 15 16 17 18 19 20 21 22 23 24
Имущество на балансе Амортизация
Диаграмма 22. Расчёт имущества на балансе и амортизации
9.6 Отчет о прибылях и убытках
Проект начинает приносить прибыль в х-м месяце (х ххх тыс. руб.). За рассматриваемый
период накопленная чистая прибыль составит хх ххх тыс.руб.
85
Динамика чистой прибыли, руб. в мес.
-5 000 000р.
0р.
5 000 000р.
10 000 000р.
15 000 000р.
20 000 000р.
25 000 000р.
30 000 000р.
35 000 000р.
40 000 000р.
45 000 000р.
50 000 000р.
1мес.
2мес.
3мес
4мес
5мес
6мес
7мес
8мес
9мес
10мес
11мес
12мес
13мес
14мес
15мес
16мес
17мес
18мес
19мес
20мес
21мес
22мес
23мес
24мес
Чистая прибыль накопленным итогом Чистая прибыль
Диаграмма 23. Динамика чистой прибыли, руб. в месяц
Статьи отчета о прибылях и убытках
Месячные
Показатели при
ххх% загрузке
х мес. х мес. х мес х мес
Выручка х ххх хххр. хр. хр. хр. х ххх хххр
Расходы х ххх хххр. ххх хххр. ххх хххр. ххх хххр. х ххх хххр
Амортизация хр. хр. хр. хр. ххх хххр.
Возврат процентов по кредиту хр. хр. хр. хр. хр.
Налог на имущество хр. хр. хр. хр. хр.
ЕСН хр. хр. хр. хр. хх хххр.
Прибыль -ххх хххр. -ххх хххр. -ххх хххр. х ххх хххр
Налог на прибыль хр. хр. хр. ххх хххр.
Чистая прибыль -ххх хххр. -ххх хххр. -ххх хххр. х ххх хххр
Чистая прибыль накопленным
итогом
-ххх хххр. -ххх хххр. -ххх хххр. ххх хххр.
Таблица 49. Отчёт о прибылях и убытках
Статьи отчета о прибылях и
убытках
х мес х мес х мес хх мес
Выручка х ххх хххр. х ххх хххр. х ххх хххр. х ххх хххр.
Расходы х ххх хххр. х ххх хххр. х ххх хххр. х ххх хххр.
Амортизация ххх хххр. ххх хххр. ххх хххр. ххх хххр.
Возврат процентов по кредиту хр. хр. хр. хр.
Налог на имущество хр. хр. хх хххр. хр.
ЕСН хх хххр. хх хххр. хх хххр. хх хххр.
Прибыль х ххх хххр. х ххх хххр. х ххх хххр. х ххх хххр.
Налог на прибыль ххх хххр. ххх хххр. ххх хххр. ххх хххр.
Чистая прибыль х ххх хххр. х ххх хххр. х ххх хххр. х ххх хххр. х
Чистая прибыль накопленным
итогом
х ххх хххр. х ххх хххр. хх ххх хххр. хх ххх хххр. х
86
Продолжение Таблицы. Отчёт о прибылях и убытках
87
чета о прибылях и убытках хх мес хх мес хх мес хх мес хх мес хх мес
х ххх хххр. х ххх хххр. х ххх хххр. х ххх хххр. х ххх хххр. х ххх хххр.
х ххх хххр. х ххх хххр. х ххх хххр. х ххх хххр. х ххх хххр. х ххх хххр.
изация ххх хххр. ххх хххр. ххх хххр. ххх хххр. ххх хххр. ххх хххр.
т процентов по кредиту хр. хр. хр. хр. хр. хр.
а имущество хр. хх хххр. хр. хр. хх хххр. хр.
хх хххр. хх хххр. хх хххр. хх хххр. хх хххр. хх хххр.
х ххх хххр. х ххх хххр. х ххх хххр. х ххх хххр. х ххх хххр. х ххх хххр.
а прибыль ххх хххр. ххх хххр. ххх хххр. ххх хххр. ххх хххр. ххх хххр.
ибыль х ххх хххр. х ххх хххр. х ххх хххр. х ххх хххр. х ххх хххр. х ххх хххр.
ибыль накопленным итогом хх ххх хххр. хх ххх хххр. хх ххх хххр. хх ххх хххр. хх ххх хххр. хх ххх хххр
Продолжение Таблицы. Отчёт о прибылях и убытках
ета о прибылях и убытках хх мес хх мес хх мес хх мес хх мес Итого:
х ххх хххр. х ххх хххр. х ххх хххр. х ххх хххр. х ххх хххр. ххх ххх хххр
х ххх хххр. х ххх хххр. х ххх хххр. х ххх хххр. х ххх хххр. хх ххх хххр
зация ххх хххр. ххх хххр. ххх хххр. ххх хххр. ххх хххр. х ххх хххр.
т процентов по кредиту хр. хр. хр. хр. хр. хр.
а имущество хр. х хххр. хр. хр. х хххр. ххх хххр.
хх хххр. хх хххр. хх хххр. хх хххр. хх хххр. х ххх хххр.
х ххх хххр. х ххх хххр. х ххх хххр. х ххх хххр. х ххх хххр. хх ххх хххр
а прибыль ххх хххр. ххх хххр. ххх хххр. ххх хххр. ххх хххр. хх ххх хххр
ибыль х ххх хххр. х ххх хххр. х ххх хххр. х ххх хххр. х ххх хххр. хх ххх хххр
ибыль накопленным итогом хх ххх хххр. хх ххх хххр. хх ххх хххр. хх ххх хххр. хх ххх хххр.
Окончание Таблицы. Отчёт о прибылях и убытках
9.7 Расчет уровня безубыточности
Поскольку продукция обладает высоким уровнем доходности, точка безубыточности
находится на низком уровне.
88
Точка безубыточности проекта, % от загрузки
0р.
2 000 000р.
4 000 000р.
6 000 000р.
8 000 000р.
10 000 000р.
12 000 000р.
10% 20% 30% 40% 50% 60% 70% 80% 90% 100%
Выручка Расходы Прибыль, до вычета налогов
Диаграмма 24. Точка безубыточности продаж, в % от загрузки
Расчеты показывают, что точка безубыточности составляет х% от планируемого объема
продаж, или ххх ххх руб. При этом величина операционного рычага составляет хх%.
Значение при
ххх% загрузке
хх% хх% хх% хх% хх% хх%
хх ххх хххр. х ххх хххр. х ххх хххр. х ххх хххр. х ххх хххр. х ххх хххр. х ххх хххр.
х ххх хххр. ххх хххр. х ххх хххр. х ххх хххр. х ххх хххр. х ххх хххр. х ххх хххр.
ы ххх хххр. ххх хххр. ххх хххр. ххх хххр. ххх хххр. ххх хххр. ххх хххр.
ххх хххр. ххх хххр. ххх хххр. ххх хххр. ххх хххр. ххх хххр. ххх хххр.
е платежи хх хххр. хх хххр. хх хххр. хх хххр. хх хххр. хх хххр. хх хххр.
ы х ххх хххр. ххх хххр. ххх хххр. х ххх хххр. х ххх хххр. х ххх хххр. х ххх хххр.
ххх хххр. хх хххр. хх хххр. хх хххр. ххх хххр. ххх хххр. ххх хххр.
л ххх хххр. хх хххр. хх хххр. хх хххр. ххх хххр. ххх хххр. ххх хххр.
ы,помидоры)/хл ххх хххр. хх хххр. хх хххр. хх хххр. хх хххр. хх хххр. хх хххр.
х ххх хххр. ххх хххр. ххх хххр. ххх хххр. ххх хххр. х ххх хххр. х ххх хххр.
ххх хххр. хх хххр. хх хххр. хх хххр. хх хххр. хх хххр. хх хххр.
ение продукции ххх хххр. хх хххр. хх хххр. ххх хххр. ххх хххр. ххх хххр. ххх хххр.
ди на
ж ххх хххр. хх хххр. хх хххр. хх хххр. хх хххр. хх хххр. хх хххр.
ния хххр. ххр. ххр. хххр. хххр. хххр. хххр.
алогов х ххх хххр. ххх хххр. ххх хххр. ххх хххр. ххх хххр. х ххх хххр. х ххх хххр.
Таблица 50. Расчет точки безубыточности
Параметры хх% хх% хх% хх%
Выручка х ххх хххр. х ххх хххр. х ххх хххр. х ххх хх
Расходы х ххх хххр. х ххх хххр. х ххх хххр. х ххх хх
89
Постоянные расходы ххх хххр. ххх хххр. ххх хххр. ххх хх
Заработная плата ххх хххр. ххх хххр. ххх хххр. ххх ххх
Аренда и коммунальные платежи хх хххр. хх хххр. хх хххр. хх хххр
Переменные расходы х ххх хххр. х ххх хххр. х ххх хххр. х ххх хх
Варенье из дыни,арбуза/х,хл ххх хххр. ххх хххр. ххх хххр. ххх ххх
Варенье из тыквы, кабачка/х,хл ххх хххр. ххх хххр. ххх хххр. ххх ххх
Овощная консервация (огурцы,помидоры)/хл ххх хххр. ххх хххр. ххх хххр. ххх ххх
Рыбная консервация/х,ххл х ххх хххр. х ххх хххр. х ххх хххр. х ххх хх
Соки/ хл ххх хххр. ххх хххр. ххх хххр. ххх ххх
Расходы на внешнее оформление продукции ххх хххр. ххх хххр. ххх хххр. ххх ххх
Коммерческие расходы, расходи на маркетинг % от объема продаж ххх хххр. ххх хххр. ххх хххр. ххх ххх
Расходы на ремонт оборудования хххр. хххр. хххр. хххр.
Прибыль, до вычета налогов х ххх хххр. х ххх хххр. х ххх хххр. х ххх хх
Продолжение Таблицы. Расчет точки безубыточности
Параметры хх% хх% хх% хх%
Выручка х ххх хххр. х ххх хххр. х ххх хххр. х ххх хх
Расходы х ххх хххр. х ххх хххр. х ххх хххр. х ххх хх
Постоянные расходы ххх хххр. ххх хххр. ххх хххр. ххх ххх
Заработная плата ххх хххр. ххх хххр. ххх хххр. ххх хххр
Аренда и коммунальные платежи хх хххр. хх хххр. хх хххр. хх хххр
Переменные расходы х ххх хххр. х ххх хххр. х ххх хххр. х ххх хх
Варенье из дыни,арбуза/х,хл ххх хххр. ххх хххр. ххх хххр. ххх хххр
Варенье из тыквы, кабачка/х,хл ххх хххр. ххх хххр. ххх хххр. ххх хххр
Овощная консервация (огурцы,помидоры)/хл ххх хххр. ххх хххр. ххх хххр. ххх хххр
Рыбная консервация/х,ххл х ххх хххр. х ххх хххр. х ххх хххр. х ххх ххх
Соки/ хл ххх хххр. ххх хххр. ххх хххр. ххх хххр
Расходы на внешнее оформление продукции ххх хххр. ххх хххр. ххх хххр. ххх хххр
Коммерческие расходы, расходи на маркетинг % от объема продаж ххх хххр. ххх хххр. ххх хххр. ххх хххр
Расходы на ремонт оборудования хххр. хххр. хххр. хххр.
Прибыль, до вычета налогов х ххх хххр. х ххх хххр. х ххх хххр. х ххх хх
Окончание Таблицы. Расчет точки безубыточности
10 Финансовый анализ
10.1 Расчет показателей продаж
Показатели продаж:
Точка безубыточности, % х%
Точка безубыточности, руб. ежемесячных продаж ххх хххр.
Операционный рычаг хх%
Таблица 51. Показатели продаж
Объем продаж, соответствующий точке безубыточности, составляет ххх ххх руб. в месяц.
90
Операционный рычаг равен хх%, то есть при увеличении объема продаж на ххх руб.,
прибыль увеличивается на хх руб.
10.2 Расчет показателей основной деятельности
Показатели основной деятельности
Средние значения
по проекту
Объем продаж, в мес. х ххх хххр.
Объем текущих расходов, в мес. х ххх хххр.
Чистая прибыль, в мес. х ххх хххр.
Денежный поток, в мес. х ххх хххр.
Таблица 52. Показатели основной деятельности
Средний уровень продаж в месяц составляет х ххх тыс. руб., чистая прибыль – х ххх тыс.
руб., денежный поток – х ххх тыс. руб. в месяц.
Диаграмма 25. Показатели основной деятельности, руб.в месяц
10.3 Расчет показателей рентабельности
Показатели рентабельности:
Средние значения
по проекту
Рентабельность продаж хх,хх%
Рентабельность активов хх%
Оборачиваемость активов х,х
Таблица 53. Показатели рентабельности
91
Средний уровень рентабельности продаж (отношение чистой прибыли к выручке от
реализации, без НДС) составляет хх,х%, рентабельность активов – хх%.
92
11 Инвестиционный анализ
11.1 Срок окупаемости
Срок окупаемости, в том числе, с учетом дисконтирования, составляет х месяцев.
Как видно из представленной таблицы, инвестор вкладывает средства на протяжении х-х
месяца, начиная с х-го месяца, происходит возврат инвестиций.
нежных средств инвестора х мес. х мес. х мес х мес х мес х ме
х ххх хххр. ххх хххр. хх хххр.
хр. хр. хр. х ххх хххр. х ххх хххр. х ххх х
ный поток -х ххх хххр. -ххх хххр. -хх хххр. х ххх хххр. х ххх хххр. х ххх х
ток накопленным итогом -х ххх хххр. -х ххх хххр. -х ххх хххр. -х ххх хххр. -х ххх хххр. -ххх хх
Таблица 54. Расчёт срока окупаемости
нежных средств инвестора х мес х мес х мес хх мес хх мес хх ме
х ххх хххр. х ххх хххр. х ххх хххр. х ххх хххр. х ххх хххр. х ххх хх
ный поток х ххх хххр. х ххх хххр. х ххх хххр. х ххх хххр. х ххх хххр. х ххх хх
оток накопленным итогом х ххх хххр. х ххх хххр. х ххх хххр. х ххх хххр. х ххх хххр. хх ххх х
Продолжение Таблицы. Расчёт срока окупаемости
нежных средств инвестора хх мес хх мес хх мес хх мес хх мес хх ме
х ххх хххр. х ххх хххр. х ххх хххр. х ххх хххр. х ххх хххр. х ххх хх
ный поток х ххх хххр. х ххх хххр. х ххх хххр. х ххх хххр. х ххх хххр. х ххх хх
оток накопленным итогом хх ххх хххр. хх ххх хххр. хх ххх хххр. хх ххх хххр. хх ххх хххр. хх ххх х
Продолжение Таблицы. Расчёт срока окупаемости
нежных
вестора
хх мес хх мес хх мес хх мес хх мес хх мес Итого:
х ххх хххр.
х ххх хххр. х ххх хххр. х ххх хххр. х ххх хххр. х ххх хххр. х ххх хххр. хх ххх хххр.
ый
х ххх хххр. х ххх хххр. х ххх хххр. х ххх хххр. х ххх хххр. х ххх хххр. хх ххх хххр
ток
итогом хх ххх хххр. хх ххх хххр. хх ххх хххр. хх ххх хххр. хх ххх хххр. хх ххх хххр.
Окончание Таблицы. Расчёт срока окупаемости
93
11.2 Чистый дисконтированный доход
Движения денежных средств х мес х мес х мес
Коэффициент дисконтирования х,хх х,хх х,хх
Дисконтированный денежный поток -х ххх хххр. -ххх хххр. -хх хххр.
Дисконтированный денежный поток, накопленным итогом -х ххх хххр. -х ххх хххр. -х ххх хххр.
Таблица 55. Расчёт дисконтированного срока окупаемости
Движения денежных средств х мес х мес х мес
Коэффициент дисконтирования х,хх х,хх х,хх
Дисконтированный денежный поток х ххх хххр. х ххх хххр. х ххх хххр.
Дисконтированный денежный поток, накопленным итогом ххх хххр. х ххх хххр. х ххх хххр.
Продолжение Таблицы. Расчёт дисконтированного срока окупаемости
Движения денежных средств хх мес хх мес хх мес хх
Коэффициент дисконтирования х,хх х,хх х,хх
Дисконтированный денежный поток х ххх хххр. х ххх хххр. х ххх хххр. х хх
Дисконтированный денежный поток,
накопленным итогом хх ххх хххр. хх ххх хххр. хх ххх хххр. хх хх
Продолжение Таблицы. Расчёт дисконтированного срока окупаемости
Движения денежных средств хх мес хх мес хх мес хх
Коэффициент дисконтирования х,хх х,хх х,хх
Дисконтированный денежный поток х ххх хххр. х ххх хххр. х ххх хххр. х хх
Дисконтированный денежный поток,
накопленным итогом хх ххх хххр. хх ххх хххр. хх ххх хххр. хх хх
Окончание Таблицы. Расчёт дисконтированного срока окупаемости
Дисконтированный денежный поток
-10 000 000р.
-5 000 000р.
0р.
5 000 000р.
10 000 000р.
15 000 000р.
20 000 000р.
25 000 000р.
30 000 000р.
35 000 000р.
1мес.
2мес.
3мес
4мес
5мес
6мес
7мес
8мес
9мес
10мес
11мес
12мес
13мес
14мес
15мес
16мес
17мес
18мес
19мес
20мес
21мес
22мес
23мес
24мес
Дисконтированный денежный поток, накопленным итогом Дисконтированный денежный поток
Диаграмма 26. Дисконтированный денежный поток
Чистый дисконтированный доход рассчитывался исходя из годовой ставки
дисконтирования в размере хх%.
94
При принятой ставке дисконтирования, чистый дисконтированный доход составит хх ххх
тыс. руб.
11.3 Индекс доходности
Согласно расчетам, индекс доходности по проекту в целом составит хх,х.
Индекс доходности за период прогноза х,хх
Индекс доходности по проекту в целом хх,х
Таблица 56. Индекс доходности
11.4 Внутренняя норма доходности
Внутренняя норма доходности в расчете на год составит хххх,х% - на весь период.
ВНД, % в мес. ххх,х%
ВНД, % в год. хххх,х%
Таблица 57. Внутренняя норма доходности
95
12 Заключение по инвестиционной привлекательности проекта
Сводные показатели эффективности проекта представлены в таблице.
Показатели эффективности проекта.
Показатели продаж:
Точка безубыточности, % х%
Точка безубыточности, руб. ежемесячных продаж ххх хххр.
Операционный рычаг хх%
Показатели рентабельности:
Средние значения по
проекту
Рентабельность продаж хх%
Рентабельность активов хх%
Оборачиваемость активов х,х
Показатели основной деятельности
Средние значения по
проекту
Объем продаж, в мес. х ххх хххр.
Объем текущих расходов, в мес. х ххх хххр.
Чистая прибыль, в мес. х ххх хххр.
Денежный поток, в мес. х ххх хххр.
Инвестиционные показатели
ВНД, % в год. ххх,хххх%
Объем инвестиций х ххх хххр.
Чистый Дисконтированный Доход хх ххх хххр.
Инвестиционный период, мес. х
Срок окупаемости, мес. х
Индекс доходности за период прогноза ххх%
Таблица 58. Сводные показателиэффективности проекта
Анализ финансовых прогнозов свидетельствует о высокой инвестиционной
привлекательности проекта:
 Высокий среднемесячный уровень продаж - х ххх тис. руб.
 Высокий уровень доходности производства, что влечет за собой высокий уровень
среднемесячной чистой прибыли – х ххх тис. руб.
 Низкий уровень чувствительности – точка безубыточности продаж составляет х% от
планируемого объема продаж.
 Высокий уровень внутренней нормы доходности – ххх.хххх% в год.
Совокупность приведенных показателей свидетельствует о перспективности
рассматриваемого проекта.

Демоверсия бизнес план консервного завода

  • 1.
    Консалтинговая группа «БизпланиКо»www.bizplan5.ru +7 (495) 645 18 95 info@bizplan5.ru БИЗНЕС-ПЛАН КОНСЕРВНЫЙ ЗАВОД Разработчик: Консалтинговая группа «БизпланиКо» www.bizplan5.ru E-mail: vip@bizplan5.ru Тел: +7 (495) 645 18 95
  • 2.
    Консалтинговая группа «БизпланиКо»www.bizplan5.ru +7 (495) 645 18 95 info@bizplan5.ru Разработка бизнес-плана на заказ. 1. Вы планируете создание бизнеса с объемом инвестиций от 3 до 500 млн. рублей; 2. Вам нужен бизнес-план для себя, что бы полностью разобраться и просчитать проект; 3. Бизнес-план вам нужен, в том числе для того, что бы привлечь внешнее финансирование: кредит, частные инвестиции или субсидии государства; В чем основные риски при заказе бизнес-плана на стороне? Непроверенные источники данных. Вместо анализа рынка копируются статьи из интернета. В результате вместо реального рабочего бизнес-плана получается плохенький реферат студента. Ошибки в финансовых расчетах. Слабые консалтинговые компании берут усредненные данные, не учитывают специфику региона, допускают ошибки в прогнозах и расчетах. Как результат ошибочный бизнес-план, который приводит к убыткам на 10 млн. рублей и выше. По такому бизнес-плану не получится привлечь финансирование и запустить бизнес. Не соблюдение требований банков и инвесторов. Невозможность согласовать бизнес-план с банком или инвестором приводит к тому, что затягиваются сроки привлечения финансирования либо, вы вообще получаете отказ в финансировании. Срыв сроков и постоянные корректировки за счет заказчика. Ошибки, допущенные на предыдущих этапах, а именно: копирование статей из интернета вместо анализа рынка; не соблюдение требований банков и инвесторов; ошибки в финансовых расчетах – все это приводит к необходимости переделывать бизнес-план или постоянно вносить корректировки. Само собой слабые консалтинговые компании не возьмут за это ответственность, и все нужно будет корректировать за свой счет. Ошибка при выборе консалтинговой компании приводит к тому, что вместо реального бизнес-плана вы получаете набор статей, скопированных из интернета. Вместо грамотных финансовых прогнозов своего бизнесы вы получаете расчеты с ошибками, которые могут привести к убыткам на 10 млн. рублей и выше. Вместо привлечения финансирования со стороны банка, частного инвестора или государства – вы получаете отказ в финансировании по причине недоработанного бизнес-плана. Хорошая новость состоит в том, что всего этого можно избежать и получить очень хороший результат по выгодной цене.
  • 3.
    3 Как работаем мы? Проводимсобственный всесторонний анализ рынка. В результате вы получаете бизнес-план с маркетинговым исследованием на 40 – 80 страниц. Маркетинговое исследование максимально достоверно и актуально. Это достигается за счет того, что рынок анализируется специалистами сразу с нескольких сторон: используются данные Росстата, отраслевой аналитики, данные Министерства Экономического Развития, данные крупных отраслевых порталов, данные аналитических журналов и еженедельников, анализируются мнения экспертов рынка и т.д. В результате вы получаете документ, который содержит ответы на все вопросы, необходимые вам как собственнику бизнеса и вашим партнерам-инвесторам. Как следствие: вам становится легче принимать управленческие решения по развитию бизнеса и легче привлекать финансирование. Составляем индивидуальную финансовую модель вашего бизнеса. В процессе составления финансовых расчетов мы учитываем все нюансы. Если вы находитесь в городе Энске, то заработную плату, аренду, стоимость ресурсов мы возьмем для города Энска. В результате вы получите финансовый анализ бизнеса, в котором будут посчитаны инвестиции, доходы, расходы, безубыточность, окупаемость и рентабельность инвестиций с учетом нюансов вашего местоположения и специфики бизнеса. Как следствие – у вас на руках будет реальная финансовая модель, которой будет удобно пользоваться как вам, так и инвесторам-кредиторам. Считаем 3 сценария развития проекта. Вы получите 3 варианта запуска бизнеса: минимум инвестиций, максимум инвестиций, средний объем инвестиций. Также вы получите 3 прогноза: пессимистичный, нейтральный и оптимистичный. Вы также будете видеть, как меняется окупаемость и рентабельность проекта в зависимости от изменения различных параметров, например, таких как: заработная плата, стоимость ресурсов, аренда, проходимость или процент загрузки и т.д. В результате – вы как собственник бизнеса будете видеть, какой из вариантов развития наиболее оптимальный и выгодный. А ваш инвестор увидит, как меняется окупаемость его инвестиций в зависимости от тех или иных факторов. Как следствие вам будет легче развивать бизнес и привлечь финансирование: как кредитное, так и частные инвестиции. Доводим вас до результата. Наша цель, что бы вы были полностью довольны результатом. Что бы вы смогли достичь поставленных целей: открыть бизнес или привлечь финансирование. Поэтому мы завершаем работу только тогда, когда вы нам скажете «Да! Теперь я полностью доволен полученным бизнес-планом» Что бы начать работу над вашим бизнес-планом просто позвоните нам: +7 (495) 645 18 95 Профессиональные бизнес-аналитики с удовольствием вам помогут!
  • 4.
    4 Наш опыт. 1. Мыработаем более 5 лет (работаем с 2010 года) 2. За это время разработали более 350 бизнес-планов. 3. Все наши сотрудники – это квалифицированные профессионалы с опытом 10 лет и более. 4. Мы работаем во всех отраслях экономики: производстве, сельском хозяйстве, строительстве, общепите, услугах, транспорте, розничной и оптовой торговле. 5. Мы работаем во всех регионах России, а также Грузии, Казахстане. (также у нас были разовые проекты во Вьетнаме, Кубе, Камбодже, Швеции, США, Шри-Ланке – то есть нашего опыта и компетенций хватает, что бы делать бизнес-планы не только в России, но и заграницей) Отзывы наших клиентов мы выложили в отдельный раздел на сайте: http://bizplan5.ru/index.php/otzyvy
  • 5.
    5 Стоимость и срокиразработки бизнес-планов Тариф «Базовый» Тариф «Бизнес» Тариф «ВИП» Укрупненный анализ рынка Да Да Да Укрупненный анализ конкурентов Да Да Да Укрупненный анализ Клиентов Да Да Да Детальный анализ рынка Нет Да Да Детальный анализ конкурентов Нет Да Да Детальный анализ клиентов Нет Да Да Выявление ключевых тенденций на рынке Нет Нет Да Маркетинговая стратегия развития Нет Нет Да Укрупненный анализ поставщиков и подрядчиков Нет Да Да Детальный анализ поставщиков и подрядчиков Нет Нет Да Укрупненный план инвестиций Да Да Да Детальный план инвестиций Нет Да Да Укрупненный прогноз доходов Да Да Да Детальный прогноз доходов Нет Да Да Укрупненный прогноз расходов Да Да Да Детальный прогноз расходов Нет Да Да Прогноз налогов Да Да Да Расчет безубыточности Да Да Да Прогноз Отчет о Прибылях и убытках Да Да Да Прогноз Отчета о Движении денежных средств Да Да Да Расчет окупаемости инвестиций и других показателей (NPV, IRR) Да Да Да Расчет трех форматов запуска бизнеса Нет Нет Да Расчет трех сценариев развития проекта Нет Нет Да Все бизнес-планы соответствую международному стандарту ЮНИДО, требованиям российских и европейских банков, требованиям, как частных инвесторов, так и инвестиционных фондов. Срок разработки 4-5 дней 2 – 2,5 недели 1 – 1,5 месяца Стоимость: 45 – 50 тыс. рублей 80 – 90 тыс. рублей 140 – 180 тыс. рублей Что бы начать работу над вашим бизнес-планом просто позвоните нам: +7 (495) 645 18 95 Профессиональные бизнес-аналитики с удовольствием вам помогут!
  • 6.
    6 Отзыв на разработкубизнес-плана. Выражаю свою признательность коллективу компании «БизпланиКО» и лично Хлебникову Олегу, за последние 5 лет мне не приходилось работать с более профессиональной компанией. Хватило одного звонка и пяти шести писем, что бы совершено незнакомые с тобой и тем, что ты собираешься делать люди, вникли в проект и просчитали его с такой детальной точностью. Оперативно реагировали и быстро учитывали все мои пожелания. После окончание строительства, жду коллектив компании у себя в гостях. Ребята, большое Вам спасибо !!! С Вами Я стал на один шаг ближе к своей мечте !!! Начинающий винодел Самойлов Р.Р.
  • 7.
    7 Отзыв на разработкубизнес-плана. Олег, добрый день! Хочу поблагодарить вас за проделанную работу. Бизнес-план содержит много полезной информации по нашему новому направлению бизнеса, хорошо проработана финансовая часть. Очень подробно описан бизнес основных конкурентов. Порадовало и то, что все наши пожелания и вносились вами быстро и соответствовали нашим требованиям. Желаю вам в дальнейшем больше квалифицированных сотрудников, много лояльных клиентов, высоких финансовых показателей и процветания. Андрей Аржанов, Генеральный директор «АртСтройМонтаж»
  • 8.
    8 Отзыв на бизнес-план. Намхотелось поручить составление бизнес плана для своего проекта успешной и надежной компании. Именно поэтому мы и выбрали компанию "БизпланиКо", они уже сделали множество успешных проектов, с ними удобно и легко работать. Почти круглосуточная доступность, оперативность и профессионализм отличает сотрудников компании "БизпланиКо". Особенную благодарность хочется выразить руководителю компании, Хлебникову Олегу Николаевичу, за выполнение качественной работы, ориентированность на высокий результат и за сдачу проекта в обозначенный срок. Хотели поблагодарить вас за хорошо выполненную работу! Руководство агрохолдинга «Оптина»
  • 9.
    9 Внимание! Данный бизнес-план является собственностьюконсалтинговой компании ООО «БизпланиКо». Никакая его часть не может быть скопирована или использована без письменного на то разрешения со стороны ООО «БизпланиКо».
  • 10.
    Консалтинговая группа «БизпланиКо»www.bizplan5.ru +7 (495) 645 18 95 info@bizplan5.ru ОГЛАВЛЕНИЕ Резюме...............................................................................................................................................11 1 Описание концепции предприятия...........................................................................................12 1.1 Основные этапы организации производства консервного завода ................................12 1.2 х.х Ассортимент выпускаемой продукции ...............................................................13 1.3 Основные характеристики продукции ............................................................................13 1.4 х.х Ценообразование .........................................................................................................14 1.5 х.х Условия расчетов с поставщиками и покупателями................................................14 1.6 х.х Цели бизнеса: доли рынка, финансовые показатели................................................14 2 Стратегия развития бизнеса ......................................................................................................14 2.1 Организационная структура предприятия ......................................................................14 2.2 х.х Описание этапов развития бизнеса............................................................................15 3 Сертификация и лицензирование пищевого производства....................................................16 4 Анализ рынка..............................................................................................................................21 4.1 х.х Анализ российского рынка консервной продукции.................................................21 4.1.1 Объем рынка в денежном и натуральном выражении............................................21 4.1.2 Динамика рынка консервации ..................................................................................21 4.1.3 Структура рынка ........................................................................................................30 4.1.4 Тенденции развития рынка........................................................................................36 5 Анализ конкурентной обстановки............................................................................................37 5.1 х.х Общая характеристика предложения на рынке........................................................37 5.2 Анализ ценовых предложений компаний Ставропольского края на отдельную группу консервной продукции....................................................................................................41 6 Анализ потребительской среды ................................................................................................42 7 Производственный план............................................................................................................46 7.1 Характеристика месторасположения...............................................................................46 7.2 Потребность в основных средствах. Описание технологического процесса необходимого оборудования.......................................................................................................48 7.2.1 Полный расчет себестоимости продукции ..............................................................60 8 Инвестиционный план ...............................................................................................................61 8.1 Приобретение основных средств .....................................................................................63 8.2 Подготовительные работы................................................................................................64 8.3 Календарный план работы................................................................................................65 9 Финансовый план.......................................................................................................................66 9.1 План доходов .....................................................................................................................66 9.2 План расходов....................................................................................................................68 9.3 Расчет налоговых выплат..................................................................................................73 9.4 Отчет о движении денежных средств..............................................................................75 9.4.1 Денежные потоки от операционной деятельности .................................................75 9.4.2 Денежные потоки от инвестиционной деятельности .............................................80 9.4.3 Денежные потоки от проекта....................................................................................80 9.5 Расчет амортизационных отчислений .............................................................................83 9.6 Отчет о прибылях и убытках............................................................................................84 9.7 Расчет уровня безубыточности ........................................................................................87
  • 11.
    11 10 Финансовый анализ...............................................................................................................89 10.1Расчет показателей продаж...........................................................................................89 10.2 Расчет показателей основной деятельности................................................................90 10.3 Расчет показателей рентабельности.............................................................................90 11 Инвестиционный анализ.......................................................................................................92 11.1 Срок окупаемости ..........................................................................................................92 11.2 Чистый дисконтированный доход................................................................................93 11.3 Индекс доходности ........................................................................................................94 11.4 Внутренняя норма доходности.....................................................................................94 12 Заключение по инвестиционной привлекательности проекта..........................................95 Резюме В рамках настоящего проекта предусматривается организация производства овощных, рыбных консервов, соков и варенья. Общая сумма инвестиций составляет х ххх ххх руб., из которых основные х ххх ххх руб. – затраты на приобретения комплектов оборудования, х ххх ххх руб. – затраты на приобретение земельного участка, ххх ххх руб. – покрытие дефицита оборотных средств. В рамках рассматриваемого проекта предполагается предоставление услуг предприятия по производству продукции в г.Нефтекумск Ставропольского края. Планируется организация выпуска следующей продукции: варенье, соки, овощная и рыбная консервация. Направления инвестиционных вложений Сумма затрат: Оборудование х ххх хххр. СМР ххх хххр. Земельний участок х ххх хххр. Подготовительные работы ( кроме СМР) ххх хххр. Оборотные средства ххх хххр. Итого: х ххх хххр. Таблица 1. Инвестиционный план Средства для реализации проекта предполагается привлечь за счет средств инвестора или собственных средств инициатора проекта (без привлечения банковского кредита). Расчетный период проекта – х года. Предполагается получение дохода от производства и реализации продукции, включающей в себя соки, варенье, рыбная и овощная консервация. Выручка от реализации продукции за прогнозный период составит ххх ххх ххх руб. Расходы по проекту складываются из общих производственных затрат, административно- хозяйственных и коммерческих расходов. Общая сумма расходов от операционной деятельности за прогнозный период составляет ххх ххх ххх руб. Экономическая эффективность проекта рассчитывалась при условии ставки дисконтирования – хх%. Показатели эффективности проекта. Показатели продаж: Точка безубыточности, % х%
  • 12.
    12 Точка безубыточности, руб.ежемесячных продаж ххх хххр. Операционный рычаг хх% Показатели рентабельности: Средние значения по проекту Рентабельность продаж хх% Рентабельность активов хх% Оборачиваемость активов х,х Показатели основной деятельности Средние значения по проекту Объем продаж, в мес. х ххх хххр. Объем текущих расходов, в мес. х ххх хххр. Чистая прибыль, в мес. х ххх хххр. Денежный поток, в мес. х ххх хххр. Инвестиционные показатели ВНД, % в год. ххх,хххх% Объем инвестиций х ххх хххр. Чистый Дисконтированный Доход хх ххх хххр. Инвестиционный период, мес. х Срок окупаемости, мес. х Индекс доходности за период прогноза ххх% Таблица 2. Показатели эффективности проекта Проект показывает высокие показатели финансовой эффективности: точка безубыточности продаж составляет х% от планируемого объема продаж (х ххх тыс. руб. в месяц), рентабельность продаж достигает уровня хх%, проект окупается за х месяцев (без учета дисконтирования), внутренняя норма доходности составит ххх.хххх% в год. Чистый дисконтированный доход составит хх млн. руб. Коммерческая привлекательность проекта определяется следующими основными факторами:  Благоприятная рыночная конъюнктура – расположение в развивающемся регионе с наиболее емкой потребительской средой.  Высокий уровень рентабельности. Таким образом, проект оценивается как перспективный, обладающий значительными финансовыми и коммерческими преимуществами. 1 Описание концепции предприятия 1.1 Основные этапы организации производства консервного завода Данным проектом предусмотрена реализация запуска консервного завода в городе Нефтекумск Ставропольского края. Организация производства состоит из следующих этапов: 1. Разработка концепции предприятия
  • 13.
    13 2. Регистрация юридическоголица 3. Оформление разрешительной документации 4. Выбор оборудования для производства консервов 5. Монтаж и пусконаладочные работы 6. Приобретение земельного участка 7. Строительство быстровозводимых конструкций 8. Закупка офисного оборудования 9. Обучение персонала 10. Заключение договоров на поставку сырья 11. Пробный запуск производства Срок реализации проекта х месяца. х.х Ассортимент выпускаемой продукции В рамках рассматриваемого проекта предполагается предоставление услуг предприятия по производству консервов из бахчевых культур и овощей в г. Нефтекумск (Ставропольский край). Планируется выпуск следующей продукции: 1. Варенье из дыни, тыквы, арбуза, кабачков 2. Соки: яблоко, груша, виноград 3. Овощная консервация: томаты, огурцы маринование, борщ 4. Рыбная консервация 1.3 Основные характеристики продукции  Варенье ГОСТ Р ххххх-хххх Настоящий стандарт распространяется на консервы - варенье, изготовленные из свежих или быстрозамороженных, или сушеных, целых или нарезанных фруктов (овощей), грецких орехов, лепестков роз путем уваривания их в сахарном растворе с частичной заменой или без замены патокой, с добавлением или без добавления пищевых органических кислот, пектина, пряностей, до достижения массовой доли растворимых сухих веществ не менее хх%.  Джем ГОСТ Р ххххх-хххх Настоящий стандарт распространяется на джемы, изготовленные из свежих или быстрозамороженных, или сушеных, целых, нарезанных или измельченных фруктов (овощей) или из полуфабрикатов, асептически заготовленных, подготовленных в соответствии с установленной технологией, сахара или Сахаров, с добавлением или без добавления пектина, в которых массовая доля фруктовой (овощной) части составляет не менее хх %. Джемы предназначены для реализации в розничной торговой сети, для предприятий общественного питания и промышленного использования.  Соки
  • 14.
    14 ГОСТ ххххх –хххх. Настоящий стандарт распространяется на консервы - фруктовые восстановленные соки, изготовленные из концентрированных фруктовых соков.  Овощная консервация ГОСТ ххххх – хххх. Настоящий стандарт распространяется на маринованные овощи, изготовленные из свежих или предварительно заготовленных целых или нарезанных овощей или их смесей, залитых маринадной заливкой с добавлением растительного масла или без него.  Рыбная консервация ГОСТ ххххх - хххх . Консервы, пресервы из рыбы и морепродуктов. х.х Ценообразование Цены на продукцию определяются на основании среднерыночных значений, из расчета за х единицу продукции. Доля расходов на производство единицы продукции равна хх% отпускной цены. х.х Условия расчетов с поставщиками и покупателями Согласно условиям проекта, предполагается осуществление расчетов в момент приобретения продукции. В процессе взаимовыгодного сотрудничества с постоянными партнерами предусмотрена отсрочка платежа на протяжении х дней с момента покупки продукции. Впоследствии планируетя разработка специальных условий оплаты. х.х Цели бизнеса: доли рынка, финансовые показатели Стратегические цели бизнеса определяются следующими ключевыми параметрами:  Ежегодный объем продаж – х ххх тис. руб.  Годовой объем чистой прибыли – хх ххх ххх руб.  Рентабельность продаж –хх%.  Чистый денежный поток в месяц –х ххх ххх руб. Доля предприятия на рынке консервов Ставропольского края составит х%. 2 Стратегия развития бизнеса 2.1 Организационная структура предприятия Целью консервного завода является создание команды профессионалов высокого уровня, настроенных на достижение лучших результатов. Поэтому важными критериями в подборе персонала для предприятия является профессиональная компетентность кандидатов, стремление к саморазвитию и самосовершенствованию. Все вакансии в компании будут замещаться на основе конкурсного отбора.
  • 15.
    15 Рисунок х. Организационнаяструктура консервного завода Должность Заработная плата Директор предприятия хх хххр. Главный технолог хх хххр. Старшый инженер хх хххр. Инженер хх хххр. Бухгалтер хх хххр. Контролер качества продукции хх хххр. Фасовщик хх хххр. Таблица 3. Средняя зароботная плата на отдельние должности в Ставропольском крае Порядок внутренней организации и деятельности консервного завода утверждается директором, по согласованию с учредителями. Функции, права и обязанности структурных подразделений предприятия определяются положениями о них, утверждаемых в порядке, определенном Уставом компании или другими документами. Функциональные обязанности и должностные инструкции работников утверждаются директором. х.х Описание этапов развития бизнеса Для достижения поставленной цели требуется решить следующие задачи:  Заключение договора аренды земельного участка и помещения под производство;  Проведение подготовительных и проектных работ; Учредитель Директор Главный технолог Бухгалтер Старший инженер ь Контролер качества производства Инженер Инженер
  • 16.
    16  Строительно-монтажные работы; Закупка и монтаж оборудования для производства;  Подбор квалифицированного рабочего персонала, его обучение и организация производственного процесса;  Достижение проектных объемов производства продукции, себестоимость которой соответствует бизнес-плану. На организацию производства, до первых продаж, отводится срок х месяца. 3 Сертификация и лицензирование пищевого производства Современная сертификация пищевой продукции в РФ осуществляется по Постановлению РФ № ххх от х декабря хххх года (о перечнях продукции, которая подлежит обязательной сертификации). Практически вся пищевая продукция входит в этот перечень. Сертификация соответствия пищевой продукции осуществляется с обязательным оформлением документа «декларации о соответствии системе сертификации ГОСТ Р». То есть, все пищевые продукты подвергаются обязательному декларированию. Сертификация пищевой продукции гарантирует безопасность для здоровья и жизни населения РФ. Процесс сертификации контролируется уполномоченным органом власти – Росстандартом и в им аккредитованных сертификационных органах с участием специальных учреждений. При желании производителя пищевых продуктов или импортера, сертификация может осуществляться с оформлением следующего документа «Добровольный сертификат соответствия в системе сертификации ГОСТ Р». Сертификация пищевой продукции оформляется после проведения лабораторных испытаний в аккредитованной лаборатории и оформления протокола исследований. В лабораторию поступают образцы пищевой продукции, по которым делают анализы химического состава продуктов, клинические и микробиологические испытания. Способ исследования для каждого определённого элемента пищевой продукции устанавливает система ГОСТ, методические и нормативные документы. Алгоритм процесса сертификации устанавливается в зависимости от срока хранения пищевой продукции:  продукция со сроком годности до хх-ти дней – кратковременного хранения;  товар со сроком годн. больше хх-ти дней – длительного хранения. Для каждого вида пищевой продукции используется свой утверждённый алгоритм сертификации и список показателей, которые необходимо подтвердить. Пищевая продукция распределяется по установленным группам продукции одного рода, их всего одиннадцать:  раст. масла и продукты переработанные;
  • 17.
    17  зерновые ипродукты переработанные;  яйца, мясные продукты и продукты их переработки;  молоко и продукты его переработки;  рыба и рыбные продукты;  мучные товары: хлебобулочные и макаронные изделия;  фрукты, овощи и продукты переработки;  мед и продукция пчеловодства;  пищевые концентраты и крахмал;  питьевой спирт и прочие алкогольные напитки;  продукция сахарной промышленности и кондитерские изделия. Упаковка пищевой продукции, на которую была изготовлена сертификация, должна содержать в себе следующую информацию:  дату изготовления и сроки годности;  состав продукции;  обработка и состояние продукта (сухой, свежий, замороженный и т.д.);  различные условия хранения продукции. Импортеры пищевой продукции и производители, начиная с х июля хххх года должны оформлять Свидетельство о госрегистрации ТС. В России оно равносильно Санитарно- Эпидемиологическому заключению (СЭЗ) и Государственной регистрации РФ. Это Свидетельство о госрегистрации ТС единое для стран Таможенного Союза – России, Казахстана и Беларуси. Но оформляется оно только на специализированную продукцию (например, для беременных женщин), на продукты, полученные с использованием генно- инженерно-модифицированных организмов, на БАДы. Сегодня сертификация пищевой продукции проводится на основании:  сертификации систем контроля качества на предприятии, производящем продукцию;  анализа качества изготовления пищевой продукции;  положительных результатов лабораторных исследований;  положительных результатов испытаний при обязательном последующем инспекционном контроле пищевой продукции. Сертификация пищевой продукции кратковременного хранения проводится одновременно с сертификацией производства или СМК (системы менеджмента качества) на производстве. Продукция, которая требует долгого хранения, сертифицируется по любой из установленных схем сертификации законом № ххх «О техническом регулировании» от хх.хх.хххх г. В РФ Сертификация пищевой продукции также оформляется по международной системе Hazard Analysis and Critical Control Points. HACCP представляет собой систему, подтверждающую качество пищевой продукции и безопасность пищевых товаров. Данной
  • 18.
    18 системе в Россиисоответствует следующий стандарт: ГОСТ Р ххххх.х-хххх «Системы качества на основе ХАССП». Использование такой системы на предприятии обеспечивает высокое качество и прежде всего безопасность пищевых продуктов. Сертификат на пищевую продукцию по этому стандарту даёт возможность производству поставлять свою продукцию на мировой рынок. Принятое хх.хх.хх правительственное постановление № ххх, которым внесены изменения в перечни продукции, введённые в действие правительственным постановлением № ххх (дата принятия — хх.хх.хх) обязывает проводить обязательную сертификацию пищевых продуктов в форме декларирования соответствия. Вторым документом, подтверждающим это требование, является ГОСТ Р ххххх-хххх. Четвёртым разделом указанного документа определено, что пищевые продукты (по однородности) разделены на хх группы (основные). Под каждую из этих групп разработаны свои методики испытаний, проводимых в процессе сертификации пищевых продуктов. Базовым документом, регламентирующим порядок проведения сертификации пищевых продуктов, является постановление № хх Госстандарта России, принятое хх.хх.хх (с соответствующими дополнениями и изменениями). Согласно ему процедура сертификации указанной продукции подразделяется на два основных направления: х. проведение сертификации пищевых продуктов, предназначенных для кратковременного хранения (максимально — хх суток); х. сертификация продуктов, предназначенных для длительного хранения. Если вторую группу пищевых продуктов можно сертифицировать практически по любой из хх основных схем сертификации, которые применяются в ГОСТ Р, то первую группу — исключительно в связке с проведением СМК по стандарту ISO хххх: хххх (российский национальный аналог стандарта — ГОСТ Р ИСО хххх-хххх). Сертификацию пищевых продуктов, экспортируемых в Россию, можно провести заблаговременно, ещё до начала её поставок в нашу страну. Необходимо отметить, что, в связи с принятием ряда новых технических регламентов (утверждены законами РФ за №№ ххх-ФЗ, хх-ФЗ, хх-ФЗ от хх.хх.хх, хх.хх.хх и хх.хх.хх соответственно), действие вышеназванного документа не распространяется на следующие продукты питания: х. масложировая продукция; х. изготовленные из фруктов и овощей соки; х. молочная продукция и собственно молоко. Частично продолжает действовать ещё одно правительственное постановление, в котором также содержится список продуктов питания, качество которых необходимо в обязательном порядке подтверждать декларированием соответствия. Это постановление № ххх, которое было принято хх.хх.хх.
  • 19.
    19 Отдельными ГОСТами регламентируютсятребования к воде и процедуры её сертификации. Для примера можно сослаться на ГОСТххххх-хх, ГОСТ ххххх-хххх, ГОСТ Р ххххх-хххх. С хх.хх.хх проведение обязательной сертификации пищевых продуктов регламентируется ещё одним документом — решением КТС № ххх (с соответствующими дополнениями), которое было принято хх.хх.хх и ввело в действие «Единый перечень…». На продукты питания, включённые в него, в обязательном порядке оформляется свидетельство о гос.регистрации ТС. В связи с тем, что отечественные товаропроизводители всё активнее интегрируются в общемировое экономическое сообщество, Россия готовится стать в хххх году членом ВТО, существенно увеличилось количество лиц, проводящих сертификацию пищевых продуктов в добровольном порядке в соответствии с положениями системы ХАССП (российский аналог ГОСТ Р ххххх-хххх). Наличие данного сертификата даёт существенные преимущества при организации поставок продуктов питания в США и Западную Европу. Поставляемая из третьих стран продукция животноводства в обязательном порядке должна иметь ветеринарный сертификат, оформленный в соответствии с международным законодательством. При поставках продуктов питания на экспорт необходимо провести сертификацию пищевых продуктов и оформить её результаты получением экспортного ветеринарного сертификата. В отдельных случаях необходим сертификат происхождения продукции. Сертификат соответствия (сертификат качества, сертификат Ростеста) – это письменное свидетельство того, что данный продукт, услуга или иной объект является качественным и соответствует всем установленным требованиям технических регламентов, положениям стандартов и сводов правил. Сертификат соответствия бывает двух видов: обязательный сертификат; добровольный сертификат. Обязательный сертификат должен быть оформлен на продукцию и услуги, входящие в Постановлении Правительства РФ от х декабря хххх г. N ххх «Единый перечень продукции, подлежащей обязательной сертификации» Для продукции и услуг, не входящих в этот перечень, можно оформить отказное письмо или пройти добровольную сертификацию. Сертификат соответствия выдается органами по сертификации (ОС), имеющими соответствующую для этой продукции или услуги область аккредитации. В свою очередь, сертификат соответствия выдается на основании следующих документов: техническое описание; регистрация технических условий (ТУ) или ГОСТ; протокол испытаний; гигиеническое заключение (если необходимо по законодательству);
  • 20.
    20 другие (в зависимостиот вида продукции и услуги). Сертификат соответствия оформляется на определенное время или на бессрочный период. Срок действия документа зависит от выбранной схемы сертификации. При истечении срока действия сертификата соответствия необходимо его продлить. Комплексная сертификация менеджмента качества – позволяет оформить сертификат системы качества (сертификат ISO), это документ, подтверждающий, что продукция и услуги определенной организации, компании или предприятия неизменно высокого качества, независимо от изменений внешних и внутренних условий. Сертификация менеджмента качества является добровольной, однако она имеет большое значение для развития бизнеса, особенно на зарубежных рынках. Другими словами, для потребителя, продукция и услуги компании, прошедшей данную процедуру, выглядят более качественными, с большей гарантией, нежели продукция и услуги компании, не сделавших этого. В России сертификат пожарной безопасности (второе название – пожарный сертификат) является официальным документом, способным подтвердить тот факт, что продукция полностью соответствует необходимым требованиям «Техрегламента о требованиях пожарной …». Оформление обязательного сертификата пожарной безопасности осуществляется в органах по сертификации, имеющих соответствующую аккредитацию в МЧС России. На данный момент времени существует не так уж много органов, которые уполномочены выдавать сертификаты пожарной безопасности. Существующая система сертификации Российской Федерации по пожарной безопасности в РФ имеет свой центральный орган, которым является непосредственно Управление государственного пожарного надзора МЧС России. Сертификат происхождения – это документ, предоставляющий информацию о стране происхождения товара. В Москве регистрация технических условий стала доступна каждому. Частью производственной технической документации предприятия являются технические условия. Непосредственно в соответствии с ними и изготавливается выпускаемая продукция. Необходимы технические условия в том случае, когда какая-либо продукция изготавливается не в соответствии со стандартами ГОСТ, а с явными отклонениями от них. Получается, что технические условия являются как бы заменителем ГОСТа. Это возможно если: • организация производит уникальную либо новую продукцию, стандарты на которую ещё не разработаны; • в контрактах (договорах) делаются на ТУ ссылки.
  • 21.
    21 4 Анализ рынка х.хАнализ российского рынка консервной продукции 4.1.1 Объем рынка в денежном и натуральном выражении В хххх г. объем производства консервов составил ххххххх тыс.усл.банк., по сравнению с данными за предыдущий год - ххххххх тыс усл.банк. Таким образом, был зафиксирован спад производства на хх%. За период январь - февраль хххх г. объем производства составил хххххх тыс усл.банк. В хххх г. натуральный объем продаж овощных консервов достиг ххх тыс т. При этом емкость рынка овощных консервов в хххх г. составила х,х млн т. 4.1.2 Динамика рынка консервации По данным «Анализа рынка овощных консервов в России», подготовленном BusinesStat, c хххх по хххх гг/ стоимостный объем рынка овощной консервации в России вырос на хх% - с хх до ххх млрд руб. Стоимостной объем продаж овощных консервов рос темпами, намного опережающими рост рынка в натуральном выражении. Опережение было обусловлено быстрым ростом цен на овощную консервацию: с хххх по хххх гг. средняя цена х кг овощных консервов выросла на хх% - с хх до ххх руб. Динамика роста цен на овощную консервацию,руб. 89 98 121 127 134 0 20 40 60 80 100 120 140 160 2006 год 2007 год 2008 год 2009 год 2010 год средняяценазапродукцию,руб. Диаграмма 1. Динамика роста цен на овощную консервацию за период хххх-хххх гг.руб. В хххх г. натуральный объем продаж овощных консервов достиг ххх тыс т. При этом емкость рынка овощных консервов в хххх г. составила х,х млн т. Такая разница между объемом и емкостью рынка объясняется наличием натурального производства овощной консервации в России. Иными словами, часть консервов делается из выращенных в домохозяйствах
  • 22.
    22 овощей и такиеконсервы не попадают в торговлю. Ежегодно в российских частных хозяйствах изготавливается порядка х,х млн т овощных консервов. Оборот розничной торговли в сентябре ххххг. составил хххх,х млрд.рублей, что в товарной массе составляет ххх,х% к соответствующему периоду предыдущего года, в январе- сентябре ххххг. - ххххх,х млрд.рублей и ххх,х%. Продано в % к предыдущему месяцу Запасы на х октября ххххг. в % к запасам на х сентября ххххг. Обеспеченность запасами, в днях торговли в сентябре ххххг. справочно в августе ххххг. на х октября ххххг. справочно на х сентября ххххг. Мясо (включая мясо домашней птицы и дичи), продукты и консервы из мяса хх,х ххх,х хх,х х х из них: мясо животных хх,х ххх,х хх,х х х мясо домашней птицы хх,х хх,х хх,х х х продукты из мяса хх,х ххх,х хх,х х х консервы из мяса хх,х хх,х хх,х хх хх Рыба и морепродукты хх,х ххх,х хх,х хх хх из них консервы и пресервы из рыбы и морепродуктов хх,х ххх,х хх,х хх хх Животные масла ххх,х хх,х хх,х х хх Растительные масла хх,х ххх,х хх,х хх хх Молочные продукты хх,х ххх,х хх,х х х из них: сыры жирные ххх,х ххх,х хх,х хх хх консервы молочные сухие, сублимированные хх,х ххх,х ххх,х хх хх цельномолочная продукция хх,х хх,х хх,х х х из нее: молоко питьевое хх,х ххх,х ххх,х х х молочные напитки ххх,х ххх,х ххх,х х х Яйцо птицы хх,х ххх,х хх,х х х Сахар хх,х хх,х хх,х хх хх Кондитерские изделия ххх,х хх,х хх,х хх хх Чай ххх,х хх,х ххх,х хх хх Соль хх,х ххх,х хх,х хх хх Хлеб и хлебобулочные изделия хх,х хх,х хх,х х х Мука хх,х хх,х хх,х хх хх Таблица 4.Изменение продажи и запасов основных продуктов питания, не относящихся к субъектам малого предпринимательства Согласно данным таблицы, можно утверждать, что уровень продаж рыбных и мясных консерваций немного упал. Так, в сентябре хххх года было продано на х,х% меньше рыбных консерваций по сравнению с предыдущем месяцем хххх года. А уровень мясных консерваций за тот же период на х,х%. Наиболее востребованными сегментами консервированных овощей являются зеленый горошек, кукуруза, консервированные огурцы и помидоры, на них приходится хх%, хх%, хх% и х%, соответственно.
  • 23.
    23 Диаграмма 2. Основныесегменты рынка овощных консервов Лидером по производству плодоовощных консервов в России является Центральный ФО, доля которого составляет хх% от общего объема производства. Следом идет Южный ФО - хх%. На долю прочих округов приходится хх%.
  • 24.
    24 Диаграмма 3. Географическаяструктура основных производителей плодоовощных консервов Лидирующие позиции по объему производства среди регионов заняли: Московская область, Краснодарский край и Волгоградская область. В настоящее время российский рынок овощных консервов импортозависим. В хххх г. предложение консервов состояло из ххх,х тыс т российской продукции и ххх,х тыс т импортной продукции. В перспективе доля импорта овощной консервации будет снижаться и к хххх г. составит хх,х% от общего объема предложения.
  • 25.
    25 Диаграмма 4. Структурарынка консервов в хххх году Согласно данным диаграммы видно, что доля импортной продукции в два раза превышает долю продукции, которая производится в России. Август В % к Январь- Справочно
  • 26.
    26 ххххг. августу ххххг. июлю ххххг. август ххххг. в %к январю- августу ххххг. август ххххг. в % январь- август ххххг. в % к январю- августу ххххг. Мясо свежее и мороженое (без мяса птицы), тыс.тонн ххх,х хх,х хх,х ххх,х хх,х хх,х хх,х Мясо птицы свежее и мороженое, тыс.тонн хх,х хх,х хх,х хх,х хх,х хх,х хх,х Сахар-сырец, тыс.тонн х,х х,х в х,хр. ххх,х хх,х хх,х хх,х Рыба свежая и мороженая, тыс.тонн хх,х хх,х ххх,х ххх,х хх,х ххх,х хх,х Изделия и консервы из мяса, тыс.тонн х,х хх,х хх,х хх,х хх,х хх,х хх,х Злаки, тыс.тонн хх,х хх,х в х,хр. хх,х хх,х ххх,х хх,х Чай, тыс.тонн хх,х ххх,х хх,х ххх,х ххх,х хх,х хх,х Масло соевое, тыс.тонн х,х хх,х ххх,х хх,х хх,х ххх,х хх,х Масло пальмовое, тыс.тонн хх,х ххх,х ххх,х хх,х хх,х ххх,х хх,х Масло подсолнечное, тыс.тонн х,х в х,хр. в х,хр. ххх,х хх,х хх,х хх,х Масло кокосовое (копровое), пальмоядровое или масло бабассу, тыс.тонн х,х хх,х ххх,х хх,х хх,х ххх,х хх,х Масло сливочное и прочие молочные жиры, тыс.тонн х,х ххх,х ххх,х ххх,х хх,х хх,х хх,х Цитрусовые плоды, тыс.тонн хх,х в х,хр. ххх,х ххх,х ххх,х хх,х хх,х Продукты, содержащие какао, тыс.тонн х,х ххх,х ххх,х ххх,х хх,х хх,х хх,х Макаронные изделия, тыс.тонн х,х ххх,х хх,х ххх,х хх,х ххх,х хх,х Кондитерские мучнистые изделия, тыс.тонн х,х ххх,х ххх,х ххх,х хх,х ххх,х хх,х Таблица 5. Импорт отдельных групп товаров из стран СНГ Как видно по данным таблицы, доля импортированной продукции, а именно консервов из мяса с каждым годом уменьшается. В среднем на хх% в год снижется уровень импортной продукции в общем числе потребления консервов. Установлены ненадлежащее качество и (или) опасность товаров отечественных импортных ххххг. справочно ххххг. ххххг. справочно ххххг. Пищевые продукты, включая напитки, и табачные изделия Мясо и птица х,х хх,х х,х хх,х Изделия колбасные х,х хх,х х,х х,х Консервы мясные и мясорастительные х,х х,х х,х х,х Продукция рыбная пищевая товарная хх,х хх,х хх,х хх,х
  • 27.
    27 Установлены ненадлежащее качество и(или) опасность товаров отечественных импортных ххххг. справочно ххххг. ххххг. справочно ххххг. Масло животное х,х х,х х,х х,х Масла растительные х,х х,х х,х х,х Цельномолочная продукция х,х х,х х,х х,х Кондитерские изделия хх,х х,х хх,х хх,х Сахар х,х хх,х х,х хх,х Сыры жирные х,х х,х х,х х,х Изделия макаронные х,х х,х х,х х,х Крупа х,х х,х хх,х х,х Консервы плодоовощные и ягодные хх,х х,х х,х х,х Папиросы и сигареты х,х х,х х,х х,х Водка и ликероводочные изделия х,х х,х х,х х,х Вина виноградные и плодовые х,х х,х х,х х,х Коньяки, коньячные напитки и спирты коньячные х,х х,х х,х х,х Вина шампанские и игристые х,х х,х х,х х,х Пиво х,х х,х х,х х,х Таблица 6. Качество товаров, поступивших на потребительский рынок в х-м полугодии хххх года, в % от количества отработанных образцов товаров по каждой группе Важно заметить, что качество консервной продукции, которая привозится из за рубежа становить ххх%. Больше ни одна группа товаров не имеет таких высоких показателей. Доля ненадлежащей консервной продукции отечественного производителя тоже очень маленькая. Ее уровень колеблется от х до х процентов в год. Таблица 7. Продажа отдельных видов продукции организациями оптовой торговли, % Сентябрь ххххг., тыс.тонн В % к Январь- сентябрь ххххг. в % к январю- сентябрю ххххг. Справочно сентябрь ххххг. в % к августу ххххг. сентябрю ххххг. августу ххххг. Пищевые продукты, включая напитки, и табачные изделия Мясо, включая мясо птицы и дичи ххх,х хх,х ххх,х ххх,х ххх,х Изделия колбасные хх,х ххх,х хх,х ххх,х ххх,х Консервы из мяса животных и птицы, млн.усл.банок хх,х ххх,х ххх,х ххх,х ххх,х
  • 28.
    28 Сентябрь ххххг., тыс.тонн В % кЯнварь- сентябрь ххххг. в % к январю- сентябрю ххххг. Справочно сентябрь ххххг. в % к августу ххххг. сентябрю ххххг. августу ххххг. Молоко жидкое ххх,х хх,х хх,х хх,х ххх,х Масло животное х,х ххх,х ххх,х ххх,х ххх,х Сыры хх,х ххх,х ххх,х ххх,х хх,х Маргарин хх,х ххх,х ххх,х хх,х хх,х Масла растительные хх,х хх,х ххх,х хх,х ххх,х Сахар (кроме сахара-сырца, технического, жидкого сахара и сахарной пудры) ххх,х хх,х хх,х ххх,х хх,х Соль поваренная пищевая (переработанная) хх,х хх,х хх,х ххх,х хх,х Кондитерские изделия, включая шоколад ххх,х ххх,х ххх,х ххх,х ххх,х Чай хх,х ххх,х ххх,х ххх,х хх,х Мука хх,х хх,х ххх,х хх,х ххх,х Крупы хх,х хх,х ххх,х ххх,х ххх,х Макаронные изделия хх,х ххх,х ххх,х хх,х ххх,х Рыба и продукты рыбные переработанные (без рыбных консервов) хх,х хх,х хх,х ххх,х ххх,х Рыбные консервы, млн.усл.банок х,х хх,х ххх,х хх,х хх,х Непереработанные фрукты х,х ххх,х хх,х хх,х хх,х Непереработанные овощи и картофель хх,х ххх,х ххх,х ххх,х хх,х Фруктовые и овощные соки, минеральная вода и прочие безалкогольные напитки, млн.дкл х,х ххх,х хх,х ххх,х хх,х Папиросы и сигареты, млрд.штук хх,х ххх,х хх,х хх,х хх,х В сентябре хххх года оптовыми производителями консервов было продано хх тис. тонн консервов из мяса животных, что на хх,х% чем за тот же месяц хххх года. Код ОКВЭД Количество организаций Всего по организациям (юридическим лицам) ххххх из них с основным видом деятельности:
  • 29.
    29 А СЕЛЬСКОЕ ХОЗЯЙСТВО, ОХОТАИ ЛЕСНОЕ ХОЗЯЙСТВО ххххх В РЫБОЛОВСТВО, РЫБОВОДСТВО ххх С ДОБЫЧА ПОЛЕЗНЫХ ИСКОПАЕМЫХ хххх СА ДОБЫЧА ТОПЛИВНО-ЭНЕРГЕТИЧЕСКИХ ПОЛЕЗНЫХ ИСКОПАЕМЫХ ххх СВ ДОБЫЧА ПОЛЕЗНЫХ ИСКОПАЕМЫХ, КРОМЕ ТОПЛИВНО-ЭНЕРГЕТИЧЕСКИХ ххх D ОБРАБАТЫВАЮЩИЕ ПРОИЗВОДСТВА ххххх DA ПРОИЗВОДСТВО ПИЩЕВЫХ ПРОДУКТОВ, ВКЛЮЧАЯ НАПИТКИ, И ТАБАКА хххх хх ПРОИЗВОДСТВО ПИЩЕВЫХ ПРОДУКТОВ, ВКЛЮЧАЯ НАПИТКИ хххх хх.х Производство мяса и мясопродуктов ххх хх.х Переработка и консервирование рыбо- и морепродуктов ххх хх.х Переработка и консервирование картофеля, фруктов и овощей ххх хх.х Производство растительных и животных масел и жиров ххх хх.х Производство молочных продуктов ххх хх.х Производство продуктов мукомольно-крупяной промышленности, крахмалов и крахмалопродуктов ххх хх.х Производство готовых кормов для животных ххх хх.х Производство прочих пищевых продуктов хххх хх.х Производство напитков ххх хх ПРОИЗВОДСТВО ТАБАЧНЫХ ИЗДЕЛИЙ хх DB ТЕКСТИЛЬНОЕ И ШВЕЙНОЕ ПРОИЗВОДСТВО ххх Таблица 8. Количество организаций ( юридических лиц) в РФ в разрезе вида экономической деятельности по состоянию ххххг Производством рыбных консервов в России занимается ххх предприятия, что равно х,хх% в общем количестве организаций (юридических лиц). Консервированием фруктов и овощей занимаются ххх предприятий в России.
  • 30.
    30 Общая система налогообложения в соответствиис законодательством России Система налогообложения для сельскохозяйственных товаропроизводителей (единый сельскохозяйственный налог) Упрощенная система налогообложения Система налогообложения в виде единого налога на вмененный доход для отдельных видов деятельности Всего по организациям (юридическим лицам) ххххх хххх ххххх ххххх из них с основным видом деятельности: ПРОИЗВОДСТВО ПИЩЕВЫХ ПРОДУКТОВ, ВКЛЮЧАЯ НАПИТКИ, И ТАБАКА хххх хх ххх хххх ПРОИЗВОДСТВО ПИЩЕВЫХ ПРОДУКТОВ, ВКЛЮЧАЯ НАПИТКИ хххх хх ххх хххх Производство мяса и мясопродуктов ххх х хх ххх Переработка и консервирование рыбо- и морепродуктов ххх хх хх хх Переработка и консервирование картофеля, фруктов и овощей хх х хх хх Производство растительных и животных масел и ж иров ххх хх Производство молочных продуктов ххх х хх ххх Производство продуктов мукомольно- крупяной промышленности, крахмалов и крахмалопродуктов ххх х хх хх Производство готовых кормов для животных ххх х х хх Производство прочих пищевых продуктов хххх х ххх ххх Производство напитков ххх хх ххх Таблица 9. Распределение организаций по типам применения налоговых режимов в РФ за хххх год Практически хх% производителей консервов используют общую систему налогообложения. И только хх% используют систему единого налога. 4.1.3 Структура рынка 1. МЯСНАЯ КОНСЕРВАЦИЯ Производство мясных консервов в России после хххх года развивается в виде «длинных волн» с приблизительно трехлетними периодами. Тенденция колебаний рынка продолжилась до настоящего времени. Если рассматривать период с хххх-го по хххх год, то самый низкий объем производства – ххх,х тысячи тонн – был зафиксирован в хххх году, а пик – ххх,х тысячи тонн – пришелся на хххх-й. За хххх–хххх годы объем производства снизился до ххх тысяч тонн, а в хххх-ом он почти достиг наиболее высокого показателя, составив ххх,х тысячи тонн. По данным Росстат, за три квартала хххх года объем производства мясных консервов в России составил порядка ххх,х миллионов условных банок (муб), или ххх тысяч тонн.
  • 31.
    31 Таким образом, ростобъема выпуска данного вида мясной продукции за период с хххх-го по хххх год достиг хх%, невзирая на значительное снижение производства в хххх году. Несмотря на наметившуюся ранее тенденцию снижения объемов производства, в денежном выражении рынок не уменьшился, что было обусловлено ростом цен на эту продукцию. Стоимость мясных консервов от производителя за период с сентября хххх года по сентябрь хххх-го претерпела значительные изменения. Если в сентябре хххх года средняя цена за банку составляла около хх,хх рубля, то к декабрю того же года она увеличилась до хх,хх рубля. Самая низкая цена производителей за тысячу условных банок (туб) – хх ххх рублей – была зафиксирована в июне хххх года, а к сентябрю она незначительно выросла – до хх ххх рублей. Потребительские цены в этот период демонстрировали постоянный рост – в среднем на х,хх рубля за условную банку в год. Это можно объяснить постепенным увеличением доли продуктов премиум-сегмента, что, в свою очередь, привело к повышению средней розничной цены на все предложение (по данным компании BusinessVision). По свидетельству игроков, сбыт консервов подвержен сезонности. Самая сложная пора для сбыта консервов - декабрь-февраль. Решение проблем осуществляется наличием «правильного» ассортимента и дополнительных мотивационных программам для торговли. Благодаря активности игроков сезонность спроса на мясные консервы в последнее время стала сглаживаться. Основная доля потребления приходится на весну-лето. В данный период мясные консервы используют как продукт быстрого приготовления. По данным Института исследования товародвижения и конъюнктуры оптового рынка (ИТКОР), уровень объемов реализации в летние месяцы превышает уровень объемов продаж в другие сезоны: на хх% по сравнению с уровнем продаж в зимние месяцы, на хх% - в осенние, на хх% - в весенние месяцы, что является еще одним подтверждением волнообразности рынка консервации. Рынок мясных консервов подразделяется на сегменты согласно таким параметрам, как состав, цена, упаковка. По данным ИТКОР, мясные консервы делятся на пять основных групп по составу: из говядины, изготовленные по ГОСТу хххх-хх, безбелковые и с добавлением белка; из свинины, изготовленные по ГОСТу ххх-хх, безбелковые и с добавлением белка; мясо-растительные; из мяса птицы; паштеты с добавками и без добавок.
  • 32.
    32 Что касается географиипроизводства мясных консервов, то около хх% общероссийской выработки, или ххх муб, приходится на предприятия Центрального и Северо-Западного федеральных округов. Производство в этих регионах составило соответственно ххх,х муб, или хх,х% в общем объеме производства, и ххх,х муб, или хх,х%. При этом в хххх году, по сравнению с аналогичным периодом хххх-го, в Центральном и Северо-Западном ФО был отмечен некоторый спад производства. Снижение выработки мясных консервов также наблюдалось в Южном и Сибирском ФО. На сегодняшний день лидером в производстве мясных консервов можно с уверенностью назвать Калининградскую область: в январе–сентябре хххх года здесь было выработано хх,х муб, или хх% общего объема производства в стране. Кроме того, значительные объемы этой продукции выпускаются в Московской области – за х месяцев хххх года здесь было произведено хх,х муб, или хх,х% общего объема производства. Значительные показатели за тот же период наблюдались в Республике Марий Эл – хх,х муб (х,х%), в Новгородской области – хх,х муб (х,х%), в Республике Хакасия – хх,х муб (х,х%), а также в Орловской, Воронежской и Оренбургской областях – соответственно хх,х (х,х%), хх,х (х,х%) и хх,х муб (х,х%) (данные Института конъюнктуры аграрного рынка (ИКАР) и BusinessVision). В то же время значительное увеличение производства – в х,х раза – произошло в Уральском ФО. В Дальневосточном и Приволжском округах выработка мясных консервов выросла соответственно на х,х и х,х%. 2. МОЛОЧНАЯ КОНСЕРВАЦИЯ Рынок молочных продуктов в хххх-хххх годах демонстрирует положительную динамику роста. По данным Молочного союза России, в стране действует более х тыс. молочных заводов и производится около хх млн т молока, из которых в промышленную переработку идет порядка хх-хх млн тонн. О потенциальной емкости рынка можно судить, если сопоставить две цифры - текущий уровень потребления молочной продукции на душу населения в России, который равен ххх кг в год (по данным Росстата), и уровень потребления в развитых странах – ххх-ххх кг в год. До сих пор эта отрасль является малорентабельной - она требует больших и длительных вложений, а отдачу приносит нескоро. По мнению экспертов, скорее всего, возникшая ситуация приведет к тому, что выживут наиболее сильные производители и переработчики
  • 33.
    33 молока. Кроме того,в ближайшее время должны быть приняты ГОСТы, в соответствии с которыми каждого производителя обяжут на каждом пакете указывать, из какого молока - цельного или восстановленного - приготовлен продукт. Мыслится, что это сделает российские продукты, в том числе консервированные, более востребованными у покупателей. Если, конечно, удастся решить вопрос с сырьем для производства, ибо ситуация с молоком в стране очень сложная и по причине дефицита, и по причине постоянного роста цен. Как констатируют эксперты, емкость российского рынка молочной консервации растет. Однако также верно и то, что темпы этого роста постепенно замедляются: последние годы годовые показатели упали с х% до х%. По оценке ИКАР, в стоимостном выражении емкость сегмента консервированных молочных продуктов превышает $ххх млн. Одна из основных тенденций кондитерского рынка страны сегодня – рост производства всех видов кондитерки (х-х% в год). Очевидно, что рецептуры очень многих сладостей включают в себя сгущенное молоко. Соответственно, развитие этого рынка дает дополнительный стимул развитию сегмента сгущенного молока. Основные тенденции рынка молочной консервации: х. Структура импорта и экспорта по долям и видам продуктов последние годы практически не меняется. Объемы составляют примерно по хх% от общего объема производства молочных консервов в России. Экспорт. Наибольшей долей в экспорте обладает сгущенное молоко без сахара, его доля в общих зарубежных поставках колеблется около хх%, остальное приходится на сгущенку с сахаром. Импорт. В РФ завозятся следующие категории молочной консервации: сгущенное молоко с сахаром; далее со значительным отставанием – сгущенное молоко без сахара; вареное сгущенное молоко с сахаром; сгущенное молоко с сахаром и различными наполнителями. х. Сейчас можно наблюдать постепенное перераспределение потребительских предпочтений. Потребление всех видов сгущенного молока в традиционных жестяных банках падает. При этом покупатели все чаще предпочитают вареное сгущенное молоко, эта товарная категория показывает рост. Характерно, что целевая аудитория этого сегмента отличается изрядным консерватизмом. х. Многие производители «унифицируют» дизайн своей продукции, между тем необходимо разрабатывать индивидуальное оформление и делать упор на оригинальный внешний вид упаковки – привычный бело-голубой дизайн сгущенки для многих покупателей уже не является гарантией качества. Кроме того, в ситуации, когда нет возможности экспериментировать с рецептурой, имеет смысл прикладывать усилия для разработки «эргономичной» упаковки. Некоторые изготовители уже разнообразили свое ассортиментное предложение сашетами с дозаторами, тюбиками и пластиковыми стаканчиками, которые считаются привычной тарой для майонезов, йогуртов и соусов.
  • 34.
    34 х. Еще однойособенностью рынка в настоящее время является развитие молочно- консервными предприятиями параллельных производств и выпуск совершенно новых для себя продуктов. 3. РЫБНАЯ КОНСЕРВАЦИЯ Вылов рыбы отечественными предприятиями в хххх году в совокупности составил х,ххх млн тонн водных биоресурсов, что на хх,х тыс. тонн, или на х,х%, меньше, чем за аналогичный период хххх года. Данные по улову рыбы в период хххх-хххх гг. свидетельствуют о колебаниях вылова, что связано как с непостоянным размером квот, так и с различной "урожайностью" бассейнов от года к году. Тем не менее объем российского рынка рыбной продукции и консервации неуклонно возрастает в последние годы. По прогнозу Инвестиционно-аналитической группы "Норге-Фиш", при данном темпе роста производства рыбопродукции и сезонных колебаний, а также роста производства и потребления, объем производства рыбопродукции за период хххх г. достигнет хх,х млн. тонн. 4. ПЛОДООВОЩНАЯ КОНСЕРВАЦИЯ Потребление овощных консервов на душу населения в России к хххх г. увеличится на хх- хх%, а емкость рынка овощных консервов вырастет приблизительно на хх-хх% к уровню хххх г. К такому заключению пришли аналитиками Института аграрного маркетинга (ИАМ), основываясь на результатах исследования, проведенного ими в октябре хххх г., целью которого являлась оценка текущего состояния рынка овощных консервов в РФ. Учитывая итоги проведенного исследования и представленные инвестпроекты, к этому же году увеличатся и объемы производства овощных консервов в РФ более чем в х раза,
  • 35.
    35 сообщает агентство «АгроФакт».При увеличении предложения овощных и томатных консервов российского производства эксперты ИАМ предполагают, что к хххх г. Россия снизит свою зависимость от импорта, что говорит игрокам рынка о намечающимся усилении позиций отечественных производителей овощной консервации. Это значит, что крупные корпорации приобретут в нашей стране статус резидентов. Также увеличение объемов производства повлечет за собой рост экспортных поставок, которые Россия в основном осуществляет в бывшие советские республики. Несмотря на такое значительное увеличение импорта в последние годы, объем потребления плодоовощной консервации в России еще очень далек от аналогичного показателя в странах ЕС и США. Так, если в России ежегодно потребляется около х кг плодоовощной консервации на душу населения, то в ЕС этот показатель составляет хх-хх кг, в Канаде – хх кг, а в США — хх кг. По мнению аналитиков, российский рынок плодоовощной консервации развивается достаточно динамично: его ежегодный прирост в стоимостном выражении составляет от хх% до хх%, а прирост рынка фруктовой консервации – порядка хх%. Наиболее активными игроками, контролирующими большую часть российского рынка плодоовощных консервов, являются западные компании, среди которых лидируют французские, венгерские и немецкие предприятия. Причем некоторые иностранные компании имеют собственные производственные мощности на территории России или планируют ими обзавестись. Зарубежные игроки рынка, как правило, имеют свою более или менее узкую специализацию. Так, венгерские производители в основном занимаются консервированием огурцов, томатов и фасоли, французские – консервированием кукурузы, горошка, бамбука, компании из азиатского региона – консервированием ананасов, персиков и других фруктов. Вместе с тем, за последние несколько лет в России появились новые производители, которые строят свою работу по западным стандартам и готовы составить конкуренцию иностранным фирмам. На сегодняшний день практически в каждом регионе России есть производители, ориентированные на местный рынок и имеющие на нем значительную долю продаж. Эти производители инвестируют немалые средства в развитие производства и усиление позиций региональных брендов на рынке. 5. ГРИБНАЯ КОНСЕРВАЦИЯ
  • 36.
    36 По данным специалистовгруппы компаний “Ледово”, объем потребления грибов россиянами составляет ххх тыс. тонн, а это порядка трех килограмм на человека. Для сравнения: в США среднедушевое потребление грибов составляет х,х кг на человека. Общий объем рынка грибов в России оценивается приблизительно в ххх тыс. тонн. На мировом рынке консервированных грибов присутствуют такие виды, как шампиньоны в собственном соку или маринованные с добавлением уксуса; лесные грибы (опята, маслята, моховики, грузди, вешенки, белый гриб, лисички и др.) в слабом рассоле (х,х—х%) или маринованные с уксусом; грибные смеси. Способ консервации (с добавлением уксуса или без него) на стоимость данной продукции особого влияния не оказывает. Вкратце характеристика отечественной отрасли выглядит следующим образом. Лесные грибы заготавливаются в основном самосбором, но часть потребителей предпочитает приобретать эти грибы в магазинах. Основная часть лесных грибов реализуется в переработанном виде. По степени предпочтения потребителями лесные грибы располагаются в следующем порядке: белый гриб, лисичка, подосиновик, грибные смеси и др. В числе лидеров рынка консервированных грибов являются ТМ «Богородская трапеза», «Lutik» и «Экопродукт». Кроме того, присутствуют консервированные грибы, импортируемые из Белоруссии и Украины. Цены на такие продукты, как грибное лечо, рагу, икра, составляют примерно хх% от цен на аналогичные консервированные грибы в чистом виде. В среднем замороженные грибы продаются быстрее консервированных в х,х (крупные универсамы и супермаркеты) – х,х (обычные продуктовые магазины) раза. 4.1.4 Тенденции развития рынка В апреле хххх г. агентство DISCOVERY Research Group завершило исследование российского рынка плодоовощных консервов и замороженной продукции. По прогнозу экспертов, в ближайшие годы российский рынок консервной продукции будет увеличиваться примерно на хх% в год в денежном выражении. Предполагается, что рынок будет расти за счет увеличения спроса на продукцию премиального сегмента в крупных городах и среднеценового в регионах. Российский рынок консервированных продуктов – один из самых больших в мире и в последние годы он показывает стабильный рост. По прогнозу аналитиков Euromonitor International, в денежном выражении его емкость до хххх года достигнет $х млрд. Основными тенденциями его развития в России являются продолжающаяся концентрация собственности, сокращение доли малых, средних предприятий и укрепление позиций крупных консолидированных компаний. Еще одна из тенденций - создание западными компаниями своего производства в России, что является вполне закономерным шагом для них, ведь в последние годы они были и остаются активными игроками на российском консервном рынке. Но и российские пищевые
  • 37.
    37 компании заметно повысилисвои амбиции в этой отрасли. Большинство отечественных производителей до недавнего времени работало в дешевом сегменте рынка по «советской» схеме. Новые производители представляют собой вертикально интегрированные холдинги, контролирующие полный цикл производства, определяя ценовой и ассортиментный монополизм. 5 Анализ конкурентной обстановки х.х Общая характеристика предложения на рынке Основных производителей консервной продукции представим на карте. Список основных консервных заводов России: 1. Аксайский консервный завод, Аксай 2. Астраханский консервный завод, Астрахань 3. Багаевский консервный завод, Багаевская 4. Балтийский консервный завод, Черняховск 5. Белевский консервный завод, Белев 6. Буздякский консервный завод, Буздяк 7. Валдайский консервный завод, Валдай
  • 38.
    38 8. Верховский молочно-консервныйзавод, Верховье 9. Волгоградский консервный завод, Волгоград 10. Гатчинский консервный завод, Санкт-Петербург 11. Георгиевский консервный завод, Георгиевск 12. Гнездовский консервный завод, Смоленск 13. Динской консервный завод, Динская 14. Донской консервный завод, Семикаракорск 15. Кировский консервный завод, Киров 16. Консервный завод, Новосиль 17. Краснодарский консервный завод, Краснодар 18. Московский экспериментальный консервный завод, Москва 19. Нальчикский консервный завод, Нальчик 20. Наро-Фоминский консервный завод, Наро-Фоминск 21. Новосибирский консервный завод, Новосибирск 22. Погарский консервный завод, Погар 23. Поречский консервный завод, Поречье 24. Раевский консервный завод, Раевский 25. Ростовский консервный завод, Ростов-на-Дону 26. Рязанский консервный завод, Рязань 27. Саранский консервный завод, Саранск 28. Селижаровский консервный завод, Селижарово 29. Славянский консервный завод, Славянск-на-Кубани 30. Тверской консервный завод, Тверь 31. Троицкий консервный завод, Троицк 32. Тульский консервный завод, Тула 33. Ширококарамышский консервный завод, Саратов 34. Экспериментально-консервный завод, Лебедянь Рассмотрим более детально характеристику деятельности основных компаний с помощью таблицы. Наименование предприятия Краткая характеристика деятельности предприятия Номенклатура продукции Произ (ц
  • 39.
    39 Саранский консервный завод образован в ххххгоду, и на данный момент является одним из старейших предприятий республики Мордовия. Производственные мощности завода составляли в то время хх,х миллионов условных банок в год. Основной продукцией завода является консервированный зеленый горошек и сгущенное молоко. Консервированный зеленый горошек производства Саранского консервного завода – отличный источник углеводов, белок, клетчатки, калия, фосфора и витамина С, В. Зеленый горошек сорт "Экстра" Зеленый горошек сорт "Высший" Зеленый горошек сорт "Первый" Фасоль натуральная белая Молоко вареное сгущенное с сахаром "Машенька" Молоко цельное сгущенное с сахаром Какао со сгущенным молоком и сахаром Кофе натуральный со сгущенным молоком и сахаром Сливки сгущенные с сахаром Цех произво натурал наполни • Ц произво ягодной продукц (фрукто ягодных • Цех консерво Лужский консервный завод образовано в хххх году. Постоянное развитие и высокотехнологичное производство позволило предприятию постоянно наращивать темпы производства и динамично развиваться вот уже на протяжении более хх лет. Популярность продукции завода вызвана традиционным высоким качеством, использованием современных технологий для производства, а так же безопасности здоровья. Основной специализацией завода является производство мясных консервов в соответствии с государственными нормативами и нормами производственного процесса. Лужский консервный завод выполняет как государственные, так и частные заказы, а саму продукцию предприятия всегда можно встретить на полках розничных магазинов. С хххх года выпуск конфитюров и джемов происходит под торговой маркой «Северное лето». Плодоовощные консервы Мясные консервы Натуральные наполнители для мороженного, йогурта и кондитерских изделий Цех произво натурал наполни • Ц произво ягодной продукц (фрукто ягодных • Цех консерво Таблица 10. Основные предприятия, представленные на рынке консервной продукции России Наименование предприятия Краткая характеристика деятельности предприятия Номенклатура продукции Про ОАО «Экспериментально- консервный завод «Лебедянский» в состав ОАО «Экспериментально-консервный завод «Лебедянский» входят такие производственные комплексы, как «Лебедянский», расположенный в Липецкой области, «Троя- Ультра» (Санкт-Петербург). Розничная и оптовая торговая сеть развернута во всех странах СНГ. Каждая третья упаковка сока, распространяемая в России, выпущена Эксперементально-консервным заводом «Лебедянский». На сегодняшний день доля рынка ОАО «Лебедянский» составляет более чем хх% российского рынка соков, а объемы производства с хххх по хххх годы выросли более чем в хх раз. Чистая прибыль компании в хххх году составила ххх миллионов долларов. Соки: «Я» «Тонус» «Фруктовый сад» «Привет» «Долька» «Туса Джуса» Frustyle «Эдо» «Северная ягода» Vitamix «Экотейль» Цех де питан • Фабр цех; • Цех с смесе
  • 40.
    40 Ставропольский консервный завод Уже вхххх году были введены в эксплуатацию новые корпуса консервного завода, оснащенные импортным оборудованием. В последние хх лет предприятие постоянно занимается развитием своего производства и обновлением линий оборудования. Ассортимент компании насчитывает более чем хх видов продукции, а проектная мощность достигла небывалых высот – до хх миллионов банок в год. Для производства применяется современное немецкое оборудование фирм «Блема», «Крупп». В хххх году на предприятии вводятся новые производственные мощности, которые позволили выпускать рыбную консервную продукцию с производительностью до хх миллионов банок в год. консервы мясные деликатесные и традиционные консервы рыбные широкого потребления рыба в вакуумной упаковке мясные полуфабрикаты в вакуумной упаковке Колба Цех произв рыбны консер Рыбны по п рыбы) Цех полуф Продолжение таблицы. Основные предприятия, представленные на рынке консервной продукции России Наименование предприятия Краткая характеристика деятельности предприятия Номенклатура продукции Произв (цех ОАО «Одесский консервный завод детского питания - Витмарк (Vitmark)» является крупнейшим украинским производителем соков, основу которого составляет Одесский консервный завод детского питания. Годом основания компании принято считать хххх год. Специализация холдинга – выпуск сокосодержащих напитков, соков, нектаров, детского питания и концентрированных полуфабрикатов долгого хранения. Одесский консерный завод детского питания являлся, и до сих пор является крупнейшим производителем продукции детского питания, располагающим собственной сырьевой базой, находящейся в экологически чистой для производства зоне. Для того, чтобы требование экологичности выполнялось, по поручение Совета Министров Украины, землю, на которой выращивалось сырье для производства детского питания, запрещено было удобрять любыми способами. Соки осветленные Соки плодовые, ягодные натуральные Соки фруктово-ягодные, детское питание Цех д питания; • Овощн • Цех Те • Цех розл Окончание таблицы . Основные предприятия, представленные на рынке консервной продукции России Продукция современных консервных заводов России включает товары следующих групп: • Соки плодовые, фруктово-ягодные, ягодные натуральные (осветленные, неосветленные) • Детское питание • Мясные консервы • Рыбные консервы и рыба в вакуумной упаковке • Натуральные наполнители для йогурта, мороженого и кондитерских изделий. • Плодоовощные консервы (зеленый горошек, фасоль и др.) • Молоко сгущенное с сахаром • Какао с сахаром и сгущенным молоком • Сливки с сахаром сгущенные Консервную отрасль в России представляют около хх крупных и средней величины заводов. Ведущие предприятия консервной отрасли расположены в Саранске, Москве и Ставрополе.
  • 41.
    41 Основными производителями консервовявляются Саранский консервный завод, Лужский консервный завод, Одесский консервный завод и Ставропольский консервный завод. 5.2 Анализ ценовых предложений компаний Ставропольского края на отдельную группу консервной продукции Проект предусматривает организацию производства варенья, учитывая специфику месторасположения завода. В связи с этим важно будет проанализировать цены на различные виды варенья в Нефтекумске. Данные представим в виде таблицы. Наименование компании/ продукции варенье из дыны,хххг варенье из арбузынх корок,хххг Сок яблочны ООО "х Сити" хх хх хх х СЕЗОНА хх хх хх ООО "Торговый дом "Кортэн" хх хх хх ДогмаСервисПлюс ОДО хх хх хх Скай фрут хх хх хх Торговый Дом Альтаир хх хх ххх Фрутомания хх хх хх "Альфа-импэкс" хх хх хх Таблица 11. Ценовые предложения компаний на отдельные группы товаров рынка консервов Ставропольского края, руб. Согласно данным таблицы, представим информацию о минимальных и максимальных ценах на рынке консервов Ставропольского края на отдельные группы товаров. Наименование продукции Минимальная цена,руб. Максимальная цена,руб. Варенье из дыни, хххг хх хх Варенье из арбузных корок,хххг хх хх Сок яблочный,ххххг хх ххх Сок виноградный,ххххг хх ххх Таблица 12. Ценовые предложения на отдельные группы товаров В среднем цена на варенье их бахчевых культур колеблется в районе хх – хх руб. за банку, а сок – хх-хх руб. за одну литру.
  • 42.
    42 6 Анализ потребительскойсреды Большинство населения города Москва, а это хх% покупают овощные, мясные и рыбные консервы х-х раза в неделю, еще хх,х% - х-х раза в месяц. Наибольшей популярностью среди овощных консервов у потребителей пользуются кукуруза и зеленый горошек (их покупает хх,х% населения), оливки и маслины ( хх%) и соленые и маринованные огурцы ( хх %). Потребительские предпочтение населения при выборе овощных консервов,% 50 23 17 10 0 10 20 30 40 50 60 кукуруза,зеленый горошек оливки огурцы прочее Диаграмма 5. Потребительские предпочтения при покупке овощных консервов Наибольшей популярностью среди мясных консервов у потребителей пользуются паштеты (их покупает хх,х% населения), тушенка говяжья ( хх%) и говядина консервированная ( хх %).
  • 43.
    43 Диаграмма 6. Потребительскиепредпочтения населения при выборе мясных консервов Наибольшей популярностью среди рыбных консервов у потребителей пользуются шпроты и сельдь (их покупает хх,х% населения), консервы рыбы в томатном соусе ( хх%) и консервы рыбные натуральные ( хх %).
  • 44.
    44 Диаграмма 7. Потребительскиепредпочтения населения при выборе рыбных консервов Чаще всего консервы покупают в универсамах и супермаркетах ( хх % населения), а также в гипермаркетах (хх %), рынок – хх%.
  • 45.
    45 Диаграмма 8. Потребительскиепредпочтения населения при выборе места покупки консервов Для подавляющего большинства населения (хх %) состав консервов представляет исключительную важность. Внешний вид упаковки является очень значимым для хх,х% населения.
  • 46.
    46 Диаграмма 9. Потребительскиепредпочтения населения при выборе консервов в зависимости от цены продукции Если анализировать потребительские предпочтения в разрезе уровня цен, то тут имеют место следующее данные: хх% населения покупают дорогие консервы, хх% населения надают предпочтение среднему уровню цен на консервную продукцию и только х% граждан покупает дешевые консервы. 7 Производственный план 7.1 Характеристика месторасположения Нефтекумск на карте :
  • 47.
    47 Не́фтеку́мск — городв России, административный центр Нефтекумского района Ставропольского края. Население хх,х тыс. жителей (хххх). Город расположен в ххх км восточнее Ставрополя на Терско-Кумской низменности (Ногайская степь), в х км от реки Кума. Ближайшая железнодорожная станция расположена в городе Будённовск в хх км от Нефтекумска. Глава муниципального образования — Сергей Евдокимов (избран хх марта хххх года). История хххх,хх июля Открыта первая в окрестности нефтяная скважина. хххх Начало строительства посёлка нефтяников. хххх Статус посёлка городского типа. хххх Посёлок получил статус города и имя Нефтекумск. Экономика «Роснефть-Ставропольнефтегаз» (газоперерабатывающий завод, нефтеперекачивающая и газокомпрессорные станции) — градообразующее предприятие, добывает около х млн. т нефти в год. Хлебозавод и молочный завод Ткацкая фабрика и другие предприятия. В районе выращивают овощи, бахчевые культуры, виноград. Разводят овец. Месторождения нефти и газа.
  • 48.
    48 Проектируемое предприятие попроизводству консервов расположено в районе, который является перспективным и экономически выгодным. Так как Ставропольский край – развивающийся регион, потребность в пищевых предприятиях очевидна. Фермерское хозяйство Ставропольского края производит и реализует бахчевые культуры. Продукция этого региона отвечает всем требованиям потребителя как по внешнему виду, так и по вкусовым качествам. Предложения Ставропольского края на хххх г. следующее:  раннюю продукцию арбузов голландских сортов Кримзон-Свит с алой мякотью и отличными вкусовыми качествами, выращенная методом «термос» - (примерный срок созревания от хх июня по хх июня);  раннюю продукцию дынь астраханской селекции ярко-оранжевой окраской и отличными вкусовыми качествами, транспортабельна на большие расстояния (срок созревания от хх по хх июня);  более позднюю продукцию арбузов тоже голландских селекции «Ницца» крупных размеров, (срок созревания от х по хх июля);  более позднюю продукцию дынь (срок созревания от х июля по хх июля);  грунтовые арбузы и дыни (срок созревания от хх июля по хх июля )  Соки  Овощная консервация  Рыбная консервация Учитывая специфику месторасположения города, его климатические условия, ориентацию на выращивание бахчевых культур, проектом предусмотрено производство консервов из арбуза, дыни, тыквы и кабачка, соков, рыбной и овощной консервации. Таким образом, предприятие сможет сэкономить достаточно средств на закупку и доставку сырья. 7.2 Потребность в основных средствах. Описание технологического процесса необходимого оборудования Данным проектом предусмотрена организация производства следующей продукции: 1. Варенье из дыни, тыквы, арбуза, кабачков 2. Соки: яблоко, груша, виноград 3. Овощная консервация: томаты, огурцы маринование, борщ
  • 49.
    49 4. Рыбная консервация Выбороборудования для производства консервов Для организации деятельности предприятия планируется приобретение оборудования для непосредственного производства консервов (и фасовки, если линией производства не предусмотрена упаковка продукции), этикетировочное оборудование и маркировочное оборудование. Комплект оборудования для производства варенья и соков Рассмотрим более детально предложение компаний по продаже оборудования для производства варенья и соков. Данные представим в виде таблицы. Наименование компании/поставщика Наименование оборудования Цена, руб. Краткая характери ООО СТРОЙТЕХНИКА ГИДРОМИКС Пх-ГД х ххх ххх • Высокое качество получаем Увеличенные сроки хранения Универсальность установки процесса; Простота в эксплуатации и Конструкция мешалки обеспе перемешивание продукта и е камере. ИТП ПРОМБИОФИТ Линия приготовления ягоды, протертой с сахаром и фасовки в полипропиленовые баночки или стеклобанки с крышкой "Твист- Офф" х ххх ххх Технологические линии серии предназначены для приготов сахаром различных рецептур производительностью ххх, х расфасовкой готовой продук или стеклобанки типа "Евро ООО МАШИНЕРИ Комплект оборудования для производства соков, нектаров и сокосодержащих напитков ИПКС- хххх, произв. ххххх л/суткиххххххх руб. х ххх ххх предназначен для производст сокосодержащих напитков из Таблица 13. Основные предложения на рынке консервного оборудования для производства варенья и соков Гидромикс Пх-ГД
  • 50.
    50 “Ягода с сахаром” ИПКСхх-хх Сравним технические характеристики рассматриваемых установок с помощью таблицы.
  • 51.
    51 Наименование установки Ягодас сахаром ГИДРОМИМИКС Пх-ГД ИПКС хх-хх Производительность, л/смена (рабочая смена х ч.) ххх хххх ххх Занимаемая площадь, м. кв. хх.х хх хх Обслуживающий персонал (с участком фасовки), чел. х хх х Установленная мощность, кВт хх.х хх.х хх.х Потребляемая электроэнергия за смену, кВт/ч (оценка) ххх.х ххх.х ххх.х Расход горячей воды для мытья оборудования, л/смена ххх ххх ххх Таблица 14. Сравнительная оценка технических характеристик оборудования На рынке консервного оборудования особое место занимает установка “Ягода с сахаром”, так как является наиболее привлекательной в соотношении цена-качество. В комплект данной установки входит упаковочное, этикетировочное, фасовочное и маркировочное оборудование, что даст возможность снизить расходы на приобретение основных средств. Установки ГИДРОМИКС и ИПКС не предусматривают в комплекте вспомогательного оборудования. Приобретение дополнительного этикетировочного, упаковочного и маркировочного оборудования увеличит расходы предприятия в среднем на х ххх тис. руб. Кроме того, цена установки не уступает другим предложениям на рынке. Расходы води и электроэнергии в расчете на х литр выпускаемой продукции наиболее низкие в установки ЯГОДА С САХАРОМ. Рассмотрим более детально технические характеристики оборудования Ягода с сахаром. Производительность, л/смена (рабочая смена х ч.) ххх хххх хххх Занимаемая площадь, м. кв. хх.х хх хх Обслуживающий персонал (с участком фасовки), чел. х хх хх Установленная мощность, кВт хх.х хх.х ххх.х Потребляемая электроэнергия за смену, кВт/ч (оценка) ххх.х ххх.х ххх.х Расход горячей воды для мытья оборудования, л/смена ххх ххх ххх Таблица 15. Общие технические характеристики технологических линий "ЯГОДА С САХАРОМ"
  • 52.
    52 В комплект поставкилиний входят: х) основное технологическое оборудование; х) фасовочно-упаковочное оборудование; х) вспомогательное оборудование; х) сопроводительная техническая документация. Характеристики Наименование ххх л/смена хххх л/смена хххх л/смена хар-ки кол-во хар-ки кол-во хар-ки кол-во х) Установка приготовления эмульсий и суспензий, УПЭС, в. т. ч.: ххх/х.х х ххх/х.х х ххх/х.х х - Емкость с водяной "рубашкой", рамной мешалкой и пультом управления, л ххх х ххх х ххх х - Насос-гомогенизатор, НГД, кВт х.х х х.х х х.х х - Комплект соединительной и запорной арматурой компл. х компл. х компл. х - Устройство разгрузочное УРГ-х х УРГ-х х УРГ-х х х) Устройство загрузочное УЗГ-х х УЗГ-х х УЗГ-х х х) Емкость для готового продукта, л ххх х ххх х ххх х Таблица 16. Основное технологическое оборудование Фасовочно-упаковочное оборудование. Фасовка в пластиковые баночки. Характеристики Наименование оборудования ххх л/смена хххх л/смена хххх л/смена х)Установка розлива жидких и пастообразных продуктов, УД-хП, шт. х х х х)Установка заварки баночек крышками из фольги, УСС- х, шт. х х х х)Этикетировочная машина, ЭМ-хЦ, шт. х х х х)Аппарат групповой упаковки, ТПЦ-ххх (ТПЦ-ххх), шт. х (ТПЦ-ххх) х (ТПЦ-ххх) х (ТПЦ-ххх) Таблица 17. Пример комплектации линии "ЯГОДА С САХАРОМ" с производительностью ххх литров за смену с упаковкой готовой продукции в пластиковые баночки с крышками из фольги Фасовка в стеклобанку типа "Евро-Твист" Характеристики Наименование оборудования ххх л/смена хххх л/смена хххх л/смена х)Установка розлива жидких и пастообразных продуктов, УД-хП, шт. х х х х)Устройство укупорки банок крышкой "Твист-Офф", УУ- х, шт. х х х
  • 53.
    53 х)Аппарат групповой упаковки,ТПЦ-ххх (ТПЦ-ххх), шт. х (ТПЦ-ххх) х (ТПЦ-ххх) х (ТПЦ-ххх) Таблица 18. Пример комплектации линии "ЯГОДА С САХАРОМ" с производительностью ххх л за смену с упаковкой готовой продукции в стеклобанку типа "Евро-Твист" Характеристики Наименование оборудования ххх л/смена хххх л/смена хххх л/смена х) Моечная ванна, шт. х х х х) Емкости для мытой ягоды, шт. (эмалированные ведра) х х х х) Соковыжималка, шт. х х х х) Емкость для сока, шт. х х х х) Банкошпарочная машина (требует наличия пара или парогениратора хх кг/час), шт. (при фасовке в стеклобанку) х х х х) Транспортер инспекционный, шт. (или х стола для отбора ягод) х х х х) Стол производственный, шт. . . . фасовка в пластиковые баночки...... х х х фасовка в стеклобанку...... х х х х) Облучатель УФ бактерицидный, шт. х х х х) Весы технологические, шт. х х х хх) Тележка транспортная, шт. х х х Таблица 19. Вспомогательное оборудование Сопроводительная техническая документация: Пояснительная записка к линии. Технологическая инструкция по приготовлению ягоды протертой с сахаром. Паспорта на оборудование, совмещенные с инструкцией по эксплуатации. Стоимость шеф монтажа и пусконаладочных работ компании ПРОМБИОФИТ – хх-хх% от стоимости оборудования. Комплект оборудования для производства овощных консервов Наименование оборудования Наименование компании поставщика Краткая характеристика оборудования Цена оборудования,руб. Источник информ
  • 54.
    54 ООО Упаковочно- машиностроительный холдинг Мини заводдля консервирования овощей в стеклобанки Пусконаладочные работы не требуются, достаточно ознакомиться с руководством по эксплуатации. Обучение персонала происходит (бесплатно) по желанию заказчика.Монтаж оборудования покупатель производит самостоятельно. Гарантия хх месяцев. х ххх ххх http://umh.pulscen.ru/tov/descr/ххххххх EDICH Maschinenhandel Оборудование Eurolux для переработки овощей х линии для огурцов, свеклы, переца и лука, квашеной капусты х ххх ххх http://msk.pulscen.ru/products/oborudovaniy Таблица 20. Комплекты оборудования для консервирования овощей Сравним технические характеристики данного оборудования. Данные представим в виде таблицы. Характеристика ООО Упаковочно- машиностроительный холдинг EDICH Maschinenhandel Производительность (по банкам объемом хххх мл), банок/смену ххх ххх Установленная мощность, кВт ххх ххх Обслуживающий персонал, чел. х х Необходимая производственная площадь, не менее, кв. м хх хх Пусконаладочные работы,монтаж входят в стоимость оборудования хх% Таблица 21. Технические характеристики оборудования Если сравнить эти два комплекта оборудования, то можно утверждать, что комплект предприятия ООО Упаковочно-машиностроительный холдинг является более вигодным. В- первых, цена комплекта наиболее низкая. Во - вторых, в стоимость оборудования входить и стоимость пусконаладочных работ, монтажа и обучения персонала. В - третьих, технические характеристики оборудования более высокого уровня. Аковочно-машиностроительный Комплект оборудования для консервирования рыбы Наименование оборудования Наименование компании поставщика Краткая характеристика оборудования Цена оборудования,руб. Источник информации
  • 55.
    55 ООО Эльф Комплект оборудования для консервирования рыбы ИПКС-хххх предназначендля производства рыбных консервов в жестяных банках х ххх ххх http://www.elfхm.ru/inf o.html?parent_id=ххх &ide=ххх&tab=х ООО Упаковочно- машиностроительный холдинг Комплект оборудования для консервирования рыбы в жестяных банках. Пусконаладочные работы не требуются, достаточно ознакомиться с руководством по эксплуатации. Траспортные- логистические расходы оплачивает заказчик до места назначения.Гарантия: хх месяцев. х ххх ххх http://upakovochno- mashinos.ruprom.net/ pхххххх-komplekt- oborudovaniya- dlya.html Таблица 22. Комплект оборудования для консервирования рыбы Характеристика ООО Эльф ООО Упаковочно- машиностроительный холдинг Производительность (по банкам объемом хххг), банок/час ххх ххх Установленная мощность, кВт ххх ххх Обслуживающий персонал, чел. х х Необходимая производственная площадь, не менее, кв. м хх хх Пусконаладочные работы,монтаж входят в стоимость оборудования входят в стоимость оборудования Таблица 23. Технические характеристики оборудования для консервирования рыбы Технические характеристики двух вариантов оборудования одинаковые, но цена на оборудование предприятие ООО ЭЛЬФ ниже. Исходя из этого, остановим свой выбор на данной модели линии производства рыбных консервов. Суммарные затраты на приобретение оборудования составят: № Состав оборудования Стоимость, руб. х Комплект оборудования для производства варенья и соков х ххх ххх х Комплекты для консервирования овощей и рыбы х ххх ххх + х ххх хх х Доставка, монтаж, пусконаладочные работы оборудования ЯГОДА С САХАРОМ хх ххх Итого х ххх хххр. Таблица 24. Расчет затрат на оборудование Инвестиционные затраты на приобретение оборудования составляют х ххх ххх руб.
  • 56.
    56 Строительно-монтажные работы Данная группазатрат включает в себя затраты на строительство быстровозводимых конструкций. При расчете площади земельного участка учтем, что установка для производства варенья занимает хх мх, склад для хранения готовой продукции ххмх, склад для хранения сырья ххмх, административные площади хх мх. Общая площадь производственных, административных и складских помещений составит хххмх. Информация о стоимости строительно-монтажных работ приведена в таблице. № Показатели Значение х Площадь участка, кв.м ххх х Площадь производственных помещений - утепленные, кв.м ххх х Площадь складских и администативных помещений ххх х Стоимость БВЗ руб./кв.м х ххх х Стоимость фундамента и монтажа, в % от стоимости здания хх% х Стоимость строительства, руб. ххх хххр. х Стоимость строительства, включая фундамент и монтаж, руб. ххх хххр. х Сроки строительства, включая проектирование и монтаж, мес. х Таблица 25. Затраты на строительно-монтажные работы Для анализа ринка модульных конструкций для строительства и промышленности используем данные компании Прогресс Спецстрой, которая специализируется на строительстве и проектирование модульных зданий. Источник данных – веб сайт в сети Интернет http://www.lvmk.ru/products/LMK/. Под легкими металлическими конструкциями (ЛМК) подразумеваются здания сравнительно небольших пролетов, в которых стеновые и кровельные ограждения выполнены с использованием тонколистового профилированного металла и облегченного синтетического утеплителя. Здание из ЛМК - это здание, выполненное на каркасной основе из несущих рам с различными вариантами ограждающих конструкций. Преимущества зданий из ЛМК  низкая, в сравнении с капитальными строениями, стоимость при сравнимых сроках эксплуатации;  малые сроки поставки и монтажа зданий и сооружений;  упрощенная процедура оформления исходно-разрешительной документации на строительство;
  • 57.
    57  возможность вполной мере учесть как архитектурные, так и эксплуатационные требования потребителя;  возможность трансформации зданий и сооружений вплоть до демонтажа и переноса на другую площадку. Сочетание перечисленных факторов обусловило широкое применение зданий и сооружений из ЛМК для:  размещения в них складов промышленных и продовольственных товаров, различного оборудования;  предприятий торговли и общественного питания;  хранения и переработки продуктов сельского хозяйства;  гаражей для легковых и большегрузных автомобилей;  установки холодильного оборудования;  размещения промышленных производств;  размещения экспозиций выставок, ярмарок и рынков, спортивно-оздоровительных комплексов. Рассмотрим характеристики модульного здания с вертикальными стенами компании Прогресс Спецстрой. Компания ООО «Прогресс Спец Строй» выпускает здания со следующими базовыми техническими характеристиками: ширина одного пролета может достигать хх м с шагом колонн, равному х и х м. Высота сооружений из ЛМК предусмотрена до хх м. Уклон кровли, равный хх %, обеспечивает естественный сток осадков. Возможна установка кранового оборудования (кран-балки, тельферы) грузоподъемностью до хх тонн. Варианты исполнения объектов могут быть самыми разнообразными (оцинкованный профнастил, полиэстер – внешнее покрытие, в том числе сендвич-панели, кроме вышеуказанного, холоднокатаный лист, ДСП, ДВП – внутреннее покрытие). Размеры и размещение окон, световых фонарей, ворот, дверей подбираются по желанию Заказчика с учетом особенностей конструктивного решения здания. Строительство ангаров может быть осуществлено с полной привязкой к существующим объектам.
  • 58.
    58 Средняя цена модульногоздания под производство колеблется в районе хххх – хххх руб. за мх. Инвестиционные затраты на строительство БВЗ составят ххх ххх руб. Приобретение земельного участка под производство Рассмотрим предложение на покупку земельного участка в Ставропольском крае. Характеристика земельного участка Цена,руб. Земельний участок хх соток в Ставрополе.Ташла. Фасад хх м. Газ помеже, свет, вода, канализация. Все коммуникации оплачены. Фундамент х*х очень прочный.Разрешение на строительство. х ххх ххх Продается земельный участок хх сотокпроизводственного назначения на улице Индустриальной. Участок площадью хх сотки, имееются х удобных подъездных пути, своя трансф.подстанция. Участок в собственности ( все документы в наличии). х ххх ххх Ю/З(Живописная).Уч.подИЖС, фундамент, блоки,х сот.,собственность, все документы, коммуникации,газ,свет,вода,канализация рядом х ххх ххх х КМ от Ставрополя.В центре г.Михайловска в перспективном районе продаётся земельный участок площадью хх соток, фасад хх метров. Под индивидуальное жилищное строительство или коммерческие постройки (торгово-офисные здания, магазины, придорожные комплексы СТО, автомойки ). Экологически благоприятный район, лёгкий доступ в центр, большая парковка для машин, удобный подъезд. Рядом остановка, в пятидесяти метрах - школа , отличное транспортное сообщение, развитая социально-бытовая инфраструктура. х ххх ххх Участок в Юго-Западном районе города Ставрополя в непосредственной близости находится микрорайон "Олимпийский" ул. хх Параллель, зеленая линия все коммуникации, возможно под коммерческую недвижимость. х ххх ххх Участок в городе Ставпрополь х,х сотки, ул. Индустриальная, р- н СтавНИИГИМа. х,х сотки, хххххм, все коммуникации на участке, фундамент, плиты перекрытия на ноль, зарегистрирован, документы. х ххх ххх Участок под коммерческую недвижимость х соток, на Достоевского (напротив автозаправки), х,х соток, фасад хх м., глубь хх м., красная линия, построек нет, коммуникации все подведены х ххх ххх Таблица 26. Ценовые предложение на рынке недвижимости Ставропольского края 1 Для организации производства планируется приобретение земельного участка площадью хх соток. Согласно данным таблицы, цена х сотки земли в среднем стоит от хх до ххх тис. руб. Суммарные инвестиционные затраты на приобретение земельного участка с подведенными коммуникациями составят х ххх ххх руб. Приобретения офисной техники Для помещения площадью хххмх и составом персонала предприятия хх человек выберем необходимое количество мебели и другой полезной оргтехники. Для этого возьмем данные 1 http://stavcenter.ru/base/sectors/view/хххх/
  • 59.
    59 компании ООО МеталЗавод. Источник информации http://www.metzavod.ru/price.aspx. Всю полученную информацию оформим в виде таблицы. Модель Размеры, мм Особенности комплектации Кол-во Цена высота ширина глубина шт рубли Шкаф ШХА- хх(хх)/ххх ххх ххх ххх Шкаф архивно-хозяйственный металлический. Одна регулируемые по высоте полка. Замок повышенной секретности с ригельной системой запирания. Шкаф окрашен порошковой краской светло-серого цвета RALхххх х хххх Стелаж *МК х-х,х хххх хххх ххх стойка=хшт,балка=ххшт, фанера=хшт х хххх Шкаф для одежды ШРЭК-хх-ххх хххх ххх ххх Шкаф металлический сборный односекционный, с двумя отделениями для хранения сменной одежды. В каждом отделении -полка для головных уборов , перекладина, два крючка. Шкаф окрашен порошковой краской светло-серого цвета RALхххх. Двери (RALхххх) синего цвета х хххх Стол хх хххх Стулья хх хххх Компютеры, лампы, и другая техника х ххххх Всего ххх ххх Таблица 27. Офисная техника для предприятия Инвестиционные затраты на приобретение офисной техники составят ххх ххх руб. № Наименование Стоимость, руб. х Покупка земельного участка х ххх ххх р. х СМР, приобретение офисного оборудования ххх хххр. х Оборудование (монтаж, пусконаладочные работы) х ххх хххр.
  • 60.
    60 Итого х ххххххр. Таблица 28. Затраты на оборудование и СМР Таким образом, общие затраты на строительно-монтажные работы, покупку земельного участка, приобретение и установку оборудования составляют х ххх ххх руб. 7.2.1 Полный расчет себестоимости продукции Вычислим себестоимость производства каждой группы товаров. При расчете себестоимости продукции учтем следующие моменты: 1. тариф на электроэнергию в Нефтекумске. Согласно Постановления от хх ноября хххх г. г.Ставрополь № хх/х Об установлении МУП «Водоканал», г. Ставрополь, тарифов на холодную воду и водоотведение на хххх год, тариф на холодную воду для реализации потребителям хх,хх руб. за х куб. метр. Тариф на водоотведение хх,хх руб. за х куб. метр сточных вод. И того хх,хх руб. за х куб. метр. 2. согласно Постановление от хх декабря хххх г. № хх/х Об установлении тарифов на электрическую энергию, поставляемую населению Ставропольского края и потребителям на хххх год, стоимость хКв/ч – х,хх руб. 3. затраты на тару – банки и крышки. В среднем цена стеклянной банки х,х л и крышки стоит х руб. Источник http://dmir.ru/search/%Dх%хх%Dх%хх%Dх%Bх%Dх%BA%Dх%BB%Dх%хF%Dх%BD%D х%BD%Dх%хB%Dх%Bх_%Dх%Bх%Dх%Bх%Dх%BD%Dх%BA%Dх%Bх/ 4. затраты на сырье  сахар – цена на российском рынке х кг сахара составляет около хх руб.  дыня – х руб. за х кг. Источник http://www.rusfoods.ru/regionххх/messages/х/хххх.html.  арбуз – х руб. за х кг. Источник информации http://www.plod.ru/food.php?foodname=%Cх%Fх%Eх%Fх%Eх%FB. 5. затраты на внешнее оформление продукции – х% от общих затрат производства. Проведем расчет себестоимости продукции денежном выражении. Данные представим в таблице. Затраты на сирье, руб. хх,хх Затраты на тару х литр х Затраты на внешнее оформление продукции, руб. х Потребляемая электроэнергия за смену, кВт/ч (оценка) х,хх
  • 61.
    61 Расход горячей водыдля мытья оборудования, л/смена х,хх Всего хх,хх Таблица 29. Затраты на производство х литры варенья Затраты на сирье, руб. хх,хх Затраты на тару х литр х Затраты на внешнее оформление продукции, руб. х Потребляемая электроэнергия за смену, кВт/ч (оценка) х,хх Расход горячей воды для мытья оборудования, л/смена х,хх Всего хх,х Таблица 30. Затраты на производство х литров овощной консервации Затраты на сирье, руб. хх,хх Затраты на тару х литр х Затраты на внешнее оформление продукции, руб. х Потребляемая электроэнергия за смену, кВт/ч (оценка) х,хх Расход горячей воды для мытья оборудования, л/смена х,хх Всего хх,х Таблица 31. Затраты на производство хххг. рыбной консервации Согласно нашим расчетам расходные материалы на производство продукции будут составлять: 1. варенье – хх,хх руб. 2. соки – хх,хх руб. 3. овощная консервация – хх,х руб. 4. рыбная консервация – хх,х руб. Согласно способу формирования предприятием отпускной цены (условия хх% наценки) и анализа рыночных отпускных цен, доля расходных материалов в среднем чеке - хх% 8 Инвестиционный план В данном проекте предполагается финансирование организации производства консервов за счет собственных средств или средств инвестора, то есть для финансирования проекта не предполагается использование кредита. Структура инвестиционных затрат приведена ниже.
  • 62.
    62 Направления инвестиционных вложений Сумма затрат:х мес. х мес. х мес. Итого: Оборудование х ххх хххр. х ххх хххр. х ххх хххр. СМР ххх хххр. ххх хххр. ххх хххр. ххх хххр. Земельний участок х ххх хххр. х ххх хххр. х ххх хххр. Подготовительные работы ( кроме СМР) ххх хххр. хх хххр. хх хххр. хх хххр. ххх хххр. Оборотные средства ххх хххр. ххх хххр. ххх хххр. ххх хххр. ххх хххр. Итого: х ххх хххр. х ххх хххр. ххх хххр. ххх хххр. х ххх хххр. Таблица хх. Направления инвестиционных вложений Структура инвестиционных вложений, % Подготовительные работы ( кроме СМР) 1% Оборотные средства 11% Земельний участок 22% Оборудование 58% Диаграмма 10. Структура инвестиционных вложений Таким образом, для реализации проекта необходимы инвестиции в объеме х ххх ххх руб., при этом на покупку оборудования и офисной техники идет хх% средств, то есть х ххх ххх руб., на подготовительные работы идет х% средств, то есть ххх ххх руб., на оборотные средства необходимо ххх ххх руб. Оборотные средства будут необходимы в первые три месяца работы завода, когда он еще не выйдет на окупаемость. Динамика инвестиционных вложений представлена на диаграмме внизу.
  • 63.
    63 Диаграмма 11. Динамикаинвестиционных вложений, руб. Как видно из диаграммы в первый месяц необходимо х ххх ххх руб., во второй и третий месяцы необходимо ххх ххх и ххх ххх руб. инвестиций соответственно. 8.1 Приобретение основных средств Согласно производственному плану, структура затрат на приобретение основных средств выглядит следующим образом: Основные средства для создания консервного завода Цена, руб. (за шт.) Доля, % Комплекты установок для производства консервов х ххх ххх хх% Приобретение земельного участка хх соток х ххх ххх хх% Приобретение офисного оборудования ххх ххх х% Таблица хх. Основные средства предприятия
  • 64.
    64 Структура затрат наосновные средства, % 71% 47% 1% 0% 10% 20% 30% 40% 50% 60% 70% 80% Комплекты установок для производства консервов Приобретение земельного участка 25 соток Приобретение офисного оборудования Диаграмма 12. Структура затрат на основные средства В структуре затрат на приобретение основных средств первое место занимают установки – хх%. 8.2 Подготовительные работы Наименование подготовительных работ Стоимость работ (руб.) СМР ххх ххх Разрешительная документацыя. Услуги компаний. ххх ххх Итого: ххх ххх Таблица хх. Подготовительные работы
  • 65.
    65 Диаграмма 13. Затратына подготовительные работы Как видно из таблицы и диаграммы на подготовительные работы необходимо порядка ххх ххх руб. 8.3 Календарный план работы Комплекс работ, которые планируется провести для консервного завода, представлен в таблице. Цветом обозначен примерный срок реализации данного вида работ. Календарный план проекта х месяц х месяц х месяц Разработка концепции предприятия Регистрация юридического лица Оформление разрешительной документации Выбор оборудования для производства консервов Монтаж и пусконаладочные работы Приобретение земельного участка Строительство быстровозводимых конструкций Закупка офисного оборудования Обучение персонала Заключение договоров на поставку сырья Пробный запуск производства Таблица хх. Календарный план
  • 66.
    66 Суммарные работы пооткрыю предприятия по производству консервов займут около х месяцев. 9 Финансовый план 9.1 План доходов В рамках рассматриваемого проекта предполагается получение доходов от реализации консервной продукции. План доходов формировался на основании ассортимента продукции, цены реализации продукции и среднего объема реализуемой продукции. Наименование продукции / средняя стоимость консервов Наименование продукции Средняя стоимость продукции,руб. Варенье из дыни,арбуза/х,хл хх,хх Варенье из тыквы, кабачка/х,хл хх,хх Овощная консервация (огурцы,помидоры)/хл хх,хх Рыбная консервация/х,ххл хх,хх Соки/ хл хх,хх Таблица 32. Параметры доходной части Максимальная мощность производства/шт. в час Наименование продукции Максимальный объем производства и упаковки консервов в час,шт. Варенье из дыни,арбуза/х,хл ххх Варенье из тыквы, кабачка/х,хл ххх Овощная консервация (огурцы,помидоры)/хл хх Рыбная консервация/хххг ххх Соки/ хл ххх Таблица 33. Параметры доходной части Длительность работы Количество часов в день на производство продукции Количество рабочих дней в месяце хх Смена х Таблица 34. Параметры доходной части Предполагается постепенный выход на запланированный объем продаж. Реализация продукции предполагается, начиная с х-го месяца с момента начала реализации проекта, к хх-му месяцу планируется выход на ххх% объем продаж. Денежные средства от продаж начинают поступать с х-го месяца с момента начала реализации проекта - х,х млн. руб., к хх-му месяцу поступление денежных средств выходит на запланированный объем – х,х млн. руб., за весь период (хх мес.) поступление денежных средств составит ххх млн. руб.
  • 67.
    67 родукции Максимальное выручка по даннойпродукции в месяц х мес. х мес. х мес х мес х мес х мес за/х,хл хххххх,хх х% х% х% хх% хх% хх% ачка/х,хл хххххх,хх х% х% х% хх% хх% хх% (огурцы,помидоры)/хл хххххх,хх х% х% х% хх% хх% хх% ,ххл ххххххх,хх х% х% х% хх% хх% хх% хххххх,хх х% х% х% хх% хх% хх% загрузки х ххх хххр. х% х% х% хх% хх% хх% Таблица 35. Прогноз выхода на запланированный объем ие продукции х мес х мес хх мес хх мес хх мес хх мес хх мес хх м и,арбуза/х,хл хх% хх% хх% хх% хх% хх% хх% хх% ы, кабачка/х,хл хх% хх% хх% хх% хх% хх% хх% хх% вация (огурцы,помидоры)/хл хх% хх% хх% хх% хх% хх% хх% хх% ация/х,ххл хх% хх% хх% хх% хх% хх% хх% хх% хх% хх% хх% хх% хх% хх% хх% хх% оцент загрузки хх% хх% хх% хх% хх% хх% хх% хх% Продолжение Таблицы. Прогноз выхода на запланированный объем одукции хх мес хх мес хх мес хх мес хх мес хх мес хх мес хх мес х,хл ххх% ххх% ххх% ххх% ххх% ххх% ххх% ххх% ка/х,хл ххх% ххх% ххх% ххх% ххх% ххх% ххх% ххх% гурцы,помидоры)/хл ххх% ххх% ххх% ххх% ххх% ххх% ххх% ххх% хл ххх% ххх% ххх% ххх% ххх% ххх% ххх% ххх% ххх% ххх% ххх% ххх% ххх% ххх% ххх% ххх% загрузки ххх% ххх% ххх% ххх% ххх% ххх% ххх% ххх% Окончание Таблицы. Прогноз выхода на запланированный объем
  • 68.
    68 Объем продаж приххх% загрузке х мес. х мес. х мес х мес х мес х мес за/х,хл ххх хххр. хр. хр. хр. ххх хххр. ххх хххр. ххх хххр. ачка/х,хл ххх хххр. хр. хр. хр. ххх хххр. ххх хххр. ххх хххр. (огурцы,помидоры)/хл ххх хххр. хр. хр. хр. ххх хххр. ххх хххр. ххх хххр. ,ххл х ххх хххр. хр. хр. хр. х ххх хххр. х ххх хххр. х ххх хххр. х ххх хххр. хр. хр. хр. ххх хххр. ххх хххр. ххх хххр. хх ххх хххр. хр. хр. хр. х ххх хххр. х ххх хххр. х ххх хххр. Таблица 36. Прогноз поступления денежных средств от продаж дов х мес х мес хх мес хх мес хх мес хх мес хх мес хх м и,арбуза/х,хл ххх хххр. ххх хххр. ххх хххр. ххх хххр. ххх хххр. ххх хххр. ххх хххр. ххх хх ы, кабачка/х,хл ххх хххр. ххх хххр. ххх хххр. ххх хххр. ххх хххр. ххх хххр. ххх хххр. ххх хх вация (огурцы,помидоры)/хл ххх хххр. ххх хххр. ххх хххр. ххх хххр. ххх хххр. ххх хххр. ххх хххр. ххх хх ация/х,ххл х ххх хххр. х ххх хххр. х ххх хххр. х ххх хххр. х ххх хххр. х ххх хххр. х ххх хххр. х ххх х ххх хххр. ххх хххр. ххх хххр. ххх хххр. ххх хххр. ххх хххр. ххх хххр. ххх хх х ххх хххр. х ххх хххр. х ххх хххр. х ххх хххр. х ххх хххр. х ххх хххр. х ххх хххр. х хх хххр Продолжение Таблицы. Прогноз поступления денежных средств от продаж Статья доходов хх мес хх мес хх мес хх мес хх мес хх мес Варенье из дыни,арбуза/х,хл ххх хххр. ххх хххр. ххх хххр. ххх хххр. ххх хххр. ххх хххр Варенье из тыквы, кабачка/х,хл ххх хххр. ххх хххр. ххх хххр. ххх хххр. ххх хххр. ххх хххр Овощная консервация (огурцы,помидоры)/хл ххх хххр. ххх хххр. ххх хххр. ххх хххр. ххх хххр. ххх хххр Рыбная консервация/х,ххл х ххх хххр. х ххх хххр. х ххх хххр. х ххх хххр. х ххх хххр. х ххх хххр Соки/ хл ххх хххр. ххх хххр. ххх хххр. ххх хххр. ххх хххр. ххх хххр Итого х ххх хххр. х ххх хххр. х ххх хххр. х ххх хххр. х ххх хххр. х ххх хххр. Окончание Таблицы. Прогноз поступления денежных средств от продаж Прогноз доходов, руб. в мес. 500 000р. 1 500 000р. 2 500 000р. 3 500 000р. 4 500 000р. 5 500 000р. 6 500 000р. 7 500 000р. 8 500 000р. 9 500 000р. 10 500 000р. 1мес. 2мес. 3мес 4мес 5мес 6мес 7мес 8мес 9мес 10мес 11мес 12мес 13мес 14мес 15мес 16мес 17мес 18мес 19мес 20мес 21мес 22мес 23мес 24мес Диаграмма 14. Прогноз доходов, руб. в месяц 9.2 План расходов Расходы по проекту формируются исходя из бюджета постоянных и переменных расходов. Расходы на коммунальные платежи помещения / месяц Параметр Значение
  • 69.
    69 Помещение, мх ххх Коммункальныеплатежи, в месяц хх ххх Итого: хх ххх Таблица 37 Расходы на аренду офиса и коммунальные платежи Коммунальные платежи представляют собой плату за электроэнергию, воду, отопление, канализацию. Расчет фонда оплаты труда представлен в таблице Расходы на персонал Штатная еденица Заработная плата Количество Итого з/п Директор предприятия хх хххр. х хх хххр. Главный технолог хх хххр. х хх хххр. Старшый инженер хх хххр. х хх хххр. Инженер хх хххр. х хх хххр. Бухгалтер хх хххр. х хх хххр. Контролер качества продукции хх хххр. х хх хххр. Фасовщик хх хххр. х хх хххр. Итого: ххх хххр. хх ххх хххр. Таблица 38. Фонд оплаты труда (постоянная часть), руб. в месяц На оплату труда ежемесячно требуется бюджет в размере ххх тыс. руб. В структуре фонда оплаты труда хх% принадлежит затратам на содержание старшого инженера, на содержание инженеров – хх% от общей суммы затрат на персонал. Диаграмма 15. Структура затрат на персонал
  • 70.
    70 Общая сумма расходовот операционной деятельности растет от ххх ххх руб. на протяжении х-х месяца до х ххх ххх руб. – в хх-м месяце. За весь период выбытие денежных средств составит ххх ххх ххх руб. Статьи расходов Расходы при ххх% загрузке х мес. Варенье из дыни,арбуза/х,хл ххх хххр. хр. Варенье из тыквы, кабачка/х,хл ххх хххр. хр. Овощная консервация (огурцы,помидоры)/хл ххх хххр. хр. Рыбная консервация/х,ххл х ххх хххр. хр. Соки/ хл ххх хххр. хр. Аренда и коммунальные платежи хх хххр. хх хххр. Заработная плата ххх хххр. ххх хххр. Расходы на внешнее оформление продукции ххх хххр. хр. Коммерческие расходы, расходи на маркетинг % от объема продаж ххх хххр. хр. Расходы на ремонт оборудования хххр. хр. Итого: х ххх хххр. ххх хххр Таблица 39. Прогноз общих расходов в х мес х мес х мес х мес х м ,арбуза/х,хл ххх хххр. ххх хххр. ххх хххр. ххх хххр. ххх х ы, кабачка/х,хл ххх хххр. ххх хххр. ххх хххр. ххх хххр. ххх х вация (огурцы,помидоры)/хл ххх хххр. ххх хххр. ххх хххр. ххх хххр. ххх х ация/х,ххл х ххх хххр. х ххх хххр. х ххх хххр. х ххх хххр. х ххх ххх хххр. ххх хххр. ххх хххр. ххх хххр. ххх х льные платежи хх хххр. хх хххр. хх хххр. хх хххр. хх х а ххх хххр. ххх хххр. ххх хххр. ххх хххр. ххх х шнее оформление продукции ххх хххр. ххх хххр. ххх хххр. ххх хххр. ххх х асходы, расходи на маркетинг % от объема ххх хххр. ххх хххр. ххх хххр. ххх хххр. ххх х онт оборудования хххр. хххр. хххр. хххр. ххх х ххх хххр. х ххх хххр. х ххх хххр. х ххх хххр. х ххх Продолжение Таблицы. Прогноз общих расходов
  • 71.
    71 ов хх месхх мес хх мес хх мес хх м и,арбуза/х,хл ххх хххр. ххх хххр. ххх хххр. ххх хххр. ххх х ы, кабачка/х,хл ххх хххр. ххх хххр. ххх хххр. ххх хххр. ххх х рвация (огурцы,помидоры)/хл ххх хххр. ххх хххр. ххх хххр. ххх хххр. ххх х ация/х,ххл х ххх хххр. х ххх хххр. х ххх хххр. х ххх хххр. х ххх ххх хххр. ххх хххр. ххх хххр. ххх хххр. ххх х льные платежи хх хххр. хх хххр. хх хххр. хх хххр. хх х та ххх хххр. ххх хххр. ххх хххр. ххх хххр. ххх х шнее оформление продукции ххх хххр. ххх хххр. ххх хххр. ххх хххр. ххх х асходы, расходи на маркетинг % от объема ххх хххр. ххх хххр. ххх хххр. ххх хххр. ххх х онт оборудования хххр. хххр. хххр. хххр. ххх х ххх хххр. х ххх хххр. х ххх хххр. х ххх хххр. х ххх Продолжение Таблицы. Прогноз общих расходов дов хх мес хх мес хх мес хх мес хх ме ни,арбуза/х,хл ххх хххр. ххх хххр. ххх хххр. ххх хххр. ххх хх квы, кабачка/х,хл ххх хххр. ххх хххр. ххх хххр. ххх хххр. ххх хх ервация (огурцы,помидоры)/хл ххх хххр. ххх хххр. ххх хххр. ххх хххр. ххх хх рвация/х,ххл х ххх хххр. х ххх хххр. х ххх хххр. х ххх хххр. х ххх хх ххх хххр. ххх хххр. ххх хххр. ххх хххр. ххх хх нальные платежи хх хххр. хх хххр. хх хххр. хх хххр. хх ххх ата ххх хххр. ххх хххр. ххх хххр. ххх хххр. ххх хх ешнее оформление продукции ххх хххр. ххх хххр. ххх хххр. ххх хххр. ххх хх расходы, расходи на маркетинг % от объема ххх хххр. ххх хххр. ххх хххр. ххх хххр. ххх хх монт оборудования хххр. хххр. хххр. хххр. хххр х ххх хххр. х ххх хххр. х ххх хххр. х ххх хххр. х ххх х Продолжение Таблицы. Прогноз общих расходов дов хх мес хх мес хх мес хх мес хх м ни,арбуза/х,хл ххх хххр. ххх хххр. ххх хххр. ххх хххр. ххх хх вы, кабачка/х,хл ххх хххр. ххх хххр. ххх хххр. ххх хххр. ххх хх ервация (огурцы,помидоры)/хл ххх хххр. ххх хххр. ххх хххр. ххх хххр. ххх хх вация/х,ххл х ххх хххр. х ххх хххр. х ххх хххр. х ххх хххр. х ххх х ххх хххр. ххх хххр. ххх хххр. ххх хххр. ххх хх нальные платежи хх хххр. хх хххр. хх хххр. хх хххр. хх хх ата ххх хххр. ххх хххр. ххх хххр. ххх хххр. ххх хх ешнее оформление продукции ххх хххр. ххх хххр. ххх хххр. ххх хххр. ххх хх расходы, расходи на маркетинг % от объема ххх хххр. ххх хххр. ххх хххр. ххх хххр. ххх хх монт оборудования хххр. хххр. хххр. хххр. ххх х ххх хххр. х ххх хххр. х ххх хххр. х ххх хххр. х ххх х Продолжение Таблицы. Прогноз общих расходов
  • 72.
    72 Диаграмма 16. Прогнозоперационных расходов, руб. в месяц Структура расходов, руб. в мес. 276 797р. 70 250р. 165 000р. 502 700р. 3 578 112р. 437 289р. 268 128р. 466 678р. 0р. 500 000р. 1 000 000р. 1 500 000р. 2 000 000р. 2 500 000р. 3 000 000р. 3 500 000р. 4 000 000р. Вареньеиз дыни,арбуза/0,5л Вареньеизтыквы, кабачка/0,5л Овощнаяконсервация (огурцы,помидоры)/1л Рыбная консервация/0,25л Соки/1л Арендаи коммунальные платежи Заработнаяплата Расходынавнешнее оформление продукции Диаграмма 17. Структура расходов операционной деятельности, руб. В структуре операционных расходов преобладают расходы на производство рыбных консервов, а также расходы на внешнее оформление продукции.
  • 73.
    73 Диаграмма 18. Структурарасходов операционной деятельности, % 9.3 Расчет налоговых выплат Налоговые выплаты рассчитывались на основании налоговых ставок, базы расчетов и периодичности уплаты в бюджет. Налоговые ставки: % База для уплаты Частота начисления Ставка отчислений от ФЗП хх% ФОТ ежемесячно Ставка налога на имущество х,х% Имущество на балансе х раз в квартал Ставка земельного налога х,х% Кадастровая стоимость участка х раз в квартал Ставка НДС хх% Облагаемая НДС выручка ежемесячно Ставка налога на прибыль,% в мес. хх% Прибыль ежемесячно Таблица 40. Исходные данные для расчета налоговых платежей Ставка отчислений с заработной платы состоит из следующих составляющих: отчисления в пенсионный фонд, фонд социального страхования, фонд обязательного медицинского страхования. Состав ставки отчислений с ЗП Пенсионный фонд хх% Фонд социального страхования х,хх% Фонд обязательного медицинского страхования х,хх% Таблица 41. Состав ставки отчислений с заработной платы Ставки налогов и налогооблагаемая база определяет структуру налоговых выплат.
  • 74.
    74 Диаграмма 19. Структураналоговых выплат В структуре налоговых выплат преобладает налог на прибыль (хх%) и НДС (хх%). Динамика доли налогов в выручке, % 0% 0% 0% 7% 7% 14% 14% 14% 14% 14% 14% 14% 14% 14% 14% 14% 14% 14% 14% 14% 14% 14% 14% 14% 0% 2% 4% 6% 8% 10% 12% 14% 16% 1мес. 2мес. 3мес 4мес 5мес 6мес 7мес 8мес 9мес 10мес 11мес 12мес 13мес 14мес 15мес 16мес 17мес 18мес 19мес 20мес 21мес 22мес 23мес 24мес
  • 75.
    75 Диаграмма 20. Динамикадоли налогов в выручке Доля налогов в выручке колеблется по месяцам, в связи с графиком выплат налогов, и после выхода на запланированный объем составляет хх% Сумма налоговых выплат растет от ххх тыс. руб. в х-м месяце до х,х млн. руб. – в хх-м. За весь период планирования сумма налоговых выплат составит хх,х млн. руб. х мес. х мес. х мес х мес х мес х мес хр. хр. хр. хх хххр. хх хххр. хх хххр. иммущество хр. хр. хр. хр. хр. хх хххр. хр. хр. хр. хр. хр. ххх хххр. прибыль хр. хр. хр. ххх хххр. ххх хххр. ххх хххр. хр. хр. хр. ххх хххр. ххх хххр. х ххх хххр. Таблица 42. Расчет налоговых выплат х мес х мес х мес хх мес хх мес хх мес хх хххр. хх хххр. хх хххр. хх хххр. хх хххр. хх хххр. иммущество хр. хр. хх хххр. хр. хр. хх хххр. ххх хххр. ххх хххр. ххх хххр. ххх хххр. ххх хххр. ххх хххр. прибыль ххх хххр. ххх хххр. ххх хххр. ххх хххр. ххх хххр. ххх хххр. х ххх хххр. х ххх хххр. х ххх хххр. х ххх хххр. х ххх хххр. х ххх хххр. Продолжение Таблицы. Расчет налоговых выплат и хх мес хх мес хх мес хх мес хх мес хх мес хх хххр. хх хххр. хх хххр. хх хххр. хх хххр. хх хххр. на иммущество хр. хр. хх хххр. хр. хр. хх хххр. ххх хххр. ххх хххр. ххх хххр. ххх хххр. ххх хххр. ххх хххр. на прибыль ххх хххр. ххх хххр. ххх хххр. ххх хххр. ххх хххр. ххх хххр. х ххх хххр. х ххх хххр. х ххх хххр. х ххх хххр. х ххх хххр. х ххх хххр. Продолжение Таблицы. Расчет налоговых выплат хх мес хх мес хх мес хх мес хх мес хх мес хх хххр. хх хххр. хх хххр. хх хххр. хх хххр. хх хххр. а иммущество хр. хр. х хххр. хр. хр. х хххр. ххх хххр. ххх хххр. ххх хххр. ххх хххр. ххх хххр. ххх хххр. а прибыль ххх хххр. ххх хххр. ххх хххр. ххх хххр. ххх хххр. ххх хххр. х ххх хххр. х ххх хххр. х ххх хххр. х ххх хххр. х ххх хххр. х ххх хххр. Продолжение Таблицы. Расчет налоговых выплат 9.4 Отчет о движении денежных средств Потоки денежных средств формируются за счет потоков операционной деятельности, инвестиционной и финансовой деятельности. 9.4.1 Денежные потоки от операционной деятельности Денежный поток от основной деятельности становится положительным в х-м месяце, достигнув уровня х ххх тыс. руб., далее денежный поток продолжает расти, и в хх-м месяце достигнет хх ххх тис. руб. За рассматриваемый период накопленный поток денежных средств от операционной деятельности составит хх ххх тыс. руб. ятельность Месячные Показатели при ххх% загрузке х мес. х мес. х мес х мес х мес х основной деятельности хх ххх хххр. хр. хр. хр. х ххх хххр. х ххх хххр. х ххх буза/х,хл ххх хххр. хр. хр. хр. ххх хххр. ххх хххр. ххх абачка/х,хл ххх хххр. хр. хр. хр. ххх хххр. ххх хххр. ххх ия (огурцы,помидоры)/хл ххх хххр. хр. хр. хр. ххх хххр. ххх хххр. ххх
  • 76.
    76 я/х,ххл х ххххххр. хр. хр. хр. х ххх хххр. х ххх хххр. х ххх ххх хххр. хр. хр. хр. ххх хххр. ххх хххр. ххх щей деятельности х ххх хххр. ххх хххр. ххх хххр. ххх хххр. х ххх хххр. х ххх хххр. х ххх буза/х,хл ххх хххр. хр. хр. хр. ххх хххр. ххх хххр. ххх абачка/х,хл ххх хххр. хр. хр. хр. ххх хххр. ххх хххр. ххх ия (огурцы,помидоры)/хл ххх хххр. хр. хр. хр. ххх хххр. ххх хххр. ххх я/х,ххл х ххх хххр. хр. хр. хр. х ххх хххр. х ххх хххр. х ххх ххх хххр. хр. хр. хр. ххх хххр. ххх хххр. ххх ьные платежи хх хххр. хх хххр. хх хххр. хх хххр. хх хххр. хх хххр. хх х ххх хххр. ххх хххр. ххх хххр. ххх хххр. ххх хххр. ххх хххр. ххх е оформление продукции ххх хххр. хр. хр. хр. ххх хххр. ххх хххр. ххх оды, расходи на маркетинг % от объема ххх хххр. хр. хр. хр. ххх хххр. ххх хххр. ххх оборудования хххр. хр. хр. хр. хххр. хххр. хх хр. хр. хр. хр. ххх хххр. ххх хххр. х ххх хр. хр. хр. хр. хх хххр. хх хххр. хх х ммущество хр. хр. хр. хр. хр. хр. хх х хр. хр. хр. хр. хр. хр. ххх ибыль хр. хр. хр. хр. ххх хххр. ххх хххр. ххх ной деятельности х ххх хххр. -ххх хххр. -ххх хххр. -ххх хххр. х ххх хххр. х ххх хххр. х ххх нным итогом х -ххх хххр. -ххх хххр. -ххх хххр. х ххх хххр. х ххх хххр. х ххх Таблица 43. Денежные потоки от основной деятельности
  • 77.
    77 ятельность х месх мес х мес хх мес хх мес хх мес хх мес сновной деятельности х ххх хххр. х ххх хххр. х ххх хххр. х ххх хххр. х ххх хххр. х ххх хххр. х ххх хххр. х х уза/х,хл ххх хххр. ххх хххр. ххх хххр. ххх хххр. ххх хххр. ххх хххр. ххх хххр. х бачка/х,хл ххх хххр. ххх хххр. ххх хххр. ххх хххр. ххх хххр. ххх хххр. ххх хххр. х я (огурцы,помидоры)/хл ххх хххр. ххх хххр. ххх хххр. ххх хххр. ххх хххр. ххх хххр. ххх хххр. х /х,ххл х ххх хххр. х ххх хххр. х ххх хххр. х ххх хххр. х ххх хххр. х ххх хххр. х ххх хххр. х ххх хххр. ххх хххр. ххх хххр. ххх хххр. ххх хххр. ххх хххр. ххх хххр. х щей деятельности х ххх хххр. х ххх хххр. х ххх хххр. х ххх хххр. х ххх хххр. х ххх хххр. х ххх хххр. х х уза/х,хл ххх хххр. ххх хххр. ххх хххр. ххх хххр. ххх хххр. ххх хххр. ххх хххр. х бачка/х,хл ххх хххр. ххх хххр. ххх хххр. ххх хххр. ххх хххр. ххх хххр. ххх хххр. х я (огурцы,помидоры)/хл ххх хххр. ххх хххр. ххх хххр. ххх хххр. ххх хххр. ххх хххр. ххх хххр. х /х,ххл х ххх хххр. х ххх хххр. х ххх хххр. х ххх хххр. х ххх хххр. х ххх хххр. х ххх хххр. х ххх хххр. ххх хххр. ххх хххр. ххх хххр. ххх хххр. ххх хххр. ххх хххр. х ные платежи хх хххр. хх хххр. хх хххр. хх хххр. хх хххр. хх хххр. хх хххр. х ххх хххр. ххх хххр. ххх хххр. ххх хххр. ххх хххр. ххх хххр. ххх хххр. х оформление продукции ххх хххр. ххх хххр. ххх хххр. ххх хххр. ххх хххр. ххх хххр. ххх хххр. х ды, расходи на маркетинг % от объема ххх хххр. ххх хххр. ххх хххр. ххх хххр. ххх хххр. ххх хххр. ххх хххр. х борудования хххр. хххр. хххр. хххр. хххр. хххр. хххр. х ххх хххр. х ххх хххр. х ххх хххр. х ххх хххр. х ххх хххр. х ххх хххр. х ххх хххр. х хх хххр. хх хххр. хх хххр. хх хххр. хх хххр. хх хххр. хх хххр. х мущество хр. хр. хх хххр. хр. хр. хх хххр. хр. ххх хххр. ххх хххр. ххх хххр. ххх хххр. ххх хххр. ххх хххр. ххх хххр. х ибыль ххх хххр. ххх хххр. ххх хххр. ххх хххр. ххх хххр. ххх хххр. ххх хххр. х ной деятельности х ххх хххр. х ххх хххр. х ххх хххр. х ххх хххр. х ххх хххр. х ххх хххр. х ххх хххр. х х ным итогом х ххх хххр. х ххх хххр. хх ххх хххр. хх ххх хххр. хх ххх хххр. хх ххх хххр. хх ххх хххр. хх Продолжение Таблицы. Денежные потоки от основной деятельности
  • 78.
    78 ятельность хх месхх мес хх мес хх мес хх мес хх сновной деятельности х ххх хххр. хх ххх хххр. хх ххх хххр. хх ххх хххр. хх ххх хххр. хх хх буза/х,хл ххх хххр. ххх хххр. ххх хххр. ххх хххр. ххх хххр. ххх абачка/х,хл ххх хххр. ххх хххр. ххх хххр. ххх хххр. ххх хххр. ххх ия (огурцы,помидоры)/хл ххх хххр. ххх хххр. ххх хххр. ххх хххр. ххх хххр. ххх /х,ххл х ххх хххр. х ххх хххр. х ххх хххр. х ххх хххр. х ххх хххр. х хх ххх хххр. ххх хххр. ххх хххр. ххх хххр. ххх хххр. ххх щей деятельности х ххх хххр. х ххх хххр. х ххх хххр. х ххх хххр. х ххх хххр. х хх буза/х,хл ххх хххр. ххх хххр. ххх хххр. ххх хххр. ххх хххр. ххх абачка/х,хл ххх хххр. ххх хххр. ххх хххр. ххх хххр. ххх хххр. ххх ия (огурцы,помидоры)/хл ххх хххр. ххх хххр. ххх хххр. ххх хххр. ххх хххр. ххх /х,ххл х ххх хххр. х ххх хххр. х ххх хххр. х ххх хххр. х ххх хххр. х хх ххх хххр. ххх хххр. ххх хххр. ххх хххр. ххх хххр. ххх ные платежи хх хххр. хх хххр. хх хххр. хх хххр. хх хххр. хх ххх хххр. ххх хххр. ххх хххр. ххх хххр. ххх хххр. ххх оформление продукции ххх хххр. ххх хххр. ххх хххр. ххх хххр. ххх хххр. ххх ды, расходи на маркетинг % от объема продаж ххх хххр. ххх хххр. ххх хххр. ххх хххр. ххх хххр. ххх оборудования хххр. хххр. хххр. хххр. хххр. х х ххх хххр. х ххх хххр. х ххх хххр. х ххх хххр. х ххх хххр. х хх хх хххр. хх хххр. хх хххр. хх хххр. хх хххр. хх мущество хх хххр. хр. хр. хх хххр. хр. ххх хххр. ххх хххр. ххх хххр. ххх хххр. ххх хххр. ххх ибыль ххх хххр. ххх хххр. ххх хххр. ххх хххр. ххх хххр. ххх ной деятельности х ххх хххр. х ххх хххр. х ххх хххр. х ххх хххр. х ххх хххр. х хх ным итогом хх ххх хххр. хх ххх хххр. хх ххх хххр. хх ххх хххр. хх ххх хххр. хх хх Продолжение Таблицы. Денежные потоки от основной деятельности Основная деятельность хх мес хх мес хх ме Поступления от основной деятельности хх ххх хххр. хх ххх хххр. хх ххх х Варенье из дыни,арбуза/х,хл ххх хххр. ххх хххр. ххх ххх Варенье из тыквы, кабачка/х,хл ххх хххр. ххх хххр. ххх ххх Овощная консервация (огурцы,помидоры)/хл ххх хххр. ххх хххр. ххх ххх Рыбная консервация/х,ххл х ххх хххр. х ххх хххр. х ххх хх Соки/ хл ххх хххр. ххх хххр. ххх ххх Выбытия от текущей деятельности х ххх хххр. х ххх хххр. х ххх хх Варенье из дыни,арбуза/х,хл ххх хххр. ххх хххр. ххх ххх Варенье из тыквы, кабачка/х,хл ххх хххр. ххх хххр. ххх ххх Овощная консервация (огурцы,помидоры)/хл ххх хххр. ххх хххр. ххх ххх Рыбная консервация/х,ххл х ххх хххр. х ххх хххр. х ххх хх Соки/ хл ххх хххр. ххх хххр. ххх ххх Аренда и коммунальные платежи хх хххр. хх хххр. хх ххх Заработная плата ххх хххр. ххх хххр. ххх ххх Расходы на внешнее оформление продукции ххх хххр. ххх хххр. ххх ххх Коммерческие расходы, расходи на маркетинг % от объема продаж ххх хххр. ххх хххр. ххх ххх Расходы на ремонт оборудования хххр. хххр. хххр.
  • 79.
    79 Налоги: х ххххххр. х ххх хххр. х ххх хх ЕСН хх хххр. хх хххр. хх ххх Налог на иммущество х хххр. хр. хр. НДС ххх хххр. ххх хххр. ххх ххх Налог на прибыль ххх хххр. ххх хххр. ххх ххх Сальдо от основной деятельности х ххх хххр. х ххх хххр. х ххх хх Сальдо накопленным итогом хх ххх хххр. хх ххх хххр. хх ххх х Продолжение Таблицы. Денежные потоки от основной деятельности
  • 80.
    80 9.4.2 Денежные потокиот инвестиционной деятельности нная деятельность Начальные значения х мес. х мес. х мес х мес х мес х м инвестиционной деятельности х ххх хххр. х ххх хххр. хр. хр. хр. хр. хр стора (учредителя) х ххх хххр. х ххх хххр. естиционной деятельности х ххх хххр. х ххх хххр. ххх хххр. хх хххр. х ххх хххр. х ххх хххр. х ххх борудования и земельного участка х ххх хххр. х ххх хххр. хр. хр. ые работы ( кроме СМР) ххх хххр. хх хххр. хх хххр. хх хххр. ххх хххр. ххх хххр. ххх хххр. дства ххх хххр. иций хр. хр. хр. хр. х ххх хххр. х ххх хххр. х ххх иционной деятельности хр. х ххх хххр. -ххх хххр. -хх хххр. -х ххх хххр. -х ххх хххр. -х ххх Таблица 44. Денежные потоки от инвестиционной деятельности ная деятельность х мес х мес х мес хх мес хх мес хх мес хх мес х нвестиционной деятельности хр. хр. хр. хр. хр. хр. хр. тора (учредителя) стиционной деятельности х ххх хххр. х ххх хххр. х ххх хххр. х ххх хххр. х ххх хххр. х ххх хххр. х ххх хххр. х х борудования и земельного участка ые работы ( кроме СМР) ства ций х ххх хххр. х ххх хххр. х ххх хххр. х ххх хххр. х ххх хххр. х ххх хххр. х ххх хххр. х х ционной деятельности -х ххх хххр. -х ххх хххр. -х ххх хххр. -х ххх хххр. -х ххх хххр. -х ххх хххр. -х ххх хххр. -х х Продолжение Таблицы. Денежные потоки от инвестиционной деятельности нная деятельность хх мес хх мес хх мес хх мес хх мес хх м инвестиционной деятельности хр. хр. хр. хр. хр. хр стора (учредителя) естиционной деятельности х ххх хххр. х ххх хххр. х ххх хххр. х ххх хххр. х ххх хххр. х ххх х оборудования и земельного участка ные работы ( кроме СМР) дства иций х ххх хххр. х ххх хххр. х ххх хххр. х ххх хххр. х ххх хххр. х ххх х иционной деятельности -х ххх хххр. -х ххх хххр. -х ххх хххр. -х ххх хххр. -х ххх хххр. -х ххх Продолжение Таблицы. Денежные потоки от инвестиционной деятельности нная деятельность хх мес хх мес хх мес хх мес Итог инвестиционной деятельности хр. хр. хр. хр. хр. стора (учредителя) естиционной деятельности х ххх хххр. х ххх хххр. х ххх хххр. х ххх хххр. хх ххх х оборудования и земельного участка ные работы ( кроме СМР) дства иций х ххх хххр. х ххх хххр. х ххх хххр. х ххх хххр. хх ххх х иционной деятельности -х ххх хххр. -х ххх хххр. -х ххх хххр. -х ххх хххр. Продолжение Таблицы. Денежные потоки от инвестиционной деятельности 9.4.3 Денежные потоки от проекта чало периода хр. хр. х ххх хххр. ххх хххр. хр. хр. хр хр. х ххх хххр. хр. хр. х ххх хххр. х ххх хххр. х ххх х хр. х ххх хххр. ххх хххр. ххх хххр. х ххх хххр. х ххх хххр. х ххх х ец периода хр. х ххх хххр. ххх хххр. хр. хр. хр. хр
  • 81.
    81 от проекта хр.хр. хр. хр. х ххх хххр. х ххх хххр. х ххх х Таблица 45. Денежный поток от проекта чало периода хр. хр. хр. хр. хр. хр. хр. х ххх хххр. х ххх хххр. х ххх хххр. х ххх хххр. х ххх хххр. х ххх хххр. х ххх хххр. х х х ххх хххр. х ххх хххр. х ххх хххр. х ххх хххр. х ххх хххр. х ххх хххр. х ххх хххр. х х ц периода хр. хр. хр. хр. хр. хр. хр. от проекта х ххх хххр. х ххх хххр. х ххх хххр. х ххх хххр. х ххх хххр. х ххх хххр. х ххх хххр. х хх Продолжение Таблицы. Денежный поток от проекта
  • 82.
    82 ДС на началопериода хр. хр. хр. хр. хр. хр. туплений х ххх хххр. хх ххх хххр. хх ххх хххр. хх ххх хххр. хх ххх хххр. хх ххх хххр. ытий х ххх хххр. хх ххх хххр. хх ххх хххр. хх ххх хххр. хх ххх хххр. хх ххх хххр. ДС на конец периода хр. хр. хр. хр. хр. хр. ый поток от проекта х ххх хххр. х ххх хххр. х ххх хххр. х ххх хххр. х ххх хххр. х ххх хххр. Продолжение Таблицы. Денежный поток от проекта ДС на начало периода хр. хр. хр. хр. хр. туплений хх ххх хххр. хх ххх хххр. хх ххх хххр. хх ххх хххр. ххх ххх хххр. бытий хх ххх хххр. хх ххх хххр. хх ххх хххр. хх ххх хххр. ххх ххх хххр. ДС на конец периода хр. хр. хр. хр. хр. ый поток от проекта х ххх хххр. х ххх хххр. х ххх хххр. х ххх хххр. хх ххх хххр. Продолжение Таблицы. Денежный поток от проекта Денежный поток от проекта, руб. в мес. 0р. 10 000 000р. 20 000 000р. 30 000 000р. 40 000 000р. 50 000 000р. 60 000 000р. 1мес. 2мес. 3мес 4мес 5мес 6мес 7мес 8мес 9мес 10мес 11мес 12мес 13мес 14мес 15мес 16мес 17мес 18мес 19мес 20мес 21мес 22мес 23мес 24мес Денежные средства накопленным итогом Динамика движения денежных средств Диаграмма 21. Динамика денежных потоков от проекта Денежный поток от проекта в целом, сформированный из трех основных направлений (операционной, инвестиционной и финансовой деятельности) становится положительным в х-м месяце, достигнув уровня х,х тыс. руб. За хх месяца накопленный поток денежных средств составит хх ххх тыс. руб.
  • 83.
    83 9.5 Расчет амортизационныхотчислений В данных расчетах приняты следующие параметры для расчета амортизации: Парметры для расчета амортизации Количество лет Срок амортизации помещений х Срок амортизации оборудования х Таблица 46. Параметры для расчета амортизационных отчислений Имущество на балансе х мес. х мес. х мес х мес х мес х мес х мес Оборудование хр. хр. хр. х ххх хххр. х ххх хххр. х ххх хххр. х ххх хххр. Помещение хр. хр. хр. ххх хххр. ххх хххр. ххх хххр. ххх хххр. Итого: хр. хр. хр. х ххх хххр. х ххх хххр. х ххх хххр. х ххх хххр. Таблица 47. Имущество на балансе ество на балансе хх мес хх мес хх мес хх мес хх мес хх мес хх мес ование х ххх хххр. х ххх хххр. х ххх хххр. х ххх хххр. х ххх хххр. х ххх хххр. х ххх хххр. ение ххх хххр. ххх хххр. ххх хххр. ххх хххр. ххх хххр. ххх хххр. ххх хххр. х ххх хххр. х ххх хххр. х ххх хххр. х ххх хххр. х ххх хххр. х ххх хххр. х ххх хххр. Продолжение Таблицы. Имущество на балансе Имущество на балансе хх мес хх мес хх мес хх мес хх мес хх м Оборудование х ххх хххр. х ххх хххр. х ххх хххр. х ххх хххр. х ххх хххр. х ххх х Помещение ххх хххр. ххх хххр. ххх хххр. ххх хххр. ххх хххр. ххх х Итого: х ххх хххр. х ххх хххр. х ххх хххр. х ххх хххр. х ххх хххр. х ххх х Окончание Таблицы. Имущество на балансе
  • 84.
    84 ия х мес.х мес. х мес х мес х мес х мес х мес х мес х мес ие хр. хр. хр. ххх хххр. ххх хххр. ххх хххр. ххх хххр. ххх хххр. ххх хххр хр. хр. хр. хх хххр. хх хххр. хх хххр. хх хххр. хх хххр. хх хххр хр. хр. хр. ххх хххр. ххх хххр. ххх хххр. ххх хххр. ххх хххр. ххх ххх Таблица 48. Динамика амортизационных отчислений ция хх мес хх мес хх мес хх мес хх мес хх мес хх мес хх мес хх мес ние ххх хххр. ххх хххр. ххх хххр. ххх хххр. ххх хххр. ххх хххр. ххх хххр. ххх хххр. ххх хххр хх хххр. хх хххр. хх хххр. хх хххр. хх хххр. хх хххр. хх хххр. хх хххр. хх хххр. ххх хххр. ххх хххр. ххх хххр. ххх хххр. ххх хххр. ххх хххр. ххх хххр. ххх хххр. ххх хххр Продолжение Таблицы. Динамика амортизационных отчислений ция хх мес хх мес хх мес хх мес хх мес хх мес Итого: ние ххх хххр. ххх хххр. ххх хххр. ххх хххр. ххх хххр. ххх хххр. х ххх хххр. хх хххр. хх хххр. хх хххр. хх хххр. хх хххр. хх хххр. ххх хххр. ххх хххр. ххх хххр. ххх хххр. ххх хххр. ххх хххр. ххх хххр. х ххх хххр Окончание Таблицы. Динамика амортизационных отчислений Расчет имущества на балансе и амортизации, руб. в мес. 0р. 1 000 000р. 2 000 000р. 3 000 000р. 4 000 000р. 5 000 000р. 6 000 000р. 7 000 000р. 1 2 3 4 5 6 7 8 9 10 11 12 13 14 15 16 17 18 19 20 21 22 23 24 Имущество на балансе Амортизация Диаграмма 22. Расчёт имущества на балансе и амортизации 9.6 Отчет о прибылях и убытках Проект начинает приносить прибыль в х-м месяце (х ххх тыс. руб.). За рассматриваемый период накопленная чистая прибыль составит хх ххх тыс.руб.
  • 85.
    85 Динамика чистой прибыли,руб. в мес. -5 000 000р. 0р. 5 000 000р. 10 000 000р. 15 000 000р. 20 000 000р. 25 000 000р. 30 000 000р. 35 000 000р. 40 000 000р. 45 000 000р. 50 000 000р. 1мес. 2мес. 3мес 4мес 5мес 6мес 7мес 8мес 9мес 10мес 11мес 12мес 13мес 14мес 15мес 16мес 17мес 18мес 19мес 20мес 21мес 22мес 23мес 24мес Чистая прибыль накопленным итогом Чистая прибыль Диаграмма 23. Динамика чистой прибыли, руб. в месяц Статьи отчета о прибылях и убытках Месячные Показатели при ххх% загрузке х мес. х мес. х мес х мес Выручка х ххх хххр. хр. хр. хр. х ххх хххр Расходы х ххх хххр. ххх хххр. ххх хххр. ххх хххр. х ххх хххр Амортизация хр. хр. хр. хр. ххх хххр. Возврат процентов по кредиту хр. хр. хр. хр. хр. Налог на имущество хр. хр. хр. хр. хр. ЕСН хр. хр. хр. хр. хх хххр. Прибыль -ххх хххр. -ххх хххр. -ххх хххр. х ххх хххр Налог на прибыль хр. хр. хр. ххх хххр. Чистая прибыль -ххх хххр. -ххх хххр. -ххх хххр. х ххх хххр Чистая прибыль накопленным итогом -ххх хххр. -ххх хххр. -ххх хххр. ххх хххр. Таблица 49. Отчёт о прибылях и убытках Статьи отчета о прибылях и убытках х мес х мес х мес хх мес Выручка х ххх хххр. х ххх хххр. х ххх хххр. х ххх хххр. Расходы х ххх хххр. х ххх хххр. х ххх хххр. х ххх хххр. Амортизация ххх хххр. ххх хххр. ххх хххр. ххх хххр. Возврат процентов по кредиту хр. хр. хр. хр. Налог на имущество хр. хр. хх хххр. хр. ЕСН хх хххр. хх хххр. хх хххр. хх хххр. Прибыль х ххх хххр. х ххх хххр. х ххх хххр. х ххх хххр. Налог на прибыль ххх хххр. ххх хххр. ххх хххр. ххх хххр. Чистая прибыль х ххх хххр. х ххх хххр. х ххх хххр. х ххх хххр. х Чистая прибыль накопленным итогом х ххх хххр. х ххх хххр. хх ххх хххр. хх ххх хххр. х
  • 86.
    86 Продолжение Таблицы. Отчёто прибылях и убытках
  • 87.
    87 чета о прибыляхи убытках хх мес хх мес хх мес хх мес хх мес хх мес х ххх хххр. х ххх хххр. х ххх хххр. х ххх хххр. х ххх хххр. х ххх хххр. х ххх хххр. х ххх хххр. х ххх хххр. х ххх хххр. х ххх хххр. х ххх хххр. изация ххх хххр. ххх хххр. ххх хххр. ххх хххр. ххх хххр. ххх хххр. т процентов по кредиту хр. хр. хр. хр. хр. хр. а имущество хр. хх хххр. хр. хр. хх хххр. хр. хх хххр. хх хххр. хх хххр. хх хххр. хх хххр. хх хххр. х ххх хххр. х ххх хххр. х ххх хххр. х ххх хххр. х ххх хххр. х ххх хххр. а прибыль ххх хххр. ххх хххр. ххх хххр. ххх хххр. ххх хххр. ххх хххр. ибыль х ххх хххр. х ххх хххр. х ххх хххр. х ххх хххр. х ххх хххр. х ххх хххр. ибыль накопленным итогом хх ххх хххр. хх ххх хххр. хх ххх хххр. хх ххх хххр. хх ххх хххр. хх ххх хххр Продолжение Таблицы. Отчёт о прибылях и убытках ета о прибылях и убытках хх мес хх мес хх мес хх мес хх мес Итого: х ххх хххр. х ххх хххр. х ххх хххр. х ххх хххр. х ххх хххр. ххх ххх хххр х ххх хххр. х ххх хххр. х ххх хххр. х ххх хххр. х ххх хххр. хх ххх хххр зация ххх хххр. ххх хххр. ххх хххр. ххх хххр. ххх хххр. х ххх хххр. т процентов по кредиту хр. хр. хр. хр. хр. хр. а имущество хр. х хххр. хр. хр. х хххр. ххх хххр. хх хххр. хх хххр. хх хххр. хх хххр. хх хххр. х ххх хххр. х ххх хххр. х ххх хххр. х ххх хххр. х ххх хххр. х ххх хххр. хх ххх хххр а прибыль ххх хххр. ххх хххр. ххх хххр. ххх хххр. ххх хххр. хх ххх хххр ибыль х ххх хххр. х ххх хххр. х ххх хххр. х ххх хххр. х ххх хххр. хх ххх хххр ибыль накопленным итогом хх ххх хххр. хх ххх хххр. хх ххх хххр. хх ххх хххр. хх ххх хххр. Окончание Таблицы. Отчёт о прибылях и убытках 9.7 Расчет уровня безубыточности Поскольку продукция обладает высоким уровнем доходности, точка безубыточности находится на низком уровне.
  • 88.
    88 Точка безубыточности проекта,% от загрузки 0р. 2 000 000р. 4 000 000р. 6 000 000р. 8 000 000р. 10 000 000р. 12 000 000р. 10% 20% 30% 40% 50% 60% 70% 80% 90% 100% Выручка Расходы Прибыль, до вычета налогов Диаграмма 24. Точка безубыточности продаж, в % от загрузки Расчеты показывают, что точка безубыточности составляет х% от планируемого объема продаж, или ххх ххх руб. При этом величина операционного рычага составляет хх%. Значение при ххх% загрузке хх% хх% хх% хх% хх% хх% хх ххх хххр. х ххх хххр. х ххх хххр. х ххх хххр. х ххх хххр. х ххх хххр. х ххх хххр. х ххх хххр. ххх хххр. х ххх хххр. х ххх хххр. х ххх хххр. х ххх хххр. х ххх хххр. ы ххх хххр. ххх хххр. ххх хххр. ххх хххр. ххх хххр. ххх хххр. ххх хххр. ххх хххр. ххх хххр. ххх хххр. ххх хххр. ххх хххр. ххх хххр. ххх хххр. е платежи хх хххр. хх хххр. хх хххр. хх хххр. хх хххр. хх хххр. хх хххр. ы х ххх хххр. ххх хххр. ххх хххр. х ххх хххр. х ххх хххр. х ххх хххр. х ххх хххр. ххх хххр. хх хххр. хх хххр. хх хххр. ххх хххр. ххх хххр. ххх хххр. л ххх хххр. хх хххр. хх хххр. хх хххр. ххх хххр. ххх хххр. ххх хххр. ы,помидоры)/хл ххх хххр. хх хххр. хх хххр. хх хххр. хх хххр. хх хххр. хх хххр. х ххх хххр. ххх хххр. ххх хххр. ххх хххр. ххх хххр. х ххх хххр. х ххх хххр. ххх хххр. хх хххр. хх хххр. хх хххр. хх хххр. хх хххр. хх хххр. ение продукции ххх хххр. хх хххр. хх хххр. ххх хххр. ххх хххр. ххх хххр. ххх хххр. ди на ж ххх хххр. хх хххр. хх хххр. хх хххр. хх хххр. хх хххр. хх хххр. ния хххр. ххр. ххр. хххр. хххр. хххр. хххр. алогов х ххх хххр. ххх хххр. ххх хххр. ххх хххр. ххх хххр. х ххх хххр. х ххх хххр. Таблица 50. Расчет точки безубыточности Параметры хх% хх% хх% хх% Выручка х ххх хххр. х ххх хххр. х ххх хххр. х ххх хх Расходы х ххх хххр. х ххх хххр. х ххх хххр. х ххх хх
  • 89.
    89 Постоянные расходы ххххххр. ххх хххр. ххх хххр. ххх хх Заработная плата ххх хххр. ххх хххр. ххх хххр. ххх ххх Аренда и коммунальные платежи хх хххр. хх хххр. хх хххр. хх хххр Переменные расходы х ххх хххр. х ххх хххр. х ххх хххр. х ххх хх Варенье из дыни,арбуза/х,хл ххх хххр. ххх хххр. ххх хххр. ххх ххх Варенье из тыквы, кабачка/х,хл ххх хххр. ххх хххр. ххх хххр. ххх ххх Овощная консервация (огурцы,помидоры)/хл ххх хххр. ххх хххр. ххх хххр. ххх ххх Рыбная консервация/х,ххл х ххх хххр. х ххх хххр. х ххх хххр. х ххх хх Соки/ хл ххх хххр. ххх хххр. ххх хххр. ххх ххх Расходы на внешнее оформление продукции ххх хххр. ххх хххр. ххх хххр. ххх ххх Коммерческие расходы, расходи на маркетинг % от объема продаж ххх хххр. ххх хххр. ххх хххр. ххх ххх Расходы на ремонт оборудования хххр. хххр. хххр. хххр. Прибыль, до вычета налогов х ххх хххр. х ххх хххр. х ххх хххр. х ххх хх Продолжение Таблицы. Расчет точки безубыточности Параметры хх% хх% хх% хх% Выручка х ххх хххр. х ххх хххр. х ххх хххр. х ххх хх Расходы х ххх хххр. х ххх хххр. х ххх хххр. х ххх хх Постоянные расходы ххх хххр. ххх хххр. ххх хххр. ххх ххх Заработная плата ххх хххр. ххх хххр. ххх хххр. ххх хххр Аренда и коммунальные платежи хх хххр. хх хххр. хх хххр. хх хххр Переменные расходы х ххх хххр. х ххх хххр. х ххх хххр. х ххх хх Варенье из дыни,арбуза/х,хл ххх хххр. ххх хххр. ххх хххр. ххх хххр Варенье из тыквы, кабачка/х,хл ххх хххр. ххх хххр. ххх хххр. ххх хххр Овощная консервация (огурцы,помидоры)/хл ххх хххр. ххх хххр. ххх хххр. ххх хххр Рыбная консервация/х,ххл х ххх хххр. х ххх хххр. х ххх хххр. х ххх ххх Соки/ хл ххх хххр. ххх хххр. ххх хххр. ххх хххр Расходы на внешнее оформление продукции ххх хххр. ххх хххр. ххх хххр. ххх хххр Коммерческие расходы, расходи на маркетинг % от объема продаж ххх хххр. ххх хххр. ххх хххр. ххх хххр Расходы на ремонт оборудования хххр. хххр. хххр. хххр. Прибыль, до вычета налогов х ххх хххр. х ххх хххр. х ххх хххр. х ххх хх Окончание Таблицы. Расчет точки безубыточности 10 Финансовый анализ 10.1 Расчет показателей продаж Показатели продаж: Точка безубыточности, % х% Точка безубыточности, руб. ежемесячных продаж ххх хххр. Операционный рычаг хх% Таблица 51. Показатели продаж Объем продаж, соответствующий точке безубыточности, составляет ххх ххх руб. в месяц.
  • 90.
    90 Операционный рычаг равенхх%, то есть при увеличении объема продаж на ххх руб., прибыль увеличивается на хх руб. 10.2 Расчет показателей основной деятельности Показатели основной деятельности Средние значения по проекту Объем продаж, в мес. х ххх хххр. Объем текущих расходов, в мес. х ххх хххр. Чистая прибыль, в мес. х ххх хххр. Денежный поток, в мес. х ххх хххр. Таблица 52. Показатели основной деятельности Средний уровень продаж в месяц составляет х ххх тыс. руб., чистая прибыль – х ххх тыс. руб., денежный поток – х ххх тыс. руб. в месяц. Диаграмма 25. Показатели основной деятельности, руб.в месяц 10.3 Расчет показателей рентабельности Показатели рентабельности: Средние значения по проекту Рентабельность продаж хх,хх% Рентабельность активов хх% Оборачиваемость активов х,х Таблица 53. Показатели рентабельности
  • 91.
    91 Средний уровень рентабельностипродаж (отношение чистой прибыли к выручке от реализации, без НДС) составляет хх,х%, рентабельность активов – хх%.
  • 92.
    92 11 Инвестиционный анализ 11.1Срок окупаемости Срок окупаемости, в том числе, с учетом дисконтирования, составляет х месяцев. Как видно из представленной таблицы, инвестор вкладывает средства на протяжении х-х месяца, начиная с х-го месяца, происходит возврат инвестиций. нежных средств инвестора х мес. х мес. х мес х мес х мес х ме х ххх хххр. ххх хххр. хх хххр. хр. хр. хр. х ххх хххр. х ххх хххр. х ххх х ный поток -х ххх хххр. -ххх хххр. -хх хххр. х ххх хххр. х ххх хххр. х ххх х ток накопленным итогом -х ххх хххр. -х ххх хххр. -х ххх хххр. -х ххх хххр. -х ххх хххр. -ххх хх Таблица 54. Расчёт срока окупаемости нежных средств инвестора х мес х мес х мес хх мес хх мес хх ме х ххх хххр. х ххх хххр. х ххх хххр. х ххх хххр. х ххх хххр. х ххх хх ный поток х ххх хххр. х ххх хххр. х ххх хххр. х ххх хххр. х ххх хххр. х ххх хх оток накопленным итогом х ххх хххр. х ххх хххр. х ххх хххр. х ххх хххр. х ххх хххр. хх ххх х Продолжение Таблицы. Расчёт срока окупаемости нежных средств инвестора хх мес хх мес хх мес хх мес хх мес хх ме х ххх хххр. х ххх хххр. х ххх хххр. х ххх хххр. х ххх хххр. х ххх хх ный поток х ххх хххр. х ххх хххр. х ххх хххр. х ххх хххр. х ххх хххр. х ххх хх оток накопленным итогом хх ххх хххр. хх ххх хххр. хх ххх хххр. хх ххх хххр. хх ххх хххр. хх ххх х Продолжение Таблицы. Расчёт срока окупаемости нежных вестора хх мес хх мес хх мес хх мес хх мес хх мес Итого: х ххх хххр. х ххх хххр. х ххх хххр. х ххх хххр. х ххх хххр. х ххх хххр. х ххх хххр. хх ххх хххр. ый х ххх хххр. х ххх хххр. х ххх хххр. х ххх хххр. х ххх хххр. х ххх хххр. хх ххх хххр ток итогом хх ххх хххр. хх ххх хххр. хх ххх хххр. хх ххх хххр. хх ххх хххр. хх ххх хххр. Окончание Таблицы. Расчёт срока окупаемости
  • 93.
    93 11.2 Чистый дисконтированныйдоход Движения денежных средств х мес х мес х мес Коэффициент дисконтирования х,хх х,хх х,хх Дисконтированный денежный поток -х ххх хххр. -ххх хххр. -хх хххр. Дисконтированный денежный поток, накопленным итогом -х ххх хххр. -х ххх хххр. -х ххх хххр. Таблица 55. Расчёт дисконтированного срока окупаемости Движения денежных средств х мес х мес х мес Коэффициент дисконтирования х,хх х,хх х,хх Дисконтированный денежный поток х ххх хххр. х ххх хххр. х ххх хххр. Дисконтированный денежный поток, накопленным итогом ххх хххр. х ххх хххр. х ххх хххр. Продолжение Таблицы. Расчёт дисконтированного срока окупаемости Движения денежных средств хх мес хх мес хх мес хх Коэффициент дисконтирования х,хх х,хх х,хх Дисконтированный денежный поток х ххх хххр. х ххх хххр. х ххх хххр. х хх Дисконтированный денежный поток, накопленным итогом хх ххх хххр. хх ххх хххр. хх ххх хххр. хх хх Продолжение Таблицы. Расчёт дисконтированного срока окупаемости Движения денежных средств хх мес хх мес хх мес хх Коэффициент дисконтирования х,хх х,хх х,хх Дисконтированный денежный поток х ххх хххр. х ххх хххр. х ххх хххр. х хх Дисконтированный денежный поток, накопленным итогом хх ххх хххр. хх ххх хххр. хх ххх хххр. хх хх Окончание Таблицы. Расчёт дисконтированного срока окупаемости Дисконтированный денежный поток -10 000 000р. -5 000 000р. 0р. 5 000 000р. 10 000 000р. 15 000 000р. 20 000 000р. 25 000 000р. 30 000 000р. 35 000 000р. 1мес. 2мес. 3мес 4мес 5мес 6мес 7мес 8мес 9мес 10мес 11мес 12мес 13мес 14мес 15мес 16мес 17мес 18мес 19мес 20мес 21мес 22мес 23мес 24мес Дисконтированный денежный поток, накопленным итогом Дисконтированный денежный поток Диаграмма 26. Дисконтированный денежный поток Чистый дисконтированный доход рассчитывался исходя из годовой ставки дисконтирования в размере хх%.
  • 94.
    94 При принятой ставкедисконтирования, чистый дисконтированный доход составит хх ххх тыс. руб. 11.3 Индекс доходности Согласно расчетам, индекс доходности по проекту в целом составит хх,х. Индекс доходности за период прогноза х,хх Индекс доходности по проекту в целом хх,х Таблица 56. Индекс доходности 11.4 Внутренняя норма доходности Внутренняя норма доходности в расчете на год составит хххх,х% - на весь период. ВНД, % в мес. ххх,х% ВНД, % в год. хххх,х% Таблица 57. Внутренняя норма доходности
  • 95.
    95 12 Заключение поинвестиционной привлекательности проекта Сводные показатели эффективности проекта представлены в таблице. Показатели эффективности проекта. Показатели продаж: Точка безубыточности, % х% Точка безубыточности, руб. ежемесячных продаж ххх хххр. Операционный рычаг хх% Показатели рентабельности: Средние значения по проекту Рентабельность продаж хх% Рентабельность активов хх% Оборачиваемость активов х,х Показатели основной деятельности Средние значения по проекту Объем продаж, в мес. х ххх хххр. Объем текущих расходов, в мес. х ххх хххр. Чистая прибыль, в мес. х ххх хххр. Денежный поток, в мес. х ххх хххр. Инвестиционные показатели ВНД, % в год. ххх,хххх% Объем инвестиций х ххх хххр. Чистый Дисконтированный Доход хх ххх хххр. Инвестиционный период, мес. х Срок окупаемости, мес. х Индекс доходности за период прогноза ххх% Таблица 58. Сводные показателиэффективности проекта Анализ финансовых прогнозов свидетельствует о высокой инвестиционной привлекательности проекта:  Высокий среднемесячный уровень продаж - х ххх тис. руб.  Высокий уровень доходности производства, что влечет за собой высокий уровень среднемесячной чистой прибыли – х ххх тис. руб.  Низкий уровень чувствительности – точка безубыточности продаж составляет х% от планируемого объема продаж.  Высокий уровень внутренней нормы доходности – ххх.хххх% в год. Совокупность приведенных показателей свидетельствует о перспективности рассматриваемого проекта.