ФОРМА ІНФОРМАЦІЇ
про результати проведення процедури
закупівлі в одного учасника
1. Замовник:
1.1. Найменування: Кримська республіканська установа «Універсальна
наукова бібліотека ім. І.Я. Франка».
1.2. Ідентифікаційний код за ЄДРПОУ: 02219524.
1.3. Місцезнаходження: Автономна Республіка Крим, м. Сімферополь,
Київський район, вул. Набережна, 29-А, 95017.
1.4. Головний розпорядник коштів (повне найменування та
ідентифікаційний код за ЄДРПОУ): Міністерство культури Автономної
Республіки Крим (ЄДРПОУ 33656475).
2. Джерело фінансування закупівлі: місцевий бюджет АРК.
3. Інформація про предмет закупівлі:
3.1. Найменування предмета закупівлі: Книжки друковані
(код ДК 016-2010: 58.11.1).
3.2. Кількість товарів або обсяг виконання робіт чи надання послуг:
588 найменувань, 1843 комплекти.
3.3. Місце поставки товарів, виконання робіт чи надання послуг:
Автономна Республіка Крим, м. Сімферополь, Київський район,
вул. Набережна, 29-А, 95017, Кримська республіканська установа
"Універсальна наукова бібліотека ім. І.Я. Франка".
3.4. Строк поставки товарів, виконання робіт чи надання послуг:
протягом 2013 року.
1
4. Інформування про застосування процедури закупівлі в одного учасника:
4.1. Адреса веб-порталу Міністерства економічного розвитку і торгівлі
України, на якому розміщувалась інформація про застосування процедури
закупівлі в одного учасника: http://www.zakup-crimea.gov.ua/
4.2. Адреса веб-сайту, на якому замовником додатково розміщувалась
інформація про застосування процедури закупівлі в одного учасника (у разі
розміщення): www.zakup-crimea.gov.ua, www.franko.crimea.ua.
4.3. Дата оприлюднення і номер інформації про застосування процедури
закупівлі в одного учасника, опублікованої в державному офіційному
друкованому виданні з питань державних закупівель: 05.08.2013 р. №155398,
ВДЗ № 61 (804).
4.4. Дата оприлюднення і номер інформації про застосування процедури
закупівлі в одного учасника, опублікованої у відповідних міжнародних
виданнях (у випадках, передбачених Законом України "Про здійснення
державних закупівель"): -.
4.5. Дата оприлюднення і номер обґрунтування застосування процедури
закупівлі в одного учасника, розміщеного на веб-порталі Міністерства
економічного розвитку і торгівлі України: 155398/1 від 05.08.2013 р.
4.6. Дата оприлюднення та номер повідомлення про акцепт пропозиції за
результатами застосування процедури закупівлі в одного учасника,
опублікованого в державному офіційному друкованому виданні з питань
державних закупівель: 12.08.2013 р. № 160181, ВДЗ №63 (806).
5. Дата відправлення запрошення до участі в проведенні процедури
закупівлі: 16 липня 2013 р.
6. Інформація про переможця процедури закупівлі в одного учасника:
6.1. Найменування/прізвище, ім'я, по батькові: Товариство з обмеженою
відповідальністю «Книги України ЛТД».
6.2. Ідентифікаційний код/реєстраційний номер облікової картки
платника податків: 35255476.
6.3. Місцезнаходження (для юридичної особи) та місце проживання (для
фізичної особи), телефон, телефакс: фактична адреса: вул.. Желябова, 2,
офіс 320, м. Київ, 03680; юридична адреса: вул.. Желябова, 10-А, к. 7,
м. Київ, 03680; тел.: (044) 456-20-65, 456-43-6.
7. Результат проведення процедури закупівлі:
7.1. Дата акцепту пропозиції за результатами застосування процедури
закупівлі в одного учасника: 07.08.2013 р.
7.2. Дата укладення договору про закупівлю: 06.09.2013 р.
2
7.3. Сума, визначена в договорі про закупівлю:
133 884,50 грн.;
(цифрами)
сто тридцять три тисячі вісімсот вісімдесят чотири гривні 50 копійок
(словами)
без ПДВ.
7.4. Ціна за одиницю товару (у разі закупівлі товару):
3
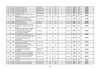
ЦЗОД
Книжки друковані (код ДК 016-2010: 58.11.1)
Інформація про застосування процедури закупівлі в одного учасника від 05.08.2013 р., № 155398 ВДЗ № 61 (804)
№
п./п.
Індекс
книжки Назва книжки Автор
Кількіст
ь
сторінок
Рік
видання
Кількість
комплектів,
од.
Одиниці
виміру
Ціна без
ПДВ за
од.
ПДВ Загальна ціна з ПДВ
1 590512 Експериментальна психологія Галян О., Галян 400 2012 3 примірник 61,50 0,00 184,50
2 590700
Зоопсихологія з основами етології.
Підручник затверджений МОН України
Шевців М.В. 242 2013 3 примірник 71,70 0,00 215,10
3 590013
Кросс-культурная и этническая
психология: учебное пособие. Стандарт
третьего поколения
Почебут Л.Г. 336 2012 4 примірник 74,80 0,00 299,20
4 592936
Лідесрство: сутність та реалізація в
українському суспільстві: навч. Посібник
(Гриф МОНМС України)
Пірен М.І. 232 2012 3 примірник 64,10 0,00 192,30
5 590218
Нормальна та кримінальна сексологія.
Підручник. ЗМОНУ
Чуприков А.П. 252 2011 3 примірник 51,90 0,00 155,70
6 593086 Основи психокорекції Кузікова С. 320 2012 5 примірник 57,40 0,00 287,00
7 590711 Основи психолінгвистики Куранова С. 208 2012 3 примірник 49,20 0,00 147,60
8 587820 Педагогічна психологія. Підручник Лисянська Т.М. 264 2012 3 примірник 61,50 0,00 184,50
9 578658 Психология спорта Ильин Е.П. 352 2012 3 примірник 103,00 0,00 309,00
10 590719
Психология стресса и методы коррекции.
2-е изд. Переработанное и дополненное
Щербатых Ю.В. 256 2012 3 примірник 61,60 0,00 184,80
11 584719
Психология творчества, креативности,
одаренности
Ильин Е.П. 448 2012 4 примірник 106,30 0,00 425,20
12 587994
Психология экстремальных ситуаций:
адаптивность к стрессу и психологическое
обеспечние. Научно-практическое пособие
Розов В.И. 480 2012 3 примірник 110,10 0,00 330,30
13 584723 Псилогічна служба в системі освіти. Пос. Строяновська 176 2013 5 примірник 57,40 0,00 287,00
14 587560 Психологічні справи. Книга для вчителя Тарнопольський 176 2011 2 примірник 36,60 0,00 73,20
15 200509 Психологія і педагогіка. Пос. Шадських Ю.Г. 320 2012 3 примірник 71,70 0,00 215,10
16 587096
Психологія людини з обмеєеними
можливостями. навч. пос. Реком.
МОН України
Бочелюк В.Й. 320 2011 3 примірник 71,70 0,00 215,10
17 590722
Психологія особистості. Навч. Пос.
Реком. МОН України
Москалець В.П. 262 2013 3 примірник 71,70 0,00 215,10
18 590724 Психологія сім'ї Поліщук В.М. 281 2012 3 примірник 56,40 0,00 169,20
19 590727
Психологія: вступ до спеціальності.
навч. пос. Реком. МОН України
Іванова О.В. 184 2013 2 примірник 51,30 0,00 102,60
20 589361
Вікова психологія. Навч. посіб. Реком
МОН України
Сергєєнкова О. П. 376 2012 2 примірник 71,70 0,00 143,40
4
21 584728 Психотерапія Каліна Н. 280 2010 3 примірник 43,10 0,00 129,30
22 172706 Психофізіологія. Пос. Кабашнюк В.О. 200 2012 3 примірник 35,00 0,00 105,00
23 590723
Сучасна психологія особоистості.
Посібник
Титаренко Т.М. 336 2013 3 примірник 66,60 0,00 199,80
24 173862 Вікова психологія. Навч. пос. Сергєєнкова О. П. 376 2012 3 примірник 71,70 0,00 215,10
25 172515
Вікова та педагогічна психологія.
Підр.
Скріпченко О. В. 400 2012 3 примірник 69,70 0,00 209,10
26 173970 Дитяча психологія. Навч. пос. Дуткевич Т. В. 424 2012 3 примірник 81,90 0,00 245,70
27 174051
Клиническая психология. В 4-х т. Т. 2
Уч.
Холмогорова А. Б. 432 2012 2 примірник 216,90 0,00 433,80
28 174064 Патопсихология. Уч. для бакалавров. Зейгарник Б. В. 367 2012 3 примірник 49,30 0,00 147,90
29 174065 Патопсихология. Уч. для бакалавров. Козьяков Р. В. 235 2012 2 примірник 79,30 0,00 158,60
30 173160
Психология и педагогика социальной
работы с семьей Уч.
Карцева Л. В. 224 2012 2 примірник 42,80 0,00 85,60
31 173992
Психология профессионализма.
Инженерно - психологическ.
Дружилов С. А. 296 2011 2 примірник 80,50 0,00 161,00
32 173162
Психология рекламной деятельности.
уч.
Измайлова М. А. 444 2012 2 примірник 50,50 0,00 101,00
33 170376 Психология труда. Уч. пос. Пряжников Н. С. 480 2012 2 примірник 178,40 0,00 356,80
34 173971 Психологія особистості. Навч. пос. Столяренко О. Б. 280 2012 2 примірник 66,60 0,00 133,20
35 173078 Психологія художньої творчості. Пос. Козачук С. А. 352 2012 2 примірник 67,60 0,00 135,20
36 174076
Психологія: Вступ до спеціальності.
Навч. пос.
Іванова О. В. 184 2013 2 примірник 51,30 0,00 102,60
37 174054 Этнопсихология. Уч. Платонов Ю. П. 240 2012 5 примірник 78,20 0,00 391,00
38 163659 Архитектура Зданий. Уч. Вильчик Н. П. 319 2012 2 примірник 92,10 0,00 184,20
39 166398
Введение в литературоведение.
Основы теории литературы.
Мещериков В. П. 422 2012 2 примірник 95,50 0,00 191,00
40 162854
Історія Педагогіки України в особах.
Навч. пос.
Мосіяшенко В. А. 266 2012 2 примірник 61,50 0,00 123,00
41 165672
Організація наукових дослідженнь.
Навч. пос.
Кислий В. Н. 224 2011 2 примірник 56,40 0,00 112,80
42 166419 Основи музеєзнавства. Пос. Виноградова О. В. 184 2012 2 примірник 51,30 0,00 102,60
43 573824
Теории личности. 3-е изд. Основные
положения, исследования и
применение
Хьелл Л., Зигле Д. 680 2013 3 примірник 117,90 0,00 353,70
44 587687 Философия политики Шахай М. 234 2011 3 примірник 65,80 0,00 197,40
45 584743 Філософія історії. Підручник Габрієлян О. 216 2010 3 примірник 37,00 0,00 111,00
46 584349 Філософія освіти. навч. пос. Базалук О.А. 164 2010 4 примірник 43,10 0,00 172,40
47 590405 Філософія права. навч. пос. Сливка С.С. 256 2012 3 примірник 48,10 0,00 144,30
48 593402 Філософія правового виховання. навч. Гетьман А.П. 248 2012 2 примірник 56,40 0,00 112,80
5
пос.
49 573889
Экспериментальная психология:
учебник для вузов 2-е изд
Дружинин В. 320 2012 3 примірник 83,10 0,00 249,30
50 588963
Естетика. навч. пос. (гриф. МОН
України)
Анучина Л.В. 232 2010 2 примірник 41,10 0,00 82,20
51 592750 Етика та естетика. навч. пос. Чистіліна Т.О. 320 2013 3 примірник 81,90 0,00 245,70
52 575412
Етика. навч. пос. Реком. МОН
України
Вознюк Н.М. 300 2013 5 примірник 26,80 0,00 134,00
53 587668
Мусульманская мораль. Путеводитель
по Корану
Лобазов П.К. 160 2011 3 примірник 46,90 0,00 140,70
54 590241
Основи професійної етики та
естетичної культури: до проведення
масових заходів та спортивних
змагань
Петрова Г.Н.,
Кумеда Т.А.
192 2012 3 примірник 61,50 0,00 184,50
55 578511
Паломництво та релігійний туризм.
навч. пос.
Любіцева О.О. 432 2009 3 примірник 115,10 0,00 345,30
56 589844
Прикладна етика. Навчальний
посібник, рекомендовано МОН
Панченко В.І. 392 2012 3 примірник 87,00 0,00 261,00
57 280851 Релігії світу. Шугаєва 256 2011 2 примірник 44,10 0,00 88,20
58 280394 Социология религи. Уч. пос. Гараджа В. И. 304 2012 2 примірник 107,60 0,00 215,20
59 592665 Все про соціальну роботу. Посібник за ред. Пічі В.М. 616 2012 3 примірник 43,10 0,00 129,30
60 290461 Економічна статистика. навч. пос. Крамченко Л.і. 400 2012 3 примірник 55,40 0,00 166,20
61 593164
Практикум з теорії статистики. 4-е
видання. навч. пос.
Мармоза А.Т. 484 2013 3 примірник 92,10 0,00 276,30
62 581162
Соціальна робота. Теорія і практика.
Підручник
Лукашевич М.П. 368 2011 3 примірник 76,80 0,00 230,40
63 584738 Соціологія і психологія. Пос. Пачковський 760 2012 5 примірник 88,00 0,00 440,00
64 576791 Соціологія культури. Підручник Юрія М.Ф. 304 2006 3 примірник 44,90 0,00 134,70
65 271468 Соціологія мистецтва. Підручник Семашко О.М. 244 2012 5 примірник 41,10 0,00 205,50
66 280305 Соціологія: загальний курс. Підручник Піча В.М. 278 2013 5 примірник 51,30 0,00 256,50
67 590752
Теорія статистики: підручник.
Затверджено МОН
Ковтун Н.В. 399 2012 3 примірник 87,00 0,00 261,00
68 593393
Урбаністика. Підручник. Затверджено
МОН України
Шкадовський 278 2012 3 примірник 93,50 0,00 280,50
69 572103
Фінансово-банківська статистика.
навч. пос.
Вашків П. 512 2007 3 примірник 37,30 0,00 111,90
70 586070 Етнополітологія. навч. пос. Коршук Р.М. 198 2011 3 примірник 49,40 0,00 148,20
71 588426 Іміджологія. О.К.Л. Радченко С.Г. 76 2011 2 примірник 40,40 0,00 80,80
72 580480 Історія вчень про державу і право:
Хрестоматія (5-е видання, доповнене і
Демиденко Г.Г.,
Петришин О.В.
928 2013 3 примірник 133,00 0,00 399,00
6
змінен)
73 575589
Історія зарубіжних політичних вчень
нової доби. Навч. пос.
Рекомендований МОН України
Кирилюк Ф.М. 416 2008 3 примірник 66,60 0,00 199,80
74 592844
Історія політичних та економічних
вчень. Навч. пос. Рекомендований
МОН України
Л.бохинець Л.С. 294 2013 3 примірник 66,60 0,00 199,80
75 590219
Муніципальна соціально-економічна
політика. Навчальний посібник
Утвенко В.В. 140 2011 2 примірник 29,00 0,00 58,00
76 590772
Політико-правові системи світу.
Навчальний посібник
Гелей С.Д. 346 2012 3 примірник 87,00 0,00 261,00
77 586846 Політичні комунікації. О.К.Л. Гусєва Н.Ю. 86 2011 2 примірник 30,90 0,00 61,80
78 590775
Політологія. Навчальний посібник
Реком. МОН України
Гелей С.Д. 348 2013 3 примірник 81,90 0,00 245,70
79 590780
Розвиток людського капіталу в умовах
глобалізації
Ларіна Я. 248 2012 2 примірник 46,20 0,00 92,40
80 590786
Теорія держави і права. Посібник для
підготовки до державних іспитів
Петришина О.В. 192 2012 3 примірник 61,50 0,00 184,50
81 209863 Зовнішня політика України. Підр. Чекаленко Л. Д. 290 2011 2 примірник 108,70 0,00 217,40
82 Л12026 Референдне право України
Погорілко В.Ф.,
Федоренко В.Л.
366 4 примірник 13,60 0,00 54,40
83 589869
Економіка праці і соціально-трудових
відносин. Навч. пос. Рекомендований
МОН України
Акулов М.Г. 328 2012 3 примірник 76,80 0,00 230,40
84 592736
Економічна діагностика. Навчальний
посібник рекомендовано МОН
України
Кривов'язюк І.В. 450 2013 3 примірник 87,00 0,00 261,00
85 590819
Економічна теорія. Національна
економіка. Підручник. Затверджено
МОН
Тарасевич В.М. 270 2012 3 примірник 30,90 0,00 92,70
86 592741
Економічна теорія: Політекономія:
Практикум: Навч. посіб. 2-ге вид.
стер. Реком. МОН
За ред. Базилевича
В.Д.
496 2013 2 примірник 51,30 0,00 102,60
87 572087
Міжнародні економічні відносини:
історія. Підручник
Філіпенко А.С. 392 2007 3 примірник 41,10 0,00 123,30
88 572255
Прогнозування і макроекономічне
планування. Пос.
Доморадзьська 304 2013 4 примірник 76,80 0,00 307,20
89 584031
Прогнозування і макроекономічне
планування. Пос.
Косянчук Т.Ф. 296 2012 3 примірник 46,20 0,00 138,60
90 593244
Ринок праці. Навчальний посібник
рекомендовано МОН України
Чернявська О.В. 522 2013 3 примірник 102,30 0,00 306,90
7
91 584976 Системний аналіз. Підручник Катренко А.В. 396 2012 3 примірник 80,90 0,00 242,70
92 584037 Соціальна валеологія. Пос. Копа В.Н. 204 2011 5 примірник 32,90 0,00 164,50
93 125315
Державне регулювання економіки.
Курс лекцій.
Ковтун О. І. 388 2012 2 примірник 62,80 0,00 125,60
94 127018
Зовнішньоекономічна діяльність
підприємства. Навч. пос.
Шкурупій О. В. 304 2012 2 примірник 71,70 0,00 143,40
95 126443
Информационные системы в
экономике. Уч. пос.
Чистов Д. В. 234 2012 3 примірник 61,60 0,00 184,80
96 126978
історія економіки та економічноії
думки. Підр.
Мазурок П. П. 432 2011 3 примірник 102,30 0,00 306,90
97 127161 Макроэкономика. Уч. Басовский Л. Е. 202 2012 3 примірник 78,60 0,00 235,80
98 126780
Микроэкономика. продвинутый
уровень. Уч.
Черемных Ю. Н. 844 2012 3 примірник 171,00 0,00 513,00
99 126977 Національна економіка. Навч. пос. Прядко В. В. 296 2011 2 примірник 89,60 0,00 179,20
100 127150 Економіка підприємства
Калініченко О. В.,
Плотник О. Д.
600 2012 3 примірник 114,60 0,00 343,80
101 Л12048 Національна економіка
Старостенко Г.Г.
та інші
432 2012 5 примірник 67,20 0,00 336,00
102 Л12072
Методика викладання економіки в
школі
Ковальова К.І.,
Ковальов В.В.
184 2012 3 примірник 57,40 0,00 172,20
103 592593
Адміністрування податків.
Навчальний посібник рекомендовано
МОН України
Калінеску Т.В. 290 2013 3 примірник 71,70 0,00 215,10
104 590858
Аудит: теорія і практика застосування
міжнародних стандартів. Посібник
Петренко С.Н.,
Пальцун І.М.
520 2013 5 примірник 102,30 0,00 511,50
105 592626
Бухгалтерський облік. Навчальний
посібник рекомендовано МОН
України
Садовська І.Б. 688 2013 5 примірник 133,00 0,00 665,00
106 590859
Бухгалтерський облік в сфері послуг.
Навчальний посібник рекомендовано
МОН України
Фаріон І.Д. 504 2013 5 примірник 108,70 0,00 543,50
107 590870
Калькуляція собівартості продукції,
робіт та послуг. Навчальний посібник
рекомендовано МОН України
Оксанич О.Е. 326 2013 5 примірник 76,80 0,00 384,00
108 593834
Контролінг для менеджерів.
Навчальний посібник рекомендовано
МОН України
Маркіна І.Д. 304 2013 3 примірник 76,80 0,00 230,40
109 32138 Контролінг. Пос. Портна О.В. 376 2013 4 примірник 92,10 0,00 368,40
110 580757 Облік у банках. Пос. Стасишен М.С. 228 2013 2 примірник 57,40 0,00 114,80
111 590876 Облік у зарубіжних країнах.
Навчальний посібник рекомендовано
Верига Ю.А. 216 2013 3 примірник 61,50 0,00 184,50
8
МОН України
112 593054
Організація податкового контролю.
Науково-практичний посібник
Попова С.Н. 290 2013 3 примірник 71,70 0,00 215,10
113 Л12062 Податкова система. Навч. посіб.
Сідельникова Л.
П.
576 2012 5 примірник 98,50 0,00 492,50
114 593274
Спрощена система оподаткування:
загальні положення, облік і звітність:
навчально-практичний посібник
Чабанюк О.М.,
Мединська Т.В.
208 2013 2 примірник 44,90 0,00 89,80
115 590887
Фінансовий облік - 1. Навчальний
посібник рекомендовано МОН
України
Шара Є.Ю. 408 2012 2 примірник 87,00 0,00 174,00
116 51500 Аудит. Пос.
Лозовицькиий С.
П.
466 2011 3 примірник 92,10 0,00 276,30
117 51549
Бухгалтерський облік : Основи теорії
та практики. Підр.
Загородній А. Г. 340 2012 2 примірник 65,30 0,00 130,60
118 51411
История бухгалтерского учета. Уч.
пос. для вузов
Лупикова Е. В. 256 2012 2 примірник 31,30 0,00 62,60
119 Л12034
Теорія бухгалтерського обліку. (Вид
5-те, випр. і дп.)
Білоусько В. С. 402 2010 3 примірник 36,00 0,00 108,00
120 590892 Банківська система. Підручник Реверчук С.К. 590 2013 5 примірник 102,30 0,00 511,50
121 590894
Банківські операції. Навчальний
посібник рекомендовано МОН
України
Ковальчук К.Ф. 162 2013 3 примірник 51,30 0,00 153,90
122 592633
Валютні операції. Підручник
затверджений МОН України
Божидарнік Н.В. 698 2013 4 примірник 122,80 0,00 491,20
123 590905 Гроші та кредит. Посібник Бандурка 380 2013 5 примірник 102,30 0,00 511,50
124 590491 Інвестування. Підручник Денисенко М.П. 272 2012 3 примірник 58,30 0,00 174,90
125 100435
Інвестування. Теорія і практика
інвестиційної діяльності. Посібник
Дука А.П. 432 2013 3 примірник 79,90 0,00 239,70
126 588161
Казначейська справа. Підручник,
згідно нового Бюджетного кодексу
України станом на 01 січня 2012 року
Галушко Е.О.,
Охрімовський
590 2012 5 примірник 102,30 0,00 511,50
127 588882
Корпоративные финансы: Учебник
для вузов. Стандарт третьего
поколения
Романовский М.В. 592 2013 5 примірник 121,20 0,00 606,00
128 592996
Міжнародні фінанси. Навчальний
посібник
Князь С.В. та інші 364 2013 3 примірник 68,60 0,00 205,80
129 590913
Міжнародні фінанси. Навчальний
посібник
Макаренко М.І. 548 2013 5 примірник 112,50 0,00 562,50
130 592999 Місцеві фінанси. Навчальний
посібник рекомендовано МОН
Ніколаєва О.М. 354 2013 4 примірник 81,90 0,00 327,60
9
України
131 590919
Фінанси підприємств. Навчальний
посібник
Ярошевич Н.Б. 341 2012 3 примірник 81,90 0,00 245,70
132 583794
Фінанси. Пос. згідно нового
Податкового кодексу України станом
на 01 січня 2012 року
Біла О.Г. 390 2012 3 примірник 92,10 0,00 276,30
133 590921 Фінанси. Посібник Іжевський 376 2013 2 примірник 92,10 0,00 184,20
134 590924
Фінансова санація та банкрутство.
Навчальний посібник рекомендовано
МОН України
Штангрет А.М.,
Шляхетко В.В.
374 2012 3 примірник 87,00 0,00 261,00
135 590926
Фінансовий аналіз. Навчальний
посібник рекомендовано МОН
України
Косова Т.Д. 440 2013 5 примірник 97,20 0,00 486,00
136 590927 Фінансовий аналіз. Пос. Склабінська А.І. 346 2013 4 примірник 63,50 0,00 254,00
137 583795 Цінні папери і фондовий ринок. Пос. Поважний О.С. 364 2012 5 примірник 76,80 0,00 384,00
138 100518
Банки та банківська діяльність.
Збірник офіційних текстів за…
498 2012 2 примірник 76,80 0,00 153,60
139 100411 Банківська справа. Вовчак О. Д. 560 2012 3 примірник 71,70 0,00 215,10
140 111501 Фінанси. Біла О. Г. 390 2012 3 примірник 92,10 0,00 276,30
141 587102
Старахування. Навчальний посібник
рекомендовано МОН України
Фисун І.В. 240 2011 2 примірник 56,40 0,00 112,80
142 190552 Страхування. Підручник Плисса В.О. 472 2010 2 примірник 67,60 0,00 135,20
143 590941
Конкурентоспособность предприятия.
Пособие
Должанський І.З. 344 2013 3 примірник 61,50 0,00 184,50
144 592899 Корпоративне управління. Підручник Поважний О.С. 244 2013 2 примірник 60,10 0,00 120,20
145 592966
Менеджмент малих та середніх
підприємств. Навчальний посібник
Сахно Є.Ю. 342 2013 2 примірник 52,90 0,00 105,80
146 592968 Менеджмент регіонального розвитку Гладкий О. 248 2013 2 примірник 51,30 0,00 102,60
147 590954
Прийняття рішень: теорія та практика.
Посібник
Катренко А.В. 448 2013 3 примірник 102,30 0,00 306,90
148 588029 Управління персоналом. Нав. Посіб. Рульєв В.А. 310 2013 3 примірник 64,60 0,00 193,80
149 593391
Управління фінансовою санацією
підприємства. Підручник Затверджено
МОН України
Говорушко Т.А. 400 2013 3 примірник 81,90 0,00 245,70
150 579256 Управління якістю. Посібник Агєєв Є.Я. 240 2013 3 примірник 37,00 0,00 111,00
151 593395 Фандрайзінг. Навчальний посібник Чернявська О.В. 188 2013 3 примірник 46,20 0,00 138,60
152 33858 Менеджмент. Навч. пос. Кузьмін О. Є. 240 2012 2 примірник 61,50 0,00 123,00
153 33905
Основы управления персоналом. Уч.
пос.
Лукашевич В. В. 272 2012 3 примірник 44,40 0,00 133,20
154 Л12064 Менеджмент і маркетинг туризму. Лугінін О. Є. 364 2012 3 примірник 73,50 0,00 220,50
10
Навч. пос.
155 590978
PR для менеджерів і маркетологів.
Навчальний посібник рекомендовано
МОН України
Примак т.О. 202 2013 3 примірник 56,40 0,00 169,20
156 593831 Інвентаризація. Практичний посібник Лівшиц Д.М. 140 2013 3 примірник 36,00 0,00 108,00
157 Л12058
Маркетинг інформаційних продуктів і
послуг. (Реком. МОН)
Палеха Ю. І. 478 2013 3 примірник 89,60 0,00 268,80
158 Л12095 Маркетинг технічних інновацій Ніколенко І.В. 406 2013 5 примірник 102,30 0,00 511,50
159 580611 Маркетинг турпродукту. навч. пос. Мунін Г.Б. 394 2009 3 примірник 71,70 0,00 215,10
160 587026 маркетинг у бідівництві. навч. пос. Ушацький С. 312 2011 5 примірник 49,00 0,00 245,00
161 584039
Товарно-інноваційна політика.
Посібник
Дайновський Ю. 244 2013 3 примірник 40,10 0,00 120,30
162 42045
Основы маркетинга. Уч. пос. для
вузов.
Секерин В. Д. 232 2012 2 примірник 52,20 0,00 104,40
163 Л12067
Маркетингові комунікації
туристичних підприємств: сучасна
теорія і практика
Забуранна Л.В.,
Сіренко К.В.
152 2012 4 примірник 49,40 0,00 197,60
164 Л12067
Маркетингові комунікації
туристичних підприємств: сучасна
теорія і практика
Забуранна Л.В.,
Сіренко К.В.
152 2012 4 примірник 49,40 0,00 197,60
165 Л12066 Сертифікація персоналу Чурсіна Л.А. 326 2012 3 примірник 62,80 0,00 188,40
166 Л12091 Сертифікація товарів та послуг
Тіхосова Г.А. та
інші
224 2013 5 примірник 82,40 0,00 412,00
167 Л12098 Стандартизація продукції та послуг
Чурсіна Л.А. та
інші
226 2013 5 примірник 58,30 0,00 291,50
168 Л12036
Технологія виробництва борошняних
кондиторських виробів
Ростовський В.С.,
Новікова О.В.
574 2012 3 примірник 77,10 0,00 231,30
169 Л12090
Товарознавство та експертиза в митній
справі
Чурсіна Л.А., та
інші
202 2013 5 примірник 67,20 0,00 336,00
170 592591
Адміністративне право України. Для
підготовки до іспитів. Навчальний
посібник
Тетарчук І.В. 214 2013 5 примірник 41,10 0,00 205,50
171 580054
Адміністративне право України.
Підручник
Коломоєць Т.О. 528 2012 3 примірник 61,50 0,00 184,50
172 593821
Адміністративне судочинство. Для
підготовки до іспитів. Навчальний
посібник
Тетарчук І.В. 186 2013 3 примірник 41,10 0,00 123,30
173 592684
Господарське право України Для
підготовки до іспитів. Навчальний
посібник
Тетарчук І.В. 208 2013 3 примірник 41,10 0,00 123,30
174 29914 Господарське право України Задихайло Д.В. 696 2012 3 примірник 102,30 0,00 306,90
11
Підручник
175 591058
Господарське право. Навчально-
методичний посібник для самостійної
роботи та практичних занять.
Задихайло Д.В. 124 2012 3 примірник 20,70 0,00 62,10
176 592685
Господарсько-процесуальне право
України. Для підготовки до іспитів.
Навчальний посібник
Тетарчук І.В. 208 2013 3 примірник 41,10 0,00 123,30
177 589568
Господарсько-процесуальне право.
Підручник
Подцерковний 400 2012 3 примірник 74,30 0,00 222,90
178 574031
Державне обвенувачення в суді за
новим кримінальним процесуальним
законодавством України. Навчальний
посібник
Каркач П.М. 184 2013 3 примірник 51,30 0,00 153,90
179 592727
Екологічне право України. Особлива
частина. Навчальний посібник
рекомендовано МОН України
Шуміло О.М. 432 2013 3 примірник 92,10 0,00 276,30
180 593832
Історія держави і право зарубіжних
країн. Для підготовки іспитів.
Навчальний посібник
Тетарчук І.В. 172 2013 4 примірник 41,10 0,00 164,40
181 590396 Історія українського права. Підручник Безклубий І. 336 2010 5 примірник 57,80 0,00 289,00
182 592892
Конституційне право зарубіжних
країн. Для підготовки іспитів.
Навчальний посібник
Тетарчук І.В. 206 2013 3 примірник 41,10 0,00 123,30
183 592893
Конституційне право України. Для
підготовки іспитів. Навчальний
посібник
Тетарчук І.В. 218 2013 3 примірник 41,10 0,00 123,30
184 588228
Конституційне право України.
Навчальний посібник
Годованець В.Ф. 384 2011 3 примірник 68,00 0,00 204,00
185 591158
Конституційне право України.
Посібник для підготовки до іспиту.
Барабаша Ю.Г. 304 2012 3 примірник 71,70 0,00 215,10
186 593836
Криміналістика. Для підготовки до
іспитів. Навчальний посібник
Тетарчук І.В. 200 2013 3 примірник 41,10 0,00 123,30
187 592909
Кримінальне право України. Для
підготовки до іспитів. Навчальний
посібник
Тетарчук І.В. 240 2013 5 примірник 41,10 0,00 205,50
188 591185
Кримінальний процес України.
Навчальний посібник
Молдован А.В. 368 2013 3 примірник 81,90 0,00 245,70
189 592924
Кримінологія. Посібник для
підготовки до іспитів. Навчальний
посібник
Тупчієнко Д.Л. 240 2013 3 примірник 41,10 0,00 123,30
190 593839 Міжнародне право. Для підготовки до Тетарчук І.В. 208 2013 3 примірник 41,10 0,00 123,30
12
іспитів. Навчальний посібник
191 576324
Патентознавство та авторське право.
Навчальний посібник
Кузнєцов Ю.М. 428 2008 3 примірник 58,30 0,00 174,90
192 585194
Патентознавство та авторське право.
Опорний конспект лекцій
Тарасенко І.І. 66 2011 3 примірник 25,80 0,00 77,40
193 593149
Правові основи інвестиційної
діяльності. Навчальний посібник
Смітюх А.В. 420 2013 5 примірник 51,30 0,00 256,50
194 592363
Розслідування окремих видів
злочинів. Навчальний посібник
рекомендовано МОН України
Алєксєєв О.О. 278 2013 3 примірник 76,80 0,00 230,40
195 587098
Сімейне право України. 2-ге видання.
Навчальний посібник рекомендовано
МОН України
Апопій І.В. 360 2011 3 примірник 76,80 0,00 230,40
196 592364
Сімейне право України. 2-ге видання.
Навчальний посібник рекомендовано
МОН України
Дякович М.М. 552 2012 3 примірник 62,10 0,00 186,30
197 591310
Сімейне право України. 2-ге видання.
Навчальний посібник
Дякович М.М. 552 2012 3 примірник 62,10 0,00 186,30
198 591312
Сімейне право. Підручник (гриф МОН
України)
Борисова В.І. 320 2012 2 примірник 66,60 0,00 133,20
199 593297
Судові та правоохоронні органи
України. Для підготовки до іспитів.
Навчальний посібник
Тетарчук І.В. 202 2013 3 примірник 41,10 0,00 123,30
200 593300
Судоустрій України. Навчальний
посібник
Жуковський О.Г. 416 2013 3 примірник 97,20 0,00 291,60
201 592553
Судоустрій. Україна, Велика Британія,
російська Федерація, США, ФРН,
Франція. Судові органи ООН.
Молдован В.В. 364 2013 3 примірник 81,90 0,00 245,70
202 589026 Транспортне право України Булгакова І.В. 344 2011 3 примірник 76,80 0,00 230,40
203 587640
Транспортне право України.
Підручник
Гіжевський В.К. 332 2012 3 примірник 57,70 0,00 173,10
204 591336
Трудове право. Підручник (гриф МОН
України)
Жернакова В.В. 496 2012 3 примірник 102,30 0,00 306,90
205 593362
Трудові відносини. Правове
регулювання
Григоренко А.В. 352 2012 3 примірник 66,60 0,00 199,80
206 591337 Трудові спори. Навчальний посібник Дараганова Н.В. 272 2012 5 примірник 62,80 0,00 314,00
207 593430
Цивільне право України. Загальна
частина. Навчальний посібник
Берестова І.Е. 432 2013 3 примірник 123,90 0,00 371,70
208 593431
Цивільне право України. Для
підготовки до іспитів. Навчальний
посібник
Тетарчук І.В. 160 2012 2 примірник 41,10 0,00 82,20
13
209 593433
Цивільне процесуальне право
України. Для підготовки до іспитів.
Навчальний посібник
Тетарчук І.В. 208 2013 4 примірник 41,10 0,00 164,40
210 592668
Вступ до спеціальності "Корекційна
освіта": Навчальний посібник
Колишкін О.В. 392 2012 3 примірник 81,90 0,00 245,70
211 589958
Дошкільна лінгводидактика: Теорія і
методика навчання дітей рідної мови в
дошкільних навчальних закладах.
Підручник
Богуш А.М. 704 2011 5 примірник 58,40 0,00 292,00
212 592713
Дошкольная педагогика с основами
методик воспитания и обучения.
Учебник для вузов. Стандарт третьего
поколения
Гогоберидзе А.Г. 464 2013 3 примірник 105,60 0,00 316,80
213 591368 Етичний розвиток педагога Хоружа Л. 208 2012 4 примірник 41,10 0,00 164,40
214 589063
Етнопедагогіка дитинства. (навчально-
методичний пос.)
Лисенко Н.В. 720 2011 4 примірник 61,10 0,00 244,40
215 591370
Інноваційно-педагогічні технології
(Видання 2-ге)
Дичківська І. 352 2012 2 примірник 59,50 0,00 119,00
216 589808
Інформаційна культура студента.
навч. пос.
Свістельник І. 182 2012 3 примірник 34,20 0,00 102,60
217 290442
Історія педагогіки України в особах.
навч. пос.
Мосіяшенко 266 2012 3 примірник 61,50 0,00 184,50
218 589674
Корекція фонетико-фонематичного
недорозвинення мовлення дітей
дошкільного віку засобами
артпедагогіки:навч.
Литвиненко В.А. 144 2012 5 примірник 36,00 0,00 180,00
219 589065
Логодидактика. (Навчально-
методичний посібник. Рекомендовано
МОНУ)
Тарасун В.В. 392 2011 5 примірник 63,20 0,00 316,00
220 591373
Магістерська робота. Методологія її
виконання. Посібник
Поперечний 208 2012 4 примірник 61,50 0,00 246,00
221 591374
Методи та технології соціальної
роботи педагога (Навчальний
посібник рекомендовано МОНУ)
Архіпова С.П.,
Майборода Г.Я.
496 2013 4 примірник 44,30 0,00 177,20
222 589858
Методика викладання дисциплін
соціально-педагогічного циклу.
Навчальний посібник
Войнола Р.Х. 140 2012 3 примірник 41,10 0,00 123,30
223 Л12072
Методика викладання економіки в
школі: Навчальний посібник (Реком.
МОН)
Ковальова К.І.,
Ковальов В.В.
200 2012 4 примірник 57,40 0,00 229,60
224 588391 Методика викладання Кукалець М.В. 224 2013 6 примірник 45,20 0,00 271,20
14
природознавства у початковій школі.
Посібник
225 589953
Методика виховної роботи.
Навчальний посібник (Реком. МОНУ)
Ярощук Л.Г. 320 2012 2 примірник 54,50 0,00 109,00
226 591376
Методика навчання української
літератури
Токмань Г. 312 2012 6 примірник 30,20 0,00 181,20
227 90525
Методика ознайомлення дітей з
довкіллям у дошкільному
навчальному закладі (Підручник.
Рекомендовано МОНУ)
Богуш
А.М.,Гавриш Н.В.
480 2010 3 примірник 35,20 0,00 105,60
228 591377
Методика ознайомлення дітей з
природою: Хрестоматія (Навчально-
методичний посібник. Рекомендовано
МОНУ)
укладач Горопаха
Н.М.
432 2012 3 примірник 49,00 0,00 147,00
229 586981
Методика організації художньо-
мовленнєвої діяльності дітей у
дошкільних навчальних закладах.
(Підручник. Реком. МОНУ)
Богуш А.М. 304 2010 3 примірник 29,30 0,00 87,90
230 586438
Методика формування міжкультурної
іншомовної комунікативної
компетенції: Курс лекцій: (навч. -
метод. Пос.)
Ніколаєва С.Ю. 332 2011 3 примірник 76,80 0,00 230,40
231 588433
Методичні рекомендаціїї до
виконання магістерських робіт
Мельник Т.М. 354 2011 2 примірник 22,60 0,00 45,20
232 593011
Настільна книга класного керівника:
навч. метод. Посібник. Схвалено МОН
Кузьмінський А.І. 262 2012 3 примірник 36,00 0,00 108,00
233 591381
Наукові основи викладання у вищій
школі. Навч. пос.
Малахова Н.Б. 208 2010 5 примірник 103,30 0,00 516,50
234 576173
Організаційна робота соціального
педагога. Навч. пос.
Сорочинська 198 2010 6 примірник 29,70 0,00 178,20
235 Л12081
Основи науково-дослідної роботи
(Реком. МОН)
Палеха Н. 336 2013 6 примірник 71,70 0,00 430,20
236 591383 Основи педагогічної ергономіки Карапузова Н. 192 2012 2 примірник 41,10 0,00 82,20
237 593099
Особиста безпека дитини: Навчальний
посібник для педагогів та батьків
Лоза О.Б. 384 2012 3 примірник 76,80 0,00 230,40
238 593113
Педагогика. Учебник для вузов.
Стандарт третьего поколения
Тряпицына А.П. 304 2013 5 примірник 76,50 0,00 382,50
239 591384
Педагогіка (Теорія виховання).
(Навчальний посібник. Рекомендовано
МОНУ).
Мельничук С.Г. 288 2012 6 примірник 30,20 0,00 181,20
240 585278 Педагогіка. Вид. 3-тє Фіцула М. 560 2009 3 примірник 49,20 0,00 147,60
15
241 585277 Педагогіка. Вид. 4-те Волкова Н. 616 2012 3 примірник 57,40 0,00 172,20
242 589576 Педагогіка. Навч. пос. Полякова Г.А. 374 2011 3 примірник 41,00 0,00 123,00
243 576337 Педагогіка. Навч. пос. Максим'юк С.П. 668 2009 2 примірник 76,20 0,00 152,40
244 583453 Педагогіка. Навч. пос. Курлянд З.Н. 304 2009 2 примірник 54,50 0,00 109,00
245 141799 Педагогіка. пос. Пальчевський 496 2012 2 примірник 70,70 0,00 141,40
246 576338
Педагогіка. Навч. посіб. 3-тє вид.
випр. І доп.
Пермяков О.А. 198 2012 4 примірник 20,70 0,00 82,80
247 589067
Педагогіка. Професійно-педагогічна
культура вчителя (Навчально-
методичний пос. Реком. МОНУ)
Пальшкова І.О. 192 2011 3 примірник 39,30 0,00 117,90
248 590506 Педагогічна етика Васфнович Г. 256 2011 3 примірник 46,20 0,00 138,60
249 590505 Педагогічні технології Чепіль М. 224 2012 5 примірник 46,20 0,00 231,00
250 586692
Подготовка ребенка к школе. 200
упражнений, заданий, тестов, игр на
CD
Машталь 288 2011 3 примірник 60,40 0,00 181,20
251 593205
Професійна орієнтація і методика
профорієнтаційної роботи. Курс
лекцій. (Навчальний посібник.
Рекомендовано МОНУ)
Янцур М.С. 464 2012 3 примірник 49,80 0,00 149,40
252 588020 Професійна педагогіка. Навч. пос. Жигірь В.І. 336 2012 4 примірник 52,10 0,00 208,40
253 593219
Психологія і педагогіка вищої школи в
запитаннях і відповідях. Навч. пос.
Для самостійного вивчення
дисципліни
Туркот Т.І. 516 2013 3 примірник 138,10 0,00 414,30
254 589950
Психологія та педагогіка (Підручник.
Рекомендовано МОНУ)
Максименко 584 2013 3 примірник 58,40 0,00 175,20
255 578666
Психолого-педагогічні основи
формування особистості. Навч. пос.
Рекомендовано МОНУ
Яблонко В.Я. 220 2008 3 примірник 35,00 0,00 105,00
256 574352
Санітарія та гігієна закладів
ресторанного господарства:
Підручник
Іванова О.В.,
Капліна Т.
399 2012 3 примірник 87,00 0,00 261,00
257 589069
Соціальна педагогіка (Навчальний
посібник. Рекомендовано МОНУ)
Заверико Н.В. 240 2011 4 примірник 43,60 0,00 174,40
258 587099
Соціальна педагогіка. 5-е видання.
Підручник затверджений МОН
України
Капська А.Й. 488 2011 3 примірник 81,90 0,00 245,70
259 586197
Соціальна педагогіка. Навч. пос. Рек.
МОНУ
Богданова І.М. 160 2011 2 примірник 40,10 0,00 80,20
260 141760 Соціальна педагогіка. Посібник Жигайло Н.В. 256 2011 2 примірник 37,00 0,00 74,00
261 585292 Соціально-педагогічна робота з Капська А.Й. 304 2010 3 примірник 33,70 0,00 101,10
16
проблемними сім'ями. Посібник
262 591391
Соціально-психологічні аспекти
роботи з підлитками, схильними до
девіацій. Посібник
Лобанова А.С.,
Калашнікова
368 2012 2 примірник 66,60 0,00 133,20
263 591393
Теорія і методика професійної освіти.
Навчальний посібник рекомендовано
МОН України
Курлянд З.Н. 390 2012 3 примірник 81,90 0,00 245,70
264 587583
Теорія і методика роботи з дитячими і
молодіжними організацями Украни
Лісовець О. 256 2011 3 примірник 43,10 0,00 129,30
265 172662
Теорія і практика професійного
психологічного відбору. Навчальний
посібник
Корольчук М.С.,
Крайнюк В.М.
536 2012 3 примірник 61,50 0,00 184,50
266 90526
Технології професійної діяльності
соціального педагога. (Навчальний
посібник рекомендовано МОН
України)
Завацька Л.М. 240 2010 5 примірник 43,60 0,00 218,00
267 586198
Технології соціально-педагогічної
діяльності. Навчальний посібник
Паскаль О.В. 288 2011 3 примірник 78,30 0,00 234,90
268 586421
Університетська освіта. Навч.-метод.
Посіб.
Товканець Г.В. 182 2011 2 примірник 46,70 0,00 93,40
269 586774 Університетська освіта. Посіб. Козак Н.Л. 170 2013 5 примірник 28,80 0,00 144,00
270 586535
Університетська освіта: вступ до
фаху.Посіб.
Костирко І.Г. 352 2011 3 примірник 76,80 0,00 230,40
271 591395
Формування культури здорового
способу життя учнів основной школи
у позакласній роботі (Навчальнщ-
метод. посібник.)
Якименко С.І.,
Оксеньчук Н.В.
288 2012 3 примірник 36,60 0,00 109,80
272 233842
Дошкольная педагогика. Теория
воспитания. Уч. пос.
Микляева Н. В. 208 2012 2 примірник 126,00 0,00 252,00
273 233612
Инновационные педагогические
технологии. Уч. пос.
Гуслова М. Н. 288 2012 3 примірник 163,80 0,00 491,40
274 233740
Инновационные педагогические
технологии: Активное обучение.
Панфилова А. П. 192 2012 2 примірник 104,00 0,00 208,00
275 233613
История педагогики и образования.
Уч. пос.
Попов В. А. 208 2012 2 примірник 106,60 0,00 213,20
276 230802 Інноваційні педагогічні технології. Дичківська І. 352 2012 2 примірник 59,50 0,00 119,00
277 233754
Креативная педагогика: методология,
теория, практика.
Под ред. Попова. 319 2012 3 примірник 86,60 0,00 259,80
278 233805
Методика навчання української
літератури в сердній школі.
Токмань Г. 312 2012 2 примірник 35,20 0,00 70,40
279 233115 Методика преподавания русского Пахненко И. И. 336 2012 2 примірник 71,70 0,00 143,40
17
языка в начальной школе
280 231419
Методика экологического воспитания
дошкольников. Уч. пос.
Николаева С. Н. 224 2012 2 примірник 137,50 0,00 275,00
281 233700
Организация научно -
исследовательской работы студентов.
Кукушкина В. В. 265 2012 3 примірник 113,80 0,00 341,40
282 233664
Основи наукових дослідженнь. Навч.
пос.
Колесников О. В. 144 2011 2 примірник 41,10 0,00 82,20
283 230715 Основи педагогіки вищої школи. Підр. Вітвицька С. С. 400 2011 2 примірник 76,80 0,00 153,60
284 233491
Основы педагогического мастерства.
Уч.
Якушева С. Д. 256 2012 2 примірник 160,40 0,00 320,80
285 233096 Педагогика. Уч. Сластёнин В. А. 496 2012 3 примірник 97,60 0,00 292,80
286 802441 Тесты. Готов ли ребенок к школе? Попова Д. А. 128 2012 3 примірник 31,70 0,00 95,10
287 802442
Тренинги развития с подростками:
творчество, общение.
Грицов А. Г. 416 2012 3 примірник 72,80 0,00 218,40
288 161119
Вступ до бібліографознавства. Навч.
пос.
Швецова - Водка
Г. М.
220 2008 4 примірник 32,40 0,00 129,60
289 164770 Вступ до книгознавства. Навч. пос. Низовий М. А. 144 2009 2 примірник 22,60 0,00 45,20
290 589456 100 облич української естради Лепша І.Д. 408 2010 4 примірник 51,30 0,00 205,20
291 592557
101 полезная идея для художника и
дизайнера
Уайт К. 224 2013 3 примірник 59,90 0,00 179,70
292 593822
Візантологія: навчальний посібник.
Рекомендовано МОН як навч. пос.
Балух В.О., Балух
О.В.
272 2012 2 примірник 38,50 0,00 77,00
293 592695
Декоративна флористика. Мистецтво
квіткового дизайну. Навч. пос.
Пузиренко Я.В. 232 2013 4 примірник 134,20 0,00 536,80
294 592696
Декоративне мистецтво (в практиці
вчителяобразотворчих дисциплін).
Навч. пос.
Плазовська Л.В. 258 2013 4 примірник 134,20 0,00 536,80
295 585321 Дизайн зачіски. Навч. пос. Лубянська С.П. 216 2012 3 примірник 85,10 0,00 255,30
296 551392 Дизайн квітників. Навч. пос. Пушкар В. 336 2007 3 примірник 57,70 0,00 173,10
297 583720 Етногенез українського народу. Юрій М.Ф. 262 2007 3 примірник 62,80 0,00 188,40
298 590342
Європейський Союз. Історія і засади
функціонування: Навч. посіб.-2-ге
вид., виправ. І доп.
Копійка В.В.,
Шинкаренко Т.І.
759 2012 3 примірник 204,40 0,00 613,20
299 591424
Історія античної літератури.
Навчальний посібник рекомендовано
МОН України
Бєлаш Г.О. 236 2012 4 примірник 66,60 0,00 266,40
300 591425 Історія Європи. Посібник Панкова Є.В. 356 2013 3 примірник 97,20 0,00 291,60
301 585303 Історія зарубіжної літератури XX ст. Кузьменка В.І. 432 2012 5 примірник 61,50 0,00 307,50
302 590334 Історія зарубіжної літератури: Середні
віки та Відродження: Підручник. - 3-тє
Шаповалова М.С.,
Рубанова
476 2011 3 примірник 122,80 0,00 368,40
18
вид., перероб. і доп. Затверджено
МОН
303 591427
Історія країн Центрально-Східної
Європи (кінець XX - початок XXІ ст.):
Навч. посіб.-2-ге вид., випр. І доп.
Рекомендовано
Кріль М.М. 262 2012 3 примірник 56,40 0,00 169,20
304 589050 Історія науки і техніки України Дещинський Л.Є. 328 2011 3 примірник 48,70 0,00 146,10
305 578168 Історія України. Вид. 3-те Бойко О. 704 2012 3 примірник 71,70 0,00 215,10
306 591430 Історія України. Навчальний посібник. Філіппенко Р.І. 352 2013 5 примірник 71,70 0,00 358,50
307 587149 Історія українознавства Кононенка П. 512 2011 3 примірник 69,70 0,00 209,10
308 589368
Історія української культури. 2-ге
видання. Навчальний посібник
рекомендовано МОН України
Павлова О.Ю. 340 2013 5 примірник 76,80 0,00 384,00
309 591432
Історія української культури. Навч.
Пос.
Хома І.Я., Мина 356 2012 3 примірник 63,20 0,00 189,60
310 583576
Історія української культури. Навч.
посіб. 4-те вид., стер. Рекомендовано
МОН
Шейко В.М.,
Білоцерківський
271 2012 3 примірник 30,90 0,00 92,70
311 572083
Історія української літератури XІX ст.:
У 2 кн. Кн. 2. Підручник
Жулинський М.Г. 712 2007 3 примірник 37,30 0,00 111,90
312 580505
Історія української літератури XІX ст.:
У 2 кн. Кн. 1. Підручник
Жулинський М.Г. 656 3 примірник 23,90 0,00 71,70
313 585304
Історія українського
літературознавства і критики
Наєнко М. 520 2010 3 примірник 59,50 0,00 178,50
314 99993
Історія української мови. Історична
фонетика. Історична граматика
Крижанівська О. 248 2010 3 примірник 61,40 0,00 184,20
315 247052 Археология. Уч. для бакалавров. Мартынов А. И. 460 2012 3 примірник 131,10 0,00 393,30
316 587070
Культурологія. 3-є видання. навч. пос.
Реком. МОН України
Гриценко Т.Б. 392 2011 3 примірник 92,10 0,00 276,30
317 586529 Культурологія. Етика. Естетика. пос. Савельєв В.П. 380 2012 3 примірник 81,90 0,00 245,70
318 271422 Культурологія. Пос. Піча В.М. 360 2012 5 примірник 71,70 0,00 358,50
319 591443
Культурологія. Навч. посіб.
Рекомендовано МОН
Шевнюк О.Л. 494 2012 3 примірник 63,50 0,00 190,50
320 590508 Культура і релігія Цвєтков О. 256 2011 5 примірник 41,10 0,00 205,50
321 588275
Музеєзнавство. Підручник. Гриф
МНО України
Якубовський В.І. 352 2012 5 примірник 31,50 0,00 157,50
322 585365 Нариси з соціолінгвістики. Навч. пос. Лариса Масенко 243 2010 3 примірник 44,90 0,00 134,70
323 591453
Огляд історії США. Навчальний
посібник: Рекомендовано Вч. радою
Ін-ту НПУ ім. М. Драгоманова
Романовська
Ю.Ю., Джон
136 2012 3 примірник 54,80 0,00 164,40
19
324 Л12060
Реформи і контрреформи другої
половини XIX - початку XX століття в
Російській імперії: історіографія
Шаравара Т.О. 487 2011 4 примірник 105,70 0,00 422,80
325 590172
Основи дизайну інтер'єру. Навч.
посібник
Олійник О.П. 240 2011 3 примірник 61,00 0,00 183,00
326 591455 Основи музеєзнавства. Посібник Виноградова 184 2012 3 примірник 51,30 0,00 153,90
327 351698
Перукарське мистецтво. Підр. У 3-х
кн. Кн. 1. Історія перукарської справи
Горбатюк Н.А. 352 2005 4 примірник 57,70 0,00 230,80
328 352120
Перукарське мистецтво. Підр. У 3-х
кн. Основи перукарської справи. Кн.
2.
Орлов В.Ф. 576 2011 4 примірник 78,10 0,00 312,40
329 593259
Система виховної роботи в дитячих
будинках та інтернатних установах.
Підручник
Докторович М.О. 176 2012 2 примірник 38,50 0,00 77,00
330 591472
Сучасна політична історія країн світу.
Навч. посіб. Для студентів, аспірантів,
викладачів ВНЗ
Орлова Т.В. 677 2013 4 примірник 66,60 0,00 266,40
331 582215
Таємні організації: масонський рух в
Україні
Крижанівська 200 2009 2 примірник 76,80 0,00 153,60
332 585392
Українська драматургія XVII - XVIII
ст. - 3-тє вид.
Сулима М.М. 368 2010 3 примірник 71,70 0,00 215,10
333 572101 Українська етнологія. Навч. пос. Погиба Л. 400 2007 3 примірник 33,00 0,00 99,00
334 587039
Усна народна творчість. Навч. пос.
Реком. МОН України
Філоненко С.О. 416 2008 3 примірник 59,50 0,00 178,50
335 583455
Хрестоматия по истории мировой
культуры. Уч. Пос.
Мисюн А.В. 656 2009 4 примірник 93,50 0,00 374,00
336 246932 Архітектурна композиція. Навч. пос. Обідняк. М. М. 152 2011 3 примірник 81,60 0,00 244,80
337 245769
Основи біодизайну. Кольорова книга.
Пос.
Михайленко В. Є. 224 2011 3 примірник 80,90 0,00 242,70
338 247032 Основы архитектуры. Анвин С. 256 2012 2 примірник 162,20 0,00 324,40
339 335193 Курс сольфеджио. Диатоника. Уч. пос. Агажанов А. П. 168 2012 3 примірник 107,70 0,00 323,10
340 335188
Теория и методика музыкального
воспитания. Уч.
Гончарова О. В. 256 2012 3 примірник 152,60 0,00 457,80
341 Л12023 Основи ландшафного дизайну Крижанівська Н.Я. 218 2009 5 примірник 38,70 0,00 193,50
342 592620
Безпека життєдіяльності у сфері
туризму. Навч. Пос.
Козинець В.М. 576 2006 5 примірник 71,70 0,00 358,50
343 589768
Безпека життєдіяльності. Конспект
лекцій
За ред. Мохняка 224 2011 3 примірник 31,40 0,00 94,20
344 588959 Безпека життєдіяльності. Навч. Пос. Ковжога С.О. 304 2012 3 примірник 51,30 0,00 153,90
345 589334 Безпека життєдіяльності. Навч. Пос. Атаманчук П.С. 276 2011 3 примірник 66,60 0,00 199,80
20
Реком. МОН України
346 592621
Безпека життєдіяльності. Підручник
затверджений МОН України
Запорожець О.І. 448 2013 5 примірник 92,10 0,00 460,50
347 572215 Безпека життєдіяльності. Пос. Бедрій Я.І. 496 2012 3 примірник 76,80 0,00 230,40
348 591484
Генно-модифіковані організми: за і
проти. Навчальний посібник
Рекомендовано МОН України
Бірта Г.О. 128 2012 6 примірник 41,10 0,00 246,60
349 592724 Екологічна безпека. Підручник Шмандій В.М. 366 2012 3 примірник 138,10 0,00 414,30
350 591487 Екологічна експертиза Артамонова Б.Б. 144 2012 3 примірник 33,90 0,00 101,70
351 550144
Екологічна стандартизація та
сертифікація. Пос.
Білецька Г.А. 140 2011 2 примірник 27,80 0,00 55,60
352 588934 Екологія міських систем. Посібник Клименко М.О. 294 2010 3 примірник 58,30 0,00 174,90
353 572077 Екологія рослин. Підручник Мусієнко М. 432 2007 5 примірник 44,90 0,00 224,50
354 Л12069 Екологія тварин. (Реком. МОН) Гайченко В. А. 246 2012 5 примірник 58,30 0,00 291,50
355 592728 Екологія. Підр. Васюкова Г.Т. 524 2012 3 примірник 94,00 0,00 282,00
356 591492
Инженерная и компьюторная графика
(рос.) Учебник
Под ред. В.Е.
Михайленко
336 2013 4 примірник 89,10 0,00 356,40
357 591493 Інженерна екологія. Навч. Пос. Жигуц Ю.Ю. 170 2012 2 примірник 43,10 0,00 86,20
358 585412
Ландшафна екологія. Рекомендовано
МОН України як навч. Пос.
Гуцуляк В.М. 312 2010 3 примірник 64,10 0,00 192,30
359 593882
Охорона здоров'я в Україні.
Навчальний посібник
Пєтков В.П. 288 2013 5 примірник 91,60 0,00 458,00
360 586534
Охорона праці (питання та відповіді).
Підручник
Москальова 448 2012 3 примірник 92,10 0,00 276,30
361 580880
Охорона праці в галузі освіти: Навч.
пос. - 3-тє вид., перероб. та доп.
Катренко Л.А.,
Пістун І.П.
395 2012 3 примірник 76,80 0,00 230,40
362 591502 Охорона праці. Навч. пос. Кіт Ю.В. Та ін. 276 2012 2 примірник 61,00 0,00 122,00
363 591504 Рекреалогія. Посібник. 2 видання Стафійчук В.І. 263 2013 5 примірник 102,30 0,00 511,50
364 591505
Рекреаційне природокористування.
Посібник
Білецька Г.А. 152 2013 3 примірник 29,80 0,00 89,40
365 591506
Рекреаційні ресурси України.
Посібник
Бейдик О.О. 440 2013 5 примірник 153,40 0,00 767,00
366 589627
Формування правової компетентності
майбутнього вчителя:
Іваній О.М. 112 2012 2 примірник 28,80 0,00 57,60
367 290963
Безопасность жизнедеятельности и
медецина катастроф.
Киршин Н. М. 320 2012 3 примірник 169,70 0,00 509,10
368 291404 Безопасность жизнедеятельности. Уч. Мастрюков Б. С. 304 2012 3 примірник 98,60 0,00 295,80
369 291428
Безопасность жизнедеятельности. Уч.
пос.
Маликов А. Н. 576 2012 3 примірник 132,20 0,00 396,60
370 291315 Безпека життєдіяльності. Навч. пос. Ковжога С. О. 224 2012 2 примірник 51,30 0,00 102,60
21
371 291407 Гигиена и экология человека. Уч. Пивоваров Ю. П. 400 2012 3 примірник 107,70 0,00 323,10
372 291238 Екологічна економіка. Пос. Гринів Л. С. 350 2012 3 примірник 87,00 0,00 261,00
373 291340 Екологічний маркетинг. Навч. пос. Прокопенко О. В. 319 2012 3 примірник 66,60 0,00 199,80
374 291269
Основи охорони праці, безпеки
життедіяльності та цивільно…
Козяр М. М. 458 2011 3 примірник 53,80 0,00 161,40
375 291260 Основи охорони праці. Навч. пос. Івах Р. М. 464 2012 3 примірник 61,00 0,00 183,00
376 290595 Основи охорони праці. Підр. Гандзюк М. П. 384 2011 3 примірник 65,60 0,00 196,80
377 291206 Охорона праці. Навч. пос. Батлук В. А. 388 2011 3 примірник 78,30 0,00 234,90
378 291339
Методика викладання курсу безпеки
життєдіяльності. Навч. пос.
Вдовенко І. С. 196 2011 2 примірник 44,90 0,00 89,80
379 Л12069 Екологія тварин
Гайченко В. А.,
Царик Й. В.
246 2012 6 примірник 58,30 0,00 349,80
380 585438
Практическое пособие по высшей
математике. Типовые
расчеты:Учебное пособие. 2-е изд.
Баранова Е. 400 2013 2 примірник 91,40 0,00 182,80
381 592624
Біотехнологія. Вступ до фаху.
Навчальний посібник
Гаркава К.Г. та ін. 296 2012 2 примірник 57,70 0,00 115,40
382 589916
Ботаніка з основами гідроботаніки
(водні рослини України)
Якубенко Б.Є. та
ін.
535 2011 2 примірник 64,10 0,00 128,20
383 262336
Медична хімія. Вид. 3-є вид.
Підручник для ВМНЗ III - IV р.а.:
Рекомендовано ЦМК МО
Мороз А.С.,
Луцевич О.В.
776 2011 2 примірник 94,80 0,00 189,60
384 263641 Биология. Для поступающих в вузы. Ярыгин В. Н. 584 2012 3 примірник 81,00 0,00 243,00
385 263426 Биология. Уч.
Константинов В.
М.
320 2012 3 примірник 122,70 0,00 368,10
386 263268 Биохимия. Уч. пос. Дмитриев А. Д. 168 2012 3 примірник 46,20 0,00 138,60
387 262675 Ботаника. Уч. Родионова А. С. 288 2012 3 примірник 162,60 0,00 487,80
388 260686 Высшая математика. Уч. Ильин В. А. 608 2012 3 примірник 86,90 0,00 260,70
389 263756
География для профессий и
специальностей социально эк
Баранчиков Е. В. 304 2012 3 примірник 104,40 0,00 313,20
390 262748 Дискретная математика. Уч. Спирина М. С. 368 2012 2 примірник 177,40 0,00 354,80
391 263651
Концепции современного
естествознания. (для бакалавров.)
Садохин А. П. 408 2012 2 примірник 201,20 0,00 402,40
392 263696 Микробиология. Уч. для бакалавров. Емцев В. Т. 455 2012 2 примірник 115,00 0,00 230,00
393 263548 Наномир без формул. Головин Ю. И. 544 2012 3 примірник 112,00 0,00 336,00
394 263713 Начертательная геометрия. Уч. Дудкина Л. А. 256 2012 2 примірник 168,60 0,00 337,20
395 263698
Неорганическая химия. Уч. для
бакалавров.
Князев Д. А. 592 2012 2 примірник 137,60 0,00 275,20
396 263714
Основы научных исследований и
изобретательства. Уч. Пос.
Рыжков И. Б. 224 2012 3 примірник 155,50 0,00 466,50
22
397 263440 Основы органической химии. Уч. пос. Юровская М. А. 236 2012 3 примірник 83,50 0,00 250,50
398 263684
Сборник задач по начертательной
геометрии с решением.
Арустамов Х. А. 488 2012 3 примірник 117,00 0,00 351,00
399 354246
Основы микробиологии, санитарии и
гигиены в пищевой пр.
Мармузова Л. В. 160 2012 3 примірник 89,70 0,00 269,10
400 588872
Инженерная графика: Учебник для
вузов. Стандарт третьего поколения
Королев Ю.И. 464 2011 3 примірник 45,50 0,00 136,50
401 590286 Інженерна та комп'ютерна графіка
За ред.
Б.Д.Коваленка
512 2012 3 примірник 78,90 0,00 236,70
402 592887
Комп'ютерна графіка. Навчальний
посібник рекомендовано МОН
України
Пічугін М.Ф. 346 2013 3 примірник 76,80 0,00 230,40
403 593330 Теорія телетрафіку. Посібник з редакц. 203 2013 3 примірник 56,40 0,00 169,20
404 155098 Веб - дизайн. Пасічник В.В. 530 2012 2 примірник 102,30 0,00 204,60
405 154195
Вы купили компьютер. 2-е изд.
Полное руководство для нач.
Симонович Г. 432 2012 2 примірник 39,80 0,00 79,60
406 156022 Интернет - проще простого! Алиев В. К. 192 2012 2 примірник 20,70 0,00 41,40
407 156132 Интернет для ваших родителей. Щербина А. А. 224 2012 3 примірник 44,10 0,00 132,30
408 156133
Интернет: от "чайника" к
пользователю
Колисниченко Д. 512 2012 2 примірник 82,60 0,00 165,20
409 152994 Компьютер - это просто. 4-е изд. Алиев В. К. 192 2012 2 примірник 21,30 0,00 42,60
410 151445
Краткий самоучитель работы на
компьютере. 4-е изд.
Левин А. 400 2012 2 примірник 32,30 0,00 64,60
411 155959
Персональный компьютер: учиться
никогда не поздно.
Спира И. 240 2012 3 примірник 53,30 0,00 159,90
412 246949 Евроремонт. Секреты мастерства. Симонов Е. 176 2012 4 примірник 52,40 0,00 209,60
413 241724
Електроніка і мікросхемотехніка.
Підр.
Сосков А. Г. 416 2012 3 примірник 91,10 0,00 273,30
414 242228 Електротехніка. Підр. Коруд В. Г. 448 2012 3 примірник 71,70 0,00 215,10
415 246735 Инженерная графика. Уч. Пуйческу Ф. И. 320 2012 3 примірник 150,00 0,00 450,00
416 244252
Конструирование женской одежды.
Уч.
Кочесова Л. В. 304 2012 3 примірник 151,50 0,00 454,50
417 246509
Материалы и методы нанотехнологии.
Уч. пос.
Старостин В. В. 431 2012 3 примірник 76,40 0,00 229,20
418 246511 Наноматериалы. Уч. пос. Рыжонков Д. И. 365 2012 3 примірник 76,40 0,00 229,20
419 246757 Наноэлектроника. Уч. пос. Борисенко В. Е. 223 2012 3 примірник 62,20 0,00 186,60
420 245854
Нетрадиционные и возобновляемые
источники энергии. Уч.
Сибикин Ю. Д. 232 2012 3 примірник 70,50 0,00 211,50
421 244966 Нетрадиційна енергетика. Дудюк Д. Л. 190 2011 3 примірник 51,30 0,00 153,90
422 245536 Основы геодезии, картографии и Кусов В. С. 256 2012 3 примірник 159,40 0,00 478,20
23
космоаэросъёмки. Уч. пос.
423 247151
Основы наноструктурного
материаловедения. Возможности.
Андриевский Р. А. 256 2012 3 примірник 86,20 0,00 258,60
424 246340
Садово-парковое строительство и
хозяйство. Уч.
Теодоронский В. 288 2012 3 примірник 154,30 0,00 462,90
425 247033
Садовый дизайн. Идеальные решения
для вашего участка.
Коэн С. 176 2012 3 примірник 122,90 0,00 368,70
426 247175
Современный квартирный сантехник,
строитель и электрик.
Кашкаров А. П. 256 2012 4 примірник 43,80 0,00 175,20
427 245472 Техническая механика. Уч Сафонова Г. Г. 320 2012 2 примірник 79,70 0,00 159,40
428 247034 Универсальные принципы дизайна. Лидвелл У. 272 2012 3 примірник 225,60 0,00 676,80
429 246832 Художнє проектування одягу. Пос. Корницька Л. А. 432 2011 3 примірник 77,80 0,00 233,40
430 208437
Сад в квартире. Огород на
подоконнике.
Кизима Г. А. 224 2012 3 примірник 16,60 0,00 49,80
431 351058
Повар. Уч. пос. для учащихся
порофессиональных училищ.
Шатун Л. 320 2012 3 примірник 45,30 0,00 135,90
432 354436
Почвоведение с основами геологии.
Уч. пос.
Курбанов С. А. 288 2012 3 примірник 107,70 0,00 323,10
433 354426 Почвоведение Уч. для бакалавров. Вальков В. Ф. 527 2012 4 примірник 115,00 0,00 460,00
434 353549
Технология швейных изделий. Уч.
пос.
Амирова Э. К. 512 2012 3 примірник 137,20 0,00 411,60
435 Л12080 Індустрія моди. Навч. пос. Мельник М. Т. 264 2013 3 примірник 55,60 0,00 166,80
436 Л12004 Будівельне матеріалознавство
Кривенко В. П. Та
інш.
624 2012 6 примірник 87,80 0,00 526,80
437 Л12080 Індустрія моди Мельник М. Т. 264 2013 6 примірник 55,60 0,00 333,60
438 Л12079 Матеріалознавство
Афтанділянц Є.Г.
та інші
600 2012 3 примірник 111,90 0,00 335,70
439 Л12061
Матеріалознавство. Для архітекторів
та дизайнерів
Пушкарьова К.К.
та інші
592 2012 4 примірник 121,70 0,00 486,80
440 Л12081 Основи науково-дослідної роботи
Палеха Ю. І.,
Леміш Н. О.
320 2013 5 примірник 71,70 0,00 358,50
441 583884
Анатомія та фізіологія людини:
Підруч. Для мед. ВНЗ І-ІІ рів. Акред. -
4-те вид., випр. Затверджено МОЗ
Сидоренко П.І. 248 2012 3 примірник 61,50 0,00 184,50
442 252621
Анатомія, фізіологія і патологія: Підр.
Для ВНЗ І-ІІ рів. акредит
Федонюк Я.І. 680 2012 5 примірник 67,20 0,00 336,00
443 591565
Валеологія. 2-ге видання. Підручник
затверджений МОН
Грибан В.Г. 342 2012 3 примірник 76,80 0,00 230,40
444 585249
Валеологія. Основи індивідуального
здоров'я людини: Курс лекцій
Міхеєнко О.І. 400 2010 3 примірник 56,40 0,00 169,20
24
445 589683
Здоровий спосіб життя: навчальний
посібник
Єжова 127 2012 3 примірник 30,90 0,00 92,70
446 586585
Основи профілактичної медицини:
Підручник для мед. ВНЗ І-ІІ рів.
Акред. - 2-ге вид., перероб. Та доп.
Допущено МОЗ
Бебешко П.С. 184 2011 2 примірник 41,10 0,00 82,20
447 593116 Перша медична допомога. Підручник Григус І.М. 176 2013 3 примірник 37,00 0,00 111,00
448 591601
Сексуальне і репродуктивне здоров'я
чоловіків та жінок. Науково-
популярне видання
Плахтій П.Д.,
Білінський О.М.
248 2011 3 примірник 19,80 0,00 59,40
449 591604
Судова медицина (Комплексний
навчальний посібник)
Нор В.Т. 272 2012 4 примірник 32,80 0,00 131,20
450 590202
Судова медицина. Медичне
законодавство: у 2-х кн.: Кн. 1: Судова
медицина: Підручник для мед. ВНЗ IV
рів. акред.. - 2-ге вид.
Москаленка В.Ф. 448 2012 2 примірник 87,00 0,00 174,00
451 590201
Судова медицина. Медичне
законодавство: у 2-х кн.: Кн. 2:
Медичне законодавство: правова
регламентація лікарської...
Москаленка В.Ф. 496 2012 2 примірник 92,10 0,00 184,20
452 589599
Судова медицина. Навчальний
посібник для студентів вищого
юридичного навчального закладу
Нетудихатка
О.Ю., Мавед
240 2012 2 примірник 73,00 0,00 146,00
453 591612
Физиология человека: Учебник для
мед. ВУЗ IV ур. аккред..-2-е изд.
Утверждено МОН
Филимонов В.И. 816 2012 3 примірник 199,30 0,00 597,90
454 588285
Фізіологічні основи фізичного
виховання та спорту. Гриф МОН
України
Плахтій П.Д. 176 2011 4 примірник 15,90 0,00 63,60
455 590199
Фізіологія людини: Підручник для
мед. ВНЗ І-ІІІ рів. акред. - 2-ге вид.,
випр. Затверджено МОЗ
Філімонов В.І. 488 2013 3 примірник 97,20 0,00 291,60
456 588163 Фізіотерапія. Пос. Федорів Я.-Р.М. 560 2011 3 примірник 122,80 0,00 368,40
457 143551 Фізична реабілітація. Свістельник І. 1162 2012 3 примірник 250,40 0,00 751,20
458 259737
Анатомия и возрастная физиология.
Уч. для бакалавров.
Дробинская А. О. 527 2012 3 примірник 125,80 0,00 377,40
459 253339
Анатомия и физиология человека с
возрастными особенностями.
Сапин М. Р. 384 2012 3 примірник 132,20 0,00 396,60
460 251198 Анатомия и физиология человека. Уч. Федюкович Н. И. 510 2012 4 примірник 64,30 0,00 257,20
461 257140 Валеологія. Підр. Грибан В. Г. 342 2012 5 примірник 76,80 0,00 384,00
462 259195 Возрастная анатомия, физиология и назарова Е. Н. 256 2012 3 примірник 160,10 0,00 480,30
25
гигиена. Уч.
463 259646
Генетика человека с основами
медицинской генетики. Уч.
Хандогина Е. К. 208 2012 3 примірник 153,30 0,00 459,90
464 255767 Естетотерапія. Навч. пос. Федій О. А. 256 2012 3 примірник 76,80 0,00 230,40
465 259028 Здоровий спосіб життя. Навч. пос. Єжова О. О. 127 2012 3 примірник 30,90 0,00 92,70
466 251750
История физической культуры и
спорта. Уч. пос.
Голощапов Б. Р. 320 2012 3 примірник 137,10 0,00 411,30
467 259738
Корекционная работа по развитию
познавательной сферы.
Речицкая Е. Г. 256 2012 3 примірник 86,90 0,00 260,70
468 258331
Логопедические занятия по развитию
связной речи младших…
Андреева Н. Г. 182 2012 3 примірник 59,90 0,00 179,70
469 258444 Медицина катастроф. Уч. пос. Сидоров П. И. 320 2012 2 примірник 152,60 0,00 305,20
470 255595 Микробиология. Уч. Нетрусов А. И. 384 2012 2 примірник 184,90 0,00 369,80
471 252452
Основы биохимии для медицинских
колледжей. Уч. пос.
Пустовалова Л. М. 440 2012 2 примірник 55,20 0,00 110,40
472 259686
Основы медицинских знаний и
здорового образа жизни.
Назарова Е. Н. 192 2012 3 примірник 141,00 0,00 423,00
473 259724 Основы медицинских знаний. Уч. пос. Лытаев С. А. 272 2012 2 примірник 152,60 0,00 305,20
474 259505
Основы микробиологии, вирусологии
и иммунологии.
Камышева К. С. 281 2012 2 примірник 39,00 0,00 78,00
475 252455
Основы социальной медицины. Уч.
для вузов.
Тен. Е. Е. 256 2012 2 примірник 39,10 0,00 78,20
476 256036 Первая медицинская помощь. Уч. пос. Глыбочко П. В. 240 2012 3 примірник 131,70 0,00 395,10
477 257652 Психология спорта. Ильин Е. П. 352 2012 2 примірник 69,20 0,00 138,40
478 259704
Теория и методика физической
культуры и спорта. Уч.
Холодов Ж. К 480 2012 3 примірник 159,70 0,00 479,10
479 259193
Физическая культура. Педагогические
основы ценностного.
Масалова О. Ю. 184 2012 2 примірник 57,50 0,00 115,00
480 258329 Физическая культура. Уч. Бишаева А. А. 304 2012 2 примірник 117,30 0,00 234,60
481 251548 Физическая культура. Уч. Решетников Н. В. 176 2012 2 примірник 101,90 0,00 203,80
482 259542
Фізичне виховання дітей дошкільного
віку. Навч. пос.
Загородня Л. П. 272 2011 3 примірник 76,80 0,00 230,40
483 802430
Программа здорового питания
академика Болотова + Бонус.
Болтов Б. В. 320 2012 3 примірник 13,60 0,00 40,80
484 802438
Система снижения веса "25 за 5".
Открыть матрешку.
Филонова О. Л. 160 2012 3 примірник 17,00 0,00 51,00
485 802455
Школа "Здоровый позвоночник".
Истинная причина боли в…
Черепанов Е. А. 256 2012 3 примірник 32,40 0,00 97,20
486 587801
Барна справа: технологія продукції та
організація обслуговування.
Архіпов В.В. 360 2010 2 примірник 66,90 0,00 133,80
26
487 587048 Барное дело. Учебное пособие Архипов В.В. 240 2011 2 примірник 51,30 0,00 102,60
488 31812
Біогеографія. Регіональний аспект.
Навч. Пос.
Марисова І.В. 128 2012 3 примірник 46,20 0,00 138,60
489 590101
Економіка готельного та ресторанного
господарства. ОКЛ
Ткаченко Т.І. 194 2011 4 примірник 61,00 0,00 244,00
490 592732
Економіка туризму: теорія і практика.
Навч. Пос.
Городня Т.А. 436 2012 5 примірник 73,50 0,00 367,50
491 591623 Екотуризм. Посібник Дмитрук О.Ю. 357 2013 5 примірник 112,50 0,00 562,50
492 575385 Екскурсознавство. Музеєзнавство Бабарицька В. 560 2013 3 примірник 86,40 0,00 259,20
493 591624
Екскурсознавство, музеєзнавство.
Посібник
Бабарицька В.К. 560 2013 3 примірник 86,40 0,00 259,20
494 592831
Інноваційні ресторанні технології.
Навч. Пос.
П'ятницька Н.О. 200 2012 3 примірник 76,20 0,00 228,60
495 588000
Історія екскурсійної діяльності. Навч.
Пос.
Федорченко В. 168 2009 3 примірник 31,50 0,00 94,50
496 575704
Комп'ютерні інформаційні технології
в туризмі. Навч. Пос.
Скопень М.М. 302 2012 3 примірник 49,40 0,00 148,20
497 592947
Малі готелі: організація роботи та
обслуговування. 2-ге вид., переробл. І
доп.
Барна Н.В., Мунін
Г.Б.
336 2012 5 примірник 74,30 0,00 371,50
498 591628 Менеджмент туризму. Посібник Бабарицька В.К. 288 2013 3 примірник 112,50 0,00 337,50
499 591629
Менеджмент туризму. Навч. Посіб.
Рекомендовано МОН
Король О.Д. 248 2012 3 примірник 57,40 0,00 172,20
500 591631
Методика розробки турів. Посібник. 2
видання
Любіцева О.О. 292 2013 5 примірник 102,30 0,00 511,50
501 591632 Міжнародний туризм. Навч. Посіб. Алієва 344 2013 3 примірник 61,50 0,00 184,50
502 591633
Міжнародний туризм. Навчальний
посібник рекомендовано МОН
України.
Божидарнік Т.В. 312 2012 3 примірник 71,70 0,00 215,10
503 588015
Організація готельного господарства.
Навч. Посіб.
Головко О.М. 338 2012 4 примірник 67,20 0,00 268,80
504 591635
Організація готельно-ресторонного
обслуговування. Навч. Посіб. Вид. 2-
ге
Лукянов В.О.,
Мунін Г.Б.
346 2012 4 примірник 85,10 0,00 340,40
505 589852
Організація діяльності туристичного
підприємства. Навчальний посібник
рекомендовано МОН України
Балашова Р.І. 184 2012 2 примірник 41,10 0,00 82,20
506 591636
Організація обслуговування в готелях
і туристичних комплексах. Посібник.
Сокол Т.Г. 448 2013 4 примірник 153,40 0,00 613,60
507 591640 Організація туристичних подорожей
та екскурсійної діяльності.
Галасюк С.С. 178 2013 5 примірник 51,30 0,00 256,50
27
Навчальний посібник рекомендовано
МОН України
508 590082 Основи туризмознавства. ОКЛ Михайліченко Г.І. 75 2011 3 примірник 28,30 0,00 84,90
509 591641 Основи туризмознавства. Посібник. Устименко Л.М. 320 2013 3 примірник 89,60 0,00 268,80
510 593098
Основи круизного туроперейтинга.
Уч. Пос.
Нездойминов 320 2013 5 примірник 86,40 0,00 432,00
511 591642
Паломництво та релігійний туризм.
Посібник.
Любіцева О.О. 432 2013 3 примірник 133,00 0,00 399,00
512 593235
Рекреаційна географія. Навчальний
посібник рекомендовано МОН
України
Скрипник Н.Я. 296 2013 3 примірник 71,70 0,00 215,10
513 591645 Релігійний туризм. Посібник. Сапелкіна З.П. 244 2013 5 примірник 66,60 0,00 333,00
514 591646
Ресторан выездного обслуживания
(кейтеринг): с чего начать, как
преуспеть
Погодин К.С. 224 2012 4 примірник 48,60 0,00 194,40
515 570568
Ресторанна справа. Організація
обслуговування населення на
підприємствах ресторанного сервісу
Сало Я.М. 404 2011 3 примірник 127,90 0,00 383,70
516 593238
Ресторанна справа: технологія і
організація обслуговування туристів.
Підручник затверджений МОН
України
Мальська М.П. 304 2013 3 примірник 71,70 0,00 215,10
517 591647
Ринок туристичних послуг. Посібник.
Видання виправлене і доповнене
Любіцева О.О. 430 2013 3 примірник 97,20 0,00 291,60
518 589840
Соціально-педагогічні технології в
туризмі.
Дмитрук С.В. 328 2012 3 примірник 71,70 0,00 215,10
519 591648
Спортивно-оздоровчий туризм.
Посібник. 2-ге видання
Щур Ю.В. 280 2013 3 примірник 102,30 0,00 306,90
520 593365
Туризмологія: концептуальні засади
теорії туризму
Федорченко В. 368 2013 3 примірник 81,90 0,00 245,70
521 591650
Туристичне країнознавство. Азія та
Океанія. Навчальний посібник
рекомендовано МОН України
Мальська М.П. 184 2013 3 примірник 51,30 0,00 153,90
522 587044
Туристичне країнознавство. Європа. 2-
ге видання. Навчальний посібник
рекомендовано МОН України
Мальська М.П. 224 2010 3 примірник 43,10 0,00 129,30
523 593366 Туристичне країнознавство. Навч. пос. Семенов В.Ф. 392 2013 5 примірник 86,40 0,00 432,00
524 591652 Туристичні ресурси світу. Посібник Малиновська 428 2013 3 примірник 133,00 0,00 399,00
525 577025 Туристичні ресурси України Любіцева О.О. 368 2013 3 примірник 122,80 0,00 368,40
526 591653
Туристичні ресурси України.
Посібник
Любіцева О.О. 369 2013 3 примірник 122,80 0,00 368,40
28
527 577230
Франчайзинг в готельно-ресторанному
бізнесі. Навч. Пос.
Мунін Г.Б. 370 2008 4 примірник 37,80 0,00 151,20
528 583197 Экотуризм Дмитрук О.Ю. 357 2009 5 примірник 89,60 0,00 448,00
529 591664 Основи грунтознавства. Посібник Панас Р.М. 248 2011 4 примірник 45,20 0,00 180,80
530 589653
Порівняльна педагогіка: Навчальний
посібник
Сбруєва А.А. 320 2012 3 примірник 87,00 0,00 261,00
531 589625
Эколого-экономические основы
ресурсосбережения
Сотник И.Н. 229 2012 2 примірник 51,30 0,00 102,60
532 591678
Методологія і організація наукових
досліджень в харчовій галузі:
Підручник
Свідло К.В.,
Лазарєва Т.А.
265 2013 2 примірник 76,80 0,00 153,60
533 593401
Фізіологія харчвання. Практикум.
Практичний посібник
Зубар Н.М. 208 2013 3 примірник 56,40 0,00 169,20
534 589187
Філософія історії. Навчальний
посібник
І.М. Предборська 232 2012 5 примірник 51,30 0,00 256,50
535 592958
Матеріалознавство і слюсарна справа.
Навч. Посібник
Федірко П.П. та
ін.
384 2012 2 примірник 32,50 0,00 65,00
536 580624
Матеріалознавство і технологія
конструкційних матеріалів. Навч. Пос.
Хільчевський В.
Та ін.
328 2 примірник 9,20 0,00 18,40
537 Л12079 Матеріалознавство. (Реком. МОН) Афтанділянц Є. 616 2012 3 примірник 111,90 0,00 335,70
538 592960 Матеріалознавство. Підручник Кіндрачук та ін. 492 2012 5 примірник 38,50 0,00 192,50
539 591719
Технологія конструкційних матеріалів
і матеріалознавство: конспект лекцій
Косенко В.А. 251 2012 3 примірник 64,10 0,00 192,30
540 593341
Технологія конструкційних матеріалів
і матеріалознавство: конспект лекцій
Косенко В.А. 251 2012 3 примірник 64,10 0,00 192,30
541 592558 111 баек для журналистов Волковский Н.Л. 208 2013 3 примірник 37,00 0,00 111,00
542 580199 Вступ до книгознавства. Навч. Пос. Низовий М.А. 144 2009 2 примірник 22,60 0,00 45,20
543 591727 Вступ до літературознавства Білоус П. 364 2012 5 примірник 61,50 0,00 307,50
544 587457
Вступ до мовознавства (2-е вид.,
стереотип.)
Карпенко Ю. 336 2009 2 примірник 38,00 0,00 76,00
545 592670
Газетні та журнальні видання. Навч.
Пос.
Ярослав Приход 104 2012 2 примірник 64,20 0,00 128,40
546 590647
Зіставна лексикологія (гендерний та
соціолінгвістичний аспекти)
Навчальний посібник для
ВНЗ:Рекомендовано МОН
Бондаренко К.Л.,
Бондаренко О.С.
168 2011 2 примірник 48,70 0,00 97,40
547 575508
Золоте джерельце. Висловлювання
про слово, мову, красномовство. Навч.
Пос. Рекомендований МОН України
Кацавець Р.С. 116 2009 3 примірник 20,70 0,00 62,10
548 584526 Культура наукової української мови. Семеног О. 216 2012 3 примірник 39,00 0,00 117,00
29
(видання 2-ге)
549 586377
Культура фахового мовлення: навч.
Пос.
Бабич Н.Д. 528 2011 2 примірник 51,30 0,00 102,60
550 575824 Лінгвістичний аналіз тексту Єщенко Т. 264 2009 2 примірник 37,00 0,00 74,00
551 593838
Література Європейського
просвітництва
Іван Магела 268 2012 2 примірник 64,10 0,00 128,20
552 578314
Медиа: теория массовых
коммуникаций
Почепцов Г.Г. 408 2008 3 примірник 89,60 0,00 268,80
553 584594
Мистецтво судових дебатів. Навч.
Пос.
Олійник О. 258 2010 2 примірник 55,60 0,00 111,20
554 590392
На зламі віків: Українська
журналістика на початку ХХ ст.
Мукомела О.Г. 240 2010 2 примірник 32,10 0,00 64,20
555 576244 Основи комунікативної лінгвістики Бацевич Ф. 376 2009 2 примірник 43,10 0,00 86,20
556 591748 Основи теорії мовної комінікації Яшенкова О. 304 2011 2 примірник 51,30 0,00 102,60
557 591749
Практичний курс перекладу
(англійська та українська мови).
Теорія та практика перекладацького
аналізу тексту
Максімов С.Є. 206 2012 2 примірник 48,70 0,00 97,40
558 591754 Світ фразеологізмів Забіяка В. 304 2012 2 примірник 36,60 0,00 73,20
559 576817 Старослав'янська мова. Пос. Царалунга 188 2012 2 примірник 35,00 0,00 70,00
560 586512
Сучасна українська мова:
самобутність, система, норма, навч.
Пос.
Микитюк О.Р. 440 2012 3 примірник 106,60 0,00 319,80
561 584596 Теорія літератури Павличко С. 680 2009 2 примірник 46,20 0,00 92,40
562 591761 Технічний переклад: теорія та пактика Скребкова М.А. 204 2012 2 примірник 40,10 0,00 80,20
563 585692
Українська мова за професійним
спрямуванням. Підручник. За
програмою МОНУ. 3-тє видання
Шевчук С.В.,
Клименко І.В.
696 2013 2 примірник 80,60 0,00 161,20
564 590627
Українська перекладознавча думка.
Хрестоматія
Черноватий 504 2011 2 примірник 73,00 0,00 146,00
565 593887
Як редагувати книжкові та газетно-
журнальні видання: Практичний
посібник
Тимошик М. 384 2012 2 примірник 17,10 0,00 34,20
566 195138
Введение в специальность.
Профессия: журналист. Уч. пос.
Свитич Л. Г. 225 2012 3 примірник 109,20 0,00 327,60
567 195014
Методология и теория социальной
работы. Уч. пос.
Павленок П. Д. 267 2012 3 примірник 92,10 0,00 276,30
568 195343 История социальной работы. Уч. пос. Агапов Е. П. 256 2012 2 примірник 53,70 0,00 107,40
569 190130
Коммуникология. Основы теории
коммуникации. Уч.
Шарков Ф. И. 592 2012 3 примірник 89,30 0,00 267,90
30
570 190336 Основи журналістики. Підр. Михайлин І. Л. 496 2011 3 примірник 102,30 0,00 306,90
571 195375 Социальная реабилитация. Уч. 320 2012 3 примірник 66,70 0,00 200,10
572 195215 Социальная реабилитация. Уч. пос. А. М. Руденко С. 320 2012 3 примірник 63,40 0,00 190,20
573 195363 Социология и психолгоия управления. Самыгин С. И. 256 2012 2 примірник 62,70 0,00 125,40
574 195364 Социология СМИ. Уч. пос. Фомичова И. Д. 360 2012 3 примірник 149,10 0,00 447,30
575 195056 Соціальна валеологія. Пос. Копа В. Н. 204 2011 5 примірник 32,90 0,00 164,50
576 190715 Соціологія мистецтва. Семашко О. М. 244 2012 3 примірник 41,10 0,00 123,30
577 195366
Стилистика и литературное
редактирование. Уч. пос.
Малычева Н. В. 288 2012 3 примірник 63,40 0,00 190,20
578 Л12012 Загальне документознавство
Палеха Ю. І.,
Леміш Н. О.
432 2012 8 примірник 76,20 0,00 609,60
579 Л12051 Історія діловодства
Палеха Ю. І.,
Леміш Н. О.
328 2011 8 примірник 61,00 0,00 488,00
580 221283 Введение в языкознание. Уч. Касевич В. Б. 240 2012 3 примірник 145,00 0,00 435,00
581 221308 Вступ до літературознавства. Білоус П. 364 2012 2 примірник 61,50 0,00 123,00
582 221325 Вступ до мовознавства. Навч. пос. Монжалєй Т. К. 183 2011 2 примірник 41,10 0,00 82,20
583 221233
Грамматические аспекты перевода.
Уч. пос.
Сулейманова О. А. 240 2012 3 примірник 118,40 0,00 355,20
584 221221 Загальне мовознавство. Навч. пос. Зеленько А. С. 380 2011 3 примірник 81,90 0,00 245,70
585 221264 Основи дидактики. Підр. Чайка В. 240 2011 2 примірник 41,10 0,00 82,20
586 221222
Основи літературознавства. Підр. для
студентів, аспірантів. Ференс Н. С. 431 2011 2
примірник
87,00 0,00 174,00
587 220829 Риторика. Уч. Петров О. В. і др. 424 2012 2 примірник 70,50 0,00 141,00
588 220875 Старослов`янська мова. Пос. Царалунга 188 2012 2 примірник 35,00 0,00 70,00
1843
Загальна вартість закупівлі без ПДВ 133 884,50
ПДВ (якщо є): 0,00
Загальна вартість закупівлі з ПДВ, якщо передбачено 133 884,50
7.5. Процедура закупівлі в одного учасника відмінена: -
7.5.1. Дата прийняття рішення: -.
7.5.2. Причини: -.
Заступник голови комітету з конкурсних торгів: ______________________ Т.А. Садкова
31
М.П.
32

форма інформації про результати проведення процедури закупівлі в одного учасника

  • 1.
    ФОРМА ІНФОРМАЦІЇ про результатипроведення процедури закупівлі в одного учасника 1. Замовник: 1.1. Найменування: Кримська республіканська установа «Універсальна наукова бібліотека ім. І.Я. Франка». 1.2. Ідентифікаційний код за ЄДРПОУ: 02219524. 1.3. Місцезнаходження: Автономна Республіка Крим, м. Сімферополь, Київський район, вул. Набережна, 29-А, 95017. 1.4. Головний розпорядник коштів (повне найменування та ідентифікаційний код за ЄДРПОУ): Міністерство культури Автономної Республіки Крим (ЄДРПОУ 33656475). 2. Джерело фінансування закупівлі: місцевий бюджет АРК. 3. Інформація про предмет закупівлі: 3.1. Найменування предмета закупівлі: Книжки друковані (код ДК 016-2010: 58.11.1). 3.2. Кількість товарів або обсяг виконання робіт чи надання послуг: 588 найменувань, 1843 комплекти. 3.3. Місце поставки товарів, виконання робіт чи надання послуг: Автономна Республіка Крим, м. Сімферополь, Київський район, вул. Набережна, 29-А, 95017, Кримська республіканська установа "Універсальна наукова бібліотека ім. І.Я. Франка". 3.4. Строк поставки товарів, виконання робіт чи надання послуг: протягом 2013 року. 1
  • 2.
    4. Інформування прозастосування процедури закупівлі в одного учасника: 4.1. Адреса веб-порталу Міністерства економічного розвитку і торгівлі України, на якому розміщувалась інформація про застосування процедури закупівлі в одного учасника: http://www.zakup-crimea.gov.ua/ 4.2. Адреса веб-сайту, на якому замовником додатково розміщувалась інформація про застосування процедури закупівлі в одного учасника (у разі розміщення): www.zakup-crimea.gov.ua, www.franko.crimea.ua. 4.3. Дата оприлюднення і номер інформації про застосування процедури закупівлі в одного учасника, опублікованої в державному офіційному друкованому виданні з питань державних закупівель: 05.08.2013 р. №155398, ВДЗ № 61 (804). 4.4. Дата оприлюднення і номер інформації про застосування процедури закупівлі в одного учасника, опублікованої у відповідних міжнародних виданнях (у випадках, передбачених Законом України "Про здійснення державних закупівель"): -. 4.5. Дата оприлюднення і номер обґрунтування застосування процедури закупівлі в одного учасника, розміщеного на веб-порталі Міністерства економічного розвитку і торгівлі України: 155398/1 від 05.08.2013 р. 4.6. Дата оприлюднення та номер повідомлення про акцепт пропозиції за результатами застосування процедури закупівлі в одного учасника, опублікованого в державному офіційному друкованому виданні з питань державних закупівель: 12.08.2013 р. № 160181, ВДЗ №63 (806). 5. Дата відправлення запрошення до участі в проведенні процедури закупівлі: 16 липня 2013 р. 6. Інформація про переможця процедури закупівлі в одного учасника: 6.1. Найменування/прізвище, ім'я, по батькові: Товариство з обмеженою відповідальністю «Книги України ЛТД». 6.2. Ідентифікаційний код/реєстраційний номер облікової картки платника податків: 35255476. 6.3. Місцезнаходження (для юридичної особи) та місце проживання (для фізичної особи), телефон, телефакс: фактична адреса: вул.. Желябова, 2, офіс 320, м. Київ, 03680; юридична адреса: вул.. Желябова, 10-А, к. 7, м. Київ, 03680; тел.: (044) 456-20-65, 456-43-6. 7. Результат проведення процедури закупівлі: 7.1. Дата акцепту пропозиції за результатами застосування процедури закупівлі в одного учасника: 07.08.2013 р. 7.2. Дата укладення договору про закупівлю: 06.09.2013 р. 2
  • 3.
    7.3. Сума, визначенав договорі про закупівлю: 133 884,50 грн.; (цифрами) сто тридцять три тисячі вісімсот вісімдесят чотири гривні 50 копійок (словами) без ПДВ. 7.4. Ціна за одиницю товару (у разі закупівлі товару): 3
  • 4.
    ЦЗОД Книжки друковані (кодДК 016-2010: 58.11.1) Інформація про застосування процедури закупівлі в одного учасника від 05.08.2013 р., № 155398 ВДЗ № 61 (804) № п./п. Індекс книжки Назва книжки Автор Кількіст ь сторінок Рік видання Кількість комплектів, од. Одиниці виміру Ціна без ПДВ за од. ПДВ Загальна ціна з ПДВ 1 590512 Експериментальна психологія Галян О., Галян 400 2012 3 примірник 61,50 0,00 184,50 2 590700 Зоопсихологія з основами етології. Підручник затверджений МОН України Шевців М.В. 242 2013 3 примірник 71,70 0,00 215,10 3 590013 Кросс-культурная и этническая психология: учебное пособие. Стандарт третьего поколения Почебут Л.Г. 336 2012 4 примірник 74,80 0,00 299,20 4 592936 Лідесрство: сутність та реалізація в українському суспільстві: навч. Посібник (Гриф МОНМС України) Пірен М.І. 232 2012 3 примірник 64,10 0,00 192,30 5 590218 Нормальна та кримінальна сексологія. Підручник. ЗМОНУ Чуприков А.П. 252 2011 3 примірник 51,90 0,00 155,70 6 593086 Основи психокорекції Кузікова С. 320 2012 5 примірник 57,40 0,00 287,00 7 590711 Основи психолінгвистики Куранова С. 208 2012 3 примірник 49,20 0,00 147,60 8 587820 Педагогічна психологія. Підручник Лисянська Т.М. 264 2012 3 примірник 61,50 0,00 184,50 9 578658 Психология спорта Ильин Е.П. 352 2012 3 примірник 103,00 0,00 309,00 10 590719 Психология стресса и методы коррекции. 2-е изд. Переработанное и дополненное Щербатых Ю.В. 256 2012 3 примірник 61,60 0,00 184,80 11 584719 Психология творчества, креативности, одаренности Ильин Е.П. 448 2012 4 примірник 106,30 0,00 425,20 12 587994 Психология экстремальных ситуаций: адаптивность к стрессу и психологическое обеспечние. Научно-практическое пособие Розов В.И. 480 2012 3 примірник 110,10 0,00 330,30 13 584723 Псилогічна служба в системі освіти. Пос. Строяновська 176 2013 5 примірник 57,40 0,00 287,00 14 587560 Психологічні справи. Книга для вчителя Тарнопольський 176 2011 2 примірник 36,60 0,00 73,20 15 200509 Психологія і педагогіка. Пос. Шадських Ю.Г. 320 2012 3 примірник 71,70 0,00 215,10 16 587096 Психологія людини з обмеєеними можливостями. навч. пос. Реком. МОН України Бочелюк В.Й. 320 2011 3 примірник 71,70 0,00 215,10 17 590722 Психологія особистості. Навч. Пос. Реком. МОН України Москалець В.П. 262 2013 3 примірник 71,70 0,00 215,10 18 590724 Психологія сім'ї Поліщук В.М. 281 2012 3 примірник 56,40 0,00 169,20 19 590727 Психологія: вступ до спеціальності. навч. пос. Реком. МОН України Іванова О.В. 184 2013 2 примірник 51,30 0,00 102,60 20 589361 Вікова психологія. Навч. посіб. Реком МОН України Сергєєнкова О. П. 376 2012 2 примірник 71,70 0,00 143,40 4
  • 5.
    21 584728 ПсихотерапіяКаліна Н. 280 2010 3 примірник 43,10 0,00 129,30 22 172706 Психофізіологія. Пос. Кабашнюк В.О. 200 2012 3 примірник 35,00 0,00 105,00 23 590723 Сучасна психологія особоистості. Посібник Титаренко Т.М. 336 2013 3 примірник 66,60 0,00 199,80 24 173862 Вікова психологія. Навч. пос. Сергєєнкова О. П. 376 2012 3 примірник 71,70 0,00 215,10 25 172515 Вікова та педагогічна психологія. Підр. Скріпченко О. В. 400 2012 3 примірник 69,70 0,00 209,10 26 173970 Дитяча психологія. Навч. пос. Дуткевич Т. В. 424 2012 3 примірник 81,90 0,00 245,70 27 174051 Клиническая психология. В 4-х т. Т. 2 Уч. Холмогорова А. Б. 432 2012 2 примірник 216,90 0,00 433,80 28 174064 Патопсихология. Уч. для бакалавров. Зейгарник Б. В. 367 2012 3 примірник 49,30 0,00 147,90 29 174065 Патопсихология. Уч. для бакалавров. Козьяков Р. В. 235 2012 2 примірник 79,30 0,00 158,60 30 173160 Психология и педагогика социальной работы с семьей Уч. Карцева Л. В. 224 2012 2 примірник 42,80 0,00 85,60 31 173992 Психология профессионализма. Инженерно - психологическ. Дружилов С. А. 296 2011 2 примірник 80,50 0,00 161,00 32 173162 Психология рекламной деятельности. уч. Измайлова М. А. 444 2012 2 примірник 50,50 0,00 101,00 33 170376 Психология труда. Уч. пос. Пряжников Н. С. 480 2012 2 примірник 178,40 0,00 356,80 34 173971 Психологія особистості. Навч. пос. Столяренко О. Б. 280 2012 2 примірник 66,60 0,00 133,20 35 173078 Психологія художньої творчості. Пос. Козачук С. А. 352 2012 2 примірник 67,60 0,00 135,20 36 174076 Психологія: Вступ до спеціальності. Навч. пос. Іванова О. В. 184 2013 2 примірник 51,30 0,00 102,60 37 174054 Этнопсихология. Уч. Платонов Ю. П. 240 2012 5 примірник 78,20 0,00 391,00 38 163659 Архитектура Зданий. Уч. Вильчик Н. П. 319 2012 2 примірник 92,10 0,00 184,20 39 166398 Введение в литературоведение. Основы теории литературы. Мещериков В. П. 422 2012 2 примірник 95,50 0,00 191,00 40 162854 Історія Педагогіки України в особах. Навч. пос. Мосіяшенко В. А. 266 2012 2 примірник 61,50 0,00 123,00 41 165672 Організація наукових дослідженнь. Навч. пос. Кислий В. Н. 224 2011 2 примірник 56,40 0,00 112,80 42 166419 Основи музеєзнавства. Пос. Виноградова О. В. 184 2012 2 примірник 51,30 0,00 102,60 43 573824 Теории личности. 3-е изд. Основные положения, исследования и применение Хьелл Л., Зигле Д. 680 2013 3 примірник 117,90 0,00 353,70 44 587687 Философия политики Шахай М. 234 2011 3 примірник 65,80 0,00 197,40 45 584743 Філософія історії. Підручник Габрієлян О. 216 2010 3 примірник 37,00 0,00 111,00 46 584349 Філософія освіти. навч. пос. Базалук О.А. 164 2010 4 примірник 43,10 0,00 172,40 47 590405 Філософія права. навч. пос. Сливка С.С. 256 2012 3 примірник 48,10 0,00 144,30 48 593402 Філософія правового виховання. навч. Гетьман А.П. 248 2012 2 примірник 56,40 0,00 112,80 5
  • 6.
    пос. 49 573889 Экспериментальная психология: учебникдля вузов 2-е изд Дружинин В. 320 2012 3 примірник 83,10 0,00 249,30 50 588963 Естетика. навч. пос. (гриф. МОН України) Анучина Л.В. 232 2010 2 примірник 41,10 0,00 82,20 51 592750 Етика та естетика. навч. пос. Чистіліна Т.О. 320 2013 3 примірник 81,90 0,00 245,70 52 575412 Етика. навч. пос. Реком. МОН України Вознюк Н.М. 300 2013 5 примірник 26,80 0,00 134,00 53 587668 Мусульманская мораль. Путеводитель по Корану Лобазов П.К. 160 2011 3 примірник 46,90 0,00 140,70 54 590241 Основи професійної етики та естетичної культури: до проведення масових заходів та спортивних змагань Петрова Г.Н., Кумеда Т.А. 192 2012 3 примірник 61,50 0,00 184,50 55 578511 Паломництво та релігійний туризм. навч. пос. Любіцева О.О. 432 2009 3 примірник 115,10 0,00 345,30 56 589844 Прикладна етика. Навчальний посібник, рекомендовано МОН Панченко В.І. 392 2012 3 примірник 87,00 0,00 261,00 57 280851 Релігії світу. Шугаєва 256 2011 2 примірник 44,10 0,00 88,20 58 280394 Социология религи. Уч. пос. Гараджа В. И. 304 2012 2 примірник 107,60 0,00 215,20 59 592665 Все про соціальну роботу. Посібник за ред. Пічі В.М. 616 2012 3 примірник 43,10 0,00 129,30 60 290461 Економічна статистика. навч. пос. Крамченко Л.і. 400 2012 3 примірник 55,40 0,00 166,20 61 593164 Практикум з теорії статистики. 4-е видання. навч. пос. Мармоза А.Т. 484 2013 3 примірник 92,10 0,00 276,30 62 581162 Соціальна робота. Теорія і практика. Підручник Лукашевич М.П. 368 2011 3 примірник 76,80 0,00 230,40 63 584738 Соціологія і психологія. Пос. Пачковський 760 2012 5 примірник 88,00 0,00 440,00 64 576791 Соціологія культури. Підручник Юрія М.Ф. 304 2006 3 примірник 44,90 0,00 134,70 65 271468 Соціологія мистецтва. Підручник Семашко О.М. 244 2012 5 примірник 41,10 0,00 205,50 66 280305 Соціологія: загальний курс. Підручник Піча В.М. 278 2013 5 примірник 51,30 0,00 256,50 67 590752 Теорія статистики: підручник. Затверджено МОН Ковтун Н.В. 399 2012 3 примірник 87,00 0,00 261,00 68 593393 Урбаністика. Підручник. Затверджено МОН України Шкадовський 278 2012 3 примірник 93,50 0,00 280,50 69 572103 Фінансово-банківська статистика. навч. пос. Вашків П. 512 2007 3 примірник 37,30 0,00 111,90 70 586070 Етнополітологія. навч. пос. Коршук Р.М. 198 2011 3 примірник 49,40 0,00 148,20 71 588426 Іміджологія. О.К.Л. Радченко С.Г. 76 2011 2 примірник 40,40 0,00 80,80 72 580480 Історія вчень про державу і право: Хрестоматія (5-е видання, доповнене і Демиденко Г.Г., Петришин О.В. 928 2013 3 примірник 133,00 0,00 399,00 6
  • 7.
    змінен) 73 575589 Історія зарубіжнихполітичних вчень нової доби. Навч. пос. Рекомендований МОН України Кирилюк Ф.М. 416 2008 3 примірник 66,60 0,00 199,80 74 592844 Історія політичних та економічних вчень. Навч. пос. Рекомендований МОН України Л.бохинець Л.С. 294 2013 3 примірник 66,60 0,00 199,80 75 590219 Муніципальна соціально-економічна політика. Навчальний посібник Утвенко В.В. 140 2011 2 примірник 29,00 0,00 58,00 76 590772 Політико-правові системи світу. Навчальний посібник Гелей С.Д. 346 2012 3 примірник 87,00 0,00 261,00 77 586846 Політичні комунікації. О.К.Л. Гусєва Н.Ю. 86 2011 2 примірник 30,90 0,00 61,80 78 590775 Політологія. Навчальний посібник Реком. МОН України Гелей С.Д. 348 2013 3 примірник 81,90 0,00 245,70 79 590780 Розвиток людського капіталу в умовах глобалізації Ларіна Я. 248 2012 2 примірник 46,20 0,00 92,40 80 590786 Теорія держави і права. Посібник для підготовки до державних іспитів Петришина О.В. 192 2012 3 примірник 61,50 0,00 184,50 81 209863 Зовнішня політика України. Підр. Чекаленко Л. Д. 290 2011 2 примірник 108,70 0,00 217,40 82 Л12026 Референдне право України Погорілко В.Ф., Федоренко В.Л. 366 4 примірник 13,60 0,00 54,40 83 589869 Економіка праці і соціально-трудових відносин. Навч. пос. Рекомендований МОН України Акулов М.Г. 328 2012 3 примірник 76,80 0,00 230,40 84 592736 Економічна діагностика. Навчальний посібник рекомендовано МОН України Кривов'язюк І.В. 450 2013 3 примірник 87,00 0,00 261,00 85 590819 Економічна теорія. Національна економіка. Підручник. Затверджено МОН Тарасевич В.М. 270 2012 3 примірник 30,90 0,00 92,70 86 592741 Економічна теорія: Політекономія: Практикум: Навч. посіб. 2-ге вид. стер. Реком. МОН За ред. Базилевича В.Д. 496 2013 2 примірник 51,30 0,00 102,60 87 572087 Міжнародні економічні відносини: історія. Підручник Філіпенко А.С. 392 2007 3 примірник 41,10 0,00 123,30 88 572255 Прогнозування і макроекономічне планування. Пос. Доморадзьська 304 2013 4 примірник 76,80 0,00 307,20 89 584031 Прогнозування і макроекономічне планування. Пос. Косянчук Т.Ф. 296 2012 3 примірник 46,20 0,00 138,60 90 593244 Ринок праці. Навчальний посібник рекомендовано МОН України Чернявська О.В. 522 2013 3 примірник 102,30 0,00 306,90 7
  • 8.
    91 584976 Системнийаналіз. Підручник Катренко А.В. 396 2012 3 примірник 80,90 0,00 242,70 92 584037 Соціальна валеологія. Пос. Копа В.Н. 204 2011 5 примірник 32,90 0,00 164,50 93 125315 Державне регулювання економіки. Курс лекцій. Ковтун О. І. 388 2012 2 примірник 62,80 0,00 125,60 94 127018 Зовнішньоекономічна діяльність підприємства. Навч. пос. Шкурупій О. В. 304 2012 2 примірник 71,70 0,00 143,40 95 126443 Информационные системы в экономике. Уч. пос. Чистов Д. В. 234 2012 3 примірник 61,60 0,00 184,80 96 126978 історія економіки та економічноії думки. Підр. Мазурок П. П. 432 2011 3 примірник 102,30 0,00 306,90 97 127161 Макроэкономика. Уч. Басовский Л. Е. 202 2012 3 примірник 78,60 0,00 235,80 98 126780 Микроэкономика. продвинутый уровень. Уч. Черемных Ю. Н. 844 2012 3 примірник 171,00 0,00 513,00 99 126977 Національна економіка. Навч. пос. Прядко В. В. 296 2011 2 примірник 89,60 0,00 179,20 100 127150 Економіка підприємства Калініченко О. В., Плотник О. Д. 600 2012 3 примірник 114,60 0,00 343,80 101 Л12048 Національна економіка Старостенко Г.Г. та інші 432 2012 5 примірник 67,20 0,00 336,00 102 Л12072 Методика викладання економіки в школі Ковальова К.І., Ковальов В.В. 184 2012 3 примірник 57,40 0,00 172,20 103 592593 Адміністрування податків. Навчальний посібник рекомендовано МОН України Калінеску Т.В. 290 2013 3 примірник 71,70 0,00 215,10 104 590858 Аудит: теорія і практика застосування міжнародних стандартів. Посібник Петренко С.Н., Пальцун І.М. 520 2013 5 примірник 102,30 0,00 511,50 105 592626 Бухгалтерський облік. Навчальний посібник рекомендовано МОН України Садовська І.Б. 688 2013 5 примірник 133,00 0,00 665,00 106 590859 Бухгалтерський облік в сфері послуг. Навчальний посібник рекомендовано МОН України Фаріон І.Д. 504 2013 5 примірник 108,70 0,00 543,50 107 590870 Калькуляція собівартості продукції, робіт та послуг. Навчальний посібник рекомендовано МОН України Оксанич О.Е. 326 2013 5 примірник 76,80 0,00 384,00 108 593834 Контролінг для менеджерів. Навчальний посібник рекомендовано МОН України Маркіна І.Д. 304 2013 3 примірник 76,80 0,00 230,40 109 32138 Контролінг. Пос. Портна О.В. 376 2013 4 примірник 92,10 0,00 368,40 110 580757 Облік у банках. Пос. Стасишен М.С. 228 2013 2 примірник 57,40 0,00 114,80 111 590876 Облік у зарубіжних країнах. Навчальний посібник рекомендовано Верига Ю.А. 216 2013 3 примірник 61,50 0,00 184,50 8
  • 9.
    МОН України 112 593054 Організаціяподаткового контролю. Науково-практичний посібник Попова С.Н. 290 2013 3 примірник 71,70 0,00 215,10 113 Л12062 Податкова система. Навч. посіб. Сідельникова Л. П. 576 2012 5 примірник 98,50 0,00 492,50 114 593274 Спрощена система оподаткування: загальні положення, облік і звітність: навчально-практичний посібник Чабанюк О.М., Мединська Т.В. 208 2013 2 примірник 44,90 0,00 89,80 115 590887 Фінансовий облік - 1. Навчальний посібник рекомендовано МОН України Шара Є.Ю. 408 2012 2 примірник 87,00 0,00 174,00 116 51500 Аудит. Пос. Лозовицькиий С. П. 466 2011 3 примірник 92,10 0,00 276,30 117 51549 Бухгалтерський облік : Основи теорії та практики. Підр. Загородній А. Г. 340 2012 2 примірник 65,30 0,00 130,60 118 51411 История бухгалтерского учета. Уч. пос. для вузов Лупикова Е. В. 256 2012 2 примірник 31,30 0,00 62,60 119 Л12034 Теорія бухгалтерського обліку. (Вид 5-те, випр. і дп.) Білоусько В. С. 402 2010 3 примірник 36,00 0,00 108,00 120 590892 Банківська система. Підручник Реверчук С.К. 590 2013 5 примірник 102,30 0,00 511,50 121 590894 Банківські операції. Навчальний посібник рекомендовано МОН України Ковальчук К.Ф. 162 2013 3 примірник 51,30 0,00 153,90 122 592633 Валютні операції. Підручник затверджений МОН України Божидарнік Н.В. 698 2013 4 примірник 122,80 0,00 491,20 123 590905 Гроші та кредит. Посібник Бандурка 380 2013 5 примірник 102,30 0,00 511,50 124 590491 Інвестування. Підручник Денисенко М.П. 272 2012 3 примірник 58,30 0,00 174,90 125 100435 Інвестування. Теорія і практика інвестиційної діяльності. Посібник Дука А.П. 432 2013 3 примірник 79,90 0,00 239,70 126 588161 Казначейська справа. Підручник, згідно нового Бюджетного кодексу України станом на 01 січня 2012 року Галушко Е.О., Охрімовський 590 2012 5 примірник 102,30 0,00 511,50 127 588882 Корпоративные финансы: Учебник для вузов. Стандарт третьего поколения Романовский М.В. 592 2013 5 примірник 121,20 0,00 606,00 128 592996 Міжнародні фінанси. Навчальний посібник Князь С.В. та інші 364 2013 3 примірник 68,60 0,00 205,80 129 590913 Міжнародні фінанси. Навчальний посібник Макаренко М.І. 548 2013 5 примірник 112,50 0,00 562,50 130 592999 Місцеві фінанси. Навчальний посібник рекомендовано МОН Ніколаєва О.М. 354 2013 4 примірник 81,90 0,00 327,60 9
  • 10.
    України 131 590919 Фінанси підприємств.Навчальний посібник Ярошевич Н.Б. 341 2012 3 примірник 81,90 0,00 245,70 132 583794 Фінанси. Пос. згідно нового Податкового кодексу України станом на 01 січня 2012 року Біла О.Г. 390 2012 3 примірник 92,10 0,00 276,30 133 590921 Фінанси. Посібник Іжевський 376 2013 2 примірник 92,10 0,00 184,20 134 590924 Фінансова санація та банкрутство. Навчальний посібник рекомендовано МОН України Штангрет А.М., Шляхетко В.В. 374 2012 3 примірник 87,00 0,00 261,00 135 590926 Фінансовий аналіз. Навчальний посібник рекомендовано МОН України Косова Т.Д. 440 2013 5 примірник 97,20 0,00 486,00 136 590927 Фінансовий аналіз. Пос. Склабінська А.І. 346 2013 4 примірник 63,50 0,00 254,00 137 583795 Цінні папери і фондовий ринок. Пос. Поважний О.С. 364 2012 5 примірник 76,80 0,00 384,00 138 100518 Банки та банківська діяльність. Збірник офіційних текстів за… 498 2012 2 примірник 76,80 0,00 153,60 139 100411 Банківська справа. Вовчак О. Д. 560 2012 3 примірник 71,70 0,00 215,10 140 111501 Фінанси. Біла О. Г. 390 2012 3 примірник 92,10 0,00 276,30 141 587102 Старахування. Навчальний посібник рекомендовано МОН України Фисун І.В. 240 2011 2 примірник 56,40 0,00 112,80 142 190552 Страхування. Підручник Плисса В.О. 472 2010 2 примірник 67,60 0,00 135,20 143 590941 Конкурентоспособность предприятия. Пособие Должанський І.З. 344 2013 3 примірник 61,50 0,00 184,50 144 592899 Корпоративне управління. Підручник Поважний О.С. 244 2013 2 примірник 60,10 0,00 120,20 145 592966 Менеджмент малих та середніх підприємств. Навчальний посібник Сахно Є.Ю. 342 2013 2 примірник 52,90 0,00 105,80 146 592968 Менеджмент регіонального розвитку Гладкий О. 248 2013 2 примірник 51,30 0,00 102,60 147 590954 Прийняття рішень: теорія та практика. Посібник Катренко А.В. 448 2013 3 примірник 102,30 0,00 306,90 148 588029 Управління персоналом. Нав. Посіб. Рульєв В.А. 310 2013 3 примірник 64,60 0,00 193,80 149 593391 Управління фінансовою санацією підприємства. Підручник Затверджено МОН України Говорушко Т.А. 400 2013 3 примірник 81,90 0,00 245,70 150 579256 Управління якістю. Посібник Агєєв Є.Я. 240 2013 3 примірник 37,00 0,00 111,00 151 593395 Фандрайзінг. Навчальний посібник Чернявська О.В. 188 2013 3 примірник 46,20 0,00 138,60 152 33858 Менеджмент. Навч. пос. Кузьмін О. Є. 240 2012 2 примірник 61,50 0,00 123,00 153 33905 Основы управления персоналом. Уч. пос. Лукашевич В. В. 272 2012 3 примірник 44,40 0,00 133,20 154 Л12064 Менеджмент і маркетинг туризму. Лугінін О. Є. 364 2012 3 примірник 73,50 0,00 220,50 10
  • 11.
    Навч. пос. 155 590978 PRдля менеджерів і маркетологів. Навчальний посібник рекомендовано МОН України Примак т.О. 202 2013 3 примірник 56,40 0,00 169,20 156 593831 Інвентаризація. Практичний посібник Лівшиц Д.М. 140 2013 3 примірник 36,00 0,00 108,00 157 Л12058 Маркетинг інформаційних продуктів і послуг. (Реком. МОН) Палеха Ю. І. 478 2013 3 примірник 89,60 0,00 268,80 158 Л12095 Маркетинг технічних інновацій Ніколенко І.В. 406 2013 5 примірник 102,30 0,00 511,50 159 580611 Маркетинг турпродукту. навч. пос. Мунін Г.Б. 394 2009 3 примірник 71,70 0,00 215,10 160 587026 маркетинг у бідівництві. навч. пос. Ушацький С. 312 2011 5 примірник 49,00 0,00 245,00 161 584039 Товарно-інноваційна політика. Посібник Дайновський Ю. 244 2013 3 примірник 40,10 0,00 120,30 162 42045 Основы маркетинга. Уч. пос. для вузов. Секерин В. Д. 232 2012 2 примірник 52,20 0,00 104,40 163 Л12067 Маркетингові комунікації туристичних підприємств: сучасна теорія і практика Забуранна Л.В., Сіренко К.В. 152 2012 4 примірник 49,40 0,00 197,60 164 Л12067 Маркетингові комунікації туристичних підприємств: сучасна теорія і практика Забуранна Л.В., Сіренко К.В. 152 2012 4 примірник 49,40 0,00 197,60 165 Л12066 Сертифікація персоналу Чурсіна Л.А. 326 2012 3 примірник 62,80 0,00 188,40 166 Л12091 Сертифікація товарів та послуг Тіхосова Г.А. та інші 224 2013 5 примірник 82,40 0,00 412,00 167 Л12098 Стандартизація продукції та послуг Чурсіна Л.А. та інші 226 2013 5 примірник 58,30 0,00 291,50 168 Л12036 Технологія виробництва борошняних кондиторських виробів Ростовський В.С., Новікова О.В. 574 2012 3 примірник 77,10 0,00 231,30 169 Л12090 Товарознавство та експертиза в митній справі Чурсіна Л.А., та інші 202 2013 5 примірник 67,20 0,00 336,00 170 592591 Адміністративне право України. Для підготовки до іспитів. Навчальний посібник Тетарчук І.В. 214 2013 5 примірник 41,10 0,00 205,50 171 580054 Адміністративне право України. Підручник Коломоєць Т.О. 528 2012 3 примірник 61,50 0,00 184,50 172 593821 Адміністративне судочинство. Для підготовки до іспитів. Навчальний посібник Тетарчук І.В. 186 2013 3 примірник 41,10 0,00 123,30 173 592684 Господарське право України Для підготовки до іспитів. Навчальний посібник Тетарчук І.В. 208 2013 3 примірник 41,10 0,00 123,30 174 29914 Господарське право України Задихайло Д.В. 696 2012 3 примірник 102,30 0,00 306,90 11
  • 12.
    Підручник 175 591058 Господарське право.Навчально- методичний посібник для самостійної роботи та практичних занять. Задихайло Д.В. 124 2012 3 примірник 20,70 0,00 62,10 176 592685 Господарсько-процесуальне право України. Для підготовки до іспитів. Навчальний посібник Тетарчук І.В. 208 2013 3 примірник 41,10 0,00 123,30 177 589568 Господарсько-процесуальне право. Підручник Подцерковний 400 2012 3 примірник 74,30 0,00 222,90 178 574031 Державне обвенувачення в суді за новим кримінальним процесуальним законодавством України. Навчальний посібник Каркач П.М. 184 2013 3 примірник 51,30 0,00 153,90 179 592727 Екологічне право України. Особлива частина. Навчальний посібник рекомендовано МОН України Шуміло О.М. 432 2013 3 примірник 92,10 0,00 276,30 180 593832 Історія держави і право зарубіжних країн. Для підготовки іспитів. Навчальний посібник Тетарчук І.В. 172 2013 4 примірник 41,10 0,00 164,40 181 590396 Історія українського права. Підручник Безклубий І. 336 2010 5 примірник 57,80 0,00 289,00 182 592892 Конституційне право зарубіжних країн. Для підготовки іспитів. Навчальний посібник Тетарчук І.В. 206 2013 3 примірник 41,10 0,00 123,30 183 592893 Конституційне право України. Для підготовки іспитів. Навчальний посібник Тетарчук І.В. 218 2013 3 примірник 41,10 0,00 123,30 184 588228 Конституційне право України. Навчальний посібник Годованець В.Ф. 384 2011 3 примірник 68,00 0,00 204,00 185 591158 Конституційне право України. Посібник для підготовки до іспиту. Барабаша Ю.Г. 304 2012 3 примірник 71,70 0,00 215,10 186 593836 Криміналістика. Для підготовки до іспитів. Навчальний посібник Тетарчук І.В. 200 2013 3 примірник 41,10 0,00 123,30 187 592909 Кримінальне право України. Для підготовки до іспитів. Навчальний посібник Тетарчук І.В. 240 2013 5 примірник 41,10 0,00 205,50 188 591185 Кримінальний процес України. Навчальний посібник Молдован А.В. 368 2013 3 примірник 81,90 0,00 245,70 189 592924 Кримінологія. Посібник для підготовки до іспитів. Навчальний посібник Тупчієнко Д.Л. 240 2013 3 примірник 41,10 0,00 123,30 190 593839 Міжнародне право. Для підготовки до Тетарчук І.В. 208 2013 3 примірник 41,10 0,00 123,30 12
  • 13.
    іспитів. Навчальний посібник 191576324 Патентознавство та авторське право. Навчальний посібник Кузнєцов Ю.М. 428 2008 3 примірник 58,30 0,00 174,90 192 585194 Патентознавство та авторське право. Опорний конспект лекцій Тарасенко І.І. 66 2011 3 примірник 25,80 0,00 77,40 193 593149 Правові основи інвестиційної діяльності. Навчальний посібник Смітюх А.В. 420 2013 5 примірник 51,30 0,00 256,50 194 592363 Розслідування окремих видів злочинів. Навчальний посібник рекомендовано МОН України Алєксєєв О.О. 278 2013 3 примірник 76,80 0,00 230,40 195 587098 Сімейне право України. 2-ге видання. Навчальний посібник рекомендовано МОН України Апопій І.В. 360 2011 3 примірник 76,80 0,00 230,40 196 592364 Сімейне право України. 2-ге видання. Навчальний посібник рекомендовано МОН України Дякович М.М. 552 2012 3 примірник 62,10 0,00 186,30 197 591310 Сімейне право України. 2-ге видання. Навчальний посібник Дякович М.М. 552 2012 3 примірник 62,10 0,00 186,30 198 591312 Сімейне право. Підручник (гриф МОН України) Борисова В.І. 320 2012 2 примірник 66,60 0,00 133,20 199 593297 Судові та правоохоронні органи України. Для підготовки до іспитів. Навчальний посібник Тетарчук І.В. 202 2013 3 примірник 41,10 0,00 123,30 200 593300 Судоустрій України. Навчальний посібник Жуковський О.Г. 416 2013 3 примірник 97,20 0,00 291,60 201 592553 Судоустрій. Україна, Велика Британія, російська Федерація, США, ФРН, Франція. Судові органи ООН. Молдован В.В. 364 2013 3 примірник 81,90 0,00 245,70 202 589026 Транспортне право України Булгакова І.В. 344 2011 3 примірник 76,80 0,00 230,40 203 587640 Транспортне право України. Підручник Гіжевський В.К. 332 2012 3 примірник 57,70 0,00 173,10 204 591336 Трудове право. Підручник (гриф МОН України) Жернакова В.В. 496 2012 3 примірник 102,30 0,00 306,90 205 593362 Трудові відносини. Правове регулювання Григоренко А.В. 352 2012 3 примірник 66,60 0,00 199,80 206 591337 Трудові спори. Навчальний посібник Дараганова Н.В. 272 2012 5 примірник 62,80 0,00 314,00 207 593430 Цивільне право України. Загальна частина. Навчальний посібник Берестова І.Е. 432 2013 3 примірник 123,90 0,00 371,70 208 593431 Цивільне право України. Для підготовки до іспитів. Навчальний посібник Тетарчук І.В. 160 2012 2 примірник 41,10 0,00 82,20 13
  • 14.
    209 593433 Цивільне процесуальнеправо України. Для підготовки до іспитів. Навчальний посібник Тетарчук І.В. 208 2013 4 примірник 41,10 0,00 164,40 210 592668 Вступ до спеціальності "Корекційна освіта": Навчальний посібник Колишкін О.В. 392 2012 3 примірник 81,90 0,00 245,70 211 589958 Дошкільна лінгводидактика: Теорія і методика навчання дітей рідної мови в дошкільних навчальних закладах. Підручник Богуш А.М. 704 2011 5 примірник 58,40 0,00 292,00 212 592713 Дошкольная педагогика с основами методик воспитания и обучения. Учебник для вузов. Стандарт третьего поколения Гогоберидзе А.Г. 464 2013 3 примірник 105,60 0,00 316,80 213 591368 Етичний розвиток педагога Хоружа Л. 208 2012 4 примірник 41,10 0,00 164,40 214 589063 Етнопедагогіка дитинства. (навчально- методичний пос.) Лисенко Н.В. 720 2011 4 примірник 61,10 0,00 244,40 215 591370 Інноваційно-педагогічні технології (Видання 2-ге) Дичківська І. 352 2012 2 примірник 59,50 0,00 119,00 216 589808 Інформаційна культура студента. навч. пос. Свістельник І. 182 2012 3 примірник 34,20 0,00 102,60 217 290442 Історія педагогіки України в особах. навч. пос. Мосіяшенко 266 2012 3 примірник 61,50 0,00 184,50 218 589674 Корекція фонетико-фонематичного недорозвинення мовлення дітей дошкільного віку засобами артпедагогіки:навч. Литвиненко В.А. 144 2012 5 примірник 36,00 0,00 180,00 219 589065 Логодидактика. (Навчально- методичний посібник. Рекомендовано МОНУ) Тарасун В.В. 392 2011 5 примірник 63,20 0,00 316,00 220 591373 Магістерська робота. Методологія її виконання. Посібник Поперечний 208 2012 4 примірник 61,50 0,00 246,00 221 591374 Методи та технології соціальної роботи педагога (Навчальний посібник рекомендовано МОНУ) Архіпова С.П., Майборода Г.Я. 496 2013 4 примірник 44,30 0,00 177,20 222 589858 Методика викладання дисциплін соціально-педагогічного циклу. Навчальний посібник Войнола Р.Х. 140 2012 3 примірник 41,10 0,00 123,30 223 Л12072 Методика викладання економіки в школі: Навчальний посібник (Реком. МОН) Ковальова К.І., Ковальов В.В. 200 2012 4 примірник 57,40 0,00 229,60 224 588391 Методика викладання Кукалець М.В. 224 2013 6 примірник 45,20 0,00 271,20 14
  • 15.
    природознавства у початковійшколі. Посібник 225 589953 Методика виховної роботи. Навчальний посібник (Реком. МОНУ) Ярощук Л.Г. 320 2012 2 примірник 54,50 0,00 109,00 226 591376 Методика навчання української літератури Токмань Г. 312 2012 6 примірник 30,20 0,00 181,20 227 90525 Методика ознайомлення дітей з довкіллям у дошкільному навчальному закладі (Підручник. Рекомендовано МОНУ) Богуш А.М.,Гавриш Н.В. 480 2010 3 примірник 35,20 0,00 105,60 228 591377 Методика ознайомлення дітей з природою: Хрестоматія (Навчально- методичний посібник. Рекомендовано МОНУ) укладач Горопаха Н.М. 432 2012 3 примірник 49,00 0,00 147,00 229 586981 Методика організації художньо- мовленнєвої діяльності дітей у дошкільних навчальних закладах. (Підручник. Реком. МОНУ) Богуш А.М. 304 2010 3 примірник 29,30 0,00 87,90 230 586438 Методика формування міжкультурної іншомовної комунікативної компетенції: Курс лекцій: (навч. - метод. Пос.) Ніколаєва С.Ю. 332 2011 3 примірник 76,80 0,00 230,40 231 588433 Методичні рекомендаціїї до виконання магістерських робіт Мельник Т.М. 354 2011 2 примірник 22,60 0,00 45,20 232 593011 Настільна книга класного керівника: навч. метод. Посібник. Схвалено МОН Кузьмінський А.І. 262 2012 3 примірник 36,00 0,00 108,00 233 591381 Наукові основи викладання у вищій школі. Навч. пос. Малахова Н.Б. 208 2010 5 примірник 103,30 0,00 516,50 234 576173 Організаційна робота соціального педагога. Навч. пос. Сорочинська 198 2010 6 примірник 29,70 0,00 178,20 235 Л12081 Основи науково-дослідної роботи (Реком. МОН) Палеха Н. 336 2013 6 примірник 71,70 0,00 430,20 236 591383 Основи педагогічної ергономіки Карапузова Н. 192 2012 2 примірник 41,10 0,00 82,20 237 593099 Особиста безпека дитини: Навчальний посібник для педагогів та батьків Лоза О.Б. 384 2012 3 примірник 76,80 0,00 230,40 238 593113 Педагогика. Учебник для вузов. Стандарт третьего поколения Тряпицына А.П. 304 2013 5 примірник 76,50 0,00 382,50 239 591384 Педагогіка (Теорія виховання). (Навчальний посібник. Рекомендовано МОНУ). Мельничук С.Г. 288 2012 6 примірник 30,20 0,00 181,20 240 585278 Педагогіка. Вид. 3-тє Фіцула М. 560 2009 3 примірник 49,20 0,00 147,60 15
  • 16.
    241 585277 Педагогіка.Вид. 4-те Волкова Н. 616 2012 3 примірник 57,40 0,00 172,20 242 589576 Педагогіка. Навч. пос. Полякова Г.А. 374 2011 3 примірник 41,00 0,00 123,00 243 576337 Педагогіка. Навч. пос. Максим'юк С.П. 668 2009 2 примірник 76,20 0,00 152,40 244 583453 Педагогіка. Навч. пос. Курлянд З.Н. 304 2009 2 примірник 54,50 0,00 109,00 245 141799 Педагогіка. пос. Пальчевський 496 2012 2 примірник 70,70 0,00 141,40 246 576338 Педагогіка. Навч. посіб. 3-тє вид. випр. І доп. Пермяков О.А. 198 2012 4 примірник 20,70 0,00 82,80 247 589067 Педагогіка. Професійно-педагогічна культура вчителя (Навчально- методичний пос. Реком. МОНУ) Пальшкова І.О. 192 2011 3 примірник 39,30 0,00 117,90 248 590506 Педагогічна етика Васфнович Г. 256 2011 3 примірник 46,20 0,00 138,60 249 590505 Педагогічні технології Чепіль М. 224 2012 5 примірник 46,20 0,00 231,00 250 586692 Подготовка ребенка к школе. 200 упражнений, заданий, тестов, игр на CD Машталь 288 2011 3 примірник 60,40 0,00 181,20 251 593205 Професійна орієнтація і методика профорієнтаційної роботи. Курс лекцій. (Навчальний посібник. Рекомендовано МОНУ) Янцур М.С. 464 2012 3 примірник 49,80 0,00 149,40 252 588020 Професійна педагогіка. Навч. пос. Жигірь В.І. 336 2012 4 примірник 52,10 0,00 208,40 253 593219 Психологія і педагогіка вищої школи в запитаннях і відповідях. Навч. пос. Для самостійного вивчення дисципліни Туркот Т.І. 516 2013 3 примірник 138,10 0,00 414,30 254 589950 Психологія та педагогіка (Підручник. Рекомендовано МОНУ) Максименко 584 2013 3 примірник 58,40 0,00 175,20 255 578666 Психолого-педагогічні основи формування особистості. Навч. пос. Рекомендовано МОНУ Яблонко В.Я. 220 2008 3 примірник 35,00 0,00 105,00 256 574352 Санітарія та гігієна закладів ресторанного господарства: Підручник Іванова О.В., Капліна Т. 399 2012 3 примірник 87,00 0,00 261,00 257 589069 Соціальна педагогіка (Навчальний посібник. Рекомендовано МОНУ) Заверико Н.В. 240 2011 4 примірник 43,60 0,00 174,40 258 587099 Соціальна педагогіка. 5-е видання. Підручник затверджений МОН України Капська А.Й. 488 2011 3 примірник 81,90 0,00 245,70 259 586197 Соціальна педагогіка. Навч. пос. Рек. МОНУ Богданова І.М. 160 2011 2 примірник 40,10 0,00 80,20 260 141760 Соціальна педагогіка. Посібник Жигайло Н.В. 256 2011 2 примірник 37,00 0,00 74,00 261 585292 Соціально-педагогічна робота з Капська А.Й. 304 2010 3 примірник 33,70 0,00 101,10 16
  • 17.
    проблемними сім'ями. Посібник 262591391 Соціально-психологічні аспекти роботи з підлитками, схильними до девіацій. Посібник Лобанова А.С., Калашнікова 368 2012 2 примірник 66,60 0,00 133,20 263 591393 Теорія і методика професійної освіти. Навчальний посібник рекомендовано МОН України Курлянд З.Н. 390 2012 3 примірник 81,90 0,00 245,70 264 587583 Теорія і методика роботи з дитячими і молодіжними організацями Украни Лісовець О. 256 2011 3 примірник 43,10 0,00 129,30 265 172662 Теорія і практика професійного психологічного відбору. Навчальний посібник Корольчук М.С., Крайнюк В.М. 536 2012 3 примірник 61,50 0,00 184,50 266 90526 Технології професійної діяльності соціального педагога. (Навчальний посібник рекомендовано МОН України) Завацька Л.М. 240 2010 5 примірник 43,60 0,00 218,00 267 586198 Технології соціально-педагогічної діяльності. Навчальний посібник Паскаль О.В. 288 2011 3 примірник 78,30 0,00 234,90 268 586421 Університетська освіта. Навч.-метод. Посіб. Товканець Г.В. 182 2011 2 примірник 46,70 0,00 93,40 269 586774 Університетська освіта. Посіб. Козак Н.Л. 170 2013 5 примірник 28,80 0,00 144,00 270 586535 Університетська освіта: вступ до фаху.Посіб. Костирко І.Г. 352 2011 3 примірник 76,80 0,00 230,40 271 591395 Формування культури здорового способу життя учнів основной школи у позакласній роботі (Навчальнщ- метод. посібник.) Якименко С.І., Оксеньчук Н.В. 288 2012 3 примірник 36,60 0,00 109,80 272 233842 Дошкольная педагогика. Теория воспитания. Уч. пос. Микляева Н. В. 208 2012 2 примірник 126,00 0,00 252,00 273 233612 Инновационные педагогические технологии. Уч. пос. Гуслова М. Н. 288 2012 3 примірник 163,80 0,00 491,40 274 233740 Инновационные педагогические технологии: Активное обучение. Панфилова А. П. 192 2012 2 примірник 104,00 0,00 208,00 275 233613 История педагогики и образования. Уч. пос. Попов В. А. 208 2012 2 примірник 106,60 0,00 213,20 276 230802 Інноваційні педагогічні технології. Дичківська І. 352 2012 2 примірник 59,50 0,00 119,00 277 233754 Креативная педагогика: методология, теория, практика. Под ред. Попова. 319 2012 3 примірник 86,60 0,00 259,80 278 233805 Методика навчання української літератури в сердній школі. Токмань Г. 312 2012 2 примірник 35,20 0,00 70,40 279 233115 Методика преподавания русского Пахненко И. И. 336 2012 2 примірник 71,70 0,00 143,40 17
  • 18.
    языка в начальнойшколе 280 231419 Методика экологического воспитания дошкольников. Уч. пос. Николаева С. Н. 224 2012 2 примірник 137,50 0,00 275,00 281 233700 Организация научно - исследовательской работы студентов. Кукушкина В. В. 265 2012 3 примірник 113,80 0,00 341,40 282 233664 Основи наукових дослідженнь. Навч. пос. Колесников О. В. 144 2011 2 примірник 41,10 0,00 82,20 283 230715 Основи педагогіки вищої школи. Підр. Вітвицька С. С. 400 2011 2 примірник 76,80 0,00 153,60 284 233491 Основы педагогического мастерства. Уч. Якушева С. Д. 256 2012 2 примірник 160,40 0,00 320,80 285 233096 Педагогика. Уч. Сластёнин В. А. 496 2012 3 примірник 97,60 0,00 292,80 286 802441 Тесты. Готов ли ребенок к школе? Попова Д. А. 128 2012 3 примірник 31,70 0,00 95,10 287 802442 Тренинги развития с подростками: творчество, общение. Грицов А. Г. 416 2012 3 примірник 72,80 0,00 218,40 288 161119 Вступ до бібліографознавства. Навч. пос. Швецова - Водка Г. М. 220 2008 4 примірник 32,40 0,00 129,60 289 164770 Вступ до книгознавства. Навч. пос. Низовий М. А. 144 2009 2 примірник 22,60 0,00 45,20 290 589456 100 облич української естради Лепша І.Д. 408 2010 4 примірник 51,30 0,00 205,20 291 592557 101 полезная идея для художника и дизайнера Уайт К. 224 2013 3 примірник 59,90 0,00 179,70 292 593822 Візантологія: навчальний посібник. Рекомендовано МОН як навч. пос. Балух В.О., Балух О.В. 272 2012 2 примірник 38,50 0,00 77,00 293 592695 Декоративна флористика. Мистецтво квіткового дизайну. Навч. пос. Пузиренко Я.В. 232 2013 4 примірник 134,20 0,00 536,80 294 592696 Декоративне мистецтво (в практиці вчителяобразотворчих дисциплін). Навч. пос. Плазовська Л.В. 258 2013 4 примірник 134,20 0,00 536,80 295 585321 Дизайн зачіски. Навч. пос. Лубянська С.П. 216 2012 3 примірник 85,10 0,00 255,30 296 551392 Дизайн квітників. Навч. пос. Пушкар В. 336 2007 3 примірник 57,70 0,00 173,10 297 583720 Етногенез українського народу. Юрій М.Ф. 262 2007 3 примірник 62,80 0,00 188,40 298 590342 Європейський Союз. Історія і засади функціонування: Навч. посіб.-2-ге вид., виправ. І доп. Копійка В.В., Шинкаренко Т.І. 759 2012 3 примірник 204,40 0,00 613,20 299 591424 Історія античної літератури. Навчальний посібник рекомендовано МОН України Бєлаш Г.О. 236 2012 4 примірник 66,60 0,00 266,40 300 591425 Історія Європи. Посібник Панкова Є.В. 356 2013 3 примірник 97,20 0,00 291,60 301 585303 Історія зарубіжної літератури XX ст. Кузьменка В.І. 432 2012 5 примірник 61,50 0,00 307,50 302 590334 Історія зарубіжної літератури: Середні віки та Відродження: Підручник. - 3-тє Шаповалова М.С., Рубанова 476 2011 3 примірник 122,80 0,00 368,40 18
  • 19.
    вид., перероб. ідоп. Затверджено МОН 303 591427 Історія країн Центрально-Східної Європи (кінець XX - початок XXІ ст.): Навч. посіб.-2-ге вид., випр. І доп. Рекомендовано Кріль М.М. 262 2012 3 примірник 56,40 0,00 169,20 304 589050 Історія науки і техніки України Дещинський Л.Є. 328 2011 3 примірник 48,70 0,00 146,10 305 578168 Історія України. Вид. 3-те Бойко О. 704 2012 3 примірник 71,70 0,00 215,10 306 591430 Історія України. Навчальний посібник. Філіппенко Р.І. 352 2013 5 примірник 71,70 0,00 358,50 307 587149 Історія українознавства Кононенка П. 512 2011 3 примірник 69,70 0,00 209,10 308 589368 Історія української культури. 2-ге видання. Навчальний посібник рекомендовано МОН України Павлова О.Ю. 340 2013 5 примірник 76,80 0,00 384,00 309 591432 Історія української культури. Навч. Пос. Хома І.Я., Мина 356 2012 3 примірник 63,20 0,00 189,60 310 583576 Історія української культури. Навч. посіб. 4-те вид., стер. Рекомендовано МОН Шейко В.М., Білоцерківський 271 2012 3 примірник 30,90 0,00 92,70 311 572083 Історія української літератури XІX ст.: У 2 кн. Кн. 2. Підручник Жулинський М.Г. 712 2007 3 примірник 37,30 0,00 111,90 312 580505 Історія української літератури XІX ст.: У 2 кн. Кн. 1. Підручник Жулинський М.Г. 656 3 примірник 23,90 0,00 71,70 313 585304 Історія українського літературознавства і критики Наєнко М. 520 2010 3 примірник 59,50 0,00 178,50 314 99993 Історія української мови. Історична фонетика. Історична граматика Крижанівська О. 248 2010 3 примірник 61,40 0,00 184,20 315 247052 Археология. Уч. для бакалавров. Мартынов А. И. 460 2012 3 примірник 131,10 0,00 393,30 316 587070 Культурологія. 3-є видання. навч. пос. Реком. МОН України Гриценко Т.Б. 392 2011 3 примірник 92,10 0,00 276,30 317 586529 Культурологія. Етика. Естетика. пос. Савельєв В.П. 380 2012 3 примірник 81,90 0,00 245,70 318 271422 Культурологія. Пос. Піча В.М. 360 2012 5 примірник 71,70 0,00 358,50 319 591443 Культурологія. Навч. посіб. Рекомендовано МОН Шевнюк О.Л. 494 2012 3 примірник 63,50 0,00 190,50 320 590508 Культура і релігія Цвєтков О. 256 2011 5 примірник 41,10 0,00 205,50 321 588275 Музеєзнавство. Підручник. Гриф МНО України Якубовський В.І. 352 2012 5 примірник 31,50 0,00 157,50 322 585365 Нариси з соціолінгвістики. Навч. пос. Лариса Масенко 243 2010 3 примірник 44,90 0,00 134,70 323 591453 Огляд історії США. Навчальний посібник: Рекомендовано Вч. радою Ін-ту НПУ ім. М. Драгоманова Романовська Ю.Ю., Джон 136 2012 3 примірник 54,80 0,00 164,40 19
  • 20.
    324 Л12060 Реформи іконтрреформи другої половини XIX - початку XX століття в Російській імперії: історіографія Шаравара Т.О. 487 2011 4 примірник 105,70 0,00 422,80 325 590172 Основи дизайну інтер'єру. Навч. посібник Олійник О.П. 240 2011 3 примірник 61,00 0,00 183,00 326 591455 Основи музеєзнавства. Посібник Виноградова 184 2012 3 примірник 51,30 0,00 153,90 327 351698 Перукарське мистецтво. Підр. У 3-х кн. Кн. 1. Історія перукарської справи Горбатюк Н.А. 352 2005 4 примірник 57,70 0,00 230,80 328 352120 Перукарське мистецтво. Підр. У 3-х кн. Основи перукарської справи. Кн. 2. Орлов В.Ф. 576 2011 4 примірник 78,10 0,00 312,40 329 593259 Система виховної роботи в дитячих будинках та інтернатних установах. Підручник Докторович М.О. 176 2012 2 примірник 38,50 0,00 77,00 330 591472 Сучасна політична історія країн світу. Навч. посіб. Для студентів, аспірантів, викладачів ВНЗ Орлова Т.В. 677 2013 4 примірник 66,60 0,00 266,40 331 582215 Таємні організації: масонський рух в Україні Крижанівська 200 2009 2 примірник 76,80 0,00 153,60 332 585392 Українська драматургія XVII - XVIII ст. - 3-тє вид. Сулима М.М. 368 2010 3 примірник 71,70 0,00 215,10 333 572101 Українська етнологія. Навч. пос. Погиба Л. 400 2007 3 примірник 33,00 0,00 99,00 334 587039 Усна народна творчість. Навч. пос. Реком. МОН України Філоненко С.О. 416 2008 3 примірник 59,50 0,00 178,50 335 583455 Хрестоматия по истории мировой культуры. Уч. Пос. Мисюн А.В. 656 2009 4 примірник 93,50 0,00 374,00 336 246932 Архітектурна композиція. Навч. пос. Обідняк. М. М. 152 2011 3 примірник 81,60 0,00 244,80 337 245769 Основи біодизайну. Кольорова книга. Пос. Михайленко В. Є. 224 2011 3 примірник 80,90 0,00 242,70 338 247032 Основы архитектуры. Анвин С. 256 2012 2 примірник 162,20 0,00 324,40 339 335193 Курс сольфеджио. Диатоника. Уч. пос. Агажанов А. П. 168 2012 3 примірник 107,70 0,00 323,10 340 335188 Теория и методика музыкального воспитания. Уч. Гончарова О. В. 256 2012 3 примірник 152,60 0,00 457,80 341 Л12023 Основи ландшафного дизайну Крижанівська Н.Я. 218 2009 5 примірник 38,70 0,00 193,50 342 592620 Безпека життєдіяльності у сфері туризму. Навч. Пос. Козинець В.М. 576 2006 5 примірник 71,70 0,00 358,50 343 589768 Безпека життєдіяльності. Конспект лекцій За ред. Мохняка 224 2011 3 примірник 31,40 0,00 94,20 344 588959 Безпека життєдіяльності. Навч. Пос. Ковжога С.О. 304 2012 3 примірник 51,30 0,00 153,90 345 589334 Безпека життєдіяльності. Навч. Пос. Атаманчук П.С. 276 2011 3 примірник 66,60 0,00 199,80 20
  • 21.
    Реком. МОН України 346592621 Безпека життєдіяльності. Підручник затверджений МОН України Запорожець О.І. 448 2013 5 примірник 92,10 0,00 460,50 347 572215 Безпека життєдіяльності. Пос. Бедрій Я.І. 496 2012 3 примірник 76,80 0,00 230,40 348 591484 Генно-модифіковані організми: за і проти. Навчальний посібник Рекомендовано МОН України Бірта Г.О. 128 2012 6 примірник 41,10 0,00 246,60 349 592724 Екологічна безпека. Підручник Шмандій В.М. 366 2012 3 примірник 138,10 0,00 414,30 350 591487 Екологічна експертиза Артамонова Б.Б. 144 2012 3 примірник 33,90 0,00 101,70 351 550144 Екологічна стандартизація та сертифікація. Пос. Білецька Г.А. 140 2011 2 примірник 27,80 0,00 55,60 352 588934 Екологія міських систем. Посібник Клименко М.О. 294 2010 3 примірник 58,30 0,00 174,90 353 572077 Екологія рослин. Підручник Мусієнко М. 432 2007 5 примірник 44,90 0,00 224,50 354 Л12069 Екологія тварин. (Реком. МОН) Гайченко В. А. 246 2012 5 примірник 58,30 0,00 291,50 355 592728 Екологія. Підр. Васюкова Г.Т. 524 2012 3 примірник 94,00 0,00 282,00 356 591492 Инженерная и компьюторная графика (рос.) Учебник Под ред. В.Е. Михайленко 336 2013 4 примірник 89,10 0,00 356,40 357 591493 Інженерна екологія. Навч. Пос. Жигуц Ю.Ю. 170 2012 2 примірник 43,10 0,00 86,20 358 585412 Ландшафна екологія. Рекомендовано МОН України як навч. Пос. Гуцуляк В.М. 312 2010 3 примірник 64,10 0,00 192,30 359 593882 Охорона здоров'я в Україні. Навчальний посібник Пєтков В.П. 288 2013 5 примірник 91,60 0,00 458,00 360 586534 Охорона праці (питання та відповіді). Підручник Москальова 448 2012 3 примірник 92,10 0,00 276,30 361 580880 Охорона праці в галузі освіти: Навч. пос. - 3-тє вид., перероб. та доп. Катренко Л.А., Пістун І.П. 395 2012 3 примірник 76,80 0,00 230,40 362 591502 Охорона праці. Навч. пос. Кіт Ю.В. Та ін. 276 2012 2 примірник 61,00 0,00 122,00 363 591504 Рекреалогія. Посібник. 2 видання Стафійчук В.І. 263 2013 5 примірник 102,30 0,00 511,50 364 591505 Рекреаційне природокористування. Посібник Білецька Г.А. 152 2013 3 примірник 29,80 0,00 89,40 365 591506 Рекреаційні ресурси України. Посібник Бейдик О.О. 440 2013 5 примірник 153,40 0,00 767,00 366 589627 Формування правової компетентності майбутнього вчителя: Іваній О.М. 112 2012 2 примірник 28,80 0,00 57,60 367 290963 Безопасность жизнедеятельности и медецина катастроф. Киршин Н. М. 320 2012 3 примірник 169,70 0,00 509,10 368 291404 Безопасность жизнедеятельности. Уч. Мастрюков Б. С. 304 2012 3 примірник 98,60 0,00 295,80 369 291428 Безопасность жизнедеятельности. Уч. пос. Маликов А. Н. 576 2012 3 примірник 132,20 0,00 396,60 370 291315 Безпека життєдіяльності. Навч. пос. Ковжога С. О. 224 2012 2 примірник 51,30 0,00 102,60 21
  • 22.
    371 291407 Гигиенаи экология человека. Уч. Пивоваров Ю. П. 400 2012 3 примірник 107,70 0,00 323,10 372 291238 Екологічна економіка. Пос. Гринів Л. С. 350 2012 3 примірник 87,00 0,00 261,00 373 291340 Екологічний маркетинг. Навч. пос. Прокопенко О. В. 319 2012 3 примірник 66,60 0,00 199,80 374 291269 Основи охорони праці, безпеки життедіяльності та цивільно… Козяр М. М. 458 2011 3 примірник 53,80 0,00 161,40 375 291260 Основи охорони праці. Навч. пос. Івах Р. М. 464 2012 3 примірник 61,00 0,00 183,00 376 290595 Основи охорони праці. Підр. Гандзюк М. П. 384 2011 3 примірник 65,60 0,00 196,80 377 291206 Охорона праці. Навч. пос. Батлук В. А. 388 2011 3 примірник 78,30 0,00 234,90 378 291339 Методика викладання курсу безпеки життєдіяльності. Навч. пос. Вдовенко І. С. 196 2011 2 примірник 44,90 0,00 89,80 379 Л12069 Екологія тварин Гайченко В. А., Царик Й. В. 246 2012 6 примірник 58,30 0,00 349,80 380 585438 Практическое пособие по высшей математике. Типовые расчеты:Учебное пособие. 2-е изд. Баранова Е. 400 2013 2 примірник 91,40 0,00 182,80 381 592624 Біотехнологія. Вступ до фаху. Навчальний посібник Гаркава К.Г. та ін. 296 2012 2 примірник 57,70 0,00 115,40 382 589916 Ботаніка з основами гідроботаніки (водні рослини України) Якубенко Б.Є. та ін. 535 2011 2 примірник 64,10 0,00 128,20 383 262336 Медична хімія. Вид. 3-є вид. Підручник для ВМНЗ III - IV р.а.: Рекомендовано ЦМК МО Мороз А.С., Луцевич О.В. 776 2011 2 примірник 94,80 0,00 189,60 384 263641 Биология. Для поступающих в вузы. Ярыгин В. Н. 584 2012 3 примірник 81,00 0,00 243,00 385 263426 Биология. Уч. Константинов В. М. 320 2012 3 примірник 122,70 0,00 368,10 386 263268 Биохимия. Уч. пос. Дмитриев А. Д. 168 2012 3 примірник 46,20 0,00 138,60 387 262675 Ботаника. Уч. Родионова А. С. 288 2012 3 примірник 162,60 0,00 487,80 388 260686 Высшая математика. Уч. Ильин В. А. 608 2012 3 примірник 86,90 0,00 260,70 389 263756 География для профессий и специальностей социально эк Баранчиков Е. В. 304 2012 3 примірник 104,40 0,00 313,20 390 262748 Дискретная математика. Уч. Спирина М. С. 368 2012 2 примірник 177,40 0,00 354,80 391 263651 Концепции современного естествознания. (для бакалавров.) Садохин А. П. 408 2012 2 примірник 201,20 0,00 402,40 392 263696 Микробиология. Уч. для бакалавров. Емцев В. Т. 455 2012 2 примірник 115,00 0,00 230,00 393 263548 Наномир без формул. Головин Ю. И. 544 2012 3 примірник 112,00 0,00 336,00 394 263713 Начертательная геометрия. Уч. Дудкина Л. А. 256 2012 2 примірник 168,60 0,00 337,20 395 263698 Неорганическая химия. Уч. для бакалавров. Князев Д. А. 592 2012 2 примірник 137,60 0,00 275,20 396 263714 Основы научных исследований и изобретательства. Уч. Пос. Рыжков И. Б. 224 2012 3 примірник 155,50 0,00 466,50 22
  • 23.
    397 263440 Основыорганической химии. Уч. пос. Юровская М. А. 236 2012 3 примірник 83,50 0,00 250,50 398 263684 Сборник задач по начертательной геометрии с решением. Арустамов Х. А. 488 2012 3 примірник 117,00 0,00 351,00 399 354246 Основы микробиологии, санитарии и гигиены в пищевой пр. Мармузова Л. В. 160 2012 3 примірник 89,70 0,00 269,10 400 588872 Инженерная графика: Учебник для вузов. Стандарт третьего поколения Королев Ю.И. 464 2011 3 примірник 45,50 0,00 136,50 401 590286 Інженерна та комп'ютерна графіка За ред. Б.Д.Коваленка 512 2012 3 примірник 78,90 0,00 236,70 402 592887 Комп'ютерна графіка. Навчальний посібник рекомендовано МОН України Пічугін М.Ф. 346 2013 3 примірник 76,80 0,00 230,40 403 593330 Теорія телетрафіку. Посібник з редакц. 203 2013 3 примірник 56,40 0,00 169,20 404 155098 Веб - дизайн. Пасічник В.В. 530 2012 2 примірник 102,30 0,00 204,60 405 154195 Вы купили компьютер. 2-е изд. Полное руководство для нач. Симонович Г. 432 2012 2 примірник 39,80 0,00 79,60 406 156022 Интернет - проще простого! Алиев В. К. 192 2012 2 примірник 20,70 0,00 41,40 407 156132 Интернет для ваших родителей. Щербина А. А. 224 2012 3 примірник 44,10 0,00 132,30 408 156133 Интернет: от "чайника" к пользователю Колисниченко Д. 512 2012 2 примірник 82,60 0,00 165,20 409 152994 Компьютер - это просто. 4-е изд. Алиев В. К. 192 2012 2 примірник 21,30 0,00 42,60 410 151445 Краткий самоучитель работы на компьютере. 4-е изд. Левин А. 400 2012 2 примірник 32,30 0,00 64,60 411 155959 Персональный компьютер: учиться никогда не поздно. Спира И. 240 2012 3 примірник 53,30 0,00 159,90 412 246949 Евроремонт. Секреты мастерства. Симонов Е. 176 2012 4 примірник 52,40 0,00 209,60 413 241724 Електроніка і мікросхемотехніка. Підр. Сосков А. Г. 416 2012 3 примірник 91,10 0,00 273,30 414 242228 Електротехніка. Підр. Коруд В. Г. 448 2012 3 примірник 71,70 0,00 215,10 415 246735 Инженерная графика. Уч. Пуйческу Ф. И. 320 2012 3 примірник 150,00 0,00 450,00 416 244252 Конструирование женской одежды. Уч. Кочесова Л. В. 304 2012 3 примірник 151,50 0,00 454,50 417 246509 Материалы и методы нанотехнологии. Уч. пос. Старостин В. В. 431 2012 3 примірник 76,40 0,00 229,20 418 246511 Наноматериалы. Уч. пос. Рыжонков Д. И. 365 2012 3 примірник 76,40 0,00 229,20 419 246757 Наноэлектроника. Уч. пос. Борисенко В. Е. 223 2012 3 примірник 62,20 0,00 186,60 420 245854 Нетрадиционные и возобновляемые источники энергии. Уч. Сибикин Ю. Д. 232 2012 3 примірник 70,50 0,00 211,50 421 244966 Нетрадиційна енергетика. Дудюк Д. Л. 190 2011 3 примірник 51,30 0,00 153,90 422 245536 Основы геодезии, картографии и Кусов В. С. 256 2012 3 примірник 159,40 0,00 478,20 23
  • 24.
    космоаэросъёмки. Уч. пос. 423247151 Основы наноструктурного материаловедения. Возможности. Андриевский Р. А. 256 2012 3 примірник 86,20 0,00 258,60 424 246340 Садово-парковое строительство и хозяйство. Уч. Теодоронский В. 288 2012 3 примірник 154,30 0,00 462,90 425 247033 Садовый дизайн. Идеальные решения для вашего участка. Коэн С. 176 2012 3 примірник 122,90 0,00 368,70 426 247175 Современный квартирный сантехник, строитель и электрик. Кашкаров А. П. 256 2012 4 примірник 43,80 0,00 175,20 427 245472 Техническая механика. Уч Сафонова Г. Г. 320 2012 2 примірник 79,70 0,00 159,40 428 247034 Универсальные принципы дизайна. Лидвелл У. 272 2012 3 примірник 225,60 0,00 676,80 429 246832 Художнє проектування одягу. Пос. Корницька Л. А. 432 2011 3 примірник 77,80 0,00 233,40 430 208437 Сад в квартире. Огород на подоконнике. Кизима Г. А. 224 2012 3 примірник 16,60 0,00 49,80 431 351058 Повар. Уч. пос. для учащихся порофессиональных училищ. Шатун Л. 320 2012 3 примірник 45,30 0,00 135,90 432 354436 Почвоведение с основами геологии. Уч. пос. Курбанов С. А. 288 2012 3 примірник 107,70 0,00 323,10 433 354426 Почвоведение Уч. для бакалавров. Вальков В. Ф. 527 2012 4 примірник 115,00 0,00 460,00 434 353549 Технология швейных изделий. Уч. пос. Амирова Э. К. 512 2012 3 примірник 137,20 0,00 411,60 435 Л12080 Індустрія моди. Навч. пос. Мельник М. Т. 264 2013 3 примірник 55,60 0,00 166,80 436 Л12004 Будівельне матеріалознавство Кривенко В. П. Та інш. 624 2012 6 примірник 87,80 0,00 526,80 437 Л12080 Індустрія моди Мельник М. Т. 264 2013 6 примірник 55,60 0,00 333,60 438 Л12079 Матеріалознавство Афтанділянц Є.Г. та інші 600 2012 3 примірник 111,90 0,00 335,70 439 Л12061 Матеріалознавство. Для архітекторів та дизайнерів Пушкарьова К.К. та інші 592 2012 4 примірник 121,70 0,00 486,80 440 Л12081 Основи науково-дослідної роботи Палеха Ю. І., Леміш Н. О. 320 2013 5 примірник 71,70 0,00 358,50 441 583884 Анатомія та фізіологія людини: Підруч. Для мед. ВНЗ І-ІІ рів. Акред. - 4-те вид., випр. Затверджено МОЗ Сидоренко П.І. 248 2012 3 примірник 61,50 0,00 184,50 442 252621 Анатомія, фізіологія і патологія: Підр. Для ВНЗ І-ІІ рів. акредит Федонюк Я.І. 680 2012 5 примірник 67,20 0,00 336,00 443 591565 Валеологія. 2-ге видання. Підручник затверджений МОН Грибан В.Г. 342 2012 3 примірник 76,80 0,00 230,40 444 585249 Валеологія. Основи індивідуального здоров'я людини: Курс лекцій Міхеєнко О.І. 400 2010 3 примірник 56,40 0,00 169,20 24
  • 25.
    445 589683 Здоровий спосібжиття: навчальний посібник Єжова 127 2012 3 примірник 30,90 0,00 92,70 446 586585 Основи профілактичної медицини: Підручник для мед. ВНЗ І-ІІ рів. Акред. - 2-ге вид., перероб. Та доп. Допущено МОЗ Бебешко П.С. 184 2011 2 примірник 41,10 0,00 82,20 447 593116 Перша медична допомога. Підручник Григус І.М. 176 2013 3 примірник 37,00 0,00 111,00 448 591601 Сексуальне і репродуктивне здоров'я чоловіків та жінок. Науково- популярне видання Плахтій П.Д., Білінський О.М. 248 2011 3 примірник 19,80 0,00 59,40 449 591604 Судова медицина (Комплексний навчальний посібник) Нор В.Т. 272 2012 4 примірник 32,80 0,00 131,20 450 590202 Судова медицина. Медичне законодавство: у 2-х кн.: Кн. 1: Судова медицина: Підручник для мед. ВНЗ IV рів. акред.. - 2-ге вид. Москаленка В.Ф. 448 2012 2 примірник 87,00 0,00 174,00 451 590201 Судова медицина. Медичне законодавство: у 2-х кн.: Кн. 2: Медичне законодавство: правова регламентація лікарської... Москаленка В.Ф. 496 2012 2 примірник 92,10 0,00 184,20 452 589599 Судова медицина. Навчальний посібник для студентів вищого юридичного навчального закладу Нетудихатка О.Ю., Мавед 240 2012 2 примірник 73,00 0,00 146,00 453 591612 Физиология человека: Учебник для мед. ВУЗ IV ур. аккред..-2-е изд. Утверждено МОН Филимонов В.И. 816 2012 3 примірник 199,30 0,00 597,90 454 588285 Фізіологічні основи фізичного виховання та спорту. Гриф МОН України Плахтій П.Д. 176 2011 4 примірник 15,90 0,00 63,60 455 590199 Фізіологія людини: Підручник для мед. ВНЗ І-ІІІ рів. акред. - 2-ге вид., випр. Затверджено МОЗ Філімонов В.І. 488 2013 3 примірник 97,20 0,00 291,60 456 588163 Фізіотерапія. Пос. Федорів Я.-Р.М. 560 2011 3 примірник 122,80 0,00 368,40 457 143551 Фізична реабілітація. Свістельник І. 1162 2012 3 примірник 250,40 0,00 751,20 458 259737 Анатомия и возрастная физиология. Уч. для бакалавров. Дробинская А. О. 527 2012 3 примірник 125,80 0,00 377,40 459 253339 Анатомия и физиология человека с возрастными особенностями. Сапин М. Р. 384 2012 3 примірник 132,20 0,00 396,60 460 251198 Анатомия и физиология человека. Уч. Федюкович Н. И. 510 2012 4 примірник 64,30 0,00 257,20 461 257140 Валеологія. Підр. Грибан В. Г. 342 2012 5 примірник 76,80 0,00 384,00 462 259195 Возрастная анатомия, физиология и назарова Е. Н. 256 2012 3 примірник 160,10 0,00 480,30 25
  • 26.
    гигиена. Уч. 463 259646 Генетикачеловека с основами медицинской генетики. Уч. Хандогина Е. К. 208 2012 3 примірник 153,30 0,00 459,90 464 255767 Естетотерапія. Навч. пос. Федій О. А. 256 2012 3 примірник 76,80 0,00 230,40 465 259028 Здоровий спосіб життя. Навч. пос. Єжова О. О. 127 2012 3 примірник 30,90 0,00 92,70 466 251750 История физической культуры и спорта. Уч. пос. Голощапов Б. Р. 320 2012 3 примірник 137,10 0,00 411,30 467 259738 Корекционная работа по развитию познавательной сферы. Речицкая Е. Г. 256 2012 3 примірник 86,90 0,00 260,70 468 258331 Логопедические занятия по развитию связной речи младших… Андреева Н. Г. 182 2012 3 примірник 59,90 0,00 179,70 469 258444 Медицина катастроф. Уч. пос. Сидоров П. И. 320 2012 2 примірник 152,60 0,00 305,20 470 255595 Микробиология. Уч. Нетрусов А. И. 384 2012 2 примірник 184,90 0,00 369,80 471 252452 Основы биохимии для медицинских колледжей. Уч. пос. Пустовалова Л. М. 440 2012 2 примірник 55,20 0,00 110,40 472 259686 Основы медицинских знаний и здорового образа жизни. Назарова Е. Н. 192 2012 3 примірник 141,00 0,00 423,00 473 259724 Основы медицинских знаний. Уч. пос. Лытаев С. А. 272 2012 2 примірник 152,60 0,00 305,20 474 259505 Основы микробиологии, вирусологии и иммунологии. Камышева К. С. 281 2012 2 примірник 39,00 0,00 78,00 475 252455 Основы социальной медицины. Уч. для вузов. Тен. Е. Е. 256 2012 2 примірник 39,10 0,00 78,20 476 256036 Первая медицинская помощь. Уч. пос. Глыбочко П. В. 240 2012 3 примірник 131,70 0,00 395,10 477 257652 Психология спорта. Ильин Е. П. 352 2012 2 примірник 69,20 0,00 138,40 478 259704 Теория и методика физической культуры и спорта. Уч. Холодов Ж. К 480 2012 3 примірник 159,70 0,00 479,10 479 259193 Физическая культура. Педагогические основы ценностного. Масалова О. Ю. 184 2012 2 примірник 57,50 0,00 115,00 480 258329 Физическая культура. Уч. Бишаева А. А. 304 2012 2 примірник 117,30 0,00 234,60 481 251548 Физическая культура. Уч. Решетников Н. В. 176 2012 2 примірник 101,90 0,00 203,80 482 259542 Фізичне виховання дітей дошкільного віку. Навч. пос. Загородня Л. П. 272 2011 3 примірник 76,80 0,00 230,40 483 802430 Программа здорового питания академика Болотова + Бонус. Болтов Б. В. 320 2012 3 примірник 13,60 0,00 40,80 484 802438 Система снижения веса "25 за 5". Открыть матрешку. Филонова О. Л. 160 2012 3 примірник 17,00 0,00 51,00 485 802455 Школа "Здоровый позвоночник". Истинная причина боли в… Черепанов Е. А. 256 2012 3 примірник 32,40 0,00 97,20 486 587801 Барна справа: технологія продукції та організація обслуговування. Архіпов В.В. 360 2010 2 примірник 66,90 0,00 133,80 26
  • 27.
    487 587048 Барноедело. Учебное пособие Архипов В.В. 240 2011 2 примірник 51,30 0,00 102,60 488 31812 Біогеографія. Регіональний аспект. Навч. Пос. Марисова І.В. 128 2012 3 примірник 46,20 0,00 138,60 489 590101 Економіка готельного та ресторанного господарства. ОКЛ Ткаченко Т.І. 194 2011 4 примірник 61,00 0,00 244,00 490 592732 Економіка туризму: теорія і практика. Навч. Пос. Городня Т.А. 436 2012 5 примірник 73,50 0,00 367,50 491 591623 Екотуризм. Посібник Дмитрук О.Ю. 357 2013 5 примірник 112,50 0,00 562,50 492 575385 Екскурсознавство. Музеєзнавство Бабарицька В. 560 2013 3 примірник 86,40 0,00 259,20 493 591624 Екскурсознавство, музеєзнавство. Посібник Бабарицька В.К. 560 2013 3 примірник 86,40 0,00 259,20 494 592831 Інноваційні ресторанні технології. Навч. Пос. П'ятницька Н.О. 200 2012 3 примірник 76,20 0,00 228,60 495 588000 Історія екскурсійної діяльності. Навч. Пос. Федорченко В. 168 2009 3 примірник 31,50 0,00 94,50 496 575704 Комп'ютерні інформаційні технології в туризмі. Навч. Пос. Скопень М.М. 302 2012 3 примірник 49,40 0,00 148,20 497 592947 Малі готелі: організація роботи та обслуговування. 2-ге вид., переробл. І доп. Барна Н.В., Мунін Г.Б. 336 2012 5 примірник 74,30 0,00 371,50 498 591628 Менеджмент туризму. Посібник Бабарицька В.К. 288 2013 3 примірник 112,50 0,00 337,50 499 591629 Менеджмент туризму. Навч. Посіб. Рекомендовано МОН Король О.Д. 248 2012 3 примірник 57,40 0,00 172,20 500 591631 Методика розробки турів. Посібник. 2 видання Любіцева О.О. 292 2013 5 примірник 102,30 0,00 511,50 501 591632 Міжнародний туризм. Навч. Посіб. Алієва 344 2013 3 примірник 61,50 0,00 184,50 502 591633 Міжнародний туризм. Навчальний посібник рекомендовано МОН України. Божидарнік Т.В. 312 2012 3 примірник 71,70 0,00 215,10 503 588015 Організація готельного господарства. Навч. Посіб. Головко О.М. 338 2012 4 примірник 67,20 0,00 268,80 504 591635 Організація готельно-ресторонного обслуговування. Навч. Посіб. Вид. 2- ге Лукянов В.О., Мунін Г.Б. 346 2012 4 примірник 85,10 0,00 340,40 505 589852 Організація діяльності туристичного підприємства. Навчальний посібник рекомендовано МОН України Балашова Р.І. 184 2012 2 примірник 41,10 0,00 82,20 506 591636 Організація обслуговування в готелях і туристичних комплексах. Посібник. Сокол Т.Г. 448 2013 4 примірник 153,40 0,00 613,60 507 591640 Організація туристичних подорожей та екскурсійної діяльності. Галасюк С.С. 178 2013 5 примірник 51,30 0,00 256,50 27
  • 28.
    Навчальний посібник рекомендовано МОНУкраїни 508 590082 Основи туризмознавства. ОКЛ Михайліченко Г.І. 75 2011 3 примірник 28,30 0,00 84,90 509 591641 Основи туризмознавства. Посібник. Устименко Л.М. 320 2013 3 примірник 89,60 0,00 268,80 510 593098 Основи круизного туроперейтинга. Уч. Пос. Нездойминов 320 2013 5 примірник 86,40 0,00 432,00 511 591642 Паломництво та релігійний туризм. Посібник. Любіцева О.О. 432 2013 3 примірник 133,00 0,00 399,00 512 593235 Рекреаційна географія. Навчальний посібник рекомендовано МОН України Скрипник Н.Я. 296 2013 3 примірник 71,70 0,00 215,10 513 591645 Релігійний туризм. Посібник. Сапелкіна З.П. 244 2013 5 примірник 66,60 0,00 333,00 514 591646 Ресторан выездного обслуживания (кейтеринг): с чего начать, как преуспеть Погодин К.С. 224 2012 4 примірник 48,60 0,00 194,40 515 570568 Ресторанна справа. Організація обслуговування населення на підприємствах ресторанного сервісу Сало Я.М. 404 2011 3 примірник 127,90 0,00 383,70 516 593238 Ресторанна справа: технологія і організація обслуговування туристів. Підручник затверджений МОН України Мальська М.П. 304 2013 3 примірник 71,70 0,00 215,10 517 591647 Ринок туристичних послуг. Посібник. Видання виправлене і доповнене Любіцева О.О. 430 2013 3 примірник 97,20 0,00 291,60 518 589840 Соціально-педагогічні технології в туризмі. Дмитрук С.В. 328 2012 3 примірник 71,70 0,00 215,10 519 591648 Спортивно-оздоровчий туризм. Посібник. 2-ге видання Щур Ю.В. 280 2013 3 примірник 102,30 0,00 306,90 520 593365 Туризмологія: концептуальні засади теорії туризму Федорченко В. 368 2013 3 примірник 81,90 0,00 245,70 521 591650 Туристичне країнознавство. Азія та Океанія. Навчальний посібник рекомендовано МОН України Мальська М.П. 184 2013 3 примірник 51,30 0,00 153,90 522 587044 Туристичне країнознавство. Європа. 2- ге видання. Навчальний посібник рекомендовано МОН України Мальська М.П. 224 2010 3 примірник 43,10 0,00 129,30 523 593366 Туристичне країнознавство. Навч. пос. Семенов В.Ф. 392 2013 5 примірник 86,40 0,00 432,00 524 591652 Туристичні ресурси світу. Посібник Малиновська 428 2013 3 примірник 133,00 0,00 399,00 525 577025 Туристичні ресурси України Любіцева О.О. 368 2013 3 примірник 122,80 0,00 368,40 526 591653 Туристичні ресурси України. Посібник Любіцева О.О. 369 2013 3 примірник 122,80 0,00 368,40 28
  • 29.
    527 577230 Франчайзинг вготельно-ресторанному бізнесі. Навч. Пос. Мунін Г.Б. 370 2008 4 примірник 37,80 0,00 151,20 528 583197 Экотуризм Дмитрук О.Ю. 357 2009 5 примірник 89,60 0,00 448,00 529 591664 Основи грунтознавства. Посібник Панас Р.М. 248 2011 4 примірник 45,20 0,00 180,80 530 589653 Порівняльна педагогіка: Навчальний посібник Сбруєва А.А. 320 2012 3 примірник 87,00 0,00 261,00 531 589625 Эколого-экономические основы ресурсосбережения Сотник И.Н. 229 2012 2 примірник 51,30 0,00 102,60 532 591678 Методологія і організація наукових досліджень в харчовій галузі: Підручник Свідло К.В., Лазарєва Т.А. 265 2013 2 примірник 76,80 0,00 153,60 533 593401 Фізіологія харчвання. Практикум. Практичний посібник Зубар Н.М. 208 2013 3 примірник 56,40 0,00 169,20 534 589187 Філософія історії. Навчальний посібник І.М. Предборська 232 2012 5 примірник 51,30 0,00 256,50 535 592958 Матеріалознавство і слюсарна справа. Навч. Посібник Федірко П.П. та ін. 384 2012 2 примірник 32,50 0,00 65,00 536 580624 Матеріалознавство і технологія конструкційних матеріалів. Навч. Пос. Хільчевський В. Та ін. 328 2 примірник 9,20 0,00 18,40 537 Л12079 Матеріалознавство. (Реком. МОН) Афтанділянц Є. 616 2012 3 примірник 111,90 0,00 335,70 538 592960 Матеріалознавство. Підручник Кіндрачук та ін. 492 2012 5 примірник 38,50 0,00 192,50 539 591719 Технологія конструкційних матеріалів і матеріалознавство: конспект лекцій Косенко В.А. 251 2012 3 примірник 64,10 0,00 192,30 540 593341 Технологія конструкційних матеріалів і матеріалознавство: конспект лекцій Косенко В.А. 251 2012 3 примірник 64,10 0,00 192,30 541 592558 111 баек для журналистов Волковский Н.Л. 208 2013 3 примірник 37,00 0,00 111,00 542 580199 Вступ до книгознавства. Навч. Пос. Низовий М.А. 144 2009 2 примірник 22,60 0,00 45,20 543 591727 Вступ до літературознавства Білоус П. 364 2012 5 примірник 61,50 0,00 307,50 544 587457 Вступ до мовознавства (2-е вид., стереотип.) Карпенко Ю. 336 2009 2 примірник 38,00 0,00 76,00 545 592670 Газетні та журнальні видання. Навч. Пос. Ярослав Приход 104 2012 2 примірник 64,20 0,00 128,40 546 590647 Зіставна лексикологія (гендерний та соціолінгвістичний аспекти) Навчальний посібник для ВНЗ:Рекомендовано МОН Бондаренко К.Л., Бондаренко О.С. 168 2011 2 примірник 48,70 0,00 97,40 547 575508 Золоте джерельце. Висловлювання про слово, мову, красномовство. Навч. Пос. Рекомендований МОН України Кацавець Р.С. 116 2009 3 примірник 20,70 0,00 62,10 548 584526 Культура наукової української мови. Семеног О. 216 2012 3 примірник 39,00 0,00 117,00 29
  • 30.
    (видання 2-ге) 549 586377 Культурафахового мовлення: навч. Пос. Бабич Н.Д. 528 2011 2 примірник 51,30 0,00 102,60 550 575824 Лінгвістичний аналіз тексту Єщенко Т. 264 2009 2 примірник 37,00 0,00 74,00 551 593838 Література Європейського просвітництва Іван Магела 268 2012 2 примірник 64,10 0,00 128,20 552 578314 Медиа: теория массовых коммуникаций Почепцов Г.Г. 408 2008 3 примірник 89,60 0,00 268,80 553 584594 Мистецтво судових дебатів. Навч. Пос. Олійник О. 258 2010 2 примірник 55,60 0,00 111,20 554 590392 На зламі віків: Українська журналістика на початку ХХ ст. Мукомела О.Г. 240 2010 2 примірник 32,10 0,00 64,20 555 576244 Основи комунікативної лінгвістики Бацевич Ф. 376 2009 2 примірник 43,10 0,00 86,20 556 591748 Основи теорії мовної комінікації Яшенкова О. 304 2011 2 примірник 51,30 0,00 102,60 557 591749 Практичний курс перекладу (англійська та українська мови). Теорія та практика перекладацького аналізу тексту Максімов С.Є. 206 2012 2 примірник 48,70 0,00 97,40 558 591754 Світ фразеологізмів Забіяка В. 304 2012 2 примірник 36,60 0,00 73,20 559 576817 Старослав'янська мова. Пос. Царалунга 188 2012 2 примірник 35,00 0,00 70,00 560 586512 Сучасна українська мова: самобутність, система, норма, навч. Пос. Микитюк О.Р. 440 2012 3 примірник 106,60 0,00 319,80 561 584596 Теорія літератури Павличко С. 680 2009 2 примірник 46,20 0,00 92,40 562 591761 Технічний переклад: теорія та пактика Скребкова М.А. 204 2012 2 примірник 40,10 0,00 80,20 563 585692 Українська мова за професійним спрямуванням. Підручник. За програмою МОНУ. 3-тє видання Шевчук С.В., Клименко І.В. 696 2013 2 примірник 80,60 0,00 161,20 564 590627 Українська перекладознавча думка. Хрестоматія Черноватий 504 2011 2 примірник 73,00 0,00 146,00 565 593887 Як редагувати книжкові та газетно- журнальні видання: Практичний посібник Тимошик М. 384 2012 2 примірник 17,10 0,00 34,20 566 195138 Введение в специальность. Профессия: журналист. Уч. пос. Свитич Л. Г. 225 2012 3 примірник 109,20 0,00 327,60 567 195014 Методология и теория социальной работы. Уч. пос. Павленок П. Д. 267 2012 3 примірник 92,10 0,00 276,30 568 195343 История социальной работы. Уч. пос. Агапов Е. П. 256 2012 2 примірник 53,70 0,00 107,40 569 190130 Коммуникология. Основы теории коммуникации. Уч. Шарков Ф. И. 592 2012 3 примірник 89,30 0,00 267,90 30
  • 31.
    570 190336 Основижурналістики. Підр. Михайлин І. Л. 496 2011 3 примірник 102,30 0,00 306,90 571 195375 Социальная реабилитация. Уч. 320 2012 3 примірник 66,70 0,00 200,10 572 195215 Социальная реабилитация. Уч. пос. А. М. Руденко С. 320 2012 3 примірник 63,40 0,00 190,20 573 195363 Социология и психолгоия управления. Самыгин С. И. 256 2012 2 примірник 62,70 0,00 125,40 574 195364 Социология СМИ. Уч. пос. Фомичова И. Д. 360 2012 3 примірник 149,10 0,00 447,30 575 195056 Соціальна валеологія. Пос. Копа В. Н. 204 2011 5 примірник 32,90 0,00 164,50 576 190715 Соціологія мистецтва. Семашко О. М. 244 2012 3 примірник 41,10 0,00 123,30 577 195366 Стилистика и литературное редактирование. Уч. пос. Малычева Н. В. 288 2012 3 примірник 63,40 0,00 190,20 578 Л12012 Загальне документознавство Палеха Ю. І., Леміш Н. О. 432 2012 8 примірник 76,20 0,00 609,60 579 Л12051 Історія діловодства Палеха Ю. І., Леміш Н. О. 328 2011 8 примірник 61,00 0,00 488,00 580 221283 Введение в языкознание. Уч. Касевич В. Б. 240 2012 3 примірник 145,00 0,00 435,00 581 221308 Вступ до літературознавства. Білоус П. 364 2012 2 примірник 61,50 0,00 123,00 582 221325 Вступ до мовознавства. Навч. пос. Монжалєй Т. К. 183 2011 2 примірник 41,10 0,00 82,20 583 221233 Грамматические аспекты перевода. Уч. пос. Сулейманова О. А. 240 2012 3 примірник 118,40 0,00 355,20 584 221221 Загальне мовознавство. Навч. пос. Зеленько А. С. 380 2011 3 примірник 81,90 0,00 245,70 585 221264 Основи дидактики. Підр. Чайка В. 240 2011 2 примірник 41,10 0,00 82,20 586 221222 Основи літературознавства. Підр. для студентів, аспірантів. Ференс Н. С. 431 2011 2 примірник 87,00 0,00 174,00 587 220829 Риторика. Уч. Петров О. В. і др. 424 2012 2 примірник 70,50 0,00 141,00 588 220875 Старослов`янська мова. Пос. Царалунга 188 2012 2 примірник 35,00 0,00 70,00 1843 Загальна вартість закупівлі без ПДВ 133 884,50 ПДВ (якщо є): 0,00 Загальна вартість закупівлі з ПДВ, якщо передбачено 133 884,50 7.5. Процедура закупівлі в одного учасника відмінена: - 7.5.1. Дата прийняття рішення: -. 7.5.2. Причини: -. Заступник голови комітету з конкурсних торгів: ______________________ Т.А. Садкова 31
  • 32.