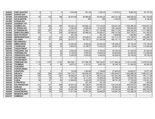
0,1,67e5,2'2'(6(192/9,0(17262,$/(20%$7(¬)20( 
6(5(7$5,$1$,21$/'($66,67Ç1,$62,$/ 
'(3$57$0(172'(%(1()Ë,26$66,67(1,$,6 
225'(1$d­2*(5$/'$*(67­2'(%(1()Ë,26 
%3/2$6%(1()Ë,26(0,7,'26(06(7(0%52'((5(85626*$6726120Ç6(12$12'( 
*2,È6 
%(1(),,2 
5 
5 
VHW $12 
(67$'2 620$ VHW 620$ 
620$ 
33' ,'262 33' ,'262 33' ,'262 
Ï',%*( 
727$/ 43.159 46.411 89.570 15.149.473,11 16.288.287,14 31.437.760,25 126.976.087,99 134.450.221,27 261.426.309,26  $%5$6,/*2 29 16 45 10.150,00 5.600,00 15.750,00 86.400,00 54.200,00 140.600,00  $)5,$*2 29 25 54 10.150,00 8.750,00 18.900,00 79.100,00 66.500,00 145.600,00  $+25,=217( 9 24 33 3.150,00 8.400,00 11.550,00 29.550,00 69.151,14 98.701,14  $/,03$ 10 20 30 3.513,30 7.026,60 10.539,90 33.424,48 54.823,69 88.248,17  $/,1'$6*2 190 208 398 66.752,70 73.076,64 139.829,34 488.951,98 588.899,37 1.077.851,35  $3$5$,62*2 79 76 155 27.755,07 26.701,08 54.456,15 232.329,52 226.156,14 458.485,66  $5'2(*2 9 6 15 3.161,97 2.107,98 5.269,95 20.655,86 20.293,89 40.949,75  $%$',$*2 -- -- -- -- -- -- -- -- --  $%$',$1,$ 91 138 229 31.971,03 48.483,54 80.454,57 267.864,03 392.184,66 660.048,69  $5(81$ 116 135 251 40.754,28 47.233,81 87.988,09 337.778,70 388.839,02 726.617,72  $'(/$1',$ 17 12 29 5.950,00 4.200,00 10.150,00 53.650,00 38.650,00 92.300,00  $/(;$1,$ 258 254 512 90.636,62 89.128,91 179.765,53 745.163,94 750.310,41 1.495.474,35 
 $/0$6
 -- -- -- -- -- -- -- -- --  $/2$1',$ 30 39 69 10.539,90 13.701,87 24.241,77 87.430,98 106.352,61 193.783,59 
 $/925$'$
 -- -- -- -- -- -- -- -- --  $/925$'$1 368 192 560 129.289,44 67.454,36 196.743,80 1.038.531,53 522.268,14 1.560.799,67  $0$5$/,1$ 12 27 39 4.215,96 9.485,91 13.701,87 36.839,46 86.828,70 123.668,16  $025,1232/,6 14 15 29 4.918,62 5.269,95 10.188,57 47.351,08 49.656,40 97.007,48 
 $1$1$6
 -- -- -- -- -- -- -- -- --  $1$32/,6 2.221 2.400 4.621 779.855,75 842.824,62 1.622.680,37 6.495.722,03 6.798.867,98 13.294.590,01  $1+$1*8(5$ 4 3 7 1.405,32 1.053,99 2.459,31 14.315,96 10.261,97 24.577,93  $1,816 261 165 426 91.697,13 57.965,94 149.663,07 775.033,98 485.959,68 1.260.993,66  $3$5(,'$*2 3.139 3.270 6.409 1.101.732,28 1.147.662,15 2.249.394,43 9.234.206,52 9.332.982,55 18.567.189,07  $325( 46 60 106 16.161,18 21.079,80 37.240,98 142.439,22 166.229,28 308.668,50  $5$8 22 16 38 7.595,00 5.600,00 13.195,00 70.600,00 48.050,00 118.650,00  $5$*$5$6 15 21 36 5.262,92 7.374,92 12.637,84 36.540,31 55.131,72 91.672,03  $5$*2,$1,$ 18 47 65 6.300,00 16.345,00 22.645,00 51.301,14 138.150,00 189.451,14 
 $5$*8$(0
 -- -- -- -- -- -- -- -- -- 
 $5$*8$8
 -- -- -- -- -- -- -- -- --
$5$*8$,1$
 -- -- -- -- -- -- -- -- --  $5$*8$3$= 94 151 245 33.025,02 53.050,83 86.075,85 271.527,90 439.814,97 711.342,87 
 $5$*8$7,16
 -- -- -- -- -- -- -- -- -- 
 $5$32(0$
 -- -- -- -- -- -- -- -- --  $5(1232/,6 -- -- -- -- -- -- -- -- -- 
 $55$,$6
 -- -- -- -- -- -- -- -- --  $58$1$ 36 69 105 12.647,88 24.241,77 36.889,65 111.321,42 197.447,46 308.768,88 
 $8*867,1232
 -- -- -- -- -- -- -- -- --  $85,/$1',$ 29 33 62 10.188,57 11.593,89 21.782,46 88.936,68 96.164,04 185.100,72 
 $8525$1
 -- -- -- -- -- -- -- -- --  $9(/,1232/,6 27 10 37 9.450,00 3.500,00 12.950,00 83.952,66 28.400,00 112.352,66 
 $;,;$*2
 -- -- -- -- -- -- -- -- --  %$/(*5( 91 253 344 31.971,03 88.886,49 120.857,52 262.794,85 737.140,53 999.935,38  %$/72*2 71 68 139 24.944,43 23.890,44 48.834,87 203.821,59 204.373,68 408.195,27  %-$5',0*2 140 227 367 48.726,91 79.633,46 128.360,37 404.346,70 659.633,13 1.063.979,83  %-(686*2 141 383 524 49.537,53 134.559,39 184.096,92 423.553,41 1.101.068,22 1.524.621,63 
 %1$=$5(
 -- -- -- -- -- -- -- -- --  %9,67$*2 168 152 320 59.007,39 53.384,10 112.391,49 501.106,08 446.227,32 947.333,40 
 %$%$8/$1'
 -- -- -- -- -- -- -- -- --  %$/,=$ 5 3 8 1.750,00 1.050,00 2.800,00 22.810,00 20.900,00 43.710,00  %21),1232/,6 29 60 89 10.188,57 21.079,80 31.268,37 86.477,37 169.190,49 255.667,86  %21232/,6 1 -- 1 350 -- 350 2.100,00 -- 2.100,00  %5$=$%5$17(6 1 1 2 351,33 351,33 702,66 2.605,32 3.556,65 6.161,97  %5,7$1,$ 32 67 99 11.242,56 23.539,11 34.781,67 93.704,73 187.710,60 281.415,33  %85,7,*2 2 1 3 702,66 351,33 1.053,99 8.317,29 3.006,65 11.323,94  %85,7,1232/, 7 4 11 2.450,00 1.400,00 3.850,00 16.350,00 8.400,00 24.750,00  $/(*5(*2 33 38 71 11.593,89 13.347,53 24.941,42 97.770,12 112.649,46 210.419,58  $/7$*2 60 68 128 21.079,80 23.890,44 44.970,24 179.328,87 208.122,88 387.451,75  %(/26 162 99 261 56.915,46 34.781,67 91.697,13 515.170,70 300.587,91 815.758,61  (8 7 26 33 2.456,30 9.134,58 11.590,88 17.852,59 64.795,29 82.647,88  '285$'$*2 145 217 362 50.939,84 76.133,21 127.073,05 438.024,26 641.612,93 1.079.637,19 
 0$*$/+$(6
 -- -- -- -- -- -- -- -- --  129$6 359 545 904 125.814,29 191.310,26 317.124,55 1.065.728,50 1.588.146,39 2.653.874,89  2,'(17$/ 178 192 370 62.536,74 67.455,36 129.992,10 540.747,06 566.946,24 1.107.693,30  2852 -- -- -- -- -- -- -- -- --  59(5'(*2 111 45 156 38.997,63 15.704,45 54.702,08 337.176,42 128.034,69 465.211,11  9(5'(6 114 111 225 40.051,62 38.892,23 78.943,85 342.596,94 321.802,22 664.399,16  $%((,5$6 91 71 162 31.619,70 24.944,43 56.564,13 268.114,98 208.639,83 476.754,81  $+2(,5$*2 1 1 2 351,33 351,33 702,66 8.213,30 3.906,65 12.119,95  $8 110 139 249 38.646,30 48.501,61 87.147,91 333.813,69 392.940,54 726.754,23
$,$321,$ 231 237 468 81.157,23 83.263,88 164.421,11 676.460,82 707.868,36 1.384.329,18  $/'$=,1+$ 12 13 25 4.200,00 4.550,00 8.750,00 40.000,00 40.250,00 80.250,00  $03(675(*2 8 6 14 2.810,64 2.107,98 4.918,62 23.753,20 16.438,57 40.191,77  $03,1$8 8 7 15 2.810,64 2.459,31 5.269,95 43.982,47 42.970,49 86.952,96  $03,1257( 106 140 246 37.240,98 49.186,20 86.427,18 317.853,27 407.091,09 724.944,36  $032/,032 30 70 100 10.539,90 24.593,10 35.133,00 85.423,38 183.193,50 268.616,88  $67(/$1',$ 38 86 124 13.350,54 30.214,38 43.564,92 112.375,41 245.278,53 357.653,94  $7$/$2 482 626 1.108 168.923,99 219.202,33 388.126,32 1.416.614,79 1.833.608,35 3.250.223,14  $785$, 28 21 49 9.837,24 7.377,93 17.215,17 78.891,14 48.315,71 127.206,85  $9$/$17( 102 107 209 35.835,66 37.592,31 73.427,97 308.869,26 322.520,94 631.390,20  (5(6 154 87 241 54.104,82 30.565,71 84.670,53 465.963,96 247.336,32 713.300,28  (=$5,1$ 58 64 122 20.377,14 22.485,12 42.862,26 177.471,84 189.216,30 366.688,14  2$/=,1+*2 92 89 181 32.322,36 31.268,37 63.590,73 262.092,21 258.277,74 520.369,95 
 2/,1$6*2
 -- -- -- -- -- -- -- -- --  2/,1$66 12 60 72 4.215,96 21.079,80 25.295,76 36.079,80 184.802,80 220.882,60 
 2/0(,$
 -- -- -- -- -- -- -- -- -- 
 21(,$21
 -- -- -- -- -- -- -- -- --  2580%$*2 140 89 229 49.186,20 31.268,37 80.454,57 412.913,13 251.451,90 664.365,03  2580%$,%$ 61 64 125 21.431,13 22.485,12 43.916,25 179.630,01 187.359,27 366.989,28 
 5,67$/$1'
 -- -- -- -- -- -- -- -- --  5,67$/,1$ 285 292 577 100.129,05 102.588,36 202.717,41 844.409,71 812.224,77 1.656.634,48  5,67,$1232/ -- -- -- -- -- -- -- -- --  5,;$6 153 187 340 53.648,09 65.698,71 119.346,80 418.780,34 511.285,53 930.065,87  520,1,$ 6 2 8 2.107,98 702,66 2.810,64 32.855,25 6.014,63 38.869,88  80$5, -- -- -- -- -- -- -- -- -- 
 ',50$26*2
 -- -- -- -- -- -- -- -- --  '$0,$1232/,6 4 6 10 1.400,00 2.100,00 3.500,00 14.550,00 18.200,00 32.750,00  '$02/$1',$ 46 20 66 16.161,18 7.026,60 23.187,78 138.022,50 58.672,11 196.694,61  '$9,123*2 2 5 7 700 1.645,00 2.345,00 7.200,00 14.100,00 21.300,00 
 ',$1232/,6
 -- -- -- -- -- -- -- -- --  ',25$0$ 10 5 15 3.513,30 1.756,65 5.269,95 33.277,35 14.787,05 48.064,40  ',9,1232/*2 49 58 107 17.215,17 20.271,74 37.486,91 147.207,27 164.020,92 311.228,19  '29(5/$1',$ 87 98 185 30.565,71 34.324,94 64.890,65 261.489,90 279.277,24 540.767,14 
 '8(5(
 -- -- -- -- -- -- -- -- --  ('($/,1$ 3 4 7 1.053,99 1.405,32 2.459,31 10.073,94 10.871,28 20.945,22  ('(,$ 139 131 270 48.708,89 46.024,23 94.733,12 421.024,37 377.177,85 798.202,22  (675(/$1*2 -- -- -- -- -- -- -- -- -- 
 )$5$*8$,$
 -- -- -- -- -- -- -- -- --  )129$ 43 33 76 15.107,19 11.260,12 26.367,31 130.293,24 93.855,27 224.148,51  )$,1$ 4 6 10 1.405,32 2.107,98 3.513,30 29.272,42 80.784,58 110.057,00
)$7,0$
 -- -- -- -- -- -- -- -- -- 
 ),*8(,5232/
 -- -- -- -- -- -- -- -- -- 
 ),/$'(/),$
 -- -- -- -- -- -- -- -- --  ),50,1232/,6 130 69 199 45.672,90 24.241,77 69.914,67 387.727,81 195.038,34 582.766,15  )/25(6*2 34 66 100 11.900,00 23.100,00 35.000,00 106.153,61 203.251,14 309.404,75  )25026$ 673 1.027 1.700 236.181,59 360.464,58 596.646,17 1.983.880,18 2.942.137,80 4.926.017,98  )250262*2 83 74 157 29.160,39 25.893,02 55.053,41 253.459,50 220.267,86 473.727,36  *$0(/(,5$*2 2 1 3 702,66 351,33 1.053,99 6.665,77 3.006,65 9.672,42  *2,$1$32/,6 134 60 194 47.078,22 21.079,80 68.158,02 390.026,53 178.224,69 568.251,22  *2,$1',5$ 54 34 88 18.971,82 11.928,16 30.899,98 154.183,68 98.124,48 252.308,16  *2,$1(6,$ 474 506 980 166.460,15 177.772,98 344.233,13 1.371.592,29 1.509.263,49 2.880.855,78  *2,$1,$ 8.184 8.070 16.254 2.871.686,08 2.833.296,29 5.704.982,37 24.145.908,57 23.348.906,36 47.494.814,93  *2,$1,5$ 157 165 322 55.155,80 57.969,45 113.125,25 460.114,83 474.546,45 934.661,28  *2,$6 292 330 622 102.412,69 115.833,50 218.246,19 853.370,51 904.925,70 1.758.296,21 
 *2,$7,16
 -- -- -- -- -- -- -- -- --  *2,$78%$ 285 666 951 99.514,41 233.979,26 333.493,67 831.463,01 1.885.882,26 2.717.345,27  *289(/$1',$ 45 36 81 15.809,85 12.647,88 28.457,73 130.142,67 95.260,62 225.403,29  *8$32 152 149 301 53.402,16 52.242,77 105.644,93 452.312,28 433.390,65 885.702,93 
 *8$5$,
 -- -- -- -- -- -- -- -- --  *8$5$,7$ 2 3 5 702,66 1.053,99 1.756,65 6.913,30 9.319,95 16.233,25  *8$5$1,*2 8 16 24 2.800,00 5.600,00 8.400,00 24.250,00 43.900,00 68.150,00  *8$5,126 6 4 10 2.107,98 1.405,32 3.513,30 18.039,90 12.026,60 30.066,50 
 *8583,
 -- -- -- -- -- -- -- -- --  +(,725$, 19 14 33 6.650,00 4.900,00 11.550,00 58.050,00 43.400,00 101.450,00  +,'52/$1'*2 120 141 261 41.928,72 49.432,13 91.360,85 363.919,65 408.988,27 772.907,92  +,'52/,1$ 66 38 104 23.187,78 13.350,54 36.538,32 201.061,14 116.382,58 317.443,72  ,$,$5$ 257 121 378 90.291,81 42.510,93 132.802,74 755.309,31 347.114,04 1.102.423,35  ,1$,2/$1',$ 41 73 114 14.404,53 25.647,09 40.051,62 123.316,83 222.341,70 345.658,53  ,1',$5$ 72 149 221 24.840,02 51.803,60 76.643,62 217.706,13 424.963,71 642.669,84  ,1+80$6 575 525 1.100 201.768,82 184.448,25 386.217,07 1.682.218,24 1.489.237,68 3.171.455,92  ,3$0(5, 176 191 367 61.482,75 67.104,03 128.586,78 520.068,75 538.848,86 1.058.917,61  ,3,5$1*$* 1 -- 1 351,33 -- 351,33 2.107,98 -- 2.107,98  ,325$*2 628 517 1.145 220.271,87 181.466,47 401.738,34 1.849.984,87 1.513.656,16 3.363.641,03  ,65$(/$1',$ 1 7 8 351,33 2.459,31 2.810,64 7.118,62 19.246,55 26.365,17  ,7$%(5$, 209 243 452 73.427,97 85.159,38 158.587,35 606.746,94 712.329,61 1.319.076,55 
 ,7$$-$
 -- -- -- -- -- -- -- -- --  ,7$*8$5, 1 2 3 351,33 702,66 1.053,99 2.351,33 3.510,64 5.861,97  ,7$*8$58 33 43 76 11.593,89 15.107,19 26.701,08 104.696,34 124.822,53 229.518,87 
 ,7$*8$7,16
 -- -- -- -- -- -- -- -- --  ,7$-$*2 149 132 281 52.347,17 46.375,56 98.722,73 432.330,66 363.777,12 796.107,78
,7$3$, 127 81 208 44.615,90 28.352,33 72.968,23 382.671,66 233.734,83 616.406,49  ,7$3,5$38$ 86 92 178 30.214,38 32.216,96 62.431,34 256.872,42 272.330,94 529.203,36 
 ,7$325$*2
 -- -- -- -- -- -- -- -- --  ,7$385$1*$ 363 288 651 127.532,79 100.831,71 228.364,50 1.078.934,43 838.343,65 1.917.278,08  ,7$580$ 103 91 194 36.186,99 31.968,02 68.155,01 304.502,73 265.386,66 569.889,39  ,7$88 81 82 163 28.457,73 28.809,06 57.266,79 242.417,70 236.946,99 479.364,69  ,780%,$5$ 746 1.601 2.347 262.163,97 562.007,05 824.171,02 2.208.392,77 4.701.710,92 6.910.103,69  ,92/$1',$ 1 1 2 351,33 351,33 702,66 10.803,99 12.051,33 22.855,32  -$1'$,$ 63 76 139 22.133,79 26.592,17 48.725,96 181.888,56 204.745,11 386.633,67  -$5$*8$ 349 304 653 122.614,17 106.663,79 229.277,96 1.045.402,52 878.646,22 1.924.048,74  -$7$, 593 1.062 1.655 208.335,68 372.892,13 581.227,81 1.722.794,85 3.133.317,07 4.856.111,92  -$83$, 5 5 10 1.756,65 1.756,65 3.513,30 17.583,06 17.834,58 35.417,64  -(6832/,6 8 2 10 2.810,64 702,66 3.513,30 22.803,20 4.411,97 27.215,17  -29,$1,$ 48 93 141 16.863,84 32.673,69 49.537,53 139.879,53 254.814,63 394.694,16  -866$5$*2 258 336 594 90.643,14 117.991,68 208.634,82 764.544,27 991.780,53 1.756.324,80  /%8/+2(6 75 43 118 26.349,75 15.107,19 41.456,94 216.519,66 129.690,96 346.210,62  /6$17$*2 -- -- -- -- -- -- -- -- -- 
 /$*2$6$17$ -- -- -- -- -- -- -- -- -- 
 /,=$5'$
 -- -- -- -- -- -- -- -- --  /8=,$1,$ 1.590 1.266 2.856 558.035,00 444.710,50 1.002.745,50 4.807.652,00 3.689.384,43 8.497.036,43  0$*8'2*2 2 1 3 702,66 351,33 1.053,99 6.007,98 3.953,99 9.961,97  0$/(*5(*2 70 43 113 24.505,77 15.107,19 39.612,96 213.762,21 130.393,62 344.155,83  0/$526*2 77 112 189 27.052,41 38.994,12 66.046,53 228.013,17 320.486,76 548.499,93  01292*2 34 131 165 11.945,22 46.024,23 57.969,45 104.696,34 402.222,66 506.919,00  0526$ 161 230 391 56.562,80 80.805,90 137.368,70 476.592,84 672.445,62 1.149.038,46  0$,5,327$%$ 1 1 2 351,33 351,33 702,66 7.511,97 3.606,65 11.118,62  0$0%$, 76 33 109 26.600,00 11.550,00 38.150,00 191.661,04 101.750,00 293.411,04  0$5=$*$2 10 21 31 3.513,30 7.377,93 10.891,23 34.325,62 62.842,31 97.167,93  0$75,1+$ 37 48 85 12.999,21 16.863,84 29.863,05 108.661,35 140.632,38 249.293,73  0$85,/$1',$ 60 85 145 21.073,78 29.831,95 50.905,73 192.766,58 246.542,92 439.309,50  0,0262*2 1 3 4 351,33 1.053,99 1.405,32 3.906,65 11.018,62 14.925,27  0,1$8 541 338 879 189.854,25 118.318,41 308.172,66 1.605.743,37 978.695,82 2.584.439,19  0,1(,526 615 511 1.126 216.061,93 179.421,22 395.483,15 1.822.121,89 1.533.110,78 3.355.232,67 
 0,5$(0$1
 -- -- -- -- -- -- -- -- -- 
 0,5$1257(
 -- -- -- -- -- -- -- -- --  02,325$ 6 3 9 2.107,98 1.053,99 3.161,97 18.039,90 6.364,63 24.404,53 
 0217($502
 -- -- -- -- -- -- -- -- --  0217,9,',8 47 72 119 16.407,11 25.295,76 41.702,87 141.134,28 210.641,41 351.775,69  0217,9,',81 31 51 82 10.891,23 17.917,83 28.809,06 86.598,17 171.311,38 257.909,55  0255,1+26*2 425 315 740 148.841,96 110.651,38 259.493,34 1.262.517,93 932.730,93 2.195.248,86
0266$0('(6 57 12 69 20.025,81 4.215,96 24.241,77 174.780,66 34.530,72 209.311,38  02=$5/$1',$ 92 177 269 32.322,36 62.080,01 94.402,37 279.206,97 513.995,80 793.202,77  08781232/,6 31 27 58 10.891,23 9.485,91 20.377,14 83.722,50 69.403,74 153.126,24 
 1$25'2
 -- -- -- -- -- -- -- -- --  1$0(5,$ 10 9 19 3.407,90 3.161,97 6.569,87 32.656,52 27.659,85 60.316,37  1$8525$*2 21 19 40 7.377,93 6.658,21 14.036,14 64.471,06 55.864,50 120.335,56  1%5$6,/ -- -- -- -- -- -- -- -- --  15,;$6 72 202 274 25.295,76 70.968,66 96.264,42 226.105,95 600.774,30 826.880,25  1*/25,$ 119 110 229 41.808,27 38.646,30 80.454,57 344.955,89 321.717,90 666.673,79  1,*8$8*2 5 5 10 1.756,65 1.756,65 3.513,30 15.633,25 15.933,25 31.566,50 
 12/,1'$
 -- -- -- -- -- -- -- -- --  13/$1$/72 -- -- -- -- -- -- -- -- --  1520$ 16 32 48 5.600,00 11.200,00 16.800,00 52.303,61 87.400,00 139.703,61  19(1(=$*2 48 42 90 16.863,84 14.755,86 31.619,70 138.022,50 127.081,08 265.103,58 
 1$7,9,'$'(
 -- -- -- -- -- -- -- -- -- 
 1$=$5(
 -- -- -- -- -- -- -- -- --  1$=$5,2 108 62 170 37.943,64 21.677,06 59.620,70 310.475,34 183.670,30 494.145,64  1(5232/,6 194 155 349 68.140,45 54.456,15 122.596,60 575.428,32 429.024,12 1.004.452,44  1,48(/$1',$ 227 432 659 79.646,51 151.669,16 231.315,67 659.958,37 1.240.646,61 1.900.604,98  1292*$0$ 5 8 13 1.756,65 2.810,64 4.567,29 10.088,19 23.488,92 33.577,11  29(5'(*2 -- -- -- -- -- -- -- -- --  25,=21$ 71 82 153 24.944,43 28.809,06 53.753,49 212.203,32 248.340,12 460.543,44  289,'25 25 24 49 8.780,24 8.323,51 17.103,75 83.393,35 64.065,54 147.458,89 
 3$%-(686
 -- -- -- -- -- -- -- -- -- 
 3$)2162
 -- -- -- -- -- -- -- -- -- 
 3$/7$1
 -- -- -- -- -- -- -- -- --  3%(51$5'2 259 237 496 90.994,47 83.265,21 174.259,68 698.644,82 684.340,65 1.382.985,47  3-$0,/ 7 9 16 2.459,31 3.161,97 5.621,28 15.876,60 25.133,25 41.009,85 
 3.(11('
 -- -- -- -- -- -- -- -- -- 
 31$,21$/
 -- -- -- -- -- -- -- -- --  35,2 165 388 553 57.969,45 136.158,44 194.127,89 467.620,23 1.108.930,98 1.576.551,21  3$/(67,1$*2 12 14 26 4.215,96 4.918,62 9.134,58 26.017,64 40.642,53 66.660,17  3$/0(,5$6*2 199 115 314 69.809,27 39.858,89 109.668,16 595.052,64 335.006,22 930.058,86 
 3$/0(,5232/
 -- -- -- -- -- -- -- -- --  3$/0(/2 19 17 36 6.650,00 5.950,00 12.600,00 56.300,00 53.200,00 109.500,00  3$/0,1232/,6 7 1 8 2.450,00 350 2.800,00 33.250,00 10.650,00 43.900,00  3$1$0$ 2 1 3 700 350 1.050,00 11.989,00 27.800,00 39.789,00 
 3$5$,621*2 -- -- -- -- -- -- -- -- -- 
 3$5$1$
 -- -- -- -- -- -- -- -- --  3$5$1$,*8$5$ 91 99 190 31.971,03 34.430,33 66.401,36 270.674,67 286.218,45 556.893,12
3$5$81$ 104 165 269 36.538,32 57.864,05 94.402,37 313.285,98 487.696,23 800.982,21 
 3(,;(
 -- -- -- -- -- -- -- -- --  3(52/$1',$ 6 8 14 2.107,98 2.810,64 4.918,62 19.439,90 19.055,48 38.495,38  3(752/,1$*2 130 60 190 45.538,34 21.079,80 66.618,14 396.302,38 179.529,63 575.832,01  3,/$5*2 3 4 7 1.053,99 1.405,32 2.459,31 9.019,95 13.276,60 22.296,55 
 3,1'25$0*2
 -- -- -- -- -- -- -- -- --  3,5$$1-8%$
 324 459 783 113.830,92 161.260,47 275.091,39 983.061,49 1.346.447,13 2.329.508,62  3,5$1+$6*2 268 276 544 94.156,44 96.722,15 190.878,59 798.322,14 812.608,20 1.610.930,34  3,5(1232/,6 184 200 384 64.644,72 70.266,00 134.910,72 550.433,74 560.020,02 1.110.453,76 
 3,80
 -- -- -- -- -- -- -- -- --  3/$1$/7,1$ 551 455 1.006 193.529,63 159.743,73 353.273,36 1.581.729,82 1.303.581,89 2.885.311,71  3217$/,1$ 331 263 594 116.184,83 92.188,99 208.373,82 989.244,90 750.374,39 1.739.619,29  325$1*$78 918 1.019 1.937 322.495,86 357.515,95 680.011,81 2.201.034,88 2.874.679,18 5.075.714,06  3257(,5$2 1 2 3 351,33 702,66 1.053,99 1.002,66 6.110,64 7.113,30  3257(/$1',$ 52 42 94 18.269,16 14.650,46 32.919,62 142.589,79 121.911,51 264.501,30  3266( 302 206 508 106.101,66 72.373,98 178.475,64 907.435,21 579.001,90 1.486.437,11  48,5,1232/,6 353 477 830 124.016,48 167.123,67 291.140,15 1.046.603,04 1.387.358,03 2.433.961,07  548(17( 13 29 42 4.567,29 10.188,57 14.755,86 39.148,20 83.616,54 122.764,74 
 56212
 -- -- -- -- -- -- -- -- --  59(5'( 775 1.270 2.045 272.171,84 445.762,99 717.934,83 2.245.677,29 3.665.038,49 5.910.715,78  5,$/0$ 136 88 224 47.780,88 30.917,04 78.697,92 404.531,40 257.675,46 662.206,86  5,$1$32/,6 -- -- -- -- -- -- -- -- --  58%,$7$%$ 262 105 367 92.048,46 36.889,65 128.938,11 786.386,96 303.147,60 1.089.534,56  6$%$55$ 3 8 11 1.053,99 2.810,64 3.864,63 6.410,64 26.583,25 32.993,89  6$'(62%(5 523 378 901 183.745,59 132.802,74 316.548,33 1.561.912,80 1.089.072,82 2.650.985,62  6$%$',$ 1 -- 1 351,33 -- 351,33 3.011,40 -- 3.011,40  6$1721,2*2 6 8 14 2.107,98 2.810,64 4.918,62 16.542,37 13.689,90 30.232,27  6%$5%$5$*2 73 75 148 25.647,09 26.244,35 51.891,44 222.040,56 219.681,63 441.722,19  6$1('2 409 307 716 143.693,97 107.855,30 251.549,27 1.205.212,47 880.004,38 2.085.216,85  658=*2 6 24 30 2.107,98 8.431,92 10.539,90 18.039,90 59.439,65 77.479,55  6'20,1*2*2 78 52 130 27.403,74 18.269,16 45.672,90 232.229,13 151.332,89 383.562,02  6)(*2 -- -- -- -- -- -- -- -- --  6)5$1,6*2 54 22 76 18.971,82 7.729,26 26.701,08 163.217,88 59.073,63 222.291,51  6+(/(1$*2 284 215 499 99.713,02 75.044,13 174.757,15 839.799,36 608.226,31 1.448.025,67  6,6$%(/*2 7 4 11 2.459,31 1.405,32 3.864,63 21.027,93 16.815,96 37.843,89  6-$/,$1$ 120 156 276 42.159,60 54.702,08 96.861,68 344.755,11 466.917,57 811.672,68  6-3$5$81$ 3 1 4 1.053,99 351,33 1.405,32 6.364,63 351,33 6.715,96  6/0%(/26 354 310 664 123.914,09 108.909,29 232.823,38 1.040.954,83 905.751,84 1.946.706,67  6/8,=1 24 20 44 8.431,92 7.026,60 15.458,52 74.217,39 63.338,32 137.555,71  60$5$*8$,$ 189 479 668 66.401,37 168.287,07 234.688,44 490.808,01 1.369.986,24 1.860.794,25
60348$752 3 1 4 1.053,99 351,33 1.405,32 11.872,61 8.864,63 20.737,24 
 61292*2
 -- -- -- -- -- -- -- -- --  65$5$*8$,$ 93 105 198 32.670,68 36.889,65 69.560,33 263.721,36 298.028,22 561.749,58  651'(67,1 -- 1 1 -- 350 350 1.700,00 2.450,00 4.150,00  6526$*2 -- -- -- -- -- -- -- -- -- 
 66(%$6772
 -- -- -- -- -- -- -- -- --  66,0$2*2 143 350 493 50.240,19 122.860,10 173.100,29 428.421,84 1.026.385,50 1.454.807,34  67(5(=$*2 21 20 41 7.350,00 6.965,00 14.315,00 129.100,00 158.000,00 287.100,00  67(5(=,1*2 169 207 376 59.374,77 72.409,11 131.783,88 509.177,55 608.302,80 1.117.480,35  6$1/(5/$1', 185 74 259 64.996,05 25.998,42 90.994,47 556.737,89 204.725,01 761.462,90  6$23$75,,2 1 -- 1 351,33 -- 351,33 3.006,65 1.952,66 4.959,31  6(55$1232/,6 55 67 122 19.323,15 23.328,31 42.651,46 161.712,18 172.126,61 333.838,79  6,/9$1,$ 169 137 306 59.374,77 48.132,21 107.506,98 489.151,74 398.207,46 887.359,20 
 6,/9$1232/
 -- -- -- -- -- -- -- -- --  6,02/$1',$ 35 23 58 12.250,00 8.050,00 20.300,00 105.000,00 67.150,00 172.150,00  75$1+26 11 29 40 3.864,63 10.188,57 14.053,20 28.507,92 84.118,44 112.626,36 
 7$*8$7,1*$
 -- -- -- -- -- -- -- -- --  7$48$5$/*2 10 15 25 3.500,00 5.250,00 8.750,00 29.700,00 51.300,00 81.000,00  7(5(6,1$*2 26 13 39 9.100,00 4.550,00 13.650,00 83.832,66 35.450,00 119.282,66  7(5(=232/*2 15 12 27 5.250,00 4.200,00 9.450,00 45.003,43 33.750,00 78.753,43 
 72$17,1,$
 -- -- -- -- -- -- -- -- -- 
 72$17,123
 -- -- -- -- -- -- -- -- --  75,1'$'(*2 1.118 1.076 2.194 392.436,11 377.286,76 769.722,87 3.317.662,36 3.161.410,92 6.479.073,28  7520%$6 19 9 28 6.675,27 3.161,97 9.837,24 34.345,76 21.954,53 56.300,29  7859$1,$ -- -- -- -- -- -- -- -- --  7859(/$1',$ -- -- -- -- -- -- -- -- --  8,5$3858 2 3 5 702,66 1.053,99 1.756,65 27.845,22 44.832,27 72.677,49  858$8 466 558 1.024 163.716,77 195.846,40 359.563,17 1.393.549,07 1.662.688,29 3.056.237,36  858$1$ 138 143 281 48.483,54 50.134,79 98.618,33 407.091,09 390.026,49 797.117,58  8587$, 21 26 47 7.377,93 9.117,52 16.495,45 65.799,09 76.542,78 142.341,87  9%2$ 38 27 65 13.300,00 9.450,00 22.750,00 98.701,33 77.700,00 176.401,33  93523,,2 -- 1 1 -- 351,33 351,33 -- 1.403,99 1.403,99  9$/3$5$,6*2 141 157 298 49.537,53 55.158,81 104.696,34 433.079,48 456.879,57 889.959,05  9$5-$2 16 20 36 5.600,00 7.000,00 12.600,00 50.650,00 63.200,00 113.850,00  9,$1232/,6 126 108 234 44.267,58 37.943,64 82.211,22 379.034,88 303.298,17 682.333,05  9,(17,1232/ 51 54 105 17.917,83 18.971,82 36.889,65 149.867,34 163.368,45 313.235,79 
 :$1'(5/$1'
 -- -- -- -- -- -- -- -- -- 
 ;$0%,2$
 -- -- -- -- -- -- -- -- --

Set go 2006

  • 1.
    0,1,67e5,2'2'(6(192/9,0(17262,$/(20%$7(¬)20( 6(5(7$5,$1$,21$/'($66,67Ç1,$62,$/ '(3$57$0(172'(%(1()Ë,26$66,67(1,$,6 225'(1$d­2*(5$/'$*(67­2'(%(1()Ë,26 %3/2$6%(1()Ë,26(0,7,'26(06(7(0%52'((5(85626*$6726120Ç6(12$12'( *2,È6 %(1(),,2 5 5 VHW $12 (67$'2 620$ VHW 620$ 620$ 33' ,'262 33' ,'262 33' ,'262 Ï',%*( 727$/ 43.159 46.411 89.570 15.149.473,11 16.288.287,14 31.437.760,25 126.976.087,99 134.450.221,27 261.426.309,26 $%5$6,/*2 29 16 45 10.150,00 5.600,00 15.750,00 86.400,00 54.200,00 140.600,00 $)5,$*2 29 25 54 10.150,00 8.750,00 18.900,00 79.100,00 66.500,00 145.600,00 $+25,=217( 9 24 33 3.150,00 8.400,00 11.550,00 29.550,00 69.151,14 98.701,14 $/,03$ 10 20 30 3.513,30 7.026,60 10.539,90 33.424,48 54.823,69 88.248,17 $/,1'$6*2 190 208 398 66.752,70 73.076,64 139.829,34 488.951,98 588.899,37 1.077.851,35 $3$5$,62*2 79 76 155 27.755,07 26.701,08 54.456,15 232.329,52 226.156,14 458.485,66 $5'2(*2 9 6 15 3.161,97 2.107,98 5.269,95 20.655,86 20.293,89 40.949,75 $%$',$*2 -- -- -- -- -- -- -- -- -- $%$',$1,$ 91 138 229 31.971,03 48.483,54 80.454,57 267.864,03 392.184,66 660.048,69 $5(81$ 116 135 251 40.754,28 47.233,81 87.988,09 337.778,70 388.839,02 726.617,72 $'(/$1',$ 17 12 29 5.950,00 4.200,00 10.150,00 53.650,00 38.650,00 92.300,00 $/(;$1,$ 258 254 512 90.636,62 89.128,91 179.765,53 745.163,94 750.310,41 1.495.474,35 $/0$6 -- -- -- -- -- -- -- -- -- $/2$1',$ 30 39 69 10.539,90 13.701,87 24.241,77 87.430,98 106.352,61 193.783,59 $/925$'$ -- -- -- -- -- -- -- -- -- $/925$'$1 368 192 560 129.289,44 67.454,36 196.743,80 1.038.531,53 522.268,14 1.560.799,67 $0$5$/,1$ 12 27 39 4.215,96 9.485,91 13.701,87 36.839,46 86.828,70 123.668,16 $025,1232/,6 14 15 29 4.918,62 5.269,95 10.188,57 47.351,08 49.656,40 97.007,48 $1$1$6 -- -- -- -- -- -- -- -- -- $1$32/,6 2.221 2.400 4.621 779.855,75 842.824,62 1.622.680,37 6.495.722,03 6.798.867,98 13.294.590,01 $1+$1*8(5$ 4 3 7 1.405,32 1.053,99 2.459,31 14.315,96 10.261,97 24.577,93 $1,816 261 165 426 91.697,13 57.965,94 149.663,07 775.033,98 485.959,68 1.260.993,66 $3$5(,'$*2 3.139 3.270 6.409 1.101.732,28 1.147.662,15 2.249.394,43 9.234.206,52 9.332.982,55 18.567.189,07 $325( 46 60 106 16.161,18 21.079,80 37.240,98 142.439,22 166.229,28 308.668,50 $5$8 22 16 38 7.595,00 5.600,00 13.195,00 70.600,00 48.050,00 118.650,00 $5$*$5$6 15 21 36 5.262,92 7.374,92 12.637,84 36.540,31 55.131,72 91.672,03 $5$*2,$1,$ 18 47 65 6.300,00 16.345,00 22.645,00 51.301,14 138.150,00 189.451,14 $5$*8$(0 -- -- -- -- -- -- -- -- -- $5$*8$8 -- -- -- -- -- -- -- -- --
  • 2.
    $5$*8$,1$ -- ---- -- -- -- -- -- -- $5$*8$3$= 94 151 245 33.025,02 53.050,83 86.075,85 271.527,90 439.814,97 711.342,87 $5$*8$7,16 -- -- -- -- -- -- -- -- -- $5$32(0$ -- -- -- -- -- -- -- -- -- $5(1232/,6 -- -- -- -- -- -- -- -- -- $55$,$6 -- -- -- -- -- -- -- -- -- $58$1$ 36 69 105 12.647,88 24.241,77 36.889,65 111.321,42 197.447,46 308.768,88 $8*867,1232 -- -- -- -- -- -- -- -- -- $85,/$1',$ 29 33 62 10.188,57 11.593,89 21.782,46 88.936,68 96.164,04 185.100,72 $8525$1 -- -- -- -- -- -- -- -- -- $9(/,1232/,6 27 10 37 9.450,00 3.500,00 12.950,00 83.952,66 28.400,00 112.352,66 $;,;$*2 -- -- -- -- -- -- -- -- -- %$/(*5( 91 253 344 31.971,03 88.886,49 120.857,52 262.794,85 737.140,53 999.935,38 %$/72*2 71 68 139 24.944,43 23.890,44 48.834,87 203.821,59 204.373,68 408.195,27 %-$5',0*2 140 227 367 48.726,91 79.633,46 128.360,37 404.346,70 659.633,13 1.063.979,83 %-(686*2 141 383 524 49.537,53 134.559,39 184.096,92 423.553,41 1.101.068,22 1.524.621,63 %1$=$5( -- -- -- -- -- -- -- -- -- %9,67$*2 168 152 320 59.007,39 53.384,10 112.391,49 501.106,08 446.227,32 947.333,40 %$%$8/$1' -- -- -- -- -- -- -- -- -- %$/,=$ 5 3 8 1.750,00 1.050,00 2.800,00 22.810,00 20.900,00 43.710,00 %21),1232/,6 29 60 89 10.188,57 21.079,80 31.268,37 86.477,37 169.190,49 255.667,86 %21232/,6 1 -- 1 350 -- 350 2.100,00 -- 2.100,00 %5$=$%5$17(6 1 1 2 351,33 351,33 702,66 2.605,32 3.556,65 6.161,97 %5,7$1,$ 32 67 99 11.242,56 23.539,11 34.781,67 93.704,73 187.710,60 281.415,33 %85,7,*2 2 1 3 702,66 351,33 1.053,99 8.317,29 3.006,65 11.323,94 %85,7,1232/, 7 4 11 2.450,00 1.400,00 3.850,00 16.350,00 8.400,00 24.750,00 $/(*5(*2 33 38 71 11.593,89 13.347,53 24.941,42 97.770,12 112.649,46 210.419,58 $/7$*2 60 68 128 21.079,80 23.890,44 44.970,24 179.328,87 208.122,88 387.451,75 %(/26 162 99 261 56.915,46 34.781,67 91.697,13 515.170,70 300.587,91 815.758,61 (8 7 26 33 2.456,30 9.134,58 11.590,88 17.852,59 64.795,29 82.647,88 '285$'$*2 145 217 362 50.939,84 76.133,21 127.073,05 438.024,26 641.612,93 1.079.637,19 0$*$/+$(6 -- -- -- -- -- -- -- -- -- 129$6 359 545 904 125.814,29 191.310,26 317.124,55 1.065.728,50 1.588.146,39 2.653.874,89 2,'(17$/ 178 192 370 62.536,74 67.455,36 129.992,10 540.747,06 566.946,24 1.107.693,30 2852 -- -- -- -- -- -- -- -- -- 59(5'(*2 111 45 156 38.997,63 15.704,45 54.702,08 337.176,42 128.034,69 465.211,11 9(5'(6 114 111 225 40.051,62 38.892,23 78.943,85 342.596,94 321.802,22 664.399,16 $%((,5$6 91 71 162 31.619,70 24.944,43 56.564,13 268.114,98 208.639,83 476.754,81 $+2(,5$*2 1 1 2 351,33 351,33 702,66 8.213,30 3.906,65 12.119,95 $8 110 139 249 38.646,30 48.501,61 87.147,91 333.813,69 392.940,54 726.754,23
  • 3.
    $,$321,$ 231 237468 81.157,23 83.263,88 164.421,11 676.460,82 707.868,36 1.384.329,18 $/'$=,1+$ 12 13 25 4.200,00 4.550,00 8.750,00 40.000,00 40.250,00 80.250,00 $03(675(*2 8 6 14 2.810,64 2.107,98 4.918,62 23.753,20 16.438,57 40.191,77 $03,1$8 8 7 15 2.810,64 2.459,31 5.269,95 43.982,47 42.970,49 86.952,96 $03,1257( 106 140 246 37.240,98 49.186,20 86.427,18 317.853,27 407.091,09 724.944,36 $032/,032 30 70 100 10.539,90 24.593,10 35.133,00 85.423,38 183.193,50 268.616,88 $67(/$1',$ 38 86 124 13.350,54 30.214,38 43.564,92 112.375,41 245.278,53 357.653,94 $7$/$2 482 626 1.108 168.923,99 219.202,33 388.126,32 1.416.614,79 1.833.608,35 3.250.223,14 $785$, 28 21 49 9.837,24 7.377,93 17.215,17 78.891,14 48.315,71 127.206,85 $9$/$17( 102 107 209 35.835,66 37.592,31 73.427,97 308.869,26 322.520,94 631.390,20 (5(6 154 87 241 54.104,82 30.565,71 84.670,53 465.963,96 247.336,32 713.300,28 (=$5,1$ 58 64 122 20.377,14 22.485,12 42.862,26 177.471,84 189.216,30 366.688,14 2$/=,1+*2 92 89 181 32.322,36 31.268,37 63.590,73 262.092,21 258.277,74 520.369,95 2/,1$6*2 -- -- -- -- -- -- -- -- -- 2/,1$66 12 60 72 4.215,96 21.079,80 25.295,76 36.079,80 184.802,80 220.882,60 2/0(,$ -- -- -- -- -- -- -- -- -- 21(,$21 -- -- -- -- -- -- -- -- -- 2580%$*2 140 89 229 49.186,20 31.268,37 80.454,57 412.913,13 251.451,90 664.365,03 2580%$,%$ 61 64 125 21.431,13 22.485,12 43.916,25 179.630,01 187.359,27 366.989,28 5,67$/$1' -- -- -- -- -- -- -- -- -- 5,67$/,1$ 285 292 577 100.129,05 102.588,36 202.717,41 844.409,71 812.224,77 1.656.634,48 5,67,$1232/ -- -- -- -- -- -- -- -- -- 5,;$6 153 187 340 53.648,09 65.698,71 119.346,80 418.780,34 511.285,53 930.065,87 520,1,$ 6 2 8 2.107,98 702,66 2.810,64 32.855,25 6.014,63 38.869,88 80$5, -- -- -- -- -- -- -- -- -- ',50$26*2 -- -- -- -- -- -- -- -- -- '$0,$1232/,6 4 6 10 1.400,00 2.100,00 3.500,00 14.550,00 18.200,00 32.750,00 '$02/$1',$ 46 20 66 16.161,18 7.026,60 23.187,78 138.022,50 58.672,11 196.694,61 '$9,123*2 2 5 7 700 1.645,00 2.345,00 7.200,00 14.100,00 21.300,00 ',$1232/,6 -- -- -- -- -- -- -- -- -- ',25$0$ 10 5 15 3.513,30 1.756,65 5.269,95 33.277,35 14.787,05 48.064,40 ',9,1232/*2 49 58 107 17.215,17 20.271,74 37.486,91 147.207,27 164.020,92 311.228,19 '29(5/$1',$ 87 98 185 30.565,71 34.324,94 64.890,65 261.489,90 279.277,24 540.767,14 '8(5( -- -- -- -- -- -- -- -- -- ('($/,1$ 3 4 7 1.053,99 1.405,32 2.459,31 10.073,94 10.871,28 20.945,22 ('(,$ 139 131 270 48.708,89 46.024,23 94.733,12 421.024,37 377.177,85 798.202,22 (675(/$1*2 -- -- -- -- -- -- -- -- -- )$5$*8$,$ -- -- -- -- -- -- -- -- -- )129$ 43 33 76 15.107,19 11.260,12 26.367,31 130.293,24 93.855,27 224.148,51 )$,1$ 4 6 10 1.405,32 2.107,98 3.513,30 29.272,42 80.784,58 110.057,00
  • 4.
    )$7,0$ -- ---- -- -- -- -- -- -- ),*8(,5232/ -- -- -- -- -- -- -- -- -- ),/$'(/),$ -- -- -- -- -- -- -- -- -- ),50,1232/,6 130 69 199 45.672,90 24.241,77 69.914,67 387.727,81 195.038,34 582.766,15 )/25(6*2 34 66 100 11.900,00 23.100,00 35.000,00 106.153,61 203.251,14 309.404,75 )25026$ 673 1.027 1.700 236.181,59 360.464,58 596.646,17 1.983.880,18 2.942.137,80 4.926.017,98 )250262*2 83 74 157 29.160,39 25.893,02 55.053,41 253.459,50 220.267,86 473.727,36 *$0(/(,5$*2 2 1 3 702,66 351,33 1.053,99 6.665,77 3.006,65 9.672,42 *2,$1$32/,6 134 60 194 47.078,22 21.079,80 68.158,02 390.026,53 178.224,69 568.251,22 *2,$1',5$ 54 34 88 18.971,82 11.928,16 30.899,98 154.183,68 98.124,48 252.308,16 *2,$1(6,$ 474 506 980 166.460,15 177.772,98 344.233,13 1.371.592,29 1.509.263,49 2.880.855,78 *2,$1,$ 8.184 8.070 16.254 2.871.686,08 2.833.296,29 5.704.982,37 24.145.908,57 23.348.906,36 47.494.814,93 *2,$1,5$ 157 165 322 55.155,80 57.969,45 113.125,25 460.114,83 474.546,45 934.661,28 *2,$6 292 330 622 102.412,69 115.833,50 218.246,19 853.370,51 904.925,70 1.758.296,21 *2,$7,16 -- -- -- -- -- -- -- -- -- *2,$78%$ 285 666 951 99.514,41 233.979,26 333.493,67 831.463,01 1.885.882,26 2.717.345,27 *289(/$1',$ 45 36 81 15.809,85 12.647,88 28.457,73 130.142,67 95.260,62 225.403,29 *8$32 152 149 301 53.402,16 52.242,77 105.644,93 452.312,28 433.390,65 885.702,93 *8$5$, -- -- -- -- -- -- -- -- -- *8$5$,7$ 2 3 5 702,66 1.053,99 1.756,65 6.913,30 9.319,95 16.233,25 *8$5$1,*2 8 16 24 2.800,00 5.600,00 8.400,00 24.250,00 43.900,00 68.150,00 *8$5,126 6 4 10 2.107,98 1.405,32 3.513,30 18.039,90 12.026,60 30.066,50 *8583, -- -- -- -- -- -- -- -- -- +(,725$, 19 14 33 6.650,00 4.900,00 11.550,00 58.050,00 43.400,00 101.450,00 +,'52/$1'*2 120 141 261 41.928,72 49.432,13 91.360,85 363.919,65 408.988,27 772.907,92 +,'52/,1$ 66 38 104 23.187,78 13.350,54 36.538,32 201.061,14 116.382,58 317.443,72 ,$,$5$ 257 121 378 90.291,81 42.510,93 132.802,74 755.309,31 347.114,04 1.102.423,35 ,1$,2/$1',$ 41 73 114 14.404,53 25.647,09 40.051,62 123.316,83 222.341,70 345.658,53 ,1',$5$ 72 149 221 24.840,02 51.803,60 76.643,62 217.706,13 424.963,71 642.669,84 ,1+80$6 575 525 1.100 201.768,82 184.448,25 386.217,07 1.682.218,24 1.489.237,68 3.171.455,92 ,3$0(5, 176 191 367 61.482,75 67.104,03 128.586,78 520.068,75 538.848,86 1.058.917,61 ,3,5$1*$* 1 -- 1 351,33 -- 351,33 2.107,98 -- 2.107,98 ,325$*2 628 517 1.145 220.271,87 181.466,47 401.738,34 1.849.984,87 1.513.656,16 3.363.641,03 ,65$(/$1',$ 1 7 8 351,33 2.459,31 2.810,64 7.118,62 19.246,55 26.365,17 ,7$%(5$, 209 243 452 73.427,97 85.159,38 158.587,35 606.746,94 712.329,61 1.319.076,55 ,7$$-$ -- -- -- -- -- -- -- -- -- ,7$*8$5, 1 2 3 351,33 702,66 1.053,99 2.351,33 3.510,64 5.861,97 ,7$*8$58 33 43 76 11.593,89 15.107,19 26.701,08 104.696,34 124.822,53 229.518,87 ,7$*8$7,16 -- -- -- -- -- -- -- -- -- ,7$-$*2 149 132 281 52.347,17 46.375,56 98.722,73 432.330,66 363.777,12 796.107,78
  • 5.
    ,7$3$, 127 81208 44.615,90 28.352,33 72.968,23 382.671,66 233.734,83 616.406,49 ,7$3,5$38$ 86 92 178 30.214,38 32.216,96 62.431,34 256.872,42 272.330,94 529.203,36 ,7$325$*2 -- -- -- -- -- -- -- -- -- ,7$385$1*$ 363 288 651 127.532,79 100.831,71 228.364,50 1.078.934,43 838.343,65 1.917.278,08 ,7$580$ 103 91 194 36.186,99 31.968,02 68.155,01 304.502,73 265.386,66 569.889,39 ,7$88 81 82 163 28.457,73 28.809,06 57.266,79 242.417,70 236.946,99 479.364,69 ,780%,$5$ 746 1.601 2.347 262.163,97 562.007,05 824.171,02 2.208.392,77 4.701.710,92 6.910.103,69 ,92/$1',$ 1 1 2 351,33 351,33 702,66 10.803,99 12.051,33 22.855,32 -$1'$,$ 63 76 139 22.133,79 26.592,17 48.725,96 181.888,56 204.745,11 386.633,67 -$5$*8$ 349 304 653 122.614,17 106.663,79 229.277,96 1.045.402,52 878.646,22 1.924.048,74 -$7$, 593 1.062 1.655 208.335,68 372.892,13 581.227,81 1.722.794,85 3.133.317,07 4.856.111,92 -$83$, 5 5 10 1.756,65 1.756,65 3.513,30 17.583,06 17.834,58 35.417,64 -(6832/,6 8 2 10 2.810,64 702,66 3.513,30 22.803,20 4.411,97 27.215,17 -29,$1,$ 48 93 141 16.863,84 32.673,69 49.537,53 139.879,53 254.814,63 394.694,16 -866$5$*2 258 336 594 90.643,14 117.991,68 208.634,82 764.544,27 991.780,53 1.756.324,80 /%8/+2(6 75 43 118 26.349,75 15.107,19 41.456,94 216.519,66 129.690,96 346.210,62 /6$17$*2 -- -- -- -- -- -- -- -- -- /$*2$6$17$ -- -- -- -- -- -- -- -- -- /,=$5'$ -- -- -- -- -- -- -- -- -- /8=,$1,$ 1.590 1.266 2.856 558.035,00 444.710,50 1.002.745,50 4.807.652,00 3.689.384,43 8.497.036,43 0$*8'2*2 2 1 3 702,66 351,33 1.053,99 6.007,98 3.953,99 9.961,97 0$/(*5(*2 70 43 113 24.505,77 15.107,19 39.612,96 213.762,21 130.393,62 344.155,83 0/$526*2 77 112 189 27.052,41 38.994,12 66.046,53 228.013,17 320.486,76 548.499,93 01292*2 34 131 165 11.945,22 46.024,23 57.969,45 104.696,34 402.222,66 506.919,00 0526$ 161 230 391 56.562,80 80.805,90 137.368,70 476.592,84 672.445,62 1.149.038,46 0$,5,327$%$ 1 1 2 351,33 351,33 702,66 7.511,97 3.606,65 11.118,62 0$0%$, 76 33 109 26.600,00 11.550,00 38.150,00 191.661,04 101.750,00 293.411,04 0$5=$*$2 10 21 31 3.513,30 7.377,93 10.891,23 34.325,62 62.842,31 97.167,93 0$75,1+$ 37 48 85 12.999,21 16.863,84 29.863,05 108.661,35 140.632,38 249.293,73 0$85,/$1',$ 60 85 145 21.073,78 29.831,95 50.905,73 192.766,58 246.542,92 439.309,50 0,0262*2 1 3 4 351,33 1.053,99 1.405,32 3.906,65 11.018,62 14.925,27 0,1$8 541 338 879 189.854,25 118.318,41 308.172,66 1.605.743,37 978.695,82 2.584.439,19 0,1(,526 615 511 1.126 216.061,93 179.421,22 395.483,15 1.822.121,89 1.533.110,78 3.355.232,67 0,5$(0$1 -- -- -- -- -- -- -- -- -- 0,5$1257( -- -- -- -- -- -- -- -- -- 02,325$ 6 3 9 2.107,98 1.053,99 3.161,97 18.039,90 6.364,63 24.404,53 0217($502 -- -- -- -- -- -- -- -- -- 0217,9,',8 47 72 119 16.407,11 25.295,76 41.702,87 141.134,28 210.641,41 351.775,69 0217,9,',81 31 51 82 10.891,23 17.917,83 28.809,06 86.598,17 171.311,38 257.909,55 0255,1+26*2 425 315 740 148.841,96 110.651,38 259.493,34 1.262.517,93 932.730,93 2.195.248,86
  • 6.
    0266$0('(6 57 1269 20.025,81 4.215,96 24.241,77 174.780,66 34.530,72 209.311,38 02=$5/$1',$ 92 177 269 32.322,36 62.080,01 94.402,37 279.206,97 513.995,80 793.202,77 08781232/,6 31 27 58 10.891,23 9.485,91 20.377,14 83.722,50 69.403,74 153.126,24 1$25'2 -- -- -- -- -- -- -- -- -- 1$0(5,$ 10 9 19 3.407,90 3.161,97 6.569,87 32.656,52 27.659,85 60.316,37 1$8525$*2 21 19 40 7.377,93 6.658,21 14.036,14 64.471,06 55.864,50 120.335,56 1%5$6,/ -- -- -- -- -- -- -- -- -- 15,;$6 72 202 274 25.295,76 70.968,66 96.264,42 226.105,95 600.774,30 826.880,25 1*/25,$ 119 110 229 41.808,27 38.646,30 80.454,57 344.955,89 321.717,90 666.673,79 1,*8$8*2 5 5 10 1.756,65 1.756,65 3.513,30 15.633,25 15.933,25 31.566,50 12/,1'$ -- -- -- -- -- -- -- -- -- 13/$1$/72 -- -- -- -- -- -- -- -- -- 1520$ 16 32 48 5.600,00 11.200,00 16.800,00 52.303,61 87.400,00 139.703,61 19(1(=$*2 48 42 90 16.863,84 14.755,86 31.619,70 138.022,50 127.081,08 265.103,58 1$7,9,'$'( -- -- -- -- -- -- -- -- -- 1$=$5( -- -- -- -- -- -- -- -- -- 1$=$5,2 108 62 170 37.943,64 21.677,06 59.620,70 310.475,34 183.670,30 494.145,64 1(5232/,6 194 155 349 68.140,45 54.456,15 122.596,60 575.428,32 429.024,12 1.004.452,44 1,48(/$1',$ 227 432 659 79.646,51 151.669,16 231.315,67 659.958,37 1.240.646,61 1.900.604,98 1292*$0$ 5 8 13 1.756,65 2.810,64 4.567,29 10.088,19 23.488,92 33.577,11 29(5'(*2 -- -- -- -- -- -- -- -- -- 25,=21$ 71 82 153 24.944,43 28.809,06 53.753,49 212.203,32 248.340,12 460.543,44 289,'25 25 24 49 8.780,24 8.323,51 17.103,75 83.393,35 64.065,54 147.458,89 3$%-(686 -- -- -- -- -- -- -- -- -- 3$)2162 -- -- -- -- -- -- -- -- -- 3$/7$1 -- -- -- -- -- -- -- -- -- 3%(51$5'2 259 237 496 90.994,47 83.265,21 174.259,68 698.644,82 684.340,65 1.382.985,47 3-$0,/ 7 9 16 2.459,31 3.161,97 5.621,28 15.876,60 25.133,25 41.009,85 3.(11(' -- -- -- -- -- -- -- -- -- 31$,21$/ -- -- -- -- -- -- -- -- -- 35,2 165 388 553 57.969,45 136.158,44 194.127,89 467.620,23 1.108.930,98 1.576.551,21 3$/(67,1$*2 12 14 26 4.215,96 4.918,62 9.134,58 26.017,64 40.642,53 66.660,17 3$/0(,5$6*2 199 115 314 69.809,27 39.858,89 109.668,16 595.052,64 335.006,22 930.058,86 3$/0(,5232/ -- -- -- -- -- -- -- -- -- 3$/0(/2 19 17 36 6.650,00 5.950,00 12.600,00 56.300,00 53.200,00 109.500,00 3$/0,1232/,6 7 1 8 2.450,00 350 2.800,00 33.250,00 10.650,00 43.900,00 3$1$0$ 2 1 3 700 350 1.050,00 11.989,00 27.800,00 39.789,00 3$5$,621*2 -- -- -- -- -- -- -- -- -- 3$5$1$ -- -- -- -- -- -- -- -- -- 3$5$1$,*8$5$ 91 99 190 31.971,03 34.430,33 66.401,36 270.674,67 286.218,45 556.893,12
  • 7.
    3$5$81$ 104 165269 36.538,32 57.864,05 94.402,37 313.285,98 487.696,23 800.982,21 3(,;( -- -- -- -- -- -- -- -- -- 3(52/$1',$ 6 8 14 2.107,98 2.810,64 4.918,62 19.439,90 19.055,48 38.495,38 3(752/,1$*2 130 60 190 45.538,34 21.079,80 66.618,14 396.302,38 179.529,63 575.832,01 3,/$5*2 3 4 7 1.053,99 1.405,32 2.459,31 9.019,95 13.276,60 22.296,55 3,1'25$0*2 -- -- -- -- -- -- -- -- -- 3,5$$1-8%$ 324 459 783 113.830,92 161.260,47 275.091,39 983.061,49 1.346.447,13 2.329.508,62 3,5$1+$6*2 268 276 544 94.156,44 96.722,15 190.878,59 798.322,14 812.608,20 1.610.930,34 3,5(1232/,6 184 200 384 64.644,72 70.266,00 134.910,72 550.433,74 560.020,02 1.110.453,76 3,80 -- -- -- -- -- -- -- -- -- 3/$1$/7,1$ 551 455 1.006 193.529,63 159.743,73 353.273,36 1.581.729,82 1.303.581,89 2.885.311,71 3217$/,1$ 331 263 594 116.184,83 92.188,99 208.373,82 989.244,90 750.374,39 1.739.619,29 325$1*$78 918 1.019 1.937 322.495,86 357.515,95 680.011,81 2.201.034,88 2.874.679,18 5.075.714,06 3257(,5$2 1 2 3 351,33 702,66 1.053,99 1.002,66 6.110,64 7.113,30 3257(/$1',$ 52 42 94 18.269,16 14.650,46 32.919,62 142.589,79 121.911,51 264.501,30 3266( 302 206 508 106.101,66 72.373,98 178.475,64 907.435,21 579.001,90 1.486.437,11 48,5,1232/,6 353 477 830 124.016,48 167.123,67 291.140,15 1.046.603,04 1.387.358,03 2.433.961,07 548(17( 13 29 42 4.567,29 10.188,57 14.755,86 39.148,20 83.616,54 122.764,74 56212 -- -- -- -- -- -- -- -- -- 59(5'( 775 1.270 2.045 272.171,84 445.762,99 717.934,83 2.245.677,29 3.665.038,49 5.910.715,78 5,$/0$ 136 88 224 47.780,88 30.917,04 78.697,92 404.531,40 257.675,46 662.206,86 5,$1$32/,6 -- -- -- -- -- -- -- -- -- 58%,$7$%$ 262 105 367 92.048,46 36.889,65 128.938,11 786.386,96 303.147,60 1.089.534,56 6$%$55$ 3 8 11 1.053,99 2.810,64 3.864,63 6.410,64 26.583,25 32.993,89 6$'(62%(5 523 378 901 183.745,59 132.802,74 316.548,33 1.561.912,80 1.089.072,82 2.650.985,62 6$%$',$ 1 -- 1 351,33 -- 351,33 3.011,40 -- 3.011,40 6$1721,2*2 6 8 14 2.107,98 2.810,64 4.918,62 16.542,37 13.689,90 30.232,27 6%$5%$5$*2 73 75 148 25.647,09 26.244,35 51.891,44 222.040,56 219.681,63 441.722,19 6$1('2 409 307 716 143.693,97 107.855,30 251.549,27 1.205.212,47 880.004,38 2.085.216,85 658=*2 6 24 30 2.107,98 8.431,92 10.539,90 18.039,90 59.439,65 77.479,55 6'20,1*2*2 78 52 130 27.403,74 18.269,16 45.672,90 232.229,13 151.332,89 383.562,02 6)(*2 -- -- -- -- -- -- -- -- -- 6)5$1,6*2 54 22 76 18.971,82 7.729,26 26.701,08 163.217,88 59.073,63 222.291,51 6+(/(1$*2 284 215 499 99.713,02 75.044,13 174.757,15 839.799,36 608.226,31 1.448.025,67 6,6$%(/*2 7 4 11 2.459,31 1.405,32 3.864,63 21.027,93 16.815,96 37.843,89 6-$/,$1$ 120 156 276 42.159,60 54.702,08 96.861,68 344.755,11 466.917,57 811.672,68 6-3$5$81$ 3 1 4 1.053,99 351,33 1.405,32 6.364,63 351,33 6.715,96 6/0%(/26 354 310 664 123.914,09 108.909,29 232.823,38 1.040.954,83 905.751,84 1.946.706,67 6/8,=1 24 20 44 8.431,92 7.026,60 15.458,52 74.217,39 63.338,32 137.555,71 60$5$*8$,$ 189 479 668 66.401,37 168.287,07 234.688,44 490.808,01 1.369.986,24 1.860.794,25
  • 8.
    60348$752 3 14 1.053,99 351,33 1.405,32 11.872,61 8.864,63 20.737,24 61292*2 -- -- -- -- -- -- -- -- -- 65$5$*8$,$ 93 105 198 32.670,68 36.889,65 69.560,33 263.721,36 298.028,22 561.749,58 651'(67,1 -- 1 1 -- 350 350 1.700,00 2.450,00 4.150,00 6526$*2 -- -- -- -- -- -- -- -- -- 66(%$6772 -- -- -- -- -- -- -- -- -- 66,0$2*2 143 350 493 50.240,19 122.860,10 173.100,29 428.421,84 1.026.385,50 1.454.807,34 67(5(=$*2 21 20 41 7.350,00 6.965,00 14.315,00 129.100,00 158.000,00 287.100,00 67(5(=,1*2 169 207 376 59.374,77 72.409,11 131.783,88 509.177,55 608.302,80 1.117.480,35 6$1/(5/$1', 185 74 259 64.996,05 25.998,42 90.994,47 556.737,89 204.725,01 761.462,90 6$23$75,,2 1 -- 1 351,33 -- 351,33 3.006,65 1.952,66 4.959,31 6(55$1232/,6 55 67 122 19.323,15 23.328,31 42.651,46 161.712,18 172.126,61 333.838,79 6,/9$1,$ 169 137 306 59.374,77 48.132,21 107.506,98 489.151,74 398.207,46 887.359,20 6,/9$1232/ -- -- -- -- -- -- -- -- -- 6,02/$1',$ 35 23 58 12.250,00 8.050,00 20.300,00 105.000,00 67.150,00 172.150,00 75$1+26 11 29 40 3.864,63 10.188,57 14.053,20 28.507,92 84.118,44 112.626,36 7$*8$7,1*$ -- -- -- -- -- -- -- -- -- 7$48$5$/*2 10 15 25 3.500,00 5.250,00 8.750,00 29.700,00 51.300,00 81.000,00 7(5(6,1$*2 26 13 39 9.100,00 4.550,00 13.650,00 83.832,66 35.450,00 119.282,66 7(5(=232/*2 15 12 27 5.250,00 4.200,00 9.450,00 45.003,43 33.750,00 78.753,43 72$17,1,$ -- -- -- -- -- -- -- -- -- 72$17,123 -- -- -- -- -- -- -- -- -- 75,1'$'(*2 1.118 1.076 2.194 392.436,11 377.286,76 769.722,87 3.317.662,36 3.161.410,92 6.479.073,28 7520%$6 19 9 28 6.675,27 3.161,97 9.837,24 34.345,76 21.954,53 56.300,29 7859$1,$ -- -- -- -- -- -- -- -- -- 7859(/$1',$ -- -- -- -- -- -- -- -- -- 8,5$3858 2 3 5 702,66 1.053,99 1.756,65 27.845,22 44.832,27 72.677,49 858$8 466 558 1.024 163.716,77 195.846,40 359.563,17 1.393.549,07 1.662.688,29 3.056.237,36 858$1$ 138 143 281 48.483,54 50.134,79 98.618,33 407.091,09 390.026,49 797.117,58 8587$, 21 26 47 7.377,93 9.117,52 16.495,45 65.799,09 76.542,78 142.341,87 9%2$ 38 27 65 13.300,00 9.450,00 22.750,00 98.701,33 77.700,00 176.401,33 93523,,2 -- 1 1 -- 351,33 351,33 -- 1.403,99 1.403,99 9$/3$5$,6*2 141 157 298 49.537,53 55.158,81 104.696,34 433.079,48 456.879,57 889.959,05 9$5-$2 16 20 36 5.600,00 7.000,00 12.600,00 50.650,00 63.200,00 113.850,00 9,$1232/,6 126 108 234 44.267,58 37.943,64 82.211,22 379.034,88 303.298,17 682.333,05 9,(17,1232/ 51 54 105 17.917,83 18.971,82 36.889,65 149.867,34 163.368,45 313.235,79 :$1'(5/$1' -- -- -- -- -- -- -- -- -- ;$0%,2$ -- -- -- -- -- -- -- -- --