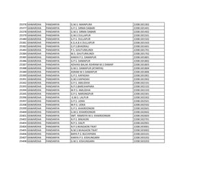
List Of School DISE CODE
Sno District Block SchoolName SchoolDISECODE
1 BALOD BALOD GOVT. PRIMARY SCHOOL SHIKARIPARA 22220100102
2 BALOD BALOD GOVT UPPER PRIMARY SCHOOL SHIKARIPARA 22220100103
3 BALOD BALOD GOVT. PRIMARY BOYS SCHOOL 22220100202
4 BALOD BALOD GOVT. PRIMARY SCHOOL 1 WARD 13 22220100205
5 BALOD BALOD GOVT. GIRLS UPPER PRIMARY SCHOOL BALOD 22220100209
6 BALOD BALOD GOVT. BUNYADI UPPER PRIMARY WARD NO. 9 BALOD 22220100217
7 BALOD BALOD NAVIN PRIMARY SCHOOL JURRIPARA WARD 12BALOD 22220100218
8 BALOD BALOD ATTECHED GOVT. UPPER PRIMARY BALOD 22220100219
9 BALOD BALOD GOVT.GIRLS -1 PRIMARY SCHOOL BALOD 22220100221
10 BALOD BALOD PRONNAT GIRLS UPPER PRIMARY BALOD 22220100222
11 BALOD BALOD PRIMARY SCHOOL GANJPARA BALOD 22220100223
12 BALOD BALOD GOVT. PRIMARY SCHOOL KUNDRAPARA BALOD 22220100301
13 BALOD BALOD GOVT. UPPER PRIMARY AAMAPARA BALOD 22220100401
14 BALOD BALOD GOVT. PRIMARY SCHOOL AAMAPARA BALOD 22220100402
15 BALOD BALOD GOVT. PRIMARY SCHOOL PARRAS 22220100501
16 BALOD BALOD GOVT. UPPER PRIMARY SCHOOLPARRAS 22220100502
17 BALOD BALOD GOVT. PRIMARY SCHOOL BUDAPARA BALOD 22220100601
18 BALOD BALOD GOVT. PRIMARY SCHOOL KHARATTARAI 22220100701
19 BALOD BALOD GOVT. PRIMARY SCHOOL NEWARIKHURD 22220100801
20 BALOD BALOD GOVT. UPPER PRIMARY SCHOOL PONDI 22220100901
21 BALOD BALOD GOVT. PRIMARY SCHOOL PONDI 22220100902
22 BALOD BALOD GOVT . PRIMARY SCHOOL LONDI 22220101001
23 BALOD BALOD GOVT. UPPER PRIMARY SCHOOL TEKAPAR 22220101101
24 BALOD BALOD GOVT. PRIMARY SCHOOL TEKAPAR 22220101102
25 BALOD BALOD GOVT. PRIMARY SCHOOL KHARWAHI 22220101201
26 BALOD BALOD GOVT. UPPER PRIMARY SCHOOL.NEWARIKALA 22220101301
27 BALOD BALOD GOVT. PRIMARY SCHOOL .NEWARIKALA 22220101302
28 BALOD BALOD GOVT. UPPER PRIMARY BELMAND 22220101401
29 BALOD BALOD GOVT. PRIMARY SCHOOL BELMAND 22220101402
30 BALOD BALOD GOVT. GIRLS HALDHARWARD BALOD 22220101601
31 BALOD BALOD GOVT. PRIMARY SCHOOL NAYAPARA BALOD 22220101701
32 BALOD BALOD GOVT UPPER PRIMARY NAYAPARA BALOD 22220101702
33 BALOD BALOD GOVT. PRIMARY SCHOOL .KURMIPARA BALOD 22220101801
34 BALOD BALOD GOVT. PRIMARY SCHOOL .HIRAPUR 22220101901
35 BALOD BALOD GOVT UPPER PRIMARY SCHOOL HIRAPUR 22220101902
36 BALOD BALOD GOVT. UPPER PRIMARY SCHOOL KHARTULI 22220102101
37 BALOD BALOD GOVT. P.S. KHARTULI 22220102102
38 BALOD BALOD GOVT. P.RIMARY SCHOOL BHOTLI 22220102201
39 BALOD BALOD GOVT. PRIMARY SCHOOL MEDKI 22220102301
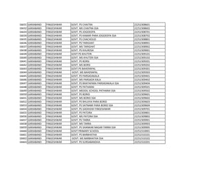
40 BALOD BALOD GOVT. PRIMARY SCHOOL ORMA 22220102401
41 BALOD BALOD GOVT. PRIMARY SCHOOL PARREGUDA 22220102501
42 BALOD BALOD GOVT. GIRLS P.S.BAGHMARA 22220102602
43 BALOD BALOD GOVT. P.S.BAGHMARA 22220102603
44 BALOD BALOD GOVT. M.S.BAGHMARA 22220102604
45 BALOD BALOD GOVT. PRIMARY SCHOOL DEHAN 22220102701
46 BALOD BALOD BALAK ASHRAM 22220102801
47 BALOD BALOD GOVT. M.S. AMLIDIH 22220102802
48 BALOD BALOD GOVT. P.S. KHAITHADIH 22220102901
49 BALOD BALOD PRONNAT GOVT. M.S.KHEITHADIH 22220102902
50 BALOD BALOD GOVT. P.S. RAMNAGAR 22220103001
51 BALOD BALOD GOVT. P.S. RANITARAI 22220103101
52 BALOD BALOD GOVT. P.S.MANOD 22220103201
53 BALOD BALOD GOVT. P.S. BHATAPARA 22220103301
54 BALOD BALOD GOVT. P.S.TAROD 22220103401
55 BALOD BALOD GOVT. M.S.TAROD 22220103402
56 BALOD BALOD GOVT. P.S. KHURSIPAR 22220103501
57 BALOD BALOD GOVT. P.S. JUNGARA 22220103601
58 BALOD BALOD GOVT. M.S.JUNGARA 22220103602
59 BALOD BALOD GOVT. P.S. R NAWAGAON 22220103701
60 BALOD BALOD NAVEEN GOVT. M.S.NAWAGAON 22220103801
61 BALOD BALOD GOVT. M.S.GHUMKA 22220103901
62 BALOD BALOD GOVT. P.S.GHUMKA 22220103902
63 BALOD BALOD GOVT. M.S.KOHANGATOLA 22220104001
64 BALOD BALOD GOVT. P.S.KOHANGATOLA 22220104002
65 BALOD BALOD GOVT. M.S. LATABOD 22220104101
66 BALOD BALOD GOVT. P.S. LATABOD 22220104102
67 BALOD BALOD GOVT. GIRLS P.S.LATABOD 22220104103
68 BALOD BALOD GOVT. M.S.KHAPRI 22220104201
69 BALOD BALOD GOVT. P.S.KHAPRI 22220104202
70 BALOD BALOD GOVT. P.S. BORI 22220104301
71 BALOD BALOD GOVT. P.S. PARSAHI 22220104401
72 BALOD BALOD GOVT. P.S. BHOINAPAR 22220104501
73 BALOD BALOD GOVT. M.S.BHOINAPAR 22220104502
74 BALOD BALOD GOVT. P.S. DEVI NAWAGAON 22220104601
75 BALOD BALOD GOVT. U.P.S. DEVI NAWAGAON 22220104602
76 BALOD BALOD GOVT. P.S. AROOD 22220104701
77 BALOD BALOD GOVT. M.S.DEWARBHAT 22220104801
78 BALOD BALOD GOVT. P.S.DEWARBHAT 22220104802
79 BALOD BALOD GOVT. M.S.PARSODA 22220104901
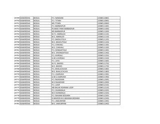
80 BALOD BALOD GOVT. GIRLS P.S.PARSODA 22220104902
81 BALOD BALOD GOVT. BOYS P.S.PARSODA 22220104903
82 BALOD BALOD GOVT. P.S. PAKURBHAT 22220105001
83 BALOD BALOD GOVT. P.S.GASTITOLA 22220105101
84 BALOD BALOD TWS P.S.TALGAON 22220105201
85 BALOD BALOD GOVT. P.S. ANDHIYA TOLA 22220105301
86 BALOD BALOD PRONNAT M.S. SEMARKONA 22220105401
87 BALOD BALOD GOVT. PS SEMARKONA 22220105402
88 BALOD BALOD GOVT. P.S. SALHETOLA 22220105501
89 BALOD BALOD GOVT. P.S. B MATIYA 22220105601
90 BALOD BALOD GOVT. M.S. B MATIYA 22220105602
91 BALOD BALOD GOVT. PS. NARRA 22220105704
92 BALOD BALOD PRONNAT M.S. DHARMPURA 22220105801
93 BALOD BALOD GOVT. PS DHARMPURA 22220105802
94 BALOD BALOD GOVT. P.S.KANDE 22220105901
95 BALOD BALOD GOVT. GIRLS P.S. BARHI 22220106001
96 BALOD BALOD GOVT. M.S. BARHI 22220106003
97 BALOD BALOD GOVT- BOYS P.S. BARHI 22220106004
98 BALOD BALOD GOVT PS BARHIPARA 22220106006
99 BALOD BALOD GOVT. P.S.MALGAON 22220106101
100 BALOD BALOD GOVT. M.S.MALGAON 22220106102
101 BALOD BALOD GOVT. P.S.MULLE 22220106201
102 BALOD BALOD GOVT. P.S.MADWAPATHRA 22220106301
103 BALOD BALOD GOVT. P.S. MULLEGUDA 22220106401
104 BALOD BALOD GOVT. PRONAT M.S.MULLEGUDA 22220106402
105 BALOD BALOD GOVT. GIRLS P.S.HARRATHEMA 22220106501
106 BALOD BALOD GOVT. P.S. HARRATHEMA 22220106502
107 BALOD BALOD GOVT. M.S. HARRTHEMA 22220106503
108 BALOD BALOD GOVT. P.S.GODPAL 22220106601
109 BALOD BALOD GOVT. GIRLS P.S.JAGANATHPUR 22220106702
110 BALOD BALOD NAVIN GIRLS M.S.JAGANANTHPUR 22220106703
111 BALOD BALOD GOVT. P.S.SUNDARA 22220106801
112 BALOD BALOD GOVT. P.S.DHAORABHATA 22220106901
113 BALOD BALOD GOVT-P S. DENGRAPAR 22220107001
114 BALOD BALOD GOVT. P.S. DARBARI NAWAGAON 22220107101
115 BALOD BALOD NEW PRIMARY SCHOOL PARSADA 22220107201
116 BALOD BALOD PRONNAT UPPER PRIMARY SCHOOL PARSADA 22220107202
117 BALOD BALOD GOVT. PRIMARY SCHOOL PARSADA 22220107203
118 BALOD BALOD GOVT. UPPER PRIMARY SCHOOL J/SANKARA 22220107301
119 BALOD BALOD GOVT. BOYS PRIMARY SCHOOL.J/SANKARA 22220107302
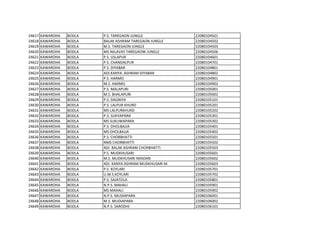
120 BALOD BALOD TWD GOVT. UPPER PRIMARY SCHOOL D NAWAGAON 22220107402
121 BALOD BALOD GOVT. PRIMARY SCHOOL HATHOD 22220107501
122 BALOD BALOD GOVT. P.S.CHARIGODI 22220107601
123 BALOD BALOD GOVT. P.S.SOHTARA 22220107701
124 BALOD BALOD GOVT. UPPER PRIMARY SCHOOL.JAMRUWA 22220107801
125 BALOD BALOD GOVT. PRIMARY SCHOOL. JAMRUWA 22220107802
126 BALOD BALOD GOVT. PRIMARY SCHOOL .JAGTARA 22220107901
127 BALOD BALOD GOVT. GIRLS M.S. 22220108001
128 BALOD BALOD GOVT. BOYS P.S. 22220108002
129 BALOD BALOD GOVT. GIRLS PRIMARY SCHOOL B JAMGAON 22220108101
130 BALOD BALOD GOVT. M.S. B JAMGAON 22220108102
131 BALOD BALOD GOVT. PRIMARY SCHOOLLIMORA 22220108201
132 BALOD BALOD GOVT MS LIMORA 22220108202
133 BALOD BALOD GOVT PRIMARY SCHOOLAMORA 22220108301
134 BALOD BALOD GOVT MS AMORA 22220108302
135 BALOD BALOD GOVT PRIMARY SCHOOL GODRI 22220108401
136 BALOD BALOD GOVT PRIMARY SCHOOL TAMORA 22220108501
137 BALOD BALOD GOVT. M.S. TAMORA 22220108502
138 BALOD BALOD GOVT PRIMARY SCHOOL NAGADABRI 22220108601
139 BALOD BALOD GOVT UPPER PRIMARY SCHOOL PIPRCHEDI 22220108701
140 BALOD BALOD GOVT PS PIPERCHEDI 22220108702
141 BALOD BALOD GOVT GIRLS PS PIPERCHEDI 22220108703
142 BALOD BALOD GOVT PRIMARY SCHOOL NIPANI 22220108801
143 BALOD BALOD GOVT GIRLS PRIMARY SCHOOL NIPANI 22220108802
144 BALOD BALOD GOVT UPPER PRIMARY SCHOOL NIPANI 22220108803
145 BALOD BALOD GOVT. GIRLS UPPER PRIMARY SCHOOL. NIPANI 22220108804
146 BALOD BALOD GOVT UPPER PRIMARY SCHOOL BHENGARI 22220108901
147 BALOD BALOD GOVT PS BHENGARI 22220108902
148 BALOD BALOD GOVT PRIMARY SCHOOLCHICHBOD 22220109001
149 BALOD BALOD GOVT PS CHARWAHI 22220109101
150 BALOD BALOD GOVT PRIMARY SCHOOLBIRETARA 22220109201
151 BALOD BALOD GOVT MS BERATARA 22220109202
152 BALOD BALOD PRONNAT UPPER PRIMARY SCHOOL ANGARI 22220109301
153 BALOD BALOD GOVT.PS ANGARI 22220109302
154 BALOD BALOD GOVT PS MATIYA P 22220109401
155 BALOD BALOD GOVT PS BODKI 22220109501
156 BALOD BALOD GOVT MS BHE NAWAGAON 22220109601
157 BALOD BALOD GOVT PS BHE NAWAGAON 22220109701
158 BALOD BALOD GOVT P S PADKIBHAT 22220109801
159 BALOD BALOD GOVT MS PADKIBHAT 22220109802
160 BALOD BALOD GOVT PS CHAROTA 22220109901
161 BALOD BALOD GOVT. MS UMARADAH 22220110003
162 BALOD BALOD GOVT.PS UMARADAH 22220110004
163 BALOD BALOD GOVT PS AURABHATA 22220110101
164 BALOD BALOD GOVT. PS DAURATRAI 22220110201
165 BALOD BALOD GOVT PS SIWANI 22220110301
166 BALOD BALOD PRONNAT GOVT. M.S. SIWANI 22220110303
167 BALOD BALOD GOVT PS JHALMALA 22220110401
168 BALOD BALOD GOVT MS JHALMALA 22220110403
169 BALOD BALOD GIRL.MS JHALMALA 22220110408
170 BALOD BALOD GOVT GIRLS PS M SANKARA 22220110501
171 BALOD BALOD GOVT PS M SANKARA 22220110502
172 BALOD BALOD GOVT. MS M SANKARA 22220110503
173 BALOD BALOD GOVT PS KARHIBADHAR 22220110601
174 BALOD BALOD GOVT GIRLS MS KARIBADHAR 22220110602
175 BALOD BALOD GOVT BOYS MS KARHIBADHAR 22220110603
176 BALOD BALOD GOVT PRIMARY SCHOOL DARRITOLA 22220110701
177 BALOD BALOD GOVT PRIMARY SCHOOL MUJGAHAN 22220110801
178 BALOD BALOD GOVT PRIMARY SCHOOL KARKABHAT 22220110901
179 BALOD BALOD GOVT PRIMARY SCHOOL PARRUGADA 22220111001
180 BALOD BALOD GOVT GIRLS PRIMARY SCHOOL KANNEWADA 22220111101
181 BALOD DAUNDI GOVT GIRLS PS GOTIYA 22220400102
182 BALOD DAUNDI GOVT PS ASHRAM GIRLS GOTIYA 22220400103
183 BALOD DAUNDI GOVT BOYS MS GOTIYA 22220400105
184 BALOD DAUNDI GOVT GIRLS MS GOTIYA 22220400106
185 BALOD DAUNDI GOVT PS GOHTI YA 22220400107
186 BALOD DAUNDI GOVT TWD MS. GIRLS ASHRAM GOTIYA 22220400108
187 BALOD DAUNDI GOVT PS OODGAON 01 22220400201
188 BALOD DAUNDI GOVT PS VANPENDEL 22220400301
189 BALOD DAUNDI GOVT PS PANDEL 22220400401
190 BALOD DAUNDI GOVT MS PANDEL 22220400402
191 BALOD DAUNDI GOVT PS AMABAHAR 22220400501
192 BALOD DAUNDI JANPAD PS PATELI 22220400601
193 BALOD DAUNDI GOVT GIRLS PS PATELI 22220400602
194 BALOD DAUNDI GOVT MS PATELI 22220400603
195 BALOD DAUNDI GOVT PS MADIYAKATTA 22220400701
196 BALOD DAUNDI JANPAD BOYS PRIMARY SCHOOL PACHEDA 22220400801
197 BALOD DAUNDI GOVT GIRLS PS PACHEDA 22220400802
198 BALOD DAUNDI TWD PS PACHEDA 22220400803
199 BALOD DAUNDI GOVT MS PACHEDA 22220400804
200 BALOD DAUNDI GOVT PS PENDRI 22220400901
201 BALOD DAUNDI GOVT PS BHARRITOL 22220401001
202 BALOD DAUNDI GOVT GIRLS PS BHARRITOL 22220401002
203 BALOD DAUNDI GOVT MS BHARRITOL 22220401003
204 BALOD DAUNDI GOVT M S DHORITEMA 22220401005
205 BALOD DAUNDI BOYS PS DORRITEMA 22220401101
206 BALOD DAUNDI GOVT GIRLS PSDORRITEMA 22220401102
207 BALOD DAUNDI GOVT PS KUNJ KANHAR 22220401201
208 BALOD DAUNDI GOVT MS KUNJKANHAR 22220401203
209 BALOD DAUNDI GOVT PS URJHE 22220401301
210 BALOD DAUNDI GOVT PS LAINKASA 22220401401
211 BALOD DAUNDI TWD PS KURRUTOLA 01 22220401501
212 BALOD DAUNDI TWD PS KARUTOLA 02 22220401502
213 BALOD DAUNDI GOVT. U.P.S. KURRUTOLA 22220401503
214 BALOD DAUNDI JANPAD BOYS PS NARATOLA 22220401601
215 BALOD DAUNDI GOVT GIRLS PS NARATOLA 22220401602
216 BALOD DAUNDI GOVT MS NARRATOLA 22220401603
217 BALOD DAUNDI GOVT BOYS PS CHIKHLI 22220401701
218 BALOD DAUNDI GOVT GIRLS PS CHIKHLI 22220401702
219 BALOD DAUNDI GOVT MS CHIKHLI 22220401703
220 BALOD DAUNDI GOVT PS CHORPARDAW 22220401801
221 BALOD DAUNDI TWD PS KAMTA 22220401901
222 BALOD DAUNDI GOVT GIRLS PS KAMTA 22220401902
223 BALOD DAUNDI GOVT.MS KAMTA 22220401903
224 BALOD DAUNDI GOVT PSW SINGANWAHI 22220402101
225 BALOD DAUNDI GOVT. GIRLS PS SINGHANWAHI 22220402201
226 BALOD DAUNDI GOVT. MS SINGHANWAHI 22220402202
227 BALOD DAUNDI GOVT. P.S JAMURWA (SSA) 22220402203
228 BALOD DAUNDI GOVT PS FAGUNDAH 22220402301
229 BALOD DAUNDI GOVT PS SINGNWAHI 22220402401
230 BALOD DAUNDI GOVT PS HATHIGORRA 22220402501
231 BALOD DAUNDI GOVT PS TEKADHODHA 22220402601
232 BALOD DAUNDI GOVT MS TEKADODHA 22220402602
233 BALOD DAUNDI GOVT PS KOKAN 22220402701
234 BALOD DAUNDI GOVT BOYS PS SHLHE 22220402801
235 BALOD DAUNDI GOVT GIRLS PS SHLHE 22220402802
236 BALOD DAUNDI GOVT MS SHLHE 22220402803
237 BALOD DAUNDI TWD PSDHOTIMATOLA 22220402901
238 BALOD DAUNDI GOVT M.S.DHOTIMATOLA 22220402902
239 BALOD DAUNDI GOVT PS DARUTOLA 22220403001
240 BALOD DAUNDI GOVT BOYS PS BORGAON 22220403101
241 BALOD DAUNDI GOVT GIRLS PSBORGAON 22220403102
242 BALOD DAUNDI GOVT MS BORGAON 22220403103
243 BALOD DAUNDI GOVT PS GHORDA 22220403201
244 BALOD DAUNDI GOVT PS BHIMATOLA 22220403301
245 BALOD DAUNDI GOVT PS HODEKASA 22220403401
246 BALOD DAUNDI TWD PS THEMABUJURG 22220403501
247 BALOD DAUNDI GOVT. MS THEMABUJURG 22220403502
248 BALOD DAUNDI GOVT PS THEMAKURD 22220403601
249 BALOD DAUNDI TWD PS BARBATTI;ARA 22220403701
250 BALOD DAUNDI GOVT GIRLS PS MARKATOLA 22220403903
251 BALOD DAUNDI GOVT BOYS PS MARKATOLA 22220403904
252 BALOD DAUNDI GOVT MS MARKATOLA 22220403905
253 BALOD DAUNDI JANPAD BOYS PS AAMADULA 22220404701
254 BALOD DAUNDI TWD MS AAMADULA 22220404702
255 BALOD DAUNDI GOVT. P.S. BUTIPARA (SSA) 22220404707
256 BALOD DAUNDI TWD PS PUTARWAHI 22220404801
257 BALOD DAUNDI TWD PS PUTARWAHI 22220404802
258 BALOD DAUNDI GOVT PS SHAHE 22220404901
259 BALOD DAUNDI ADIVASI GIRLS ASHRAM AMMADULA 22220405001
260 BALOD DAUNDI GOVT GIRLS PS AMMADULA 22220405002
261 BALOD DAUNDI GOVT TWD MS.GIRLS ASHRAM AMMADOL 22220405003
262 BALOD DAUNDI ADIM JATI KALYAN PS 22220405101
263 BALOD DAUNDI TWD PS DIGWADI 22220405201
264 BALOD DAUNDI GOVT. MS DIGWADI 22220405204
265 BALOD DAUNDI GOVT PS CIHRO 22220405301
266 BALOD DAUNDI GOVT MS CIHRO 22220405304
267 BALOD DAUNDI GOVT PS GOTIPARA 22220405401
268 BALOD DAUNDI GOVT PS KISAPURI 22220405501
269 BALOD DAUNDI GOVT PS KAKKDAKASA 22220405601
270 BALOD DAUNDI GOVT PS KAKKADKSA 01 22220405701
271 BALOD DAUNDI TWD PS BOHARDIHI 22220405801
272 BALOD DAUNDI GOVT MSBOHARDIHI 22220405804
273 BALOD DAUNDI JANPAD PS SINGHOL 22220405901
274 BALOD DAUNDI GOVT.MS SINGHOL 22220405902
275 BALOD DAUNDI GOVT PS KANJLI 22220406001
276 BALOD DAUNDI GOVT PS KURSITULUR 22220406101
277 BALOD DAUNDI GOVT PS GOTULMUNDA 22220406201
278 BALOD DAUNDI GOVT MS GOTULMUNDA 22220406202
279 BALOD DAUNDI GOVT PS MANGALTARI 22220406301
280 BALOD DAUNDI GOVT MS MANGALTARI 22220406302
281 BALOD DAUNDI GOVT PS PRALKASA 22220406401
282 BALOD DAUNDI GOVT PS BELODA 22220406501
283 BALOD DAUNDI GOVT PS BELODA 22220406601
284 BALOD DAUNDI GOVT MS BELODA 22220406602
285 BALOD DAUNDI GOVT GIRLS PS BELODA 22220406701
286 BALOD DAUNDI GOVT PS MARAAMKHEDA 22220406801
287 BALOD DAUNDI GOVT PS GUDUM 22220406901
288 BALOD DAUNDI GOVT PS PENWARI 22220407001
289 BALOD DAUNDI GIRLS PS GUDUM 22220407101
290 BALOD DAUNDI JANPAD PS GUDUM 22220407102
291 BALOD DAUNDI GOVT MS GUDUM 22220407103
292 BALOD DAUNDI GOVT PS RAJOLIIDIH 22220407201
293 BALOD DAUNDI GOVT PS NARALGURDA 22220407301
294 BALOD DAUNDI TWD PS PUSWAD 22220407401
295 BALOD DAUNDI GOVT GIRLS PS PUSWAD 22220407402
296 BALOD DAUNDI GOVT MS PUSWAD 22220407403
297 BALOD DAUNDI GOVT PS PETECHWA 22220407501
298 BALOD DAUNDI GOVT MS PURAN BAJAR 22220407601
299 BALOD DAUNDI GOVT GIRLS PS PURAN BAJAR 22220407602
300 BALOD DAUNDI GOVT PS KERABADI NO.1 PURAN BAJAR 22220407605
301 BALOD DAUNDI GOVT GIRLS MS NAYABAZAT RAJHAR 22220407701
302 BALOD DAUNDI GOVT MS BOYS NAYABAZAR RAJHAR 22220407702
303 BALOD DAUNDI GOVT PS NAYABAJAR 22220407704
304 BALOD DAUNDI PVTGURUNANAK UPPER PRIMARY SCHOOL 22220407801
305 BALOD DAUNDI PVT GURUNANAK PRIMARY SCHOOL 22220407808
306 BALOD DAUNDI GOVT PS PANDARDALLIRAJHRA 22220407818
307 BALOD DAUNDI GOVT BOYS PS, NAYA BAZAR 22220407820
308 BALOD DAUNDI GOVT PS CHIKHALAKASA NO.2 22220407822
309 BALOD DAUNDI PS KONDEKASH (NIYOGI NAGAR) 22220407824
310 BALOD DAUNDI GOVT.M.S. LABER CALONI 22220407825
311 BALOD DAUNDI GOVT MS LABOUR COLONY CAMP 1 22220407826
312 BALOD DAUNDI GOVT PS GUJRA 22220407902
313 BALOD DAUNDI GOVT.GIRLS PS GUJRA 22220407903
314 BALOD DAUNDI GOVT MS BOYS GUJRA 22220407904
315 BALOD DAUNDI GOVT. P.S. KHALARI NAYAPARA (SSA) 22220407905
316 BALOD DAUNDI GOVT. MS. KUMHAR PARA (SSA) 22220407906
317 BALOD DAUNDI GOVT MS KHALRI 22220408001
318 BALOD DAUNDI GOVT GIRLS PS KHALRI 22220408002
319 BALOD DAUNDI GOVT MS BHASHBORD 22220408101
320 BALOD DAUNDI JANPAD PS BHASHBORD 22220408102
321 BALOD DAUNDI GIRLS PS BHASHBORD 22220408103
322 BALOD DAUNDI GOVT MS KUMUDKATTA 22220408201
323 BALOD DAUNDI JANPAD PS KUMUDKATTA 22220408202
324 BALOD DAUNDI GOVT. MS KOTAGAON 22220408301
325 BALOD DAUNDI GOVT PS KOTAGAON 22220408302
326 BALOD DAUNDI GOVT PS KOTAGAON 22220408303
327 BALOD DAUNDI GOVT PS AWAS PARA (SSA) 22220408305
328 BALOD DAUNDI GOVT MS KHARWAHI 22220408401
329 BALOD DAUNDI GOVT GIRLS PS KHARWAHI 22220408402
330 BALOD DAUNDI GOVT MS KUSUMKASA 22220408501
331 BALOD DAUNDI GIRLS PS KUSUMKASA 22220408504
332 BALOD DAUNDI ADIWASHI GIRLS ASHRAM 22220408505
333 BALOD DAUNDI GOVT TWD MS GIRLS ADIWASHI ASHRAM 22220408508
334 BALOD DAUNDI GOVT KARIY ATOLA MS 22220408601
335 BALOD DAUNDI GOVT MS SUWARBOD 22220408701
336 BALOD DAUNDI GOVTPS SUWARBOD 22220408702
337 BALOD DAUNDI GOVT MS PHARRITOLA 22220408801
338 BALOD DAUNDI GOVT PS PHARRITOLA 22220408802
339 BALOD DAUNDI GOVT GIRLS MS PHARRITOLA 22220408803
340 BALOD DAUNDI GOVT. P.S. TENDUPARA 22220408808
341 BALOD DAUNDI TWD MS CHIPRA 22220408901
342 BALOD DAUNDI BOYS PS CHIPRA 22220408902
343 BALOD DAUNDI GOVT GIRLS PS CHIPRA 22220408903
344 BALOD DAUNDI GOVT MS KAKREL 22220409001
345 BALOD DAUNDI GOVT PS KAKREL 22220409002
346 BALOD DAUNDI GOVT.M.S BITAL 22220409101
347 BALOD DAUNDI GOVT PS BITAL 22220409102
348 BALOD DAUNDI GOVT GIRLS PS BITAL 22220409103
349 BALOD DAUNDI GOVT. P.S. AAMAPARA BITAL 22220409106
350 BALOD DAUNDI GOVT MS KONDEKASA 22220409201
351 BALOD DAUNDI GOVT PS KONDEKASA 22220409202
352 BALOD DAUNDI GOVT BOYS MS DONDI 22220409301
353 BALOD DAUNDI GOVT GIRLS MS DONDI 22220409302
354 BALOD DAUNDI GIRLS ASHRAM DONDI 22220409303
355 BALOD DAUNDI GOVT BUNIYADI SHALA PS DONDI 22220409304
356 BALOD DAUNDI GOVT GIRLS PS DONDI 22220409305
357 BALOD DAUNDI GOVT.M.S.BANDHIYA PARA DONDI 22220409309
358 BALOD DAUNDI GOVTMS ADRSA SCHOOL 22220409313
359 BALOD DAUNDI GOVT TWD MS GIRLS ASHRAM DONDI 22220409314
360 BALOD DAUNDI GOVT MS KUWAGONDI 22220409401
361 BALOD DAUNDI BOYS PS KUWAGONDI 22220409402
362 BALOD DAUNDI GIRLS PS KUWAGONDI 22220409403
363 BALOD DAUNDI GOVT MS ARAJGUDRA 22220409501
364 BALOD DAUNDI TWD MS CHIKHLAKASA 22220409601
365 BALOD DAUNDI TWD PS CHIKHLAKASA 22220409602
366 BALOD DAUNDI GOVTP.S. BARSATOLA CHIKHLAKASA 22220409606
367 BALOD DAUNDI GOVT PS PARA DOUDI 22220409701
368 BALOD DAUNDI GOVT PS BANDHIYAPARA 22220409801
369 BALOD DAUNDI GOVT PS UKRAI 22220409901
370 BALOD DAUNDI GOVT PS NAYAPARA DONDI 22220410001
371 BALOD DAUNDI GOVT PS MARRRTOLA 22220410101
372 BALOD DAUNDI GOVT PS KUSUMTOLA 22220410201
373 BALOD DAUNDI GOVT MS KUSUMTOLA 22220410202
374 BALOD DAUNDI TWD PS CHINDGAON 22220410301
375 BALOD DAUNDI TWD MS CHINDGAON 22220410302
376 BALOD DAUNDI GOVT PS BAMHNI 22220410401
377 BALOD DAUNDI GOVT MS BAMHNI 22220410402
378 BALOD DAUNDI GOVT PS KATREL 22220410501
379 BALOD DAUNDI GOVT PS JHURAH TOLA 22220410601
380 BALOD DAUNDI GOVT.M.S. JHURAH TOLA 22220410602
381 BALOD DAUNDI GOVT BOYS PS KANDE 22220410701
382 BALOD DAUNDI GOVT GIRLS PS KANDE 22220410702
383 BALOD DAUNDI GOVT BOYS PS AWARI 22220410801
384 BALOD DAUNDI GOVT GIRLS PS AWARI 22220410802
385 BALOD DAUNDI GOVT.MS AWARI 22220410803
386 BALOD DAUNDI GOVT PS LAKHMTOLA 22220410901
387 BALOD DAUNDI GOVT PS LIMHATOLA 22220411001
388 BALOD DAUNDI GOVT BOYS PS KUSUMKASA 22220411101
389 BALOD DAUNDI GOVT GIRLS MS KUSUMKASA 22220411103
390 BALOD DAUNDI GOVT BOYS PS KUSUMKASA 22220411201
391 BALOD DAUNDI GOVT PS GUNDDRTOLA 22220411301
392 BALOD DAUNDI GOVT PS DHURWATOLA 22220411401
393 BALOD DAUNDI GOVT.M.S.DHURWATOLA 22220411402
394 BALOD DAUNDI GOVTPS SHIKRITOLA 22220411501
395 BALOD DAUNDI G0VT PS GIDHLI 22220411601
396 BALOD DAUNDI JANPAD PS BAKLITOLA 22220411701
397 BALOD DAUNDI GOVT PS KHAMHAR TOLA 22220411901
398 BALOD DAUNDI GOVT PS KHAMHAR TOLA 2 22220411902
399 BALOD DAUNDI GOVT GIRLS PS ARMURKASA 22220412001
400 BALOD DAUNDI JANPAD PS ARMURKASA 22220412002
401 BALOD DAUNDI GOVT.PS BHARRITOLA 22220412101
402 BALOD DAUNDI GOVT.MS BHARRITOLA 22220412102
403 BALOD DAUNDI GOVT PS RAJHI 22220412201
404 BALOD DAUNDI GOVT PS DEVPANDUM 22220412301
405 BALOD DAUNDI TWD PS JUNWANI 22220412401
406 BALOD DAUNDI GOVT PS KHALLARI 22220412501
407 BALOD DAUNDI GOVT PS BORDI 22220412601
408 BALOD DAUNDI GOVT PS KHALLARI 02 22220412701
409 BALOD DAUNDI GOVT. P.S. ADJAL 22220412801
410 BALOD DAUNDI GOVT GIRLS PS 22220412802
411 BALOD DAUNDI GOVT,MS ADJAL 22220412807
412 BALOD DAUNDI GOVT PS DANITOLA 22220412901
413 BALOD DAUNDI GOVT MS DANITOLA 22220412902
414 BALOD DAUNDI TWD PS BANGAON 22220413001
415 BALOD DAUNDI TWD PS DHOBANI 22220413101
416 BALOD DAUNDI GOVT PS JAMHI 22220413201
417 BALOD DAUNDI GOVT PS HITKASA 22220413301
418 BALOD DAUNDI GOVT PS JABUDWAHI 22220413401
419 BALOD DAUNDI GOVT PS JHIKA TOLA 22220413501
420 BALOD DAUNDI TWD PS DARRTOLA 22220413601
421 BALOD DAUNDI GOVT GIRLS PS DARRTOLA 22220413602
422 BALOD DAUNDI GOVT PS DOBEDAND 22220413701
423 BALOD DAUNDI GOVT GIRLS PS DOBEDAND 22220413702
424 BALOD DAUNDI GOVT.M.S. DOBEDAND 22220413703
425 BALOD DAUNDI JANPAD P.S. CHIKHLAKASA 22220413801
426 BALOD DAUNDI GOVT- M-S- PUTARWAHI (SSA) 22220413802
427 BALOD DAUNDI GOVT NAVIN BOYS PS CHIKHLAKASA 22220413901
428 BALOD DAUNDI GOVT GIRLS PSCHIKHLAKASA 22220413902
429 BALOD DAUNDI GOVT NEW GIRLS MS CHIKHLAKASA 22220413903
430 BALOD DAUNDI GOVT PS BHOIRTOLA 22220414001
431 BALOD DAUNDI TWD PS DHOBANI 22220414101
432 BALOD DAUNDI TWD PS KURRUBHAT 22220414201
433 BALOD DAUNDI GOVT PS LEBERCOLINY RAJHAR 22220414301
434 BALOD DAUNDI GOVT PS KERABADI RAJHAR 22220414401
435 BALOD DAUNDI GOVT PS KACHHDAFAI RAJHARA 22220414501
436 BALOD DAUNDI GOVT GIRLS PS MAHAMAYA 22220414801
437 BALOD DAUNDI GOVT PS NALKASA 02 22220414901
438 BALOD DAUNDI GOVT PS NALKASA 01 22220415001
439 BALOD DAUNDI GOVT MS NALKASA 02 22220415002
440 BALOD DAUNDI GOVT PS TUYADAND 22220415101
441 BALOD DAUNDI GOVT.M.S. TUYADAND 22220415102
442 BALOD DAUNDI GOVT PS KOPEDERA 22220415201
443 BALOD DAUNDI GOVT PS DUKATOLA 22220415301
444 BALOD DAUNDI GOVT MS DUKATOLA 22220415302
445 BALOD DAUNDI GOVT PS HADARPAR 22220415401
446 BALOD DAUNDI GOVT PS BHURKABHTA 22220415501
447 BALOD DAUNDI GOVT BOYS PS KAHRAWAHI 22220415601
448 BALOD DAUNDI GOVT BOYS PS KAHRAWAHI 22220415701
449 BALOD DAUNDI GOVT. P.S. AADEJHAR 22220415801
450 BALOD DAUNDI GOVT. MS AADEJHAR 22220415802
451 BALOD DAUNDI GOVT PS MALKUWAWAR 22220415901
452 BALOD DAUNDI GOVT BOYS PS BELARGONDI 22220416001
453 BALOD DAUNDI GOVT GIRLS PS BELAR GONDI 22220416101
454 BALOD DAUNDI GOVT PS BELARGONDI 22220416201
455 BALOD DAUNDI GOVT PS LIMAUDIH 22220419901
456 BALOD DAUNDI GOVT. MS LIMAUDIH 22220419902
457 BALOD DAUNDI GOVT PS PARSODA 22220420001
458 BALOD DAUNDI GOVT PS BHOLAIPARA 22220420101
459 BALOD DAUNDI GOVT PS SHIKARITOLA 04202 22220420201
460 BALOD DAUNDI GOVT PS KHARRITOLA 22220420301
461 BALOD DAUNDI GOVT.PS EMALIPARA 22220420402
462 BALOD DAUNDI GOVT PS NAYAPARA (LIMAUDIH) 22220420501
463 BALOD DAUNDI GOVT PS KHALARIPARA (LIMAUDIH) 22220420502
464 BALOD DAUNDI GOVT PS KURSITIKUR 22220420601
465 BALOD DAUNDI GOT PS MARAKATOLA 22220420701
466 BALOD DAUNDI GIRLS PS SURDONGAR 22220420801
467 BALOD DAUNDI GOVT BOYS PS SURDONGAR 22220420802
468 BALOD DAUNDI GOVT MS SURDONGAR 22220420803
469 BALOD DAUNDI GOVT MS MHARDEL 22220420901
470 BALOD DAUNDI GOVT PS TUMRISUR 22220421001
471 BALOD DAUNDI GOVT PS MAGARDAH 22220421102
472 BALOD DAUNDI GOVT PS JABKASA 22220421201
473 BALOD DAUNDI GOVT PS MARDEL 22220421301
474 BALOD DAUNDI GOVT PARASBIRHI PS 22220421601
475 BALOD DAUNDI GOVT PS KESOPUR 22220421701
476 BALOD DAUNDI GOVT. MS KARUTOLA 22220421901
477 BALOD DAUNDI GOVT. PS GANGLIDIH 22220422001
478 BALOD DAUNDI GOVT. MS SALHATOLA 22220422101
479 BALOD DAUNDI GOVT. PS AKOLA 22220422201
480 BALOD DAUNDI GOVT.PS BANDHAPARA 22220422301
481 BALOD DAUNDI GOVT.PS AOURATOLA 22220422401
482 BALOD DAUNDI GOVT PS ODGAON 22220422801
483 BALOD DAUNDI GOVT PS DANWAPARA 22220422901
484 BALOD DAUNDI LOHARA GOVT GIRLS MIDEL SCHOOL DONDILOHARA 22220500102
485 BALOD DAUNDI LOHARA GOVTBOYS PS DONDI LOHARA 22220500105
486 BALOD DAUNDI LOHARA GOVTGIRLS PS DONDI LOHARA 22220500106
487 BALOD DAUNDI LOHARA GOVT BOYS MIDEL SCHOOL DONDILOHARA 22220500107
488 BALOD DAUNDI LOHARA GOVT MIDEL SCHOOL DHANGAOV 22220500201
489 BALOD DAUNDI LOHARA GOVT PRIMARY SCHOOL DHANGAOV 22220500202
490 BALOD DAUNDI LOHARA GOVT PRIMARY SCHOOL TIKARAPARA D.L. 22220500301
491 BALOD DAUNDI LOHARA GOVT PRIMARY SCHOOL BHENDI 22220500401
492 BALOD DAUNDI LOHARA GOVT PRIMARY SCHOOL BATERA 22220500501
493 BALOD DAUNDI LOHARA GOVT MIDEL SCHOOL BATERA (SSA) 22220500502
494 BALOD DAUNDI LOHARA GOVT PRIMARY SCHOOL JOGIBHAT 22220500601
495 BALOD DAUNDI LOHARA GOVT PRIMARY SCHOOL ANDI 22220500701
496 BALOD DAUNDI LOHARA GOVT PS SONBARSAPARA (SSA) 22220500702
497 BALOD DAUNDI LOHARA GOVT MIDEL SCHOOL ANDI (SSA) 22220500703
498 BALOD DAUNDI LOHARA GOVT PRIMARY SCHOOL KASHI(LO) 22220500801
499 BALOD DAUNDI LOHARA GOVT PRIMARY SCHOOL SASTRINAGAR 22220500802
500 BALOD DAUNDI LOHARA GOVT PRIMARY SCHOOL URETA 22220500901
501 BALOD DAUNDI LOHARA GOVT MIDEL SCHOOL ACHHOLI 22220501001
502 BALOD DAUNDI LOHARA GOVT GIRLS PRIMARY SCHOOL ACHHOLI 22220501002
503 BALOD DAUNDI LOHARA GOVT MIDEL SCHOOL SORLI 22220501101
504 BALOD DAUNDI LOHARA GOVT PRIMARY SCHOOL SORLI 22220501103
505 BALOD DAUNDI LOHARA GOVT PRIMARY SCHOOL KAPASI 22220501201
506 BALOD DAUNDI LOHARA GOVT PRIMARY SCHOOL PARSADIH 22220501301
507 BALOD DAUNDI LOHARA GOVT MIDEL SCHOOL PARSADIH(SSA) 22220501302
508 BALOD DAUNDI LOHARA GOVT PRIMARY SCHOOL PARSULI 22220501402
509 BALOD DAUNDI LOHARA GOVT MIDEL SCHOOL PARSULI 22220501403
510 BALOD DAUNDI LOHARA GOVT MIDEL SCHOOL KAMKAPAR 22220501501
511 BALOD DAUNDI LOHARA GOVT PRIMARY SCHOOL KAMKAPAR 22220501502
512 BALOD DAUNDI LOHARA GOVT MIDEL SCHOOL TURMUDA 22220501601
513 BALOD DAUNDI LOHARA GOVT GIRLS PRIMARY SCHOOL TURMUDA 22220501602
514 BALOD DAUNDI LOHARA GOVT MIDEL SCHOOL HITAPATHAR 22220501701
515 BALOD DAUNDI LOHARA TWD BALAK ASHRAM HITAPATHAR 22220501702
516 BALOD DAUNDI LOHARA GOVT PRIMARY SCHOOL PIDIYAL 22220501801
517 BALOD DAUNDI LOHARA GOVT MIDEL SCHOOL PIDIYAL 22220501802
518 BALOD DAUNDI LOHARA GOVT PRIMARY SCHOOL KOLATOLA 22220501901
519 BALOD DAUNDI LOHARA GOVT MIDEL SCHOOL MUNDPAR 22220502001
520 BALOD DAUNDI LOHARA GOVT PRIMARY SCHOOL KURRUBHAT 22220502101
521 BALOD DAUNDI LOHARA GOVT PRIMARY SCHOOL TEKAPAR 22220502201
522 BALOD DAUNDI LOHARA GOVT MIDEL SCHOOL TEKAPAR(SSA) 22220502202
523 BALOD DAUNDI LOHARA GOVT PRIMARY SCHOOL MUNDORI 22220502301
524 BALOD DAUNDI LOHARA GOVT MIDEL SCHOOL GAINJI 22220502401
525 BALOD DAUNDI LOHARA GOVT PRIMARY SCHOOL GAINJI 22220502402
526 BALOD DAUNDI LOHARA GOVT MIDEL SCHOOL KILLEKODA 22220502501
527 BALOD DAUNDI LOHARA GOVT PRIMARY SCHOOL KILLEKODA 22220502502
528 BALOD DAUNDI LOHARA GOVT PRIMARY SCHOOL AGARIYA PARA 22220502601
529 BALOD DAUNDI LOHARA GOVT PRIMARY SCHOOL JHARANTOLA 22220502701
530 BALOD DAUNDI LOHARA GOVT MIDEL SCHOOL JHARANTOLA(SSA) 22220502702
531 BALOD DAUNDI LOHARA GOVT PRIMARY SCHOOL MARKAMTOLA 22220502801
532 BALOD DAUNDI LOHARA GOVT MIDEL SCHOOL TATENGA 22220502901
533 BALOD DAUNDI LOHARA GOVT PRIMARY SCHOOL TATENGA 22220502902
534 BALOD DAUNDI LOHARA GOVT MIDEL SCHOOL C/B NAWAGAOV 22220503001
535 BALOD DAUNDI LOHARA GOVT PRIMARY SCHOOL C/B NAWAGAOV 22220503002
536 BALOD DAUNDI LOHARA BHANTHA PARA PRO.PS 22220503003
537 BALOD DAUNDI LOHARA GOVT MIDEL SCHOOL JEVARTALA 22220503101
538 BALOD DAUNDI LOHARA GOVT PRIMARY SCHOOL JEVARTALA 22220503102
539 BALOD DAUNDI LOHARA GOVT PRIMARY SCHOOL BOIRDIH 22220503201
540 BALOD DAUNDI LOHARA GOVT MIDEL SCHOOL BOHARDIH(SSA) 22220503202
541 BALOD DAUNDI LOHARA GOVT PRIMARY SCHOOL BHARDA 22220503301
542 BALOD DAUNDI LOHARA GOVT PRIMARY SCHOOL HARDI 22220503401
543 BALOD DAUNDI LOHARA GOVT PRIMARY SCHOOL AURRI 22220503501
544 BALOD DAUNDI LOHARA GOVT PRIMARY SCHOOL KASAHI(T) 22220503601
545 BALOD DAUNDI LOHARA GOVT PRIMARY SCHOOL SIRRABHATA(T) 22220503701
546 BALOD DAUNDI LOHARA GOVT PRIMARY SCHOOL SIRRABHATA(E) 22220503702
547 BALOD DAUNDI LOHARA GOVT MIDEL SCHOOL SIRRABHATA(SSA) 22220503703
548 BALOD DAUNDI LOHARA GOVT PRIMARY SCHOOL RANITARAI(RO) 22220503901
549 BALOD DAUNDI LOHARA GOVT BOYS PRIMARY SCHOOL DUDHLI 22220504001
550 BALOD DAUNDI LOHARA GOVTGIRLS PRIMARY SCHOOL DUDHLI 22220504002
551 BALOD DAUNDI LOHARA GOVT BOYS MIDEL SCHOOL DUDHLI 22220504004
552 BALOD DAUNDI LOHARA GOVT GIRLS MIDEL SCHOOL DUDHALI 22220504006
553 BALOD DAUNDI LOHARA GOVT PRIMARY SCHOOL KALKASA 22220504101
554 BALOD DAUNDI LOHARA GOVT PRIMARY SCHOOL KHAPRI 22220504201
555 BALOD DAUNDI LOHARA GOVT PRIMARY SCHOOL KHAIRA(D) 22220504301
556 BALOD DAUNDI LOHARA GOVT MIDEL SCHOOL KHAIRA 22220504302
557 BALOD DAUNDI LOHARA GOVT PRIMARY SCHOOL KHAIRA(K) 22220504303
558 BALOD DAUNDI LOHARA GOVT PRIMARY SCHOOL KUMHALORI 22220504401
559 BALOD DAUNDI LOHARA GOVT PRIMARY SCHOOL KORGUDA 22220504501
560 BALOD DAUNDI LOHARA GOVT MIDEL SCHOOL KORGUDA(SSA) 22220504502
561 BALOD DAUNDI LOHARA GOVT PRIMARY SCHOOL RENGANI 22220504601
562 BALOD DAUNDI LOHARA GOVT MIDEL SCHOOL RENGANI 22220504602
563 BALOD DAUNDI LOHARA GOVT PRIMARY SCHOOL RANGHAI 22220504701
564 BALOD DAUNDI LOHARA GOVT MIDEL SCHOOL JATADAH 22220504801
565 BALOD DAUNDI LOHARA GOVT PRIMARY SCHOOL JATADAH 22220504802
566 BALOD DAUNDI LOHARA GOVT MIDEL SCHOOL PINGAL 22220504901
567 BALOD DAUNDI LOHARA GOVT PRIMARY SCHOOL PINGAL 22220504902
568 BALOD DAUNDI LOHARA GOVT MIDEL SCHOOL SAHGAOV 22220505001
569 BALOD DAUNDI LOHARA GOVT PRIMARY SCHOOL SAHGAOV 22220505002
570 BALOD DAUNDI LOHARA GOVT PRIMARY SCHOOL POPALATOLA 22220505101
571 BALOD DAUNDI LOHARA TWD PRIMARY SCHOOL ASHRAM LURKAJHAR 22220505201
572 BALOD DAUNDI LOHARA GOVT PRIMARY SCHOOL BHIMDO 22220505301
573 BALOD DAUNDI LOHARA GOVT PRIMARY SCHOOL KAMTA 22220505401
574 BALOD DAUNDI LOHARA GOVT PRIMARY SCHOOL BHALUKONHA (J) 22220505501
575 BALOD DAUNDI LOHARA GOVT PRIMARY SCHOOL SIVANI 22220505601
576 BALOD DAUNDI LOHARA GOVT MIDEL SCHOOL SIVANI 22220505602
577 BALOD DAUNDI LOHARA GOVT MIDEL SCHOOL BHIMKANHAR 22220505701
578 BALOD DAUNDI LOHARA GOVT PRIMARY SCHOOL BHIMKANHAR 22220505702
579 BALOD DAUNDI LOHARA GOVT MIDEL SCHOOL GARKA 22220505801
580 BALOD DAUNDI LOHARA GOVT PRIMARY SCHOOL GARKA 22220505802
581 BALOD DAUNDI LOHARA GOVT MIDEL SCHOOL MUDKHUSARA 22220505901
582 BALOD DAUNDI LOHARA GOVT PRIMARY SCHOOL MUDKHUSARA 22220505902
583 BALOD DAUNDI LOHARA GOVT MIDEL SCHOOL KOCHERA 22220506001
584 BALOD DAUNDI LOHARA GOVT PRIMARY SCHOOL KOCHERA 22220506002
585 BALOD DAUNDI LOHARA GOVT PRIMARY SCHOOL BUNDELI 22220506101
586 BALOD DAUNDI LOHARA GOVT MIDEL SCHOOL BUNDELI(SSA) 22220506102
587 BALOD DAUNDI LOHARA GOVT PRIMARY SCHOOL DUBCHERA 22220506201
588 BALOD DAUNDI LOHARA GOVT MIDEL SCHOOL PAPRA 22220506301
589 BALOD DAUNDI LOHARA GOVT PRIMARY SCHOOL PAPRA 22220506302
590 BALOD DAUNDI LOHARA GOVT PRIMARY SCHOOL FARADDIH 22220506401
591 BALOD DAUNDI LOHARA GOVT PRIMARY SCHOOL KOBA 22220506501
592 BALOD DAUNDI LOHARA GOVT MIDEL SCHOOL KOBA 22220506502
593 BALOD DAUNDI LOHARA GOVT PRIMARY SCHOOL RIVAGAHAN 22220506601
594 BALOD DAUNDI LOHARA GOVT PRIMARY SCHOOL RIVAGAHAN 22220506602
595 BALOD DAUNDI LOHARA GOVT MIDEL SCHOOL RIVAGAHAN 22220506603
596 BALOD DAUNDI LOHARA GOVT PRIMARY SCHOOL HATHAUD 22220506701
597 BALOD DAUNDI LOHARA GOVT MIDEL SCHOOL HATHAUD(SSA) 22220506702
598 BALOD DAUNDI LOHARA GOVT PRIMARY SCHOOL KOSMI 22220506801
599 BALOD DAUNDI LOHARA GOVT PRIMARY SCHOOL ALLIKHUTA 22220506901
600 BALOD DAUNDI LOHARA GOVT MIDEL SCHOOL ARAJPURI 22220507001
601 BALOD DAUNDI LOHARA GOVT PRIMARY SCHOOL ARAJPURI 22220507002
602 BALOD DAUNDI LOHARA GOVT MIDEL SCHOOL BANJARI 22220507101
603 BALOD DAUNDI LOHARA GOVT PRIMARY SCHOOL BANJARI 22220507102
604 BALOD DAUNDI LOHARA GOVT MIDEL SCHOOL BHIMPURI 22220507201
605 BALOD DAUNDI LOHARA GOVT PRIMARY SCHOOL BHIMPURI 22220507202
606 BALOD DAUNDI LOHARA TWD BALAK ASHRAM DURGITOLA 22220507301
607 BALOD DAUNDI LOHARA GOVT MIDEL SCHOOL KHAIRKATTA 22220507401
608 BALOD DAUNDI LOHARA GOVT PRIMARY SCHOOL KHAIRKATTA 22220507402
609 BALOD DAUNDI LOHARA GOVT PRIMARY SCHOOL ARJUNI 22220507501
610 BALOD DAUNDI LOHARA GOVT PRIMARY SCHOOL PUNARKASA 22220507601
611 BALOD DAUNDI LOHARA GOVT MIDEL SCHOOL BHAVARMARA 22220507701
612 BALOD DAUNDI LOHARA GOVT PRIMARY SCHOOL BHAVARMARA 22220507702
613 BALOD DAUNDI LOHARA GOVT PRIMARY SCHOOL NETAMTOLA(SSA) 22220507703
614 BALOD DAUNDI LOHARA GOVT PRIMARY SCHOOL BADAJUNGERA 22220507801
615 BALOD DAUNDI LOHARA GOVT MIDEL SCHOOL BADAJUNGERA 22220507802
616 BALOD DAUNDI LOHARA GOVT PRIMARY SCHOOL TUMADIKASA 22220507901
617 BALOD DAUNDI LOHARA GOVT PRIMARY SCHOOL KARIYATOLA 22220507902
618 BALOD DAUNDI LOHARA GOVT MIDEL SCHOOL TUMADIKASA(SSA) 22220507903
619 BALOD DAUNDI LOHARA GOVT PRIMARY SCHOOL TUYAGONDI 22220508001
620 BALOD DAUNDI LOHARA GOVT PRIMARY SCHOOL LAMTI 22220508201
621 BALOD DAUNDI LOHARA GOVT MIDEL SCHOOL LAMTI(SSA) 22220508202
622 BALOD DAUNDI LOHARA GOVT PRIMARY SCHOOL MATRI 22220508301
623 BALOD DAUNDI LOHARA GOVT MIDEL SCHOOL MATRI(SSA) 22220508302
624 BALOD DAUNDI LOHARA GOVT PRIMARY SCHOOL RAIGARH 22220508401
625 BALOD DAUNDI LOHARA GOVT MIDEL SCHOOL RAIGARH 22220508402
626 BALOD DAUNDI LOHARA TWD ASHAM PRIMARY SCHOOL RAIGARH 22220508403
627 BALOD DAUNDI LOHARA GOVT PRIMARY SCHOOL RUPUTOLA 22220508501
628 BALOD DAUNDI LOHARA GOVT MIDEL SCHOOL RUPUTOLA(SSA) 22220508502
629 BALOD DAUNDI LOHARA GOVT PRIMARY SCHOOL USARITOLA 22220508601
630 BALOD DAUNDI LOHARA GOVT MIDEL SCHOOL RANAKHUJJI 22220508701
631 BALOD DAUNDI LOHARA GOVT PRIMARY SCHOOL RANAKHUJJI 22220508702
632 BALOD DAUNDI LOHARA GOVT MIDEL SCHOOL RAGHO NAVAGAOV 22220508801
633 BALOD DAUNDI LOHARA GOVT PRIMARY SCHOOL RAGHO NAVAGAOV 22220508802
634 BALOD DAUNDI LOHARA GOVT PRIMARY SCHOOL MADWAPATHARA 22220508901
635 BALOD DAUNDI LOHARA GOVT PRIMARY SCHOOL MANKI 22220509001
636 BALOD DAUNDI LOHARA GOVT MIDEL SCHOOL MANKI(SSA) 22220509002
637 BALOD DAUNDI LOHARA GOVT PRIMARY SCHOOL SALHE 22220509101
638 BALOD DAUNDI LOHARA GOVT PRIMARY SCHOOL ALIVARA 22220509201
639 BALOD DAUNDI LOHARA GOVT PRIMARY SCHOOL DUMARGHUNCHA 22220509301
640 BALOD DAUNDI LOHARA GOVT PRIMARY SCHOOL BHARNABHAT 22220509401
641 BALOD DAUNDI LOHARA GOVT MIDEL SCHOOL BHARNABHAT(SSA) 22220509402
642 BALOD DAUNDI LOHARA GOVT MIDEL SCHOOL KODEKASA 22220509501
643 BALOD DAUNDI LOHARA TWD GIRLS ASHRAM KODEKASA 22220509503
644 BALOD DAUNDI LOHARA GOVT PRIMARY SCHOOL KODEKASA 22220509504
645 BALOD DAUNDI LOHARA GOVT NAVIN PRIMARY SCHOOL KODEKASA 22220509505
646 BALOD DAUNDI LOHARA GOVT MIDEL SCHOOL CHIKHALI 22220509601
647 BALOD DAUNDI LOHARA GOVT PRIMARY SCHOOL CHIKHLI 22220509602
648 BALOD DAUNDI LOHARA GOVT PRIMARY SCHOOL CHIKHALI 2(SSA) 22220509603
649 BALOD DAUNDI LOHARA GOVT PRIMARY SCHOOL JHIKATOLA 22220509701
650 BALOD DAUNDI LOHARA GOVT PRIMARY SCHOOL GOTITOLA 22220509801
651 BALOD DAUNDI LOHARA GOVT PRIMARY SCHOOL PIPARKHAR 22220509901
652 BALOD DAUNDI LOHARA GOVT PRIMARY SCHOOL MARAITOLA(SSA) 22220509902
653 BALOD DAUNDI LOHARA GOVT MIDEL SCHOOL PIPARKHAR 22220509903
654 BALOD DAUNDI LOHARA GOVT PRIMARY SCHOOL DUTAMARDI 22220510001
655 BALOD DAUNDI LOHARA GOVT PRIMARY SCHOOL KHADBATTAR 22220510101
656 BALOD DAUNDI LOHARA GOVT MIDEL SCHOOL KHADBATTAR(SSA) 22220510102
657 BALOD DAUNDI LOHARA GOVT PRIMARY SCHOOL KERIJUNGERA 22220510201
658 BALOD DAUNDI LOHARA GOVT PRIMARY SCHOOL KERIJUNGERA(T) 22220510202
659 BALOD DAUNDI LOHARA GOVT PRIMARY SCHOOL KERI 22220510203
660 BALOD DAUNDI LOHARA GOVT PRIMARY SCHOOL GODMARRA 22220510301
661 BALOD DAUNDI LOHARA GOVT PRIMARY SCHOOL CHOTA PINKAPAR 22220510401
662 BALOD DAUNDI LOHARA GOVT PRIMARY SCHOOL RANITARAI 22220510501
663 BALOD DAUNDI LOHARA GOVT MIDEL SCHOOL RANITARAI 22220510502
664 BALOD DAUNDI LOHARA GOVT PRIMARY SCHOOL GANDHRI 22220510601
665 BALOD DAUNDI LOHARA GOVT BOYS PRIMARY SCHOOL FARADFOD 22220510701
666 BALOD DAUNDI LOHARA GOVT GIRLS PRIMARY SCHOOL FARADFOD 22220510702
667 BALOD DAUNDI LOHARA GOVT MIDEL SCHOOL FARADFOD 22220510703
668 BALOD DAUNDI LOHARA GOVT PRIMARY SCHOOL KISNA 22220510801
669 BALOD DAUNDI LOHARA GOVT MIDEL SCHOOL KISNA 22220510802
670 BALOD DAUNDI LOHARA GOVT PRIMARY SCHOOL BHANDERA 22220510901
671 BALOD DAUNDI LOHARA GOVT MIDEL SCHOOL BHANDERA 22220510902
672 BALOD DAUNDI LOHARA GOVT PRIMARY SCHOOL BHATHAPARA(SSA) 22220510903
673 BALOD DAUNDI LOHARA GOVT PRIMARY SCHOOL SINGARPUR 22220511001
674 BALOD DAUNDI LOHARA GOVT MIDEL SCHOOL SINGARPUR 22220511002
675 BALOD DAUNDI LOHARA GOVT PRIMARY SCHOOL JHITIYA 22220511101
676 BALOD DAUNDI LOHARA GOVT MIDEL SCHOOL JHITIYA 22220511102
677 BALOD DAUNDI LOHARA GOVT MIDEL SCHOOL GHINA 22220511201
678 BALOD DAUNDI LOHARA GOVT PRIMARY SCHOOL GHINA 22220511202
679 BALOD DAUNDI LOHARA GOVT PRIMARY SCHOOL A/NAVAGAOV 22220511401
680 BALOD DAUNDI LOHARA GOVT MIDEL SCHOOL A/NAVAGAOV 22220511402
681 BALOD DAUNDI LOHARA GOVT PRIMARY SCHOOL KASAHIKALA 22220511501
682 BALOD DAUNDI LOHARA GOVT MIDEL SCHOOL KASAHIKALA 22220511502
683 BALOD DAUNDI LOHARA GOVT PRIMARY SCHOOL GANJAIDIH 22220511601
684 BALOD DAUNDI LOHARA GOVT PRIMARY SCHOOL BORI 22220511701
685 BALOD DAUNDI LOHARA GOVT PRIMARY SCHOOL DENGRAPAR 22220511801
686 BALOD DAUNDI LOHARA GOVT PRIMARY SCHOOL KEVAT NAVAGAOV 22220511901
687 BALOD DAUNDI LOHARA GOVT MIDEL SCHOOL KEVAT NAVAGAOV 22220511902
688 BALOD DAUNDI LOHARA GOVT PRIMARY SCHOOL BHURKABHAT 22220512001
689 BALOD DAUNDI LOHARA GOVT MIDEL SCHOOL BHURKABHAT(SSA) 22220512002
690 BALOD DAUNDI LOHARA GOVT PRIMARY SCHOOL SHIKARITOLA 22220512101
691 BALOD DAUNDI LOHARA GOVT PRIMARY SCHOOL HADGAHAN 22220512201
692 BALOD DAUNDI LOHARA GOVT MIDEL SCHOOL HADGAHAN 22220512202
693 BALOD DAUNDI LOHARA GOVT PRIMARY SCHOOL TELITOLA 22220512301
694 BALOD DAUNDI LOHARA GOVT BOYS MIDEL SCHOOL NAHANDA 22220512401
695 BALOD DAUNDI LOHARA GOVT BOYS PRIMARY SCHOOL NAHANDA 22220512402
696 BALOD DAUNDI LOHARA GOVT GIRLS PRIMARY SCHOOL NAHANDA 22220512403
697 BALOD DAUNDI LOHARA GOVT GIRLS MIDEL SCHOOL NAHANDA 22220512404
698 BALOD DAUNDI LOHARA GOVT MIDEL SCHOOL SAMBALPUR 22220512503
699 BALOD DAUNDI LOHARA GOVT BOYS PRIMARY SCHOOL SAMBALPUR 22220512504
700 BALOD DAUNDI LOHARA GOVT GIRLS PRIMARY SCHOOL SAMBALPUR 22220512505
701 BALOD DAUNDI LOHARA GOVT PRIMARY SCHOOL SURSULI 22220512601
702 BALOD DAUNDI LOHARA GOVT PRIMARY SCHOOL BEHARABHATTA 22220512701
703 BALOD DAUNDI LOHARA GOVT PRIMARY SCHOOL KHAPRABHAT 22220512801
704 BALOD DAUNDI LOHARA GOVT PRIMARY SCHOOL PIPARKHAR 22220512901
705 BALOD DAUNDI LOHARA GOVT MIDEL SCHOOL PIPARKHAR(SSA) 22220512902
706 BALOD DAUNDI LOHARA GOVT PRIMARY SCHOOL KANYADABARI 22220513001
707 BALOD DAUNDI LOHARA GOVT MIDEL SCHOOL BADGAON 22220513101
708 BALOD DAUNDI LOHARA GOVT BOYS PRIMARY BADGAON 22220513102
709 BALOD DAUNDI LOHARA GOVT GIRLS PRIMARY BADGAON 22220513103
710 BALOD DAUNDI LOHARA GOVT PRIMARY SCHOOL KHADENADIH(SSA) 22220513105
711 BALOD DAUNDI LOHARA GOVT MIDEL SCHOOL CHILHATIKALA 22220513201
712 BALOD DAUNDI LOHARA GOVT PRIMARY SCHOOL CHILHATIKALA 22220513202
713 BALOD DAUNDI LOHARA GOVT MIDEL SCHOOL BHARDA 22220513301
714 BALOD DAUNDI LOHARA GOVT MIDEL SCHOOL KHARTHULI 22220513401
715 BALOD DAUNDI LOHARA GOVT PRIMARY SCHOOL KHARTHULI 22220513402
716 BALOD DAUNDI LOHARA GOVT PRIMARY SCHOOL DARAGAOV 22220513501
717 BALOD DAUNDI LOHARA GOVT PRIMARY SCHOOL BIJORA 22220513601
718 BALOD DAUNDI LOHARA GOVT MIDEL SCHOOL BIJORA(SSA) 22220513602
719 BALOD DAUNDI LOHARA GOVT PRIMARY SCHOOL NARGI 22220513701
720 BALOD DAUNDI LOHARA GOVT MIDEL SCHOOL NARGI(SSA) 22220513702
721 BALOD DAUNDI LOHARA GOVT PRIMARY SCHOOL PARRI 22220513801
722 BALOD DAUNDI LOHARA GOVT PRIMARY SCHOOL RAIPURA 22220513901
723 BALOD DAUNDI LOHARA GOVT PRIMARY SCHOOL DEWARI 22220514001
724 BALOD DAUNDI LOHARA GOVT MIDEL SCHOOL DEWARI 22220514002
725 BALOD DAUNDI LOHARA GOVT PRIMARY SCHOOL DEWARI 22220514004
726 BALOD DAUNDI LOHARA GOVT PRIMARY SCHOOL CHILHATIKHURD 22220514101
727 BALOD DAUNDI LOHARA GOVT PRIMARY SCHOOL BHARDA(LO) 22220514201
728 BALOD DAUNDI LOHARA GOVT PRIMARY SCHOOL BAIHAKUWA 22220514301
729 BALOD DAUNDI LOHARA GOVT BOYS PRIMARY SCHOOL PINKAPAR 22220514401
730 BALOD DAUNDI LOHARA GOVT GIRLS PRIMARY SCHOOL PINKAPAR 22220514402
731 BALOD DAUNDI LOHARA GOVT GIRLS MIDEL SCHOOL PINKAPAR 22220514403
732 BALOD DAUNDI LOHARA GOVT BOYS MIDEL SCHOOL PINKAPAR 22220514404
733 BALOD DAUNDI LOHARA GOVT PRIMARY SCHOOL PHULSUNDARI 22220514501
734 BALOD DAUNDI LOHARA GOVT PRIMARY SCHOOL KHAMBHAT 22220514601
735 BALOD DAUNDI LOHARA GOVT PRIMARY SCHOOL KUWAGAOV 22220514701
736 BALOD DAUNDI LOHARA GOVT PRIMARY SCHOOL GANESH KHAPARI 22220514801
737 BALOD DAUNDI LOHARA GOVT MIDEL SCHOOL GANESH KHAPARI 22220514802
738 BALOD DAUNDI LOHARA GOVT MIDEL SCHOOL KHAMTARAI 22220514902
739 BALOD DAUNDI LOHARA GOVT PRIMARY SCHOOL KHAMTARAI 22220514903
740 BALOD DAUNDI LOHARA GOVT PRIMARY SCHOOL GIDHAWA 22220515001
741 BALOD DAUNDI LOHARA GOVT PRIMARY SCHOOL MAHRAJPUR 22220515101
742 BALOD DAUNDI LOHARA GOVT MIDEL SCHOOL MAHRAJPUR 22220515102
743 BALOD DAUNDI LOHARA GOVT PRIMARY SCHOOL KOLIYARA 22220515201
744 BALOD DAUNDI LOHARA GOVT PRIMARY SCHOOL MUJGAHAN 22220515301
745 BALOD DAUNDI LOHARA GOVT MIDEL SCHOOL MUJGAHAN 22220515302
746 BALOD DAUNDI LOHARA GOVT MIDEL SCHOOL RENGADABRI 22220515401
747 BALOD DAUNDI LOHARA GOVT PRIMARY SCHOOL RENGADABRI 22220515402
748 BALOD DAUNDI LOHARA GOVT MIDEL SCHOOL JUNNAPANI 22220515501
749 BALOD DAUNDI LOHARA GOVT PRIMARY SCHOOL JUNNAPANI 22220515502
750 BALOD DAUNDI LOHARA GOVT PRIMARY SCHOOL CHILAMGOTA 22220515601
751 BALOD DAUNDI LOHARA GOVT PRIMARY SCHOOL ANNUTOLA 22220515701
752 BALOD DAUNDI LOHARA GOVT MIDEL SCHOOL ANNUTOLA (SSA) 22220515702
753 BALOD DAUNDI LOHARA GOVT PRIMARY SCHOOL DUMATOLA 22220515801
754 BALOD DAUNDI LOHARA GOVT PRIMARY SCHOOL JARRADIH 22220515901
755 BALOD DAUNDI LOHARA GOVT PRIMARY SCHOOL BHIMATOLA 22220516001
756 BALOD DAUNDI LOHARA GOVT MIDEL SCHOOL BHIMATOLA(SSA) 22220516002
757 BALOD DAUNDI LOHARA GOVT PRIMARY SCHOOL NAGGUTOLA 22220516101
758 BALOD DAUNDI LOHARA GOVT MIDEL SCHOOL KOTERA 22220516201
759 BALOD DAUNDI LOHARA GOVT BOYS PRIMARY SCHOOL KOTERA 22220516202
760 BALOD DAUNDI LOHARA GOVT GIRLS PRIMARY SCHOOL KOTERA 22220516203
761 BALOD DAUNDI LOHARA GOVT PRIMARY SCHOOL BARRAPARA 22220516401
762 BALOD DAUNDI LOHARA GOVT PRIMARY SCHOOL GANJAIDIH 22220516501
763 BALOD DAUNDI LOHARA GOVT PRIMARY SCHOOL SEMARDIH 22220516601
764 BALOD DAUNDI LOHARA GOVT PRIMARY SCHOOL KHAIRIDIH 22220516701
765 BALOD DAUNDI LOHARA GOVT MIDEL SCHOOL KARREGAOV 22220516801
766 BALOD DAUNDI LOHARA GOVT PRIMARY SCHOOL KARREGAOV 22220516802
767 BALOD DAUNDI LOHARA GOVT NAVIN PRIMARY SCHOOL KARREGAOV 22220516803
768 BALOD DAUNDI LOHARA GOVT MIDEL SCHOOL MANGCHUWA 22220516901
769 BALOD DAUNDI LOHARA GOVT PRIMARY SCHOOL MANGCHUWA 22220516902
770 BALOD DAUNDI LOHARA GOVT MIDEL SCHOOL KUDARIDALLI 22220517001
771 BALOD DAUNDI LOHARA GOVT PRIMARY SCHOOL KUDARIDALLI 22220517002
772 BALOD DAUNDI LOHARA GOVT PRIMARY SCHOOL KORETITOLA 22220517101
773 BALOD DAUNDI LOHARA GOVT PRIMARY SCHOOL KUDARI 22220517201
774 BALOD DAUNDI LOHARA GOVT PRIMARY SCHOOL BHUTATOLA 22220517301
775 BALOD DAUNDI LOHARA GOVT PRIMARY SCHOOL HUCHCHETOLA 22220517401
776 BALOD DAUNDI LOHARA GOVT PRIMARY SCHOOL KARKUTOLA 22220517501
777 BALOD DAUNDI LOHARA GOVT MIDEL SCHOOL KARKUTOLA(SSA) 22220517502
778 BALOD DAUNDI LOHARA GOVT PRIMARY SCHOOL BHARRITOLA 22220517601
779 BALOD DAUNDI LOHARA GOVT MIDEL SCHOOL BHARRITOLA(SSA) 22220517602
780 BALOD DAUNDI LOHARA GOVT PRIMARY SCHOOL MARASKOLA 22220517701
781 BALOD DAUNDI LOHARA GOVT PRIMARY SCHOOL NARSUTOLA 22220517801
782 BALOD DAUNDI LOHARA GOVT MIDEL SCHOOL KHOLJHAR 22220517901
783 BALOD DAUNDI LOHARA GOVT PRIMARY SCHOOL KHOLJHAR 22220517902
784 BALOD DAUNDI LOHARA GOVT MIDEL SCHOOL MADIYAKATTA 22220518101
785 BALOD DAUNDI LOHARA GOVT PRIMARY SCHOOL MADIYAKATTA 22220518102
786 BALOD DAUNDI LOHARA GOVT PRIMARY SCHOOL NALPANI 22220518201
787 BALOD DAUNDI LOHARA GOVT MIDEL SCHOOL NALPANI(SSA) 22220518202
788 BALOD DAUNDI LOHARA GOVT PRIMARY SCHOOL BULLUTOLA 22220518301
789 BALOD DAUNDI LOHARA GOVT PRIMARY SCHOOL GURAMI 22220518401
790 BALOD DAUNDI LOHARA GOVT MIDEL SCHOOL GURAMI(SSA) 22220518402
791 BALOD DAUNDI LOHARA GOVT PRIMARY SCHOOL BAGAIKONHA 22220518501
792 BALOD DAUNDI LOHARA GOVT PRIMARY SCHOOL SIRPUR 22220518502
793 BALOD DAUNDI LOHARA GOVT MIDEL SCHOOL BAGAIKONHA 22220518503
794 BALOD DAUNDI LOHARA GOVT PRIMARY SCHOOL MUNDATOLA 22220518601
795 BALOD DAUNDI LOHARA GOVT PRIMARY SCHOOL MARRI 22220518701
796 BALOD DAUNDI LOHARA GOVT MIDEL SCHOOL MARRI(SSA) 22220518702
797 BALOD DAUNDI LOHARA GOVT PRIMARY SCHOOL GAHIRA NAVAGAOV 22220518801
798 BALOD DAUNDI LOHARA GOVT MIDEL SCHOOL GAHIRA NAVAGAOV 22220518802
799 BALOD DAUNDI LOHARA GOVT PRIMARY SCHOOL PASAUD 22220518901
800 BALOD DAUNDI LOHARA GOVT PRIMARY SCHOOL KHERTHABAZAR 22220519001
801 BALOD DAUNDI LOHARA GOVT MIDEL SCHOOL KERTHA BAZAR 22220519002
802 BALOD DAUNDI LOHARA BHARKA PARA DEVRI BANGLA 22220519008
803 BALOD DAUNDI LOHARA P.S. RAM NAGAR KHERTHA BAZAR 22220519009
804 BALOD DAUNDI LOHARA GOVT PRIMARY SCHOOL AASARA 22220519101
805 BALOD DAUNDI LOHARA GOVT MIDEL SCHOOL AASARA (SSA) 22220519102
806 BALOD DAUNDI LOHARA GOVT PRIMARY SCHOOL ATARGAOV 22220519201
807 BALOD DAUNDI LOHARA T.W.D.PRIMARY SCHOOL CHOTEPARA 22220519203
808 BALOD DAUNDI LOHARA GOVT PRIMARY SCHOOL SANJARI 22220519301
809 BALOD DAUNDI LOHARA GOVT MIDEL SCHOOL SANJARI 22220519302
810 BALOD DAUNDI LOHARA GOVT PRIMARY SCHOOL AMAPARA SANJARI 22220519303
811 BALOD DAUNDI LOHARA GOVT PRIMARY SCHOOL MAJARATOLA(SSA) 22220519305
812 BALOD DAUNDI LOHARA GOVT MIDEL SCHOOL SUREGAOV 22220519401
813 BALOD DAUNDI LOHARA GOVT PRIMARY SCHOOL SUREGAOV 22220519402
814 BALOD DAUNDI LOHARA GOVT PRIMARY SCHOOL MUDIYA 22220519501
815 BALOD DAUNDI LOHARA GOVT MIDEL SCHOOL MUDIYA 22220519502
816 BALOD DAUNDI LOHARA GOVT PRIMARY SCHOOL PARSULI(SU) 22220519601
817 BALOD DAUNDI LOHARA GOVT MIDEL SCHOOL PARSADIH (SSA) 22220519602
818 BALOD DAUNDI LOHARA GOVT PRIMARY SCHOOL BHENDI 22220519701
819 BALOD DAUNDI LOHARA GOVT PRIMARY SCHOOL KATHIYA 22220519801
820 BALOD DAUNDI LOHARA GOVT PRIMARY SCHOOL BHALUKONHA (S) 22220519901
821 BALOD DAUNDI LOHARA GOVT MS BHALUKONHA(SSA) (S) 22220519902
822 BALOD DAUNDI LOHARA GOVT PRIMARY SCHOOL BIJABHATA 22220520001
823 BALOD DAUNDI LOHARA GOVT PRIMARY SCHOOL AMAPARA PARSULI 22220520101
824 BALOD DAUNDI LOHARA GOVT PRIMARY SCHOOL BHATAPARA SORLI 22220520201
825 BALOD DAUNDI LOHARA GOVT PRIMARY SCHOOL BANGAON 22220520301
826 BALOD DAUNDI LOHARA GOVT PRIMARY SCHOOL RAHATA(SSA) 22220520601
827 BALOD DAUNDI LOHARA GOVT NAVIN MIDEL SCHOOL SAMBALPUR 22220520701
828 BALOD DAUNDI LOHARA GOVT PRIMARY SCHOOL SAMBALPUR 22220520702
829 BALOD DAUNDI LOHARA GOVT PRIMARY SCHOOL MUDKHUSARA 22220520801
830 BALOD DAUNDI LOHARA GOVT MIDEL SCHOOL MUDKHUSARA(SSA) 22220520802
831 BALOD DAUNDI LOHARA GOVT PRIMARY SCHOOL MANKI 22220521001
832 BALOD DAUNDI LOHARA GOVT MIDEL SCHOOL MANKI 22220521002
833 BALOD DAUNDI LOHARA GOVT PRIMARY SCHOOL BARDIH (SSA) 22220521201
834 BALOD DAUNDI LOHARA GOVT PRIMARY SCHOOL SALHETOLA(SSA) 22220521601
835 BALOD DAUNDI LOHARA GOVT PRIMARY SCHOOL MUJALGONDI(SSA) 22220521701
836 BALOD DAUNDI LOHARA GOVT PRIMARY SCHOOL BENDRCHUWA 22220521801
837 BALOD DAUNDI LOHARA GOVT PRIMARY SCHOOL SIRPUR 22220521901
838 BALOD GUNDERDEHI GOVT.PS SAREKHA 22220800101
839 BALOD GUNDERDEHI GOVT MS SAREKHA 22220800102
840 BALOD GUNDERDEHI GOVT.PS MAHUD (B) 22220800201
841 BALOD GUNDERDEHI GOVT MS MAHUD (B) 22220800202
842 BALOD GUNDERDEHI GOVT PS PAYALA 22220800301
843 BALOD GUNDERDEHI GOVT PS CHARACHAR 22220800401
844 BALOD GUNDERDEHI GOVT PS KHAPARI 22220800501
845 BALOD GUNDERDEHI GOVT MS KHAPARI 22220800502
846 BALOD GUNDERDEHI GOVT PS KHAPARI 22220800503
847 BALOD GUNDERDEHI GOVT PS DANIYA 22220800601
848 BALOD GUNDERDEHI GOVT PS BIRETARA 22220800701
849 BALOD GUNDERDEHI GOVT PS BHATHAGAON (B) 22220800801
850 BALOD GUNDERDEHI GOVT BOYS PS BHATAHGAON (B) 22220800802
851 BALOD GUNDERDEHI GOVT MS BHATHAGAON (B) 22220800803
852 BALOD GUNDERDEHI GOVT.MS KALNGPUR 22220800901
853 BALOD GUNDERDEHI GOVT PS KALNGPUR 22220800902
854 BALOD GUNDERDEHI GOVT MS MUNDERA 22220801001
855 BALOD GUNDERDEHI GOVT PS MUNDERA 22220801002
856 BALOD GUNDERDEHI GOVT MS BARBASPUR 22220801101
857 BALOD GUNDERDEHI GOVT PS BARBASPUR 22220801102
858 BALOD GUNDERDEHI GOVT.PS BHATHAGAON 22220801201
859 BALOD GUNDERDEHI GOVT PS PINKAPAR 22220801301
860 BALOD GUNDERDEHI GOVT NAVIN MS PINKAPAR (SSA) 22220801302
861 BALOD GUNDERDEHI GOVT PS KHALLARI 22220801401
862 BALOD GUNDERDEHI GOVT PS PENDRI 22220801501
863 BALOD GUNDERDEHI GOVT NAVIN MS PENDRI (SSA) 22220801502
864 BALOD GUNDERDEHI GOVT PS CHARBHATHA 22220801601
865 BALOD GUNDERDEHI GOVT PS BHOTHIPAR 22220801701
866 BALOD GUNDERDEHI GOVT.PS RAJOLI 22220801801
867 BALOD GUNDERDEHI GOVT MS RAJOLI 22220801802
868 BALOD GUNDERDEHI GOVT BOYS PS ACHOD 22220801901
869 BALOD GUNDERDEHI GOVT GIRLS PS ACHOD 22220801902
870 BALOD GUNDERDEHI GOVT MS ACHOD 22220801903
871 BALOD GUNDERDEHI GOVT.PS PHUNDA 22220802001
872 BALOD GUNDERDEHI GOVT.PS KHUTERI 22220802101
873 BALOD GUNDERDEHI GOVT.PS KAJARABANDHA 22220802201
874 BALOD GUNDERDEHI GOVT PS MOKHA 22220802301
875 BALOD GUNDERDEHI GOVT MS MOKAH 22220802302
876 BALOD GUNDERDEHI GOVT PS KUTHREL 22220802401
877 BALOD GUNDERDEHI GOVT.PS KUMHLI 22220802501
878 BALOD GUNDERDEHI GOVT PS BODEL 22220802601
879 BALOD GUNDERDEHI GOVT MS BODEL (SSA) 22220802602
880 BALOD GUNDERDEHI GOVT.PS PARSADA 22220802701
881 BALOD GUNDERDEHI GOVT MS PARSADA 22220802702
882 BALOD GUNDERDEHI GOVT PS BORGAHAN 22220802801
883 BALOD GUNDERDEHI GOVT MS PARRY 22220802901
884 BALOD GUNDERDEHI GOVT GIRLS PS PARRY 22220802902
885 BALOD GUNDERDEHI GOVT BOYS PS PARRY 22220802903
886 BALOD GUNDERDEHI GOVT.PS SALONI 22220803001
887 BALOD GUNDERDEHI GOVT.PS MONGARI 22220803101
888 BALOD GUNDERDEHI GOVT. NAVIN PS MOGARI 22220803102
889 BALOD GUNDERDEHI GOVT.MS MONGRI (SSA) 22220803103
890 BALOD GUNDERDEHI GOVT NAVIN MS SANKARI 22220803201
891 BALOD GUNDERDEHI GOVT.PS SANKARI 22220803202
892 BALOD GUNDERDEHI GOVT.PS PHULJHAR 22220803301
893 BALOD GUNDERDEHI GOVT PS MANHORA 22220803401
894 BALOD GUNDERDEHI GOVT.PS LIMORA 22220803501
895 BALOD GUNDERDEHI GOVT.PS ERRAGUDA 22220803601
896 BALOD GUNDERDEHI GOVT MS ERRAGUDA 22220803602
897 BALOD GUNDERDEHI GOVT.PS JUNWANI 22220803701
898 BALOD GUNDERDEHI GOVT MS SIKOSA 22220803801
899 BALOD GUNDERDEHI GOVT.PS SIKOSA 22220803802
900 BALOD GUNDERDEHI GOVT MS HALDI 22220803901
901 BALOD GUNDERDEHI GOVT PS HALDI 22220803902
902 BALOD GUNDERDEHI GOVT BOYS PS HALDI 22220803903
903 BALOD GUNDERDEHI GOVT.NAVIN KANYA MS HALDI (SSA) 22220803904
904 BALOD GUNDERDEHI GOVT MS BALODI 22220804001
905 BALOD GUNDERDEHI GOVT PS BALODI 22220804002
906 BALOD GUNDERDEHI GOVT.PS PASOOD 22220804101
907 BALOD GUNDERDEHI GOVT NAVIN MS PASOOD 22220804102
908 BALOD GUNDERDEHI GOVT.PS BHUSRENGA 22220804201
909 BALOD GUNDERDEHI GOVT.PS SIYANMARA 22220804301
910 BALOD GUNDERDEHI GOVT MS SIYANMARA 22220804302
911 BALOD GUNDERDEHI GOVT PS MATIA (HA) 22220804401
912 BALOD GUNDERDEHI GOVT.PS CHICBOD 22220804501
913 BALOD GUNDERDEHI GOVT MS CHICBOD 22220804502
914 BALOD GUNDERDEHI GOVT.PS SATMARA 22220804601
915 BALOD GUNDERDEHI GOVT MS SATMARA 22220804602
916 BALOD GUNDERDEHI GOVT.PS SIRRABHATHA 22220804701
917 BALOD GUNDERDEHI GOVT PS DHABADIH 22220804801
918 BALOD GUNDERDEHI GOVT MS KODEWA 22220804901
919 BALOD GUNDERDEHI GOVT PS KODEWA 22220804902
920 BALOD GUNDERDEHI GOVT MS KOTGAON 22220805001
921 BALOD GUNDERDEHI GOVT PS KOTGAON 22220805002
922 BALOD GUNDERDEHI GOVT.PS JHIKA 22220805101
923 BALOD GUNDERDEHI GOVT PS KHAIRUD 22220805201
924 BALOD GUNDERDEHI GOVT.PS DHANGAON 22220805301
925 BALOD GUNDERDEHI GOVT.PS NAWAGAON 22220805401
926 BALOD GUNDERDEHI GOVT.MS NAWAGAON (SSA) 22220805402
927 BALOD GUNDERDEHI GOVT.PS REHECHI 22220805501
928 BALOD GUNDERDEHI GOVT PS KHUTERI (A) 22220805601
929 BALOD GUNDERDEHI GOVT MS KHUTERI (A) (SSA) 22220805602
930 BALOD GUNDERDEHI GOVT NAVIN MS DUNDERA 22220805701
931 BALOD GUNDERDEHI GOVT.PS DUNDERA 22220805702
932 BALOD GUNDERDEHI GOVT PS LASATOLA 22220805801
933 BALOD GUNDERDEHI GOVT PS PARNA 22220805901
934 BALOD GUNDERDEHI GOVT PS BASIN 22220806001
935 BALOD GUNDERDEHI GOVT PS BHENGARI 22220806101
936 BALOD GUNDERDEHI GOVT.PS KURDI 22220806201
937 BALOD GUNDERDEHI GOVT.MS CHOUREL 22220806301
938 BALOD GUNDERDEHI GOVT PS CHOUREL 22220806302
939 BALOD GUNDERDEHI GOVT.PS MOHLAI 22220806401
940 BALOD GUNDERDEHI GOVT PS KONGANI 22220806501
941 BALOD GUNDERDEHI GOVT.MS KAMROUD 22220806601
942 BALOD GUNDERDEHI GOVT.PS KAMROUD 22220806602
943 BALOD GUNDERDEHI GOVT MS PIREED 22220806701
944 BALOD GUNDERDEHI GOVT PS PIREED 22220806702
945 BALOD GUNDERDEHI GOVT PS KANDUL 22220806801
946 BALOD GUNDERDEHI GOVT GIRLS PS KANDUL 22220806802
947 BALOD GUNDERDEHI GOVT MS KANDUL 22220806803
948 BALOD GUNDERDEHI GOVT.KANYA MS KANDUL (SSA) 22220806804
949 BALOD GUNDERDEHI GOVT MS CHANDAN BIRHI 22220806901
950 BALOD GUNDERDEHI GOVT PS CHANDAN BIRHI 22220806902
951 BALOD GUNDERDEHI GOVT PS SANOOD 22220807001
952 BALOD GUNDERDEHI GOVT.PS NAWAGAON 22220807101
953 BALOD GUNDERDEHI GOVT.PS CHICHAL GONDI 22220807201
954 BALOD GUNDERDEHI GOVT.NAVIN MS CHICHALGONDI (SSA) 22220807202
955 BALOD GUNDERDEHI GOVT.PS ROUNA 22220807301
956 BALOD GUNDERDEHI GOVT.NAVIN PS ROUNA 22220807302
957 BALOD GUNDERDEHI GOVT.NAVIN MS ROUNA (SSA) 22220807303
958 BALOD GUNDERDEHI GOVT PS KHAIBANA 22220807401
959 BALOD GUNDERDEHI GOVT MS KACHANDUR 22220807501
960 BALOD GUNDERDEHI GOVT.BOYS PS KACHANDUR 22220807502
961 BALOD GUNDERDEHI GOVT GIRLS PS KACHANDUR 22220807503
962 BALOD GUNDERDEHI GOVT.NAVIN PS KACHANDUR 22220807504
963 BALOD GUNDERDEHI GOVT MS GUREDA 22220807601
964 BALOD GUNDERDEHI GOVT PS GUREDA 22220807602
965 BALOD GUNDERDEHI GOVT PS DHARMI 22220807701
966 BALOD GUNDERDEHI GOVT PS SAJA 22220807801
967 BALOD GUNDERDEHI GOVT NAVIN SAJA (SSA) 22220807805
968 BALOD GUNDERDEHI GOVT PS DEWARI (K) 22220807901
969 BALOD GUNDERDEHI GOVT.PS BHARDA KHURD 22220808001
970 BALOD GUNDERDEHI GOVT.MS BHARDA KHURD (SSA) 22220808002
971 BALOD GUNDERDEHI GOVT PS ARJUNI 22220808101
972 BALOD GUNDERDEHI GOVT.PS GORKAPAR 22220808201
973 BALOD GUNDERDEHI GOVT.MS GORKAPAR 22220808202
974 BALOD GUNDERDEHI GOVT PS SAKROUD 22220808301
975 BALOD GUNDERDEHI GOVT.NAVIN PS SAKROUD (SSA) 22220808302
976 BALOD GUNDERDEHI GOVT MS SAKROUD (SSA) 22220808303
977 BALOD GUNDERDEHI GOVT PS NAHAR KHAPARI 22220808401
978 BALOD GUNDERDEHI GOVT NAVIN MS KHAPARI (SSA) 22220808402
979 BALOD GUNDERDEHI GOVT PS TAMORA 22220808501
980 BALOD GUNDERDEHI GOVT MS TAMORA 22220808502
981 BALOD GUNDERDEHI GOVT PS SIRRI 22220808601
982 BALOD GUNDERDEHI GOVT MS SIRRI 22220808602
983 BALOD GUNDERDEHI GOVT PS KOSA 22220808701
984 BALOD GUNDERDEHI GOVT PS PANGARI 22220808801
985 BALOD GUNDERDEHI GOVT.MS PANGARI (SSA) 22220808802
986 BALOD GUNDERDEHI GOVT PS SUKHRI 22220808901
987 BALOD GUNDERDEHI GOVT.MS RAHUD 22220809001
988 BALOD GUNDERDEHI GOVT.PS RAHUD 22220809002
989 BALOD GUNDERDEHI GOVT.PS PARSAHI 22220809101
990 BALOD GUNDERDEHI GOVT.MS PARSAHI 22220809102
991 BALOD GUNDERDEHI GOVT.PS BHENDRA 22220809201
992 BALOD GUNDERDEHI GOVT PS BELTIKARI 22220809301
993 BALOD GUNDERDEHI GOVT.PS KHAPARI (B) 22220809401
994 BALOD GUNDERDEHI GOVT.PS MUNDRA 22220809501
995 BALOD GUNDERDEHI GOVT PS PAUWARA 22220809601
996 BALOD GUNDERDEHI GOVT.PS KASONDA 22220809701
997 BALOD GUNDERDEHI GOVT.MS KASONDA 22220809702
998 BALOD GUNDERDEHI GOVT MS TILODA 22220809801
999 BALOD GUNDERDEHI GVOT.PS TILODA 22220809802
1000 BALOD GUNDERDEHI GOVT.N.PS BHATHAPARA TILODA (SSA) 22220809803
1001 BALOD GUNDERDEHI GOVT.PS HARANSINGHI 22220809901
1002 BALOD GUNDERDEHI GOVT PS 22220810001
1003 BALOD GUNDERDEHI GOVT MS 22220810002
1004 BALOD GUNDERDEHI GOVT.PS OTEBANDH 22220810101
1005 BALOD GUNDERDEHI GOVT.NAVIN MS OTEBANDH (SSA) 22220810102
1006 BALOD GUNDERDEHI GOVT PS SIRSIDA 22220810201
1007 BALOD GUNDERDEHI GOVT. PS SIRSIDA (SSA) 22220810202
1008 BALOD GUNDERDEHI GOVT. MS SIRSIDA (SSA) 22220810203
1009 BALOD GUNDERDEHI GOVT PS DANGNIYA 22220810301
1010 BALOD GUNDERDEHI GOVT MS DANGIYA 22220810302
1011 BALOD GUNDERDEHI GOVT.PS DOKIDIH 22220810401
1012 BALOD GUNDERDEHI GOVT.MS.DOUKIDH (SSA) 22220810402
1013 BALOD GUNDERDEHI GOVT PS NAHANDA 22220810501
1014 BALOD GUNDERDEHI GOVT PS KHAPPARWADA 22220810601
1015 BALOD GUNDERDEHI GOVT PS DEWARI (KHA) 22220810701
1016 BALOD GUNDERDEHI GOVT.SHAHID DURVASHA LAL MS (SSA) 22220810702
1017 BALOD GUNDERDEHI GOVT MS BHATHAGAON (R) 22220810801
1018 BALOD GUNDERDEHI GOVT BOYS PS BHATHAGAON (R) 22220810802
1019 BALOD GUNDERDEHI GOVT GIRLS PS BHATHAGAON (R) 22220810803
1020 BALOD GUNDERDEHI GOVT MS RUNCHIRAI 22220810901
1021 BALOD GUNDERDEHI GOVT BOYS PS RUNCHIRAI 22220810902
1022 BALOD GUNDERDEHI GOVT GIRLS PS RUNCHIRAI 22220810903
1023 BALOD GUNDERDEHI GOVT PS HIRU KHAPRI 22220811001
1024 BALOD GUNDERDEHI GOVT.PS KILEPAR 22220811101
1025 BALOD GUNDERDEHI GOVT PS JHOFRA 22220811201
1026 BALOD GUNDERDEHI GOVT MS DONGITARAI 22220811301
1027 BALOD GUNDERDEHI GOVT PS DONGITARI 22220811302
1028 BALOD GUNDERDEHI GOVT PS JORATARI 22220811401
1029 BALOD GUNDERDEHI GOVT.NAVIN MS JORATARAI (SSA) 22220811402
1030 BALOD GUNDERDEHI GOVT PS JARVAY 22220811501
1031 BALOD GUNDERDEHI GOVT PS MASUL 22220811601
1032 BALOD GUNDERDEHI GOVT.MS ARJUNDA 22220811701
1033 BALOD GUNDERDEHI GOVT GIRLS PS ARJUNDA 22220811702
1034 BALOD GUNDERDEHI GOVT NAVIN PS ARJUNDA 22220811703
1035 BALOD GUNDERDEHI GOVT BHARATI M.S ARJUNDA 22220811706
1036 BALOD GUNDERDEHI GOVT GIRLS MS ARJUNDA 22220811707
1037 BALOD GUNDERDEHI GOVT PS ARJUNDA 22220811713
1038 BALOD GUNDERDEHI GOVT PS PARASTARAI 22220811901
1039 BALOD GUNDERDEHI GOVT MS PARASTARAI 22220811902
1040 BALOD GUNDERDEHI GOVT PS PARASWANI 22220812001
1041 BALOD GUNDERDEHI GOVT PS MATIA (A) 22220812101
1042 BALOD GUNDERDEHI GOVT.NAVIN MS MATIA (A) 22220812102
1043 BALOD GUNDERDEHI GOVT PS BORGAHAN 22220812201
1044 BALOD GUNDERDEHI GOVT.PS TIKARI 22220812301
1045 BALOD GUNDERDEHI GOVT.PS MATEWA 22220812401
1046 BALOD GUNDERDEHI GOVT.PS DUDIYA 22220812501
1047 BALOD GUNDERDEHI GOVT MS DUDIYA 22220812502
1048 BALOD GUNDERDEHI GOVT MS BHARDAKALA 22220812601
1049 BALOD GUNDERDEHI GOVT.PS BHARDAKALA 22220812602
1050 BALOD GUNDERDEHI GOVT GIRLS PS BHARDAKALA 22220812603
1051 BALOD GUNDERDEHI GOVT.NAVIN PS BHARDAKALA 22220812604
1052 BALOD GUNDERDEHI GOVT MS MAHUD (A) 22220812701
1053 BALOD GUNDERDEHI GOVT PS MAHUD (A) 22220812702
1054 BALOD GUNDERDEHI GOVT MS JEWARTALA 22220812801
1055 BALOD GUNDERDEHI GOVT.PS JEWARTALA 22220812802
1056 BALOD GUNDERDEHI GOVT.PS BUDHANPUR 22220812901
1057 BALOD GUNDERDEHI GOVT PS TEKAPAR 22220813001
1058 BALOD GUNDERDEHI GOVT.PS CHIRCHAR 22220813101
1059 BALOD GUNDERDEHI GOVT.MS CHIRCHAR (SSA) 22220813102
1060 BALOD GUNDERDEHI GOVT.PS SIBDI 22220813201
1061 BALOD GUNDERDEHI GOVT.MS SIBDI (SSA) 22220813202
1062 BALOD GUNDERDEHI GOVT.PS BODENA 22220813301
1063 BALOD GUNDERDEHI GOVT.MS.BODENA (SSA) 22220813302
1064 BALOD GUNDERDEHI GOVT BOYS PS GUNDERDEHI 22220813401
1065 BALOD GUNDERDEHI GOVT GIRLS PS GUNDERDEHI 22220813402
1066 BALOD GUNDERDEHI GOVT.SANLAGNA MS GUNDERDEHI 22220813403
1067 BALOD GUNDERDEHI GOVT GIRLS MS GUNDERDEHI 22220813404
1068 BALOD GUNDERDEHI GOVT PS BAGMARA 22220813601
1069 BALOD GUNDERDEHI GOVT MS BAGMARA (SSA) 22220813602
1070 BALOD GUNDERDEHI GOVT PS KHARRA 22220813701
1071 BALOD GUNDERDEHI GOVT PS RUODA 22220813801
1072 BALOD GUNDERDEHI GOVT MS RUODA (SSA) 22220813802
1073 BALOD GUNDERDEHI GOVT PS MACHOD 22220813901
1074 BALOD GUNDERDEHI GOVT.PS TEWARA 22220814001
1075 BALOD GUNDERDEHI GOVT MS TEWARA 22220814002
1076 BALOD GUNDERDEHI GOVT.PS RENGAKATHERA 22220814101
1077 BALOD GUNDERDEHI GOVT PS KHUTERI 22220814201
1078 BALOD GUNDERDEHI GOVT MS KHUTERI (RANG) (SSA) 22220814202
1079 BALOD GUNDERDEHI GOVT.PS MAIYAPAR 22220814301
1080 BALOD GUNDERDEHI GOVT.PS MOHNDIPAT 22220814401
1081 BALOD GUNDERDEHI GOVT MS MOHNDIPAT 22220814402
1082 BALOD GUNDERDEHI GOVT PS BAGHELI 22220814501
1083 BALOD GUNDERDEHI GOVT NAVIN PS DEWARI (D) 22220814601
1084 BALOD GUNDERDEHI GOVT.PS DEWARI (D) 22220814602
1085 BALOD GUNDERDEHI GOVT MS DEWARI (D) 22220814603
1086 BALOD GUNDERDEHI GOVT.PS DEWASARA 22220814701
1087 BALOD GUNDERDEHI GOVT PS KHURSHUNI 22220814801
1088 BALOD GUNDERDEHI GOVT MS KHURSHUNI 22220814802
1089 BALOD GUNDERDEHI GOVT PS KHURSUL 22220814901
1090 BALOD GUNDERDEHI GOVT MS KHURSHUL 22220814902
1091 BALOD GUNDERDEHI GOVT.PS GODELA 22220815001
1092 BALOD GUNDERDEHI GOVT.NAVIN MS GODELA (SSA) 22220815002
1093 BALOD GUNDERDEHI GOVT.PS KHURSIPAR 22220815101
1094 BALOD GUNDERDEHI GOVT PS BHAMNI 22220815201
1095 BALOD GUNDERDEHI GOVT.MS GABDI 22220815301
1096 BALOD GUNDERDEHI GOVT.PS GABDI 22220815302
1097 BALOD GUNDERDEHI GOVT.NAVIN PS GABDI 22220815303
1098 BALOD GUNDERDEHI GOVT MS BHILAI 22220815401
1099 BALOD GUNDERDEHI GOVT PS BHILAI 22220815402
1100 BALOD GUNDERDEHI GOVT PS TIKHAIRI 22220815501
1101 BALOD GUNDERDEHI GOVT NAVIN MS TILKHAIRI (SSA) 22220815502
1102 BALOD GUNDERDEHI GOVT.PS SALONI 22220815601
1103 BALOD GUNDERDEHI GOVT MS AUDAR SAKARI 22220815701
1104 BALOD GUNDERDEHI GOVT PS AUDAR SAKRI 22220815702
1105 BALOD GUNDERDEHI GOVT.PS CHICHA 22220815801
1106 BALOD GUNDERDEHI GOVT.MS CHICHA (SSA) 22220815802
1107 BALOD GUNDERDEHI GOVT.PS GORKAPAR 22220815901
1108 BALOD GUNDERDEHI GOVT.PS DEWGAHAN 22220816001
1109 BALOD GUNDERDEHI GOVT MS DEWGAHAN (SSA) 22220816002
1110 BALOD GUNDERDEHI GOVT.PS SIKOLA 22220816101
1111 BALOD GUNDERDEHI GOVT PS CHAINGANJ 22220816201
1112 BALOD GUNDERDEHI GOVT.PS TEKAPAR 22220816401
1113 BALOD GUNDERDEHI GOVT.PS BARBASPUR 22220816501
1114 BALOD GURUR GOVT JANPAD PS BADJHUM 22220900101
1115 BALOD GURUR GOVT BOYS ASHRAM PS BADJHUM (TWD) 22220900102
1116 BALOD GURUR GOVT MS BADJHUM 22220900104
1117 BALOD GURUR GOVT PS JANGLI BEJHA 22220900201
1118 BALOD GURUR GOVT PS PETECHUWA 22220900301
1119 BALOD GURUR GOVT KANIST PS DUGGABAHARA 22220900401
1120 BALOD GURUR GOVT PS HITEKASA 22220900501
1121 BALOD GURUR GOVT MS HITEKASA 22220900502
1122 BALOD GURUR GOVT PS NAGJHAR 22220900601
1123 BALOD GURUR GOVT PS MANGCHUWA 22220900701
1124 BALOD GURUR GOVT PS GOTA TOLA 22220900801
1125 BALOD GURUR GOVT PRO.PS ROOPTOLA (HITEKASA) 22220900902
1126 BALOD GURUR GOVT PS BOHARA 22220901001
1127 BALOD GURUR GOVT MS BOHARA 22220901002
1128 BALOD GURUR GOVT PS SANOOD 22220901101
1129 BALOD GURUR GOVT PS DOTOPAR 22220901201
1130 BALOD GURUR GOVT MS DOTOPAR 22220901202
1131 BALOD GURUR GOVT PS ARKAR 22220901301
1132 BALOD GURUR GOVT GIRLS PS ARKAR 22220901302
1133 BALOD GURUR GOVT MS ARKAR 22220901303
1134 BALOD GURUR GOVT PS BHIRAI 22220901401
1135 BALOD GURUR GOVT MS BHIRAI 22220901402
1136 BALOD GURUR GOVT PS AUJHAGAHAN 22220901501
1137 BALOD GURUR GOVT MS AUJHAGAHAN 22220901502
1138 BALOD GURUR GOVT PS HASDA 22220901601
1139 BALOD GURUR GOVT MS HASDA 22220901602
1140 BALOD GURUR GOVT BOYS PS ARMARIKALA 22220901702
1141 BALOD GURUR GOVT GIRLS PS ARMARIKALA 22220901703
1142 BALOD GURUR GOVT MS ARMARIKALA 22220901704
1143 BALOD GURUR NVIN GIRLS MS 22220901708
1144 BALOD GURUR GOVT PS TILKHAIRI 22220901801
1145 BALOD GURUR GOVT PS PIKRIPAR 22220901901
1146 BALOD GURUR GOVT PS PADKIBHAT 22220902001
1147 BALOD GURUR GOVT PS KHERTHA 22220902101
1148 BALOD GURUR GOVT PRO.MS KHERTHA 22220902102
1149 BALOD GURUR GOVT JANPAD PS KOSAGONDI 22220902201
1150 BALOD GURUR GOVT MS KOSAGONDI 22220902202
1151 BALOD GURUR GOVT PS JEWARTALA 22220902301
1152 BALOD GURUR GOVT PRO.MS JEWARTALA 22220902302
1153 BALOD GURUR GOVT PS DHANELI 22220902401
1154 BALOD GURUR GOVT MS DHANELI 22220902402
1155 BALOD GURUR GOVT PS KOCHERA 22220902501
1156 BALOD GURUR GOVT PRO MS KOCHERA 22220902503
1157 BALOD GURUR GOVT PS BHULANDABARI 22220902601
1158 BALOD GURUR GOVT MS BHANPURI 22220902701
1159 BALOD GURUR GOVT PS BHANPURI 22220902702
1160 BALOD GURUR GOVT PS BODRA 22220902801
1161 BALOD GURUR GOVT MS PRO. BODRA 22220902802
1162 BALOD GURUR GOVT JANPAD PS RAMANNARA 22220902901
1163 BALOD GURUR GOVT PRO. MS RAMANNARA 22220902902
1164 BALOD GURUR GOVT PS GHOGHOPURI 22220903001
1165 BALOD GURUR GOVT PS SURRA 22220903101
1166 BALOD GURUR GOVT MS SURRA 22220903102
1167 BALOD GURUR GOVT PS CHHEDIYA 22220903201
1168 BALOD GURUR GOVT MS CHHEDIYA 22220903202
1169 BALOD GURUR GOVT PS PEWARO 22220903401
1170 BALOD GURUR GOVT MS PEWARO 22220903402
1171 BALOD GURUR GOVT PS DHANORA 22220903501
1172 BALOD GURUR GOVT PRO.PS DHANORA 22220903502
1173 BALOD GURUR GOVT PS KAPARMETTA 22220903601
1174 BALOD GURUR GOVT PRO. PS KAPARMETTA (SSA) 22220903603
1175 BALOD GURUR GOVT PS TENGNA 22220903701
1176 BALOD GURUR GOVT MS TENGNA 22220903702
1177 BALOD GURUR GOVT PS TENGNA 22220903703
1178 BALOD GURUR GOVT PS NAHANDA 22220903801
1179 BALOD GURUR GOVT MS NAHANDA 22220903802
1180 BALOD GURUR GOVT PS KOSMI 22220903901
1181 BALOD GURUR GOVT PS KARIYATOLA 22220904001
1182 BALOD GURUR GOVT PS MOKHA 22220904201
1183 BALOD GURUR GOVT MS MOKHA 22220904202
1184 BALOD GURUR GOVT PS GUNDRAPARA MOKHA 22220904203
1185 BALOD GURUR GOVT PS DARGAHAN 22220904301
1186 BALOD GURUR GOVT MS DARGAHAN 22220904302
1187 BALOD GURUR GOVT PS DHANAPURI 22220904401
1188 BALOD GURUR GOVT MS DHANAPURI 22220904402
1189 BALOD GURUR ASHRAM PS 22220904404
1190 BALOD GURUR GOVT PS CHULHAPATHRA 22220904501
1191 BALOD GURUR GOVT PS KHAIRDIGGI 22220904601
1192 BALOD GURUR GOVT PS MUDGAHAN 22220904701
1193 BALOD GURUR GOVT PS SALHEBHAT 22220904801
1194 BALOD GURUR GOVT PS BICHI BAHARA 22220904901
1195 BALOD GURUR GOVT PS SONAI DONGARI 22220905001
1196 BALOD GURUR GOVT MS SONAI DONGARI 22220905002
1197 BALOD GURUR GOVT GIRLS PS GURUR 22220905101
1198 BALOD GURUR GOVT BOYS PS GURUR 22220905102
1199 BALOD GURUR GOVT BOYS MS GURUR 22220905103
1200 BALOD GURUR GOVT GIRLS MS GURUR 22220905104
1201 BALOD GURUR GOVT PS KANHARPURI 22220905201
1202 BALOD GURUR GOVT PRON.MS KANHARPURI 22220905202
1203 BALOD GURUR GOVT PS DANITOLA 22220905301
1204 BALOD GURUR GOVT PS KOLIHAMAR 22220905401
1205 BALOD GURUR GOVT. MS KOLIHAMAR 22220905402
1206 BALOD GURUR GOVT PS BORTARA 22220905501
1207 BALOD GURUR GOVT PS KHAIRWAHI 22220905601
1208 BALOD GURUR GOVT PS TARRI 22220905701
1209 BALOD GURUR GOVT MS TARRI 22220905702
1210 BALOD GURUR GOVT PS 22220905801
1211 BALOD GURUR GOVT PS THEKWADIH 22220905901
1212 BALOD GURUR GOVT MS THEKWADIH 22220905902
1213 BALOD GURUR GOVT PS TITURGAHAN 22220906101
1214 BALOD GURUR GOVT PS 22220906201
1215 BALOD GURUR GOVT PS MUND PAR 22220906301
1216 BALOD GURUR GOVT PS MOHAARA 22220906401
1217 BALOD GURUR GOVT MS MOHAARA 22220906402
1218 BALOD GURUR GOVT PS DANDESARA 22220906501
1219 BALOD GURUR GOVT PRO MS DANDESARA 22220906502
1220 BALOD GURUR GOVT PS BOTHALI 22220906601
1221 BALOD GURUR PRO. MS 22220906603
1222 BALOD GURUR GOVT PS BASIN 22220906702
1223 BALOD GURUR GOVT MS BASIN 22220906703
1224 BALOD GURUR GOVT PS DANDARI 22220906801
1225 BALOD GURUR GOVT MS PRO. DANDARI 22220906802
1226 BALOD GURUR GOVT BOYS PS SORAR 22220906902
1227 BALOD GURUR GOVT GIRLS PS SORAR 22220906903
1228 BALOD GURUR GOVT MS SORAR 22220906904
1229 BALOD GURUR GOVT GIRLS MS SORAR 22220906905
1230 BALOD GURUR SORAR GOVT PS SORAR 22220906911
1231 BALOD GURUR GOVT PS CHIRCHARI 22220907101
1232 BALOD GURUR GOVT PS DHOBANPURI 22220907201
1233 BALOD GURUR GOVT PRO. MS DHOBANPURI 22220907202
1234 BALOD GURUR GOVT PS BAGDAI 22220907301
1235 BALOD GURUR GOVT BOYS ASHRAM PS BAGDAI (TWD) 22220907302
1236 BALOD GURUR GOVT MS BAGDAI 22220907303
1237 BALOD GURUR GOVT PS ARJUNI 22220907401
1238 BALOD GURUR GOVT PRO. MS ARJUNI 22220907402
1239 BALOD GURUR GOVT PS SOHAPUR 22220907501
1240 BALOD GURUR GOVT MS SOHAPUR 22220907502
1241 BALOD GURUR GOVT PS NARAGAON 22220907601
1242 BALOD GURUR GOVT MS NARAGAON 22220907602
1243 BALOD GURUR GOVT PS KINARGONDI 22220907603
1244 BALOD GURUR GOVT PS KANERI 22220907801
1245 BALOD GURUR GOVT MS KANERI 22220907802
1246 BALOD GURUR GOVT PS MANERI 22220907805
1247 BALOD GURUR GOVT PS MAIDANI 22220907901
1248 BALOD GURUR GOVT PS KULIYA 22220908001
1249 BALOD GURUR GOVT MS KULIYA 22220908002
1250 BALOD GURUR GOVT PS KUMHARKHAN 22220908101
1251 BALOD GURUR GOVT PS NAWAGAON 22220908201
1252 BALOD GURUR GOVT PS DOKALA 22220908401
1253 BALOD GURUR GOVT PS BOHARDIH 22220908501
1254 BALOD GURUR GOVT PS PURUR 22220908601
1255 BALOD GURUR GOVT MS PURUR 22220908602
1256 BALOD GURUR GOVT PS BORIDKALA 22220908701
1257 BALOD GURUR GOVT PRO. MS BORIDKALA 22220908702
1258 BALOD GURUR GOVT PS CHATOD 22220908801
1259 BALOD GURUR GOVT MS CHATOD 22220908802
1260 BALOD GURUR GOVT PS ANANDPUR 22220908901
1261 BALOD GURUR GVT KANIST PS AMMAPANI 22220909001
1262 BALOD GURUR GOVT PS SOHTARA 22220909101
1263 BALOD GURUR GOVT PS NAKURA 22220909201
1264 BALOD GURUR GOVT PS MUDKHUSRA 22220909301
1265 BALOD GURUR GOVT BALAK ASHRAM JAGTARA (TWD) 22220909401
1266 BALOD GURUR GOVT ADIVASI MS BALAK ASHRAM (TWD) 22220909402
1267 BALOD GURUR PVT MANNONIGHT PS BALOD GAHAN 22220909501
1268 BALOD GURUR GARDIAN MEMORIAL MS 22220909502
1269 BALOD GURUR GOVT PS CHANDAN VIHARI 22220909601
1270 BALOD GURUR GOVT UPS CHANDAN VIHARI 22220909602
1271 BALOD GURUR GOVT PS FAGULAHA 22220909701
1272 BALOD GURUR GOVT MS FAGULAHA 22220909702
1273 BALOD GURUR GOVT PS PERPAR 22220909801
1274 BALOD GURUR GOVT PRO. MS PERPAR 22220909802
1275 BALOD GURUR GOVT PS AKALWARA 22220909901
1276 BALOD GURUR GOVT PS BAGTARAI 22220910001
1277 BALOD GURUR GOVT MS BAGTARAI 22220910002
1278 BALOD GURUR GOVT PS USARWARA 22220910101
1279 BALOD GURUR GOVT PRO. MS USARWARA 22220910102
1280 BALOD GURUR GOVT PS BHARRIGAON 22220910201
1281 BALOD GURUR GOVT PS KOCHWAHI 22220910301
1282 BALOD GURUR GOVT MS KOCHWAHI 22220910302
1283 BALOD GURUR GOVT PS POND 22220910401
1284 BALOD GURUR GOVT MS POND 22220910402
1285 BALOD GURUR GOVT PS MUJALGONDI 22220910501
1286 BALOD GURUR GOVT PS KANKALIN 22220910701
1287 BALOD GURUR GOVT PS KANKALIN 22220910702
1288 BALOD GURUR GOVT PS AONA KONA 22220910801
1289 BALOD GURUR GOVT PS KARREJHAR 22220910901
1290 BALOD GURUR GOVT MS KARREJHAR 22220910902
1291 BALOD GURUR GOVT PS MUSKERRA 22220911001
1292 BALOD GURUR GOVT PS ALORI 22220911101
1293 BALOD GURUR GOVT PRO.PS AMLIPARA 22220911202
1294 BALOD GURUR GOVT KANIST PS BHAISMUDI 22220911301
1295 BALOD GURUR GOVT PS DARRA 22220911401
1296 BALOD GURUR GOVT MS DARRA 22220911402
1297 BALOD GURUR GOVT PS KHARRA 22220911501
1298 BALOD GURUR GOVT PRO. MS KHARRA 22220911502
1299 BALOD GURUR GOVT PS DUPCHERA 22220911601
1300 BALOD GURUR GOVT MS DUPCHERA 22220911602
1301 BALOD GURUR GOVT PS NARBADA 22220911701
1302 BALOD GURUR GOVT MS NARBADA 22220911702
1303 BALOD GURUR GOVT PS SARBADA 22220911801
1304 BALOD GURUR GOVT PS DIYABATTI 22220911901
1305 BALOD GURUR GOVT PS KHUNDNI 22220912001
1306 BALOD GURUR GOVT MS KHUNDNI 22220912002
1307 BALOD GURUR GOVT PS KHORDO 22220912101
1308 BALOD GURUR GOVT PS MUJGAHAN 22220912201
1309 BALOD GURUR GOVT MS PALARI 22220912301
1310 BALOD GURUR GOVT PS PALARI 22220912302
1311 BALOD GURUR GOVT GIRLS PS PALARI 22220912303
1312 BALOD GURUR GOVT PS BHARRIPARA PALARI 22220912306
1313 BALOD GURUR GOVT PS SANGLI 22220912401
1314 BALOD GURUR GOVT PRO.MS SANGALI 22220912402
1315 BALOD GURUR GOVT MS PARSULI 22220912501
1316 BALOD GURUR GOVT PS PARSULI 22220912502
1317 BALOD GURUR GOVT MS PENDERWANI 22220912601
1318 BALOD GURUR GOVT.PS PENDERWANI 22220912602
1319 BALOD GURUR GOVT PRO. GIRS MS PENDERWANI 22220912603
1320 BALOD GURUR GOVT. P.S. GHANSIDASPARA PENDERWANI 22220912605
1321 BALOD GURUR GOVT MS KAWAR 22220912701
1322 BALOD GURUR GOVT.G.PS KAWAR 22220912702
1323 BALOD GURUR GOVT.PS KAWAR 22220912703
1324 BALOD GURUR GOVT.PS DEVKORT 22220913001
1325 BALOD GURUR GOVT PS ODENADIH 22220913201
1326 BALOD GURUR GOVT PS NAGBELDIH (SSA) 22220913301
1327 BALODABAZAR BALODA BAZAR GOVT. PRIMARY SCHOOL RASEDA 22242000101
1328 BALODABAZAR BALODA BAZAR GOVT. MIDDLE SCHOOL RASEDA RASEDA 22242000104
1329 BALODABAZAR BALODA BAZAR GOVT. PRIMARY SCHOOL BOIRDIH 22242000202
1330 BALODABAZAR BALODA BAZAR GOVT. PRIMARY SCHOOL BHADRA 22242000303
1331 BALODABAZAR BALODA BAZAR GOVT. PRIMARY SCHOOL NAYAPARA 22242000401
1332 BALODABAZAR BALODA BAZAR GOVT. MIDDLE SCHOOL NAYAPARA (SSA) 22242000402
1333 BALODABAZAR BALODA BAZAR GOVT. PRIMARY SCHOOL JAMDIH 22242000501
1334 BALODABAZAR BALODA BAZAR GOVT. PRIMARY SCHOOL JUDA 22242000601
1335 BALODABAZAR BALODA BAZAR GOVT. MIDDLE SCHOOL JUDA (SSA) 22242000602
1336 BALODABAZAR BALODA BAZAR GOVT. PT. CHAKRAPANI HIGER SECENDRY SCHOOL BALODABAZAR
22242000801
1337 BALODABAZAR BALODA BAZAR GOVT. PRIMMARY SCHOOL LAWANDAND 22242000901
1338 BALODABAZAR BALODA BAZAR GOVT. PRIMARY SCHOOL PARSADIH 22242001001
1339 BALODABAZAR BALODA BAZAR GOVT. PRAIMARY SCHOOL SARKIPAR 22242001201
1340 BALODABAZAR BALODA BAZAR GOVT. MIDDLE SCHOOL SARKIPAR (SSA) 22242001202
1341 BALODABAZAR BALODA BAZAR GOVT. PRAIMARY SCHOOL PANDARIYA 22242001301
1342 BALODABAZAR BALODA BAZAR GOVT. M.S. PANDARIYA (SSA) 22242001303
1343 BALODABAZAR BALODA BAZAR GOVT. PRIMARY SCHOOL AMALIDIH 22242001401
1344 BALODABAZAR BALODA BAZAR GOVT. PRAIMARY SCHOOL KHAMARIYA (MARDA) 22242001402
1345 BALODABAZAR BALODA BAZAR GOVT. PRAIMARY SCHOOL BAZARBHATHA 22242001501
1346 BALODABAZAR BALODA BAZAR GOVT. PRAIMARY SCHOOL GANGAI 22242001601
1347 BALODABAZAR BALODA BAZAR GOVT. MIDDLE SCHOOL GANGAI (SSA) 22242001602
1348 BALODABAZAR BALODA BAZAR GOVT. PRAIMARY SCHOOL KARDA 22242001702
1349 BALODABAZAR BALODA BAZAR GOVT. MIDDLE SCHOOL KARDA 22242001703
1350 BALODABAZAR BALODA BAZAR GOVT. PRAIMARY SCHOOL MEDH 22242001801
1351 BALODABAZAR BALODA BAZAR GOVT. MIDDLE SCHOOL MEDH (SSA) 22242001802
1352 BALODABAZAR BALODA BAZAR GOVT. PRAIMARY SCHOOL MOHTARA 22242001901
1353 BALODABAZAR BALODA BAZAR GOVT. MIDDLE SCHOOL MOHTARA 22242001905
1354 BALODABAZAR BALODA BAZAR GOVT. PRIMARY SCHOOL SONADIH 22242002001
1355 BALODABAZAR BALODA BAZAR GOVT. MIDDLE SCHOOL SONADIH (SSA) 22242002002
1356 BALODABAZAR BALODA BAZAR GOVT. PRAIMARY SCHOOL KUMHARI 22242002101
1357 BALODABAZAR BALODA BAZAR GOVT. MIDDLE SCHOOL KUMHARI (SSA) 22242002102
1358 BALODABAZAR BALODA BAZAR GOVT. PRAIMARY SCHOOL BAMHANMUDI 22242002201
1359 BALODABAZAR BALODA BAZAR GOVT. PRAIMARY SCHOOL BAMHANPURI 22242002202
1360 BALODABAZAR BALODA BAZAR GOVT. MIDDLE SCHOOL BAMHANPURI (SSA) 22242002203
1361 BALODABAZAR BALODA BAZAR GOVT. PRAIMARY SCHOOL KHAINDA 22242002301
1362 BALODABAZAR BALODA BAZAR GOVT. MIDDLE SCHOOL KHAINDA 22242002302
1363 BALODABAZAR BALODA BAZAR GOVT. MIDDLE SCHOOL KHAINDA (L) 22242002303
1364 BALODABAZAR BALODA BAZAR GOVT. PRAIMARY SCHOOL KHAINDA (L) 22242002304
1365 BALODABAZAR BALODA BAZAR GOVT. PRAIMARY SCHOOL KHAIRA 22242002401
1366 BALODABAZAR BALODA BAZAR GOVT.M.S. KHAIRA (SSA) 22242002402
1367 BALODABAZAR BALODA BAZAR GOVT. PRAIMARY SCHOOL MUDIYADIH 22242002501
1368 BALODABAZAR BALODA BAZAR GOVT. MIDDLE SCHOOL MUDIYADIH (SSA) 22242002502
1369 BALODABAZAR BALODA BAZAR GOVT. GIRLS PRAIMARY SCHOOL SAKARI 22242002601
1370 BALODABAZAR BALODA BAZAR GOVT. BOYS PRIMERY SCHOOL SAKARI 22242002602
1371 BALODABAZAR BALODA BAZAR GOVT. BOYS MIDDLE SCHOOL SAKARI 22242002603
1372 BALODABAZAR BALODA BAZAR GOVT. GIRLS MIDDLE SCHOOL SAKARI (SSA) 22242002605
1373 BALODABAZAR BALODA BAZAR GOVT. NAVEEN KANYA PRAIMARY SCHOOL B.B. 22242002701
1374 BALODABAZAR BALODA BAZAR GOVT. PRAIMARY SCHOOL MAHATMA GANDHI PURANIBASTI BALODA BAZAR
22242002801
1375 BALODABAZAR BALODA BAZAR GOVT. P.S. DR.RAM MANOHAR B.BAZAR 22242002902
1376 BALODABAZAR BALODA BAZAR GOVT. P.S. INDIRA COLO B. BAZAR 22242002904
1377 BALODABAZAR BALODA BAZAR GOVT. BOYS MIDDLE SCHOOL GANDHI CHAUK (SSA) 22242002910
1378 BALODABAZAR BALODA BAZAR GOVT. NAVEEN MIDDLE SCHOOL SIVIL LINE BALODA BAZAR SSA
22242002911
1379 BALODABAZAR BALODA BAZAR GOVT. K.G.B.V. B. BAZAR (SSA) 22242002918
1380 BALODABAZAR BALODA BAZAR GOVT. GARLS PRIMARY SCHOOL BHARSELA 22242003001
1381 BALODABAZAR BALODA BAZAR GOVT. MIDDLE SCHOOL BHARSELA NAYA (SSA) 22242003002
1382 BALODABAZAR BALODA BAZAR GOVT. PRIMARY SCHOOL KHAIRI 22242003101
1383 BALODABAZAR BALODA BAZAR GOVT. PRAIMARY SCHOOL PAIJANI 22242003201
1384 BALODABAZAR BALODA BAZAR GOVT. MIDDLE SCHOOL PAIJANI (SSA) 22242003202
1385 BALODABAZAR BALODA BAZAR GOVT. PRAIMARY SCHOOL KHAJURI 22242003301
1386 BALODABAZAR BALODA BAZAR GOVT. MIDDLE SCHOOL KHAJURI 22242003303
1387 BALODABAZAR BALODA BAZAR GOVT. PRIMARI SCHOOL JHONKA 22242003501
1388 BALODABAZAR BALODA BAZAR GOVT. BOYS PRAIMARY SCHOOL BALODA BAZAR 22242003601
1389 BALODABAZAR BALODA BAZAR GOVT. GRILS MIDDLE SCHOOL BALODA BAZAR 22242003602
1390 BALODABAZAR BALODA BAZAR GOVT. M.D.V. B. BAZAR (VARD NO 120 22242003603
1391 BALODABAZAR BALODA BAZAR GOVT. PRAIMARY SCHOOL SINGHARI 22242003701
1392 BALODABAZAR BALODA BAZAR GOVT. MIDDLE SCHOOL SINGHARI (SSA) 22242003702
1393 BALODABAZAR BALODA BAZAR GOVT. PRIMARY SCHOOL SONPURI 22242003901
1394 BALODABAZAR BALODA BAZAR GOVT. PRAIMARY SCHOOL BHATHAGAON (KOKDI) 22242004001
1395 BALODABAZAR BALODA BAZAR GOVT. PRAIMARY SCHOOL BHATAHAGAON 22242004002
1396 BALODABAZAR BALODA BAZAR GOVT. M.S. BHATHAGAON (SSA) 22242004003
1397 BALODABAZAR BALODA BAZAR GOVT. PRAIMARY SCHOOL CHIPPOTA 22242004101
1398 BALODABAZAR BALODA BAZAR GOVT. NAVEEN MIDDLE SCHOOL CHIRPOTA (SSA) 22242004102
1399 BALODABAZAR BALODA BAZAR GOVT. PRIMARY SCHOOL KAILASHGARH 22242004201
1400 BALODABAZAR BALODA BAZAR GOVT. PRIMARY SCHOOL DHARASHIV 22242004301
1401 BALODABAZAR BALODA BAZAR GOVT. MIDDLE SCHOOL DHARASHIV 22242004302
1402 BALODABAZAR BALODA BAZAR GOVT. PRAIMARY SCHOOL KOHRAOD 22242004401
1403 BALODABAZAR BALODA BAZAR GOVT. MIDDLE SCHOOL KOHROD 22242004402
1404 BALODABAZAR BALODA BAZAR GOVT. PRAIMARY SCHOOL SALONI 22242004501
1405 BALODABAZAR BALODA BAZAR GOVT. MIDDLE SCHOOL SALONI 22242004502
1406 BALODABAZAR BALODA BAZAR GOVT. GIRLS PRIMARY SCHOOL PANGAON 22242004601
1407 BALODABAZAR BALODA BAZAR GOVT. BOYS PRIMARY SCHOOL PANGAON 22242004602
1408 BALODABAZAR BALODA BAZAR GOVT. BOYS MIDDLE SCHOOL PANGAON 22242004603
1409 BALODABAZAR BALODA BAZAR GOVT. GRILS MIDDLE SCHOOL PANGAON (SSA) 22242004604
1410 BALODABAZAR BALODA BAZAR GOVT. PRAIMARY SCHOOL CHAROTI 22242004801
1411 BALODABAZAR BALODA BAZAR GOVT. MIDDLE SCHOOL CHAROTI (SSA) 22242004802
1412 BALODABAZAR BALODA BAZAR GOVT. PRAIMARY SCHOOL KOLIHA 22242004901
1413 BALODABAZAR BALODA BAZAR GOVT. MIDDLE SCHOOL KOLIHA (SSA) 22242004902
1414 BALODABAZAR BALODA BAZAR GOVT. BOYS PRIMARY SCHOOL LATUWA 22242005002
1415 BALODABAZAR BALODA BAZAR GOVT. BOYS MIDDLE SCHOOL LATUWA 22242005003
1416 BALODABAZAR BALODA BAZAR GOVT. GIRLS PRIMARY SCHOOL LATUWA 22242005006
1417 BALODABAZAR BALODA BAZAR GOVT. GIRL M.S. LATUWA (SSA) 22242005007
1418 BALODABAZAR BALODA BAZAR GOVT. PRAIMARY SCHOOL KUKURDIH 22242005101
1419 BALODABAZAR BALODA BAZAR GOVT. MIDDLE SCHOOL KUKURDIH (SSA) 22242005102
1420 BALODABAZAR BALODA BAZAR GOVT. PRAIMARY SCHOOL PURAN 22242005301
1421 BALODABAZAR BALODA BAZAR GOVT. PRAIMARY SCHOOL DAMARU 22242005401
1422 BALODABAZAR BALODA BAZAR GOVT MIDDLE SCHOOL DAMARU 22242005403
1423 BALODABAZAR BALODA BAZAR GOVT. PRIMARY SCHOOL BHATAPARA (DAMARU) (SSA)22242005404
1424 BALODABAZAR BALODA BAZAR GOVT. PRIMARY SCHOOL AMALKUNDA 22242005501
1425 BALODABAZAR BALODA BAZAR GOVT. MIDDLE SCHOOL AMALKUNDA (SSA) 22242005502
1426 BALODABAZAR BALODA BAZAR GOVT. GRILS PRAIMARY SCHOOL RISDA 22242005601
1427 BALODABAZAR BALODA BAZAR GOVT. BOYS PRIMARY SCHOOL RISDA 22242005602
1428 BALODABAZAR BALODA BAZAR GOVT. GRILS MIDDLE SCHOOL RISDA 22242005603
1429 BALODABAZAR BALODA BAZAR GOVT. BOYS MIDDLE SCHOOL RISDA 22242005604
1430 BALODABAZAR BALODA BAZAR GOVT. PRIMARY SCHOOL KARMANDIH 22242005801
1431 BALODABAZAR BALODA BAZAR GOVT. PRAIMARY SCHOOL LIMAHI 22242005901
1432 BALODABAZAR BALODA BAZAR GOVT. MIDDLE SCHOOL LIMAHI (SSA) 22242005902
1433 BALODABAZAR BALODA BAZAR GOVT. PRAIMARY SCHOOL PAHANDA 22242006001
1434 BALODABAZAR BALODA BAZAR GOVT. NAVEEN PRAIMARY SCHOOL PAHANDA (SSA) 22242006002
1435 BALODABAZAR BALODA BAZAR GOVT. PRAIMARY SCHOOL DONGARIDIH 22242006101
1436 BALODABAZAR BALODA BAZAR GOVT. MIDDLE SCHOOL DONGARIDIH (SSA) 22242006102
1437 BALODABAZAR BALODA BAZAR GOVT. PRAIMARY SCHOOL RASEDI 22242006301
1438 BALODABAZAR BALODA BAZAR GOVT. MIDDLE SCHOOL RASEDI (SSA) 22242006303
1439 BALODABAZAR BALODA BAZAR GOVT. PRAIMARY SCHOOL SUDHELA 22242006401
1440 BALODABAZAR BALODA BAZAR GOVT. MIDDLE SCHOOL SUDHELA (SSA) 22242006402
1441 BALODABAZAR BALODA BAZAR GOVT. PRAIMARY SCHOOL KHAIRGHTA 22242006501
1442 BALODABAZAR BALODA BAZAR GOVT. PRAIMARY SCHOOL PIPRAHI 22242006701
1443 BALODABAZAR BALODA BAZAR GOVT. PRAIMARY SCHOOL KANJI 22242006901
1444 BALODABAZAR BALODA BAZAR GOVT. MIDDLE SCHOOL KANJI (SSA) 22242006903
1445 BALODABAZAR BALODA BAZAR GOVT. PRAIMARY SCHOOL TARASHIV 22242007001
1446 BALODABAZAR BALODA BAZAR GOVT. MIDDLE SCHOOL TARASHIV (SSA) 22242007002
1447 BALODABAZAR BALODA BAZAR GOVT. PRIMARY SCHOOL MISHARAINDIH 22242007101
1448 BALODABAZAR BALODA BAZAR GOVT. PRAIMARY SCHOOL LATA 22242007301
1449 BALODABAZAR BALODA BAZAR GOVT. PRAIMARY SCHOOL DHANGAON 22242007401
1450 BALODABAZAR BALODA BAZAR GOVT. PRIMARY SCHOOL KARI 22242007501
1451 BALODABAZAR BALODA BAZAR GOVT. MIDDLE SCHOOL KARI (SSA) 22242007502
1452 BALODABAZAR BALODA BAZAR GOVT. PRAIMARY SCHOOL KHATIYAPATI 22242007601
1453 BALODABAZAR BALODA BAZAR GOVT. MIDDLE SCHOOL KHATIYAPATI 22242007602
1454 BALODABAZAR BALODA BAZAR GOVT. PRAIMARY SCHOOL CHANGORI 22242007701
1455 BALODABAZAR BALODA BAZAR GOVT. PRAIMARY SCHOOL KASIYARA 22242007801
1456 BALODABAZAR BALODA BAZAR GOVT. PRAIMARY SCHOOL SEMARIYA 22242007901
1457 BALODABAZAR BALODA BAZAR GOVT. MIDDLE SCHOOL SEMARIYA (SSA) 22242007902
1458 BALODABAZAR BALODA BAZAR GOVT. PRAIMARY SCHOOL BHARUWADIH 22242008001
1459 BALODABAZAR BALODA BAZAR GOVT. MIDDLE SCHOOL BHARUWADIH (SSA) 22242008002
1460 BALODABAZAR BALODA BAZAR GOVT. PRAIMARY SCHOOL LAHOD 22242008101
1461 BALODABAZAR BALODA BAZAR GOVT. MIDDEL SCHOOL LAHOD 22242008104
1462 BALODABAZAR BALODA BAZAR GOVT. NAVEEN PRAIMARY SCHOOL LAHOD (SSA) 22242008106
1463 BALODABAZAR BALODA BAZAR GOVT. NAVEEN PRAIMARY SCHOOL JUDA (SSA) 22242008107
1464 BALODABAZAR BALODA BAZAR GOVT. PRAIMARY SCHOOL BARDA 22242008201
1465 BALODABAZAR BALODA BAZAR GOVT. MIDDLE SCHOOL BARDA (SSA) 22242008202
1466 BALODABAZAR BALODA BAZAR GOVT. PRAIMARY SCHOOL TURMA 22242008301
1467 BALODABAZAR BALODA BAZAR GOVT. MIDDLE SCHOOL TURMA 22242008302
1468 BALODABAZAR BALODA BAZAR GOVT. PRAIMARY SCHOOL HALWAI KHAPARI 22242008403
1469 BALODABAZAR BALODA BAZAR GOVT. PRIMARY SCHOOL BHARSELA 22242008501
1470 BALODABAZAR BALODA BAZAR GOVT. MIDDLE SCOOL BHARSELA 22242008502
1471 BALODABAZAR BALODA BAZAR GOVT. NAVEEN PRAIMARY SCHOOL BHATHAPARA (SSA)22242008503
1472 BALODABAZAR BALODA BAZAR GOVT. PRAIMARY SCHOOL PAISAR 22242008601
1473 BALODABAZAR BALODA BAZAR GOVT. MIDDLE SCHOOL PAISAR (SSA) 22242008602
1474 BALODABAZAR BALODA BAZAR GOVT. MISHAN PRAIMARY SCHOOL PRSABHADER 22242008702
1475 BALODABAZAR BALODA BAZAR GOVT.P.S. PARSABHADER (CHAROTI) 22242008703
1476 BALODABAZAR BALODA BAZAR GOVT. PRIMARY SCHOOL GINDOLA 22242008802
1477 BALODABAZAR BALODA BAZAR GOVT. MIDDLE. SCHOOL GINDOLA 22242008803
1478 BALODABAZAR BALODA BAZAR GOVT. NAVEEN PRIMARY SCHOOL NAI BASTI GINDOLA (SSA)
22242008804
1479 BALODABAZAR BALODA BAZAR GOVT. PRAIMARY SCHOOL SUDHELI 22242009001
1480 BALODABAZAR BALODA BAZAR GOVT. PRAIMARY SCHOOL MARDA MARDA 22242009101
1481 BALODABAZAR BALODA BAZAR GOVT. M.S. MARDA 22242009102
1482 BALODABAZAR BALODA BAZAR GOVT. MIDDLE SCHOOL AMALIDIH 22242009104
1483 BALODABAZAR BALODA BAZAR GOVT. BOY'S P.S. LAWAN 22242009201
1484 BALODABAZAR BALODA BAZAR GOVT. GIRL'S P.S. LAWAN 22242009203
1485 BALODABAZAR BALODA BAZAR GOVT. BOY'S M.S. LAWAN 22242009205
1486 BALODABAZAR BALODA BAZAR JANBHAGIDARI KANYA M. S. 22242009210
1487 BALODABAZAR BALODA BAZAR GOVT. N.P.S. BUDAPARA LAWAN (SSA) 22242009216
1488 BALODABAZAR BALODA BAZAR GOVT. PRIMARY SCHOOL CHITAWAR 22242009301
1489 BALODABAZAR BALODA BAZAR GOVT. M.S. CHITAWAR (SSA) 22242009302
1490 BALODABAZAR BALODA BAZAR GOVT. PRAIMARY SCHOOL DASHARMA 22242009401
1491 BALODABAZAR BALODA BAZAR GOVT. MIDDLE SCHOOL DASHARMA (SSA) 22242009402
1492 BALODABAZAR BALODA BAZAR GOVT. PRAIMARY SCHOOL DEORI 22242009501
1493 BALODABAZAR BALODA BAZAR GOVT M.S. DEORI 22242009502
1494 BALODABAZAR BALODA BAZAR GOVT. PRAIMARY SCHOOL PURENA 22242009602
1495 BALODABAZAR BALODA BAZAR GOVT. PRAIMARY SCHOOL DHABADIH 22242009701
1496 BALODABAZAR BALODA BAZAR GOVT P.S. DHABADIH (RISDA) 22242009702
1497 BALODABAZAR BALODA BAZAR GOVT. PRAIMARY SCHOOL KHAMARIYA 22242009801
1498 BALODABAZAR BALODA BAZAR GOVT. NEW MIDDLE SCHOOL KHAMARIYA (SSA) 22242009803
1499 BALODABAZAR BALODA BAZAR GOVT. PRIMARY SCHOOL KHAIRWARDIH 22242009901
1500 BALODABAZAR BALODA BAZAR GOVT. PRAIMARY SCHOOL MAGARCHABA 22242010001
1501 BALODABAZAR BALODA BAZAR GOVT. PRAIMARY SCHOOL BHALUKONA 22242010101
1502 BALODABAZAR BALODA BAZAR GOVT. M.S. BHALUKONA 22242010102
1503 BALODABAZAR BALODA BAZAR GOVT. PRAIMARY SCHOOL BITKULI 22242010201
1504 BALODABAZAR BALODA BAZAR GOVT. MIDDLE SCHOOL BITKULI (SSA) 22242010202
1505 BALODABAZAR BALODA BAZAR GOVT. PRAIMARY SCHOOL THELKI 22242010301
1506 BALODABAZAR BALODA BAZAR GOVT. MIDDLE SCHOOL THELKI (SSA) 22242010302
1507 BALODABAZAR BALODA BAZAR GOVT. PRAIMARY SCHOOL SUNSUNIYA 22242010501
1508 BALODABAZAR BALODA BAZAR GOVT. PRAIMARY SCHOOL BHADRAPALI 22242010601
1509 BALODABAZAR BALODA BAZAR GOVT. P.S. KHAIRTAL 22242010701
1510 BALODABAZAR BALODA BAZAR GOVT. M.S. KHAIRTAL (SSA) 22242010702
1511 BALODABAZAR BALODA BAZAR GOVT. BOY'S P.S. ARJUNI 22242010801
1512 BALODABAZAR BALODA BAZAR GOVT. BOY'S M.S. ARJUNI 22242010803
1513 BALODABAZAR BALODA BAZAR GOVT. GIRL'S M.S. ARJUNI (SSA) 22242010806
1514 BALODABAZAR BALODA BAZAR GOVT. PRIMARY SCHOOL ARJUNI 22242010809
1515 BALODABAZAR BALODA BAZAR GOVT. PRAIMARY SCHOOL PONSARI 22242010901
1516 BALODABAZAR BALODA BAZAR GOVT. MIDDLE SCHOOL PONSARI (SSA) 22242010903
1517 BALODABAZAR BALODA BAZAR GOVT. PRIMARY SCHOOL PONSARI 22242010904
1518 BALODABAZAR BALODA BAZAR GOVT. P.S. HARDI 22242011001
1519 BALODABAZAR BALODA BAZAR GOVT. NAVEEN PRAIMARY SCHOOL HARDI (SSA) 22242011002
1520 BALODABAZAR BALODA BAZAR GOVT. PRIMARY SCHOOL NAYAKTAND 22242011101
1521 BALODABAZAR BALODA BAZAR GOVT. PRIMARY SCHOOL SHUKLABHATHA 22242011201
1522 BALODABAZAR BALODA BAZAR GOVT- M-S- SHUKLABHATHA (SSA) 22242011202
1523 BALODABAZAR BALODA BAZAR GOVT. P.S. KHAMARIYA (YADU) 22242011402
1524 BALODABAZAR BALODA BAZAR GOVT. PRIMARY SCHOOL SEMHARADIH 22242011501
1525 BALODABAZAR BALODA BAZAR GOVT. P.S. SEMHARADIH (SSA) 22242011502
1526 BALODABAZAR BALODA BAZAR GOVT. MIDDLE SCHOOL SEMHARADIH 22242011503
1527 BALODABAZAR BALODA BAZAR GOVT. P.S. CHICHIRDA 22242011601
1528 BALODABAZAR BALODA BAZAR GOVT. M.S. CHICHIRDA (SSA) 22242011602
1529 BALODABAZAR BALODA BAZAR GOVT. M.S. KOYADA 22242011802
1530 BALODABAZAR BALODA BAZAR GOVT. P.S. KOYADA 22242011803
1531 BALODABAZAR BALODA BAZAR GOVT. PRIMARY SCHOOL DOTOPAR 22242011901
1532 BALODABAZAR BALODA BAZAR GOVT. MIDDLE SCHOOL DOTOPAR (SSA) 22242011902
1533 BALODABAZAR BALODA BAZAR GOVT. P.S. KORDA 22242012001
1534 BALODABAZAR BALODA BAZAR GOVT. M.S. KORDA (SSA) 22242012002
1535 BALODABAZAR BALODA BAZAR GOVT. P.S. KHAMHARIYA 22242012101
1536 BALODABAZAR BALODA BAZAR GOVT. P.S. PURENAKHAPARI 22242012201
1537 BALODABAZAR BALODA BAZAR GOVT. PRIMARY SCHOOL BHARSELI 22242012301
1538 BALODABAZAR BALODA BAZAR GOVT. PRIMARY SCHOOL CHHUIHA (MAL) 22242012401
1539 BALODABAZAR BALODA BAZAR GOVT. BOYS PRAIMARY SCHOOL KARMADA 22242012501
1540 BALODABAZAR BALODA BAZAR GOVT. M.S. BOY'S KARMADA 22242012503
1541 BALODABAZAR BALODA BAZAR GOVT. GIRL'S M.S. KARMADA (SSA) 22242012506
1542 BALODABAZAR BALODA BAZAR GOVT. GIRL'S P.S. KARMADA 22242012507
1543 BALODABAZAR BALODA BAZAR GOVT. P.S. BUDGAHAN 22242012601
1544 BALODABAZAR BALODA BAZAR GOVT. M.S. BUDGAHAN (SSA) 22242012602
1545 BALODABAZAR BALODA BAZAR GOVT. PRIMARY SCHOOL KHAMHARDIH 22242012701
1546 BALODABAZAR BALODA BAZAR GOVT. P.S. KOLIYARI 22242012801
1547 BALODABAZAR BALODA BAZAR GOVT. P.S. MUDHIPAR 22242013001
1548 BALODABAZAR BALODA BAZAR GOVT. P.S. BEMETARA 22242013101
1549 BALODABAZAR BALODA BAZAR GOVT. PRAIMARY SCHOOL CHICHOLI 22242013201
1550 BALODABAZAR BALODA BAZAR GOVT. PRAIMARY SCHOOL CHAMPA 22242013301
1551 BALODABAZAR BALODA BAZAR GOVT. MIDDLE SCHOOL CHAMPA (SSA) 22242013302
1552 BALODABAZAR BALODA BAZAR GOVT. P-S- ACHANAKPUR 22242013401
1553 BALODABAZAR BALODA BAZAR GOVT. PRAIMARY SCHOOL BAGBUDA 22242013501
1554 BALODABAZAR BALODA BAZAR GOVT M.S. BAGBUDA 22242013502
1555 BALODABAZAR BALODA BAZAR GOVT. NAVEEN PRIMARY SCHOOL GHULGHUL 22242013601
1556 BALODABAZAR BALODA BAZAR GOVT. PRIMARY SCHOOL DHAURABHATA 22242013701
1557 BALODABAZAR BALODA BAZAR GOVT. P.S. GODKHAPARI 22242013801
1558 BALODABAZAR BALODA BAZAR GOVT. PRAIMARY SCHOOL TILDA 22242013901
1559 BALODABAZAR BALODA BAZAR GOVT M.S. TILDA 22242013902
1560 BALODABAZAR BALODA BAZAR GOVT. P.S. DONGRA 22242014001
1561 BALODABAZAR BALODA BAZAR GOVT. M.S. DONGRA (SSA) 22242014002
1562 BALODABAZAR BALODA BAZAR GOVT. PRAIMARY SCHOOL PARSAPALI 22242014101
1563 BALODABAZAR BALODA BAZAR GOVT. P.S. RAWAN 22242014201
1564 BALODABAZAR BALODA BAZAR GOVT. M.S. RAWAN 22242014202
1565 BALODABAZAR BALODA BAZAR GOVT. PRAIMARY SCHOOL KOKADI 22242014301
1566 BALODABAZAR BALODA BAZAR GOVT. PRAIMARY SCHOOL DHANDHANI 22242014402
1567 BALODABAZAR BALODA BAZAR GOVT. MIDDLE SCHOOL DHANDHANI (SSA) 22242014404
1568 BALODABAZAR BALODA BAZAR GOVT. UTTAR BNIYADI PRIMARY 22242014501
1569 BALODABAZAR BALODA BAZAR GOVT. GRL'S P.S. B. BAZAR 22242014503
1570 BALODABAZAR BALODA BAZAR GOVT. N.P.S. SIVILLINS B.BAZAR 22242014504
1571 BALODABAZAR BALODA BAZAR GOVT. PRAIMARY SCHOOL MUNDA 22242014601
1572 BALODABAZAR BALODA BAZAR GOVT. N.M.S. MUNDA (SSA) 22242014602
1573 BALODABAZAR BALODA BAZAR GOVT. PRAIMARY SCHOOL SIRIYADIH 22242014701
1574 BALODABAZAR BALODA BAZAR GOVT. M.S. SIRIYADIH 22242014702
1575 BALODABAZAR BALODA BAZAR GOVT. PRAIMARY SCHOOL KHAPARI (MEDH) 22242014801
1576 BALODABAZAR BALODA BAZAR GOVT. PRIMARY SCHOOL MUSUWATHODI 22242014901
1577 BALODABAZAR BALODA BAZAR GOVT. PRAIMARY SCHOOL PARAGAON 22242015101
1578 BALODABAZAR BALODA BAZAR GOVT. PRAIMARY SCHOOL AHILDA 22242015301
1579 BALODABAZAR BALODA BAZAR GOVT. MIDDLE SCHOOL AHILDA 22242015302
1580 BALODABAZAR BALODA BAZAR GOVT. P.S. SARKHOR 22242015304
1581 BALODABAZAR BALODA BAZAR GOVT. NAVEEN PRAIMARY SCHOOL CHUIHA (KHAPARI) 22242015401
1582 BALODABAZAR BALODA BAZAR GOVT. PRAIMARY SCHOOL GAITARA 22242015501
1583 BALODABAZAR BALODA BAZAR GOVT. MIDDLE SCHOOL GAITARA 22242015502
1584 BALODABAZAR BALODA BAZAR GOVT. N.M.S. GAITARA (SSA) 22242015503
1585 BALODABAZAR BALODA BAZAR GOVT. NAVEEN PRAIMARY SCHOOL SARWADIH 22242015601
1586 BALODABAZAR BALODA BAZAR GOVT. PRAIMARY SCHOOL MAGARVAY 22242015701
1587 BALODABAZAR BALODA BAZAR GOVT. PRAIMARY SCHOOL DHABADIH 22242015901
1588 BALODABAZAR BALODA BAZAR GOVT. MIDDLE SCHOOL DHABADIH (SSA) 22242015902
1589 BALODABAZAR BALODA BAZAR GOVT. PRAIMARY SCHOOL MANIPUR 22242016001
1590 BALODABAZAR BALODA BAZAR GOVT. PRIMARY SCHOOL KHARCHA (SSA) 22242016101
1591 BALODABAZAR BALODA BAZAR GOVT. PRAIMARY SCHOOL DHANWAI 22242016601
1592 BALODABAZAR BALODA BAZAR GOVT. PRAIMARY SCHOOL NAYAPARA (SSA) 22242016602
1593 BALODABAZAR BALODA BAZAR GOVT . M. S. DHANWAI (SSA) 22242016603
1594 BALODABAZAR BALODA BAZAR GOVT. NAVEEN PRAIMARY SCHOOL SOLAHA (SSA) 22242017701
1595 BALODABAZAR BALODA BAZAR GOVT. MIDDLE SCHOOL SARKHOR 22242017802
1596 BALODABAZAR BALODA BAZAR GOVT. PRIMARY SCHOOL CHHUIHA RAIYAT (SSA) 22242017901
1597 BALODABAZAR BALODA BAZAR GOVT. PRAIMARY SCHOOL KESHDABARI (SSA) 22242018101
1598 BALODABAZAR BALODA BAZAR GOVT. PRAIMARY SCHOOL BOIRDIH 22242018201
1599 BALODABAZAR BALODA BAZAR GOVT . PRAIMARY SCHOOL AMALDIHA (SSA) 22242018301
1600 BALODABAZAR BALODA BAZAR GOVT. PRAIMARY SCHOOL DHANDHANI (SSA) 22242018401
1601 BALODABAZAR BALODA BAZAR GOVT. PRAIMARY SCHOOL PAHANDA 22242018501
1602 BALODABAZAR BHATAPARA GOVT P/S BHOTHIDIH 22240200102
1603 BALODABAZAR BHATAPARA GOVT. M/ S BHOTHIDI (SSA) 22240200103
1604 BALODABAZAR BHATAPARA GOVT.P/S AKALTARA 22240200301
1605 BALODABAZAR BHATAPARA GOVT.M/S AKALTARA 22240200302
1606 BALODABAZAR BHATAPARA GOVT.P/S BANJARPARA AKALTARA(SSA) 22240200303
1607 BALODABAZAR BHATAPARA GOVT M.S. NIPANIYA 22240200401
1608 BALODABAZAR BHATAPARA GOVT P/S DHANELI 22240200501
1609 BALODABAZAR BHATAPARA GOVT M/S. DHANELI 22240200502
1610 BALODABAZAR BHATAPARA GOVT.NAVIN P/S DARRIPARA DHANELI 22240200504
1611 BALODABAZAR BHATAPARA GOVT P/S KHAMHARIYA 22240200601
1612 BALODABAZAR BHATAPARA GOVT. MS KHAMHARIYA (SSA) 22240200602
1613 BALODABAZAR BHATAPARA GOVT P/S KUMHARKHAN 22240200701
1614 BALODABAZAR BHATAPARA GOVT.G.G.M. M/S KADAR (SSA) 22240200803
1615 BALODABAZAR BHATAPARA GOVT P/S KADAR 22240200805
1616 BALODABAZAR BHATAPARA GOVT. P/S SEMRIYA 22240200901
1617 BALODABAZAR BHATAPARA GOVT. P/S JETHANI 22240201101
1618 BALODABAZAR BHATAPARA GOVT. P/S KESALA 22240201201
1619 BALODABAZAR BHATAPARA GOVT. M/S KESALA (SSA) 22240201202
1620 BALODABAZAR BHATAPARA GOVT. P/S LACHHANPUR 22240201301
1621 BALODABAZAR BHATAPARA GOVT. P/S DEORI 22240201401
1622 BALODABAZAR BHATAPARA GOVT M.S. DEVARI 22240201402
1623 BALODABAZAR BHATAPARA GOVT.GIRL M.S. DEVARI (SSA) 22240201403
1624 BALODABAZAR BHATAPARA GOVT. P/S PATHRIYA 22240201501
1625 BALODABAZAR BHATAPARA GOVT.M.S. PATHRIYA (SSA) 22240201502
1626 BALODABAZAR BHATAPARA GOVT. P/S TONATAR 22240201601
1627 BALODABAZAR BHATAPARA GOVT M.S. TONATAR 22240201602
1628 BALODABAZAR BHATAPARA GOVT. P/S HASDA 22240201701
1629 BALODABAZAR BHATAPARA GOVT. P/S KOSMANDA 22240201801
1630 BALODABAZAR BHATAPARA GOVT.EGS P/S KOSMANDA (SSA) 22240201803
1631 BALODABAZAR BHATAPARA GOVT.M.S. KOSMANDA 22240201804
1632 BALODABAZAR BHATAPARA GOVT. P/S MENDRA 22240202001
1633 BALODABAZAR BHATAPARA GOVT. P/S BORDTARA 22240202101
1634 BALODABAZAR BHATAPARA GOVT M/S BORDTARA 22240202103
1635 BALODABAZAR BHATAPARA GOVT. P/S GARDADIH 22240202201
1636 BALODABAZAR BHATAPARA GOVT. P/S RAJPUR 22240202301
1637 BALODABAZAR BHATAPARA GOVT. P/S PARASWANI 22240202401
1638 BALODABAZAR BHATAPARA GOVT P S PARSWANI 22240202402
1639 BALODABAZAR BHATAPARA GOVT. P/S LALPUR 22240202501
1640 BALODABAZAR BHATAPARA GOVT. P/S LEWAI 22240202601
1641 BALODABAZAR BHATAPARA GOVT.NAVEEN M /S LEWAI (SSA) 22240202604
1642 BALODABAZAR BHATAPARA GOVT. P/S NIPNIYA 22240202701
1643 BALODABAZAR BHATAPARA GOVT. P/S SUMA 22240202801
1644 BALODABAZAR BHATAPARA GOVT. M/S SUMA (SSA) 22240202802
1645 BALODABAZAR BHATAPARA GOVT. P/S OTEBAND 22240202901
1646 BALODABAZAR BHATAPARA GOVT.M/S OTEBAND (SSA) 22240202902
1647 BALODABAZAR BHATAPARA GOVT. P/S GODHI 22240203001
1648 BALODABAZAR BHATAPARA GOVT.M /S GODHI (SSA) 22240203002
1649 BALODABAZAR BHATAPARA GOVT. P/S NAWAGAON 22240203101
1650 BALODABAZAR BHATAPARA GOVT.M /S NAWAGAON (SSA) 22240203102
1651 BALODABAZAR BHATAPARA GOVT. P/S PARSADIH 22240203201
1652 BALODABAZAR BHATAPARA GOVT. P/S DHORABHATA 22240203301
1653 BALODABAZAR BHATAPARA GOVT. P/S AMLIDIH 22240203401
1654 BALODABAZAR BHATAPARA GOVT. P/S AMLIDIH 22240203402
1655 BALODABAZAR BHATAPARA GOVT M.S. AMLIDIH 22240203403
1656 BALODABAZAR BHATAPARA GOVT. P/S RAJADHAR 22240203501
1657 BALODABAZAR BHATAPARA GOVT. M.S. RAJADHAR (SSA) 22240203502
1658 BALODABAZAR BHATAPARA GOVT. P/S BAGBUDRWA 22240203601
1659 BALODABAZAR BHATAPARA GOVT. P/S GUDAGHAT 22240203701
1660 BALODABAZAR BHATAPARA GOVT.NAVEEN P/S GUDAGHAT 22240203702
1661 BALODABAZAR BHATAPARA GOVT M.S. GURDAGHAT 22240203703
1662 BALODABAZAR BHATAPARA GOVT. P/S AALESUR 22240203801
1663 BALODABAZAR BHATAPARA GOVT. P/S BAKULAHI 22240204001
1664 BALODABAZAR BHATAPARA GOVT. BOYS P/S HATHNIPARA 22240204101
1665 BALODABAZAR BHATAPARA GOVT GIRLS P.S. HATHNIPARA 22240204102
1666 BALODABAZAR BHATAPARA GOVT. KGABV BHATAPARA 22240204103
1667 BALODABAZAR BHATAPARA GOVT. PRIMARY SCHOOL NEW HINDI 22240204204
1668 BALODABAZAR BHATAPARA GOVT.MAIN HINDI KANYA P/S BYT 22240204205
1669 BALODABAZAR BHATAPARA GOVT P/S LAL BAHADUR BYT 22240204206
1670 BALODABAZAR BHATAPARA GOVT.NEW HINDI " A " P/S BYT 22240204207
1671 BALODABAZAR BHATAPARA GOVT.P.S. RAMSAGARPARA 22240204215
1672 BALODABAZAR BHATAPARA GOVT. SHIVLAL MEHTA M.S. PARSURAM W 22240204216
1673 BALODABAZAR BHATAPARA GOVT GIRLS M.S. BHATAPARA 22240204217
1674 BALODABAZAR BHATAPARA GOVT M.S. RAMSAGAR PARA 22240204218
1675 BALODABAZAR BHATAPARA GOVT ADARSH M.S. ( N. 1) 22240204219
1676 BALODABAZAR BHATAPARA GOVT P/S MATADEWALAY 22240204221
1677 BALODABAZAR BHATAPARA GOVT. M/S BHATAPARA ( N0. 2 ) 22240204222
1678 BALODABAZAR BHATAPARA GOVT.PANCHAM DEEWAN GOVT. KANYA SCH 22240204224
1679 BALODABAZAR BHATAPARA GOVT.NEW HINDI (B) P/S BYT 22240204225
1680 BALODABAZAR BHATAPARA GOVT M/S MATADEWALAY BHATAPARA 22240204226
1681 BALODABAZAR BHATAPARA GOVT.M.S.NEW HINDI BYT (SSA) 22240204232
1682 BALODABAZAR BHATAPARA GOVT.PRO. M.S. MATADEVALA BYT (SSA) 22240204233
1683 BALODABAZAR BHATAPARA GOVT P.S.PT.DDU NAGAR BYT (SSA) 22240204234
1684 BALODABAZAR BHATAPARA GOVT.NAVIN PS SUBHAS W BYT(SSA) 22240204235
1685 BALODABAZAR BHATAPARA GOVT P S BHIJABAHT (SSA) 22240204236
1686 BALODABAZAR BHATAPARA GOVT.NAVEEN P/S PANCHSHEEL 22240204248
1687 BALODABAZAR BHATAPARA GOVT. P/S BENDARI 22240204401
1688 BALODABAZAR BHATAPARA GOVT. P/S PATAN 22240204501
1689 BALODABAZAR BHATAPARA GOVT M.S. PATAN 22240204502
1690 BALODABAZAR BHATAPARA GOVT. P/S KOTAMI 22240204701
1691 BALODABAZAR BHATAPARA GOVT M.S. KOTAMI 22240204702
1692 BALODABAZAR BHATAPARA GOVT.M.S. TURMA (SSA) 22240204802
1693 BALODABAZAR BHATAPARA GOVT. PS TURMA 22240204803
1694 BALODABAZAR BHATAPARA GOVT. P/S CHAMARI 22240205001
1695 BALODABAZAR BHATAPARA GOVT. P/S DHABADIH 22240205101
1696 BALODABAZAR BHATAPARA GOVT. P/S SINGARPUR 22240205201
1697 BALODABAZAR BHATAPARA GOVT M.S. SINGARPUR 22240205202
1698 BALODABAZAR BHATAPARA GOVT.NAVEEN KANYA M/S SINGARPUR 22240205203
1699 BALODABAZAR BHATAPARA GOVT.P/ S INDIRA COLONI SINGARPUR 22240205204
1700 BALODABAZAR BHATAPARA GOVT. P/S KHAPARADIH 22240205401
1701 BALODABAZAR BHATAPARA GOVT. P/S MADHUBAN 22240205501
1702 BALODABAZAR BHATAPARA GOVT. P/S KODAPAR 22240205601
1703 BALODABAZAR BHATAPARA GOVT. P/S KHETI 22240205701
1704 BALODABAZAR BHATAPARA GOVT. P/S SEMRADIH 22240205801
1705 BALODABAZAR BHATAPARA GOVT. M/S SEMRADIH (SSA) 22240205802
1706 BALODABAZAR BHATAPARA GOVT NAVIN P/S TIKULIYA 22240205902
1707 BALODABAZAR BHATAPARA GOVT. NAVIN MS TIKULIA 22240205903
1708 BALODABAZAR BHATAPARA GOVT. P/S SILWA 22240206001
1709 BALODABAZAR BHATAPARA GOVT. P/S GUDELIYA 22240206101
1710 BALODABAZAR BHATAPARA GOVT.M/S GUDELIYA (SSA) 22240206102
1711 BALODABAZAR BHATAPARA GOVT. P/S PASID 22240206201
1712 BALODABAZAR BHATAPARA GOVT.G.G.M. M/S PASID (SSA) 22240206202
1713 BALODABAZAR BHATAPARA GOVT P.S. TARENGA 22240206301
1714 BALODABAZAR BHATAPARA GOVT M.S. TARENGA 22240206302
1715 BALODABAZAR BHATAPARA GOVT P S GOGIYAPARA TARENGA(SSA) 22240206304
1716 BALODABAZAR BHATAPARA GOVT. M.S. SURAJPURA (SSA) 22240206402
1717 BALODABAZAR BHATAPARA GOVT. P S SURAJPURA 22240206403
1718 BALODABAZAR BHATAPARA GOVT. P/S DEVRANI 22240206501
1719 BALODABAZAR BHATAPARA GOVT. M/S DEVRANI (SSA) 22240206502
1720 BALODABAZAR BHATAPARA GOVT. P/S MALDI 22240206601
1721 BALODABAZAR BHATAPARA GOVT M.S. MALDI 22240206602
1722 BALODABAZAR BHATAPARA GOVT. P/S KODWA 22240206701
1723 BALODABAZAR BHATAPARA GOVT.M/S. KODWA 22240206702
1724 BALODABAZAR BHATAPARA GOVT. P/S MOPKA 22240206801
1725 BALODABAZAR BHATAPARA GOVT.GIRLS M/S MOPKA (SSA) 22240206804
1726 BALODABAZAR BHATAPARA GOVT. M/S MOPKA 22240206805
1727 BALODABAZAR BHATAPARA GOVT. PRO.P/S MOPKA (SSA) 22240206806
1728 BALODABAZAR BHATAPARA GOVT. P/S KONI 22240206901
1729 BALODABAZAR BHATAPARA GOVT.P.S. KONI BANJAR (SSA) 22240206903
1730 BALODABAZAR BHATAPARA GOVT.M/S KONI (SSA) 22240206904
1731 BALODABAZAR BHATAPARA GOVT. P/S GOGIYA 22240207001
1732 BALODABAZAR BHATAPARA GOVT. M/S GOGIYA (SSA) 22240207002
1733 BALODABAZAR BHATAPARA GOVT. P/S BITKULI 22240207201
1734 BALODABAZAR BHATAPARA GOVT M.S. BITKULI 22240207202
1735 BALODABAZAR BHATAPARA GOVT. P/S RAMPUR 22240207301
1736 BALODABAZAR BHATAPARA GOVT.M /S RAMPUR (SSA) 22240207302
1737 BALODABAZAR BHATAPARA GOVT.P/S NAVIN RAMPUR (SSA) 22240207303
1738 BALODABAZAR BHATAPARA GOVT. P/S KHERI 22240207401
1739 BALODABAZAR BHATAPARA GOVT. M/S KHERI 22240207402
1740 BALODABAZAR BHATAPARA GOVT. P/S KHOKHLI 22240207501
1741 BALODABAZAR BHATAPARA GOVT M.S. KHOKHLI 22240207502
1742 BALODABAZAR BHATAPARA GOVT. P/S BORSI M 22240207503
1743 BALODABAZAR BHATAPARA GOVT. P/S MIRGI 22240207601
1744 BALODABAZAR BHATAPARA GOVT. NAVIN M.S.MIRGI (SSA) 22240207602
1745 BALODABAZAR BHATAPARA GOVT. P/S MENKARI 22240207701
1746 BALODABAZAR BHATAPARA GOVT. P/S KARAHIBAZAR 22240207801
1747 BALODABAZAR BHATAPARA GOVT M.S. KARAHIBAZAR 22240207802
1748 BALODABAZAR BHATAPARA GOVT. P/S DHURABANDHA 22240207901
1749 BALODABAZAR BHATAPARA GOVT. M.S. DHURABANDHA (SSA) 22240207902
1750 BALODABAZAR BHATAPARA GOVT. P/S BIJARADIH 22240208001
1751 BALODABAZAR BHATAPARA GOVT G.G.M. M/S. BIJARADIH 22240208002
1752 BALODABAZAR BHATAPARA GOVT. P/S DATRENGI 22240208101
1753 BALODABAZAR BHATAPARA GOVT M.S. DATRENGI 22240208102
1754 BALODABAZAR BHATAPARA GOVT. P/S MANJGAON 22240208301
1755 BALODABAZAR BHATAPARA GOVT. M/S MANJGAON (SSA) 22240208302
1756 BALODABAZAR BHATAPARA GOVT. P/S AKOLI 22240208401
1757 BALODABAZAR BHATAPARA GOVT. P/S. SURAKHI 22240208501
1758 BALODABAZAR BHATAPARA GOVT. M/S SURAKHI (SSA) 22240208502
1759 BALODABAZAR BHATAPARA GOVT. P/S CHICHPOL 22240208601
1760 BALODABAZAR BHATAPARA GOVT. P/S BORASI 22240208701
1761 BALODABAZAR BHATAPARA GOVT. P/S BORASI (B) 22240208702
1762 BALODABAZAR BHATAPARA GOVT M.S. BORSI 22240208703
1763 BALODABAZAR BHATAPARA GOVT M /S BORSI B (SSA) 22240208801
1764 BALODABAZAR BHATAPARA GOVT. P/S SENDRI 22240208901
1765 BALODABAZAR BHATAPARA GOVT. P/S ACHANANKPUR 22240209001
1766 BALODABAZAR BHATAPARA GOVT. P/S CHAMARGUDA 22240209101
1767 BALODABAZAR BHATAPARA GOVT. P/S KALMIDIH 22240209201
1768 BALODABAZAR BHATAPARA GOVT.M/S KHAIRI (SSA) 22240209301
1769 BALODABAZAR BHATAPARA GOVT. P/S KUKDA 22240209501
1770 BALODABAZAR BHATAPARA GOVT. M/ S KUKDA (SSA) 22240209502
1771 BALODABAZAR BHATAPARA GOVT. P/S TOPA 22240209601
1772 BALODABAZAR BHATAPARA GOVT. P/S MOPAR 22240209701
1773 BALODABAZAR BHATAPARA GOVT M.S. MOPAR 22240209702
1774 BALODABAZAR BHATAPARA GOVT. P/S KHOLWA 22240209801
1775 BALODABAZAR BHATAPARA GOVT. M/S GURRA 22240209902
1776 BALODABAZAR BHATAPARA GOVT. P/ S GURRA 22240209903
1777 BALODABAZAR BHATAPARA GOVT. P/S KHAPARI 22240210201
1778 BALODABAZAR BHATAPARA GOVT. P/S POUNSARI 22240210301
1779 BALODABAZAR BHATAPARA GOVT. P/S JARHAGANW 22240210401
1780 BALODABAZAR BHATAPARA GOVT.NAVIN M/S JARHAGANW (SSA) 22240210403
1781 BALODABAZAR BHATAPARA GOVT. P/S GODHI (S) 22240210501
1782 BALODABAZAR BHATAPARA GOVT. P/S PENDRI 22240210601
1783 BALODABAZAR BHATAPARA GOVT. P/S DATRENGA 22240210801
1784 BALODABAZAR BHATAPARA GOVT. P/S TEHKA 22240210901
1785 BALODABAZAR BHATAPARA GOVT M.S. TEHKA 22240210902
1786 BALODABAZAR BHATAPARA GOVT. P/S LAMTI 22240211101
1787 BALODABAZAR BHATAPARA GOVT. P/S AMETHI 22240211201
1788 BALODABAZAR BHATAPARA GOVT. P/S KHPARI(AS) 22240211401
1789 BALODABAZAR BHATAPARA GOVT M.S. KHPARI (AS) 22240211402
1790 BALODABAZAR BHATAPARA GOVT P/S RAMDEYA 22240211601
1791 BALODABAZAR BHATAPARA GOVT. NAVEEN P/S NAYAGNJ BYT 22240211701
1792 BALODABAZAR BHATAPARA GOVT. P/S MATADEWALAYA "A" 22240211801
1793 BALODABAZAR BHATAPARA GOVT. P/S MATADEWALAYA "B" 22240211802
1794 BALODABAZAR BHATAPARA GOVT P/S NAVEEN MATADEWALAYA 22240211803
1795 BALODABAZAR BHATAPARA GOVT P/S SEMRIYA 22240211901
1796 BALODABAZAR BHATAPARA GOVT M S SEMARIYA (SSA) 22240211902
1797 BALODABAZAR BHATAPARA GOVT. MIDDLE SCHOOL KODAPAR (SSA) 22240212002
1798 BALODABAZAR BHATAPARA GOVT. P/S MOPKI 22240212101
1799 BALODABAZAR BHATAPARA GOVT.M/S MOPAKI (SSA) 22240212102
1800 BALODABAZAR BHATAPARA GOVT. P/S BHARATPUR 22240212201
1801 BALODABAZAR BHATAPARA GOVT. M/S BHARATPUR (SSA) 22240212202
1802 BALODABAZAR BHATAPARA GOVT. PRIMARY SCHOOL MUDHIPAR 22240212301
1803 BALODABAZAR BHATAPARA GOVT. P/S DHOURABHATA SIDDHABABA 22240212401
1804 BALODABAZAR BHATAPARA GOVT. P/S KHAIRA 22240212501
1805 BALODABAZAR BHATAPARA GOVT NAVIN M/S KHERA 22240212502
1806 BALODABAZAR BHATAPARA GOVT. P/S CHANDALI 22240212601
1807 BALODABAZAR BHATAPARA GOVT.MAIN HINDI P/S 22240212701
1808 BALODABAZAR BHATAPARA GOVT. PRIMARY SCHOOL 22240212801
1809 BALODABAZAR BHATAPARA GOVT P.S. NAYAPARA 22240212901
1810 BALODABAZAR BHATAPARA GOVT M S PARSWANI (SSA) 22240213701
1811 BALODABAZAR BHATAPARA GOVT.NAVIN PS GURRA (SSA) 22240214401
1812 BALODABAZAR BHATAPARA GOVT.M/ S LACHHANPUR (SSA) 22240214501
1813 BALODABAZAR BHATAPARA GOVT. M/S PARASWANI (SSA) 22240214601
1814 BALODABAZAR BHATAPARA GOVT.M S GODHI ( SSA) 22240214801
1815 BALODABAZAR BHATAPARA GOVT.P/S NAVIN RAJPUR (SSA) 22240215501
1816 BALODABAZAR BILAIGARH BLACK GOVT. PRIMARY SCHOOL TIHLIPALI 22241000201
1817 BALODABAZAR BILAIGARH GRIL GOVT. PRIMARY SCHOOL TIHLIPALI 22241000202
1818 BALODABAZAR BILAIGARH GOVT.M/S TIHLIPALI 22241000206
1819 BALODABAZAR BILAIGARH GOVT.P/SSAMTA NAGR. TIHLIPALI 22241000207
1820 BALODABAZAR BILAIGARH GOVT. M/S KARIYATAR SSA 22241000302
1821 BALODABAZAR BILAIGARH GOVT.PRIMARY SCHOOL MOHTARA N 22241000402
1822 BALODABAZAR BILAIGARH NAVIN P/S USALAPUR SSA 22241000405
1823 BALODABAZAR BILAIGARH GOVT.MS MOHTRA N SSA 22241000407
1824 BALODABAZAR BILAIGARH GOVT. PRIMARY SCHOOL NARESH NAGAR 22241000501
1825 BALODABAZAR BILAIGARH GOVT.M/S NARESHNAGAR SSA 22241000502
1826 BALODABAZAR BILAIGARH GOVT. PRIMARY SCHOOL PACHPEDI 22241000601
1827 BALODABAZAR BILAIGARH GOVT. PRIMARY SCHOOL GORBA 22241000701
1828 BALODABAZAR BILAIGARH GOVT. MS GORBA 22241000702
1829 BALODABAZAR BILAIGARH GOVT. PRIMARY SCHOOL CHAPERI 22241000801
1830 BALODABAZAR BILAIGARH GOVT. PRIMARY SCHOOL KHURSULA 22241000901
1831 BALODABAZAR BILAIGARH GOVT M.S. KHURSULA 22241000902
1832 BALODABAZAR BILAIGARH GOVT. PRIMARY SCHOOL RAIKONA 22241001101
1833 BALODABAZAR BILAIGARH GOVT M.S. RAIKONA 22241001102
1834 BALODABAZAR BILAIGARH GOVT.PRIMARY SCHOOL RAIKONA 'B' 22241001103
1835 BALODABAZAR BILAIGARH GOVT. PRIMARY SCHOOL KOSAMKUNDA 22241001301
1836 BALODABAZAR BILAIGARH GOVT.M S KOSHAMKUNDA SSA 22241001303
1837 BALODABAZAR BILAIGARH GOVT. PRIMARY SCHOOL JAITPUR 22241001401
1838 BALODABAZAR BILAIGARH GOVT. PRIMARY SCHOOL JORAPALI 22241001501
1839 BALODABAZAR BILAIGARH GOVT. PRIMARY SCHOOL PIRDA 22241001601
1840 BALODABAZAR BILAIGARH GOVT M.S.PIRDA 22241001602
1841 BALODABAZAR BILAIGARH GOVT. PRIMARY SCHOOL KHURDARHA 22241001701
1842 BALODABAZAR BILAIGARH GOVT. PRIMARY SCHOOL CHACHREL 22241001801
1843 BALODABAZAR BILAIGARH GOVT M.S. BELTIKARI 22241001902
1844 BALODABAZAR BILAIGARH GOVT.P.S.BELTIKARI 22241001903
1845 BALODABAZAR BILAIGARH GOVT.MS. ODKAKAN 22241002301
1846 BALODABAZAR BILAIGARH GOVT.PRIMARY SCHOOL PANDRIPALI 22241002304
1847 BALODABAZAR BILAIGARH GOVT.MS. PANDRIPALI 22241002305
1848 BALODABAZAR BILAIGARH GOVT. PRIMARY SCHOOL SONIYADIH 22241002401
1849 BALODABAZAR BILAIGARH GOVT.P.S. SONIYADEIHA 22241002402
1850 BALODABAZAR BILAIGARH GOVT. PRIMARY SCHOOL BELMUDI 22241002501
1851 BALODABAZAR BILAIGARH GOVT. PRIMARY SCHOOL MADHUBANKALA 22241002601
1852 BALODABAZAR BILAIGARH GOVT. PRIMARY SCHOOL CHURELA 22241002701
1853 BALODABAZAR BILAIGARH GOVT.MS CHURELA SSA 22241002702
1854 BALODABAZAR BILAIGARH GOVT. PRIMARY SCHOOL CHARPALI 22241002801
1855 BALODABAZAR BILAIGARH GOVT.PRIMARY SCHOOL KALHARI SSA 22241002802
1856 BALODABAZAR BILAIGARH GOVT.M/S CHACHRALE SSA 22241002803
1857 BALODABAZAR BILAIGARH GOVT B.M.S. PURGAON 22241003002
1858 BALODABAZAR BILAIGARH GOVT. GIRL PRIMARY SCHOOL PURGAON 22241003003
1859 BALODABAZAR BILAIGARH GOVT. P/S DHANUHAR PARA PURGAON 22241003004
1860 BALODABAZAR BILAIGARH GOVT.GIRLS M/S PURGAON SSA 22241003006
1861 BALODABAZAR BILAIGARH GOVT. PRIMARY SCHOOL BAGLOTA 22241003101
1862 BALODABAZAR BILAIGARH GOVT. M/S BAGLOTA SSA 22241003102
1863 BALODABAZAR BILAIGARH GOVT. PRIMARY SCHOOL KORKOTI 22241003201
1864 BALODABAZAR BILAIGARH GOVT. M/S KORKOTI SSA 22241003202
1865 BALODABAZAR BILAIGARH GOVT. PRIMARY SCHOOL LIMTARI 22241003301
1866 BALODABAZAR BILAIGARH GOVT. MS LIMTARI 22241003302
1867 BALODABAZAR BILAIGARH GOVT. PRIMARY SCHOOL CHIRRA 22241003401
1868 BALODABAZAR BILAIGARH GOVT. M/S CHIRRA SSA 22241003404
1869 BALODABAZAR BILAIGARH GOVT. PRIMARY SCHOOL SONADULA 22241003501
1870 BALODABAZAR BILAIGARH GOVT. M/S SONADULA SSA 22241003502
1871 BALODABAZAR BILAIGARH GOVT.PRIMARY SCHOOL THAKURDIYA 22241003601
1872 BALODABAZAR BILAIGARH PRIMARY SCHOOL THAKURDIYA 22241003602
1873 BALODABAZAR BILAIGARH GOVT.PRIMARY SCHOOL DAUBANDHAN 22241003702
1874 BALODABAZAR BILAIGARH GOVT.PRIMARY SCHOOL BHARATPUR 22241003802
1875 BALODABAZAR BILAIGARH GOVT. M/S BHARATPUR SSA 22241003803
1876 BALODABAZAR BILAIGARH GOVT. PRIMARY SCHOOL KHAJARI 22241003901
1877 BALODABAZAR BILAIGARH M.S. KHAJARI SSA 22241003902
1878 BALODABAZAR BILAIGARH GOVT. PRIMARY SCHOOL CHICHOLI 22241004001
1879 BALODABAZAR BILAIGARH GOVT. PRIMARY SCHOOL SALONIKHURD 22241004101
1880 BALODABAZAR BILAIGARH GOVT. PRIMARY SCHOOL GIRWANI 22241004201
1881 BALODABAZAR BILAIGARH GOVT. M/S GIRVANI SSA 22241004202
1882 BALODABAZAR BILAIGARH GOVT. PRIMARY SCHOOL CHIKNIDIH 22241004301
1883 BALODABAZAR BILAIGARH GOVT.MIDDLE SCHOOL CHIKANIDIH SSA 22241004302
1884 BALODABAZAR BILAIGARH GOVT. PRIMARY SCHOOL SALIHAGHAT 22241004401
1885 BALODABAZAR BILAIGARH GOVT.M/S SALIYAGHAT SSA 22241004402
1886 BALODABAZAR BILAIGARH GOVT. PRIMARY SCHOOL BANAHIL 22241004501
1887 BALODABAZAR BILAIGARH GOVT. M/S BANAHIL SSA 22241004502
1888 BALODABAZAR BILAIGARH GOVT. PRIMARY SCHOOL PACHARI 22241004601
1889 BALODABAZAR BILAIGARH GOVT,MIDDLE SCHOOL PACHARI SSA 22241004602
1890 BALODABAZAR BILAIGARH GOVT. PRIMARY SCHOOL CHHUIHA 22241004701
1891 BALODABAZAR BILAIGARH GOVT. MS. CHHUIHA 22241004702
1892 BALODABAZAR BILAIGARH GOVT.PRIMARY SCHOOL PURANIBASTI CHHUIHA 22241004703
1893 BALODABAZAR BILAIGARH GOVT. M/S PURANIBASTI 22241004704
1894 BALODABAZAR BILAIGARH GOVT. PRIMARY SCHOOL BANSURKULI 22241004801
1895 BALODABAZAR BILAIGARH GOVT. M/S BANSURKULI 22241004803
1896 BALODABAZAR BILAIGARH GOVT. PRIMARY SCHOOL DEVARBOD 22241004901
1897 BALODABAZAR BILAIGARH GOVT. M/S DEVERBOD 22241004902
1898 BALODABAZAR BILAIGARH GOVT. PRIMARY SCHOOL KHAIRJHITI 22241005001
1899 BALODABAZAR BILAIGARH GOVT. M/S KHIRJHITI SSA 22241005003
1900 BALODABAZAR BILAIGARH GOVT. PRIMARY SCHOOL DHOBNI 22241005101
1901 BALODABAZAR BILAIGARH GOVT. BOYS MS. DHOBNI 22241005104
1902 BALODABAZAR BILAIGARH GOVT.GIRL MIDDLE SCHOOL DHOBANI SSA 22241005105
1903 BALODABAZAR BILAIGARH GOVT.NAVIN PS TALAB PARA 22241005107
1904 BALODABAZAR BILAIGARH GOVT. PRIMARY SCHOOL PANDRIPANI 22241005201
1905 BALODABAZAR BILAIGARH GOVT. MS. PANDIPANI 22241005202
1906 BALODABAZAR BILAIGARH GOVT. PRIMARY SCHOOL SUTIURKULI 22241005301
1907 BALODABAZAR BILAIGARH GOVT M.S.SUTIURKULI 22241005302
1908 BALODABAZAR BILAIGARH GOVT. P. S. GOVINDBAN 22241005401
1909 BALODABAZAR BILAIGARH MIDDILE SCHOOL GOVINDBAN SSA 22241005402
1910 BALODABAZAR BILAIGARH GOVT. PRIMARY SCHOOL TIKRIPARA BILAIGARH 22241005501
1911 BALODABAZAR BILAIGARH GOVT. PRIMARY SCHOOL KAITHA 22241005701
1912 BALODABAZAR BILAIGARH GOVT M.S. KAITHA 22241005702
1913 BALODABAZAR BILAIGARH PRIMARY SCHOOL BHATHAPARA KAYTHA 22241005703
1914 BALODABAZAR BILAIGARH GOVT. P.S.PARSADEHA 22241005801
1915 BALODABAZAR BILAIGARH GOVT M.S. PARSADEHA 22241005802
1916 BALODABAZAR BILAIGARH GOVT. P.S. GOPALPUR 22241005901
1917 BALODABAZAR BILAIGARH GOVT.M/S GOPALPUR SSA 22241005903
1918 BALODABAZAR BILAIGARH GOVT. P.S.DEVRAHA 22241006001
1919 BALODABAZAR BILAIGARH GOVT. P. S. DEVRAHA 22241006002
1920 BALODABAZAR BILAIGARH M/S DEVRAHA SSA 22241006003
1921 BALODABAZAR BILAIGARH GOVT. PRIMARY SCHOOL BAGMALLA 22241006101
1922 BALODABAZAR BILAIGARH GOVT.PRIMARY SCHOOL BAGMALLA SSA 22241006103
1923 BALODABAZAR BILAIGARH GOVT. PRIMARY SCHOOL DHARASIV 22241006201
1924 BALODABAZAR BILAIGARH GOVT.P/ S DARRABHATHA SSA 22241006204
1925 BALODABAZAR BILAIGARH GOVT.M/S DHARASIV SSA 22241006206
1926 BALODABAZAR BILAIGARH GOVT. PRIMARY SCHOOL PARSAPALI 22241006401
1927 BALODABAZAR BILAIGARH GOVT M.S.PARSAPALI 22241006402
1928 BALODABAZAR BILAIGARH GOVT PRIMARY SCHOOL DIPA PARA PARSAPALI SSA 22241006404
1929 BALODABAZAR BILAIGARH GOVT.P/S BHADARIPARA SSA 22241006405
1930 BALODABAZAR BILAIGARH GOVT. PRIMARY SCHOOL DARRA 22241006501
1931 BALODABAZAR BILAIGARH GOVT.PRIMARY SCHOOL GUTHIKONA SSA 22241006502
1932 BALODABAZAR BILAIGARH GOVT.M/S DARRA SSA 22241006503
1933 BALODABAZAR BILAIGARH GOVT. P.S. GHOGHRA 22241006601
1934 BALODABAZAR BILAIGARH GOVT. PRIMARY SCHOOL PIPARBHAVNA TE. 22241006701
1935 BALODABAZAR BILAIGARH GOVT. P/S PIPARBHAWNA [ G ] 22241006702
1936 BALODABAZAR BILAIGARH GOVT.M/S PIPERBHAWNA TE. SSA 22241006703
1937 BALODABAZAR BILAIGARH GOVT. PRIMARY SCHOOL SOHAGPUR 22241006801
1938 BALODABAZAR BILAIGARH GOVT M.S. SOHAGPUR 22241006802
1939 BALODABAZAR BILAIGARH GOVT. PRIMARY SCHOOL BANDARI 22241006901
1940 BALODABAZAR BILAIGARH GOVT.M/S BANDARI SSA 22241006904
1941 BALODABAZAR BILAIGARH GOVT. P. S. DONTO 22241007001
1942 BALODABAZAR BILAIGARH M/ S DONTO SSA 22241007002
1943 BALODABAZAR BILAIGARH GOVT. PRIMARY SCHOOL TILAIPALI 22241007101
1944 BALODABAZAR BILAIGARH GOVT. PRIMARY SCHOOL JHUMKA 22241007201
1945 BALODABAZAR BILAIGARH GOVT. MS JHUMKA 22241007202
1946 BALODABAZAR BILAIGARH GOVT. PRIMARY SCHOOL PIPARDULA 22241007301
1947 BALODABAZAR BILAIGARH GOVT.PRIMARY SCHOOL RAM NAGAR PIPARDULA 22241007303
1948 BALODABAZAR BILAIGARH GOVT.M/S PIPERDULA SSA 22241007304
1949 BALODABAZAR BILAIGARH GOVT. PRIMARY SCHOOL MUDPAR 22241007401
1950 BALODABAZAR BILAIGARH GOVT.PS. SATNAMI MO. MUDPAR 22241007402
1951 BALODABAZAR BILAIGARH GOVT.M/S MUDHPAR SSA 22241007403
1952 BALODABAZAR BILAIGARH GOVT.M/S MUDPAR SSA 22241007404
1953 BALODABAZAR BILAIGARH GOVT. PRIMARY SCHOOL MANDLI CHOUK SARSIWA 22241007501
1954 BALODABAZAR BILAIGARH GRIL GOVT. PRIMARY SCHOOL SARSIWA 22241007502
1955 BALODABAZAR BILAIGARH GOVT. GIRLS MS SARSIWA 22241007503
1956 BALODABAZAR BILAIGARH GOVT. BOYS MIDDLE SCHOOL SARSIWA 22241007507
1957 BALODABAZAR BILAIGARH GOVT.PRIMARY SCHOOL RAM NAGAR SARSIWA 22241007509
1958 BALODABAZAR BILAIGARH GOVT.PRIMARY SCHOOL INDERANAGAR SARSIWA 22241007510
1959 BALODABAZAR BILAIGARH GOVT. BALAK P/S SARSIWA 22241007513
1960 BALODABAZAR BILAIGARH GOVT. PRIMARY SCHOOL RAMTALA 22241007601
1961 BALODABAZAR BILAIGARH GOVT. M/S RAMTALA 22241007602
1962 BALODABAZAR BILAIGARH GOVT. PRIMARY SCHOOL KARIYATAR 22241007701
1963 BALODABAZAR BILAIGARH GOVT. PRIMARY SCHOOL BHANDORA 22241007801
1964 BALODABAZAR BILAIGARH GOVT. PRIMARY SCHOOL KARBADABRI 22241007901
1965 BALODABAZAR BILAIGARH GOVT. PRIMARY SCHOOL THARAKPUR 22241008001
1966 BALODABAZAR BILAIGARH GOVT. NAVEEN MS THARAKPUR SSA 22241008002
1967 BALODABAZAR BILAIGARH GOVT. PRIMARY SCHOOL MIRCHID 22241008101
1968 BALODABAZAR BILAIGARH GOVT M.S. MIRCHID 22241008102
1969 BALODABAZAR BILAIGARH GOVT.P/S UPPER PARA MIRCHID SSA 22241008103
1970 BALODABAZAR BILAIGARH GOVT.P/S DARRI BHATHA SSA 22241008206
1971 BALODABAZAR BILAIGARH GOVT.P/S NAGRDA 22241008207
1972 BALODABAZAR BILAIGARH GOVT. M/S NAGARDA 22241008216
1973 BALODABAZAR BILAIGARH GOVT. P.S. BHATHA KHAMHARIYA SSA 22241008301
1974 BALODABAZAR BILAIGARH GOVT M.S. KHAMHARIYA EDU. 22241008302
1975 BALODABAZAR BILAIGARH GOVT.P. S. KHAMRIYA 22241008303
1976 BALODABAZAR BILAIGARH GOVT. PRIMARY SCHOOL DUMHANI 22241008401
1977 BALODABAZAR BILAIGARH GOVT. MIDDILE SCHOOL DOMUHANI 22241008402
1978 BALODABAZAR BILAIGARH GOVT. PRIMARY SCHOOL ALIKUD 22241008501
1979 BALODABAZAR BILAIGARH GOVT. PRIMARY SCHOOL JAMGAHAN 22241008601
1980 BALODABAZAR BILAIGARH GOVT M.S. JAMGAHAN 22241008602
1981 BALODABAZAR BILAIGARH GOVT. PRIMARY SCHOOL DOKRIDIH 22241008701
1982 BALODABAZAR BILAIGARH GOVT. M/S DOKARIDIH SSA 22241008702
1983 BALODABAZAR BILAIGARH GOVT. PRIMARY SCHOOL DURUMGARH 22241008801
1984 BALODABAZAR BILAIGARH GOVT. PRIMARY SCHOOL NAKTIDIH SSA 22241008901
1985 BALODABAZAR BILAIGARH GOVT. PRIMARY SCHOOL JORA 22241009001
1986 BALODABAZAR BILAIGARH GOVT M.S.JORA 22241009002
1987 BALODABAZAR BILAIGARH GOVT.NAVIN P/S MAUHARBHATHA JORA SSA 22241009004
1988 BALODABAZAR BILAIGARH GOVT. PRIMARY SCHOOL GHANA 22241009101
1989 BALODABAZAR BILAIGARH GOVT. PRIMARY SCHOOL RIKOTAR 22241009201
1990 BALODABAZAR BILAIGARH GOVT.MIDDLE SCHOOL RIKOTAR SSA 22241009202
1991 BALODABAZAR BILAIGARH GOVT. PRIMARY SCHOOL KHAPARIDIH 22241009301
1992 BALODABAZAR BILAIGARH GOVT. PRIMARY SCHOOL GADHABHATHA 22241009401
1993 BALODABAZAR BILAIGARH GOVT M.S. GADHABHATHA SSA 22241009402
1994 BALODABAZAR BILAIGARH GOVT.PRIMARY SCHOOL NAVAPARA 22241009502
1995 BALODABAZAR BILAIGARH GOVT. M/S NAVAPARA 22241009503
1996 BALODABAZAR BILAIGARH GOVT. PRIMARY SCHOOL ROHINA 22241009601
1997 BALODABAZAR BILAIGARH GOVT. M/S ROHINA SSA 22241009603
1998 BALODABAZAR BILAIGARH GOVT. PRIMARY SCHOOL BENGPALI SSA 22241009701
1999 BALODABAZAR BILAIGARH GOVT. PRIMARY SCHOOL BELADULA 22241009801
2000 BALODABAZAR BILAIGARH GOVT.M/S BELADULA SSA 22241009802
2001 BALODABAZAR BILAIGARH GOVT. PRIMARY SCHOOL TENDUDARHA 22241009901
2002 BALODABAZAR BILAIGARH GOVT.M/S TENDUDARHA SSA 22241009905
2003 BALODABAZAR BILAIGARH GOVT. PRIMARY SCHOOL KISDA 22241010001
2004 BALODABAZAR BILAIGARH GOVT.M/S KISDA SSA 22241010002
2005 BALODABAZAR BILAIGARH GOVT. PRIMARY SCHOOL JEVRADIH 22241010201
2006 BALODABAZAR BILAIGARH GOVT. M/S JEVARADIH SSA 22241010202
2007 BALODABAZAR BILAIGARH GOVT. PRIMARY SCHOOL SINGHICHUWA 22241010301
2008 BALODABAZAR BILAIGARH GOVT. M/S SINGHICHUWA SSA 22241010302
2009 BALODABAZAR BILAIGARH ADARSH PS BHATGAON 22241010402
2010 BALODABAZAR BILAIGARH GOVT. PRIMARY SCHOOL KODVA 22241010501
2011 BALODABAZAR BILAIGARH GOVT. M/S KODVA SSA 22241010502
2012 BALODABAZAR BILAIGARH GOVT. PRIMARY SCHOOL JOGIDIPA 22241010601
2013 BALODABAZAR BILAIGARH GOVT.NAVEN PRIMARY SCHOOL JOGIDIPA 22241010602
2014 BALODABAZAR BILAIGARH GOVT. M/S JOGIDIPA SSA 22241010603
2015 BALODABAZAR BILAIGARH GOVT. PRIMARY SCHOOL DHANGAON 22241010701
2016 BALODABAZAR BILAIGARH GOVT.MIDDLE SCHOOL DHANGAON SSA 22241010704
2017 BALODABAZAR BILAIGARH GOVT.P/S BHATHAPARA DHANGAON SSA 22241010705
2018 BALODABAZAR BILAIGARH GOVT. PRIMARY SCHOOL SENDURAS 22241010801
2019 BALODABAZAR BILAIGARH GOVT.MS SENDURAS 22241010802
2020 BALODABAZAR BILAIGARH GOVT. PRIMARY SCHOOL TOULIDIH 22241010901
2021 BALODABAZAR BILAIGARH GOVT. MIDDLE SCHOOL TOULIDIH SSA 22241010904
2022 BALODABAZAR BILAIGARH GOVT M/S TOULIDIH 22241010905
2023 BALODABAZAR BILAIGARH GOVT.P/S BHATA.TOLIDIH SSA 22241010906
2024 BALODABAZAR BILAIGARH GOVT. P/S GAGORI 22241011003
2025 BALODABAZAR BILAIGARH GOVT.MIDDEL SCHOOL GAGORI SSA 22241011004
2026 BALODABAZAR BILAIGARH GOVT. PRIMARY SCHOOL BHINODA 22241011201
2027 BALODABAZAR BILAIGARH GOVT.M/S BHINODA SSA 22241011202
2028 BALODABAZAR BILAIGARH GOVT. PRIMARY SCHOOL BHINODI 22241011301
2029 BALODABAZAR BILAIGARH GOVT. MS BHINODI 22241011302
2030 BALODABAZAR BILAIGARH GRIL GOVT. PRIMARY SCHOOL BILAIGARH 22241011401
2031 BALODABAZAR BILAIGARH BOYS P. S. BILAIGARH 22241011403
2032 BALODABAZAR BILAIGARH GOVT GIRLS M.S. BILAIGARH 22241011404
2033 BALODABAZAR BILAIGARH GOVT. BOYS M.S. BILAIGARH 22241011405
2034 BALODABAZAR BILAIGARH GOVT. PRIMARY SCHOOL AMALDIHA 22241011501
2035 BALODABAZAR BILAIGARH GOVT. M/S AMALDIHA SSA 22241011503
2036 BALODABAZAR BILAIGARH GOVT. M/S AMALIDIH SSA 22241011504
2037 BALODABAZAR BILAIGARH GOVT. PRIMARY SCHOOL GARDIH 22241011601
2038 BALODABAZAR BILAIGARH GOVT.PRIMARY SCHOOL KERACHAKA 22241011602
2039 BALODABAZAR BILAIGARH GOVT. MS. GARDIH 22241011603
2040 BALODABAZAR BILAIGARH GOVT. P. S. BHATGAON 22241011701
2041 BALODABAZAR BILAIGARH GOVT. M/S BHATGAON B 22241011703
2042 BALODABAZAR BILAIGARH GOVT. PRIMARY SCHOOL MUCHMALDA 22241011801
2043 BALODABAZAR BILAIGARH GOVT, MS MUCHHMALDA SSA 22241011803
2044 BALODABAZAR BILAIGARH GOVT. PRIMARY SCHOOL CHHAPORA 22241011901
2045 BALODABAZAR BILAIGARH GOVT. MIDDILE SCHOOL CHHAPORA SSA 22241011902
2046 BALODABAZAR BILAIGARH BLACK GOVT. PRIMARY SCHOOL DHANSIR 22241012001
2047 BALODABAZAR BILAIGARH GRIL GOVT. PRIMARY SCHOOL DHANSIR 22241012002
2048 BALODABAZAR BILAIGARH GOVT M.S. BOYS DHANSIR 22241012003
2049 BALODABAZAR BILAIGARH GOVT.GIRL MIDDLE SCHOOL DHANSIR SSA 22241012004
2050 BALODABAZAR BILAIGARH GOVT. PRIMARY SCHOOL DAYALPUR 22241012101
2051 BALODABAZAR BILAIGARH GOVT. M/S DAYALPUR 22241012102
2052 BALODABAZAR BILAIGARH GOVT. PRIMARY SCHOOL BODA 22241012201
2053 BALODABAZAR BILAIGARH GOVT. MS. BODA 22241012202
2054 BALODABAZAR BILAIGARH GOVT. PRIMARY SCHOOL BODADIH 22241012501
2055 BALODABAZAR BILAIGARH GOVT. M/S BODADEHA 22241012502
2056 BALODABAZAR BILAIGARH GOVT. PRIMARY SCHOOL JUNWANI 22241012601
2057 BALODABAZAR BILAIGARH GOVT. MS JUNWANI SSA 22241012602
2058 BALODABAZAR BILAIGARH GOVT. PRIMARY SCHOOL BELHA 22241012801
2059 BALODABAZAR BILAIGARH GOVT.M/S BELHA SSA 22241012802
2060 BALODABAZAR BILAIGARH GOVT. PRIMARY SCHOOL BHOGDIH 22241012901
2061 BALODABAZAR BILAIGARH GOVT. MIDDLE SCHOOL BHOGDIH SSA 22241012902
2062 BALODABAZAR BILAIGARH GRIL GOVT. PRIMARY SCHOOL 22241013001
2063 BALODABAZAR BILAIGARH GOVT. GIRLS MS BHATGAON 22241013002
2064 BALODABAZAR BILAIGARH GOVT. MIDDLS SCHOOL BHATGAON 22241013003
2065 BALODABAZAR BILAIGARH GOVT. PS. SIVIL LINE BHATGAON 22241013004
2066 BALODABAZAR BILAIGARH GOVT. P/ S [ D ] BHATGAON 22241013006
2067 BALODABAZAR BILAIGARH GOVT. PRIMARY SCHOOL BHATGAON 22241013101
2068 BALODABAZAR BILAIGARH GOVT. M/S BHATGAON S SSA 22241013102
2069 BALODABAZAR BILAIGARH GOVT. PRIMARY SCHOOL MALUHA 22241013201
2070 BALODABAZAR BILAIGARH GOVT.M/S MALUHA SSA 22241013202
2071 BALODABAZAR BILAIGARH GOVT. P. S. SALIHA 22241013301
2072 BALODABAZAR BILAIGARH GOVT M.S.SALIHA 22241013302
2073 BALODABAZAR BILAIGARH GOVT.PRIMARY SCHOOL VIJAY NAGAR SSA 22241013307
2074 BALODABAZAR BILAIGARH GOVT. MS. DIPA PARA SALIHA SSA 22241013310
2075 BALODABAZAR BILAIGARH GOVT. P/S PARRIDARRI SSA 22241013311
2076 BALODABAZAR BILAIGARH GOVT. P.S.DHORABHATHA 22241013401
2077 BALODABAZAR BILAIGARH GOVT.MS.DHORABHATHA SSA 22241013403
2078 BALODABAZAR BILAIGARH GOVT.P/S BASTI DHORABHATHA SSA 22241013404
2079 BALODABAZAR BILAIGARH GOVT. M/S DHOURABAHTHA [B] 22241013407
2080 BALODABAZAR BILAIGARH GOVT. P.S. SEMARIYA 22241013501
2081 BALODABAZAR BILAIGARH GOVT. PRIMARY SCHOOL DEVSAGAR 22241013601
2082 BALODABAZAR BILAIGARH GVT. M/S DEVSAGAR SSA 22241013602
2083 BALODABAZAR BILAIGARH GOVT. KANYA PRIMARY SCHOOL PAWANI 22241013701
2084 BALODABAZAR BILAIGARH GOVT. GIRLS MS. PAWANI 22241013704
2085 BALODABAZAR BILAIGARH GOVT.P. S. TALPARA PAWANI 22241013706
2086 BALODABAZAR BILAIGARH GOVT.BOYS P. S. PAWNI 22241013707
2087 BALODABAZAR BILAIGARH GOVT.M/S TALPARA PAONI SSA 22241013710
2088 BALODABAZAR BILAIGARH GOVT.BOYS M/S PAONI 22241013711
2089 BALODABAZAR BILAIGARH GOVT. PRIMARY SCHOOL MALDI 22241013902
2090 BALODABAZAR BILAIGARH M/S MALDI SSA 22241013910
2091 BALODABAZAR BILAIGARH GOVT.PRIMARY SCHOOL RAMPUR 22241014001
2092 BALODABAZAR BILAIGARH GOVT.MIDDLE SCHOOL RAMPUR SSA 22241014002
2093 BALODABAZAR BILAIGARH GOVT. P. S. MADAKADI 22241014101
2094 BALODABAZAR BILAIGARH M.S. MADAKADI SSA 22241014103
2095 BALODABAZAR BILAIGARH S.G. SCHOOL PURANI MADKADI 22241014104
2096 BALODABAZAR BILAIGARH GOVT.PRIMARY SCHOOL TUNDRI 22241014201
2097 BALODABAZAR BILAIGARH GOVT.P. S. SABRIYADERA 22241014203
2098 BALODABAZAR BILAIGARH GOVT. M/S TUNDRI SSA 22241014204
2099 BALODABAZAR BILAIGARH GOVT.M/S SABRIA DERA TU. 22241014206
2100 BALODABAZAR BILAIGARH GOVT. PRIMARY SCHOOL BILASPUR 22241014301
2101 BALODABAZAR BILAIGARH GOVT M.S. BILASPUR 22241014302
2102 BALODABAZAR BILAIGARH GOVT.PRIMARY SCHOOL KALMIBHATHA SSA 22241014304
2103 BALODABAZAR BILAIGARH GOVT. PRIMARY SCHOOL KOT 22241014401
2104 BALODABAZAR BILAIGARH GOVT.PRIMARY SCHOOL INDERA AWAS SSA 22241014402
2105 BALODABAZAR BILAIGARH M/S KOT SSA 22241014403
2106 BALODABAZAR BILAIGARH GOVT.PRE.MET.GIRLS AASHRAM KOT TWD 22241014405
2107 BALODABAZAR BILAIGARH GOVT. PRIMARY SCHOOL MANPASAR 22241014501
2108 BALODABAZAR BILAIGARH GOVT.MIDDLE SCHOOL MANPSAR SSA 22241014502
2109 BALODABAZAR BILAIGARH GOVT. PRIMARY SCHOOL BALOUDI 22241014701
2110 BALODABAZAR BILAIGARH GOVT. MS BALOUDI 22241014702
2111 BALODABAZAR BILAIGARH GOVT.PRIMARY SCHOOL MADHAIBHATHA 22241014801
2112 BALODABAZAR BILAIGARH GOVT M.S. MADHAIBHATHA 22241014802
2113 BALODABAZAR BILAIGARH GOVT. PRIMARY SCHOOL CHAKARDA 22241014901
2114 BALODABAZAR BILAIGARH GOVT. PRIMARY SCHOOL SARDHABHATHA 22241015001
2115 BALODABAZAR BILAIGARH M/S SARDHABHATHA SSA 22241015002
2116 BALODABAZAR BILAIGARH GOVT.PRIMARY SCHOOL PENDRAVAN 22241015101
2117 BALODABAZAR BILAIGARH GOVT. MS. PENDRAVAN 22241015102
2118 BALODABAZAR BILAIGARH GOVT.PRIMARY SCHOOL AMBEDKAR NAGAR SSA 22241015105
2119 BALODABAZAR BILAIGARH GOVT. PRIMARY SCHOOL BACHHORDIH 22241015201
2120 BALODABAZAR BILAIGARH M/S BACHORDIH SSA 22241015202
2121 BALODABAZAR BILAIGARH GOVT.NAVEN PRIMARY SCHOOL NAWAPARA 22241015301
2122 BALODABAZAR BILAIGARH GOVT.NAVEN P. S. BOIRDIH 22241015401
2123 BALODABAZAR BILAIGARH NAVEN PRIMARY SCHOOL GAGORITHANDA 22241015501
2124 BALODABAZAR BILAIGARH GOVT.NAVEN PRIMARY SCHOOL CHIRCHUAA SSA 22241015601
2125 BALODABAZAR BILAIGARH GOVT. NAVEN P. S.BISANPUR 22241015701
2126 BALODABAZAR BILAIGARH GOVT.MIDDLE SCHOOL BISANPUR SSA 22241015703
2127 BALODABAZAR BILAIGARH GOVT.NAVEN PRIMARY SCHOOL TADAPARA 22241015801
2128 BALODABAZAR BILAIGARH GOVT. MS. TADAPARA 22241015802
2129 BALODABAZAR BILAIGARH GOVT.MIDDILE SCHOOL GONDALI 22241015901
2130 BALODABAZAR BILAIGARH GOVT.P.S.GODALI 22241015902
2131 BALODABAZAR BILAIGARH GOVT.NAVIN PRIMARY SCHOOL DHANORA SSA 22241016002
2132 BALODABAZAR BILAIGARH GOVT.PRIMARY SCHOOL TATA 22241016101
2133 BALODABAZAR BILAIGARH GOVT.M/S TATA SSA 22241016102
2134 BALODABAZAR BILAIGARH GOVT. PRIMARY SCHOOL CHORBHATTI 22241016201
2135 BALODABAZAR BILAIGARH GOVT.MIDDLE SCHOOL CHORBHATTI 22241016202
2136 BALODABAZAR BILAIGARH GOVT P. SCHOOL BICHPARA 22241016203
2137 BALODABAZAR BILAIGARH GOVT.PRIMARY SCHOOL BAMHANPURI 22241016301
2138 BALODABAZAR BILAIGARH GOVT. MS.BAMHANPURI SSA 22241016302
2139 BALODABAZAR BILAIGARH GOVT.PRIMARY SCHOOL JOGESARA 22241016401
2140 BALODABAZAR BILAIGARH GOVT.M/S JOGESARA SSA 22241016402
2141 BALODABAZAR BILAIGARH GOVT.NAVEN P. S. TENDUBHATHA SSA 22241016501
2142 BALODABAZAR BILAIGARH GOVT.M.S. TENDUBHATHA SSA 22241016504
2143 BALODABAZAR BILAIGARH GOVT.P. S. BARBNHATA 22241016702
2144 BALODABAZAR BILAIGARH GOVT.NAVEN PRIMARY SCHOOL KODOPALI 22241016801
2145 BALODABAZAR BILAIGARH M/S KODOPALI SSA 22241016802
2146 BALODABAZAR BILAIGARH GOVT.NAVEN PRIMARY SCHOOL GWALI 22241016901
2147 BALODABAZAR BILAIGARH GOVT.NAVEN PRIMARY SCHOOL DONGIYABHATHA 22241017001
2148 BALODABAZAR BILAIGARH GOVT. NAVEN PRIMARY SCHOOL NOHARPALI [EDU.] 22241017101
2149 BALODABAZAR BILAIGARH GOVT.NAVEN PRIMARY SCHOOL TEDHIBHADRA SSA 22241017201
2150 BALODABAZAR BILAIGARH GOVT. M/S TEDHIBHADRA SSA 22241017202
2151 BALODABAZAR BILAIGARH GOVT.NAVEN PRIMARY SCHOOL MAHULDIH 22241017301
2152 BALODABAZAR BILAIGARH GOVT.PRIMARY SCHOOL MOUHADIH 22241017302
2153 BALODABAZAR BILAIGARH GOVT.PRIMARY SCHOOL TENDUMUDI 22241017401
2154 BALODABAZAR BILAIGARH GOVT. PS.LANKAHUDA 22241017501
2155 BALODABAZAR BILAIGARH GOVT.PRIMARY SCHOOL OTGAN 22241017602
2156 BALODABAZAR BILAIGARH GOVT.PRIMARY SCHOOL DHANDHANI 22241017801
2157 BALODABAZAR BILAIGARH GOVT.M/S DHANDHANI SSA 22241017802
2158 BALODABAZAR BILAIGARH GOVT. M/S 22241018004
2159 BALODABAZAR BILAIGARH GOVT.PRIMARY SCHOOL PIKARIPALI 22241018101
2160 BALODABAZAR BILAIGARH GOVT. PRIMARY SCHOOL DHOURABHATHA 22241018401
2161 BALODABAZAR BILAIGARH PRIMARY SCHOOL DHORA BHATTA [B] 22241018402
2162 BALODABAZAR BILAIGARH GOVT. M/S DHOURABHATHA SSA 22241018403
2163 BALODABAZAR BILAIGARH GOVT. M/S SONIYADIH SSA 22241018502
2164 BALODABAZAR BILAIGARH ADARSH GOVT. PRIMARY SCHOOL SHINGHITAR 22241018601
2165 BALODABAZAR BILAIGARH GOVT. M/S SHINGHITAR SSA 22241018602
2166 BALODABAZAR BILAIGARH GOVT.PRIMARY SCHOOL TOULIDIH 22241018701
2167 BALODABAZAR BILAIGARH GOVT.BALAK PRIMARY SCHOOL PURGAON 22241018801
2168 BALODABAZAR BILAIGARH GOVT MIDDLE SCHOOL BALPUR 22241018903
2169 BALODABAZAR BILAIGARH GOVT.PRIMARY SCHOOL GATHBHATA SSA 22241018904
2170 BALODABAZAR BILAIGARH GOVT.PRIMARY SCHOOL SATNAMI MO.BALPUR 22241018906
2171 BALODABAZAR BILAIGARH GOVT.P/S BALPUR 22241018907
2172 BALODABAZAR BILAIGARH GOVT.PRIMARY SCHOOL AMODI 22241019101
2173 BALODABAZAR BILAIGARH GOVT.MIDDLE SCHOOL AMODI SSA 22241019102
2174 BALODABAZAR BILAIGARH GOVT.PRIMARY SCHOOL CHARBHATHA 22241019201
2175 BALODABAZAR BILAIGARH GOVT.P. S. HARDI 22241019301
2176 BALODABAZAR BILAIGARH NAVEEN MS HARADI SSA 22241019302
2177 BALODABAZAR BILAIGARH GOVT.P. S. PIPERDIH 22241019501
2178 BALODABAZAR BILAIGARH GOVT. M/S PIPERDIH SSA 22241019502
2179 BALODABAZAR BILAIGARH GOVT.P. S. GATADIH 22241019701
2180 BALODABAZAR BILAIGARH GOVT. MS GATADIH 22241019702
2181 BALODABAZAR BILAIGARH GOVT.NAVEEN PS SAKRAPALI SSA 22241019705
2182 BALODABAZAR BILAIGARH GOVT.NAVEN PRIMARY SCHOOL MADHUBANKHURD 22241019801
2183 BALODABAZAR BILAIGARH GOVT.NAVEN P. S. DULLARPUR SSA 22241019901
2184 BALODABAZAR BILAIGARH GOVT.NAVEN PRIMARY SCHOOL SALHEVANA 22241020001
2185 BALODABAZAR BILAIGARH GOVT. M/S KARMANDI SSA 22241020102
2186 BALODABAZAR BILAIGARH GOVT.P. S. MANDALPUR SSA 22241020301
2187 BALODABAZAR BILAIGARH GOVT.M/S DURUMGARH SSA 22241020501
2188 BALODABAZAR BILAIGARH GOVT.MIDDLE SCHOOL KHAPRIDIH SSA 22241020602
2189 BALODABAZAR BILAIGARH GOVT.PRIMARY SCHOOL BANGALABHATA 22241020802
2190 BALODABAZAR BILAIGARH GOVT.PRIMARY SCHOOL SAT.MO. BILAIGARH 22241020806
2191 BALODABAZAR BILAIGARH K. G. B. V. BILAIGARH 22241020807
2192 BALODABAZAR BILAIGARH GOVT.M/S TIKRIPARA BILAIGARH 22241020810
2193 BALODABAZAR BILAIGARH GOVT.P.S. MOHATARA S 22241021001
2194 BALODABAZAR BILAIGARH GOVT.MS MOHTARA [ S ] SSA 22241021002
2195 BALODABAZAR BILAIGARH GOVT.PRIMARY SCHOOLNAGARIDIH SSA 22241021201
2196 BALODABAZAR BILAIGARH GOVT.P/S SABRIYADERA SALONIKALA 22241021401
2197 BALODABAZAR BILAIGARH GOVT.P/S SATNAMI MOH.SALONIKALA 22241021402
2198 BALODABAZAR BILAIGARH GOVT. BOY PS SALAUNIKALA 22241021403
2199 BALODABAZAR BILAIGARH GOVT. GIRL PS SALAUNIKALA 22241021404
2200 BALODABAZAR BILAIGARH GOVT. MS SALAUNIKALA 22241021405
2201 BALODABAZAR BILAIGARH JBS MS SALAUNIKALA 22241021406
2202 BALODABAZAR BILAIGARH GOVT.PRIMARY SCHOOL BHORKADIPA SSA 22241021604
2203 BALODABAZAR BILAIGARH GOVT.KANYA ASHRAM PIRDA TWD 22241021605
2204 BALODABAZAR BILAIGARH GOVT.P.S.BHATHAPARA PIRDA SSA 22241021606
2205 BALODABAZAR BILAIGARH GOVT. MS GHARJARA SSA 22241021701
2206 BALODABAZAR BILAIGARH GOVT. PS GHARJARA 22241021702
2207 BALODABAZAR BILAIGARH GOVT. MIDDLE SCHOOL BHANDORA 22241021801
2208 BALODABAZAR BILAIGARH GOVT.PRIMARY SCHOOL CHANDLIDIH 22241021901
2209 BALODABAZAR BILAIGARH GOVT.PRIMARY SCHOOL RANKOT SSA 22241022001
2210 BALODABAZAR BILAIGARH GOVT.PRIMARY SCHOOL PRATAPGARH SSA 22241022101
2211 BALODABAZAR BILAIGARH GOVT. M/S BENGPALI 22241022202
2212 BALODABAZAR BILAIGARH GOVT. MIDDLE SCHOOL 22241022301
2213 BALODABAZAR BILAIGARH TWD SC GIRL ASHRAM ODKAKAN 22241022302
2214 BALODABAZAR BILAIGARH GOVT. P.S. ODKAKAN 22241022303
2215 BALODABAZAR BILAIGARH GOVT.NAVIN P. S. LUKAPARA 22241022501
2216 BALODABAZAR BILAIGARH GOVT.M/S LUKAPARA SSA 22241022502
2217 BALODABAZAR BILAIGARH GOVT.PRIMARY SCHOOL BANDUWA SSA 22241022601
2218 BALODABAZAR BILAIGARH GOVT.PS.H.M.MADHAIBHATHA 22241022701
2219 BALODABAZAR BILAIGARH GOVT.PRIMARY SCHOOL DURUMGARH 22241022801
2220 BALODABAZAR BILAIGARH GOVT.M./S DURUMGARH SSA 22241022802
2221 BALODABAZAR BILAIGARH GOVT.P.S. BHATHA SAJAPALI SSA 22241022901
2222 BALODABAZAR BILAIGARH GOVT. P/S SAJAPALI SSA 22241022902
2223 BALODABAZAR BILAIGARH GOVT.PRIMARY SCHOOL BHOTHIDIH 22241023001
2224 BALODABAZAR BILAIGARH GOVT.PRIMARY SCHOOL MUDHPAR 22241023101
2225 BALODABAZAR BILAIGARH GOVT.PRIMARY SCHOOL AMLIDIH 22241023301
2226 BALODABAZAR BILAIGARH GOVT.PRIMARY SCHOOL JHARNIDIH 22241023401
2227 BALODABAZAR BILAIGARH M/S 22241023402
2228 BALODABAZAR BILAIGARH GOVT.PS. AAMAKACHHAR [A] 22241023501
2229 BALODABAZAR BILAIGARH GOVT.PRIMARY SCHOOL AAMAKCHHAR [ B ] SSA 22241023502
2230 BALODABAZAR BILAIGARH GOVT.PRIMARY SCHOOL SEMRADIH 22241023601
2231 BALODABAZAR BILAIGARH GOVT,PRIMARY SCHOOLDHANWARPARA DHOBNI 22241023701
2232 BALODABAZAR BILAIGARH GOVT.PRIMARY SCHOOL BAHTHAPARA TE. 22241023801
2233 BALODABAZAR BILAIGARH GOVT. PS. SHANKAR NAGAR SSA 22241024001
2234 BALODABAZAR BILAIGARH GOVT.PRIMARY SCHOOL GOURADIPA SSA 22241024101
2235 BALODABAZAR BILAIGARH GOVT.PRIMARY SCHOOL RAMBHATHA SSA 22241024201
2236 BALODABAZAR BILAIGARH GOVT.PRIMARY SCHOOL SARMANDI 22241024301
2237 BALODABAZAR BILAIGARH GOVT.PS. PARSABHATHA SSA 22241024401
2238 BALODABAZAR BILAIGARH GOVT.PRIMARY SCHOOL KARMANDI SSA 22241024501
2239 BALODABAZAR BILAIGARH GOVT.P.S.LAKHURRIDIH SSA 22241024601
2240 BALODABAZAR BILAIGARH GOVT, P/ S. BARBHATHA 22241025201
2241 BALODABAZAR BILAIGARH GOVT. M/S GIRSA 22241025301
2242 BALODABAZAR BILAIGARH GOVT. PS GIRSA 22241025302
2243 BALODABAZAR BILAIGARH GOVT. P/S DURUG 22241025501
2244 BALODABAZAR BILAIGARH GOVT. M/S DURUG 22241025502
2245 BALODABAZAR BILAIGARH GOVT P.S. DIPAPARA SALIHA 22241025701
2246 BALODABAZAR BILAIGARH GOVT.M/S GHOGHRA SSA 22241026001
2247 BALODABAZAR BILAIGARH GOVT.M/S JAITPUR SSA 22241026101
2248 BALODABAZAR BILAIGARH GOVT. P. S. TENDUWA SSA 22241026701
2249 BALODABAZAR BILAIGARH GOVT. M/S BAGMALLA SSA 22241027101
2250 BALODABAZAR BILAIGARH GOVT. M/S AMAKACHHAR SSA 22241027102
2251 BALODABAZAR BILAIGARH GOVT.PRIMARY SCHOOL KARIPAT SSA 22241027301
2252 BALODABAZAR BILAIGARH GOVT.PRIMARY SCHOOL ARJUNI 22241027401
2253 BALODABAZAR BILAIGARH GOVT. PRIMARY SCHOOL PARSALEVA SSA 22241027501
2254 BALODABAZAR BILAIGARH GOVT. PRIMARY SCHOOL TENGNAKACHHAR 22241027601
2255 BALODABAZAR BILAIGARH GOVT. M/S TENGNAKACHHAR SSA 22241027602
2256 BALODABAZAR BILAIGARH GOVT. PRIMARY SCHOOL PARRAPATHRA SSA 22241027701
2257 BALODABAZAR BILAIGARH GOVT. PRIMARY SCHOOL BARKACHHAR SSA 22241027801
2258 BALODABAZAR BILAIGARH GOVT. PRIMARY SCHOOL KERIJHAR 22241027901
2259 BALODABAZAR BILAIGARH GOVT. PRIMARY SCHOOL PACHPEDIYA SSA 22241028001
2260 BALODABAZAR BILAIGARH NAVIN P/ S HARDI [ BH ] 22241028601
2261 BALODABAZAR BILAIGARH GOVT.P/ S JAMNAR SSA 22241028701
2262 BALODABAZAR BILAIGARH GOVT. P/S LOHRINDIPA SSA 22241028801
2263 BALODABAZAR BILAIGARH GOVT. PS. TEDHGIDIPA SSA 22241028901
2264 BALODABAZAR BILAIGARH GOVT.P/S MUDHKATTA SSA 22241029001
2265 BALODABAZAR BILAIGARH P/S DHOBNIDIH SSA 22241029101
2266 BALODABAZAR BILAIGARH GOVT. P/S GHOGHRI 22241029201
2267 BALODABAZAR BILAIGARH GOVT.P/S SHUKLABHATHA SSA 22241029301
2268 BALODABAZAR BILAIGARH GOVT.P/S AMLIBHATHA SSA 22241029401
2269 BALODABAZAR BILAIGARH GOVT.P/S CHANDRANAGAR SSA 22241029501
2270 BALODABAZAR BILAIGARH GOVT.P/S KOTHIKHOL SSA 22241029601
2271 BALODABAZAR BILAIGARH GOVT.P/S KACHONDA SSA 22241029701
2272 BALODABAZAR BILAIGARH GOVT.P/S GIDPARRI SSA 22241029801
2273 BALODABAZAR BILAIGARH GOVT.P/S JAMNARDIH SSA 22241029901
2274 BALODABAZAR BILAIGARH GOVT. P/S KEDIYARAWAR 22241030001
2275 BALODABAZAR BILAIGARH GOVT. P/S NARBAND SSA 22241030101
2276 BALODABAZAR BILAIGARH GOVT M/S NARBAND SSA 22241030102
2277 BALODABAZAR BILAIGARH GOVT. P/S SHITAL PUR 22241030301
2278 BALODABAZAR BILAIGARH GOVT. P/S PATHARIYA 22241030401
2279 BALODABAZAR BILAIGARH GOVT.M/S DHANORA SSA 22241030501
2280 BALODABAZAR BILAIGARH GOVT. MS.KALIHARI SSA 22241030601
2281 BALODABAZAR BILAIGARH GOVT.M/S SONIYADIH SSA 22241030701
2282 BALODABAZAR BILAIGARH GOVT.M.S. JORAPALI SSA 22241030801
2283 BALODABAZAR BILAIGARH GOVT. PS SURGULI 22241031101
2284 BALODABAZAR BILAIGARH GOVT. MS SURGULI 22241031102
2285 BALODABAZAR BILAIGARH GOVT. PS SIRPUR SSA 22241031201
2286 BALODABAZAR BILAIGARH GOVT. PS GEDAPALI 22241031301
2287 BALODABAZAR BILAIGARH GOVT. MS GENDAPALI 22241031302
2288 BALODABAZAR BILAIGARH GOVT.PS GADAPALI SSA 22241031601
2289 BALODABAZAR BILAIGARH GOVT. PS GADAPALI 22241031701
2290 BALODABAZAR BILAIGARH GOVT. MS GADAPALI MADHAIBHATHA 22241031702
2291 BALODABAZAR BILAIGARH GOVT.PRIMARY SCHOOL JHUMARPALI 22241032001
2292 BALODABAZAR BILAIGARH GOVT. P.S. JHARNIPARA SSA 22241032101
2293 BALODABAZAR BILAIGARH GOVT.P.S. ANJANIYA SSA 22241032201
2294 BALODABAZAR KASDOL GOVT MS BHIMBHORI 22241200502
2295 BALODABAZAR KASDOL GOVT PS BHIMBHORI 22241200503
2296 BALODABAZAR KASDOL GOVT PS NAVADIH (BHIMBHORI) (SSA) 22241200504
2297 BALODABAZAR KASDOL GOVT PS PERAGUDA 22241200601
2298 BALODABAZAR KASDOL GOVT PS KOT(K) 22241200701
2299 BALODABAZAR KASDOL GOVT MS KOT(SSA) 22241200706
2300 BALODABAZAR KASDOL GOVT.PS KOT (R) 22241200708
2301 BALODABAZAR KASDOL GOVT PS MALIDEEH 22241200901
2302 BALODABAZAR KASDOL GOVT MS MALIDEEH (SSA) 22241200902
2303 BALODABAZAR KASDOL GOVT PS TEMRI 22241201001
2304 BALODABAZAR KASDOL GOVT MS TEMRI (SSA) 22241201002
2305 BALODABAZAR KASDOL GOVT PS CHICHPOL 22241201101
2306 BALODABAZAR KASDOL GOVT MS KOSMASARA 22241201201
2307 BALODABAZAR KASDOL GOVT MS KOSMASRA (B) (SSA) 22241201202
2308 BALODABAZAR KASDOL GOVT PS KOSAMSARA (K) 22241201203
2309 BALODABAZAR KASDOL GOVT MS NAYA KHARVE (SSA) 22241201301
2310 BALODABAZAR KASDOL GOVT PS CHAKERBOY 22241201401
2311 BALODABAZAR KASDOL GOVT PS SEMARIYA (K) 22241201501
2312 BALODABAZAR KASDOL GOVT PS BAPHARA 22241201601
2313 BALODABAZAR KASDOL GOVT PS MOTIPUR 22241201801
2314 BALODABAZAR KASDOL GOVT MS THARGAON 22241201901
2315 BALODABAZAR KASDOL GOVT PS THARGAON 22241201902
2316 BALODABAZAR KASDOL GOVT PS INDIRA COLONY THARGAON(SSA) 22241201903
2317 BALODABAZAR KASDOL GOVT PS NITHORA 22241202001
2318 BALODABAZAR KASDOL GOVT MS NITHORA (SSA) 22241202002
2319 BALODABAZAR KASDOL GOVT PS NARAYANPUR 22241202101
2320 BALODABAZAR KASDOL GOVT PS RIKOKHURD 22241202201
2321 BALODABAZAR KASDOL GOVT MS MANDEEP (SSA) 22241202301
2322 BALODABAZAR KASDOL GOVT PS MANDEEP 22241202302
2323 BALODABAZAR KASDOL GOVT PS AMBEDKAR PARA NARDHA (SSA) 22241202501
2324 BALODABAZAR KASDOL GOVT PS GORDHA 22241202601
2325 BALODABAZAR KASDOL GOVT PS DR. KANHAIYA LAL SHARMA 22241202901
2326 BALODABAZAR KASDOL GOVT MS KGBV KASDOL (SSA) 22241202905
2327 BALODABAZAR KASDOL GOVT PS MAHARA PARA 22241202906
2328 BALODABAZAR KASDOL TDW PS ADIM JATI CHIKHLI 22241203001
2329 BALODABAZAR KASDOL GOVT MS CHIKHLI (SSA) 22241203002
2330 BALODABAZAR KASDOL GOVT PS BHAVREED 22241203101
2331 BALODABAZAR KASDOL GOVT PS CHHARCHHED 22241203201
2332 BALODABAZAR KASDOL GOVT MS CHHARCHHED (SSA) 22241203202
2333 BALODABAZAR KASDOL GOVT.NAVIN PS PURANI BASTI 22241203205
2334 BALODABAZAR KASDOL GOVT PS PIKRI 22241203301
2335 BALODABAZAR KASDOL GOVT PS PURANI BASTI PIKRI (SSA) 22241203302
2336 BALODABAZAR KASDOL GOVT PS THARHIDIH 22241203401
2337 BALODABAZAR KASDOL GOVT PS DARRA 22241203601
2338 BALODABAZAR KASDOL GOVT MS DARRA (SSA) 22241203602
2339 BALODABAZAR KASDOL GOVT PS DARRA 22241203603
2340 BALODABAZAR KASDOL GOVT PS KHERA 22241203701
2341 BALODABAZAR KASDOL GOVT PS KHERA (ARJUNI) 22241203702
2342 BALODABAZAR KASDOL GOVT PS KHAIRA 22241203703
2343 BALODABAZAR KASDOL GOVT PS KHAIRA (SSA) 22241203704
2344 BALODABAZAR KASDOL GOVT PS PURANI BASTI KHAIRA (SSA) 22241203705
2345 BALODABAZAR KASDOL MS KHAIRA (SSA) 22241203706
2346 BALODABAZAR KASDOL MS KHAIRA (THARGAON) (SSA) 22241203707
2347 BALODABAZAR KASDOL GOVT PS BHADORA 22241203801
2348 BALODABAZAR KASDOL GOVT PS SUKDA 22241203901
2349 BALODABAZAR KASDOL GOVT PS KHAIRWARDIH (SSA) 22241203902
2350 BALODABAZAR KASDOL GOVT PS KOTIYADIH 22241204101
2351 BALODABAZAR KASDOL GOVT PS DARRI 22241204201
2352 BALODABAZAR KASDOL GOVT PS BALAK NARDHA 22241204301
2353 BALODABAZAR KASDOL GOVT PS GIRLS NARDHA 22241204302
2354 BALODABAZAR KASDOL GOVT PS NARDHA (SSA) 22241204304
2355 BALODABAZAR KASDOL GOVT MS NARDHA 22241204401
2356 BALODABAZAR KASDOL GOVT MS NARDHA (SSA) 22241204402
2357 BALODABAZAR KASDOL GOVT MS NAVAGAON 22241204501
2358 BALODABAZAR KASDOL GOVT PS NAVAGAON 22241204502
2359 BALODABAZAR KASDOL GOVT PS NAVAGAON (BALAR) (SSA) 22241204503
2360 BALODABAZAR KASDOL GOVT PS BAGANDABARI 22241204601
2361 BALODABAZAR KASDOL GOVT MS BAGANDABARI 22241204602
2362 BALODABAZAR KASDOL GOVT PS KOUHAJUNWANI 22241204701
2363 BALODABAZAR KASDOL GOVT PS BILADI 22241204801
2364 BALODABAZAR KASDOL GOVT PS JUNADIH (BILADI (SSA) 22241204802
2365 BALODABAZAR KASDOL GOVT MS NAGEDA 22241204903
2366 BALODABAZAR KASDOL GOVT PS NAGEDA 22241204904
2367 BALODABAZAR KASDOL GOVT PS GOLAJHAR 22241205001
2368 BALODABAZAR KASDOL GOVT MS VIRNARAYANPUR 22241205101
2369 BALODABAZAR KASDOL GOVT PS VIRNARAYANPUR 22241205102
2370 BALODABAZAR KASDOL GOVT PS SUKHARI 22241205201
2371 BALODABAZAR KASDOL GOVT MS SUKHARI (SSA) 22241205202
2372 BALODABAZAR KASDOL GOVT PS CHHANCHHI 22241205301
2373 BALODABAZAR KASDOL TWD PS GIRLS ASHRAM GIRODPURI 22241205401
2374 BALODABAZAR KASDOL GOVT PS GIRODPURI 22241205402
2375 BALODABAZAR KASDOL GOVT PS KURRAHA 22241205501
2376 BALODABAZAR KASDOL GOVT MS KURRAHA (SSA) 22241205502
2377 BALODABAZAR KASDOL GOVT PS DUMARPALI 22241205601
2378 BALODABAZAR KASDOL GOVT MS DUMARPALI (SSA) 22241205602
2379 BALODABAZAR KASDOL GOVT PS AMRUVA 22241205701
2380 BALODABAZAR KASDOL GOVT PS PURANI BASTI AMRUVA (SSA) 22241205702
2381 BALODABAZAR KASDOL GOVT MS AMRUVA (SSA) 22241205703
2382 BALODABAZAR KASDOL GOVT PS LAKHMAISATI 22241205901
2383 BALODABAZAR KASDOL GOVT PS CHHECHHAR 22241206001
2384 BALODABAZAR KASDOL GOVT MS CHHECHHAR 22241206002
2385 BALODABAZAR KASDOL GOVT MS KOTIYADIH 22241206101
2386 BALODABAZAR KASDOL GOVT PS KOUWATAL 22241206201
2387 BALODABAZAR KASDOL GOVT MS KOUWATAL (SSA) 22241206202
2388 BALODABAZAR KASDOL GOVT MS GIRLS TUNDRA (SSA) 22241206301
2389 BALODABAZAR KASDOL GOVT PS BOYS TUNDRA 22241206302
2390 BALODABAZAR KASDOL GOVT MS BOYS TUNDRA 22241206303
2391 BALODABAZAR KASDOL GOVT PS GIRLS TUNDRA 22241206304
2392 BALODABAZAR KASDOL GOVT PS TIKRA PARA TUNDRA (SSA) 22241206306
2393 BALODABAZAR KASDOL GOVT PS AMLIBHATA TUNDRA (SSA) 22241206307
2394 BALODABAZAR KASDOL GOVT PS BARPALI ROAD, TUNDRA (SSA) 22241206310
2395 BALODABAZAR KASDOL GOVT PS SABARIYADERA TUNDRA (SSA) 22241206311
2396 BALODABAZAR KASDOL GOVT.PS GOUSHALA PARA TUNTRA 22241206312
2397 BALODABAZAR KASDOL AADARSH GOVT PS KANYA KATGI 22241206401
2398 BALODABAZAR KASDOL GOVT PS AADARSH BALAK KATGI 22241206402
2399 BALODABAZAR KASDOL GOVT MS BALAK KATGI 22241206403
2400 BALODABAZAR KASDOL GOVT MS KANYA KATGI 22241206404
2401 BALODABAZAR KASDOL GOVT PS DERADIH 22241206501
2402 BALODABAZAR KASDOL GOVT PS MATIYA 22241206601
2403 BALODABAZAR KASDOL GOVT MS MATIYA 22241206602
2404 BALODABAZAR KASDOL GOVT. KUKARI KONA 22241206603
2405 BALODABAZAR KASDOL GOVT PS TENDUBHATA 22241206701
2406 BALODABAZAR KASDOL GOVT PS BAIJNATH 22241206801
2407 BALODABAZAR KASDOL GOVT PS BHATAPARA BAIJNATH (SSA) 22241206802
2408 BALODABAZAR KASDOL GOVT MS BAIJNATH (SSA) 22241206803
2409 BALODABAZAR KASDOL GOVT PS SARWANI 22241206901
2410 BALODABAZAR KASDOL GOVT MS SARWANI (SSA) 22241206902
2411 BALODABAZAR KASDOL GOVT PS BHADRA 22241207001
2412 BALODABAZAR KASDOL GOVT MS BHADRA (SSA) 22241207002
2413 BALODABAZAR KASDOL NAVIN PS MAHUWABHATA 22241207103
2414 BALODABAZAR KASDOL GOVT PS KUMHARI 22241207201
2415 BALODABAZAR KASDOL GOVT MS KUMHARI 22241207202
2416 BALODABAZAR KASDOL GOVT PS KUMHARI (SSA) 22241207203
2417 BALODABAZAR KASDOL GOVT PS BHATAPARA KUMHARI (SSA) 22241207205
2418 BALODABAZAR KASDOL GOVT PS GHATMADWA 22241207301
2419 BALODABAZAR KASDOL GOVT PS GIRLS BALODA 22241207401
2420 BALODABAZAR KASDOL GOVT PS BOYS BALODA 22241207402
2421 BALODABAZAR KASDOL GOVT MS BALODA 22241207403
2422 BALODABAZAR KASDOL GOVT MS MOHTARA 22241207501
2423 BALODABAZAR KASDOL GOVT PS MOHTARA 22241207502
2424 BALODABAZAR KASDOL GOVT PS MOHTARA 22241207503
2425 BALODABAZAR KASDOL GOVT PS BAJRANG CHUOK MOHTARA (SSA) 22241207504
2426 BALODABAZAR KASDOL GOVT MS MOHTARA (TUNDRA) (SSA) 22241207505
2427 BALODABAZAR KASDOL GOVT PS CHARODA 22241207601
2428 BALODABAZAR KASDOL GOVT MS CHARODA 22241207602
2429 BALODABAZAR KASDOL GOVT MS SINODHA 22241207701
2430 BALODABAZAR KASDOL GOVT PS SINODHA 22241207703
2431 BALODABAZAR KASDOL GOVT PS MUDIYADIH 22241207801
2432 BALODABAZAR KASDOL GOVT PS SONAIDIH 22241207901
2433 BALODABAZAR KASDOL GOVT MS SONAIDIH (SSA) 22241207902
2434 BALODABAZAR KASDOL GOVT PS DEVRIKHURD 22241208001
2435 BALODABAZAR KASDOL GOVT MS HATOUD 22241208101
2436 BALODABAZAR KASDOL GOVT PS HATOUD 22241208102
2437 BALODABAZAR KASDOL GOVT PS SHYAM NAGAR HATOUD (SSA) 22241208103
2438 BALODABAZAR KASDOL GOVT PS SANDI 22241208201
2439 BALODABAZAR KASDOL GOVT MS SANDI (SSA) 22241208202
2440 BALODABAZAR KASDOL GOVT PS PATHIYAPALI 22241208301
2441 BALODABAZAR KASDOL GOVT MS PATHIYAPALI (SSA) 22241208302
2442 BALODABAZAR KASDOL GOVT PS BASINPALI 22241208401
2443 BALODABAZAR KASDOL GOVT MS BASINPALI 22241208402
2444 BALODABAZAR KASDOL GOVT MS SARVA 22241208501
2445 BALODABAZAR KASDOL GOVT PS SARVA 22241208502
2446 BALODABAZAR KASDOL GOVT PS AWARAI 22241208601
2447 BALODABAZAR KASDOL GOVT PS KAMAR PARA AWARAI (SSA) 22241208603
2448 BALODABAZAR KASDOL GOVT MS AWARAI (SSA) 22241208604
2449 BALODABAZAR KASDOL GOVT PS KANYA PISID 22241208701
2450 BALODABAZAR KASDOL GOVT PS BALAK PISID 22241208702
2451 BALODABAZAR KASDOL GOVT MS BALAK PISID 22241208703
2452 BALODABAZAR KASDOL GOVT PS ARJUNI (M) 22241208801
2453 BALODABAZAR KASDOL GOVT MS ARJUNI 22241208802
2454 BALODABAZAR KASDOL GOVT PS ARJUNI 22241208803
2455 BALODABAZAR KASDOL GOVT PS KAPRIDIH 22241208901
2456 BALODABAZAR KASDOL GOVT MS KAPRIDIH (SSA) 22241208902
2457 BALODABAZAR KASDOL GOVT PS MADKADA 22241209001
2458 BALODABAZAR KASDOL GOVT MS MADKADA (SSA) 22241209002
2459 BALODABAZAR KASDOL GOVT PS GIDHORI 22241209101
2460 BALODABAZAR KASDOL GOVT MS GIDHOURI 22241209102
2461 BALODABAZAR KASDOL GOVT PS PULENI 22241209201
2462 BALODABAZAR KASDOL GOVT MS PULENI (SSA) 22241209202
2463 BALODABAZAR KASDOL GOVT PS MAHRAJI 22241209301
2464 BALODABAZAR KASDOL GOVT MS MAHRAJI (SSA) 22241209302
2465 BALODABAZAR KASDOL GOVT PS BARELI 22241209401
2466 BALODABAZAR KASDOL GOVT MS BARELI 22241209402
2467 BALODABAZAR KASDOL GOVT PS HASUWA 22241209601
2468 BALODABAZAR KASDOL GOVT MS HASUWA 22241209602
2469 BALODABAZAR KASDOL GOVT PS HADHA PARA 22241209701
2470 BALODABAZAR KASDOL GOVT MS HADHA PARA (SSA) 22241209702
2471 BALODABAZAR KASDOL GOVT PS DALDLI (SSA) 22241209801
2472 BALODABAZAR KASDOL GOVT PS DALDALI (MATIYA) 22241209802
2473 BALODABAZAR KASDOL GOVTPS MUDIPAR 22241209901
2474 BALODABAZAR KASDOL GOVT MS MUDIPAR (SSA) 22241209902
2475 BALODABAZAR KASDOL GOVT PS ASNIND 22241210002
2476 BALODABAZAR KASDOL GOVT MS ASNIND 22241210003
2477 BALODABAZAR KASDOL GOVT PS SABAR 22241210101
2478 BALODABAZAR KASDOL GOVT MS SABAR (SSA) 22241210105
2479 BALODABAZAR KASDOL PVT JANBHAGIDARI SABAR 22241210106
2480 BALODABAZAR KASDOL GOVT PS SONAKHAN 22241210201
2481 BALODABAZAR KASDOL TWD MS BOYS ASHRAM SONAKHAN 22241210204
2482 BALODABAZAR KASDOL GOVT PS RIKOKALA 22241210301
2483 BALODABAZAR KASDOL GOVT MS RIKOKALA 22241210303
2484 BALODABAZAR KASDOL GOVT PS BAGAR 22241210401
2485 BALODABAZAR KASDOL GOVT MS BAGAR (SSA) 22241210402
2486 BALODABAZAR KASDOL GOVT PS BARBASPUR 22241210501
2487 BALODABAZAR KASDOL GOVT PS KURMAJHAR 22241210601
2488 BALODABAZAR KASDOL GOVT NAVIN MS KURMAJHAR 22241210602
2489 BALODABAZAR KASDOL GOVT PS DEVRUNG 22241210701
2490 BALODABAZAR KASDOL GOVT MS DEVRUNG (SSA) 22241210702
2491 BALODABAZAR KASDOL GOVT PS CHHATA 22241210801
2492 BALODABAZAR KASDOL GOVT MS CHHATA (SSA) 22241210802
2493 BALODABAZAR KASDOL GOVT PS BILARI 22241210901
2494 BALODABAZAR KASDOL GOVT MS BILADI (SSA) 22241210902
2495 BALODABAZAR KASDOL GOVT MS BILARI (ASNIND) (SSA) 22241210903
2496 BALODABAZAR KASDOL GOVT PS PUTPURA 22241211001
2497 BALODABAZAR KASDOL GOVT MS PUTPURA EDU 22241211002
2498 BALODABAZAR KASDOL NAVIN PS RAMBHATHA 22241211004
2499 BALODABAZAR KASDOL GOVT PS KHARRI 22241211101
2500 BALODABAZAR KASDOL GOVT MS KHARRI (SSA) 22241211102
2501 BALODABAZAR KASDOL GOVT PS DEVTARAI 22241211201
2502 BALODABAZAR KASDOL GOVT MS SEL 22241211302
2503 BALODABAZAR KASDOL GOVT PS NAVRANGPUR 22241211401
2504 BALODABAZAR KASDOL GOVT PS KHAPRADIH 22241211501
2505 BALODABAZAR KASDOL GOVT MS KHAPRADIH (SSA) 22241211502
2506 BALODABAZAR KASDOL GOVT PS PAHANDA 22241211601
2507 BALODABAZAR KASDOL GOVT PS BARPALI 22241211701
2508 BALODABAZAR KASDOL GOVT MS BARPALI (SSA) 22241211703
2509 BALODABAZAR KASDOL GOVT NAVIN PS AMLIDIH 22241211801
2510 BALODABAZAR KASDOL GOVT PS AMLIDIH 22241211802
2511 BALODABAZAR KASDOL GOVT PS DHAMALPUR 22241211901
2512 BALODABAZAR KASDOL GOVT PS NAVAPARA 22241212001
2513 BALODABAZAR KASDOL GOVT PS NAVAPARA 22241212002
2514 BALODABAZAR KASDOL GOVT MS NAVAPARA 22241212003
2515 BALODABAZAR KASDOL GOVT PS RAMPUR 22241212101
2516 BALODABAZAR KASDOL GOVT MS RAMPUR 22241212102
2517 BALODABAZAR KASDOL GOVT PS RAMPUR (KATGI) 22241212103
2518 BALODABAZAR KASDOL GOVT PS JHABDI 22241212202
2519 BALODABAZAR KASDOL GOVT MS JHABDI 22241212203
2520 BALODABAZAR KASDOL GOVT PS BASANT BIHAR JHABDI (SSA) 22241212204
2521 BALODABAZAR KASDOL GOVT PS AMODI 22241212301
2522 BALODABAZAR KASDOL GOVT PS KANYA KASDOL 22241212401
2523 BALODABAZAR KASDOL GOVT NAVIN PS KASDOL 22241212402
2524 BALODABAZAR KASDOL GOVT MS BOYS KASDOL 22241212407
2525 BALODABAZAR KASDOL GOVT MS GIRLS KASDOL 22241212414
2526 BALODABAZAR KASDOL GOVT PS INDIRA COLONY KASDOL (SSA) 22241212415
2527 BALODABAZAR KASDOL GOVT PS NAYA GORDHA (SSA) 22241212416
2528 BALODABAZAR KASDOL GOVT PS KANTI PARA (SSA) 22241212417
2529 BALODABAZAR KASDOL TWD MS ADIWASI KANYA ASHRAM KASDOL 22241212419
2530 BALODABAZAR KASDOL GOVT PS PIPERCHEDI 22241212501
2531 BALODABAZAR KASDOL GOVT MS PIPARCHHEDI (SSA) 22241212502
2532 BALODABAZAR KASDOL GOVT PS BAMHANI 22241212601
2533 BALODABAZAR KASDOL GOVT MS BAMHANI (SSA) 22241212602
2534 BALODABAZAR KASDOL GOVT PS BALDAKACHHAR 22241212701
2535 BALODABAZAR KASDOL GOVT MS BALDAKACHHAR 22241212702
2536 BALODABAZAR KASDOL GOVT PS GYAN JYOTI KAMARPARA BALDAKACHHAR(SSA)
22241212703
2537 BALODABAZAR KASDOL GOVT PS BORSI 22241212801
2538 BALODABAZAR KASDOL GOVT MS BORSI 22241212802
2539 BALODABAZAR KASDOL GOVT PS SALIHABHATA 22241212901
2540 BALODABAZAR KASDOL GOVT PS BOYS MALDA 22241213001
2541 BALODABAZAR KASDOL GOVT PS KANYA MALDA 22241213002
2542 BALODABAZAR KASDOL GOVT MS MALDA 22241213003
2543 BALODABAZAR KASDOL GOVT PS MANAKONI 22241213101
2544 BALODABAZAR KASDOL GOVT MS MANAKONI (SSA) 22241213103
2545 BALODABAZAR KASDOL GOVT PS TIPRUNG 22241213201
2546 BALODABAZAR KASDOL GOVT PS NAGEDI 22241213301
2547 BALODABAZAR KASDOL GOVT MS NAGEDI (SSA) 22241213302
2548 BALODABAZAR KASDOL GOVT PS PARSADA 22241213401
2549 BALODABAZAR KASDOL GOVT MS PARSADA (SSA) 22241213402
2550 BALODABAZAR KASDOL GOVT PS THAKURDIYA 22241213501
2551 BALODABAZAR KASDOL GOVT PS MAUHABHATA (SSA) 22241213503
2552 BALODABAZAR KASDOL GOVT MS THAKURDIYA (SSA) 22241213504
2553 BALODABAZAR KASDOL GOVT PS DEVGAO (RAJADEVRI) 22241213601
2554 BALODABAZAR KASDOL GOVT MS DEVGAO (SSA) 22241213603
2555 BALODABAZAR KASDOL GOVT PS VIDHYA MANDIR RAJADEVRI 22241213701
2556 BALODABAZAR KASDOL GOVT PS KANYA RAJADEVRI 22241213702
2557 BALODABAZAR KASDOL GOVT MS RAJADEVRI 22241213703
2558 BALODABAZAR KASDOL GOVT PS BHANPUR 22241213801
2559 BALODABAZAR KASDOL GOVT PS DONGRIPARA BHANPUR (SSA) 22241213802
2560 BALODABAZAR KASDOL GOVT MS BHANPUR (SSA) 22241213803
2561 BALODABAZAR KASDOL GOVT PS NAGARDA 22241213901
2562 BALODABAZAR KASDOL GOVT PS KANYA SEL 22241214001
2563 BALODABAZAR KASDOL GOVT PS BALAK SEL 22241214002
2564 BALODABAZAR KASDOL GOVT PS KUSHBHATA 22241214101
2565 BALODABAZAR KASDOL GOVT MS KUSHBHATA (SSA) 22241214102
2566 BALODABAZAR KASDOL GOVT PS KHUDMUDI 22241214201
2567 BALODABAZAR KASDOL GOVT PS KHARHA 22241214301
2568 BALODABAZAR KASDOL GOVT PS FURFUNDI 22241214401
2569 BALODABAZAR KASDOL GOVT MS FURFUNDI 22241214402
2570 BALODABAZAR KASDOL GOVT PS SONPUR 22241214501
2571 BALODABAZAR KASDOL GOVT MS SONPUR (SSA) 22241214502
2572 BALODABAZAR KASDOL GOVT PS BARPANI 22241214601
2573 BALODABAZAR KASDOL GOVT MS BARPANI 22241214602
2574 BALODABAZAR KASDOL GOVT PS CHATVAN 22241214701
2575 BALODABAZAR KASDOL GOVT MS CHATVAN 22241214702
2576 BALODABAZAR KASDOL GOVT PS MALDI 22241214801
2577 BALODABAZAR KASDOL GOVT PS PACHPEDI 22241214901
2578 BALODABAZAR KASDOL GOVT PS NANDANIYA 22241215001
2579 BALODABAZAR KASDOL GOVT PS AMAKHOHA 22241215301
2580 BALODABAZAR KASDOL GOVT MS AMAKHOHA (SSA) 22241215302
2581 BALODABAZAR KASDOL GOVT PS MADWA 22241215501
2582 BALODABAZAR KASDOL GOVT MS MADWA (SSA) 22241215502
2583 BALODABAZAR KASDOL GOVT PS KOT (KATGI) 22241215602
2584 BALODABAZAR KASDOL GOVT PS KUKRIKONA 22241215701
2585 BALODABAZAR KASDOL GOVT NAVIN PS SEMRA 22241215801
2586 BALODABAZAR KASDOL GOVT PS RUJHUNI 22241215901
2587 BALODABAZAR KASDOL GOVT PS LUKAUPALI 22241216001
2588 BALODABAZAR KASDOL GOVT NAVIN PS BAGHMADA 22241216101
2589 BALODABAZAR KASDOL GOVT MS BAGHMADA (SSA) 22241216102
2590 BALODABAZAR KASDOL GOVT NAVIN PS MAHKAM 22241216201
2591 BALODABAZAR KASDOL GOVT PS JHALPANI 22241216301
2592 BALODABAZAR KASDOL GOVT MS KANYA PISID (SSA) 22241216404
2593 BALODABAZAR KASDOL GOVT NAVIN PS GANIYARI 22241216501
2594 BALODABAZAR KASDOL GOVT NAVIN PS PODI 22241216601
2595 BALODABAZAR KASDOL GOVT NAVIN PS CHANDIDIH 22241216701
2596 BALODABAZAR KASDOL GOVT PS DHOURABHATA 22241216801
2597 BALODABAZAR KASDOL GOVT NAVIN PS KARMEL 22241216901
2598 BALODABAZAR KASDOL GOVT NAVIN PS BANIKHAR 22241217001
2599 BALODABAZAR KASDOL GOVT PS BADGAO 22241217101
2600 BALODABAZAR KASDOL GOVT MS BADGAO (SSA) 22241217102
2601 BALODABAZAR KASDOL GOVT PS LORITKHAR 22241217201
2602 BALODABAZAR KASDOL GOVT PS AKALTARA 22241217301
2603 BALODABAZAR KASDOL GOVT PS DHEBIKHAR 22241217401
2604 BALODABAZAR KASDOL GOVT MS DHEBIKHAR (SSA) 22241217402
2605 BALODABAZAR KASDOL GOVT PS DHEBA 22241217501
2606 BALODABAZAR KASDOL GOVT PS CHANTIPALI 22241217601
2607 BALODABAZAR KASDOL GOVT PS DEVRIKALA 22241217701
2608 BALODABAZAR KASDOL GOVT MS DEVRIKALA (SSA) 22241217702
2609 BALODABAZAR KASDOL TWD ADIWASI BALAK ASHRAM CHARODA 22241217801
2610 BALODABAZAR KASDOL GOVT PS CHARODA 22241217806
2611 BALODABAZAR KASDOL GOVT MS CHARODA (K) (SSA) 22241217807
2612 BALODABAZAR KASDOL GOVT PS BAYA 22241217901
2613 BALODABAZAR KASDOL GOVT MS BAYA 22241217902
2614 BALODABAZAR KASDOL GOVT PS CHECHRAPALI 22241218001
2615 BALODABAZAR KASDOL GOVT MS CHECHRAPALI (SSA) 22241218002
2616 BALODABAZAR KASDOL GOVT PS KOSAMSARA 22241218101
2617 BALODABAZAR KASDOL TDW ADIWASI KANYA ASHRAM 22241218201
2618 BALODABAZAR KASDOL GOVT MS NAVAPARA (BAR) 22241218202
2619 BALODABAZAR KASDOL GOVT MS BAR (SSA) 22241218203
2620 BALODABAZAR KASDOL GOVT PS CHHATALDABARA 22241218301
2621 BALODABAZAR KASDOL GOVT MS CHHATALDABARA (SSA) 22241218302
2622 BALODABAZAR KASDOL GOVT PS PANDADAH 22241218401
2623 BALODABAZAR KASDOL GOVT MS PANDADAH (SSA) 22241218402
2624 BALODABAZAR KASDOL GOVT PS GIDHPURI 22241218501
2625 BALODABAZAR KASDOL GOVT PS KURKUTI 22241218601
2626 BALODABAZAR KASDOL GOVT PS METKULA 22241218701
2627 BALODABAZAR KASDOL GOVT PS PAKRID 22241218801
2628 BALODABAZAR KASDOL GOVT MS PAKRID (SSA) 22241218802
2629 BALODABAZAR KASDOL GOVT PS RANGORA 22241218901
2630 BALODABAZAR KASDOL GOVT MS RANGORA (SSA) 22241218902
2631 BALODABAZAR KASDOL GOVT NAVIN MS DEVPUR (SSA) 22241219002
2632 BALODABAZAR KASDOL GOVT PS DEVPUR 22241219003
2633 BALODABAZAR KASDOL GOVT PS DHAMANPURA 22241219101
2634 BALODABAZAR KASDOL GOVT PS VANGRAM UPRANI 22241219201
2635 BALODABAZAR KASDOL GOVT PS BAR(NAVAPARA) 22241219401
2636 BALODABAZAR KASDOL GOVT PS NAVAPARA 22241219501
2637 BALODABAZAR KASDOL GOVT PS AMGAO 22241219601
2638 BALODABAZAR KASDOL GOVT MS AMGAO 22241219602
2639 BALODABAZAR KASDOL GOVT PS GABOD 22241219701
2640 BALODABAZAR KASDOL GOVT PS MIRGIDA (SSA) 22241219801
2641 BALODABAZAR KASDOL GOVT PS KAUHAKUDA 22241219901
2642 BALODABAZAR KASDOL GOVT PS MUDPAR 22241220001
2643 BALODABAZAR KASDOL GOVT PS BHARKA 22241220101
2644 BALODABAZAR KASDOL GOVT PS KATWAJHAR 22241220201
2645 BALODABAZAR KASDOL GOVT PS KUSHGADH 22241220301
2646 BALODABAZAR KASDOL GOVT MS KUSHGADH (SSA) 22241220302
2647 BALODABAZAR KASDOL GOVT PS TURKINDIH 22241220501
2648 BALODABAZAR KASDOL GOVT MS TURKINDIH (SSA) 22241220502
2649 BALODABAZAR KASDOL GOVT PS TALDADAR 22241220701
2650 BALODABAZAR KASDOL GOVT.MS TAL DADAR 22241220702
2651 BALODABAZAR KASDOL GOVT PS KANJIYA 22241220801
2652 BALODABAZAR KASDOL GOVT PS SAIYABHATA 22241220901
2653 BALODABAZAR KASDOL GOVT PS SURBOY 22241221001
2654 BALODABAZAR KASDOL GOVT MS SURBOY (SSA) 22241221002
2655 BALODABAZAR KASDOL GOVT PS RAWAN 22241221101
2656 BALODABAZAR KASDOL GOVT MS RAWAN (SSA) 22241221102
2657 BALODABAZAR KASDOL GOVT PS HARDI 22241221201
2658 BALODABAZAR KASDOL GOVT PS GUDAGADH 22241221301
2659 BALODABAZAR KASDOL GOVT MS GUDAGADH (SSA) 22241221302
2660 BALODABAZAR KASDOL GOVT PS DOND 22241221401
2661 BALODABAZAR KASDOL GOVT MS DOND (SSA) 22241221402
2662 BALODABAZAR KASDOL GOVT PS LATADADAR 22241221501
2663 BALODABAZAR KASDOL GOVT MS LATADADAR (SSA) 22241221502
2664 BALODABAZAR KASDOL GOVT PS KOTHARI 22241221701
2665 BALODABAZAR KASDOL GOVT PS CHANDAN 22241221802
2666 BALODABAZAR KASDOL GOVT MS CHANDAN 22241221804
2667 BALODABAZAR KASDOL GOVT PS SARAIPALI 22241222001
2668 BALODABAZAR KASDOL GOVT MS SARAIPALI (SSA) 22241222002
2669 BALODABAZAR KASDOL GOVT PS GANJARDIH 22241222101
2670 BALODABAZAR KASDOL NAVIN PS GANJARDIH (SSA) 22241222103
2671 BALODABAZAR KASDOL GOVT PS KORRADIH 22241222201
2672 BALODABAZAR KASDOL GOVT MS KORRADIH (SSA) 22241222202
2673 BALODABAZAR KASDOL GOVT PS MOHDA 22241222301
2674 BALODABAZAR KASDOL GOVT PS MUDPAR (BAR) 22241222401
2675 BALODABAZAR KASDOL GOVT NAVIN PS SABARIYADERA BALODA 22241222501
2676 BALODABAZAR KASDOL GOVT NAVIN PS THELKADABARI 22241222601
2677 BALODABAZAR KASDOL GOVT NAVIN PS KASONDI 22241222701
2678 BALODABAZAR KASDOL GOVT NAVIN PS GWALINDIH 22241222801
2679 BALODABAZAR KASDOL GOVT PS BAHERABHATHA 22241222901
2680 BALODABAZAR KASDOL GOVT PS SIRMAL 22241223001
2681 BALODABAZAR KASDOL GOVT PS CHANHAT (SSA) 22241223101
2682 BALODABAZAR KASDOL GOVT PS TALABPARA ASNIND (SSA) 22241223302
2683 BALODABAZAR KASDOL GOVT PS ACHANAKPUR (SSA) 22241223402
2684 BALODABAZAR KASDOL GOVT MS ACHNAJKPUR (SSA) 22241223404
2685 BALODABAZAR KASDOL GOVT PS KALMIDIH 22241223501
2686 BALODABAZAR KASDOL GOVT PS MOUHABHATA (SSA) 22241223603
2687 BALODABAZAR KASDOL GOVT PS MAHKONI (SSA) 22241223702
2688 BALODABAZAR KASDOL GOVT PS NAWADIH JHABDI MALDA (SSA) 22241223802
2689 BALODABAZAR KASDOL GOVT PS NAWADIH (SSA) 22241223804
2690 BALODABAZAR KASDOL GOVT PS KHOSDA (SSA) 22241223902
2691 BALODABAZAR KASDOL GOVT PS PARSAPALI (SSA) 22241224101
2692 BALODABAZAR KASDOL GOVT NAVIN PS KAUHABAHRA (SSA) 22241224202
2693 BALODABAZAR KASDOL GOVT PS SARASDOL (SSA) 22241224402
2694 BALODABAZAR KASDOL GOVT PS KODADAMA (SSA) 22241224501
2695 BALODABAZAR KASDOL GOVT PS JOGIDIPA (SSA) 22241224602
2696 BALODABAZAR KASDOL GOVT.P.S. DOUNAJHAR SSA 22241224702
2697 BALODABAZAR KASDOL GOVT PS DEVGAO 22241224801
2698 BALODABAZAR KASDOL GOVT MS DEVGOAN 22241224802
2699 BALODABAZAR KASDOL GOVT MS GIRODPURI 22241224901
2700 BALODABAZAR KASDOL GOVT PS KHARVE (OLD) 22241225001
2701 BALODABAZAR KASDOL GOVT PS KHARVE (NEW) 22241225002
2702 BALODABAZAR KASDOL GOVT PS GHIRGHOL (SSA) 22241225101
2703 BALODABAZAR KASDOL GOVT PS MAGARDARHA (SSA) 22241225201
2704 BALODABAZAR KASDOL GOVT PS BAKLA (SSA) 22241225301
2705 BALODABAZAR KASDOL GOVT PS DADHAKHAR (SSA) 22241225401
2706 BALODABAZAR KASDOL GOVT MS DADHAKHAR (SSA) 22241225402
2707 BALODABAZAR KASDOL GOVT PS BANSULIDIH SONPUR (SSA) 22241225501
2708 BALODABAZAR KASDOL GOVT PS DIPAPARA SONPUR (SSA) 22241225601
2709 BALODABAZAR KASDOL GOVT PS NADIYA PARA (SSA) 22241225701
2710 BALODABAZAR KASDOL GOVT PS LIRIDEEPA (SSA) 22241225801
2711 BALODABAZAR KASDOL GOVT PS TRIKUTI (SSA) 22241225901
2712 BALODABAZAR KASDOL GOVT PS KALMIDADAR (SSA) 22241226001
2713 BALODABAZAR KASDOL GOVT PS MURUMDIH (SSA) 22241226101
2714 BALODABAZAR KASDOL GOVT MS MURUMDIH (SSA) 22241226102
2715 BALODABAZAR KASDOL GOVT PS ALDA (SSA) 22241226201
2716 BALODABAZAR KASDOL GOVT PS GIDOLA (SSA) 22241226301
2717 BALODABAZAR KASDOL PS TALAJHAR (SSA) 22241226401
2718 BALODABAZAR KASDOL GOVT MS TALAJHAR (SSA) 22241226402
2719 BALODABAZAR KASDOL GOVT PS TILSABHATHA (SSA) 22241226501
2720 BALODABAZAR KASDOL GOVT PS BANGAPALI (SSA) 22241226601
2721 BALODABAZAR KASDOL GOVT PS KUMHARIDEEPA (SSA) 22241226701
2722 BALODABAZAR KASDOL GOVT MS BITKULI (SSA) 22241227001
2723 BALODABAZAR KASDOL GOVT PS BITKULI 22241227002
2724 BALODABAZAR KASDOL GOVT MS KHAIRA ARJUNI (SSA) 22241227101
2725 BALODABAZAR KASDOL GOVT MS DALDALI (MATIYA) (SSA) 22241227401
2726 BALODABAZAR KASDOL GOVT MS RAMPUR (SSA) 22241227501
2727 BALODABAZAR KASDOL GOVT MS MUDPAR (SSA) 22241227701
2728 BALODABAZAR KASDOL PS NANKIDIH (SSA) 22241228101
2729 BALODABAZAR KASDOL GOVT MS ARJUNI (M) (SSA) 22241228501
2730 BALODABAZAR KASDOL GOVT MS DARRA (GIROD) (SSA) 22241228703
2731 BALODABAZAR KASDOL GOVT PS SUKLI 22241229501
2732 BALODABAZAR KASDOL GOVT MS SUKLI (SSA) 22241229502
2733 BALODABAZAR KASDOL GOVT PS JUNADIH (SSA) 22241229601
2734 BALODABAZAR KASDOL GOVT PS BHOTHAHI [SSA] 22241229701
2735 BALODABAZAR KASDOL GOVT PS TENDUCHUA 22241229801
2736 BALODABAZAR KASDOL GOVT N.P.S. GYAN JYOTI DADAR 22241230001
2737 BALODABAZAR KASDOL GOVT PS GYAN JYOTI MUNGULBHANTA 22241230101
2738 BALODABAZAR KASDOL GOVT N.P.S. DEEPAPARA 22241230201
2739 BALODABAZAR PALARI GOVT PRIMARY SCHOOL CHADIYA 22241800101
2740 BALODABAZAR PALARI GOVT MIDDLE SCHOOL CHADIYA 22241800102
2741 BALODABAZAR PALARI GOVT PRIMARY SCHOOL KONARI 22241800201
2742 BALODABAZAR PALARI GOVT MIDDLE SCHOOL KONARI 22241800202
2743 BALODABAZAR PALARI GOVT PRIMARY SCHOOL CHANDIPARA KONARI 22241800203
2744 BALODABAZAR PALARI GOVT PRIMARY SCHOOL ACHOLI 22241800301
2745 BALODABAZAR PALARI GOVT MIDDLE SCHOOL ACHOLI 22241800302
2746 BALODABAZAR PALARI GOVT PRIMARY SCHOOL KESALA 22241800401
2747 BALODABAZAR PALARI GOVT PRIMARY SCHOOL RAMMANDIR PARA KESALA 22241800402
2748 BALODABAZAR PALARI GOVT MIDDLE SCHOOL KESALA 22241800403
2749 BALODABAZAR PALARI GOVT PRIMARY SCHOOL SIRSAHI 22241800501
2750 BALODABAZAR PALARI GOVT PRIMARY SCHOOL KANAKOT 22241800601
2751 BALODABAZAR PALARI GOVT PRIMARY SCHOOL KHARTORA 22241800701
2752 BALODABAZAR PALARI GOVT MIDDLE SCHOOL KHARTORA 22241800704
2753 BALODABAZAR PALARI GOVT PRIMARY SCHOOL BOYS AMERA 22241800801
2754 BALODABAZAR PALARI GOVT PRIMARY SCHOOL GIRLS AMERA 22241800802
2755 BALODABAZAR PALARI GOVT MIDDLE SCHOOL AMERA 22241800803
2756 BALODABAZAR PALARI GOVT PRIMARY SCHOOL DARRIPARA AMERA 22241800804
2757 BALODABAZAR PALARI GOVT PRIMARY SCHOOL CHERKAPUR 22241800901
2758 BALODABAZAR PALARI GOVT MIDDLE SCHOOL CHERKAPUR 22241800902
2759 BALODABAZAR PALARI GOVT PRIMARY SCHOOL BHATAPARA CHERKAPUR 22241800903
2760 BALODABAZAR PALARI GOVT PRIMARY SCHOOL KOSMANDA 22241801001
2761 BALODABAZAR PALARI GOVT MIDDLE SCHOOL KOSMANDA 22241801002
2762 BALODABAZAR PALARI GOVT PRIMARY SCHOOL KODIYA 22241801101
2763 BALODABAZAR PALARI GOVT MIDDLE SCHOOL KODIYA 22241801102
2764 BALODABAZAR PALARI GOVT PRIMARY SCHOOL GIRLS DEVSUNDRA 22241801201
2765 BALODABAZAR PALARI GOVT PRIMARY SCHOOL BOYS DEVSUNDRA 22241801202
2766 BALODABAZAR PALARI GOVT MIDDLE SCHOOL BOYS DEVSUNDRA 22241801204
2767 BALODABAZAR PALARI GOVT MIDDLE SCHOOL GIRLS DEVSUNDRA 22241801205
2768 BALODABAZAR PALARI GOVT PRIMARY SCHOOL GIRLS AASHRAM DEVSUNDRA 22241801207
2769 BALODABAZAR PALARI GOVT PRIMARY SCHOOL BOYS KUSMI 22241801301
2770 BALODABAZAR PALARI GOVT PRIMARY SCHOOL GIRLS KUSMI 22241801302
2771 BALODABAZAR PALARI GOVT MIDDLE SCHOOL KUSMI 22241801303
2772 BALODABAZAR PALARI GOVT PRIMARY SCHOOL TEMRI 22241801401
2773 BALODABAZAR PALARI GOVT MIDDLE SCHOOL TEMRI 22241801402
2774 BALODABAZAR PALARI GOVT PRIMARY SCHOOL JORADABRI 22241801501
2775 BALODABAZAR PALARI GOVT PRIMARY SCHOOL JUNWANI 22241801601
2776 BALODABAZAR PALARI GOVT PRIMARY SCHOOL JUNWANI 22241801602
2777 BALODABAZAR PALARI GOVT MIDDLE SCHOOL JUNWANI 22241801603
2778 BALODABAZAR PALARI GOVT PRIMARY SCHOOL MATWARI 22241801701
2779 BALODABAZAR PALARI GOVT PRIMARY SCHOOL BOYS JARWE 22241801801
2780 BALODABAZAR PALARI GOVT PRIMARY SCHOOL GIRLS JARWE 22241801802
2781 BALODABAZAR PALARI GOVT MIDDLE SCHOOL BOYS JARWE 22241801803
2782 BALODABAZAR PALARI GOVT MIDDLE SCHOOL GIRLS JARWE 22241801804
2783 BALODABAZAR PALARI GOVT PRIMARY SCHOOL MOHTARA 22241801901
2784 BALODABAZAR PALARI GOVT PRIMARY SCHOOL DHORABHATA 22241802001
2785 BALODABAZAR PALARI GOVT.PRIMARY SCHOOL DHORABHATA 22241802002
2786 BALODABAZAR PALARI GOVT.MIDDLE SCHOOL DHORABHATA 22241802003
2787 BALODABAZAR PALARI GOVT PRIMARY SCHOOL THELKI 22241802101
2788 BALODABAZAR PALARI GOVT PRIMARY SCHOOL GADHIDIH 22241802201
2789 BALODABAZAR PALARI GOVT PRIMARY SCHOOL MALLIN 22241802301
2790 BALODABAZAR PALARI GOVT MIDDLE SCHOOL MALLIN 22241802302
2791 BALODABAZAR PALARI GOVT PRIMARY SCHOOL LACHANPUR 22241802401
2792 BALODABAZAR PALARI GOVT MIDDLE SCHOOL LACHANPUR 22241802402
2793 BALODABAZAR PALARI GOVT PRIMARY SCHOOL SADAKPARA LACHANPUR 22241802404
2794 BALODABAZAR PALARI GOVT PRIMARY SCHOOL AMETHI 22241802501
2795 BALODABAZAR PALARI GOVT MIDDLE SCHOOL AMETHI 22241802502
2796 BALODABAZAR PALARI GOVT PRIMARY SCHOOL SAKRI (S) 22241802603
2797 BALODABAZAR PALARI GOVT MIDDLE SCHOOL SAKRI (S) 22241802604
2798 BALODABAZAR PALARI GOVT.PRIMARY SCHOOL GABOD (L) 22241802701
2799 BALODABAZAR PALARI GOVT.PRIMARY SCHOOL GABOD 22241802702
2800 BALODABAZAR PALARI GOVT.MIDDLE SCHOOL GABOD (L) 22241802703
2801 BALODABAZAR PALARI GOVT PRIMARY SCHOOL GIRLS VATGAN 22241802901
2802 BALODABAZAR PALARI GOVT PRIMARY SCHOOL VATGAN 22241802902
2803 BALODABAZAR PALARI GOVT MIDDLE SCHOOL VATGAN 22241802903
2804 BALODABAZAR PALARI GOVT PRIMARY SCHOOL BOYS DATAN (P) 22241803002
2805 BALODABAZAR PALARI GOVT MIDDLE SCHOOL BOYS DATAN (P) 22241803003
2806 BALODABAZAR PALARI GOVT PRIMARY SCHOOL GIRLS DATAN (P) 22241803004
2807 BALODABAZAR PALARI GOVT MIDDLE SCHOOL GIRLS DATAN (P) 22241803005
2808 BALODABAZAR PALARI GOVT PRIMARY SCHOOL GUDYARIPARA DATAN (P) 22241803006
2809 BALODABAZAR PALARI GOVT PRIMARY SCHOOL RASOTA 22241803101
2810 BALODABAZAR PALARI GOVT MIDDLE SCHOOL RASOTA 22241803102
2811 BALODABAZAR PALARI GOVT PRIMARY SCHOOL PARSADIH 22241803201
2812 BALODABAZAR PALARI GOVT PRIMARY SCHOOL GITKERA 22241803301
2813 BALODABAZAR PALARI GOVT MIDDLE SCHOOL GITKERA 22241803302
2814 BALODABAZAR PALARI GOVT.PRIMARY SCHOOL TAMORI 22241803401
2815 BALODABAZAR PALARI GOVT PRIMARY SCHOOL DEVGAON 22241803501
2816 BALODABAZAR PALARI GOVT PRIMARY SCHOOL BIJARADIH 22241803601
2817 BALODABAZAR PALARI GOVT MIDDLE SCHOOL BIJARADIH 22241803602
2818 BALODABAZAR PALARI GOVT PRIMARY SCHOOL BAMHNI 22241803701
2819 BALODABAZAR PALARI GOVT.MIDDLE SCHOOL BAMHNI 22241803702
2820 BALODABAZAR PALARI GOVT.PRIMARY SCHOOL DATRENGI 22241803801
2821 BALODABAZAR PALARI GOVT MIDDLE SCHOOL DATRENGI 22241803802
2822 BALODABAZAR PALARI GOVT PRIMARY SCHOOL LUTUDIH 22241804001
2823 BALODABAZAR PALARI GOVT PRIMARY SCHOOL GIRLS SISDEWRI 22241804101
2824 BALODABAZAR PALARI GOVT PRIMARY SCHOOL BOYS SISDEWARI 22241804102
2825 BALODABAZAR PALARI GOVT MIDDLE SCHOOL SISDEWARI 22241804104
2826 BALODABAZAR PALARI GOVT PRIMARY SCHOOL KHAIRA 22241804201
2827 BALODABAZAR PALARI GOVT PRIMARY SCHOOL KHAIRA 22241804202
2828 BALODABAZAR PALARI GOVT PRIMARY SCHOOL GHIRGHOL 22241804301
2829 BALODABAZAR PALARI GOVT MIDDLE SCHOOL GHIRGHOL 22241804302
2830 BALODABAZAR PALARI GOVT PRIMARY SCHOOL KHAIRI 22241804401
2831 BALODABAZAR PALARI GOVT PRIMARY SCHOOL PATARCHUWA 22241804501
2832 BALODABAZAR PALARI GOVT PRIMARY SCHOOL KHAPARI 22241804601
2833 BALODABAZAR PALARI GOVT PRIMARY SCHOOL KHAPARI 22241804602
2834 BALODABAZAR PALARI GOVT PRIMARY SCHOOL BHAWANIPUR 22241804701
2835 BALODABAZAR PALARI GOVT MIDDLE SCHOOL BHAWANIPUR 22241804702
2836 BALODABAZAR PALARI GOVT PRIMARY SCHOOL NAYAPARA BHAWANIPUR 22241804703
2837 BALODABAZAR PALARI GOVT PRIMARY SCHOOL GIRLS JARA 22241804801
2838 BALODABAZAR PALARI GOVT PRIMARY SCHOOL BOYS JARA 22241804802
2839 BALODABAZAR PALARI GOVT MIDDLE SCHOOL JARA 22241804804
2840 BALODABAZAR PALARI GOVT MIDDLE SCHOOL CHHERKADIH 22241804902
2841 BALODABAZAR PALARI GOVT PRIMARY SCHOOL VIDYA MANDIR KOSMANDI 22241805001
2842 BALODABAZAR PALARI GOVT PRIMARY SCHOOL GIRLS KOSMANDI 22241805002
2843 BALODABAZAR PALARI GOVT MIDDLE SCHOOL KOSMANDI 22241805003
2844 BALODABAZAR PALARI GOVT PRIMARY SCHOOL BINORI 22241805201
2845 BALODABAZAR PALARI GOVT MIDDLE SCHOOL BINORI 22241805202
2846 BALODABAZAR PALARI GOVT PRIMARY SCHOOL INDIRA COLONI BINORI 22241805203
2847 BALODABAZAR PALARI GOVT PRIMARY SCHOOL BALODI 22241805301
2848 BALODABAZAR PALARI GOVT MIDDLE SCHOOL BALODI 22241805302
2849 BALODABAZAR PALARI GOVT PRIMARY SCHOOL BHATAPARA BALODI 22241805303
2850 BALODABAZAR PALARI GOVT PRIMARY SCHOOL SAIHA 22241805401
2851 BALODABAZAR PALARI GOVT MIDDLE SCHOOL SAIHA 22241805402
2852 BALODABAZAR PALARI GOVT.PRIMARY SCHOOL SUNDRAWAN 22241805501
2853 BALODABAZAR PALARI GOVT MIDDLE SCHOOL SUNDRAWAN 22241805502
2854 BALODABAZAR PALARI GOVT PRIMARY SCHOOL NAHARPARA SUNDRAWAN 22241805503
2855 BALODABAZAR PALARI GOVT PRIMARY SCHOOL MUDIYADIH 22241805601
2856 BALODABAZAR PALARI GOVT.MIDDLE SCHOOL MUDIYADIH 22241805603
2857 BALODABAZAR PALARI GOVT PRIMARY SCHOOL SALAUNI 22241805701
2858 BALODABAZAR PALARI GOVT MIDDLE SCHOOL SALAUNI 22241805702
2859 BALODABAZAR PALARI GOVT PRIMARY SCHOOL SADAKPARA SALAUNI 22241805703
2860 BALODABAZAR PALARI GOVT PRIMARY SCHOOL LAKDIYA 22241805801
2861 BALODABAZAR PALARI GOVT MIDDLE SCHOOL KHAPARI (BHA) 22241805903
2862 BALODABAZAR PALARI GOVT.PRIMARY SCHOOL BOIRDIH 22241806101
2863 BALODABAZAR PALARI GOVT PRIMARY SCHOOL SEMRIYA 22241806201
2864 BALODABAZAR PALARI GOVT PRIMARY SCHOOL MOHAAN 22241806401
2865 BALODABAZAR PALARI GOVT PRIMARY SCHOOL MALPURI 22241806501
2866 BALODABAZAR PALARI GOVT PRIMARY SCHOOL SITAPAR 22241806601
2867 BALODABAZAR PALARI GOVT MIDDLE SCHOOL SITAPAR 22241806602
2868 BALODABAZAR PALARI GOVT PRIMARY SCHOOL PARASWANI 22241806701
2869 BALODABAZAR PALARI GOVT PRIMARY SCHOOL SEMHARADIH 22241806801
2870 BALODABAZAR PALARI GOVT MIDDLE SCHOOL SEMHARADIH 22241806802
2871 BALODABAZAR PALARI GOVT PRIMARY SCHOOL BOYS ROHANSI 22241806901
2872 BALODABAZAR PALARI GOVT PRIMARY SCHOOL GIRLS ROHANSI 22241806902
2873 BALODABAZAR PALARI GOVT MIDDLE SCHOOL BOYS ROHANSI 22241806903
2874 BALODABAZAR PALARI GOVT PRIMARY SCHOOL SADAKPARA ROHANSI 22241806904
2875 BALODABAZAR PALARI GOVT MIDDLE SCHOOL GIRLS ROHANSI 22241806905
2876 BALODABAZAR PALARI GOVT PRIMARY SCHOOL LATERA 22241807101
2877 BALODABAZAR PALARI GOVT PRIMARY SCHOOL BODA 22241807201
2878 BALODABAZAR PALARI GOVT PRIMARY SCHOOL SANHDA 22241807301
2879 BALODABAZAR PALARI GOVT MIDDLE SCHOOL SANHDA 22241807302
2880 BALODABAZAR PALARI GOVT.PRIMARY SCHOOL RIWADIH 22241807401
2881 BALODABAZAR PALARI GOVT.MIDDLE SCHOOL RIWADIH 22241807403
2882 BALODABAZAR PALARI GOVT PRIMARY SCHOOL ODAN 22241807501
2883 BALODABAZAR PALARI GOVT MIDDLE SCHOOL ODAN 22241807502
2884 BALODABAZAR PALARI GOVT PRIMARY SCHOOL GARHPARA ODAN 22241807504
2885 BALODABAZAR PALARI GOVT PRIMARY SCHOOL CHARODA 22241807601
2886 BALODABAZAR PALARI GOVT MIDDLE SCHOOL CHARODA 22241807602
2887 BALODABAZAR PALARI GOVT PRIMARY SCHOOL BAZARCHOUK CHARODA 22241807603
2888 BALODABAZAR PALARI GOVT PRIMARY SCHOOL NAWAGAON 22241807701
2889 BALODABAZAR PALARI GOVT PRIMARY SCHOOL SINDHORA 22241807801
2890 BALODABAZAR PALARI GOVT MIDDLE SCHOOL SINDHORA 22241807802
2891 BALODABAZAR PALARI VIDYA MANDIR RENGADIH (ADDED) 22241807901
2892 BALODABAZAR PALARI GOVT MIDDLE SCHOOL RENGADIH 22241807902
2893 BALODABAZAR PALARI GOVT.PRIMARY SCHOOL AHMADPUR 22241808001
2894 BALODABAZAR PALARI GOVT PRIMARY SCHOOL SARRA 22241808101
2895 BALODABAZAR PALARI GOVT PRIMARY SCHOOL SATNAMIPARA SARRA 22241808102
2896 BALODABAZAR PALARI GOVT MIDDLE SCHOOL SARRA 22241808107
2897 BALODABAZAR PALARI GOVT PRIMARY SCHOOL GHOTIYA 22241808201
2898 BALODABAZAR PALARI GOVT PRIMARY SCHOOL JANGLOR 22241808301
2899 BALODABAZAR PALARI GOVT MIDDLE SCHOOL JANGLOR 22241808302
2900 BALODABAZAR PALARI GOVT.PRIMARY SCHOOL DATAN (KHAIRA) 22241808401
2901 BALODABAZAR PALARI GOVT MIDDLE SCHOOL DATAN (KHAIRA) 22241808402
2902 BALODABAZAR PALARI GOVT PRIMARY SCHOOL GHASIDASPARA DATAN (KHAIRA)
22241808403
2903 BALODABAZAR PALARI GOVT PRIMARY SCHOOL BEJNATH KHAPARI 22241808501
2904 BALODABAZAR PALARI GOVT PRIMARY SCHOOL RAMPUR 22241808601
2905 BALODABAZAR PALARI GOVT PRIMARY SCHOOL TIPAWAN 22241808701
2906 BALODABAZAR PALARI GOVT MIDDLE SCHOOL TIPAWAN 22241808702
2907 BALODABAZAR PALARI GOVT PRIMARY SCHOOL GIRLS PALARI 22241808801
2908 BALODABAZAR PALARI GOVT PRIMARY SCHOOL NAWIN GIRLS PALARI 22241808802
2909 BALODABAZAR PALARI GOVT PRIMARY SCHOOL BOYS PALARI 22241808803
2910 BALODABAZAR PALARI GOVT MIDDLE SCHOOL BOYS PALARI 22241808806
2911 BALODABAZAR PALARI GOVT MS NAVIN PALARI 22241808814
2912 BALODABAZAR PALARI GOVT PRIMARY SCHOOL BOHARDIH 22241808901
2913 BALODABAZAR PALARI GOVT MIDDLE SCHOOL BOHARDIH 22241808902
2914 BALODABAZAR PALARI GOVT PRIMARY SCHOOL HARINBHATA 22241809001
2915 BALODABAZAR PALARI GOVT MIDDLE SCHOOL HARINBHATA 22241809002
2916 BALODABAZAR PALARI GOVT PRIMARY SCHOOL AADIWASIPARA HARINBHATA 22241809003
2917 BALODABAZAR PALARI GOVT PRIMARY SCHOOL GIDHPURI 22241809101
2918 BALODABAZAR PALARI GOVT MIDDLE SCHOOL GIDHPURI 22241809102
2919 BALODABAZAR PALARI GOVT PRIMARY SCHOOL SATNAMIPARA GIDHPURI 22241809103
2920 BALODABAZAR PALARI GOVT PRIMARY SCHOOL MUSUWADIH 22241809201
2921 BALODABAZAR PALARI GOVT PRIMARY SCHOOL TELASI 22241809301
2922 BALODABAZAR PALARI GOVT MIDDLE SCHOOL TELASI 22241809302
2923 BALODABAZAR PALARI GOVT PRIMARY SCHOOL SATNAMIPARA TELASI 22241809303
2924 BALODABAZAR PALARI GOVT MIDDLE SCHOOL GADABHATA 22241809402
2925 BALODABAZAR PALARI GOVT PRIMARY SCHOOL GADABHATA 22241809403
2926 BALODABAZAR PALARI GOVT PRIMARY SCHOOL GIRRA 22241809501
2927 BALODABAZAR PALARI GOVT MIDDLE SCHOOL GIRRA 22241809502
2928 BALODABAZAR PALARI GOVT PRIMARY SCHOOL CHUCHRUNGPUR 22241809601
2929 BALODABAZAR PALARI GOVT MIDDLE SCHOOL CHUCHRUNGPUR 22241809602
2930 BALODABAZAR PALARI GOVT PRIMARY SCHOOL GUMA 22241809801
2931 BALODABAZAR PALARI GOVT MIDDLE SCHOOL GUMA 22241809802
2932 BALODABAZAR PALARI GOVT.PRIMARY SCHOOL PATHARIDIH 22241809901
2933 BALODABAZAR PALARI GOVT PRIMARY SCHOOL KUKDA 22241810001
2934 BALODABAZAR PALARI GOVT PRIMARY SCHOOL CHERKADIH 22241810101
2935 BALODABAZAR PALARI GOVT PRIMARY SCHOOL PAHANDA 22241810201
2936 BALODABAZAR PALARI GOVT PRIMARY SCHOOL GATAPAR 22241810301
2937 BALODABAZAR PALARI GOVT MIDDLE SCHOOL GATAPAR 22241810302
2938 BALODABAZAR PALARI GOVT PRIMARY SCHOOL BELHA 22241810401
2939 BALODABAZAR PALARI GOVT PRIMARY SCHOOL AMLIDIH 22241810501
2940 BALODABAZAR PALARI GOVT PRIMARY SCHOOL ARONSI 22241810601
2941 BALODABAZAR PALARI GOVT PRIMARY SCHOOL CHHIRAHI 22241810701
2942 BALODABAZAR PALARI GOVT PRIMARY SCHOOL GODA 22241810801
2943 BALODABAZAR PALARI GOVT MIDDLE SCHOOL GODA 22241810802
2944 BALODABAZAR PALARI GOVT.PRIMARY SCHOOL SUNDRI 22241810901
2945 BALODABAZAR PALARI GOVT PRIMARY SCHOOL LARIYA 22241811001
2946 BALODABAZAR PALARI GOVT MIDDLE SCHOOL LARIYA 22241811002
2947 BALODABAZAR PALARI GOVT. PRIMARY SCHOOL BANSBINOURI 22241811101
2948 BALODABAZAR PALARI GOVT MIDDLE SCHOOL BANSBINORI 22241811102
2949 BALODABAZAR PALARI GOVT PRIMARY SCHOOL KOWADIH 22241811201
2950 BALODABAZAR PALARI GOVT.PRIMARY SCHOOL KOWADIH 22241811202
2951 BALODABAZAR PALARI GOVT PRIMARY SCHOOL BHARUWADIH 22241811301
2952 BALODABAZAR PALARI GOVT MIDDLE SCHOOL BHARUWADIH 22241811302
2953 BALODABAZAR PALARI GOVT PRIMARY SCHOOL SONARDEORI 22241811501
2954 BALODABAZAR PALARI GOVT MIDDLE SCHOOL SONARDEORI 22241811502
2955 BALODABAZAR PALARI GOVT PRIMARY SCHOOL SANDI 22241811601
2956 BALODABAZAR PALARI GOVT PRIMARY SCHOOL SAKRI (P) 22241811801
2957 BALODABAZAR PALARI GOVT PRIMARY SCHOOL TEELA 22241811901
2958 BALODABAZAR PALARI GOVT PRIMARY SCHOOL KODWA 22241812001
2959 BALODABAZAR PALARI GOVT PRIMARY SCHOOL GARHPARA KODWA 22241812002
2960 BALODABAZAR PALARI GOVT MIDDLE SCHOOL KODWA 22241812003
2961 BALODABAZAR PALARI GOVT PRIMARY SCHOOL SARKIPAR 22241812101
2962 BALODABAZAR PALARI GOVT PRIMARY SCHOOL SARADIH 22241812201
2963 BALODABAZAR PALARI GOVT MIDDLE SCHOOL SARADIH 22241812202
2964 BALODABAZAR PALARI GOVT PRIMARY SCHOOL MUDPAR 22241812301
2965 BALODABAZAR PALARI GOVT MIDDLE SCHOOL MUDPAR 22241812302
2966 BALODABAZAR PALARI GOVT PRIMARY SCHOOL BOYS SASHA 22241812401
2967 BALODABAZAR PALARI GOVT PRIMARY SCHOOL GIRLS SASHA 22241812402
2968 BALODABAZAR PALARI GOVT MIDDLE SCHOOL BOYS SASHA 22241812404
2969 BALODABAZAR PALARI GOVT MIDDLE SCHOOL GIRLS SASHA 22241812406
2970 BALODABAZAR PALARI GOVT PRIMARY SCHOOL GAITARA 22241812501
2971 BALODABAZAR PALARI GOVT MIDDLE SCHOOL GAITARA 22241812502
2972 BALODABAZAR PALARI GOVT PRIMARY SCHOOL GADAKUSMI 22241812601
2973 BALODABAZAR PALARI GOVT.P.S. FUNDARDIH 22241812701
2974 BALODABAZAR PALARI GOVT M.S.FUNDARDIH 22241812702
2975 BALODABAZAR PALARI GOVT. PRIMARY SCHOOL MOHGAON 22241812801
2976 BALODABAZAR PALARI GOVT MIDDLE SCHOOL SAKRI 22241812903
2977 BALODABAZAR PALARI GOVT PRIMARY SCHOOL TILDA 22241813201
2978 BALODABAZAR PALARI GOVT MIDDLE SCHOOL TILDA 22241813202
2979 BALODABAZAR PALARI GOVT PRIMARY SCHOOL BHATAPARA TILDA 22241813203
2980 BALODABAZAR PALARI GOVT PRIMARY SCHOOL CHORHADIH 22241813301
2981 BALODABAZAR PALARI GOVT MIDDLE SCHOOL CHORHADIH 22241813302
2982 BALODABAZAR PALARI GOVT MIDDLE SCHOOL KHAIRA 22241813401
2983 BALODABAZAR PALARI GOVT.PRIMARY SCHOOL SUNDRI (S) 22241813501
2984 BALODABAZAR PALARI GOVT. PRIMARY SCHOOL KUCHI 22241813901
2985 BALODABAZAR PALARI GOVT PRIMARY SCHOOL NAGPURA 22241814002
2986 BALODABAZAR PALARI GOVT PRIMARY SCHOOL CHERKADIH 22241814301
2987 BALODABAZAR PALARI GOVT PRIMARY SCHOOL KHAIRWARDIH 22241814501
2988 BALODABAZAR PALARI GOVT PRIMARY SCHOOL SARSENI 22241814801
2989 BALODABAZAR PALARI GOVT MIDDLE SCHOOL SARSENI 22241814802
2990 BALODABAZAR PALARI GOVT PRIMARY SCHOOL BALSAMUNDPARA PALARI 22241814901
2991 BALODABAZAR PALARI GOVT MIDDLE SCHOOL GIRLS PALARI 22241814905
2992 BALODABAZAR PALARI GOVT GIRLS ASHRAM PALARI 22241814906
2993 BALODABAZAR PALARI GOVT MIDDLE SCHOOL GABOD 22241815101
2994 BALODABAZAR PALARI GOVT PRIMARY SCHOOL DHAMNI 22241815401
2995 BALODABAZAR PALARI GOVT MIDDLE SCHOOL DHAMNI 22241815402
2996 BALODABAZAR PALARI GOVT PRIMARY SCHOOL BORTARA 22241815501
2997 BALODABAZAR SIMGA GOVT.P.S. RANIJAROD 22241600101
2998 BALODABAZAR SIMGA GOVT.NAVEEN M.S.RANIJAROD 22241600102
2999 BALODABAZAR SIMGA GOVT. PRIMARY SCHOOL SONBARSA 22241600201
3000 BALODABAZAR SIMGA GOVT PS AMAKONI 22241600301
3001 BALODABAZAR SIMGA GOVT. MS. AMAKKONI 22241600302
3002 BALODABAZAR SIMGA GOVT P.S. MANIKPUR AMAKONI(SSA) 22241600305
3003 BALODABAZAR SIMGA GOVT.PRIMARY SCHOOL.TEKARI 22241600401
3004 BALODABAZAR SIMGA GOVT M.S.TEKARI 22241600402
3005 BALODABAZAR SIMGA GOVT PRIMARY SCHOOL.FARHADA 22241600501
3006 BALODABAZAR SIMGA GOVT.MIDDLE SCHOOL.FARHADA 22241600502
3007 BALODABAZAR SIMGA GOVT PRIMARY SCHOOL.DIGGI 22241600601
3008 BALODABAZAR SIMGA GOVT.P.S..CHANDI 22241600701
3009 BALODABAZAR SIMGA GOVT. M.S.CHANDI 22241600702
3010 BALODABAZAR SIMGA GOVT PS AMERI 22241600801
3011 BALODABAZAR SIMGA GOVT. PRIMARY SCHOOL.JHIPAN 22241600901
3012 BALODABAZAR SIMGA GOVT.MIDDLE SCHOOL JHIPAN 22241600902
3013 BALODABAZAR SIMGA GOVT PRIMARY SCHOOL.PENDRI 22241601101
3014 BALODABAZAR SIMGA GOVT. MIDDDLE SCHOOL PENDRI 22241601102
3015 BALODABAZAR SIMGA GOVT PRIMARY SCHOOL.KASHIDIH[MOHRA] 22241601201
3016 BALODABAZAR SIMGA GOVT.PRIMARY SCHOOL.RAVAN 22241601301
3017 BALODABAZAR SIMGA GOVT. BOYS.MIDDLE SCHOOL.RAVAN 22241601303
3018 BALODABAZAR SIMGA .GIRLS.MIDDLE SCHOOL RAWAN 22241601304
3019 BALODABAZAR SIMGA GOVT.NAVEEN BAJAR PARA RAVAN 22241601308
3020 BALODABAZAR SIMGA GOVT.P.S.MATIYA 22241601401
3021 BALODABAZAR SIMGA GOVT. MIDDLE SCHOOL MATIYA 22241601402
3022 BALODABAZAR SIMGA GOVT.P.S BANSAKRA 22241601501
3023 BALODABAZAR SIMGA GOVT M.S. BANSAKARA 22241601502
3024 BALODABAZAR SIMGA NEW.KANIYA.M.S.BANSAKARA 22241601503
3025 BALODABAZAR SIMGA N P.S BANSAKRA 22241601506
3026 BALODABAZAR SIMGA GOVT.P.S.CHAKARYAY 22241601601
3027 BALODABAZAR SIMGA GOVT M.S.CHAKARYAY 22241601602
3028 BALODABAZAR SIMGA GOVT PRIMARY SCHOOL.DHABADIH 22241601701
3029 BALODABAZAR SIMGA GOVT.PRIMARY SCHOOL.DHODA 22241601801
3030 BALODABAZAR SIMGA GOVT.N.M.S.DHODHA 22241601802
3031 BALODABAZAR SIMGA GOVT.PRIMARY SCHOOL.BHESA 22241601901
3032 BALODABAZAR SIMGA GOVT PRIMARY SCHOOL.HATBAND 22241602001
3033 BALODABAZAR SIMGA GOVT M.S.HATBAND 22241602002
3034 BALODABAZAR SIMGA GOVT. GIRLS M.S. HATBAND 22241602006
3035 BALODABAZAR SIMGA GOVT.PRIMARY SCHOOL.DONGRIYA 22241602101
3036 BALODABAZAR SIMGA GOVT M.S.DONGRIYA 22241602102
3037 BALODABAZAR SIMGA GOM N.P.SDONGRIYA 22241602103
3038 BALODABAZAR SIMGA GOVT.P.S . LAWER. 22241602201
3039 BALODABAZAR SIMGA GOVT.M.S.LAWAR 22241602203
3040 BALODABAZAR SIMGA GOVT M.S.KOLIHA 22241602302
3041 BALODABAZAR SIMGA GOVT PS.SAHUPARA KOLIHA 22241602303
3042 BALODABAZAR SIMGA GOVT PS KOLIHA 22241602304
3043 BALODABAZAR SIMGA GOVT.P.S.DAWANBOD 22241602401
3044 BALODABAZAR SIMGA GOVT M.S.DAWANBOD 22241602402
3045 BALODABAZAR SIMGA GOVT.PRIMARY SCHOOL.KULIPOTA 22241602501
3046 BALODABAZAR SIMGA GOVT. PRIMARY SCHOOL.MACHABHAT 22241602601
3047 BALODABAZAR SIMGA GOVT PRIMARY SCHOOL.BHWARGARH 22241602701
3048 BALODABAZAR SIMGA GOVT. PRIMARY SCHOOL.MUDPAR 22241602801
3049 BALODABAZAR SIMGA GOVT. NAVEEN M.S.MUDPAR 22241602802
3050 BALODABAZAR SIMGA GOVT.PRIMARY SCHOOL.NEWADA 22241602901
3051 BALODABAZAR SIMGA GOVT. NAVEEN M. S. NEWADHA 22241602902
3052 BALODABAZAR SIMGA GOVT.P.S.KUKRACHUNDA 22241603001
3053 BALODABAZAR SIMGA GOVT.NAVEEN. M.S.KUKRACHUNDA 22241603002
3054 BALODABAZAR SIMGA GOVT.P.S.PONSARI[HATBAND] 22241603101
3055 BALODABAZAR SIMGA GOVT. P.S.BHOTDIH[SUHELA] 22241603201
3056 BALODABAZAR SIMGA GOVT PRIMARY SCHOOL.KESDA 22241603301
3057 BALODABAZAR SIMGA GOVT M.S.KESDA 22241603302
3058 BALODABAZAR SIMGA GOVT.DARRIPARA PS KESDA 22241603304
3059 BALODABAZAR SIMGA GOVT PRIMARY SCHOOL.RINGNI 22241603401
3060 BALODABAZAR SIMGA GOVT. PRIMARY SCHOOL.RENGABOD 22241603501
3061 BALODABAZAR SIMGA GOVT PRIMARY SCHOOL.SIKARI KESLI 22241603601
3062 BALODABAZAR SIMGA GOVT M.S.SIKARI KESLI 22241603603
3063 BALODABAZAR SIMGA GOVT.P.S.KHILORA. 22241603701
3064 BALODABAZAR SIMGA GOVT.M.S.KHILORA 22241603702
3065 BALODABAZAR SIMGA GOVT. P.S.KHANDUWA 22241603801
3066 BALODABAZAR SIMGA GOVT.NAVEEN.M.S.KHANDUWA 22241603802
3067 BALODABAZAR SIMGA GOVT P.S.KACHLON 22241603901
3068 BALODABAZAR SIMGA GOVT.M.S.KACHLON 22241603902
3069 BALODABAZAR SIMGA GOVT.N.P.S.KACHLON 22241603904
3070 BALODABAZAR SIMGA GOVT.P.S.PONSARI[SIMGA] 22241604001
3071 BALODABAZAR SIMGA GOVT PRIMARY SCHOOL.BINEKA 22241604101
3072 BALODABAZAR SIMGA GOVT. PRIMARY SCHOOL.KARHUL 22241604201
3073 BALODABAZAR SIMGA GOVT. NAVIN M.S. KARHUL 22241604202
3074 BALODABAZAR SIMGA GOVT.N.P.S. KARHUL 22241604203
3075 BALODABAZAR SIMGA GOVT PRIMARY SCHOOL.KUTHROD 22241604303
3076 BALODABAZAR SIMGA GOVT.MIDDLE SCHOOL KUTHROUD 22241604304
3077 BALODABAZAR SIMGA GOVT.PRIMARY SCHOOL.JANGDA 22241604401
3078 BALODABAZAR SIMGA GOVT M.S.JANGDA 22241604402
3079 BALODABAZAR SIMGA GOVT. PRIMARY SCHOOL.KARELI 22241604501
3080 BALODABAZAR SIMGA GOVT. P.S.BHATBHERA 22241604601
3081 BALODABAZAR SIMGA GOVT. KANIYA P.S.BHATBHERA 22241604602
3082 BALODABAZAR SIMGA GOVT. NAVIN M.S.BHATBHERA 22241604604
3083 BALODABAZAR SIMGA GOVT.PRIMARY SCHOOL.BITKULI 22241604701
3084 BALODABAZAR SIMGA GOVT M.S.BITKULI. 22241604702
3085 BALODABAZAR SIMGA GOVT. PRIMARY SCHOOL.BILAI DABRI. 22241604801
3086 BALODABAZAR SIMGA GOVT PRIMARY SCHOOL.BUDGAHAN 22241604901
3087 BALODABAZAR SIMGA GOVT.NAVEEN M.S. BUDGAHAN 22241604902
3088 BALODABAZAR SIMGA GOVT M.S.SAKLOR 22241605002
3089 BALODABAZAR SIMGA GOVT PS SAKLOR 22241605005
3090 BALODABAZAR SIMGA GOVT.P.S.DORENGA 22241605101
3091 BALODABAZAR SIMGA GOVT.M.S.DORENGA 22241605102
3092 BALODABAZAR SIMGA GOVT. NAWAPARA P.S.DORENGA 22241605103
3093 BALODABAZAR SIMGA GOVT.P.S.KHAPRADIH[DHIWANPURI] 22241605201
3094 BALODABAZAR SIMGA GOVT. P.S.ROHRA 22241605301
3095 BALODABAZAR SIMGA GOVT M.S.ROHRA 22241605302
3096 BALODABAZAR SIMGA GOVT. GIRLS. M.S ROHRA 22241605303
3097 BALODABAZAR SIMGA GOVT. NAVEEN PS ROHRA 22241605304
3098 BALODABAZAR SIMGA GOVT PRIMARY SCHOOL.TORA 22241605401
3099 BALODABAZAR SIMGA GOVT PRIMARY SCHOOL.BASIN 22241605501
3100 BALODABAZAR SIMGA GOVTP.S.BOYS.SUHELA 22241605602
3101 BALODABAZAR SIMGA GOVT M.S.SUHELA 22241605604
3102 BALODABAZAR SIMGA GOVT.GIRLS.P.S.SUHELA 22241605607
3103 BALODABAZAR SIMGA NAVIN P.S.TIGADACHO SUHELA 22241605609
3104 BALODABAZAR SIMGA GOVT.PRIMARY SCHOOL.PADKIDIH 22241605701
3105 BALODABAZAR SIMGA GOVT.M.S. PADKIDIH 22241605702
3106 BALODABAZAR SIMGA GOVT M.S.KHAPRADIH[RAVAN] 22241605801
3107 BALODABAZAR SIMGA .GOVT.P.S.KHAPRADIH[RAVAN] 22241605802
3108 BALODABAZAR SIMGA GOVT.ADRASH PRIMARY SCHOOLKIRWAI 22241605901
3109 BALODABAZAR SIMGA GOVT.MIDDLE SCHOOL KIRWAI 22241605902
3110 BALODABAZAR SIMGA GOVT. TIHUPARA.P.S.SIMGA 22241606001
3111 BALODABAZAR SIMGA GOVT GIRLS. P.S.SIMGA 22241606002
3112 BALODABAZAR SIMGA GOVT. ADRASH P.S.SIMGA 22241606003
3113 BALODABAZAR SIMGA GOVT M.S. BOYS SIMGA WARD-7 22241606005
3114 BALODABAZAR SIMGA GOVT GIRLS M.S.SIMGA 22241606006
3115 BALODABAZAR SIMGA GOVT.P.S.PADUMPADAW. SIMGA 22241606020
3116 BALODABAZAR SIMGA GOVT.PS NAYAPARA SIMGA 22241606021
3117 BALODABAZAR SIMGA GOVT.PS SHANKARNAGAR SIMGA 22241606022
3118 BALODABAZAR SIMGA GOVT.PS. CHUCHARUNGPUR SIMGA 22241606023
3119 BALODABAZAR SIMGA GOVT. MS ADARSH SIMGA 22241606024
3120 BALODABAZAR SIMGA GOVT PS ARORETI 22241606101
3121 BALODABAZAR SIMGA GOVT. M.S. ARORETI 22241606102
3122 BALODABAZAR SIMGA GOVT PRIMARY SCHOOL.CHUTCHUTIYA 22241606201
3123 BALODABAZAR SIMGA GOVT.PRIMARY SCHOOL.DHOBNIDIH 22241606301
3124 BALODABAZAR SIMGA GOVT.P.S.KHERWARI 22241606401
3125 BALODABAZAR SIMGA GOVT. PRIMARY SCHOOL.LOHARI 22241606501
3126 BALODABAZAR SIMGA GOVT. MIDDLE SCHOOL LOHARI 22241606502
3127 BALODABAZAR SIMGA GOVT.PRIMARY SCHOOL.MANOHRA 22241606601
3128 BALODABAZAR SIMGA GOVT M.S .MANOHRA. 22241606602
3129 BALODABAZAR SIMGA GOVT.P.S.NEWARI 22241606701
3130 BALODABAZAR SIMGA GOVT M.S..NEWARI 22241606702
3131 BALODABAZAR SIMGA GOVT. PRIMARY SCHOOL.KARHI 22241606801
3132 BALODABAZAR SIMGA GOVT. PRIMARY SCHOOL.FULWARI 22241606901
3133 BALODABAZAR SIMGA GOVT. PRAMARY SCHOOL.KAMTA 22241607001
3134 BALODABAZAR SIMGA GOVT MIDDLE SCHOOL .KAMTA 22241607002
3135 BALODABAZAR SIMGA GOVT P .S BACHERA 22241607101
3136 BALODABAZAR SIMGA GOVT.P.S.GORDI 22241607201
3137 BALODABAZAR SIMGA GOVT M.S.GORDI 22241607202
3138 BALODABAZAR SIMGA GOVT. P.S.PARSWANI 22241607301
3139 BALODABAZAR SIMGA GOVT.M.S.PARSWANI 22241607302
3140 BALODABAZAR SIMGA GOVT. P.S.BARDIH 22241607401
3141 BALODABAZAR SIMGA GOVT.M.S.BARDIH 22241607403
3142 BALODABAZAR SIMGA GOVT PRIMARY SCHOOL.BEKONI 22241607501
3143 BALODABAZAR SIMGA GOVT.P.S.HIRMI 22241607601
3144 BALODABAZAR SIMGA GOVT.M.S. HIRMI 22241607602
3145 BALODABAZAR SIMGA GOVT. PRIMARY SCHOOL.DULDULA 22241607701
3146 BALODABAZAR SIMGA GOVT PRIMARY SCHOOL.DOBANI 22241607801
3147 BALODABAZAR SIMGA GOVT.P.S.DAMAKHEDA 22241607901
3148 BALODABAZAR SIMGA GOVT M.S.DAMAKHEDA 22241607902
3149 BALODABAZAR SIMGA GOVT. NAVEEEN.M.S.DAMAKEDA 22241607903
3150 BALODABAZAR SIMGA GOVT PRIMARY SCHOOL.COHRA NAWAGAON 22241608001
3151 BALODABAZAR SIMGA GOVT.PRIMARY SCHOOL.KESLI 22241608101
3152 BALODABAZAR SIMGA GOVT P.S.VISHARAMPUR 22241608201
3153 BALODABAZAR SIMGA MISSION M.S VISHARAMPUR [OTHERS] 22241608202
3154 BALODABAZAR SIMGA GOVT PRIMARY SCHOOL.MANDAR B. 22241608301
3155 BALODABAZAR SIMGA GOVT P S AKALTARA 22241608401
3156 BALODABAZAR SIMGA GOVT NAVINM.M.S.AKALTARA 22241608402
3157 BALODABAZAR SIMGA GOVT.M.S.CHORENGA [NAWAGAON] 22241608502
3158 BALODABAZAR SIMGA GOVT.N.P.S.CHOURENGA 22241608503
3159 BALODABAZAR SIMGA GOVT. PRIMARY SCHOOL.GANESHPUR 22241608601
3160 BALODABAZAR SIMGA GOVT. BOYS.P.S.MOHRA 22241608701
3161 BALODABAZAR SIMGA GOVT. GIRLS.P.S.MOHRA 22241608702
3162 BALODABAZAR SIMGA GOVT.NAVIN GIRLS.. M.S.MOHRA 22241608703
3163 BALODABAZAR SIMGA GOVT. M.S.MOHRA. 22241608704
3164 BALODABAZAR SIMGA GOVT.M.S.BHATBHERA 22241608801
3165 BALODABAZAR SIMGA GOVT.M.S.SAKRI[NAWAPARA] 22241608901
3166 BALODABAZAR SIMGA GOVT PS SAKRI[NAWAPARA] 22241608902
3167 BALODABAZAR SIMGA GOVT.M.S.SANJARI NAWAGAON 22241609001
3168 BALODABAZAR SIMGA GOVT P. S SANJARI NAWAGAON 22241609002
3169 BALODABAZAR SIMGA GOVT. P.S.CHANDIYA PATHRA 22241609101
3170 BALODABAZAR SIMGA GOVT. M.S.CHANDIYA PATHRA 22241609102
3171 BALODABAZAR SIMGA NAVEEN GOVT P.S. BHALESUR 22241609201
3172 BALODABAZAR SIMGA GOVT MIDDLE.SCHOOL. BHALESUR 22241609202
3173 BALODABAZAR SIMGA GOVT.P.S.JARAUD 22241609301
3174 BALODABAZAR SIMGA GOVT M.S.JARAUD 22241609302
3175 BALODABAZAR SIMGA GOVT P S ADBANDA 22241609401
3176 BALODABAZAR SIMGA GOVT PRIMARY SCHOOL.TARPONGA 22241609601
3177 BALODABAZAR SIMGA GOVT PRIMARY SCHOOL.THEKUNA 22241609701
3178 BALODABAZAR SIMGA GOVT. M.S.THEKUNA 22241609702
3179 BALODABAZAR SIMGA GOVT. PRIMARY SCHOOL.SINODA 22241609801
3180 BALODABAZAR SIMGA GOVT.P.S.TULSI 22241609901
3181 BALODABAZAR SIMGA GOVT M.S. TULSI 22241609902
3182 BALODABAZAR SIMGA GOVT.P.S DARCHURA 22241610001
3183 BALODABAZAR SIMGA GOVT.NAVEEN P.S DARCHURA 22241610002
3184 BALODABAZAR SIMGA GOVT.NAVEEN M.S DARCURA 22241610003
3185 BALODABAZAR SIMGA DR.KHUB CHANDBAGEL.GOVT.P.S 22241610101
3186 BALODABAZAR SIMGA GOVT. PRIMARY SCHOOL.TENDUBHATHA 22241610201
3187 BALODABAZAR SIMGA GOVT. PRIMARY SCHOOL.CHANDERI 22241610301
3188 BALODABAZAR SIMGA NEW. M.S. CHANDERI 22241610302
3189 BALODABAZAR SIMGA NEW MS KHAIRGHAT 22241610403
3190 BALODABAZAR SIMGA GOVT PS KHARGHAT 22241610404
3191 BALODABAZAR SIMGA GOVT.MINIMATA.P.S.BAMHANIDH 22241610601
3192 BALODABAZAR SIMGA GOVT.PRIMARY SCHOOL.LANJA 22241610701
3193 BALODABAZAR SIMGA GOVT.NAVEEN. M.S.LANJA 22241610702
3194 BALODABAZAR SIMGA GOVTGOVT.P.S.CHORANGA NAWAGAON 22241610801
3195 BALODABAZAR SIMGA GOVT. PRIMARY SCHOOL.JHIRIYA 22241610901
3196 BALODABAZAR SIMGA GOVT. MIDDLE SCHOOL JHIRIYA 22241610902
3197 BALODABAZAR SIMGA GOVT. PRIMARY SCHOOL.UDELA 22241611001
3198 BALODABAZAR SIMGA GOVT P.S TILDABANDAH[MOHRA] 22241611101
3199 BALODABAZAR SIMGA GOVT.M.S.TILDABANDHA 22241611102
3200 BALODABAZAR SIMGA GOVT.PRIMARY SCHOOL .MANDARKALA 22241611201
3201 BALODABAZAR SIMGA GOVT. P.S.BHATAPARA (LAWAR) 22241611301
3202 BALODABAZAR SIMGA GOVT. PRIMARY SCHOOL.SITAPAR 22241611401
3203 BALODABAZAR SIMGA GOVT. MIDDLE SCHOOL SITAPAR 22241611402
3204 BALODABAZAR SIMGA GOVT. PRIMARY SCHOOL.KHARGADIH 22241611501
3205 BALODABAZAR SIMGA GOVT. PRIMARY SCHOOL.RAWELI 22241611601
3206 BALODABAZAR SIMGA GOVT.P.S.MOHBHATTA 22241611701
3207 BALODABAZAR SIMGA GOVT M.S.MOHBHATTA 22241611702
3208 BALODABAZAR SIMGA GOVT. GIRL M.S.MOHBHATTA 22241611703
3209 BALODABAZAR SIMGA PS BHATAPARA MOHBHATHA 22241611704
3210 BALODABAZAR SIMGA GOVTPRIMARY SCHOOL.NAWAPARA 22241611801
3211 BALODABAZAR SIMGA GOVT M S .NAWAPARA 22241611803
3212 BALODABAZAR SIMGA GOVT. PRIMARY SCHOOL.LIMTARA 22241611901
3213 BALODABAZAR SIMGA GOVT.MIDDLE SCHOOL LIMTARA 22241611902
3214 BALODABAZAR SIMGA GOVT.P.S.BUCHIPAR 22241612101
3215 BALODABAZAR SIMGA GOVT.MS.BUCHIPAR 22241612102
3216 BALODABAZAR SIMGA GOVT. PRIMARY SCHOOL.KHAPRI 22241612301
3217 BALODABAZAR SIMGA GOVT.PRIMARY SCHOOL.MOTIYARIDIH 22241612401
3218 BALODABAZAR SIMGA GOVT.P.S.HARINBHATTA 22241612501
3219 BALODABAZAR SIMGA GOVT. M.S.HARINBHATTA 22241612502
3220 BALODABAZAR SIMGA GOVT. PRIMARY SCHOOL.NAWAGAON 22241612601
3221 BALODABAZAR SIMGA GOVT M.S.NAWAGAON 22241612602
3222 BALODABAZAR SIMGA GOVT.M.S.BHOTHADIH[RAVAN] 22241612702
3223 BALODABAZAR SIMGA GOVT.P.S.BHOTHADIH[RAVAN] 22241612703
3224 BALODABAZAR SIMGA GOVT. PS MUSUWADIH 22241612801
3225 BALODABAZAR SIMGA GOVT. PRIMARY SCHOOL.DEVARDIH 22241613201
3226 BALODABAZAR SIMGA GOVT.P.S.BARDIH[NAWAPARA] 22241613901
3227 BALODABAZAR SIMGA GOVT.P.S.BHOTIDIH[NAVAGAON] 22241614201
3228 BALRAMPUR BALRAMPUR P.S. BATHAORA 22261000101
3229 BALRAMPUR BALRAMPUR P.S. SARANGPUR 22261000201
3230 BALRAMPUR BALRAMPUR P.S. BANSITOLA 22261000202
3231 BALRAMPUR BALRAMPUR P.S. DHANWARKALA 22261000301
3232 BALRAMPUR BALRAMPUR P.S. CHAMPAPUR 22261000401
3233 BALRAMPUR BALRAMPUR P S SHISHUWAPARA 22261000402
3234 BALRAMPUR BALRAMPUR M.S. CHAMPAPUR 22261000403
3235 BALRAMPUR BALRAMPUR P.S. LURGIKALA 22261000501
3236 BALRAMPUR BALRAMPUR P S GATTIPARA 22261000503
3237 BALRAMPUR BALRAMPUR P.S. PANDOPARA 22261000504
3238 BALRAMPUR BALRAMPUR M.S. LURGIKALA 22261000505
3239 BALRAMPUR BALRAMPUR P.S. BANDA 22261000601
3240 BALRAMPUR BALRAMPUR M.S. BANDA 22261000602
3241 BALRAMPUR BALRAMPUR P.S. JAMPANI 22261000603
3242 BALRAMPUR BALRAMPUR P.S. KHAJURBAR 22261000604
3243 BALRAMPUR BALRAMPUR P.S. GHUGHARA 22261000605
3244 BALRAMPUR BALRAMPUR MS SENT JON B. DHANVARKALAN 22261000606
3245 BALRAMPUR BALRAMPUR P.S. PATHRI 22261000701
3246 BALRAMPUR BALRAMPUR M.S. PATHRI 22261000702
3247 BALRAMPUR BALRAMPUR P.S. SONHARA 22261000801
3248 BALRAMPUR BALRAMPUR P.S. SONHARA 22261000802
3249 BALRAMPUR BALRAMPUR M.S. SONHARA 22261000803
3250 BALRAMPUR BALRAMPUR P.S. MAHESHPUR 22261000901
3251 BALRAMPUR BALRAMPUR P S KHADIYAPARA 22261000902
3252 BALRAMPUR BALRAMPUR M.S. MAHESHPUR 22261000903
3253 BALRAMPUR BALRAMPUR P.S. TARKAKHAR 22261001001
3254 BALRAMPUR BALRAMPUR M.S. TARKAKHAND 22261001002
3255 BALRAMPUR BALRAMPUR P.S. BARWAHI 22261001003
3256 BALRAMPUR BALRAMPUR P.S. SHANKARPUR 22261001101
3257 BALRAMPUR BALRAMPUR M.S.SHANKARPUR 22261001102
3258 BALRAMPUR BALRAMPUR P.S. MANJURMAHUA 22261001103
3259 BALRAMPUR BALRAMPUR P.S. BHAWARDIHA 22261001104
3260 BALRAMPUR BALRAMPUR P.S. DHANGAOV 22261001201
3261 BALRAMPUR BALRAMPUR M.S. DHANDOHAR 22261001203
3262 BALRAMPUR BALRAMPUR P.S. DHANDOHAR 22261001206
3263 BALRAMPUR BALRAMPUR M.S. DHANGAOV 22261001207
3264 BALRAMPUR BALRAMPUR P.S. DAMODARPUR 22261001301
3265 BALRAMPUR BALRAMPUR P S BODITOLA 22261001302
3266 BALRAMPUR BALRAMPUR P.S. LUNTI 22261001401
3267 BALRAMPUR BALRAMPUR M.S. VISHRAMNAGAR 22261001402
3268 BALRAMPUR BALRAMPUR P S TAIYATOLA 22261001403
3269 BALRAMPUR BALRAMPUR P.S. NAVADIH 22261001501
3270 BALRAMPUR BALRAMPUR P S DADARTOLA 22261001502
3271 BALRAMPUR BALRAMPUR M.S. NAWADIH 22261001505
3272 BALRAMPUR BALRAMPUR N.P.S. NARIHARTAND 22261001506
3273 BALRAMPUR BALRAMPUR P.S. RAJKUMARINTOLA 22261001507
3274 BALRAMPUR BALRAMPUR P.S. LURGHUTTA 22261001601
3275 BALRAMPUR BALRAMPUR M.S. LURGHUTTA 22261001602
3276 BALRAMPUR BALRAMPUR P.S. KUNDRUKHAND 22261001701
3277 BALRAMPUR BALRAMPUR M.S. KUNDRUKHAND 22261001702
3278 BALRAMPUR BALRAMPUR P.S. GHUTIYADAMAR 22261001703
3279 BALRAMPUR BALRAMPUR P.S. DHANESHPUR 22261001801
3280 BALRAMPUR BALRAMPUR M.S. DHANESHPUR 22261001802
3281 BALRAMPUR BALRAMPUR P.S. SENDUR 22261001901
3282 BALRAMPUR BALRAMPUR P S BICHPARA (SENDUR) 22261001902
3283 BALRAMPUR BALRAMPUR P S KOTWARITAND 22261001903
3284 BALRAMPUR BALRAMPUR M.S. SENDUR 22261001904
3285 BALRAMPUR BALRAMPUR P.S. SATBAHANIPARA 22261001905
3286 BALRAMPUR BALRAMPUR P.S. RAJBANDHA 22261002001
3287 BALRAMPUR BALRAMPUR P.S. BARAJBANDHA 22261002101
3288 BALRAMPUR BALRAMPUR P.S. TATAPANI 22261002201
3289 BALRAMPUR BALRAMPUR M.S TATAPANI 22261002203
3290 BALRAMPUR BALRAMPUR P S KHARAHATIYATOLA 22261002204
3291 BALRAMPUR BALRAMPUR P.S. DALDHOWA 22261002301
3292 BALRAMPUR BALRAMPUR M.S. DALDHOWA 22261002302
3293 BALRAMPUR BALRAMPUR P S GAURAPARA 22261002303
3294 BALRAMPUR BALRAMPUR P.S. DUMARKHI 22261002401
3295 BALRAMPUR BALRAMPUR M.S. SUMARKHI 22261002402
3296 BALRAMPUR BALRAMPUR P.S. CHITMA 22261002501
3297 BALRAMPUR BALRAMPUR M.S. CHITMA 22261002502
3298 BALRAMPUR BALRAMPUR P.S. GAORIPUR 22261002601
3299 BALRAMPUR BALRAMPUR P.S. CHAMANPUR 22261002701
3300 BALRAMPUR BALRAMPUR M.S. CHAMANPUR 22261002702
3301 BALRAMPUR BALRAMPUR P.S. FATEHPUR 22261002801
3302 BALRAMPUR BALRAMPUR P.S. BHAIROPUR 22261002901
3303 BALRAMPUR BALRAMPUR P S BACHWARIPARA 22261002902
3304 BALRAMPUR BALRAMPUR M.S. BHAIROPUR 22261002903
3305 BALRAMPUR BALRAMPUR P.S. LURGIKHURD 22261003001
3306 BALRAMPUR BALRAMPUR P S KUSUMPARA 22261003002
3307 BALRAMPUR BALRAMPUR P S BHITARCHITAMA 22261003003
3308 BALRAMPUR BALRAMPUR M.S.LURGIKHURD 22261003004
3309 BALRAMPUR BALRAMPUR P.S. MAKRO 22261003101
3310 BALRAMPUR BALRAMPUR P.S. KAPILDEVPUR 22261003201
3311 BALRAMPUR BALRAMPUR M.S. KAPILDEOPUR 22261003202
3312 BALRAMPUR BALRAMPUR P S KHUTAHANPARA 22261003203
3313 BALRAMPUR BALRAMPUR P.S. KODAKUPARA 22261003204
3314 BALRAMPUR BALRAMPUR P.S. SEMARTAND 22261003205
3315 BALRAMPUR BALRAMPUR P.S. MURKA 22261003301
3316 BALRAMPUR BALRAMPUR P.S. MURKA 22261003302
3317 BALRAMPUR BALRAMPUR M.S. MURKA 22261003303
3318 BALRAMPUR BALRAMPUR P.S. TALAIYAPARA 22261003304
3319 BALRAMPUR BALRAMPUR P.S. DAVRA 22261003401
3320 BALRAMPUR BALRAMPUR M.S. DAVRA 22261003402
3321 BALRAMPUR BALRAMPUR P.S. GHUTTUPAHRI 22261003403
3322 BALRAMPUR BALRAMPUR P.S. HARDIDOHAR 22261003404
3323 BALRAMPUR BALRAMPUR P.S. JHALRIYA 22261003501
3324 BALRAMPUR BALRAMPUR M.S. JHALRIYA 22261003502
3325 BALRAMPUR BALRAMPUR P.S. PATELPARA 22261003503
3326 BALRAMPUR BALRAMPUR P.S. GHAGHRA 22261003601
3327 BALRAMPUR BALRAMPUR PS DOLANGIPARA 22261003602
3328 BALRAMPUR BALRAMPUR PS DALDALIYAPARA 22261003603
3329 BALRAMPUR BALRAMPUR M.S. GHAGHARA 22261003604
3330 BALRAMPUR BALRAMPUR P.S. KOCHALI 22261003701
3331 BALRAMPUR BALRAMPUR P S KHARRAPARA 22261003702
3332 BALRAMPUR BALRAMPUR M.S. KOCHALI 22261003703
3333 BALRAMPUR BALRAMPUR P.S. DUMARKHOLA 22261003801
3334 BALRAMPUR BALRAMPUR P.S.G. DUMARKHOLA 22261003802
3335 BALRAMPUR BALRAMPUR PS LINEPARA 22261003803
3336 BALRAMPUR BALRAMPUR P.S. JIRHULPARA 22261003804
3337 BALRAMPUR BALRAMPUR M.S. DUMARKHOLA 22261003805
3338 BALRAMPUR BALRAMPUR P.S. KARKEPA 22261004001
3339 BALRAMPUR BALRAMPUR P.S. KOTSARI 22261004101
3340 BALRAMPUR BALRAMPUR PS KATHARPARA 22261004102
3341 BALRAMPUR BALRAMPUR PS JILALIKHAND 22261004103
3342 BALRAMPUR BALRAMPUR M.S.KOTSARI 22261004104
3343 BALRAMPUR BALRAMPUR P.S. MUKHA 22261004201
3344 BALRAMPUR BALRAMPUR PS JANKIDERA 22261004202
3345 BALRAMPUR BALRAMPUR P.S. KANDA 22261004301
3346 BALRAMPUR BALRAMPUR M.S. KANDA 22261004302
3347 BALRAMPUR BALRAMPUR P.S. KHARSOTA 22261004401
3348 BALRAMPUR BALRAMPUR P.S. SAONI 22261004501
3349 BALRAMPUR BALRAMPUR P.S. BHITARSAONI 22261004502
3350 BALRAMPUR BALRAMPUR GIRLS ASHRAM SAONI 22261004503
3351 BALRAMPUR BALRAMPUR M.S. SAONI 22261004504
3352 BALRAMPUR BALRAMPUR M.S. BHITARSAONI 22261004505
3353 BALRAMPUR BALRAMPUR P.S. PURANKHAJURI 22261004506
3354 BALRAMPUR BALRAMPUR P.S. KARMAHI 22261004507
3355 BALRAMPUR BALRAMPUR P.S. MAGARHARA 22261004601
3356 BALRAMPUR BALRAMPUR M.S.MAGARHARA 22261004602
3357 BALRAMPUR BALRAMPUR P.S. JABAR 22261004701
3358 BALRAMPUR BALRAMPUR P S JABARKHAND 22261004702
3359 BALRAMPUR BALRAMPUR M.S.JABAR 22261004703
3360 BALRAMPUR BALRAMPUR M.S. JABARKHAND 22261004704
3361 BALRAMPUR BALRAMPUR P.S. MAHURAW 22261004705
3362 BALRAMPUR BALRAMPUR P.S. KHATUWA BARDAR 22261004801
3363 BALRAMPUR BALRAMPUR P S BATHANDAND 22261004802
3364 BALRAMPUR BALRAMPUR M,S,KHATUWABARDAR 22261004803
3365 BALRAMPUR BALRAMPUR P.S. GOCHARPARA 22261004804
3366 BALRAMPUR BALRAMPUR P.S. JAMUATAND 22261004901
3367 BALRAMPUR BALRAMPUR M.S. JAMUATAND 22261004902
3368 BALRAMPUR BALRAMPUR P.S. CHITVISHRAMPUR 22261005001
3369 BALRAMPUR BALRAMPUR M.S. CHITVISHRAMPUR 22261005002
3370 BALRAMPUR BALRAMPUR P.S. BHANAORA 22261005101
3371 BALRAMPUR BALRAMPUR P.S.BHITARPARA 22261005102
3372 BALRAMPUR BALRAMPUR P.S. JAWAHARNAGAR 22261005201
3373 BALRAMPUR BALRAMPUR M.S. JAWAHARNAGAR 22261005202
3374 BALRAMPUR BALRAMPUR P.S. PINDRA 22261005301
3375 BALRAMPUR BALRAMPUR M.S. PINDRA 22261005304
3376 BALRAMPUR BALRAMPUR N.P.S. ALAKHDIHA 22261005306
3377 BALRAMPUR BALRAMPUR GIRLS ASHRAM JATRO 22261005401
3378 BALRAMPUR BALRAMPUR P.S. JATRO 22261005402
3379 BALRAMPUR BALRAMPUR PS JAMTAND 22261005403
3380 BALRAMPUR BALRAMPUR P.S. SURRA 22261005501
3381 BALRAMPUR BALRAMPUR M.S. SURRA 22261005502
3382 BALRAMPUR BALRAMPUR P.S. BANAOR 22261005601
3383 BALRAMPUR BALRAMPUR P.S. BANAOR CAMP 22261005602
3384 BALRAMPUR BALRAMPUR P.S. PIPRAHI 22261005701
3385 BALRAMPUR BALRAMPUR P.S. BARDAR 22261005801
3386 BALRAMPUR BALRAMPUR P.S.G. BARDAR 22261005802
3387 BALRAMPUR BALRAMPUR M.S. BARDAR 22261005803
3388 BALRAMPUR BALRAMPUR P.S.BARDAR EDU. 22261005804
3389 BALRAMPUR BALRAMPUR P.S. GHAGHATAND 22261005805
3390 BALRAMPUR BALRAMPUR M.S.B. BARDAR 22261005806
3391 BALRAMPUR BALRAMPUR P.S. RAKSADADAR 22261005807
3392 BALRAMPUR BALRAMPUR P.S. BARIYATISARNA 22261005808
3393 BALRAMPUR BALRAMPUR P.S. BARTOLA 22261005809
3394 BALRAMPUR BALRAMPUR P.S. SANTOSHINAGAR 22261005901
3395 BALRAMPUR BALRAMPUR P.S. BAJARPARA 22261005903
3396 BALRAMPUR BALRAMPUR P.S. ADHAORA 22261006001
3397 BALRAMPUR BALRAMPUR PS MALARPARA 22261006101
3398 BALRAMPUR BALRAMPUR M.S. MALARPARA 22261006102
3399 BALRAMPUR BALRAMPUR P.S. LALANWARA 22261006103
3400 BALRAMPUR BALRAMPUR P.S. MAHARAJGANJ (PUNARVAS) 22261006201
3401 BALRAMPUR BALRAMPUR P.S. MAHARAJGANJ 22261006202
3402 BALRAMPUR BALRAMPUR M.S. MAHARAJGANJ 22261006203
3403 BALRAMPUR BALRAMPUR P.S. SEMARTAND 22261006204
3404 BALRAMPUR BALRAMPUR P.S. DONGIDAH 22261006205
3405 BALRAMPUR BALRAMPUR M.S. MAHARAJGANJ PUNARVAS 22261006206
3406 BALRAMPUR BALRAMPUR P.S. NAWAPARA 22261006207
3407 BALRAMPUR BALRAMPUR P.S. KERTA (OLD) 22261006401
3408 BALRAMPUR BALRAMPUR P.S. KERTA (NEW) 22261006402
3409 BALRAMPUR BALRAMPUR M.S. KERTA 22261006403
3410 BALRAMPUR BALRAMPUR P.S.G. MANIKPUR 22261006501
3411 BALRAMPUR BALRAMPUR P.S.B. MANIKPUR 22261006502
3412 BALRAMPUR BALRAMPUR M S MANIKPUR 22261006503
3413 BALRAMPUR BALRAMPUR P S BICHPARA (MANIKPUR) 22261006504
3414 BALRAMPUR BALRAMPUR P.S. BARIYADIH 22261006601
3415 BALRAMPUR BALRAMPUR P.S.G. BALRAMPUR 22261006602
3416 BALRAMPUR BALRAMPUR P.S.B. BALRAMPUR 22261006603
3417 BALRAMPUR BALRAMPUR M.S.G. BALRAMPUR 22261006606
3418 BALRAMPUR BALRAMPUR PS BAIGAPARA 22261006608
3419 BALRAMPUR BALRAMPUR M.S.BOYS BALRAMPUR 22261006609
3420 BALRAMPUR BALRAMPUR P.S. BAL SHRAMIK AASHRAM, B.P 22261006610
3421 BALRAMPUR BALRAMPUR M.S. BARIYADIH 22261006612
3422 BALRAMPUR BALRAMPUR P.S. JUDANIYAPARA 22261006613
3423 BALRAMPUR BALRAMPUR P.S.G. JARHADIH 22261006701
3424 BALRAMPUR BALRAMPUR P.S.B. JARHADIH 22261006702
3425 BALRAMPUR BALRAMPUR M.S.JARHADIH 22261006704
3426 BALRAMPUR BALRAMPUR P S DUMARDIH 22261006705
3427 BALRAMPUR BALRAMPUR P.S. BHAISAMUNDA (OLD) 22261006801
3428 BALRAMPUR BALRAMPUR P.S. BHAISAMUNDA (NEW) 22261006802
3429 BALRAMPUR BALRAMPUR M.S.BHAISAMUNDA 22261006803
3430 BALRAMPUR BALRAMPUR M.S. BANGALIPARA (BHAISAMUNDA) 22261006804
3431 BALRAMPUR BALRAMPUR P.S. OBRI 22261006901
3432 BALRAMPUR BALRAMPUR M.S.OBRI 22261006902
3433 BALRAMPUR BALRAMPUR P.S. DARRIDIH 22261007001
3434 BALRAMPUR BALRAMPUR M.S. DARRIDIH 22261007002
3435 BALRAMPUR BALRAMPUR P.S. PUTSURA 22261007101
3436 BALRAMPUR BALRAMPUR M.S. PUTSURA 22261007102
3437 BALRAMPUR BALRAMPUR P S BIYATAND 22261007103
3438 BALRAMPUR BALRAMPUR P S KATHABANSH 22261007104
3439 BALRAMPUR BALRAMPUR M.S. KATHABANSH 22261007105
3440 BALRAMPUR BALRAMPUR P.S. RAMNAGARKALA 22261007201
3441 BALRAMPUR BALRAMPUR M.S. RAMNAGARKALA 22261007202
3442 BALRAMPUR BALRAMPUR P.S. ONKARNAGAR 22261007301
3443 BALRAMPUR BALRAMPUR M.S.ONKARNAGAR 22261007302
3444 BALRAMPUR BALRAMPUR P.S. KRISHNANAGAR 22261007401
3445 BALRAMPUR BALRAMPUR P.S.K. BHAISAMUDA 22261007402
3446 BALRAMPUR BALRAMPUR M.S. KRISHNANAGAR 22261007403
3447 BALRAMPUR BALRAMPUR P.S. RAMNAGAR 22261007501
3448 BALRAMPUR BALRAMPUR P.S. BODITOLA 22261007601
3449 BALRAMPUR BALRAMPUR P.S. MAHARAJGANJ 22261007602
3450 BALRAMPUR BALRAMPUR P.S. SARNADIH 22261007701
3451 BALRAMPUR BALRAMPUR M.S. SARNADIH 22261007702
3452 BALRAMPUR BALRAMPUR P.S. TURRIDIH 22261007801
3453 BALRAMPUR BALRAMPUR M.S. TURRIDIH 22261007802
3454 BALRAMPUR BALRAMPUR P.S. DAHEJWAR 22261007901
3455 BALRAMPUR BALRAMPUR P.S. TANGARMAHRI 22261008001
3456 BALRAMPUR BALRAMPUR P S GHASIYADOHAR 22261008002
3457 BALRAMPUR BALRAMPUR M.S. TANGARMAHRI 22261008003
3458 BALRAMPUR BALRAMPUR P.S. PIPARSOT 22261008101
3459 BALRAMPUR BALRAMPUR P S TURRAPARA 22261008102
3460 BALRAMPUR BALRAMPUR M.S. PIPARSOT 22261008103
3461 BALRAMPUR BALRAMPUR P.S. BHELWADIH 22261008201
3462 BALRAMPUR BALRAMPUR P.S. JAMDIH 22261008202
3463 BALRAMPUR BALRAMPUR P.S. CHANNTOLA 22261008203
3464 BALRAMPUR BALRAMPUR M.S. BHELWADIH 22261008204
3465 BALRAMPUR BALRAMPUR P.S. DUMARKHORKA 22261008301
3466 BALRAMPUR BALRAMPUR P S PENDRATIKARA 22261008302
3467 BALRAMPUR BALRAMPUR M.S. DUMARKHORKA 22261008303
3468 BALRAMPUR BALRAMPUR P.S. JHAPRA 22261008401
3469 BALRAMPUR BALRAMPUR M.S.JHAPRA 22261008402
3470 BALRAMPUR BALRAMPUR P.S. BHAWANIPUR 22261008501
3471 BALRAMPUR BALRAMPUR P S KOIRITOLA 22261008502
3472 BALRAMPUR BALRAMPUR P.S. BUDHDIH 22261008601
3473 BALRAMPUR BALRAMPUR P.S. BACHWAR 22261008602
3474 BALRAMPUR BALRAMPUR M.S. BUDHUDIH 22261008603
3475 BALRAMPUR BALRAMPUR P.S. BADKIMAHRI 22261008701
3476 BALRAMPUR BALRAMPUR M.S. BADKIMAHRI 22261008702
3477 BALRAMPUR BALRAMPUR P.S. MOGALIYADAND 22261008801
3478 BALRAMPUR BALRAMPUR P.S. JOGNIPARA 22261008901
3479 BALRAMPUR BALRAMPUR M.S. JOGNIPARA 22261008902
3480 BALRAMPUR BALRAMPUR P.S. CHANDAORA 22261009001
3481 BALRAMPUR BALRAMPUR P S LALMATI 22261009002
3482 BALRAMPUR BALRAMPUR M.S.CHANDAORA 22261009003
3483 BALRAMPUR BALRAMPUR P.S.SARASWATIPUR 22261009004
3484 BALRAMPUR BALRAMPUR P.S. HATHIBAR 22261009005
3485 BALRAMPUR BALRAMPUR P.S. KARRI 22261009101
3486 BALRAMPUR BALRAMPUR M.S. KARRI 22261009102
3487 BALRAMPUR BALRAMPUR P.S. KUSUMKONA 22261009103
3488 BALRAMPUR BALRAMPUR P.S. RANHAT 22261009201
3489 BALRAMPUR BALRAMPUR M.S. RANHAT 22261009202
3490 BALRAMPUR BALRAMPUR P.S. KODAKI 22261009203
3491 BALRAMPUR BALRAMPUR P.S. AMARPUR 22261009204
3492 BALRAMPUR BALRAMPUR P.S. CHOUGAI 22261009205
3493 BALRAMPUR BALRAMPUR P.S. BHALBHADERA 22261009206
3494 BALRAMPUR BALRAMPUR P.S. GIRLS A. RANHAT 22261009207
3495 BALRAMPUR BALRAMPUR P.S. SARGAVA 22261009301
3496 BALRAMPUR BALRAMPUR P.S. LURGI 22261009401
3497 BALRAMPUR BALRAMPUR P S HANSAKONA 22261009402
3498 BALRAMPUR BALRAMPUR M.S. LURGI 22261009403
3499 BALRAMPUR BALRAMPUR P.S. LILAOTI 22261009501
3500 BALRAMPUR BALRAMPUR P S SUPALIPARA 22261009502
3501 BALRAMPUR BALRAMPUR M.S.LILAOTI 22261009503
3502 BALRAMPUR BALRAMPUR P.S. ATAORI 22261009601
3503 BALRAMPUR BALRAMPUR P S BELSOTA 22261009602
3504 BALRAMPUR BALRAMPUR P.S. JOGIDIH 22261009603
3505 BALRAMPUR BALRAMPUR P.S. BANKHETA 22261009701
3506 BALRAMPUR BALRAMPUR P.S. PADI 22261009702
3507 BALRAMPUR BALRAMPUR P S DUGGUPARA 22261009703
3508 BALRAMPUR BALRAMPUR M.S.PADI 22261009704
3509 BALRAMPUR BALRAMPUR P.S. CHILMA 22261009801
3510 BALRAMPUR BALRAMPUR M.S. CHILMA 22261009802
3511 BALRAMPUR BALRAMPUR P.S. SARGADI 22261009901
3512 BALRAMPUR BALRAMPUR M.S. SARGADI 22261009902
3513 BALRAMPUR BALRAMPUR P.S. CHIDAPARA 22261009903
3514 BALRAMPUR BALRAMPUR P.S. SITARAMPUR 22261010001
3515 BALRAMPUR BALRAMPUR P S KARAMPANI 22261010002
3516 BALRAMPUR BALRAMPUR M.S.SITARAMPUR 22261010003
3517 BALRAMPUR BALRAMPUR P.S. GAWARLETA 22261010004
3518 BALRAMPUR BALRAMPUR P.S. ASANATALA 22261010005
3519 BALRAMPUR BALRAMPUR P.S. NAGESIYAPARA 22261010006
3520 BALRAMPUR BALRAMPUR P.S.G. PASTA 22261010101
3521 BALRAMPUR BALRAMPUR P.S.B. PASTA 22261010102
3522 BALRAMPUR BALRAMPUR M.S. PASTA 22261010103
3523 BALRAMPUR BALRAMPUR P S GAHANADAND 22261010104
3524 BALRAMPUR BALRAMPUR P.S. PRADHANPARA 22261010105
3525 BALRAMPUR BALRAMPUR BAL SHRAMIK A. PASTA 22261010106
3526 BALRAMPUR BALRAMPUR P.S. KAPOT 22261010201
3527 BALRAMPUR BALRAMPUR P.S. BASERAKALA 22261010301
3528 BALRAMPUR BALRAMPUR P.S. PACHPEDIPARA 22261010302
3529 BALRAMPUR BALRAMPUR P.S. GOVINDPUR 22261010401
3530 BALRAMPUR BALRAMPUR P.S.DHUDHARUPARA 22261010402
3531 BALRAMPUR BALRAMPUR P.S. AMDANDA 22261010501
3532 BALRAMPUR BALRAMPUR P.S. PANDEPOKHAR 22261010502
3533 BALRAMPUR BALRAMPUR M.S. AMDANDA 22261010503
3534 BALRAMPUR BALRAMPUR P.S. MAKYATHI 22261010601
3535 BALRAMPUR BALRAMPUR P.S. KOTPALI 22261010701
3536 BALRAMPUR BALRAMPUR M.S. KOTPALI 22261010702
3537 BALRAMPUR BALRAMPUR P.S. KHAJURI 22261010801
3538 BALRAMPUR BALRAMPUR P S TUHALUPATHAL 22261010802
3539 BALRAMPUR BALRAMPUR P S DADARTOLA 22261010803
3540 BALRAMPUR BALRAMPUR M.S. KHAJURI 22261010804
3541 BALRAMPUR BALRAMPUR P.S. PACHAWAL 22261010901
3542 BALRAMPUR BALRAMPUR P S DHODHIKONAA 22261010902
3543 BALRAMPUR BALRAMPUR M.S. PACHAWAL 22261010903
3544 BALRAMPUR BALRAMPUR P.S. MALARPARA 22261010904
3545 BALRAMPUR BALRAMPUR P.S. KOTARKI 22261011001
3546 BALRAMPUR BALRAMPUR P.S. ANWRAPANI 22261011002
3547 BALRAMPUR BALRAMPUR P.S. BELKUDRI 22261011101
3548 BALRAMPUR BALRAMPUR P.S. BARAOLI 22261011201
3549 BALRAMPUR BALRAMPUR P.S. GIRVARGANJ 22261011301
3550 BALRAMPUR BALRAMPUR P.S. KOTHIKHAND 22261011302
3551 BALRAMPUR BALRAMPUR M.S. GIRWARGANJ 22261011303
3552 BALRAMPUR BALRAMPUR P.S. DALDALIYA 22261011401
3553 BALRAMPUR BALRAMPUR M.S.DALDALIYA 22261011402
3554 BALRAMPUR BALRAMPUR P.S. JHAPLI 22261011501
3555 BALRAMPUR BALRAMPUR M.S. JHALPI 22261011502
3556 BALRAMPUR BALRAMPUR P.S. KHIRAKHAND 22261011503
3557 BALRAMPUR BALRAMPUR P.S.SEMLI 22261011601
3558 BALRAMPUR BALRAMPUR PS LENJAWAPARA 22261011602
3559 BALRAMPUR BALRAMPUR P.S.LEFRI 22261011701
3560 BALRAMPUR BALRAMPUR P S SATISEMAR 22261011801
3561 BALRAMPUR BALRAMPUR P S JAWRAHI 22261011901
3562 BALRAMPUR BALRAMPUR P S EDKETOLA 22261012001
3563 BALRAMPUR BALRAMPUR P.S. JARHADIH (PUNARWAS) 22261012003
3564 BALRAMPUR BALRAMPUR M.S. EDKETOLA 22261012004
3565 BALRAMPUR BALRAMPUR P.S. BAGDHARIYA 22261012006
3566 BALRAMPUR BALRAMPUR P S ULTADANGA 22261012101
3567 BALRAMPUR BALRAMPUR P S NAWADIHKALA 22261012201
3568 BALRAMPUR BALRAMPUR P S YADAVPARA 22261012301
3569 BALRAMPUR BALRAMPUR P S PUTSU 22261012401
3570 BALRAMPUR BALRAMPUR P S CHATIYAPARA 22261012501
3571 BALRAMPUR BALRAMPUR P S CHERWAPARA 22261012601
3572 BALRAMPUR BALRAMPUR P.S.CHIRKOMA 22261012701
3573 BALRAMPUR BALRAMPUR P.S. NAWADIHKHURD 22261012801
3574 BALRAMPUR BALRAMPUR P.S. GAMHARIYA 22261013001
3575 BALRAMPUR BALRAMPUR P.S. KHADIYADAMAR 22261013201
3576 BALRAMPUR KUSMI P.S. DARRIPARA 22261300101
3577 BALRAMPUR KUSMI P.S.G.ASHRAM KUSMI 22261300201
3578 BALRAMPUR KUSMI P.S.B. KUSMI 22261300202
3579 BALRAMPUR KUSMI P.S TAHSILPARA 22261300205
3580 BALRAMPUR KUSMI M.S.B.KUSMI 22261300206
3581 BALRAMPUR KUSMI M.S.G.A.KUSMI 22261300207
3582 BALRAMPUR KUSMI M.S.G.KUSMI 22261300208
3583 BALRAMPUR KUSMI N.P.S. BAZARPARA 22261300211
3584 BALRAMPUR KUSMI N.P.S.BHURSHAPARA 22261300212
3585 BALRAMPUR KUSMI N.P.S.KUMHARPARA 22261300213
3586 BALRAMPUR KUSMI M.S.BAZARPARA 22261300214
3587 BALRAMPUR KUSMI P.S.DINIYA AMIRIYA KUSMI 22261300215
3588 BALRAMPUR KUSMI N.M.S. KUMHARPARA 22261300216
3589 BALRAMPUR KUSMI P.S.KHIKHIRPARA 22261300220
3590 BALRAMPUR KUSMI M.S.DARRIPARA 22261300221
3591 BALRAMPUR KUSMI P.S. GAJADHARPUR 22261300301
3592 BALRAMPUR KUSMI P.S. GAJADHARPUR 22261300302
3593 BALRAMPUR KUSMI N.P.S.TURRIPANI 22261300303
3594 BALRAMPUR KUSMI N.M.S.GAJADHARPUR 22261300304
3595 BALRAMPUR KUSMI P.S. ULTAPANI 22261300305
3596 BALRAMPUR KUSMI P.S. KANJIYA 22261300401
3597 BALRAMPUR KUSMI N.P.S.NAWAPARA 22261300402
3598 BALRAMPUR KUSMI N.P.S. JIRHULDIH 22261300403
3599 BALRAMPUR KUSMI P.S. KHAJURIHA 22261300501
3600 BALRAMPUR KUSMI P.S. KHAJURIYADIH 22261300502
3601 BALRAMPUR KUSMI P.S. NAVADIHKALA 22261300601
3602 BALRAMPUR KUSMI P.S. NAVDIHKALA 22261300602
3603 BALRAMPUR KUSMI M.S.NAVADIHKALAN 22261300603
3604 BALRAMPUR KUSMI N.P.S.PEYEARTOLI 22261300604
3605 BALRAMPUR KUSMI N.P.S.BERWAHIPARA 22261300605
3606 BALRAMPUR KUSMI N.P.S.CHHAPARTOLI 22261300606
3607 BALRAMPUR KUSMI M.S. BARVAHIPARA 22261300607
3608 BALRAMPUR KUSMI PS MADARSA M.NAVADIHKALA 22261300608
3609 BALRAMPUR KUSMI P.S. MAHKEPI 22261300701
3610 BALRAMPUR KUSMI N.P.S.BHADAR 22261300702
3611 BALRAMPUR KUSMI P.S. PURANPANI 22261300801
3612 BALRAMPUR KUSMI P.S. BAIRDIHKHURD 22261300901
3613 BALRAMPUR KUSMI R.G.P.S. AMARPUR 22261301001
3614 BALRAMPUR KUSMI N.P.S.AMADARA 22261301002
3615 BALRAMPUR KUSMI M.S. AMARPUR 22261301003
3616 BALRAMPUR KUSMI M.S. BHANDARDIPA 22261301102
3617 BALRAMPUR KUSMI R.G.P.S. LAXMANPUR 22261301201
3618 BALRAMPUR KUSMI M.S. LAXMANPUR 22261301202
3619 BALRAMPUR KUSMI P.S. DUMARKHOLI 22261301301
3620 BALRAMPUR KUSMI P.S. DUMARKHOLI 22261301302
3621 BALRAMPUR KUSMI P.S. DATRAM 22261301401
3622 BALRAMPUR KUSMI M.S. DATRAM 22261301402
3623 BALRAMPUR KUSMI M.S. DUMARKOLI 22261301403
3624 BALRAMPUR KUSMI P.S. BHULSIKHURD 22261301501
3625 BALRAMPUR KUSMI M.S.BHULASIKHURD 22261301502
3626 BALRAMPUR KUSMI P.S. SONPUR 22261301601
3627 BALRAMPUR KUSMI N.P.S. BADOKOKNA 22261301602
3628 BALRAMPUR KUSMI P.S. BAIGAPARA 22261301603
3629 BALRAMPUR KUSMI P.S. BENDOPANI 22261301604
3630 BALRAMPUR KUSMI P.S. BARPANI 22261301605
3631 BALRAMPUR KUSMI R.G.P.S. DHAVAITOLA 22261301801
3632 BALRAMPUR KUSMI R.G.P.S. BETPANI 22261301901
3633 BALRAMPUR KUSMI N.P.S.KHAMEYA 22261301902
3634 BALRAMPUR KUSMI P.S. LAINPARA 22261301903
3635 BALRAMPUR KUSMI M.S. KHAMIYA 22261301904
3636 BALRAMPUR KUSMI P.S. JAMIRAPAT 22261302001
3637 BALRAMPUR KUSMI P.S. DUMARPAT 22261302002
3638 BALRAMPUR KUSMI M.S.JAMIRAPAT 22261302003
3639 BALRAMPUR KUSMI P.S. KATAIPATARA 22261302004
3640 BALRAMPUR KUSMI M.S. BODITOLA 22261302005
3641 BALRAMPUR KUSMI P.S. RAJENDRAPUR 22261302101
3642 BALRAMPUR KUSMI P.S. CHARHATKHURD 22261302201
3643 BALRAMPUR KUSMI P.S. IDARIPAT 22261302301
3644 BALRAMPUR KUSMI M.S. IDARIPAT 22261302303
3645 BALRAMPUR KUSMI P.S. TAVARPANI 22261302401
3646 BALRAMPUR KUSMI P.S. RATASILI 22261302501
3647 BALRAMPUR KUSMI P.S. NIRMALA RATASILI 22261302502
3648 BALRAMPUR KUSMI M.S.NIRMALA RATASILI 22261302503
3649 BALRAMPUR KUSMI M.S.RATSILI 22261302507
3650 BALRAMPUR KUSMI P.S. ASANPANI 22261302601
3651 BALRAMPUR KUSMI P.S.K. PODIYA 22261302701
3652 BALRAMPUR KUSMI P.S. ROHITASPARA 22261302702
3653 BALRAMPUR KUSMI P.S. DHANESHPUR 22261302801
3654 BALRAMPUR KUSMI M.S.DHANESHPUR 22261302802
3655 BALRAMPUR KUSMI N.P.S.BENSDIH 22261302803
3656 BALRAMPUR KUSMI P.S.B. DONGIPANI 22261302901
3657 BALRAMPUR KUSMI P.S.G. DONGIPANI 22261302902
3658 BALRAMPUR KUSMI M.S. DONGIPANI 22261302903
3659 BALRAMPUR KUSMI P.S.K. LECHOPARA 22261303001
3660 BALRAMPUR KUSMI P.S. KAMALAPUR 22261303101
3661 BALRAMPUR KUSMI N.P.S.THANTOLI 22261303102
3662 BALRAMPUR KUSMI N.P.S.DAMCHUAN 22261303103
3663 BALRAMPUR KUSMI M.S. KAMALAPUR 22261303104
3664 BALRAMPUR KUSMI P.S. SURBENA 22261303201
3665 BALRAMPUR KUSMI N.P.S.PATHALTOLI 22261303202
3666 BALRAMPUR KUSMI N.M.S.SURBENA 22261303203
3667 BALRAMPUR KUSMI P.S.B. CHANDO 22261303302
3668 BALRAMPUR KUSMI M.S.B.CHANDO 22261303303
3669 BALRAMPUR KUSMI M.SG.CHANDO 22261303304
3670 BALRAMPUR KUSMI P.S.G. CHANDO 22261303305
3671 BALRAMPUR KUSMI P.S. KURDIH 22261303401
3672 BALRAMPUR KUSMI N.M.S. KURDIH 22261303402
3673 BALRAMPUR KUSMI PS MADARSA KADARIYA E. KURDIH 22261303403
3674 BALRAMPUR KUSMI P.S. MADVA 22261303501
3675 BALRAMPUR KUSMI P.S. DEVDAND 22261303502
3676 BALRAMPUR KUSMI N.P.S.SHERHARI 22261303503
3677 BALRAMPUR KUSMI N.P.S.GHORASHOT 22261303504
3678 BALRAMPUR KUSMI N.M.S. MADVA 22261303505
3679 BALRAMPUR KUSMI P.S. CHATNIYA 22261303601
3680 BALRAMPUR KUSMI P.S.AMEARATOLI 22261303602
3681 BALRAMPUR KUSMI N.MS. CHATNIYA 22261303603
3682 BALRAMPUR KUSMI P.S. CHALCHALCHYUA 22261303604
3683 BALRAMPUR KUSMI P.S. NAHALU 22261303605
3684 BALRAMPUR KUSMI P.S. KARCHA 22261303701
3685 BALRAMPUR KUSMI M.S.KARCHA 22261303702
3686 BALRAMPUR KUSMI N.P.S.CHHAWARI 22261303703
3687 BALRAMPUR KUSMI N.P.S.BGDHARIYA 22261303704
3688 BALRAMPUR KUSMI P.S. BHOJPUR 22261303801
3689 BALRAMPUR KUSMI N.P.S.CHARIDIPA 22261303802
3690 BALRAMPUR KUSMI P.S. JALBOTHA 22261303901
3691 BALRAMPUR KUSMI P.S. DHANJI 22261304001
3692 BALRAMPUR KUSMI P.S. SHAHPUR 22261304102
3693 BALRAMPUR KUSMI N.P.S. KASYADE 22261304103
3694 BALRAMPUR KUSMI N.P.S. CHURANDA 22261304104
3695 BALRAMPUR KUSMI N.M.S. SHAHPUR 22261304105
3696 BALRAMPUR KUSMI P.S. KANDRI 22261304201
3697 BALRAMPUR KUSMI M.S.G.KANDRI 22261304202
3698 BALRAMPUR KUSMI M.S.B.KANDARI 22261304203
3699 BALRAMPUR KUSMI N.P.S. MHWAPARA 22261304204
3700 BALRAMPUR KUSMI N.P.S.JAWAKHAND 22261304205
3701 BALRAMPUR KUSMI N.M.S. JAWAKHAND 22261304206
3702 BALRAMPUR KUSMI P.S. TANGARTOLI 22261304207
3703 BALRAMPUR KUSMI P.S. SHRIKOT 22261304301
3704 BALRAMPUR KUSMI P.S. NAVATOLI 22261304302
3705 BALRAMPUR KUSMI M.S. SHRIKOT 22261304303
3706 BALRAMPUR KUSMI P.S. KHAMAN 22261304304
3707 BALRAMPUR KUSMI P.S. UPARPARA 22261304305
3708 BALRAMPUR KUSMI M.S. NAVATOLI 22261304306
3709 BALRAMPUR KUSMI P.S. PAKARDIH 22261304401
3710 BALRAMPUR KUSMI N.M.S. PAKARDIH 22261304402
3711 BALRAMPUR KUSMI P.S. KUDAG 22261304501
3712 BALRAMPUR KUSMI P.S. KATAIDIH 22261304502
3713 BALRAMPUR KUSMI M.S. KUDAG 22261304503
3714 BALRAMPUR KUSMI P.S.B. SAMRI 22261304601
3715 BALRAMPUR KUSMI P.S.G. SAMRI 22261304602
3716 BALRAMPUR KUSMI M.S.B.SAMRI 22261304603
3717 BALRAMPUR KUSMI M.S.G.SAMARI 22261304604
3718 BALRAMPUR KUSMI G.P.S.BHANDARDEPA 22261304605
3719 BALRAMPUR KUSMI N.P.S. BAHERATOLI 22261304606
3720 BALRAMPUR KUSMI N.P.S. KUTKU 22261304607
3721 BALRAMPUR KUSMI P.S. CHARHATKALA 22261304701
3722 BALRAMPUR KUSMI P.S. KAREMDIH 22261304702
3723 BALRAMPUR KUSMI M.S. CHARHATKALA 22261304703
3724 BALRAMPUR KUSMI N.P.S. UPPARPARA, CHARHATKALA 22261304704
3725 BALRAMPUR KUSMI P.S. KARRADAND 22261304801
3726 BALRAMPUR KUSMI M.S. TARANI 22261304802
3727 BALRAMPUR KUSMI P.S. GAMHARTOLI 22261304901
3728 BALRAMPUR KUSMI P.S. CHANDADAND 22261305001
3729 BALRAMPUR KUSMI P.S. PREMNAGAR 22261305101
3730 BALRAMPUR KUSMI P.S. KORANDHA 22261305201
3731 BALRAMPUR KUSMI P.S. KORANDHA 22261305202
3732 BALRAMPUR KUSMI M.S.KORANDHA 22261305203
3733 BALRAMPUR KUSMI N.P.S.BERPAT 22261305204
3734 BALRAMPUR KUSMI N.P.S.GUNGURUPAT 22261305205
3735 BALRAMPUR KUSMI N.P.S.BEJAPAT 22261305206
3736 BALRAMPUR KUSMI N.P.S. FUTURTOLI 22261305207
3737 BALRAMPUR KUSMI N.P.S.BHATHUPARA 22261305208
3738 BALRAMPUR KUSMI P.S. DUKUPARA 22261305209
3739 BALRAMPUR KUSMI P.S. HANSPUR 22261305301
3740 BALRAMPUR KUSMI P.S. NAVATOLI 22261305302
3741 BALRAMPUR KUSMI P.S. MAHUYATOLI 22261305401
3742 BALRAMPUR KUSMI P.S. MAHUYATOLI 22261305402
3743 BALRAMPUR KUSMI P.S. NATVARNAGAR 22261305501
3744 BALRAMPUR KUSMI P.S. NAVDIHA 22261305601
3745 BALRAMPUR KUSMI M.S. BHAVANIPUR 22261305702
3746 BALRAMPUR KUSMI P.S. BHAVANIPUR 22261305703
3747 BALRAMPUR KUSMI P.S. CIVILDAG 22261305801
3748 BALRAMPUR KUSMI M.S. CIVILDAG 22261305803
3749 BALRAMPUR KUSMI N.P.S.BERTOLI 22261305804
3750 BALRAMPUR KUSMI P.S.DUMARKONA 22261305806
3751 BALRAMPUR KUSMI P.S. GOVINDPUR 22261306001
3752 BALRAMPUR KUSMI N.M.S.GOVINDPUR 22261306002
3753 BALRAMPUR KUSMI P.S. GOPINAGAR 22261306101
3754 BALRAMPUR KUSMI M.S.GOPINAGAR 22261306103
3755 BALRAMPUR KUSMI P.S. SANT JOSEF JODHPUR 22261306201
3756 BALRAMPUR KUSMI P.S. JODHPUR 22261306202
3757 BALRAMPUR KUSMI M.S.SANT.J.JODHPUR 22261306203
3758 BALRAMPUR KUSMI P.S. DEVRI 22261306301
3759 BALRAMPUR KUSMI M.S. DEVARI 22261306302
3760 BALRAMPUR KUSMI P.S. JAVAHARNAGAR 22261306401
3761 BALRAMPUR KUSMI M.S.B.JAVAHARNAGAR 22261306402
3762 BALRAMPUR KUSMI M.S.G.JAVAHARNAGAR 22261306403
3763 BALRAMPUR KUSMI N.P.S.UPERPARA 22261306404
3764 BALRAMPUR KUSMI P.S. JOGIBANDH 22261306501
3765 BALRAMPUR KUSMI P.S. NICHATPUR 22261306601
3766 BALRAMPUR KUSMI R.G.P.S.M. BHAGVANPUR 22261306701
3767 BALRAMPUR KUSMI P.S. SEMBIJOBALA 22261306702
3768 BALRAMPUR KUSMI P.S. MADGURI 22261306801
3769 BALRAMPUR KUSMI M.S.MADGURI 22261306802
3770 BALRAMPUR KUSMI N.P.S. AMBATOLI 22261306803
3771 BALRAMPUR KUSMI N.P.S.NAWATOLI 22261306804
3772 BALRAMPUR KUSMI P.S. TRAINI 22261306901
3773 BALRAMPUR KUSMI P.S. BANSA 22261306902
3774 BALRAMPUR KUSMI P.S. GHUTARADIH 22261307001
3775 BALRAMPUR KUSMI N.P.S. BENDHYACHALPUR 22261307002
3776 BALRAMPUR KUSMI N.M.S. GHUTRADIH 22261307003
3777 BALRAMPUR KUSMI P.S. RAMNAGAR 22261307101
3778 BALRAMPUR KUSMI M.S.RAMNAGAR 22261307102
3779 BALRAMPUR KUSMI N.P.S.MARI 22261307103
3780 BALRAMPUR KUSMI P.S.B. HARRY 22261307201
3781 BALRAMPUR KUSMI P.S.G. HARRY 22261307202
3782 BALRAMPUR KUSMI M.S.HARRI 22261307203
3783 BALRAMPUR KUSMI P.S.KUDANPANI 22261307204
3784 BALRAMPUR KUSMI P.S. PIYARTOLI 22261307205
3785 BALRAMPUR KUSMI P.S. BHALGHUTARA 22261307206
3786 BALRAMPUR KUSMI P.S. SARNGAJOBHI 22261307301
3787 BALRAMPUR KUSMI P.S. CHAINPUR 22261307501
3788 BALRAMPUR KUSMI M.S. CHAINPUR 22261307502
3789 BALRAMPUR KUSMI P.S. BAKASPUR 22261307601
3790 BALRAMPUR KUSMI P.S.B. BHULSIKALA 22261307701
3791 BALRAMPUR KUSMI P.S.G. BHULSIKALA 22261307702
3792 BALRAMPUR KUSMI P.S.BHULSIKHAND 22261307703
3793 BALRAMPUR KUSMI M.S.B.BHULSIKALAN 22261307704
3794 BALRAMPUR KUSMI M.S.G.BHILSIKALAN 22261307705
3795 BALRAMPUR KUSMI P.S. CHAMPANAGAR 22261307801
3796 BALRAMPUR KUSMI P.S. CHARHU 22261307901
3797 BALRAMPUR KUSMI P.S. PUNDAG 22261308001
3798 BALRAMPUR KUSMI M.S. PUNDAG 22261308002
3799 BALRAMPUR KUSMI N.P.S.BHUTAHI 22261308003
3800 BALRAMPUR KUSMI N.P.S.PCHFARI 22261308004
3801 BALRAMPUR KUSMI M.S. CHARHU 22261308005
3802 BALRAMPUR KUSMI P.S. SUKHARI 22261308201
3803 BALRAMPUR KUSMI R.G.P.S.M. GOATAMPUR 22261308301
3804 BALRAMPUR KUSMI M.S. GWOTEMPUR 22261308302
3805 BALRAMPUR KUSMI P.S. SUNAPARA 22261308303
3806 BALRAMPUR KUSMI N.P.S. TETARTOLI 22261308401
3807 BALRAMPUR KUSMI N.P.S. BAIRDIH 22261308601
3808 BALRAMPUR KUSMI P.S. SONBARSA 22261308701
3809 BALRAMPUR KUSMI P.S. CHULHAPATHAR 22261308702
3810 BALRAMPUR KUSMI P.S. SUPDAKA 22261308801
3811 BALRAMPUR KUSMI P.S. JIGNIYA 22261308802
3812 BALRAMPUR KUSMI N.M.S.JIGNIYA 22261308803
3813 BALRAMPUR KUSMI P.S. AMBAKONA 22261308804
3814 BALRAMPUR KUSMI P.S. DENGUPANI 22261308805
3815 BALRAMPUR KUSMI P.S. SAHIDARA 22261308806
3816 BALRAMPUR KUSMI P.S. LEFUYATOLI 22261308901
3817 BALRAMPUR KUSMI N.P.S. BAIRDIH 22261309002
3818 BALRAMPUR KUSMI M.S. GADAMI 22261309003
3819 BALRAMPUR KUSMI P.S. GADAMI 22261309004
3820 BALRAMPUR KUSMI BOY'S ASHRAM SABAG 22261309101
3821 BALRAMPUR KUSMI P.S. SABAG 22261309102
3822 BALRAMPUR KUSMI N.P.S.BENDERCUNA 22261309104
3823 BALRAMPUR KUSMI M.S. SABAG 22261309105
3824 BALRAMPUR KUSMI P.S. JALJALI 22261309201
3825 BALRAMPUR KUSMI N.P.S.MARAYWADIH 22261309202
3826 BALRAMPUR KUSMI M.S. JALJALI 22261309203
3827 BALRAMPUR KUSMI P.S. JIRHUL 22261309301
3828 BALRAMPUR KUSMI P.S. KARKALI 22261309401
3829 BALRAMPUR KUSMI M.S.KARKALI 22261309402
3830 BALRAMPUR KUSMI N.P.S. DANDTOLI 22261309403
3831 BALRAMPUR KUSMI M.S. JIRHUL 22261309404
3832 BALRAMPUR KUSMI M.S. LEFUYATOLI 22261309405
3833 BALRAMPUR KUSMI M.S.SEMARA 22261309504
3834 BALRAMPUR KUSMI K.G.B.V. KUSMI 22261309507
3835 BALRAMPUR KUSMI P.S. CHHATAKONA 22261309702
3836 BALRAMPUR KUSMI P.S. GOPATU 22261309703
3837 BALRAMPUR KUSMI P.S.G. GOPATU 22261309704
3838 BALRAMPUR KUSMI P.S.B.S.ASHRAM GOPATU 22261309705
3839 BALRAMPUR KUSMI M.S. GOPATU 22261309707
3840 BALRAMPUR KUSMI P.S. BIRHORPAT 22261309708
3841 BALRAMPUR KUSMI P.S. CHUTAIPAT 22261309801
3842 BALRAMPUR KUSMI P.S. KERAPAT 22261309901
3843 BALRAMPUR KUSMI P.S. TATIJHARIYA 22261310001
3844 BALRAMPUR KUSMI M.S. TATIJHARIYA 22261310002
3845 BALRAMPUR KUSMI N.P.S. TATIJHARIYA, PURV 22261310003
3846 BALRAMPUR KUSMI P.S.B. SERANGDAG 22261310101
3847 BALRAMPUR KUSMI P.S.G. SERANGDAG 22261310102
3848 BALRAMPUR KUSMI M.S.SERAGDAG 22261310103
3849 BALRAMPUR KUSMI R.G.P.S. BODITOLA 22261310301
3850 BALRAMPUR KUSMI P.S. SARAIDIH 22261310402
3851 BALRAMPUR KUSMI P.S. BATA 22261310403
3852 BALRAMPUR KUSMI N.M.S. SARAIDIH 22261310404
3853 BALRAMPUR KUSMI P.S. AMTAHI 22261310501
3854 BALRAMPUR KUSMI P.S. SHARJAM 22261310502
3855 BALRAMPUR KUSMI M.S. AMTAHI 22261310503
3856 BALRAMPUR KUSMI P.S. KHAJURI 22261310601
3857 BALRAMPUR KUSMI P.S. KONKOTLI 22261310602
3858 BALRAMPUR KUSMI P.S. TURRIPANI 22261310603
3859 BALRAMPUR KUSMI P.S. BASKEPI 22261310701
3860 BALRAMPUR KUSMI M.S.BASKEPI 22261310702
3861 BALRAMPUR KUSMI N.P.S.CHANDELAPARA 22261310703
3862 BALRAMPUR KUSMI N.P.S.MANGARLETA 22261310704
3863 BALRAMPUR KUSMI N.P.S.BADWARPARA 22261310705
3864 BALRAMPUR KUSMI P.S. HETHUYAPARA 22261310706
3865 BALRAMPUR KUSMI P.S. MAGAJI 22261310801
3866 BALRAMPUR KUSMI P.S. NILKANTHPUR 22261310901
3867 BALRAMPUR KUSMI M.S.NILKANTHPUR 22261310902
3868 BALRAMPUR KUSMI N.P.S.KADAMTOLI 22261310904
3869 BALRAMPUR KUSMI P.S. KADAMTOLI 22261310905
3870 BALRAMPUR KUSMI P.S. LARIMA 22261311001
3871 BALRAMPUR KUSMI M.S.LARIMA 22261311002
3872 BALRAMPUR KUSMI P.S. UPARPARA 22261311003
3873 BALRAMPUR KUSMI P.S. KEDALI 22261311101
3874 BALRAMPUR KUSMI M.S. KEDALI 22261311102
3875 BALRAMPUR KUSMI P.S. TRIPURI 22261311201
3876 BALRAMPUR KUSMI NPS SARANATOLI 22261311202
3877 BALRAMPUR KUSMI P.S.BERIPAT 22261311203
3878 BALRAMPUR KUSMI P.S.SEDHATOLI 22261311204
3879 BALRAMPUR KUSMI P.S.UPERKEDLI 22261311205
3880 BALRAMPUR KUSMI N.P.S.PERSHA 22261311206
3881 BALRAMPUR KUSMI N.M.S. TRIPURI 22261311207
3882 BALRAMPUR KUSMI M.S. SARNATOLI 22261311208
3883 BALRAMPUR KUSMI P.S. MOTINAGAR 22261311401
3884 BALRAMPUR KUSMI P.S. KARKALI 22261311701
3885 BALRAMPUR KUSMI N.P.S.KEEKERPARA 22261311702
3886 BALRAMPUR KUSMI P.S. KANCHANTOLI 22261311801
3887 BALRAMPUR KUSMI P.S. KATIMA 22261311901
3888 BALRAMPUR KUSMI P.S. PAKRITOLI 22261311902
3889 BALRAMPUR KUSMI N.M.S. KATIMA 22261311903
3890 BALRAMPUR KUSMI P.S. LAVKUSHPUR 22261312001
3891 BALRAMPUR KUSMI P.S.K. GHOSARA 22261312101
3892 BALRAMPUR KUSMI P.S. INDRIKALA 22261312201
3893 BALRAMPUR KUSMI P.S.KAIKARE 22261312202
3894 BALRAMPUR KUSMI M.S. IDARIKALA 22261312203
3895 BALRAMPUR KUSMI P.S. PAKRITOLI 22261312301
3896 BALRAMPUR KUSMI P.S. NAVADIHKHURD 22261312501
3897 BALRAMPUR KUSMI M.S. NAVADIHKHURD 22261312502
3898 BALRAMPUR KUSMI N.P.S.CHERAI 22261312701
3899 BALRAMPUR KUSMI N.P.S. AMRATHA 22261313001
3900 BALRAMPUR KUSMI P.S. SHAHPUR 22261313101
3901 BALRAMPUR KUSMI N.P.S. DAINTOLI 22261313102
3902 BALRAMPUR KUSMI P.S. CHUNCHUNA 22261313301
3903 BALRAMPUR KUSMI P.S. NAVGAI 22261313401
3904 BALRAMPUR RAJPUR P.S.KARMDIHA 22260800101
3905 BALRAMPUR RAJPUR PS SEMARAKATHARA 22260800102
3906 BALRAMPUR RAJPUR P.S. PARSVAR 22260800201
3907 BALRAMPUR RAJPUR M.S. PARSVAR 22260800202
3908 BALRAMPUR RAJPUR P.S. KIRIKACHHAR 22260800301
3909 BALRAMPUR RAJPUR P.S. PAKRADII 22260800401
3910 BALRAMPUR RAJPUR P.S. KODOARA 22260800501
3911 BALRAMPUR RAJPUR P.S. JUGIMUDA (KODOARA) 22260800502
3912 BALRAMPUR RAJPUR M.S.JUGIMUDA(KODORA) 22260800503
3913 BALRAMPUR RAJPUR M.S. KODOARA 22260800504
3914 BALRAMPUR RAJPUR P.S. MADRASA FA.TA. KURAN KADOURA 22260800505
3915 BALRAMPUR RAJPUR P.S. BHENDARI 22260800601
3916 BALRAMPUR RAJPUR M.S.BHENDARI(TWD) 22260800602
3917 BALRAMPUR RAJPUR P.S. TONI 22260800701
3918 BALRAMPUR RAJPUR PS USKONIPARA 22260800702
3919 BALRAMPUR RAJPUR M.S. USKONIPARA 22260800703
3920 BALRAMPUR RAJPUR P.S. KOTDIH 22260800801
3921 BALRAMPUR RAJPUR M.S. KOTDIH 22260800802
3922 BALRAMPUR RAJPUR P.S. MAHUAPARA 22260800901
3923 BALRAMPUR RAJPUR M.S. MAHUAPARA 22260800902
3924 BALRAMPUR RAJPUR P.S. BAIDHI 22260801001
3925 BALRAMPUR RAJPUR PS KORVAPARA 22260801002
3926 BALRAMPUR RAJPUR M.S. KORVAPARA 22260801004
3927 BALRAMPUR RAJPUR P.S. CHATAKPUR 22260801101
3928 BALRAMPUR RAJPUR PS KOTHIPATHAL 22260801102
3929 BALRAMPUR RAJPUR P.S. LADUYA 22260801201
3930 BALRAMPUR RAJPUR PS KAPUTORI 22260801202
3931 BALRAMPUR RAJPUR M.S. LADUA 22260801205
3932 BALRAMPUR RAJPUR P.S. NAVAPARA 22260801206
3933 BALRAMPUR RAJPUR P.S. GHORGADI 22260801301
3934 BALRAMPUR RAJPUR PS SEMARPARA 22260801302
3935 BALRAMPUR RAJPUR M.S GHORGOADI 22260801303
3936 BALRAMPUR RAJPUR P.S. PARSAPANI 22260801304
3937 BALRAMPUR RAJPUR M.S. PARSAPANI 22260801305
3938 BALRAMPUR RAJPUR P.S. BUDABAGICHA 22260801401
3939 BALRAMPUR RAJPUR M.S.BUDABAGICHA 22260801402
3940 BALRAMPUR RAJPUR PS PANIKAPARA 22260801403
3941 BALRAMPUR RAJPUR P.S GIRL BIRNIPARA 22260801404
3942 BALRAMPUR RAJPUR PS BANDHPARA 22260801405
3943 BALRAMPUR RAJPUR P.S. BAL SHRAMIK ASHRAM 22260801407
3944 BALRAMPUR RAJPUR P.S. DANDKHADUYA 22260801501
3945 BALRAMPUR RAJPUR P.S KORVA A. DANDKHDUYA 22260801502
3946 BALRAMPUR RAJPUR M.S. DANDKHADUA 22260801503
3947 BALRAMPUR RAJPUR P.S. PATRATU 22260801601
3948 BALRAMPUR RAJPUR M.S.PATRATU 22260801602
3949 BALRAMPUR RAJPUR P.S. THARKI 22260801701
3950 BALRAMPUR RAJPUR P.S. THARKI (KORVAPARA) 22260801702
3951 BALRAMPUR RAJPUR P.S. THARKI (SARNAPARA) 22260801703
3952 BALRAMPUR RAJPUR P.S. MUNUA (AMATIKRA) 22260801704
3953 BALRAMPUR RAJPUR M.S. MUNUA (AMATIKRA) 22260801705
3954 BALRAMPUR RAJPUR P.S. KARRA 22260801801
3955 BALRAMPUR RAJPUR PS GINVAR 22260801802
3956 BALRAMPUR RAJPUR M.S. KARRA 22260801806
3957 BALRAMPUR RAJPUR P.S. RIYADAND 22260801807
3958 BALRAMPUR RAJPUR P.S. JHINGO 22260801901
3959 BALRAMPUR RAJPUR M.S.JHINGO 22260801903
3960 BALRAMPUR RAJPUR PS NALAPARA 22260801904
3961 BALRAMPUR RAJPUR MS JHINGO 22260801905
3962 BALRAMPUR RAJPUR P.S. KANSDOHAR 22260802001
3963 BALRAMPUR RAJPUR P.S. CHOURA 22260802002
3964 BALRAMPUR RAJPUR M.S.CHOURA 22260802003
3965 BALRAMPUR RAJPUR PS KHURGIPARA 22260802004
3966 BALRAMPUR RAJPUR PS CHITKAHIPARA 22260802005
3967 BALRAMPUR RAJPUR P.S. MARKADAND 22260802101
3968 BALRAMPUR RAJPUR M.S.MARKADAND 22260802102
3969 BALRAMPUR RAJPUR P.S. AMATIKRA 22260802103
3970 BALRAMPUR RAJPUR P.S. NARSINGHPUR 22260802201
3971 BALRAMPUR RAJPUR M.S.NARSINGHPUR 22260802202
3972 BALRAMPUR RAJPUR P.S. KATAIPARA 22260802205
3973 BALRAMPUR RAJPUR P.S. PAKHANA 22260802301
3974 BALRAMPUR RAJPUR P.S. DUPPI 22260802401
3975 BALRAMPUR RAJPUR M.S. DUPPI 22260802402
3976 BALRAMPUR RAJPUR P.S. GOPALPUR 22260802501
3977 BALRAMPUR RAJPUR M.S.GOPALPUR 22260802502
3978 BALRAMPUR RAJPUR PS ASANAPARA 22260802503
3979 BALRAMPUR RAJPUR P.S DPEP PAHAD PARA 22260802504
3980 BALRAMPUR RAJPUR P.S. GAHNADAND 22260802505
3981 BALRAMPUR RAJPUR P.S. KARVA 22260802601
3982 BALRAMPUR RAJPUR P.S.B. ASHRAM KARVA 22260802602
3983 BALRAMPUR RAJPUR PS KHUTANPARA 22260802603
3984 BALRAMPUR RAJPUR M.S. KARVA 22260802604
3985 BALRAMPUR RAJPUR P.S. JAMUNIYA 22260802701
3986 BALRAMPUR RAJPUR M.S. JAMUNIYA 22260802702
3987 BALRAMPUR RAJPUR P.S. JIDGIPARA 22260802801
3988 BALRAMPUR RAJPUR P.S. MURKA 22260802901
3989 BALRAMPUR RAJPUR PS PAHADPARA 22260802902
3990 BALRAMPUR RAJPUR M.S. MURKA 22260802903
3991 BALRAMPUR RAJPUR P.S. KOTAGAHANA 22260803001
3992 BALRAMPUR RAJPUR PS ALAKHNARA PARA 22260803002
3993 BALRAMPUR RAJPUR M.S KOTAGAHANA 22260803003
3994 BALRAMPUR RAJPUR P.S. BAHERAKHAND 22260803004
3995 BALRAMPUR RAJPUR M.S. ALAKHNARA 22260803005
3996 BALRAMPUR RAJPUR P.S. PAHADKHADUA 22260803006
3997 BALRAMPUR RAJPUR M.S. PAHADKHADUA 22260803102
3998 BALRAMPUR RAJPUR P.S. SEVARI 22260803201
3999 BALRAMPUR RAJPUR M.S.SEVARI 22260803202
4000 BALRAMPUR RAJPUR PS HARDILOGRA 22260803203
4001 BALRAMPUR RAJPUR M.S. TUMBADAND 22260803206
4002 BALRAMPUR RAJPUR P.S. BHADAR 22260803301
4003 BALRAMPUR RAJPUR PS UDALPARA 22260803303
4004 BALRAMPUR RAJPUR MADARSA KOUSRUL ULUM 22260803305
4005 BALRAMPUR RAJPUR P.S. KHATANGPARA 22260803401
4006 BALRAMPUR RAJPUR M.S. KHATANGPARA 22260803402
4007 BALRAMPUR RAJPUR P.S. PENDARI 22260803501
4008 BALRAMPUR RAJPUR P.S. LAU 22260803601
4009 BALRAMPUR RAJPUR M.S.LAU 22260803602
4010 BALRAMPUR RAJPUR PS DHAMDHAMIYA PARA 22260803603
4011 BALRAMPUR RAJPUR P.S TUMBADAND 22260803604
4012 BALRAMPUR RAJPUR P.S KORVA ASHRAM LAU 22260803605
4013 BALRAMPUR RAJPUR P.S. MAHEVAPARA 22260803608
4014 BALRAMPUR RAJPUR P.S. BAIGAPARA 22260803609
4015 BALRAMPUR RAJPUR M.S. TUMBADAND 22260803610
4016 BALRAMPUR RAJPUR P.S. BANDHPARA 22260803611
4017 BALRAMPUR RAJPUR P.S. JOBALAPARA 22260803701
4018 BALRAMPUR RAJPUR P.S. AARA BALRAMPUR 22260803801
4019 BALRAMPUR RAJPUR M.S.AARA 22260803802
4020 BALRAMPUR RAJPUR M.S. PAHADPARA 22260803803
4021 BALRAMPUR RAJPUR P.S. PAHADPARA 22260803804
4022 BALRAMPUR RAJPUR P.S.MADARSA G.M.O.AARA 22260803805
4023 BALRAMPUR RAJPUR P.S. MADARSA F.G.N.SARANAPARA 22260803806
4024 BALRAMPUR RAJPUR M.S.MADARSA G.M.O.AARA 22260803807
4025 BALRAMPUR RAJPUR Madra Bage madina amdipara 22260803809
4026 BALRAMPUR RAJPUR P.S. AMDIPARA 22260803901
4027 BALRAMPUR RAJPUR P.S. MADARSA I.S. AMDIPARA 22260803903
4028 BALRAMPUR RAJPUR P.S. GHATGOAV 22260804001
4029 BALRAMPUR RAJPUR P.S.G. ASHRAM GHATGOAV 22260804002
4030 BALRAMPUR RAJPUR PS KHALBYORA 22260804003
4031 BALRAMPUR RAJPUR PS MAJHABYORA 22260804004
4032 BALRAMPUR RAJPUR PS KORVAPARA GHATGOAV 22260804006
4033 BALRAMPUR RAJPUR M.S. GHATGOAV 22260804007
4034 BALRAMPUR RAJPUR P.S. NAVAPARA(AARA) 22260804101
4035 BALRAMPUR RAJPUR P.S. SINGCHOARA 22260804301
4036 BALRAMPUR RAJPUR P.S. NEVARPARA 22260804302
4037 BALRAMPUR RAJPUR M.S. SINGCHOARA 22260804303
4038 BALRAMPUR RAJPUR P.S. BAGADI 22260804401
4039 BALRAMPUR RAJPUR P.S. SARNAPARA 22260804501
4040 BALRAMPUR RAJPUR P.S. KHUTANPARA 22260804601
4041 BALRAMPUR RAJPUR P.S.G. RAJPUR 22260804701
4042 BALRAMPUR RAJPUR P.S.B. RAJPUR 22260804702
4043 BALRAMPUR RAJPUR M.S.B.RAJPUR 22260804705
4044 BALRAMPUR RAJPUR M.S.G.RAJPUR 22260804706
4045 BALRAMPUR RAJPUR P.S KORVA KANYA P. RAJPUR 22260804711
4046 BALRAMPUR RAJPUR M.S. K.G.A. RAJPUR 22260804718
4047 BALRAMPUR RAJPUR MS RAJPUR P.K.K.S.P. ASHRAM 22260804725
4048 BALRAMPUR RAJPUR P.S. KUNDIKHURD 22260804801
4049 BALRAMPUR RAJPUR P.S. BAKASPUR 22260804901
4050 BALRAMPUR RAJPUR M.S. BAKASPUR 22260804902
4051 BALRAMPUR RAJPUR P.S. NAVKI 22260805001
4052 BALRAMPUR RAJPUR PS GHUTRAPARA 22260805002
4053 BALRAMPUR RAJPUR M.S NAVKI 22260805003
4054 BALRAMPUR RAJPUR P.S. AMADAND 22260805004
4055 BALRAMPUR RAJPUR P.S. NARVAPARA 22260805005
4056 BALRAMPUR RAJPUR P.S. KHODRO 22260805101
4057 BALRAMPUR RAJPUR M.S. KHODRO 22260805102
4058 BALRAMPUR RAJPUR P.S. TURRIDAND 22260805103
4059 BALRAMPUR RAJPUR P.S. REVATPUR 22260805201
4060 BALRAMPUR RAJPUR M.S. REVATPUR 22260805202
4061 BALRAMPUR RAJPUR P.S. URAMADAND 22260805301
4062 BALRAMPUR RAJPUR P.S. PAKARIDAND 22260805401
4063 BALRAMPUR RAJPUR P.S. UDHAVAKATRA 22260805501
4064 BALRAMPUR RAJPUR M.S. UDHAVAKATRA 22260805502
4065 BALRAMPUR RAJPUR P.S. PARASVARKALA 22260805601
4066 BALRAMPUR RAJPUR P.S KOTRIPARA 22260805602
4067 BALRAMPUR RAJPUR M.S. PARSAWARKALA 22260805603
4068 BALRAMPUR RAJPUR P.S. KHOKHANIYA 22260805701
4069 BALRAMPUR RAJPUR P.S. DUMARPARA 22260805801
4070 BALRAMPUR RAJPUR P.S. DHANDHAPUR 22260805901
4071 BALRAMPUR RAJPUR M.S.DHANDHAPUR 22260805902
4072 BALRAMPUR RAJPUR PS LODHIDAND 22260805903
4073 BALRAMPUR RAJPUR PSG Hostel dhahndhapur 22260805906
4074 BALRAMPUR RAJPUR P.S. SHIVPUR 22260806001
4075 BALRAMPUR RAJPUR M.S. SHIVPUR 22260806002
4076 BALRAMPUR RAJPUR P.S. PARTI 22260806101
4077 BALRAMPUR RAJPUR P.S. MAHUDAND 22260806201
4078 BALRAMPUR RAJPUR P.S. NAVAPARA 22260806203
4079 BALRAMPUR RAJPUR M.S. MAHUDAND 22260806205
4080 BALRAMPUR RAJPUR P.S. MAHGAIPARA 22260806206
4081 BALRAMPUR RAJPUR P.S. MAKAD 22260806301
4082 BALRAMPUR RAJPUR M.S. MAKAD 22260806302
4083 BALRAMPUR RAJPUR P.S. ALAKHDIHA 22260806401
4084 BALRAMPUR RAJPUR PS PATELPARA 22260806402
4085 BALRAMPUR RAJPUR PS JARHADAND 22260806403
4086 BALRAMPUR RAJPUR M.S ALAKHDIHA 22260806404
4087 BALRAMPUR RAJPUR P.S. KOADU 22260806501
4088 BALRAMPUR RAJPUR P.S. BADI CHALGALI 22260806601
4089 BALRAMPUR RAJPUR PS KERAPARA 22260806602
4090 BALRAMPUR RAJPUR M.S BADI CHALALI 22260806603
4091 BALRAMPUR RAJPUR P.S.B.ASHRAM JIGADI 22260806701
4092 BALRAMPUR RAJPUR P.S. JIGDI 22260806702
4093 BALRAMPUR RAJPUR M.S.JIGDI 22260806703
4094 BALRAMPUR RAJPUR P.S. SANSUPARA (BASEN) 22260806704
4095 BALRAMPUR RAJPUR P.S. KODODIPA 22260806705
4096 BALRAMPUR RAJPUR P.S. BASEN 22260806801
4097 BALRAMPUR RAJPUR P.S MADARSA BASEN 22260806802
4098 BALRAMPUR RAJPUR M.S. BASEN 22260806803
4099 BALRAMPUR RAJPUR P.S. MANDARSARAI 22260806804
4100 BALRAMPUR RAJPUR P.S. UFIYA 22260806901
4101 BALRAMPUR RAJPUR M.S. UFIYA 22260806902
4102 BALRAMPUR RAJPUR P.S. ULIYA 22260807001
4103 BALRAMPUR RAJPUR M.S ULIYA 22260807002
4104 BALRAMPUR RAJPUR P.S. LADKUD 22260807101
4105 BALRAMPUR RAJPUR P.S. AKHORAKHURD 22260807201
4106 BALRAMPUR RAJPUR M.S. AKHORAKHURD 22260807202
4107 BALRAMPUR RAJPUR P.S. JAWAKHAND 22260807203
4108 BALRAMPUR RAJPUR P.S. MADNESHWARPUR 22260807301
4109 BALRAMPUR RAJPUR P.S. KORVAPARA(MADNESHWARPUR) 22260807302
4110 BALRAMPUR RAJPUR PS SANPURIHAPARA 22260807303
4111 BALRAMPUR RAJPUR M.S. MADNESHWARPUR 22260807304
4112 BALRAMPUR RAJPUR P.S. BACHBAHARIPARA 22260807401
4113 BALRAMPUR RAJPUR M.S. KUNDIKALA 22260807502
4114 BALRAMPUR RAJPUR P.S. KUNDIKALAN 22260807505
4115 BALRAMPUR RAJPUR P.S. CHARPARA 22260807601
4116 BALRAMPUR RAJPUR P.S B.AASHRAM CHARPAR 22260807602
4117 BALRAMPUR RAJPUR M.S. CHARPARA 22260807603
4118 BALRAMPUR RAJPUR P.S.B. SHIDHMA 22260807701
4119 BALRAMPUR RAJPUR P.S. BAJARPARA SIDHMA 22260807702
4120 BALRAMPUR RAJPUR P.S.G. SIDHMA 22260807703
4121 BALRAMPUR RAJPUR M.S.SIGHAMA 22260807704
4122 BALRAMPUR RAJPUR P.S. KORVAPARA 22260807707
4123 BALRAMPUR RAJPUR M.S. BAJARPARA 22260807709
4124 BALRAMPUR RAJPUR P.S. DARRIPARA SIDHAMA 22260807711
4125 BALRAMPUR RAJPUR P.S. KAKANA 22260807801
4126 BALRAMPUR RAJPUR M.S KAKANA 22260807802
4127 BALRAMPUR RAJPUR P.S. BADOALI 22260807901
4128 BALRAMPUR RAJPUR P.S. JAMDOHAR 22260807902
4129 BALRAMPUR RAJPUR M.S. BADOULI 22260807903
4130 BALRAMPUR RAJPUR P.S. DAKVA 22260808001
4131 BALRAMPUR RAJPUR P.S. BHESKI 22260808101
4132 BALRAMPUR RAJPUR P.S. KHUKHARI 22260808201
4133 BALRAMPUR RAJPUR M.S. KHUKHARI 22260808202
4134 BALRAMPUR RAJPUR P.S. BADA 22260808301
4135 BALRAMPUR RAJPUR PS DUMARKONA 22260808302
4136 BALRAMPUR RAJPUR MS BADA 22260808303
4137 BALRAMPUR RAJPUR PS CHOAPARA BADA 22260808304
4138 BALRAMPUR RAJPUR PS JAGALPARA 22260808305
4139 BALRAMPUR RAJPUR P.S. ASHRAM BATIDAND 22260808401
4140 BALRAMPUR RAJPUR M.S. BATIDAND 22260808402
4141 BALRAMPUR RAJPUR P.S. CHANCHI 22260808501
4142 BALRAMPUR RAJPUR P.S. BAGHIMA 22260808601
4143 BALRAMPUR RAJPUR M.S.G.BAGHIMA 22260808602
4144 BALRAMPUR RAJPUR M.S.B.BAGIMA 22260808603
4145 BALRAMPUR RAJPUR P.S.G. BARIYO 22260808701
4146 BALRAMPUR RAJPUR P.S.B. BARIYO 22260808702
4147 BALRAMPUR RAJPUR M.S.BARIRO 22260808703
4148 BALRAMPUR RAJPUR PS DODIPARA 22260808704
4149 BALRAMPUR RAJPUR P.S.BAL SHRAMIK BARIYOA 22260808707
4150 BALRAMPUR RAJPUR P.S. BHELAIKHURD 22260808801
4151 BALRAMPUR RAJPUR P.S. CHANDRAGARH 22260808901
4152 BALRAMPUR RAJPUR P.S. SADAKPARA 22260808902
4153 BALRAMPUR RAJPUR P.S. BHALVAHIPARA 22260809001
4154 BALRAMPUR RAJPUR P.S. PARSAGUDI 22260809101
4155 BALRAMPUR RAJPUR M.S.PARSAGUDI 22260809102
4156 BALRAMPUR RAJPUR PS GADOTAPARA 22260809103
4157 BALRAMPUR RAJPUR P.S. BHADRAPARA 22260809104
4158 BALRAMPUR RAJPUR P.S. OAKARA 22260809201
4159 BALRAMPUR RAJPUR PS DEVARIDAND 22260809202
4160 BALRAMPUR RAJPUR M.S. OKARA 22260809203
4161 BALRAMPUR RAJPUR P.S. KARJI 22260809401
4162 BALRAMPUR RAJPUR P.S UDHENUPARA 22260809402
4163 BALRAMPUR RAJPUR M.S KARJI 22260809403
4164 BALRAMPUR RAJPUR P.S. MANDRIDAND 22260809404
4165 BALRAMPUR RAJPUR P.S. JHINGADAND 22260809405
4166 BALRAMPUR RAJPUR P.S. RAKHAITPARA 22260809406
4167 BALRAMPUR RAJPUR P.S. AMDARI 22260809501
4168 BALRAMPUR RAJPUR P.S.K. KORVAPARA 22260809601
4169 BALRAMPUR RAJPUR P.S. PATARAPARA 22260809701
4170 BALRAMPUR RAJPUR P.S.B. ASHRAM PATARAPARA 22260809702
4171 BALRAMPUR RAJPUR M.S.PATARAPARA 22260809703
4172 BALRAMPUR RAJPUR P.S. GELHAPANI 22260809704
4173 BALRAMPUR RAJPUR P.S. KHUMARI 22260809801
4174 BALRAMPUR RAJPUR P.S. DIGNAGAR 22260809901
4175 BALRAMPUR RAJPUR M.S.DIGNAGAR 22260809902
4176 BALRAMPUR RAJPUR P.S. CHILMAKALA 22260810001
4177 BALRAMPUR RAJPUR M.S. CHILMAKALA 22260810002
4178 BALRAMPUR RAJPUR P.S. MAHANPARA 22260810003
4179 BALRAMPUR RAJPUR P.S. KORGI 22260810101
4180 BALRAMPUR RAMCHANDRAPUR P.S. GHUCHARIPARA 22260900101
4181 BALRAMPUR RAMCHANDRAPUR P.S. TUKUPATHAR 22260900201
4182 BALRAMPUR RAMCHANDRAPUR P.S. TISKA 22260900301
4183 BALRAMPUR RAMCHANDRAPUR P.S. VISHUNPUR 22260900302
4184 BALRAMPUR RAMCHANDRAPUR P.S. MUNAGADIH 22260900304
4185 BALRAMPUR RAMCHANDRAPUR P.S. KASRAIYAPARA 22260900305
4186 BALRAMPUR RAMCHANDRAPUR P.S. KHUTRAPARA 22260900306
4187 BALRAMPUR RAMCHANDRAPUR M.S.MAHADEVPUR 22260900307
4188 BALRAMPUR RAMCHANDRAPUR M.S. MUNGADIH 22260900308
4189 BALRAMPUR RAMCHANDRAPUR P.S. CHERA 22260900401
4190 BALRAMPUR RAMCHANDRAPUR P.S. VARANNPARA 22260900402
4191 BALRAMPUR RAMCHANDRAPUR P.S. AHRADAMAR 22260900403
4192 BALRAMPUR RAMCHANDRAPUR M.S. CHERA 22260900404
4193 BALRAMPUR RAMCHANDRAPUR M.S. VARUNPARA 22260900405
4194 BALRAMPUR RAMCHANDRAPUR P.S. HARIJANPARA 22260900406
4195 BALRAMPUR RAMCHANDRAPUR P.S. DUMARPAN 22260900501
4196 BALRAMPUR RAMCHANDRAPUR P.S. BADIJHARIYA 22260900502
4197 BALRAMPUR RAMCHANDRAPUR P.S. BELDAMAR 22260900503
4198 BALRAMPUR RAMCHANDRAPUR P.S. NONIBANDH 22260900504
4199 BALRAMPUR RAMCHANDRAPUR M.S.DUMARPAN 22260900505
4200 BALRAMPUR RAMCHANDRAPUR P.S. CHUNAPATHAR 22260900601
4201 BALRAMPUR RAMCHANDRAPUR P.S. GIDDHIPARA 22260900603
4202 BALRAMPUR RAMCHANDRAPUR M.S.CHUNAPATHAR 22260900604
4203 BALRAMPUR RAMCHANDRAPUR M.S. GIDDHIPARA 22260900605
4204 BALRAMPUR RAMCHANDRAPUR P.S. KURLUDIH 22260900701
4205 BALRAMPUR RAMCHANDRAPUR P.S. BHUIYAPARA 22260900702
4206 BALRAMPUR RAMCHANDRAPUR P.S. MUSTAPARA 22260900703
4207 BALRAMPUR RAMCHANDRAPUR P.S. PURWAPARA 22260900704
4208 BALRAMPUR RAMCHANDRAPUR P.S. GAJMARIPARA 22260900705
4209 BALRAMPUR RAMCHANDRAPUR M.S.KURLUDIH 22260900706
4210 BALRAMPUR RAMCHANDRAPUR P.S. AGUWAPARA 22260900707
4211 BALRAMPUR RAMCHANDRAPUR M.S. PURVPARA 22260900708
4212 BALRAMPUR RAMCHANDRAPUR P.S. TALKESHWARPUR 22260900801
4213 BALRAMPUR RAMCHANDRAPUR M.S.TALKESHVARPUR 22260900802
4214 BALRAMPUR RAMCHANDRAPUR P.S. CHITWAMANDA 22260900803
4215 BALRAMPUR RAMCHANDRAPUR P.S. JARKATPARA 22260900804
4216 BALRAMPUR RAMCHANDRAPUR P.S. BEECHKHORI 22260900805
4217 BALRAMPUR RAMCHANDRAPUR P.S.CHHERIMUDI 22260900806
4218 BALRAMPUR RAMCHANDRAPUR M.S. BEECHKHORI 22260900807
4219 BALRAMPUR RAMCHANDRAPUR P.S. SALWAHI 22260900901
4220 BALRAMPUR RAMCHANDRAPUR P.S. RASPAHAR 22260900902
4221 BALRAMPUR RAMCHANDRAPUR P.S. LOHRAPARA 22260900903
4222 BALRAMPUR RAMCHANDRAPUR M.S. SALWAHI 22260900904
4223 BALRAMPUR RAMCHANDRAPUR P.S. JELPARA 22260901002
4224 BALRAMPUR RAMCHANDRAPUR P.S. KOIRITOLA 22260901006
4225 BALRAMPUR RAMCHANDRAPUR P.S.G. RAMANUJGANJ 22260901007
4226 BALRAMPUR RAMCHANDRAPUR P.S. BUDHTOLA 22260901009
4227 BALRAMPUR RAMCHANDRAPUR M.S. KOIRITOLA 22260901010
4228 BALRAMPUR RAMCHANDRAPUR M.S.B.RAMANUJGANJ 22260901011
4229 BALRAMPUR RAMCHANDRAPUR P.S.B.RAMANUJGANJ 22260901012
4230 BALRAMPUR RAMCHANDRAPUR M.S.G.RAMANUJGANJ 22260901013
4231 BALRAMPUR RAMCHANDRAPUR P.S.POWER HOUSE 22260901015
4232 BALRAMPUR RAMCHANDRAPUR P.S.JALKESHWAR PARA 22260901016
4233 BALRAMPUR RAMCHANDRAPUR K.G.B.V. RAMANUJGANJ 22260901018
4234 BALRAMPUR RAMCHANDRAPUR M.S. GOASIYA MADARSA RAMANUJGANJ 22260901020
4235 BALRAMPUR RAMCHANDRAPUR P.S. PURANDIH 22260901101
4236 BALRAMPUR RAMCHANDRAPUR P.S. DADARPARA 22260901102
4237 BALRAMPUR RAMCHANDRAPUR M.S. PURANDIH 22260901103
4238 BALRAMPUR RAMCHANDRAPUR P.S. KORHATIPARA 22260901104
4239 BALRAMPUR RAMCHANDRAPUR P.S. LURGI 22260901201
4240 BALRAMPUR RAMCHANDRAPUR N.P.S.KHUTAHANPARA 22260901202
4241 BALRAMPUR RAMCHANDRAPUR P.S. KANAKPUR 22260901301
4242 BALRAMPUR RAMCHANDRAPUR M.S.KANAKPUR 22260901302
4243 BALRAMPUR RAMCHANDRAPUR N.P.GIJANIYADAMAR 22260901303
4244 BALRAMPUR RAMCHANDRAPUR P.S. RAMPUR 22260901304
4245 BALRAMPUR RAMCHANDRAPUR M.S. TAKIYATOLA 22260901305
4246 BALRAMPUR RAMCHANDRAPUR P.S. TAKIYATOLA 22260901401
4247 BALRAMPUR RAMCHANDRAPUR P.S. BAGRA 22260901501
4248 BALRAMPUR RAMCHANDRAPUR P.S.BOYS ASHRAM BAGRA 22260901503
4249 BALRAMPUR RAMCHANDRAPUR N.P.S.KORWATOLA 22260901505
4250 BALRAMPUR RAMCHANDRAPUR P.S. VISHALPUR 22260901601
4251 BALRAMPUR RAMCHANDRAPUR P.S. JOGNIPARA 22260901602
4252 BALRAMPUR RAMCHANDRAPUR P.S. DOLANGI 22260901701
4253 BALRAMPUR RAMCHANDRAPUR M.S.DOLANGI 22260901702
4254 BALRAMPUR RAMCHANDRAPUR N.P.S.KEDALIDAMER 22260901703
4255 BALRAMPUR RAMCHANDRAPUR P.S. PIPARPAN 22260901801
4256 BALRAMPUR RAMCHANDRAPUR P.S.GUVADAH 22260901802
4257 BALRAMPUR RAMCHANDRAPUR P.S. BECHPARA(PIPERPAN) 22260901803
4258 BALRAMPUR RAMCHANDRAPUR M.S.PIPARPAN 22260901804
4259 BALRAMPUR RAMCHANDRAPUR P.S.KORAUPARA 22260901805
4260 BALRAMPUR RAMCHANDRAPUR P.S DACHHINPARA 22260901806
4261 BALRAMPUR RAMCHANDRAPUR P.S. GIRLS A. PIPARPAN 22260901807
4262 BALRAMPUR RAMCHANDRAPUR P.S. INDRAWATIPUR 22260901901
4263 BALRAMPUR RAMCHANDRAPUR M.S.INDRAVATIPUR 22260901902
4264 BALRAMPUR RAMCHANDRAPUR N.P.S BARWATAD 22260901903
4265 BALRAMPUR RAMCHANDRAPUR N.P.S.JOGIYAPARA 22260901904
4266 BALRAMPUR RAMCHANDRAPUR P.S. TELIYADAMAR 22260901905
4267 BALRAMPUR RAMCHANDRAPUR P.S. ANANDPUR 22260902001
4268 BALRAMPUR RAMCHANDRAPUR P.S. SURANGPAN 22260902101
4269 BALRAMPUR RAMCHANDRAPUR P.S. REVTIPUR 22260902201
4270 BALRAMPUR RAMCHANDRAPUR N.P.S.KHERWARIPARA 22260902202
4271 BALRAMPUR RAMCHANDRAPUR M.S. REVTIPUR 22260902203
4272 BALRAMPUR RAMCHANDRAPUR P.S. ORANGA 22260902301
4273 BALRAMPUR RAMCHANDRAPUR M.S.ORANGA 22260902302
4274 BALRAMPUR RAMCHANDRAPUR N.P.S.SEMARKHAD 22260902303
4275 BALRAMPUR RAMCHANDRAPUR P.S. HARIJANPARA 22260902304
4276 BALRAMPUR RAMCHANDRAPUR M.S. MADARSA K.S. ORANGA 22260902305
4277 BALRAMPUR RAMCHANDRAPUR P.S. UCHRUWA 22260902401
4278 BALRAMPUR RAMCHANDRAPUR P.S. SILAJU 22260902501
4279 BALRAMPUR RAMCHANDRAPUR P.S. MANKERIPARA 22260902502
4280 BALRAMPUR RAMCHANDRAPUR N.P.S.YADVPARA 22260902503
4281 BALRAMPUR RAMCHANDRAPUR M.S.MANKERIPARA 22260902504
4282 BALRAMPUR RAMCHANDRAPUR M.S. SILAJU (J.BH.) 22260902505
4283 BALRAMPUR RAMCHANDRAPUR P.S. MINWAKHAD 22260902601
4284 BALRAMPUR RAMCHANDRAPUR P.S. HARAYADAMAR 22260902602
4285 BALRAMPUR RAMCHANDRAPUR P.S. KHATKHARIYA 22260902603
4286 BALRAMPUR RAMCHANDRAPUR P.S. BARWAHI 22260902701
4287 BALRAMPUR RAMCHANDRAPUR P.S. SHEETKALONI 22260902702
4288 BALRAMPUR RAMCHANDRAPUR P.S. CHITIMAHURAO 22260902703
4289 BALRAMPUR RAMCHANDRAPUR M.S.BARWAHI 22260902704
4290 BALRAMPUR RAMCHANDRAPUR N.P.S.BHUSHARIYAPARA 22260902705
4291 BALRAMPUR RAMCHANDRAPUR N.P.S.PATELPARA 22260902706
4292 BALRAMPUR RAMCHANDRAPUR M.S. SUNDERPUR 22260902707
4293 BALRAMPUR RAMCHANDRAPUR P.S. MADARSA R.S. BARVAHI 22260902708
4294 BALRAMPUR RAMCHANDRAPUR P.S. KUNDRU 22260902801
4295 BALRAMPUR RAMCHANDRAPUR N.P.S. BIYAHIMAHUWA (PANDOPARA) 22260902802
4296 BALRAMPUR RAMCHANDRAPUR P.S. TRIKUNDA 22260902901
4297 BALRAMPUR RAMCHANDRAPUR M.S.TRIKUNDA 22260902902
4298 BALRAMPUR RAMCHANDRAPUR P.S. PATRAPARA 22260902903
4299 BALRAMPUR RAMCHANDRAPUR P.S. YADAVPARA 22260902904
4300 BALRAMPUR RAMCHANDRAPUR P.S. KORHATTIPARA 22260902905
4301 BALRAMPUR RAMCHANDRAPUR M.S. BAJANAPARA 22260902908
4302 BALRAMPUR RAMCHANDRAPUR P.S. NEURGANJ 22260903001
4303 BALRAMPUR RAMCHANDRAPUR P.S. ANNAPARA 22260903101
4304 BALRAMPUR RAMCHANDRAPUR P.S. GAJAR 22260903201
4305 BALRAMPUR RAMCHANDRAPUR M.S.GAJAR 22260903202
4306 BALRAMPUR RAMCHANDRAPUR P.S. DATAM 22260903301
4307 BALRAMPUR RAMCHANDRAPUR P.S. NILKANTHPUR 22260903401
4308 BALRAMPUR RAMCHANDRAPUR P.S.KATATPARA 22260903402
4309 BALRAMPUR RAMCHANDRAPUR M.S. NILKANTHPUR 22260903403
4310 BALRAMPUR RAMCHANDRAPUR P.S. KALIKAPUR 22260903501
4311 BALRAMPUR RAMCHANDRAPUR P.S. PATELPARA 22260903502
4312 BALRAMPUR RAMCHANDRAPUR P.S. BEECHBASTI(PATELPARA) 22260903503
4313 BALRAMPUR RAMCHANDRAPUR M.S.KALIKAPUR 22260903504
4314 BALRAMPUR RAMCHANDRAPUR P.S. ANIRUDDHPUR 22260903601
4315 BALRAMPUR RAMCHANDRAPUR P.S.DAKCHHINPARA(ANNIRUDH) 22260903602
4316 BALRAMPUR RAMCHANDRAPUR P.S. AWADI 22260903701
4317 BALRAMPUR RAMCHANDRAPUR P.S. BHELBHANDAR 22260903801
4318 BALRAMPUR RAMCHANDRAPUR P.S. CHERWADIH 22260903901
4319 BALRAMPUR RAMCHANDRAPUR P.S. HARIHARPUR 22260904001
4320 BALRAMPUR RAMCHANDRAPUR M.S.HARIHARPUR 22260904002
4321 BALRAMPUR RAMCHANDRAPUR P.S. RAMCHANDRAPUR 22260904101
4322 BALRAMPUR RAMCHANDRAPUR BOYS ASHRAM RAMCHANDRAPUR 22260904102
4323 BALRAMPUR RAMCHANDRAPUR P.S. KANCHANNAGAR 22260904104
4324 BALRAMPUR RAMCHANDRAPUR P.S. GADERIPARA 22260904105
4325 BALRAMPUR RAMCHANDRAPUR P.S. BICHTOLA(CHANDRANAGAR) 22260904106
4326 BALRAMPUR RAMCHANDRAPUR M.S.G.RAMACHANDRAPUR 22260904107
4327 BALRAMPUR RAMCHANDRAPUR M.S.B.RAMACHANDRAPUR 22260904108
4328 BALRAMPUR RAMCHANDRAPUR P.S. KARAMDOLPARA 22260904111
4329 BALRAMPUR RAMCHANDRAPUR P.S. BHITARCHURA 22260904112
4330 BALRAMPUR RAMCHANDRAPUR P.S. BHITRIDONGAGHAT 22260904113
4331 BALRAMPUR RAMCHANDRAPUR P.S. GIRLS A. RAMCHANDRAPUR 22260904121
4332 BALRAMPUR RAMCHANDRAPUR P.S. BAHARCHURA 22260904201
4333 BALRAMPUR RAMCHANDRAPUR M.S.BAHARCHURA 22260904202
4334 BALRAMPUR RAMCHANDRAPUR P.S. DHANWAR 22260904203
4335 BALRAMPUR RAMCHANDRAPUR P.S. BELKURTA 22260904301
4336 BALRAMPUR RAMCHANDRAPUR P.S. PANDOPARA 22260904302
4337 BALRAMPUR RAMCHANDRAPUR P.S. PARHIYADIH 22260904401
4338 BALRAMPUR RAMCHANDRAPUR P.S. BARVATOLA 22260904501
4339 BALRAMPUR RAMCHANDRAPUR P.S. PIPRAOL 22260904601
4340 BALRAMPUR RAMCHANDRAPUR M.S.PIPROL 22260904602
4341 BALRAMPUR RAMCHANDRAPUR P.S. GAMHARPARA 22260904603
4342 BALRAMPUR RAMCHANDRAPUR P.S. CHECHRAPARA 22260904604
4343 BALRAMPUR RAMCHANDRAPUR P.S. PAHARTOLA 22260904605
4344 BALRAMPUR RAMCHANDRAPUR M.S. GAMHARPARA 22260904606
4345 BALRAMPUR RAMCHANDRAPUR M.S. BARVATOLA (PIPROL) 22260904607
4346 BALRAMPUR RAMCHANDRAPUR P.S. DEVIGANJ 22260904701
4347 BALRAMPUR RAMCHANDRAPUR M.S.DEVIGANJ 22260904702
4348 BALRAMPUR RAMCHANDRAPUR P.S. KORWAPARA 22260904703
4349 BALRAMPUR RAMCHANDRAPUR P.S. JIRHAPARA 22260904704
4350 BALRAMPUR RAMCHANDRAPUR P.S. PURSOTTAMPUR 22260904801
4351 BALRAMPUR RAMCHANDRAPUR P.S. DUDHAMANIYA 22260904802
4352 BALRAMPUR RAMCHANDRAPUR M.S. PURSOTTAMPUR 22260904803
4353 BALRAMPUR RAMCHANDRAPUR P.S. DEVGAI 22260904901
4354 BALRAMPUR RAMCHANDRAPUR P.S. BEECHPARA(DEVGAI) 22260904902
4355 BALRAMPUR RAMCHANDRAPUR M.S. DEVGAI 22260904904
4356 BALRAMPUR RAMCHANDRAPUR P.S. BARAHMURIYA 22260905001
4357 BALRAMPUR RAMCHANDRAPUR M.S. BARAHMURIYA 22260905002
4358 BALRAMPUR RAMCHANDRAPUR P.S. DHANPURI 22260905101
4359 BALRAMPUR RAMCHANDRAPUR M.S.DHANPURI(J.BH.) 22260905102
4360 BALRAMPUR RAMCHANDRAPUR P.S. NAGRA 22260905201
4361 BALRAMPUR RAMCHANDRAPUR P.S. SUWARKODWA 22260905202
4362 BALRAMPUR RAMCHANDRAPUR M.S.SUWARKODWA 22260905203
4363 BALRAMPUR RAMCHANDRAPUR P.S. KHOPADADAR 22260905204
4364 BALRAMPUR RAMCHANDRAPUR M.S. NAGRA 22260905205
4365 BALRAMPUR RAMCHANDRAPUR P.S. MITGAI 22260905301
4366 BALRAMPUR RAMCHANDRAPUR P.S. SEMARKHADH 22260905302
4367 BALRAMPUR RAMCHANDRAPUR BAHERAKHADH 22260905303
4368 BALRAMPUR RAMCHANDRAPUR N.P.S PURANDIH 22260905304
4369 BALRAMPUR RAMCHANDRAPUR M.S. MITGAI 22260905305
4370 BALRAMPUR RAMCHANDRAPUR P.S. GIRLS A. MITGAI 22260905306
4371 BALRAMPUR RAMCHANDRAPUR P.S. MADARSA I.M. MITGAI 22260905307
4372 BALRAMPUR RAMCHANDRAPUR P.S. CHANDANPUR 22260905401
4373 BALRAMPUR RAMCHANDRAPUR M.S.CHANDANPUR 22260905402
4374 BALRAMPUR RAMCHANDRAPUR P.S. KAMALPUR 22260905501
4375 BALRAMPUR RAMCHANDRAPUR M.S. KAMALPUR (J.BH) 22260905502
4376 BALRAMPUR RAMCHANDRAPUR P.S. KRISHNANAGAR 22260905601
4377 BALRAMPUR RAMCHANDRAPUR P.S. KEVDASILA 22260905602
4378 BALRAMPUR RAMCHANDRAPUR M.S.KRISHANNAGAR 22260905603
4379 BALRAMPUR RAMCHANDRAPUR P.S. MAYURFUKA 22260905604
4380 BALRAMPUR RAMCHANDRAPUR P.S. TEWARDAHA 22260905605
4381 BALRAMPUR RAMCHANDRAPUR P.S. DUMANPARA 22260905606
4382 BALRAMPUR RAMCHANDRAPUR P.S. KHARAPARA 22260905608
4383 BALRAMPUR RAMCHANDRAPUR P.S. ARAGAHI 22260905701
4384 BALRAMPUR RAMCHANDRAPUR M.S.ARAGAHI 22260905702
4385 BALRAMPUR RAMCHANDRAPUR P.S. TAMBESHWARNAGAR 22260905703
4386 BALRAMPUR RAMCHANDRAPUR P.S KOIRIPARA 22260905705
4387 BALRAMPUR RAMCHANDRAPUR P.S.BAL SHRAMIK ASH.ARAGAHI 22260905706
4388 BALRAMPUR RAMCHANDRAPUR M.S. GIRS. ARAGAHI 22260905707
4389 BALRAMPUR RAMCHANDRAPUR P.S.BAJNAPARA 22260905708
4390 BALRAMPUR RAMCHANDRAPUR P.S. BHAWARMAL 22260905801
4391 BALRAMPUR RAMCHANDRAPUR P.S.G. BHAWARMAL 22260905802
4392 BALRAMPUR RAMCHANDRAPUR M.S.BHAVARMAL 22260905803
4393 BALRAMPUR RAMCHANDRAPUR P.S. BHADAIBATHAN 22260905804
4394 BALRAMPUR RAMCHANDRAPUR P.S. URAONPARA 22260905805
4395 BALRAMPUR RAMCHANDRAPUR M.S.BHADAIBATHAN 22260905806
4396 BALRAMPUR RAMCHANDRAPUR M.S.G.BHAVAMAL 22260905807
4397 BALRAMPUR RAMCHANDRAPUR P.S. NAVAPARA 22260905901
4398 BALRAMPUR RAMCHANDRAPUR P.S. KORHATTIPARA 22260905902
4399 BALRAMPUR RAMCHANDRAPUR M.S. NAVAPARA 22260905903
4400 BALRAMPUR RAMCHANDRAPUR P.S. BHALA 22260906001
4401 BALRAMPUR RAMCHANDRAPUR P.S. MSHURAUPARA 22260906002
4402 BALRAMPUR RAMCHANDRAPUR P.S. BICHBASTI 22260906003
4403 BALRAMPUR RAMCHANDRAPUR P.S. DINDO 22260906101
4404 BALRAMPUR RAMCHANDRAPUR GIRLS ASHRAM DINDO 22260906102
4405 BALRAMPUR RAMCHANDRAPUR M.S.DINDO 22260906103
4406 BALRAMPUR RAMCHANDRAPUR P.S. KORWAPARA 22260906104
4407 BALRAMPUR RAMCHANDRAPUR N.P.S. VASAPARA 22260906106
4408 BALRAMPUR RAMCHANDRAPUR P.S. PARSAPARA 22260906202
4409 BALRAMPUR RAMCHANDRAPUR M.S. KUNDPAN 22260906203
4410 BALRAMPUR RAMCHANDRAPUR P.S. KUNDPAN 22260906204
4411 BALRAMPUR RAMCHANDRAPUR P.S. BIMLAPUR 22260906301
4412 BALRAMPUR RAMCHANDRAPUR P.S. MAHUWATOLI 22260906303
4413 BALRAMPUR RAMCHANDRAPUR M.S. BIMLAPUR 22260906304
4414 BALRAMPUR RAMCHANDRAPUR P.S. BARAHNAGAR 22260906401
4415 BALRAMPUR RAMCHANDRAPUR M.S.BARAHNAGAR 22260906402
4416 BALRAMPUR RAMCHANDRAPUR P.S. TATIATHAR 22260906501
4417 BALRAMPUR RAMCHANDRAPUR N.P.S.KORWAPARA 22260906502
4418 BALRAMPUR RAMCHANDRAPUR M.S. TATIATHAR 22260906503
4419 BALRAMPUR RAMCHANDRAPUR P.S. NAVATOLA 22260906601
4420 BALRAMPUR RAMCHANDRAPUR P.S. DHAOLI 22260906701
4421 BALRAMPUR RAMCHANDRAPUR M.S. DHAOLI 22260906702
4422 BALRAMPUR RAMCHANDRAPUR P.S. DUGRU 22260906801
4423 BALRAMPUR RAMCHANDRAPUR P.S. KORVATOLI 22260906901
4424 BALRAMPUR RAMCHANDRAPUR P.S. TEMNA 22260907001
4425 BALRAMPUR RAMCHANDRAPUR P.S. SUNDARPUR 22260907101
4426 BALRAMPUR RAMCHANDRAPUR N.P.S.CHHEDIKHAD 22260907102
4427 BALRAMPUR RAMCHANDRAPUR N.P.S.TENDUWA 22260907103
4428 BALRAMPUR RAMCHANDRAPUR P.S. PATELPARA 22260907104
4429 BALRAMPUR RAMCHANDRAPUR M.S. DUGRU 22260907105
4430 BALRAMPUR RAMCHANDRAPUR P.S. JHARA COLONY 22260907201
4431 BALRAMPUR RAMCHANDRAPUR P.S. JIRATIPARA 22260907301
4432 BALRAMPUR RAMCHANDRAPUR P.S. KUSHFAR 22260907401
4433 BALRAMPUR RAMCHANDRAPUR P.S. DHAURADAMAR 22260907402
4434 BALRAMPUR RAMCHANDRAPUR P.S. SIYARMANWA 22260907403
4435 BALRAMPUR RAMCHANDRAPUR M.S. KUSFAR 22260907404
4436 BALRAMPUR RAMCHANDRAPUR M.S. DHAURADAMAR 22260907405
4437 BALRAMPUR RAMCHANDRAPUR P.S. PACHAWAL 22260907501
4438 BALRAMPUR RAMCHANDRAPUR P.S. BARAIDAND 22260907502
4439 BALRAMPUR RAMCHANDRAPUR P.S. SELIYAPARA 22260907503
4440 BALRAMPUR RAMCHANDRAPUR M.S. PACHAWAL 22260907504
4441 BALRAMPUR RAMCHANDRAPUR M.S. BARAIDAND 22260907505
4442 BALRAMPUR RAMCHANDRAPUR M.S. SELIYAPARA 22260907506
4443 BALRAMPUR RAMCHANDRAPUR P.S. HARIJANTOLA 22260907601
4444 BALRAMPUR RAMCHANDRAPUR P.S. SANAWAL 22260907602
4445 BALRAMPUR RAMCHANDRAPUR P.S.G. SANAWAL 22260907603
4446 BALRAMPUR RAMCHANDRAPUR M.S.SANAWAL 22260907604
4447 BALRAMPUR RAMCHANDRAPUR P.S. MAHUADAMAR 22260907605
4448 BALRAMPUR RAMCHANDRAPUR P.S.MAHUAPARA 22260907606
4449 BALRAMPUR RAMCHANDRAPUR P.S.PATERIPARA 22260907607
4450 BALRAMPUR RAMCHANDRAPUR M.S.MAHUADAMAR 22260907608
4451 BALRAMPUR RAMCHANDRAPUR M.S. HARIJANTOLA 22260907610
4452 BALRAMPUR RAMCHANDRAPUR P.S. TRISULI 22260907701
4453 BALRAMPUR RAMCHANDRAPUR M.S.TRISULI 22260907702
4454 BALRAMPUR RAMCHANDRAPUR P.S. KHAJUWAHIPARA 22260907703
4455 BALRAMPUR RAMCHANDRAPUR P.S. PANDOPARA 22260907704
4456 BALRAMPUR RAMCHANDRAPUR M.S.KHAJUWAHIPARA 22260907705
4457 BALRAMPUR RAMCHANDRAPUR P.S. SEMARWA 22260907801
4458 BALRAMPUR RAMCHANDRAPUR P.S. PANDOPARA 22260907802
4459 BALRAMPUR RAMCHANDRAPUR M.S. SEMARWA 22260907803
4460 BALRAMPUR RAMCHANDRAPUR P.S. JHARA 22260907901
4461 BALRAMPUR RAMCHANDRAPUR P.S. NEEMDAMAR 22260907902
4462 BALRAMPUR RAMCHANDRAPUR P.S. GIRLS ASRAM JHARA 22260907903
4463 BALRAMPUR RAMCHANDRAPUR P.S. BOYS ASHRAM JHARA 22260907904
4464 BALRAMPUR RAMCHANDRAPUR P.S. KAMESHWARNAGAR 22260908001
4465 BALRAMPUR RAMCHANDRAPUR P.S. GARNATAD 22260908002
4466 BALRAMPUR RAMCHANDRAPUR M.S. KAMESHWARNAGAR 22260908003
4467 BALRAMPUR RAMCHANDRAPUR P.S. B.ASRAM KAMESHWARNAGAR 22260908004
4468 BALRAMPUR RAMCHANDRAPUR P.S. BASERAKHURD 22260908101
4469 BALRAMPUR RAMCHANDRAPUR N.P.S.PATELPARA 22260908102
4470 BALRAMPUR RAMCHANDRAPUR P.S. KODAKUPARA 22260908103
4471 BALRAMPUR RAMCHANDRAPUR M.S. BASERAKHURD 22260908104
4472 BALRAMPUR RAMCHANDRAPUR P.S. RADHANAGAR 22260908201
4473 BALRAMPUR RAMCHANDRAPUR P.S. CHITAMADA 22260908202
4474 BALRAMPUR RAMCHANDRAPUR P.S. GADGODI 22260908301
4475 BALRAMPUR RAMCHANDRAPUR N.P.S.BARWAKIRKHA 22260908302
4476 BALRAMPUR RAMCHANDRAPUR M.S. GADGODI 22260908303
4477 BALRAMPUR RAMCHANDRAPUR P.S. SITACHUA 22260908401
4478 BALRAMPUR RAMCHANDRAPUR P.S. BANAPATI 22260908501
4479 BALRAMPUR RAMCHANDRAPUR P.S. JHAPIPIPER 22260908502
4480 BALRAMPUR RAMCHANDRAPUR M.S.BANAPATI 22260908503
4481 BALRAMPUR RAMCHANDRAPUR P.S. MARMA 22260908601
4482 BALRAMPUR RAMCHANDRAPUR P.S. MARMA 22260908602
4483 BALRAMPUR RAMCHANDRAPUR M.S.MARMA 22260908603
4484 BALRAMPUR RAMCHANDRAPUR P.S. BAJNAPARA 22260908604
4485 BALRAMPUR RAMCHANDRAPUR P.S. KOTHITAD 22260908605
4486 BALRAMPUR RAMCHANDRAPUR N.P.S.KHERWARIPARA 22260908606
4487 BALRAMPUR RAMCHANDRAPUR P.S. NAVADIH 22260908701
4488 BALRAMPUR RAMCHANDRAPUR M.S.NAVADIH 22260908702
4489 BALRAMPUR RAMCHANDRAPUR P.S. MORNIYA 22260908703
4490 BALRAMPUR RAMCHANDRAPUR P.S. KANKORWAPARA 22260908704
4491 BALRAMPUR RAMCHANDRAPUR P.S KHARADIH 22260908705
4492 BALRAMPUR RAMCHANDRAPUR P.S. PALGI 22260908801
4493 BALRAMPUR RAMCHANDRAPUR P.S. KEKARJHARIYA 22260908802
4494 BALRAMPUR RAMCHANDRAPUR P.S. JAWAKHADI 22260908804
4495 BALRAMPUR RAMCHANDRAPUR N.P.S.DUMDUMA 22260908805
4496 BALRAMPUR RAMCHANDRAPUR P.S. KORWATOLA 22260908806
4497 BALRAMPUR RAMCHANDRAPUR M.S. PALGI 22260908807
4498 BALRAMPUR RAMCHANDRAPUR P.S. LAWA 22260908901
4499 BALRAMPUR RAMCHANDRAPUR P.S. BANKHETAPARA 22260908902
4500 BALRAMPUR RAMCHANDRAPUR P.S. PADRUWAKHAD 22260908903
4501 BALRAMPUR RAMCHANDRAPUR P.S. DAXIN PARA 22260908904
4502 BALRAMPUR RAMCHANDRAPUR M.S. LAWA 22260908905
4503 BALRAMPUR RAMCHANDRAPUR P.S. MEGHULI 22260909001
4504 BALRAMPUR RAMCHANDRAPUR P.S. BICHPARA 22260909002
4505 BALRAMPUR RAMCHANDRAPUR P.S. CHAKI 22260909101
4506 BALRAMPUR RAMCHANDRAPUR P.S.MANGRATOLI 22260909102
4507 BALRAMPUR RAMCHANDRAPUR M.S.B.CHAKI 22260909103
4508 BALRAMPUR RAMCHANDRAPUR P.S. BASKATIYA 22260909104
4509 BALRAMPUR RAMCHANDRAPUR P.S. HADHITAR 22260909106
4510 BALRAMPUR RAMCHANDRAPUR P.S. GAMHARIYA 22260909201
4511 BALRAMPUR RAMCHANDRAPUR N.P.S.KODAKUPARA 22260909202
4512 BALRAMPUR RAMCHANDRAPUR M.S. GAMHARIYA 22260909203
4513 BALRAMPUR RAMCHANDRAPUR P.S. KEVLI 22260909301
4514 BALRAMPUR RAMCHANDRAPUR P.S. BEECHPARA 22260909302
4515 BALRAMPUR RAMCHANDRAPUR P.S. CHUMRA 22260909401
4516 BALRAMPUR RAMCHANDRAPUR P.S. GERUWAPOKHAR 22260909402
4517 BALRAMPUR RAMCHANDRAPUR P.S. CHHATTARPUR 22260909501
4518 BALRAMPUR RAMCHANDRAPUR M.S. CHHATTARPUR 22260909503
4519 BALRAMPUR RAMCHANDRAPUR P.S. SHIVPUR 22260909601
4520 BALRAMPUR RAMCHANDRAPUR M.S.SHIVPUR 22260909602
4521 BALRAMPUR RAMCHANDRAPUR P.S. CHINIYA 22260909701
4522 BALRAMPUR RAMCHANDRAPUR P.S. FULWAR(CHINIYA) 22260909702
4523 BALRAMPUR RAMCHANDRAPUR N.P.S.CHHOTKICHINIYA 22260909703
4524 BALRAMPUR RAMCHANDRAPUR M.S.CHINIYA(J.BH.) 22260909704
4525 BALRAMPUR RAMCHANDRAPUR P.S. MAHAVIRGANJ 22260909801
4526 BALRAMPUR RAMCHANDRAPUR P.S. CHAURADAND 22260909802
4527 BALRAMPUR RAMCHANDRAPUR M.S.MAHAVIRGANJ 22260909803
4528 BALRAMPUR RAMCHANDRAPUR N.P.S.KODAKUPARA 22260909804
4529 BALRAMPUR RAMCHANDRAPUR P.S. AORADAMAR 22260909805
4530 BALRAMPUR RAMCHANDRAPUR M.S. CHAURADAND 22260909806
4531 BALRAMPUR RAMCHANDRAPUR M.S. MEGHULI 22260909807
4532 BALRAMPUR RAMCHANDRAPUR M.S.CHUMRA 22260909808
4533 BALRAMPUR RAMCHANDRAPUR P.S. VIJAYNAGAR 22260909901
4534 BALRAMPUR RAMCHANDRAPUR M.S.VIJAYNAGAR 22260909902
4535 BALRAMPUR RAMCHANDRAPUR P.S. KEVTAPARA 22260909903
4536 BALRAMPUR RAMCHANDRAPUR M.S. GIRS. VIJAYNAGAR 22260909904
4537 BALRAMPUR RAMCHANDRAPUR P.S. NEHRUNAGAR 22260910001
4538 BALRAMPUR RAMCHANDRAPUR P.S. SUBHASHNAGAR 22260910101
4539 BALRAMPUR RAMCHANDRAPUR P.S. PURWATOLA 22260910102
4540 BALRAMPUR RAMCHANDRAPUR P.S. PASCHIMTOLA 22260910103
4541 BALRAMPUR RAMCHANDRAPUR P.S. DHARMI 22260910201
4542 BALRAMPUR RAMCHANDRAPUR P.S. DHARMIPARA 22260910202
4543 BALRAMPUR RAMCHANDRAPUR P.S. PARSAKHAD 22260910203
4544 BALRAMPUR RAMCHANDRAPUR M.S.DHARMI 22260910204
4545 BALRAMPUR RAMCHANDRAPUR P.S. LODHA 22260910301
4546 BALRAMPUR RAMCHANDRAPUR M.S.LODHA 22260910302
4547 BALRAMPUR RAMCHANDRAPUR P.S. KORAKUPARA 22260910303
4548 BALRAMPUR RAMCHANDRAPUR P.S JAMUNKHAD 22260910304
4549 BALRAMPUR RAMCHANDRAPUR P.S. KATANPARA 22260910401
4550 BALRAMPUR RAMCHANDRAPUR P.S. INDRAPUR 22260910501
4551 BALRAMPUR RAMCHANDRAPUR P.S. MACHWADAMAR 22260910502
4552 BALRAMPUR RAMCHANDRAPUR N.P.S.HARIJANPARA 22260910503
4553 BALRAMPUR RAMCHANDRAPUR N.P.S.TAWARIPARA 22260910504
4554 BALRAMPUR RAMCHANDRAPUR M.S.MACHWADAMAR 22260910505
4555 BALRAMPUR RAMCHANDRAPUR P.S. JAMWANTPUR 22260910601
4556 BALRAMPUR RAMCHANDRAPUR M.S.JAMWANTPUR 22260910602
4557 BALRAMPUR RAMCHANDRAPUR M.S. JAMVANTPUR(SSA) 22260910603
4558 BALRAMPUR RAMCHANDRAPUR P.S. MITIYAHI 22260910701
4559 BALRAMPUR RAMCHANDRAPUR P.S. LAMORIHANTOLA 22260910702
4560 BALRAMPUR RAMCHANDRAPUR P.S. DHAURATOLA 22260910703
4561 BALRAMPUR RAMCHANDRAPUR P.S. BAWANIPUR 22260910801
4562 BALRAMPUR RAMCHANDRAPUR P.S. BULGAOV 22260910901
4563 BALRAMPUR RAMCHANDRAPUR M.S.BULGAON 22260910902
4564 BALRAMPUR RAMCHANDRAPUR P.S. TETARDIH 22260911001
4565 BALRAMPUR RAMCHANDRAPUR P.S. UTTARTOLA(TETARDIH) 22260911002
4566 BALRAMPUR RAMCHANDRAPUR M.S. TETARDIH 22260911003
4567 BALRAMPUR RAMCHANDRAPUR P.S. VISHUNPUR 22260911101
4568 BALRAMPUR RAMCHANDRAPUR N.P.S.BHUIYAPARA 22260911102
4569 BALRAMPUR RAMCHANDRAPUR M.S. VISHUNPUR 22260911103
4570 BALRAMPUR RAMCHANDRAPUR P.S. TIKIDIRI 22260911201
4571 BALRAMPUR RAMCHANDRAPUR P.S. KODAKUPARA 22260911202
4572 BALRAMPUR RAMCHANDRAPUR M.S. TIKIDIRI 22260911203
4573 BALRAMPUR RAMCHANDRAPUR P.S. JOGIDAH 22260911301
4574 BALRAMPUR RAMCHANDRAPUR P.S. LIBAR 22260911802
4575 BALRAMPUR RAMCHANDRAPUR P.S. BARWADIH 22260911901
4576 BALRAMPUR RAMCHANDRAPUR P.S. DADARPARA 22260912001
4577 BALRAMPUR RAMCHANDRAPUR P.S. PATWARITAD 22260912002
4578 BALRAMPUR RAMCHANDRAPUR M.S.CHANDRANAGAR 22260912003
4579 BALRAMPUR RAMCHANDRAPUR N.P.S.DEINDUBI 22260912004
4580 BALRAMPUR RAMCHANDRAPUR P.S. SAIPARA 22260912005
4581 BALRAMPUR RAMCHANDRAPUR M.S. PATWARITAR 22260912006
4582 BALRAMPUR RAMCHANDRAPUR M.S. B.CHANDRANAGAR 22260912008
4583 BALRAMPUR RAMCHANDRAPUR P.S. SENDURPARA 22260912101
4584 BALRAMPUR RAMCHANDRAPUR P.S. AURAJHARIYA 22260912201
4585 BALRAMPUR RAMCHANDRAPUR P.S. DUMARDIH 22260912301
4586 BALRAMPUR RAMCHANDRAPUR P.S. CHALKHI 22260912401
4587 BALRAMPUR RAMCHANDRAPUR N.P.S.KUMHIYAPARA 22260912901
4588 BALRAMPUR RAMCHANDRAPUR M.S. BHITYAHI 22260913301
4589 BALRAMPUR RAMCHANDRAPUR M.S. DHORATOLA 22260913302
4590 BALRAMPUR SHANKARGARH P.S.G. DURGAPUR 22261200101
4591 BALRAMPUR SHANKARGARH P.S. DURGAPUR 22261200102
4592 BALRAMPUR SHANKARGARH M.S.B.DURGAPUR 22261200103
4593 BALRAMPUR SHANKARGARH M.S.G.DURGAPUR 22261200104
4594 BALRAMPUR SHANKARGARH P.S. LAINEPARA 22261200105
4595 BALRAMPUR SHANKARGARH P.S. DUMARPAT 22261200106
4596 BALRAMPUR SHANKARGARH P.S. PATRATOLI 22261200107
4597 BALRAMPUR SHANKARGARH M.S.LINEPARA 22261200108
4598 BALRAMPUR SHANKARGARH MUKTIDATA P.S. LARANGI 22261200201
4599 BALRAMPUR SHANKARGARH P.S.K. LARANGI 22261200202
4600 BALRAMPUR SHANKARGARH P.S. PARSATOLI LARANGI 22261200203
4601 BALRAMPUR SHANKARGARH M.S.MUKTIDATA 22261200204
4602 BALRAMPUR SHANKARGARH VANWASI P.S. KORANDH 22261200302
4603 BALRAMPUR SHANKARGARH P.S. UFRAPAT 22261200401
4604 BALRAMPUR SHANKARGARH P.S. RAJUWADODI 22261200501
4605 BALRAMPUR SHANKARGARH P.S. CHIRAI 22261200601
4606 BALRAMPUR SHANKARGARH M.S. CHIRAI 22261200602
4607 BALRAMPUR SHANKARGARH P.S. JASHWANTPUR 22261200701
4608 BALRAMPUR SHANKARGARH P.S. GIRJAPUR 22261200801
4609 BALRAMPUR SHANKARGARH M.S. GIRJAPUR 22261200802
4610 BALRAMPUR SHANKARGARH P.S. JARHADIH 22261200901
4611 BALRAMPUR SHANKARGARH P.S. GAMHARDIH 22261201001
4612 BALRAMPUR SHANKARGARH M.S.GAMHARDIH 22261201002
4613 BALRAMPUR SHANKARGARH P.S. SARAIDIH 22261201101
4614 BALRAMPUR SHANKARGARH P.S. PODIKALA 22261201201
4615 BALRAMPUR SHANKARGARH P.S.JIRGIM 22261201202
4616 BALRAMPUR SHANKARGARH M.S. PODIKALA 22261201203
4617 BALRAMPUR SHANKARGARH P.S. BHARATPUR 22261201301
4618 BALRAMPUR SHANKARGARH M.S.BHARATPUR 22261201302
4619 BALRAMPUR SHANKARGARH P.S.BHURSATOLI 22261201303
4620 BALRAMPUR SHANKARGARH P.S. KARASI 22261201401
4621 BALRAMPUR SHANKARGARH P.S.BANJARIPARA 22261201402
4622 BALRAMPUR SHANKARGARH P.S.KATHARAPARA 22261201403
4623 BALRAMPUR SHANKARGARH M.S. KARASI 22261201404
4624 BALRAMPUR SHANKARGARH P.S. KANCHANNAGAR 22261201501
4625 BALRAMPUR SHANKARGARH P.S. BHAGWATPUR 22261201601
4626 BALRAMPUR SHANKARGARH M.S.BHAVWATPUR 22261201602
4627 BALRAMPUR SHANKARGARH P.S. JAMHOR 22261201701
4628 BALRAMPUR SHANKARGARH M.S.JAMHOR 22261201702
4629 BALRAMPUR SHANKARGARH P.S. SEMARTALA 22261201801
4630 BALRAMPUR SHANKARGARH P.S. PATASI 22261201802
4631 BALRAMPUR SHANKARGARH M.S. PATASI ( BHUNESHWARPUR0 22261201803
4632 BALRAMPUR SHANKARGARH P.S. CHITA 22261201901
4633 BALRAMPUR SHANKARGARH M.S. CHITA 22261201902
4634 BALRAMPUR SHANKARGARH P.S. JARGIM 22261202001
4635 BALRAMPUR SHANKARGARH P.S.MADHOLONGARA 22261202002
4636 BALRAMPUR SHANKARGARH M.S.MADHOLONGARA 22261202003
4637 BALRAMPUR SHANKARGARH P.S. KHAIRADIH 22261202101
4638 BALRAMPUR SHANKARGARH P.S.DHASANI 22261202102
4639 BALRAMPUR SHANKARGARH M.S. KHAIRADIH 22261202103
4640 BALRAMPUR SHANKARGARH P.S. DHARANAGAR 22261202201
4641 BALRAMPUR SHANKARGARH M.S.DHARANAGAR 22261202202
4642 BALRAMPUR SHANKARGARH P.S.DUMARPANI 22261202203
4643 BALRAMPUR SHANKARGARH P.S.HARINLETA 22261202204
4644 BALRAMPUR SHANKARGARH M.S.DUMARPANI 22261202205
4645 BALRAMPUR SHANKARGARH M.S.HARINLETA 22261202206
4646 BALRAMPUR SHANKARGARH P.S. PODIKHURD 22261202301
4647 BALRAMPUR SHANKARGARH P.S.KISANPARA 22261202302
4648 BALRAMPUR SHANKARGARH M.S. PONDIKHURD 22261202303
4649 BALRAMPUR SHANKARGARH P.S. VINAYAKPUR 22261202401
4650 BALRAMPUR SHANKARGARH M.S.VINAYAKPUR 22261202402
4651 BALRAMPUR SHANKARGARH P.S. DEVSARAKHURD 22261202501
4652 BALRAMPUR SHANKARGARH P.S.RANGMAHALPARA 22261202502
4653 BALRAMPUR SHANKARGARH P.S. BELKONA 22261202601
4654 BALRAMPUR SHANKARGARH P.S.TOKUTOLI 22261202602
4655 BALRAMPUR SHANKARGARH M.S.BELKONA 22261202603
4656 BALRAMPUR SHANKARGARH P.S. AMERA 22261202701
4657 BALRAMPUR SHANKARGARH M.S. AMERA 22261202702
4658 BALRAMPUR SHANKARGARH P.S. GIDHKONA 22261202703
4659 BALRAMPUR SHANKARGARH P.S. MANOHARPUR 22261202801
4660 BALRAMPUR SHANKARGARH M.S.MOHANPUR 22261202802
4661 BALRAMPUR SHANKARGARH P.S.BAHERIKONA 22261202803
4662 BALRAMPUR SHANKARGARH P.S. MADPUR 22261202804
4663 BALRAMPUR SHANKARGARH P.S. PAREVA 22261202901
4664 BALRAMPUR SHANKARGARH P.S. JAMPANI 22261203001
4665 BALRAMPUR SHANKARGARH P.S.LOHARAPAT 22261203002
4666 BALRAMPUR SHANKARGARH M.S.JAMPANI 22261203003
4667 BALRAMPUR SHANKARGARH P.S. CHALGALI 22261203101
4668 BALRAMPUR SHANKARGARH M.S. CHALGALI 22261203102
4669 BALRAMPUR SHANKARGARH P.S. HARGAVA 22261203201
4670 BALRAMPUR SHANKARGARH P.S.JHALPI 22261203202
4671 BALRAMPUR SHANKARGARH M.S.HARGAVAN 22261203203
4672 BALRAMPUR SHANKARGARH P.S. BELSAR 22261203301
4673 BALRAMPUR SHANKARGARH M.S.BELSAR 22261203302
4674 BALRAMPUR SHANKARGARH P.S. BAGICHAPARA 22261203303
4675 BALRAMPUR SHANKARGARH P.S. PAHRI 22261203401
4676 BALRAMPUR SHANKARGARH M.S.PAHRI 22261203402
4677 BALRAMPUR SHANKARGARH P.S. INDAKON 22261203601
4678 BALRAMPUR SHANKARGARH P.S.BANKHETA 22261203602
4679 BALRAMPUR SHANKARGARH P.S.BARPANI 22261203603
4680 BALRAMPUR SHANKARGARH M.S. INDAKON 22261203604
4681 BALRAMPUR SHANKARGARH P.S. GHUGHRIKHURD 22261203701
4682 BALRAMPUR SHANKARGARH M.S. GHUGHRIKHURD 22261203702
4683 BALRAMPUR SHANKARGARH P.S. BANSDIH 22261203801
4684 BALRAMPUR SHANKARGARH M.S.BANSDIH 22261203802
4685 BALRAMPUR SHANKARGARH P.S. LALITPUR 22261203901
4686 BALRAMPUR SHANKARGARH P.S. MAHUADIH 22261204001
4687 BALRAMPUR SHANKARGARH M.S.MAHUWADIH 22261204002
4688 BALRAMPUR SHANKARGARH P.S. PENDARDIH 22261204101
4689 BALRAMPUR SHANKARGARH P.S. HARRATOLI 22261204201
4690 BALRAMPUR SHANKARGARH P.S.DHASKA 22261204303
4691 BALRAMPUR SHANKARGARH P.S.GIDHASARAI 22261204304
4692 BALRAMPUR SHANKARGARH P.S. TAWARPANI 22261204306
4693 BALRAMPUR SHANKARGARH P.S. BAGICHAPARA 22261204307
4694 BALRAMPUR SHANKARGARH M.S. LALDARA 22261204308
4695 BALRAMPUR SHANKARGARH P.S. ASANPANI 22261204401
4696 BALRAMPUR SHANKARGARH P.S. TUDUVA 22261204402
4697 BALRAMPUR SHANKARGARH P.S. BALAMPOKHAR 22261204501
4698 BALRAMPUR SHANKARGARH P.S. LAHSUNPAT 22261204601
4699 BALRAMPUR SHANKARGARH M.S.LAHSUNPAT 22261204602
4700 BALRAMPUR SHANKARGARH P.S. DOHNA KAVARTOLI 22261204701
4701 BALRAMPUR SHANKARGARH P.S. DOHNA URAOTOLI 22261204702
4702 BALRAMPUR SHANKARGARH M.S. DOHNA KANWARPARA 22261204703
4703 BALRAMPUR SHANKARGARH M.S. DOHNA URAOTOLI 22261204704
4704 BALRAMPUR SHANKARGARH P.S. DUMARTOLI 22261204801
4705 BALRAMPUR SHANKARGARH P.S. SARIM 22261204901
4706 BALRAMPUR SHANKARGARH P.S.BANKHETA 22261204902
4707 BALRAMPUR SHANKARGARH M.S. SARIMA 22261204903
4708 BALRAMPUR SHANKARGARH P.S. LADUWA 22261205001
4709 BALRAMPUR SHANKARGARH P.S.LALDERA 22261205002
4710 BALRAMPUR SHANKARGARH M.S. LADUWA 22261205003
4711 BALRAMPUR SHANKARGARH P.S LINEPARA 22261205004
4712 BALRAMPUR SHANKARGARH P.S. AMGAOV 22261205101
4713 BALRAMPUR SHANKARGARH P.S. JAMDI 22261205201
4714 BALRAMPUR SHANKARGARH P.S.BARPATARA 22261205202
4715 BALRAMPUR SHANKARGARH M.S. JAMDI 22261205203
4716 BALRAMPUR SHANKARGARH P.S.B. SHANKARGARH 22261205301
4717 BALRAMPUR SHANKARGARH P.S.G.SHANKARGARH 22261205302
4718 BALRAMPUR SHANKARGARH M.S.G.SHANKARGARH 22261205303
4719 BALRAMPUR SHANKARGARH M.S.B.SHANKARGARH 22261205304
4720 BALRAMPUR SHANKARGARH BAL SARMIK SHANKARGARH 22261205305
4721 BALRAMPUR SHANKARGARH P.S. S.H.BACHWAR 22261205308
4722 BALRAMPUR SHANKARGARH P.S. PATRATOLI 22261205401
4723 BALRAMPUR SHANKARGARH P.S. BACHWAR 22261205501
4724 BALRAMPUR SHANKARGARH M.S.BACHWAR 22261205502
4725 BALRAMPUR SHANKARGARH P.S. KHARKONA 22261205601
4726 BALRAMPUR SHANKARGARH P.S.TIKNI 22261205602
4727 BALRAMPUR SHANKARGARH P.S.KORVAPARA 22261205604
4728 BALRAMPUR SHANKARGARH P.S.BHITARIKONA 22261205605
4729 BALRAMPUR SHANKARGARH M.S. TIKNI 22261205606
4730 BALRAMPUR SHANKARGARH M.S. KHARKONA 22261205607
4731 BALRAMPUR SHANKARGARH P.S. BHONDNA 22261205701
4732 BALRAMPUR SHANKARGARH P.S.BAHERAPARA 22261205702
4733 BALRAMPUR SHANKARGARH M.S.BHONDNA 22261205703
4734 BALRAMPUR SHANKARGARH SANT JOSEF MANPUR 22261205801
4735 BALRAMPUR SHANKARGARH M.S.SANT JOSEF MANPUR 22261205802
4736 BALRAMPUR SHANKARGARH P.S. BARPARA 22261205803
4737 BALRAMPUR SHANKARGARH P.S. GHUGHARIKALA 22261205901
4738 BALRAMPUR SHANKARGARH P.S.BODHAPARA 22261205902
4739 BALRAMPUR SHANKARGARH P.S.KASAIBAHERA 22261205903
4740 BALRAMPUR SHANKARGARH M.S.GHOGHARIKALA 22261205904
4741 BALRAMPUR SHANKARGARH M.S.KASAIBAHERA 22261205905
4742 BALRAMPUR SHANKARGARH P.S. PARSUAAMA 22261205906
4743 BALRAMPUR SHANKARGARH P.S. NAVADIH 22261206001
4744 BALRAMPUR SHANKARGARH P.S.TAGATOLI 22261206002
4745 BALRAMPUR SHANKARGARH M.S. NAVADIH 22261206003
4746 BALRAMPUR SHANKARGARH P.S. NAVADIH 22261206004
4747 BALRAMPUR SHANKARGARH P.S.B. KOTHLI 22261206101
4748 BALRAMPUR SHANKARGARH P.S.G. KATHLI 22261206102
4749 BALRAMPUR SHANKARGARH P.S. BHALUPANI 22261206103
4750 BALRAMPUR SHANKARGARH M.S.KOTHALI 22261206104
4751 BALRAMPUR SHANKARGARH P.S.PARSATOLI 22261206105
4752 BALRAMPUR SHANKARGARH P.S.LAKARAKONA 22261206106
4753 BALRAMPUR SHANKARGARH M.S.PARSATOLI 22261206107
4754 BALRAMPUR SHANKARGARH M.S.BHALUPANI 22261206108
4755 BALRAMPUR SHANKARGARH P.S. KARMI KAVARTOLI 22261206201
4756 BALRAMPUR SHANKARGARH M.S.KARAMI KAVARTOLI 22261206202
4757 BALRAMPUR SHANKARGARH P.S. SAMUDRI 22261206301
4758 BALRAMPUR SHANKARGARH P.S. KARMI 22261206401
4759 BALRAMPUR SHANKARGARH M.S. KARMI URAO 22261206403
4760 BALRAMPUR SHANKARGARH P.S. UMKO 22261206501
4761 BALRAMPUR SHANKARGARH M.S. UMKO 22261206502
4762 BALRAMPUR SHANKARGARH P.S. BATHANPARA 22261206503
4763 BALRAMPUR SHANKARGARH P.S. LALDERA 22261206601
4764 BALRAMPUR SHANKARGARH P.S. SANMANDDRA 22261206701
4765 BALRAMPUR SHANKARGARH P.S. JABGADI 22261206801
4766 BALRAMPUR SHANKARGARH P.S. LODHI 22261206901
4767 BALRAMPUR SHANKARGARH M.S.LODHI 22261206902
4768 BALRAMPUR SHANKARGARH P.S. NADIPARA 22261206903
4769 BALRAMPUR SHANKARGARH P.S. SARGAVA 22261207001
4770 BALRAMPUR SHANKARGARH M.S. SARGAVA 22261207002
4771 BALRAMPUR SHANKARGARH P.S. KUHUDAND 22261207003
4772 BALRAMPUR SHANKARGARH P.S. TONGRIPARA 22261207004
4773 BALRAMPUR SHANKARGARH P.S. MANKEPI 22261207101
4774 BALRAMPUR SHANKARGARH P.S.KHARAPARA 22261207102
4775 BALRAMPUR SHANKARGARH M.S. MANKEPI 22261207103
4776 BALRAMPUR SHANKARGARH P.S. PATNA 22261207201
4777 BALRAMPUR SHANKARGARH P.S.BHANDARPARA 22261207202
4778 BALRAMPUR SHANKARGARH M.S. PATNA 22261207203
4779 BALRAMPUR SHANKARGARH P.S. NAVAPARA 22261207301
4780 BALRAMPUR SHANKARGARH P.S. JAGIM 22261207401
4781 BALRAMPUR SHANKARGARH P.S.TENDPARA 22261207402
4782 BALRAMPUR SHANKARGARH P.S.JOTAD 22261207403
4783 BALRAMPUR SHANKARGARH M.S.JAGIMA 22261207404
4784 BALRAMPUR SHANKARGARH P.S. KANJIYA 22261207405
4785 BALRAMPUR SHANKARGARH M.S.KANJIYA 22261207406
4786 BALRAMPUR SHANKARGARH P.S. KATARIKONA 22261207501
4787 BALRAMPUR SHANKARGARH M.S. KATARIKONA 22261207502
4788 BALRAMPUR SHANKARGARH P.S. BHAIROPUR 22261207601
4789 BALRAMPUR SHANKARGARH P.S.SITAPARA 22261207602
4790 BALRAMPUR SHANKARGARH M.S. BHAIROPUR 22261207603
4791 BALRAMPUR SHANKARGARH P.S.LINEPARA 22261207604
4792 BALRAMPUR SHANKARGARH P.S. DIPADIHKHURD 22261207701
4793 BALRAMPUR SHANKARGARH M.S.DIPADIHKHURD 22261207702
4794 BALRAMPUR SHANKARGARH P.S. LOHARPARA 22261207703
4795 BALRAMPUR SHANKARGARH P.S. SIHAR 22261207801
4796 BALRAMPUR SHANKARGARH M.S.SIHAR 22261207802
4797 BALRAMPUR SHANKARGARH P.S. MURKA 22261207901
4798 BALRAMPUR SHANKARGARH P.S. DAMODARPUR 22261208001
4799 BALRAMPUR SHANKARGARH P.S.KORVAPARA 22261208002
4800 BALRAMPUR SHANKARGARH P.S. KAMARI 22261208101
4801 BALRAMPUR SHANKARGARH GIRLS ASHRAM KAMARI 22261208102
4802 BALRAMPUR SHANKARGARH M.S.KAMARI 22261208103
4803 BALRAMPUR SHANKARGARH M.S.G.KAMARI 22261208104
4804 BALRAMPUR SHANKARGARH P.S.LOHARATAND 22261208105
4805 BALRAMPUR SHANKARGARH M.S. LOHARATAND 22261208106
4806 BALRAMPUR SHANKARGARH P.S. SIFILI 22261208201
4807 BALRAMPUR SHANKARGARH P.S.KHARHARPARA 22261208202
4808 BALRAMPUR SHANKARGARH P.S. REHDA 22261208301
4809 BALRAMPUR SHANKARGARH M.S.G.REHDA 22261208302
4810 BALRAMPUR SHANKARGARH M.S.B.REHDA 22261208303
4811 BALRAMPUR SHANKARGARH P.S.BAGICHAPARA 22261208304
4812 BALRAMPUR SHANKARGARH P.S. BAHERATOLI 22261208305
4813 BALRAMPUR SHANKARGARH P.S. CHANDRANAGAR 22261208401
4814 BALRAMPUR SHANKARGARH M.S. CHANDRANAGAR 22261208402
4815 BALRAMPUR SHANKARGARH P.S. KRISHNANAGAR 22261208501
4816 BALRAMPUR SHANKARGARH M.S. KRISHNANAGAR 22261208502
4817 BALRAMPUR SHANKARGARH PS KOTALLU 22261208601
4818 BALRAMPUR SHANKARGARH P.S. BARKONA 22261208602
4819 BALRAMPUR SHANKARGARH M.S. BARKONA 22261208603
4820 BALRAMPUR SHANKARGARH P.S.DAMKODA 22261208702
4821 BALRAMPUR SHANKARGARH PS KODWA 22261208703
4822 BALRAMPUR SHANKARGARH P.S. THANTOLI 22261208704
4823 BALRAMPUR SHANKARGARH M.S. KODVA 22261208705
4824 BALRAMPUR SHANKARGARH P.S. SARNAPARA 22261208801
4825 BALRAMPUR SHANKARGARH P.S. CHULHAKONA 22261208901
4826 BALRAMPUR SHANKARGARH P.S. DEVSARAKALA 22261209001
4827 BALRAMPUR SHANKARGARH P.S. DANDTOLI 22261209002
4828 BALRAMPUR SHANKARGARH M.S. DEVSARAKALA 22261209003
4829 BALRAMPUR SHANKARGARH P.S. AYYARI 22261209101
4830 BALRAMPUR SHANKARGARH P.S.DAMHATOLI 22261209102
4831 BALRAMPUR SHANKARGARH M.S. CHULHAKONA 22261209104
4832 BALRAMPUR SHANKARGARH M.S. AYYARI 22261209105
4833 BALRAMPUR SHANKARGARH BOYS ASHRAM DIPADIHKALA 22261209201
4834 BALRAMPUR SHANKARGARH P.S. DIPADIHKALA 22261209202
4835 BALRAMPUR SHANKARGARH M.S.DIPADIHKALA 22261209203
4836 BALRAMPUR SHANKARGARH P.S.PURABTOLI 22261209204
4837 BALRAMPUR SHANKARGARH P.S. BADA 22261209301
4838 BALRAMPUR SHANKARGARH M.S. BADA 22261209302
4839 BALRAMPUR SHANKARGARH P.S. JAMHARI 22261209401
4840 BALRAMPUR SHANKARGARH P.S.NAVGAI 22261209402
4841 BALRAMPUR SHANKARGARH M.S. JAMHATI 22261209403
4842 BALRAMPUR SHANKARGARH P.S.G. GHATGAOV 22261209501
4843 BALRAMPUR SHANKARGARH M.S. GHATGANV 22261209502
4844 BALRAMPUR SHANKARGARH P.S. CHANGARO 22261209601
4845 BALRAMPUR SHANKARGARH P.S. UDARSAI 22261209701
4846 BALRAMPUR SHANKARGARH M.S. UDARSAI 22261209702
4847 BALRAMPUR SHANKARGARH P.S. DIPADIH URAOTOLO 22261209801
4848 BALRAMPUR SHANKARGARH M.S. DIPADIH URANV 22261209802
4849 BALRAMPUR SHANKARGARH P.S. KAVARTOLI 22261209901
4850 BALRAMPUR SHANKARGARH P.S.SARNADIH 22261210101
4851 BALRAMPUR SHANKARGARH M.S. PATRATOLI 22261210401
4852 BALRAMPUR WADRAFNAGAR P.S. INJANI 22261100101
4853 BALRAMPUR WADRAFNAGAR P.S. DHANBAHDAND 22261100103
4854 BALRAMPUR WADRAFNAGAR P.S. BAHERADAND 22261100104
4855 BALRAMPUR WADRAFNAGAR P.S.MAHUARIPARA 22261100105
4856 BALRAMPUR WADRAFNAGAR M.S.INJANI 22261100106
4857 BALRAMPUR WADRAFNAGAR M.S. MAHUARIPARA 22261100107
4858 BALRAMPUR WADRAFNAGAR P.S. JIRAT 22261100201
4859 BALRAMPUR WADRAFNAGAR P.S. JHORPARA 22261100202
4860 BALRAMPUR WADRAFNAGAR P.S.BHAGWANPUR 22261100203
4861 BALRAMPUR WADRAFNAGAR P.S. NAYAPARA 22261100301
4862 BALRAMPUR WADRAFNAGAR P.S. BARTIKHURD 22261100401
4863 BALRAMPUR WADRAFNAGAR P.S.KHADIYAPARA 22261100402
4864 BALRAMPUR WADRAFNAGAR P.S. HARIJANPARA 22261100403
4865 BALRAMPUR WADRAFNAGAR M.S. BARTIKHURD 22261100404
4866 BALRAMPUR WADRAFNAGAR P.S. SHARDAPUR (E) 22261100501
4867 BALRAMPUR WADRAFNAGAR M.S.SHRDAPUR(E) 22261100502
4868 BALRAMPUR WADRAFNAGAR P.S. BARPARA 22261100504
4869 BALRAMPUR WADRAFNAGAR P.S. DUBAPARA 22261100505
4870 BALRAMPUR WADRAFNAGAR P.S. BHAVANKHAVD 22261100506
4871 BALRAMPUR WADRAFNAGAR P.S. KORWAPARA 22261100508
4872 BALRAMPUR WADRAFNAGAR M.S. BARPARA 22261100509
4873 BALRAMPUR WADRAFNAGAR P.S. MIYAPARA 22261100510
4874 BALRAMPUR WADRAFNAGAR P.S. ODARI 22261100601
4875 BALRAMPUR WADRAFNAGAR PS KONIYAPARA 22261100602
4876 BALRAMPUR WADRAFNAGAR P.S. PASHCHIMPARA 22261100603
4877 BALRAMPUR WADRAFNAGAR M.S. ODARI 22261100604
4878 BALRAMPUR WADRAFNAGAR M.S. KONIYAPARA 22261100605
4879 BALRAMPUR WADRAFNAGAR P.S. BHULAIJHOR 22261100701
4880 BALRAMPUR WADRAFNAGAR M.S. JHORPARA 22261100702
4881 BALRAMPUR WADRAFNAGAR P.S. SHIVARI 22261100801
4882 BALRAMPUR WADRAFNAGAR P.S. HARIJANPARA 22261100802
4883 BALRAMPUR WADRAFNAGAR M.S. SHIVARI 22261100803
4884 BALRAMPUR WADRAFNAGAR P.S. POKHRA 22261100901
4885 BALRAMPUR WADRAFNAGAR M.S. POKHARA 22261100902
4886 BALRAMPUR WADRAFNAGAR P.S. TANVARIPARA 22261101001
4887 BALRAMPUR WADRAFNAGAR P.S. KOLHUAPARA 22261101101
4888 BALRAMPUR WADRAFNAGAR MS KOLHUA 22261101102
4889 BALRAMPUR WADRAFNAGAR P.S. BABHANIPARA 22261101201
4890 BALRAMPUR WADRAFNAGAR P.S. EKNARA 22261101301
4891 BALRAMPUR WADRAFNAGAR P.S. KOTRAHI 22261101401
4892 BALRAMPUR WADRAFNAGAR DALKIPARA 22261101403
4893 BALRAMPUR WADRAFNAGAR P.S.CHANCHIDAND 22261101404
4894 BALRAMPUR WADRAFNAGAR M.S. KOTRAHI 22261101405
4895 BALRAMPUR WADRAFNAGAR M.S.CHANCHIDAND 22261101406
4896 BALRAMPUR WADRAFNAGAR P.S. PENDARI 22261101501
4897 BALRAMPUR WADRAFNAGAR M.S.PENDARI 22261101502
4898 BALRAMPUR WADRAFNAGAR P.S. JHUMELAPARA 22261101503
4899 BALRAMPUR WADRAFNAGAR P.S. BHUIYAPARA 22261101504
4900 BALRAMPUR WADRAFNAGAR P.S. HADINADI 22261101505
4901 BALRAMPUR WADRAFNAGAR M.S.G.PENDARI 22261101506
4902 BALRAMPUR WADRAFNAGAR P.S. CHANDAORIPARA 22261101701
4903 BALRAMPUR WADRAFNAGAR P.S. BAJARMARA 22261101801
4904 BALRAMPUR WADRAFNAGAR GIRLS ASHRAM WADRAFNAGAR 22261101901
4905 BALRAMPUR WADRAFNAGAR P.S. WADRAFNAGAR 22261101903
4906 BALRAMPUR WADRAFNAGAR M.S.G.WADRAFNAGAR 22261101905
4907 BALRAMPUR WADRAFNAGAR M.S.ASHARAM.GIRLS 22261101906
4908 BALRAMPUR WADRAFNAGAR PS BALSHRIMAK, WADRAFNAGAR 22261101907
4909 BALRAMPUR WADRAFNAGAR M.S.B.WADRAFNAGAR 22261101912
4910 BALRAMPUR WADRAFNAGAR K.G.B.V. WADRAFNAGAER 22261101916
4911 BALRAMPUR WADRAFNAGAR P.S. BASULAPAT 22261102001
4912 BALRAMPUR WADRAFNAGAR M.S. BASULAPAT 22261102002
4913 BALRAMPUR WADRAFNAGAR P.S. JHARAPARA 22261102101
4914 BALRAMPUR WADRAFNAGAR P.S. BASANTPUR 22261102102
4915 BALRAMPUR WADRAFNAGAR P.S. MAHUARIPARA 22261102103
4916 BALRAMPUR WADRAFNAGAR M.S.BASANTPUR 22261102104
4917 BALRAMPUR WADRAFNAGAR P.S. SINDHUARIPARA 22261102105
4918 BALRAMPUR WADRAFNAGAR P.S. MAHUARIPARA 22261102106
4919 BALRAMPUR WADRAFNAGAR P.S. HARIJANPARA 22261102107
4920 BALRAMPUR WADRAFNAGAR M.S. G. BASANTPUR 22261102109
4921 BALRAMPUR WADRAFNAGAR M.S. MAHUARIPARA 22261102110
4922 BALRAMPUR WADRAFNAGAR P.S. KUNDI 22261102201
4923 BALRAMPUR WADRAFNAGAR M.S. KUNDI 22261102202
4924 BALRAMPUR WADRAFNAGAR P.S. BAJRA 22261102301
4925 BALRAMPUR WADRAFNAGAR M.S. BAJRA 22261102302
4926 BALRAMPUR WADRAFNAGAR P.S. FULIDUMAR 22261102401
4927 BALRAMPUR WADRAFNAGAR M.S.FULIDUMAR 22261102402
4928 BALRAMPUR WADRAFNAGAR P.S.KERWAPARA 22261102403
4929 BALRAMPUR WADRAFNAGAR P.S. DHANWAR 22261102404
4930 BALRAMPUR WADRAFNAGAR P.S. BHODAR 22261102501
4931 BALRAMPUR WADRAFNAGAR M.S. BHODAR 22261102502
4932 BALRAMPUR WADRAFNAGAR P.S. GOBRA 22261102601
4933 BALRAMPUR WADRAFNAGAR M.S.GOBRA 22261102602
4934 BALRAMPUR WADRAFNAGAR P.S. PASHCHIMPARA 22261102603
4935 BALRAMPUR WADRAFNAGAR P.S. PREMNAGAR 22261102701
4936 BALRAMPUR WADRAFNAGAR P.S. UTTARPARA,BASULAPAT 22261102702
4937 BALRAMPUR WADRAFNAGAR M.S.PREMNAGAR 22261102703
4938 BALRAMPUR WADRAFNAGAR P.S. JAMAI 22261102704
4939 BALRAMPUR WADRAFNAGAR BOYS ASHRAM GONDLA 22261102801
4940 BALRAMPUR WADRAFNAGAR M.S.GONDLA 22261102802
4941 BALRAMPUR WADRAFNAGAR P.S. PURABPARA 22261102803
4942 BALRAMPUR WADRAFNAGAR P.S. BELSAR 22261102901
4943 BALRAMPUR WADRAFNAGAR P.S. NICHEPARA 22261102902
4944 BALRAMPUR WADRAFNAGAR M.S. BELSAR 22261102903
4945 BALRAMPUR WADRAFNAGAR P.S. SHARDAPUR 22261103001
4946 BALRAMPUR WADRAFNAGAR P.S. BAHERATOLA 22261103003
4947 BALRAMPUR WADRAFNAGAR P.S.KHUTHANPARA 22261103004
4948 BALRAMPUR WADRAFNAGAR P.S.HARIJANPARA SU. 22261103005
4949 BALRAMPUR WADRAFNAGAR M.S. KHUTHANPARA 22261103006
4950 BALRAMPUR WADRAFNAGAR M.S. PATRATOLA 22261103007
4951 BALRAMPUR WADRAFNAGAR M.S. SHARDAPUR SU. 22261103008
4952 BALRAMPUR WADRAFNAGAR BOYS ASHRAM BAIKUNTHPUR 22261103101
4953 BALRAMPUR WADRAFNAGAR P.S.KORWAPARA 22261103102
4954 BALRAMPUR WADRAFNAGAR M.S.BAIKUNTHPUR 22261103103
4955 BALRAMPUR WADRAFNAGAR P.S. AMDIHA 22261103201
4956 BALRAMPUR WADRAFNAGAR P.S. KAILASHPUR 22261103301
4957 BALRAMPUR WADRAFNAGAR M.S. KAILASHPUR 22261103302
4958 BALRAMPUR WADRAFNAGAR P.S.G. BARTIKALA 22261103401
4959 BALRAMPUR WADRAFNAGAR P.S.B. BARTIKALA 22261103402
4960 BALRAMPUR WADRAFNAGAR P.S. NAVAPARA 22261103403
4961 BALRAMPUR WADRAFNAGAR P.S. DONDI 22261103501
4962 BALRAMPUR WADRAFNAGAR P.S. GHUTRAPARA 22261103502
4963 BALRAMPUR WADRAFNAGAR M.S. DONDI 22261103503
4964 BALRAMPUR WADRAFNAGAR P.S. BUDATAND 22261103601
4965 BALRAMPUR WADRAFNAGAR P.S. HARIJANPARA 22261103602
4966 BALRAMPUR WADRAFNAGAR M.S. BUDATAND 22261103603
4967 BALRAMPUR WADRAFNAGAR P.S. PANSARA 22261103701
4968 BALRAMPUR WADRAFNAGAR M.S.PANSARA 22261103702
4969 BALRAMPUR WADRAFNAGAR P.S. NAVAPARA 22261103703
4970 BALRAMPUR WADRAFNAGAR P.S. SULSULI 22261103801
4971 BALRAMPUR WADRAFNAGAR M.S.SULSULI 22261103802
4972 BALRAMPUR WADRAFNAGAR P.S. AMATIKARA 22261103803
4973 BALRAMPUR WADRAFNAGAR P.S. UPARBANDH 22261103804
4974 BALRAMPUR WADRAFNAGAR P.S. PATRATOLA 22261103805
4975 BALRAMPUR WADRAFNAGAR P.S. JARHATOLA 22261103806
4976 BALRAMPUR WADRAFNAGAR M.S.G. SULSULI 22261103807
4977 BALRAMPUR WADRAFNAGAR M.S. JARHATOLA 22261103808
4978 BALRAMPUR WADRAFNAGAR P.S. PARSATOLA 22261103901
4979 BALRAMPUR WADRAFNAGAR P.S. SURHUL 22261104001
4980 BALRAMPUR WADRAFNAGAR P.S. MAHULI 22261104101
4981 BALRAMPUR WADRAFNAGAR P.S. KOYAMPARA 22261104102
4982 BALRAMPUR WADRAFNAGAR P.S. GINHVAPARA 22261104103
4983 BALRAMPUR WADRAFNAGAR P.S. DADARPARA 22261104104
4984 BALRAMPUR WADRAFNAGAR M.S.MAHULI 22261104105
4985 BALRAMPUR WADRAFNAGAR M.S. KOYAMPARA 22261104106
4986 BALRAMPUR WADRAFNAGAR P.S. MENDARI 22261104201
4987 BALRAMPUR WADRAFNAGAR P.S. SEMARIYAPARA 22261104203
4988 BALRAMPUR WADRAFNAGAR P.S.FOKALIMAHUA 22261104204
4989 BALRAMPUR WADRAFNAGAR M.S.MENDARI 22261104205
4990 BALRAMPUR WADRAFNAGAR P.S. DHURESHWARPARA 22261104301
4991 BALRAMPUR WADRAFNAGAR P.S. SYAHI 22261104302
4992 BALRAMPUR WADRAFNAGAR P.S. PIPARPARA 22261104303
4993 BALRAMPUR WADRAFNAGAR M.S. SYAHI 22261104304
4994 BALRAMPUR WADRAFNAGAR P.S. PASHUPATIPUR 22261104401
4995 BALRAMPUR WADRAFNAGAR M.S.PASHUPATIPUR 22261104402
4996 BALRAMPUR WADRAFNAGAR P.S. KERVAPARA 22261104403
4997 BALRAMPUR WADRAFNAGAR P.S.G.A.PASHUPATIPUR 22261104404
4998 BALRAMPUR WADRAFNAGAR M.S.G. PASHUPATIPUR 22261104405
4999 BALRAMPUR WADRAFNAGAR P.S. MITHILAPUR 22261104501
5000 BALRAMPUR WADRAFNAGAR P.S. KAKNESA 22261104601
5001 BALRAMPUR WADRAFNAGAR P.S. BEDARIPARA 22261104602
5002 BALRAMPUR WADRAFNAGAR P.S. KODHAPURVA 22261104603
5003 BALRAMPUR WADRAFNAGAR M.S. KAKNESA 22261104604
5004 BALRAMPUR WADRAFNAGAR P.S. KORVATOLA 22261104701
5005 BALRAMPUR WADRAFNAGAR P.S. RUPPUR 22261104801
5006 BALRAMPUR WADRAFNAGAR P.S. BHODARPARA 22261104802
5007 BALRAMPUR WADRAFNAGAR M.S.RUPPUR 22261104803
5008 BALRAMPUR WADRAFNAGAR P.S. MANBASA 22261104901
5009 BALRAMPUR WADRAFNAGAR M.S. MANBASA 22261104902
5010 BALRAMPUR WADRAFNAGAR P.S.G. PANDRI 22261105001
5011 BALRAMPUR WADRAFNAGAR P.S.B. PANDRI 22261105002
5012 BALRAMPUR WADRAFNAGAR M.S.G.PANDARI 22261105003
5013 BALRAMPUR WADRAFNAGAR M.S.B.PANDARI 22261105004
5014 BALRAMPUR WADRAFNAGAR P.S.UTTARTOLA 22261105005
5015 BALRAMPUR WADRAFNAGAR P.S. PARSATOLA 22261105006
5016 BALRAMPUR WADRAFNAGAR P.S. PATERIPARA 22261105007
5017 BALRAMPUR WADRAFNAGAR P.S. DOLPAKHANA 22261105008
5018 BALRAMPUR WADRAFNAGAR P.S. PASHCHIMPARA 22261105009
5019 BALRAMPUR WADRAFNAGAR M.S. PATERIPARA 22261105010
5020 BALRAMPUR WADRAFNAGAR M.S. PASCHIMPARA 22261105011
5021 BALRAMPUR WADRAFNAGAR P.S. GIRVANI 22261105101
5022 BALRAMPUR WADRAFNAGAR P.S. NAVDIHATOLA 22261105102
5023 BALRAMPUR WADRAFNAGAR P.S. MOKHATOLA 22261105103
5024 BALRAMPUR WADRAFNAGAR M.S. GIRVANI 22261105104
5025 BALRAMPUR WADRAFNAGAR M.S. NAVDIHATOLA 22261105105
5026 BALRAMPUR WADRAFNAGAR P.S. HARIGAVAN 22261105201
5027 BALRAMPUR WADRAFNAGAR P.S. MANGARHARPARA 22261105202
5028 BALRAMPUR WADRAFNAGAR P.S. HARIJANPARA 22261105203
5029 BALRAMPUR WADRAFNAGAR M.S.HARIGAVAN 22261105204
5030 BALRAMPUR WADRAFNAGAR M.S.B. HARIGAVAN 22261105205
5031 BALRAMPUR WADRAFNAGAR M.S. MANGARHARPARA 22261105207
5032 BALRAMPUR WADRAFNAGAR P.S. DOLPAKHNA 22261105301
5033 BALRAMPUR WADRAFNAGAR M.S.DOLPAKHANA 22261105302
5034 BALRAMPUR WADRAFNAGAR P.S. MURLIGANJ 22261105401
5035 BALRAMPUR WADRAFNAGAR M.S. MURLIGANJ 22261105402
5036 BALRAMPUR WADRAFNAGAR P.S. PAHADDIH 22261105501
5037 BALRAMPUR WADRAFNAGAR P.S. SAVNIMAHUA 22261105601
5038 BALRAMPUR WADRAFNAGAR M.S.SAVNIMAHUA 22261105602
5039 BALRAMPUR WADRAFNAGAR P.S. KENVARI 22261105701
5040 BALRAMPUR WADRAFNAGAR P.S. SARUVAT 22261105801
5041 BALRAMPUR WADRAFNAGAR P.S. BODARAPARA 22261105802
5042 BALRAMPUR WADRAFNAGAR M.S. SARUVAT 22261105803
5043 BALRAMPUR WADRAFNAGAR P.S. BHAUTIPARA 22261105804
5044 BALRAMPUR WADRAFNAGAR GIRLS ASHRAM RAMNAGAR 22261105901
5045 BALRAMPUR WADRAFNAGAR P.S.B. RAMNAGAR 22261105902
5046 BALRAMPUR WADRAFNAGAR M.S.G.RAMNAGAR 22261105903
5047 BALRAMPUR WADRAFNAGAR P.S. PASHCHIMPARA 22261105904
5048 BALRAMPUR WADRAFNAGAR P.S. SADAKTOLA 22261105905
5049 BALRAMPUR WADRAFNAGAR M.S.B. RAMNAGAR 22261105906
5050 BALRAMPUR WADRAFNAGAR P.S. SHANTIPUR 22261106001
5051 BALRAMPUR WADRAFNAGAR M.S. SHANTIPUR 22261106002
5052 BALRAMPUR WADRAFNAGAR P.S. KHARRA 22261106101
5053 BALRAMPUR WADRAFNAGAR P.S. DHANJARA 22261106201
5054 BALRAMPUR WADRAFNAGAR M.S.DHANJARA 22261106202
5055 BALRAMPUR WADRAFNAGAR P.S. KADIYA 22261106301
5056 BALRAMPUR WADRAFNAGAR P.S. LALMATI 22261106302
5057 BALRAMPUR WADRAFNAGAR P.S. KACHHIYA 22261106401
5058 BALRAMPUR WADRAFNAGAR M.S.B.KACHHIYA 22261106402
5059 BALRAMPUR WADRAFNAGAR M.S.G.KACHHIYA 22261106403
5060 BALRAMPUR WADRAFNAGAR P.S.HARIJANPARA 22261106404
5061 BALRAMPUR WADRAFNAGAR P.S.HARIJANPARA B 22261106405
5062 BALRAMPUR WADRAFNAGAR P.S. AMRAVATIPUR 22261106501
5063 BALRAMPUR WADRAFNAGAR M.S.AMRAWATIPUR 22261106502
5064 BALRAMPUR WADRAFNAGAR P.S. BICHPARA 22261106503
5065 BALRAMPUR WADRAFNAGAR P.S. KHONGAPARA 22261106601
5066 BALRAMPUR WADRAFNAGAR M.S. KHONGAPARA 22261106602
5067 BALRAMPUR WADRAFNAGAR P.S. GADAOLI 22261106801
5068 BALRAMPUR WADRAFNAGAR M.S. GADAOLI 22261106802
5069 BALRAMPUR WADRAFNAGAR P.S. DADIYA 22261106901
5070 BALRAMPUR WADRAFNAGAR KHORKHAPARA 22261106902
5071 BALRAMPUR WADRAFNAGAR P.S. ALAGDIHAPARA 22261106903
5072 BALRAMPUR WADRAFNAGAR P.S. BARPARA 22261106904
5073 BALRAMPUR WADRAFNAGAR M.S. DADIYA 22261106905
5074 BALRAMPUR WADRAFNAGAR P.S. MANPUR 22261107001
5075 BALRAMPUR WADRAFNAGAR P.S.GADRAMARA 22261107003
5076 BALRAMPUR WADRAFNAGAR P.S.BHUIYAPARA 22261107004
5077 BALRAMPUR WADRAFNAGAR M.S. MANPUR 22261107005
5078 BALRAMPUR WADRAFNAGAR P.S. ALKA 22261107101
5079 BALRAMPUR WADRAFNAGAR P.S. SARNAPARA 22261107102
5080 BALRAMPUR WADRAFNAGAR P.S. KODAKUPARA 22261107103
5081 BALRAMPUR WADRAFNAGAR P.S. NAVAPARA 22261107104
5082 BALRAMPUR WADRAFNAGAR P.S. ADRAIPARA 22261107105
5083 BALRAMPUR WADRAFNAGAR P.S. DEVAIPARA 22261107201
5084 BALRAMPUR WADRAFNAGAR P.S. DUARI 22261107301
5085 BALRAMPUR WADRAFNAGAR M.S. DUARI 22261107302
5086 BALRAMPUR WADRAFNAGAR P.S. DONGRO 22261107401
5087 BALRAMPUR WADRAFNAGAR P.S. KODAKUPARA 22261107402
5088 BALRAMPUR WADRAFNAGAR P.S. GONDAURAPARA 22261107403
5089 BALRAMPUR WADRAFNAGAR M.S. DONGRO 22261107404
5090 BALRAMPUR WADRAFNAGAR P.S. RAMPUR 22261107501
5091 BALRAMPUR WADRAFNAGAR P.S.FULWAR 22261107502
5092 BALRAMPUR WADRAFNAGAR P.S.KODAKUPARA 22261107503
5093 BALRAMPUR WADRAFNAGAR M.S. RAMPUR 22261107504
5094 BALRAMPUR WADRAFNAGAR P.S. BELIYA 22261107601
5095 BALRAMPUR WADRAFNAGAR P.S. CHALGALI 22261107701
5096 BALRAMPUR WADRAFNAGAR GIRLS ASHRAM CHALGALI 22261107702
5097 BALRAMPUR WADRAFNAGAR M.S.G.CHALGALI 22261107703
5098 BALRAMPUR WADRAFNAGAR M.S.B.CHALGALI 22261107704
5099 BALRAMPUR WADRAFNAGAR P.S.DAVANAPARA 22261107705
5100 BALRAMPUR WADRAFNAGAR P.S. BAJARPARA 22261107706
5101 BALRAMPUR WADRAFNAGAR P.S. MAHATOPARA 22261107708
5102 BALRAMPUR WADRAFNAGAR P.S. PADAOLI 22261107801
5103 BALRAMPUR WADRAFNAGAR M.S. PADAULI 22261107802
5104 BALRAMPUR WADRAFNAGAR M.S. BHAGWANPUR 22261107902
5105 BALRAMPUR WADRAFNAGAR M.S. JIRAT 22261107903
5106 BALRAMPUR WADRAFNAGAR P.S. BADKAGAOV 22261108001
5107 BALRAMPUR WADRAFNAGAR M.S.BADKAGAON 22261108002
5108 BALRAMPUR WADRAFNAGAR P.S. KORVATOLA 22261108003
5109 BALRAMPUR WADRAFNAGAR P.S. JABARPARA 22261108004
5110 BALRAMPUR WADRAFNAGAR P.S. SURSA 22261108101
5111 BALRAMPUR WADRAFNAGAR P.S. TOLHUPARA 22261108102
5112 BALRAMPUR WADRAFNAGAR P.S. CHANDI 22261108201
5113 BALRAMPUR WADRAFNAGAR P.S. MAHEVA 22261108301
5114 BALRAMPUR WADRAFNAGAR M.S.MAHEVA 22261108302
5115 BALRAMPUR WADRAFNAGAR P.S. GHETANAR 22261108303
5116 BALRAMPUR WADRAFNAGAR P.S.HARIJANPARA 22261108304
5117 BALRAMPUR WADRAFNAGAR M.S.GIRLS MAHEWA 22261108305
5118 BALRAMPUR WADRAFNAGAR P.S. MADNA 22261108401
5119 BALRAMPUR WADRAFNAGAR P.S.DHOARPUR 22261108402
5120 BALRAMPUR WADRAFNAGAR M.S. MADNA 22261108403
5121 BALRAMPUR WADRAFNAGAR P.S. LODHI 22261108501
5122 BALRAMPUR WADRAFNAGAR P.S. BHUDVAHIPARA 22261108502
5123 BALRAMPUR WADRAFNAGAR P.S. NAGPANI 22261108503
5124 BALRAMPUR WADRAFNAGAR M.S.LODHI 22261108504
5125 BALRAMPUR WADRAFNAGAR P.S. GURMUTI 22261108601
5126 BALRAMPUR WADRAFNAGAR M.S. GURMUTI 22261108602
5127 BALRAMPUR WADRAFNAGAR P.S. KOTI 22261108701
5128 BALRAMPUR WADRAFNAGAR P.S. PURANKOTI 22261108702
5129 BALRAMPUR WADRAFNAGAR M.S. KOTI 22261108703
5130 BALRAMPUR WADRAFNAGAR P.S. DARIDIH 22261108801
5131 BALRAMPUR WADRAFNAGAR P.S. MADANPUR 22261108901
5132 BALRAMPUR WADRAFNAGAR M.S.MADANPUR 22261108902
5133 BALRAMPUR WADRAFNAGAR P.S. CHANWARSARAI 22261109001
5134 BALRAMPUR WADRAFNAGAR P.S. GHUTRAPARA 22261109002
5135 BALRAMPUR WADRAFNAGAR M.S. CHANWARSARAI 22261109003
5136 BALRAMPUR WADRAFNAGAR P.S. SARNA 22261109101
5137 BALRAMPUR WADRAFNAGAR P.S. NAVLITOLA 22261109102
5138 BALRAMPUR WADRAFNAGAR M.S.SARANA 22261109103
5139 BALRAMPUR WADRAFNAGAR P.S. MAHUARIPARA 22261109104
5140 BALRAMPUR WADRAFNAGAR P.S. BANGALIPARA 22261109105
5141 BALRAMPUR WADRAFNAGAR P.S.KOILIPARA 22261109106
5142 BALRAMPUR WADRAFNAGAR M.S. MAHUARIPARA 22261109107
5143 BALRAMPUR WADRAFNAGAR P.S.G. NAVGAI 22261109201
5144 BALRAMPUR WADRAFNAGAR P.S.B. NAVGAI 22261109202
5145 BALRAMPUR WADRAFNAGAR P.S. PASHICHAMPARA 22261109203
5146 BALRAMPUR WADRAFNAGAR M.S. NAVGAI 22261109204
5147 BALRAMPUR WADRAFNAGAR P.S. KESARI 22261109301
5148 BALRAMPUR WADRAFNAGAR P.S. JHAGRAHIPARA 22261109302
5149 BALRAMPUR WADRAFNAGAR P.S. PATELPARA 22261109303
5150 BALRAMPUR WADRAFNAGAR P.S. HARIJANPARA 22261109304
5151 BALRAMPUR WADRAFNAGAR M.S. KESARI 22261109305
5152 BALRAMPUR WADRAFNAGAR M.S.G. KESARI 22261109306
5153 BALRAMPUR WADRAFNAGAR P.S. JAORAHI 22261109401
5154 BALRAMPUR WADRAFNAGAR M.S.JAORAHI 22261109402
5155 BALRAMPUR WADRAFNAGAR P.S. AGARIYAPARA 22261109403
5156 BALRAMPUR WADRAFNAGAR P.S. TILAHVADAND 22261109404
5157 BALRAMPUR WADRAFNAGAR P.S. TENDUDAND 22261109405
5158 BALRAMPUR WADRAFNAGAR P.S. PANDOPARA 22261109406
5159 BALRAMPUR WADRAFNAGAR P.S. SONHAT 22261109501
5160 BALRAMPUR WADRAFNAGAR P.S. DHUARAPARA 22261109502
5161 BALRAMPUR WADRAFNAGAR M.S. SONHAT 22261109503
5162 BALRAMPUR WADRAFNAGAR P.S. CHERVAPARA 22261109504
5163 BALRAMPUR WADRAFNAGAR P.S. BETO 22261109601
5164 BALRAMPUR WADRAFNAGAR M.S. BETO 22261109602
5165 BALRAMPUR WADRAFNAGAR P.S. HARIJANPARA 22261109701
5166 BALRAMPUR WADRAFNAGAR P.S.B. RAGHUNATHNAGAR 22261109702
5167 BALRAMPUR WADRAFNAGAR P.S.G. RAGHUNATHNAGAR 22261109703
5168 BALRAMPUR WADRAFNAGAR M.S.RAGHUNATHNAGAR 22261109704
5169 BALRAMPUR WADRAFNAGAR P.S. GONDPARA 22261109705
5170 BALRAMPUR WADRAFNAGAR P.S. PANDOPARA 22261109706
5171 BALRAMPUR WADRAFNAGAR M.S.G.RAGHUNATHNAGAR 22261109707
5172 BALRAMPUR WADRAFNAGAR P.S.B.A.RAGHUNATHNAGAR 22261109710
5173 BALRAMPUR WADRAFNAGAR P.S. GAINA 22261109801
5174 BALRAMPUR WADRAFNAGAR M.S.GAINA 22261109802
5175 BALRAMPUR WADRAFNAGAR P.S. LOTABAHARA 22261109803
5176 BALRAMPUR WADRAFNAGAR P.S. SEMARIAPARA 22261109804
5177 BALRAMPUR WADRAFNAGAR P.S.BELTIKARA 22261109805
5178 BALRAMPUR WADRAFNAGAR M.S. G. GAINA 22261109806
5179 BALRAMPUR WADRAFNAGAR P.S. BABHANI 22261109901
5180 BALRAMPUR WADRAFNAGAR P.S.GHATAKUND 22261109902
5181 BALRAMPUR WADRAFNAGAR P.S. SHANKARPUR 22261110001
5182 BALRAMPUR WADRAFNAGAR P.S. SHANKARPUR GONDPARA 22261110002
5183 BALRAMPUR WADRAFNAGAR P.S. PATELPARA BIJAKURA 22261110003
5184 BALRAMPUR WADRAFNAGAR M.S.SHANKERPUR 22261110004
5185 BALRAMPUR WADRAFNAGAR M.S. G. SHANKARPUR 22261110005
5186 BALRAMPUR WADRAFNAGAR P.S. RAMESHPUR 22261110101
5187 BALRAMPUR WADRAFNAGAR P.S. HARIJANPARA 22261110102
5188 BALRAMPUR WADRAFNAGAR M.S. RAMESHPUR 22261110103
5189 BALRAMPUR WADRAFNAGAR P.S. JANAKPUR 22261110201
5190 BALRAMPUR WADRAFNAGAR M.S.JANAKPUR 22261110202
5191 BALRAMPUR WADRAFNAGAR P.S. KHUKHADIPANI 22261110203
5192 BALRAMPUR WADRAFNAGAR M.S. G. JANAKPUR 22261110209
5193 BALRAMPUR WADRAFNAGAR P.S. BIJAKURA 22261110301
5194 BALRAMPUR WADRAFNAGAR M.S. BIJAKURA 22261110302
5195 BALRAMPUR WADRAFNAGAR P.S. PATEWA 22261110401
5196 BALRAMPUR WADRAFNAGAR M.S. PATEWA 22261110402
5197 BALRAMPUR WADRAFNAGAR P.S. GUDRU 22261110501
5198 BALRAMPUR WADRAFNAGAR M.S.GUDRU 22261110502
5199 BALRAMPUR WADRAFNAGAR P.S.RAJAPARA 22261110503
5200 BALRAMPUR WADRAFNAGAR P.S. KHAIRGHAT 22261110504
5201 BALRAMPUR WADRAFNAGAR P.S. KARAMDIHA 22261110601
5202 BALRAMPUR WADRAFNAGAR P.S. PANDOPARA 22261110603
5203 BALRAMPUR WADRAFNAGAR M.S. KARAMDIHA 22261110604
5204 BALRAMPUR WADRAFNAGAR P.S. BAGAINAR 22261110701
5205 BALRAMPUR WADRAFNAGAR M.S. BAGAINAR 22261110702
5206 BALRAMPUR WADRAFNAGAR P.S. ASANDIH 22261110801
5207 BALRAMPUR WADRAFNAGAR M.S.ASANDIH 22261110802
5208 BALRAMPUR WADRAFNAGAR P.S. SANANDAND 22261110803
5209 BALRAMPUR WADRAFNAGAR P.S.KOKARAPARA 22261110804
5210 BALRAMPUR WADRAFNAGAR P.S. TENDUDAND 22261110901
5211 BALRAMPUR WADRAFNAGAR P.S. LANGDI 22261111001
5212 BALRAMPUR WADRAFNAGAR M.S. LANGDI 22261111002
5213 BALRAMPUR WADRAFNAGAR P.S. CHARCHARI 22261111101
5214 BALRAMPUR WADRAFNAGAR M.S. CHARCHARI 22261111102
5215 BALRAMPUR WADRAFNAGAR BHARUHIBANS 22261111201
5216 BALRAMPUR WADRAFNAGAR M.S. BHARUHIBANS 22261111203
5217 BALRAMPUR WADRAFNAGAR P.S. MUDIYA 22261111301
5218 BALRAMPUR WADRAFNAGAR P.S. CHAKDEHI 22261111401
5219 BALRAMPUR WADRAFNAGAR P.S. HARIJANPARA 22261111501
5220 BALRAMPUR WADRAFNAGAR P.S.G. BALANGI 22261111601
5221 BALRAMPUR WADRAFNAGAR P.S.B. BALANGI 22261111602
5222 BALRAMPUR WADRAFNAGAR M.S.BALANGI 22261111603
5223 BALRAMPUR WADRAFNAGAR P.S. LOHARPARA 22261111605
5224 BALRAMPUR WADRAFNAGAR P.S. NAVATOLA 22261111606
5225 BALRAMPUR WADRAFNAGAR M.S.G.BALANGI 22261111607
5226 BALRAMPUR WADRAFNAGAR P.S.HARIJANPARA 22261111608
5227 BALRAMPUR WADRAFNAGAR M.S. IMLIPARA 22261111609
5228 BALRAMPUR WADRAFNAGAR M.S. TISIYADAND 22261111610
5229 BALRAMPUR WADRAFNAGAR P.S. KARIMATI 22261111801
5230 BALRAMPUR WADRAFNAGAR P.S. HARDIBAHRA 22261111901
5231 BALRAMPUR WADRAFNAGAR P.S. PANIKAPARA 22261111902
5232 BALRAMPUR WADRAFNAGAR M.S. HARDIBAHRA 22261111903
5233 BALRAMPUR WADRAFNAGAR P.S. TORFA 22261112001
5234 BALRAMPUR WADRAFNAGAR P.S. SIDHADAND 22261112002
5235 BALRAMPUR WADRAFNAGAR P.S. MAJHAOLI 22261112101
5236 BALRAMPUR WADRAFNAGAR P.S. MAJHAULI,BICHPARA 22261112102
5237 BALRAMPUR WADRAFNAGAR P.S. CHAPOTA 22261112201
5238 BALRAMPUR WADRAFNAGAR P.S. TUGAVA 22261112301
5239 BALRAMPUR WADRAFNAGAR M.S.TUGAVA 22261112302
5240 BALRAMPUR WADRAFNAGAR P.S. BAHERADAND 22261112303
5241 BALRAMPUR WADRAFNAGAR P.S.VYOHARIPARA 22261112304
5242 BALRAMPUR WADRAFNAGAR P.S. JHAPAR 22261112401
5243 BALRAMPUR WADRAFNAGAR M.S. JHAPAR 22261112402
5244 BALRAMPUR WADRAFNAGAR P.S. PATELPARA 22261112501
5245 BALRAMPUR WADRAFNAGAR P.S. KOGAVAR 22261112601
5246 BALRAMPUR WADRAFNAGAR P.S.TISIYADAND 22261112602
5247 BALRAMPUR WADRAFNAGAR P.S.MACHANDAND 22261112603
5248 BALRAMPUR WADRAFNAGAR P.S. JOGIYANI 22261112701
5249 BALRAMPUR WADRAFNAGAR P.S. IMALIPARA 22261112702
5250 BALRAMPUR WADRAFNAGAR P.S. KARRI 22261112801
5251 BALRAMPUR WADRAFNAGAR P.S. GOBARDAHA 22261112901
5252 BALRAMPUR WADRAFNAGAR M.S. GOVARDAHA 22261112902
5253 BALRAMPUR WADRAFNAGAR P.S. BEBDI 22261113001
5254 BALRAMPUR WADRAFNAGAR P.S.PANDOPARA 22261113002
5255 BALRAMPUR WADRAFNAGAR P.S. MOHLITIKRA 22261113201
5256 BALRAMPUR WADRAFNAGAR P.S. LAMORI 22261113301
5257 BALRAMPUR WADRAFNAGAR P.S. GADAIPARA 22261113302
5258 BALRAMPUR WADRAFNAGAR M.S. LAMORI 22261113303
5259 BALRAMPUR WADRAFNAGAR P.S. BIRENDRANAGAR 22261113401
5260 BALRAMPUR WADRAFNAGAR M.S.BIRENDRANAGAR 22261113402
5261 BALRAMPUR WADRAFNAGAR P.S. MITHIMAHUA 22261113403
5262 BALRAMPUR WADRAFNAGAR P.S. MUSKURAPARA 22261113404
5263 BALRAMPUR WADRAFNAGAR P.S. SAFIPARA 22261113405
5264 BALRAMPUR WADRAFNAGAR P.S. KAMALPUR 22261113501
5265 BALRAMPUR WADRAFNAGAR P.S. KAMALPUR,PANDOPARA 22261113502
5266 BALRAMPUR WADRAFNAGAR M.S. KAMALPUR 22261113503
5267 BALRAMPUR WADRAFNAGAR P.S. MURKAOL 22261113601
5268 BALRAMPUR WADRAFNAGAR P.S. KUSHWAHAPARA 22261113602
5269 BALRAMPUR WADRAFNAGAR P.S.AMAJHARIYA 22261113603
5270 BALRAMPUR WADRAFNAGAR P.S.PATELPARA 22261113604
5271 BALRAMPUR WADRAFNAGAR M.S. B. MURKAOL 22261113605
5272 BALRAMPUR WADRAFNAGAR M.S. G. MURKAOL 22261113606
5273 BALRAMPUR WADRAFNAGAR P.S. PARASDIHA KHAS 22261113701
5274 BALRAMPUR WADRAFNAGAR P.S. KARAMDIHA (B) 22261113801
5275 BALRAMPUR WADRAFNAGAR M.S.KARAMDIHA(B) 22261113802
5276 BALRAMPUR WADRAFNAGAR P.S. DHARAMSULIPARA 22261113803
5277 BALRAMPUR WADRAFNAGAR P.S. GANDHIPARA 22261113804
5278 BALRAMPUR WADRAFNAGAR P.S. GHUTRAPARA 22261113805
5279 BALRAMPUR WADRAFNAGAR M.S. G. KARAMDIHA(B) 22261113806
5280 BALRAMPUR WADRAFNAGAR M.S. DHARAMSULIPARA 22261113807
5281 BALRAMPUR WADRAFNAGAR P.S. PARASDIHA 22261113901
5282 BALRAMPUR WADRAFNAGAR P.S. JSMAIPARA 22261113902
5283 BALRAMPUR WADRAFNAGAR P.S. GAOTIYAPARA 22261114001
5284 BALRAMPUR WADRAFNAGAR P.S. BARTI KHAS 22261114101
5285 BALRAMPUR WADRAFNAGAR M.S.B.BARTIKALA 22261114103
5286 BALRAMPUR WADRAFNAGAR M.S.G.BARTIKALA 22261114104
5287 BALRAMPUR WADRAFNAGAR M.S. BARTIKHAS 22261114105
5288 BALRAMPUR WADRAFNAGAR P.S. SAVITRIPUR 22261114301
5289 BALRAMPUR WADRAFNAGAR P.S. RAJKHETA 22261114401
5290 BALRAMPUR WADRAFNAGAR P.S. NIRASRITPARA 22261114402
5291 BALRAMPUR WADRAFNAGAR P.S. GHUTRAPARA 22261114403
5292 BALRAMPUR WADRAFNAGAR M.S. RAJKHETA 22261114404
5293 BALRAMPUR WADRAFNAGAR P.S. AASHRAMPARA 22261114405
5294 BALRAMPUR WADRAFNAGAR M.S. BAJARMARA 22261114406
5295 BALRAMPUR WADRAFNAGAR P.S. GOVERDHANPUR 22261114501
5296 BALRAMPUR WADRAFNAGAR P.S. PATELPARA 22261114502
5297 BALRAMPUR WADRAFNAGAR P.S. BARKIRKAPARA 22261114503
5298 BALRAMPUR WADRAFNAGAR M.S. GOVERDHANPUR 22261114504
5299 BALRAMPUR WADRAFNAGAR P.S.JANJALIPARA 22261114701
5300 BALRAMPUR WADRAFNAGAR P.S. BENGO 22261114801
5301 BALRAMPUR WADRAFNAGAR M.S. BENGO 22261114802
5302 BASTER BAKAWAND GOVT. KANYA PRIMARY SCHOOL BAKAWAND 22152900101
5303 BASTER BAKAWAND GOVT. UPS BELGUDA 22152900102
5304 BASTER BAKAWAND GOVT.UPS BAKAWAND 22152900103
5305 BASTER BAKAWAND AJKV GOVT. PRIMARY SCHOOL BAKAWAND 22152900105
5306 BASTER BAKAWAND GOVT. PS AWASPARA BAKAWAND 22152900108
5307 BASTER BAKAWAND GOVT. KANYA UPS BAKAWAND 22152900109
5308 BASTER BAKAWAND GOVT. PRIMARY SCHOOL PATELPRA BAKAWAND 22152900301
5309 BASTER BAKAWAND GOVT. PRIMARY SCHOOL AMRIGUDA 22152900401
5310 BASTER BAKAWAND GOVT. PRIMARY SCHOOLUDIYAPAL 22152900501
5311 BASTER BAKAWAND GOVT. PRIMARY SCHOOL MAJHIPARA UDIYAPL 22152900601
5312 BASTER BAKAWAND GOVT. UPS MAJHIPARA UDIYAPAL 22152900602
5313 BASTER BAKAWAND PRIMARY SCHOOL KODAWAND 22152900701
5314 BASTER BAKAWAND GOVT. PRIMARY SCHOOL BHARRAPARA 22152900703
5315 BASTER BAKAWAND GOVT. PRIMARY SCHOOL SIVNAGUDA 22152900801
5316 BASTER BAKAWAND GOVT. P.S. SIVNAGUDA 22152900802
5317 BASTER BAKAWAND GOVT. PRIMARY SCHOOL KOSHMI 22152900901
5318 BASTER BAKAWAND GOVT. UPS KOSAMI 22152900903
5319 BASTER BAKAWAND GOVT. AWASPARA KOSHMI 22152900904
5320 BASTER BAKAWAND GOVT. GYANJYOTI BAIDARPARA 22152900905
5321 BASTER BAKAWAND GOVT. PRIMARY SCHOOL 22152901101
5322 BASTER BAKAWAND GOVT. PRIMARY SCHOOL 22152901301
5323 BASTER BAKAWAND GOVT. UPS BHEJRIPADAR 22152901302
5324 BASTER BAKAWAND GOVT. PRIMARY SCHOOL 22152901401
5325 BASTER BAKAWAND GOVT. PRIMARY SCHOOL 22152901501
5326 BASTER BAKAWAND JANPAD PRIMARY SCHOOL 22152901601
5327 BASTER BAKAWAND GOVT. MS RAJNAGAR 22152901603
5328 BASTER BAKAWAND BALAK PRIMARY SCHOOL 22152901604
5329 BASTER BAKAWAND GOVT. PRIMARY SCHOOL 22152901701
5330 BASTER BAKAWAND GOVT. P.S. KHAMESHRI 22152901702
5331 BASTER BAKAWAND GOVT. PRIMARY SCHOOL 22152901801
5332 BASTER BAKAWAND GOVT. UPS KINJOLI 22152901803
5333 BASTER BAKAWAND GOVT. PRIMARY SCHOOL KINAJOLI 22152901901
5334 BASTER BAKAWAND GOVT. UPS PRIMARY SCHOOL 22152902001
5335 BASTER BAKAWAND GOVT. PRIMARY SCHOOL 22152902101
5336 BASTER BAKAWAND GOVT. MS MOHLAI 22152902103
5337 BASTER BAKAWAND GOVT. P.S. MOHLAI (KINJOLI) 22152902104
5338 BASTER BAKAWAND GOVT. UPS MOHLAI 2 22152902105
5339 BASTER BAKAWAND GOVT. PRIMARY SCHOOL 22152902201
5340 BASTER BAKAWAND GOVT. MS RAMPAL 22152902202
5341 BASTER BAKAWAND GOVT. PRIMARY SCHOOL 22152902301
5342 BASTER BAKAWAND GOVT. UPS NEGANAR 22152902302
5343 BASTER BAKAWAND GOVT. PRIMARY SCHOOL 22152902401
5344 BASTER BAKAWAND GOVT. MS MONGRAPAL 22152902402
5345 BASTER BAKAWAND GOVT. PRIMARY SCHOOL BELGUDA 22152902501
5346 BASTER BAKAWAND GOVT. PRIMARY SCHOOL JHARUMARGAON 22152902601
5347 BASTER BAKAWAND GOVT. P.S. JHARUMARGAON MAHARAPARA 22152902602
5348 BASTER BAKAWAND GOVT. UPS JHARUMARGAON 22152902603
5349 BASTER BAKAWAND GOVT. JANPAD PRIMARY SCHOOL 22152902901
5350 BASTER BAKAWAND GOVT. UPS DODREPAL 22152902902
5351 BASTER BAKAWAND GOVT. PRIMARY SCHOOL 22152903001
5352 BASTER BAKAWAND GOVT. PRIMARY SCHOOL 22152903101
5353 BASTER BAKAWAND GOVT. JANPAD PRIMARY SCHOOL 22152903201
5354 BASTER BAKAWAND GOVT. UPS CHHOTE DEWDA 22152903202
5355 BASTER BAKAWAND GOVT. SANT BINOVABAVE BALAK ASHRAM 22152903301
5356 BASTER BAKAWAND GOVT. PRIMARY SCHOOL SARGIGUDA 22152903302
5357 BASTER BAKAWAND GOVT. NPS PRIMARY SCHOOL SARGIGUDA 22152903303
5358 BASTER BAKAWAND GOVT. MATA HINGLAJIN P.S. 22152903304
5359 BASTER BAKAWAND GOVT. PRIMARY SCHOOL BIJAGUDA 22152903401
5360 BASTER BAKAWAND GOVT. PS BIJAGUDA 22152903402
5361 BASTER BAKAWAND GOVT. NAVEEN PS PUJARIPARA SARGIPAL 22152903403
5362 BASTER BAKAWAND GOVT. PS SARGIPAL 22152903503
5363 BASTER BAKAWAND GOVT. UPS SARGIPAL 22152903504
5364 BASTER BAKAWAND K.G.B.V. BAKAWAND 22152903505
5365 BASTER BAKAWAND GOVT. PRIMARY SCHOOL 22152903601
5366 BASTER BAKAWAND UPS KORTA 22152903602
5367 BASTER BAKAWAND GOVT. NAVEN PS THOTHAPARA KORTA 22152903603
5368 BASTER BAKAWAND GOVT. PRIMARY SCHOOL 22152903701
5369 BASTER BAKAWAND GOVT. PRIMARY SCHOOL 22152903801
5370 BASTER BAKAWAND GOVT. MS TUNGAPAL 22152903802
5371 BASTER BAKAWAND GOVT. AKTAGUDA KOSMI 22152903803
5372 BASTER BAKAWAND GOVT. PRIMARY SCHOOL 22152903901
5373 BASTER BAKAWAND GOVT. TALSUNDIPARA 22152903903
5374 BASTER BAKAWAND GOVT. PRIMARY SCHOOL PUJARIPARA 22152904001
5375 BASTER BAKAWAND GOVT. PRIMARY SCHOOL 22152904101
5376 BASTER BAKAWAND GOVT. PS PARAIGUDA 22152904102
5377 BASTER BAKAWAND GOVT. PRIMARY SCHOOL PITHAPUR 22152904201
5378 BASTER BAKAWAND GOVT. PS PITHAPUR 22152904202
5379 BASTER BAKAWAND GOVT. UPS PITHAPUR 22152904203
5380 BASTER BAKAWAND GOVT. PRIMARY SCHOOL 22152904301
5381 BASTER BAKAWAND GOVT. MS ULNAR 22152904302
5382 BASTER BAKAWAND GOVT. NAVIN PS SHANTINAGAR TALNAR 22152904303
5383 BASTER BAKAWAND GOVT. PRIMARY SCHOOL MAJHIPARA TALNAR 22152904401
5384 BASTER BAKAWAND GOVT. PRIMARY SCHOOL 22152904501
5385 BASTER BAKAWAND GOVT. PRIMARY SCHOOL BEDA UMAR GAON 22152904601
5386 BASTER BAKAWAND GOVT. NAVEEN PRIMARY SCHOOL PATELPARA 22152904602
5387 BASTER BAKAWAND GOVT. MS BEDAUMARGAON 22152904603
5388 BASTER BAKAWAND GOVT. PRIMARY SCHOOL 22152904701
5389 BASTER BAKAWAND GOVT. MS BORPADAR 22152904703
5390 BASTER BAKAWAND GOVT. PS BORIPADAR 22152904704
5391 BASTER BAKAWAND GOVT. PRIMARY SCHOOL SAHUKARPARA 22152904801
5392 BASTER BAKAWAND GOVT. PS KACHNAR 22152904902
5393 BASTER BAKAWAND GOVT. UPS KACHNAR 22152904903
5394 BASTER BAKAWAND GOVT. PRIMARY SCHOOL 22152905001
5395 BASTER BAKAWAND GOVT. PRIMARY SCHOOL 22152905101
5396 BASTER BAKAWAND GOVT. PRIMARY SCHOOL 22152905201
5397 BASTER BAKAWAND GOVT. PRIMARY SCHOOLCHOLNAR 22152905202
5398 BASTER BAKAWAND GOVT. UPS NAVEEN CHOLNAR 22152905203
5399 BASTER BAKAWAND GOVT. UPS CHOLNAR 22152905204
5400 BASTER BAKAWAND GOVT. PRIMARY SCHOOL BOYS KARITGAON 22152905401
5401 BASTER BAKAWAND GOVT. GIRLS KARITGAON 22152905404
5402 BASTER BAKAWAND GOVT.UPS KARITGAON 22152905405
5403 BASTER BAKAWAND GOVT. PRIMARY SCHOOL 22152905501
5404 BASTER BAKAWAND GOVT. PRIMARY SCHOOL 22152905602
5405 BASTER BAKAWAND GOVT. PS MARETHA 22152905701
5406 BASTER BAKAWAND GOVT. M.S. MARETHA 22152905702
5407 BASTER BAKAWAND GOVT. PRIMARY SCHOOL 22152905801
5408 BASTER BAKAWAND GOIVT. PRIMARY SCHOOL FARSARA 22152905901
5409 BASTER BAKAWAND GOVT. MS FARSARA 22152905902
5410 BASTER BAKAWAND GOVT. PRIMARY SCHOOL 22152906001
5411 BASTER BAKAWAND AJKV MS SANVRA 22152906002
5412 BASTER BAKAWAND GOVT. JANPAD PRIMARY SCHOOL 22152906101
5413 BASTER BAKAWAND GOVT.MS TONGKONGERA 22152906202
5414 BASTER BAKAWAND GOVT. PRIMARY SCHOOL THONGKONGERA 22152906301
5415 BASTER BAKAWAND GOVT. KANYA PRIMARY SCHOOL 22152906302
5416 BASTER BAKAWAND GOVT. PRIMARY SCHOOL CHIURGAON 22152906402
5417 BASTER BAKAWAND GOVT. MS CHIURGAON 22152906405
5418 BASTER BAKAWAND GOVT. PRIMARY SCHOOL BAGRAY 22152906601
5419 BASTER BAKAWAND GOVT. UPS KOUDAWAND 22152906701
5420 BASTER BAKAWAND GOVT. UPS SHIVNAGUDA 22152906703
5421 BASTER BAKAWAND GOVT. PRIMARY SCHOOL 22152906901
5422 BASTER BAKAWAND GOVT. UPS. FARSIGAON 22152906902
5423 BASTER BAKAWAND GOVT. PRIMARY SCHOOL 22152907001
5424 BASTER BAKAWAND GOVT. MS SANDHKARMARI 22152907002
5425 BASTER BAKAWAND GOVT. PS POTIWAND 22152907201
5426 BASTER BAKAWAND GOVT. MS POTIYAWAND 22152907202
5427 BASTER BAKAWAND GOVT MIDDLE SCHOOL KHEMESHWARI PARA 22152907203
5428 BASTER BAKAWAND GOVT. PRIMARY SCHOOL 22152907301
5429 BASTER BAKAWAND GOVT. UPS SANDEVDA 22152907302
5430 BASTER BAKAWAND GOVT. PRIMARY SCHOOL 22152907401
5431 BASTER BAKAWAND GOVT. UPS BIJAGUDA CHOTEDEWDA 22152907507
5432 BASTER BAKAWAND GOVT. PS KHALBHATA 22152907510
5433 BASTER BAKAWAND PRIMARY SCHOOL BADEDEVDA 22152907901
5434 BASTER BAKAWAND AJKV MS BADE DEVDA 22152907903
5435 BASTER BAKAWAND PRIMARY SCHOOL NARAWAND 22152908201
5436 BASTER BAKAWAND GOVT. UPS NARAWAND 22152908202
5437 BASTER BAKAWAND UPS TALSUNDIPARA 22152908203
5438 BASTER BAKAWAND GOVT. PS.PRIMARY SCHOOL SEMARGUDA 22152908301
5439 BASTER BAKAWAND GOVT.UPS SEMARGUDA 22152908302
5440 BASTER BAKAWAND PRIMARY SCHOOL MANGNAR 22152908401
5441 BASTER BAKAWAND MS MANGNAR 22152908402
5442 BASTER BAKAWAND GYANJYOTI KANDARAGUDA 22152908403
5443 BASTER BAKAWAND KANIST PRIMARY SCHOOL 22152908501
5444 BASTER BAKAWAND UPS. JONDARIGUDA 22152908502
5445 BASTER BAKAWAND KANIST PRIMARY SCHOOL 22152908601
5446 BASTER BAKAWAND KPS SORAGUDA 22152908602
5447 BASTER BAKAWAND MS BELPUTI 22152908702
5448 BASTER BAKAWAND KANYA ASRAM BELPUTI 22152908703
5449 BASTER BAKAWAND PRIMARY SCHOOL GOTIGUDA 22152908801
5450 BASTER BAKAWAND PS GOTIGUDA SATOSHA 22152908802
5451 BASTER BAKAWAND GOVT. PRIMARY SCHOOL KHOTLAPAL 22152908901
5452 BASTER BAKAWAND GOVT. MS KHOTLAPAL 22152908902
5453 BASTER BAKAWAND PRIMARY SCHOOL MATNAR 22152909001
5454 BASTER BAKAWAND GOVT. MS MATNAR 22152909002
5455 BASTER BAKAWAND GYANJYOTI BHIMAGUDA 22152909003
5456 BASTER BAKAWAND GYANJYOTI PANKAPARA 22152909004
5457 BASTER BAKAWAND GYANJYOTI DONGARIYAPARA 22152909005
5458 BASTER BAKAWAND GOVT. PS BRAMAN PARA MATNAR 22152909006
5459 BASTER BAKAWAND GOVT. PS MAGARGUDA 22152909007
5460 BASTER BAKAWAND GOVT. PRIMARY SCHOOL BEDAGAON 22152909101
5461 BASTER BAKAWAND GOVT. PRIMARY SCHOOL SONPUR 22152909202
5462 BASTER BAKAWAND GOVT. MS SONPUR 22152909203
5463 BASTER BAKAWAND GYANJYOTI THOTHAPARA 22152909204
5464 BASTER BAKAWAND GOVT. PRIMARY SCHOOL SALEGUDA 22152909301
5465 BASTER BAKAWAND GOVT. UPS BANIYAGAON 22152909401
5466 BASTER BAKAWAND GOVT. PRIMRY SCHOOL BANIYAGAON 22152909402
5467 BASTER BAKAWAND GOVT. KANYA PRIMARY SCHOOL JAITGIRI 22152909601
5468 BASTER BAKAWAND GOVT. BALAK PRIMARY SCHOOL JAITGIRI 22152909603
5469 BASTER BAKAWAND GOVT. MS JAITGIRI 22152909604
5470 BASTER BAKAWAND GOVT. UPS TALNAR 22152909606
5471 BASTER BAKAWAND PT. MOTILAL NEHRU ASHRAM SCHOL 22152909701
5472 BASTER BAKAWAND GOVT. PS DURKATHONGA 22152909703
5473 BASTER BAKAWAND GOVT. BALIKAASRAM DURKATHONGA 22152909704
5474 BASTER BAKAWAND GOVT. NAVEEN PS DURKATHONGA 22152909705
5475 BASTER BAKAWAND GOVT. UPS BANGALDONGRI 22152909803
5476 BASTER BAKAWAND GOVT. PS BANGLADONGARI 22152909804
5477 BASTER BAKAWAND GOVT. PRIMARY SCHOOL KARPAWAND 22152909902
5478 BASTER BAKAWAND GOVT. BALAK ASHRAM KARPAWAND 22152909903
5479 BASTER BAKAWAND GOVT. MS KARPAWAND 22152909904
5480 BASTER BAKAWAND GOVT. PRIMARY SCHOOL 22152910001
5481 BASTER BAKAWAND GOVT. PRIMARY SCHOOL MOOLI 22152910101
5482 BASTER BAKAWAND GOVT. MS KUMHRAWAND 22152910102
5483 BASTER BAKAWAND GOVT. PRIMARY SCHOOL BARDA 22152910301
5484 BASTER BAKAWAND GOVT. BALAK ASRAM BARDA 22152910302
5485 BASTER BAKAWAND GOVT. PRIMARY SCHOOL MOOLI 22152910401
5486 BASTER BAKAWAND GOVT. UPS MOOLI 22152910402
5487 BASTER BAKAWAND GOVT. PS DONGRIGUDA 22152910405
5488 BASTER BAKAWAND GOVT. UPS GOTIGUDA 22152910406
5489 BASTER BAKAWAND GOVT. PS BIRJIKATI 22152910407
5490 BASTER BAKAWAND GOVT. PRIMARY SCHOOL CHAPAPADAR 22152910501
5491 BASTER BAKAWAND GOVT. UPS CHAPAPADAR 22152910502
5492 BASTER BAKAWAND GOVT. PRIMARY SCHOOL CHIKHALKARMARI 22152910601
5493 BASTER BAKAWAND GOVT. PRIMARY SCHOOL GIROLA 22152910701
5494 BASTER BAKAWAND GOVT. UPS JUNAVANI 22152910702
5495 BASTER BAKAWAND GOVT. PRIMARY SCHOOL DURKABEDA 22152910801
5496 BASTER BAKAWAND PRIMARY SCHOOL PAHURBEL 22152910901
5497 BASTER BAKAWAND T.W.D. GOVT.MS PAHURBEL 22152910902
5498 BASTER BAKAWAND GYANJYOTI HIRLAGUDA 22152910905
5499 BASTER BAKAWAND GYANJYOTI DONGARIGUDA 22152910906
5500 BASTER BAKAWAND GOVT. UPS SORAGUDA 22152910907
5501 BASTER BAKAWAND GOVT. UPS MAJIPARA ULNAR 22152910908
5502 BASTER BAKAWAND GOVT. MS PLAT PAPRA 22152910909
5503 BASTER BAKAWAND GOVT. PS DONGRIGUDA 22152910910
5504 BASTER BAKAWAND PS JONDRIGUDA 22152910911
5505 BASTER BAKAWAND PS BADLAWAND 22152910912
5506 BASTER BAKAWAND PS DAMAGUDA 22152910913
5507 BASTER BAKAWAND GOVT. UPS KARANJI 22152910914
5508 BASTER BAKAWAND GOVT. MS BARDA 22152910915
5509 BASTER BAKAWAND GOVT. UPS SIDAWAND 22152910916
5510 BASTER BAKAWAND GOVT. PS AWAS PLAT TALNAR 22152910917
5511 BASTER BAKAWAND GOVT. NAVIN PS BADE PARA TALNAR 22152910918
5512 BASTER BAKAWAND GOVT. PS BANIYAGAON 22152910919
5513 BASTER BAKAWAND GOVT. PS SAOTPUR 22152910920
5514 BASTER BAKAWAND GOVT. UPS NAVEEN SONPUR 22152910921
5515 BASTER BAKAWAND GOVT. PS KARINGIGUDA 22152910923
5516 BASTER BAKAWAND GOVT. PS KHASPARA SAOTPUR 22152910924
5517 BASTER BAKAWAND GOVT. UPS SATLAWAND 22152910925
5518 BASTER BAKAWAND GOVT. UPS BANARAS 22152910926
5519 BASTER BAKAWAND GOVT. UPS GIROLA 22152910927
5520 BASTER BAKAWAND GOVT. UPS JAITGIRI 22152910928
5521 BASTER BAKAWAND GOVT. UPS SAOTPUR 22152910929
5522 BASTER BAKAWAND GOVT. PS DENGUDA BARDA 22152910930
5523 BASTER BAKAWAND GOVT. NPS KURLOOMARI 22152911001
5524 BASTER BAKAWAND UPS DAMAGUDA 22152911002
5525 BASTER BAKAWAND GOVT. AJKV PS KATACHEPDA 22152911003
5526 BASTER BAKAWAND GOVT. PRIMARY SCHOOL KARHABHATA 22152911101
5527 BASTER BAKAWAND PRIMARY SCHOOL FARSIGAON 22152911201
5528 BASTER BAKAWAND NAVEEN PARIMARY SCHOOL FARSIGAON THOTHOPARA22152911202
5529 BASTER BAKAWAND PRIMARY SCHOOL T.W.D. SIMODA 22152911301
5530 BASTER BAKAWAND UPS SIMODA (T.W.D.) 22152911302
5531 BASTER BAKAWAND PRIMARY SCHOOL CHINARI 22152911401
5532 BASTER BAKAWAND GOVT. MS CHINARI 22152911402
5533 BASTER BAKAWAND PRIMARY SCHOOL SATLAWAND 22152911601
5534 BASTER BAKAWAND PRIMARY SCHOOL BHAKWAGUDA 22152911701
5535 BASTER BAKAWAND UPS BHAKWAGUDA 22152911703
5536 BASTER BAKAWAND PRIMARY SCHOOL 22152911801
5537 BASTER BAKAWAND GOVT. PS BORIGAON 22152911803
5538 BASTER BAKAWAND MS BORIGAON 22152911804
5539 BASTER BAKAWAND A.J.K.V PRIMARY SCHOOL 22152912002
5540 BASTER BAKAWAND BALAK ASRAM 22152912003
5541 BASTER BAKAWAND U.P.S LAVAGAON 22152912004
5542 BASTER BAKAWAND SANYUKT ASRAM PRIMARY SCHOOL 22152912201
5543 BASTER BAKAWAND PS CHARGAO 22152912202
5544 BASTER BAKAWAND UPS CHARGAO 22152912203
5545 BASTER BAKAWAND PRIMARY SCHOOL 22152912301
5546 BASTER BAKAWAND UPS TAREKA 22152912302
5547 BASTER BAKAWAND SANYUKT ASRAM MARIGUDA SATOSAL 22152912401
5548 BASTER BAKAWAND PRIMARY SCHOOL SATOSHA 22152912402
5549 BASTER BAKAWAND GYANJYOTI CHIKHARPADAR 22152912403
5550 BASTER BAKAWAND GOVT.UPS SAROSHA 22152912404
5551 BASTER BAKAWAND GYANJYOTI JHITKAGUDA 22152912405
5552 BASTER BAKAWAND GYANJYOTI KENDUGUDA 22152912406
5553 BASTER BAKAWAND UPS CHALANGUDA 22152912409
5554 BASTER BAKAWAND PS GAURABHAR 22152912501
5555 BASTER BAKAWAND UPS GORABAHAR 22152912502
5556 BASTER BAKAWAND GOVT. PRIMARY SCHOOL CHALANGUDA 22152912601
5557 BASTER BAKAWAND GOVT. KANIST PRIMARY SCHOOL MARIGUDA 22152912801
5558 BASTER BAKAWAND GOVT. NAVEEN PS PUJARI PARA SARGIPAL 22152912804
5559 BASTER BAKAWAND GOVT. UPS MARIGUDA 22152912805
5560 BASTER BAKAWAND GOVT. PRIMARY SCHOOL PATHARI 22152912901
5561 BASTER BAKAWAND GOVT. PRIMARY SCHOOL MADIYAGUDA 22152912903
5562 BASTER BAKAWAND GOVT. NAVIN PRIMARY SCHOOL LAHANGAGUDA 22152912904
5563 BASTER BAKAWAND GOVT. PS KODAGUDA 22152912905
5564 BASTER BAKAWAND GOVT. MS KOLAWAL 22152912906
5565 BASTER BAKAWAND GOVT. PS PAKHNAGUDA 22152912907
5566 BASTER BAKAWAND GOVT. PS KODAGUDA 22152912908
5567 BASTER BAKAWAND GOVT. PS CHOKNAR 22152912909
5568 BASTER BAKAWAND GOVT. PRIMARY SCHOOL 22152913101
5569 BASTER BAKAWAND PRIMARY SCHOOL PLATPARA 22152913301
5570 BASTER BAKAWAND GOVT. PS MATIGUDDA 22152913303
5571 BASTER BAKAWAND GOVT. PS DURKATHONGA SONPUR 22152913304
5572 BASTER BAKAWAND UPS KOLAWAL 22152913305
5573 BASTER BAKAWAND GOVT. PS DONGRIGUDA SATHOSA 22152913306
5574 BASTER BAKAWAND UPS PAKHNAGUDA 22152913307
5575 BASTER BAKAWAND UPS MOKHAGAON 22152913308
5576 BASTER BAKAWAND UPS BHIRENDA 22152913309
5577 BASTER BAKAWAND UPS DHANPUR 22152913310
5578 BASTER BAKAWAND UPS MAILBEDA 22152913311
5579 BASTER BAKAWAND UPS PATHRI 22152913312
5580 BASTER BAKAWAND JANPAD PS KOLAWAL 22152913313
5581 BASTER BAKAWAND BOYS ASHRAM KOLAWAL 22152913314
5582 BASTER BAKAWAND PS RATAKHANDI 22152913315
5583 BASTER BAKAWAND NPS PUJARIPARA 22152913316
5584 BASTER BAKAWAND GOVT. PS MAJHIGUDA 22152913317
5585 BASTER BAKAWAND GOVT. PS BHALUGUDA 22152913318
5586 BASTER BAKAWAND GOVT. PS DONGRIGUDA 22152913319
5587 BASTER BAKAWAND GOVT. PS DHANPUR 22152913320
5588 BASTER BAKAWAND GOVT.PS TALPARA 22152913321
5589 BASTER BAKAWAND PS BADKOT 22152913322
5590 BASTER BAKAWAND GOVT. NPS GUDIYARI PARA SATHOSA 22152913323
5591 BASTER BAKAWAND GOVT. PS METAWADA 22152913324
5592 BASTER BAKAWAND SANYUKAT ASHRAM PATHRI 22152913325
5593 BASTER BAKAWAND PS SORAGUDA 22152913326
5594 BASTER BAKAWAND PS BHARENDA 22152913327
5595 BASTER BAKAWAND PS KUTIARIGUDA 22152913328
5596 BASTER BAKAWAND PS MOKHAGAON 22152913329
5597 BASTER BAKAWAND PS JAMGUDA 22152913330
5598 BASTER BAKAWAND PS PATELPARA 22152913331
5599 BASTER BAKAWAND PS PAKHNAGUDA 22152913332
5600 BASTER BAKAWAND GOVT. UPS METAWADA 22152913401
5601 BASTER BAKAWAND KANIST PRIMARY SCHOOL 22152913501
5602 BASTER BAKAWAND GOVT. PS DUMARGUDA 22152913801
5603 BASTER BAKAWAND GOVT. UPS DUMARGUDA 22152913802
5604 BASTER BAKAWAND PS KUTIYARIGUDA 22152913803
5605 BASTER BAKAWAND PRIMARY SCHOOL CHINDGAON 22152913901
5606 BASTER BAKAWAND NAVEEN MS CHHINDGAO 22152913902
5607 BASTER BAKAWAND GOVT. PS PUJARIPARA CHINDGAON 22152913903
5608 BASTER BAKAWAND GOVT. PRIMARY SCHOOL DONGARIGUDA CHINDGAON 22152914001
5609 BASTER BAKAWAND GOVT. MS DONGARIGUDA 22152914002
5610 BASTER BAKAWAND GOVT. P.S. DONGARIGUDA 22152914003
5611 BASTER BAKAWAND PS. DONGARIGUDA 22152914004
5612 BASTER BAKAWAND GOVT. UPS SCHOOL CHOKNAR 22152914201
5613 BASTER BAKAWAND MS DIMRAPAL 22152914302
5614 BASTER BAKAWAND PRIMARY SCHOOL 22152914401
5615 BASTER BAKAWAND MS GARENGA 22152914402
5616 BASTER BAKAWAND NPS GARENGA 22152914403
5617 BASTER BAKAWAND BADE JIRAKHAL 22152914502
5618 BASTER BAKAWAND UPS BADEJIRAKHAL 22152914503
5619 BASTER BAKAWAND GOVT. PS TUNDARI AAMA BADEJHIRAKHAL 22152914504
5620 BASTER BAKAWAND GOVT. NPS AVRABHATA 22152914505
5621 BASTER BAKAWAND PRIMARY SCHOOL 22152914601
5622 BASTER BAKAWAND UPS TEMPAL KOMAR 22152914602
5623 BASTER BAKAWAND PRIMARY SCHOOL 22152914701
5624 BASTER BAKAWAND GOVT. UPS KADAKATA 22152914705
5625 BASTER BAKAWAND UPS JAIBEL 22152914708
5626 BASTER BAKAWAND UPS TUANDRIAMABAL 22152914709
5627 BASTER BAKAWAND GOVT. EKLAVYA ADARSH VIDIYALAY KARPAWAND 22152914711
5628 BASTER BAKAWAND PRIMARY SCHOOL 22152914801
5629 BASTER BAKAWAND UPS POLEBEDA 22152914802
5630 BASTER BAKAWAND KANIST PRIMARY SCHOOL LOHANDI BEDA 22152914901
5631 BASTER BAKAWAND PRIMARY SCHOOL 22152915001
5632 BASTER BAKAWAND MS MALGAON 22152915002
5633 BASTER BAKAWAND PRIMARY SCHOOL DHOBIGUDA 22152915101
5634 BASTER BAKAWAND UPS DHOBIGUDA 22152915102
5635 BASTER BAKAWAND PRIMARY SCHOOL 22152915201
5636 BASTER BAKAWAND UPS ERIKPAL 22152915202
5637 BASTER BAKAWAND PRIMARY SCHOOL 22152915301
5638 BASTER BAKAWAND UPS KHOHKAPAL 22152915304
5639 BASTER BAKAWAND PRIMARY SCHOOL LITIGUDA 22152915401
5640 BASTER BAKAWAND UPS LITIGUDA 22152915402
5641 BASTER BAKAWAND PRIMARY SCHOOL KURUSPAL 22152915501
5642 BASTER BAKAWAND UPS KURUSPAL 22152915502
5643 BASTER BAKAWAND KANIST PRIMARY SCHOOL CHITALOOR 22152915601
5644 BASTER BAKAWAND PRIMARY SCHOOL CHITALOOR 22152915602
5645 BASTER BAKAWAND MS CHITALUR 22152915603
5646 BASTER BAKAWAND PRIMARY SCHOOL PAIKPAL 22152915701
5647 BASTER BAKAWAND UPS PAIKPAL 22152915702
5648 BASTER BAKAWAND S.C PRIMARY SCHOOL BALPUTI 22152915801
5649 BASTER BAKAWAND KANYA PRIMARY SCHOOL 22152915901
5650 BASTER BAKAWAND GOVT. UPS BAJAWAND 22152915903
5651 BASTER BAKAWAND GOVT. NPS BELGAON PARA TARAPUR 22152916001
5652 BASTER BAKAWAND PRYMARI SCHOOL 22152916003
5653 BASTER BAKAWAND MS TARAPUR 22152916004
5654 BASTER BAKAWAND GOVT. PS JOBA AWAS PARA PAIKPAL 22152916006
5655 BASTER BAKAWAND PRIMARY SCHOOL 22152916101
5656 BASTER BAKAWAND GOVT. NPS TARAPUR 22152916102
5657 BASTER BAKAWAND GOVT. UPS BELGAON 22152916103
5658 BASTER BAKAWAND PRIMARY SCHOOL TALNAR 22152916202
5659 BASTER BAKAWAND GOVT. PS MARETHA 22152916402
5660 BASTER BAKAWAND MATA SHABRI KANYA AASHRAM 22152916403
5661 BASTER BAKAWAND PRIMARY SCHOOL KATACHEPDA 22152916406
5662 BASTER BAKAWAND PRIMARY SCHOOL 22152916601
5663 BASTER BAKAWAND PS PARAUGUDA 22152916602
5664 BASTER BAKAWAND A.J.K.V. PRIMARY SCHOOL DHOWDAKOT 22152916701
5665 BASTER BAKAWAND UPS DHAWADAKOT 22152916702
5666 BASTER BAKAWAND NAVEEN PRIMARY SCHOOL BAREAGUDA 22152916801
5667 BASTER BAKAWAND NAVEN PRIMARY SCHOOL 22152916901
5668 BASTER BAKAWAND KANIST PRIMARY SCHOOL KODOMALI 22152917201
5669 BASTER BAKAWAND GOVT. PRIMARY SCHOOL ATARGUDA 22152917501
5670 BASTER BAKAWAND GOVT. PS KARPAWAND 22152917502
5671 BASTER BAKAWAND GOVT. PS MAGARGUDA 22152917701
5672 BASTER BAKAWAND GOVT. NPS BRAMAN PARA MATNAR 22152917801
5673 BASTER BAKAWAND GOVT. PS NAVIN SONPUR 22152917802
5674 BASTER BAKAWAND GOVT. PS SORAGUDA 22152917901
5675 BASTER BAKAWAND KANIST PRIMARY SCHOOL 22152918001
5676 BASTER BAKAWAND GOVT. UPS LINGOGUDA 22152918002
5677 BASTER BAKAWAND PRIMARY SCHOOL SOUTPUR 22152918101
5678 BASTER BAKAWAND GYANJYOTI KOTGUDA 22152918102
5679 BASTER BAKAWAND UPS SOUTPUR 22152918103
5680 BASTER BAKAWAND AKHAND JYOTI MS BAKAWAND 22152918501
5681 BASTER BAKAWAND KANIST PRIMARY SHALA 22152918601
5682 BASTER BAKAWAND AJK PS JAMGUDA 22152918701
5683 BASTER BAKAWAND PRIMERY SCHOOL DABDIGUDA 22152918702
5684 BASTER BAKAWAND PRIMARI SCHOOL CHIKHALGUDA 22152918801
5685 BASTER BAKAWAND GOVT. UPS CHIKHALGUDA 22152918802
5686 BASTER BAKAWAND PRIMARI SCHOOL 22152918901
5687 BASTER BAKAWAND PRIMARI SCHOOL 22152919001
5688 BASTER BAKAWAND PRIMARI SCHOOL KARANJIGUDA 22152919201
5689 BASTER BAKAWAND PRIMARI SCHOOL JOGIGUDA 22152919301
5690 BASTER BAKAWAND PS SUKUGUDA 22152919302
5691 BASTER BAKAWAND PRIMARI SCHOOL 22152919401
5692 BASTER BAKAWAND UPS SUVACHOND 22152919402
5693 BASTER BAKAWAND GOVT. PRIMARI SCHOOL TALPARA 22152919501
5694 BASTER BAKAWAND PRIMARI SCHOOL 22152919601
5695 BASTER BAKAWAND GOVT. PS SUKARAGUDA 22152919701
5696 BASTER BAKAWAND PRIMARI SCHOOL KADAGUDA 22152919801
5697 BASTER BAKAWAND GOVT. PRIMARI SCHOOL SUVACHOND 22152919901
5698 BASTER BAKAWAND GOVT. PS KHANDIGUDA 22152920001
5699 BASTER BAKAWAND PRIMARI SCHOOL AMAGUDA 22152920101
5700 BASTER BAKAWAND UPS AMAGUDA 22152920102
5701 BASTER BAKAWAND GOVT. PS AMAGUDA BORPADAR 22152920103
5702 BASTER BAKAWAND PRIMARI SCHOOL 22152920201
5703 BASTER BAKAWAND PRIMARI SCHOOL SIDAWAND 22152920301
5704 BASTER BAKAWAND PRIMARI SCHOOL MANJHIPARA 22152920401
5705 BASTER BAKAWAND PRIMARI SCHOOL PARWABADI 22152920501
5706 BASTER BAKAWAND PRIMARI SCHOOL 22152920601
5707 BASTER BAKAWAND PRIMARI SCHOOL 22152920801
5708 BASTER BAKAWAND GOVT. MS ULNAR 22152920901
5709 BASTER BAKAWAND PRIMARI SCHOOL 22152921001
5710 BASTER BAKAWAND GOVT. PS TETARGUDA SATHOSA 22152921101
5711 BASTER BAKAWAND PRIMARI SCHOOL GUCHAGUDA 22152921201
5712 BASTER BAKAWAND PRIMARI SCHOOL 22152921301
5713 BASTER BAKAWAND UPS BAYAKAGUDA 22152921302
5714 BASTER BAKAWAND PRIMARI SCHOOL 22152921401
5715 BASTER BAKAWAND PRIMARI SCHOOL 22152921501
5716 BASTER BAKAWAND GOVT. PRIMARI SCHOOL PATHREYAGUDA 22152921601
5717 BASTER BAKAWAND PRIMARI SCHOOL 22152921701
5718 BASTER BAKAWAND PRIMARI SCHOOL 22152921801
5719 BASTER BAKAWAND GOVT. PS KHALEPARA RAMPAL 22152921802
5720 BASTER BAKAWAND PRIMARI SCHOOL GHODIMUNDA 22152921901
5721 BASTER BAKAWAND PRIMARI SCHOOL PARNWABADI 22152922001
5722 BASTER BAKAWAND PRIMARI SCHOOL 22152922101
5723 BASTER BAKAWAND PRIMARI SCHOOL 22152922201
5724 BASTER BAKAWAND PRIMARI SCHOOL 22152922301
5725 BASTER BAKAWAND PRIMARI SCHOOL TELIGUDA 22152922401
5726 BASTER BAKAWAND PRIMARI SCHOOL 22152922501
5727 BASTER BAKAWAND PRIMARI SCHOOL 22152922601
5728 BASTER BASTANAR GOVT.PRIMARY SCHOOL HANDOPARA 22153000101
5729 BASTER BASTANAR GOVT.PS KUMARSADRA 22153000102
5730 BASTER BASTANAR GOVT.PRIMARY SCHOOL BHOSRIRAS 22153000201
5731 BASTER BASTANAR GOVT.PS.JANPAD MUTANPAL 22153000202
5732 BASTER BASTANAR GOVT.PS. SADRABODENAR 22153000301
5733 BASTER BASTANAR GOVT.PRIMARY SCHOOL BIJAPARA 22153000302
5734 BASTER BASTANAR GOVT. PS.KOTWARPARA 22153000303
5735 BASTER BASTANAR GOVT.UPS SADRA BODENAR 22153000304
5736 BASTER BASTANAR GOVT.PS KILEPAL NO 1 22153000401
5737 BASTER BASTANAR GOVT.PS PATELPARA KILEPAL 22153000403
5738 BASTER BASTANAR GOVT. ASHRAM SHALA KILEPAL 22153000404
5739 BASTER BASTANAR GOVT.PRIMARY SCHOOL PUJARIPARA 22153000405
5740 BASTER BASTANAR GOVT.PS.PANDUPARA KILEPAL 22153000407
5741 BASTER BASTANAR GOVT.UPS PUJARIPARA KILEPAL 22153000408
5742 BASTER BASTANAR GOVT.PS LALODIPARA KILEPAL 22153000501
5743 BASTER BASTANAR BOY SCHOOL PRIMARY SCHOOL 22153000601
5744 BASTER BASTANAR GOVT.UPS PAIKPARA KILEPAL 22153000602
5745 BASTER BASTANAR GOVT.G H S S BADE KILEPAL 22153000604
5746 BASTER BASTANAR GOVT GIRLS MS KILEPAL 22153000605
5747 BASTER BASTANAR GOVT MODEL SCHOOL KILEPAL 22153000606
5748 BASTER BASTANAR GOVT.ASHRAM SHALA BADE BODENAR 22153000702
5749 BASTER BASTANAR GOVT.MS.BOYS ASHRAM BADEA BODENAR 22153000703
5750 BASTER BASTANAR GOVT.MS.KISEPARA BASTANAR 22153000901
5751 BASTER BASTANAR GOVT.PS.PATELPARA PARALMETA 22153000902
5752 BASTER BASTANAR GOVT.PS SUKKOPARA 22153001001
5753 BASTER BASTANAR GRILPRIMARY SCHOOL 22153001002
5754 BASTER BASTANAR BOY ASHRAM 22153001003
5755 BASTER BASTANAR GOVT.MS BASTANAR 22153001005
5756 BASTER BASTANAR GOVT.KGBV BASTANAR 22153001006
5757 BASTER BASTANAR GOVT.PS AYTUPARA 22153001007
5758 BASTER BASTANAR GIRLS MIDDLE SCHOOL 22153001008
5759 BASTER BASTANAR GOVT MS. AYTUPARA BASTANAR 22153001009
5760 BASTER BASTANAR GOVT PS KISKEPARA BASTANAR 22153001010
5761 BASTER BASTANAR GOVT PS BASTANAR 22153001012
5762 BASTER BASTANAR GOVT.PRIMARY SCHOOL BIRGALI 22153001201
5763 BASTER BASTANAR GOVT. PS.KOTWALPARA BIRGALI 22153001202
5764 BASTER BASTANAR GOVT.PS GUNJEPARA KILEPAL 22153001203
5765 BASTER BASTANAR GOVT.MS.BIRGALI 22153001204
5766 BASTER BASTANAR GOVT.ASHRAM SHALA JAMGAON 22153001301
5767 BASTER BASTANAR GOVT.PS BURDAPARA JAMGAON 22153001302
5768 BASTER BASTANAR GOVT.PRIMARY SCHOOL PUSEM 22153001401
5769 BASTER BASTANAR GOVT.PRIMARY SCHOOL GUDDIPARA 22153001501
5770 BASTER BASTANAR GOVT.AASHRAM SHALA BAGMUNDI 22153001601
5771 BASTER BASTANAR GOVT.P S KORANGALI 22153001602
5772 BASTER BASTANAR GOVT.PS VAHANPUR PATELPARA 22153001603
5773 BASTER BASTANAR GOVT UPS PATELPARA VAHANPUR 22153001604
5774 BASTER BASTANAR GOVT PS BAGMUNDI PANEDA 22153001605
5775 BASTER BASTANAR GOVT.PS.BADODIPARA BAGMUNDI 22153001701
5776 BASTER BASTANAR GOVT. PRIMARY SCHOOL RODDAPARA 22153001801
5777 BASTER BASTANAR GOVT.PS.PATELPARA BASTANAR 22153001901
5778 BASTER BASTANAR GOVT.PS.PAKLUPARAPARALMETA 22153002001
5779 BASTER BASTANAR GOVT UPS PAKLUPARA PARALMETA 22153002002
5780 BASTER BASTANAR GOVT.PS.KILEPAL NO-2 22153002301
5781 BASTER BASTANAR GOVT.PS.CHIDGUMPARA BASTANAR 22153002501
5782 BASTER BASTANAR GOVT.PS.MATAPARA KODENAR 22153002902
5783 BASTER BASTANAR GOVT.MS KODENAR 22153002903
5784 BASTER BASTANAR GOVT.SANUKAT AAHSRM SHALA KODENAR 22153002906
5785 BASTER BASTANAR GOVT.PRIMARY SCHOOL BANKOPARA 22153002907
5786 BASTER BASTANAR GOVT.PS.RAMAPARA 22153002908
5787 BASTER BASTANAR GOVT.PS.PATELPARA 22153002909
5788 BASTER BASTANAR GOVT.PS. PAKALUPARA 22153002910
5789 BASTER BASTANAR GOVT.PS BURDIPARA 22153002911
5790 BASTER BASTANAR GOVT.PRIMARY SCHOOL KODENAR 22153002912
5791 BASTER BASTANAR GOVT.PS.MUSKONTA 22153003001
5792 BASTER BASTANAR GOVT.PS.DULGOPARA 22153003002
5793 BASTER BASTANAR GOVT.PS.AAHRAM.NAKTOKA 22153003101
5794 BASTER BASTANAR GOVT.PRIMARY SCHOOL SANWGEL 22153003201
5795 BASTER BASTANAR GOVT.PRIMARY SCHOOL BORJA 22153003202
5796 BASTER BASTANAR GOVT.PS BUDHUPARA 22153003203
5797 BASTER BASTANAR GOVT MS SANWGEL 22153003204
5798 BASTER BASTANAR GOVT.PS.MALADIPARA BURGUM 22153003301
5799 BASTER BASTANAR GOVT.MS BURGUM 22153003302
5800 BASTER BASTANAR GOVT.ASHRAM SHALA BURGUM 22153003303
5801 BASTER BASTANAR GOVT.PS MENDAPARA KILEPAL 22153003304
5802 BASTER BASTANAR GOVT. PS.MALADIPARA SANWGEL 22153003305
5803 BASTER BASTANAR GOVT.MS.BODENAR 22153003306
5804 BASTER BASTANAR GOVT.UPS MUSKONTA 22153003307
5805 BASTER BASTANAR GOVT.PS. USHAPARA KODENAR 22153003308
5806 BASTER BASTANAR GOVT.NAVEEN ASHRAM SHALA BURGUM 22153003309
5807 BASTER BASTANAR GOVT.PS.PATELPARA BURGUM 22153003310
5808 BASTER BASTANAR GOVT.PS.BOMDIPARA MUTANPAL 22153003401
5809 BASTER BASTANAR GOVT. PRIMARI SCHOOL PIDEPARA 22153003402
5810 BASTER BASTANAR GOVT.PS.PUJARIPARA 22153003403
5811 BASTER BASTANAR GOVT.MS. BOMDIPARA MUTANPAL 22153003404
5812 BASTER BASTANAR GOVT.PS.GUTTAPARA 22153003501
5813 BASTER BASTANAR GOVT.PS.JANGALPARA 22153003502
5814 BASTER BASTANAR GOVT. MS. GUTTAPARA 22153003503
5815 BASTER BASTANAR GOVT .MS PIDEPARA MUTANPAL 22153003506
5816 BASTER BASTANAR GOVT. PS.NAKAPARA BIRGALI 22153003601
5817 BASTER BASTANAR GOVT.PS DOKAM 22153003602
5818 BASTER BASTANAR GOVT.PRIMARY SCHOOL TITRI 22153003701
5819 BASTER BASTANAR GOVT.PS. JANGALPARA MUTANPAL 22153003704
5820 BASTER BASTANAR GOVT.UPPER PRIMARY SCHOOL TITARI 22153003705
5821 BASTER BASTANAR KANYA AAHRAM MUTANPAL 22153003801
5822 BASTER BASTANAR GOVT.PS.BOY ASHRAM MUTANPAL 22153003802
5823 BASTER BASTANAR GOVT.UPS.NAKTOKA MUTANPAL 22153003803
5824 BASTER BASTANAR GOVT.MS.PATELPARA 22153003805
5825 BASTER BASTANAR GOVT. UPS MUTANPAL 22153003806
5826 BASTER BASTANAR GOVT PS KOLENGPARA SANWGEL 22153003807
5827 BASTER BASTANAR GOVT PS JANGALPARA KAWDIPADAR 22153003808
5828 BASTER BASTANAR GOVT PS JANGAL TITARI 22153003809
5829 BASTER BASTANAR GOVT.PS.BADE KAKLUR 22153003902
5830 BASTER BASTANAR GOVT.MS BADEKAKLOOR 22153003903
5831 BASTER BASTANAR GOVT.UPS KARKAPARA KAKLUR 22153003904
5832 BASTER BASTANAR GOVT.PS.RAUTPARA KUCHEPAL 22153003905
5833 BASTER BASTANAR GOVT.PS.SUKDAPARA KAKLUR 22153003906
5834 BASTER BASTANAR GOVT.PS GAYTAPARA BADE KAKLUR 22153003907
5835 BASTER BASTANAR GOVT.PS MADOGONDI KAKLUR 22153003908
5836 BASTER BASTANAR GOVT UPS KUCHEPAL 22153003909
5837 BASTER BASTANAR GOVT.PRIMARY SCHOOL PIRMETA 22153004001
5838 BASTER BASTANAR GOVT.PS PUJARIPARA LALAGUDA 22153004002
5839 BASTER BASTANAR GOVT.UPS PIRMETA 22153004003
5840 BASTER BASTANAR GOVT.P.S. SURGUDA 22153004004
5841 BASTER BASTANAR GOVT.PRIMARY SCHOOL PUJARIPARA 22153004101
5842 BASTER BASTANAR GOVT.UPS PUJARIPARA SARGIGUDA 22153004103
5843 BASTER BASTANAR GOVT.PS PATELPARA CHHOTE KILEPAL 22153004104
5844 BASTER BASTANAR GOVT.BOYS ASHRAM PALANAR 22153004108
5845 BASTER BASTANAR GOVT.PS DONGRIPARA 22153004109
5846 BASTER BASTANAR GOVT.PS SARGIGUDA 22153004110
5847 BASTER BASTANAR GOVT.PRIMARY SCHOOL TURANGUR 22153004201
5848 BASTER BASTANAR GOVT.MS TURANGUR 22153004202
5849 BASTER BASTANAR GOVT.NAVEEN ASHRAM SHALA TURANGUR 22153004203
5850 BASTER BASTANAR N.P.S. BHRRIPARA RAWA 22153004205
5851 BASTER BASTANAR GOVT.PS.MASAPARA BODENAR 22153004501
5852 BASTER BASTANAR GOVT.PS.IRPA GAYTAPARA 22153004601
5853 BASTER BASTANAR GOVT ASHRAM SHALA IRPA 22153004602
5854 BASTER BASTANAR GOVT.PS.SUKKOPARA BODENAR 22153004701
5855 BASTER BASTANAR GOVT.PS KOLUPARA KILEPAL 22153004702
5856 BASTER BASTANAR GOVT. MS. PUJARIPARA 22153004703
5857 BASTER BASTANAR GOVT. UPS. MASAPARA 22153004705
5858 BASTER BASTANAR GOVT.PS. PATELPARA 22153004706
5859 BASTER BASTANAR GOVT.MS.BAGMUNDI PANEDA 22153004801
5860 BASTER BASTANAR GOVT.PS CHALANPARA BODENAR 22153004901
5861 BASTER BASTANAR GOVT.ASHARAM SHALA KAPANAR 22153005001
5862 BASTER BASTANAR GOVT. PS.KAPANAR 22153005002
5863 BASTER BASTANAR GOVT.MS KAPANAR 22153005003
5864 BASTER BASTANAR GOVT.PS DOSHALPARA KAKLUR 22153005004
5865 BASTER BASTANAR GOVT.PS DABBA PARA KAKLUR 22153005005
5866 BASTER BASTANAR GOVT.PS. NAYAPARA KAPANAR 22153005006
5867 BASTER BASTANAR GOVT.PS KANDKIPARA KAPANAR 22153005007
5868 BASTER BASTANAR GOVT.UPS DABBA PARA KAKLUR 22153005008
5869 BASTER BASTANAR GOVT.UPS KOLAPARA 22153005009
5870 BASTER BASTANAR GOVT UPS KANDKIPARA KAPANAR 22153005010
5871 BASTER BASTANAR GOVT PS PINJOPARA KAPANAR 22153005011
5872 BASTER BASTANAR GOVT UPS GADDOPARA KAPANAR 22153005012
5873 BASTER BASTANAR GOVT. PS. AYTOOPARA 22153005101
5874 BASTER BASTANAR GOVT.UPS AYTOOPARA 22153005102
5875 BASTER BASTANAR GOVT.PS RAUTPARA KAPANAR 22153005201
5876 BASTER BASTANAR GOVT.ASHRAM SHALA CHHOTE KILEPAL 22153005202
5877 BASTER BASTANAR GOVT.P.S.HIRMAPARA KILEPAL 22153005301
5878 BASTER BASTANAR GOVT.PS GUDIYAPARA KILEPAL 22153005302
5879 BASTER BASTANAR GOVT. PS. DHOBHIPARA KILEPAL 22153005401
5880 BASTER BASTANAR GOVT.PS.PAIKPARA KILEPAL 22153005402
5881 BASTER BASTANAR GOVT.UPS BETTIPARA KILEPAL 22153005501
5882 BASTER BASTANAR GOVT.UPS KILEPAL NO 2 22153005502
5883 BASTER BASTANAR GOVT.UPS GUDIYAPARA KILEPAL 22153005503
5884 BASTER BASTANAR GOVT.UPS PEDAPARA KILEPAL 22153005504
5885 BASTER BASTANAR GOVT.UPS PATELPARA KILEPAL 22153005505
5886 BASTER BASTANAR GOVT.P S JAMGAON 22153005601
5887 BASTER BASTANAR GOVT.UPS KORANGALI 22153005604
5888 BASTER BASTANAR GOVT.MS JAMGAON 22153005605
5889 BASTER BASTANAR GOVT.UPS VAHANPUR PATELPARA 22153005704
5890 BASTER BASTANAR GOVT.UPS PATELPARA KANDOLI 22153005705
5891 BASTER BASTANAR GOVT.PS DANKA PARA 22153005706
5892 BASTER BASTANAR GOVT PS PANDUPARA BASTANAR 22153005707
5893 BASTER BASTANAR GOVT.PS BOMDAPARA 22153005708
5894 BASTER BASTANAR GOVT.PS.PATELPARA 22153005801
5895 BASTER BASTANAR GOVT.SANYUKT ASHRAM SALA SADRABODENAR 22153005802
5896 BASTER BASTANAR GOVT.PS PATELPARA 22153005803
5897 BASTER BASTANAR GOVT.PS.. PATELPARA KANDOLI 22153005901
5898 BASTER BASTANAR GOVT.PS.NERONDIPARA BAGMUNDI 22153005902
5899 BASTER BASTANAR GOVT.PS.RAUTPARA KORANGALI 22153005903
5900 BASTER BASTANAR GOVT.PS PATELPARA KUMHARSADRA 22153005904
5901 BASTER BASTANAR GOVT.ASHRAM CHAMRUPARA VAHANPUR 22153005905
5902 BASTER BASTANAR GOVT.UPS.CHAMRUPARA VAHANPUR 22153005906
5903 BASTER BASTANAR GOVT.PS. AAYTUPARA 22153005909
5904 BASTER BASTANAR GOVT.PS.MALLAPARA 22153005910
5905 BASTER BASTANAR GOVT.PS.BAISUPARA VAHANPUR 22153006001
5906 BASTER BASTANAR GOVT.PS.LITIPARA KANDOLI 22153006002
5907 BASTER BASTANAR GOVT.PRIMARY SCHOOL LALAGUDA 22153006201
5908 BASTER BASTANAR GOVT.PS NAKAPARA 22153006202
5909 BASTER BASTANAR GOVT.PRIMARY SCHOOL LALIPARA 22153006203
5910 BASTER BASTANAR GOVT.PS PATELPARA 22153006204
5911 BASTER BASTANAR GOVT.MS LALAGUDA 22153006205
5912 BASTER BASTANAR GOVT.UPS PATELPARA LALAGUDA 22153006206
5913 BASTER BASTANAR GOVT.PS. LAMDIPARA KILEPAL 22153006301
5914 BASTER BASTANAR GOVT.UPS DULAPARA 22153006302
5915 BASTER BASTANAR GOVT.PS.BARCHEPAL 22153006401
5916 BASTER BASTANAR GOVT. PS.RAILWAY COLONY KODENAR 22153006402
5917 BASTER BASTANAR GOVT UPS BARCHEPAL 22153006403
5918 BASTER BASTANAR GOVT UPS RAILWAY COLONY KODENAR 22153006404
5919 BASTER BASTANAR GOVT.PRIMARY SCHOOL KUMAPARA 22153006501
5920 BASTER BASTANAR GOVT UPS KUMAPARA KODENAR 22153006502
5921 BASTER BASTANAR GOVT.PS.CHHOTE KILEPAL 22153006801
5922 BASTER BASTANAR GOVT.PS. CHHOTE BODENAR 22153006803
5923 BASTER BASTANAR GOVT.PS DHURVAPARA 22153006804
5924 BASTER BASTANAR GOVT.UPS CHHOTE KILEPAL 22153006805
5925 BASTER BASTANAR GOVT.PRIMARY SCHOOL KAWANAR 22153006901
5926 BASTER BASTANAR GOVT.UPS KAWANAR 22153006902
5927 BASTER BASTANAR GOVT.MS.PALANAR 22153007001
5928 BASTER BASTANAR GOVT.PS.PALANAR 22153007003
5929 BASTER BASTANAR GOVT.PS.GADDOPARA KAPANAR 22153007101
5930 BASTER BASTANAR GOVT.PS DHURWAPARA KAKLUR 22153007102
5931 BASTER BASTANAR GOVT.PS LAXMANPARA KODENAR 22153007201
5932 BASTER BASTANAR GOVT.PS.SILAKJHODI 22153007301
5933 BASTER BASTANAR GOVT.PS TANGIYAJHORI 22153007302
5934 BASTER BASTANAR GOVT UPS SILAKJHODI 22153007303
5935 BASTER BASTANAR GOVT UPS TANGIYAJHODI 22153007304
5936 BASTER BASTANAR GOVT.PRIMARY SCHOOL GORIYAPAL 22153007401
5937 BASTER BASTANAR GOVT UPS GORIYAPAL 22153007402
5938 BASTER BASTANAR GOVT.UPS.TIRTUM 22153007501
5939 BASTER BASTANAR GOVT.PS.TIRTHUM 22153007505
5940 BASTER BASTANAR GOVT.UPS.KUMARSADARA 22153007601
5941 BASTER BASTANAR GOVT.UPS ERPA 22153007802
5942 BASTER BASTANAR GOVT.PS.JOGOPARA IRPA 22153007901
5943 BASTER BASTANAR GOVT.PS.HATHIKHODRA 22153008001
5944 BASTER BASTANAR GOVT.PS KUCHEPAL 22153008101
5945 BASTER BASTANAR GOVT.PRIMARY SCHOOL DULAPARA 22153008202
5946 BASTER BASTANAR GOVT.PS KARKAPARA KAKLUR 22153008301
5947 BASTER BASTANAR GOVT. PRIMARY SCHOOL BANDAPARA 22153008401
5948 BASTER BASTANAR GOVT.PS. LAXMANPARA KILEPAL 22153008402
5949 BASTER BASTANAR GOVT.PRIMARY SCHOOL BODAPARA 22153008502
5950 BASTER BASTANAR GOVT.PRIMARY SCHOOL ADWAL 22153008601
5951 BASTER BASTANAR GOVT.MS ADWAL 22153008602
5952 BASTER BASTANAR GOVT.PS. MUCHKIPARA 22153008603
5953 BASTER BASTANAR GOVT.BOY ASHRAM TIRTHUM 22153008801
5954 BASTER BASTANAR GOVT.PS BATKONTA 22153008802
5955 BASTER BASTANAR GOVT.PS. PUJARIPARA 22153008804
5956 BASTER BASTANAR GOVT.PS. BETTIPARA BADE KILEPAL 22153008902
5957 BASTER BASTANAR GOVT.UPS SUKOPARA 22153009001
5958 BASTER BASTANAR GOVT.PS.KOLAPARA BADE KAKLUR 22153009201
5959 BASTER BASTANAR GOVT.PS HUNGA PARA KAKLUR 22153009303
5960 BASTER BASTANAR GOVT.PS.KAWDIPADAR 22153009401
5961 BASTER BASTANAR GOVT.PS.MURDEPARA 22153009402
5962 BASTER BASTANAR GOVT.PS.PEDAPARA KILEPAL 22153009501
5963 BASTER BASTANAR GOVT.ASHRAM SHALA BADE KAKLUR 22153011501
5964 BASTER BASTANAR GOVT.PS PATELPARA KAKLUR 22153011502
5965 BASTER BASTANAR GOVT.UPS PATELPARA KAKLUR 22153011503
5966 BASTER BASTANAR GOVT.PS.MANJHIBHATA 22153018701
5967 BASTER BASTAR GOVT. P.S. TARAIGUDA KARMARI SSA 22151700101
5968 BASTER BASTAR JANPAD PRIMARY SCHOOL 22151700201
5969 BASTER BASTAR MS MANDLAPAL 22151700202
5970 BASTER BASTAR PRIMARY SCHOOL KOPLIPARA 22151700203
5971 BASTER BASTAR P.S. MANDLAPAL 22151700206
5972 BASTER BASTAR P.S. BHALUGUDA 22151700207
5973 BASTER BASTAR MS DENG GUDA MANDLAPAL 22151700208
5974 BASTER BASTAR GOVT. M.S. MANDAPAL TWD. 22151700209
5975 BASTER BASTAR PRIMARY SCHOOL 22151700301
5976 BASTER BASTAR P.S. CHHITKAPARA 22151700302
5977 BASTER BASTAR M.S. URBA 22151700303
5978 BASTER BASTAR PRIMARY SCHOOL PATRLIPARA 22151700402
5979 BASTER BASTAR MS CHERAKUR 22151700403
5980 BASTER BASTAR KANIST PRIMARY SCHOOL 22151700501
5981 BASTER BASTAR EPS BANJIKHOL 22151700502
5982 BASTER BASTAR KANIST PRIMARY SCHOOL 22151700601
5983 BASTER BASTAR N.P.S.PARASPARA 22151700603
5984 BASTER BASTAR P.S. NAVAPARA MADANNAGAR 22151700802
5985 BASTER BASTAR P.S. BHAISADHARA 22151700803
5986 BASTER BASTAR P.S. SEMARPARA 22151700904
5987 BASTER BASTAR P.S. TENGAPARA 22151700905
5988 BASTER BASTAR GOVT MS KUNGARPAL TWD 22151700906
5989 BASTER BASTAR PRIMARY SCHOOL 22151701001
5990 BASTER BASTAR PRIMARY SCHOOL 22151701101
5991 BASTER BASTAR P.S. KODAKUPARA NAVADIH 22151701102
5992 BASTER BASTAR N.P.S BHANDARPARA 22151701103
5993 BASTER BASTAR PRIMARY SCHOOL 22151701202
5994 BASTER BASTAR M.S. CHANCHIDAND 22151701203
5995 BASTER BASTAR N.P.S. CHANCHIPARA 22151701204
5996 BASTER BASTAR GOVT MS GONDIYAPAL SSA 22151701205
5997 BASTER BASTAR JANPAD PRIMARY SCHOOL 22151701401
5998 BASTER BASTAR PRIMARY SCHOOL NADIPARA 22151701403
5999 BASTER BASTAR A.J.K.V PRIMARY SCHOOL MUNJULA 22151701406
6000 BASTER BASTAR MS KHANDGAVA KALA 22151701502
6001 BASTER BASTAR P.S. PANDOPARA 22151701503
6002 BASTER BASTAR P.S. JHINGAPARA 22151701504
6003 BASTER BASTAR P.S. PHIRNGIPARA 22151701505
6004 BASTER BASTAR P.S. GUDARUDAND 22151701506
6005 BASTER BASTAR GOVT M.S. TIKANPAL SSA 22151701508
6006 BASTER BASTAR GOVT P.S. TIKANPAL TWD 22151701509
6007 BASTER BASTAR JANPAD PRIMARY SCHOOL 22151701602
6008 BASTER BASTAR PRIMARY SCHOOL MARIPARA 22151701604
6009 BASTER BASTAR GOVT M.S. CHAPKA SSA 22151701605
6010 BASTER BASTAR GOVT M.S. MARIPARA CHAPKA SSA 22151701606
6011 BASTER BASTAR GOVT P.S. MARIPARA CHAPKA SSA 22151701607
6012 BASTER BASTAR GOVT P.S. BOYS AASHRAM CHAPKA TWD 22151701608
6013 BASTER BASTAR GOVT P.S. PATELPARA CHAPKA SSA 22151701609
6014 BASTER BASTAR PRIMARY SCHOOL DEVDA 22151701702
6015 BASTER BASTAR GOVT M.S. DEVADA SSA 22151701703
6016 BASTER BASTAR GOVT MS BHATAPARA DEVADA SSA 22151701704
6017 BASTER BASTAR PRIMARY SCHOOL 22151701901
6018 BASTER BASTAR GOVT M.S. USRI SSA 22151701902
6019 BASTER BASTAR JANPAD PRIMARY SCHOOL 22151702002
6020 BASTER BASTAR MS SONARPAL 22151702003
6021 BASTER BASTAR N.M.S.SARASTAL 22151702007
6022 BASTER BASTAR P.S.PATELPARA SONARPAL 22151702008
6023 BASTER BASTAR GOVT PS PUJARIPARA SONARPAL TWD 22151702009
6024 BASTER BASTAR GOVT PS KANYA SONRPAL EDU 22151702010
6025 BASTER BASTAR PRIMARY SCHOOL BADEPARA 22151702102
6026 BASTER BASTAR P.S. MAHADEVPARA 22151702103
6027 BASTER BASTAR N.P.S.DHUTARAPARA 22151702104
6028 BASTER BASTAR GOVT M.S. BODIPARA SSA 22151702105
6029 BASTER BASTAR GOVT M.S. BANJARAPARA SSA 22151702106
6030 BASTER BASTAR PRIMARY SCHOOL 22151702201
6031 BASTER BASTAR PRIMARY SCHOOL 22151702202
6032 BASTER BASTAR GOVT. PRIMARY SCHOOL 22151702203
6033 BASTER BASTAR GOVT.MS SALEMETA 22151702204
6034 BASTER BASTAR PRIMARY SCHOOL DENGAPARA 22151702205
6035 BASTER BASTAR PRIMARY SCHOOL SALEMETA 22151702206
6036 BASTER BASTAR PRIMARY SCHOOL JADIPARA 22151702207
6037 BASTER BASTAR AADIMJATIPRIMARYSCHOOLSALEMETA 22151702208
6038 BASTER BASTAR UPS SALEMETA 2 22151702209
6039 BASTER BASTAR GOVT.MS BADECHAKWA 22151702210
6040 BASTER BASTAR GOVT. BOYS ASHRAM KOTGAD 22151702214
6041 BASTER BASTAR GOVT.NAVIN KANYA ASHRAM SORGOAN 22151702215
6042 BASTER BASTAR GOVT.NAVIN MS KANYA ASHRAM SORGOAN 22151702216
6043 BASTER BASTAR P.S. BUDADAND 22151702402
6044 BASTER BASTAR P.S. DHEKINALA 22151702403
6045 BASTER BASTAR PRIMARY SCHOOL 22151702501
6046 BASTER BASTAR P.S. BARBASPUR 22151702502
6047 BASTER BASTAR P.S. LINK SHALA BARBASPUR 22151702503
6048 BASTER BASTAR P.S. MUSLMANPARA 22151702504
6049 BASTER BASTAR M.S. BARBASPUR 22151702505
6050 BASTER BASTAR N.P.S. KADAMPARA 22151702506
6051 BASTER BASTAR PRIMARY SCHOOL 22151702601
6052 BASTER BASTAR PRIMARY SCHOOL 22151702701
6053 BASTER BASTAR P.S. B. PRATAPPUR 22151702705
6054 BASTER BASTAR P.S. KODAKUPARA 22151702706
6055 BASTER BASTAR P.S. PARMHANS PRATAPPUR 22151702707
6056 BASTER BASTAR MS G. PRATAPPUR 22151702709
6057 BASTER BASTAR MS BOYS PRATAPPUR 22151702710
6058 BASTER BASTAR P.S. SHANTINAGER 22151702711
6059 BASTER BASTAR P.S. BALSHAMIK 22151702712
6060 BASTER BASTAR K.D.V. PRATAPPUR 22151702714
6061 BASTER BASTAR PRIMARY SCHOOL 22151702801
6062 BASTER BASTAR M.S. PAKHNAKONGERA 22151702802
6063 BASTER BASTAR PRIMARY SCHOOL MARIPARA 22151702803
6064 BASTER BASTAR PRIMARY SCHOOL BUNARPARA 22151702804
6065 BASTER BASTAR PRIMARY SCHOOL RAWATPARA 22151702805
6066 BASTER BASTAR PRIMARY SCHOOL 22151702901
6067 BASTER BASTAR P.S. DOMHAT 22151702904
6068 BASTER BASTAR M.S. MAYAPUR 1 22151702905
6069 BASTER BASTAR P.S. KASHABAHARA 22151702906
6070 BASTER BASTAR PRIMARY SCHOOL 22151703001
6071 BASTER BASTAR P.S.G. KHORMA 22151703002
6072 BASTER BASTAR P.S. KOSAMPARA 22151703003
6073 BASTER BASTAR P.S. SARNAPARA 22151703004
6074 BASTER BASTAR M.S. G. KHORMA 22151703005
6075 BASTER BASTAR M.S. JAREKELA 22151703103
6076 BASTER BASTAR P.S. JAMTIPARA 22151703203
6077 BASTER BASTAR N.M.S.KHAJURI 22151703204
6078 BASTER BASTAR PRIMARY SCHOOL 22151703301
6079 BASTER BASTAR TWD. GIRLS ASH.PS. MADHOTA 22151703302
6080 BASTER BASTAR M.S. GIRLS GORHI 22151703303
6081 BASTER BASTAR MS ROTAM KHADKA 22151703304
6082 BASTER BASTAR M.S. MUNDKATIYAPARA 22151703305
6083 BASTER BASTAR GOVT MS KHOTALAPAL SSA 22151703306
6084 BASTER BASTAR GOVT.PS. KHADKA 22151703308
6085 BASTER BASTAR MS SEMARAKALA 22151703402
6086 BASTER BASTAR P.S. SARNAPARA SEMRAKALA 22151703403
6087 BASTER BASTAR BOYS ASHRAM SEMRAKALA 22151703404
6088 BASTER BASTAR G.P.S. SILOTA 22151703405
6089 BASTER BASTAR KNIST PRIMARY SCHOOL 22151703501
6090 BASTER BASTAR P.S. SARHARI 22151703502
6091 BASTER BASTAR MS GHATKAWALI 22151703504
6092 BASTER BASTAR P.S. KHALEPARA 22151703505
6093 BASTER BASTAR P.S. MARLENGA 22151703506
6094 BASTER BASTAR GOVT PS FAFNI TWD 22151703507
6095 BASTER BASTAR GOVT. PS. BALAK ASHRAM MUNDAGUDA 22151703508
6096 BASTER BASTAR JANPAD PROMARY SCHOOL 22151703601
6097 BASTER BASTAR PRIMARY SCHOOL 22151703602
6098 BASTER BASTAR MS MUNDAGAON 22151703603
6099 BASTER BASTAR PRIMARY SCHOOL SIRHAPARA 22151703605
6100 BASTER BASTAR PRIMARY SCHOOL 22151703606
6101 BASTER BASTAR PRIMARY SCHOOL GURIYA 22151703607
6102 BASTER BASTAR PRIMARY SCHOOL 22151703701
6103 BASTER BASTAR MS GUNPUR 22151703702
6104 BASTER BASTAR PRIMARY SCHOOL JATANPAL 22151703704
6105 BASTER BASTAR P.S. KHADRAPARA 22151703705
6106 BASTER BASTAR N.P.S. YADAVPARA 22151703706
6107 BASTER BASTAR PRIMARY SCHOOL 22151703801
6108 BASTER BASTAR P.S. KODAVARIPARA 22151703803
6109 BASTER BASTAR P.S. DHUMADAND VANSHIPUR 22151703804
6110 BASTER BASTAR M.S. VANSHIPUR 22151703805
6111 BASTER BASTAR ADARS BHARATI BANSHIPUR 22151703806
6112 BASTER BASTAR KNIST PRIMARY SCHOOL 22151703901
6113 BASTER BASTAR PRIMARY SCHOOL 22151703902
6114 BASTER BASTAR GOVT MS KAWADGAON SSA 22151703904
6115 BASTER BASTAR GOVT MS KOLEBEDA SSA 22151703905
6116 BASTER BASTAR P.S. PANDOPARA BARPATIYA 22151704002
6117 BASTER BASTAR GOVT. PRIMARY SCHOOL 22151704101
6118 BASTER BASTAR NPS-MAWLIGUDA 22151704102
6119 BASTER BASTAR MS SCHOOL 22151704103
6120 BASTER BASTAR N.P.S. MAHUYAPARA 22151704104
6121 BASTER BASTAR GOVT. JANPAD PRIMARY SCHOOL 22151704201
6122 BASTER BASTAR M.S. MOUHAPALI 22151704202
6123 BASTER BASTAR GOVT PS GHOTIYA TWD 22151704301
6124 BASTER BASTAR MS GHOTIYA 22151704302
6125 BASTER BASTAR GOVT. MS MUNDAPAL SSA 22151704303
6126 BASTER BASTAR JANPAD PRIMARY SCHOOL 22151704304
6127 BASTER BASTAR GOVT MS AMADONGRI SSA 22151704305
6128 BASTER BASTAR GOVT PS MUNDAPARA SSA 22151704306
6129 BASTER BASTAR JANPAD PRIMARY SCHOOL 22151704401
6130 BASTER BASTAR MS BHAINSGAON 22151704402
6131 BASTER BASTAR PRIMARY SCHOOL GUDIPARA 22151704403
6132 BASTER BASTAR GOVT PS SUBHASNAGAR SSA 22151704404
6133 BASTER BASTAR GOVT. TEWD. PRIMARY SCHOOL DUBAGUDA 22151704502
6134 BASTER BASTAR UMS BARPALI 22151704503
6135 BASTER BASTAR JANPAD PRIMARY SCHOOL 22151704601
6136 BASTER BASTAR GOVT. SSA P/S MUNDI GUDA BODRA 22151704602
6137 BASTER BASTAR PRIMARY SCHOOL AWASPLAT 22151704603
6138 BASTER BASTAR P.S. KASDOHAR 22151704604
6139 BASTER BASTAR GOVT. PS. MANJHIPARA 22151704605
6140 BASTER BASTAR P.S. SALYAPARA 22151704606
6141 BASTER BASTAR JANPAD PRIMARY SCHOOL 22151704701
6142 BASTER BASTAR PRIMARY SCHOOL 22151704702
6143 BASTER BASTAR M.S. KANYA SHIKSHA PARISAR 22151704703
6144 BASTER BASTAR PRIMARY SCHOOL 22151704801
6145 BASTER BASTAR MS BHARDA 22151704802
6146 BASTER BASTAR P.S. GHUTRAPARA 22151704803
6147 BASTER BASTAR P.S. DAHAKAPARA 22151704804
6148 BASTER BASTAR GOVT PS SANYUKT ASHRAM T.WEST 22151704805
6149 BASTER BASTAR KNIST PRIMARY SCHOOL 22151704901
6150 BASTER BASTAR KNIST PRIMARY SCHOOL 22151705001
6151 BASTER BASTAR MS HARIHARPUR 22151705002
6152 BASTER BASTAR P.S. BIHIDAND 22151705003
6153 BASTER BASTAR P.S. NEVARDAND 22151705004
6154 BASTER BASTAR P.S. DONDIPARA 22151705005
6155 BASTER BASTAR KNIST PRIMARY SCHOOL 22151705201
6156 BASTER BASTAR MS SUDHAPAL 22151705303
6157 BASTER BASTAR PRIMARY SCHOOL MUNDAPARA 22151705304
6158 BASTER BASTAR GOVT PS KUNDOPANI SUDHAPAL SSA 22151705305
6159 BASTER BASTAR PRIMARY SCHOOL 22151705401
6160 BASTER BASTAR PRIMARY SCHOOL 22151705402
6161 BASTER BASTAR MS ICHAPUR 22151705403
6162 BASTER BASTAR PRIMARY SCHOOL RAUTGUDA 22151705404
6163 BASTER BASTAR PRIMARY SCHOOL PEKADASODA 22151705405
6164 BASTER BASTAR MS ICHCHHAPUR 02 22151705406
6165 BASTER BASTAR BALAK ASHARAM 22151705501
6166 BASTER BASTAR EPS DHENGURCHUWAN 22151705502
6167 BASTER BASTAR GOVT M.S. SIONI TWD 22151705503
6168 BASTER BASTAR GOVT M.S. GOTIGUDA, SIONI SSA 22151705504
6169 BASTER BASTAR PRIMARY SCHOOL 22151705601
6170 BASTER BASTAR MS TALUR 22151705602
6171 BASTER BASTAR PRIMARY SCHOOL BADIGUDA 22151705603
6172 BASTER BASTAR PRIMARY SCHOOL GADBADUGDA 22151705604
6173 BASTER BASTAR PRIMARY SCHOOL MAJHIGUDA 22151705605
6174 BASTER BASTAR GOVT. PRIMARY SCHOOL 22151705701
6175 BASTER BASTAR PRIMARY SCHOOL 22151705702
6176 BASTER BASTAR PRIMARY SCHOOL 22151705801
6177 BASTER BASTAR MS BAGMOHLAI 22151705802
6178 BASTER BASTAR PRIMARY SCHOOL PUJRIGUDA 22151705803
6179 BASTER BASTAR PRIMARY SCHOOL DOGRIGUDA 22151705804
6180 BASTER BASTAR GOVT BOYS ASHRAM KERAGUDA TWD 22151705805
6181 BASTER BASTAR PRIMARY SCHOOL 22151705901
6182 BASTER BASTAR P.S. DHUMADAND 22151705902
6183 BASTER BASTAR P.S. KODAKUPARA DHUMADND 22151705903
6184 BASTER BASTAR P.S. BHELVATIKARA DHUMADAND 22151705904
6185 BASTER BASTAR P.S. KADCHOLAPARA 22151705905
6186 BASTER BASTAR M.S. DHUMMADAND 22151705906
6187 BASTER BASTAR PRIMARY SCHOOL 22151706001
6188 BASTER BASTAR P.S. NAVAPARA BADVAR 22151706002
6189 BASTER BASTAR P.S BATAHIYAPARA 22151706003
6190 BASTER BASTAR N.M.S. BADVAR 22151706004
6191 BASTER BASTAR N.P.S.AGARIHAPARA 22151706005
6192 BASTER BASTAR PRIMARY SCHOOL 22151706101
6193 BASTER BASTAR PRIMARY SCHOOL 22151706102
6194 BASTER BASTAR P.S. HARAIYAPARA 22151706103
6195 BASTER BASTAR P.S. NAVAPARA BONGA 22151706104
6196 BASTER BASTAR M.S. BOMGA 22151706105
6197 BASTER BASTAR PRIMARY SCHOOL 22151706201
6198 BASTER BASTAR MS SCHOOL 22151706202
6199 BASTER BASTAR N.P.S. BELPARA 22151706203
6200 BASTER BASTAR PRIMARY SCHOOL 22151706301
6201 BASTER BASTAR ADIM JATI PRIMARY SCHOOL 22151706302
6202 BASTER BASTAR INDIRA GANDHI P.S. GOVINDPUR 22151706303
6203 BASTER BASTAR MS GOVINDPUR 22151706304
6204 BASTER BASTAR P.S. KUDARIPARA 22151706305
6205 BASTER BASTAR KANIST PRIMARY SCHOOL 22151706401
6206 BASTER BASTAR MS NARAOLA 22151706403
6207 BASTER BASTAR P.S. NADIPARA NAROLA 22151706404
6208 BASTER BASTAR P.S. SARNAPARA NAROLA 22151706405
6209 BASTER BASTAR PRIMARY SCHOOL 22151706501
6210 BASTER BASTAR P.S. GELHAJHARIYA 22151706502
6211 BASTER BASTAR P.S. PANDOPARA BAGADA 22151706503
6212 BASTER BASTAR P.S. BHATAGUDA 22151706504
6213 BASTER BASTAR M.S. BAGDA 22151706505
6214 BASTER BASTAR MS TAKARAGUDA 22151706702
6215 BASTER BASTAR P.S. CHHIPANIPARA PAHADKARVA 22151706703
6216 BASTER BASTAR PRIMARY SCHOOL 22151706801
6217 BASTER BASTAR P.S. REVTI 22151706802
6218 BASTER BASTAR P.S. AMAPARA REVTI 22151706803
6219 BASTER BASTAR P.S. MAJHVARIPARA REVTI 22151706804
6220 BASTER BASTAR M.S. BAPA REVTI 22151706805
6221 BASTER BASTAR P.S. MAHUPALBARI 22151706806
6222 BASTER BASTAR PRIMARY SCHOOL 22151706901
6223 BASTER BASTAR P.S. NADIPARA BHONDHA 22151706902
6224 BASTER BASTAR UPS PARCHANPAL 22151706903
6225 BASTER BASTAR GOVT.M.S. MODEL SCHOOL KARMARI 22151706905
6226 BASTER BASTAR PRIMARY SCHOOL 22151707001
6227 BASTER BASTAR PRIMARY SCHOOL 22151707101
6228 BASTER BASTAR KNIST PRIMARY SCHOOL 22151707102
6229 BASTER BASTAR P.S. MAHUARIPARA 22151707103
6230 BASTER BASTAR GOVT. BOYS PS. TAMNAR 22151707104
6231 BASTER BASTAR P.S. SINGHADITARAI 22151707106
6232 BASTER BASTAR M.S. GIRLS TAMNAR 22151707108
6233 BASTER BASTAR M.S. KAVIASNA 22151707109
6234 BASTER BASTAR A.G.B.V.M. TAMNAR 22151707110
6235 BASTER BASTAR BALSHRAMIK PS.TAMNAR 22151707112
6236 BASTER BASTAR GOVT M.S. MUNJALA SSA 22151707113
6237 BASTER BASTAR GOVT P.S. MUNJALA TWD 22151707114
6238 BASTER BASTAR GOVT. PS. KANYA ASHRAM SONARPAL 22151707115
6239 BASTER BASTAR PRIMARY SCHOOL 22151707201
6240 BASTER BASTAR UMS KASDOL 22151707202
6241 BASTER BASTAR PRIMARY SCHOOL 22151707301
6242 BASTER BASTAR P.S. TAMORPARA 22151707302
6243 BASTER BASTAR JANPAD PRIMARY SCHOOL 22151707401
6244 BASTER BASTAR MS KHORKHOSA 22151707402
6245 BASTER BASTAR P.S. PANDOPARA KERTA 22151707403
6246 BASTER BASTAR P.S. DUBKAPARA KERTA 22151707404
6247 BASTER BASTAR P.S. BHAGATPARA 22151707405
6248 BASTER BASTAR P.S. KUDKANAR 22151707406
6249 BASTER BASTAR PRIMARY SCHOOL 22151707501
6250 BASTER BASTAR P.S. CHITKAPARASILOTA 22151707502
6251 BASTER BASTAR TWD PS KAVIASNA 22151707503
6252 BASTER BASTAR M.S. SAMKERA 22151707504
6253 BASTER BASTAR EPS KARMARI 22151707506
6254 BASTER BASTAR GOVT. PRIMARY SCHOOL 22151707601
6255 BASTER BASTAR MS RAMKOLA 22151707602
6256 BASTER BASTAR P.S. PATVARDIH RAMKOLA 22151707603
6257 BASTER BASTAR P.S. PANDOPARA RAMKOLA 22151707604
6258 BASTER BASTAR P.S. DHODAMADA 22151707605
6259 BASTER BASTAR GOVT. PS MUNDAPAL TWD 22151707702
6260 BASTER BASTAR PRIMARY SCHOOL CHEPTAPARA 22151707703
6261 BASTER BASTAR PRIMARY SCHOOL MAWALIGUDA 22151707704
6262 BASTER BASTAR JANPAD PRIMARY SCHOOL 22151707801
6263 BASTER BASTAR MS PIPALAWAND 22151707803
6264 BASTER BASTAR MS KEVRA 22151707804
6265 BASTER BASTAR P.S. JAMTIPARA KRVRA 22151707805
6266 BASTER BASTAR P.S. CHARPARA 22151707806
6267 BASTER BASTAR P.S.PANDOPARA KEVRA 22151707807
6268 BASTER BASTAR MS GUFNI 22151707808
6269 BASTER BASTAR PRIMARY SCHOOL 22151707901
6270 BASTER BASTAR PRIMARY SCHOOL 22151708001
6271 BASTER BASTAR P.S. AHIRAPARA GHUI 22151708002
6272 BASTER BASTAR N.M.S. DHUI 22151708003
6273 BASTER BASTAR PRIMARY SCHOOL 22151708101
6274 BASTER BASTAR PRIMARY SCHOOL 22151708201
6275 BASTER BASTAR M.S. DHAURABHANTHA 22151708203
6276 BASTER BASTAR A.G.B.V. DHAURABHANTHA 22151708204
6277 BASTER BASTAR JANPAD PRIMARY SCHOOL 22151708301
6278 BASTER BASTAR MS SCHOOL 22151708302
6279 BASTER BASTAR PRIMARY SCHOOL DENGUDA 22151708303
6280 BASTER BASTAR PRIMARY SCHOOL PARIPAT 22151708304
6281 BASTER BASTAR PRIMARY SCHOOL GUDIPARA 22151708305
6282 BASTER BASTAR GOVT M.S. PATHARI SSA 22151708306
6283 BASTER BASTAR GOVT BOYS ASHRAM RATENGA TWD 22151708307
6284 BASTER BASTAR PRIMARY SCHOOL 22151708401
6285 BASTER BASTAR M.S. BHEDIYA 22151708402
6286 BASTER BASTAR P.S. MAHUADAND 22151708403
6287 BASTER BASTAR P.S. BHUIYAPARA BHEDIYA 22151708404
6288 BASTER BASTAR KANIST PRIMARY SCHOOL 22151708501
6289 BASTER BASTAR KNIST PRIMARY SCHOOL 22151708502
6290 BASTER BASTAR P.S. DHUBAPARA 22151708503
6291 BASTER BASTAR P,S, GHUTRAPARA DANDKARVA 22151708504
6292 BASTER BASTAR P.S. BHUIYAPARA DANDKARVA 22151708505
6293 BASTER BASTAR P.S. BHURANIDAND 22151708506
6294 BASTER BASTAR P.S. KODAKUPARA DANDKARVA 22151708507
6295 BASTER BASTAR M.S. DANDKARVA 22151708508
6296 BASTER BASTAR KANIST PRIMARY SCHOOL 22151708601
6297 BASTER BASTAR P.S. AMADONGARI 22151708602
6298 BASTER BASTAR P.S. SUDHAPAL TWD. 22151708603
6299 BASTER BASTAR EPS KUDHRIPARA 22151708604
6300 BASTER BASTAR KANIST PRIMARY SCHOOL 22151708701
6301 BASTER BASTAR GOVT. PS ATARGUDA TWD 22151708703
6302 BASTER BASTAR GOVT PS MANDIRPARA NARA. SSA 22151708704
6303 BASTER BASTAR PRIMARY SCHOOL 22151708801
6304 BASTER BASTAR JANPAD PRIMARY SCHOOL 22151708802
6305 BASTER BASTAR PRIMARY SCHOOL AWASPARA 22151708803
6306 BASTER BASTAR PRIMARY SCHOOL KALARPARA 22151708804
6307 BASTER BASTAR KANIST PRIMARY SCHOOL 22151709001
6308 BASTER BASTAR P.S. BAIKONA 22151709002
6309 BASTER BASTAR MS BAIKONA 22151709003
6310 BASTER BASTAR P.S. MAJHAPARA BAIKONA 22151709004
6311 BASTER BASTAR P.S. NAVAPARA BAIKONA 22151709005
6312 BASTER BASTAR EPS PATARAPARA 22151709006
6313 BASTER BASTAR KANIST PRIMARY SCHOOL 22151709101
6314 BASTER BASTAR KNIST PRIMARY SCHOOL 22151709102
6315 BASTER BASTAR GOVT.PS.KUMHARPARA 22151709103
6316 BASTER BASTAR KANIST PRIMARY SCHOOL 22151709201
6317 BASTER BASTAR P.S. NARVAPARA SAOTAR 22151709202
6318 BASTER BASTAR N.P.S PAKHANAPARA 22151709203
6319 BASTER BASTAR PRIMARY SCHOOL NAGARVAHI 22151709301
6320 BASTER BASTAR PRIMARY SCHOOL 22151709302
6321 BASTER BASTAR PRIMARY SCHOOL NAYAPARA 22151709303
6322 BASTER BASTAR PRIMARY SCHOOL MAHUBHATA 22151709304
6323 BASTER BASTAR PRIMARY SCHOOL NAGARVAHI 22151709305
6324 BASTER BASTAR MS PHARSAGUDA 22151709401
6325 BASTER BASTAR PRIMARY SCHOOL PHARSAGIDA 22151709402
6326 BASTER BASTAR PRIMARY SCHOOL BAKEL 22151709403
6327 BASTER BASTAR PRIMARY SCHOOL KHUTEGUDA 22151709404
6328 BASTER BASTAR PRIMARY SCHOOL JUNAWAHI 22151709405
6329 BASTER BASTAR GOVT PS BADEPARA PHARSAGUDA TWD 22151709406
6330 BASTER BASTAR GOVT. PS KANYA ASHRM BESHOLI 22151709408
6331 BASTER BASTAR GOVT. PS KANYA ASHRM BAKEL 22151709409
6332 BASTER BASTAR PRIMARY SCHOOL 22151709501
6333 BASTER BASTAR KANYA PRIMARY SCHOOL 22151709502
6334 BASTER BASTAR A.J.K.V PRIMARY SCHOOL 22151709503
6335 BASTER BASTAR U.P.S. TIKRALOHNGA 22151709506
6336 BASTER BASTAR PRIMARY SCHOOL BEDAGUDA 22151709508
6337 BASTER BASTAR PRIMARY SCHOOL PADARPARA 22151709509
6338 BASTER BASTAR JANPAD PRIMARY SCHOOL 22151709601
6339 BASTER BASTAR MS SCHOOL 22151709602
6340 BASTER BASTAR PRIMARY SCHOOL DODAPARA 22151709603
6341 BASTER BASTAR PRIMARY SCHOOL ODARKOTE 22151709604
6342 BASTER BASTAR PRIMARY SCHOOL KONGALGUDA 22151709605
6343 BASTER BASTAR GOVT MS BAKEL SSA 22151709606
6344 BASTER BASTAR GOVT MS PHARSAGUDA EDU 22151709607
6345 BASTER BASTAR GOVT. PRIMARY SCHOOL 22151709701
6346 BASTER BASTAR TWD. PS. DUMARGHUNCHA 22151709702
6347 BASTER BASTAR M.S. TANGARGHAT 22151709703
6348 BASTER BASTAR PRIMARY SCHOOL 22151709801
6349 BASTER BASTAR PRIMARY SCHOOL THANAGUDIPARA 22151709802
6350 BASTER BASTAR M.S. SONDIHA 22151709803
6351 BASTER BASTAR GOVT MS CHAMIYA TWD 22151709804
6352 BASTER BASTAR GOVT MS CHHOTEAMABAL SSA 22151709805
6353 BASTER BASTAR GOVT MS KHARIYAPARA SSA 22151709806
6354 BASTER BASTAR GOVT MS HIRLABHATA SSA 22151709807
6355 BASTER BASTAR GOVT MS KEWTAPARA SSA 22151709808
6356 BASTER BASTAR GOVT M.S. GUDIPARA SSA 22151709809
6357 BASTER BASTAR GOVT PS CHHOTEAMABAL SSA 22151709810
6358 BASTER BASTAR GOVT. KANYA. ASHRAM SHALA CHAMIYA 22151709811
6359 BASTER BASTAR JANPAD PRIMARY SCHOOL 22151709901
6360 BASTER BASTAR PRIMARY SCHOOL 22151709902
6361 BASTER BASTAR PRIMARY SCHOOL PUJARIGUDA 22151709903
6362 BASTER BASTAR PRIMARY SCHOOL 22151710001
6363 BASTER BASTAR PRIMARY SCHOOL 22151710002
6364 BASTER BASTAR MS BANIYAGAON 22151710003
6365 BASTER BASTAR PRIMARY SCHOOL JAMKONADIPARA 22151710004
6366 BASTER BASTAR PRIMARY SCHOOL 22151710101
6367 BASTER BASTAR PRIMARY SCHOOL 22151710201
6368 BASTER BASTAR PRIMARY SCHOOL MUNDAGUDA 22151710202
6369 BASTER BASTAR P.S. KODAKUPARA MASGA 22151710203
6370 BASTER BASTAR PRIMARY SCHOOL BORECHEPDAPARA 22151710302
6371 BASTER BASTAR PRIMARY SCHOOL THOTIYAPARA 22151710303
6372 BASTER BASTAR PRIMARY SCHOOL KODRIPARA 22151710304
6373 BASTER BASTAR MS KUMHALI 22151710305
6374 BASTER BASTAR GOVT. PRIMARY SCHOOL 22151710401
6375 BASTER BASTAR MS KARSI 22151710402
6376 BASTER BASTAR P.S. BANDPARA KARSI 22151710403
6377 BASTER BASTAR P.S. N. KODAKUPARA KARSI 22151710404
6378 BASTER BASTAR P.S. KHURSIDAND 22151710405
6379 BASTER BASTAR GOVT. PRIMARY SCHOOL 22151710501
6380 BASTER BASTAR M.S. SILPHILI 22151710502
6381 BASTER BASTAR MS BADEPARA BALENGA 22151710503
6382 BASTER BASTAR MS BALENGA 22151710504
6383 BASTER BASTAR GOVT. PRIMARY SCHOOL 22151710601
6384 BASTER BASTAR M.S. KESARPAL 22151710602
6385 BASTER BASTAR PRIMARY SCHOOL SOLGUDA 22151710604
6386 BASTER BASTAR PRIMARY SCHOOL PODIGUDA 22151710605
6387 BASTER BASTAR PS MURUMBHATA TURPURA 22151710606
6388 BASTER BASTAR GOVT. PRIMARY SCHOOL 22151710701
6389 BASTER BASTAR PRIMARY SCHOOL 22151710702
6390 BASTER BASTAR MS DARHORA 22151710703
6391 BASTER BASTAR P.S. GHUTRAPARA DARHORA 22151710704
6392 BASTER BASTAR PS MUNDKATIYAPARA MADHOTA 22151710705
6393 BASTER BASTAR JANPAD PRIMARY SCHOOL 22151710801
6394 BASTER BASTAR PRIMARY SCHOOL DONGRIGUDA 22151710802
6395 BASTER BASTAR P.S. JUNAPARA 22151710803
6396 BASTER BASTAR MS MADHOTA 22151710804
6397 BASTER BASTAR GOVT. PRIMARY SCHOOL 22151710901
6398 BASTER BASTAR PRIMARY SCHOOL 22151711101
6399 BASTER BASTAR M.S. PHARSAPARA 22151711102
6400 BASTER BASTAR KANEYA ASHRAM 22151711103
6401 BASTER BASTAR PS GYAN JYOTI PUJARIPARA 22151711104
6402 BASTER BASTAR KANYA ASHRAM DEURGAON 22151711105
6403 BASTER BASTAR M.S. BALAK BASTAR 22151711107
6404 BASTER BASTAR M.S. BHATIPARA 22151711108
6405 BASTER BASTAR M.S. BAGBAHAR 22151711109
6406 BASTER BASTAR JANPAD PRIMARY SCHOOL 22151711201
6407 BASTER BASTAR KGBV UPS 22151711202
6408 BASTER BASTAR MATA KASTURBA KANYA 22151711205
6409 BASTER BASTAR PRIMARY SCHOOL KUMHRAKOTE 22151711206
6410 BASTER BASTAR PRIMARY SCHOOL BHALUPARA 22151711208
6411 BASTER BASTAR UPS KARMARI 22151711209
6412 BASTER BASTAR PRIMARY SCHOOL CHEDIPARA 22151711211
6413 BASTER BASTAR M.S. KOLCHUR 22151711212
6414 BASTER BASTAR PRIV.KASTURBA KANYA BASTAR 22151711213
6415 BASTER BASTAR PRIV.M.S.KASTURNA K. BASTAR 22151711214
6416 BASTER BASTAR PRIV. P.S.KASIMI MADARASA BASTAR 22151711216
6417 BASTER BASTAR PRIMARY SCHOOL 22151711301
6418 BASTER BASTAR MS RETAWAND 22151711302
6419 BASTER BASTAR PRIMARY SCHOOL SIRHAPARA 22151711303
6420 BASTER BASTAR P.S. SARSVAHIPARA 22151711304
6421 BASTER BASTAR P.S. CHATTANIPARA 22151711305
6422 BASTER BASTAR P.S. MAHADEVPARA 22151711306
6423 BASTER BASTAR P.S. KHUTHANPARA LOLKI 22151711307
6424 BASTER BASTAR GOVT. PS. KANYA ASHRAM RETAWAND 22151711310
6425 BASTER BASTAR PRIMARY SCHOOL 22151711401
6426 BASTER BASTAR PRIMARY SCHOOL 22151711402
6427 BASTER BASTAR P.S. BASDEVPUR 22151711403
6428 BASTER BASTAR P.S. DARIPARA 22151711404
6429 BASTER BASTAR P,S, KACHHARPARA 22151711405
6430 BASTER BASTAR M.S. DAVNKARA 22151711406
6431 BASTER BASTAR PRIMARY SCHOOL 22151711501
6432 BASTER BASTAR PRIMARY SCHOOL 22151711601
6433 BASTER BASTAR PRIMARY SCHOOL 22151711701
6434 BASTER BASTAR M.S. KUDKANAR 22151711702
6435 BASTER BASTAR GOVT PS SIVNAGUDA KOL. TWD 22151711901
6436 BASTER BASTAR GOVT. PS KOLCHUR EDU 22151711902
6437 BASTER BASTAR PS GUCHHAGURA 22151712001
6438 BASTER BASTAR PRIMARY SCHOOL GHATLOHANGA 22151712101
6439 BASTER BASTAR A.J.K.V PRIMARY SCHOOL 22151712102
6440 BASTER BASTAR UPS BODNPAL 2 22151715501
6441 BASTER BASTAR GYANJYOTI PADHARGUDAPARA 22151715601
6442 BASTER BASTAR GYANJYOTI DONGARIPARA 22151716501
6443 BASTER BASTAR PS DONGARIPARA 22151716502
6444 BASTER BASTAR GYANJYOTI PANARAPARA 22151716901
6445 BASTER BASTAR PS PANARAPARA 22151716902
6446 BASTER BASTAR KANIST PRIMARY SCHOOL 22151722101
6447 BASTER BASTAR PRIMARY SCHOOL UPERPARA 22151722703
6448 BASTER BASTAR P.S. KANYA AASHRAM BHANPURI 22151722704
6449 BASTER BASTAR GOVT. BALAK ASHRAM BHANPURI 22151722711
6450 BASTER BASTAR GOVT.MS BALAK ASHRAM BHANPURI 22151722712
6451 BASTER BASTAR PRIMARY SCHOOL MARIPARA 22151722801
6452 BASTER DARBHA GOVT. PS DHIRAGUDA 22150400101
6453 BASTER DARBHA GOVT. PS CHEPDAPARA (DILMILI) 22150400102
6454 BASTER DARBHA PS AYETUPARA 22150400103
6455 BASTER DARBHA GOVT. PRIMARY SCHOOL DHURWAPARA 22150400104
6456 BASTER DARBHA GOVT. PS PATELPARA KATAKANDA 22150400105
6457 BASTER DARBHA GOVT. PS KHALEPARA 22150400106
6458 BASTER DARBHA PS SAIGUDA 22150400107
6459 BASTER DARBHA MS DILMILI 22150400108
6460 BASTER DARBHA PS DEGA AMAPARA 22150400109
6461 BASTER DARBHA PS PUJARIPARA 22150400110
6462 BASTER DARBHA PS KOYKIPARA 22150400111
6463 BASTER DARBHA GOVT. PS FULPADAR 22150400202
6464 BASTER DARBHA GOVT. PS KODABHATA 22150400203
6465 BASTER DARBHA KANIST PRIMARY SCHOOL 22150400301
6466 BASTER DARBHA P.S.G. RAJAPUR 22150400302
6467 BASTER DARBHA M.S.RAJAPUR 22150400303
6468 BASTER DARBHA GOVT. PS GADAMGUDA 22150400403
6469 BASTER DARBHA GOVT. PS KHUDUM KHODRA 22150400501
6470 BASTER DARBHA M.S. PATHRAI 22150400503
6471 BASTER DARBHA GOVT PS KODHRICHHAPAR 22150400504
6472 BASTER DARBHA PS KAKALGUR 22150400603
6473 BASTER DARBHA GOVT PS KAKALGUR 22150400605
6474 BASTER DARBHA GOVT PS KACHIRPARA SSA 22150400606
6475 BASTER DARBHA PRIMARY SCHOOL 22150400701
6476 BASTER DARBHA GOVT. P.S. GADAMRAS 22150400702
6477 BASTER DARBHA GOVT. M.S. BALERAS 22150400703
6478 BASTER DARBHA KANIST PRIMARY SCHOOL 22150400801
6479 BASTER DARBHA M.S.KUDARIDIH 22150400804
6480 BASTER DARBHA GOVT. MS CHOTEGADDOPARA 22150400902
6481 BASTER DARBHA P.S. KAWARAS 22150401002
6482 BASTER DARBHA M.S. CHHINNDAWADA 22150401003
6483 BASTER DARBHA P.S.NAVAPARA 22150401004
6484 BASTER DARBHA GOVT. P.S. KOTAWARPARA 22150401005
6485 BASTER DARBHA PRIMARY SCHOOL ENLAGNAR 22150401103
6486 BASTER DARBHA PRIMARY SCHOOL PANDRUPARA 22150401402
6487 BASTER DARBHA GOVT PS SCHOOL PANDUPARA 22150401403
6488 BASTER DARBHA GOVT. PS CHOTEKADMA 22150401501
6489 BASTER DARBHA PRIMARY SCHOOL TUHARAS 22150401502
6490 BASTER DARBHA GOVT. MS CHOTEKADMA 22150401503
6491 BASTER DARBHA P.S.NAGADAND 22150401504
6492 BASTER DARBHA M.S.BISARPANI 22150401505
6493 BASTER DARBHA GOVT. PS PATELPARA (DILMILI) 22150401901
6494 BASTER DARBHA PS PATELPARA 22150401903
6495 BASTER DARBHA PS PATELPARA 22150401904
6496 BASTER DARBHA GOVT. MS KESHAPUR 22150402001
6497 BASTER DARBHA GOVT. PS KESHAPUR 22150402002
6498 BASTER DARBHA GOVT. PS KALEPAL 22150402201
6499 BASTER DARBHA PRIMERY SCHOOL CHOTTEGADO 22150402203
6500 BASTER DARBHA M.S. JAMDODI 22150402204
6501 BASTER DARBHA GOVT P.S. TANGARRAS 22150402301
6502 BASTER DARBHA PRIMARY SCHOOL 22150402302
6503 BASTER DARBHA GOVT. P.S. PANARAPARA 22150402303
6504 BASTER DARBHA M.S. (JBS) LALUTOLA 22150402304
6505 BASTER DARBHA PRIMARY SCHOOL 22150402401
6506 BASTER DARBHA GOVT. MS MANJHIGUDA, CHINGPAL 22150402403
6507 BASTER DARBHA GOVT MS CHIDPAL 22150402405
6508 BASTER DARBHA PS CHIKHALKONTA 22150402406
6509 BASTER DARBHA ASHRAM PS CHIDPAL 22150402407
6510 BASTER DARBHA GOVT PS BOTIPARA 22150402504
6511 BASTER DARBHA U.MIDDLE SCH 22150402603
6512 BASTER DARBHA GOVT. MS MAWLIPADAR 22150402604
6513 BASTER DARBHA PRIMARY SCHOOL 22150402701
6514 BASTER DARBHA M.S.CHIDAPARA 22150402704
6515 BASTER DARBHA GOVT. AS CHINGPAL 22150402706
6516 BASTER DARBHA GOVT. P.S. LOHRAPARA 22150402801
6517 BASTER DARBHA PS CHEWARAS 22150402802
6518 BASTER DARBHA GOVT.M/S LHORAPARA 22150402803
6519 BASTER DARBHA PRIMARY SCHOOL 22150403001
6520 BASTER DARBHA MS KANDANAR 22150403005
6521 BASTER DARBHA PS KANDANAR 22150403006
6522 BASTER DARBHA PS DHUR RAS 22150403007
6523 BASTER DARBHA PS BADEGURBE 22150403008
6524 BASTER DARBHA PS CHOTEGURBE 22150403009
6525 BASTER DARBHA UPS IDJEPAL 22150403010
6526 BASTER DARBHA PS GUPHAPAL 22150403011
6527 BASTER DARBHA PRIMARY SCHOOL 22150403101
6528 BASTER DARBHA GOVT. P.S. PEDARAS 22150403103
6529 BASTER DARBHA TRIBAL UPS TIRATHGARH 22150403202
6530 BASTER DARBHA JANPAD PRIMARY SCHOOL 22150403303
6531 BASTER DARBHA GOVT.UPPER M/S KUKANAR 22150403308
6532 BASTER DARBHA GOVT. P.S. BUTAPARA 22150403312
6533 BASTER DARBHA MS KUKNAR 22150403319
6534 BASTER DARBHA GYAN JYOTI PS KUMHARPARA 22150403320
6535 BASTER DARBHA PRIMARY SCHOOL 22150403401
6536 BASTER DARBHA MS KUMHARAS 22150403403
6537 BASTER DARBHA GOVT. P.S. KUMHARRAS 22150403404
6538 BASTER DARBHA GOVT. P.S. BODARAS 22150403501
6539 BASTER DARBHA M.S. KATKALO 22150403502
6540 BASTER DARBHA SSA UPS BODARAS 22150403506
6541 BASTER DARBHA PS KHADPARA 22150403601
6542 BASTER DARBHA PS SARGIPAL 22150403602
6543 BASTER DARBHA PS CHINDGUR 22150403603
6544 BASTER DARBHA PS CHANDAMETA 22150403604
6545 BASTER DARBHA PRIMARY SCHOOL LOHARMUNDA 22150403804
6546 BASTER DARBHA MS CHHINDBAHAR 22150403806
6547 BASTER DARBHA PS DURKIGUDA 22150403807
6548 BASTER DARBHA PS DONGRIPARA 22150403808
6549 BASTER DARBHA GOVT. PS MANJHIGUDA 22150403809
6550 BASTER DARBHA PRIMARY SCHOOL KOYNAR 22150403903
6551 BASTER DARBHA UNNAYAN P/S KOYNAR 22150403904
6552 BASTER DARBHA PRIMARY SCHOOL PNARAGUDA 22150403905
6553 BASTER DARBHA PS CHALKIGUDA 22150403906
6554 BASTER DARBHA PRIMERY SCHOOL NAYAGUNDA 22150404103
6555 BASTER DARBHA GOVT. PS BHANDARRAS 22150404105
6556 BASTER DARBHA PS DUKAPARA 22150404201
6557 BASTER DARBHA GOVT PS DHUKHAPARA 22150404202
6558 BASTER DARBHA GOVT. PS TOYNAR 22150404301
6559 BASTER DARBHA GOVT. M.S. TOYNAR 22150404305
6560 BASTER DARBHA PRIMARY SCHOOL 22150404401
6561 BASTER DARBHA MS JAMDIH 22150404402
6562 BASTER DARBHA PRIMARY SCHOOL 22150404502
6563 BASTER DARBHA PRIMARY SCHOOL 22150404601
6564 BASTER DARBHA BALAK ASHRAM 22150404702
6565 BASTER DARBHA PS CHIKHALKONTA 22150404704
6566 BASTER DARBHA GOVT. PS CHINGPAL 22150404705
6567 BASTER DARBHA PS PADARCHEGNI 22150404706
6568 BASTER DARBHA PS MAJHIGUDA 22150404707
6569 BASTER DARBHA GOVT. P.S. METAPAL 22150404801
6570 BASTER DARBHA GYAN JYOTI MITIKPARA 22150404803
6571 BASTER DARBHA MS KANKAPAL 22150404804
6572 BASTER DARBHA PS LAMIPARA 22150404805
6573 BASTER DARBHA GOVT PS KANKAPAL 22150404806
6574 BASTER DARBHA PS MAMADPAL 22150404902
6575 BASTER DARBHA JANPAD PRIMARY SCHOOL 22150405001
6576 BASTER DARBHA GOVT PS KELAUR 22150405002
6577 BASTER DARBHA PRIMARY SCHOOL PADAPARA 22150405003
6578 BASTER DARBHA P/S MANGHIPARA KELAUR 22150405004
6579 BASTER DARBHA PS KELAUR 22150405005
6580 BASTER DARBHA PS DOKRICHUA KELAUR 22150405006
6581 BASTER DARBHA PRIMARY SCHOOL 22150405101
6582 BASTER DARBHA PRIMARY SCHOOL 22150405102
6583 BASTER DARBHA PS HOMARAS 22150405103
6584 BASTER DARBHA PS KHOLEPARA 22150405104
6585 BASTER DARBHA UPS BUTAPARA 22150405105
6586 BASTER DARBHA UPS IDJEPAL 22150405106
6587 BASTER DARBHA PS KATULMIRI 22150405107
6588 BASTER DARBHA UPS DHURRAS 22150405108
6589 BASTER DARBHA PS PUJARIPARA 22150405109
6590 BASTER DARBHA PS PAREMPARA 22150405110
6591 BASTER DARBHA GOVT P.S. PERMAPARA NAYAGUDA 22150405111
6592 BASTER DARBHA GOVT. P.S. BADAIPARA 22150405112
6593 BASTER DARBHA GOVT PRIMARY SCHOOL DHURWAPARA 22150405201
6594 BASTER DARBHA GOVT PS DHURWAPARA 22150405207
6595 BASTER DARBHA PRIMARY SCHOOL 22150405302
6596 BASTER DARBHA P.S.S.S.M.LURENA 22150405304
6597 BASTER DARBHA GOVT MS 22150405305
6598 BASTER DARBHA PRIMARY SCHOOL 22150405401
6599 BASTER DARBHA PRIMARY SCHOOL 22150405402
6600 BASTER DARBHA PRIMARY SCHOOL 22150405602
6601 BASTER DARBHA P.S.PATROL TIKRA 22150405605
6602 BASTER DARBHA GYANJYOTI PS KANDKIPARA 22150405702
6603 BASTER DARBHA PS KOTWARPARA 22150405704
6604 BASTER DARBHA PS KOTAMSAR 22150405705
6605 BASTER DARBHA PS DHADMARAJ 22150405706
6606 BASTER DARBHA PS CHITAFARIAPARA 22150405707
6607 BASTER DARBHA PS MAJHIPAL 22150405708
6608 BASTER DARBHA GOVT.PS TOPAR SCHOOL 22150405709
6609 BASTER DARBHA PS KOKAWADA 22150405801
6610 BASTER DARBHA UPS KOKAWADA 22150405808
6611 BASTER DARBHA PS BENGPAL 22150405809
6612 BASTER DARBHA GOVT. P.S. JANGADPAL 22150405901
6613 BASTER DARBHA GOVT.MS 22150405902
6614 BASTER DARBHA PS JUNPANI 22150406002
6615 BASTER DARBHA PS SOTHNAR 22150406101
6616 BASTER DARBHA PS NAMAPARA 22150406102
6617 BASTER DARBHA GOVT PS SAUTNAR 22150406103
6618 BASTER DARBHA PS MADKAMIRAS 22150406104
6619 BASTER DARBHA GOVT PS KODABHATA SSA 22150406105
6620 BASTER DARBHA PRIMARY SCHOOL 22150406201
6621 BASTER DARBHA GOVT. MS KOLIYAPARA 22150406202
6622 BASTER DARBHA GOVT. MS CHITAPUR 22150406203
6623 BASTER DARBHA GOVT. PS (AASHRAM SALA) DHODREPAL 22150406204
6624 BASTER DARBHA NAVIN P/S CHHINDBHATAPARA 22150406205
6625 BASTER DARBHA GOVT. PS ALWA 22150406206
6626 BASTER DARBHA PS KOLIAPARA 22150406207
6627 BASTER DARBHA GOVT PS KHODRAGUDA 22150406208
6628 BASTER DARBHA GOVT PS DHODREPAL 22150406209
6629 BASTER DARBHA GOVT UPS DODHREPAL SSA 22150406210
6630 BASTER DARBHA MS PAKHNAR 22150406302
6631 BASTER DARBHA GOVT. PS DILMILI 22150406303
6632 BASTER DARBHA GOVT. PS DEBRAPAL 22150406304
6633 BASTER DARBHA PS DORGERAS 22150406305
6634 BASTER DARBHA GOVT. PS LOHARAPARA 22150406306
6635 BASTER DARBHA PS CHITAPUR 22150406307
6636 BASTER DARBHA UPS DORGERAS 22150406308
6637 BASTER DARBHA PS DHUDMAGUDA 22150406309
6638 BASTER DARBHA PS KATAKANDA 22150406310
6639 BASTER DARBHA PRIMARY SCHOOL 22150406401
6640 BASTER DARBHA PRIMARY SCHOOL 22150406402
6641 BASTER DARBHA PS KODRIPAL 22150406501
6642 BASTER DARBHA PRIMARY SCHOOL 22150406503
6643 BASTER DARBHA GOVT. A.S. BALERAS 22150406504
6644 BASTER DARBHA MS KODRIPAL 22150406505
6645 BASTER DARBHA GOVT. P.S. MANJHIDIH 22150406506
6646 BASTER DARBHA MS MANJHIDIHI 22150406507
6647 BASTER DARBHA PS CHINGRAS 22150406508
6648 BASTER DARBHA GOVT. KANYA ASHRAM CHITAPUR 22150406601
6649 BASTER DARBHA GOVT MS 22150406602
6650 BASTER DARBHA GOVT. PS CHOTEGUDRA 22150406701
6651 BASTER DARBHA PS KHUTAPARA 22150406801
6652 BASTER DARBHA PS PAKHNAR 22150406802
6653 BASTER DARBHA GYANJYOTI BADEGADDOPARA 22150406803
6654 BASTER DARBHA PS DEVAPARA 22150406804
6655 BASTER DARBHA PS MAHARAPARA 22150406805
6656 BASTER DARBHA GOVT. PS DEVAPARA TOYNAR 22150406806
6657 BASTER DARBHA PS DOMRAPARA 22150406807
6658 BASTER DARBHA GOVT. PS DOMAPARA 22150406808
6659 BASTER DARBHA PS PSTELPARA 22150406809
6660 BASTER DARBHA PS GIDABARLI 22150406810
6661 BASTER DARBHA GOVT. PS BAJARPARA PAKHNAR (BOYS HOSTEL) 22150406811
6662 BASTER DARBHA PS PANDUPARA 22150406812
6663 BASTER DARBHA PS NAYAPARA 22150406814
6664 BASTER DARBHA MS KALEPAL 22150406815
6665 BASTER DARBHA PS CHOTEGADDOPARA 22150406816
6666 BASTER DARBHA PS NILEGONDA 22150406817
6667 BASTER DARBHA PS LEGODI 22150406818
6668 BASTER DARBHA PS SUDARSHANPARA 22150406819
6669 BASTER DARBHA GOVT PS LINGAPARA SSA 22150406821
6670 BASTER DARBHA GYANJYOTI UPLANKA 22150406901
6671 BASTER DARBHA GYANJYOTI PS UPLANKA 22150406902
6672 BASTER DARBHA GOVT PS THOTHAPARA SSA 22150406903
6673 BASTER DARBHA GOVT PS PERMAPARA SSA 22150406904
6674 BASTER DARBHA PS BELAPARA 22150407003
6675 BASTER DARBHA PS DONGRIGUDA 22150407004
6676 BASTER DARBHA PS MADIAPARA 22150407005
6677 BASTER DARBHA PS BAJARPARA 22150407006
6678 BASTER DARBHA PS DHUKHAPARA 22150407008
6679 BASTER DARBHA PS CHANDRAGIRI 22150407009
6680 BASTER DARBHA PS MUSAGUDA 22150407010
6681 BASTER DARBHA PS LAKHAPARA 22150407011
6682 BASTER DARBHA PS KORENGPARA 22150407013
6683 BASTER DARBHA PS BADGIBHATA 22150407014
6684 BASTER DARBHA PS KADTIPARA 22150407015
6685 BASTER DARBHA PS KATENAR 22150407016
6686 BASTER DARBHA PS TEMRIBHATA 22150407017
6687 BASTER DARBHA PS MUNGA 22150407018
6688 BASTER DARBHA PS BUDAAMAPARA 22150407019
6689 BASTER DARBHA PS MUNDAPARA 22150407020
6690 BASTER DARBHA PS DURDAKONTA 22150407021
6691 BASTER DARBHA MS DHUKHAPARA 22150407024
6692 BASTER DARBHA MS CHANDRAGIRI 22150407025
6693 BASTER DARBHA MS KATENAR 22150407026
6694 BASTER DARBHA MS MUNGA 22150407027
6695 BASTER DARBHA MS GUMADPAL 22150407028
6696 BASTER DARBHA UPS KORANGPARA 22150407029
6697 BASTER DARBHA PS KOLENG 22150407104
6698 BASTER DARBHA PS PEDAWADA 22150407105
6699 BASTER DARBHA PS SHALPHI PADAR 22150407106
6700 BASTER DARBHA PS MUNDAGARH 22150407107
6701 BASTER DARBHA PS PAREMPARA 22150407108
6702 BASTER DARBHA PS BHADRIMAHU 22150407109
6703 BASTER DARBHA PS URUFPAL 22150407110
6704 BASTER DARBHA PS BIRAPARA 22150407111
6705 BASTER DARBHA PS CHINDIBHATA 22150407112
6706 BASTER DARBHA PS DONGREPARA 22150407113
6707 BASTER DARBHA GOVT PS BIRAPARA SSA 22150407115
6708 BASTER DARBHA GOVT. PS MAWLIPADAR 22150407201
6709 BASTER DARBHA GOVT PS PEDARAS 22150407206
6710 BASTER DARBHA MS LENDA 22150407207
6711 BASTER DARBHA GYANJYOTI JAMGUDA 22150407301
6712 BASTER DARBHA PS MANGALPUR 22150407302
6713 BASTER DARBHA PS TIRATHGARH 22150407303
6714 BASTER DARBHA GOVT. PS KARKAKPARA 22150407304
6715 BASTER DARBHA PS PATELPARA 22150407305
6716 BASTER DARBHA GOVT. M. S. MANGALPUR 22150407306
6717 BASTER DARBHA PS KOYANAR 22150407307
6718 BASTER DARBHA GOVT. P.S. LITIPAL 22150407308
6719 BASTER DARBHA UPS PERMARAS 22150407309
6720 BASTER DARBHA BALAK AASHRAM CHHINDAWADA 22150407310
6721 BASTER DARBHA PS RAMPAL 22150407311
6722 BASTER DARBHA PS JUNPARA 22150407312
6723 BASTER DARBHA PS MUNDAPARA 22150407313
6724 BASTER DARBHA PS CHINDWADA 22150407314
6725 BASTER DARBHA PS PADARAPARA 22150407315
6726 BASTER DARBHA PS KOKARRAS 22150407316
6727 BASTER DARBHA PS PAREMARAS 22150407317
6728 BASTER DARBHA PS MAJHIPARA 22150407318
6729 BASTER DARBHA PS DHURRAS 22150407319
6730 BASTER DARBHA GOVT PS CHINDWADA 22150407320
6731 BASTER DARBHA UPS KAVARAS 22150407321
6732 BASTER DARBHA PS KARKA 22150407322
6733 BASTER DARBHA PS HANDAPARA 22150407323
6734 BASTER DARBHA PS KONDLOOR 22150407324
6735 BASTER DARBHA GOVT PS PADARPARA SSA 22150407325
6736 BASTER DARBHA GOVT UPS KHASPARA MUNDAGAD SSA 22150407401
6737 BASTER DARBHA GOVT PS KANDANAR SSA 22150407501
6738 BASTER DARBHA GOVT COMBINED AASHRAM SCHOOL KOLENG 22150407601
6739 BASTER DARBHA GOVT PS CHANDAMETA SSA 22150407701
6740 BASTER DARBHA GOVT COMBINED AASHRAM BISPUR 22150407801
6741 BASTER DARBHA GOVT. PS RAGAPARA 22150407901
6742 BASTER DARBHA GOVT PS KANDKIPARA SSA 22150408001
6743 BASTER DARBHA GOVT PS CHIKHALKONTA 22150408101
6744 BASTER DARBHA GOVT UPS TIRATHGARH 22150408201
6745 BASTER DARBHA GOVT PS MANGALPUR 22150408202
6746 BASTER JAGDALPUR PRIMARY SCHOOL 22153300101
6747 BASTER JAGDALPUR PRIMARY SCHOOL 22153300201
6748 BASTER JAGDALPUR PRIMARY SCHOOL BADEKAWALI (TWD) 22153300301
6749 BASTER JAGDALPUR JANPAD NAVEEN PS CHHOTEKAWALI 22153300302
6750 BASTER JAGDALPUR MS BADEKAVALI 22153300303
6751 BASTER JAGDALPUR JANPAD PRIMARY SCHOOL JAMAWADA (TWD) 22153300601
6752 BASTER JAGDALPUR PRIMARY SCHOOL BESLAGUDA 22153300604
6753 BASTER JAGDALPUR NAVEEN PRIMARY+MIDDILE SCHOOL 22153300605
6754 BASTER JAGDALPUR PRIMARY SCHOOL BANDAPARA 22153300606
6755 BASTER JAGDALPUR NAVEEN PRIMARY+MIDDILE SCHOOL 22153300607
6756 BASTER JAGDALPUR PRIMARY SCHOOL BHADRAGUDA 22153300608
6757 BASTER JAGDALPUR P.S. SALFIGUDA 22153300609
6758 BASTER JAGDALPUR PS KASTIPARA 22153300610
6759 BASTER JAGDALPUR SRIRAM PRIMARY SCHOOL 22153300702
6760 BASTER JAGDALPUR MS FREZERPUR 22153300801
6761 BASTER JAGDALPUR PRIMARY SCHOOL CHHEPDAGUDA 22153300901
6762 BASTER JAGDALPUR PS KOHAKAPAL 22153300902
6763 BASTER JAGDALPUR PRIMARY SCHOOL 22153301001
6764 BASTER JAGDALPUR JANPAD PRIMARY SCHOOL BADEMURMA 22153301101
6765 BASTER JAGDALPUR MS BADE MURMA 22153301102
6766 BASTER JAGDALPUR U.P.S. BANDAPARA 22153301103
6767 BASTER JAGDALPUR PS TONDAPAL 22153301104
6768 BASTER JAGDALPUR PS BANDAPARA 22153301105
6769 BASTER JAGDALPUR UPS JAMWADA 22153301106
6770 BASTER JAGDALPUR PS BURAKILIPARA 22153301107
6771 BASTER JAGDALPUR MS SHALPHIGUDA 22153301108
6772 BASTER JAGDALPUR MS CHILKUTI 22153301109
6773 BASTER JAGDALPUR PRIMARY SCHOOL JATAM NIYANAR 22153301201
6774 BASTER JAGDALPUR PRIMARY SCHOOL POTIYAPAL 22153301301
6775 BASTER JAGDALPUR PRIMARY SCHOOL LALBAHADUR SHASTRI 22153301401
6776 BASTER JAGDALPUR KANYA PRIMARY SCHOOL 22153301402
6777 BASTER JAGDALPUR M.S. PANARAPARA 22153301403
6778 BASTER JAGDALPUR MS KUMHRAWANDA 22153301502
6779 BASTER JAGDALPUR PRIMARY SCHOOL SUBHASHCHANDRA BOSH (EDU) 22153301602
6780 BASTER JAGDALPUR PRIMARY SCHOOL D.N.K. 22153301703
6781 BASTER JAGDALPUR PRIMARY SCHOOL MAHATMA GANDHI 22153301801
6782 BASTER JAGDALPUR MAHATMA GANDHI MIDILE SCHOOL 22153301802
6783 BASTER JAGDALPUR PRIMARY SCHOOL KUMHARPARA 22153301901
6784 BASTER JAGDALPUR PRIMARY SCHOOL KOSA KENDRA 22153301902
6785 BASTER JAGDALPUR GOVT HIGH SCHOOL 22153302001
6786 BASTER JAGDALPUR MIDDLE SCHOOL HALBAKOTE 22153302003
6787 BASTER JAGDALPUR GOVT MIDDLE SCHOOL KURANDI 22153302004
6788 BASTER JAGDALPUR PRIMARY SCHOOL 22153302005
6789 BASTER JAGDALPUR UPS PATEL PANDRIPANI 22153302006
6790 BASTER JAGDALPUR PRIMARY SCHOOL 22153302101
6791 BASTER JAGDALPUR SC PRIMARY SCHOOL 22153302102
6792 BASTER JAGDALPUR GOVT PRIMARY SCHOOL 22153302103
6793 BASTER JAGDALPUR GOVT PS BURAKIPARA 22153302104
6794 BASTER JAGDALPUR GOVT AGKV PS BIRANPAL 22153302107
6795 BASTER JAGDALPUR PRIMARY SCHOOL RAVINDRANATH TAIGORE 22153302201
6796 BASTER JAGDALPUR PRIMARY SCHOOL 22153302301
6797 BASTER JAGDALPUR GOVT.NEHRU PRIMARY SCHOOL 22153302302
6798 BASTER JAGDALPUR UPS SCHOOL SADAR 22153302303
6799 BASTER JAGDALPUR MS JAMGUDA 22153302401
6800 BASTER JAGDALPUR MS BILORE 22153302402
6801 BASTER JAGDALPUR PRIMARY SCHOOL BILORI 22153302403
6802 BASTER JAGDALPUR ADJK PRIMARY SCHOOL KANDURGUDA 22153302404
6803 BASTER JAGDALPUR PRIMARY SCHOOL CHITAPADAR 22153302405
6804 BASTER JAGDALPUR MIDDILE SCHOOL KARKAPAL 22153302406
6805 BASTER JAGDALPUR UPS MATAMANDIR (SSA) 22153302501
6806 BASTER JAGDALPUR PRIMARY SCHOOL DOKARIGATPARA 22153302502
6807 BASTER JAGDALPUR PRIMARY SCHOOL BHAGATSINGH (EDU) 22153302601
6808 BASTER JAGDALPUR AADARASH VIDIYA BAHAR P.S. 22153302602
6809 BASTER JAGDALPUR MS BHAGAT SINGH 22153302603
6810 BASTER JAGDALPUR UPS AZAD AMAGUDA 22153302608
6811 BASTER JAGDALPUR UPS DOKRIGHATPARA 22153302609
6812 BASTER JAGDALPUR PRIMARY SCHOOL BALIKONTA 22153302701
6813 BASTER JAGDALPUR GOVT PS KANIST BALIKONDA (TWD) 22153302702
6814 BASTER JAGDALPUR PRIMARY SCHOOL 22153302801
6815 BASTER JAGDALPUR M.S. DHARAMPURA NO. 01 22153302803
6816 BASTER JAGDALPUR PRIMARY SCHOOL NAVEEN NIYANAR 22153303101
6817 BASTER JAGDALPUR PRIMARY SCHOOL 22153303301
6818 BASTER JAGDALPUR MS DHANPUNG 22153303302
6819 BASTER JAGDALPUR PRIMARY SCHOOL JADIGUDA 22153303401
6820 BASTER JAGDALPUR M.S. NANGUR 22153303603
6821 BASTER JAGDALPUR PS TONGOPARA 22153303604
6822 BASTER JAGDALPUR PS BANGLOOR 22153303605
6823 BASTER JAGDALPUR PS CHOTEMURMA 22153303902
6824 BASTER JAGDALPUR PS AMADONGRI 22153303903
6825 BASTER JAGDALPUR PRIMARY SCHOOL HATPADMUR (TWD) 22153304001
6826 BASTER JAGDALPUR MS HATPADMUR 22153304005
6827 BASTER JAGDALPUR PS KESHBOPARA 22153304006
6828 BASTER JAGDALPUR MS PUSHPAL 22153304102
6829 BASTER JAGDALPUR UPS PUSPAL 22153304103
6830 BASTER JAGDALPUR PRIMARY SCHOOL BADWPUSPAL (TWD) 22153304201
6831 BASTER JAGDALPUR PRIMARY SCHOOL ASNA 22153304401
6832 BASTER JAGDALPUR MS AASNA 22153304402
6833 BASTER JAGDALPUR MIDDILE SCHOOL CHEPDAGUDA 22153304403
6834 BASTER JAGDALPUR PRIMARY SCHOOL 22153304501
6835 BASTER JAGDALPUR MS BMHNE 22153304502
6836 BASTER JAGDALPUR PRIMARY SCHOOL HATGUDA 22153304601
6837 BASTER JAGDALPUR MS HATGUDA 22153304602
6838 BASTER JAGDALPUR PRIMARY SCHOOL BABUSEMRA 22153304701
6839 BASTER JAGDALPUR MS BABU SEMRA 22153304702
6840 BASTER JAGDALPUR PRIMARY SCHOOL DHANIYALUR (TWD) 22153304801
6841 BASTER JAGDALPUR PRIMARY SCHOOL TARIGUDA 22153304802
6842 BASTER JAGDALPUR MIDDILE SCHOOL DHANIYALUR 22153304803
6843 BASTER JAGDALPUR PRIMARY SCHOOL BADEGUDA 22153304804
6844 BASTER JAGDALPUR PRIMARY SCHOOL KOLAWADA 22153304901
6845 BASTER JAGDALPUR S. C. BOY ASHRAM 22153304902
6846 BASTER JAGDALPUR MS NATANAR 22153304904
6847 BASTER JAGDALPUR JAPAD PRIMARY SCHOOL 22153304905
6848 BASTER JAGDALPUR PRIMARY SCHOOL KICHAKRAS 22153304906
6849 BASTER JAGDALPUR PS GORIAPAL 22153304907
6850 BASTER JAGDALPUR GOVT PRIMARY SCHOOL SIVNAGUDA (TWD) 22153305101
6851 BASTER JAGDALPUR ADJ PRIMARY SCHOOL 22153305201
6852 BASTER JAGDALPUR PRIMARY SCHOOL 22153305202
6853 BASTER JAGDALPUR NS NAGRNAR 22153305204
6854 BASTER JAGDALPUR GOVT.HIGH SCHOOL 22153305206
6855 BASTER JAGDALPUR ADJK PRIMARY SCHOOL NADIBONA 22153305207
6856 BASTER JAGDALPUR KINST PRIMARY SCHOOL 22153305302
6857 BASTER JAGDALPUR KANIST PRIMARY SCHOOL 22153305303
6858 BASTER JAGDALPUR PRIMARY SCHOOL MAGANPUR 22153305401
6859 BASTER JAGDALPUR MS MADPAL 22153305501
6860 BASTER JAGDALPUR PS MADPAL 22153305503
6861 BASTER JAGDALPUR GOVT.PRIMARY SCHOOL PATARPARA 22153305505
6862 BASTER JAGDALPUR PRIMARY SCHOOL 22153305601
6863 BASTER JAGDALPUR PRIMARY SCHOOL AWASPLAT JHARMU 22153305602
6864 BASTER JAGDALPUR ADJK MIDDILE SCHOOL 22153305603
6865 BASTER JAGDALPUR MS NAVAGUDA 22153305701
6866 BASTER JAGDALPUR PRIMARY SCHOOL NAVAGUDA 22153305702
6867 BASTER JAGDALPUR PRIMARY SCHOOL TITIRGAON (TWD) 22153305801
6868 BASTER JAGDALPUR MS TITIRGAO 22153305802
6869 BASTER JAGDALPUR JANPAD PRIMARY SCHOOL HATKACHORA 22153306001
6870 BASTER JAGDALPUR M.S. HATKACHORA 22153306003
6871 BASTER JAGDALPUR PRIMARY SCHOOL MUNDAPARA KURANDI (TWD) 22153306101
6872 BASTER JAGDALPUR PRIMARY SCHOOL LAMNI 22153306201
6873 BASTER JAGDALPUR MS LAMNE 22153306202
6874 BASTER JAGDALPUR PRIMARY SCHOOL ATPAHRI SEMRA 22153306401
6875 BASTER JAGDALPUR PRIMARY SCHOOL KALCHA 22153306501
6876 BASTER JAGDALPUR MS KLCHA 22153306502
6877 BASTER JAGDALPUR UPS BADEPARA KALCHA 22153306503
6878 BASTER JAGDALPUR PRIMARY SCHOOL BADEPARA KALCHA 22153306601
6879 BASTER JAGDALPUR PRIMARY SCHOOL SADGUD (TWD) 22153306701
6880 BASTER JAGDALPUR MS SADGUD 22153306702
6881 BASTER JAGDALPUR PRIMARY SCHOOL 22153306801
6882 BASTER JAGDALPUR PRIMARY SCHOOL KAIKACHERBAHAR (TWD) 22153306901
6883 BASTER JAGDALPUR KNIST PRIMARY SCHOOL SURANDWADA 22153307001
6884 BASTER JAGDALPUR KNIST PRIMARY SCHOOL RAMPAL 22153307101
6885 BASTER JAGDALPUR GOVT UPS RAMPAL (TWD) 22153307102
6886 BASTER JAGDALPUR PRIMARY SCHOOL` 22153307201
6887 BASTER JAGDALPUR UPS KARKAPAL 22153307202
6888 BASTER JAGDALPUR KNIST PRIMARY SCHOOL NAYAPARA ADAWAL 22153307301
6889 BASTER JAGDALPUR S.. C. PRIMARY SCHOOL 22153307303
6890 BASTER JAGDALPUR MS AADAWAL 22153307305
6891 BASTER JAGDALPUR SC PRIMARY SCHOO; 22153307307
6892 BASTER JAGDALPUR PRIMARY SCHOOL KUSUMPAL 22153307309
6893 BASTER JAGDALPUR UPS BADE GARAWAND 22153307401
6894 BASTER JAGDALPUR SC PRIMARY SCOOL BADE GARAWAND 22153307402
6895 BASTER JAGDALPUR KANIST PRIMARY SCHOOL MANJHIGUDA (TWD) 22153307501
6896 BASTER JAGDALPUR PS BADE BODEL 22153307502
6897 BASTER JAGDALPUR PS PARALE 22153307503
6898 BASTER JAGDALPUR KAINST PRIMARY SCHOOL KADAMPARA 22153307701
6899 BASTER JAGDALPUR PRIMARY+MIDDILE SCHOOL 22153307901
6900 BASTER JAGDALPUR PRIMARY SCHOOL SHANTINAGAR 22153308204
6901 BASTER JAGDALPUR GOVT.PRIMARY SCHOOL FREZORPUR 22153308205
6902 BASTER JAGDALPUR PRIMARY SCHOOL KALAGUDA 22153308301
6903 BASTER JAGDALPUR GURUKUL VIDYA PEETH 22153308304
6904 BASTER JAGDALPUR G M H S S JAGDALPUR 22153308604
6905 BASTER JAGDALPUR MLB MS JAGDALPUR 22153308605
6906 BASTER JAGDALPUR VIVKANAND MS JAGDALPUR 22153308606
6907 BASTER JAGDALPUR DANTESWARI MS JAGDALPU 22153308607
6908 BASTER JAGDALPUR PS HARIJAN COLONY JAGDALPUR 22153308608
6909 BASTER JAGDALPUR MS EBA. MISSION JAGDALPUR 22153308609
6910 BASTER JAGDALPUR JANPAD PRIMARY SCHOOL KICHAKRAS 22153308610
6911 BASTER JAGDALPUR INDRA GANDHI PRIMARY KANYA 22153308611
6912 BASTER JAGDALPUR GOVT. GIRLS KANYA MS - 2 22153308616
6913 BASTER JAGDALPUR ADJK P.S. BAHADOORGUDA 22153308628
6914 BASTER JAGDALPUR PRIMARY SCHOOL HARIJAN COLONY 22153308630
6915 BASTER JAGDALPUR DANTESHWARI UPS 22153308632
6916 BASTER JAGDALPUR KASTURBA GANDHI SCHOOL 22153308633
6917 BASTER JAGDALPUR PS RAJAE MUSTAF 22153308636
6918 BASTER JAGDALPUR MS KEWRAMUNDA 22153308640
6919 BASTER JAGDALPUR GOVT.PRIMARY GIRLS SCHOOL 22153308801
6920 BASTER JAGDALPUR PS ADHUNIK ASIYA MADARSA 22153308901
6921 BASTER JAGDALPUR PRIMARY SCHOOL 22153309101
6922 BASTER JAGDALPUR MS KUSTRE 22153309103
6923 BASTER JAGDALPUR A.J.K.V.PRIMARY SCHOOL KRISHNA MANDIR 22153309202
6924 BASTER JAGDALPUR GOVT MS KRISHNA MANDIR (TWD) 22153309203
6925 BASTER JAGDALPUR PRIMARY SCHOOL SIRHAPARA 22153309304
6926 BASTER JAGDALPUR PRIMARY SCHOOL TONDAPAL 22153309305
6927 BASTER JAGDALPUR PRIMARY+MIDDILE SCHOOL 22153309306
6928 BASTER JAGDALPUR PRIMARY SCHOOL KONDAWAL (TWD) 22153309402
6929 BASTER JAGDALPUR ADJK PRIMARY SCHOOL KANGOLI 22153309505
6930 BASTER JAGDALPUR PRIMARY SCHOOL ADARSH KANGOLI 22153309506
6931 BASTER JAGDALPUR UPS BADEBADAM (SSA) 22153309602
6932 BASTER JAGDALPUR PRIMARY SCHOOL MORAKHPAL 22153310002
6933 BASTER JAGDALPUR ADJK PRIMARY SCHOOL 22153310003
6934 BASTER JAGDALPUR PRIMARY SCHOOL DURKIGUDA 22153310004
6935 BASTER JAGDALPUR S. C. PRIMARY SCHOOL KHUTAGUDA 22153310201
6936 BASTER JAGDALPUR MIDDLE SCHOOL RLY COLONY 22153310303
6937 BASTER JAGDALPUR PRIMARY SCHOOL MATAMANDIR 22153310502
6938 BASTER JAGDALPUR BOY ASHRAM NAGALSAR 22153310702
6939 BASTER JAGDALPUR PRIMARY SCHOOL 22153310703
6940 BASTER JAGDALPUR MIDDILE SCHOOL 22153310704
6941 BASTER JAGDALPUR KANYA ASHRAM NAGALSAR 22153310705
6942 BASTER JAGDALPUR PRIMARY SCHOOL ALNAR (TWD) 22153310802
6943 BASTER JAGDALPUR PRIMARY SCHOOL ULNAR 22153310803
6944 BASTER JAGDALPUR UPS ULNAR 22153310804
6945 BASTER JAGDALPUR MS ALNAR 22153310805
6946 BASTER JAGDALPUR PRIMARY SCHOOL 22153310902
6947 BASTER JAGDALPUR UPS BHATIGUDA 22153311001
6948 BASTER JAGDALPUR UPS TURENAR 22153311002
6949 BASTER JAGDALPUR PRIMARY SCHOOL KUKDIGUDA 22153311003
6950 BASTER JAGDALPUR PRIMARY SCHOOL BHATIGUDA 22153311004
6951 BASTER JAGDALPUR S. C. PRIMARY SCHOOL 22153311101
6952 BASTER JAGDALPUR S. C. PRIMARY SCHOOL DONGAM 22153311201
6953 BASTER JAGDALPUR MS DONGAM 22153311202
6954 BASTER JAGDALPUR P.S.KALAGUDA 22153311302
6955 BASTER JAGDALPUR S. C. `PRIMARY SCHOOL DONGAGHAT 22153311701
6956 BASTER JAGDALPUR UPS DONGA GHAT 22153311703
6957 BASTER JAGDALPUR PS EBA. MISSION JAGDALPUR 22153311901
6958 BASTER JAGDALPUR PRIMARY SCHOOL KORPAL 22153312001
6959 BASTER JAGDALPUR S. C. PRIMARY SCHOOL TUSEL 22153312101
6960 BASTER JAGDALPUR UPS TUSEL 22153312102
6961 BASTER JAGDALPUR S. C. PRIMARY SCHOOL KOSAKENDRA 22153312201
6962 BASTER JAGDALPUR S. C. PRIMARY SCHOOL TAMAKONI 22153312301
6963 BASTER JAGDALPUR S. C. PRIMARY SCHOOL SULIYAGUDA 22153312401
6964 BASTER JAGDALPUR MS SULIYAGUDA 22153312402
6965 BASTER JAGDALPUR PRIMARY SCHOOL BADEPARA KURUNDI 22153312403
6966 BASTER JAGDALPUR S. C. PRIMARY SCHOOL DHURGUDA 22153312501
6967 BASTER JAGDALPUR S. C. PRIMARY SCHOOL PODSAGUDA 22153312502
6968 BASTER JAGDALPUR S. C. PRIMARY SCHOOL KUMHALI 22153312601
6969 BASTER JAGDALPUR PRIMARY SCHOOL AMLIGUDA 22153312603
6970 BASTER JAGDALPUR MS MANDUKACHORA 22153312701
6971 BASTER JAGDALPUR PS SULIYAGUDA JUNAPARA (TWD) 22153312801
6972 BASTER JAGDALPUR MIDDLE SCHOOL PODAGUDA 22153312901
6973 BASTER JAGDALPUR ADJK PRIMARY SCHOOL 22153312902
6974 BASTER JAGDALPUR PS BHATIGUDA 22153312903
6975 BASTER JAGDALPUR PS KANDULGUDA 22153312904
6976 BASTER JAGDALPUR GOVT. NAVEEN PS BAIDARGUDA 22153312906
6977 BASTER JAGDALPUR S. C. PRIMARY SCHOOL MANJHIPARA 22153313001
6978 BASTER JAGDALPUR A.J.K.V. PRIMARY SCHOOL 22153313002
6979 BASTER JAGDALPUR UPS NAKTISEMRA 22153313003
6980 BASTER JAGDALPUR GOVT MODEL SCHOOL NAKTISEMRA (RMSA) 22153313004
6981 BASTER JAGDALPUR S. C. PRIMARY SCHOOL HALBAKACHORA 22153313101
6982 BASTER JAGDALPUR ADJK PRIMARY SCHOOL 22153313102
6983 BASTER JAGDALPUR MS BABUSEMRA 22153313201
6984 BASTER JAGDALPUR GOVT. PRIMARY SCHOOL 22153313202
6985 BASTER JAGDALPUR MIDDILE SCHOOL 22153313203
6986 BASTER JAGDALPUR UPS CHITAPDR 22153313304
6987 BASTER JAGDALPUR GOVT PS CHITAPADAR (TWD) 22153313305
6988 BASTER JAGDALPUR S. C. PRIMARY SCHOOL BIRSAGUDA 22153313401
6989 BASTER JAGDALPUR NJK TOLAWADA 22153313505
6990 BASTER JAGDALPUR PS AWASPLAT KUMHALI 22153313506
6991 BASTER JAGDALPUR S. C. PRIMARY SCHOOL CHILKUTI 22153313901
6992 BASTER JAGDALPUR MS CHILKUTI 22153313902
6993 BASTER JAGDALPUR PS CHILKUTI 22153313903
6994 BASTER JAGDALPUR KNIST PRIMARY SCHOOL MANJHIGUDA 22153314201
6995 BASTER JAGDALPUR PRIMARY SCHOOL 22153314401
6996 BASTER JAGDALPUR BOY ASHRAM TIRIYA 22153314501
6997 BASTER JAGDALPUR PRIMARY SCHOOL TIRIYA 22153314502
6998 BASTER JAGDALPUR MS TRIYA 22153314503
6999 BASTER JAGDALPUR UPS KAVAPAL 22153314504
7000 BASTER JAGDALPUR GYAN JYOTI PS 22153314505
7001 BASTER JAGDALPUR PRIMARY SCHOOL KOPAGUDA 22153314601
7002 BASTER JAGDALPUR PRIMARY SCHOOL CHHOTEGARAWAND 22153314701
7003 BASTER JAGDALPUR PRIMARY SCHOOL SIDMUD (TWD) 22153314801
7004 BASTER JAGDALPUR PRIMARY SCHOOL SARGIPAL 22153314901
7005 BASTER JAGDALPUR UPS SARGIPAL 22153314902
7006 BASTER JAGDALPUR PS DONGRIPARA SARGIPAL 22153314903
7007 BASTER JAGDALPUR PS HIDMAPARA 22153314904
7008 BASTER JAGDALPUR PS TURENAR 22153315003
7009 BASTER JAGDALPUR PRIMARY SCHOOL 22153315102
7010 BASTER JAGDALPUR DNK PRIMARY SCHOOL 22153315202
7011 BASTER JAGDALPUR PRIMARY SCHOOL PALLI 22153315203
7012 BASTER JAGDALPUR ADJK PRIMARY SCHOOL DHARAMPUR 22153315204
7013 BASTER JAGDALPUR UPS PALLI 22153315205
7014 BASTER JAGDALPUR UPS KALIPUR 22153315401
7015 BASTER JAGDALPUR AJK PRIMARY SCHOOL KALIPUR 22153315402
7016 BASTER JAGDALPUR NAVEEN PRIMARY SCHOOL KALIPUR 22153315403
7017 BASTER JAGDALPUR MS PODSAGUDA 22153315601
7018 BASTER JAGDALPUR ANJUMAN URDU HINDI SCHOOL 22153315702
7019 BASTER JAGDALPUR GOVT. PRIMARY SCHOOL 22153315801
7020 BASTER JAGDALPUR PRIMARY SCHOOL 22153315901
7021 BASTER JAGDALPUR MS BHALUGUDA 22153315902
7022 BASTER JAGDALPUR MS SIVNAGUDA 22153316001
7023 BASTER JAGDALPUR MS MAGANPUR 22153316101
7024 BASTER JAGDALPUR MIDDILE SCHOOL MARKEL 22153316102
7025 BASTER JAGDALPUR PS KHAMHARGAON+ 22153316103
7026 BASTER JAGDALPUR PRIMARY SCHOOL BODAMUNDA 22153316104
7027 BASTER JAGDALPUR MS MORATHPAL 22153316105
7028 BASTER JAGDALPUR MS AMLIGUDA 22153316106
7029 BASTER JAGDALPUR MS BODAMUNDA 22153316107
7030 BASTER JAGDALPUR MS GANJDAGUDA 22153316108
7031 BASTER JAGDALPUR MS KHAMARGAON 22153316109
7032 BASTER JAGDALPUR PS AMAGUDA KHASPARA 22153316110
7033 BASTER JAGDALPUR PS MORATHPAL 22153316111
7034 BASTER JAGDALPUR PS AMAGUDA 22153316112
7035 BASTER JAGDALPUR PRIMARY SCHOOL 22153316201
7036 BASTER JAGDALPUR PRIMARY SCHOOL 22153316301
7037 BASTER JAGDALPUR PRIMARY SCHOOL 22153316401
7038 BASTER JAGDALPUR PRIMARY SCHOOL 22153316501
7039 BASTER JAGDALPUR PRIMARY SCHOOL JAMGUDA (TWD) 22153316602
7040 BASTER JAGDALPUR PRIMARY SCHOOL LOHRAPARA 22153316603
7041 BASTER JAGDALPUR E. G. PRIMARY SCHOOL 22153316701
7042 BASTER JAGDALPUR PRIMARY SCHOOL BAISBANDHA (SSA) 22153316801
7043 BASTER JAGDALPUR UPS BHAISBANDHA 22153316802
7044 BASTER JAGDALPUR PRIMARY SCHOOL MILKULWADA 22153316901
7045 BASTER JAGDALPUR PRIMARY SCHOOL GOPAPADAR 22153317001
7046 BASTER JAGDALPUR PRIMARY SCHOOL PENGARAS 22153317101
7047 BASTER JAGDALPUR PRIMARY SCHOOL BAMNARAS 22153317201
7048 BASTER JAGDALPUR MS BAMNARAS 22153317202
7049 BASTER JAGDALPUR PRIMARY SCHOOL CHAYKUR 22153317301
7050 BASTER JAGDALPUR PRIMARY SCHOOL BIJLIPARA 22153317403
7051 BASTER JAGDALPUR PRIMARY SCHOOL RANDHARIRAS 22153317501
7052 BASTER JAGDALPUR MS RANDHARIRAS 22153317502
7053 BASTER JAGDALPUR PRIMARY SCHOOL 22153317701
7054 BASTER JAGDALPUR MS PANDRIPANI 22153317702
7055 BASTER JAGDALPUR PRIMARY SCHOOL TAIPADAR 22153317801
7056 BASTER JAGDALPUR PRIMARY SCHOOL SULIYAGUDA JUNAPARA 22153317901
7057 BASTER JAGDALPUR PRIMARY SCHOOL TETARKUTI 22153318102
7058 BASTER JAGDALPUR PRIMARY SCHOOL GUDIA 22153318201
7059 BASTER JAGDALPUR PS GUMALWADA S PARA (RGSM) 22153318303
7060 BASTER JAGDALPUR PS GUMALWADA KHASHPARA 22153318304
7061 BASTER JAGDALPUR UPS GUMALWADA 22153318305
7062 BASTER JAGDALPUR PRIMARY SCHOOL BHELWABHATA 22153318402
7063 BASTER JAGDALPUR PRIMARY SCHOOL KAKARWADA 22153318403
7064 BASTER JAGDALPUR PRIMARY SCHOOL PARALI 22153318602
7065 BASTER JAGDALPUR PRIMARY SCHOOL TONGPARA 22153318603
7066 BASTER JAGDALPUR PS DUMARGUDA 22153318604
7067 BASTER JAGDALPUR ADIM JATI KANIST PS 22153319301
7068 BASTER JAGDALPUR PS JAWAHAR NAGAR 22153319401
7069 BASTER JAGDALPUR PRIMARY SCHOOL PULCHA 22153319601
7070 BASTER JAGDALPUR PRIMARY SCHOOL(AJKV) KAWAPAL 22153319602
7071 BASTER JAGDALPUR UNNYAN M.S. SCHOOL PULCHA 22153319603
7072 BASTER JAGDALPUR MS KOLAWADA 22153319604
7073 BASTER JAGDALPUR PRIMARY SCHOOL CHECHALGUR 22153319701
7074 BASTER JAGDALPUR M.S. KANGOLI 22153319805
7075 BASTER JAGDALPUR PRIMARY SCHOOL SAF KANGOLI 22153319807
7076 BASTER JAGDALPUR PS ADARSH KANGOLI 22153319808
7077 BASTER JAGDALPUR PRIMARY SCHOOL NEGIGUDA 22153319901
7078 BASTER JAGDALPUR PS GHATPADMUR 22153319903
7079 BASTER JAGDALPUR TRIBAL UPS GHATPADMUR 22153319904
7080 BASTER JAGDALPUR ADIM JATI PRIMARY SCHOOL JATAM 22153320001
7081 BASTER JAGDALPUR MS JATAM 22153320002
7082 BASTER JAGDALPUR PRIMARY SCHOOL 22153320201
7083 BASTER JAGDALPUR PRIMARY + MIDDLE SCHOOL 22153320203
7084 BASTER JAGDALPUR PRIMARY SCHOOL 22153320301
7085 BASTER JAGDALPUR PRIMARY SCHOOL 22153320601
7086 BASTER JAGDALPUR ADIM JATI PRIMARY SCHOOL HALBAKOTE 22153320701
7087 BASTER JAGDALPUR MS HALWAKOT 22153320702
7088 BASTER JAGDALPUR ADIM JATI PRIMARY SCHOOL BURNDWADA SEMRA 22153320801
7089 BASTER JAGDALPUR ADIM JATI PRIMARY SCHOOL 22153321001
7090 BASTER JAGDALPUR MS KARNAPUR 22153321002
7091 BASTER JAGDALPUR ADJK PRIMARY SCHOOL 22153321003
7092 BASTER JAGDALPUR PRIMARY SCHOOL 22153321101
7093 BASTER JAGDALPUR ADIM JATI PRIMARY SCHOOL 22153321201
7094 BASTER JAGDALPUR MS MACHKOT 22153321202
7095 BASTER JAGDALPUR ADIM JATI KANIST PRIMARY SCHOOL NANGUR 22153321501
7096 BASTER JAGDALPUR KANIST PS PATELPARA KAIKACHERBAHAR 22153321601
7097 BASTER JAGDALPUR PRIMARY SCHOOL BENGLOOR 22153321802
7098 BASTER JAGDALPUR ADJK PRIMARY SCHOOL KAIKAGARH 22153321803
7099 BASTER JAGDALPUR KANIST PRIMARY SCHOOL KAIKACHERBAHAR 22153321901
7100 BASTER JAGDALPUR A.D.J.K PRIMARY SCHOOL JOJAL 22153322001
7101 BASTER JAGDALPUR KANIST PRIMARY SCHOOL 22153322101
7102 BASTER JAGDALPUR ADIM JATI PRIMARY SCHOOL 22153322201
7103 BASTER JAGDALPUR UPS KULGAON 22153322202
7104 BASTER JAGDALPUR ADIM JATI PRIMARY SCHOOL 22153322401
7105 BASTER JAGDALPUR ADIM JATI PRIMARY SCHOOL 22153322501
7106 BASTER JAGDALPUR MS GANDHINAGAR 22153322701
7107 BASTER JAGDALPUR PRIMARY SCHOOL GANDHINAGAR 22153322702
7108 BASTER JAGDALPUR GOVT. BOYS PS BHAIRAMGANJ (TWD) 22153323001
7109 BASTER JAGDALPUR M.S. BHAIRAMGANJ 22153323002
7110 BASTER JAGDALPUR PRIMARY SCHOOL BODHGHAT 22153323101
7111 BASTER JAGDALPUR M.S. BODHGHAT 22153323102
7112 BASTER JAGDALPUR PRIMARY SCHOOL RAILWAY COLONY 22153323103
7113 BASTER JAGDALPUR MS KOSACENTER WARD 29 22153323202
7114 BASTER LOHANDIGUDA GOVT. PS. CHALKIGUDA NEGIRAS 22152400101
7115 BASTER LOHANDIGUDA GOVT. PS. MASAPARA GADHIYA 22152400401
7116 BASTER LOHANDIGUDA GOVT. PS. MANJHIPARA 22152400402
7117 BASTER LOHANDIGUDA GOVT. NPS. GADHIYA 22152400404
7118 BASTER LOHANDIGUDA GOVT. PS. DENGPARA 22152400405
7119 BASTER LOHANDIGUDA GOVT. UPS. KOKADIGUDA 22152400406
7120 BASTER LOHANDIGUDA UP PS PATERIYAPARA 22152400702
7121 BASTER LOHANDIGUDA GOVT. UPS. KAHCHENAR 22152400703
7122 BASTER LOHANDIGUDA PRIMARY SCHOOL 22152400801
7123 BASTER LOHANDIGUDA GOVT. PS. TOYAR 22152400802
7124 BASTER LOHANDIGUDA GOVT. PS. PATELPARA AMALIDHAR 22152400901
7125 BASTER LOHANDIGUDA GOVT. PS. AMLIDHAR 22152400902
7126 BASTER LOHANDIGUDA PRIMARY SCHOOL 22152401001
7127 BASTER LOHANDIGUDA UPS MALAKDOL 22152401002
7128 BASTER LOHANDIGUDA UPPS CHHINDHAPARA 22152401003
7129 BASTER LOHANDIGUDA PRIMARY SCHOOL 22152401101
7130 BASTER LOHANDIGUDA PRIMARY SCHOOL DURKIGUDA 22152401102
7131 BASTER LOHANDIGUDA GOVT. UPS. KHARIYAGUDA 22152401301
7132 BASTER LOHANDIGUDA PRIMARY SCHOOL 22152401401
7133 BASTER LOHANDIGUDA GOVT. PS. LIMAUPADAR 22152401501
7134 BASTER LOHANDIGUDA PRIMARY SCHOOL 22152401601
7135 BASTER LOHANDIGUDA GOVT. PS. KARKAPAL 22152401701
7136 BASTER LOHANDIGUDA GOVT. UPS. KARKAPAL 22152401702
7137 BASTER LOHANDIGUDA GOVT. PS. LAKHAIBEDA 22152401801
7138 BASTER LOHANDIGUDA GOVT. UPS. LAKHAIBEDA 22152401802
7139 BASTER LOHANDIGUDA PRIMARY SCHOOL 22152401901
7140 BASTER LOHANDIGUDA JANPADPRIMARY SCHOOL 22152401902
7141 BASTER LOHANDIGUDA NPS PATELPARA 22152401903
7142 BASTER LOHANDIGUDA GYANJYOTI CHHINDBHATA 22152401905
7143 BASTER LOHANDIGUDA GYANJYOTI KHASPARA 22152401906
7144 BASTER LOHANDIGUDA S.P.S.CHINDABHATA 22152401909
7145 BASTER LOHANDIGUDA GOVT. PS. BODALI 22152402001
7146 BASTER LOHANDIGUDA GOVT. PS. ERANDWAL 22152402101
7147 BASTER LOHANDIGUDA GOVT. PS. GUDAMPARA BELAR 22152402102
7148 BASTER LOHANDIGUDA GOVT. PS. CHANDANPUR 22152402201
7149 BASTER LOHANDIGUDA GOVT. MS. CHANDANPUR 22152402202
7150 BASTER LOHANDIGUDA GOVT. SANYUKT ASHRAM SALA CHANDANPUR 22152402203
7151 BASTER LOHANDIGUDA PRIMARY SCHOOL 22152402301
7152 BASTER LOHANDIGUDA A.J.K.V.PRIMARY SCHOOL 22152402302
7153 BASTER LOHANDIGUDA MS SATASPUR 22152402303
7154 BASTER LOHANDIGUDA GYANJYOTI UPARPARA 22152402304
7155 BASTER LOHANDIGUDA GOVT. PS. USARIBEDA 22152402401
7156 BASTER LOHANDIGUDA GOVT. MS. USARIBEDA 22152402402
7157 BASTER LOHANDIGUDA GOVT. GIRLS MS USARIBEDA 22152402404
7158 BASTER LOHANDIGUDA GOVT. PS. KHARIYAGUDA 22152402405
7159 BASTER LOHANDIGUDA KGBV.USRIBEDA 22152402406
7160 BASTER LOHANDIGUDA NAVIN PRIMARY SCHOOL 22152402501
7161 BASTER LOHANDIGUDA GOVT. PS. BAHARGUDA 22152402601
7162 BASTER LOHANDIGUDA UP PS HATHWARIPARA 22152402702
7163 BASTER LOHANDIGUDA GOVT. UPS. DABPAL 22152402801
7164 BASTER LOHANDIGUDA KANIST PRIMARY SCHOOL 22152402802
7165 BASTER LOHANDIGUDA EGS MARIGUDA 22152402803
7166 BASTER LOHANDIGUDA GOVT. PS. MATNAR 22152402901
7167 BASTER LOHANDIGUDA GOVT. NPS. DOLEPARA 22152402902
7168 BASTER LOHANDIGUDA GOVT. PS. CHALANPARA MATNAR 22152402903
7169 BASTER LOHANDIGUDA GOVT. PS. KONDAPARA 22152402904
7170 BASTER LOHANDIGUDA GOVT. PS. CHANDOPARA MATNAR 22152402905
7171 BASTER LOHANDIGUDA GOVT. UPS. MATNAR 22152402906
7172 BASTER LOHANDIGUDA GOVT. MS. LIMAUPADAR 22152402907
7173 BASTER LOHANDIGUDA GOVT. PS. MENDRI MATNAR 22152402908
7174 BASTER LOHANDIGUDA GOVT. PS. MARIGUDA MATNAR 22152402909
7175 BASTER LOHANDIGUDA GOVT.PS.AS. KASTURPAL 22152402910
7176 BASTER LOHANDIGUDA GOVT.MS. KASTURPAL 22152402911
7177 BASTER LOHANDIGUDA JANPAD PRIMARY SCHOOL 22152403001
7178 BASTER LOHANDIGUDA PRIMARY SCHOOL 22152403002
7179 BASTER LOHANDIGUDA PRIMARY SCHOOL` 22152403101
7180 BASTER LOHANDIGUDA GOVT. PS. CHHEPDAGUDA 22152403102
7181 BASTER LOHANDIGUDA GOVT. PS. DABPAL 22152403201
7182 BASTER LOHANDIGUDA GOVT. PS. DENGPARA DABPAL 22152403202
7183 BASTER LOHANDIGUDA GOVT. PS. PALAM 22152403301
7184 BASTER LOHANDIGUDA GOVT. UPS. PALAM 22152403302
7185 BASTER LOHANDIGUDA PRIMARY SCHOOL 22152403401
7186 BASTER LOHANDIGUDA P.M.S. MURKIL 22152403402
7187 BASTER LOHANDIGUDA GOVT. PS. PUSPAL 22152403501
7188 BASTER LOHANDIGUDA M.S. DEVSIL 22152403502
7189 BASTER LOHANDIGUDA GOVT. UPS. PUSPAL 22152403503
7190 BASTER LOHANDIGUDA GOVT. PS. ANJAR 22152403601
7191 BASTER LOHANDIGUDA GOVT. UPS. ANJAR 22152403602
7192 BASTER LOHANDIGUDA PRIMARY SCHOOL 22152403701
7193 BASTER LOHANDIGUDA PS.ERIKPAL 22152403704
7194 BASTER LOHANDIGUDA PRIMARY SCHOOL 22152403801
7195 BASTER LOHANDIGUDA PHULAPARA BADRENGA 22152403802
7196 BASTER LOHANDIGUDA PRIMARY SCHOOL 22152403901
7197 BASTER LOHANDIGUDA PRIMARY SCHOOL 22152404001
7198 BASTER LOHANDIGUDA NAVEEN JPS-SALPIPADAR 22152404002
7199 BASTER LOHANDIGUDA PRIMARY SCHOOL 22152404101
7200 BASTER LOHANDIGUDA GOVT. PS. KASTURPAL 22152404301
7201 BASTER LOHANDIGUDA GOVT. PS. PATELPARA KASTURPAL 22152404302
7202 BASTER LOHANDIGUDA GOVT. PS. SOLAPARA KASTURPAL 22152404303
7203 BASTER LOHANDIGUDA PRIMARY SCHOOL 22152404401
7204 BASTER LOHANDIGUDA JANPAD PRIMARY SCHOOL 22152404501
7205 BASTER LOHANDIGUDA GOVT.BALAK ASHARM 22152404503
7206 BASTER LOHANDIGUDA MS MARDUM 22152404504
7207 BASTER LOHANDIGUDA NPS RANIBEDA MARDUM 22152404505
7208 BASTER LOHANDIGUDA PS CHAITUPARA MARDUM 22152404506
7209 BASTER LOHANDIGUDA PS JADIGHATPARA BADRENGA 22152404507
7210 BASTER LOHANDIGUDA PS KARALAKONTA MARDUM 22152404508
7211 BASTER LOHANDIGUDA MS BADRENGA MARDUM 22152404509
7212 BASTER LOHANDIGUDA MS KHELPARA MARDUM 22152404510
7213 BASTER LOHANDIGUDA GOVT.P.S. TODNAR 22152404511
7214 BASTER LOHANDIGUDA GOVT.P.S. PUJNAPARA MARENGA 22152404512
7215 BASTER LOHANDIGUDA PS RAMAPARA BADRENGA 22152404513
7216 BASTER LOHANDIGUDA GOVT.P.S. RANIBEDA MARDUM 22152404514
7217 BASTER LOHANDIGUDA PS KARLAKONTA MARDUM 22152404515
7218 BASTER LOHANDIGUDA GOVT.P.S.ASHRAMSHALA SULENGA 22152404516
7219 BASTER LOHANDIGUDA PRIMARY SCHOOL 22152404601
7220 BASTER LOHANDIGUDA JPS-SALPIPADAR 22152404602
7221 BASTER LOHANDIGUDA JANPAD PRIMARY SCHOOL 22152404603
7222 BASTER LOHANDIGUDA MS BADANJI 22152404604
7223 BASTER LOHANDIGUDA GOVT. UPS. PADARGUDA CHITRAKOT 22152404701
7224 BASTER LOHANDIGUDA GOVT. MS. CHITRAKOT 22152404702
7225 BASTER LOHANDIGUDA GOVT. PS. CHITRAKOT 22152404705
7226 BASTER LOHANDIGUDA PRIMARY SCHOOL 22152404801
7227 BASTER LOHANDIGUDA JANPAD PRIMARY SCHOOL 22152404901
7228 BASTER LOHANDIGUDA NAVEEN PRIMARY SCHOOL 22152404902
7229 BASTER LOHANDIGUDA GOVT. PS. KATABAS PARA KAREKOTE 22152404904
7230 BASTER LOHANDIGUDA KENWTAKHAR KAREKOTE 22152404905
7231 BASTER LOHANDIGUDA GOVT. UPS. PATELPARA ANJAR 22152405001
7232 BASTER LOHANDIGUDA NPS-PATEL PARA 22152405102
7233 BASTER LOHANDIGUDA GOVT. PS. PATELPARA TOYAR 22152405103
7234 BASTER LOHANDIGUDA GOVT. PS. SIRHAPARA TOYAR 22152405104
7235 BASTER LOHANDIGUDA GOVT. UPS. JADIGUDA TOYAR 22152405106
7236 BASTER LOHANDIGUDA PRIMARY SCHOOL 22152405201
7237 BASTER LOHANDIGUDA GOVT. PS. SILAKJHODI 22152405202
7238 BASTER LOHANDIGUDA GOVT. PS. SAYBIPARA SILAKJHODI 22152405203
7239 BASTER LOHANDIGUDA PRIMARY SCHOOL 22152405301
7240 BASTER LOHANDIGUDA PRIMARY SCHOOL 22152405401
7241 BASTER LOHANDIGUDA JANPAD PRIMARY SCHOOL 22152405402
7242 BASTER LOHANDIGUDA PREMARY SCHOOL 22152405403
7243 BASTER LOHANDIGUDA MIDDILE SCHOOL DHURVAPARA 22152405404
7244 BASTER LOHANDIGUDA GOVT. UPS. PEDAPARA BELAR 22152405501
7245 BASTER LOHANDIGUDA GOVT. PS. BADEPARODA 22152405502
7246 BASTER LOHANDIGUDA GOVT. PS. MANJHIPARA BADEPARODA 22152405503
7247 BASTER LOHANDIGUDA GOVT. UPS. BADEPARODA 22152405504
7248 BASTER LOHANDIGUDA GOVT. PS. CHALKIPARA SURGUDA 22152405601
7249 BASTER LOHANDIGUDA GOVT. PS. MANDAR 22152405701
7250 BASTER LOHANDIGUDA GOVT. PS. KOTWARPARA MANDAR 22152405702
7251 BASTER LOHANDIGUDA GOVT.UPS. NEGANAR 22152405703
7252 BASTER LOHANDIGUDA GOVT. UPS. BADEGUMIYAPAL 22152405704
7253 BASTER LOHANDIGUDA GOVT. UPS. KOTWARPARA MANDAR 22152405705
7254 BASTER LOHANDIGUDA PRIMARY SCHOOL 22152405801
7255 BASTER LOHANDIGUDA MS TARAGAON 22152405802
7256 BASTER LOHANDIGUDA LUKAMPARA TARAGAON 22152405803
7257 BASTER LOHANDIGUDA BANDAKOTE TARAGAON 22152405804
7258 BASTER LOHANDIGUDA GOVT. PS. SOLAPARA TARAGAON 22152405805
7259 BASTER LOHANDIGUDA GOVT. NPS. BHOSAPARA NEGANAR 22152405806
7260 BASTER LOHANDIGUDA GOVT.PS KOLIYAPARA TUREMORKA 22152405807
7261 BASTER LOHANDIGUDA GOVT.NPS. PADAMPARA TARAGAON 22152405808
7262 BASTER LOHANDIGUDA GOVT.PS. EIRWAR TARAGAON 22152405809
7263 BASTER LOHANDIGUDA GOVT.PS. MASOPARA CHINDBAHAR 22152405810
7264 BASTER LOHANDIGUDA GOVT.PS GIRLS ASHRAM CHINDBAHAR 22152405811
7265 BASTER LOHANDIGUDA GOVT.UPS LITIPARA CHINBAHAR 22152405812
7266 BASTER LOHANDIGUDA GOVT.PS. AITUPARA BADEGUMIYAPAL 22152405813
7267 BASTER LOHANDIGUDA GOVT.PS. CHIKHALAPARA MANDAR 22152405814
7268 BASTER LOHANDIGUDA GOVT.PS. TANGARUPARA BADEGUMIYAPAL 22152405815
7269 BASTER LOHANDIGUDA GOVT.UPS. EIRVAR TARAGAON 22152405816
7270 BASTER LOHANDIGUDA GOVT. PS. BAHARGUDA KAKNAR 22152405901
7271 BASTER LOHANDIGUDA GOVT. PS. KOSAMGUDA KAKNAR 22152405902
7272 BASTER LOHANDIGUDA GOVT. PS. ASHRAMSHALA KAKNAR 22152405903
7273 BASTER LOHANDIGUDA MIDDILE SCHOOL 22152405904
7274 BASTER LOHANDIGUDA JANPAD PRIMARY SCHOOL 22152406001
7275 BASTER LOHANDIGUDA MS DHARAUR 22152406005
7276 BASTER LOHANDIGUDA JPS CHHEPDAGUDA DHARAUR 22152406007
7277 BASTER LOHANDIGUDA GOVT.MS.PARAPUR 22152406008
7278 BASTER LOHANDIGUDA GOVT.MS. DHARAUR 22152406009
7279 BASTER LOHANDIGUDA GOVT.PS.ASHRAM SHALA PARAPUR 22152406010
7280 BASTER LOHANDIGUDA PRIMARY SCHOOL 22152406101
7281 BASTER LOHANDIGUDA JNPAD PRIMARY SCHOOL 22152406102
7282 BASTER LOHANDIGUDA MS BINTA 22152406104
7283 BASTER LOHANDIGUDA GOVT. MS. KORALI 22152406106
7284 BASTER LOHANDIGUDA GOVT. MS. KAREKOT 22152406107
7285 BASTER LOHANDIGUDA PRIMARY SCHOOL 22152406201
7286 BASTER LOHANDIGUDA GOVT. PS. BELAR 22152406301
7287 BASTER LOHANDIGUDA GOVT. PS. PEDAPARA BELAR 22152406302
7288 BASTER LOHANDIGUDA GOVT. MS. BELAR 22152406303
7289 BASTER LOHANDIGUDA GOVT. PS. THOTAPARA 22152406304
7290 BASTER LOHANDIGUDA GOVT. PS. MUYAPARA BELAR 22152406305
7291 BASTER LOHANDIGUDA GOVT. PS. KOKADIGUDA 22152406401
7292 BASTER LOHANDIGUDA GOVT. PS. MARIGUDA 22152406402
7293 BASTER LOHANDIGUDA PRIMARY SCHOOL 22152406501
7294 BASTER LOHANDIGUDA PRIMARY SCHOOL 22152406701
7295 BASTER LOHANDIGUDA BALAK ASHRAM SHALA 22152406703
7296 BASTER LOHANDIGUDA PRIMARY SCHOOL DONGARIGUDA 22152406704
7297 BASTER LOHANDIGUDA NAVEEN PRIMARY SCHOOL KACHPARA 22152406705
7298 BASTER LOHANDIGUDA PRIMARY SCHOOL 22152406801
7299 BASTER LOHANDIGUDA BALAK AASHRAM 22152406802
7300 BASTER LOHANDIGUDA PRIMARY SCHOOL 22152406901
7301 BASTER LOHANDIGUDA PRIMARY SCHOOL 22152407001
7302 BASTER LOHANDIGUDA UPS RAIGONDI 22152407002
7303 BASTER LOHANDIGUDA GOVT. PS. DANDABADI SADRA 22152407101
7304 BASTER LOHANDIGUDA GOVT. PS. PUJARIPARA SADRA 22152407102
7305 BASTER LOHANDIGUDA MIDDILE SCHOOL DADABADIPARA 22152407103
7306 BASTER LOHANDIGUDA GOVT. PS. SADRA 22152407104
7307 BASTER LOHANDIGUDA PS.KUMHARPARA SADARA 22152407105
7308 BASTER LOHANDIGUDA GOVT. PS. PUJARIPARA 22152407201
7309 BASTER LOHANDIGUDA GOVT. PS. CHOTEGUMIYAPAL 22152407202
7310 BASTER LOHANDIGUDA GOVT. PS. NGJ. KHALEPARA CHANDELA 22152407301
7311 BASTER LOHANDIGUDA GOVT. PS. MICHNAR 22152407401
7312 BASTER LOHANDIGUDA GOVT. PS. PADARPARA 22152407402
7313 BASTER LOHANDIGUDA GOVT. PS. MARIGUDA 22152407404
7314 BASTER LOHANDIGUDA GOVT. MS. MICHNAR 22152407405
7315 BASTER LOHANDIGUDA GOVT. PS. BALAK ASHRAM SHALA 22152407406
7316 BASTER LOHANDIGUDA GOVT. PS. GANVARCHAPAR 22152407407
7317 BASTER LOHANDIGUDA GOVT. UPS. BONGAPARA 22152407408
7318 BASTER LOHANDIGUDA GOVT. UPS. GARDA 22152407601
7319 BASTER LOHANDIGUDA UPS EARBAR 22152407603
7320 BASTER LOHANDIGUDA GOVT. PS. LAMDAGUDA 22152407701
7321 BASTER LOHANDIGUDA PRIMARY SCHOOL 22152407901
7322 BASTER LOHANDIGUDA MS HARAKODER 22152407902
7323 BASTER LOHANDIGUDA GYANJYOTI MANJHIPARA 22152407903
7324 BASTER LOHANDIGUDA KANIST PRIMARY SCHOOL 22152408001
7325 BASTER LOHANDIGUDA GOVT. PS. BALAK AASHRAM CHANDELA 22152408003
7326 BASTER LOHANDIGUDA GOVT. PS. RAWATPARA CHANDELA 22152408004
7327 BASTER LOHANDIGUDA GOVT. PS. NGJ. KHASPARA CHANDELA 22152408005
7328 BASTER LOHANDIGUDA GOVT. KPS. BODENAR 22152408101
7329 BASTER LOHANDIGUDA GOVT. UPS. BODENAR 22152408102
7330 BASTER LOHANDIGUDA PRIMARY SCHOOL 22152408201
7331 BASTER LOHANDIGUDA MS SCHOOL 22152408202
7332 BASTER LOHANDIGUDA GOVT. PS. ASHRAM SHALA BADEGUMIYAPAL 22152408301
7333 BASTER LOHANDIGUDA GOVT. PS. ADWAL 22152408401
7334 BASTER LOHANDIGUDA KANIST PRIMARY SCHOOL 22152408501
7335 BASTER LOHANDIGUDA GOVT. PS. PUJARIPARA TOYAR 22152408502
7336 BASTER LOHANDIGUDA GOVT. PS. BARCHEPAL 22152408503
7337 BASTER LOHANDIGUDA GOVT.UPS. BARCHHEPAL 22152408504
7338 BASTER LOHANDIGUDA GOVT. PS. TULSIPARA ANJAR 22152408601
7339 BASTER LOHANDIGUDA NAVIN PRIMARY SCHOOL 22152408701
7340 BASTER LOHANDIGUDA PRIMARY SCHOOL 22152408702
7341 BASTER LOHANDIGUDA GOVT. PS. BONJAPARA MICHNAR 22152408801
7342 BASTER LOHANDIGUDA PRIMARY SCHOOL 22152408901
7343 BASTER LOHANDIGUDA UPS TETAM 22152408902
7344 BASTER LOHANDIGUDA GOVT. ASHRAM SHALA KARKAGUDA 22152409002
7345 BASTER LOHANDIGUDA PRIMARY SCHOOL 22152409101
7346 BASTER LOHANDIGUDA MS KODIYAGUDA 22152409102
7347 BASTER LOHANDIGUDA GOVT. PS. NGJ. BAGHPARA 22152409103
7348 BASTER LOHANDIGUDA GOVT. PS. NGJ. HAJARIPARA 22152409104
7349 BASTER LOHANDIGUDA GOVT. PS. NGJ. MALGUJARPARA 22152409105
7350 BASTER LOHANDIGUDA GOVT.NPS. KESAPARA KOTHIYAGUDA 22152409106
7351 BASTER LOHANDIGUDA GOVT. PS. SAMUPARA BELAR 22152409107
7352 BASTER LOHANDIGUDA GOVT. BOYS MS. LOHANDIGUDA/H.SECONDRY 22152409201
7353 BASTER LOHANDIGUDA P.M.S. KUWARPUR 22152409202
7354 BASTER LOHANDIGUDA PRIMARY SCHOOL 22152409301
7355 BASTER LOHANDIGUDA JANPAD PRIMARY SCHOOL 22152409302
7356 BASTER LOHANDIGUDA NAVEEN PRIMARY SCHOOL 22152409303
7357 BASTER LOHANDIGUDA KALARPARA PARAPUR 22152409304
7358 BASTER LOHANDIGUDA GOVT.PS. JATAPARA BADEDHARAUR 22152409305
7359 BASTER LOHANDIGUDA PRIMARY SCHOOL 22152409401
7360 BASTER LOHANDIGUDA A.J.K.P.M.V. TILAOLI 22152409402
7361 BASTER LOHANDIGUDA UPS NEGIRAS 22152409403
7362 BASTER LOHANDIGUDA GOVT. JPS. ALNAR 22152409501
7363 BASTER LOHANDIGUDA GOVT. PS. RICHAPARA ALNAR 22152409502
7364 BASTER LOHANDIGUDA NAVEEN PRIMARY SCHOOL 22152409503
7365 BASTER LOHANDIGUDA P.S.PADAMI PARA 22152409504
7366 BASTER LOHANDIGUDA GOVT. MS. ALNAR 22152409505
7367 BASTER LOHANDIGUDA GOVT. NPS. DHURWAPARA 22152409506
7368 BASTER LOHANDIGUDA GOVT. PS. NGJ. LOHARPARA 22152409507
7369 BASTER LOHANDIGUDA GOVT. PS. NGJ. KOSAPARA 22152409508
7370 BASTER LOHANDIGUDA GOVT. UPS. PUJARIPARA 22152409509
7371 BASTER LOHANDIGUDA GOVT.PS.PUJARIPARA ALNAR 22152409510
7372 BASTER LOHANDIGUDA GOVT.PS. KUMHARPARA MICHANAR 22152409511
7373 BASTER LOHANDIGUDA GOVT.PS.KUMAPARA ANJAR 22152409512
7374 BASTER LOHANDIGUDA GOVT. PS. PAIKPARA ANJAR 22152409513
7375 BASTER LOHANDIGUDA GOVT.PS.USHAPARA ANJAR 22152409514
7376 BASTER LOHANDIGUDA PRIMARY SCHOOL 22152409601
7377 BASTER LOHANDIGUDA M.S. 22152409602
7378 BASTER LOHANDIGUDA GOVT. P.S. 22152409603
7379 BASTER LOHANDIGUDA GOVT. PS. PITIYAPARA DHURAGAON 22152409701
7380 BASTER LOHANDIGUDA GOVT. MS. NAVIN DHURAGAON 22152409702
7381 BASTER LOHANDIGUDA GOVT. PS. DENGPARA 22152409801
7382 BASTER LOHANDIGUDA GOVT. PS. GUDAMPARA BELAR 22152409901
7383 BASTER LOHANDIGUDA PRIMARY SCHOOL 22152410001
7384 BASTER LOHANDIGUDA GOVT. PS. KUTHAR 22152410101
7385 BASTER LOHANDIGUDA GOVT. JPS. BANNIPARA 22152410102
7386 BASTER LOHANDIGUDA GOVT. MS. KUTHAR 22152410103
7387 BASTER LOHANDIGUDA GOVT. PS. RAUTPARA KUTHAR 22152410104
7388 BASTER LOHANDIGUDA GIRL PRIMARY SCHOOL 22152410201
7389 BASTER LOHANDIGUDA PRIMARY SCHOOL JHULNARET 22152410204
7390 BASTER LOHANDIGUDA PRIMARY SCHOOL 22152410301
7391 BASTER LOHANDIGUDA GOVT. PS. PADARGUDA CHITRAKOT 22152410402
7392 BASTER LOHANDIGUDA GOVT. PS. PATELPARA ANJAR 22152410601
7393 BASTER LOHANDIGUDA PS-NAGIRAS 22152410801
7394 BASTER LOHANDIGUDA GOVT. MS. GADHIYA 22152410802
7395 BASTER LOHANDIGUDA GOVT. NPS. DHURAGAON 22152411001
7396 BASTER LOHANDIGUDA GOVT. PS. DHURAGAON 22152411002
7397 BASTER LOHANDIGUDA GOVT. MS. GUNTUMDI 22152411003
7398 BASTER LOHANDIGUDA GOVT. PS. BHATTIPARA GADHIYA 22152411101
7399 BASTER LOHANDIGUDA PRIMARY SCHOOL 22152411201
7400 BASTER LOHANDIGUDA MS PATELPARA PARAPUR 22152411202
7401 BASTER LOHANDIGUDA PRIMARY SCHOOL 22152411301
7402 BASTER LOHANDIGUDA PRIMARY SCHOOL 22152411401
7403 BASTER LOHANDIGUDA PRIMARY SCHOOL 22152411501
7404 BASTER LOHANDIGUDA GOVT. PS. LITIBHATA 22152411601
7405 BASTER LOHANDIGUDA GOVT. GIRLS PS. LOHANDIGUDA 22152411602
7406 BASTER LOHANDIGUDA GOVT. PS. KODEBEDA 22152411603
7407 BASTER LOHANDIGUDA GOVT. GIRLS ASHRAM SALA LOHANDIGUDA 22152411604
7408 BASTER LOHANDIGUDA GOVT. PS. BAKADIPARA ANJAR 22152411605
7409 BASTER LOHANDIGUDA PRIMARY SCHOOL 22152411701
7410 BASTER LOHANDIGUDA KNIST PRIMARY SCHOOL 22152411702
7411 BASTER LOHANDIGUDA M.S. KOTADOL 22152411703
7412 BASTER LOHANDIGUDA UP PS HARIJANPARA 22152411704
7413 BASTER LOHANDIGUDA PRYMARY SCHOOL 22152411801
7414 BASTER LOHANDIGUDA GOVT. PS. SUKDAPARA TOYAR 22152412001
7415 BASTER LOHANDIGUDA MS KUMHALI 22152412101
7416 BASTER LOHANDIGUDA GOVT. UPS. GANVARCHAPAR MICHNAR 22152412201
7417 BASTER LOHANDIGUDA MASOPARA CHHINDBAHAR 22152412202
7418 BASTER LOHANDIGUDA DULGAPARA CHINDBAHAR 22152412203
7419 BASTER LOHANDIGUDA M.S. CHHINDBAHAR 22152412204
7420 BASTER LOHANDIGUDA PRIMARY SCHOOL FAGANUPARA 22152412205
7421 BASTER LOHANDIGUDA PRIMARY SCHOOL LITIPARA 22152412206
7422 BASTER LOHANDIGUDA GOVT. PS. ASHRAM SHALA SURGUDA 22152412301
7423 BASTER LOHANDIGUDA PRIMARY SCHOOL 22152412401
7424 BASTER LOHANDIGUDA GOVT. PS. DHOBIPARA 22152412501
7425 BASTER LOHANDIGUDA GOVT. UPS. MANJHIPARA BADEPARODA 22152412502
7426 BASTER LOHANDIGUDA PRIMARY SCHOOL 22152412601
7427 BASTER LOHANDIGUDA PRIMARY SCHOOL 22152412701
7428 BASTER LOHANDIGUDA MIDDILE SCHOOL 22152412702
7429 BASTER LOHANDIGUDA PRIMARY SCHOOL 22152412801
7430 BASTER LOHANDIGUDA GOVT. PS. JADIGUDA TOYAR 22152412901
7431 BASTER LOHANDIGUDA GOVT. PS. PAYKA PARA ANJAR 22152413001
7432 BASTER LOHANDIGUDA GOVT. PS. MUNDIGUDA DHURAGAON 22152413101
7433 BASTER LOHANDIGUDA KNIST PRIMARY SCHOOL 22152413201
7434 BASTER LOHANDIGUDA PRYMARY SCHOOL 22152413301
7435 BASTER LOHANDIGUDA PRIMARY SCHOOL 22152413501
7436 BASTER LOHANDIGUDA MS SCHOOL 22152413502
7437 BASTER LOHANDIGUDA UP PS SATKIYARI 22152413601
7438 BASTER LOHANDIGUDA GYANJYOTI MARIPARA 22152413602
7439 BASTER LOHANDIGUDA NAVEEN PRIMARY SCHOOL 22152413901
7440 BASTER LOHANDIGUDA UP PS NADIYATOLA 22152414001
7441 BASTER LOHANDIGUDA UPS KHASPARA 22152414002
7442 BASTER LOHANDIGUDA UP PS DARRITOLA 22152414301
7443 BASTER LOHANDIGUDA PRYMARY SCHOOL 22152414401
7444 BASTER LOHANDIGUDA UPS MALEWAHI 22152414402
7445 BASTER LOHANDIGUDA GOVT. PS. PATELPARA KODENAR 22152414501
7446 BASTER LOHANDIGUDA GOVT. UPS. KODENAR 22152414502
7447 BASTER LOHANDIGUDA GOVT. JPS. GADHIYA 22152414701
7448 BASTER LOHANDIGUDA GOVT. PS. KOTWARPARA SURGUDA 22152415001
7449 BASTER LOHANDIGUDA GOVT. PS. INDIRABHATHI 22152415101
7450 BASTER LOHANDIGUDA GOVT. PS. NGJ. BHADUPARA 22152415202
7451 BASTER LOHANDIGUDA GOVT. PS. GHUMARMUND 22152415301
7452 BASTER LOHANDIGUDA P.S. KATHARRADOL 22152419201
7453 BASTER LOHANDIGUDA UP PS GARDANCHUWA 22152419401
7454 BASTER LOHANDIGUDA GYANJYOTI KHALEPARA 22152422901
7455 BASTER LOHANDIGUDA GOVT. PS. NGJ. THOTAPARA 22152422902
7456 BASTER LOHANDIGUDA NPS SALEPAL 22152422903
7457 BASTER LOHANDIGUDA GOVT. UPS. DHARMABEDA 22152422904
7458 BASTER LOHANDIGUDA UPS ERPUND 22152422905
7459 BASTER LOHANDIGUDA GOVT. PS. ASHRAM SHALA MAHIMA 22152423001
7460 BASTER TOKAPAL GOVT PRIMARY SCHOOL MURUMGUDA 22152300101
7461 BASTER TOKAPAL GOVT PRIMERY SCHOOL BATASHIPARA 22152300102
7462 BASTER TOKAPAL GOVT PRIMERYB SCHOOL TOKAPAL 22152300104
7463 BASTER TOKAPAL KANIYA ASHRAM DONGARIGUDA RANSARGIPAL 22152300105
7464 BASTER TOKAPAL GOVT.M/S CHAPAR BHANPURI 22152300106
7465 BASTER TOKAPAL GOVT PRIMARYSCHOOL SOSANPAL 22152300301
7466 BASTER TOKAPAL GOIVT MIDDIL SCHOOL GUDRAPARA 22152300303
7467 BASTER TOKAPAL GOIVT MIDDIL SCHOOL CHONDIMETAWADA 22152300314
7468 BASTER TOKAPAL GOVT PRIMERY SCHOOL NAINNAR PATELPARA 22152300315
7469 BASTER TOKAPAL GOVT. MIDDIL SCHOOL BHEJRIPADAR 22152300317
7470 BASTER TOKAPAL GAYAN JOYTI MARIGUDRA 22152300319
7471 BASTER TOKAPAL GOVT. MIDDIL SCHOOLDIMRAPAL 22152300322
7472 BASTER TOKAPAL K.G.B.V. BADE MORATHPAL 22152300323
7473 BASTER TOKAPAL GOVT PRIMERI SCHOOL KOTWARPARA KURUSPAL 22152300326
7474 BASTER TOKAPAL GOVT PRIMERY SCHOOL RAMAPARA 22152300327
7475 BASTER TOKAPAL GOVT PRIMERY SCHOOL SOSANPAL 22152300329
7476 BASTER TOKAPAL GOVT PRIMERY SCHOOL CHOTEPARAKOT 22152300335
7477 BASTER TOKAPAL GOVT PRIMERY SCHOOL NANDUPARA KAMDEV KURUSHPAL
22152300338
7478 BASTER TOKAPAL GOVT PRIMERY SCHOOL BUDUPARA 22152300339
7479 BASTER TOKAPAL GOVT PRIMERY SCHOOL HIRMAPARA KARANGI 22152300343
7480 BASTER TOKAPAL GOVT PRIMERI SCHOOL TANDPAL 22152300401
7481 BASTER TOKAPAL GYAN JOTI PRIMERY SCHOOL JADAKONTA 22152300406
7482 BASTER TOKAPAL GOVT PRIMERY SCHOOL BADEPARA RANSARGIPAL 22152300407
7483 BASTER TOKAPAL GOVT MIDDIL SCHOOL BADEPARA RANSARGIPAL 22152300411
7484 BASTER TOKAPAL GOVT. A.B.A.S. KHONGAPANI 22152300412
7485 BASTER TOKAPAL GOVT PRIMERY SCHOOL BURUNGPAL SANDHIPARA 22152300415
7486 BASTER TOKAPAL GOVT H.S.S. TOKAPAL 22152300501
7487 BASTER TOKAPAL GOVT. PS. PUJARIPARA GUMIYAPAL 22152300508
7488 BASTER TOKAPAL GOVT PRIMARY SCHOOL KANAKURUSHPAL 22152300601
7489 BASTER TOKAPAL GOVT PRIMERI SCHOOL KADAMGUDA 22152300602
7490 BASTER TOKAPAL GOVT PRIMARY SCHOOL KESHLUR 22152300701
7491 BASTER TOKAPAL GYAN JOYTI PATELPARA UDWA 22152300702
7492 BASTER TOKAPAL GOVT PRIMERY SCHOOL GUDIPARA PARAKOT 22152300704
7493 BASTER TOKAPAL GOVT MARIYA SCHOOL UDWA PATELPARA 22152300706
7494 BASTER TOKAPAL GOVT PRIMERY SCHOOL PALWA 22152300711
7495 BASTER TOKAPAL GOVT PRIMERY SCHOOL PALWA 22152300712
7496 BASTER TOKAPAL GOVT PRIMARY SCHOOL SOSANPAL 22152300801
7497 BASTER TOKAPAL GOVT PRIMARY SCHOOL RAUTPARA 22152300802
7498 BASTER TOKAPAL GOVT PRIMARY SCHOOL BAZARPARA TOKAPAL 22152300901
7499 BASTER TOKAPAL GOVT PRIMERY SCHOOL BHIMKASHAPARA 22152300902
7500 BASTER TOKAPAL GOVT PRIMARY SCHOOL JARBANPARA 22152301101
7501 BASTER TOKAPAL GOVT PRIMERY SCHOOL DENGPARA 22152301102
7502 BASTER TOKAPAL GOVT MODEL SCHOOL (RMSA) 22152301103
7503 BASTER TOKAPAL GOVT PRIMARY SCHOOL CHONDIMETWDA 22152301201
7504 BASTER TOKAPAL GOVT MIDDIL SCHOOL PUJARIPARA 22152301202
7505 BASTER TOKAPAL GOVT MIDDIL SCHOOL GUNDERPARA 22152301203
7506 BASTER TOKAPAL PRIMARY SCHOOL KONDALUR 22152301301
7507 BASTER TOKAPAL GOVT UPAR PRIMERY SCHOOL KONDALUR 22152301302
7508 BASTER TOKAPAL GOVT MIDDIL SCHOOL KONDALUR 22152301401
7509 BASTER TOKAPAL GOVT PRIMERY SCHOOL PUJARIPARA SALEPAL 22152301403
7510 BASTER TOKAPAL GYANJYOTI BHATAPARA 22152301404
7511 BASTER TOKAPAL GOVT PS DHAKADPARA 22152301405
7512 BASTER TOKAPAL PRIMARY SCHOOL TOTAR 22152301501
7513 BASTER TOKAPAL GOVT PS ATARPARA 22152301601
7514 BASTER TOKAPAL GOVT PRIMERY KOTWARPARA MATKOT 22152301603
7515 BASTER TOKAPAL GOVT UPAR PRIMERY TOTAR 22152301604
7516 BASTER TOKAPAL GOVT MIDDIL SCHOOL SOSANPAL 22152301605
7517 BASTER TOKAPAL GOVT MIDDIL SCHOOL PARPA 22152301606
7518 BASTER TOKAPAL GOVT PRIMERY SCHOOL BADEARAPUR 22152301607
7519 BASTER TOKAPAL PRIMARY SCHOOL SONARPAL 22152301701
7520 BASTER TOKAPAL PS TIKRADHNORA 22152301801
7521 BASTER TOKAPAL GOVT PRIMERY KANIYA SHALA TOKAPAL 22152301901
7522 BASTER TOKAPAL GOVT PRIMARY SCHOOL SATIYAGUDA 22152302001
7523 BASTER TOKAPAL GOVT PS GHATDHANORA 22152302101
7524 BASTER TOKAPAL GOVT PRIMARY SCHOOL PADARGUDA 22152302201
7525 BASTER TOKAPAL GOVT PRIMERY SCHOOL ARRKOT 22152302301
7526 BASTER TOKAPAL GOVT PS GHATSARGIPAL 22152302302
7527 BASTER TOKAPAL GOVT PRIMERY SCHOOL MADIYAPARA 22152302303
7528 BASTER TOKAPAL GOVT MIDDIL SCHOOL BADEPARAKOT 22152302304
7529 BASTER TOKAPAL GOVT PRIMARY SCHOOL NAWAGAON 22152302401
7530 BASTER TOKAPAL GOVT PRIMARY SCHOOL BAGHANPAL 22152302501
7531 BASTER TOKAPAL GOVT MIDDIL SCHOOL BAGHANPAL 22152302502
7532 BASTER TOKAPAL GOVT PRIMARY SCHOOL BOTABODNA 22152302601
7533 BASTER TOKAPAL PRIMARY SCHOOL DONGRIKATA 22152302602
7534 BASTER TOKAPAL GOVT PRIMARY SCHOOL IRIKPAL 22152302701
7535 BASTER TOKAPAL GOVT PRIMERY SCHOOL PANDUPARA 22152302802
7536 BASTER TOKAPAL GOVT PRIMARY SCHOOL BHEJARIPADAR 22152302901
7537 BASTER TOKAPAL GOVT PS GUDAPSARA 22152303001
7538 BASTER TOKAPAL GOVT PRIMARY SCHOOL PATELPARA NAINMUR 22152303101
7539 BASTER TOKAPAL GOVT MIDDIL SCHOOL ARRKOT 22152303103
7540 BASTER TOKAPAL GOVT MIDDIL SCHOOL MATKOT 22152303201
7541 BASTER TOKAPAL GOVT PRIMERY SCHOOL KAMDEVKURUSHPAL 22152303202
7542 BASTER TOKAPAL KANIST PRIMARY SCHOOL 22152303301
7543 BASTER TOKAPAL GOVT MIDDIL SCHOOL TARAIGUDA 22152303302
7544 BASTER TOKAPAL GOVT PRIMERY SCHOOL DEWAPARA NAINNAR 22152303401
7545 BASTER TOKAPAL GOVT PRIMARY SCHOOL GUDRAPARA RAIKOT 22152303501
7546 BASTER TOKAPAL GOVT MIDDIL SCHOOL NAINMOOR 22152303601
7547 BASTER TOKAPAL GOVT PRIMARY SCHOOL KOTWARPARA 22152303701
7548 BASTER TOKAPAL GOVT PRIMERY SCHOOL MARIGUDA MATKOT 22152303702
7549 BASTER TOKAPAL GOVT PRIMERY SCHOOL SODIPARA RAIKOT 22152303801
7550 BASTER TOKAPAL GOVT PRIMARY SCHOOL KALEPAL 22152303901
7551 BASTER TOKAPAL GOVT PRIMARY SCHOOL BANGAPARA 22152303902
7552 BASTER TOKAPAL GOVT PRIMERY SCHOOL KALEPAL 22152303903
7553 BASTER TOKAPAL GOVT MIDDIL SCHOOL KALEPAL 22152303904
7554 BASTER TOKAPAL GOVT PRIMARY SCHOOL PATELPARA BURNGPAL 22152304001
7555 BASTER TOKAPAL GOVT PRIMERY SCHOOL DONGARIGUDA 22152304101
7556 BASTER TOKAPAL GOVT PRIMERY SCHOOL MAWALIBHATA 22152304102
7557 BASTER TOKAPAL GOVT PRIMARY SCHOOL TELIMARENGA 22152304201
7558 BASTER TOKAPAL GOVT PARIMERY SCHOOL NAGAPARA 22152304202
7559 BASTER TOKAPAL GOVT.M/S SAKARGAON 22152304203
7560 BASTER TOKAPAL GOVT.SAYUKT ASHRAM MAWLIBHATA 22152304204
7561 BASTER TOKAPAL GOVT PRIMARY SCHOOLGUDRAMARENGA 22152304301
7562 BASTER TOKAPAL GOVT PRIMARY SCHOOL BADEMARENGA 22152304401
7563 BASTER TOKAPAL GOVT MIDDIL SCHOOL BADEMARENGA 22152304402
7564 BASTER TOKAPAL GOVT PRIMARY SCHOOL DABRIGUDA 22152304501
7565 BASTER TOKAPAL GOVT UPPAR PRIMERY SCHOOL DABRIGUDA 22152304502
7566 BASTER TOKAPAL GTOVT PRIMERY SCHOOL TAHAKAPAL 22152304601
7567 BASTER TOKAPAL GOVT PRIMARY SCHOOL SURIBHATA 22152304602
7568 BASTER TOKAPAL GOVT KANIYA ASHARAM SHALA RAJOOR 22152304703
7569 BASTER TOKAPAL GOVT PRIMERY SCHOOL JUNAPANI 22152304704
7570 BASTER TOKAPAL GOVT PRIMERY SCHOOL PANKAPARA 22152304705
7571 BASTER TOKAPAL GOVT PRIMERY SCHOOL MUSARIGUDA 22152305001
7572 BASTER TOKAPAL GOVT PRIMARY SCHOOL TARAIGUDA 22152305101
7573 BASTER TOKAPAL GOVT PRIMARY SCHOOLSORRAS PARA RAJOOR 22152305201
7574 BASTER TOKAPAL UP PS CHHAPRATOLA 22152305203
7575 BASTER TOKAPAL GOVT PRIMERY SCHOOL JHITKAGUDA 22152305301
7576 BASTER TOKAPAL GOVT PRIMARY SCHOOL DHURWAPARA BARUPAta 22152305401
7577 BASTER TOKAPAL GOVT PRIMARY SCHOOL BHATTIPARA 22152305403
7578 BASTER TOKAPAL PRIMARY SCHOOL KANDKIPARA 22152305404
7579 BASTER TOKAPAL GOVT P.S. MARIGUDAPARA SIRISHGUDA 22152305405
7580 BASTER TOKAPAL GOVT PRIMARY SCHOOL CHAPARBHANPURI 22152305501
7581 BASTER TOKAPAL GOVT PRIMARY SCHOOL BHAGVAN PARA 22152305601
7582 BASTER TOKAPAL GOVT PRIMERI SCHOOL PUJARIPARA 22152305602
7583 BASTER TOKAPAL PRIMARY SCHOOL SAKARGAON 22152305701
7584 BASTER TOKAPAL GOVT PRIMERY SCHOOL BHIMAPARA 22152305801
7585 BASTER TOKAPAL GOVT PRIMARY SCHOOL SAHUKARPARA 22152305901
7586 BASTER TOKAPAL GOVT. P.S. DONGRIKATA PARA 22152305902
7587 BASTER TOKAPAL GOVT MIDDIL SCHOOL PALWA 22152306001
7588 BASTER TOKAPAL GOVT. M/S GUMIYAPAL 22152306003
7589 BASTER TOKAPAL GOVT MIDDIL SCHOOL DONGRIGUDA RANSARGIPAL 22152306004
7590 BASTER TOKAPAL GOVT PRIMARY SCHOOL DIMRAPAL 22152306104
7591 BASTER TOKAPAL GOVT PRIMERY SCHOOL CHHOTEMORATHPAL PANIGHATPARA
22152306105
7592 BASTER TOKAPAL GOVT PRIMARY SCHOOL 22152306201
7593 BASTER TOKAPAL GOVT. MIDDIL SCHOOL BHADISGAON 22152306202
7594 BASTER TOKAPAL GOVT MIDDIL SCHOOL PODIYAPARA 22152306301
7595 BASTER TOKAPAL GOVT PRIMARY SCHOOL 22152306401
7596 BASTER TOKAPAL GOVT PRIMERY SCHOOL RANSARGIPAL 22152306402
7597 BASTER TOKAPAL GOVT PRIMERY SCHOOL THOTAPARA NAWAGAON 22152306405
7598 BASTER TOKAPAL GOVT PRIMARY SCHOOL BHALUGUDA 22152306501
7599 BASTER TOKAPAL GOVT PRIMARY SCHOOL TELANGAARAPUR 22152306601
7600 BASTER TOKAPAL GOVT MIDDIL SCHOOL BAKTIPARA 22152306602
7601 BASTER TOKAPAL MATA RUKMANI ASHRAM P/S DIMRAPAL 22152306603
7602 BASTER TOKAPAL MIDIL SCHOOL ARANDWAL 22152306701
7603 BASTER TOKAPAL GOVT PRIMERY SCHOOL MUNDAPARA 22152306704
7604 BASTER TOKAPAL GOVT PRIMERY SCHOOL SADAKPARA 22152306705
7605 BASTER TOKAPAL GOVT MIDDIL SCHOOL POTANAR 22152306801
7606 BASTER TOKAPAL GOVT PRIMARY SCHOOL ERANDWAL 22152306802
7607 BASTER TOKAPAL GOVT PRIMERY GUDRAPARA 22152306803
7608 BASTER TOKAPAL GOVT PRIMARY SCHOOL DUGANPAL 22152306901
7609 BASTER TOKAPAL GOVT MIDDL SCHOOL BADE ARAPUR 22152306902
7610 BASTER TOKAPAL GOVT PRIMERY SCHOOL TAHAKAPAL 22152306905
7611 BASTER TOKAPAL GOVT MIDDIL SCHOOL NAWAGAON 22152307001
7612 BASTER TOKAPAL GOVT PRIMARY SCHOOL CHOTEARAPUR 22152307101
7613 BASTER TOKAPAL GOVT PRIMERY SCHOOL TULAVTIPARA 22152307102
7614 BASTER TOKAPAL GOVT MIDDIL SCHOOL BHATAGUDA 22152307201
7615 BASTER TOKAPAL GOVT PRIMARY SCHOOL TAKAPARA 22152307202
7616 BASTER TOKAPAL GOVT PRIMERY SCHOOL RAJOOR 22152307301
7617 BASTER TOKAPAL GOVT PRIMARY SCHOOL TUMPANI 22152307401
7618 BASTER TOKAPAL GOVT MIDIL SCHOOL TUMPANI 22152307501
7619 BASTER TOKAPAL GOVT PRIMARY SCHOOL SALEPAL 22152307502
7620 BASTER TOKAPAL GOVT PRIMERY SCHOOL SARGIBHATHA 22152307505
7621 BASTER TOKAPAL GOVT PRIMARY SCHOOL BARUPATA SALEPAL 22152307601
7622 BASTER TOKAPAL GOVT PRIMARY SCHOOL BADEPARA BARUPATA 22152307602
7623 BASTER TOKAPAL GOVT P/S BOYS ASHRAM BARUPATA 22152307603
7624 BASTER TOKAPAL GOVT MIDIL SCHOOL BARUPATA 22152307604
7625 BASTER TOKAPAL GOVT PRIMARY SCHOOL PODIYAPARA 22152307701
7626 BASTER TOKAPAL GOVT PRIMERY SCHOOL GURARAM 22152307801
7627 BASTER TOKAPAL PRIMARY SCHOOL PATELPARA MANDWA 22152307901
7628 BASTER TOKAPAL GOVT PRIMERY KAKADIPADAR 22152308001
7629 BASTER TOKAPAL GOVT PRIMARY SCHOOL MANDWA 22152308101
7630 BASTER TOKAPAL GOVT MIDDIL SCHOOL SINGHANPUR 22152308201
7631 BASTER TOKAPAL GOVT PRIMARY SCHOOL PADARGUDA 22152308401
7632 BASTER TOKAPAL PRIMARY SCHOOL GUMIYAPAL 22152308501
7633 BASTER TOKAPAL GOVT PRIMARY SCHOOL MUNDAPARA 22152308601
7634 BASTER TOKAPAL GOVT PRIMARY SCHOOL TANDPAL (TOTHAPARA) 22152308701
7635 BASTER TOKAPAL GOVT MIDDIL SCHOOL NAINNAR 22152308702
7636 BASTER TOKAPAL GOVT PRIMARY SCHOOL POTANAR 22152308801
7637 BASTER TOKAPAL GOVT MIDDIL SCHOOL DEURGAON 22152308901
7638 BASTER TOKAPAL GOVT MIDDIL SCHOOL DONGRIGUDA 22152309001
7639 BASTER TOKAPAL GOVT PRIMERY SCHOOL NAYAPARA 22152309101
7640 BASTER TOKAPAL GOVT PRIMARY SCHOOL SADAKPARA KARANGI 22152309201
7641 BASTER TOKAPAL GOVT PRIMEY SCHOOL KEWTAPARA TEKAMETA 22152309205
7642 BASTER TOKAPAL GOVT PRIMARY SCHOOL TEKAMETA 22152309401
7643 BASTER TOKAPAL GOVT UPPAR PRIMERY SCHOOL TEKAMETA 22152309402
7644 BASTER TOKAPAL GOVT PRIMARY SCHOOL DHARMAUR 22152309403
7645 BASTER TOKAPAL GOVT PRIMERY SCHOOL DHARMAUR PATELPARA 22152309404
7646 BASTER TOKAPAL GOVT PRIMARY SCHOOL BHATAGUDDA 22152309501
7647 BASTER TOKAPAL GOVT PRIMERY SCHOOL BADEPARAKOT 22152309503
7648 BASTER TOKAPAL GOVT PRIMARY SCHOOL ATARGUDA POTANAR 22152309601
7649 BASTER TOKAPAL GOVT MIDDIL SCHOOL PAKHANARACHA 22152309602
7650 BASTER TOKAPAL GOVT PRIMARY SCHOOL KOHAKAPAL 22152309701
7651 BASTER TOKAPAL GOVT PRIMERY SCHOOL BOGAPARA 22152309702
7652 BASTER TOKAPAL GOVT PRIMARY SCHOOL KURENGA 22152309801
7653 BASTER TOKAPAL GOVT UPAR PRIMERY SCHOOL MANDWA 22152309902
7654 BASTER TOKAPAL GOVT. PRIMERY SCHOOL DURWAPARA MANDWA 22152309903
7655 BASTER TOKAPAL GOVT PRIMERY SCHOOL ATARPARA 22152309904
7656 BASTER TOKAPAL GOVT PRIMERY SCHOOL BURUNGPAL 22152310002
7657 BASTER TOKAPAL GOVT PRIMERY SCHOOL BAJARPARA KARANGI 22152310101
7658 BASTER TOKAPAL GOVT MIDDIL SCHOOL DODARGUDA 22152310103
7659 BASTER TOKAPAL GOVT UPAR PRIMERY SCHOOL DHARMAUR 22152310104
7660 BASTER TOKAPAL GOVT MIDDIL SCHOOL TOKAPAL 22152310302
7661 BASTER TOKAPAL GOVT PRIMERY SCHOOL DONDARGUDA 22152310303
7662 BASTER TOKAPAL GOVT PATELPARA BADEARAUR 22152310304
7663 BASTER TOKAPAL GOVT MIDDIL SCHOOL MAWALIBHATA 22152310402
7664 BASTER TOKAPAL GOVT PRIMARY SCHOOL BAKTAPARA 22152310403
7665 BASTER TOKAPAL GOVT PRIMARY SCHOOL PUJARIPARA 22152310404
7666 BASTER TOKAPAL GOVT PRIMARY SCHOOL PEDAPARA MANDWA 22152310405
7667 BASTER TOKAPAL GOVT PRIMARY SCHOOL UDWA 22152310406
7668 BASTER TOKAPAL GOVT PRIMARY SCHOOL BURUNGPAL 22152310501
7669 BASTER TOKAPAL GOVT BALAK ASHRAM SHALA P/S SALEPAL 22152310502
7670 BASTER TOKAPAL GOVT PARMEDRI SCHOOL PIDEPARA 22152310602
7671 BASTER TOKAPAL GOVT UPAR PRIMERY TOTAR 22152310604
7672 BASTER TOKAPAL PRIMARY SCHOOL TANDPAL KHALEPARA 22152310701
7673 BASTER TOKAPAL GOVT PRIMERY SCHOOL TOHTAPARA TAHAKAPAL 22152310702
7674 BASTER TOKAPAL GOVT MIDDIL SCHOOL TANDPAL 22152310703
7675 BASTER TOKAPAL GOVT PRIMERY SCHOOL PARPA 22152310902
7676 BASTER TOKAPAL GOVT PRIMARY SCHOOL DENGGUDA 22152311202
7677 BASTER TOKAPAL GOVT .PRIMARY SCHOOL PAKHNARCH 22152311203
7678 BASTER TOKAPAL GOVT PRIMARY SCHOOL BANDAPARA 22152311204
7679 BASTER TOKAPAL GOVT PRYMERI SCHOOL CHINDBAHAR 22152311301
7680 BASTER TOKAPAL GOVT PRIMARY SCHOOL BARUPATA 22152311401
7681 BASTER TOKAPAL GOVT P.S. BURJI SAKARGON 22152311601
7682 BASTER TOKAPAL GOVT PRIMERY SCHOOL TARAGAON 22152311603
7683 BASTER TOKAPAL GOVT PRIMERY SCHOOL PATELPARA 22152311604
7684 BASTER TOKAPAL GOVT PRIMARY SCHOOL RAWATPARA BADEARAPUR 22152312001
7685 BASTER TOKAPAL BALAK ASHRAM BURUNGPAL 22152312201
7686 BASTER TOKAPAL GOVT PRIMERY SCHOOL BANDAPARA TUMPANI 22152312301
7687 BASTER TOKAPAL GOVT MIDDIL SCHOOL BURUNPAL 22152312302
7688 BASTER TOKAPAL GOVT PRIMARY SCHOOL BURUNGPAL 22152312303
7689 BASTER TOKAPAL GOVT PRIMARY SCHOOL GATAM 22152312305
7690 BASTER TOKAPAL GOVT PRIMARY SCHOOL MADIYAPARA KURENGA 22152312307
7691 BASTER TOKAPAL GOVT PRIMERY SCHOOL KHASAPARA TOTAR 22152312502
7692 BASTER TOKAPAL GOVT MIDDLE SCHOOL KESHLOOR 22152312503
7693 BASTER TOKAPAL GOVT PRIMARY SCHOOL METAWADFA 22152312601
7694 BASTER TOKAPAL GOVT MIDDIL SCHOOL BHATAPARA GHATDHANORA 22152312803
7695 BASTER TOKAPAL GOVT PRIMARY SCHOOL PATELPARA TUMPANI 22152313001
7696 BASTER TOKAPAL GOVT MIDDIL SCHOOL KURENGA 22152313002
7697 BASTER TOKAPAL GOVT MIDDIL SCHOOL TAHAKAPAL 22152313101
7698 BASTER TOKAPAL GOVT PIYIMERY SCHOOL PUJARIPARA GUMIYAPAL 22152313102
7699 BASTER TOKAPAL GOVT.P/S SAHADUR PARA SIRISGUDA 22152313103
7700 BASTER TOKAPAL GOVT PRIMARY SCHOOL HATAIGUDA 22152313201
7701 BASTER TOKAPAL GOVT PRIMARY SCHOOLMATKOT 22152313802
7702 BASTER TOKAPAL GOVT PRIMERUY SCHOOL BODHAPARA 22152313803
7703 BASTER TOKAPAL GOVT MIDDLE SCHOOL RAIKOT 22152313804
7704 BASTER TOKAPAL GOVT PRIMERY SCHOOL SANDHIPARA 22152313805
7705 BASTER TOKAPAL GOVT PRIMARY SCHOOL KOYPAL 22152313901
7706 BASTER TOKAPAL GOVT MIDDLE SCHOOL KOYPAL 22152313902
7707 BASTER TOKAPAL GOVT PRIMARY SCHOOL BADEMORATPAL 22152314301
7708 BASTER TOKAPAL GOVT. MIDDIL SCHOOL BADE MORATHPAL 22152314302
7709 BASTER TOKAPAL GOVT PRYMERI SCHOOL SINGANPUR 22152314801
7710 BASTER TOKAPAL GOVT PRIMERY SCHOOL DONGARIGUDA 22152315101
7711 BASTER TOKAPAL GOVT PRIMERY SCHOOL RASTRPATIPARA 22152315102
7712 BASTER TOKAPAL GOVT PRIMARY SCHOOL CHEPADAGUDA 22152315701
7713 BASTER TOKAPAL GOVT PRIMARY SCHOOL CHOTE MORATPAL 22152315801
7714 BASTER TOKAPAL GOVT PRIMERY SCHOOL POTANAR GUCHAGUDA 22152315901
7715 BASTER TOKAPAL GOVT PS SAYNKT ASHRAM POTANAR 22152315902
7716 BASTER TOKAPAL GOVT PRIMERY SCHOOL BAMANPARA 22152315905
7717 BASTER TOKAPAL GOVT PRIMARY SCHOOL DEVURGAON 22152316001
7718 BASTER TOKAPAL GOVT PRIMARY SCHOOL MALAPARA 22152316101
7719 BASTER TOKAPAL GOVT.P/S DEGPARA CHAPARBHANPURI 22152316501
7720 BASTER TOKAPAL GOVT. M/S.DEGPARA CHHAPARBHANPURI 22152316502
7721 BASTER TOKAPAL GOVT.M/S SIRISGUDA 22152316503
7722 BASTER TOKAPAL GOVT.MIDDIL SCHOOL MARIGUDA 22152316504
7723 BASTER TOKAPAL GOVT MIDDIL SCHOOL SALEPAL 22152316801
7724 BEMETARA BEMETARA GOVT BOYS PS KHAHNDSARA 22230200101
7725 BEMETARA BEMETARA GOVT GIRLS PS KHANDSARA 22230200102
7726 BEMETARA BEMETARA GOVT MS KHANDSARA 22230200103
7727 BEMETARA BEMETARA GOVT PS GHANADIH 22230200201
7728 BEMETARA BEMETARA GOVT PS KARCHUWA (KH) 22230200301
7729 BEMETARA BEMETARA GOVT MS KARCHUWA (KH) 22230200302
7730 BEMETARA BEMETARA GOVT PS MARTARA 22230200401
7731 BEMETARA BEMETARA GOVT MS MARTARA 22230200402
7732 BEMETARA BEMETARA GOVT PS BANSAPUR 22230200501
7733 BEMETARA BEMETARA GOVT PS MOHTARA 22230200601
7734 BEMETARA BEMETARA GOVT PS LAWATARA 22230200701
7735 BEMETARA BEMETARA GOVT MS LAWATARA (SSA) 22230200703
7736 BEMETARA BEMETARA GOVT NAVIN PS CHAMARI 22230200801
7737 BEMETARA BEMETARA GOVT PS MOTIMPUR 22230200901
7738 BEMETARA BEMETARA GOVT MS MOTIMPUR 22230200902
7739 BEMETARA BEMETARA GOVT MS JEORA 22230201001
7740 BEMETARA BEMETARA GOVT GIRLS PS JEORA 22230201002
7741 BEMETARA BEMETARA GOVT BOYS PS JEORA 22230201003
7742 BEMETARA BEMETARA GOVT GIRLS MS JEORA (SSA) 22230201004
7743 BEMETARA BEMETARA GOVT MS JEEYA 22230201101
7744 BEMETARA BEMETARA GOVT PS JEEYA 22230201102
7745 BEMETARA BEMETARA GOVT MS JEORI 22230201201
7746 BEMETARA BEMETARA GOVT PS JEORI 22230201202
7747 BEMETARA BEMETARA GOVT MS BIJABHAT 22230201301
7748 BEMETARA BEMETARA GOVT PS BIJABHAT 22230201302
7749 BEMETARA BEMETARA GOVT MS JANTA 22230201401
7750 BEMETARA BEMETARA GOVT PS JANTA 22230201402
7751 BEMETARA BEMETARA GOVT MODEL SCHOOL JANTA (RMSA) 22230201403
7752 BEMETARA BEMETARA GOVT MS KODWA 22230201501
7753 BEMETARA BEMETARA GOVT PS KODWA 22230201502
7754 BEMETARA BEMETARA GOVT MS UMARIYA 22230201601
7755 BEMETARA BEMETARA GOVT PS UMARIYA 22230201602
7756 BEMETARA BEMETARA GOVT MS BATAR 22230201701
7757 BEMETARA BEMETARA GOVT PS BATAR 22230201702
7758 BEMETARA BEMETARA GOVT MS KURDA 22230201801
7759 BEMETARA BEMETARA GOVT PS KURDA 22230201802
7760 BEMETARA BEMETARA GOVT MS SEMARIYA 22230201901
7761 BEMETARA BEMETARA GOVT PS SEMARIYA 22230201902
7762 BEMETARA BEMETARA GOVT MS HEMABAND 22230202001
7763 BEMETARA BEMETARA GOVT PS HEMABAND 22230202002
7764 BEMETARA BEMETARA GOVT MS LOLESARA 22230202101
7765 BEMETARA BEMETARA GOVT PS LOLESARA 22230202102
7766 BEMETARA BEMETARA GOVT MS BAHERA (KAR) 22230202201
7767 BEMETARA BEMETARA GOVT PS BAHERA (KAR) 22230202202
7768 BEMETARA BEMETARA GOVT MS JHAL 22230202301
7769 BEMETARA BEMETARA GOVT PS JHAL 22230202302
7770 BEMETARA BEMETARA GOVT MS BILAI 22230202401
7771 BEMETARA BEMETARA GOVT PS BILAI 22230202402
7772 BEMETARA BEMETARA GOVT MS NARI 22230202501
7773 BEMETARA BEMETARA GOVT PS NARI 22230202502
7774 BEMETARA BEMETARA GOVT MS BHANSULI 22230202601
7775 BEMETARA BEMETARA GOVT PS BHANSULI 22230202602
7776 BEMETARA BEMETARA GOVT MS KHAMHI 22230202701
7777 BEMETARA BEMETARA GOVT GIRLS PS KHAMHI 22230202702
7778 BEMETARA BEMETARA GOVT BOYS PS KHAMHI 22230202703
7779 BEMETARA BEMETARA GOVT NAVIN MS PENDRITARAI 22230202801
7780 BEMETARA BEMETARA GOVT PS PANDRITARAI 22230202802
7781 BEMETARA BEMETARA GOVT MS CHANDANU 22230202901
7782 BEMETARA BEMETARA GOVT PS CHANDANU 22230202902
7783 BEMETARA BEMETARA GOVT MS KHAMAHRIYA 22230203001
7784 BEMETARA BEMETARA GOVT PS KHAMAHRIYA 22230203002
7785 BEMETARA BEMETARA GOVT MS MAU 22230203101
7786 BEMETARA BEMETARA GOVT PS MAU 22230203102
7787 BEMETARA BEMETARA GOVT MS TUMA 22230203201
7788 BEMETARA BEMETARA GOVT PS TUMA 22230203202
7789 BEMETARA BEMETARA GOVT MS MOHRENGA 22230203401
7790 BEMETARA BEMETARA GOVT PS MOHRENGA 22230203402
7791 BEMETARA BEMETARA GOVT MS KHAIRJHITI 22230203501
7792 BEMETARA BEMETARA GOVT PS KHAIRJHITI 22230203502
7793 BEMETARA BEMETARA GOVT MS KUSMI 22230203601
7794 BEMETARA BEMETARA GOVT PS KUSMI 22230203602
7795 BEMETARA BEMETARA GOVT MS BAIJALPUR 22230203701
7796 BEMETARA BEMETARA GOVT PS BAIJALPUR 22230203702
7797 BEMETARA BEMETARA GOVT MS NINWA 22230203801
7798 BEMETARA BEMETARA GOVT PS NINWA 22230203802
7799 BEMETARA BEMETARA GOVT MS UGHARA 22230203901
7800 BEMETARA BEMETARA GOVT PS UGHARA 22230203902
7801 BEMETARA BEMETARA GOVT MS KOBIYA 22230204101
7802 BEMETARA BEMETARA GOVT PS KOBIYA 22230204102
7803 BEMETARA BEMETARA GOVT UTTAR BUNAIYADI SHALLA 22230204205
7804 BEMETARA BEMETARA GOVT GIRLS MS BEMETARA 22230204206
7805 BEMETARA BEMETARA GOVT BOYS MS BEMETARA 22230204207
7806 BEMETARA BEMETARA GOVT BOYS ABHYAS SHALA 22230204210
7807 BEMETARA BEMETARA KASTURBA GANDHI BALIKA VIDYALA 22230204213
7808 BEMETARA BEMETARA GOVT PS VIDHYANAGAR WARD 1 22230204220
7809 BEMETARA BEMETARA GOVT MS CHHIRHA 22230204301
7810 BEMETARA BEMETARA BOYS PS CHHIRHA 22230204302
7811 BEMETARA BEMETARA GIRLS PS CHHIRHA 22230204303
7812 BEMETARA BEMETARA GOVT MS KATHOUTIYA 22230204401
7813 BEMETARA BEMETARA GOVT PS KATHOUTIYA 22230204402
7814 BEMETARA BEMETARA GOVT NAVIN PS KATHOUTIYA 22230204403
7815 BEMETARA BEMETARA GOVT PS SONPURI (CHHI) 22230204501
7816 BEMETARA BEMETARA GOVT MS SONPURI (CHHI) 22230204502
7817 BEMETARA BEMETARA GOVT MS BAIHARSARI 22230204601
7818 BEMETARA BEMETARA GOVT PS BAIHARSARI 22230204602
7819 BEMETARA BEMETARA GOVT PS MAJGAON 22230204702
7820 BEMETARA BEMETARA GOVT MS MAJGAON (SSA) 22230204703
7821 BEMETARA BEMETARA GOVT MS CHARGAWA 22230204801
7822 BEMETARA BEMETARA GOVT PS CHARGAWA 22230204802
7823 BEMETARA BEMETARA GOVT MS SUKHATAL 22230204901
7824 BEMETARA BEMETARA GOVT PS SUKHATAL 22230204902
7825 BEMETARA BEMETARA GOVT GIRLS MS DADHI 22230205001
7826 BEMETARA BEMETARA GOVT BOYS MS DADHI 22230205002
7827 BEMETARA BEMETARA GOVT BOYS PS DADHI 22230205004
7828 BEMETARA BEMETARA GOVT GIRLS PS DADHI 22230205007
7829 BEMETARA BEMETARA GOVT PS NAYAPARA DADHI (SSA) 22230205008
7830 BEMETARA BEMETARA GOVT SANLAGNA MS PACHBHAIYA 22230205101
7831 BEMETARA BEMETARA GOVT PS PACHBHAIYA 22230205103
7832 BEMETARA BEMETARA GOVT PS BALSAMUND 22230205201
7833 BEMETARA BEMETARA GOVT MS BALSAMUND 22230205202
7834 BEMETARA BEMETARA GOVT PS JOGIPUR 22230205301
7835 BEMETARA BEMETARA GOVT MS JOGIPUR (SSA) 22230205302
7836 BEMETARA BEMETARA GOVT PS RAURPUR 22230205401
7837 BEMETARA BEMETARA GOVT PS ANDU 22230205501
7838 BEMETARA BEMETARA GOVT MS ANDU (SSA) 22230205502
7839 BEMETARA BEMETARA GOVT PS GHATOLI 22230205601
7840 BEMETARA BEMETARA GOVT PS KATALBOD 22230205701
7841 BEMETARA BEMETARA GOVT PS BHOTHIDIH 22230205801
7842 BEMETARA BEMETARA GOVT MS BHOTHIDIH (SSA) 22230205802
7843 BEMETARA BEMETARA GOVT PS PURAN 22230205901
7844 BEMETARA BEMETARA GOVT PS USLAPUR 22230206001
7845 BEMETARA BEMETARA GOVT PS KHUDMUDI 22230206101
7846 BEMETARA BEMETARA GOVT MS KHUDMUDI (SSA) 22230206102
7847 BEMETARA BEMETARA GOVT PS PENDRI 22230206201
7848 BEMETARA BEMETARA GOVT PS JHIRIYA 22230206301
7849 BEMETARA BEMETARA GOVT MS JHIRIYA (SSA) 22230206302
7850 BEMETARA BEMETARA GOVT PS DHANELI 22230206401
7851 BEMETARA BEMETARA GOVT PS BAGAOD 22230206501
7852 BEMETARA BEMETARA GOVT PS POUSARI 22230206601
7853 BEMETARA BEMETARA GOVT MS POUSARI (SSA) 22230206602
7854 BEMETARA BEMETARA GOVT PS MUNARBOD 22230206701
7855 BEMETARA BEMETARA GOVT MS MUNARBOD (SSA) 22230206702
7856 BEMETARA BEMETARA GOVT PS BORIYA 22230206801
7857 BEMETARA BEMETARA GOVT MS SINGHORI 22230206901
7858 BEMETARA BEMETARA GOVT PS SINGHORI 22230206902
7859 BEMETARA BEMETARA GOVT PS BAWAMOHTARA 22230207001
7860 BEMETARA BEMETARA GOVT MS BAWAMOHTARA 22230207002
7861 BEMETARA BEMETARA GOVT PS BHOENABHATA 22230207101
7862 BEMETARA BEMETARA GOVT PS MUNDPAR 22230207201
7863 BEMETARA BEMETARA GOVT PS PIPERBHATTA 22230207301
7864 BEMETARA BEMETARA GOVT MS PIPERBHATTA (SSA) 22230207302
7865 BEMETARA BEMETARA GOVT PS TENDUBHATA 22230207401
7866 BEMETARA BEMETARA GOVT PS BAHERA (KAR) 22230207501
7867 BEMETARA BEMETARA GOVT PS NAWAGAON (KHUD) 22230207601
7868 BEMETARA BEMETARA GOVT PS BHAISA 22230207701
7869 BEMETARA BEMETARA GOVT MS BHAISA (SSA) 22230207702
7870 BEMETARA BEMETARA GOVT PS DHARA 22230207801
7871 BEMETARA BEMETARA GOVT MS DHARA (SSA) 22230207802
7872 BEMETARA BEMETARA GOVT PS NAWALPUR 22230207901
7873 BEMETARA BEMETARA GOVT PS CHHITAPAR 22230208001
7874 BEMETARA BEMETARA GOVT MS CHHITAPAR (SSA) 22230208002
7875 BEMETARA BEMETARA GOVT PS SANKAPAT 22230208102
7876 BEMETARA BEMETARA GOVT PS BAIJI (L) 22230208201
7877 BEMETARA BEMETARA GOVT MS KANTELI (SSA) 22230208302
7878 BEMETARA BEMETARA GOVT PS KANTELI 22230208303
7879 BEMETARA BEMETARA GOVT PS SAWATPUR 22230208401
7880 BEMETARA BEMETARA GOVT PS RAJKUDI 22230208501
7881 BEMETARA BEMETARA GOVT MS RAJKUDI (SSA) 22230208502
7882 BEMETARA BEMETARA GOVT PS BHINPURI 22230208601
7883 BEMETARA BEMETARA GOVT PS HATHMUDI 22230208701
7884 BEMETARA BEMETARA GOVT MS HATHMUDI (SSA) 22230208702
7885 BEMETARA BEMETARA GOVT PS BHURKI 22230208801
7886 BEMETARA BEMETARA GOVT PS DUDA 22230208901
7887 BEMETARA BEMETARA GOVT PS OTEBAND 22230209001
7888 BEMETARA BEMETARA GOVT PS PATHRRA 22230209101
7889 BEMETARA BEMETARA GOVT PS JONG 22230209201
7890 BEMETARA BEMETARA GOVT PS BASNI 22230209301
7891 BEMETARA BEMETARA GOVT PS TALA 22230209401
7892 BEMETARA BEMETARA GOVT MS TALA (SSA) 22230209402
7893 BEMETARA BEMETARA GOVT PS DHOKLA 22230209501
7894 BEMETARA BEMETARA GOVT PS ARJUNI 22230209601
7895 BEMETARA BEMETARA GOVT MS ARJUNI (SSA) 22230209602
7896 BEMETARA BEMETARA GOVT PS BAHINGA 22230209701
7897 BEMETARA BEMETARA GOVT PS KARHI 22230209801
7898 BEMETARA BEMETARA GOVT MS KARHI (SSA) 22230209802
7899 BEMETARA BEMETARA GOVT PS MOHLAI 22230209901
7900 BEMETARA BEMETARA GOVT PS KHILORA 22230210001
7901 BEMETARA BEMETARA GOVT MS KHILORA (SSA) 22230210003
7902 BEMETARA BEMETARA GOVT PS TELAIKUDA 22230210101
7903 BEMETARA BEMETARA GOVT MS TELAIKUDA (SSA) 22230210102
7904 BEMETARA BEMETARA GOVT PS FARI 22230210201
7905 BEMETARA BEMETARA GOVT PS GUNARBOD 22230210301
7906 BEMETARA BEMETARA GOVT PS CHORBHATTI 22230210401
7907 BEMETARA BEMETARA GOVT PS MATKA 22230210501
7908 BEMETARA BEMETARA GOVT MS MATKA (SSA) 22230210502
7909 BEMETARA BEMETARA GOVT PS AMORA 22230210601
7910 BEMETARA BEMETARA GOVT PS MARJADPUR 22230210701
7911 BEMETARA BEMETARA GOVT PS BAHARBOD 22230210801
7912 BEMETARA BEMETARA GOVT PS CHILFI 22230210901
7913 BEMETARA BEMETARA GOVT PS KAPA 22230211001
7914 BEMETARA BEMETARA GOVT PS BERA 22230211201
7915 BEMETARA BEMETARA GOVT MS BERA (SSA) 22230211203
7916 BEMETARA BEMETARA GOVT NAVIN PS BIRAMPUR 22230211301
7917 BEMETARA BEMETARA GOVT PS UDTALA 22230211401
7918 BEMETARA BEMETARA GOVT PS NAWAGAONKALA 22230211501
7919 BEMETARA BEMETARA GOVT MS NAWAGAONKALA (SSA) 22230211502
7920 BEMETARA BEMETARA GOVT PS NAGPURA 22230211601
7921 BEMETARA BEMETARA GOVT MS NAGPURA (SSA) 22230211603
7922 BEMETARA BEMETARA GOVT PS GANGPUR 22230211701
7923 BEMETARA BEMETARA GOVT PS GORAKHPUR 22230211801
7924 BEMETARA BEMETARA GOVT PS JANGALPUR 22230211901
7925 BEMETARA BEMETARA GOVT MS JANGALPUR (SSA) 22230211903
7926 BEMETARA BEMETARA GOVT PS NAWRANGPUR 22230212001
7927 BEMETARA BEMETARA GOVT PS DEWGAON 22230212101
7928 BEMETARA BEMETARA GOVT PS BANDHI 22230212201
7929 BEMETARA BEMETARA GOVT MS BANDHI (SSA) 22230212203
7930 BEMETARA BEMETARA GOVT PS BHAISBODKALA 22230212301
7931 BEMETARA BEMETARA GOVT PS SURKI 22230212401
7932 BEMETARA BEMETARA GOVT PS NAWAGAON 22230212501
7933 BEMETARA BEMETARA GOVT PS BHAWARDA 22230212601
7934 BEMETARA BEMETARA GOVT PS AMLIDIH 22230212701
7935 BEMETARA BEMETARA GOVT MS AMLIDIH (SSA) 22230212702
7936 BEMETARA BEMETARA GOVT PS PIKARI 22230212801
7937 BEMETARA BEMETARA GOVT MS PIKARI 22230212802
7938 BEMETARA BEMETARA GOVT NAVIN PS WARD4 BEMETARA 22230213002
7939 BEMETARA BEMETARA GOVT NAVIN PS WARD 12 BEMETARA 22230213101
7940 BEMETARA BEMETARA GOVT NAVIN PS WARD 11 BEMETARA 22230213201
7941 BEMETARA BEMETARA GOVT GIRLS ABHYAS PS BEMETARA 22230213401
7942 BEMETARA BEMETARA GOVT GIRLS MS BEMETARA 3 (SSA) 22230213402
7943 BEMETARA BEMETARA GOVT PS MOHBHATTA 22230213501
7944 BEMETARA BEMETARA GOVT PS MODHE 22230213601
7945 BEMETARA BEMETARA GOVT PS BIRSINGHI 22230213701
7946 BEMETARA BEMETARA GOVT PS SARANGPUR 22230213801
7947 BEMETARA BEMETARA GOVT MS SARANGPUR (SSA) 22230213802
7948 BEMETARA BEMETARA GOVT PS CHARGHAT 22230213901
7949 BEMETARA BEMETARA GOVT PS GIDHWA 22230214001
7950 BEMETARA BEMETARA GOVT PS DAMAIDIH 22230214101
7951 BEMETARA BEMETARA GOVT PS AMCHO 22230214301
7952 BEMETARA BEMETARA GOVT PS LALPUR 22230214401
7953 BEMETARA BEMETARA GOVT MS LALPUR (SSA) 22230214402
7954 BEMETARA BEMETARA GOVT PS MANDAI 22230214501
7955 BEMETARA BEMETARA GOVT PS KARAMTARA 22230214601
7956 BEMETARA BEMETARA GOVT PS PARASWARA 22230214701
7957 BEMETARA BEMETARA GOVT PS MURKI 22230214801
7958 BEMETARA BEMETARA GOVT PS KEWACHHI 22230214901
7959 BEMETARA BEMETARA GOVT MS KEWACHHI (SSA) 22230214902
7960 BEMETARA BEMETARA GOVT PS BAHUNAWAGAON 22230215001
7961 BEMETARA BEMETARA GOVT PS SIRWABANDHA 22230215101
7962 BEMETARA BEMETARA GOVT MS SIRWABANDHA (SSA) 22230215102
7963 BEMETARA BEMETARA GOVT PS CHARBHATTA 22230215201
7964 BEMETARA BEMETARA GOVT PS PANDARBHATTA 22230215301
7965 BEMETARA BEMETARA GOVT MS PANDARBHATTA (SSA) 22230215303
7966 BEMETARA BEMETARA GOVT PS DHOLIYA 22230215401
7967 BEMETARA BEMETARA GOVT MS DHOLIYA (SSA) 22230215402
7968 BEMETARA BEMETARA GOVT PS SINGPUR 22230215501
7969 BEMETARA BEMETARA GOVT PS ATARIYA 22230215601
7970 BEMETARA BEMETARA GOVT MS ATARIYA (SSA) 22230215603
7971 BEMETARA BEMETARA GOVT PS DHANGAON 22230215701
7972 BEMETARA BEMETARA GOVT MS DHANGAON (SSA) 22230215702
7973 BEMETARA BEMETARA GOVT PS JHALAM 22230215801
7974 BEMETARA BEMETARA GOVT PS KOSA 22230215901
7975 BEMETARA BEMETARA GOVT PS MARKA 22230216001
7976 BEMETARA BEMETARA GOVT MS MARKA (SSA) 22230216003
7977 BEMETARA BEMETARA GOVT PS SINGHANPURI 22230216101
7978 BEMETARA BEMETARA GOVT PS BARADERA 22230216201
7979 BEMETARA BEMETARA GOVT MS BARADERA (SSA) 22230216202
7980 BEMETARA BEMETARA GOVT PS KHAPRI 22230216301
7981 BEMETARA BEMETARA GOVT PS RAVELI 22230216401
7982 BEMETARA BEMETARA GOVT MS RAVILI (SSA) 22230216403
7983 BEMETARA BEMETARA GOVT PS MUTPURI 22230216501
7984 BEMETARA BEMETARA GOVT MS MUTPURI (SSA) 22230216502
7985 BEMETARA BEMETARA GOVT PS KESHTARA 22230216601
7986 BEMETARA BEMETARA GOVT PS BITKULI 22230216701
7987 BEMETARA BEMETARA GOVT MS BITKULI (SSA) 22230216702
7988 BEMETARA BEMETARA GOVT PS MULMULA 22230216801
7989 BEMETARA BEMETARA GOVT MS MULMULA (SSA) 22230216803
7990 BEMETARA BEMETARA GOVT PS NAWAGAON (KARN) 22230216901
7991 BEMETARA BEMETARA GOVT MS NAWAGAON (KARN) (SSA) 22230216902
7992 BEMETARA BEMETARA GOVT PS KARANJIYA 22230217001
7993 BEMETARA BEMETARA GOVT PS MUNGELI 22230217101
7994 BEMETARA BEMETARA GOVT PS BOHARDIH (SSA) 22230217401
7995 BEMETARA BEMETARA GOVT PS ADBANDHA (SSA) 22230217501
7996 BEMETARA BEMETARA GOVT PS NEVASPUR (SSA) 22230217601
7997 BEMETARA BEMETARA GOVT PS BHAISBODKHURD (SSA) 22230217701
7998 BEMETARA BEMETARA GOVT PS BETAR 22230217801
7999 BEMETARA BEMETARA GOVT PS DAMAPUR (SSA) 22230219001
8000 BEMETARA BEMETARA GOVT MS DAMAPUR (SSA) 22230219002
8001 BEMETARA BEMETARA GOVT PS BADUWAKAPA (SSA) 22230219101
8002 BEMETARA BEMETARA GOVT PS TARKE (SSA) 22230219201
8003 BEMETARA BEMETARA GOVT PS GHOREGHAT (SSA) 22230219301
8004 BEMETARA BEMETARA GOVT PS BIRAMPUR 22230219401
8005 BEMETARA BEMETARA GOVT PS SURUNGDAHRA (SSA) 22230219501
8006 BEMETARA BEMETARA GOVT PS MAJGAON 22230219701
8007 BEMETARA BEMETARA GOVT PS PADKIDIH (SSA) 22230219902
8008 BEMETARA BEMETARA GOVT PS NAYAPARA BORIYA (SSA) 22230220101
8009 BEMETARA BEMETARA GOVT PS SONPURI (POS) 22230220201
8010 BEMETARA BEMETARA GOVT PS NAYAPARA BAGAOD (SSA) 22230220301
8011 BEMETARA BEMETARA GOVT PS BAWAGHATOLI 22230220401
8012 BEMETARA BEMETARA GOVT MS BAWAGHATOLI (SSA) 22230220402
8013 BEMETARA BEMETARA GOVT PS BAIJI 22230220501
8014 BEMETARA BEMETARA GOVT PS NAVIN PENDRI 22230220601
8015 BEMETARA BEMETARA GOVT PS SANKAPAT 22230220701
8016 BEMETARA BEMETARA GOVT MS SANKAPAT 22230220702
8017 BEMETARA BEMETARA GOVT PS JHAJHADIH (SSA) 22230220901
8018 BEMETARA BEMETARA GOVT PS GHATHOLI (N) (SSA) 22230221401
8019 BEMETARA BEMETARA GOVT MS GHATHOLI (N) (SSA) 22230221402
8020 BEMETARA BEMETARA GOVT PS KARCHUWA (N) 22230221501
8021 BEMETARA BEMETARA GOVT MS KARCHUWA (N) (SSA) 22230221502
8022 BEMETARA BEMETARA GOVT PS BIRAMPUR (B) 22230221701
8023 BEMETARA BEMETARA GOVT PS GANGPUR (B) 22230221801
8024 BEMETARA BERLA GOVT PS BHIMBHOURI 22230300101
8025 BEMETARA BERLA GOVT GIRLS PS BHIMBHORI 22230300102
8026 BEMETARA BERLA GOVT MS JHADU RAM SAHU BHIMBHORI 22230300103
8027 BEMETARA BERLA GOVT MS KHUDMUDI 22230300201
8028 BEMETARA BERLA GOVT PS KHUDMUDI 22230300202
8029 BEMETARA BERLA GOVT PS DEVSARA 22230300301
8030 BEMETARA BERLA GOVT PS KUMHI (SILGHAT) 22230300401
8031 BEMETARA BERLA GOVT MS KUMHI (SILGHAT) (SSA) 22230300402
8032 BEMETARA BERLA GOVT MS SILGHAT 22230300501
8033 BEMETARA BERLA GOVT PS SILGHAT 22230300502
8034 BEMETARA BERLA GOVT PS NEW DHABA 22230300601
8035 BEMETARA BERLA GOVT MS NEW DHABA (SSA) 22230300603
8036 BEMETARA BERLA GOVT PS PIRDA 22230300701
8037 BEMETARA BERLA GOVT MS PIRDA (SSA) 22230300702
8038 BEMETARA BERLA GOVT PS KOTA 22230300801
8039 BEMETARA BERLA GOVT MS HARDI 22230300901
8040 BEMETARA BERLA GOVT PS HARDI 22230300902
8041 BEMETARA BERLA GOVT PS PURANA DABA 22230301001
8042 BEMETARA BERLA GOVT MS KHISORA 22230301101
8043 BEMETARA BERLA GOVT PS KHISORA 22230301102
8044 BEMETARA BERLA GOVT PS PARDHI PARA KHISORA (SSA) 22230301103
8045 BEMETARA BERLA GOVT MS BACHEDI 22230301201
8046 BEMETARA BERLA GOVT PS BACHEDI 22230301202
8047 BEMETARA BERLA GOVT MS DANGANIYA (KHA) (SSA) 22230301301
8048 BEMETARA BERLA GOVT PS DANGANIYA (KHA) 22230301302
8049 BEMETARA BERLA GOVT MS KODWA 22230301401
8050 BEMETARA BERLA GOVT PS KODWA 22230301402
8051 BEMETARA BERLA GOVT PS KUMHIGUDA 22230301501
8052 BEMETARA BERLA GOVT PS CHONGI KHAPRI 22230301601
8053 BEMETARA BERLA GOVT PS NARDHI 22230301701
8054 BEMETARA BERLA GOVT PS BUDERA 22230301801
8055 BEMETARA BERLA GOVT MS KESHDABRI (SSA) 22230301902
8056 BEMETARA BERLA GOVT PS KESHDABRI 22230301903
8057 BEMETARA BERLA GOVT PS CHIKALA 22230302001
8058 BEMETARA BERLA GOVT MS SALDHA 22230302101
8059 BEMETARA BERLA GOVT PS SALDHA 22230302102
8060 BEMETARA BERLA GOVT PS DADJARA 22230302201
8061 BEMETARA BERLA GOVT PS MAJGAON 22230302301
8062 BEMETARA BERLA GOVT MS PARPODA 22230302401
8063 BEMETARA BERLA GOVT PS PARPODA 22230302403
8064 BEMETARA BERLA GOVT PS_NAYAPARA PARPODA (SSA) 22230302404
8065 BEMETARA BERLA GOVT PS SANDI 22230302501
8066 BEMETARA BERLA GOVT MS SANDI (SSA) 22230302502
8067 BEMETARA BERLA GOVT PS NAWAGOAN (BAHINGA) 22230302601
8068 BEMETARA BERLA GOVT PS BAHINGA 22230302701
8069 BEMETARA BERLA GOVT MS BAHINGA (SSA) 22230302702
8070 BEMETARA BERLA GOVT PS DANGANIYA (B) 22230302801
8071 BEMETARA BERLA GOVT MS DANGANIYA (B) (SSA) 22230302803
8072 BEMETARA BERLA GOVT PS BAHERGHAT 22230302901
8073 BEMETARA BERLA GOVT MS BAHERGHAT (SSA) 22230302902
8074 BEMETARA BERLA GOVT PS MANIYARI 22230303002
8075 BEMETARA BERLA GOVT MS MANIYARI (SSA) 22230303003
8076 BEMETARA BERLA GOVT PS KHAMHRIYA (S) 22230303101
8077 BEMETARA BERLA GOVT MS DEWADA 22230303201
8078 BEMETARA BERLA GOVT PS DEWADA 22230303202
8079 BEMETARA BERLA GOVT MS HASDA 22230303301
8080 BEMETARA BERLA GOVT GIRLS PS HASDA 22230303302
8081 BEMETARA BERLA GOVT PS HASDA 22230303303
8082 BEMETARA BERLA GOVT PS GABDA 22230303401
8083 BEMETARA BERLA GOVT PS KHUDMUDA 22230303501
8084 BEMETARA BERLA GOVT MS KHUDMUDA 22230303502
8085 BEMETARA BERLA GOVT GIRLS PS KHUDMUDA 22230303503
8086 BEMETARA BERLA GOVT PS AKOLI 22230303601
8087 BEMETARA BERLA GOVT MS AKOLI (SSA) 22230303602
8088 BEMETARA BERLA GOVT PS UFRA 22230303701
8089 BEMETARA BERLA GOVT MS UFRA 22230303702
8090 BEMETARA BERLA GOVT PS NEVNARA 22230303801
8091 BEMETARA BERLA GOVT MS NEVNARA (SSA) 22230303802
8092 BEMETARA BERLA GOVT GIRLS PS GONDGIRI 22230303901
8093 BEMETARA BERLA GOVT PS GONDGIRI 22230303902
8094 BEMETARA BERLA GOVT MS GONDGIRI 22230303903
8095 BEMETARA BERLA GOVT PS KHAMTRAI 22230304001
8096 BEMETARA BERLA GOVT PS GADAMOR 22230304101
8097 BEMETARA BERLA GOVT MS GADAMOR(SSA) 22230304102
8098 BEMETARA BERLA GOVT PS GHATIYAKALA 22230304201
8099 BEMETARA BERLA GOVT MS GHATIYAKALA (SSA) 22230304202
8100 BEMETARA BERLA GOVT PS MUDPAR 22230304301
8101 BEMETARA BERLA GOVT PS CHANDI 22230304401
8102 BEMETARA BERLA GOVT MS CHANDI 22230304402
8103 BEMETARA BERLA GOVT PS KARELI 22230304501
8104 BEMETARA BERLA GOVT PS TILAI 22230304601
8105 BEMETARA BERLA GOVT PS_MAWALIBHATA (SSA) 22230304602
8106 BEMETARA BERLA GOVT PS SANKARA 22230304701
8107 BEMETARA BERLA GOVT MS SANKARA 22230304702
8108 BEMETARA BERLA GOVT SUMAN GIRLS MS DEORBIJA 22230304801
8109 BEMETARA BERLA GOVT MS DEORBIJA 22230304802
8110 BEMETARA BERLA GOVT ADARSH PS DEORBIJA 22230304803
8111 BEMETARA BERLA GOVT GIRLS PS DEORBIJA 22230304804
8112 BEMETARA BERLA GOVT PS RAJEEVNAGAR DEORBIJA 22230304806
8113 BEMETARA BERLA GOVT MS BHEDANI 22230304901
8114 BEMETARA BERLA GOVT PS BHEDANI 22230304902
8115 BEMETARA BERLA GOVT MS MOHBHATTHA 22230305001
8116 BEMETARA BERLA GOVT PS MOHBHATTHA 22230305002
8117 BEMETARA BERLA GOVT PS GANDICHOAK MOHBHATTHA 22230305003
8118 BEMETARA BERLA GOVT PS KHAMHARIYA (D) 22230305101
8119 BEMETARA BERLA GOVT PS KHAMHARIYA DIH (SSA) 22230305102
8120 BEMETARA BERLA GOVT PS GHOTMARRA 22230305201
8121 BEMETARA BERLA GOVT PS SINGHOURI 22230305301
8122 BEMETARA BERLA GOVT MS SINGHOURI (SSA) 22230305302
8123 BEMETARA BERLA GOVT PS SIRSA 22230305401
8124 BEMETARA BERLA GOVT PS BOTKA 22230305501
8125 BEMETARA BERLA GOVT PS SURUJPURA (D) 22230305601
8126 BEMETARA BERLA GOVT MS RANKA 22230305701
8127 BEMETARA BERLA GOVT PS RANKA 22230305702
8128 BEMETARA BERLA GOVT GIRLS PS RANKA 22230305703
8129 BEMETARA BERLA GOVT MS KATHIYA 22230305801
8130 BEMETARA BERLA GOVT PS KATHIYA 22230305802
8131 BEMETARA BERLA GOVT PS KIRITPUR 22230305902
8132 BEMETARA BERLA GOVT MS KIRITPUR (SSA) 22230305903
8133 BEMETARA BERLA GOVT PS MANJHIDERA (SSA) 22230305904
8134 BEMETARA BERLA GOVT PS RAVELI 22230306002
8135 BEMETARA BERLA GOVT MS RAVELI (SSA) 22230306003
8136 BEMETARA BERLA GOVT PS TIVRAIYA 22230306102
8137 BEMETARA BERLA GOVT MS TIVRAIYA (SSA) 22230306103
8138 BEMETARA BERLA GOVT PS TEMARI 22230306201
8139 BEMETARA BERLA GOVT PS JHALMALA 22230306301
8140 BEMETARA BERLA GOVT PS KURUD 22230306401
8141 BEMETARA BERLA GOVT MS KURUD (SSA) 22230306402
8142 BEMETARA BERLA GOVT PS PENDRI 22230306501
8143 BEMETARA BERLA GOVT PS KHAMHRIYA (R) 22230306601
8144 BEMETARA BERLA GOVT MS KHAMHRIYA (R) (SSA) 22230306602
8145 BEMETARA BERLA GOVT MS ANANDGAON 22230306701
8146 BEMETARA BERLA GOVT PS ANANDGAON 22230306702
8147 BEMETARA BERLA GOVT PS BHATAPARA ANANDGAON (SSA) 22230306703
8148 BEMETARA BERLA GOVT PS BHARDA 22230306801
8149 BEMETARA BERLA GOVT MS BHARDA (SSA) 22230306803
8150 BEMETARA BERLA GOVT MS SURHOLI 22230306901
8151 BEMETARA BERLA GOVT PS SURHOLI 22230306902
8152 BEMETARA BERLA GOVT PS TELGA 22230307001
8153 BEMETARA BERLA GOVT MS TELGA (SSA) 22230307002
8154 BEMETARA BERLA GOVT PS MUDPAR KALA 22230307101
8155 BEMETARA BERLA GOVT PS LAWATARA (DHABA) 22230307201
8156 BEMETARA BERLA GOVT PS NAWAGOAN (KHUDMUDA) 22230307301
8157 BEMETARA BERLA GOVT PS BALOUDIKALA 22230307401
8158 BEMETARA BERLA GOVT MS BALOUDIKALA (SSA) 22230307402
8159 BEMETARA BERLA GOVT PS MUDPAR KHURD 22230307501
8160 BEMETARA BERLA GOVT MS MUDPAR KHURD 22230307502
8161 BEMETARA BERLA GOVT PS KUMHI (KHARRA) 22230307601
8162 BEMETARA BERLA GOVT MS KUMHI (KHARRA) (SSA) 22230307602
8163 BEMETARA BERLA GOVT. PS BERLA (BHATHAPARA) (SSA) 22230307701
8164 BEMETARA BERLA GOVT MS BERLA 22230307801
8165 BEMETARA BERLA GOVT PS BERLA 22230307802
8166 BEMETARA BERLA GOVT GIRLS PS BERLA 22230307803
8167 BEMETARA BERLA GOVT GIRLS MS BERLA 22230307807
8168 BEMETARA BERLA GOVT PS RAMPUR 22230307901
8169 BEMETARA BERLA GOVT MS RAMPUR (SSA) 22230307902
8170 BEMETARA BERLA GOVT PS PATORA 22230308001
8171 BEMETARA BERLA GOVT MS PATORA 22230308002
8172 BEMETARA BERLA GOVT PS REVE 22230308101
8173 BEMETARA BERLA GOVT MS REVE 22230308102
8174 BEMETARA BERLA GOVT PS SILGHAT 22230308201
8175 BEMETARA BERLA GOVT MS SILGHAT (SSA) 22230308202
8176 BEMETARA BERLA GOVT PS PANTHARPUNJI 22230308301
8177 BEMETARA BERLA GOVT PS SARDA 22230308401
8178 BEMETARA BERLA GOVT GIRLS PS SARDA 22230308402
8179 BEMETARA BERLA GOVT MS SARDA 22230308403
8180 BEMETARA BERLA GOVT PS BHATGAON 22230308501
8181 BEMETARA BERLA GOVT PS SINGDEHI 22230308601
8182 BEMETARA BERLA GOVT MS SINGDEHI (SSA) 22230308602
8183 BEMETARA BERLA GOVT PS BHILOURI 22230308701
8184 BEMETARA BERLA GOVT MS BHILOURI 22230308703
8185 BEMETARA BERLA GOVT PS NAYAPARA BHILOURI 22230308801
8186 BEMETARA BERLA GOVT PS BAWANLAKH 22230308901
8187 BEMETARA BERLA GOVT MS BAWANLAKH (SSA) 22230308902
8188 BEMETARA BERLA GOVT PS AANDU 22230309001
8189 BEMETARA BERLA GOVT MS AANDU 22230309002
8190 BEMETARA BERLA GOVT PS ATARGARHI 22230309101
8191 BEMETARA BERLA GOVT MS ATARGARHI 22230309102
8192 BEMETARA BERLA GOVT PS BUDAJOANG 22230309201
8193 BEMETARA BERLA GOVT GIRLS PS BARGAON 22230309301
8194 BEMETARA BERLA GOVT PS BARGAON 22230309302
8195 BEMETARA BERLA GOVT MS BARGAON 22230309303
8196 BEMETARA BERLA GOVT MS TAKSIWA 22230309401
8197 BEMETARA BERLA GOVT PS TAKSIWA 22230309402
8198 BEMETARA BERLA GOVT PS BORIA 22230309501
8199 BEMETARA BERLA GOVT MS BORIA (SSA) 22230309502
8200 BEMETARA BERLA GOVT PS HATPAN 22230309601
8201 BEMETARA BERLA GOVT MS HATPAN (SSA) 22230309602
8202 BEMETARA BERLA GOVT PS SURAJPURA 22230309701
8203 BEMETARA BERLA GOVT PS TAKAM 22230309801
8204 BEMETARA BERLA GOVT MS TAKAM (SSA) 22230309802
8205 BEMETARA BERLA GOVT PS KARAMAL 22230309901
8206 BEMETARA BERLA GOVT PS KANDARKA 22230310001
8207 BEMETARA BERLA GOVT MS KANDARKA 22230310002
8208 BEMETARA BERLA GOVT PS KOHDIYA 22230310101
8209 BEMETARA BERLA GOVT MS KOHDIYA (SSA) 22230310102
8210 BEMETARA BERLA GOVT MS GUDHELI 22230310201
8211 BEMETARA BERLA GOVT PS GUDHELI 22230310202
8212 BEMETARA BERLA GOVT PS BHATAPARA GUDHELI (SSA) 22230310204
8213 BEMETARA BERLA GOVT GIRLS MS GUDHELI (SSA) 22230310205
8214 BEMETARA BERLA GOVT PS LATA 22230310301
8215 BEMETARA BERLA GOVT PS NAYAPARA LATA 22230310302
8216 BEMETARA BERLA GOVT PS KHANGHARPAT 22230310401
8217 BEMETARA BERLA GOVT PS SINGARDIH 22230310501
8218 BEMETARA BERLA GOVT PS BERLAKALA 22230310601
8219 BEMETARA BERLA GOVT PS NAYAPARA BERLAKALA (SSA) 22230310602
8220 BEMETARA BERLA GOVT PS BHALESAR 22230310701
8221 BEMETARA BERLA GOVT MS BHALESAR (SSA) 22230310702
8222 BEMETARA BERLA GOVT PS BORSI 22230310801
8223 BEMETARA BERLA GOVT MS BORSI (SSA) 22230310803
8224 BEMETARA BERLA GOVT PS BOHARDIH 22230310901
8225 BEMETARA BERLA GOVT PS PAHANDA 22230311101
8226 BEMETARA BERLA GOVT MS PAHANDA 22230311102
8227 BEMETARA BERLA GOVT PS CHETUWA 22230311201
8228 BEMETARA BERLA GOVT PS SAHGAON 22230311301
8229 BEMETARA BERLA GOVT MS ACHHOLI 22230311401
8230 BEMETARA BERLA GOVT PS ACHHOLI 22230311402
8231 BEMETARA BERLA GOVT PS JAMGHAT 22230311501
8232 BEMETARA BERLA GOVT MS LENJWARA 22230311601
8233 BEMETARA BERLA GOVT GIRLS PS LENJWARA 22230311602
8234 BEMETARA BERLA GOVT PS LENJWARA 22230311603
8235 BEMETARA BERLA GOVT MS DEORI 22230311701
8236 BEMETARA BERLA GOVT PS DEORI 22230311702
8237 BEMETARA BERLA GOVTGIRL MS DEORI (SSA) 22230311703
8238 BEMETARA BERLA GOVT PS KHALHE DEORI 22230311801
8239 BEMETARA BERLA GOVT MS LAWATARA 22230311901
8240 BEMETARA BERLA GOVT GIRLS PS LAWATARA 22230311902
8241 BEMETARA BERLA GOVT PS LAWATARA 22230311903
8242 BEMETARA BERLA GOVT PS JAMGAON 22230312001
8243 BEMETARA BERLA GOVT MS JAMGAON (SSA) 22230312002
8244 BEMETARA BERLA GOVT MS TARALIM 22230312101
8245 BEMETARA BERLA GOVT PS TARALIM 22230312102
8246 BEMETARA BERLA GOVT GIRLS MS KUSMI 22230312201
8247 BEMETARA BERLA GOVT MS KUSMI 22230312202
8248 BEMETARA BERLA GOVT GIRLS PS KUSMI 22230312203
8249 BEMETARA BERLA GOVT PS KUSMI 22230312204
8250 BEMETARA BERLA GOVT PS GHASIDAS CHOAK KUSMI (SSA) 22230312206
8251 BEMETARA BERLA GOVT MS KHARRA 22230312301
8252 BEMETARA BERLA GOVT PS KHARRA 22230312302
8253 BEMETARA BERLA GOVT MS BAHERA 22230312401
8254 BEMETARA BERLA GOVT PS BAHERA 22230312402
8255 BEMETARA BERLA GOVT MS BANSA 22230312501
8256 BEMETARA BERLA GOVT PS BANSA 22230312502
8257 BEMETARA BERLA GOVT PS SORLA 22230312601
8258 BEMETARA BERLA GOVT PS SONDH 22230312701
8259 BEMETARA BERLA GOVT GIRLS PS SONDH 22230312702
8260 BEMETARA BERLA GOVT MS SONDH 22230312703
8261 BEMETARA BERLA GOVT PS SINWAR 22230312801
8262 BEMETARA BERLA GOVT MS SINWAR 22230312802
8263 BEMETARA BERLA GOVT PS BHATHASORHI 22230312901
8264 BEMETARA BERLA GOVT MS BHATHASORHI 22230312902
8265 BEMETARA BERLA GOVT PS BHARCHATTI 22230313001
8266 BEMETARA BERLA GOVT MS BHARCHATTI 22230313002
8267 BEMETARA BERLA GOVT PS TABALGHOR 22230313101
8268 BEMETARA BERLA GOVT PS MANGLOR 22230313201
8269 BEMETARA BERLA GOVT PS NAWAGOAN (SINWAR) 22230313301
8270 BEMETARA BERLA GOVT PS CHOTMARRA (SSA) 22230313601
8271 BEMETARA BERLA GOVT PS HINDU PARA CHIKHLA (SSA) 22230314001
8272 BEMETARA BERLA GOVT PS SALHEPUR (SSA) 22230314201
8273 BEMETARA BERLA GOVT PS SURAJPURA DIH(SSA) 22230314401
8274 BEMETARA BERLA GOVT PS DONGAGHAT (SSA) 22230314501
8275 BEMETARA BERLA GOVT PS RUSEDIH (SSA) 22230314601
8276 BEMETARA BERLA GOVT PS PIPROLDIH (SSA) 22230314801
8277 BEMETARA BERLA GOVT SCHOOL KOSPATAR (SSA) 22230314901
8278 BEMETARA BERLA GOVT PS BUCHIDIH (SSA) 22230315001
8279 BEMETARA BERLA GOVT PS MATIA 22230315501
8280 BEMETARA NAWAGARH GOVT PS BADNARA 22231000101
8281 BEMETARA NAWAGARH GOVT MS BADNARA 22231000102
8282 BEMETARA NAWAGARH GOVT PS BORDEHI 22231000105
8283 BEMETARA NAWAGARH GOVT PS MARDEHI 22231000201
8284 BEMETARA NAWAGARH GOVT MS MARDEHI 22231000202
8285 BEMETARA NAWAGARH GOVT PS BHIKAMPUR 22231000301
8286 BEMETARA NAWAGARH GOVT PS TAREGAON 22231000401
8287 BEMETARA NAWAGARH GOVT PS PAUNSARI 22231000501
8288 BEMETARA NAWAGARH JANBHAGIDARI MS POSORI 22231000502
8289 BEMETARA NAWAGARH GOVT PS MEDKI 22231000601
8290 BEMETARA NAWAGARH GOVT PS KATAI 22231000701
8291 BEMETARA NAWAGARH GOVT MS KATAI 22231000702
8292 BEMETARA NAWAGARH GOVT PS AMORA 22231000801
8293 BEMETARA NAWAGARH GOVT PS DAYALPUR 22231000803
8294 BEMETARA NAWAGARH GOVT PS MALDA 22231000901
8295 BEMETARA NAWAGARH GOVT MS MALDA 22231000902
8296 BEMETARA NAWAGARH GOVT PS DHOBGHATTI 22231001001
8297 BEMETARA NAWAGARH GOVT PS KESLA 22231001103
8298 BEMETARA NAWAGARH GOVT PS KHAPRI NO 02 22231001202
8299 BEMETARA NAWAGARH GOVT MS KHAPRI NO 2 22231001203
8300 BEMETARA NAWAGARH GOVT PS PIRAIYA 22231001301
8301 BEMETARA NAWAGARH GOVT MS PIRAIYA 22231001302
8302 BEMETARA NAWAGARH GOVT PS BHADRALI 22231001401
8303 BEMETARA NAWAGARH GOVT MS BHADRALI 22231001402
8304 BEMETARA NAWAGARH GOVT PS GHOGHARALI 22231001502
8305 BEMETARA NAWAGARH GOVT PS BUCHIPUR 22231001602
8306 BEMETARA NAWAGARH GOVT BOYS PS KUNRA 22231001701
8307 BEMETARA NAWAGARH GOVT GIRLS PS KUNRA 22231001702
8308 BEMETARA NAWAGARH GOVT MS KUNRA 22231001703
8309 BEMETARA NAWAGARH GOVT PS KATALBOD 22231001801
8310 BEMETARA NAWAGARH GOVT PSMURKUTA 22231001901
8311 BEMETARA NAWAGARH JANBHAGIDARI MS MURKUTA 22231001902
8312 BEMETARA NAWAGARH GOVT PS ETAI 22231002001
8313 BEMETARA NAWAGARH GOVT PS MEHNA 22231002101
8314 BEMETARA NAWAGARH GOVT MS MEHNA 22231002102
8315 BEMETARA NAWAGARH GOVT PS KHAPRI NO.3 22231002201
8316 BEMETARA NAWAGARH GOVT PS KARHI KAPA 22231002301
8317 BEMETARA NAWAGARH GOVT PS BUNDELI 22231002401
8318 BEMETARA NAWAGARH GOVT PS GIDHWA 22231002501
8319 BEMETARA NAWAGARH GOVT MS GIDHWA 22231002502
8320 BEMETARA NAWAGARH GOVT PS NAGDHA 22231002601
8321 BEMETARA NAWAGARH GOVT MS NAGDHA 22231002602
8322 BEMETARA NAWAGARH GOVT PS GODIKALA 22231002701
8323 BEMETARA NAWAGARH GOVT MS GODIKALA 22231002702
8324 BEMETARA NAWAGARH GOVT PS PENDRI 22231002801
8325 BEMETARA NAWAGARH GOVT MS PENDRI 22231002802
8326 BEMETARA NAWAGARH GOVT PS GANYARI 22231002901
8327 BEMETARA NAWAGARH JANBHAGIDARI MS GANYARI 22231002902
8328 BEMETARA NAWAGARH GOVT PS NEYUR 22231003001
8329 BEMETARA NAWAGARH JANBHAGIDARI MS 22231003002
8330 BEMETARA NAWAGARH GOVT PS JEVRA S 22231003101
8331 BEMETARA NAWAGARH GOVT PS RUSEY 22231003201
8332 BEMETARA NAWAGARH GOVT MS RUSSEY 22231003202
8333 BEMETARA NAWAGARH GOVT PS KAVARAKAPA 22231003301
8334 BEMETARA NAWAGARH GOVT MS KAVARAKANPA 22231003302
8335 BEMETARA NAWAGARH GOVT PS DHANORA 22231003401
8336 BEMETARA NAWAGARH GOVT MS DHANORA 22231003402
8337 BEMETARA NAWAGARH GOVT GIRLS PS ANDHIYARKHOR 22231003501
8338 BEMETARA NAWAGARH GOVT BOYS PS ANDHIYARKHOR 22231003502
8339 BEMETARA NAWAGARH GOVT MS ANDHIYARKHOR 22231003503
8340 BEMETARA NAWAGARH GOVT PS ANDHIYARKHOR 22231003504
8341 BEMETARA NAWAGARH GIRLS UPS ANDHIYARKHOR 22231003505
8342 BEMETARA NAWAGARH PS GODI KHURD 22231003601
8343 BEMETARA NAWAGARH GOVT PS NANDGHAT 22231003701
8344 BEMETARA NAWAGARH GOVT MS NANDGHAT 22231003703
8345 BEMETARA NAWAGARH GOVT PS SEMARIYA 22231003801
8346 BEMETARA NAWAGARH GOVT PS TARPONGI 22231003901
8347 BEMETARA NAWAGARH JANBHAGIDARI MS TARPONGI 22231003902
8348 BEMETARA NAWAGARH GOVT PS MAGARGATA 22231004001
8349 BEMETARA NAWAGARH GOVT MS MAGARGATA 22231004002
8350 BEMETARA NAWAGARH GOVT PS ANDAR 22231004101
8351 BEMETARA NAWAGARH GOVT PS AKOLI 22231004201
8352 BEMETARA NAWAGARH GOVT MS AKOLI 22231004202
8353 BEMETARA NAWAGARH GOVT PS DABAPAR 22231004301
8354 BEMETARA NAWAGARH GOVT PS KIRTA 22231004401
8355 BEMETARA NAWAGARH GOVT MS KIRTA 22231004402
8356 BEMETARA NAWAGARH GOVT PS KHAPARI NO.1 22231004501
8357 BEMETARA NAWAGARH GOVT PS MURRA 22231004601
8358 BEMETARA NAWAGARH GOVT MS MURRA 22231004602
8359 BEMETARA NAWAGARH GOVT PS KARAMSEN 22231004701
8360 BEMETARA NAWAGARH GOVT PS (EGS)KARAMSEN 22231004702
8361 BEMETARA NAWAGARH GOVT MS KARAMSEN 22231004703
8362 BEMETARA NAWAGARH GOVT PS JHAAL 22231004805
8363 BEMETARA NAWAGARH GOVT MS JHAAL 22231004806
8364 BEMETARA NAWAGARH GOVT PS RANBOD 22231004904
8365 BEMETARA NAWAGARH GOVT PS MANIKPUR 22231005003
8366 BEMETARA NAWAGARH GOVT MS MANIKPUR 22231005004
8367 BEMETARA NAWAGARH GOVT PS GHOGHRA 22231005103
8368 BEMETARA NAWAGARH GOVT MS GHOGHRA 22231005104
8369 BEMETARA NAWAGARH GOVT PS KHAPRI 22231005201
8370 BEMETARA NAWAGARH GOVT PS KHAPRI 22231005203
8371 BEMETARA NAWAGARH GOVT PS GADAMORE 22231005304
8372 BEMETARA NAWAGARH GOVT MS GADAMORE 22231005305
8373 BEMETARA NAWAGARH GOVT PS MOTIMPUR 22231005402
8374 BEMETARA NAWAGARH GOVT MS MOTIMPUR 22231005403
8375 BEMETARA NAWAGARH GOVT PS MOHTARA 22231005503
8376 BEMETARA NAWAGARH GOVT MS MOHTARA 22231005504
8377 BEMETARA NAWAGARH GOVT PS BORTARA 22231005603
8378 BEMETARA NAWAGARH GOVT MS BORTARA 22231005604
8379 BEMETARA NAWAGARH GOVT PS GONGPUR 22231005702
8380 BEMETARA NAWAGARH GOVT MS GONGPUR 22231005703
8381 BEMETARA NAWAGARH GOVT PS ANTARGAWA 22231005802
8382 BEMETARA NAWAGARH GOVT PS HATADHANDU 22231005901
8383 BEMETARA NAWAGARH GOVT MS HATADHANDU 22231005902
8384 BEMETARA NAWAGARH GOVT PS JUNADHANDU 22231006001
8385 BEMETARA NAWAGARH GOVT PS KHAIRI 22231006101
8386 BEMETARA NAWAGARH GOVT PS SAMESAR 22231006201
8387 BEMETARA NAWAGARH GOVT MS SAMESAR 22231006202
8388 BEMETARA NAWAGARH GOVT PS NANDAL 22231006301
8389 BEMETARA NAWAGARH GOVD- MS NANDAL 22231006305
8390 BEMETARA NAWAGARH GOVT PS GHATOLI 22231006401
8391 BEMETARA NAWAGARH GOVT PS KHAPRI 22231006501
8392 BEMETARA NAWAGARH GOVT PS BHALUPAN 22231006601
8393 BEMETARA NAWAGARH GOVT PS BAHARBOD 22231006701
8394 BEMETARA NAWAGARH GOVTMS BAHARBOD 22231006702
8395 BEMETARA NAWAGARH GOVT MS NAWAGAON 22231006801
8396 BEMETARA NAWAGARH GOVT PS NAWAGAON 22231006802
8397 BEMETARA NAWAGARH GOVT PS MUNGWAY 22231006901
8398 BEMETARA NAWAGARH GOVT MS MUNGWAY 22231006902
8399 BEMETARA NAWAGARH GOVT PS KUWA 22231007001
8400 BEMETARA NAWAGARH JANBHAGIDARI MS KUWA 22231007002
8401 BEMETARA NAWAGARH GOVT PS BARBASPUR 22231007101
8402 BEMETARA NAWAGARH GOVT PS DEWARI 22231007201
8403 BEMETARA NAWAGARH GOVT PS TURA SEMARIYA 22231007301
8404 BEMETARA NAWAGARH GOVT PS TORA 22231007401
8405 BEMETARA NAWAGARH NAVIN MS TORA 22231007402
8406 BEMETARA NAWAGARH GOVT PS JEVRA N 22231007501
8407 BEMETARA NAWAGARH GOVT PS GOPALPUR 22231007601
8408 BEMETARA NAWAGARH GOVT PS MAKHANPUR 22231007701
8409 BEMETARA NAWAGARH GOVT MS MAKHANPUR 22231007702
8410 BEMETARA NAWAGARH BOYS PS TEMRI 22231007801
8411 BEMETARA NAWAGARH GIRLS PS TEMRI 22231007802
8412 BEMETARA NAWAGARH GOVT MS TEMRI 22231007804
8413 BEMETARA NAWAGARH GOVT PS TOHNDI 22231007901
8414 BEMETARA NAWAGARH GOVT MS TOHNDI 22231007902
8415 BEMETARA NAWAGARH GOVT PS KAPA 22231008001
8416 BEMETARA NAWAGARH GOVT PS DARRI 22231008101
8417 BEMETARA NAWAGARH GOVT MS DARRI 22231008102
8418 BEMETARA NAWAGARH GOVT PS MOHLINE 22231008201
8419 BEMETARA NAWAGARH GOVT PS CHICHOLI 22231008301
8420 BEMETARA NAWAGARH GOVT MS CHICHOLI 22231008302
8421 BEMETARA NAWAGARH GOVT PS ARAMSHAHI 22231008401
8422 BEMETARA NAWAGARH GOVT PS GHURSENA 22231008501
8423 BEMETARA NAWAGARH GOVT MS GHURSENA 22231008502
8424 BEMETARA NAWAGARH BOYS PS NAWAGARH 22231008602
8425 BEMETARA NAWAGARH GOVT GIRLS PS NAWAGARH 22231008603
8426 BEMETARA NAWAGARH SANLAGNA MS NAWAGARH 22231008608
8427 BEMETARA NAWAGARH GOVT GIRLS MS NAWAGARH 22231008609
8428 BEMETARA NAWAGARH MS TILKAPARA NAWAGARH 22231008611
8429 BEMETARA NAWAGARH MS MADANPUR NAWAGARH 22231008612
8430 BEMETARA NAWAGARH MS K.G.B.V NAWAGARH 22231008613
8431 BEMETARA NAWAGARH GOVT PS BHAISAMUNDA 22231008701
8432 BEMETARA NAWAGARH JANBHAGIDARI MS 22231008702
8433 BEMETARA NAWAGARH GOVT PS MADANPUR 22231008801
8434 BEMETARA NAWAGARH GOVT PS MANPUR 22231008901
8435 BEMETARA NAWAGARH GOVT PS SUKULPARA 22231009001
8436 BEMETARA NAWAGARH GOVT PS LALBANDH 22231009101
8437 BEMETARA NAWAGARH GOVT PS TILKAPARA 22231009201
8438 BEMETARA NAWAGARH GOVT PS DONADIH 22231009301
8439 BEMETARA NAWAGARH GOVT PS NARAYANPUR 22231009401
8440 BEMETARA NAWAGARH JANBHAGIDARI MS NARAYANPUR 22231009403
8441 BEMETARA NAWAGARH GOVT PS THENDUBHATHA 22231009404
8442 BEMETARA NAWAGARH GOVT PS DUDHIYA 22231009501
8443 BEMETARA NAWAGARH GOVT PS JHULNA 22231009601
8444 BEMETARA NAWAGARH JANBHAGIDARI MS JHULNA 22231009602
8445 BEMETARA NAWAGARH GOVT PS AMALDIHA 22231009701
8446 BEMETARA NAWAGARH GOVT MS AMALDIHA 22231009702
8447 BEMETARA NAWAGARH GOVT PS LOHDANGIYA 22231009801
8448 BEMETARA NAWAGARH GOVT PS BHILONI 22231009901
8449 BEMETARA NAWAGARH JANBHAGIDARI MS BHILONI 22231009902
8450 BEMETARA NAWAGARH GIRLS PS MARRO 22231010001
8451 BEMETARA NAWAGARH BOYS PS MARRO 22231010002
8452 BEMETARA NAWAGARH GIRLS ASHRAM MARRO 22231010003
8453 BEMETARA NAWAGARH GOVT BOYS MS MARRO 22231010005
8454 BEMETARA NAWAGARH GOVT GIRLS MS MARRO 22231010006
8455 BEMETARA NAWAGARH GOVT PS SONIKAPAR 22231010101
8456 BEMETARA NAWAGARH GOVT PS DOHTRA 22231010201
8457 BEMETARA NAWAGARH GOVT PS LALPUR 22231010301
8458 BEMETARA NAWAGARH GOVT PS BINOKA 22231010401
8459 BEMETARA NAWAGARH PS PARSADA 22231010501
8460 BEMETARA NAWAGARH NAVIN MSPARSADA 22231010502
8461 BEMETARA NAWAGARH GOVT PS GUNJERA 22231010601
8462 BEMETARA NAWAGARH PS BHOPSARA 22231010701
8463 BEMETARA NAWAGARH JANBHAGIDARI MS BHOPSARA 22231010702
8464 BEMETARA NAWAGARH GOVT PS CHAKRYAY 22231010801
8465 BEMETARA NAWAGARH GOVT MS CHAKRYAY 22231010802
8466 BEMETARA NAWAGARH GOVT PS KAPA MARRO 22231010901
8467 BEMETARA NAWAGARH GOVT MS GUNJERA 22231011002
8468 BEMETARA NAWAGARH GOVT MS SAMBALPUR 22231011101
8469 BEMETARA NAWAGARH GOVT GIRLS PS SAMBALPUR 22231011103
8470 BEMETARA NAWAGARH GOVT PS SAMBALPUR 22231011104
8471 BEMETARA NAWAGARH JAN.NAVIN GIRLS MS SAMBALPUR 22231011105
8472 BEMETARA NAWAGARH GOVT MS AMORA 22231011202
8473 BEMETARA NAWAGARH GOVT PS JARHAPARA 22231011301
8474 BEMETARA NAWAGARH GOVT PS KESTARA 22231011401
8475 BEMETARA NAWAGARH GOVT PS BELTUKRI 22231011501
8476 BEMETARA NAWAGARH GOVTNAVIN MS BELTUKRI 22231011502
8477 BEMETARA NAWAGARH GOVT PS KHATAI 22231011601
8478 BEMETARA NAWAGARH GOVT MS KHUTAI 22231011602
8479 BEMETARA NAWAGARH GOVT PS KAVRAJEVRA 22231011701
8480 BEMETARA NAWAGARH GOVT PS RAMPURA 22231011801
8481 BEMETARA NAWAGARH GOVT PS JAITPURI 22231011901
8482 BEMETARA NAWAGARH GOVT PS CHAKAPENDRA 22231012001
8483 BEMETARA NAWAGARH GOVT MS PRATAPPUR 22231012101
8484 BEMETARA NAWAGARH GOVT PS PRATAPPUR 22231012103
8485 BEMETARA NAWAGARH GOVT PS MIRKUTA 22231012201
8486 BEMETARA NAWAGARH GOVT MS MURKUTA 22231012202
8487 BEMETARA NAWAGARH GOVT PS LALPUR 22231012301
8488 BEMETARA NAWAGARH GOVT NAVIN MS HARDI 22231012401
8489 BEMETARA NAWAGARH GOVT PS HARDI 22231012402
8490 BEMETARA NAWAGARH GOVT PS DHOURABHAT KALA 22231012501
8491 BEMETARA NAWAGARH GOVT MS DHOURABHAT KALA 22231012502
8492 BEMETARA NAWAGARH GOVT PS GANIYA 22231012601
8493 BEMETARA NAWAGARH PS DHORABHAT KHURD 22231012701
8494 BEMETARA NAWAGARH GOVTV PS KHAMHI 22231012801
8495 BEMETARA NAWAGARH GOVT PS TILAIPAR 22231012901
8496 BEMETARA NAWAGARH GOVT PS DHOBNIKALA 22231013001
8497 BEMETARA NAWAGARH JANBHAGIDARI MS DHOBNIKALA 22231013002
8498 BEMETARA NAWAGARH GOVT MS THENGHABHAT 22231013101
8499 BEMETARA NAWAGARH GOVT PS THENGHABHAT 22231013102
8500 BEMETARA NAWAGARH GOVT PS NEVASA 22231013201
8501 BEMETARA NAWAGARH GOVT MS NEVASA 22231013202
8502 BEMETARA NAWAGARH GOVT PS BOIRKCHARA 22231013301
8503 BEMETARA NAWAGARH GOVT MS BOIRKCHARA 22231013302
8504 BEMETARA NAWAGARH GOVT PS JHAKI 22231013401
8505 BEMETARA NAWAGARH NAVIN MSJHAKI 22231013402
8506 BEMETARA NAWAGARH GOVT PS BHAGHUL 22231013501
8507 BEMETARA NAWAGARH GOVT MS BHAGHUL 22231013502
8508 BEMETARA NAWAGARH GOVT PS BAGHULI 22231013601
8509 BEMETARA NAWAGARH GOVT GIRLS BAGHULI 22231013602
8510 BEMETARA NAWAGARH GOVT PS GOPALBHENA 22231013701
8511 BEMETARA NAWAGARH GOVT PS GHOTA 22231013801
8512 BEMETARA NAWAGARH GOVT PS CHAKLAKUNDA 22231013901
8513 BEMETARA NAWAGARH GOVT MS MURTA 22231014001
8514 BEMETARA NAWAGARH PS GIRLS MURTA 22231014003
8515 BEMETARA NAWAGARH PS BOYS MURTA 22231014004
8516 BEMETARA NAWAGARH GOVTPS BAIJALPUR 22231014101
8517 BEMETARA NAWAGARH GOVT PS NAWAGAON K 22231014201
8518 BEMETARA NAWAGARH GOVT PS KODIYA 22231014301
8519 BEMETARA NAWAGARH GOVT PS LALPUR HARMUDI 22231014401
8520 BEMETARA NAWAGARH GOVT MS LALPUR HARMUDI 22231014402
8521 BEMETARA NAWAGARH GOVT PS HARMUDI 22231014501
8522 BEMETARA NAWAGARH JANBHAGIDARI MS HARMUDI 22231014502
8523 BEMETARA NAWAGARH GOVT PS KAMTA 22231014601
8524 BEMETARA NAWAGARH JANBHAGIDARI MS KAMTA 22231014602
8525 BEMETARA NAWAGARH GOVT PS MURKUTA 22231014701
8526 BEMETARA NAWAGARH GOVT PS SIVNI 22231014801
8527 BEMETARA NAWAGARH JANBHAGIDARI MS SIVNI 22231014802
8528 BEMETARA NAWAGARH GOVT UP_UPS DHANDHNI 22231014901
8529 BEMETARA NAWAGARH GOVT PS DHANDHNI 22231014902
8530 BEMETARA NAWAGARH GOVT MS LHEDA 22231015001
8531 BEMETARA NAWAGARH GOVT PS KHEDA 22231015002
8532 BEMETARA NAWAGARH GOVT MS PUTPURA 22231015101
8533 BEMETARA NAWAGARH GOVT PS PUTPURA 22231015102
8534 BEMETARA NAWAGARH GOVT PS BEVRA 22231015201
8535 BEMETARA NAWAGARH JANBHAGIDARI MS BEVRA 22231015202
8536 BEMETARA NAWAGARH GOVT PS JUNWANIKALA 22231015301
8537 BEMETARA NAWAGARH JANBHAGIDARI MS JUNWANIKALA 22231015302
8538 BEMETARA NAWAGARH GOVT PS MUDPAR 22231015401
8539 BEMETARA NAWAGARH GOVT MS MUDPAR 22231015402
8540 BEMETARA NAWAGARH GOVT PS BOTEBODH 22231015501
8541 BEMETARA NAWAGARH GOVT PS TENDUWA 22231015601
8542 BEMETARA NAWAGARH TENDUWA 22231015602
8543 BEMETARA NAWAGARH GOVT PS GORHA 22231015701
8544 BEMETARA NAWAGARH GOVT MS GORHA 22231015702
8545 BEMETARA NAWAGARH PS JHILGA 22231015801
8546 BEMETARA NAWAGARH GOVT PS SONPURI 22231015901
8547 BEMETARA NAWAGARH GOVT PS BUNDELA 22231016001
8548 BEMETARA NAWAGARH GOVT MS BUNDELA 22231016002
8549 BEMETARA NAWAGARH PS NAWAGAON B 22231016101
8550 BEMETARA NAWAGARH GOVT PS JUNWANI KHURD 22231016201
8551 BEMETARA NAWAGARH GOVT PS NAWAGOAN 22231016701
8552 BEMETARA NAWAGARH GOVT PS BHADOURA 22231017601
8553 BEMETARA NAWAGARH GOVT PS DAGANIA 22231018401
8554 BEMETARA NAWAGARH GOVT PS CHAMARI 22231018501
8555 BEMETARA NAWAGARH GOVT PS KURWA 22231018601
8556 BEMETARA NAWAGARH GOVT PS KARMAN 22231019101
8557 BEMETARA NAWAGARH GOVT PS DHOBNI KHURD 22231019201
8558 BEMETARA NAWAGARH GOVT PS AMLIDIH 22231019301
8559 BEMETARA NAWAGARH GOVT PS RISAMLI 22231019401
8560 BEMETARA NAWAGARH GOVT MS RISAMLI 22231019402
8561 BEMETARA NAWAGARH GOVT PS MANODHARPUR 22231019501
8562 BEMETARA NAWAGARH GOVT PS CHITAPAR 22231019801
8563 BEMETARA NAWAGARH GOVT PS DHARAMPURA 22231020102
8564 BEMETARA NAWAGARH GOVT PS SALHEGHORI 22231020202
8565 BEMETARA NAWAGARH GOVT PS KHAIRA 22231020701
8566 BEMETARA NAWAGARH GOVT PS MATAPARA 22231020801
8567 BEMETARA NAWAGARH GOVT PS TINGALI JEVRA 22231020901
8568 BEMETARA NAWAGARH GOVT PS NAVALPUR 22231021101
8569 BEMETARA NAWAGARH GOVT PS NAGADHA 22231021201
8570 BEMETARA NAWAGARH PS PATNAKANPA 22231021301
8571 BEMETARA NAWAGARH GOVT PS KANHARPUR 22231021401
8572 BEMETARA NAWAGARH GOVT PS HARIHARPUR 22231021501
8573 BEMETARA NAWAGARH GOVT PS BELDAHARA 22231021601
8574 BEMETARA NAWAGARH GOVT PS LITIPUR 22231021701
8575 BEMETARA NAWAGARH GOVT MS LITIPUR 22231021702
8576 BEMETARA NAWAGARH GOVT PS CHERKAPUR 22231021801
8577 BEMETARA SAJA GOVT BOYS PS SAJA 22231200101
8578 BEMETARA SAJA GOVT GIRLS PS SAJA 22231200102
8579 BEMETARA SAJA GOVT MS SAJA 22231200103
8580 BEMETARA SAJA GOVT GIRLS MS SAJA 22231200104
8581 BEMETARA SAJA GOVT.PS DONGITARAI 22231200201
8582 BEMETARA SAJA KGBV DONGITARAI 22231200202
8583 BEMETARA SAJA GOVT PS JATA 22231200301
8584 BEMETARA SAJA GOVT PS MUSVADIH 22231200401
8585 BEMETARA SAJA GOVT PS AMLIDEEH 22231200501
8586 BEMETARA SAJA GOVT PS MOHTARA 22231200601
8587 BEMETARA SAJA GOVT MS MOHTARA 22231200602
8588 BEMETARA SAJA GOVT.PS GADABHATHA 22231200701
8589 BEMETARA SAJA GOVT PS PARASBOD 22231200801
8590 BEMETARA SAJA GOVT MS PARASBOD 22231200802
8591 BEMETARA SAJA GOVT PS JAGANNATHPUR 22231200901
8592 BEMETARA SAJA GOVT PS MATRA 22231201001
8593 BEMETARA SAJA GOVT MS MATRA (SSA) 22231201002
8594 BEMETARA SAJA GOVT PS GHOTWANI 22231201101
8595 BEMETARA SAJA GOVT MS GHOTWANI 22231201102
8596 BEMETARA SAJA GOVT PS TENDUBHATHA 22231201201
8597 BEMETARA SAJA GOVT PS KESHTARA 22231201301
8598 BEMETARA SAJA GOVT MS KESHTARA 22231201302
8599 BEMETARA SAJA GOVT.PS BAGLEDI 22231201401
8600 BEMETARA SAJA GOVT PS LALPUR 22231201501
8601 BEMETARA SAJA GOVT. PS BOD 22231201601
8602 BEMETARA SAJA GOVT MS BOD (SSA) 22231201602
8603 BEMETARA SAJA GOVT PS KARHI 22231201701
8604 BEMETARA SAJA GOVT BOYS PS BEEJA 22231201801
8605 BEMETARA SAJA GOVT GIRLS PS BEEJA 22231201802
8606 BEMETARA SAJA GOVT MS BEEJA 22231201803
8607 BEMETARA SAJA GOVT PS TENDUA 22231201901
8608 BEMETARA SAJA GOVT NAVIN MS TENDUA 22231201902
8609 BEMETARA SAJA GOVT PS MAHIDAHI 22231202001
8610 BEMETARA SAJA GOVT.MS MAHIDAHI (SSA) 22231202002
8611 BEMETARA SAJA GOVT PS BHIASAMURA 22231202003
8612 BEMETARA SAJA GOVT PS MOTESARA 22231202101
8613 BEMETARA SAJA GOVT PS KECHHWAI 22231202201
8614 BEMETARA SAJA GOVT PS GADUVA 22231202301
8615 BEMETARA SAJA GOVT MS GADUVA (SSA) 22231202302
8616 BEMETARA SAJA GOVT PS RAUDRA 22231202401
8617 BEMETARA SAJA GOVT MS RAUDRA (SSA) 22231202402
8618 BEMETARA SAJA GOVT PS PADMI 22231202501
8619 BEMETARA SAJA GOVT PS TURASEMARIYA 22231202601
8620 BEMETARA SAJA GOVT MS TURASEMARIYA (SSA) 22231202602
8621 BEMETARA SAJA GOVT PS KATALBOD 22231202701
8622 BEMETARA SAJA GOVT PS SEMARIA 22231202801
8623 BEMETARA SAJA GOVT NAVIN MS SEMARIYA (SSA) 22231202802
8624 BEMETARA SAJA GOVT.PS HARDAS 22231202901
8625 BEMETARA SAJA GOVT PS HATHMUDI 22231203001
8626 BEMETARA SAJA GOVT MS HATHMUDI (SSA) 22231203002
8627 BEMETARA SAJA GOVT MS PADUMSARA 22231203101
8628 BEMETARA SAJA GOVT PS PADUMSARA 22231203102
8629 BEMETARA SAJA GOVT PS KANDAI 22231203201
8630 BEMETARA SAJA GOVT. MS KANDAI (SSA) 22231203202
8631 BEMETARA SAJA GOVT PS KIRKEE 22231203301
8632 BEMETARA SAJA GOVT MS KEHKA 22231203401
8633 BEMETARA SAJA GOVT PS KEHKA 22231203402
8634 BEMETARA SAJA GOVT MS PIPARIYA 22231203501
8635 BEMETARA SAJA GOVT PS PIPARIYA 22231203502
8636 BEMETARA SAJA GOVT NAVIN MS SUVARTALA 22231203601
8637 BEMETARA SAJA GOVT PS SUVARTALA 22231203602
8638 BEMETARA SAJA GOVT MS KEVTARA 22231203701
8639 BEMETARA SAJA GOVT PS KEVTARA 22231203702
8640 BEMETARA SAJA GOVT.PS BHARDALODHI 22231203801
8641 BEMETARA SAJA GOVT.MS BHARDALODHI 22231203802
8642 BEMETARA SAJA GOVT PS BEEJAGOD 22231203901
8643 BEMETARA SAJA GOVT.PS BIRANPUR 22231204001
8644 BEMETARA SAJA GOVT PS MUNGALATOLA 22231204101
8645 BEMETARA SAJA GOVT PS KORVAY 22231204201
8646 BEMETARA SAJA GOVT PS NAVAGAON GAHIRA 22231204301
8647 BEMETARA SAJA GOVT MS NAVAGAON GAHIRA 22231204302
8648 BEMETARA SAJA GOVT.PS BORTARA 22231204401
8649 BEMETARA SAJA GOVT.MS BORTARA 22231204402
8650 BEMETARA SAJA GOVT PS KHAIRY 22231204501
8651 BEMETARA SAJA GOVT PS LOLESARA 22231204601
8652 BEMETARA SAJA GOVT PS CHORBHATTHEE 22231204701
8653 BEMETARA SAJA GOVT.PS DHAP 22231204801
8654 BEMETARA SAJA GOVT MS DHAP 22231204802
8655 BEMETARA SAJA GOVT PS KONGIYAKALA 22231204901
8656 BEMETARA SAJA GOVT MS KONGIYAKALA 22231204902
8657 BEMETARA SAJA GOVT NEW GIRLS MS KONGIYAKALA 22231204903
8658 BEMETARA SAJA GOVT PS KONGIYAKURD 22231205001
8659 BEMETARA SAJA GOVT PS MASULGONDI 22231205101
8660 BEMETARA SAJA GOVT MS MASULGONDI 22231205102
8661 BEMETARA SAJA GOVT PS THELKA 22231205201
8662 BEMETARA SAJA GOVT MS THELKA 22231205202
8663 BEMETARA SAJA GOVT GIRLS UPS THELKA (SSA) 22231205203
8664 BEMETARA SAJA GOVT PS BHANAURA 22231205301
8665 BEMETARA SAJA GOVT.MS BHANAURA (SSA) 22231205302
8666 BEMETARA SAJA GOVT PS BOTKA 22231205401
8667 BEMETARA SAJA GOVT.PS DHAURABHATHA 22231205501
8668 BEMETARA SAJA GOVT MS TEDHI (SSA) 22231205602
8669 BEMETARA SAJA GOVT PS TEDHI 22231205605
8670 BEMETARA SAJA GOVT PS KANPA 22231205701
8671 BEMETARA SAJA GOVT.PS BELGAON 22231205801
8672 BEMETARA SAJA GOVT.MS BELGAON (SSA) 22231205802
8673 BEMETARA SAJA GOVT PS BELTARA 22231205901
8674 BEMETARA SAJA GOVT MS BELTARA 22231205902
8675 BEMETARA SAJA GOVT PS BENDARCHI 22231206001
8676 BEMETARA SAJA GOVT PS KARAMTARA 22231206101
8677 BEMETARA SAJA GOVT MS BARGADA 22231206201
8678 BEMETARA SAJA GOVT.PS BARGADA 22231206202
8679 BEMETARA SAJA GOVT MS SOMAIKALA 22231206301
8680 BEMETARA SAJA GOVT PS SOMAIKALA 22231206302
8681 BEMETARA SAJA GOVT.PS BHENDARVANI 22231206401
8682 BEMETARA SAJA GOVT PS RAMPURA 22231206501
8683 BEMETARA SAJA GOVT PS SAMBALPUR 22231206601
8684 BEMETARA SAJA GOVT MS BHARDAKALA 22231206701
8685 BEMETARA SAJA GOVT PS BHARDAKALA 22231206702
8686 BEMETARA SAJA GOVT MS CHILFEE 22231206801
8687 BEMETARA SAJA GOVT PS CHILFEE 22231206802
8688 BEMETARA SAJA GOVT PS SOMAIKHURD 22231206901
8689 BEMETARA SAJA GOVT. MS SOMAIKHURD (SSA) 22231206902
8690 BEMETARA SAJA GOVT MS HARDUA 22231207001
8691 BEMETARA SAJA GOVT PS HARDUA 22231207002
8692 BEMETARA SAJA GOVT MS MOHGAON 22231207101
8693 BEMETARA SAJA GOVT PS MOHGAON 22231207102
8694 BEMETARA SAJA GOVT.PS BHOJEPARA 22231207201
8695 BEMETARA SAJA GOVT PS BASEEN 22231207301
8696 BEMETARA SAJA GOVT PS DIHPARA BASEEN 22231207302
8697 BEMETARA SAJA MADARSA DARUL ULUM RIJVIA PS BASEEN 22231207303
8698 BEMETARA SAJA GOVT PS AKALWARA 22231207401
8699 BEMETARA SAJA GOVT MS BHUDHWARA 22231207501
8700 BEMETARA SAJA GOVT PS BHUDHWARA 22231207502
8701 BEMETARA SAJA GOVT PS MAUHABHATHA 22231207601
8702 BEMETARA SAJA GOVT PS KHAPARI 22231207701
8703 BEMETARA SAJA GOVT MS KHAPARI 22231207702
8704 BEMETARA SAJA GOVT PS KANCHARI 22231207801
8705 BEMETARA SAJA GOVT PS TENDUBHATHA 22231207901
8706 BEMETARA SAJA GOVT MS TENDUBHATHA (SSA) 22231207902
8707 BEMETARA SAJA GOVT PS KARESARA 22231208001
8708 BEMETARA SAJA GOVT MS KARESARA 22231208002
8709 BEMETARA SAJA GOVT.PS GARRA 22231208101
8710 BEMETARA SAJA GOVT MS GHIVARI 22231208201
8711 BEMETARA SAJA GOVT PS GHIVARI 22231208202
8712 BEMETARA SAJA GOVT PS KHATI 22231208301
8713 BEMETARA SAJA GOVT MS KHATI 22231208302
8714 BEMETARA SAJA GOVT PS NAVIN KANDAI 22231208401
8715 BEMETARA SAJA GOVT PS GADAGHAT (SSA) 22231208501
8716 BEMETARA SAJA GOVT NAVIN PS GADAGHAT 22231208502
8717 BEMETARA SAJA GOVT PS BORIA (SSA) 22231208601
8718 BEMETARA SAJA GOVT PS BHUSANDI 22231208701
8719 BEMETARA SAJA GOVT MS BHUSANDI (SSA) 22231208702
8720 BEMETARA SAJA GOVT PS HEDASPUR 22231208801
8721 BEMETARA SAJA GOVT MS HEDASPUR (SSA) 22231208802
8722 BEMETARA SAJA GOVT PS SONRY 22231208901
8723 BEMETARA SAJA GOVT PS AKOLA 22231209001
8724 BEMETARA SAJA GOVT PS KUTRU (SSA) 22231209101
8725 BEMETARA SAJA GOVT MS KUTRU (SSA) 22231209102
8726 BEMETARA SAJA GOVT.BOYS PS DEORGAON (SSA) 22231209201
8727 BEMETARA SAJA GOVT MS DEORGAON (SSA) 22231209202
8728 BEMETARA SAJA GOVT GIRLS PS DEORGAON (SSA) 22231209203
8729 BEMETARA SAJA GOVT PS KOHKABOD (SSA) 22231209301
8730 BEMETARA SAJA GOVT.PS BARGAON (SSA) 22231209401
8731 BEMETARA SAJA GOVT PS SINGHANPURI (SSA) 22231209501
8732 BEMETARA SAJA GOVT PS SINGHANPURI (SSA) 22231209502
8733 BEMETARA SAJA GOVT PS SONPURI (SSA) 22231209601
8734 BEMETARA SAJA GOVT PS ATTARJHOLA (SSA) 22231209701
8735 BEMETARA SAJA GOVT.BOYS PS GADADIH 22231209801
8736 BEMETARA SAJA GOVT GIRLS PS GADADIH 22231209802
8737 BEMETARA SAJA GOVT MS GADADIH 22231209803
8738 BEMETARA SAJA GOVT PS HATHIDOB 22231209901
8739 BEMETARA SAJA GOVT NAVIN MS HATHIDOB (SSA) 22231209902
8740 BEMETARA SAJA GOVT PS SONDONGARI 22231210001
8741 BEMETARA SAJA GOVT MS SONDONGARI 22231210002
8742 BEMETARA SAJA GOVT PS LUK 22231210101
8743 BEMETARA SAJA GOVT MS LUK 22231210102
8744 BEMETARA SAJA GOVT PS PENDRAWAN 22231210201
8745 BEMETARA SAJA GOVT PS BUNDELI 22231210301
8746 BEMETARA SAJA GOVT PS GODMARRA 22231210401
8747 BEMETARA SAJA GOVT MS GODMARRA 22231210402
8748 BEMETARA SAJA GOVT NAVIN PS RUSSE 22231210501
8749 BEMETARA SAJA GOVT PS TIRIYABHAT 22231210601
8750 BEMETARA SAJA GOVT MS TIRIYABHAT 22231210602
8751 BEMETARA SAJA GOVT PS SONPANDAR 22231210701
8752 BEMETARA SAJA GOVT PS TUMDIPAR 22231210801
8753 BEMETARA SAJA GOVT PS GATAPAR 22231210901
8754 BEMETARA SAJA GOVT GIRLS MS PARPODI 22231211001
8755 BEMETARA SAJA GOVT BOYS MS PARPODI 22231211002
8756 BEMETARA SAJA GOVT BOYS PS PARPODI 22231211004
8757 BEMETARA SAJA GOVT GIRLS PS PARPODI 22231211005
8758 BEMETARA SAJA GOVT PS BUDERA 22231211101
8759 BEMETARA SAJA GOVT PS KAMKAWADA 22231211201
8760 BEMETARA SAJA GOVT.BOYS MS BHATGAON 22231211301
8761 BEMETARA SAJA GOVT.PS BHATGAON 22231211302
8762 BEMETARA SAJA GOVT.GIRLS MS BHATGAON(SSA) 22231211303
8763 BEMETARA SAJA GOVT PS DHAURABHATHA 22231211401
8764 BEMETARA SAJA GOVT PS NAVAGAONKHURD 22231211501
8765 BEMETARA SAJA GOVT MS NAVAGAONKHURD 22231211502
8766 BEMETARA SAJA GOVT.PS CHECHANMETA 22231211601
8767 BEMETARA SAJA GOVT.MS CHECHANMETA 22231211602
8768 BEMETARA SAJA GOVT PS BENDARCHUWA 22231211701
8769 BEMETARA SAJA GOVT PS SOHAGPUR 22231211801
8770 BEMETARA SAJA GOVT.MS SOHAGPUR 22231211802
8771 BEMETARA SAJA GOVT PS PATARJHORI 22231211901
8772 BEMETARA SAJA GOVT. MS PATARJHORI (SSA) 22231211902
8773 BEMETARA SAJA GOVT PS JANNO 22231212001
8774 BEMETARA SAJA GOVT MS JANNO (SSA) 22231212002
8775 BEMETARA SAJA GOVT PS KURLU 22231212101
8776 BEMETARA SAJA GOVT PS RANO 22231212201
8777 BEMETARA SAJA GOVT MS RANO 22231212202
8778 BEMETARA SAJA GOVT PS MUDIYA 22231212301
8779 BEMETARA SAJA GOVT PS PATHARRIKHURD 22231212401
8780 BEMETARA SAJA GOVT PS PATHARRIKALA 22231212501
8781 BEMETARA SAJA GOVT MS PATHARRIKALA (SSA) 22231212502
8782 BEMETARA SAJA GOVT GIRLS MS DEVKAR 22231212601
8783 BEMETARA SAJA GOVT BOYS MS DEVKAR 22231212602
8784 BEMETARA SAJA GOVT BOYS PS DEVKAR 22231212603
8785 BEMETARA SAJA GOVT GIRLS PS DEVKAR 22231212604
8786 BEMETARA SAJA GOVT PS NAVKESHA 22231212801
8787 BEMETARA SAJA GOVT MS NAVKESHA (SSA) 22231212802
8788 BEMETARA SAJA GOVT PS LALPUR 22231212901
8789 BEMETARA SAJA GOVT MS LALPUR (SSA) 22231212902
8790 BEMETARA SAJA GOVT PS RAKHI 22231213001
8791 BEMETARA SAJA GOVT MS RAKHI (SSA) 22231213002
8792 BEMETARA SAJA GOVT PS LALPUR (CHHOTE) 22231213101
8793 BEMETARA SAJA GOVT PS SAHASPUR 22231213201
8794 BEMETARA SAJA GOVT MS SAHASPUR 22231213203
8795 BEMETARA SAJA GOVT PS DEHRI 22231213301
8796 BEMETARA SAJA GOVT PS JAMGAON 22231213401
8797 BEMETARA SAJA GOVT PS DEEHPARA DEVKAR 22231213501
8798 BEMETARA SAJA GOVT PS KHURUSHBOD 22231213601
8799 BEMETARA SAJA GOVT MS KHURUSHBOD 22231213602
8800 BEMETARA SAJA GOVT PS GHUGHVADIH 22231213701
8801 BEMETARA SAJA GOVT MS KHAMARIYA 22231213801
8802 BEMETARA SAJA GOVT NAVIN PS KHAMARIYA 22231213901
8803 BEMETARA SAJA GOVT NAVIN PS KHAMRIYA 22231214001
8804 BEMETARA SAJA GOVT PS KOPEDABRI 22231214101
8805 BEMETARA SAJA GOVT MS KOPEDABRI 22231214102
8806 BEMETARA SAJA GOVT PS GUWARA 22231214201
8807 BEMETARA SAJA GOVT.PS DARRI 22231214301
8808 BEMETARA SAJA GOVT MS DARRI 22231214302
8809 BEMETARA SAJA GOVT PS KARMU 22231214401
8810 BEMETARA SAJA GOVT PS PENDRIKALA 22231214501
8811 BEMETARA SAJA GOVT NAVIN MS PENDRIKALA (SSA) 22231214502
8812 BEMETARA SAJA GOVT PS KHAMARIYA 22231214601
8813 BEMETARA SAJA GOVT GIRLS PS KHAMARIYA 22231214602
8814 BEMETARA SAJA GOVT GIRLS MS KHAMARIYA 22231214604
8815 BEMETARA SAJA GOVT PS HATRANKA 22231214701
8816 BEMETARA SAJA GOVT MS HATRANKA 22231214702
8817 BEMETARA SAJA GOVT PS CHUHKA 22231214801
8818 BEMETARA SAJA GOVT MS CHUHKA (SSA) 22231214802
8819 BEMETARA SAJA GOVT PS BARGA 22231214901
8820 BEMETARA SAJA GOVT PS SONCHIRAIYA 22231215001
8821 BEMETARA SAJA GOVT PS TORAN 22231215101
8822 BEMETARA SAJA GOVT.PS HADAHULI 22231215201
8823 BEMETARA SAJA GOVT MS HADAHULI 22231215202
8824 BEMETARA SAJA GOVT PS DHEKAPUR 22231215301
8825 BEMETARA SAJA GOVT PS KHAPARI(DHOBI) 22231215401
8826 BEMETARA SAJA GOVT MS KHAPARI(DHOBI) 22231215402
8827 BEMETARA SAJA GOVT PS USALAPUR 22231215501
8828 BEMETARA SAJA GOVT PS PALENI 22231215601
8829 BEMETARA SAJA GOVT PS CHICHGAON 22231215701
8830 BEMETARA SAJA GOVT MS CHICHGAON (SSA) 22231215702
8831 BEMETARA SAJA GOVT PS SAJAN 22231215801
8832 BEMETARA SAJA GOVT MS SAJAN (SSA) 22231215802
8833 BEMETARA SAJA GOVT PS BHARAMPURI 22231215901
8834 BEMETARA SAJA GOVT.MS BHARAMPURI (SSA) 22231215902
8835 BEMETARA SAJA GOVT.PS BANRANKA 22231216101
8836 BEMETARA SAJA GOVT MS BANRANKA 22231216102
8837 BEMETARA SAJA GOVT PS TIPANI 22231216201
8838 BEMETARA SAJA GOVT PS UMRAW NAGAR 22231216301
8839 BEMETARA SAJA GOVT NAVIN MS UMRAW NAGAR 22231216302
8840 BEMETARA SAJA GOVT PS KURUD 22231216401
8841 BEMETARA SAJA GOVT MS KURUD 22231216402
8842 BEMETARA SAJA GOVT PS CHIKHLI 22231216501
8843 BEMETARA SAJA GOVT.PS BAMHANI 22231216601
8844 BEMETARA SAJA GOVT.MS BAMHANI (SSA) 22231216602
8845 BEMETARA SAJA GOVT PS GOPALPUR 22231216701
8846 BEMETARA SAJA GOVT MS GOPALPUR (SSA) 22231216702
8847 BEMETARA SAJA GOVT PS SAMUNDWARA 22231216801
8848 BEMETARA SAJA GOVT PS SAGONA 22231216901
8849 BEMETARA SAJA GOVT MS SAGONA 22231216902
8850 BEMETARA SAJA GOVT PS TENDO 22231217001
8851 BEMETARA SAJA GOVT MS ODIYA 22231217102
8852 BEMETARA SAJA GOVT PS ODIYA 22231217103
8853 BEMETARA SAJA GOVT PS BANIYADEEH 22231217201
8854 BEMETARA SAJA GOVT.MS BANIYADEEH 22231217202
8855 BEMETARA SAJA GOVT MS KANHERA 22231217301
8856 BEMETARA SAJA GOVT PS KANHERA 22231217302
8857 BEMETARA SAJA GOVT PS RAMPURA 22231217401
8858 BEMETARA SAJA GOVT MS RAMPURA 22231217402
8859 BEMETARA SAJA GOVT PS KHARRA 22231217501
8860 BEMETARA SAJA GOVT PS SUKHATAL 22231217601
8861 BEMETARA SAJA GOVT MS SUKHATAL 22231217602
8862 BEMETARA SAJA GOVT PS KHURUSHBOD 22231217701
8863 BEMETARA SAJA GOVT PS KURRA 22231217801
8864 BEMETARA SAJA GOVT PS AGRI KHURD 22231217901
8865 BEMETARA SAJA GOVT MS NAVAGAONKALA 22231218001
8866 BEMETARA SAJA GOVT PS NAVAGAONKALA 22231218002
8867 BEMETARA SAJA GOVT MS KHAIRJHITIKALA 22231218101
8868 BEMETARA SAJA GOVT PS KHAIJHITIKALA 22231218102
8869 BEMETARA SAJA GOVT PS SHYAMPUR KAPA 22231218201
8870 BEMETARA SAJA GOVT.MS SHYAMPUR KAPA 22231218202
8871 BEMETARA SAJA GOVT PS THARAKPUR 22231218301
8872 BEMETARA SAJA GOVT MS THARAKPUR 22231218302
8873 BEMETARA SAJA GOVT PS DANGANIYA 22231218401
8874 BEMETARA SAJA GOVT NAVIN PS DANGANIYA 22231218402
8875 BEMETARA SAJA GOVT UPS DANGANIYA 22231218403
8876 BEMETARA SAJA GOVT PS PATORA 22231218501
8877 BEMETARA SAJA GOVT PS JEWARA 22231218601
8878 BEMETARA SAJA GOVT PS MATIYA 22231218701
8879 BEMETARA SAJA GOVT. PS BAGDUMAR 22231218801
8880 BEMETARA SAJA GOVT PS GATAPAR 22231218901
8881 BEMETARA SAJA GOVT PS KURDA 22231219001
8882 BEMETARA SAJA GOVT PS KAJRA 22231219101
8883 BEMETARA SAJA GOVT PS RENGA (SSA) 22231219201
8884 BEMETARA SAJA GOVT PS KHAMDIH (SSA) 22231219301
8885 BEMETARA SAJA GOVT PS GIDHWA 22231219401
8886 BEMETARA SAJA GOVT PS BORIA 22231219501
8887 BEMETARA SAJA GOVT NAVIN PS HADAHULI (SSA) 22231219602
8888 BEMETARA SAJA GOVT. PS PADKITOLA 22231219701
8889 BEMETARA SAJA GOVT MS SINGHANPURI (SSA) 22231219901
8890 BEMETARA SAJA GOVT PS URAIHA (SSA) 22231220701
8891 BEMETARA SAJA GOVT PS GHABHARADIH 22231221201
8892 BIJAPUR BHAIRAMGARH GOVT. PRIMARY SCHOOL PUSNAR (TWD) 22203100101
8893 BIJAPUR BHAIRAMGARH GOVT. MIDDLE SCHOOL PUSNAR (SSA) 22203100102
8894 BIJAPUR BHAIRAMGARH GOVT. MIDDLE SCHOOL PINKONDA (TWD) 22203100403
8895 BIJAPUR BHAIRAMGARH GOVT. BOYS ASHRAM PINKONDA (TWD) 22203100405
8896 BIJAPUR BHAIRAMGARH GOVT. PRIMARY SCHOOL CHHINDBHATA (SSA) 22203100406
8897 BIJAPUR BHAIRAMGARH GOVT. MIDDLE SCHOOL BANJARAPARA (SSA) 22203100407
8898 BIJAPUR BHAIRAMGARH GOVT. PRIMARY SCHOOL BENCHARAM (TWD) 22203100501
8899 BIJAPUR BHAIRAMGARH GOVT. PRIMARY SCHOOL DARBHA (TWD) 22203100601
8900 BIJAPUR BHAIRAMGARH GOVT. MIDDLE SCHOOL DARBHA (SSA) 22203100605
8901 BIJAPUR BHAIRAMGARH MATA RUKAMANI BOY ASHRAM (ADIDI) 22203100701
8902 BIJAPUR BHAIRAMGARH GOVT. PRIMARY SCHOOL KUTRU (TWD) 22203100703
8903 BIJAPUR BHAIRAMGARH GOVT. NAVEEN MIDDLE SCHOOL KUTRU (SSA) 22203100708
8904 BIJAPUR BHAIRAMGARH GOVT. PRIMARY SCHOOL TADMER MANDIPARA(TWD) 22203100802
8905 BIJAPUR BHAIRAMGARH GOVT. PRIMARY SCHOOL ADAWALI (TWD) 22203100901
8906 BIJAPUR BHAIRAMGARH GOVT. GIRLS ASHRAM ADAWALI (SSA) 22203100902
8907 BIJAPUR BHAIRAMGARH GOVT BOYS ASHRAM AADED (TWD) 22203101006
8908 BIJAPUR BHAIRAMGARH GOVT.PRIMARY SCHOOL MANGAPETA (TWD) 22203101101
8909 BIJAPUR BHAIRAMGARH GOVT. MIDDLE SCHOOL MANGAPETA (SSA) 22203101102
8910 BIJAPUR BHAIRAMGARH GOVT. PRIMARY SCHOOL CHOTETUMNAR (TWD) 22203101201
8911 BIJAPUR BHAIRAMGARH GOVT. MIDDLE SCHOOL CHOTETUMNAR (SSA) 22203101202
8912 BIJAPUR BHAIRAMGARH GOVT. PRIMARY SCHOOL NETURWAYA(SSA) 22203101302
8913 BIJAPUR BHAIRAMGARH GOVT. PRIMARY SCHOOL CHINGER (TWD) 22203101305
8914 BIJAPUR BHAIRAMGARH GOVT. NAVEEN PRIMARY SCHOOL CHINGER (SSA) 22203101308
8915 BIJAPUR BHAIRAMGARH GOVT P.S.JANGLA (TWD) 22203101605
8916 BIJAPUR BHAIRAMGARH GOVT. PRIMARY SCHOOL JAIGUR (TWD) 22203101801
8917 BIJAPUR BHAIRAMGARH GOVT. PRIMARY SCHOOL DHOBAPARA JAIGUR (TWD)(CLOSED)
22203101802
8918 BIJAPUR BHAIRAMGARH GOVT. PRIMARY SCHOOL MANGALNAR (TWD) 22203101901
8919 BIJAPUR BHAIRAMGARH GOVT. NAVEEN PRIMARY SCHOOL MANGALNAR(SSA) 22203101903
8920 BIJAPUR BHAIRAMGARH GOVT. GIRLS ASHRAM MANGALNAR (TWD) 22203101904
8921 BIJAPUR BHAIRAMGARH GOVT. PRIMARY SCHOOL GOURABEDA (SSA) 22203101905
8922 BIJAPUR BHAIRAMGARH GOVT. BOYS ASHRAM DHARMA (TWD) 22203102001
8923 BIJAPUR BHAIRAMGARH GOVT. MIDDLE SCHOOL DHARMA (TWD)(CLOSED) 22203102003
8924 BIJAPUR BHAIRAMGARH GOVT. PRIMARY SCHOOL TALNAR (TWD) 22203102101
8925 BIJAPUR BHAIRAMGARH GOVT. PRIMARY SCHOOL SANJAYPARA, TALNAR (SSA) 22203102102
8926 BIJAPUR BHAIRAMGARH GOVT. MIDDLE SCHOOL TALNAR (SSA) 22203102103
8927 BIJAPUR BHAIRAMGARH GOVT. BOYS ASHRAM TALNAR (TWD) 22203102104
8928 BIJAPUR BHAIRAMGARH GOVT. PRIMARY SCHOOL BANJARAPARA (TWD) 22203102201
8929 BIJAPUR BHAIRAMGARH GOVT. PRIMARY SCHOOL MAHRAPARA (TWD) 22203102301
8930 BIJAPUR BHAIRAMGARH GOVT. PRIMARY SCHOOL GARHPARA (TWD) 22203102401
8931 BIJAPUR BHAIRAMGARH GOVT. MIDDLE SCHOOL CHIHKA (TWD) 22203102503
8932 BIJAPUR BHAIRAMGARH GOVT. PRIMARY SCHOOL KADKAPARA (TWD) 22203102506
8933 BIJAPUR BHAIRAMGARH GOVT. NAVEEN PRIMARY SCHOOL CHIHKA (SSA) 22203102507
8934 BIJAPUR BHAIRAMGARH GOVT. PRIMARY SCHOOL CHIHKA(TWD) 22203102508
8935 BIJAPUR BHAIRAMGARH GOVT. PRIMARY SCHOOL KEVRAMUNDA (SSA) 22203102509
8936 BIJAPUR BHAIRAMGARH GOVT P.S. POTENAR (TWD) 22203102601
8937 BIJAPUR BHAIRAMGARH GOVT. PRIMARY SCHOOL CHOTEPOTENAR (SSA) 22203102603
8938 BIJAPUR BHAIRAMGARH GOVT. GIRLS PRIMARY SCHOOL BHAIRAMGARH (TWD) 22203102701
8939 BIJAPUR BHAIRAMGARH GOVT. BOYS PRIMARY SCHOOL BHAIRAMGARH (TWD) 22203102703
8940 BIJAPUR BHAIRAMGARH GOVT. GIRLS MIDDLE SCHOOL BHAIRAMGARH (TWD) 22203102708
8941 BIJAPUR BHAIRAMGARH GOVT. PRIMARY SCHOOL THOTHAPARA (SSA) 22203102711
8942 BIJAPUR BHAIRAMGARH GOVT. PRIMARY SCHOOL CHINDBHATA (SSA) 22203102712
8943 BIJAPUR BHAIRAMGARH GOVT. PRIMARY SCHOOL SANJAYPARA (SSA) 22203102713
8944 BIJAPUR BHAIRAMGARH GOVT. PRIMARY SCHOOL DEWANGANPARA (SSA) 22203102714
8945 BIJAPUR BHAIRAMGARH GOVT. MIDDLE SCHOOL KHASPARA BHAIRAMGARH (SSA)
22203102715
8946 BIJAPUR BHAIRAMGARH GOVT. KASTURBA GANDHI BALIKA VIDYALAY BHAIRAMGARH (SSA)
22203102716
8947 BIJAPUR BHAIRAMGARH GOVT. MIDDLE SCHOOL BHAIRAMGARH (HSS)(TWD) 22203102717
8948 BIJAPUR BHAIRAMGARH GOVT. NAVEEN PRIMARY SCHOOL LANKAPARA(SSA) 22203102719
8949 BIJAPUR BHAIRAMGARH GOVT. PRIMARY SCHOOL JUNWANI (SSA) 22203102721
8950 BIJAPUR BHAIRAMGARH GOVT. PRIMARY SCHOOL GWARRAS (SSA) 22203102722
8951 BIJAPUR BHAIRAMGARH GOVT. PRIMARY SCHOOL HEMLAPARA (SSA) 22203102726
8952 BIJAPUR BHAIRAMGARH GOVT. PRIMARY SCHOOL TEMRUBHATA (TWD) 22203102801
8953 BIJAPUR BHAIRAMGARH GOVT. BOYS ASHRAM HINGUM (TWD) 22203103001
8954 BIJAPUR BHAIRAMGARH GOVT. BOYS ASHRAM NIRAM (TWD) 22203103101
8955 BIJAPUR BHAIRAMGARH GOVT. PRIMARY SCHOOL GODIYAPARA (TWD) 22203103301
8956 BIJAPUR BHAIRAMGARH GOVT BOYS ASHRAM BANGOLI (TWD) 22203103404
8957 BIJAPUR BHAIRAMGARH GOVT. PRIMARY SCHOOL GUPHA (TWD) 22203103502
8958 BIJAPUR BHAIRAMGARH GOVT. PRIMARY SCHOOL MANGNAR (SSA) 22203103601
8959 BIJAPUR BHAIRAMGARH GOVT. MIDDLE SCHOOL MANGNAR(SSA) 22203103608
8960 BIJAPUR BHAIRAMGARH GOVT. PRIMARY SCHOOL TUNDER (SSA) 22203103609
8961 BIJAPUR BHAIRAMGARH GOVT. PRIMARY SCHOOL MORSAMETA (TWD) 22203103610
8962 BIJAPUR BHAIRAMGARH GOVT. PRIMARY SCHOOL PHULADI (TWD)(CLOSED) 22203103804
8963 BIJAPUR BHAIRAMGARH GOVT. PRIMARY SCHOOL PEDAPAL (TWD) 22203104102
8964 BIJAPUR BHAIRAMGARH GOVT. BOYS ASHRAM TOYNAR (TWD) 22203104202
8965 BIJAPUR BHAIRAMGARH GOVT. PRIMARY SCHOOL TOYNAR (TWD)(CLOSED) 22203104205
8966 BIJAPUR BHAIRAMGARH GOVT. NAVEEN PRIMARY SCHOOL TADKEL (SSA) 22203104302
8967 BIJAPUR BHAIRAMGARH GOVT. BOYS ASHRAM CHHOTEPALLI (TWD) 22203104501
8968 BIJAPUR BHAIRAMGARH GOVT. BOYS ASHRAM TAKILOD (TWD) 22203104701
8969 BIJAPUR BHAIRAMGARH GOVT. PRIMARY SCHOOL TINDODI (TWD) 22203104801
8970 BIJAPUR BHAIRAMGARH GOVT. PRIMARY SCHOOL ODSA (TWD) 22203104901
8971 BIJAPUR BHAIRAMGARH GOVT. PRIMARY SCHOOL KARREMARKA (SSA) 22203105203
8972 BIJAPUR BHAIRAMGARH GOVT. PRIMARY SCHOOL KARREMARKA (TWD)(CLOSED)
22203105204
8973 BIJAPUR BHAIRAMGARH GOVT. PRIMARY SCHOOL SAKNAPALLI (TWD) 22203105401
8974 BIJAPUR BHAIRAMGARH GOVT. MIDDLE SCHOOL SAKNAPALLI (SSA) 22203105402
8975 BIJAPUR BHAIRAMGARH GOVT. NAVEEN PRIMARY SCHOOL TUNGELI (SSA) 22203105603
8976 BIJAPUR BHAIRAMGARH GOVT. PRIMARY SCHOOL BANDLAPAL (TWD) 22203105701
8977 BIJAPUR BHAIRAMGARH GOVT. MIDDLE SCHOOL DARAPAL (TWD) 22203105802
8978 BIJAPUR BHAIRAMGARH GOVT. PRIMARY SCHOOL DARAPAL (TWD) 22203105803
8979 BIJAPUR BHAIRAMGARH GOVT. SANYUKT ASHRAM DARAPAL (TWD) 22203105804
8980 BIJAPUR BHAIRAMGARH GOVT GIRL ASHRAM DARAPAL (TWD) 22203105805
8981 BIJAPUR BHAIRAMGARH GOVT P.S. BENGLA (SSA) 22203105902
8982 BIJAPUR BHAIRAMGARH GOVT. PRIMARY SCHOOL PONDUM (TWD) 22203106001
8983 BIJAPUR BHAIRAMGARH GOVT. PRIMARY SCHOOL KARREPARA (TWD) 22203106003
8984 BIJAPUR BHAIRAMGARH GOVT. PRIMARY SCHOOL PATARPARA(TWD) 22203106201
8985 BIJAPUR BHAIRAMGARH GOVT. BOYS ASHRAM GUDMA (TWD) 22203106302
8986 BIJAPUR BHAIRAMGARH GOVT. SANYUKT ASHRAM GUDMA (TWD) 22203106305
8987 BIJAPUR BHAIRAMGARH GOVT. NAVEEN PRIMARY SCHOOL GUDMA (SSA) 22203106306
8988 BIJAPUR BHAIRAMGARH GOVT. MIDDLE SCHOOL GUDMA (TWD) 22203106307
8989 BIJAPUR BHAIRAMGARH GOVT. BOYS ASHRAM BHATWADA (TWD) 22203106703
8990 BIJAPUR BHAIRAMGARH GOVT. PRIMARY SCHOOL PANDEMURGA (TWD) 22203106801
8991 BIJAPUR BHAIRAMGARH GOVT. MIDDLE SCHOOL PANDEMURGA (SSA) 22203106802
8992 BIJAPUR BHAIRAMGARH GOVT GRILS PRIMARY SCHOOL NELASNAR (TWD) 22203106901
8993 BIJAPUR BHAIRAMGARH PVT MATA RUKMANI GIRLS ASHRAM NELASNAR 22203106906
8994 BIJAPUR BHAIRAMGARH GOVT GIRLS MIDDLE SCHOOL NELASNAR (TWD) 22203106908
8995 BIJAPUR BHAIRAMGARH GOVT BOYS ASHRAM NELASNAR (TWD) 22203106909
8996 BIJAPUR BHAIRAMGARH GOVT. MIDDLE SCHOOL NELASNAR (TWD) 22203106910
8997 BIJAPUR BHAIRAMGARH GOVT. GIRLS ASHRAM KOSHALNAR (TWD) 22203107002
8998 BIJAPUR BHAIRAMGARH GOVT. MIDDLE SCHOOL KOSHALNAR (TWD) 22203107003
8999 BIJAPUR BHAIRAMGARH GOVT. BOYS ASHRAM KOSHALNAR (TWD) 22203107004
9000 BIJAPUR BHAIRAMGARH GOVT. BOYS ASHRAM KETULNAR(TWD) 22203107101
9001 BIJAPUR BHAIRAMGARH GOVT. PRIMARY SCHOOL KETULNAR (TWD) 22203107103
9002 BIJAPUR BHAIRAMGARH GOVT. GIRLS ASHRAM KETULNAR (TWD) 22203107104
9003 BIJAPUR BHAIRAMGARH GOVT. MIDDLE SCHOOL KETULNAR (SSA) 22203107105
9004 BIJAPUR BHAIRAMGARH GOVT. BOYS ASHRAM TAMODI (TWD) 22203107201
9005 BIJAPUR BHAIRAMGARH GOVT. PRIMARY SCHOOL ADWADA (TWD) 22203107302
9006 BIJAPUR BHAIRAMGARH GOVT. BOYS ASHRAM ADWADA (TWD) 22203107303
9007 BIJAPUR BHAIRAMGARH GOVT. PRIMARY SCHOOL BIRIYABHUMI (TWD) 22203107401
9008 BIJAPUR BHAIRAMGARH GOVT P.S. DHAKADPARA (SSA) 22203107702
9009 BIJAPUR BHAIRAMGARH GOVT M S MINGACHAL(SSA) 22203107703
9010 BIJAPUR BHAIRAMGARH GOVT P S MINGACHAL (TWD) 22203107704
9011 BIJAPUR BHAIRAMGARH GOVT.GIRLS ASHRAM MINGACHAL(TWD) 22203107705
9012 BIJAPUR BHAIRAMGARH GOVT PRIMARY SCHOOL JAIVARAM (TWD) 22203107801
9013 BIJAPUR BHAIRAMGARH GOVT.PRIMARY SCHOOL NAYAPARA JAIVARAM(SSA) 22203107802
9014 BIJAPUR BHAIRAMGARH GOVT. PRIMARY SCHOOL KOTRAPAL (TWD) 22203107901
9015 BIJAPUR BHAIRAMGARH GOVT P.S. BARDELA (TWD) 22203108001
9016 BIJAPUR BHAIRAMGARH GOVT M.S. BARDELA(TWD) 22203108002
9017 BIJAPUR BHAIRAMGARH GOVT. PRIMARY SCHOOL KOTARAPAL PURANA (TWD) 22203108101
9018 BIJAPUR BHAIRAMGARH GOVT. PRIMARY SCHOOL AKLANKA (SSA) 22203108601
9019 BIJAPUR BHAIRAMGARH GOVT. BOYS ASHRAM JARAMARKA (TWD) 22203108801
9020 BIJAPUR BHAIRAMGARH GOVT. PRIMARY SCHOOL GOMTER (TWD) 22203108902
9021 BIJAPUR BHAIRAMGARH GOVT. MIDDLE SCHOOL TUSWAL (SSA) 22203108908
9022 BIJAPUR BHAIRAMGARH GOVT. PRIMARY SCHOOL KATOLI (TWD) 22203109101
9023 BIJAPUR BHAIRAMGARH GOVT. PRIMARY SCHOOL BEGLUR (TWD) 22203109201
9024 BIJAPUR BHAIRAMGARH GOVT. SANYUKT ASHRAM BENGLUR (TWD) 22203109202
9025 BIJAPUR BHAIRAMGARH GOVT. MIDDLE SCHOOL BENGLUR (SSA) 22203109203
9026 BIJAPUR BHAIRAMGARH GOVT. PRIMARY SCHOOL PATLIGUDA (TWD) 22203109301
9027 BIJAPUR BHAIRAMGARH GOVT. PRIMARY SCHOOL HEMLAPARA (TWD) 22203109401
9028 BIJAPUR BHAIRAMGARH GOVT. PRIMARY SCHOOL SUROKHI (TWD) 22203109501
9029 BIJAPUR BHAIRAMGARH GOVT. PRIMARY SCHOOL MATWADA (TWD) 22203109701
9030 BIJAPUR BHAIRAMGARH GOVT SANYUKT ASRAM MATWADA (TWD) 22203109702
9031 BIJAPUR BHAIRAMGARH GOVT. MIDDLE SCHOOL MATWADA(TWD) 22203109703
9032 BIJAPUR BHAIRAMGARH GOVT. MIDDLE SCHOOL KOTRAPAL (SSA) 22203109704
9033 BIJAPUR BHAIRAMGARH GOVT. PRIMARY SCHOOL LANKAPARA (TWD) 22203109801
9034 BIJAPUR BHAIRAMGARH GOVT. PRIMARY SCHOOL KUNGLER (TWD) 22203109903
9035 BIJAPUR BHAIRAMGARH GOVT M.S. PHRSEGAD (TWD) 22203110305
9036 BIJAPUR BHAIRAMGARH GOVT P.S. PHRSEGAD (TWD) 22203110306
9037 BIJAPUR BHAIRAMGARH GOVT GIRLS ASHRAM PHRSEGAD (TWD) 22203110308
9038 BIJAPUR BHAIRAMGARH GOVT P.S. KUPREL (SSA) 22203110309
9039 BIJAPUR BHAIRAMGARH GOVT. PRIMARY SCHOOL BEDRE (TWD) 22203110401
9040 BIJAPUR BHAIRAMGARH GOVT. BOYS ASHRAM BEDRE (TWD) 22203110402
9041 BIJAPUR BHAIRAMGARH GOVT. MIDDLE SCHOOL BEDRE (TWD) 22203110405
9042 BIJAPUR BHAIRAMGARH GOVT. PRIMARY SCHOOL NAYAPARA BEDRE (SSA) 22203110410
9043 BIJAPUR BHAIRAMGARH GOVT. BOYS ASHRAM MIRTUR (TWD) 22203110601
9044 BIJAPUR BHAIRAMGARH GOVT. JANPAD PRIMARY SCHOOL MIRTUR (TWD) 22203110602
9045 BIJAPUR BHAIRAMGARH GOVT. MIDDLE SCHOOL MIRTUR (TWD) 22203110603
9046 BIJAPUR BHAIRAMGARH GOVT. PRIMARY SCHOOL PITODIPARA (TWD) 22203110606
9047 BIJAPUR BHAIRAMGARH GOVT. PRIMARY SCHOOL DALER (TWD) 22203110701
9048 BIJAPUR BHAIRAMGARH GOVT. BOYS ASHRAM DALER (TWD) 22203110703
9049 BIJAPUR BHAIRAMGARH GOVT. PRIMARY SCHOOL GUDSAKAL (TWD) 22203110801
9050 BIJAPUR BHAIRAMGARH GOVT. PRIMARY SCHOOL BODGA (TWD)(CLOSED) 22203111101
9051 BIJAPUR BHAIRAMGARH GOVT. PRIMARY SCHOOL PETHA (TWD) 22203111201
9052 BIJAPUR BHAIRAMGARH GOVT. BOYS ASHRAM PETHA (TWD) 22203111202
9053 BIJAPUR BHAIRAMGARH GOVT. MIDDLE SCHOOL PETHA (TWD)(CLOSED) 22203111203
9054 BIJAPUR BHAIRAMGARH GOVT BOYS ASHRAM MATASI (TWD) 22203111504
9055 BIJAPUR BHAIRAMGARH GOVT. PRIMARY SCHOOL MATASI (TWD)(CLOSED) 22203111505
9056 BIJAPUR BHAIRAMGARH GOVT. SANYUKT ASHRAM GOMTER (TWD) 22203111602
9057 BIJAPUR BHAIRAMGARH GOVT. PRIMARY SCHOOL GOMTER (SSA) 22203111603
9058 BIJAPUR BHAIRAMGARH GOVT. NAVEEN PRIMARY SCHOOL KESHKUTUL(SSA) 22203111901
9059 BIJAPUR BHAIRAMGARH GOVT. PRIMARY SCHOOL KESHKUTUL (TWD) 22203111903
9060 BIJAPUR BHAIRAMGARH GOVT. BOYS ASHRAM KESHKUTUL (TWD) 22203111904
9061 BIJAPUR BHAIRAMGARH GOVT. GIRLS ASHRAM KESHKUTUL (TWD) 22203111905
9062 BIJAPUR BHAIRAMGARH GOVT. MIDDLE SCHOOL KESHKUTUL (SSA) 22203111906
9063 BIJAPUR BHAIRAMGARH GOVT GRILS ASHRAM RANI BODLI (TWD) 22203112101
9064 BIJAPUR BHAIRAMGARH GOVT P.S. RANIBODLI (TWD) 22203112102
9065 BIJAPUR BHAIRAMGARH GOVT M.S. RANIBODLI (SSA) 22203112103
9066 BIJAPUR BHAIRAMGARH GOVT. PRIMARY SCHOOL CHIDRAPAL (TWD) 22203112202
9067 BIJAPUR BHAIRAMGARH GOVT. PRIMARY SCHOOL BAJARPARA JAIGUR (TWD) 22203112501
9068 BIJAPUR BHAIRAMGARH GOVT. PRIMARY SCHOOL KADTIPARA (TWD) 22203112701
9069 BIJAPUR BHAIRAMGARH GOVT. PRIMARY SCHOOL KARKAVADA (SSA) 22203112802
9070 BIJAPUR BHAIRAMGARH GOVT. PRIMARY SCHOOL KOSHALNAR (TWD) 22203113503
9071 BIJAPUR BHAIRAMGARH GOVT. PRIMARY SCHOOL SARPANCHPARA, KOSHALNAR (SSA)
22203113504
9072 BIJAPUR BHAIRAMGARH GOVT.PRIMARY SCHOOL PATELPARA KOSHALNAR(SSA) 22203113507
9073 BIJAPUR BHAIRAMGARH GOVT. PRIMARY SCHOOL FULGTTA (TWD) 22203113701
9074 BIJAPUR BHAIRAMGARH GOVT. PRIMARY SCHOOL NILAVAYA (TWD) 22203113801
9075 BIJAPUR BHAIRAMGARH GOVT P.S. CHOTE GONGLA (TWD) 22203114001
9076 BIJAPUR BHAIRAMGARH GOVT. BOYS ASHRAM BECHPAL(TWD) 22203114102
9077 BIJAPUR BHAIRAMGARH GOVT. SANYUKT ASHRAM DHUSAWAD (TWD) 22203114302
9078 BIJAPUR BHAIRAMGARH GOVT. PRIMARY SCHOOL ERPAPOMRA (SSA)(CLOSED) 22203114402
9079 BIJAPUR BHAIRAMGARH GOVT. PRIMARY SCHOOL SURAKHADA (SSA) 22203114503
9080 BIJAPUR BHAIRAMGARH GOVT. PRIMARY SCHOOL TUMLA (TWD) 22203114601
9081 BIJAPUR BHAIRAMGARH GOVT. PRIMARY SCHOOL ERAMANGI (TWD) 22203114801
9082 BIJAPUR BHAIRAMGARH GOVT. PRIMARY SCHOOL KETANPAL (TWD) 22203114901
9083 BIJAPUR BHAIRAMGARH GOVT. PRIMARY SCHOOL KILEPALPARA DARBHA (SSA) 22203115001
9084 BIJAPUR BHAIRAMGARH GOVT. PRIMARY SCHOOL KILEPALPARA,KETULNAR (SSA)22203115002
9085 BIJAPUR BHAIRAMGARH GOVT. PRIMARY SCHOOL KOMPALLI (TWD) 22203115101
9086 BIJAPUR BHAIRAMGARH GOVT. SANYUKT ASHRAM KOMPALLI (TWD) 22203115102
9087 BIJAPUR BHAIRAMGARH GOVT. MIDDLE SCHOOL KARREMARKA (SSA) 22203115302
9088 BIJAPUR BHAIRAMGARH GOVT. PRIMARY SCHOOL KONDROJI (TWD) 22203115401
9089 BIJAPUR BHAIRAMGARH GOVT. PRIMARY SCHOOL KONDROJI (SSA) 22203115402
9090 BIJAPUR BHAIRAMGARH GOVT. PRIMARY SCHOOL FULLOD (SSA) 22203115403
9091 BIJAPUR BHAIRAMGARH GOVT. BOYS ASHRAM FULLOD (TWD) 22203115404
9092 BIJAPUR BHAIRAMGARH GOVT. PRIMARY SCHOOL KODOLI (TWD) 22203115502
9093 BIJAPUR BHAIRAMGARH GOVT. BOYS ASHRAM PANDEMURGA (TWD) 22203115504
9094 BIJAPUR BHAIRAMGARH GOVT. MIDDLE SCHOOL KODOLI (SSA) 22203115505
9095 BIJAPUR BHAIRAMGARH GOVT. MIDDLE SCHOOL KARKELI (SSA) 22203115603
9096 BIJAPUR BHAIRAMGARH GOVT. PRIMARY SCHOOL KARKELI (SSA) 22203115604
9097 BIJAPUR BHAIRAMGARH GOVT. GIRLS ASHRAM KARKELI (TWD) 22203115606
9098 BIJAPUR BHAIRAMGARH GOVT. PRIMARY SCHOOL TADMER (TWD) 22203115801
9099 BIJAPUR BHAIRAMGARH GOVT. PRIMARY SCHOOL TADKEL (TWD) 22203115901
9100 BIJAPUR BHAIRAMGARH GOVT. PRIMARY SCHOOL DHUSAWAD (TWD) 22203116001
9101 BIJAPUR BHAIRAMGARH GOVT. NAVEEN PRIMARY SCHOOL DHUSAWAD (SSA)(CLOSED)
22203116002
9102 BIJAPUR BHAIRAMGARH GOVT. PRIMARY SCHOOL BELNAR (TWD) 22203116503
9103 BIJAPUR BHAIRAMGARH GOVT. PRIMARY SCHOOL BELNAR (SSA)(CLOSED) 22203116504
9104 BIJAPUR BHAIRAMGARH GOVT. MIDDLE SCHOOL BELNAR (SSA)(CLOSED) 22203116505
9105 BIJAPUR BHAIRAMGARH GOVT. BOYS ASHRAM TURREM (TWD) 22203116801
9106 BIJAPUR BHAIRAMGARH GOVT P.S. CHINGER (TWD) 22203116902
9107 BIJAPUR BHAIRAMGARH GOVT. MIDDLE SCHOOL PATARPARA (TWD) 22203117002
9108 BIJAPUR BHAIRAMGARH GOVT. PRIMARY SCHOOL KARREPARA NELASNAR (SSA) 22203117102
9109 BIJAPUR BHAIRAMGARH GOVT. PRIMARY SCHOOL EHKELI (TWD) 22203117201
9110 BIJAPUR BHAIRAMGARH GOVT. PRIMARY SCHOOL AMBELI (TWD) 22203117301
9111 BIJAPUR BHAIRAMGARH GOVT. SANYUKT ASHRAM AMBELI (TWD) 22203117302
9112 BIJAPUR BHAIRAMGARH GOVT. MIDDLE SCHOOL AMBELI (SSA) 22203117303
9113 BIJAPUR BHAIRAMGARH GOVT. PRIMARY SCHOOL MEDPAL (SSA) 22203117403
9114 BIJAPUR BHAIRAMGARH GOVT. PRIMARY SCHOOL BANDEPARA (TWD) 22203117502
9115 BIJAPUR BHAIRAMGARH GOVT. BOYS ASHRAM BELCHAR (TWD) 22203117602
9116 BIJAPUR BHAIRAMGARH GOVT. PRIMARY SCHOOL PINDUMPAL(TWD) 22203117701
9117 BIJAPUR BHAIRAMGARH GOVT N.P.S. KATTUR (SSA) 22203117901
9118 BIJAPUR BHAIRAMGARH GOVT N.P.S. RANIBODLI (SSA) 22203118001
9119 BIJAPUR BHAIRAMGARH GOVT. PRIMARY SCHOOL BHATPALLI (SSA)(CLOSED) 22203118102
9120 BIJAPUR BHAIRAMGARH GOVT. PRIMARY SCHOOL CHHOTE ALVADA (SSA)(CLOSED)
22203118202
9121 BIJAPUR BHAIRAMGARH GOVT. PRIMARY SCHOOL PALLEVAYA (TWD)(CLOSED) 22203118501
9122 BIJAPUR BHAIRAMGARH GOVT. PRIMARY SCHOOL ADKAPALLI (SSA)(CLOSED) 22203119302
9123 BIJAPUR BHAIRAMGARH GOVT BOY ASHRAM PHARSEGARH (TWD) 22203119502
9124 BIJAPUR BHAIRAMGARH GOVT PRIMARY SCHOOL MANDEM (TWD) 22203119504
9125 BIJAPUR BHAIRAMGARH GOVT BOYS ASHRAM MUKAVELI (TWD) 22203119505
9126 BIJAPUR BHAIRAMGARH GOVT PRIMARY SCHOOL MUCHLER (TWD) 22203119506
9127 BIJAPUR BHAIRAMGARH GOVT PRIMARY SCHOOL KORLAPALLI (SSA) 22203119508
9128 BIJAPUR BHAIRAMGARH GOVT PRIMARY SCHOOL GUMNER (TWD) 22203119509
9129 BIJAPUR BHAIRAMGARH GOVT PRIMARY SCHOOL PENKRAM (TWD) 22203119510
9130 BIJAPUR BHAIRAMGARH GOVT NAVIN PRIMARY SCHOOL PHARSEGARH(SSA) 22203119511
9131 BIJAPUR BHAIRAMGARH GOVT. PRIMARY SCHOOL DARMER (SSA) 22203119602
9132 BIJAPUR BHAIRAMGARH GOVT. PRIMARY SCHOOL ETAMPAR (SSA) 22203119802
9133 BIJAPUR BHAIRAMGARH GOVT. GIRLS ASHRAM ETAMPAR (TWD) 22203119803
9134 BIJAPUR BHAIRAMGARH GOVT. PRIMARY SCHOOL JARAMONGIYA (SSA) 22203119901
9135 BIJAPUR BHAIRAMGARH GOVT. PRIMARY SCHOOL JARAMONGIYA (TWD)(CLOSED)
22203119902
9136 BIJAPUR BHAIRAMGARH GOVT. PRIMARY SCHOOL BADETUNGALI (TWD)(CLOSED)
22203120001
9137 BIJAPUR BHAIRAMGARH GOVT. NAVEEN PRIMARY SCHOOL BADETUNGALI (SSA)(CLOSED)
22203120002
9138 BIJAPUR BHAIRAMGARH GOVT. MIDDLE SCHOOL JAIGUR (SSA) 22203120102
9139 BIJAPUR BHAIRAMGARH GOVT. PRIMARY SCHOOL PATELPARA JAIGUR (TWD) 22203120104
9140 BIJAPUR BHAIRAMGARH GOVT. SANYUKT ASHRAM JAIGUR (TWD) 22203120105
9141 BIJAPUR BHAIRAMGARH GOVT. PRIMARY SCHOOL ECHAMIPARA(SSA) 22203120401
9142 BIJAPUR BHAIRAMGARH GOVT. PRIMARY SCHOOL TUNGELI (SSA) 22203120501
9143 BIJAPUR BHAIRAMGARH GOVT BOYS ASHRAM MANGNAR (TWD) 22203120602
9144 BIJAPUR BHAIRAMGARH GOVT. PRIMARY SCHOOL KODELAPARA, MANGNAR (SSA)
22203120603
9145 BIJAPUR BHAIRAMGARH GOVT. PRIMARY SCHOOL PATAKUTRU (SSA) 22203121301
9146 BIJAPUR BHAIRAMGARH GOVT. PRIMARY SCHOOL DHARBA (SSA) 22203121401
9147 BIJAPUR BHAIRAMGARH GOVT. BOY ASHRAM DHARBA (TWD) 22203121402
9148 BIJAPUR BHAIRAMGARH GOVT. PRIMARY SCHOOL USKAPATTNAM (SSA) 22203121501
9149 BIJAPUR BHAIRAMGARH GOVT. PRIMARY SCHOOL KODKA (SSA) 22203121702
9150 BIJAPUR BHAIRAMGARH GOVT. PRIMARY SCHOOL VAYNAR (SSA) 22203122402
9151 BIJAPUR BHAIRAMGARH GOVT. PRIMARY SCHOOL PINKONDA (TWD) 22203122701
9152 BIJAPUR BHAIRAMGARH GOVT. PRIMARY SCHOOL PONODVAYA (SSA) 22203123301
9153 BIJAPUR BHAIRAMGARH GOVT. PRIMARY SCHOOL USPARI (SSA) 22203124401
9154 BIJAPUR BHAIRAMGARH PVT MATA RUKHMANI GIRLS A. JANGLA 22203124804
9155 BIJAPUR BHAIRAMGARH GOVT. BOYS ASHRAM PATARPARA (TWD) 22203125201
9156 BIJAPUR BHAIRAMGARH GOVT. GIRLS ASHRAM PATARPARA (TWD) 22203125202
9157 BIJAPUR BHAIRAMGARH GOVT. PRIMARY SCHOOL PALLEWAYA (TWD) 22203125301
9158 BIJAPUR BHAIRAMGARH GOVT. MIDDLE SCHOOL BANDLAPAL (SSA) 22203125501
9159 BIJAPUR BHAIRAMGARH GOVT. PRIMARY SCHOOL BUDDUM (TWD) 22203126001
9160 BIJAPUR BHAIRAMGARH GOVT. PRIMARY SCHOOL TODMA (TWD) 22203126101
9161 BIJAPUR BHAIRAMGARH GOVT. PRIMARY SCHOOL KOTMETA (SSA) 22203127001
9162 BIJAPUR BHAIRAMGARH GOVT. NAVEEN PRIMARY SCHOOL KOTMETA (SSA)(CLOSED)
22203127002
9163 BIJAPUR BHAIRAMGARH GOVT BOY ASHRAM PITETUNGALI (TWD) 22203127101
9164 BIJAPUR BHAIRAMGARH GOVT. PRIMARY SCHOOL PITETUNGALI (TWD)(CLOSED)22203127102
9165 BIJAPUR BHAIRAMGARH GOVT. PRIMARY SCHOOL NAPARPARA (SSA) 22203127201
9166 BIJAPUR BHAIRAMGARH GOVT. PRIMARY SCHOOL KARIYARPARA (SSA) 22203127301
9167 BIJAPUR BHAIRAMGARH GOVT. SANYUKT ASHRAM FULGATTA (TWD) 22203127302
9168 BIJAPUR BHAIRAMGARH GOVT. PRIMARY SCHOOL IDER (SSA) 22203127502
9169 BIJAPUR BHAIRAMGARH GOVT. PRIMARY SCHOOL GUDMA (TWD) 22203127601
9170 BIJAPUR BHAIRAMGARH GOVT. BOYS ASHRAM JHADIGUTTA (TWD) 22203127602
9171 BIJAPUR BHAIRAMGARH GOVT. PRIMARY SCHOOL BIRABHATTI (SSA) 22203127801
9172 BIJAPUR BHAIRAMGARH GOVT. PRIMARY SCHOOL ODASANPORKA (SSA) 22203128001
9173 BIJAPUR BHAIRAMGARH GOVT P.S. EACHEVADA (SSA) 22203128102
9174 BIJAPUR BHAIRAMGARH GOVT P.S. MATLA (SSA) 22203128201
9175 BIJAPUR BHAIRAMGARH GOVT P.S. HITULVADA (SSA) 22203128301
9176 BIJAPUR BHAIRAMGARH GOVT. PRIMARY SCHOOL GUTAMANGI (SSA) 22203128401
9177 BIJAPUR BHAIRAMGARH GOVT P.S. GADAMALI (TWD) 22203128501
9178 BIJAPUR BHAIRAMGARH GOVT N.P.S. GAYTAPARA GADAMALI(SSA) 22203128502
9179 BIJAPUR BHAIRAMGARH GOVT. PRIMARY SCHOOL KESHMUNDIPARA (SSA)(CLOSED)
22203128602
9180 BIJAPUR BHAIRAMGARH GOVT. PRIMARY SCHOOL KOYAM (SSA) 22203128801
9181 BIJAPUR BHAIRAMGARH GOVT. PRIMARY SCHOOL HITALKUDUAM (SSA) 22203128901
9182 BIJAPUR BHAIRAMGARH GOVT. PRIMARY SCHOOL SADAR (SSA) 22203129001
9183 BIJAPUR BHAIRAMGARH GOVT. PRIMARY SCHOOL RENGAVWAYA (TWD)(CLOSED)
22203129301
9184 BIJAPUR BHOPALPATNAM GOVT P.S. GILLGICHCHA MADDED( TWD) 22203600101
9185 BIJAPUR BHOPALPATNAM NAVIN M.S. GILGICHCHA MADDED(SSA) 22203600102
9186 BIJAPUR BHOPALPATNAM P.S. KESAIGUDA (TWD) 22203600201
9187 BIJAPUR BHOPALPATNAM P.S. GOORARM (TWD) 22203600401
9188 BIJAPUR BHOPALPATNAM KANYA PRIMARY SCHOOL MADDED (TWD) 22203600503
9189 BIJAPUR BHOPALPATNAM M.S. MADDED (TWD) 22203600505
9190 BIJAPUR BHOPALPATNAM N.P.S. NAYAPARA MADDED (SSA) 22203600508
9191 BIJAPUR BHOPALPATNAM P.S. GERIGUDA MADDED (SSA) 22203600509
9192 BIJAPUR BHOPALPATNAM B.A.S. PASEVADA ( SANDRA ) 22203600514
9193 BIJAPUR BHOPALPATNAM GIRLS M.S. MADDED ( TWD) 22203600516
9194 BIJAPUR BHOPALPATNAM BOYS P.S. MADDED (TWD) 22203600517
9195 BIJAPUR BHOPALPATNAM PRAISE PUBLIC SCHOOL(PVT) 22203600521
9196 BIJAPUR BHOPALPATNAM SAR.SHISHU MANDIR MADDED(PVT) 22203600522
9197 BIJAPUR BHOPALPATNAM P.S. KOGUPALLI (TWD) 22203600901
9198 BIJAPUR BHOPALPATNAM N.P.B.A. KARKAVAGA(TWD) 22203601007
9199 BIJAPUR BHOPALPATNAM K.G.G.S. BHOPALPATNAM ( SSA) 22203601011
9200 BIJAPUR BHOPALPATNAM N.P.S. RAJPARA (SSA) 22203601012
9201 BIJAPUR BHOPALPATNAM N.P.S. MAMDIGUDA (SSA) 22203601013
9202 BIJAPUR BHOPALPATNAM GOVT.M.S.BOY'S BHOPALPATNAM 22203601020
9203 BIJAPUR BHOPALPATNAM P.B.A.S. BHOPALPATNAM A(TWD) 22203601021
9204 BIJAPUR BHOPALPATNAM KANYA P.S. BHOPALPATNAM ( TWD) 22203601022
9205 BIJAPUR BHOPALPATNAM P.S. RALLAPALLI (TWD) 22203601023
9206 BIJAPUR BHOPALPATNAM P.S. MOTLAGUDA ( SSA) 22203601024
9207 BIJAPUR BHOPALPATNAM UPS RALLAPALLI ( SSA) 22203601025
9208 BIJAPUR BHOPALPATNAM GOVT GIRLS M.S.BHOPALPATNAM 22203601030
9209 BIJAPUR BHOPALPATNAM GOVT BOY'S P.S CHINNMATUR(SSA) 22203601031
9210 BIJAPUR BHOPALPATNAM MODEL SCHOOL ULLOOR(RMSA) 22203601032
9211 BIJAPUR BHOPALPATNAM P.S. REGGUDA (SSA) 22203601201
9212 BIJAPUR BHOPALPATNAM GIRLS M.S. PAMGAL ( TWD) 22203601302
9213 BIJAPUR BHOPALPATNAM P.S. NAYAPARA PANGAL (SSA) 22203601303
9214 BIJAPUR BHOPALPATNAM A.S. PAMGAL (TWD) 22203601304
9215 BIJAPUR BHOPALPATNAM P.S. METUPALLI( TWD) 22203601306
9216 BIJAPUR BHOPALPATNAM P.S. PATTURPARA PANGAL ( SSA) 22203601307
9217 BIJAPUR BHOPALPATNAM P.S. RAMPETA(TWD) 22203601503
9218 BIJAPUR BHOPALPATNAM N.P.S. ATUKPALLI BICHPARA(SSA) 22203601504
9219 BIJAPUR BHOPALPATNAM P.S. KANDLA (SSA) 22203601505
9220 BIJAPUR BHOPALPATNAM N.M.S. NARONAPALLI(SSA) 22203601506
9221 BIJAPUR BHOPALPATNAM BALAK ASHRAM NARONAPALLI(TWD) 22203601507
9222 BIJAPUR BHOPALPATNAM P.S. MAINDERPARA BHOPALPATNAM (TWD) 22203601701
9223 BIJAPUR BHOPALPATNAM P.S. GULLAPENTA ( TWD) 22203601902
9224 BIJAPUR BHOPALPATNAM M.S. GULLPENTA ( TWD) 22203601903
9225 BIJAPUR BHOPALPATNAM N.P.S. ULLUR ( S.S.A.) 22203601905
9226 BIJAPUR BHOPALPATNAM GOVT P.S. GOTAIGUDA (TWD) 22203602001
9227 BIJAPUR BHOPALPATNAM GOVT M.S. GOTIIGUDA (TWD) 22203602002
9228 BIJAPUR BHOPALPATNAM PRIMARY SCHOOL CHANDOOR ( TWD) 22203602102
9229 BIJAPUR BHOPALPATNAM M.S. CHANDOOR(TWD) 22203602103
9230 BIJAPUR BHOPALPATNAM P.S. METLCHRU(SSA) 22203602201
9231 BIJAPUR BHOPALPATNAM GOVT GIRL'S P.S.GOLLAGUDA(TWD) 22203602301
9232 BIJAPUR BHOPALPATNAM JANPAD PRIMARY SCHOOL (TWD) 22203602302
9233 BIJAPUR BHOPALPATNAM GOVT P.M.S. GOLLAGUDA ( TWD) 22203602304
9234 BIJAPUR BHOPALPATNAM GOVT P.S..MOTLAGUDA(SSA) 22203602305
9235 BIJAPUR BHOPALPATNAM P.S. MANJHIPARA ( SSA) 22203602307
9236 BIJAPUR BHOPALPATNAM P.S. POLEM (T.W.D) 22203602401
9237 BIJAPUR BHOPALPATNAM BALAK ASHRAM POLEM (TWD) 22203602402
9238 BIJAPUR BHOPALPATNAM M.S. POLEM (T.W.D.) 22203602405
9239 BIJAPUR BHOPALPATNAM N.P.S. CHINNAMATUR( SSA) 22203602503
9240 BIJAPUR BHOPALPATNAM P.S. CHANDANGIRI ( T.W.D.) 22203602601
9241 BIJAPUR BHOPALPATNAM P.S.GUTTAPARA ( S.S.A.) 22203602602
9242 BIJAPUR BHOPALPATNAM P.S. RAMPURM (TWD) 22203602701
9243 BIJAPUR BHOPALPATNAM NAVIN M.S.LINGAPUR ( T.W.D) 22203602802
9244 BIJAPUR BHOPALPATNAM N.P.S. AWASPARA LINGAPUR 22203602803
9245 BIJAPUR BHOPALPATNAM P.S. LINGAPUR ( TWD) 22203602805
9246 BIJAPUR BHOPALPATNAM P.S. RAIGUDA ( SSA) 22203602806
9247 BIJAPUR BHOPALPATNAM PRIMARY SCHOOL TARUD (T.W.D.) 22203602901
9248 BIJAPUR BHOPALPATNAM M.S. ULLUR (T.W.D.) 22203603002
9249 BIJAPUR BHOPALPATNAM P.S.CHINNAGUDA ( S.S.A.) 22203603003
9250 BIJAPUR BHOPALPATNAM P.S. SANJAYPARA ULLOOR (TWD) 22203603004
9251 BIJAPUR BHOPALPATNAM MODEL SCHOOL ULLOOR (SSA) 22203603005
9252 BIJAPUR BHOPALPATNAM P.S GERRAGUDA( T.W.D.) 22203603202
9253 BIJAPUR BHOPALPATNAM NAVIN M.S KONAGUDA 22203603303
9254 BIJAPUR BHOPALPATNAM P.S. BHATTEGUDAQ(TWD) 22203603402
9255 BIJAPUR BHOPALPATNAM M.S. BHATTIGUDA ( TWD) 22203603403
9256 BIJAPUR BHOPALPATNAM N.P.S. NAYAPARA TAMLAPALLI (SSA) 22203603503
9257 BIJAPUR BHOPALPATNAM P.S. NIMMLGUDA (SSA) 22203603504
9258 BIJAPUR BHOPALPATNAM N.P.S. TIMIRGUDA (TWD) 22203603506
9259 BIJAPUR BHOPALPATNAM P.S. BORGUDA ( MADDED) SSA 22203603507
9260 BIJAPUR BHOPALPATNAM GOVT. PS. TAMLLAPALLI (SSA) 22203603508
9261 BIJAPUR BHOPALPATNAM P.S. MUTTAPUR( TWD) 22203603601
9262 BIJAPUR BHOPALPATNAM P.S. SANGAMPALLI (TWD) 22203603701
9263 BIJAPUR BHOPALPATNAM B.P.S.A.S. SANGAMPALI (TWD) 22203603705
9264 BIJAPUR BHOPALPATNAM N.P.S. BICHPARA GILGICHA ( SSA) 22203603706
9265 BIJAPUR BHOPALPATNAM M.S. SANGMPALLI ( TWD) 22203603707
9266 BIJAPUR BHOPALPATNAM P.S. ANCHODA (TWD) 22203603801
9267 BIJAPUR BHOPALPATNAM P.S. MINKAPALLI ( SSA) 22203603901
9268 BIJAPUR BHOPALPATNAM NAVIN M.S. MINKAPALLI( SSA) 22203603902
9269 BIJAPUR BHOPALPATNAM PRIMARY SCHOOL DUDHEDA(T.W.D.) 22203604101
9270 BIJAPUR BHOPALPATNAM N.P.S. PATELPARA GORLA(SSA) 22203604102
9271 BIJAPUR BHOPALPATNAM N.P.S DUDHEDA (SSA) 22203604103
9272 BIJAPUR BHOPALPATNAM N.M.S DUDHEDA(SSA) 22203604104
9273 BIJAPUR BHOPALPATNAM P.S. MODAKPALLI ( T.W.D.) 22203604301
9274 BIJAPUR BHOPALPATNAM U.P.S. MODAKPALLI ( SSA) 22203604302
9275 BIJAPUR BHOPALPATNAM N.P.S. ODAGUDA ( S.S.A.) 22203604402
9276 BIJAPUR BHOPALPATNAM M.S. TIMED ( TWD) 22203604403
9277 BIJAPUR BHOPALPATNAM GIRLS ASHRAM VARDALI (T.W.D.) 22203604803
9278 BIJAPUR BHOPALPATNAM P.M.S. SANKNAPALLI ( TWD) 22203604904
9279 BIJAPUR BHOPALPATNAM P.S. PATELPARA CHERPALLI (T.W.D.) 22203605001
9280 BIJAPUR BHOPALPATNAM M.S. PATELPARA CHERPALLI ( SSA) 22203605002
9281 BIJAPUR BHOPALPATNAM P.B.A.S. GORLA (TWD) 22203605102
9282 BIJAPUR BHOPALPATNAM N.P.S. PATELPARA MINUR (SSA) 22203605104
9283 BIJAPUR BHOPALPATNAM N.P.S. YALAMPARA MINUR(SSA) 22203605105
9284 BIJAPUR BHOPALPATNAM N.M.S GORLA(SSA) 22203605106
9285 BIJAPUR BHOPALPATNAM N.P.S. SIRKUNTA (SSA) 22203605204
9286 BIJAPUR BHOPALPATNAM N.P.S. TODEMPARA DUDHEDA(SSA) 22203605205
9287 BIJAPUR BHOPALPATNAM N.P.S. DAMPAYA (SSA) 22203605206
9288 BIJAPUR BHOPALPATNAM P.S. P. BASHGUDA ( T.W.D.) 22203605301
9289 BIJAPUR BHOPALPATNAM N.M.S. PEGDAPALLI ( SSA) 22203605302
9290 BIJAPUR BHOPALPATNAM GOVT . PAGDAPALLI (TWD) 22203605304
9291 BIJAPUR BHOPALPATNAM GOVT. A.S PAGDAPALLI (TWD) 22203605305
9292 BIJAPUR BHOPALPATNAM P.S. BORGUDA (SSA) 22203605402
9293 BIJAPUR BHOPALPATNAM P.S. CHKUDPALLI ( SSA) 22203605501
9294 BIJAPUR BHOPALPATNAM P.S. NRONAPALLI(TWD) 22203605601
9295 BIJAPUR BHOPALPATNAM N.M.S BADRAKALLI ( SSA) 22203605602
9296 BIJAPUR BHOPALPATNAM P.S. DAPALA (TWD) 22203605603
9297 BIJAPUR BHOPALPATNAM P.S. POLEM( TWD) 22203605704
9298 BIJAPUR BHOPALPATNAM BOYAS P.A.S. WADLA ( TWD) 22203605705
9299 BIJAPUR BHOPALPATNAM P.S. GOKUR ( SSA) 22203605706
9300 BIJAPUR BHOPALPATNAM N.P.S WADLA(SSA) 22203605707
9301 BIJAPUR BHOPALPATNAM P.S. GORGONDA ( TWD) 22203605801
9302 BIJAPUR BHOPALPATNAM NAVIN.P.S. BORGUDA(SSA) 22203605802
9303 BIJAPUR BHOPALPATNAM P.S.KOTTURPARA GORGUNDA(SSA) 22203605803
9304 BIJAPUR BHOPALPATNAM P.S. PEDAMATUR (T.W.D.) 22203605901
9305 BIJAPUR BHOPALPATNAM N.P.S. KOTURPARA PADAMATUR( SSA) 22203605902
9306 BIJAPUR BHOPALPATNAM M.S. PADAMATUR( SSA) 22203605903
9307 BIJAPUR BHOPALPATNAM P.S. SANDRAPALLI ( TWD) 22203606002
9308 BIJAPUR BHOPALPATNAM U.P.S. SANDRPALLI ( SSA) 22203606003
9309 BIJAPUR BHOPALPATNAM P.S. ASHAMPARA SANDRAPALLI ( SSA) 22203606004
9310 BIJAPUR BHOPALPATNAM P.S. YAPLA (T.W.D.) 22203606101
9311 BIJAPUR BHOPALPATNAM U.P.S. YAPLA ( SSA) 22203606102
9312 BIJAPUR BHOPALPATNAM P.S. POSDPALLI(T.W.D.) 22203606301
9313 BIJAPUR BHOPALPATNAM NAVIN M.S. POSDPALLI(T.W.D.) 22203606302
9314 BIJAPUR BHOPALPATNAM P.S PATELPARA POSADPALLI ( SSA) 22203606303
9315 BIJAPUR BHOPALPATNAM P.S. MINUR (TWD) 22203606401
9316 BIJAPUR BHOPALPATNAM NAVIN M.S.MINUR(SSA) 22203606403
9317 BIJAPUR BHOPALPATNAM P.S. PASPULPARA (SSA) 22203606602
9318 BIJAPUR BHOPALPATNAM N.P.S. REDDIPALLI(T.W.D.) 22203606605
9319 BIJAPUR BHOPALPATNAM JANPAD P.S BAREGUDA ( TWD) 22203606606
9320 BIJAPUR BHOPALPATNAM P.S. SANJAYPARA PATBHOGDA ( SSA) 22203606607
9321 BIJAPUR BHOPALPATNAM N.P.S SAKNAPALLI(SSA) 22203606608
9322 BIJAPUR BHOPALPATNAM NAVIN M.S.SAKNAPALLI 22203606609
9323 BIJAPUR BHOPALPATNAM P.S. GANGARAM(TWD) 22203606701
9324 BIJAPUR BHOPALPATNAM P.S. DAMUR (TWD) 22203606901
9325 BIJAPUR BHOPALPATNAM P.S. BAMANPUR (S.S.A.) 22203607001
9326 BIJAPUR BHOPALPATNAM P.S. MEGHAPUR(S.S.A.) 22203607004
9327 BIJAPUR BHOPALPATNAM P.S. DEPLA DUBBAPARA(TWD) 22203607005
9328 BIJAPUR BHOPALPATNAM N.M.S. DEPLA(SSA) 22203607006
9329 BIJAPUR BHOPALPATNAM GOVT M.S.(TWD) 22203607202
9330 BIJAPUR BHOPALPATNAM P.S. KUCHANUR ( SSA) 22203607204
9331 BIJAPUR BHOPALPATNAM P.S. BEORGUDA ( BAMANPUR) (SSA) 22203607206
9332 BIJAPUR BHOPALPATNAM N.P.S.KONGUDA RUDRARAM(SSA) 22203607208
9333 BIJAPUR BHOPALPATNAM P.M.S. USKALEND ( TWD) 22203607303
9334 BIJAPUR BHOPALPATNAM P.S. BHATTIGUDA (SSA) 22203607304
9335 BIJAPUR BHOPALPATNAM P.S. MAMIDGADA (SSA) 22203607305
9336 BIJAPUR BHOPALPATNAM P.S. TEGOLGUDA (SSA) 22203607307
9337 BIJAPUR BHOPALPATNAM P.S. USKALEND ( TWD) 22203607308
9338 BIJAPUR BHOPALPATNAM P.S. MATTIMARKA(T.W.D.) 22203607502
9339 BIJAPUR BHOPALPATNAM P.S. CHERPALLI(T.W.D.) 22203607601
9340 BIJAPUR BHOPALPATNAM P.S. VASAMPARA WARD -3(S.S.A.) 22203607602
9341 BIJAPUR BHOPALPATNAM P.M.S. CHERPALLI(T.W.D.) 22203607603
9342 BIJAPUR BHOPALPATNAM P.S. TALABPARA(S.S.A.) 22203607604
9343 BIJAPUR BHOPALPATNAM GOVT. PENKUDUR (SSA) 22203607702
9344 BIJAPUR BHOPALPATNAM P.S. NAYAPARA BHOPALPATNAM( TWD) 22203607901
9345 BIJAPUR BHOPALPATNAM GOVT. P.S. BADEKAKLED(TWD) 22203608102
9346 BIJAPUR BHOPALPATNAM GOVT. P.S. TEKMATA (TWD) 22203608402
9347 BIJAPUR BHOPALPATNAM P.S. ARJUNALLI ( T.W.D.) 22203608501
9348 BIJAPUR BHOPALPATNAM NAVIN M.S.ARJUNALLI (SSA) 22203608502
9349 BIJAPUR BHOPALPATNAM P.S. RAYGUDA( T.W.D.) 22203609101
9350 BIJAPUR BHOPALPATNAM N.P.S. NALAMPALLI ( S.S.A.) 22203609301
9351 BIJAPUR BHOPALPATNAM P.S. PATELPARA NALAMPALLI ( SSA) 22203609302
9352 BIJAPUR BHOPALPATNAM P.S. BHATPALLI ( T.W.D.) 22203609601
9353 BIJAPUR BHOPALPATNAM P.S. KOTTUR (SSA) 22203609702
9354 BIJAPUR BHOPALPATNAM NAVIN M.S. KOTTUR (S.S.A.) 22203609703
9355 BIJAPUR BHOPALPATNAM P.S. KOTUR ( TWD) 22203609704
9356 BIJAPUR BHOPALPATNAM GOVT. P.S AREPALLI (TWD) 22203609903
9357 BIJAPUR BHOPALPATNAM GOVT. P.S. ADPALLI (TWD) 22203609904
9358 BIJAPUR BHOPALPATNAM BALAK ASHRAM SCHOOL EDAPALLI (TWD) 22203610001
9359 BIJAPUR BHOPALPATNAM GOVT.P.M.S. SANDRA ( TWD) 22203610103
9360 BIJAPUR BHOPALPATNAM MATA R.B.A. SANDRA ( PVT) 22203610111
9361 BIJAPUR BHOPALPATNAM GOVT. P.S. SANJAYPARA SANDRA (SSA) 22203610113
9362 BIJAPUR BHOPALPATNAM GOVT. P.S. EMLIPARA SANDRA (SSA) 22203610114
9363 BIJAPUR BHOPALPATNAM GOVT. P.S RALLPALLI SANDRA ( TWD) 22203610115
9364 BIJAPUR BHOPALPATNAM P.S.FANDIWAYA 22203610116
9365 BIJAPUR BHOPALPATNAM P.S JAREGUDA(TWD) 22203610117
9366 BIJAPUR BHOPALPATNAM G.M.A.S. KERPE (TWD) 22203610204
9367 BIJAPUR BHOPALPATNAM PRIMARY SCHOOL TARLAGUDA(T.W.D.) 22203610301
9368 BIJAPUR BHOPALPATNAM GARLIS .M.A.S. DUDHEDA 22203610402
9369 BIJAPUR BHOPALPATNAM P.S. ARAGUPHA ( SSA) 22203610403
9370 BIJAPUR BHOPALPATNAM U.M.S. KASIGUDA (SSA) 22203610404
9371 BIJAPUR BHOPALPATNAM GARLIS M.A.S. DUDHEDA (PS) (TWD) 22203610405
9372 BIJAPUR BHOPALPATNAM BALAK ASHRAM SCHOOL DUDEPALLI (TWD) 22203610601
9373 BIJAPUR BHOPALPATNAM GOVT . DODEPALLI (TWD) 22203610603
9374 BIJAPUR BHOPALPATNAM P.S.TODEMPARA( S.S.A.) 22203610703
9375 BIJAPUR BHOPALPATNAM N.P.S. DUGLMGUDA ( SSA) 22203610704
9376 BIJAPUR BHOPALPATNAM N.P.S. WARDALI 22203610706
9377 BIJAPUR BHOPALPATNAM NAVIN M.S. WARDALI 22203610707
9378 BIJAPUR BHOPALPATNAM BALAK ASHRAM SCHOOL PILUR( TWD) 22203610801
9379 BIJAPUR BHOPALPATNAM GOVT. P.S. PILLUR (TWD) 22203610804
9380 BIJAPUR BHOPALPATNAM BALAK ASHRAM SCHOOL (TWD) ANNAPUR 22203610901
9381 BIJAPUR BHOPALPATNAM GOVT. P.S. ANNAPUR (TWD) 22203610903
9382 BIJAPUR BHOPALPATNAM KANIST P.S.CHILLAMARKA(T.W.D.) 22203611001
9383 BIJAPUR BHOPALPATNAM P.S. SITANAGRAM ( T.W.D.) 22203611101
9384 BIJAPUR BHOPALPATNAM P.S. KACCHIPARA (TWD) 22203611301
9385 BIJAPUR BHOPALPATNAM P.S. ANNARAM ( TWD) 22203611702
9386 BIJAPUR BHOPALPATNAM GOVT P.S. GONDNUGUR (TWD) 22203611802
9387 BIJAPUR BHOPALPATNAM P.S. ANGAMPALLI (SSA) 22203611901
9388 BIJAPUR BHOPALPATNAM P.S. DHANGOL (SSA) 22203611902
9389 BIJAPUR BHOPALPATNAM P.S. KOTTAGUDA ( TWD) 22203611903
9390 BIJAPUR BHOPALPATNAM GOVT. M.S. ANGAMPALLI ( SSA) 22203611904
9391 BIJAPUR BHOPALPATNAM GOVT P.S.CHERPALLI (SANDRA) 22203612003
9392 BIJAPUR BHOPALPATNAM P.S. SOMANPALLI (TWD) 22203612101
9393 BIJAPUR BHOPALPATNAM GOVT. M.S SOMMANPALLI (SSA) 22203612102
9394 BIJAPUR BHOPALPATNAM GOVT P.S.PALSEGUNDI 22203612203
9395 BIJAPUR BHOPALPATNAM GOVT. P.S. KANDLAPARTI (TWD) 22203612303
9396 BIJAPUR BHOPALPATNAM P.S. LODED ( TWD) 22203612501
9397 BIJAPUR BHOPALPATNAM P.S. KOMATPALLI ( TWD) 22203612601
9398 BIJAPUR BHOPALPATNAM P.S. KOTAPALLI ( TWD) 22203612701
9399 BIJAPUR BHOPALPATNAM NAVIN M.S. KOTTAPALLI(SSA) 22203612702
9400 BIJAPUR BHOPALPATNAM P.S KOTAPALLI ( SSA) 22203612703
9401 BIJAPUR BHOPALPATNAM N.P.S MARRIMALLA KOTTAPALLI (SSA) 22203612704
9402 BIJAPUR BHOPALPATNAM GOVT . KARKAWADA (TWD) 22203612802
9403 BIJAPUR BHOPALPATNAM BOYS A.GUNLAPENTA(T.W.D.) 22203613002
9404 BIJAPUR BHOPALPATNAM P.S. KONAGUDA ( TWD) 22203613204
9405 BIJAPUR BHOPALPATNAM P.S. TIMED(T.W.D.) 22203613302
9406 BIJAPUR BHOPALPATNAM GOVT. PS. PARASNAR (SS) 22203613402
9407 BIJAPUR BHOPALPATNAM PRIMARY SCHOOL VANGAPALLI (TWD) 22203613901
9408 BIJAPUR BHOPALPATNAM N.M.S. VANGAPALLI (TWD) 22203613902
9409 BIJAPUR BHOPALPATNAM P.S. NAYAPARA VANGAPARA(SSA) 22203613903
9410 BIJAPUR BHOPALPATNAM GOVT. P.S PULGUDAM (TWD) 22203614001
9411 BIJAPUR BHOPALPATNAM P.S. KONAGUDA(S.S.A.) 22203614301
9412 BIJAPUR BHOPALPATNAM P.S. KAMBALPETA( S.S.A.) 22203615101
9413 BIJAPUR BHOPALPATNAM GOVT . PS. KOKERA (SSA) 22203615401
9414 BIJAPUR BHOPALPATNAM P.S. KONDAMOSAM(SSA) 22203615801
9415 BIJAPUR BHOPALPATNAM GOVT. PS. NATIKAKLED (SSA) 22203616002
9416 BIJAPUR BHOPALPATNAM P.S. KONTAGUDA LINGPUUR ( TWD) 22203616101
9417 BIJAPUR BHOPALPATNAM GOVT. P.S. GSRTUL (SSA) 22203616701
9418 BIJAPUR BHOPALPATNAM GOVT. P.S. KONDAPADGU (TWD) 22203616802
9419 BIJAPUR BHOPALPATNAM GOVT. P.S. SAPIMARKA (SSA) 22203616803
9420 BIJAPUR BHOPALPATNAM P.S. PENDLALM (SSA) 22203616901
9421 BIJAPUR BHOPALPATNAM GOVT. P.S. MUKTUSA (SSA) 22203617001
9422 BIJAPUR BIJAPUR P.S.BHOSAGUDA(T.W.D.) 22200600102
9423 BIJAPUR BIJAPUR JANPAD P.S.BIJAPUR(T.W.D.) 22200600404
9424 BIJAPUR BIJAPUR .GIRLS P.S.BIJAPUR (T.W.D.) 22200600405
9425 BIJAPUR BIJAPUR JANPAD MS BIJAPUR (T.W.D.) 22200600411
9426 BIJAPUR BIJAPUR .P.S. BANDAGUDA (SSA) 22200600412
9427 BIJAPUR BIJAPUR P.S. PADIYAR PARA (SSA) 22200600413
9428 BIJAPUR BIJAPUR NAVIN KANYA M.S.BIJAPUR (SSA) 22200600414
9429 BIJAPUR BIJAPUR KASTURBA GANDHI BIJAPUR(SSA) 22200600416
9430 BIJAPUR BIJAPUR NAVIN P. S. BUSSTOP BIJAPUR(SSA) 22200600417
9431 BIJAPUR BIJAPUR GOVT. BOYS ASHRAM BIJAPUR (T.W.D.) 22200600418
9432 BIJAPUR BIJAPUR NAVIN KANYA ASHRAM BIJAPUR(T.W.D.) 22200600419
9433 BIJAPUR BIJAPUR NAVIN P.S. RAUTPARA BIJAPUR(SSA) 22200600420
9434 BIJAPUR BIJAPUR P.S. DARAPARA (SSA) 22200600421
9435 BIJAPUR BIJAPUR P.S. JAILBADA (SSA) 22200600422
9436 BIJAPUR BIJAPUR P.S. DIPOPARA BIJAPUR (SSA) 22200600423
9437 BIJAPUR BIJAPUR GOVT. GIRLS H.S.S. (M.S.)BIJAPUR(T.W.D.) 22200600424
9438 BIJAPUR BIJAPUR GOVT.M . S. BIJAPUR (T.W.D.) 22200600425
9439 BIJAPUR BIJAPUR RESIDENTIAL SCHOOL POTA CABIN BIAJPUR(SSA) 22200600426
9440 BIJAPUR BIJAPUR GOVT M.S.KADENARA(SSA) 22200600427
9441 BIJAPUR BIJAPUR P.S.A.G.ASHRAM.BIJAPUR(SSA) 22200600428
9442 BIJAPUR BIJAPUR P.S.GOMPUR(TWD) 22200600429
9443 BIJAPUR BIJAPUR GOVT P.S.ISOOLNAR(SSA) 22200600430
9444 BIJAPUR BIJAPUR N.P.S.GODAMPARA BIJAPUR (SSA) 22200600434
9445 BIJAPUR BIJAPUR PRIMARY SCHOOL SANTASPUR(T.W.D.) 22200600502
9446 BIJAPUR BIJAPUR P.M.S. SANTASPUR (SSA) 22200600503
9447 BIJAPUR BIJAPUR P.S.KOTER(T.W.D.) 22200600801
9448 BIJAPUR BIJAPUR P.S. NAYAPARA KOTER(SSA) 22200600803
9449 BIJAPUR BIJAPUR PRIMARY SCHOOL JARGOYA(T.W.D) 22200601001
9450 BIJAPUR BIJAPUR GOVT P.S.GHUMRA(TWD) 22200601103
9451 BIJAPUR BIJAPUR GOVT P.S.CHERKANTI(TWD) 22200601203
9452 BIJAPUR BIJAPUR JANPAD P.S.CHERPAL(T.W.D.) 22200601301
9453 BIJAPUR BIJAPUR P.S.SARPANCHPARA CHERPAL(T.W.D.) 22200601302
9454 BIJAPUR BIJAPUR M.S. CHERPAL (T.W.D.) 22200601303
9455 BIJAPUR BIJAPUR P.S. MANJHIPARA CHERPAL(SSA) 22200601304
9456 BIJAPUR BIJAPUR P.S. MODIPARA CHERPAL(SSA) 22200601305
9457 BIJAPUR BIJAPUR P.S.GOPIPARA CHERPAL(SSA) 22200601307
9458 BIJAPUR BIJAPUR P.S.PADMUR(T.W.D.) 22200601309
9459 BIJAPUR BIJAPUR RESIDENTIAL SCHOOL(POTA KABIN CHERPAL)(SSA) 22200601310
9460 BIJAPUR BIJAPUR GOVT P.S.BODLAPUSHNA(SSA) 22200601311
9461 BIJAPUR BIJAPUR GOVT P.S. KAKEKORMA (SSA) 22200601312
9462 BIJAPUR BIJAPUR GOVT P.S.TARMPARA(SSA) 22200601313
9463 BIJAPUR BIJAPUR GOVT P-S.DONGRIPARA PADMUR(SSA) 22200601315
9464 BIJAPUR BIJAPUR GOVT P.S.PADJOJAR(TWD) 22200601316
9465 BIJAPUR BIJAPUR GOVT BOYS ASHARM REEDI 22200601318
9466 BIJAPUR BIJAPUR M.S.PEADAKARMA(SSA) 22200601319
9467 BIJAPUR BIJAPUR P.S.GUDIPAL(T.W.D.) 22200601603
9468 BIJAPUR BIJAPUR J.P.S. BHANDARIPARA 22200601803
9469 BIJAPUR BIJAPUR PRIMARY SCHOOL DUPELI(T.W.D) 22200601901
9470 BIJAPUR BIJAPUR PRIMARY SCHOOL.DANORA(T.W.D.) 22200602003
9471 BIJAPUR BIJAPUR N.P.S. NAYAPARA DANORA(SSA) 22200602006
9472 BIJAPUR BIJAPUR ASHRAM SHALA TODKA(T.WD.) 22200602504
9473 BIJAPUR BIJAPUR P.S. NINDIRA (TWD) 22200602505
9474 BIJAPUR BIJAPUR P.S. MATAPARA PALNAR(TWD) 22200602506
9475 BIJAPUR BIJAPUR P.S.HALBAPAR PALNAR(SSA) 22200602507
9476 BIJAPUR BIJAPUR P.S.DODITUMNAR(TWD) 22200602508
9477 BIJAPUR BIJAPUR P.S.PARATPALANARA(SSA) 22200602509
9478 BIJAPUR BIJAPUR P.S.GUNDAPARA PALNAR(SSA) 22200602510
9479 BIJAPUR BIJAPUR P.S.KORCHALI (T.WD.) 22200602511
9480 BIJAPUR BIJAPUR P.S.EATAWAR(T.W.D) 22200602512
9481 BIJAPUR BIJAPUR P.S.SHAWANAR(T.W.D) 22200602513
9482 BIJAPUR BIJAPUR P.S.TODAKA(P(T.W.D) 22200602514
9483 BIJAPUR BIJAPUR GALS ASHRAM PADIY(T.W.D) 22200602515
9484 BIJAPUR BIJAPUR P.S.PADIYA(.T.WD.) 22200602516
9485 BIJAPUR BIJAPUR P.S.MATAPAL(T.W.D.) 22200602517
9486 BIJAPUR BIJAPUR P.S.MORMED(T.W.D.) 22200603101
9487 BIJAPUR BIJAPUR M.S.MORMED (SSA) 22200603103
9488 BIJAPUR BIJAPUR P.S. MAHARAPARA MORMED (SSA) 22200603105
9489 BIJAPUR BIJAPUR P.S. BORJE 1 (T.W.D.) 22200603403
9490 BIJAPUR BIJAPUR PRIMARY SCHOOL PAPANPAL 2 (T.W.D.) 22200603501
9491 BIJAPUR BIJAPUR M. S. BORJE II (SSA) 22200603503
9492 BIJAPUR BIJAPUR ASRAM SCHOOL 22200603701
9493 BIJAPUR BIJAPUR PRIMARY SCHOOL 22200603702
9494 BIJAPUR BIJAPUR P.S.GAYTAPARA PUSNAR(TWD) 22200603703
9495 BIJAPUR BIJAPUR P.S.TARAIPARA KAMKANAR(TWD) 22200603704
9496 BIJAPUR BIJAPUR N.M.S.KAMKANAR(SSA) 22200603705
9497 BIJAPUR BIJAPUR PRIMARY SCHOOL PAPANPAL.1(T.WD.) 22200603801
9498 BIJAPUR BIJAPUR G.N.BALAK ASHRAM PAPANPAL(TWD) 22200603804
9499 BIJAPUR BIJAPUR PRIMARY SCHOOL PAPANPAL 2 (T.W.D.) 22200603901
9500 BIJAPUR BIJAPUR NAVIN P.S.NADIPARA PAPANPAL 2 (SSA) 22200603902
9501 BIJAPUR BIJAPUR KANIST PRIMARY SCHOOL (T.W.D) 22200604001
9502 BIJAPUR BIJAPUR KANIST PRIMARY SCHOOL ADED(T.W.D.) 22200604101
9503 BIJAPUR BIJAPUR P.S. KACHLARAM (T.W.D.) 22200604202
9504 BIJAPUR BIJAPUR GOVT.P.S.CHINTANPALLI (T.W.D.) 22200604301
9505 BIJAPUR BIJAPUR PRIMARY SCHOOL TOYNAR (T.W.D.) 22200604501
9506 BIJAPUR BIJAPUR M.S. TOYNAR (T.W.D.) 22200604503
9507 BIJAPUR BIJAPUR P.S. PARDHANPARA .(SSA) 22200604505
9508 BIJAPUR BIJAPUR P.S. LOHARPARA TOYNAR(SSA) 22200604506
9509 BIJAPUR BIJAPUR KANYA P.S. TOYNAR (T.W.D.) 22200604507
9510 BIJAPUR BIJAPUR P.S. BAREPARA TOYNAR(SSA) 22200604508
9511 BIJAPUR BIJAPUR N.P.S.PATALPARA KACHLARAM(SSA) 22200604509
9512 BIJAPUR BIJAPUR BALK ASHARM TOYNAR(TWD) 22200604510
9513 BIJAPUR BIJAPUR KANIY M.S.ASHARM TOYNARA(TWD) 22200604511
9514 BIJAPUR BIJAPUR PRIMARY SCHOOL CHINNAKAWALI(T.W.D.) 22200604601
9515 BIJAPUR BIJAPUR M.S.CHINNAKAWALI (T.WD.) 22200604603
9516 BIJAPUR BIJAPUR GIRLS AASHRAM CHNNAKAWALI(T.W.D.) 22200604604
9517 BIJAPUR BIJAPUR P.S.NANIYPARA (SSA) 22200604606
9518 BIJAPUR BIJAPUR GOVT P-S-KANDOLNAR(TWD) 22200604607
9519 BIJAPUR BIJAPUR GOVT N.M.S.CHINNAKODIPAL(SSA) 22200604608
9520 BIJAPUR BIJAPUR GOVT P.S.ADED(SSA) 22200604609
9521 BIJAPUR BIJAPUR GOVT P.S.JABPARA KUNDULNAR(SSA) 22200604610
9522 BIJAPUR BIJAPUR GOVT P.S.RALAPAL(SSA) 22200604611
9523 BIJAPUR BIJAPUR RESIDENTIAL SCHOOL(ADARSH GURUKUS A.CHINNAKODEPAL)(SSA)
22200604612
9524 BIJAPUR BIJAPUR GOVT M.S.PIDDAKAWALI(SSA) 22200604613
9525 BIJAPUR BIJAPUR GOVT P.S.PEDAKAWALI(TWD) 22200604614
9526 BIJAPUR BIJAPUR BALAK ASHARAM GANGLUR(T.W.D.) 22200605003
9527 BIJAPUR BIJAPUR JANPAD PRIMARY GANGLUR(T.W.D.) 22200605004
9528 BIJAPUR BIJAPUR JANPAD M.S.GANGLUR(T.W.D.) 22200605005
9529 BIJAPUR BIJAPUR P.S. PEDDAPARA GANGALUR(T.W.D) 22200605008
9530 BIJAPUR BIJAPUR KANYA ASHRAM PIDIYA(T.W.D.) 22200605011
9531 BIJAPUR BIJAPUR KANYA ASHRAM GANGALUR(T.W.D) 22200605012
9532 BIJAPUR BIJAPUR P.S.KOVEAPARA (SSA) 22200605015
9533 BIJAPUR BIJAPUR P.S.GONAPARA GANGALLUR(T.W.D.) 22200605016
9534 BIJAPUR BIJAPUR P.S.MARIWADA(T.W.D.) 22200605018
9535 BIJAPUR BIJAPUR GIRLS ASHARM M.S. GANGALLUR(TWD) 22200605019
9536 BIJAPUR BIJAPUR P.S. GAYATAPARA(TWD) 22200605022
9537 BIJAPUR BIJAPUR P.S.SARPACHPARA BURJI(SSA) 22200605023
9538 BIJAPUR BIJAPUR P.S.ADSMATTA(TWD) 22200605024
9539 BIJAPUR BIJAPUR P.S.NINPAL(TWD) 22200605025
9540 BIJAPUR BIJAPUR P.S.KAWADGONA(TWD) 22200605026
9541 BIJAPUR BIJAPUR P.S.KURS(SSA) 22200605027
9542 BIJAPUR BIJAPUR RESIDENTIAL SCHOOL POTA KABEN GANGALLUR (SSA) 22200605029
9543 BIJAPUR BIJAPUR .M.S. REDDI(T.W.D) 22200605204
9544 BIJAPUR BIJAPUR MATA. RU. A.K. ASHRAM DANORA 22200605401
9545 BIJAPUR BIJAPUR M.S. PAPANPAL (SSA) 22200605603
9546 BIJAPUR BIJAPUR BALAK ASHRAM GONGALA 22200606801
9547 BIJAPUR BIJAPUR P.S.HALBAPARA(T.W.D.) 22200607001
9548 BIJAPUR BIJAPUR P.S. DUVALIPARA 22200607701
9549 BIJAPUR BIJAPUR P.S.BDEMHARPARA(T.W.D.) 22200607801
9550 BIJAPUR BIJAPUR GOVTMIDDLE SCHOOL GUDDIPAL 22200608401
9551 BIJAPUR BIJAPUR PRIMARY SCHOOL KOTAPAL(T.W.D.) 22200609001
9552 BIJAPUR BIJAPUR N.M.S.KOTAPAL(SSA) 22200609002
9553 BIJAPUR BIJAPUR PRIMARY SCHOOL TARAIPARA(.W.D.) 22200609101
9554 BIJAPUR BIJAPUR PRIMARY SCHOOL EATPAL(T.W.D.) 22200609201
9555 BIJAPUR BIJAPUR M.S.EATPAL (T.W.D.) 22200609202
9556 BIJAPUR BIJAPUR PRIMARY SCHOOL TALABPARA TURNAR(T.W.D.) 22200609501
9557 BIJAPUR BIJAPUR GOVT.P.M.S TURNAR(T.W.D.) 22200609502
9558 BIJAPUR BIJAPUR GOVT P.S. TURNAR(T.W.D.) 22200609504
9559 BIJAPUR BIJAPUR PRIMARY SCHOOL JAITALUR(T.W.D.) 22200609601
9560 BIJAPUR BIJAPUR N.P.S. BELSARIYA (T.W.D.) 22200609602
9561 BIJAPUR BIJAPUR PRIMARY SCHOOL MANJHIPARA(T.W.D.) 22200609701
9562 BIJAPUR BIJAPUR PRIMARY SCHOOL MALGODHA (T.W.D.) 22200609901
9563 BIJAPUR BIJAPUR GOVT P.S.MANJHIGUDA(T.W.D.) 22200610001
9564 BIJAPUR BIJAPUR GOVT MADLL M.S..MANJHIGUDA(TWD) 22200610002
9565 BIJAPUR BIJAPUR P.S.TONDAPARA(T.W.D.) 22200610101
9566 BIJAPUR BIJAPUR PRIMARY SCHOOL TUMNAR(T.W.D.) 22200610201
9567 BIJAPUR BIJAPUR A.J.K.V.M.S. TUMNAR(SSA) 22200610204
9568 BIJAPUR BIJAPUR P.S.PEDAPARA TUMNAR(SSA) 22200610205
9569 BIJAPUR BIJAPUR NAVIN P.S. NAYAPARA TUMNAR(SSA) 22200610206
9570 BIJAPUR BIJAPUR G.P.S.POTAMPARA(T.W.D) 22200610302
9571 BIJAPUR BIJAPUR PRIMARY SCHOOL KOKADHAPARA(T.W.D.) 22200610401
9572 BIJAPUR BIJAPUR GOVT N.M.S.KOKDAPARA(SSA) 22200610402
9573 BIJAPUR BIJAPUR P.S.CHINNAKKODEPAL(T.W.D.) 22200610901
9574 BIJAPUR BIJAPUR BALAK ASHARAM CHINNAKODEPAL(T.W.D.} 22200610902
9575 BIJAPUR BIJAPUR JANPAD.P.S.MUSALUR(T.W.D.) 22200611801
9576 BIJAPUR BIJAPUR GOVT.P.S.DONGARIPARA,MUSALUR(SSA) 22200611802
9577 BIJAPUR BIJAPUR BALAK ASHARAM SCHOOL 22200612001
9578 BIJAPUR BIJAPUR PRIMARY SCHOOL EARMANAR(T.W.D.) 22200612002
9579 BIJAPUR BIJAPUR A.J.K. P.S. MIDHATE(T.WD.) 22200612102
9580 BIJAPUR BIJAPUR P.S. LOHARPARA EARMANAR (SSA) 22200612201
9581 BIJAPUR BIJAPUR P.S. PATELPARA EARMANAR(SSA) 22200612202
9582 BIJAPUR BIJAPUR GOVT. P.M.S. EARMANAR (SSA) 22200612203
9583 BIJAPUR BIJAPUR PS MASAPARA EARMANAR (SSA) 22200612204
9584 BIJAPUR BIJAPUR PRIMARY SCHOOL KOMALA (T.W.D.) 22200612301
9585 BIJAPUR BIJAPUR P.S. NADIPARA PEDAKODHEPAL 22200612402
9586 BIJAPUR BIJAPUR N.P.S. KUDIAMPARA PEDAKODHEPAL 22200612403
9587 BIJAPUR BIJAPUR PRIMARY SCHOOL DUGOLI(T.W.D.) 22200612501
9588 BIJAPUR BIJAPUR N.P.S. KARKAPARA(SSA) 22200612502
9589 BIJAPUR BIJAPUR N.P.S. JOGANPARA DUGOLI(SSA) 22200612504
9590 BIJAPUR BIJAPUR P.M.S. DUGOLI (SSA) 22200612505
9591 BIJAPUR BIJAPUR PRIMARY SCHOOL KUYENAR (T.W.D.) 22200612601
9592 BIJAPUR BIJAPUR GOVT P.S. GAMPUR(TWD) 22200613002
9593 BIJAPUR BIJAPUR GOVT P.S. ANDRI(TWD) 22200613202
9594 BIJAPUR BIJAPUR P.S.GORNA (T.W.D.) 22200613401
9595 BIJAPUR BIJAPUR G.P.S.MANKELI(TWD) 22200613402
9596 BIJAPUR BIJAPUR GOVT. KANYA ASHRAM KAIKA(T.W.D) 22200614006
9597 BIJAPUR BIJAPUR GOVT P.S.KACHILWAR(SSA) 22200614008
9598 BIJAPUR BIJAPUR GOVT BOYS ASHRAM KAIKA(TWD) 22200614012
9599 BIJAPUR BIJAPUR P.S.PEDAKODHEPAL(T.W.D.) 22200614401
9600 BIJAPUR BIJAPUR P.S.BEALWPARA(T.W.D) 22200614402
9601 BIJAPUR BIJAPUR N.P.S.CHINNAJOJAR(SSA) 22200614501
9602 BIJAPUR BIJAPUR P.S.MANJHARPARA(T.W.D.) 22200614701
9603 BIJAPUR BIJAPUR P.S.RANAPARA(T.W.D.) 22200614901
9604 BIJAPUR BIJAPUR PRIMARY SCHOOL NEMED(T.W.D.) 22200614902
9605 BIJAPUR BIJAPUR N .P.S. PATELPARA NEMED(SSA) 22200614904
9606 BIJAPUR BIJAPUR MATA KASTURBA GANDHI BALIKA AS(SSA) 22200614905
9607 BIJAPUR BIJAPUR POTA CABIN NAIMED (SSA) 22200614907
9608 BIJAPUR BIJAPUR P.S.GAURUPARA(SSA) 22200614909
9609 BIJAPUR BIJAPUR BOYS.A.KAIKA(T.W.D.) 22200614910
9610 BIJAPUR BIJAPUR N.M.S.PEDAKODHEPAL(SSA) 22200614911
9611 BIJAPUR BIJAPUR GOVT M.S.NEMED(TWD) 22200614912
9612 BIJAPUR BIJAPUR GOVT P.S.NAIMED(TWD) 22200614913
9613 BIJAPUR BIJAPUR RESIDENTIAL SCHOOL M.S..POTA CABIN NEMED(SSA) 22200614914
9614 BIJAPUR BIJAPUR P.S.BEDARGUDA(T.W.D.) 22200615201
9615 BIJAPUR BIJAPUR P.S.SANJAYPARA(T.W.D) 22200615501
9616 BIJAPUR BIJAPUR M.S. SANJAY PARA BIJAPUR (SSA) 22200615502
9617 BIJAPUR BIJAPUR P.S.KATADIPARA(T.W.D.) 22200615601
9618 BIJAPUR BIJAPUR M.S. KOYAITPAL (T.W.D.) 22200615702
9619 BIJAPUR BIJAPUR P.S. NAYAPARA KOYAITPAL(T.W.D.) 22200615703
9620 BIJAPUR BIJAPUR N. GIRLS ASHRAM KOYAITPAL (T.W.D) 22200615704
9621 BIJAPUR BIJAPUR JANPAD P.S.KOYAITAL (T.W.D.) 22200615705
9622 BIJAPUR BIJAPUR PRIMARY SCHOOL NAYAPARA ITPAL(T.W.D.) 22200615801
9623 BIJAPUR BIJAPUR ASHRAM SCHOOL TAMODI (T.W.D) 22200616301
9624 BIJAPUR BIJAPUR N.P.S.KUAM TAMODI(SSA) 22200616302
9625 BIJAPUR BIJAPUR BOYS ASHRAM PADEDA (T.W.D.) 22200616501
9626 BIJAPUR BIJAPUR .M.S.PADEDA (T.W.D.) 22200616504
9627 BIJAPUR BIJAPUR N.P.S.MUNGA(SSA) 22200616506
9628 BIJAPUR BIJAPUR P.S.PEDAKORMA(SSA) 22200616507
9629 BIJAPUR BIJAPUR P.S.BHOGAMGUDA(SSA) 22200616508
9630 BIJAPUR BIJAPUR P.S.HIROLIPARA(SSA) 22200616509
9631 BIJAPUR BIJAPUR N.P.S.MEADPAL(TWD) 22200616510
9632 BIJAPUR BIJAPUR GIRLS ASHRAM REGADGATTA 22200617001
9633 BIJAPUR BIJAPUR GOVT M.S.TODKA(TWD) 22200617102
9634 BIJAPUR BIJAPUR JANPAD P.S.PALNAR MANJARPARA(TWD) 22200617103
9635 BIJAPUR BIJAPUR P.S. KANHAIGUDA (SSA) 22200620401
9636 BIJAPUR BIJAPUR P.S. KORSAPARA (SSA) 22200620801
9637 BIJAPUR BIJAPUR P.S. PAMALVAYA (SSA) 22200620901
9638 BIJAPUR BIJAPUR P.S.PANARAPARA BIJAPUR (SSA) 22200621201
9639 BIJAPUR BIJAPUR AVER .B.E.M.BIJAPUR(T.W.D.) 22200621204
9640 BIJAPUR BIJAPUR N.M.S.JELWADA(SSA) 22200621205
9641 BIJAPUR BIJAPUR N.P.S.MALLAPARA(SSA) 22200622101
9642 BIJAPUR BIJAPUR P.S.BADDEPARA(TWD) 22200622201
9643 BIJAPUR BIJAPUR G.P.S.NUKANPAL(SSA) 22200622301
9644 BIJAPUR BIJAPUR P.S.GUZAKONTA(SSA) 22200622501
9645 BIJAPUR BIJAPUR P.S. MASAPARA PAPANPAL 22200622601
9646 BIJAPUR BIJAPUR GOVT P.S. PONJER(TWD) 22200622701
9647 BIJAPUR BIJAPUR BOYS ASHARM KADENAR(TWD) 22200623002
9648 BIJAPUR USOOR GOVT BALAK ASHRAM MARUDBAKA 22201400101
9649 BIJAPUR USOOR GOVT P.S. MARUDBAKA 22201400102
9650 BIJAPUR USOOR P.S. BHUSHAPUR 22201400103
9651 BIJAPUR USOOR GOVT P.S. CHATLAPALLI 22201400104
9652 BIJAPUR USOOR B.A. MARUDBAKA(T.W.D) 22201400105
9653 BIJAPUR USOOR N.M.S. MARUDBAKA (T.W.D) 22201400106
9654 BIJAPUR USOOR GOVT P.S. DHARMAPUR 22201400203
9655 BIJAPUR USOOR BALAK ASHRAM DHARMAPUR 22201400204
9656 BIJAPUR USOOR ASHRAM P.S. 22201400302
9657 BIJAPUR USOOR GOVT P.S. LIGAPUR 22201400401
9658 BIJAPUR USOOR KANIST PRIMARY SCHOOL(T.W.D) 22201400501
9659 BIJAPUR USOOR BOYS ASHRAM(T.W.D) 22201400503
9660 BIJAPUR USOOR M.S.CHERAMANGI (T.W.D) 22201400504
9661 BIJAPUR USOOR BOYS ASHRAM BASAGUDA 22201400604
9662 BIJAPUR USOOR G.H.M.S. BASAGUDA(T.W.D) 22201400605
9663 BIJAPUR USOOR S.A. BASAGUDA(T.W.D) 22201400606
9664 BIJAPUR USOOR S.P.S. BASAGUDA (T.W.D) 22201400607
9665 BIJAPUR USOOR N.M.B.A. BASAGUDA(T.W.D) 22201400608
9666 BIJAPUR USOOR MATA .R. K. A. BASAGUDA (S.S.A) 22201400609
9667 BIJAPUR USOOR JANPAD P.S. LINGAGIRI (S.S.A) 22201400610
9668 BIJAPUR USOOR P. S. BASAGUDA (T.W.D) 22201400611
9669 BIJAPUR USOOR B.A. SARKEGUDA (T.W.D) 22201400612
9670 BIJAPUR USOOR P.S. NAYAPARA (BASAGUDA) 22201400613
9671 BIJAPUR USOOR GPVT.P.S. PEGADHAPALLI 22201400701
9672 BIJAPUR USOOR GOVT P.S. CHINTAKONTA 22201400802
9673 BIJAPUR USOOR P.S. KICHIAYAPAR(T.W.D) 22201401004
9674 BIJAPUR USOOR P.S. GUBALGUDA (T.W.D) 22201401006
9675 BIJAPUR USOOR GOVGT P.S. SURNAR 22201401102
9676 BIJAPUR USOOR GOVT.P.S. MALLEPALLI 22201401202
9677 BIJAPUR USOOR N.M.S. EANGPALLI(T.W.D.) 22201401402
9678 BIJAPUR USOOR P.S. RANGIGUDA (T.W.D) 22201401404
9679 BIJAPUR USOOR JANPAD P.S. RANGAIGUDA 22201401406
9680 BIJAPUR USOOR GOVT P.S. CHILKAPALLI 22201401503
9681 BIJAPUR USOOR GOVT P.S. PUTKEL 22201401504
9682 BIJAPUR USOOR GOVT. P.S. PAKELA 22201401601
9683 BIJAPUR USOOR PRIMARY SCHOOL 22201401701
9684 BIJAPUR USOOR PRIMARY SCHOOL (T.W.D) 22201401801
9685 BIJAPUR USOOR PRIMARY SCHOOL(T.W.D) 22201401902
9686 BIJAPUR USOOR GOVT. P.S. MALEMPETTA 22201402101
9687 BIJAPUR USOOR NAVIN P.S. POLAMPALI (T.W.D) 22201402102
9688 BIJAPUR USOOR PRIMARY SCHOOL KANCHAL 22201402201
9689 BIJAPUR USOOR P.S. ERRABOR (SSA) 22201402202
9690 BIJAPUR USOOR P.S. GUNDARAJGUDA (SSA) 22201402203
9691 BIJAPUR USOOR N.M.S. KAVARGATTA (T.W.D) 22201402204
9692 BIJAPUR USOOR N.M.S. KANCHAL(S.S.A) 22201402205
9693 BIJAPUR USOOR PRIMARY SCHOOL(T.W.D) 22201402301
9694 BIJAPUR USOOR (P.S. PALAGUDA (T,W,D) 22201402401
9695 BIJAPUR USOOR P.S. BOMED(T.W.D) 22201402402
9696 BIJAPUR USOOR PRIMARY SCHOOL(T.W.D) 22201402501
9697 BIJAPUR USOOR P.S. JHIDIPARA TIMMAPUR(S.S.A) 22201402502
9698 BIJAPUR USOOR M.S. TIMMAPUR (S.S.A) 22201402503
9699 BIJAPUR USOOR GOVT P.S. METAPARA 22201402504
9700 BIJAPUR USOOR GOVT. P.S. TUMREL 22201402601
9701 BIJAPUR USOOR JANPAD PRIMARY SCHOOL(T.W.D.) 22201402703
9702 BIJAPUR USOOR GOVTP.S. BADE SUKANPALLI 22201402705
9703 BIJAPUR USOOR GOVT P.S CHOTE SUKANPALLI 22201402706
9704 BIJAPUR USOOR GOVT P.S. KASHIGUDA 22201402802
9705 BIJAPUR USOOR GIRLS ASHARAM SCHOOL(T.W.D) 22201403202
9706 BIJAPUR USOOR ASHRAM SHALA PUJARIKANKER(T.WD) 22201403204
9707 BIJAPUR USOOR P.S. SAPED (S.S.A.) 22201403205
9708 BIJAPUR USOOR P.S. CHINGANPALLI (S.S.A) 22201403206
9709 BIJAPUR USOOR P.S. PAURGUDA (S.S.A) 22201403207
9710 BIJAPUR USOOR PRIMARY SCHOOL(T.WD) 22201403501
9711 BIJAPUR USOOR GOVT. P.S. PUSKONTA 22201403601
9712 BIJAPUR USOOR GOVT P.S.CHUTWAHI 22201403702
9713 BIJAPUR USOOR B.A.S. TAIRAM(TWD) 22201403704
9714 BIJAPUR USOOR GOVT P.S. CHINNAGELUR 22201403801
9715 BIJAPUR USOOR P.S. NADIPARA CHINNAGELLUR 22201403802
9716 BIJAPUR USOOR P.S. GUNDAM 22201403803
9717 BIJAPUR USOOR GOVT. P.S CHINNAGELLUR 22201403805
9718 BIJAPUR USOOR P.S. SODIPARA(S.S.A) 22201403907
9719 BIJAPUR USOOR G.H.S.S. USOOR (T.W.D) 22201403908
9720 BIJAPUR USOOR JANPAD. P.S. USOOR (T.W.D) 22201403909
9721 BIJAPUR USOOR RESIDENTIAL SCHOOL(GURUKUL AWASHIYA ASHRAM) USOOR (S.S.A.)
22201403911
9722 BIJAPUR USOOR GOVT P.S. CHILKAPALLI 22201404001
9723 BIJAPUR USOOR JANPAD PRIMRY UTLAPALLI (T.W .D) 22201404101
9724 BIJAPUR USOOR N.M.S. UTLAPALLI (S.S.A) 22201404102
9725 BIJAPUR USOOR N. M S .SEMALDODDI 22201404103
9726 BIJAPUR USOOR JANPAD PRIMARY SCHOOL(T.W.D) 22201404201
9727 BIJAPUR USOOR GOVT. K.H.S.ILMIDI (T.W.D) 22201404203
9728 BIJAPUR USOOR P.S. KASARAM PARA ILMIDI (S.S.A) 22201404204
9729 BIJAPUR USOOR P.S. REGDAPARA ILMIDI(S.S.A) 22201404205
9730 BIJAPUR USOOR P.S AAVASPARA (S.S.A) 22201404206
9731 BIJAPUR USOOR P.S. SANJAYPARA ILMIDI (S.S.A) 22201404208
9732 BIJAPUR USOOR G.A. ILMIDI (T.W.D) 22201404209
9733 BIJAPUR USOOR N.P.S INDIRAPARA SEMALDODI (S.S.A) 22201404210
9734 BIJAPUR USOOR P.S. JINIPPA(T.W.D) 22201404211
9735 BIJAPUR USOOR GOVT .P.S. LINGAGIRI 22201404501
9736 BIJAPUR USOOR M.S. LINGAGIRI 22201404503
9737 BIJAPUR USOOR K.P.S. EARRAKONTA 22201404602
9738 BIJAPUR USOOR GOVT P.S. KUMARPALLI 22201404701
9739 BIJAPUR USOOR GOVT P.S. KUMARPALLI 22201404702
9740 BIJAPUR USOOR GOVT P.S. ERRABOR 22201404801
9741 BIJAPUR USOOR GOVT P.S AUTPALLI 22201404901
9742 BIJAPUR USOOR GIRLS PRIMARY SCHOOL(T.W.D) 22201405201
9743 BIJAPUR USOOR GIRLS ASHARAM SCHOOL(T.W.D) 22201405202
9744 BIJAPUR USOOR JANPAD P.S. AWAPALLI(T.W.D) 22201405203
9745 BIJAPUR USOOR P.S. MADVIPARA AWAPALLI (S.S.A) 22201405204
9746 BIJAPUR USOOR J.P.M.S. AWAPALLI (T.W.D) 22201405205
9747 BIJAPUR USOOR GOVT P.S. BOYAGUDA AWAPALLI 22201405206
9748 BIJAPUR USOOR N.P.S. BODKEPARA (S.S.A) 22201405207
9749 BIJAPUR USOOR N.P.S. PREETVIHAR KALONI (S.S.A) 22201405208
9750 BIJAPUR USOOR GURUKUL A. DUGAIGUDA (S.S.A) 22201405210
9751 BIJAPUR USOOR M.S. CHINTAKONTA (T.W.D) 22201405211
9752 BIJAPUR USOOR GOVT P.S BOYGUDA 22201405213
9753 BIJAPUR USOOR PRIMARY BALAK ASHARAM 22201405302
9754 BIJAPUR USOOR GOVT P.S PISEPARA 22201405402
9755 BIJAPUR USOOR GOVT M.S CHATLAPALLI 22201405502
9756 BIJAPUR USOOR GOVT P.S. CHATLAPALLI 22201405503
9757 BIJAPUR USOOR P.S.MODAKPAL(T.W.D.) 22201405601
9758 BIJAPUR USOOR P.S.CHINTANPAL(T.W.D.) 22201405603
9759 BIJAPUR USOOR PRIMARY SCHOOL(T.W.D) 22201405701
9760 BIJAPUR USOOR GOVT.BALAK ASHARM PUSBAKA 22201405801
9761 BIJAPUR USOOR GOVT.P.S. ERRABOR 22201405805
9762 BIJAPUR USOOR B.A. POLAMPALLI (T.W.D) 22201405806
9763 BIJAPUR USOOR GOVT. P.S. PAWREL 22201406001
9764 BIJAPUR USOOR GOVT. B.A.RASPALLI 22201406102
9765 BIJAPUR USOOR GOVT P.S. UDTAMALLA 22201406202
9766 BIJAPUR USOOR GOVT. M.S. UDTAMALLA 22201406204
9767 BIJAPUR USOOR PRIMARY SCHOOL MURKINAR(T.W.D) 22201406401
9768 BIJAPUR USOOR E.G.S. CHINTANPAL (S.S.A) 22201406403
9769 BIJAPUR USOOR M.S. CHITANPAL(T.W.D) 22201406404
9770 BIJAPUR USOOR N.P.M.S. CHINTANPAL (T.W.D) 22201406405
9771 BIJAPUR USOOR N.M.S. MODAKPAL(T.W.D) 22201406406
9772 BIJAPUR USOOR G.A. MURKINAR (T.W.D.) 22201406407
9773 BIJAPUR USOOR N.M.S. SANDREL(S.S.A) 22201406408
9774 BIJAPUR USOOR P S PANGANPAL(T.W.D) 22201406409
9775 BIJAPUR USOOR GOVT P.S. GALGAM 22201406501
9776 BIJAPUR USOOR PRIMARY BALAK ASHARAM(T.W.D) 22201406502
9777 BIJAPUR USOOR P.S. NADPALLI 22201406503
9778 BIJAPUR USOOR N.M.S. GALGAM(S.S.A) 22201406504
9779 BIJAPUR USOOR P.S GALGAM 22201406505
9780 BIJAPUR USOOR P.S. GALGAM (T.W.D.) 22201406506
9781 BIJAPUR USOOR P.S. YAMPUR 22201406701
9782 BIJAPUR USOOR PRIMARY SCHOOL JARPALLI 22201406801
9783 BIJAPUR USOOR P.S. ENKAL 22201406802
9784 BIJAPUR USOOR P.S.MEDDIGUDA (SSA) 22201406803
9785 BIJAPUR USOOR P.S. TEKLER 22201406804
9786 BIJAPUR USOOR N.M.S. RASPALLI (SSA) 22201406805
9787 BIJAPUR USOOR PRIMARY SCHOOL GADIGUDA 22201406901
9788 BIJAPUR USOOR S.C. PRIMARY SCHOOL(T.W.D) 22201407001
9789 BIJAPUR USOOR BALAK ASHARAM(T.W.D) 22201407101
9790 BIJAPUR USOOR PRIMRY SHCOOL (T.W.D) 22201407102
9791 BIJAPUR USOOR P.M.S. MURDAND(T.W.D) 22201407103
9792 BIJAPUR USOOR PRIMARY SCHOOL 22201407201
9793 BIJAPUR USOOR M.S. PAMED 22201407303
9794 BIJAPUR USOOR P.S. PAMED 22201407304
9795 BIJAPUR USOOR RESIDENTIAL SCHOOL(GURUKUL AWASHIYA ASHRAM) PAMED (S.S.A.)
22201407306
9796 BIJAPUR USOOR GOVT P.S TEKMETLA 22201407501
9797 BIJAPUR USOOR PRIMARY SCHOOL(T.W.D) 22201407601
9798 BIJAPUR USOOR PRIMARY BALAK ASHARAM(T.WD) 22201407602
9799 BIJAPUR USOOR PRIMARY SCHOOL 22201407701
9800 BIJAPUR USOOR PRIMARY SCHOOL KAWARGATTA 22201407901
9801 BIJAPUR USOOR A.J.K.V. P.S. RASPALLI 22201408001
9802 BIJAPUR USOOR PRIMARY BALAK ASHARAM 22201408101
9803 BIJAPUR USOOR GOVT P.S. DHARMARAM 22201408102
9804 BIJAPUR USOOR BOYS ASHRAM P.S. 22201408104
9805 BIJAPUR USOOR M.S.DHARMARAM 22201408106
9806 BIJAPUR USOOR P.S. DHARMARAM(T.W.D) 22201408107
9807 BIJAPUR USOOR B.A. RASPALLI (T.W.D) 22201408108
9808 BIJAPUR USOOR P.S. UDTAMALLA (T.W.D) 22201408109
9809 BIJAPUR USOOR GOVT P.S. DHOLEGUDA 22201408202
9810 BIJAPUR USOOR PRIMARY SCHOOL 22201408301
9811 BIJAPUR USOOR 0PRIMARY BALAK ASHRAM KONDAPALLI 22201408402
9812 BIJAPUR USOOR M.S. KONDAPALLI (SSA) 22201408403
9813 BIJAPUR USOOR P.S. KONDAPALLI(T.W.D) 22201408404
9814 BIJAPUR USOOR KANYA ASRAM BATIGUDA(T.W.D.) 22201408501
9815 BIJAPUR USOOR P.S.BHATTIGUDA (T.W.D) 22201408503
9816 BIJAPUR USOOR SC PRIMARY SCHOOL(T.W.D) 22201408701
9817 BIJAPUR USOOR PRIMARY SCHOOL 22201408801
9818 BIJAPUR USOOR PRIMARY SCHOOL 22201408901
9819 BIJAPUR USOOR GOVT P.S. KOTTAGUDA 22201409002
9820 BIJAPUR USOOR GOVT P.S. UTALAPALLI 22201409101
9821 BIJAPUR USOOR NAVIN BOYS ASHRAM DARELI 22201409202
9822 BIJAPUR USOOR N.P.S. PEDACHANDA (SSA) 22201409203
9823 BIJAPUR USOOR P.S. KUMODTONG 22201409204
9824 BIJAPUR USOOR KANIST PRIMARY SCHOOL 22201409401
9825 BIJAPUR USOOR KANIST PRIMARY SCHOOL (T.W.D) 22201409501
9826 BIJAPUR USOOR PRIMARY SCHOOL 22201409601
9827 BIJAPUR USOOR P.S. KONJED 22201409603
9828 BIJAPUR USOOR PRIMARY SCHOOL JIDPALLI 22201409701
9829 BIJAPUR USOOR PRIMARY SCHOOL EAIRAPALLI 22201409901
9830 BIJAPUR USOOR PRIMARY SCHOOL(T.W.D) 22201410001
9831 BIJAPUR USOOR P.S AIPENTA (T.W.D) 22201410201
9832 BIJAPUR USOOR P.S REGADPARA LANKAPALLI (S.S.A) 22201410202
9833 BIJAPUR USOOR GOVT P.S. KOMATPALLI 22201410402
9834 BIJAPUR USOOR PRIMARY SCHOOL 22201410501
9835 BIJAPUR USOOR GOVT. P.S. BIRAGUDA 22201410703
9836 BIJAPUR USOOR M.S BIRAGUDA (T.W.D.) 22201410704
9837 BIJAPUR USOOR PRIMARY SCHOOL 22201410801
9838 BIJAPUR USOOR P.S.NUKANPAL(T.W.D.) 22201410901
9839 BIJAPUR USOOR NAVEEN P.S. PANGUD(S.S.A) 22201410903
9840 BIJAPUR USOOR M.S PUSGUDI (T.W.D) 22201410904
9841 BIJAPUR USOOR M.S MURKINAR (T.W.D) 22201410905
9842 BIJAPUR USOOR PRIMARY SCHOOL 22201411001
9843 BIJAPUR USOOR BALAK ASRAM (T.W.D) 22201411201
9844 BIJAPUR USOOR P.M.S. SANKANPALLI (T.W.D) 22201411203
9845 BIJAPUR USOOR E.G.S. CHITAMPARA SANKANPALLI 22201411204
9846 BIJAPUR USOOR PRIMARY SCHOOL(T.W.D) 22201411301
9847 BIJAPUR USOOR M.S. KORSAGUDA 22201411302
9848 BIJAPUR USOOR BALAK ASHRAM KORSAGUDA(T.W.D) 22201411303
9849 BIJAPUR USOOR GOVTP.S. METTAPARA KORSAGUDA 22201411304
9850 BIJAPUR USOOR KANIST PRIMARY SCHOOL(T.W.D) 22201411401
9851 BIJAPUR USOOR P. S. GU.A. DUGAIGUDA (S.S.A.) 22201411404
9852 BIJAPUR USOOR M.S.A.GU.A. AWAPALLI(S.S.A.) 22201411407
9853 BIJAPUR USOOR P.S. PUSHKONTA (S.S.A.) 22201411409
9854 BIJAPUR USOOR M.S. PUSHKONTA 22201411410
9855 BIJAPUR USOOR P.S NELAKANKER (T.W.D) 22201411604
9856 BIJAPUR USOOR NAVIN P.S. NARSAPUR 22201411702
9857 BIJAPUR USOOR KANIST PRIMARY SCHOOL 22201411801
9858 BIJAPUR USOOR . P.S. FARSAPALLI (S.S.A) 22201412102
9859 BIJAPUR USOOR NAVEN PRIMARY SCHOOL(T.W.D) 22201412501
9860 BIJAPUR USOOR KANIST PRIMARY SCHOOL BOTETONG 22201412601
9861 BIJAPUR USOOR NAVIN PRIMARY SCHOOL 22201412701
9862 BIJAPUR USOOR NAVIN PRIMARY SCHOOL,PINACHANDA 22201412801
9863 BIJAPUR USOOR P.S. DAMARAM (T.W.D) 22201413202
9864 BIJAPUR USOOR P.S. NAYAPARA BASAGUDA 22201413301
9865 BIJAPUR USOOR M. S. BIRAGUDA (T.W.D.) 22201413303
9866 BIJAPUR USOOR P.S.M.S. GU. A. BASAGUDA (SSA) 22201413304
9867 BIJAPUR USOOR P.S.MDARSHA BASAGUDA(T.W.D.) 22201413305
9868 BIJAPUR USOOR P.S. GAYTAPARA (T.W.D) 22201413306
9869 BIJAPUR USOOR KANIST PRIMARY SCHOOL (T.WD) 22201414201
9870 BIJAPUR USOOR BALAK ASHRAM CHINTAKONTA (T.W.D) 22201414701
9871 BIJAPUR USOOR P.S CHINTAKONTA(T.W.D) 22201414801
9872 BIJAPUR USOOR K.G.G.S. AAWAPALLI (K.G.B.V.) 22201415001
9873 BIJAPUR USOOR P.M.S. PUJARIKANKER (T.W.D) 22201415501
9874 BIJAPUR USOOR P. S. PUJARIKAKNKER 22201416801
9875 BIJAPUR USOOR E.G.S. TONG GUDA (S.S.A.) 22201416901
9876 BIJAPUR USOOR M.S.POTACABIN.A.MURKINAR(SSA) 22201417003
9877 BIJAPUR USOOR GOVT P.S. MEENAGATTA 22201417401
9878 BIJAPUR USOOR P.S. AWASPARA SEMALDODI(S.S.A) 22201417701
9879 BIJAPUR USOOR J. P. S. SEMALDODI 22201417702
9880 BIJAPUR USOOR P.S METAGUDA (SSA) 22201418001
9881 BIJAPUR USOOR E.G.S. KALMUPARA USOOR (S.S.A) 22201418201
9882 BIJAPUR USOOR P.S. KURSAMPARA MURDANDA 22201418301
9883 BIJAPUR USOOR P. S. KOMATGUDA (S.S.A) 22201418401
9884 BIJAPUR USOOR P.S. SITAPUR (S.S.A) 22201418501
9885 BIJAPUR USOOR P.S.GALGUM 22201418701
9886 BIJAPUR USOOR P. S. BAKNALGUDA 22201419202
9887 BIJAPUR USOOR B. A . PUJARI KANKER 22201419301
9888 BILASPUR (CHHATTISGARH)
BILHA PS GIRLS KONI 22070300201
9889 BILASPUR (CHHATTISGARH)
BILHA PS BOYS KONI 22070300202
9890 BILASPUR (CHHATTISGARH)
BILHA MS GIRLS KONI 22070300204
9891 BILASPUR (CHHATTISGARH)
BILHA MS KONI 22070300205
9892 BILASPUR (CHHATTISGARH)
BILHA GOVT. PS BADI KONI 22070300301
9893 BILASPUR (CHHATTISGARH)
BILHA NPEGEL, PS GIRLS, SENDRI 22070300401
9894 BILASPUR (CHHATTISGARH)
BILHA JAN. BOYS PS SENDRI 22070300402
9895 BILASPUR (CHHATTISGARH)
BILHA KANI. PS SATNAMI PARA, SENDRI 22070300403
9896 BILASPUR (CHHATTISGARH)
BILHA GOVT MS SENDRI 22070300405
9897 BILASPUR (CHHATTISGARH)
BILHA GOVT. JAN. PS, RAMTALA 22070300501
9898 BILASPUR (CHHATTISGARH)
BILHA MS GOVT, RAMTALA 22070300502
9899 BILASPUR (CHHATTISGARH)
BILHA JAN. PS, KACHAR 22070300601
9900 BILASPUR (CHHATTISGARH)
BILHA UP MS GOVT KACHHAR 22070300602
9901 BILASPUR (CHHATTISGARH)
BILHA GOVT. PS RAMNAGAR KACHHAR 22070300603
9902 BILASPUR (CHHATTISGARH)
BILHA GOVT. PS AMALTARA 22070300701
9903 BILASPUR (CHHATTISGARH)
BILHA JAN. PS LOFANDI 22070300801
9904 BILASPUR (CHHATTISGARH)
BILHA M.S. LOFANDI 22070300804
9905 BILASPUR (CHHATTISGARH)
BILHA NEW PS, FOKATPARA 22070300805
9906 BILASPUR (CHHATTISGARH)
BILHA PS GOVT. BITKULI 22070300901
9907 BILASPUR (CHHATTISGARH)
BILHA JAN. PS BITKULI 22070300903
9908 BILASPUR (CHHATTISGARH)
BILHA UP MS, BITKULI 22070300904
9909 BILASPUR (CHHATTISGARH)
BILHA EGS TO PS, BITKULI 22070300905
9910 BILASPUR (CHHATTISGARH)
BILHA EGS TO PS, DIPRAPARA 22070300906
9911 BILASPUR (CHHATTISGARH)
BILHA PS NAGPUR 22070301002
9912 BILASPUR (CHHATTISGARH)
BILHA JAN. PS NAGPURA 22070301003
9913 BILASPUR (CHHATTISGARH)
BILHA GOVT. M.S., NAGPURA 22070301004
9914 BILASPUR (CHHATTISGARH)
BILHA GOVT. PS RAMPUR 22070301101
9915 BILASPUR (CHHATTISGARH)
BILHA GOVT. MS RAMPUR 22070301102
9916 BILASPUR (CHHATTISGARH)
BILHA JAN. PS MANJUR PAHRI 22070301201
9917 BILASPUR (CHHATTISGARH)
BILHA GOVT PS DAHAITPARA 22070301202
9918 BILASPUR (CHHATTISGARH)
BILHA PS TO MS, MANJUR PAHARI 22070301203
9919 BILASPUR (CHHATTISGARH)
BILHA GOVT. PS KADRI 22070301301
9920 BILASPUR (CHHATTISGARH)
BILHA GOVT PS DHANUHARPARA KADRI 22070301302
9921 BILASPUR (CHHATTISGARH)
BILHA JAN. PS BAMHNI KHURD 22070301401
9922 BILASPUR (CHHATTISGARH)
BILHA JAN. PS BASHA 22070301501
9923 BILASPUR (CHHATTISGARH)
BILHA PS TO MS, BASAHA 22070301502
9924 BILASPUR (CHHATTISGARH)
BILHA NPEGEL, JAN. PS KARMA 22070301601
9925 BILASPUR (CHHATTISGARH)
BILHA GOVT. PS KARMA 22070301602
9926 BILASPUR (CHHATTISGARH)
BILHA MS GOVT, KARMA 22070301603
9927 BILASPUR (CHHATTISGARH)
BILHA EGS TO PS, DARRIPARA 22070301604
9928 BILASPUR (CHHATTISGARH)
BILHA NEW PS, SARAIPALI 22070301605
9929 BILASPUR (CHHATTISGARH)
BILHA UP MS, KADARI 22070301606
9930 BILASPUR (CHHATTISGARH)
BILHA UP MS, BHILMI 22070301607
9931 BILASPUR (CHHATTISGARH)
BILHA GOVT. PS DHOURA MUDA 22070301701
9932 BILASPUR (CHHATTISGARH)
BILHA UP MS, DHOURAMUDA 22070301702
9933 BILASPUR (CHHATTISGARH)
BILHA PS BARPALI 22070301801
9934 BILASPUR (CHHATTISGARH)
BILHA KANI. PS BARBHATA 22070301901
9935 BILASPUR (CHHATTISGARH)
BILHA PS GOVT, BARBHATHA 22070301902
9936 BILASPUR (CHHATTISGARH)
BILHA JAN. PS DAGANIA 22070302001
9937 BILASPUR (CHHATTISGARH)
BILHA JAN. GIRLS PS DAGANIA 22070302002
9938 BILASPUR (CHHATTISGARH)
BILHA MS GOVT, DAGAIYA 22070302003
9939 BILASPUR (CHHATTISGARH)
BILHA EGS TO PS,BANDHAVAPARA 22070302004
9940 BILASPUR (CHHATTISGARH)
BILHA JAN. PS KHAIRA (D) 22070302101
9941 BILASPUR (CHHATTISGARH)
BILHA UP MS, KHAIRA (D) 22070302102
9942 BILASPUR (CHHATTISGARH)
BILHA GOVT. PS PIPRA 22070302201
9943 BILASPUR (CHHATTISGARH)
BILHA JAN. PS BAMHU 22070302301
9944 BILASPUR (CHHATTISGARH)
BILHA M.S. SCHOOL BAMHU 22070302302
9945 BILASPUR (CHHATTISGARH)
BILHA GOVT. PA NIPANIYA 22070302403
9946 BILASPUR (CHHATTISGARH)
BILHA GOVT . PS NIPANIA 22070302404
9947 BILASPUR (CHHATTISGARH)
BILHA GOVT. PS CHORHA DEVRI 22070302501
9948 BILASPUR (CHHATTISGARH)
BILHA GOVT MS CHORHA DEVRI 22070302502
9949 BILASPUR (CHHATTISGARH)
BILHA JAN. PS SELAR 22070302601
9950 BILASPUR (CHHATTISGARH)
BILHA NPEGEL, PS GIRLS, SELAR 22070302602
9951 BILASPUR (CHHATTISGARH)
BILHA GOVT. PS FOKAT-PARA 22070302604
9952 BILASPUR (CHHATTISGARH)
BILHA MS GOVT, SELAR 22070302605
9953 BILASPUR (CHHATTISGARH)
BILHA JAN. PS UCCHA BHATTHI 22070302701
9954 BILASPUR (CHHATTISGARH)
BILHA UP MS, UCCHBHATTHI 22070302702
9955 BILASPUR (CHHATTISGARH)
BILHA JAN. PS BHILMI 22070302801
9956 BILASPUR (CHHATTISGARH)
BILHA GOVT. KANI. PS PANDEPUR 22070302901
9957 BILASPUR (CHHATTISGARH)
BILHA R.G.S.M. PS GOPALPUR 22070303001
9958 BILASPUR (CHHATTISGARH)
BILHA JAN. PS BHADI 22070303101
9959 BILASPUR (CHHATTISGARH)
BILHA NAVIN PS BANDHAI PARA (BHADI) 22070303102
9960 BILASPUR (CHHATTISGARH)
BILHA MS GOVT, BHADI 22070303103
9961 BILASPUR (CHHATTISGARH)
BILHA NPEGEL, PS GIRLS, SEMARTAL 22070303201
9962 BILASPUR (CHHATTISGARH)
BILHA PS BOYS SEMARTAL 22070303202
9963 BILASPUR (CHHATTISGARH)
BILHA MS BOYS SEMARTAL 22070303204
9964 BILASPUR (CHHATTISGARH)
BILHA MS GIRLS SEMARTAL 22070303205
9965 BILASPUR (CHHATTISGARH)
BILHA JAN. PS JALSO 22070303301
9966 BILASPUR (CHHATTISGARH)
BILHA PS NAHRI BHATHA 22070303302
9967 BILASPUR (CHHATTISGARH)
BILHA MS GOVT, JALSO 22070303303
9968 BILASPUR (CHHATTISGARH)
BILHA PS GOVT, NAVEEN, BHURI BHATHA 22070303304
9969 BILASPUR (CHHATTISGARH)
BILHA GOVT. PS BHADOURIA KHAR 22070303401
9970 BILASPUR (CHHATTISGARH)
BILHA JAN. BOYS PS, PAUNSARA 22070303501
9971 BILASPUR (CHHATTISGARH)
BILHA GOVT. GIRLS PS PAUNSARA 22070303502
9972 BILASPUR (CHHATTISGARH)
BILHA PS UTTI PARA PAUNSARA 22070303503
9973 BILASPUR (CHHATTISGARH)
BILHA MS GOVT, POUNSARA 22070303504
9974 BILASPUR (CHHATTISGARH)
BILHA KANI. PS BANIA-DIH (PAUNSARA) 22070303601
9975 BILASPUR (CHHATTISGARH)
BILHA GOVT. SP PADSOUDI 22070303801
9976 BILASPUR (CHHATTISGARH)
BILHA NPEGEL, PS GOVT, PARSADA 22070303802
9977 BILASPUR (CHHATTISGARH)
BILHA JAN. PS PARSADA 22070303803
9978 BILASPUR (CHHATTISGARH)
BILHA KANI. PS NAYAPARA PARSADA 22070303804
9979 BILASPUR (CHHATTISGARH)
BILHA GOVT. PS PARSADA 22070303805
9980 BILASPUR (CHHATTISGARH)
BILHA EGS TO PS, NAYAPARA (S) 22070303807
9981 BILASPUR (CHHATTISGARH)
BILHA PS GATOURI 22070303901
9982 BILASPUR (CHHATTISGARH)
BILHA MS GOVT, GATOURI 22070303902
9983 BILASPUR (CHHATTISGARH)
BILHA PS, VIDYA MANDIR, GATOURI 22070303903
9984 BILASPUR (CHHATTISGARH)
BILHA GOVT. PS DEVRI KHURD 22070304001
9985 BILASPUR (CHHATTISGARH)
BILHA MS GOVT DEVARIKHURD 22070304005
9986 BILASPUR (CHHATTISGARH)
BILHA PS JAN, DOMUHANI 22070304101
9987 BILASPUR (CHHATTISGARH)
BILHA UP MS, DOMUHANI 22070304102
9988 BILASPUR (CHHATTISGARH)
BILHA PS URAIHA PARA 22070304201
9989 BILASPUR (CHHATTISGARH)
BILHA JAN. PS KHAMTARAI 22070304301
9990 BILASPUR (CHHATTISGARH)
BILHA NPEGEL, PS GIRLS, BAIMA 22070304401
9991 BILASPUR (CHHATTISGARH)
BILHA MS GIRLS, BAIMA 22070304402
9992 BILASPUR (CHHATTISGARH)
BILHA GOVT PS DAIHANPARA 22070304403
9993 BILASPUR (CHHATTISGARH)
BILHA S C BOYS ASHRAM BAIMA 22070304406
9994 BILASPUR (CHHATTISGARH)
BILHA PS FOKAT PARA MOHRA 22070304501
9995 BILASPUR (CHHATTISGARH)
BILHA JAN. PS MOHRA 22070304502
9996 BILASPUR (CHHATTISGARH)
BILHA MS GOVT, MOHRA 22070304503
9997 BILASPUR (CHHATTISGARH)
BILHA EGS TO PS,DHANUHARPARA 22070304504
9998 BILASPUR (CHHATTISGARH)
BILHA GOVT. SP KHAPRA KHOL 22070304601
9999 BILASPUR (CHHATTISGARH)
BILHA PS BOYS BIRKONA 22070304703
10000 BILASPUR (CHHATTISGARH)
BILHA GOVT. GIRLS PS BIRKONA 22070304704
10001 BILASPUR (CHHATTISGARH)
BILHA GOVT. PS ASHABAND (BIRKONA) 22070304705
10002 BILASPUR (CHHATTISGARH)
BILHA GOVT. MS BIRKONA 22070304708
10003 BILASPUR (CHHATTISGARH)
BILHA PS GOVT DEVNAGAR BIRKONA 22070304709
10004 BILASPUR (CHHATTISGARH)
BILHA GOVT. PS HARDI-DIH 22070304801
10005 BILASPUR (CHHATTISGARH)
BILHA JAN. GIRLS PS NAGOI 22070304901
10006 BILASPUR (CHHATTISGARH)
BILHA PS BOYS NAGOI 22070304902
10007 BILASPUR (CHHATTISGARH)
BILHA MS GOVT, BAIMANAGOI 22070304904
10008 BILASPUR (CHHATTISGARH)
BILHA EGS TO PS, DHALHIPARA 22070304906
10009 BILASPUR (CHHATTISGARH)
BILHA PS SARDHA 22070305001
10010 BILASPUR (CHHATTISGARH)
BILHA MS GOVT, SARDHA 22070305002
10011 BILASPUR (CHHATTISGARH)
BILHA GOVT. PS NAVGAVA 22070305101
10012 BILASPUR (CHHATTISGARH)
BILHA PS GOVT, NAGROUDI 22070305201
10013 BILASPUR (CHHATTISGARH)
BILHA UP MS, NAGROUDI 22070305202
10014 BILASPUR (CHHATTISGARH)
BILHA GOVT. PS SILPAHRI 22070305301
10015 BILASPUR (CHHATTISGARH)
BILHA GOVT.M.S., SILPAHARI 22070305302
10016 BILASPUR (CHHATTISGARH)
BILHA GOVT. PS FADHA 22070305401
10017 BILASPUR (CHHATTISGARH)
BILHA GOVT. PS MAGAR UCHALA 22070305501
10018 BILASPUR (CHHATTISGARH)
BILHA JAN. PS PIRAIYA 22070305601
10019 BILASPUR (CHHATTISGARH)
BILHA UP MS, PIRAIYA 22070305602
10020 BILASPUR (CHHATTISGARH)
BILHA JAN. PS SARVANI 22070305701
10021 BILASPUR (CHHATTISGARH)
BILHA GOVT.M.S., SARVANI 22070305702
10022 BILASPUR (CHHATTISGARH)
BILHA GOVT. PS RAVAT PARA 22070305801
10023 BILASPUR (CHHATTISGARH)
BILHA GOVT. PS SATNAMI PARA 22070305802
10024 BILASPUR (CHHATTISGARH)
BILHA JAN. BOYS HARDI KALA 22070305803
10025 BILASPUR (CHHATTISGARH)
BILHA GOVT. GIRLS HARDI KALA 22070305804
10026 BILASPUR (CHHATTISGARH)
BILHA GOVT.M.S., HARDIKALA 22070305805
10027 BILASPUR (CHHATTISGARH)
BILHA GOVT MS HARDIKALA (TONA) 22070305807
10028 BILASPUR (CHHATTISGARH)
BILHA NAVIN PS KORMI 22070305901
10029 BILASPUR (CHHATTISGARH)
BILHA JAN. KORMI 22070305902
10030 BILASPUR (CHHATTISGARH)
BILHA UP.MS KORMI 22070305903
10031 BILASPUR (CHHATTISGARH)
BILHA GOVT. PS BASIA 22070306001
10032 BILASPUR (CHHATTISGARH)
BILHA M.S. SCHOOL BASIA 22070306002
10033 BILASPUR (CHHATTISGARH)
BILHA JAN. PS LIMTARI 22070306101
10034 BILASPUR (CHHATTISGARH)
BILHA EGS TO PS, KHAPRAKHOL 22070306102
10035 BILASPUR (CHHATTISGARH)
BILHA JAN. PS PONDI 22070306201
10036 BILASPUR (CHHATTISGARH)
BILHA NPEGEL, PS GOVT, PONDI(S) 22070306202
10037 BILASPUR (CHHATTISGARH)
BILHA UP MS, PONDI (HATHNI) 22070306203
10038 BILASPUR (CHHATTISGARH)
BILHA NPEGEL, JAN. PS, MOPKA 22070306301
10039 BILASPUR (CHHATTISGARH)
BILHA GOVT. PS. KANI. KUTI PARA 22070306302
10040 BILASPUR (CHHATTISGARH)
BILHA GOVT. PS. GONDPARA MOPKA 22070306303
10041 BILASPUR (CHHATTISGARH)
BILHA MS GOVT, MOPKA 22070306304
10042 BILASPUR (CHHATTISGARH)
BILHA UP MS GIRLS, MOPKA 22070306306
10043 BILASPUR (CHHATTISGARH)
BILHA PS. BODSARA 22070306401
10044 BILASPUR (CHHATTISGARH)
BILHA MS GOVT, BODSARA 22070306402
10045 BILASPUR (CHHATTISGARH)
BILHA PS KHUDIYA DIH 22070306501
10046 BILASPUR (CHHATTISGARH)
BILHA EGS TO PS,BOHARDIH, KUVA 22070306602
10047 BILASPUR (CHHATTISGARH)
BILHA UP MS, KUVA 22070306603
10048 BILASPUR (CHHATTISGARH)
BILHA GOVT PS KUNVA 22070306604
10049 BILASPUR (CHHATTISGARH)
BILHA JAN PS KAYA 22070306701
10050 BILASPUR (CHHATTISGARH)
BILHA MS GOVT, KAYA 22070306702
10051 BILASPUR (CHHATTISGARH)
BILHA PS JANPAD, BUNDELA 22070306801
10052 BILASPUR (CHHATTISGARH)
BILHA EGS TO PS, KHOLIPARA 22070306802
10053 BILASPUR (CHHATTISGARH)
BILHA PS TO MS, BUNDELA 22070306803
10054 BILASPUR (CHHATTISGARH)
BILHA JAN. BOYS PS SEVAR 22070306901
10055 BILASPUR (CHHATTISGARH)
BILHA MS GOVT, SEVAR 22070306902
10056 BILASPUR (CHHATTISGARH)
BILHA NPEGEL, PS GIRLS, SEVAR 22070306903
10057 BILASPUR (CHHATTISGARH)
BILHA EGS TO PS,HARIJAN MOHALLA 22070306904
10058 BILASPUR (CHHATTISGARH)
BILHA GOVT. PS NAGAR DIH 22070307001
10059 BILASPUR (CHHATTISGARH)
BILHA GOVT. PS KHEKSAHI 22070307101
10060 BILASPUR (CHHATTISGARH)
BILHA JAN. PS KADAR 22070307201
10061 BILASPUR (CHHATTISGARH)
BILHA MS GOVT, KADAR 22070307202
10062 BILASPUR (CHHATTISGARH)
BILHA EGS TO PS,BHATHAPARA 22070307203
10063 BILASPUR (CHHATTISGARH)
BILHA GOVT. PS YADUNANDAN NAGAR 22070307301
10064 BILASPUR (CHHATTISGARH)
BILHA GOVT. GIRLS PS TIFRA 22070307302
10065 BILASPUR (CHHATTISGARH)
BILHA JAN. PS TIFRA 22070307303
10066 BILASPUR (CHHATTISGARH)
BILHA KANI. PS ARYA COLONY TIFRA 22070307304
10067 BILASPUR (CHHATTISGARH)
BILHA GOVT. M.S., TIFRA 22070307314
10068 BILASPUR (CHHATTISGARH)
BILHA EGS TO PS, KOREAPARA 22070307319
10069 BILASPUR (CHHATTISGARH)
BILHA NPEGEL, PS GOVT, PASID 22070307401
10070 BILASPUR (CHHATTISGARH)
BILHA JAN. PS PASID 22070307402
10071 BILASPUR (CHHATTISGARH)
BILHA MS GOVT, PASID 22070307403
10072 BILASPUR (CHHATTISGARH)
BILHA GOVT PS MANGLA PASID 22070307404
10073 BILASPUR (CHHATTISGARH)
BILHA GOVT. PS DURUG DIH 22070307502
10074 BILASPUR (CHHATTISGARH)
BILHA GOVT. PS KHAMHAR DIH 22070307601
10075 BILASPUR (CHHATTISGARH)
BILHA UP MS, KHAMHARDIH 22070307602
10076 BILASPUR (CHHATTISGARH)
BILHA GOVT. PS KANERI 22070307701
10077 BILASPUR (CHHATTISGARH)
BILHA GOVT MS KANERI 22070307702
10078 BILASPUR (CHHATTISGARH)
BILHA GOVT. PS BELTUKRI 22070307801
10079 BILASPUR (CHHATTISGARH)
BILHA UP MS, BELTUKRI 22070307802
10080 BILASPUR (CHHATTISGARH)
BILHA GOVT. GIRLS KIRTI NAGAR 22070307907
10081 BILASPUR (CHHATTISGARH)
BILHA GOVT. BOYS KIRTI NAGAR 22070307908
10082 BILASPUR (CHHATTISGARH)
BILHA NPEGEL, JAN. PS, SIRGITTI 22070307909
10083 BILASPUR (CHHATTISGARH)
BILHA GOVT. PS HIRA NAGAR 22070307910
10084 BILASPUR (CHHATTISGARH)
BILHA GOVT.M.S.(G),HIRANAGAR 22070307917
10085 BILASPUR (CHHATTISGARH)
BILHA GOVT. M.S., SIRGITTI 22070307919
10086 BILASPUR (CHHATTISGARH)
BILHA PS, NAVEEN SCHOOL, SIRGITTI 22070307922
10087 BILASPUR (CHHATTISGARH)
BILHA PS TO MS GOVT. KIRTINAGAAR 22070307925
10088 BILASPUR (CHHATTISGARH)
BILHA JAN. BOYS BHAT GAON 22070308001
10089 BILASPUR (CHHATTISGARH)
BILHA NPEGEL, PS GIRLS, BHATGAON 22070308002
10090 BILASPUR (CHHATTISGARH)
BILHA MS BHAT GAON 22070308003
10091 BILASPUR (CHHATTISGARH)
BILHA GOVT. PS DODKI 22070308101
10092 BILASPUR (CHHATTISGARH)
BILHA GOVT. PS DODKIBHATA 22070308102
10093 BILASPUR (CHHATTISGARH)
BILHA GOVT. PS KEVACHI 22070308201
10094 BILASPUR (CHHATTISGARH)
BILHA GOVT. PS GUMA 22070308301
10095 BILASPUR (CHHATTISGARH)
BILHA JAN. PS DEV KIRARI 22070308401
10096 BILASPUR (CHHATTISGARH)
BILHA UP MS, DEV KIRARI 22070308402
10097 BILASPUR (CHHATTISGARH)
BILHA KANI. PS KIRARI GODHI 22070308501
10098 BILASPUR (CHHATTISGARH)
BILHA KANI. PS BOHAR DIH 22070308601
10099 BILASPUR (CHHATTISGARH)
BILHA BOYS P.S. LAKHARAM 22070308703
10100 BILASPUR (CHHATTISGARH)
BILHA GOVT. GIRLS. GPS. LAKHARAM 22070308704
10101 BILASPUR (CHHATTISGARH)
BILHA MS LAKHRAM 22070308705
10102 BILASPUR (CHHATTISGARH)
BILHA MS GIRLS, LAKHRAM 22070308706
10103 BILASPUR (CHHATTISGARH)
BILHA NPEGEL, PS GOVT, KHAIRKHUNDI 22070308801
10104 BILASPUR (CHHATTISGARH)
BILHA PS TO MS, KHAIRKHUNDI 22070308803
10105 BILASPUR (CHHATTISGARH)
BILHA JP. P.S. GADVAT 22070308901
10106 BILASPUR (CHHATTISGARH)
BILHA NAVIN P.S. GADVAT 22070308902
10107 BILASPUR (CHHATTISGARH)
BILHA MS GOVT, GADHVAT 22070308903
10108 BILASPUR (CHHATTISGARH)
BILHA NAVIN PS. AKALTARI 22070309001
10109 BILASPUR (CHHATTISGARH)
BILHA PS. AKALTARI 22070309002
10110 BILASPUR (CHHATTISGARH)
BILHA MS GOVT, AKALTARI 22070309003
10111 BILASPUR (CHHATTISGARH)
BILHA GOVT. PS. SARVAN DEVARI 22070309101
10112 BILASPUR (CHHATTISGARH)
BILHA GOVT MS SARVAN DEVRI 22070309102
10113 BILASPUR (CHHATTISGARH)
BILHA KANI. PS. MATIYARI 22070309201
10114 BILASPUR (CHHATTISGARH)
BILHA JP. PS. MATIYARI 22070309202
10115 BILASPUR (CHHATTISGARH)
BILHA MS GOVT, MATIYARI 22070309203
10116 BILASPUR (CHHATTISGARH)
BILHA PS. UTARUM 22070309301
10117 BILASPUR (CHHATTISGARH)
BILHA MS GOVT, URTUM 22070309302
10118 BILASPUR (CHHATTISGARH)
BILHA GOVT PS. BIJOUR 22070309401
10119 BILASPUR (CHHATTISGARH)
BILHA MS GOVT, BIJOUR 22070309402
10120 BILASPUR (CHHATTISGARH)
BILHA GOVT. PS. PHARHADA 22070309501
10121 BILASPUR (CHHATTISGARH)
BILHA MS GOVT, FARHADA 22070309502
10122 BILASPUR (CHHATTISGARH)
BILHA PS. BAHTARAI 22070309601
10123 BILASPUR (CHHATTISGARH)
BILHA MS GOVT, BAHTARAI 22070309602
10124 BILASPUR (CHHATTISGARH)
BILHA PS. CHILHATI 22070309701
10125 BILASPUR (CHHATTISGARH)
BILHA EGS TO PS,DHANUHARPARA 22070309702
10126 BILASPUR (CHHATTISGARH)
BILHA UP MS, CHILHATI 22070309703
10127 BILASPUR (CHHATTISGARH)
BILHA GOVT. PS. KANI. RAM NAGAR 22070309801
10128 BILASPUR (CHHATTISGARH)
BILHA PS GOVT,CHANDAN AWAS, LINGIYAD 22070309802
10129 BILASPUR (CHHATTISGARH)
BILHA MS GOVT, LINGIYADIH 22070309803
10130 BILASPUR (CHHATTISGARH)
BILHA PS. GOVT. LINGIYADIH 22070309807
10131 BILASPUR (CHHATTISGARH)
BILHA UP MS, PARSAHI 22070309901
10132 BILASPUR (CHHATTISGARH)
BILHA GOVT. PS. PARSAHI 22070309902
10133 BILASPUR (CHHATTISGARH)
BILHA JP. PS. LAGARA 22070310001
10134 BILASPUR (CHHATTISGARH)
BILHA MS GOVT, LAGRA 22070310002
10135 BILASPUR (CHHATTISGARH)
BILHA MS GODAIYA 22070310101
10136 BILASPUR (CHHATTISGARH)
BILHA EGS TO PS, OKLAHIPARA 22070310102
10137 BILASPUR (CHHATTISGARH)
BILHA GOVT. PS PENDARVA 22070310201
10138 BILASPUR (CHHATTISGARH)
BILHA PS. PENDRVA (S) 22070310202
10139 BILASPUR (CHHATTISGARH)
BILHA GOVT. PS. CHUMKAVA 22070310301
10140 BILASPUR (CHHATTISGARH)
BILHA GOVT. PS. MOHATARAI 22070310401
10141 BILASPUR (CHHATTISGARH)
BILHA EGS TO PS, KOSTAPARA 22070310402
10142 BILASPUR (CHHATTISGARH)
BILHA UP MS, MOHATARAI 22070310403
10143 BILASPUR (CHHATTISGARH)
BILHA JP. PS. SINGHARI 22070310501
10144 BILASPUR (CHHATTISGARH)
BILHA MS SINGHARI 22070310502
10145 BILASPUR (CHHATTISGARH)
BILHA JP.PS. MADAN PUR(BOYS) 22070310601
10146 BILASPUR (CHHATTISGARH)
BILHA GIRLS PS. MADANPUR 22070310602
10147 BILASPUR (CHHATTISGARH)
BILHA MS, NAVEEN,MADANPUR 22070310603
10148 BILASPUR (CHHATTISGARH)
BILHA NEW PS, AWASPARA, MADANPUR 22070310604
10149 BILASPUR (CHHATTISGARH)
BILHA GOVT. PS. SEMARI 22070310701
10150 BILASPUR (CHHATTISGARH)
BILHA GOVT. PS. LACHHAN PUR 22070310801
10151 BILASPUR (CHHATTISGARH)
BILHA PS. BHARARI 22070310902
10152 BILASPUR (CHHATTISGARH)
BILHA MS BHARARI 22070310903
10153 BILASPUR (CHHATTISGARH)
BILHA UP MS GIRLS, BHARARI 22070310904
10154 BILASPUR (CHHATTISGARH)
BILHA NPEGEL, NEW PS, NAYAPARA, GONDAIYA 22070310905
10155 BILASPUR (CHHATTISGARH)
BILHA NEW PS, SADAKPARA, BHARARI 22070310906
10156 BILASPUR (CHHATTISGARH)
BILHA BHARVI DIH 22070311001
10157 BILASPUR (CHHATTISGARH)
BILHA UP MS, BHARVI DIH 22070311002
10158 BILASPUR (CHHATTISGARH)
BILHA NAVIN PS. KOLIHA BHATHA 22070311101
10159 BILASPUR (CHHATTISGARH)
BILHA GOVT. PS. LALKHADAN 22070311201
10160 BILASPUR (CHHATTISGARH)
BILHA GOVT. PS. SAPHED KHADAN 22070311302
10161 BILASPUR (CHHATTISGARH)
BILHA JP. PS. SEMARA 22070311401
10162 BILASPUR (CHHATTISGARH)
BILHA UP MS, SEMRA 22070311402
10163 BILASPUR (CHHATTISGARH)
BILHA PS. DHUMA 22070311501
10164 BILASPUR (CHHATTISGARH)
BILHA PS. DHUMA(BALIKA) 22070311502
10165 BILASPUR (CHHATTISGARH)
BILHA MS DHUMA 22070311503
10166 BILASPUR (CHHATTISGARH)
BILHA GOVT. PS. MANIKPUR 22070311601
10167 BILASPUR (CHHATTISGARH)
BILHA GOVT MS MANIKPUR 22070311603
10168 BILASPUR (CHHATTISGARH)
BILHA GOVT. PS. DEKA 22070311701
10169 BILASPUR (CHHATTISGARH)
BILHA MS. DEKA 22070311702
10170 BILASPUR (CHHATTISGARH)
BILHA UP PS, NAYAPARA, DHEKA 22070311703
10171 BILASPUR (CHHATTISGARH)
BILHA NPEGEL, PS.BUTAPARA, MAHNAD 22070311801
10172 BILASPUR (CHHATTISGARH)
BILHA MS MAHMAND 22070311802
10173 BILASPUR (CHHATTISGARH)
BILHA PS JANPAD GOVT MAHMAND 22070311805
10174 BILASPUR (CHHATTISGARH)
BILHA GOVT MS MOHDA 22070311901
10175 BILASPUR (CHHATTISGARH)
BILHA JANPAD PS MOHDA 22070311902
10176 BILASPUR (CHHATTISGARH)
BILHA PS JHALFA 22070312101
10177 BILASPUR (CHHATTISGARH)
BILHA JAN PS HIRRI 22070312201
10178 BILASPUR (CHHATTISGARH)
BILHA UP MS GOVT HIRRI 22070312202
10179 BILASPUR (CHHATTISGARH)
BILHA GOVT. PS HARDI 22070312301
10180 BILASPUR (CHHATTISGARH)
BILHA EGS TO PS, DOKLADIH 22070312401
10181 BILASPUR (CHHATTISGARH)
BILHA PS TO MS, GOVT. PENDARVA 22070312402
10182 BILASPUR (CHHATTISGARH)
BILHA GOVT. MS PENDARWA 22070312403
10183 BILASPUR (CHHATTISGARH)
BILHA GOVT. PS BHOJPURI 22070312501
10184 BILASPUR (CHHATTISGARH)
BILHA M.S. GOVT. BHOJPURI 22070312502
10185 BILASPUR (CHHATTISGARH)
BILHA NPEGEL, PS GIRLS, DHOURABHATHA 22070312601
10186 BILASPUR (CHHATTISGARH)
BILHA BOYS PS DHOURA BHATHA 22070312602
10187 BILASPUR (CHHATTISGARH)
BILHA MS GOVT, DHOURABHATHA 22070312603
10188 BILASPUR (CHHATTISGARH)
BILHA GOVT. PS GODHI 22070312701
10189 BILASPUR (CHHATTISGARH)
BILHA MS GODHI 22070312702
10190 BILASPUR (CHHATTISGARH)
BILHA GOVT. PS CHAKARBHATA GRAM 22070312802
10191 BILASPUR (CHHATTISGARH)
BILHA GOVT. GIRLS PS CHAKARBHATHA 22070312803
10192 BILASPUR (CHHATTISGARH)
BILHA BOYS PS CHAKARBHATA CAMP 22070312804
10193 BILASPUR (CHHATTISGARH)
BILHA MS BOYS GOVT, CHAKARBHATHA 22070312807
10194 BILASPUR (CHHATTISGARH)
BILHA MS GIRLS GOVT, CHAKARBHATHA 22070312808
10195 BILASPUR (CHHATTISGARH)
BILHA PS ACHANAKPUR 22070312901
10196 BILASPUR (CHHATTISGARH)
BILHA NPEGEL, JAN. PS, BILHA 22070313005
10197 BILASPUR (CHHATTISGARH)
BILHA GIRLS PS BILHA 22070313006
10198 BILASPUR (CHHATTISGARH)
BILHA JP. PS. GODAIYA 22070313008
10199 BILASPUR (CHHATTISGARH)
BILHA GOVT. PS. BUTA PARA 22070313009
10200 BILASPUR (CHHATTISGARH)
BILHA MS, GOVT GIRLS, W-12 22070313012
10201 BILASPUR (CHHATTISGARH)
BILHA GOVT . MODAL SCHOOL GODHI 22070313014
10202 BILASPUR (CHHATTISGARH)
BILHA PS LIMHA 22070313101
10203 BILASPUR (CHHATTISGARH)
BILHA PS NAVAPARA (LIMHA) 22070313102
10204 BILASPUR (CHHATTISGARH)
BILHA MS GOVT, LIMHA 22070313103
10205 BILASPUR (CHHATTISGARH)
BILHA EGS TO PS, LIMTARIPARA 22070313104
10206 BILASPUR (CHHATTISGARH)
BILHA EGS TO PS,KASIPARAPARA 22070313105
10207 BILASPUR (CHHATTISGARH)
BILHA GOVT. PS JOGIDIPA 22070313201
10208 BILASPUR (CHHATTISGARH)
BILHA PS KORBI 22070313301
10209 BILASPUR (CHHATTISGARH)
BILHA KANI. PS HARDI PARA (KORBI) 22070313302
10210 BILASPUR (CHHATTISGARH)
BILHA MS, JANBHAGIDARI,KORBI 22070313303
10211 BILASPUR (CHHATTISGARH)
BILHA JAN. PS UMARIA 22070313401
10212 BILASPUR (CHHATTISGARH)
BILHA GOVT. PS UMARIA-PARA 22070313402
10213 BILASPUR (CHHATTISGARH)
BILHA UP MS, UMARIA 22070313403
10214 BILASPUR (CHHATTISGARH)
BILHA PS MOHBHATTHA 22070313501
10215 BILASPUR (CHHATTISGARH)
BILHA MS GOVT, MOHBHATTHA 22070313502
10216 BILASPUR (CHHATTISGARH)
BILHA GOVT. PS PATTAR KHAN 22070313601
10217 BILASPUR (CHHATTISGARH)
BILHA GOVT. PS UDGAN 22070313701
10218 BILASPUR (CHHATTISGARH)
BILHA GOVT. PS, BHAISBOD 22070313801
10219 BILASPUR (CHHATTISGARH)
BILHA UP MS, BHAISBOD 22070313802
10220 BILASPUR (CHHATTISGARH)
BILHA R.G.S.MISSION BELTARA 22070313901
10221 BILASPUR (CHHATTISGARH)
BILHA PS BELTARA 22070313902
10222 BILASPUR (CHHATTISGARH)
BILHA KANI. PS BHADRA-PARA (BELTARA) 22070313903
10223 BILASPUR (CHHATTISGARH)
BILHA NPEGEL, PS GIRLS, BELTARA 22070313904
10224 BILASPUR (CHHATTISGARH)
BILHA MS GOVT, BELTARA 22070313905
10225 BILASPUR (CHHATTISGARH)
BILHA EGS TO PS, BARBHATHA 22070313908
10226 BILASPUR (CHHATTISGARH)
BILHA GOVTGIRLS MS. BELTARA 22070313909
10227 BILASPUR (CHHATTISGARH)
BILHA PS PENDRI DIH 22070314001
10228 BILASPUR (CHHATTISGARH)
BILHA PS RAHNGI 22070314101
10229 BILASPUR (CHHATTISGARH)
BILHA EGS TO PS, JOGIPUR 22070314102
10230 BILASPUR (CHHATTISGARH)
BILHA PS DADHA 22070314201
10231 BILASPUR (CHHATTISGARH)
BILHA GOVT. PS BHATHA-PARA 22070314301
10232 BILASPUR (CHHATTISGARH)
BILHA PS NAYA-PARA (BODRI) 22070314302
10233 BILASPUR (CHHATTISGARH)
BILHA NPEGEL, PS GOVT, BODRI 22070314303
10234 BILASPUR (CHHATTISGARH)
BILHA MS GOVT, BODRI 22070314304
10235 BILASPUR (CHHATTISGARH)
BILHA BOYS PS MURKUTA 22070314401
10236 BILASPUR (CHHATTISGARH)
BILHA PS GIRLS MURKUTA 22070314402
10237 BILASPUR (CHHATTISGARH)
BILHA MS MURKUTA 22070314403
10238 BILASPUR (CHHATTISGARH)
BILHA EGS TO PS,KURHIPARA 22070314404
10239 BILASPUR (CHHATTISGARH)
BILHA EGS TO PS, SILIPARI 22070314405
10240 BILASPUR (CHHATTISGARH)
BILHA NPEGEL, PS GIRLS, DAGOURI 22070314501
10241 BILASPUR (CHHATTISGARH)
BILHA GOVT.BOYS PS DAGOURI 22070314502
10242 BILASPUR (CHHATTISGARH)
BILHA MS DAGOURI 22070314504
10243 BILASPUR (CHHATTISGARH)
BILHA NEW PS, HARI MO, DAGOURI 22070314505
10244 BILASPUR (CHHATTISGARH)
BILHA UP MS, CHORHABHAINA 22070314506
10245 BILASPUR (CHHATTISGARH)
BILHA GOVT. PS UDAN TAL 22070314601
10246 BILASPUR (CHHATTISGARH)
BILHA M.S. GOVT. UDANTAL 22070314602
10247 BILASPUR (CHHATTISGARH)
BILHA PS DHAMNI 22070314701
10248 BILASPUR (CHHATTISGARH)
BILHA MS GOVT, DHAMNI 22070314702
10249 BILASPUR (CHHATTISGARH)
BILHA JAN. PS TELSARA 22070314801
10250 BILASPUR (CHHATTISGARH)
BILHA UP MS, TELSARA 22070314802
10251 BILASPUR (CHHATTISGARH)
BILHA GOVT. PS AMERI KAPA 22070314901
10252 BILASPUR (CHHATTISGARH)
BILHA GOVT. PS ADUL KAPA 22070314902
10253 BILASPUR (CHHATTISGARH)
BILHA GOVT. M.S. AMERI KAPA 22070314903
10254 BILASPUR (CHHATTISGARH)
BILHA GIRLS PS NEVSA 22070315001
10255 BILASPUR (CHHATTISGARH)
BILHA BOYS PS NEVSA 22070315002
10256 BILASPUR (CHHATTISGARH)
BILHA MS NEVSA 22070315003
10257 BILASPUR (CHHATTISGARH)
BILHA EGS TO PS, USRABHATHA 22070315004
10258 BILASPUR (CHHATTISGARH)
BILHA PS TEKAR 22070315101
10259 BILASPUR (CHHATTISGARH)
BILHA MS TEKAR 22070315102
10260 BILASPUR (CHHATTISGARH)
BILHA EGS TO PS,THAKUR DEVPARA 22070315104
10261 BILASPUR (CHHATTISGARH)
BILHA PS SONPURI 22070315201
10262 BILASPUR (CHHATTISGARH)
BILHA PS NAVA-GAON 22070315301
10263 BILASPUR (CHHATTISGARH)
BILHA GOVT. MS NAVAGAON 22070315302
10264 BILASPUR (CHHATTISGARH)
BILHA PS CHOURHA MAINA 22070315401
10265 BILASPUR (CHHATTISGARH)
BILHA PS CHURA GHAT 22070315501
10266 BILASPUR (CHHATTISGARH)
BILHA PS MANJHI DERA 22070315601
10267 BILASPUR (CHHATTISGARH)
BILHA GOVT. PS AMERI AKBARI 22070315801
10268 BILASPUR (CHHATTISGARH)
BILHA GOVT.M.S,AMERI AKBARI 22070315802
10269 BILASPUR (CHHATTISGARH)
BILHA GOVT. GIRLS PS POUNSARI 22070315901
10270 BILASPUR (CHHATTISGARH)
BILHA MS POUNSARI 22070315902
10271 BILASPUR (CHHATTISGARH)
BILHA PS BOYS JANPAD,POUSARI 22070315903
10272 BILASPUR (CHHATTISGARH)
BILHA PS AMALDIHA 22070316101
10273 BILASPUR (CHHATTISGARH)
BILHA MS AMALDIHA 22070316102
10274 BILASPUR (CHHATTISGARH)
BILHA NPEGEL, PS GIRLS, BARTORI 22070316201
10275 BILASPUR (CHHATTISGARH)
BILHA JAN. PS BARTORI 22070316202
10276 BILASPUR (CHHATTISGARH)
BILHA PS HADHKODVA 22070316203
10277 BILASPUR (CHHATTISGARH)
BILHA MS, GOVT, BARTORI 22070316204
10278 BILASPUR (CHHATTISGARH)
BILHA KGBV, UPS, BARTORI 22070316207
10279 BILASPUR (CHHATTISGARH)
BILHA MS SALKHA 22070316302
10280 BILASPUR (CHHATTISGARH)
BILHA EGS TO PS, DHANUHARPARA 22070316303
10281 BILASPUR (CHHATTISGARH)
BILHA EGS TO PS, BHATHAPARA 22070316304
10282 BILASPUR (CHHATTISGARH)
BILHA P.S. SALKHA NEVSHA 22070316305
10283 BILASPUR (CHHATTISGARH)
BILHA GOVT PS BANKA 22070316401
10284 BILASPUR (CHHATTISGARH)
BILHA MS GOVT, BAKA 22070316402
10285 BILASPUR (CHHATTISGARH)
BILHA JAN. PS MUDHIPAR 22070316501
10286 BILASPUR (CHHATTISGARH)
BILHA UP MS, MUDHIPAR 22070316503
10287 BILASPUR (CHHATTISGARH)
BILHA JAN. PS GIDHOURI 22070316601
10288 BILASPUR (CHHATTISGARH)
BILHA UP MS, GIDHOURI 22070316602
10289 BILASPUR (CHHATTISGARH)
BILHA PS ANDHIYARI - PARA 22070316701
10290 BILASPUR (CHHATTISGARH)
BILHA GOVT. PS KURELI 22070316801
10291 BILASPUR (CHHATTISGARH)
BILHA PS JHAL 22070316901
10292 BILASPUR (CHHATTISGARH)
BILHA UP MS, JHAL 22070316902
10293 BILASPUR (CHHATTISGARH)
BILHA GOVT. PS KHAPRI 22070317001
10294 BILASPUR (CHHATTISGARH)
BILHA GOVT. PS KATE ROUNDA 22070317201
10295 BILASPUR (CHHATTISGARH)
BILHA PS GHOGHRA 22070317202
10296 BILASPUR (CHHATTISGARH)
BILHA GOVT. PS HATHNI 22070317301
10297 BILASPUR (CHHATTISGARH)
BILHA PS PATHRA PALI 22070317401
10298 BILASPUR (CHHATTISGARH)
BILHA UP MS, PATHARAPALI 22070317402
10299 BILASPUR (CHHATTISGARH)
BILHA GOVT. PS KOTIA 22070317501
10300 BILASPUR (CHHATTISGARH)
BILHA JAN. PS MOHTARA 22070317601
10301 BILASPUR (CHHATTISGARH)
BILHA MS MOHTARA 22070317602
10302 BILASPUR (CHHATTISGARH)
BILHA PS SEVTI 22070317701
10303 BILASPUR (CHHATTISGARH)
BILHA GOVT. PS TARBAHAR 22070319301
10304 BILASPUR (CHHATTISGARH)
BILHA PS BOYS DAYAL-BAND 22070319303
10305 BILASPUR (CHHATTISGARH)
BILHA PS VIDYA UP-NAGAR 22070319305
10306 BILASPUR (CHHATTISGARH)
BILHA GIRLS PS DAYAL-BAND BSP 22070319311
10307 BILASPUR (CHHATTISGARH)
BILHA PS GAJANAND SARTHI, RAJENDRA N 22070319312
10308 BILASPUR (CHHATTISGARH)
BILHA NAGO-RAO-SESH, JUNA BSP 22070319313
10309 BILASPUR (CHHATTISGARH)
BILHA PS JABDAPARA BSP 22070319317
10310 BILASPUR (CHHATTISGARH)
BILHA GOVT. PS RAMNAGAR 22070319319
10311 BILASPUR (CHHATTISGARH)
BILHA PS TILAKNAGAR (B) 22070319320
10312 BILASPUR (CHHATTISGARH)
BILHA PS TILAK-NAGAR "A" BSP 22070319321
10313 BILASPUR (CHHATTISGARH)
BILHA GOVT. PS INDIRA NAGAR BSP 22070319323
10314 BILASPUR (CHHATTISGARH)
BILHA GOVT. GIRLS PS CHATI-DIH 22070319324
10315 BILASPUR (CHHATTISGARH)
BILHA GOVT. GIRLS PS SANICHRI PADAV 22070319326
10316 BILASPUR (CHHATTISGARH)
BILHA NPEGEL, PS GOVT, LODHIPARA,SARKANDA 22070319327
10317 BILASPUR (CHHATTISGARH)
BILHA BOYS PS SARKANDA BSP 22070319329
10318 BILASPUR (CHHATTISGARH)
BILHA BOYS PS KHAPAR GANJ BSP 22070319330
10319 BILASPUR (CHHATTISGARH)
BILHA URDU PS KHAPAR GANJ BSP 22070319332
10320 BILASPUR (CHHATTISGARH)
BILHA BOYS PS CHATI DIH 22070319337
10321 BILASPUR (CHHATTISGARH)
BILHA GURU GHASI DAS PS 22070319342
10322 BILASPUR (CHHATTISGARH)
BILHA GOVT. PS CHINGRAJ PARA 22070319344
10323 BILASPUR (CHHATTISGARH)
BILHA UP MS, B.T.I. BILASPUR 22070319345
10324 BILASPUR (CHHATTISGARH)
BILHA GOVT. GIRLS PS TORVA 22070319347
10325 BILASPUR (CHHATTISGARH)
BILHA GOVT. GIRLS PS SARKANDA 22070319348
10326 BILASPUR (CHHATTISGARH)
BILHA PS,GURUNANAK,DAYALBAND 22070319356
10327 BILASPUR (CHHATTISGARH)
BILHA GIRLS PS. TIKARA PARA 22070319376
10328 BILASPUR (CHHATTISGARH)
BILHA PS. CHUCHUIYA PARA, WARD-39 22070319377
10329 BILASPUR (CHHATTISGARH)
BILHA GOVT. PS. GIRLS GONDPARA 22070319393
10330 BILASPUR (CHHATTISGARH)
BILHA GIRLS PS. AMBEDKAR 22070319397
10331 BILASPUR (CHHATTISGARH)
BILHA GOVT. PS. KATIYA PARA 22070319398
10332 BILASPUR (CHHATTISGARH)
BILHA PS. GANESH NAGAR NAYA PARA 22070319399
10333 BILASPUR (CHHATTISGARH)
BILHA GOVT PS KESHLA 22070319401
10334 BILASPUR (CHHATTISGARH)
BILHA MS GOVT, KESLA 22070319402
10335 BILASPUR (CHHATTISGARH)
BILHA GOVT MS HARDI 22070319501
10336 BILASPUR (CHHATTISGARH)
BILHA GOVT UP MS, JHALFA 22070319503
10337 BILASPUR (CHHATTISGARH)
BILHA UP.MS.CHAKARBHATA GRAM 22070319902
10338 BILASPUR (CHHATTISGARH)
BILHA UP MS, PENDRIDIH 22070320001
10339 BILASPUR (CHHATTISGARH)
BILHA PS GOVT, SAMBALPURI 22070320202
10340 BILASPUR (CHHATTISGARH)
BILHA EGS TO PS, NON BANKA 22070320701
10341 BILASPUR (CHHATTISGARH)
BILHA GOVT. M. S., DAYALBAND 22070320801
10342 BILASPUR (CHHATTISGARH)
BILHA GOVT. M.S.,GANESHNAGAR 22070320803
10343 BILASPUR (CHHATTISGARH)
BILHA GOVT. M.S(G)., JUNA BILASPUR 22070320805
10344 BILASPUR (CHHATTISGARH)
BILHA GOVT.M.S.(G),TARBAHAR 22070320807
10345 BILASPUR (CHHATTISGARH)
BILHA GOVT.M.S.,SHANKAR NAGAR 22070320808
10346 BILASPUR (CHHATTISGARH)
BILHA GOVT.M.S.TARBAHAR BOYS 22070320815
10347 BILASPUR (CHHATTISGARH)
BILHA MS GOVT, CHANTIDIH 22070321002
10348 BILASPUR (CHHATTISGARH)
BILHA PS, CHANDUABHATHA,TARBAHAR 22070321102
10349 BILASPUR (CHHATTISGARH)
BILHA MS SURAJMAL, BILHA 22070321202
10350 BILASPUR (CHHATTISGARH)
BILHA PS. GOVT, ATARRA 22070321302
10351 BILASPUR (CHHATTISGARH)
BILHA UP MS, AMTARA 22070321303
10352 BILASPUR (CHHATTISGARH)
BILHA GOVT MS ATTRA 22070321304
10353 BILASPUR (CHHATTISGARH)
BILHA MS GOVT, KHAMTARAI 22070321501
10354 BILASPUR (CHHATTISGARH)
BILHA GOVT. PS MURUMKHADAN 22070321503
10355 BILASPUR (CHHATTISGARH)
BILHA MS GOVT. PONDI 22070321801
10356 BILASPUR (CHHATTISGARH)
BILHA MS GOVT, PARSADA 22070321901
10357 BILASPUR (CHHATTISGARH)
BILHA MS,NEW GRILS SCHOOL 22070321902
10358 BILASPUR (CHHATTISGARH)
BILHA NEW PS, INDRAPURI, BODARI 22070322002
10359 BILASPUR (CHHATTISGARH)
BILHA UP MS, RANGGI, BODARI 22070322003
10360 BILASPUR (CHHATTISGARH)
BILHA PS, GOVT GIRLS, JUNA BILASPUR 22070322301
10361 BILASPUR (CHHATTISGARH)
BILHA PVT PS/MS URDU TALIMI MAJIS 22070322324
10362 BILASPUR (CHHATTISGARH)
BILHA ADD ST JOSEF COV HIN MED 22070322328
10363 BILASPUR (CHHATTISGARH)
BILHA PS BOYS ASHRAM, BAGDEVA 22070322401
10364 BILASPUR (CHHATTISGARH)
BILHA PS ASWAKSHA ASHRAM,CHATIDIH 22070322502
10365 BILASPUR (CHHATTISGARH)
BILHA PS NAVIN GOVT,DABRIPARA, CHING 22070322503
10366 BILASPUR (CHHATTISGARH)
BILHA PS GOVT, BANDHWAPARA, ARVINDN. 22070322602
10367 BILASPUR (CHHATTISGARH)
BILHA UP MS, BANDHWAPARA, ARVINDNAGA 22070322604
10368 BILASPUR (CHHATTISGARH)
BILHA MS GIRLS GOVT SARKANDA BSP 22070322606
10369 BILASPUR (CHHATTISGARH)
BILHA MS GOVT RAJENDRA NAGAR BSP 22070322804
10370 BILASPUR (CHHATTISGARH)
BILHA PS BOYS GOVT,IRANI MOHALLA 22070323001
10371 BILASPUR (CHHATTISGARH)
BILHA PS BOYS GOVT, DABRIPARA 22070323002
10372 BILASPUR (CHHATTISGARH)
BILHA PS, PRABHAT CHOWK,CHINGRAJPARA 22070323102
10373 BILASPUR (CHHATTISGARH)
BILHA MS GOVT, CHINGRAJPARA 22070323103
10374 BILASPUR (CHHATTISGARH)
BILHA PS GOVT, BANAKDIH, SIRGITTI 22070323301
10375 BILASPUR (CHHATTISGARH)
BILHA MS GIRLS GOVT, JABDAPARA 22070323401
10376 BILASPUR (CHHATTISGARH)
BILHA MS BOYS GOVT SARKANDA BSP 22070323403
10377 BILASPUR (CHHATTISGARH)
BILHA PS GOVT, KUMHARPARA 22070323501
10378 BILASPUR (CHHATTISGARH)
BILHA PS GOVT, NARIYALKOTHI 22070323601
10379 BILASPUR (CHHATTISGARH)
BILHA PS, BHARAT MATA(HINDI), WIRE C 22070323705
10380 BILASPUR (CHHATTISGARH)
BILHA NPEGEL, PS/MS, GIRLS, TORVA 22070323801
10381 BILASPUR (CHHATTISGARH)
BILHA MS GOVT, TORVA 22070323804
10382 BILASPUR (CHHATTISGARH)
BILHA PS GOVT, TALAPARA 22070323902
10383 BILASPUR (CHHATTISGARH)
BILHA PS, SHIVAJI SHALUNKEY,IMLIPARA 22070324001
10384 BILASPUR (CHHATTISGARH)
BILHA PS GIRLS, GOVT,KUDUDAND 22070324102
10385 BILASPUR (CHHATTISGARH)
BILHA PS BOYS, GOVT, KUDUDAND 22070324103
10386 BILASPUR (CHHATTISGARH)
BILHA PS, CHURCH OF KHRIEST, KUDUDAND 22070324105
10387 BILASPUR (CHHATTISGARH)
BILHA PS GOVT, NEHRUNAGAR 22070324301
10388 BILASPUR (CHHATTISGARH)
BILHA EGS TO PS BARKHADAN DEORIKHURD 22070324405
10389 BILASPUR (CHHATTISGARH)
BILHA MS GOVT, AMBEDKARNAGAR 22070324501
10390 BILASPUR (CHHATTISGARH)
BILHA PS GOVT, AMBEDKAR NAGAR 22070324502
10391 BILASPUR (CHHATTISGARH)
BILHA MS GOVT, JARHABHATHA 22070324701
10392 BILASPUR (CHHATTISGARH)
BILHA PS NAVIN GOVT, JARHABHATHA 22070324703
10393 BILASPUR (CHHATTISGARH)
BILHA MS GOVT BOYS, KHAPARGANJ 22070324801
10394 BILASPUR (CHHATTISGARH)
BILHA PS GIRLS GOVT, KHAPARGANJ 22070324802
10395 BILASPUR (CHHATTISGARH)
BILHA MS GIRLS GOVT, KHAPARGANJ 22070324803
10396 BILASPUR (CHHATTISGARH)
BILHA PS GOVT(MARATHI), TILAKNAGAR 22070324901
10397 BILASPUR (CHHATTISGARH)
BILHA MS GIRLS, DEVKINANDAN, BILASPU 22070324903
10398 BILASPUR (CHHATTISGARH)
BILHA MS BOYS GOVT, TILAKNAGAR 22070324904
10399 BILASPUR (CHHATTISGARH)
BILHA NPEGEL, PS GIRLS,TILAKNAGAR-1 22070324905
10400 BILASPUR (CHHATTISGARH)
BILHA MS GOVT GIRLS CHINGRAJPARA 22070325004
10401 BILASPUR (CHHATTISGARH)
BILHA RAHMANIYA MADARSA IMALIPARA BSP 22070325204
10402 BILASPUR (CHHATTISGARH)
BILHA MS, MAHARANI LAXMIBAI, INDIRAN 22070325701
10403 BILASPUR (CHHATTISGARH)
BILHA MS,LALBAHADUR SHASTRI, BILASPU 22070325801
10404 BILASPUR (CHHATTISGARH)
BILHA PS BOYS GOVT GONDPARA BSP 22070325803
10405 BILASPUR (CHHATTISGARH)
BILHA PS BOYS GOVT, NAGORAO SHESH S 22070326001
10406 BILASPUR (CHHATTISGARH)
BILHA MS BOYS GOVT, NAGORAO SHESH S 22070326002
10407 BILASPUR (CHHATTISGARH)
BILHA MS. BOYS GOVT. M.H.S. DAYALBAN 22070326103
10408 BILASPUR (CHHATTISGARH)
BILHA MS GOVT, AHIR MOHALLA 22070326201
10409 BILASPUR (CHHATTISGARH)
BILHA PS GOVT, AHIR MOHALLA 22070326202
10410 BILASPUR (CHHATTISGARH)
BILHA PS, BANGALI SCH., JAGANNATH W. 22070326403
10411 BILASPUR (CHHATTISGARH)
BILHA PS, UDIYA, WARD NO.- 52, BILASPUR 22070326405
10412 BILASPUR (CHHATTISGARH)
BILHA PS GOVT, BAPU NAGAR 22070326501
10413 BILASPUR (CHHATTISGARH)
BILHA MS GOVT, PRAYOGIK (BTI ATTACH) 22070326601
10414 BILASPUR (CHHATTISGARH)
BILHA MS GOVT(ATTACHED), KUDUDAND 22070326701
10415 BILASPUR (CHHATTISGARH)
BILHA PS GOVT SINDHICOLONY BSP 22070326803
10416 BILASPUR (CHHATTISGARH)
BILHA MS GIRLS GOVT, GONDPARA 22070326901
10417 BILASPUR (CHHATTISGARH)
BILHA PS GOVT, KUVAPALI 22070327101
10418 BILASPUR (CHHATTISGARH)
BILHA P.S. GOVT. SCHOOL KHANTAHA 22070327401
10419 BILASPUR (CHHATTISGARH)
BILHA M.S.GOVT.SCHOOL DAGOERI 22070327501
10420 BILASPUR (CHHATTISGARH)
BILHA M.S.GOVT.PIPREAYA 22070327601
10421 BILASPUR (CHHATTISGARH)
BILHA NEW M.S.GOVT.LIMTARI 22070327701
10422 BILASPUR (CHHATTISGARH)
BILHA GOVT PS KHAIRA (L) 22070328601
10423 BILASPUR (CHHATTISGARH)
BILHA GOVT MS KHAIRA (L) 22070328602
10424 BILASPUR (CHHATTISGARH)
BILHA GOVT. GIRLS PS MANGLA 22070328701
10425 BILASPUR (CHHATTISGARH)
BILHA KANI. PS DHURI-PARA 22070328705
10426 BILASPUR (CHHATTISGARH)
BILHA JP. PS. SCH. MANGLA 22070328706
10427 BILASPUR (CHHATTISGARH)
BILHA MS GOVT. MANGLA (BILASPUR) 22070328710
10428 BILASPUR (CHHATTISGARH)
BILHA MS GOVT MANGALA (PASID) 22070328712
10429 BILASPUR (CHHATTISGARH)
BILHA UP MS GIRLS, MANGLA (B) 22070328715
10430 BILASPUR (CHHATTISGARH)
BILHA GOVT. PS MANNADOL 22070329001
10431 BILASPUR (CHHATTISGARH)
BILHA UP MS, KOHROUDA 22070329101
10432 BILASPUR (CHHATTISGARH)
GOURELA GOVT PS MANPUR(TWD) 22070600102
10433 BILASPUR (CHHATTISGARH)
GOURELA GOVT PS BAGGHAMARRA (SSA) 22070600103
10434 BILASPUR (CHHATTISGARH)
GOURELA GOVT MS BAN JHORKA (TWD) 22070600104
10435 BILASPUR (CHHATTISGARH)
GOURELA GOVT PS BAN JHORKA (TWD) 22070600106
10436 BILASPUR (CHHATTISGARH)
GOURELA GOVT MS OLD GOURELA(SSA) 22070600202
10437 BILASPUR (CHHATTISGARH)
GOURELA GOVT PS GIRLS GIRVAR (TWD) 22070600301
10438 BILASPUR (CHHATTISGARH)
GOURELA GOVT PS BOYS GIRVAR (TWD) 22070600302
10439 BILASPUR (CHHATTISGARH)
GOURELA GOVT MS GIRVAR (TWD) 22070600304
10440 BILASPUR (CHHATTISGARH)
GOURELA GOVT PS PADVANIA (TWD) 22070600401
10441 BILASPUR (CHHATTISGARH)
GOURELA GOVT MS PADVANIA (SSA) 22070600402
10442 BILASPUR (CHHATTISGARH)
GOURELA GOVT PS BOYS LALPUR (TWD) 22070600502
10443 BILASPUR (CHHATTISGARH)
GOURELA GOVT PS GIRLS LALPUR TWD) 22070600503
10444 BILASPUR (CHHATTISGARH)
GOURELA GOVT MS GIRLS LALPUR (TWD) 22070600504
10445 BILASPUR (CHHATTISGARH)
GOURELA GOVT MS BOYS LALPUR (TWD) 22070600505
10446 BILASPUR (CHHATTISGARH)
GOURELA GOVT PS RANI JHAP (TWD) 22070600601
10447 BILASPUR (CHHATTISGARH)
GOURELA GOVT PS GIRLS NPEGEL JOGISAR (TWD) 22070600701
10448 BILASPUR (CHHATTISGARH)
GOURELA GOVT PS BOYS JOGISAR (TWD) 22070600702
10449 BILASPUR (CHHATTISGARH)
GOURELA GOVT MS JOGISAR (TWD) 22070600703
10450 BILASPUR (CHHATTISGARH)
GOURELA GOVT PS OURADHONDI (SSA) 22070600704
10451 BILASPUR (CHHATTISGARH)
GOURELA GOVT PS SARAIDHAR (SSA) 22070600705
10452 BILASPUR (CHHATTISGARH)
GOURELA GOVT PS PAKRIKACHHAR (SSA) 22070600706
10453 BILASPUR (CHHATTISGARH)
GOURELA GOVT MS SARISDOL (SSA) 22070600709
10454 BILASPUR (CHHATTISGARH)
GOURELA GOVT MS AURADHONDHI (SSA) 22070600710
10455 BILASPUR (CHHATTISGARH)
GOURELA GOVT MS SARIDHAR (SSA) 22070600712
10456 BILASPUR (CHHATTISGARH)
GOURELA GOVT MS GIRLS JOGISAR (SSA) 22070600713
10457 BILASPUR (CHHATTISGARH)
GOURELA GOVT PS GOUR KHEDA (TWD) 22070600801
10458 BILASPUR (CHHATTISGARH)
GOURELA GOVT MS GOUR KHEDA (SSA) 22070600802
10459 BILASPUR (CHHATTISGARH)
GOURELA GOVT PS BHAINA MUNDA (SSA) 22070600803
10460 BILASPUR (CHHATTISGARH)
GOURELA GOVT PS DUMARIHA (TWD) 22070600901
10461 BILASPUR (CHHATTISGARH)
GOURELA GOVT PS SEMRA (TWD) 22070601001
10462 BILASPUR (CHHATTISGARH)
GOURELA GOVT MS GIRLS SEMARA (SSA) 22070601002
10463 BILASPUR (CHHATTISGARH)
GOURELA GOVT MS SEMRA (KGBV) 22070601004
10464 BILASPUR (CHHATTISGARH)
GOURELA GOVT MS GURUKUL PENDRARAOD (TWD) 22070601008
10465 BILASPUR (CHHATTISGARH)
GOURELA GOVT PS TIKAR SANI (TWD) 22070601101
10466 BILASPUR (CHHATTISGARH)
GOURELA GOVT PS GIRLS TIKAR KALA (TWD) 22070601201
10467 BILASPUR (CHHATTISGARH)
GOURELA GOVT PS BOYS TIKAR KALA (TWD) 22070601202
10468 BILASPUR (CHHATTISGARH)
GOURELA GOVT MS LOHARA JHORKI TIKARKALA (SSA) 22070601203
10469 BILASPUR (CHHATTISGARH)
GOURELA GOVT PS JOGI DONGRI (TWD) 22070601301
10470 BILASPUR (CHHATTISGARH)
GOURELA GOVT PS KANI. KURRI PARA (TWD) 22070601401
10471 BILASPUR (CHHATTISGARH)
GOURELA GOVT PS ANDU (TWD) 22070601501
10472 BILASPUR (CHHATTISGARH)
GOURELA GOVT PS GURUKUL (TWD) 22070601601
10473 BILASPUR (CHHATTISGARH)
GOURELA GOVT PS JYOTIPUR (TWD) 22070601701
10474 BILASPUR (CHHATTISGARH)
GOURELA GOVT MS GIRLS JYOTIPUR (TWD) 22070601703
10475 BILASPUR (CHHATTISGARH)
GOURELA GOVT PS BHADOURA (TWD) 22070601801
10476 BILASPUR (CHHATTISGARH)
GOURELA GOVT PS JOGIYAPARA (SSA) 22070601804
10477 BILASPUR (CHHATTISGARH)
GOURELA GOVT PS CHHAPRATOLA (SSA) 22070601805
10478 BILASPUR (CHHATTISGARH)
GOURELA GOVT MS BHADAORA (TWD) 22070601806
10479 BILASPUR (CHHATTISGARH)
GOURELA GOVT PS DONGARITOLA BHADAORA (SSA) 22070601807
10480 BILASPUR (CHHATTISGARH)
GOURELA GOVT PS AMALDIHA (SSA) 22070601808
10481 BILASPUR (CHHATTISGARH)
GOURELA GOVT PS. KATELTOLA [BHADOURA] 22070601809
10482 BILASPUR (CHHATTISGARH)
GOURELA GOVT PS PAKARIA (TWD) 22070601901
10483 BILASPUR (CHHATTISGARH)
GOURELA GOVT PS TALWATOLA (SSA) 22070601903
10484 BILASPUR (CHHATTISGARH)
GOURELA GOVT MS PAKARIA (TWD) 22070601904
10485 BILASPUR (CHHATTISGARH)
GOURELA GOVT PS RUPAN DAD (TWD) 22070602001
10486 BILASPUR (CHHATTISGARH)
GOURELA GOVT PS KOTARIA DAD (TWD) 22070602101
10487 BILASPUR (CHHATTISGARH)
GOURELA GOVT PS GIRLS TARAI GAON (TWD) 22070602201
10488 BILASPUR (CHHATTISGARH)
GOURELA GOVT PS BOYS TARAI GAON (TWD) 22070602202
10489 BILASPUR (CHHATTISGARH)
GOURELA GOVT MS TARAIGAON (TWD) 22070602203
10490 BILASPUR (CHHATTISGARH)
GOURELA GOVT PS BANDHAPARA (SSA) 22070602204
10491 BILASPUR (CHHATTISGARH)
GOURELA GOVT PS LAL TOLA TARAIGAON (SSA) 22070602205
10492 BILASPUR (CHHATTISGARH)
GOURELA GOVT PS CHIKANIA TOLA (TWD) 22070602301
10493 BILASPUR (CHHATTISGARH)
GOURELA GOVT PS GIRLS DEVAR GAON (TWD) 22070602401
10494 BILASPUR (CHHATTISGARH)
GOURELA GOVT BOYS DEVAR GAON (TWD) 22070602402
10495 BILASPUR (CHHATTISGARH)
GOURELA GOVT BOYS ASHRAM DEVAR GAON (TWD) 22070602403
10496 BILASPUR (CHHATTISGARH)
GOURELA GOVT MS DEVAR GAON (TWD) 22070602404
10497 BILASPUR (CHHATTISGARH)
GOURELA GOVT PS BITTA TOLA (TWD) 22070602501
10498 BILASPUR (CHHATTISGARH)
GOURELA GOVT PS DHOURA MUDA (TWD) 22070602601
10499 BILASPUR (CHHATTISGARH)
GOURELA GOVT PS PATAR KONI (TWD) 22070602701
10500 BILASPUR (CHHATTISGARH)
GOURELA GOVT PS BANGLATOLA (SSA) 22070602702
10501 BILASPUR (CHHATTISGARH)
GOURELA GOVT PS GHUMMANAR (SSA) 22070602703
10502 BILASPUR (CHHATTISGARH)
GOURELA GOVT PS JHAGRAKHAD (TWD) 22070602801
10503 BILASPUR (CHHATTISGARH)
GOURELA GOVT PS BANDHAPARA (SSA) 22070602802
10504 BILASPUR (CHHATTISGARH)
GOURELA GOVT MS JHAGRAKHAD (SSA) 22070602803
10505 BILASPUR (CHHATTISGARH)
GOURELA GOVT PS PATHRA TOLA (TWD) 22070602901
10506 BILASPUR (CHHATTISGARH)
GOURELA GOVT MS KORJA (TWD) 22070603003
10507 BILASPUR (CHHATTISGARH)
GOURELA GOVT PS DONGARITOLA (SSA) 22070603004
10508 BILASPUR (CHHATTISGARH)
GOURELA GOVT PS SADAKTOLA KORJA (SSA) 22070603005
10509 BILASPUR (CHHATTISGARH)
GOURELA GOVT PS BHADA TOLA (SSA) 22070603006
10510 BILASPUR (CHHATTISGARH)
GOURELA GOVT PS KORJA (TWD) 22070603007
10511 BILASPUR (CHHATTISGARH)
GOURELA GOVT PS BALDHAR (TWD) 22070603101
10512 BILASPUR (CHHATTISGARH)
GOURELA GOVT PS DHANOULI (TWD) 22070603201
10513 BILASPUR (CHHATTISGARH)
GOURELA GOVT MS DHANOULI (TWD) 22070603202
10514 BILASPUR (CHHATTISGARH)
GOURELA GOVT PS JAMUNIHATOLA (SSA) 22070603203
10515 BILASPUR (CHHATTISGARH)
GOURELA GOVT PS CHHUILAPANI (SSA) 22070603204
10516 BILASPUR (CHHATTISGARH)
GOURELA GOVT PS KARANGRA (TWD) 22070603301
10517 BILASPUR (CHHATTISGARH)
GOURELA GOVT MS KARANGRA (SSA) 22070603302
10518 BILASPUR (CHHATTISGARH)
GOURELA GOVT PS KULHAN TOLA (TWD) 22070603401
10519 BILASPUR (CHHATTISGARH)
GOURELA GOVT PS JAN. GORAKHPUR (TWD) 22070603501
10520 BILASPUR (CHHATTISGARH)
GOURELA GOVT PS GORAKHPUR PARA (TWD) 22070603502
10521 BILASPUR (CHHATTISGARH)
GOURELA GOVT PS TALVATOLA (SSA) 22070603503
10522 BILASPUR (CHHATTISGARH)
GOURELA GOVT PS BADI KHAR (TWD) 22070603601
10523 BILASPUR (CHHATTISGARH)
GOURELA GOVT PS DADHI PARA KHARI DAB (TWD) 22070603701
10524 BILASPUR (CHHATTISGARH)
GOURELA GOVT PS TENDU MUDA (TWD) 22070603801
10525 BILASPUR (CHHATTISGARH)
GOURELA GOVT PS KHAMLI KALA (TWD) 22070603901
10526 BILASPUR (CHHATTISGARH)
GOURELA GOVT PS GIRLS NEVSA (TWD) 22070604001
10527 BILASPUR (CHHATTISGARH)
GOURELA GOVT PS BOYS NEVSA (TWD) 22070604002
10528 BILASPUR (CHHATTISGARH)
GOURELA GOVT MS NEVSA (TWD) 22070604003
10529 BILASPUR (CHHATTISGARH)
GOURELA GOVT PS GOURATIKRA (SSA) 22070604004
10530 BILASPUR (CHHATTISGARH)
GOURELA GOVT PS BAZAR DAD (TWD) 22070604101
10531 BILASPUR (CHHATTISGARH)
GOURELA GOVT MS BAZAR DAND (SSA) 22070604102
10532 BILASPUR (CHHATTISGARH)
GOURELA GOVT PS ANJANI (TWD) 22070604201
10533 BILASPUR (CHHATTISGARH)
GOURELA GOVT MS ANJANI (SSA) 22070604202
10534 BILASPUR (CHHATTISGARH)
GOURELA GOVT PS DOKARGARHI (TWD) 22070604301
10535 BILASPUR (CHHATTISGARH)
GOURELA GOVT PS BOIR DAD (TWD) 22070604401
10536 BILASPUR (CHHATTISGARH)
GOURELA GOVT MS BOIRDAND (TWD) 22070604402
10537 BILASPUR (CHHATTISGARH)
GOURELA GOVT PS KANI. NAVAPARA NEVSA (TWD) 22070604501
10538 BILASPUR (CHHATTISGARH)
GOURELA GOVT PS KACHHARPARA (TWD) 22070604601
10539 BILASPUR (CHHATTISGARH)
GOURELA GOVT MS KACHHARPARA (SSA) 22070604602
10540 BILASPUR (CHHATTISGARH)
GOURELA GOVT PS CHUKTIPANI (TWD) 22070604702
10541 BILASPUR (CHHATTISGARH)
GOURELA GOVT MS CHUKTIPANI (TWD) 22070604703
10542 BILASPUR (CHHATTISGARH)
GOURELA GOVT PS BAHRIJHORKI (SSA) 22070604704
10543 BILASPUR (CHHATTISGARH)
GOURELA GOVT PS BHOSAKITOLA CHUKTIPANI (SSA) 22070604705
10544 BILASPUR (CHHATTISGARH)
GOURELA GOVT MS BAHARI JHORKI CHUKTIPANI (SSA) 22070604706
10545 BILASPUR (CHHATTISGARH)
GOURELA GOVT PS THAD PATHRA (TWD) 22070604801
10546 BILASPUR (CHHATTISGARH)
GOURELA GOVT MS THADPATHARA (TWD) 22070604802
10547 BILASPUR (CHHATTISGARH)
GOURELA GOVT PS PIPAR KHUTI (TWD) 22070604901
10548 BILASPUR (CHHATTISGARH)
GOURELA GOVT MS PEEPARKHUTI (TWD) 22070604902
10549 BILASPUR (CHHATTISGARH)
GOURELA GOVT PS KANI. ATARIA (TWD) 22070605001
10550 BILASPUR (CHHATTISGARH)
GOURELA GOVT PS KEVCHI (TWD) 22070605101
10551 BILASPUR (CHHATTISGARH)
GOURELA GOVT MS KEVCHI (TWD) 22070605102
10552 BILASPUR (CHHATTISGARH)
GOURELA GOVT PS KANI. RANJKI (TWD) 22070605201
10553 BILASPUR (CHHATTISGARH)
GOURELA GOVT PS BAIGA PARA (TWD) 22070605301
10554 BILASPUR (CHHATTISGARH)
GOURELA GOVT PS TAVA DABRA (TWD) 22070605401
10555 BILASPUR (CHHATTISGARH)
GOURELA GOVT MS TAVADABHARA (TWD) 22070605402
10556 BILASPUR (CHHATTISGARH)
GOURELA GOVT PS BANGHAT (TWD) 22070605501
10557 BILASPUR (CHHATTISGARH)
GOURELA GOVT PS AMADOB (TWD) 22070605601
10558 BILASPUR (CHHATTISGARH)
GOURELA GOVT MS AMADOB (TWD) 22070605602
10559 BILASPUR (CHHATTISGARH)
GOURELA GOVT PS CHHOTKIREWAR (SSA) 22070605603
10560 BILASPUR (CHHATTISGARH)
GOURELA PS OLD GOURELA 22070605801
10561 BILASPUR (CHHATTISGARH)
GOURELA PS, GALIB URDU-HINDI, GOURELA 22070605802
10562 BILASPUR (CHHATTISGARH)
GOURELA GOVT. GIRLS PS, REST HOUSE RD 22070605805
10563 BILASPUR (CHHATTISGARH)
GOURELA JAN. PS GOURELA 22070605806
10564 BILASPUR (CHHATTISGARH)
GOURELA MS GOVT, GOURELA 22070605807
10565 BILASPUR (CHHATTISGARH)
GOURELA MS GIRLS GOVT, GOURELA 22070605808
10566 BILASPUR (CHHATTISGARH)
GOURELA GOVT PS WARD-16 GOURELA (TWD) 22070605814
10567 BILASPUR (CHHATTISGARH)
GOURELA GOVT MS GORAKHPARA GOURELA (SSA) 22070605815
10568 BILASPUR (CHHATTISGARH)
GOURELA PVT MS GALIB URDU-HINDI GOURELA 22070605816
10569 BILASPUR (CHHATTISGARH)
GOURELA GOVT MS GIRLS MISHRIDEVI GOURELA (TWD) 22070605819
10570 BILASPUR (CHHATTISGARH)
GOURELA GOVT PS GIRLS KHODRI (TWD) 22070605902
10571 BILASPUR (CHHATTISGARH)
GOURELA GOVT PS JAN KHODRI (TWD) 22070605903
10572 BILASPUR (CHHATTISGARH)
GOURELA GOVT MS KHODRI (TWD) 22070605904
10573 BILASPUR (CHHATTISGARH)
GOURELA GOVT MS GIRLS KHODRI (TWD) 22070605905
10574 BILASPUR (CHHATTISGARH)
GOURELA GOVT PS JAN.BADHAVAN DAD (TWD) 22070606001
10575 BILASPUR (CHHATTISGARH)
GOURELA GOVT MS BADHAWANDAND (TWD) 22070606002
10576 BILASPUR (CHHATTISGARH)
GOURELA GOVT PS NARAYANTOLA (SSA) 22070606004
10577 BILASPUR (CHHATTISGARH)
GOURELA GOVT MS UMARKHOHI (SSA) 22070606101
10578 BILASPUR (CHHATTISGARH)
GOURELA GOVT MS BELPAT (TWD) 22070606102
10579 BILASPUR (CHHATTISGARH)
GOURELA GOVT PS CHHITADAH (SSA) 22070606103
10580 BILASPUR (CHHATTISGARH)
GOURELA GOVT PS PURANI BASTI UMARKHOHI (TWD) 22070606104
10581 BILASPUR (CHHATTISGARH)
GOURELA GOVT PS MEDIYAKACHHAR (SSA) 22070606105
10582 BILASPUR (CHHATTISGARH)
GOURELA GOVT PS KARIAAM (SSA) 22070606106
10583 BILASPUR (CHHATTISGARH)
GOURELA GOVT PS CHHINDPANI (SSA) 22070606107
10584 BILASPUR (CHHATTISGARH)
GOURELA GOVT PS KARTIK PARA (SSA) 22070606108
10585 BILASPUR (CHHATTISGARH)
GOURELA GOVT PS BELPAT (TWD) 22070606109
10586 BILASPUR (CHHATTISGARH)
GOURELA GOVT PS KARIYASARAI BELPAT (SSA) 22070606110
10587 BILASPUR (CHHATTISGARH)
GOURELA GOVT PS SUKHAMANDAS TOLA (SSA) 22070606111
10588 BILASPUR (CHHATTISGARH)
GOURELA GOVT MS GIRLS BELPAT (SSA) 22070606112
10589 BILASPUR (CHHATTISGARH)
GOURELA GOVT MS GHATHOULI (SSA) 22070606202
10590 BILASPUR (CHHATTISGARH)
GOURELA GOVT PS GHATHOULI (TWD) 22070606203
10591 BILASPUR (CHHATTISGARH)
GOURELA GOVT PS HARIPUR (TWD) 22070606301
10592 BILASPUR (CHHATTISGARH)
GOURELA GOVT MS HARIPUR (SSA) 22070606302
10593 BILASPUR (CHHATTISGARH)
GOURELA GOVT PS BAIGANTOLA HARRI (SSA) 22070606303
10594 BILASPUR (CHHATTISGARH)
GOURELA GOVT PS UMAR KHOHI (SSA) 22070606401
10595 BILASPUR (CHHATTISGARH)
GOURELA GOVT MS CHHITADAH UMARKHOHI (SSA) 22070606402
10596 BILASPUR (CHHATTISGARH)
GOURELA GOVT PS AMA KHOLA (SSA) 22070606403
10597 BILASPUR (CHHATTISGARH)
GOURELA GOVT PS KARGI KHURD (TWD) 22070606501
10598 BILASPUR (CHHATTISGARH)
GOURELA GOVT PS KATEL TOLA (SSA) 22070606503
10599 BILASPUR (CHHATTISGARH)
GOURELA GOVT PS OOPERPARA (SSA) 22070606504
10600 BILASPUR (CHHATTISGARH)
GOURELA GOVT PS DHOKADABRA (SSA) 22070606505
10601 BILASPUR (CHHATTISGARH)
GOURELA GOVT PS THENGA DAD (TWD) 22070606701
10602 BILASPUR (CHHATTISGARH)
GOURELA GOVT MS THENGADAND (SSA) 22070606702
10603 BILASPUR (CHHATTISGARH)
GOURELA GOVT PS KATHAOTIYA (SSA) 22070606703
10604 BILASPUR (CHHATTISGARH)
GOURELA GOVT PS DAIHANPARA (SSA) 22070606704
10605 BILASPUR (CHHATTISGARH)
GOURELA GOVT PS DUGRA (TWD) 22070606801
10606 BILASPUR (CHHATTISGARH)
GOURELA GOVT PS KOTMI KHURD (TWD) 22070606901
10607 BILASPUR (CHHATTISGARH)
GOURELA GOVT PS MUDTIKRA (SSA) 22070606902
10608 BILASPUR (CHHATTISGARH)
GOURELA GOVT PS PEEPARJHORKI (SSA) 22070606903
10609 BILASPUR (CHHATTISGARH)
GOURELA GOVT MS KOTAMI KHURD (SSA) 22070606906
10610 BILASPUR (CHHATTISGARH)
GOURELA GOVT PS DHODAGIPARA KOTAMI KHURD (SSA) 22070606907
10611 BILASPUR (CHHATTISGARH)
GOURELA GOVT MS MUNDATIKRA KOTMIKHURD (SSA) 22070606908
10612 BILASPUR (CHHATTISGARH)
GOURELA GOVT PS TIDI (TWD) 22070607001
10613 BILASPUR (CHHATTISGARH)
GOURELA GOVT MS DANDJAMDI (SSA) 22070607102
10614 BILASPUR (CHHATTISGARH)
GOURELA GOVT PS DANDJAMDI (TWD) 22070607103
10615 BILASPUR (CHHATTISGARH)
GOURELA GOVT PS BAGRA (TWD) 22070607201
10616 BILASPUR (CHHATTISGARH)
GOURELA GOVT MS BAGRA (TWD) 22070607202
10617 BILASPUR (CHHATTISGARH)
GOURELA GOVT MS TIDI BAGRA (SSA) 22070607203
10618 BILASPUR (CHHATTISGARH)
GOURELA GOVT PS ROTIMAR BAGARA (SSA) 22070607204
10619 BILASPUR (CHHATTISGARH)
GOURELA GOVT PS PIPAR BAHRA (TWD) 22070607301
10620 BILASPUR (CHHATTISGARH)
GOURELA GOVT PS LAMNA (TWD) 22070607401
10621 BILASPUR (CHHATTISGARH)
GOURELA GOVT MS LAMNA (SSA) 22070607402
10622 BILASPUR (CHHATTISGARH)
GOURELA GOVT MS PAIRATIKARA LAMNA (TWD) 22070607403
10623 BILASPUR (CHHATTISGARH)
GOURELA GOVT PS AAMGAON (TWD) 22070607501
10624 BILASPUR (CHHATTISGARH)
GOURELA GOVT MS AAMGAON (TWD) 22070607502
10625 BILASPUR (CHHATTISGARH)
GOURELA GOVT PS MUSHTAMADA (SSA) 22070607503
10626 BILASPUR (CHHATTISGARH)
GOURELA GOVT PS PUTA (TWD) 22070607601
10627 BILASPUR (CHHATTISGARH)
GOURELA GOVT PS TIKAR KHURD (TWD) 22070607701
10628 BILASPUR (CHHATTISGARH)
GOURELA GOVT PS KHUTHANTOLA (SSA) 22070607702
10629 BILASPUR (CHHATTISGARH)
GOURELA GOVT MS TIKAR KHURD (SSA) 22070607703
10630 BILASPUR (CHHATTISGARH)
GOURELA GOVT PS BOKRA MUDA (TWD) 22070607801
10631 BILASPUR (CHHATTISGARH)
GOURELA GOVT PS BASTI (TWD) 22070607901
10632 BILASPUR (CHHATTISGARH)
GOURELA GOVT MS BASTI (TWD) 22070607902
10633 BILASPUR (CHHATTISGARH)
GOURELA GOVT PS PAIRITIKRA (SSA) 22070607903
10634 BILASPUR (CHHATTISGARH)
GOURELA GOVT PS KANI. MATI KACHAR (TWD) 22070608001
10635 BILASPUR (CHHATTISGARH)
GOURELA GOVT PS KANI. MANDPUR (TWD) 22070608101
10636 BILASPUR (CHHATTISGARH)
GOURELA GOVT PS HARRA TOLA (TWD) 22070608201
10637 BILASPUR (CHHATTISGARH)
GOURELA GOVT PS KARCHITOLA (SSA) 22070608202
10638 BILASPUR (CHHATTISGARH)
GOURELA GOVT PS NAGTHAL (SSA) 22070608203
10639 BILASPUR (CHHATTISGARH)
GOURELA GOVT PS STATIONTOLA (SSA) 22070608204
10640 BILASPUR (CHHATTISGARH)
GOURELA GOVT PS JAN. DAHI BAHRA (TWD) 22070608301
10641 BILASPUR (CHHATTISGARH)
GOURELA GOVT MS DAHIBAHARA (TWD) 22070608302
10642 BILASPUR (CHHATTISGARH)
GOURELA GOVT PS BABATOLA (SSA) 22070608303
10643 BILASPUR (CHHATTISGARH)
GOURELA GOVT MS BABA TOLA (SSA) 22070608304
10644 BILASPUR (CHHATTISGARH)
GOURELA GOVT PS PANDRI PANI (TWD) 22070608401
10645 BILASPUR (CHHATTISGARH)
GOURELA GOVT PS KHAMHALIKHURD (SSA) 22070608402
10646 BILASPUR (CHHATTISGARH)
GOURELA GOVT MS PANDARIPANI (SSA) 22070608403
10647 BILASPUR (CHHATTISGARH)
GOURELA GOVT PS HARRA DIH (TWD) 22070608501
10648 BILASPUR (CHHATTISGARH)
GOURELA GOVT PS REJRAMAR (SSA) 22070608602
10649 BILASPUR (CHHATTISGARH)
GOURELA GOVT PS BASINPAAT (SSA) 22070608603
10650 BILASPUR (CHHATTISGARH)
GOURELA GOVT PS/MS GANGPUR (TWD) 22070608604
10651 BILASPUR (CHHATTISGARH)
GOURELA GOVT MS GANGPUR (SSA) 22070608605
10652 BILASPUR (CHHATTISGARH)
GOURELA GOVT PS BHASARRA TOLA (SSA) 22070608606
10653 BILASPUR (CHHATTISGARH)
GOURELA GOVT PS GANDHI GANJ (TWD) 22070608701
10654 BILASPUR (CHHATTISGARH)
GOURELA GOVT PS DOUJRA(TWD) 22070608801
10655 BILASPUR (CHHATTISGARH)
GOURELA GOVT PS KATEL TOLA LALPUR (TWD) 22070608901
10656 BILASPUR (CHHATTISGARH)
GOURELA GOVT PS ANDHIYAR KHOH (TWD) 22070609001
10657 BILASPUR (CHHATTISGARH)
GOURELA GOVT MS ANDHIYAR KHOH (TWD) 22070609002
10658 BILASPUR (CHHATTISGARH)
GOURELA GOVT PS SEMARHA (SSA) 22070609003
10659 BILASPUR (CHHATTISGARH)
GOURELA GOVT PS CHHIRHITTI (SSA) 22070609004
10660 BILASPUR (CHHATTISGARH)
GOURELA GOVT PS SATOKPUR (TWD) 22070609101
10661 BILASPUR (CHHATTISGARH)
GOURELA GOVT PS BIJARVAR (TWD) 22070609201
10662 BILASPUR (CHHATTISGARH)
GOURELA GOVT MS BIJARWAR (TWD) 22070609202
10663 BILASPUR (CHHATTISGARH)
GOURELA GOVT PS NEVRI (TWD) 22070609401
10664 BILASPUR (CHHATTISGARH)
GOURELA GOVT MS NEVARI (SSA) 22070609402
10665 BILASPUR (CHHATTISGARH)
GOURELA GOVT PS KASAI BAHRA (TWD) 22070609501
10666 BILASPUR (CHHATTISGARH)
GOURELA GOVT PS VISHAMBHAR TOLA (TWD) 22070609701
10667 BILASPUR (CHHATTISGARH)
GOURELA GOVT PS KANI. CHICHNAHI (TWD) 22070609801
10668 BILASPUR (CHHATTISGARH)
GOURELA GOVT PS GANDHI NAGAR (TWD) 22070609901
10669 BILASPUR (CHHATTISGARH)
GOURELA GOVT PS GIRLS LALATI (TWD) 22070610001
10670 BILASPUR (CHHATTISGARH)
GOURELA GOVT PS BOYS LALATI (TWD) 22070610002
10671 BILASPUR (CHHATTISGARH)
GOURELA GOVT MS LALATI (TWD) 22070610003
10672 BILASPUR (CHHATTISGARH)
GOURELA GOVT PS GIRLS NEORI NAVAPARA (TWD) 22070610101
10673 BILASPUR (CHHATTISGARH)
GOURELA GOVT PS KHAIRPANI (SSA) 22070610102
10674 BILASPUR (CHHATTISGARH)
GOURELA GOVT PS NEORI NAVAPARA (SSA) 22070610103
10675 BILASPUR (CHHATTISGARH)
GOURELA GOVT PS JAN. DHAN GAVA (TWD) 22070610201
10676 BILASPUR (CHHATTISGARH)
GOURELA GOVT MS DHANGAVA (TWD) 22070610202
10677 BILASPUR (CHHATTISGARH)
GOURELA GOVT PS BARPARA (SSA) 22070610203
10678 BILASPUR (CHHATTISGARH)
GOURELA GOVT PS NAVAPARA SADHVANI (TWD) 22070610301
10679 BILASPUR (CHHATTISGARH)
GOURELA GOVT BOYS SADHVANI (TWD) 22070610302
10680 BILASPUR (CHHATTISGARH)
GOURELA GOVT GIRLS SADHVANI (TWD) 22070610303
10681 BILASPUR (CHHATTISGARH)
GOURELA GOVT MS SADHWANI (TWD) 22070610304
10682 BILASPUR (CHHATTISGARH)
GOURELA GOVT PS DEVRAJPARA (SSA) 22070610305
10683 BILASPUR (CHHATTISGARH)
GOURELA GOVT PS BELGOHANI (TWD) 22070610306
10684 BILASPUR (CHHATTISGARH)
GOURELA GOVT MS NAVAPARA, SADHWANI (SSA) 22070610307
10685 BILASPUR (CHHATTISGARH)
GOURELA GOVT PS MADNA (TWD) 22070610401
10686 BILASPUR (CHHATTISGARH)
GOURELA GOVT PS BANDHA MUDA (TWD) 22070610501
10687 BILASPUR (CHHATTISGARH)
GOURELA GOVT PS KANHARI (TWD) 22070610601
10688 BILASPUR (CHHATTISGARH)
GOURELA GOVT PS BOYS SARBAHARA (TWD) 22070610701
10689 BILASPUR (CHHATTISGARH)
GOURELA GOVT PS GIRLS SARBAHARA (TWD) 22070610702
10690 BILASPUR (CHHATTISGARH)
GOURELA GOVT PS SICHAI NAGAR (SSA) 22070610703
10691 BILASPUR (CHHATTISGARH)
GOURELA GOVT MS BOYS SARBAHARA (TWD) 22070610705
10692 BILASPUR (CHHATTISGARH)
GOURELA GOVT PS MANJHITOLA (SSA) 22070610706
10693 BILASPUR (CHHATTISGARH)
GOURELA GOVT MS BELGOHNI (TWD) 22070610707
10694 BILASPUR (CHHATTISGARH)
GOURELA GOVT MS GIRLS SARBAHARA (SSA) 22070610708
10695 BILASPUR (CHHATTISGARH)
GOURELA GOVT MS MANJHITOLA SARBAHARA (SSA) 22070610709
10696 BILASPUR (CHHATTISGARH)
GOURELA GOVT PS MODAL SCHOOL SARBAHARA (TWD) 22070610711
10697 BILASPUR (CHHATTISGARH)
GOURELA GOVT PS BELGAHNA (TWD) 22070610801
10698 BILASPUR (CHHATTISGARH)
GOURELA GOVT PS PATERA TOLA (TWD) 22070610901
10699 BILASPUR (CHHATTISGARH)
GOURELA GOVT PS SALHE GHORI (TWD) 22070611001
10700 BILASPUR (CHHATTISGARH)
GOURELA GOVT MS CHHINDPANI (SSA) 22070611002
10701 BILASPUR (CHHATTISGARH)
GOURELA GOVT MS UPARPARA SALHEGHORI (SSA) 22070611003
10702 BILASPUR (CHHATTISGARH)
GOURELA GOVT MS CHHIRHITTI (SSA) 22070611004
10703 BILASPUR (CHHATTISGARH)
GOURELA GOVT MS GANDHI GANJ HARRI (SSA) 22070611801
10704 BILASPUR (CHHATTISGARH)
GOURELA GOVT MS HARRA TOLA (SSA) 22070612301
10705 BILASPUR (CHHATTISGARH)
KOTA NPEGEL, GOVT. PS FIRANGI PARA KOTA 22071100101
10706 BILASPUR (CHHATTISGARH)
KOTA GOVT. GIRLS PS KOTA 22071100102
10707 BILASPUR (CHHATTISGARH)
KOTA GOVT.PS PURANI BASTI KOTA 22071100103
10708 BILASPUR (CHHATTISGARH)
KOTA NPEGEL, PS GIRLS NEAR THANA, KOTA 22071100104
10709 BILASPUR (CHHATTISGARH)
KOTA GOVT.PS BOYS OLD KOTA 22071100105
10710 BILASPUR (CHHATTISGARH)
KOTA GOVT. PS GANJ KOTA 22071100106
10711 BILASPUR (CHHATTISGARH)
KOTA PS LARIPARA KOTA 22071100107
10712 BILASPUR (CHHATTISGARH)
KOTA P.S.KANI. SUDAN PARA 22071100108
10713 BILASPUR (CHHATTISGARH)
KOTA GOVT. MS BOYS PHIRANGIPARA, KOTA 22071100110
10714 BILASPUR (CHHATTISGARH)
KOTA GOVT. MS D.K.P. BOYS KOTA 22071100111
10715 BILASPUR (CHHATTISGARH)
KOTA MS GIRLS GOVT, KOTA 22071100112
10716 BILASPUR (CHHATTISGARH)
KOTA MS KALAVATI GOVT, KOTA 22071100113
10717 BILASPUR (CHHATTISGARH)
KOTA MS TRIBAL GIRLS, KOTA 22071100114
10718 BILASPUR (CHHATTISGARH)
KOTA UP MS, GANJ KOTA 22071100120
10719 BILASPUR (CHHATTISGARH)
KOTA PS GIRLS ST ASHRAM, WARD-2 22071100121
10720 BILASPUR (CHHATTISGARH)
KOTA GOVT. PS GOBARI PAT 22071100201
10721 BILASPUR (CHHATTISGARH)
KOTA GOVT. MS GOBRIPAAT 22071100202
10722 BILASPUR (CHHATTISGARH)
KOTA GOVT. MODAL SCHOOL GOBRIPAAT 22071100204
10723 BILASPUR (CHHATTISGARH)
KOTA GOVT. PS PATAITA 22071100301
10724 BILASPUR (CHHATTISGARH)
KOTA GOVT. EGS TO PS, KORIPARA, PATAITA 22071100302
10725 BILASPUR (CHHATTISGARH)
KOTA GOVT. UP MS, PATAITA 22071100303
10726 BILASPUR (CHHATTISGARH)
KOTA GOVT. PS BEDAPAT 22071100401
10727 BILASPUR (CHHATTISGARH)
KOTA GOVT. UP MS, BEDAPAT 22071100402
10728 BILASPUR (CHHATTISGARH)
KOTA GOVT. PS KHAIR JHITI 22071100501
10729 BILASPUR (CHHATTISGARH)
KOTA GOVT. PS KHAIRJHITI 22071100502
10730 BILASPUR (CHHATTISGARH)
KOTA GOVT. EGS TO PS, BANDHIYAPARA 22071100503
10731 BILASPUR (CHHATTISGARH)
KOTA GOVT. EGS TO PS, NAVADIH 22071100504
10732 BILASPUR (CHHATTISGARH)
KOTA GOVT. EGS TO PS, DHOBGHAT 22071100505
10733 BILASPUR (CHHATTISGARH)
KOTA GOVT. PS NEVSA 22071100601
10734 BILASPUR (CHHATTISGARH)
KOTA GOVT. ADIVASI BOYS ASHRAM NEVSA 22071100602
10735 BILASPUR (CHHATTISGARH)
KOTA GOVT. PS LITIYA 22071100701
10736 BILASPUR (CHHATTISGARH)
KOTA GOVT. PS MOHADI 22071100801
10737 BILASPUR (CHHATTISGARH)
KOTA GOVT. PS, CHANGORI 22071100901
10738 BILASPUR (CHHATTISGARH)
KOTA GOVT. UP MS, CHANGORI 22071100902
10739 BILASPUR (CHHATTISGARH)
KOTA GOVT. EGS TO PS, A.M.CHANGORI 22071100903
10740 BILASPUR (CHHATTISGARH)
KOTA GOVT. PS LAKHODNA, CHANGORI 22071100904
10741 BILASPUR (CHHATTISGARH)
KOTA GOVT. PS LAL PUR 22071101001
10742 BILASPUR (CHHATTISGARH)
KOTA GOVT. UP MS, LALPUR 22071101002
10743 BILASPUR (CHHATTISGARH)
KOTA GOVT BOYS PS AMALI 22071101101
10744 BILASPUR (CHHATTISGARH)
KOTA GOVT GIRLS PS AMALI 22071101102
10745 BILASPUR (CHHATTISGARH)
KOTA GOVT. MS AMALI 22071101103
10746 BILASPUR (CHHATTISGARH)
KOTA GOVT. EGS TO PS, LAMKANIHAPARA 22071101104
10747 BILASPUR (CHHATTISGARH)
KOTA GOVT. PS LAMER PARA 22071101201
10748 BILASPUR (CHHATTISGARH)
KOTA GOVT. PS BAKI GHAT 22071101301
10749 BILASPUR (CHHATTISGARH)
KOTA GOVT. PS DHARAMPURA 22071101401
10750 BILASPUR (CHHATTISGARH)
KOTA GOVT. PS JOGIPUR 22071101501
10751 BILASPUR (CHHATTISGARH)
KOTA GOVT. P.S.NAVA PARA 22071101502
10752 BILASPUR (CHHATTISGARH)
KOTA GOVT. MS JOGIPUR 22071101503
10753 BILASPUR (CHHATTISGARH)
KOTA PS CHERKA BANDHA 22071101601
10754 BILASPUR (CHHATTISGARH)
KOTA P.S. CHHERKA BANDHA 22071101602
10755 BILASPUR (CHHATTISGARH)
KOTA UP MS, PIPERPARA, CHERKABANDHA 22071101603
10756 BILASPUR (CHHATTISGARH)
KOTA GOVT. PS UMARMARA 22071101701
10757 BILASPUR (CHHATTISGARH)
KOTA GOVT. PS DHOURA BHATHA 22071101801
10758 BILASPUR (CHHATTISGARH)
KOTA MS GOVT, DHOURABHATHA 22071101802
10759 BILASPUR (CHHATTISGARH)
KOTA PS KUVARI MUNDA 22071101901
10760 BILASPUR (CHHATTISGARH)
KOTA BOYS PS PIPAR TARAI 22071102001
10761 BILASPUR (CHHATTISGARH)
KOTA NPEGEL, PS GIRLS, PIPERTARAI 22071102002
10762 BILASPUR (CHHATTISGARH)
KOTA MS GOVT, PEEPARTARAI 22071102003
10763 BILASPUR (CHHATTISGARH)
KOTA EGS TO PS, GANDHINAGAR 22071102004
10764 BILASPUR (CHHATTISGARH)
KOTA PS AMNE 22071102101
10765 BILASPUR (CHHATTISGARH)
KOTA MS GOVT, AMNEY 22071102102
10766 BILASPUR (CHHATTISGARH)
KOTA GOVT. PS KHARGAHANI 22071102201
10767 BILASPUR (CHHATTISGARH)
KOTA EGS TO PS, CHANDAPARA 22071102202
10768 BILASPUR (CHHATTISGARH)
KOTA UP MS, KHARGAHNI 22071102203
10769 BILASPUR (CHHATTISGARH)
KOTA GOVT. PS KALARTARAI 22071102301
10770 BILASPUR (CHHATTISGARH)
KOTA BOYS PS KHURDAR 22071102401
10771 BILASPUR (CHHATTISGARH)
KOTA GIRLS KHURDUR 22071102402
10772 BILASPUR (CHHATTISGARH)
KOTA GOVT. PS NAVA PARA 22071102403
10773 BILASPUR (CHHATTISGARH)
KOTA MS GOVT, KHURDUR 22071102404
10774 BILASPUR (CHHATTISGARH)
KOTA GOVT. PS MAUHA KAPA 22071102501
10775 BILASPUR (CHHATTISGARH)
KOTA PS RANI SAGAR 22071102601
10776 BILASPUR (CHHATTISGARH)
KOTA EGS TO PS, MOHARKHAR 22071102602
10777 BILASPUR (CHHATTISGARH)
KOTA GOVT. PS KARGI KALA 22071102701
10778 BILASPUR (CHHATTISGARH)
KOTA NPEGEL, PS GIRLS,.KARGIKALA 22071102702
10779 BILASPUR (CHHATTISGARH)
KOTA MS GOVT, KARGIKALA 22071102703
10780 BILASPUR (CHHATTISGARH)
KOTA EGS TO PS, DEVRHAPARA 22071102704
10781 BILASPUR (CHHATTISGARH)
KOTA PS TO MS GIRLS, KARGIKALA 22071102706
10782 BILASPUR (CHHATTISGARH)
KOTA GIRLS PS NAVA PATHARA 22071102801
10783 BILASPUR (CHHATTISGARH)
KOTA GOVT. PS LAMKENA 22071102901
10784 BILASPUR (CHHATTISGARH)
KOTA UP MS, LAMKENA 22071102902
10785 BILASPUR (CHHATTISGARH)
KOTA GIRLS PS DHUMA 22071103001
10786 BILASPUR (CHHATTISGARH)
KOTA P.S.BANVASI SCH. DHUMA 22071103002
10787 BILASPUR (CHHATTISGARH)
KOTA MS GOVT, DHUMA 22071103003
10788 BILASPUR (CHHATTISGARH)
KOTA EGS TO PS, CHHIRHAPARA 22071103004
10789 BILASPUR (CHHATTISGARH)
KOTA EGS TO PS, JHALAPARA 22071103005
10790 BILASPUR (CHHATTISGARH)
KOTA GOVT. PS DINDOL 22071103101
10791 BILASPUR (CHHATTISGARH)
KOTA EGS TO PS, BAIGAPARA 22071103102
10792 BILASPUR (CHHATTISGARH)
KOTA UP UPS, DINDOL 22071103103
10793 BILASPUR (CHHATTISGARH)
KOTA GOVT. PS KARKA 22071103201
10794 BILASPUR (CHHATTISGARH)
KOTA EGS TO PS, NAKTABANDHA 22071103202
10795 BILASPUR (CHHATTISGARH)
KOTA EGS TO PS, JOGIPUR 22071103203
10796 BILASPUR (CHHATTISGARH)
KOTA UP UPS, KARKA 22071103204
10797 BILASPUR (CHHATTISGARH)
KOTA JAN. PS DHANRAS 22071103301
10798 BILASPUR (CHHATTISGARH)
KOTA MS GOVT, DHANRAS 22071103302
10799 BILASPUR (CHHATTISGARH)
KOTA EGS TO PS, TILAIHAPARA 22071103303
10800 BILASPUR (CHHATTISGARH)
KOTA EGS TO PS, GONDPARA 22071103304
10801 BILASPUR (CHHATTISGARH)
KOTA PS MOHTARA 22071103401
10802 BILASPUR (CHHATTISGARH)
KOTA GOVT. PS LOK BAND 22071103501
10803 BILASPUR (CHHATTISGARH)
KOTA JAN. BOYS PS KARGI KHURD 22071103601
10804 BILASPUR (CHHATTISGARH)
KOTA GOVT. GIRLS PS KARGI KHURD 22071103602
10805 BILASPUR (CHHATTISGARH)
KOTA MS GOVT, KARGIKHURD 22071103603
10806 BILASPUR (CHHATTISGARH)
KOTA MS BAPA, CHHOTI KARGI, KARGIKH 22071103604
10807 BILASPUR (CHHATTISGARH)
KOTA EGS TO PS, KORIPARA 22071103605
10808 BILASPUR (CHHATTISGARH)
KOTA NPEGEL, PS GOVT, TENDUVA 22071103701
10809 BILASPUR (CHHATTISGARH)
KOTA MS GOVT, TENDUA 22071103702
10810 BILASPUR (CHHATTISGARH)
KOTA EGS TO PS, BAGBUDUVAPARA 22071103703
10811 BILASPUR (CHHATTISGARH)
KOTA PS MATSAGRA 22071103801
10812 BILASPUR (CHHATTISGARH)
KOTA MS GOVT, MATSAGRA 22071103802
10813 BILASPUR (CHHATTISGARH)
KOTA PS BANSAJHAL 22071103901
10814 BILASPUR (CHHATTISGARH)
KOTA GOVT. PS BASA JHAL 22071103902
10815 BILASPUR (CHHATTISGARH)
KOTA GOVT. PS KUSMULI 22071104001
10816 BILASPUR (CHHATTISGARH)
KOTA EGS TO PS, SHIVNAGAR 22071104002
10817 BILASPUR (CHHATTISGARH)
KOTA GOTV. PS SALHE DABARI 22071104101
10818 BILASPUR (CHHATTISGARH)
KOTA PS TO MS GOVT,SALHEDABRI 22071104102
10819 BILASPUR (CHHATTISGARH)
KOTA PS MANPAHRI MAN PAHARI 22071104201
10820 BILASPUR (CHHATTISGARH)
KOTA EGS TO PS, JHANJHRAIHAPARA 22071104202
10821 BILASPUR (CHHATTISGARH)
KOTA EGS TO PS, JAMUNAHI 22071104203
10822 BILASPUR (CHHATTISGARH)
KOTA UP MS, MANPAHARI 22071104204
10823 BILASPUR (CHHATTISGARH)
KOTA GOVT. PS KOSKATTI 22071104301
10824 BILASPUR (CHHATTISGARH)
KOTA UP MS, KOSKATTI 22071104302
10825 BILASPUR (CHHATTISGARH)
KOTA GOVT. PS MUD GHUSARI 22071104401
10826 BILASPUR (CHHATTISGARH)
KOTA GOVT. PS IMLI PARA 22071104501
10827 BILASPUR (CHHATTISGARH)
KOTA BOYS PS SALKA NAVA GAON 22071104601
10828 BILASPUR (CHHATTISGARH)
KOTA NPEGEL, PS GIRLS, SALKA NAVA GAON 22071104602
10829 BILASPUR (CHHATTISGARH)
KOTA MS GOVT, SALKANAVAGAON 22071104603
10830 BILASPUR (CHHATTISGARH)
KOTA EGS TO PS, DHELVAPUR 22071104604
10831 BILASPUR (CHHATTISGARH)
KOTA PS TO MS GIRLS, SALKANAVAGAON 22071104605
10832 BILASPUR (CHHATTISGARH)
KOTA PS GOVT, DONGRIPARA, SALKA NA 22071104607
10833 BILASPUR (CHHATTISGARH)
KOTA PS SALKA 22071104701
10834 BILASPUR (CHHATTISGARH)
KOTA EGS TO PS, PHULWARPARA 22071104702
10835 BILASPUR (CHHATTISGARH)
KOTA UP MS, SALKA 22071104703
10836 BILASPUR (CHHATTISGARH)
KOTA PS DABRI PARA 22071104801
10837 BILASPUR (CHHATTISGARH)
KOTA UP MS, DABRIPARA 22071104802
10838 BILASPUR (CHHATTISGARH)
KOTA NPEGEL, PS GOVT, PONDI 22071104901
10839 BILASPUR (CHHATTISGARH)
KOTA P.S.KANI. PONDI 22071104902
10840 BILASPUR (CHHATTISGARH)
KOTA PS PONDI 22071104903
10841 BILASPUR (CHHATTISGARH)
KOTA MS GOVT, PONDI 22071104904
10842 BILASPUR (CHHATTISGARH)
KOTA PS BILLI BAND 22071105001
10843 BILASPUR (CHHATTISGARH)
KOTA MS GOVT, BILLIBAND 22071105002
10844 BILASPUR (CHHATTISGARH)
KOTA EGS TO PS, NARUAPARA 22071105003
10845 BILASPUR (CHHATTISGARH)
KOTA GOVT. PS SRI PARA 22071105101
10846 BILASPUR (CHHATTISGARH)
KOTA NPEGEL, PS GOVT, JHINGATPUR 22071105201
10847 BILASPUR (CHHATTISGARH)
KOTA P.S.MANJHI PARA 22071105202
10848 BILASPUR (CHHATTISGARH)
KOTA MS GOVT, JHINGATPUR 22071105203
10849 BILASPUR (CHHATTISGARH)
KOTA PS BAIGA PARA 22071105301
10850 BILASPUR (CHHATTISGARH)
KOTA PS SEMARIA 22071105401
10851 BILASPUR (CHHATTISGARH)
KOTA EGS TO PS, DANDASAGAR 22071105402
10852 BILASPUR (CHHATTISGARH)
KOTA GOVT. PS MAJHA GAON 22071105501
10853 BILASPUR (CHHATTISGARH)
KOTA EGS TO PS, DIPRAPARA, MAJHGAON 22071105504
10854 BILASPUR (CHHATTISGARH)
KOTA PS NAVADIH 22071105601
10855 BILASPUR (CHHATTISGARH)
KOTA P.S.KANI. NAVA DIH 22071105602
10856 BILASPUR (CHHATTISGARH)
KOTA BOYS PS BELGAHANA 22071105702
10857 BILASPUR (CHHATTISGARH)
KOTA NPEGEL, PS GIRLS, BELGAHANA 22071105703
10858 BILASPUR (CHHATTISGARH)
KOTA GOVT. TRIBLE BOYS ASHRAM BELGAHNA 22071105704
10859 BILASPUR (CHHATTISGARH)
KOTA MS BOYS GOVT, BELGAHNA 22071105706
10860 BILASPUR (CHHATTISGARH)
KOTA MS GIRLS GOVT, BELGAHNA 22071105707
10861 BILASPUR (CHHATTISGARH)
KOTA EGS TO PS, DIPRAPARA BELGAHNA 22071105708
10862 BILASPUR (CHHATTISGARH)
KOTA UP MS GIRLS, BELGAHNA 22071105709
10863 BILASPUR (CHHATTISGARH)
KOTA PS SATTI BAHRA 22071105801
10864 BILASPUR (CHHATTISGARH)
KOTA EGS TO PS, BABAPARA 22071105802
10865 BILASPUR (CHHATTISGARH)
KOTA BOYS PS LUFA 22071105901
10866 BILASPUR (CHHATTISGARH)
KOTA GIRLS PS LUFA 22071105902
10867 BILASPUR (CHHATTISGARH)
KOTA EGS TO PS, BAIGAPARA 22071105903
10868 BILASPUR (CHHATTISGARH)
KOTA EGS TO PS, BARBHATHA 22071105904
10869 BILASPUR (CHHATTISGARH)
KOTA UP MS, LUFA 22071105905
10870 BILASPUR (CHHATTISGARH)
KOTA GOVT. PS LAHANGA BHATHA 22071106001
10871 BILASPUR (CHHATTISGARH)
KOTA MS GOVT, LAHANGABHATHA 22071106002
10872 BILASPUR (CHHATTISGARH)
KOTA GOVT. PS KURDAR 22071106101
10873 BILASPUR (CHHATTISGARH)
KOTA ADIVASI BOYS ASHRAM 22071106102
10874 BILASPUR (CHHATTISGARH)
KOTA MS GOVT, KURDUR 22071106103
10875 BILASPUR (CHHATTISGARH)
KOTA EGS TO PS, PARSAPANI 22071106104
10876 BILASPUR (CHHATTISGARH)
KOTA EGS TO PS, CHUNAKHODRA 22071106105
10877 BILASPUR (CHHATTISGARH)
KOTA GOVT. PS CHIKHALA DABARI 22071106201
10878 BILASPUR (CHHATTISGARH)
KOTA PS PANDRA PATHRA 22071106301
10879 BILASPUR (CHHATTISGARH)
KOTA UP MS, PANDRA PATHRAI 22071106303
10880 BILASPUR (CHHATTISGARH)
KOTA PS BHELVA TIKRA 22071106401
10881 BILASPUR (CHHATTISGARH)
KOTA PS KARHI KACHAR 22071106501
10882 BILASPUR (CHHATTISGARH)
KOTA PS DONGARIPARA, KARHI 22071106502
10883 BILASPUR (CHHATTISGARH)
KOTA EGS TO PS, KARAHI KACHHAR 22071106503
10884 BILASPUR (CHHATTISGARH)
KOTA EGS TO PS, KHOLIPARA 22071106504
10885 BILASPUR (CHHATTISGARH)
KOTA PS KEKRA DIH 22071106601
10886 BILASPUR (CHHATTISGARH)
KOTA PS TO MS, KEKRADIH 22071106602
10887 BILASPUR (CHHATTISGARH)
KOTA PS BARAR 22071106701
10888 BILASPUR (CHHATTISGARH)
KOTA P.S.KANI. BADE BARAR 22071106702
10889 BILASPUR (CHHATTISGARH)
KOTA PS MAJHVANI 22071106801
10890 BILASPUR (CHHATTISGARH)
KOTA UP MS, MAJHVANI 22071106802
10891 BILASPUR (CHHATTISGARH)
KOTA GOVT.PS KANCHANPUR 22071106901
10892 BILASPUR (CHHATTISGARH)
KOTA TRIBLE BOYS ASHRAM KANCHANPUR 22071106902
10893 BILASPUR (CHHATTISGARH)
KOTA EGS TO PS, GONDPARA 22071106903
10894 BILASPUR (CHHATTISGARH)
KOTA PS RATKHANDI 22071107001
10895 BILASPUR (CHHATTISGARH)
KOTA UP MS, RATKHANDII 22071107002
10896 BILASPUR (CHHATTISGARH)
KOTA NPEGEL, PS GOVT, SHIV TARAI 22071107101
10897 BILASPUR (CHHATTISGARH)
KOTA PS. DAIHANPARA, SHIVTARAI 22071107102
10898 BILASPUR (CHHATTISGARH)
KOTA MS GOVT, SHIVTARAI 22071107103
10899 BILASPUR (CHHATTISGARH)
KOTA PS SARAIHA PALI 22071107201
10900 BILASPUR (CHHATTISGARH)
KOTA GOVT. PS MANPUR 22071107301
10901 BILASPUR (CHHATTISGARH)
KOTA MS GOVT, MANPUR 22071107302
10902 BILASPUR (CHHATTISGARH)
KOTA PS PIPAR KHUTI 22071107401
10903 BILASPUR (CHHATTISGARH)
KOTA GOVT. PS PARSADA 22071107501
10904 BILASPUR (CHHATTISGARH)
KOTA UP MS, PARSADA 22071107502
10905 BILASPUR (CHHATTISGARH)
KOTA PS DAVANPUR 22071107601
10906 BILASPUR (CHHATTISGARH)
KOTA PS. DAND BACHHALI 22071107602
10907 BILASPUR (CHHATTISGARH)
KOTA PS BOYS, DAVANPUR 22071107603
10908 BILASPUR (CHHATTISGARH)
KOTA UP UPS, DAVANPUR 22071107604
10909 BILASPUR (CHHATTISGARH)
KOTA PS GOVT ACHANAKMAR 22071107701
10910 BILASPUR (CHHATTISGARH)
KOTA MS GOVT ACHANAKMAR 22071107702
10911 BILASPUR (CHHATTISGARH)
KOTA PS BINDAVAL 22071107801
10912 BILASPUR (CHHATTISGARH)
KOTA NPEGEL, PS GOVT, KENDA 22071107901
10913 BILASPUR (CHHATTISGARH)
KOTA MS GOVT, KENDA 22071107902
10914 BILASPUR (CHHATTISGARH)
KOTA NEW PS,GIRLS GOVT,KENDA 22071107903
10915 BILASPUR (CHHATTISGARH)
KOTA GOVT. PS CHURELI 22071108001
10916 BILASPUR (CHHATTISGARH)
KOTA PS MANIKPUR 22071108101
10917 BILASPUR (CHHATTISGARH)
KOTA EGS TO PS, AAMAGAR 22071108102
10918 BILASPUR (CHHATTISGARH)
KOTA GOVT. PS BARPALI 22071108201
10919 BILASPUR (CHHATTISGARH)
KOTA PS SUIDHAR 22071108301
10920 BILASPUR (CHHATTISGARH)
KOTA UP MS, SUIDHAR 22071108302
10921 BILASPUR (CHHATTISGARH)
KOTA PS BOYS ST ASHRAM, SUIDHAR 22071108303
10922 BILASPUR (CHHATTISGARH)
KOTA PS NEVRI BAHRA 22071108401
10923 BILASPUR (CHHATTISGARH)
KOTA NPEGEL, PS GOVT, MAJHGAVA 22071108501
10924 BILASPUR (CHHATTISGARH)
KOTA MS GOVT, MAJHGAVA 22071108502
10925 BILASPUR (CHHATTISGARH)
KOTA MS MAJHGAVA 22071108503
10926 BILASPUR (CHHATTISGARH)
KOTA PS SILPAHRI 22071108601
10927 BILASPUR (CHHATTISGARH)
KOTA PS TO MS, SILPAHRI 22071108602
10928 BILASPUR (CHHATTISGARH)
KOTA PS KENDA DAD 22071108701
10929 BILASPUR (CHHATTISGARH)
KOTA EGS TO PS, TUNGAPARA 22071108702
10930 BILASPUR (CHHATTISGARH)
KOTA EGS TO PS, NAVADIH 22071108703
10931 BILASPUR (CHHATTISGARH)
KOTA EGS TO PS, CHHINDWAD 22071108704
10932 BILASPUR (CHHATTISGARH)
KOTA GOVT.MS KENDADAND 22071108705
10933 BILASPUR (CHHATTISGARH)
KOTA PS LUSDA 22071108801
10934 BILASPUR (CHHATTISGARH)
KOTA PS SEMRI 22071108901
10935 BILASPUR (CHHATTISGARH)
KOTA EGS TO PS, BANDHVAPARA 22071108902
10936 BILASPUR (CHHATTISGARH)
KOTA EGS TO PS, SHIRISHDAND 22071108903
10937 BILASPUR (CHHATTISGARH)
KOTA PS TO MS, SEMRI 22071108904
10938 BILASPUR (CHHATTISGARH)
KOTA GOVT. PS BARGAVA 22071109001
10939 BILASPUR (CHHATTISGARH)
KOTA NPEGEL, PS GOVT, CHATOUNA 22071109101
10940 BILASPUR (CHHATTISGARH)
KOTA MS GOVT, CHHATOUNA 22071109102
10941 BILASPUR (CHHATTISGARH)
KOTA PS PARSA PANI 22071109201
10942 BILASPUR (CHHATTISGARH)
KOTA EGS TO PS, JHERAKHOL 22071109202
10943 BILASPUR (CHHATTISGARH)
KOTA EGS TO PS, BAHRIJHIRIYA 22071109203
10944 BILASPUR (CHHATTISGARH)
KOTA UP MS, PARSAPANI 22071109204
10945 BILASPUR (CHHATTISGARH)
KOTA PS SODHA KHURD 22071109301
10946 BILASPUR (CHHATTISGARH)
KOTA JAN. PS, CHAPORA 22071109401
10947 BILASPUR (CHHATTISGARH)
KOTA MS GOVT, CHAPORA 22071109402
10948 BILASPUR (CHHATTISGARH)
KOTA KGBV, CHAPORA 22071109404
10949 BILASPUR (CHHATTISGARH)
KOTA PS SEMHARA 22071109501
10950 BILASPUR (CHHATTISGARH)
KOTA NPEGEL,PS BARI DIH 22071109601
10951 BILASPUR (CHHATTISGARH)
KOTA EGS TO PS, NAVAPARA 22071109602
10952 BILASPUR (CHHATTISGARH)
KOTA PS BIRGAHNI 22071109701
10953 BILASPUR (CHHATTISGARH)
KOTA ASRAM BIRGAHANI 22071109702
10954 BILASPUR (CHHATTISGARH)
KOTA MS GOVT, BIRGAHNI 22071109703
10955 BILASPUR (CHHATTISGARH)
KOTA PS RANI BACHALI 22071109801
10956 BILASPUR (CHHATTISGARH)
KOTA P.S. KUVA JATI 22071109802
10957 BILASPUR (CHHATTISGARH)
KOTA MS GOVT, RANI BACHHALI 22071109803
10958 BILASPUR (CHHATTISGARH)
KOTA UP MS, RANIBACHHALI 22071109804
10959 BILASPUR (CHHATTISGARH)
KOTA PS BACHALI KHURD 22071109901
10960 BILASPUR (CHHATTISGARH)
KOTA MS GOVT NEW, BACHHALIKHURD 22071109902
10961 BILASPUR (CHHATTISGARH)
KOTA P.S. DONA SAGAR 22071110101
10962 BILASPUR (CHHATTISGARH)
KOTA P.S. MOHADA 22071110201
10963 BILASPUR (CHHATTISGARH)
KOTA MS GOVT(TRIBAL), MOHDA 22071110202
10964 BILASPUR (CHHATTISGARH)
KOTA EGS TO PS, NAVAPARA 22071110203
10965 BILASPUR (CHHATTISGARH)
KOTA EGS TO PS, GANGASAGAR 22071110204
10966 BILASPUR (CHHATTISGARH)
KOTA EGS TO PS, BAGICHAPARA 22071110205
10967 BILASPUR (CHHATTISGARH)
KOTA P.S.NAVAGAON 22071110301
10968 BILASPUR (CHHATTISGARH)
KOTA NPEGEL, UP PS, DONGARI PARA 22071110302
10969 BILASPUR (CHHATTISGARH)
KOTA P.S.KANI. HARIJAN PARA 22071110303
10970 BILASPUR (CHHATTISGARH)
KOTA P.S.KANI. CHARPARA(NAVAGAON) 22071110304
10971 BILASPUR (CHHATTISGARH)
KOTA PS NAVAGAON (KHUTA) 22071110305
10972 BILASPUR (CHHATTISGARH)
KOTA PS. SONSAY NAVA GAON 22071110306
10973 BILASPUR (CHHATTISGARH)
KOTA EGS TO PS, CHAKRABHATHA 22071110307
10974 BILASPUR (CHHATTISGARH)
KOTA UP MS, NAVAGAON, MOHADA 22071110308
10975 BILASPUR (CHHATTISGARH)
KOTA P.S. GHANSI PUR 22071110401
10976 BILASPUR (CHHATTISGARH)
KOTA P.S.BHATHA PARA 22071110501
10977 BILASPUR (CHHATTISGARH)
KOTA P.S.JHOKA PARA 22071110601
10978 BILASPUR (CHHATTISGARH)
KOTA P.S.KANI. SAJA PALI 22071110701
10979 BILASPUR (CHHATTISGARH)
KOTA UP UPS, SAJAPALI 22071110702
10980 BILASPUR (CHHATTISGARH)
KOTA GOVT.P.S.AOURAPANI 22071110801
10981 BILASPUR (CHHATTISGARH)
KOTA P.S.KANI. BANJARI PARA 22071111001
10982 BILASPUR (CHHATTISGARH)
KOTA P.S.KANI. CHATAPARA 22071111101
10983 BILASPUR (CHHATTISGARH)
KOTA GOVT PS UMARIA(TRIBAL) 22071111202
10984 BILASPUR (CHHATTISGARH)
KOTA P.S.KANI. NAGCHUI 22071111301
10985 BILASPUR (CHHATTISGARH)
KOTA P.S.KANI. KHAPRA KHOL 22071111401
10986 BILASPUR (CHHATTISGARH)
KOTA P.S.KANI. SIRSAHA 22071111501
10987 BILASPUR (CHHATTISGARH)
KOTA UP UPS, SIRSAHA 22071111502
10988 BILASPUR (CHHATTISGARH)
KOTA P.S.KANI. RAMPUR 22071111601
10989 BILASPUR (CHHATTISGARH)
KOTA P.S.KANI. SARGOD 22071111701
10990 BILASPUR (CHHATTISGARH)
KOTA P.S.SARGOD 22071111702
10991 BILASPUR (CHHATTISGARH)
KOTA P.S.BODHIBAN 22071111801
10992 BILASPUR (CHHATTISGARH)
KOTA P.S.MEDHA PARA 22071111901
10993 BILASPUR (CHHATTISGARH)
KOTA PS MEDHRA PARA 22071111902
10994 BILASPUR (CHHATTISGARH)
KOTA P.S.JANAKPUR 22071112101
10995 BILASPUR (CHHATTISGARH)
KOTA P.S.KANI. KHUNTA GHAT 22071112201
10996 BILASPUR (CHHATTISGARH)
KOTA NEW PS, KHAIRWARPARA, KHUTAGHA 22071112202
10997 BILASPUR (CHHATTISGARH)
KOTA P.S.KANI. TILAK DIH 22071112301
10998 BILASPUR (CHHATTISGARH)
KOTA P.S.KANI. SARSA TIKARA 22071112401
10999 BILASPUR (CHHATTISGARH)
KOTA P.S.SONPURI 22071112501
11000 BILASPUR (CHHATTISGARH)
KOTA MS GOVT, SONPURI 22071112502
11001 BILASPUR (CHHATTISGARH)
KOTA P.S.KHARGA 22071112601
11002 BILASPUR (CHHATTISGARH)
KOTA P.S.KANI. VICHARPUR 22071112701
11003 BILASPUR (CHHATTISGARH)
KOTA GOVT. PS BICHARPUR 22071112702
11004 BILASPUR (CHHATTISGARH)
KOTA P.S.NAGCHUVA 22071112801
11005 BILASPUR (CHHATTISGARH)
KOTA UP MS, NAGCHUVA 22071112802
11006 BILASPUR (CHHATTISGARH)
KOTA P.S.VIDHA MANDIR BEHARA MUDA 22071112901
11007 BILASPUR (CHHATTISGARH)
KOTA EGS TO PS, PHULWARIPARA 22071112902
11008 BILASPUR (CHHATTISGARH)
KOTA EGS TO PS, KHAIRKHANIKHOLA 22071112903
11009 BILASPUR (CHHATTISGARH)
KOTA UP MS, BAHERAMUDA 22071112904
11010 BILASPUR (CHHATTISGARH)
KOTA P.S.KANI. RANIPARA 22071113001
11011 BILASPUR (CHHATTISGARH)
KOTA NPEGEL, PS GOVT, BHEDI MUDA-1 22071113004
11012 BILASPUR (CHHATTISGARH)
KOTA P.S. BHEDI MUDA-2 22071113005
11013 BILASPUR (CHHATTISGARH)
KOTA P.S.GIRLS RATANPUR 22071113007
11014 BILASPUR (CHHATTISGARH)
KOTA P.S. GOVT. OCHHINA PARA 22071113008
11015 BILASPUR (CHHATTISGARH)
KOTA P.S. SANDHI PARA 22071113009
11016 BILASPUR (CHHATTISGARH)
KOTA P.S. NAVA PARA 22071113010
11017 BILASPUR (CHHATTISGARH)
KOTA P.S. DARRI PARA RATANPUR 22071113011
11018 BILASPUR (CHHATTISGARH)
KOTA P.S. BHELVA PARA 22071113012
11019 BILASPUR (CHHATTISGARH)
KOTA P.S.JP. SIS 22071113013
11020 BILASPUR (CHHATTISGARH)
KOTA P.S.GOVT. RAMDEI PARA 22071113014
11021 BILASPUR (CHHATTISGARH)
KOTA BOYS PS KARAIHA PARA 22071113015
11022 BILASPUR (CHHATTISGARH)
KOTA NPEGEL, PS GIRLS, KARAIHA PARA 22071113016
11023 BILASPUR (CHHATTISGARH)
KOTA URDU PS KARAIHA PARA 22071113017
11024 BILASPUR (CHHATTISGARH)
KOTA PS JUNA SAHAR RATANPUR 22071113018
11025 BILASPUR (CHHATTISGARH)
KOTA MS GIRLS GOVT, RATANPUR 22071113019
11026 BILASPUR (CHHATTISGARH)
KOTA MS BOYS GOVT, RATANPUR 22071113020
11027 BILASPUR (CHHATTISGARH)
KOTA MS GOVT, BHEDIMUDA, RATANPUR 22071113021
11028 BILASPUR (CHHATTISGARH)
KOTA MS TRIBAL, BHAISAJHAR, RATANPU 22071113022
11029 BILASPUR (CHHATTISGARH)
KOTA PS BOYS BHIM CHOWK RATANPUR 22071113024
11030 BILASPUR (CHHATTISGARH)
KOTA MS GOVT, JUNA SHAHAR 22071113025
11031 BILASPUR (CHHATTISGARH)
KOTA MS GOVT, KARAIHAPARA 22071113026
11032 BILASPUR (CHHATTISGARH)
KOTA PS TO MS, OCHHINAPARA 22071113027
11033 BILASPUR (CHHATTISGARH)
KOTA PS TO MS GIRLS, RATANPUR 22071113029
11034 BILASPUR (CHHATTISGARH)
KOTA UP MS, AMBED WARD 10, NAVAPARA 22071113030
11035 BILASPUR (CHHATTISGARH)
KOTA PS.KHONGASARA 22071113102
11036 BILASPUR (CHHATTISGARH)
KOTA MS GOVT, KHONGSARA 22071113104
11037 BILASPUR (CHHATTISGARH)
KOTA PS JALDA PARA 22071113105
11038 BILASPUR (CHHATTISGARH)
KOTA EGS TO PS, PURANA KHONGSARA 22071113106
11039 BILASPUR (CHHATTISGARH)
KOTA EGS TO PS, TUMADBADA 22071113107
11040 BILASPUR (CHHATTISGARH)
KOTA EGS TO PS, CHARPARA 22071113108
11041 BILASPUR (CHHATTISGARH)
KOTA NPEGEL, PS GIRLS, AMAGOHAN 22071113201
11042 BILASPUR (CHHATTISGARH)
KOTA P.S.BOYS AMAGOHAN 22071113202
11043 BILASPUR (CHHATTISGARH)
KOTA MS GOVT GIRLS, AMAGOHAN 22071113203
11044 BILASPUR (CHHATTISGARH)
KOTA P.S.TULUF 22071113301
11045 BILASPUR (CHHATTISGARH)
KOTA EGS TO PS, SAJADAHARA 22071113302
11046 BILASPUR (CHHATTISGARH)
KOTA EGS TO PS, KATELIPARA 22071113303
11047 BILASPUR (CHHATTISGARH)
KOTA P.S.LATHORI 22071113401
11048 BILASPUR (CHHATTISGARH)
KOTA P.S.MOHALI 22071113501
11049 BILASPUR (CHHATTISGARH)
KOTA P.S.MOHALI ASHRAM 22071113502
11050 BILASPUR (CHHATTISGARH)
KOTA MS GOVT, MOHALI 22071113503
11051 BILASPUR (CHHATTISGARH)
KOTA P.S.BHASKO 22071113601
11052 BILASPUR (CHHATTISGARH)
KOTA P.S.BHANVAR TANK 22071113701
11053 BILASPUR (CHHATTISGARH)
KOTA NPEGEL, PS GOVT, MITHU NAVAGAON 22071113801
11054 BILASPUR (CHHATTISGARH)
KOTA ASHRAM MITTU NAVAGAON 22071113802
11055 BILASPUR (CHHATTISGARH)
KOTA MS GOVT, MITHUNAVAGAON 22071113803
11056 BILASPUR (CHHATTISGARH)
KOTA P.S.DHOL MUHA 22071113901
11057 BILASPUR (CHHATTISGARH)
KOTA P.S.SUKHENA 22071114001
11058 BILASPUR (CHHATTISGARH)
KOTA P.S.PAHANDA 22071114101
11059 BILASPUR (CHHATTISGARH)
KOTA UP MS, PAHANDA 22071114102
11060 BILASPUR (CHHATTISGARH)
KOTA P.S.MANJHA BHATHA 22071114201
11061 BILASPUR (CHHATTISGARH)
KOTA P.S.KONCHARA 22071114301
11062 BILASPUR (CHHATTISGARH)
KOTA MS GOVT. KONCHARA 22071114302
11063 BILASPUR (CHHATTISGARH)
KOTA EGS TO PS, AKHRADAND 22071114303
11064 BILASPUR (CHHATTISGARH)
KOTA P.S.JARGA 22071114401
11065 BILASPUR (CHHATTISGARH)
KOTA P.S.SODHA KALA 22071114501
11066 BILASPUR (CHHATTISGARH)
KOTA P.S.BHAISA KHAR 22071114601
11067 BILASPUR (CHHATTISGARH)
KOTA EGS TO PS, DABRIPARA 22071114602
11068 BILASPUR (CHHATTISGARH)
KOTA UP MS GIRLS, BHEDIMUDA 22071114701
11069 BILASPUR (CHHATTISGARH)
KOTA P.S. GOVT. KORBA BHAVAR 22071114801
11070 BILASPUR (CHHATTISGARH)
KOTA P.S.JOGI AMRAI 22071114901
11071 BILASPUR (CHHATTISGARH)
KOTA P.S.RAMDEI 22071115201
11072 BILASPUR (CHHATTISGARH)
KOTA UP MS, RAMDAIPARA 22071115202
11073 BILASPUR (CHHATTISGARH)
KOTA PS. JALI 22071115301
11074 BILASPUR (CHHATTISGARH)
KOTA UP MS, JALI 22071115302
11075 BILASPUR (CHHATTISGARH)
KOTA NEW PS,GOVT, KANTIPARA, JALI 22071115303
11076 BILASPUR (CHHATTISGARH)
KOTA PS RAINPUR 22071115401
11077 BILASPUR (CHHATTISGARH)
KOTA NPEGEL, PS GOVT, KARRA 22071115501
11078 BILASPUR (CHHATTISGARH)
KOTA MS GOVT NEW, KARRA 22071115502
11079 BILASPUR (CHHATTISGARH)
KOTA MS GOVT, SHEESH, KARRA 22071115503
11080 BILASPUR (CHHATTISGARH)
KOTA MS GOVT, MELNADIH, KARRA 22071115504
11081 BILASPUR (CHHATTISGARH)
KOTA PS MELNADIH 22071115601
11082 BILASPUR (CHHATTISGARH)
KOTA UP MS, NAVAGAON, KHUTA 22071115702
11083 BILASPUR (CHHATTISGARH)
KOTA PS RINGVAR 22071115801
11084 BILASPUR (CHHATTISGARH)
KOTA MS GOVT, RINGWAAR 22071115802
11085 BILASPUR (CHHATTISGARH)
KOTA GOVT. PS KUMDHA KHOL 22071115901
11086 BILASPUR (CHHATTISGARH)
KOTA EGS TO PS, BANGALABHATHA 22071115902
11087 BILASPUR (CHHATTISGARH)
KOTA ADIVASI BOYS ASHRAM PUDU 22071116001
11088 BILASPUR (CHHATTISGARH)
KOTA GOVT. PS PUDU 22071116002
11089 BILASPUR (CHHATTISGARH)
KOTA MS GOVT, PUDU 22071116003
11090 BILASPUR (CHHATTISGARH)
KOTA BOYS PS RANI GAON 22071116101
11091 BILASPUR (CHHATTISGARH)
KOTA GIRLS PS RANI GAON 22071116102
11092 BILASPUR (CHHATTISGARH)
KOTA URDU PS RANI GAON 22071116103
11093 BILASPUR (CHHATTISGARH)
KOTA PS BHADAIA PARA 22071116104
11094 BILASPUR (CHHATTISGARH)
KOTA MS GOVT, RANIGAON 22071116105
11095 BILASPUR (CHHATTISGARH)
KOTA PS KALMITAL 22071116201
11096 BILASPUR (CHHATTISGARH)
KOTA ANU. JATI. PS KALMITAL 22071116202
11097 BILASPUR (CHHATTISGARH)
KOTA MS GOVT, KALMITAR 22071116203
11098 BILASPUR (CHHATTISGARH)
KOTA GOVT. PS SILDAHA 22071116301
11099 BILASPUR (CHHATTISGARH)
KOTA EGS TO PS, KALHAMAR 22071116302
11100 BILASPUR (CHHATTISGARH)
KOTA UP MS,SILDAHA 22071116303
11101 BILASPUR (CHHATTISGARH)
KOTA PS KUSUM KHEDA 22071116401
11102 BILASPUR (CHHATTISGARH)
KOTA PS AMAMUDA 22071116501
11103 BILASPUR (CHHATTISGARH)
KOTA PS BANABEL 22071116601
11104 BILASPUR (CHHATTISGARH)
KOTA MS GOVT, BANABEL 22071116602
11105 BILASPUR (CHHATTISGARH)
KOTA GOVT. PS DAR SAGAR 22071116701
11106 BILASPUR (CHHATTISGARH)
KOTA EGS TO PS, DARSAGAR 22071116702
11107 BILASPUR (CHHATTISGARH)
KOTA BOYS PS KHAIRA 22071116801
11108 BILASPUR (CHHATTISGARH)
KOTA NPEGEL, PS GIRLS, KHAIRA 22071116802
11109 BILASPUR (CHHATTISGARH)
KOTA MS GOVT, KHAIRA 22071116803
11110 BILASPUR (CHHATTISGARH)
KOTA PS DONGI 22071116901
11111 BILASPUR (CHHATTISGARH)
KOTA PS PACHRA 22071117001
11112 BILASPUR (CHHATTISGARH)
KOTA PS UMARIA (DADAR) 22071117101
11113 BILASPUR (CHHATTISGARH)
KOTA MS, GOVT,UMARIA (DADAR) 22071117102
11114 BILASPUR (CHHATTISGARH)
KOTA PS SEKAR 22071117201
11115 BILASPUR (CHHATTISGARH)
KOTA ANU. JATI. PS TENDU BHATHA 22071117301
11116 BILASPUR (CHHATTISGARH)
KOTA UP MS, TENDUBHATHA 22071117302
11117 BILASPUR (CHHATTISGARH)
KOTA PS GOVT, LALPUR 22071117401
11118 BILASPUR (CHHATTISGARH)
KOTA GOVT. PS BARDWAR 22071117501
11119 BILASPUR (CHHATTISGARH)
KOTA MS GOVT, BARADWAR 22071117502
11120 BILASPUR (CHHATTISGARH)
KOTA EGS TO PS, GHANAKACHHAR 22071117504
11121 BILASPUR (CHHATTISGARH)
KOTA PS PIPAR PARA 22071117601
11122 BILASPUR (CHHATTISGARH)
KOTA EGS TO PS, KHASARIYAPARA 22071117602
11123 BILASPUR (CHHATTISGARH)
KOTA ASRAM KURUVAR 22071117701
11124 BILASPUR (CHHATTISGARH)
KOTA PS. KURUVAR 22071117702
11125 BILASPUR (CHHATTISGARH)
KOTA EGS TO PS, KATAIHAPARA 22071117703
11126 BILASPUR (CHHATTISGARH)
KOTA MS GOVT, KURUVAR 22071117704
11127 BILASPUR (CHHATTISGARH)
KOTA PS. LAMRI DABRI 22071117801
11128 BILASPUR (CHHATTISGARH)
KOTA KANI. DHANUHAR PARA 22071118001
11129 BILASPUR (CHHATTISGARH)
KOTA PS. BHARDAIHA PARA 22071118101
11130 BILASPUR (CHHATTISGARH)
KOTA GOVT. PS. KARVA 22071118201
11131 BILASPUR (CHHATTISGARH)
KOTA NPEGEL, PS GIRLS, KARVA 22071118202
11132 BILASPUR (CHHATTISGARH)
KOTA EGS TO PS, HARIMUHALLA 22071118203
11133 BILASPUR (CHHATTISGARH)
KOTA EGS TO PS, DAIHANPARA 22071118204
11134 BILASPUR (CHHATTISGARH)
KOTA EGS TO PS, KATELIPARA 22071118205
11135 BILASPUR (CHHATTISGARH)
KOTA UP UPS KARVA 22071118206
11136 BILASPUR (CHHATTISGARH)
KOTA PS. KASAI BAHARA 22071118301
11137 BILASPUR (CHHATTISGARH)
KOTA EGS TO PS, URAOPARA 22071118302
11138 BILASPUR (CHHATTISGARH)
KOTA UP MS, KASAI BAHARA 22071118303
11139 BILASPUR (CHHATTISGARH)
KOTA PS. ATADDA 22071118401
11140 BILASPUR (CHHATTISGARH)
KOTA PS. NAGOI 22071118501
11141 BILASPUR (CHHATTISGARH)
KOTA EGS TO PS, KODWAHIPARA 22071118502
11142 BILASPUR (CHHATTISGARH)
KOTA UP MS, NAGOI 22071118503
11143 BILASPUR (CHHATTISGARH)
KOTA PS. RIGRIGA 22071118601
11144 BILASPUR (CHHATTISGARH)
KOTA PS. UPKA 22071118701
11145 BILASPUR (CHHATTISGARH)
KOTA EGS TO PS, DAIHARIPARA 22071118702
11146 BILASPUR (CHHATTISGARH)
KOTA UP MS, UPKA 22071118704
11147 BILASPUR (CHHATTISGARH)
KOTA PS. DANOKHAR 22071118801
11148 BILASPUR (CHHATTISGARH)
KOTA PS. BITKULI 22071118901
11149 BILASPUR (CHHATTISGARH)
KOTA MS GOVT, BITKULI 22071118902
11150 BILASPUR (CHHATTISGARH)
KOTA EGS TO PS, TIKRIPARA 22071118903
11151 BILASPUR (CHHATTISGARH)
KOTA EGS TO PS, DHANUHARPARA 22071118904
11152 BILASPUR (CHHATTISGARH)
KOTA PS. KARPIHA 22071119101
11153 BILASPUR (CHHATTISGARH)
KOTA UP MS, KARPIHA 22071119102
11154 BILASPUR (CHHATTISGARH)
KOTA PS. CHHUIYA 22071119201
11155 BILASPUR (CHHATTISGARH)
KOTA UP MS, CHHUIYA 22071119202
11156 BILASPUR (CHHATTISGARH)
KOTA PS. KANI.KOYLARI PARA 22071119301
11157 BILASPUR (CHHATTISGARH)
KOTA UP UPS, KOYLARIPARA 22071119303
11158 BILASPUR (CHHATTISGARH)
KOTA PS. PAHAD BACHHALI 22071119401
11159 BILASPUR (CHHATTISGARH)
KOTA PS. TANTI DHAR 22071119601
11160 BILASPUR (CHHATTISGARH)
KOTA EGS TO PS, PANDRIPANI 22071119602
11161 BILASPUR (CHHATTISGARH)
KOTA EGS TO PS, DHODHINAR 22071119603
11162 BILASPUR (CHHATTISGARH)
KOTA EGS TO PS, BAGDHARA 22071119604
11163 BILASPUR (CHHATTISGARH)
KOTA EGS TO PS, GORKHUDI 22071119605
11164 BILASPUR (CHHATTISGARH)
KOTA EGS TO PS, CHANTDAND 22071119606
11165 BILASPUR (CHHATTISGARH)
KOTA EGS TO PS, BHALWAHI 22071119607
11166 BILASPUR (CHHATTISGARH)
KOTA UP MS, BAGDHARA 22071119608
11167 BILASPUR (CHHATTISGARH)
KOTA PS. TENGAN MADA 22071119801
11168 BILASPUR (CHHATTISGARH)
KOTA MS GOVT, TENGANMADA 22071119802
11169 BILASPUR (CHHATTISGARH)
KOTA PS TO MS GIRLS, TENGANMADA 22071119803
11170 BILASPUR (CHHATTISGARH)
KOTA PS. NAGPURA 22071119901
11171 BILASPUR (CHHATTISGARH)
KOTA EGS TO PS, URAOPARA 22071120001
11172 BILASPUR (CHHATTISGARH)
KOTA NPS GOVT, NAVAPARA, KATRA 22071120002
11173 BILASPUR (CHHATTISGARH)
KOTA NEW PS, KENVARPARA 22071120201
11174 BILASPUR (CHHATTISGARH)
KOTA EGS TO PS, AWAS MOHALLA 22071120402
11175 BILASPUR (CHHATTISGARH)
KOTA EGS TO PS, LAMNAJHAR 22071120601
11176 BILASPUR (CHHATTISGARH)
KOTA EGS TO PS, TIKRIPARA 22071120801
11177 BILASPUR (CHHATTISGARH)
KOTA EGS TO PS, JENJARADIH 22071120901
11178 BILASPUR (CHHATTISGARH)
KOTA EGS TO PS, SEEPATPARA 22071121001
11179 BILASPUR (CHHATTISGARH)
KOTA EGS TO PS, BANDHIYAPARA 22071121101
11180 BILASPUR (CHHATTISGARH)
KOTA PS GOVT SOUTAPARA 22071121201
11181 BILASPUR (CHHATTISGARH)
KOTA MS GOVT, SON NAWAGAON 22071121301
11182 BILASPUR (CHHATTISGARH)
KOTA EGS TO PS, CHHAPRAPARA, WARD-3 22071121401
11183 BILASPUR (CHHATTISGARH)
KOTA EGS TO PS, BAGBUD 22071121501
11184 BILASPUR (CHHATTISGARH)
KOTA EGS TO PS, MUSIYARI 22071121601
11185 BILASPUR (CHHATTISGARH)
KOTA GOVT.PS.KHANDOBA NAGR RTANPUR 22071122807
11186 BILASPUR (CHHATTISGARH)
KOTA GOVT.PS.NEW GHANDHI NAGR 22071122808
11187 BILASPUR (CHHATTISGARH)
MARWAHI P.S. GIRLS MARWAHI 22071400101
11188 BILASPUR (CHHATTISGARH)
MARWAHI P.S. BOYS. JP. MARWAHI 22071400102
11189 BILASPUR (CHHATTISGARH)
MARWAHI NPEGEL, PS GOVT, MANVARI TOLA 22071400106
11190 BILASPUR (CHHATTISGARH)
MARWAHI GOVT P.S. BILAI DNAD 22071400107
11191 BILASPUR (CHHATTISGARH)
MARWAHI MS GOVT, MARWAHI 22071400111
11192 BILASPUR (CHHATTISGARH)
MARWAHI MS GIRLS TRIBAL, MARWAHI 22071400112
11193 BILASPUR (CHHATTISGARH)
MARWAHI MS BOYS TRIBAL, MARWAHI 22071400113
11194 BILASPUR (CHHATTISGARH)
MARWAHI Govt PS, GARLAIYATOLA (SSA) 22071400117
11195 BILASPUR (CHHATTISGARH)
MARWAHI KGBV, UPS, MARWAHI 22071400120
11196 BILASPUR (CHHATTISGARH)
MARWAHI T.W.P.S. MADWAHI 22071400201
11197 BILASPUR (CHHATTISGARH)
MARWAHI BAPA PS. MADWAHI 22071400203
11198 BILASPUR (CHHATTISGARH)
MARWAHI MS TRIBAL, MADWAHI 22071400204
11199 BILASPUR (CHHATTISGARH)
MARWAHI govt PS, DUWARITOLa (SSA) 22071400205
11200 BILASPUR (CHHATTISGARH)
MARWAHI GOVT P.W. PS. PIPAR DOL 22071400301
11201 BILASPUR (CHHATTISGARH)
MARWAHI T.W. P.S. SAPNI 22071400401
11202 BILASPUR (CHHATTISGARH)
MARWAHI Govt PS, KATELTOLA (SSA) 22071400402
11203 BILASPUR (CHHATTISGARH)
MARWAHI P.S. GIRLS KUMHARI 22071400501
11204 BILASPUR (CHHATTISGARH)
MARWAHI P.S. BOYS KUMHARI 22071400502
11205 BILASPUR (CHHATTISGARH)
MARWAHI T.W. P.S. BARAIHA TOLA 22071400503
11206 BILASPUR (CHHATTISGARH)
MARWAHI MS GOVT, KUMHARI 22071400505
11207 BILASPUR (CHHATTISGARH)
MARWAHI Govt PS, PANDARIPANI (SSA) 22071400506
11208 BILASPUR (CHHATTISGARH)
MARWAHI NPEGEL, PS GOVT, PANDARI PARA 22071400601
11209 BILASPUR (CHHATTISGARH)
MARWAHI MS GOVT, PANDARI 22071400603
11210 BILASPUR (CHHATTISGARH)
MARWAHI Govt PS DHANUHARITOLA (SSA) 22071400605
11211 BILASPUR (CHHATTISGARH)
MARWAHI Govt PS, DHANUHARIPARA, PANDARI (SSA) 22071400606
11212 BILASPUR (CHHATTISGARH)
MARWAHI UP PS, PANDARI 22071400607
11213 BILASPUR (CHHATTISGARH)
MARWAHI P.S.TWD, GHUSARIYA 22071400701
11214 BILASPUR (CHHATTISGARH)
MARWAHI MS GOVT, GHUSARIYA 22071400702
11215 BILASPUR (CHHATTISGARH)
MARWAHI P.S.CHACHEDI 22071400801
11216 BILASPUR (CHHATTISGARH)
MARWAHI Govt PS, DARRITOLA (SSA) 22071400802
11217 BILASPUR (CHHATTISGARH)
MARWAHI Govt MS, CHACHEDI (SSA) 22071400803
11218 BILASPUR (CHHATTISGARH)
MARWAHI P.W. P.S. CHICHAGOHANA 22071400901
11219 BILASPUR (CHHATTISGARH)
MARWAHI P.S. KANI. BARJHORKI TOLA 22071400902
11220 BILASPUR (CHHATTISGARH)
MARWAHI Govt MS, CHICHGOHANA (SSA) 22071400903
11221 BILASPUR (CHHATTISGARH)
MARWAHI P.S. MADAKOT 22071401001
11222 BILASPUR (CHHATTISGARH)
MARWAHI Govt MS, MADAKOT (SSA) 22071401002
11223 BILASPUR (CHHATTISGARH)
MARWAHI P.S. BAHUNTA DOL 22071401101
11224 BILASPUR (CHHATTISGARH)
MARWAHI Govt MS, BAHUTADOL (SSA) 22071401102
11225 BILASPUR (CHHATTISGARH)
MARWAHI P.S. KARHANI 22071401201
11226 BILASPUR (CHHATTISGARH)
MARWAHI GOVT. P.S. DADIYA 22071401202
11227 BILASPUR (CHHATTISGARH)
MARWAHI MS GOVT, KARHANI 22071401203
11228 BILASPUR (CHHATTISGARH)
MARWAHI EGS TO PS, BANJARTOLA 22071401204
11229 BILASPUR (CHHATTISGARH)
MARWAHI EGS TO PS, GADHITOLA,KARHANI 22071401205
11230 BILASPUR (CHHATTISGARH)
MARWAHI UP MS GIRLS, KARHANI 22071401206
11231 BILASPUR (CHHATTISGARH)
MARWAHI GOVT.P.S. GIRLS SIVANI 22071401301
11232 BILASPUR (CHHATTISGARH)
MARWAHI GOVT P.S. BOYS. SIVANI 22071401302
11233 BILASPUR (CHHATTISGARH)
MARWAHI NPEGEL, PS GOVT, SILVARI 22071401304
11234 BILASPUR (CHHATTISGARH)
MARWAHI MS BOYS GOVT, SIVNI 22071401306
11235 BILASPUR (CHHATTISGARH)
MARWAHI MS GIRLS GOVT, SIVNI 22071401307
11236 BILASPUR (CHHATTISGARH)
MARWAHI GOVT EGS TO PS DUMARIHA TOLA 22071401309
11237 BILASPUR (CHHATTISGARH)
MARWAHI GOVT PS BARTOLA KHURPA 22071401312
11238 BILASPUR (CHHATTISGARH)
MARWAHI T.W.P.S. DEVGAVA 22071401401
11239 BILASPUR (CHHATTISGARH)
MARWAHI UP MS, DEVGAVA 22071401402
11240 BILASPUR (CHHATTISGARH)
MARWAHI KANI.T.W. P.S. PIPAR DOB 22071401501
11241 BILASPUR (CHHATTISGARH)
MARWAHI P.S .MALA DAND 22071401502
11242 BILASPUR (CHHATTISGARH)
MARWAHI Govt PS, NAVATOLA (SSA) 22071401503
11243 BILASPUR (CHHATTISGARH)
MARWAHI Govt PS, HARIJAN PARA (SSA) 22071401504
11244 BILASPUR (CHHATTISGARH)
MARWAHI MS GOVT, MALADAND 22071401505
11245 BILASPUR (CHHATTISGARH)
MARWAHI P.S. TWD BADRODI 22071401601
11246 BILASPUR (CHHATTISGARH)
MARWAHI T.W. P.S. GHINOCHI 22071401701
11247 BILASPUR (CHHATTISGARH)
MARWAHI BAPA P.S. DHARHAR 22071401801
11248 BILASPUR (CHHATTISGARH)
MARWAHI GOVT PS GUJARTOLA,DHARHAR (SSA) 22071401802
11249 BILASPUR (CHHATTISGARH)
MARWAHI Govt MS, GUJARTOLA, DHARHAR (SSA) 22071401803
11250 BILASPUR (CHHATTISGARH)
MARWAHI P.S. PATHARRI 22071401901
11251 BILASPUR (CHHATTISGARH)
MARWAHI P.S. PATHARRI TOLA 22071401902
11252 BILASPUR (CHHATTISGARH)
MARWAHI Govt PS, TIKARITOLA (SSA) 22071401903
11253 BILASPUR (CHHATTISGARH)
MARWAHI UP MS, PATHARRI 22071401904
11254 BILASPUR (CHHATTISGARH)
MARWAHI Govt MS, TIKARITOLA (SSA) 22071401905
11255 BILASPUR (CHHATTISGARH)
MARWAHI BAPA P.S. LARKENI 22071402001
11256 BILASPUR (CHHATTISGARH)
MARWAHI MS GOVT NAVEEN, LARKENI 22071402002
11257 BILASPUR (CHHATTISGARH)
MARWAHI Govt PS, BANIYADAND,LARKENI (SSA) 22071402003
11258 BILASPUR (CHHATTISGARH)
MARWAHI P.S. BOYS. NIMDHA 22071402101
11259 BILASPUR (CHHATTISGARH)
MARWAHI BAPA P.S. GIRLS NIMDHA 22071402102
11260 BILASPUR (CHHATTISGARH)
MARWAHI MS GIRLS TRIBAL, NIMDHA 22071402104
11261 BILASPUR (CHHATTISGARH)
MARWAHI P.W.P.S. JHARNA PODI 22071402201
11262 BILASPUR (CHHATTISGARH)
MARWAHI Govt PS, KHUMANTOLA (SSA) 22071402202
11263 BILASPUR (CHHATTISGARH)
MARWAHI Govt MS, JHIRNA PONDI (SSA) 22071402203
11264 BILASPUR (CHHATTISGARH)
MARWAHI NPEGEL, PS GOVT, BAROUR 22071402301
11265 BILASPUR (CHHATTISGARH)
MARWAHI MS GOVT, BAROUR 22071402303
11266 BILASPUR (CHHATTISGARH)
MARWAHI EGS TO PS, CHINGITOLA 22071402304
11267 BILASPUR (CHHATTISGARH)
MARWAHI P.S. GHUMMA TOLA 22071402401
11268 BILASPUR (CHHATTISGARH)
MARWAHI MS TRIBAL, GUMMATOLA 22071402402
11269 BILASPUR (CHHATTISGARH)
MARWAHI Govt PS, KAROUNDATOLA (SSA) 22071402404
11270 BILASPUR (CHHATTISGARH)
MARWAHI Govt PS, KATRUTOLA (SSA) 22071402405
11271 BILASPUR (CHHATTISGARH)
MARWAHI PS TO MS,PATHARITOLA 22071402407
11272 BILASPUR (CHHATTISGARH)
MARWAHI GOVT PS GADAHATOLA (SSA) 22071402408
11273 BILASPUR (CHHATTISGARH)
MARWAHI UP MS, GHUMMA TOLA 22071402409
11274 BILASPUR (CHHATTISGARH)
MARWAHI Govt MS, CHIKNITOLA, GUMMA TOLA (SSA) 22071402410
11275 BILASPUR (CHHATTISGARH)
MARWAHI Govt MS KATRUTOLA, GUMMATOLA (SSA) 22071402411
11276 BILASPUR (CHHATTISGARH)
MARWAHI P.S. TENDU MUDA 22071402501
11277 BILASPUR (CHHATTISGARH)
MARWAHI MS GOVT, TENDUMUDA 22071402502
11278 BILASPUR (CHHATTISGARH)
MARWAHI Govt PS, AWAS MUHALLA (SSA) 22071402503
11279 BILASPUR (CHHATTISGARH)
MARWAHI PS BARTOLA 22071402504
11280 BILASPUR (CHHATTISGARH)
MARWAHI P.S. KACHHAR 22071402601
11281 BILASPUR (CHHATTISGARH)
MARWAHI Govt PS, AGALIGADAI (SSA) 22071402602
11282 BILASPUR (CHHATTISGARH)
MARWAHI Govt MS, KACHHAR (SSA) 22071402603
11283 BILASPUR (CHHATTISGARH)
MARWAHI P.S. JHIRIYA TOLA 22071402701
11284 BILASPUR (CHHATTISGARH)
MARWAHI Govt MS, JHIRIYATOLA (SSA) 22071402702
11285 BILASPUR (CHHATTISGARH)
MARWAHI P.S. BAGRAR 22071402901
11286 BILASPUR (CHHATTISGARH)
MARWAHI MS JANPAD, BAGRAR 22071402902
11287 BILASPUR (CHHATTISGARH)
MARWAHI P.S. BALAM DONGARI 22071403001
11288 BILASPUR (CHHATTISGARH)
MARWAHI P.S. CHANA DONGARI 22071403002
11289 BILASPUR (CHHATTISGARH)
MARWAHI P.S. GANAYA 22071403003
11290 BILASPUR (CHHATTISGARH)
MARWAHI T.W.P.S.GRILS KARHANIYA 22071403004
11291 BILASPUR (CHHATTISGARH)
MARWAHI Govt PS, PIPERTOLA (SSA) 22071403005
11292 BILASPUR (CHHATTISGARH)
MARWAHI Govt MS, CHANADONGARI (SSA) 22071403006
11293 BILASPUR (CHHATTISGARH)
MARWAHI NPEGEL, PS GOVT, BANSHI TAL 22071403102
11294 BILASPUR (CHHATTISGARH)
MARWAHI MS TRIBAL, BANSHITAL 22071403103
11295 BILASPUR (CHHATTISGARH)
MARWAHI Govt MS KARHANIYA (SSA) 22071403104
11296 BILASPUR (CHHATTISGARH)
MARWAHI T.W. P.S. NAKA 22071403201
11297 BILASPUR (CHHATTISGARH)
MARWAHI Govt MS, NAKA (SSA) 22071403202
11298 BILASPUR (CHHATTISGARH)
MARWAHI Govt PS, BARJHORKI (SSA) 22071403203
11299 BILASPUR (CHHATTISGARH)
MARWAHI Govt PS, POKHARIDAND (SSA) 22071403204
11300 BILASPUR (CHHATTISGARH)
MARWAHI Govt MS POKHARIDAND (SSA) 22071403205
11301 BILASPUR (CHHATTISGARH)
MARWAHI Govt PS KHAPRAILTOLA (SSA) 22071403206
11302 BILASPUR (CHHATTISGARH)
MARWAHI T.W. P.S. CHANVARI DAND 22071403301
11303 BILASPUR (CHHATTISGARH)
MARWAHI Govt PS, MAIHARTOLA (SSA) 22071403303
11304 BILASPUR (CHHATTISGARH)
MARWAHI P.S. SEMAR DARRI 22071403401
11305 BILASPUR (CHHATTISGARH)
MARWAHI GOVT. P.S. BHATHA TIKARA 22071403402
11306 BILASPUR (CHHATTISGARH)
MARWAHI P.S. SINGAR BAHARA 22071403403
11307 BILASPUR (CHHATTISGARH)
MARWAHI MS TRIBAL, SEMARDARRI 22071403405
11308 BILASPUR (CHHATTISGARH)
MARWAHI Govt PS, JHULANDONGARI (SSA) 22071403406
11309 BILASPUR (CHHATTISGARH)
MARWAHI Govt PS, THODICHUVA (SSA) 22071403407
11310 BILASPUR (CHHATTISGARH)
MARWAHI Govt PS, JAMUNAHI (SSA) 22071403408
11311 BILASPUR (CHHATTISGARH)
MARWAHI Govt PS, BAGAIHATOLA (SSA) 22071403409
11312 BILASPUR (CHHATTISGARH)
MARWAHI Govt PS, BEJADAND (SSA) 22071403410
11313 BILASPUR (CHHATTISGARH)
MARWAHI Govt MS BHATATIKARA (SSA) 22071403411
11314 BILASPUR (CHHATTISGARH)
MARWAHI Govt MS BAIGHATOLA (SSA) 22071403412
11315 BILASPUR (CHHATTISGARH)
MARWAHI Govt MS BILAIDAND (SSA) 22071403413
11316 BILASPUR (CHHATTISGARH)
MARWAHI P.S. LITIYA SARAI 22071403501
11317 BILASPUR (CHHATTISGARH)
MARWAHI Govt MS, LITIYA SARAI (SSA) 22071403502
11318 BILASPUR (CHHATTISGARH)
MARWAHI P.S. GULLI DAND 22071403601
11319 BILASPUR (CHHATTISGARH)
MARWAHI MS GOVT. GULLIDAND 22071403602
11320 BILASPUR (CHHATTISGARH)
MARWAHI P.S. CHILHAN TOLA 22071403603
11321 BILASPUR (CHHATTISGARH)
MARWAHI Govt PS, KARHATOLA (SSA) 22071403604
11322 BILASPUR (CHHATTISGARH)
MARWAHI Govt MS CHILHANTOLA (SSA) 22071403605
11323 BILASPUR (CHHATTISGARH)
MARWAHI T.W. P.S. KARGI KALA 22071403701
11324 BILASPUR (CHHATTISGARH)
MARWAHI Govt PS, NADIYATOLA (SSA) 22071403702
11325 BILASPUR (CHHATTISGARH)
MARWAHI Govt MS, KARGIKALA (SSA) 22071403703
11326 BILASPUR (CHHATTISGARH)
MARWAHI Govt PS BUNDELITOLA (SSA) 22071403704
11327 BILASPUR (CHHATTISGARH)
MARWAHI Govt PS BHUKBHUKA (SSA) 22071403705
11328 BILASPUR (CHHATTISGARH)
MARWAHI T.W. P.S. MAGURDA 22071403801
11329 BILASPUR (CHHATTISGARH)
MARWAHI Govt PS, PATERATOLA (SSA) 22071403803
11330 BILASPUR (CHHATTISGARH)
MARWAHI Govt MS, MAGURDA (SSA) 22071403804
11331 BILASPUR (CHHATTISGARH)
MARWAHI Govt MS BHUKBHUKA (SSA) 22071403805
11332 BILASPUR (CHHATTISGARH)
MARWAHI GOVT PS KHALHETOLA BAGADI (SSA) 22071403806
11333 BILASPUR (CHHATTISGARH)
MARWAHI P.S. MANOURA 22071403901
11334 BILASPUR (CHHATTISGARH)
MARWAHI KANI.P.S. JALDA TOLA 22071403902
11335 BILASPUR (CHHATTISGARH)
MARWAHI Govt PS, KUDRITOLA (SSA) 22071403903
11336 BILASPUR (CHHATTISGARH)
MARWAHI Govt PS BADKATOLA (SSA) 22071403904
11337 BILASPUR (CHHATTISGARH)
MARWAHI Govt MS, MANOURA (SSA) 22071403905
11338 BILASPUR (CHHATTISGARH)
MARWAHI P.S . DHANOURA 22071404001
11339 BILASPUR (CHHATTISGARH)
MARWAHI GOVT PS KHARRATOLA 22071404002
11340 BILASPUR (CHHATTISGARH)
MARWAHI Govt PS, KERHATOLA (SSA) 22071404003
11341 BILASPUR (CHHATTISGARH)
MARWAHI Govt PS KERHATOLA DHANOURA (SSA0 22071404006
11342 BILASPUR (CHHATTISGARH)
MARWAHI GOVT MS DHANOURA (SSA) 22071404007
11343 BILASPUR (CHHATTISGARH)
MARWAHI P.S. LOHARI 22071404101
11344 BILASPUR (CHHATTISGARH)
MARWAHI Govt PS HARIJAN MOHALLA NAVATOLA, LOHARI (SSA) 22071404102
11345 BILASPUR (CHHATTISGARH)
MARWAHI P.S. NAVA TOLA 22071404103
11346 BILASPUR (CHHATTISGARH)
MARWAHI P.S. GRILS LOHARI 22071404104
11347 BILASPUR (CHHATTISGARH)
MARWAHI M.S. GOVT. LOHARI 22071404105
11348 BILASPUR (CHHATTISGARH)
MARWAHI Govt MS GIRLS, LOHARI (SSA) 22071404106
11349 BILASPUR (CHHATTISGARH)
MARWAHI GIRLS P.S. PARASI 22071404203
11350 BILASPUR (CHHATTISGARH)
MARWAHI P.S. MOHAR TOLA 22071404204
11351 BILASPUR (CHHATTISGARH)
MARWAHI MS GOVT.BOYS, PARASI 22071404206
11352 BILASPUR (CHHATTISGARH)
MARWAHI PS BOYS, PARASI 22071404207
11353 BILASPUR (CHHATTISGARH)
MARWAHI GOVT MS GIRLS PARASI 22071404209
11354 BILASPUR (CHHATTISGARH)
MARWAHI P.S. BOYS. BHARRI DAND 22071404301
11355 BILASPUR (CHHATTISGARH)
MARWAHI NPEGEL, PS GIRLS, BHARRI DAND 22071404302
11356 BILASPUR (CHHATTISGARH)
MARWAHI MS GOVT, BHARRIDAND 22071404304
11357 BILASPUR (CHHATTISGARH)
MARWAHI P.S. BHARRA TOLA 22071404306
11358 BILASPUR (CHHATTISGARH)
MARWAHI Govt MS GIRLS,BHARRIDAND (SSA) 22071404309
11359 BILASPUR (CHHATTISGARH)
MARWAHI P.S. BARGAVA 22071404401
11360 BILASPUR (CHHATTISGARH)
MARWAHI T.W.P.S.GRLS DHITORA 22071404403
11361 BILASPUR (CHHATTISGARH)
MARWAHI KANI.P.S. BHAVNA TOLA 22071404404
11362 BILASPUR (CHHATTISGARH)
MARWAHI Govt PS, LALMATIYATOLA (SSA) 22071404406
11363 BILASPUR (CHHATTISGARH)
MARWAHI MS, BARGAVA 22071404407
11364 BILASPUR (CHHATTISGARH)
MARWAHI P.S. BAGHARRA 22071404501
11365 BILASPUR (CHHATTISGARH)
MARWAHI P.S. DEVARI DNAD 22071404601
11366 BILASPUR (CHHATTISGARH)
MARWAHI Govt MS, DEVARIDAND (SSA) 22071404602
11367 BILASPUR (CHHATTISGARH)
MARWAHI P.S. MADHAIYA TOLA 22071404704
11368 BILASPUR (CHHATTISGARH)
MARWAHI GOVT P.S. DONGRA TOLA 22071404705
11369 BILASPUR (CHHATTISGARH)
MARWAHI GOVT P.S. MOHARI TOLA 22071404706
11370 BILASPUR (CHHATTISGARH)
MARWAHI MS GOVT, AMERATIKRA 22071404707
11371 BILASPUR (CHHATTISGARH)
MARWAHI JAN PS, AMERA TIKARA 22071404708
11372 BILASPUR (CHHATTISGARH)
MARWAHI PS, CHAMRANTOLA, AMERATIKARA 22071404709
11373 BILASPUR (CHHATTISGARH)
MARWAHI P.S. SACHARA TOLA 22071404801
11374 BILASPUR (CHHATTISGARH)
MARWAHI PS GOVT, KHALOLIHA TOLA 22071404802
11375 BILASPUR (CHHATTISGARH)
MARWAHI Govt MS, SACHARA TOLA (SSA) 22071404803
11376 BILASPUR (CHHATTISGARH)
MARWAHI GOVT P.S. SALHE KOTA 22071404901
11377 BILASPUR (CHHATTISGARH)
MARWAHI GOVT KANI.P.S. BADKA TOLA 22071404902
11378 BILASPUR (CHHATTISGARH)
MARWAHI GOVT P.S. MANJHE TOLA 22071404903
11379 BILASPUR (CHHATTISGARH)
MARWAHI GOVT MS TRIBAL, SALHEKOTA 22071404904
11380 BILASPUR (CHHATTISGARH)
MARWAHI GOVT PS, NEMTIKRA (SSA) 22071404905
11381 BILASPUR (CHHATTISGARH)
MARWAHI GOVT EGS TO PS, DONGARITOLA 22071404906
11382 BILASPUR (CHHATTISGARH)
MARWAHI BAPA P.S. RATGA 22071405101
11383 BILASPUR (CHHATTISGARH)
MARWAHI T.W.P.S. RATGA 22071405102
11384 BILASPUR (CHHATTISGARH)
MARWAHI MS GOVT, RATGA 22071405103
11385 BILASPUR (CHHATTISGARH)
MARWAHI EGS TO PS, CHHEVRAJPARA 22071405104
11386 BILASPUR (CHHATTISGARH)
MARWAHI GOVT PS CHHINDITOLA RATGA 22071405105
11387 BILASPUR (CHHATTISGARH)
MARWAHI EGS TO PS, MIRHINAR 22071405106
11388 BILASPUR (CHHATTISGARH)
MARWAHI P.S. RAJA DIH 22071405201
11389 BILASPUR (CHHATTISGARH)
MARWAHI P.S. KHURPA 22071405301
11390 BILASPUR (CHHATTISGARH)
MARWAHI EGS TO PS, CHHINDITOLA 22071405302
11391 BILASPUR (CHHATTISGARH)
MARWAHI MS GOVT, KHURPA 22071405304
11392 BILASPUR (CHHATTISGARH)
MARWAHI P.S. BANDHOURI 22071405401
11393 BILASPUR (CHHATTISGARH)
MARWAHI MS GOVT, BANDHOURI 22071405402
11394 BILASPUR (CHHATTISGARH)
MARWAHI PS. KANI. JUVA TAL 22071405502
11395 BILASPUR (CHHATTISGARH)
MARWAHI P.S. DHANPUR 22071405601
11396 BILASPUR (CHHATTISGARH)
MARWAHI P.S.T.W.CHITVAHI TOLA 22071405602
11397 BILASPUR (CHHATTISGARH)
MARWAHI P.S. NAROUR 22071405701
11398 BILASPUR (CHHATTISGARH)
MARWAHI P.S. BANJI TENDU 22071405702
11399 BILASPUR (CHHATTISGARH)
MARWAHI MS GOVT, NAROUR 22071405703
11400 BILASPUR (CHHATTISGARH)
MARWAHI P.S. BOYS DHOBHAR 22071405801
11401 BILASPUR (CHHATTISGARH)
MARWAHI P.S. T.W.D. GIRLS DHOBHAR 22071405802
11402 BILASPUR (CHHATTISGARH)
MARWAHI T.W.P.S. SEMARHA TOLA 22071405803
11403 BILASPUR (CHHATTISGARH)
MARWAHI MS GIRLS, DHOBHAR 22071405805
11404 BILASPUR (CHHATTISGARH)
MARWAHI MS BOYS GOVT, DHOBHAR 22071405806
11405 BILASPUR (CHHATTISGARH)
MARWAHI BAPA P.S. DARMOHALI 22071405901
11406 BILASPUR (CHHATTISGARH)
MARWAHI EGS TO PS, SADAKTOLA 22071405902
11407 BILASPUR (CHHATTISGARH)
MARWAHI EGS TO PS, BARTOLA 22071405903
11408 BILASPUR (CHHATTISGARH)
MARWAHI EGS TO PS, TANGIYATOLA 22071405904
11409 BILASPUR (CHHATTISGARH)
MARWAHI NPEGEL, PS GOVT, BARTOLA 22071406002
11410 BILASPUR (CHHATTISGARH)
MARWAHI T.W. P.S. KARSIVA 22071406101
11411 BILASPUR (CHHATTISGARH)
MARWAHI P.S. CHUVA BAHARA 22071406102
11412 BILASPUR (CHHATTISGARH)
MARWAHI KANI.P.S. MAINAN TOLA 22071406103
11413 BILASPUR (CHHATTISGARH)
MARWAHI MS GOVT, KARSIVA 22071406104
11414 BILASPUR (CHHATTISGARH)
MARWAHI EGS TO PS, THADPATHRA 22071406105
11415 BILASPUR (CHHATTISGARH)
MARWAHI PS GOVT, SILPAHARI 22071406201
11416 BILASPUR (CHHATTISGARH)
MARWAHI MS TRIBAL, SILPAHRI 22071406202
11417 BILASPUR (CHHATTISGARH)
MARWAHI EGS TO PS, BALBAHARA 22071406203
11418 BILASPUR (CHHATTISGARH)
MARWAHI EGS TO PS, MAALTOLA 22071406204
11419 BILASPUR (CHHATTISGARH)
MARWAHI P.S. MASURI KHAR 22071406301
11420 BILASPUR (CHHATTISGARH)
MARWAHI UP MS, SURANGTOLA 22071406302
11421 BILASPUR (CHHATTISGARH)
MARWAHI P.S. KODWAHI 22071406401
11422 BILASPUR (CHHATTISGARH)
MARWAHI EGS TO PS, BADERA BAHRA 22071406402
11423 BILASPUR (CHHATTISGARH)
MARWAHI T.W.P.S. GHURDEVA PARA 22071406502
11424 BILASPUR (CHHATTISGARH)
MARWAHI PS TO MS,NAGWAHI 22071406503
11425 BILASPUR (CHHATTISGARH)
MARWAHI PS GOVT, NAGVAHI 22071406504
11426 BILASPUR (CHHATTISGARH)
MARWAHI T.W.P.S. GUDUM DEVARI 22071406601
11427 BILASPUR (CHHATTISGARH)
MARWAHI P.S.SURANG TOLA 22071406602
11428 BILASPUR (CHHATTISGARH)
MARWAHI MS TRIBAL, GUDUM DEVARI 22071406603
11429 BILASPUR (CHHATTISGARH)
MARWAHI EGS TO PS, MANDIRTOLA 22071406604
11430 BILASPUR (CHHATTISGARH)
MARWAHI NPEGEL, PS GIRLS, RUMGA 22071406702
11431 BILASPUR (CHHATTISGARH)
MARWAHI MS GOVT, RUMGA 22071406703
11432 BILASPUR (CHHATTISGARH)
MARWAHI PS BOYS JANPAD, RUMGA 22071406704
11433 BILASPUR (CHHATTISGARH)
MARWAHI EGS TO PS, MASULDAND 22071406705
11434 BILASPUR (CHHATTISGARH)
MARWAHI EGS TO PS, KACHHARPARA 22071406706
11435 BILASPUR (CHHATTISGARH)
MARWAHI T.W.P.S. MATIYA DAND 22071406801
11436 BILASPUR (CHHATTISGARH)
MARWAHI EGS TO PS, KORCHANPARA 22071406802
11437 BILASPUR (CHHATTISGARH)
MARWAHI UP MS, MATIYADAND 22071406803
11438 BILASPUR (CHHATTISGARH)
MARWAHI P.S. TWD, KOLBIRA 22071406901
11439 BILASPUR (CHHATTISGARH)
MARWAHI P.S. PATHARRA 22071407001
11440 BILASPUR (CHHATTISGARH)
MARWAHI EGS TO PS, KHERVATOLA 22071407002
11441 BILASPUR (CHHATTISGARH)
MARWAHI PS TO MS, PATHARRA 22071407003
11442 BILASPUR (CHHATTISGARH)
MARWAHI PS JANPAD, MADAI 22071407102
11443 BILASPUR (CHHATTISGARH)
MARWAHI EGS TO PS, SHAKTITOLA 22071407103
11444 BILASPUR (CHHATTISGARH)
MARWAHI EGS TO PS, BACHHAPARA 22071407104
11445 BILASPUR (CHHATTISGARH)
MARWAHI PS TO MS, MADAI 22071407105
11446 BILASPUR (CHHATTISGARH)
MARWAHI P.S. SEKHAVA 22071407201
11447 BILASPUR (CHHATTISGARH)
MARWAHI NAVIN PS PATERA TOLA 22071407202
11448 BILASPUR (CHHATTISGARH)
MARWAHI EGS TO PS, INDRA AWAS 22071407203
11449 BILASPUR (CHHATTISGARH)
MARWAHI NPEGEL, PS GOVT, MEDHUKA 22071407301
11450 BILASPUR (CHHATTISGARH)
MARWAHI P.S. GUDDI TOLA 22071407302
11451 BILASPUR (CHHATTISGARH)
MARWAHI MS TRIBAL, MEDUKA 22071407303
11452 BILASPUR (CHHATTISGARH)
MARWAHI EGS TO PS, KHALHETOLA 22071407304
11453 BILASPUR (CHHATTISGARH)
MARWAHI P.S. KOTKHARRA 22071407401
11454 BILASPUR (CHHATTISGARH)
MARWAHI MS GOVT, KOTKHARRA 22071407402
11455 BILASPUR (CHHATTISGARH)
MARWAHI P.S. LAKHAN VAHI 22071407501
11456 BILASPUR (CHHATTISGARH)
MARWAHI P.S. KHANTA 22071407601
11457 BILASPUR (CHHATTISGARH)
MARWAHI P.S. BARVASAN 22071407701
11458 BILASPUR (CHHATTISGARH)
MARWAHI KANI.P.S. MANJHE TOLA 22071407702
11459 BILASPUR (CHHATTISGARH)
MARWAHI EGS TO PS, UGANPARA 22071407703
11460 BILASPUR (CHHATTISGARH)
MARWAHI UP MS, BARVASAN 22071407704
11461 BILASPUR (CHHATTISGARH)
MARWAHI P.S. PADKHURI 22071407801
11462 BILASPUR (CHHATTISGARH)
MARWAHI EGS TO PS, KHARRATOLA 22071407802
11463 BILASPUR (CHHATTISGARH)
MARWAHI EGS TO PS, BARVASANTOLA 22071407803
11464 BILASPUR (CHHATTISGARH)
MARWAHI UP MS, PADKHURI 22071407804
11465 BILASPUR (CHHATTISGARH)
MARWAHI P.S. KHAIR JHITI 22071407901
11466 BILASPUR (CHHATTISGARH)
MARWAHI UP MS, KHAIRJHITI 22071407902
11467 BILASPUR (CHHATTISGARH)
MARWAHI P.S. BHASKURA 22071408001
11468 BILASPUR (CHHATTISGARH)
MARWAHI MS TRIBAL, BHASKURA 22071408002
11469 BILASPUR (CHHATTISGARH)
MARWAHI P.S. DARRI 22071408101
11470 BILASPUR (CHHATTISGARH)
MARWAHI T.W.P.S. CHIKANI TOLA 22071408103
11471 BILASPUR (CHHATTISGARH)
MARWAHI P.S. GUMMA TOLA 22071408104
11472 BILASPUR (CHHATTISGARH)
MARWAHI EGS TO PS, BARTOLA 22071408105
11473 BILASPUR (CHHATTISGARH)
MARWAHI UP MS, DARRI 22071408106
11474 BILASPUR (CHHATTISGARH)
MARWAHI SSA PS NEW BHURSATOLA 22071408107
11475 BILASPUR (CHHATTISGARH)
MARWAHI T.W.P.S. TOLI 22071408201
11476 BILASPUR (CHHATTISGARH)
MARWAHI T.W.P.S. PIPARIYA 22071408301
11477 BILASPUR (CHHATTISGARH)
MARWAHI MS TRIBAL, PIPARIYA 22071408302
11478 BILASPUR (CHHATTISGARH)
MARWAHI EGS TO PS, KHAMHETOLA 22071408303
11479 BILASPUR (CHHATTISGARH)
MARWAHI P.S. BOYS CHANGERI 22071408401
11480 BILASPUR (CHHATTISGARH)
MARWAHI GOVT. P.S. JUNHA TOLA 22071408402
11481 BILASPUR (CHHATTISGARH)
MARWAHI NPEGEL, PS GIRLS, CHANGERI 22071408403
11482 BILASPUR (CHHATTISGARH)
MARWAHI MS GOVT, CHANGERI 22071408404
11483 BILASPUR (CHHATTISGARH)
MARWAHI P.S. PONDI 22071408501
11484 BILASPUR (CHHATTISGARH)
MARWAHI MS GOVT, PONDI 22071408502
11485 BILASPUR (CHHATTISGARH)
MARWAHI EGS TO PS, KANHARTOLA 22071408503
11486 BILASPUR (CHHATTISGARH)
MARWAHI P.S. ENTHI 22071408601
11487 BILASPUR (CHHATTISGARH)
MARWAHI MS GOVT, EINTHI 22071408602
11488 BILASPUR (CHHATTISGARH)
MARWAHI P.S. JP. BELJHIRIYA 22071408701
11489 BILASPUR (CHHATTISGARH)
MARWAHI T.W.BOYS ASHRAM BELJHIRIYA 22071408702
11490 BILASPUR (CHHATTISGARH)
MARWAHI T.W. P.S. G.BELJHIRIYA(ASHRAM) 22071408703
11491 BILASPUR (CHHATTISGARH)
MARWAHI KANI. P.S. DIHAI TOLA 22071408704
11492 BILASPUR (CHHATTISGARH)
MARWAHI P.S. KANS BAHARA 22071408705
11493 BILASPUR (CHHATTISGARH)
MARWAHI T.W. GIRLS P.S. DONGARA TOLA 22071408706
11494 BILASPUR (CHHATTISGARH)
MARWAHI MS TRIBAL, BELJHIRIYA 22071408707
11495 BILASPUR (CHHATTISGARH)
MARWAHI EGS TO PS, NEEMTOLA 22071408708
11496 BILASPUR (CHHATTISGARH)
MARWAHI EGS TO PS, FAATPANI 22071408709
11497 BILASPUR (CHHATTISGARH)
MARWAHI UP MS, KANSBAHRA 22071408710
11498 BILASPUR (CHHATTISGARH)
MARWAHI UP MS, TURIJHIRIYA, BELJHIRIYA 22071408711
11499 BILASPUR (CHHATTISGARH)
MARWAHI P.S.USAD 22071408801
11500 BILASPUR (CHHATTISGARH)
MARWAHI NPEGEL, PS GIRLS, USAD 22071408802
11501 BILASPUR (CHHATTISGARH)
MARWAHI T.W.GIRLS KANI.DONGARA TOLA 22071408803
11502 BILASPUR (CHHATTISGARH)
MARWAHI T.W.P.S. MUSADI TOLA 22071408804
11503 BILASPUR (CHHATTISGARH)
MARWAHI MS BOYS, GOVT, USAD 22071408805
11504 BILASPUR (CHHATTISGARH)
MARWAHI MS GIRLS TRIBAL, USAD 22071408806
11505 BILASPUR (CHHATTISGARH)
MARWAHI EGS TO PS, KHUDITOLA 22071408807
11506 BILASPUR (CHHATTISGARH)
MARWAHI EGS TO PS, CHUHKATOLA 22071408808
11507 BILASPUR (CHHATTISGARH)
MARWAHI EGS TO PS, CHHATAPARPAT 22071408810
11508 BILASPUR (CHHATTISGARH)
MARWAHI EGS TO PS, KHARKATOLA 22071408811
11509 BILASPUR (CHHATTISGARH)
MARWAHI PS,TWD,MAINTOLA 22071408812
11510 BILASPUR (CHHATTISGARH)
MARWAHI EGS TO PS,PEEPARDAND 22071408813
11511 BILASPUR (CHHATTISGARH)
MARWAHI UP PS, NAYATOLA, USAD 22071408814
11512 BILASPUR (CHHATTISGARH)
MARWAHI GOVT. P.S. JP. KATRA 22071408901
11513 BILASPUR (CHHATTISGARH)
MARWAHI P.S.GIRLS KATRA 22071408902
11514 BILASPUR (CHHATTISGARH)
MARWAHI P.S.DHAPNI PANI 22071408903
11515 BILASPUR (CHHATTISGARH)
MARWAHI GOTV. PS. DARRI TOLA 22071408904
11516 BILASPUR (CHHATTISGARH)
MARWAHI MS TRIBAL, KATRA 22071408905
11517 BILASPUR (CHHATTISGARH)
MARWAHI EGS TO PS, DHANUHARITOLA 22071408906
11518 BILASPUR (CHHATTISGARH)
MARWAHI EGS TO PS, GABARKHOJ 22071408907
11519 BILASPUR (CHHATTISGARH)
MARWAHI EGS TO PS, TOORICHHIRIYA 22071408908
11520 BILASPUR (CHHATTISGARH)
MARWAHI EGS TO PS, SAKDATOLA 22071408909
11521 BILASPUR (CHHATTISGARH)
MARWAHI UP MS, DARRITOLA, KATRA 22071408910
11522 BILASPUR (CHHATTISGARH)
MARWAHI UP MS, DHAPNIPANI, KATRA 22071408911
11523 BILASPUR (CHHATTISGARH)
MARWAHI UP MS, GAVERKHOJ 22071408912
11524 BILASPUR (CHHATTISGARH)
MARWAHI SSA PS NEW GADADHILAN KATRA 22071408913
11525 BILASPUR (CHHATTISGARH)
MARWAHI P.S. MAHORA 22071409101
11526 BILASPUR (CHHATTISGARH)
MARWAHI EGS TO PS, KHAMHARIYATOLA 22071409103
11527 BILASPUR (CHHATTISGARH)
MARWAHI PS TO MS, MAHORA 22071409104
11528 BILASPUR (CHHATTISGARH)
MARWAHI P.S. LATKONI KHURD 22071409201
11529 BILASPUR (CHHATTISGARH)
MARWAHI EGS TO PS, KORKOTTOLA 22071409202
11530 BILASPUR (CHHATTISGARH)
MARWAHI PS TO MS, LATKONIKHURD 22071409203
11531 BILASPUR (CHHATTISGARH)
MARWAHI PS JANPAD, MAJHGAVA 22071409302
11532 BILASPUR (CHHATTISGARH)
MARWAHI P.S. DONGARIYA 22071409401
11533 BILASPUR (CHHATTISGARH)
MARWAHI P.S.ARMAN TOLA 22071409402
11534 BILASPUR (CHHATTISGARH)
MARWAHI MS GOVT, DONGARIYA 22071409403
11535 BILASPUR (CHHATTISGARH)
MARWAHI EGS TO PS,KOLNANTOLA 22071409404
11536 BILASPUR (CHHATTISGARH)
MARWAHI GOVT MS MODEL SCHOOL DONGARIYA 22071409405
11537 BILASPUR (CHHATTISGARH)
MARWAHI P.S. BAGADI 22071409501
11538 BILASPUR (CHHATTISGARH)
MARWAHI P.S. KANAI TOLA 22071409502
11539 BILASPUR (CHHATTISGARH)
MARWAHI PS TO MS, BAGADI 22071409503
11540 BILASPUR (CHHATTISGARH)
MARWAHI P.S.DUMAR KHETA 22071409601
11541 BILASPUR (CHHATTISGARH)
MARWAHI P.S. BAHARI JHORKI 22071409701
11542 BILASPUR (CHHATTISGARH)
MARWAHI T.W.P.S. TIKATHI 22071409801
11543 BILASPUR (CHHATTISGARH)
MARWAHI EGS TO PS, KACHHRATOLA 22071409802
11544 BILASPUR (CHHATTISGARH)
MARWAHI UP MS, TIKATHI 22071409803
11545 BILASPUR (CHHATTISGARH)
MARWAHI EGS TO PS, CHHALKATOLA 22071409901
11546 BILASPUR (CHHATTISGARH)
MARWAHI PS GOVT, DADIYA 22071409902
11547 BILASPUR (CHHATTISGARH)
MARWAHI GOVT MS, DADIYA (SSA) 22071409903
11548 BILASPUR (CHHATTISGARH)
MARWAHI PS,TWD, CHINGITOLA 22071410401
11549 BILASPUR (CHHATTISGARH)
MARWAHI EGS TO PS, HARIJAN MOHALLA 22071410502
11550 BILASPUR (CHHATTISGARH)
MARWAHI NPEGEL, PS GOVT, ANDI 22071410503
11551 BILASPUR (CHHATTISGARH)
MARWAHI MS,TWD,ANDI 22071410504
11552 BILASPUR (CHHATTISGARH)
MARWAHI GOVT PS, TWD, BHARRATOLA 22071410601
11553 BILASPUR (CHHATTISGARH)
MARWAHI UP MS, BHARRATOLA 22071410602
11554 BILASPUR (CHHATTISGARH)
MARWAHI EGS TO PS, CHAKADAND 22071410903
11555 BILASPUR (CHHATTISGARH)
MARWAHI EGS TO PS, DHOURATHI 22071411301
11556 BILASPUR (CHHATTISGARH)
MASTURI GOVT PS KOHARAODA 22071500101
11557 BILASPUR (CHHATTISGARH)
MASTURI GOVT. P.S. GIRLS KHAMHARIYA 22071500201
11558 BILASPUR (CHHATTISGARH)
MASTURI GOVT. P.S. BOYS KHAMHARIYA 22071500202
11559 BILASPUR (CHHATTISGARH)
MASTURI GOVT. MS KHAMHARIYA 22071500203
11560 BILASPUR (CHHATTISGARH)
MASTURI EGS TO PS, BHATHAPARA 22071500204
11561 BILASPUR (CHHATTISGARH)
MASTURI GOVT MS ,SHE.A.J.,BHATHAPARA 22071500205
11562 BILASPUR (CHHATTISGARH)
MASTURI JP.BOYS. MASTURI 22071500303
11563 BILASPUR (CHHATTISGARH)
MASTURI NPEGEL,PS GOVT, PHODIPALI 22071500304
11564 BILASPUR (CHHATTISGARH)
MASTURI GOVT., PS. KANI. MAHI MAND 22071500305
11565 BILASPUR (CHHATTISGARH)
MASTURI GOVT. PS. SHIV TIKARI 22071500307
11566 BILASPUR (CHHATTISGARH)
MASTURI NPEGEL, PS GOVT, GOPIYA PARA 22071500308
11567 BILASPUR (CHHATTISGARH)
MASTURI GOVT GIRLS PS. MASTURI 22071500314
11568 BILASPUR (CHHATTISGARH)
MASTURI GOVT NAVIN PS. SCH. BHADRA PARA 22071500317
11569 BILASPUR (CHHATTISGARH)
MASTURI GOVT MS BOYS , MASTURI 22071500319
11570 BILASPUR (CHHATTISGARH)
MASTURI GOVT MS GIRLS , MASTURI 22071500320
11571 BILASPUR (CHHATTISGARH)
MASTURI EGS TO PS, INDIRA AWAS 22071500324
11572 BILASPUR (CHHATTISGARH)
MASTURI GOVT MS. SHIVTIKARI (SSA) 22071500325
11573 BILASPUR (CHHATTISGARH)
MASTURI GOVT. PS. NETA NAGAR MASTURI (SSA) 22071500326
11574 BILASPUR (CHHATTISGARH)
MASTURI GOVT. P.S. MUKUND PUR 22071500401
11575 BILASPUR (CHHATTISGARH)
MASTURI GOVT UPS, MUKUNDPUR 22071500402
11576 BILASPUR (CHHATTISGARH)
MASTURI GOVT. P.S. MATIYA 22071500501
11577 BILASPUR (CHHATTISGARH)
MASTURI GOVT MS, MATIYA 22071500502
11578 BILASPUR (CHHATTISGARH)
MASTURI PS. DHANIYA 22071500602
11579 BILASPUR (CHHATTISGARH)
MASTURI MS GOVT, DHANIYA 22071500603
11580 BILASPUR (CHHATTISGARH)
MASTURI GOVT. PS VISHRAMPUR 22071500606
11581 BILASPUR (CHHATTISGARH)
MASTURI GOVT. GIRLS KANI.P.S.DHRUVAKAR 22071500701
11582 BILASPUR (CHHATTISGARH)
MASTURI GOVT NPEGEL, PS , DHRUVA KARI 22071500702
11583 BILASPUR (CHHATTISGARH)
MASTURI MS GOVT, DHRUVAKARI 22071500703
11584 BILASPUR (CHHATTISGARH)
MASTURI GOVT. PS JANJI (EDU) 22071500801
11585 BILASPUR (CHHATTISGARH)
MASTURI GOVT. GIRLS. PS. JANJI 22071500803
11586 BILASPUR (CHHATTISGARH)
MASTURI GOVT MS, JANJI 22071500804
11587 BILASPUR (CHHATTISGARH)
MASTURI GOVT NPEGEL, PS MACHKHANDA 22071500901
11588 BILASPUR (CHHATTISGARH)
MASTURI EGS TO PS, DHANUHARPARA 22071500902
11589 BILASPUR (CHHATTISGARH)
MASTURI GOVT. P.S. KEMA DIH 22071501001
11590 BILASPUR (CHHATTISGARH)
MASTURI GOVT. P.S. MOHATARA 22071501101
11591 BILASPUR (CHHATTISGARH)
MASTURI GOVT JP PS AMGAON 22071501201
11592 BILASPUR (CHHATTISGARH)
MASTURI GOVT. P.S. AKOLA 22071501301
11593 BILASPUR (CHHATTISGARH)
MASTURI GOVT. P.S. KOSAM DIH 22071501401
11594 BILASPUR (CHHATTISGARH)
MASTURI GOVT MS KOSAMDIH 22071501402
11595 BILASPUR (CHHATTISGARH)
MASTURI GOVT PS KONI (EDU) 22071501501
11596 BILASPUR (CHHATTISGARH)
MASTURI GOVT PS. ANKDIH (EDU) 22071501502
11597 BILASPUR (CHHATTISGARH)
MASTURI GOVT MS KONI (EDU) 22071501504
11598 BILASPUR (CHHATTISGARH)
MASTURI GOVT. PS KARRA(LIMTARA) (EDU) 22071501601
11599 BILASPUR (CHHATTISGARH)
MASTURI GOVT PS. DAIHAN PARA (EDU) 22071501602
11600 BILASPUR (CHHATTISGARH)
MASTURI GOVT.MS KARRA 22071501603
11601 BILASPUR (CHHATTISGARH)
MASTURI GOVT PS KATAHA 22071501701
11602 BILASPUR (CHHATTISGARH)
MASTURI GOVT UPS, KATAHA 22071501702
11603 BILASPUR (CHHATTISGARH)
MASTURI GOVT. P.S. KEVTA DIH (TANGAR) 22071501801
11604 BILASPUR (CHHATTISGARH)
MASTURI GOVT PS TO MS, KEVTADIH,TANGAR 22071501802
11605 BILASPUR (CHHATTISGARH)
MASTURI GOVT JP PS KEVTA DIH (BHUTHA) 22071501901
11606 BILASPUR (CHHATTISGARH)
MASTURI GOVT UP UPS, KEVTADIH (BHUTAHA) 22071501902
11607 BILASPUR (CHHATTISGARH)
MASTURI GOVT. GIRLS P.S. KIRARI 22071502001
11608 BILASPUR (CHHATTISGARH)
MASTURI GOVT. PS. KIRARI 22071502002
11609 BILASPUR (CHHATTISGARH)
MASTURI GOVT JP. PS. KIRARI 22071502003
11610 BILASPUR (CHHATTISGARH)
MASTURI GOVT MS, KIRARI 22071502004
11611 BILASPUR (CHHATTISGARH)
MASTURI GOVT NEW PS, BAKLIBHATHA 22071502005
11612 BILASPUR (CHHATTISGARH)
MASTURI GOVT P.S. KUVA TAL 22071502101
11613 BILASPUR (CHHATTISGARH)
MASTURI GOVT MS KOUVANTAL 22071502103
11614 BILASPUR (CHHATTISGARH)
MASTURI GOVT.P.S.GIRLS LOHARSI SON 22071502201
11615 BILASPUR (CHHATTISGARH)
MASTURI GOVT JP.BOYS LORHARSI SON(SON) 22071502202
11616 BILASPUR (CHHATTISGARH)
MASTURI GOVT NAVIN PS. BHATHA PARA LOHARSI 22071502203
11617 BILASPUR (CHHATTISGARH)
MASTURI GOVT MS GIRLS, LOHARSI SON 22071502205
11618 BILASPUR (CHHATTISGARH)
MASTURI GOVT MS BOYS, LOHARSISON 22071502206
11619 BILASPUR (CHHATTISGARH)
MASTURI EGS TO PS, NAIYAPARA 22071502207
11620 BILASPUR (CHHATTISGARH)
MASTURI EGS TO PS, SABARIYADERA 22071502208
11621 BILASPUR (CHHATTISGARH)
MASTURI GOVT P.S. LAVAR 22071502301
11622 BILASPUR (CHHATTISGARH)
MASTURI GOVT PS. BHOTHI DIH 22071502302
11623 BILASPUR (CHHATTISGARH)
MASTURI GOVT MS , LAVAR 22071502303
11624 BILASPUR (CHHATTISGARH)
MASTURI GOVT. GIRLS PS LIMTARA (EDU) 22071502401
11625 BILASPUR (CHHATTISGARH)
MASTURI GOVT BOYS PS. LIMTARA (EDU) 22071502402
11626 BILASPUR (CHHATTISGARH)
MASTURI GOVT BOYS MS LIMTARA (EDU) 22071502403
11627 BILASPUR (CHHATTISGARH)
MASTURI GOVT GIRLS MS LIMTARA (EDU) 22071502404
11628 BILASPUR (CHHATTISGARH)
MASTURI GOVT. PS. PAHARIPARA LIMATARA (SSA) 22071502406
11629 BILASPUR (CHHATTISGARH)
MASTURI GIRLS P.S. DARRI GHAT 22071502501
11630 BILASPUR (CHHATTISGARH)
MASTURI JP. PS. DARRI GHAT 22071502502
11631 BILASPUR (CHHATTISGARH)
MASTURI GOVT MS, DARRIGHAT 22071502504
11632 BILASPUR (CHHATTISGARH)
MASTURI GOVT MS GIRLS DARRIGHAT 22071502507
11633 BILASPUR (CHHATTISGARH)
MASTURI GOVT. P.S. DALDALI 22071502601
11634 BILASPUR (CHHATTISGARH)
MASTURI JP. P.S. DEV GAON 22071502701
11635 BILASPUR (CHHATTISGARH)
MASTURI GOVT MS, DEVGAON 22071502702
11636 BILASPUR (CHHATTISGARH)
MASTURI GOVT P.S. HARDI AMGAON 22071502801
11637 BILASPUR (CHHATTISGARH)
MASTURI JP.P.S DARRA BHATHA 22071502901
11638 BILASPUR (CHHATTISGARH)
MASTURI GOVT KANI. DARRA BHATHA 22071502902
11639 BILASPUR (CHHATTISGARH)
MASTURI GOVT MS, DARRABHATHA 22071502903
11640 BILASPUR (CHHATTISGARH)
MASTURI EGS TO PS, HARIJAN WARD 22071502904
11641 BILASPUR (CHHATTISGARH)
MASTURI GOVT. P.S. HARDA DIH 22071503001
11642 BILASPUR (CHHATTISGARH)
MASTURI GOVT. PS. HARDA DIH 22071503002
11643 BILASPUR (CHHATTISGARH)
MASTURI EGS TO PS, KUVANPARA 22071503003
11644 BILASPUR (CHHATTISGARH)
MASTURI GOVT PS. SCHOOL HARDA DIH 22071503004
11645 BILASPUR (CHHATTISGARH)
MASTURI GOVT MS HARDADIH 22071503008
11646 BILASPUR (CHHATTISGARH)
MASTURI GOVT. P.S. HARDI (PACHPEDI) 22071503101
11647 BILASPUR (CHHATTISGARH)
MASTURI GOVT P.S. JHALMALA 22071503201
11648 BILASPUR (CHHATTISGARH)
MASTURI GOVT MS JHALMALA 22071503203
11649 BILASPUR (CHHATTISGARH)
MASTURI GOVT. JP. P.S. TIKARI 22071503301
11650 BILASPUR (CHHATTISGARH)
MASTURI GOVT PS. GIRLS TIKARI 22071503302
11651 BILASPUR (CHHATTISGARH)
MASTURI GOVT MS, TIKARI 22071503304
11652 BILASPUR (CHHATTISGARH)
MASTURI EGS TO PS, BHATHAPARA 22071503305
11653 BILASPUR (CHHATTISGARH)
MASTURI GOVT. P.S. THARAKPUR 22071503401
11654 BILASPUR (CHHATTISGARH)
MASTURI EGS TO PS, TIKRIPARA 22071503402
11655 BILASPUR (CHHATTISGARH)
MASTURI GOVT MS, THARAKPUR 22071503403
11656 BILASPUR (CHHATTISGARH)
MASTURI JP.BOYS. P.S. ERAMSAHI 22071503501
11657 BILASPUR (CHHATTISGARH)
MASTURI GOVT. P.S GIRLS ERAM SAHI 22071503502
11658 BILASPUR (CHHATTISGARH)
MASTURI GOVT MS , ERAMSAHI 22071503504
11659 BILASPUR (CHHATTISGARH)
MASTURI GOVT MS GIRLS ERAMSAHI 22071503505
11660 BILASPUR (CHHATTISGARH)
MASTURI GOVT PS, ITVA 22071503601
11661 BILASPUR (CHHATTISGARH)
MASTURI GOVT MS, ITVA 22071503602
11662 BILASPUR (CHHATTISGARH)
MASTURI JP. P.S. MANVA 22071503701
11663 BILASPUR (CHHATTISGARH)
MASTURI GOVT. P.S. KEVAT PARA (MALHAR) 22071503801
11664 BILASPUR (CHHATTISGARH)
MASTURI JP PS. BOYS MALHAR 22071503804
11665 BILASPUR (CHHATTISGARH)
MASTURI BOYS ASHRAM MALHAR 22071503805
11666 BILASPUR (CHHATTISGARH)
MASTURI EGS TO PS, TIKRIPARA 22071503808
11667 BILASPUR (CHHATTISGARH)
MASTURI JANPAD MS, MALHAR 22071503809
11668 BILASPUR (CHHATTISGARH)
MASTURI GOVT PS VRINDAVAN, MALHAR 22071503811
11669 BILASPUR (CHHATTISGARH)
MASTURI GOVT MS GIRLS MALHAR 22071503812
11670 BILASPUR (CHHATTISGARH)
MASTURI GOVT. P.S. BUDHI KHAR 22071503901
11671 BILASPUR (CHHATTISGARH)
MASTURI GOVT MS, BUDHIKHAR 22071503902
11672 BILASPUR (CHHATTISGARH)
MASTURI GOVT. P.S. UDAY BAND 22071504001
11673 BILASPUR (CHHATTISGARH)
MASTURI JP. P.S. JAIT PUR 22071504101
11674 BILASPUR (CHHATTISGARH)
MASTURI GOVT MS , JAITPUR 22071504102
11675 BILASPUR (CHHATTISGARH)
MASTURI GOVT. P.S. BETRI 22071504201
11676 BILASPUR (CHHATTISGARH)
MASTURI GOVT. P.S. MUDPAR 22071504301
11677 BILASPUR (CHHATTISGARH)
MASTURI JP. PS MUDPAR 22071504302
11678 BILASPUR (CHHATTISGARH)
MASTURI GOVT MS, MUDPAR 22071504303
11679 BILASPUR (CHHATTISGARH)
MASTURI EGS TO PS, MOUVARPARA,MUDPAR 22071504304
11680 BILASPUR (CHHATTISGARH)
MASTURI GOVT P.S. MACHAHA 22071504401
11681 BILASPUR (CHHATTISGARH)
MASTURI GOVT MS MACHAHA 22071504402
11682 BILASPUR (CHHATTISGARH)
MASTURI JP. P.S. MANIKCHORI 22071504501
11683 BILASPUR (CHHATTISGARH)
MASTURI GOVT UPS, MANIKCHOURI 22071504503
11684 BILASPUR (CHHATTISGARH)
MASTURI GOVT PS. BHADAHA (SSA) 22071504504
11685 BILASPUR (CHHATTISGARH)
MASTURI GOVT P.S. ADRALI 22071504601
11686 BILASPUR (CHHATTISGARH)
MASTURI GOVT NPEGEL, PS , DODAKI 22071504701
11687 BILASPUR (CHHATTISGARH)
MASTURI GOVT P.S. DAGANIYA 22071504801
11688 BILASPUR (CHHATTISGARH)
MASTURI GOVT P.S. DOM GAON 22071504901
11689 BILASPUR (CHHATTISGARH)
MASTURI GOVT P.S. DHAN GAVA 22071505101
11690 BILASPUR (CHHATTISGARH)
MASTURI GOVT MS, DHANGAVA 22071505102
11691 BILASPUR (CHHATTISGARH)
MASTURI EGS TO PS, SHIVSAGAR MOHALLA 22071505103
11692 BILASPUR (CHHATTISGARH)
MASTURI JP PS RAHATATOR 22071505201
11693 BILASPUR (CHHATTISGARH)
MASTURI GOVT P.S. TENDUVA 22071505301
11694 BILASPUR (CHHATTISGARH)
MASTURI GOVT P.S. KHAIRVAR PARA 22071505401
11695 BILASPUR (CHHATTISGARH)
MASTURI GOVT. PS KHAJURI (EDU) 22071505501
11696 BILASPUR (CHHATTISGARH)
MASTURI GOVT P.S. PIPARANAR 22071505601
11697 BILASPUR (CHHATTISGARH)
MASTURI GOVT. P.S. KHAPARI(OKHAR) 22071505701
11698 BILASPUR (CHHATTISGARH)
MASTURI GOVT MS KHAPRI (OKHAR) 22071505702
11699 BILASPUR (CHHATTISGARH)
MASTURI JP. P.S. OKHAR 22071505801
11700 BILASPUR (CHHATTISGARH)
MASTURI GOVT. PS. OKHAR 22071505802
11701 BILASPUR (CHHATTISGARH)
MASTURI GOVT MS, OKHAR 22071505804
11702 BILASPUR (CHHATTISGARH)
MASTURI EGS TO PS, SAHU MOHALLA OKHAR 22071505805
11703 BILASPUR (CHHATTISGARH)
MASTURI GOVT. P.S. RAILHA 22071505901
11704 BILASPUR (CHHATTISGARH)
MASTURI GOVT MS, RALIYA 22071505903
11705 BILASPUR (CHHATTISGARH)
MASTURI GOVT.P.S. BASHA 22071506001
11706 BILASPUR (CHHATTISGARH)
MASTURI GOVT MS BASHA 22071506002
11707 BILASPUR (CHHATTISGARH)
MASTURI JP. P.S. UDANGI 22071506101
11708 BILASPUR (CHHATTISGARH)
MASTURI GOVT PS. UDANGI PARA 22071506102
11709 BILASPUR (CHHATTISGARH)
MASTURI GOVT. PS. KANI. DHOURA KONA 22071506103
11710 BILASPUR (CHHATTISGARH)
MASTURI GOVT MS, UDANGI 22071506104
11711 BILASPUR (CHHATTISGARH)
MASTURI GOVT. PS KANAI (EDU) 22071506201
11712 BILASPUR (CHHATTISGARH)
MASTURI GOVT. P..S. NAVA PARA 22071506301
11713 BILASPUR (CHHATTISGARH)
MASTURI GOVT. MS JEVARA (EDU) 22071506402
11714 BILASPUR (CHHATTISGARH)
MASTURI GOVT. PS PHUTAHAMUDA (EDU) 22071506403
11715 BILASPUR (CHHATTISGARH)
MASTURI GOVT PS, JEVRA 22071506405
11716 BILASPUR (CHHATTISGARH)
MASTURI GOVT P.S. MADAI 22071506501
11717 BILASPUR (CHHATTISGARH)
MASTURI GOVT MS, MADAI 22071506502
11718 BILASPUR (CHHATTISGARH)
MASTURI GOVT MS, LUTHARA 22071506703
11719 BILASPUR (CHHATTISGARH)
MASTURI GOVT PS LUTHARA 22071506708
11720 BILASPUR (CHHATTISGARH)
MASTURI GOVT P.S. KUNDARU NAR 22071506801
11721 BILASPUR (CHHATTISGARH)
MASTURI GOVT NPEGEL, PS , SONTHI 22071506802
11722 BILASPUR (CHHATTISGARH)
MASTURI GOVT MS, SOTHI 22071506803
11723 BILASPUR (CHHATTISGARH)
MASTURI GOVT P.S. UNI 22071506901
11724 BILASPUR (CHHATTISGARH)
MASTURI GOVT MS UNI 22071506902
11725 BILASPUR (CHHATTISGARH)
MASTURI GOVT P.S. VIDYA DIH 22071507001
11726 BILASPUR (CHHATTISGARH)
MASTURI GOVT P.S. KUTELA 22071507101
11727 BILASPUR (CHHATTISGARH)
MASTURI MS GOVT, KUTELA 22071507102
11728 BILASPUR (CHHATTISGARH)
MASTURI GOVT P.S. KOKADI 22071507201
11729 BILASPUR (CHHATTISGARH)
MASTURI MS GOVT, KOKADI 22071507202
11730 BILASPUR (CHHATTISGARH)
MASTURI GOVT P.S. KULI 22071507301
11731 BILASPUR (CHHATTISGARH)
MASTURI GOVT. MS. KULI (SSA) 22071507302
11732 BILASPUR (CHHATTISGARH)
MASTURI GOVT P.S.RISDA 22071507401
11733 BILASPUR (CHHATTISGARH)
MASTURI GOVT MS, RISDA 22071507402
11734 BILASPUR (CHHATTISGARH)
MASTURI EGS TO PS, MISSIONPARA 22071507403
11735 BILASPUR (CHHATTISGARH)
MASTURI GOVT PS. BOYS. PARSDAN VED 22071507502
11736 BILASPUR (CHHATTISGARH)
MASTURI MS GOVT. PARSADAVED 22071507504
11737 BILASPUR (CHHATTISGARH)
MASTURI EGS TO PS, BANDHVAPARA PARSADAVED 22071507505
11738 BILASPUR (CHHATTISGARH)
MASTURI GOVT MS GIRLS, PARSADAVED 22071507506
11739 BILASPUR (CHHATTISGARH)
MASTURI GOVT PS GIRLS, PARSADA VED 22071507507
11740 BILASPUR (CHHATTISGARH)
MASTURI GOVT. MODEL SCHOOL VED PARSADA 22071507509
11741 BILASPUR (CHHATTISGARH)
MASTURI GOVT P.S. CHAKAR BEDHA 22071507601
11742 BILASPUR (CHHATTISGARH)
MASTURI GOVT P.S. NAVA GAON(TIKARI) 22071507701
11743 BILASPUR (CHHATTISGARH)
MASTURI GOVT P.S. BHAGVAN PALI 22071507801
11744 BILASPUR (CHHATTISGARH)
MASTURI EGS TO PS, MADHUBAN MOHALLA 22071507802
11745 BILASPUR (CHHATTISGARH)
MASTURI GOVT P.S. BHARUVA DIH 22071507901
11746 BILASPUR (CHHATTISGARH)
MASTURI GOVT. PS BHOURA DIH 22071507902
11747 BILASPUR (CHHATTISGARH)
MASTURI GOVT. MS BHOURADIH (SSA) 22071507903
11748 BILASPUR (CHHATTISGARH)
MASTURI GOVT P.S. BHANESHAR 22071508001
11749 BILASPUR (CHHATTISGARH)
MASTURI EGS TO PS, MANDI MOHALLA 22071508003
11750 BILASPUR (CHHATTISGARH)
MASTURI GOVT. PS BHARARI (EDU) 22071508101
11751 BILASPUR (CHHATTISGARH)
MASTURI GOVT. MS BHARARI (EDU) 22071508102
11752 BILASPUR (CHHATTISGARH)
MASTURI GOVT P.S. USLA PUR 22071508201
11753 BILASPUR (CHHATTISGARH)
MASTURI GOVT P.S. JUHALI 22071508301
11754 BILASPUR (CHHATTISGARH)
MASTURI GOVT MS, JUHALI 22071508302
11755 BILASPUR (CHHATTISGARH)
MASTURI GOVT BOYS P.S. JONDHARA 22071508401
11756 BILASPUR (CHHATTISGARH)
MASTURI GOVT NPEGEL, PS, JONDHARA 22071508402
11757 BILASPUR (CHHATTISGARH)
MASTURI GOVT. PS. GIRLS JONDHARA 22071508403
11758 BILASPUR (CHHATTISGARH)
MASTURI GOVT MS, JONDHARA 22071508404
11759 BILASPUR (CHHATTISGARH)
MASTURI EGS TO PS, SANJAYNAGAR 22071508405
11760 BILASPUR (CHHATTISGARH)
MASTURI GOVT MS GIRLS, JONDHARA 22071508407
11761 BILASPUR (CHHATTISGARH)
MASTURI GOVT P.S. KUKADA 22071508501
11762 BILASPUR (CHHATTISGARH)
MASTURI GOVT MS, KUKDA 22071508502
11763 BILASPUR (CHHATTISGARH)
MASTURI EGS TO PS, DHANUHAR PARA 22071508503
11764 BILASPUR (CHHATTISGARH)
MASTURI GOVT P.S. KARI CHHAPAR 22071508601
11765 BILASPUR (CHHATTISGARH)
MASTURI GOVT P.S. NAVA GAON KODIYA 22071508701
11766 BILASPUR (CHHATTISGARH)
MASTURI GOVT P.S. KACHHAR 22071508801
11767 BILASPUR (CHHATTISGARH)
MASTURI EGS TO PS, AWAS MOHALLA 22071508802
11768 BILASPUR (CHHATTISGARH)
MASTURI GOVT P.S. JAITPURI 22071508901
11769 BILASPUR (CHHATTISGARH)
MASTURI BOYS. PS. SITAP 22071509002
11770 BILASPUR (CHHATTISGARH)
MASTURI GIRLS PS. SIPAT 22071509004
11771 BILASPUR (CHHATTISGARH)
MASTURI MS BOYS GOVT, SEEPAT 22071509005
11772 BILASPUR (CHHATTISGARH)
MASTURI MS GIRLS GOVT, SEEPAT 22071509006
11773 BILASPUR (CHHATTISGARH)
MASTURI GOVT PS BAZARPARA SIPAT 22071509010
11774 BILASPUR (CHHATTISGARH)
MASTURI JP. P.S. SON 22071509101
11775 BILASPUR (CHHATTISGARH)
MASTURI MS GOVT, SON 22071509103
11776 BILASPUR (CHHATTISGARH)
MASTURI EGS TO PS, KAWARPARA 22071509104
11777 BILASPUR (CHHATTISGARH)
MASTURI NEW PS,SABARIYADERA, SOAN 22071509105
11778 BILASPUR (CHHATTISGARH)
MASTURI UP MS KANWARPARA 22071509106
11779 BILASPUR (CHHATTISGARH)
MASTURI JP. P.S. JAYARAM NAGAR 22071509201
11780 BILASPUR (CHHATTISGARH)
MASTURI NPEGEL, PS GOVT, KHAIRA 22071509203
11781 BILASPUR (CHHATTISGARH)
MASTURI MS GOVT, JAIRAMNAGAR 22071509205
11782 BILASPUR (CHHATTISGARH)
MASTURI GOVT. PS JALSO (EDU) 22071509301
11783 BILASPUR (CHHATTISGARH)
MASTURI GOVT. MS JALSO (SSA) 22071509302
11784 BILASPUR (CHHATTISGARH)
MASTURI P.S. JUNVANI 22071509401
11785 BILASPUR (CHHATTISGARH)
MASTURI UP MS JUNVANI 22071509402
11786 BILASPUR (CHHATTISGARH)
MASTURI GOVT. GIRLS P.S. GATORA 22071509501
11787 BILASPUR (CHHATTISGARH)
MASTURI NPEGEL, PS GOVT, GATOUR 22071509502
11788 BILASPUR (CHHATTISGARH)
MASTURI JP. BOYS. GATOURA 22071509503
11789 BILASPUR (CHHATTISGARH)
MASTURI HARI BOYS. GATOURA 22071509504
11790 BILASPUR (CHHATTISGARH)
MASTURI MS BOYS GOVT, GATOURA 22071509505
11791 BILASPUR (CHHATTISGARH)
MASTURI MS GIRLS GOVT, GATOURA 22071509506
11792 BILASPUR (CHHATTISGARH)
MASTURI EGS TO PS, ADIWASIPARA 22071509507
11793 BILASPUR (CHHATTISGARH)
MASTURI EGS TO PS, SUKHRIPALI 22071509508
11794 BILASPUR (CHHATTISGARH)
MASTURI P.S. GOBARI 22071509601
11795 BILASPUR (CHHATTISGARH)
MASTURI P.S. GITPURI 22071509701
11796 BILASPUR (CHHATTISGARH)
MASTURI MS GOVT, GIDHPURI 22071509702
11797 BILASPUR (CHHATTISGARH)
MASTURI P.S. GUDI 22071509801
11798 BILASPUR (CHHATTISGARH)
MASTURI MS GOVT, GUDHI 22071509803
11799 BILASPUR (CHHATTISGARH)
MASTURI EGS TO PS, CHOWDAPARA 22071509804
11800 BILASPUR (CHHATTISGARH)
MASTURI NAVIN P.S. GOPAL PUR 22071509901
11801 BILASPUR (CHHATTISGARH)
MASTURI PS. GOPAL PUR 22071509902
11802 BILASPUR (CHHATTISGARH)
MASTURI UP.MS.GOPALPUR 22071509903
11803 BILASPUR (CHHATTISGARH)
MASTURI P.S. SEMARA DIH 22071510001
11804 BILASPUR (CHHATTISGARH)
MASTURI P.S. AMA KONI 22071510201
11805 BILASPUR (CHHATTISGARH)
MASTURI P.S. KHONDHARA 22071510301
11806 BILASPUR (CHHATTISGARH)
MASTURI MS GOVT, KHONDHRA 22071510302
11807 BILASPUR (CHHATTISGARH)
MASTURI NPEGEL, PS GOVT, KHANDA 22071510401
11808 BILASPUR (CHHATTISGARH)
MASTURI MS GOVT, KHANDA 22071510402
11809 BILASPUR (CHHATTISGARH)
MASTURI P.S. KHORSI 22071510501
11810 BILASPUR (CHHATTISGARH)
MASTURI UP MS KHORSI 22071510502
11811 BILASPUR (CHHATTISGARH)
MASTURI P.S. BOYS. KODIYA 22071510601
11812 BILASPUR (CHHATTISGARH)
MASTURI GIRLS. PS. KODIYA 22071510602
11813 BILASPUR (CHHATTISGARH)
MASTURI MS GOVT, KOUDIYA 22071510603
11814 BILASPUR (CHHATTISGARH)
MASTURI EGS TO PS, BANDHVAPARA 22071510604
11815 BILASPUR (CHHATTISGARH)
MASTURI P.S. THAKUR DEVA 22071510701
11816 BILASPUR (CHHATTISGARH)
MASTURI EGS TO PS, DIPRAPARA 22071510702
11817 BILASPUR (CHHATTISGARH)
MASTURI UP MS THAKURDEVA 22071510703
11818 BILASPUR (CHHATTISGARH)
MASTURI P.S. KUKURDI KHURD 22071510801
11819 BILASPUR (CHHATTISGARH)
MASTURI JP. P.S. SUKUL KARI 22071510901
11820 BILASPUR (CHHATTISGARH)
MASTURI MS GOVT, SUKULKARI 22071510903
11821 BILASPUR (CHHATTISGARH)
MASTURI EGS TO PS, JAGMAG CHOWK 22071510904
11822 BILASPUR (CHHATTISGARH)
MASTURI P.S. KUKURDI KALA 22071511001
11823 BILASPUR (CHHATTISGARH)
MASTURI P.S. GODA DIH 22071511101
11824 BILASPUR (CHHATTISGARH)
MASTURI UP MS GODADIH 22071511102
11825 BILASPUR (CHHATTISGARH)
MASTURI GOVT. KANI. PS. SODHA DIH 22071511202
11826 BILASPUR (CHHATTISGARH)
MASTURI NPEGEL, JP. PS GOVT, CHILHATI 22071511203
11827 BILASPUR (CHHATTISGARH)
MASTURI MS GOVT, CHILHATI 22071511204
11828 BILASPUR (CHHATTISGARH)
MASTURI GOVT. P.S. BAKAR KUDA 22071511301
11829 BILASPUR (CHHATTISGARH)
MASTURI UP MS BAKARKUDA 22071511302
11830 BILASPUR (CHHATTISGARH)
MASTURI GOVT. P.S. THEMHA PAR 22071511401
11831 BILASPUR (CHHATTISGARH)
MASTURI P.S. LODHA BOR 22071511501
11832 BILASPUR (CHHATTISGARH)
MASTURI P.S. KUKURDI KERA 22071511601
11833 BILASPUR (CHHATTISGARH)
MASTURI MS GOVT, KUKURDI KALA 22071511602
11834 BILASPUR (CHHATTISGARH)
MASTURI UP MS KUKURDIKERA 22071511603
11835 BILASPUR (CHHATTISGARH)
MASTURI P. S. GOVT. DEVRI 22071511702
11836 BILASPUR (CHHATTISGARH)
MASTURI UP MS DEVRI 22071511703
11837 BILASPUR (CHHATTISGARH)
MASTURI P.S. BELHA 22071511801
11838 BILASPUR (CHHATTISGARH)
MASTURI P.S. BITKULA 22071511901
11839 BILASPUR (CHHATTISGARH)
MASTURI GOVT. PS. GIRLS BITKULA 22071511902
11840 BILASPUR (CHHATTISGARH)
MASTURI MS GOVT, BITKULA 22071511903
11841 BILASPUR (CHHATTISGARH)
MASTURI EGS TO PS, PAIGVAPARA 22071511904
11842 BILASPUR (CHHATTISGARH)
MASTURI P.S. BANIYA DIH 22071512001
11843 BILASPUR (CHHATTISGARH)
MASTURI UP MS BANIYADIH 22071512002
11844 BILASPUR (CHHATTISGARH)
MASTURI P.S. BELTUKARI 22071512101
11845 BILASPUR (CHHATTISGARH)
MASTURI MS. BELTUKARI 22071512102
11846 BILASPUR (CHHATTISGARH)
MASTURI P.S. PATAI DIH 22071512201
11847 BILASPUR (CHHATTISGARH)
MASTURI MS GOVT PATAIDIH 22071512202
11848 BILASPUR (CHHATTISGARH)
MASTURI NPEGEL, PS GOVT, CHISDA 22071512301
11849 BILASPUR (CHHATTISGARH)
MASTURI MS GOVT, CHISDA 22071512302
11850 BILASPUR (CHHATTISGARH)
MASTURI UP UPS GIRLS, CHISDA 22071512303
11851 BILASPUR (CHHATTISGARH)
MASTURI GOVT. PS. PANDHI (EDU) 22071512401
11852 BILASPUR (CHHATTISGARH)
MASTURI GOVT MS PANDHI (EDU) 22071512402
11853 BILASPUR (CHHATTISGARH)
MASTURI GOVT. PS CHARPARA (SSA) 22071512403
11854 BILASPUR (CHHATTISGARH)
MASTURI GOVT. MS GIRLS PANDHI (SSA) 22071512405
11855 BILASPUR (CHHATTISGARH)
MASTURI GOVT. PS. BINAIKA 22071512601
11856 BILASPUR (CHHATTISGARH)
MASTURI GOVT. PS. BINORI 22071512602
11857 BILASPUR (CHHATTISGARH)
MASTURI GOVT. PS. BINOURI DIH 22071512603
11858 BILASPUR (CHHATTISGARH)
MASTURI GOVT. PS. VIDHYA DIH(TANGAR) 22071512701
11859 BILASPUR (CHHATTISGARH)
MASTURI PS GOVT, BASANT PUR 22071512801
11860 BILASPUR (CHHATTISGARH)
MASTURI UP MS, BASANTPUR 22071512802
11861 BILASPUR (CHHATTISGARH)
MASTURI VIDYA MANDIR SARSENI 22071512901
11862 BILASPUR (CHHATTISGARH)
MASTURI MS GOVT, SARSENI 22071512902
11863 BILASPUR (CHHATTISGARH)
MASTURI EGS TO PS, TIKRAPARA 22071512903
11864 BILASPUR (CHHATTISGARH)
MASTURI PS. SULOUNI 22071513001
11865 BILASPUR (CHHATTISGARH)
MASTURI UP UPS, SULOUNI 22071513002
11866 BILASPUR (CHHATTISGARH)
MASTURI PS, SONSARI 22071513101
11867 BILASPUR (CHHATTISGARH)
MASTURI EGS TO PS, GADHIYAPARA 22071513102
11868 BILASPUR (CHHATTISGARH)
MASTURI UP MS, SONSARI 22071513103
11869 BILASPUR (CHHATTISGARH)
MASTURI PS J.P., HIRRI 22071513201
11870 BILASPUR (CHHATTISGARH)
MASTURI UP MS, HIRRI 22071513202
11871 BILASPUR (CHHATTISGARH)
MASTURI PS. HINDA DIH 22071513301
11872 BILASPUR (CHHATTISGARH)
MASTURI PS. GOVT. PARSAHI 22071513401
11873 BILASPUR (CHHATTISGARH)
MASTURI EGS TO PS, PHULWARPARA 22071513402
11874 BILASPUR (CHHATTISGARH)
MASTURI UP MS PARSAHI 22071513403
11875 BILASPUR (CHHATTISGARH)
MASTURI UP MS, HINDADIH 22071513501
11876 BILASPUR (CHHATTISGARH)
MASTURI PS. PONDI 22071513602
11877 BILASPUR (CHHATTISGARH)
MASTURI MS GOVT, PONDI 22071513603
11878 BILASPUR (CHHATTISGARH)
MASTURI EGS TO PS, BANIBHATHA 22071513604
11879 BILASPUR (CHHATTISGARH)
MASTURI GOVT. PS. PATHARA TAL 22071513701
11880 BILASPUR (CHHATTISGARH)
MASTURI PS. PAKARIYA 22071513801
11881 BILASPUR (CHHATTISGARH)
MASTURI NPEGEL, NAVIN PS, PACHPEDI 22071513901
11882 BILASPUR (CHHATTISGARH)
MASTURI GOVT. PS. GIRLS. PACHAPEDI 22071513902
11883 BILASPUR (CHHATTISGARH)
MASTURI JP. BOYS. PACHAPEDI 22071513903
11884 BILASPUR (CHHATTISGARH)
MASTURI MS BOYS GOVT, PACHPEDI 22071513904
11885 BILASPUR (CHHATTISGARH)
MASTURI MS GIRLS GOVT, PACHPEDI 22071513905
11886 BILASPUR (CHHATTISGARH)
MASTURI KGBV GIRLS RESID. SCHOOL 22071513908
11887 BILASPUR (CHHATTISGARH)
MASTURI PS. PALI 22071514001
11888 BILASPUR (CHHATTISGARH)
MASTURI PS PENDRI 22071514101
11889 BILASPUR (CHHATTISGARH)
MASTURI MS GOVT, PENDRI 22071514102
11890 BILASPUR (CHHATTISGARH)
MASTURI JP. PS PARSADA 22071514201
11891 BILASPUR (CHHATTISGARH)
MASTURI JP. PS. PARA GHAT 22071514301
11892 BILASPUR (CHHATTISGARH)
MASTURI MS GOVT, PARAGHAT 22071514303
11893 BILASPUR (CHHATTISGARH)
MASTURI EGS TO PS, ANUSUCHIT JATI MUHA 22071514304
11894 BILASPUR (CHHATTISGARH)
MASTURI NPEGEL, PS GOVT, BHATCHOURA 22071514401
11895 BILASPUR (CHHATTISGARH)
MASTURI MS GOVT, BHATCHOURA 22071514405
11896 BILASPUR (CHHATTISGARH)
MASTURI GOVT. PS. SARGAVA 22071514501
11897 BILASPUR (CHHATTISGARH)
MASTURI JP. PS BHADORA 22071514701
11898 BILASPUR (CHHATTISGARH)
MASTURI MS GOVT, BHADOURA 22071514702
11899 BILASPUR (CHHATTISGARH)
MASTURI EGS TO PS, BHATHAPARA 22071514703
11900 BILASPUR (CHHATTISGARH)
MASTURI GOVT. PS BHURKUNDA (EDU) 22071514801
11901 BILASPUR (CHHATTISGARH)
MASTURI GOVT. PS BHILAI 22071514901
11902 BILASPUR (CHHATTISGARH)
MASTURI PS TO MS,GOVT,BHILAI 22071514902
11903 BILASPUR (CHHATTISGARH)
MASTURI PS. AMAL DIHA 22071515001
11904 BILASPUR (CHHATTISGARH)
MASTURI JP. PS BHILONI 22071515101
11905 BILASPUR (CHHATTISGARH)
MASTURI P.S PARSODHI 22071515201
11906 BILASPUR (CHHATTISGARH)
MASTURI PS. KEVTARA 22071515401
11907 BILASPUR (CHHATTISGARH)
MASTURI UP MS KENVATPARA MALHAR 22071515402
11908 BILASPUR (CHHATTISGARH)
MASTURI UP MS KENVTARA 22071515403
11909 BILASPUR (CHHATTISGARH)
MASTURI JP. PS RAANK 22071515501
11910 BILASPUR (CHHATTISGARH)
MASTURI MS GOVT, RAANK 22071515502
11911 BILASPUR (CHHATTISGARH)
MASTURI KANI. PS. RALIYA 22071515601
11912 BILASPUR (CHHATTISGARH)
MASTURI PS GOVT, RALIYA 22071515602
11913 BILASPUR (CHHATTISGARH)
MASTURI GOVT. PS KHUDU BHATHA 22071515801
11914 BILASPUR (CHHATTISGARH)
MASTURI PS. CHOHA 22071515901
11915 BILASPUR (CHHATTISGARH)
MASTURI MS GOVT, CHOUHA 22071515902
11916 BILASPUR (CHHATTISGARH)
MASTURI NARGODA 22071516001
11917 BILASPUR (CHHATTISGARH)
MASTURI GIRLS PS. NARGODA 22071516003
11918 BILASPUR (CHHATTISGARH)
MASTURI MS GOVT, NARGODA 22071516004
11919 BILASPUR (CHHATTISGARH)
MASTURI EGS TO PS, AWAS MOHALLA 22071516005
11920 BILASPUR (CHHATTISGARH)
MASTURI EGS TO PS, NAVAPARA 22071516006
11921 BILASPUR (CHHATTISGARH)
MASTURI MS GOVT, NAVAGAON, MACHKHANDA 22071516101
11922 BILASPUR (CHHATTISGARH)
MASTURI PS,GOVT,NAVAGAON,MACHKHANDA 22071516103
11923 BILASPUR (CHHATTISGARH)
MASTURI PS NAVA DIH 22071516201
11924 BILASPUR (CHHATTISGARH)
MASTURI UP MS NAVADIH 22071516203
11925 BILASPUR (CHHATTISGARH)
MASTURI NPEGEL, PS GOVT, NIRTU 22071516301
11926 BILASPUR (CHHATTISGARH)
MASTURI MS GOVT, NIRTU 22071516302
11927 BILASPUR (CHHATTISGARH)
MASTURI PS NEVARI 22071516401
11928 BILASPUR (CHHATTISGARH)
MASTURI MS GOVT, NEVARI 22071516402
11929 BILASPUR (CHHATTISGARH)
MASTURI PS GOVT KHAPARI 22071516403
11930 BILASPUR (CHHATTISGARH)
MASTURI NPEGEL, PS GOVT, BOHAR DIH 22071516501
11931 BILASPUR (CHHATTISGARH)
MASTURI UP MS BOHARDIH 22071516503
11932 BILASPUR (CHHATTISGARH)
MASTURI GOVT. PS. KHAPARI(BELPAN) 22071516601
11933 BILASPUR (CHHATTISGARH)
MASTURI PS. BAHATRA 22071516701
11934 BILASPUR (CHHATTISGARH)
MASTURI UP UPS, BAHTARA 22071516702
11935 BILASPUR (CHHATTISGARH)
MASTURI GOVT. PS. BAMHANI KALA 22071516801
11936 BILASPUR (CHHATTISGARH)
MASTURI PS. BARELI 22071516901
11937 BILASPUR (CHHATTISGARH)
MASTURI UP MS BARELI 22071516902
11938 BILASPUR (CHHATTISGARH)
MASTURI PS GOVT, KARRA 22071517001
11939 BILASPUR (CHHATTISGARH)
MASTURI GOVT. PS. HARDI(LOHARSI) 22071517101
11940 BILASPUR (CHHATTISGARH)
MASTURI PS,GOVT,DAVANDIH 22071517501
11941 BILASPUR (CHHATTISGARH)
MASTURI GOVT MS BHURKUNDA 22071517601
11942 BILASPUR (CHHATTISGARH)
MASTURI UP MS KHAIRA 22071518401
11943 BILASPUR (CHHATTISGARH)
MASTURI UP UPS, BINAIKA 22071518501
11944 BILASPUR (CHHATTISGARH)
MASTURI PS GOVT (K), BUDHWARI BAZ, MALHAR 22071518601
11945 BILASPUR (CHHATTISGARH)
MASTURI PS GOVT GIRLS, MALHAR 22071518602
11946 BILASPUR (CHHATTISGARH)
PENDRA GOVT,PS DAMDAM (TWD) 22072200101
11947 BILASPUR (CHHATTISGARH)
PENDRA GOVT. PS KANCHHOTHI (TWD) 22072200102
11948 BILASPUR (CHHATTISGARH)
PENDRA GOVT,MS DAMDAM (TWD) 22072200103
11949 BILASPUR (CHHATTISGARH)
PENDRA GOVT. PS, RAVANTOLA (SSA) 22072200104
11950 BILASPUR (CHHATTISGARH)
PENDRA GOVT. PS, BARTOLA 22072200105
11951 BILASPUR (CHHATTISGARH)
PENDRA GOVT. PS, MACHINETOLA (SSA) 22072200106
11952 BILASPUR (CHHATTISGARH)
PENDRA GOVT. PS, DHANSAHELA (SSA) 22072200107
11953 BILASPUR (CHHATTISGARH)
PENDRA GOVT. UP MS MACHINTOLA (SSA) 22072200108
11954 BILASPUR (CHHATTISGARH)
PENDRA GOVT. PS DEVRI KALA (TWD) 22072200201
11955 BILASPUR (CHHATTISGARH)
PENDRA GOVT. NEW PS,BARMUDATOLA,(SSA) 22072200202
11956 BILASPUR (CHHATTISGARH)
PENDRA GOVT. UP MS DEVARIKALA (SSA) 22072200203
11957 BILASPUR (CHHATTISGARH)
PENDRA GOVT. PS TILORA (TWD) 22072200301
11958 BILASPUR (CHHATTISGARH)
PENDRA GOVT. EGS TO PS, BANJARIPARA(SSA) 22072200302
11959 BILASPUR (CHHATTISGARH)
PENDRA GOVT. EGS TO PS, DARRIPARA (SSA) 22072200304
11960 BILASPUR (CHHATTISGARH)
PENDRA GOVT. EGS TO PS, AMALIDAND (SSA) 22072200305
11961 BILASPUR (CHHATTISGARH)
PENDRA GOVT. UP MS TILORA (SSA) 22072200306
11962 BILASPUR (CHHATTISGARH)
PENDRA GOVT. PS KHARPARA TILORA (SSA) 22072200307
11963 BILASPUR (CHHATTISGARH)
PENDRA GOVT. PS KANCHANDIH (TWD) 22072200401
11964 BILASPUR (CHHATTISGARH)
PENDRA GOVT. EGS TO PS, URAOPARA (SSA) 22072200402
11965 BILASPUR (CHHATTISGARH)
PENDRA GOVT MS URAOPARA KANCHANDIH (SSA) 22072200403
11966 BILASPUR (CHHATTISGARH)
PENDRA GOVT. JAN. PS KODGAR (TWD) 22072200601
11967 BILASPUR (CHHATTISGARH)
PENDRA GOVT. MS GOVT. KODGAR (TWD) 22072200602
11968 BILASPUR (CHHATTISGARH)
PENDRA GOVT. EGS TO PS, LOHARPARA (SSA) 22072200603
11969 BILASPUR (CHHATTISGARH)
PENDRA GOVT. KGBV, MS, KODGAR (SSA) 22072200604
11970 BILASPUR (CHHATTISGARH)
PENDRA GOVT. PS KANAI BAHRA (TWD) 22072200701
11971 BILASPUR (CHHATTISGARH)
PENDRA GOVT. PS KHARDI ( TWD) 22072200801
11972 BILASPUR (CHHATTISGARH)
PENDRA GOVT.KANI PS DOBE PARA (TWD) 22072200802
11973 BILASPUR (CHHATTISGARH)
PENDRA GOVT. EGS TO PS, BAHRIJHORKI (SSA) 22072200803
11974 BILASPUR (CHHATTISGARH)
PENDRA GOVT. EGS TO PS, URAOPARA (SSA) 22072200804
11975 BILASPUR (CHHATTISGARH)
PENDRA GOVT. PS TO MS,GOVT,KHARDI (SSA) 22072200805
11976 BILASPUR (CHHATTISGARH)
PENDRA GOVT. NEW PS SARHADPARA KHARDI (SSA) 22072200806
11977 BILASPUR (CHHATTISGARH)
PENDRA GOVT. PS GIRLS ,, RAMGARH (TWD) 22072200901
11978 BILASPUR (CHHATTISGARH)
PENDRA GOVT. UP MS RAMGARH (SSA) 22072200902
11979 BILASPUR (CHHATTISGARH)
PENDRA GOVT. PS BAMHNI (TWD) 22072201001
11980 BILASPUR (CHHATTISGARH)
PENDRA GOVT. PS PACHASI PARA (TWD) 22072201002
11981 BILASPUR (CHHATTISGARH)
PENDRA GOVT. PS TO MS,,BAMHANI (TWD) 22072201003
11982 BILASPUR (CHHATTISGARH)
PENDRA GOVT. NEW PS,DHODGAPARA,BAMHANI (SSA) 22072201004
11983 BILASPUR (CHHATTISGARH)
PENDRA GOVT. NPEGEL, PS GOVT, JILDA (TWD) 22072201101
11984 BILASPUR (CHHATTISGARH)
PENDRA GOVT. MS TRIBAL JILDA(TWD) 22072201102
11985 BILASPUR (CHHATTISGARH)
PENDRA GOVT. EGS TO PS, BAROUDIPARA (SSA) 22072201103
11986 BILASPUR (CHHATTISGARH)
PENDRA GOVT. UP MS BARAODIPARA JILDA (SSA) 22072201104
11987 BILASPUR (CHHATTISGARH)
PENDRA GOVT. PS GHAT BAHRA (TWD) 22072201201
11988 BILASPUR (CHHATTISGARH)
PENDRA GOVT. UP MS GHAT BAHRA (SSA) 22072201202
11989 BILASPUR (CHHATTISGARH)
PENDRA GOVT. GIRLS PS NAVAGAON (TWD) 22072201301
11990 BILASPUR (CHHATTISGARH)
PENDRA GOVT. PS KARCHAPARA NAVAGAON (TWD) 22072201302
11991 BILASPUR (CHHATTISGARH)
PENDRA GOVT. BOYS PS NAVA GAON (TWD) 22072201303
11992 BILASPUR (CHHATTISGARH)
PENDRA GOVT. MS BOYS. NAVAGAON (TWD) 22072201304
11993 BILASPUR (CHHATTISGARH)
PENDRA GOVT. MS GIRLS NAVAGAON (TWD) 22072201305
11994 BILASPUR (CHHATTISGARH)
PENDRA GOVT. PS PANDARIA (TWD) 22072201401
11995 BILASPUR (CHHATTISGARH)
PENDRA GOVT. PS TANGIAMAR (TWD) 22072201501
11996 BILASPUR (CHHATTISGARH)
PENDRA GOVT. PS GAJAN (TWD) 22072201601
11997 BILASPUR (CHHATTISGARH)
PENDRA GOVT. UP MS GAJAN (SSA) 22072201602
11998 BILASPUR (CHHATTISGARH)
PENDRA GOVT. PS HARRADIH (TWD) 22072201701
11999 BILASPUR (CHHATTISGARH)
PENDRA GOVT. KANI. MAJHE PARA, GIRARI (TWD) 22072201801
12000 BILASPUR (CHHATTISGARH)
PENDRA GOVT. KANI. PS RAJJU PARA, GIRARI (TWD) 22072201802
12001 BILASPUR (CHHATTISGARH)
PENDRA GOVT. JAN. PS GIRARI (TWD) 22072201803
12002 BILASPUR (CHHATTISGARH)
PENDRA GOVT. MS GOVT. GIRARI (TWD) 22072201804
12003 BILASPUR (CHHATTISGARH)
PENDRA GOVT. BOYS PS JHABAR (TWD) 22072201901
12004 BILASPUR (CHHATTISGARH)
PENDRA GOVT. NPEGEL, PS GIRLS, JHABAR (TWD) 22072201902
12005 BILASPUR (CHHATTISGARH)
PENDRA GOVT. MS GOVT. JHABAR (TWD) 22072201904
12006 BILASPUR (CHHATTISGARH)
PENDRA GOVT. EGS TO PS, GODHATOLA (SSA) 22072201905
12007 BILASPUR (CHHATTISGARH)
PENDRA GOVT. PS SARKHOR (TWD) 22072202001
12008 BILASPUR (CHHATTISGARH)
PENDRA GOVT. UP MS SARKHOR (SSA) 22072202002
12009 BILASPUR (CHHATTISGARH)
PENDRA GOVT. GIRLS PS AMARU (TWD) 22072202101
12010 BILASPUR (CHHATTISGARH)
PENDRA GOVT. BOYS PS AMARU (TWD) 22072202102
12011 BILASPUR (CHHATTISGARH)
PENDRA GOVT. MS . AMARU (TWD) 22072202103
12012 BILASPUR (CHHATTISGARH)
PENDRA GOVT. EGS TO PS, DHANUHARPARA (SSA) 22072202104
12013 BILASPUR (CHHATTISGARH)
PENDRA GOVT. EGS TO PS, PANIKAPARA (SSA) 22072202105
12014 BILASPUR (CHHATTISGARH)
PENDRA GOVT. NEW PS AHIRAN PARA AMARU (SSA) 22072202106
12015 BILASPUR (CHHATTISGARH)
PENDRA GOVT. KANI. PS GOTIYAN PARA, (TWD) 22072202201
12016 BILASPUR (CHHATTISGARH)
PENDRA GOVT. PS PITHAMPUR (TWD) 22072202202
12017 BILASPUR (CHHATTISGARH)
PENDRA GOVT. PS NAVAPARA , PITHAMPUR (TWD) 22072202203
12018 BILASPUR (CHHATTISGARH)
PENDRA GOVT. UP MS GAOTIYANPARA (SSA) 22072202204
12019 BILASPUR (CHHATTISGARH)
PENDRA GOVT. UP MS PITHAMPUR (SSA) 22072202205
12020 BILASPUR (CHHATTISGARH)
PENDRA GOVT. KANI. PS MURMUR, BAGESAR PARA (TWD) 22072202301
12021 BILASPUR (CHHATTISGARH)
PENDRA GOVT. BOYS PS MURMUR (TWD) 22072202302
12022 BILASPUR (CHHATTISGARH)
PENDRA GOVT. NPEGEL, PS GIRLS, MURMUR (TWD) 22072202303
12023 BILASPUR (CHHATTISGARH)
PENDRA GOVT. MS GIRLS GOVT, MURMUR (TWD) 22072202304
12024 BILASPUR (CHHATTISGARH)
PENDRA GOVT. PS BENDERCHUVA (TWD) 22072202401
12025 BILASPUR (CHHATTISGARH)
PENDRA GOVT. PS GHAGHRA (TWD) 22072202501
12026 BILASPUR (CHHATTISGARH)
PENDRA GOVT. EGS TO PS, DEVRAJNAVAPARA (SSA) 22072202502
12027 BILASPUR (CHHATTISGARH)
PENDRA GOVT. UP MS GHAGHARA (SSA) 22072202503
12028 BILASPUR (CHHATTISGARH)
PENDRA GOVT. PS DESAHAN PARA PENDRA (TWD) 22072202602
12029 BILASPUR (CHHATTISGARH)
PENDRA GOVT. PS KOLAN PARA PENDRA (TWD) 22072202603
12030 BILASPUR (CHHATTISGARH)
PENDRA GOVT. PS PACHVATI PARA PENDRA (TWD) 22072202604
12031 BILASPUR (CHHATTISGARH)
PENDRA GOVT. PS TENDUR PARA PAENDRA (TWD) 22072202605
12032 BILASPUR (CHHATTISGARH)
PENDRA GOVT. PS SARKARI PARA PENDRA (TWD) 22072202606
12033 BILASPUR (CHHATTISGARH)
PENDRA GOVT. PS PURANI BASTI PENDRA (TWD) 22072202607
12034 BILASPUR (CHHATTISGARH)
PENDRA GOVT. KANI PS KHACHARVARPARA (TWD) 22072202611
12035 BILASPUR (CHHATTISGARH)
PENDRA GOVT. PS NAVA PARA (TWD) 22072202612
12036 BILASPUR (CHHATTISGARH)
PENDRA GOVT. KANI. PS GIRLS BACHARWAR (TWD) 22072202613
12037 BILASPUR (CHHATTISGARH)
PENDRA GOVT. PS VIDYA NAGAR, PENDRA (TWD) 22072202614
12038 BILASPUR (CHHATTISGARH)
PENDRA GOVT. JAN. PS PENDRA (TWD) 22072202615
12039 BILASPUR (CHHATTISGARH)
PENDRA GOVT. PS BAJRANG CHOWK, PENDRA (TWD) 22072202616
12040 BILASPUR (CHHATTISGARH)
PENDRA GOVT. NPEGEL,PS GIRLS, BHARRAPARA (TWD) 22072202617
12041 BILASPUR (CHHATTISGARH)
PENDRA GOVT. MS GIRLS, PENDRA (TWD) 22072202621
12042 BILASPUR (CHHATTISGARH)
PENDRA GOVT. NEW PS,CHOUBEYPARA,PENDRA (SSA) 22072202624
12043 BILASPUR (CHHATTISGARH)
PENDRA GOVT. NEW PS,TALABPARA,PENDRA (SSA) 22072202625
12044 BILASPUR (CHHATTISGARH)
PENDRA GOVT. MULTIPURPOSE GOVT- SCHOOL PENDRA (TWD) 22072202630
12045 BILASPUR (CHHATTISGARH)
PENDRA GOVT. PS LATKONI (TWD) 22072202701
12046 BILASPUR (CHHATTISGARH)
PENDRA GOVT. PS. LATKONI KLA ,SADAK PARA(SSA) 22072202702
12047 BILASPUR (CHHATTISGARH)
PENDRA GOVT. UP MS LATKONI KALA(SSA) 22072202703
12048 BILASPUR (CHHATTISGARH)
PENDRA GOVT. GIRLS PS AMARPUR (TWD) 22072202802
12049 BILASPUR (CHHATTISGARH)
PENDRA GOVT. PRAYOG PS AMARPUR (TWD) 22072202803
12050 BILASPUR (CHHATTISGARH)
PENDRA GOVT. MS ABHYAS GOVT. AMARPUR (TWD) 22072202806
12051 BILASPUR (CHHATTISGARH)
PENDRA GOVT. EGS TO PS, MAJHOULIPARA (SSA) 22072202807
12052 BILASPUR (CHHATTISGARH)
PENDRA GOVT. BOYS BACHARWAR (TWD) 22072202901
12053 BILASPUR (CHHATTISGARH)
PENDRA GOVT. MS BOYS. BACHARVAR (TWD) 22072202903
12054 BILASPUR (CHHATTISGARH)
PENDRA GOVT. MS GIRLS. BACHARVAR (TWD) 22072202904
12055 BILASPUR (CHHATTISGARH)
PENDRA GOVT. EGS TO PS, SITKAPARA (SSA) 22072202905
12056 BILASPUR (CHHATTISGARH)
PENDRA GOVT. EGS TO PS, PATERATOLA (SSA) 22072202906
12057 BILASPUR (CHHATTISGARH)
PENDRA GOVT. UPMS, NAVAPARA,BACHARWAR (SSA) 22072202910
12058 BILASPUR (CHHATTISGARH)
PENDRA GOVT. GIRLS PS PATGAVA (TWD) 22072203101
12059 BILASPUR (CHHATTISGARH)
PENDRA GOVT. PS PATGAVA (TWD) 22072203102
12060 BILASPUR (CHHATTISGARH)
PENDRA GOVT. MS BOYS, PATGAVA (SSA) 22072203104
12061 BILASPUR (CHHATTISGARH)
PENDRA GOVT. EGS TO PS, KATELPARA (SSA) 22072203105
12062 BILASPUR (CHHATTISGARH)
PENDRA GOVT. GIRLS PS KUDKAI (TWD) 22072203201
12063 BILASPUR (CHHATTISGARH)
PENDRA GOVT. PS BOYS GOVT, KUDKAI (TWD) 22072203203
12064 BILASPUR (CHHATTISGARH)
PENDRA GOVT. MS GOVT. KUDKAI (TWD) 22072203204
12065 BILASPUR (CHHATTISGARH)
PENDRA GOVT. UP MS GIRLS KUDKAI (SSA) 22072203206
12066 BILASPUR (CHHATTISGARH)
PENDRA GOVT. NEW PS CHHAPARATOLA KUDKAI (SSA) 22072203207
12067 BILASPUR (CHHATTISGARH)
PENDRA GOVT. JAN. PS ADBHAR (TWD) 22072203301
12068 BILASPUR (CHHATTISGARH)
PENDRA GOVT. MS GOVT, ADBHAR (TWD) 22072203302
12069 BILASPUR (CHHATTISGARH)
PENDRA GOVT. PS SEVRA (TWD) 22072203401
12070 BILASPUR (CHHATTISGARH)
PENDRA GOVT. GIRLS PS SEVRA (TWD) 22072203402
12071 BILASPUR (CHHATTISGARH)
PENDRA GOVT. NPEGEL, PS GOVT, KUDRI (TWD) 22072203502
12072 BILASPUR (CHHATTISGARH)
PENDRA GOVT. GIRLS PS. KUDARI (TWD) 22072203503
12073 BILASPUR (CHHATTISGARH)
PENDRA GOVT. M.S. KUDRI (TWD) 22072203504
12074 BILASPUR (CHHATTISGARH)
PENDRA GOVT. MODEL SCHOOL KUDKAI (RMSA) 22072203505
12075 BILASPUR (CHHATTISGARH)
PENDRA GOVT. PS PIPLAMAR(TWD) 22072203601
12076 BILASPUR (CHHATTISGARH)
PENDRA GOVT. UP MS PIPLAMAR (SSA) 22072203602
12077 BILASPUR (CHHATTISGARH)
PENDRA GOVT. PS BANDHI (TWD) 22072203701
12078 BILASPUR (CHHATTISGARH)
PENDRA GOVT. PS SEMAR PARA BANDHI (TWD) 22072203702
12079 BILASPUR (CHHATTISGARH)
PENDRA GOVT. UP MS BANDHI (SSA) 22072203703
12080 BILASPUR (CHHATTISGARH)
PENDRA GOVT. PS PATERA TOLA (TWD) 22072203801
12081 BILASPUR (CHHATTISGARH)
PENDRA GOVT. PS DONGRI TOLA 22072203802
12082 BILASPUR (CHHATTISGARH)
PENDRA GOVT. JAN. PS BHADI (TWD) 22072203803
12083 BILASPUR (CHHATTISGARH)
PENDRA GOVT. GIRLS PS BHADI (TWD) 22072203804
12084 BILASPUR (CHHATTISGARH)
PENDRA GOVT. EGS TO PS, MUNDATOLA BHADI (SSA) 22072203806
12085 BILASPUR (CHHATTISGARH)
PENDRA GOVT. EGS TO PS, CHHUHAIPARA (SSA) 22072203807
12086 BILASPUR (CHHATTISGARH)
PENDRA GOVT. UP MS PATERA TOLA BHADI (SSA) 22072203808
12087 BILASPUR (CHHATTISGARH)
PENDRA GOVT. PS PANDRI KHAR (TWD) 22072203901
12088 BILASPUR (CHHATTISGARH)
PENDRA GOVT. GIRLS PS PANDRI KHAR (TWD) 22072203902
12089 BILASPUR (CHHATTISGARH)
PENDRA GOVT. PS BARIUMRAO (TWD) 22072204001
12090 BILASPUR (CHHATTISGARH)
PENDRA GOVT. KANI. PS DAGNAHI PARA (TWD) 22072204002
12091 BILASPUR (CHHATTISGARH)
PENDRA GOVT. GIRLS PS BARI UMARAO (TWD) 22072204003
12092 BILASPUR (CHHATTISGARH)
PENDRA GOVT. UP MS BARIUMRAO(SSA) 22072204005
12093 BILASPUR (CHHATTISGARH)
PENDRA GOVT. NPEGEL, PS GOVT, BISHESHRA (TWD) 22072204101
12094 BILASPUR (CHHATTISGARH)
PENDRA GOVT. KANI. PS KHUJJI TOLA BISHESHRA (TWD) 22072204102
12095 BILASPUR (CHHATTISGARH)
PENDRA GOVT. EGS TO PS, MUNDATOLA BISHESHRA (SSA) 22072204103
12096 BILASPUR (CHHATTISGARH)
PENDRA GOVT. UP MS BISHESHARA(SSA) 22072204105
12097 BILASPUR (CHHATTISGARH)
PENDRA GOVT. BOYS PS, SON BACHKHAR (TWD) 22072204201
12098 BILASPUR (CHHATTISGARH)
PENDRA GOVT. GIRLS PS SONBACH KHAR (TWD) 22072204202
12099 BILASPUR (CHHATTISGARH)
PENDRA GOVT. EGS TO PS, BAKOULIPARA (SSA) 22072204203
12100 BILASPUR (CHHATTISGARH)
PENDRA GOVT. EGS TO PS, DABARIPARA (SSA) 22072204204
12101 BILASPUR (CHHATTISGARH)
PENDRA GOVT. PS TO MS, SONBACHARWAR(SSA) 22072204205
12102 BILASPUR (CHHATTISGARH)
PENDRA GOVT. PS, TWD, DONGRA PARA (TWD) 22072204301
12103 BILASPUR (CHHATTISGARH)
PENDRA GOVT. GIRLS PS AMADAD (TWD) 22072204302
12104 BILASPUR (CHHATTISGARH)
PENDRA GOVT. BOYS PS AMADAD (TWD) 22072204303
12105 BILASPUR (CHHATTISGARH)
PENDRA GOVT. MS . AMADAND (TWD) 22072204304
12106 BILASPUR (CHHATTISGARH)
PENDRA GOVT. GIRLS PS JATA DEVRI (TWD) 22072204401
12107 BILASPUR (CHHATTISGARH)
PENDRA GOVT. JAN. PS JATA DEVRI (TWD) 22072204402
12108 BILASPUR (CHHATTISGARH)
PENDRA GOVT. UP MS, JATA DEVRI (TWD) 22072204403
12109 BILASPUR (CHHATTISGARH)
PENDRA GOVT. PS BASINPAT JATADEVARI (SSA) 22072204404
12110 BILASPUR (CHHATTISGARH)
PENDRA GOVT. BOYS PS BASANTPUR (TWD) 22072204501
12111 BILASPUR (CHHATTISGARH)
PENDRA GOVT. NPEGEL, PS GIRLS, BASANTPUR (TWD) 22072204502
12112 BILASPUR (CHHATTISGARH)
PENDRA GOVT. EGS TO PS, BACHCHHAPARA (SSA) 22072204503
12113 BILASPUR (CHHATTISGARH)
PENDRA GOVT. EGS TO PS, DARRIPARA PANKOTA(SSA) 22072204504
12114 BILASPUR (CHHATTISGARH)
PENDRA GOVT. MS BASANTPUR (SSA) 22072204505
12115 BILASPUR (CHHATTISGARH)
PENDRA GOVT. KANI PS JODA TALAB(TWD) 22072204601
12116 BILASPUR (CHHATTISGARH)
PENDRA GOVT. UP MS JODA TALAB (SSA) 22072204602
12117 BILASPUR (CHHATTISGARH)
PENDRA GOVT. BOYS ASHRAM, SON KUND (TWD) 22072204701
12118 BILASPUR (CHHATTISGARH)
PENDRA GOVT. JAN. PS LATA (TWD) 22072204801
12119 BILASPUR (CHHATTISGARH)
PENDRA GOVT. MS LATA (TWD) 22072204802
12120 BILASPUR (CHHATTISGARH)
PENDRA GOVT. EGS TO PS, BAGAIHAPARA (SSA) 22072204803
12121 BILASPUR (CHHATTISGARH)
PENDRA GOVT. EGS TO PS, PURANHAPARA (SSA) 22072204804
12122 BILASPUR (CHHATTISGARH)
PENDRA GOVT. PS JAMDIPARA (SSA) 22072204902
12123 BILASPUR (CHHATTISGARH)
PENDRA GOVT. UP MS, JAMDI KHURD (SSA) 22072204903
12124 BILASPUR (CHHATTISGARH)
PENDRA GOVT. PS PANKOTA (TWD) 22072205001
12125 BILASPUR (CHHATTISGARH)
PENDRA GOVT. UP MS DARRIPARA PANKOTA(SSA) 22072205002
12126 BILASPUR (CHHATTISGARH)
PENDRA GOVT. NPEGEL, PS GIRLS, KOTMI KALA(TWD) 22072205101
12127 BILASPUR (CHHATTISGARH)
PENDRA GOVT. PS KOTMI KALA (TWD) 22072205102
12128 BILASPUR (CHHATTISGARH)
PENDRA GOVT. MS KOTMIKALA (TWD) 22072205103
12129 BILASPUR (CHHATTISGARH)
PENDRA GOVT. EGS TO PS, BELHATOLA (SSA) 22072205104
12130 BILASPUR (CHHATTISGARH)
PENDRA GOVT. EGS TO PS, KATELTOLA (SSA) 22072205105
12131 BILASPUR (CHHATTISGARH)
PENDRA GOVT. PS DEVRI KHURD (TWD) 22072205201
12132 BILASPUR (CHHATTISGARH)
PENDRA GOVT. NAVIN PS. DARRA PARA (TWD) 22072205202
12133 BILASPUR (CHHATTISGARH)
PENDRA GOVT. PS TO MS, DEVRI KHURD (SSA) 22072205203
12134 BILASPUR (CHHATTISGARH)
PENDRA GOVT. PS KARONDA NAR (TWD) 22072205301
12135 BILASPUR (CHHATTISGARH)
PENDRA GOVT. PS GODHA (TWD) 22072205401
12136 BILASPUR (CHHATTISGARH)
PENDRA GOVT. UP MS GODHA (SSA) 22072205402
12137 BILASPUR (CHHATTISGARH)
PENDRA GOVT. PS JUNWANI PARA (TWD) 22072205501
12138 BILASPUR (CHHATTISGARH)
PENDRA GOVT. UP MS JUNVANIPARA (SSA) 22072205502
12139 BILASPUR (CHHATTISGARH)
PENDRA GOVT. PS KESLA (TWD) 22072205601
12140 BILASPUR (CHHATTISGARH)
PENDRA GOVT. PS BHALWAHI TOLA KESLA (SSA) 22072205602
12141 BILASPUR (CHHATTISGARH)
PENDRA GOVT. UP MS KESALA (SSA) 22072205603
12142 BILASPUR (CHHATTISGARH)
PENDRA GOVT. P.S. GIRLS, SAKOLA (TWD) 22072205701
12143 BILASPUR (CHHATTISGARH)
PENDRA GOVT. BOYS PS SAKOLA (TWD) 22072205702
12144 BILASPUR (CHHATTISGARH)
PENDRA GOVT. MS. GIRLS. SAKOLA (TWD) 22072205704
12145 BILASPUR (CHHATTISGARH)
PENDRA GOVT. MS SARKARI PARA (TWD) 22072205801
12146 BILASPUR (CHHATTISGARH)
PENDRA GOVT. HIGH S. GIRLS SARKARIPARA PENDRA (TWD) 22072205802
12147 BILASPUR (CHHATTISGARH)
PENDRA GOVT. MS GIRLS BHARRA PARA (TWD) 22072205901
12148 BILASPUR (CHHATTISGARH)
PENDRA GOVT. UP MS AMARPUR (TWD) 22072206701
12149 BILASPUR (CHHATTISGARH)
PENDRA GOVT. P.S. TIKRIPARA, JAMDIKHURD (SSA) 22072207101
12150 BILASPUR (CHHATTISGARH)
TAKHATPUR GOVT. P.S. AJAYPURKALA 22072500101
12151 BILASPUR (CHHATTISGARH)
TAKHATPUR EGS TO PS, AJAYPUR(SSA) 22072500102
12152 BILASPUR (CHHATTISGARH)
TAKHATPUR GOVT. P.S. AMERI(EDU) 22072500201
12153 BILASPUR (CHHATTISGARH)
TAKHATPUR MS GOVT, AMERI(EDU) 22072500203
12154 BILASPUR (CHHATTISGARH)
TAKHATPUR GOVT. BAL SHRAMIK V. AMERI 22072500204
12155 BILASPUR (CHHATTISGARH)
TAKHATPUR GOVT. P.S.AMNE(EDU) 22072500301
12156 BILASPUR (CHHATTISGARH)
TAKHATPUR GOVT.MS, AMNE(SSA) 22072500303
12157 BILASPUR (CHHATTISGARH)
TAKHATPUR GOVT. PS. AMSENA(EDU) 22072500401
12158 BILASPUR (CHHATTISGARH)
TAKHATPUR GOVT MS.AMSENA(EDU) 22072500402
12159 BILASPUR (CHHATTISGARH)
TAKHATPUR GOVT. PS.PREMNAGAR AMSENA(SSA) 22072500403
12160 BILASPUR (CHHATTISGARH)
TAKHATPUR GOVT. P.S.ARAIBAND(EDU) 22072500501
12161 BILASPUR (CHHATTISGARH)
TAKHATPUR GOVT. PS DIPRAPARA(SSA) 22072500502
12162 BILASPUR (CHHATTISGARH)
TAKHATPUR GOVT. P.S. BAHURTA 22072500701
12163 BILASPUR (CHHATTISGARH)
TAKHATPUR GOVT.PS JAN, BANDHA 22072500801
12164 BILASPUR (CHHATTISGARH)
TAKHATPUR GOVT. MS. BANDHA(EDU) 22072500803
12165 BILASPUR (CHHATTISGARH)
TAKHATPUR GOVT. PS NAVEEN,BHATAPARA 22072500804
12166 BILASPUR (CHHATTISGARH)
TAKHATPUR GOVT. P.S.BOYS(EDU) 22072500901
12167 BILASPUR (CHHATTISGARH)
TAKHATPUR GOVT PS. BARGAN(EDU) 22072501002
12168 BILASPUR (CHHATTISGARH)
TAKHATPUR UP MS BARGAN(SSA) 22072501003
12169 BILASPUR (CHHATTISGARH)
TAKHATPUR GOVT PS AGHRIYA 22072501004
12170 BILASPUR (CHHATTISGARH)
TAKHATPUR GOVT. P.S. BELPAN 22072501101
12171 BILASPUR (CHHATTISGARH)
TAKHATPUR MS GOVT, BELPAN 22072501102
12172 BILASPUR (CHHATTISGARH)
TAKHATPUR GOVT. P.S. BELTUKRI(EDU 22072501201
12173 BILASPUR (CHHATTISGARH)
TAKHATPUR GOVT. PS. BELGAHNA(EDU) 22072501301
12174 BILASPUR (CHHATTISGARH)
TAKHATPUR PS GOVT, BAGHELKAPA, BELGAHNA (EDU) 22072501302
12175 BILASPUR (CHHATTISGARH)
TAKHATPUR GOVT. MS. BELGAHNA(SSA) 22072501303
12176 BILASPUR (CHHATTISGARH)
TAKHATPUR JAN. P.S. (BOYS) BELMUNDI(EDU) 22072501401
12177 BILASPUR (CHHATTISGARH)
TAKHATPUR GOVT. P.S. (GIRLS) BELMUNDI 22072501402
12178 BILASPUR (CHHATTISGARH)
TAKHATPUR GOVT. MS BELMUNDI(EDU) 22072501403
12179 BILASPUR (CHHATTISGARH)
TAKHATPUR GOVT. PS. BELSARA (EDU) 22072501501
12180 BILASPUR (CHHATTISGARH)
TAKHATPUR GOVT. MS BELSARA(EDU) 22072501502
12181 BILASPUR (CHHATTISGARH)
TAKHATPUR GOVT.PS,.BHATHAPARA (SSA) 22072501503
12182 BILASPUR (CHHATTISGARH)
TAKHATPUR GOVT. P.S. BHADAM(EDU) 22072501601
12183 BILASPUR (CHHATTISGARH)
TAKHATPUR GOVT.MS BHADAM(EDU) 22072501603
12184 BILASPUR (CHHATTISGARH)
TAKHATPUR GOVT. PS BAPA, NAVAPARA BHAKURRA(ANUDAN) 22072501701
12185 BILASPUR (CHHATTISGARH)
TAKHATPUR GOVT. PS NAVIN, NAVAPARA BHAKURRA(SSA) 22072501702
12186 BILASPUR (CHHATTISGARH)
TAKHATPUR GOVT. MS. NAVAPARA BHAKURRA(EDU) 22072501703
12187 BILASPUR (CHHATTISGARH)
TAKHATPUR GOVT.PS, NAVAPARA BHAKURRA(EDU) 22072501704
12188 BILASPUR (CHHATTISGARH)
TAKHATPUR GOVT. UP MS NAVAPARA BHAKURRA(SSA) 22072501705
12189 BILASPUR (CHHATTISGARH)
TAKHATPUR GOVT. PS. BHARARI(EDU) 22072501801
12190 BILASPUR (CHHATTISGARH)
TAKHATPUR GOVT.PS.TELIYAPURAN BHARARI (SSA) 22072501804
12191 BILASPUR (CHHATTISGARH)
TAKHATPUR GOVT. MS. BHARARI(EDU) 22072501805
12192 BILASPUR (CHHATTISGARH)
TAKHATPUR GOVT.P.S. (BOYS)EDU 22072501901
12193 BILASPUR (CHHATTISGARH)
TAKHATPUR GOVT. GIRLS P.S. 22072501902
12194 BILASPUR (CHHATTISGARH)
TAKHATPUR M.S. GOVT. BHARNI 22072501903
12195 BILASPUR (CHHATTISGARH)
TAKHATPUR PS GIRLS BHARANI(SSA) 22072501906
12196 BILASPUR (CHHATTISGARH)
TAKHATPUR PS GOVT, BHILOUNI(EDU) 22072502001
12197 BILASPUR (CHHATTISGARH)
TAKHATPUR GOVT. P.S.BHIMPURI 22072502101
12198 BILASPUR (CHHATTISGARH)
TAKHATPUR GOVT.PS. BHUHA KAPA (EDU) 22072502201
12199 BILASPUR (CHHATTISGARH)
TAKHATPUR GOVT. P.S. BHUNDA (EDU) 22072502301
12200 BILASPUR (CHHATTISGARH)
TAKHATPUR GOVT.PS BOYS JANPAD, BEEJA(SSA) 22072502401
12201 BILASPUR (CHHATTISGARH)
TAKHATPUR GOVT. PS.GIRLS JANPAD, BEEJA(EDU) 22072502402
12202 BILASPUR (CHHATTISGARH)
TAKHATPUR GOVT. MS. BEEJA(EDU) 22072502403
12203 BILASPUR (CHHATTISGARH)
TAKHATPUR PS GOVT, DIPRAPARA, BEEJA(SSA) 22072502404
12204 BILASPUR (CHHATTISGARH)
TAKHATPUR GOVT. P.S. BODSARA(EDU) 22072502601
12205 BILASPUR (CHHATTISGARH)
TAKHATPUR GOVT.MS. BODSARA (SSA) 22072502603
12206 BILASPUR (CHHATTISGARH)
TAKHATPUR GOVT. P.S. BUTENA (EDU) 22072502801
12207 BILASPUR (CHHATTISGARH)
TAKHATPUR GOVT.PS. BUTENA 22072502802
12208 BILASPUR (CHHATTISGARH)
TAKHATPUR GOVT. MS BUTENA 22072502804
12209 BILASPUR (CHHATTISGARH)
TAKHATPUR GOVT JAN. P.S. BELSARI (EDU) 22072502901
12210 BILASPUR (CHHATTISGARH)
TAKHATPUR GOVT. GIRLS P.SBELSARI.(EDU) 22072502902
12211 BILASPUR (CHHATTISGARH)
TAKHATPUR PS GOVT, BINOURI(EDU) 22072503001
12212 BILASPUR (CHHATTISGARH)
TAKHATPUR GOVT.PS. BADE BINOURI 22072503002
12213 BILASPUR (CHHATTISGARH)
TAKHATPUR GOVT. PS.BHOURA KACHHAR 22072503102
12214 BILASPUR (CHHATTISGARH)
TAKHATPUR GOVT.BOYS P.S. BAHTARAI 22072503201
12215 BILASPUR (CHHATTISGARH)
TAKHATPUR GOVT. GIRLS P.S. BAHTARAI(EDU) 22072503202
12216 BILASPUR (CHHATTISGARH)
TAKHATPUR EGS TO PS, DABENA(SSA) 22072503205
12217 BILASPUR (CHHATTISGARH)
TAKHATPUR MS GOVT, BAHTARAI 22072503206
12218 BILASPUR (CHHATTISGARH)
TAKHATPUR GOVT. PS. BARDULA PARA(SSA) 22072503302
12219 BILASPUR (CHHATTISGARH)
TAKHATPUR GOVT.MS.BARDUL PARA(SSA) 22072503303
12220 BILASPUR (CHHATTISGARH)
TAKHATPUR GOVT. P.S. CHAKRA KUND(EDU) 22072503401
12221 BILASPUR (CHHATTISGARH)
TAKHATPUR GOVT. PS. CHANADONGARI(EDU) 22072503501
12222 BILASPUR (CHHATTISGARH)
TAKHATPUR GOVT MS. CHANADONGARI(EDU) 22072503502
12223 BILASPUR (CHHATTISGARH)
TAKHATPUR GOVT NPS NADIYAPARA CHANADONGARI(EDU) 22072503503
12224 BILASPUR (CHHATTISGARH)
TAKHATPUR GOVT. P.S. BOYS CHHATOUNA (EDU) 22072503601
12225 BILASPUR (CHHATTISGARH)
TAKHATPUR GOVT. PS. BOYS BANDIYAPARA CHHATOUNA (EDU) 22072503602
12226 BILASPUR (CHHATTISGARH)
TAKHATPUR GOVT. PS. GIRLS CHHATOUNA(EDU) 22072503603
12227 BILASPUR (CHHATTISGARH)
TAKHATPUR GOVT. MS. CHHATOUNA(EDU) 22072503605
12228 BILASPUR (CHHATTISGARH)
TAKHATPUR EGS TO PS, GANDHINAGAR, CHATOU 22072503606
12229 BILASPUR (CHHATTISGARH)
TAKHATPUR GOVT. P.S.(EDU) 22072503701
12230 BILASPUR (CHHATTISGARH)
TAKHATPUR GOVT. P.S. CHICHIRDA (EDU) 22072503801
12231 BILASPUR (CHHATTISGARH)
TAKHATPUR GOVT. MS. BOYS CHICHIRDA (EDU) 22072503802
12232 BILASPUR (CHHATTISGARH)
TAKHATPUR GOVT. PS.AWASPARA SHIDMUNI (SSA) 22072503803
12233 BILASPUR (CHHATTISGARH)
TAKHATPUR GOVT.MS. GIRLS CHICHIRDA(SSA) 22072503804
12234 BILASPUR (CHHATTISGARH)
TAKHATPUR GOVT. P.S. CHITAVAR (EDU) 22072503901
12235 BILASPUR (CHHATTISGARH)
TAKHATPUR GOVT. P.S. CHORBHATTHI KALA(EDU) 22072504001
12236 BILASPUR (CHHATTISGARH)
TAKHATPUR EGS TO PS, CHORBHATTHIKALA(SSA) 22072504002
12237 BILASPUR (CHHATTISGARH)
TAKHATPUR GOVT.MS. CHORBHATTHIKALA 22072504003
12238 BILASPUR (CHHATTISGARH)
TAKHATPUR NPEGEL, PS GOVT, CHORBHATTI KHURD. 22072504101
12239 BILASPUR (CHHATTISGARH)
TAKHATPUR GOVT NPS DAIHANPARA CHORBHATTIKHURD 22072504102
12240 BILASPUR (CHHATTISGARH)
TAKHATPUR GOVT. P.S.(EDU) 22072504201
12241 BILASPUR (CHHATTISGARH)
TAKHATPUR GOVT. P.S.CHORHA SIGHANPURI(EDU) 22072504301
12242 BILASPUR (CHHATTISGARH)
TAKHATPUR GOVT. PS. DAIJA(EDU) 22072504401
12243 BILASPUR (CHHATTISGARH)
TAKHATPUR GOVT. MS. DAIJA(EDU) 22072504402
12244 BILASPUR (CHHATTISGARH)
TAKHATPUR JAN. P.S.DHANDHAN(EDU) 22072504501
12245 BILASPUR (CHHATTISGARH)
TAKHATPUR GOVT. KANI. GIRLS P.S. 22072504502
12246 BILASPUR (CHHATTISGARH)
TAKHATPUR MS GOVT, DHANDHAN 22072504503
12247 BILASPUR (CHHATTISGARH)
TAKHATPUR GOVT. P.S. DARRI (EDU) 22072504601
12248 BILASPUR (CHHATTISGARH)
TAKHATPUR GOVT.MS. DARRI (EDU) 22072504602
12249 BILASPUR (CHHATTISGARH)
TAKHATPUR GOVT. P.S.DEVTARA(EDU) 22072504701
12250 BILASPUR (CHHATTISGARH)
TAKHATPUR GOVT MS. DEVTAR(SSA) 22072504702
12251 BILASPUR (CHHATTISGARH)
TAKHATPUR GOVT. P.S. DEVRIKALA(EDU) 22072504801
12252 BILASPUR (CHHATTISGARH)
TAKHATPUR GOVT UP MS DEVARIKALA(SSA) 22072504803
12253 BILASPUR (CHHATTISGARH)
TAKHATPUR GOVT. PS. DEVRIKHURD(edu) 22072504901
12254 BILASPUR (CHHATTISGARH)
TAKHATPUR GOVT MS DEVRIKHURD(EDU) 22072504902
12255 BILASPUR (CHHATTISGARH)
TAKHATPUR GOVT. MODEL M.S. DEVRIKHURD 22072504903
12256 BILASPUR (CHHATTISGARH)
TAKHATPUR GOVT. KANI. P.S.(EDU) 22072505001
12257 BILASPUR (CHHATTISGARH)
TAKHATPUR GOVT. P.S. DIGHORA 22072505101
12258 BILASPUR (CHHATTISGARH)
TAKHATPUR GOVT. P.S.DOMAN PUR 22072505201
12259 BILASPUR (CHHATTISGARH)
TAKHATPUR GOVT. P.S. DARRI KAPA (EDU) 22072505301
12260 BILASPUR (CHHATTISGARH)
TAKHATPUR GOVT. PS. DEVRI SOAN(EDU) 22072505401
12261 BILASPUR (CHHATTISGARH)
TAKHATPUR GOVT. BOYS P.S. 22072505501
12262 BILASPUR (CHHATTISGARH)
TAKHATPUR GOVT. GIRLS PS. GANIYARI (EDU) 22072505502
12263 BILASPUR (CHHATTISGARH)
TAKHATPUR GOVT. KSNI. P.S. DEVALPARA 22072505503
12264 BILASPUR (CHHATTISGARH)
TAKHATPUR EGS TO PS, AVDHELIYAPARA(SSA) 22072505504
12265 BILASPUR (CHHATTISGARH)
TAKHATPUR MS GIRLS GOVT, GANIYARI 22072505507
12266 BILASPUR (CHHATTISGARH)
TAKHATPUR GOVT. M.S. BOYS GANIYARI 22072505508
12267 BILASPUR (CHHATTISGARH)
TAKHATPUR GOVT. P.S.GHOGHRA(EDU) 22072505601
12268 BILASPUR (CHHATTISGARH)
TAKHATPUR PS TO MS, GHONGHADIH(SSA) 22072505702
12269 BILASPUR (CHHATTISGARH)
TAKHATPUR PS GOVT, GHONGHADIH 22072505703
12270 BILASPUR (CHHATTISGARH)
TAKHATPUR GOVT. PS. GHORAMAR(EDU) 22072505801
12271 BILASPUR (CHHATTISGARH)
TAKHATPUR GOVT.MS, GHORAMAR(SSA) 22072505802
12272 BILASPUR (CHHATTISGARH)
TAKHATPUR GOVT.PS, PANDAKAPA, GHORAMAR(SSA) 22072505803
12273 BILASPUR (CHHATTISGARH)
TAKHATPUR GOVT.PS. GHURU(EDU) 22072505902
12274 BILASPUR (CHHATTISGARH)
TAKHATPUR MS GOVT, GHURU (EDU) 22072505903
12275 BILASPUR (CHHATTISGARH)
TAKHATPUR GOVT. PS. BOYS GHUTKU(EDU) 22072506001
12276 BILASPUR (CHHATTISGARH)
TAKHATPUR GOVT. P.S. NAVAPARA 22072506002
12277 BILASPUR (CHHATTISGARH)
TAKHATPUR GOVT. GIRLS P.S. GHUTKU(EDU) 22072506003
12278 BILASPUR (CHHATTISGARH)
TAKHATPUR GOVT. KANI. P.S. STATION PARA 22072506004
12279 BILASPUR (CHHATTISGARH)
TAKHATPUR GOVT. P.S. NUNIA PARA (EDU) 22072506005
12280 BILASPUR (CHHATTISGARH)
TAKHATPUR GOVT. P.S. PANDRI PAR(EDU) 22072506006
12281 BILASPUR (CHHATTISGARH)
TAKHATPUR GOVT. KANI. P.S. SINGAR BADI(EDU) 22072506007
12282 BILASPUR (CHHATTISGARH)
TAKHATPUR GOVT. P.S. SATTI PARA(EDU) 22072506008
12283 BILASPUR (CHHATTISGARH)
TAKHATPUR GOVT. P.S. GHANAPAR (EDU) 22072506009
12284 BILASPUR (CHHATTISGARH)
TAKHATPUR GOVT.PS. HARIJANPARA (SSA) 22072506012
12285 BILASPUR (CHHATTISGARH)
TAKHATPUR EGS TO PS, BANDHVAPARA(SSA) 22072506013
12286 BILASPUR (CHHATTISGARH)
TAKHATPUR GOVT.MS.NAVAPARA,GHUTKU(SSA) 22072506015
12287 BILASPUR (CHHATTISGARH)
TAKHATPUR GOVT.MS,GIRLS GHUTKU(SSA) 22072506016
12288 BILASPUR (CHHATTISGARH)
TAKHATPUR GOVT MS. BOYS GHUTKU(SSA) 22072506019
12289 BILASPUR (CHHATTISGARH)
TAKHATPUR GOVT. P.S. GOKULPUR(EDU) 22072506101
12290 BILASPUR (CHHATTISGARH)
TAKHATPUR GOVT. MS. GOKULPUR(SSA) 22072506102
12291 BILASPUR (CHHATTISGARH)
TAKHATPUR GOVT. P.S. GUSARI(EDU) 22072506201
12292 BILASPUR (CHHATTISGARH)
TAKHATPUR GOVT.MS. GUNSARI(SSA) 22072506202
12293 BILASPUR (CHHATTISGARH)
TAKHATPUR GOVT. PS, ADIWASIPARA (EDU) 22072506203
12294 BILASPUR (CHHATTISGARH)
TAKHATPUR GOVT. P.S. GAMJU(SSA) 22072506301
12295 BILASPUR (CHHATTISGARH)
TAKHATPUR GOVT. BAPA, BIJRAKAPA,GAMJU(EDU ANUDAN) 22072506302
12296 BILASPUR (CHHATTISGARH)
TAKHATPUR GOVT.MS PARASAPARA GAMJU(SSA) 22072506303
12297 BILASPUR (CHHATTISGARH)
TAKHATPUR GOVT. P.S. GIRDHOUNA (EDU) 22072506401
12298 BILASPUR (CHHATTISGARH)
TAKHATPUR GOVT. MS. GIRDHOUNA(EDU) 22072506402
12299 BILASPUR (CHHATTISGARH)
TAKHATPUR GOVT. PS. CHANDIPARA GIRDHOUNA(SSA) 22072506403
12300 BILASPUR (CHHATTISGARH)
TAKHATPUR GAYATRI S. MANDIR GIRDHOUNA 22072506405
12301 BILASPUR (CHHATTISGARH)
TAKHATPUR GOVT. P.S. GOBAND (EDU) 22072506501
12302 BILASPUR (CHHATTISGARH)
TAKHATPUR GOVT. P.S. HANFA(EDU) 22072506601
12303 BILASPUR (CHHATTISGARH)
TAKHATPUR MS GOVT, HANFA 22072506602
12304 BILASPUR (CHHATTISGARH)
TAKHATPUR GOVT PS HARDI(EDU) 22072506701
12305 BILASPUR (CHHATTISGARH)
TAKHATPUR GOVT MS. HARDI(EDU) 22072506702
12306 BILASPUR (CHHATTISGARH)
TAKHATPUR GOVT. PS. HIRRIMINES(EDU) 22072506801
12307 BILASPUR (CHHATTISGARH)
TAKHATPUR GOVT. MS. HIRRIMINES (EDU) 22072506805
12308 BILASPUR (CHHATTISGARH)
TAKHATPUR GOVT. P.S. JARELI (EDU) 22072506901
12309 BILASPUR (CHHATTISGARH)
TAKHATPUR KGBV, UPS, JARELI 22072506902
12310 BILASPUR (CHHATTISGARH)
TAKHATPUR PS JAN., JAROUNDHA 22072507001
12311 BILASPUR (CHHATTISGARH)
TAKHATPUR NPEGEL, PS GIRLS, JAROUNDHA 22072507002
12312 BILASPUR (CHHATTISGARH)
TAKHATPUR MS GOVT, JAROUNDHA 22072507003
12313 BILASPUR (CHHATTISGARH)
TAKHATPUR GOVT PS. JONKI(SSA) 22072507102
12314 BILASPUR (CHHATTISGARH)
TAKHATPUR GOVT.PS. JOGIPUR(EDU) 22072507201
12315 BILASPUR (CHHATTISGARH)
TAKHATPUR GOVT. P.S. BADEPARA 22072507202
12316 BILASPUR (CHHATTISGARH)
TAKHATPUR GOVT. P.S.JUNAPARA(EDU) 22072507301
12317 BILASPUR (CHHATTISGARH)
TAKHATPUR MS GOVT, JUNAPARA(EDU) 22072507302
12318 BILASPUR (CHHATTISGARH)
TAKHATPUR GOVT. PS BOYS, KHAMHARIA(EDU) 22072507401
12319 BILASPUR (CHHATTISGARH)
TAKHATPUR GOVT. PS GIRLS, KHAMHARIA(EDU) 22072507402
12320 BILASPUR (CHHATTISGARH)
TAKHATPUR GOVT. MS.KHAMHARIA(SSA) 22072507403
12321 BILASPUR (CHHATTISGARH)
TAKHATPUR GOVT. P.S.KEKDAR 22072507501
12322 BILASPUR (CHHATTISGARH)
TAKHATPUR GOVT MS KEKDAR 22072507502
12323 BILASPUR (CHHATTISGARH)
TAKHATPUR GOVT. P.S.KHAPRI(EDU) 22072507601
12324 BILASPUR (CHHATTISGARH)
TAKHATPUR MS GOVT. KHAPARI 22072507602
12325 BILASPUR (CHHATTISGARH)
TAKHATPUR GOVT. P.S.(EDU) 22072507701
12326 BILASPUR (CHHATTISGARH)
TAKHATPUR MS GOVT, KARANKAPA(EDU) 22072507702
12327 BILASPUR (CHHATTISGARH)
TAKHATPUR GOVT PS KHAMHARIYA 22072507703
12328 BILASPUR (CHHATTISGARH)
TAKHATPUR GOVT. P.S. KARHI (EDU) 22072507801
12329 BILASPUR (CHHATTISGARH)
TAKHATPUR GOVT.PS KATHAKONI(EDU) 22072507901
12330 BILASPUR (CHHATTISGARH)
TAKHATPUR GOVT. PS NAVIN, KATHAKONI(EDU) 22072507902
12331 BILASPUR (CHHATTISGARH)
TAKHATPUR GOVT. MS. KATHAKONI 22072507903
12332 BILASPUR (CHHATTISGARH)
TAKHATPUR GOVT. P.S. KATMUNDA 22072508001
12333 BILASPUR (CHHATTISGARH)
TAKHATPUR EGS TO PS, KATHMUNDA 22072508002
12334 BILASPUR (CHHATTISGARH)
TAKHATPUR GOVT. P.S.KHATOL;IA(EDU) 22072508101
12335 BILASPUR (CHHATTISGARH)
TAKHATPUR GOVT. PS. KHAIRI 22072508201
12336 BILASPUR (CHHATTISGARH)
TAKHATPUR GAYATRI SHISHU MANDIR KHAIRI(MONCHH) 22072508203
12337 BILASPUR (CHHATTISGARH)
TAKHATPUR GOVT.PS NAVIN, KHAJURI NAVAGAON 22072508301
12338 BILASPUR (CHHATTISGARH)
TAKHATPUR GOVT. PS. NAVIN, BANDHIYAPARA, KHAJUR(SSA) 22072508302
12339 BILASPUR (CHHATTISGARH)
TAKHATPUR GOVT NPS BASTIPARA KHAJURINAVAGAON 22072508303
12340 BILASPUR (CHHATTISGARH)
TAKHATPUR GOVT. PS. KHAJURI 22072508402
12341 BILASPUR (CHHATTISGARH)
TAKHATPUR GOVT MS KHAJURI 22072508403
12342 BILASPUR (CHHATTISGARH)
TAKHATPUR GOVT.GIRLS P.S.KHARGAHANA (EDU) 22072508501
12343 BILASPUR (CHHATTISGARH)
TAKHATPUR GOVT. BOYS P.S.(KHARGAHNA)EDU 22072508502
12344 BILASPUR (CHHATTISGARH)
TAKHATPUR GOVT. KANI. P.S. LARIPARA(EDU) 22072508503
12345 BILASPUR (CHHATTISGARH)
TAKHATPUR GOVT. PS KALMITAR 22072508504
12346 BILASPUR (CHHATTISGARH)
TAKHATPUR GOVT. MS KHARGAHNA(EDU) 22072508505
12347 BILASPUR (CHHATTISGARH)
TAKHATPUR GOVT.P.S. BOYS KHARKENA (EDU) 22072508601
12348 BILASPUR (CHHATTISGARH)
TAKHATPUR GOVT. P.S. BOYS BAZAR PARA (EDU) 22072508602
12349 BILASPUR (CHHATTISGARH)
TAKHATPUR PS GOVT GIRLS, KHARKENA (EDU) 22072508603
12350 BILASPUR (CHHATTISGARH)
TAKHATPUR GOVT. MS. KHARKENA (EDU) 22072508604
12351 BILASPUR (CHHATTISGARH)
TAKHATPUR GOVT. P.S.(EDU) 22072508701
12352 BILASPUR (CHHATTISGARH)
TAKHATPUR GOVT. P.S. KODA PURI(EDU) 22072508801
12353 BILASPUR (CHHATTISGARH)
TAKHATPUR GOVT. MS. KODAPURI (EDU) 22072508803
12354 BILASPUR (CHHATTISGARH)
TAKHATPUR GOVT. P.S. KODASAR 22072508901
12355 BILASPUR (CHHATTISGARH)
TAKHATPUR GOVT. PS. KOPRA(EDU) 22072509001
12356 BILASPUR (CHHATTISGARH)
TAKHATPUR GOVT. MS. KOPRA(SSA) 22072509002
12357 BILASPUR (CHHATTISGARH)
TAKHATPUR GOVT. P.S.KURELI 22072509101
12358 BILASPUR (CHHATTISGARH)
TAKHATPUR GOVT. MS. KURELI 22072509102
12359 BILASPUR (CHHATTISGARH)
TAKHATPUR JAN. P.S. 22072509201
12360 BILASPUR (CHHATTISGARH)
TAKHATPUR GOVT.MS. KUVA(SSA) 22072509203
12361 BILASPUR (CHHATTISGARH)
TAKHATPUR GOVT. P.S. KHATOLA 22072509301
12362 BILASPUR (CHHATTISGARH)
TAKHATPUR GOVT.MS, KHATOLIA(SSA) 22072509302
12363 BILASPUR (CHHATTISGARH)
TAKHATPUR GOVT. M.S. KHATOLA(SSA) 22072509303
12364 BILASPUR (CHHATTISGARH)
TAKHATPUR GOVT.PS, KEKTI(EDU) 22072509401
12365 BILASPUR (CHHATTISGARH)
TAKHATPUR GOVT.MS. KEKTI(SSA) 22072509402
12366 BILASPUR (CHHATTISGARH)
TAKHATPUR GOVT. P.S. KAPASIA KHURD (EDU) 22072509501
12367 BILASPUR (CHHATTISGARH)
TAKHATPUR JAN. P.S.kanchanpur(edu) 22072509601
12368 BILASPUR (CHHATTISGARH)
TAKHATPUR UP MS, KANCHANPUR(SSA) 22072509602
12369 BILASPUR (CHHATTISGARH)
TAKHATPUR GOVT. P.S. KABRA KAPA(EDU) 22072509701
12370 BILASPUR (CHHATTISGARH)
TAKHATPUR GOVT. P.S. KAPASIYA KALA (EDU) 22072509801
12371 BILASPUR (CHHATTISGARH)
TAKHATPUR GOVT. MS. KAPASIYAKALA(SSA) 22072509802
12372 BILASPUR (CHHATTISGARH)
TAKHATPUR NPEGEL, PS JAN., LAKHASAR 22072509901
12373 BILASPUR (CHHATTISGARH)
TAKHATPUR GOVT. P.S. GONDPARA 22072509902
12374 BILASPUR (CHHATTISGARH)
TAKHATPUR MS GOVT, LAKHASAR 22072509903
12375 BILASPUR (CHHATTISGARH)
TAKHATPUR GOVT. PS.GADARIYAPARA(EDU) 22072509904
12376 BILASPUR (CHHATTISGARH)
TAKHATPUR GOVT. P.S. LAMER(EDU) 22072510002
12377 BILASPUR (CHHATTISGARH)
TAKHATPUR GOVT. MS LAMER(EDU) 22072510004
12378 BILASPUR (CHHATTISGARH)
TAKHATPUR GOVT. PS, BHADAMPAR,LAMER 22072510005
12379 BILASPUR (CHHATTISGARH)
TAKHATPUR GOVT. PS. BOERAHAPARA ,LAMER(EDU) 22072510006
12380 BILASPUR (CHHATTISGARH)
TAKHATPUR GOVT. MS NAROTIKAPA (SSA) 22072510007
12381 BILASPUR (CHHATTISGARH)
TAKHATPUR PS GOVT, LIDRI 22072510101
12382 BILASPUR (CHHATTISGARH)
TAKHATPUR GOVT.PS. BOYS LIMHA(EDU) 22072510201
12383 BILASPUR (CHHATTISGARH)
TAKHATPUR GOVT. GIRLS P.S. LIMHA(EDU) 22072510202
12384 BILASPUR (CHHATTISGARH)
TAKHATPUR GOVT. MS. LIMHA(EDU) 22072510206
12385 BILASPUR (CHHATTISGARH)
TAKHATPUR GOVT. P.S.LIMHI(EDU) 22072510301
12386 BILASPUR (CHHATTISGARH)
TAKHATPUR GOVT. PS. PACHBAHERA, LIMHI (SSA) 22072510302
12387 BILASPUR (CHHATTISGARH)
TAKHATPUR GOVT. P.S.BHOIRAPARA 22072510401
12388 BILASPUR (CHHATTISGARH)
TAKHATPUR PS GOVT, LOKHANDI(edu) 22072510402
12389 BILASPUR (CHHATTISGARH)
TAKHATPUR GOVT.PS, SWARNAJAYANTINAGAR(SSA) 22072510404
12390 BILASPUR (CHHATTISGARH)
TAKHATPUR MS GOVT, LOKHANDI(SSA) 22072510406
12391 BILASPUR (CHHATTISGARH)
TAKHATPUR PS GOVT, MARHIKAPA(EDU) 22072510501
12392 BILASPUR (CHHATTISGARH)
TAKHATPUR GOVT. P.S. MEDPAR BAZAR 22072510601
12393 BILASPUR (CHHATTISGARH)
TAKHATPUR GOVT, MS MEDHPAR BAZAR(SSA) 22072510602
12394 BILASPUR (CHHATTISGARH)
TAKHATPUR GOVT. P.S. MEDPAR CHOTA(EDU) 22072510701
12395 BILASPUR (CHHATTISGARH)
TAKHATPUR GOVT. BOYS P.S.MENDRA 22072510801
12396 BILASPUR (CHHATTISGARH)
TAKHATPUR GOVT. GIRLS P.S. MENDRA 22072510802
12397 BILASPUR (CHHATTISGARH)
TAKHATPUR GOVT.MS MENDRA 22072510803
12398 BILASPUR (CHHATTISGARH)
TAKHATPUR PS JANPAD, MODHE(SSA) 22072510901
12399 BILASPUR (CHHATTISGARH)
TAKHATPUR GOVT. MS MODHE(SSA) 22072510902
12400 BILASPUR (CHHATTISGARH)
TAKHATPUR GOVT. P.S. MOHAN BHATA(EDU) 22072511001
12401 BILASPUR (CHHATTISGARH)
TAKHATPUR GOVT. PS. BOYS MOCHH (EDU) 22072511101
12402 BILASPUR (CHHATTISGARH)
TAKHATPUR GOVT. GIRLS P.S. MONCHH (EDU) 22072511102
12403 BILASPUR (CHHATTISGARH)
TAKHATPUR GOVT. P.S. JORA PARA (EDU) 22072511103
12404 BILASPUR (CHHATTISGARH)
TAKHATPUR GOVT. P.S. SATNAMI PARA(EDU) 22072511104
12405 BILASPUR (CHHATTISGARH)
TAKHATPUR GOVT MS. MOCHH (EDU) 22072511106
12406 BILASPUR (CHHATTISGARH)
TAKHATPUR GOVT. PS BARCHHAPARA(SSA) 22072511107
12407 BILASPUR (CHHATTISGARH)
TAKHATPUR G.B. S.SHISHU MANDIR MONCHH 22072511109
12408 BILASPUR (CHHATTISGARH)
TAKHATPUR GOVT. P.S. MUDHAPAR(EDU) 22072511201
12409 BILASPUR (CHHATTISGARH)
TAKHATPUR GOVT.PS. MURU(EDU) 22072511302
12410 BILASPUR (CHHATTISGARH)
TAKHATPUR GOVT. MS. MURU(EDU) 22072511303
12411 BILASPUR (CHHATTISGARH)
TAKHATPUR GOVT.PS. SAKARIBHANWAR MURU (SSA) 22072511304
12412 BILASPUR (CHHATTISGARH)
TAKHATPUR GOVT. PS.MOUHAKAPA(EDU) 22072511402
12413 BILASPUR (CHHATTISGARH)
TAKHATPUR JAN. P.S. NAGOI(EDU) 22072511501
12414 BILASPUR (CHHATTISGARH)
TAKHATPUR MS GOVT, NAGOI 22072511502
12415 BILASPUR (CHHATTISGARH)
TAKHATPUR GOVT. PS. NIRTU(EDU) 22072511601
12416 BILASPUR (CHHATTISGARH)
TAKHATPUR GOVT. P.S. KARHI PARA NIRTU (EDU) 22072511602
12417 BILASPUR (CHHATTISGARH)
TAKHATPUR GOVT. PS. MAUHARPARA (EDU) 22072511603
12418 BILASPUR (CHHATTISGARH)
TAKHATPUR GOVT. MS. NIRTU(EDU) 22072511604
12419 BILASPUR (CHHATTISGARH)
TAKHATPUR GOVT. PS DIPRAPARA(SSA) 22072511605
12420 BILASPUR (CHHATTISGARH)
TAKHATPUR GOVT. P.S. NAVAGAON (EDU) 22072511701
12421 BILASPUR (CHHATTISGARH)
TAKHATPUR GOVT. P.S. NEVRA(EDU) 22072511801
12422 BILASPUR (CHHATTISGARH)
TAKHATPUR GOVT. MS. NEVARA(EDU) 22072511802
12423 BILASPUR (CHHATTISGARH)
TAKHATPUR GOVT.PS. BHATHAPARA (SSA) 22072511803
12424 BILASPUR (CHHATTISGARH)
TAKHATPUR KANI. P.S.NEVASA(EDU) 22072511901
12425 BILASPUR (CHHATTISGARH)
TAKHATPUR UP MS NEVASA(SSA) 22072511902
12426 BILASPUR (CHHATTISGARH)
TAKHATPUR PS GOVT, NIGARBAND (EDU) 22072512001
12427 BILASPUR (CHHATTISGARH)
TAKHATPUR MS GOVT, NIGARBAND 22072512002
12428 BILASPUR (CHHATTISGARH)
TAKHATPUR GOVT. PS. PACHABAHARA(EDU) 22072512101
12429 BILASPUR (CHHATTISGARH)
TAKHATPUR GOVT. PS. NAVIN CHIRHAPARA 22072512103
12430 BILASPUR (CHHATTISGARH)
TAKHATPUR GOVT. MS. PACHBAHARA 22072512104
12431 BILASPUR (CHHATTISGARH)
TAKHATPUR GOVT. P.S. (EDU) 22072512201
12432 BILASPUR (CHHATTISGARH)
TAKHATPUR GOVT UP MS, PADARIA(SSA) 22072512203
12433 BILASPUR (CHHATTISGARH)
TAKHATPUR GOVT.P.S PAKARIA 22072512301
12434 BILASPUR (CHHATTISGARH)
TAKHATPUR GOVT.PS. BAPA, PALI(SSA) 22072512404
12435 BILASPUR (CHHATTISGARH)
TAKHATPUR GOVT. MS. PALI(EDU) 22072512405
12436 BILASPUR (CHHATTISGARH)
TAKHATPUR GOVT.PS, DILVAPARA (EDU) 22072512407
12437 BILASPUR (CHHATTISGARH)
TAKHATPUR GOVT. MS.PALI(EDU) 22072512408
12438 BILASPUR (CHHATTISGARH)
TAKHATPUR GOVT.PS. PALI(EDU) 22072512409
12439 BILASPUR (CHHATTISGARH)
TAKHATPUR GOVT.PS NAVADIH, PALI(EDU) 22072512501
12440 BILASPUR (CHHATTISGARH)
TAKHATPUR GOVT PS PAND(SAIDA) 22072512701
12441 BILASPUR (CHHATTISGARH)
TAKHATPUR GOVT.MS PAND(SAIDA) 22072512702
12442 BILASPUR (CHHATTISGARH)
TAKHATPUR PS. PARSA KAPA(EDU) 22072512801
12443 BILASPUR (CHHATTISGARH)
TAKHATPUR GOVT. PS. PARSAKAPA(TINGIPUR)SSA 22072512802
12444 BILASPUR (CHHATTISGARH)
TAKHATPUR GOVT.PS. PARSADA (EDU) 22072512901
12445 BILASPUR (CHHATTISGARH)
TAKHATPUR GOVT. MS, PARSADA 22072512903
12446 BILASPUR (CHHATTISGARH)
TAKHATPUR GIRLS PS. PENDARI 22072513001
12447 BILASPUR (CHHATTISGARH)
TAKHATPUR GOVT.PS. PENDARI(EDU) 22072513101
12448 BILASPUR (CHHATTISGARH)
TAKHATPUR GOVT.MS. PENDARI(SSA) 22072513102
12449 BILASPUR (CHHATTISGARH)
TAKHATPUR GOVT PS BOYS PENDARI 22072513104
12450 BILASPUR (CHHATTISGARH)
TAKHATPUR GOVT MS PENDARI(EDU) 22072513105
12451 BILASPUR (CHHATTISGARH)
TAKHATPUR GOVT. PS. PIPAR HATTA(EDU) 22072513201
12452 BILASPUR (CHHATTISGARH)
TAKHATPUR GOVT.PS. PONGARIYA(EDU) 22072513301
12453 BILASPUR (CHHATTISGARH)
TAKHATPUR PS. PONDI 22072513401
12454 BILASPUR (CHHATTISGARH)
TAKHATPUR GOVT. PS. PONDI KALA(BHARNI) (EDU) 22072513402
12455 BILASPUR (CHHATTISGARH)
TAKHATPUR GOVT. MS GOVT, PONDI(KALA) EDU 22072513403
12456 BILASPUR (CHHATTISGARH)
TAKHATPUR PS. PURA(EDU) 22072513501
12457 BILASPUR (CHHATTISGARH)
TAKHATPUR GOVT. MS PURA (EDU) 22072513502
12458 BILASPUR (CHHATTISGARH)
TAKHATPUR PS. PURENA(EDU) 22072513601
12459 BILASPUR (CHHATTISGARH)
TAKHATPUR MS GOVT, PURENA(SSA) 22072513602
12460 BILASPUR (CHHATTISGARH)
TAKHATPUR GOVT .PS. PHULTARAI (EDU) 22072513701
12461 BILASPUR (CHHATTISGARH)
TAKHATPUR GOVT. PS. PATHARRA 22072513801
12462 BILASPUR (CHHATTISGARH)
TAKHATPUR GOVT. MS. PATHARRA(SSA) 22072513802
12463 BILASPUR (CHHATTISGARH)
TAKHATPUR GOVT PS RAJPUR(EDU) 22072513901
12464 BILASPUR (CHHATTISGARH)
TAKHATPUR GOVT.MS. RAJPUR(EDU) 22072513902
12465 BILASPUR (CHHATTISGARH)
TAKHATPUR PS. RAJA KAPA(EDU) 22072514001
12466 BILASPUR (CHHATTISGARH)
TAKHATPUR GOVT.P.S RANI DERA 22072514101
12467 BILASPUR (CHHATTISGARH)
TAKHATPUR GOVT.PS, AWASPARA(SSA) 22072514102
12468 BILASPUR (CHHATTISGARH)
TAKHATPUR GOVT. MS. RANIDERA 22072514103
12469 BILASPUR (CHHATTISGARH)
TAKHATPUR PS. JARONDHA(NAVA PARA) 22072514201
12470 BILASPUR (CHHATTISGARH)
TAKHATPUR GOVT P.S SAGAR(SSA) 22072514301
12471 BILASPUR (CHHATTISGARH)
TAKHATPUR GOVT MS SAGAR 22072514303
12472 BILASPUR (CHHATTISGARH)
TAKHATPUR GOVT.P.S. TIVARI PARA(SAIDA) 22072514401
12473 BILASPUR (CHHATTISGARH)
TAKHATPUR PS. BOYS SAIDA 22072514402
12474 BILASPUR (CHHATTISGARH)
TAKHATPUR P.S GIRLS SAIDA 22072514403
12475 BILASPUR (CHHATTISGARH)
TAKHATPUR GOVT. MS GIRLS SAIDA 22072514404
12476 BILASPUR (CHHATTISGARH)
TAKHATPUR MS. GOVT. BOYS. SAIDA 22072514405
12477 BILASPUR (CHHATTISGARH)
TAKHATPUR GOVT. PS, KHAIRADIH 22072514406
12478 BILASPUR (CHHATTISGARH)
TAKHATPUR GIRLS P.S. SAKARI 22072514504
12479 BILASPUR (CHHATTISGARH)
TAKHATPUR GOVT. PS. BOYS SAKRI(EDU) 22072514505
12480 BILASPUR (CHHATTISGARH)
TAKHATPUR GOVT. P.S. DALDALI PARA(EDU) 22072514506
12481 BILASPUR (CHHATTISGARH)
TAKHATPUR MS GIRLS GOVT, SAKARI 22072514508
12482 BILASPUR (CHHATTISGARH)
TAKHATPUR MS BOYS GOVT,SAKARI(EDU) 22072514509
12483 BILASPUR (CHHATTISGARH)
TAKHATPUR PS GOVT, BATALIAN ROAD, SAKARI(EDU) 22072514513
12484 BILASPUR (CHHATTISGARH)
TAKHATPUR GOVT. GIRLS PS. SAKARRA(EDU) 22072514601
12485 BILASPUR (CHHATTISGARH)
TAKHATPUR GOVT. BOYS P.S. SAKARRA(EDU) 22072514602
12486 BILASPUR (CHHATTISGARH)
TAKHATPUR GOVT.MS GIRLS SAKARRA(EDU) 22072514603
12487 BILASPUR (CHHATTISGARH)
TAKHATPUR GOVT. MS. BOYS SAKARRA 22072514604
12488 BILASPUR (CHHATTISGARH)
TAKHATPUR NPEGEL, PS GOVT, SAKERI 22072514701
12489 BILASPUR (CHHATTISGARH)
TAKHATPUR GOVT. PS. SALIHA 22072514801
12490 BILASPUR (CHHATTISGARH)
TAKHATPUR PS BAPA, SALHEKAPA(ANUDAN) 22072514901
12491 BILASPUR (CHHATTISGARH)
TAKHATPUR GOVT.PS. BOYS SAMBAL PURI 22072515001
12492 BILASPUR (CHHATTISGARH)
TAKHATPUR GOVT. PS. GIRLS SAMBALIPURI(EDU) 22072515002
12493 BILASPUR (CHHATTISGARH)
TAKHATPUR GOVT,MS SAMBALPURI(SSA) 22072515003
12494 BILASPUR (CHHATTISGARH)
TAKHATPUR GOVT. PS. SAVA TAL (EDU) 22072515101
12495 BILASPUR (CHHATTISGARH)
TAKHATPUR GOVT. PS. SAVA DABARA(EDU) 22072515201
12496 BILASPUR (CHHATTISGARH)
TAKHATPUR PS. SINGHAN PURI(EDU) 22072515301
12497 BILASPUR (CHHATTISGARH)
TAKHATPUR MS GOVT, SINGHANPURI 22072515302
12498 BILASPUR (CHHATTISGARH)
TAKHATPUR GOVT MS CHORHA SINGHNPURI 22072515303
12499 BILASPUR (CHHATTISGARH)
TAKHATPUR GOVT. PS. SINGHARI(EDU) 22072515401
12500 BILASPUR (CHHATTISGARH)
TAKHATPUR GOVT. PS. SAKETI 22072515501
12501 BILASPUR (CHHATTISGARH)
TAKHATPUR GOVT MS SAKETI(SSA) 22072515503
12502 BILASPUR (CHHATTISGARH)
TAKHATPUR GOVT. PS. SILTARA(SSA) 22072515601
12503 BILASPUR (CHHATTISGARH)
TAKHATPUR GOVT. MS. SILTARA(SSA) 22072515602
12504 BILASPUR (CHHATTISGARH)
TAKHATPUR GOVT PS. SAMDIL(EDU) 22072515701
12505 BILASPUR (CHHATTISGARH)
TAKHATPUR GOVT. UP MS, SAMDIL(SSA) 22072515702
12506 BILASPUR (CHHATTISGARH)
TAKHATPUR GOVT.PS,NAVEEN KERAKACHHAR(SSA) 22072515703
12507 BILASPUR (CHHATTISGARH)
TAKHATPUR PS. SAKARI BHATHA 22072515801
12508 BILASPUR (CHHATTISGARH)
TAKHATPUR GOVT. PS. SARSENI (EDU) 22072515901
12509 BILASPUR (CHHATTISGARH)
TAKHATPUR PS GOVT, SONBANDHA 22072516001
12510 BILASPUR (CHHATTISGARH)
TAKHATPUR MS GOVT, SONBANDHA 22072516002
12511 BILASPUR (CHHATTISGARH)
TAKHATPUR GOVT. PS. THAKUR KAPA (EDU) 22072516101
12512 BILASPUR (CHHATTISGARH)
TAKHATPUR GOVT. PS.THAKUR KAPA (BELPAN) 22072516102
12513 BILASPUR (CHHATTISGARH)
TAKHATPUR PS GOVT, TIHULADIH 22072516201
12514 BILASPUR (CHHATTISGARH)
TAKHATPUR GOVT MS TIHULADIH(SSA) 22072516202
12515 BILASPUR (CHHATTISGARH)
TAKHATPUR GOVT.PS. TINGI PUR 22072516301
12516 BILASPUR (CHHATTISGARH)
TAKHATPUR GOVT.PS. TURKA DIH (EDU) 22072516401
12517 BILASPUR (CHHATTISGARH)
TAKHATPUR GOVT. PS. TANDA(EDU) 22072516501
12518 BILASPUR (CHHATTISGARH)
TAKHATPUR GOVT. MS. TADA(EDU) 22072516502
12519 BILASPUR (CHHATTISGARH)
TAKHATPUR GOVT PS GADHIYAPARA TADA(EDU) 22072516504
12520 BILASPUR (CHHATTISGARH)
TAKHATPUR GOVT. PS. TAKHATPUR(EDU) 22072516601
12521 BILASPUR (CHHATTISGARH)
TAKHATPUR GOVT PS. NAVIN TIKARI PARA(EDU) 22072516602
12522 BILASPUR (CHHATTISGARH)
TAKHATPUR GOVT.PS GIRLS, TAKHATPUR(EDU) 22072516603
12523 BILASPUR (CHHATTISGARH)
TAKHATPUR PS. NAVIN TAKHATPUR 22072516604
12524 BILASPUR (CHHATTISGARH)
TAKHATPUR PS. DEVANGAN PARA(TAKHATPUR) 22072516609
12525 BILASPUR (CHHATTISGARH)
TAKHATPUR JAN.MS BOYS , TAKHATPUR(SSA) 22072516613
12526 BILASPUR (CHHATTISGARH)
TAKHATPUR M S TIKRIPARA TAKHATPUR 22072516620
12527 BILASPUR (CHHATTISGARH)
TAKHATPUR UPMS GIRLS TAKHATPUR 22072516621
12528 BILASPUR (CHHATTISGARH)
TAKHATPUR GOVT GIRLS ST ASHRAM TAKHATPUR 22072516622
12529 BILASPUR (CHHATTISGARH)
TAKHATPUR GOVT. PS. UDELIA(EDU) 22072516701
12530 BILASPUR (CHHATTISGARH)
TAKHATPUR GOVT.PS. UMARIYA 22072516801
12531 BILASPUR (CHHATTISGARH)
TAKHATPUR GOVT. PS. USLA PUR(EDU) 22072516901
12532 BILASPUR (CHHATTISGARH)
TAKHATPUR GOVT.PS. SHANTINAGAR USLAPUR(SSA) 22072516902
12533 BILASPUR (CHHATTISGARH)
TAKHATPUR MS GOVT, USLAPUR(EDU) 22072516903
12534 BILASPUR (CHHATTISGARH)
TAKHATPUR PS. VICHAR PUR 22072517001
12535 BILASPUR (CHHATTISGARH)
TAKHATPUR GOVT. PS. VIJAY PUR (EDU) 22072517101
12536 BILASPUR (CHHATTISGARH)
TAKHATPUR MS BELSARI(SSA) 22072517301
12537 BILASPUR (CHHATTISGARH)
TAKHATPUR GOVT. MS BARAHI(SSA) 22072517401
12538 BILASPUR (CHHATTISGARH)
TAKHATPUR PS. VINDHYA SAR (EDU) 22072518601
12539 BILASPUR (CHHATTISGARH)
TAKHATPUR GOVT MS VINDHYASAR(SSA) 22072518602
12540 BILASPUR (CHHATTISGARH)
TAKHATPUR GOVT.MS PONDI KALA(SSA)BELPAN 22072520601
12541 BILASPUR (CHHATTISGARH)
TAKHATPUR PS GOVT, NAROTIKAPA 22072521901
12542 BILASPUR (CHHATTISGARH)
TAKHATPUR MS,GOVT,RAMMANOHAR LOH WARD 22072522001
12543 BILASPUR (CHHATTISGARH)
TAKHATPUR GOVT PS KATHMUNDA RAIYAT 22072522301
12544 BILASPUR (CHHATTISGARH)
TAKHATPUR PS GOVT, GADAGHAT 22072522701
12545 BILASPUR (CHHATTISGARH)
TAKHATPUR GOVT PS RAMHEPUR BAIGAPARA(EDU) 22072522801
12546 DANTEWADA DANTEWADA PRIMARY SCHOOL 22162200101
12547 DANTEWADA DANTEWADA GOVT.N.P.M.S.KATIYARRAS (SSA) 22162200102
12548 DANTEWADA DANTEWADA PRIMARY SCHOOL 22162200201
12549 DANTEWADA DANTEWADA PRIMARY SCHOOL PAKLUPARA GANJENAR 22162200204
12550 DANTEWADA DANTEWADA PRIMARY SCHOOL 22162200301
12551 DANTEWADA DANTEWADA PRIMARY SCHOOL 22162200401
12552 DANTEWADA DANTEWADA N.P.M.S. MASENAR 22162200402
12553 DANTEWADA DANTEWADA S.G.S.PATELPARA KUMARRAS 22162200504
12554 DANTEWADA DANTEWADA M.S. KUMHARRAS 22162200506
12555 DANTEWADA DANTEWADA P.S. KUMHARRAS 22162200507
12556 DANTEWADA DANTEWADA P.S. DONGARIPARA 22162200508
12557 DANTEWADA DANTEWADA N.M.S. KUNDELI 22162200509
12558 DANTEWADA DANTEWADA E.G.S. KUNDELI PATELPARA 22162200510
12559 DANTEWADA DANTEWADA PRIMARY SCHOOL 22162200601
12560 DANTEWADA DANTEWADA GOVT.P.M.S.MANJHIPADER (TWD) 22162200602
12561 DANTEWADA DANTEWADA GOVT P.S. PATARRAS 22162200702
12562 DANTEWADA DANTEWADA GOVT.PRIMARY SCHOOL(TWD) 22162200801
12563 DANTEWADA DANTEWADA GOVT. PS. PATELPARA GAMAWADA (SSA) 22162200802
12564 DANTEWADA DANTEWADA P.S. GHUMKAPARA GANJENAR 22162200902
12565 DANTEWADA DANTEWADA P.S. MOLASNAR BADEPARA 22162200903
12566 DANTEWADA DANTEWADA PRIMARY SCHOOL 22162201001
12567 DANTEWADA DANTEWADA PRIMARY SCHOOL 22162201201
12568 DANTEWADA DANTEWADA N. ASHRAM SHALA PANDEWAR 22162201202
12569 DANTEWADA DANTEWADA PRIMARY SCHOOL 22162201301
12570 DANTEWADA DANTEWADA PRIMARY SCHOOL 22162201401
12571 DANTEWADA DANTEWADA KANIST PRIMARY SCHOOL 22162201501
12572 DANTEWADA DANTEWADA KANIST PRIMARY SCHOOL 22162201601
12573 DANTEWADA DANTEWADA GOVT. PUJARIPARA DHURLI 22162201701
12574 DANTEWADA DANTEWADA P.S. KUHCHEPAL 22162201802
12575 DANTEWADA DANTEWADA KANIST PRIMARY SCHOOL 22162201901
12576 DANTEWADA DANTEWADA BOYS ASHRAM MOLASNAR 22162202002
12577 DANTEWADA DANTEWADA KANIST PRIMARY SCHOOL 22162202101
12578 DANTEWADA DANTEWADA GOVT. SARSWATI PRIM. SCHOOL 22162202201
12579 DANTEWADA DANTEWADA GOVT. P.M.S.PATELPARA 22162202206
12580 DANTEWADA DANTEWADA GIRLS PRIMARY SCHOOL 22162202301
12581 DANTEWADA DANTEWADA BALAK PRIMARY SCHOOL 22162202303
12582 DANTEWADA DANTEWADA P.S.ASPATALPARA CHITALANK 22162202305
12583 DANTEWADA DANTEWADA P.S. DARALPARA 22162202306
12584 DANTEWADA DANTEWADA P.S. PUJARIPARA BALPET 22162202307
12585 DANTEWADA DANTEWADA P.S. KHALEPARA BALPET 22162202308
12586 DANTEWADA DANTEWADA P.S. TEKNAR RAMAPARA 22162202309
12587 DANTEWADA DANTEWADA P.S. KONTIPARA TEKNAR 22162202310
12588 DANTEWADA DANTEWADA E.G.S. TEKNAR JHARAPARA 22162202311
12589 DANTEWADA DANTEWADA EGS RELLWAY COLONY 22162202312
12590 DANTEWADA DANTEWADA P.S. TEKNAR KATIYARPARA 22162202313
12591 DANTEWADA DANTEWADA PRIMARY SCHOOL 22162202401
12592 DANTEWADA DANTEWADA ADIWASI PRIMARY SCHOOL 22162202502
12593 DANTEWADA DANTEWADA PRIMARY SCHOOL 22162202601
12594 DANTEWADA DANTEWADA BALAK PRIMARY SCHOOL 22162202701
12595 DANTEWADA DANTEWADA GIRLS PRIMARY SCHOOL 22162202702
12596 DANTEWADA DANTEWADA M.S. AWARAMATA 22162202703
12597 DANTEWADA DANTEWADA PRIMARY SCHOOL 22162202801
12598 DANTEWADA DANTEWADA GOVT M.S. BALPET 22162202802
12599 DANTEWADA DANTEWADA PRIMARY SCHOOL 22162202901
12600 DANTEWADA DANTEWADA PRIMARY SCHOOL 22162203001
12601 DANTEWADA DANTEWADA N M S NAYAPARA 22162203002
12602 DANTEWADA DANTEWADA PRIMARY SCHOOL 22162203101
12603 DANTEWADA DANTEWADA PRIMARY SCHOOL 22162203201
12604 DANTEWADA DANTEWADA PRIMARY SCHOOL 22162203301
12605 DANTEWADA DANTEWADA G ADARSH V M S DANTEWADA 22162203303
12606 DANTEWADA DANTEWADA GOVT. KANYA M S DANTEWADA 22162203305
12607 DANTEWADA DANTEWADA GOVT. P.S. D.N.K. BACHELI 22162203401
12608 DANTEWADA DANTEWADA PS-[RAILWAY COLONY] 22162203402
12609 DANTEWADA DANTEWADA P.S. LEBARHART MENT BACHELI 22162203403
12610 DANTEWADA DANTEWADA PRIMARY SCHOOL 22162203501
12611 DANTEWADA DANTEWADA M.S. TUDHPAPAS 22162203502
12612 DANTEWADA DANTEWADA E.G.S. THOTHAPARA PURANTARI 22162203503
12613 DANTEWADA DANTEWADA P.S. GAYATAPARA KESHAPUR 22162203504
12614 DANTEWADA DANTEWADA P.S. IDWADPARA KAWALNAR 22162203505
12615 DANTEWADA DANTEWADA PRIMARY SCHOOL 22162203601
12616 DANTEWADA DANTEWADA BALAK ASHARAM SCHOOL 22162203602
12617 DANTEWADA DANTEWADA GIRLS ASHARAM SCHOOL 22162203603
12618 DANTEWADA DANTEWADA P.S. METAPAL WARD -3 22162203608
12619 DANTEWADA DANTEWADA P.S. METAPAL PERBHAPARA 22162203609
12620 DANTEWADA DANTEWADA P.S. METAPAL KONTIPARA 22162203610
12621 DANTEWADA DANTEWADA P.S. METAPAL MAJHARIPARA 22162203611
12622 DANTEWADA DANTEWADA PRIMARY SCHOOL 22162203701
12623 DANTEWADA DANTEWADA PRIMARY SCHOOL 22162203801
12624 DANTEWADA DANTEWADA N.M.S. DUMAM 22162203802
12625 DANTEWADA DANTEWADA PRIMARY SCHOOL 22162203901
12626 DANTEWADA DANTEWADA PRIMARY SCHOOL 22162204101
12627 DANTEWADA DANTEWADA GOVT. P.S. D.N.K. NU. 02 22162204201
12628 DANTEWADA DANTEWADA PRIMARY SCHOOL 22162204301
12629 DANTEWADA DANTEWADA N.P.S. MITHUPARA DABPAL 22162204302
12630 DANTEWADA DANTEWADA P.S.PATELPARA BACHELI 22162204402
12631 DANTEWADA DANTEWADA G.G.H.S.BACHELI W.N.--05 22162204403
12632 DANTEWADA DANTEWADA GOVT.NMS.PATELPARA BACHELI 22162204404
12633 DANTEWADA DANTEWADA PRIMARY SCHOOL 22162204501
12634 DANTEWADA DANTEWADA PRIMARY SCHOOL 22162204701
12635 DANTEWADA DANTEWADA N.S.A.S. DUGELI 22162204702
12636 DANTEWADA DANTEWADA KANIST PRIMARY SCHOOL 22162204903
12637 DANTEWADA DANTEWADA ADARSH M.S. BACHELI 22162204905
12638 DANTEWADA DANTEWADA BOYS M.S. BACHELI 22162204906
12639 DANTEWADA DANTEWADA P.S. TAMOPARA BACHELI 22162204908
12640 DANTEWADA DANTEWADA E.G.S. KADAMPARA BACHELI 22162204910
12641 DANTEWADA DANTEWADA GOVT. M.S.TOYLANKA PATELPARA(SSA) 22162205204
12642 DANTEWADA DANTEWADA N.P.S.GADAPAL PATELPARA 22162205305
12643 DANTEWADA DANTEWADA A.S.GADAPAL 22162205306
12644 DANTEWADA DANTEWADA P.SCHOOL NETAPUR 22162205403
12645 DANTEWADA DANTEWADA P.S. PHOOLNAR SARPANCHPARA 22162205502
12646 DANTEWADA DANTEWADA PRIMARY SCHOOL 22162205601
12647 DANTEWADA DANTEWADA PRIMARY SCHOOL 22162205701
12648 DANTEWADA DANTEWADA PRIMARY SCHOOL 22162205801
12649 DANTEWADA DANTEWADA PRIMARY SCHOOL 22162205901
12650 DANTEWADA DANTEWADA PRIMARY SCHOOL 22162206001
12651 DANTEWADA DANTEWADA P S BANDAPARA PONDUM 22162206003
12652 DANTEWADA DANTEWADA P.S. CHANDENAR 22162206103
12653 DANTEWADA DANTEWADA NMS CHANDENAR 22162206104
12654 DANTEWADA DANTEWADA NPS KOTWARPARA 22162206105
12655 DANTEWADA DANTEWADA GOVT. PRIMARY SCHOOL 22162206201
12656 DANTEWADA DANTEWADA P.S. FULNAR PATELPARA 22162206202
12657 DANTEWADA DANTEWADA GOVT. PRIMARY SCHOOL 22162206401
12658 DANTEWADA DANTEWADA N M S BALOOD PATELPARA 22162206402
12659 DANTEWADA DANTEWADA P S BALOOD 22162206403
12660 DANTEWADA DANTEWADA P S BASTAPARA BALOOD 22162206404
12661 DANTEWADA DANTEWADA GHAYAN JOYTI KOSAPARA BALOOD 22162206405
12662 DANTEWADA DANTEWADA BALAK ASHARAM SCHOOL 22162206501
12663 DANTEWADA DANTEWADA NAVIN M.S. KESHAPUR 22162206503
12664 DANTEWADA DANTEWADA P S KESHAPUR PATELPARA 22162206504
12665 DANTEWADA DANTEWADA PRIMARY SCHOOL 22162206601
12666 DANTEWADA DANTEWADA PS KUPAR 22162206702
12667 DANTEWADA DANTEWADA P.S.MANGNAR 22162206703
12668 DANTEWADA DANTEWADA P.S.PERMAPARA KAWALNAR 22162206704
12669 DANTEWADA DANTEWADA PRIMARY SCHOOL 22162206801
12670 DANTEWADA DANTEWADA P.S. MATENAR (DHURWAPARA) 22162206803
12671 DANTEWADA DANTEWADA PRIMARY SCHOOL CHITALOOR 22162206901
12672 DANTEWADA DANTEWADA KANIST P.S. CHITALUR KOCHAIPAR 22162206902
12673 DANTEWADA DANTEWADA P.S. CHITALUR RAWATPARA 22162206903
12674 DANTEWADA DANTEWADA GOVT.N.M.S.CHITALUR(SSA) 22162206904
12675 DANTEWADA DANTEWADA PRIMARY SCHOOL 22162207001
12676 DANTEWADA DANTEWADA P.S. SARPANCHPARA MURKI 22162207004
12677 DANTEWADA DANTEWADA M S MURKI 22162207005
12678 DANTEWADA DANTEWADA P S MURKI PATELPARA 22162207006
12679 DANTEWADA DANTEWADA PRIMARY SCHOOL 22162207101
12680 DANTEWADA DANTEWADA GOVT.U.P.S.KAWALNAR(SSA) 22162207103
12681 DANTEWADA DANTEWADA PRIMARY SCHOOL 22162207201
12682 DANTEWADA DANTEWADA P.S. KUNJAMPARA KUPER 22162207202
12683 DANTEWADA DANTEWADA P.S. TAMOHUNGAPARA 22162207203
12684 DANTEWADA DANTEWADA NPS KUPAR SRPANCHPARA 22162207204
12685 DANTEWADA DANTEWADA NMS KUPAR 22162207205
12686 DANTEWADA DANTEWADA PRIMARY SCHOOL 22162207301
12687 DANTEWADA DANTEWADA PRIMARY SCHOOL 22162207401
12688 DANTEWADA DANTEWADA GOVT.PRIMARY SCHOOL(TWD) 22162207501
12689 DANTEWADA DANTEWADA GOVT.N P S BEHNAR PATELPARA(TWD) 22162207502
12690 DANTEWADA DANTEWADA PRIMARY SCHOOL 22162207601
12691 DANTEWADA DANTEWADA KANYA AASHRAM 22162207602
12692 DANTEWADA DANTEWADA PRIMARY SCHOOL 22162207701
12693 DANTEWADA DANTEWADA P.S.MENDOLI DONGRIPARA 22162207702
12694 DANTEWADA DANTEWADA PRIMARY SCHOOL 22162207801
12695 DANTEWADA DANTEWADA PRIMARY SCHOOL 22162207901
12696 DANTEWADA DANTEWADA PRIMARY SCHOOL 22162208001
12697 DANTEWADA DANTEWADA NANIN P.M.S. BHOGAM 22162208002
12698 DANTEWADA DANTEWADA PRIMARY SCHOOL 22162208201
12699 DANTEWADA DANTEWADA NMS MANJHARPARA DUGELI 22162208202
12700 DANTEWADA DANTEWADA PRIMARY SCHOOL 22162208301
12701 DANTEWADA DANTEWADA MS NERLI 22162208302
12702 DANTEWADA DANTEWADA G.N.P.S. NERLI AYTUPARA 22162208303
12703 DANTEWADA DANTEWADA PRIMARY SCHOOL[MADKAPARA] 22162208402
12704 DANTEWADA DANTEWADA NPS DUGELI GAYTAPARA 22162208404
12705 DANTEWADA DANTEWADA PRIMARY SCHOOL 22162208801
12706 DANTEWADA DANTEWADA PRIMARY SCHOOL 22162208901
12707 DANTEWADA DANTEWADA GOVT. PRIMARY SCHOOL 22162209001
12708 DANTEWADA DANTEWADA PRIMARY SCHOOL 22162209101
12709 DANTEWADA DANTEWADA NAVIN P.M.S. JARAM 22162209102
12710 DANTEWADA DANTEWADA PRIMARY SCHOOL 22162209301
12711 DANTEWADA DANTEWADA NAVIN M.S. DANTEWARA 22162209405
12712 DANTEWADA DANTEWADA M.S. DANTEWARA 22162209406
12713 DANTEWADA DANTEWADA GOVT. PRIMARY SCHOOL 22162209601
12714 DANTEWADA DANTEWADA GOVT. PRIMARY SCHOOL 22162209701
12715 DANTEWADA DANTEWADA N.M.S. JAMPARA GAMAWADA 22162209702
12716 DANTEWADA DANTEWADA ADIM JATI PRIMARY SCHOOL 22162209801
12717 DANTEWADA DANTEWADA M.S. KAWADGAO 22162209802
12718 DANTEWADA DANTEWADA PS METAPAL WARD-1 22162210001
12719 DANTEWADA DANTEWADA M.S. GAMAWARA BHANSI 22162210104
12720 DANTEWADA DANTEWADA GOVT NETAJI P.S. BHANSI 22162210105
12721 DANTEWADA DANTEWADA PS-[BALAM PARA] 22162210202
12722 DANTEWADA DANTEWADA GOVT. PRIMARY SCHOOL 22162210301
12723 DANTEWADA DANTEWADA GOVT. PRIMARY SCHOOL 22162210401
12724 DANTEWADA DANTEWADA KANIST PRIMARY SCHOOL 22162210501
12725 DANTEWADA DANTEWADA KANIST PRIMARY SCHOOL 22162210601
12726 DANTEWADA DANTEWADA KANIST PRIMARY SCHOOL 22162210701
12727 DANTEWADA DANTEWADA M.S. BALOOD 22162211002
12728 DANTEWADA DANTEWADA P.S. MANJHARPARA BALOOD 22162211003
12729 DANTEWADA DANTEWADA GOVT. N.M.S.FULNAR (SSA) 22162211103
12730 DANTEWADA DANTEWADA M.S. GODRE 22162211202
12731 DANTEWADA DANTEWADA P.S. CHOTE GODRE 22162211203
12732 DANTEWADA DANTEWADA P.S. HUNGA DONGARI PARA 22162211204
12733 DANTEWADA DANTEWADA P.S. RAWATPARA MATENAR 22162211205
12734 DANTEWADA DANTEWADA P.S. KOTEWARPARA TOYLANKA 22162211206
12735 DANTEWADA DANTEWADA P.S. KADAMPARA TOYLANKA 22162211207
12736 DANTEWADA DANTEWADA E.G.S. MISOPARA GADAPAL 22162211208
12737 DANTEWADA DANTEWADA P.S. MADAVIPARA NETAPUR 22162211209
12738 DANTEWADA DANTEWADA PRIMARY SCHOOL 22162211301
12739 DANTEWADA DANTEWADA AD. BOYS ASHRAM DHURLI 22162211302
12740 DANTEWADA DANTEWADA GOVT.PS.MUNDIPARA DURLI(SSA) 22162211303
12741 DANTEWADA DANTEWADA GOVT.PRIMARY SCHOOL 22162211501
12742 DANTEWADA DANTEWADA NAVEEN PRIMARY SCHOL 22162211601
12743 DANTEWADA DANTEWADA MS GONDPAL 22162211602
12744 DANTEWADA DANTEWADA KANIST PRIMARY SCHOOL 22162211701
12745 DANTEWADA DANTEWADA P.S. BARSAPARA KAVALNAR 22162214301
12746 DANTEWADA DANTEWADA GOVT.PS. MADKAMPARA TUDPARAAS (SSA) 22162214601
12747 DANTEWADA DANTEWADA GYAN JYOTI PS BODELPARA 22162214901
12748 DANTEWADA DANTEWADA M.S. KAMALUR 22162215401
12749 DANTEWADA DANTEWADA P.S. KUMARPARA 22162216401
12750 DANTEWADA DANTEWADA N.M.S. CHITALUR KOCHAIPARA 22162217201
12751 DANTEWADA DANTEWADA GYAN JYOTI PATELPARA 22162217701
12752 DANTEWADA DANTEWADA N.P.M.S.PATELPARA MATENAR 22162217702
12753 DANTEWADA DANTEWADA P.S.KUMAPARA BHANSI 22162218201
12754 DANTEWADA DANTEWADA P.S. BHANSI 22162218401
12755 DANTEWADA DANTEWADA G.H.S. BHANSI 22162218402
12756 DANTEWADA DANTEWADA GIRLS ASHRAM DHURLI 22162218901
12757 DANTEWADA DANTEWADA ADARSH BOYS ASHRAM 22162218902
12758 DANTEWADA DANTEWADA GIRLS ASHRAM P.S. DHURLI 22162218903
12759 DANTEWADA DANTEWADA P S MANJHI PARA MOLSNAR 22162219801
12760 DANTEWADA DANTEWADA MARKANAR PARA MOLSANAR 22162219802
12761 DANTEWADA DANTEWADA N M S MOLSNAR 22162219803
12762 DANTEWADA DANTEWADA NAVIN ASHRAM GANJENAR 22162220201
12763 DANTEWADA DANTEWADA S.G.P.S. MOLSANAR 22162220301
12764 DANTEWADA DANTEWADA M.S. GANJENAR 22162221301
12765 DANTEWADA DANTEWADA S.G.K. PATELPARA GANJENAR 22162221302
12766 DANTEWADA DANTEWADA P.S.G.J. PATELPARA METAPAL 22162222701
12767 DANTEWADA DANTEWADA NPS PHULNAR BHIMRAJPARA 22162224301
12768 DANTEWADA DANTEWADA NAVIN P.M.S. GADAPAL 22162225301
12769 DANTEWADA DANTEWADA P.S.TOYLANKA DEWADONGRI 22162225701
12770 DANTEWADA DANTEWADA P.S. THOTA MASAPARA 22162225901
12771 DANTEWADA DANTEWADA GOVT. P.S. DUGELI 22162226301
12772 DANTEWADA DANTEWADA GOVT.P.S.RAWATPARA GADAPAL 22162227402
12773 DANTEWADA DANTEWADA N.A.S. CHANDENAR 22162230501
12774 DANTEWADA DANTEWADA GAYAN GUTHY KALARPARA 22162230801
12775 DANTEWADA DANTEWADA PMS TEKNAR 22162232201
12776 DANTEWADA DANTEWADA GOVT.U.PS.DRALPARA BALPET(SSA) 22162233801
12777 DANTEWADA DANTEWADA GOVT.PS CHITALANKA RAWATPARA (SSA) 22162234201
12778 DANTEWADA DANTEWADA P.S. ALIKONTA PONDUM 22162237301
12779 DANTEWADA DANTEWADA S. ASHRAM S. PONDUM 22162237302
12780 DANTEWADA DANTEWADA MS CHITALINKA 22162239101
12781 DANTEWADA DANTEWADA PS KUPAR RAVATPARA 22162239301
12782 DANTEWADA DANTEWADA P.S. BADEPARA BADEKAMELI 22162239901
12783 DANTEWADA DANTEWADA P.S. MUSKEL GUNIYAPARA 22162243601
12784 DANTEWADA DANTEWADA GOVT. P.S. DHURWAPARA 22162244201
12785 DANTEWADA DANTEWADA KGB V AVARABHATA DANTEWADA 22162244501
12786 DANTEWADA GEEDAM TWD M.S. BODLI 22160800203
12787 DANTEWADA GEEDAM TWD P.S. SAMPATPARA BODLI 22160800205
12788 DANTEWADA GEEDAM TWD BOYS A.S. BODLI 22160800206
12789 DANTEWADA GEEDAM TWD P.S. CHHINDBHATAPARA BODLI 22160800210
12790 DANTEWADA GEEDAM TWD A.S. KASOLIPARA CHHOTETUMNAR 22160800301
12791 DANTEWADA GEEDAM TWD P.S. JHIKRAMPARA CHHOTETUMNAR 22160800305
12792 DANTEWADA GEEDAM TWD P.S. KOTWARPARA CHHOTETUMNAR 22160800306
12793 DANTEWADA GEEDAM TWD P.S. MUNDATIKRAPARA CHHOTETUMNAR 22160800307
12794 DANTEWADA GEEDAM TWD M.S. CHHOTETUMNAR 22160800313
12795 DANTEWADA GEEDAM TWD M.S. BADETUMNAR [H.S.S.] 22160800404
12796 DANTEWADA GEEDAM TWD P.S. BAJARPARA BADETUMNAR 22160800406
12797 DANTEWADA GEEDAM TWD GYAN JYOTI GAYATAPARA BADETUMNAR 22160800408
12798 DANTEWADA GEEDAM TWD P.S. PATELPARA BADETUMNAR 22160800415
12799 DANTEWADA GEEDAM TWD P.S. NELGODA 22160800501
12800 DANTEWADA GEEDAM TWD P.S. FUNDRI 22160800601
12801 DANTEWADA GEEDAM TWD U.P.S. FUNDRI 22160800602
12802 DANTEWADA GEEDAM TWD A.S. BANGAPAL 22160800701
12803 DANTEWADA GEEDAM TWD P.S. SARPANCHPARA BANGAPAL 22160800703
12804 DANTEWADA GEEDAM TWD M.S. SARPANCHPARA BANGAPAL 22160800705
12805 DANTEWADA GEEDAM TWD P.S. FARASMADUR 22160801001
12806 DANTEWADA GEEDAM TWD P.S. DONGRIPARA GUMALNAR 22160801102
12807 DANTEWADA GEEDAM TWD P.S. GARSAPARA GUMALNAR 22160801104
12808 DANTEWADA GEEDAM TWD P.M.S. GUMALNAR 22160801105
12809 DANTEWADA GEEDAM TWD A.S. GUMALNAR 22160801106
12810 DANTEWADA GEEDAM TWD P.S. PERMAPARA GUTOLI 22160801202
12811 DANTEWADA GEEDAM TWD P.S. PATELPARA GUTOLI 22160801203
12812 DANTEWADA GEEDAM TWD U.P.S. PATELPARA GUTOLI 22160801204
12813 DANTEWADA GEEDAM TWD P.S. NAGUL 22160801301
12814 DANTEWADA GEEDAM TWD M.S. SCHOOLPARA NAGUL 22160801304
12815 DANTEWADA GEEDAM TWD P.S. CHAMRUPARA NAGUL 22160801305
12816 DANTEWADA GEEDAM TWD P.S. THOKDUPARA NAGUL 22160801309
12817 DANTEWADA GEEDAM TWD P.S. SONKUPARA MADSE 22160801402
12818 DANTEWADA GEEDAM TWD P.S. BHADUPARA MADSE 22160801404
12819 DANTEWADA GEEDAM TWD P.S. KOTWARPARA MADSE 22160801405
12820 DANTEWADA GEEDAM TWD M.S. MADSE 22160801407
12821 DANTEWADA GEEDAM TWD P.S. PATELPARA BADEPANEDA 22160801502
12822 DANTEWADA GEEDAM TWD P.S. KOSAPARA BADEPANEDA 22160801503
12823 DANTEWADA GEEDAM TWD P.S. KOLUPARA BADEPANEDA 22160801505
12824 DANTEWADA GEEDAM TWD M.S. SCHOOLPARA BADEPANEDA 22160801506
12825 DANTEWADA GEEDAM TWD A.S. SCHOOLPARA BADEPANEDA 22160801507
12826 DANTEWADA GEEDAM TWD U.P.S. PATELPARA BADEPANEDA 22160801508
12827 DANTEWADA GEEDAM TWD P.S. JOGOPARA BADEPANEDA 22160801509
12828 DANTEWADA GEEDAM TWD M.S. KATULNAR 22160801602
12829 DANTEWADA GEEDAM TWD BOYS A.S. KATULANAR 22160801603
12830 DANTEWADA GEEDAM TWD P.S. BONJAPARA KATULNAR 22160801604
12831 DANTEWADA GEEDAM TWD P.S. RAUTPARA KATULNAR 22160801605
12832 DANTEWADA GEEDAM TWD P.S. DHRUWAPARA KATULNAR 22160801606
12833 DANTEWADA GEEDAM TWD P.S. MADPAL 22160801701
12834 DANTEWADA GEEDAM TWD U.P.S. MADPAL 22160801702
12835 DANTEWADA GEEDAM TWD P.S. HARLA 22160801801
12836 DANTEWADA GEEDAM TWD P.S. KHALEPARA TARLAPAL 22160801901
12837 DANTEWADA GEEDAM TWD P.M.S. TARLAPAL 22160801902
12838 DANTEWADA GEEDAM TWD P.S. TARLAPAL 22160801903
12839 DANTEWADA GEEDAM TWD BALAK A.S. KARLI 22160802003
12840 DANTEWADA GEEDAM M.S. KARLI 22160802007
12841 DANTEWADA GEEDAM TWD P.S. KOTWARPARA KARLI 22160802008
12842 DANTEWADA GEEDAM TWD P.S. JANGALPARA KARLI 22160802009
12843 DANTEWADA GEEDAM TWD N.P.S. POLICE LINE KARLI 22160802012
12844 DANTEWADA GEEDAM TWD P.S. BARSAPARA KARLI 22160802013
12845 DANTEWADA GEEDAM TWD N.P.S. SARPANCHPARA KARLI 22160802015
12846 DANTEWADA GEEDAM TWD N.P.S. AYATU PARA KARLI 22160802016
12847 DANTEWADA GEEDAM TWD N.P.M.S. POLISE LINE KARLI 22160802017
12848 DANTEWADA GEEDAM TWD GYAN JYOTI GANGAPARA KARLI 22160802018
12849 DANTEWADA GEEDAM TWD G.J. SAIPARA KARLI 22160802019
12850 DANTEWADA GEEDAM TWD N.M.S. AYATU PARA KARLI 22160802020
12851 DANTEWADA GEEDAM TWD N.P.S. JHAMUPARA KARLI 22160802027
12852 DANTEWADA GEEDAM TWD N.GIRLS A.S. SCHOOLPARA KARLI 22160802028
12853 DANTEWADA GEEDAM TWD BALAK A.S. KUTULNAR 22160802101
12854 DANTEWADA GEEDAM TWD P.S. RAUTPARA BADESUROKHI 22160802201
12855 DANTEWADA GEEDAM TWD M.S. BADESUROKHI 22160802202
12856 DANTEWADA GEEDAM TWD A.S. BADESUROKHI 22160802203
12857 DANTEWADA GEEDAM TWD P.S. SCHOOLPARA BUDHPADAR 22160802301
12858 DANTEWADA GEEDAM TWD U.P.S. BUDHPADAR 22160802302
12859 DANTEWADA GEEDAM TWD P.S. MAHARA PARA SIYANAR 22160802403
12860 DANTEWADA GEEDAM TWD P.S. DONGRIPARA SIYANAR 22160802404
12861 DANTEWADA GEEDAM TWD N.P.S. SCHOOLPARA SIYANAR 22160802405
12862 DANTEWADA GEEDAM TWD M.S. MAHARAPARA SIYANAR 22160802406
12863 DANTEWADA GEEDAM TWD M.S. SCHOOLPARA SIYANAR 22160802407
12864 DANTEWADA GEEDAM TWD BALAK A.S. BINJAM 22160802501
12865 DANTEWADA GEEDAM TWD M.S. BINJAM 22160802502
12866 DANTEWADA GEEDAM TWD P.S. SARPANCHPARA BINJAM 22160802504
12867 DANTEWADA GEEDAM TWD P.S. PATELPARA BINJAM 22160802505
12868 DANTEWADA GEEDAM TWD P.M.S. SAMLOOR 22160802702
12869 DANTEWADA GEEDAM TWD P.S. KABADIPARA SAMLOOR 22160802703
12870 DANTEWADA GEEDAM TWD P.S. UIKAPARA SAMLOOR 22160802704
12871 DANTEWADA GEEDAM TWD P.S. THOTHAPARA SAMLOOR 22160802705
12872 DANTEWADA GEEDAM TWD M.S. UIKAPARA SAMLOOR 22160802707
12873 DANTEWADA GEEDAM TWD P.S. BADEKARKA 22160802803
12874 DANTEWADA GEEDAM TWD M.S. BADEKARKA 22160802808
12875 DANTEWADA GEEDAM TWD P.S. CHHOTEKARKA 22160802901
12876 DANTEWADA GEEDAM TWD A.S. SCHOOLPARA PAHURNAR 22160803001
12877 DANTEWADA GEEDAM TWD M.S. SCHOOLPARA PAHURNAR 22160803002
12878 DANTEWADA GEEDAM TWD P.S. PAIKUPARA PAHURNAR 22160803004
12879 DANTEWADA GEEDAM TWD P.S. HALBAPARA PAHURNAR 22160803005
12880 DANTEWADA GEEDAM TWD BOYS A.S. CHERPAL 22160803101
12881 DANTEWADA GEEDAM TWD P.S. KANIYAPARA KOURGAO 22160803201
12882 DANTEWADA GEEDAM TWD P.S. SARPANCHPARA KOURGAO 22160803202
12883 DANTEWADA GEEDAM TWD P.S. GUFAPARA KOURGAO 22160803203
12884 DANTEWADA GEEDAM TWD P.S. BENGOPHAR KOURGAO 22160803204
12885 DANTEWADA GEEDAM TWD A.S. SCHOOLPARA KOURGAO 22160803205
12886 DANTEWADA GEEDAM TWD M.S. SARPANCHPARA KOURGAO 22160803206
12887 DANTEWADA GEEDAM TWD P.S. DONGRIPARA TUMRIGUNDA 22160803302
12888 DANTEWADA GEEDAM TWD P.S. PATELPARA TUMRIGUNDA 22160803303
12889 DANTEWADA GEEDAM TWD P.S. MANDRIPARA TUMRIGUNDA 22160803305
12890 DANTEWADA GEEDAM TWD P.S. DABINGUNDAPARA TUMRIGUNDA 22160803308
12891 DANTEWADA GEEDAM TWD P.S. PADMETA 22160803401
12892 DANTEWADA GEEDAM TWD P.S. PATELPARA PHARASPAL 22160803605
12893 DANTEWADA GEEDAM TWD P.S. BHANDARIPARA PHARASPAL 22160803607
12894 DANTEWADA GEEDAM TWD M.S. PHARASPAL [H.S.S.] 22160803610
12895 DANTEWADA GEEDAM TWD P.S. KOTWARPARA PHARASPAL 22160803611
12896 DANTEWADA GEEDAM TWD P.S. KUNDENAR 22160803701
12897 DANTEWADA GEEDAM TWD P.S. DONGRIPARA KUNDENAR 22160803702
12898 DANTEWADA GEEDAM TWD M.S. KUNDENAR 22160803703
12899 DANTEWADA GEEDAM TWD P.S. PATELPARA ALNAR 22160803801
12900 DANTEWADA GEEDAM TWD P.S.JANGALPARA ALNAR 22160803802
12901 DANTEWADA GEEDAM TWD M.S. ALNAR 22160803803
12902 DANTEWADA GEEDAM TWD P.S. BADEPARA ALNAR 22160803804
12903 DANTEWADA GEEDAM TWD P.S. MASODI 22160803901
12904 DANTEWADA GEEDAM TWD M.S. MASODI 22160803902
12905 DANTEWADA GEEDAM TWD P.S. PATELPARA JHODIYABADAM 22160804301
12906 DANTEWADA GEEDAM TWD P.S. PERMAPARA JHODIYABADAM 22160804302
12907 DANTEWADA GEEDAM TWD M.S. JHODIYABADAM 22160804303
12908 DANTEWADA GEEDAM TWD P.S. SARPANCHPARA HEERANAR 22160804402
12909 DANTEWADA GEEDAM TWD P.S. GAGRUPARA HEERANAR 22160804403
12910 DANTEWADA GEEDAM TWD P.S. DULAPARA HEERANAR 22160804406
12911 DANTEWADA GEEDAM TWD P.M.S. SARPANCHPARA HEERANAR 22160804407
12912 DANTEWADA GEEDAM TWD P.S. KOTWARPARA HEERANAR 22160804408
12913 DANTEWADA GEEDAM TWD U.P.S. KOTWARPARA HEERANAR 22160804409
12914 DANTEWADA GEEDAM TWD M.S. KASOLI 22160804502
12915 DANTEWADA GEEDAM TWD A.S. KASOLI 22160804503
12916 DANTEWADA GEEDAM TWD P.S. GUDIYAPARA KASOLI 22160804505
12917 DANTEWADA GEEDAM TWD P.S. MANJHARPARA KASOLI 22160804506
12918 DANTEWADA GEEDAM TWD P.S. PATELPARA KASOLI 22160804509
12919 DANTEWADA GEEDAM TWD P.S. MADIYAPARA KASOLI 22160804512
12920 DANTEWADA GEEDAM TWD P.S. RAHAT SHIVIR KASOLI 22160804513
12921 DANTEWADA GEEDAM TWD U.P.S MANJHARPARA KASOLI 22160804515
12922 DANTEWADA GEEDAM TWD P.S. SCHOOLPARA HITAMETA 22160804601
12923 DANTEWADA GEEDAM TWD P.S. JHITKIPARA HITAMETA 22160804602
12924 DANTEWADA GEEDAM TWD P.S. RAUTPARA HITAMETA 22160804603
12925 DANTEWADA GEEDAM TWD M.S. HITAMETA 22160804606
12926 DANTEWADA GEEDAM TWD GYAN JYOTI GARDAPARA HITAMETA 22160804607
12927 DANTEWADA GEEDAM TWD P.S. ERPUND 22160804701
12928 DANTEWADA GEEDAM TWD BOYS A.S. BHATPAL 22160804801
12929 DANTEWADA GEEDAM TWD M.S. BHATPAL 22160804803
12930 DANTEWADA GEEDAM TWD P.S. KORKOTI 22160805001
12931 DANTEWADA GEEDAM TWD P.S. UNDIRNALA KORKOTI 22160805002
12932 DANTEWADA GEEDAM TWD P.S. KAMKANPARA KORKOTI 22160805003
12933 DANTEWADA GEEDAM TWD U.P.S. KORKOTI 22160805004
12934 DANTEWADA GEEDAM TWD P.S. REKA 22160805201
12935 DANTEWADA GEEDAM TWD M.S. REKA 22160805202
12936 DANTEWADA GEEDAM TWD P.S. UDENAR 22160805301
12937 DANTEWADA GEEDAM TWD P.S. NEURNAR 22160805401
12938 DANTEWADA GEEDAM TWD P.S. KOYAKAPARA NEURNAR 22160805402
12939 DANTEWADA GEEDAM TWD P.S. PUJARIPARA JAWANGA 22160805501
12940 DANTEWADA GEEDAM TWD P.S. DOLEPARA, JAWANGA 22160805503
12941 DANTEWADA GEEDAM TWD P.S. BHATTIPARA JAWANGA 22160805504
12942 DANTEWADA GEEDAM TWD P.S. BUCCHAPARA JAWANGA 22160805505
12943 DANTEWADA GEEDAM TWD GYAN JYOTI BOMDAPARA JAWANGA 22160805508
12944 DANTEWADA GEEDAM TWD M.S. JAWANGA 22160805510
12945 DANTEWADA GEEDAM TWD P.S. SCHOOLPARA JAWANGA 22160805511
12946 DANTEWADA GEEDAM TWD M.S. SONARPARA GEEDAM 22160805703
12947 DANTEWADA GEEDAM TWD M.S. BORPADAR GEEDAM 22160805705
12948 DANTEWADA GEEDAM TWD P.S. KADTIPARA GEEDAM 22160805706
12949 DANTEWADA GEEDAM TWD GIRLS P.S. GEEDAM 22160805707
12950 DANTEWADA GEEDAM TWD P.S. MARWADIPARA GEEDAM 22160805708
12951 DANTEWADA GEEDAM TWD BOYS P.S. GEEDAM 22160805709
12952 DANTEWADA GEEDAM TWD P.S. SONARPARA GEEDAM 22160805711
12953 DANTEWADA GEEDAM TWD P.S. MAHNGUPARA GEEDAM 22160805714
12954 DANTEWADA GEEDAM K.G.B.V. GEEDAM 22160805717
12955 DANTEWADA GEEDAM TWD GIRLS M.S. GEEDAM 22160805719
12956 DANTEWADA GEEDAM TWD UPS KADTI PARA GEEDAM 22160805720
12957 DANTEWADA GEEDAM TWD M.S. GEEDAM [H.S.S.] 22160805721
12958 DANTEWADA GEEDAM TWD BALAK U.P.S. GEEDAM 22160805724
12959 DANTEWADA GEEDAM TWD P.S. CHARCHPARA HARAM 22160805801
12960 DANTEWADA GEEDAM TWD M.S. HARAM 22160805803
12961 DANTEWADA GEEDAM TWD P.S. MUNDRUPARA HARAM 22160805804
12962 DANTEWADA GEEDAM TWD P.S. MADHOPARA HARAM 22160805805
12963 DANTEWADA GEEDAM TWD P.S. HARAM PATELPARA 22160805807
12964 DANTEWADA GEEDAM TWD P.S. GUDDIPARA HARAM 22160805808
12965 DANTEWADA GEEDAM TWD P.S. GAYATAPARA HARAM 22160805811
12966 DANTEWADA GEEDAM TWD M.S. PATELPARA HARAM 22160805812
12967 DANTEWADA GEEDAM TWD. P.S. MANDI CHOWK HARAM 22160805813
12968 DANTEWADA GEEDAM TWD U.P.S. MADHOPARA HARAM 22160805814
12969 DANTEWADA GEEDAM TWD P.S. PATELPARA HAURNAR 22160806201
12970 DANTEWADA GEEDAM TWD P.S. BANDIPARA HAURNAR 22160806202
12971 DANTEWADA GEEDAM TWD P.S. BADESARPANCHPARA HAURNAR 22160806204
12972 DANTEWADA GEEDAM TWD GYAN JYOTI SCHOOL NAYAPARA HAURNAR 22160806206
12973 DANTEWADA GEEDAM TWD M.S. HAURNAR 22160806207
12974 DANTEWADA GEEDAM TWD P.S. HAURNAR 22160806208
12975 DANTEWADA GEEDAM TWD P.S. SALNAR 22160806301
12976 DANTEWADA GEEDAM TWD GYAN JYOTI SCHOOL SALNAR 22160806302
12977 DANTEWADA GEEDAM TWD BALAK ASRAM CHHINDNAR 22160806402
12978 DANTEWADA GEEDAM TWD M.S. CHHINDNAR 22160806404
12979 DANTEWADA GEEDAM TWD P.S.SAKHARAMPARA CHHINDNAR 22160806405
12980 DANTEWADA GEEDAM TWD P.S. PATELPARA CHHINDNAR 22160806409
12981 DANTEWADA GEEDAM TWD P.S. KHALEPARA MUSTALNAR 22160806502
12982 DANTEWADA GEEDAM TWD P.M.S. MUSTALNAR 22160806503
12983 DANTEWADA GEEDAM TWD SANYUKT A.S. MUSTALNAR 22160806505
12984 DANTEWADA GEEDAM TWD P.S. MADAIPARA GHOTPAL 22160806601
12985 DANTEWADA GEEDAM TWD P.S.VATTINAMA GHOTPAL 22160806604
12986 DANTEWADA GEEDAM TWD P.S.METAKONTA, GHOTPAL 22160806605
12987 DANTEWADA GEEDAM TWD M.S. MADAIPARA GHOTPAL 22160806606
12988 DANTEWADA GEEDAM TWD P.S. BAJUPARA GHPOTPAL 22160806607
12989 DANTEWADA GEEDAM TWD P.S. PARPAPARA GHOTPAL 22160806608
12990 DANTEWADA GEEDAM TWD P.S. NAKAPARA GHOTPAL 22160806609
12991 DANTEWADA GEEDAM TWD P.S. PATELPARA JORATARAI 22160807001
12992 DANTEWADA GEEDAM TWD P.S. MANJHARPARA JORATARAI 22160807002
12993 DANTEWADA GEEDAM TWD P.S. KOTWARPARA JORATARAI 22160807003
12994 DANTEWADA GEEDAM TWD U.P.S. KOTWARPARA JORATARAI 22160807004
12995 DANTEWADA GEEDAM TWD P.M.S. PATELPARA JORATARAI 22160807005
12996 DANTEWADA GEEDAM TWD P.S. KOHKAPADI JODATARAI 22160807006
12997 DANTEWADA GEEDAM TWD P.S. PURANTARAI 22160807301
12998 DANTEWADA GEEDAM TWD M.S. PURANTARAI 22160807302
12999 DANTEWADA GEEDAM TWD M.S. SCHOOLPARA RONJE 22160807402
13000 DANTEWADA GEEDAM TWD P.S. LAKHMUPARA RONJE 22160807404
13001 DANTEWADA GEEDAM TWD P.S. BADHAIPARA RONJE 22160807405
13002 DANTEWADA GEEDAM TWD P.S. JHODIPARA RONJE 22160807406
13003 DANTEWADA GEEDAM TWD U.P.S. JHODIPARA RONJE 22160807420
13004 DANTEWADA GEEDAM TWD SANYUKT A.S. MOFALNAR 22160807501
13005 DANTEWADA GEEDAM TWD P.M.S. MOFALNAR 22160807502
13006 DANTEWADA GEEDAM TWD P.S. RENGAWAHI PARA MOFALNAR 22160807503
13007 DANTEWADA GEEDAM TWD P.S. PANCHAYAT BHAWANPARA MOFALNAR 22160807505
13008 DANTEWADA GEEDAM TWD P.S. RAILWAY GUMDA 22160807601
13009 DANTEWADA GEEDAM TWD P.M.S. GUMDA 22160807602
13010 DANTEWADA GEEDAM TWD GYAN JYOTI SCHOOL GUMDA 22160807603
13011 DANTEWADA GEEDAM TWD NEW M.S. BHAVSINGHPARA GUMDA 22160807604
13012 DANTEWADA GEEDAM TWD P.S. BHAVSINGHPARA GUMDA 22160807605
13013 DANTEWADA GEEDAM TWD P.S. SCHOOLPARA GUMDA 22160807606
13014 DANTEWADA GEEDAM TWD P.S. MENDAPARA GUMDA 22160807607
13015 DANTEWADA GEEDAM TWD U.P.S. MENDAPARA GUMDA 22160807608
13016 DANTEWADA GEEDAM TWD P.S. BANDAPARA GUMDA 22160807609
13017 DANTEWADA GEEDAM TWD P.S. PATIRAMPARA GUMDA 22160807610
13018 DANTEWADA GEEDAM TWD P.S. RUNDIPARA GUMDA 22160807611
13019 DANTEWADA GEEDAM TWD GIRLS A.S. BARSOOR 22160808001
13020 DANTEWADA GEEDAM TWD GIRLS P.S. BARSOOR 22160808003
13021 DANTEWADA GEEDAM TWD P.S. MUNDATIKRAPARA BARSOOR 22160808009
13022 DANTEWADA GEEDAM TWD M.S. BARSOOR [H.S.S.] 22160808013
13023 DANTEWADA GEEDAM TWD P.S. NAYAPARA BARSOOR 22160808016
13024 DANTEWADA GEEDAM TWD P.S. MANGALPOTPARA BARSOOR 22160808018
13025 DANTEWADA GEEDAM TWD GYAN JYOTI MAVLIGUDA BARSOOR 22160808021
13026 DANTEWADA GEEDAM TWD P.S. SAMRATHPARA BARSOOR 22160808022
13027 DANTEWADA GEEDAM TWD P.S. TAMRUBHATA BARSOOR 22160808023
13028 DANTEWADA GEEDAM TWD GYAN JYOTI SHALA CHALKIPARA BARSUR 22160808024
13029 DANTEWADA GEEDAM TWD GIRLS M.S. BARSOOR 22160808025
13030 DANTEWADA GEEDAM TWD U.P.S. MANGALPOTPARA BARSOOR 22160808026
13031 DANTEWADA GEEDAM TWD M.S. BODHGHAT BARSOOR 22160808029
13032 DANTEWADA GEEDAM TWD P.S. BODHGHAT BARSOOR 22160808036
13033 DANTEWADA GEEDAM TWD GIRLS P.S. MUCHNAR 22160808301
13034 DANTEWADA GEEDAM TWD BOYS P.S. MUCHNAR 22160808302
13035 DANTEWADA GEEDAM TWD P.S. MALLEMUNDA MUCHNAR 22160808304
13036 DANTEWADA GEEDAM TWD P.S. KODNAR MUCHNAR 22160808305
13037 DANTEWADA GEEDAM TWD M.S. RENJARPARA MUCHNAR 22160808307
13038 DANTEWADA GEEDAM TWD P.S. JHARAVAYA MUCHNAR 22160808308
13039 DANTEWADA GEEDAM TWD GIRLS M.S. MUCHNAR 22160808309
13040 DANTEWADA GEEDAM TWD P.S. SARPANCHPARA NAGFANI 22160808402
13041 DANTEWADA GEEDAM TWD P.S. NAGFANI 22160808403
13042 DANTEWADA GEEDAM TWD U.P.S. NAGFANI 22160808404
13043 DANTEWADA GEEDAM TWD P.S. HIDPAL 22160808501
13044 DANTEWADA GEEDAM TWD P.S. BHALUNALA HIDPAL 22160808502
13045 DANTEWADA GEEDAM TWD P.S. BALENGPAL HIDPAL 22160808503
13046 DANTEWADA GEEDAM TWD M.S. HIDPAL 22160808504
13047 DANTEWADA GEEDAM TWD P.S. SCHOOLPARA KORLAPAL 22160808601
13048 DANTEWADA GEEDAM TWD M.S. KORLAPAL 22160808602
13049 DANTEWADA GEEDAM TWD P.S. GAYTAPARA KORLAPAL 22160808603
13050 DANTEWADA GEEDAM TWD M.S. SCHOOLPARA UPET 22160808805
13051 DANTEWADA GEEDAM TWD BOYS A.S. UPET 22160808807
13052 DANTEWADA GEEDAM TWD P.S. KESHKUND 22160811001
13053 DANTEWADA GEEDAM TWD P.S. PATELPARA HIROLI 22160811301
13054 DANTEWADA GEEDAM TWD P.S. KANDAKARKA 22160811401
13055 DANTEWADA GEEDAM TWD P.S. CHHOTECHHINDNAR 22160811701
13056 DANTEWADA GEEDAM TWD P.S. JAPODI GUMARGUNDA 22160811801
13057 DANTEWADA KATEKALYAN GOVT.P.S. KORIRAS(TWD) 22161500102
13058 DANTEWADA KATEKALYAN GOVT.M.S. KORIRAS (TWD) 22161500104
13059 DANTEWADA KATEKALYAN GOVT.P.S. KORIRAS ETTAPARA (SSA) 22161500105
13060 DANTEWADA KATEKALYAN GOVT.P.S. KORIRAS MASAPARA (SSA) 22161500107
13061 DANTEWADA KATEKALYAN GOVT.M.S.BADEBEDMA (TWD) 22161500108
13062 DANTEWADA KATEKALYAN GOVT.P.S. KORIRAS BODIPARA (SSA) 22161500109
13063 DANTEWADA KATEKALYAN GOVT.P.S.CHHOTEHADMAMUNDA (TWD) 22161500110
13064 DANTEWADA KATEKALYAN GOVT.P.S.BADEBEDAMA PATELPARA (TWD) 22161500111
13065 DANTEWADA KATEKALYAN GOVT.P.S.CHOTELAKAPALPOYAPARA(SSA) 22161500202
13066 DANTEWADA KATEKALYAN GOVT.P.S. KIDRIRAS (TWD) 22161500301
13067 DANTEWADA KATEKALYAN GOVT.P.S. BHUSARAS RETEMPARA (SSA) 22161500404
13068 DANTEWADA KATEKALYAN GOVT.P.S. BUSARAS CHINDGUFA (SSA) 22161500405
13069 DANTEWADA KATEKALYAN GOVT.P.S.BUSARAS MIRKOMPARA (TWD) 22161500406
13070 DANTEWADA KATEKALYAN GOVT.P.S.BUSARAS KERIYARPARA (TWD) 22161500407
13071 DANTEWADA KATEKALYAN GOVT.S.H.S. BHUSARAS (TWD) 22161500408
13072 DANTEWADA KATEKALYAN GOVT. P.S. BURUMPARA BHUSARA 22161500410
13073 DANTEWADA KATEKALYAN GOVT.KANYA ASHRAM BADEBEDMA (TWD) 22161500502
13074 DANTEWADA KATEKALYAN GOVT. PRIMARY SCHOOL 22161500601
13075 DANTEWADA KATEKALYAN GOVT,BOYS P.S. KATEKALYAN BAJARPARA 22161500602
13076 DANTEWADA KATEKALYAN GIRL PRIMARY SCHOOL 22161500603
13077 DANTEWADA KATEKALYAN KANIST P.S. PUJARIPARA 22161500604
13078 DANTEWADA KATEKALYAN GOVT.M.S. KATEKLYAN (TWD) 22161500605
13079 DANTEWADA KATEKALYAN NAVIN. P.S. NADIKONTA 22161500606
13080 DANTEWADA KATEKALYAN GOVT PS KATEKALYAN GUDAMPARA (SSA) 22161500607
13081 DANTEWADA KATEKALYAN G.J.N.P.S.JGATUPARA KATEKLYAN 22161500610
13082 DANTEWADA KATEKALYAN GOVT. P.S. JANGAMPAL (TWD) 22161500701
13083 DANTEWADA KATEKALYAN GOVT. BALAK AASHRAM JANGAMPAL (TWD) 22161500702
13084 DANTEWADA KATEKALYAN GOVT.M.S. JANGAMPAL (TWD) 22161500703
13085 DANTEWADA KATEKALYAN GOVT.P.S. JAGAMPAL PUJARIPARA (TWD) 22161500704
13086 DANTEWADA KATEKALYAN P.S.CHOTELAKHPAL JAGAMPAL 22161500705
13087 DANTEWADA KATEKALYAN GOVT M.S. JANGAMPAL (SSA) 22161500706
13088 DANTEWADA KATEKALYAN GOVT.P.S.PARCHELI BOTAPARA (TWD) 22161500801
13089 DANTEWADA KATEKALYAN GOVT.P.S. MARJUM JANGALPARA (TWD) 22161501002
13090 DANTEWADA KATEKALYAN GOVT.P.S. KODRIPAL (TWD) 22161501102
13091 DANTEWADA KATEKALYAN GOVT. PRIMARY SCHOOL 22161501201
13092 DANTEWADA KATEKALYAN Govt P.S. BADELEHKAPAL 22161501203
13093 DANTEWADA KATEKALYAN GOVT. N.P.S.TODWAPARA BADELEKHAPAL 22161501206
13094 DANTEWADA KATEKALYAN GOVT. N.P.S GUNJEMPARA 22161501207
13095 DANTEWADA KATEKALYAN GOVT. N.P.S. PATALPARA 22161501208
13096 DANTEWADA KATEKALYAN GOVT.K.G.B.V.BADALEKHAPAL (SSA) 22161501209
13097 DANTEWADA KATEKALYAN GOVT.N.M.S.BADELEHKAPAL (SSA) 22161501210
13098 DANTEWADA KATEKALYAN GOVT BALAK ASHRAM CHIKPAL (TWD) 22161501301
13099 DANTEWADA KATEKALYAN GOVT P.S. CHIKPAL SCHOOL PARA (TWD) 22161501302
13100 DANTEWADA KATEKALYAN GOVT.P.S. CHIKPAL PADAMIPARA (SSA) 22161501303
13101 DANTEWADA KATEKALYAN GOVT.P.S. CHIKPAL JANGALPARA (SSA) 22161501304
13102 DANTEWADA KATEKALYAN GOVT.P.S.MARJUM BHIMAPARA (SSA) 22161501305
13103 DANTEWADA KATEKALYAN GOVT.P.S. CHOTEGADAM PATELPARA(SSA) 22161501306
13104 DANTEWADA KATEKALYAN GOVT P.S. PATEL PARA CHIKPAL 22161501308
13105 DANTEWADA KATEKALYAN GOVT.P.S. CHIKPAL (SSA) 22161501311
13106 DANTEWADA KATEKALYAN GOVT. M.S. CHKPAL (TWD) 22161501312
13107 DANTEWADA KATEKALYAN GOVT.BALAK ASHRAM BENGLUR (TWD) 22161501401
13108 DANTEWADA KATEKALYAN GOVT.P.S. BAGLOOR JOGAPARA (TWD) 22161501404
13109 DANTEWADA KATEKALYAN GOVT.P.S.BENGLUR BODAPARA (SSA) 22161501407
13110 DANTEWADA KATEKALYAN GOVT.P.S. PARCHELI KANDKIPARA (SSA) 22161501409
13111 DANTEWADA KATEKALYAN GOVT.N.M.S.BENGLUR (SSA) 22161501410
13112 DANTEWADA KATEKALYAN G.H.S.S. KATEKALYAN 22161501411
13113 DANTEWADA KATEKALYAN GOVT.P.S. TUMAKPAL DUMAMPARA (SSA) 22161501501
13114 DANTEWADA KATEKALYAN GOVT.P.S. TUMAKPAL ARJELPARA (SSA) 22161501503
13115 DANTEWADA KATEKALYAN GOVT.P.S. TUMAKPAL PATELPARA (SSA) 22161501504
13116 DANTEWADA KATEKALYAN GOVT.N.M.S.TUMAKPAL (SSA) 22161501505
13117 DANTEWADA KATEKALYAN N.P.S.PUJARIPARA TUMAKPAL 22161501506
13118 DANTEWADA KATEKALYAN P.S.SARPANCH TUMAKPAL 22161501507
13119 DANTEWADA KATEKALYAN GOVT.P.S. LAKHARAS KHALEPARA (SSA) 22161501602
13120 DANTEWADA KATEKALYAN GOVT.P.S. LAKHARAS PATELPARA (TWD) 22161501603
13121 DANTEWADA KATEKALYAN GOVT.M.S.LAKHARAS (SSA) 22161501604
13122 DANTEWADA KATEKALYAN GOVT.KANIST P.S. CHOTETONGPAL (TWD) 22161501701
13123 DANTEWADA KATEKALYAN GOVT.GIRL ASHRAM PARCHELI (TWD) 22161501803
13124 DANTEWADA KATEKALYAN GOVT.P.S. PARCHELI FULAMPARA (SSA) 22161501804
13125 DANTEWADA KATEKALYAN GOVT.P.S. PARCHELI JANGALPARA (SSA) 22161501805
13126 DANTEWADA KATEKALYAN GOVT.N.M.S. PARCHELI KOROPAL (SSA) 22161501807
13127 DANTEWADA KATEKALYAN GOVT.P.S. BADEGADAM PATELPARA (SSA) 22161501903
13128 DANTEWADA KATEKALYAN GOVT.P.S. MUNGA (TWD) 22161502101
13129 DANTEWADA KATEKALYAN GOVT.M.S.MUNGA (SSA) 22161502103
13130 DANTEWADA KATEKALYAN GOVT.P.S. MARJUM SCHOOLPARA (TWD) 22161502201
13131 DANTEWADA KATEKALYAN GOVT.P.S. MARJUM HURRAPARA(SSA) 22161502203
13132 DANTEWADA KATEKALYAN GOVT.P.S. MARJUM PENGONDIPARA (SSA) 22161502204
13133 DANTEWADA KATEKALYAN GOVT.M.S. MARJUM SCHOOLPARA(SSA) 22161502205
13134 DANTEWADA KATEKALYAN GOVT.P.S. GUDSE RAJAPARA (SSA) 22161502305
13135 DANTEWADA KATEKALYAN GOVT.P.S. GUDSE USKOPARA (SSA) 22161502306
13136 DANTEWADA KATEKALYAN GOVT.P.S. GUDSE KANDKIPARA (SSA) 22161502307
13137 DANTEWADA KATEKALYAN GOVT.N.M.S.GUDSE (SSA) 22161502308
13138 DANTEWADA KATEKALYAN GOVT.N.P.S. GUDSE TATIRAS (SSA) 22161502309
13139 DANTEWADA KATEKALYAN GOVT.N.P.S. GUDSE MICHGONDI (SSA) 22161502310
13140 DANTEWADA KATEKALYAN GOVT.N.P.S.GUDSE KORIPARA (SSA) 22161502311
13141 DANTEWADA KATEKALYAN GOVT.P.S. GUDSE ITTAPARA (SSA) 22161502312
13142 DANTEWADA KATEKALYAN GOVT.BALAK GUDSE PATELPARA (TWD) 22161502313
13143 DANTEWADA KATEKALYAN GOVT M.S. BLOCK COLONY (SSA) 22161502401
13144 DANTEWADA KATEKALYAN GOVT P.S NAYANAR 22161502502
13145 DANTEWADA KATEKALYAN GOVT.N.P.S. NAYANAR JOGAPARA (SSA) 22161502504
13146 DANTEWADA KATEKALYAN GOVT.P.S. BANGLUR MAZIPARA (TWD) 22161502601
13147 DANTEWADA KATEKALYAN GOVT.P.S. NADENAR DONGRIPARA (TWD) 22161502701
13148 DANTEWADA KATEKALYAN GOVT.P.S. MATHADI JOGAPARA (SSA) 22161502803
13149 DANTEWADA KATEKALYAN GOVT.N.P.S. GATUM DONGARIPARA (SSA) 22161502804
13150 DANTEWADA KATEKALYAN GOVT.P.S.MATHADI CHINDPARA (TWD) 22161502806
13151 DANTEWADA KATEKALYAN GOVT.N.P.S.MATHADI PATELPARA (SSA) 22161502807
13152 DANTEWADA KATEKALYAN GOVT.ASREM.SHALA GATAM (TWD) 22161502808
13153 DANTEWADA KATEKALYAN GOVT.U.P.S.MATHADI CHINDPARA (SSA) 22161502809
13154 DANTEWADA KATEKALYAN GOVT.N.BALAK ASHRAM MATHADI 22161502812
13155 DANTEWADA KATEKALYAN GOVT.P.S. MARJUM PATELPARA (SSA) 22161502902
13156 DANTEWADA KATEKALYAN N.P.S.SARPANCHPARA BADEGADEM 22161503003
13157 DANTEWADA KATEKALYAN GOVT.P.S. PRATAPGIRI (TWD) 22161503101
13158 DANTEWADA KATEKALYAN NPS LIMBUDIPARA 22161503102
13159 DANTEWADA KATEKALYAN GOVT.P.S. BHUSARAS NAKAPARA (TWD) 22161503202
13160 DANTEWADA KATEKALYAN GOVT.M.S. MOKHAPAL NAKAPARA (TWD) 22161503302
13161 DANTEWADA KATEKALYAN GOVT.P.S. MOKHPAL KALMUPARA (SSA) 22161503303
13162 DANTEWADA KATEKALYAN GOVT.P.S. MOPKHAPAL PATELPARA (TWD) 22161503304
13163 DANTEWADA KATEKALYAN KANYA ASHRAM MOKHPAL 22161503305
13164 DANTEWADA KATEKALYAN GOVT.P.S. MOKHPAL GOLAPARA (SSA) 22161503306
13165 DANTEWADA KATEKALYAN GOVT.P.S. TELAM PATELPARA (SSA) 22161503402
13166 DANTEWADA KATEKALYAN GOVT.NAVIN KANYA ASHRAM TELAM (TWD) 22161503403
13167 DANTEWADA KATEKALYAN GOVT.P.S. TELAM KOTWARPARA (SSA) 22161503404
13168 DANTEWADA KATEKALYAN GOVT.N.P.S. TELAM DONGRIPARA (SSA) 22161503405
13169 DANTEWADA KATEKALYAN GOVT.M.S. TELAM (SSA) 22161503406
13170 DANTEWADA KATEKALYAN GOVT.P.S. JIHAKODTA (TWD) 22161503502
13171 DANTEWADA KATEKALYAN BALAK ASHRAM TETAM (PVT.) 22161503602
13172 DANTEWADA KATEKALYAN GOVT.S.P.S. TETAM KHALEPARA (SSA) 22161503603
13173 DANTEWADA KATEKALYAN GOVT.P.S. TETAM PATELPARA (SSA) 22161503604
13174 DANTEWADA KATEKALYAN GOVT.P.S. TETAM (TWD) 22161503605
13175 DANTEWADA KATEKALYAN GOVT.P.S. MOKHAPAL DONGRIGUDA (TWD) 22161503701
13176 DANTEWADA KATEKALYAN GOVT.P.S. MOPKHAPAL NAKAPARA (TWD) 22161503801
13177 DANTEWADA KATEKALYAN GOVT.N.P.S DODPAL (SSA) 22161503902
13178 DANTEWADA KATEKALYAN GOVT.N.P.S. CHHOTEBEDMA (SSA) 22161504101
13179 DANTEWADA KATEKALYAN GOVT.P.S. MAHARAKARKA (TWD) 22161504202
13180 DANTEWADA KATEKALYAN GOVT.P.S. DUDHIRAS PATELPARA(SSA) 22161504304
13181 DANTEWADA KATEKALYAN GOVT. KANIST P. S MOKHPAL 22161504401
13182 DANTEWADA KATEKALYAN GOVT PRIMARY SCHOOL BHURDHIKARKA 22161504501
13183 DANTEWADA KATEKALYAN GOVT NMS BHURDHIKARKA 22161504503
13184 DANTEWADA KATEKALYAN GOVT N.P.S.KASAPARA SURNAR 22161504702
13185 DANTEWADA KATEKALYAN GOVT P.S.BURDIKARKA PATELPARA 22161504703
13186 DANTEWADA KATEKALYAN GOVT N.KANYA .M.S.ASHRAM SURNAR 22161504704
13187 DANTEWADA KATEKALYAN GOVT. P.S. BADEGADAM 22161504705
13188 DANTEWADA KATEKALYAN GOVT PRIMARY SCHOOL JARIPARA 22161504901
13189 DANTEWADA KATEKALYAN GOVT PRIMARY SCHOOL DUWALIPARA 22161505001
13190 DANTEWADA KATEKALYAN GOVT KANIST PRIMARY SCHOOL DHANIKARKA 22161505102
13191 DANTEWADA KATEKALYAN GYAN GYOTI GAYTAPARA 22161505103
13192 DANTEWADA KATEKALYAN GOVT PRIMARY SCHOOL DHANIKARKA 22161505201
13193 DANTEWADA KATEKALYAN GOVT P.S. BADEGUDRA BABUPARA (TWD) 22161505501
13194 DANTEWADA KATEKALYAN GOVT PS BADEBEDAM KUNJAMPARA 22161505601
13195 DANTEWADA KATEKALYAN GOVT.P.S. BADEBEDMA KOTWARPAR (TWD) 22161505701
13196 DANTEWADA KATEKALYAN GOVT.P.S. BADEGUDRA BURJIPARA (TWD) 22161505801
13197 DANTEWADA KATEKALYAN GOVT.P.S. EATEPAL (TWD) 22161505901
13198 DANTEWADA KATEKALYAN GOVT.N.M.S.EATPAL (SSA) 22161505902
13199 DANTEWADA KATEKALYAN GOVT.P.S. EATEPAL BILAIPARA (SSA) 22161505903
13200 DANTEWADA KATEKALYAN GOVT.P.S. EATEPAL NADIKONTA 22161505904
13201 DANTEWADA KATEKALYAN GOVT PS KOYATIPARA 22161506001
13202 DANTEWADA KATEKALYAN GOVT PS CHOOTEGUDRA KOTWARPARA 22161506302
13203 DANTEWADA KATEKALYAN GOVT P. S CHOTEBEDAM 22161506401
13204 DANTEWADA KATEKALYAN GOVT.M.S.BADEGUDRA (TWD) 22161506602
13205 DANTEWADA KATEKALYAN GOVT N.M.S.BABUPARA BADEGUDRA 22161506603
13206 DANTEWADA KATEKALYAN GOVT N.P.S.LOHARPARA BADEGUDRA 22161506604
13207 DANTEWADA KATEKALYAN GOVT P.S.KUNJAMPARA BADEGUDRA 22161506605
13208 DANTEWADA KATEKALYAN GOVT P.S.UKAHRAPARA BADEGUDRA 22161506606
13209 DANTEWADA KATEKALYAN GOVT KANIYA M.A.S.BADEGUDRA 22161506607
13210 DANTEWADA KATEKALYAN GOVT P.S.DONGAPARA BADEGUDRA 22161506608
13211 DANTEWADA KATEKALYAN GOVT CHHOTEGUDRA CHALKIPARA 22161506801
13212 DANTEWADA KATEKALYAN GOVT.N.P.S. EDPAL PERMAPARA (SSA) 22161506902
13213 DANTEWADA KATEKALYAN GOVT.N.BALAK.ASREM EDPAL (TWD) 22161506903
13214 DANTEWADA KATEKALYAN GOVT P.S. KAWASIPARA CHOTEGUDRA 22161507001
13215 DANTEWADA KATEKALYAN GOVT N.P.S HAPUPARA SURNAR 22161507202
13216 DANTEWADA KATEKALYAN N.P.S.INDOPARA 22161507302
13217 DANTEWADA KATEKALYAN KANIST PRIMARY SCHOOL 22161507401
13218 DANTEWADA KATEKALYAN P.S. DHANIKARKA 22161507502
13219 DANTEWADA KATEKALYAN PUJARIPARA TELANM BADEGUDRA 22161507605
13220 DANTEWADA KATEKALYAN P.S. JIHAKODATA DONGRIPARA 22161507606
13221 DANTEWADA KATEKALYAN GOVT.U.P.S. BADEGUDRA (SSA) 22161507607
13222 DANTEWADA KATEKALYAN GOVT.P.S. PARCHELI BANDIPARA (TWD) 22161507702
13223 DANTEWADA KATEKALYAN GOVT.P.S. PARCHELI KAWARAMA (SSA) 22161507704
13224 DANTEWADA KATEKALYAN GOVT.P.S. PARCHELI KOYAPARA (SSA) 22161507705
13225 DANTEWADA KATEKALYAN GOVT.P.S. PARCHELI BORPADAR (SSA) 22161507707
13226 DANTEWADA KATEKALYAN GOVT.P.S. PARCHELI KOROPAL (SSA) 22161507709
13227 DANTEWADA KATEKALYAN GOVT.N.P.S.NADENAR KHALEPARA (SSA) 22161507710
13228 DANTEWADA KATEKALYAN GOVT.P.S. PARCHELI RAUTPARA (TWD) 22161507711
13229 DANTEWADA KATEKALYAN MS SURNAR 22161508206
13230 DANTEWADA KATEKALYAN N.P.S.JAYATAPARA SURNAR 22161508207
13231 DANTEWADA KATEKALYAN N.P.S UMALPARA SURNAR 22161508208
13232 DANTEWADA KATEKALYAN ASREM.S.SURNAR 22161508209
13233 DANTEWADA KATEKALYAN S.H.S.SURNAR 22161508211
13234 DANTEWADA KATEKALYAN GOVT.P.S. PARCHELI PATELPARA (SSA) 22161508401
13235 DANTEWADA KATEKALYAN N P S.PANGONDI BADALAKHAPAL 22161508501
13236 DANTEWADA KATEKALYAN GOVT.KANIST P.S. CHOTEGUDRA (TWD) 22161508601
13237 DANTEWADA KUAKONDA GOVT PRIMARY SCHOOL NILAWAYA 22161900301
13238 DANTEWADA KUAKONDA P.S. MILKANPARA NILAWAYA 22161900302
13239 DANTEWADA KUAKONDA P.S. MALLAPARA 22161900303
13240 DANTEWADA KUAKONDA PRIMARY SCHOOL 22161900501
13241 DANTEWADA KUAKONDA GOVT. N.P.S. PENTA(SSA) 22161900502
13242 DANTEWADA KUAKONDA GOVT. P.S. PATEL PARA ARBEY(TWD) 22161900601
13243 DANTEWADA KUAKONDA GOVT.P.S.KOSAPARA (SSA) 22161900602
13244 DANTEWADA KUAKONDA P.S.BANDIPARA 22161900603
13245 DANTEWADA KUAKONDA GOVT.P.S.BANDIPARA ARBY(SS) 22161900605
13246 DANTEWADA KUAKONDA GOVT.P.S.(TWD) 22161900701
13247 DANTEWADA KUAKONDA PRIMARY SCHOOL 22161900901
13248 DANTEWADA KUAKONDA P.S. MULER (ECHAPARA) 22161900902
13249 DANTEWADA KUAKONDA GOVT.N.M.S MULER (SSA) 22161900903
13250 DANTEWADA KUAKONDA P.S.GUTTAPARA KAKADI 22161901002
13251 DANTEWADA KUAKONDA N. P.S.KARKAPARA KAKADI 22161901003
13252 DANTEWADA KUAKONDA GOVT.P.S. KAKDI SOMAPARA (SSA) 22161901104
13253 DANTEWADA KUAKONDA GOVT. N.P.S. KAKADI PATELPARA (SSA) 22161901105
13254 DANTEWADA KUAKONDA GOVT.BALAK ASHRAM ARANPUR (TWD) 22161901202
13255 DANTEWADA KUAKONDA GOVT.M.S. ARANPUR(SSA) 22161901205
13256 DANTEWADA KUAKONDA NAVIN P.S. ARANPUR BANDIPARA 22161901206
13257 DANTEWADA KUAKONDA P.S.ARANPUR 22161901207
13258 DANTEWADA KUAKONDA NAVIN P.S. MENDPAL(SSA) 22161901208
13259 DANTEWADA KUAKONDA NAVIN P.S. ACHELI (SSA) 22161901209
13260 DANTEWADA KUAKONDA GOVT.P.S ACHELI (SSA) 22161901301
13261 DANTEWADA KUAKONDA GOVT. P.S BERAM (TWD) 22161901601
13262 DANTEWADA KUAKONDA GOVT.N.M.S. BERAM (SSA) 22161901602
13263 DANTEWADA KUAKONDA NPS--BHIMAPARA 22161901702
13264 DANTEWADA KUAKONDA NPS--TADPARA 22161901703
13265 DANTEWADA KUAKONDA N.P.S. PATELPARA REWALI 22161901704
13266 DANTEWADA KUAKONDA P.S.BACHELI REWALI 22161901705
13267 DANTEWADA KUAKONDA N.M.S.BAREM REWALI 22161901706
13268 DANTEWADA KUAKONDA GOVT.P.S. DORAPARA BURGUM(TWD) 22161901803
13269 DANTEWADA KUAKONDA GOVT..P.S BOJAPARA BURGUM(TWD) 22161901807
13270 DANTEWADA KUAKONDA GOVT.P.S.KAVASIPARA BURGUM(SSA) 22161901808
13271 DANTEWADA KUAKONDA GOVT.P.S.PRRAMAPARA BURGUM(SSA) 22161901809
13272 DANTEWADA KUAKONDA GOVT.P.S.PUJARIPAL BURGUM(SSA) 22161901810
13273 DANTEWADA KUAKONDA GOVT PRIMARY SCHOOL MADEDA 22161901901
13274 DANTEWADA KUAKONDA N.P.S. MADENDA 22161901903
13275 DANTEWADA KUAKONDA GYAN JYOTI PS KUNJAMPARA 22161902001
13276 DANTEWADA KUAKONDA E.G.S. P.S. PANDUPARA SAMELE 22161902002
13277 DANTEWADA KUAKONDA GOVT.S.AASREM S SAMELE(TWD) 22161902004
13278 DANTEWADA KUAKONDA GOVT.N.M.S.BODEPARA SAMELE(SSA) 22161902005
13279 DANTEWADA KUAKONDA GOVT.NPS ANDIPARA SAMELI(SSA) 22161902007
13280 DANTEWADA KUAKONDA GOVT.P.S.SAMELE O2(TWD) 22161902009
13281 DANTEWADA KUAKONDA GOVT.N.P.S.BURKANPARA SAMELE(SSA) 22161902010
13282 DANTEWADA KUAKONDA GOVT.N.P.S PANDUPARA SAMELI(SS) 22161902014
13283 DANTEWADA KUAKONDA NPS--LEKAMPARA 22161902102
13284 DANTEWADA KUAKONDA P.S. SCHOOL ARAPARA PALNAR 22161902104
13285 DANTEWADA KUAKONDA P.S. PALNAR NO. 2 22161902107
13286 DANTEWADA KUAKONDA P.S.MUSALTONTA 22161902109
13287 DANTEWADA KUAKONDA P.S.MUNDAPARA PALNAR 22161902111
13288 DANTEWADA KUAKONDA GOVT P.S PATELPARA(TWD) 22161902301
13289 DANTEWADA KUAKONDA GOVT.P.S [MIDIYAMPARA] (SSA) 22161902302
13290 DANTEWADA KUAKONDA GOVT.P.S KOYLANPARA (TWD) 22161902303
13291 DANTEWADA KUAKONDA GOVT.N.V.ASHRAM P.S. FULPAD(TWD) 22161902304
13292 DANTEWADA KUAKONDA GOVT.BALAK ASRAM FULPAD(TWD) 22161902305
13293 DANTEWADA KUAKONDA GOVT.N.M.S.FULPAD(SSA) 22161902306
13294 DANTEWADA KUAKONDA GOVT.N.P.S.DOMARPARA FULPAD(SSA) 22161902307
13295 DANTEWADA KUAKONDA GOVT.G.J.P.S.JUNAPARA(TWD) 22161902308
13296 DANTEWADA KUAKONDA PRIMARY SCHOOL -1 22161902401
13297 DANTEWADA KUAKONDA M.S.PALNAR 22161902402
13298 DANTEWADA KUAKONDA G.J.P.S.DAVAPARA 22161902403
13299 DANTEWADA KUAKONDA M.S.MUNDAPARA 22161902404
13300 DANTEWADA KUAKONDA PRIMARY SCHOOL[MICHIPARA] 22161902602
13301 DANTEWADA KUAKONDA P.S. POTALI URPAL PARA 22161902603
13302 DANTEWADA KUAKONDA P.S. KESAPARA 22161902604
13303 DANTEWADA KUAKONDA P.S.BANDIPARA POTALI 22161902608
13304 DANTEWADA KUAKONDA P.S.KIKIRPARA POTALI 22161902609
13305 DANTEWADA KUAKONDA PRIMARY SCHOOL 22161902901
13306 DANTEWADA KUAKONDA GOVT.P.S. SORIPARA TIKANPAL(SSA) 22161903003
13307 DANTEWADA KUAKONDA GOVT.P.S. BHATIPARA TIKAN PAL(SSA) 22161903004
13308 DANTEWADA KUAKONDA GOVT.P.S.PATELPARA TIKANPAL(TWD) 22161903007
13309 DANTEWADA KUAKONDA GOVT.P.S.KAREPARA TIKANPAL(TWD) 22161903008
13310 DANTEWADA KUAKONDA GOVTP.S.KANDAKIPARA TIKANPAL(SSA) 22161903009
13311 DANTEWADA KUAKONDA GOVT.BALAK ASRAM TIKANPAL(TWD) 22161903010
13312 DANTEWADA KUAKONDA GOVT.P.S.GECHAPARA TIKANPAL(SSA) 22161903011
13313 DANTEWADA KUAKONDA GOVT.M.S.PATELPARA TIKANPAL(TWD) 22161903012
13314 DANTEWADA KUAKONDA P.S.MAHARAHAURNER TIKANPAL 22161903015
13315 DANTEWADA KUAKONDA P.S.UAPERPARA TIKANPAL 22161903016
13316 DANTEWADA KUAKONDA GOVT.P.S.DONGRIPARA TIKANPAL(TWD) 22161903101
13317 DANTEWADA KUAKONDA GOVT.S.ASREM TIKANPAL(TWD) 22161903102
13318 DANTEWADA KUAKONDA GOVT. P.S. MAILAWADA 22161903201
13319 DANTEWADA KUAKONDA KANIST PRIMARY SCHOOL 22161903202
13320 DANTEWADA KUAKONDA M.S. MELAWADA 22161903203
13321 DANTEWADA KUAKONDA AASHRAM SHALA MAILAWADA 22161903204
13322 DANTEWADA KUAKONDA P.S.PADARPARA 22161903205
13323 DANTEWADA KUAKONDA PRIMARY SCHOOL 22161903301
13324 DANTEWADA KUAKONDA M.S. PUJARIPARA (SSA) 22161903302
13325 DANTEWADA KUAKONDA GOVT. P.S. KUAKONDA 22161903501
13326 DANTEWADA KUAKONDA GOVT.KANIST P.S GAYATAPARA (SSA) 22161903601
13327 DANTEWADA KUAKONDA GOVT.P.S GECHAPARA (SSA) 22161903702
13328 DANTEWADA KUAKONDA GOVT.P.S SHAYAMGIRI(SSA) 22161903801
13329 DANTEWADA KUAKONDA P.M.S. SHYAMGIRI 22161903903
13330 DANTEWADA KUAKONDA PRIMARY SCHOOL 22161904001
13331 DANTEWADA KUAKONDA GOVT. U.P.S RENGANAR (SSA) 22161904002
13332 DANTEWADA KUAKONDA GOVT.NAVEEN BALAK A.GARHMIRI(TWD) 22161904101
13333 DANTEWADA KUAKONDA GOVT.P.S.DHRUAPARA (SSA) 22161904102
13334 DANTEWADA KUAKONDA GOVT.ASHRAM SHALA GONGPAL (TWD) 22161904203
13335 DANTEWADA KUAKONDA GOVT P.S LABBAPARA (TWD) 22161904204
13336 DANTEWADA KUAKONDA GOVT.P.S. GONGPAL SARPANCHPARA(SSA) 22161904205
13337 DANTEWADA KUAKONDA GOVT.M.S.GONGPAL (SSA) 22161904208
13338 DANTEWADA KUAKONDA GOVT.GYAN JYOTI GONGPAL(SSA) 22161904209
13339 DANTEWADA KUAKONDA PRIMARY SCHOOL 22161904301
13340 DANTEWADA KUAKONDA GOVT.G.J.MAHARAPARA (SSA) 22161904402
13341 DANTEWADA KUAKONDA GOVT.P.S.KUNJAMPARA (SSA) 22161904403
13342 DANTEWADA KUAKONDA GOVT.P.S MUNDAPARA (TWD) 22161904501
13343 DANTEWADA KUAKONDA GOVT. P.S. SAMALWAR AVGHTTAPARA 22161904602
13344 DANTEWADA KUAKONDA GOVT. P.S. SAMALWAR BICHAPARA 22161904605
13345 DANTEWADA KUAKONDA GOVT.M.S. SAMALWAR PATELPARA (SSA) 22161904607
13346 DANTEWADA KUAKONDA GOVT.P.S ALNAR (TWD) 22161904701
13347 DANTEWADA KUAKONDA GOVT.A.J. P.S. BADEPALLI(TWD) 22161904802
13348 DANTEWADA KUAKONDA GOVT.M.S.GUMIYAPAL(SSA) 22161905003
13349 DANTEWADA KUAKONDA GOVT.S.AASRM.S.KODENAR O2 (TWD) 22161905004
13350 DANTEWADA KUAKONDA GOVT. P.S KALEPAL(SSA) 22161905101
13351 DANTEWADA KUAKONDA G0VT. P.S. PATELPARA CHOLNAR(SSA) 22161905102
13352 DANTEWADA KUAKONDA GOVT. P.S. KUJUMPARA KALEPAL(TWD) 22161905103
13353 DANTEWADA KUAKONDA GOVT.P.S. CHOLNAR JUNAPARA (TWD) 22161905104
13354 DANTEWADA KUAKONDA GOVT.M.S.KALEPAL (SSA) 22161905107
13355 DANTEWADA KUAKONDA KANIST P.S. KOLAPARA TIKANPAL 22161905201
13356 DANTEWADA KUAKONDA GOVT. P.S GAYATAPARA (TWD) 22161905401
13357 DANTEWADA KUAKONDA GOVT.P.S KIRANDUL (TWD) 22161905701
13358 DANTEWADA KUAKONDA GOVT. P.S.VIDHYANAGAR (TWD) 22161905702
13359 DANTEWADA KUAKONDA GOVT. P.S KIRANDUL (TWD) 22161905703
13360 DANTEWADA KUAKONDA GOVT.M.S.BAILADILA (SSA) 22161905710
13361 DANTEWADA KUAKONDA GOVT.M.S. KODENAR NO.1(SSA) 22161906003
13362 DANTEWADA KUAKONDA P.S.KODENAR O2 22161906005
13363 DANTEWADA KUAKONDA NAVIN P.S. KOTAWAR PARA 22161906303
13364 DANTEWADA KUAKONDA GOVT. P.S. KUTREM PATELPARA 22161906304
13365 DANTEWADA KUAKONDA GOVT.U.P.S. KUTREM 22161906305
13366 DANTEWADA KUAKONDA GOVT.P.S HIROLI (TWD) 22161906401
13367 DANTEWADA KUAKONDA GOVT P.S. DOKAPARA (SSA) 22161906402
13368 DANTEWADA KUAKONDA GOVT.P.S LAVA (SSA) 22161906403
13369 DANTEWADA KUAKONDA GOVT.M.S. HIROLI (SSA) 22161906405
13370 DANTEWADA KUAKONDA PRIMARY SCHOOL LENDRA 22161906501
13371 DANTEWADA KUAKONDA PRIMARY SCHOOL 22161906701
13372 DANTEWADA KUAKONDA PRIMARY SCHOOL 22161906801
13373 DANTEWADA KUAKONDA M.S. PIRNAR 22161906803
13374 DANTEWADA KUAKONDA GOVT.P.S BHOJAPARA (TWD) 22161906901
13375 DANTEWADA KUAKONDA GOVT-P.S KADAMPAL (TWD) 22161907001
13376 DANTEWADA KUAKONDA GYAN JYOTI NAYAPARA 22161907003
13377 DANTEWADA KUAKONDA N.P.S. RIMANPARA 22161907004
13378 DANTEWADA KUAKONDA GOVT. P.S PATELPARA (SSA) 22161907101
13379 DANTEWADA KUAKONDA PRIMARY SCHOOL 22161907301
13380 DANTEWADA KUAKONDA ASHRAM SHALA MADADI 22161907402
13381 DANTEWADA KUAKONDA P.S.PERPA GUJJAPARA 22161907404
13382 DANTEWADA KUAKONDA M.S.MADADI 22161907405
13383 DANTEWADA KUAKONDA PRIMARY SCHOOL 22161907501
13384 DANTEWADA KUAKONDA PRIMARY SCHOOL 22161907701
13385 DANTEWADA KUAKONDA GOVT. P.S GARMIRI (SSA) 22161907802
13386 DANTEWADA KUAKONDA GOVT. P.S HITAWAR (TWD) 22161908001
13387 DANTEWADA KUAKONDA GOVT. MS HITAWAR (SSA) 22161908002
13388 DANTEWADA KUAKONDA GOVT.KANIS P.SSARPANCHPARA (SSA) 22161908101
13389 DANTEWADA KUAKONDA GOVT. P.S GARMIRI (SSA) 22161908302
13390 DANTEWADA KUAKONDA PRIMARY SCHOOL 22161908501
13391 DANTEWADA KUAKONDA P.S. MAHRAPARA 22161908602
13392 DANTEWADA KUAKONDA GOVT.P.S. GARHPADARPARA (SSA) 22161908702
13393 DANTEWADA KUAKONDA GOVT. P.S HALBARAS (SSA) 22161908801
13394 DANTEWADA KUAKONDA GOVT.N.P.S. DONGARIPARA (SSA) 22161908802
13395 DANTEWADA KUAKONDA GOVT.N.M.S. HALBARAS (SSA) 22161908803
13396 DANTEWADA KUAKONDA GOVT.M.S. BANGALI CAMP KIRANDU 22161909002
13397 DANTEWADA KUAKONDA P.A. BANGALI CAMP KIRANDUL 22161909003
13398 DANTEWADA KUAKONDA GOVT.NPS- PUTMARKA PARA(SSA) 22161909102
13399 DANTEWADA KUAKONDA GOVT.NPS- ANDODIPARA (SSA) 22161909104
13400 DANTEWADA KUAKONDA GOVT-P.M.S. GARHMIRI (TWD) 22161909107
13401 DANTEWADA KUAKONDA GOVT P.S. RENGANAR (SSA) 22161909108
13402 DANTEWADA KUAKONDA GOVT.P.S. MULAPARA GARMIRI (TWD) 22161909109
13403 DANTEWADA KUAKONDA GOVT.P.S G.J.P.S. DOLEPARA (SSA) 22161909110
13404 DANTEWADA KUAKONDA GOVT.P.S. G.J.P.S. SALFHIPARA (SSA) 22161909111
13405 DANTEWADA KUAKONDA GOVT. M.S. MUNDAPARA (TWD) 22161909112
13406 DANTEWADA KUAKONDA GOVT. P.S. MADKAMIRAS 22161909201
13407 DANTEWADA KUAKONDA KANYA ASRAM SCHOOL 22161909202
13408 DANTEWADA KUAKONDA P.M.S. MADHAKAMIRAS 22161909203
13409 DANTEWADA KUAKONDA GOVT. P.S CHOLNAR (TWD) 22161909301
13410 DANTEWADA KUAKONDA GOVT.NAVIN P.M.S. CHOLNAR(SSA) 22161909302
13411 DANTEWADA KUAKONDA NAVIN P.S. BADEPALLI NAYAPARA 22161909303
13412 DANTEWADA KUAKONDA PRIMARY SCHOOL 22161909401
13413 DANTEWADA KUAKONDA GOVT.P.S.MUNDAPARA TIKANPAL(TWD) 22161909801
13414 DANTEWADA KUAKONDA GOVT.P.S JABELI - 2 (TWD) 22161910401
13415 DANTEWADA KUAKONDA JANPAD PRIMARY SCHOOL 22161910501
13416 DANTEWADA KUAKONDA GOVT. P.S GUMIYAPAL BANDIPARA 22161910601
13417 DANTEWADA KUAKONDA GOVT.P.S.GUMIYAPAL PATELPARA(SSA) 22161910602
13418 DANTEWADA KUAKONDA GOVT.KANIST P.SKONDAPARA(SSA) 22161910701
13419 DANTEWADA KUAKONDA PRIMARY SCHOOL 22161910801
13420 DANTEWADA KUAKONDA GOVT.NAVEN P.S DORIRAS (SSA) 22161910901
13421 DANTEWADA KUAKONDA N.M.S. PUJARIPAL 22161911002
13422 DANTEWADA KUAKONDA PRIMARY SCHOOL 22161911201
13423 DANTEWADA KUAKONDA GOVT.P.S KIRANDUL (TWD) 22161911301
13424 DANTEWADA KUAKONDA M.S. BENGPAL (SSA) 22161911302
13425 DANTEWADA KUAKONDA GOVT.P.S TANELI(TWD) 22161911701
13426 DANTEWADA KUAKONDA N.P.S.MAHRAHAURNAR NICHEPARA 22161911901
13427 DANTEWADA KUAKONDA GOVT.N.M.S. MAHRAHAURNAR (TWD) 22161911902
13428 DANTEWADA KUAKONDA GOVT.M.S. SAMELI(TWD) 22161912002
13429 DANTEWADA KUAKONDA KANIST PRIMARY SCHOOL 22161912101
13430 DANTEWADA KUAKONDA GOVT. P.S. MANJHIPARA KUAKONDA 22161912601
13431 DANTEWADA KUAKONDA GOVT. N.P.S. HURRAPARA KUAKONDA 22161912701
13432 DANTEWADA KUAKONDA GOVT P.S BADIPARA (SSA) 22161912901
13433 DANTEWADA KUAKONDA GOVT.P.S BADEHADMAMUNDA(TWD) 22161913001
13434 DANTEWADA KUAKONDA GOVT.P.S BEHAPARA (TWD) 22161913101
13435 DANTEWADA KUAKONDA KANIST PRIMARY SCHOOL 22161913201
13436 DANTEWADA KUAKONDA GOVT. P.S KAKADIPARA SAMELI(SSA) 22161913401
13437 DANTEWADA KUAKONDA GOVT. P.M.S. BADE HUDMAMUNDA 22161913702
13438 DANTEWADA KUAKONDA P.S.NAKULNAR 22161913801
13439 DANTEWADA KUAKONDA A.J.K.V. P.M.S. NAKULNAR 22161913803
13440 DANTEWADA KUAKONDA GOVT.S.A SHYAMGIRI(TWD) 22161913901
13441 DANTEWADA KUAKONDA GOVT.P.S.KOTWARAPARA(TWD) 22161913902
13442 DANTEWADA KUAKONDA GOVT. M.S.KHUTEPAL(SSA) 22161913904
13443 DANTEWADA KUAKONDA E.G.S. S. KHUTEPAL 22161914101
13444 DANTEWADA KUAKONDA GOVT.P.S TEMRUPARA (SSA) 22161914201
13445 DANTEWADA KUAKONDA GOVT. P.S. BADE HADMAMUNDA EMLIPARA 22161914301
13446 DANTEWADA KUAKONDA A.B.AASRM SAMELE/GAJENAR 22161914401
13447 DANTEWADA KUAKONDA M.S. MELAWADA(SSA) 22161914502
13448 DANTEWADA KUAKONDA GOVT. M.S. KUAKONDA 22161914701
13449 DANTEWADA KUAKONDA GOVT.N.M.S.ARANPUR (SSA) 22161914802
13450 DANTEWADA KUAKONDA GOVT.N.P.S.ARANPUR (SSA) 22161914803
13451 DANTEWADA KUAKONDA P.S.PATELPARA 22161915202
13452 DANTEWADA KUAKONDA P. S. GADMIRI 22161916001
13453 DANTEWADA KUAKONDA GOVT.P.S. KHEDAPARA JABELI (TWD) 22161916802
13454 DANTEWADA KUAKONDA K.G.B.V. KUAKONDA 22161917502
13455 DANTEWADA KUAKONDA M.S. MAHARAPARA 22161917503
13456 DANTEWADA KUAKONDA P.S. PATELPARA MADADI 22161917701
13457 DANTEWADA KUAKONDA PS PIRNAR PATELPARA 22161917901
13458 DANTEWADA KUAKONDA GOVT. P.S. KODENAR NO.1 22161918301
13459 DANTEWADA KUAKONDA GOVT.M.S. PATELPARA KIRANDUL(SSA) 22161918802
13460 DANTEWADA KUAKONDA GOVT. P.S. KUTREM 22161918901
13461 DANTEWADA KUAKONDA M.S. SARPANCH PARA KUTREM 22161918902
13462 DANTEWADA KUAKONDA GOVT.P.S. TIKANPAL RAOPARA (SSA) 22161919101
13463 DANTEWADA KUAKONDA GOVT.P.S. TIKANPAL MAJHARPARA(SSA) 22161919501
13464 DANTEWADA KUAKONDA GOVT.S. A. S. JABELI (TWD) 22161921101
13465 DANTEWADA KUAKONDA P.S. JABELI P. PATELPARA 22161921201
13466 DANTEWADA KUAKONDA GOVT.AASHRAM SHALA KADAMPAL(TWD) 22161921302
13467 DANTEWADA KUAKONDA GOVT.N.M.S. GAYTAPARA (SSA) 22161921303
13468 DANTEWADA KUAKONDA GYAN JYOTI PERPA 22161921401
13469 DANTEWADA KUAKONDA GOVT.P.S DORAPARA MADENDA(TWD.) 22161921601
13470 DANTEWADA KUAKONDA P.S. PERPA PATELPARA 22161921901
13471 DANTEWADA KUAKONDA P.S. MULAPARA 22161922201
13472 DANTEWADA KUAKONDA GOVT.P.S. KHEDAPARA JABELI (SSA) 22161922801
13473 DANTEWADA KUAKONDA GOVT.U.P.S.JABELI (SS) 22161923901
13474 DHAMTARI DHAMTARI GOVT P.S. DHORABHATA 22133000101
13475 DHAMTARI DHAMTARI GOVT M.S. DHORABHATA(SSA) 22133000102
13476 DHAMTARI DHAMTARI GOVT PS LIMTARA 22133000201
13477 DHAMTARI DHAMTARI GOVT MS LIMTARA 22133000202
13478 DHAMTARI DHAMTARI GOVT PS AROD LELAR 22133000301
13479 DHAMTARI DHAMTARI GOVT MS AROD LELAR 22133000302
13480 DHAMTARI DHAMTARI GOVT PS TENDUKONA 22133000401
13481 DHAMTARI DHAMTARI GOVT UNNYAN MS TENDUKONA(SSA) 22133000402
13482 DHAMTARI DHAMTARI GOVT P.S. CHIKHALI 22133000501
13483 DHAMTARI DHAMTARI GOVT. M.S. CHIKHALI 22133000502
13484 DHAMTARI DHAMTARI GOVT P S RISAIPARA WARD 22133000601
13485 DHAMTARI DHAMTARI NAGR PALIKA . M.S. RISAIPARA P 22133000602
13486 DHAMTARI DHAMTARI GOVT PS KODEGAON RAYAT 22133000701
13487 DHAMTARI DHAMTARI GOVT MS KODEGAON RAYAT 22133000702
13488 DHAMTARI DHAMTARI GOVT PS RIWAGAHAN 22133000801
13489 DHAMTARI DHAMTARI GOVT MS RIWAGAHAN 22133000802
13490 DHAMTARI DHAMTARI BALAK P.S. GOKULPUR WARD 22133000901
13491 DHAMTARI DHAMTARI GIRLS P.S. GOKULPUR WARD 22133000902
13492 DHAMTARI DHAMTARI GOVT M.S. GOKULPUR WARD 22133000903
13493 DHAMTARI DHAMTARI GANDHI ASHRAM MAHIMA SAGER P.S 22133000909
13494 DHAMTARI DHAMTARI NAGER PALCIKA P.S. SALA K. 01 22133000915
13495 DHAMTARI DHAMTARI NAVIN P.S. RAMPUR WARD 22133001001
13496 DHAMTARI DHAMTARI GOVT PS SILTARA 22133001101
13497 DHAMTARI DHAMTARI GOVT MS SILTARA(SSA) 22133001102
13498 DHAMTARI DHAMTARI GOVT PS URPUTI 22133001201
13499 DHAMTARI DHAMTARI GOVT MS URPUTI(SSA) 22133001202
13500 DHAMTARI DHAMTARI GOVT PS ADEKONA 22133001301
13501 DHAMTARI DHAMTARI GOVT PS KODEGAON MAAL 22133001401
13502 DHAMTARI DHAMTARI G. M.S. JALAMPUR WARD 22133001501
13503 DHAMTARI DHAMTARI N.P.S. HARIJNPARA JALAMPUR 22133001503
13504 DHAMTARI DHAMTARI MAHATMA GANDHI P/S NO.06 DHAMTARI 22133001514
13505 DHAMTARI DHAMTARI GOVT PS BARARI 22133001801
13506 DHAMTARI DHAMTARI GOVT MS BARAI(SSA) 22133001802
13507 DHAMTARI DHAMTARI GOVT M.S. BARAI 22133001803
13508 DHAMTARI DHAMTARI GOVT PS MUDPAR 22133001901
13509 DHAMTARI DHAMTARI GOVT UNNYIT PS NAYAPARA MUDPAR(SSA) 22133001903
13510 DHAMTARI DHAMTARI GOVT MS MUDPAR 22133001904
13511 DHAMTARI DHAMTARI GOVT PS ACHOTA 22133002001
13512 DHAMTARI DHAMTARI GOVT MS ACHOTA 22133002002
13513 DHAMTARI DHAMTARI GOVT NPS RAJIV NAGAR ACHOTA(SSA) 22133002003
13514 DHAMTARI DHAMTARI GOVT PS RAVANGUDA 22133002101
13515 DHAMTARI DHAMTARI GOVT UNNYAN MS RAVANGUDA(SSA) 22133002102
13516 DHAMTARI DHAMTARI GOVT PS AMETHI 22133002201
13517 DHAMTARI DHAMTARI GOVT P.S. KALARTARI 22133002301
13518 DHAMTARI DHAMTARI GOVT MS KALATARAI(SSA) 22133002302
13519 DHAMTARI DHAMTARI GOVT. P.S. BANJARI 22133002401
13520 DHAMTARI DHAMTARI GOVT MS BANJARI(SSA) 22133002402
13521 DHAMTARI DHAMTARI GOVT MS SAMBALPUR 22133002507
13522 DHAMTARI DHAMTARI GOVT PS SAMBALPUR 22133002508
13523 DHAMTARI DHAMTARI GOVT PS KURAMATARI 22133002601
13524 DHAMTARI DHAMTARI GOVT MS KURAMATARI 22133002602
13525 DHAMTARI DHAMTARI GOVT PS BHOTHIPAR 22133002701
13526 DHAMTARI DHAMTARI GOVT NAVIN MS BHOTHIPAR(SSA) 22133002702
13527 DHAMTARI DHAMTARI GOVT PS DOMA 22133002802
13528 DHAMTARI DHAMTARI GOVT MS DOMA 22133002803
13529 DHAMTARI DHAMTARI GOVT PS DARGAHAN 22133002901
13530 DHAMTARI DHAMTARI GOVT UNNYAN MS DARGAHAN(SSA) 22133002902
13531 DHAMTARI DHAMTARI GOVT PS KHAMHRIYA 22133003001
13532 DHAMTARI DHAMTARI GOVT MS KHAMHRIYA 22133003002
13533 DHAMTARI DHAMTARI GOVT PS TELINSATTI 22133003101
13534 DHAMTARI DHAMTARI GOVT NAVIN MS TELINSATTI (SSA) 22133003103
13535 DHAMTARI DHAMTARI GOVT PS DARRI 22133003201
13536 DHAMTARI DHAMTARI GOVT MS DARRI(SSA) 22133003202
13537 DHAMTARI DHAMTARI GOVT GIRLS PS JHIRIYA 22133003301
13538 DHAMTARI DHAMTARI GOVT BOYS PS JHIRIRA 22133003302
13539 DHAMTARI DHAMTARI GOVT MS JHIRIYA 22133003303
13540 DHAMTARI DHAMTARI GOVT PS NAYAPARA JHIRIYA(SSA) 22133003304
13541 DHAMTARI DHAMTARI GOVT PS NAWAGAON 22133003401
13542 DHAMTARI DHAMTARI GOVT GANDHI MS NAVIN NAVAGAON(SSA) 22133003402
13543 DHAMTARI DHAMTARI NAVIN G. P.S. NAVAGAON KANDEL 22133003405
13544 DHAMTARI DHAMTARI GOVT PS KHARENGA 22133003501
13545 DHAMTARI DHAMTARI GOVT MS KHARENGA 22133003503
13546 DHAMTARI DHAMTARI GOVT PS KHARENGA(SSA) 22133003504
13547 DHAMTARI DHAMTARI GOVT .KANYA M.S.KHARENGA 22133003505
13548 DHAMTARI DHAMTARI GOVT PS AMLIDIH 22133003601
13549 DHAMTARI DHAMTARI GOVT MS AMLIDIH 22133003602
13550 DHAMTARI DHAMTARI GOVT PS MADAIBHATA 22133003701
13551 DHAMTARI DHAMTARI GOVT NAVIN PS MADAIBHATA(SSA) 22133003703
13552 DHAMTARI DHAMTARI GOVT. P.S. BODRA {SA} 22133003801
13553 DHAMTARI DHAMTARI GOVT. M.S. BODRA {SA} 22133003802
13554 DHAMTARI DHAMTARI GOVT PS GUJARA 22133003901
13555 DHAMTARI DHAMTARI GOVT MS GUJARA 22133003902
13556 DHAMTARI DHAMTARI GOVT PS TARSIWA 22133004001
13557 DHAMTARI DHAMTARI GOVT MS TARSIVA 22133004003
13558 DHAMTARI DHAMTARI GOVT GIRLS PS TARSIVA 22133004004
13559 DHAMTARI DHAMTARI P.S. AMADI 22133004102
13560 DHAMTARI DHAMTARI GOVT. KANYA P.S. AMADI 22133004103
13561 DHAMTARI DHAMTARI G.M.S.AMADI 22133004105
13562 DHAMTARI DHAMTARI UNNYAN P.S. AMADI 22133004106
13563 DHAMTARI DHAMTARI N.P.S. SHEETLAPARA AMADI 22133004107
13564 DHAMTARI DHAMTARI N.M.S. KANYA AMADI 22133004108
13565 DHAMTARI DHAMTARI N.P.S. BHRRIPARA AMADI 22133004109
13566 DHAMTARI DHAMTARI N.P.S. BAIDHPARA AMADI 22133004110
13567 DHAMTARI DHAMTARI UNN M.S. AMADI 22133004111
13568 DHAMTARI DHAMTARI GOVT PS RAWA 22133004201
13569 DHAMTARI DHAMTARI GOVT MS RAWAI 22133004202
13570 DHAMTARI DHAMTARI GOVT MS KAYAN RAWA(SSA) 22133004204
13571 DHAMTARI DHAMTARI N.P.S. BHRRIPARA RAWA 22133004205
13572 DHAMTARI DHAMTARI GOVT PS MOKHA 22133004301
13573 DHAMTARI DHAMTARI GOVT MS MOKHA(SSA) 22133004302
13574 DHAMTARI DHAMTARI GOVT P.S. BHARARI 22133004501
13575 DHAMTARI DHAMTARI GOVT PS SARNGPURI 22133004701
13576 DHAMTARI DHAMTARI GOVT PS SARANGPURI 22133004702
13577 DHAMTARI DHAMTARI GOVT MS SARANGPURI 22133004703
13578 DHAMTARI DHAMTARI GOVT PS SC WARD SARANGPURI(SSA) 22133004704
13579 DHAMTARI DHAMTARI GOVT PS BAGTARI 22133004801
13580 DHAMTARI DHAMTARI GOVT UNNYAN PS BAGTARAI 22133004802
13581 DHAMTARI DHAMTARI GOVT MS BAGTARI 22133004804
13582 DHAMTARI DHAMTARI GOVT PS KURRA 22133004901
13583 DHAMTARI DHAMTARI GOVT MS KURRA 22133004902
13584 DHAMTARI DHAMTARI GOVT NPS BASTIPARA KURRA(SSA) 22133004903
13585 DHAMTARI DHAMTARI GOVT PS PIPARCHEDI 22133005001
13586 DHAMTARI DHAMTARI N.M.S. PIPARCHEDI 22133005002
13587 DHAMTARI DHAMTARI MS. PIPARCHEDI 22133005004
13588 DHAMTARI DHAMTARI GOVT. P.S. PIPERCHEDI 22133005005
13589 DHAMTARI DHAMTARI GOVT UNNYAN MS PIPARCHEDI(SSA) 22133005007
13590 DHAMTARI DHAMTARI GOVT PS PAREVADIH 22133005101
13591 DHAMTARI DHAMTARI GOVT MS PAREWADIH 22133005102
13592 DHAMTARI DHAMTARI GOVT PS PARSULI 22133005201
13593 DHAMTARI DHAMTARI GOVT MS PARSULI 22133005202
13594 DHAMTARI DHAMTARI GOVT PS KHAPARI 22133005301
13595 DHAMTARI DHAMTARI GOVT UNNYAN MS KHAPARI (SSA) 22133005302
13596 DHAMTARI DHAMTARI GOVT PS BHANPURI 22133005401
13597 DHAMTARI DHAMTARI GOVT MS BHANPURI 22133005402
13598 DHAMTARI DHAMTARI GOVT PS ARJUNI 22133005501
13599 DHAMTARI DHAMTARI GOVT MS ARJUNI 22133005504
13600 DHAMTARI DHAMTARI GOVT PS DEMAR 22133005601
13601 DHAMTARI DHAMTARI GOVT MS DEMAR 22133005603
13602 DHAMTARI DHAMTARI GOVT UNNYAN PS DEMAR(SSA) 22133005604
13603 DHAMTARI DHAMTARI GOVT MS KANYA DEMAR(SSA) 22133005605
13604 DHAMTARI DHAMTARI DAJEE MARATI. MARATHAPARA WARD 22133005704
13605 DHAMTARI DHAMTARI NAGRPALIKA P.S. C.NO. 4AMAPARA 22133005801
13606 DHAMTARI DHAMTARI NAGARPALIKA M.S. C.NO.2 AMAPAR 22133005802
13607 DHAMTARI DHAMTARI JAIN G.P.S. AMAPARA 22133005805
13608 DHAMTARI DHAMTARI M.S. AMAPARA 22133005806
13609 DHAMTARI DHAMTARI NAVEEN P.S. SADAR UTTRA AMAPAR 22133005808
13610 DHAMTARI DHAMTARI M.S. DANITOLA 22133005901
13611 DHAMTARI DHAMTARI KANYA S. "B" DANITOLA 22133005905
13612 DHAMTARI DHAMTARI BOYS M.S. DANITOLA 22133005906
13613 DHAMTARI DHAMTARI NAVIN P/S SCHOOL DANITOLA 22133005920
13614 DHAMTARI DHAMTARI GOVT.P/S SCHOOL DANITOLA 22133005921
13615 DHAMTARI DHAMTARI GOVT PS KANDARI 22133006001
13616 DHAMTARI DHAMTARI GOVT PS KOLIYARI 22133006201
13617 DHAMTARI DHAMTARI GOVT MS KOLIYARI 22133006202
13618 DHAMTARI DHAMTARI GOVT PS FOKATPARA KOLIYARI(SSA) 22133006208
13619 DHAMTARI DHAMTARI GOVT PS TIRRA 22133006301
13620 DHAMTARI DHAMTARI GOVT UNNAYAN MS TIRRA(SSA) 22133006302
13621 DHAMTARI DHAMTARI GOVT PS KARATHA 22133006401
13622 DHAMTARI DHAMTARI GOVT MS KARATHA(SSA) 22133006402
13623 DHAMTARI DHAMTARI GOVT PS MATHURADIH 22133006501
13624 DHAMTARI DHAMTARI GOVT UNNYA MS MATHURADIH(SSA) 22133006502
13625 DHAMTARI DHAMTARI GOVT PS KANDEL 22133006701
13626 DHAMTARI DHAMTARI GOVT MS KANDEL 22133006702
13627 DHAMTARI DHAMTARI GOVT PS HOSPITEL WARD KANDEL(SSA) 22133006706
13628 DHAMTARI DHAMTARI GOVT PS SEHARA DABRI 22133006801
13629 DHAMTARI DHAMTARI GOVT UNNYIT MS SEHARADABRI(SSA) 22133006802
13630 DHAMTARI DHAMTARI GOVT PS BIRETARA 22133006901
13631 DHAMTARI DHAMTARI GOVT MS BIRETAR5A 22133006902
13632 DHAMTARI DHAMTARI GOVT. MS SENCHUWA 22133007002
13633 DHAMTARI DHAMTARI GOVT P.S. SENCHUWA 22133007003
13634 DHAMTARI DHAMTARI GOVT PS KANIDABARI 22133007101
13635 DHAMTARI DHAMTARI GOVT MS KANIDABARI 22133007102
13636 DHAMTARI DHAMTARI GOVT PS UDENA 22133007201
13637 DHAMTARI DHAMTARI GOVT MS UDENA 22133007202
13638 DHAMTARI DHAMTARI GOVT PS SARSOPURI 22133007301
13639 DHAMTARI DHAMTARI GOVT MS SARSOPURI(SSA) 22133007302
13640 DHAMTARI DHAMTARI GOVT PS BIJANAPURI 22133007401
13641 DHAMTARI DHAMTARI GOVT UNNYAN MS BIJANAPURI(SSA) 22133007402
13642 DHAMTARI DHAMTARI GOVT PS SEMRA B 22133007501
13643 DHAMTARI DHAMTARI GOVT MS SEMRA B 22133007502
13644 DHAMTARI DHAMTARI GOVT PS SEMARA D 22133007505
13645 DHAMTARI DHAMTARI GOVT MS SEMRA D 22133007506
13646 DHAMTARI DHAMTARI GOVT PS KODEGAON (B) 22133007601
13647 DHAMTARI DHAMTARI GOVT MS KODEGAON (B) 22133007602
13648 DHAMTARI DHAMTARI GOVT P.S. BARGARI 22133007701
13649 DHAMTARI DHAMTARI GOVT P.S. PANDRIPANI 22133007801
13650 DHAMTARI DHAMTARI GOVT PS MALGAON 22133007901
13651 DHAMTARI DHAMTARI GOVT PS AROD {DUBAN} 22133008001
13652 DHAMTARI DHAMTARI GOVT MS AROD (DUBAN) 22133008002
13653 DHAMTARI DHAMTARI GOVT PS KHAMBESHRI(SSA) 22133008003
13654 DHAMTARI DHAMTARI P.S. SUNDARGANJWARD 22133008107
13655 DHAMTARI DHAMTARI GOVT.P.S. ADHARINAVAGAON WARD 22133008201
13656 DHAMTARI DHAMTARI GOVT.M.S. ADHARINAVAGAON WARD 22133008202
13657 DHAMTARI DHAMTARI N.P.S. BASTI PARA ADHARINAVAGA 22133008203
13658 DHAMTARI DHAMTARI P.S. SANKARA 22133008403
13659 DHAMTARI DHAMTARI NAVI N M.S. SANKARA 22133008404
13660 DHAMTARI DHAMTARI P.S. BHOTHALI 22133008501
13661 DHAMTARI DHAMTARI G.M.S.BHOTHALI 22133008502
13662 DHAMTARI DHAMTARI UNNYAN P.S. BHOTHALI 22133008503
13663 DHAMTARI DHAMTARI GOVT PS GAGARA 22133008601
13664 DHAMTARI DHAMTARI GOVT MS GAGRA 22133008602
13665 DHAMTARI DHAMTARI P.S. HATKESHAR WARD 22133008701
13666 DHAMTARI DHAMTARI M.S. HATKESHAR 22133008702
13667 DHAMTARI DHAMTARI P.S. SINDHI KANYA HATKESHAR 22133008703
13668 DHAMTARI DHAMTARI M.S. SINDHI KANYA HATKESHAR 22133008704
13669 DHAMTARI DHAMTARI GOVT.P.S. JODAPUR WARD 22133008801
13670 DHAMTARI DHAMTARI UNNYN M.S. JODAPUR WARD 22133008802
13671 DHAMTARI DHAMTARI GOVT P.S. SORIDBHAT 22133008902
13672 DHAMTARI DHAMTARI M.S.SORIDBHATH 22133008904
13673 DHAMTARI DHAMTARI P.S.BHRRIPARA SORIDBHAT 22133008905
13674 DHAMTARI DHAMTARI NAVEEN M.S.KANYA SORIBHAT 22133008906
13675 DHAMTARI DHAMTARI NAVIN PRIMARY SCHOOL ATAL AWAS 22133008909
13676 DHAMTARI DHAMTARI GOVT P.S. ADHOGIK WARD 22133009001
13677 DHAMTARI DHAMTARI GOVT P.S. ADHOGIK WARD 22133009002
13678 DHAMTARI DHAMTARI GOVT. P.S. BATHENA WARD 22133009101
13679 DHAMTARI DHAMTARI GOVT. GIRLS M.S.BATHENA 22133009102
13680 DHAMTARI DHAMTARI BOYS M.S. BATHENA 22133009104
13681 DHAMTARI DHAMTARI GOVT PS BHIDAWER 22133009201
13682 DHAMTARI DHAMTARI GOVT UNNYAN MS BHIDAWER(SSA) 22133009202
13683 DHAMTARI DHAMTARI GOVT PS MONGRAGAHAN 22133009301
13684 DHAMTARI DHAMTARI GOVT MS MONGRAGAHAN 22133009302
13685 DHAMTARI DHAMTARI GOVT PS BARBANDHA 22133009401
13686 DHAMTARI DHAMTARI GOVT UNNYAN MS BARBANDHA(SSA) 22133009402
13687 DHAMTARI DHAMTARI GOVT PS SINGHOLA 22133009501
13688 DHAMTARI DHAMTARI GOVT. P.S. POTIYADIH 22133009601
13689 DHAMTARI DHAMTARI KANYA M. S. POTIYADEEH 22133009604
13690 DHAMTARI DHAMTARI N.P.S. NAYAPARA POTIYADEEH 22133009606
13691 DHAMTARI DHAMTARI GOVT. BOYS M.S. POTIYADEEH 22133009607
13692 DHAMTARI DHAMTARI NAVIN P.S. NAYAPARA POTIYADIH 22133009610
13693 DHAMTARI DHAMTARI GOVT. P.S. PARASTARI 22133009701
13694 DHAMTARI DHAMTARI UNN. M.S. PARASTARAI 22133009703
13695 DHAMTARI DHAMTARI P.S. KHARTULI 22133009801
13696 DHAMTARI DHAMTARI G.M.S.KHARTULI 22133009802
13697 DHAMTARI DHAMTARI GIRLS P.S. LOHARSI 22133009902
13698 DHAMTARI DHAMTARI BOYS P.S. LOHARSI 22133009903
13699 DHAMTARI DHAMTARI M.S.LOHRASI 22133009904
13700 DHAMTARI DHAMTARI G NAVEEN PS BHATAPARA 22133009906
13701 DHAMTARI DHAMTARI P.S. MUJGAHAN 22133010001
13702 DHAMTARI DHAMTARI M.S. MUJGAHAN 22133010002
13703 DHAMTARI DHAMTARI N.P.S. RAMSAGARPARA MUJGAHAN 22133010003
13704 DHAMTARI DHAMTARI P.S. SAYFANPARA MUJGAHAN 22133010005
13705 DHAMTARI DHAMTARI GOVT. NAVEEN P.S. SIVIL LINE 22133010105
13706 DHAMTARI DHAMTARI P.S. SHITLAPARA WARD 22133010201
13707 DHAMTARI DHAMTARI NAGR.PALIKA . P.S. TIKRAPARA 22133010401
13708 DHAMTARI DHAMTARI P. MOTILAL NE. P.S. DTM. 22133010501
13709 DHAMTARI DHAMTARI UNN. M.S. NAYAPARA 22133010502
13710 DHAMTARI DHAMTARI AGNIDEV A.KANYA P.S. DMT. (M) 22133010601
13711 DHAMTARI DHAMTARI P.S. MAKESHWER WARD 22133010602
13712 DHAMTARI DHAMTARI M.S. MAKESHWER WARD 22133010603
13713 DHAMTARI DHAMTARI GOVT PS BODRA [S] 22133010701
13714 DHAMTARI DHAMTARI GOVT MS BODRA [S] 22133010703
13715 DHAMTARI DHAMTARI GOVT. P.S. KASIPURI 22133010801
13716 DHAMTARI DHAMTARI GOVT PS KASAHI 22133010901
13717 DHAMTARI DHAMTARI GOVT. P.S. DEVPUR 22133011001
13718 DHAMTARI DHAMTARI GOVT MS. DEVPUR 22133011002
13719 DHAMTARI DHAMTARI GOVT. P.S. HANKARA 22133011101
13720 DHAMTARI DHAMTARI GOVT UNNYAN MS HANKARA(SSA) 22133011102
13721 DHAMTARI DHAMTARI GOVT PS CHHATI 22133011201
13722 DHAMTARI DHAMTARI GOVT NAVEEN PS CHHATI 22133011202
13723 DHAMTARI DHAMTARI GOVT MS CHHATI 22133011205
13724 DHAMTARI DHAMTARI GOVT PS DAHI 22133011301
13725 DHAMTARI DHAMTARI GOVT MSDAHI 22133011302
13726 DHAMTARI DHAMTARI GOVT. PS PURI 22133011401
13727 DHAMTARI DHAMTARI GOVT NAYAN.PS PURI(SSA) 22133011402
13728 DHAMTARI DHAMTARI GOVT UNNYANMS PURI(SSA) 22133011404
13729 DHAMTARI DHAMTARI GOVT. P.S. ANGARA 22133011501
13730 DHAMTARI DHAMTARI GOVT UNNYAN MS ANGARA(SSA) 22133011502
13731 DHAMTARI DHAMTARI GOVT PS GOPALPURI 22133011601
13732 DHAMTARI DHAMTARI GOVT MS GOPALPURI 22133011602
13733 DHAMTARI DHAMTARI GOVT P.S. LILAR 22133011701
13734 DHAMTARI DHAMTARI GOVT. M.S. LILAR 22133011702
13735 DHAMTARI DHAMTARI GOVT PS BAWARMARA 22133011801
13736 DHAMTARI DHAMTARI GOVT NAVIN MS BAWARMARA(SSA) 22133011802
13737 DHAMTARI DHAMTARI GOVT PS RUDRI 22133011901
13738 DHAMTARI DHAMTARI GOVT MS RUDRI 22133011903
13739 DHAMTARI DHAMTARI GOVT UNNYAN PS RUDRI(SSA) 22133011904
13740 DHAMTARI DHAMTARI GOVT P.S. BENDRA NAWAGAON 22133012001
13741 DHAMTARI DHAMTARI GOVT UNNYAN MS BENDRA NAWAGAON(SSA) 22133012002
13742 DHAMTARI DHAMTARI GOVT P.S. MARADEV 22133012101
13743 DHAMTARI DHAMTARI GOVT PS GANGREL 22133012201
13744 DHAMTARI DHAMTARI GOVT MS GANGREL 22133012202
13745 DHAMTARI DHAMTARI GOVT NPS RAJEEV NAGAR GANGREL(SSA) 22133012203
13746 DHAMTARI DHAMTARI GOVT. P.S. BELTARA 22133012301
13747 DHAMTARI DHAMTARI UNNAYAN M.S. BELTARA 22133012302
13748 DHAMTARI DHAMTARI GOVT PS SHYAMTARI 22133012401
13749 DHAMTARI DHAMTARI GOVT MS SHYAMTARAI 22133012402
13750 DHAMTARI DHAMTARI GOVT PS NAWAGAON KURD 22133012501
13751 DHAMTARI DHAMTARI GOVT P.S. AKALADONGARI 22133012601
13752 DHAMTARI DHAMTARI G.M.S. AKALADONGARI 22133012602
13753 DHAMTARI DHAMTARI GOVT PS MADWAPATHRA 22133012701
13754 DHAMTARI DHAMTARI GOVT UNNYAN MS MADWAPATHRA(SSA) 22133012702
13755 DHAMTARI DHAMTARI GOVT PS TUMABUJURG 22133012801
13756 DHAMTARI DHAMTARI P.S. KIRKITOLA 22133012901
13757 DHAMTARI DHAMTARI GOVT. N. M.S. KIRKITOLA 22133012902
13758 DHAMTARI DHAMTARI GOVT N PS DANGIMACA(SSA) 22133012903
13759 DHAMTARI DHAMTARI P.S. URDU KNAYA DHAMTARI 22133013102
13760 DHAMTARI DHAMTARI P.S. BOYS URDU DHAMTARI 22133013103
13761 DHAMTARI DHAMTARI P.S. KNAYA ''A'' DHAMTARI 22133013104
13762 DHAMTARI DHAMTARI M.S. MATHPARA DHAMTARI 22133013105
13763 DHAMTARI DHAMTARI M.S. KNAYA DHAMTARI 22133013106
13764 DHAMTARI DHAMTARI N.P.S. RAMSAGARPARA DHAMT. 22133013107
13765 DHAMTARI DHAMTARI N.P.S. AAMATALAB 22133013110
13766 DHAMTARI DHAMTARI N.P.S. MOTER STAND WARD 22133013202
13767 DHAMTARI DHAMTARI NATHURAM MOTEELAL SNSKRT P.S 22133013303
13768 DHAMTARI DHAMTARI NATHURAM MOTEELAL SNSKRT M.S 22133013304
13769 DHAMTARI DHAMTARI NAVIN P.S. NAAM DEV PARA S.D. 22133013306
13770 DHAMTARI DHAMTARI NAVEEN PS RANIBAGICHA RAMPUR 22133013310
13771 DHAMTARI DHAMTARI GOVT BOYS PS JUNWANI 22133013401
13772 DHAMTARI DHAMTARI GOVT MS JUNWANI(SSA) 22133013402
13773 DHAMTARI DHAMTARI GOVT PS JOGIDEEH 22133013501
13774 DHAMTARI DHAMTARI GOVT MS JOGIDIH 22133013502
13775 DHAMTARI DHAMTARI GOVT PS DONAR 22133013601
13776 DHAMTARI DHAMTARI GOVT. MS DONAR 22133013602
13777 DHAMTARI DHAMTARI GOVT NAVIN PS BASIPARA DONAR 22133013605
13778 DHAMTARI DHAMTARI GOVT PS JAWARGAON 22133013701
13779 DHAMTARI DHAMTARI GOVT NAVIN MS JAWARGRON(SSA) 22133013702
13780 DHAMTARI DHAMTARI GOVT PS BHATGAON 22133013801
13781 DHAMTARI DHAMTARI GOVT MS BHATGAON 22133013803
13782 DHAMTARI DHAMTARI GOVT UNNYAN PS BHATGAON(SSA) 22133013804
13783 DHAMTARI DHAMTARI P.S. SIVNIKHURD BAZARPARA 22133013901
13784 DHAMTARI DHAMTARI P.S. SIVNIKHURD 22133014001
13785 DHAMTARI DHAMTARI NAVEEN M.S. SIVNIKHURD 22133014003
13786 DHAMTARI DHAMTARI NAVIN P.S. BASTI PARA SIVNIKHU 22133014006
13787 DHAMTARI DHAMTARI GOVT PS PATELGUDA 22133014101
13788 DHAMTARI DHAMTARI GOVT PS PATOD 22133014201
13789 DHAMTARI DHAMTARI P.S. KASAWAHI 22133014301
13790 DHAMTARI DHAMTARI UNNAYAN M.S. KASAWAHI 22133014302
13791 DHAMTARI DHAMTARI P.S. SORAM 22133014401
13792 DHAMTARI DHAMTARI G.M.S.SORAM 22133014403
13793 DHAMTARI DHAMTARI UNNAYAN P.S. SORAM 22133014404
13794 DHAMTARI DHAMTARI N.KANYA M.S. SORAM 22133014405
13795 DHAMTARI DHAMTARI N.P.S. GOTHANPARA SORAM 22133014406
13796 DHAMTARI DHAMTARI GOVT M.S. BORIDKHURD 22133014502
13797 DHAMTARI DHAMTARI GOVT U.P.S. BORIDKHURD 22133014503
13798 DHAMTARI DHAMTARI GOVT P.S. BORIDKHURD 22133014504
13799 DHAMTARI DHAMTARI GOVT PS BARPANI(SSA) 22133014506
13800 DHAMTARI DHAMTARI GOVT PS BAGODAR 22133014601
13801 DHAMTARI DHAMTARI GOVT PS SHANKARWARA 22133014701
13802 DHAMTARI DHAMTARI GOVT UNNYA MS SHANKARWARA(SSA) 22133014702
13803 DHAMTARI DHAMTARI GOVT PS BHOYNA 22133014801
13804 DHAMTARI DHAMTARI GOVT PMS BHOYANA 22133014802
13805 DHAMTARI DHAMTARI GOVT P.S. HARAFTARAI 22133014901
13806 DHAMTARI DHAMTARI P GOVT .M.S. HARAFTARAI 22133014902
13807 DHAMTARI DHAMTARI GOVT P.S. DODKI 22133015001
13808 DHAMTARI DHAMTARI GOVT. M.S. DODKI 22133015005
13809 DHAMTARI DHAMTARI GOVT P.S. BALIYARA 22133015101
13810 DHAMTARI DHAMTARI GOVT M.S. BALIYARA 22133015102
13811 DHAMTARI DHAMTARI P.S. SHANKARDEEH 22133015201
13812 DHAMTARI DHAMTARI M.S. SHANKARDEEH 22133015202
13813 DHAMTARI DHAMTARI GOVT PS DEEMARTIKUR 22133015301
13814 DHAMTARI DHAMTARI GOVT NAVIN MS DEEMARTIKUR(SSA) 22133015302
13815 DHAMTARI DHAMTARI P. S. GUDI CHOKE DEEMARTIKUR 22133015303
13816 DHAMTARI DHAMTARI GOVT ADRASH PS DEVRI 22133015401
13817 DHAMTARI DHAMTARI GOVT MS DEVRI 22133015402
13818 DHAMTARI DHAMTARI GOVT PS NAWAGAON (JHURA) 22133015501
13819 DHAMTARI DHAMTARI UNN M.S. NAWAGAON (JHURA) 22133015502
13820 DHAMTARI DHAMTARI GOVT PS BODACHAPER 22133015601
13821 DHAMTARI DHAMTARI GOGOVT MS BODACHAPPER(SSA) 22133015602
13822 DHAMTARI DHAMTARI GOVT MS BARANA 22133015703
13823 DHAMTARI DHAMTARI GOVT PS MARAR PARA BARANA(SSA) 22133015705
13824 DHAMTARI DHAMTARI GOVT PS BARNA 22133015706
13825 DHAMTARI DHAMTARI GOVT PS TUMRABAHAR 22133016001
13826 DHAMTARI DHAMTARI GOVT MS TUMRABHAR 22133016002
13827 DHAMTARI DHAMTARI GOVT PS USLAPUR 22133016101
13828 DHAMTARI DHAMTARI UNN. M.S DABARAPARA 22133016203
13829 DHAMTARI DHAMTARI NAVIN P.S.SALHEWARPARA 22133016206
13830 DHAMTARI DHAMTARI GOVT.P/S KOSTAPARA DHAMTARI 22133016307
13831 DHAMTARI DHAMTARI GOVT. P.S. RATNABANDHA 22133016403
13832 DHAMTARI DHAMTARI UNN.M.S. RATNABANDHA 22133016405
13833 DHAMTARI DHAMTARI NAVIN P.S. PANCHAWATI DHAMTARI 22133016406
13834 DHAMTARI DHAMTARI N.P.S. VINDHYVASINI 22133016602
13835 DHAMTARI DHAMTARI GOVT PS VISHRAMPUR(SSA) 22133016701
13836 DHAMTARI DHAMTARI GOVT. P.S. BRAHMINPARA 22133016803
13837 DHAMTARI DHAMTARI UNN. M.S. BRAHMINPARA 22133016805
13838 DHAMTARI DHAMTARI P.S. BANSPARA WARD 22133016901
13839 DHAMTARI DHAMTARI GOVT PS MATEGAHAN 22133017101
13840 DHAMTARI DHAMTARI MENONIGHT P.S. RISAIPARA PURV 22133017203
13841 DHAMTARI DHAMTARI GOVT PS KOHKA 22133017301
13842 DHAMTARI DHAMTARI GOVT UNNAYAN MS KOHKA(SSA) 22133017302
13843 DHAMTARI DHAMTARI GOVT PS KOLIYARI PURANI(SSA) 22133017401
13844 DHAMTARI DHAMTARI GOVT PS SATIYARA 22133017501
13845 DHAMTARI DHAMTARI GOVT NAVEEN PS KOSMI(SSA) 22133017601
13846 DHAMTARI DHAMTARI GOVT. PS PAHARIYA KONHA(SSA) 22133018001
13847 DHAMTARI DHAMTARI GOVT PS KOLIYARI (NEW) 22133018101
13848 DHAMTARI DHAMTARI GOVT PS KOTABHARI(SSA) 22133018201
13849 DHAMTARI KURUD GOVT. P.S. SIRRI 22130300101
13850 DHAMTARI KURUD GRIL GOVT. P.S. SIRREE 22130300103
13851 DHAMTARI KURUD GOVT.MIDDEL SCHOOL SIRRI 22130300108
13852 DHAMTARI KURUD GRIL GOVT. P.S. GATAPAR 22130300202
13853 DHAMTARI KURUD GOVT. P.S. GATAPAR 22130300203
13854 DHAMTARI KURUD GOVT. M.S. GATAPAR 22130300204
13855 DHAMTARI KURUD GOVT.M.S.N.GATAPAR {SSA} 22130300207
13856 DHAMTARI KURUD GOVT. P.S. BORJHARA 22130300301
13857 DHAMTARI KURUD M.S. BORJHARA 22130300302
13858 DHAMTARI KURUD GOVT. P.S. KOPEDEEH 22130300501
13859 DHAMTARI KURUD GOVT. P.S. CHAROTA 22130300601
13860 DHAMTARI KURUD NAVEEN M.S. CHROTA 22130300602
13861 DHAMTARI KURUD GOVT. P.S. GADADEEH 22130300701
13862 DHAMTARI KURUD GOVT. P.S. SIVNIKALA 22130300801
13863 DHAMTARI KURUD KNIST GOVT. P.S. SIVNIKALA 22130300802
13864 DHAMTARI KURUD GOVT. M.S. SIVNIKALA 22130300803
13865 DHAMTARI KURUD GRIL GOVT. P.S. KURUD 22130300902
13866 DHAMTARI KURUD BLACK GOVT. P.S. KURUD 22130300903
13867 DHAMTARI KURUD GOVT. P.S. RELWAY KURUD 22130300904
13868 DHAMTARI KURUD GOVT.NAVEEN BOYS P/S SCHOOL KURUD 22130300938
13869 DHAMTARI KURUD GOVT.BOYS M/S SCHOOL KURUD 22130300940
13870 DHAMTARI KURUD SSA. NAVIN P/S BHATAPARA DANDESARA 22130300944
13871 DHAMTARI KURUD GOVT. P.S. SANJAYNAGAR KURUD 22130301001
13872 DHAMTARI KURUD UNN. M.S. SANJAY NAGAR KURUD 22130301002
13873 DHAMTARI KURUD GOVT. P.S. KANHARPURI 22130301101
13874 DHAMTARI KURUD NAVEEN M.S. KANHARPURI 22130301102
13875 DHAMTARI KURUD GOVT. P.S. BHUSRENGA 22130301201
13876 DHAMTARI KURUD M.D. BHUSRENGA 22130301202
13877 DHAMTARI KURUD JNPAD GOVT. P.S. NARI 22130301301
13878 DHAMTARI KURUD GRIL GOVT. P.S. NARI 22130301302
13879 DHAMTARI KURUD GOVT. NAVEN P.S. NARI 22130301303
13880 DHAMTARI KURUD GOVT. M. S. NARI 22130301304
13881 DHAMTARI KURUD NAVEEN KANYA M.S. NARI 22130301305
13882 DHAMTARI KURUD GOVT. P.S. KHAPRI 22130301401
13883 DHAMTARI KURUD GOVT. M.S. KHAPRI 22130301402
13884 DHAMTARI KURUD GOVT. P.S. CHANDAPARA 22130301501
13885 DHAMTARI KURUD GOVT. P.S. SANKARI 22130301601
13886 DHAMTARI KURUD GOVT. M.S. SANKARI 22130301602
13887 DHAMTARI KURUD NAVEEN P.S. SANKARI 22130301603
13888 DHAMTARI KURUD GOVT. P.S. CHINVARI 22130301701
13889 DHAMTARI KURUD GOVT. P.M.S. CHINVARI 22130301702
13890 DHAMTARI KURUD NAIKAINPARA CHINVARI 22130301703
13891 DHAMTARI KURUD GOVT. P.S. GUDGUDA 22130301801
13892 DHAMTARI KURUD NAVEN P.S. GUDGUDA 22130301802
13893 DHAMTARI KURUD M.S. GUDGUDA 22130301803
13894 DHAMTARI KURUD GOVT. P.S. KOLIYARI 22130301901
13895 DHAMTARI KURUD NAVIN M.S. KOLIYARI 22130301902
13896 DHAMTARI KURUD NAVIN P.S. TICRAPARA KOLIYARI 22130301904
13897 DHAMTARI KURUD GOVT. P.S. RAMPUR 22130302001
13898 DHAMTARI KURUD GOVT. M.S. RAMPUR 22130302002
13899 DHAMTARI KURUD HARIJANPARA P.S. RAMPUR 22130302003
13900 DHAMTARI KURUD GOVT. P.S. CHATAUD 22130302101
13901 DHAMTARI KURUD GOVT. M.S. CHATAUD 22130302103
13902 DHAMTARI KURUD GOVT. P.S. CHATAUD RAILWAY 22130302104
13903 DHAMTARI KURUD GOVT. P.S. DARRA 22130302201
13904 DHAMTARI KURUD NAVEEN P.S. DARRA 22130302202
13905 DHAMTARI KURUD GOVT. M.S. DARRA 22130302203
13906 DHAMTARI KURUD GOVT. P.S. JORATARAI 22130302301
13907 DHAMTARI KURUD M.S. JORATARAI (S) 22130302303
13908 DHAMTARI KURUD GOVT. P.S. SIHDHA 22130302401
13909 DHAMTARI KURUD M.S. SIHDHA 22130302402
13910 DHAMTARI KURUD P.S. JUGDEHI B 22130302502
13911 DHAMTARI KURUD M.S. JUGDEHI 22130302503
13912 DHAMTARI KURUD NVEN GOVT. P.S. SILOT 22130302601
13913 DHAMTARI KURUD GOVT. P.S. PURENA 22130302701
13914 DHAMTARI KURUD GOVT. P.S. SINGDEHI 22130302801
13915 DHAMTARI KURUD GRIL GOVT. P.S. BHAKHARA 22130302902
13916 DHAMTARI KURUD NAVEN GOVT. P.S. BHAKHARA 22130302903
13917 DHAMTARI KURUD BOYS P.S. BHAKHARA 22130302906
13918 DHAMTARI KURUD GOVT. BOY M.S. BHAKHARA 22130302907
13919 DHAMTARI KURUD GOVT. GIRL M.S. BHAKHARA 22130302908
13920 DHAMTARI KURUD NAVEEN P.S. BHAKHARA 22130302910
13921 DHAMTARI KURUD GOVT. P.S. KOSMARRA 22130303001
13922 DHAMTARI KURUD GRIL GOVT. P.S. KOSMARRA 22130303002
13923 DHAMTARI KURUD GOVT. M.S. KOSMARRA 22130303003
13924 DHAMTARI KURUD GIRLS M.S. KOSMARRA 22130303005
13925 DHAMTARI KURUD GOVT. P.S. LOHARPATHARA 22130303101
13926 DHAMTARI KURUD M.S. LOHARPATHARA 22130303102
13927 DHAMTARI KURUD GOVT. P.S. BHENDRA 22130303201
13928 DHAMTARI KURUD M.S. BHENDRA 22130303204
13929 DHAMTARI KURUD GOVT. P.S. EIRRA 22130303301
13930 DHAMTARI KURUD UNN. M.S. EIRRA 22130303302
13931 DHAMTARI KURUD GOVT. P.S. SINDHOURIKHURD 22130303801
13932 DHAMTARI KURUD M.S. SINGHORIKHURD 22130303802
13933 DHAMTARI KURUD GOVT. M.S. CHARMUDIYA 22130303903
13934 DHAMTARI KURUD GIRLS M.S. CARMUDIYA 22130303907
13935 DHAMTARI KURUD GOVT. P.S. BHALUKONHA 22130304001
13936 DHAMTARI KURUD GOVT. P.S. ATANG 22130304101
13937 DHAMTARI KURUD GOVT. M.S. ATANG 22130304102
13938 DHAMTARI KURUD NAVEEN P.S. PREMNAGAR (ATA.) 22130304103
13939 DHAMTARI KURUD GOVT. P.S. ACHOTI 22130304201
13940 DHAMTARI KURUD GOVT. M.S. ACHOTI 22130304202
13941 DHAMTARI KURUD GOVT. N.PS NAVEEN PARA ACH. 22130304203
13942 DHAMTARI KURUD GOVT. P.S. JORATARAI (AMBRE) 22130304401
13943 DHAMTARI KURUD NAVEEN M.S. JORATARA (N) 22130304402
13944 DHAMTARI KURUD N.P.S. JORATARAI (BHATAPARA) 22130304403
13945 DHAMTARI KURUD GOVT. P.S. CHORBHATHI 22130304501
13946 DHAMTARI KURUD M.S. CHORBHATTI 22130304502
13947 DHAMTARI KURUD GOVT. P.S. PARASWANI 22130304601
13948 DHAMTARI KURUD P. S. PRSWANI B 22130304602
13949 DHAMTARI KURUD GOVT. P.S. SILGHAT 22130304801
13950 DHAMTARI KURUD M.S. SILGHAT 22130304802
13951 DHAMTARI KURUD GOVT. P.S. CHARRA 22130304901
13952 DHAMTARI KURUD GOVT. M.S. CHARRA 22130304902
13953 DHAMTARI KURUD NAVIN PRIMARY SCHOOL CHARRA 22130304903
13954 DHAMTARI KURUD GOVT. P.S. SINDOURIKALA 22130305101
13955 DHAMTARI KURUD M.S. SINGORIKALA 22130305102
13956 DHAMTARI KURUD GOVT. P.S. SELDEEP 22130305201
13957 DHAMTARI KURUD NAVIN M.S. SELDEEP 22130305202
13958 DHAMTARI KURUD GOVT. P.S. KATHOULI 22130305301
13959 DHAMTARI KURUD GOVT. P.M.S. KATHOLI 22130305302
13960 DHAMTARI KURUD GOVT. P.S. SILIDEEH 22130305401
13961 DHAMTARI KURUD GOVT. M.S. SILIDEEH 22130305404
13962 DHAMTARI KURUD GOVT. P.S. SUPELA 22130305601
13963 DHAMTARI KURUD M.S. SUPELA 22130305606
13964 DHAMTARI KURUD GOVT. P.S. GANESHPUR 22130305701
13965 DHAMTARI KURUD GOVT. P.S. JAMGAON 22130305801
13966 DHAMTARI KURUD GRIL GOVT. P.S. JAMGAON 22130305802
13967 DHAMTARI KURUD P.M.S. JIJAMGAON 22130305803
13968 DHAMTARI KURUD NAVIN P.S. JI JAMGOVE 22130305806
13969 DHAMTARI KURUD GRIL GOVT. M.S. JAMGAON 22130305807
13970 DHAMTARI KURUD GOVT. P.S. KONDAPARA 22130306001
13971 DHAMTARI KURUD UNN. M.S. KONDAPARA 22130306002
13972 DHAMTARI KURUD GOVT. P.S. HATHBAND 22130306101
13973 DHAMTARI KURUD GOVT. P.S. DARBA 22130306201
13974 DHAMTARI KURUD GOVT. M.V. DARBA 22130306202
13975 DHAMTARI KURUD GOVT K.M.S. DARBA 22130306203
13976 DHAMTARI KURUD GOVT. P.S. MADELI 22130306401
13977 DHAMTARI KURUD NAVEN GOVT. P.S. MADELI 22130306402
13978 DHAMTARI KURUD GRIL GOVT. P.S. MADELI 22130306403
13979 DHAMTARI KURUD M.S. MADELI 22130306405
13980 DHAMTARI KURUD NAVEEN KANYA M.S. MADELI 22130306407
13981 DHAMTARI KURUD GOVT PRIMARY SCHOOL KALLE 22130306501
13982 DHAMTARI KURUD GOVT. P.S. KHURSENGA 22130306601
13983 DHAMTARI KURUD KNIST GOVT. P.S. CHIRPOTI 22130306701
13984 DHAMTARI KURUD GOVT. P.S. BAGDEHI 22130306801
13985 DHAMTARI KURUD GOVT. M.V. BAGDEHI 22130306802
13986 DHAMTARI KURUD GOVT. P.S. DARREE (KURUD) 22130306901
13987 DHAMTARI KURUD GOVT. PRIMARY SCHOOL 22130307001
13988 DHAMTARI KURUD GOVT. M.S. TRAGONDI 22130307002
13989 DHAMTARI KURUD GOVT. P.S. DEVRI 22130307201
13990 DHAMTARI KURUD M.S. DEVRI 22130307202
13991 DHAMTARI KURUD GOVT. P.S. SILAUTI 22130307301
13992 DHAMTARI KURUD M.S. SILOTHI 22130307302
13993 DHAMTARI KURUD GOVT. P.S. SEMRA 22130307401
13994 DHAMTARI KURUD GOVT. M.S. SEMRA 'B' 22130307404
13995 DHAMTARI KURUD GOVT. M.S. CHANDAPARA 22130307407
13996 DHAMTARI KURUD GIRS M.S. SEMRA 'B' 22130307408
13997 DHAMTARI KURUD GOVT. P.S. BHELWAKUDA 22130307501
13998 DHAMTARI KURUD M.S. BHELWAKUDA 22130307502
13999 DHAMTARI KURUD GOVT. PRIMARY SCHOOL 22130307601
14000 DHAMTARI KURUD P..S. BAKLI 22130307704
14001 DHAMTARI KURUD GOVT. P.S. BAKLI 22130307705
14002 DHAMTARI KURUD GOVT. PRIMARY SCHOOL 22130308001
14003 DHAMTARI KURUD NAVIN M.S. SIRSIDA 22130308002
14004 DHAMTARI KURUD GOVT. P.S. BHATAPARA (BANJARI) 22130308101
14005 DHAMTARI KURUD M.S. BHATAPARA (BANJARI) 22130308102
14006 DHAMTARI KURUD GOVT. P.S. KUHKUHA 22130308201
14007 DHAMTARI KURUD M.S. KUHKUHA 22130308202
14008 DHAMTARI KURUD GOVT. P.S. BANGOLI 22130308301
14009 DHAMTARI KURUD GROVT. M.S BANGOLI 22130308302
14010 DHAMTARI KURUD GOVT. P.S. RAKHI 22130308501
14011 DHAMTARI KURUD M.S. RAKHI 22130308503
14012 DHAMTARI KURUD NAVEEN P.S. NAYA BASTI (RAKHI) 22130308504
14013 DHAMTARI KURUD GOVT. P.S. KHAIRA 22130308601
14014 DHAMTARI KURUD GOVT. M.S. KHAIRA 22130308602
14015 DHAMTARI KURUD GOVT. M.S. FUSERA 22130308702
14016 DHAMTARI KURUD GOVT. P.S. FUSERA 22130308703
14017 DHAMTARI KURUD GOVT. P.S. KAPRI (BANGOLI) 22130308801
14018 DHAMTARI KURUD GOVT. P.S. BHARDA 22130308901
14019 DHAMTARI KURUD GOVT. P.S. DAHDAHA 22130309001
14020 DHAMTARI KURUD GOVT. P.S. KARGA 22130309201
14021 DHAMTARI KURUD GOVT.NAVEEN M.S. KARGA 22130309205
14022 DHAMTARI KURUD GOVT. P.S. KOTGAON 22130309301
14023 DHAMTARI KURUD GOVT. P.S. SONPUR 22130309401
14024 DHAMTARI KURUD GOVT. P.S. KURRA 22130309601
14025 DHAMTARI KURUD M.S. KURRA 22130309602
14026 DHAMTARI KURUD GOVT. P.S. MURA 22130309701
14027 DHAMTARI KURUD M.S. MURA 22130309702
14028 DHAMTARI KURUD NAVEEN P.S. MURA 22130309703
14029 DHAMTARI KURUD GOVT. PRIMARY SCHOOL BANJARI 22130309801
14030 DHAMTARI KURUD GOVT. P.S. SARBADA 22130309901
14031 DHAMTARI KURUD P.M.S. SARADA 22130309902
14032 DHAMTARI KURUD GOVT. P.S. KANAMUKA 22130310001
14033 DHAMTARI KURUD GOVT. P.S. CHARBHATA 22130310101
14034 DHAMTARI KURUD M.S. CHARBHATA 22130310102
14035 DHAMTARI KURUD GOVT. P.S. BHAISMUNDI 22130310201
14036 DHAMTARI KURUD GOVT. M.S. BHAISMUNDI 22130310202
14037 DHAMTARI KURUD NAVEEN P.S. RAMNAGAR (BHAIS) 22130310203
14038 DHAMTARI KURUD GOVT. P.S. AALEKHUTA 22130310301
14039 DHAMTARI KURUD GOVT. P.S. KODEBOD 22130310401
14040 DHAMTARI KURUD M.S. KODEBOD 22130310402
14041 DHAMTARI KURUD NAVIN P.S. KODEBOD BHTAPARA 22130310404
14042 DHAMTARI KURUD GOVT. P.S. KOKDI (NARI) 22130310501
14043 DHAMTARI KURUD UNN. M.S. KOKDI 22130310503
14044 DHAMTARI KURUD GOVT. P.S. MANRAUD 22130310601
14045 DHAMTARI KURUD M.S. MANRAUD 22130310603
14046 DHAMTARI KURUD P.S. MAROUD SC PARA 22130310606
14047 DHAMTARI KURUD GOVT. P.S. THUHA 22130310701
14048 DHAMTARI KURUD M.S. THUHA 22130310702
14049 DHAMTARI KURUD NAVEEN M.S. NAWAGAON (THU) 22130310703
14050 DHAMTARI KURUD GOVT. P.S. NAWAGAON (THUHA) 22130310801
14051 DHAMTARI KURUD P.S. NAWAGAON (THUHA) 22130310802
14052 DHAMTARI KURUD GOVT. P.S. NAWAGAON (KACHNA) 22130311101
14053 DHAMTARI KURUD P.S. GADADEEH 22130311201
14054 DHAMTARI KURUD M.S. GADADEEH 22130311202
14055 DHAMTARI KURUD GOVT. P.S. DHUMA 22130311301
14056 DHAMTARI KURUD P.M.S. DHUMA 22130311302
14057 DHAMTARI KURUD GOVT. P.S. MAURIKALA 22130311401
14058 DHAMTARI KURUD M.S. MAURIKALA 22130311402
14059 DHAMTARI KURUD GOVT. P.S. PARKHANDA 22130311501
14060 DHAMTARI KURUD NAVEEN P.S. PARKHANDA 22130311502
14061 DHAMTARI KURUD GOVT. M.S. PARKHANDA 22130311503
14062 DHAMTARI KURUD P.S. PURANIBASTI PARKHANDA 22130311505
14063 DHAMTARI KURUD GOVT. P.S. BIREJHAR 22130311601
14064 DHAMTARI KURUD NAVEEN P.S. BIREJHAR 22130311602
14065 DHAMTARI KURUD GOVT. P.S. MENDARKA 22130311701
14066 DHAMTARI KURUD GOVT. P.S. KHULADE 22130311801
14067 DHAMTARI KURUD M.S. KHULADE 22130311805
14068 DHAMTARI KURUD GOVT. P.S. MULLE 22130311901
14069 DHAMTARI KURUD UNN. M.S. MULLE 22130311902
14070 DHAMTARI KURUD GOVT. P.S. AVREE 22130312001
14071 DHAMTARI KURUD NAVEN GOVT. P.S. AVREE 22130312002
14072 DHAMTARI KURUD M.S. AVREE 22130312003
14073 DHAMTARI KURUD NAVIN M.S. BHAISBOD 22130312102
14074 DHAMTARI KURUD NAVIN P.S. TIKRAPARA BHAISBOD 22130312104
14075 DHAMTARI KURUD GOVT. P.S. BHAISBOD 22130312105
14076 DHAMTARI KURUD GOVT. P.S. KUMHARE 22130312201
14077 DHAMTARI KURUD GOVT. P.S. KACHNA 22130312301
14078 DHAMTARI KURUD GOVT. P.M.S. KCHNA 22130312302
14079 DHAMTARI KURUD NAVIN P.S. KACHNA 22130312304
14080 DHAMTARI KURUD GOVT. P.S. BAGOD 22130312501
14081 DHAMTARI KURUD M.S. BAGOD 22130312503
14082 DHAMTARI KURUD NAVEEN P.S. GANGASAGER (B) 22130312505
14083 DHAMTARI KURUD GOVT. P.S. KHAPRI (S) 22130312601
14084 DHAMTARI KURUD GOVT. P.S. CHARMUDIA 22130312701
14085 DHAMTARI KURUD GOVT. P.S. DANDESARA 22130312801
14086 DHAMTARI KURUD NAVEEN M.S. DANDESARA 22130312802
14087 DHAMTARI KURUD GOVT. P.S. SILTARA 22130312901
14088 DHAMTARI KURUD GOVT. P.S. MAURIKHURD 22130313001
14089 DHAMTARI KURUD P.S. BHALUJHULAN 22130313101
14090 DHAMTARI KURUD GOVT P.S. SOURABANDHA 22130313201
14091 DHAMTARI KURUD M.S. SAURABANDHA 22130313202
14092 DHAMTARI KURUD M.S. DAHDAHA 22130313404
14093 DHAMTARI KURUD BOYS M.S. DAHDAHA 22130313405
14094 DHAMTARI KURUD GOVT P.S. THENTHA 22130313501
14095 DHAMTARI KURUD GOVT P.S. JARWAYDEEH 22130313701
14096 DHAMTARI KURUD GOVT P.S. SIRVE 22130313801
14097 DHAMTARI KURUD GOVT P.S. BHARDA 22130313901
14098 DHAMTARI KURUD GOVT NAVEN KANYA SC. KU.(PACH) 22130314001
14099 DHAMTARI KURUD GOVT.M.S.GADADIH ( HIRA ) 22130314103
14100 DHAMTARI KURUD P.S. HANCHALPUR 22130314201
14101 DHAMTARI KURUD M.S. HANCHALPUR 22130314202
14102 DHAMTARI KURUD P.S. UMARDA 22130314301
14103 DHAMTARI KURUD M.S. UMARDA 22130314302
14104 DHAMTARI KURUD GOVT. P.S. KHARRA 22130314601
14105 DHAMTARI KURUD GOVT. M.S. KHARRA 22130314602
14106 DHAMTARI KURUD GOVT. P.S. GOBRA 22130314701
14107 DHAMTARI KURUD GOVT P.M/S GOBRA 22130314702
14108 DHAMTARI KURUD P.S. BHOTHLI 22130314801
14109 DHAMTARI KURUD GOVT.M.S.BHOTHALI {SSA} 22130314802
14110 DHAMTARI KURUD P. S. MANDROUD 22130314902
14111 DHAMTARI KURUD P. M.S MANDROUD 22130314903
14112 DHAMTARI KURUD NAVEEN P.S. CHUCHRUNGPUR (M) 22130314904
14113 DHAMTARI KURUD NAVIN P.S. BHATAPARA 22130314905
14114 DHAMTARI KURUD GOVT. P.S. KAMRAUD 22130315001
14115 DHAMTARI KURUD P.S. AAMA PARA 22130315003
14116 DHAMTARI KURUD M.S. BHENDARWANI 22130315102
14117 DHAMTARI KURUD P.S. BHENDARWANI 22130315103
14118 DHAMTARI KURUD P.S. PACHPEDI 22130315201
14119 DHAMTARI KURUD GOVT. P.M.S. PACHPEDI 22130315203
14120 DHAMTARI KURUD NAVEEN KANYA M.S. PACHPEDI 22130315205
14121 DHAMTARI KURUD NAVIN P.S. PASCHIM PARA PACHPE 22130315208
14122 DHAMTARI KURUD P.S. TIPANI 22130315301
14123 DHAMTARI KURUD P.S. KATALBOD 22130315401
14124 DHAMTARI KURUD GOVT. M.S. KATALBOD 22130315403
14125 DHAMTARI KURUD NAVEEN P.S. KATALBOD 22130315404
14126 DHAMTARI KURUD GOVT. P.S. GOJI 22130315501
14127 DHAMTARI KURUD P.M.S. GOJI 22130315502
14128 DHAMTARI KURUD P.S. KORRA 22130315701
14129 DHAMTARI KURUD GOVT. M.S. KORRA 22130315703
14130 DHAMTARI KURUD P.S. BHENDSAR 22130315801
14131 DHAMTARI KURUD NAVIN M.S. BHENDSAR 22130315802
14132 DHAMTARI KURUD P.S. JORATARAI 22130315901
14133 DHAMTARI KURUD GOVT. M.S. JORATARAI 22130315902
14134 DHAMTARI KURUD P.S. BHATHELI 22130316001
14135 DHAMTARI KURUD M.S. BHATHELI 22130316002
14136 DHAMTARI KURUD GOVT. P.S. RAWANGUDA 22130316101
14137 DHAMTARI KURUD GOVT. P.S. KOKDI 22130316201
14138 DHAMTARI KURUD GOVT. PRIMARY SCHOOL 22130316401
14139 DHAMTARI KURUD GOVT. NAVIN M.S. GANAGAR 22130316402
14140 DHAMTARI KURUD GOVT. P.S. MONGRA 22130316501
14141 DHAMTARI KURUD GOVT. NAVIN M.S. MONGRA 22130316502
14142 DHAMTARI KURUD P.S. SEMRA (S) 22130316601
14143 DHAMTARI KURUD P.S. PARSATTHI 22130316701
14144 DHAMTARI KURUD P.S. NAVEEN GATAPAR 22130316801
14145 DHAMTARI KURUD NAVEEN P.S. TIKRAPARA (SIRRI) 22130316901
14146 DHAMTARI KURUD M.S. BHATAGAON 22130317002
14147 DHAMTARI KURUD GOVT.P.S. BHATAGAON 22130317003
14148 DHAMTARI KURUD NAVIN P.S. BHATAGAON 22130317004
14149 DHAMTARI MAGARLOD KANYA P.S. MAGARLOD 22132700101
14150 DHAMTARI MAGARLOD BALAK P.S. MAGARLOD 22132700102
14151 DHAMTARI MAGARLOD M.S. MAGARLOD 22132700106
14152 DHAMTARI MAGARLOD KANYA M.S. MAGARLOD 22132700107
14153 DHAMTARI MAGARLOD K.G.B.V. MAGARLOD 22132700111
14154 DHAMTARI MAGARLOD PS MATHURANAGAR MAGARLOD 22132700115
14155 DHAMTARI MAGARLOD P.S. BELORA 22132700201
14156 DHAMTARI MAGARLOD M.S. BELORA 22132700202
14157 DHAMTARI MAGARLOD P.S. MOHADI 22132700301
14158 DHAMTARI MAGARLOD M.S. MOHADI 22132700303
14159 DHAMTARI MAGARLOD GOVT. P.S. JAMLI 22132700401
14160 DHAMTARI MAGARLOD P.S. KARELI CHOTI 22132700501
14161 DHAMTARI MAGARLOD GOVT. M.S. KARELI CHOTI 22132700502
14162 DHAMTARI MAGARLOD P.S. NADIPARA KARELI CHOTI 22132700506
14163 DHAMTARI MAGARLOD KANIST P.S. MURUMDEEH 22132700601
14164 DHAMTARI MAGARLOD P.S. SARGI 22132700701
14165 DHAMTARI MAGARLOD GOVT. P.M.S. SARGI 22132700703
14166 DHAMTARI MAGARLOD P.S. DABHA 22132700801
14167 DHAMTARI MAGARLOD GOVT. M.S. DABHA 22132700802
14168 DHAMTARI MAGARLOD P.S. RAJPUR 22132700901
14169 DHAMTARI MAGARLOD GOVT. N.M.S. RAJPUR 22132700903
14170 DHAMTARI MAGARLOD P.S. NAWADEEH RAJPUR 22132700906
14171 DHAMTARI MAGARLOD P.S. LUGE 22132701001
14172 DHAMTARI MAGARLOD M.S. LUGE 22132701002
14173 DHAMTARI MAGARLOD P.S. GADADEEH 22132701101
14174 DHAMTARI MAGARLOD NAVEEN M.S. GADADEEH 22132701102
14175 DHAMTARI MAGARLOD PRIMARY SCHOOL 22132701201
14176 DHAMTARI MAGARLOD MS KAPALFODI 22132701203
14177 DHAMTARI MAGARLOD GOVT. P.S. HARDI 22132701301
14178 DHAMTARI MAGARLOD GOVT. M.S. HARDI 22132701302
14179 DHAMTARI MAGARLOD N.P.S. HARDI 22132701303
14180 DHAMTARI MAGARLOD P.S. AMLIDEEH 22132701401
14181 DHAMTARI MAGARLOD GOVT. M.S. AMLIDEEH 22132701402
14182 DHAMTARI MAGARLOD R.G. P.S. JALKUMHI 22132701501
14183 DHAMTARI MAGARLOD P.S. CHARBHATA 22132701602
14184 DHAMTARI MAGARLOD GOVT.NPS CHARBHATA [SSA] 22132701603
14185 DHAMTARI MAGARLOD P.S. SANKRA 22132701701
14186 DHAMTARI MAGARLOD M.S. SANKRA 22132701702
14187 DHAMTARI MAGARLOD P.S. KASARWAHI 22132701801
14188 DHAMTARI MAGARLOD KANIST P.S. GIRHOLADEEH 22132701901
14189 DHAMTARI MAGARLOD P.S. DEVGAON 22132702001
14190 DHAMTARI MAGARLOD P.S. CHANDANA 22132702101
14191 DHAMTARI MAGARLOD GOVT. M.S. CHANDANA 22132702102
14192 DHAMTARI MAGARLOD GOVT. P.S. NAWAGAON 22132702201
14193 DHAMTARI MAGARLOD GOVT P.S. NAWAGAON 22132702202
14194 DHAMTARI MAGARLOD GOVT. M.S. NAWAGAON 22132702204
14195 DHAMTARI MAGARLOD NAVIN M.S. NAWAGAON 22132702205
14196 DHAMTARI MAGARLOD GOVT. P.S. RENGADEEH 22132702301
14197 DHAMTARI MAGARLOD P.S. MADELI 22132702401
14198 DHAMTARI MAGARLOD M.S. MADELI 22132702402
14199 DHAMTARI MAGARLOD PS KAMARPARA MADELI 22132702404
14200 DHAMTARI MAGARLOD P.S. AROD 22132702501
14201 DHAMTARI MAGARLOD GOVT. N. M.S. AROD 22132702503
14202 DHAMTARI MAGARLOD P.S. BORSI 22132702601
14203 DHAMTARI MAGARLOD M.S. BORSI 22132702603
14204 DHAMTARI MAGARLOD NAVEEN P.S. BORSI 22132702604
14205 DHAMTARI MAGARLOD GOVT P.S. LADER 22132702701
14206 DHAMTARI MAGARLOD NAVIN M.S. . LADER 22132702702
14207 DHAMTARI MAGARLOD P.S. BHOTHA 22132702802
14208 DHAMTARI MAGARLOD KANIST P.S. BODALBAHRA 22132702901
14209 DHAMTARI MAGARLOD PRIMARY SCHOOL 22132703001
14210 DHAMTARI MAGARLOD GOVT. M.S. HASDA NO. 1 22132703003
14211 DHAMTARI MAGARLOD NAVEEN KANYA M.S. HASDA NO.1 22132703005
14212 DHAMTARI MAGARLOD NAVEEN P.S. DEEPARAPARA (H.) 22132703006
14213 DHAMTARI MAGARLOD P.S. MUDIBHANWAR (PARSA) 22132703101
14214 DHAMTARI MAGARLOD GOVT. P.S. HATBANDH 22132703201
14215 DHAMTARI MAGARLOD GOVT. M.S. HATBANDH 22132703202
14216 DHAMTARI MAGARLOD P.S. CHANDRSUR 22132703301
14217 DHAMTARI MAGARLOD GOVT. N.M.S. CHANDRSUR 22132703303
14218 DHAMTARI MAGARLOD P.S. BUDENI 22132703401
14219 DHAMTARI MAGARLOD M.S. BUDENI 22132703402
14220 DHAMTARI MAGARLOD P.S. DUMARPALI 22132703501
14221 DHAMTARI MAGARLOD M.S. DUMARPALI 22132703502
14222 DHAMTARI MAGARLOD GOVT P. S. DHORABHATA 22132703602
14223 DHAMTARI MAGARLOD GOVT. M.S. DHORABHATA 22132703603
14224 DHAMTARI MAGARLOD GOVT. P. S. DHORABHATA 22132703604
14225 DHAMTARI MAGARLOD NAVEEN P.S. BHATAPARA(DHOURABH 22132703605
14226 DHAMTARI MAGARLOD GOVT.N.MS. DHOURABHATA[SSA] 22132703606
14227 DHAMTARI MAGARLOD KANIST P. S. AMLIBHATA 22132703701
14228 DHAMTARI MAGARLOD GOVT P.S. MOHRENGA 22132703801
14229 DHAMTARI MAGARLOD GOVT. M.S. MOHRENGA 22132703803
14230 DHAMTARI MAGARLOD P.S. PARSWANI 22132703901
14231 DHAMTARI MAGARLOD GOVT. M.S. PARSWANI 22132703902
14232 DHAMTARI MAGARLOD P.S. BENDRACHUA 22132704001
14233 DHAMTARI MAGARLOD P.S. PREWADEEH 22132704101
14234 DHAMTARI MAGARLOD KANIST PRIMARY SCHOOL 22132704201
14235 DHAMTARI MAGARLOD N.M.S.KEKRAKHOLI 22132704203
14236 DHAMTARI MAGARLOD P.S. KEKRAKHOLI 22132704205
14237 DHAMTARI MAGARLOD KANIST P.S. KUSUMKHUTA 22132704301
14238 DHAMTARI MAGARLOD GOVT P.S. AMACHANI 22132704401
14239 DHAMTARI MAGARLOD P.S. PATHAR 22132704501
14240 DHAMTARI MAGARLOD M.S. PATHAR 22132704502
14241 DHAMTARI MAGARLOD P.S. BHARDA 22132704601
14242 DHAMTARI MAGARLOD M.S. BHARDA 22132704603
14243 DHAMTARI MAGARLOD PRIMARY SCHOOL 22132704701
14244 DHAMTARI MAGARLOD GOVT. M.S. BELARDONA 22132704702
14245 DHAMTARI MAGARLOD GOVT. P. S. BELARDONA 22132704703
14246 DHAMTARI MAGARLOD P.S. SONPAIRI 22132704801
14247 DHAMTARI MAGARLOD GOVT. M.S. SONPERI 22132704805
14248 DHAMTARI MAGARLOD N.P.S. SONPAIRI 22132704806
14249 DHAMTARI MAGARLOD P.S. SONJHRI 22132704901
14250 DHAMTARI MAGARLOD GOVT. M.S. SONJHRI 22132704902
14251 DHAMTARI MAGARLOD P.S. SINGPUR 22132705001
14252 DHAMTARI MAGARLOD P.M.S. SINGPUR 22132705002
14253 DHAMTARI MAGARLOD UNN. P.S. KAMARPARA (SING.) 22132705003
14254 DHAMTARI MAGARLOD PRIMARY SCHOOL 22132705101
14255 DHAMTARI MAGARLOD GOVT. M.S. KUNDEL 22132705103
14256 DHAMTARI MAGARLOD P.S. BHATAPARA KUNDEL 22132705105
14257 DHAMTARI MAGARLOD P.S. MOHERA 22132705201
14258 DHAMTARI MAGARLOD P.M.S. MOHERA 22132705202
14259 DHAMTARI MAGARLOD P.S. KHSORA 22132705301
14260 DHAMTARI MAGARLOD GOVT. M.S. KHISORA 22132705304
14261 DHAMTARI MAGARLOD PS BASTIPARA KHISORA 22132705305
14262 DHAMTARI MAGARLOD P.S. MEGHA 22132705401
14263 DHAMTARI MAGARLOD KANIYA P.S. MEGHA 22132705402
14264 DHAMTARI MAGARLOD A.P.M.S. MEGHA 22132705404
14265 DHAMTARI MAGARLOD NAVEEN M.S. MEGHA 22132705406
14266 DHAMTARI MAGARLOD G. NAVEEN P.S MEGHA 22132705410
14267 DHAMTARI MAGARLOD P.S. SONGA 22132705501
14268 DHAMTARI MAGARLOD NAVEEN M.S. SONGA 22132705502
14269 DHAMTARI MAGARLOD P.S. GIROD 22132705601
14270 DHAMTARI MAGARLOD GOVT. N. M.V. GIROD 22132705602
14271 DHAMTARI MAGARLOD P.S. SENHABHATA (MEGHA) 22132705702
14272 DHAMTARI MAGARLOD GIRL M.S. BHESMUNDI 22132705803
14273 DHAMTARI MAGARLOD P.S. BHESMUNDI 22132705804
14274 DHAMTARI MAGARLOD N.M.S. RANKADIH 22132705902
14275 DHAMTARI MAGARLOD P.S. RANKADIH 22132705903
14276 DHAMTARI MAGARLOD P.S. MADHUBAN RANKADIH 22132705905
14277 DHAMTARI MAGARLOD P.S. JHAJHARKERA 22132706001
14278 DHAMTARI MAGARLOD M.S. JHANJARKERA 22132706002
14279 DHAMTARI MAGARLOD GOVT P.S. NAHAREEH 22132706101
14280 DHAMTARI MAGARLOD P.S. MARAGAON 22132706201
14281 DHAMTARI MAGARLOD M.S. MARAGAON 22132706202
14282 DHAMTARI MAGARLOD UNN. P.S. CHOTEPARA (MARA) 22132706203
14283 DHAMTARI MAGARLOD GAYAN JYOTI MARAGAON 22132706207
14284 DHAMTARI MAGARLOD GOVT. NEW PS KAMARPARA MOHERA 22132706208
14285 DHAMTARI MAGARLOD P.S. BODRA 22132706301
14286 DHAMTARI MAGARLOD M.S. BODRA 22132706303
14287 DHAMTARI MAGARLOD P.S. NAWADIH (BODRA) 22132706304
14288 DHAMTARI MAGARLOD P.S. KHIRJHITI 22132706401
14289 DHAMTARI MAGARLOD M.S. KHIRJHITI 22132706402
14290 DHAMTARI MAGARLOD UNN. P.S. ALEKHUTA 22132706501
14291 DHAMTARI MAGARLOD P.S. NARDHA 22132706601
14292 DHAMTARI MAGARLOD P.S. KULHARIKOT 22132706701
14293 DHAMTARI MAGARLOD P.S. BHANDRI 22132706801
14294 DHAMTARI MAGARLOD KANIYA P.S. BHANDRI 22132706802
14295 DHAMTARI MAGARLOD AMAR S.BALRAMDHRUW. MS BHANDRI 22132706804
14296 DHAMTARI MAGARLOD KANYA M.S. BHANDRI 22132706806
14297 DHAMTARI MAGARLOD GOVT.PS.MAHUWABHATA BHENDRI 22132706808
14298 DHAMTARI MAGARLOD P.S. KHATTI 22132706901
14299 DHAMTARI MAGARLOD NAVEEN M.S. KHATTI 22132706902
14300 DHAMTARI MAGARLOD P.S. BELODI 22132707001
14301 DHAMTARI MAGARLOD GOVT. M.S. BELODI 22132707002
14302 DHAMTARI MAGARLOD P.S. MOTIMPUR 22132707101
14303 DHAMTARI MAGARLOD GOVT. M.S. MOTIMPUR 22132707102
14304 DHAMTARI MAGARLOD GOVT. P.S. BANIYATOLA 22132707201
14305 DHAMTARI MAGARLOD UNN. P.S. PENDRA 22132707301
14306 DHAMTARI MAGARLOD GOVT NAVEEN P.S. BAKORI 22132707401
14307 DHAMTARI MAGARLOD P.S. DUDHWARA 22132707501
14308 DHAMTARI MAGARLOD NAVEEN M.S. DUDHWARA 22132707502
14309 DHAMTARI MAGARLOD NAVEEN P.S. BHATAPARA (DUDH) 22132707503
14310 DHAMTARI MAGARLOD P.S. MADWAPATHRA 22132707601
14311 DHAMTARI MAGARLOD N.M.S. MADWAPATHRA 22132707602
14312 DHAMTARI MAGARLOD P.S. TENDUBHATA 22132707701
14313 DHAMTARI MAGARLOD GOVT P.S. MUDKERA 22132707801
14314 DHAMTARI MAGARLOD M.S. MUDKERA 22132707802
14315 DHAMTARI MAGARLOD P.S. PARSATTI 22132707901
14316 DHAMTARI MAGARLOD GOVT. N.M.V. PARSATTI 22132707902
14317 DHAMTARI MAGARLOD KANIYA P.S. KARELIBADI 22132708001
14318 DHAMTARI MAGARLOD P.S. KARELIBADI 22132708002
14319 DHAMTARI MAGARLOD P.M.S. KARELI BADI 22132708003
14320 DHAMTARI MAGARLOD NAVEEN P.S. ASPATALPARA (K.B.) 22132708004
14321 DHAMTARI MAGARLOD NAVEEN M.S. KANYA KARELI BADI 22132708005
14322 DHAMTARI MAGARLOD NAVEEN P.S. BANIYATORA (K.B.) 22132708006
14323 DHAMTARI MAGARLOD GOVT. M.S. KARELIBADI 22132708010
14324 DHAMTARI MAGARLOD P.S. KAMROD 22132708101
14325 DHAMTARI MAGARLOD M.S. KAMROD 22132708102
14326 DHAMTARI MAGARLOD NAVEEN P.S. BHANDARWAHI 22132708201
14327 DHAMTARI MAGARLOD KANSHIT P.S. MULGAON 22132708301
14328 DHAMTARI MAGARLOD P.S. SONEWARA 22132708401
14329 DHAMTARI MAGARLOD GOVT.M.S.SONEWARA [SSA] 22132708402
14330 DHAMTARI MAGARLOD PRIMARY SCHOOL 22132708501
14331 DHAMTARI MAGARLOD P.M.S. BHOTIDIH 22132708502
14332 DHAMTARI MAGARLOD N.P.S. BHOTHIDIH 22132708503
14333 DHAMTARI MAGARLOD P.S. KHADMA 22132708601
14334 DHAMTARI MAGARLOD GANDHI G.M. M.S. KHADMA 22132708602
14335 DHAMTARI MAGARLOD P.S. ANJORA 22132708701
14336 DHAMTARI MAGARLOD KANSHIT P.S. SIRKATTA WARD 5 22132708801
14337 DHAMTARI MAGARLOD GOVT P.S. BHALUCHUA 22132708901
14338 DHAMTARI MAGARLOD KNISHIT P.S. GHIKUDIYA (MOHERA 22132709001
14339 DHAMTARI MAGARLOD P.S. RAJADERA 22132709101
14340 DHAMTARI MAGARLOD GOVT P.S. BUDARAO 22132709201
14341 DHAMTARI MAGARLOD P.S. CHIPLI 22132709301
14342 DHAMTARI MAGARLOD KNISHIT P.S. DHANORA 22132709401
14343 DHAMTARI MAGARLOD P.S. SUKLABHATA 22132709601
14344 DHAMTARI MAGARLOD P M.S. SUKLABHATA 22132709602
14345 DHAMTARI MAGARLOD P.S. BIRJHULI 22132709701
14346 DHAMTARI MAGARLOD P.M.S. BIRJHULI 22132709702
14347 DHAMTARI MAGARLOD P.S. DAMKADEEH 22132709801
14348 DHAMTARI MAGARLOD P.S. SARAIRUKH 22132709901
14349 DHAMTARI MAGARLOD P.S. BOIRGAON 22132710001
14350 DHAMTARI MAGARLOD NAVEEN M.S. BOIRGAON 22132710002
14351 DHAMTARI MAGARLOD P.S. BHOMLABAHRA 22132710101
14352 DHAMTARI MAGARLOD GOVT. P.S. SARAIBHADAR 22132710201
14353 DHAMTARI MAGARLOD GOVT. P.S. PALWADI 22132710301
14354 DHAMTARI MAGARLOD P.S. KAMAIPUR 22132710401
14355 DHAMTARI MAGARLOD P.S. KORGAON 22132710501
14356 DHAMTARI MAGARLOD P.S. KAMARPARA 22132710503
14357 DHAMTARI MAGARLOD GOVT. P.S. DHANBUDA 22132710601
14358 DHAMTARI MAGARLOD GOVT. P.S. PAHANDA 22132710701
14359 DHAMTARI MAGARLOD N. M.S. PAHANDA 22132710702
14360 DHAMTARI MAGARLOD NAVEEN P.S. RAMPUR (PARSATTI) 22132710901
14361 DHAMTARI MAGARLOD NAVEEN P.S. CHANDPARA (BHENDRI 22132711001
14362 DHAMTARI MAGARLOD NAVEEN PRIMARY SCHOOL 22132711101
14363 DHAMTARI MAGARLOD NAVEEN M.S. PARSABUDA 22132711301
14364 DHAMTARI MAGARLOD NAVEEN P.S. NIRAI 22132711401
14365 DHAMTARI MAGARLOD GOVT.PS.KEWRADIH [SSA] 22132711501
14366 DHAMTARI MAGARLOD UNN. GOBRA PATHAR 22132711601
14367 DHAMTARI MAGARLOD NAVEEN P.S. KAMARPARA (BE.) 22132711701
14368 DHAMTARI MAGARLOD GOVT.NPS.KAMARPARA PARSABUDA [SSA] 22132711702
14369 DHAMTARI MAGARLOD UNN. P.S. RAVATMUDA 22132711801
14370 DHAMTARI MAGARLOD GOVT.N.P.S.KALARBAHRA [SSA] 22132711901
14371 DHAMTARI MAGARLOD UNN. P.S. SONARIN DAIHAN 22132712001
14372 DHAMTARI MAGARLOD UNN. P.S. PIPRAUD 22132712101
14373 DHAMTARI MAGARLOD P.S. BHOTA (BORSI) 22132712201
14374 DHAMTARI MAGARLOD N.M.S. BHOTA(BORSI) 22132712202
14375 DHAMTARI MAGARLOD GOVT.N.P.S.BASIKHAI [SSA] 22132712301
14376 DHAMTARI MAGARLOD GOVT.N.P.S.VIJAYPUR [SSA] 22132712801
14377 DHAMTARI MAGARLOD GOVT.P.S KAMARIN MUDA 22132712901
14378 DHAMTARI NAGRI P.S. BIRNASILLI 22131300401
14379 DHAMTARI NAGRI ASHRAM P.S. BIRNASILLI 22131300402
14380 DHAMTARI NAGRI UANNYAN M.S. BIRNASILLI 22131300404
14381 DHAMTARI NAGRI P.S. JAMPANI 22131300501
14382 DHAMTARI NAGRI M.S. JAMPANI 22131300502
14383 DHAMTARI NAGRI N.P.S. JAMPANI 22131300503
14384 DHAMTARI NAGRI P.S. DOMPADAR 22131300601
14385 DHAMTARI NAGRI T.W. P.S. JHURANADI 22131300701
14386 DHAMTARI NAGRI P.S. BAROLI 22131300901
14387 DHAMTARI NAGRI KHINST P.S. SATBAHNA 22131301001
14388 DHAMTARI NAGRI P.S. GOREGAON 22131301202
14389 DHAMTARI NAGRI M.S. GOREGAON 22131301203
14390 DHAMTARI NAGRI P.S. SAMTARA 22131301301
14391 DHAMTARI NAGRI P.S. BHOTHLI 22131301401
14392 DHAMTARI NAGRI M.S. BHOTHLI 22131301402
14393 DHAMTARI NAGRI P.S. BASPANI 22131301501
14394 DHAMTARI NAGRI M.S. BASPANI 22131301502
14395 DHAMTARI NAGRI KHINST P.S. JUNWANI 22131301601
14396 DHAMTARI NAGRI P.S. KUNGERA 22131301701
14397 DHAMTARI NAGRI M.S. KUNGERA 22131301702
14398 DHAMTARI NAGRI P.S. DHUTKEL 22131301801
14399 DHAMTARI NAGRI GOVT. M.S. DHUTKEL 22131301802
14400 DHAMTARI NAGRI U.M.S.AKAVARI 22131301805
14401 DHAMTARI NAGRI P.S. MARIYAMARI 22131301902
14402 DHAMTARI NAGRI KHINST P.S. BAHLUPARA 22131302001
14403 DHAMTARI NAGRI P. S. SINGANPUR 22131302102
14404 DHAMTARI NAGRI P.S. MURUMTARA 22131302401
14405 DHAMTARI NAGRI KANYA P.S. BIRGUDI 22131302501
14406 DHAMTARI NAGRI BALAK P.S. BIRGUDI 22131302502
14407 DHAMTARI NAGRI GOVT. M.S. BIRGUDI 22131302503
14408 DHAMTARI NAGRI UNN. P.S. BAS STAIND PARA BIRG 22131302504
14409 DHAMTARI NAGRI T.W. P.S. TANGAPANI 22131302601
14410 DHAMTARI NAGRI M.S. TANGAPANI 22131302603
14411 DHAMTARI NAGRI P.S. TANGAPANI 22131302604
14412 DHAMTARI NAGRI P.S. KHUTAR 22131302701
14413 DHAMTARI NAGRI P.S. KURMIYA 1 22131302801
14414 DHAMTARI NAGRI P.S. HINCHAPUR 22131302901
14415 DHAMTARI NAGRI P.S. PARASGAON 22131303001
14416 DHAMTARI NAGRI M. S. PARASGAON 22131303002
14417 DHAMTARI NAGRI P.S. BILBHADAR 22131303101
14418 DHAMTARI NAGRI N.M.S. BILBHADAR 22131303102
14419 DHAMTARI NAGRI P.S. KALLEMETA 22131303201
14420 DHAMTARI NAGRI P.S. BARBANDHA 22131303301
14421 DHAMTARI NAGRI M.S. BARBANDHA 22131303302
14422 DHAMTARI NAGRI GOVT.SSA. GYAN JYOTI V.BARBHANDHA 22131303303
14423 DHAMTARI NAGRI GOVT. P.S. BHURSIDONGRI 22131303401
14424 DHAMTARI NAGRI PS DEVKHUT PARA BHURSIDONGRI 22131303402
14425 DHAMTARI NAGRI M.S. BHURSIDONGRI 22131303403
14426 DHAMTARI NAGRI GOVT. M.S. AAMGAON 22131303503
14427 DHAMTARI NAGRI GOVT P.S. AAMGAON 22131303504
14428 DHAMTARI NAGRI N.P.S. GAYTAPARA (AAMGON 22131303505
14429 DHAMTARI NAGRI GOVT SSA.P.S.DAIHANPARA 22131303508
14430 DHAMTARI NAGRI GOVT. P.S. AMALI 22131303701
14431 DHAMTARI NAGRI M.S. AMALI 22131303702
14432 DHAMTARI NAGRI UNN. P.S. KAMARPARA (AMALI) 22131303703
14433 DHAMTARI NAGRI P.S. PANDRIPANI (MALGUJAR) 22131303801
14434 DHAMTARI NAGRI M.S. PANDRIPANI(MAL.) 22131303802
14435 DHAMTARI NAGRI P.S. SAHNIKHAR 22131303901
14436 DHAMTARI NAGRI P.S. LATIYARA 22131304001
14437 DHAMTARI NAGRI KHINST P.S. MARDAPOTI 22131304101
14438 DHAMTARI NAGRI GOVT P.S. CHAMEDA (K) 22131304202
14439 DHAMTARI NAGRI N.M.S. CHAMEDA(K) 22131304203
14440 DHAMTARI NAGRI P.S. AMABAHAR 22131304301
14441 DHAMTARI NAGRI M.S. AMABAHAR 22131304302
14442 DHAMTARI NAGRI FOREST P.S. RISGAON 22131304401
14443 DHAMTARI NAGRI M.S. RISGAON 22131304402
14444 DHAMTARI NAGRI GOVT P.S. GHURAWAD 22131304501
14445 DHAMTARI NAGRI GOVT. M.S. GHURAWAD 22131304502
14446 DHAMTARI NAGRI GOVT PS AMALI GHURAWAD 22131304503
14447 DHAMTARI NAGRI P.S. JAITPURI 22131304601
14448 DHAMTARI NAGRI M.S. JAITPURI 22131304602
14449 DHAMTARI NAGRI P.S. KORMUD 22131304701
14450 DHAMTARI NAGRI KHINST P.S. BANORA (16) 22131304801
14451 DHAMTARI NAGRI P.S. UMARGAON 22131304901
14452 DHAMTARI NAGRI M.S. UMARGAON 22131304902
14453 DHAMTARI NAGRI UNN. P.S. HARRAPARA (UMAR.) 22131304903
14454 DHAMTARI NAGRI KANYA M.S. UMARGAON 22131304905
14455 DHAMTARI NAGRI P.S. BAMHANBHARRI 22131305001
14456 DHAMTARI NAGRI P.S. LAKHANPURI 22131305101
14457 DHAMTARI NAGRI M.S. LAKHANPURI 22131305102
14458 DHAMTARI NAGRI P.S. GHORAGAON 22131305201
14459 DHAMTARI NAGRI M.S. GHORAGAON 22131305202
14460 DHAMTARI NAGRI P.S. DOKAL 22131305301
14461 DHAMTARI NAGRI P.S. CHANDANPUR DOKAL 22131305302
14462 DHAMTARI NAGRI P.S. KHADADAH 22131305401
14463 DHAMTARI NAGRI P.S. MAUHABAHRA 22131305501
14464 DHAMTARI NAGRI ADIM J.K. M.S. MAUHABAHRA 22131305502
14465 DHAMTARI NAGRI P.S. KUMHDA 22131305601
14466 DHAMTARI NAGRI P.S. KOTARWAHI 22131305701
14467 DHAMTARI NAGRI M.S. KOTARWAHI 22131305702
14468 DHAMTARI NAGRI P.S. JHURATARAI 22131305801
14469 DHAMTARI NAGRI M.S. JHURATARAI 22131305802
14470 DHAMTARI NAGRI P.S. PARDHI 22131305901
14471 DHAMTARI NAGRI M.S. RAJPUR 22131306002
14472 DHAMTARI NAGRI GOVT P.S. RAJPUR 22131306004
14473 DHAMTARI NAGRI UNN. P.S. PURV RAJPUR 22131306005
14474 DHAMTARI NAGRI UNN. P.S. PSHICHM RAJPUR 22131306006
14475 DHAMTARI NAGRI P.S. BIJAPUR 22131306101
14476 DHAMTARI NAGRI UNNT.PS JAMNALA (BIJAPUR) 22131306102
14477 DHAMTARI NAGRI P.S. JHIPATOLA (BIJAPUR) 22131306103
14478 DHAMTARI NAGRI T.W.K. P.S. HITALI 22131306201
14479 DHAMTARI NAGRI T.W.K. P.S. MADAMSILLI 22131306301
14480 DHAMTARI NAGRI P.S. BATANHARRA 22131306401
14481 DHAMTARI NAGRI NAVEEN M.S. BATANHARRA 22131306402
14482 DHAMTARI NAGRI GOVT P.S. RAIPARA 22131306501
14483 DHAMTARI NAGRI N.P.S. RAIPARA 22131306502
14484 DHAMTARI NAGRI P.S. KORRA 22131306601
14485 DHAMTARI NAGRI P.S. BORAI 22131306701
14486 DHAMTARI NAGRI M.S. BORAI 22131306702
14487 DHAMTARI NAGRI ADIM.J.K.I KANYA ASRAM P.S. BORAI 22131306704
14488 DHAMTARI NAGRI P.S. NAWAGAON (B) 22131306802
14489 DHAMTARI NAGRI M.S. NAWAGAON (S) 22131306803
14490 DHAMTARI NAGRI NAVIN M.S. NAWAGAON (S) 22131306804
14491 DHAMTARI NAGRI P. S. AMLIPARA NAWA (B) 22131306805
14492 DHAMTARI NAGRI P.S. NAWAGAON (S) 22131306806
14493 DHAMTARI NAGRI K. P.S. MAGAUD 22131306901
14494 DHAMTARI NAGRI P.S. BARKONHA 22131307001
14495 DHAMTARI NAGRI P.S. KANTAKURRI 22131307101
14496 DHAMTARI NAGRI M.S. KANTAKURRI 22131307102
14497 DHAMTARI NAGRI P.S. NATHUKONHA 22131307301
14498 DHAMTARI NAGRI P.S. KASPUR 22131307401
14499 DHAMTARI NAGRI GIRL ASHRAM S. KASPUR 22131307403
14500 DHAMTARI NAGRI PS AADIWASI PARA KASPUR 22131307404
14501 DHAMTARI NAGRI M. S. KASPUR 22131307405
14502 DHAMTARI NAGRI PS KAMARPARA KASPUR 22131307406
14503 DHAMTARI NAGRI GYAN JYOTI SCHOOL CHEHRAPARA 22131307409
14504 DHAMTARI NAGRI P.S. BARBHANDHA 22131307501
14505 DHAMTARI NAGRI M.S. BAZARKURIDIH 22131307602
14506 DHAMTARI NAGRI P.S. BAZARKURIDIH 22131307603
14507 DHAMTARI NAGRI NAVEN P.S. DONGRIPARA 22131307702
14508 DHAMTARI NAGRI GOVT.P/S SCHOOL DONGRI PARA 22131307703
14509 DHAMTARI NAGRI GOVT. N. PS DONGRIPARA 22131307704
14510 DHAMTARI NAGRI KHINST P.S. JARHAKHAR 22131307801
14511 DHAMTARI NAGRI P.S. MASANDABRA 22131307901
14512 DHAMTARI NAGRI P.S. GAHNASIYAR 22131308002
14513 DHAMTARI NAGRI KANIYA P.S. SANKRA 22131308102
14514 DHAMTARI NAGRI GIRL M.S. SANKRA 22131308103
14515 DHAMTARI NAGRI BALAK M.S. SANKRA 22131308104
14516 DHAMTARI NAGRI BOYS P.S. SANKRA 22131308105
14517 DHAMTARI NAGRI EGS P.S. KHAMNAPARA 22131308106
14518 DHAMTARI NAGRI AADI.GIRLS ASHRAM SATTIPARA SANKRA 22131308112
14519 DHAMTARI NAGRI PRIMARY SCHOOL 22131308201
14520 DHAMTARI NAGRI EGS PANCHGHARIYA PARA 22131308202
14521 DHAMTARI NAGRI P.S. KHADAPTHRA 22131308301
14522 DHAMTARI NAGRI P.S. GORSANALA 22131308402
14523 DHAMTARI NAGRI P.S. GARDONGRI (RAYATWARI) 22131308602
14524 DHAMTARI NAGRI PS GOHAN PARA 22131308603
14525 DHAMTARI NAGRI TWD P.S. EKKWARI 22131308702
14526 DHAMTARI NAGRI KANYA P.S. BELARGAON 22131308901
14527 DHAMTARI NAGRI GOVT P.S. BELARGAON 22131308902
14528 DHAMTARI NAGRI M.S. BELARGAON 22131308903
14529 DHAMTARI NAGRI PS INDIRA AWASPARA BELARGAON 22131308904
14530 DHAMTARI NAGRI N.P.S. SHEETLA PARA (BELARGA) 22131308905
14531 DHAMTARI NAGRI M.S. KANYA BELARGAON 22131308906
14532 DHAMTARI NAGRI P.S. BHUMKA 22131309001
14533 DHAMTARI NAGRI P.S. BADSIVNA 22131309101
14534 DHAMTARI NAGRI M.S. BHADSIVNA 22131309104
14535 DHAMTARI NAGRI WAN GARM P.S. AMGAON 22131309201
14536 DHAMTARI NAGRI WAN GARM M.S. AMGAON 22131309202
14537 DHAMTARI NAGRI GOVT P.S. PANWDWAR 22131309301
14538 DHAMTARI NAGRI M.S. PANWDWAR 22131309302
14539 DHAMTARI NAGRI P.S. DEVPUR 22131309401
14540 DHAMTARI NAGRI GOVT. M.S. DEVPUR 22131309402
14541 DHAMTARI NAGRI PARYOGIS PRIMARY SCHOOL 22131309501
14542 DHAMTARI NAGRI KANIYA PRIMARY SCHOOL 22131309503
14543 DHAMTARI NAGRI GOVT. S.R. M.S. NAGRI 22131309515
14544 DHAMTARI NAGRI PRAYOGIK MS NAGRI 22131309517
14545 DHAMTARI NAGRI P.S. CHURIYARA NAGRI 22131309518
14546 DHAMTARI NAGRI GOVT.GIRLS M.S. NAGRI 22131309519
14547 DHAMTARI NAGRI UNN. RAISMILL PARA NAGRI 22131309521
14548 DHAMTARI NAGRI UNN. P.S. BANDHPARA NAGRI 22131309522
14549 DHAMTARI NAGRI P.S. KOTPARA NAGRI 22131309523
14550 DHAMTARI NAGRI P.S. JUNGLEPARA NAGRI 22131309524
14551 DHAMTARI NAGRI P.S. KEREGAON 22131309601
14552 DHAMTARI NAGRI GOVT. M.S. KEREGAON 22131309602
14553 DHAMTARI NAGRI NAVEEN P.S. KURMAJHAR 22131309606
14554 DHAMTARI NAGRI N.M.S. KHALLARI 22131309801
14555 DHAMTARI NAGRI P.S. KHALLARI 22131309802
14556 DHAMTARI NAGRI GOVT. N. PS NYAPARA KHALLRI(SSA) 22131309803
14557 DHAMTARI NAGRI P.S. KARKA 22131309901
14558 DHAMTARI NAGRI P.S. CHUHI 22131310201
14559 DHAMTARI NAGRI GOVT. M.S. CHUHI 22131310203
14560 DHAMTARI NAGRI GOVT. P.S. MALHARI 22131310401
14561 DHAMTARI NAGRI GOVT. M.S. MALHARI 22131310402
14562 DHAMTARI NAGRI P.S. SALONI 22131310601
14563 DHAMTARI NAGRI ASHRAM DARGHAN SALONI 22131310602
14564 DHAMTARI NAGRI GOVT. M.S. SALONI 22131310603
14565 DHAMTARI NAGRI P.S. AMLIPAR 22131310701
14566 DHAMTARI NAGRI N.M.S. AMLIPARA 22131310702
14567 DHAMTARI NAGRI P.S. GIDHAWA 22131311001
14568 DHAMTARI NAGRI M.S. GIDHAWA 22131311002
14569 DHAMTARI NAGRI P.S. PANDARWAHI 22131311201
14570 DHAMTARI NAGRI P.S. BODRA 22131311401
14571 DHAMTARI NAGRI M.S. BODRA 22131311402
14572 DHAMTARI NAGRI P.S. FARSIYAN 22131311501
14573 DHAMTARI NAGRI P.S. KANYA FARSIYAN 22131311502
14574 DHAMTARI NAGRI UNNYIT P.S. FARSIYAN 22131311503
14575 DHAMTARI NAGRI M.S. A FARSIYAN 22131311504
14576 DHAMTARI NAGRI UNN. P.S. KAMARPARA (FAR) 22131311505
14577 DHAMTARI NAGRI P.S. KAREHA 22131311801
14578 DHAMTARI NAGRI M.S. KAREHA 22131311802
14579 DHAMTARI NAGRI AADMUDA 22131311803
14580 DHAMTARI NAGRI UNN. P.S. NAYAPARA (KAREHA) 22131311804
14581 DHAMTARI NAGRI BALAK ASHRAM P.S. KAREHA 22131311806
14582 DHAMTARI NAGRI GOVT. P.S. DEVGAON 22131312001
14583 DHAMTARI NAGRI GOVT. M.S. DEVGAON 22131312002
14584 DHAMTARI NAGRI P.S. MUNAIKERA 22131312101
14585 DHAMTARI NAGRI GOVT. P.S. SARAITOLA [A] 22131312201
14586 DHAMTARI NAGRI M.S. SARAITOLA 22131312202
14587 DHAMTARI NAGRI GOVT. PS SARAITOLA 22131312203
14588 DHAMTARI NAGRI GOVT. KANIST P.S. JORADABARI 22131312301
14589 DHAMTARI NAGRI GOVT. P.S. SIRSIDA 22131312401
14590 DHAMTARI NAGRI M.S. SIRSIDA 22131312402
14591 DHAMTARI NAGRI GOVT. P.S. NEGINALA 22131312601
14592 DHAMTARI NAGRI P.S. DARGAHAN 22131312901
14593 DHAMTARI NAGRI M.S. DARGAHAN 22131312902
14594 DHAMTARI NAGRI EGS P.S. ARJUNI 22131313101
14595 DHAMTARI NAGRI P.S. LITIPARA 22131313102
14596 DHAMTARI NAGRI M.S. ARJUNI 22131313103
14597 DHAMTARI NAGRI M.S. ARJUNI 22131313105
14598 DHAMTARI NAGRI P.S. ARJUNI 22131313106
14599 DHAMTARI NAGRI P.S. ANJANI 22131313301
14600 DHAMTARI NAGRI P.S. DONGARDULA 22131313401
14601 DHAMTARI NAGRI BOY M.S.DONGARDULA 22131313402
14602 DHAMTARI NAGRI GIRL M.S. DONGARDULA 22131313403
14603 DHAMTARI NAGRI P.S. SIYADEHI 22131313501
14604 DHAMTARI NAGRI M.S. SIYADEHI 22131313502
14605 DHAMTARI NAGRI GOVT. P.S. MOHLAI 22131313601
14606 DHAMTARI NAGRI P.S. KUKREL 22131313701
14607 DHAMTARI NAGRI M.S. KUKREL 22131313702
14608 DHAMTARI NAGRI P.S. LASUNWAHI 22131313801
14609 DHAMTARI NAGRI P.S, SIROD-KHURD 22131313901
14610 DHAMTARI NAGRI P.S. PIPERCHEDI(NEECHEPARA) 22131314001
14611 DHAMTARI NAGRI P.S. PIPERCHEDI(UAPRPARA) 22131314002
14612 DHAMTARI NAGRI GOVT. P.S. GEDARA 22131314101
14613 DHAMTARI NAGRI GOVT. M.S. GEDARA 22131314102
14614 DHAMTARI NAGRI P.S. BITLINGPARA GEDRA 22131314103
14615 DHAMTARI NAGRI NAVEEN KANYA ASHRAM GEDARA 22131314104
14616 DHAMTARI NAGRI GYAN JOYTI SCHOOL GEDRA 22131314105
14617 DHAMTARI NAGRI P.S. KETTARAI 22131314501
14618 DHAMTARI NAGRI P.S. GADRIYAPARA 22131314701
14619 DHAMTARI NAGRI PRIMARY SCHOOL 22131314801
14620 DHAMTARI NAGRI M.S. PAIKBHATA 22131314803
14621 DHAMTARI NAGRI P.S. PADUMPUR 22131314901
14622 DHAMTARI NAGRI NAVEN P.S. SANDBAHRA 22131315001
14623 DHAMTARI NAGRI P.S. SELBAHRA 22131315002
14624 DHAMTARI NAGRI P.S. TUMBAHRA 22131315101
14625 DHAMTARI NAGRI P.S. KHUDURPANI 22131315201
14626 DHAMTARI NAGRI M.S. KHUDURPANI 22131315202
14627 DHAMTARI NAGRI P.S. SEMARA 22131315301
14628 DHAMTARI NAGRI GOVT. M.S. SEMARA 22131315302
14629 DHAMTARI NAGRI P.S. CHARRA 22131315401
14630 DHAMTARI NAGRI M.S. CHARRA 22131315402
14631 DHAMTARI NAGRI GOVT. PS KCHARPARA CHARRA 22131315403
14632 DHAMTARI NAGRI P.S. KHARKA 22131315501
14633 DHAMTARI NAGRI GOVT. P.S. BHITARRAS 22131315601
14634 DHAMTARI NAGRI KANYA PRIMARY SCHOOL 22131315701
14635 DHAMTARI NAGRI ADIWASI KANYA ASHRAM 22131315702
14636 DHAMTARI NAGRI GOVT. PRIMARY SCHOOL 22131315703
14637 DHAMTARI NAGRI GOVT. BOY M.S. SIHAWA 22131315704
14638 DHAMTARI NAGRI GOVT. GIRL M.S. SIHAWA 22131315705
14639 DHAMTARI NAGRI P.S.MADEENA MADRSA SIHAWA 22131315706
14640 DHAMTARI NAGRI PS PREMNAGAR SIHAWA 22131315708
14641 DHAMTARI NAGRI PS SHIVPUR SIHAWA 22131315709
14642 DHAMTARI NAGRI P.S. LIKHMA 22131316001
14643 DHAMTARI NAGRI P.S. BANIYADEEH 22131316101
14644 DHAMTARI NAGRI M.S.BNIYADEEH 22131316102
14645 DHAMTARI NAGRI P.S. DOHALAPARA 22131316301
14646 DHAMTARI NAGRI P.S. NAYAPARA 22131316302
14647 DHAMTARI NAGRI P.S. MAHMALLA 22131316501
14648 DHAMTARI NAGRI UNNT. M.S. MOHMALLA 22131316506
14649 DHAMTARI NAGRI P.S. BANBGOD 22131316801
14650 DHAMTARI NAGRI NAVEEN M.S.BANBGOD 22131316802
14651 DHAMTARI NAGRI PS G J V KAMARPARA BANBAGOD 22131316803
14652 DHAMTARI NAGRI P.S. LALANJ 22131316901
14653 DHAMTARI NAGRI P.S. ARSIKANHAR 22131317001
14654 DHAMTARI NAGRI P.S. TUMDIBAHAR 22131317101
14655 DHAMTARI NAGRI P.S. MECHKA 22131317201
14656 DHAMTARI NAGRI GOVT. M.S. MECHKA 22131317202
14657 DHAMTARI NAGRI PS ASHRAMSHALA MECHKA 22131317203
14658 DHAMTARI NAGRI P.S. THENHI 22131317301
14659 DHAMTARI NAGRI M.S. THENHI 22131317302
14660 DHAMTARI NAGRI P.S. GATTASILLI 22131317401
14661 DHAMTARI NAGRI M.S. GATTASILLI 22131317402
14662 DHAMTARI NAGRI P.S. PALGAON 22131317501
14663 DHAMTARI NAGRI P.S. DINKARPUR 22131317601
14664 DHAMTARI NAGRI M.S. DINKARPUR 22131317602
14665 DHAMTARI NAGRI P.S. KOLIYARI 22131317701
14666 DHAMTARI NAGRI P.S. KOHINPARA 22131317801
14667 DHAMTARI NAGRI PRIMARY SCHOOL 22131317901
14668 DHAMTARI NAGRI N.M.S. GUHANNALA 22131317903
14669 DHAMTARI NAGRI P.S. BANDHA 22131318101
14670 DHAMTARI NAGRI N. M.S. BANDHA 22131318103
14671 DHAMTARI NAGRI GOVT P.S. PARSAPANI 22131318201
14672 DHAMTARI NAGRI M.S. PARSAPANI 22131318202
14673 DHAMTARI NAGRI GOVT KHNIST P.S. BHESA SANKRA 22131318301
14674 DHAMTARI NAGRI P.S. MONDE 22131318401
14675 DHAMTARI NAGRI M.S.MONDE 22131318402
14676 DHAMTARI NAGRI NAVEN P.S. DALDALI (B) 22131318502
14677 DHAMTARI NAGRI P.S. DEURPARA 22131318601
14678 DHAMTARI NAGRI M.S. SALHEBHAT 22131318702
14679 DHAMTARI NAGRI P.S. SALHEBHAT 22131318703
14680 DHAMTARI NAGRI GOVT.P/S SCHOOL SALHEBHAT 22131318704
14681 DHAMTARI NAGRI P.S. KARRGHATI 22131318801
14682 DHAMTARI NAGRI M.S. KARRGHATI 22131318802
14683 DHAMTARI NAGRI P.S. CHHALAKANI 22131318901
14684 DHAMTARI NAGRI P.S. BASIKHAI 22131319001
14685 DHAMTARI NAGRI P.S. CHANDANBAHRA 22131319101
14686 DHAMTARI NAGRI M.S. CHANDANBAHRA 22131319102
14687 DHAMTARI NAGRI P.S. CHATRRIBAHRA 22131319103
14688 DHAMTARI NAGRI P.S. SAMBALPUR 22131319201
14689 DHAMTARI NAGRI P.S. DOUD-PANDRIPANI 22131319401
14690 DHAMTARI NAGRI P.S. KHALGHAR 22131319501
14691 DHAMTARI NAGRI KNISHT P.S. THOTAJHIRIYA 22131319601
14692 DHAMTARI NAGRI P.S. KAUHABAHRA 22131319701
14693 DHAMTARI NAGRI GOVT. PS KAUHABHAHRA 22131319702
14694 DHAMTARI NAGRI P.S. MATIYABAHRA 22131319901
14695 DHAMTARI NAGRI KNISHT PRIMARY SCHOOL 22131320001
14696 DHAMTARI NAGRI KNISHT P.S. NIRRABEDA 22131320201
14697 DHAMTARI NAGRI K.G.B.V. NIRRABEDA 22131320202
14698 DHAMTARI NAGRI KNISHT P.S. BHIRAGAON 22131320301
14699 DHAMTARI NAGRI P.S. KHAIRBHARRI 22131320401
14700 DHAMTARI NAGRI GOVT. MS KHARBHARRI 22131320402
14701 DHAMTARI NAGRI P.S. KUMHADAKOT 22131320501
14702 DHAMTARI NAGRI M.S. KUMHADAKOT 22131320502
14703 DHAMTARI NAGRI FOREST SCHOOL JHUNJHRAKASA 22131320601
14704 DHAMTARI NAGRI M.S. JHUNJHRAKASA 22131320602
14705 DHAMTARI NAGRI P.S. HARDIBHATA 22131320701
14706 DHAMTARI NAGRI M.S. HARDIBHATA 22131320702
14707 DHAMTARI NAGRI P.S. CHURIYARA 19 22131320801
14708 DHAMTARI NAGRI NAVEEN PS CHURIYARA DIHPARA 22131320802
14709 DHAMTARI NAGRI P.S. BIRANPUR 22131320901
14710 DHAMTARI NAGRI M.S. JANGALPARA NAGRI 22131321102
14711 DHAMTARI NAGRI P.S. BODH SEMRA 22131321201
14712 DHAMTARI NAGRI P.S. SIYARINALA 22131321302
14713 DHAMTARI NAGRI M.S. SIYARINALA 22131321303
14714 DHAMTARI NAGRI P.S. KORRAMUDA 22131321401
14715 DHAMTARI NAGRI M.S. KORRAMUDA 22131321402
14716 DHAMTARI NAGRI P.S. BHOTAPARA 22131321501
14717 DHAMTARI NAGRI M.S. BHOTAPARA 22131321502
14718 DHAMTARI NAGRI ADI. KANYA ASHRAM PS BHOTAPARA 22131321503
14719 DHAMTARI NAGRI P.S. TALPARA 22131321701
14720 DHAMTARI NAGRI NAVEN P.S. PANDRIPANI (R) 22131322301
14721 DHAMTARI NAGRI P.S. CHIPLIPARA 22131322401
14722 DHAMTARI NAGRI M.S. CHIPLIPARA 22131322402
14723 DHAMTARI NAGRI P.S. GONLANALA 22131322601
14724 DHAMTARI NAGRI M.S. GONLANALA 22131322602
14725 DHAMTARI NAGRI NAVEN P.S. PALARIKHAR 22131322701
14726 DHAMTARI NAGRI NAVEN P.S. BEDHWAPATHRA 22131322801
14727 DHAMTARI NAGRI M.S. BEDHWAPATHRA 22131322802
14728 DHAMTARI NAGRI NAVEN P.S. KEREMUDA 22131322901
14729 DHAMTARI NAGRI NAVEN P.S. KHARKHABHARRI 22131323001
14730 DHAMTARI NAGRI M.S. PODAGAON 22131323102
14731 DHAMTARI NAGRI P.S. PODAGANO 22131323103
14732 DHAMTARI NAGRI P.S. RATAWA 22131323201
14733 DHAMTARI NAGRI GOVT. M.S. RATAWA 22131323202
14734 DHAMTARI NAGRI GOVT.GYAN JYOTI SCHOOL RATAVADIH 22131323203
14735 DHAMTARI NAGRI GOVT. P.S. GHATHULA 22131323301
14736 DHAMTARI NAGRI KANYA M.S. GHATHULA 22131323302
14737 DHAMTARI NAGRI BOYS M.S.GHATHULA 22131323306
14738 DHAMTARI NAGRI P.S. RAWANSINGHI 22131323401
14739 DHAMTARI NAGRI P.S. BANROD 22131323601
14740 DHAMTARI NAGRI GOVT. N.M.S. BANROD 22131323602
14741 DHAMTARI NAGRI P.S. GOBINDPUR 22131323701
14742 DHAMTARI NAGRI M.S. GOBINDPUR 22131323702
14743 DHAMTARI NAGRI NAVEN P.S. RAIYATWARI 22131323801
14744 DHAMTARI NAGRI NAVEN P.S. KARHI 22131323901
14745 DHAMTARI NAGRI P.S. MASULKHOI (KARHI) 22131324001
14746 DHAMTARI NAGRI M.S. MASULKHOI 22131324002
14747 DHAMTARI NAGRI EGS P.S. GATABHARRI 22131324101
14748 DHAMTARI NAGRI P.S. GATABAHARA 22131324102
14749 DHAMTARI NAGRI P.S. AAMJHAR 22131324201
14750 DHAMTARI NAGRI M.S. KHADPATHARA 22131324302
14751 DHAMTARI NAGRI NAVEN P.S. UJRAWAN 22131324401
14752 DHAMTARI NAGRI M.S. UJRAWAN 22131324402
14753 DHAMTARI NAGRI P.S. BUDRRA 22131324501
14754 DHAMTARI NAGRI P.S. BUDRAPARA 22131324502
14755 DHAMTARI NAGRI P.S. MAINPUR 22131324601
14756 DHAMTARI NAGRI M.S. MAINPUR 22131324602
14757 DHAMTARI NAGRI KANIST P.S. THEMLIPARA 22131324701
14758 DHAMTARI NAGRI NAVEN P.S. SARANGPURI 22131324801
14759 DHAMTARI NAGRI P.S. RANIGAON 22131324901
14760 DHAMTARI NAGRI M.S. RANIGAON 22131324902
14761 DHAMTARI NAGRI P.S. KHAMHARIYA 22131325001
14762 DHAMTARI NAGRI M.S. KHAMHARIYA 22131325002
14763 DHAMTARI NAGRI P.S. JABARRA 22131325101
14764 DHAMTARI NAGRI NAVEEN M.S. JABARRA 22131325102
14765 DHAMTARI NAGRI P.S. BHENSAMUDA 22131325201
14766 DHAMTARI NAGRI M.S. BHENSAMUDA 22131325202
14767 DHAMTARI NAGRI ADIVASI KANYA ASRAM PS BHESAMU 22131325203
14768 DHAMTARI NAGRI P.S. CHARGAON 22131325301
14769 DHAMTARI NAGRI M.S. CHARGAON 22131325302
14770 DHAMTARI NAGRI NAVIN P/S SCHOOL CHARGAON 22131325303
14771 DHAMTARI NAGRI GYAN JYOTI VIDYALAY NAYAPARA 22131325402
14772 DHAMTARI NAGRI P.S. CHINWARI 22131325501
14773 DHAMTARI NAGRI GOVT. PS TIKARAPARA CHIWARI 22131325502
14774 DHAMTARI NAGRI P.S. GEETKARMUDA 22131325601
14775 DHAMTARI NAGRI P.S. TENGNA 22131325701
14776 DHAMTARI NAGRI GOVT. M.S. TENGNA 22131325702
14777 DHAMTARI NAGRI P.S. BELARBAHRA 22131325801
14778 DHAMTARI NAGRI GOVT. M.S. BELARBAHRA 22131325802
14779 DHAMTARI NAGRI P.S. BOIRGAON 22131325803
14780 DHAMTARI NAGRI GYAN JYOTI KASALOR P/S 22131325805
14781 DHAMTARI NAGRI P.S. GHOTGAO 22131326001
14782 DHAMTARI NAGRI GOVT. M.S. GHOTGAO 22131326002
14783 DHAMTARI NAGRI ADIVASI KANYA ASRAM PS GHOTGAO 22131326003
14784 DHAMTARI NAGRI P.S. DABGAON 22131326101
14785 DHAMTARI NAGRI P.S. ACHOLI 22131326201
14786 DHAMTARI NAGRI NAVEN P.S. SARANGPURI (KAREHA) 22131326301
14787 DHAMTARI NAGRI P.S. SANKARA CHIWARI 22131326401
14788 DHAMTARI NAGRI M.S. SANKRA (CHIWARRI) 22131326405
14789 DHAMTARI NAGRI P.S. AMDI 22131326501
14790 DHAMTARI NAGRI ASHRAM P.S. DUGALI 22131326601
14791 DHAMTARI NAGRI P.S. DUGALI 22131326602
14792 DHAMTARI NAGRI M.S. DUGALI 22131326603
14793 DHAMTARI NAGRI ASHRAM M.S. DUGALI 22131326604
14794 DHAMTARI NAGRI P.S. BIRANPARA 22131326607
14795 DHAMTARI NAGRI GOVT KANYA PARISAR DUGLI 22131326609
14796 DHAMTARI NAGRI GOVT. P.S. SARAITOLA (B) 22131326801
14797 DHAMTARI NAGRI P.S. CHANAAON 22131327001
14798 DHAMTARI NAGRI M.S. CHANAAON 22131327002
14799 DHAMTARI NAGRI GOVT. P.S. CHINDBHARRI 22131327101
14800 DHAMTARI NAGRI P.S. CHINDITOLA 22131327201
14801 DHAMTARI NAGRI NAVEN P.S. BHISAMPURI 22131327301
14802 DHAMTARI NAGRI P.S. BOKRABEDA 22131327401
14803 DHAMTARI NAGRI M.S. BOKRABEDA 22131327402
14804 DHAMTARI NAGRI P.S. GAJKANHAR 22131327501
14805 DHAMTARI NAGRI P.S. JORATARAI 22131327601
14806 DHAMTARI NAGRI NAVEN P.S. BANSPARA 22131327801
14807 DHAMTARI NAGRI P.S. MAFARDONA 22131327901
14808 DHAMTARI NAGRI M.S. MAKARDONA 22131327902
14809 DHAMTARI NAGRI P.S. MUKUNDPUR 22131328001
14810 DHAMTARI NAGRI N.P.S. AMLEEPARA (MUKUNDPUR) 22131328002
14811 DHAMTARI NAGRI P.S. SADAKPARA MUKUNDPUR 22131328003
14812 DHAMTARI NAGRI P.S. DUGLIPARA MUKUNDPUR 22131328004
14813 DHAMTARI NAGRI P.S. MUNDRAPARA MUKUNDPUR 22131328005
14814 DHAMTARI NAGRI P.S. BHATKAPARA MUKUNDPUR 22131328006
14815 DHAMTARI NAGRI P.S. KHAMNAPARA MUKUNDPUR 22131328007
14816 DHAMTARI NAGRI P.S. KATTIGAON 22131328101
14817 DHAMTARI NAGRI MS KATTIGAON 22131328102
14818 DHAMTARI NAGRI NAVEN P.S. BHATHKHAR PANDRIPAN 22131328201
14819 DHAMTARI NAGRI NAVEN P.S. BHEJRIRAWAN (SEMRA) 22131328301
14820 DHAMTARI NAGRI NAVEN P.S. BRAMHANBAHRA 22131328401
14821 DHAMTARI NAGRI NAVEN P.S. BENDRAPANI 22131328501
14822 DHAMTARI NAGRI GOVT. P.S. BAGRUMNALA 22131328601
14823 DHAMTARI NAGRI M.S. BAGRUMNALA 22131328602
14824 DHAMTARI NAGRI P.S. DEHEPARA SEMARA 22131328801
14825 DHAMTARI NAGRI GOVT. P.S. GADHDONGRI (MAAL) 22131328901
14826 DHAMTARI NAGRI M. S. GADHDONGRI (MAAL) 22131328902
14827 DHAMTARI NAGRI N.P.S. NACHKARPARA (MAAL.) 22131328903
14828 DHAMTARI NAGRI P.S. JOGIBIRDO (AMJHAR) 22131329101
14829 DHAMTARI NAGRI M.S. JOGIBIRDO 22131329102
14830 DHAMTARI NAGRI P.S. BAHIGAON 22131329201
14831 DHAMTARI NAGRI NAVEEN P.S. MOHMALLA (RAI) 22131329301
14832 DHAMTARI NAGRI NAVEEN P.S. GUDRAPARA 22131329401
14833 DHAMTARI NAGRI NAVEEN P.S. BEHRDAPARA 22131329501
14834 DHAMTARI NAGRI NAVEEN P.S. KAMARPARA 22131329601
14835 DHAMTARI NAGRI GOVT. P.S. PATHARRIDIH 22131329701
14836 DHAMTARI NAGRI P.S. BUDARAO 22131329801
14837 DHAMTARI NAGRI P.S. KOTABHRRI 22131330001
14838 DHAMTARI NAGRI PS G.J.V.KAMARPARA KOTA BHARRI 22131330002
14839 DHAMTARI NAGRI N.P.S. CHACHANWAHI 22131330101
14840 DHAMTARI NAGRI UNN. P.S. GADULBAHRA 22131330201
14841 DHAMTARI NAGRI EGS P.S. BASIN 22131330401
14842 DHAMTARI NAGRI P.S. PANDRIDABRI 22131330501
14843 DHAMTARI NAGRI S.G. P.S. BARPADR 22131330601
14844 DHAMTARI NAGRI P.S. MADAGIRI 22131330701
14845 DHAMTARI NAGRI UNN. P.S. CHHINDPARA (SANKRA) 22131331101
14846 DHAMTARI NAGRI P.S. MOTIMDEEH 22131331201
14847 DHAMTARI NAGRI P.S. HEERAPUR 22131331301
14848 DHAMTARI NAGRI UNN. P.S. NAYAPARA (TANGA) 22131331901
14849 DHAMTARI NAGRI EGS P.S. KAMARTOLA (SIYARI) 22131332001
14850 DHAMTARI NAGRI UNN. P.S. PODIDEEH 22131332101
14851 DHAMTARI NAGRI P.S. KARIPANI 22131332201
14852 DHAMTARI NAGRI P.S. KOTPARA (BORAI) 22131332301
14853 DHAMTARI NAGRI M.S. KOTPARA 22131332302
14854 DHAMTARI NAGRI EGS KUKRIKONHA 22131332401
14855 DHAMTARI NAGRI UNN. P.S. KUPAPARA 22131332501
14856 DHAMTARI NAGRI N.P.S. RAMNAGAR SANKRA 22131332601
14857 DHAMTARI NAGRI UNN. P.S. KORMUDPARA 22131332701
14858 DHAMTARI NAGRI P.S. CHHIPLEE 22131332801
14859 DHAMTARI NAGRI UNN. P.S. JANGLPARA CHHIPLEE 22131332802
14860 DHAMTARI NAGRI N.M.S. CHHIPLEE 22131332803
14861 DHAMTARI NAGRI N.P.S. DONGAREEPARA (SIHAWA) 22131332901
14862 DHAMTARI NAGRI P.S. CHAMENDA (KH) 22131333001
14863 DHAMTARI NAGRI P.S. FUDHARDHAP 22131333101
14864 DHAMTARI NAGRI P.S. SAYFANPARA 22131333201
14865 DHAMTARI NAGRI UNN. P.S. BHATLAPARA 22131333301
14866 DHAMTARI NAGRI UNN. P.S. HURAWAPARA 22131333401
14867 DHAMTARI NAGRI GOVT.P.S.NAYAADIH(DARGAHAN) 22131333601
14868 DHAMTARI NAGRI GYAN JYOTI P.S. FUTHAMUDA 22131334501
14869 DURG DHAMDHA GOVT P.S. BORI 22100600101
14870 DURG DHAMDHA GOVT GIRLS P.S. BORI 22100600102
14871 DURG DHAMDHA GOVT MS BORI 22100600103
14872 DURG DHAMDHA GOVT P.S. DANIA 22100600201
14873 DURG DHAMDHA GOVT MS DANIA 22100600202
14874 DURG DHAMDHA GOVT P.S. DOMA 22100600301
14875 DURG DHAMDHA GOVT P.S. PHUNDA 22100600401
14876 DURG DHAMDHA GOVT P.S. PARSDAKURD 22100600501
14877 DURG DHAMDHA GOVT MS PARSDAKURD (SSA) 22100600502
14878 DURG DHAMDHA GOVT P.S. TUMAKURD 22100600601
14879 DURG DHAMDHA GOVT NAVIN P.S. TUMAKURD 22100600602
14880 DURG DHAMDHA GOVT MS TUMAKURD (SSA) 22100600603
14881 DURG DHAMDHA GOVT P.S. KHILORAKALA 22100600701
14882 DURG DHAMDHA GOVT M.S. KHILORAKALA (SSA) 22100600702
14883 DURG DHAMDHA GOVT P.S. MANDIR KHILORA 22100600801
14884 DURG DHAMDHA GOVT P.S. TUMAKALA 22100600901
14885 DURG DHAMDHA GOVT MS TUMAKALA 22100600902
14886 DURG DHAMDHA GOVT P.S. GADAGHAT 22100601001
14887 DURG DHAMDHA GOVT P.S. GHASARA 22100601101
14888 DURG DHAMDHA GOVT P.S. HIRRI 22100601201
14889 DURG DHAMDHA GOVT MS HIRRI 22100601202
14890 DURG DHAMDHA GOVT P.S. MADIYAPAR 22100601301
14891 DURG DHAMDHA GOVT P.S. KHARRA 22100601401
14892 DURG DHAMDHA GOVT P.S. SEWATI 22100601501
14893 DURG DHAMDHA GOVT P.S. POTIYA 22100601601
14894 DURG DHAMDHA GOVT P.S. POTIYA 22100601602
14895 DURG DHAMDHA GOVT P.S. ROWTA 22100601701
14896 DURG DHAMDHA GOVT P.S. TEMARI 22100601801
14897 DURG DHAMDHA GOVT MS TEMARI 22100601802
14898 DURG DHAMDHA GOVT P.S. BERAJHAR 22100601901
14899 DURG DHAMDHA GOVT MS BERAJHAR (SSA) 22100601902
14900 DURG DHAMDHA GOVT P.S. PARSDAPAR 22100602001
14901 DURG DHAMDHA GOVT P.S. HASDA 22100602101
14902 DURG DHAMDHA GOVT MS HASDA (SSA) 22100602102
14903 DURG DHAMDHA GOVT P.S. CHIKLA 22100602201
14904 DURG DHAMDHA GOVT P.S. AARSI 22100602301
14905 DURG DHAMDHA GOVT MS AARSI 22100602302
14906 DURG DHAMDHA GOVT P.S. SUKHARIKALA 22100602401
14907 DURG DHAMDHA GOVT MS SUKHARIKALA (SSA) 22100602402
14908 DURG DHAMDHA GOVT P.S. SHUKRIKURD 22100602501
14909 DURG DHAMDHA GOVT P.S. DAURKONA 22100602601
14910 DURG DHAMDHA GOVT P.S. DODKI 22100602701
14911 DURG DHAMDHA GOVT P.S. CHICHA 22100602801
14912 DURG DHAMDHA GOVT MS CHICHA 22100602803
14913 DURG DHAMDHA GOVT P.S. JOGIGUFA 22100602901
14914 DURG DHAMDHA GOVT P.S. LITIYA 22100603001
14915 DURG DHAMDHA GOVT MS LITIYA 22100603003
14916 DURG DHAMDHA GOVT P.S. SENERIYA 22100603101
14917 DURG DHAMDHA GOVT NAVIN PS SENERIYA 22100603102
14918 DURG DHAMDHA GOVT P.S. AAGAR 22100603201
14919 DURG DHAMDHA GOVT MS AAGAR (SSA) 22100603202
14920 DURG DHAMDHA GOVT P.S. HIRETARA 22100603301
14921 DURG DHAMDHA GOVT MS HIRETARA (SSA) 22100603302
14922 DURG DHAMDHA GOVT P.S. PENDRAWAN 22100603401
14923 DURG DHAMDHA GOVT MS PENDRAWAN 22100603402
14924 DURG DHAMDHA GOVT P.S. KONKA 22100603501
14925 DURG DHAMDHA GOVT P.S. PAGBANDHI 22100603601
14926 DURG DHAMDHA GOVT P.S. BIREBHAT 22100603701
14927 DURG DHAMDHA GOVT P.S. ACHOLI 22100603801
14928 DURG DHAMDHA GOVT P.S. PARASKOL 22100603901
14929 DURG DHAMDHA GOVT P.S. AKOLI 22100604001
14930 DURG DHAMDHA GOVT MS AKOLI (SSA) 22100604002
14931 DURG DHAMDHA GOVT P.S. BORPA 22100604101
14932 DURG DHAMDHA GOVT MS BORPA (SSA) 22100604102
14933 DURG DHAMDHA GOVT P.S. BHILORI 22100604201
14934 DURG DHAMDHA GOVT P.S. TELKA 22100604301
14935 DURG DHAMDHA GOVT BOYS P.S. MENDESARA 22100604401
14936 DURG DHAMDHA GOVT GIRLS P.S. MENDESARA 22100604402
14937 DURG DHAMDHA GOVT BOYS MS MENDESARA 22100604403
14938 DURG DHAMDHA GOVT GIRLS MS MENDESARA (SSA) 22100604405
14939 DURG DHAMDHA GOVT GIRLS P.S. KODIYA 22100604501
14940 DURG DHAMDHA GOVT BOYS P.S. KODIYA 22100604502
14941 DURG DHAMDHA GOVT MS KODIYA 22100604503
14942 DURG DHAMDHA GOVT P.S. SAGNI 22100604601
14943 DURG DHAMDHA GOVT MS SAGNI (SSA) 22100604602
14944 DURG DHAMDHA GOVT P.S. PARSADA 22100604701
14945 DURG DHAMDHA SHIKSHA GARANTY P.S. (SSA) 22100604801
14946 DURG DHAMDHA GOVT P.S. PATHARIYA ME. 22100604901
14947 DURG DHAMDHA GOVT MS PATHARIYA ME. 22100604904
14948 DURG DHAMDHA GOVT P.S. SAHAGAON 22100605001
14949 DURG DHAMDHA GOVT P.S. JANJAGIRI 22100605101
14950 DURG DHAMDHA GOVT MS JANJAGIRI 22100605102
14951 DURG DHAMDHA GOVT P.S. PATHRA 22100605201
14952 DURG DHAMDHA GOVT P.S. JARWAY 22100605302
14953 DURG DHAMDHA GOVT MS JARWAY 22100605303
14954 DURG DHAMDHA GOVT P.S. SURDUNG 22100605402
14955 DURG DHAMDHA GOVT MS SURDUNG 22100605403
14956 DURG DHAMDHA GOVT P.S. DADAR 22100605501
14957 DURG DHAMDHA GOVT P.S. NANDORI 22100605601
14958 DURG DHAMDHA GOVT MS NANDORI 22100605602
14959 DURG DHAMDHA GOVT P.S. RINGNI 22100605701
14960 DURG DHAMDHA GOVT P.S. KHERDA 22100605801
14961 DURG DHAMDHA GOVT MS KHERDA (SSA) 22100605803
14962 DURG DHAMDHA GOVT P.S. RUHA 22100605901
14963 DURG DHAMDHA GOVT P.S. PENDRI 22100606001
14964 DURG DHAMDHA GOVT P.S. RONDA 22100606101
14965 DURG DHAMDHA GOVT MS RONDA 22100606102
14966 DURG DHAMDHA GOVT P.S. SALHAIKHURD 22100606201
14967 DURG DHAMDHA GOVT MS SALHAIKHURD (SSA) 22100606202
14968 DURG DHAMDHA GOVT P.S. NAWAGAON (RONDA) 22100606301
14969 DURG DHAMDHA GOVT P.S. MUDPAR 22100606402
14970 DURG DHAMDHA GOVT P.S. DHUMA 22100606501
14971 DURG DHAMDHA GOVT P.S. KHAIRGHITI 22100606601
14972 DURG DHAMDHA GOVT NAVIN P.S. DHIHPARA 22100606701
14973 DURG DHAMDHA GOVT P.S. BHATAKOKDI 22100606801
14974 DURG DHAMDHA GOVT MS BHATAKOKDI (SSA) 22100606802
14975 DURG DHAMDHA GOVT P.S. GHOTA 22100606901
14976 DURG DHAMDHA GOVT MS GHOTA 22100606902
14977 DURG DHAMDHA GOVT P.S. GHOTWANI 22100607001
14978 DURG DHAMDHA GOVT MS GHOTWANI 22100607003
14979 DURG DHAMDHA GOVT P.S. MALPURI KALA 22100607101
14980 DURG DHAMDHA GOVT MS MALPURI KALA 22100607102
14981 DURG DHAMDHA GOVT P.S. OTEBANDH 22100607201
14982 DURG DHAMDHA GOVT PS LAHANGA 22100607301
14983 DURG DHAMDHA GOVT P.S. KHERDI 22100607401
14984 DURG DHAMDHA GOVT MS KHERDI (SSA) 22100607402
14985 DURG DHAMDHA GOVT P.S. KAPSADA 22100607501
14986 DURG DHAMDHA GOVT MS KAPSADA 22100607505
14987 DURG DHAMDHA GOVT NAVIN PS AKOLA 22100607601
14988 DURG DHAMDHA GOVT PS AKOLA 22100607602
14989 DURG DHAMDHA GOVTMS AKOLA (SSA) 22100607603
14990 DURG DHAMDHA GOVT PS BORSI 22100607701
14991 DURG DHAMDHA GOVT PS ACHOTI 22100607801
14992 DURG DHAMDHA GOVT PS DHOR 22100607901
14993 DURG DHAMDHA GOVT PS GODI 22100608001
14994 DURG DHAMDHA GOVT GIRLS PS GODI 22100608002
14995 DURG DHAMDHA GOVT M.S. GODI 22100608003
14996 DURG DHAMDHA SHIKSHA GARANTI SHALA 22100608005
14997 DURG DHAMDHA GOVT GIRLS PS KUMHARI 22100608101
14998 DURG DHAMDHA GOVT BOYS PS KUMHARI 22100608103
14999 DURG DHAMDHA GOVT MS KUMHARI 22100608106
15000 DURG DHAMDHA GOVT. M.S.KUMHARI (SSA) 22100608111
15001 DURG DHAMDHA GOVT PS CHORHA (RAMPUR) 22100608201
15002 DURG DHAMDHA GOVT MS CHORHA (RAMPUR) (SSA) 22100608202
15003 DURG DHAMDHA GOVT PS KHAPRI 22100608301
15004 DURG DHAMDHA GOVT PS KHAPRI 22100608302
15005 DURG DHAMDHA GOVT PS KHAPRI 22100608303
15006 DURG DHAMDHA GOVT PS PANCHDEVARI 22100608401
15007 DURG DHAMDHA GOVT PS SANKARA 22100608501
15008 DURG DHAMDHA GOVT MS SANKARA (SSA) 22100608502
15009 DURG DHAMDHA GOVT PS DHABA 22100608601
15010 DURG DHAMDHA GOVT MS DHABA 22100608602
15011 DURG DHAMDHA GOVT PS MURRA 22100608701
15012 DURG DHAMDHA GOVT PS LIMTARA 22100608801
15013 DURG DHAMDHA GOVT MS LIMTARA 22100608802
15014 DURG DHAMDHA GOVT PS KANDARAKA 22100608901
15015 DURG DHAMDHA GOVT M.S. KANDARKA (SSA) 22100608902
15016 DURG DHAMDHA GOVT PS SURGIDIH 22100609001
15017 DURG DHAMDHA GOVT PS KHASADIH 22100609101
15018 DURG DHAMDHA GOVT MS AHIWARA 22100609203
15019 DURG DHAMDHA GOVT GIRLS PS AHIWARA 22100609206
15020 DURG DHAMDHA GOVT GIRLS M.S. AHIWARA (SSA) 22100609207
15021 DURG DHAMDHA GOVT BOYS P.S. AHIWARA 22100609208
15022 DURG DHAMDHA GOVT PS BANBARAD 22100609301
15023 DURG DHAMDHA GOVT MS BANBARAD 22100609302
15024 DURG DHAMDHA GOVT PS SANDI 22100609401
15025 DURG DHAMDHA GOVT PS DEVARJHAL 22100609501
15026 DURG DHAMDHA GOVT PS BIRHEBHAT 22100609601
15027 DURG DHAMDHA GOVT MS BIRHEBHAT (SSA) 22100609602
15028 DURG DHAMDHA GOVT PS AHARI 22100609701
15029 DURG DHAMDHA GOVT MS AHARI 22100609702
15030 DURG DHAMDHA GOVT PS BAGDUMAR 22100609801
15031 DURG DHAMDHA (GOVT AID) HEMANT PS NANDINI NAGER 22100609901
15032 DURG DHAMDHA GOVT P.S. MOTIMPUR 22100610001
15033 DURG DHAMDHA GOVT PS SONESARAR 22100610101
15034 DURG DHAMDHA GOVT MS SONESARAR (SSA) 22100610102
15035 DURG DHAMDHA GOVT PS MAHARAJPUR 22100610201
15036 DURG DHAMDHA GOVT PS DHMADHA 22100610303
15037 DURG DHAMDHA GOVT GIRLS PS DHMADHA 22100610304
15038 DURG DHAMDHA GOVT NAVIN PS DHMADHA 22100610305
15039 DURG DHAMDHA GOVT PS TAMERPARA DHAMDHA 22100610306
15040 DURG DHAMDHA GOVT BOYS MS DHAMDHA 22100610307
15041 DURG DHAMDHA GOVT GIRLS MS DHAMDHA 22100610313
15042 DURG DHAMDHA GOVT MS TAMERPARA DHAMDHA 22100610314
15043 DURG DHAMDHA GOVT PS TITURGHAT 22100610401
15044 DURG DHAMDHA GOVT NAVIN MS TITURGHAT 22100610402
15045 DURG DHAMDHA GOVT NAVIN PS DANGANHIA 22100610501
15046 DURG DHAMDHA GOVT PS SIRNABHATA (SSA) 22100610502
15047 DURG DHAMDHA GOVT PS BIRJHAPUR 22100610601
15048 DURG DHAMDHA GOVT. GANDHI GYAN MANDIR M.S. (SSA) 22100610602
15049 DURG DHAMDHA GOVT PS RAJPUR 22100610701
15050 DURG DHAMDHA GOVT LATE SORIJI MS RAJPUR 22100610702
15051 DURG DHAMDHA GOVT PS BARHAPUR 22100610801
15052 DURG DHAMDHA GOVT MS BARHAPUR 22100610803
15053 DURG DHAMDHA GOVT PS RAKSHA 22100610901
15054 DURG DHAMDHA GOVT PS JATAGARRA 22100611001
15055 DURG DHAMDHA GOVT MS JATAGARRA (SSA) 22100611002
15056 DURG DHAMDHA GOVT PS PARSBOD 22100611101
15057 DURG DHAMDHA GOVT MS PARSBOD (SSA) 22100611102
15058 DURG DHAMDHA GOVT PS KUTHA 22100611201
15059 DURG DHAMDHA GOVT PS DHARMPURA 22100611301
15060 DURG DHAMDHA GOVT PS PENDRI (K.) 22100611401
15061 DURG DHAMDHA GOVT MS PENDRI (K.) (SSA) 22100611402
15062 DURG DHAMDHA GOVT PS DEVARI 22100611501
15063 DURG DHAMDHA GOVT MS DEVARI 22100611502
15064 DURG DHAMDHA GOVT PS BHIBHORI 22100611601
15065 DURG DHAMDHA GOVT PS BHARNI 22100611701
15066 DURG DHAMDHA GOVT PS NANDWAY 22100611801
15067 DURG DHAMDHA GOVT MS NANDWAY (SSA) 22100611802
15068 DURG DHAMDHA GOVT PS NADELI 22100611901
15069 DURG DHAMDHA GOVT P.S. PENDRI (GO.) 22100612001
15070 DURG DHAMDHA GOVT MS PENDRI (GO.) 22100612002
15071 DURG DHAMDHA GOVT PS GOBRA 22100612101
15072 DURG DHAMDHA GOVT PS NAWAGAON 22100612201
15073 DURG DHAMDHA GOVT PS RAHTADAH 22100612301
15074 DURG DHAMDHA GOVT MS RAHTADAH (SSA) 22100612302
15075 DURG DHAMDHA GOVT PS SILLI 22100612401
15076 DURG DHAMDHA GOVT MS SILLI (SSA) 22100612402
15077 DURG DHAMDHA GOVT PS PARSULI 22100612501
15078 DURG DHAMDHA GOVT PS BASNI 22100612601
15079 DURG DHAMDHA GOVT PS KARELI (DA.) 22100612701
15080 DURG DHAMDHA GOVT MS KARELI (DA.) 22100612702
15081 DURG DHAMDHA GOVT PS KANHARPURI 22100612801
15082 DURG DHAMDHA GOVT MS KANHARPURI 22100612802
15083 DURG DHAMDHA GOVT PS PARODA 22100612901
15084 DURG DHAMDHA GOVT PS DARGAON 22100613001
15085 DURG DHAMDHA GOVT MS DARGAON 22100613002
15086 DURG DHAMDHA GOVT. P.S. KHAJRI 22100613201
15087 DURG DHAMDHA GOVT.MS KHAJRI (SSA) 22100613202
15088 DURG DHAMDHA GOVT. PS THENGABHATH 22100613301
15089 DURG DHAMDHA GOVT. P.S. MOHLAI 22100613401
15090 DURG DHAMDHA GOVT. M.S. MOHLAI 22100613402
15091 DURG DHAMDHA GOVT. P.S. TATIYA 22100613501
15092 DURG DHAMDHA GOVT. P.S. CHIRAHI 22100613601
15093 DURG DHAMDHA GOVT PS MOHRANGA 22100613701
15094 DURG DHAMDHA GOVT MS MOHRANGA 22100613702
15095 DURG DHAMDHA GOVT PS DHORABHATA 22100613801
15096 DURG DHAMDHA GOVT PS TARKORI 22100613901
15097 DURG DHAMDHA GOVT MS TARKORI (SSA) 22100613902
15098 DURG DHAMDHA GOVT. P.S. KANDAI 22100614001
15099 DURG DHAMDHA GOVT PS MATRA 22100614101
15100 DURG DHAMDHA GOVT MS MATRA 22100614102
15101 DURG DHAMDHA GOVT P.S. GOTA 22100614201
15102 DURG DHAMDHA GOVT PS HARDI 22100614301
15103 DURG DHAMDHA GOVT PS PURDA 22100614401
15104 DURG DHAMDHA GOVT MS PURDA 22100614402
15105 DURG DHAMDHA GOVT. P.S. CHOTE PURDA 22100614501
15106 DURG DHAMDHA GOVT.MS CHOTE PURDA (SSA) 22100614502
15107 DURG DHAMDHA GOVT. PS GADADIH 22100614601
15108 DURG DHAMDHA GOVT PS SILTARA 22100614701
15109 DURG DHAMDHA GOVT .MS SILTARA (SSA) 22100614702
15110 DURG DHAMDHA GOVT. P.S. TEKAPAR 22100614801
15111 DURG DHAMDHA GOVT PS NAWAGAON (PURDA) 22100614901
15112 DURG DHAMDHA GOVT MS NAWAGAON (PURDA) 22100614902
15113 DURG DHAMDHA GOVT PS NARDHA 22100615001
15114 DURG DHAMDHA GOVT MS NARDHA 22100615002
15115 DURG DHAMDHA GOVT. P.S. MOHDI 22100615101
15116 DURG DHAMDHA GOVT PS CHATUWA 22100615201
15117 DURG DHAMDHA GOVT PS MURMUNDA 22100615301
15118 DURG DHAMDHA GOVT MS MURMUNDA 22100615302
15119 DURG DHAMDHA GOVT PS OKHRA 22100615401
15120 DURG DHAMDHA GOVT PS DHORKALA 22100615501
15121 DURG DHAMDHA GOVT NAVIN MS DHORKALA 22100615502
15122 DURG DHAMDHA GOVT PS HINGNADIH 22100615601
15123 DURG DHAMDHA GOVT PS PAHARA 22100615701
15124 DURG DHAMDHA GOVT M.S.PAHARA (SSA) 22100615703
15125 DURG DHAMDHA GOVT PS GHATIYA KHURD 22100615801
15126 DURG DHAMDHA GOVT PS GIRHOLA 22100615901
15127 DURG DHAMDHA GOVT MS GIRHOLA 22100615902
15128 DURG DHAMDHA GOVT PS PENDRITARAI 22100616001
15129 DURG DHAMDHA GOVT M.S PENDRITARAI (SSA) 22100616002
15130 DURG DHAMDHA GOVT PS DUMAR 22100616201
15131 DURG DHAMDHA GOVT MS DUMAR 22100616203
15132 DURG DHAMDHA GOVT PS KOKDI 22100616301
15133 DURG DHAMDHA GOVT PS KARHIDIH 22100616401
15134 DURG DHAMDHA GOVT PS MALPURIKHURD 22100616502
15135 DURG DHAMDHA GOVT PS DANIKOKDI 22100616601
15136 DURG DHAMDHA GOVT MS DANIKOKDI 22100616602
15137 DURG DHAMDHA GOVT MS NANDINI KHUNDINI 22100616701
15138 DURG DHAMDHA GOVT P.S NANDINI KHUNDINI 22100616702
15139 DURG DHAMDHA GOVT PS KHILORAKURD 22100616901
15140 DURG DHAMDHA GOVT PS BIRODA 22100617001
15141 DURG DHAMDHA GOVT MS BIRODA 22100617002
15142 DURG DHAMDHA GOVT PS KARELI 22100617101
15143 DURG DHAMDHA GOVT PS PATHARIYA (DOMA) 22100617201
15144 DURG DHAMDHA GOVT MS PATHARIYA (DOMA) (SSA) 22100617202
15145 DURG DHAMDHA GOVT. P.S. POTIYA 22100617301
15146 DURG DHAMDHA GOVT M.S. POTIYA (SSA) 22100617302
15147 DURG DHAMDHA GOVT PS MUDPAR 22100617601
15148 DURG DHAMDHA GOVT MS MUDPAR (SSA) 22100617602
15149 DURG DHAMDHA GOVT.BOYS.P.S SEMARIYA 22100617701
15150 DURG DHAMDHA GOVT MS.SEMARIYA 22100617702
15151 DURG DHAMDHA GOVT . GIRLS PS SEMARIYA 22100617703
15152 DURG DHAMDHA GOVT.P.S DHIKUDIYA 22100618101
15153 DURG DHAMDHA GOVT P.S. PITAURA 22100618201
15154 DURG DHAMDHA GOVT MS PITAURA (SSA) 22100618202
15155 DURG DHAMDHA GOVT PS CHOTE AAGAR (SSA) 22100618301
15156 DURG DURG GOVT PRIMARY SCHOOL HANODA 22100700101
15157 DURG DURG GOVT GIRLS PRIMARY SCHOOL HANODA 22100700102
15158 DURG DURG GOVT UPPER PRIMARY SCHOOL HANODA 22100700103
15159 DURG DURG GOVT PRIMARY SCHOOL UMARPOTI 22100700201
15160 DURG DURG GOVT PRIMARY SCHOOL NAVIN UMARPOTI 22100700202
15161 DURG DURG GOVT UPPER PRIMARY SCHOOL UMARPOTI 22100700203
15162 DURG DURG GOVT PRIMARY SCHOOL RISALI 22100700301
15163 DURG DURG GOVT UPPER PRIMARY SCHOOL RISALI 22100700302
15164 DURG DURG GOVT PRIMARY SCHOOL DHANORA 22100700401
15165 DURG DURG GOVT GIRLS UPPER PRIMARY SCHOOL DHANORA 22100700402
15166 DURG DURG GOVT UPPER PRIMARY SCHOOL DHANORA 22100700403
15167 DURG DURG GOVT PRIMARY SCHOOL RUABANDHA 22100700501
15168 DURG DURG GOVT PRIMARY SCHOOL NAVIN RUWABANDHA 22100700503
15169 DURG DURG GOVT UPPER PRIMARY SCHOOL RUABANDHA 22100700505
15170 DURG DURG GOVT. MS STATION MARODA 22100700606
15171 DURG DURG GOVT. PS MARODA TANK BHILAI 22100700702
15172 DURG DURG GOVT. MS B.R.P. MAHUWARI MARODA 22100700703
15173 DURG DURG GOVT. PS B.R.P. MAHUWARI MARODA 22100700704
15174 DURG DURG GOVT. MS SEC. - 4, BHILAI 22100700705
15175 DURG DURG GOVT. PS HOSPITAL SEC.- 9, BHILAI 22100700707
15176 DURG DURG GOVT PRIMARY SCHOOL UTAI 22100701101
15177 DURG DURG GOVT PRIMARY SCHOOL UTAI (BOYS) 22100701102
15178 DURG DURG GOVT GIRLS PRIMARY SCHOOL UTAI 22100701103
15179 DURG DURG GOVT UPPER PRIMARY SCHOOL UTAI 22100701104
15180 DURG DURG GOVT GIRLS UPPER PRIMARY SCHOOL UTAI 22100701105
15181 DURG DURG GOVT UPPER PRIMARY SCHOOL GHUGHASIDIH 22100701111
15182 DURG DURG GOVT MS GHASIDASH NAGAR (J.B) 22100701112
15183 DURG DURG GOVT UPPER PRIMARY SCHOOL DUMARDIH 22100701113
15184 DURG DURG GOVT PRIMARY SCHOOL JORATARAI 22100701201
15185 DURG DURG GOVT UPPER PRIMARY SCHOOL JORATARAI 22100701202
15186 DURG DURG GOVT PRIMARY SCHOOL DUNDERA 22100701301
15187 DURG DURG GOVT GIRLS PRIMARY SCHOOL DUNDERA 22100701302
15188 DURG DURG GOVT UPPER PRIMARY SCHOOL DUNDERA 22100701303
15189 DURG DURG GOVT PRIMARY SCHOOL DUMARDIH 22100701401
15190 DURG DURG GOVT PRIMARY SCHOOL ADARSH NAGAR UTAI 22100701501
15191 DURG DURG TALEEMUL KARRAN MADARSHA 22100701519
15192 DURG DURG GOVT PRIMARY SCHOOL KHOPALI 22100701601
15193 DURG DURG GOVT GIRLS PRIMARY SCHOOL KHOPALI 22100701602
15194 DURG DURG GOVT UPPER PRIMARY SCHOOL KHOPALI 22100701603
15195 DURG DURG GOVT PRIMARY SCHOOL KASIDIH KHOPALI 22100701701
15196 DURG DURG GOVT PRIMARY SCHOOL G D NAGAR GHUGHSIDIH 22100701801
15197 DURG DURG GOVT PRIMARY SCHOOL GHUGHASIDIH 22100701901
15198 DURG DURG GOVT PRIMARY SCHOOL KATRO 22100702001
15199 DURG DURG GOVT UPPER PRIMARY SCHOOL KATRO 22100702002
15200 DURG DURG GOVT PRIMARY SCHOOL MATRODIH 22100702101
15201 DURG DURG GOVT UPPER PRIMARY SCHOOL PURAI 22100702201
15202 DURG DURG GOVT PRIMARY SCHOOL PRONNAT PURAI 22100702202
15203 DURG DURG GOVT PRIMARY SCHOOL PURAI 22100702203
15204 DURG DURG GOVT UPPER PRIMARY SCHOOL PAUWARA 22100702301
15205 DURG DURG GOVT PRIMARY SCHOOL PAUWARA 22100702302
15206 DURG DURG GOVT UPPER PRIMARY SCHOOL KODIYA 22100702401
15207 DURG DURG GOVT PRIMARY SCHOOL KODIYA 22100702402
15208 DURG DURG GOVT PRIMARY SCHOOL KOKADI 22100702501
15209 DURG DURG GOVT UPPER PRIMARY SCHOOL KOKADI 22100702502
15210 DURG DURG GOVT PRIMARY SCHOOL KARGADIH 22100702601
15211 DURG DURG GOVT PRIMARY SCHOOL BORIDIH 22100702701
15212 DURG DURG GOVT UPPER PRIMARY SCHOOL BORIGARKA 22100702801
15213 DURG DURG GOVT PRIMARY SCHOOL BORIGARKA 22100702802
15214 DURG DURG GOVT PRIMARY SCHOOL KHAMARIYA 22100702901
15215 DURG DURG GOVT UPPER PRIMARY SCHOOL KHAMARIYA 22100702902
15216 DURG DURG GOVT GIRLS UPPER PRIMARY SCHOOL KUTHRAIL 22100703001
15217 DURG DURG GOVT UPPER PRIMARY SCHOOL KUTHRAIL 22100703002
15218 DURG DURG GOVT GIRLS PRIMARY SCHOOL KUTHRAIL 22100703003
15219 DURG DURG GOVT PRIMARY SCHOOL KUTHRAIL 22100703004
15220 DURG DURG GOVT PRIMARY SCHOOL BHANPURI 22100703101
15221 DURG DURG GOVT UPPER PRIMARY SCHOOL CHANDKHURI 22100703201
15222 DURG DURG GOVT GIRLS PRIMARY SCHOOL CHANDKHURI 22100703202
15223 DURG DURG GOVT PRIMARY SCHOOL CHANDKHURI 22100703203
15224 DURG DURG GOVT UPPER PRIMARY SCHOOL BHANPURI 22100703205
15225 DURG DURG GOVT PRIMARY SCHOOL CHANDKHURIBHATA 22100703301
15226 DURG DURG GOVT UPPER PRIMARY SCHOOL PISEGAON 22100703401
15227 DURG DURG GOVT PRIMARY SCHOOL PISEGAON 22100703402
15228 DURG DURG GOVT NAVIN PS BADIPARA PISSEGAON 22100703403
15229 DURG DURG GOVT UPPER PRIMARY SCHOOL KONARI 22100703501
15230 DURG DURG GOVT PRIMARY SCHOOL KONARI 22100703502
15231 DURG DURG GOVT PRIMARY SCHOOL KOLIHAPURI 22100703601
15232 DURG DURG GOVT UPPER PRIMARY SCHOOL KOLIHAPURI 22100703602
15233 DURG DURG GOVT UPPER PRIMARY SCHOOL ANDA 22100703701
15234 DURG DURG GOVT PRIMARY SCHOOL GANDHI BHATA ANDA 22100703702
15235 DURG DURG GOVT GIRLS PRIMARY SCHOOL ANDA 22100703703
15236 DURG DURG GOVT PRIMARY SCHOOL ANDA 22100703704
15237 DURG DURG GOVT UPPRE PRIMARY SCHOOL ACHHOTI 22100703707
15238 DURG DURG GOVT PRIMARY SCHOOL ABADIPARA JANJGIRI 22100703708
15239 DURG DURG GOVT PRIMARY SCHOOL ABADIPARA ANDA 22100703709
15240 DURG DURG GOVT PRIMARY SCHOOL CHINGARI 22100703801
15241 DURG DURG GOVT PRIMARY SCHOOL PRONNAT CHINGARI 22100703802
15242 DURG DURG GOVT UPPER PRIMARY SCHOOL CHINGARI 22100703803
15243 DURG DURG GOVT UPPER PRIMARY SCHOOL VINAYAKPUR 22100703901
15244 DURG DURG GOVT PRIMARY SCHOOL VINAYAKPUR 22100703902
15245 DURG DURG GOVT PRIMARY SCHOOL ACHHOTI 22100704001
15246 DURG DURG GOVT PRIMARY SCHOOL ACHHOTI BHATA 22100704101
15247 DURG DURG GOVT PRIMARY SCHOOL BHARDA 22100704201
15248 DURG DURG GOVT UPPER PRIMARY SCHOOL JANJGIRI 22100704301
15249 DURG DURG GOVT PRIMARY SCHOOL JANJGIRI 22100704302
15250 DURG DURG GOVT UPPER PRIMARY SCHOOL RISAMA 22100704401
15251 DURG DURG GOVT PRIMARY SCHOOL RISAMA BHATAPARA 22100704402
15252 DURG DURG GOVT GIRLS PRIMARY SCHOOL RISAMA 22100704403
15253 DURG DURG GOVT PRIMARY SCHOOL RISAMA 22100704404
15254 DURG DURG GOVT UPPER PRIMARY SCHOOL MATWARI 22100704501
15255 DURG DURG GOVT PRIMARY SCHOOL MATWARI 22100704502
15256 DURG DURG GOVT PRIMARY SCHOOL CHIRPOTI 22100704601
15257 DURG DURG GOVT UPPER PRIMARY SCHOOL PRONNAT CHIRPOTI 22100704602
15258 DURG DURG GOVT UPPER PRIMARY SCHOOL MACHANDUR 22100704701
15259 DURG DURG GOVT PRIMARY SCHOOL PRONNAT MACHANDUR 22100704702
15260 DURG DURG GOVT PS 22100704703
15261 DURG DURG GOVT UPPER PRIMARY SCHOOL NIKUM 22100704801
15262 DURG DURG GOVT GIRLS PRIMARY SCHOOL NIKUM 22100704803
15263 DURG DURG GOVT PRIMARY SCHOOL NIKUM 22100704804
15264 DURG DURG GOVT PRIMARY SCHOOL NIKUMBHATA 22100704901
15265 DURG DURG GOVT PRIMARY SCHOOL G D NAGAR NIKUM 22100705001
15266 DURG DURG GOVT UPPER PRIMARY SCHOOL G D NAGAR NIKUM 22100705003
15267 DURG DURG GOVT PRIMARY SCHOOL MASABHAT 22100705101
15268 DURG DURG GOVT PRIMARY SCHOOL AAMTI 22100705201
15269 DURG DURG GOVT UPPER PRIMARY SCHOOL AAMTI 22100705202
15270 DURG DURG GOVT PRIMARY SCHOOL AAMTI BHATA 22100705301
15271 DURG DURG GOVT UPPER PRIMARY SCHOOL ALBARAS 22100705401
15272 DURG DURG GOVT PRIMARY SCHOOL ALBARAS 22100705402
15273 DURG DURG GOVT PRIMARY SCHOOL ALBARAS 22100705403
15274 DURG DURG GOVT PRIMARY SCHOOL KHADA 22100705501
15275 DURG DURG GOVT PRIMARY SCHOOL RUDA 22100705601
15276 DURG DURG GOVT UPPER PRIMARY SCHOOL RUDA 22100705602
15277 DURG DURG GOVT UPPER PRIMARY SCHOOL TIRGA 22100705701
15278 DURG DURG GOVT PRIMARY SCHOOL TIRGA 22100705702
15279 DURG DURG GOVT PRIMARY SCHOOL BHOTHALI 22100705801
15280 DURG DURG GOVT UPPER PRIMARY SCHOOL JHOLA 22100705901
15281 DURG DURG GOVT PRIMARY SCHOOL JHOLA 22100705902
15282 DURG DURG GOVT PRIMARY SCHOOL RASMADA 22100706001
15283 DURG DURG GOVT GIRLS PRIMARY SCHOOL RASMADA 22100706002
15284 DURG DURG GOVT PRIMARY SCHOOL 22100706003
15285 DURG DURG GOVT UPPER PRIMARY SCHOOL ATTACH RASMADA 22100706004
15286 DURG DURG GOVT UPPER PRIMARY SCHOOL I. A. BORAI RASMARA 22100706010
15287 DURG DURG GOVT UPPER PRIMARY SCHOOL KHAPRI SILODA 22100706011
15288 DURG DURG GOVT PRIMARY SCHOOL SILODA 22100706101
15289 DURG DURG GOVT PRIMARY SCHOOL PIPERCHEDI 22100706201
15290 DURG DURG GOVT UPPER PRIMARY SCHOOL PIPERCHEDI 22100706202
15291 DURG DURG GOVT PRIMARY SCHOOL MAHAMARA 22100706301
15292 DURG DURG GOVT PRIMARY SCHOOL PRONNAT MAHAMARA 22100706302
15293 DURG DURG GOVT UPPER PRIMARY SCHOOL MAHAMARA 22100706303
15294 DURG DURG GOVT PRIMARY SCHOOL KHAPRI 22100706401
15295 DURG DURG GOVT PRIMARY SCHOOL I. A. BORAI 22100706501
15296 DURG DURG GOVT PRIMARY SCHOOL GANIYARI (DANDESARA) 22100706602
15297 DURG DURG GOVT UPPER PRIMARY SCHOOL GANIYARI 22100706603
15298 DURG DURG GOVT PRIMARY SCHOOL NAGPURA 22100706701
15299 DURG DURG GOVT GIRLS PS 22100706702
15300 DURG DURG GOVT PRIMARY SCHOOL NEW NAGPURA 22100706703
15301 DURG DURG GOVT UPPER PRIMARY SCHOOL ATTACHED NAGPURA 22100706704
15302 DURG DURG GOVT GIRLS MS 22100706705
15303 DURG DURG GOVT PRIMARY SCHOOL NAVIN KODIYADIH 22100706706
15304 DURG DURG GOVT UPPER PRIMARY SCHOOL MALUD 22100706708
15305 DURG DURG GOVT GIRLS UPPER PRIMARY SCHOOL NEW BORAI 22100706709
15306 DURG DURG GOVT UPPER PRIMARY SCHOOL NEW NAGPURA 22100706710
15307 DURG DURG GOVT PRIMARY SCHOOL BORAI 22100706801
15308 DURG DURG GOVT GIRLS PRIMARY SCHOOL BORAI 22100706802
15309 DURG DURG GOVT PRIMARY SCHOOL PRONNAT BORAI 22100706803
15310 DURG DURG GOVT UPPER PRIMARY SCHOOL BORAI 22100706804
15311 DURG DURG GOVT PRIMARY SCHOOL BHENDSAR 22100706901
15312 DURG DURG GOVT PRIMARY SCHOOL PRONNAT KODIYADIH 22100706902
15313 DURG DURG GOVT UPPER PRIMARY SCHOOL BHENDSAR 22100706903
15314 DURG DURG GOVT PRIMARY SCHOOL KHURSUL 22100707001
15315 DURG DURG SHIKSHA GARANTY PS 22100707002
15316 DURG DURG GOVT UPPER PRIMARY SCHOOL KHURSUL 22100707003
15317 DURG DURG GOVT PRIMARY SCHOOL DAMODA 22100707101
15318 DURG DURG GOVT PRIMARY SCHOOL KHURSIDIH 22100707201
15319 DURG DURG GOVT UPPER PRIMARY SCHOOL KHURSIDIH 22100707202
15320 DURG DURG GOVT PRIMARY SCHOOL MALUD 22100707301
15321 DURG DURG GOVT PRIMARY SCHOOL BELOUDI 22100707401
15322 DURG DURG GOVT UPPER PRIMARY SCHOOL BELOUDI 22100707402
15323 DURG DURG GOVT PRIMARY SCHOOL DHABA 22100707501
15324 DURG DURG GOVT UPPER PRIMARY SCHOOL DHABA 22100707502
15325 DURG DURG GOVT PRIMARY SCHOOL TOLAGAON 22100707601
15326 DURG DURG GOVT PRIMARY SCHOOL ANJORA DHABA 22100707701
15327 DURG DURG GOVT UPPER PRIMARY SCHOOL ANJORA DHABA 22100707702
15328 DURG DURG GOVT PRIMARY SCHOOL DANDESARA 22100707801
15329 DURG DURG GOVT UPPER PRIMARY SCHOOL DANDESARA 22100707802
15330 DURG DURG GOVT PRIMARY SCHOOL SIRSA KHURD 22100707901
15331 DURG DURG GOVT GIRLS PRIMARY SCHOOL SIRSA KHURD 22100707902
15332 DURG DURG GOVT PRIMARY SCHOOL JEORA 22100708001
15333 DURG DURG GOVT UPPER PRIMARY SCHOOL JEORA 22100708002
15334 DURG DURG GOVT PRIMARY SCHOOL BHATGAON 22100708101
15335 DURG DURG GOVT PRIMARY SCHOOL KARANJA BHILAI 22100708201
15336 DURG DURG GOVT GIRLS PRIMARY SCHOOL KARANJABHILAI 22100708202
15337 DURG DURG GOVT PRIMARY SCHOOL PRONNAT KARANJA BHILAI 22100708203
15338 DURG DURG GOVT UPPER PRIMARY SCHOOL KARANJA BHILAI 22100708204
15339 DURG DURG GOVT PRIMARY SCHOOL SAMODA 22100708301
15340 DURG DURG GOVT UPPER PRIMARY SCHOOL SAMODA 22100708302
15341 DURG DURG GOVT PRIMARY SCHOOL KACHANDUR 22100708401
15342 DURG DURG GOVT UPPER PRIMARY SCHOOL KACHANDUR 22100708402
15343 DURG DURG GOVT PRIMARY SCHOOL JHENJHARI 22100708501
15344 DURG DURG GOVT GIRLS PRIMARY SCHOOL NANDKATHI 22100708601
15345 DURG DURG GOVT PRIMARY SCHOOL NANDKATHI 22100708602
15346 DURG DURG GOVT UPPER PRIMARY SCHOOL NANDKHATHI 22100708603
15347 DURG DURG GOVT PRIMARY SCHOOL BODEGAON 22100708701
15348 DURG DURG GOVT UPPER PRIMARY SCHOOL BODEGAON 22100708702
15349 DURG DURG GOVT PRIMARY SCHOOL ARASNARA 22100708801
15350 DURG DURG GOVT UPPER PRIMARY SCHOOL ARASNARA 22100708802
15351 DURG DURG GOVT GIRLS PRIMARY SCHOOL RAVELIDIH 22100708901
15352 DURG DURG GOVT PRIMARY SCHOOL RAVELIDIH 22100708902
15353 DURG DURG GOVT UPPER PRIMARY SCHOOL RAVELIDIH 22100709001
15354 DURG DURG GOVT UPPER PRIMARY SCHOOL RAVELIDIH 22100709006
15355 DURG DURG GOVT. PS URLA DURG 22100709101
15356 DURG DURG GOVT. MS URLA DURG 22100709102
15357 DURG DURG GOVT. NAVIN PS BAJRANG NAGAR URLA 22100709110
15358 DURG DURG GOVT. PS INDRA NAGAR CHIKHALI DURG 22100709201
15359 DURG DURG GOVT. MS INDRA NAGAR CHIKHALI DURG 22100709202
15360 DURG DURG GOVT. PS PULGAON DURG 22100709301
15361 DURG DURG GOVT. MS PULGAON DURG 22100709302
15362 DURG DURG GOVT. PS MOHLAI DURG 22100709401
15363 DURG DURG GOVT. MS MOHLAI DURG 22100709403
15364 DURG DURG GOVT. PS KOTNI DURG 22100709501
15365 DURG DURG GOVT. MS KOTNI DURG 22100709502
15366 DURG DURG GOVT. PS BAGHERA DURG 22100709601
15367 DURG DURG GOVT. MS BAGHERA DURG 22100709602
15368 DURG DURG GOVT. PS KARHIDIH DURG 22100709701
15369 DURG DURG GOVT UPPER PRIMARY SCHOOL THANOUD 22100709801
15370 DURG DURG GOVT PRIMARY SCHOOL THANOUD 22100709803
15371 DURG DURG GOVT GIRLS PRIMARY SCHOOL THANOUD 22100709804
15372 DURG DURG GOVT PRIMARY SCHOOL THANOUD 22100709805
15373 DURG DURG GOVT UPPER PRIMARY SCHOOL PRONNAT ANJORA 22100709807
15374 DURG DURG GOVT UPPER PRIMARY SCHOOL PRONNAT THANODBASTI
22100709808
15375 DURG DURG GOVT PRIMARY SCHOOL ANJORA KHA 22100709901
15376 DURG DURG GOVT UPPER PRIMARY SCHOOL ANJORA KHA 22100710002
15377 DURG DURG GOVT PRIMARY SCHOOL DAIRY FARM 22100710003
15378 DURG DURG GOVT UPPER PRIMARY SCHOOL BIREJHAR 22100710101
15379 DURG DURG GOVT PRIMARY SCHOOL BIREJHAR 22100710102
15380 DURG DURG GOVT PRIMARY SCHOOL BIREJHAR BHATA 22100710103
15381 DURG DURG GOVT UPPER PRIMARY SCHOOL CHANGORI 22100710201
15382 DURG DURG GOVT PRIMARY SCHOOL CHANGORI 22100710202
15383 DURG DURG GOVT. PS GURUNANAK RAIPUR NAKA DURG 22100710302
15384 DURG DURG GOVT.PS NEW POLICE LINE DURG 22100710401
15385 DURG DURG GOVT. PS KAILASH NAGAR DURG 22100710404
15386 DURG DURG GOVT. PS BOYS PT. MADAN MOHAN MALVIYA 22100710501
15387 DURG DURG GOVT. PS GIRLS PT. MADAN MOHAN MALVIYA 22100710502
15388 DURG DURG GOVT. PS GIRLS SHUBHASH NO. 01 22100710508
15389 DURG DURG GOVT. PS GIRLS SHUBHASH NO. 02 DURG 22100710509
15390 DURG DURG GOVT. PS SHUBHASH SANTRA BADI NO. 01 DURG 22100710510
15391 DURG DURG GOVT. PS SHUBHASH NO. 02 DURG 22100710511
15392 DURG DURG GOVT. MS MALVIYA NAGAR DURG 22100710514
15393 DURG DURG GOVT. PS GIRLS TITURDIH NO. 02 DURG 22100710801
15394 DURG DURG GOVT. PS BOYS TITURDIH NO. 02 DURG 22100710802
15395 DURG DURG GOVT. MS TITURDIH NO. 02 DURG 22100710803
15396 DURG DURG GOVT. PS BOYS TITURDIH NO. 01 DURG 22100710806
15397 DURG DURG GOVT. PS GIRLS TITURDIH NO. 01 DURG 22100710901
15398 DURG DURG GOVT. MS TITURDIH NO. 01 DURG 22100710903
15399 DURG DURG GOVT. PS SIKOLA BASTI DURG 22100710904
15400 DURG DURG GOVT. PS SHAKTI NAGAR DURG 22100711001
15401 DURG DURG GOVT. MS SHAKTI NAGAR DURG 22100711002
15402 DURG DURG GOVT. PS TILAK NO. - 1 DURG 22100711101
15403 DURG DURG GOVT. PS GIRLS NO. - 02 DURG 22100711201
15404 DURG DURG GOVT. PS GIRLS NO. - 1 DURG 22100711301
15405 DURG DURG GOVT. GIRLS MS TILAK DURG 22100711404
15406 DURG DURG GOVT. PS BOYS PANCHSHIL DURG 22100711502
15407 DURG DURG GOVT. PS TILAK NO. - 02 DURG 22100711503
15408 DURG DURG GOVT. PS MAHRSHI DAYANAND ARYA DURG 22100711505
15409 DURG DURG GOVT. PS BOYS GAYA BAI DURG 22100711506
15410 DURG DURG GOVT. PS VIVEKANAND DURG 22100711507
15411 DURG DURG GOVT. MS GIRLS PANCHSHIL DURG 22100711509
15412 DURG DURG GOVT. PS NEHARU DURG 22100711601
15413 DURG DURG SAHID BHAGAT SINGH H.S. 22100711607
15414 DURG DURG MARWADI VIDHALAY PS DURG 22100711619
15415 DURG DURG GOVT PRIMARY SCHOOL GANIYARI ( R ) 22100711632
15416 DURG DURG GOVT. PS RAJEEV NAGAR DURG 22100711701
15417 DURG DURG GOVT. PS BAJRANG NAGAR DURG 22100711801
15418 DURG DURG GOVT. PS NAYAPARA DURG 22100711901
15419 DURG DURG GOVT. PS GIRLS PANCHSHIL DURG 22100711907
15420 DURG DURG GOVT. PS GIRLS GAYA BAI DURG 22100712101
15421 DURG DURG GOVT. MS GAYA NAGAR DURG 22100712104
15422 DURG DURG GOVT. PS GIRLS NAYA AMAPARA DURG 22100712401
15423 DURG DURG GOVT. PS PT.MOTILAL NEHRU DURG 22100712507
15424 DURG DURG GOVT MS SHANKAR NAGAR 22100712508
15425 DURG DURG GOVT. MS NAVIN DURG 22100712802
15426 DURG DURG GOVT. PS DEEPRAPARA DURG 22100712805
15427 DURG DURG GOVT. PS GIRLS NEHARU DURG 22100712901
15428 DURG DURG GOVT MS TAKIYAPARA DURG 22100712902
15429 DURG DURG GOVT. PS DR. RAJENDRA DURG 22100713001
15430 DURG DURG GOVT. PS GIRLS DR. RAJENDRA DURG 22100713101
15431 DURG DURG GOVT. PS SARDAR PATEL NO. - 1 DURG 22100713201
15432 DURG DURG GOVT. PS NARERA NO. - 2 22100713301
15433 DURG DURG GOVT. PS GIRLS NARERA NO. - 1 22100713401
15434 DURG DURG GOVT. PS SARDAR PATEL NO. - 2 22100713502
15435 DURG DURG GOVT. GIRLS PS SHASTRI DURG 22100713601
15436 DURG DURG GOVT. PS LAL BAHADUR SHASTRI DURG 22100713701
15437 DURG DURG GOVT. MS MAHATMA GANDHI NO. - 1 DURG 22100713801
15438 DURG DURG GOVT. MS MAHATMA GANDHI NO. - 2 DURG 22100713802
15439 DURG DURG GOVT. MS MULTIPORPUSE NO. - 1 DURG 22100713901
15440 DURG DURG GOVT. MS MULTIPORPUSE NO. - 2 DURG 22100713902
15441 DURG DURG GOVT. MS GIRLS NAVIN DURG 22100714001
15442 DURG DURG GOVT. MS PADMANABHPUR DURG 22100714101
15443 DURG DURG GOVT. PS NAVIN PADMANABHPUR DURG 22100714102
15444 DURG DURG GOVT. MS POTIYAKALA DURG 22100714201
15445 DURG DURG GOVT. PS POTIYAKALA DURG 22100714203
15446 DURG DURG GOVT. PS JHUGGIPARA DURG 22100714204
15447 DURG DURG GOVT. MS JHUGGIPARA DURG 22100714205
15448 DURG DURG GOVT. MS BORSI DURG 22100714302
15449 DURG DURG GOVT. PS BOYS BORSI DURG 22100714304
15450 DURG DURG GOVT. PS GIRLS BORSI DURG 22100714305
15451 DURG DURG GOVT. PS BORSIBHATHA DURG 22100714309
15452 DURG DURG GOVT. MS GIRLS BORSIBHATHA DURG 22100714311
15453 DURG DURG GOVT. PS KASARIDIH DURG 22100714403
15454 DURG DURG GOVT. GIRLS PS KASARIDIH DURG 22100714404
15455 DURG DURG MADARSA MADINTUL ULOM DEEPRAPARA DURG 22100714408
15456 DURG DURG GOVT. PS KELABADI DURG 22100714502
15457 DURG DURG GOVT. MS KELABADI DURG 22100714503
15458 DURG DURG GOVT. MS GIRLS ADARSH DURG 22100714601
15459 DURG DURG GOVT. PS KOHKA NO. 01 GURU GHASIDAS 22100714701
15460 DURG DURG GOVT. MS KOHKA BHILAI 22100714702
15461 DURG DURG GOVT. PS FARID NAGAR BHILAI 22100714801
15462 DURG DURG GOVT. MS FARID NAGAR BHILAI 22100714802
15463 DURG DURG GOVT. PS KOHKA NO. 2 BHILAI 22100714901
15464 DURG DURG GOVT. PS RAMNAGAR BHILAI 22100715001
15465 DURG DURG GOVT. MS RAMNAGAR BHILAI 22100715003
15466 DURG DURG GOVT. MS KRISHNA NAGAR BHILAI 22100715013
15467 DURG DURG GOVT. MS GIRLS VAISHALI NAGAR BHILAI 22100715014
15468 DURG DURG GOVT. PS MUKTIDHAM BHILAI 22100715015
15469 DURG DURG GOVT. PS KRISHNA NAGAR 22100715016
15470 DURG DURG GOVT. PS SHANTI NAGAR BHILAI 22100715101
15471 DURG DURG GOVT. MS SHANTI NAGAR BHILAI 22100715102
15472 DURG DURG GOVT. PS KURUD BHILAI 22100715201
15473 DURG DURG GOVT. MS KURUD BHILAI 22100715205
15474 DURG DURG GOVT. PS SHASTRI NAGAR BHILAI 22100715401
15475 DURG DURG GOVT. PS STEEL NAGAR CAMP- 01 BHILAI 22100715502
15476 DURG DURG GOVT. MS CAMP - 02 BHILAI 22100715601
15477 DURG DURG GOVT. MS VRINDA NAGAR BHILAI 22100715701
15478 DURG DURG GOVT. PS VRINDA NAGAR BHILAI 22100715702
15479 DURG DURG GOVT. PS CAMP- 02 BHILAI 22100715901
15480 DURG DURG GOVT. PS CAMP -01 BHILAI 22100716004
15481 DURG DURG GOVT N MS SHASTRI NAGAR 22100716021
15482 DURG DURG PRAVAS ANDRA PATHSALA 22100716025
15483 DURG DURG GOVT. MS CAMP - 01 BHILAI 22100716103
15484 DURG DURG GOVT. PS SHARDA PARA BHILAI 22100716302
15485 DURG DURG GOVT. MS SHARDA PARRA BHILAI 22100716304
15486 DURG DURG JANTA PS 22100716401
15487 DURG DURG GOVT. PS VIVEKANAND NAGAR BHILAI 22100716601
15488 DURG DURG GOVT. PS KOSA NAGAR SUPELA BHILAI 22100716801
15489 DURG DURG GOVT. MS KOSA NAGAR SUPELA BHILAI 22100716802
15490 DURG DURG GOVT. PS NEHRU NAGAR SUPELA BHILAI 22100716901
15491 DURG DURG GOVT. PS SUPELA NO. 01 BHILAI 22100717101
15492 DURG DURG GOVT. MS SUPELA BHILAI 22100717102
15493 DURG DURG GOVT. MS GIRLS SUPELA BHILAI 22100717103
15494 DURG DURG GOVT. PS SUPELA NO. 02 BHILAI 22100717201
15495 DURG DURG GOVT PS 22100717301
15496 DURG DURG GOVT PS SANJAY NAGAR SUPELA 22100717506
15497 DURG DURG KHAWAZA GARIB NWAZ MADRSHA 22100717525
15498 DURG DURG MADRSHA MOHMMADIYA ISLAMNAGAR 22100717526
15499 DURG DURG GOVT. PS GIRLS SUPELA BHILAI 22100717703
15500 DURG DURG GOVT. PS SHIVAJI NAGAR KHURSIPAR 22100717803
15501 DURG DURG GOVT. MS PT. J.L.N. NEW KHURSIPAR 22100717808
15502 DURG DURG GOVT. MS SHIVAJI NAGAR KHURSIPAR 22100717823
15503 DURG DURG GOVT. PS SHARMIK NAGAR, CHHAWANI 22100717824
15504 DURG DURG GOVT MS 22100718001
15505 DURG DURG GOVT. PS AZAD NAGAR KHURSIPAR 22100718004
15506 DURG DURG GOVT. PS SEC. - 11 NO. - 02, KHURSIPAR 22100718602
15507 DURG DURG GOVT. PS BALAJI NAGAR KHURSIPAR 22100718605
15508 DURG DURG GOVT. MS BALAJI NAGAR KHURSIPAR 22100718606
15509 DURG DURG GOVT. PS SAHID VEER NARAYAN SINGH 22100718702
15510 DURG DURG GOVT. MS CHHAWANI 22100718904
15511 DURG DURG GOVT. PS SHANKAR NAGAR CHHAWANI 22100718909
15512 DURG DURG GOVT. PS CHHAWANI NO. 1, BHILAI 22100718910
15513 DURG DURG GOVT. PS CHHAWANI NO. 02, BHILAI 22100718911
15514 DURG DURG GOVT.MS SHANKAR NAGAR CHHAWANI 22100718912
15515 DURG DURG GOVT. MS HATHKHOJ 22100718913
15516 DURG DURG GOVT. PS HATHKHOJ BHILAI 22100719001
15517 DURG DURG GOVT. PS DURGA MANDIR KHURSIPAR 22100719101
15518 DURG DURG GOVT. MS DURGA NANDIR KHURSIPAR 22100719102
15519 DURG DURG GOVT. PS SHUBHASH NAGAR KHURSIPAR 22100719201
15520 DURG DURG GOVT. MS SHUBHASH NAGAR KHURSIPAR 22100719202
15521 DURG DURG GOVT PS 22100719302
15522 DURG DURG GOVT. PS RAJEEV NAGAR CHHAWANI 22100719303
15523 DURG DURG GOVT. PS BAPU NAGAR NEW KHURSIPAR 22100719401
15524 DURG DURG GOVT. MS BAPU NAGAR KHURSIPAR 22100719403
15525 DURG DURG GOVT. PS NO. 02, KHURSIPAR 22100719501
15526 DURG DURG GOVT. PS NO. - 01 KHURSIPAR 22100719601
15527 DURG DURG GOVT. PS NO. 01, SEC. - 11, KHURSIPAR BHILAI 22100719701
15528 DURG DURG GOVT. MS SEC. - 11, JONE - 2, KHURSIPAR 22100719702
15529 DURG DURG GOVT. MS AKLORDIH BHILAI 22100719802
15530 DURG DURG GOVT. PS AKLORDIH BHIALI 22100719803
15531 DURG DURG GOVT PRIMARY SCHOOL JAMUL NO. 1 22100719901
15532 DURG DURG GOVT PS 22100719902
15533 DURG DURG GOVT NEW UPPER PRIMARY SCHOOL JAMUL 22100719903
15534 DURG DURG GOVT PRIMARY SCHOOL SHIVPURI JAMUL NO. 1 22100719904
15535 DURG DURG GOVT PRIMARY SCHOOL LABOUR CAMP 22100720001
15536 DURG DURG GOVT PRIMARY SCHOOL SHIVPURI JAMUL NO. 2 22100720101
15537 DURG DURG GOVT PRIMARY SCHOOL BIJALI NAGAR 22100720201
15538 DURG DURG GOVT PRIMARY SCHOOL DHOUR NO. 1 22100720301
15539 DURG DURG E.G.S. SHALLA 22100720302
15540 DURG DURG GOVT UPPER PRIMARY SCHOOL DHOUR 22100720303
15541 DURG DURG GOVT UPPER PRIMARY SCHOOL BASIN 22100720402
15542 DURG DURG GOVT PRIMARY SCHOOL BASIN 22100720403
15543 DURG DURG GOVT UPPER PRIMARY SCHOOL JAMUL 22100720501
15544 DURG DURG GOVT PRIMARY SCHOOL KHEDAMARA 22100720601
15545 DURG DURG GOVT UPPER PRIMARY SCHOOL KHEDAMARA 22100720602
15546 DURG DURG GOVT UPPER PRIMARY SCHOOL JAMUL 22100720704
15547 DURG DURG GOVT PRIMARY SCHOOL KATULBODE 22100720801
15548 DURG DURG GOVT UPPER PRIMARY SCHOOL KATULBODE 22100720802
15549 DURG DURG GOVT PRIMARY SCHOOL HARINAGAR 22100720805
15550 DURG DURG GOVT PRIMARY SCHOOL CHIKHALI 22100720901
15551 DURG DURG GOVT UPPER PRIMARY SCHOOL CHIKHALI 22100720902
15552 DURG DURG GOVT PRIMARY SCHOOL KHAMARIYA 22100721001
15553 DURG DURG GOVT UPPER PRIMARY SCHOOL KHAMARIYA 22100721002
15554 DURG DURG GOVT PS 22100721101
15555 DURG DURG GOVT UPPER PRIMARY SCHOOL JUNWANI 22100721102
15556 DURG DURG GOVT PRIMARY SCHOOL PARIYAPARA 22100721105
15557 DURG DURG GOVT PRIMARY SCHOOL KHAPARI KHAMARIYA 22100721201
15558 DURG DURG GOVT UPPER PRIMARY SCHOOL KHAPARI KHAMARIYA 22100721202
15559 DURG DURG GOVT PRIMARY SCHOOL MODEL TOWN 22100721301
15560 DURG DURG GOVT UPPER PRIMARY SCHOOL MODEL TOWN 22100721302
15561 DURG DURG GOVT PRIMARY SCHOOL KUTELABHATA 22100721401
15562 DURG DURG GOVT. PS SEC. - 6, BHILAI NAGAR 22100721501
15563 DURG DURG GOVT. MS SEC. - 6, BHILAI NAGAR 22100721502
15564 DURG DURG GOVT. PS SEC.- 6, TELGUPARA BHILAI 22100721513
15565 DURG DURG GOVT. PS SEC. - 7, BHILAI NAGAR 22100721601
15566 DURG DURG GOVT. MS SEC. - 7, BHILAI NAGAR 22100721602
15567 DURG DURG GOVT. PS NEWAI BHILAI 22100721701
15568 DURG DURG GOVT. MS NEWAI BHILAI 22100721702
15569 DURG DURG GOVT. PS STATION MARODA NO. - 1 22100721801
15570 DURG DURG GOVT. PS STATION MARODA NO. - 2 22100721802
15571 DURG DURG GOVT. PS SEC.- 4, BORIYA GET BHILAI 22100721902
15572 DURG DURG GOVT. MS HOSPITAL SEC.- 9 BHILAI 22100722101
15573 DURG DURG GOVT. MS MARODA TANK BHILAI NAGAR 22100722201
15574 DURG DURG MADRSHA HUSHAINIYA STESHAN MARODA 22100722241
15575 DURG DURG GOVT. PS DURGA PARA BHILAI 22100722501
15576 DURG DURG GOVT. MS HOUSING BOARD BHILAI 22100722601
15577 DURG DURG GOVT. PS HOUSING BOARD BHILAI 22100722606
15578 DURG DURG GOVT. MS GIRLS HOUSING BOARD BHILAI 22100722608
15579 DURG DURG GOVT. MS SANTOSHI PARA BHILAI 22100722701
15580 DURG DURG GOVT. PS SANTOSHI PARA BHILAI 22100722702
15581 DURG DURG GOVT. PS MATHER TERESA NAGAR BHILAI 22100722801
15582 DURG DURG GOVT N PS GHASIDAS NAGAR 22100723002
15583 DURG DURG MADARSA TAJUL ULUM RUWABANDHA 22100724701
15584 DURG DURG RANI LAXMI BAI P.S. 22100725102
15585 DURG DURG GOVT PS PRAGATI NAGAR KURUD 22100726211
15586 DURG DURG DARUL ULAM SARKAR AALAHZRT MADRSHA 22100726221
15587 DURG DURG MADRSHA NIZAMIYA MUROOM KHADAN 22100726222
15588 DURG DURG GOVT. MS MUKTIDHAM BHILAI 22100726605
15589 DURG DURG MADARSA D.U.F.A.S.Y. KHANA 22100727201
15590 DURG PATAN GOVT. UPPER PRIMARY SCHOOL BOYS PATAN 22101100107
15591 DURG PATAN GOVT. PRIMARY SCHOOL BOYS PATAN 22101100108
15592 DURG PATAN GOVT GIRLS PS PATAN 22101100109
15593 DURG PATAN GOVT. PRIMARY SCHOOL INDIRA NAGAR PATAN 22101100110
15594 DURG PATAN GOVT. UPPER PRIMARY SCHOOL GIRLS PATAN 22101100111
15595 DURG PATAN GOVT.MS INDIRA NAGAR PATAN 22101100116
15596 DURG PATAN GOVT. UPPER PRIMARY SCHOOL JAMGAON R 22101100202
15597 DURG PATAN GOVT. PRIMARY SCHOOL JAMGAON R. 22101100203
15598 DURG PATAN GOVT GIRLS PS 22101100305
15599 DURG PATAN GOVT PS 22101100306
15600 DURG PATAN GOVT MS 22101100307
15601 DURG PATAN GOVT PS SIRSABHATHA 22101100313
15602 DURG PATAN GOVT PS STORPARA PURENA 22101100314
15603 DURG PATAN GOVT PS VISHWA BANK COLONEY 22101100315
15604 DURG PATAN P.S. SIRSAKLA 22101100321
15605 DURG PATAN JANTA SCHOOL MS BHILAI 3 22101100324
15606 DURG PATAN GOVT MS 22101100403
15607 DURG PATAN GOVT GIRLS PS 22101100405
15608 DURG PATAN GOVT PS 22101100406
15609 DURG PATAN NEW GIRL MS CHARODA 22101100428
15610 DURG PATAN GOVT. PRIMARY SCHOOL PURENA 22101100502
15611 DURG PATAN GOVT MS PURENA 22101100503
15612 DURG PATAN GOVT MS STORPARA PURENA { SSA } 22101100514
15613 DURG PATAN GOVT. PRIMARY SCHOOL SIPKONA 22101100601
15614 DURG PATAN GOVT. UPPER PRIMARY SCHOOL SIPKONA 22101100602
15615 DURG PATAN NAVIN PS (KESRA ) 22101100705
15616 DURG PATAN M.S BORANDA 22101100708
15617 DURG PATAN GOVT. UPPER PRIMARY SCHOOL BATREL 22101100802
15618 DURG PATAN GOVT. PRIMARY SCHOOL BOYS BATREL 22101100803
15619 DURG PATAN GOVT. PRIMARY SCHOOL GIRLS BATREL 22101100804
15620 DURG PATAN GOVT. UPPER PRIMARY SCHOOL GIRLS TARRA 22101100902
15621 DURG PATAN GOVT. PRIMARY SCHOOL TARRA 22101100903
15622 DURG PATAN GRANT. UPPER PRIMARY SCHOOL PUBLIC TARRA 22101100904
15623 DURG PATAN GOVT. UPPER PRIMARY SCHOOL DEW BALAUDA 22101101002
15624 DURG PATAN GOVT. PRIMARY SCHOOL BOYS DEW BALAUDA 22101101003
15625 DURG PATAN GOVT. PRIMARY SCHOOL GIRLS DEW BALAUDA 22101101006
15626 DURG PATAN PS G-CABIN 22101101007
15627 DURG PATAN GOVT. UPPER PRIMARY SCHOOL BOYS RANITARAI 22101101102
15628 DURG PATAN GOVT. UPPER PRIMARY SCHOOL GIRLS RANITARAI 22101101103
15629 DURG PATAN GOVT. PRIMARY SCHOOL BOYS RANITARAI 22101101104
15630 DURG PATAN GOVT GIRLS PS 22101101105
15631 DURG PATAN GOVT. UPPER PRIMARY SCHOOL KHAMHARIYA 22101101201
15632 DURG PATAN GOVT. PRIMARY SCHOOL KHAMHARIYA 22101101203
15633 DURG PATAN GOVT. UPPER PRIMARY SCHOOL KHORAPA 22101101301
15634 DURG PATAN GOVT. PRIMARY SCHOOL KHORAPA 22101101302
15635 DURG PATAN GOVT. UPPER PRIMARY SCHOOL BATHENA 22101101401
15636 DURG PATAN GOVT. PRIMARY SCHOOL BATHENA 22101101402
15637 DURG PATAN GOVT. UPPER PRIMARY SCHOOL GUJRA 22101101501
15638 DURG PATAN GOVT. PRIMARY SCHOOL GUJRA 22101101502
15639 DURG PATAN GOVT. PRIMARY SCHOOL AKHARA 22101101601
15640 DURG PATAN GOVT. UPPER PRIMARY SCHOOL AKHARA 22101101602
15641 DURG PATAN GOVT. PRIMARY SCHOOL ATARI 22101101701
15642 DURG PATAN GOVT. PRIMARY SCHOOL THAKURAIN TOLA 22101101801
15643 DURG PATAN GOVT. UPPER PRIMARY SCHOOL PANDAR 22101101901
15644 DURG PATAN GOVT. PRIMARY SCHOOL PANDAR 22101101902
15645 DURG PATAN GOVT. UPPER PRIMARY TELIGUNDARA 22101102001
15646 DURG PATAN GOVT. PRIMARY SCHOOL TELIGUNDARA 22101102002
15647 DURG PATAN GOVT. UPPER PRIMARY SCHOOL KHARRA 22101102101
15648 DURG PATAN GOVT. PRIMARY SCHOOL KHARRA 22101102102
15649 DURG PATAN GOVT. PRIMARY SCHOOL TULSI 22101102202
15650 DURG PATAN GOVT. UPPER PRIMARY SCHOOL TULSI 22101102203
15651 DURG PATAN GOVT. PRIMARY SCHOOL SONPUR 22101102301
15652 DURG PATAN GOVT. UPPER PRIMARY SCHOOL SONPUR 22101102303
15653 DURG PATAN GOVT. PRIMARY SCHOOL SIKOLA 22101102401
15654 DURG PATAN GOVT. UPPER PRIMARY SCHOOL SIKOLA 22101102402
15655 DURG PATAN GOVT. PRIMARY SCHOOL CHANGORI 22101102501
15656 DURG PATAN GOVT. UPPER PRIMARY SCHOOL SELUD 22101102701
15657 DURG PATAN GOVT. PRIMARY SCHOOL BOYS SELUD 22101102702
15658 DURG PATAN GOVT. PRIMARY SCHOOL GIRLS SELUD 22101102703
15659 DURG PATAN GOVT. PRIMARY SCHOOL MAJAR CHOUK SELUD 22101102709
15660 DURG PATAN GOVT. PRIMARY SCHOOL PATORA 22101102801
15661 DURG PATAN GOVT. UPPER PRIMARY SCHOOL PATORA 22101102802
15662 DURG PATAN GOVT. UPPER PRIMARY SCHOOL GONDPENDRI 22101102901
15663 DURG PATAN GOVT. PRIMARY SCHOOL GONDPENDRI 22101102902
15664 DURG PATAN GOVT. UPPER PRIMARY SCHOOL MAHKA KALA 22101103001
15665 DURG PATAN GOVT. PRIMARY SCHOOL MAHKA KALA 22101103002
15666 DURG PATAN GOVT. UPPER PRIMARY SCHOOL DHAURABHATHA 22101103101
15667 DURG PATAN GOVT. PRIMARY SCHOOL DHAURABHATHA 22101103104
15668 DURG PATAN GOVT. PRIMARY SCHOOL FEKARI 22101103201
15669 DURG PATAN GOVT. UPPER PRIMARY SCHOOL FEKARI 22101103202
15670 DURG PATAN GOVT. PRIMARY SCHOOL DHAUR 22101103301
15671 DURG PATAN GOVT. UPPER PRIMARY SCHOOL DHAUR 22101103302
15672 DURG PATAN GOVT. PRIMARY SCHOOL DEURJHAL 22101103401
15673 DURG PATAN GOVT. PRIMARY SCHOOL MUDPAR 22101103501
15674 DURG PATAN GOVT. PRIMARY SCHOOL CHUNKATTA 22101103601
15675 DURG PATAN GOVT. PRIMARY SCHOOL ACHANAKPUR 22101103701
15676 DURG PATAN GOVT. UPPER PRIMARY SCHOOL ACHANAKPUR 22101103702
15677 DURG PATAN GOVT. PRIMARY SCHOOL BOHARDIH 22101103801
15678 DURG PATAN GOVT. PRIMARY SCHOOL PAREVADIH 22101103901
15679 DURG PATAN GOVT. PRIMARY SCHOOL PARSAHI 22101104001
15680 DURG PATAN GOVT. PRIMARY SCHOOL BOYS MARRA 22101104102
15681 DURG PATAN GOVT. PRIMARY SCHOOL GIRLS MARRA 22101104103
15682 DURG PATAN GOVT. UPPER PRIMARY SCHOOL MARRA 22101104104
15683 DURG PATAN GOVT. UPPER PRIMARY SCHOOL SANTARA 22101104201
15684 DURG PATAN GOVT. PRIMARY SCHOOL SANTARA 22101104202
15685 DURG PATAN GOVT. PRIMARY SCHOOL SORAM 22101104302
15686 DURG PATAN GOVT. UPPER PRIMARY SCHOOL SORAM 22101104303
15687 DURG PATAN GOVT. PRIMARY SCHOOL AMALORI 22101104401
15688 DURG PATAN GOVT. PRIMARY SCHOOL KANAKOT 22101104501
15689 DURG PATAN GOVT. UPPER PRIMARY SCHOOL KANAKOT 22101104502
15690 DURG PATAN GOVT. PRIMARY SCHOOL GUDHIYARI 22101104601
15691 DURG PATAN GOVT. PRIMARY SCHOOL MATANG 22101104701
15692 DURG PATAN GOVT. PRIMARY SCHOOL BODAL 22101104802
15693 DURG PATAN GOVT. PRIMARY SCHOOL GADADIH 22101104901
15694 DURG PATAN GOVT. UPPER PRIMARY SCHOOL GADADIH 22101104903
15695 DURG PATAN GOVT. PRIMARY SCHOOL MANIKCHAURI 22101105001
15696 DURG PATAN GOVT. UPPER PRIMARY SCHOOL MANIKCHAURI 22101105002
15697 DURG PATAN GOVT. PRIMARY SCHOOL CHHATA 22101105101
15698 DURG PATAN GOVT. PRIMARY SCHOOL ARASNARA 22101105201
15699 DURG PATAN GOVT. UPPER PRIMARY SCHOOL ARASNARA 22101105202
15700 DURG PATAN GOVT. PRIMARY SCHOOL FUNDA 22101105301
15701 DURG PATAN GOVT. PRIMARY SCHOOL CHICHA 22101105401
15702 DURG PATAN GOVT. PRIMARY SCHOOL INDIRA NAGAR CHICHA 22101105402
15703 DURG PATAN GOVT. PRIMARY SCHOOL NAWAGAON 22101105501
15704 DURG PATAN GOVT. PRIMARY SCHOOL DEMAR 22101105601
15705 DURG PATAN GOVT. PRIMARY SCHOOL DEWADA 22101105701
15706 DURG PATAN GOVT. UPPER PRIMARY SCHOOL DEWADA 22101105702
15707 DURG PATAN GOVT. UPPER PRIMARY SCHOOL SAWANI 22101105801
15708 DURG PATAN GOVT. PRIMARY SCHOOL SAWANI 22101105802
15709 DURG PATAN GOVT. UPPER PRIMARY SCHOOL KHUDMUDI 22101105901
15710 DURG PATAN GOVT. PRIMARY SCHOOL KHUDMUDI 22101105902
15711 DURG PATAN GOVT. PRIMARY SCHOOL RAVELI 22101106001
15712 DURG PATAN GOVT. PRIMARY SCHOOL LOHARSI VARIST 22101106101
15713 DURG PATAN GOVT. PRIMARY SCHOOL LOHARSI KANIST 22101106102
15714 DURG PATAN GOVT. UPPER PRIMARY SCHOOL LOHARSI 22101106103
15715 DURG PATAN GOVT. PRIMARY SCHOOL AMAPENDRI 22101106201
15716 DURG PATAN GOVT. UPPER PRIMARY SCHOOL BELHARI 22101106301
15717 DURG PATAN GOVT. PRIMARY SCHOOL BELHARI 22101106302
15718 DURG PATAN GOVT. UPPER PRIMARY SCHOOL ARMRIKHURD 22101106401
15719 DURG PATAN GOVT. PRIMARY SCHOOL ARMRIKHURD 22101106402
15720 DURG PATAN GOVT. UPPER PRIMARY SCHOOL DHAMNA 22101106501
15721 DURG PATAN GOVT. PRIMARY SCHOOL DHAMNA 22101106502
15722 DURG PATAN GOVT. UPPER PRIMARY SCHOOL SURPA 22101106601
15723 DURG PATAN GOVT. PRIMARY SCHOOL SURPA 22101106602
15724 DURG PATAN GOVT. UPPER PRIMARY SCHOOL ODRAGAHAN 22101106701
15725 DURG PATAN GOVT. PRIMARY SCHOOL ODRAGAHAN 22101106702
15726 DURG PATAN GOVT. UPPER PRIMARY SCHOOL KIKIRMETA 22101106801
15727 DURG PATAN GOVT. PRIMARY SCHOOL KIKIRMETA 22101106802
15728 DURG PATAN GOVT. PRIMARY SCHOOL RIWAGAHAN ( B ) 22101106901
15729 DURG PATAN GOVT. PRIMARY SCHOOL CHARBHATHA 22101107001
15730 DURG PATAN GOVT. PRIMARY SCHOOL AKTAI 22101107101
15731 DURG PATAN GOVT. PRIMARY SCHOOL NAWAGAON B. 22101107201
15732 DURG PATAN GOVT. PRIMARY SCHOOL TEMRI 22101107301
15733 DURG PATAN GOVT. UPPER PRIMARY SCHOOL TEMARI 22101107302
15734 DURG PATAN GOVT. PRIMARY SCHOOL AGESARA 22101107401
15735 DURG PATAN GOVT. UPPER PRIMARY SCHOOL AGESARA 22101107402
15736 DURG PATAN GOVT. PRIMARY SCHOOL GATAPAR 22101107501
15737 DURG PATAN GOVT. PRIMARY SCHOOL UMARPOTI 22101107601
15738 DURG PATAN GOVT. PRIMARY SCHOOL RIWAGAHAN ( A ) 22101107701
15739 DURG PATAN GOVT. UPPER PRIMARY SCHOOL BHANSULI R. 22101107801
15740 DURG PATAN GOVT. PRIMARY SCHOOL BHANSULI R. 22101107802
15741 DURG PATAN GOVT. UPPER PRIMARY SCHOOL PAUHA 22101107901
15742 DURG PATAN GOVT. PRIMARY SCHOOL PAUHA 22101107902
15743 DURG PATAN GOVT. PRIMARY SCHOOL KUMHALI 22101108001
15744 DURG PATAN GOVT. UPEER PRIMARY SCHOOL KUMHALI 22101108002
15745 DURG PATAN GOVT. PRIMARY SCHOOL BHAINSBOD 22101108101
15746 DURG PATAN GOVT. PRIMARY SCHOOL AUNRI 22101108201
15747 DURG PATAN GOVT. PRIMARY SCHOOL BORWAI 22101108301
15748 DURG PATAN GOVT. UPPER PRIMARY SCHOOL BORWAI 22101108302
15749 DURG PATAN GOVT. PRIMARY SCHOOL MOHBHATTA 22101108401
15750 DURG PATAN GOVT. UPPER PRIMARY SCHOOL BHARAR 22101108501
15751 DURG PATAN GOVT. PRIMARY SCHOOL BHARAR 22101108502
15752 DURG PATAN GOVT. PRIMARY SCHOOL KHOLA 22101108601
15753 DURG PATAN GOVT. PRIMARY SCHOOL BASIN 22101108701
15754 DURG PATAN GOVT. PRIMARY SCHOOL GABDI 22101108801
15755 DURG PATAN GOVT. UPPER PRIMARY SCHOOL GABDI 22101108802
15756 DURG PATAN GOVT. PRIMARY SCHOOL BIJABHATHA 22101108901
15757 DURG PATAN GOVT. PRIMARY SCHOOL GHORARI 22101109001
15758 DURG PATAN GOVT. UPPER PRIMARY SCHOOL KARELA 22101109101
15759 DURG PATAN GOVT. PRIMARY SCHOOL KARELA 22101109102
15760 DURG PATAN GOVT. UPPER PRIMARY SCHOOL NIPANI 22101109201
15761 DURG PATAN GOVT. PRIMARY SCHOOL NIPANI 22101109202
15762 DURG PATAN GOVT. UPPER PRIMARY SCHOOL ASOGA 22101109301
15763 DURG PATAN GOVT. PRIMARY SCHOOL ASOGA 22101109302
15764 DURG PATAN GOVT. PRIMARY SCHOOL KAUHI 22101109401
15765 DURG PATAN GOVT. UPPER PRIMARY SCHOOL KAUHI 22101109402
15766 DURG PATAN GOVT PS BHATAPARA KAUHI 22101109404
15767 DURG PATAN GOVT. PRIMARY SCHOOL AUSAR 22101109501
15768 DURG PATAN GOVT. PRIMARY SCHOOL DIGHARI 22101109601
15769 DURG PATAN GOVT. PRIMARY SCHOOL DIDGA 22101109701
15770 DURG PATAN GOVT. PRIMARY SCHOOL RENGAKATHERA 22101109801
15771 DURG PATAN GOVT. PRIMARY SCHOOL JHADMOKHALI 22101109901
15772 DURG PATAN GOVT. PRIMARY SCHOOL CHULGAHAN 22101110001
15773 DURG PATAN GOVT. UPPER PRIMARY SCHOOL CHULGAHAN 22101110002
15774 DURG PATAN GOVT. PRIMARY SCHOOL KHAPARI R. 22101110101
15775 DURG PATAN GOVT. PRIMARY SCHOOL GHUGHUWA K. 22101110201
15776 DURG PATAN GOVT. UPPER PRIMARY SCHOOL GHUGHUWA K. 22101110204
15777 DURG PATAN GOVT. PRIMARY SCHOOL KHUDMUDA 22101110301
15778 DURG PATAN GOVT. PRIMARY SCHOOL KOPEDIH 22101110401
15779 DURG PATAN GOVT. PRIMARY SCHOOL MAHUDA 22101110501
15780 DURG PATAN GOVT. UPPER PRIMARY SCHOOL MAHUDA 22101110502
15781 DURG PATAN GOVT. PRIMARY SCHOOL UFRA 22101110601
15782 DURG PATAN GOVT. PRIMARY SCHOOL JAMRAO 22101110701
15783 DURG PATAN GOVT. UPPER PRIMARY SCHOOL JAMRAO 22101110702
15784 DURG PATAN GOVT. PRIMARY SCHOOL SANKARA 22101110801
15785 DURG PATAN GOVT. UPPER PRIMARY SCHOOL SANKARA 22101110802
15786 DURG PATAN GOVT. UPPER PRIMARY SCHOOL KESARA 22101110901
15787 DURG PATAN GOVT. PRIMARY SCHOOL KESARA 22101110902
15788 DURG PATAN GOVT. UPPER PRIMARY SCHOOL TARIGHAT 22101111001
15789 DURG PATAN GOVT. PRIMARY SCHOOL TARIGHAT 22101111002
15790 DURG PATAN GOVT. UPPER PRIMARY SCHOOL BHANSULI K. 22101111101
15791 DURG PATAN GOVT. PRIMARY SCHOOL BHANSULI K. 22101111102
15792 DURG PATAN GOVT. PRIMARY SCHOOL DANGANIYA 22101111201
15793 DURG PATAN GOVT. PRIMARY SCHOOL BORENDA 22101111301
15794 DURG PATAN GOVT. PRIMARY SCHOOL BHATHAPARA BORENDA 22101111302
15795 DURG PATAN GOVT. PRIMARY SCHOOL JARVAY 22101111401
15796 DURG PATAN GOVT. UPPER PRIMARY SCHOOL DARBAR MOKHALI 22101111501
15797 DURG PATAN GOVT. PRIMARY SCHOOL BOYS DARBAR MOKHALI 22101111502
15798 DURG PATAN GOVT. PRIMARY SCHOOL GIRLS DARBAR MOKHALI 22101111503
15799 DURG PATAN GOVT. UPPER PRIMARY SCHOOL BORID 22101111601
15800 DURG PATAN GOVT. PRIMARY SCHOOL BORID 22101111603
15801 DURG PATAN GOVT. UPPER PRIMARY SCHOOL KURMIGUNDRA 22101111701
15802 DURG PATAN GOVT. PRIMARY SCHOOL KURMIGUNDRA 22101111702
15803 DURG PATAN GOVT. UPPER PRIMARY SCHOOL PAHANDA 22101111802
15804 DURG PATAN GOVT. PRIMARY SCHOOL PAHANDA 22101111803
15805 DURG PATAN GOVT. PRIMARY SCHOOL BELODI 22101111901
15806 DURG PATAN GOVT. PRIMARY SCHOOL KHAPARI 22101112001
15807 DURG PATAN GOVT. PRIMARY SCHOOL DHUMA 22101112101
15808 DURG PATAN GOVT. PRIMARY SCHOOL MATIYA 22101112201
15809 DURG PATAN GOVT. PRIMARY SCHOOL SEMRI 22101112301
15810 DURG PATAN GOVT. PRIMARY SCHOOL KASAHI 22101112401
15811 DURG PATAN GOVT. PRIMARY SCHOOL BARBASPUR 22101112501
15812 DURG PATAN GOVT. PRIMARY SCHOOL NARDHI 22101112601
15813 DURG PATAN GOVT. UPPER PRIMARY SCHOOL NARDHI 22101112602
15814 DURG PATAN GOVT. UPPER PRIMARY SCHOOL AUNDHI 22101112701
15815 DURG PATAN GOVT. PRIMARY SCHOOL AUNDHI 22101112702
15816 DURG PATAN GOVT. UPPER PRIMARY SCHOOL AUNRI CHHOTE 22101112801
15817 DURG PATAN GOVT. PRIMARY SCHOOL BHATHAGAON 22101112802
15818 DURG PATAN GOVT. PRIMARY SCHOOL AUNRI CHHOTE 22101112803
15819 DURG PATAN GOVT. UPPER PRIMARY SCHOOL BATANG 22101112901
15820 DURG PATAN GOVT. PRIMARY SCHOOLBATANG 22101112902
15821 DURG PATAN GOVT. PRIMARY SCHOOL BHATHAGAON 22101113101
15822 DURG PATAN GOVT. UPPER PRIMARY SCHOOL JAMGAON M. 22101113201
15823 DURG PATAN GOVT. PRIMARY SCHOOL BOYS JAMGAON M. 22101113202
15824 DURG PATAN GOVT. UPPER PRIMARY SCHOOL JHEET 22101113301
15825 DURG PATAN GOVT. PRIMARY SCHOOL BOYS JHEET 22101113302
15826 DURG PATAN GOVT. PRIMARY SCHOOL BOYS JHEET 22101113306
15827 DURG PATAN GOVT. UPPER PRIMARY SCHOOL AMLIDIH 22101113401
15828 DURG PATAN GOVT. PRIMARY SCHOOL AMLIDIH 22101113402
15829 DURG PATAN GOVT. PRIMARY SCHOOL GIRLS JAMGAON M. 22101113501
15830 DURG PATAN GOVT. UPPER PRIMARY SCHOOL AMERI 22101113604
15831 DURG PATAN GOVT. PRIMARY SCHOOL AMERI 22101113605
15832 DURG PATAN GOVT. PRIMARY SCHOOL KARGA 22101113701
15833 DURG PATAN GOVT. PRIMARY SCHOOL RUHI 22101113801
15834 DURG PATAN GOVT. PRIMARY SCHOOL KAPSI 22101113901
15835 DURG PATAN GOVT. UPPER PRIMARY SCHOOL URLA 22101114001
15836 DURG PATAN GOVT. PRIMARY SCHOOL URALA 22101114002
15837 DURG PATAN GOVT. UPPER PRIMARY SCHOOL BOYS KUGDA 22101114101
15838 DURG PATAN GOVT. PRIMARY SCHOOL KUGDA 22101114102
15839 DURG PATAN GOVT. UPPER PRIMARY SCHOOL GIRLS KUGDA 22101114103
15840 DURG PATAN GOVT. PRIMARY SCHOOL PARSADA 22101114201
15841 DURG PATAN GOVT MS PARSADA 22101114205
15842 DURG PATAN GOVT. UPPER PRIMARY SCHOOL AMLESHWAR 22101114301
15843 DURG PATAN GOVT. PRIMARY SCHOOL AMLESHWAR 22101114302
15844 DURG PATAN GOVT. PRIMARY SCHOOL BAJARANGAPARA AMLESHWAR
22101114303
15845 DURG PATAN GOVT. PRIMARY SCHOOL PAHANDA A. 22101114401
15846 DURG PATAN GOVT. UPPER PRIMARY SCHOOL PAHANDA A. 22101114402
15847 DURG PATAN GOVT. PRIMARY SCHOOL DIH 22101114501
15848 DURG PATAN GOVT. PRIMARY SCHOOL BHOTHALI 22101114601
15849 DURG PATAN GOVT. UPPER PRIMARY SCHOOL BHOTHLI [ SSA ] 22101114602
15850 DURG PATAN GOVT. PRIMARY SCHOOL MAGARGHATA 22101114701
15851 DURG PATAN GOVT. UPPER PRIMARY SCHOOL MAGARGHATA 22101114702
15852 DURG PATAN GOVT. PRIMARY SCHOOL KURUD DIH 22101114801
15853 DURG PATAN GOVT. PRIMARY SCHOOL MOTIPUR 22101114901
15854 DURG PATAN GOVT. PRIMARY SCHOOL GANIYARI 22101115001
15855 DURG PATAN GOVT. UPPER PRIMARY SCHOOL GANIYARI 22101115002
15856 DURG PATAN GOVT. UPPER PRIMARY SCHOOL GHUGHUWA K. 22101115101
15857 DURG PATAN GOVT. PRIMARY SCHOOL GHUGHUWA K. 22101115102
15858 DURG PATAN GOVT. PRIMARY SCHOOL GABHARA 22101115201
15859 DURG PATAN GOVT. PRIMARY SCHOOL BENDRI 22101115301
15860 DURG PATAN GOVT. PRIMARY SCHOOL MAHKA KHURD 22101115401
15861 DURG PATAN GOVT. PRIMARY SCHOOL KARSA 22101115501
15862 DURG PATAN GOVT. PRIMARY SCHOOL PACHAPEDI 22101115601
15863 DURG PATAN GOVT. PRIMARY SCHOOL RAKHI 22101115701
15864 DURG PATAN GOVT. PRIMARY SCHOOL PAHANDOR 22101115801
15865 DURG PATAN GOVT. UPPER PRIMARY SCHOOL PAHANDOR 22101115802
15866 DURG PATAN GOVT. UPPER PRIMARY SCHOOL SIRASAKALA 22101115902
15867 DURG PATAN GOVT. PRIMARY SCHOOL SOMNI 22101116001
15868 DURG PATAN GOVT. UPPER PRIMARY SCHOOL SOMNI 22101116002
15869 DURG PATAN GOVT. PRIMARY SCHOOL MORID 22101116101
15870 DURG PATAN GOVT. UPPER PRIMARY SCHOOL MORID 22101116102
15871 DURG PATAN PS 22101116203
15872 DURG PATAN MS 22101116204
15873 DURG PATAN GOVT. PRIMARY SCHOOL SHANTINAGAR 22101116301
15874 DURG PATAN GOVT. PRIMARY SCHOOL GANDHINAGAR 22101116401
15875 DURG PATAN GOVT. PRIMARY SCHOOL VASHUNDHARANAGAR 22101116501
15876 DURG PATAN GOVT. PRIMARY SCHOOL DABRAPARA 22101116601
15877 DURG PATAN GOVT. UPPER PRIMARY SCHOOL DABRAPARA 22101116603
15878 DURG PATAN GOVT. PRIMARY SCHOOL UMDA 22101116701
15879 DURG PATAN GOVT. PS I.N. 22101116802
15880 DURG PATAN GOVT. UPPER PRIMARY SCHOOL KHAMHARIYA 22101117403
15881 DURG PATAN GOVT. PRIMARY SCHOOL SHUKLADIH 22101118701
15882 DURG PATAN GOVT. PRIMARY SCHOOL SUDAMAPURI 22101118901
15883 DURG PATAN GOVT. PRIMARY SCHOOL PUNAIDIH 22101119301
15884 GARIABAND CHHURA GOVT. P/S KEWATIJHAR (TWD) 22250500101
15885 GARIABAND CHHURA GOVT. P/S RASELA (TWD) 22250500201
15886 GARIABAND CHHURA GOVT.PS. KARAMATI (SSA) 22250500205
15887 GARIABAND CHHURA GOVT.N.P.S. BELDIHI (SSA) 22250500206
15888 GARIABAND CHHURA GOVT.N.P.S. LADANPARA (SSA) 22250500207
15889 GARIABAND CHHURA GOVT.N.P.S. TEMPA PARA (SSA) 22250500208
15890 GARIABAND CHHURA GOVT.M.S.RASELA 22250500209
15891 GARIABAND CHHURA GOVT.PS. KUTENA 22250500302
15892 GARIABAND CHHURA GOVT.MS.KUTENA (SSA) 22250500303
15893 GARIABAND CHHURA GOVT. P/S BODARBHANDA 22250500401
15894 GARIABAND CHHURA GOVT.P.S.GHATKARRA (TWD) 22250500404
15895 GARIABAND CHHURA GOVT.M.S.GHATKARRA (TWD) 22250500405
15896 GARIABAND CHHURA GOVT. P.S JUNWANI 22250500501
15897 GARIABAND CHHURA GOVT. P.S.TALESHAR (TWD) 22250500701
15898 GARIABAND CHHURA GOVT. P.S BHARUWAMURDA (TWD) 22250500801
15899 GARIABAND CHHURA GOVT.PS. PANDRI PANI KAMAR (SSA) 22250500802
15900 GARIABAND CHHURA GOVT. P.S HIRABATAR (TWD) 22250500901
15901 GARIABAND CHHURA GOVT.M.S.HIRABATAR (TWD) 22250500903
15902 GARIABAND CHHURA GOVT. P.S.PATPARPALI 22250501001
15903 GARIABAND CHHURA GOVT. P.S. KANSINGI 22250501201
15904 GARIABAND CHHURA GOVT M.S. KANSINGI (TWD) 22250501202
15905 GARIABAND CHHURA GOVT.M.S. BHARUWAMUDA (SSA) 22250501207
15906 GARIABAND CHHURA GOVT.M.S.PANDARIPANI GOD (TWD) 22250501208
15907 GARIABAND CHHURA GOVT.N. P.S.SARGIPARA (SSA) 22250501209
15908 GARIABAND CHHURA GOVT.N. P.S.NAWADIHI (SSA) 22250501210
15909 GARIABAND CHHURA GOVT.N. P.S.ANJORADIHI (SSA) 22250501211
15910 GARIABAND CHHURA GOVT. P.S.KASHIBAHARA (TWD) 22250501301
15911 GARIABAND CHHURA GOVT. P.S RUWARD 22250501401
15912 GARIABAND CHHURA GOVT M.S.RUWARD (TWD) 22250501402
15913 GARIABAND CHHURA GOVT. P.S. KUDIYADIH 22250501501
15914 GARIABAND CHHURA GOVT.PS. TARYAPARA (SSA) 22250501502
15915 GARIABAND CHHURA GOVT. P.S. NAWGAI (TWD) 22250501601
15916 GARIABAND CHHURA GOVT. P.S.MENDAKIDABRI (TWD) 22250501701
15917 GARIABAND CHHURA GOVT.MS.MENDAKIDABRI 22250501702
15918 GARIABAND CHHURA GOVT. P.S. TENDUPARA 22250501703
15919 GARIABAND CHHURA GOVT. P.S. GHOTPANI (TWD) 22250501801
15920 GARIABAND CHHURA GOVT. P.S. TONHIDABARI (TWD) 22250501901
15921 GARIABAND CHHURA GOVT.M.S TONHIDABARI (SSA) 22250501902
15922 GARIABAND CHHURA GOVT.N.PS. THUHAPANI (SSA) 22250501903
15923 GARIABAND CHHURA GOVT.N. PS. MAINJARPARA (SSA) 22250502002
15924 GARIABAND CHHURA GOVT.N P S. KACHHARPARA (SSA) 22250502003
15925 GARIABAND CHHURA GOVT. P.S.SURANGPANI (TWD) 22250502101
15926 GARIABAND CHHURA GOVT. P.S.BOYS POND (TWD) 22250502201
15927 GARIABAND CHHURA GOVT.PS.GIRL POND (TWD) 22250502202
15928 GARIABAND CHHURA GOVT.MS.GIRL POND (TWD) 22250502206
15929 GARIABAND CHHURA GOVT.PS.KAMARPARA POND (SSA) 22250502207
15930 GARIABAND CHHURA GOVT. P.S.KUDEDADAR 22250502301
15931 GARIABAND CHHURA GOVT.PS. AMAPARA (SSA) 22250502303
15932 GARIABAND CHHURA GOVT.N. PS. CHHINDPARA (SSA) 22250502304
15933 GARIABAND CHHURA GOVT.M.S.AMAPARA (SSA) 22250502305
15934 GARIABAND CHHURA GOVT.M.S. KUDEDARADADR (SSA) 22250502306
15935 GARIABAND CHHURA GOVT. P.S. GIDHANI (TWD) 22250502401
15936 GARIABAND CHHURA GOVT.M.S.GIDHANI (SSA) 22250502402
15937 GARIABAND CHHURA GOVT. P.S. RAKSI (TWD) 22250502501
15938 GARIABAND CHHURA GOVT. P.S. KAMRAJ (TWD) 22250502601
15939 GARIABAND CHHURA GOVT. P.S.PIPARCHEDI (TWD) 22250502701
15940 GARIABAND CHHURA GOVT.PS. KAMARPARA (SSA) 22250502704
15941 GARIABAND CHHURA GOVT. P.S.KANFARD (TWD) 22250502801
15942 GARIABAND CHHURA GOVT.PS.KANFARD- 2 (SSA) 22250502802
15943 GARIABAND CHHURA GOVT. P.S. BIRODAR (TWD) 22250502901
15944 GARIABAND CHHURA GOVT.N- M.S.BIRODAR (SSA) 22250502902
15945 GARIABAND CHHURA GOVT.P.S.CHARODA BIRODAR (SSA) 22250502903
15946 GARIABAND CHHURA GOVT. P.S.LADABAHRA 22250503001
15947 GARIABAND CHHURA GOVT.M.S.LADABAHRA (SSA) 22250503002
15948 GARIABAND CHHURA GOVT.P.S. DADARGAON 22250503102
15949 GARIABAND CHHURA GOVT M.S.DADARGAON (TWD) 22250503103
15950 GARIABAND CHHURA GOVT. P.S.RAWANABHATA (TWD) 22250503201
15951 GARIABAND CHHURA GOVT. P.S.BIRANIBAHARA (TWD) 22250503301
15952 GARIABAND CHHURA GOVT. P.S.HARDI (TWD) 22250503401
15953 GARIABAND CHHURA GOVT.M.S.HARDI (SSA) 22250503403
15954 GARIABAND CHHURA GOVT. P.S. NAWAPARA 22250503501
15955 GARIABAND CHHURA GOVT. PS.NAWAPARA (TWD) 22250503502
15956 GARIABAND CHHURA GOVT.PS. NAVAPARA (SSA) 22250503503
15957 GARIABAND CHHURA GOVT. P.S.DAGANBOY (TWD) 22250503601
15958 GARIABAND CHHURA GOVT. P.S. SIWANI (TWD) 22250503701
15959 GARIABAND CHHURA GOVT.N. M.S. SIWANI (SSA) 22250503702
15960 GARIABAND CHHURA GOVT.N. PS AWASHPARA (SSA) 22250503703
15961 GARIABAND CHHURA GOVT. P.S. FINGESHWARA 22250503901
15962 GARIABAND CHHURA GOVT.P.S. KMARPARA (SSA) 22250503902
15963 GARIABAND CHHURA GOVT.M.S.FINGESHWARI (SSA) 22250503903
15964 GARIABAND CHHURA GOVT. P.S.KAROIDADAR (TWD) 22250504001
15965 GARIABAND CHHURA GOVT. P.S. PARSADAKURD 22250504101
15966 GARIABAND CHHURA GOVT M.S.PARSADAKURD (TWD) 22250504102
15967 GARIABAND CHHURA GOVT.M.S. JAMLI (SSA) 22250504108
15968 GARIABAND CHHURA GOVT ASHRAM SHALA PARSADAKHURD 22250504109
15969 GARIABAND CHHURA GOVT. P.S.PATHARI (TWD) 22250504201
15970 GARIABAND CHHURA GOVT.M.S.DHARIPAR (SSA) 22250504203
15971 GARIABAND CHHURA GOVT.GIRLS M.S. CHHURA (TWD) 22250504304
15972 GARIABAND CHHURA GOVT.PS. KHALIYAPANI 22250504317
15973 GARIABAND CHHURA GOVT.N. P.S.TUMGANW (SSA) 22250504323
15974 GARIABAND CHHURA GOVT.N.P.S.CHHATTRPUR (SSA) 22250504324
15975 GARIABAND CHHURA GOVT.N.P.S.GADIYAPARA (SSA) 22250504325
15976 GARIABAND CHHURA GOVT.N.P.S. GADIKOT (SSA) 22250504326
15977 GARIABAND CHHURA GOVT.N.PS. AAWASHPARA (SSA) 22250504327
15978 GARIABAND CHHURA GOVT.M.S.BOYS CHHURA 22250504330
15979 GARIABAND CHHURA GOVT.M.S. KOSUMBUDA (SSA) 22250504332
15980 GARIABAND CHHURA GOVT.M.S. KHUSARUPALI (SSA) 22250504333
15981 GARIABAND CHHURA GOVT.P.S.SENDABAHARA 22250504334
15982 GARIABAND CHHURA GOVT. GIRL P.S.CHHURA (TWD) 22250504336
15983 GARIABAND CHHURA GOVT. P.S.KANISHAR 22250504401
15984 GARIABAND CHHURA GOVT MS KANESAR (SSA) 22250504403
15985 GARIABAND CHHURA GOVT.N. P.S.NAVADIH (SSA) 22250504404
15986 GARIABAND CHHURA GOVT. P.S.SARAGOAN 22250504501
15987 GARIABAND CHHURA GOVT M.S. SARAGAON (TWD) 22250504502
15988 GARIABAND CHHURA GOVT. P.S. AMLOR 22250504601
15989 GARIABAND CHHURA GOVT M.S. PIPRAHI (SSA) 22250504703
15990 GARIABAND CHHURA GOVT.P.S. PIPRAHI (TWD) 22250504704
15991 GARIABAND CHHURA GOVT. P.S. ONWA (TWD) 22250504801
15992 GARIABAND CHHURA GOVT. P.S. BHESAMURDA 22250504901
15993 GARIABAND CHHURA GOVT. P.S. BHERA 22250505001
15994 GARIABAND CHHURA GOVT. P.S.KHERJHTI (TWD) 22250505101
15995 GARIABAND CHHURA GOVT.M.S. KHERJHITI (SSA) 22250505102
15996 GARIABAND CHHURA GOVT. P.S. BIJAPAL (TWD) 22250505201
15997 GARIABAND CHHURA GOVT.M.S.BIJAPAL (SSA) 22250505204
15998 GARIABAND CHHURA GOVT. P.S. DEVGAON (TWD) 22250505301
15999 GARIABAND CHHURA GOVT. P.S. DUMARDIH (TWD) 22250505401
16000 GARIABAND CHHURA GOVT. P.S.FULJHAR (TWD) 22250505601
16001 GARIABAND CHHURA GOVT. P.S. BODARABHANDA 22250505901
16002 GARIABAND CHHURA GOVT.MS.BODARABHANDA (SSA) 22250505902
16003 GARIABAND CHHURA GOVT. P.S.SARKANDA (TWD) 22250506001
16004 GARIABAND CHHURA GOVT.M.S. SARKANDA (SSA) 22250506002
16005 GARIABAND CHHURA GOVT.M.S. TORANGA (SSA) 22250506102
16006 GARIABAND CHHURA GOVT.PS. TORANGA (TWD) 22250506103
16007 GARIABAND CHHURA GOVT.ASHRAM P.S.TORANGA 22250506104
16008 GARIABAND CHHURA GOVT. BOYS P.S.PANDUKA (TWD) 22250506201
16009 GARIABAND CHHURA GOVT M.S.BOYS PANDUKA (TWD) 22250506204
16010 GARIABAND CHHURA GOVT.MS.GIRLS PANDUKA (TWD) 22250506205
16011 GARIABAND CHHURA GOVT.M.S.BOYS POD (TWD) 22250506212
16012 GARIABAND CHHURA GOVT.M.S.KUKDA (SSA) 22250506215
16013 GARIABAND CHHURA GOVT.P.S. KURUDA (TWD) 22250506216
16014 GARIABAND CHHURA GOVT.N.PS.NAVADI PANDUKA (SSA) 22250506219
16015 GARIABAND CHHURA GOVT.P.S.PAIRIKALONI PANDUKA (SSA) 22250506220
16016 GARIABAND CHHURA GOVT. P.S. DIWNA (TWD) 22250506301
16017 GARIABAND CHHURA GVOT NAVEEN MS DIWNA [SSA] 22250506302
16018 GARIABAND CHHURA GOVT. P.S. GARDAGHAT (TWD) 22250506401
16019 GARIABAND CHHURA GOVT. PS GILR PANDUKA (TWD) 22250506503
16020 GARIABAND CHHURA KACHNA DHRUVA VIDYAMANDIR PANDUKA 22250506504
16021 GARIABAND CHHURA GOVT. P.S. RAJANKATA (TWD) 22250506601
16022 GARIABAND CHHURA GOVT.M.S RAJANKATA (SSA) 22250506602
16023 GARIABAND CHHURA GOVT. P.S. JAMALI 22250506801
16024 GARIABAND CHHURA GOVT. P.S.PATSWANI 22250506901
16025 GARIABAND CHHURA GOVT M.S. PATSIWANI 22250506902
16026 GARIABAND CHHURA GOVT.P.S.NAVAPARA PATSIVNI (SSA) 22250506905
16027 GARIABAND CHHURA GOVT.P.S.TIKRAPARA (SSA) 22250506906
16028 GARIABAND CHHURA GOVT.M.S. BHERA (SSA) 22250506907
16029 GARIABAND CHHURA GOVT.P.S.AWASHPARA (SSA) 22250506910
16030 GARIABAND CHHURA GOVT.M.S.PIPRHTTA (SSA) 22250506911
16031 GARIABAND CHHURA GOVT.M.S.BORRABANDHA(SSA) 22250506912
16032 GARIABAND CHHURA GOVT.P.S.DONGARIPARA (SSA) 22250506913
16033 GARIABAND CHHURA GOVT.M.S.KHUDIYADIH (SSA) 22250506914
16034 GARIABAND CHHURA GOVT.P.S.SITLAPARA NAVAPARA (SSA) 22250506915
16035 GARIABAND CHHURA GOVT.M.S.NAVAPARA (SSA) 22250506916
16036 GARIABAND CHHURA GOVT.P.S.KAMARTOLA JAMLI (SSA) 22250506917
16037 GARIABAND CHHURA GOVT.M.S.AMLOR (SSA) 22250506918
16038 GARIABAND CHHURA GOVT.PS KHMRAPARA PATSIWANI (SSA) 22250506920
16039 GARIABAND CHHURA GOVT. P.S.KHADMA 22250507001
16040 GARIABAND CHHURA GOVT.M.S. KHADMA 22250507007
16041 GARIABAND CHHURA GOVT.P.S.AWASHPARA KHAMDA(SSA) 22250507009
16042 GARIABAND CHHURA GOVT.P.S.KAMARTOLA RAVELI (SSA) 22250507010
16043 GARIABAND CHHURA GOVT.P.S.MADELI 22250507011
16044 GARIABAND CHHURA GOVT.N.P/S. NAVADI JARGOA (SSA) 22250507013
16045 GARIABAND CHHURA GOVT.N. P.S. NAVADI PAKTIYA 22250507014
16046 GARIABAND CHHURA GOVT.GIRL.M.S. KHAMDA (SSA) 22250507016
16047 GARIABAND CHHURA GOVT.M.S.PIPARCHHEDI 22250507017
16048 GARIABAND CHHURA GOVT. P.S. DHARMPUR (TWD) 22250507101
16049 GARIABAND CHHURA GOVT. P.S. CHITAMADA 22250507201
16050 GARIABAND CHHURA GOVT. P.S. KOTIGAON (TWD) 22250507301
16051 GARIABAND CHHURA GOVT M.S. KOTIGAON (SSA) 22250507302
16052 GARIABAND CHHURA GOVT. P.S.SEMHARA 22250507401
16053 GARIABAND CHHURA GOVT.MS.SEMHARA (SSA) 22250507402
16054 GARIABAND CHHURA GOVT. P.S.KOSMBURDA 22250507501
16055 GARIABAND CHHURA GOVT. P.S. VIDHIYA 22250507601
16056 GARIABAND CHHURA GOVT. P.S. BANLOHJHAR (TWD) 22250507602
16057 GARIABAND CHHURA GOVT M.S.LOHJHAR (TWD) 22250507603
16058 GARIABAND CHHURA GOVT.P.S.BHUNJIYAPARA LOHAJHAR 22250507606
16059 GARIABAND CHHURA GOVT.PS. KAMARPARA KHATTI (SSA) 22250507607
16060 GARIABAND CHHURA GOVT. P.S. VIJAYPUR (TWD) 22250507901
16061 GARIABAND CHHURA GOVT. P.S.GONDLABAHARA(TWD) 22250508101
16062 GARIABAND CHHURA GOVT.M.S.GONDLABAHARA (SSA) 22250508103
16063 GARIABAND CHHURA GOVT. P.S. KASEKERA 22250508201
16064 GARIABAND CHHURA GOVT M.S.KASEKERA (SSA) 22250508202
16065 GARIABAND CHHURA GOVT. P.S. DORTARA 22250508301
16066 GARIABAND CHHURA GOVT.MS. DORTARA (TWD) 22250508304
16067 GARIABAND CHHURA GOVT. P.S. DEVSARA 22250508401
16068 GARIABAND CHHURA GOVT. P.S.KARCHALI 22250508501
16069 GARIABAND CHHURA GOVT. P.S. BAMHANI 22250508601
16070 GARIABAND CHHURA GOVT.PS.BAMHANI 22250508602
16071 GARIABAND CHHURA GOVT KANYA ASHRAM BAHMHANI 22250508603
16072 GARIABAND CHHURA GOVT. P.S.PANKITIYA 22250508701
16073 GARIABAND CHHURA GOVT M.S.PANKITIYA (SSA) 22250508702
16074 GARIABAND CHHURA GOVT. P.S. SORIDKHURD 22250508801
16075 GARIABAND CHHURA GOVT M.S.SORIDKHURD 22250508802
16076 GARIABAND CHHURA GOVT.N. P.S.BHUNJIYAPARA (TWD) 22250508807
16077 GARIABAND CHHURA GOVT.P.S.N. NAGESHWARPARA (TWD) 22250508808
16078 GARIABAND CHHURA GOVT.M.S.VANLOHJHAR (SSA) 22250508810
16079 GARIABAND CHHURA GOVT.PS.KARPIDADAR 22250508812
16080 GARIABAND CHHURA GOVT. P.S. SAJAPALI 22250509001
16081 GARIABAND CHHURA GOVT M.S.SAJAPALI (SSA) 22250509003
16082 GARIABAND CHHURA GOVT. P.S.MONGARA 22250509101
16083 GARIABAND CHHURA GOVT.MS.MONGARA (SSA) 22250509102
16084 GARIABAND CHHURA GOVT.P S.DONGARIPALI 22250509103
16085 GARIABAND CHHURA GOVT.PS.AMETHI 22250509201
16086 GARIABAND CHHURA GOVT. MS.AMETHI (SSA) 22250509204
16087 GARIABAND CHHURA GOVT. P.S.KOSAMI 22250509301
16088 GARIABAND CHHURA GOVT M.S. KOSAMI (TWD) 22250509302
16089 GARIABAND CHHURA GOVT.P.S. DUMARPARA (SSA) 22250509306
16090 GARIABAND CHHURA GOVT.P.S.GOURMUDI KOSMI (SSA) 22250509307
16091 GARIABAND CHHURA GOVT.P.S. UMARAWPARA (SSA) 22250509308
16092 GARIABAND CHHURA GOVT.P.S.CHATTANPARA (SSA) 22250509309
16093 GARIABAND CHHURA GOVT.P.S.SIYALPARA TELIDADAR (SSA) 22250509310
16094 GARIABAND CHHURA GOVT.P.S.KARANPARA NAWAPARA(SSA) 22250509311
16095 GARIABAND CHHURA GOVT.P.S.DARRIPARA PATHARI 22250509312
16096 GARIABAND CHHURA GOVT.M.S. NAVADIHI (SSA) 22250509313
16097 GARIABAND CHHURA GOVT.M.S.NAVAPARA (SSA) 22250509314
16098 GARIABAND CHHURA GOVT.M.S.KUDEMA (SSA) 22250509316
16099 GARIABAND CHHURA GOVT.M.S. KACCHARDIHI CHARODA (SSA) 22250509317
16100 GARIABAND CHHURA GOVT.M.S.GHOGHARA NAVAPARA (SSA) 22250509318
16101 GARIABAND CHHURA GOVT.PS.AKALWARA 22250509401
16102 GARIABAND CHHURA GOVT M.S.AKALWARA 22250509402
16103 GARIABAND CHHURA GOVT.N. MS.JARGAON (SSA0 22250509503
16104 GARIABAND CHHURA GOVT.PS.JARGAON (TWD) 22250509504
16105 GARIABAND CHHURA GOVT.M.S. RAVELI (SSA) 22250509505
16106 GARIABAND CHHURA GOVT. P.S.RANIPARTEWA 22250509601
16107 GARIABAND CHHURA GOVT M.S. BOYS RANIPARTEWA 22250509603
16108 GARIABAND CHHURA GOVT.GIRL MS.RANIPARTEWA (SSA) 22250509607
16109 GARIABAND CHHURA GOVT.M.S.KARCHALI (SSA) 22250509609
16110 GARIABAND CHHURA GOVT.P.S. KORASI (TWD) 22250509613
16111 GARIABAND CHHURA GOVT.M.S.KORASI (SSA) 22250509614
16112 GARIABAND CHHURA GOVT.P.S.KARKARA (TWD) 22250509615
16113 GARIABAND CHHURA GOVT.P.S.HARIJANPARA KARKARA (SSA) 22250509616
16114 GARIABAND CHHURA GOVT.P.S.MUDAGOVN 22250509617
16115 GARIABAND CHHURA GOVT.M.S.MUDAGAON (SSA) 22250509618
16116 GARIABAND CHHURA GOVT.P.S.HARIJANPARA (SSA) 22250509619
16117 GARIABAND CHHURA GOVT.P.S.TIKRAPARA RANIPARTEWA 22250509620
16118 GARIABAND CHHURA GOVT.M.S.BAMHNI (SSA) 22250509622
16119 GARIABAND CHHURA GOVT. P.S. SANKARA (TWD) 22250509701
16120 GARIABAND CHHURA GOVT.MS.SANKARA 22250509704
16121 GARIABAND CHHURA GOVT. P.S. DULLA 22250509801
16122 GARIABAND CHHURA GOVT.GIRL MS. DULLA (SSA) 22250509803
16123 GARIABAND CHHURA GOVT.M.S.BHESAMUDA (SSA) 22250509804
16124 GARIABAND CHHURA GOVT BOYS M.S.DULLA (TWD) 22250509807
16125 GARIABAND CHHURA GOVT. P.S.PENDARA (TWD) 22250509901
16126 GARIABAND CHHURA GOVT M.S.PENDARA (TWD) 22250509902
16127 GARIABAND CHHURA GOVT.N.P.S.BHAKLAPARA (SSA) 22250509904
16128 GARIABAND CHHURA GOVT.P.S.MALIYAR PENDARA (SSA) 22250509906
16129 GARIABAND CHHURA GOVT.M.S.KAMRAJ (SSA) 22250509907
16130 GARIABAND CHHURA GOVT. PS. NARTORA 22250510201
16131 GARIABAND CHHURA GOVT. PS PIPARHATTA 22250510301
16132 GARIABAND CHHURA GOVT. PS. THELKADADAR 22250510401
16133 GARIABAND CHHURA GOVT.PS.GAYDABRI 22250510601
16134 GARIABAND CHHURA GOVT.N.MS.GAYDABARI (SSA) 22250510604
16135 GARIABAND CHHURA GOVT.M.S. TALESHAR 22250510605
16136 GARIABAND CHHURA GOVT. N.PS. PARSAPANI (SSA) 22250510801
16137 GARIABAND CHHURA GOVT.PS . GONBORA (TWD) 22250511001
16138 GARIABAND CHHURA GOVT.P.S SEHARAPANI (SSA) 22250511101
16139 GARIABAND CHHURA GOVT. P.S. DEWARI (TWD) 22250511201
16140 GARIABAND CHHURA GOVT.N. PS NISAINIDADAR (SSA) 22250511202
16141 GARIABAND CHHURA GOVT.N. M.S. DEWARI (SSA) 22250511203
16142 GARIABAND CHHURA GOVT.PS. CHINDOLI (TWD) 22250511401
16143 GARIABAND CHHURA GOVT. PS. KAMRA PAR CHINDOLI (TWD) 22250511402
16144 GARIABAND CHHURA GOVT.PS.NAWADIH KOSMI (TWD) 22250511501
16145 GARIABAND CHHURA GOVT.P.S. NAWADIH (SSA) 22250511502
16146 GARIABAND CHHURA GOVT.PS. BODALPARA (SSA) 22250511601
16147 GARIABAND CHHURA GOVT.PS.NAGJHAR (TWD) 22250511701
16148 GARIABAND CHHURA GOVT.PS.NAGJHAR (TWD) 22250511702
16149 GARIABAND CHHURA GOVT.MS. KURUD (TWD) 22250511903
16150 GARIABAND CHHURA GOVT.PS.ATARMARA 22250512001
16151 GARIABAND CHHURA GOVT.GIRL M.S. ATARMARA (SSA) 22250512004
16152 GARIABAND CHHURA GOVT.N.P.S.KHADARAHI MURMU(SSA) 22250512005
16153 GARIABAND CHHURA GOVT.N.P.S.SUBHASHA NAGAR MURA 22250512006
16154 GARIABAND CHHURA GOVT.M.S.GADAGHATA (SSA) 22250512008
16155 GARIABAND CHHURA GOVT.M.S.FULJHAR (SSA) 22250512009
16156 GARIABAND CHHURA GOVT.N.P.S.MANDIRPARA GADAGHAT(SSA) 22250512010
16157 GARIABAND CHHURA GOVT.M.S.ATARMARA (TWD) 22250512013
16158 GARIABAND CHHURA GOVT.M.S. KARKRA (SSA) 22250512103
16159 GARIABAND CHHURA GOVT. PS. CHATARMADAI (TWD) 22250512201
16160 GARIABAND CHHURA GOVT.PS. PANDRIPANI GOND (TWD) 22250512301
16161 GARIABAND CHHURA GOVT GYANY JOTI BAIDPARA [SSA] 22250512304
16162 GARIABAND CHHURA GOVT.PS.TENGNABASA (TWD) 22250512501
16163 GARIABAND CHHURA GOVT. M.S.TENGNABASA (SSA) 22250512502
16164 GARIABAND CHHURA GOVT.PS.DADARGAO (TWD) 22250512601
16165 GARIABAND CHHURA GOVT. KANYA ASHRAM PS NAGINBAHRA 22250512701
16166 GARIABAND CHHURA GOVT.PS.NAGINBAHARA (SSA) 22250512702
16167 GARIABAND CHHURA GOVT.M.S.NAGINBAHARA (TWD) 22250512703
16168 GARIABAND CHHURA GOVT. KANYA ASHRAM DADARGAO (TWD) 22250512801
16169 GARIABAND CHHURA GOVT.MS. DADARGAO ,NAYA (SSA) 22250512802
16170 GARIABAND CHHURA GOVT.PS. KALMIDADAR (SSA) 22250512803
16171 GARIABAND CHHURA GOVT. PS. BHARUWAMUDA (TWD) 22250513001
16172 GARIABAND CHHURA GOVT.PS BOYS CHHURA 22250513101
16173 GARIABAND CHHURA GOVT.ADEVASI GIRL ASRAM CHHURA 22250513102
16174 GARIABAND CHHURA GOVT.PS. A. GAYDABRI (SSA) 22250513201
16175 GARIABAND CHHURA GOVT.PS.ASARA (TWD) 22250513301
16176 GARIABAND CHHURA GOVT.PS.CHURKIDADAR (TWD) 22250513401
16177 GARIABAND CHHURA GOVT M.S. CHURKIDADAR (TWD) 22250513402
16178 GARIABAND CHHURA GOVT. PS. JATIYATORA (TWD) 22250513501
16179 GARIABAND CHHURA GOVT.P.S.KUGDA (TWD) 22250513602
16180 GARIABAND CHHURA GOVT.MS.MADELI (SSA) 22250513802
16181 GARIABAND CHHURA GOVT.PS.BOIRGAO (TWD) 22250513901
16182 GARIABAND CHHURA GOVT PS KUREKERA (TWD) 22250514002
16183 GARIABAND CHHURA GOVT.PS.RAWELI (TWD) 22250514101
16184 GARIABAND CHHURA GOVT.PS.CHARODA 22250514201
16185 GARIABAND CHHURA GOVT M.S. CHARODA (TWD) 22250514202
16186 GARIABAND CHHURA GOVT.PS. KAMARPARA (SSA) 22250514203
16187 GARIABAND CHHURA GOVT.PS.KUDEMA (SSA) 22250514401
16188 GARIABAND CHHURA GOVT. PS KANDAGADHI 22250514501
16189 GARIABAND CHHURA GOVT.PS.VIJAYNAGAR 22250514601
16190 GARIABAND CHHURA GOVT. PS KACHARDIH 22250514701
16191 GARIABAND CHHURA GOVT.N. PS. BORIYAJHAR (TWD) 22250514801
16192 GARIABAND CHHURA GOVT.N. PS RAJPUR (SSA) 22250514901
16193 GARIABAND CHHURA GOVT.M.S.KHARKHARA (SSA) 22250515003
16194 GARIABAND CHHURA GOVT.P.S.KHARKHARA (SSA) 22250515004
16195 GARIABAND CHHURA GOVT.PS.PANDRIPANI 22250515101
16196 GARIABAND CHHURA GOVT.PS.JALKIPANI 22250515201
16197 GARIABAND CHHURA GOVT.PS.KHUSRUPALI 22250515301
16198 GARIABAND CHHURA GOVT.PS.BAHERABHATHA 22250515401
16199 GARIABAND CHHURA GOVT.PS.MOHRADIH 22250515501
16200 GARIABAND CHHURA GOVT.PS.KHATTI (SSA) 22250515601
16201 GARIABAND CHHURA GOVT.PS.KHATTI 22250515602
16202 GARIABAND CHHURA GOVT.PS. MATARBAHRA (TWD) 22250515801
16203 GARIABAND CHHURA GOVT.MS.MATARBHARA (SSA) 22250515802
16204 GARIABAND CHHURA GOVT.N.PS. KODAMAL (SSA) 22250515901
16205 GARIABAND CHHURA GOVT.N.PS. PALEMA (SSA) 22250516001
16206 GARIABAND CHHURA GOVT. P.S. TILAIDADER (SSA) 22250516201
16207 GARIABAND CHHURA GOVT.M.S. TILAIDADER (SSA) 22250516203
16208 GARIABAND CHHURA GOVT.P.S.TILAIDADAR 22250516204
16209 GARIABAND CHHURA GOVT.N. P.S. KANTAKHUSRI (SSA) 22250516301
16210 GARIABAND CHHURA GOVT.N. P.S. PANIDRPNI DIH 22250516401
16211 GARIABAND CHHURA GOVT.PS.JIDHAR 22250516501
16212 GARIABAND CHHURA GOVT.PS.GHOGHRA (SSA) 22250516601
16213 GARIABAND CHHURA GOVT.PS.ULATPARA (SSA) 22250516701
16214 GARIABAND CHHURA GOVT.PS.BAGBAHRA (SSA) 22250516801
16215 GARIABAND CHHURA GOVT.PS.KETELPARA (SSA) 22250516901
16216 GARIABAND CHHURA GOVT.PS.MURMURA (TWD) 22250517001
16217 GARIABAND CHHURA GOVT M.S. MURMURA (TWD) 22250517002
16218 GARIABAND CHHURA GOVT.PS.KUMHARMARA (SSA) 22250517101
16219 GARIABAND CHHURA GOVT.PS.MOHTRA (SSA) 22250517201
16220 GARIABAND CHHURA GOVT.PS.BIJAPANI 22250517301
16221 GARIABAND CHHURA GOVT.PS. SARAYPALI 22250517601
16222 GARIABAND CHHURA GOVT. PS. BOIREDIH 22250517701
16223 GARIABAND CHHURA GOVT.PS. KURAPARA 22250517801
16224 GARIABAND CHHURA GOVT. PS. KOKADACHEDA 22250517901
16225 GARIABAND CHHURA GOVT.PS.SHUKLAPARA 22250518001
16226 GARIABAND CHHURA S.G.SCHOOL DUNDUNIPANI 22250518101
16227 GARIABAND CHHURA GOVT.PS.SARGIPARA 22250518201
16228 GARIABAND CHHURA GOVT.M.S.SARGIPARA (SSA) 22250518202
16229 GARIABAND CHHURA GOVT.MS.MUDIPANI (SSA) 22250518301
16230 GARIABAND CHHURA GOVT.PS. MUDIPANI 22250518302
16231 GARIABAND CHHURA GOVT.PS.PHOOLBHAR 22250518401
16232 GARIABAND CHHURA GOVT.PS.DHEHIPARA (TWD) 22250518501
16233 GARIABAND CHHURA GOVT.PS.KTELPARA (SSA) 22250518701
16234 GARIABAND CHHURA GOVT.PS.KOSAMPANI (SSA) 22250518801
16235 GARIABAND CHHURA GOVT.PS.SANJAY NAGAR (SSA) 22250518901
16236 GARIABAND CHHURA GOVT.GYAN JOYTI SARGIPARA (SSA) 22250522401
16237 GARIABAND CHHURA GOVT.N.PS SOBHUPANNA (SSA) 22250523001
16238 GARIABAND CHHURA GOVT.GYAN JYOTI AMLIPARA (SSA) 22250523101
16239 GARIABAND CHHURA GYAN JYOTI SCHOOL KARIDADAR 22250523201
16240 GARIABAND CHHURA GOVT PS KHEDIAMA (SSA) 22250523501
16241 GARIABAND DEOBHOG GOVT.PRMARY SCHOOL BOIRGUDA 22251400101
16242 GARIABAND DEOBHOG GOVT. PRIMARY SCHOOL KENDUPATI 22251400202
16243 GARIABAND DEOBHOG GOVT P.S. CHINGRABHATA 22251400301
16244 GARIABAND DEOBHOG GOVT. PRIMARY SCHOOL GHOGHAR 22251400401
16245 GARIABAND DEOBHOG GOVT.MIDDIL SCHOOL GHOGHOR (SSA) 22251400402
16246 GARIABAND DEOBHOG GOVT.N.P.S DARALIPARA 22251400403
16247 GARIABAND DEOBHOG GOVT. PRIMARY SCHOOL SRGIGUDA 22251400501
16248 GARIABAND DEOBHOG GOVT.MIDDIL SCHOOL SRGIGUDA (SSA) 22251400502
16249 GARIABAND DEOBHOG GOVT. PRIMARY SCHOOL GIRSUL 22251400601
16250 GARIABAND DEOBHOG GOVT M.S. GURSUL 22251400602
16251 GARIABAND DEOBHOG GOVT. PRIMARY SCHOOL GANGRAJPUR 22251400701
16252 GARIABAND DEOBHOG GOVT. M.S. GANGRAJPUR (SSA) 22251400702
16253 GARIABAND DEOBHOG GOVT. PRIMARY SCHOOL KETPADAR 22251400901
16254 GARIABAND DEOBHOG GOVT.PRMARY SCHOOL BARPARA 22251400902
16255 GARIABAND DEOBHOG GOVT. PRIMARY SCHOOL BARKANI 22251401001
16256 GARIABAND DEOBHOG GOVT. MIDDLE SCHOOL BARKANI (SSA) 22251401002
16257 GARIABAND DEOBHOG GOVT. PRIMARY SCHOOL SINAPALI 22251401101
16258 GARIABAND DEOBHOG GOVT M.S. SINAPALI 22251401102
16259 GARIABAND DEOBHOG GOVT. PRIMARY SCHOOL BADIGAON 22251401201
16260 GARIABAND DEOBHOG GOVT. BOYS M.S. BADIGAON (SSA) 22251401202
16261 GARIABAND DEOBHOG GOVT. GIRLS M.S. BADIGAON (SSA) 22251401203
16262 GARIABAND DEOBHOG GOVT. PRIMARY SCHOOL GOHEKELA 22251401301
16263 GARIABAND DEOBHOG GOVT. P.S. GOTIYAPARA (SSA) 22251401302
16264 GARIABAND DEOBHOG GOVT. PRIMARY SCHOOL DARLIPARA 22251401401
16265 GARIABAND DEOBHOG GOVT M.S. DARLIPARA (SSA) 22251401402
16266 GARIABAND DEOBHOG GOVT. PRIMARY SCHOOL SUKLIBHATA 22251401501
16267 GARIABAND DEOBHOG GOVT.MIDDIL SCHOOL SUKLIBHATA (SSA) 22251401502
16268 GARIABAND DEOBHOG GOVT. PRIMARY SCHOOL DHUPKOT 22251401601
16269 GARIABAND DEOBHOG GOVT. P.S. BANDPARA (SSA) 22251401602
16270 GARIABAND DEOBHOG GOVT. PRIMARY SCHOOL NAGLDEHI 22251401701
16271 GARIABAND DEOBHOG GOVT.MIDDIL SCHOOL NAGLDEGH(SSA) 22251401702
16272 GARIABAND DEOBHOG GOVT. PRIMARY SCHOOL TIKRAPARA 22251401801
16273 GARIABAND DEOBHOG GOVT. PRIMARY SCHOOL GOHRAPADAR 22251401901
16274 GARIABAND DEOBHOG GOVT.MIDDIL SCHOOL GOHRAPADAR(SSA) 22251401902
16275 GARIABAND DEOBHOG GOVT. PRIMARY SCHOOL TUVASMAL 22251402001
16276 GARIABAND DEOBHOG GOVT. PRIMARY SCHOOL PITAPARA 22251402101
16277 GARIABAND DEOBHOG GOVT. PRIMARY SCHOOL KHUTGAON 22251402201
16278 GARIABAND DEOBHOG GOVT NAVIN M.S. KHUTGAON 22251402202
16279 GARIABAND DEOBHOG GOVT. P.S. MANJHIPARA(SSA) 22251402203
16280 GARIABAND DEOBHOG GOVT. PRIMARY SCHOOL SONAMUNDI 22251402301
16281 GARIABAND DEOBHOG GOVT. PRIMARY SCHOOL KARCHIYA 22251402401
16282 GARIABAND DEOBHOG GOVT.M.S.KARCHIYA (SSA) 22251402402
16283 GARIABAND DEOBHOG GOVT. PRIMARY SCHOOL BADE LATAPARA 22251402501
16284 GARIABAND DEOBHOG GOVT. P.S. CHOTE LATAPARA 22251402601
16285 GARIABAND DEOBHOG GOVT. PRIMARY SCHOOL MUNGJHAR 22251402701
16286 GARIABAND DEOBHOG GOVT. GIRLS PRIMARY SCHOOL DEOBHOG 22251402801
16287 GARIABAND DEOBHOG GOVT. BALAK PRIMARY SCHOOL DEOBHOG 22251402802
16288 GARIABAND DEOBHOG GOVT. KGBV M.S. DEOBHOG (KGBV) 22251402804
16289 GARIABAND DEOBHOG GOVT. PRIMARY SCHOOL SARGIBAHLI 22251402901
16290 GARIABAND DEOBHOG GOVT. PRIMARY SCHOOL USRIPANI 22251403001
16291 GARIABAND DEOBHOG GOVT.M.S. USRIPANI (SSA) 22251403002
16292 GARIABAND DEOBHOG GOVT. PRIMARY SCHOOL KURLAPARA 22251403101
16293 GARIABAND DEOBHOG GOVT. PRIMARY SCHOOL JHAKHARPARA 22251403201
16294 GARIABAND DEOBHOG GOVT. P.S. LIYHARIPARA (SSA) 22251403202
16295 GARIABAND DEOBHOG GOVT. PRIMARY SCHOOL JAMGURIYAPARA 22251403301
16296 GARIABAND DEOBHOG GOVT. PRIMARY SCHOOL KODOBEDA 22251403401
16297 GARIABAND DEOBHOG GOVT. PRIMARY SCHOOL AMAD 22251403501
16298 GARIABAND DEOBHOG GOVT. PRIMARY SCHOOL DIVANMUDA 22251403601
16299 GARIABAND DEOBHOG GOVT NAVIN M.S. DIVANMUDA (SSA) 22251403602
16300 GARIABAND DEOBHOG GOVT. PRIMARY SCHOOL MADAGAON 22251403701
16301 GARIABAND DEOBHOG GOVT. P.S. KARLAKOT (SSA) 22251403704
16302 GARIABAND DEOBHOG GOVT M.S.MADAGAON 22251403706
16303 GARIABAND DEOBHOG GOVT.PRIMARY SCHOOL KARLABANDALI 22251403707
16304 GARIABAND DEOBHOG GOVT. PRIMARY SCHOOL THIRLIGUDA 22251403801
16305 GARIABAND DEOBHOG GOVT. PRIMARY SCHOOL JHIRIPANI 22251403901
16306 GARIABAND DEOBHOG GOVT.M.S JHIRIPANI (SSA) 22251403904
16307 GARIABAND DEOBHOG GOVT. PRIMARY SCHOOL SAHASKHOL 22251404001
16308 GARIABAND DEOBHOG GOVT.M.S.SAHASKHOL (SSA) 22251404002
16309 GARIABAND DEOBHOG GOVT. PRIMARY SCHOOL KHWASPARA 22251404101
16310 GARIABAND DEOBHOG GOVT. PRIMARY SCHOOL SENDMUDA 22251404201
16311 GARIABAND DEOBHOG GOVT. PRIMARY SCHOOL SUPEBEDA 22251404301
16312 GARIABAND DEOBHOG GOVT M.S. SUPEBEDA 22251404302
16313 GARIABAND DEOBHOG GOVT P.S NAVIN BANDPARA 22251404303
16314 GARIABAND DEOBHOG GOVT. PRIMARY SCHOOL PREWAPALI 22251404401
16315 GARIABAND DEOBHOG GOVT. PRIMARY SCHOOL KHMARGUDA 22251404501
16316 GARIABAND DEOBHOG GOVT. PRIMARY SCHOOL NISTIGUDA 22251404601
16317 GARIABAND DEOBHOG GOVT MIDDLE SCHOOL NISTIGUDA (SSA) 22251404602
16318 GARIABAND DEOBHOG GOVT. PRIMARY SCHOOL DAHIGAON 22251404701
16319 GARIABAND DEOBHOG GOVT. P.S. BANDPARA (SSA) 22251404702
16320 GARIABAND DEOBHOG GOVT.M.S. DAHIGAON (SSA) 22251404703
16321 GARIABAND DEOBHOG GOVT. PRIMARY SCHOOL NABAGUDA 22251404801
16322 GARIABAND DEOBHOG GOVT. PRIMARY SCHOOL SAGONBHADI 22251404901
16323 GARIABAND DEOBHOG GOVT. PRIMARY SCHOOL GHUMARGUDA 22251405001
16324 GARIABAND DEOBHOG GOVT.MIDDLE SCHOOL GHUMARGUDA (SSA) 22251405003
16325 GARIABAND DEOBHOG GOVT M.S. DHORAKOT 22251405102
16326 GARIABAND DEOBHOG GOVT.PRIMARY SCHOOL DHORAKOT 22251405103
16327 GARIABAND DEOBHOG GOVT. PRIMARY SCHOOL MURGUDA 22251405201
16328 GARIABAND DEOBHOG GOVT. PRIMARY SCHOOL KODOBHATHA 22251405302
16329 GARIABAND DEOBHOG GOVT. PRIMARY SCHOOL FLSAPARA 22251405401
16330 GARIABAND DEOBHOG GOVT.P.S. MALPARA 22251405402
16331 GARIABAND DEOBHOG GOVT. PRIMARY SCHOOL JHARABAHAL 22251405501
16332 GARIABAND DEOBHOG GOVT. PRIMARY SCHOOL FOOLIMUDA 22251405601
16333 GARIABAND DEOBHOG GOVT. PRIMARY SCHOOL KUSKONA 22251405701
16334 GARIABAND DEOBHOG GOVT. PRIMARY SCHOOL GADAGHAT 22251405801
16335 GARIABAND DEOBHOG GOVT. M.S. GADAGHAT 22251405802
16336 GARIABAND DEOBHOG GOVT. PRIMARY SCHOOL MOTRAPARA 22251405901
16337 GARIABAND DEOBHOG GOVT. PRIMARY SCHOOL JAMGAON 22251406001
16338 GARIABAND DEOBHOG GOVT MIDDLE SCHOOL JAMGAON (SSA) 22251406002
16339 GARIABAND DEOBHOG GOVT. PRIMARY SCHOOL ROHNAGUDA 22251406101
16340 GARIABAND DEOBHOG GOVT. M.S. ROHNAGUDA (SSA) 22251406102
16341 GARIABAND DEOBHOG GOVT. PRIMARY SCHOOL MURLIGUDA 22251406201
16342 GARIABAND DEOBHOG GOVT. PRIMARY SCHOOL SUKLIBHATA (N) 22251406301
16343 GARIABAND DEOBHOG GOVT P.S. DABRIBHATA (SSA) 22251406302
16344 GARIABAND DEOBHOG GOVT. P.S. DONGSIPARA (SSA) 22251406303
16345 GARIABAND DEOBHOG GOVT.M.S. SUKLIBHATA (N) (SSA) 22251406305
16346 GARIABAND DEOBHOG GOVT. PRIMARY SCHOOL DHAMBEDA 22251406401
16347 GARIABAND DEOBHOG GOVT. PRIMARY SCHOOL KUMDAIKHURD 22251406501
16348 GARIABAND DEOBHOG GOVT. M.S. KUMDAIKHURD (SSA) 22251406502
16349 GARIABAND DEOBHOG GOVT. PRIMARY SCHOOL KHOKSRA 22251406601
16350 GARIABAND DEOBHOG GOVT M.S. KHOKSRA 22251406602
16351 GARIABAND DEOBHOG GOVT. PRIMARY SCHOOL DHUMAMUDA 22251406701
16352 GARIABAND DEOBHOG GOVT. PRIMARY SCHOOL KARLAGUDA 22251406801
16353 GARIABAND DEOBHOG GOVT. M.S. KARLAGUDA (SSA) 22251406802
16354 GARIABAND DEOBHOG GOVT. PRIMARY SCHOOL BARAHI 22251406901
16355 GARIABAND DEOBHOG GOVT.M.S. BARAHI(SSA) 22251406902
16356 GARIABAND DEOBHOG GOVT. PRIMARY SCHOOL PURNAPANI 22251407001
16357 GARIABAND DEOBHOG GOVT.M.S. PURNAPANI (SSA) 22251407002
16358 GARIABAND DEOBHOG GOVT. PRIMARY SCHOOL KUMHDAIKALA 22251407101
16359 GARIABAND DEOBHOG GOVT.M.S. KUMHDAIKALA SSA() 22251407102
16360 GARIABAND DEOBHOG GOVT. PRIMARY SCHOOL KOSAMKANI 22251407201
16361 GARIABAND DEOBHOG GOVT. PRIMARY SCHOOL MAHULPARA 22251407301
16362 GARIABAND DEOBHOG GOVT.PRIMARY SCHOOL KENDUBAN 22251407402
16363 GARIABAND DEOBHOG GOVT. PRIMARY SCHOOL DUMARBAHAL 22251407501
16364 GARIABAND DEOBHOG GOVT.M.S.DUMRBAHAL DUMARBAHAL (SSA) 22251407503
16365 GARIABAND DEOBHOG GOVT.N.P.S.MANKIGUDA(SSA) 22251407505
16366 GARIABAND DEOBHOG GOVT. PRIMARY SCHOOL DABNAI 22251407601
16367 GARIABAND DEOBHOG GOVT M.S. DABNAI 22251407602
16368 GARIABAND DEOBHOG GOVT. PRIMARY SCHOOL GHOTGUDA 22251407701
16369 GARIABAND DEOBHOG GOVT. PRIMARY SCHOOL MOKHAGUDA 22251407801
16370 GARIABAND DEOBHOG GOVT M.S. MOKHAGUDA(SSA) 22251407802
16371 GARIABAND DEOBHOG GOVT. P.S. MUNGIYA 22251407901
16372 GARIABAND DEOBHOG GOVT. P.S.KURMIBASA 22251407902
16373 GARIABAND DEOBHOG GOVT. PRIMARY SCHOOL KADLIMUDA 22251408001
16374 GARIABAND DEOBHOG GOVT. P.S. BHOIPARA (SSA) 22251408002
16375 GARIABAND DEOBHOG GOVT. MIDDLE SCHOOL KADLIMUDA (SSA) 22251408003
16376 GARIABAND DEOBHOG GOVT. PRIMARY SCHOOL BHARTABAHLI 22251408101
16377 GARIABAND DEOBHOG GOVT.P.S.KHALIYABHATA(SSA) 22251408102
16378 GARIABAND DEOBHOG GOVT. PRIMARY SCHOOL SITLIJOR 22251408201
16379 GARIABAND DEOBHOG GOVT.M.S. SITLIJOR(SSA) 22251408202
16380 GARIABAND DEOBHOG GOVT. PRIMARY SCHOOL CHICHIYA 22251408301
16381 GARIABAND DEOBHOG GOVT. MIDDLE SCHOOL CHICHIYA (SSA) 22251408302
16382 GARIABAND DEOBHOG GOVT.PRMARY SCHOOL POJARIPARA 22251408305
16383 GARIABAND DEOBHOG GOVT PRIMARY SCHOOL DASOPARA 22251408401
16384 GARIABAND DEOBHOG GOVT PRIMARY SCHOOL BARBAHLI 22251408501
16385 GARIABAND DEOBHOG GOVT M.S. BARBAHLI 22251408502
16386 GARIABAND DEOBHOG GOVT. PRIMARY SCHOOL MUDAGAON 22251408601
16387 GARIABAND DEOBHOG GOVT M.S. MUDAGAON 22251408602
16388 GARIABAND DEOBHOG GOVT. PRIMARY SCHOOL MAHULKOT 22251408701
16389 GARIABAND DEOBHOG GOVT. P.S. JADAMUDAPARA (SSA) 22251408702
16390 GARIABAND DEOBHOG GOVT. M.S.MAHULKOT (SSA) 22251408703
16391 GARIABAND DEOBHOG GOVT. PRIMARY SCHOOL NAWAGAON 22251408801
16392 GARIABAND DEOBHOG GOVT. M.S. NAWAGAON (SSA) 22251408802
16393 GARIABAND DEOBHOG GOVT. PRIMARY SCHOOL JALPARA(SSA) 22251408803
16394 GARIABAND DEOBHOG GOVT PRIMARY SCHOOL DUMARPITA 22251408901
16395 GARIABAND DEOBHOG GOVT. M.S. DUMARPITA (SSA) 22251408904
16396 GARIABAND DEOBHOG GOVT. P.S.KENDUPARA (SSA) 22251408905
16397 GARIABAND DEOBHOG GOVT. PRIMARY SCHOOL LADRA 22251409001
16398 GARIABAND DEOBHOG GOVT.P.S.GAITAPAR( SSA) 22251409002
16399 GARIABAND DEOBHOG GOVT. P.S. PODAGUDA (SSA) 22251409102
16400 GARIABAND DEOBHOG GOVT. M.S.DOHEL (SSA) 22251409103
16401 GARIABAND DEOBHOG GOVT. PRIMARY SCHOOL DOHEL 22251409104
16402 GARIABAND DEOBHOG GOVT. PRIMARY SCHOOL DONGRIGUDA 22251409201
16403 GARIABAND DEOBHOG GOVT. PRIMARY SCHOOL DHUNGIYAMUDA 22251409301
16404 GARIABAND DEOBHOG GOVT M.S. MUNGJHAR 22251409402
16405 GARIABAND DEOBHOG GOVT GIRLS M.S. MUNGJHAR (SSA) 22251409403
16406 GARIABAND DEOBHOG GOVT. N.P.S.KURLAPARA (SSA) 22251409404
16407 GARIABAND DEOBHOG GOVT. PRIMARY SCHOOL MAGARRODA 22251409501
16408 GARIABAND DEOBHOG GOVT.M.S. MAGARRODA (SSA) 22251409502
16409 GARIABAND DEOBHOG GOVT.M.S. SENDMUDA (SSA) 22251409701
16410 GARIABAND DEOBHOG GOVT.NPS DONGARI PARA(SSA) 22251409802
16411 GARIABAND DEOBHOG GOVT.M.S. BHATRABAHLI 22251409902
16412 GARIABAND DEOBHOG GOVT. P.S.DARLIPARA 22251410103
16413 GARIABAND DEOBHOG GOVT. P.S. KANDPARA (SSA) 22251410201
16414 GARIABAND DEOBHOG GOVT. PRIMARY SCHOOL BUTLIPARA 22251410301
16415 GARIABAND DEOBHOG GOVT. NAVEN PRIMARY SCHOOL LIMPARA 22251410401
16416 GARIABAND DEOBHOG GOVT.PRIMARY SCHOOL BAGGODA 22251410501
16417 GARIABAND DEOBHOG GOVT. PRIMARY SCHOOL PANDEPARA 22251410601
16418 GARIABAND DEOBHOG GOVT. NAVEN PRIMARY SCHOOL TEMRA 22251410701
16419 GARIABAND DEOBHOG GOVT. PRIMARY SCHOOL DHORAJHOLAPARA 22251410801
16420 GARIABAND DEOBHOG GOVT. PRIMARY SCHOOL TETALPARA 22251410901
16421 GARIABAND DEOBHOG GOVT. PRIMARY SCHOOL TIPPARA 22251411001
16422 GARIABAND DEOBHOG GOVT. PRIMARY SCHOOL SARDAPUR 22251411201
16423 GARIABAND DEOBHOG GOVT. PRIMARY SCHOOL DHRUWAPARA 22251411301
16424 GARIABAND DEOBHOG GOVT. PRIMARY SCHOOL ADARPARA 22251411401
16425 GARIABAND DEOBHOG GOVT. PRIMARY SCHOOL NAYAPARA 22251411501
16426 GARIABAND DEOBHOG GOVT. PRIMARY SCHOOL TANDIPARA 22251411601
16427 GARIABAND DEOBHOG GOVT. NAVEN PRIMARY SCHOOL UPARPITA 22251411701
16428 GARIABAND DEOBHOG GOVT. PRIMARY SCHOOL BICHHALPARA 22251411801
16429 GARIABAND DEOBHOG GOVT. PRIMARY SCHOOL FUNDELPARA 22251411901
16430 GARIABAND DEOBHOG GOVT. PRIMARY SCHOOL FOKATPARA 22251412001
16431 GARIABAND DEOBHOG GOVT. PRIMARY SCHOOL BUDDUPARA 22251412101
16432 GARIABAND DEOBHOG NAVEN PRIMARY SCHOOL GAHNAMUDA 22251412201
16433 GARIABAND DEOBHOG GOVT. NAVEN PRIMARY SCHOOL BHERGUDA 22251412301
16434 GARIABAND DEOBHOG GOVT. PRIMARY SCHOOL NICHEPARA 22251412401
16435 GARIABAND DEOBHOG GOVT GIRLS M.S. DEOBHOG 22251412503
16436 GARIABAND DEOBHOG GOVT M.S. JHAKHARPARA 22251412601
16437 GARIABAND DEOBHOG GOVT BOYS M.S. DEOBHOG 22251412902
16438 GARIABAND DEOBHOG GOVT M.S. LATAPARA 22251413001
16439 GARIABAND DEOBHOG GOVT. M.S. MOTARAPARA (SSA) 22251413101
16440 GARIABAND FINGESHWAR GOVT. PS BINOURI 22252300102
16441 GARIABAND FINGESHWAR GOVT. MS BINOURI SSA 22252300103
16442 GARIABAND FINGESHWAR GOVT.PS GIRLS DHAMNI 22252300201
16443 GARIABAND FINGESHWAR GOVT. PS BOYS DHAMNI 22252300202
16444 GARIABAND FINGESHWAR GOVT. MS DHAMNI SSA 22252300203
16445 GARIABAND FINGESHWAR GOVT. PS BHATAPARA DHAMNI 22252300204
16446 GARIABAND FINGESHWAR GOVT. PS KIRWAI 22252300301
16447 GARIABAND FINGESHWAR GOVT. MS KIRWAI 22252300304
16448 GARIABAND FINGESHWAR GOVT. PS BANGLA BHATA KIRWAI SSA 22252300305
16449 GARIABAND FINGESHWAR GOVT. PS PHOKAT PARA KIRWAI SSA 22252300306
16450 GARIABAND FINGESHWAR GOVT. MS PHOKAT PARA KIRWAI SSA 22252300307
16451 GARIABAND FINGESHWAR GOVT PS BIJALI 22252300501
16452 GARIABAND FINGESHWAR GOVT M.S. BIJALI 22252300502
16453 GARIABAND FINGESHWAR GOVT.P. S. NAVADHI BIJALI SSA 22252300505
16454 GARIABAND FINGESHWAR GOVT. PS SIRRIKALA 22252300601
16455 GARIABAND FINGESHWAR GOVT. MS SIRRIKALA SSA 22252300602
16456 GARIABAND FINGESHWAR GOVT. PS BHATA PARA SIRRIKALA SSA 22252300605
16457 GARIABAND FINGESHWAR GOVT. PS PASAUD 22252300701
16458 GARIABAND FINGESHWAR GOVT. MS PASAUD 22252300702
16459 GARIABAND FINGESHWAR GOVT. NAVEEN PS KAMARPARA PASAUD 22252300704
16460 GARIABAND FINGESHWAR GOVT. PS BHASERA 22252300801
16461 GARIABAND FINGESHWAR GOVT. MS BHASERA 22252300802
16462 GARIABAND FINGESHWAR GOVT. PS PATHARRA 22252300901
16463 GARIABAND FINGESHWAR GOVT. PS NAVEEN PATHARRA SSA 22252300902
16464 GARIABAND FINGESHWAR GOVT. MS PATHARRA SSA 22252300903
16465 GARIABAND FINGESHWAR GOVT. PS PEEPAR CHHEDI 22252301001
16466 GARIABAND FINGESHWAR GOVT. PS SEMHRADIH 22252301101
16467 GARIABAND FINGESHWAR GOVT. PS BELTUKRI 22252301201
16468 GARIABAND FINGESHWAR GOVT. MS BOYS BELTUKRI 22252301202
16469 GARIABAND FINGESHWAR GOVT. PS ABADI PARA BELTUKRI SSA 22252301204
16470 GARIABAND FINGESHWAR GOVT. PS BOYS KOPRA 22252301302
16471 GARIABAND FINGESHWAR GOVT. PS NAVEEN KOPRA 22252301303
16472 GARIABAND FINGESHWAR GOVT. PS GIRLS KOPRA 22252301304
16473 GARIABAND FINGESHWAR GOVT. MS BOYS KOPRA 22252301305
16474 GARIABAND FINGESHWAR GOVT. MS GIRLS KOPRA 22252301306
16475 GARIABAND FINGESHWAR GOVT. MS NAVEEN KOPRA SSA 22252301309
16476 GARIABAND FINGESHWAR GOVT. PS BHATA PARA KOPRA SSA 22252301310
16477 GARIABAND FINGESHWAR GOVT. PS BHAISATARA 22252301401
16478 GARIABAND FINGESHWAR GOVT. MS BHAISATARA SSA 22252301402
16479 GARIABAND FINGESHWAR GOVT. PS NAVEEN BHAISATARA SSA 22252301404
16480 GARIABAND FINGESHWAR GOVT. PS BORDKI 22252301501
16481 GARIABAND FINGESHWAR GOVT. MS BORDKI SSA 22252301502
16482 GARIABAND FINGESHWAR GOVT. PS SARGOD 22252301601
16483 GARIABAND FINGESHWAR GOVT. PS PURENA 22252301701
16484 GARIABAND FINGESHWAR GOVT. PS SONASILI 22252301801
16485 GARIABAND FINGESHWAR GOVT. MS SONASILI SSA 22252301802
16486 GARIABAND FINGESHWAR GOVT. PS LACHKERA 22252301901
16487 GARIABAND FINGESHWAR GOVT. MS LACHKERA 22252301902
16488 GARIABAND FINGESHWAR GOVT. PS MERRADIPRA LACHKERA SSA 22252301903
16489 GARIABAND FINGESHWAR GOVT. PS KHAPARI LACHKERA 22252302001
16490 GARIABAND FINGESHWAR GOVT M.S. ARAND 22252302102
16491 GARIABAND FINGESHWAR GOVT. PS PHOKAT PARA ARAND SSA 22252302103
16492 GARIABAND FINGESHWAR GOVT. PS JAM GAON 22252302201
16493 GARIABAND FINGESHWAR GOVT. M.S. JAM GAON 22252302202
16494 GARIABAND FINGESHWAR GOVT. PS KOSAMKHUTA 22252302301
16495 GARIABAND FINGESHWAR GOVT. MS KOSAMKHUTA SSA 22252302302
16496 GARIABAND FINGESHWAR GOVT. PS VIDIYA MANDIR SENDAR 22252302401
16497 GARIABAND FINGESHWAR GOVT. M.S. SENDAR 22252302402
16498 GARIABAND FINGESHWAR GOVT PRIMARY SCHOOL 22252302502
16499 GARIABAND FINGESHWAR GOVT. MIDDLE SCHOOL 22252302504
16500 GARIABAND FINGESHWAR GOVT. PS BAKALI 22252302601
16501 GARIABAND FINGESHWAR GOVT. MS BAKALI 22252302602
16502 GARIABAND FINGESHWAR GOVT. PS SAHASPUR 22252302701
16503 GARIABAND FINGESHWAR GOVT MS SAHASPUR SSA 22252302702
16504 GARIABAND FINGESHWAR GOVT. PS DHURSA 22252302801
16505 GARIABAND FINGESHWAR GOVT. PS TIKRAPARA DHURSA SSA 22252302802
16506 GARIABAND FINGESHWAR GOVT MS DHURSA SSA 22252302803
16507 GARIABAND FINGESHWAR GOVT. PS LOHARSI 22252302901
16508 GARIABAND FINGESHWAR GOVT M.S. NAVEEN LOHRSI SSA 22252302902
16509 GARIABAND FINGESHWAR GOVT. PS DIPARA PARA LOHARSI SSA 22252302903
16510 GARIABAND FINGESHWAR GOVT. MS LOHARSI 22252302904
16511 GARIABAND FINGESHWAR GOVT. PS PANDARITARAI 22252303001
16512 GARIABAND FINGESHWAR GOVT. PS KOMA 22252303101
16513 GARIABAND FINGESHWAR GOVT. MS KOMA 22252303102
16514 GARIABAND FINGESHWAR GOVT. PS SARKADA 22252303201
16515 GARIABAND FINGESHWAR GOVT. MS SARKADA SSA 22252303202
16516 GARIABAND FINGESHWAR GOVT. PS DARRIPAR FINGESHWAR 22252303301
16517 GARIABAND FINGESHWAR GOVT. PS SANJAY NAGAR FINGESHWAR 22252303401
16518 GARIABAND FINGESHWAR GOVT. PS GIRLS FINGESHWAR 22252303501
16519 GARIABAND FINGESHWAR GOVT. PS BOYS FINGESHWAR 22252303502
16520 GARIABAND FINGESHWAR GOVT. MS GIRLS FINGESHWAR 22252303507
16521 GARIABAND FINGESHWAR GOVT. MS BOYS FINGESHWAR 22252303509
16522 GARIABAND FINGESHWAR GOVT. PS SATNAMI PARA FINGESHWAR 22252303511
16523 GARIABAND FINGESHWAR GOVT MOULIPARA FINGESHWAR 22252303513
16524 GARIABAND FINGESHWAR GOVT. MS SCHOOL DARRIPAR SSA 22252303516
16525 GARIABAND FINGESHWAR GOVT. P S DEWAR PARA FINGESHWAR SSA 22252303517
16526 GARIABAND FINGESHWAR GOVT. PS LAL PUR FINGESHWAR 22252303601
16527 GARIABAND FINGESHWAR GOVT. PS POKHARA 22252303701
16528 GARIABAND FINGESHWAR GOVT. MS OOKHARA 22252303702
16529 GARIABAND FINGESHWAR GOVT. PS KOLA BHATTHA POKHARA SSA 22252303703
16530 GARIABAND FINGESHWAR PRIMARY SCHOOL 22252303801
16531 GARIABAND FINGESHWAR GOVT M.S. BASIN 22252303803
16532 GARIABAND FINGESHWAR GOVT. PS TOHANGI PARA BASIN SSA 22252303805
16533 GARIABAND FINGESHWAR GOVT. PS MAULI PARA BASIN SSA 22252303806
16534 GARIABAND FINGESHWAR GOVT. PS KHAPARI PARA BASIN 22252303808
16535 GARIABAND FINGESHWAR GOVT. PS RAVAN BHATA BASIN SSA 22252303809
16536 GARIABAND FINGESHWAR GOVT. PS TARJUNGA 22252303901
16537 GARIABAND FINGESHWAR GOVT. PS BANGAWA 22252304001
16538 GARIABAND FINGESHWAR GOVT PRIMARY SCHOOL KHAIRJHITI 22252304101
16539 GARIABAND FINGESHWAR PRIMARY SCHOOL KAMARPARA KHAIRJHITI 22252304102
16540 GARIABAND FINGESHWAR GOVT. PS SEMHARTARA 22252304201
16541 GARIABAND FINGESHWAR GOVT. PS KASERUDIH 22252304301
16542 GARIABAND FINGESHWAR GOVT. PS BARONDA 22252304401
16543 GARIABAND FINGESHWAR GOVT. MS BARONDA 22252304402
16544 GARIABAND FINGESHWAR GOVT. PS NADIYA PARA BARONDA SSA 22252304404
16545 GARIABAND FINGESHWAR GOVT. PS PENDRA 22252304501
16546 GARIABAND FINGESHWAR GOVT. MS PENDRA SSA 22252304502
16547 GARIABAND FINGESHWAR GOVT. PS SINDHOURI 22252304601
16548 GARIABAND FINGESHWAR GOVT. MS SINDHOURI SSA 22252304602
16549 GARIABAND FINGESHWAR GOVT. PS JAMAHI 22252304701
16550 GARIABAND FINGESHWAR GOVT. PS FULJHAR 22252304801
16551 GARIABAND FINGESHWAR GOVT. PS BAMHANDEHI 22252304901
16552 GARIABAND FINGESHWAR GOVT. PS NACHANBAYA BAMHANDEHI SSA 22252304902
16553 GARIABAND FINGESHWAR GOVT. PS RAJKHATI 22252305001
16554 GARIABAND FINGESHWAR GOVT. MS RAJKHATI SSA 22252305002
16555 GARIABAND FINGESHWAR GOVT.PS NAWADIH RAJKATHI(SSA) 22252305005
16556 GARIABAND FINGESHWAR GOVT. PS TEKA 22252305101
16557 GARIABAND FINGESHWAR GOVT M.S. TEKA 22252305102
16558 GARIABAND FINGESHWAR GOVT PS MADAWADIH 22252305201
16559 GARIABAND FINGESHWAR GOVT.PS GUNDAR DEHI 22252305301
16560 GARIABAND FINGESHWAR GOVT. M.S. GUNDARDEHI SSA 22252305302
16561 GARIABAND FINGESHWAR GOVT. PS PALI 22252305401
16562 GARIABAND FINGESHWAR GOVT. PS GIRLS RAJIM 22252305601
16563 GARIABAND FINGESHWAR GOVT. PS BOYS RAJIM 22252305603
16564 GARIABAND FINGESHWAR GOVT. MS GIRLS RAJIM 22252305607
16565 GARIABAND FINGESHWAR GOVT. MS BOYS RAJIM 22252305609
16566 GARIABAND FINGESHWAR GOVT. P.SCHOOL DAMOWAPARA 22252305611
16567 GARIABAND FINGESHWAR GOVT. PS PITAIBAND ROAD RAJIM SSA 22252305612
16568 GARIABAND FINGESHWAR GOVT. PS HARIJAN PARA RAJIM SSA 22252305613
16569 GARIABAND FINGESHWAR GOVT. PS SAHIS PARA RAJIM SSA 22252305614
16570 GARIABAND FINGESHWAR GOVT MIDDLE SCHOOL DAMOUHA PAR 22252305615
16571 GARIABAND FINGESHWAR GOVT. SANSKRIT VIDHYA PITH RAJIM 22252305619
16572 GARIABAND FINGESHWAR GOVT. PS DEVAR PARA RAJIM SSA 22252305621
16573 GARIABAND FINGESHWAR GOVT. PS CHAUBEBANDHA 22252305701
16574 GARIABAND FINGESHWAR GOVT. MS CHAUBEBANDHA SSA 22252305702
16575 GARIABAND FINGESHWAR GOVT. PS PATORI 22252305801
16576 GARIABAND FINGESHWAR GOVT. PS DUTKAINYA 22252305901
16577 GARIABAND FINGESHWAR GOVT. PS DEWARI 22252306001
16578 GARIABAND FINGESHWAR GOVT. MS DEWARI 22252306002
16579 GARIABAND FINGESHWAR GOVT. PS DAKHANI PARA DEWARI SSA 22252306003
16580 GARIABAND FINGESHWAR GOVT. PS BOYS KOUNDKERA 22252306101
16581 GARIABAND FINGESHWAR GOVT. PS GIRLS KOUNDKERA 22252306102
16582 GARIABAND FINGESHWAR GOVT M.S. BOYS KONDKERA 22252306103
16583 GARIABAND FINGESHWAR GOVT. PS SATNAMI PARA KOUNDKERA SSA 22252306105
16584 GARIABAND FINGESHWAR GOVT. MS GIRLS KOUNDKERA SSA 22252306106
16585 GARIABAND FINGESHWAR GOVT. PS TEDAHI PARA KOUNDKERA SSA 22252306107
16586 GARIABAND FINGESHWAR GOVT. PS KOLIHATARH KOUNDKERA SSA 22252306109
16587 GARIABAND FINGESHWAR GOVT. PS DEVGOAN 22252306201
16588 GARIABAND FINGESHWAR GOVT. PS BIDORA 22252306301
16589 GARIABAND FINGESHWAR GOVT. PS LAFANDI 22252306401
16590 GARIABAND FINGESHWAR GOVT M.S. LAFANDI 22252306402
16591 GARIABAND FINGESHWAR GOVT. PS DHUMA 22252306501
16592 GARIABAND FINGESHWAR GOVT. MS DHUMA 22252306502
16593 GARIABAND FINGESHWAR GOVT. MS (CHACHOD) 22252306503
16594 GARIABAND FINGESHWAR GOVT. PS PARTEWA 22252306601
16595 GARIABAND FINGESHWAR GOVT. MS PARTEWA SSA 22252306602
16596 GARIABAND FINGESHWAR GOVT. PS KURUSKERA 22252306701
16597 GARIABAND FINGESHWAR GOVT. MS KURUSKERA SSA 22252306702
16598 GARIABAND FINGESHWAR GOVT. PS ROHINA 22252306801
16599 GARIABAND FINGESHWAR GOVT. PS RAVI NAGAR ROHINA SSA 22252306802
16600 GARIABAND FINGESHWAR GOVT. MS ROHINA SSA 22252306803
16601 GARIABAND FINGESHWAR GOVT. PS KUNDEL 22252306901
16602 GARIABAND FINGESHWAR PRIMARY SCHOOL 22252307001
16603 GARIABAND FINGESHWAR GOVT M.S. CHARODA 22252307002
16604 GARIABAND FINGESHWAR GOVT.PS CHARBHATTHI 22252307101
16605 GARIABAND FINGESHWAR GOVT. MS CHARBHATTHI SSA 22252307102
16606 GARIABAND FINGESHWAR GOVT. PS CHHUIHA 22252307201
16607 GARIABAND FINGESHWAR GOVT. MS CHHUIHA SSA 22252307202
16608 GARIABAND FINGESHWAR PRIMARY SCHOOLKAMARAIARACHUIHA 22252307204
16609 GARIABAND FINGESHWAR GOVT. MS CHHUIHA SSA 22252307206
16610 GARIABAND FINGESHWAR GOVT. PS GANIYARI 22252307301
16611 GARIABAND FINGESHWAR GOVT. PS KAMAR PARA GANIYARI SSA 22252307302
16612 GARIABAND FINGESHWAR GOVT. PS PITAIBAND 22252307501
16613 GARIABAND FINGESHWAR GOVT. MS PITAIBAND SSA 22252307502
16614 GARIABAND FINGESHWAR GOVT. PS BARULA 22252307601
16615 GARIABAND FINGESHWAR GOVT M.S. BARULA 22252307602
16616 GARIABAND FINGESHWAR GOVT. PS PARSHTTHI 22252307701
16617 GARIABAND FINGESHWAR GOVT. PS MUDTARAI 22252307801
16618 GARIABAND FINGESHWAR GOVT. MS MUDTARAI SSA 22252307802
16619 GARIABAND FINGESHWAR GOVT. PS BELAR 22252307901
16620 GARIABAND FINGESHWAR GOVT M.S. BELAR 22252307902
16621 GARIABAND FINGESHWAR GOVT. PS KHURIYADIH 22252308001
16622 GARIABAND FINGESHWAR GOVT. PS RAKSHA 22252308101
16623 GARIABAND FINGESHWAR GOVT. PS RAWAND 22252308201
16624 GARIABAND FINGESHWAR GOVT. MS RAWAND SSA 22252308203
16625 GARIABAND FINGESHWAR GOVT. PS BHATA PARA RAWAND SSA 22252308204
16626 GARIABAND FINGESHWAR GOVT. PS PARSADA JOSHI 22252308301
16627 GARIABAND FINGESHWAR GOVT M.S. PARSADA JOSHI 22252308302
16628 GARIABAND FINGESHWAR PRIMARY SCHOOL AMLIDIPRA SSA 22252308303
16629 GARIABAND FINGESHWAR GOVT. PS ROBA 22252308501
16630 GARIABAND FINGESHWAR GOVT. MS ROBA SSA 22252308502
16631 GARIABAND FINGESHWAR GOVT. PS CHAITRA 22252308601
16632 GARIABAND FINGESHWAR GOVT. MS CHAITRA SSA 22252308602
16633 GARIABAND FINGESHWAR GOVT. PS JOGIDEEPA 22252308701
16634 GARIABAND FINGESHWAR GOVT. PS KAMAR PARA JOGIDEEPA SSA 22252308702
16635 GARIABAND FINGESHWAR GOVT. PS CHACHOUD 22252308801
16636 GARIABAND FINGESHWAR GOVT. PS TARIGHAT 22252308901
16637 GARIABAND FINGESHWAR GOVT. MS TARIGHAT 22252308902
16638 GARIABAND FINGESHWAR GOVT. PS KHURDSA 22252309001
16639 GARIABAND FINGESHWAR GOVT PS KHUTERI 22252309101
16640 GARIABAND FINGESHWAR GOVT. MS KHUTERI SSA 22252309102
16641 GARIABAND FINGESHWAR GOVT. PS BORSI 22252309201
16642 GARIABAND FINGESHWAR GOVT. MS BORSI 22252309202
16643 GARIABAND FINGESHWAR GOVT.PS BAHERAPAL 22252309301
16644 GARIABAND FINGESHWAR GOVT. MS BAHERAPAL 22252309303
16645 GARIABAND FINGESHWAR GOVT. PS PARSADAKALA 22252309401
16646 GARIABAND FINGESHWAR GOVT. MS PARSADA KALA 22252309402
16647 GARIABAND FINGESHWAR GOVT. PS BHATAPARA PARSADAKALA SSA 22252309404
16648 GARIABAND FINGESHWAR GOVT. PS PATHARAI 22252309501
16649 GARIABAND FINGESHWAR GOVT. MEDDIL SCHOOL PATHARAI SSA 22252309502
16650 GARIABAND FINGESHWAR GOVT. PS BORID 22252309601
16651 GARIABAND FINGESHWAR GOVT. MS BORID SSA 22252309602
16652 GARIABAND FINGESHWAR GOVT. PS BHUJIYA PARA BORID 22252309603
16653 GARIABAND FINGESHWAR GOVT. PS SATNAMI PARA BORID SSA 22252309604
16654 GARIABAND FINGESHWAR GOVT. PS GADHIDIH FINGESHWAR 22252309701
16655 GARIABAND FINGESHWAR GOVT. PS PATORA 22252309801
16656 GARIABAND FINGESHWAR GOVT. MS PATORA SSA 22252309802
16657 GARIABAND FINGESHWAR GOVT. PS TARRA 22252309901
16658 GARIABAND FINGESHWAR GOVT. MS TARRA 22252309903
16659 GARIABAND FINGESHWAR GOVT. PS SHANKAR NAGAR TARRA SSA 22252309905
16660 GARIABAND FINGESHWAR GOVT PRIMARY SCHOOL 22252310001
16661 GARIABAND FINGESHWAR GOVT. PS BARBHATHA 22252310101
16662 GARIABAND FINGESHWAR GOVT. MS BARBHATHA SSA 22252310102
16663 GARIABAND FINGESHWAR GOVT. PS SURSABANDHA 22252310201
16664 GARIABAND FINGESHWAR GOVT. MS SURSABANDHA 22252310202
16665 GARIABAND FINGESHWAR GOVT. PS NAVEEN SURSABANDHA SSA 22252310204
16666 GARIABAND FINGESHWAR GOVT. PS HAHERAPALI 22252310301
16667 GARIABAND FINGESHWAR GOVT. PS KUMHI 22252310401
16668 GARIABAND FINGESHWAR GOVT. MS KUMHI SSA 22252310403
16669 GARIABAND FINGESHWAR GOVT. PS RAWELI 22252310501
16670 GARIABAND FINGESHWAR GOVT MS RAWELI SSA 22252310502
16671 GARIABAND FINGESHWAR GOVT. PS JENJRA 22252310601
16672 GARIABAND FINGESHWAR GOVT. MS JENJRA 22252310602
16673 GARIABAND FINGESHWAR GOVT. PS KASHI PARA JENJRA SSA 22252310604
16674 GARIABAND FINGESHWAR GOVT. MS KASHI PARA JENJRA SSA 22252310605
16675 GARIABAND FINGESHWAR PRIMARY SCHOOL 22252310801
16676 GARIABAND FINGESHWAR GOVT. PS HATHKHOJ 22252310901
16677 GARIABAND FINGESHWAR GOVT. MS HATHKHOJ SSA 22252310902
16678 GARIABAND FINGESHWAR GOVT. PS DAIHAN PARA HATHKHOJ SSA 22252310903
16679 GARIABAND FINGESHWAR GOVT. PS KAPSIDIH 22252311001
16680 GARIABAND FINGESHWAR MIDDLE SCHOOL 22252311101
16681 GARIABAND FINGESHWAR GOVT. PS GHOGHARA SSA 22252311401
16682 GARIABAND FINGESHWAR GOVT. PS SIRRIKHURD 22252311601
16683 GARIABAND FINGESHWAR GOVT. MS SIRRIKHURD SSA 22252311602
16684 GARIABAND FINGESHWAR GOVT. PS RAWELI 22252311801
16685 GARIABAND FINGESHWAR GOVT. PS BHENDRI 22252311901
16686 GARIABAND GARIABAND GOVT P S (SSA) 22251900201
16687 GARIABAND GARIABAND GOVT M S (SSA) 22251900403
16688 GARIABAND GARIABAND GOVT P S (SSA) 22251900404
16689 GARIABAND GARIABAND GOVT P S (SSA) 22251900501
16690 GARIABAND GARIABAND GOVT P S (SSA) 22251900601
16691 GARIABAND GARIABAND GOVT BOYS ASHRAM (TWD) 22251900701
16692 GARIABAND GARIABAND GOVT P S (TWD) 22251900703
16693 GARIABAND GARIABAND GOVT M S (TWD) 22251900712
16694 GARIABAND GARIABAND GOVT P S MATARMAL (SSA) 22251900713
16695 GARIABAND GARIABAND GOVT P S (TWD) 22251900901
16696 GARIABAND GARIABAND GOVT M S (TWD) 22251900902
16697 GARIABAND GARIABAND GOVT P S (TWD) 22251901001
16698 GARIABAND GARIABAND GOVT M S (SSA) 22251901002
16699 GARIABAND GARIABAND GOVT P S (TWD) 22251901101
16700 GARIABAND GARIABAND PRIMARY SCHOOL 22251901202
16701 GARIABAND GARIABAND GOVT GIRLS P S (TWD) 22251901301
16702 GARIABAND GARIABAND GOVT BOYS M S (TWD) 22251901304
16703 GARIABAND GARIABAND GOVT P S (SSA) 22251901305
16704 GARIABAND GARIABAND GOVT BOYS P S (TWD) 22251901306
16705 GARIABAND GARIABAND GOVT GIRLS M S (SSA) 22251901307
16706 GARIABAND GARIABAND GOVT P S (TWD) 22251901401
16707 GARIABAND GARIABAND GOVT M S (SSA) 22251901403
16708 GARIABAND GARIABAND GOVT P S KAMARPARA (SSA) 22251901404
16709 GARIABAND GARIABAND GOVT P S (TWD) 22251901501
16710 GARIABAND GARIABAND GOVT P S (SSA) 22251901601
16711 GARIABAND GARIABAND GOVT M S (SSA) 22251901602
16712 GARIABAND GARIABAND GOVT P S (TWD) 22251901701
16713 GARIABAND GARIABAND GOVT M S (TWD) 22251901702
16714 GARIABAND GARIABAND GOVT P S SITLAPARA (SSA) 22251901703
16715 GARIABAND GARIABAND GOVT P S VIJAYNAGER (SSA) 22251901704
16716 GARIABAND GARIABAND GOVT GIRLS P S (TWD) 22251901801
16717 GARIABAND GARIABAND GOVT BOYS P S (TWD) 22251901802
16718 GARIABAND GARIABAND GOVT P S KACHARPARA (SSA) 22251901807
16719 GARIABAND GARIABAND GOVT M S (TWD) 22251901808
16720 GARIABAND GARIABAND GOVT P S (TWD) 22251901901
16721 GARIABAND GARIABAND GOVT M S (TWD) 22251901902
16722 GARIABAND GARIABAND GOVT P S KAMARPARA (TWD) 22251901905
16723 GARIABAND GARIABAND GOVT P S (SSA) 22251902001
16724 GARIABAND GARIABAND GOVT P S (SSA) 22251902101
16725 GARIABAND GARIABAND GOVT P S (SSA) 22251902201
16726 GARIABAND GARIABAND GOVT P S (TWD) 22251902301
16727 GARIABAND GARIABAND GOVT M S (TWD) 22251902302
16728 GARIABAND GARIABAND GOVT P.S. (SSA) 22251902401
16729 GARIABAND GARIABAND GOVT P S (TWD) 22251902501
16730 GARIABAND GARIABAND GOVT P S (SSA) 22251902601
16731 GARIABAND GARIABAND GOVT P S (SSA) 22251902701
16732 GARIABAND GARIABAND GOVT P S (SSA) 22251902803
16733 GARIABAND GARIABAND GOVT P S (SSA) 22251902901
16734 GARIABAND GARIABAND GOVT P S (SSA) 22251903001
16735 GARIABAND GARIABAND GOVT P S (TWD) 22251903101
16736 GARIABAND GARIABAND GOVT M S (SSA) 22251903102
16737 GARIABAND GARIABAND GOVT P S (TWD) 22251903201
16738 GARIABAND GARIABAND GOVT NAVIN M S (SSA) 22251903202
16739 GARIABAND GARIABAND GOVT P S (TWD) 22251903301
16740 GARIABAND GARIABAND GOVT M S (TWD) 22251903302
16741 GARIABAND GARIABAND GOVT P S (TWD) 22251903401
16742 GARIABAND GARIABAND GOVT ASHRAM P S (TWD) 22251903402
16743 GARIABAND GARIABAND GOVT M S (SSA) 22251903403
16744 GARIABAND GARIABAND GOVT P S (TWD) 22251903501
16745 GARIABAND GARIABAND GOVT P S (TWD) 22251903601
16746 GARIABAND GARIABAND GOVT M S (SSA) 22251903602
16747 GARIABAND GARIABAND GOVT P S (TWD) 22251903701
16748 GARIABAND GARIABAND GOVT P S KAMARPARA (TWD) 22251903702
16749 GARIABAND GARIABAND GOVT M S (SSA) 22251903704
16750 GARIABAND GARIABAND GOVT P S (TWD) 22251903801
16751 GARIABAND GARIABAND GOVT P S (TWD) 22251903901
16752 GARIABAND GARIABAND GOVT P S KAMAR (TWD) 22251904001
16753 GARIABAND GARIABAND GOVT ASHRAM P S (TWD) 22251904002
16754 GARIABAND GARIABAND GOVT ASHRAM P S (TWD) 22251904102
16755 GARIABAND GARIABAND GOVT M S (SSA) 22251904105
16756 GARIABAND GARIABAND GOVT P S (TWD) 22251904106
16757 GARIABAND GARIABAND GOVT BOYS M S (TWD) 22251904203
16758 GARIABAND GARIABAND GOVT GIRLS M S (SSA) 22251904204
16759 GARIABAND GARIABAND GYANJYOTI SCHOOL BHUJIYAPARA (SSA) 22251904207
16760 GARIABAND GARIABAND GOVT P S ADIWASHI BOYS ASHRAM (TWD) 22251904208
16761 GARIABAND GARIABAND GOVT P S (TWD) 22251904209
16762 GARIABAND GARIABAND GOVT BOYS P S (TWD) 22251904301
16763 GARIABAND GARIABAND GOVT GIRLS P S (TWD) 22251904303
16764 GARIABAND GARIABAND GOVT GIRLS M S (TWD) 22251904310
16765 GARIABAND GARIABAND GOVT BOYS M S (TWD) 22251904311
16766 GARIABAND GARIABAND GOVT P S KISANPARA (SSA) 22251904314
16767 GARIABAND GARIABAND GOVT M S NAVIN (SSA) 22251904317
16768 GARIABAND GARIABAND GOVT M S KUMHARPARA (SSA) 22251904318
16769 GARIABAND GARIABAND KGBV VIDYALAYA (SSA) 22251904320
16770 GARIABAND GARIABAND GOVT GIRLS ASHRAM (TWD) 22251904326
16771 GARIABAND GARIABAND GOVT P S BOYS KAMAR ASHRAM (TWD) 22251904327
16772 GARIABAND GARIABAND GOVT P S KUMHARPARA (TWD) 22251904329
16773 GARIABAND GARIABAND GOVT P S DANKBANGLA (SSA) 22251904330
16774 GARIABAND GARIABAND GOVT P S RAWANBHATA (TWD) 22251904332
16775 GARIABAND GARIABAND GOVT M S DANKBANGLA (SSA) 22251904333
16776 GARIABAND GARIABAND GOVT P S (SSA) 22251904401
16777 GARIABAND GARIABAND GOVT P S (SSA) 22251904501
16778 GARIABAND GARIABAND GOVT M S (SSA) 22251904504
16779 GARIABAND GARIABAND GOVT GIRLS ASHRAM P S (TWD) 22251904601
16780 GARIABAND GARIABAND GOVT P S (SSA) 22251904602
16781 GARIABAND GARIABAND GOVT P S (SSA) 22251904801
16782 GARIABAND GARIABAND GOVT P S (TWD) 22251904901
16783 GARIABAND GARIABAND GOVT M S (TWD) 22251904903
16784 GARIABAND GARIABAND GOVT P S (SSA) 22251905001
16785 GARIABAND GARIABAND GOVT P S (TWD) 22251905102
16786 GARIABAND GARIABAND GOVT M S (SSA) 22251905103
16787 GARIABAND GARIABAND GOVT P S (SSA) 22251905201
16788 GARIABAND GARIABAND GOVT M S (SSA) 22251905202
16789 GARIABAND GARIABAND GOVT NAVIN P S (TWD) 22251905302
16790 GARIABAND GARIABAND GOVT P S (TWD) 22251905401
16791 GARIABAND GARIABAND GOVT P S (SSA) 22251905501
16792 GARIABAND GARIABAND GOVT P S (TWD) 22251905601
16793 GARIABAND GARIABAND GOVT P S (TWD) 22251905701
16794 GARIABAND GARIABAND GOVT M S (SSA) 22251905702
16795 GARIABAND GARIABAND GOVT P S (TWD) 22251905901
16796 GARIABAND GARIABAND GOVT M S (SSA) 22251905902
16797 GARIABAND GARIABAND GOVT P S (TWD) 22251906001
16798 GARIABAND GARIABAND GOVT P S (TWD) 22251906101
16799 GARIABAND GARIABAND GOVT M S (SSA) 22251906102
16800 GARIABAND GARIABAND GOVT P S (TWD) 22251906201
16801 GARIABAND GARIABAND GOVT BOYS M S (TWD) 22251906202
16802 GARIABAND GARIABAND GOVT GIRS M S (SSA) 22251906203
16803 GARIABAND GARIABAND GOVT P S BASTIPARA (SSA) 22251906204
16804 GARIABAND GARIABAND GOVT P S (TWD) 22251906601
16805 GARIABAND GARIABAND GOVT P S (TWD) 22251906701
16806 GARIABAND GARIABAND GOVT M S (SSA) 22251906702
16807 GARIABAND GARIABAND GOVT P S (TWD) 22251906801
16808 GARIABAND GARIABAND GOVT M S (SSA) 22251906804
16809 GARIABAND GARIABAND GOVT P S (TWD) 22251906901
16810 GARIABAND GARIABAND GOVT P S (TWD) 22251907001
16811 GARIABAND GARIABAND GOVT M S (SSA) 22251907002
16812 GARIABAND GARIABAND GOVT P S (TWD) 22251907101
16813 GARIABAND GARIABAND GOVT P S (TWD) 22251907201
16814 GARIABAND GARIABAND GOVT M S (SSA) 22251907202
16815 GARIABAND GARIABAND GOVT P S (TWD) 22251907301
16816 GARIABAND GARIABAND GOVT M S (TWD) 22251907302
16817 GARIABAND GARIABAND GOVT P S (TWD) 22251907401
16818 GARIABAND GARIABAND GOVT M S (SSA) 22251907402
16819 GARIABAND GARIABAND GOVT P S (TWD) 22251907501
16820 GARIABAND GARIABAND GOVT M S (SSA) 22251907502
16821 GARIABAND GARIABAND GOVT P S (TWD) 22251907601
16822 GARIABAND GARIABAND GOVT P S (TWD) 22251907701
16823 GARIABAND GARIABAND GOVT M S (SSA) 22251907702
16824 GARIABAND GARIABAND GOVT P S (TWD) 22251907801
16825 GARIABAND GARIABAND GOVT M S (SSA) 22251907802
16826 GARIABAND GARIABAND GOVT P S (TWD) 22251907901
16827 GARIABAND GARIABAND GOVT M S (SSA) 22251907904
16828 GARIABAND GARIABAND GOVT P S (TWD) 22251908001
16829 GARIABAND GARIABAND GOVT M S (SSA) 22251908002
16830 GARIABAND GARIABAND GOVT P S (TWD) 22251908101
16831 GARIABAND GARIABAND GOVT M S (SSA) 22251908102
16832 GARIABAND GARIABAND GOVT P S(TWD) 22251908301
16833 GARIABAND GARIABAND GOVT P S (TWD) 22251908401
16834 GARIABAND GARIABAND GOVT P S (TWD) 22251908501
16835 GARIABAND GARIABAND GOVT P S (TWD) 22251908601
16836 GARIABAND GARIABAND GOVT P S (TWD) 22251908701
16837 GARIABAND GARIABAND GOVT M S (SSA) 22251908702
16838 GARIABAND GARIABAND GOVT P S (TWD) 22251908801
16839 GARIABAND GARIABAND GOVT P S (TWD) 22251908901
16840 GARIABAND GARIABAND GOVT M S (SSA) 22251908902
16841 GARIABAND GARIABAND GOVT P S (TWD) 22251909001
16842 GARIABAND GARIABAND GOVT P S (TWD) 22251909101
16843 GARIABAND GARIABAND GOVT NAVIN M S (TWD) 22251909102
16844 GARIABAND GARIABAND GOVT P S (TWD) 22251909201
16845 GARIABAND GARIABAND GOVT P S (TWD) 22251909301
16846 GARIABAND GARIABAND GOVT P S KHASARPANI (SSA) 22251909302
16847 GARIABAND GARIABAND GOVT P S (TWD) 22251909401
16848 GARIABAND GARIABAND GOVT M S (SSA) 22251909402
16849 GARIABAND GARIABAND GOVT P S (SSA) 22251909502
16850 GARIABAND GARIABAND GOVT P S (SSA) 22251909601
16851 GARIABAND GARIABAND GOVT P S (TWD) 22251909802
16852 GARIABAND GARIABAND GOVT NAVIN P S (SSA) 22251909902
16853 GARIABAND GARIABAND GOVT M S (SSA) 22251909903
16854 GARIABAND GARIABAND GOVT P S (SSA) 22251910002
16855 GARIABAND GARIABAND GOVT P S (TWD) 22251910301
16856 GARIABAND GARIABAND GOVT M S (SSA) 22251910302
16857 GARIABAND GARIABAND GOVT P S (SSA) PIPLAKANHAR 22251910303
16858 GARIABAND GARIABAND GOVT P S (TWD) 22251910401
16859 GARIABAND GARIABAND GOVT M S (SSA) 22251910402
16860 GARIABAND GARIABAND GOVT P S (TWD) 22251910501
16861 GARIABAND GARIABAND GOVT M S (SSA) 22251910502
16862 GARIABAND GARIABAND GOVT P S (TWD) 22251910601
16863 GARIABAND GARIABAND GOVT P S DARRAPARA (SSA) 22251910602
16864 GARIABAND GARIABAND GOVT P S (TWD) 22251910701
16865 GARIABAND GARIABAND GOVT M S (SSA) 22251910706
16866 GARIABAND GARIABAND GOVT P S TIKRAPARA (SSA) 22251910707
16867 GARIABAND GARIABAND GOVT P S (TWD) 22251910801
16868 GARIABAND GARIABAND GOVT M S (SSA) 22251910804
16869 GARIABAND GARIABAND GOVT P S (TWD) 22251910901
16870 GARIABAND GARIABAND GOVT P S (TWD) 22251911002
16871 GARIABAND GARIABAND GOVT P S (TWD) 22251911101
16872 GARIABAND GARIABAND GOVT M S (SSA) 22251911102
16873 GARIABAND GARIABAND GOVT P S (TWD) 22251911201
16874 GARIABAND GARIABAND GOVT M S (TWD) 22251911202
16875 GARIABAND GARIABAND GOVT P S (TWD) 22251911301
16876 GARIABAND GARIABAND GOVT P S (TWD) 22251911402
16877 GARIABAND GARIABAND GOVT M S (SSA) 22251911403
16878 GARIABAND GARIABAND GOVT P S (TWD) 22251911601
16879 GARIABAND GARIABAND GOVT M S (SSA) 22251911602
16880 GARIABAND GARIABAND GOVT P S (TWD) 22251911701
16881 GARIABAND GARIABAND GOVT M S (SSA) 22251911702
16882 GARIABAND GARIABAND GOVT P S (TWD) 22251911801
16883 GARIABAND GARIABAND GOVT M S (TWD) 22251911802
16884 GARIABAND GARIABAND GOVT P S (TWD) 22251911901
16885 GARIABAND GARIABAND GOVT P S (TWD) 22251912001
16886 GARIABAND GARIABAND GOVT P S (TWD) 22251912201
16887 GARIABAND GARIABAND GOVT M S (TWD) 22251912203
16888 GARIABAND GARIABAND GOVT P S (TWD) 22251912301
16889 GARIABAND GARIABAND GOVT M S (SSA) 22251912302
16890 GARIABAND GARIABAND GOVT P S (TWD) 22251912401
16891 GARIABAND GARIABAND GOVT M S (TWD) 22251912402
16892 GARIABAND GARIABAND GOVT P S (SSA) BOIRGAON 22251912404
16893 GARIABAND GARIABAND GOVT P S (TWD) ASHRAM 22251912405
16894 GARIABAND GARIABAND GOVT P S (TWD) 22251912501
16895 GARIABAND GARIABAND GOVT BOYS M S (TWD) 22251912502
16896 GARIABAND GARIABAND GOVT GIRLS M S (SSA) 22251912503
16897 GARIABAND GARIABAND GOVT P S (TWD) 22251912601
16898 GARIABAND GARIABAND GOVT M S (TWD) 22251912602
16899 GARIABAND GARIABAND GOVT P S KEDITIKRA (SSA) 22251912603
16900 GARIABAND GARIABAND GOVT P S (TWD) 22251912701
16901 GARIABAND GARIABAND GOVT P S (TWD) 22251912801
16902 GARIABAND GARIABAND GOVT M S (SSA) 22251912802
16903 GARIABAND GARIABAND GOVT P S (TWD) 22251912901
16904 GARIABAND GARIABAND GOVT M S (SSA) 22251912902
16905 GARIABAND GARIABAND GOVT P S (TWD) 22251913001
16906 GARIABAND GARIABAND GOVT M S (SSA) 22251913002
16907 GARIABAND GARIABAND GOVT BOYS P S (TWD) 22251913101
16908 GARIABAND GARIABAND GOVT GIRLS P S (TWD) 22251913102
16909 GARIABAND GARIABAND GOVT BOYS M S (TWD) 22251913103
16910 GARIABAND GARIABAND GOVT GIRLS M S (SSA) 22251913107
16911 GARIABAND GARIABAND GOVT P S (TWD) 22251913301
16912 GARIABAND GARIABAND GOVT M S (TWD) 22251913302
16913 GARIABAND GARIABAND GOVT P S (TWD) 22251913401
16914 GARIABAND GARIABAND GOVT M S (TWD) 22251913402
16915 GARIABAND GARIABAND GOVT P S (TWD) 22251913501
16916 GARIABAND GARIABAND GOVT M S (SSA) 22251913502
16917 GARIABAND GARIABAND GOVT P.S. (TWD) 22251913602
16918 GARIABAND GARIABAND GOVT M S (SSA) 22251913603
16919 GARIABAND GARIABAND GOVT P S (TWD) 22251913702
16920 GARIABAND GARIABAND GOVT P S (TWD) 22251913801
16921 GARIABAND GARIABAND GOVT M S (TWD) 22251913802
16922 GARIABAND GARIABAND GOVT P S (TWD) 22251913901
16923 GARIABAND GARIABAND GOVT P S (TWD) 22251914001
16924 GARIABAND GARIABAND GOVT P S (TWD) 22251914101
16925 GARIABAND GARIABAND GOVT P S (TWD) 22251914201
16926 GARIABAND GARIABAND GOVT M S (TWD) 22251914202
16927 GARIABAND GARIABAND GOVT P S (TWD) 22251914301
16928 GARIABAND GARIABAND GOVT M S (SSA) 22251914302
16929 GARIABAND GARIABAND GOVT P S (TWD) 22251914401
16930 GARIABAND GARIABAND GOVT P S (TWD) 22251914501
16931 GARIABAND GARIABAND GOVT P S GATADADAR (TWD) 22251914502
16932 GARIABAND GARIABAND GOVT M S (SSA) 22251914503
16933 GARIABAND GARIABAND GOVT P S (TWD) 22251914601
16934 GARIABAND GARIABAND GOVT M S (SSA) 22251914602
16935 GARIABAND GARIABAND GOVT P S (TWD) 22251914701
16936 GARIABAND GARIABAND GOVT M S (SSA) 22251914703
16937 GARIABAND GARIABAND GOVT P S (TWD) 22251914801
16938 GARIABAND GARIABAND GOVT M S (SSA) 22251914802
16939 GARIABAND GARIABAND GOVT P S (TWD) 22251914901
16940 GARIABAND GARIABAND GOVT M S (SSA) 22251914902
16941 GARIABAND GARIABAND GOVT P S (TWD) 22251915001
16942 GARIABAND GARIABAND GOVT M S (TWD) 22251915002
16943 GARIABAND GARIABAND GOVT P S (TWD) 22251915101
16944 GARIABAND GARIABAND GOVT M S (SSA) 22251915102
16945 GARIABAND GARIABAND GOVT P S (TWD) 22251915201
16946 GARIABAND GARIABAND GOVT M S (SSA) 22251915202
16947 GARIABAND GARIABAND GOVT P S (TWD) 22251915301
16948 GARIABAND GARIABAND GOVT M S (TWD) 22251915302
16949 GARIABAND GARIABAND GOVT P S (TWD) 22251915401
16950 GARIABAND GARIABAND GOVT M S (SSA) 22251915403
16951 GARIABAND GARIABAND GOVT P S (SSA) 22251915501
16952 GARIABAND GARIABAND GOVT P S (TWD) 22251915601
16953 GARIABAND GARIABAND GOVT M S (TWD) 22251915602
16954 GARIABAND GARIABAND GOVT P S AWASPARA (SSA) 22251915603
16955 GARIABAND GARIABAND GOVT ADIWASI BOYS P S ASHRAM (TWD) 22251915701
16956 GARIABAND GARIABAND GOVT NAVIN P S (TWD) 22251915802
16957 GARIABAND GARIABAND GOVT M S (SSA) 22251915803
16958 GARIABAND GARIABAND GOVT P S (TWD) 22251916101
16959 GARIABAND GARIABAND GOVT M S (SSA) 22251916102
16960 GARIABAND GARIABAND GOVT P S (TWD) DEVPARSULI 22251916202
16961 GARIABAND GARIABAND GOVT P S (TWD) 22251916401
16962 GARIABAND GARIABAND GOVT P S (TWD) 22251916501
16963 GARIABAND GARIABAND GOVT P S (TWD) 22251916602
16964 GARIABAND GARIABAND GOVT M S (SSA) 22251916604
16965 GARIABAND GARIABAND GOVT P S (SSA) 22251917001
16966 GARIABAND GARIABAND GOVT P S (SSA) 22251917501
16967 GARIABAND GARIABAND GOVT P S (SSA) 22251917601
16968 GARIABAND GARIABAND GOVT P S (SSA) 22251917701
16969 GARIABAND GARIABAND GOVT P S (TWD) 22251917801
16970 GARIABAND GARIABAND GOVT M S (SSA) 22251917802
16971 GARIABAND GARIABAND GOVT M S (SSA) 22251918002
16972 GARIABAND GARIABAND GYAN JYOTI THUHAPANI (SSA) 22251918003
16973 GARIABAND GARIABAND GOVT P S DARRIPARA (SSA) 22251918301
16974 GARIABAND GARIABAND GOVT P S DEVPARA (SSA) 22251918601
16975 GARIABAND GARIABAND GOVT P S (SSA) 22251918901
16976 GARIABAND GARIABAND GOVT P S (SSA) 22251919401
16977 GARIABAND GARIABAND GOVT P S (SSA) 22251920402
16978 GARIABAND GARIABAND GOVT P S (SSA) 22251920601
16979 GARIABAND GARIABAND GOVT M S (SSA) 22251920602
16980 GARIABAND GARIABAND GOVT P S (SSA) 22251920701
16981 GARIABAND GARIABAND GOVT P S (SSA) 22251920901
16982 GARIABAND GARIABAND GOVT GIRLS ASHRAM (TWD) 22251921001
16983 GARIABAND GARIABAND GOVT P S (SSA) 22251921101
16984 GARIABAND GARIABAND GOVT M S (SSA) 22251921102
16985 GARIABAND GARIABAND GOVT M S (TWD) 22251921501
16986 GARIABAND GARIABAND GOVT P S KHURSIDIH (SSA) 22251921601
16987 GARIABAND GARIABAND GOVT P S DADARPARA (SSA) 22251921701
16988 GARIABAND GARIABAND GOVT P S KOTRICHHAPAR (SSA) 22251922201
16989 GARIABAND GARIABAND GOVT P S (SSA) 22251922301
16990 GARIABAND GARIABAND GOVT P S (SSA) 22251922401
16991 GARIABAND GARIABAND GOVT P S (SSA) 22251922501
16992 GARIABAND GARIABAND GOVT P S (TWD) 22251922601
16993 GARIABAND GARIABAND GOVT GYANJYOTI SCHOOL (SSA) 22251922602
16994 GARIABAND GARIABAND GOVT P S (SSA) 22251922701
16995 GARIABAND GARIABAND GOVT P S (SSA) 22251922801
16996 GARIABAND GARIABAND GOVT P S (SSA) 22251922901
16997 GARIABAND GARIABAND GOVT P S (SSA) 22251923001
16998 GARIABAND GARIABAND GOVT M S (TWD) 22251923101
16999 GARIABAND GARIABAND GOVT P S (TWD) 22251923102
17000 GARIABAND MAINPUR GOVT. PRIMARY SCHOOL LATAPARA 22252600101
17001 GARIABAND MAINPUR GOVT.MIDDILE SCHOOL LATAPARA 22252600102
17002 GARIABAND MAINPUR GOVT.PRIMARY SCHOOL MUDAGAON 22252600201
17003 GARIABAND MAINPUR GOVT.MIDDLESCHOOL MUDAGAON 22252600202
17004 GARIABAND MAINPUR GOVT. PRIMARY SCHOOL BIRIGHAT 22252600301
17005 GARIABAND MAINPUR GOVT MIDDLE SCHOOL BIRIGHAT 22252600302
17006 GARIABAND MAINPUR GOVT.PRIMARY SCHOOL DADARIYAPARA 22252600306
17007 GARIABAND MAINPUR GOVT. PRIMARY SCHOOL GODIYARI 22252600401
17008 GARIABAND MAINPUR GOVE.PRIMARY SCHOOL NEGIPARA 22252600404
17009 GARIABAND MAINPUR GOVT.MIDDILE SCHOOL GODIYARI 22252600406
17010 GARIABAND MAINPUR GOVT.PRIMARY SCHOOL TETALKHNTI 22252600501
17011 GARIABAND MAINPUR GOVT.MIDDLE SCHOOL TETALKHUTI 22252600502
17012 GARIABAND MAINPUR PRIMARY SCHOOL URMAL 22252600602
17013 GARIABAND MAINPUR GOVT MIDDILE SCHOOL URMAL 22252600604
17014 GARIABAND MAINPUR GOVT.PRIMARY SCHOOL JUNGAPARA 22252600605
17015 GARIABAND MAINPUR GOVT.PRIMARY SCHOOL DARRIPARA 22252600606
17016 GARIABAND MAINPUR GOVT.PRIMARY SCHOOL TETALPARA 22252600701
17017 GARIABAND MAINPUR GOVT.MIDDLE SCHOOL TETALPARA 22252600702
17018 GARIABAND MAINPUR GOVT.PRIMARY SCHOOL DHOURAJHOLA 22252600804
17019 GARIABAND MAINPUR GOVT.PRIMARY SCHOOL BEHRADIH 22252600901
17020 GARIABAND MAINPUR KAMAR ASHRAM SHALA BEHRDIH 22252600902
17021 GARIABAND MAINPUR GOVT.PRIMARY SCHOOL SHOBHA 22252601001
17022 GARIABAND MAINPUR GOVT. PRIMARY ADIWASI KANYA ASHRAM SALA SHOBHA
22252601002
17023 GARIABAND MAINPUR GOVT MIDDILE SCHOOL SHOBHA 22252601003
17024 GARIABAND MAINPUR GOVT.PRIMARY SCHOOL KOSAMMUDA 22252601004
17025 GARIABAND MAINPUR GOVT.PRIMARY SCHOOL.KUSHIYARBARCHHA 22252601006
17026 GARIABAND MAINPUR GOVT.MIDDILE ADIWASI KANYA ASHRAM SHOBHA 22252601007
17027 GARIABAND MAINPUR GOVT.PRIMARY SCHOOL PATHRRI 22252601101
17028 GARIABAND MAINPUR GOVT. PRIMARY SCHOOL DHANORA 22252601201
17029 GARIABAND MAINPUR GOVT.PRIMARY SCHOOL KHAILIYAMUDA 22252601202
17030 GARIABAND MAINPUR GOVT.MIDDILE SCHOOL DHANORA 22252601203
17031 GARIABAND MAINPUR GOVT.PRIMARY SCHOOL POTAPARA . DHANORA 22252601204
17032 GARIABAND MAINPUR GOVT.MIDDILE SCHOOL KHALIYAMUDA 22252601205
17033 GARIABAND MAINPUR GOVT.PRIMARY SCHOOL JADAMUDA 22252601208
17034 GARIABAND MAINPUR GOVT.PRIMARY SCHOOL ADGADI 22252601301
17035 GARIABAND MAINPUR GOVT.MIDDLE SCHOOL ADGADI 22252601302
17036 GARIABAND MAINPUR GOVT.PRIMARY SCHOOL GIRHOLA 22252601401
17037 GARIABAND MAINPUR GOVT.MIDDLE SCHOOL GIRHOLA 22252601402
17038 GARIABAND MAINPUR GOVT. PRIMARY SCHOOL CHAILDONGARI 22252601501
17039 GARIABAND MAINPUR GOVT.MIDDILE SCHOOL CHELDONGARI 22252601502
17040 GARIABAND MAINPUR GOVT.PRIMARY SCHOOL NAHARPARA 22252601503
17041 GARIABAND MAINPUR GOVT. PRIMARY SCHOOL CHANABHATA 22252601601
17042 GARIABAND MAINPUR GOVT.PRIMARY SCHOOL SIHARLATI 22252601701
17043 GARIABAND MAINPUR GOVT.PRIMARI SCHOOL MANJHIPARA 22252601702
17044 GARIABAND MAINPUR GOVT.PRIMARY SCHOOL CHACHARAPARA 22252601703
17045 GARIABAND MAINPUR GOVT.MIDDILE SCHOOL SIHARLATI 22252601704
17046 GARIABAND MAINPUR GOVT.PRIMARY SCHOOL.BHURLAPARA 22252601705
17047 GARIABAND MAINPUR GOVT. PRIMARY SCHOOL USRIJOR 22252601801
17048 GARIABAND MAINPUR GOVT.MIDDILE SCHOOL USRIJOR 22252601802
17049 GARIABAND MAINPUR GOVT. PRIMARY SCHOOL CHHAILA 22252601901
17050 GARIABAND MAINPUR GOVT.PRIMARY SCHOOL JUNAPARA 22252601902
17051 GARIABAND MAINPUR GOVT.MIDDILE SCHOOL CHHAILA 22252601904
17052 GARIABAND MAINPUR GOVT. PRIMARY SCHOOL BHUTBEDA 22252602101
17053 GARIABAND MAINPUR GOVT.MIDDILE SCHOOL BHUTBEDA 22252602104
17054 GARIABAND MAINPUR GOVT.MIDDILE SCHOOL MONGRADIH 22252602105
17055 GARIABAND MAINPUR GOVT.MIDDLE SCHOOL GARIBA 22252602202
17056 GARIABAND MAINPUR GOVT.PRIMARY SCHOOL GARIBA 22252602203
17057 GARIABAND MAINPUR GOVT.PRIMARY SCHOOL KODOMALI 22252602303
17058 GARIABAND MAINPUR GOVT.PRIMARY SCHOOL NAHANBIRI 22252602401
17059 GARIABAND MAINPUR GOVT.KANIST PRIMARY SCHOOL NADIPARA 22252602501
17060 GARIABAND MAINPUR GOVT.PRIMARY SCHOOL NADIPARA 22252602503
17061 GARIABAND MAINPUR GOVT. PRIMARY SCHOOL NAUMUDA 22252602601
17062 GARIABAND MAINPUR PRIMARY SCHOOL GANGA JAMUNA 22252602602
17063 GARIABAND MAINPUR GOVT.PRIMARY SCHOOL GORGHAT 22252602701
17064 GARIABAND MAINPUR GOVT.MIDDILE SCHOOL GAURGHAT 22252602702
17065 GARIABAND MAINPUR GOVT.PRIMARY SCHOOL BHATIGARH 22252602801
17066 GARIABAND MAINPUR GOVT.PRIMARY SCHOOL SIHAR 22252602901
17067 GARIABAND MAINPUR GOVT.PRIMARY SCHOOL BOIRGAON 22252603001
17068 GARIABAND MAINPUR PRIMARY SCHOOL BURJABAHAL 22252603101
17069 GARIABAND MAINPUR MIDDLE SCHOOL BURJABAHAL 22252603102
17070 GARIABAND MAINPUR ASHRAM BURJABAHAL 22252603103
17071 GARIABAND MAINPUR GOVT.PRIMARY SCHOOL KAMARPARA 22252603104
17072 GARIABAND MAINPUR GOVT.PRIMARY SCHOOL BARDULA 22252603201
17073 GARIABAND MAINPUR GOVT.PRIMARY SCHOOL BANDIYAMAL 22252603301
17074 GARIABAND MAINPUR GOVT.PRIMARY SCHOOL MUDAMAHAN 22252603401
17075 GARIABAND MAINPUR GOVT.MIDDILE SCHOOL MUDAMAHAL 22252603402
17076 GARIABAND MAINPUR GOVT.PRIMARY SCHOOL LADHWAPARA 22252603503
17077 GARIABAND MAINPUR GOVT. PRIMARY SCHOOL ANESAR 22252603601
17078 GARIABAND MAINPUR GOVT.PRIMARY SCHOOL INDIRAPARA 22252603703
17079 GARIABAND MAINPUR GOVT.PRIMARY SCHOOL KHUDBUDI 22252603803
17080 GARIABAND MAINPUR GOVT.PRIMRY SCHOOL MUCHBAHAL 22252603901
17081 GARIABAND MAINPUR GOVT MIDDILE SCHOOL MUCHBAHAL 22252603902
17082 GARIABAND MAINPUR GOVT.PRIMARY SCHOOL DONGARI BHATA 22252603903
17083 GARIABAND MAINPUR GOVT.PRIMARY SCHOOL GUDBHELI 22252604001
17084 GARIABAND MAINPUR GOVT.MIDDLE SCHOOL BEDBHELI 22252604002
17085 GARIABAND MAINPUR PRIMARY SCHOOL MADANGMUDA 22252604101
17086 GARIABAND MAINPUR GOVT.MIDDLE SCHOOL MADANGMUDA 22252604102
17087 GARIABAND MAINPUR PRIMARY SCHOOL BHURLIPARA 22252604103
17088 GARIABAND MAINPUR GOVT.PRIMARY SCHOOL DABRIGUDA 22252604201
17089 GARIABAND MAINPUR GOVT.PRIMARY SCHOOL DABRIPARA (1) 22252604202
17090 GARIABAND MAINPUR GOVT.PRIMARY SHOOL DABRIPARA-02 22252604203
17091 GARIABAND MAINPUR GOVT.PRIMARY SCHOOL BHAINSMUDI 22252604301
17092 GARIABAND MAINPUR GOVT.MIDDILE SCHOOL BHAISMUDI 22252604304
17093 GARIABAND MAINPUR GOVT.PRIMARY SCHOOL NADIPARA 22252604305
17094 GARIABAND MAINPUR GOVT.PRIMARY SCHOOL NAWAPARA 22252604401
17095 GARIABAND MAINPUR GOVT.PRIMARY SCHOOL NAWAPARA 22252604403
17096 GARIABAND MAINPUR GOVT.PRIMARY SCHOOL MAHUALPARA 22252604404
17097 GARIABAND MAINPUR GOVT.PRIMARY SCHOOL PADAMPUR 22252604501
17098 GARIABAND MAINPUR GOVT.MIDDLE SCHOOL PADAMPUR 22252604502
17099 GARIABAND MAINPUR GOVT. PRIMARY SCHOOL DHURWAPATHRA 22252604601
17100 GARIABAND MAINPUR GOVT.MIDDILE SCHOOL DURWAPATHARA 22252604602
17101 GARIABAND MAINPUR GOVT. PRIMARY SCHOOL KODOBHATA 22252604701
17102 GARIABAND MAINPUR GOVT M.S. KODOBHATA 22252604703
17103 GARIABAND MAINPUR GOVT.PRIMARY SCHOOL KODOBHAT 22252604704
17104 GARIABAND MAINPUR PRIMARY SCHOOL DHARNIDODA 22252604801
17105 GARIABAND MAINPUR MIDDILE SCHOOL DHARNIDODA 22252604802
17106 GARIABAND MAINPUR GOVT.PRIMARY SCHOOL GAURGAON 22252604901
17107 GARIABAND MAINPUR GOVT.MIDDILE SCHOOL GAURGAON 22252604902
17108 GARIABAND MAINPUR GOVT.PRIMARY SCHOOL NAWAPARA 22252604903
17109 GARIABAND MAINPUR GOVT.SCHOOL DHAWAIBHARRY 22252604904
17110 GARIABAND MAINPUR GOVT.PRIMARY SCHOOL MONGRADIH 22252605001
17111 GARIABAND MAINPUR GOVT.PRIMARY SCHOOL MOTIPANI 22252605101
17112 GARIABAND MAINPUR GOVT. PRIMARY SCHOOL FASARA 22252605201
17113 GARIABAND MAINPUR GOVT.PRIMARY SCHOOL FARSARA 22252605203
17114 GARIABAND MAINPUR GOVT.MIDDILE SCHOOL FARSARA 22252605205
17115 GARIABAND MAINPUR GOVT.PRIMARY SCHOOL MASTERPARA 22252605206
17116 GARIABAND MAINPUR GOVT.PRIMARY SCHOOL SHORIPARA (FARSARA) 22252605207
17117 GARIABAND MAINPUR GOVT. PRIMARY SCHOOL KHOKHMA 22252605301
17118 GARIABAND MAINPUR GOVT. PRIMARY SCHOOL SAGDA 22252605401
17119 GARIABAND MAINPUR GOVT.MIDDLE SCHOOL SAGDA 22252605402
17120 GARIABAND MAINPUR GOVT.PRIMARY SCHOOL KURLAPARA 22252605403
17121 GARIABAND MAINPUR GOVT.PRIMARY SCHOOL PANIGAON 22252605501
17122 GARIABAND MAINPUR GOVT.MIDDILE SCHOOL PANIGAON 22252605502
17123 GARIABAND MAINPUR GOVT.PRIMARY SCHOOL KENDUPATI 22252605601
17124 GARIABAND MAINPUR GOVT.MIDDILE SCHOOL KENDUPATI 22252605602
17125 GARIABAND MAINPUR GOVT. MIDDLE SCHOOL BHEJIPADAR 22252605702
17126 GARIABAND MAINPUR GOVT.PRIMARY SCHOOL SARAIPANI 22252605801
17127 GARIABAND MAINPUR GOVT.MIDDLE SCHOOL SARAIPANI 22252605802
17128 GARIABAND MAINPUR GOVT.PRIMARY SCHOOL SIMALIYAPARA 22252605803
17129 GARIABAND MAINPUR GOVT. PRIMARY SCHOOL SARNABAHAL 22252605901
17130 GARIABAND MAINPUR GOVT MIDDILE SCHOOL SARNABAHAL 22252605902
17131 GARIABAND MAINPUR GOVT.PRIMARY SCHOOL BANDPARA 22252605905
17132 GARIABAND MAINPUR GOVT.PRIMARY SCHOOL SHYHIDONGARI 22252605906
17133 GARIABAND MAINPUR GOVT.PRIMARY SCHOOL JADAPARA 22252605907
17134 GARIABAND MAINPUR GOVT.PARIMARY SCHOOL FALSAPARA 22252605910
17135 GARIABAND MAINPUR GOVT.PRIMARY SCHOOL KHARIPATHRA 22252606001
17136 GARIABAND MAINPUR GOVT.PRIMARY SCHOOL KOTRADONGRI 22252606003
17137 GARIABAND MAINPUR GOVT.PRIMARY SCHOOL NADIPARA 22252606005
17138 GARIABAND MAINPUR GOVT.PRIMARY SCHOOL TEKANPARA 22252606006
17139 GARIABAND MAINPUR GOVT.PRIMARY SCHOOL IMLIPARA 22252606007
17140 GARIABAND MAINPUR GOVT.PRIMARY SCHOOL KHARIPATHARA 22252606008
17141 GARIABAND MAINPUR GOVT. PRIMARY SCHOOL DARLIPARA 22252606101
17142 GARIABAND MAINPUR GOVT. PRIMARY SCHOOL GOHARAPADAR 22252606202
17143 GARIABAND MAINPUR GOVT MIDDILE SCHOOL GOHRAPADAR 22252606203
17144 GARIABAND MAINPUR GOVT.PRIMARY SCHOOL KHAJURPADAR 22252606301
17145 GARIABAND MAINPUR GOVT.PRIMARY SCHOOL TAURENGA 22252606401
17146 GARIABAND MAINPUR PRIMARY ADIWASI BALAK ASHRAM TAURENGA 22252606402
17147 GARIABAND MAINPUR GOVTMIDDILE SCHOOL TAURENGA 22252606403
17148 GARIABAND MAINPUR MIDDILE ADIWASI BALAK ASHRAM TAURENGA 22252606404
17149 GARIABAND MAINPUR GOVT.PRIMARY SCHOOL TARAJHAR 22252606501
17150 GARIABAND MAINPUR GOVT.PRIMARY SCHOOL BUDGELTAPPA 22252606601
17151 GARIABAND MAINPUR GOVT.MIDDILE SCHOOL BUDGELTAPPA 22252606602
17152 GARIABAND MAINPUR GOVT.PRIMARY SCHOOL BHARUWAMUDA 22252606701
17153 GARIABAND MAINPUR GOVT.MIDDLE SCHOOL BHARUWAMUDA 22252606702
17154 GARIABAND MAINPUR GOVT.PRIMARY SCHOOL DHOBANMAL 22252606801
17155 GARIABAND MAINPUR GOVT. MIDDILE SCHOOL DHOBANMAL 22252606802
17156 GARIABAND MAINPUR GOVT.PRIMARY SCHOOL BANJIPADAR 22252606901
17157 GARIABAND MAINPUR GOVT.PRIMARY SCHOOL MUNGAPADAR 22252607001
17158 GARIABAND MAINPUR GOVT.PRIMARY SCHOOL MATIYA 22252607101
17159 GARIABAND MAINPUR GOVT.MIDDLE SCHOOL MATIYA 22252607102
17160 GARIABAND MAINPUR GOVT.PRIMARY SCHOOL SARGIGUDA 22252607201
17161 GARIABAND MAINPUR GOVT.MIDDLE SCHOOL SARGIGUDA 22252607202
17162 GARIABAND MAINPUR GOVT.PRIMARY SCHOOL CHHINDAULA 22252607301
17163 GARIABAND MAINPUR GOVT.PRIMARY ADIWASI BALAK ASHRAM CHHINDOULA
22252607302
17164 GARIABAND MAINPUR GOVT.MIDDILE ADIWASI BALAK ASHRAM CHHINDOULA22252607303
17165 GARIABAND MAINPUR GOVT.PRIMARY SCHOOL GOPALPUR 22252607401
17166 GARIABAND MAINPUR GOVT.MIDDLE SCHOOL GOPALPARA 22252607402
17167 GARIABAND MAINPUR GOVT. PRIMARY SCHOOL PIPALKHUNTA 22252607501
17168 GARIABAND MAINPUR GOVT. MIDDILE SCHOOL PIPALKHUNTA 22252607502
17169 GARIABAND MAINPUR GOVT.PRIMARY SCHOOL KANDSAR 22252607601
17170 GARIABAND MAINPUR GOVT. MIDDILE SCHOOL KANDSAR 22252607603
17171 GARIABAND MAINPUR GOVT.PRIMARY SCHOOL SORIPARA 22252607605
17172 GARIABAND MAINPUR GOVT.PRIMARY SCHOOL AADIWASIPARA 22252607606
17173 GARIABAND MAINPUR GOVT.PRIMARY SCHOOL KUNDERAPANI 22252607701
17174 GARIABAND MAINPUR GOVT. PRIMARY SCHOOL DEBGUDA 22252607801
17175 GARIABAND MAINPUR GOVT.MIDDLE SCHOOL DEBGUDA 22252607803
17176 GARIABAND MAINPUR PRIMARY SCHOOL KHAIRMAL 22252607901
17177 GARIABAND MAINPUR GOVT.MIDDILE SCHOOL KHAIRMAL 22252607902
17178 GARIABAND MAINPUR GOVT.PRIMARY SCHOOL DHOLSARAI 22252608001
17179 GARIABAND MAINPUR GOVT.MIDDIILE SCHOOL. DHOLSARAI 22252608003
17180 GARIABAND MAINPUR PRIMARY SCHOOL PENDRA 22252608101
17181 GARIABAND MAINPUR GOVT.MIDDLE SCHOOL PENDRA 22252608102
17182 GARIABAND MAINPUR GOVT.PRIMARY SCHOOL JARHIDIH 22252608201
17183 GARIABAND MAINPUR GOVT.PRIMARY SCHOOL KARELI 22252608301
17184 GARIABAND MAINPUR GOVT. PRIMARY SCHOOL GONA 22252608401
17185 GARIABAND MAINPUR GOVT. MIDDLE SCHOOL GONA 22252608402
17186 GARIABAND MAINPUR GOVT.PRIMARY SCHOOL MAINPURKALA 22252608501
17187 GARIABAND MAINPUR GOVT.MIDDLE SCHOOL MAINPURKALA 22252608503
17188 GARIABAND MAINPUR GOVT.PRIMARY SCHOOL MUDAPARA 22252608506
17189 GARIABAND MAINPUR GOVT.PRIMARY SCHOOL JHARIYABAHRA 22252608601
17190 GARIABAND MAINPUR GOVT.MIDDLE SCHOOL JHARIYABAHRA 22252608602
17191 GARIABAND MAINPUR GOVT.PRIMARY SCHOOL THEMLI 22252608701
17192 GARIABAND MAINPUR GOVT.MIDDLE SCHOOL THEMLI 22252608702
17193 GARIABAND MAINPUR GOVT. PRIMARY SCHOOL BARGAON 22252608801
17194 GARIABAND MAINPUR GOVT MIDDILE SCHOOL BARGAON. 22252608803
17195 GARIABAND MAINPUR GOVT.PRIMARY SCHOOL BARGAON 22252608805
17196 GARIABAND MAINPUR GOVT. PRIMARY SCHOOL SAHEBINKACHHAR 22252608901
17197 GARIABAND MAINPUR GOVT.MIDDILE SCHOOL SAHEBI KACHHAR 22252608904
17198 GARIABAND MAINPUR GOVT.PRIMARY SCHOOL KHASARPANI 22252609001
17199 GARIABAND MAINPUR GOVT.PRIMARY SCHOOL FULJHAR 22252609101
17200 GARIABAND MAINPUR GOVT.PRIMARY SCHOOL DHOBANDIH 22252609203
17201 GARIABAND MAINPUR GOVT.PRIMARY SCHOOL BHATHAPANI 22252609301
17202 GARIABAND MAINPUR GOVT.MIDDILE SCHOOL BHATHAPANI 22252609302
17203 GARIABAND MAINPUR GOVT.PRIMARY SCHOOL AADPATHAR 22252609501
17204 GARIABAND MAINPUR GOVT.MIDDLE SCHOOL AADPATHAR 22252609502
17205 GARIABAND MAINPUR GOVT.PRIMARY SCHOOL DHODRA 22252609601
17206 GARIABAND MAINPUR GOVT.NAVEEN PRIMARY SCHOOL.MUNSHIPARA 22252609603
17207 GARIABAND MAINPUR PRIMARY SCHOOL KUCHENGA 22252609701
17208 GARIABAND MAINPUR GOVT. MIDDILE SCHOOL KUCHENGA 22252609702
17209 GARIABAND MAINPUR GOVT.PRIMARY SCHOOL KONARI 22252609801
17210 GARIABAND MAINPUR GOVT.BALAK PRIMARY SCHOOL JIDAR 22252609901
17211 GARIABAND MAINPUR GOVT.KANYA PRIMARY SCHOOL JIDAR 22252609902
17212 GARIABAND MAINPUR GOVT MIDDILE SCHOOL JIDAR 22252609903
17213 GARIABAND MAINPUR PRIMARY SCHOOL DEVDONGAR 22252609906
17214 GARIABAND MAINPUR GOVT.PRIMARY SCHOOL GAVERMUD 22252609907
17215 GARIABAND MAINPUR GOVT.PRIMARY SCHOOL KANWARAAMA 22252609908
17216 GARIABAND MAINPUR PRIMARY SCHOOL CHIHRAPARA 22252609909
17217 GARIABAND MAINPUR GOVT.PRIMARY SCHOOL CHAKLIPARA 22252609911
17218 GARIABAND MAINPUR GOVT.PRIMARY SCHOOL DEHARGUDA 22252610005
17219 GARIABAND MAINPUR GOVT.MIDDILE SCHOOL DEHARGUDA 22252610006
17220 GARIABAND MAINPUR GOVT.R.S.M.S.DHEHARGUDA 22252610007
17221 GARIABAND MAINPUR GOVT MIDIDILE SCHOOL BHATHIGARH 22252610101
17222 GARIABAND MAINPUR GOVT.KANYA PRIMARY SCHOOL MAINPUR 22252610201
17223 GARIABAND MAINPUR GOVT. GIRLS MIDDILE SCHOOL MAINPUR 22252610205
17224 GARIABAND MAINPUR GOVT. BOYS MIDDILE SCHOOL MAINPUR 22252610206
17225 GARIABAND MAINPUR PRIMARY SCHOOL BHATGOAN 22252610209
17226 GARIABAND MAINPUR GOVT.PRIMARY SCHOOL GARHADIH 22252610401
17227 GARIABAND MAINPUR GOVT.MIDDLE SCHOOL GARHADIH 22252610402
17228 GARIABAND MAINPUR GOVT.PRIMARY SCHOOL KOKDI 22252610601
17229 GARIABAND MAINPUR GOVT.MIDDILE SCHOOL KOKDI 22252610602
17230 GARIABAND MAINPUR GOVT.PRIMARY ADIWASI BALAK/KANYA ASHRAM SALA BADEGOBRA
22252610701
17231 GARIABAND MAINPUR GOVT. MIDDILE ADIWASI BALAK/KANYA ASHRAM BADEGOBRA
22252610702
17232 GARIABAND MAINPUR PRIMARY SCHOOL NAYAPARA (GONA) 22252610801
17233 GARIABAND MAINPUR GOVT.PRIMARY SCHOOL JHARGAON 22252610901
17234 GARIABAND MAINPUR GOVT MIDDILE SCHOOL JHARGAON 22252610903
17235 GARIABAND MAINPUR GOVT.PRIMARY SCHOOL JALPARA 22252610905
17236 GARIABAND MAINPUR GOVT. PRIMARY SCHOOL CHALNAPADAR 22252611001
17237 GARIABAND MAINPUR GOVT.PRIMARY SCHOOL PADEPARA 22252611002
17238 GARIABAND MAINPUR GOVT.MIDDLE SCHOOL CHALNAPADAR 22252611003
17239 GARIABAND MAINPUR GOVT.PRIMARY SCHOOL KURRUBHATA 22252611101
17240 GARIABAND MAINPUR GOVT.PRIMARY SCHOOL AMAD 22252611201
17241 GARIABAND MAINPUR GOVT.MIDDILE SCHOOL AMAD 22252611202
17242 GARIABAND MAINPUR GOVT.BALAK PRIMARY SCHOOL AMLIPADAR 22252611501
17243 GARIABAND MAINPUR GOVT.KANYA PRIMARY SCHOOL AMLIPADAR 22252611502
17244 GARIABAND MAINPUR GOVT.PRIMARY SCHOOL GAUTIYAPARA 22252611506
17245 GARIABAND MAINPUR GOVT.PRIMARY SCHOOL MANJHIPARA 22252611507
17246 GARIABAND MAINPUR GOVT.PRIMARY SCHOOL POTAPARA 22252611508
17247 GARIABAND MAINPUR GOVT.PRIMARY SCHOOL ADARPARA 22252611509
17248 GARIABAND MAINPUR GOVT. BOYS MIDDILE SCHOOL AMLIPADAR 22252611510
17249 GARIABAND MAINPUR GOVT.GIRLS MIDDILE SCHOOL AMLIPADAR 22252611511
17250 GARIABAND MAINPUR GOVT.PRIMARY SCHOOL KORDEL PARA 22252611512
17251 GARIABAND MAINPUR GOVT.BOYS PRIMARY SCHOOL MAINPUR 22252611601
17252 GARIABAND MAINPUR GOVT.PRIMARY SCHOOL. LEDHIBAHAR 22252611605
17253 GARIABAND MAINPUR GOVT.PRIMARY SCHOOL BAHRAPARA 22252611607
17254 GARIABAND MAINPUR KGBV MAINPUR 22252611608
17255 GARIABAND MAINPUR GOVT. PRIMARY SCHOOL DUMAGHAT 22252611701
17256 GARIABAND MAINPUR GOVT.PRIMARY SCHOOL KHAKHDIYAPARA 22252611704
17257 GARIABAND MAINPUR GOVT.MIDDILE SCHOOL DUMAGHAT 22252611706
17258 GARIABAND MAINPUR GOVT.PRIMARY SCHOOL CHITKIMUDA 22252611707
17259 GARIABAND MAINPUR GOVT.PRIMARY SCHOOL JORPARA 22252611803
17260 GARIABAND MAINPUR GOVT. PRIMARY SCHOOL DENDUPADAR 22252611901
17261 GARIABAND MAINPUR GOVT.MIDDILEM SCHOOL DENDUPADAR 22252611902
17262 GARIABAND MAINPUR GOVT.MIDDILE SCHOOL TUHAMETA 22252612003
17263 GARIABAND MAINPUR PRIMARY SCHOOL SALHEBHATHA 22252612101
17264 GARIABAND MAINPUR MIDDLE SCHOOL SALHEBHATHA 22252612102
17265 GARIABAND MAINPUR GOVT.PRIMARY SCHOOL BAJADI 22252612201
17266 GARIABAND MAINPUR GOVT.MIDDLE SCHOOL BAJADI 22252612202
17267 GARIABAND MAINPUR GOVT.PRIMARY SCHOOL NAYAPARA 22252612203
17268 GARIABAND MAINPUR GOVT.PRIMARY SCHOOL ADIWASHIPARA 22252612204
17269 GARIABAND MAINPUR GOVT.PRIMARY SCHOOL GURJIBHATA 22252612301
17270 GARIABAND MAINPUR GOVT.PRIMARY SCHOOL KHARKARPARA 22252612302
17271 GARIABAND MAINPUR GOVT.MIDDLE SCHOOL GURJIBHATA (T) 22252612303
17272 GARIABAND MAINPUR GOVT.PRIMARY SCHOOLKANDEKELA 22252612401
17273 GARIABAND MAINPUR GOVT MIDDILE SCHOOL KANDEKELA 22252612402
17274 GARIABAND MAINPUR GOVT.PRIMARY SCHOOL KEKRAJOR 22252612501
17275 GARIABAND MAINPUR GOVT MIDDLE SCHOOL KEKRAJOR 22252612502
17276 GARIABAND MAINPUR GOVT.PRIMARY SCHOOL KARLAJHAR 22252612601
17277 GARIABAND MAINPUR GOVT.PRIMARY SCHOOL JANGDA 22252612701
17278 GARIABAND MAINPUR GOVT MIDDILE SCHOOL JANGDA 22252612702
17279 GARIABAND MAINPUR GOVT.MIDDILE SCHOOL .KURRUBHATHA 22252612703
17280 GARIABAND MAINPUR GOVT. PRIMARY SCHOOL INDAGAON 22252612801
17281 GARIABAND MAINPUR GOVT MIDDILE SCHOOL INDAGAON 22252612802
17282 GARIABAND MAINPUR GOVT.PRIMARY SCHOOL KOYABA 22252612901
17283 GARIABAND MAINPUR GOVT.MIDDLE SCHOOL KOYABA 22252612902
17284 GARIABAND MAINPUR GVOT.PRIMARY SCHOOL BANJARIBAHRA 22252612903
17285 GARIABAND MAINPUR GOVT.PRIMARY SCHOOL DEVJHAR AMLI 22252613001
17286 GARIABAND MAINPUR GOVT.MIDDILE SCHOOL DEVJHAR AMLI 22252613002
17287 GARIABAND MAINPUR GOVT.PRIMARY SCHOOL KUMKOT 22252613003
17288 GARIABAND MAINPUR GOVT.PRIMARY SCHOOL CHHOTEGOBRA 22252613101
17289 GARIABAND MAINPUR GOVT.MIDDLE SCHOOLCHHOTEGOBRA 22252613102
17290 GARIABAND MAINPUR GOVT.PRIMARY SCHOOL JADAPADAR 22252613201
17291 GARIABAND MAINPUR GOVT MIDDILE SCHOOL JADAPADAR 22252613202
17292 GARIABAND MAINPUR GOVT. PRIMARY SCHOOL BESRAJHAR 22252613401
17293 GARIABAND MAINPUR MIDDLE SCHOOL 22252613403
17294 GARIABAND MAINPUR GOVT.PRIMARY SCHOOL KULHADIGHAT 22252613506
17295 GARIABAND MAINPUR GOVT.MIDDILE SCHOOL KULHADIGHAT 22252613507
17296 GARIABAND MAINPUR GOVT.PRIMARY SCHOOLDABNAI 22252613601
17297 GARIABAND MAINPUR GOVT.MIDDILE SCHOOL DABNAI 22252613602
17298 GARIABAND MAINPUR GOVT.PRIMARY SCHOOL CHIPRI 22252613703
17299 GARIABAND MAINPUR GOVT. PRIMARY SCHOOL MUDGELMAL 22252613801
17300 GARIABAND MAINPUR GOVT MIDDILE SCHOOL MUDGELMAL 22252613802
17301 GARIABAND MAINPUR GOVT.PRIMARY SCHOOL DHULENGAPARA 22252613803
17302 GARIABAND MAINPUR GOVT.PRIMARY SCHOOL GURJIBHATA (A) 22252613901
17303 GARIABAND MAINPUR GOVT.MIDDILESCHOOL GURUJIBHATHA A 22252613902
17304 GARIABAND MAINPUR GOVT.PRIMARY SCHOOL LAKSHMIPARA 22252613903
17305 GARIABAND MAINPUR GOVT.MIDDLE SCHOOL CHIKHALI 22252614002
17306 GARIABAND MAINPUR GOVT.PRIMARY SCHOOL CHIKHALI 22252614003
17307 GARIABAND MAINPUR GOVT.PRIMARY SCHOOL KAMARPARA 22252614004
17308 GARIABAND MAINPUR GOVT.PRIMARY SCHOOL UDANTI 22252614101
17309 GARIABAND MAINPUR GOVT.MIDDLE SCHOOL UDANTI 22252614102
17310 GARIABAND MAINPUR GOVT.PRIMARY SCHOOL NAGESH 22252614201
17311 GARIABAND MAINPUR GOVT.MIDDLE SCHOOL NAGESH 22252614202
17312 GARIABAND MAINPUR PRIMARY SCHOOL SUKLABHATA 22252614301
17313 GARIABAND MAINPUR PRIMARY SCHOOL HARDIBHATA 22252614401
17314 GARIABAND MAINPUR GOVT.MIDDILE SCHOOL HARDIBHATHA 22252614402
17315 GARIABAND MAINPUR GOVT. PRIMARY SCHOOL PAYLIKHAND 22252614501
17316 GARIABAND MAINPUR GOVT.MIDDILE SCHOOL PAYLIKHAND 22252614502
17317 GARIABAND MAINPUR GOVT.KANIST PRIMARY SCHOOL MOHANALA 22252614601
17318 GARIABAND MAINPUR GOVT. PRIMARY SCHOOL GHUMRAPADAR 22252614701
17319 GARIABAND MAINPUR GOVT.PRIMARY SCHOOL MAJAPARA 22252614702
17320 GARIABAND MAINPUR GOVT.MIDDILE SCHOOL GHUMRAPADAR 22252614703
17321 GARIABAND MAINPUR GOVT.PRIMARY SCHOOL SARADPARA 22252614704
17322 GARIABAND MAINPUR GOVT.PRIMARY SCHOOL NAVAPARA 22252614705
17323 GARIABAND MAINPUR PRIMARY SCHOOL BANWAPARA 22252615101
17324 GARIABAND MAINPUR GOVT. PRIMARY SCHOOL GAJIMUDA 22252615201
17325 GARIABAND MAINPUR GOVT.PRIMARY SCHOOL ANWRABHATHA 22252615301
17326 GARIABAND MAINPUR GOVT. PRIMARY SCHOOL CHUIHA 22252615401
17327 GARIABAND MAINPUR GOVT.PRIMARY SCHOOL GOLAMAL 22252615501
17328 GARIABAND MAINPUR GOVT.MIDDLE SCHOOL GOLAMAL 22252615502
17329 GARIABAND MAINPUR GOVT.PRIMARY SCHOOL SARADPARA 22252615503
17330 GARIABAND MAINPUR PRIMARY SCHOOL SIHNAPARA 22252615505
17331 GARIABAND MAINPUR GOVT.PRIMARY SCHOOL JUGAD 22252615601
17332 GARIABAND MAINPUR GOVT.MIDDILE SCHOOL JUGAD 22252615602
17333 GARIABAND MAINPUR GOVT.NAVEN PRIMARY SCHOOL PODPARA 22252615702
17334 GARIABAND MAINPUR GOVT.NAVEN PRIMARY SCHOOL GOHRAMAL 22252615801
17335 GARIABAND MAINPUR GOVT.NAVEN PRIMARY SCHOOL PRIYABAHAL 22252615901
17336 GARIABAND MAINPUR GOVT.MIDDILE SCHOOL PARIYABAHAL 22252615902
17337 GARIABAND MAINPUR NAVEN PRIMARY SCHOOL MAHULPUTKA 22252616001
17338 GARIABAND MAINPUR GOVT. PRIMARY SCHOOL KACHHARPARA 22252616201
17339 GARIABAND MAINPUR GOVT. PRIMARY SCHOOL KHADARIPARA 22252616301
17340 GARIABAND MAINPUR GOVT. PRIMARY SCHOOL POHELPARA 22252616401
17341 GARIABAND MAINPUR GOVT. PRIMARY SCHOOL KURLAPARA 22252616601
17342 GARIABAND MAINPUR PRIMARY SCHOOL KURLAPAERA 22252616602
17343 GARIABAND MAINPUR GOVT.MIDDILE SCHOOL KURLAPARA 22252616603
17344 GARIABAND MAINPUR GOVT.PRIMARY ADIWASI KANYA ASHRAM NAGWEL 22252616701
17345 GARIABAND MAINPUR GOVT. MIDDILE AADIWASI KANYA ASHRAM NAGWEL 22252616702
17346 GARIABAND MAINPUR GOVT.PRIMARY SCHOOL NAGWEL 22252616703
17347 GARIABAND MAINPUR GOVT.ADIWASI KANYA ASHRAM KALIMATI 22252616801
17348 GARIABAND MAINPUR GOVT.PRIMARY SCHOOL KALIMATI 22252616803
17349 GARIABAND MAINPUR GOVT. PRIMARY SCHOOL KUHIMAL 22252616901
17350 GARIABAND MAINPUR GOVT.MIDDLE SCHOOL KUHIMAL 22252616902
17351 GARIABAND MAINPUR GOVT.PRIMARY SCHOOL SAGBARIYAPARA 22252616903
17352 GARIABAND MAINPUR GOVT.GYAN GYOTI SCHOOL KAMARPARA 22252616904
17353 GARIABAND MAINPUR GOVT.PRIMARY SCHOOL KOKADIMAL 22252617001
17354 GARIABAND MAINPUR GOVT.MIDDILE SCHOOL KOKADIMAL 22252617002
17355 GARIABAND MAINPUR GOVT.PRIMARY SCHOOL BAHRAPARA 22252617101
17356 GARIABAND MAINPUR GVOT.NAVEN PRIMARY SCHOOL AMLI 22252617201
17357 GARIABAND MAINPUR GOVT.PRAMARY SCHOOL JAYANTI NAGAR 22252617401
17358 GARIABAND MAINPUR GOVT.PRIMARY SCHOOL ACHANPUR 22252617501
17359 GARIABAND MAINPUR GOVT.MIDDILE SCHOOL ACHANPUR 22252617503
17360 GARIABAND MAINPUR GOVT.PRIMARY SCHOOL DANGIYAPARA 22252617702
17361 GARIABAND MAINPUR GOVT.PRIMARY SCHOOL KHARTA 22252617801
17362 GARIABAND MAINPUR GOVT. PRIMARY SCHOOL BHATADIGGI 22252617901
17363 GARIABAND MAINPUR GOVT. MIDDLE SCHOOL DHODRA 22252618101
17364 GARIABAND MAINPUR GOVT.PRIMARY SCHOOL PHOOLWARI 22252618501
17365 GARIABAND MAINPUR GOVT.PRIMARY SCHOOL BELPARA 22252618601
17366 GARIABAND MAINPUR GOVT.PRIMARY SCHOOL PATIYALPARA 22252619001
17367 GARIABAND MAINPUR GOVT.PRIMARY SCHOOL PATIYALPARA 22252619002
17368 GARIABAND MAINPUR GOVT. PRIMARY SCHOOL PUJARIPARA 22252619101
17369 GARIABAND MAINPUR GOVT.PRIMARY SCHOOL AAMPARA 22252619201
17370 GARIABAND MAINPUR GOVT.PRIMARY SCHOOL CHACHARAPARA 22252619302
17371 GARIABAND MAINPUR GOVT. PRIMARY SCHOOL KURLAPARA 22252619601
17372 GARIABAND MAINPUR GOVT.MIDDLE SCHOOL KURLAPARA 22252619602
17373 GARIABAND MAINPUR GOVT.PRIMARY SCHOOL POTAPARA 22252619701
17374 GARIABAND MAINPUR PRIMARY SCHOOL MAUHABHATA 22252619901
17375 GARIABAND MAINPUR GOVT.PRIMARY SCHOOL DUMARGHAT 22252620101
17376 GARIABAND MAINPUR GOVT.MIDDLE SCHOOL DUMARGHAT 22252620102
17377 GARIABAND MAINPUR GOVT.PRIMARY SCHOOL BOIRDHI 22252620201
17378 GARIABAND MAINPUR GOVT.PRIMARY SCHOOL BHEJAKOTPARA 22252620401
17379 GARIABAND MAINPUR GOVT.PRIMARY SCHOOL KURWAPANI 22252620501
17380 GARIABAND MAINPUR GOVT.PRIMARY SCHOOL SAGUNBHADIPARA 22252620901
17381 GARIABAND MAINPUR GOVT.PRIMARY SCHOOL RAMPARA 22252621001
17382 GARIABAND MAINPUR GOVT.PRIMARY SCHOOL BUDAR 22252621101
17383 GARIABAND MAINPUR GOVT.PRIMARY SCHOOL GEDRABEDA 22252621301
17384 GARIABAND MAINPUR GOVT.PRIMARY SCHOOL GOTIYABHARRI 22252621401
17385 GARIABAND MAINPUR GOVT.PRIMARY SCHOOL TENDHUCHHAPER 22252621501
17386 GARIABAND MAINPUR GOVT.PRIMARY SCHOOL BHIMATIKARA 22252621701
17387 GARIABAND MAINPUR GOVT.PRIMAY SCHOOL BHALUKONA 22252622001
17388 GARIABAND MAINPUR GOVT.PRIMARY SCHOOL TUHAMETA 22252622101
17389 GARIABAND MAINPUR GOVT.PRIMARY SCHOOL CHINGARABHATIYAPARA 22252622201
17390 GARIABAND MAINPUR GOVT.PRIMARY SCHOOL RAJPUR 22252622301
17391 GARIABAND MAINPUR GOVT.PRIMARY SCHOOL UPARPARA 22252622401
17392 GARIABAND MAINPUR GOVT.PRIMARY SCHOOL KEUBURLA 22252623101
17393 GARIABAND MAINPUR GOVT.PRIMARY SCHOOL JHOLARAO 22252623301
17394 GARIABAND MAINPUR GOVT.PRIMARY SCHOOL HARIJANPARA 22252623701
17395 GARIABAND MAINPUR GOVT.PRIMARY SCHOOL DUMARPADAW 22252624001
17396 GARIABAND MAINPUR GOVT.PRIMARY SCHOOL SALHRBHAT 22252624401
17397 GARIABAND MAINPUR GOVT.PRIMARY SCHOOL. DARLIPARA 22252624501
17398 GARIABAND MAINPUR GOVT. PRIMARY SCHOOL SIRLIPARA 22252624502
17399 GARIABAND MAINPUR MIDDILE SCHOOL DEVDONGAR 22252624801
17400 GARIABAND MAINPUR GOVT.PRIMARY SCHOOL ADARPARA 22252625201
17401 GARIABAND MAINPUR GOVT.PRIMARY SCHOOL TEKANPARA 22252625301
17402 GARIABAND MAINPUR GOVT.PRIMARY SCHOOL KHOLAPARA 22252625401
17403 GARIABAND MAINPUR GOVT.PRIMARY SCHOOL LUTHAPARA 22252625501
17404 GARIABAND MAINPUR GOVT.PRIMARY SCHOOL KATHWA 22252625901
17405 GARIABAND MAINPUR GOVT.PRIMARY SCHOOL BHALU DIGGI 22252626001
17406 GARIABAND MAINPUR GOVT.PRIMARY SCHOOL KODOMALI 22252626201
17407 GARIABAND MAINPUR GOVT. MIDDILE SCHOOL KODOMALI 22252626202
17408 GARIABAND MAINPUR GOVT.MIDDILE SCHOOL KOSAMMUDA 22252626301
17409 GARIABAND MAINPUR PRIMARY SCHOOL KERAPARA 22252626401
17410 GARIABAND MAINPUR GOVT.PRIMARY SCHOOL KANHARAPARA 22252626501
17411 GARIABAND MAINPUR GOVT.PRIMARY SCHOOL LAHAPIPARA 22252626701
17412 GARIABAND MAINPUR GOVT.PRIMARY SCHOOL RAKSHAPATHARA 22252626801
17413 GARIABAND MAINPUR GOVT. PRIMARY SCHOOL DHARNIBAHAL 22252626901
17414 GARIABAND MAINPUR GOVT. MIDDLE SCHOOL DHARNIBAHAL 22252626902
17415 GARIABAND MAINPUR GOVT.MIDDLE SCHOOL DHURWAGUDI 22252627001
17416 GARIABAND MAINPUR GOVT.PRIMARY SCHOOL DHURWAGUDI 22252627002
17417 GARIABAND MAINPUR GOVT.PRIMARY SCHOOL TANDPARA 22252627101
17418 GARIABAND MAINPUR GOVT.PRIMARY SCHOOL BHEJIPADAR 22252627201
17419 GARIABAND MAINPUR PRIMARY SCHOOL BANDPARA 22252627501
17420 GARIABAND MAINPUR GOVT.PRIMARY SCHOOL UKHARUPARA 22252627901
17421 GARIABAND MAINPUR GOVT.PRIMARY SCHOOL KANTIPARA 22252628001
17422 GARIABAND MAINPUR GOVT.PRIMARY SCHOOL LATIPARA 22252628201
17423 GARIABAND MAINPUR GOVT.PRIMARY SCHOOL DOGARIPARA 22252628301
17424 GARIABAND MAINPUR GOVT.PRIMARY SCHOOL HALDIPARA 22252628401
17425 GARIABAND MAINPUR GOVT.PRIMARY SCHOOL OMKARPARA 22252628501
17426 GARIABAND MAINPUR GOVT.PRIMARY SCHOOL KENDUKOT 22252628601
17427 GARIABAND MAINPUR PRIMARY SCHOOL MAHULPARA 22252628701
17428 GARIABAND MAINPUR GOVT.PRIMARY SCHOOL SORIPARA 22252628901
17429 GARIABAND MAINPUR GOVT. GYAN JYOTI SCHOOL MATAL 22252629001
17430 GARIABAND MAINPUR GOVT.PRIMARY SCHOOL BHADRIPARA 22252629101
17431 GARIABAND MAINPUR GOVT. PRIMARY SCHOOL KANDAKHODRA 22252629201
17432 GARIABAND MAINPUR GOVT. PRAMARY SCHOOL KAMARPARA [KUCHENGA] 22252629301
17433 GARIABAND MAINPUR GOVT.PRIMARY SCHOOL DONGRIPARA 22252629401
17434 GARIABAND MAINPUR GOVT.PRIMARY SCHOOL PHOKATPARA 22252629501
17435 JANJGIR - CHAMPA
AKALTARA GOVT MS PONDIBHATA(SSA) 22060100203
17436 JANJGIR - CHAMPA
AKALTARA GIRLS M.S. AKALTARA (EDU) 22060100313
17437 JANJGIR - CHAMPA
AKALTARA GOVT. B.P.M.S. AKALTARA (EDU) 22060100314
17438 JANJGIR - CHAMPA
AKALTARA GOVT SANJAY NAGAR AKALTARA(EDU) 22060100320
17439 JANJGIR - CHAMPA
AKALTARA GOVT PS ANDHIYARIPAT AKALTARA(SSA) 22060100321
17440 JANJGIR - CHAMPA
AKALTARA GOVT PS LABOUR COLONY AKALTARA(SSA) 22060100326
17441 JANJGIR - CHAMPA
AKALTARA GOVT MS GURUGHASI DAS AKALTARA(SSA) 22060100327
17442 JANJGIR - CHAMPA
AKALTARA GOVT PS. KHISORA (EDU) 22060100801
17443 JANJGIR - CHAMPA
AKALTARA GOVT PS. KHAPARI DIH (EDU) 22060100901
17444 JANJGIR - CHAMPA
AKALTARA GOVT PS. KATGHARI (EDU) 22060101001
17445 JANJGIR - CHAMPA
AKALTARA GOVT M.S. KATGHARI (EDU) 22060101002
17446 JANJGIR - CHAMPA
AKALTARA GOVT PS. BARGAVA (EDU) 22060101101
17447 JANJGIR - CHAMPA
AKALTARA GOVT M.S. BARGAVA (EDU) 22060101102
17448 JANJGIR - CHAMPA
AKALTARA GOVT NPS GIRLS BARGAWA(SSA) 22060101105
17449 JANJGIR - CHAMPA
AKALTARA GOVT PS. KHATOLA (EDU) 22060101201
17450 JANJGIR - CHAMPA
AKALTARA GOVT MIDDILE SCHOOL KHATOLA (SSA) 22060101202
17451 JANJGIR - CHAMPA
AKALTARA GOVT BOYS PS. KOTGARH (EDU) 22060101301
17452 JANJGIR - CHAMPA
AKALTARA GOVT GIRLS. PRIMARY SCHOOL KOTGARH 22060101302
17453 JANJGIR - CHAMPA
AKALTARA GOVT PS. KAPAN(BOYS) (EDU) 22060101401
17454 JANJGIR - CHAMPA
AKALTARA GOVT PS. KAPAN (GIRLS) (EDU) 22060101402
17455 JANJGIR - CHAMPA
AKALTARA GOVT M.S. KAPAN (EDU) 22060101404
17456 JANJGIR - CHAMPA
AKALTARA GOVT PS RAMPUR KAPAN (SSA) 22060101405
17457 JANJGIR - CHAMPA
AKALTARA GOVT PS. BOYS KOTMI SONAR (EDU) 22060101701
17458 JANJGIR - CHAMPA
AKALTARA GOVT GIRLS PS. KOTMI SONAR (EDU) 22060101702
17459 JANJGIR - CHAMPA
AKALTARA GOVT PS. BHATHA PARA (EDU) 22060101703
17460 JANJGIR - CHAMPA
AKALTARA GOVT M.S. KOTMI SONAR (EDU) 22060101704
17461 JANJGIR - CHAMPA
AKALTARA GOVT PS GOND PARA KOTMISONAR(EDU) 22060101706
17462 JANJGIR - CHAMPA
AKALTARA GOVT PS.LINK STATION PARA (EDU) 22060101707
17463 JANJGIR - CHAMPA
AKALTARA UP PS KOTMISONAR (EDU) 22060101710
17464 JANJGIR - CHAMPA
AKALTARA NPS SABARIYADERA KOTMISONAR (SSA) 22060101712
17465 JANJGIR - CHAMPA
AKALTARA UPS GIRL KOTMI SONAR(SSA) 22060101714
17466 JANJGIR - CHAMPA
AKALTARA GOVT PS. AKALTARI (EDU) 22060101901
17467 JANJGIR - CHAMPA
AKALTARA GOVT MS AKALTARI(SSA) 22060101902
17468 JANJGIR - CHAMPA
AKALTARA GOVT. PS. PIPAR SATTI (EDU) 22060102001
17469 JANJGIR - CHAMPA
AKALTARA NIRMALA PS. PIPAR SATTI(GRANTED) 22060102002
17470 JANJGIR - CHAMPA
AKALTARA GOVT M.S. PIPAR SATTI (EDU) 22060102003
17471 JANJGIR - CHAMPA
AKALTARA GOVT PS. KALYAN PUR(EDU) 22060102101
17472 JANJGIR - CHAMPA
AKALTARA GOVT MS KALYANPUR(SSA) 22060102102
17473 JANJGIR - CHAMPA
AKALTARA GOVT PS. PARSAHI NALA (EDU) 22060102201
17474 JANJGIR - CHAMPA
AKALTARA GOVT.M.S. PARSAHINALA (SSA) 22060102202
17475 JANJGIR - CHAMPA
AKALTARA GOVT PS. LATIYA (EDU) 22060102301
17476 JANJGIR - CHAMPA
AKALTARA GOVT MIDDILE SCHOOL LATIA(SSA) 22060102302
17477 JANJGIR - CHAMPA
AKALTARA PS. PAKARIYA(JHULAN) (EDU) 22060102401
17478 JANJGIR - CHAMPA
AKALTARA GOVT. PS. NAVAGAON(PAKARIYA) (EDU) 22060102402
17479 JANJGIR - CHAMPA
AKALTARA GOVT PS. PAKARIYA (EDU) 22060102403
17480 JANJGIR - CHAMPA
AKALTARA GOVT M.S. PAKARIYA (EDU) 22060102404
17481 JANJGIR - CHAMPA
AKALTARA GOVT M.S. PACHGAVA(PAKARIYA) (EDU) 22060102405
17482 JANJGIR - CHAMPA
AKALTARA SARSHVATI S.M.PAKARIYA(LATIA) 22060102407
17483 JANJGIR - CHAMPA
AKALTARA GOVT. PS. RASEDA (EDU) 22060102501
17484 JANJGIR - CHAMPA
AKALTARA GOVT M.S.RASEDA(SSA) 22060102502
17485 JANJGIR - CHAMPA
AKALTARA GOVT PS. DARRI TAND (EDU) 22060102601
17486 JANJGIR - CHAMPA
AKALTARA KANI PS. AMERI (SSA) 22060102701
17487 JANJGIR - CHAMPA
AKALTARA GOVT PS BADE AMERI (SSA) 22060102702
17488 JANJGIR - CHAMPA
AKALTARA GOVT JP. PS. KATANAI (EDU) 22060102801
17489 JANJGIR - CHAMPA
AKALTARA GOVT MIDDILE.SCHOOL KATANAI (EDU) 22060102802
17490 JANJGIR - CHAMPA
AKALTARA GOVT. PS. MAHAMD PUR (EDU) 22060102901
17491 JANJGIR - CHAMPA
AKALTARA GOVT MS MAHAMADPUR (SSA) 22060102902
17492 JANJGIR - CHAMPA
AKALTARA GOVT PS. SAJA PALI (EDU) 22060103001
17493 JANJGIR - CHAMPA
AKALTARA GOVT JANPAT PS. KH0ND (EDU) 22060103101
17494 JANJGIR - CHAMPA
AKALTARA GOVT NAVEEN PS KHOND (SSA) 22060103102
17495 JANJGIR - CHAMPA
AKALTARA GOVT MIDDILE SCHOOL KHOND (SSA) 22060103103
17496 JANJGIR - CHAMPA
AKALTARA GOVT. PS. DEVARI (EDU) 22060103201
17497 JANJGIR - CHAMPA
AKALTARA GOVT.PS. MOHA DIH (EDU) 22060103301
17498 JANJGIR - CHAMPA
AKALTARA GOVT. PS. SUVAR MAL (EDU) 22060103401
17499 JANJGIR - CHAMPA
AKALTARA GOVT PS. BIRKONI (EDU) 22060103501
17500 JANJGIR - CHAMPA
AKALTARA GOVT MS. BIRKONI (EDU) 22060103502
17501 JANJGIR - CHAMPA
AKALTARA GOVT. PS. NAVA PARA(HARDI) (EDU) 22060103601
17502 JANJGIR - CHAMPA
AKALTARA GOVT PS. SONAI DIH (EDU) 22060103701
17503 JANJGIR - CHAMPA
AKALTARA GOVT MIDDILE SCHOOL SONDIH(SSA) 22060103702
17504 JANJGIR - CHAMPA
AKALTARA GOVT PS. PACHARI (EDU) 22060103801
17505 JANJGIR - CHAMPA
AKALTARA GOVT BOYS PS. TAROUD (EDU) 22060103901
17506 JANJGIR - CHAMPA
AKALTARA GOVT GIRLS PS. TAROUD (EDU) 22060103902
17507 JANJGIR - CHAMPA
AKALTARA GOVT M.S. TAROUD (EDU) 22060103903
17508 JANJGIR - CHAMPA
AKALTARA GOVT UP PS ARJUN NAGAR TAROUD (EDU) 22060103904
17509 JANJGIR - CHAMPA
AKALTARA GOVT. PRIMARY SCHOOL ROGADA (EDU) 22060104001
17510 JANJGIR - CHAMPA
AKALTARA GOVT UPPS. ROGADA (SSA) 22060104002
17511 JANJGIR - CHAMPA
AKALTARA GOVT PS. AMORA (EDU) 22060104101
17512 JANJGIR - CHAMPA
AKALTARA GOVT. MS. AMORA (EDU) 22060104102
17513 JANJGIR - CHAMPA
AKALTARA GOVT LODAR COLONY AMORA (SSA) 22060104104
17514 JANJGIR - CHAMPA
AKALTARA GOVT PRIMARY SCHOOL AMANARA(EDU) 22060104201
17515 JANJGIR - CHAMPA
AKALTARA GOVT PS. MURLI DIH(THAKUR) (EDU) 22060104302
17516 JANJGIR - CHAMPA
AKALTARA GOVT.MS MURLIDIH (THAKUR) (SSA) 22060104304
17517 JANJGIR - CHAMPA
AKALTARA GOVT.PS.PARSADA(LILAGAR) (EDU) 22060104401
17518 JANJGIR - CHAMPA
AKALTARA GOVT NPS SHANKARPARA PARSADA(EDU) 22060104402
17519 JANJGIR - CHAMPA
AKALTARA GOVT. MS PARSADA(LILAGAR)(EDU) 22060104403
17520 JANJGIR - CHAMPA
AKALTARA GOVT PS. KARUMUHU (EDU) 22060104501
17521 JANJGIR - CHAMPA
AKALTARA GOVT. MS KARUMAHU (SSA) 22060104502
17522 JANJGIR - CHAMPA
AKALTARA GOVT JP. P.S. ARJUNI (EDU) 22060104601
17523 JANJGIR - CHAMPA
AKALTARA GOVT. M.S. ARJUNI (EDU) 22060104603
17524 JANJGIR - CHAMPA
AKALTARA GOVT NPS NAHARPARA ARJUNI (SSA) 22060104604
17525 JANJGIR - CHAMPA
AKALTARA GOVT. PS. BOHAPARA (EDU) 22060104701
17526 JANJGIR - CHAMPA
AKALTARA GOVT PS. DEV KIRARI (EDU) 22060104801
17527 JANJGIR - CHAMPA
AKALTARA GOVT. M.S. DEV KIRARI (EDU) 22060104802
17528 JANJGIR - CHAMPA
AKALTARA UP PS DEOKIRARI (EDU) 22060104803
17529 JANJGIR - CHAMPA
AKALTARA GOVT PS. NAVA PARA(AMORA) (EDU) 22060104901
17530 JANJGIR - CHAMPA
AKALTARA GOVT. PS. BUTRA BHAWAR (EDU) 22060105001
17531 JANJGIR - CHAMPA
AKALTARA GOVT NAVIN PS. BARBHATHA(EDU) 22060105101
17532 JANJGIR - CHAMPA
AKALTARA GOVT BOYS. PS. NARIYARA (EDU) 22060105102
17533 JANJGIR - CHAMPA
AKALTARA GOVT. GIRLS.PS NARIYARA(EDU) 22060105103
17534 JANJGIR - CHAMPA
AKALTARA GOVT. PS. SANJAY NAGAR(EDU) 22060105104
17535 JANJGIR - CHAMPA
AKALTARA GOVT M.S. GIRLS NARIYARA(EDU) 22060105107
17536 JANJGIR - CHAMPA
AKALTARA GOVT M.S. BOYS NARIYARA(EDU) 22060105108
17537 JANJGIR - CHAMPA
AKALTARA GOVT P.S.NAHARPARA NARIYARA(SSA) 22060105110
17538 JANJGIR - CHAMPA
AKALTARA M S NAHAR PARA NARIYARA(EDU) 22060105117
17539 JANJGIR - CHAMPA
AKALTARA GOVT PS. JHALMALA (EDU) 22060105201
17540 JANJGIR - CHAMPA
AKALTARA GOVT M.S. JHALMALA (EDU) 22060105203
17541 JANJGIR - CHAMPA
AKALTARA GOVT PS JHALMALA (EDU) 22060105204
17542 JANJGIR - CHAMPA
AKALTARA GOVT UP PS PAKARIYA JHULAN (EDU) 22060105303
17543 JANJGIR - CHAMPA
AKALTARA MS NAWAGAON PAKARIA (SSA) 22060105306
17544 JANJGIR - CHAMPA
AKALTARA GOVT PS. BANA HIL (EDU) 22060105401
17545 JANJGIR - CHAMPA
AKALTARA GOVT.MS BANAHIL (SSA) 22060105402
17546 JANJGIR - CHAMPA
AKALTARA GOVT NPS SABARIADERA (SSA) 22060105404
17547 JANJGIR - CHAMPA
AKALTARA GOVT PS. ARASMETA (EDU) 22060105501
17548 JANJGIR - CHAMPA
AKALTARA GOVT MS ARASMETA (SSA) 22060105502
17549 JANJGIR - CHAMPA
AKALTARA GOVT PS. SONSARI (EDU) 22060105601
17550 JANJGIR - CHAMPA
AKALTARA GOVT M.S. SONSARI (EDU) 22060105602
17551 JANJGIR - CHAMPA
AKALTARA GOVT NPS SONSARI (SSA) 22060105604
17552 JANJGIR - CHAMPA
AKALTARA GOVT. PS. TAND PARA (EDU) 22060105701
17553 JANJGIR - CHAMPA
AKALTARA JP. PS. TILAI (EDU) 22060105801
17554 JANJGIR - CHAMPA
AKALTARA GOVT.M.S. TILAI (EDU) 22060105803
17555 JANJGIR - CHAMPA
AKALTARA UP PS TILAI WARD NO 10 (SSA) 22060105806
17556 JANJGIR - CHAMPA
AKALTARA NPS TILAI BUS STAND (SSA) 22060105807
17557 JANJGIR - CHAMPA
AKALTARA UPS BUS STAND TILAI (SSA) 22060105809
17558 JANJGIR - CHAMPA
AKALTARA JP. AMAR TAL (EDU) 22060105901
17559 JANJGIR - CHAMPA
AKALTARA GOVT. M.S. AMARTAL (EDU) 22060105902
17560 JANJGIR - CHAMPA
AKALTARA GOVT. PS GADHOLA (EDU) 22060106001
17561 JANJGIR - CHAMPA
AKALTARA GOVT PS. DHANUVA (EDU) 22060106101
17562 JANJGIR - CHAMPA
AKALTARA GOVT PS. POUNA (EDU) 22060106201
17563 JANJGIR - CHAMPA
AKALTARA GOVT M.S. POUNA (EDU) 22060106203
17564 JANJGIR - CHAMPA
AKALTARA GOVT PS. MURLI DIH(KANJI) (EDU) 22060106301
17565 JANJGIR - CHAMPA
AKALTARA GOVT. MS MURLIDIH(KANJI) (SSA) 22060106302
17566 JANJGIR - CHAMPA
AKALTARA GOVT. PS. MUDPAR (EDU) 22060106401
17567 JANJGIR - CHAMPA
AKALTARA GOVT PS. TAGA (EDU) 22060106501
17568 JANJGIR - CHAMPA
AKALTARA GOVT. M.S. TAGA (EDU) 22060106503
17569 JANJGIR - CHAMPA
AKALTARA GOVT UP PS TAGA (SSA) 22060106504
17570 JANJGIR - CHAMPA
AKALTARA GOVT GIRLS PS. PONDI DALHA (EDU) 22060106601
17571 JANJGIR - CHAMPA
AKALTARA GOVT BOYS. PS.PONDI DALHA (EDU) 22060106602
17572 JANJGIR - CHAMPA
AKALTARA GOVT. GIRLS M.S. PONDI DALHA (EDU) 22060106604
17573 JANJGIR - CHAMPA
AKALTARA GOVT M.S. PONDI DALHA (EDU) 22060106605
17574 JANJGIR - CHAMPA
AKALTARA GOVT UPS BHATAPARA PONDI(SSA) 22060106606
17575 JANJGIR - CHAMPA
AKALTARA GOVT PS. BHATA PARA(PONDI) (SSA) 22060106701
17576 JANJGIR - CHAMPA
AKALTARA GOVT PS PACHARI(DALHA) (EDU) 22060106801
17577 JANJGIR - CHAMPA
AKALTARA GOVT.PS SONDIH (EDU) 22060106901
17578 JANJGIR - CHAMPA
AKALTARA GOVT JP. PS. CHANGORI (EDU) 22060107001
17579 JANJGIR - CHAMPA
AKALTARA GOVT. M.S. CHANGORI (EDU) 22060107002
17580 JANJGIR - CHAMPA
AKALTARA GOVT PS DHAN PUR (EDU) 22060107101
17581 JANJGIR - CHAMPA
AKALTARA GOVT PS PIPARDA (EDU) 22060107201
17582 JANJGIR - CHAMPA
AKALTARA GOVT UPS PIPARDA (SSA) 22060107202
17583 JANJGIR - CHAMPA
AKALTARA GOVT JP. PS. SANKAR (EDU) 22060107301
17584 JANJGIR - CHAMPA
AKALTARA GOVT. M.S. SANKAR (EDU) 22060107302
17585 JANJGIR - CHAMPA
AKALTARA GOVT. PS. JHIRIYA (EDU) 22060107401
17586 JANJGIR - CHAMPA
AKALTARA GOVT. PS SONADULA (EDU) 22060107501
17587 JANJGIR - CHAMPA
AKALTARA PS. PHARHADA (EDU) 22060107601
17588 JANJGIR - CHAMPA
AKALTARA UPPS. PHARHADA (SSA) 22060107602
17589 JANJGIR - CHAMPA
AKALTARA GOVT PS MADHUVA (EDU) 22060107701
17590 JANJGIR - CHAMPA
AKALTARA GOVT MS. MADHUWA (SSA) 22060107702
17591 JANJGIR - CHAMPA
AKALTARA GOVT PS. PARSAHI (BANA) (EDU) 22060107801
17592 JANJGIR - CHAMPA
AKALTARA GOVT P.S. BANA (EDU) 22060107802
17593 JANJGIR - CHAMPA
AKALTARA GOVT. M.S. PARSAHI (EDU) 22060107804
17594 JANJGIR - CHAMPA
AKALTARA GOVT PS. BAMHANI (EDU) 22060107901
17595 JANJGIR - CHAMPA
AKALTARA DIVYA PS. BANHANIN (GRANDED) 22060107902
17596 JANJGIR - CHAMPA
AKALTARA GOVT. PS. KARHIDIH (EDU) 22060108001
17597 JANJGIR - CHAMPA
AKALTARA GOVT. PS. HARDI (EDU) 22060108102
17598 JANJGIR - CHAMPA
AKALTARA GIRL P.S. HARDI (EDU) 22060108103
17599 JANJGIR - CHAMPA
AKALTARA GOVT PS HARDI (SSA) 22060108105
17600 JANJGIR - CHAMPA
AKALTARA GOVT PS SARAIPALI (EDU) 22060108107
17601 JANJGIR - CHAMPA
AKALTARA GOVT.GIRLS MS HARDI (SSA) 22060108108
17602 JANJGIR - CHAMPA
AKALTARA GOVT NPS HARDI (EDU) 22060108109
17603 JANJGIR - CHAMPA
AKALTARA GOVT PS. BHAISTARA (EDU) 22060108201
17604 JANJGIR - CHAMPA
AKALTARA GOVT M.S. BHAISTARA (EDU) 22060108202
17605 JANJGIR - CHAMPA
AKALTARA GOVT PRIMARY SCHOOL BHAISTARA(SSA) 22060108203
17606 JANJGIR - CHAMPA
AKALTARA P.S. PADARIYA (EDU) 22060108301
17607 JANJGIR - CHAMPA
AKALTARA GOVT MS PADARIYA (SSA) 22060108302
17608 JANJGIR - CHAMPA
AKALTARA GOVT PS. CHANDANIYA (EDU) 22060108401
17609 JANJGIR - CHAMPA
AKALTARA GOVT M.S. CHANDANIYA (EDU) 22060108402
17610 JANJGIR - CHAMPA
AKALTARA GOVT PS. BARBASPUR (EDU) 22060108501
17611 JANJGIR - CHAMPA
AKALTARA GOVT PS. BUCHI HARDI (EDU) 22060108601
17612 JANJGIR - CHAMPA
AKALTARA GOVT MS BUCHI HARDI (SSA) 22060108602
17613 JANJGIR - CHAMPA
AKALTARA GOVT.PS. BARPALI (EDU) 22060108701
17614 JANJGIR - CHAMPA
AKALTARA NAVIN M.S. BARPALI (EDU) 22060108702
17615 JANJGIR - CHAMPA
AKALTARA GOVT.PS PARSADA(KAPAN) (EDU) 22060108801
17616 JANJGIR - CHAMPA
AKALTARA GOVT. MS PARSADA (KAPAN) (EDU) 22060108802
17617 JANJGIR - CHAMPA
AKALTARA GOVT PRIMARY SCHOOL AMALIPALI(EDU) 22060108901
17618 JANJGIR - CHAMPA
AKALTARA GOVT M.S.BANA(SSA) 22060109002
17619 JANJGIR - CHAMPA
AKALTARA GOVT N.P.S. DHANUVAR BANA(SSA) 22060109004
17620 JANJGIR - CHAMPA
AKALTARA GOVT.PS GOPIA PARA AKALTARA(EDU) 22060109401
17621 JANJGIR - CHAMPA
AKALTARA GOVT PS PONDI BHATA AKALTARA (EDU) 22060109402
17622 JANJGIR - CHAMPA
AKALTARA GOVT PS GIRLS AKALTARA (EDU) 22060109403
17623 JANJGIR - CHAMPA
AKALTARA GOVT PS GURU GHASHI DAS AKALTARA 22060109404
17624 JANJGIR - CHAMPA
AKALTARA GOVT BOYS PS AKALTARA (EDU) 22060109405
17625 JANJGIR - CHAMPA
AKALTARA KGBV HARDI (SSA) 22060109502
17626 JANJGIR - CHAMPA
AKALTARA NPS RAMAIPARA HARDI (EDU) 22060109503
17627 JANJGIR - CHAMPA
AKALTARA GOVT. BOYS MS HARDI (EDU) 22060109504
17628 JANJGIR - CHAMPA
AKALTARA GOVT NPS BHATAPARA PIPARSATTI(SSA) 22060109701
17629 JANJGIR - CHAMPA
AKALTARA GOVT UPS LODAR COLONY AMORA (SSA) 22060109901
17630 JANJGIR - CHAMPA
AKALTARA GOVT UMS MUDAPAR(SSA) 22060110201
17631 JANJGIR - CHAMPA
AKALTARA GOVT MS. MOUHADIH(SSA) 22060110601
17632 JANJGIR - CHAMPA
AKALTARA UPPS PACHARI (SSA) 22060110701
17633 JANJGIR - CHAMPA
AKALTARA GOVT MS. ANDHIYARI PATH(SSA) 22060110801
17634 JANJGIR - CHAMPA
AKALTARA GOVT PS NAYAK TAND (SSA) 22060110804
17635 JANJGIR - CHAMPA
BALODA GOVT. GIRLS PS BALODA 22060200102
17636 JANJGIR - CHAMPA
BALODA GOVT. PS KUMHAR PARA BALODA 22060200103
17637 JANJGIR - CHAMPA
BALODA GOVT. PS BAZAR PARA BALODA 22060200104
17638 JANJGIR - CHAMPA
BALODA GOVT M.S. GIRLS BALODA[EDU] 22060200127
17639 JANJGIR - CHAMPA
BALODA GOVT.PS BARBHATHA BALODA[EDU] 22060200131
17640 JANJGIR - CHAMPA
BALODA GOVT.PS BHAWAR BALODA[EDU] 22060200132
17641 JANJGIR - CHAMPA
BALODA GOVT.PS THADGABAHARA BALODA[EDU] 22060200133
17642 JANJGIR - CHAMPA
BALODA GOVT.MS THADGABAHARA BALODA[SSA] 22060200134
17643 JANJGIR - CHAMPA
BALODA GOVT.H.S.S.BALODA[EDU] 22060200135
17644 JANJGIR - CHAMPA
BALODA GOVT PRIMARY SCHOOL SADAR BALODA 22060200140
17645 JANJGIR - CHAMPA
BALODA GOVT .M.S. BAZAR PARA BALODA 22060200142
17646 JANJGIR - CHAMPA
BALODA GOVT. JAN. PS BHILAI[EDU] 22060200501
17647 JANJGIR - CHAMPA
BALODA GOVT.MS BHILAI[SSA] 22060200504
17648 JANJGIR - CHAMPA
BALODA GOVT.PS JHHARRADIH[SSA] 22060200505
17649 JANJGIR - CHAMPA
BALODA GOVT. PS NAGPURA [EDU] 22060200601
17650 JANJGIR - CHAMPA
BALODA GOVT.PS JHAPELI[EDU] 22060200701
17651 JANJGIR - CHAMPA
BALODA GOVT.JAN. BOYS PS JAVALPUR[EDU] 22060200801
17652 JANJGIR - CHAMPA
BALODA GOVT. GIRLS PS JAVALPUR[EDU] 22060200802
17653 JANJGIR - CHAMPA
BALODA GOVT. M.S. JAVALPUR[EDU] 22060200804
17654 JANJGIR - CHAMPA
BALODA GOVT.PS. BELANDIYADIH[SSA] 22060200805
17655 JANJGIR - CHAMPA
BALODA GOVT.GIRLS MS JAVALPUR[SSA] 22060200806
17656 JANJGIR - CHAMPA
BALODA GOVT.JAN. PS CHARPARA[EDU] 22060200901
17657 JANJGIR - CHAMPA
BALODA GOVT. M.S. CHARPARA[EDU] 22060200903
17658 JANJGIR - CHAMPA
BALODA GOVT.GIRLS PS CHARPARA[SSA] 22060200904
17659 JANJGIR - CHAMPA
BALODA GOVT. JAN. PS BACHHOUD[SSA] 22060201001
17660 JANJGIR - CHAMPA
BALODA GOVT. M.S. BACHOD(EDU] 22060201002
17661 JANJGIR - CHAMPA
BALODA GOVT. PS SULTANNAR[EDU] 22060201101
17662 JANJGIR - CHAMPA
BALODA GOVT M.S.SULTANNAR[SSA] 22060201102
17663 JANJGIR - CHAMPA
BALODA GOVT. PS DHORLA[EDU] 22060201201
17664 JANJGIR - CHAMPA
BALODA GOVT. M.S. DHORLA[EDU] 22060201202
17665 JANJGIR - CHAMPA
BALODA GOVT.PS PAHRI PARA[EDU] 22060201301
17666 JANJGIR - CHAMPA
BALODA GOVT. PS KHISORA KHAMDEIPARA[EDU] 22060201401
17667 JANJGIR - CHAMPA
BALODA GOVT.JAN. PS KHISORA[EDU] 22060201402
17668 JANJGIR - CHAMPA
BALODA GOVT. PS RAJENDRANAGAR KHISORA[EDU] 22060201403
17669 JANJGIR - CHAMPA
BALODA GOVT.M.S. KHISORA[EDU] 22060201404
17670 JANJGIR - CHAMPA
BALODA GOVT. PS NAVGAWA [EDU] 22060201501
17671 JANJGIR - CHAMPA
BALODA GOVT.JAN. PS NAVGAWA[EDU] 22060201502
17672 JANJGIR - CHAMPA
BALODA GOVT. M.S. NAVAGAVA[EDU] 22060201503
17673 JANJGIR - CHAMPA
BALODA GOVT.NPS BAIJUPARA NAVAGAVA[SSA] 22060201504
17674 JANJGIR - CHAMPA
BALODA GOVT JAN. PS BELTUKRI[EDU] 22060201601
17675 JANJGIR - CHAMPA
BALODA GOVT.M.S.BELTUKRI[SSA] 22060201602
17676 JANJGIR - CHAMPA
BALODA GOVT N NAKAPARA BELTUKRI[SSA] 22060201603
17677 JANJGIR - CHAMPA
BALODA GOVT. PS MADHIPUR[EDU] 22060201701
17678 JANJGIR - CHAMPA
BALODA GOVT.PS CHHOTE MADHAIPUR[SSA] 22060201702
17679 JANJGIR - CHAMPA
BALODA GOVT. PS BHATHAPARA KHAIJAEDU] 22060201801
17680 JANJGIR - CHAMPA
BALODA GOVT.MS BHATAPARA KHAIJA[SSA] 22060201802
17681 JANJGIR - CHAMPA
BALODA GOVT.JAN. PS KURMA[EDU] 22060201901
17682 JANJGIR - CHAMPA
BALODA GOVT.MS KURMA[SSA] 22060201903
17683 JANJGIR - CHAMPA
BALODA GOVT. PS NAVAPARA (KHI) [EDU] 22060202001
17684 JANJGIR - CHAMPA
BALODA GOVT. M.S. NAVAPARA (KHI) [SSA] 22060202002
17685 JANJGIR - CHAMPA
BALODA GOVT.JAN. PS LEVAI[EDU] 22060202101
17686 JANJGIR - CHAMPA
BALODA GOVT GIRLS M.S. LEVAI[EDU] 22060202102
17687 JANJGIR - CHAMPA
BALODA GOVT. PS DONGIPENDRI[EDU] 22060202201
17688 JANJGIR - CHAMPA
BALODA GOVT. JAN. PS BUDGAHAN[EDU] 22060202301
17689 JANJGIR - CHAMPA
BALODA GOVT. M.S. BUDGHAN[EDU] 22060202302
17690 JANJGIR - CHAMPA
BALODA GOVT.UP PS KARRANALA BUDGAHAN[SSA] 22060202303
17691 JANJGIR - CHAMPA
BALODA GOVT. UP PS UDAYPUR BUDGAHAN[SSA] 22060202304
17692 JANJGIR - CHAMPA
BALODA GOVT. PS PANORAPARA BUDGAHAN[EDU] 22060202305
17693 JANJGIR - CHAMPA
BALODA GOVT.UP PS PANORAPARA BUDGAHAN[SSA] 22060202306
17694 JANJGIR - CHAMPA
BALODA GOVT.UP PS MUDABHATA BUDGAHAN[SSA] 22060202308
17695 JANJGIR - CHAMPA
BALODA GOVT. PS SARAITAL[EDU] 22060202401
17696 JANJGIR - CHAMPA
BALODA GOVT. PS SANICHARADIH[EDU] 22060202501
17697 JANJGIR - CHAMPA
BALODA GOVT.PS SANICHARADIH DAMAMI[SSA] 22060202502
17698 JANJGIR - CHAMPA
BALODA GOVT. PS RAMPUR[EDU] 22060202601
17699 JANJGIR - CHAMPA
BALODA GOVT- MS RAMPUR [SSA] 22060202602
17700 JANJGIR - CHAMPA
BALODA GOVT. PS NAVAPARA(B)[EDU] 22060202701
17701 JANJGIR - CHAMPA
BALODA GOVT. MS NAVAPARA(B) [SSA] 22060202702
17702 JANJGIR - CHAMPA
BALODA GOVT.JAN. PS MAHUDA(B) [EDU] 22060202801
17703 JANJGIR - CHAMPA
BALODA GOVT.NAVIN M.S. MAHUDA(B)
SchoolDiseCode.pdf
SchoolDiseCode.pdf
SchoolDiseCode.pdf
SchoolDiseCode.pdf
SchoolDiseCode.pdf
SchoolDiseCode.pdf
SchoolDiseCode.pdf
SchoolDiseCode.pdf
SchoolDiseCode.pdf
SchoolDiseCode.pdf
SchoolDiseCode.pdf
SchoolDiseCode.pdf
SchoolDiseCode.pdf
SchoolDiseCode.pdf
SchoolDiseCode.pdf
SchoolDiseCode.pdf
SchoolDiseCode.pdf
SchoolDiseCode.pdf
SchoolDiseCode.pdf
SchoolDiseCode.pdf
SchoolDiseCode.pdf
SchoolDiseCode.pdf
SchoolDiseCode.pdf
SchoolDiseCode.pdf
SchoolDiseCode.pdf
SchoolDiseCode.pdf
SchoolDiseCode.pdf
SchoolDiseCode.pdf
SchoolDiseCode.pdf
SchoolDiseCode.pdf
SchoolDiseCode.pdf
SchoolDiseCode.pdf
SchoolDiseCode.pdf
SchoolDiseCode.pdf
SchoolDiseCode.pdf
SchoolDiseCode.pdf
SchoolDiseCode.pdf
SchoolDiseCode.pdf
SchoolDiseCode.pdf
SchoolDiseCode.pdf
SchoolDiseCode.pdf
SchoolDiseCode.pdf
SchoolDiseCode.pdf
SchoolDiseCode.pdf
SchoolDiseCode.pdf
SchoolDiseCode.pdf
SchoolDiseCode.pdf
SchoolDiseCode.pdf
SchoolDiseCode.pdf
SchoolDiseCode.pdf
SchoolDiseCode.pdf
SchoolDiseCode.pdf
SchoolDiseCode.pdf
SchoolDiseCode.pdf
SchoolDiseCode.pdf
SchoolDiseCode.pdf
SchoolDiseCode.pdf
SchoolDiseCode.pdf
SchoolDiseCode.pdf
SchoolDiseCode.pdf
SchoolDiseCode.pdf
SchoolDiseCode.pdf
SchoolDiseCode.pdf
SchoolDiseCode.pdf
SchoolDiseCode.pdf
SchoolDiseCode.pdf
SchoolDiseCode.pdf
SchoolDiseCode.pdf
SchoolDiseCode.pdf
SchoolDiseCode.pdf
SchoolDiseCode.pdf
SchoolDiseCode.pdf
SchoolDiseCode.pdf
SchoolDiseCode.pdf
SchoolDiseCode.pdf
SchoolDiseCode.pdf
SchoolDiseCode.pdf
SchoolDiseCode.pdf
SchoolDiseCode.pdf
SchoolDiseCode.pdf
SchoolDiseCode.pdf
SchoolDiseCode.pdf
SchoolDiseCode.pdf
SchoolDiseCode.pdf
SchoolDiseCode.pdf
SchoolDiseCode.pdf
SchoolDiseCode.pdf
SchoolDiseCode.pdf
SchoolDiseCode.pdf
SchoolDiseCode.pdf
SchoolDiseCode.pdf
SchoolDiseCode.pdf
SchoolDiseCode.pdf
SchoolDiseCode.pdf
SchoolDiseCode.pdf
SchoolDiseCode.pdf
SchoolDiseCode.pdf
SchoolDiseCode.pdf
SchoolDiseCode.pdf
SchoolDiseCode.pdf
SchoolDiseCode.pdf
SchoolDiseCode.pdf
SchoolDiseCode.pdf
SchoolDiseCode.pdf
SchoolDiseCode.pdf
SchoolDiseCode.pdf
SchoolDiseCode.pdf
SchoolDiseCode.pdf
SchoolDiseCode.pdf
SchoolDiseCode.pdf
SchoolDiseCode.pdf
SchoolDiseCode.pdf
SchoolDiseCode.pdf
SchoolDiseCode.pdf
SchoolDiseCode.pdf
SchoolDiseCode.pdf
SchoolDiseCode.pdf
SchoolDiseCode.pdf
SchoolDiseCode.pdf
SchoolDiseCode.pdf
SchoolDiseCode.pdf
SchoolDiseCode.pdf
SchoolDiseCode.pdf
SchoolDiseCode.pdf
SchoolDiseCode.pdf
SchoolDiseCode.pdf
SchoolDiseCode.pdf
SchoolDiseCode.pdf
SchoolDiseCode.pdf
SchoolDiseCode.pdf
SchoolDiseCode.pdf
SchoolDiseCode.pdf
SchoolDiseCode.pdf
SchoolDiseCode.pdf
SchoolDiseCode.pdf
SchoolDiseCode.pdf
SchoolDiseCode.pdf
SchoolDiseCode.pdf
SchoolDiseCode.pdf
SchoolDiseCode.pdf
SchoolDiseCode.pdf
SchoolDiseCode.pdf
SchoolDiseCode.pdf
SchoolDiseCode.pdf
SchoolDiseCode.pdf
SchoolDiseCode.pdf
SchoolDiseCode.pdf
SchoolDiseCode.pdf
SchoolDiseCode.pdf
SchoolDiseCode.pdf
SchoolDiseCode.pdf
SchoolDiseCode.pdf
SchoolDiseCode.pdf
SchoolDiseCode.pdf
SchoolDiseCode.pdf
SchoolDiseCode.pdf
SchoolDiseCode.pdf
SchoolDiseCode.pdf
SchoolDiseCode.pdf
SchoolDiseCode.pdf
SchoolDiseCode.pdf
SchoolDiseCode.pdf
SchoolDiseCode.pdf
SchoolDiseCode.pdf
SchoolDiseCode.pdf
SchoolDiseCode.pdf
SchoolDiseCode.pdf
SchoolDiseCode.pdf
SchoolDiseCode.pdf
SchoolDiseCode.pdf
SchoolDiseCode.pdf
SchoolDiseCode.pdf
SchoolDiseCode.pdf
SchoolDiseCode.pdf
SchoolDiseCode.pdf
SchoolDiseCode.pdf
SchoolDiseCode.pdf
SchoolDiseCode.pdf
SchoolDiseCode.pdf
SchoolDiseCode.pdf
SchoolDiseCode.pdf
SchoolDiseCode.pdf
SchoolDiseCode.pdf
SchoolDiseCode.pdf
SchoolDiseCode.pdf
SchoolDiseCode.pdf
SchoolDiseCode.pdf
SchoolDiseCode.pdf
SchoolDiseCode.pdf
SchoolDiseCode.pdf
SchoolDiseCode.pdf
SchoolDiseCode.pdf
SchoolDiseCode.pdf
SchoolDiseCode.pdf
SchoolDiseCode.pdf
SchoolDiseCode.pdf
SchoolDiseCode.pdf
SchoolDiseCode.pdf
SchoolDiseCode.pdf
SchoolDiseCode.pdf
SchoolDiseCode.pdf
SchoolDiseCode.pdf
SchoolDiseCode.pdf
SchoolDiseCode.pdf
SchoolDiseCode.pdf
SchoolDiseCode.pdf
SchoolDiseCode.pdf
SchoolDiseCode.pdf
SchoolDiseCode.pdf
SchoolDiseCode.pdf
SchoolDiseCode.pdf
SchoolDiseCode.pdf
SchoolDiseCode.pdf
SchoolDiseCode.pdf
SchoolDiseCode.pdf
SchoolDiseCode.pdf
SchoolDiseCode.pdf
SchoolDiseCode.pdf
SchoolDiseCode.pdf
SchoolDiseCode.pdf
SchoolDiseCode.pdf
SchoolDiseCode.pdf
SchoolDiseCode.pdf
SchoolDiseCode.pdf
SchoolDiseCode.pdf
SchoolDiseCode.pdf
SchoolDiseCode.pdf
SchoolDiseCode.pdf
SchoolDiseCode.pdf
SchoolDiseCode.pdf
SchoolDiseCode.pdf
SchoolDiseCode.pdf
SchoolDiseCode.pdf
SchoolDiseCode.pdf
SchoolDiseCode.pdf
SchoolDiseCode.pdf
SchoolDiseCode.pdf
SchoolDiseCode.pdf
SchoolDiseCode.pdf
SchoolDiseCode.pdf
SchoolDiseCode.pdf
SchoolDiseCode.pdf
SchoolDiseCode.pdf
SchoolDiseCode.pdf
SchoolDiseCode.pdf
SchoolDiseCode.pdf
SchoolDiseCode.pdf
SchoolDiseCode.pdf
SchoolDiseCode.pdf
SchoolDiseCode.pdf
SchoolDiseCode.pdf
SchoolDiseCode.pdf
SchoolDiseCode.pdf
SchoolDiseCode.pdf
SchoolDiseCode.pdf
SchoolDiseCode.pdf
SchoolDiseCode.pdf
SchoolDiseCode.pdf
SchoolDiseCode.pdf
SchoolDiseCode.pdf
SchoolDiseCode.pdf
SchoolDiseCode.pdf
SchoolDiseCode.pdf
SchoolDiseCode.pdf
SchoolDiseCode.pdf
SchoolDiseCode.pdf
SchoolDiseCode.pdf
SchoolDiseCode.pdf
SchoolDiseCode.pdf
SchoolDiseCode.pdf
SchoolDiseCode.pdf
SchoolDiseCode.pdf
SchoolDiseCode.pdf
SchoolDiseCode.pdf
SchoolDiseCode.pdf
SchoolDiseCode.pdf
SchoolDiseCode.pdf
SchoolDiseCode.pdf
SchoolDiseCode.pdf
SchoolDiseCode.pdf
SchoolDiseCode.pdf
SchoolDiseCode.pdf
SchoolDiseCode.pdf
SchoolDiseCode.pdf
SchoolDiseCode.pdf
SchoolDiseCode.pdf
SchoolDiseCode.pdf
SchoolDiseCode.pdf
SchoolDiseCode.pdf
SchoolDiseCode.pdf
SchoolDiseCode.pdf
SchoolDiseCode.pdf
SchoolDiseCode.pdf
SchoolDiseCode.pdf
SchoolDiseCode.pdf
SchoolDiseCode.pdf
SchoolDiseCode.pdf
SchoolDiseCode.pdf
SchoolDiseCode.pdf
SchoolDiseCode.pdf
SchoolDiseCode.pdf
SchoolDiseCode.pdf
SchoolDiseCode.pdf
SchoolDiseCode.pdf
SchoolDiseCode.pdf
SchoolDiseCode.pdf
SchoolDiseCode.pdf
SchoolDiseCode.pdf
SchoolDiseCode.pdf
SchoolDiseCode.pdf
SchoolDiseCode.pdf
SchoolDiseCode.pdf
SchoolDiseCode.pdf
SchoolDiseCode.pdf
SchoolDiseCode.pdf
SchoolDiseCode.pdf
SchoolDiseCode.pdf
SchoolDiseCode.pdf
SchoolDiseCode.pdf
SchoolDiseCode.pdf
SchoolDiseCode.pdf
SchoolDiseCode.pdf
SchoolDiseCode.pdf
SchoolDiseCode.pdf
SchoolDiseCode.pdf
SchoolDiseCode.pdf
SchoolDiseCode.pdf
SchoolDiseCode.pdf
SchoolDiseCode.pdf
SchoolDiseCode.pdf
SchoolDiseCode.pdf
SchoolDiseCode.pdf
SchoolDiseCode.pdf
SchoolDiseCode.pdf
SchoolDiseCode.pdf
SchoolDiseCode.pdf
SchoolDiseCode.pdf
SchoolDiseCode.pdf
SchoolDiseCode.pdf
SchoolDiseCode.pdf
SchoolDiseCode.pdf
SchoolDiseCode.pdf
SchoolDiseCode.pdf
SchoolDiseCode.pdf
SchoolDiseCode.pdf
SchoolDiseCode.pdf
SchoolDiseCode.pdf
SchoolDiseCode.pdf
SchoolDiseCode.pdf
SchoolDiseCode.pdf
SchoolDiseCode.pdf
SchoolDiseCode.pdf
SchoolDiseCode.pdf
SchoolDiseCode.pdf
SchoolDiseCode.pdf
SchoolDiseCode.pdf
SchoolDiseCode.pdf
SchoolDiseCode.pdf
SchoolDiseCode.pdf
SchoolDiseCode.pdf
SchoolDiseCode.pdf
SchoolDiseCode.pdf
SchoolDiseCode.pdf
SchoolDiseCode.pdf
SchoolDiseCode.pdf
SchoolDiseCode.pdf
SchoolDiseCode.pdf
SchoolDiseCode.pdf
SchoolDiseCode.pdf
SchoolDiseCode.pdf
SchoolDiseCode.pdf
SchoolDiseCode.pdf
SchoolDiseCode.pdf
SchoolDiseCode.pdf
SchoolDiseCode.pdf
SchoolDiseCode.pdf
SchoolDiseCode.pdf
SchoolDiseCode.pdf
SchoolDiseCode.pdf
SchoolDiseCode.pdf
SchoolDiseCode.pdf
SchoolDiseCode.pdf
SchoolDiseCode.pdf
SchoolDiseCode.pdf
SchoolDiseCode.pdf
SchoolDiseCode.pdf
SchoolDiseCode.pdf
SchoolDiseCode.pdf
SchoolDiseCode.pdf
SchoolDiseCode.pdf
SchoolDiseCode.pdf
SchoolDiseCode.pdf
SchoolDiseCode.pdf
SchoolDiseCode.pdf
SchoolDiseCode.pdf
SchoolDiseCode.pdf
SchoolDiseCode.pdf
SchoolDiseCode.pdf
SchoolDiseCode.pdf
SchoolDiseCode.pdf
SchoolDiseCode.pdf
SchoolDiseCode.pdf
SchoolDiseCode.pdf
SchoolDiseCode.pdf
SchoolDiseCode.pdf
SchoolDiseCode.pdf
SchoolDiseCode.pdf
SchoolDiseCode.pdf
SchoolDiseCode.pdf
SchoolDiseCode.pdf
SchoolDiseCode.pdf
SchoolDiseCode.pdf
SchoolDiseCode.pdf
SchoolDiseCode.pdf
SchoolDiseCode.pdf
SchoolDiseCode.pdf
SchoolDiseCode.pdf
SchoolDiseCode.pdf
SchoolDiseCode.pdf
SchoolDiseCode.pdf
SchoolDiseCode.pdf
SchoolDiseCode.pdf
SchoolDiseCode.pdf
SchoolDiseCode.pdf
SchoolDiseCode.pdf
SchoolDiseCode.pdf
SchoolDiseCode.pdf
SchoolDiseCode.pdf
SchoolDiseCode.pdf
SchoolDiseCode.pdf
SchoolDiseCode.pdf
SchoolDiseCode.pdf
SchoolDiseCode.pdf
SchoolDiseCode.pdf
SchoolDiseCode.pdf
SchoolDiseCode.pdf
SchoolDiseCode.pdf
SchoolDiseCode.pdf
SchoolDiseCode.pdf
SchoolDiseCode.pdf
SchoolDiseCode.pdf
SchoolDiseCode.pdf
SchoolDiseCode.pdf
SchoolDiseCode.pdf
SchoolDiseCode.pdf
SchoolDiseCode.pdf
SchoolDiseCode.pdf
SchoolDiseCode.pdf
SchoolDiseCode.pdf
SchoolDiseCode.pdf
SchoolDiseCode.pdf
SchoolDiseCode.pdf
SchoolDiseCode.pdf
SchoolDiseCode.pdf
SchoolDiseCode.pdf
SchoolDiseCode.pdf
SchoolDiseCode.pdf
SchoolDiseCode.pdf
SchoolDiseCode.pdf
SchoolDiseCode.pdf
SchoolDiseCode.pdf
SchoolDiseCode.pdf
SchoolDiseCode.pdf
SchoolDiseCode.pdf
SchoolDiseCode.pdf
SchoolDiseCode.pdf
SchoolDiseCode.pdf
SchoolDiseCode.pdf
SchoolDiseCode.pdf
SchoolDiseCode.pdf
SchoolDiseCode.pdf
SchoolDiseCode.pdf
SchoolDiseCode.pdf
SchoolDiseCode.pdf
SchoolDiseCode.pdf
SchoolDiseCode.pdf
SchoolDiseCode.pdf
SchoolDiseCode.pdf
SchoolDiseCode.pdf
SchoolDiseCode.pdf
SchoolDiseCode.pdf
SchoolDiseCode.pdf
SchoolDiseCode.pdf
SchoolDiseCode.pdf
SchoolDiseCode.pdf
SchoolDiseCode.pdf
SchoolDiseCode.pdf
SchoolDiseCode.pdf
SchoolDiseCode.pdf
SchoolDiseCode.pdf
SchoolDiseCode.pdf
SchoolDiseCode.pdf
SchoolDiseCode.pdf
SchoolDiseCode.pdf
SchoolDiseCode.pdf
SchoolDiseCode.pdf
SchoolDiseCode.pdf
SchoolDiseCode.pdf
SchoolDiseCode.pdf
SchoolDiseCode.pdf
SchoolDiseCode.pdf
SchoolDiseCode.pdf
SchoolDiseCode.pdf
SchoolDiseCode.pdf
SchoolDiseCode.pdf
SchoolDiseCode.pdf
SchoolDiseCode.pdf
SchoolDiseCode.pdf
SchoolDiseCode.pdf
SchoolDiseCode.pdf
SchoolDiseCode.pdf
SchoolDiseCode.pdf
SchoolDiseCode.pdf
SchoolDiseCode.pdf
SchoolDiseCode.pdf
SchoolDiseCode.pdf
SchoolDiseCode.pdf
SchoolDiseCode.pdf
SchoolDiseCode.pdf
SchoolDiseCode.pdf
SchoolDiseCode.pdf
SchoolDiseCode.pdf
SchoolDiseCode.pdf
SchoolDiseCode.pdf
SchoolDiseCode.pdf
SchoolDiseCode.pdf
SchoolDiseCode.pdf
SchoolDiseCode.pdf
SchoolDiseCode.pdf
SchoolDiseCode.pdf
SchoolDiseCode.pdf
SchoolDiseCode.pdf
SchoolDiseCode.pdf
SchoolDiseCode.pdf
SchoolDiseCode.pdf
SchoolDiseCode.pdf
SchoolDiseCode.pdf
SchoolDiseCode.pdf
SchoolDiseCode.pdf
SchoolDiseCode.pdf
SchoolDiseCode.pdf
SchoolDiseCode.pdf
SchoolDiseCode.pdf
SchoolDiseCode.pdf
SchoolDiseCode.pdf
SchoolDiseCode.pdf
SchoolDiseCode.pdf
SchoolDiseCode.pdf
SchoolDiseCode.pdf
SchoolDiseCode.pdf
SchoolDiseCode.pdf
SchoolDiseCode.pdf
SchoolDiseCode.pdf
SchoolDiseCode.pdf
SchoolDiseCode.pdf
SchoolDiseCode.pdf
SchoolDiseCode.pdf
SchoolDiseCode.pdf
SchoolDiseCode.pdf
SchoolDiseCode.pdf
SchoolDiseCode.pdf
SchoolDiseCode.pdf
SchoolDiseCode.pdf
SchoolDiseCode.pdf
SchoolDiseCode.pdf
SchoolDiseCode.pdf
SchoolDiseCode.pdf
SchoolDiseCode.pdf
SchoolDiseCode.pdf
SchoolDiseCode.pdf
SchoolDiseCode.pdf
SchoolDiseCode.pdf
SchoolDiseCode.pdf
SchoolDiseCode.pdf
SchoolDiseCode.pdf
SchoolDiseCode.pdf
SchoolDiseCode.pdf
SchoolDiseCode.pdf
SchoolDiseCode.pdf
SchoolDiseCode.pdf
SchoolDiseCode.pdf
SchoolDiseCode.pdf
SchoolDiseCode.pdf
SchoolDiseCode.pdf
SchoolDiseCode.pdf
SchoolDiseCode.pdf
SchoolDiseCode.pdf
SchoolDiseCode.pdf
SchoolDiseCode.pdf
SchoolDiseCode.pdf
SchoolDiseCode.pdf
SchoolDiseCode.pdf
SchoolDiseCode.pdf
SchoolDiseCode.pdf
SchoolDiseCode.pdf
SchoolDiseCode.pdf
SchoolDiseCode.pdf
SchoolDiseCode.pdf
SchoolDiseCode.pdf
SchoolDiseCode.pdf
SchoolDiseCode.pdf
SchoolDiseCode.pdf
SchoolDiseCode.pdf
SchoolDiseCode.pdf
SchoolDiseCode.pdf
SchoolDiseCode.pdf
SchoolDiseCode.pdf
SchoolDiseCode.pdf
SchoolDiseCode.pdf
SchoolDiseCode.pdf
SchoolDiseCode.pdf
SchoolDiseCode.pdf
SchoolDiseCode.pdf
SchoolDiseCode.pdf
SchoolDiseCode.pdf
SchoolDiseCode.pdf
SchoolDiseCode.pdf
SchoolDiseCode.pdf
SchoolDiseCode.pdf
SchoolDiseCode.pdf
SchoolDiseCode.pdf
SchoolDiseCode.pdf
SchoolDiseCode.pdf
SchoolDiseCode.pdf
SchoolDiseCode.pdf
SchoolDiseCode.pdf
SchoolDiseCode.pdf
SchoolDiseCode.pdf
SchoolDiseCode.pdf
SchoolDiseCode.pdf
SchoolDiseCode.pdf
SchoolDiseCode.pdf
SchoolDiseCode.pdf
SchoolDiseCode.pdf
SchoolDiseCode.pdf
SchoolDiseCode.pdf
SchoolDiseCode.pdf
SchoolDiseCode.pdf
SchoolDiseCode.pdf
SchoolDiseCode.pdf
SchoolDiseCode.pdf
SchoolDiseCode.pdf
SchoolDiseCode.pdf
SchoolDiseCode.pdf
SchoolDiseCode.pdf
SchoolDiseCode.pdf
SchoolDiseCode.pdf
SchoolDiseCode.pdf
SchoolDiseCode.pdf
SchoolDiseCode.pdf
SchoolDiseCode.pdf
SchoolDiseCode.pdf
SchoolDiseCode.pdf
SchoolDiseCode.pdf
SchoolDiseCode.pdf
SchoolDiseCode.pdf
SchoolDiseCode.pdf
SchoolDiseCode.pdf
SchoolDiseCode.pdf
SchoolDiseCode.pdf
SchoolDiseCode.pdf
SchoolDiseCode.pdf
SchoolDiseCode.pdf
SchoolDiseCode.pdf
SchoolDiseCode.pdf
SchoolDiseCode.pdf
SchoolDiseCode.pdf
SchoolDiseCode.pdf
SchoolDiseCode.pdf
SchoolDiseCode.pdf
SchoolDiseCode.pdf
SchoolDiseCode.pdf
SchoolDiseCode.pdf
SchoolDiseCode.pdf
SchoolDiseCode.pdf
SchoolDiseCode.pdf
SchoolDiseCode.pdf
SchoolDiseCode.pdf
SchoolDiseCode.pdf
SchoolDiseCode.pdf
SchoolDiseCode.pdf
SchoolDiseCode.pdf
SchoolDiseCode.pdf
SchoolDiseCode.pdf
SchoolDiseCode.pdf
SchoolDiseCode.pdf
SchoolDiseCode.pdf
SchoolDiseCode.pdf
SchoolDiseCode.pdf
SchoolDiseCode.pdf
SchoolDiseCode.pdf
SchoolDiseCode.pdf
SchoolDiseCode.pdf
SchoolDiseCode.pdf
SchoolDiseCode.pdf
SchoolDiseCode.pdf
SchoolDiseCode.pdf
SchoolDiseCode.pdf
SchoolDiseCode.pdf
SchoolDiseCode.pdf
SchoolDiseCode.pdf
SchoolDiseCode.pdf
SchoolDiseCode.pdf
SchoolDiseCode.pdf
SchoolDiseCode.pdf
SchoolDiseCode.pdf
SchoolDiseCode.pdf
SchoolDiseCode.pdf
SchoolDiseCode.pdf
SchoolDiseCode.pdf
SchoolDiseCode.pdf
SchoolDiseCode.pdf
SchoolDiseCode.pdf
SchoolDiseCode.pdf
SchoolDiseCode.pdf
SchoolDiseCode.pdf
SchoolDiseCode.pdf
SchoolDiseCode.pdf
SchoolDiseCode.pdf
SchoolDiseCode.pdf
SchoolDiseCode.pdf
SchoolDiseCode.pdf
SchoolDiseCode.pdf
SchoolDiseCode.pdf
SchoolDiseCode.pdf
SchoolDiseCode.pdf
SchoolDiseCode.pdf
SchoolDiseCode.pdf
SchoolDiseCode.pdf
SchoolDiseCode.pdf
SchoolDiseCode.pdf
SchoolDiseCode.pdf
SchoolDiseCode.pdf
SchoolDiseCode.pdf
SchoolDiseCode.pdf
SchoolDiseCode.pdf
SchoolDiseCode.pdf
SchoolDiseCode.pdf
SchoolDiseCode.pdf
SchoolDiseCode.pdf
SchoolDiseCode.pdf
SchoolDiseCode.pdf
SchoolDiseCode.pdf
SchoolDiseCode.pdf
SchoolDiseCode.pdf
SchoolDiseCode.pdf
SchoolDiseCode.pdf
SchoolDiseCode.pdf
SchoolDiseCode.pdf
SchoolDiseCode.pdf
SchoolDiseCode.pdf
SchoolDiseCode.pdf
SchoolDiseCode.pdf
SchoolDiseCode.pdf
SchoolDiseCode.pdf
SchoolDiseCode.pdf
SchoolDiseCode.pdf
SchoolDiseCode.pdf
SchoolDiseCode.pdf
SchoolDiseCode.pdf
SchoolDiseCode.pdf
SchoolDiseCode.pdf
SchoolDiseCode.pdf
SchoolDiseCode.pdf
SchoolDiseCode.pdf
SchoolDiseCode.pdf
SchoolDiseCode.pdf
SchoolDiseCode.pdf
SchoolDiseCode.pdf
SchoolDiseCode.pdf
SchoolDiseCode.pdf
SchoolDiseCode.pdf
SchoolDiseCode.pdf
SchoolDiseCode.pdf
SchoolDiseCode.pdf
SchoolDiseCode.pdf
SchoolDiseCode.pdf
SchoolDiseCode.pdf
SchoolDiseCode.pdf
SchoolDiseCode.pdf
SchoolDiseCode.pdf
SchoolDiseCode.pdf
SchoolDiseCode.pdf
SchoolDiseCode.pdf
SchoolDiseCode.pdf
SchoolDiseCode.pdf
SchoolDiseCode.pdf
SchoolDiseCode.pdf
SchoolDiseCode.pdf
SchoolDiseCode.pdf
SchoolDiseCode.pdf
SchoolDiseCode.pdf
SchoolDiseCode.pdf
SchoolDiseCode.pdf
SchoolDiseCode.pdf
SchoolDiseCode.pdf
SchoolDiseCode.pdf
SchoolDiseCode.pdf
SchoolDiseCode.pdf
SchoolDiseCode.pdf
SchoolDiseCode.pdf
SchoolDiseCode.pdf
SchoolDiseCode.pdf
SchoolDiseCode.pdf
SchoolDiseCode.pdf
SchoolDiseCode.pdf
SchoolDiseCode.pdf
SchoolDiseCode.pdf
SchoolDiseCode.pdf
SchoolDiseCode.pdf
SchoolDiseCode.pdf
SchoolDiseCode.pdf
SchoolDiseCode.pdf
SchoolDiseCode.pdf
SchoolDiseCode.pdf
SchoolDiseCode.pdf
SchoolDiseCode.pdf
SchoolDiseCode.pdf
SchoolDiseCode.pdf
SchoolDiseCode.pdf
SchoolDiseCode.pdf
SchoolDiseCode.pdf
SchoolDiseCode.pdf
SchoolDiseCode.pdf
SchoolDiseCode.pdf
SchoolDiseCode.pdf
SchoolDiseCode.pdf
SchoolDiseCode.pdf
SchoolDiseCode.pdf
SchoolDiseCode.pdf
SchoolDiseCode.pdf
SchoolDiseCode.pdf
SchoolDiseCode.pdf
SchoolDiseCode.pdf
SchoolDiseCode.pdf
SchoolDiseCode.pdf
SchoolDiseCode.pdf
SchoolDiseCode.pdf
SchoolDiseCode.pdf
SchoolDiseCode.pdf
SchoolDiseCode.pdf
SchoolDiseCode.pdf
SchoolDiseCode.pdf
SchoolDiseCode.pdf
SchoolDiseCode.pdf
SchoolDiseCode.pdf
SchoolDiseCode.pdf
SchoolDiseCode.pdf
SchoolDiseCode.pdf
SchoolDiseCode.pdf
SchoolDiseCode.pdf
SchoolDiseCode.pdf
SchoolDiseCode.pdf
SchoolDiseCode.pdf
SchoolDiseCode.pdf
SchoolDiseCode.pdf
SchoolDiseCode.pdf
SchoolDiseCode.pdf
SchoolDiseCode.pdf
SchoolDiseCode.pdf
SchoolDiseCode.pdf
SchoolDiseCode.pdf
SchoolDiseCode.pdf
SchoolDiseCode.pdf
SchoolDiseCode.pdf
SchoolDiseCode.pdf
SchoolDiseCode.pdf
SchoolDiseCode.pdf
SchoolDiseCode.pdf
SchoolDiseCode.pdf
SchoolDiseCode.pdf
SchoolDiseCode.pdf
SchoolDiseCode.pdf
SchoolDiseCode.pdf
SchoolDiseCode.pdf
SchoolDiseCode.pdf
SchoolDiseCode.pdf
SchoolDiseCode.pdf
SchoolDiseCode.pdf
SchoolDiseCode.pdf
SchoolDiseCode.pdf
SchoolDiseCode.pdf
SchoolDiseCode.pdf
SchoolDiseCode.pdf
SchoolDiseCode.pdf
SchoolDiseCode.pdf
SchoolDiseCode.pdf
SchoolDiseCode.pdf
SchoolDiseCode.pdf
SchoolDiseCode.pdf
SchoolDiseCode.pdf
SchoolDiseCode.pdf
SchoolDiseCode.pdf
SchoolDiseCode.pdf
SchoolDiseCode.pdf

SchoolDiseCode.pdf

  • 1.
    List Of SchoolDISE CODE Sno District Block SchoolName SchoolDISECODE 1 BALOD BALOD GOVT. PRIMARY SCHOOL SHIKARIPARA 22220100102 2 BALOD BALOD GOVT UPPER PRIMARY SCHOOL SHIKARIPARA 22220100103 3 BALOD BALOD GOVT. PRIMARY BOYS SCHOOL 22220100202 4 BALOD BALOD GOVT. PRIMARY SCHOOL 1 WARD 13 22220100205 5 BALOD BALOD GOVT. GIRLS UPPER PRIMARY SCHOOL BALOD 22220100209 6 BALOD BALOD GOVT. BUNYADI UPPER PRIMARY WARD NO. 9 BALOD 22220100217 7 BALOD BALOD NAVIN PRIMARY SCHOOL JURRIPARA WARD 12BALOD 22220100218 8 BALOD BALOD ATTECHED GOVT. UPPER PRIMARY BALOD 22220100219 9 BALOD BALOD GOVT.GIRLS -1 PRIMARY SCHOOL BALOD 22220100221 10 BALOD BALOD PRONNAT GIRLS UPPER PRIMARY BALOD 22220100222 11 BALOD BALOD PRIMARY SCHOOL GANJPARA BALOD 22220100223 12 BALOD BALOD GOVT. PRIMARY SCHOOL KUNDRAPARA BALOD 22220100301 13 BALOD BALOD GOVT. UPPER PRIMARY AAMAPARA BALOD 22220100401 14 BALOD BALOD GOVT. PRIMARY SCHOOL AAMAPARA BALOD 22220100402 15 BALOD BALOD GOVT. PRIMARY SCHOOL PARRAS 22220100501 16 BALOD BALOD GOVT. UPPER PRIMARY SCHOOLPARRAS 22220100502 17 BALOD BALOD GOVT. PRIMARY SCHOOL BUDAPARA BALOD 22220100601 18 BALOD BALOD GOVT. PRIMARY SCHOOL KHARATTARAI 22220100701 19 BALOD BALOD GOVT. PRIMARY SCHOOL NEWARIKHURD 22220100801 20 BALOD BALOD GOVT. UPPER PRIMARY SCHOOL PONDI 22220100901 21 BALOD BALOD GOVT. PRIMARY SCHOOL PONDI 22220100902 22 BALOD BALOD GOVT . PRIMARY SCHOOL LONDI 22220101001 23 BALOD BALOD GOVT. UPPER PRIMARY SCHOOL TEKAPAR 22220101101 24 BALOD BALOD GOVT. PRIMARY SCHOOL TEKAPAR 22220101102 25 BALOD BALOD GOVT. PRIMARY SCHOOL KHARWAHI 22220101201 26 BALOD BALOD GOVT. UPPER PRIMARY SCHOOL.NEWARIKALA 22220101301 27 BALOD BALOD GOVT. PRIMARY SCHOOL .NEWARIKALA 22220101302 28 BALOD BALOD GOVT. UPPER PRIMARY BELMAND 22220101401 29 BALOD BALOD GOVT. PRIMARY SCHOOL BELMAND 22220101402 30 BALOD BALOD GOVT. GIRLS HALDHARWARD BALOD 22220101601 31 BALOD BALOD GOVT. PRIMARY SCHOOL NAYAPARA BALOD 22220101701
  • 2.
    32 BALOD BALODGOVT UPPER PRIMARY NAYAPARA BALOD 22220101702 33 BALOD BALOD GOVT. PRIMARY SCHOOL .KURMIPARA BALOD 22220101801 34 BALOD BALOD GOVT. PRIMARY SCHOOL .HIRAPUR 22220101901 35 BALOD BALOD GOVT UPPER PRIMARY SCHOOL HIRAPUR 22220101902 36 BALOD BALOD GOVT. UPPER PRIMARY SCHOOL KHARTULI 22220102101 37 BALOD BALOD GOVT. P.S. KHARTULI 22220102102 38 BALOD BALOD GOVT. P.RIMARY SCHOOL BHOTLI 22220102201 39 BALOD BALOD GOVT. PRIMARY SCHOOL MEDKI 22220102301 40 BALOD BALOD GOVT. PRIMARY SCHOOL ORMA 22220102401 41 BALOD BALOD GOVT. PRIMARY SCHOOL PARREGUDA 22220102501 42 BALOD BALOD GOVT. GIRLS P.S.BAGHMARA 22220102602 43 BALOD BALOD GOVT. P.S.BAGHMARA 22220102603 44 BALOD BALOD GOVT. M.S.BAGHMARA 22220102604 45 BALOD BALOD GOVT. PRIMARY SCHOOL DEHAN 22220102701 46 BALOD BALOD BALAK ASHRAM 22220102801 47 BALOD BALOD GOVT. M.S. AMLIDIH 22220102802 48 BALOD BALOD GOVT. P.S. KHAITHADIH 22220102901 49 BALOD BALOD PRONNAT GOVT. M.S.KHEITHADIH 22220102902 50 BALOD BALOD GOVT. P.S. RAMNAGAR 22220103001 51 BALOD BALOD GOVT. P.S. RANITARAI 22220103101 52 BALOD BALOD GOVT. P.S.MANOD 22220103201 53 BALOD BALOD GOVT. P.S. BHATAPARA 22220103301 54 BALOD BALOD GOVT. P.S.TAROD 22220103401 55 BALOD BALOD GOVT. M.S.TAROD 22220103402 56 BALOD BALOD GOVT. P.S. KHURSIPAR 22220103501 57 BALOD BALOD GOVT. P.S. JUNGARA 22220103601 58 BALOD BALOD GOVT. M.S.JUNGARA 22220103602 59 BALOD BALOD GOVT. P.S. R NAWAGAON 22220103701 60 BALOD BALOD NAVEEN GOVT. M.S.NAWAGAON 22220103801 61 BALOD BALOD GOVT. M.S.GHUMKA 22220103901 62 BALOD BALOD GOVT. P.S.GHUMKA 22220103902 63 BALOD BALOD GOVT. M.S.KOHANGATOLA 22220104001 64 BALOD BALOD GOVT. P.S.KOHANGATOLA 22220104002
  • 3.
    65 BALOD BALODGOVT. M.S. LATABOD 22220104101 66 BALOD BALOD GOVT. P.S. LATABOD 22220104102 67 BALOD BALOD GOVT. GIRLS P.S.LATABOD 22220104103 68 BALOD BALOD GOVT. M.S.KHAPRI 22220104201 69 BALOD BALOD GOVT. P.S.KHAPRI 22220104202 70 BALOD BALOD GOVT. P.S. BORI 22220104301 71 BALOD BALOD GOVT. P.S. PARSAHI 22220104401 72 BALOD BALOD GOVT. P.S. BHOINAPAR 22220104501 73 BALOD BALOD GOVT. M.S.BHOINAPAR 22220104502 74 BALOD BALOD GOVT. P.S. DEVI NAWAGAON 22220104601 75 BALOD BALOD GOVT. U.P.S. DEVI NAWAGAON 22220104602 76 BALOD BALOD GOVT. P.S. AROOD 22220104701 77 BALOD BALOD GOVT. M.S.DEWARBHAT 22220104801 78 BALOD BALOD GOVT. P.S.DEWARBHAT 22220104802 79 BALOD BALOD GOVT. M.S.PARSODA 22220104901 80 BALOD BALOD GOVT. GIRLS P.S.PARSODA 22220104902 81 BALOD BALOD GOVT. BOYS P.S.PARSODA 22220104903 82 BALOD BALOD GOVT. P.S. PAKURBHAT 22220105001 83 BALOD BALOD GOVT. P.S.GASTITOLA 22220105101 84 BALOD BALOD TWS P.S.TALGAON 22220105201 85 BALOD BALOD GOVT. P.S. ANDHIYA TOLA 22220105301 86 BALOD BALOD PRONNAT M.S. SEMARKONA 22220105401 87 BALOD BALOD GOVT. PS SEMARKONA 22220105402 88 BALOD BALOD GOVT. P.S. SALHETOLA 22220105501 89 BALOD BALOD GOVT. P.S. B MATIYA 22220105601 90 BALOD BALOD GOVT. M.S. B MATIYA 22220105602 91 BALOD BALOD GOVT. PS. NARRA 22220105704 92 BALOD BALOD PRONNAT M.S. DHARMPURA 22220105801 93 BALOD BALOD GOVT. PS DHARMPURA 22220105802 94 BALOD BALOD GOVT. P.S.KANDE 22220105901 95 BALOD BALOD GOVT. GIRLS P.S. BARHI 22220106001 96 BALOD BALOD GOVT. M.S. BARHI 22220106003 97 BALOD BALOD GOVT- BOYS P.S. BARHI 22220106004
  • 4.
    98 BALOD BALODGOVT PS BARHIPARA 22220106006 99 BALOD BALOD GOVT. P.S.MALGAON 22220106101 100 BALOD BALOD GOVT. M.S.MALGAON 22220106102 101 BALOD BALOD GOVT. P.S.MULLE 22220106201 102 BALOD BALOD GOVT. P.S.MADWAPATHRA 22220106301 103 BALOD BALOD GOVT. P.S. MULLEGUDA 22220106401 104 BALOD BALOD GOVT. PRONAT M.S.MULLEGUDA 22220106402 105 BALOD BALOD GOVT. GIRLS P.S.HARRATHEMA 22220106501 106 BALOD BALOD GOVT. P.S. HARRATHEMA 22220106502 107 BALOD BALOD GOVT. M.S. HARRTHEMA 22220106503 108 BALOD BALOD GOVT. P.S.GODPAL 22220106601 109 BALOD BALOD GOVT. GIRLS P.S.JAGANATHPUR 22220106702 110 BALOD BALOD NAVIN GIRLS M.S.JAGANANTHPUR 22220106703 111 BALOD BALOD GOVT. P.S.SUNDARA 22220106801 112 BALOD BALOD GOVT. P.S.DHAORABHATA 22220106901 113 BALOD BALOD GOVT-P S. DENGRAPAR 22220107001 114 BALOD BALOD GOVT. P.S. DARBARI NAWAGAON 22220107101 115 BALOD BALOD NEW PRIMARY SCHOOL PARSADA 22220107201 116 BALOD BALOD PRONNAT UPPER PRIMARY SCHOOL PARSADA 22220107202 117 BALOD BALOD GOVT. PRIMARY SCHOOL PARSADA 22220107203 118 BALOD BALOD GOVT. UPPER PRIMARY SCHOOL J/SANKARA 22220107301 119 BALOD BALOD GOVT. BOYS PRIMARY SCHOOL.J/SANKARA 22220107302 120 BALOD BALOD TWD GOVT. UPPER PRIMARY SCHOOL D NAWAGAON 22220107402 121 BALOD BALOD GOVT. PRIMARY SCHOOL HATHOD 22220107501 122 BALOD BALOD GOVT. P.S.CHARIGODI 22220107601 123 BALOD BALOD GOVT. P.S.SOHTARA 22220107701 124 BALOD BALOD GOVT. UPPER PRIMARY SCHOOL.JAMRUWA 22220107801 125 BALOD BALOD GOVT. PRIMARY SCHOOL. JAMRUWA 22220107802 126 BALOD BALOD GOVT. PRIMARY SCHOOL .JAGTARA 22220107901 127 BALOD BALOD GOVT. GIRLS M.S. 22220108001 128 BALOD BALOD GOVT. BOYS P.S. 22220108002 129 BALOD BALOD GOVT. GIRLS PRIMARY SCHOOL B JAMGAON 22220108101 130 BALOD BALOD GOVT. M.S. B JAMGAON 22220108102
  • 5.
    131 BALOD BALODGOVT. PRIMARY SCHOOLLIMORA 22220108201 132 BALOD BALOD GOVT MS LIMORA 22220108202 133 BALOD BALOD GOVT PRIMARY SCHOOLAMORA 22220108301 134 BALOD BALOD GOVT MS AMORA 22220108302 135 BALOD BALOD GOVT PRIMARY SCHOOL GODRI 22220108401 136 BALOD BALOD GOVT PRIMARY SCHOOL TAMORA 22220108501 137 BALOD BALOD GOVT. M.S. TAMORA 22220108502 138 BALOD BALOD GOVT PRIMARY SCHOOL NAGADABRI 22220108601 139 BALOD BALOD GOVT UPPER PRIMARY SCHOOL PIPRCHEDI 22220108701 140 BALOD BALOD GOVT PS PIPERCHEDI 22220108702 141 BALOD BALOD GOVT GIRLS PS PIPERCHEDI 22220108703 142 BALOD BALOD GOVT PRIMARY SCHOOL NIPANI 22220108801 143 BALOD BALOD GOVT GIRLS PRIMARY SCHOOL NIPANI 22220108802 144 BALOD BALOD GOVT UPPER PRIMARY SCHOOL NIPANI 22220108803 145 BALOD BALOD GOVT. GIRLS UPPER PRIMARY SCHOOL. NIPANI 22220108804 146 BALOD BALOD GOVT UPPER PRIMARY SCHOOL BHENGARI 22220108901 147 BALOD BALOD GOVT PS BHENGARI 22220108902 148 BALOD BALOD GOVT PRIMARY SCHOOLCHICHBOD 22220109001 149 BALOD BALOD GOVT PS CHARWAHI 22220109101 150 BALOD BALOD GOVT PRIMARY SCHOOLBIRETARA 22220109201 151 BALOD BALOD GOVT MS BERATARA 22220109202 152 BALOD BALOD PRONNAT UPPER PRIMARY SCHOOL ANGARI 22220109301 153 BALOD BALOD GOVT.PS ANGARI 22220109302 154 BALOD BALOD GOVT PS MATIYA P 22220109401 155 BALOD BALOD GOVT PS BODKI 22220109501 156 BALOD BALOD GOVT MS BHE NAWAGAON 22220109601 157 BALOD BALOD GOVT PS BHE NAWAGAON 22220109701 158 BALOD BALOD GOVT P S PADKIBHAT 22220109801 159 BALOD BALOD GOVT MS PADKIBHAT 22220109802 160 BALOD BALOD GOVT PS CHAROTA 22220109901 161 BALOD BALOD GOVT. MS UMARADAH 22220110003 162 BALOD BALOD GOVT.PS UMARADAH 22220110004 163 BALOD BALOD GOVT PS AURABHATA 22220110101
  • 6.
    164 BALOD BALODGOVT. PS DAURATRAI 22220110201 165 BALOD BALOD GOVT PS SIWANI 22220110301 166 BALOD BALOD PRONNAT GOVT. M.S. SIWANI 22220110303 167 BALOD BALOD GOVT PS JHALMALA 22220110401 168 BALOD BALOD GOVT MS JHALMALA 22220110403 169 BALOD BALOD GIRL.MS JHALMALA 22220110408 170 BALOD BALOD GOVT GIRLS PS M SANKARA 22220110501 171 BALOD BALOD GOVT PS M SANKARA 22220110502 172 BALOD BALOD GOVT. MS M SANKARA 22220110503 173 BALOD BALOD GOVT PS KARHIBADHAR 22220110601 174 BALOD BALOD GOVT GIRLS MS KARIBADHAR 22220110602 175 BALOD BALOD GOVT BOYS MS KARHIBADHAR 22220110603 176 BALOD BALOD GOVT PRIMARY SCHOOL DARRITOLA 22220110701 177 BALOD BALOD GOVT PRIMARY SCHOOL MUJGAHAN 22220110801 178 BALOD BALOD GOVT PRIMARY SCHOOL KARKABHAT 22220110901 179 BALOD BALOD GOVT PRIMARY SCHOOL PARRUGADA 22220111001 180 BALOD BALOD GOVT GIRLS PRIMARY SCHOOL KANNEWADA 22220111101 181 BALOD DAUNDI GOVT GIRLS PS GOTIYA 22220400102 182 BALOD DAUNDI GOVT PS ASHRAM GIRLS GOTIYA 22220400103 183 BALOD DAUNDI GOVT BOYS MS GOTIYA 22220400105 184 BALOD DAUNDI GOVT GIRLS MS GOTIYA 22220400106 185 BALOD DAUNDI GOVT PS GOHTI YA 22220400107 186 BALOD DAUNDI GOVT TWD MS. GIRLS ASHRAM GOTIYA 22220400108 187 BALOD DAUNDI GOVT PS OODGAON 01 22220400201 188 BALOD DAUNDI GOVT PS VANPENDEL 22220400301 189 BALOD DAUNDI GOVT PS PANDEL 22220400401 190 BALOD DAUNDI GOVT MS PANDEL 22220400402 191 BALOD DAUNDI GOVT PS AMABAHAR 22220400501 192 BALOD DAUNDI JANPAD PS PATELI 22220400601 193 BALOD DAUNDI GOVT GIRLS PS PATELI 22220400602 194 BALOD DAUNDI GOVT MS PATELI 22220400603 195 BALOD DAUNDI GOVT PS MADIYAKATTA 22220400701 196 BALOD DAUNDI JANPAD BOYS PRIMARY SCHOOL PACHEDA 22220400801
  • 7.
    197 BALOD DAUNDIGOVT GIRLS PS PACHEDA 22220400802 198 BALOD DAUNDI TWD PS PACHEDA 22220400803 199 BALOD DAUNDI GOVT MS PACHEDA 22220400804 200 BALOD DAUNDI GOVT PS PENDRI 22220400901 201 BALOD DAUNDI GOVT PS BHARRITOL 22220401001 202 BALOD DAUNDI GOVT GIRLS PS BHARRITOL 22220401002 203 BALOD DAUNDI GOVT MS BHARRITOL 22220401003 204 BALOD DAUNDI GOVT M S DHORITEMA 22220401005 205 BALOD DAUNDI BOYS PS DORRITEMA 22220401101 206 BALOD DAUNDI GOVT GIRLS PSDORRITEMA 22220401102 207 BALOD DAUNDI GOVT PS KUNJ KANHAR 22220401201 208 BALOD DAUNDI GOVT MS KUNJKANHAR 22220401203 209 BALOD DAUNDI GOVT PS URJHE 22220401301 210 BALOD DAUNDI GOVT PS LAINKASA 22220401401 211 BALOD DAUNDI TWD PS KURRUTOLA 01 22220401501 212 BALOD DAUNDI TWD PS KARUTOLA 02 22220401502 213 BALOD DAUNDI GOVT. U.P.S. KURRUTOLA 22220401503 214 BALOD DAUNDI JANPAD BOYS PS NARATOLA 22220401601 215 BALOD DAUNDI GOVT GIRLS PS NARATOLA 22220401602 216 BALOD DAUNDI GOVT MS NARRATOLA 22220401603 217 BALOD DAUNDI GOVT BOYS PS CHIKHLI 22220401701 218 BALOD DAUNDI GOVT GIRLS PS CHIKHLI 22220401702 219 BALOD DAUNDI GOVT MS CHIKHLI 22220401703 220 BALOD DAUNDI GOVT PS CHORPARDAW 22220401801 221 BALOD DAUNDI TWD PS KAMTA 22220401901 222 BALOD DAUNDI GOVT GIRLS PS KAMTA 22220401902 223 BALOD DAUNDI GOVT.MS KAMTA 22220401903 224 BALOD DAUNDI GOVT PSW SINGANWAHI 22220402101 225 BALOD DAUNDI GOVT. GIRLS PS SINGHANWAHI 22220402201 226 BALOD DAUNDI GOVT. MS SINGHANWAHI 22220402202 227 BALOD DAUNDI GOVT. P.S JAMURWA (SSA) 22220402203 228 BALOD DAUNDI GOVT PS FAGUNDAH 22220402301 229 BALOD DAUNDI GOVT PS SINGNWAHI 22220402401
  • 8.
    230 BALOD DAUNDIGOVT PS HATHIGORRA 22220402501 231 BALOD DAUNDI GOVT PS TEKADHODHA 22220402601 232 BALOD DAUNDI GOVT MS TEKADODHA 22220402602 233 BALOD DAUNDI GOVT PS KOKAN 22220402701 234 BALOD DAUNDI GOVT BOYS PS SHLHE 22220402801 235 BALOD DAUNDI GOVT GIRLS PS SHLHE 22220402802 236 BALOD DAUNDI GOVT MS SHLHE 22220402803 237 BALOD DAUNDI TWD PSDHOTIMATOLA 22220402901 238 BALOD DAUNDI GOVT M.S.DHOTIMATOLA 22220402902 239 BALOD DAUNDI GOVT PS DARUTOLA 22220403001 240 BALOD DAUNDI GOVT BOYS PS BORGAON 22220403101 241 BALOD DAUNDI GOVT GIRLS PSBORGAON 22220403102 242 BALOD DAUNDI GOVT MS BORGAON 22220403103 243 BALOD DAUNDI GOVT PS GHORDA 22220403201 244 BALOD DAUNDI GOVT PS BHIMATOLA 22220403301 245 BALOD DAUNDI GOVT PS HODEKASA 22220403401 246 BALOD DAUNDI TWD PS THEMABUJURG 22220403501 247 BALOD DAUNDI GOVT. MS THEMABUJURG 22220403502 248 BALOD DAUNDI GOVT PS THEMAKURD 22220403601 249 BALOD DAUNDI TWD PS BARBATTI;ARA 22220403701 250 BALOD DAUNDI GOVT GIRLS PS MARKATOLA 22220403903 251 BALOD DAUNDI GOVT BOYS PS MARKATOLA 22220403904 252 BALOD DAUNDI GOVT MS MARKATOLA 22220403905 253 BALOD DAUNDI JANPAD BOYS PS AAMADULA 22220404701 254 BALOD DAUNDI TWD MS AAMADULA 22220404702 255 BALOD DAUNDI GOVT. P.S. BUTIPARA (SSA) 22220404707 256 BALOD DAUNDI TWD PS PUTARWAHI 22220404801 257 BALOD DAUNDI TWD PS PUTARWAHI 22220404802 258 BALOD DAUNDI GOVT PS SHAHE 22220404901 259 BALOD DAUNDI ADIVASI GIRLS ASHRAM AMMADULA 22220405001 260 BALOD DAUNDI GOVT GIRLS PS AMMADULA 22220405002 261 BALOD DAUNDI GOVT TWD MS.GIRLS ASHRAM AMMADOL 22220405003 262 BALOD DAUNDI ADIM JATI KALYAN PS 22220405101
  • 9.
    263 BALOD DAUNDITWD PS DIGWADI 22220405201 264 BALOD DAUNDI GOVT. MS DIGWADI 22220405204 265 BALOD DAUNDI GOVT PS CIHRO 22220405301 266 BALOD DAUNDI GOVT MS CIHRO 22220405304 267 BALOD DAUNDI GOVT PS GOTIPARA 22220405401 268 BALOD DAUNDI GOVT PS KISAPURI 22220405501 269 BALOD DAUNDI GOVT PS KAKKDAKASA 22220405601 270 BALOD DAUNDI GOVT PS KAKKADKSA 01 22220405701 271 BALOD DAUNDI TWD PS BOHARDIHI 22220405801 272 BALOD DAUNDI GOVT MSBOHARDIHI 22220405804 273 BALOD DAUNDI JANPAD PS SINGHOL 22220405901 274 BALOD DAUNDI GOVT.MS SINGHOL 22220405902 275 BALOD DAUNDI GOVT PS KANJLI 22220406001 276 BALOD DAUNDI GOVT PS KURSITULUR 22220406101 277 BALOD DAUNDI GOVT PS GOTULMUNDA 22220406201 278 BALOD DAUNDI GOVT MS GOTULMUNDA 22220406202 279 BALOD DAUNDI GOVT PS MANGALTARI 22220406301 280 BALOD DAUNDI GOVT MS MANGALTARI 22220406302 281 BALOD DAUNDI GOVT PS PRALKASA 22220406401 282 BALOD DAUNDI GOVT PS BELODA 22220406501 283 BALOD DAUNDI GOVT PS BELODA 22220406601 284 BALOD DAUNDI GOVT MS BELODA 22220406602 285 BALOD DAUNDI GOVT GIRLS PS BELODA 22220406701 286 BALOD DAUNDI GOVT PS MARAAMKHEDA 22220406801 287 BALOD DAUNDI GOVT PS GUDUM 22220406901 288 BALOD DAUNDI GOVT PS PENWARI 22220407001 289 BALOD DAUNDI GIRLS PS GUDUM 22220407101 290 BALOD DAUNDI JANPAD PS GUDUM 22220407102 291 BALOD DAUNDI GOVT MS GUDUM 22220407103 292 BALOD DAUNDI GOVT PS RAJOLIIDIH 22220407201 293 BALOD DAUNDI GOVT PS NARALGURDA 22220407301 294 BALOD DAUNDI TWD PS PUSWAD 22220407401 295 BALOD DAUNDI GOVT GIRLS PS PUSWAD 22220407402
  • 10.
    296 BALOD DAUNDIGOVT MS PUSWAD 22220407403 297 BALOD DAUNDI GOVT PS PETECHWA 22220407501 298 BALOD DAUNDI GOVT MS PURAN BAJAR 22220407601 299 BALOD DAUNDI GOVT GIRLS PS PURAN BAJAR 22220407602 300 BALOD DAUNDI GOVT PS KERABADI NO.1 PURAN BAJAR 22220407605 301 BALOD DAUNDI GOVT GIRLS MS NAYABAZAT RAJHAR 22220407701 302 BALOD DAUNDI GOVT MS BOYS NAYABAZAR RAJHAR 22220407702 303 BALOD DAUNDI GOVT PS NAYABAJAR 22220407704 304 BALOD DAUNDI PVTGURUNANAK UPPER PRIMARY SCHOOL 22220407801 305 BALOD DAUNDI PVT GURUNANAK PRIMARY SCHOOL 22220407808 306 BALOD DAUNDI GOVT PS PANDARDALLIRAJHRA 22220407818 307 BALOD DAUNDI GOVT BOYS PS, NAYA BAZAR 22220407820 308 BALOD DAUNDI GOVT PS CHIKHALAKASA NO.2 22220407822 309 BALOD DAUNDI PS KONDEKASH (NIYOGI NAGAR) 22220407824 310 BALOD DAUNDI GOVT.M.S. LABER CALONI 22220407825 311 BALOD DAUNDI GOVT MS LABOUR COLONY CAMP 1 22220407826 312 BALOD DAUNDI GOVT PS GUJRA 22220407902 313 BALOD DAUNDI GOVT.GIRLS PS GUJRA 22220407903 314 BALOD DAUNDI GOVT MS BOYS GUJRA 22220407904 315 BALOD DAUNDI GOVT. P.S. KHALARI NAYAPARA (SSA) 22220407905 316 BALOD DAUNDI GOVT. MS. KUMHAR PARA (SSA) 22220407906 317 BALOD DAUNDI GOVT MS KHALRI 22220408001 318 BALOD DAUNDI GOVT GIRLS PS KHALRI 22220408002 319 BALOD DAUNDI GOVT MS BHASHBORD 22220408101 320 BALOD DAUNDI JANPAD PS BHASHBORD 22220408102 321 BALOD DAUNDI GIRLS PS BHASHBORD 22220408103 322 BALOD DAUNDI GOVT MS KUMUDKATTA 22220408201 323 BALOD DAUNDI JANPAD PS KUMUDKATTA 22220408202 324 BALOD DAUNDI GOVT. MS KOTAGAON 22220408301 325 BALOD DAUNDI GOVT PS KOTAGAON 22220408302 326 BALOD DAUNDI GOVT PS KOTAGAON 22220408303 327 BALOD DAUNDI GOVT PS AWAS PARA (SSA) 22220408305 328 BALOD DAUNDI GOVT MS KHARWAHI 22220408401
  • 11.
    329 BALOD DAUNDIGOVT GIRLS PS KHARWAHI 22220408402 330 BALOD DAUNDI GOVT MS KUSUMKASA 22220408501 331 BALOD DAUNDI GIRLS PS KUSUMKASA 22220408504 332 BALOD DAUNDI ADIWASHI GIRLS ASHRAM 22220408505 333 BALOD DAUNDI GOVT TWD MS GIRLS ADIWASHI ASHRAM 22220408508 334 BALOD DAUNDI GOVT KARIY ATOLA MS 22220408601 335 BALOD DAUNDI GOVT MS SUWARBOD 22220408701 336 BALOD DAUNDI GOVTPS SUWARBOD 22220408702 337 BALOD DAUNDI GOVT MS PHARRITOLA 22220408801 338 BALOD DAUNDI GOVT PS PHARRITOLA 22220408802 339 BALOD DAUNDI GOVT GIRLS MS PHARRITOLA 22220408803 340 BALOD DAUNDI GOVT. P.S. TENDUPARA 22220408808 341 BALOD DAUNDI TWD MS CHIPRA 22220408901 342 BALOD DAUNDI BOYS PS CHIPRA 22220408902 343 BALOD DAUNDI GOVT GIRLS PS CHIPRA 22220408903 344 BALOD DAUNDI GOVT MS KAKREL 22220409001 345 BALOD DAUNDI GOVT PS KAKREL 22220409002 346 BALOD DAUNDI GOVT.M.S BITAL 22220409101 347 BALOD DAUNDI GOVT PS BITAL 22220409102 348 BALOD DAUNDI GOVT GIRLS PS BITAL 22220409103 349 BALOD DAUNDI GOVT. P.S. AAMAPARA BITAL 22220409106 350 BALOD DAUNDI GOVT MS KONDEKASA 22220409201 351 BALOD DAUNDI GOVT PS KONDEKASA 22220409202 352 BALOD DAUNDI GOVT BOYS MS DONDI 22220409301 353 BALOD DAUNDI GOVT GIRLS MS DONDI 22220409302 354 BALOD DAUNDI GIRLS ASHRAM DONDI 22220409303 355 BALOD DAUNDI GOVT BUNIYADI SHALA PS DONDI 22220409304 356 BALOD DAUNDI GOVT GIRLS PS DONDI 22220409305 357 BALOD DAUNDI GOVT.M.S.BANDHIYA PARA DONDI 22220409309 358 BALOD DAUNDI GOVTMS ADRSA SCHOOL 22220409313 359 BALOD DAUNDI GOVT TWD MS GIRLS ASHRAM DONDI 22220409314 360 BALOD DAUNDI GOVT MS KUWAGONDI 22220409401 361 BALOD DAUNDI BOYS PS KUWAGONDI 22220409402
  • 12.
    362 BALOD DAUNDIGIRLS PS KUWAGONDI 22220409403 363 BALOD DAUNDI GOVT MS ARAJGUDRA 22220409501 364 BALOD DAUNDI TWD MS CHIKHLAKASA 22220409601 365 BALOD DAUNDI TWD PS CHIKHLAKASA 22220409602 366 BALOD DAUNDI GOVTP.S. BARSATOLA CHIKHLAKASA 22220409606 367 BALOD DAUNDI GOVT PS PARA DOUDI 22220409701 368 BALOD DAUNDI GOVT PS BANDHIYAPARA 22220409801 369 BALOD DAUNDI GOVT PS UKRAI 22220409901 370 BALOD DAUNDI GOVT PS NAYAPARA DONDI 22220410001 371 BALOD DAUNDI GOVT PS MARRRTOLA 22220410101 372 BALOD DAUNDI GOVT PS KUSUMTOLA 22220410201 373 BALOD DAUNDI GOVT MS KUSUMTOLA 22220410202 374 BALOD DAUNDI TWD PS CHINDGAON 22220410301 375 BALOD DAUNDI TWD MS CHINDGAON 22220410302 376 BALOD DAUNDI GOVT PS BAMHNI 22220410401 377 BALOD DAUNDI GOVT MS BAMHNI 22220410402 378 BALOD DAUNDI GOVT PS KATREL 22220410501 379 BALOD DAUNDI GOVT PS JHURAH TOLA 22220410601 380 BALOD DAUNDI GOVT.M.S. JHURAH TOLA 22220410602 381 BALOD DAUNDI GOVT BOYS PS KANDE 22220410701 382 BALOD DAUNDI GOVT GIRLS PS KANDE 22220410702 383 BALOD DAUNDI GOVT BOYS PS AWARI 22220410801 384 BALOD DAUNDI GOVT GIRLS PS AWARI 22220410802 385 BALOD DAUNDI GOVT.MS AWARI 22220410803 386 BALOD DAUNDI GOVT PS LAKHMTOLA 22220410901 387 BALOD DAUNDI GOVT PS LIMHATOLA 22220411001 388 BALOD DAUNDI GOVT BOYS PS KUSUMKASA 22220411101 389 BALOD DAUNDI GOVT GIRLS MS KUSUMKASA 22220411103 390 BALOD DAUNDI GOVT BOYS PS KUSUMKASA 22220411201 391 BALOD DAUNDI GOVT PS GUNDDRTOLA 22220411301 392 BALOD DAUNDI GOVT PS DHURWATOLA 22220411401 393 BALOD DAUNDI GOVT.M.S.DHURWATOLA 22220411402 394 BALOD DAUNDI GOVTPS SHIKRITOLA 22220411501
  • 13.
    395 BALOD DAUNDIG0VT PS GIDHLI 22220411601 396 BALOD DAUNDI JANPAD PS BAKLITOLA 22220411701 397 BALOD DAUNDI GOVT PS KHAMHAR TOLA 22220411901 398 BALOD DAUNDI GOVT PS KHAMHAR TOLA 2 22220411902 399 BALOD DAUNDI GOVT GIRLS PS ARMURKASA 22220412001 400 BALOD DAUNDI JANPAD PS ARMURKASA 22220412002 401 BALOD DAUNDI GOVT.PS BHARRITOLA 22220412101 402 BALOD DAUNDI GOVT.MS BHARRITOLA 22220412102 403 BALOD DAUNDI GOVT PS RAJHI 22220412201 404 BALOD DAUNDI GOVT PS DEVPANDUM 22220412301 405 BALOD DAUNDI TWD PS JUNWANI 22220412401 406 BALOD DAUNDI GOVT PS KHALLARI 22220412501 407 BALOD DAUNDI GOVT PS BORDI 22220412601 408 BALOD DAUNDI GOVT PS KHALLARI 02 22220412701 409 BALOD DAUNDI GOVT. P.S. ADJAL 22220412801 410 BALOD DAUNDI GOVT GIRLS PS 22220412802 411 BALOD DAUNDI GOVT,MS ADJAL 22220412807 412 BALOD DAUNDI GOVT PS DANITOLA 22220412901 413 BALOD DAUNDI GOVT MS DANITOLA 22220412902 414 BALOD DAUNDI TWD PS BANGAON 22220413001 415 BALOD DAUNDI TWD PS DHOBANI 22220413101 416 BALOD DAUNDI GOVT PS JAMHI 22220413201 417 BALOD DAUNDI GOVT PS HITKASA 22220413301 418 BALOD DAUNDI GOVT PS JABUDWAHI 22220413401 419 BALOD DAUNDI GOVT PS JHIKA TOLA 22220413501 420 BALOD DAUNDI TWD PS DARRTOLA 22220413601 421 BALOD DAUNDI GOVT GIRLS PS DARRTOLA 22220413602 422 BALOD DAUNDI GOVT PS DOBEDAND 22220413701 423 BALOD DAUNDI GOVT GIRLS PS DOBEDAND 22220413702 424 BALOD DAUNDI GOVT.M.S. DOBEDAND 22220413703 425 BALOD DAUNDI JANPAD P.S. CHIKHLAKASA 22220413801 426 BALOD DAUNDI GOVT- M-S- PUTARWAHI (SSA) 22220413802 427 BALOD DAUNDI GOVT NAVIN BOYS PS CHIKHLAKASA 22220413901
  • 14.
    428 BALOD DAUNDIGOVT GIRLS PSCHIKHLAKASA 22220413902 429 BALOD DAUNDI GOVT NEW GIRLS MS CHIKHLAKASA 22220413903 430 BALOD DAUNDI GOVT PS BHOIRTOLA 22220414001 431 BALOD DAUNDI TWD PS DHOBANI 22220414101 432 BALOD DAUNDI TWD PS KURRUBHAT 22220414201 433 BALOD DAUNDI GOVT PS LEBERCOLINY RAJHAR 22220414301 434 BALOD DAUNDI GOVT PS KERABADI RAJHAR 22220414401 435 BALOD DAUNDI GOVT PS KACHHDAFAI RAJHARA 22220414501 436 BALOD DAUNDI GOVT GIRLS PS MAHAMAYA 22220414801 437 BALOD DAUNDI GOVT PS NALKASA 02 22220414901 438 BALOD DAUNDI GOVT PS NALKASA 01 22220415001 439 BALOD DAUNDI GOVT MS NALKASA 02 22220415002 440 BALOD DAUNDI GOVT PS TUYADAND 22220415101 441 BALOD DAUNDI GOVT.M.S. TUYADAND 22220415102 442 BALOD DAUNDI GOVT PS KOPEDERA 22220415201 443 BALOD DAUNDI GOVT PS DUKATOLA 22220415301 444 BALOD DAUNDI GOVT MS DUKATOLA 22220415302 445 BALOD DAUNDI GOVT PS HADARPAR 22220415401 446 BALOD DAUNDI GOVT PS BHURKABHTA 22220415501 447 BALOD DAUNDI GOVT BOYS PS KAHRAWAHI 22220415601 448 BALOD DAUNDI GOVT BOYS PS KAHRAWAHI 22220415701 449 BALOD DAUNDI GOVT. P.S. AADEJHAR 22220415801 450 BALOD DAUNDI GOVT. MS AADEJHAR 22220415802 451 BALOD DAUNDI GOVT PS MALKUWAWAR 22220415901 452 BALOD DAUNDI GOVT BOYS PS BELARGONDI 22220416001 453 BALOD DAUNDI GOVT GIRLS PS BELAR GONDI 22220416101 454 BALOD DAUNDI GOVT PS BELARGONDI 22220416201 455 BALOD DAUNDI GOVT PS LIMAUDIH 22220419901 456 BALOD DAUNDI GOVT. MS LIMAUDIH 22220419902 457 BALOD DAUNDI GOVT PS PARSODA 22220420001 458 BALOD DAUNDI GOVT PS BHOLAIPARA 22220420101 459 BALOD DAUNDI GOVT PS SHIKARITOLA 04202 22220420201 460 BALOD DAUNDI GOVT PS KHARRITOLA 22220420301
  • 15.
    461 BALOD DAUNDIGOVT.PS EMALIPARA 22220420402 462 BALOD DAUNDI GOVT PS NAYAPARA (LIMAUDIH) 22220420501 463 BALOD DAUNDI GOVT PS KHALARIPARA (LIMAUDIH) 22220420502 464 BALOD DAUNDI GOVT PS KURSITIKUR 22220420601 465 BALOD DAUNDI GOT PS MARAKATOLA 22220420701 466 BALOD DAUNDI GIRLS PS SURDONGAR 22220420801 467 BALOD DAUNDI GOVT BOYS PS SURDONGAR 22220420802 468 BALOD DAUNDI GOVT MS SURDONGAR 22220420803 469 BALOD DAUNDI GOVT MS MHARDEL 22220420901 470 BALOD DAUNDI GOVT PS TUMRISUR 22220421001 471 BALOD DAUNDI GOVT PS MAGARDAH 22220421102 472 BALOD DAUNDI GOVT PS JABKASA 22220421201 473 BALOD DAUNDI GOVT PS MARDEL 22220421301 474 BALOD DAUNDI GOVT PARASBIRHI PS 22220421601 475 BALOD DAUNDI GOVT PS KESOPUR 22220421701 476 BALOD DAUNDI GOVT. MS KARUTOLA 22220421901 477 BALOD DAUNDI GOVT. PS GANGLIDIH 22220422001 478 BALOD DAUNDI GOVT. MS SALHATOLA 22220422101 479 BALOD DAUNDI GOVT. PS AKOLA 22220422201 480 BALOD DAUNDI GOVT.PS BANDHAPARA 22220422301 481 BALOD DAUNDI GOVT.PS AOURATOLA 22220422401 482 BALOD DAUNDI GOVT PS ODGAON 22220422801 483 BALOD DAUNDI GOVT PS DANWAPARA 22220422901 484 BALOD DAUNDI LOHARA GOVT GIRLS MIDEL SCHOOL DONDILOHARA 22220500102 485 BALOD DAUNDI LOHARA GOVTBOYS PS DONDI LOHARA 22220500105 486 BALOD DAUNDI LOHARA GOVTGIRLS PS DONDI LOHARA 22220500106 487 BALOD DAUNDI LOHARA GOVT BOYS MIDEL SCHOOL DONDILOHARA 22220500107 488 BALOD DAUNDI LOHARA GOVT MIDEL SCHOOL DHANGAOV 22220500201 489 BALOD DAUNDI LOHARA GOVT PRIMARY SCHOOL DHANGAOV 22220500202 490 BALOD DAUNDI LOHARA GOVT PRIMARY SCHOOL TIKARAPARA D.L. 22220500301 491 BALOD DAUNDI LOHARA GOVT PRIMARY SCHOOL BHENDI 22220500401 492 BALOD DAUNDI LOHARA GOVT PRIMARY SCHOOL BATERA 22220500501 493 BALOD DAUNDI LOHARA GOVT MIDEL SCHOOL BATERA (SSA) 22220500502
  • 16.
    494 BALOD DAUNDILOHARA GOVT PRIMARY SCHOOL JOGIBHAT 22220500601 495 BALOD DAUNDI LOHARA GOVT PRIMARY SCHOOL ANDI 22220500701 496 BALOD DAUNDI LOHARA GOVT PS SONBARSAPARA (SSA) 22220500702 497 BALOD DAUNDI LOHARA GOVT MIDEL SCHOOL ANDI (SSA) 22220500703 498 BALOD DAUNDI LOHARA GOVT PRIMARY SCHOOL KASHI(LO) 22220500801 499 BALOD DAUNDI LOHARA GOVT PRIMARY SCHOOL SASTRINAGAR 22220500802 500 BALOD DAUNDI LOHARA GOVT PRIMARY SCHOOL URETA 22220500901 501 BALOD DAUNDI LOHARA GOVT MIDEL SCHOOL ACHHOLI 22220501001 502 BALOD DAUNDI LOHARA GOVT GIRLS PRIMARY SCHOOL ACHHOLI 22220501002 503 BALOD DAUNDI LOHARA GOVT MIDEL SCHOOL SORLI 22220501101 504 BALOD DAUNDI LOHARA GOVT PRIMARY SCHOOL SORLI 22220501103 505 BALOD DAUNDI LOHARA GOVT PRIMARY SCHOOL KAPASI 22220501201 506 BALOD DAUNDI LOHARA GOVT PRIMARY SCHOOL PARSADIH 22220501301 507 BALOD DAUNDI LOHARA GOVT MIDEL SCHOOL PARSADIH(SSA) 22220501302 508 BALOD DAUNDI LOHARA GOVT PRIMARY SCHOOL PARSULI 22220501402 509 BALOD DAUNDI LOHARA GOVT MIDEL SCHOOL PARSULI 22220501403 510 BALOD DAUNDI LOHARA GOVT MIDEL SCHOOL KAMKAPAR 22220501501 511 BALOD DAUNDI LOHARA GOVT PRIMARY SCHOOL KAMKAPAR 22220501502 512 BALOD DAUNDI LOHARA GOVT MIDEL SCHOOL TURMUDA 22220501601 513 BALOD DAUNDI LOHARA GOVT GIRLS PRIMARY SCHOOL TURMUDA 22220501602 514 BALOD DAUNDI LOHARA GOVT MIDEL SCHOOL HITAPATHAR 22220501701 515 BALOD DAUNDI LOHARA TWD BALAK ASHRAM HITAPATHAR 22220501702 516 BALOD DAUNDI LOHARA GOVT PRIMARY SCHOOL PIDIYAL 22220501801 517 BALOD DAUNDI LOHARA GOVT MIDEL SCHOOL PIDIYAL 22220501802 518 BALOD DAUNDI LOHARA GOVT PRIMARY SCHOOL KOLATOLA 22220501901 519 BALOD DAUNDI LOHARA GOVT MIDEL SCHOOL MUNDPAR 22220502001 520 BALOD DAUNDI LOHARA GOVT PRIMARY SCHOOL KURRUBHAT 22220502101 521 BALOD DAUNDI LOHARA GOVT PRIMARY SCHOOL TEKAPAR 22220502201 522 BALOD DAUNDI LOHARA GOVT MIDEL SCHOOL TEKAPAR(SSA) 22220502202 523 BALOD DAUNDI LOHARA GOVT PRIMARY SCHOOL MUNDORI 22220502301 524 BALOD DAUNDI LOHARA GOVT MIDEL SCHOOL GAINJI 22220502401 525 BALOD DAUNDI LOHARA GOVT PRIMARY SCHOOL GAINJI 22220502402 526 BALOD DAUNDI LOHARA GOVT MIDEL SCHOOL KILLEKODA 22220502501
  • 17.
    527 BALOD DAUNDILOHARA GOVT PRIMARY SCHOOL KILLEKODA 22220502502 528 BALOD DAUNDI LOHARA GOVT PRIMARY SCHOOL AGARIYA PARA 22220502601 529 BALOD DAUNDI LOHARA GOVT PRIMARY SCHOOL JHARANTOLA 22220502701 530 BALOD DAUNDI LOHARA GOVT MIDEL SCHOOL JHARANTOLA(SSA) 22220502702 531 BALOD DAUNDI LOHARA GOVT PRIMARY SCHOOL MARKAMTOLA 22220502801 532 BALOD DAUNDI LOHARA GOVT MIDEL SCHOOL TATENGA 22220502901 533 BALOD DAUNDI LOHARA GOVT PRIMARY SCHOOL TATENGA 22220502902 534 BALOD DAUNDI LOHARA GOVT MIDEL SCHOOL C/B NAWAGAOV 22220503001 535 BALOD DAUNDI LOHARA GOVT PRIMARY SCHOOL C/B NAWAGAOV 22220503002 536 BALOD DAUNDI LOHARA BHANTHA PARA PRO.PS 22220503003 537 BALOD DAUNDI LOHARA GOVT MIDEL SCHOOL JEVARTALA 22220503101 538 BALOD DAUNDI LOHARA GOVT PRIMARY SCHOOL JEVARTALA 22220503102 539 BALOD DAUNDI LOHARA GOVT PRIMARY SCHOOL BOIRDIH 22220503201 540 BALOD DAUNDI LOHARA GOVT MIDEL SCHOOL BOHARDIH(SSA) 22220503202 541 BALOD DAUNDI LOHARA GOVT PRIMARY SCHOOL BHARDA 22220503301 542 BALOD DAUNDI LOHARA GOVT PRIMARY SCHOOL HARDI 22220503401 543 BALOD DAUNDI LOHARA GOVT PRIMARY SCHOOL AURRI 22220503501 544 BALOD DAUNDI LOHARA GOVT PRIMARY SCHOOL KASAHI(T) 22220503601 545 BALOD DAUNDI LOHARA GOVT PRIMARY SCHOOL SIRRABHATA(T) 22220503701 546 BALOD DAUNDI LOHARA GOVT PRIMARY SCHOOL SIRRABHATA(E) 22220503702 547 BALOD DAUNDI LOHARA GOVT MIDEL SCHOOL SIRRABHATA(SSA) 22220503703 548 BALOD DAUNDI LOHARA GOVT PRIMARY SCHOOL RANITARAI(RO) 22220503901 549 BALOD DAUNDI LOHARA GOVT BOYS PRIMARY SCHOOL DUDHLI 22220504001 550 BALOD DAUNDI LOHARA GOVTGIRLS PRIMARY SCHOOL DUDHLI 22220504002 551 BALOD DAUNDI LOHARA GOVT BOYS MIDEL SCHOOL DUDHLI 22220504004 552 BALOD DAUNDI LOHARA GOVT GIRLS MIDEL SCHOOL DUDHALI 22220504006 553 BALOD DAUNDI LOHARA GOVT PRIMARY SCHOOL KALKASA 22220504101 554 BALOD DAUNDI LOHARA GOVT PRIMARY SCHOOL KHAPRI 22220504201 555 BALOD DAUNDI LOHARA GOVT PRIMARY SCHOOL KHAIRA(D) 22220504301 556 BALOD DAUNDI LOHARA GOVT MIDEL SCHOOL KHAIRA 22220504302 557 BALOD DAUNDI LOHARA GOVT PRIMARY SCHOOL KHAIRA(K) 22220504303 558 BALOD DAUNDI LOHARA GOVT PRIMARY SCHOOL KUMHALORI 22220504401 559 BALOD DAUNDI LOHARA GOVT PRIMARY SCHOOL KORGUDA 22220504501
  • 18.
    560 BALOD DAUNDILOHARA GOVT MIDEL SCHOOL KORGUDA(SSA) 22220504502 561 BALOD DAUNDI LOHARA GOVT PRIMARY SCHOOL RENGANI 22220504601 562 BALOD DAUNDI LOHARA GOVT MIDEL SCHOOL RENGANI 22220504602 563 BALOD DAUNDI LOHARA GOVT PRIMARY SCHOOL RANGHAI 22220504701 564 BALOD DAUNDI LOHARA GOVT MIDEL SCHOOL JATADAH 22220504801 565 BALOD DAUNDI LOHARA GOVT PRIMARY SCHOOL JATADAH 22220504802 566 BALOD DAUNDI LOHARA GOVT MIDEL SCHOOL PINGAL 22220504901 567 BALOD DAUNDI LOHARA GOVT PRIMARY SCHOOL PINGAL 22220504902 568 BALOD DAUNDI LOHARA GOVT MIDEL SCHOOL SAHGAOV 22220505001 569 BALOD DAUNDI LOHARA GOVT PRIMARY SCHOOL SAHGAOV 22220505002 570 BALOD DAUNDI LOHARA GOVT PRIMARY SCHOOL POPALATOLA 22220505101 571 BALOD DAUNDI LOHARA TWD PRIMARY SCHOOL ASHRAM LURKAJHAR 22220505201 572 BALOD DAUNDI LOHARA GOVT PRIMARY SCHOOL BHIMDO 22220505301 573 BALOD DAUNDI LOHARA GOVT PRIMARY SCHOOL KAMTA 22220505401 574 BALOD DAUNDI LOHARA GOVT PRIMARY SCHOOL BHALUKONHA (J) 22220505501 575 BALOD DAUNDI LOHARA GOVT PRIMARY SCHOOL SIVANI 22220505601 576 BALOD DAUNDI LOHARA GOVT MIDEL SCHOOL SIVANI 22220505602 577 BALOD DAUNDI LOHARA GOVT MIDEL SCHOOL BHIMKANHAR 22220505701 578 BALOD DAUNDI LOHARA GOVT PRIMARY SCHOOL BHIMKANHAR 22220505702 579 BALOD DAUNDI LOHARA GOVT MIDEL SCHOOL GARKA 22220505801 580 BALOD DAUNDI LOHARA GOVT PRIMARY SCHOOL GARKA 22220505802 581 BALOD DAUNDI LOHARA GOVT MIDEL SCHOOL MUDKHUSARA 22220505901 582 BALOD DAUNDI LOHARA GOVT PRIMARY SCHOOL MUDKHUSARA 22220505902 583 BALOD DAUNDI LOHARA GOVT MIDEL SCHOOL KOCHERA 22220506001 584 BALOD DAUNDI LOHARA GOVT PRIMARY SCHOOL KOCHERA 22220506002 585 BALOD DAUNDI LOHARA GOVT PRIMARY SCHOOL BUNDELI 22220506101 586 BALOD DAUNDI LOHARA GOVT MIDEL SCHOOL BUNDELI(SSA) 22220506102 587 BALOD DAUNDI LOHARA GOVT PRIMARY SCHOOL DUBCHERA 22220506201 588 BALOD DAUNDI LOHARA GOVT MIDEL SCHOOL PAPRA 22220506301 589 BALOD DAUNDI LOHARA GOVT PRIMARY SCHOOL PAPRA 22220506302 590 BALOD DAUNDI LOHARA GOVT PRIMARY SCHOOL FARADDIH 22220506401 591 BALOD DAUNDI LOHARA GOVT PRIMARY SCHOOL KOBA 22220506501 592 BALOD DAUNDI LOHARA GOVT MIDEL SCHOOL KOBA 22220506502
  • 19.
    593 BALOD DAUNDILOHARA GOVT PRIMARY SCHOOL RIVAGAHAN 22220506601 594 BALOD DAUNDI LOHARA GOVT PRIMARY SCHOOL RIVAGAHAN 22220506602 595 BALOD DAUNDI LOHARA GOVT MIDEL SCHOOL RIVAGAHAN 22220506603 596 BALOD DAUNDI LOHARA GOVT PRIMARY SCHOOL HATHAUD 22220506701 597 BALOD DAUNDI LOHARA GOVT MIDEL SCHOOL HATHAUD(SSA) 22220506702 598 BALOD DAUNDI LOHARA GOVT PRIMARY SCHOOL KOSMI 22220506801 599 BALOD DAUNDI LOHARA GOVT PRIMARY SCHOOL ALLIKHUTA 22220506901 600 BALOD DAUNDI LOHARA GOVT MIDEL SCHOOL ARAJPURI 22220507001 601 BALOD DAUNDI LOHARA GOVT PRIMARY SCHOOL ARAJPURI 22220507002 602 BALOD DAUNDI LOHARA GOVT MIDEL SCHOOL BANJARI 22220507101 603 BALOD DAUNDI LOHARA GOVT PRIMARY SCHOOL BANJARI 22220507102 604 BALOD DAUNDI LOHARA GOVT MIDEL SCHOOL BHIMPURI 22220507201 605 BALOD DAUNDI LOHARA GOVT PRIMARY SCHOOL BHIMPURI 22220507202 606 BALOD DAUNDI LOHARA TWD BALAK ASHRAM DURGITOLA 22220507301 607 BALOD DAUNDI LOHARA GOVT MIDEL SCHOOL KHAIRKATTA 22220507401 608 BALOD DAUNDI LOHARA GOVT PRIMARY SCHOOL KHAIRKATTA 22220507402 609 BALOD DAUNDI LOHARA GOVT PRIMARY SCHOOL ARJUNI 22220507501 610 BALOD DAUNDI LOHARA GOVT PRIMARY SCHOOL PUNARKASA 22220507601 611 BALOD DAUNDI LOHARA GOVT MIDEL SCHOOL BHAVARMARA 22220507701 612 BALOD DAUNDI LOHARA GOVT PRIMARY SCHOOL BHAVARMARA 22220507702 613 BALOD DAUNDI LOHARA GOVT PRIMARY SCHOOL NETAMTOLA(SSA) 22220507703 614 BALOD DAUNDI LOHARA GOVT PRIMARY SCHOOL BADAJUNGERA 22220507801 615 BALOD DAUNDI LOHARA GOVT MIDEL SCHOOL BADAJUNGERA 22220507802 616 BALOD DAUNDI LOHARA GOVT PRIMARY SCHOOL TUMADIKASA 22220507901 617 BALOD DAUNDI LOHARA GOVT PRIMARY SCHOOL KARIYATOLA 22220507902 618 BALOD DAUNDI LOHARA GOVT MIDEL SCHOOL TUMADIKASA(SSA) 22220507903 619 BALOD DAUNDI LOHARA GOVT PRIMARY SCHOOL TUYAGONDI 22220508001 620 BALOD DAUNDI LOHARA GOVT PRIMARY SCHOOL LAMTI 22220508201 621 BALOD DAUNDI LOHARA GOVT MIDEL SCHOOL LAMTI(SSA) 22220508202 622 BALOD DAUNDI LOHARA GOVT PRIMARY SCHOOL MATRI 22220508301 623 BALOD DAUNDI LOHARA GOVT MIDEL SCHOOL MATRI(SSA) 22220508302 624 BALOD DAUNDI LOHARA GOVT PRIMARY SCHOOL RAIGARH 22220508401 625 BALOD DAUNDI LOHARA GOVT MIDEL SCHOOL RAIGARH 22220508402
  • 20.
    626 BALOD DAUNDILOHARA TWD ASHAM PRIMARY SCHOOL RAIGARH 22220508403 627 BALOD DAUNDI LOHARA GOVT PRIMARY SCHOOL RUPUTOLA 22220508501 628 BALOD DAUNDI LOHARA GOVT MIDEL SCHOOL RUPUTOLA(SSA) 22220508502 629 BALOD DAUNDI LOHARA GOVT PRIMARY SCHOOL USARITOLA 22220508601 630 BALOD DAUNDI LOHARA GOVT MIDEL SCHOOL RANAKHUJJI 22220508701 631 BALOD DAUNDI LOHARA GOVT PRIMARY SCHOOL RANAKHUJJI 22220508702 632 BALOD DAUNDI LOHARA GOVT MIDEL SCHOOL RAGHO NAVAGAOV 22220508801 633 BALOD DAUNDI LOHARA GOVT PRIMARY SCHOOL RAGHO NAVAGAOV 22220508802 634 BALOD DAUNDI LOHARA GOVT PRIMARY SCHOOL MADWAPATHARA 22220508901 635 BALOD DAUNDI LOHARA GOVT PRIMARY SCHOOL MANKI 22220509001 636 BALOD DAUNDI LOHARA GOVT MIDEL SCHOOL MANKI(SSA) 22220509002 637 BALOD DAUNDI LOHARA GOVT PRIMARY SCHOOL SALHE 22220509101 638 BALOD DAUNDI LOHARA GOVT PRIMARY SCHOOL ALIVARA 22220509201 639 BALOD DAUNDI LOHARA GOVT PRIMARY SCHOOL DUMARGHUNCHA 22220509301 640 BALOD DAUNDI LOHARA GOVT PRIMARY SCHOOL BHARNABHAT 22220509401 641 BALOD DAUNDI LOHARA GOVT MIDEL SCHOOL BHARNABHAT(SSA) 22220509402 642 BALOD DAUNDI LOHARA GOVT MIDEL SCHOOL KODEKASA 22220509501 643 BALOD DAUNDI LOHARA TWD GIRLS ASHRAM KODEKASA 22220509503 644 BALOD DAUNDI LOHARA GOVT PRIMARY SCHOOL KODEKASA 22220509504 645 BALOD DAUNDI LOHARA GOVT NAVIN PRIMARY SCHOOL KODEKASA 22220509505 646 BALOD DAUNDI LOHARA GOVT MIDEL SCHOOL CHIKHALI 22220509601 647 BALOD DAUNDI LOHARA GOVT PRIMARY SCHOOL CHIKHLI 22220509602 648 BALOD DAUNDI LOHARA GOVT PRIMARY SCHOOL CHIKHALI 2(SSA) 22220509603 649 BALOD DAUNDI LOHARA GOVT PRIMARY SCHOOL JHIKATOLA 22220509701 650 BALOD DAUNDI LOHARA GOVT PRIMARY SCHOOL GOTITOLA 22220509801 651 BALOD DAUNDI LOHARA GOVT PRIMARY SCHOOL PIPARKHAR 22220509901 652 BALOD DAUNDI LOHARA GOVT PRIMARY SCHOOL MARAITOLA(SSA) 22220509902 653 BALOD DAUNDI LOHARA GOVT MIDEL SCHOOL PIPARKHAR 22220509903 654 BALOD DAUNDI LOHARA GOVT PRIMARY SCHOOL DUTAMARDI 22220510001 655 BALOD DAUNDI LOHARA GOVT PRIMARY SCHOOL KHADBATTAR 22220510101 656 BALOD DAUNDI LOHARA GOVT MIDEL SCHOOL KHADBATTAR(SSA) 22220510102 657 BALOD DAUNDI LOHARA GOVT PRIMARY SCHOOL KERIJUNGERA 22220510201 658 BALOD DAUNDI LOHARA GOVT PRIMARY SCHOOL KERIJUNGERA(T) 22220510202
  • 21.
    659 BALOD DAUNDILOHARA GOVT PRIMARY SCHOOL KERI 22220510203 660 BALOD DAUNDI LOHARA GOVT PRIMARY SCHOOL GODMARRA 22220510301 661 BALOD DAUNDI LOHARA GOVT PRIMARY SCHOOL CHOTA PINKAPAR 22220510401 662 BALOD DAUNDI LOHARA GOVT PRIMARY SCHOOL RANITARAI 22220510501 663 BALOD DAUNDI LOHARA GOVT MIDEL SCHOOL RANITARAI 22220510502 664 BALOD DAUNDI LOHARA GOVT PRIMARY SCHOOL GANDHRI 22220510601 665 BALOD DAUNDI LOHARA GOVT BOYS PRIMARY SCHOOL FARADFOD 22220510701 666 BALOD DAUNDI LOHARA GOVT GIRLS PRIMARY SCHOOL FARADFOD 22220510702 667 BALOD DAUNDI LOHARA GOVT MIDEL SCHOOL FARADFOD 22220510703 668 BALOD DAUNDI LOHARA GOVT PRIMARY SCHOOL KISNA 22220510801 669 BALOD DAUNDI LOHARA GOVT MIDEL SCHOOL KISNA 22220510802 670 BALOD DAUNDI LOHARA GOVT PRIMARY SCHOOL BHANDERA 22220510901 671 BALOD DAUNDI LOHARA GOVT MIDEL SCHOOL BHANDERA 22220510902 672 BALOD DAUNDI LOHARA GOVT PRIMARY SCHOOL BHATHAPARA(SSA) 22220510903 673 BALOD DAUNDI LOHARA GOVT PRIMARY SCHOOL SINGARPUR 22220511001 674 BALOD DAUNDI LOHARA GOVT MIDEL SCHOOL SINGARPUR 22220511002 675 BALOD DAUNDI LOHARA GOVT PRIMARY SCHOOL JHITIYA 22220511101 676 BALOD DAUNDI LOHARA GOVT MIDEL SCHOOL JHITIYA 22220511102 677 BALOD DAUNDI LOHARA GOVT MIDEL SCHOOL GHINA 22220511201 678 BALOD DAUNDI LOHARA GOVT PRIMARY SCHOOL GHINA 22220511202 679 BALOD DAUNDI LOHARA GOVT PRIMARY SCHOOL A/NAVAGAOV 22220511401 680 BALOD DAUNDI LOHARA GOVT MIDEL SCHOOL A/NAVAGAOV 22220511402 681 BALOD DAUNDI LOHARA GOVT PRIMARY SCHOOL KASAHIKALA 22220511501 682 BALOD DAUNDI LOHARA GOVT MIDEL SCHOOL KASAHIKALA 22220511502 683 BALOD DAUNDI LOHARA GOVT PRIMARY SCHOOL GANJAIDIH 22220511601 684 BALOD DAUNDI LOHARA GOVT PRIMARY SCHOOL BORI 22220511701 685 BALOD DAUNDI LOHARA GOVT PRIMARY SCHOOL DENGRAPAR 22220511801 686 BALOD DAUNDI LOHARA GOVT PRIMARY SCHOOL KEVAT NAVAGAOV 22220511901 687 BALOD DAUNDI LOHARA GOVT MIDEL SCHOOL KEVAT NAVAGAOV 22220511902 688 BALOD DAUNDI LOHARA GOVT PRIMARY SCHOOL BHURKABHAT 22220512001 689 BALOD DAUNDI LOHARA GOVT MIDEL SCHOOL BHURKABHAT(SSA) 22220512002 690 BALOD DAUNDI LOHARA GOVT PRIMARY SCHOOL SHIKARITOLA 22220512101 691 BALOD DAUNDI LOHARA GOVT PRIMARY SCHOOL HADGAHAN 22220512201
  • 22.
    692 BALOD DAUNDILOHARA GOVT MIDEL SCHOOL HADGAHAN 22220512202 693 BALOD DAUNDI LOHARA GOVT PRIMARY SCHOOL TELITOLA 22220512301 694 BALOD DAUNDI LOHARA GOVT BOYS MIDEL SCHOOL NAHANDA 22220512401 695 BALOD DAUNDI LOHARA GOVT BOYS PRIMARY SCHOOL NAHANDA 22220512402 696 BALOD DAUNDI LOHARA GOVT GIRLS PRIMARY SCHOOL NAHANDA 22220512403 697 BALOD DAUNDI LOHARA GOVT GIRLS MIDEL SCHOOL NAHANDA 22220512404 698 BALOD DAUNDI LOHARA GOVT MIDEL SCHOOL SAMBALPUR 22220512503 699 BALOD DAUNDI LOHARA GOVT BOYS PRIMARY SCHOOL SAMBALPUR 22220512504 700 BALOD DAUNDI LOHARA GOVT GIRLS PRIMARY SCHOOL SAMBALPUR 22220512505 701 BALOD DAUNDI LOHARA GOVT PRIMARY SCHOOL SURSULI 22220512601 702 BALOD DAUNDI LOHARA GOVT PRIMARY SCHOOL BEHARABHATTA 22220512701 703 BALOD DAUNDI LOHARA GOVT PRIMARY SCHOOL KHAPRABHAT 22220512801 704 BALOD DAUNDI LOHARA GOVT PRIMARY SCHOOL PIPARKHAR 22220512901 705 BALOD DAUNDI LOHARA GOVT MIDEL SCHOOL PIPARKHAR(SSA) 22220512902 706 BALOD DAUNDI LOHARA GOVT PRIMARY SCHOOL KANYADABARI 22220513001 707 BALOD DAUNDI LOHARA GOVT MIDEL SCHOOL BADGAON 22220513101 708 BALOD DAUNDI LOHARA GOVT BOYS PRIMARY BADGAON 22220513102 709 BALOD DAUNDI LOHARA GOVT GIRLS PRIMARY BADGAON 22220513103 710 BALOD DAUNDI LOHARA GOVT PRIMARY SCHOOL KHADENADIH(SSA) 22220513105 711 BALOD DAUNDI LOHARA GOVT MIDEL SCHOOL CHILHATIKALA 22220513201 712 BALOD DAUNDI LOHARA GOVT PRIMARY SCHOOL CHILHATIKALA 22220513202 713 BALOD DAUNDI LOHARA GOVT MIDEL SCHOOL BHARDA 22220513301 714 BALOD DAUNDI LOHARA GOVT MIDEL SCHOOL KHARTHULI 22220513401 715 BALOD DAUNDI LOHARA GOVT PRIMARY SCHOOL KHARTHULI 22220513402 716 BALOD DAUNDI LOHARA GOVT PRIMARY SCHOOL DARAGAOV 22220513501 717 BALOD DAUNDI LOHARA GOVT PRIMARY SCHOOL BIJORA 22220513601 718 BALOD DAUNDI LOHARA GOVT MIDEL SCHOOL BIJORA(SSA) 22220513602 719 BALOD DAUNDI LOHARA GOVT PRIMARY SCHOOL NARGI 22220513701 720 BALOD DAUNDI LOHARA GOVT MIDEL SCHOOL NARGI(SSA) 22220513702 721 BALOD DAUNDI LOHARA GOVT PRIMARY SCHOOL PARRI 22220513801 722 BALOD DAUNDI LOHARA GOVT PRIMARY SCHOOL RAIPURA 22220513901 723 BALOD DAUNDI LOHARA GOVT PRIMARY SCHOOL DEWARI 22220514001 724 BALOD DAUNDI LOHARA GOVT MIDEL SCHOOL DEWARI 22220514002
  • 23.
    725 BALOD DAUNDILOHARA GOVT PRIMARY SCHOOL DEWARI 22220514004 726 BALOD DAUNDI LOHARA GOVT PRIMARY SCHOOL CHILHATIKHURD 22220514101 727 BALOD DAUNDI LOHARA GOVT PRIMARY SCHOOL BHARDA(LO) 22220514201 728 BALOD DAUNDI LOHARA GOVT PRIMARY SCHOOL BAIHAKUWA 22220514301 729 BALOD DAUNDI LOHARA GOVT BOYS PRIMARY SCHOOL PINKAPAR 22220514401 730 BALOD DAUNDI LOHARA GOVT GIRLS PRIMARY SCHOOL PINKAPAR 22220514402 731 BALOD DAUNDI LOHARA GOVT GIRLS MIDEL SCHOOL PINKAPAR 22220514403 732 BALOD DAUNDI LOHARA GOVT BOYS MIDEL SCHOOL PINKAPAR 22220514404 733 BALOD DAUNDI LOHARA GOVT PRIMARY SCHOOL PHULSUNDARI 22220514501 734 BALOD DAUNDI LOHARA GOVT PRIMARY SCHOOL KHAMBHAT 22220514601 735 BALOD DAUNDI LOHARA GOVT PRIMARY SCHOOL KUWAGAOV 22220514701 736 BALOD DAUNDI LOHARA GOVT PRIMARY SCHOOL GANESH KHAPARI 22220514801 737 BALOD DAUNDI LOHARA GOVT MIDEL SCHOOL GANESH KHAPARI 22220514802 738 BALOD DAUNDI LOHARA GOVT MIDEL SCHOOL KHAMTARAI 22220514902 739 BALOD DAUNDI LOHARA GOVT PRIMARY SCHOOL KHAMTARAI 22220514903 740 BALOD DAUNDI LOHARA GOVT PRIMARY SCHOOL GIDHAWA 22220515001 741 BALOD DAUNDI LOHARA GOVT PRIMARY SCHOOL MAHRAJPUR 22220515101 742 BALOD DAUNDI LOHARA GOVT MIDEL SCHOOL MAHRAJPUR 22220515102 743 BALOD DAUNDI LOHARA GOVT PRIMARY SCHOOL KOLIYARA 22220515201 744 BALOD DAUNDI LOHARA GOVT PRIMARY SCHOOL MUJGAHAN 22220515301 745 BALOD DAUNDI LOHARA GOVT MIDEL SCHOOL MUJGAHAN 22220515302 746 BALOD DAUNDI LOHARA GOVT MIDEL SCHOOL RENGADABRI 22220515401 747 BALOD DAUNDI LOHARA GOVT PRIMARY SCHOOL RENGADABRI 22220515402 748 BALOD DAUNDI LOHARA GOVT MIDEL SCHOOL JUNNAPANI 22220515501 749 BALOD DAUNDI LOHARA GOVT PRIMARY SCHOOL JUNNAPANI 22220515502 750 BALOD DAUNDI LOHARA GOVT PRIMARY SCHOOL CHILAMGOTA 22220515601 751 BALOD DAUNDI LOHARA GOVT PRIMARY SCHOOL ANNUTOLA 22220515701 752 BALOD DAUNDI LOHARA GOVT MIDEL SCHOOL ANNUTOLA (SSA) 22220515702 753 BALOD DAUNDI LOHARA GOVT PRIMARY SCHOOL DUMATOLA 22220515801 754 BALOD DAUNDI LOHARA GOVT PRIMARY SCHOOL JARRADIH 22220515901 755 BALOD DAUNDI LOHARA GOVT PRIMARY SCHOOL BHIMATOLA 22220516001 756 BALOD DAUNDI LOHARA GOVT MIDEL SCHOOL BHIMATOLA(SSA) 22220516002 757 BALOD DAUNDI LOHARA GOVT PRIMARY SCHOOL NAGGUTOLA 22220516101
  • 24.
    758 BALOD DAUNDILOHARA GOVT MIDEL SCHOOL KOTERA 22220516201 759 BALOD DAUNDI LOHARA GOVT BOYS PRIMARY SCHOOL KOTERA 22220516202 760 BALOD DAUNDI LOHARA GOVT GIRLS PRIMARY SCHOOL KOTERA 22220516203 761 BALOD DAUNDI LOHARA GOVT PRIMARY SCHOOL BARRAPARA 22220516401 762 BALOD DAUNDI LOHARA GOVT PRIMARY SCHOOL GANJAIDIH 22220516501 763 BALOD DAUNDI LOHARA GOVT PRIMARY SCHOOL SEMARDIH 22220516601 764 BALOD DAUNDI LOHARA GOVT PRIMARY SCHOOL KHAIRIDIH 22220516701 765 BALOD DAUNDI LOHARA GOVT MIDEL SCHOOL KARREGAOV 22220516801 766 BALOD DAUNDI LOHARA GOVT PRIMARY SCHOOL KARREGAOV 22220516802 767 BALOD DAUNDI LOHARA GOVT NAVIN PRIMARY SCHOOL KARREGAOV 22220516803 768 BALOD DAUNDI LOHARA GOVT MIDEL SCHOOL MANGCHUWA 22220516901 769 BALOD DAUNDI LOHARA GOVT PRIMARY SCHOOL MANGCHUWA 22220516902 770 BALOD DAUNDI LOHARA GOVT MIDEL SCHOOL KUDARIDALLI 22220517001 771 BALOD DAUNDI LOHARA GOVT PRIMARY SCHOOL KUDARIDALLI 22220517002 772 BALOD DAUNDI LOHARA GOVT PRIMARY SCHOOL KORETITOLA 22220517101 773 BALOD DAUNDI LOHARA GOVT PRIMARY SCHOOL KUDARI 22220517201 774 BALOD DAUNDI LOHARA GOVT PRIMARY SCHOOL BHUTATOLA 22220517301 775 BALOD DAUNDI LOHARA GOVT PRIMARY SCHOOL HUCHCHETOLA 22220517401 776 BALOD DAUNDI LOHARA GOVT PRIMARY SCHOOL KARKUTOLA 22220517501 777 BALOD DAUNDI LOHARA GOVT MIDEL SCHOOL KARKUTOLA(SSA) 22220517502 778 BALOD DAUNDI LOHARA GOVT PRIMARY SCHOOL BHARRITOLA 22220517601 779 BALOD DAUNDI LOHARA GOVT MIDEL SCHOOL BHARRITOLA(SSA) 22220517602 780 BALOD DAUNDI LOHARA GOVT PRIMARY SCHOOL MARASKOLA 22220517701 781 BALOD DAUNDI LOHARA GOVT PRIMARY SCHOOL NARSUTOLA 22220517801 782 BALOD DAUNDI LOHARA GOVT MIDEL SCHOOL KHOLJHAR 22220517901 783 BALOD DAUNDI LOHARA GOVT PRIMARY SCHOOL KHOLJHAR 22220517902 784 BALOD DAUNDI LOHARA GOVT MIDEL SCHOOL MADIYAKATTA 22220518101 785 BALOD DAUNDI LOHARA GOVT PRIMARY SCHOOL MADIYAKATTA 22220518102 786 BALOD DAUNDI LOHARA GOVT PRIMARY SCHOOL NALPANI 22220518201 787 BALOD DAUNDI LOHARA GOVT MIDEL SCHOOL NALPANI(SSA) 22220518202 788 BALOD DAUNDI LOHARA GOVT PRIMARY SCHOOL BULLUTOLA 22220518301 789 BALOD DAUNDI LOHARA GOVT PRIMARY SCHOOL GURAMI 22220518401 790 BALOD DAUNDI LOHARA GOVT MIDEL SCHOOL GURAMI(SSA) 22220518402
  • 25.
    791 BALOD DAUNDILOHARA GOVT PRIMARY SCHOOL BAGAIKONHA 22220518501 792 BALOD DAUNDI LOHARA GOVT PRIMARY SCHOOL SIRPUR 22220518502 793 BALOD DAUNDI LOHARA GOVT MIDEL SCHOOL BAGAIKONHA 22220518503 794 BALOD DAUNDI LOHARA GOVT PRIMARY SCHOOL MUNDATOLA 22220518601 795 BALOD DAUNDI LOHARA GOVT PRIMARY SCHOOL MARRI 22220518701 796 BALOD DAUNDI LOHARA GOVT MIDEL SCHOOL MARRI(SSA) 22220518702 797 BALOD DAUNDI LOHARA GOVT PRIMARY SCHOOL GAHIRA NAVAGAOV 22220518801 798 BALOD DAUNDI LOHARA GOVT MIDEL SCHOOL GAHIRA NAVAGAOV 22220518802 799 BALOD DAUNDI LOHARA GOVT PRIMARY SCHOOL PASAUD 22220518901 800 BALOD DAUNDI LOHARA GOVT PRIMARY SCHOOL KHERTHABAZAR 22220519001 801 BALOD DAUNDI LOHARA GOVT MIDEL SCHOOL KERTHA BAZAR 22220519002 802 BALOD DAUNDI LOHARA BHARKA PARA DEVRI BANGLA 22220519008 803 BALOD DAUNDI LOHARA P.S. RAM NAGAR KHERTHA BAZAR 22220519009 804 BALOD DAUNDI LOHARA GOVT PRIMARY SCHOOL AASARA 22220519101 805 BALOD DAUNDI LOHARA GOVT MIDEL SCHOOL AASARA (SSA) 22220519102 806 BALOD DAUNDI LOHARA GOVT PRIMARY SCHOOL ATARGAOV 22220519201 807 BALOD DAUNDI LOHARA T.W.D.PRIMARY SCHOOL CHOTEPARA 22220519203 808 BALOD DAUNDI LOHARA GOVT PRIMARY SCHOOL SANJARI 22220519301 809 BALOD DAUNDI LOHARA GOVT MIDEL SCHOOL SANJARI 22220519302 810 BALOD DAUNDI LOHARA GOVT PRIMARY SCHOOL AMAPARA SANJARI 22220519303 811 BALOD DAUNDI LOHARA GOVT PRIMARY SCHOOL MAJARATOLA(SSA) 22220519305 812 BALOD DAUNDI LOHARA GOVT MIDEL SCHOOL SUREGAOV 22220519401 813 BALOD DAUNDI LOHARA GOVT PRIMARY SCHOOL SUREGAOV 22220519402 814 BALOD DAUNDI LOHARA GOVT PRIMARY SCHOOL MUDIYA 22220519501 815 BALOD DAUNDI LOHARA GOVT MIDEL SCHOOL MUDIYA 22220519502 816 BALOD DAUNDI LOHARA GOVT PRIMARY SCHOOL PARSULI(SU) 22220519601 817 BALOD DAUNDI LOHARA GOVT MIDEL SCHOOL PARSADIH (SSA) 22220519602 818 BALOD DAUNDI LOHARA GOVT PRIMARY SCHOOL BHENDI 22220519701 819 BALOD DAUNDI LOHARA GOVT PRIMARY SCHOOL KATHIYA 22220519801 820 BALOD DAUNDI LOHARA GOVT PRIMARY SCHOOL BHALUKONHA (S) 22220519901 821 BALOD DAUNDI LOHARA GOVT MS BHALUKONHA(SSA) (S) 22220519902 822 BALOD DAUNDI LOHARA GOVT PRIMARY SCHOOL BIJABHATA 22220520001 823 BALOD DAUNDI LOHARA GOVT PRIMARY SCHOOL AMAPARA PARSULI 22220520101
  • 26.
    824 BALOD DAUNDILOHARA GOVT PRIMARY SCHOOL BHATAPARA SORLI 22220520201 825 BALOD DAUNDI LOHARA GOVT PRIMARY SCHOOL BANGAON 22220520301 826 BALOD DAUNDI LOHARA GOVT PRIMARY SCHOOL RAHATA(SSA) 22220520601 827 BALOD DAUNDI LOHARA GOVT NAVIN MIDEL SCHOOL SAMBALPUR 22220520701 828 BALOD DAUNDI LOHARA GOVT PRIMARY SCHOOL SAMBALPUR 22220520702 829 BALOD DAUNDI LOHARA GOVT PRIMARY SCHOOL MUDKHUSARA 22220520801 830 BALOD DAUNDI LOHARA GOVT MIDEL SCHOOL MUDKHUSARA(SSA) 22220520802 831 BALOD DAUNDI LOHARA GOVT PRIMARY SCHOOL MANKI 22220521001 832 BALOD DAUNDI LOHARA GOVT MIDEL SCHOOL MANKI 22220521002 833 BALOD DAUNDI LOHARA GOVT PRIMARY SCHOOL BARDIH (SSA) 22220521201 834 BALOD DAUNDI LOHARA GOVT PRIMARY SCHOOL SALHETOLA(SSA) 22220521601 835 BALOD DAUNDI LOHARA GOVT PRIMARY SCHOOL MUJALGONDI(SSA) 22220521701 836 BALOD DAUNDI LOHARA GOVT PRIMARY SCHOOL BENDRCHUWA 22220521801 837 BALOD DAUNDI LOHARA GOVT PRIMARY SCHOOL SIRPUR 22220521901 838 BALOD GUNDERDEHI GOVT.PS SAREKHA 22220800101 839 BALOD GUNDERDEHI GOVT MS SAREKHA 22220800102 840 BALOD GUNDERDEHI GOVT.PS MAHUD (B) 22220800201 841 BALOD GUNDERDEHI GOVT MS MAHUD (B) 22220800202 842 BALOD GUNDERDEHI GOVT PS PAYALA 22220800301 843 BALOD GUNDERDEHI GOVT PS CHARACHAR 22220800401 844 BALOD GUNDERDEHI GOVT PS KHAPARI 22220800501 845 BALOD GUNDERDEHI GOVT MS KHAPARI 22220800502 846 BALOD GUNDERDEHI GOVT PS KHAPARI 22220800503 847 BALOD GUNDERDEHI GOVT PS DANIYA 22220800601 848 BALOD GUNDERDEHI GOVT PS BIRETARA 22220800701 849 BALOD GUNDERDEHI GOVT PS BHATHAGAON (B) 22220800801 850 BALOD GUNDERDEHI GOVT BOYS PS BHATAHGAON (B) 22220800802 851 BALOD GUNDERDEHI GOVT MS BHATHAGAON (B) 22220800803 852 BALOD GUNDERDEHI GOVT.MS KALNGPUR 22220800901 853 BALOD GUNDERDEHI GOVT PS KALNGPUR 22220800902 854 BALOD GUNDERDEHI GOVT MS MUNDERA 22220801001 855 BALOD GUNDERDEHI GOVT PS MUNDERA 22220801002 856 BALOD GUNDERDEHI GOVT MS BARBASPUR 22220801101
  • 27.
    857 BALOD GUNDERDEHIGOVT PS BARBASPUR 22220801102 858 BALOD GUNDERDEHI GOVT.PS BHATHAGAON 22220801201 859 BALOD GUNDERDEHI GOVT PS PINKAPAR 22220801301 860 BALOD GUNDERDEHI GOVT NAVIN MS PINKAPAR (SSA) 22220801302 861 BALOD GUNDERDEHI GOVT PS KHALLARI 22220801401 862 BALOD GUNDERDEHI GOVT PS PENDRI 22220801501 863 BALOD GUNDERDEHI GOVT NAVIN MS PENDRI (SSA) 22220801502 864 BALOD GUNDERDEHI GOVT PS CHARBHATHA 22220801601 865 BALOD GUNDERDEHI GOVT PS BHOTHIPAR 22220801701 866 BALOD GUNDERDEHI GOVT.PS RAJOLI 22220801801 867 BALOD GUNDERDEHI GOVT MS RAJOLI 22220801802 868 BALOD GUNDERDEHI GOVT BOYS PS ACHOD 22220801901 869 BALOD GUNDERDEHI GOVT GIRLS PS ACHOD 22220801902 870 BALOD GUNDERDEHI GOVT MS ACHOD 22220801903 871 BALOD GUNDERDEHI GOVT.PS PHUNDA 22220802001 872 BALOD GUNDERDEHI GOVT.PS KHUTERI 22220802101 873 BALOD GUNDERDEHI GOVT.PS KAJARABANDHA 22220802201 874 BALOD GUNDERDEHI GOVT PS MOKHA 22220802301 875 BALOD GUNDERDEHI GOVT MS MOKAH 22220802302 876 BALOD GUNDERDEHI GOVT PS KUTHREL 22220802401 877 BALOD GUNDERDEHI GOVT.PS KUMHLI 22220802501 878 BALOD GUNDERDEHI GOVT PS BODEL 22220802601 879 BALOD GUNDERDEHI GOVT MS BODEL (SSA) 22220802602 880 BALOD GUNDERDEHI GOVT.PS PARSADA 22220802701 881 BALOD GUNDERDEHI GOVT MS PARSADA 22220802702 882 BALOD GUNDERDEHI GOVT PS BORGAHAN 22220802801 883 BALOD GUNDERDEHI GOVT MS PARRY 22220802901 884 BALOD GUNDERDEHI GOVT GIRLS PS PARRY 22220802902 885 BALOD GUNDERDEHI GOVT BOYS PS PARRY 22220802903 886 BALOD GUNDERDEHI GOVT.PS SALONI 22220803001 887 BALOD GUNDERDEHI GOVT.PS MONGARI 22220803101 888 BALOD GUNDERDEHI GOVT. NAVIN PS MOGARI 22220803102 889 BALOD GUNDERDEHI GOVT.MS MONGRI (SSA) 22220803103
  • 28.
    890 BALOD GUNDERDEHIGOVT NAVIN MS SANKARI 22220803201 891 BALOD GUNDERDEHI GOVT.PS SANKARI 22220803202 892 BALOD GUNDERDEHI GOVT.PS PHULJHAR 22220803301 893 BALOD GUNDERDEHI GOVT PS MANHORA 22220803401 894 BALOD GUNDERDEHI GOVT.PS LIMORA 22220803501 895 BALOD GUNDERDEHI GOVT.PS ERRAGUDA 22220803601 896 BALOD GUNDERDEHI GOVT MS ERRAGUDA 22220803602 897 BALOD GUNDERDEHI GOVT.PS JUNWANI 22220803701 898 BALOD GUNDERDEHI GOVT MS SIKOSA 22220803801 899 BALOD GUNDERDEHI GOVT.PS SIKOSA 22220803802 900 BALOD GUNDERDEHI GOVT MS HALDI 22220803901 901 BALOD GUNDERDEHI GOVT PS HALDI 22220803902 902 BALOD GUNDERDEHI GOVT BOYS PS HALDI 22220803903 903 BALOD GUNDERDEHI GOVT.NAVIN KANYA MS HALDI (SSA) 22220803904 904 BALOD GUNDERDEHI GOVT MS BALODI 22220804001 905 BALOD GUNDERDEHI GOVT PS BALODI 22220804002 906 BALOD GUNDERDEHI GOVT.PS PASOOD 22220804101 907 BALOD GUNDERDEHI GOVT NAVIN MS PASOOD 22220804102 908 BALOD GUNDERDEHI GOVT.PS BHUSRENGA 22220804201 909 BALOD GUNDERDEHI GOVT.PS SIYANMARA 22220804301 910 BALOD GUNDERDEHI GOVT MS SIYANMARA 22220804302 911 BALOD GUNDERDEHI GOVT PS MATIA (HA) 22220804401 912 BALOD GUNDERDEHI GOVT.PS CHICBOD 22220804501 913 BALOD GUNDERDEHI GOVT MS CHICBOD 22220804502 914 BALOD GUNDERDEHI GOVT.PS SATMARA 22220804601 915 BALOD GUNDERDEHI GOVT MS SATMARA 22220804602 916 BALOD GUNDERDEHI GOVT.PS SIRRABHATHA 22220804701 917 BALOD GUNDERDEHI GOVT PS DHABADIH 22220804801 918 BALOD GUNDERDEHI GOVT MS KODEWA 22220804901 919 BALOD GUNDERDEHI GOVT PS KODEWA 22220804902 920 BALOD GUNDERDEHI GOVT MS KOTGAON 22220805001 921 BALOD GUNDERDEHI GOVT PS KOTGAON 22220805002 922 BALOD GUNDERDEHI GOVT.PS JHIKA 22220805101
  • 29.
    923 BALOD GUNDERDEHIGOVT PS KHAIRUD 22220805201 924 BALOD GUNDERDEHI GOVT.PS DHANGAON 22220805301 925 BALOD GUNDERDEHI GOVT.PS NAWAGAON 22220805401 926 BALOD GUNDERDEHI GOVT.MS NAWAGAON (SSA) 22220805402 927 BALOD GUNDERDEHI GOVT.PS REHECHI 22220805501 928 BALOD GUNDERDEHI GOVT PS KHUTERI (A) 22220805601 929 BALOD GUNDERDEHI GOVT MS KHUTERI (A) (SSA) 22220805602 930 BALOD GUNDERDEHI GOVT NAVIN MS DUNDERA 22220805701 931 BALOD GUNDERDEHI GOVT.PS DUNDERA 22220805702 932 BALOD GUNDERDEHI GOVT PS LASATOLA 22220805801 933 BALOD GUNDERDEHI GOVT PS PARNA 22220805901 934 BALOD GUNDERDEHI GOVT PS BASIN 22220806001 935 BALOD GUNDERDEHI GOVT PS BHENGARI 22220806101 936 BALOD GUNDERDEHI GOVT.PS KURDI 22220806201 937 BALOD GUNDERDEHI GOVT.MS CHOUREL 22220806301 938 BALOD GUNDERDEHI GOVT PS CHOUREL 22220806302 939 BALOD GUNDERDEHI GOVT.PS MOHLAI 22220806401 940 BALOD GUNDERDEHI GOVT PS KONGANI 22220806501 941 BALOD GUNDERDEHI GOVT.MS KAMROUD 22220806601 942 BALOD GUNDERDEHI GOVT.PS KAMROUD 22220806602 943 BALOD GUNDERDEHI GOVT MS PIREED 22220806701 944 BALOD GUNDERDEHI GOVT PS PIREED 22220806702 945 BALOD GUNDERDEHI GOVT PS KANDUL 22220806801 946 BALOD GUNDERDEHI GOVT GIRLS PS KANDUL 22220806802 947 BALOD GUNDERDEHI GOVT MS KANDUL 22220806803 948 BALOD GUNDERDEHI GOVT.KANYA MS KANDUL (SSA) 22220806804 949 BALOD GUNDERDEHI GOVT MS CHANDAN BIRHI 22220806901 950 BALOD GUNDERDEHI GOVT PS CHANDAN BIRHI 22220806902 951 BALOD GUNDERDEHI GOVT PS SANOOD 22220807001 952 BALOD GUNDERDEHI GOVT.PS NAWAGAON 22220807101 953 BALOD GUNDERDEHI GOVT.PS CHICHAL GONDI 22220807201 954 BALOD GUNDERDEHI GOVT.NAVIN MS CHICHALGONDI (SSA) 22220807202 955 BALOD GUNDERDEHI GOVT.PS ROUNA 22220807301
  • 30.
    956 BALOD GUNDERDEHIGOVT.NAVIN PS ROUNA 22220807302 957 BALOD GUNDERDEHI GOVT.NAVIN MS ROUNA (SSA) 22220807303 958 BALOD GUNDERDEHI GOVT PS KHAIBANA 22220807401 959 BALOD GUNDERDEHI GOVT MS KACHANDUR 22220807501 960 BALOD GUNDERDEHI GOVT.BOYS PS KACHANDUR 22220807502 961 BALOD GUNDERDEHI GOVT GIRLS PS KACHANDUR 22220807503 962 BALOD GUNDERDEHI GOVT.NAVIN PS KACHANDUR 22220807504 963 BALOD GUNDERDEHI GOVT MS GUREDA 22220807601 964 BALOD GUNDERDEHI GOVT PS GUREDA 22220807602 965 BALOD GUNDERDEHI GOVT PS DHARMI 22220807701 966 BALOD GUNDERDEHI GOVT PS SAJA 22220807801 967 BALOD GUNDERDEHI GOVT NAVIN SAJA (SSA) 22220807805 968 BALOD GUNDERDEHI GOVT PS DEWARI (K) 22220807901 969 BALOD GUNDERDEHI GOVT.PS BHARDA KHURD 22220808001 970 BALOD GUNDERDEHI GOVT.MS BHARDA KHURD (SSA) 22220808002 971 BALOD GUNDERDEHI GOVT PS ARJUNI 22220808101 972 BALOD GUNDERDEHI GOVT.PS GORKAPAR 22220808201 973 BALOD GUNDERDEHI GOVT.MS GORKAPAR 22220808202 974 BALOD GUNDERDEHI GOVT PS SAKROUD 22220808301 975 BALOD GUNDERDEHI GOVT.NAVIN PS SAKROUD (SSA) 22220808302 976 BALOD GUNDERDEHI GOVT MS SAKROUD (SSA) 22220808303 977 BALOD GUNDERDEHI GOVT PS NAHAR KHAPARI 22220808401 978 BALOD GUNDERDEHI GOVT NAVIN MS KHAPARI (SSA) 22220808402 979 BALOD GUNDERDEHI GOVT PS TAMORA 22220808501 980 BALOD GUNDERDEHI GOVT MS TAMORA 22220808502 981 BALOD GUNDERDEHI GOVT PS SIRRI 22220808601 982 BALOD GUNDERDEHI GOVT MS SIRRI 22220808602 983 BALOD GUNDERDEHI GOVT PS KOSA 22220808701 984 BALOD GUNDERDEHI GOVT PS PANGARI 22220808801 985 BALOD GUNDERDEHI GOVT.MS PANGARI (SSA) 22220808802 986 BALOD GUNDERDEHI GOVT PS SUKHRI 22220808901 987 BALOD GUNDERDEHI GOVT.MS RAHUD 22220809001 988 BALOD GUNDERDEHI GOVT.PS RAHUD 22220809002
  • 31.
    989 BALOD GUNDERDEHIGOVT.PS PARSAHI 22220809101 990 BALOD GUNDERDEHI GOVT.MS PARSAHI 22220809102 991 BALOD GUNDERDEHI GOVT.PS BHENDRA 22220809201 992 BALOD GUNDERDEHI GOVT PS BELTIKARI 22220809301 993 BALOD GUNDERDEHI GOVT.PS KHAPARI (B) 22220809401 994 BALOD GUNDERDEHI GOVT.PS MUNDRA 22220809501 995 BALOD GUNDERDEHI GOVT PS PAUWARA 22220809601 996 BALOD GUNDERDEHI GOVT.PS KASONDA 22220809701 997 BALOD GUNDERDEHI GOVT.MS KASONDA 22220809702 998 BALOD GUNDERDEHI GOVT MS TILODA 22220809801 999 BALOD GUNDERDEHI GVOT.PS TILODA 22220809802 1000 BALOD GUNDERDEHI GOVT.N.PS BHATHAPARA TILODA (SSA) 22220809803 1001 BALOD GUNDERDEHI GOVT.PS HARANSINGHI 22220809901 1002 BALOD GUNDERDEHI GOVT PS 22220810001 1003 BALOD GUNDERDEHI GOVT MS 22220810002 1004 BALOD GUNDERDEHI GOVT.PS OTEBANDH 22220810101 1005 BALOD GUNDERDEHI GOVT.NAVIN MS OTEBANDH (SSA) 22220810102 1006 BALOD GUNDERDEHI GOVT PS SIRSIDA 22220810201 1007 BALOD GUNDERDEHI GOVT. PS SIRSIDA (SSA) 22220810202 1008 BALOD GUNDERDEHI GOVT. MS SIRSIDA (SSA) 22220810203 1009 BALOD GUNDERDEHI GOVT PS DANGNIYA 22220810301 1010 BALOD GUNDERDEHI GOVT MS DANGIYA 22220810302 1011 BALOD GUNDERDEHI GOVT.PS DOKIDIH 22220810401 1012 BALOD GUNDERDEHI GOVT.MS.DOUKIDH (SSA) 22220810402 1013 BALOD GUNDERDEHI GOVT PS NAHANDA 22220810501 1014 BALOD GUNDERDEHI GOVT PS KHAPPARWADA 22220810601 1015 BALOD GUNDERDEHI GOVT PS DEWARI (KHA) 22220810701 1016 BALOD GUNDERDEHI GOVT.SHAHID DURVASHA LAL MS (SSA) 22220810702 1017 BALOD GUNDERDEHI GOVT MS BHATHAGAON (R) 22220810801 1018 BALOD GUNDERDEHI GOVT BOYS PS BHATHAGAON (R) 22220810802 1019 BALOD GUNDERDEHI GOVT GIRLS PS BHATHAGAON (R) 22220810803 1020 BALOD GUNDERDEHI GOVT MS RUNCHIRAI 22220810901 1021 BALOD GUNDERDEHI GOVT BOYS PS RUNCHIRAI 22220810902
  • 32.
    1022 BALOD GUNDERDEHIGOVT GIRLS PS RUNCHIRAI 22220810903 1023 BALOD GUNDERDEHI GOVT PS HIRU KHAPRI 22220811001 1024 BALOD GUNDERDEHI GOVT.PS KILEPAR 22220811101 1025 BALOD GUNDERDEHI GOVT PS JHOFRA 22220811201 1026 BALOD GUNDERDEHI GOVT MS DONGITARAI 22220811301 1027 BALOD GUNDERDEHI GOVT PS DONGITARI 22220811302 1028 BALOD GUNDERDEHI GOVT PS JORATARI 22220811401 1029 BALOD GUNDERDEHI GOVT.NAVIN MS JORATARAI (SSA) 22220811402 1030 BALOD GUNDERDEHI GOVT PS JARVAY 22220811501 1031 BALOD GUNDERDEHI GOVT PS MASUL 22220811601 1032 BALOD GUNDERDEHI GOVT.MS ARJUNDA 22220811701 1033 BALOD GUNDERDEHI GOVT GIRLS PS ARJUNDA 22220811702 1034 BALOD GUNDERDEHI GOVT NAVIN PS ARJUNDA 22220811703 1035 BALOD GUNDERDEHI GOVT BHARATI M.S ARJUNDA 22220811706 1036 BALOD GUNDERDEHI GOVT GIRLS MS ARJUNDA 22220811707 1037 BALOD GUNDERDEHI GOVT PS ARJUNDA 22220811713 1038 BALOD GUNDERDEHI GOVT PS PARASTARAI 22220811901 1039 BALOD GUNDERDEHI GOVT MS PARASTARAI 22220811902 1040 BALOD GUNDERDEHI GOVT PS PARASWANI 22220812001 1041 BALOD GUNDERDEHI GOVT PS MATIA (A) 22220812101 1042 BALOD GUNDERDEHI GOVT.NAVIN MS MATIA (A) 22220812102 1043 BALOD GUNDERDEHI GOVT PS BORGAHAN 22220812201 1044 BALOD GUNDERDEHI GOVT.PS TIKARI 22220812301 1045 BALOD GUNDERDEHI GOVT.PS MATEWA 22220812401 1046 BALOD GUNDERDEHI GOVT.PS DUDIYA 22220812501 1047 BALOD GUNDERDEHI GOVT MS DUDIYA 22220812502 1048 BALOD GUNDERDEHI GOVT MS BHARDAKALA 22220812601 1049 BALOD GUNDERDEHI GOVT.PS BHARDAKALA 22220812602 1050 BALOD GUNDERDEHI GOVT GIRLS PS BHARDAKALA 22220812603 1051 BALOD GUNDERDEHI GOVT.NAVIN PS BHARDAKALA 22220812604 1052 BALOD GUNDERDEHI GOVT MS MAHUD (A) 22220812701 1053 BALOD GUNDERDEHI GOVT PS MAHUD (A) 22220812702 1054 BALOD GUNDERDEHI GOVT MS JEWARTALA 22220812801
  • 33.
    1055 BALOD GUNDERDEHIGOVT.PS JEWARTALA 22220812802 1056 BALOD GUNDERDEHI GOVT.PS BUDHANPUR 22220812901 1057 BALOD GUNDERDEHI GOVT PS TEKAPAR 22220813001 1058 BALOD GUNDERDEHI GOVT.PS CHIRCHAR 22220813101 1059 BALOD GUNDERDEHI GOVT.MS CHIRCHAR (SSA) 22220813102 1060 BALOD GUNDERDEHI GOVT.PS SIBDI 22220813201 1061 BALOD GUNDERDEHI GOVT.MS SIBDI (SSA) 22220813202 1062 BALOD GUNDERDEHI GOVT.PS BODENA 22220813301 1063 BALOD GUNDERDEHI GOVT.MS.BODENA (SSA) 22220813302 1064 BALOD GUNDERDEHI GOVT BOYS PS GUNDERDEHI 22220813401 1065 BALOD GUNDERDEHI GOVT GIRLS PS GUNDERDEHI 22220813402 1066 BALOD GUNDERDEHI GOVT.SANLAGNA MS GUNDERDEHI 22220813403 1067 BALOD GUNDERDEHI GOVT GIRLS MS GUNDERDEHI 22220813404 1068 BALOD GUNDERDEHI GOVT PS BAGMARA 22220813601 1069 BALOD GUNDERDEHI GOVT MS BAGMARA (SSA) 22220813602 1070 BALOD GUNDERDEHI GOVT PS KHARRA 22220813701 1071 BALOD GUNDERDEHI GOVT PS RUODA 22220813801 1072 BALOD GUNDERDEHI GOVT MS RUODA (SSA) 22220813802 1073 BALOD GUNDERDEHI GOVT PS MACHOD 22220813901 1074 BALOD GUNDERDEHI GOVT.PS TEWARA 22220814001 1075 BALOD GUNDERDEHI GOVT MS TEWARA 22220814002 1076 BALOD GUNDERDEHI GOVT.PS RENGAKATHERA 22220814101 1077 BALOD GUNDERDEHI GOVT PS KHUTERI 22220814201 1078 BALOD GUNDERDEHI GOVT MS KHUTERI (RANG) (SSA) 22220814202 1079 BALOD GUNDERDEHI GOVT.PS MAIYAPAR 22220814301 1080 BALOD GUNDERDEHI GOVT.PS MOHNDIPAT 22220814401 1081 BALOD GUNDERDEHI GOVT MS MOHNDIPAT 22220814402 1082 BALOD GUNDERDEHI GOVT PS BAGHELI 22220814501 1083 BALOD GUNDERDEHI GOVT NAVIN PS DEWARI (D) 22220814601 1084 BALOD GUNDERDEHI GOVT.PS DEWARI (D) 22220814602 1085 BALOD GUNDERDEHI GOVT MS DEWARI (D) 22220814603 1086 BALOD GUNDERDEHI GOVT.PS DEWASARA 22220814701 1087 BALOD GUNDERDEHI GOVT PS KHURSHUNI 22220814801
  • 34.
    1088 BALOD GUNDERDEHIGOVT MS KHURSHUNI 22220814802 1089 BALOD GUNDERDEHI GOVT PS KHURSUL 22220814901 1090 BALOD GUNDERDEHI GOVT MS KHURSHUL 22220814902 1091 BALOD GUNDERDEHI GOVT.PS GODELA 22220815001 1092 BALOD GUNDERDEHI GOVT.NAVIN MS GODELA (SSA) 22220815002 1093 BALOD GUNDERDEHI GOVT.PS KHURSIPAR 22220815101 1094 BALOD GUNDERDEHI GOVT PS BHAMNI 22220815201 1095 BALOD GUNDERDEHI GOVT.MS GABDI 22220815301 1096 BALOD GUNDERDEHI GOVT.PS GABDI 22220815302 1097 BALOD GUNDERDEHI GOVT.NAVIN PS GABDI 22220815303 1098 BALOD GUNDERDEHI GOVT MS BHILAI 22220815401 1099 BALOD GUNDERDEHI GOVT PS BHILAI 22220815402 1100 BALOD GUNDERDEHI GOVT PS TIKHAIRI 22220815501 1101 BALOD GUNDERDEHI GOVT NAVIN MS TILKHAIRI (SSA) 22220815502 1102 BALOD GUNDERDEHI GOVT.PS SALONI 22220815601 1103 BALOD GUNDERDEHI GOVT MS AUDAR SAKARI 22220815701 1104 BALOD GUNDERDEHI GOVT PS AUDAR SAKRI 22220815702 1105 BALOD GUNDERDEHI GOVT.PS CHICHA 22220815801 1106 BALOD GUNDERDEHI GOVT.MS CHICHA (SSA) 22220815802 1107 BALOD GUNDERDEHI GOVT.PS GORKAPAR 22220815901 1108 BALOD GUNDERDEHI GOVT.PS DEWGAHAN 22220816001 1109 BALOD GUNDERDEHI GOVT MS DEWGAHAN (SSA) 22220816002 1110 BALOD GUNDERDEHI GOVT.PS SIKOLA 22220816101 1111 BALOD GUNDERDEHI GOVT PS CHAINGANJ 22220816201 1112 BALOD GUNDERDEHI GOVT.PS TEKAPAR 22220816401 1113 BALOD GUNDERDEHI GOVT.PS BARBASPUR 22220816501 1114 BALOD GURUR GOVT JANPAD PS BADJHUM 22220900101 1115 BALOD GURUR GOVT BOYS ASHRAM PS BADJHUM (TWD) 22220900102 1116 BALOD GURUR GOVT MS BADJHUM 22220900104 1117 BALOD GURUR GOVT PS JANGLI BEJHA 22220900201 1118 BALOD GURUR GOVT PS PETECHUWA 22220900301 1119 BALOD GURUR GOVT KANIST PS DUGGABAHARA 22220900401 1120 BALOD GURUR GOVT PS HITEKASA 22220900501
  • 35.
    1121 BALOD GURURGOVT MS HITEKASA 22220900502 1122 BALOD GURUR GOVT PS NAGJHAR 22220900601 1123 BALOD GURUR GOVT PS MANGCHUWA 22220900701 1124 BALOD GURUR GOVT PS GOTA TOLA 22220900801 1125 BALOD GURUR GOVT PRO.PS ROOPTOLA (HITEKASA) 22220900902 1126 BALOD GURUR GOVT PS BOHARA 22220901001 1127 BALOD GURUR GOVT MS BOHARA 22220901002 1128 BALOD GURUR GOVT PS SANOOD 22220901101 1129 BALOD GURUR GOVT PS DOTOPAR 22220901201 1130 BALOD GURUR GOVT MS DOTOPAR 22220901202 1131 BALOD GURUR GOVT PS ARKAR 22220901301 1132 BALOD GURUR GOVT GIRLS PS ARKAR 22220901302 1133 BALOD GURUR GOVT MS ARKAR 22220901303 1134 BALOD GURUR GOVT PS BHIRAI 22220901401 1135 BALOD GURUR GOVT MS BHIRAI 22220901402 1136 BALOD GURUR GOVT PS AUJHAGAHAN 22220901501 1137 BALOD GURUR GOVT MS AUJHAGAHAN 22220901502 1138 BALOD GURUR GOVT PS HASDA 22220901601 1139 BALOD GURUR GOVT MS HASDA 22220901602 1140 BALOD GURUR GOVT BOYS PS ARMARIKALA 22220901702 1141 BALOD GURUR GOVT GIRLS PS ARMARIKALA 22220901703 1142 BALOD GURUR GOVT MS ARMARIKALA 22220901704 1143 BALOD GURUR NVIN GIRLS MS 22220901708 1144 BALOD GURUR GOVT PS TILKHAIRI 22220901801 1145 BALOD GURUR GOVT PS PIKRIPAR 22220901901 1146 BALOD GURUR GOVT PS PADKIBHAT 22220902001 1147 BALOD GURUR GOVT PS KHERTHA 22220902101 1148 BALOD GURUR GOVT PRO.MS KHERTHA 22220902102 1149 BALOD GURUR GOVT JANPAD PS KOSAGONDI 22220902201 1150 BALOD GURUR GOVT MS KOSAGONDI 22220902202 1151 BALOD GURUR GOVT PS JEWARTALA 22220902301 1152 BALOD GURUR GOVT PRO.MS JEWARTALA 22220902302 1153 BALOD GURUR GOVT PS DHANELI 22220902401
  • 36.
    1154 BALOD GURURGOVT MS DHANELI 22220902402 1155 BALOD GURUR GOVT PS KOCHERA 22220902501 1156 BALOD GURUR GOVT PRO MS KOCHERA 22220902503 1157 BALOD GURUR GOVT PS BHULANDABARI 22220902601 1158 BALOD GURUR GOVT MS BHANPURI 22220902701 1159 BALOD GURUR GOVT PS BHANPURI 22220902702 1160 BALOD GURUR GOVT PS BODRA 22220902801 1161 BALOD GURUR GOVT MS PRO. BODRA 22220902802 1162 BALOD GURUR GOVT JANPAD PS RAMANNARA 22220902901 1163 BALOD GURUR GOVT PRO. MS RAMANNARA 22220902902 1164 BALOD GURUR GOVT PS GHOGHOPURI 22220903001 1165 BALOD GURUR GOVT PS SURRA 22220903101 1166 BALOD GURUR GOVT MS SURRA 22220903102 1167 BALOD GURUR GOVT PS CHHEDIYA 22220903201 1168 BALOD GURUR GOVT MS CHHEDIYA 22220903202 1169 BALOD GURUR GOVT PS PEWARO 22220903401 1170 BALOD GURUR GOVT MS PEWARO 22220903402 1171 BALOD GURUR GOVT PS DHANORA 22220903501 1172 BALOD GURUR GOVT PRO.PS DHANORA 22220903502 1173 BALOD GURUR GOVT PS KAPARMETTA 22220903601 1174 BALOD GURUR GOVT PRO. PS KAPARMETTA (SSA) 22220903603 1175 BALOD GURUR GOVT PS TENGNA 22220903701 1176 BALOD GURUR GOVT MS TENGNA 22220903702 1177 BALOD GURUR GOVT PS TENGNA 22220903703 1178 BALOD GURUR GOVT PS NAHANDA 22220903801 1179 BALOD GURUR GOVT MS NAHANDA 22220903802 1180 BALOD GURUR GOVT PS KOSMI 22220903901 1181 BALOD GURUR GOVT PS KARIYATOLA 22220904001 1182 BALOD GURUR GOVT PS MOKHA 22220904201 1183 BALOD GURUR GOVT MS MOKHA 22220904202 1184 BALOD GURUR GOVT PS GUNDRAPARA MOKHA 22220904203 1185 BALOD GURUR GOVT PS DARGAHAN 22220904301 1186 BALOD GURUR GOVT MS DARGAHAN 22220904302
  • 37.
    1187 BALOD GURURGOVT PS DHANAPURI 22220904401 1188 BALOD GURUR GOVT MS DHANAPURI 22220904402 1189 BALOD GURUR ASHRAM PS 22220904404 1190 BALOD GURUR GOVT PS CHULHAPATHRA 22220904501 1191 BALOD GURUR GOVT PS KHAIRDIGGI 22220904601 1192 BALOD GURUR GOVT PS MUDGAHAN 22220904701 1193 BALOD GURUR GOVT PS SALHEBHAT 22220904801 1194 BALOD GURUR GOVT PS BICHI BAHARA 22220904901 1195 BALOD GURUR GOVT PS SONAI DONGARI 22220905001 1196 BALOD GURUR GOVT MS SONAI DONGARI 22220905002 1197 BALOD GURUR GOVT GIRLS PS GURUR 22220905101 1198 BALOD GURUR GOVT BOYS PS GURUR 22220905102 1199 BALOD GURUR GOVT BOYS MS GURUR 22220905103 1200 BALOD GURUR GOVT GIRLS MS GURUR 22220905104 1201 BALOD GURUR GOVT PS KANHARPURI 22220905201 1202 BALOD GURUR GOVT PRON.MS KANHARPURI 22220905202 1203 BALOD GURUR GOVT PS DANITOLA 22220905301 1204 BALOD GURUR GOVT PS KOLIHAMAR 22220905401 1205 BALOD GURUR GOVT. MS KOLIHAMAR 22220905402 1206 BALOD GURUR GOVT PS BORTARA 22220905501 1207 BALOD GURUR GOVT PS KHAIRWAHI 22220905601 1208 BALOD GURUR GOVT PS TARRI 22220905701 1209 BALOD GURUR GOVT MS TARRI 22220905702 1210 BALOD GURUR GOVT PS 22220905801 1211 BALOD GURUR GOVT PS THEKWADIH 22220905901 1212 BALOD GURUR GOVT MS THEKWADIH 22220905902 1213 BALOD GURUR GOVT PS TITURGAHAN 22220906101 1214 BALOD GURUR GOVT PS 22220906201 1215 BALOD GURUR GOVT PS MUND PAR 22220906301 1216 BALOD GURUR GOVT PS MOHAARA 22220906401 1217 BALOD GURUR GOVT MS MOHAARA 22220906402 1218 BALOD GURUR GOVT PS DANDESARA 22220906501 1219 BALOD GURUR GOVT PRO MS DANDESARA 22220906502
  • 38.
    1220 BALOD GURURGOVT PS BOTHALI 22220906601 1221 BALOD GURUR PRO. MS 22220906603 1222 BALOD GURUR GOVT PS BASIN 22220906702 1223 BALOD GURUR GOVT MS BASIN 22220906703 1224 BALOD GURUR GOVT PS DANDARI 22220906801 1225 BALOD GURUR GOVT MS PRO. DANDARI 22220906802 1226 BALOD GURUR GOVT BOYS PS SORAR 22220906902 1227 BALOD GURUR GOVT GIRLS PS SORAR 22220906903 1228 BALOD GURUR GOVT MS SORAR 22220906904 1229 BALOD GURUR GOVT GIRLS MS SORAR 22220906905 1230 BALOD GURUR SORAR GOVT PS SORAR 22220906911 1231 BALOD GURUR GOVT PS CHIRCHARI 22220907101 1232 BALOD GURUR GOVT PS DHOBANPURI 22220907201 1233 BALOD GURUR GOVT PRO. MS DHOBANPURI 22220907202 1234 BALOD GURUR GOVT PS BAGDAI 22220907301 1235 BALOD GURUR GOVT BOYS ASHRAM PS BAGDAI (TWD) 22220907302 1236 BALOD GURUR GOVT MS BAGDAI 22220907303 1237 BALOD GURUR GOVT PS ARJUNI 22220907401 1238 BALOD GURUR GOVT PRO. MS ARJUNI 22220907402 1239 BALOD GURUR GOVT PS SOHAPUR 22220907501 1240 BALOD GURUR GOVT MS SOHAPUR 22220907502 1241 BALOD GURUR GOVT PS NARAGAON 22220907601 1242 BALOD GURUR GOVT MS NARAGAON 22220907602 1243 BALOD GURUR GOVT PS KINARGONDI 22220907603 1244 BALOD GURUR GOVT PS KANERI 22220907801 1245 BALOD GURUR GOVT MS KANERI 22220907802 1246 BALOD GURUR GOVT PS MANERI 22220907805 1247 BALOD GURUR GOVT PS MAIDANI 22220907901 1248 BALOD GURUR GOVT PS KULIYA 22220908001 1249 BALOD GURUR GOVT MS KULIYA 22220908002 1250 BALOD GURUR GOVT PS KUMHARKHAN 22220908101 1251 BALOD GURUR GOVT PS NAWAGAON 22220908201 1252 BALOD GURUR GOVT PS DOKALA 22220908401
  • 39.
    1253 BALOD GURURGOVT PS BOHARDIH 22220908501 1254 BALOD GURUR GOVT PS PURUR 22220908601 1255 BALOD GURUR GOVT MS PURUR 22220908602 1256 BALOD GURUR GOVT PS BORIDKALA 22220908701 1257 BALOD GURUR GOVT PRO. MS BORIDKALA 22220908702 1258 BALOD GURUR GOVT PS CHATOD 22220908801 1259 BALOD GURUR GOVT MS CHATOD 22220908802 1260 BALOD GURUR GOVT PS ANANDPUR 22220908901 1261 BALOD GURUR GVT KANIST PS AMMAPANI 22220909001 1262 BALOD GURUR GOVT PS SOHTARA 22220909101 1263 BALOD GURUR GOVT PS NAKURA 22220909201 1264 BALOD GURUR GOVT PS MUDKHUSRA 22220909301 1265 BALOD GURUR GOVT BALAK ASHRAM JAGTARA (TWD) 22220909401 1266 BALOD GURUR GOVT ADIVASI MS BALAK ASHRAM (TWD) 22220909402 1267 BALOD GURUR PVT MANNONIGHT PS BALOD GAHAN 22220909501 1268 BALOD GURUR GARDIAN MEMORIAL MS 22220909502 1269 BALOD GURUR GOVT PS CHANDAN VIHARI 22220909601 1270 BALOD GURUR GOVT UPS CHANDAN VIHARI 22220909602 1271 BALOD GURUR GOVT PS FAGULAHA 22220909701 1272 BALOD GURUR GOVT MS FAGULAHA 22220909702 1273 BALOD GURUR GOVT PS PERPAR 22220909801 1274 BALOD GURUR GOVT PRO. MS PERPAR 22220909802 1275 BALOD GURUR GOVT PS AKALWARA 22220909901 1276 BALOD GURUR GOVT PS BAGTARAI 22220910001 1277 BALOD GURUR GOVT MS BAGTARAI 22220910002 1278 BALOD GURUR GOVT PS USARWARA 22220910101 1279 BALOD GURUR GOVT PRO. MS USARWARA 22220910102 1280 BALOD GURUR GOVT PS BHARRIGAON 22220910201 1281 BALOD GURUR GOVT PS KOCHWAHI 22220910301 1282 BALOD GURUR GOVT MS KOCHWAHI 22220910302 1283 BALOD GURUR GOVT PS POND 22220910401 1284 BALOD GURUR GOVT MS POND 22220910402 1285 BALOD GURUR GOVT PS MUJALGONDI 22220910501
  • 40.
    1286 BALOD GURURGOVT PS KANKALIN 22220910701 1287 BALOD GURUR GOVT PS KANKALIN 22220910702 1288 BALOD GURUR GOVT PS AONA KONA 22220910801 1289 BALOD GURUR GOVT PS KARREJHAR 22220910901 1290 BALOD GURUR GOVT MS KARREJHAR 22220910902 1291 BALOD GURUR GOVT PS MUSKERRA 22220911001 1292 BALOD GURUR GOVT PS ALORI 22220911101 1293 BALOD GURUR GOVT PRO.PS AMLIPARA 22220911202 1294 BALOD GURUR GOVT KANIST PS BHAISMUDI 22220911301 1295 BALOD GURUR GOVT PS DARRA 22220911401 1296 BALOD GURUR GOVT MS DARRA 22220911402 1297 BALOD GURUR GOVT PS KHARRA 22220911501 1298 BALOD GURUR GOVT PRO. MS KHARRA 22220911502 1299 BALOD GURUR GOVT PS DUPCHERA 22220911601 1300 BALOD GURUR GOVT MS DUPCHERA 22220911602 1301 BALOD GURUR GOVT PS NARBADA 22220911701 1302 BALOD GURUR GOVT MS NARBADA 22220911702 1303 BALOD GURUR GOVT PS SARBADA 22220911801 1304 BALOD GURUR GOVT PS DIYABATTI 22220911901 1305 BALOD GURUR GOVT PS KHUNDNI 22220912001 1306 BALOD GURUR GOVT MS KHUNDNI 22220912002 1307 BALOD GURUR GOVT PS KHORDO 22220912101 1308 BALOD GURUR GOVT PS MUJGAHAN 22220912201 1309 BALOD GURUR GOVT MS PALARI 22220912301 1310 BALOD GURUR GOVT PS PALARI 22220912302 1311 BALOD GURUR GOVT GIRLS PS PALARI 22220912303 1312 BALOD GURUR GOVT PS BHARRIPARA PALARI 22220912306 1313 BALOD GURUR GOVT PS SANGLI 22220912401 1314 BALOD GURUR GOVT PRO.MS SANGALI 22220912402 1315 BALOD GURUR GOVT MS PARSULI 22220912501 1316 BALOD GURUR GOVT PS PARSULI 22220912502 1317 BALOD GURUR GOVT MS PENDERWANI 22220912601 1318 BALOD GURUR GOVT.PS PENDERWANI 22220912602
  • 41.
    1319 BALOD GURURGOVT PRO. GIRS MS PENDERWANI 22220912603 1320 BALOD GURUR GOVT. P.S. GHANSIDASPARA PENDERWANI 22220912605 1321 BALOD GURUR GOVT MS KAWAR 22220912701 1322 BALOD GURUR GOVT.G.PS KAWAR 22220912702 1323 BALOD GURUR GOVT.PS KAWAR 22220912703 1324 BALOD GURUR GOVT.PS DEVKORT 22220913001 1325 BALOD GURUR GOVT PS ODENADIH 22220913201 1326 BALOD GURUR GOVT PS NAGBELDIH (SSA) 22220913301 1327 BALODABAZAR BALODA BAZAR GOVT. PRIMARY SCHOOL RASEDA 22242000101 1328 BALODABAZAR BALODA BAZAR GOVT. MIDDLE SCHOOL RASEDA RASEDA 22242000104 1329 BALODABAZAR BALODA BAZAR GOVT. PRIMARY SCHOOL BOIRDIH 22242000202 1330 BALODABAZAR BALODA BAZAR GOVT. PRIMARY SCHOOL BHADRA 22242000303 1331 BALODABAZAR BALODA BAZAR GOVT. PRIMARY SCHOOL NAYAPARA 22242000401 1332 BALODABAZAR BALODA BAZAR GOVT. MIDDLE SCHOOL NAYAPARA (SSA) 22242000402 1333 BALODABAZAR BALODA BAZAR GOVT. PRIMARY SCHOOL JAMDIH 22242000501 1334 BALODABAZAR BALODA BAZAR GOVT. PRIMARY SCHOOL JUDA 22242000601 1335 BALODABAZAR BALODA BAZAR GOVT. MIDDLE SCHOOL JUDA (SSA) 22242000602 1336 BALODABAZAR BALODA BAZAR GOVT. PT. CHAKRAPANI HIGER SECENDRY SCHOOL BALODABAZAR 22242000801 1337 BALODABAZAR BALODA BAZAR GOVT. PRIMMARY SCHOOL LAWANDAND 22242000901 1338 BALODABAZAR BALODA BAZAR GOVT. PRIMARY SCHOOL PARSADIH 22242001001 1339 BALODABAZAR BALODA BAZAR GOVT. PRAIMARY SCHOOL SARKIPAR 22242001201 1340 BALODABAZAR BALODA BAZAR GOVT. MIDDLE SCHOOL SARKIPAR (SSA) 22242001202 1341 BALODABAZAR BALODA BAZAR GOVT. PRAIMARY SCHOOL PANDARIYA 22242001301 1342 BALODABAZAR BALODA BAZAR GOVT. M.S. PANDARIYA (SSA) 22242001303 1343 BALODABAZAR BALODA BAZAR GOVT. PRIMARY SCHOOL AMALIDIH 22242001401 1344 BALODABAZAR BALODA BAZAR GOVT. PRAIMARY SCHOOL KHAMARIYA (MARDA) 22242001402 1345 BALODABAZAR BALODA BAZAR GOVT. PRAIMARY SCHOOL BAZARBHATHA 22242001501 1346 BALODABAZAR BALODA BAZAR GOVT. PRAIMARY SCHOOL GANGAI 22242001601 1347 BALODABAZAR BALODA BAZAR GOVT. MIDDLE SCHOOL GANGAI (SSA) 22242001602 1348 BALODABAZAR BALODA BAZAR GOVT. PRAIMARY SCHOOL KARDA 22242001702 1349 BALODABAZAR BALODA BAZAR GOVT. MIDDLE SCHOOL KARDA 22242001703 1350 BALODABAZAR BALODA BAZAR GOVT. PRAIMARY SCHOOL MEDH 22242001801 1351 BALODABAZAR BALODA BAZAR GOVT. MIDDLE SCHOOL MEDH (SSA) 22242001802
  • 42.
    1352 BALODABAZAR BALODABAZAR GOVT. PRAIMARY SCHOOL MOHTARA 22242001901 1353 BALODABAZAR BALODA BAZAR GOVT. MIDDLE SCHOOL MOHTARA 22242001905 1354 BALODABAZAR BALODA BAZAR GOVT. PRIMARY SCHOOL SONADIH 22242002001 1355 BALODABAZAR BALODA BAZAR GOVT. MIDDLE SCHOOL SONADIH (SSA) 22242002002 1356 BALODABAZAR BALODA BAZAR GOVT. PRAIMARY SCHOOL KUMHARI 22242002101 1357 BALODABAZAR BALODA BAZAR GOVT. MIDDLE SCHOOL KUMHARI (SSA) 22242002102 1358 BALODABAZAR BALODA BAZAR GOVT. PRAIMARY SCHOOL BAMHANMUDI 22242002201 1359 BALODABAZAR BALODA BAZAR GOVT. PRAIMARY SCHOOL BAMHANPURI 22242002202 1360 BALODABAZAR BALODA BAZAR GOVT. MIDDLE SCHOOL BAMHANPURI (SSA) 22242002203 1361 BALODABAZAR BALODA BAZAR GOVT. PRAIMARY SCHOOL KHAINDA 22242002301 1362 BALODABAZAR BALODA BAZAR GOVT. MIDDLE SCHOOL KHAINDA 22242002302 1363 BALODABAZAR BALODA BAZAR GOVT. MIDDLE SCHOOL KHAINDA (L) 22242002303 1364 BALODABAZAR BALODA BAZAR GOVT. PRAIMARY SCHOOL KHAINDA (L) 22242002304 1365 BALODABAZAR BALODA BAZAR GOVT. PRAIMARY SCHOOL KHAIRA 22242002401 1366 BALODABAZAR BALODA BAZAR GOVT.M.S. KHAIRA (SSA) 22242002402 1367 BALODABAZAR BALODA BAZAR GOVT. PRAIMARY SCHOOL MUDIYADIH 22242002501 1368 BALODABAZAR BALODA BAZAR GOVT. MIDDLE SCHOOL MUDIYADIH (SSA) 22242002502 1369 BALODABAZAR BALODA BAZAR GOVT. GIRLS PRAIMARY SCHOOL SAKARI 22242002601 1370 BALODABAZAR BALODA BAZAR GOVT. BOYS PRIMERY SCHOOL SAKARI 22242002602 1371 BALODABAZAR BALODA BAZAR GOVT. BOYS MIDDLE SCHOOL SAKARI 22242002603 1372 BALODABAZAR BALODA BAZAR GOVT. GIRLS MIDDLE SCHOOL SAKARI (SSA) 22242002605 1373 BALODABAZAR BALODA BAZAR GOVT. NAVEEN KANYA PRAIMARY SCHOOL B.B. 22242002701 1374 BALODABAZAR BALODA BAZAR GOVT. PRAIMARY SCHOOL MAHATMA GANDHI PURANIBASTI BALODA BAZAR 22242002801 1375 BALODABAZAR BALODA BAZAR GOVT. P.S. DR.RAM MANOHAR B.BAZAR 22242002902 1376 BALODABAZAR BALODA BAZAR GOVT. P.S. INDIRA COLO B. BAZAR 22242002904 1377 BALODABAZAR BALODA BAZAR GOVT. BOYS MIDDLE SCHOOL GANDHI CHAUK (SSA) 22242002910 1378 BALODABAZAR BALODA BAZAR GOVT. NAVEEN MIDDLE SCHOOL SIVIL LINE BALODA BAZAR SSA 22242002911 1379 BALODABAZAR BALODA BAZAR GOVT. K.G.B.V. B. BAZAR (SSA) 22242002918 1380 BALODABAZAR BALODA BAZAR GOVT. GARLS PRIMARY SCHOOL BHARSELA 22242003001 1381 BALODABAZAR BALODA BAZAR GOVT. MIDDLE SCHOOL BHARSELA NAYA (SSA) 22242003002 1382 BALODABAZAR BALODA BAZAR GOVT. PRIMARY SCHOOL KHAIRI 22242003101 1383 BALODABAZAR BALODA BAZAR GOVT. PRAIMARY SCHOOL PAIJANI 22242003201 1384 BALODABAZAR BALODA BAZAR GOVT. MIDDLE SCHOOL PAIJANI (SSA) 22242003202
  • 43.
    1385 BALODABAZAR BALODABAZAR GOVT. PRAIMARY SCHOOL KHAJURI 22242003301 1386 BALODABAZAR BALODA BAZAR GOVT. MIDDLE SCHOOL KHAJURI 22242003303 1387 BALODABAZAR BALODA BAZAR GOVT. PRIMARI SCHOOL JHONKA 22242003501 1388 BALODABAZAR BALODA BAZAR GOVT. BOYS PRAIMARY SCHOOL BALODA BAZAR 22242003601 1389 BALODABAZAR BALODA BAZAR GOVT. GRILS MIDDLE SCHOOL BALODA BAZAR 22242003602 1390 BALODABAZAR BALODA BAZAR GOVT. M.D.V. B. BAZAR (VARD NO 120 22242003603 1391 BALODABAZAR BALODA BAZAR GOVT. PRAIMARY SCHOOL SINGHARI 22242003701 1392 BALODABAZAR BALODA BAZAR GOVT. MIDDLE SCHOOL SINGHARI (SSA) 22242003702 1393 BALODABAZAR BALODA BAZAR GOVT. PRIMARY SCHOOL SONPURI 22242003901 1394 BALODABAZAR BALODA BAZAR GOVT. PRAIMARY SCHOOL BHATHAGAON (KOKDI) 22242004001 1395 BALODABAZAR BALODA BAZAR GOVT. PRAIMARY SCHOOL BHATAHAGAON 22242004002 1396 BALODABAZAR BALODA BAZAR GOVT. M.S. BHATHAGAON (SSA) 22242004003 1397 BALODABAZAR BALODA BAZAR GOVT. PRAIMARY SCHOOL CHIPPOTA 22242004101 1398 BALODABAZAR BALODA BAZAR GOVT. NAVEEN MIDDLE SCHOOL CHIRPOTA (SSA) 22242004102 1399 BALODABAZAR BALODA BAZAR GOVT. PRIMARY SCHOOL KAILASHGARH 22242004201 1400 BALODABAZAR BALODA BAZAR GOVT. PRIMARY SCHOOL DHARASHIV 22242004301 1401 BALODABAZAR BALODA BAZAR GOVT. MIDDLE SCHOOL DHARASHIV 22242004302 1402 BALODABAZAR BALODA BAZAR GOVT. PRAIMARY SCHOOL KOHRAOD 22242004401 1403 BALODABAZAR BALODA BAZAR GOVT. MIDDLE SCHOOL KOHROD 22242004402 1404 BALODABAZAR BALODA BAZAR GOVT. PRAIMARY SCHOOL SALONI 22242004501 1405 BALODABAZAR BALODA BAZAR GOVT. MIDDLE SCHOOL SALONI 22242004502 1406 BALODABAZAR BALODA BAZAR GOVT. GIRLS PRIMARY SCHOOL PANGAON 22242004601 1407 BALODABAZAR BALODA BAZAR GOVT. BOYS PRIMARY SCHOOL PANGAON 22242004602 1408 BALODABAZAR BALODA BAZAR GOVT. BOYS MIDDLE SCHOOL PANGAON 22242004603 1409 BALODABAZAR BALODA BAZAR GOVT. GRILS MIDDLE SCHOOL PANGAON (SSA) 22242004604 1410 BALODABAZAR BALODA BAZAR GOVT. PRAIMARY SCHOOL CHAROTI 22242004801 1411 BALODABAZAR BALODA BAZAR GOVT. MIDDLE SCHOOL CHAROTI (SSA) 22242004802 1412 BALODABAZAR BALODA BAZAR GOVT. PRAIMARY SCHOOL KOLIHA 22242004901 1413 BALODABAZAR BALODA BAZAR GOVT. MIDDLE SCHOOL KOLIHA (SSA) 22242004902 1414 BALODABAZAR BALODA BAZAR GOVT. BOYS PRIMARY SCHOOL LATUWA 22242005002 1415 BALODABAZAR BALODA BAZAR GOVT. BOYS MIDDLE SCHOOL LATUWA 22242005003 1416 BALODABAZAR BALODA BAZAR GOVT. GIRLS PRIMARY SCHOOL LATUWA 22242005006 1417 BALODABAZAR BALODA BAZAR GOVT. GIRL M.S. LATUWA (SSA) 22242005007
  • 44.
    1418 BALODABAZAR BALODABAZAR GOVT. PRAIMARY SCHOOL KUKURDIH 22242005101 1419 BALODABAZAR BALODA BAZAR GOVT. MIDDLE SCHOOL KUKURDIH (SSA) 22242005102 1420 BALODABAZAR BALODA BAZAR GOVT. PRAIMARY SCHOOL PURAN 22242005301 1421 BALODABAZAR BALODA BAZAR GOVT. PRAIMARY SCHOOL DAMARU 22242005401 1422 BALODABAZAR BALODA BAZAR GOVT MIDDLE SCHOOL DAMARU 22242005403 1423 BALODABAZAR BALODA BAZAR GOVT. PRIMARY SCHOOL BHATAPARA (DAMARU) (SSA)22242005404 1424 BALODABAZAR BALODA BAZAR GOVT. PRIMARY SCHOOL AMALKUNDA 22242005501 1425 BALODABAZAR BALODA BAZAR GOVT. MIDDLE SCHOOL AMALKUNDA (SSA) 22242005502 1426 BALODABAZAR BALODA BAZAR GOVT. GRILS PRAIMARY SCHOOL RISDA 22242005601 1427 BALODABAZAR BALODA BAZAR GOVT. BOYS PRIMARY SCHOOL RISDA 22242005602 1428 BALODABAZAR BALODA BAZAR GOVT. GRILS MIDDLE SCHOOL RISDA 22242005603 1429 BALODABAZAR BALODA BAZAR GOVT. BOYS MIDDLE SCHOOL RISDA 22242005604 1430 BALODABAZAR BALODA BAZAR GOVT. PRIMARY SCHOOL KARMANDIH 22242005801 1431 BALODABAZAR BALODA BAZAR GOVT. PRAIMARY SCHOOL LIMAHI 22242005901 1432 BALODABAZAR BALODA BAZAR GOVT. MIDDLE SCHOOL LIMAHI (SSA) 22242005902 1433 BALODABAZAR BALODA BAZAR GOVT. PRAIMARY SCHOOL PAHANDA 22242006001 1434 BALODABAZAR BALODA BAZAR GOVT. NAVEEN PRAIMARY SCHOOL PAHANDA (SSA) 22242006002 1435 BALODABAZAR BALODA BAZAR GOVT. PRAIMARY SCHOOL DONGARIDIH 22242006101 1436 BALODABAZAR BALODA BAZAR GOVT. MIDDLE SCHOOL DONGARIDIH (SSA) 22242006102 1437 BALODABAZAR BALODA BAZAR GOVT. PRAIMARY SCHOOL RASEDI 22242006301 1438 BALODABAZAR BALODA BAZAR GOVT. MIDDLE SCHOOL RASEDI (SSA) 22242006303 1439 BALODABAZAR BALODA BAZAR GOVT. PRAIMARY SCHOOL SUDHELA 22242006401 1440 BALODABAZAR BALODA BAZAR GOVT. MIDDLE SCHOOL SUDHELA (SSA) 22242006402 1441 BALODABAZAR BALODA BAZAR GOVT. PRAIMARY SCHOOL KHAIRGHTA 22242006501 1442 BALODABAZAR BALODA BAZAR GOVT. PRAIMARY SCHOOL PIPRAHI 22242006701 1443 BALODABAZAR BALODA BAZAR GOVT. PRAIMARY SCHOOL KANJI 22242006901 1444 BALODABAZAR BALODA BAZAR GOVT. MIDDLE SCHOOL KANJI (SSA) 22242006903 1445 BALODABAZAR BALODA BAZAR GOVT. PRAIMARY SCHOOL TARASHIV 22242007001 1446 BALODABAZAR BALODA BAZAR GOVT. MIDDLE SCHOOL TARASHIV (SSA) 22242007002 1447 BALODABAZAR BALODA BAZAR GOVT. PRIMARY SCHOOL MISHARAINDIH 22242007101 1448 BALODABAZAR BALODA BAZAR GOVT. PRAIMARY SCHOOL LATA 22242007301 1449 BALODABAZAR BALODA BAZAR GOVT. PRAIMARY SCHOOL DHANGAON 22242007401 1450 BALODABAZAR BALODA BAZAR GOVT. PRIMARY SCHOOL KARI 22242007501
  • 45.
    1451 BALODABAZAR BALODABAZAR GOVT. MIDDLE SCHOOL KARI (SSA) 22242007502 1452 BALODABAZAR BALODA BAZAR GOVT. PRAIMARY SCHOOL KHATIYAPATI 22242007601 1453 BALODABAZAR BALODA BAZAR GOVT. MIDDLE SCHOOL KHATIYAPATI 22242007602 1454 BALODABAZAR BALODA BAZAR GOVT. PRAIMARY SCHOOL CHANGORI 22242007701 1455 BALODABAZAR BALODA BAZAR GOVT. PRAIMARY SCHOOL KASIYARA 22242007801 1456 BALODABAZAR BALODA BAZAR GOVT. PRAIMARY SCHOOL SEMARIYA 22242007901 1457 BALODABAZAR BALODA BAZAR GOVT. MIDDLE SCHOOL SEMARIYA (SSA) 22242007902 1458 BALODABAZAR BALODA BAZAR GOVT. PRAIMARY SCHOOL BHARUWADIH 22242008001 1459 BALODABAZAR BALODA BAZAR GOVT. MIDDLE SCHOOL BHARUWADIH (SSA) 22242008002 1460 BALODABAZAR BALODA BAZAR GOVT. PRAIMARY SCHOOL LAHOD 22242008101 1461 BALODABAZAR BALODA BAZAR GOVT. MIDDEL SCHOOL LAHOD 22242008104 1462 BALODABAZAR BALODA BAZAR GOVT. NAVEEN PRAIMARY SCHOOL LAHOD (SSA) 22242008106 1463 BALODABAZAR BALODA BAZAR GOVT. NAVEEN PRAIMARY SCHOOL JUDA (SSA) 22242008107 1464 BALODABAZAR BALODA BAZAR GOVT. PRAIMARY SCHOOL BARDA 22242008201 1465 BALODABAZAR BALODA BAZAR GOVT. MIDDLE SCHOOL BARDA (SSA) 22242008202 1466 BALODABAZAR BALODA BAZAR GOVT. PRAIMARY SCHOOL TURMA 22242008301 1467 BALODABAZAR BALODA BAZAR GOVT. MIDDLE SCHOOL TURMA 22242008302 1468 BALODABAZAR BALODA BAZAR GOVT. PRAIMARY SCHOOL HALWAI KHAPARI 22242008403 1469 BALODABAZAR BALODA BAZAR GOVT. PRIMARY SCHOOL BHARSELA 22242008501 1470 BALODABAZAR BALODA BAZAR GOVT. MIDDLE SCOOL BHARSELA 22242008502 1471 BALODABAZAR BALODA BAZAR GOVT. NAVEEN PRAIMARY SCHOOL BHATHAPARA (SSA)22242008503 1472 BALODABAZAR BALODA BAZAR GOVT. PRAIMARY SCHOOL PAISAR 22242008601 1473 BALODABAZAR BALODA BAZAR GOVT. MIDDLE SCHOOL PAISAR (SSA) 22242008602 1474 BALODABAZAR BALODA BAZAR GOVT. MISHAN PRAIMARY SCHOOL PRSABHADER 22242008702 1475 BALODABAZAR BALODA BAZAR GOVT.P.S. PARSABHADER (CHAROTI) 22242008703 1476 BALODABAZAR BALODA BAZAR GOVT. PRIMARY SCHOOL GINDOLA 22242008802 1477 BALODABAZAR BALODA BAZAR GOVT. MIDDLE. SCHOOL GINDOLA 22242008803 1478 BALODABAZAR BALODA BAZAR GOVT. NAVEEN PRIMARY SCHOOL NAI BASTI GINDOLA (SSA) 22242008804 1479 BALODABAZAR BALODA BAZAR GOVT. PRAIMARY SCHOOL SUDHELI 22242009001 1480 BALODABAZAR BALODA BAZAR GOVT. PRAIMARY SCHOOL MARDA MARDA 22242009101 1481 BALODABAZAR BALODA BAZAR GOVT. M.S. MARDA 22242009102 1482 BALODABAZAR BALODA BAZAR GOVT. MIDDLE SCHOOL AMALIDIH 22242009104 1483 BALODABAZAR BALODA BAZAR GOVT. BOY'S P.S. LAWAN 22242009201
  • 46.
    1484 BALODABAZAR BALODABAZAR GOVT. GIRL'S P.S. LAWAN 22242009203 1485 BALODABAZAR BALODA BAZAR GOVT. BOY'S M.S. LAWAN 22242009205 1486 BALODABAZAR BALODA BAZAR JANBHAGIDARI KANYA M. S. 22242009210 1487 BALODABAZAR BALODA BAZAR GOVT. N.P.S. BUDAPARA LAWAN (SSA) 22242009216 1488 BALODABAZAR BALODA BAZAR GOVT. PRIMARY SCHOOL CHITAWAR 22242009301 1489 BALODABAZAR BALODA BAZAR GOVT. M.S. CHITAWAR (SSA) 22242009302 1490 BALODABAZAR BALODA BAZAR GOVT. PRAIMARY SCHOOL DASHARMA 22242009401 1491 BALODABAZAR BALODA BAZAR GOVT. MIDDLE SCHOOL DASHARMA (SSA) 22242009402 1492 BALODABAZAR BALODA BAZAR GOVT. PRAIMARY SCHOOL DEORI 22242009501 1493 BALODABAZAR BALODA BAZAR GOVT M.S. DEORI 22242009502 1494 BALODABAZAR BALODA BAZAR GOVT. PRAIMARY SCHOOL PURENA 22242009602 1495 BALODABAZAR BALODA BAZAR GOVT. PRAIMARY SCHOOL DHABADIH 22242009701 1496 BALODABAZAR BALODA BAZAR GOVT P.S. DHABADIH (RISDA) 22242009702 1497 BALODABAZAR BALODA BAZAR GOVT. PRAIMARY SCHOOL KHAMARIYA 22242009801 1498 BALODABAZAR BALODA BAZAR GOVT. NEW MIDDLE SCHOOL KHAMARIYA (SSA) 22242009803 1499 BALODABAZAR BALODA BAZAR GOVT. PRIMARY SCHOOL KHAIRWARDIH 22242009901 1500 BALODABAZAR BALODA BAZAR GOVT. PRAIMARY SCHOOL MAGARCHABA 22242010001 1501 BALODABAZAR BALODA BAZAR GOVT. PRAIMARY SCHOOL BHALUKONA 22242010101 1502 BALODABAZAR BALODA BAZAR GOVT. M.S. BHALUKONA 22242010102 1503 BALODABAZAR BALODA BAZAR GOVT. PRAIMARY SCHOOL BITKULI 22242010201 1504 BALODABAZAR BALODA BAZAR GOVT. MIDDLE SCHOOL BITKULI (SSA) 22242010202 1505 BALODABAZAR BALODA BAZAR GOVT. PRAIMARY SCHOOL THELKI 22242010301 1506 BALODABAZAR BALODA BAZAR GOVT. MIDDLE SCHOOL THELKI (SSA) 22242010302 1507 BALODABAZAR BALODA BAZAR GOVT. PRAIMARY SCHOOL SUNSUNIYA 22242010501 1508 BALODABAZAR BALODA BAZAR GOVT. PRAIMARY SCHOOL BHADRAPALI 22242010601 1509 BALODABAZAR BALODA BAZAR GOVT. P.S. KHAIRTAL 22242010701 1510 BALODABAZAR BALODA BAZAR GOVT. M.S. KHAIRTAL (SSA) 22242010702 1511 BALODABAZAR BALODA BAZAR GOVT. BOY'S P.S. ARJUNI 22242010801 1512 BALODABAZAR BALODA BAZAR GOVT. BOY'S M.S. ARJUNI 22242010803 1513 BALODABAZAR BALODA BAZAR GOVT. GIRL'S M.S. ARJUNI (SSA) 22242010806 1514 BALODABAZAR BALODA BAZAR GOVT. PRIMARY SCHOOL ARJUNI 22242010809 1515 BALODABAZAR BALODA BAZAR GOVT. PRAIMARY SCHOOL PONSARI 22242010901 1516 BALODABAZAR BALODA BAZAR GOVT. MIDDLE SCHOOL PONSARI (SSA) 22242010903
  • 47.
    1517 BALODABAZAR BALODABAZAR GOVT. PRIMARY SCHOOL PONSARI 22242010904 1518 BALODABAZAR BALODA BAZAR GOVT. P.S. HARDI 22242011001 1519 BALODABAZAR BALODA BAZAR GOVT. NAVEEN PRAIMARY SCHOOL HARDI (SSA) 22242011002 1520 BALODABAZAR BALODA BAZAR GOVT. PRIMARY SCHOOL NAYAKTAND 22242011101 1521 BALODABAZAR BALODA BAZAR GOVT. PRIMARY SCHOOL SHUKLABHATHA 22242011201 1522 BALODABAZAR BALODA BAZAR GOVT- M-S- SHUKLABHATHA (SSA) 22242011202 1523 BALODABAZAR BALODA BAZAR GOVT. P.S. KHAMARIYA (YADU) 22242011402 1524 BALODABAZAR BALODA BAZAR GOVT. PRIMARY SCHOOL SEMHARADIH 22242011501 1525 BALODABAZAR BALODA BAZAR GOVT. P.S. SEMHARADIH (SSA) 22242011502 1526 BALODABAZAR BALODA BAZAR GOVT. MIDDLE SCHOOL SEMHARADIH 22242011503 1527 BALODABAZAR BALODA BAZAR GOVT. P.S. CHICHIRDA 22242011601 1528 BALODABAZAR BALODA BAZAR GOVT. M.S. CHICHIRDA (SSA) 22242011602 1529 BALODABAZAR BALODA BAZAR GOVT. M.S. KOYADA 22242011802 1530 BALODABAZAR BALODA BAZAR GOVT. P.S. KOYADA 22242011803 1531 BALODABAZAR BALODA BAZAR GOVT. PRIMARY SCHOOL DOTOPAR 22242011901 1532 BALODABAZAR BALODA BAZAR GOVT. MIDDLE SCHOOL DOTOPAR (SSA) 22242011902 1533 BALODABAZAR BALODA BAZAR GOVT. P.S. KORDA 22242012001 1534 BALODABAZAR BALODA BAZAR GOVT. M.S. KORDA (SSA) 22242012002 1535 BALODABAZAR BALODA BAZAR GOVT. P.S. KHAMHARIYA 22242012101 1536 BALODABAZAR BALODA BAZAR GOVT. P.S. PURENAKHAPARI 22242012201 1537 BALODABAZAR BALODA BAZAR GOVT. PRIMARY SCHOOL BHARSELI 22242012301 1538 BALODABAZAR BALODA BAZAR GOVT. PRIMARY SCHOOL CHHUIHA (MAL) 22242012401 1539 BALODABAZAR BALODA BAZAR GOVT. BOYS PRAIMARY SCHOOL KARMADA 22242012501 1540 BALODABAZAR BALODA BAZAR GOVT. M.S. BOY'S KARMADA 22242012503 1541 BALODABAZAR BALODA BAZAR GOVT. GIRL'S M.S. KARMADA (SSA) 22242012506 1542 BALODABAZAR BALODA BAZAR GOVT. GIRL'S P.S. KARMADA 22242012507 1543 BALODABAZAR BALODA BAZAR GOVT. P.S. BUDGAHAN 22242012601 1544 BALODABAZAR BALODA BAZAR GOVT. M.S. BUDGAHAN (SSA) 22242012602 1545 BALODABAZAR BALODA BAZAR GOVT. PRIMARY SCHOOL KHAMHARDIH 22242012701 1546 BALODABAZAR BALODA BAZAR GOVT. P.S. KOLIYARI 22242012801 1547 BALODABAZAR BALODA BAZAR GOVT. P.S. MUDHIPAR 22242013001 1548 BALODABAZAR BALODA BAZAR GOVT. P.S. BEMETARA 22242013101 1549 BALODABAZAR BALODA BAZAR GOVT. PRAIMARY SCHOOL CHICHOLI 22242013201
  • 48.
    1550 BALODABAZAR BALODABAZAR GOVT. PRAIMARY SCHOOL CHAMPA 22242013301 1551 BALODABAZAR BALODA BAZAR GOVT. MIDDLE SCHOOL CHAMPA (SSA) 22242013302 1552 BALODABAZAR BALODA BAZAR GOVT. P-S- ACHANAKPUR 22242013401 1553 BALODABAZAR BALODA BAZAR GOVT. PRAIMARY SCHOOL BAGBUDA 22242013501 1554 BALODABAZAR BALODA BAZAR GOVT M.S. BAGBUDA 22242013502 1555 BALODABAZAR BALODA BAZAR GOVT. NAVEEN PRIMARY SCHOOL GHULGHUL 22242013601 1556 BALODABAZAR BALODA BAZAR GOVT. PRIMARY SCHOOL DHAURABHATA 22242013701 1557 BALODABAZAR BALODA BAZAR GOVT. P.S. GODKHAPARI 22242013801 1558 BALODABAZAR BALODA BAZAR GOVT. PRAIMARY SCHOOL TILDA 22242013901 1559 BALODABAZAR BALODA BAZAR GOVT M.S. TILDA 22242013902 1560 BALODABAZAR BALODA BAZAR GOVT. P.S. DONGRA 22242014001 1561 BALODABAZAR BALODA BAZAR GOVT. M.S. DONGRA (SSA) 22242014002 1562 BALODABAZAR BALODA BAZAR GOVT. PRAIMARY SCHOOL PARSAPALI 22242014101 1563 BALODABAZAR BALODA BAZAR GOVT. P.S. RAWAN 22242014201 1564 BALODABAZAR BALODA BAZAR GOVT. M.S. RAWAN 22242014202 1565 BALODABAZAR BALODA BAZAR GOVT. PRAIMARY SCHOOL KOKADI 22242014301 1566 BALODABAZAR BALODA BAZAR GOVT. PRAIMARY SCHOOL DHANDHANI 22242014402 1567 BALODABAZAR BALODA BAZAR GOVT. MIDDLE SCHOOL DHANDHANI (SSA) 22242014404 1568 BALODABAZAR BALODA BAZAR GOVT. UTTAR BNIYADI PRIMARY 22242014501 1569 BALODABAZAR BALODA BAZAR GOVT. GRL'S P.S. B. BAZAR 22242014503 1570 BALODABAZAR BALODA BAZAR GOVT. N.P.S. SIVILLINS B.BAZAR 22242014504 1571 BALODABAZAR BALODA BAZAR GOVT. PRAIMARY SCHOOL MUNDA 22242014601 1572 BALODABAZAR BALODA BAZAR GOVT. N.M.S. MUNDA (SSA) 22242014602 1573 BALODABAZAR BALODA BAZAR GOVT. PRAIMARY SCHOOL SIRIYADIH 22242014701 1574 BALODABAZAR BALODA BAZAR GOVT. M.S. SIRIYADIH 22242014702 1575 BALODABAZAR BALODA BAZAR GOVT. PRAIMARY SCHOOL KHAPARI (MEDH) 22242014801 1576 BALODABAZAR BALODA BAZAR GOVT. PRIMARY SCHOOL MUSUWATHODI 22242014901 1577 BALODABAZAR BALODA BAZAR GOVT. PRAIMARY SCHOOL PARAGAON 22242015101 1578 BALODABAZAR BALODA BAZAR GOVT. PRAIMARY SCHOOL AHILDA 22242015301 1579 BALODABAZAR BALODA BAZAR GOVT. MIDDLE SCHOOL AHILDA 22242015302 1580 BALODABAZAR BALODA BAZAR GOVT. P.S. SARKHOR 22242015304 1581 BALODABAZAR BALODA BAZAR GOVT. NAVEEN PRAIMARY SCHOOL CHUIHA (KHAPARI) 22242015401 1582 BALODABAZAR BALODA BAZAR GOVT. PRAIMARY SCHOOL GAITARA 22242015501
  • 49.
    1583 BALODABAZAR BALODABAZAR GOVT. MIDDLE SCHOOL GAITARA 22242015502 1584 BALODABAZAR BALODA BAZAR GOVT. N.M.S. GAITARA (SSA) 22242015503 1585 BALODABAZAR BALODA BAZAR GOVT. NAVEEN PRAIMARY SCHOOL SARWADIH 22242015601 1586 BALODABAZAR BALODA BAZAR GOVT. PRAIMARY SCHOOL MAGARVAY 22242015701 1587 BALODABAZAR BALODA BAZAR GOVT. PRAIMARY SCHOOL DHABADIH 22242015901 1588 BALODABAZAR BALODA BAZAR GOVT. MIDDLE SCHOOL DHABADIH (SSA) 22242015902 1589 BALODABAZAR BALODA BAZAR GOVT. PRAIMARY SCHOOL MANIPUR 22242016001 1590 BALODABAZAR BALODA BAZAR GOVT. PRIMARY SCHOOL KHARCHA (SSA) 22242016101 1591 BALODABAZAR BALODA BAZAR GOVT. PRAIMARY SCHOOL DHANWAI 22242016601 1592 BALODABAZAR BALODA BAZAR GOVT. PRAIMARY SCHOOL NAYAPARA (SSA) 22242016602 1593 BALODABAZAR BALODA BAZAR GOVT . M. S. DHANWAI (SSA) 22242016603 1594 BALODABAZAR BALODA BAZAR GOVT. NAVEEN PRAIMARY SCHOOL SOLAHA (SSA) 22242017701 1595 BALODABAZAR BALODA BAZAR GOVT. MIDDLE SCHOOL SARKHOR 22242017802 1596 BALODABAZAR BALODA BAZAR GOVT. PRIMARY SCHOOL CHHUIHA RAIYAT (SSA) 22242017901 1597 BALODABAZAR BALODA BAZAR GOVT. PRAIMARY SCHOOL KESHDABARI (SSA) 22242018101 1598 BALODABAZAR BALODA BAZAR GOVT. PRAIMARY SCHOOL BOIRDIH 22242018201 1599 BALODABAZAR BALODA BAZAR GOVT . PRAIMARY SCHOOL AMALDIHA (SSA) 22242018301 1600 BALODABAZAR BALODA BAZAR GOVT. PRAIMARY SCHOOL DHANDHANI (SSA) 22242018401 1601 BALODABAZAR BALODA BAZAR GOVT. PRAIMARY SCHOOL PAHANDA 22242018501 1602 BALODABAZAR BHATAPARA GOVT P/S BHOTHIDIH 22240200102 1603 BALODABAZAR BHATAPARA GOVT. M/ S BHOTHIDI (SSA) 22240200103 1604 BALODABAZAR BHATAPARA GOVT.P/S AKALTARA 22240200301 1605 BALODABAZAR BHATAPARA GOVT.M/S AKALTARA 22240200302 1606 BALODABAZAR BHATAPARA GOVT.P/S BANJARPARA AKALTARA(SSA) 22240200303 1607 BALODABAZAR BHATAPARA GOVT M.S. NIPANIYA 22240200401 1608 BALODABAZAR BHATAPARA GOVT P/S DHANELI 22240200501 1609 BALODABAZAR BHATAPARA GOVT M/S. DHANELI 22240200502 1610 BALODABAZAR BHATAPARA GOVT.NAVIN P/S DARRIPARA DHANELI 22240200504 1611 BALODABAZAR BHATAPARA GOVT P/S KHAMHARIYA 22240200601 1612 BALODABAZAR BHATAPARA GOVT. MS KHAMHARIYA (SSA) 22240200602 1613 BALODABAZAR BHATAPARA GOVT P/S KUMHARKHAN 22240200701 1614 BALODABAZAR BHATAPARA GOVT.G.G.M. M/S KADAR (SSA) 22240200803 1615 BALODABAZAR BHATAPARA GOVT P/S KADAR 22240200805
  • 50.
    1616 BALODABAZAR BHATAPARAGOVT. P/S SEMRIYA 22240200901 1617 BALODABAZAR BHATAPARA GOVT. P/S JETHANI 22240201101 1618 BALODABAZAR BHATAPARA GOVT. P/S KESALA 22240201201 1619 BALODABAZAR BHATAPARA GOVT. M/S KESALA (SSA) 22240201202 1620 BALODABAZAR BHATAPARA GOVT. P/S LACHHANPUR 22240201301 1621 BALODABAZAR BHATAPARA GOVT. P/S DEORI 22240201401 1622 BALODABAZAR BHATAPARA GOVT M.S. DEVARI 22240201402 1623 BALODABAZAR BHATAPARA GOVT.GIRL M.S. DEVARI (SSA) 22240201403 1624 BALODABAZAR BHATAPARA GOVT. P/S PATHRIYA 22240201501 1625 BALODABAZAR BHATAPARA GOVT.M.S. PATHRIYA (SSA) 22240201502 1626 BALODABAZAR BHATAPARA GOVT. P/S TONATAR 22240201601 1627 BALODABAZAR BHATAPARA GOVT M.S. TONATAR 22240201602 1628 BALODABAZAR BHATAPARA GOVT. P/S HASDA 22240201701 1629 BALODABAZAR BHATAPARA GOVT. P/S KOSMANDA 22240201801 1630 BALODABAZAR BHATAPARA GOVT.EGS P/S KOSMANDA (SSA) 22240201803 1631 BALODABAZAR BHATAPARA GOVT.M.S. KOSMANDA 22240201804 1632 BALODABAZAR BHATAPARA GOVT. P/S MENDRA 22240202001 1633 BALODABAZAR BHATAPARA GOVT. P/S BORDTARA 22240202101 1634 BALODABAZAR BHATAPARA GOVT M/S BORDTARA 22240202103 1635 BALODABAZAR BHATAPARA GOVT. P/S GARDADIH 22240202201 1636 BALODABAZAR BHATAPARA GOVT. P/S RAJPUR 22240202301 1637 BALODABAZAR BHATAPARA GOVT. P/S PARASWANI 22240202401 1638 BALODABAZAR BHATAPARA GOVT P S PARSWANI 22240202402 1639 BALODABAZAR BHATAPARA GOVT. P/S LALPUR 22240202501 1640 BALODABAZAR BHATAPARA GOVT. P/S LEWAI 22240202601 1641 BALODABAZAR BHATAPARA GOVT.NAVEEN M /S LEWAI (SSA) 22240202604 1642 BALODABAZAR BHATAPARA GOVT. P/S NIPNIYA 22240202701 1643 BALODABAZAR BHATAPARA GOVT. P/S SUMA 22240202801 1644 BALODABAZAR BHATAPARA GOVT. M/S SUMA (SSA) 22240202802 1645 BALODABAZAR BHATAPARA GOVT. P/S OTEBAND 22240202901 1646 BALODABAZAR BHATAPARA GOVT.M/S OTEBAND (SSA) 22240202902 1647 BALODABAZAR BHATAPARA GOVT. P/S GODHI 22240203001 1648 BALODABAZAR BHATAPARA GOVT.M /S GODHI (SSA) 22240203002
  • 51.
    1649 BALODABAZAR BHATAPARAGOVT. P/S NAWAGAON 22240203101 1650 BALODABAZAR BHATAPARA GOVT.M /S NAWAGAON (SSA) 22240203102 1651 BALODABAZAR BHATAPARA GOVT. P/S PARSADIH 22240203201 1652 BALODABAZAR BHATAPARA GOVT. P/S DHORABHATA 22240203301 1653 BALODABAZAR BHATAPARA GOVT. P/S AMLIDIH 22240203401 1654 BALODABAZAR BHATAPARA GOVT. P/S AMLIDIH 22240203402 1655 BALODABAZAR BHATAPARA GOVT M.S. AMLIDIH 22240203403 1656 BALODABAZAR BHATAPARA GOVT. P/S RAJADHAR 22240203501 1657 BALODABAZAR BHATAPARA GOVT. M.S. RAJADHAR (SSA) 22240203502 1658 BALODABAZAR BHATAPARA GOVT. P/S BAGBUDRWA 22240203601 1659 BALODABAZAR BHATAPARA GOVT. P/S GUDAGHAT 22240203701 1660 BALODABAZAR BHATAPARA GOVT.NAVEEN P/S GUDAGHAT 22240203702 1661 BALODABAZAR BHATAPARA GOVT M.S. GURDAGHAT 22240203703 1662 BALODABAZAR BHATAPARA GOVT. P/S AALESUR 22240203801 1663 BALODABAZAR BHATAPARA GOVT. P/S BAKULAHI 22240204001 1664 BALODABAZAR BHATAPARA GOVT. BOYS P/S HATHNIPARA 22240204101 1665 BALODABAZAR BHATAPARA GOVT GIRLS P.S. HATHNIPARA 22240204102 1666 BALODABAZAR BHATAPARA GOVT. KGABV BHATAPARA 22240204103 1667 BALODABAZAR BHATAPARA GOVT. PRIMARY SCHOOL NEW HINDI 22240204204 1668 BALODABAZAR BHATAPARA GOVT.MAIN HINDI KANYA P/S BYT 22240204205 1669 BALODABAZAR BHATAPARA GOVT P/S LAL BAHADUR BYT 22240204206 1670 BALODABAZAR BHATAPARA GOVT.NEW HINDI " A " P/S BYT 22240204207 1671 BALODABAZAR BHATAPARA GOVT.P.S. RAMSAGARPARA 22240204215 1672 BALODABAZAR BHATAPARA GOVT. SHIVLAL MEHTA M.S. PARSURAM W 22240204216 1673 BALODABAZAR BHATAPARA GOVT GIRLS M.S. BHATAPARA 22240204217 1674 BALODABAZAR BHATAPARA GOVT M.S. RAMSAGAR PARA 22240204218 1675 BALODABAZAR BHATAPARA GOVT ADARSH M.S. ( N. 1) 22240204219 1676 BALODABAZAR BHATAPARA GOVT P/S MATADEWALAY 22240204221 1677 BALODABAZAR BHATAPARA GOVT. M/S BHATAPARA ( N0. 2 ) 22240204222 1678 BALODABAZAR BHATAPARA GOVT.PANCHAM DEEWAN GOVT. KANYA SCH 22240204224 1679 BALODABAZAR BHATAPARA GOVT.NEW HINDI (B) P/S BYT 22240204225 1680 BALODABAZAR BHATAPARA GOVT M/S MATADEWALAY BHATAPARA 22240204226 1681 BALODABAZAR BHATAPARA GOVT.M.S.NEW HINDI BYT (SSA) 22240204232
  • 52.
    1682 BALODABAZAR BHATAPARAGOVT.PRO. M.S. MATADEVALA BYT (SSA) 22240204233 1683 BALODABAZAR BHATAPARA GOVT P.S.PT.DDU NAGAR BYT (SSA) 22240204234 1684 BALODABAZAR BHATAPARA GOVT.NAVIN PS SUBHAS W BYT(SSA) 22240204235 1685 BALODABAZAR BHATAPARA GOVT P S BHIJABAHT (SSA) 22240204236 1686 BALODABAZAR BHATAPARA GOVT.NAVEEN P/S PANCHSHEEL 22240204248 1687 BALODABAZAR BHATAPARA GOVT. P/S BENDARI 22240204401 1688 BALODABAZAR BHATAPARA GOVT. P/S PATAN 22240204501 1689 BALODABAZAR BHATAPARA GOVT M.S. PATAN 22240204502 1690 BALODABAZAR BHATAPARA GOVT. P/S KOTAMI 22240204701 1691 BALODABAZAR BHATAPARA GOVT M.S. KOTAMI 22240204702 1692 BALODABAZAR BHATAPARA GOVT.M.S. TURMA (SSA) 22240204802 1693 BALODABAZAR BHATAPARA GOVT. PS TURMA 22240204803 1694 BALODABAZAR BHATAPARA GOVT. P/S CHAMARI 22240205001 1695 BALODABAZAR BHATAPARA GOVT. P/S DHABADIH 22240205101 1696 BALODABAZAR BHATAPARA GOVT. P/S SINGARPUR 22240205201 1697 BALODABAZAR BHATAPARA GOVT M.S. SINGARPUR 22240205202 1698 BALODABAZAR BHATAPARA GOVT.NAVEEN KANYA M/S SINGARPUR 22240205203 1699 BALODABAZAR BHATAPARA GOVT.P/ S INDIRA COLONI SINGARPUR 22240205204 1700 BALODABAZAR BHATAPARA GOVT. P/S KHAPARADIH 22240205401 1701 BALODABAZAR BHATAPARA GOVT. P/S MADHUBAN 22240205501 1702 BALODABAZAR BHATAPARA GOVT. P/S KODAPAR 22240205601 1703 BALODABAZAR BHATAPARA GOVT. P/S KHETI 22240205701 1704 BALODABAZAR BHATAPARA GOVT. P/S SEMRADIH 22240205801 1705 BALODABAZAR BHATAPARA GOVT. M/S SEMRADIH (SSA) 22240205802 1706 BALODABAZAR BHATAPARA GOVT NAVIN P/S TIKULIYA 22240205902 1707 BALODABAZAR BHATAPARA GOVT. NAVIN MS TIKULIA 22240205903 1708 BALODABAZAR BHATAPARA GOVT. P/S SILWA 22240206001 1709 BALODABAZAR BHATAPARA GOVT. P/S GUDELIYA 22240206101 1710 BALODABAZAR BHATAPARA GOVT.M/S GUDELIYA (SSA) 22240206102 1711 BALODABAZAR BHATAPARA GOVT. P/S PASID 22240206201 1712 BALODABAZAR BHATAPARA GOVT.G.G.M. M/S PASID (SSA) 22240206202 1713 BALODABAZAR BHATAPARA GOVT P.S. TARENGA 22240206301 1714 BALODABAZAR BHATAPARA GOVT M.S. TARENGA 22240206302
  • 53.
    1715 BALODABAZAR BHATAPARAGOVT P S GOGIYAPARA TARENGA(SSA) 22240206304 1716 BALODABAZAR BHATAPARA GOVT. M.S. SURAJPURA (SSA) 22240206402 1717 BALODABAZAR BHATAPARA GOVT. P S SURAJPURA 22240206403 1718 BALODABAZAR BHATAPARA GOVT. P/S DEVRANI 22240206501 1719 BALODABAZAR BHATAPARA GOVT. M/S DEVRANI (SSA) 22240206502 1720 BALODABAZAR BHATAPARA GOVT. P/S MALDI 22240206601 1721 BALODABAZAR BHATAPARA GOVT M.S. MALDI 22240206602 1722 BALODABAZAR BHATAPARA GOVT. P/S KODWA 22240206701 1723 BALODABAZAR BHATAPARA GOVT.M/S. KODWA 22240206702 1724 BALODABAZAR BHATAPARA GOVT. P/S MOPKA 22240206801 1725 BALODABAZAR BHATAPARA GOVT.GIRLS M/S MOPKA (SSA) 22240206804 1726 BALODABAZAR BHATAPARA GOVT. M/S MOPKA 22240206805 1727 BALODABAZAR BHATAPARA GOVT. PRO.P/S MOPKA (SSA) 22240206806 1728 BALODABAZAR BHATAPARA GOVT. P/S KONI 22240206901 1729 BALODABAZAR BHATAPARA GOVT.P.S. KONI BANJAR (SSA) 22240206903 1730 BALODABAZAR BHATAPARA GOVT.M/S KONI (SSA) 22240206904 1731 BALODABAZAR BHATAPARA GOVT. P/S GOGIYA 22240207001 1732 BALODABAZAR BHATAPARA GOVT. M/S GOGIYA (SSA) 22240207002 1733 BALODABAZAR BHATAPARA GOVT. P/S BITKULI 22240207201 1734 BALODABAZAR BHATAPARA GOVT M.S. BITKULI 22240207202 1735 BALODABAZAR BHATAPARA GOVT. P/S RAMPUR 22240207301 1736 BALODABAZAR BHATAPARA GOVT.M /S RAMPUR (SSA) 22240207302 1737 BALODABAZAR BHATAPARA GOVT.P/S NAVIN RAMPUR (SSA) 22240207303 1738 BALODABAZAR BHATAPARA GOVT. P/S KHERI 22240207401 1739 BALODABAZAR BHATAPARA GOVT. M/S KHERI 22240207402 1740 BALODABAZAR BHATAPARA GOVT. P/S KHOKHLI 22240207501 1741 BALODABAZAR BHATAPARA GOVT M.S. KHOKHLI 22240207502 1742 BALODABAZAR BHATAPARA GOVT. P/S BORSI M 22240207503 1743 BALODABAZAR BHATAPARA GOVT. P/S MIRGI 22240207601 1744 BALODABAZAR BHATAPARA GOVT. NAVIN M.S.MIRGI (SSA) 22240207602 1745 BALODABAZAR BHATAPARA GOVT. P/S MENKARI 22240207701 1746 BALODABAZAR BHATAPARA GOVT. P/S KARAHIBAZAR 22240207801 1747 BALODABAZAR BHATAPARA GOVT M.S. KARAHIBAZAR 22240207802
  • 54.
    1748 BALODABAZAR BHATAPARAGOVT. P/S DHURABANDHA 22240207901 1749 BALODABAZAR BHATAPARA GOVT. M.S. DHURABANDHA (SSA) 22240207902 1750 BALODABAZAR BHATAPARA GOVT. P/S BIJARADIH 22240208001 1751 BALODABAZAR BHATAPARA GOVT G.G.M. M/S. BIJARADIH 22240208002 1752 BALODABAZAR BHATAPARA GOVT. P/S DATRENGI 22240208101 1753 BALODABAZAR BHATAPARA GOVT M.S. DATRENGI 22240208102 1754 BALODABAZAR BHATAPARA GOVT. P/S MANJGAON 22240208301 1755 BALODABAZAR BHATAPARA GOVT. M/S MANJGAON (SSA) 22240208302 1756 BALODABAZAR BHATAPARA GOVT. P/S AKOLI 22240208401 1757 BALODABAZAR BHATAPARA GOVT. P/S. SURAKHI 22240208501 1758 BALODABAZAR BHATAPARA GOVT. M/S SURAKHI (SSA) 22240208502 1759 BALODABAZAR BHATAPARA GOVT. P/S CHICHPOL 22240208601 1760 BALODABAZAR BHATAPARA GOVT. P/S BORASI 22240208701 1761 BALODABAZAR BHATAPARA GOVT. P/S BORASI (B) 22240208702 1762 BALODABAZAR BHATAPARA GOVT M.S. BORSI 22240208703 1763 BALODABAZAR BHATAPARA GOVT M /S BORSI B (SSA) 22240208801 1764 BALODABAZAR BHATAPARA GOVT. P/S SENDRI 22240208901 1765 BALODABAZAR BHATAPARA GOVT. P/S ACHANANKPUR 22240209001 1766 BALODABAZAR BHATAPARA GOVT. P/S CHAMARGUDA 22240209101 1767 BALODABAZAR BHATAPARA GOVT. P/S KALMIDIH 22240209201 1768 BALODABAZAR BHATAPARA GOVT.M/S KHAIRI (SSA) 22240209301 1769 BALODABAZAR BHATAPARA GOVT. P/S KUKDA 22240209501 1770 BALODABAZAR BHATAPARA GOVT. M/ S KUKDA (SSA) 22240209502 1771 BALODABAZAR BHATAPARA GOVT. P/S TOPA 22240209601 1772 BALODABAZAR BHATAPARA GOVT. P/S MOPAR 22240209701 1773 BALODABAZAR BHATAPARA GOVT M.S. MOPAR 22240209702 1774 BALODABAZAR BHATAPARA GOVT. P/S KHOLWA 22240209801 1775 BALODABAZAR BHATAPARA GOVT. M/S GURRA 22240209902 1776 BALODABAZAR BHATAPARA GOVT. P/ S GURRA 22240209903 1777 BALODABAZAR BHATAPARA GOVT. P/S KHAPARI 22240210201 1778 BALODABAZAR BHATAPARA GOVT. P/S POUNSARI 22240210301 1779 BALODABAZAR BHATAPARA GOVT. P/S JARHAGANW 22240210401 1780 BALODABAZAR BHATAPARA GOVT.NAVIN M/S JARHAGANW (SSA) 22240210403
  • 55.
    1781 BALODABAZAR BHATAPARAGOVT. P/S GODHI (S) 22240210501 1782 BALODABAZAR BHATAPARA GOVT. P/S PENDRI 22240210601 1783 BALODABAZAR BHATAPARA GOVT. P/S DATRENGA 22240210801 1784 BALODABAZAR BHATAPARA GOVT. P/S TEHKA 22240210901 1785 BALODABAZAR BHATAPARA GOVT M.S. TEHKA 22240210902 1786 BALODABAZAR BHATAPARA GOVT. P/S LAMTI 22240211101 1787 BALODABAZAR BHATAPARA GOVT. P/S AMETHI 22240211201 1788 BALODABAZAR BHATAPARA GOVT. P/S KHPARI(AS) 22240211401 1789 BALODABAZAR BHATAPARA GOVT M.S. KHPARI (AS) 22240211402 1790 BALODABAZAR BHATAPARA GOVT P/S RAMDEYA 22240211601 1791 BALODABAZAR BHATAPARA GOVT. NAVEEN P/S NAYAGNJ BYT 22240211701 1792 BALODABAZAR BHATAPARA GOVT. P/S MATADEWALAYA "A" 22240211801 1793 BALODABAZAR BHATAPARA GOVT. P/S MATADEWALAYA "B" 22240211802 1794 BALODABAZAR BHATAPARA GOVT P/S NAVEEN MATADEWALAYA 22240211803 1795 BALODABAZAR BHATAPARA GOVT P/S SEMRIYA 22240211901 1796 BALODABAZAR BHATAPARA GOVT M S SEMARIYA (SSA) 22240211902 1797 BALODABAZAR BHATAPARA GOVT. MIDDLE SCHOOL KODAPAR (SSA) 22240212002 1798 BALODABAZAR BHATAPARA GOVT. P/S MOPKI 22240212101 1799 BALODABAZAR BHATAPARA GOVT.M/S MOPAKI (SSA) 22240212102 1800 BALODABAZAR BHATAPARA GOVT. P/S BHARATPUR 22240212201 1801 BALODABAZAR BHATAPARA GOVT. M/S BHARATPUR (SSA) 22240212202 1802 BALODABAZAR BHATAPARA GOVT. PRIMARY SCHOOL MUDHIPAR 22240212301 1803 BALODABAZAR BHATAPARA GOVT. P/S DHOURABHATA SIDDHABABA 22240212401 1804 BALODABAZAR BHATAPARA GOVT. P/S KHAIRA 22240212501 1805 BALODABAZAR BHATAPARA GOVT NAVIN M/S KHERA 22240212502 1806 BALODABAZAR BHATAPARA GOVT. P/S CHANDALI 22240212601 1807 BALODABAZAR BHATAPARA GOVT.MAIN HINDI P/S 22240212701 1808 BALODABAZAR BHATAPARA GOVT. PRIMARY SCHOOL 22240212801 1809 BALODABAZAR BHATAPARA GOVT P.S. NAYAPARA 22240212901 1810 BALODABAZAR BHATAPARA GOVT M S PARSWANI (SSA) 22240213701 1811 BALODABAZAR BHATAPARA GOVT.NAVIN PS GURRA (SSA) 22240214401 1812 BALODABAZAR BHATAPARA GOVT.M/ S LACHHANPUR (SSA) 22240214501 1813 BALODABAZAR BHATAPARA GOVT. M/S PARASWANI (SSA) 22240214601
  • 56.
    1814 BALODABAZAR BHATAPARAGOVT.M S GODHI ( SSA) 22240214801 1815 BALODABAZAR BHATAPARA GOVT.P/S NAVIN RAJPUR (SSA) 22240215501 1816 BALODABAZAR BILAIGARH BLACK GOVT. PRIMARY SCHOOL TIHLIPALI 22241000201 1817 BALODABAZAR BILAIGARH GRIL GOVT. PRIMARY SCHOOL TIHLIPALI 22241000202 1818 BALODABAZAR BILAIGARH GOVT.M/S TIHLIPALI 22241000206 1819 BALODABAZAR BILAIGARH GOVT.P/SSAMTA NAGR. TIHLIPALI 22241000207 1820 BALODABAZAR BILAIGARH GOVT. M/S KARIYATAR SSA 22241000302 1821 BALODABAZAR BILAIGARH GOVT.PRIMARY SCHOOL MOHTARA N 22241000402 1822 BALODABAZAR BILAIGARH NAVIN P/S USALAPUR SSA 22241000405 1823 BALODABAZAR BILAIGARH GOVT.MS MOHTRA N SSA 22241000407 1824 BALODABAZAR BILAIGARH GOVT. PRIMARY SCHOOL NARESH NAGAR 22241000501 1825 BALODABAZAR BILAIGARH GOVT.M/S NARESHNAGAR SSA 22241000502 1826 BALODABAZAR BILAIGARH GOVT. PRIMARY SCHOOL PACHPEDI 22241000601 1827 BALODABAZAR BILAIGARH GOVT. PRIMARY SCHOOL GORBA 22241000701 1828 BALODABAZAR BILAIGARH GOVT. MS GORBA 22241000702 1829 BALODABAZAR BILAIGARH GOVT. PRIMARY SCHOOL CHAPERI 22241000801 1830 BALODABAZAR BILAIGARH GOVT. PRIMARY SCHOOL KHURSULA 22241000901 1831 BALODABAZAR BILAIGARH GOVT M.S. KHURSULA 22241000902 1832 BALODABAZAR BILAIGARH GOVT. PRIMARY SCHOOL RAIKONA 22241001101 1833 BALODABAZAR BILAIGARH GOVT M.S. RAIKONA 22241001102 1834 BALODABAZAR BILAIGARH GOVT.PRIMARY SCHOOL RAIKONA 'B' 22241001103 1835 BALODABAZAR BILAIGARH GOVT. PRIMARY SCHOOL KOSAMKUNDA 22241001301 1836 BALODABAZAR BILAIGARH GOVT.M S KOSHAMKUNDA SSA 22241001303 1837 BALODABAZAR BILAIGARH GOVT. PRIMARY SCHOOL JAITPUR 22241001401 1838 BALODABAZAR BILAIGARH GOVT. PRIMARY SCHOOL JORAPALI 22241001501 1839 BALODABAZAR BILAIGARH GOVT. PRIMARY SCHOOL PIRDA 22241001601 1840 BALODABAZAR BILAIGARH GOVT M.S.PIRDA 22241001602 1841 BALODABAZAR BILAIGARH GOVT. PRIMARY SCHOOL KHURDARHA 22241001701 1842 BALODABAZAR BILAIGARH GOVT. PRIMARY SCHOOL CHACHREL 22241001801 1843 BALODABAZAR BILAIGARH GOVT M.S. BELTIKARI 22241001902 1844 BALODABAZAR BILAIGARH GOVT.P.S.BELTIKARI 22241001903 1845 BALODABAZAR BILAIGARH GOVT.MS. ODKAKAN 22241002301 1846 BALODABAZAR BILAIGARH GOVT.PRIMARY SCHOOL PANDRIPALI 22241002304
  • 57.
    1847 BALODABAZAR BILAIGARHGOVT.MS. PANDRIPALI 22241002305 1848 BALODABAZAR BILAIGARH GOVT. PRIMARY SCHOOL SONIYADIH 22241002401 1849 BALODABAZAR BILAIGARH GOVT.P.S. SONIYADEIHA 22241002402 1850 BALODABAZAR BILAIGARH GOVT. PRIMARY SCHOOL BELMUDI 22241002501 1851 BALODABAZAR BILAIGARH GOVT. PRIMARY SCHOOL MADHUBANKALA 22241002601 1852 BALODABAZAR BILAIGARH GOVT. PRIMARY SCHOOL CHURELA 22241002701 1853 BALODABAZAR BILAIGARH GOVT.MS CHURELA SSA 22241002702 1854 BALODABAZAR BILAIGARH GOVT. PRIMARY SCHOOL CHARPALI 22241002801 1855 BALODABAZAR BILAIGARH GOVT.PRIMARY SCHOOL KALHARI SSA 22241002802 1856 BALODABAZAR BILAIGARH GOVT.M/S CHACHRALE SSA 22241002803 1857 BALODABAZAR BILAIGARH GOVT B.M.S. PURGAON 22241003002 1858 BALODABAZAR BILAIGARH GOVT. GIRL PRIMARY SCHOOL PURGAON 22241003003 1859 BALODABAZAR BILAIGARH GOVT. P/S DHANUHAR PARA PURGAON 22241003004 1860 BALODABAZAR BILAIGARH GOVT.GIRLS M/S PURGAON SSA 22241003006 1861 BALODABAZAR BILAIGARH GOVT. PRIMARY SCHOOL BAGLOTA 22241003101 1862 BALODABAZAR BILAIGARH GOVT. M/S BAGLOTA SSA 22241003102 1863 BALODABAZAR BILAIGARH GOVT. PRIMARY SCHOOL KORKOTI 22241003201 1864 BALODABAZAR BILAIGARH GOVT. M/S KORKOTI SSA 22241003202 1865 BALODABAZAR BILAIGARH GOVT. PRIMARY SCHOOL LIMTARI 22241003301 1866 BALODABAZAR BILAIGARH GOVT. MS LIMTARI 22241003302 1867 BALODABAZAR BILAIGARH GOVT. PRIMARY SCHOOL CHIRRA 22241003401 1868 BALODABAZAR BILAIGARH GOVT. M/S CHIRRA SSA 22241003404 1869 BALODABAZAR BILAIGARH GOVT. PRIMARY SCHOOL SONADULA 22241003501 1870 BALODABAZAR BILAIGARH GOVT. M/S SONADULA SSA 22241003502 1871 BALODABAZAR BILAIGARH GOVT.PRIMARY SCHOOL THAKURDIYA 22241003601 1872 BALODABAZAR BILAIGARH PRIMARY SCHOOL THAKURDIYA 22241003602 1873 BALODABAZAR BILAIGARH GOVT.PRIMARY SCHOOL DAUBANDHAN 22241003702 1874 BALODABAZAR BILAIGARH GOVT.PRIMARY SCHOOL BHARATPUR 22241003802 1875 BALODABAZAR BILAIGARH GOVT. M/S BHARATPUR SSA 22241003803 1876 BALODABAZAR BILAIGARH GOVT. PRIMARY SCHOOL KHAJARI 22241003901 1877 BALODABAZAR BILAIGARH M.S. KHAJARI SSA 22241003902 1878 BALODABAZAR BILAIGARH GOVT. PRIMARY SCHOOL CHICHOLI 22241004001 1879 BALODABAZAR BILAIGARH GOVT. PRIMARY SCHOOL SALONIKHURD 22241004101
  • 58.
    1880 BALODABAZAR BILAIGARHGOVT. PRIMARY SCHOOL GIRWANI 22241004201 1881 BALODABAZAR BILAIGARH GOVT. M/S GIRVANI SSA 22241004202 1882 BALODABAZAR BILAIGARH GOVT. PRIMARY SCHOOL CHIKNIDIH 22241004301 1883 BALODABAZAR BILAIGARH GOVT.MIDDLE SCHOOL CHIKANIDIH SSA 22241004302 1884 BALODABAZAR BILAIGARH GOVT. PRIMARY SCHOOL SALIHAGHAT 22241004401 1885 BALODABAZAR BILAIGARH GOVT.M/S SALIYAGHAT SSA 22241004402 1886 BALODABAZAR BILAIGARH GOVT. PRIMARY SCHOOL BANAHIL 22241004501 1887 BALODABAZAR BILAIGARH GOVT. M/S BANAHIL SSA 22241004502 1888 BALODABAZAR BILAIGARH GOVT. PRIMARY SCHOOL PACHARI 22241004601 1889 BALODABAZAR BILAIGARH GOVT,MIDDLE SCHOOL PACHARI SSA 22241004602 1890 BALODABAZAR BILAIGARH GOVT. PRIMARY SCHOOL CHHUIHA 22241004701 1891 BALODABAZAR BILAIGARH GOVT. MS. CHHUIHA 22241004702 1892 BALODABAZAR BILAIGARH GOVT.PRIMARY SCHOOL PURANIBASTI CHHUIHA 22241004703 1893 BALODABAZAR BILAIGARH GOVT. M/S PURANIBASTI 22241004704 1894 BALODABAZAR BILAIGARH GOVT. PRIMARY SCHOOL BANSURKULI 22241004801 1895 BALODABAZAR BILAIGARH GOVT. M/S BANSURKULI 22241004803 1896 BALODABAZAR BILAIGARH GOVT. PRIMARY SCHOOL DEVARBOD 22241004901 1897 BALODABAZAR BILAIGARH GOVT. M/S DEVERBOD 22241004902 1898 BALODABAZAR BILAIGARH GOVT. PRIMARY SCHOOL KHAIRJHITI 22241005001 1899 BALODABAZAR BILAIGARH GOVT. M/S KHIRJHITI SSA 22241005003 1900 BALODABAZAR BILAIGARH GOVT. PRIMARY SCHOOL DHOBNI 22241005101 1901 BALODABAZAR BILAIGARH GOVT. BOYS MS. DHOBNI 22241005104 1902 BALODABAZAR BILAIGARH GOVT.GIRL MIDDLE SCHOOL DHOBANI SSA 22241005105 1903 BALODABAZAR BILAIGARH GOVT.NAVIN PS TALAB PARA 22241005107 1904 BALODABAZAR BILAIGARH GOVT. PRIMARY SCHOOL PANDRIPANI 22241005201 1905 BALODABAZAR BILAIGARH GOVT. MS. PANDIPANI 22241005202 1906 BALODABAZAR BILAIGARH GOVT. PRIMARY SCHOOL SUTIURKULI 22241005301 1907 BALODABAZAR BILAIGARH GOVT M.S.SUTIURKULI 22241005302 1908 BALODABAZAR BILAIGARH GOVT. P. S. GOVINDBAN 22241005401 1909 BALODABAZAR BILAIGARH MIDDILE SCHOOL GOVINDBAN SSA 22241005402 1910 BALODABAZAR BILAIGARH GOVT. PRIMARY SCHOOL TIKRIPARA BILAIGARH 22241005501 1911 BALODABAZAR BILAIGARH GOVT. PRIMARY SCHOOL KAITHA 22241005701 1912 BALODABAZAR BILAIGARH GOVT M.S. KAITHA 22241005702
  • 59.
    1913 BALODABAZAR BILAIGARHPRIMARY SCHOOL BHATHAPARA KAYTHA 22241005703 1914 BALODABAZAR BILAIGARH GOVT. P.S.PARSADEHA 22241005801 1915 BALODABAZAR BILAIGARH GOVT M.S. PARSADEHA 22241005802 1916 BALODABAZAR BILAIGARH GOVT. P.S. GOPALPUR 22241005901 1917 BALODABAZAR BILAIGARH GOVT.M/S GOPALPUR SSA 22241005903 1918 BALODABAZAR BILAIGARH GOVT. P.S.DEVRAHA 22241006001 1919 BALODABAZAR BILAIGARH GOVT. P. S. DEVRAHA 22241006002 1920 BALODABAZAR BILAIGARH M/S DEVRAHA SSA 22241006003 1921 BALODABAZAR BILAIGARH GOVT. PRIMARY SCHOOL BAGMALLA 22241006101 1922 BALODABAZAR BILAIGARH GOVT.PRIMARY SCHOOL BAGMALLA SSA 22241006103 1923 BALODABAZAR BILAIGARH GOVT. PRIMARY SCHOOL DHARASIV 22241006201 1924 BALODABAZAR BILAIGARH GOVT.P/ S DARRABHATHA SSA 22241006204 1925 BALODABAZAR BILAIGARH GOVT.M/S DHARASIV SSA 22241006206 1926 BALODABAZAR BILAIGARH GOVT. PRIMARY SCHOOL PARSAPALI 22241006401 1927 BALODABAZAR BILAIGARH GOVT M.S.PARSAPALI 22241006402 1928 BALODABAZAR BILAIGARH GOVT PRIMARY SCHOOL DIPA PARA PARSAPALI SSA 22241006404 1929 BALODABAZAR BILAIGARH GOVT.P/S BHADARIPARA SSA 22241006405 1930 BALODABAZAR BILAIGARH GOVT. PRIMARY SCHOOL DARRA 22241006501 1931 BALODABAZAR BILAIGARH GOVT.PRIMARY SCHOOL GUTHIKONA SSA 22241006502 1932 BALODABAZAR BILAIGARH GOVT.M/S DARRA SSA 22241006503 1933 BALODABAZAR BILAIGARH GOVT. P.S. GHOGHRA 22241006601 1934 BALODABAZAR BILAIGARH GOVT. PRIMARY SCHOOL PIPARBHAVNA TE. 22241006701 1935 BALODABAZAR BILAIGARH GOVT. P/S PIPARBHAWNA [ G ] 22241006702 1936 BALODABAZAR BILAIGARH GOVT.M/S PIPERBHAWNA TE. SSA 22241006703 1937 BALODABAZAR BILAIGARH GOVT. PRIMARY SCHOOL SOHAGPUR 22241006801 1938 BALODABAZAR BILAIGARH GOVT M.S. SOHAGPUR 22241006802 1939 BALODABAZAR BILAIGARH GOVT. PRIMARY SCHOOL BANDARI 22241006901 1940 BALODABAZAR BILAIGARH GOVT.M/S BANDARI SSA 22241006904 1941 BALODABAZAR BILAIGARH GOVT. P. S. DONTO 22241007001 1942 BALODABAZAR BILAIGARH M/ S DONTO SSA 22241007002 1943 BALODABAZAR BILAIGARH GOVT. PRIMARY SCHOOL TILAIPALI 22241007101 1944 BALODABAZAR BILAIGARH GOVT. PRIMARY SCHOOL JHUMKA 22241007201 1945 BALODABAZAR BILAIGARH GOVT. MS JHUMKA 22241007202
  • 60.
    1946 BALODABAZAR BILAIGARHGOVT. PRIMARY SCHOOL PIPARDULA 22241007301 1947 BALODABAZAR BILAIGARH GOVT.PRIMARY SCHOOL RAM NAGAR PIPARDULA 22241007303 1948 BALODABAZAR BILAIGARH GOVT.M/S PIPERDULA SSA 22241007304 1949 BALODABAZAR BILAIGARH GOVT. PRIMARY SCHOOL MUDPAR 22241007401 1950 BALODABAZAR BILAIGARH GOVT.PS. SATNAMI MO. MUDPAR 22241007402 1951 BALODABAZAR BILAIGARH GOVT.M/S MUDHPAR SSA 22241007403 1952 BALODABAZAR BILAIGARH GOVT.M/S MUDPAR SSA 22241007404 1953 BALODABAZAR BILAIGARH GOVT. PRIMARY SCHOOL MANDLI CHOUK SARSIWA 22241007501 1954 BALODABAZAR BILAIGARH GRIL GOVT. PRIMARY SCHOOL SARSIWA 22241007502 1955 BALODABAZAR BILAIGARH GOVT. GIRLS MS SARSIWA 22241007503 1956 BALODABAZAR BILAIGARH GOVT. BOYS MIDDLE SCHOOL SARSIWA 22241007507 1957 BALODABAZAR BILAIGARH GOVT.PRIMARY SCHOOL RAM NAGAR SARSIWA 22241007509 1958 BALODABAZAR BILAIGARH GOVT.PRIMARY SCHOOL INDERANAGAR SARSIWA 22241007510 1959 BALODABAZAR BILAIGARH GOVT. BALAK P/S SARSIWA 22241007513 1960 BALODABAZAR BILAIGARH GOVT. PRIMARY SCHOOL RAMTALA 22241007601 1961 BALODABAZAR BILAIGARH GOVT. M/S RAMTALA 22241007602 1962 BALODABAZAR BILAIGARH GOVT. PRIMARY SCHOOL KARIYATAR 22241007701 1963 BALODABAZAR BILAIGARH GOVT. PRIMARY SCHOOL BHANDORA 22241007801 1964 BALODABAZAR BILAIGARH GOVT. PRIMARY SCHOOL KARBADABRI 22241007901 1965 BALODABAZAR BILAIGARH GOVT. PRIMARY SCHOOL THARAKPUR 22241008001 1966 BALODABAZAR BILAIGARH GOVT. NAVEEN MS THARAKPUR SSA 22241008002 1967 BALODABAZAR BILAIGARH GOVT. PRIMARY SCHOOL MIRCHID 22241008101 1968 BALODABAZAR BILAIGARH GOVT M.S. MIRCHID 22241008102 1969 BALODABAZAR BILAIGARH GOVT.P/S UPPER PARA MIRCHID SSA 22241008103 1970 BALODABAZAR BILAIGARH GOVT.P/S DARRI BHATHA SSA 22241008206 1971 BALODABAZAR BILAIGARH GOVT.P/S NAGRDA 22241008207 1972 BALODABAZAR BILAIGARH GOVT. M/S NAGARDA 22241008216 1973 BALODABAZAR BILAIGARH GOVT. P.S. BHATHA KHAMHARIYA SSA 22241008301 1974 BALODABAZAR BILAIGARH GOVT M.S. KHAMHARIYA EDU. 22241008302 1975 BALODABAZAR BILAIGARH GOVT.P. S. KHAMRIYA 22241008303 1976 BALODABAZAR BILAIGARH GOVT. PRIMARY SCHOOL DUMHANI 22241008401 1977 BALODABAZAR BILAIGARH GOVT. MIDDILE SCHOOL DOMUHANI 22241008402 1978 BALODABAZAR BILAIGARH GOVT. PRIMARY SCHOOL ALIKUD 22241008501
  • 61.
    1979 BALODABAZAR BILAIGARHGOVT. PRIMARY SCHOOL JAMGAHAN 22241008601 1980 BALODABAZAR BILAIGARH GOVT M.S. JAMGAHAN 22241008602 1981 BALODABAZAR BILAIGARH GOVT. PRIMARY SCHOOL DOKRIDIH 22241008701 1982 BALODABAZAR BILAIGARH GOVT. M/S DOKARIDIH SSA 22241008702 1983 BALODABAZAR BILAIGARH GOVT. PRIMARY SCHOOL DURUMGARH 22241008801 1984 BALODABAZAR BILAIGARH GOVT. PRIMARY SCHOOL NAKTIDIH SSA 22241008901 1985 BALODABAZAR BILAIGARH GOVT. PRIMARY SCHOOL JORA 22241009001 1986 BALODABAZAR BILAIGARH GOVT M.S.JORA 22241009002 1987 BALODABAZAR BILAIGARH GOVT.NAVIN P/S MAUHARBHATHA JORA SSA 22241009004 1988 BALODABAZAR BILAIGARH GOVT. PRIMARY SCHOOL GHANA 22241009101 1989 BALODABAZAR BILAIGARH GOVT. PRIMARY SCHOOL RIKOTAR 22241009201 1990 BALODABAZAR BILAIGARH GOVT.MIDDLE SCHOOL RIKOTAR SSA 22241009202 1991 BALODABAZAR BILAIGARH GOVT. PRIMARY SCHOOL KHAPARIDIH 22241009301 1992 BALODABAZAR BILAIGARH GOVT. PRIMARY SCHOOL GADHABHATHA 22241009401 1993 BALODABAZAR BILAIGARH GOVT M.S. GADHABHATHA SSA 22241009402 1994 BALODABAZAR BILAIGARH GOVT.PRIMARY SCHOOL NAVAPARA 22241009502 1995 BALODABAZAR BILAIGARH GOVT. M/S NAVAPARA 22241009503 1996 BALODABAZAR BILAIGARH GOVT. PRIMARY SCHOOL ROHINA 22241009601 1997 BALODABAZAR BILAIGARH GOVT. M/S ROHINA SSA 22241009603 1998 BALODABAZAR BILAIGARH GOVT. PRIMARY SCHOOL BENGPALI SSA 22241009701 1999 BALODABAZAR BILAIGARH GOVT. PRIMARY SCHOOL BELADULA 22241009801 2000 BALODABAZAR BILAIGARH GOVT.M/S BELADULA SSA 22241009802 2001 BALODABAZAR BILAIGARH GOVT. PRIMARY SCHOOL TENDUDARHA 22241009901 2002 BALODABAZAR BILAIGARH GOVT.M/S TENDUDARHA SSA 22241009905 2003 BALODABAZAR BILAIGARH GOVT. PRIMARY SCHOOL KISDA 22241010001 2004 BALODABAZAR BILAIGARH GOVT.M/S KISDA SSA 22241010002 2005 BALODABAZAR BILAIGARH GOVT. PRIMARY SCHOOL JEVRADIH 22241010201 2006 BALODABAZAR BILAIGARH GOVT. M/S JEVARADIH SSA 22241010202 2007 BALODABAZAR BILAIGARH GOVT. PRIMARY SCHOOL SINGHICHUWA 22241010301 2008 BALODABAZAR BILAIGARH GOVT. M/S SINGHICHUWA SSA 22241010302 2009 BALODABAZAR BILAIGARH ADARSH PS BHATGAON 22241010402 2010 BALODABAZAR BILAIGARH GOVT. PRIMARY SCHOOL KODVA 22241010501 2011 BALODABAZAR BILAIGARH GOVT. M/S KODVA SSA 22241010502
  • 62.
    2012 BALODABAZAR BILAIGARHGOVT. PRIMARY SCHOOL JOGIDIPA 22241010601 2013 BALODABAZAR BILAIGARH GOVT.NAVEN PRIMARY SCHOOL JOGIDIPA 22241010602 2014 BALODABAZAR BILAIGARH GOVT. M/S JOGIDIPA SSA 22241010603 2015 BALODABAZAR BILAIGARH GOVT. PRIMARY SCHOOL DHANGAON 22241010701 2016 BALODABAZAR BILAIGARH GOVT.MIDDLE SCHOOL DHANGAON SSA 22241010704 2017 BALODABAZAR BILAIGARH GOVT.P/S BHATHAPARA DHANGAON SSA 22241010705 2018 BALODABAZAR BILAIGARH GOVT. PRIMARY SCHOOL SENDURAS 22241010801 2019 BALODABAZAR BILAIGARH GOVT.MS SENDURAS 22241010802 2020 BALODABAZAR BILAIGARH GOVT. PRIMARY SCHOOL TOULIDIH 22241010901 2021 BALODABAZAR BILAIGARH GOVT. MIDDLE SCHOOL TOULIDIH SSA 22241010904 2022 BALODABAZAR BILAIGARH GOVT M/S TOULIDIH 22241010905 2023 BALODABAZAR BILAIGARH GOVT.P/S BHATA.TOLIDIH SSA 22241010906 2024 BALODABAZAR BILAIGARH GOVT. P/S GAGORI 22241011003 2025 BALODABAZAR BILAIGARH GOVT.MIDDEL SCHOOL GAGORI SSA 22241011004 2026 BALODABAZAR BILAIGARH GOVT. PRIMARY SCHOOL BHINODA 22241011201 2027 BALODABAZAR BILAIGARH GOVT.M/S BHINODA SSA 22241011202 2028 BALODABAZAR BILAIGARH GOVT. PRIMARY SCHOOL BHINODI 22241011301 2029 BALODABAZAR BILAIGARH GOVT. MS BHINODI 22241011302 2030 BALODABAZAR BILAIGARH GRIL GOVT. PRIMARY SCHOOL BILAIGARH 22241011401 2031 BALODABAZAR BILAIGARH BOYS P. S. BILAIGARH 22241011403 2032 BALODABAZAR BILAIGARH GOVT GIRLS M.S. BILAIGARH 22241011404 2033 BALODABAZAR BILAIGARH GOVT. BOYS M.S. BILAIGARH 22241011405 2034 BALODABAZAR BILAIGARH GOVT. PRIMARY SCHOOL AMALDIHA 22241011501 2035 BALODABAZAR BILAIGARH GOVT. M/S AMALDIHA SSA 22241011503 2036 BALODABAZAR BILAIGARH GOVT. M/S AMALIDIH SSA 22241011504 2037 BALODABAZAR BILAIGARH GOVT. PRIMARY SCHOOL GARDIH 22241011601 2038 BALODABAZAR BILAIGARH GOVT.PRIMARY SCHOOL KERACHAKA 22241011602 2039 BALODABAZAR BILAIGARH GOVT. MS. GARDIH 22241011603 2040 BALODABAZAR BILAIGARH GOVT. P. S. BHATGAON 22241011701 2041 BALODABAZAR BILAIGARH GOVT. M/S BHATGAON B 22241011703 2042 BALODABAZAR BILAIGARH GOVT. PRIMARY SCHOOL MUCHMALDA 22241011801 2043 BALODABAZAR BILAIGARH GOVT, MS MUCHHMALDA SSA 22241011803 2044 BALODABAZAR BILAIGARH GOVT. PRIMARY SCHOOL CHHAPORA 22241011901
  • 63.
    2045 BALODABAZAR BILAIGARHGOVT. MIDDILE SCHOOL CHHAPORA SSA 22241011902 2046 BALODABAZAR BILAIGARH BLACK GOVT. PRIMARY SCHOOL DHANSIR 22241012001 2047 BALODABAZAR BILAIGARH GRIL GOVT. PRIMARY SCHOOL DHANSIR 22241012002 2048 BALODABAZAR BILAIGARH GOVT M.S. BOYS DHANSIR 22241012003 2049 BALODABAZAR BILAIGARH GOVT.GIRL MIDDLE SCHOOL DHANSIR SSA 22241012004 2050 BALODABAZAR BILAIGARH GOVT. PRIMARY SCHOOL DAYALPUR 22241012101 2051 BALODABAZAR BILAIGARH GOVT. M/S DAYALPUR 22241012102 2052 BALODABAZAR BILAIGARH GOVT. PRIMARY SCHOOL BODA 22241012201 2053 BALODABAZAR BILAIGARH GOVT. MS. BODA 22241012202 2054 BALODABAZAR BILAIGARH GOVT. PRIMARY SCHOOL BODADIH 22241012501 2055 BALODABAZAR BILAIGARH GOVT. M/S BODADEHA 22241012502 2056 BALODABAZAR BILAIGARH GOVT. PRIMARY SCHOOL JUNWANI 22241012601 2057 BALODABAZAR BILAIGARH GOVT. MS JUNWANI SSA 22241012602 2058 BALODABAZAR BILAIGARH GOVT. PRIMARY SCHOOL BELHA 22241012801 2059 BALODABAZAR BILAIGARH GOVT.M/S BELHA SSA 22241012802 2060 BALODABAZAR BILAIGARH GOVT. PRIMARY SCHOOL BHOGDIH 22241012901 2061 BALODABAZAR BILAIGARH GOVT. MIDDLE SCHOOL BHOGDIH SSA 22241012902 2062 BALODABAZAR BILAIGARH GRIL GOVT. PRIMARY SCHOOL 22241013001 2063 BALODABAZAR BILAIGARH GOVT. GIRLS MS BHATGAON 22241013002 2064 BALODABAZAR BILAIGARH GOVT. MIDDLS SCHOOL BHATGAON 22241013003 2065 BALODABAZAR BILAIGARH GOVT. PS. SIVIL LINE BHATGAON 22241013004 2066 BALODABAZAR BILAIGARH GOVT. P/ S [ D ] BHATGAON 22241013006 2067 BALODABAZAR BILAIGARH GOVT. PRIMARY SCHOOL BHATGAON 22241013101 2068 BALODABAZAR BILAIGARH GOVT. M/S BHATGAON S SSA 22241013102 2069 BALODABAZAR BILAIGARH GOVT. PRIMARY SCHOOL MALUHA 22241013201 2070 BALODABAZAR BILAIGARH GOVT.M/S MALUHA SSA 22241013202 2071 BALODABAZAR BILAIGARH GOVT. P. S. SALIHA 22241013301 2072 BALODABAZAR BILAIGARH GOVT M.S.SALIHA 22241013302 2073 BALODABAZAR BILAIGARH GOVT.PRIMARY SCHOOL VIJAY NAGAR SSA 22241013307 2074 BALODABAZAR BILAIGARH GOVT. MS. DIPA PARA SALIHA SSA 22241013310 2075 BALODABAZAR BILAIGARH GOVT. P/S PARRIDARRI SSA 22241013311 2076 BALODABAZAR BILAIGARH GOVT. P.S.DHORABHATHA 22241013401 2077 BALODABAZAR BILAIGARH GOVT.MS.DHORABHATHA SSA 22241013403
  • 64.
    2078 BALODABAZAR BILAIGARHGOVT.P/S BASTI DHORABHATHA SSA 22241013404 2079 BALODABAZAR BILAIGARH GOVT. M/S DHOURABAHTHA [B] 22241013407 2080 BALODABAZAR BILAIGARH GOVT. P.S. SEMARIYA 22241013501 2081 BALODABAZAR BILAIGARH GOVT. PRIMARY SCHOOL DEVSAGAR 22241013601 2082 BALODABAZAR BILAIGARH GVT. M/S DEVSAGAR SSA 22241013602 2083 BALODABAZAR BILAIGARH GOVT. KANYA PRIMARY SCHOOL PAWANI 22241013701 2084 BALODABAZAR BILAIGARH GOVT. GIRLS MS. PAWANI 22241013704 2085 BALODABAZAR BILAIGARH GOVT.P. S. TALPARA PAWANI 22241013706 2086 BALODABAZAR BILAIGARH GOVT.BOYS P. S. PAWNI 22241013707 2087 BALODABAZAR BILAIGARH GOVT.M/S TALPARA PAONI SSA 22241013710 2088 BALODABAZAR BILAIGARH GOVT.BOYS M/S PAONI 22241013711 2089 BALODABAZAR BILAIGARH GOVT. PRIMARY SCHOOL MALDI 22241013902 2090 BALODABAZAR BILAIGARH M/S MALDI SSA 22241013910 2091 BALODABAZAR BILAIGARH GOVT.PRIMARY SCHOOL RAMPUR 22241014001 2092 BALODABAZAR BILAIGARH GOVT.MIDDLE SCHOOL RAMPUR SSA 22241014002 2093 BALODABAZAR BILAIGARH GOVT. P. S. MADAKADI 22241014101 2094 BALODABAZAR BILAIGARH M.S. MADAKADI SSA 22241014103 2095 BALODABAZAR BILAIGARH S.G. SCHOOL PURANI MADKADI 22241014104 2096 BALODABAZAR BILAIGARH GOVT.PRIMARY SCHOOL TUNDRI 22241014201 2097 BALODABAZAR BILAIGARH GOVT.P. S. SABRIYADERA 22241014203 2098 BALODABAZAR BILAIGARH GOVT. M/S TUNDRI SSA 22241014204 2099 BALODABAZAR BILAIGARH GOVT.M/S SABRIA DERA TU. 22241014206 2100 BALODABAZAR BILAIGARH GOVT. PRIMARY SCHOOL BILASPUR 22241014301 2101 BALODABAZAR BILAIGARH GOVT M.S. BILASPUR 22241014302 2102 BALODABAZAR BILAIGARH GOVT.PRIMARY SCHOOL KALMIBHATHA SSA 22241014304 2103 BALODABAZAR BILAIGARH GOVT. PRIMARY SCHOOL KOT 22241014401 2104 BALODABAZAR BILAIGARH GOVT.PRIMARY SCHOOL INDERA AWAS SSA 22241014402 2105 BALODABAZAR BILAIGARH M/S KOT SSA 22241014403 2106 BALODABAZAR BILAIGARH GOVT.PRE.MET.GIRLS AASHRAM KOT TWD 22241014405 2107 BALODABAZAR BILAIGARH GOVT. PRIMARY SCHOOL MANPASAR 22241014501 2108 BALODABAZAR BILAIGARH GOVT.MIDDLE SCHOOL MANPSAR SSA 22241014502 2109 BALODABAZAR BILAIGARH GOVT. PRIMARY SCHOOL BALOUDI 22241014701 2110 BALODABAZAR BILAIGARH GOVT. MS BALOUDI 22241014702
  • 65.
    2111 BALODABAZAR BILAIGARHGOVT.PRIMARY SCHOOL MADHAIBHATHA 22241014801 2112 BALODABAZAR BILAIGARH GOVT M.S. MADHAIBHATHA 22241014802 2113 BALODABAZAR BILAIGARH GOVT. PRIMARY SCHOOL CHAKARDA 22241014901 2114 BALODABAZAR BILAIGARH GOVT. PRIMARY SCHOOL SARDHABHATHA 22241015001 2115 BALODABAZAR BILAIGARH M/S SARDHABHATHA SSA 22241015002 2116 BALODABAZAR BILAIGARH GOVT.PRIMARY SCHOOL PENDRAVAN 22241015101 2117 BALODABAZAR BILAIGARH GOVT. MS. PENDRAVAN 22241015102 2118 BALODABAZAR BILAIGARH GOVT.PRIMARY SCHOOL AMBEDKAR NAGAR SSA 22241015105 2119 BALODABAZAR BILAIGARH GOVT. PRIMARY SCHOOL BACHHORDIH 22241015201 2120 BALODABAZAR BILAIGARH M/S BACHORDIH SSA 22241015202 2121 BALODABAZAR BILAIGARH GOVT.NAVEN PRIMARY SCHOOL NAWAPARA 22241015301 2122 BALODABAZAR BILAIGARH GOVT.NAVEN P. S. BOIRDIH 22241015401 2123 BALODABAZAR BILAIGARH NAVEN PRIMARY SCHOOL GAGORITHANDA 22241015501 2124 BALODABAZAR BILAIGARH GOVT.NAVEN PRIMARY SCHOOL CHIRCHUAA SSA 22241015601 2125 BALODABAZAR BILAIGARH GOVT. NAVEN P. S.BISANPUR 22241015701 2126 BALODABAZAR BILAIGARH GOVT.MIDDLE SCHOOL BISANPUR SSA 22241015703 2127 BALODABAZAR BILAIGARH GOVT.NAVEN PRIMARY SCHOOL TADAPARA 22241015801 2128 BALODABAZAR BILAIGARH GOVT. MS. TADAPARA 22241015802 2129 BALODABAZAR BILAIGARH GOVT.MIDDILE SCHOOL GONDALI 22241015901 2130 BALODABAZAR BILAIGARH GOVT.P.S.GODALI 22241015902 2131 BALODABAZAR BILAIGARH GOVT.NAVIN PRIMARY SCHOOL DHANORA SSA 22241016002 2132 BALODABAZAR BILAIGARH GOVT.PRIMARY SCHOOL TATA 22241016101 2133 BALODABAZAR BILAIGARH GOVT.M/S TATA SSA 22241016102 2134 BALODABAZAR BILAIGARH GOVT. PRIMARY SCHOOL CHORBHATTI 22241016201 2135 BALODABAZAR BILAIGARH GOVT.MIDDLE SCHOOL CHORBHATTI 22241016202 2136 BALODABAZAR BILAIGARH GOVT P. SCHOOL BICHPARA 22241016203 2137 BALODABAZAR BILAIGARH GOVT.PRIMARY SCHOOL BAMHANPURI 22241016301 2138 BALODABAZAR BILAIGARH GOVT. MS.BAMHANPURI SSA 22241016302 2139 BALODABAZAR BILAIGARH GOVT.PRIMARY SCHOOL JOGESARA 22241016401 2140 BALODABAZAR BILAIGARH GOVT.M/S JOGESARA SSA 22241016402 2141 BALODABAZAR BILAIGARH GOVT.NAVEN P. S. TENDUBHATHA SSA 22241016501 2142 BALODABAZAR BILAIGARH GOVT.M.S. TENDUBHATHA SSA 22241016504 2143 BALODABAZAR BILAIGARH GOVT.P. S. BARBNHATA 22241016702
  • 66.
    2144 BALODABAZAR BILAIGARHGOVT.NAVEN PRIMARY SCHOOL KODOPALI 22241016801 2145 BALODABAZAR BILAIGARH M/S KODOPALI SSA 22241016802 2146 BALODABAZAR BILAIGARH GOVT.NAVEN PRIMARY SCHOOL GWALI 22241016901 2147 BALODABAZAR BILAIGARH GOVT.NAVEN PRIMARY SCHOOL DONGIYABHATHA 22241017001 2148 BALODABAZAR BILAIGARH GOVT. NAVEN PRIMARY SCHOOL NOHARPALI [EDU.] 22241017101 2149 BALODABAZAR BILAIGARH GOVT.NAVEN PRIMARY SCHOOL TEDHIBHADRA SSA 22241017201 2150 BALODABAZAR BILAIGARH GOVT. M/S TEDHIBHADRA SSA 22241017202 2151 BALODABAZAR BILAIGARH GOVT.NAVEN PRIMARY SCHOOL MAHULDIH 22241017301 2152 BALODABAZAR BILAIGARH GOVT.PRIMARY SCHOOL MOUHADIH 22241017302 2153 BALODABAZAR BILAIGARH GOVT.PRIMARY SCHOOL TENDUMUDI 22241017401 2154 BALODABAZAR BILAIGARH GOVT. PS.LANKAHUDA 22241017501 2155 BALODABAZAR BILAIGARH GOVT.PRIMARY SCHOOL OTGAN 22241017602 2156 BALODABAZAR BILAIGARH GOVT.PRIMARY SCHOOL DHANDHANI 22241017801 2157 BALODABAZAR BILAIGARH GOVT.M/S DHANDHANI SSA 22241017802 2158 BALODABAZAR BILAIGARH GOVT. M/S 22241018004 2159 BALODABAZAR BILAIGARH GOVT.PRIMARY SCHOOL PIKARIPALI 22241018101 2160 BALODABAZAR BILAIGARH GOVT. PRIMARY SCHOOL DHOURABHATHA 22241018401 2161 BALODABAZAR BILAIGARH PRIMARY SCHOOL DHORA BHATTA [B] 22241018402 2162 BALODABAZAR BILAIGARH GOVT. M/S DHOURABHATHA SSA 22241018403 2163 BALODABAZAR BILAIGARH GOVT. M/S SONIYADIH SSA 22241018502 2164 BALODABAZAR BILAIGARH ADARSH GOVT. PRIMARY SCHOOL SHINGHITAR 22241018601 2165 BALODABAZAR BILAIGARH GOVT. M/S SHINGHITAR SSA 22241018602 2166 BALODABAZAR BILAIGARH GOVT.PRIMARY SCHOOL TOULIDIH 22241018701 2167 BALODABAZAR BILAIGARH GOVT.BALAK PRIMARY SCHOOL PURGAON 22241018801 2168 BALODABAZAR BILAIGARH GOVT MIDDLE SCHOOL BALPUR 22241018903 2169 BALODABAZAR BILAIGARH GOVT.PRIMARY SCHOOL GATHBHATA SSA 22241018904 2170 BALODABAZAR BILAIGARH GOVT.PRIMARY SCHOOL SATNAMI MO.BALPUR 22241018906 2171 BALODABAZAR BILAIGARH GOVT.P/S BALPUR 22241018907 2172 BALODABAZAR BILAIGARH GOVT.PRIMARY SCHOOL AMODI 22241019101 2173 BALODABAZAR BILAIGARH GOVT.MIDDLE SCHOOL AMODI SSA 22241019102 2174 BALODABAZAR BILAIGARH GOVT.PRIMARY SCHOOL CHARBHATHA 22241019201 2175 BALODABAZAR BILAIGARH GOVT.P. S. HARDI 22241019301 2176 BALODABAZAR BILAIGARH NAVEEN MS HARADI SSA 22241019302
  • 67.
    2177 BALODABAZAR BILAIGARHGOVT.P. S. PIPERDIH 22241019501 2178 BALODABAZAR BILAIGARH GOVT. M/S PIPERDIH SSA 22241019502 2179 BALODABAZAR BILAIGARH GOVT.P. S. GATADIH 22241019701 2180 BALODABAZAR BILAIGARH GOVT. MS GATADIH 22241019702 2181 BALODABAZAR BILAIGARH GOVT.NAVEEN PS SAKRAPALI SSA 22241019705 2182 BALODABAZAR BILAIGARH GOVT.NAVEN PRIMARY SCHOOL MADHUBANKHURD 22241019801 2183 BALODABAZAR BILAIGARH GOVT.NAVEN P. S. DULLARPUR SSA 22241019901 2184 BALODABAZAR BILAIGARH GOVT.NAVEN PRIMARY SCHOOL SALHEVANA 22241020001 2185 BALODABAZAR BILAIGARH GOVT. M/S KARMANDI SSA 22241020102 2186 BALODABAZAR BILAIGARH GOVT.P. S. MANDALPUR SSA 22241020301 2187 BALODABAZAR BILAIGARH GOVT.M/S DURUMGARH SSA 22241020501 2188 BALODABAZAR BILAIGARH GOVT.MIDDLE SCHOOL KHAPRIDIH SSA 22241020602 2189 BALODABAZAR BILAIGARH GOVT.PRIMARY SCHOOL BANGALABHATA 22241020802 2190 BALODABAZAR BILAIGARH GOVT.PRIMARY SCHOOL SAT.MO. BILAIGARH 22241020806 2191 BALODABAZAR BILAIGARH K. G. B. V. BILAIGARH 22241020807 2192 BALODABAZAR BILAIGARH GOVT.M/S TIKRIPARA BILAIGARH 22241020810 2193 BALODABAZAR BILAIGARH GOVT.P.S. MOHATARA S 22241021001 2194 BALODABAZAR BILAIGARH GOVT.MS MOHTARA [ S ] SSA 22241021002 2195 BALODABAZAR BILAIGARH GOVT.PRIMARY SCHOOLNAGARIDIH SSA 22241021201 2196 BALODABAZAR BILAIGARH GOVT.P/S SABRIYADERA SALONIKALA 22241021401 2197 BALODABAZAR BILAIGARH GOVT.P/S SATNAMI MOH.SALONIKALA 22241021402 2198 BALODABAZAR BILAIGARH GOVT. BOY PS SALAUNIKALA 22241021403 2199 BALODABAZAR BILAIGARH GOVT. GIRL PS SALAUNIKALA 22241021404 2200 BALODABAZAR BILAIGARH GOVT. MS SALAUNIKALA 22241021405 2201 BALODABAZAR BILAIGARH JBS MS SALAUNIKALA 22241021406 2202 BALODABAZAR BILAIGARH GOVT.PRIMARY SCHOOL BHORKADIPA SSA 22241021604 2203 BALODABAZAR BILAIGARH GOVT.KANYA ASHRAM PIRDA TWD 22241021605 2204 BALODABAZAR BILAIGARH GOVT.P.S.BHATHAPARA PIRDA SSA 22241021606 2205 BALODABAZAR BILAIGARH GOVT. MS GHARJARA SSA 22241021701 2206 BALODABAZAR BILAIGARH GOVT. PS GHARJARA 22241021702 2207 BALODABAZAR BILAIGARH GOVT. MIDDLE SCHOOL BHANDORA 22241021801 2208 BALODABAZAR BILAIGARH GOVT.PRIMARY SCHOOL CHANDLIDIH 22241021901 2209 BALODABAZAR BILAIGARH GOVT.PRIMARY SCHOOL RANKOT SSA 22241022001
  • 68.
    2210 BALODABAZAR BILAIGARHGOVT.PRIMARY SCHOOL PRATAPGARH SSA 22241022101 2211 BALODABAZAR BILAIGARH GOVT. M/S BENGPALI 22241022202 2212 BALODABAZAR BILAIGARH GOVT. MIDDLE SCHOOL 22241022301 2213 BALODABAZAR BILAIGARH TWD SC GIRL ASHRAM ODKAKAN 22241022302 2214 BALODABAZAR BILAIGARH GOVT. P.S. ODKAKAN 22241022303 2215 BALODABAZAR BILAIGARH GOVT.NAVIN P. S. LUKAPARA 22241022501 2216 BALODABAZAR BILAIGARH GOVT.M/S LUKAPARA SSA 22241022502 2217 BALODABAZAR BILAIGARH GOVT.PRIMARY SCHOOL BANDUWA SSA 22241022601 2218 BALODABAZAR BILAIGARH GOVT.PS.H.M.MADHAIBHATHA 22241022701 2219 BALODABAZAR BILAIGARH GOVT.PRIMARY SCHOOL DURUMGARH 22241022801 2220 BALODABAZAR BILAIGARH GOVT.M./S DURUMGARH SSA 22241022802 2221 BALODABAZAR BILAIGARH GOVT.P.S. BHATHA SAJAPALI SSA 22241022901 2222 BALODABAZAR BILAIGARH GOVT. P/S SAJAPALI SSA 22241022902 2223 BALODABAZAR BILAIGARH GOVT.PRIMARY SCHOOL BHOTHIDIH 22241023001 2224 BALODABAZAR BILAIGARH GOVT.PRIMARY SCHOOL MUDHPAR 22241023101 2225 BALODABAZAR BILAIGARH GOVT.PRIMARY SCHOOL AMLIDIH 22241023301 2226 BALODABAZAR BILAIGARH GOVT.PRIMARY SCHOOL JHARNIDIH 22241023401 2227 BALODABAZAR BILAIGARH M/S 22241023402 2228 BALODABAZAR BILAIGARH GOVT.PS. AAMAKACHHAR [A] 22241023501 2229 BALODABAZAR BILAIGARH GOVT.PRIMARY SCHOOL AAMAKCHHAR [ B ] SSA 22241023502 2230 BALODABAZAR BILAIGARH GOVT.PRIMARY SCHOOL SEMRADIH 22241023601 2231 BALODABAZAR BILAIGARH GOVT,PRIMARY SCHOOLDHANWARPARA DHOBNI 22241023701 2232 BALODABAZAR BILAIGARH GOVT.PRIMARY SCHOOL BAHTHAPARA TE. 22241023801 2233 BALODABAZAR BILAIGARH GOVT. PS. SHANKAR NAGAR SSA 22241024001 2234 BALODABAZAR BILAIGARH GOVT.PRIMARY SCHOOL GOURADIPA SSA 22241024101 2235 BALODABAZAR BILAIGARH GOVT.PRIMARY SCHOOL RAMBHATHA SSA 22241024201 2236 BALODABAZAR BILAIGARH GOVT.PRIMARY SCHOOL SARMANDI 22241024301 2237 BALODABAZAR BILAIGARH GOVT.PS. PARSABHATHA SSA 22241024401 2238 BALODABAZAR BILAIGARH GOVT.PRIMARY SCHOOL KARMANDI SSA 22241024501 2239 BALODABAZAR BILAIGARH GOVT.P.S.LAKHURRIDIH SSA 22241024601 2240 BALODABAZAR BILAIGARH GOVT, P/ S. BARBHATHA 22241025201 2241 BALODABAZAR BILAIGARH GOVT. M/S GIRSA 22241025301 2242 BALODABAZAR BILAIGARH GOVT. PS GIRSA 22241025302
  • 69.
    2243 BALODABAZAR BILAIGARHGOVT. P/S DURUG 22241025501 2244 BALODABAZAR BILAIGARH GOVT. M/S DURUG 22241025502 2245 BALODABAZAR BILAIGARH GOVT P.S. DIPAPARA SALIHA 22241025701 2246 BALODABAZAR BILAIGARH GOVT.M/S GHOGHRA SSA 22241026001 2247 BALODABAZAR BILAIGARH GOVT.M/S JAITPUR SSA 22241026101 2248 BALODABAZAR BILAIGARH GOVT. P. S. TENDUWA SSA 22241026701 2249 BALODABAZAR BILAIGARH GOVT. M/S BAGMALLA SSA 22241027101 2250 BALODABAZAR BILAIGARH GOVT. M/S AMAKACHHAR SSA 22241027102 2251 BALODABAZAR BILAIGARH GOVT.PRIMARY SCHOOL KARIPAT SSA 22241027301 2252 BALODABAZAR BILAIGARH GOVT.PRIMARY SCHOOL ARJUNI 22241027401 2253 BALODABAZAR BILAIGARH GOVT. PRIMARY SCHOOL PARSALEVA SSA 22241027501 2254 BALODABAZAR BILAIGARH GOVT. PRIMARY SCHOOL TENGNAKACHHAR 22241027601 2255 BALODABAZAR BILAIGARH GOVT. M/S TENGNAKACHHAR SSA 22241027602 2256 BALODABAZAR BILAIGARH GOVT. PRIMARY SCHOOL PARRAPATHRA SSA 22241027701 2257 BALODABAZAR BILAIGARH GOVT. PRIMARY SCHOOL BARKACHHAR SSA 22241027801 2258 BALODABAZAR BILAIGARH GOVT. PRIMARY SCHOOL KERIJHAR 22241027901 2259 BALODABAZAR BILAIGARH GOVT. PRIMARY SCHOOL PACHPEDIYA SSA 22241028001 2260 BALODABAZAR BILAIGARH NAVIN P/ S HARDI [ BH ] 22241028601 2261 BALODABAZAR BILAIGARH GOVT.P/ S JAMNAR SSA 22241028701 2262 BALODABAZAR BILAIGARH GOVT. P/S LOHRINDIPA SSA 22241028801 2263 BALODABAZAR BILAIGARH GOVT. PS. TEDHGIDIPA SSA 22241028901 2264 BALODABAZAR BILAIGARH GOVT.P/S MUDHKATTA SSA 22241029001 2265 BALODABAZAR BILAIGARH P/S DHOBNIDIH SSA 22241029101 2266 BALODABAZAR BILAIGARH GOVT. P/S GHOGHRI 22241029201 2267 BALODABAZAR BILAIGARH GOVT.P/S SHUKLABHATHA SSA 22241029301 2268 BALODABAZAR BILAIGARH GOVT.P/S AMLIBHATHA SSA 22241029401 2269 BALODABAZAR BILAIGARH GOVT.P/S CHANDRANAGAR SSA 22241029501 2270 BALODABAZAR BILAIGARH GOVT.P/S KOTHIKHOL SSA 22241029601 2271 BALODABAZAR BILAIGARH GOVT.P/S KACHONDA SSA 22241029701 2272 BALODABAZAR BILAIGARH GOVT.P/S GIDPARRI SSA 22241029801 2273 BALODABAZAR BILAIGARH GOVT.P/S JAMNARDIH SSA 22241029901 2274 BALODABAZAR BILAIGARH GOVT. P/S KEDIYARAWAR 22241030001 2275 BALODABAZAR BILAIGARH GOVT. P/S NARBAND SSA 22241030101
  • 70.
    2276 BALODABAZAR BILAIGARHGOVT M/S NARBAND SSA 22241030102 2277 BALODABAZAR BILAIGARH GOVT. P/S SHITAL PUR 22241030301 2278 BALODABAZAR BILAIGARH GOVT. P/S PATHARIYA 22241030401 2279 BALODABAZAR BILAIGARH GOVT.M/S DHANORA SSA 22241030501 2280 BALODABAZAR BILAIGARH GOVT. MS.KALIHARI SSA 22241030601 2281 BALODABAZAR BILAIGARH GOVT.M/S SONIYADIH SSA 22241030701 2282 BALODABAZAR BILAIGARH GOVT.M.S. JORAPALI SSA 22241030801 2283 BALODABAZAR BILAIGARH GOVT. PS SURGULI 22241031101 2284 BALODABAZAR BILAIGARH GOVT. MS SURGULI 22241031102 2285 BALODABAZAR BILAIGARH GOVT. PS SIRPUR SSA 22241031201 2286 BALODABAZAR BILAIGARH GOVT. PS GEDAPALI 22241031301 2287 BALODABAZAR BILAIGARH GOVT. MS GENDAPALI 22241031302 2288 BALODABAZAR BILAIGARH GOVT.PS GADAPALI SSA 22241031601 2289 BALODABAZAR BILAIGARH GOVT. PS GADAPALI 22241031701 2290 BALODABAZAR BILAIGARH GOVT. MS GADAPALI MADHAIBHATHA 22241031702 2291 BALODABAZAR BILAIGARH GOVT.PRIMARY SCHOOL JHUMARPALI 22241032001 2292 BALODABAZAR BILAIGARH GOVT. P.S. JHARNIPARA SSA 22241032101 2293 BALODABAZAR BILAIGARH GOVT.P.S. ANJANIYA SSA 22241032201 2294 BALODABAZAR KASDOL GOVT MS BHIMBHORI 22241200502 2295 BALODABAZAR KASDOL GOVT PS BHIMBHORI 22241200503 2296 BALODABAZAR KASDOL GOVT PS NAVADIH (BHIMBHORI) (SSA) 22241200504 2297 BALODABAZAR KASDOL GOVT PS PERAGUDA 22241200601 2298 BALODABAZAR KASDOL GOVT PS KOT(K) 22241200701 2299 BALODABAZAR KASDOL GOVT MS KOT(SSA) 22241200706 2300 BALODABAZAR KASDOL GOVT.PS KOT (R) 22241200708 2301 BALODABAZAR KASDOL GOVT PS MALIDEEH 22241200901 2302 BALODABAZAR KASDOL GOVT MS MALIDEEH (SSA) 22241200902 2303 BALODABAZAR KASDOL GOVT PS TEMRI 22241201001 2304 BALODABAZAR KASDOL GOVT MS TEMRI (SSA) 22241201002 2305 BALODABAZAR KASDOL GOVT PS CHICHPOL 22241201101 2306 BALODABAZAR KASDOL GOVT MS KOSMASARA 22241201201 2307 BALODABAZAR KASDOL GOVT MS KOSMASRA (B) (SSA) 22241201202 2308 BALODABAZAR KASDOL GOVT PS KOSAMSARA (K) 22241201203
  • 71.
    2309 BALODABAZAR KASDOLGOVT MS NAYA KHARVE (SSA) 22241201301 2310 BALODABAZAR KASDOL GOVT PS CHAKERBOY 22241201401 2311 BALODABAZAR KASDOL GOVT PS SEMARIYA (K) 22241201501 2312 BALODABAZAR KASDOL GOVT PS BAPHARA 22241201601 2313 BALODABAZAR KASDOL GOVT PS MOTIPUR 22241201801 2314 BALODABAZAR KASDOL GOVT MS THARGAON 22241201901 2315 BALODABAZAR KASDOL GOVT PS THARGAON 22241201902 2316 BALODABAZAR KASDOL GOVT PS INDIRA COLONY THARGAON(SSA) 22241201903 2317 BALODABAZAR KASDOL GOVT PS NITHORA 22241202001 2318 BALODABAZAR KASDOL GOVT MS NITHORA (SSA) 22241202002 2319 BALODABAZAR KASDOL GOVT PS NARAYANPUR 22241202101 2320 BALODABAZAR KASDOL GOVT PS RIKOKHURD 22241202201 2321 BALODABAZAR KASDOL GOVT MS MANDEEP (SSA) 22241202301 2322 BALODABAZAR KASDOL GOVT PS MANDEEP 22241202302 2323 BALODABAZAR KASDOL GOVT PS AMBEDKAR PARA NARDHA (SSA) 22241202501 2324 BALODABAZAR KASDOL GOVT PS GORDHA 22241202601 2325 BALODABAZAR KASDOL GOVT PS DR. KANHAIYA LAL SHARMA 22241202901 2326 BALODABAZAR KASDOL GOVT MS KGBV KASDOL (SSA) 22241202905 2327 BALODABAZAR KASDOL GOVT PS MAHARA PARA 22241202906 2328 BALODABAZAR KASDOL TDW PS ADIM JATI CHIKHLI 22241203001 2329 BALODABAZAR KASDOL GOVT MS CHIKHLI (SSA) 22241203002 2330 BALODABAZAR KASDOL GOVT PS BHAVREED 22241203101 2331 BALODABAZAR KASDOL GOVT PS CHHARCHHED 22241203201 2332 BALODABAZAR KASDOL GOVT MS CHHARCHHED (SSA) 22241203202 2333 BALODABAZAR KASDOL GOVT.NAVIN PS PURANI BASTI 22241203205 2334 BALODABAZAR KASDOL GOVT PS PIKRI 22241203301 2335 BALODABAZAR KASDOL GOVT PS PURANI BASTI PIKRI (SSA) 22241203302 2336 BALODABAZAR KASDOL GOVT PS THARHIDIH 22241203401 2337 BALODABAZAR KASDOL GOVT PS DARRA 22241203601 2338 BALODABAZAR KASDOL GOVT MS DARRA (SSA) 22241203602 2339 BALODABAZAR KASDOL GOVT PS DARRA 22241203603 2340 BALODABAZAR KASDOL GOVT PS KHERA 22241203701 2341 BALODABAZAR KASDOL GOVT PS KHERA (ARJUNI) 22241203702
  • 72.
    2342 BALODABAZAR KASDOLGOVT PS KHAIRA 22241203703 2343 BALODABAZAR KASDOL GOVT PS KHAIRA (SSA) 22241203704 2344 BALODABAZAR KASDOL GOVT PS PURANI BASTI KHAIRA (SSA) 22241203705 2345 BALODABAZAR KASDOL MS KHAIRA (SSA) 22241203706 2346 BALODABAZAR KASDOL MS KHAIRA (THARGAON) (SSA) 22241203707 2347 BALODABAZAR KASDOL GOVT PS BHADORA 22241203801 2348 BALODABAZAR KASDOL GOVT PS SUKDA 22241203901 2349 BALODABAZAR KASDOL GOVT PS KHAIRWARDIH (SSA) 22241203902 2350 BALODABAZAR KASDOL GOVT PS KOTIYADIH 22241204101 2351 BALODABAZAR KASDOL GOVT PS DARRI 22241204201 2352 BALODABAZAR KASDOL GOVT PS BALAK NARDHA 22241204301 2353 BALODABAZAR KASDOL GOVT PS GIRLS NARDHA 22241204302 2354 BALODABAZAR KASDOL GOVT PS NARDHA (SSA) 22241204304 2355 BALODABAZAR KASDOL GOVT MS NARDHA 22241204401 2356 BALODABAZAR KASDOL GOVT MS NARDHA (SSA) 22241204402 2357 BALODABAZAR KASDOL GOVT MS NAVAGAON 22241204501 2358 BALODABAZAR KASDOL GOVT PS NAVAGAON 22241204502 2359 BALODABAZAR KASDOL GOVT PS NAVAGAON (BALAR) (SSA) 22241204503 2360 BALODABAZAR KASDOL GOVT PS BAGANDABARI 22241204601 2361 BALODABAZAR KASDOL GOVT MS BAGANDABARI 22241204602 2362 BALODABAZAR KASDOL GOVT PS KOUHAJUNWANI 22241204701 2363 BALODABAZAR KASDOL GOVT PS BILADI 22241204801 2364 BALODABAZAR KASDOL GOVT PS JUNADIH (BILADI (SSA) 22241204802 2365 BALODABAZAR KASDOL GOVT MS NAGEDA 22241204903 2366 BALODABAZAR KASDOL GOVT PS NAGEDA 22241204904 2367 BALODABAZAR KASDOL GOVT PS GOLAJHAR 22241205001 2368 BALODABAZAR KASDOL GOVT MS VIRNARAYANPUR 22241205101 2369 BALODABAZAR KASDOL GOVT PS VIRNARAYANPUR 22241205102 2370 BALODABAZAR KASDOL GOVT PS SUKHARI 22241205201 2371 BALODABAZAR KASDOL GOVT MS SUKHARI (SSA) 22241205202 2372 BALODABAZAR KASDOL GOVT PS CHHANCHHI 22241205301 2373 BALODABAZAR KASDOL TWD PS GIRLS ASHRAM GIRODPURI 22241205401 2374 BALODABAZAR KASDOL GOVT PS GIRODPURI 22241205402
  • 73.
    2375 BALODABAZAR KASDOLGOVT PS KURRAHA 22241205501 2376 BALODABAZAR KASDOL GOVT MS KURRAHA (SSA) 22241205502 2377 BALODABAZAR KASDOL GOVT PS DUMARPALI 22241205601 2378 BALODABAZAR KASDOL GOVT MS DUMARPALI (SSA) 22241205602 2379 BALODABAZAR KASDOL GOVT PS AMRUVA 22241205701 2380 BALODABAZAR KASDOL GOVT PS PURANI BASTI AMRUVA (SSA) 22241205702 2381 BALODABAZAR KASDOL GOVT MS AMRUVA (SSA) 22241205703 2382 BALODABAZAR KASDOL GOVT PS LAKHMAISATI 22241205901 2383 BALODABAZAR KASDOL GOVT PS CHHECHHAR 22241206001 2384 BALODABAZAR KASDOL GOVT MS CHHECHHAR 22241206002 2385 BALODABAZAR KASDOL GOVT MS KOTIYADIH 22241206101 2386 BALODABAZAR KASDOL GOVT PS KOUWATAL 22241206201 2387 BALODABAZAR KASDOL GOVT MS KOUWATAL (SSA) 22241206202 2388 BALODABAZAR KASDOL GOVT MS GIRLS TUNDRA (SSA) 22241206301 2389 BALODABAZAR KASDOL GOVT PS BOYS TUNDRA 22241206302 2390 BALODABAZAR KASDOL GOVT MS BOYS TUNDRA 22241206303 2391 BALODABAZAR KASDOL GOVT PS GIRLS TUNDRA 22241206304 2392 BALODABAZAR KASDOL GOVT PS TIKRA PARA TUNDRA (SSA) 22241206306 2393 BALODABAZAR KASDOL GOVT PS AMLIBHATA TUNDRA (SSA) 22241206307 2394 BALODABAZAR KASDOL GOVT PS BARPALI ROAD, TUNDRA (SSA) 22241206310 2395 BALODABAZAR KASDOL GOVT PS SABARIYADERA TUNDRA (SSA) 22241206311 2396 BALODABAZAR KASDOL GOVT.PS GOUSHALA PARA TUNTRA 22241206312 2397 BALODABAZAR KASDOL AADARSH GOVT PS KANYA KATGI 22241206401 2398 BALODABAZAR KASDOL GOVT PS AADARSH BALAK KATGI 22241206402 2399 BALODABAZAR KASDOL GOVT MS BALAK KATGI 22241206403 2400 BALODABAZAR KASDOL GOVT MS KANYA KATGI 22241206404 2401 BALODABAZAR KASDOL GOVT PS DERADIH 22241206501 2402 BALODABAZAR KASDOL GOVT PS MATIYA 22241206601 2403 BALODABAZAR KASDOL GOVT MS MATIYA 22241206602 2404 BALODABAZAR KASDOL GOVT. KUKARI KONA 22241206603 2405 BALODABAZAR KASDOL GOVT PS TENDUBHATA 22241206701 2406 BALODABAZAR KASDOL GOVT PS BAIJNATH 22241206801 2407 BALODABAZAR KASDOL GOVT PS BHATAPARA BAIJNATH (SSA) 22241206802
  • 74.
    2408 BALODABAZAR KASDOLGOVT MS BAIJNATH (SSA) 22241206803 2409 BALODABAZAR KASDOL GOVT PS SARWANI 22241206901 2410 BALODABAZAR KASDOL GOVT MS SARWANI (SSA) 22241206902 2411 BALODABAZAR KASDOL GOVT PS BHADRA 22241207001 2412 BALODABAZAR KASDOL GOVT MS BHADRA (SSA) 22241207002 2413 BALODABAZAR KASDOL NAVIN PS MAHUWABHATA 22241207103 2414 BALODABAZAR KASDOL GOVT PS KUMHARI 22241207201 2415 BALODABAZAR KASDOL GOVT MS KUMHARI 22241207202 2416 BALODABAZAR KASDOL GOVT PS KUMHARI (SSA) 22241207203 2417 BALODABAZAR KASDOL GOVT PS BHATAPARA KUMHARI (SSA) 22241207205 2418 BALODABAZAR KASDOL GOVT PS GHATMADWA 22241207301 2419 BALODABAZAR KASDOL GOVT PS GIRLS BALODA 22241207401 2420 BALODABAZAR KASDOL GOVT PS BOYS BALODA 22241207402 2421 BALODABAZAR KASDOL GOVT MS BALODA 22241207403 2422 BALODABAZAR KASDOL GOVT MS MOHTARA 22241207501 2423 BALODABAZAR KASDOL GOVT PS MOHTARA 22241207502 2424 BALODABAZAR KASDOL GOVT PS MOHTARA 22241207503 2425 BALODABAZAR KASDOL GOVT PS BAJRANG CHUOK MOHTARA (SSA) 22241207504 2426 BALODABAZAR KASDOL GOVT MS MOHTARA (TUNDRA) (SSA) 22241207505 2427 BALODABAZAR KASDOL GOVT PS CHARODA 22241207601 2428 BALODABAZAR KASDOL GOVT MS CHARODA 22241207602 2429 BALODABAZAR KASDOL GOVT MS SINODHA 22241207701 2430 BALODABAZAR KASDOL GOVT PS SINODHA 22241207703 2431 BALODABAZAR KASDOL GOVT PS MUDIYADIH 22241207801 2432 BALODABAZAR KASDOL GOVT PS SONAIDIH 22241207901 2433 BALODABAZAR KASDOL GOVT MS SONAIDIH (SSA) 22241207902 2434 BALODABAZAR KASDOL GOVT PS DEVRIKHURD 22241208001 2435 BALODABAZAR KASDOL GOVT MS HATOUD 22241208101 2436 BALODABAZAR KASDOL GOVT PS HATOUD 22241208102 2437 BALODABAZAR KASDOL GOVT PS SHYAM NAGAR HATOUD (SSA) 22241208103 2438 BALODABAZAR KASDOL GOVT PS SANDI 22241208201 2439 BALODABAZAR KASDOL GOVT MS SANDI (SSA) 22241208202 2440 BALODABAZAR KASDOL GOVT PS PATHIYAPALI 22241208301
  • 75.
    2441 BALODABAZAR KASDOLGOVT MS PATHIYAPALI (SSA) 22241208302 2442 BALODABAZAR KASDOL GOVT PS BASINPALI 22241208401 2443 BALODABAZAR KASDOL GOVT MS BASINPALI 22241208402 2444 BALODABAZAR KASDOL GOVT MS SARVA 22241208501 2445 BALODABAZAR KASDOL GOVT PS SARVA 22241208502 2446 BALODABAZAR KASDOL GOVT PS AWARAI 22241208601 2447 BALODABAZAR KASDOL GOVT PS KAMAR PARA AWARAI (SSA) 22241208603 2448 BALODABAZAR KASDOL GOVT MS AWARAI (SSA) 22241208604 2449 BALODABAZAR KASDOL GOVT PS KANYA PISID 22241208701 2450 BALODABAZAR KASDOL GOVT PS BALAK PISID 22241208702 2451 BALODABAZAR KASDOL GOVT MS BALAK PISID 22241208703 2452 BALODABAZAR KASDOL GOVT PS ARJUNI (M) 22241208801 2453 BALODABAZAR KASDOL GOVT MS ARJUNI 22241208802 2454 BALODABAZAR KASDOL GOVT PS ARJUNI 22241208803 2455 BALODABAZAR KASDOL GOVT PS KAPRIDIH 22241208901 2456 BALODABAZAR KASDOL GOVT MS KAPRIDIH (SSA) 22241208902 2457 BALODABAZAR KASDOL GOVT PS MADKADA 22241209001 2458 BALODABAZAR KASDOL GOVT MS MADKADA (SSA) 22241209002 2459 BALODABAZAR KASDOL GOVT PS GIDHORI 22241209101 2460 BALODABAZAR KASDOL GOVT MS GIDHOURI 22241209102 2461 BALODABAZAR KASDOL GOVT PS PULENI 22241209201 2462 BALODABAZAR KASDOL GOVT MS PULENI (SSA) 22241209202 2463 BALODABAZAR KASDOL GOVT PS MAHRAJI 22241209301 2464 BALODABAZAR KASDOL GOVT MS MAHRAJI (SSA) 22241209302 2465 BALODABAZAR KASDOL GOVT PS BARELI 22241209401 2466 BALODABAZAR KASDOL GOVT MS BARELI 22241209402 2467 BALODABAZAR KASDOL GOVT PS HASUWA 22241209601 2468 BALODABAZAR KASDOL GOVT MS HASUWA 22241209602 2469 BALODABAZAR KASDOL GOVT PS HADHA PARA 22241209701 2470 BALODABAZAR KASDOL GOVT MS HADHA PARA (SSA) 22241209702 2471 BALODABAZAR KASDOL GOVT PS DALDLI (SSA) 22241209801 2472 BALODABAZAR KASDOL GOVT PS DALDALI (MATIYA) 22241209802 2473 BALODABAZAR KASDOL GOVTPS MUDIPAR 22241209901
  • 76.
    2474 BALODABAZAR KASDOLGOVT MS MUDIPAR (SSA) 22241209902 2475 BALODABAZAR KASDOL GOVT PS ASNIND 22241210002 2476 BALODABAZAR KASDOL GOVT MS ASNIND 22241210003 2477 BALODABAZAR KASDOL GOVT PS SABAR 22241210101 2478 BALODABAZAR KASDOL GOVT MS SABAR (SSA) 22241210105 2479 BALODABAZAR KASDOL PVT JANBHAGIDARI SABAR 22241210106 2480 BALODABAZAR KASDOL GOVT PS SONAKHAN 22241210201 2481 BALODABAZAR KASDOL TWD MS BOYS ASHRAM SONAKHAN 22241210204 2482 BALODABAZAR KASDOL GOVT PS RIKOKALA 22241210301 2483 BALODABAZAR KASDOL GOVT MS RIKOKALA 22241210303 2484 BALODABAZAR KASDOL GOVT PS BAGAR 22241210401 2485 BALODABAZAR KASDOL GOVT MS BAGAR (SSA) 22241210402 2486 BALODABAZAR KASDOL GOVT PS BARBASPUR 22241210501 2487 BALODABAZAR KASDOL GOVT PS KURMAJHAR 22241210601 2488 BALODABAZAR KASDOL GOVT NAVIN MS KURMAJHAR 22241210602 2489 BALODABAZAR KASDOL GOVT PS DEVRUNG 22241210701 2490 BALODABAZAR KASDOL GOVT MS DEVRUNG (SSA) 22241210702 2491 BALODABAZAR KASDOL GOVT PS CHHATA 22241210801 2492 BALODABAZAR KASDOL GOVT MS CHHATA (SSA) 22241210802 2493 BALODABAZAR KASDOL GOVT PS BILARI 22241210901 2494 BALODABAZAR KASDOL GOVT MS BILADI (SSA) 22241210902 2495 BALODABAZAR KASDOL GOVT MS BILARI (ASNIND) (SSA) 22241210903 2496 BALODABAZAR KASDOL GOVT PS PUTPURA 22241211001 2497 BALODABAZAR KASDOL GOVT MS PUTPURA EDU 22241211002 2498 BALODABAZAR KASDOL NAVIN PS RAMBHATHA 22241211004 2499 BALODABAZAR KASDOL GOVT PS KHARRI 22241211101 2500 BALODABAZAR KASDOL GOVT MS KHARRI (SSA) 22241211102 2501 BALODABAZAR KASDOL GOVT PS DEVTARAI 22241211201 2502 BALODABAZAR KASDOL GOVT MS SEL 22241211302 2503 BALODABAZAR KASDOL GOVT PS NAVRANGPUR 22241211401 2504 BALODABAZAR KASDOL GOVT PS KHAPRADIH 22241211501 2505 BALODABAZAR KASDOL GOVT MS KHAPRADIH (SSA) 22241211502 2506 BALODABAZAR KASDOL GOVT PS PAHANDA 22241211601
  • 77.
    2507 BALODABAZAR KASDOLGOVT PS BARPALI 22241211701 2508 BALODABAZAR KASDOL GOVT MS BARPALI (SSA) 22241211703 2509 BALODABAZAR KASDOL GOVT NAVIN PS AMLIDIH 22241211801 2510 BALODABAZAR KASDOL GOVT PS AMLIDIH 22241211802 2511 BALODABAZAR KASDOL GOVT PS DHAMALPUR 22241211901 2512 BALODABAZAR KASDOL GOVT PS NAVAPARA 22241212001 2513 BALODABAZAR KASDOL GOVT PS NAVAPARA 22241212002 2514 BALODABAZAR KASDOL GOVT MS NAVAPARA 22241212003 2515 BALODABAZAR KASDOL GOVT PS RAMPUR 22241212101 2516 BALODABAZAR KASDOL GOVT MS RAMPUR 22241212102 2517 BALODABAZAR KASDOL GOVT PS RAMPUR (KATGI) 22241212103 2518 BALODABAZAR KASDOL GOVT PS JHABDI 22241212202 2519 BALODABAZAR KASDOL GOVT MS JHABDI 22241212203 2520 BALODABAZAR KASDOL GOVT PS BASANT BIHAR JHABDI (SSA) 22241212204 2521 BALODABAZAR KASDOL GOVT PS AMODI 22241212301 2522 BALODABAZAR KASDOL GOVT PS KANYA KASDOL 22241212401 2523 BALODABAZAR KASDOL GOVT NAVIN PS KASDOL 22241212402 2524 BALODABAZAR KASDOL GOVT MS BOYS KASDOL 22241212407 2525 BALODABAZAR KASDOL GOVT MS GIRLS KASDOL 22241212414 2526 BALODABAZAR KASDOL GOVT PS INDIRA COLONY KASDOL (SSA) 22241212415 2527 BALODABAZAR KASDOL GOVT PS NAYA GORDHA (SSA) 22241212416 2528 BALODABAZAR KASDOL GOVT PS KANTI PARA (SSA) 22241212417 2529 BALODABAZAR KASDOL TWD MS ADIWASI KANYA ASHRAM KASDOL 22241212419 2530 BALODABAZAR KASDOL GOVT PS PIPERCHEDI 22241212501 2531 BALODABAZAR KASDOL GOVT MS PIPARCHHEDI (SSA) 22241212502 2532 BALODABAZAR KASDOL GOVT PS BAMHANI 22241212601 2533 BALODABAZAR KASDOL GOVT MS BAMHANI (SSA) 22241212602 2534 BALODABAZAR KASDOL GOVT PS BALDAKACHHAR 22241212701 2535 BALODABAZAR KASDOL GOVT MS BALDAKACHHAR 22241212702 2536 BALODABAZAR KASDOL GOVT PS GYAN JYOTI KAMARPARA BALDAKACHHAR(SSA) 22241212703 2537 BALODABAZAR KASDOL GOVT PS BORSI 22241212801 2538 BALODABAZAR KASDOL GOVT MS BORSI 22241212802 2539 BALODABAZAR KASDOL GOVT PS SALIHABHATA 22241212901
  • 78.
    2540 BALODABAZAR KASDOLGOVT PS BOYS MALDA 22241213001 2541 BALODABAZAR KASDOL GOVT PS KANYA MALDA 22241213002 2542 BALODABAZAR KASDOL GOVT MS MALDA 22241213003 2543 BALODABAZAR KASDOL GOVT PS MANAKONI 22241213101 2544 BALODABAZAR KASDOL GOVT MS MANAKONI (SSA) 22241213103 2545 BALODABAZAR KASDOL GOVT PS TIPRUNG 22241213201 2546 BALODABAZAR KASDOL GOVT PS NAGEDI 22241213301 2547 BALODABAZAR KASDOL GOVT MS NAGEDI (SSA) 22241213302 2548 BALODABAZAR KASDOL GOVT PS PARSADA 22241213401 2549 BALODABAZAR KASDOL GOVT MS PARSADA (SSA) 22241213402 2550 BALODABAZAR KASDOL GOVT PS THAKURDIYA 22241213501 2551 BALODABAZAR KASDOL GOVT PS MAUHABHATA (SSA) 22241213503 2552 BALODABAZAR KASDOL GOVT MS THAKURDIYA (SSA) 22241213504 2553 BALODABAZAR KASDOL GOVT PS DEVGAO (RAJADEVRI) 22241213601 2554 BALODABAZAR KASDOL GOVT MS DEVGAO (SSA) 22241213603 2555 BALODABAZAR KASDOL GOVT PS VIDHYA MANDIR RAJADEVRI 22241213701 2556 BALODABAZAR KASDOL GOVT PS KANYA RAJADEVRI 22241213702 2557 BALODABAZAR KASDOL GOVT MS RAJADEVRI 22241213703 2558 BALODABAZAR KASDOL GOVT PS BHANPUR 22241213801 2559 BALODABAZAR KASDOL GOVT PS DONGRIPARA BHANPUR (SSA) 22241213802 2560 BALODABAZAR KASDOL GOVT MS BHANPUR (SSA) 22241213803 2561 BALODABAZAR KASDOL GOVT PS NAGARDA 22241213901 2562 BALODABAZAR KASDOL GOVT PS KANYA SEL 22241214001 2563 BALODABAZAR KASDOL GOVT PS BALAK SEL 22241214002 2564 BALODABAZAR KASDOL GOVT PS KUSHBHATA 22241214101 2565 BALODABAZAR KASDOL GOVT MS KUSHBHATA (SSA) 22241214102 2566 BALODABAZAR KASDOL GOVT PS KHUDMUDI 22241214201 2567 BALODABAZAR KASDOL GOVT PS KHARHA 22241214301 2568 BALODABAZAR KASDOL GOVT PS FURFUNDI 22241214401 2569 BALODABAZAR KASDOL GOVT MS FURFUNDI 22241214402 2570 BALODABAZAR KASDOL GOVT PS SONPUR 22241214501 2571 BALODABAZAR KASDOL GOVT MS SONPUR (SSA) 22241214502 2572 BALODABAZAR KASDOL GOVT PS BARPANI 22241214601
  • 79.
    2573 BALODABAZAR KASDOLGOVT MS BARPANI 22241214602 2574 BALODABAZAR KASDOL GOVT PS CHATVAN 22241214701 2575 BALODABAZAR KASDOL GOVT MS CHATVAN 22241214702 2576 BALODABAZAR KASDOL GOVT PS MALDI 22241214801 2577 BALODABAZAR KASDOL GOVT PS PACHPEDI 22241214901 2578 BALODABAZAR KASDOL GOVT PS NANDANIYA 22241215001 2579 BALODABAZAR KASDOL GOVT PS AMAKHOHA 22241215301 2580 BALODABAZAR KASDOL GOVT MS AMAKHOHA (SSA) 22241215302 2581 BALODABAZAR KASDOL GOVT PS MADWA 22241215501 2582 BALODABAZAR KASDOL GOVT MS MADWA (SSA) 22241215502 2583 BALODABAZAR KASDOL GOVT PS KOT (KATGI) 22241215602 2584 BALODABAZAR KASDOL GOVT PS KUKRIKONA 22241215701 2585 BALODABAZAR KASDOL GOVT NAVIN PS SEMRA 22241215801 2586 BALODABAZAR KASDOL GOVT PS RUJHUNI 22241215901 2587 BALODABAZAR KASDOL GOVT PS LUKAUPALI 22241216001 2588 BALODABAZAR KASDOL GOVT NAVIN PS BAGHMADA 22241216101 2589 BALODABAZAR KASDOL GOVT MS BAGHMADA (SSA) 22241216102 2590 BALODABAZAR KASDOL GOVT NAVIN PS MAHKAM 22241216201 2591 BALODABAZAR KASDOL GOVT PS JHALPANI 22241216301 2592 BALODABAZAR KASDOL GOVT MS KANYA PISID (SSA) 22241216404 2593 BALODABAZAR KASDOL GOVT NAVIN PS GANIYARI 22241216501 2594 BALODABAZAR KASDOL GOVT NAVIN PS PODI 22241216601 2595 BALODABAZAR KASDOL GOVT NAVIN PS CHANDIDIH 22241216701 2596 BALODABAZAR KASDOL GOVT PS DHOURABHATA 22241216801 2597 BALODABAZAR KASDOL GOVT NAVIN PS KARMEL 22241216901 2598 BALODABAZAR KASDOL GOVT NAVIN PS BANIKHAR 22241217001 2599 BALODABAZAR KASDOL GOVT PS BADGAO 22241217101 2600 BALODABAZAR KASDOL GOVT MS BADGAO (SSA) 22241217102 2601 BALODABAZAR KASDOL GOVT PS LORITKHAR 22241217201 2602 BALODABAZAR KASDOL GOVT PS AKALTARA 22241217301 2603 BALODABAZAR KASDOL GOVT PS DHEBIKHAR 22241217401 2604 BALODABAZAR KASDOL GOVT MS DHEBIKHAR (SSA) 22241217402 2605 BALODABAZAR KASDOL GOVT PS DHEBA 22241217501
  • 80.
    2606 BALODABAZAR KASDOLGOVT PS CHANTIPALI 22241217601 2607 BALODABAZAR KASDOL GOVT PS DEVRIKALA 22241217701 2608 BALODABAZAR KASDOL GOVT MS DEVRIKALA (SSA) 22241217702 2609 BALODABAZAR KASDOL TWD ADIWASI BALAK ASHRAM CHARODA 22241217801 2610 BALODABAZAR KASDOL GOVT PS CHARODA 22241217806 2611 BALODABAZAR KASDOL GOVT MS CHARODA (K) (SSA) 22241217807 2612 BALODABAZAR KASDOL GOVT PS BAYA 22241217901 2613 BALODABAZAR KASDOL GOVT MS BAYA 22241217902 2614 BALODABAZAR KASDOL GOVT PS CHECHRAPALI 22241218001 2615 BALODABAZAR KASDOL GOVT MS CHECHRAPALI (SSA) 22241218002 2616 BALODABAZAR KASDOL GOVT PS KOSAMSARA 22241218101 2617 BALODABAZAR KASDOL TDW ADIWASI KANYA ASHRAM 22241218201 2618 BALODABAZAR KASDOL GOVT MS NAVAPARA (BAR) 22241218202 2619 BALODABAZAR KASDOL GOVT MS BAR (SSA) 22241218203 2620 BALODABAZAR KASDOL GOVT PS CHHATALDABARA 22241218301 2621 BALODABAZAR KASDOL GOVT MS CHHATALDABARA (SSA) 22241218302 2622 BALODABAZAR KASDOL GOVT PS PANDADAH 22241218401 2623 BALODABAZAR KASDOL GOVT MS PANDADAH (SSA) 22241218402 2624 BALODABAZAR KASDOL GOVT PS GIDHPURI 22241218501 2625 BALODABAZAR KASDOL GOVT PS KURKUTI 22241218601 2626 BALODABAZAR KASDOL GOVT PS METKULA 22241218701 2627 BALODABAZAR KASDOL GOVT PS PAKRID 22241218801 2628 BALODABAZAR KASDOL GOVT MS PAKRID (SSA) 22241218802 2629 BALODABAZAR KASDOL GOVT PS RANGORA 22241218901 2630 BALODABAZAR KASDOL GOVT MS RANGORA (SSA) 22241218902 2631 BALODABAZAR KASDOL GOVT NAVIN MS DEVPUR (SSA) 22241219002 2632 BALODABAZAR KASDOL GOVT PS DEVPUR 22241219003 2633 BALODABAZAR KASDOL GOVT PS DHAMANPURA 22241219101 2634 BALODABAZAR KASDOL GOVT PS VANGRAM UPRANI 22241219201 2635 BALODABAZAR KASDOL GOVT PS BAR(NAVAPARA) 22241219401 2636 BALODABAZAR KASDOL GOVT PS NAVAPARA 22241219501 2637 BALODABAZAR KASDOL GOVT PS AMGAO 22241219601 2638 BALODABAZAR KASDOL GOVT MS AMGAO 22241219602
  • 81.
    2639 BALODABAZAR KASDOLGOVT PS GABOD 22241219701 2640 BALODABAZAR KASDOL GOVT PS MIRGIDA (SSA) 22241219801 2641 BALODABAZAR KASDOL GOVT PS KAUHAKUDA 22241219901 2642 BALODABAZAR KASDOL GOVT PS MUDPAR 22241220001 2643 BALODABAZAR KASDOL GOVT PS BHARKA 22241220101 2644 BALODABAZAR KASDOL GOVT PS KATWAJHAR 22241220201 2645 BALODABAZAR KASDOL GOVT PS KUSHGADH 22241220301 2646 BALODABAZAR KASDOL GOVT MS KUSHGADH (SSA) 22241220302 2647 BALODABAZAR KASDOL GOVT PS TURKINDIH 22241220501 2648 BALODABAZAR KASDOL GOVT MS TURKINDIH (SSA) 22241220502 2649 BALODABAZAR KASDOL GOVT PS TALDADAR 22241220701 2650 BALODABAZAR KASDOL GOVT.MS TAL DADAR 22241220702 2651 BALODABAZAR KASDOL GOVT PS KANJIYA 22241220801 2652 BALODABAZAR KASDOL GOVT PS SAIYABHATA 22241220901 2653 BALODABAZAR KASDOL GOVT PS SURBOY 22241221001 2654 BALODABAZAR KASDOL GOVT MS SURBOY (SSA) 22241221002 2655 BALODABAZAR KASDOL GOVT PS RAWAN 22241221101 2656 BALODABAZAR KASDOL GOVT MS RAWAN (SSA) 22241221102 2657 BALODABAZAR KASDOL GOVT PS HARDI 22241221201 2658 BALODABAZAR KASDOL GOVT PS GUDAGADH 22241221301 2659 BALODABAZAR KASDOL GOVT MS GUDAGADH (SSA) 22241221302 2660 BALODABAZAR KASDOL GOVT PS DOND 22241221401 2661 BALODABAZAR KASDOL GOVT MS DOND (SSA) 22241221402 2662 BALODABAZAR KASDOL GOVT PS LATADADAR 22241221501 2663 BALODABAZAR KASDOL GOVT MS LATADADAR (SSA) 22241221502 2664 BALODABAZAR KASDOL GOVT PS KOTHARI 22241221701 2665 BALODABAZAR KASDOL GOVT PS CHANDAN 22241221802 2666 BALODABAZAR KASDOL GOVT MS CHANDAN 22241221804 2667 BALODABAZAR KASDOL GOVT PS SARAIPALI 22241222001 2668 BALODABAZAR KASDOL GOVT MS SARAIPALI (SSA) 22241222002 2669 BALODABAZAR KASDOL GOVT PS GANJARDIH 22241222101 2670 BALODABAZAR KASDOL NAVIN PS GANJARDIH (SSA) 22241222103 2671 BALODABAZAR KASDOL GOVT PS KORRADIH 22241222201
  • 82.
    2672 BALODABAZAR KASDOLGOVT MS KORRADIH (SSA) 22241222202 2673 BALODABAZAR KASDOL GOVT PS MOHDA 22241222301 2674 BALODABAZAR KASDOL GOVT PS MUDPAR (BAR) 22241222401 2675 BALODABAZAR KASDOL GOVT NAVIN PS SABARIYADERA BALODA 22241222501 2676 BALODABAZAR KASDOL GOVT NAVIN PS THELKADABARI 22241222601 2677 BALODABAZAR KASDOL GOVT NAVIN PS KASONDI 22241222701 2678 BALODABAZAR KASDOL GOVT NAVIN PS GWALINDIH 22241222801 2679 BALODABAZAR KASDOL GOVT PS BAHERABHATHA 22241222901 2680 BALODABAZAR KASDOL GOVT PS SIRMAL 22241223001 2681 BALODABAZAR KASDOL GOVT PS CHANHAT (SSA) 22241223101 2682 BALODABAZAR KASDOL GOVT PS TALABPARA ASNIND (SSA) 22241223302 2683 BALODABAZAR KASDOL GOVT PS ACHANAKPUR (SSA) 22241223402 2684 BALODABAZAR KASDOL GOVT MS ACHNAJKPUR (SSA) 22241223404 2685 BALODABAZAR KASDOL GOVT PS KALMIDIH 22241223501 2686 BALODABAZAR KASDOL GOVT PS MOUHABHATA (SSA) 22241223603 2687 BALODABAZAR KASDOL GOVT PS MAHKONI (SSA) 22241223702 2688 BALODABAZAR KASDOL GOVT PS NAWADIH JHABDI MALDA (SSA) 22241223802 2689 BALODABAZAR KASDOL GOVT PS NAWADIH (SSA) 22241223804 2690 BALODABAZAR KASDOL GOVT PS KHOSDA (SSA) 22241223902 2691 BALODABAZAR KASDOL GOVT PS PARSAPALI (SSA) 22241224101 2692 BALODABAZAR KASDOL GOVT NAVIN PS KAUHABAHRA (SSA) 22241224202 2693 BALODABAZAR KASDOL GOVT PS SARASDOL (SSA) 22241224402 2694 BALODABAZAR KASDOL GOVT PS KODADAMA (SSA) 22241224501 2695 BALODABAZAR KASDOL GOVT PS JOGIDIPA (SSA) 22241224602 2696 BALODABAZAR KASDOL GOVT.P.S. DOUNAJHAR SSA 22241224702 2697 BALODABAZAR KASDOL GOVT PS DEVGAO 22241224801 2698 BALODABAZAR KASDOL GOVT MS DEVGOAN 22241224802 2699 BALODABAZAR KASDOL GOVT MS GIRODPURI 22241224901 2700 BALODABAZAR KASDOL GOVT PS KHARVE (OLD) 22241225001 2701 BALODABAZAR KASDOL GOVT PS KHARVE (NEW) 22241225002 2702 BALODABAZAR KASDOL GOVT PS GHIRGHOL (SSA) 22241225101 2703 BALODABAZAR KASDOL GOVT PS MAGARDARHA (SSA) 22241225201 2704 BALODABAZAR KASDOL GOVT PS BAKLA (SSA) 22241225301
  • 83.
    2705 BALODABAZAR KASDOLGOVT PS DADHAKHAR (SSA) 22241225401 2706 BALODABAZAR KASDOL GOVT MS DADHAKHAR (SSA) 22241225402 2707 BALODABAZAR KASDOL GOVT PS BANSULIDIH SONPUR (SSA) 22241225501 2708 BALODABAZAR KASDOL GOVT PS DIPAPARA SONPUR (SSA) 22241225601 2709 BALODABAZAR KASDOL GOVT PS NADIYA PARA (SSA) 22241225701 2710 BALODABAZAR KASDOL GOVT PS LIRIDEEPA (SSA) 22241225801 2711 BALODABAZAR KASDOL GOVT PS TRIKUTI (SSA) 22241225901 2712 BALODABAZAR KASDOL GOVT PS KALMIDADAR (SSA) 22241226001 2713 BALODABAZAR KASDOL GOVT PS MURUMDIH (SSA) 22241226101 2714 BALODABAZAR KASDOL GOVT MS MURUMDIH (SSA) 22241226102 2715 BALODABAZAR KASDOL GOVT PS ALDA (SSA) 22241226201 2716 BALODABAZAR KASDOL GOVT PS GIDOLA (SSA) 22241226301 2717 BALODABAZAR KASDOL PS TALAJHAR (SSA) 22241226401 2718 BALODABAZAR KASDOL GOVT MS TALAJHAR (SSA) 22241226402 2719 BALODABAZAR KASDOL GOVT PS TILSABHATHA (SSA) 22241226501 2720 BALODABAZAR KASDOL GOVT PS BANGAPALI (SSA) 22241226601 2721 BALODABAZAR KASDOL GOVT PS KUMHARIDEEPA (SSA) 22241226701 2722 BALODABAZAR KASDOL GOVT MS BITKULI (SSA) 22241227001 2723 BALODABAZAR KASDOL GOVT PS BITKULI 22241227002 2724 BALODABAZAR KASDOL GOVT MS KHAIRA ARJUNI (SSA) 22241227101 2725 BALODABAZAR KASDOL GOVT MS DALDALI (MATIYA) (SSA) 22241227401 2726 BALODABAZAR KASDOL GOVT MS RAMPUR (SSA) 22241227501 2727 BALODABAZAR KASDOL GOVT MS MUDPAR (SSA) 22241227701 2728 BALODABAZAR KASDOL PS NANKIDIH (SSA) 22241228101 2729 BALODABAZAR KASDOL GOVT MS ARJUNI (M) (SSA) 22241228501 2730 BALODABAZAR KASDOL GOVT MS DARRA (GIROD) (SSA) 22241228703 2731 BALODABAZAR KASDOL GOVT PS SUKLI 22241229501 2732 BALODABAZAR KASDOL GOVT MS SUKLI (SSA) 22241229502 2733 BALODABAZAR KASDOL GOVT PS JUNADIH (SSA) 22241229601 2734 BALODABAZAR KASDOL GOVT PS BHOTHAHI [SSA] 22241229701 2735 BALODABAZAR KASDOL GOVT PS TENDUCHUA 22241229801 2736 BALODABAZAR KASDOL GOVT N.P.S. GYAN JYOTI DADAR 22241230001 2737 BALODABAZAR KASDOL GOVT PS GYAN JYOTI MUNGULBHANTA 22241230101
  • 84.
    2738 BALODABAZAR KASDOLGOVT N.P.S. DEEPAPARA 22241230201 2739 BALODABAZAR PALARI GOVT PRIMARY SCHOOL CHADIYA 22241800101 2740 BALODABAZAR PALARI GOVT MIDDLE SCHOOL CHADIYA 22241800102 2741 BALODABAZAR PALARI GOVT PRIMARY SCHOOL KONARI 22241800201 2742 BALODABAZAR PALARI GOVT MIDDLE SCHOOL KONARI 22241800202 2743 BALODABAZAR PALARI GOVT PRIMARY SCHOOL CHANDIPARA KONARI 22241800203 2744 BALODABAZAR PALARI GOVT PRIMARY SCHOOL ACHOLI 22241800301 2745 BALODABAZAR PALARI GOVT MIDDLE SCHOOL ACHOLI 22241800302 2746 BALODABAZAR PALARI GOVT PRIMARY SCHOOL KESALA 22241800401 2747 BALODABAZAR PALARI GOVT PRIMARY SCHOOL RAMMANDIR PARA KESALA 22241800402 2748 BALODABAZAR PALARI GOVT MIDDLE SCHOOL KESALA 22241800403 2749 BALODABAZAR PALARI GOVT PRIMARY SCHOOL SIRSAHI 22241800501 2750 BALODABAZAR PALARI GOVT PRIMARY SCHOOL KANAKOT 22241800601 2751 BALODABAZAR PALARI GOVT PRIMARY SCHOOL KHARTORA 22241800701 2752 BALODABAZAR PALARI GOVT MIDDLE SCHOOL KHARTORA 22241800704 2753 BALODABAZAR PALARI GOVT PRIMARY SCHOOL BOYS AMERA 22241800801 2754 BALODABAZAR PALARI GOVT PRIMARY SCHOOL GIRLS AMERA 22241800802 2755 BALODABAZAR PALARI GOVT MIDDLE SCHOOL AMERA 22241800803 2756 BALODABAZAR PALARI GOVT PRIMARY SCHOOL DARRIPARA AMERA 22241800804 2757 BALODABAZAR PALARI GOVT PRIMARY SCHOOL CHERKAPUR 22241800901 2758 BALODABAZAR PALARI GOVT MIDDLE SCHOOL CHERKAPUR 22241800902 2759 BALODABAZAR PALARI GOVT PRIMARY SCHOOL BHATAPARA CHERKAPUR 22241800903 2760 BALODABAZAR PALARI GOVT PRIMARY SCHOOL KOSMANDA 22241801001 2761 BALODABAZAR PALARI GOVT MIDDLE SCHOOL KOSMANDA 22241801002 2762 BALODABAZAR PALARI GOVT PRIMARY SCHOOL KODIYA 22241801101 2763 BALODABAZAR PALARI GOVT MIDDLE SCHOOL KODIYA 22241801102 2764 BALODABAZAR PALARI GOVT PRIMARY SCHOOL GIRLS DEVSUNDRA 22241801201 2765 BALODABAZAR PALARI GOVT PRIMARY SCHOOL BOYS DEVSUNDRA 22241801202 2766 BALODABAZAR PALARI GOVT MIDDLE SCHOOL BOYS DEVSUNDRA 22241801204 2767 BALODABAZAR PALARI GOVT MIDDLE SCHOOL GIRLS DEVSUNDRA 22241801205 2768 BALODABAZAR PALARI GOVT PRIMARY SCHOOL GIRLS AASHRAM DEVSUNDRA 22241801207 2769 BALODABAZAR PALARI GOVT PRIMARY SCHOOL BOYS KUSMI 22241801301 2770 BALODABAZAR PALARI GOVT PRIMARY SCHOOL GIRLS KUSMI 22241801302
  • 85.
    2771 BALODABAZAR PALARIGOVT MIDDLE SCHOOL KUSMI 22241801303 2772 BALODABAZAR PALARI GOVT PRIMARY SCHOOL TEMRI 22241801401 2773 BALODABAZAR PALARI GOVT MIDDLE SCHOOL TEMRI 22241801402 2774 BALODABAZAR PALARI GOVT PRIMARY SCHOOL JORADABRI 22241801501 2775 BALODABAZAR PALARI GOVT PRIMARY SCHOOL JUNWANI 22241801601 2776 BALODABAZAR PALARI GOVT PRIMARY SCHOOL JUNWANI 22241801602 2777 BALODABAZAR PALARI GOVT MIDDLE SCHOOL JUNWANI 22241801603 2778 BALODABAZAR PALARI GOVT PRIMARY SCHOOL MATWARI 22241801701 2779 BALODABAZAR PALARI GOVT PRIMARY SCHOOL BOYS JARWE 22241801801 2780 BALODABAZAR PALARI GOVT PRIMARY SCHOOL GIRLS JARWE 22241801802 2781 BALODABAZAR PALARI GOVT MIDDLE SCHOOL BOYS JARWE 22241801803 2782 BALODABAZAR PALARI GOVT MIDDLE SCHOOL GIRLS JARWE 22241801804 2783 BALODABAZAR PALARI GOVT PRIMARY SCHOOL MOHTARA 22241801901 2784 BALODABAZAR PALARI GOVT PRIMARY SCHOOL DHORABHATA 22241802001 2785 BALODABAZAR PALARI GOVT.PRIMARY SCHOOL DHORABHATA 22241802002 2786 BALODABAZAR PALARI GOVT.MIDDLE SCHOOL DHORABHATA 22241802003 2787 BALODABAZAR PALARI GOVT PRIMARY SCHOOL THELKI 22241802101 2788 BALODABAZAR PALARI GOVT PRIMARY SCHOOL GADHIDIH 22241802201 2789 BALODABAZAR PALARI GOVT PRIMARY SCHOOL MALLIN 22241802301 2790 BALODABAZAR PALARI GOVT MIDDLE SCHOOL MALLIN 22241802302 2791 BALODABAZAR PALARI GOVT PRIMARY SCHOOL LACHANPUR 22241802401 2792 BALODABAZAR PALARI GOVT MIDDLE SCHOOL LACHANPUR 22241802402 2793 BALODABAZAR PALARI GOVT PRIMARY SCHOOL SADAKPARA LACHANPUR 22241802404 2794 BALODABAZAR PALARI GOVT PRIMARY SCHOOL AMETHI 22241802501 2795 BALODABAZAR PALARI GOVT MIDDLE SCHOOL AMETHI 22241802502 2796 BALODABAZAR PALARI GOVT PRIMARY SCHOOL SAKRI (S) 22241802603 2797 BALODABAZAR PALARI GOVT MIDDLE SCHOOL SAKRI (S) 22241802604 2798 BALODABAZAR PALARI GOVT.PRIMARY SCHOOL GABOD (L) 22241802701 2799 BALODABAZAR PALARI GOVT.PRIMARY SCHOOL GABOD 22241802702 2800 BALODABAZAR PALARI GOVT.MIDDLE SCHOOL GABOD (L) 22241802703 2801 BALODABAZAR PALARI GOVT PRIMARY SCHOOL GIRLS VATGAN 22241802901 2802 BALODABAZAR PALARI GOVT PRIMARY SCHOOL VATGAN 22241802902 2803 BALODABAZAR PALARI GOVT MIDDLE SCHOOL VATGAN 22241802903
  • 86.
    2804 BALODABAZAR PALARIGOVT PRIMARY SCHOOL BOYS DATAN (P) 22241803002 2805 BALODABAZAR PALARI GOVT MIDDLE SCHOOL BOYS DATAN (P) 22241803003 2806 BALODABAZAR PALARI GOVT PRIMARY SCHOOL GIRLS DATAN (P) 22241803004 2807 BALODABAZAR PALARI GOVT MIDDLE SCHOOL GIRLS DATAN (P) 22241803005 2808 BALODABAZAR PALARI GOVT PRIMARY SCHOOL GUDYARIPARA DATAN (P) 22241803006 2809 BALODABAZAR PALARI GOVT PRIMARY SCHOOL RASOTA 22241803101 2810 BALODABAZAR PALARI GOVT MIDDLE SCHOOL RASOTA 22241803102 2811 BALODABAZAR PALARI GOVT PRIMARY SCHOOL PARSADIH 22241803201 2812 BALODABAZAR PALARI GOVT PRIMARY SCHOOL GITKERA 22241803301 2813 BALODABAZAR PALARI GOVT MIDDLE SCHOOL GITKERA 22241803302 2814 BALODABAZAR PALARI GOVT.PRIMARY SCHOOL TAMORI 22241803401 2815 BALODABAZAR PALARI GOVT PRIMARY SCHOOL DEVGAON 22241803501 2816 BALODABAZAR PALARI GOVT PRIMARY SCHOOL BIJARADIH 22241803601 2817 BALODABAZAR PALARI GOVT MIDDLE SCHOOL BIJARADIH 22241803602 2818 BALODABAZAR PALARI GOVT PRIMARY SCHOOL BAMHNI 22241803701 2819 BALODABAZAR PALARI GOVT.MIDDLE SCHOOL BAMHNI 22241803702 2820 BALODABAZAR PALARI GOVT.PRIMARY SCHOOL DATRENGI 22241803801 2821 BALODABAZAR PALARI GOVT MIDDLE SCHOOL DATRENGI 22241803802 2822 BALODABAZAR PALARI GOVT PRIMARY SCHOOL LUTUDIH 22241804001 2823 BALODABAZAR PALARI GOVT PRIMARY SCHOOL GIRLS SISDEWRI 22241804101 2824 BALODABAZAR PALARI GOVT PRIMARY SCHOOL BOYS SISDEWARI 22241804102 2825 BALODABAZAR PALARI GOVT MIDDLE SCHOOL SISDEWARI 22241804104 2826 BALODABAZAR PALARI GOVT PRIMARY SCHOOL KHAIRA 22241804201 2827 BALODABAZAR PALARI GOVT PRIMARY SCHOOL KHAIRA 22241804202 2828 BALODABAZAR PALARI GOVT PRIMARY SCHOOL GHIRGHOL 22241804301 2829 BALODABAZAR PALARI GOVT MIDDLE SCHOOL GHIRGHOL 22241804302 2830 BALODABAZAR PALARI GOVT PRIMARY SCHOOL KHAIRI 22241804401 2831 BALODABAZAR PALARI GOVT PRIMARY SCHOOL PATARCHUWA 22241804501 2832 BALODABAZAR PALARI GOVT PRIMARY SCHOOL KHAPARI 22241804601 2833 BALODABAZAR PALARI GOVT PRIMARY SCHOOL KHAPARI 22241804602 2834 BALODABAZAR PALARI GOVT PRIMARY SCHOOL BHAWANIPUR 22241804701 2835 BALODABAZAR PALARI GOVT MIDDLE SCHOOL BHAWANIPUR 22241804702 2836 BALODABAZAR PALARI GOVT PRIMARY SCHOOL NAYAPARA BHAWANIPUR 22241804703
  • 87.
    2837 BALODABAZAR PALARIGOVT PRIMARY SCHOOL GIRLS JARA 22241804801 2838 BALODABAZAR PALARI GOVT PRIMARY SCHOOL BOYS JARA 22241804802 2839 BALODABAZAR PALARI GOVT MIDDLE SCHOOL JARA 22241804804 2840 BALODABAZAR PALARI GOVT MIDDLE SCHOOL CHHERKADIH 22241804902 2841 BALODABAZAR PALARI GOVT PRIMARY SCHOOL VIDYA MANDIR KOSMANDI 22241805001 2842 BALODABAZAR PALARI GOVT PRIMARY SCHOOL GIRLS KOSMANDI 22241805002 2843 BALODABAZAR PALARI GOVT MIDDLE SCHOOL KOSMANDI 22241805003 2844 BALODABAZAR PALARI GOVT PRIMARY SCHOOL BINORI 22241805201 2845 BALODABAZAR PALARI GOVT MIDDLE SCHOOL BINORI 22241805202 2846 BALODABAZAR PALARI GOVT PRIMARY SCHOOL INDIRA COLONI BINORI 22241805203 2847 BALODABAZAR PALARI GOVT PRIMARY SCHOOL BALODI 22241805301 2848 BALODABAZAR PALARI GOVT MIDDLE SCHOOL BALODI 22241805302 2849 BALODABAZAR PALARI GOVT PRIMARY SCHOOL BHATAPARA BALODI 22241805303 2850 BALODABAZAR PALARI GOVT PRIMARY SCHOOL SAIHA 22241805401 2851 BALODABAZAR PALARI GOVT MIDDLE SCHOOL SAIHA 22241805402 2852 BALODABAZAR PALARI GOVT.PRIMARY SCHOOL SUNDRAWAN 22241805501 2853 BALODABAZAR PALARI GOVT MIDDLE SCHOOL SUNDRAWAN 22241805502 2854 BALODABAZAR PALARI GOVT PRIMARY SCHOOL NAHARPARA SUNDRAWAN 22241805503 2855 BALODABAZAR PALARI GOVT PRIMARY SCHOOL MUDIYADIH 22241805601 2856 BALODABAZAR PALARI GOVT.MIDDLE SCHOOL MUDIYADIH 22241805603 2857 BALODABAZAR PALARI GOVT PRIMARY SCHOOL SALAUNI 22241805701 2858 BALODABAZAR PALARI GOVT MIDDLE SCHOOL SALAUNI 22241805702 2859 BALODABAZAR PALARI GOVT PRIMARY SCHOOL SADAKPARA SALAUNI 22241805703 2860 BALODABAZAR PALARI GOVT PRIMARY SCHOOL LAKDIYA 22241805801 2861 BALODABAZAR PALARI GOVT MIDDLE SCHOOL KHAPARI (BHA) 22241805903 2862 BALODABAZAR PALARI GOVT.PRIMARY SCHOOL BOIRDIH 22241806101 2863 BALODABAZAR PALARI GOVT PRIMARY SCHOOL SEMRIYA 22241806201 2864 BALODABAZAR PALARI GOVT PRIMARY SCHOOL MOHAAN 22241806401 2865 BALODABAZAR PALARI GOVT PRIMARY SCHOOL MALPURI 22241806501 2866 BALODABAZAR PALARI GOVT PRIMARY SCHOOL SITAPAR 22241806601 2867 BALODABAZAR PALARI GOVT MIDDLE SCHOOL SITAPAR 22241806602 2868 BALODABAZAR PALARI GOVT PRIMARY SCHOOL PARASWANI 22241806701 2869 BALODABAZAR PALARI GOVT PRIMARY SCHOOL SEMHARADIH 22241806801
  • 88.
    2870 BALODABAZAR PALARIGOVT MIDDLE SCHOOL SEMHARADIH 22241806802 2871 BALODABAZAR PALARI GOVT PRIMARY SCHOOL BOYS ROHANSI 22241806901 2872 BALODABAZAR PALARI GOVT PRIMARY SCHOOL GIRLS ROHANSI 22241806902 2873 BALODABAZAR PALARI GOVT MIDDLE SCHOOL BOYS ROHANSI 22241806903 2874 BALODABAZAR PALARI GOVT PRIMARY SCHOOL SADAKPARA ROHANSI 22241806904 2875 BALODABAZAR PALARI GOVT MIDDLE SCHOOL GIRLS ROHANSI 22241806905 2876 BALODABAZAR PALARI GOVT PRIMARY SCHOOL LATERA 22241807101 2877 BALODABAZAR PALARI GOVT PRIMARY SCHOOL BODA 22241807201 2878 BALODABAZAR PALARI GOVT PRIMARY SCHOOL SANHDA 22241807301 2879 BALODABAZAR PALARI GOVT MIDDLE SCHOOL SANHDA 22241807302 2880 BALODABAZAR PALARI GOVT.PRIMARY SCHOOL RIWADIH 22241807401 2881 BALODABAZAR PALARI GOVT.MIDDLE SCHOOL RIWADIH 22241807403 2882 BALODABAZAR PALARI GOVT PRIMARY SCHOOL ODAN 22241807501 2883 BALODABAZAR PALARI GOVT MIDDLE SCHOOL ODAN 22241807502 2884 BALODABAZAR PALARI GOVT PRIMARY SCHOOL GARHPARA ODAN 22241807504 2885 BALODABAZAR PALARI GOVT PRIMARY SCHOOL CHARODA 22241807601 2886 BALODABAZAR PALARI GOVT MIDDLE SCHOOL CHARODA 22241807602 2887 BALODABAZAR PALARI GOVT PRIMARY SCHOOL BAZARCHOUK CHARODA 22241807603 2888 BALODABAZAR PALARI GOVT PRIMARY SCHOOL NAWAGAON 22241807701 2889 BALODABAZAR PALARI GOVT PRIMARY SCHOOL SINDHORA 22241807801 2890 BALODABAZAR PALARI GOVT MIDDLE SCHOOL SINDHORA 22241807802 2891 BALODABAZAR PALARI VIDYA MANDIR RENGADIH (ADDED) 22241807901 2892 BALODABAZAR PALARI GOVT MIDDLE SCHOOL RENGADIH 22241807902 2893 BALODABAZAR PALARI GOVT.PRIMARY SCHOOL AHMADPUR 22241808001 2894 BALODABAZAR PALARI GOVT PRIMARY SCHOOL SARRA 22241808101 2895 BALODABAZAR PALARI GOVT PRIMARY SCHOOL SATNAMIPARA SARRA 22241808102 2896 BALODABAZAR PALARI GOVT MIDDLE SCHOOL SARRA 22241808107 2897 BALODABAZAR PALARI GOVT PRIMARY SCHOOL GHOTIYA 22241808201 2898 BALODABAZAR PALARI GOVT PRIMARY SCHOOL JANGLOR 22241808301 2899 BALODABAZAR PALARI GOVT MIDDLE SCHOOL JANGLOR 22241808302 2900 BALODABAZAR PALARI GOVT.PRIMARY SCHOOL DATAN (KHAIRA) 22241808401 2901 BALODABAZAR PALARI GOVT MIDDLE SCHOOL DATAN (KHAIRA) 22241808402 2902 BALODABAZAR PALARI GOVT PRIMARY SCHOOL GHASIDASPARA DATAN (KHAIRA) 22241808403
  • 89.
    2903 BALODABAZAR PALARIGOVT PRIMARY SCHOOL BEJNATH KHAPARI 22241808501 2904 BALODABAZAR PALARI GOVT PRIMARY SCHOOL RAMPUR 22241808601 2905 BALODABAZAR PALARI GOVT PRIMARY SCHOOL TIPAWAN 22241808701 2906 BALODABAZAR PALARI GOVT MIDDLE SCHOOL TIPAWAN 22241808702 2907 BALODABAZAR PALARI GOVT PRIMARY SCHOOL GIRLS PALARI 22241808801 2908 BALODABAZAR PALARI GOVT PRIMARY SCHOOL NAWIN GIRLS PALARI 22241808802 2909 BALODABAZAR PALARI GOVT PRIMARY SCHOOL BOYS PALARI 22241808803 2910 BALODABAZAR PALARI GOVT MIDDLE SCHOOL BOYS PALARI 22241808806 2911 BALODABAZAR PALARI GOVT MS NAVIN PALARI 22241808814 2912 BALODABAZAR PALARI GOVT PRIMARY SCHOOL BOHARDIH 22241808901 2913 BALODABAZAR PALARI GOVT MIDDLE SCHOOL BOHARDIH 22241808902 2914 BALODABAZAR PALARI GOVT PRIMARY SCHOOL HARINBHATA 22241809001 2915 BALODABAZAR PALARI GOVT MIDDLE SCHOOL HARINBHATA 22241809002 2916 BALODABAZAR PALARI GOVT PRIMARY SCHOOL AADIWASIPARA HARINBHATA 22241809003 2917 BALODABAZAR PALARI GOVT PRIMARY SCHOOL GIDHPURI 22241809101 2918 BALODABAZAR PALARI GOVT MIDDLE SCHOOL GIDHPURI 22241809102 2919 BALODABAZAR PALARI GOVT PRIMARY SCHOOL SATNAMIPARA GIDHPURI 22241809103 2920 BALODABAZAR PALARI GOVT PRIMARY SCHOOL MUSUWADIH 22241809201 2921 BALODABAZAR PALARI GOVT PRIMARY SCHOOL TELASI 22241809301 2922 BALODABAZAR PALARI GOVT MIDDLE SCHOOL TELASI 22241809302 2923 BALODABAZAR PALARI GOVT PRIMARY SCHOOL SATNAMIPARA TELASI 22241809303 2924 BALODABAZAR PALARI GOVT MIDDLE SCHOOL GADABHATA 22241809402 2925 BALODABAZAR PALARI GOVT PRIMARY SCHOOL GADABHATA 22241809403 2926 BALODABAZAR PALARI GOVT PRIMARY SCHOOL GIRRA 22241809501 2927 BALODABAZAR PALARI GOVT MIDDLE SCHOOL GIRRA 22241809502 2928 BALODABAZAR PALARI GOVT PRIMARY SCHOOL CHUCHRUNGPUR 22241809601 2929 BALODABAZAR PALARI GOVT MIDDLE SCHOOL CHUCHRUNGPUR 22241809602 2930 BALODABAZAR PALARI GOVT PRIMARY SCHOOL GUMA 22241809801 2931 BALODABAZAR PALARI GOVT MIDDLE SCHOOL GUMA 22241809802 2932 BALODABAZAR PALARI GOVT.PRIMARY SCHOOL PATHARIDIH 22241809901 2933 BALODABAZAR PALARI GOVT PRIMARY SCHOOL KUKDA 22241810001 2934 BALODABAZAR PALARI GOVT PRIMARY SCHOOL CHERKADIH 22241810101 2935 BALODABAZAR PALARI GOVT PRIMARY SCHOOL PAHANDA 22241810201
  • 90.
    2936 BALODABAZAR PALARIGOVT PRIMARY SCHOOL GATAPAR 22241810301 2937 BALODABAZAR PALARI GOVT MIDDLE SCHOOL GATAPAR 22241810302 2938 BALODABAZAR PALARI GOVT PRIMARY SCHOOL BELHA 22241810401 2939 BALODABAZAR PALARI GOVT PRIMARY SCHOOL AMLIDIH 22241810501 2940 BALODABAZAR PALARI GOVT PRIMARY SCHOOL ARONSI 22241810601 2941 BALODABAZAR PALARI GOVT PRIMARY SCHOOL CHHIRAHI 22241810701 2942 BALODABAZAR PALARI GOVT PRIMARY SCHOOL GODA 22241810801 2943 BALODABAZAR PALARI GOVT MIDDLE SCHOOL GODA 22241810802 2944 BALODABAZAR PALARI GOVT.PRIMARY SCHOOL SUNDRI 22241810901 2945 BALODABAZAR PALARI GOVT PRIMARY SCHOOL LARIYA 22241811001 2946 BALODABAZAR PALARI GOVT MIDDLE SCHOOL LARIYA 22241811002 2947 BALODABAZAR PALARI GOVT. PRIMARY SCHOOL BANSBINOURI 22241811101 2948 BALODABAZAR PALARI GOVT MIDDLE SCHOOL BANSBINORI 22241811102 2949 BALODABAZAR PALARI GOVT PRIMARY SCHOOL KOWADIH 22241811201 2950 BALODABAZAR PALARI GOVT.PRIMARY SCHOOL KOWADIH 22241811202 2951 BALODABAZAR PALARI GOVT PRIMARY SCHOOL BHARUWADIH 22241811301 2952 BALODABAZAR PALARI GOVT MIDDLE SCHOOL BHARUWADIH 22241811302 2953 BALODABAZAR PALARI GOVT PRIMARY SCHOOL SONARDEORI 22241811501 2954 BALODABAZAR PALARI GOVT MIDDLE SCHOOL SONARDEORI 22241811502 2955 BALODABAZAR PALARI GOVT PRIMARY SCHOOL SANDI 22241811601 2956 BALODABAZAR PALARI GOVT PRIMARY SCHOOL SAKRI (P) 22241811801 2957 BALODABAZAR PALARI GOVT PRIMARY SCHOOL TEELA 22241811901 2958 BALODABAZAR PALARI GOVT PRIMARY SCHOOL KODWA 22241812001 2959 BALODABAZAR PALARI GOVT PRIMARY SCHOOL GARHPARA KODWA 22241812002 2960 BALODABAZAR PALARI GOVT MIDDLE SCHOOL KODWA 22241812003 2961 BALODABAZAR PALARI GOVT PRIMARY SCHOOL SARKIPAR 22241812101 2962 BALODABAZAR PALARI GOVT PRIMARY SCHOOL SARADIH 22241812201 2963 BALODABAZAR PALARI GOVT MIDDLE SCHOOL SARADIH 22241812202 2964 BALODABAZAR PALARI GOVT PRIMARY SCHOOL MUDPAR 22241812301 2965 BALODABAZAR PALARI GOVT MIDDLE SCHOOL MUDPAR 22241812302 2966 BALODABAZAR PALARI GOVT PRIMARY SCHOOL BOYS SASHA 22241812401 2967 BALODABAZAR PALARI GOVT PRIMARY SCHOOL GIRLS SASHA 22241812402 2968 BALODABAZAR PALARI GOVT MIDDLE SCHOOL BOYS SASHA 22241812404
  • 91.
    2969 BALODABAZAR PALARIGOVT MIDDLE SCHOOL GIRLS SASHA 22241812406 2970 BALODABAZAR PALARI GOVT PRIMARY SCHOOL GAITARA 22241812501 2971 BALODABAZAR PALARI GOVT MIDDLE SCHOOL GAITARA 22241812502 2972 BALODABAZAR PALARI GOVT PRIMARY SCHOOL GADAKUSMI 22241812601 2973 BALODABAZAR PALARI GOVT.P.S. FUNDARDIH 22241812701 2974 BALODABAZAR PALARI GOVT M.S.FUNDARDIH 22241812702 2975 BALODABAZAR PALARI GOVT. PRIMARY SCHOOL MOHGAON 22241812801 2976 BALODABAZAR PALARI GOVT MIDDLE SCHOOL SAKRI 22241812903 2977 BALODABAZAR PALARI GOVT PRIMARY SCHOOL TILDA 22241813201 2978 BALODABAZAR PALARI GOVT MIDDLE SCHOOL TILDA 22241813202 2979 BALODABAZAR PALARI GOVT PRIMARY SCHOOL BHATAPARA TILDA 22241813203 2980 BALODABAZAR PALARI GOVT PRIMARY SCHOOL CHORHADIH 22241813301 2981 BALODABAZAR PALARI GOVT MIDDLE SCHOOL CHORHADIH 22241813302 2982 BALODABAZAR PALARI GOVT MIDDLE SCHOOL KHAIRA 22241813401 2983 BALODABAZAR PALARI GOVT.PRIMARY SCHOOL SUNDRI (S) 22241813501 2984 BALODABAZAR PALARI GOVT. PRIMARY SCHOOL KUCHI 22241813901 2985 BALODABAZAR PALARI GOVT PRIMARY SCHOOL NAGPURA 22241814002 2986 BALODABAZAR PALARI GOVT PRIMARY SCHOOL CHERKADIH 22241814301 2987 BALODABAZAR PALARI GOVT PRIMARY SCHOOL KHAIRWARDIH 22241814501 2988 BALODABAZAR PALARI GOVT PRIMARY SCHOOL SARSENI 22241814801 2989 BALODABAZAR PALARI GOVT MIDDLE SCHOOL SARSENI 22241814802 2990 BALODABAZAR PALARI GOVT PRIMARY SCHOOL BALSAMUNDPARA PALARI 22241814901 2991 BALODABAZAR PALARI GOVT MIDDLE SCHOOL GIRLS PALARI 22241814905 2992 BALODABAZAR PALARI GOVT GIRLS ASHRAM PALARI 22241814906 2993 BALODABAZAR PALARI GOVT MIDDLE SCHOOL GABOD 22241815101 2994 BALODABAZAR PALARI GOVT PRIMARY SCHOOL DHAMNI 22241815401 2995 BALODABAZAR PALARI GOVT MIDDLE SCHOOL DHAMNI 22241815402 2996 BALODABAZAR PALARI GOVT PRIMARY SCHOOL BORTARA 22241815501 2997 BALODABAZAR SIMGA GOVT.P.S. RANIJAROD 22241600101 2998 BALODABAZAR SIMGA GOVT.NAVEEN M.S.RANIJAROD 22241600102 2999 BALODABAZAR SIMGA GOVT. PRIMARY SCHOOL SONBARSA 22241600201 3000 BALODABAZAR SIMGA GOVT PS AMAKONI 22241600301 3001 BALODABAZAR SIMGA GOVT. MS. AMAKKONI 22241600302
  • 92.
    3002 BALODABAZAR SIMGAGOVT P.S. MANIKPUR AMAKONI(SSA) 22241600305 3003 BALODABAZAR SIMGA GOVT.PRIMARY SCHOOL.TEKARI 22241600401 3004 BALODABAZAR SIMGA GOVT M.S.TEKARI 22241600402 3005 BALODABAZAR SIMGA GOVT PRIMARY SCHOOL.FARHADA 22241600501 3006 BALODABAZAR SIMGA GOVT.MIDDLE SCHOOL.FARHADA 22241600502 3007 BALODABAZAR SIMGA GOVT PRIMARY SCHOOL.DIGGI 22241600601 3008 BALODABAZAR SIMGA GOVT.P.S..CHANDI 22241600701 3009 BALODABAZAR SIMGA GOVT. M.S.CHANDI 22241600702 3010 BALODABAZAR SIMGA GOVT PS AMERI 22241600801 3011 BALODABAZAR SIMGA GOVT. PRIMARY SCHOOL.JHIPAN 22241600901 3012 BALODABAZAR SIMGA GOVT.MIDDLE SCHOOL JHIPAN 22241600902 3013 BALODABAZAR SIMGA GOVT PRIMARY SCHOOL.PENDRI 22241601101 3014 BALODABAZAR SIMGA GOVT. MIDDDLE SCHOOL PENDRI 22241601102 3015 BALODABAZAR SIMGA GOVT PRIMARY SCHOOL.KASHIDIH[MOHRA] 22241601201 3016 BALODABAZAR SIMGA GOVT.PRIMARY SCHOOL.RAVAN 22241601301 3017 BALODABAZAR SIMGA GOVT. BOYS.MIDDLE SCHOOL.RAVAN 22241601303 3018 BALODABAZAR SIMGA .GIRLS.MIDDLE SCHOOL RAWAN 22241601304 3019 BALODABAZAR SIMGA GOVT.NAVEEN BAJAR PARA RAVAN 22241601308 3020 BALODABAZAR SIMGA GOVT.P.S.MATIYA 22241601401 3021 BALODABAZAR SIMGA GOVT. MIDDLE SCHOOL MATIYA 22241601402 3022 BALODABAZAR SIMGA GOVT.P.S BANSAKRA 22241601501 3023 BALODABAZAR SIMGA GOVT M.S. BANSAKARA 22241601502 3024 BALODABAZAR SIMGA NEW.KANIYA.M.S.BANSAKARA 22241601503 3025 BALODABAZAR SIMGA N P.S BANSAKRA 22241601506 3026 BALODABAZAR SIMGA GOVT.P.S.CHAKARYAY 22241601601 3027 BALODABAZAR SIMGA GOVT M.S.CHAKARYAY 22241601602 3028 BALODABAZAR SIMGA GOVT PRIMARY SCHOOL.DHABADIH 22241601701 3029 BALODABAZAR SIMGA GOVT.PRIMARY SCHOOL.DHODA 22241601801 3030 BALODABAZAR SIMGA GOVT.N.M.S.DHODHA 22241601802 3031 BALODABAZAR SIMGA GOVT.PRIMARY SCHOOL.BHESA 22241601901 3032 BALODABAZAR SIMGA GOVT PRIMARY SCHOOL.HATBAND 22241602001 3033 BALODABAZAR SIMGA GOVT M.S.HATBAND 22241602002 3034 BALODABAZAR SIMGA GOVT. GIRLS M.S. HATBAND 22241602006
  • 93.
    3035 BALODABAZAR SIMGAGOVT.PRIMARY SCHOOL.DONGRIYA 22241602101 3036 BALODABAZAR SIMGA GOVT M.S.DONGRIYA 22241602102 3037 BALODABAZAR SIMGA GOM N.P.SDONGRIYA 22241602103 3038 BALODABAZAR SIMGA GOVT.P.S . LAWER. 22241602201 3039 BALODABAZAR SIMGA GOVT.M.S.LAWAR 22241602203 3040 BALODABAZAR SIMGA GOVT M.S.KOLIHA 22241602302 3041 BALODABAZAR SIMGA GOVT PS.SAHUPARA KOLIHA 22241602303 3042 BALODABAZAR SIMGA GOVT PS KOLIHA 22241602304 3043 BALODABAZAR SIMGA GOVT.P.S.DAWANBOD 22241602401 3044 BALODABAZAR SIMGA GOVT M.S.DAWANBOD 22241602402 3045 BALODABAZAR SIMGA GOVT.PRIMARY SCHOOL.KULIPOTA 22241602501 3046 BALODABAZAR SIMGA GOVT. PRIMARY SCHOOL.MACHABHAT 22241602601 3047 BALODABAZAR SIMGA GOVT PRIMARY SCHOOL.BHWARGARH 22241602701 3048 BALODABAZAR SIMGA GOVT. PRIMARY SCHOOL.MUDPAR 22241602801 3049 BALODABAZAR SIMGA GOVT. NAVEEN M.S.MUDPAR 22241602802 3050 BALODABAZAR SIMGA GOVT.PRIMARY SCHOOL.NEWADA 22241602901 3051 BALODABAZAR SIMGA GOVT. NAVEEN M. S. NEWADHA 22241602902 3052 BALODABAZAR SIMGA GOVT.P.S.KUKRACHUNDA 22241603001 3053 BALODABAZAR SIMGA GOVT.NAVEEN. M.S.KUKRACHUNDA 22241603002 3054 BALODABAZAR SIMGA GOVT.P.S.PONSARI[HATBAND] 22241603101 3055 BALODABAZAR SIMGA GOVT. P.S.BHOTDIH[SUHELA] 22241603201 3056 BALODABAZAR SIMGA GOVT PRIMARY SCHOOL.KESDA 22241603301 3057 BALODABAZAR SIMGA GOVT M.S.KESDA 22241603302 3058 BALODABAZAR SIMGA GOVT.DARRIPARA PS KESDA 22241603304 3059 BALODABAZAR SIMGA GOVT PRIMARY SCHOOL.RINGNI 22241603401 3060 BALODABAZAR SIMGA GOVT. PRIMARY SCHOOL.RENGABOD 22241603501 3061 BALODABAZAR SIMGA GOVT PRIMARY SCHOOL.SIKARI KESLI 22241603601 3062 BALODABAZAR SIMGA GOVT M.S.SIKARI KESLI 22241603603 3063 BALODABAZAR SIMGA GOVT.P.S.KHILORA. 22241603701 3064 BALODABAZAR SIMGA GOVT.M.S.KHILORA 22241603702 3065 BALODABAZAR SIMGA GOVT. P.S.KHANDUWA 22241603801 3066 BALODABAZAR SIMGA GOVT.NAVEEN.M.S.KHANDUWA 22241603802 3067 BALODABAZAR SIMGA GOVT P.S.KACHLON 22241603901
  • 94.
    3068 BALODABAZAR SIMGAGOVT.M.S.KACHLON 22241603902 3069 BALODABAZAR SIMGA GOVT.N.P.S.KACHLON 22241603904 3070 BALODABAZAR SIMGA GOVT.P.S.PONSARI[SIMGA] 22241604001 3071 BALODABAZAR SIMGA GOVT PRIMARY SCHOOL.BINEKA 22241604101 3072 BALODABAZAR SIMGA GOVT. PRIMARY SCHOOL.KARHUL 22241604201 3073 BALODABAZAR SIMGA GOVT. NAVIN M.S. KARHUL 22241604202 3074 BALODABAZAR SIMGA GOVT.N.P.S. KARHUL 22241604203 3075 BALODABAZAR SIMGA GOVT PRIMARY SCHOOL.KUTHROD 22241604303 3076 BALODABAZAR SIMGA GOVT.MIDDLE SCHOOL KUTHROUD 22241604304 3077 BALODABAZAR SIMGA GOVT.PRIMARY SCHOOL.JANGDA 22241604401 3078 BALODABAZAR SIMGA GOVT M.S.JANGDA 22241604402 3079 BALODABAZAR SIMGA GOVT. PRIMARY SCHOOL.KARELI 22241604501 3080 BALODABAZAR SIMGA GOVT. P.S.BHATBHERA 22241604601 3081 BALODABAZAR SIMGA GOVT. KANIYA P.S.BHATBHERA 22241604602 3082 BALODABAZAR SIMGA GOVT. NAVIN M.S.BHATBHERA 22241604604 3083 BALODABAZAR SIMGA GOVT.PRIMARY SCHOOL.BITKULI 22241604701 3084 BALODABAZAR SIMGA GOVT M.S.BITKULI. 22241604702 3085 BALODABAZAR SIMGA GOVT. PRIMARY SCHOOL.BILAI DABRI. 22241604801 3086 BALODABAZAR SIMGA GOVT PRIMARY SCHOOL.BUDGAHAN 22241604901 3087 BALODABAZAR SIMGA GOVT.NAVEEN M.S. BUDGAHAN 22241604902 3088 BALODABAZAR SIMGA GOVT M.S.SAKLOR 22241605002 3089 BALODABAZAR SIMGA GOVT PS SAKLOR 22241605005 3090 BALODABAZAR SIMGA GOVT.P.S.DORENGA 22241605101 3091 BALODABAZAR SIMGA GOVT.M.S.DORENGA 22241605102 3092 BALODABAZAR SIMGA GOVT. NAWAPARA P.S.DORENGA 22241605103 3093 BALODABAZAR SIMGA GOVT.P.S.KHAPRADIH[DHIWANPURI] 22241605201 3094 BALODABAZAR SIMGA GOVT. P.S.ROHRA 22241605301 3095 BALODABAZAR SIMGA GOVT M.S.ROHRA 22241605302 3096 BALODABAZAR SIMGA GOVT. GIRLS. M.S ROHRA 22241605303 3097 BALODABAZAR SIMGA GOVT. NAVEEN PS ROHRA 22241605304 3098 BALODABAZAR SIMGA GOVT PRIMARY SCHOOL.TORA 22241605401 3099 BALODABAZAR SIMGA GOVT PRIMARY SCHOOL.BASIN 22241605501 3100 BALODABAZAR SIMGA GOVTP.S.BOYS.SUHELA 22241605602
  • 95.
    3101 BALODABAZAR SIMGAGOVT M.S.SUHELA 22241605604 3102 BALODABAZAR SIMGA GOVT.GIRLS.P.S.SUHELA 22241605607 3103 BALODABAZAR SIMGA NAVIN P.S.TIGADACHO SUHELA 22241605609 3104 BALODABAZAR SIMGA GOVT.PRIMARY SCHOOL.PADKIDIH 22241605701 3105 BALODABAZAR SIMGA GOVT.M.S. PADKIDIH 22241605702 3106 BALODABAZAR SIMGA GOVT M.S.KHAPRADIH[RAVAN] 22241605801 3107 BALODABAZAR SIMGA .GOVT.P.S.KHAPRADIH[RAVAN] 22241605802 3108 BALODABAZAR SIMGA GOVT.ADRASH PRIMARY SCHOOLKIRWAI 22241605901 3109 BALODABAZAR SIMGA GOVT.MIDDLE SCHOOL KIRWAI 22241605902 3110 BALODABAZAR SIMGA GOVT. TIHUPARA.P.S.SIMGA 22241606001 3111 BALODABAZAR SIMGA GOVT GIRLS. P.S.SIMGA 22241606002 3112 BALODABAZAR SIMGA GOVT. ADRASH P.S.SIMGA 22241606003 3113 BALODABAZAR SIMGA GOVT M.S. BOYS SIMGA WARD-7 22241606005 3114 BALODABAZAR SIMGA GOVT GIRLS M.S.SIMGA 22241606006 3115 BALODABAZAR SIMGA GOVT.P.S.PADUMPADAW. SIMGA 22241606020 3116 BALODABAZAR SIMGA GOVT.PS NAYAPARA SIMGA 22241606021 3117 BALODABAZAR SIMGA GOVT.PS SHANKARNAGAR SIMGA 22241606022 3118 BALODABAZAR SIMGA GOVT.PS. CHUCHARUNGPUR SIMGA 22241606023 3119 BALODABAZAR SIMGA GOVT. MS ADARSH SIMGA 22241606024 3120 BALODABAZAR SIMGA GOVT PS ARORETI 22241606101 3121 BALODABAZAR SIMGA GOVT. M.S. ARORETI 22241606102 3122 BALODABAZAR SIMGA GOVT PRIMARY SCHOOL.CHUTCHUTIYA 22241606201 3123 BALODABAZAR SIMGA GOVT.PRIMARY SCHOOL.DHOBNIDIH 22241606301 3124 BALODABAZAR SIMGA GOVT.P.S.KHERWARI 22241606401 3125 BALODABAZAR SIMGA GOVT. PRIMARY SCHOOL.LOHARI 22241606501 3126 BALODABAZAR SIMGA GOVT. MIDDLE SCHOOL LOHARI 22241606502 3127 BALODABAZAR SIMGA GOVT.PRIMARY SCHOOL.MANOHRA 22241606601 3128 BALODABAZAR SIMGA GOVT M.S .MANOHRA. 22241606602 3129 BALODABAZAR SIMGA GOVT.P.S.NEWARI 22241606701 3130 BALODABAZAR SIMGA GOVT M.S..NEWARI 22241606702 3131 BALODABAZAR SIMGA GOVT. PRIMARY SCHOOL.KARHI 22241606801 3132 BALODABAZAR SIMGA GOVT. PRIMARY SCHOOL.FULWARI 22241606901 3133 BALODABAZAR SIMGA GOVT. PRAMARY SCHOOL.KAMTA 22241607001
  • 96.
    3134 BALODABAZAR SIMGAGOVT MIDDLE SCHOOL .KAMTA 22241607002 3135 BALODABAZAR SIMGA GOVT P .S BACHERA 22241607101 3136 BALODABAZAR SIMGA GOVT.P.S.GORDI 22241607201 3137 BALODABAZAR SIMGA GOVT M.S.GORDI 22241607202 3138 BALODABAZAR SIMGA GOVT. P.S.PARSWANI 22241607301 3139 BALODABAZAR SIMGA GOVT.M.S.PARSWANI 22241607302 3140 BALODABAZAR SIMGA GOVT. P.S.BARDIH 22241607401 3141 BALODABAZAR SIMGA GOVT.M.S.BARDIH 22241607403 3142 BALODABAZAR SIMGA GOVT PRIMARY SCHOOL.BEKONI 22241607501 3143 BALODABAZAR SIMGA GOVT.P.S.HIRMI 22241607601 3144 BALODABAZAR SIMGA GOVT.M.S. HIRMI 22241607602 3145 BALODABAZAR SIMGA GOVT. PRIMARY SCHOOL.DULDULA 22241607701 3146 BALODABAZAR SIMGA GOVT PRIMARY SCHOOL.DOBANI 22241607801 3147 BALODABAZAR SIMGA GOVT.P.S.DAMAKHEDA 22241607901 3148 BALODABAZAR SIMGA GOVT M.S.DAMAKHEDA 22241607902 3149 BALODABAZAR SIMGA GOVT. NAVEEEN.M.S.DAMAKEDA 22241607903 3150 BALODABAZAR SIMGA GOVT PRIMARY SCHOOL.COHRA NAWAGAON 22241608001 3151 BALODABAZAR SIMGA GOVT.PRIMARY SCHOOL.KESLI 22241608101 3152 BALODABAZAR SIMGA GOVT P.S.VISHARAMPUR 22241608201 3153 BALODABAZAR SIMGA MISSION M.S VISHARAMPUR [OTHERS] 22241608202 3154 BALODABAZAR SIMGA GOVT PRIMARY SCHOOL.MANDAR B. 22241608301 3155 BALODABAZAR SIMGA GOVT P S AKALTARA 22241608401 3156 BALODABAZAR SIMGA GOVT NAVINM.M.S.AKALTARA 22241608402 3157 BALODABAZAR SIMGA GOVT.M.S.CHORENGA [NAWAGAON] 22241608502 3158 BALODABAZAR SIMGA GOVT.N.P.S.CHOURENGA 22241608503 3159 BALODABAZAR SIMGA GOVT. PRIMARY SCHOOL.GANESHPUR 22241608601 3160 BALODABAZAR SIMGA GOVT. BOYS.P.S.MOHRA 22241608701 3161 BALODABAZAR SIMGA GOVT. GIRLS.P.S.MOHRA 22241608702 3162 BALODABAZAR SIMGA GOVT.NAVIN GIRLS.. M.S.MOHRA 22241608703 3163 BALODABAZAR SIMGA GOVT. M.S.MOHRA. 22241608704 3164 BALODABAZAR SIMGA GOVT.M.S.BHATBHERA 22241608801 3165 BALODABAZAR SIMGA GOVT.M.S.SAKRI[NAWAPARA] 22241608901 3166 BALODABAZAR SIMGA GOVT PS SAKRI[NAWAPARA] 22241608902
  • 97.
    3167 BALODABAZAR SIMGAGOVT.M.S.SANJARI NAWAGAON 22241609001 3168 BALODABAZAR SIMGA GOVT P. S SANJARI NAWAGAON 22241609002 3169 BALODABAZAR SIMGA GOVT. P.S.CHANDIYA PATHRA 22241609101 3170 BALODABAZAR SIMGA GOVT. M.S.CHANDIYA PATHRA 22241609102 3171 BALODABAZAR SIMGA NAVEEN GOVT P.S. BHALESUR 22241609201 3172 BALODABAZAR SIMGA GOVT MIDDLE.SCHOOL. BHALESUR 22241609202 3173 BALODABAZAR SIMGA GOVT.P.S.JARAUD 22241609301 3174 BALODABAZAR SIMGA GOVT M.S.JARAUD 22241609302 3175 BALODABAZAR SIMGA GOVT P S ADBANDA 22241609401 3176 BALODABAZAR SIMGA GOVT PRIMARY SCHOOL.TARPONGA 22241609601 3177 BALODABAZAR SIMGA GOVT PRIMARY SCHOOL.THEKUNA 22241609701 3178 BALODABAZAR SIMGA GOVT. M.S.THEKUNA 22241609702 3179 BALODABAZAR SIMGA GOVT. PRIMARY SCHOOL.SINODA 22241609801 3180 BALODABAZAR SIMGA GOVT.P.S.TULSI 22241609901 3181 BALODABAZAR SIMGA GOVT M.S. TULSI 22241609902 3182 BALODABAZAR SIMGA GOVT.P.S DARCHURA 22241610001 3183 BALODABAZAR SIMGA GOVT.NAVEEN P.S DARCHURA 22241610002 3184 BALODABAZAR SIMGA GOVT.NAVEEN M.S DARCURA 22241610003 3185 BALODABAZAR SIMGA DR.KHUB CHANDBAGEL.GOVT.P.S 22241610101 3186 BALODABAZAR SIMGA GOVT. PRIMARY SCHOOL.TENDUBHATHA 22241610201 3187 BALODABAZAR SIMGA GOVT. PRIMARY SCHOOL.CHANDERI 22241610301 3188 BALODABAZAR SIMGA NEW. M.S. CHANDERI 22241610302 3189 BALODABAZAR SIMGA NEW MS KHAIRGHAT 22241610403 3190 BALODABAZAR SIMGA GOVT PS KHARGHAT 22241610404 3191 BALODABAZAR SIMGA GOVT.MINIMATA.P.S.BAMHANIDH 22241610601 3192 BALODABAZAR SIMGA GOVT.PRIMARY SCHOOL.LANJA 22241610701 3193 BALODABAZAR SIMGA GOVT.NAVEEN. M.S.LANJA 22241610702 3194 BALODABAZAR SIMGA GOVTGOVT.P.S.CHORANGA NAWAGAON 22241610801 3195 BALODABAZAR SIMGA GOVT. PRIMARY SCHOOL.JHIRIYA 22241610901 3196 BALODABAZAR SIMGA GOVT. MIDDLE SCHOOL JHIRIYA 22241610902 3197 BALODABAZAR SIMGA GOVT. PRIMARY SCHOOL.UDELA 22241611001 3198 BALODABAZAR SIMGA GOVT P.S TILDABANDAH[MOHRA] 22241611101 3199 BALODABAZAR SIMGA GOVT.M.S.TILDABANDHA 22241611102
  • 98.
    3200 BALODABAZAR SIMGAGOVT.PRIMARY SCHOOL .MANDARKALA 22241611201 3201 BALODABAZAR SIMGA GOVT. P.S.BHATAPARA (LAWAR) 22241611301 3202 BALODABAZAR SIMGA GOVT. PRIMARY SCHOOL.SITAPAR 22241611401 3203 BALODABAZAR SIMGA GOVT. MIDDLE SCHOOL SITAPAR 22241611402 3204 BALODABAZAR SIMGA GOVT. PRIMARY SCHOOL.KHARGADIH 22241611501 3205 BALODABAZAR SIMGA GOVT. PRIMARY SCHOOL.RAWELI 22241611601 3206 BALODABAZAR SIMGA GOVT.P.S.MOHBHATTA 22241611701 3207 BALODABAZAR SIMGA GOVT M.S.MOHBHATTA 22241611702 3208 BALODABAZAR SIMGA GOVT. GIRL M.S.MOHBHATTA 22241611703 3209 BALODABAZAR SIMGA PS BHATAPARA MOHBHATHA 22241611704 3210 BALODABAZAR SIMGA GOVTPRIMARY SCHOOL.NAWAPARA 22241611801 3211 BALODABAZAR SIMGA GOVT M S .NAWAPARA 22241611803 3212 BALODABAZAR SIMGA GOVT. PRIMARY SCHOOL.LIMTARA 22241611901 3213 BALODABAZAR SIMGA GOVT.MIDDLE SCHOOL LIMTARA 22241611902 3214 BALODABAZAR SIMGA GOVT.P.S.BUCHIPAR 22241612101 3215 BALODABAZAR SIMGA GOVT.MS.BUCHIPAR 22241612102 3216 BALODABAZAR SIMGA GOVT. PRIMARY SCHOOL.KHAPRI 22241612301 3217 BALODABAZAR SIMGA GOVT.PRIMARY SCHOOL.MOTIYARIDIH 22241612401 3218 BALODABAZAR SIMGA GOVT.P.S.HARINBHATTA 22241612501 3219 BALODABAZAR SIMGA GOVT. M.S.HARINBHATTA 22241612502 3220 BALODABAZAR SIMGA GOVT. PRIMARY SCHOOL.NAWAGAON 22241612601 3221 BALODABAZAR SIMGA GOVT M.S.NAWAGAON 22241612602 3222 BALODABAZAR SIMGA GOVT.M.S.BHOTHADIH[RAVAN] 22241612702 3223 BALODABAZAR SIMGA GOVT.P.S.BHOTHADIH[RAVAN] 22241612703 3224 BALODABAZAR SIMGA GOVT. PS MUSUWADIH 22241612801 3225 BALODABAZAR SIMGA GOVT. PRIMARY SCHOOL.DEVARDIH 22241613201 3226 BALODABAZAR SIMGA GOVT.P.S.BARDIH[NAWAPARA] 22241613901 3227 BALODABAZAR SIMGA GOVT.P.S.BHOTIDIH[NAVAGAON] 22241614201 3228 BALRAMPUR BALRAMPUR P.S. BATHAORA 22261000101 3229 BALRAMPUR BALRAMPUR P.S. SARANGPUR 22261000201 3230 BALRAMPUR BALRAMPUR P.S. BANSITOLA 22261000202 3231 BALRAMPUR BALRAMPUR P.S. DHANWARKALA 22261000301 3232 BALRAMPUR BALRAMPUR P.S. CHAMPAPUR 22261000401
  • 99.
    3233 BALRAMPUR BALRAMPURP S SHISHUWAPARA 22261000402 3234 BALRAMPUR BALRAMPUR M.S. CHAMPAPUR 22261000403 3235 BALRAMPUR BALRAMPUR P.S. LURGIKALA 22261000501 3236 BALRAMPUR BALRAMPUR P S GATTIPARA 22261000503 3237 BALRAMPUR BALRAMPUR P.S. PANDOPARA 22261000504 3238 BALRAMPUR BALRAMPUR M.S. LURGIKALA 22261000505 3239 BALRAMPUR BALRAMPUR P.S. BANDA 22261000601 3240 BALRAMPUR BALRAMPUR M.S. BANDA 22261000602 3241 BALRAMPUR BALRAMPUR P.S. JAMPANI 22261000603 3242 BALRAMPUR BALRAMPUR P.S. KHAJURBAR 22261000604 3243 BALRAMPUR BALRAMPUR P.S. GHUGHARA 22261000605 3244 BALRAMPUR BALRAMPUR MS SENT JON B. DHANVARKALAN 22261000606 3245 BALRAMPUR BALRAMPUR P.S. PATHRI 22261000701 3246 BALRAMPUR BALRAMPUR M.S. PATHRI 22261000702 3247 BALRAMPUR BALRAMPUR P.S. SONHARA 22261000801 3248 BALRAMPUR BALRAMPUR P.S. SONHARA 22261000802 3249 BALRAMPUR BALRAMPUR M.S. SONHARA 22261000803 3250 BALRAMPUR BALRAMPUR P.S. MAHESHPUR 22261000901 3251 BALRAMPUR BALRAMPUR P S KHADIYAPARA 22261000902 3252 BALRAMPUR BALRAMPUR M.S. MAHESHPUR 22261000903 3253 BALRAMPUR BALRAMPUR P.S. TARKAKHAR 22261001001 3254 BALRAMPUR BALRAMPUR M.S. TARKAKHAND 22261001002 3255 BALRAMPUR BALRAMPUR P.S. BARWAHI 22261001003 3256 BALRAMPUR BALRAMPUR P.S. SHANKARPUR 22261001101 3257 BALRAMPUR BALRAMPUR M.S.SHANKARPUR 22261001102 3258 BALRAMPUR BALRAMPUR P.S. MANJURMAHUA 22261001103 3259 BALRAMPUR BALRAMPUR P.S. BHAWARDIHA 22261001104 3260 BALRAMPUR BALRAMPUR P.S. DHANGAOV 22261001201 3261 BALRAMPUR BALRAMPUR M.S. DHANDOHAR 22261001203 3262 BALRAMPUR BALRAMPUR P.S. DHANDOHAR 22261001206 3263 BALRAMPUR BALRAMPUR M.S. DHANGAOV 22261001207 3264 BALRAMPUR BALRAMPUR P.S. DAMODARPUR 22261001301 3265 BALRAMPUR BALRAMPUR P S BODITOLA 22261001302
  • 100.
    3266 BALRAMPUR BALRAMPURP.S. LUNTI 22261001401 3267 BALRAMPUR BALRAMPUR M.S. VISHRAMNAGAR 22261001402 3268 BALRAMPUR BALRAMPUR P S TAIYATOLA 22261001403 3269 BALRAMPUR BALRAMPUR P.S. NAVADIH 22261001501 3270 BALRAMPUR BALRAMPUR P S DADARTOLA 22261001502 3271 BALRAMPUR BALRAMPUR M.S. NAWADIH 22261001505 3272 BALRAMPUR BALRAMPUR N.P.S. NARIHARTAND 22261001506 3273 BALRAMPUR BALRAMPUR P.S. RAJKUMARINTOLA 22261001507 3274 BALRAMPUR BALRAMPUR P.S. LURGHUTTA 22261001601 3275 BALRAMPUR BALRAMPUR M.S. LURGHUTTA 22261001602 3276 BALRAMPUR BALRAMPUR P.S. KUNDRUKHAND 22261001701 3277 BALRAMPUR BALRAMPUR M.S. KUNDRUKHAND 22261001702 3278 BALRAMPUR BALRAMPUR P.S. GHUTIYADAMAR 22261001703 3279 BALRAMPUR BALRAMPUR P.S. DHANESHPUR 22261001801 3280 BALRAMPUR BALRAMPUR M.S. DHANESHPUR 22261001802 3281 BALRAMPUR BALRAMPUR P.S. SENDUR 22261001901 3282 BALRAMPUR BALRAMPUR P S BICHPARA (SENDUR) 22261001902 3283 BALRAMPUR BALRAMPUR P S KOTWARITAND 22261001903 3284 BALRAMPUR BALRAMPUR M.S. SENDUR 22261001904 3285 BALRAMPUR BALRAMPUR P.S. SATBAHANIPARA 22261001905 3286 BALRAMPUR BALRAMPUR P.S. RAJBANDHA 22261002001 3287 BALRAMPUR BALRAMPUR P.S. BARAJBANDHA 22261002101 3288 BALRAMPUR BALRAMPUR P.S. TATAPANI 22261002201 3289 BALRAMPUR BALRAMPUR M.S TATAPANI 22261002203 3290 BALRAMPUR BALRAMPUR P S KHARAHATIYATOLA 22261002204 3291 BALRAMPUR BALRAMPUR P.S. DALDHOWA 22261002301 3292 BALRAMPUR BALRAMPUR M.S. DALDHOWA 22261002302 3293 BALRAMPUR BALRAMPUR P S GAURAPARA 22261002303 3294 BALRAMPUR BALRAMPUR P.S. DUMARKHI 22261002401 3295 BALRAMPUR BALRAMPUR M.S. SUMARKHI 22261002402 3296 BALRAMPUR BALRAMPUR P.S. CHITMA 22261002501 3297 BALRAMPUR BALRAMPUR M.S. CHITMA 22261002502 3298 BALRAMPUR BALRAMPUR P.S. GAORIPUR 22261002601
  • 101.
    3299 BALRAMPUR BALRAMPURP.S. CHAMANPUR 22261002701 3300 BALRAMPUR BALRAMPUR M.S. CHAMANPUR 22261002702 3301 BALRAMPUR BALRAMPUR P.S. FATEHPUR 22261002801 3302 BALRAMPUR BALRAMPUR P.S. BHAIROPUR 22261002901 3303 BALRAMPUR BALRAMPUR P S BACHWARIPARA 22261002902 3304 BALRAMPUR BALRAMPUR M.S. BHAIROPUR 22261002903 3305 BALRAMPUR BALRAMPUR P.S. LURGIKHURD 22261003001 3306 BALRAMPUR BALRAMPUR P S KUSUMPARA 22261003002 3307 BALRAMPUR BALRAMPUR P S BHITARCHITAMA 22261003003 3308 BALRAMPUR BALRAMPUR M.S.LURGIKHURD 22261003004 3309 BALRAMPUR BALRAMPUR P.S. MAKRO 22261003101 3310 BALRAMPUR BALRAMPUR P.S. KAPILDEVPUR 22261003201 3311 BALRAMPUR BALRAMPUR M.S. KAPILDEOPUR 22261003202 3312 BALRAMPUR BALRAMPUR P S KHUTAHANPARA 22261003203 3313 BALRAMPUR BALRAMPUR P.S. KODAKUPARA 22261003204 3314 BALRAMPUR BALRAMPUR P.S. SEMARTAND 22261003205 3315 BALRAMPUR BALRAMPUR P.S. MURKA 22261003301 3316 BALRAMPUR BALRAMPUR P.S. MURKA 22261003302 3317 BALRAMPUR BALRAMPUR M.S. MURKA 22261003303 3318 BALRAMPUR BALRAMPUR P.S. TALAIYAPARA 22261003304 3319 BALRAMPUR BALRAMPUR P.S. DAVRA 22261003401 3320 BALRAMPUR BALRAMPUR M.S. DAVRA 22261003402 3321 BALRAMPUR BALRAMPUR P.S. GHUTTUPAHRI 22261003403 3322 BALRAMPUR BALRAMPUR P.S. HARDIDOHAR 22261003404 3323 BALRAMPUR BALRAMPUR P.S. JHALRIYA 22261003501 3324 BALRAMPUR BALRAMPUR M.S. JHALRIYA 22261003502 3325 BALRAMPUR BALRAMPUR P.S. PATELPARA 22261003503 3326 BALRAMPUR BALRAMPUR P.S. GHAGHRA 22261003601 3327 BALRAMPUR BALRAMPUR PS DOLANGIPARA 22261003602 3328 BALRAMPUR BALRAMPUR PS DALDALIYAPARA 22261003603 3329 BALRAMPUR BALRAMPUR M.S. GHAGHARA 22261003604 3330 BALRAMPUR BALRAMPUR P.S. KOCHALI 22261003701 3331 BALRAMPUR BALRAMPUR P S KHARRAPARA 22261003702
  • 102.
    3332 BALRAMPUR BALRAMPURM.S. KOCHALI 22261003703 3333 BALRAMPUR BALRAMPUR P.S. DUMARKHOLA 22261003801 3334 BALRAMPUR BALRAMPUR P.S.G. DUMARKHOLA 22261003802 3335 BALRAMPUR BALRAMPUR PS LINEPARA 22261003803 3336 BALRAMPUR BALRAMPUR P.S. JIRHULPARA 22261003804 3337 BALRAMPUR BALRAMPUR M.S. DUMARKHOLA 22261003805 3338 BALRAMPUR BALRAMPUR P.S. KARKEPA 22261004001 3339 BALRAMPUR BALRAMPUR P.S. KOTSARI 22261004101 3340 BALRAMPUR BALRAMPUR PS KATHARPARA 22261004102 3341 BALRAMPUR BALRAMPUR PS JILALIKHAND 22261004103 3342 BALRAMPUR BALRAMPUR M.S.KOTSARI 22261004104 3343 BALRAMPUR BALRAMPUR P.S. MUKHA 22261004201 3344 BALRAMPUR BALRAMPUR PS JANKIDERA 22261004202 3345 BALRAMPUR BALRAMPUR P.S. KANDA 22261004301 3346 BALRAMPUR BALRAMPUR M.S. KANDA 22261004302 3347 BALRAMPUR BALRAMPUR P.S. KHARSOTA 22261004401 3348 BALRAMPUR BALRAMPUR P.S. SAONI 22261004501 3349 BALRAMPUR BALRAMPUR P.S. BHITARSAONI 22261004502 3350 BALRAMPUR BALRAMPUR GIRLS ASHRAM SAONI 22261004503 3351 BALRAMPUR BALRAMPUR M.S. SAONI 22261004504 3352 BALRAMPUR BALRAMPUR M.S. BHITARSAONI 22261004505 3353 BALRAMPUR BALRAMPUR P.S. PURANKHAJURI 22261004506 3354 BALRAMPUR BALRAMPUR P.S. KARMAHI 22261004507 3355 BALRAMPUR BALRAMPUR P.S. MAGARHARA 22261004601 3356 BALRAMPUR BALRAMPUR M.S.MAGARHARA 22261004602 3357 BALRAMPUR BALRAMPUR P.S. JABAR 22261004701 3358 BALRAMPUR BALRAMPUR P S JABARKHAND 22261004702 3359 BALRAMPUR BALRAMPUR M.S.JABAR 22261004703 3360 BALRAMPUR BALRAMPUR M.S. JABARKHAND 22261004704 3361 BALRAMPUR BALRAMPUR P.S. MAHURAW 22261004705 3362 BALRAMPUR BALRAMPUR P.S. KHATUWA BARDAR 22261004801 3363 BALRAMPUR BALRAMPUR P S BATHANDAND 22261004802 3364 BALRAMPUR BALRAMPUR M,S,KHATUWABARDAR 22261004803
  • 103.
    3365 BALRAMPUR BALRAMPURP.S. GOCHARPARA 22261004804 3366 BALRAMPUR BALRAMPUR P.S. JAMUATAND 22261004901 3367 BALRAMPUR BALRAMPUR M.S. JAMUATAND 22261004902 3368 BALRAMPUR BALRAMPUR P.S. CHITVISHRAMPUR 22261005001 3369 BALRAMPUR BALRAMPUR M.S. CHITVISHRAMPUR 22261005002 3370 BALRAMPUR BALRAMPUR P.S. BHANAORA 22261005101 3371 BALRAMPUR BALRAMPUR P.S.BHITARPARA 22261005102 3372 BALRAMPUR BALRAMPUR P.S. JAWAHARNAGAR 22261005201 3373 BALRAMPUR BALRAMPUR M.S. JAWAHARNAGAR 22261005202 3374 BALRAMPUR BALRAMPUR P.S. PINDRA 22261005301 3375 BALRAMPUR BALRAMPUR M.S. PINDRA 22261005304 3376 BALRAMPUR BALRAMPUR N.P.S. ALAKHDIHA 22261005306 3377 BALRAMPUR BALRAMPUR GIRLS ASHRAM JATRO 22261005401 3378 BALRAMPUR BALRAMPUR P.S. JATRO 22261005402 3379 BALRAMPUR BALRAMPUR PS JAMTAND 22261005403 3380 BALRAMPUR BALRAMPUR P.S. SURRA 22261005501 3381 BALRAMPUR BALRAMPUR M.S. SURRA 22261005502 3382 BALRAMPUR BALRAMPUR P.S. BANAOR 22261005601 3383 BALRAMPUR BALRAMPUR P.S. BANAOR CAMP 22261005602 3384 BALRAMPUR BALRAMPUR P.S. PIPRAHI 22261005701 3385 BALRAMPUR BALRAMPUR P.S. BARDAR 22261005801 3386 BALRAMPUR BALRAMPUR P.S.G. BARDAR 22261005802 3387 BALRAMPUR BALRAMPUR M.S. BARDAR 22261005803 3388 BALRAMPUR BALRAMPUR P.S.BARDAR EDU. 22261005804 3389 BALRAMPUR BALRAMPUR P.S. GHAGHATAND 22261005805 3390 BALRAMPUR BALRAMPUR M.S.B. BARDAR 22261005806 3391 BALRAMPUR BALRAMPUR P.S. RAKSADADAR 22261005807 3392 BALRAMPUR BALRAMPUR P.S. BARIYATISARNA 22261005808 3393 BALRAMPUR BALRAMPUR P.S. BARTOLA 22261005809 3394 BALRAMPUR BALRAMPUR P.S. SANTOSHINAGAR 22261005901 3395 BALRAMPUR BALRAMPUR P.S. BAJARPARA 22261005903 3396 BALRAMPUR BALRAMPUR P.S. ADHAORA 22261006001 3397 BALRAMPUR BALRAMPUR PS MALARPARA 22261006101
  • 104.
    3398 BALRAMPUR BALRAMPURM.S. MALARPARA 22261006102 3399 BALRAMPUR BALRAMPUR P.S. LALANWARA 22261006103 3400 BALRAMPUR BALRAMPUR P.S. MAHARAJGANJ (PUNARVAS) 22261006201 3401 BALRAMPUR BALRAMPUR P.S. MAHARAJGANJ 22261006202 3402 BALRAMPUR BALRAMPUR M.S. MAHARAJGANJ 22261006203 3403 BALRAMPUR BALRAMPUR P.S. SEMARTAND 22261006204 3404 BALRAMPUR BALRAMPUR P.S. DONGIDAH 22261006205 3405 BALRAMPUR BALRAMPUR M.S. MAHARAJGANJ PUNARVAS 22261006206 3406 BALRAMPUR BALRAMPUR P.S. NAWAPARA 22261006207 3407 BALRAMPUR BALRAMPUR P.S. KERTA (OLD) 22261006401 3408 BALRAMPUR BALRAMPUR P.S. KERTA (NEW) 22261006402 3409 BALRAMPUR BALRAMPUR M.S. KERTA 22261006403 3410 BALRAMPUR BALRAMPUR P.S.G. MANIKPUR 22261006501 3411 BALRAMPUR BALRAMPUR P.S.B. MANIKPUR 22261006502 3412 BALRAMPUR BALRAMPUR M S MANIKPUR 22261006503 3413 BALRAMPUR BALRAMPUR P S BICHPARA (MANIKPUR) 22261006504 3414 BALRAMPUR BALRAMPUR P.S. BARIYADIH 22261006601 3415 BALRAMPUR BALRAMPUR P.S.G. BALRAMPUR 22261006602 3416 BALRAMPUR BALRAMPUR P.S.B. BALRAMPUR 22261006603 3417 BALRAMPUR BALRAMPUR M.S.G. BALRAMPUR 22261006606 3418 BALRAMPUR BALRAMPUR PS BAIGAPARA 22261006608 3419 BALRAMPUR BALRAMPUR M.S.BOYS BALRAMPUR 22261006609 3420 BALRAMPUR BALRAMPUR P.S. BAL SHRAMIK AASHRAM, B.P 22261006610 3421 BALRAMPUR BALRAMPUR M.S. BARIYADIH 22261006612 3422 BALRAMPUR BALRAMPUR P.S. JUDANIYAPARA 22261006613 3423 BALRAMPUR BALRAMPUR P.S.G. JARHADIH 22261006701 3424 BALRAMPUR BALRAMPUR P.S.B. JARHADIH 22261006702 3425 BALRAMPUR BALRAMPUR M.S.JARHADIH 22261006704 3426 BALRAMPUR BALRAMPUR P S DUMARDIH 22261006705 3427 BALRAMPUR BALRAMPUR P.S. BHAISAMUNDA (OLD) 22261006801 3428 BALRAMPUR BALRAMPUR P.S. BHAISAMUNDA (NEW) 22261006802 3429 BALRAMPUR BALRAMPUR M.S.BHAISAMUNDA 22261006803 3430 BALRAMPUR BALRAMPUR M.S. BANGALIPARA (BHAISAMUNDA) 22261006804
  • 105.
    3431 BALRAMPUR BALRAMPURP.S. OBRI 22261006901 3432 BALRAMPUR BALRAMPUR M.S.OBRI 22261006902 3433 BALRAMPUR BALRAMPUR P.S. DARRIDIH 22261007001 3434 BALRAMPUR BALRAMPUR M.S. DARRIDIH 22261007002 3435 BALRAMPUR BALRAMPUR P.S. PUTSURA 22261007101 3436 BALRAMPUR BALRAMPUR M.S. PUTSURA 22261007102 3437 BALRAMPUR BALRAMPUR P S BIYATAND 22261007103 3438 BALRAMPUR BALRAMPUR P S KATHABANSH 22261007104 3439 BALRAMPUR BALRAMPUR M.S. KATHABANSH 22261007105 3440 BALRAMPUR BALRAMPUR P.S. RAMNAGARKALA 22261007201 3441 BALRAMPUR BALRAMPUR M.S. RAMNAGARKALA 22261007202 3442 BALRAMPUR BALRAMPUR P.S. ONKARNAGAR 22261007301 3443 BALRAMPUR BALRAMPUR M.S.ONKARNAGAR 22261007302 3444 BALRAMPUR BALRAMPUR P.S. KRISHNANAGAR 22261007401 3445 BALRAMPUR BALRAMPUR P.S.K. BHAISAMUDA 22261007402 3446 BALRAMPUR BALRAMPUR M.S. KRISHNANAGAR 22261007403 3447 BALRAMPUR BALRAMPUR P.S. RAMNAGAR 22261007501 3448 BALRAMPUR BALRAMPUR P.S. BODITOLA 22261007601 3449 BALRAMPUR BALRAMPUR P.S. MAHARAJGANJ 22261007602 3450 BALRAMPUR BALRAMPUR P.S. SARNADIH 22261007701 3451 BALRAMPUR BALRAMPUR M.S. SARNADIH 22261007702 3452 BALRAMPUR BALRAMPUR P.S. TURRIDIH 22261007801 3453 BALRAMPUR BALRAMPUR M.S. TURRIDIH 22261007802 3454 BALRAMPUR BALRAMPUR P.S. DAHEJWAR 22261007901 3455 BALRAMPUR BALRAMPUR P.S. TANGARMAHRI 22261008001 3456 BALRAMPUR BALRAMPUR P S GHASIYADOHAR 22261008002 3457 BALRAMPUR BALRAMPUR M.S. TANGARMAHRI 22261008003 3458 BALRAMPUR BALRAMPUR P.S. PIPARSOT 22261008101 3459 BALRAMPUR BALRAMPUR P S TURRAPARA 22261008102 3460 BALRAMPUR BALRAMPUR M.S. PIPARSOT 22261008103 3461 BALRAMPUR BALRAMPUR P.S. BHELWADIH 22261008201 3462 BALRAMPUR BALRAMPUR P.S. JAMDIH 22261008202 3463 BALRAMPUR BALRAMPUR P.S. CHANNTOLA 22261008203
  • 106.
    3464 BALRAMPUR BALRAMPURM.S. BHELWADIH 22261008204 3465 BALRAMPUR BALRAMPUR P.S. DUMARKHORKA 22261008301 3466 BALRAMPUR BALRAMPUR P S PENDRATIKARA 22261008302 3467 BALRAMPUR BALRAMPUR M.S. DUMARKHORKA 22261008303 3468 BALRAMPUR BALRAMPUR P.S. JHAPRA 22261008401 3469 BALRAMPUR BALRAMPUR M.S.JHAPRA 22261008402 3470 BALRAMPUR BALRAMPUR P.S. BHAWANIPUR 22261008501 3471 BALRAMPUR BALRAMPUR P S KOIRITOLA 22261008502 3472 BALRAMPUR BALRAMPUR P.S. BUDHDIH 22261008601 3473 BALRAMPUR BALRAMPUR P.S. BACHWAR 22261008602 3474 BALRAMPUR BALRAMPUR M.S. BUDHUDIH 22261008603 3475 BALRAMPUR BALRAMPUR P.S. BADKIMAHRI 22261008701 3476 BALRAMPUR BALRAMPUR M.S. BADKIMAHRI 22261008702 3477 BALRAMPUR BALRAMPUR P.S. MOGALIYADAND 22261008801 3478 BALRAMPUR BALRAMPUR P.S. JOGNIPARA 22261008901 3479 BALRAMPUR BALRAMPUR M.S. JOGNIPARA 22261008902 3480 BALRAMPUR BALRAMPUR P.S. CHANDAORA 22261009001 3481 BALRAMPUR BALRAMPUR P S LALMATI 22261009002 3482 BALRAMPUR BALRAMPUR M.S.CHANDAORA 22261009003 3483 BALRAMPUR BALRAMPUR P.S.SARASWATIPUR 22261009004 3484 BALRAMPUR BALRAMPUR P.S. HATHIBAR 22261009005 3485 BALRAMPUR BALRAMPUR P.S. KARRI 22261009101 3486 BALRAMPUR BALRAMPUR M.S. KARRI 22261009102 3487 BALRAMPUR BALRAMPUR P.S. KUSUMKONA 22261009103 3488 BALRAMPUR BALRAMPUR P.S. RANHAT 22261009201 3489 BALRAMPUR BALRAMPUR M.S. RANHAT 22261009202 3490 BALRAMPUR BALRAMPUR P.S. KODAKI 22261009203 3491 BALRAMPUR BALRAMPUR P.S. AMARPUR 22261009204 3492 BALRAMPUR BALRAMPUR P.S. CHOUGAI 22261009205 3493 BALRAMPUR BALRAMPUR P.S. BHALBHADERA 22261009206 3494 BALRAMPUR BALRAMPUR P.S. GIRLS A. RANHAT 22261009207 3495 BALRAMPUR BALRAMPUR P.S. SARGAVA 22261009301 3496 BALRAMPUR BALRAMPUR P.S. LURGI 22261009401
  • 107.
    3497 BALRAMPUR BALRAMPURP S HANSAKONA 22261009402 3498 BALRAMPUR BALRAMPUR M.S. LURGI 22261009403 3499 BALRAMPUR BALRAMPUR P.S. LILAOTI 22261009501 3500 BALRAMPUR BALRAMPUR P S SUPALIPARA 22261009502 3501 BALRAMPUR BALRAMPUR M.S.LILAOTI 22261009503 3502 BALRAMPUR BALRAMPUR P.S. ATAORI 22261009601 3503 BALRAMPUR BALRAMPUR P S BELSOTA 22261009602 3504 BALRAMPUR BALRAMPUR P.S. JOGIDIH 22261009603 3505 BALRAMPUR BALRAMPUR P.S. BANKHETA 22261009701 3506 BALRAMPUR BALRAMPUR P.S. PADI 22261009702 3507 BALRAMPUR BALRAMPUR P S DUGGUPARA 22261009703 3508 BALRAMPUR BALRAMPUR M.S.PADI 22261009704 3509 BALRAMPUR BALRAMPUR P.S. CHILMA 22261009801 3510 BALRAMPUR BALRAMPUR M.S. CHILMA 22261009802 3511 BALRAMPUR BALRAMPUR P.S. SARGADI 22261009901 3512 BALRAMPUR BALRAMPUR M.S. SARGADI 22261009902 3513 BALRAMPUR BALRAMPUR P.S. CHIDAPARA 22261009903 3514 BALRAMPUR BALRAMPUR P.S. SITARAMPUR 22261010001 3515 BALRAMPUR BALRAMPUR P S KARAMPANI 22261010002 3516 BALRAMPUR BALRAMPUR M.S.SITARAMPUR 22261010003 3517 BALRAMPUR BALRAMPUR P.S. GAWARLETA 22261010004 3518 BALRAMPUR BALRAMPUR P.S. ASANATALA 22261010005 3519 BALRAMPUR BALRAMPUR P.S. NAGESIYAPARA 22261010006 3520 BALRAMPUR BALRAMPUR P.S.G. PASTA 22261010101 3521 BALRAMPUR BALRAMPUR P.S.B. PASTA 22261010102 3522 BALRAMPUR BALRAMPUR M.S. PASTA 22261010103 3523 BALRAMPUR BALRAMPUR P S GAHANADAND 22261010104 3524 BALRAMPUR BALRAMPUR P.S. PRADHANPARA 22261010105 3525 BALRAMPUR BALRAMPUR BAL SHRAMIK A. PASTA 22261010106 3526 BALRAMPUR BALRAMPUR P.S. KAPOT 22261010201 3527 BALRAMPUR BALRAMPUR P.S. BASERAKALA 22261010301 3528 BALRAMPUR BALRAMPUR P.S. PACHPEDIPARA 22261010302 3529 BALRAMPUR BALRAMPUR P.S. GOVINDPUR 22261010401
  • 108.
    3530 BALRAMPUR BALRAMPURP.S.DHUDHARUPARA 22261010402 3531 BALRAMPUR BALRAMPUR P.S. AMDANDA 22261010501 3532 BALRAMPUR BALRAMPUR P.S. PANDEPOKHAR 22261010502 3533 BALRAMPUR BALRAMPUR M.S. AMDANDA 22261010503 3534 BALRAMPUR BALRAMPUR P.S. MAKYATHI 22261010601 3535 BALRAMPUR BALRAMPUR P.S. KOTPALI 22261010701 3536 BALRAMPUR BALRAMPUR M.S. KOTPALI 22261010702 3537 BALRAMPUR BALRAMPUR P.S. KHAJURI 22261010801 3538 BALRAMPUR BALRAMPUR P S TUHALUPATHAL 22261010802 3539 BALRAMPUR BALRAMPUR P S DADARTOLA 22261010803 3540 BALRAMPUR BALRAMPUR M.S. KHAJURI 22261010804 3541 BALRAMPUR BALRAMPUR P.S. PACHAWAL 22261010901 3542 BALRAMPUR BALRAMPUR P S DHODHIKONAA 22261010902 3543 BALRAMPUR BALRAMPUR M.S. PACHAWAL 22261010903 3544 BALRAMPUR BALRAMPUR P.S. MALARPARA 22261010904 3545 BALRAMPUR BALRAMPUR P.S. KOTARKI 22261011001 3546 BALRAMPUR BALRAMPUR P.S. ANWRAPANI 22261011002 3547 BALRAMPUR BALRAMPUR P.S. BELKUDRI 22261011101 3548 BALRAMPUR BALRAMPUR P.S. BARAOLI 22261011201 3549 BALRAMPUR BALRAMPUR P.S. GIRVARGANJ 22261011301 3550 BALRAMPUR BALRAMPUR P.S. KOTHIKHAND 22261011302 3551 BALRAMPUR BALRAMPUR M.S. GIRWARGANJ 22261011303 3552 BALRAMPUR BALRAMPUR P.S. DALDALIYA 22261011401 3553 BALRAMPUR BALRAMPUR M.S.DALDALIYA 22261011402 3554 BALRAMPUR BALRAMPUR P.S. JHAPLI 22261011501 3555 BALRAMPUR BALRAMPUR M.S. JHALPI 22261011502 3556 BALRAMPUR BALRAMPUR P.S. KHIRAKHAND 22261011503 3557 BALRAMPUR BALRAMPUR P.S.SEMLI 22261011601 3558 BALRAMPUR BALRAMPUR PS LENJAWAPARA 22261011602 3559 BALRAMPUR BALRAMPUR P.S.LEFRI 22261011701 3560 BALRAMPUR BALRAMPUR P S SATISEMAR 22261011801 3561 BALRAMPUR BALRAMPUR P S JAWRAHI 22261011901 3562 BALRAMPUR BALRAMPUR P S EDKETOLA 22261012001
  • 109.
    3563 BALRAMPUR BALRAMPURP.S. JARHADIH (PUNARWAS) 22261012003 3564 BALRAMPUR BALRAMPUR M.S. EDKETOLA 22261012004 3565 BALRAMPUR BALRAMPUR P.S. BAGDHARIYA 22261012006 3566 BALRAMPUR BALRAMPUR P S ULTADANGA 22261012101 3567 BALRAMPUR BALRAMPUR P S NAWADIHKALA 22261012201 3568 BALRAMPUR BALRAMPUR P S YADAVPARA 22261012301 3569 BALRAMPUR BALRAMPUR P S PUTSU 22261012401 3570 BALRAMPUR BALRAMPUR P S CHATIYAPARA 22261012501 3571 BALRAMPUR BALRAMPUR P S CHERWAPARA 22261012601 3572 BALRAMPUR BALRAMPUR P.S.CHIRKOMA 22261012701 3573 BALRAMPUR BALRAMPUR P.S. NAWADIHKHURD 22261012801 3574 BALRAMPUR BALRAMPUR P.S. GAMHARIYA 22261013001 3575 BALRAMPUR BALRAMPUR P.S. KHADIYADAMAR 22261013201 3576 BALRAMPUR KUSMI P.S. DARRIPARA 22261300101 3577 BALRAMPUR KUSMI P.S.G.ASHRAM KUSMI 22261300201 3578 BALRAMPUR KUSMI P.S.B. KUSMI 22261300202 3579 BALRAMPUR KUSMI P.S TAHSILPARA 22261300205 3580 BALRAMPUR KUSMI M.S.B.KUSMI 22261300206 3581 BALRAMPUR KUSMI M.S.G.A.KUSMI 22261300207 3582 BALRAMPUR KUSMI M.S.G.KUSMI 22261300208 3583 BALRAMPUR KUSMI N.P.S. BAZARPARA 22261300211 3584 BALRAMPUR KUSMI N.P.S.BHURSHAPARA 22261300212 3585 BALRAMPUR KUSMI N.P.S.KUMHARPARA 22261300213 3586 BALRAMPUR KUSMI M.S.BAZARPARA 22261300214 3587 BALRAMPUR KUSMI P.S.DINIYA AMIRIYA KUSMI 22261300215 3588 BALRAMPUR KUSMI N.M.S. KUMHARPARA 22261300216 3589 BALRAMPUR KUSMI P.S.KHIKHIRPARA 22261300220 3590 BALRAMPUR KUSMI M.S.DARRIPARA 22261300221 3591 BALRAMPUR KUSMI P.S. GAJADHARPUR 22261300301 3592 BALRAMPUR KUSMI P.S. GAJADHARPUR 22261300302 3593 BALRAMPUR KUSMI N.P.S.TURRIPANI 22261300303 3594 BALRAMPUR KUSMI N.M.S.GAJADHARPUR 22261300304 3595 BALRAMPUR KUSMI P.S. ULTAPANI 22261300305
  • 110.
    3596 BALRAMPUR KUSMIP.S. KANJIYA 22261300401 3597 BALRAMPUR KUSMI N.P.S.NAWAPARA 22261300402 3598 BALRAMPUR KUSMI N.P.S. JIRHULDIH 22261300403 3599 BALRAMPUR KUSMI P.S. KHAJURIHA 22261300501 3600 BALRAMPUR KUSMI P.S. KHAJURIYADIH 22261300502 3601 BALRAMPUR KUSMI P.S. NAVADIHKALA 22261300601 3602 BALRAMPUR KUSMI P.S. NAVDIHKALA 22261300602 3603 BALRAMPUR KUSMI M.S.NAVADIHKALAN 22261300603 3604 BALRAMPUR KUSMI N.P.S.PEYEARTOLI 22261300604 3605 BALRAMPUR KUSMI N.P.S.BERWAHIPARA 22261300605 3606 BALRAMPUR KUSMI N.P.S.CHHAPARTOLI 22261300606 3607 BALRAMPUR KUSMI M.S. BARVAHIPARA 22261300607 3608 BALRAMPUR KUSMI PS MADARSA M.NAVADIHKALA 22261300608 3609 BALRAMPUR KUSMI P.S. MAHKEPI 22261300701 3610 BALRAMPUR KUSMI N.P.S.BHADAR 22261300702 3611 BALRAMPUR KUSMI P.S. PURANPANI 22261300801 3612 BALRAMPUR KUSMI P.S. BAIRDIHKHURD 22261300901 3613 BALRAMPUR KUSMI R.G.P.S. AMARPUR 22261301001 3614 BALRAMPUR KUSMI N.P.S.AMADARA 22261301002 3615 BALRAMPUR KUSMI M.S. AMARPUR 22261301003 3616 BALRAMPUR KUSMI M.S. BHANDARDIPA 22261301102 3617 BALRAMPUR KUSMI R.G.P.S. LAXMANPUR 22261301201 3618 BALRAMPUR KUSMI M.S. LAXMANPUR 22261301202 3619 BALRAMPUR KUSMI P.S. DUMARKHOLI 22261301301 3620 BALRAMPUR KUSMI P.S. DUMARKHOLI 22261301302 3621 BALRAMPUR KUSMI P.S. DATRAM 22261301401 3622 BALRAMPUR KUSMI M.S. DATRAM 22261301402 3623 BALRAMPUR KUSMI M.S. DUMARKOLI 22261301403 3624 BALRAMPUR KUSMI P.S. BHULSIKHURD 22261301501 3625 BALRAMPUR KUSMI M.S.BHULASIKHURD 22261301502 3626 BALRAMPUR KUSMI P.S. SONPUR 22261301601 3627 BALRAMPUR KUSMI N.P.S. BADOKOKNA 22261301602 3628 BALRAMPUR KUSMI P.S. BAIGAPARA 22261301603
  • 111.
    3629 BALRAMPUR KUSMIP.S. BENDOPANI 22261301604 3630 BALRAMPUR KUSMI P.S. BARPANI 22261301605 3631 BALRAMPUR KUSMI R.G.P.S. DHAVAITOLA 22261301801 3632 BALRAMPUR KUSMI R.G.P.S. BETPANI 22261301901 3633 BALRAMPUR KUSMI N.P.S.KHAMEYA 22261301902 3634 BALRAMPUR KUSMI P.S. LAINPARA 22261301903 3635 BALRAMPUR KUSMI M.S. KHAMIYA 22261301904 3636 BALRAMPUR KUSMI P.S. JAMIRAPAT 22261302001 3637 BALRAMPUR KUSMI P.S. DUMARPAT 22261302002 3638 BALRAMPUR KUSMI M.S.JAMIRAPAT 22261302003 3639 BALRAMPUR KUSMI P.S. KATAIPATARA 22261302004 3640 BALRAMPUR KUSMI M.S. BODITOLA 22261302005 3641 BALRAMPUR KUSMI P.S. RAJENDRAPUR 22261302101 3642 BALRAMPUR KUSMI P.S. CHARHATKHURD 22261302201 3643 BALRAMPUR KUSMI P.S. IDARIPAT 22261302301 3644 BALRAMPUR KUSMI M.S. IDARIPAT 22261302303 3645 BALRAMPUR KUSMI P.S. TAVARPANI 22261302401 3646 BALRAMPUR KUSMI P.S. RATASILI 22261302501 3647 BALRAMPUR KUSMI P.S. NIRMALA RATASILI 22261302502 3648 BALRAMPUR KUSMI M.S.NIRMALA RATASILI 22261302503 3649 BALRAMPUR KUSMI M.S.RATSILI 22261302507 3650 BALRAMPUR KUSMI P.S. ASANPANI 22261302601 3651 BALRAMPUR KUSMI P.S.K. PODIYA 22261302701 3652 BALRAMPUR KUSMI P.S. ROHITASPARA 22261302702 3653 BALRAMPUR KUSMI P.S. DHANESHPUR 22261302801 3654 BALRAMPUR KUSMI M.S.DHANESHPUR 22261302802 3655 BALRAMPUR KUSMI N.P.S.BENSDIH 22261302803 3656 BALRAMPUR KUSMI P.S.B. DONGIPANI 22261302901 3657 BALRAMPUR KUSMI P.S.G. DONGIPANI 22261302902 3658 BALRAMPUR KUSMI M.S. DONGIPANI 22261302903 3659 BALRAMPUR KUSMI P.S.K. LECHOPARA 22261303001 3660 BALRAMPUR KUSMI P.S. KAMALAPUR 22261303101 3661 BALRAMPUR KUSMI N.P.S.THANTOLI 22261303102
  • 112.
    3662 BALRAMPUR KUSMIN.P.S.DAMCHUAN 22261303103 3663 BALRAMPUR KUSMI M.S. KAMALAPUR 22261303104 3664 BALRAMPUR KUSMI P.S. SURBENA 22261303201 3665 BALRAMPUR KUSMI N.P.S.PATHALTOLI 22261303202 3666 BALRAMPUR KUSMI N.M.S.SURBENA 22261303203 3667 BALRAMPUR KUSMI P.S.B. CHANDO 22261303302 3668 BALRAMPUR KUSMI M.S.B.CHANDO 22261303303 3669 BALRAMPUR KUSMI M.SG.CHANDO 22261303304 3670 BALRAMPUR KUSMI P.S.G. CHANDO 22261303305 3671 BALRAMPUR KUSMI P.S. KURDIH 22261303401 3672 BALRAMPUR KUSMI N.M.S. KURDIH 22261303402 3673 BALRAMPUR KUSMI PS MADARSA KADARIYA E. KURDIH 22261303403 3674 BALRAMPUR KUSMI P.S. MADVA 22261303501 3675 BALRAMPUR KUSMI P.S. DEVDAND 22261303502 3676 BALRAMPUR KUSMI N.P.S.SHERHARI 22261303503 3677 BALRAMPUR KUSMI N.P.S.GHORASHOT 22261303504 3678 BALRAMPUR KUSMI N.M.S. MADVA 22261303505 3679 BALRAMPUR KUSMI P.S. CHATNIYA 22261303601 3680 BALRAMPUR KUSMI P.S.AMEARATOLI 22261303602 3681 BALRAMPUR KUSMI N.MS. CHATNIYA 22261303603 3682 BALRAMPUR KUSMI P.S. CHALCHALCHYUA 22261303604 3683 BALRAMPUR KUSMI P.S. NAHALU 22261303605 3684 BALRAMPUR KUSMI P.S. KARCHA 22261303701 3685 BALRAMPUR KUSMI M.S.KARCHA 22261303702 3686 BALRAMPUR KUSMI N.P.S.CHHAWARI 22261303703 3687 BALRAMPUR KUSMI N.P.S.BGDHARIYA 22261303704 3688 BALRAMPUR KUSMI P.S. BHOJPUR 22261303801 3689 BALRAMPUR KUSMI N.P.S.CHARIDIPA 22261303802 3690 BALRAMPUR KUSMI P.S. JALBOTHA 22261303901 3691 BALRAMPUR KUSMI P.S. DHANJI 22261304001 3692 BALRAMPUR KUSMI P.S. SHAHPUR 22261304102 3693 BALRAMPUR KUSMI N.P.S. KASYADE 22261304103 3694 BALRAMPUR KUSMI N.P.S. CHURANDA 22261304104
  • 113.
    3695 BALRAMPUR KUSMIN.M.S. SHAHPUR 22261304105 3696 BALRAMPUR KUSMI P.S. KANDRI 22261304201 3697 BALRAMPUR KUSMI M.S.G.KANDRI 22261304202 3698 BALRAMPUR KUSMI M.S.B.KANDARI 22261304203 3699 BALRAMPUR KUSMI N.P.S. MHWAPARA 22261304204 3700 BALRAMPUR KUSMI N.P.S.JAWAKHAND 22261304205 3701 BALRAMPUR KUSMI N.M.S. JAWAKHAND 22261304206 3702 BALRAMPUR KUSMI P.S. TANGARTOLI 22261304207 3703 BALRAMPUR KUSMI P.S. SHRIKOT 22261304301 3704 BALRAMPUR KUSMI P.S. NAVATOLI 22261304302 3705 BALRAMPUR KUSMI M.S. SHRIKOT 22261304303 3706 BALRAMPUR KUSMI P.S. KHAMAN 22261304304 3707 BALRAMPUR KUSMI P.S. UPARPARA 22261304305 3708 BALRAMPUR KUSMI M.S. NAVATOLI 22261304306 3709 BALRAMPUR KUSMI P.S. PAKARDIH 22261304401 3710 BALRAMPUR KUSMI N.M.S. PAKARDIH 22261304402 3711 BALRAMPUR KUSMI P.S. KUDAG 22261304501 3712 BALRAMPUR KUSMI P.S. KATAIDIH 22261304502 3713 BALRAMPUR KUSMI M.S. KUDAG 22261304503 3714 BALRAMPUR KUSMI P.S.B. SAMRI 22261304601 3715 BALRAMPUR KUSMI P.S.G. SAMRI 22261304602 3716 BALRAMPUR KUSMI M.S.B.SAMRI 22261304603 3717 BALRAMPUR KUSMI M.S.G.SAMARI 22261304604 3718 BALRAMPUR KUSMI G.P.S.BHANDARDEPA 22261304605 3719 BALRAMPUR KUSMI N.P.S. BAHERATOLI 22261304606 3720 BALRAMPUR KUSMI N.P.S. KUTKU 22261304607 3721 BALRAMPUR KUSMI P.S. CHARHATKALA 22261304701 3722 BALRAMPUR KUSMI P.S. KAREMDIH 22261304702 3723 BALRAMPUR KUSMI M.S. CHARHATKALA 22261304703 3724 BALRAMPUR KUSMI N.P.S. UPPARPARA, CHARHATKALA 22261304704 3725 BALRAMPUR KUSMI P.S. KARRADAND 22261304801 3726 BALRAMPUR KUSMI M.S. TARANI 22261304802 3727 BALRAMPUR KUSMI P.S. GAMHARTOLI 22261304901
  • 114.
    3728 BALRAMPUR KUSMIP.S. CHANDADAND 22261305001 3729 BALRAMPUR KUSMI P.S. PREMNAGAR 22261305101 3730 BALRAMPUR KUSMI P.S. KORANDHA 22261305201 3731 BALRAMPUR KUSMI P.S. KORANDHA 22261305202 3732 BALRAMPUR KUSMI M.S.KORANDHA 22261305203 3733 BALRAMPUR KUSMI N.P.S.BERPAT 22261305204 3734 BALRAMPUR KUSMI N.P.S.GUNGURUPAT 22261305205 3735 BALRAMPUR KUSMI N.P.S.BEJAPAT 22261305206 3736 BALRAMPUR KUSMI N.P.S. FUTURTOLI 22261305207 3737 BALRAMPUR KUSMI N.P.S.BHATHUPARA 22261305208 3738 BALRAMPUR KUSMI P.S. DUKUPARA 22261305209 3739 BALRAMPUR KUSMI P.S. HANSPUR 22261305301 3740 BALRAMPUR KUSMI P.S. NAVATOLI 22261305302 3741 BALRAMPUR KUSMI P.S. MAHUYATOLI 22261305401 3742 BALRAMPUR KUSMI P.S. MAHUYATOLI 22261305402 3743 BALRAMPUR KUSMI P.S. NATVARNAGAR 22261305501 3744 BALRAMPUR KUSMI P.S. NAVDIHA 22261305601 3745 BALRAMPUR KUSMI M.S. BHAVANIPUR 22261305702 3746 BALRAMPUR KUSMI P.S. BHAVANIPUR 22261305703 3747 BALRAMPUR KUSMI P.S. CIVILDAG 22261305801 3748 BALRAMPUR KUSMI M.S. CIVILDAG 22261305803 3749 BALRAMPUR KUSMI N.P.S.BERTOLI 22261305804 3750 BALRAMPUR KUSMI P.S.DUMARKONA 22261305806 3751 BALRAMPUR KUSMI P.S. GOVINDPUR 22261306001 3752 BALRAMPUR KUSMI N.M.S.GOVINDPUR 22261306002 3753 BALRAMPUR KUSMI P.S. GOPINAGAR 22261306101 3754 BALRAMPUR KUSMI M.S.GOPINAGAR 22261306103 3755 BALRAMPUR KUSMI P.S. SANT JOSEF JODHPUR 22261306201 3756 BALRAMPUR KUSMI P.S. JODHPUR 22261306202 3757 BALRAMPUR KUSMI M.S.SANT.J.JODHPUR 22261306203 3758 BALRAMPUR KUSMI P.S. DEVRI 22261306301 3759 BALRAMPUR KUSMI M.S. DEVARI 22261306302 3760 BALRAMPUR KUSMI P.S. JAVAHARNAGAR 22261306401
  • 115.
    3761 BALRAMPUR KUSMIM.S.B.JAVAHARNAGAR 22261306402 3762 BALRAMPUR KUSMI M.S.G.JAVAHARNAGAR 22261306403 3763 BALRAMPUR KUSMI N.P.S.UPERPARA 22261306404 3764 BALRAMPUR KUSMI P.S. JOGIBANDH 22261306501 3765 BALRAMPUR KUSMI P.S. NICHATPUR 22261306601 3766 BALRAMPUR KUSMI R.G.P.S.M. BHAGVANPUR 22261306701 3767 BALRAMPUR KUSMI P.S. SEMBIJOBALA 22261306702 3768 BALRAMPUR KUSMI P.S. MADGURI 22261306801 3769 BALRAMPUR KUSMI M.S.MADGURI 22261306802 3770 BALRAMPUR KUSMI N.P.S. AMBATOLI 22261306803 3771 BALRAMPUR KUSMI N.P.S.NAWATOLI 22261306804 3772 BALRAMPUR KUSMI P.S. TRAINI 22261306901 3773 BALRAMPUR KUSMI P.S. BANSA 22261306902 3774 BALRAMPUR KUSMI P.S. GHUTARADIH 22261307001 3775 BALRAMPUR KUSMI N.P.S. BENDHYACHALPUR 22261307002 3776 BALRAMPUR KUSMI N.M.S. GHUTRADIH 22261307003 3777 BALRAMPUR KUSMI P.S. RAMNAGAR 22261307101 3778 BALRAMPUR KUSMI M.S.RAMNAGAR 22261307102 3779 BALRAMPUR KUSMI N.P.S.MARI 22261307103 3780 BALRAMPUR KUSMI P.S.B. HARRY 22261307201 3781 BALRAMPUR KUSMI P.S.G. HARRY 22261307202 3782 BALRAMPUR KUSMI M.S.HARRI 22261307203 3783 BALRAMPUR KUSMI P.S.KUDANPANI 22261307204 3784 BALRAMPUR KUSMI P.S. PIYARTOLI 22261307205 3785 BALRAMPUR KUSMI P.S. BHALGHUTARA 22261307206 3786 BALRAMPUR KUSMI P.S. SARNGAJOBHI 22261307301 3787 BALRAMPUR KUSMI P.S. CHAINPUR 22261307501 3788 BALRAMPUR KUSMI M.S. CHAINPUR 22261307502 3789 BALRAMPUR KUSMI P.S. BAKASPUR 22261307601 3790 BALRAMPUR KUSMI P.S.B. BHULSIKALA 22261307701 3791 BALRAMPUR KUSMI P.S.G. BHULSIKALA 22261307702 3792 BALRAMPUR KUSMI P.S.BHULSIKHAND 22261307703 3793 BALRAMPUR KUSMI M.S.B.BHULSIKALAN 22261307704
  • 116.
    3794 BALRAMPUR KUSMIM.S.G.BHILSIKALAN 22261307705 3795 BALRAMPUR KUSMI P.S. CHAMPANAGAR 22261307801 3796 BALRAMPUR KUSMI P.S. CHARHU 22261307901 3797 BALRAMPUR KUSMI P.S. PUNDAG 22261308001 3798 BALRAMPUR KUSMI M.S. PUNDAG 22261308002 3799 BALRAMPUR KUSMI N.P.S.BHUTAHI 22261308003 3800 BALRAMPUR KUSMI N.P.S.PCHFARI 22261308004 3801 BALRAMPUR KUSMI M.S. CHARHU 22261308005 3802 BALRAMPUR KUSMI P.S. SUKHARI 22261308201 3803 BALRAMPUR KUSMI R.G.P.S.M. GOATAMPUR 22261308301 3804 BALRAMPUR KUSMI M.S. GWOTEMPUR 22261308302 3805 BALRAMPUR KUSMI P.S. SUNAPARA 22261308303 3806 BALRAMPUR KUSMI N.P.S. TETARTOLI 22261308401 3807 BALRAMPUR KUSMI N.P.S. BAIRDIH 22261308601 3808 BALRAMPUR KUSMI P.S. SONBARSA 22261308701 3809 BALRAMPUR KUSMI P.S. CHULHAPATHAR 22261308702 3810 BALRAMPUR KUSMI P.S. SUPDAKA 22261308801 3811 BALRAMPUR KUSMI P.S. JIGNIYA 22261308802 3812 BALRAMPUR KUSMI N.M.S.JIGNIYA 22261308803 3813 BALRAMPUR KUSMI P.S. AMBAKONA 22261308804 3814 BALRAMPUR KUSMI P.S. DENGUPANI 22261308805 3815 BALRAMPUR KUSMI P.S. SAHIDARA 22261308806 3816 BALRAMPUR KUSMI P.S. LEFUYATOLI 22261308901 3817 BALRAMPUR KUSMI N.P.S. BAIRDIH 22261309002 3818 BALRAMPUR KUSMI M.S. GADAMI 22261309003 3819 BALRAMPUR KUSMI P.S. GADAMI 22261309004 3820 BALRAMPUR KUSMI BOY'S ASHRAM SABAG 22261309101 3821 BALRAMPUR KUSMI P.S. SABAG 22261309102 3822 BALRAMPUR KUSMI N.P.S.BENDERCUNA 22261309104 3823 BALRAMPUR KUSMI M.S. SABAG 22261309105 3824 BALRAMPUR KUSMI P.S. JALJALI 22261309201 3825 BALRAMPUR KUSMI N.P.S.MARAYWADIH 22261309202 3826 BALRAMPUR KUSMI M.S. JALJALI 22261309203
  • 117.
    3827 BALRAMPUR KUSMIP.S. JIRHUL 22261309301 3828 BALRAMPUR KUSMI P.S. KARKALI 22261309401 3829 BALRAMPUR KUSMI M.S.KARKALI 22261309402 3830 BALRAMPUR KUSMI N.P.S. DANDTOLI 22261309403 3831 BALRAMPUR KUSMI M.S. JIRHUL 22261309404 3832 BALRAMPUR KUSMI M.S. LEFUYATOLI 22261309405 3833 BALRAMPUR KUSMI M.S.SEMARA 22261309504 3834 BALRAMPUR KUSMI K.G.B.V. KUSMI 22261309507 3835 BALRAMPUR KUSMI P.S. CHHATAKONA 22261309702 3836 BALRAMPUR KUSMI P.S. GOPATU 22261309703 3837 BALRAMPUR KUSMI P.S.G. GOPATU 22261309704 3838 BALRAMPUR KUSMI P.S.B.S.ASHRAM GOPATU 22261309705 3839 BALRAMPUR KUSMI M.S. GOPATU 22261309707 3840 BALRAMPUR KUSMI P.S. BIRHORPAT 22261309708 3841 BALRAMPUR KUSMI P.S. CHUTAIPAT 22261309801 3842 BALRAMPUR KUSMI P.S. KERAPAT 22261309901 3843 BALRAMPUR KUSMI P.S. TATIJHARIYA 22261310001 3844 BALRAMPUR KUSMI M.S. TATIJHARIYA 22261310002 3845 BALRAMPUR KUSMI N.P.S. TATIJHARIYA, PURV 22261310003 3846 BALRAMPUR KUSMI P.S.B. SERANGDAG 22261310101 3847 BALRAMPUR KUSMI P.S.G. SERANGDAG 22261310102 3848 BALRAMPUR KUSMI M.S.SERAGDAG 22261310103 3849 BALRAMPUR KUSMI R.G.P.S. BODITOLA 22261310301 3850 BALRAMPUR KUSMI P.S. SARAIDIH 22261310402 3851 BALRAMPUR KUSMI P.S. BATA 22261310403 3852 BALRAMPUR KUSMI N.M.S. SARAIDIH 22261310404 3853 BALRAMPUR KUSMI P.S. AMTAHI 22261310501 3854 BALRAMPUR KUSMI P.S. SHARJAM 22261310502 3855 BALRAMPUR KUSMI M.S. AMTAHI 22261310503 3856 BALRAMPUR KUSMI P.S. KHAJURI 22261310601 3857 BALRAMPUR KUSMI P.S. KONKOTLI 22261310602 3858 BALRAMPUR KUSMI P.S. TURRIPANI 22261310603 3859 BALRAMPUR KUSMI P.S. BASKEPI 22261310701
  • 118.
    3860 BALRAMPUR KUSMIM.S.BASKEPI 22261310702 3861 BALRAMPUR KUSMI N.P.S.CHANDELAPARA 22261310703 3862 BALRAMPUR KUSMI N.P.S.MANGARLETA 22261310704 3863 BALRAMPUR KUSMI N.P.S.BADWARPARA 22261310705 3864 BALRAMPUR KUSMI P.S. HETHUYAPARA 22261310706 3865 BALRAMPUR KUSMI P.S. MAGAJI 22261310801 3866 BALRAMPUR KUSMI P.S. NILKANTHPUR 22261310901 3867 BALRAMPUR KUSMI M.S.NILKANTHPUR 22261310902 3868 BALRAMPUR KUSMI N.P.S.KADAMTOLI 22261310904 3869 BALRAMPUR KUSMI P.S. KADAMTOLI 22261310905 3870 BALRAMPUR KUSMI P.S. LARIMA 22261311001 3871 BALRAMPUR KUSMI M.S.LARIMA 22261311002 3872 BALRAMPUR KUSMI P.S. UPARPARA 22261311003 3873 BALRAMPUR KUSMI P.S. KEDALI 22261311101 3874 BALRAMPUR KUSMI M.S. KEDALI 22261311102 3875 BALRAMPUR KUSMI P.S. TRIPURI 22261311201 3876 BALRAMPUR KUSMI NPS SARANATOLI 22261311202 3877 BALRAMPUR KUSMI P.S.BERIPAT 22261311203 3878 BALRAMPUR KUSMI P.S.SEDHATOLI 22261311204 3879 BALRAMPUR KUSMI P.S.UPERKEDLI 22261311205 3880 BALRAMPUR KUSMI N.P.S.PERSHA 22261311206 3881 BALRAMPUR KUSMI N.M.S. TRIPURI 22261311207 3882 BALRAMPUR KUSMI M.S. SARNATOLI 22261311208 3883 BALRAMPUR KUSMI P.S. MOTINAGAR 22261311401 3884 BALRAMPUR KUSMI P.S. KARKALI 22261311701 3885 BALRAMPUR KUSMI N.P.S.KEEKERPARA 22261311702 3886 BALRAMPUR KUSMI P.S. KANCHANTOLI 22261311801 3887 BALRAMPUR KUSMI P.S. KATIMA 22261311901 3888 BALRAMPUR KUSMI P.S. PAKRITOLI 22261311902 3889 BALRAMPUR KUSMI N.M.S. KATIMA 22261311903 3890 BALRAMPUR KUSMI P.S. LAVKUSHPUR 22261312001 3891 BALRAMPUR KUSMI P.S.K. GHOSARA 22261312101 3892 BALRAMPUR KUSMI P.S. INDRIKALA 22261312201
  • 119.
    3893 BALRAMPUR KUSMIP.S.KAIKARE 22261312202 3894 BALRAMPUR KUSMI M.S. IDARIKALA 22261312203 3895 BALRAMPUR KUSMI P.S. PAKRITOLI 22261312301 3896 BALRAMPUR KUSMI P.S. NAVADIHKHURD 22261312501 3897 BALRAMPUR KUSMI M.S. NAVADIHKHURD 22261312502 3898 BALRAMPUR KUSMI N.P.S.CHERAI 22261312701 3899 BALRAMPUR KUSMI N.P.S. AMRATHA 22261313001 3900 BALRAMPUR KUSMI P.S. SHAHPUR 22261313101 3901 BALRAMPUR KUSMI N.P.S. DAINTOLI 22261313102 3902 BALRAMPUR KUSMI P.S. CHUNCHUNA 22261313301 3903 BALRAMPUR KUSMI P.S. NAVGAI 22261313401 3904 BALRAMPUR RAJPUR P.S.KARMDIHA 22260800101 3905 BALRAMPUR RAJPUR PS SEMARAKATHARA 22260800102 3906 BALRAMPUR RAJPUR P.S. PARSVAR 22260800201 3907 BALRAMPUR RAJPUR M.S. PARSVAR 22260800202 3908 BALRAMPUR RAJPUR P.S. KIRIKACHHAR 22260800301 3909 BALRAMPUR RAJPUR P.S. PAKRADII 22260800401 3910 BALRAMPUR RAJPUR P.S. KODOARA 22260800501 3911 BALRAMPUR RAJPUR P.S. JUGIMUDA (KODOARA) 22260800502 3912 BALRAMPUR RAJPUR M.S.JUGIMUDA(KODORA) 22260800503 3913 BALRAMPUR RAJPUR M.S. KODOARA 22260800504 3914 BALRAMPUR RAJPUR P.S. MADRASA FA.TA. KURAN KADOURA 22260800505 3915 BALRAMPUR RAJPUR P.S. BHENDARI 22260800601 3916 BALRAMPUR RAJPUR M.S.BHENDARI(TWD) 22260800602 3917 BALRAMPUR RAJPUR P.S. TONI 22260800701 3918 BALRAMPUR RAJPUR PS USKONIPARA 22260800702 3919 BALRAMPUR RAJPUR M.S. USKONIPARA 22260800703 3920 BALRAMPUR RAJPUR P.S. KOTDIH 22260800801 3921 BALRAMPUR RAJPUR M.S. KOTDIH 22260800802 3922 BALRAMPUR RAJPUR P.S. MAHUAPARA 22260800901 3923 BALRAMPUR RAJPUR M.S. MAHUAPARA 22260800902 3924 BALRAMPUR RAJPUR P.S. BAIDHI 22260801001 3925 BALRAMPUR RAJPUR PS KORVAPARA 22260801002
  • 120.
    3926 BALRAMPUR RAJPURM.S. KORVAPARA 22260801004 3927 BALRAMPUR RAJPUR P.S. CHATAKPUR 22260801101 3928 BALRAMPUR RAJPUR PS KOTHIPATHAL 22260801102 3929 BALRAMPUR RAJPUR P.S. LADUYA 22260801201 3930 BALRAMPUR RAJPUR PS KAPUTORI 22260801202 3931 BALRAMPUR RAJPUR M.S. LADUA 22260801205 3932 BALRAMPUR RAJPUR P.S. NAVAPARA 22260801206 3933 BALRAMPUR RAJPUR P.S. GHORGADI 22260801301 3934 BALRAMPUR RAJPUR PS SEMARPARA 22260801302 3935 BALRAMPUR RAJPUR M.S GHORGOADI 22260801303 3936 BALRAMPUR RAJPUR P.S. PARSAPANI 22260801304 3937 BALRAMPUR RAJPUR M.S. PARSAPANI 22260801305 3938 BALRAMPUR RAJPUR P.S. BUDABAGICHA 22260801401 3939 BALRAMPUR RAJPUR M.S.BUDABAGICHA 22260801402 3940 BALRAMPUR RAJPUR PS PANIKAPARA 22260801403 3941 BALRAMPUR RAJPUR P.S GIRL BIRNIPARA 22260801404 3942 BALRAMPUR RAJPUR PS BANDHPARA 22260801405 3943 BALRAMPUR RAJPUR P.S. BAL SHRAMIK ASHRAM 22260801407 3944 BALRAMPUR RAJPUR P.S. DANDKHADUYA 22260801501 3945 BALRAMPUR RAJPUR P.S KORVA A. DANDKHDUYA 22260801502 3946 BALRAMPUR RAJPUR M.S. DANDKHADUA 22260801503 3947 BALRAMPUR RAJPUR P.S. PATRATU 22260801601 3948 BALRAMPUR RAJPUR M.S.PATRATU 22260801602 3949 BALRAMPUR RAJPUR P.S. THARKI 22260801701 3950 BALRAMPUR RAJPUR P.S. THARKI (KORVAPARA) 22260801702 3951 BALRAMPUR RAJPUR P.S. THARKI (SARNAPARA) 22260801703 3952 BALRAMPUR RAJPUR P.S. MUNUA (AMATIKRA) 22260801704 3953 BALRAMPUR RAJPUR M.S. MUNUA (AMATIKRA) 22260801705 3954 BALRAMPUR RAJPUR P.S. KARRA 22260801801 3955 BALRAMPUR RAJPUR PS GINVAR 22260801802 3956 BALRAMPUR RAJPUR M.S. KARRA 22260801806 3957 BALRAMPUR RAJPUR P.S. RIYADAND 22260801807 3958 BALRAMPUR RAJPUR P.S. JHINGO 22260801901
  • 121.
    3959 BALRAMPUR RAJPURM.S.JHINGO 22260801903 3960 BALRAMPUR RAJPUR PS NALAPARA 22260801904 3961 BALRAMPUR RAJPUR MS JHINGO 22260801905 3962 BALRAMPUR RAJPUR P.S. KANSDOHAR 22260802001 3963 BALRAMPUR RAJPUR P.S. CHOURA 22260802002 3964 BALRAMPUR RAJPUR M.S.CHOURA 22260802003 3965 BALRAMPUR RAJPUR PS KHURGIPARA 22260802004 3966 BALRAMPUR RAJPUR PS CHITKAHIPARA 22260802005 3967 BALRAMPUR RAJPUR P.S. MARKADAND 22260802101 3968 BALRAMPUR RAJPUR M.S.MARKADAND 22260802102 3969 BALRAMPUR RAJPUR P.S. AMATIKRA 22260802103 3970 BALRAMPUR RAJPUR P.S. NARSINGHPUR 22260802201 3971 BALRAMPUR RAJPUR M.S.NARSINGHPUR 22260802202 3972 BALRAMPUR RAJPUR P.S. KATAIPARA 22260802205 3973 BALRAMPUR RAJPUR P.S. PAKHANA 22260802301 3974 BALRAMPUR RAJPUR P.S. DUPPI 22260802401 3975 BALRAMPUR RAJPUR M.S. DUPPI 22260802402 3976 BALRAMPUR RAJPUR P.S. GOPALPUR 22260802501 3977 BALRAMPUR RAJPUR M.S.GOPALPUR 22260802502 3978 BALRAMPUR RAJPUR PS ASANAPARA 22260802503 3979 BALRAMPUR RAJPUR P.S DPEP PAHAD PARA 22260802504 3980 BALRAMPUR RAJPUR P.S. GAHNADAND 22260802505 3981 BALRAMPUR RAJPUR P.S. KARVA 22260802601 3982 BALRAMPUR RAJPUR P.S.B. ASHRAM KARVA 22260802602 3983 BALRAMPUR RAJPUR PS KHUTANPARA 22260802603 3984 BALRAMPUR RAJPUR M.S. KARVA 22260802604 3985 BALRAMPUR RAJPUR P.S. JAMUNIYA 22260802701 3986 BALRAMPUR RAJPUR M.S. JAMUNIYA 22260802702 3987 BALRAMPUR RAJPUR P.S. JIDGIPARA 22260802801 3988 BALRAMPUR RAJPUR P.S. MURKA 22260802901 3989 BALRAMPUR RAJPUR PS PAHADPARA 22260802902 3990 BALRAMPUR RAJPUR M.S. MURKA 22260802903 3991 BALRAMPUR RAJPUR P.S. KOTAGAHANA 22260803001
  • 122.
    3992 BALRAMPUR RAJPURPS ALAKHNARA PARA 22260803002 3993 BALRAMPUR RAJPUR M.S KOTAGAHANA 22260803003 3994 BALRAMPUR RAJPUR P.S. BAHERAKHAND 22260803004 3995 BALRAMPUR RAJPUR M.S. ALAKHNARA 22260803005 3996 BALRAMPUR RAJPUR P.S. PAHADKHADUA 22260803006 3997 BALRAMPUR RAJPUR M.S. PAHADKHADUA 22260803102 3998 BALRAMPUR RAJPUR P.S. SEVARI 22260803201 3999 BALRAMPUR RAJPUR M.S.SEVARI 22260803202 4000 BALRAMPUR RAJPUR PS HARDILOGRA 22260803203 4001 BALRAMPUR RAJPUR M.S. TUMBADAND 22260803206 4002 BALRAMPUR RAJPUR P.S. BHADAR 22260803301 4003 BALRAMPUR RAJPUR PS UDALPARA 22260803303 4004 BALRAMPUR RAJPUR MADARSA KOUSRUL ULUM 22260803305 4005 BALRAMPUR RAJPUR P.S. KHATANGPARA 22260803401 4006 BALRAMPUR RAJPUR M.S. KHATANGPARA 22260803402 4007 BALRAMPUR RAJPUR P.S. PENDARI 22260803501 4008 BALRAMPUR RAJPUR P.S. LAU 22260803601 4009 BALRAMPUR RAJPUR M.S.LAU 22260803602 4010 BALRAMPUR RAJPUR PS DHAMDHAMIYA PARA 22260803603 4011 BALRAMPUR RAJPUR P.S TUMBADAND 22260803604 4012 BALRAMPUR RAJPUR P.S KORVA ASHRAM LAU 22260803605 4013 BALRAMPUR RAJPUR P.S. MAHEVAPARA 22260803608 4014 BALRAMPUR RAJPUR P.S. BAIGAPARA 22260803609 4015 BALRAMPUR RAJPUR M.S. TUMBADAND 22260803610 4016 BALRAMPUR RAJPUR P.S. BANDHPARA 22260803611 4017 BALRAMPUR RAJPUR P.S. JOBALAPARA 22260803701 4018 BALRAMPUR RAJPUR P.S. AARA BALRAMPUR 22260803801 4019 BALRAMPUR RAJPUR M.S.AARA 22260803802 4020 BALRAMPUR RAJPUR M.S. PAHADPARA 22260803803 4021 BALRAMPUR RAJPUR P.S. PAHADPARA 22260803804 4022 BALRAMPUR RAJPUR P.S.MADARSA G.M.O.AARA 22260803805 4023 BALRAMPUR RAJPUR P.S. MADARSA F.G.N.SARANAPARA 22260803806 4024 BALRAMPUR RAJPUR M.S.MADARSA G.M.O.AARA 22260803807
  • 123.
    4025 BALRAMPUR RAJPURMadra Bage madina amdipara 22260803809 4026 BALRAMPUR RAJPUR P.S. AMDIPARA 22260803901 4027 BALRAMPUR RAJPUR P.S. MADARSA I.S. AMDIPARA 22260803903 4028 BALRAMPUR RAJPUR P.S. GHATGOAV 22260804001 4029 BALRAMPUR RAJPUR P.S.G. ASHRAM GHATGOAV 22260804002 4030 BALRAMPUR RAJPUR PS KHALBYORA 22260804003 4031 BALRAMPUR RAJPUR PS MAJHABYORA 22260804004 4032 BALRAMPUR RAJPUR PS KORVAPARA GHATGOAV 22260804006 4033 BALRAMPUR RAJPUR M.S. GHATGOAV 22260804007 4034 BALRAMPUR RAJPUR P.S. NAVAPARA(AARA) 22260804101 4035 BALRAMPUR RAJPUR P.S. SINGCHOARA 22260804301 4036 BALRAMPUR RAJPUR P.S. NEVARPARA 22260804302 4037 BALRAMPUR RAJPUR M.S. SINGCHOARA 22260804303 4038 BALRAMPUR RAJPUR P.S. BAGADI 22260804401 4039 BALRAMPUR RAJPUR P.S. SARNAPARA 22260804501 4040 BALRAMPUR RAJPUR P.S. KHUTANPARA 22260804601 4041 BALRAMPUR RAJPUR P.S.G. RAJPUR 22260804701 4042 BALRAMPUR RAJPUR P.S.B. RAJPUR 22260804702 4043 BALRAMPUR RAJPUR M.S.B.RAJPUR 22260804705 4044 BALRAMPUR RAJPUR M.S.G.RAJPUR 22260804706 4045 BALRAMPUR RAJPUR P.S KORVA KANYA P. RAJPUR 22260804711 4046 BALRAMPUR RAJPUR M.S. K.G.A. RAJPUR 22260804718 4047 BALRAMPUR RAJPUR MS RAJPUR P.K.K.S.P. ASHRAM 22260804725 4048 BALRAMPUR RAJPUR P.S. KUNDIKHURD 22260804801 4049 BALRAMPUR RAJPUR P.S. BAKASPUR 22260804901 4050 BALRAMPUR RAJPUR M.S. BAKASPUR 22260804902 4051 BALRAMPUR RAJPUR P.S. NAVKI 22260805001 4052 BALRAMPUR RAJPUR PS GHUTRAPARA 22260805002 4053 BALRAMPUR RAJPUR M.S NAVKI 22260805003 4054 BALRAMPUR RAJPUR P.S. AMADAND 22260805004 4055 BALRAMPUR RAJPUR P.S. NARVAPARA 22260805005 4056 BALRAMPUR RAJPUR P.S. KHODRO 22260805101 4057 BALRAMPUR RAJPUR M.S. KHODRO 22260805102
  • 124.
    4058 BALRAMPUR RAJPURP.S. TURRIDAND 22260805103 4059 BALRAMPUR RAJPUR P.S. REVATPUR 22260805201 4060 BALRAMPUR RAJPUR M.S. REVATPUR 22260805202 4061 BALRAMPUR RAJPUR P.S. URAMADAND 22260805301 4062 BALRAMPUR RAJPUR P.S. PAKARIDAND 22260805401 4063 BALRAMPUR RAJPUR P.S. UDHAVAKATRA 22260805501 4064 BALRAMPUR RAJPUR M.S. UDHAVAKATRA 22260805502 4065 BALRAMPUR RAJPUR P.S. PARASVARKALA 22260805601 4066 BALRAMPUR RAJPUR P.S KOTRIPARA 22260805602 4067 BALRAMPUR RAJPUR M.S. PARSAWARKALA 22260805603 4068 BALRAMPUR RAJPUR P.S. KHOKHANIYA 22260805701 4069 BALRAMPUR RAJPUR P.S. DUMARPARA 22260805801 4070 BALRAMPUR RAJPUR P.S. DHANDHAPUR 22260805901 4071 BALRAMPUR RAJPUR M.S.DHANDHAPUR 22260805902 4072 BALRAMPUR RAJPUR PS LODHIDAND 22260805903 4073 BALRAMPUR RAJPUR PSG Hostel dhahndhapur 22260805906 4074 BALRAMPUR RAJPUR P.S. SHIVPUR 22260806001 4075 BALRAMPUR RAJPUR M.S. SHIVPUR 22260806002 4076 BALRAMPUR RAJPUR P.S. PARTI 22260806101 4077 BALRAMPUR RAJPUR P.S. MAHUDAND 22260806201 4078 BALRAMPUR RAJPUR P.S. NAVAPARA 22260806203 4079 BALRAMPUR RAJPUR M.S. MAHUDAND 22260806205 4080 BALRAMPUR RAJPUR P.S. MAHGAIPARA 22260806206 4081 BALRAMPUR RAJPUR P.S. MAKAD 22260806301 4082 BALRAMPUR RAJPUR M.S. MAKAD 22260806302 4083 BALRAMPUR RAJPUR P.S. ALAKHDIHA 22260806401 4084 BALRAMPUR RAJPUR PS PATELPARA 22260806402 4085 BALRAMPUR RAJPUR PS JARHADAND 22260806403 4086 BALRAMPUR RAJPUR M.S ALAKHDIHA 22260806404 4087 BALRAMPUR RAJPUR P.S. KOADU 22260806501 4088 BALRAMPUR RAJPUR P.S. BADI CHALGALI 22260806601 4089 BALRAMPUR RAJPUR PS KERAPARA 22260806602 4090 BALRAMPUR RAJPUR M.S BADI CHALALI 22260806603
  • 125.
    4091 BALRAMPUR RAJPURP.S.B.ASHRAM JIGADI 22260806701 4092 BALRAMPUR RAJPUR P.S. JIGDI 22260806702 4093 BALRAMPUR RAJPUR M.S.JIGDI 22260806703 4094 BALRAMPUR RAJPUR P.S. SANSUPARA (BASEN) 22260806704 4095 BALRAMPUR RAJPUR P.S. KODODIPA 22260806705 4096 BALRAMPUR RAJPUR P.S. BASEN 22260806801 4097 BALRAMPUR RAJPUR P.S MADARSA BASEN 22260806802 4098 BALRAMPUR RAJPUR M.S. BASEN 22260806803 4099 BALRAMPUR RAJPUR P.S. MANDARSARAI 22260806804 4100 BALRAMPUR RAJPUR P.S. UFIYA 22260806901 4101 BALRAMPUR RAJPUR M.S. UFIYA 22260806902 4102 BALRAMPUR RAJPUR P.S. ULIYA 22260807001 4103 BALRAMPUR RAJPUR M.S ULIYA 22260807002 4104 BALRAMPUR RAJPUR P.S. LADKUD 22260807101 4105 BALRAMPUR RAJPUR P.S. AKHORAKHURD 22260807201 4106 BALRAMPUR RAJPUR M.S. AKHORAKHURD 22260807202 4107 BALRAMPUR RAJPUR P.S. JAWAKHAND 22260807203 4108 BALRAMPUR RAJPUR P.S. MADNESHWARPUR 22260807301 4109 BALRAMPUR RAJPUR P.S. KORVAPARA(MADNESHWARPUR) 22260807302 4110 BALRAMPUR RAJPUR PS SANPURIHAPARA 22260807303 4111 BALRAMPUR RAJPUR M.S. MADNESHWARPUR 22260807304 4112 BALRAMPUR RAJPUR P.S. BACHBAHARIPARA 22260807401 4113 BALRAMPUR RAJPUR M.S. KUNDIKALA 22260807502 4114 BALRAMPUR RAJPUR P.S. KUNDIKALAN 22260807505 4115 BALRAMPUR RAJPUR P.S. CHARPARA 22260807601 4116 BALRAMPUR RAJPUR P.S B.AASHRAM CHARPAR 22260807602 4117 BALRAMPUR RAJPUR M.S. CHARPARA 22260807603 4118 BALRAMPUR RAJPUR P.S.B. SHIDHMA 22260807701 4119 BALRAMPUR RAJPUR P.S. BAJARPARA SIDHMA 22260807702 4120 BALRAMPUR RAJPUR P.S.G. SIDHMA 22260807703 4121 BALRAMPUR RAJPUR M.S.SIGHAMA 22260807704 4122 BALRAMPUR RAJPUR P.S. KORVAPARA 22260807707 4123 BALRAMPUR RAJPUR M.S. BAJARPARA 22260807709
  • 126.
    4124 BALRAMPUR RAJPURP.S. DARRIPARA SIDHAMA 22260807711 4125 BALRAMPUR RAJPUR P.S. KAKANA 22260807801 4126 BALRAMPUR RAJPUR M.S KAKANA 22260807802 4127 BALRAMPUR RAJPUR P.S. BADOALI 22260807901 4128 BALRAMPUR RAJPUR P.S. JAMDOHAR 22260807902 4129 BALRAMPUR RAJPUR M.S. BADOULI 22260807903 4130 BALRAMPUR RAJPUR P.S. DAKVA 22260808001 4131 BALRAMPUR RAJPUR P.S. BHESKI 22260808101 4132 BALRAMPUR RAJPUR P.S. KHUKHARI 22260808201 4133 BALRAMPUR RAJPUR M.S. KHUKHARI 22260808202 4134 BALRAMPUR RAJPUR P.S. BADA 22260808301 4135 BALRAMPUR RAJPUR PS DUMARKONA 22260808302 4136 BALRAMPUR RAJPUR MS BADA 22260808303 4137 BALRAMPUR RAJPUR PS CHOAPARA BADA 22260808304 4138 BALRAMPUR RAJPUR PS JAGALPARA 22260808305 4139 BALRAMPUR RAJPUR P.S. ASHRAM BATIDAND 22260808401 4140 BALRAMPUR RAJPUR M.S. BATIDAND 22260808402 4141 BALRAMPUR RAJPUR P.S. CHANCHI 22260808501 4142 BALRAMPUR RAJPUR P.S. BAGHIMA 22260808601 4143 BALRAMPUR RAJPUR M.S.G.BAGHIMA 22260808602 4144 BALRAMPUR RAJPUR M.S.B.BAGIMA 22260808603 4145 BALRAMPUR RAJPUR P.S.G. BARIYO 22260808701 4146 BALRAMPUR RAJPUR P.S.B. BARIYO 22260808702 4147 BALRAMPUR RAJPUR M.S.BARIRO 22260808703 4148 BALRAMPUR RAJPUR PS DODIPARA 22260808704 4149 BALRAMPUR RAJPUR P.S.BAL SHRAMIK BARIYOA 22260808707 4150 BALRAMPUR RAJPUR P.S. BHELAIKHURD 22260808801 4151 BALRAMPUR RAJPUR P.S. CHANDRAGARH 22260808901 4152 BALRAMPUR RAJPUR P.S. SADAKPARA 22260808902 4153 BALRAMPUR RAJPUR P.S. BHALVAHIPARA 22260809001 4154 BALRAMPUR RAJPUR P.S. PARSAGUDI 22260809101 4155 BALRAMPUR RAJPUR M.S.PARSAGUDI 22260809102 4156 BALRAMPUR RAJPUR PS GADOTAPARA 22260809103
  • 127.
    4157 BALRAMPUR RAJPURP.S. BHADRAPARA 22260809104 4158 BALRAMPUR RAJPUR P.S. OAKARA 22260809201 4159 BALRAMPUR RAJPUR PS DEVARIDAND 22260809202 4160 BALRAMPUR RAJPUR M.S. OKARA 22260809203 4161 BALRAMPUR RAJPUR P.S. KARJI 22260809401 4162 BALRAMPUR RAJPUR P.S UDHENUPARA 22260809402 4163 BALRAMPUR RAJPUR M.S KARJI 22260809403 4164 BALRAMPUR RAJPUR P.S. MANDRIDAND 22260809404 4165 BALRAMPUR RAJPUR P.S. JHINGADAND 22260809405 4166 BALRAMPUR RAJPUR P.S. RAKHAITPARA 22260809406 4167 BALRAMPUR RAJPUR P.S. AMDARI 22260809501 4168 BALRAMPUR RAJPUR P.S.K. KORVAPARA 22260809601 4169 BALRAMPUR RAJPUR P.S. PATARAPARA 22260809701 4170 BALRAMPUR RAJPUR P.S.B. ASHRAM PATARAPARA 22260809702 4171 BALRAMPUR RAJPUR M.S.PATARAPARA 22260809703 4172 BALRAMPUR RAJPUR P.S. GELHAPANI 22260809704 4173 BALRAMPUR RAJPUR P.S. KHUMARI 22260809801 4174 BALRAMPUR RAJPUR P.S. DIGNAGAR 22260809901 4175 BALRAMPUR RAJPUR M.S.DIGNAGAR 22260809902 4176 BALRAMPUR RAJPUR P.S. CHILMAKALA 22260810001 4177 BALRAMPUR RAJPUR M.S. CHILMAKALA 22260810002 4178 BALRAMPUR RAJPUR P.S. MAHANPARA 22260810003 4179 BALRAMPUR RAJPUR P.S. KORGI 22260810101 4180 BALRAMPUR RAMCHANDRAPUR P.S. GHUCHARIPARA 22260900101 4181 BALRAMPUR RAMCHANDRAPUR P.S. TUKUPATHAR 22260900201 4182 BALRAMPUR RAMCHANDRAPUR P.S. TISKA 22260900301 4183 BALRAMPUR RAMCHANDRAPUR P.S. VISHUNPUR 22260900302 4184 BALRAMPUR RAMCHANDRAPUR P.S. MUNAGADIH 22260900304 4185 BALRAMPUR RAMCHANDRAPUR P.S. KASRAIYAPARA 22260900305 4186 BALRAMPUR RAMCHANDRAPUR P.S. KHUTRAPARA 22260900306 4187 BALRAMPUR RAMCHANDRAPUR M.S.MAHADEVPUR 22260900307 4188 BALRAMPUR RAMCHANDRAPUR M.S. MUNGADIH 22260900308 4189 BALRAMPUR RAMCHANDRAPUR P.S. CHERA 22260900401
  • 128.
    4190 BALRAMPUR RAMCHANDRAPURP.S. VARANNPARA 22260900402 4191 BALRAMPUR RAMCHANDRAPUR P.S. AHRADAMAR 22260900403 4192 BALRAMPUR RAMCHANDRAPUR M.S. CHERA 22260900404 4193 BALRAMPUR RAMCHANDRAPUR M.S. VARUNPARA 22260900405 4194 BALRAMPUR RAMCHANDRAPUR P.S. HARIJANPARA 22260900406 4195 BALRAMPUR RAMCHANDRAPUR P.S. DUMARPAN 22260900501 4196 BALRAMPUR RAMCHANDRAPUR P.S. BADIJHARIYA 22260900502 4197 BALRAMPUR RAMCHANDRAPUR P.S. BELDAMAR 22260900503 4198 BALRAMPUR RAMCHANDRAPUR P.S. NONIBANDH 22260900504 4199 BALRAMPUR RAMCHANDRAPUR M.S.DUMARPAN 22260900505 4200 BALRAMPUR RAMCHANDRAPUR P.S. CHUNAPATHAR 22260900601 4201 BALRAMPUR RAMCHANDRAPUR P.S. GIDDHIPARA 22260900603 4202 BALRAMPUR RAMCHANDRAPUR M.S.CHUNAPATHAR 22260900604 4203 BALRAMPUR RAMCHANDRAPUR M.S. GIDDHIPARA 22260900605 4204 BALRAMPUR RAMCHANDRAPUR P.S. KURLUDIH 22260900701 4205 BALRAMPUR RAMCHANDRAPUR P.S. BHUIYAPARA 22260900702 4206 BALRAMPUR RAMCHANDRAPUR P.S. MUSTAPARA 22260900703 4207 BALRAMPUR RAMCHANDRAPUR P.S. PURWAPARA 22260900704 4208 BALRAMPUR RAMCHANDRAPUR P.S. GAJMARIPARA 22260900705 4209 BALRAMPUR RAMCHANDRAPUR M.S.KURLUDIH 22260900706 4210 BALRAMPUR RAMCHANDRAPUR P.S. AGUWAPARA 22260900707 4211 BALRAMPUR RAMCHANDRAPUR M.S. PURVPARA 22260900708 4212 BALRAMPUR RAMCHANDRAPUR P.S. TALKESHWARPUR 22260900801 4213 BALRAMPUR RAMCHANDRAPUR M.S.TALKESHVARPUR 22260900802 4214 BALRAMPUR RAMCHANDRAPUR P.S. CHITWAMANDA 22260900803 4215 BALRAMPUR RAMCHANDRAPUR P.S. JARKATPARA 22260900804 4216 BALRAMPUR RAMCHANDRAPUR P.S. BEECHKHORI 22260900805 4217 BALRAMPUR RAMCHANDRAPUR P.S.CHHERIMUDI 22260900806 4218 BALRAMPUR RAMCHANDRAPUR M.S. BEECHKHORI 22260900807 4219 BALRAMPUR RAMCHANDRAPUR P.S. SALWAHI 22260900901 4220 BALRAMPUR RAMCHANDRAPUR P.S. RASPAHAR 22260900902 4221 BALRAMPUR RAMCHANDRAPUR P.S. LOHRAPARA 22260900903 4222 BALRAMPUR RAMCHANDRAPUR M.S. SALWAHI 22260900904
  • 129.
    4223 BALRAMPUR RAMCHANDRAPURP.S. JELPARA 22260901002 4224 BALRAMPUR RAMCHANDRAPUR P.S. KOIRITOLA 22260901006 4225 BALRAMPUR RAMCHANDRAPUR P.S.G. RAMANUJGANJ 22260901007 4226 BALRAMPUR RAMCHANDRAPUR P.S. BUDHTOLA 22260901009 4227 BALRAMPUR RAMCHANDRAPUR M.S. KOIRITOLA 22260901010 4228 BALRAMPUR RAMCHANDRAPUR M.S.B.RAMANUJGANJ 22260901011 4229 BALRAMPUR RAMCHANDRAPUR P.S.B.RAMANUJGANJ 22260901012 4230 BALRAMPUR RAMCHANDRAPUR M.S.G.RAMANUJGANJ 22260901013 4231 BALRAMPUR RAMCHANDRAPUR P.S.POWER HOUSE 22260901015 4232 BALRAMPUR RAMCHANDRAPUR P.S.JALKESHWAR PARA 22260901016 4233 BALRAMPUR RAMCHANDRAPUR K.G.B.V. RAMANUJGANJ 22260901018 4234 BALRAMPUR RAMCHANDRAPUR M.S. GOASIYA MADARSA RAMANUJGANJ 22260901020 4235 BALRAMPUR RAMCHANDRAPUR P.S. PURANDIH 22260901101 4236 BALRAMPUR RAMCHANDRAPUR P.S. DADARPARA 22260901102 4237 BALRAMPUR RAMCHANDRAPUR M.S. PURANDIH 22260901103 4238 BALRAMPUR RAMCHANDRAPUR P.S. KORHATIPARA 22260901104 4239 BALRAMPUR RAMCHANDRAPUR P.S. LURGI 22260901201 4240 BALRAMPUR RAMCHANDRAPUR N.P.S.KHUTAHANPARA 22260901202 4241 BALRAMPUR RAMCHANDRAPUR P.S. KANAKPUR 22260901301 4242 BALRAMPUR RAMCHANDRAPUR M.S.KANAKPUR 22260901302 4243 BALRAMPUR RAMCHANDRAPUR N.P.GIJANIYADAMAR 22260901303 4244 BALRAMPUR RAMCHANDRAPUR P.S. RAMPUR 22260901304 4245 BALRAMPUR RAMCHANDRAPUR M.S. TAKIYATOLA 22260901305 4246 BALRAMPUR RAMCHANDRAPUR P.S. TAKIYATOLA 22260901401 4247 BALRAMPUR RAMCHANDRAPUR P.S. BAGRA 22260901501 4248 BALRAMPUR RAMCHANDRAPUR P.S.BOYS ASHRAM BAGRA 22260901503 4249 BALRAMPUR RAMCHANDRAPUR N.P.S.KORWATOLA 22260901505 4250 BALRAMPUR RAMCHANDRAPUR P.S. VISHALPUR 22260901601 4251 BALRAMPUR RAMCHANDRAPUR P.S. JOGNIPARA 22260901602 4252 BALRAMPUR RAMCHANDRAPUR P.S. DOLANGI 22260901701 4253 BALRAMPUR RAMCHANDRAPUR M.S.DOLANGI 22260901702 4254 BALRAMPUR RAMCHANDRAPUR N.P.S.KEDALIDAMER 22260901703 4255 BALRAMPUR RAMCHANDRAPUR P.S. PIPARPAN 22260901801
  • 130.
    4256 BALRAMPUR RAMCHANDRAPURP.S.GUVADAH 22260901802 4257 BALRAMPUR RAMCHANDRAPUR P.S. BECHPARA(PIPERPAN) 22260901803 4258 BALRAMPUR RAMCHANDRAPUR M.S.PIPARPAN 22260901804 4259 BALRAMPUR RAMCHANDRAPUR P.S.KORAUPARA 22260901805 4260 BALRAMPUR RAMCHANDRAPUR P.S DACHHINPARA 22260901806 4261 BALRAMPUR RAMCHANDRAPUR P.S. GIRLS A. PIPARPAN 22260901807 4262 BALRAMPUR RAMCHANDRAPUR P.S. INDRAWATIPUR 22260901901 4263 BALRAMPUR RAMCHANDRAPUR M.S.INDRAVATIPUR 22260901902 4264 BALRAMPUR RAMCHANDRAPUR N.P.S BARWATAD 22260901903 4265 BALRAMPUR RAMCHANDRAPUR N.P.S.JOGIYAPARA 22260901904 4266 BALRAMPUR RAMCHANDRAPUR P.S. TELIYADAMAR 22260901905 4267 BALRAMPUR RAMCHANDRAPUR P.S. ANANDPUR 22260902001 4268 BALRAMPUR RAMCHANDRAPUR P.S. SURANGPAN 22260902101 4269 BALRAMPUR RAMCHANDRAPUR P.S. REVTIPUR 22260902201 4270 BALRAMPUR RAMCHANDRAPUR N.P.S.KHERWARIPARA 22260902202 4271 BALRAMPUR RAMCHANDRAPUR M.S. REVTIPUR 22260902203 4272 BALRAMPUR RAMCHANDRAPUR P.S. ORANGA 22260902301 4273 BALRAMPUR RAMCHANDRAPUR M.S.ORANGA 22260902302 4274 BALRAMPUR RAMCHANDRAPUR N.P.S.SEMARKHAD 22260902303 4275 BALRAMPUR RAMCHANDRAPUR P.S. HARIJANPARA 22260902304 4276 BALRAMPUR RAMCHANDRAPUR M.S. MADARSA K.S. ORANGA 22260902305 4277 BALRAMPUR RAMCHANDRAPUR P.S. UCHRUWA 22260902401 4278 BALRAMPUR RAMCHANDRAPUR P.S. SILAJU 22260902501 4279 BALRAMPUR RAMCHANDRAPUR P.S. MANKERIPARA 22260902502 4280 BALRAMPUR RAMCHANDRAPUR N.P.S.YADVPARA 22260902503 4281 BALRAMPUR RAMCHANDRAPUR M.S.MANKERIPARA 22260902504 4282 BALRAMPUR RAMCHANDRAPUR M.S. SILAJU (J.BH.) 22260902505 4283 BALRAMPUR RAMCHANDRAPUR P.S. MINWAKHAD 22260902601 4284 BALRAMPUR RAMCHANDRAPUR P.S. HARAYADAMAR 22260902602 4285 BALRAMPUR RAMCHANDRAPUR P.S. KHATKHARIYA 22260902603 4286 BALRAMPUR RAMCHANDRAPUR P.S. BARWAHI 22260902701 4287 BALRAMPUR RAMCHANDRAPUR P.S. SHEETKALONI 22260902702 4288 BALRAMPUR RAMCHANDRAPUR P.S. CHITIMAHURAO 22260902703
  • 131.
    4289 BALRAMPUR RAMCHANDRAPURM.S.BARWAHI 22260902704 4290 BALRAMPUR RAMCHANDRAPUR N.P.S.BHUSHARIYAPARA 22260902705 4291 BALRAMPUR RAMCHANDRAPUR N.P.S.PATELPARA 22260902706 4292 BALRAMPUR RAMCHANDRAPUR M.S. SUNDERPUR 22260902707 4293 BALRAMPUR RAMCHANDRAPUR P.S. MADARSA R.S. BARVAHI 22260902708 4294 BALRAMPUR RAMCHANDRAPUR P.S. KUNDRU 22260902801 4295 BALRAMPUR RAMCHANDRAPUR N.P.S. BIYAHIMAHUWA (PANDOPARA) 22260902802 4296 BALRAMPUR RAMCHANDRAPUR P.S. TRIKUNDA 22260902901 4297 BALRAMPUR RAMCHANDRAPUR M.S.TRIKUNDA 22260902902 4298 BALRAMPUR RAMCHANDRAPUR P.S. PATRAPARA 22260902903 4299 BALRAMPUR RAMCHANDRAPUR P.S. YADAVPARA 22260902904 4300 BALRAMPUR RAMCHANDRAPUR P.S. KORHATTIPARA 22260902905 4301 BALRAMPUR RAMCHANDRAPUR M.S. BAJANAPARA 22260902908 4302 BALRAMPUR RAMCHANDRAPUR P.S. NEURGANJ 22260903001 4303 BALRAMPUR RAMCHANDRAPUR P.S. ANNAPARA 22260903101 4304 BALRAMPUR RAMCHANDRAPUR P.S. GAJAR 22260903201 4305 BALRAMPUR RAMCHANDRAPUR M.S.GAJAR 22260903202 4306 BALRAMPUR RAMCHANDRAPUR P.S. DATAM 22260903301 4307 BALRAMPUR RAMCHANDRAPUR P.S. NILKANTHPUR 22260903401 4308 BALRAMPUR RAMCHANDRAPUR P.S.KATATPARA 22260903402 4309 BALRAMPUR RAMCHANDRAPUR M.S. NILKANTHPUR 22260903403 4310 BALRAMPUR RAMCHANDRAPUR P.S. KALIKAPUR 22260903501 4311 BALRAMPUR RAMCHANDRAPUR P.S. PATELPARA 22260903502 4312 BALRAMPUR RAMCHANDRAPUR P.S. BEECHBASTI(PATELPARA) 22260903503 4313 BALRAMPUR RAMCHANDRAPUR M.S.KALIKAPUR 22260903504 4314 BALRAMPUR RAMCHANDRAPUR P.S. ANIRUDDHPUR 22260903601 4315 BALRAMPUR RAMCHANDRAPUR P.S.DAKCHHINPARA(ANNIRUDH) 22260903602 4316 BALRAMPUR RAMCHANDRAPUR P.S. AWADI 22260903701 4317 BALRAMPUR RAMCHANDRAPUR P.S. BHELBHANDAR 22260903801 4318 BALRAMPUR RAMCHANDRAPUR P.S. CHERWADIH 22260903901 4319 BALRAMPUR RAMCHANDRAPUR P.S. HARIHARPUR 22260904001 4320 BALRAMPUR RAMCHANDRAPUR M.S.HARIHARPUR 22260904002 4321 BALRAMPUR RAMCHANDRAPUR P.S. RAMCHANDRAPUR 22260904101
  • 132.
    4322 BALRAMPUR RAMCHANDRAPURBOYS ASHRAM RAMCHANDRAPUR 22260904102 4323 BALRAMPUR RAMCHANDRAPUR P.S. KANCHANNAGAR 22260904104 4324 BALRAMPUR RAMCHANDRAPUR P.S. GADERIPARA 22260904105 4325 BALRAMPUR RAMCHANDRAPUR P.S. BICHTOLA(CHANDRANAGAR) 22260904106 4326 BALRAMPUR RAMCHANDRAPUR M.S.G.RAMACHANDRAPUR 22260904107 4327 BALRAMPUR RAMCHANDRAPUR M.S.B.RAMACHANDRAPUR 22260904108 4328 BALRAMPUR RAMCHANDRAPUR P.S. KARAMDOLPARA 22260904111 4329 BALRAMPUR RAMCHANDRAPUR P.S. BHITARCHURA 22260904112 4330 BALRAMPUR RAMCHANDRAPUR P.S. BHITRIDONGAGHAT 22260904113 4331 BALRAMPUR RAMCHANDRAPUR P.S. GIRLS A. RAMCHANDRAPUR 22260904121 4332 BALRAMPUR RAMCHANDRAPUR P.S. BAHARCHURA 22260904201 4333 BALRAMPUR RAMCHANDRAPUR M.S.BAHARCHURA 22260904202 4334 BALRAMPUR RAMCHANDRAPUR P.S. DHANWAR 22260904203 4335 BALRAMPUR RAMCHANDRAPUR P.S. BELKURTA 22260904301 4336 BALRAMPUR RAMCHANDRAPUR P.S. PANDOPARA 22260904302 4337 BALRAMPUR RAMCHANDRAPUR P.S. PARHIYADIH 22260904401 4338 BALRAMPUR RAMCHANDRAPUR P.S. BARVATOLA 22260904501 4339 BALRAMPUR RAMCHANDRAPUR P.S. PIPRAOL 22260904601 4340 BALRAMPUR RAMCHANDRAPUR M.S.PIPROL 22260904602 4341 BALRAMPUR RAMCHANDRAPUR P.S. GAMHARPARA 22260904603 4342 BALRAMPUR RAMCHANDRAPUR P.S. CHECHRAPARA 22260904604 4343 BALRAMPUR RAMCHANDRAPUR P.S. PAHARTOLA 22260904605 4344 BALRAMPUR RAMCHANDRAPUR M.S. GAMHARPARA 22260904606 4345 BALRAMPUR RAMCHANDRAPUR M.S. BARVATOLA (PIPROL) 22260904607 4346 BALRAMPUR RAMCHANDRAPUR P.S. DEVIGANJ 22260904701 4347 BALRAMPUR RAMCHANDRAPUR M.S.DEVIGANJ 22260904702 4348 BALRAMPUR RAMCHANDRAPUR P.S. KORWAPARA 22260904703 4349 BALRAMPUR RAMCHANDRAPUR P.S. JIRHAPARA 22260904704 4350 BALRAMPUR RAMCHANDRAPUR P.S. PURSOTTAMPUR 22260904801 4351 BALRAMPUR RAMCHANDRAPUR P.S. DUDHAMANIYA 22260904802 4352 BALRAMPUR RAMCHANDRAPUR M.S. PURSOTTAMPUR 22260904803 4353 BALRAMPUR RAMCHANDRAPUR P.S. DEVGAI 22260904901 4354 BALRAMPUR RAMCHANDRAPUR P.S. BEECHPARA(DEVGAI) 22260904902
  • 133.
    4355 BALRAMPUR RAMCHANDRAPURM.S. DEVGAI 22260904904 4356 BALRAMPUR RAMCHANDRAPUR P.S. BARAHMURIYA 22260905001 4357 BALRAMPUR RAMCHANDRAPUR M.S. BARAHMURIYA 22260905002 4358 BALRAMPUR RAMCHANDRAPUR P.S. DHANPURI 22260905101 4359 BALRAMPUR RAMCHANDRAPUR M.S.DHANPURI(J.BH.) 22260905102 4360 BALRAMPUR RAMCHANDRAPUR P.S. NAGRA 22260905201 4361 BALRAMPUR RAMCHANDRAPUR P.S. SUWARKODWA 22260905202 4362 BALRAMPUR RAMCHANDRAPUR M.S.SUWARKODWA 22260905203 4363 BALRAMPUR RAMCHANDRAPUR P.S. KHOPADADAR 22260905204 4364 BALRAMPUR RAMCHANDRAPUR M.S. NAGRA 22260905205 4365 BALRAMPUR RAMCHANDRAPUR P.S. MITGAI 22260905301 4366 BALRAMPUR RAMCHANDRAPUR P.S. SEMARKHADH 22260905302 4367 BALRAMPUR RAMCHANDRAPUR BAHERAKHADH 22260905303 4368 BALRAMPUR RAMCHANDRAPUR N.P.S PURANDIH 22260905304 4369 BALRAMPUR RAMCHANDRAPUR M.S. MITGAI 22260905305 4370 BALRAMPUR RAMCHANDRAPUR P.S. GIRLS A. MITGAI 22260905306 4371 BALRAMPUR RAMCHANDRAPUR P.S. MADARSA I.M. MITGAI 22260905307 4372 BALRAMPUR RAMCHANDRAPUR P.S. CHANDANPUR 22260905401 4373 BALRAMPUR RAMCHANDRAPUR M.S.CHANDANPUR 22260905402 4374 BALRAMPUR RAMCHANDRAPUR P.S. KAMALPUR 22260905501 4375 BALRAMPUR RAMCHANDRAPUR M.S. KAMALPUR (J.BH) 22260905502 4376 BALRAMPUR RAMCHANDRAPUR P.S. KRISHNANAGAR 22260905601 4377 BALRAMPUR RAMCHANDRAPUR P.S. KEVDASILA 22260905602 4378 BALRAMPUR RAMCHANDRAPUR M.S.KRISHANNAGAR 22260905603 4379 BALRAMPUR RAMCHANDRAPUR P.S. MAYURFUKA 22260905604 4380 BALRAMPUR RAMCHANDRAPUR P.S. TEWARDAHA 22260905605 4381 BALRAMPUR RAMCHANDRAPUR P.S. DUMANPARA 22260905606 4382 BALRAMPUR RAMCHANDRAPUR P.S. KHARAPARA 22260905608 4383 BALRAMPUR RAMCHANDRAPUR P.S. ARAGAHI 22260905701 4384 BALRAMPUR RAMCHANDRAPUR M.S.ARAGAHI 22260905702 4385 BALRAMPUR RAMCHANDRAPUR P.S. TAMBESHWARNAGAR 22260905703 4386 BALRAMPUR RAMCHANDRAPUR P.S KOIRIPARA 22260905705 4387 BALRAMPUR RAMCHANDRAPUR P.S.BAL SHRAMIK ASH.ARAGAHI 22260905706
  • 134.
    4388 BALRAMPUR RAMCHANDRAPURM.S. GIRS. ARAGAHI 22260905707 4389 BALRAMPUR RAMCHANDRAPUR P.S.BAJNAPARA 22260905708 4390 BALRAMPUR RAMCHANDRAPUR P.S. BHAWARMAL 22260905801 4391 BALRAMPUR RAMCHANDRAPUR P.S.G. BHAWARMAL 22260905802 4392 BALRAMPUR RAMCHANDRAPUR M.S.BHAVARMAL 22260905803 4393 BALRAMPUR RAMCHANDRAPUR P.S. BHADAIBATHAN 22260905804 4394 BALRAMPUR RAMCHANDRAPUR P.S. URAONPARA 22260905805 4395 BALRAMPUR RAMCHANDRAPUR M.S.BHADAIBATHAN 22260905806 4396 BALRAMPUR RAMCHANDRAPUR M.S.G.BHAVAMAL 22260905807 4397 BALRAMPUR RAMCHANDRAPUR P.S. NAVAPARA 22260905901 4398 BALRAMPUR RAMCHANDRAPUR P.S. KORHATTIPARA 22260905902 4399 BALRAMPUR RAMCHANDRAPUR M.S. NAVAPARA 22260905903 4400 BALRAMPUR RAMCHANDRAPUR P.S. BHALA 22260906001 4401 BALRAMPUR RAMCHANDRAPUR P.S. MSHURAUPARA 22260906002 4402 BALRAMPUR RAMCHANDRAPUR P.S. BICHBASTI 22260906003 4403 BALRAMPUR RAMCHANDRAPUR P.S. DINDO 22260906101 4404 BALRAMPUR RAMCHANDRAPUR GIRLS ASHRAM DINDO 22260906102 4405 BALRAMPUR RAMCHANDRAPUR M.S.DINDO 22260906103 4406 BALRAMPUR RAMCHANDRAPUR P.S. KORWAPARA 22260906104 4407 BALRAMPUR RAMCHANDRAPUR N.P.S. VASAPARA 22260906106 4408 BALRAMPUR RAMCHANDRAPUR P.S. PARSAPARA 22260906202 4409 BALRAMPUR RAMCHANDRAPUR M.S. KUNDPAN 22260906203 4410 BALRAMPUR RAMCHANDRAPUR P.S. KUNDPAN 22260906204 4411 BALRAMPUR RAMCHANDRAPUR P.S. BIMLAPUR 22260906301 4412 BALRAMPUR RAMCHANDRAPUR P.S. MAHUWATOLI 22260906303 4413 BALRAMPUR RAMCHANDRAPUR M.S. BIMLAPUR 22260906304 4414 BALRAMPUR RAMCHANDRAPUR P.S. BARAHNAGAR 22260906401 4415 BALRAMPUR RAMCHANDRAPUR M.S.BARAHNAGAR 22260906402 4416 BALRAMPUR RAMCHANDRAPUR P.S. TATIATHAR 22260906501 4417 BALRAMPUR RAMCHANDRAPUR N.P.S.KORWAPARA 22260906502 4418 BALRAMPUR RAMCHANDRAPUR M.S. TATIATHAR 22260906503 4419 BALRAMPUR RAMCHANDRAPUR P.S. NAVATOLA 22260906601 4420 BALRAMPUR RAMCHANDRAPUR P.S. DHAOLI 22260906701
  • 135.
    4421 BALRAMPUR RAMCHANDRAPURM.S. DHAOLI 22260906702 4422 BALRAMPUR RAMCHANDRAPUR P.S. DUGRU 22260906801 4423 BALRAMPUR RAMCHANDRAPUR P.S. KORVATOLI 22260906901 4424 BALRAMPUR RAMCHANDRAPUR P.S. TEMNA 22260907001 4425 BALRAMPUR RAMCHANDRAPUR P.S. SUNDARPUR 22260907101 4426 BALRAMPUR RAMCHANDRAPUR N.P.S.CHHEDIKHAD 22260907102 4427 BALRAMPUR RAMCHANDRAPUR N.P.S.TENDUWA 22260907103 4428 BALRAMPUR RAMCHANDRAPUR P.S. PATELPARA 22260907104 4429 BALRAMPUR RAMCHANDRAPUR M.S. DUGRU 22260907105 4430 BALRAMPUR RAMCHANDRAPUR P.S. JHARA COLONY 22260907201 4431 BALRAMPUR RAMCHANDRAPUR P.S. JIRATIPARA 22260907301 4432 BALRAMPUR RAMCHANDRAPUR P.S. KUSHFAR 22260907401 4433 BALRAMPUR RAMCHANDRAPUR P.S. DHAURADAMAR 22260907402 4434 BALRAMPUR RAMCHANDRAPUR P.S. SIYARMANWA 22260907403 4435 BALRAMPUR RAMCHANDRAPUR M.S. KUSFAR 22260907404 4436 BALRAMPUR RAMCHANDRAPUR M.S. DHAURADAMAR 22260907405 4437 BALRAMPUR RAMCHANDRAPUR P.S. PACHAWAL 22260907501 4438 BALRAMPUR RAMCHANDRAPUR P.S. BARAIDAND 22260907502 4439 BALRAMPUR RAMCHANDRAPUR P.S. SELIYAPARA 22260907503 4440 BALRAMPUR RAMCHANDRAPUR M.S. PACHAWAL 22260907504 4441 BALRAMPUR RAMCHANDRAPUR M.S. BARAIDAND 22260907505 4442 BALRAMPUR RAMCHANDRAPUR M.S. SELIYAPARA 22260907506 4443 BALRAMPUR RAMCHANDRAPUR P.S. HARIJANTOLA 22260907601 4444 BALRAMPUR RAMCHANDRAPUR P.S. SANAWAL 22260907602 4445 BALRAMPUR RAMCHANDRAPUR P.S.G. SANAWAL 22260907603 4446 BALRAMPUR RAMCHANDRAPUR M.S.SANAWAL 22260907604 4447 BALRAMPUR RAMCHANDRAPUR P.S. MAHUADAMAR 22260907605 4448 BALRAMPUR RAMCHANDRAPUR P.S.MAHUAPARA 22260907606 4449 BALRAMPUR RAMCHANDRAPUR P.S.PATERIPARA 22260907607 4450 BALRAMPUR RAMCHANDRAPUR M.S.MAHUADAMAR 22260907608 4451 BALRAMPUR RAMCHANDRAPUR M.S. HARIJANTOLA 22260907610 4452 BALRAMPUR RAMCHANDRAPUR P.S. TRISULI 22260907701 4453 BALRAMPUR RAMCHANDRAPUR M.S.TRISULI 22260907702
  • 136.
    4454 BALRAMPUR RAMCHANDRAPURP.S. KHAJUWAHIPARA 22260907703 4455 BALRAMPUR RAMCHANDRAPUR P.S. PANDOPARA 22260907704 4456 BALRAMPUR RAMCHANDRAPUR M.S.KHAJUWAHIPARA 22260907705 4457 BALRAMPUR RAMCHANDRAPUR P.S. SEMARWA 22260907801 4458 BALRAMPUR RAMCHANDRAPUR P.S. PANDOPARA 22260907802 4459 BALRAMPUR RAMCHANDRAPUR M.S. SEMARWA 22260907803 4460 BALRAMPUR RAMCHANDRAPUR P.S. JHARA 22260907901 4461 BALRAMPUR RAMCHANDRAPUR P.S. NEEMDAMAR 22260907902 4462 BALRAMPUR RAMCHANDRAPUR P.S. GIRLS ASRAM JHARA 22260907903 4463 BALRAMPUR RAMCHANDRAPUR P.S. BOYS ASHRAM JHARA 22260907904 4464 BALRAMPUR RAMCHANDRAPUR P.S. KAMESHWARNAGAR 22260908001 4465 BALRAMPUR RAMCHANDRAPUR P.S. GARNATAD 22260908002 4466 BALRAMPUR RAMCHANDRAPUR M.S. KAMESHWARNAGAR 22260908003 4467 BALRAMPUR RAMCHANDRAPUR P.S. B.ASRAM KAMESHWARNAGAR 22260908004 4468 BALRAMPUR RAMCHANDRAPUR P.S. BASERAKHURD 22260908101 4469 BALRAMPUR RAMCHANDRAPUR N.P.S.PATELPARA 22260908102 4470 BALRAMPUR RAMCHANDRAPUR P.S. KODAKUPARA 22260908103 4471 BALRAMPUR RAMCHANDRAPUR M.S. BASERAKHURD 22260908104 4472 BALRAMPUR RAMCHANDRAPUR P.S. RADHANAGAR 22260908201 4473 BALRAMPUR RAMCHANDRAPUR P.S. CHITAMADA 22260908202 4474 BALRAMPUR RAMCHANDRAPUR P.S. GADGODI 22260908301 4475 BALRAMPUR RAMCHANDRAPUR N.P.S.BARWAKIRKHA 22260908302 4476 BALRAMPUR RAMCHANDRAPUR M.S. GADGODI 22260908303 4477 BALRAMPUR RAMCHANDRAPUR P.S. SITACHUA 22260908401 4478 BALRAMPUR RAMCHANDRAPUR P.S. BANAPATI 22260908501 4479 BALRAMPUR RAMCHANDRAPUR P.S. JHAPIPIPER 22260908502 4480 BALRAMPUR RAMCHANDRAPUR M.S.BANAPATI 22260908503 4481 BALRAMPUR RAMCHANDRAPUR P.S. MARMA 22260908601 4482 BALRAMPUR RAMCHANDRAPUR P.S. MARMA 22260908602 4483 BALRAMPUR RAMCHANDRAPUR M.S.MARMA 22260908603 4484 BALRAMPUR RAMCHANDRAPUR P.S. BAJNAPARA 22260908604 4485 BALRAMPUR RAMCHANDRAPUR P.S. KOTHITAD 22260908605 4486 BALRAMPUR RAMCHANDRAPUR N.P.S.KHERWARIPARA 22260908606
  • 137.
    4487 BALRAMPUR RAMCHANDRAPURP.S. NAVADIH 22260908701 4488 BALRAMPUR RAMCHANDRAPUR M.S.NAVADIH 22260908702 4489 BALRAMPUR RAMCHANDRAPUR P.S. MORNIYA 22260908703 4490 BALRAMPUR RAMCHANDRAPUR P.S. KANKORWAPARA 22260908704 4491 BALRAMPUR RAMCHANDRAPUR P.S KHARADIH 22260908705 4492 BALRAMPUR RAMCHANDRAPUR P.S. PALGI 22260908801 4493 BALRAMPUR RAMCHANDRAPUR P.S. KEKARJHARIYA 22260908802 4494 BALRAMPUR RAMCHANDRAPUR P.S. JAWAKHADI 22260908804 4495 BALRAMPUR RAMCHANDRAPUR N.P.S.DUMDUMA 22260908805 4496 BALRAMPUR RAMCHANDRAPUR P.S. KORWATOLA 22260908806 4497 BALRAMPUR RAMCHANDRAPUR M.S. PALGI 22260908807 4498 BALRAMPUR RAMCHANDRAPUR P.S. LAWA 22260908901 4499 BALRAMPUR RAMCHANDRAPUR P.S. BANKHETAPARA 22260908902 4500 BALRAMPUR RAMCHANDRAPUR P.S. PADRUWAKHAD 22260908903 4501 BALRAMPUR RAMCHANDRAPUR P.S. DAXIN PARA 22260908904 4502 BALRAMPUR RAMCHANDRAPUR M.S. LAWA 22260908905 4503 BALRAMPUR RAMCHANDRAPUR P.S. MEGHULI 22260909001 4504 BALRAMPUR RAMCHANDRAPUR P.S. BICHPARA 22260909002 4505 BALRAMPUR RAMCHANDRAPUR P.S. CHAKI 22260909101 4506 BALRAMPUR RAMCHANDRAPUR P.S.MANGRATOLI 22260909102 4507 BALRAMPUR RAMCHANDRAPUR M.S.B.CHAKI 22260909103 4508 BALRAMPUR RAMCHANDRAPUR P.S. BASKATIYA 22260909104 4509 BALRAMPUR RAMCHANDRAPUR P.S. HADHITAR 22260909106 4510 BALRAMPUR RAMCHANDRAPUR P.S. GAMHARIYA 22260909201 4511 BALRAMPUR RAMCHANDRAPUR N.P.S.KODAKUPARA 22260909202 4512 BALRAMPUR RAMCHANDRAPUR M.S. GAMHARIYA 22260909203 4513 BALRAMPUR RAMCHANDRAPUR P.S. KEVLI 22260909301 4514 BALRAMPUR RAMCHANDRAPUR P.S. BEECHPARA 22260909302 4515 BALRAMPUR RAMCHANDRAPUR P.S. CHUMRA 22260909401 4516 BALRAMPUR RAMCHANDRAPUR P.S. GERUWAPOKHAR 22260909402 4517 BALRAMPUR RAMCHANDRAPUR P.S. CHHATTARPUR 22260909501 4518 BALRAMPUR RAMCHANDRAPUR M.S. CHHATTARPUR 22260909503 4519 BALRAMPUR RAMCHANDRAPUR P.S. SHIVPUR 22260909601
  • 138.
    4520 BALRAMPUR RAMCHANDRAPURM.S.SHIVPUR 22260909602 4521 BALRAMPUR RAMCHANDRAPUR P.S. CHINIYA 22260909701 4522 BALRAMPUR RAMCHANDRAPUR P.S. FULWAR(CHINIYA) 22260909702 4523 BALRAMPUR RAMCHANDRAPUR N.P.S.CHHOTKICHINIYA 22260909703 4524 BALRAMPUR RAMCHANDRAPUR M.S.CHINIYA(J.BH.) 22260909704 4525 BALRAMPUR RAMCHANDRAPUR P.S. MAHAVIRGANJ 22260909801 4526 BALRAMPUR RAMCHANDRAPUR P.S. CHAURADAND 22260909802 4527 BALRAMPUR RAMCHANDRAPUR M.S.MAHAVIRGANJ 22260909803 4528 BALRAMPUR RAMCHANDRAPUR N.P.S.KODAKUPARA 22260909804 4529 BALRAMPUR RAMCHANDRAPUR P.S. AORADAMAR 22260909805 4530 BALRAMPUR RAMCHANDRAPUR M.S. CHAURADAND 22260909806 4531 BALRAMPUR RAMCHANDRAPUR M.S. MEGHULI 22260909807 4532 BALRAMPUR RAMCHANDRAPUR M.S.CHUMRA 22260909808 4533 BALRAMPUR RAMCHANDRAPUR P.S. VIJAYNAGAR 22260909901 4534 BALRAMPUR RAMCHANDRAPUR M.S.VIJAYNAGAR 22260909902 4535 BALRAMPUR RAMCHANDRAPUR P.S. KEVTAPARA 22260909903 4536 BALRAMPUR RAMCHANDRAPUR M.S. GIRS. VIJAYNAGAR 22260909904 4537 BALRAMPUR RAMCHANDRAPUR P.S. NEHRUNAGAR 22260910001 4538 BALRAMPUR RAMCHANDRAPUR P.S. SUBHASHNAGAR 22260910101 4539 BALRAMPUR RAMCHANDRAPUR P.S. PURWATOLA 22260910102 4540 BALRAMPUR RAMCHANDRAPUR P.S. PASCHIMTOLA 22260910103 4541 BALRAMPUR RAMCHANDRAPUR P.S. DHARMI 22260910201 4542 BALRAMPUR RAMCHANDRAPUR P.S. DHARMIPARA 22260910202 4543 BALRAMPUR RAMCHANDRAPUR P.S. PARSAKHAD 22260910203 4544 BALRAMPUR RAMCHANDRAPUR M.S.DHARMI 22260910204 4545 BALRAMPUR RAMCHANDRAPUR P.S. LODHA 22260910301 4546 BALRAMPUR RAMCHANDRAPUR M.S.LODHA 22260910302 4547 BALRAMPUR RAMCHANDRAPUR P.S. KORAKUPARA 22260910303 4548 BALRAMPUR RAMCHANDRAPUR P.S JAMUNKHAD 22260910304 4549 BALRAMPUR RAMCHANDRAPUR P.S. KATANPARA 22260910401 4550 BALRAMPUR RAMCHANDRAPUR P.S. INDRAPUR 22260910501 4551 BALRAMPUR RAMCHANDRAPUR P.S. MACHWADAMAR 22260910502 4552 BALRAMPUR RAMCHANDRAPUR N.P.S.HARIJANPARA 22260910503
  • 139.
    4553 BALRAMPUR RAMCHANDRAPURN.P.S.TAWARIPARA 22260910504 4554 BALRAMPUR RAMCHANDRAPUR M.S.MACHWADAMAR 22260910505 4555 BALRAMPUR RAMCHANDRAPUR P.S. JAMWANTPUR 22260910601 4556 BALRAMPUR RAMCHANDRAPUR M.S.JAMWANTPUR 22260910602 4557 BALRAMPUR RAMCHANDRAPUR M.S. JAMVANTPUR(SSA) 22260910603 4558 BALRAMPUR RAMCHANDRAPUR P.S. MITIYAHI 22260910701 4559 BALRAMPUR RAMCHANDRAPUR P.S. LAMORIHANTOLA 22260910702 4560 BALRAMPUR RAMCHANDRAPUR P.S. DHAURATOLA 22260910703 4561 BALRAMPUR RAMCHANDRAPUR P.S. BAWANIPUR 22260910801 4562 BALRAMPUR RAMCHANDRAPUR P.S. BULGAOV 22260910901 4563 BALRAMPUR RAMCHANDRAPUR M.S.BULGAON 22260910902 4564 BALRAMPUR RAMCHANDRAPUR P.S. TETARDIH 22260911001 4565 BALRAMPUR RAMCHANDRAPUR P.S. UTTARTOLA(TETARDIH) 22260911002 4566 BALRAMPUR RAMCHANDRAPUR M.S. TETARDIH 22260911003 4567 BALRAMPUR RAMCHANDRAPUR P.S. VISHUNPUR 22260911101 4568 BALRAMPUR RAMCHANDRAPUR N.P.S.BHUIYAPARA 22260911102 4569 BALRAMPUR RAMCHANDRAPUR M.S. VISHUNPUR 22260911103 4570 BALRAMPUR RAMCHANDRAPUR P.S. TIKIDIRI 22260911201 4571 BALRAMPUR RAMCHANDRAPUR P.S. KODAKUPARA 22260911202 4572 BALRAMPUR RAMCHANDRAPUR M.S. TIKIDIRI 22260911203 4573 BALRAMPUR RAMCHANDRAPUR P.S. JOGIDAH 22260911301 4574 BALRAMPUR RAMCHANDRAPUR P.S. LIBAR 22260911802 4575 BALRAMPUR RAMCHANDRAPUR P.S. BARWADIH 22260911901 4576 BALRAMPUR RAMCHANDRAPUR P.S. DADARPARA 22260912001 4577 BALRAMPUR RAMCHANDRAPUR P.S. PATWARITAD 22260912002 4578 BALRAMPUR RAMCHANDRAPUR M.S.CHANDRANAGAR 22260912003 4579 BALRAMPUR RAMCHANDRAPUR N.P.S.DEINDUBI 22260912004 4580 BALRAMPUR RAMCHANDRAPUR P.S. SAIPARA 22260912005 4581 BALRAMPUR RAMCHANDRAPUR M.S. PATWARITAR 22260912006 4582 BALRAMPUR RAMCHANDRAPUR M.S. B.CHANDRANAGAR 22260912008 4583 BALRAMPUR RAMCHANDRAPUR P.S. SENDURPARA 22260912101 4584 BALRAMPUR RAMCHANDRAPUR P.S. AURAJHARIYA 22260912201 4585 BALRAMPUR RAMCHANDRAPUR P.S. DUMARDIH 22260912301
  • 140.
    4586 BALRAMPUR RAMCHANDRAPURP.S. CHALKHI 22260912401 4587 BALRAMPUR RAMCHANDRAPUR N.P.S.KUMHIYAPARA 22260912901 4588 BALRAMPUR RAMCHANDRAPUR M.S. BHITYAHI 22260913301 4589 BALRAMPUR RAMCHANDRAPUR M.S. DHORATOLA 22260913302 4590 BALRAMPUR SHANKARGARH P.S.G. DURGAPUR 22261200101 4591 BALRAMPUR SHANKARGARH P.S. DURGAPUR 22261200102 4592 BALRAMPUR SHANKARGARH M.S.B.DURGAPUR 22261200103 4593 BALRAMPUR SHANKARGARH M.S.G.DURGAPUR 22261200104 4594 BALRAMPUR SHANKARGARH P.S. LAINEPARA 22261200105 4595 BALRAMPUR SHANKARGARH P.S. DUMARPAT 22261200106 4596 BALRAMPUR SHANKARGARH P.S. PATRATOLI 22261200107 4597 BALRAMPUR SHANKARGARH M.S.LINEPARA 22261200108 4598 BALRAMPUR SHANKARGARH MUKTIDATA P.S. LARANGI 22261200201 4599 BALRAMPUR SHANKARGARH P.S.K. LARANGI 22261200202 4600 BALRAMPUR SHANKARGARH P.S. PARSATOLI LARANGI 22261200203 4601 BALRAMPUR SHANKARGARH M.S.MUKTIDATA 22261200204 4602 BALRAMPUR SHANKARGARH VANWASI P.S. KORANDH 22261200302 4603 BALRAMPUR SHANKARGARH P.S. UFRAPAT 22261200401 4604 BALRAMPUR SHANKARGARH P.S. RAJUWADODI 22261200501 4605 BALRAMPUR SHANKARGARH P.S. CHIRAI 22261200601 4606 BALRAMPUR SHANKARGARH M.S. CHIRAI 22261200602 4607 BALRAMPUR SHANKARGARH P.S. JASHWANTPUR 22261200701 4608 BALRAMPUR SHANKARGARH P.S. GIRJAPUR 22261200801 4609 BALRAMPUR SHANKARGARH M.S. GIRJAPUR 22261200802 4610 BALRAMPUR SHANKARGARH P.S. JARHADIH 22261200901 4611 BALRAMPUR SHANKARGARH P.S. GAMHARDIH 22261201001 4612 BALRAMPUR SHANKARGARH M.S.GAMHARDIH 22261201002 4613 BALRAMPUR SHANKARGARH P.S. SARAIDIH 22261201101 4614 BALRAMPUR SHANKARGARH P.S. PODIKALA 22261201201 4615 BALRAMPUR SHANKARGARH P.S.JIRGIM 22261201202 4616 BALRAMPUR SHANKARGARH M.S. PODIKALA 22261201203 4617 BALRAMPUR SHANKARGARH P.S. BHARATPUR 22261201301 4618 BALRAMPUR SHANKARGARH M.S.BHARATPUR 22261201302
  • 141.
    4619 BALRAMPUR SHANKARGARHP.S.BHURSATOLI 22261201303 4620 BALRAMPUR SHANKARGARH P.S. KARASI 22261201401 4621 BALRAMPUR SHANKARGARH P.S.BANJARIPARA 22261201402 4622 BALRAMPUR SHANKARGARH P.S.KATHARAPARA 22261201403 4623 BALRAMPUR SHANKARGARH M.S. KARASI 22261201404 4624 BALRAMPUR SHANKARGARH P.S. KANCHANNAGAR 22261201501 4625 BALRAMPUR SHANKARGARH P.S. BHAGWATPUR 22261201601 4626 BALRAMPUR SHANKARGARH M.S.BHAVWATPUR 22261201602 4627 BALRAMPUR SHANKARGARH P.S. JAMHOR 22261201701 4628 BALRAMPUR SHANKARGARH M.S.JAMHOR 22261201702 4629 BALRAMPUR SHANKARGARH P.S. SEMARTALA 22261201801 4630 BALRAMPUR SHANKARGARH P.S. PATASI 22261201802 4631 BALRAMPUR SHANKARGARH M.S. PATASI ( BHUNESHWARPUR0 22261201803 4632 BALRAMPUR SHANKARGARH P.S. CHITA 22261201901 4633 BALRAMPUR SHANKARGARH M.S. CHITA 22261201902 4634 BALRAMPUR SHANKARGARH P.S. JARGIM 22261202001 4635 BALRAMPUR SHANKARGARH P.S.MADHOLONGARA 22261202002 4636 BALRAMPUR SHANKARGARH M.S.MADHOLONGARA 22261202003 4637 BALRAMPUR SHANKARGARH P.S. KHAIRADIH 22261202101 4638 BALRAMPUR SHANKARGARH P.S.DHASANI 22261202102 4639 BALRAMPUR SHANKARGARH M.S. KHAIRADIH 22261202103 4640 BALRAMPUR SHANKARGARH P.S. DHARANAGAR 22261202201 4641 BALRAMPUR SHANKARGARH M.S.DHARANAGAR 22261202202 4642 BALRAMPUR SHANKARGARH P.S.DUMARPANI 22261202203 4643 BALRAMPUR SHANKARGARH P.S.HARINLETA 22261202204 4644 BALRAMPUR SHANKARGARH M.S.DUMARPANI 22261202205 4645 BALRAMPUR SHANKARGARH M.S.HARINLETA 22261202206 4646 BALRAMPUR SHANKARGARH P.S. PODIKHURD 22261202301 4647 BALRAMPUR SHANKARGARH P.S.KISANPARA 22261202302 4648 BALRAMPUR SHANKARGARH M.S. PONDIKHURD 22261202303 4649 BALRAMPUR SHANKARGARH P.S. VINAYAKPUR 22261202401 4650 BALRAMPUR SHANKARGARH M.S.VINAYAKPUR 22261202402 4651 BALRAMPUR SHANKARGARH P.S. DEVSARAKHURD 22261202501
  • 142.
    4652 BALRAMPUR SHANKARGARHP.S.RANGMAHALPARA 22261202502 4653 BALRAMPUR SHANKARGARH P.S. BELKONA 22261202601 4654 BALRAMPUR SHANKARGARH P.S.TOKUTOLI 22261202602 4655 BALRAMPUR SHANKARGARH M.S.BELKONA 22261202603 4656 BALRAMPUR SHANKARGARH P.S. AMERA 22261202701 4657 BALRAMPUR SHANKARGARH M.S. AMERA 22261202702 4658 BALRAMPUR SHANKARGARH P.S. GIDHKONA 22261202703 4659 BALRAMPUR SHANKARGARH P.S. MANOHARPUR 22261202801 4660 BALRAMPUR SHANKARGARH M.S.MOHANPUR 22261202802 4661 BALRAMPUR SHANKARGARH P.S.BAHERIKONA 22261202803 4662 BALRAMPUR SHANKARGARH P.S. MADPUR 22261202804 4663 BALRAMPUR SHANKARGARH P.S. PAREVA 22261202901 4664 BALRAMPUR SHANKARGARH P.S. JAMPANI 22261203001 4665 BALRAMPUR SHANKARGARH P.S.LOHARAPAT 22261203002 4666 BALRAMPUR SHANKARGARH M.S.JAMPANI 22261203003 4667 BALRAMPUR SHANKARGARH P.S. CHALGALI 22261203101 4668 BALRAMPUR SHANKARGARH M.S. CHALGALI 22261203102 4669 BALRAMPUR SHANKARGARH P.S. HARGAVA 22261203201 4670 BALRAMPUR SHANKARGARH P.S.JHALPI 22261203202 4671 BALRAMPUR SHANKARGARH M.S.HARGAVAN 22261203203 4672 BALRAMPUR SHANKARGARH P.S. BELSAR 22261203301 4673 BALRAMPUR SHANKARGARH M.S.BELSAR 22261203302 4674 BALRAMPUR SHANKARGARH P.S. BAGICHAPARA 22261203303 4675 BALRAMPUR SHANKARGARH P.S. PAHRI 22261203401 4676 BALRAMPUR SHANKARGARH M.S.PAHRI 22261203402 4677 BALRAMPUR SHANKARGARH P.S. INDAKON 22261203601 4678 BALRAMPUR SHANKARGARH P.S.BANKHETA 22261203602 4679 BALRAMPUR SHANKARGARH P.S.BARPANI 22261203603 4680 BALRAMPUR SHANKARGARH M.S. INDAKON 22261203604 4681 BALRAMPUR SHANKARGARH P.S. GHUGHRIKHURD 22261203701 4682 BALRAMPUR SHANKARGARH M.S. GHUGHRIKHURD 22261203702 4683 BALRAMPUR SHANKARGARH P.S. BANSDIH 22261203801 4684 BALRAMPUR SHANKARGARH M.S.BANSDIH 22261203802
  • 143.
    4685 BALRAMPUR SHANKARGARHP.S. LALITPUR 22261203901 4686 BALRAMPUR SHANKARGARH P.S. MAHUADIH 22261204001 4687 BALRAMPUR SHANKARGARH M.S.MAHUWADIH 22261204002 4688 BALRAMPUR SHANKARGARH P.S. PENDARDIH 22261204101 4689 BALRAMPUR SHANKARGARH P.S. HARRATOLI 22261204201 4690 BALRAMPUR SHANKARGARH P.S.DHASKA 22261204303 4691 BALRAMPUR SHANKARGARH P.S.GIDHASARAI 22261204304 4692 BALRAMPUR SHANKARGARH P.S. TAWARPANI 22261204306 4693 BALRAMPUR SHANKARGARH P.S. BAGICHAPARA 22261204307 4694 BALRAMPUR SHANKARGARH M.S. LALDARA 22261204308 4695 BALRAMPUR SHANKARGARH P.S. ASANPANI 22261204401 4696 BALRAMPUR SHANKARGARH P.S. TUDUVA 22261204402 4697 BALRAMPUR SHANKARGARH P.S. BALAMPOKHAR 22261204501 4698 BALRAMPUR SHANKARGARH P.S. LAHSUNPAT 22261204601 4699 BALRAMPUR SHANKARGARH M.S.LAHSUNPAT 22261204602 4700 BALRAMPUR SHANKARGARH P.S. DOHNA KAVARTOLI 22261204701 4701 BALRAMPUR SHANKARGARH P.S. DOHNA URAOTOLI 22261204702 4702 BALRAMPUR SHANKARGARH M.S. DOHNA KANWARPARA 22261204703 4703 BALRAMPUR SHANKARGARH M.S. DOHNA URAOTOLI 22261204704 4704 BALRAMPUR SHANKARGARH P.S. DUMARTOLI 22261204801 4705 BALRAMPUR SHANKARGARH P.S. SARIM 22261204901 4706 BALRAMPUR SHANKARGARH P.S.BANKHETA 22261204902 4707 BALRAMPUR SHANKARGARH M.S. SARIMA 22261204903 4708 BALRAMPUR SHANKARGARH P.S. LADUWA 22261205001 4709 BALRAMPUR SHANKARGARH P.S.LALDERA 22261205002 4710 BALRAMPUR SHANKARGARH M.S. LADUWA 22261205003 4711 BALRAMPUR SHANKARGARH P.S LINEPARA 22261205004 4712 BALRAMPUR SHANKARGARH P.S. AMGAOV 22261205101 4713 BALRAMPUR SHANKARGARH P.S. JAMDI 22261205201 4714 BALRAMPUR SHANKARGARH P.S.BARPATARA 22261205202 4715 BALRAMPUR SHANKARGARH M.S. JAMDI 22261205203 4716 BALRAMPUR SHANKARGARH P.S.B. SHANKARGARH 22261205301 4717 BALRAMPUR SHANKARGARH P.S.G.SHANKARGARH 22261205302
  • 144.
    4718 BALRAMPUR SHANKARGARHM.S.G.SHANKARGARH 22261205303 4719 BALRAMPUR SHANKARGARH M.S.B.SHANKARGARH 22261205304 4720 BALRAMPUR SHANKARGARH BAL SARMIK SHANKARGARH 22261205305 4721 BALRAMPUR SHANKARGARH P.S. S.H.BACHWAR 22261205308 4722 BALRAMPUR SHANKARGARH P.S. PATRATOLI 22261205401 4723 BALRAMPUR SHANKARGARH P.S. BACHWAR 22261205501 4724 BALRAMPUR SHANKARGARH M.S.BACHWAR 22261205502 4725 BALRAMPUR SHANKARGARH P.S. KHARKONA 22261205601 4726 BALRAMPUR SHANKARGARH P.S.TIKNI 22261205602 4727 BALRAMPUR SHANKARGARH P.S.KORVAPARA 22261205604 4728 BALRAMPUR SHANKARGARH P.S.BHITARIKONA 22261205605 4729 BALRAMPUR SHANKARGARH M.S. TIKNI 22261205606 4730 BALRAMPUR SHANKARGARH M.S. KHARKONA 22261205607 4731 BALRAMPUR SHANKARGARH P.S. BHONDNA 22261205701 4732 BALRAMPUR SHANKARGARH P.S.BAHERAPARA 22261205702 4733 BALRAMPUR SHANKARGARH M.S.BHONDNA 22261205703 4734 BALRAMPUR SHANKARGARH SANT JOSEF MANPUR 22261205801 4735 BALRAMPUR SHANKARGARH M.S.SANT JOSEF MANPUR 22261205802 4736 BALRAMPUR SHANKARGARH P.S. BARPARA 22261205803 4737 BALRAMPUR SHANKARGARH P.S. GHUGHARIKALA 22261205901 4738 BALRAMPUR SHANKARGARH P.S.BODHAPARA 22261205902 4739 BALRAMPUR SHANKARGARH P.S.KASAIBAHERA 22261205903 4740 BALRAMPUR SHANKARGARH M.S.GHOGHARIKALA 22261205904 4741 BALRAMPUR SHANKARGARH M.S.KASAIBAHERA 22261205905 4742 BALRAMPUR SHANKARGARH P.S. PARSUAAMA 22261205906 4743 BALRAMPUR SHANKARGARH P.S. NAVADIH 22261206001 4744 BALRAMPUR SHANKARGARH P.S.TAGATOLI 22261206002 4745 BALRAMPUR SHANKARGARH M.S. NAVADIH 22261206003 4746 BALRAMPUR SHANKARGARH P.S. NAVADIH 22261206004 4747 BALRAMPUR SHANKARGARH P.S.B. KOTHLI 22261206101 4748 BALRAMPUR SHANKARGARH P.S.G. KATHLI 22261206102 4749 BALRAMPUR SHANKARGARH P.S. BHALUPANI 22261206103 4750 BALRAMPUR SHANKARGARH M.S.KOTHALI 22261206104
  • 145.
    4751 BALRAMPUR SHANKARGARHP.S.PARSATOLI 22261206105 4752 BALRAMPUR SHANKARGARH P.S.LAKARAKONA 22261206106 4753 BALRAMPUR SHANKARGARH M.S.PARSATOLI 22261206107 4754 BALRAMPUR SHANKARGARH M.S.BHALUPANI 22261206108 4755 BALRAMPUR SHANKARGARH P.S. KARMI KAVARTOLI 22261206201 4756 BALRAMPUR SHANKARGARH M.S.KARAMI KAVARTOLI 22261206202 4757 BALRAMPUR SHANKARGARH P.S. SAMUDRI 22261206301 4758 BALRAMPUR SHANKARGARH P.S. KARMI 22261206401 4759 BALRAMPUR SHANKARGARH M.S. KARMI URAO 22261206403 4760 BALRAMPUR SHANKARGARH P.S. UMKO 22261206501 4761 BALRAMPUR SHANKARGARH M.S. UMKO 22261206502 4762 BALRAMPUR SHANKARGARH P.S. BATHANPARA 22261206503 4763 BALRAMPUR SHANKARGARH P.S. LALDERA 22261206601 4764 BALRAMPUR SHANKARGARH P.S. SANMANDDRA 22261206701 4765 BALRAMPUR SHANKARGARH P.S. JABGADI 22261206801 4766 BALRAMPUR SHANKARGARH P.S. LODHI 22261206901 4767 BALRAMPUR SHANKARGARH M.S.LODHI 22261206902 4768 BALRAMPUR SHANKARGARH P.S. NADIPARA 22261206903 4769 BALRAMPUR SHANKARGARH P.S. SARGAVA 22261207001 4770 BALRAMPUR SHANKARGARH M.S. SARGAVA 22261207002 4771 BALRAMPUR SHANKARGARH P.S. KUHUDAND 22261207003 4772 BALRAMPUR SHANKARGARH P.S. TONGRIPARA 22261207004 4773 BALRAMPUR SHANKARGARH P.S. MANKEPI 22261207101 4774 BALRAMPUR SHANKARGARH P.S.KHARAPARA 22261207102 4775 BALRAMPUR SHANKARGARH M.S. MANKEPI 22261207103 4776 BALRAMPUR SHANKARGARH P.S. PATNA 22261207201 4777 BALRAMPUR SHANKARGARH P.S.BHANDARPARA 22261207202 4778 BALRAMPUR SHANKARGARH M.S. PATNA 22261207203 4779 BALRAMPUR SHANKARGARH P.S. NAVAPARA 22261207301 4780 BALRAMPUR SHANKARGARH P.S. JAGIM 22261207401 4781 BALRAMPUR SHANKARGARH P.S.TENDPARA 22261207402 4782 BALRAMPUR SHANKARGARH P.S.JOTAD 22261207403 4783 BALRAMPUR SHANKARGARH M.S.JAGIMA 22261207404
  • 146.
    4784 BALRAMPUR SHANKARGARHP.S. KANJIYA 22261207405 4785 BALRAMPUR SHANKARGARH M.S.KANJIYA 22261207406 4786 BALRAMPUR SHANKARGARH P.S. KATARIKONA 22261207501 4787 BALRAMPUR SHANKARGARH M.S. KATARIKONA 22261207502 4788 BALRAMPUR SHANKARGARH P.S. BHAIROPUR 22261207601 4789 BALRAMPUR SHANKARGARH P.S.SITAPARA 22261207602 4790 BALRAMPUR SHANKARGARH M.S. BHAIROPUR 22261207603 4791 BALRAMPUR SHANKARGARH P.S.LINEPARA 22261207604 4792 BALRAMPUR SHANKARGARH P.S. DIPADIHKHURD 22261207701 4793 BALRAMPUR SHANKARGARH M.S.DIPADIHKHURD 22261207702 4794 BALRAMPUR SHANKARGARH P.S. LOHARPARA 22261207703 4795 BALRAMPUR SHANKARGARH P.S. SIHAR 22261207801 4796 BALRAMPUR SHANKARGARH M.S.SIHAR 22261207802 4797 BALRAMPUR SHANKARGARH P.S. MURKA 22261207901 4798 BALRAMPUR SHANKARGARH P.S. DAMODARPUR 22261208001 4799 BALRAMPUR SHANKARGARH P.S.KORVAPARA 22261208002 4800 BALRAMPUR SHANKARGARH P.S. KAMARI 22261208101 4801 BALRAMPUR SHANKARGARH GIRLS ASHRAM KAMARI 22261208102 4802 BALRAMPUR SHANKARGARH M.S.KAMARI 22261208103 4803 BALRAMPUR SHANKARGARH M.S.G.KAMARI 22261208104 4804 BALRAMPUR SHANKARGARH P.S.LOHARATAND 22261208105 4805 BALRAMPUR SHANKARGARH M.S. LOHARATAND 22261208106 4806 BALRAMPUR SHANKARGARH P.S. SIFILI 22261208201 4807 BALRAMPUR SHANKARGARH P.S.KHARHARPARA 22261208202 4808 BALRAMPUR SHANKARGARH P.S. REHDA 22261208301 4809 BALRAMPUR SHANKARGARH M.S.G.REHDA 22261208302 4810 BALRAMPUR SHANKARGARH M.S.B.REHDA 22261208303 4811 BALRAMPUR SHANKARGARH P.S.BAGICHAPARA 22261208304 4812 BALRAMPUR SHANKARGARH P.S. BAHERATOLI 22261208305 4813 BALRAMPUR SHANKARGARH P.S. CHANDRANAGAR 22261208401 4814 BALRAMPUR SHANKARGARH M.S. CHANDRANAGAR 22261208402 4815 BALRAMPUR SHANKARGARH P.S. KRISHNANAGAR 22261208501 4816 BALRAMPUR SHANKARGARH M.S. KRISHNANAGAR 22261208502
  • 147.
    4817 BALRAMPUR SHANKARGARHPS KOTALLU 22261208601 4818 BALRAMPUR SHANKARGARH P.S. BARKONA 22261208602 4819 BALRAMPUR SHANKARGARH M.S. BARKONA 22261208603 4820 BALRAMPUR SHANKARGARH P.S.DAMKODA 22261208702 4821 BALRAMPUR SHANKARGARH PS KODWA 22261208703 4822 BALRAMPUR SHANKARGARH P.S. THANTOLI 22261208704 4823 BALRAMPUR SHANKARGARH M.S. KODVA 22261208705 4824 BALRAMPUR SHANKARGARH P.S. SARNAPARA 22261208801 4825 BALRAMPUR SHANKARGARH P.S. CHULHAKONA 22261208901 4826 BALRAMPUR SHANKARGARH P.S. DEVSARAKALA 22261209001 4827 BALRAMPUR SHANKARGARH P.S. DANDTOLI 22261209002 4828 BALRAMPUR SHANKARGARH M.S. DEVSARAKALA 22261209003 4829 BALRAMPUR SHANKARGARH P.S. AYYARI 22261209101 4830 BALRAMPUR SHANKARGARH P.S.DAMHATOLI 22261209102 4831 BALRAMPUR SHANKARGARH M.S. CHULHAKONA 22261209104 4832 BALRAMPUR SHANKARGARH M.S. AYYARI 22261209105 4833 BALRAMPUR SHANKARGARH BOYS ASHRAM DIPADIHKALA 22261209201 4834 BALRAMPUR SHANKARGARH P.S. DIPADIHKALA 22261209202 4835 BALRAMPUR SHANKARGARH M.S.DIPADIHKALA 22261209203 4836 BALRAMPUR SHANKARGARH P.S.PURABTOLI 22261209204 4837 BALRAMPUR SHANKARGARH P.S. BADA 22261209301 4838 BALRAMPUR SHANKARGARH M.S. BADA 22261209302 4839 BALRAMPUR SHANKARGARH P.S. JAMHARI 22261209401 4840 BALRAMPUR SHANKARGARH P.S.NAVGAI 22261209402 4841 BALRAMPUR SHANKARGARH M.S. JAMHATI 22261209403 4842 BALRAMPUR SHANKARGARH P.S.G. GHATGAOV 22261209501 4843 BALRAMPUR SHANKARGARH M.S. GHATGANV 22261209502 4844 BALRAMPUR SHANKARGARH P.S. CHANGARO 22261209601 4845 BALRAMPUR SHANKARGARH P.S. UDARSAI 22261209701 4846 BALRAMPUR SHANKARGARH M.S. UDARSAI 22261209702 4847 BALRAMPUR SHANKARGARH P.S. DIPADIH URAOTOLO 22261209801 4848 BALRAMPUR SHANKARGARH M.S. DIPADIH URANV 22261209802 4849 BALRAMPUR SHANKARGARH P.S. KAVARTOLI 22261209901
  • 148.
    4850 BALRAMPUR SHANKARGARHP.S.SARNADIH 22261210101 4851 BALRAMPUR SHANKARGARH M.S. PATRATOLI 22261210401 4852 BALRAMPUR WADRAFNAGAR P.S. INJANI 22261100101 4853 BALRAMPUR WADRAFNAGAR P.S. DHANBAHDAND 22261100103 4854 BALRAMPUR WADRAFNAGAR P.S. BAHERADAND 22261100104 4855 BALRAMPUR WADRAFNAGAR P.S.MAHUARIPARA 22261100105 4856 BALRAMPUR WADRAFNAGAR M.S.INJANI 22261100106 4857 BALRAMPUR WADRAFNAGAR M.S. MAHUARIPARA 22261100107 4858 BALRAMPUR WADRAFNAGAR P.S. JIRAT 22261100201 4859 BALRAMPUR WADRAFNAGAR P.S. JHORPARA 22261100202 4860 BALRAMPUR WADRAFNAGAR P.S.BHAGWANPUR 22261100203 4861 BALRAMPUR WADRAFNAGAR P.S. NAYAPARA 22261100301 4862 BALRAMPUR WADRAFNAGAR P.S. BARTIKHURD 22261100401 4863 BALRAMPUR WADRAFNAGAR P.S.KHADIYAPARA 22261100402 4864 BALRAMPUR WADRAFNAGAR P.S. HARIJANPARA 22261100403 4865 BALRAMPUR WADRAFNAGAR M.S. BARTIKHURD 22261100404 4866 BALRAMPUR WADRAFNAGAR P.S. SHARDAPUR (E) 22261100501 4867 BALRAMPUR WADRAFNAGAR M.S.SHRDAPUR(E) 22261100502 4868 BALRAMPUR WADRAFNAGAR P.S. BARPARA 22261100504 4869 BALRAMPUR WADRAFNAGAR P.S. DUBAPARA 22261100505 4870 BALRAMPUR WADRAFNAGAR P.S. BHAVANKHAVD 22261100506 4871 BALRAMPUR WADRAFNAGAR P.S. KORWAPARA 22261100508 4872 BALRAMPUR WADRAFNAGAR M.S. BARPARA 22261100509 4873 BALRAMPUR WADRAFNAGAR P.S. MIYAPARA 22261100510 4874 BALRAMPUR WADRAFNAGAR P.S. ODARI 22261100601 4875 BALRAMPUR WADRAFNAGAR PS KONIYAPARA 22261100602 4876 BALRAMPUR WADRAFNAGAR P.S. PASHCHIMPARA 22261100603 4877 BALRAMPUR WADRAFNAGAR M.S. ODARI 22261100604 4878 BALRAMPUR WADRAFNAGAR M.S. KONIYAPARA 22261100605 4879 BALRAMPUR WADRAFNAGAR P.S. BHULAIJHOR 22261100701 4880 BALRAMPUR WADRAFNAGAR M.S. JHORPARA 22261100702 4881 BALRAMPUR WADRAFNAGAR P.S. SHIVARI 22261100801 4882 BALRAMPUR WADRAFNAGAR P.S. HARIJANPARA 22261100802
  • 149.
    4883 BALRAMPUR WADRAFNAGARM.S. SHIVARI 22261100803 4884 BALRAMPUR WADRAFNAGAR P.S. POKHRA 22261100901 4885 BALRAMPUR WADRAFNAGAR M.S. POKHARA 22261100902 4886 BALRAMPUR WADRAFNAGAR P.S. TANVARIPARA 22261101001 4887 BALRAMPUR WADRAFNAGAR P.S. KOLHUAPARA 22261101101 4888 BALRAMPUR WADRAFNAGAR MS KOLHUA 22261101102 4889 BALRAMPUR WADRAFNAGAR P.S. BABHANIPARA 22261101201 4890 BALRAMPUR WADRAFNAGAR P.S. EKNARA 22261101301 4891 BALRAMPUR WADRAFNAGAR P.S. KOTRAHI 22261101401 4892 BALRAMPUR WADRAFNAGAR DALKIPARA 22261101403 4893 BALRAMPUR WADRAFNAGAR P.S.CHANCHIDAND 22261101404 4894 BALRAMPUR WADRAFNAGAR M.S. KOTRAHI 22261101405 4895 BALRAMPUR WADRAFNAGAR M.S.CHANCHIDAND 22261101406 4896 BALRAMPUR WADRAFNAGAR P.S. PENDARI 22261101501 4897 BALRAMPUR WADRAFNAGAR M.S.PENDARI 22261101502 4898 BALRAMPUR WADRAFNAGAR P.S. JHUMELAPARA 22261101503 4899 BALRAMPUR WADRAFNAGAR P.S. BHUIYAPARA 22261101504 4900 BALRAMPUR WADRAFNAGAR P.S. HADINADI 22261101505 4901 BALRAMPUR WADRAFNAGAR M.S.G.PENDARI 22261101506 4902 BALRAMPUR WADRAFNAGAR P.S. CHANDAORIPARA 22261101701 4903 BALRAMPUR WADRAFNAGAR P.S. BAJARMARA 22261101801 4904 BALRAMPUR WADRAFNAGAR GIRLS ASHRAM WADRAFNAGAR 22261101901 4905 BALRAMPUR WADRAFNAGAR P.S. WADRAFNAGAR 22261101903 4906 BALRAMPUR WADRAFNAGAR M.S.G.WADRAFNAGAR 22261101905 4907 BALRAMPUR WADRAFNAGAR M.S.ASHARAM.GIRLS 22261101906 4908 BALRAMPUR WADRAFNAGAR PS BALSHRIMAK, WADRAFNAGAR 22261101907 4909 BALRAMPUR WADRAFNAGAR M.S.B.WADRAFNAGAR 22261101912 4910 BALRAMPUR WADRAFNAGAR K.G.B.V. WADRAFNAGAER 22261101916 4911 BALRAMPUR WADRAFNAGAR P.S. BASULAPAT 22261102001 4912 BALRAMPUR WADRAFNAGAR M.S. BASULAPAT 22261102002 4913 BALRAMPUR WADRAFNAGAR P.S. JHARAPARA 22261102101 4914 BALRAMPUR WADRAFNAGAR P.S. BASANTPUR 22261102102 4915 BALRAMPUR WADRAFNAGAR P.S. MAHUARIPARA 22261102103
  • 150.
    4916 BALRAMPUR WADRAFNAGARM.S.BASANTPUR 22261102104 4917 BALRAMPUR WADRAFNAGAR P.S. SINDHUARIPARA 22261102105 4918 BALRAMPUR WADRAFNAGAR P.S. MAHUARIPARA 22261102106 4919 BALRAMPUR WADRAFNAGAR P.S. HARIJANPARA 22261102107 4920 BALRAMPUR WADRAFNAGAR M.S. G. BASANTPUR 22261102109 4921 BALRAMPUR WADRAFNAGAR M.S. MAHUARIPARA 22261102110 4922 BALRAMPUR WADRAFNAGAR P.S. KUNDI 22261102201 4923 BALRAMPUR WADRAFNAGAR M.S. KUNDI 22261102202 4924 BALRAMPUR WADRAFNAGAR P.S. BAJRA 22261102301 4925 BALRAMPUR WADRAFNAGAR M.S. BAJRA 22261102302 4926 BALRAMPUR WADRAFNAGAR P.S. FULIDUMAR 22261102401 4927 BALRAMPUR WADRAFNAGAR M.S.FULIDUMAR 22261102402 4928 BALRAMPUR WADRAFNAGAR P.S.KERWAPARA 22261102403 4929 BALRAMPUR WADRAFNAGAR P.S. DHANWAR 22261102404 4930 BALRAMPUR WADRAFNAGAR P.S. BHODAR 22261102501 4931 BALRAMPUR WADRAFNAGAR M.S. BHODAR 22261102502 4932 BALRAMPUR WADRAFNAGAR P.S. GOBRA 22261102601 4933 BALRAMPUR WADRAFNAGAR M.S.GOBRA 22261102602 4934 BALRAMPUR WADRAFNAGAR P.S. PASHCHIMPARA 22261102603 4935 BALRAMPUR WADRAFNAGAR P.S. PREMNAGAR 22261102701 4936 BALRAMPUR WADRAFNAGAR P.S. UTTARPARA,BASULAPAT 22261102702 4937 BALRAMPUR WADRAFNAGAR M.S.PREMNAGAR 22261102703 4938 BALRAMPUR WADRAFNAGAR P.S. JAMAI 22261102704 4939 BALRAMPUR WADRAFNAGAR BOYS ASHRAM GONDLA 22261102801 4940 BALRAMPUR WADRAFNAGAR M.S.GONDLA 22261102802 4941 BALRAMPUR WADRAFNAGAR P.S. PURABPARA 22261102803 4942 BALRAMPUR WADRAFNAGAR P.S. BELSAR 22261102901 4943 BALRAMPUR WADRAFNAGAR P.S. NICHEPARA 22261102902 4944 BALRAMPUR WADRAFNAGAR M.S. BELSAR 22261102903 4945 BALRAMPUR WADRAFNAGAR P.S. SHARDAPUR 22261103001 4946 BALRAMPUR WADRAFNAGAR P.S. BAHERATOLA 22261103003 4947 BALRAMPUR WADRAFNAGAR P.S.KHUTHANPARA 22261103004 4948 BALRAMPUR WADRAFNAGAR P.S.HARIJANPARA SU. 22261103005
  • 151.
    4949 BALRAMPUR WADRAFNAGARM.S. KHUTHANPARA 22261103006 4950 BALRAMPUR WADRAFNAGAR M.S. PATRATOLA 22261103007 4951 BALRAMPUR WADRAFNAGAR M.S. SHARDAPUR SU. 22261103008 4952 BALRAMPUR WADRAFNAGAR BOYS ASHRAM BAIKUNTHPUR 22261103101 4953 BALRAMPUR WADRAFNAGAR P.S.KORWAPARA 22261103102 4954 BALRAMPUR WADRAFNAGAR M.S.BAIKUNTHPUR 22261103103 4955 BALRAMPUR WADRAFNAGAR P.S. AMDIHA 22261103201 4956 BALRAMPUR WADRAFNAGAR P.S. KAILASHPUR 22261103301 4957 BALRAMPUR WADRAFNAGAR M.S. KAILASHPUR 22261103302 4958 BALRAMPUR WADRAFNAGAR P.S.G. BARTIKALA 22261103401 4959 BALRAMPUR WADRAFNAGAR P.S.B. BARTIKALA 22261103402 4960 BALRAMPUR WADRAFNAGAR P.S. NAVAPARA 22261103403 4961 BALRAMPUR WADRAFNAGAR P.S. DONDI 22261103501 4962 BALRAMPUR WADRAFNAGAR P.S. GHUTRAPARA 22261103502 4963 BALRAMPUR WADRAFNAGAR M.S. DONDI 22261103503 4964 BALRAMPUR WADRAFNAGAR P.S. BUDATAND 22261103601 4965 BALRAMPUR WADRAFNAGAR P.S. HARIJANPARA 22261103602 4966 BALRAMPUR WADRAFNAGAR M.S. BUDATAND 22261103603 4967 BALRAMPUR WADRAFNAGAR P.S. PANSARA 22261103701 4968 BALRAMPUR WADRAFNAGAR M.S.PANSARA 22261103702 4969 BALRAMPUR WADRAFNAGAR P.S. NAVAPARA 22261103703 4970 BALRAMPUR WADRAFNAGAR P.S. SULSULI 22261103801 4971 BALRAMPUR WADRAFNAGAR M.S.SULSULI 22261103802 4972 BALRAMPUR WADRAFNAGAR P.S. AMATIKARA 22261103803 4973 BALRAMPUR WADRAFNAGAR P.S. UPARBANDH 22261103804 4974 BALRAMPUR WADRAFNAGAR P.S. PATRATOLA 22261103805 4975 BALRAMPUR WADRAFNAGAR P.S. JARHATOLA 22261103806 4976 BALRAMPUR WADRAFNAGAR M.S.G. SULSULI 22261103807 4977 BALRAMPUR WADRAFNAGAR M.S. JARHATOLA 22261103808 4978 BALRAMPUR WADRAFNAGAR P.S. PARSATOLA 22261103901 4979 BALRAMPUR WADRAFNAGAR P.S. SURHUL 22261104001 4980 BALRAMPUR WADRAFNAGAR P.S. MAHULI 22261104101 4981 BALRAMPUR WADRAFNAGAR P.S. KOYAMPARA 22261104102
  • 152.
    4982 BALRAMPUR WADRAFNAGARP.S. GINHVAPARA 22261104103 4983 BALRAMPUR WADRAFNAGAR P.S. DADARPARA 22261104104 4984 BALRAMPUR WADRAFNAGAR M.S.MAHULI 22261104105 4985 BALRAMPUR WADRAFNAGAR M.S. KOYAMPARA 22261104106 4986 BALRAMPUR WADRAFNAGAR P.S. MENDARI 22261104201 4987 BALRAMPUR WADRAFNAGAR P.S. SEMARIYAPARA 22261104203 4988 BALRAMPUR WADRAFNAGAR P.S.FOKALIMAHUA 22261104204 4989 BALRAMPUR WADRAFNAGAR M.S.MENDARI 22261104205 4990 BALRAMPUR WADRAFNAGAR P.S. DHURESHWARPARA 22261104301 4991 BALRAMPUR WADRAFNAGAR P.S. SYAHI 22261104302 4992 BALRAMPUR WADRAFNAGAR P.S. PIPARPARA 22261104303 4993 BALRAMPUR WADRAFNAGAR M.S. SYAHI 22261104304 4994 BALRAMPUR WADRAFNAGAR P.S. PASHUPATIPUR 22261104401 4995 BALRAMPUR WADRAFNAGAR M.S.PASHUPATIPUR 22261104402 4996 BALRAMPUR WADRAFNAGAR P.S. KERVAPARA 22261104403 4997 BALRAMPUR WADRAFNAGAR P.S.G.A.PASHUPATIPUR 22261104404 4998 BALRAMPUR WADRAFNAGAR M.S.G. PASHUPATIPUR 22261104405 4999 BALRAMPUR WADRAFNAGAR P.S. MITHILAPUR 22261104501 5000 BALRAMPUR WADRAFNAGAR P.S. KAKNESA 22261104601 5001 BALRAMPUR WADRAFNAGAR P.S. BEDARIPARA 22261104602 5002 BALRAMPUR WADRAFNAGAR P.S. KODHAPURVA 22261104603 5003 BALRAMPUR WADRAFNAGAR M.S. KAKNESA 22261104604 5004 BALRAMPUR WADRAFNAGAR P.S. KORVATOLA 22261104701 5005 BALRAMPUR WADRAFNAGAR P.S. RUPPUR 22261104801 5006 BALRAMPUR WADRAFNAGAR P.S. BHODARPARA 22261104802 5007 BALRAMPUR WADRAFNAGAR M.S.RUPPUR 22261104803 5008 BALRAMPUR WADRAFNAGAR P.S. MANBASA 22261104901 5009 BALRAMPUR WADRAFNAGAR M.S. MANBASA 22261104902 5010 BALRAMPUR WADRAFNAGAR P.S.G. PANDRI 22261105001 5011 BALRAMPUR WADRAFNAGAR P.S.B. PANDRI 22261105002 5012 BALRAMPUR WADRAFNAGAR M.S.G.PANDARI 22261105003 5013 BALRAMPUR WADRAFNAGAR M.S.B.PANDARI 22261105004 5014 BALRAMPUR WADRAFNAGAR P.S.UTTARTOLA 22261105005
  • 153.
    5015 BALRAMPUR WADRAFNAGARP.S. PARSATOLA 22261105006 5016 BALRAMPUR WADRAFNAGAR P.S. PATERIPARA 22261105007 5017 BALRAMPUR WADRAFNAGAR P.S. DOLPAKHANA 22261105008 5018 BALRAMPUR WADRAFNAGAR P.S. PASHCHIMPARA 22261105009 5019 BALRAMPUR WADRAFNAGAR M.S. PATERIPARA 22261105010 5020 BALRAMPUR WADRAFNAGAR M.S. PASCHIMPARA 22261105011 5021 BALRAMPUR WADRAFNAGAR P.S. GIRVANI 22261105101 5022 BALRAMPUR WADRAFNAGAR P.S. NAVDIHATOLA 22261105102 5023 BALRAMPUR WADRAFNAGAR P.S. MOKHATOLA 22261105103 5024 BALRAMPUR WADRAFNAGAR M.S. GIRVANI 22261105104 5025 BALRAMPUR WADRAFNAGAR M.S. NAVDIHATOLA 22261105105 5026 BALRAMPUR WADRAFNAGAR P.S. HARIGAVAN 22261105201 5027 BALRAMPUR WADRAFNAGAR P.S. MANGARHARPARA 22261105202 5028 BALRAMPUR WADRAFNAGAR P.S. HARIJANPARA 22261105203 5029 BALRAMPUR WADRAFNAGAR M.S.HARIGAVAN 22261105204 5030 BALRAMPUR WADRAFNAGAR M.S.B. HARIGAVAN 22261105205 5031 BALRAMPUR WADRAFNAGAR M.S. MANGARHARPARA 22261105207 5032 BALRAMPUR WADRAFNAGAR P.S. DOLPAKHNA 22261105301 5033 BALRAMPUR WADRAFNAGAR M.S.DOLPAKHANA 22261105302 5034 BALRAMPUR WADRAFNAGAR P.S. MURLIGANJ 22261105401 5035 BALRAMPUR WADRAFNAGAR M.S. MURLIGANJ 22261105402 5036 BALRAMPUR WADRAFNAGAR P.S. PAHADDIH 22261105501 5037 BALRAMPUR WADRAFNAGAR P.S. SAVNIMAHUA 22261105601 5038 BALRAMPUR WADRAFNAGAR M.S.SAVNIMAHUA 22261105602 5039 BALRAMPUR WADRAFNAGAR P.S. KENVARI 22261105701 5040 BALRAMPUR WADRAFNAGAR P.S. SARUVAT 22261105801 5041 BALRAMPUR WADRAFNAGAR P.S. BODARAPARA 22261105802 5042 BALRAMPUR WADRAFNAGAR M.S. SARUVAT 22261105803 5043 BALRAMPUR WADRAFNAGAR P.S. BHAUTIPARA 22261105804 5044 BALRAMPUR WADRAFNAGAR GIRLS ASHRAM RAMNAGAR 22261105901 5045 BALRAMPUR WADRAFNAGAR P.S.B. RAMNAGAR 22261105902 5046 BALRAMPUR WADRAFNAGAR M.S.G.RAMNAGAR 22261105903 5047 BALRAMPUR WADRAFNAGAR P.S. PASHCHIMPARA 22261105904
  • 154.
    5048 BALRAMPUR WADRAFNAGARP.S. SADAKTOLA 22261105905 5049 BALRAMPUR WADRAFNAGAR M.S.B. RAMNAGAR 22261105906 5050 BALRAMPUR WADRAFNAGAR P.S. SHANTIPUR 22261106001 5051 BALRAMPUR WADRAFNAGAR M.S. SHANTIPUR 22261106002 5052 BALRAMPUR WADRAFNAGAR P.S. KHARRA 22261106101 5053 BALRAMPUR WADRAFNAGAR P.S. DHANJARA 22261106201 5054 BALRAMPUR WADRAFNAGAR M.S.DHANJARA 22261106202 5055 BALRAMPUR WADRAFNAGAR P.S. KADIYA 22261106301 5056 BALRAMPUR WADRAFNAGAR P.S. LALMATI 22261106302 5057 BALRAMPUR WADRAFNAGAR P.S. KACHHIYA 22261106401 5058 BALRAMPUR WADRAFNAGAR M.S.B.KACHHIYA 22261106402 5059 BALRAMPUR WADRAFNAGAR M.S.G.KACHHIYA 22261106403 5060 BALRAMPUR WADRAFNAGAR P.S.HARIJANPARA 22261106404 5061 BALRAMPUR WADRAFNAGAR P.S.HARIJANPARA B 22261106405 5062 BALRAMPUR WADRAFNAGAR P.S. AMRAVATIPUR 22261106501 5063 BALRAMPUR WADRAFNAGAR M.S.AMRAWATIPUR 22261106502 5064 BALRAMPUR WADRAFNAGAR P.S. BICHPARA 22261106503 5065 BALRAMPUR WADRAFNAGAR P.S. KHONGAPARA 22261106601 5066 BALRAMPUR WADRAFNAGAR M.S. KHONGAPARA 22261106602 5067 BALRAMPUR WADRAFNAGAR P.S. GADAOLI 22261106801 5068 BALRAMPUR WADRAFNAGAR M.S. GADAOLI 22261106802 5069 BALRAMPUR WADRAFNAGAR P.S. DADIYA 22261106901 5070 BALRAMPUR WADRAFNAGAR KHORKHAPARA 22261106902 5071 BALRAMPUR WADRAFNAGAR P.S. ALAGDIHAPARA 22261106903 5072 BALRAMPUR WADRAFNAGAR P.S. BARPARA 22261106904 5073 BALRAMPUR WADRAFNAGAR M.S. DADIYA 22261106905 5074 BALRAMPUR WADRAFNAGAR P.S. MANPUR 22261107001 5075 BALRAMPUR WADRAFNAGAR P.S.GADRAMARA 22261107003 5076 BALRAMPUR WADRAFNAGAR P.S.BHUIYAPARA 22261107004 5077 BALRAMPUR WADRAFNAGAR M.S. MANPUR 22261107005 5078 BALRAMPUR WADRAFNAGAR P.S. ALKA 22261107101 5079 BALRAMPUR WADRAFNAGAR P.S. SARNAPARA 22261107102 5080 BALRAMPUR WADRAFNAGAR P.S. KODAKUPARA 22261107103
  • 155.
    5081 BALRAMPUR WADRAFNAGARP.S. NAVAPARA 22261107104 5082 BALRAMPUR WADRAFNAGAR P.S. ADRAIPARA 22261107105 5083 BALRAMPUR WADRAFNAGAR P.S. DEVAIPARA 22261107201 5084 BALRAMPUR WADRAFNAGAR P.S. DUARI 22261107301 5085 BALRAMPUR WADRAFNAGAR M.S. DUARI 22261107302 5086 BALRAMPUR WADRAFNAGAR P.S. DONGRO 22261107401 5087 BALRAMPUR WADRAFNAGAR P.S. KODAKUPARA 22261107402 5088 BALRAMPUR WADRAFNAGAR P.S. GONDAURAPARA 22261107403 5089 BALRAMPUR WADRAFNAGAR M.S. DONGRO 22261107404 5090 BALRAMPUR WADRAFNAGAR P.S. RAMPUR 22261107501 5091 BALRAMPUR WADRAFNAGAR P.S.FULWAR 22261107502 5092 BALRAMPUR WADRAFNAGAR P.S.KODAKUPARA 22261107503 5093 BALRAMPUR WADRAFNAGAR M.S. RAMPUR 22261107504 5094 BALRAMPUR WADRAFNAGAR P.S. BELIYA 22261107601 5095 BALRAMPUR WADRAFNAGAR P.S. CHALGALI 22261107701 5096 BALRAMPUR WADRAFNAGAR GIRLS ASHRAM CHALGALI 22261107702 5097 BALRAMPUR WADRAFNAGAR M.S.G.CHALGALI 22261107703 5098 BALRAMPUR WADRAFNAGAR M.S.B.CHALGALI 22261107704 5099 BALRAMPUR WADRAFNAGAR P.S.DAVANAPARA 22261107705 5100 BALRAMPUR WADRAFNAGAR P.S. BAJARPARA 22261107706 5101 BALRAMPUR WADRAFNAGAR P.S. MAHATOPARA 22261107708 5102 BALRAMPUR WADRAFNAGAR P.S. PADAOLI 22261107801 5103 BALRAMPUR WADRAFNAGAR M.S. PADAULI 22261107802 5104 BALRAMPUR WADRAFNAGAR M.S. BHAGWANPUR 22261107902 5105 BALRAMPUR WADRAFNAGAR M.S. JIRAT 22261107903 5106 BALRAMPUR WADRAFNAGAR P.S. BADKAGAOV 22261108001 5107 BALRAMPUR WADRAFNAGAR M.S.BADKAGAON 22261108002 5108 BALRAMPUR WADRAFNAGAR P.S. KORVATOLA 22261108003 5109 BALRAMPUR WADRAFNAGAR P.S. JABARPARA 22261108004 5110 BALRAMPUR WADRAFNAGAR P.S. SURSA 22261108101 5111 BALRAMPUR WADRAFNAGAR P.S. TOLHUPARA 22261108102 5112 BALRAMPUR WADRAFNAGAR P.S. CHANDI 22261108201 5113 BALRAMPUR WADRAFNAGAR P.S. MAHEVA 22261108301
  • 156.
    5114 BALRAMPUR WADRAFNAGARM.S.MAHEVA 22261108302 5115 BALRAMPUR WADRAFNAGAR P.S. GHETANAR 22261108303 5116 BALRAMPUR WADRAFNAGAR P.S.HARIJANPARA 22261108304 5117 BALRAMPUR WADRAFNAGAR M.S.GIRLS MAHEWA 22261108305 5118 BALRAMPUR WADRAFNAGAR P.S. MADNA 22261108401 5119 BALRAMPUR WADRAFNAGAR P.S.DHOARPUR 22261108402 5120 BALRAMPUR WADRAFNAGAR M.S. MADNA 22261108403 5121 BALRAMPUR WADRAFNAGAR P.S. LODHI 22261108501 5122 BALRAMPUR WADRAFNAGAR P.S. BHUDVAHIPARA 22261108502 5123 BALRAMPUR WADRAFNAGAR P.S. NAGPANI 22261108503 5124 BALRAMPUR WADRAFNAGAR M.S.LODHI 22261108504 5125 BALRAMPUR WADRAFNAGAR P.S. GURMUTI 22261108601 5126 BALRAMPUR WADRAFNAGAR M.S. GURMUTI 22261108602 5127 BALRAMPUR WADRAFNAGAR P.S. KOTI 22261108701 5128 BALRAMPUR WADRAFNAGAR P.S. PURANKOTI 22261108702 5129 BALRAMPUR WADRAFNAGAR M.S. KOTI 22261108703 5130 BALRAMPUR WADRAFNAGAR P.S. DARIDIH 22261108801 5131 BALRAMPUR WADRAFNAGAR P.S. MADANPUR 22261108901 5132 BALRAMPUR WADRAFNAGAR M.S.MADANPUR 22261108902 5133 BALRAMPUR WADRAFNAGAR P.S. CHANWARSARAI 22261109001 5134 BALRAMPUR WADRAFNAGAR P.S. GHUTRAPARA 22261109002 5135 BALRAMPUR WADRAFNAGAR M.S. CHANWARSARAI 22261109003 5136 BALRAMPUR WADRAFNAGAR P.S. SARNA 22261109101 5137 BALRAMPUR WADRAFNAGAR P.S. NAVLITOLA 22261109102 5138 BALRAMPUR WADRAFNAGAR M.S.SARANA 22261109103 5139 BALRAMPUR WADRAFNAGAR P.S. MAHUARIPARA 22261109104 5140 BALRAMPUR WADRAFNAGAR P.S. BANGALIPARA 22261109105 5141 BALRAMPUR WADRAFNAGAR P.S.KOILIPARA 22261109106 5142 BALRAMPUR WADRAFNAGAR M.S. MAHUARIPARA 22261109107 5143 BALRAMPUR WADRAFNAGAR P.S.G. NAVGAI 22261109201 5144 BALRAMPUR WADRAFNAGAR P.S.B. NAVGAI 22261109202 5145 BALRAMPUR WADRAFNAGAR P.S. PASHICHAMPARA 22261109203 5146 BALRAMPUR WADRAFNAGAR M.S. NAVGAI 22261109204
  • 157.
    5147 BALRAMPUR WADRAFNAGARP.S. KESARI 22261109301 5148 BALRAMPUR WADRAFNAGAR P.S. JHAGRAHIPARA 22261109302 5149 BALRAMPUR WADRAFNAGAR P.S. PATELPARA 22261109303 5150 BALRAMPUR WADRAFNAGAR P.S. HARIJANPARA 22261109304 5151 BALRAMPUR WADRAFNAGAR M.S. KESARI 22261109305 5152 BALRAMPUR WADRAFNAGAR M.S.G. KESARI 22261109306 5153 BALRAMPUR WADRAFNAGAR P.S. JAORAHI 22261109401 5154 BALRAMPUR WADRAFNAGAR M.S.JAORAHI 22261109402 5155 BALRAMPUR WADRAFNAGAR P.S. AGARIYAPARA 22261109403 5156 BALRAMPUR WADRAFNAGAR P.S. TILAHVADAND 22261109404 5157 BALRAMPUR WADRAFNAGAR P.S. TENDUDAND 22261109405 5158 BALRAMPUR WADRAFNAGAR P.S. PANDOPARA 22261109406 5159 BALRAMPUR WADRAFNAGAR P.S. SONHAT 22261109501 5160 BALRAMPUR WADRAFNAGAR P.S. DHUARAPARA 22261109502 5161 BALRAMPUR WADRAFNAGAR M.S. SONHAT 22261109503 5162 BALRAMPUR WADRAFNAGAR P.S. CHERVAPARA 22261109504 5163 BALRAMPUR WADRAFNAGAR P.S. BETO 22261109601 5164 BALRAMPUR WADRAFNAGAR M.S. BETO 22261109602 5165 BALRAMPUR WADRAFNAGAR P.S. HARIJANPARA 22261109701 5166 BALRAMPUR WADRAFNAGAR P.S.B. RAGHUNATHNAGAR 22261109702 5167 BALRAMPUR WADRAFNAGAR P.S.G. RAGHUNATHNAGAR 22261109703 5168 BALRAMPUR WADRAFNAGAR M.S.RAGHUNATHNAGAR 22261109704 5169 BALRAMPUR WADRAFNAGAR P.S. GONDPARA 22261109705 5170 BALRAMPUR WADRAFNAGAR P.S. PANDOPARA 22261109706 5171 BALRAMPUR WADRAFNAGAR M.S.G.RAGHUNATHNAGAR 22261109707 5172 BALRAMPUR WADRAFNAGAR P.S.B.A.RAGHUNATHNAGAR 22261109710 5173 BALRAMPUR WADRAFNAGAR P.S. GAINA 22261109801 5174 BALRAMPUR WADRAFNAGAR M.S.GAINA 22261109802 5175 BALRAMPUR WADRAFNAGAR P.S. LOTABAHARA 22261109803 5176 BALRAMPUR WADRAFNAGAR P.S. SEMARIAPARA 22261109804 5177 BALRAMPUR WADRAFNAGAR P.S.BELTIKARA 22261109805 5178 BALRAMPUR WADRAFNAGAR M.S. G. GAINA 22261109806 5179 BALRAMPUR WADRAFNAGAR P.S. BABHANI 22261109901
  • 158.
    5180 BALRAMPUR WADRAFNAGARP.S.GHATAKUND 22261109902 5181 BALRAMPUR WADRAFNAGAR P.S. SHANKARPUR 22261110001 5182 BALRAMPUR WADRAFNAGAR P.S. SHANKARPUR GONDPARA 22261110002 5183 BALRAMPUR WADRAFNAGAR P.S. PATELPARA BIJAKURA 22261110003 5184 BALRAMPUR WADRAFNAGAR M.S.SHANKERPUR 22261110004 5185 BALRAMPUR WADRAFNAGAR M.S. G. SHANKARPUR 22261110005 5186 BALRAMPUR WADRAFNAGAR P.S. RAMESHPUR 22261110101 5187 BALRAMPUR WADRAFNAGAR P.S. HARIJANPARA 22261110102 5188 BALRAMPUR WADRAFNAGAR M.S. RAMESHPUR 22261110103 5189 BALRAMPUR WADRAFNAGAR P.S. JANAKPUR 22261110201 5190 BALRAMPUR WADRAFNAGAR M.S.JANAKPUR 22261110202 5191 BALRAMPUR WADRAFNAGAR P.S. KHUKHADIPANI 22261110203 5192 BALRAMPUR WADRAFNAGAR M.S. G. JANAKPUR 22261110209 5193 BALRAMPUR WADRAFNAGAR P.S. BIJAKURA 22261110301 5194 BALRAMPUR WADRAFNAGAR M.S. BIJAKURA 22261110302 5195 BALRAMPUR WADRAFNAGAR P.S. PATEWA 22261110401 5196 BALRAMPUR WADRAFNAGAR M.S. PATEWA 22261110402 5197 BALRAMPUR WADRAFNAGAR P.S. GUDRU 22261110501 5198 BALRAMPUR WADRAFNAGAR M.S.GUDRU 22261110502 5199 BALRAMPUR WADRAFNAGAR P.S.RAJAPARA 22261110503 5200 BALRAMPUR WADRAFNAGAR P.S. KHAIRGHAT 22261110504 5201 BALRAMPUR WADRAFNAGAR P.S. KARAMDIHA 22261110601 5202 BALRAMPUR WADRAFNAGAR P.S. PANDOPARA 22261110603 5203 BALRAMPUR WADRAFNAGAR M.S. KARAMDIHA 22261110604 5204 BALRAMPUR WADRAFNAGAR P.S. BAGAINAR 22261110701 5205 BALRAMPUR WADRAFNAGAR M.S. BAGAINAR 22261110702 5206 BALRAMPUR WADRAFNAGAR P.S. ASANDIH 22261110801 5207 BALRAMPUR WADRAFNAGAR M.S.ASANDIH 22261110802 5208 BALRAMPUR WADRAFNAGAR P.S. SANANDAND 22261110803 5209 BALRAMPUR WADRAFNAGAR P.S.KOKARAPARA 22261110804 5210 BALRAMPUR WADRAFNAGAR P.S. TENDUDAND 22261110901 5211 BALRAMPUR WADRAFNAGAR P.S. LANGDI 22261111001 5212 BALRAMPUR WADRAFNAGAR M.S. LANGDI 22261111002
  • 159.
    5213 BALRAMPUR WADRAFNAGARP.S. CHARCHARI 22261111101 5214 BALRAMPUR WADRAFNAGAR M.S. CHARCHARI 22261111102 5215 BALRAMPUR WADRAFNAGAR BHARUHIBANS 22261111201 5216 BALRAMPUR WADRAFNAGAR M.S. BHARUHIBANS 22261111203 5217 BALRAMPUR WADRAFNAGAR P.S. MUDIYA 22261111301 5218 BALRAMPUR WADRAFNAGAR P.S. CHAKDEHI 22261111401 5219 BALRAMPUR WADRAFNAGAR P.S. HARIJANPARA 22261111501 5220 BALRAMPUR WADRAFNAGAR P.S.G. BALANGI 22261111601 5221 BALRAMPUR WADRAFNAGAR P.S.B. BALANGI 22261111602 5222 BALRAMPUR WADRAFNAGAR M.S.BALANGI 22261111603 5223 BALRAMPUR WADRAFNAGAR P.S. LOHARPARA 22261111605 5224 BALRAMPUR WADRAFNAGAR P.S. NAVATOLA 22261111606 5225 BALRAMPUR WADRAFNAGAR M.S.G.BALANGI 22261111607 5226 BALRAMPUR WADRAFNAGAR P.S.HARIJANPARA 22261111608 5227 BALRAMPUR WADRAFNAGAR M.S. IMLIPARA 22261111609 5228 BALRAMPUR WADRAFNAGAR M.S. TISIYADAND 22261111610 5229 BALRAMPUR WADRAFNAGAR P.S. KARIMATI 22261111801 5230 BALRAMPUR WADRAFNAGAR P.S. HARDIBAHRA 22261111901 5231 BALRAMPUR WADRAFNAGAR P.S. PANIKAPARA 22261111902 5232 BALRAMPUR WADRAFNAGAR M.S. HARDIBAHRA 22261111903 5233 BALRAMPUR WADRAFNAGAR P.S. TORFA 22261112001 5234 BALRAMPUR WADRAFNAGAR P.S. SIDHADAND 22261112002 5235 BALRAMPUR WADRAFNAGAR P.S. MAJHAOLI 22261112101 5236 BALRAMPUR WADRAFNAGAR P.S. MAJHAULI,BICHPARA 22261112102 5237 BALRAMPUR WADRAFNAGAR P.S. CHAPOTA 22261112201 5238 BALRAMPUR WADRAFNAGAR P.S. TUGAVA 22261112301 5239 BALRAMPUR WADRAFNAGAR M.S.TUGAVA 22261112302 5240 BALRAMPUR WADRAFNAGAR P.S. BAHERADAND 22261112303 5241 BALRAMPUR WADRAFNAGAR P.S.VYOHARIPARA 22261112304 5242 BALRAMPUR WADRAFNAGAR P.S. JHAPAR 22261112401 5243 BALRAMPUR WADRAFNAGAR M.S. JHAPAR 22261112402 5244 BALRAMPUR WADRAFNAGAR P.S. PATELPARA 22261112501 5245 BALRAMPUR WADRAFNAGAR P.S. KOGAVAR 22261112601
  • 160.
    5246 BALRAMPUR WADRAFNAGARP.S.TISIYADAND 22261112602 5247 BALRAMPUR WADRAFNAGAR P.S.MACHANDAND 22261112603 5248 BALRAMPUR WADRAFNAGAR P.S. JOGIYANI 22261112701 5249 BALRAMPUR WADRAFNAGAR P.S. IMALIPARA 22261112702 5250 BALRAMPUR WADRAFNAGAR P.S. KARRI 22261112801 5251 BALRAMPUR WADRAFNAGAR P.S. GOBARDAHA 22261112901 5252 BALRAMPUR WADRAFNAGAR M.S. GOVARDAHA 22261112902 5253 BALRAMPUR WADRAFNAGAR P.S. BEBDI 22261113001 5254 BALRAMPUR WADRAFNAGAR P.S.PANDOPARA 22261113002 5255 BALRAMPUR WADRAFNAGAR P.S. MOHLITIKRA 22261113201 5256 BALRAMPUR WADRAFNAGAR P.S. LAMORI 22261113301 5257 BALRAMPUR WADRAFNAGAR P.S. GADAIPARA 22261113302 5258 BALRAMPUR WADRAFNAGAR M.S. LAMORI 22261113303 5259 BALRAMPUR WADRAFNAGAR P.S. BIRENDRANAGAR 22261113401 5260 BALRAMPUR WADRAFNAGAR M.S.BIRENDRANAGAR 22261113402 5261 BALRAMPUR WADRAFNAGAR P.S. MITHIMAHUA 22261113403 5262 BALRAMPUR WADRAFNAGAR P.S. MUSKURAPARA 22261113404 5263 BALRAMPUR WADRAFNAGAR P.S. SAFIPARA 22261113405 5264 BALRAMPUR WADRAFNAGAR P.S. KAMALPUR 22261113501 5265 BALRAMPUR WADRAFNAGAR P.S. KAMALPUR,PANDOPARA 22261113502 5266 BALRAMPUR WADRAFNAGAR M.S. KAMALPUR 22261113503 5267 BALRAMPUR WADRAFNAGAR P.S. MURKAOL 22261113601 5268 BALRAMPUR WADRAFNAGAR P.S. KUSHWAHAPARA 22261113602 5269 BALRAMPUR WADRAFNAGAR P.S.AMAJHARIYA 22261113603 5270 BALRAMPUR WADRAFNAGAR P.S.PATELPARA 22261113604 5271 BALRAMPUR WADRAFNAGAR M.S. B. MURKAOL 22261113605 5272 BALRAMPUR WADRAFNAGAR M.S. G. MURKAOL 22261113606 5273 BALRAMPUR WADRAFNAGAR P.S. PARASDIHA KHAS 22261113701 5274 BALRAMPUR WADRAFNAGAR P.S. KARAMDIHA (B) 22261113801 5275 BALRAMPUR WADRAFNAGAR M.S.KARAMDIHA(B) 22261113802 5276 BALRAMPUR WADRAFNAGAR P.S. DHARAMSULIPARA 22261113803 5277 BALRAMPUR WADRAFNAGAR P.S. GANDHIPARA 22261113804 5278 BALRAMPUR WADRAFNAGAR P.S. GHUTRAPARA 22261113805
  • 161.
    5279 BALRAMPUR WADRAFNAGARM.S. G. KARAMDIHA(B) 22261113806 5280 BALRAMPUR WADRAFNAGAR M.S. DHARAMSULIPARA 22261113807 5281 BALRAMPUR WADRAFNAGAR P.S. PARASDIHA 22261113901 5282 BALRAMPUR WADRAFNAGAR P.S. JSMAIPARA 22261113902 5283 BALRAMPUR WADRAFNAGAR P.S. GAOTIYAPARA 22261114001 5284 BALRAMPUR WADRAFNAGAR P.S. BARTI KHAS 22261114101 5285 BALRAMPUR WADRAFNAGAR M.S.B.BARTIKALA 22261114103 5286 BALRAMPUR WADRAFNAGAR M.S.G.BARTIKALA 22261114104 5287 BALRAMPUR WADRAFNAGAR M.S. BARTIKHAS 22261114105 5288 BALRAMPUR WADRAFNAGAR P.S. SAVITRIPUR 22261114301 5289 BALRAMPUR WADRAFNAGAR P.S. RAJKHETA 22261114401 5290 BALRAMPUR WADRAFNAGAR P.S. NIRASRITPARA 22261114402 5291 BALRAMPUR WADRAFNAGAR P.S. GHUTRAPARA 22261114403 5292 BALRAMPUR WADRAFNAGAR M.S. RAJKHETA 22261114404 5293 BALRAMPUR WADRAFNAGAR P.S. AASHRAMPARA 22261114405 5294 BALRAMPUR WADRAFNAGAR M.S. BAJARMARA 22261114406 5295 BALRAMPUR WADRAFNAGAR P.S. GOVERDHANPUR 22261114501 5296 BALRAMPUR WADRAFNAGAR P.S. PATELPARA 22261114502 5297 BALRAMPUR WADRAFNAGAR P.S. BARKIRKAPARA 22261114503 5298 BALRAMPUR WADRAFNAGAR M.S. GOVERDHANPUR 22261114504 5299 BALRAMPUR WADRAFNAGAR P.S.JANJALIPARA 22261114701 5300 BALRAMPUR WADRAFNAGAR P.S. BENGO 22261114801 5301 BALRAMPUR WADRAFNAGAR M.S. BENGO 22261114802 5302 BASTER BAKAWAND GOVT. KANYA PRIMARY SCHOOL BAKAWAND 22152900101 5303 BASTER BAKAWAND GOVT. UPS BELGUDA 22152900102 5304 BASTER BAKAWAND GOVT.UPS BAKAWAND 22152900103 5305 BASTER BAKAWAND AJKV GOVT. PRIMARY SCHOOL BAKAWAND 22152900105 5306 BASTER BAKAWAND GOVT. PS AWASPARA BAKAWAND 22152900108 5307 BASTER BAKAWAND GOVT. KANYA UPS BAKAWAND 22152900109 5308 BASTER BAKAWAND GOVT. PRIMARY SCHOOL PATELPRA BAKAWAND 22152900301 5309 BASTER BAKAWAND GOVT. PRIMARY SCHOOL AMRIGUDA 22152900401 5310 BASTER BAKAWAND GOVT. PRIMARY SCHOOLUDIYAPAL 22152900501 5311 BASTER BAKAWAND GOVT. PRIMARY SCHOOL MAJHIPARA UDIYAPL 22152900601
  • 162.
    5312 BASTER BAKAWANDGOVT. UPS MAJHIPARA UDIYAPAL 22152900602 5313 BASTER BAKAWAND PRIMARY SCHOOL KODAWAND 22152900701 5314 BASTER BAKAWAND GOVT. PRIMARY SCHOOL BHARRAPARA 22152900703 5315 BASTER BAKAWAND GOVT. PRIMARY SCHOOL SIVNAGUDA 22152900801 5316 BASTER BAKAWAND GOVT. P.S. SIVNAGUDA 22152900802 5317 BASTER BAKAWAND GOVT. PRIMARY SCHOOL KOSHMI 22152900901 5318 BASTER BAKAWAND GOVT. UPS KOSAMI 22152900903 5319 BASTER BAKAWAND GOVT. AWASPARA KOSHMI 22152900904 5320 BASTER BAKAWAND GOVT. GYANJYOTI BAIDARPARA 22152900905 5321 BASTER BAKAWAND GOVT. PRIMARY SCHOOL 22152901101 5322 BASTER BAKAWAND GOVT. PRIMARY SCHOOL 22152901301 5323 BASTER BAKAWAND GOVT. UPS BHEJRIPADAR 22152901302 5324 BASTER BAKAWAND GOVT. PRIMARY SCHOOL 22152901401 5325 BASTER BAKAWAND GOVT. PRIMARY SCHOOL 22152901501 5326 BASTER BAKAWAND JANPAD PRIMARY SCHOOL 22152901601 5327 BASTER BAKAWAND GOVT. MS RAJNAGAR 22152901603 5328 BASTER BAKAWAND BALAK PRIMARY SCHOOL 22152901604 5329 BASTER BAKAWAND GOVT. PRIMARY SCHOOL 22152901701 5330 BASTER BAKAWAND GOVT. P.S. KHAMESHRI 22152901702 5331 BASTER BAKAWAND GOVT. PRIMARY SCHOOL 22152901801 5332 BASTER BAKAWAND GOVT. UPS KINJOLI 22152901803 5333 BASTER BAKAWAND GOVT. PRIMARY SCHOOL KINAJOLI 22152901901 5334 BASTER BAKAWAND GOVT. UPS PRIMARY SCHOOL 22152902001 5335 BASTER BAKAWAND GOVT. PRIMARY SCHOOL 22152902101 5336 BASTER BAKAWAND GOVT. MS MOHLAI 22152902103 5337 BASTER BAKAWAND GOVT. P.S. MOHLAI (KINJOLI) 22152902104 5338 BASTER BAKAWAND GOVT. UPS MOHLAI 2 22152902105 5339 BASTER BAKAWAND GOVT. PRIMARY SCHOOL 22152902201 5340 BASTER BAKAWAND GOVT. MS RAMPAL 22152902202 5341 BASTER BAKAWAND GOVT. PRIMARY SCHOOL 22152902301 5342 BASTER BAKAWAND GOVT. UPS NEGANAR 22152902302 5343 BASTER BAKAWAND GOVT. PRIMARY SCHOOL 22152902401 5344 BASTER BAKAWAND GOVT. MS MONGRAPAL 22152902402
  • 163.
    5345 BASTER BAKAWANDGOVT. PRIMARY SCHOOL BELGUDA 22152902501 5346 BASTER BAKAWAND GOVT. PRIMARY SCHOOL JHARUMARGAON 22152902601 5347 BASTER BAKAWAND GOVT. P.S. JHARUMARGAON MAHARAPARA 22152902602 5348 BASTER BAKAWAND GOVT. UPS JHARUMARGAON 22152902603 5349 BASTER BAKAWAND GOVT. JANPAD PRIMARY SCHOOL 22152902901 5350 BASTER BAKAWAND GOVT. UPS DODREPAL 22152902902 5351 BASTER BAKAWAND GOVT. PRIMARY SCHOOL 22152903001 5352 BASTER BAKAWAND GOVT. PRIMARY SCHOOL 22152903101 5353 BASTER BAKAWAND GOVT. JANPAD PRIMARY SCHOOL 22152903201 5354 BASTER BAKAWAND GOVT. UPS CHHOTE DEWDA 22152903202 5355 BASTER BAKAWAND GOVT. SANT BINOVABAVE BALAK ASHRAM 22152903301 5356 BASTER BAKAWAND GOVT. PRIMARY SCHOOL SARGIGUDA 22152903302 5357 BASTER BAKAWAND GOVT. NPS PRIMARY SCHOOL SARGIGUDA 22152903303 5358 BASTER BAKAWAND GOVT. MATA HINGLAJIN P.S. 22152903304 5359 BASTER BAKAWAND GOVT. PRIMARY SCHOOL BIJAGUDA 22152903401 5360 BASTER BAKAWAND GOVT. PS BIJAGUDA 22152903402 5361 BASTER BAKAWAND GOVT. NAVEEN PS PUJARIPARA SARGIPAL 22152903403 5362 BASTER BAKAWAND GOVT. PS SARGIPAL 22152903503 5363 BASTER BAKAWAND GOVT. UPS SARGIPAL 22152903504 5364 BASTER BAKAWAND K.G.B.V. BAKAWAND 22152903505 5365 BASTER BAKAWAND GOVT. PRIMARY SCHOOL 22152903601 5366 BASTER BAKAWAND UPS KORTA 22152903602 5367 BASTER BAKAWAND GOVT. NAVEN PS THOTHAPARA KORTA 22152903603 5368 BASTER BAKAWAND GOVT. PRIMARY SCHOOL 22152903701 5369 BASTER BAKAWAND GOVT. PRIMARY SCHOOL 22152903801 5370 BASTER BAKAWAND GOVT. MS TUNGAPAL 22152903802 5371 BASTER BAKAWAND GOVT. AKTAGUDA KOSMI 22152903803 5372 BASTER BAKAWAND GOVT. PRIMARY SCHOOL 22152903901 5373 BASTER BAKAWAND GOVT. TALSUNDIPARA 22152903903 5374 BASTER BAKAWAND GOVT. PRIMARY SCHOOL PUJARIPARA 22152904001 5375 BASTER BAKAWAND GOVT. PRIMARY SCHOOL 22152904101 5376 BASTER BAKAWAND GOVT. PS PARAIGUDA 22152904102 5377 BASTER BAKAWAND GOVT. PRIMARY SCHOOL PITHAPUR 22152904201
  • 164.
    5378 BASTER BAKAWANDGOVT. PS PITHAPUR 22152904202 5379 BASTER BAKAWAND GOVT. UPS PITHAPUR 22152904203 5380 BASTER BAKAWAND GOVT. PRIMARY SCHOOL 22152904301 5381 BASTER BAKAWAND GOVT. MS ULNAR 22152904302 5382 BASTER BAKAWAND GOVT. NAVIN PS SHANTINAGAR TALNAR 22152904303 5383 BASTER BAKAWAND GOVT. PRIMARY SCHOOL MAJHIPARA TALNAR 22152904401 5384 BASTER BAKAWAND GOVT. PRIMARY SCHOOL 22152904501 5385 BASTER BAKAWAND GOVT. PRIMARY SCHOOL BEDA UMAR GAON 22152904601 5386 BASTER BAKAWAND GOVT. NAVEEN PRIMARY SCHOOL PATELPARA 22152904602 5387 BASTER BAKAWAND GOVT. MS BEDAUMARGAON 22152904603 5388 BASTER BAKAWAND GOVT. PRIMARY SCHOOL 22152904701 5389 BASTER BAKAWAND GOVT. MS BORPADAR 22152904703 5390 BASTER BAKAWAND GOVT. PS BORIPADAR 22152904704 5391 BASTER BAKAWAND GOVT. PRIMARY SCHOOL SAHUKARPARA 22152904801 5392 BASTER BAKAWAND GOVT. PS KACHNAR 22152904902 5393 BASTER BAKAWAND GOVT. UPS KACHNAR 22152904903 5394 BASTER BAKAWAND GOVT. PRIMARY SCHOOL 22152905001 5395 BASTER BAKAWAND GOVT. PRIMARY SCHOOL 22152905101 5396 BASTER BAKAWAND GOVT. PRIMARY SCHOOL 22152905201 5397 BASTER BAKAWAND GOVT. PRIMARY SCHOOLCHOLNAR 22152905202 5398 BASTER BAKAWAND GOVT. UPS NAVEEN CHOLNAR 22152905203 5399 BASTER BAKAWAND GOVT. UPS CHOLNAR 22152905204 5400 BASTER BAKAWAND GOVT. PRIMARY SCHOOL BOYS KARITGAON 22152905401 5401 BASTER BAKAWAND GOVT. GIRLS KARITGAON 22152905404 5402 BASTER BAKAWAND GOVT.UPS KARITGAON 22152905405 5403 BASTER BAKAWAND GOVT. PRIMARY SCHOOL 22152905501 5404 BASTER BAKAWAND GOVT. PRIMARY SCHOOL 22152905602 5405 BASTER BAKAWAND GOVT. PS MARETHA 22152905701 5406 BASTER BAKAWAND GOVT. M.S. MARETHA 22152905702 5407 BASTER BAKAWAND GOVT. PRIMARY SCHOOL 22152905801 5408 BASTER BAKAWAND GOIVT. PRIMARY SCHOOL FARSARA 22152905901 5409 BASTER BAKAWAND GOVT. MS FARSARA 22152905902 5410 BASTER BAKAWAND GOVT. PRIMARY SCHOOL 22152906001
  • 165.
    5411 BASTER BAKAWANDAJKV MS SANVRA 22152906002 5412 BASTER BAKAWAND GOVT. JANPAD PRIMARY SCHOOL 22152906101 5413 BASTER BAKAWAND GOVT.MS TONGKONGERA 22152906202 5414 BASTER BAKAWAND GOVT. PRIMARY SCHOOL THONGKONGERA 22152906301 5415 BASTER BAKAWAND GOVT. KANYA PRIMARY SCHOOL 22152906302 5416 BASTER BAKAWAND GOVT. PRIMARY SCHOOL CHIURGAON 22152906402 5417 BASTER BAKAWAND GOVT. MS CHIURGAON 22152906405 5418 BASTER BAKAWAND GOVT. PRIMARY SCHOOL BAGRAY 22152906601 5419 BASTER BAKAWAND GOVT. UPS KOUDAWAND 22152906701 5420 BASTER BAKAWAND GOVT. UPS SHIVNAGUDA 22152906703 5421 BASTER BAKAWAND GOVT. PRIMARY SCHOOL 22152906901 5422 BASTER BAKAWAND GOVT. UPS. FARSIGAON 22152906902 5423 BASTER BAKAWAND GOVT. PRIMARY SCHOOL 22152907001 5424 BASTER BAKAWAND GOVT. MS SANDHKARMARI 22152907002 5425 BASTER BAKAWAND GOVT. PS POTIWAND 22152907201 5426 BASTER BAKAWAND GOVT. MS POTIYAWAND 22152907202 5427 BASTER BAKAWAND GOVT MIDDLE SCHOOL KHEMESHWARI PARA 22152907203 5428 BASTER BAKAWAND GOVT. PRIMARY SCHOOL 22152907301 5429 BASTER BAKAWAND GOVT. UPS SANDEVDA 22152907302 5430 BASTER BAKAWAND GOVT. PRIMARY SCHOOL 22152907401 5431 BASTER BAKAWAND GOVT. UPS BIJAGUDA CHOTEDEWDA 22152907507 5432 BASTER BAKAWAND GOVT. PS KHALBHATA 22152907510 5433 BASTER BAKAWAND PRIMARY SCHOOL BADEDEVDA 22152907901 5434 BASTER BAKAWAND AJKV MS BADE DEVDA 22152907903 5435 BASTER BAKAWAND PRIMARY SCHOOL NARAWAND 22152908201 5436 BASTER BAKAWAND GOVT. UPS NARAWAND 22152908202 5437 BASTER BAKAWAND UPS TALSUNDIPARA 22152908203 5438 BASTER BAKAWAND GOVT. PS.PRIMARY SCHOOL SEMARGUDA 22152908301 5439 BASTER BAKAWAND GOVT.UPS SEMARGUDA 22152908302 5440 BASTER BAKAWAND PRIMARY SCHOOL MANGNAR 22152908401 5441 BASTER BAKAWAND MS MANGNAR 22152908402 5442 BASTER BAKAWAND GYANJYOTI KANDARAGUDA 22152908403 5443 BASTER BAKAWAND KANIST PRIMARY SCHOOL 22152908501
  • 166.
    5444 BASTER BAKAWANDUPS. JONDARIGUDA 22152908502 5445 BASTER BAKAWAND KANIST PRIMARY SCHOOL 22152908601 5446 BASTER BAKAWAND KPS SORAGUDA 22152908602 5447 BASTER BAKAWAND MS BELPUTI 22152908702 5448 BASTER BAKAWAND KANYA ASRAM BELPUTI 22152908703 5449 BASTER BAKAWAND PRIMARY SCHOOL GOTIGUDA 22152908801 5450 BASTER BAKAWAND PS GOTIGUDA SATOSHA 22152908802 5451 BASTER BAKAWAND GOVT. PRIMARY SCHOOL KHOTLAPAL 22152908901 5452 BASTER BAKAWAND GOVT. MS KHOTLAPAL 22152908902 5453 BASTER BAKAWAND PRIMARY SCHOOL MATNAR 22152909001 5454 BASTER BAKAWAND GOVT. MS MATNAR 22152909002 5455 BASTER BAKAWAND GYANJYOTI BHIMAGUDA 22152909003 5456 BASTER BAKAWAND GYANJYOTI PANKAPARA 22152909004 5457 BASTER BAKAWAND GYANJYOTI DONGARIYAPARA 22152909005 5458 BASTER BAKAWAND GOVT. PS BRAMAN PARA MATNAR 22152909006 5459 BASTER BAKAWAND GOVT. PS MAGARGUDA 22152909007 5460 BASTER BAKAWAND GOVT. PRIMARY SCHOOL BEDAGAON 22152909101 5461 BASTER BAKAWAND GOVT. PRIMARY SCHOOL SONPUR 22152909202 5462 BASTER BAKAWAND GOVT. MS SONPUR 22152909203 5463 BASTER BAKAWAND GYANJYOTI THOTHAPARA 22152909204 5464 BASTER BAKAWAND GOVT. PRIMARY SCHOOL SALEGUDA 22152909301 5465 BASTER BAKAWAND GOVT. UPS BANIYAGAON 22152909401 5466 BASTER BAKAWAND GOVT. PRIMRY SCHOOL BANIYAGAON 22152909402 5467 BASTER BAKAWAND GOVT. KANYA PRIMARY SCHOOL JAITGIRI 22152909601 5468 BASTER BAKAWAND GOVT. BALAK PRIMARY SCHOOL JAITGIRI 22152909603 5469 BASTER BAKAWAND GOVT. MS JAITGIRI 22152909604 5470 BASTER BAKAWAND GOVT. UPS TALNAR 22152909606 5471 BASTER BAKAWAND PT. MOTILAL NEHRU ASHRAM SCHOL 22152909701 5472 BASTER BAKAWAND GOVT. PS DURKATHONGA 22152909703 5473 BASTER BAKAWAND GOVT. BALIKAASRAM DURKATHONGA 22152909704 5474 BASTER BAKAWAND GOVT. NAVEEN PS DURKATHONGA 22152909705 5475 BASTER BAKAWAND GOVT. UPS BANGALDONGRI 22152909803 5476 BASTER BAKAWAND GOVT. PS BANGLADONGARI 22152909804
  • 167.
    5477 BASTER BAKAWANDGOVT. PRIMARY SCHOOL KARPAWAND 22152909902 5478 BASTER BAKAWAND GOVT. BALAK ASHRAM KARPAWAND 22152909903 5479 BASTER BAKAWAND GOVT. MS KARPAWAND 22152909904 5480 BASTER BAKAWAND GOVT. PRIMARY SCHOOL 22152910001 5481 BASTER BAKAWAND GOVT. PRIMARY SCHOOL MOOLI 22152910101 5482 BASTER BAKAWAND GOVT. MS KUMHRAWAND 22152910102 5483 BASTER BAKAWAND GOVT. PRIMARY SCHOOL BARDA 22152910301 5484 BASTER BAKAWAND GOVT. BALAK ASRAM BARDA 22152910302 5485 BASTER BAKAWAND GOVT. PRIMARY SCHOOL MOOLI 22152910401 5486 BASTER BAKAWAND GOVT. UPS MOOLI 22152910402 5487 BASTER BAKAWAND GOVT. PS DONGRIGUDA 22152910405 5488 BASTER BAKAWAND GOVT. UPS GOTIGUDA 22152910406 5489 BASTER BAKAWAND GOVT. PS BIRJIKATI 22152910407 5490 BASTER BAKAWAND GOVT. PRIMARY SCHOOL CHAPAPADAR 22152910501 5491 BASTER BAKAWAND GOVT. UPS CHAPAPADAR 22152910502 5492 BASTER BAKAWAND GOVT. PRIMARY SCHOOL CHIKHALKARMARI 22152910601 5493 BASTER BAKAWAND GOVT. PRIMARY SCHOOL GIROLA 22152910701 5494 BASTER BAKAWAND GOVT. UPS JUNAVANI 22152910702 5495 BASTER BAKAWAND GOVT. PRIMARY SCHOOL DURKABEDA 22152910801 5496 BASTER BAKAWAND PRIMARY SCHOOL PAHURBEL 22152910901 5497 BASTER BAKAWAND T.W.D. GOVT.MS PAHURBEL 22152910902 5498 BASTER BAKAWAND GYANJYOTI HIRLAGUDA 22152910905 5499 BASTER BAKAWAND GYANJYOTI DONGARIGUDA 22152910906 5500 BASTER BAKAWAND GOVT. UPS SORAGUDA 22152910907 5501 BASTER BAKAWAND GOVT. UPS MAJIPARA ULNAR 22152910908 5502 BASTER BAKAWAND GOVT. MS PLAT PAPRA 22152910909 5503 BASTER BAKAWAND GOVT. PS DONGRIGUDA 22152910910 5504 BASTER BAKAWAND PS JONDRIGUDA 22152910911 5505 BASTER BAKAWAND PS BADLAWAND 22152910912 5506 BASTER BAKAWAND PS DAMAGUDA 22152910913 5507 BASTER BAKAWAND GOVT. UPS KARANJI 22152910914 5508 BASTER BAKAWAND GOVT. MS BARDA 22152910915 5509 BASTER BAKAWAND GOVT. UPS SIDAWAND 22152910916
  • 168.
    5510 BASTER BAKAWANDGOVT. PS AWAS PLAT TALNAR 22152910917 5511 BASTER BAKAWAND GOVT. NAVIN PS BADE PARA TALNAR 22152910918 5512 BASTER BAKAWAND GOVT. PS BANIYAGAON 22152910919 5513 BASTER BAKAWAND GOVT. PS SAOTPUR 22152910920 5514 BASTER BAKAWAND GOVT. UPS NAVEEN SONPUR 22152910921 5515 BASTER BAKAWAND GOVT. PS KARINGIGUDA 22152910923 5516 BASTER BAKAWAND GOVT. PS KHASPARA SAOTPUR 22152910924 5517 BASTER BAKAWAND GOVT. UPS SATLAWAND 22152910925 5518 BASTER BAKAWAND GOVT. UPS BANARAS 22152910926 5519 BASTER BAKAWAND GOVT. UPS GIROLA 22152910927 5520 BASTER BAKAWAND GOVT. UPS JAITGIRI 22152910928 5521 BASTER BAKAWAND GOVT. UPS SAOTPUR 22152910929 5522 BASTER BAKAWAND GOVT. PS DENGUDA BARDA 22152910930 5523 BASTER BAKAWAND GOVT. NPS KURLOOMARI 22152911001 5524 BASTER BAKAWAND UPS DAMAGUDA 22152911002 5525 BASTER BAKAWAND GOVT. AJKV PS KATACHEPDA 22152911003 5526 BASTER BAKAWAND GOVT. PRIMARY SCHOOL KARHABHATA 22152911101 5527 BASTER BAKAWAND PRIMARY SCHOOL FARSIGAON 22152911201 5528 BASTER BAKAWAND NAVEEN PARIMARY SCHOOL FARSIGAON THOTHOPARA22152911202 5529 BASTER BAKAWAND PRIMARY SCHOOL T.W.D. SIMODA 22152911301 5530 BASTER BAKAWAND UPS SIMODA (T.W.D.) 22152911302 5531 BASTER BAKAWAND PRIMARY SCHOOL CHINARI 22152911401 5532 BASTER BAKAWAND GOVT. MS CHINARI 22152911402 5533 BASTER BAKAWAND PRIMARY SCHOOL SATLAWAND 22152911601 5534 BASTER BAKAWAND PRIMARY SCHOOL BHAKWAGUDA 22152911701 5535 BASTER BAKAWAND UPS BHAKWAGUDA 22152911703 5536 BASTER BAKAWAND PRIMARY SCHOOL 22152911801 5537 BASTER BAKAWAND GOVT. PS BORIGAON 22152911803 5538 BASTER BAKAWAND MS BORIGAON 22152911804 5539 BASTER BAKAWAND A.J.K.V PRIMARY SCHOOL 22152912002 5540 BASTER BAKAWAND BALAK ASRAM 22152912003 5541 BASTER BAKAWAND U.P.S LAVAGAON 22152912004 5542 BASTER BAKAWAND SANYUKT ASRAM PRIMARY SCHOOL 22152912201
  • 169.
    5543 BASTER BAKAWANDPS CHARGAO 22152912202 5544 BASTER BAKAWAND UPS CHARGAO 22152912203 5545 BASTER BAKAWAND PRIMARY SCHOOL 22152912301 5546 BASTER BAKAWAND UPS TAREKA 22152912302 5547 BASTER BAKAWAND SANYUKT ASRAM MARIGUDA SATOSAL 22152912401 5548 BASTER BAKAWAND PRIMARY SCHOOL SATOSHA 22152912402 5549 BASTER BAKAWAND GYANJYOTI CHIKHARPADAR 22152912403 5550 BASTER BAKAWAND GOVT.UPS SAROSHA 22152912404 5551 BASTER BAKAWAND GYANJYOTI JHITKAGUDA 22152912405 5552 BASTER BAKAWAND GYANJYOTI KENDUGUDA 22152912406 5553 BASTER BAKAWAND UPS CHALANGUDA 22152912409 5554 BASTER BAKAWAND PS GAURABHAR 22152912501 5555 BASTER BAKAWAND UPS GORABAHAR 22152912502 5556 BASTER BAKAWAND GOVT. PRIMARY SCHOOL CHALANGUDA 22152912601 5557 BASTER BAKAWAND GOVT. KANIST PRIMARY SCHOOL MARIGUDA 22152912801 5558 BASTER BAKAWAND GOVT. NAVEEN PS PUJARI PARA SARGIPAL 22152912804 5559 BASTER BAKAWAND GOVT. UPS MARIGUDA 22152912805 5560 BASTER BAKAWAND GOVT. PRIMARY SCHOOL PATHARI 22152912901 5561 BASTER BAKAWAND GOVT. PRIMARY SCHOOL MADIYAGUDA 22152912903 5562 BASTER BAKAWAND GOVT. NAVIN PRIMARY SCHOOL LAHANGAGUDA 22152912904 5563 BASTER BAKAWAND GOVT. PS KODAGUDA 22152912905 5564 BASTER BAKAWAND GOVT. MS KOLAWAL 22152912906 5565 BASTER BAKAWAND GOVT. PS PAKHNAGUDA 22152912907 5566 BASTER BAKAWAND GOVT. PS KODAGUDA 22152912908 5567 BASTER BAKAWAND GOVT. PS CHOKNAR 22152912909 5568 BASTER BAKAWAND GOVT. PRIMARY SCHOOL 22152913101 5569 BASTER BAKAWAND PRIMARY SCHOOL PLATPARA 22152913301 5570 BASTER BAKAWAND GOVT. PS MATIGUDDA 22152913303 5571 BASTER BAKAWAND GOVT. PS DURKATHONGA SONPUR 22152913304 5572 BASTER BAKAWAND UPS KOLAWAL 22152913305 5573 BASTER BAKAWAND GOVT. PS DONGRIGUDA SATHOSA 22152913306 5574 BASTER BAKAWAND UPS PAKHNAGUDA 22152913307 5575 BASTER BAKAWAND UPS MOKHAGAON 22152913308
  • 170.
    5576 BASTER BAKAWANDUPS BHIRENDA 22152913309 5577 BASTER BAKAWAND UPS DHANPUR 22152913310 5578 BASTER BAKAWAND UPS MAILBEDA 22152913311 5579 BASTER BAKAWAND UPS PATHRI 22152913312 5580 BASTER BAKAWAND JANPAD PS KOLAWAL 22152913313 5581 BASTER BAKAWAND BOYS ASHRAM KOLAWAL 22152913314 5582 BASTER BAKAWAND PS RATAKHANDI 22152913315 5583 BASTER BAKAWAND NPS PUJARIPARA 22152913316 5584 BASTER BAKAWAND GOVT. PS MAJHIGUDA 22152913317 5585 BASTER BAKAWAND GOVT. PS BHALUGUDA 22152913318 5586 BASTER BAKAWAND GOVT. PS DONGRIGUDA 22152913319 5587 BASTER BAKAWAND GOVT. PS DHANPUR 22152913320 5588 BASTER BAKAWAND GOVT.PS TALPARA 22152913321 5589 BASTER BAKAWAND PS BADKOT 22152913322 5590 BASTER BAKAWAND GOVT. NPS GUDIYARI PARA SATHOSA 22152913323 5591 BASTER BAKAWAND GOVT. PS METAWADA 22152913324 5592 BASTER BAKAWAND SANYUKAT ASHRAM PATHRI 22152913325 5593 BASTER BAKAWAND PS SORAGUDA 22152913326 5594 BASTER BAKAWAND PS BHARENDA 22152913327 5595 BASTER BAKAWAND PS KUTIARIGUDA 22152913328 5596 BASTER BAKAWAND PS MOKHAGAON 22152913329 5597 BASTER BAKAWAND PS JAMGUDA 22152913330 5598 BASTER BAKAWAND PS PATELPARA 22152913331 5599 BASTER BAKAWAND PS PAKHNAGUDA 22152913332 5600 BASTER BAKAWAND GOVT. UPS METAWADA 22152913401 5601 BASTER BAKAWAND KANIST PRIMARY SCHOOL 22152913501 5602 BASTER BAKAWAND GOVT. PS DUMARGUDA 22152913801 5603 BASTER BAKAWAND GOVT. UPS DUMARGUDA 22152913802 5604 BASTER BAKAWAND PS KUTIYARIGUDA 22152913803 5605 BASTER BAKAWAND PRIMARY SCHOOL CHINDGAON 22152913901 5606 BASTER BAKAWAND NAVEEN MS CHHINDGAO 22152913902 5607 BASTER BAKAWAND GOVT. PS PUJARIPARA CHINDGAON 22152913903 5608 BASTER BAKAWAND GOVT. PRIMARY SCHOOL DONGARIGUDA CHINDGAON 22152914001
  • 171.
    5609 BASTER BAKAWANDGOVT. MS DONGARIGUDA 22152914002 5610 BASTER BAKAWAND GOVT. P.S. DONGARIGUDA 22152914003 5611 BASTER BAKAWAND PS. DONGARIGUDA 22152914004 5612 BASTER BAKAWAND GOVT. UPS SCHOOL CHOKNAR 22152914201 5613 BASTER BAKAWAND MS DIMRAPAL 22152914302 5614 BASTER BAKAWAND PRIMARY SCHOOL 22152914401 5615 BASTER BAKAWAND MS GARENGA 22152914402 5616 BASTER BAKAWAND NPS GARENGA 22152914403 5617 BASTER BAKAWAND BADE JIRAKHAL 22152914502 5618 BASTER BAKAWAND UPS BADEJIRAKHAL 22152914503 5619 BASTER BAKAWAND GOVT. PS TUNDARI AAMA BADEJHIRAKHAL 22152914504 5620 BASTER BAKAWAND GOVT. NPS AVRABHATA 22152914505 5621 BASTER BAKAWAND PRIMARY SCHOOL 22152914601 5622 BASTER BAKAWAND UPS TEMPAL KOMAR 22152914602 5623 BASTER BAKAWAND PRIMARY SCHOOL 22152914701 5624 BASTER BAKAWAND GOVT. UPS KADAKATA 22152914705 5625 BASTER BAKAWAND UPS JAIBEL 22152914708 5626 BASTER BAKAWAND UPS TUANDRIAMABAL 22152914709 5627 BASTER BAKAWAND GOVT. EKLAVYA ADARSH VIDIYALAY KARPAWAND 22152914711 5628 BASTER BAKAWAND PRIMARY SCHOOL 22152914801 5629 BASTER BAKAWAND UPS POLEBEDA 22152914802 5630 BASTER BAKAWAND KANIST PRIMARY SCHOOL LOHANDI BEDA 22152914901 5631 BASTER BAKAWAND PRIMARY SCHOOL 22152915001 5632 BASTER BAKAWAND MS MALGAON 22152915002 5633 BASTER BAKAWAND PRIMARY SCHOOL DHOBIGUDA 22152915101 5634 BASTER BAKAWAND UPS DHOBIGUDA 22152915102 5635 BASTER BAKAWAND PRIMARY SCHOOL 22152915201 5636 BASTER BAKAWAND UPS ERIKPAL 22152915202 5637 BASTER BAKAWAND PRIMARY SCHOOL 22152915301 5638 BASTER BAKAWAND UPS KHOHKAPAL 22152915304 5639 BASTER BAKAWAND PRIMARY SCHOOL LITIGUDA 22152915401 5640 BASTER BAKAWAND UPS LITIGUDA 22152915402 5641 BASTER BAKAWAND PRIMARY SCHOOL KURUSPAL 22152915501
  • 172.
    5642 BASTER BAKAWANDUPS KURUSPAL 22152915502 5643 BASTER BAKAWAND KANIST PRIMARY SCHOOL CHITALOOR 22152915601 5644 BASTER BAKAWAND PRIMARY SCHOOL CHITALOOR 22152915602 5645 BASTER BAKAWAND MS CHITALUR 22152915603 5646 BASTER BAKAWAND PRIMARY SCHOOL PAIKPAL 22152915701 5647 BASTER BAKAWAND UPS PAIKPAL 22152915702 5648 BASTER BAKAWAND S.C PRIMARY SCHOOL BALPUTI 22152915801 5649 BASTER BAKAWAND KANYA PRIMARY SCHOOL 22152915901 5650 BASTER BAKAWAND GOVT. UPS BAJAWAND 22152915903 5651 BASTER BAKAWAND GOVT. NPS BELGAON PARA TARAPUR 22152916001 5652 BASTER BAKAWAND PRYMARI SCHOOL 22152916003 5653 BASTER BAKAWAND MS TARAPUR 22152916004 5654 BASTER BAKAWAND GOVT. PS JOBA AWAS PARA PAIKPAL 22152916006 5655 BASTER BAKAWAND PRIMARY SCHOOL 22152916101 5656 BASTER BAKAWAND GOVT. NPS TARAPUR 22152916102 5657 BASTER BAKAWAND GOVT. UPS BELGAON 22152916103 5658 BASTER BAKAWAND PRIMARY SCHOOL TALNAR 22152916202 5659 BASTER BAKAWAND GOVT. PS MARETHA 22152916402 5660 BASTER BAKAWAND MATA SHABRI KANYA AASHRAM 22152916403 5661 BASTER BAKAWAND PRIMARY SCHOOL KATACHEPDA 22152916406 5662 BASTER BAKAWAND PRIMARY SCHOOL 22152916601 5663 BASTER BAKAWAND PS PARAUGUDA 22152916602 5664 BASTER BAKAWAND A.J.K.V. PRIMARY SCHOOL DHOWDAKOT 22152916701 5665 BASTER BAKAWAND UPS DHAWADAKOT 22152916702 5666 BASTER BAKAWAND NAVEEN PRIMARY SCHOOL BAREAGUDA 22152916801 5667 BASTER BAKAWAND NAVEN PRIMARY SCHOOL 22152916901 5668 BASTER BAKAWAND KANIST PRIMARY SCHOOL KODOMALI 22152917201 5669 BASTER BAKAWAND GOVT. PRIMARY SCHOOL ATARGUDA 22152917501 5670 BASTER BAKAWAND GOVT. PS KARPAWAND 22152917502 5671 BASTER BAKAWAND GOVT. PS MAGARGUDA 22152917701 5672 BASTER BAKAWAND GOVT. NPS BRAMAN PARA MATNAR 22152917801 5673 BASTER BAKAWAND GOVT. PS NAVIN SONPUR 22152917802 5674 BASTER BAKAWAND GOVT. PS SORAGUDA 22152917901
  • 173.
    5675 BASTER BAKAWANDKANIST PRIMARY SCHOOL 22152918001 5676 BASTER BAKAWAND GOVT. UPS LINGOGUDA 22152918002 5677 BASTER BAKAWAND PRIMARY SCHOOL SOUTPUR 22152918101 5678 BASTER BAKAWAND GYANJYOTI KOTGUDA 22152918102 5679 BASTER BAKAWAND UPS SOUTPUR 22152918103 5680 BASTER BAKAWAND AKHAND JYOTI MS BAKAWAND 22152918501 5681 BASTER BAKAWAND KANIST PRIMARY SHALA 22152918601 5682 BASTER BAKAWAND AJK PS JAMGUDA 22152918701 5683 BASTER BAKAWAND PRIMERY SCHOOL DABDIGUDA 22152918702 5684 BASTER BAKAWAND PRIMARI SCHOOL CHIKHALGUDA 22152918801 5685 BASTER BAKAWAND GOVT. UPS CHIKHALGUDA 22152918802 5686 BASTER BAKAWAND PRIMARI SCHOOL 22152918901 5687 BASTER BAKAWAND PRIMARI SCHOOL 22152919001 5688 BASTER BAKAWAND PRIMARI SCHOOL KARANJIGUDA 22152919201 5689 BASTER BAKAWAND PRIMARI SCHOOL JOGIGUDA 22152919301 5690 BASTER BAKAWAND PS SUKUGUDA 22152919302 5691 BASTER BAKAWAND PRIMARI SCHOOL 22152919401 5692 BASTER BAKAWAND UPS SUVACHOND 22152919402 5693 BASTER BAKAWAND GOVT. PRIMARI SCHOOL TALPARA 22152919501 5694 BASTER BAKAWAND PRIMARI SCHOOL 22152919601 5695 BASTER BAKAWAND GOVT. PS SUKARAGUDA 22152919701 5696 BASTER BAKAWAND PRIMARI SCHOOL KADAGUDA 22152919801 5697 BASTER BAKAWAND GOVT. PRIMARI SCHOOL SUVACHOND 22152919901 5698 BASTER BAKAWAND GOVT. PS KHANDIGUDA 22152920001 5699 BASTER BAKAWAND PRIMARI SCHOOL AMAGUDA 22152920101 5700 BASTER BAKAWAND UPS AMAGUDA 22152920102 5701 BASTER BAKAWAND GOVT. PS AMAGUDA BORPADAR 22152920103 5702 BASTER BAKAWAND PRIMARI SCHOOL 22152920201 5703 BASTER BAKAWAND PRIMARI SCHOOL SIDAWAND 22152920301 5704 BASTER BAKAWAND PRIMARI SCHOOL MANJHIPARA 22152920401 5705 BASTER BAKAWAND PRIMARI SCHOOL PARWABADI 22152920501 5706 BASTER BAKAWAND PRIMARI SCHOOL 22152920601 5707 BASTER BAKAWAND PRIMARI SCHOOL 22152920801
  • 174.
    5708 BASTER BAKAWANDGOVT. MS ULNAR 22152920901 5709 BASTER BAKAWAND PRIMARI SCHOOL 22152921001 5710 BASTER BAKAWAND GOVT. PS TETARGUDA SATHOSA 22152921101 5711 BASTER BAKAWAND PRIMARI SCHOOL GUCHAGUDA 22152921201 5712 BASTER BAKAWAND PRIMARI SCHOOL 22152921301 5713 BASTER BAKAWAND UPS BAYAKAGUDA 22152921302 5714 BASTER BAKAWAND PRIMARI SCHOOL 22152921401 5715 BASTER BAKAWAND PRIMARI SCHOOL 22152921501 5716 BASTER BAKAWAND GOVT. PRIMARI SCHOOL PATHREYAGUDA 22152921601 5717 BASTER BAKAWAND PRIMARI SCHOOL 22152921701 5718 BASTER BAKAWAND PRIMARI SCHOOL 22152921801 5719 BASTER BAKAWAND GOVT. PS KHALEPARA RAMPAL 22152921802 5720 BASTER BAKAWAND PRIMARI SCHOOL GHODIMUNDA 22152921901 5721 BASTER BAKAWAND PRIMARI SCHOOL PARNWABADI 22152922001 5722 BASTER BAKAWAND PRIMARI SCHOOL 22152922101 5723 BASTER BAKAWAND PRIMARI SCHOOL 22152922201 5724 BASTER BAKAWAND PRIMARI SCHOOL 22152922301 5725 BASTER BAKAWAND PRIMARI SCHOOL TELIGUDA 22152922401 5726 BASTER BAKAWAND PRIMARI SCHOOL 22152922501 5727 BASTER BAKAWAND PRIMARI SCHOOL 22152922601 5728 BASTER BASTANAR GOVT.PRIMARY SCHOOL HANDOPARA 22153000101 5729 BASTER BASTANAR GOVT.PS KUMARSADRA 22153000102 5730 BASTER BASTANAR GOVT.PRIMARY SCHOOL BHOSRIRAS 22153000201 5731 BASTER BASTANAR GOVT.PS.JANPAD MUTANPAL 22153000202 5732 BASTER BASTANAR GOVT.PS. SADRABODENAR 22153000301 5733 BASTER BASTANAR GOVT.PRIMARY SCHOOL BIJAPARA 22153000302 5734 BASTER BASTANAR GOVT. PS.KOTWARPARA 22153000303 5735 BASTER BASTANAR GOVT.UPS SADRA BODENAR 22153000304 5736 BASTER BASTANAR GOVT.PS KILEPAL NO 1 22153000401 5737 BASTER BASTANAR GOVT.PS PATELPARA KILEPAL 22153000403 5738 BASTER BASTANAR GOVT. ASHRAM SHALA KILEPAL 22153000404 5739 BASTER BASTANAR GOVT.PRIMARY SCHOOL PUJARIPARA 22153000405 5740 BASTER BASTANAR GOVT.PS.PANDUPARA KILEPAL 22153000407
  • 175.
    5741 BASTER BASTANARGOVT.UPS PUJARIPARA KILEPAL 22153000408 5742 BASTER BASTANAR GOVT.PS LALODIPARA KILEPAL 22153000501 5743 BASTER BASTANAR BOY SCHOOL PRIMARY SCHOOL 22153000601 5744 BASTER BASTANAR GOVT.UPS PAIKPARA KILEPAL 22153000602 5745 BASTER BASTANAR GOVT.G H S S BADE KILEPAL 22153000604 5746 BASTER BASTANAR GOVT GIRLS MS KILEPAL 22153000605 5747 BASTER BASTANAR GOVT MODEL SCHOOL KILEPAL 22153000606 5748 BASTER BASTANAR GOVT.ASHRAM SHALA BADE BODENAR 22153000702 5749 BASTER BASTANAR GOVT.MS.BOYS ASHRAM BADEA BODENAR 22153000703 5750 BASTER BASTANAR GOVT.MS.KISEPARA BASTANAR 22153000901 5751 BASTER BASTANAR GOVT.PS.PATELPARA PARALMETA 22153000902 5752 BASTER BASTANAR GOVT.PS SUKKOPARA 22153001001 5753 BASTER BASTANAR GRILPRIMARY SCHOOL 22153001002 5754 BASTER BASTANAR BOY ASHRAM 22153001003 5755 BASTER BASTANAR GOVT.MS BASTANAR 22153001005 5756 BASTER BASTANAR GOVT.KGBV BASTANAR 22153001006 5757 BASTER BASTANAR GOVT.PS AYTUPARA 22153001007 5758 BASTER BASTANAR GIRLS MIDDLE SCHOOL 22153001008 5759 BASTER BASTANAR GOVT MS. AYTUPARA BASTANAR 22153001009 5760 BASTER BASTANAR GOVT PS KISKEPARA BASTANAR 22153001010 5761 BASTER BASTANAR GOVT PS BASTANAR 22153001012 5762 BASTER BASTANAR GOVT.PRIMARY SCHOOL BIRGALI 22153001201 5763 BASTER BASTANAR GOVT. PS.KOTWALPARA BIRGALI 22153001202 5764 BASTER BASTANAR GOVT.PS GUNJEPARA KILEPAL 22153001203 5765 BASTER BASTANAR GOVT.MS.BIRGALI 22153001204 5766 BASTER BASTANAR GOVT.ASHRAM SHALA JAMGAON 22153001301 5767 BASTER BASTANAR GOVT.PS BURDAPARA JAMGAON 22153001302 5768 BASTER BASTANAR GOVT.PRIMARY SCHOOL PUSEM 22153001401 5769 BASTER BASTANAR GOVT.PRIMARY SCHOOL GUDDIPARA 22153001501 5770 BASTER BASTANAR GOVT.AASHRAM SHALA BAGMUNDI 22153001601 5771 BASTER BASTANAR GOVT.P S KORANGALI 22153001602 5772 BASTER BASTANAR GOVT.PS VAHANPUR PATELPARA 22153001603 5773 BASTER BASTANAR GOVT UPS PATELPARA VAHANPUR 22153001604
  • 176.
    5774 BASTER BASTANARGOVT PS BAGMUNDI PANEDA 22153001605 5775 BASTER BASTANAR GOVT.PS.BADODIPARA BAGMUNDI 22153001701 5776 BASTER BASTANAR GOVT. PRIMARY SCHOOL RODDAPARA 22153001801 5777 BASTER BASTANAR GOVT.PS.PATELPARA BASTANAR 22153001901 5778 BASTER BASTANAR GOVT.PS.PAKLUPARAPARALMETA 22153002001 5779 BASTER BASTANAR GOVT UPS PAKLUPARA PARALMETA 22153002002 5780 BASTER BASTANAR GOVT.PS.KILEPAL NO-2 22153002301 5781 BASTER BASTANAR GOVT.PS.CHIDGUMPARA BASTANAR 22153002501 5782 BASTER BASTANAR GOVT.PS.MATAPARA KODENAR 22153002902 5783 BASTER BASTANAR GOVT.MS KODENAR 22153002903 5784 BASTER BASTANAR GOVT.SANUKAT AAHSRM SHALA KODENAR 22153002906 5785 BASTER BASTANAR GOVT.PRIMARY SCHOOL BANKOPARA 22153002907 5786 BASTER BASTANAR GOVT.PS.RAMAPARA 22153002908 5787 BASTER BASTANAR GOVT.PS.PATELPARA 22153002909 5788 BASTER BASTANAR GOVT.PS. PAKALUPARA 22153002910 5789 BASTER BASTANAR GOVT.PS BURDIPARA 22153002911 5790 BASTER BASTANAR GOVT.PRIMARY SCHOOL KODENAR 22153002912 5791 BASTER BASTANAR GOVT.PS.MUSKONTA 22153003001 5792 BASTER BASTANAR GOVT.PS.DULGOPARA 22153003002 5793 BASTER BASTANAR GOVT.PS.AAHRAM.NAKTOKA 22153003101 5794 BASTER BASTANAR GOVT.PRIMARY SCHOOL SANWGEL 22153003201 5795 BASTER BASTANAR GOVT.PRIMARY SCHOOL BORJA 22153003202 5796 BASTER BASTANAR GOVT.PS BUDHUPARA 22153003203 5797 BASTER BASTANAR GOVT MS SANWGEL 22153003204 5798 BASTER BASTANAR GOVT.PS.MALADIPARA BURGUM 22153003301 5799 BASTER BASTANAR GOVT.MS BURGUM 22153003302 5800 BASTER BASTANAR GOVT.ASHRAM SHALA BURGUM 22153003303 5801 BASTER BASTANAR GOVT.PS MENDAPARA KILEPAL 22153003304 5802 BASTER BASTANAR GOVT. PS.MALADIPARA SANWGEL 22153003305 5803 BASTER BASTANAR GOVT.MS.BODENAR 22153003306 5804 BASTER BASTANAR GOVT.UPS MUSKONTA 22153003307 5805 BASTER BASTANAR GOVT.PS. USHAPARA KODENAR 22153003308 5806 BASTER BASTANAR GOVT.NAVEEN ASHRAM SHALA BURGUM 22153003309
  • 177.
    5807 BASTER BASTANARGOVT.PS.PATELPARA BURGUM 22153003310 5808 BASTER BASTANAR GOVT.PS.BOMDIPARA MUTANPAL 22153003401 5809 BASTER BASTANAR GOVT. PRIMARI SCHOOL PIDEPARA 22153003402 5810 BASTER BASTANAR GOVT.PS.PUJARIPARA 22153003403 5811 BASTER BASTANAR GOVT.MS. BOMDIPARA MUTANPAL 22153003404 5812 BASTER BASTANAR GOVT.PS.GUTTAPARA 22153003501 5813 BASTER BASTANAR GOVT.PS.JANGALPARA 22153003502 5814 BASTER BASTANAR GOVT. MS. GUTTAPARA 22153003503 5815 BASTER BASTANAR GOVT .MS PIDEPARA MUTANPAL 22153003506 5816 BASTER BASTANAR GOVT. PS.NAKAPARA BIRGALI 22153003601 5817 BASTER BASTANAR GOVT.PS DOKAM 22153003602 5818 BASTER BASTANAR GOVT.PRIMARY SCHOOL TITRI 22153003701 5819 BASTER BASTANAR GOVT.PS. JANGALPARA MUTANPAL 22153003704 5820 BASTER BASTANAR GOVT.UPPER PRIMARY SCHOOL TITARI 22153003705 5821 BASTER BASTANAR KANYA AAHRAM MUTANPAL 22153003801 5822 BASTER BASTANAR GOVT.PS.BOY ASHRAM MUTANPAL 22153003802 5823 BASTER BASTANAR GOVT.UPS.NAKTOKA MUTANPAL 22153003803 5824 BASTER BASTANAR GOVT.MS.PATELPARA 22153003805 5825 BASTER BASTANAR GOVT. UPS MUTANPAL 22153003806 5826 BASTER BASTANAR GOVT PS KOLENGPARA SANWGEL 22153003807 5827 BASTER BASTANAR GOVT PS JANGALPARA KAWDIPADAR 22153003808 5828 BASTER BASTANAR GOVT PS JANGAL TITARI 22153003809 5829 BASTER BASTANAR GOVT.PS.BADE KAKLUR 22153003902 5830 BASTER BASTANAR GOVT.MS BADEKAKLOOR 22153003903 5831 BASTER BASTANAR GOVT.UPS KARKAPARA KAKLUR 22153003904 5832 BASTER BASTANAR GOVT.PS.RAUTPARA KUCHEPAL 22153003905 5833 BASTER BASTANAR GOVT.PS.SUKDAPARA KAKLUR 22153003906 5834 BASTER BASTANAR GOVT.PS GAYTAPARA BADE KAKLUR 22153003907 5835 BASTER BASTANAR GOVT.PS MADOGONDI KAKLUR 22153003908 5836 BASTER BASTANAR GOVT UPS KUCHEPAL 22153003909 5837 BASTER BASTANAR GOVT.PRIMARY SCHOOL PIRMETA 22153004001 5838 BASTER BASTANAR GOVT.PS PUJARIPARA LALAGUDA 22153004002 5839 BASTER BASTANAR GOVT.UPS PIRMETA 22153004003
  • 178.
    5840 BASTER BASTANARGOVT.P.S. SURGUDA 22153004004 5841 BASTER BASTANAR GOVT.PRIMARY SCHOOL PUJARIPARA 22153004101 5842 BASTER BASTANAR GOVT.UPS PUJARIPARA SARGIGUDA 22153004103 5843 BASTER BASTANAR GOVT.PS PATELPARA CHHOTE KILEPAL 22153004104 5844 BASTER BASTANAR GOVT.BOYS ASHRAM PALANAR 22153004108 5845 BASTER BASTANAR GOVT.PS DONGRIPARA 22153004109 5846 BASTER BASTANAR GOVT.PS SARGIGUDA 22153004110 5847 BASTER BASTANAR GOVT.PRIMARY SCHOOL TURANGUR 22153004201 5848 BASTER BASTANAR GOVT.MS TURANGUR 22153004202 5849 BASTER BASTANAR GOVT.NAVEEN ASHRAM SHALA TURANGUR 22153004203 5850 BASTER BASTANAR N.P.S. BHRRIPARA RAWA 22153004205 5851 BASTER BASTANAR GOVT.PS.MASAPARA BODENAR 22153004501 5852 BASTER BASTANAR GOVT.PS.IRPA GAYTAPARA 22153004601 5853 BASTER BASTANAR GOVT ASHRAM SHALA IRPA 22153004602 5854 BASTER BASTANAR GOVT.PS.SUKKOPARA BODENAR 22153004701 5855 BASTER BASTANAR GOVT.PS KOLUPARA KILEPAL 22153004702 5856 BASTER BASTANAR GOVT. MS. PUJARIPARA 22153004703 5857 BASTER BASTANAR GOVT. UPS. MASAPARA 22153004705 5858 BASTER BASTANAR GOVT.PS. PATELPARA 22153004706 5859 BASTER BASTANAR GOVT.MS.BAGMUNDI PANEDA 22153004801 5860 BASTER BASTANAR GOVT.PS CHALANPARA BODENAR 22153004901 5861 BASTER BASTANAR GOVT.ASHARAM SHALA KAPANAR 22153005001 5862 BASTER BASTANAR GOVT. PS.KAPANAR 22153005002 5863 BASTER BASTANAR GOVT.MS KAPANAR 22153005003 5864 BASTER BASTANAR GOVT.PS DOSHALPARA KAKLUR 22153005004 5865 BASTER BASTANAR GOVT.PS DABBA PARA KAKLUR 22153005005 5866 BASTER BASTANAR GOVT.PS. NAYAPARA KAPANAR 22153005006 5867 BASTER BASTANAR GOVT.PS KANDKIPARA KAPANAR 22153005007 5868 BASTER BASTANAR GOVT.UPS DABBA PARA KAKLUR 22153005008 5869 BASTER BASTANAR GOVT.UPS KOLAPARA 22153005009 5870 BASTER BASTANAR GOVT UPS KANDKIPARA KAPANAR 22153005010 5871 BASTER BASTANAR GOVT PS PINJOPARA KAPANAR 22153005011 5872 BASTER BASTANAR GOVT UPS GADDOPARA KAPANAR 22153005012
  • 179.
    5873 BASTER BASTANARGOVT. PS. AYTOOPARA 22153005101 5874 BASTER BASTANAR GOVT.UPS AYTOOPARA 22153005102 5875 BASTER BASTANAR GOVT.PS RAUTPARA KAPANAR 22153005201 5876 BASTER BASTANAR GOVT.ASHRAM SHALA CHHOTE KILEPAL 22153005202 5877 BASTER BASTANAR GOVT.P.S.HIRMAPARA KILEPAL 22153005301 5878 BASTER BASTANAR GOVT.PS GUDIYAPARA KILEPAL 22153005302 5879 BASTER BASTANAR GOVT. PS. DHOBHIPARA KILEPAL 22153005401 5880 BASTER BASTANAR GOVT.PS.PAIKPARA KILEPAL 22153005402 5881 BASTER BASTANAR GOVT.UPS BETTIPARA KILEPAL 22153005501 5882 BASTER BASTANAR GOVT.UPS KILEPAL NO 2 22153005502 5883 BASTER BASTANAR GOVT.UPS GUDIYAPARA KILEPAL 22153005503 5884 BASTER BASTANAR GOVT.UPS PEDAPARA KILEPAL 22153005504 5885 BASTER BASTANAR GOVT.UPS PATELPARA KILEPAL 22153005505 5886 BASTER BASTANAR GOVT.P S JAMGAON 22153005601 5887 BASTER BASTANAR GOVT.UPS KORANGALI 22153005604 5888 BASTER BASTANAR GOVT.MS JAMGAON 22153005605 5889 BASTER BASTANAR GOVT.UPS VAHANPUR PATELPARA 22153005704 5890 BASTER BASTANAR GOVT.UPS PATELPARA KANDOLI 22153005705 5891 BASTER BASTANAR GOVT.PS DANKA PARA 22153005706 5892 BASTER BASTANAR GOVT PS PANDUPARA BASTANAR 22153005707 5893 BASTER BASTANAR GOVT.PS BOMDAPARA 22153005708 5894 BASTER BASTANAR GOVT.PS.PATELPARA 22153005801 5895 BASTER BASTANAR GOVT.SANYUKT ASHRAM SALA SADRABODENAR 22153005802 5896 BASTER BASTANAR GOVT.PS PATELPARA 22153005803 5897 BASTER BASTANAR GOVT.PS.. PATELPARA KANDOLI 22153005901 5898 BASTER BASTANAR GOVT.PS.NERONDIPARA BAGMUNDI 22153005902 5899 BASTER BASTANAR GOVT.PS.RAUTPARA KORANGALI 22153005903 5900 BASTER BASTANAR GOVT.PS PATELPARA KUMHARSADRA 22153005904 5901 BASTER BASTANAR GOVT.ASHRAM CHAMRUPARA VAHANPUR 22153005905 5902 BASTER BASTANAR GOVT.UPS.CHAMRUPARA VAHANPUR 22153005906 5903 BASTER BASTANAR GOVT.PS. AAYTUPARA 22153005909 5904 BASTER BASTANAR GOVT.PS.MALLAPARA 22153005910 5905 BASTER BASTANAR GOVT.PS.BAISUPARA VAHANPUR 22153006001
  • 180.
    5906 BASTER BASTANARGOVT.PS.LITIPARA KANDOLI 22153006002 5907 BASTER BASTANAR GOVT.PRIMARY SCHOOL LALAGUDA 22153006201 5908 BASTER BASTANAR GOVT.PS NAKAPARA 22153006202 5909 BASTER BASTANAR GOVT.PRIMARY SCHOOL LALIPARA 22153006203 5910 BASTER BASTANAR GOVT.PS PATELPARA 22153006204 5911 BASTER BASTANAR GOVT.MS LALAGUDA 22153006205 5912 BASTER BASTANAR GOVT.UPS PATELPARA LALAGUDA 22153006206 5913 BASTER BASTANAR GOVT.PS. LAMDIPARA KILEPAL 22153006301 5914 BASTER BASTANAR GOVT.UPS DULAPARA 22153006302 5915 BASTER BASTANAR GOVT.PS.BARCHEPAL 22153006401 5916 BASTER BASTANAR GOVT. PS.RAILWAY COLONY KODENAR 22153006402 5917 BASTER BASTANAR GOVT UPS BARCHEPAL 22153006403 5918 BASTER BASTANAR GOVT UPS RAILWAY COLONY KODENAR 22153006404 5919 BASTER BASTANAR GOVT.PRIMARY SCHOOL KUMAPARA 22153006501 5920 BASTER BASTANAR GOVT UPS KUMAPARA KODENAR 22153006502 5921 BASTER BASTANAR GOVT.PS.CHHOTE KILEPAL 22153006801 5922 BASTER BASTANAR GOVT.PS. CHHOTE BODENAR 22153006803 5923 BASTER BASTANAR GOVT.PS DHURVAPARA 22153006804 5924 BASTER BASTANAR GOVT.UPS CHHOTE KILEPAL 22153006805 5925 BASTER BASTANAR GOVT.PRIMARY SCHOOL KAWANAR 22153006901 5926 BASTER BASTANAR GOVT.UPS KAWANAR 22153006902 5927 BASTER BASTANAR GOVT.MS.PALANAR 22153007001 5928 BASTER BASTANAR GOVT.PS.PALANAR 22153007003 5929 BASTER BASTANAR GOVT.PS.GADDOPARA KAPANAR 22153007101 5930 BASTER BASTANAR GOVT.PS DHURWAPARA KAKLUR 22153007102 5931 BASTER BASTANAR GOVT.PS LAXMANPARA KODENAR 22153007201 5932 BASTER BASTANAR GOVT.PS.SILAKJHODI 22153007301 5933 BASTER BASTANAR GOVT.PS TANGIYAJHORI 22153007302 5934 BASTER BASTANAR GOVT UPS SILAKJHODI 22153007303 5935 BASTER BASTANAR GOVT UPS TANGIYAJHODI 22153007304 5936 BASTER BASTANAR GOVT.PRIMARY SCHOOL GORIYAPAL 22153007401 5937 BASTER BASTANAR GOVT UPS GORIYAPAL 22153007402 5938 BASTER BASTANAR GOVT.UPS.TIRTUM 22153007501
  • 181.
    5939 BASTER BASTANARGOVT.PS.TIRTHUM 22153007505 5940 BASTER BASTANAR GOVT.UPS.KUMARSADARA 22153007601 5941 BASTER BASTANAR GOVT.UPS ERPA 22153007802 5942 BASTER BASTANAR GOVT.PS.JOGOPARA IRPA 22153007901 5943 BASTER BASTANAR GOVT.PS.HATHIKHODRA 22153008001 5944 BASTER BASTANAR GOVT.PS KUCHEPAL 22153008101 5945 BASTER BASTANAR GOVT.PRIMARY SCHOOL DULAPARA 22153008202 5946 BASTER BASTANAR GOVT.PS KARKAPARA KAKLUR 22153008301 5947 BASTER BASTANAR GOVT. PRIMARY SCHOOL BANDAPARA 22153008401 5948 BASTER BASTANAR GOVT.PS. LAXMANPARA KILEPAL 22153008402 5949 BASTER BASTANAR GOVT.PRIMARY SCHOOL BODAPARA 22153008502 5950 BASTER BASTANAR GOVT.PRIMARY SCHOOL ADWAL 22153008601 5951 BASTER BASTANAR GOVT.MS ADWAL 22153008602 5952 BASTER BASTANAR GOVT.PS. MUCHKIPARA 22153008603 5953 BASTER BASTANAR GOVT.BOY ASHRAM TIRTHUM 22153008801 5954 BASTER BASTANAR GOVT.PS BATKONTA 22153008802 5955 BASTER BASTANAR GOVT.PS. PUJARIPARA 22153008804 5956 BASTER BASTANAR GOVT.PS. BETTIPARA BADE KILEPAL 22153008902 5957 BASTER BASTANAR GOVT.UPS SUKOPARA 22153009001 5958 BASTER BASTANAR GOVT.PS.KOLAPARA BADE KAKLUR 22153009201 5959 BASTER BASTANAR GOVT.PS HUNGA PARA KAKLUR 22153009303 5960 BASTER BASTANAR GOVT.PS.KAWDIPADAR 22153009401 5961 BASTER BASTANAR GOVT.PS.MURDEPARA 22153009402 5962 BASTER BASTANAR GOVT.PS.PEDAPARA KILEPAL 22153009501 5963 BASTER BASTANAR GOVT.ASHRAM SHALA BADE KAKLUR 22153011501 5964 BASTER BASTANAR GOVT.PS PATELPARA KAKLUR 22153011502 5965 BASTER BASTANAR GOVT.UPS PATELPARA KAKLUR 22153011503 5966 BASTER BASTANAR GOVT.PS.MANJHIBHATA 22153018701 5967 BASTER BASTAR GOVT. P.S. TARAIGUDA KARMARI SSA 22151700101 5968 BASTER BASTAR JANPAD PRIMARY SCHOOL 22151700201 5969 BASTER BASTAR MS MANDLAPAL 22151700202 5970 BASTER BASTAR PRIMARY SCHOOL KOPLIPARA 22151700203 5971 BASTER BASTAR P.S. MANDLAPAL 22151700206
  • 182.
    5972 BASTER BASTARP.S. BHALUGUDA 22151700207 5973 BASTER BASTAR MS DENG GUDA MANDLAPAL 22151700208 5974 BASTER BASTAR GOVT. M.S. MANDAPAL TWD. 22151700209 5975 BASTER BASTAR PRIMARY SCHOOL 22151700301 5976 BASTER BASTAR P.S. CHHITKAPARA 22151700302 5977 BASTER BASTAR M.S. URBA 22151700303 5978 BASTER BASTAR PRIMARY SCHOOL PATRLIPARA 22151700402 5979 BASTER BASTAR MS CHERAKUR 22151700403 5980 BASTER BASTAR KANIST PRIMARY SCHOOL 22151700501 5981 BASTER BASTAR EPS BANJIKHOL 22151700502 5982 BASTER BASTAR KANIST PRIMARY SCHOOL 22151700601 5983 BASTER BASTAR N.P.S.PARASPARA 22151700603 5984 BASTER BASTAR P.S. NAVAPARA MADANNAGAR 22151700802 5985 BASTER BASTAR P.S. BHAISADHARA 22151700803 5986 BASTER BASTAR P.S. SEMARPARA 22151700904 5987 BASTER BASTAR P.S. TENGAPARA 22151700905 5988 BASTER BASTAR GOVT MS KUNGARPAL TWD 22151700906 5989 BASTER BASTAR PRIMARY SCHOOL 22151701001 5990 BASTER BASTAR PRIMARY SCHOOL 22151701101 5991 BASTER BASTAR P.S. KODAKUPARA NAVADIH 22151701102 5992 BASTER BASTAR N.P.S BHANDARPARA 22151701103 5993 BASTER BASTAR PRIMARY SCHOOL 22151701202 5994 BASTER BASTAR M.S. CHANCHIDAND 22151701203 5995 BASTER BASTAR N.P.S. CHANCHIPARA 22151701204 5996 BASTER BASTAR GOVT MS GONDIYAPAL SSA 22151701205 5997 BASTER BASTAR JANPAD PRIMARY SCHOOL 22151701401 5998 BASTER BASTAR PRIMARY SCHOOL NADIPARA 22151701403 5999 BASTER BASTAR A.J.K.V PRIMARY SCHOOL MUNJULA 22151701406 6000 BASTER BASTAR MS KHANDGAVA KALA 22151701502 6001 BASTER BASTAR P.S. PANDOPARA 22151701503 6002 BASTER BASTAR P.S. JHINGAPARA 22151701504 6003 BASTER BASTAR P.S. PHIRNGIPARA 22151701505 6004 BASTER BASTAR P.S. GUDARUDAND 22151701506
  • 183.
    6005 BASTER BASTARGOVT M.S. TIKANPAL SSA 22151701508 6006 BASTER BASTAR GOVT P.S. TIKANPAL TWD 22151701509 6007 BASTER BASTAR JANPAD PRIMARY SCHOOL 22151701602 6008 BASTER BASTAR PRIMARY SCHOOL MARIPARA 22151701604 6009 BASTER BASTAR GOVT M.S. CHAPKA SSA 22151701605 6010 BASTER BASTAR GOVT M.S. MARIPARA CHAPKA SSA 22151701606 6011 BASTER BASTAR GOVT P.S. MARIPARA CHAPKA SSA 22151701607 6012 BASTER BASTAR GOVT P.S. BOYS AASHRAM CHAPKA TWD 22151701608 6013 BASTER BASTAR GOVT P.S. PATELPARA CHAPKA SSA 22151701609 6014 BASTER BASTAR PRIMARY SCHOOL DEVDA 22151701702 6015 BASTER BASTAR GOVT M.S. DEVADA SSA 22151701703 6016 BASTER BASTAR GOVT MS BHATAPARA DEVADA SSA 22151701704 6017 BASTER BASTAR PRIMARY SCHOOL 22151701901 6018 BASTER BASTAR GOVT M.S. USRI SSA 22151701902 6019 BASTER BASTAR JANPAD PRIMARY SCHOOL 22151702002 6020 BASTER BASTAR MS SONARPAL 22151702003 6021 BASTER BASTAR N.M.S.SARASTAL 22151702007 6022 BASTER BASTAR P.S.PATELPARA SONARPAL 22151702008 6023 BASTER BASTAR GOVT PS PUJARIPARA SONARPAL TWD 22151702009 6024 BASTER BASTAR GOVT PS KANYA SONRPAL EDU 22151702010 6025 BASTER BASTAR PRIMARY SCHOOL BADEPARA 22151702102 6026 BASTER BASTAR P.S. MAHADEVPARA 22151702103 6027 BASTER BASTAR N.P.S.DHUTARAPARA 22151702104 6028 BASTER BASTAR GOVT M.S. BODIPARA SSA 22151702105 6029 BASTER BASTAR GOVT M.S. BANJARAPARA SSA 22151702106 6030 BASTER BASTAR PRIMARY SCHOOL 22151702201 6031 BASTER BASTAR PRIMARY SCHOOL 22151702202 6032 BASTER BASTAR GOVT. PRIMARY SCHOOL 22151702203 6033 BASTER BASTAR GOVT.MS SALEMETA 22151702204 6034 BASTER BASTAR PRIMARY SCHOOL DENGAPARA 22151702205 6035 BASTER BASTAR PRIMARY SCHOOL SALEMETA 22151702206 6036 BASTER BASTAR PRIMARY SCHOOL JADIPARA 22151702207 6037 BASTER BASTAR AADIMJATIPRIMARYSCHOOLSALEMETA 22151702208
  • 184.
    6038 BASTER BASTARUPS SALEMETA 2 22151702209 6039 BASTER BASTAR GOVT.MS BADECHAKWA 22151702210 6040 BASTER BASTAR GOVT. BOYS ASHRAM KOTGAD 22151702214 6041 BASTER BASTAR GOVT.NAVIN KANYA ASHRAM SORGOAN 22151702215 6042 BASTER BASTAR GOVT.NAVIN MS KANYA ASHRAM SORGOAN 22151702216 6043 BASTER BASTAR P.S. BUDADAND 22151702402 6044 BASTER BASTAR P.S. DHEKINALA 22151702403 6045 BASTER BASTAR PRIMARY SCHOOL 22151702501 6046 BASTER BASTAR P.S. BARBASPUR 22151702502 6047 BASTER BASTAR P.S. LINK SHALA BARBASPUR 22151702503 6048 BASTER BASTAR P.S. MUSLMANPARA 22151702504 6049 BASTER BASTAR M.S. BARBASPUR 22151702505 6050 BASTER BASTAR N.P.S. KADAMPARA 22151702506 6051 BASTER BASTAR PRIMARY SCHOOL 22151702601 6052 BASTER BASTAR PRIMARY SCHOOL 22151702701 6053 BASTER BASTAR P.S. B. PRATAPPUR 22151702705 6054 BASTER BASTAR P.S. KODAKUPARA 22151702706 6055 BASTER BASTAR P.S. PARMHANS PRATAPPUR 22151702707 6056 BASTER BASTAR MS G. PRATAPPUR 22151702709 6057 BASTER BASTAR MS BOYS PRATAPPUR 22151702710 6058 BASTER BASTAR P.S. SHANTINAGER 22151702711 6059 BASTER BASTAR P.S. BALSHAMIK 22151702712 6060 BASTER BASTAR K.D.V. PRATAPPUR 22151702714 6061 BASTER BASTAR PRIMARY SCHOOL 22151702801 6062 BASTER BASTAR M.S. PAKHNAKONGERA 22151702802 6063 BASTER BASTAR PRIMARY SCHOOL MARIPARA 22151702803 6064 BASTER BASTAR PRIMARY SCHOOL BUNARPARA 22151702804 6065 BASTER BASTAR PRIMARY SCHOOL RAWATPARA 22151702805 6066 BASTER BASTAR PRIMARY SCHOOL 22151702901 6067 BASTER BASTAR P.S. DOMHAT 22151702904 6068 BASTER BASTAR M.S. MAYAPUR 1 22151702905 6069 BASTER BASTAR P.S. KASHABAHARA 22151702906 6070 BASTER BASTAR PRIMARY SCHOOL 22151703001
  • 185.
    6071 BASTER BASTARP.S.G. KHORMA 22151703002 6072 BASTER BASTAR P.S. KOSAMPARA 22151703003 6073 BASTER BASTAR P.S. SARNAPARA 22151703004 6074 BASTER BASTAR M.S. G. KHORMA 22151703005 6075 BASTER BASTAR M.S. JAREKELA 22151703103 6076 BASTER BASTAR P.S. JAMTIPARA 22151703203 6077 BASTER BASTAR N.M.S.KHAJURI 22151703204 6078 BASTER BASTAR PRIMARY SCHOOL 22151703301 6079 BASTER BASTAR TWD. GIRLS ASH.PS. MADHOTA 22151703302 6080 BASTER BASTAR M.S. GIRLS GORHI 22151703303 6081 BASTER BASTAR MS ROTAM KHADKA 22151703304 6082 BASTER BASTAR M.S. MUNDKATIYAPARA 22151703305 6083 BASTER BASTAR GOVT MS KHOTALAPAL SSA 22151703306 6084 BASTER BASTAR GOVT.PS. KHADKA 22151703308 6085 BASTER BASTAR MS SEMARAKALA 22151703402 6086 BASTER BASTAR P.S. SARNAPARA SEMRAKALA 22151703403 6087 BASTER BASTAR BOYS ASHRAM SEMRAKALA 22151703404 6088 BASTER BASTAR G.P.S. SILOTA 22151703405 6089 BASTER BASTAR KNIST PRIMARY SCHOOL 22151703501 6090 BASTER BASTAR P.S. SARHARI 22151703502 6091 BASTER BASTAR MS GHATKAWALI 22151703504 6092 BASTER BASTAR P.S. KHALEPARA 22151703505 6093 BASTER BASTAR P.S. MARLENGA 22151703506 6094 BASTER BASTAR GOVT PS FAFNI TWD 22151703507 6095 BASTER BASTAR GOVT. PS. BALAK ASHRAM MUNDAGUDA 22151703508 6096 BASTER BASTAR JANPAD PROMARY SCHOOL 22151703601 6097 BASTER BASTAR PRIMARY SCHOOL 22151703602 6098 BASTER BASTAR MS MUNDAGAON 22151703603 6099 BASTER BASTAR PRIMARY SCHOOL SIRHAPARA 22151703605 6100 BASTER BASTAR PRIMARY SCHOOL 22151703606 6101 BASTER BASTAR PRIMARY SCHOOL GURIYA 22151703607 6102 BASTER BASTAR PRIMARY SCHOOL 22151703701 6103 BASTER BASTAR MS GUNPUR 22151703702
  • 186.
    6104 BASTER BASTARPRIMARY SCHOOL JATANPAL 22151703704 6105 BASTER BASTAR P.S. KHADRAPARA 22151703705 6106 BASTER BASTAR N.P.S. YADAVPARA 22151703706 6107 BASTER BASTAR PRIMARY SCHOOL 22151703801 6108 BASTER BASTAR P.S. KODAVARIPARA 22151703803 6109 BASTER BASTAR P.S. DHUMADAND VANSHIPUR 22151703804 6110 BASTER BASTAR M.S. VANSHIPUR 22151703805 6111 BASTER BASTAR ADARS BHARATI BANSHIPUR 22151703806 6112 BASTER BASTAR KNIST PRIMARY SCHOOL 22151703901 6113 BASTER BASTAR PRIMARY SCHOOL 22151703902 6114 BASTER BASTAR GOVT MS KAWADGAON SSA 22151703904 6115 BASTER BASTAR GOVT MS KOLEBEDA SSA 22151703905 6116 BASTER BASTAR P.S. PANDOPARA BARPATIYA 22151704002 6117 BASTER BASTAR GOVT. PRIMARY SCHOOL 22151704101 6118 BASTER BASTAR NPS-MAWLIGUDA 22151704102 6119 BASTER BASTAR MS SCHOOL 22151704103 6120 BASTER BASTAR N.P.S. MAHUYAPARA 22151704104 6121 BASTER BASTAR GOVT. JANPAD PRIMARY SCHOOL 22151704201 6122 BASTER BASTAR M.S. MOUHAPALI 22151704202 6123 BASTER BASTAR GOVT PS GHOTIYA TWD 22151704301 6124 BASTER BASTAR MS GHOTIYA 22151704302 6125 BASTER BASTAR GOVT. MS MUNDAPAL SSA 22151704303 6126 BASTER BASTAR JANPAD PRIMARY SCHOOL 22151704304 6127 BASTER BASTAR GOVT MS AMADONGRI SSA 22151704305 6128 BASTER BASTAR GOVT PS MUNDAPARA SSA 22151704306 6129 BASTER BASTAR JANPAD PRIMARY SCHOOL 22151704401 6130 BASTER BASTAR MS BHAINSGAON 22151704402 6131 BASTER BASTAR PRIMARY SCHOOL GUDIPARA 22151704403 6132 BASTER BASTAR GOVT PS SUBHASNAGAR SSA 22151704404 6133 BASTER BASTAR GOVT. TEWD. PRIMARY SCHOOL DUBAGUDA 22151704502 6134 BASTER BASTAR UMS BARPALI 22151704503 6135 BASTER BASTAR JANPAD PRIMARY SCHOOL 22151704601 6136 BASTER BASTAR GOVT. SSA P/S MUNDI GUDA BODRA 22151704602
  • 187.
    6137 BASTER BASTARPRIMARY SCHOOL AWASPLAT 22151704603 6138 BASTER BASTAR P.S. KASDOHAR 22151704604 6139 BASTER BASTAR GOVT. PS. MANJHIPARA 22151704605 6140 BASTER BASTAR P.S. SALYAPARA 22151704606 6141 BASTER BASTAR JANPAD PRIMARY SCHOOL 22151704701 6142 BASTER BASTAR PRIMARY SCHOOL 22151704702 6143 BASTER BASTAR M.S. KANYA SHIKSHA PARISAR 22151704703 6144 BASTER BASTAR PRIMARY SCHOOL 22151704801 6145 BASTER BASTAR MS BHARDA 22151704802 6146 BASTER BASTAR P.S. GHUTRAPARA 22151704803 6147 BASTER BASTAR P.S. DAHAKAPARA 22151704804 6148 BASTER BASTAR GOVT PS SANYUKT ASHRAM T.WEST 22151704805 6149 BASTER BASTAR KNIST PRIMARY SCHOOL 22151704901 6150 BASTER BASTAR KNIST PRIMARY SCHOOL 22151705001 6151 BASTER BASTAR MS HARIHARPUR 22151705002 6152 BASTER BASTAR P.S. BIHIDAND 22151705003 6153 BASTER BASTAR P.S. NEVARDAND 22151705004 6154 BASTER BASTAR P.S. DONDIPARA 22151705005 6155 BASTER BASTAR KNIST PRIMARY SCHOOL 22151705201 6156 BASTER BASTAR MS SUDHAPAL 22151705303 6157 BASTER BASTAR PRIMARY SCHOOL MUNDAPARA 22151705304 6158 BASTER BASTAR GOVT PS KUNDOPANI SUDHAPAL SSA 22151705305 6159 BASTER BASTAR PRIMARY SCHOOL 22151705401 6160 BASTER BASTAR PRIMARY SCHOOL 22151705402 6161 BASTER BASTAR MS ICHAPUR 22151705403 6162 BASTER BASTAR PRIMARY SCHOOL RAUTGUDA 22151705404 6163 BASTER BASTAR PRIMARY SCHOOL PEKADASODA 22151705405 6164 BASTER BASTAR MS ICHCHHAPUR 02 22151705406 6165 BASTER BASTAR BALAK ASHARAM 22151705501 6166 BASTER BASTAR EPS DHENGURCHUWAN 22151705502 6167 BASTER BASTAR GOVT M.S. SIONI TWD 22151705503 6168 BASTER BASTAR GOVT M.S. GOTIGUDA, SIONI SSA 22151705504 6169 BASTER BASTAR PRIMARY SCHOOL 22151705601
  • 188.
    6170 BASTER BASTARMS TALUR 22151705602 6171 BASTER BASTAR PRIMARY SCHOOL BADIGUDA 22151705603 6172 BASTER BASTAR PRIMARY SCHOOL GADBADUGDA 22151705604 6173 BASTER BASTAR PRIMARY SCHOOL MAJHIGUDA 22151705605 6174 BASTER BASTAR GOVT. PRIMARY SCHOOL 22151705701 6175 BASTER BASTAR PRIMARY SCHOOL 22151705702 6176 BASTER BASTAR PRIMARY SCHOOL 22151705801 6177 BASTER BASTAR MS BAGMOHLAI 22151705802 6178 BASTER BASTAR PRIMARY SCHOOL PUJRIGUDA 22151705803 6179 BASTER BASTAR PRIMARY SCHOOL DOGRIGUDA 22151705804 6180 BASTER BASTAR GOVT BOYS ASHRAM KERAGUDA TWD 22151705805 6181 BASTER BASTAR PRIMARY SCHOOL 22151705901 6182 BASTER BASTAR P.S. DHUMADAND 22151705902 6183 BASTER BASTAR P.S. KODAKUPARA DHUMADND 22151705903 6184 BASTER BASTAR P.S. BHELVATIKARA DHUMADAND 22151705904 6185 BASTER BASTAR P.S. KADCHOLAPARA 22151705905 6186 BASTER BASTAR M.S. DHUMMADAND 22151705906 6187 BASTER BASTAR PRIMARY SCHOOL 22151706001 6188 BASTER BASTAR P.S. NAVAPARA BADVAR 22151706002 6189 BASTER BASTAR P.S BATAHIYAPARA 22151706003 6190 BASTER BASTAR N.M.S. BADVAR 22151706004 6191 BASTER BASTAR N.P.S.AGARIHAPARA 22151706005 6192 BASTER BASTAR PRIMARY SCHOOL 22151706101 6193 BASTER BASTAR PRIMARY SCHOOL 22151706102 6194 BASTER BASTAR P.S. HARAIYAPARA 22151706103 6195 BASTER BASTAR P.S. NAVAPARA BONGA 22151706104 6196 BASTER BASTAR M.S. BOMGA 22151706105 6197 BASTER BASTAR PRIMARY SCHOOL 22151706201 6198 BASTER BASTAR MS SCHOOL 22151706202 6199 BASTER BASTAR N.P.S. BELPARA 22151706203 6200 BASTER BASTAR PRIMARY SCHOOL 22151706301 6201 BASTER BASTAR ADIM JATI PRIMARY SCHOOL 22151706302 6202 BASTER BASTAR INDIRA GANDHI P.S. GOVINDPUR 22151706303
  • 189.
    6203 BASTER BASTARMS GOVINDPUR 22151706304 6204 BASTER BASTAR P.S. KUDARIPARA 22151706305 6205 BASTER BASTAR KANIST PRIMARY SCHOOL 22151706401 6206 BASTER BASTAR MS NARAOLA 22151706403 6207 BASTER BASTAR P.S. NADIPARA NAROLA 22151706404 6208 BASTER BASTAR P.S. SARNAPARA NAROLA 22151706405 6209 BASTER BASTAR PRIMARY SCHOOL 22151706501 6210 BASTER BASTAR P.S. GELHAJHARIYA 22151706502 6211 BASTER BASTAR P.S. PANDOPARA BAGADA 22151706503 6212 BASTER BASTAR P.S. BHATAGUDA 22151706504 6213 BASTER BASTAR M.S. BAGDA 22151706505 6214 BASTER BASTAR MS TAKARAGUDA 22151706702 6215 BASTER BASTAR P.S. CHHIPANIPARA PAHADKARVA 22151706703 6216 BASTER BASTAR PRIMARY SCHOOL 22151706801 6217 BASTER BASTAR P.S. REVTI 22151706802 6218 BASTER BASTAR P.S. AMAPARA REVTI 22151706803 6219 BASTER BASTAR P.S. MAJHVARIPARA REVTI 22151706804 6220 BASTER BASTAR M.S. BAPA REVTI 22151706805 6221 BASTER BASTAR P.S. MAHUPALBARI 22151706806 6222 BASTER BASTAR PRIMARY SCHOOL 22151706901 6223 BASTER BASTAR P.S. NADIPARA BHONDHA 22151706902 6224 BASTER BASTAR UPS PARCHANPAL 22151706903 6225 BASTER BASTAR GOVT.M.S. MODEL SCHOOL KARMARI 22151706905 6226 BASTER BASTAR PRIMARY SCHOOL 22151707001 6227 BASTER BASTAR PRIMARY SCHOOL 22151707101 6228 BASTER BASTAR KNIST PRIMARY SCHOOL 22151707102 6229 BASTER BASTAR P.S. MAHUARIPARA 22151707103 6230 BASTER BASTAR GOVT. BOYS PS. TAMNAR 22151707104 6231 BASTER BASTAR P.S. SINGHADITARAI 22151707106 6232 BASTER BASTAR M.S. GIRLS TAMNAR 22151707108 6233 BASTER BASTAR M.S. KAVIASNA 22151707109 6234 BASTER BASTAR A.G.B.V.M. TAMNAR 22151707110 6235 BASTER BASTAR BALSHRAMIK PS.TAMNAR 22151707112
  • 190.
    6236 BASTER BASTARGOVT M.S. MUNJALA SSA 22151707113 6237 BASTER BASTAR GOVT P.S. MUNJALA TWD 22151707114 6238 BASTER BASTAR GOVT. PS. KANYA ASHRAM SONARPAL 22151707115 6239 BASTER BASTAR PRIMARY SCHOOL 22151707201 6240 BASTER BASTAR UMS KASDOL 22151707202 6241 BASTER BASTAR PRIMARY SCHOOL 22151707301 6242 BASTER BASTAR P.S. TAMORPARA 22151707302 6243 BASTER BASTAR JANPAD PRIMARY SCHOOL 22151707401 6244 BASTER BASTAR MS KHORKHOSA 22151707402 6245 BASTER BASTAR P.S. PANDOPARA KERTA 22151707403 6246 BASTER BASTAR P.S. DUBKAPARA KERTA 22151707404 6247 BASTER BASTAR P.S. BHAGATPARA 22151707405 6248 BASTER BASTAR P.S. KUDKANAR 22151707406 6249 BASTER BASTAR PRIMARY SCHOOL 22151707501 6250 BASTER BASTAR P.S. CHITKAPARASILOTA 22151707502 6251 BASTER BASTAR TWD PS KAVIASNA 22151707503 6252 BASTER BASTAR M.S. SAMKERA 22151707504 6253 BASTER BASTAR EPS KARMARI 22151707506 6254 BASTER BASTAR GOVT. PRIMARY SCHOOL 22151707601 6255 BASTER BASTAR MS RAMKOLA 22151707602 6256 BASTER BASTAR P.S. PATVARDIH RAMKOLA 22151707603 6257 BASTER BASTAR P.S. PANDOPARA RAMKOLA 22151707604 6258 BASTER BASTAR P.S. DHODAMADA 22151707605 6259 BASTER BASTAR GOVT. PS MUNDAPAL TWD 22151707702 6260 BASTER BASTAR PRIMARY SCHOOL CHEPTAPARA 22151707703 6261 BASTER BASTAR PRIMARY SCHOOL MAWALIGUDA 22151707704 6262 BASTER BASTAR JANPAD PRIMARY SCHOOL 22151707801 6263 BASTER BASTAR MS PIPALAWAND 22151707803 6264 BASTER BASTAR MS KEVRA 22151707804 6265 BASTER BASTAR P.S. JAMTIPARA KRVRA 22151707805 6266 BASTER BASTAR P.S. CHARPARA 22151707806 6267 BASTER BASTAR P.S.PANDOPARA KEVRA 22151707807 6268 BASTER BASTAR MS GUFNI 22151707808
  • 191.
    6269 BASTER BASTARPRIMARY SCHOOL 22151707901 6270 BASTER BASTAR PRIMARY SCHOOL 22151708001 6271 BASTER BASTAR P.S. AHIRAPARA GHUI 22151708002 6272 BASTER BASTAR N.M.S. DHUI 22151708003 6273 BASTER BASTAR PRIMARY SCHOOL 22151708101 6274 BASTER BASTAR PRIMARY SCHOOL 22151708201 6275 BASTER BASTAR M.S. DHAURABHANTHA 22151708203 6276 BASTER BASTAR A.G.B.V. DHAURABHANTHA 22151708204 6277 BASTER BASTAR JANPAD PRIMARY SCHOOL 22151708301 6278 BASTER BASTAR MS SCHOOL 22151708302 6279 BASTER BASTAR PRIMARY SCHOOL DENGUDA 22151708303 6280 BASTER BASTAR PRIMARY SCHOOL PARIPAT 22151708304 6281 BASTER BASTAR PRIMARY SCHOOL GUDIPARA 22151708305 6282 BASTER BASTAR GOVT M.S. PATHARI SSA 22151708306 6283 BASTER BASTAR GOVT BOYS ASHRAM RATENGA TWD 22151708307 6284 BASTER BASTAR PRIMARY SCHOOL 22151708401 6285 BASTER BASTAR M.S. BHEDIYA 22151708402 6286 BASTER BASTAR P.S. MAHUADAND 22151708403 6287 BASTER BASTAR P.S. BHUIYAPARA BHEDIYA 22151708404 6288 BASTER BASTAR KANIST PRIMARY SCHOOL 22151708501 6289 BASTER BASTAR KNIST PRIMARY SCHOOL 22151708502 6290 BASTER BASTAR P.S. DHUBAPARA 22151708503 6291 BASTER BASTAR P,S, GHUTRAPARA DANDKARVA 22151708504 6292 BASTER BASTAR P.S. BHUIYAPARA DANDKARVA 22151708505 6293 BASTER BASTAR P.S. BHURANIDAND 22151708506 6294 BASTER BASTAR P.S. KODAKUPARA DANDKARVA 22151708507 6295 BASTER BASTAR M.S. DANDKARVA 22151708508 6296 BASTER BASTAR KANIST PRIMARY SCHOOL 22151708601 6297 BASTER BASTAR P.S. AMADONGARI 22151708602 6298 BASTER BASTAR P.S. SUDHAPAL TWD. 22151708603 6299 BASTER BASTAR EPS KUDHRIPARA 22151708604 6300 BASTER BASTAR KANIST PRIMARY SCHOOL 22151708701 6301 BASTER BASTAR GOVT. PS ATARGUDA TWD 22151708703
  • 192.
    6302 BASTER BASTARGOVT PS MANDIRPARA NARA. SSA 22151708704 6303 BASTER BASTAR PRIMARY SCHOOL 22151708801 6304 BASTER BASTAR JANPAD PRIMARY SCHOOL 22151708802 6305 BASTER BASTAR PRIMARY SCHOOL AWASPARA 22151708803 6306 BASTER BASTAR PRIMARY SCHOOL KALARPARA 22151708804 6307 BASTER BASTAR KANIST PRIMARY SCHOOL 22151709001 6308 BASTER BASTAR P.S. BAIKONA 22151709002 6309 BASTER BASTAR MS BAIKONA 22151709003 6310 BASTER BASTAR P.S. MAJHAPARA BAIKONA 22151709004 6311 BASTER BASTAR P.S. NAVAPARA BAIKONA 22151709005 6312 BASTER BASTAR EPS PATARAPARA 22151709006 6313 BASTER BASTAR KANIST PRIMARY SCHOOL 22151709101 6314 BASTER BASTAR KNIST PRIMARY SCHOOL 22151709102 6315 BASTER BASTAR GOVT.PS.KUMHARPARA 22151709103 6316 BASTER BASTAR KANIST PRIMARY SCHOOL 22151709201 6317 BASTER BASTAR P.S. NARVAPARA SAOTAR 22151709202 6318 BASTER BASTAR N.P.S PAKHANAPARA 22151709203 6319 BASTER BASTAR PRIMARY SCHOOL NAGARVAHI 22151709301 6320 BASTER BASTAR PRIMARY SCHOOL 22151709302 6321 BASTER BASTAR PRIMARY SCHOOL NAYAPARA 22151709303 6322 BASTER BASTAR PRIMARY SCHOOL MAHUBHATA 22151709304 6323 BASTER BASTAR PRIMARY SCHOOL NAGARVAHI 22151709305 6324 BASTER BASTAR MS PHARSAGUDA 22151709401 6325 BASTER BASTAR PRIMARY SCHOOL PHARSAGIDA 22151709402 6326 BASTER BASTAR PRIMARY SCHOOL BAKEL 22151709403 6327 BASTER BASTAR PRIMARY SCHOOL KHUTEGUDA 22151709404 6328 BASTER BASTAR PRIMARY SCHOOL JUNAWAHI 22151709405 6329 BASTER BASTAR GOVT PS BADEPARA PHARSAGUDA TWD 22151709406 6330 BASTER BASTAR GOVT. PS KANYA ASHRM BESHOLI 22151709408 6331 BASTER BASTAR GOVT. PS KANYA ASHRM BAKEL 22151709409 6332 BASTER BASTAR PRIMARY SCHOOL 22151709501 6333 BASTER BASTAR KANYA PRIMARY SCHOOL 22151709502 6334 BASTER BASTAR A.J.K.V PRIMARY SCHOOL 22151709503
  • 193.
    6335 BASTER BASTARU.P.S. TIKRALOHNGA 22151709506 6336 BASTER BASTAR PRIMARY SCHOOL BEDAGUDA 22151709508 6337 BASTER BASTAR PRIMARY SCHOOL PADARPARA 22151709509 6338 BASTER BASTAR JANPAD PRIMARY SCHOOL 22151709601 6339 BASTER BASTAR MS SCHOOL 22151709602 6340 BASTER BASTAR PRIMARY SCHOOL DODAPARA 22151709603 6341 BASTER BASTAR PRIMARY SCHOOL ODARKOTE 22151709604 6342 BASTER BASTAR PRIMARY SCHOOL KONGALGUDA 22151709605 6343 BASTER BASTAR GOVT MS BAKEL SSA 22151709606 6344 BASTER BASTAR GOVT MS PHARSAGUDA EDU 22151709607 6345 BASTER BASTAR GOVT. PRIMARY SCHOOL 22151709701 6346 BASTER BASTAR TWD. PS. DUMARGHUNCHA 22151709702 6347 BASTER BASTAR M.S. TANGARGHAT 22151709703 6348 BASTER BASTAR PRIMARY SCHOOL 22151709801 6349 BASTER BASTAR PRIMARY SCHOOL THANAGUDIPARA 22151709802 6350 BASTER BASTAR M.S. SONDIHA 22151709803 6351 BASTER BASTAR GOVT MS CHAMIYA TWD 22151709804 6352 BASTER BASTAR GOVT MS CHHOTEAMABAL SSA 22151709805 6353 BASTER BASTAR GOVT MS KHARIYAPARA SSA 22151709806 6354 BASTER BASTAR GOVT MS HIRLABHATA SSA 22151709807 6355 BASTER BASTAR GOVT MS KEWTAPARA SSA 22151709808 6356 BASTER BASTAR GOVT M.S. GUDIPARA SSA 22151709809 6357 BASTER BASTAR GOVT PS CHHOTEAMABAL SSA 22151709810 6358 BASTER BASTAR GOVT. KANYA. ASHRAM SHALA CHAMIYA 22151709811 6359 BASTER BASTAR JANPAD PRIMARY SCHOOL 22151709901 6360 BASTER BASTAR PRIMARY SCHOOL 22151709902 6361 BASTER BASTAR PRIMARY SCHOOL PUJARIGUDA 22151709903 6362 BASTER BASTAR PRIMARY SCHOOL 22151710001 6363 BASTER BASTAR PRIMARY SCHOOL 22151710002 6364 BASTER BASTAR MS BANIYAGAON 22151710003 6365 BASTER BASTAR PRIMARY SCHOOL JAMKONADIPARA 22151710004 6366 BASTER BASTAR PRIMARY SCHOOL 22151710101 6367 BASTER BASTAR PRIMARY SCHOOL 22151710201
  • 194.
    6368 BASTER BASTARPRIMARY SCHOOL MUNDAGUDA 22151710202 6369 BASTER BASTAR P.S. KODAKUPARA MASGA 22151710203 6370 BASTER BASTAR PRIMARY SCHOOL BORECHEPDAPARA 22151710302 6371 BASTER BASTAR PRIMARY SCHOOL THOTIYAPARA 22151710303 6372 BASTER BASTAR PRIMARY SCHOOL KODRIPARA 22151710304 6373 BASTER BASTAR MS KUMHALI 22151710305 6374 BASTER BASTAR GOVT. PRIMARY SCHOOL 22151710401 6375 BASTER BASTAR MS KARSI 22151710402 6376 BASTER BASTAR P.S. BANDPARA KARSI 22151710403 6377 BASTER BASTAR P.S. N. KODAKUPARA KARSI 22151710404 6378 BASTER BASTAR P.S. KHURSIDAND 22151710405 6379 BASTER BASTAR GOVT. PRIMARY SCHOOL 22151710501 6380 BASTER BASTAR M.S. SILPHILI 22151710502 6381 BASTER BASTAR MS BADEPARA BALENGA 22151710503 6382 BASTER BASTAR MS BALENGA 22151710504 6383 BASTER BASTAR GOVT. PRIMARY SCHOOL 22151710601 6384 BASTER BASTAR M.S. KESARPAL 22151710602 6385 BASTER BASTAR PRIMARY SCHOOL SOLGUDA 22151710604 6386 BASTER BASTAR PRIMARY SCHOOL PODIGUDA 22151710605 6387 BASTER BASTAR PS MURUMBHATA TURPURA 22151710606 6388 BASTER BASTAR GOVT. PRIMARY SCHOOL 22151710701 6389 BASTER BASTAR PRIMARY SCHOOL 22151710702 6390 BASTER BASTAR MS DARHORA 22151710703 6391 BASTER BASTAR P.S. GHUTRAPARA DARHORA 22151710704 6392 BASTER BASTAR PS MUNDKATIYAPARA MADHOTA 22151710705 6393 BASTER BASTAR JANPAD PRIMARY SCHOOL 22151710801 6394 BASTER BASTAR PRIMARY SCHOOL DONGRIGUDA 22151710802 6395 BASTER BASTAR P.S. JUNAPARA 22151710803 6396 BASTER BASTAR MS MADHOTA 22151710804 6397 BASTER BASTAR GOVT. PRIMARY SCHOOL 22151710901 6398 BASTER BASTAR PRIMARY SCHOOL 22151711101 6399 BASTER BASTAR M.S. PHARSAPARA 22151711102 6400 BASTER BASTAR KANEYA ASHRAM 22151711103
  • 195.
    6401 BASTER BASTARPS GYAN JYOTI PUJARIPARA 22151711104 6402 BASTER BASTAR KANYA ASHRAM DEURGAON 22151711105 6403 BASTER BASTAR M.S. BALAK BASTAR 22151711107 6404 BASTER BASTAR M.S. BHATIPARA 22151711108 6405 BASTER BASTAR M.S. BAGBAHAR 22151711109 6406 BASTER BASTAR JANPAD PRIMARY SCHOOL 22151711201 6407 BASTER BASTAR KGBV UPS 22151711202 6408 BASTER BASTAR MATA KASTURBA KANYA 22151711205 6409 BASTER BASTAR PRIMARY SCHOOL KUMHRAKOTE 22151711206 6410 BASTER BASTAR PRIMARY SCHOOL BHALUPARA 22151711208 6411 BASTER BASTAR UPS KARMARI 22151711209 6412 BASTER BASTAR PRIMARY SCHOOL CHEDIPARA 22151711211 6413 BASTER BASTAR M.S. KOLCHUR 22151711212 6414 BASTER BASTAR PRIV.KASTURBA KANYA BASTAR 22151711213 6415 BASTER BASTAR PRIV.M.S.KASTURNA K. BASTAR 22151711214 6416 BASTER BASTAR PRIV. P.S.KASIMI MADARASA BASTAR 22151711216 6417 BASTER BASTAR PRIMARY SCHOOL 22151711301 6418 BASTER BASTAR MS RETAWAND 22151711302 6419 BASTER BASTAR PRIMARY SCHOOL SIRHAPARA 22151711303 6420 BASTER BASTAR P.S. SARSVAHIPARA 22151711304 6421 BASTER BASTAR P.S. CHATTANIPARA 22151711305 6422 BASTER BASTAR P.S. MAHADEVPARA 22151711306 6423 BASTER BASTAR P.S. KHUTHANPARA LOLKI 22151711307 6424 BASTER BASTAR GOVT. PS. KANYA ASHRAM RETAWAND 22151711310 6425 BASTER BASTAR PRIMARY SCHOOL 22151711401 6426 BASTER BASTAR PRIMARY SCHOOL 22151711402 6427 BASTER BASTAR P.S. BASDEVPUR 22151711403 6428 BASTER BASTAR P.S. DARIPARA 22151711404 6429 BASTER BASTAR P,S, KACHHARPARA 22151711405 6430 BASTER BASTAR M.S. DAVNKARA 22151711406 6431 BASTER BASTAR PRIMARY SCHOOL 22151711501 6432 BASTER BASTAR PRIMARY SCHOOL 22151711601 6433 BASTER BASTAR PRIMARY SCHOOL 22151711701
  • 196.
    6434 BASTER BASTARM.S. KUDKANAR 22151711702 6435 BASTER BASTAR GOVT PS SIVNAGUDA KOL. TWD 22151711901 6436 BASTER BASTAR GOVT. PS KOLCHUR EDU 22151711902 6437 BASTER BASTAR PS GUCHHAGURA 22151712001 6438 BASTER BASTAR PRIMARY SCHOOL GHATLOHANGA 22151712101 6439 BASTER BASTAR A.J.K.V PRIMARY SCHOOL 22151712102 6440 BASTER BASTAR UPS BODNPAL 2 22151715501 6441 BASTER BASTAR GYANJYOTI PADHARGUDAPARA 22151715601 6442 BASTER BASTAR GYANJYOTI DONGARIPARA 22151716501 6443 BASTER BASTAR PS DONGARIPARA 22151716502 6444 BASTER BASTAR GYANJYOTI PANARAPARA 22151716901 6445 BASTER BASTAR PS PANARAPARA 22151716902 6446 BASTER BASTAR KANIST PRIMARY SCHOOL 22151722101 6447 BASTER BASTAR PRIMARY SCHOOL UPERPARA 22151722703 6448 BASTER BASTAR P.S. KANYA AASHRAM BHANPURI 22151722704 6449 BASTER BASTAR GOVT. BALAK ASHRAM BHANPURI 22151722711 6450 BASTER BASTAR GOVT.MS BALAK ASHRAM BHANPURI 22151722712 6451 BASTER BASTAR PRIMARY SCHOOL MARIPARA 22151722801 6452 BASTER DARBHA GOVT. PS DHIRAGUDA 22150400101 6453 BASTER DARBHA GOVT. PS CHEPDAPARA (DILMILI) 22150400102 6454 BASTER DARBHA PS AYETUPARA 22150400103 6455 BASTER DARBHA GOVT. PRIMARY SCHOOL DHURWAPARA 22150400104 6456 BASTER DARBHA GOVT. PS PATELPARA KATAKANDA 22150400105 6457 BASTER DARBHA GOVT. PS KHALEPARA 22150400106 6458 BASTER DARBHA PS SAIGUDA 22150400107 6459 BASTER DARBHA MS DILMILI 22150400108 6460 BASTER DARBHA PS DEGA AMAPARA 22150400109 6461 BASTER DARBHA PS PUJARIPARA 22150400110 6462 BASTER DARBHA PS KOYKIPARA 22150400111 6463 BASTER DARBHA GOVT. PS FULPADAR 22150400202 6464 BASTER DARBHA GOVT. PS KODABHATA 22150400203 6465 BASTER DARBHA KANIST PRIMARY SCHOOL 22150400301 6466 BASTER DARBHA P.S.G. RAJAPUR 22150400302
  • 197.
    6467 BASTER DARBHAM.S.RAJAPUR 22150400303 6468 BASTER DARBHA GOVT. PS GADAMGUDA 22150400403 6469 BASTER DARBHA GOVT. PS KHUDUM KHODRA 22150400501 6470 BASTER DARBHA M.S. PATHRAI 22150400503 6471 BASTER DARBHA GOVT PS KODHRICHHAPAR 22150400504 6472 BASTER DARBHA PS KAKALGUR 22150400603 6473 BASTER DARBHA GOVT PS KAKALGUR 22150400605 6474 BASTER DARBHA GOVT PS KACHIRPARA SSA 22150400606 6475 BASTER DARBHA PRIMARY SCHOOL 22150400701 6476 BASTER DARBHA GOVT. P.S. GADAMRAS 22150400702 6477 BASTER DARBHA GOVT. M.S. BALERAS 22150400703 6478 BASTER DARBHA KANIST PRIMARY SCHOOL 22150400801 6479 BASTER DARBHA M.S.KUDARIDIH 22150400804 6480 BASTER DARBHA GOVT. MS CHOTEGADDOPARA 22150400902 6481 BASTER DARBHA P.S. KAWARAS 22150401002 6482 BASTER DARBHA M.S. CHHINNDAWADA 22150401003 6483 BASTER DARBHA P.S.NAVAPARA 22150401004 6484 BASTER DARBHA GOVT. P.S. KOTAWARPARA 22150401005 6485 BASTER DARBHA PRIMARY SCHOOL ENLAGNAR 22150401103 6486 BASTER DARBHA PRIMARY SCHOOL PANDRUPARA 22150401402 6487 BASTER DARBHA GOVT PS SCHOOL PANDUPARA 22150401403 6488 BASTER DARBHA GOVT. PS CHOTEKADMA 22150401501 6489 BASTER DARBHA PRIMARY SCHOOL TUHARAS 22150401502 6490 BASTER DARBHA GOVT. MS CHOTEKADMA 22150401503 6491 BASTER DARBHA P.S.NAGADAND 22150401504 6492 BASTER DARBHA M.S.BISARPANI 22150401505 6493 BASTER DARBHA GOVT. PS PATELPARA (DILMILI) 22150401901 6494 BASTER DARBHA PS PATELPARA 22150401903 6495 BASTER DARBHA PS PATELPARA 22150401904 6496 BASTER DARBHA GOVT. MS KESHAPUR 22150402001 6497 BASTER DARBHA GOVT. PS KESHAPUR 22150402002 6498 BASTER DARBHA GOVT. PS KALEPAL 22150402201 6499 BASTER DARBHA PRIMERY SCHOOL CHOTTEGADO 22150402203
  • 198.
    6500 BASTER DARBHAM.S. JAMDODI 22150402204 6501 BASTER DARBHA GOVT P.S. TANGARRAS 22150402301 6502 BASTER DARBHA PRIMARY SCHOOL 22150402302 6503 BASTER DARBHA GOVT. P.S. PANARAPARA 22150402303 6504 BASTER DARBHA M.S. (JBS) LALUTOLA 22150402304 6505 BASTER DARBHA PRIMARY SCHOOL 22150402401 6506 BASTER DARBHA GOVT. MS MANJHIGUDA, CHINGPAL 22150402403 6507 BASTER DARBHA GOVT MS CHIDPAL 22150402405 6508 BASTER DARBHA PS CHIKHALKONTA 22150402406 6509 BASTER DARBHA ASHRAM PS CHIDPAL 22150402407 6510 BASTER DARBHA GOVT PS BOTIPARA 22150402504 6511 BASTER DARBHA U.MIDDLE SCH 22150402603 6512 BASTER DARBHA GOVT. MS MAWLIPADAR 22150402604 6513 BASTER DARBHA PRIMARY SCHOOL 22150402701 6514 BASTER DARBHA M.S.CHIDAPARA 22150402704 6515 BASTER DARBHA GOVT. AS CHINGPAL 22150402706 6516 BASTER DARBHA GOVT. P.S. LOHRAPARA 22150402801 6517 BASTER DARBHA PS CHEWARAS 22150402802 6518 BASTER DARBHA GOVT.M/S LHORAPARA 22150402803 6519 BASTER DARBHA PRIMARY SCHOOL 22150403001 6520 BASTER DARBHA MS KANDANAR 22150403005 6521 BASTER DARBHA PS KANDANAR 22150403006 6522 BASTER DARBHA PS DHUR RAS 22150403007 6523 BASTER DARBHA PS BADEGURBE 22150403008 6524 BASTER DARBHA PS CHOTEGURBE 22150403009 6525 BASTER DARBHA UPS IDJEPAL 22150403010 6526 BASTER DARBHA PS GUPHAPAL 22150403011 6527 BASTER DARBHA PRIMARY SCHOOL 22150403101 6528 BASTER DARBHA GOVT. P.S. PEDARAS 22150403103 6529 BASTER DARBHA TRIBAL UPS TIRATHGARH 22150403202 6530 BASTER DARBHA JANPAD PRIMARY SCHOOL 22150403303 6531 BASTER DARBHA GOVT.UPPER M/S KUKANAR 22150403308 6532 BASTER DARBHA GOVT. P.S. BUTAPARA 22150403312
  • 199.
    6533 BASTER DARBHAMS KUKNAR 22150403319 6534 BASTER DARBHA GYAN JYOTI PS KUMHARPARA 22150403320 6535 BASTER DARBHA PRIMARY SCHOOL 22150403401 6536 BASTER DARBHA MS KUMHARAS 22150403403 6537 BASTER DARBHA GOVT. P.S. KUMHARRAS 22150403404 6538 BASTER DARBHA GOVT. P.S. BODARAS 22150403501 6539 BASTER DARBHA M.S. KATKALO 22150403502 6540 BASTER DARBHA SSA UPS BODARAS 22150403506 6541 BASTER DARBHA PS KHADPARA 22150403601 6542 BASTER DARBHA PS SARGIPAL 22150403602 6543 BASTER DARBHA PS CHINDGUR 22150403603 6544 BASTER DARBHA PS CHANDAMETA 22150403604 6545 BASTER DARBHA PRIMARY SCHOOL LOHARMUNDA 22150403804 6546 BASTER DARBHA MS CHHINDBAHAR 22150403806 6547 BASTER DARBHA PS DURKIGUDA 22150403807 6548 BASTER DARBHA PS DONGRIPARA 22150403808 6549 BASTER DARBHA GOVT. PS MANJHIGUDA 22150403809 6550 BASTER DARBHA PRIMARY SCHOOL KOYNAR 22150403903 6551 BASTER DARBHA UNNAYAN P/S KOYNAR 22150403904 6552 BASTER DARBHA PRIMARY SCHOOL PNARAGUDA 22150403905 6553 BASTER DARBHA PS CHALKIGUDA 22150403906 6554 BASTER DARBHA PRIMERY SCHOOL NAYAGUNDA 22150404103 6555 BASTER DARBHA GOVT. PS BHANDARRAS 22150404105 6556 BASTER DARBHA PS DUKAPARA 22150404201 6557 BASTER DARBHA GOVT PS DHUKHAPARA 22150404202 6558 BASTER DARBHA GOVT. PS TOYNAR 22150404301 6559 BASTER DARBHA GOVT. M.S. TOYNAR 22150404305 6560 BASTER DARBHA PRIMARY SCHOOL 22150404401 6561 BASTER DARBHA MS JAMDIH 22150404402 6562 BASTER DARBHA PRIMARY SCHOOL 22150404502 6563 BASTER DARBHA PRIMARY SCHOOL 22150404601 6564 BASTER DARBHA BALAK ASHRAM 22150404702 6565 BASTER DARBHA PS CHIKHALKONTA 22150404704
  • 200.
    6566 BASTER DARBHAGOVT. PS CHINGPAL 22150404705 6567 BASTER DARBHA PS PADARCHEGNI 22150404706 6568 BASTER DARBHA PS MAJHIGUDA 22150404707 6569 BASTER DARBHA GOVT. P.S. METAPAL 22150404801 6570 BASTER DARBHA GYAN JYOTI MITIKPARA 22150404803 6571 BASTER DARBHA MS KANKAPAL 22150404804 6572 BASTER DARBHA PS LAMIPARA 22150404805 6573 BASTER DARBHA GOVT PS KANKAPAL 22150404806 6574 BASTER DARBHA PS MAMADPAL 22150404902 6575 BASTER DARBHA JANPAD PRIMARY SCHOOL 22150405001 6576 BASTER DARBHA GOVT PS KELAUR 22150405002 6577 BASTER DARBHA PRIMARY SCHOOL PADAPARA 22150405003 6578 BASTER DARBHA P/S MANGHIPARA KELAUR 22150405004 6579 BASTER DARBHA PS KELAUR 22150405005 6580 BASTER DARBHA PS DOKRICHUA KELAUR 22150405006 6581 BASTER DARBHA PRIMARY SCHOOL 22150405101 6582 BASTER DARBHA PRIMARY SCHOOL 22150405102 6583 BASTER DARBHA PS HOMARAS 22150405103 6584 BASTER DARBHA PS KHOLEPARA 22150405104 6585 BASTER DARBHA UPS BUTAPARA 22150405105 6586 BASTER DARBHA UPS IDJEPAL 22150405106 6587 BASTER DARBHA PS KATULMIRI 22150405107 6588 BASTER DARBHA UPS DHURRAS 22150405108 6589 BASTER DARBHA PS PUJARIPARA 22150405109 6590 BASTER DARBHA PS PAREMPARA 22150405110 6591 BASTER DARBHA GOVT P.S. PERMAPARA NAYAGUDA 22150405111 6592 BASTER DARBHA GOVT. P.S. BADAIPARA 22150405112 6593 BASTER DARBHA GOVT PRIMARY SCHOOL DHURWAPARA 22150405201 6594 BASTER DARBHA GOVT PS DHURWAPARA 22150405207 6595 BASTER DARBHA PRIMARY SCHOOL 22150405302 6596 BASTER DARBHA P.S.S.S.M.LURENA 22150405304 6597 BASTER DARBHA GOVT MS 22150405305 6598 BASTER DARBHA PRIMARY SCHOOL 22150405401
  • 201.
    6599 BASTER DARBHAPRIMARY SCHOOL 22150405402 6600 BASTER DARBHA PRIMARY SCHOOL 22150405602 6601 BASTER DARBHA P.S.PATROL TIKRA 22150405605 6602 BASTER DARBHA GYANJYOTI PS KANDKIPARA 22150405702 6603 BASTER DARBHA PS KOTWARPARA 22150405704 6604 BASTER DARBHA PS KOTAMSAR 22150405705 6605 BASTER DARBHA PS DHADMARAJ 22150405706 6606 BASTER DARBHA PS CHITAFARIAPARA 22150405707 6607 BASTER DARBHA PS MAJHIPAL 22150405708 6608 BASTER DARBHA GOVT.PS TOPAR SCHOOL 22150405709 6609 BASTER DARBHA PS KOKAWADA 22150405801 6610 BASTER DARBHA UPS KOKAWADA 22150405808 6611 BASTER DARBHA PS BENGPAL 22150405809 6612 BASTER DARBHA GOVT. P.S. JANGADPAL 22150405901 6613 BASTER DARBHA GOVT.MS 22150405902 6614 BASTER DARBHA PS JUNPANI 22150406002 6615 BASTER DARBHA PS SOTHNAR 22150406101 6616 BASTER DARBHA PS NAMAPARA 22150406102 6617 BASTER DARBHA GOVT PS SAUTNAR 22150406103 6618 BASTER DARBHA PS MADKAMIRAS 22150406104 6619 BASTER DARBHA GOVT PS KODABHATA SSA 22150406105 6620 BASTER DARBHA PRIMARY SCHOOL 22150406201 6621 BASTER DARBHA GOVT. MS KOLIYAPARA 22150406202 6622 BASTER DARBHA GOVT. MS CHITAPUR 22150406203 6623 BASTER DARBHA GOVT. PS (AASHRAM SALA) DHODREPAL 22150406204 6624 BASTER DARBHA NAVIN P/S CHHINDBHATAPARA 22150406205 6625 BASTER DARBHA GOVT. PS ALWA 22150406206 6626 BASTER DARBHA PS KOLIAPARA 22150406207 6627 BASTER DARBHA GOVT PS KHODRAGUDA 22150406208 6628 BASTER DARBHA GOVT PS DHODREPAL 22150406209 6629 BASTER DARBHA GOVT UPS DODHREPAL SSA 22150406210 6630 BASTER DARBHA MS PAKHNAR 22150406302 6631 BASTER DARBHA GOVT. PS DILMILI 22150406303
  • 202.
    6632 BASTER DARBHAGOVT. PS DEBRAPAL 22150406304 6633 BASTER DARBHA PS DORGERAS 22150406305 6634 BASTER DARBHA GOVT. PS LOHARAPARA 22150406306 6635 BASTER DARBHA PS CHITAPUR 22150406307 6636 BASTER DARBHA UPS DORGERAS 22150406308 6637 BASTER DARBHA PS DHUDMAGUDA 22150406309 6638 BASTER DARBHA PS KATAKANDA 22150406310 6639 BASTER DARBHA PRIMARY SCHOOL 22150406401 6640 BASTER DARBHA PRIMARY SCHOOL 22150406402 6641 BASTER DARBHA PS KODRIPAL 22150406501 6642 BASTER DARBHA PRIMARY SCHOOL 22150406503 6643 BASTER DARBHA GOVT. A.S. BALERAS 22150406504 6644 BASTER DARBHA MS KODRIPAL 22150406505 6645 BASTER DARBHA GOVT. P.S. MANJHIDIH 22150406506 6646 BASTER DARBHA MS MANJHIDIHI 22150406507 6647 BASTER DARBHA PS CHINGRAS 22150406508 6648 BASTER DARBHA GOVT. KANYA ASHRAM CHITAPUR 22150406601 6649 BASTER DARBHA GOVT MS 22150406602 6650 BASTER DARBHA GOVT. PS CHOTEGUDRA 22150406701 6651 BASTER DARBHA PS KHUTAPARA 22150406801 6652 BASTER DARBHA PS PAKHNAR 22150406802 6653 BASTER DARBHA GYANJYOTI BADEGADDOPARA 22150406803 6654 BASTER DARBHA PS DEVAPARA 22150406804 6655 BASTER DARBHA PS MAHARAPARA 22150406805 6656 BASTER DARBHA GOVT. PS DEVAPARA TOYNAR 22150406806 6657 BASTER DARBHA PS DOMRAPARA 22150406807 6658 BASTER DARBHA GOVT. PS DOMAPARA 22150406808 6659 BASTER DARBHA PS PSTELPARA 22150406809 6660 BASTER DARBHA PS GIDABARLI 22150406810 6661 BASTER DARBHA GOVT. PS BAJARPARA PAKHNAR (BOYS HOSTEL) 22150406811 6662 BASTER DARBHA PS PANDUPARA 22150406812 6663 BASTER DARBHA PS NAYAPARA 22150406814 6664 BASTER DARBHA MS KALEPAL 22150406815
  • 203.
    6665 BASTER DARBHAPS CHOTEGADDOPARA 22150406816 6666 BASTER DARBHA PS NILEGONDA 22150406817 6667 BASTER DARBHA PS LEGODI 22150406818 6668 BASTER DARBHA PS SUDARSHANPARA 22150406819 6669 BASTER DARBHA GOVT PS LINGAPARA SSA 22150406821 6670 BASTER DARBHA GYANJYOTI UPLANKA 22150406901 6671 BASTER DARBHA GYANJYOTI PS UPLANKA 22150406902 6672 BASTER DARBHA GOVT PS THOTHAPARA SSA 22150406903 6673 BASTER DARBHA GOVT PS PERMAPARA SSA 22150406904 6674 BASTER DARBHA PS BELAPARA 22150407003 6675 BASTER DARBHA PS DONGRIGUDA 22150407004 6676 BASTER DARBHA PS MADIAPARA 22150407005 6677 BASTER DARBHA PS BAJARPARA 22150407006 6678 BASTER DARBHA PS DHUKHAPARA 22150407008 6679 BASTER DARBHA PS CHANDRAGIRI 22150407009 6680 BASTER DARBHA PS MUSAGUDA 22150407010 6681 BASTER DARBHA PS LAKHAPARA 22150407011 6682 BASTER DARBHA PS KORENGPARA 22150407013 6683 BASTER DARBHA PS BADGIBHATA 22150407014 6684 BASTER DARBHA PS KADTIPARA 22150407015 6685 BASTER DARBHA PS KATENAR 22150407016 6686 BASTER DARBHA PS TEMRIBHATA 22150407017 6687 BASTER DARBHA PS MUNGA 22150407018 6688 BASTER DARBHA PS BUDAAMAPARA 22150407019 6689 BASTER DARBHA PS MUNDAPARA 22150407020 6690 BASTER DARBHA PS DURDAKONTA 22150407021 6691 BASTER DARBHA MS DHUKHAPARA 22150407024 6692 BASTER DARBHA MS CHANDRAGIRI 22150407025 6693 BASTER DARBHA MS KATENAR 22150407026 6694 BASTER DARBHA MS MUNGA 22150407027 6695 BASTER DARBHA MS GUMADPAL 22150407028 6696 BASTER DARBHA UPS KORANGPARA 22150407029 6697 BASTER DARBHA PS KOLENG 22150407104
  • 204.
    6698 BASTER DARBHAPS PEDAWADA 22150407105 6699 BASTER DARBHA PS SHALPHI PADAR 22150407106 6700 BASTER DARBHA PS MUNDAGARH 22150407107 6701 BASTER DARBHA PS PAREMPARA 22150407108 6702 BASTER DARBHA PS BHADRIMAHU 22150407109 6703 BASTER DARBHA PS URUFPAL 22150407110 6704 BASTER DARBHA PS BIRAPARA 22150407111 6705 BASTER DARBHA PS CHINDIBHATA 22150407112 6706 BASTER DARBHA PS DONGREPARA 22150407113 6707 BASTER DARBHA GOVT PS BIRAPARA SSA 22150407115 6708 BASTER DARBHA GOVT. PS MAWLIPADAR 22150407201 6709 BASTER DARBHA GOVT PS PEDARAS 22150407206 6710 BASTER DARBHA MS LENDA 22150407207 6711 BASTER DARBHA GYANJYOTI JAMGUDA 22150407301 6712 BASTER DARBHA PS MANGALPUR 22150407302 6713 BASTER DARBHA PS TIRATHGARH 22150407303 6714 BASTER DARBHA GOVT. PS KARKAKPARA 22150407304 6715 BASTER DARBHA PS PATELPARA 22150407305 6716 BASTER DARBHA GOVT. M. S. MANGALPUR 22150407306 6717 BASTER DARBHA PS KOYANAR 22150407307 6718 BASTER DARBHA GOVT. P.S. LITIPAL 22150407308 6719 BASTER DARBHA UPS PERMARAS 22150407309 6720 BASTER DARBHA BALAK AASHRAM CHHINDAWADA 22150407310 6721 BASTER DARBHA PS RAMPAL 22150407311 6722 BASTER DARBHA PS JUNPARA 22150407312 6723 BASTER DARBHA PS MUNDAPARA 22150407313 6724 BASTER DARBHA PS CHINDWADA 22150407314 6725 BASTER DARBHA PS PADARAPARA 22150407315 6726 BASTER DARBHA PS KOKARRAS 22150407316 6727 BASTER DARBHA PS PAREMARAS 22150407317 6728 BASTER DARBHA PS MAJHIPARA 22150407318 6729 BASTER DARBHA PS DHURRAS 22150407319 6730 BASTER DARBHA GOVT PS CHINDWADA 22150407320
  • 205.
    6731 BASTER DARBHAUPS KAVARAS 22150407321 6732 BASTER DARBHA PS KARKA 22150407322 6733 BASTER DARBHA PS HANDAPARA 22150407323 6734 BASTER DARBHA PS KONDLOOR 22150407324 6735 BASTER DARBHA GOVT PS PADARPARA SSA 22150407325 6736 BASTER DARBHA GOVT UPS KHASPARA MUNDAGAD SSA 22150407401 6737 BASTER DARBHA GOVT PS KANDANAR SSA 22150407501 6738 BASTER DARBHA GOVT COMBINED AASHRAM SCHOOL KOLENG 22150407601 6739 BASTER DARBHA GOVT PS CHANDAMETA SSA 22150407701 6740 BASTER DARBHA GOVT COMBINED AASHRAM BISPUR 22150407801 6741 BASTER DARBHA GOVT. PS RAGAPARA 22150407901 6742 BASTER DARBHA GOVT PS KANDKIPARA SSA 22150408001 6743 BASTER DARBHA GOVT PS CHIKHALKONTA 22150408101 6744 BASTER DARBHA GOVT UPS TIRATHGARH 22150408201 6745 BASTER DARBHA GOVT PS MANGALPUR 22150408202 6746 BASTER JAGDALPUR PRIMARY SCHOOL 22153300101 6747 BASTER JAGDALPUR PRIMARY SCHOOL 22153300201 6748 BASTER JAGDALPUR PRIMARY SCHOOL BADEKAWALI (TWD) 22153300301 6749 BASTER JAGDALPUR JANPAD NAVEEN PS CHHOTEKAWALI 22153300302 6750 BASTER JAGDALPUR MS BADEKAVALI 22153300303 6751 BASTER JAGDALPUR JANPAD PRIMARY SCHOOL JAMAWADA (TWD) 22153300601 6752 BASTER JAGDALPUR PRIMARY SCHOOL BESLAGUDA 22153300604 6753 BASTER JAGDALPUR NAVEEN PRIMARY+MIDDILE SCHOOL 22153300605 6754 BASTER JAGDALPUR PRIMARY SCHOOL BANDAPARA 22153300606 6755 BASTER JAGDALPUR NAVEEN PRIMARY+MIDDILE SCHOOL 22153300607 6756 BASTER JAGDALPUR PRIMARY SCHOOL BHADRAGUDA 22153300608 6757 BASTER JAGDALPUR P.S. SALFIGUDA 22153300609 6758 BASTER JAGDALPUR PS KASTIPARA 22153300610 6759 BASTER JAGDALPUR SRIRAM PRIMARY SCHOOL 22153300702 6760 BASTER JAGDALPUR MS FREZERPUR 22153300801 6761 BASTER JAGDALPUR PRIMARY SCHOOL CHHEPDAGUDA 22153300901 6762 BASTER JAGDALPUR PS KOHAKAPAL 22153300902 6763 BASTER JAGDALPUR PRIMARY SCHOOL 22153301001
  • 206.
    6764 BASTER JAGDALPURJANPAD PRIMARY SCHOOL BADEMURMA 22153301101 6765 BASTER JAGDALPUR MS BADE MURMA 22153301102 6766 BASTER JAGDALPUR U.P.S. BANDAPARA 22153301103 6767 BASTER JAGDALPUR PS TONDAPAL 22153301104 6768 BASTER JAGDALPUR PS BANDAPARA 22153301105 6769 BASTER JAGDALPUR UPS JAMWADA 22153301106 6770 BASTER JAGDALPUR PS BURAKILIPARA 22153301107 6771 BASTER JAGDALPUR MS SHALPHIGUDA 22153301108 6772 BASTER JAGDALPUR MS CHILKUTI 22153301109 6773 BASTER JAGDALPUR PRIMARY SCHOOL JATAM NIYANAR 22153301201 6774 BASTER JAGDALPUR PRIMARY SCHOOL POTIYAPAL 22153301301 6775 BASTER JAGDALPUR PRIMARY SCHOOL LALBAHADUR SHASTRI 22153301401 6776 BASTER JAGDALPUR KANYA PRIMARY SCHOOL 22153301402 6777 BASTER JAGDALPUR M.S. PANARAPARA 22153301403 6778 BASTER JAGDALPUR MS KUMHRAWANDA 22153301502 6779 BASTER JAGDALPUR PRIMARY SCHOOL SUBHASHCHANDRA BOSH (EDU) 22153301602 6780 BASTER JAGDALPUR PRIMARY SCHOOL D.N.K. 22153301703 6781 BASTER JAGDALPUR PRIMARY SCHOOL MAHATMA GANDHI 22153301801 6782 BASTER JAGDALPUR MAHATMA GANDHI MIDILE SCHOOL 22153301802 6783 BASTER JAGDALPUR PRIMARY SCHOOL KUMHARPARA 22153301901 6784 BASTER JAGDALPUR PRIMARY SCHOOL KOSA KENDRA 22153301902 6785 BASTER JAGDALPUR GOVT HIGH SCHOOL 22153302001 6786 BASTER JAGDALPUR MIDDLE SCHOOL HALBAKOTE 22153302003 6787 BASTER JAGDALPUR GOVT MIDDLE SCHOOL KURANDI 22153302004 6788 BASTER JAGDALPUR PRIMARY SCHOOL 22153302005 6789 BASTER JAGDALPUR UPS PATEL PANDRIPANI 22153302006 6790 BASTER JAGDALPUR PRIMARY SCHOOL 22153302101 6791 BASTER JAGDALPUR SC PRIMARY SCHOOL 22153302102 6792 BASTER JAGDALPUR GOVT PRIMARY SCHOOL 22153302103 6793 BASTER JAGDALPUR GOVT PS BURAKIPARA 22153302104 6794 BASTER JAGDALPUR GOVT AGKV PS BIRANPAL 22153302107 6795 BASTER JAGDALPUR PRIMARY SCHOOL RAVINDRANATH TAIGORE 22153302201 6796 BASTER JAGDALPUR PRIMARY SCHOOL 22153302301
  • 207.
    6797 BASTER JAGDALPURGOVT.NEHRU PRIMARY SCHOOL 22153302302 6798 BASTER JAGDALPUR UPS SCHOOL SADAR 22153302303 6799 BASTER JAGDALPUR MS JAMGUDA 22153302401 6800 BASTER JAGDALPUR MS BILORE 22153302402 6801 BASTER JAGDALPUR PRIMARY SCHOOL BILORI 22153302403 6802 BASTER JAGDALPUR ADJK PRIMARY SCHOOL KANDURGUDA 22153302404 6803 BASTER JAGDALPUR PRIMARY SCHOOL CHITAPADAR 22153302405 6804 BASTER JAGDALPUR MIDDILE SCHOOL KARKAPAL 22153302406 6805 BASTER JAGDALPUR UPS MATAMANDIR (SSA) 22153302501 6806 BASTER JAGDALPUR PRIMARY SCHOOL DOKARIGATPARA 22153302502 6807 BASTER JAGDALPUR PRIMARY SCHOOL BHAGATSINGH (EDU) 22153302601 6808 BASTER JAGDALPUR AADARASH VIDIYA BAHAR P.S. 22153302602 6809 BASTER JAGDALPUR MS BHAGAT SINGH 22153302603 6810 BASTER JAGDALPUR UPS AZAD AMAGUDA 22153302608 6811 BASTER JAGDALPUR UPS DOKRIGHATPARA 22153302609 6812 BASTER JAGDALPUR PRIMARY SCHOOL BALIKONTA 22153302701 6813 BASTER JAGDALPUR GOVT PS KANIST BALIKONDA (TWD) 22153302702 6814 BASTER JAGDALPUR PRIMARY SCHOOL 22153302801 6815 BASTER JAGDALPUR M.S. DHARAMPURA NO. 01 22153302803 6816 BASTER JAGDALPUR PRIMARY SCHOOL NAVEEN NIYANAR 22153303101 6817 BASTER JAGDALPUR PRIMARY SCHOOL 22153303301 6818 BASTER JAGDALPUR MS DHANPUNG 22153303302 6819 BASTER JAGDALPUR PRIMARY SCHOOL JADIGUDA 22153303401 6820 BASTER JAGDALPUR M.S. NANGUR 22153303603 6821 BASTER JAGDALPUR PS TONGOPARA 22153303604 6822 BASTER JAGDALPUR PS BANGLOOR 22153303605 6823 BASTER JAGDALPUR PS CHOTEMURMA 22153303902 6824 BASTER JAGDALPUR PS AMADONGRI 22153303903 6825 BASTER JAGDALPUR PRIMARY SCHOOL HATPADMUR (TWD) 22153304001 6826 BASTER JAGDALPUR MS HATPADMUR 22153304005 6827 BASTER JAGDALPUR PS KESHBOPARA 22153304006 6828 BASTER JAGDALPUR MS PUSHPAL 22153304102 6829 BASTER JAGDALPUR UPS PUSPAL 22153304103
  • 208.
    6830 BASTER JAGDALPURPRIMARY SCHOOL BADWPUSPAL (TWD) 22153304201 6831 BASTER JAGDALPUR PRIMARY SCHOOL ASNA 22153304401 6832 BASTER JAGDALPUR MS AASNA 22153304402 6833 BASTER JAGDALPUR MIDDILE SCHOOL CHEPDAGUDA 22153304403 6834 BASTER JAGDALPUR PRIMARY SCHOOL 22153304501 6835 BASTER JAGDALPUR MS BMHNE 22153304502 6836 BASTER JAGDALPUR PRIMARY SCHOOL HATGUDA 22153304601 6837 BASTER JAGDALPUR MS HATGUDA 22153304602 6838 BASTER JAGDALPUR PRIMARY SCHOOL BABUSEMRA 22153304701 6839 BASTER JAGDALPUR MS BABU SEMRA 22153304702 6840 BASTER JAGDALPUR PRIMARY SCHOOL DHANIYALUR (TWD) 22153304801 6841 BASTER JAGDALPUR PRIMARY SCHOOL TARIGUDA 22153304802 6842 BASTER JAGDALPUR MIDDILE SCHOOL DHANIYALUR 22153304803 6843 BASTER JAGDALPUR PRIMARY SCHOOL BADEGUDA 22153304804 6844 BASTER JAGDALPUR PRIMARY SCHOOL KOLAWADA 22153304901 6845 BASTER JAGDALPUR S. C. BOY ASHRAM 22153304902 6846 BASTER JAGDALPUR MS NATANAR 22153304904 6847 BASTER JAGDALPUR JAPAD PRIMARY SCHOOL 22153304905 6848 BASTER JAGDALPUR PRIMARY SCHOOL KICHAKRAS 22153304906 6849 BASTER JAGDALPUR PS GORIAPAL 22153304907 6850 BASTER JAGDALPUR GOVT PRIMARY SCHOOL SIVNAGUDA (TWD) 22153305101 6851 BASTER JAGDALPUR ADJ PRIMARY SCHOOL 22153305201 6852 BASTER JAGDALPUR PRIMARY SCHOOL 22153305202 6853 BASTER JAGDALPUR NS NAGRNAR 22153305204 6854 BASTER JAGDALPUR GOVT.HIGH SCHOOL 22153305206 6855 BASTER JAGDALPUR ADJK PRIMARY SCHOOL NADIBONA 22153305207 6856 BASTER JAGDALPUR KINST PRIMARY SCHOOL 22153305302 6857 BASTER JAGDALPUR KANIST PRIMARY SCHOOL 22153305303 6858 BASTER JAGDALPUR PRIMARY SCHOOL MAGANPUR 22153305401 6859 BASTER JAGDALPUR MS MADPAL 22153305501 6860 BASTER JAGDALPUR PS MADPAL 22153305503 6861 BASTER JAGDALPUR GOVT.PRIMARY SCHOOL PATARPARA 22153305505 6862 BASTER JAGDALPUR PRIMARY SCHOOL 22153305601
  • 209.
    6863 BASTER JAGDALPURPRIMARY SCHOOL AWASPLAT JHARMU 22153305602 6864 BASTER JAGDALPUR ADJK MIDDILE SCHOOL 22153305603 6865 BASTER JAGDALPUR MS NAVAGUDA 22153305701 6866 BASTER JAGDALPUR PRIMARY SCHOOL NAVAGUDA 22153305702 6867 BASTER JAGDALPUR PRIMARY SCHOOL TITIRGAON (TWD) 22153305801 6868 BASTER JAGDALPUR MS TITIRGAO 22153305802 6869 BASTER JAGDALPUR JANPAD PRIMARY SCHOOL HATKACHORA 22153306001 6870 BASTER JAGDALPUR M.S. HATKACHORA 22153306003 6871 BASTER JAGDALPUR PRIMARY SCHOOL MUNDAPARA KURANDI (TWD) 22153306101 6872 BASTER JAGDALPUR PRIMARY SCHOOL LAMNI 22153306201 6873 BASTER JAGDALPUR MS LAMNE 22153306202 6874 BASTER JAGDALPUR PRIMARY SCHOOL ATPAHRI SEMRA 22153306401 6875 BASTER JAGDALPUR PRIMARY SCHOOL KALCHA 22153306501 6876 BASTER JAGDALPUR MS KLCHA 22153306502 6877 BASTER JAGDALPUR UPS BADEPARA KALCHA 22153306503 6878 BASTER JAGDALPUR PRIMARY SCHOOL BADEPARA KALCHA 22153306601 6879 BASTER JAGDALPUR PRIMARY SCHOOL SADGUD (TWD) 22153306701 6880 BASTER JAGDALPUR MS SADGUD 22153306702 6881 BASTER JAGDALPUR PRIMARY SCHOOL 22153306801 6882 BASTER JAGDALPUR PRIMARY SCHOOL KAIKACHERBAHAR (TWD) 22153306901 6883 BASTER JAGDALPUR KNIST PRIMARY SCHOOL SURANDWADA 22153307001 6884 BASTER JAGDALPUR KNIST PRIMARY SCHOOL RAMPAL 22153307101 6885 BASTER JAGDALPUR GOVT UPS RAMPAL (TWD) 22153307102 6886 BASTER JAGDALPUR PRIMARY SCHOOL` 22153307201 6887 BASTER JAGDALPUR UPS KARKAPAL 22153307202 6888 BASTER JAGDALPUR KNIST PRIMARY SCHOOL NAYAPARA ADAWAL 22153307301 6889 BASTER JAGDALPUR S.. C. PRIMARY SCHOOL 22153307303 6890 BASTER JAGDALPUR MS AADAWAL 22153307305 6891 BASTER JAGDALPUR SC PRIMARY SCHOO; 22153307307 6892 BASTER JAGDALPUR PRIMARY SCHOOL KUSUMPAL 22153307309 6893 BASTER JAGDALPUR UPS BADE GARAWAND 22153307401 6894 BASTER JAGDALPUR SC PRIMARY SCOOL BADE GARAWAND 22153307402 6895 BASTER JAGDALPUR KANIST PRIMARY SCHOOL MANJHIGUDA (TWD) 22153307501
  • 210.
    6896 BASTER JAGDALPURPS BADE BODEL 22153307502 6897 BASTER JAGDALPUR PS PARALE 22153307503 6898 BASTER JAGDALPUR KAINST PRIMARY SCHOOL KADAMPARA 22153307701 6899 BASTER JAGDALPUR PRIMARY+MIDDILE SCHOOL 22153307901 6900 BASTER JAGDALPUR PRIMARY SCHOOL SHANTINAGAR 22153308204 6901 BASTER JAGDALPUR GOVT.PRIMARY SCHOOL FREZORPUR 22153308205 6902 BASTER JAGDALPUR PRIMARY SCHOOL KALAGUDA 22153308301 6903 BASTER JAGDALPUR GURUKUL VIDYA PEETH 22153308304 6904 BASTER JAGDALPUR G M H S S JAGDALPUR 22153308604 6905 BASTER JAGDALPUR MLB MS JAGDALPUR 22153308605 6906 BASTER JAGDALPUR VIVKANAND MS JAGDALPUR 22153308606 6907 BASTER JAGDALPUR DANTESWARI MS JAGDALPU 22153308607 6908 BASTER JAGDALPUR PS HARIJAN COLONY JAGDALPUR 22153308608 6909 BASTER JAGDALPUR MS EBA. MISSION JAGDALPUR 22153308609 6910 BASTER JAGDALPUR JANPAD PRIMARY SCHOOL KICHAKRAS 22153308610 6911 BASTER JAGDALPUR INDRA GANDHI PRIMARY KANYA 22153308611 6912 BASTER JAGDALPUR GOVT. GIRLS KANYA MS - 2 22153308616 6913 BASTER JAGDALPUR ADJK P.S. BAHADOORGUDA 22153308628 6914 BASTER JAGDALPUR PRIMARY SCHOOL HARIJAN COLONY 22153308630 6915 BASTER JAGDALPUR DANTESHWARI UPS 22153308632 6916 BASTER JAGDALPUR KASTURBA GANDHI SCHOOL 22153308633 6917 BASTER JAGDALPUR PS RAJAE MUSTAF 22153308636 6918 BASTER JAGDALPUR MS KEWRAMUNDA 22153308640 6919 BASTER JAGDALPUR GOVT.PRIMARY GIRLS SCHOOL 22153308801 6920 BASTER JAGDALPUR PS ADHUNIK ASIYA MADARSA 22153308901 6921 BASTER JAGDALPUR PRIMARY SCHOOL 22153309101 6922 BASTER JAGDALPUR MS KUSTRE 22153309103 6923 BASTER JAGDALPUR A.J.K.V.PRIMARY SCHOOL KRISHNA MANDIR 22153309202 6924 BASTER JAGDALPUR GOVT MS KRISHNA MANDIR (TWD) 22153309203 6925 BASTER JAGDALPUR PRIMARY SCHOOL SIRHAPARA 22153309304 6926 BASTER JAGDALPUR PRIMARY SCHOOL TONDAPAL 22153309305 6927 BASTER JAGDALPUR PRIMARY+MIDDILE SCHOOL 22153309306 6928 BASTER JAGDALPUR PRIMARY SCHOOL KONDAWAL (TWD) 22153309402
  • 211.
    6929 BASTER JAGDALPURADJK PRIMARY SCHOOL KANGOLI 22153309505 6930 BASTER JAGDALPUR PRIMARY SCHOOL ADARSH KANGOLI 22153309506 6931 BASTER JAGDALPUR UPS BADEBADAM (SSA) 22153309602 6932 BASTER JAGDALPUR PRIMARY SCHOOL MORAKHPAL 22153310002 6933 BASTER JAGDALPUR ADJK PRIMARY SCHOOL 22153310003 6934 BASTER JAGDALPUR PRIMARY SCHOOL DURKIGUDA 22153310004 6935 BASTER JAGDALPUR S. C. PRIMARY SCHOOL KHUTAGUDA 22153310201 6936 BASTER JAGDALPUR MIDDLE SCHOOL RLY COLONY 22153310303 6937 BASTER JAGDALPUR PRIMARY SCHOOL MATAMANDIR 22153310502 6938 BASTER JAGDALPUR BOY ASHRAM NAGALSAR 22153310702 6939 BASTER JAGDALPUR PRIMARY SCHOOL 22153310703 6940 BASTER JAGDALPUR MIDDILE SCHOOL 22153310704 6941 BASTER JAGDALPUR KANYA ASHRAM NAGALSAR 22153310705 6942 BASTER JAGDALPUR PRIMARY SCHOOL ALNAR (TWD) 22153310802 6943 BASTER JAGDALPUR PRIMARY SCHOOL ULNAR 22153310803 6944 BASTER JAGDALPUR UPS ULNAR 22153310804 6945 BASTER JAGDALPUR MS ALNAR 22153310805 6946 BASTER JAGDALPUR PRIMARY SCHOOL 22153310902 6947 BASTER JAGDALPUR UPS BHATIGUDA 22153311001 6948 BASTER JAGDALPUR UPS TURENAR 22153311002 6949 BASTER JAGDALPUR PRIMARY SCHOOL KUKDIGUDA 22153311003 6950 BASTER JAGDALPUR PRIMARY SCHOOL BHATIGUDA 22153311004 6951 BASTER JAGDALPUR S. C. PRIMARY SCHOOL 22153311101 6952 BASTER JAGDALPUR S. C. PRIMARY SCHOOL DONGAM 22153311201 6953 BASTER JAGDALPUR MS DONGAM 22153311202 6954 BASTER JAGDALPUR P.S.KALAGUDA 22153311302 6955 BASTER JAGDALPUR S. C. `PRIMARY SCHOOL DONGAGHAT 22153311701 6956 BASTER JAGDALPUR UPS DONGA GHAT 22153311703 6957 BASTER JAGDALPUR PS EBA. MISSION JAGDALPUR 22153311901 6958 BASTER JAGDALPUR PRIMARY SCHOOL KORPAL 22153312001 6959 BASTER JAGDALPUR S. C. PRIMARY SCHOOL TUSEL 22153312101 6960 BASTER JAGDALPUR UPS TUSEL 22153312102 6961 BASTER JAGDALPUR S. C. PRIMARY SCHOOL KOSAKENDRA 22153312201
  • 212.
    6962 BASTER JAGDALPURS. C. PRIMARY SCHOOL TAMAKONI 22153312301 6963 BASTER JAGDALPUR S. C. PRIMARY SCHOOL SULIYAGUDA 22153312401 6964 BASTER JAGDALPUR MS SULIYAGUDA 22153312402 6965 BASTER JAGDALPUR PRIMARY SCHOOL BADEPARA KURUNDI 22153312403 6966 BASTER JAGDALPUR S. C. PRIMARY SCHOOL DHURGUDA 22153312501 6967 BASTER JAGDALPUR S. C. PRIMARY SCHOOL PODSAGUDA 22153312502 6968 BASTER JAGDALPUR S. C. PRIMARY SCHOOL KUMHALI 22153312601 6969 BASTER JAGDALPUR PRIMARY SCHOOL AMLIGUDA 22153312603 6970 BASTER JAGDALPUR MS MANDUKACHORA 22153312701 6971 BASTER JAGDALPUR PS SULIYAGUDA JUNAPARA (TWD) 22153312801 6972 BASTER JAGDALPUR MIDDLE SCHOOL PODAGUDA 22153312901 6973 BASTER JAGDALPUR ADJK PRIMARY SCHOOL 22153312902 6974 BASTER JAGDALPUR PS BHATIGUDA 22153312903 6975 BASTER JAGDALPUR PS KANDULGUDA 22153312904 6976 BASTER JAGDALPUR GOVT. NAVEEN PS BAIDARGUDA 22153312906 6977 BASTER JAGDALPUR S. C. PRIMARY SCHOOL MANJHIPARA 22153313001 6978 BASTER JAGDALPUR A.J.K.V. PRIMARY SCHOOL 22153313002 6979 BASTER JAGDALPUR UPS NAKTISEMRA 22153313003 6980 BASTER JAGDALPUR GOVT MODEL SCHOOL NAKTISEMRA (RMSA) 22153313004 6981 BASTER JAGDALPUR S. C. PRIMARY SCHOOL HALBAKACHORA 22153313101 6982 BASTER JAGDALPUR ADJK PRIMARY SCHOOL 22153313102 6983 BASTER JAGDALPUR MS BABUSEMRA 22153313201 6984 BASTER JAGDALPUR GOVT. PRIMARY SCHOOL 22153313202 6985 BASTER JAGDALPUR MIDDILE SCHOOL 22153313203 6986 BASTER JAGDALPUR UPS CHITAPDR 22153313304 6987 BASTER JAGDALPUR GOVT PS CHITAPADAR (TWD) 22153313305 6988 BASTER JAGDALPUR S. C. PRIMARY SCHOOL BIRSAGUDA 22153313401 6989 BASTER JAGDALPUR NJK TOLAWADA 22153313505 6990 BASTER JAGDALPUR PS AWASPLAT KUMHALI 22153313506 6991 BASTER JAGDALPUR S. C. PRIMARY SCHOOL CHILKUTI 22153313901 6992 BASTER JAGDALPUR MS CHILKUTI 22153313902 6993 BASTER JAGDALPUR PS CHILKUTI 22153313903 6994 BASTER JAGDALPUR KNIST PRIMARY SCHOOL MANJHIGUDA 22153314201
  • 213.
    6995 BASTER JAGDALPURPRIMARY SCHOOL 22153314401 6996 BASTER JAGDALPUR BOY ASHRAM TIRIYA 22153314501 6997 BASTER JAGDALPUR PRIMARY SCHOOL TIRIYA 22153314502 6998 BASTER JAGDALPUR MS TRIYA 22153314503 6999 BASTER JAGDALPUR UPS KAVAPAL 22153314504 7000 BASTER JAGDALPUR GYAN JYOTI PS 22153314505 7001 BASTER JAGDALPUR PRIMARY SCHOOL KOPAGUDA 22153314601 7002 BASTER JAGDALPUR PRIMARY SCHOOL CHHOTEGARAWAND 22153314701 7003 BASTER JAGDALPUR PRIMARY SCHOOL SIDMUD (TWD) 22153314801 7004 BASTER JAGDALPUR PRIMARY SCHOOL SARGIPAL 22153314901 7005 BASTER JAGDALPUR UPS SARGIPAL 22153314902 7006 BASTER JAGDALPUR PS DONGRIPARA SARGIPAL 22153314903 7007 BASTER JAGDALPUR PS HIDMAPARA 22153314904 7008 BASTER JAGDALPUR PS TURENAR 22153315003 7009 BASTER JAGDALPUR PRIMARY SCHOOL 22153315102 7010 BASTER JAGDALPUR DNK PRIMARY SCHOOL 22153315202 7011 BASTER JAGDALPUR PRIMARY SCHOOL PALLI 22153315203 7012 BASTER JAGDALPUR ADJK PRIMARY SCHOOL DHARAMPUR 22153315204 7013 BASTER JAGDALPUR UPS PALLI 22153315205 7014 BASTER JAGDALPUR UPS KALIPUR 22153315401 7015 BASTER JAGDALPUR AJK PRIMARY SCHOOL KALIPUR 22153315402 7016 BASTER JAGDALPUR NAVEEN PRIMARY SCHOOL KALIPUR 22153315403 7017 BASTER JAGDALPUR MS PODSAGUDA 22153315601 7018 BASTER JAGDALPUR ANJUMAN URDU HINDI SCHOOL 22153315702 7019 BASTER JAGDALPUR GOVT. PRIMARY SCHOOL 22153315801 7020 BASTER JAGDALPUR PRIMARY SCHOOL 22153315901 7021 BASTER JAGDALPUR MS BHALUGUDA 22153315902 7022 BASTER JAGDALPUR MS SIVNAGUDA 22153316001 7023 BASTER JAGDALPUR MS MAGANPUR 22153316101 7024 BASTER JAGDALPUR MIDDILE SCHOOL MARKEL 22153316102 7025 BASTER JAGDALPUR PS KHAMHARGAON+ 22153316103 7026 BASTER JAGDALPUR PRIMARY SCHOOL BODAMUNDA 22153316104 7027 BASTER JAGDALPUR MS MORATHPAL 22153316105
  • 214.
    7028 BASTER JAGDALPURMS AMLIGUDA 22153316106 7029 BASTER JAGDALPUR MS BODAMUNDA 22153316107 7030 BASTER JAGDALPUR MS GANJDAGUDA 22153316108 7031 BASTER JAGDALPUR MS KHAMARGAON 22153316109 7032 BASTER JAGDALPUR PS AMAGUDA KHASPARA 22153316110 7033 BASTER JAGDALPUR PS MORATHPAL 22153316111 7034 BASTER JAGDALPUR PS AMAGUDA 22153316112 7035 BASTER JAGDALPUR PRIMARY SCHOOL 22153316201 7036 BASTER JAGDALPUR PRIMARY SCHOOL 22153316301 7037 BASTER JAGDALPUR PRIMARY SCHOOL 22153316401 7038 BASTER JAGDALPUR PRIMARY SCHOOL 22153316501 7039 BASTER JAGDALPUR PRIMARY SCHOOL JAMGUDA (TWD) 22153316602 7040 BASTER JAGDALPUR PRIMARY SCHOOL LOHRAPARA 22153316603 7041 BASTER JAGDALPUR E. G. PRIMARY SCHOOL 22153316701 7042 BASTER JAGDALPUR PRIMARY SCHOOL BAISBANDHA (SSA) 22153316801 7043 BASTER JAGDALPUR UPS BHAISBANDHA 22153316802 7044 BASTER JAGDALPUR PRIMARY SCHOOL MILKULWADA 22153316901 7045 BASTER JAGDALPUR PRIMARY SCHOOL GOPAPADAR 22153317001 7046 BASTER JAGDALPUR PRIMARY SCHOOL PENGARAS 22153317101 7047 BASTER JAGDALPUR PRIMARY SCHOOL BAMNARAS 22153317201 7048 BASTER JAGDALPUR MS BAMNARAS 22153317202 7049 BASTER JAGDALPUR PRIMARY SCHOOL CHAYKUR 22153317301 7050 BASTER JAGDALPUR PRIMARY SCHOOL BIJLIPARA 22153317403 7051 BASTER JAGDALPUR PRIMARY SCHOOL RANDHARIRAS 22153317501 7052 BASTER JAGDALPUR MS RANDHARIRAS 22153317502 7053 BASTER JAGDALPUR PRIMARY SCHOOL 22153317701 7054 BASTER JAGDALPUR MS PANDRIPANI 22153317702 7055 BASTER JAGDALPUR PRIMARY SCHOOL TAIPADAR 22153317801 7056 BASTER JAGDALPUR PRIMARY SCHOOL SULIYAGUDA JUNAPARA 22153317901 7057 BASTER JAGDALPUR PRIMARY SCHOOL TETARKUTI 22153318102 7058 BASTER JAGDALPUR PRIMARY SCHOOL GUDIA 22153318201 7059 BASTER JAGDALPUR PS GUMALWADA S PARA (RGSM) 22153318303 7060 BASTER JAGDALPUR PS GUMALWADA KHASHPARA 22153318304
  • 215.
    7061 BASTER JAGDALPURUPS GUMALWADA 22153318305 7062 BASTER JAGDALPUR PRIMARY SCHOOL BHELWABHATA 22153318402 7063 BASTER JAGDALPUR PRIMARY SCHOOL KAKARWADA 22153318403 7064 BASTER JAGDALPUR PRIMARY SCHOOL PARALI 22153318602 7065 BASTER JAGDALPUR PRIMARY SCHOOL TONGPARA 22153318603 7066 BASTER JAGDALPUR PS DUMARGUDA 22153318604 7067 BASTER JAGDALPUR ADIM JATI KANIST PS 22153319301 7068 BASTER JAGDALPUR PS JAWAHAR NAGAR 22153319401 7069 BASTER JAGDALPUR PRIMARY SCHOOL PULCHA 22153319601 7070 BASTER JAGDALPUR PRIMARY SCHOOL(AJKV) KAWAPAL 22153319602 7071 BASTER JAGDALPUR UNNYAN M.S. SCHOOL PULCHA 22153319603 7072 BASTER JAGDALPUR MS KOLAWADA 22153319604 7073 BASTER JAGDALPUR PRIMARY SCHOOL CHECHALGUR 22153319701 7074 BASTER JAGDALPUR M.S. KANGOLI 22153319805 7075 BASTER JAGDALPUR PRIMARY SCHOOL SAF KANGOLI 22153319807 7076 BASTER JAGDALPUR PS ADARSH KANGOLI 22153319808 7077 BASTER JAGDALPUR PRIMARY SCHOOL NEGIGUDA 22153319901 7078 BASTER JAGDALPUR PS GHATPADMUR 22153319903 7079 BASTER JAGDALPUR TRIBAL UPS GHATPADMUR 22153319904 7080 BASTER JAGDALPUR ADIM JATI PRIMARY SCHOOL JATAM 22153320001 7081 BASTER JAGDALPUR MS JATAM 22153320002 7082 BASTER JAGDALPUR PRIMARY SCHOOL 22153320201 7083 BASTER JAGDALPUR PRIMARY + MIDDLE SCHOOL 22153320203 7084 BASTER JAGDALPUR PRIMARY SCHOOL 22153320301 7085 BASTER JAGDALPUR PRIMARY SCHOOL 22153320601 7086 BASTER JAGDALPUR ADIM JATI PRIMARY SCHOOL HALBAKOTE 22153320701 7087 BASTER JAGDALPUR MS HALWAKOT 22153320702 7088 BASTER JAGDALPUR ADIM JATI PRIMARY SCHOOL BURNDWADA SEMRA 22153320801 7089 BASTER JAGDALPUR ADIM JATI PRIMARY SCHOOL 22153321001 7090 BASTER JAGDALPUR MS KARNAPUR 22153321002 7091 BASTER JAGDALPUR ADJK PRIMARY SCHOOL 22153321003 7092 BASTER JAGDALPUR PRIMARY SCHOOL 22153321101 7093 BASTER JAGDALPUR ADIM JATI PRIMARY SCHOOL 22153321201
  • 216.
    7094 BASTER JAGDALPURMS MACHKOT 22153321202 7095 BASTER JAGDALPUR ADIM JATI KANIST PRIMARY SCHOOL NANGUR 22153321501 7096 BASTER JAGDALPUR KANIST PS PATELPARA KAIKACHERBAHAR 22153321601 7097 BASTER JAGDALPUR PRIMARY SCHOOL BENGLOOR 22153321802 7098 BASTER JAGDALPUR ADJK PRIMARY SCHOOL KAIKAGARH 22153321803 7099 BASTER JAGDALPUR KANIST PRIMARY SCHOOL KAIKACHERBAHAR 22153321901 7100 BASTER JAGDALPUR A.D.J.K PRIMARY SCHOOL JOJAL 22153322001 7101 BASTER JAGDALPUR KANIST PRIMARY SCHOOL 22153322101 7102 BASTER JAGDALPUR ADIM JATI PRIMARY SCHOOL 22153322201 7103 BASTER JAGDALPUR UPS KULGAON 22153322202 7104 BASTER JAGDALPUR ADIM JATI PRIMARY SCHOOL 22153322401 7105 BASTER JAGDALPUR ADIM JATI PRIMARY SCHOOL 22153322501 7106 BASTER JAGDALPUR MS GANDHINAGAR 22153322701 7107 BASTER JAGDALPUR PRIMARY SCHOOL GANDHINAGAR 22153322702 7108 BASTER JAGDALPUR GOVT. BOYS PS BHAIRAMGANJ (TWD) 22153323001 7109 BASTER JAGDALPUR M.S. BHAIRAMGANJ 22153323002 7110 BASTER JAGDALPUR PRIMARY SCHOOL BODHGHAT 22153323101 7111 BASTER JAGDALPUR M.S. BODHGHAT 22153323102 7112 BASTER JAGDALPUR PRIMARY SCHOOL RAILWAY COLONY 22153323103 7113 BASTER JAGDALPUR MS KOSACENTER WARD 29 22153323202 7114 BASTER LOHANDIGUDA GOVT. PS. CHALKIGUDA NEGIRAS 22152400101 7115 BASTER LOHANDIGUDA GOVT. PS. MASAPARA GADHIYA 22152400401 7116 BASTER LOHANDIGUDA GOVT. PS. MANJHIPARA 22152400402 7117 BASTER LOHANDIGUDA GOVT. NPS. GADHIYA 22152400404 7118 BASTER LOHANDIGUDA GOVT. PS. DENGPARA 22152400405 7119 BASTER LOHANDIGUDA GOVT. UPS. KOKADIGUDA 22152400406 7120 BASTER LOHANDIGUDA UP PS PATERIYAPARA 22152400702 7121 BASTER LOHANDIGUDA GOVT. UPS. KAHCHENAR 22152400703 7122 BASTER LOHANDIGUDA PRIMARY SCHOOL 22152400801 7123 BASTER LOHANDIGUDA GOVT. PS. TOYAR 22152400802 7124 BASTER LOHANDIGUDA GOVT. PS. PATELPARA AMALIDHAR 22152400901 7125 BASTER LOHANDIGUDA GOVT. PS. AMLIDHAR 22152400902 7126 BASTER LOHANDIGUDA PRIMARY SCHOOL 22152401001
  • 217.
    7127 BASTER LOHANDIGUDAUPS MALAKDOL 22152401002 7128 BASTER LOHANDIGUDA UPPS CHHINDHAPARA 22152401003 7129 BASTER LOHANDIGUDA PRIMARY SCHOOL 22152401101 7130 BASTER LOHANDIGUDA PRIMARY SCHOOL DURKIGUDA 22152401102 7131 BASTER LOHANDIGUDA GOVT. UPS. KHARIYAGUDA 22152401301 7132 BASTER LOHANDIGUDA PRIMARY SCHOOL 22152401401 7133 BASTER LOHANDIGUDA GOVT. PS. LIMAUPADAR 22152401501 7134 BASTER LOHANDIGUDA PRIMARY SCHOOL 22152401601 7135 BASTER LOHANDIGUDA GOVT. PS. KARKAPAL 22152401701 7136 BASTER LOHANDIGUDA GOVT. UPS. KARKAPAL 22152401702 7137 BASTER LOHANDIGUDA GOVT. PS. LAKHAIBEDA 22152401801 7138 BASTER LOHANDIGUDA GOVT. UPS. LAKHAIBEDA 22152401802 7139 BASTER LOHANDIGUDA PRIMARY SCHOOL 22152401901 7140 BASTER LOHANDIGUDA JANPADPRIMARY SCHOOL 22152401902 7141 BASTER LOHANDIGUDA NPS PATELPARA 22152401903 7142 BASTER LOHANDIGUDA GYANJYOTI CHHINDBHATA 22152401905 7143 BASTER LOHANDIGUDA GYANJYOTI KHASPARA 22152401906 7144 BASTER LOHANDIGUDA S.P.S.CHINDABHATA 22152401909 7145 BASTER LOHANDIGUDA GOVT. PS. BODALI 22152402001 7146 BASTER LOHANDIGUDA GOVT. PS. ERANDWAL 22152402101 7147 BASTER LOHANDIGUDA GOVT. PS. GUDAMPARA BELAR 22152402102 7148 BASTER LOHANDIGUDA GOVT. PS. CHANDANPUR 22152402201 7149 BASTER LOHANDIGUDA GOVT. MS. CHANDANPUR 22152402202 7150 BASTER LOHANDIGUDA GOVT. SANYUKT ASHRAM SALA CHANDANPUR 22152402203 7151 BASTER LOHANDIGUDA PRIMARY SCHOOL 22152402301 7152 BASTER LOHANDIGUDA A.J.K.V.PRIMARY SCHOOL 22152402302 7153 BASTER LOHANDIGUDA MS SATASPUR 22152402303 7154 BASTER LOHANDIGUDA GYANJYOTI UPARPARA 22152402304 7155 BASTER LOHANDIGUDA GOVT. PS. USARIBEDA 22152402401 7156 BASTER LOHANDIGUDA GOVT. MS. USARIBEDA 22152402402 7157 BASTER LOHANDIGUDA GOVT. GIRLS MS USARIBEDA 22152402404 7158 BASTER LOHANDIGUDA GOVT. PS. KHARIYAGUDA 22152402405 7159 BASTER LOHANDIGUDA KGBV.USRIBEDA 22152402406
  • 218.
    7160 BASTER LOHANDIGUDANAVIN PRIMARY SCHOOL 22152402501 7161 BASTER LOHANDIGUDA GOVT. PS. BAHARGUDA 22152402601 7162 BASTER LOHANDIGUDA UP PS HATHWARIPARA 22152402702 7163 BASTER LOHANDIGUDA GOVT. UPS. DABPAL 22152402801 7164 BASTER LOHANDIGUDA KANIST PRIMARY SCHOOL 22152402802 7165 BASTER LOHANDIGUDA EGS MARIGUDA 22152402803 7166 BASTER LOHANDIGUDA GOVT. PS. MATNAR 22152402901 7167 BASTER LOHANDIGUDA GOVT. NPS. DOLEPARA 22152402902 7168 BASTER LOHANDIGUDA GOVT. PS. CHALANPARA MATNAR 22152402903 7169 BASTER LOHANDIGUDA GOVT. PS. KONDAPARA 22152402904 7170 BASTER LOHANDIGUDA GOVT. PS. CHANDOPARA MATNAR 22152402905 7171 BASTER LOHANDIGUDA GOVT. UPS. MATNAR 22152402906 7172 BASTER LOHANDIGUDA GOVT. MS. LIMAUPADAR 22152402907 7173 BASTER LOHANDIGUDA GOVT. PS. MENDRI MATNAR 22152402908 7174 BASTER LOHANDIGUDA GOVT. PS. MARIGUDA MATNAR 22152402909 7175 BASTER LOHANDIGUDA GOVT.PS.AS. KASTURPAL 22152402910 7176 BASTER LOHANDIGUDA GOVT.MS. KASTURPAL 22152402911 7177 BASTER LOHANDIGUDA JANPAD PRIMARY SCHOOL 22152403001 7178 BASTER LOHANDIGUDA PRIMARY SCHOOL 22152403002 7179 BASTER LOHANDIGUDA PRIMARY SCHOOL` 22152403101 7180 BASTER LOHANDIGUDA GOVT. PS. CHHEPDAGUDA 22152403102 7181 BASTER LOHANDIGUDA GOVT. PS. DABPAL 22152403201 7182 BASTER LOHANDIGUDA GOVT. PS. DENGPARA DABPAL 22152403202 7183 BASTER LOHANDIGUDA GOVT. PS. PALAM 22152403301 7184 BASTER LOHANDIGUDA GOVT. UPS. PALAM 22152403302 7185 BASTER LOHANDIGUDA PRIMARY SCHOOL 22152403401 7186 BASTER LOHANDIGUDA P.M.S. MURKIL 22152403402 7187 BASTER LOHANDIGUDA GOVT. PS. PUSPAL 22152403501 7188 BASTER LOHANDIGUDA M.S. DEVSIL 22152403502 7189 BASTER LOHANDIGUDA GOVT. UPS. PUSPAL 22152403503 7190 BASTER LOHANDIGUDA GOVT. PS. ANJAR 22152403601 7191 BASTER LOHANDIGUDA GOVT. UPS. ANJAR 22152403602 7192 BASTER LOHANDIGUDA PRIMARY SCHOOL 22152403701
  • 219.
    7193 BASTER LOHANDIGUDAPS.ERIKPAL 22152403704 7194 BASTER LOHANDIGUDA PRIMARY SCHOOL 22152403801 7195 BASTER LOHANDIGUDA PHULAPARA BADRENGA 22152403802 7196 BASTER LOHANDIGUDA PRIMARY SCHOOL 22152403901 7197 BASTER LOHANDIGUDA PRIMARY SCHOOL 22152404001 7198 BASTER LOHANDIGUDA NAVEEN JPS-SALPIPADAR 22152404002 7199 BASTER LOHANDIGUDA PRIMARY SCHOOL 22152404101 7200 BASTER LOHANDIGUDA GOVT. PS. KASTURPAL 22152404301 7201 BASTER LOHANDIGUDA GOVT. PS. PATELPARA KASTURPAL 22152404302 7202 BASTER LOHANDIGUDA GOVT. PS. SOLAPARA KASTURPAL 22152404303 7203 BASTER LOHANDIGUDA PRIMARY SCHOOL 22152404401 7204 BASTER LOHANDIGUDA JANPAD PRIMARY SCHOOL 22152404501 7205 BASTER LOHANDIGUDA GOVT.BALAK ASHARM 22152404503 7206 BASTER LOHANDIGUDA MS MARDUM 22152404504 7207 BASTER LOHANDIGUDA NPS RANIBEDA MARDUM 22152404505 7208 BASTER LOHANDIGUDA PS CHAITUPARA MARDUM 22152404506 7209 BASTER LOHANDIGUDA PS JADIGHATPARA BADRENGA 22152404507 7210 BASTER LOHANDIGUDA PS KARALAKONTA MARDUM 22152404508 7211 BASTER LOHANDIGUDA MS BADRENGA MARDUM 22152404509 7212 BASTER LOHANDIGUDA MS KHELPARA MARDUM 22152404510 7213 BASTER LOHANDIGUDA GOVT.P.S. TODNAR 22152404511 7214 BASTER LOHANDIGUDA GOVT.P.S. PUJNAPARA MARENGA 22152404512 7215 BASTER LOHANDIGUDA PS RAMAPARA BADRENGA 22152404513 7216 BASTER LOHANDIGUDA GOVT.P.S. RANIBEDA MARDUM 22152404514 7217 BASTER LOHANDIGUDA PS KARLAKONTA MARDUM 22152404515 7218 BASTER LOHANDIGUDA GOVT.P.S.ASHRAMSHALA SULENGA 22152404516 7219 BASTER LOHANDIGUDA PRIMARY SCHOOL 22152404601 7220 BASTER LOHANDIGUDA JPS-SALPIPADAR 22152404602 7221 BASTER LOHANDIGUDA JANPAD PRIMARY SCHOOL 22152404603 7222 BASTER LOHANDIGUDA MS BADANJI 22152404604 7223 BASTER LOHANDIGUDA GOVT. UPS. PADARGUDA CHITRAKOT 22152404701 7224 BASTER LOHANDIGUDA GOVT. MS. CHITRAKOT 22152404702 7225 BASTER LOHANDIGUDA GOVT. PS. CHITRAKOT 22152404705
  • 220.
    7226 BASTER LOHANDIGUDAPRIMARY SCHOOL 22152404801 7227 BASTER LOHANDIGUDA JANPAD PRIMARY SCHOOL 22152404901 7228 BASTER LOHANDIGUDA NAVEEN PRIMARY SCHOOL 22152404902 7229 BASTER LOHANDIGUDA GOVT. PS. KATABAS PARA KAREKOTE 22152404904 7230 BASTER LOHANDIGUDA KENWTAKHAR KAREKOTE 22152404905 7231 BASTER LOHANDIGUDA GOVT. UPS. PATELPARA ANJAR 22152405001 7232 BASTER LOHANDIGUDA NPS-PATEL PARA 22152405102 7233 BASTER LOHANDIGUDA GOVT. PS. PATELPARA TOYAR 22152405103 7234 BASTER LOHANDIGUDA GOVT. PS. SIRHAPARA TOYAR 22152405104 7235 BASTER LOHANDIGUDA GOVT. UPS. JADIGUDA TOYAR 22152405106 7236 BASTER LOHANDIGUDA PRIMARY SCHOOL 22152405201 7237 BASTER LOHANDIGUDA GOVT. PS. SILAKJHODI 22152405202 7238 BASTER LOHANDIGUDA GOVT. PS. SAYBIPARA SILAKJHODI 22152405203 7239 BASTER LOHANDIGUDA PRIMARY SCHOOL 22152405301 7240 BASTER LOHANDIGUDA PRIMARY SCHOOL 22152405401 7241 BASTER LOHANDIGUDA JANPAD PRIMARY SCHOOL 22152405402 7242 BASTER LOHANDIGUDA PREMARY SCHOOL 22152405403 7243 BASTER LOHANDIGUDA MIDDILE SCHOOL DHURVAPARA 22152405404 7244 BASTER LOHANDIGUDA GOVT. UPS. PEDAPARA BELAR 22152405501 7245 BASTER LOHANDIGUDA GOVT. PS. BADEPARODA 22152405502 7246 BASTER LOHANDIGUDA GOVT. PS. MANJHIPARA BADEPARODA 22152405503 7247 BASTER LOHANDIGUDA GOVT. UPS. BADEPARODA 22152405504 7248 BASTER LOHANDIGUDA GOVT. PS. CHALKIPARA SURGUDA 22152405601 7249 BASTER LOHANDIGUDA GOVT. PS. MANDAR 22152405701 7250 BASTER LOHANDIGUDA GOVT. PS. KOTWARPARA MANDAR 22152405702 7251 BASTER LOHANDIGUDA GOVT.UPS. NEGANAR 22152405703 7252 BASTER LOHANDIGUDA GOVT. UPS. BADEGUMIYAPAL 22152405704 7253 BASTER LOHANDIGUDA GOVT. UPS. KOTWARPARA MANDAR 22152405705 7254 BASTER LOHANDIGUDA PRIMARY SCHOOL 22152405801 7255 BASTER LOHANDIGUDA MS TARAGAON 22152405802 7256 BASTER LOHANDIGUDA LUKAMPARA TARAGAON 22152405803 7257 BASTER LOHANDIGUDA BANDAKOTE TARAGAON 22152405804 7258 BASTER LOHANDIGUDA GOVT. PS. SOLAPARA TARAGAON 22152405805
  • 221.
    7259 BASTER LOHANDIGUDAGOVT. NPS. BHOSAPARA NEGANAR 22152405806 7260 BASTER LOHANDIGUDA GOVT.PS KOLIYAPARA TUREMORKA 22152405807 7261 BASTER LOHANDIGUDA GOVT.NPS. PADAMPARA TARAGAON 22152405808 7262 BASTER LOHANDIGUDA GOVT.PS. EIRWAR TARAGAON 22152405809 7263 BASTER LOHANDIGUDA GOVT.PS. MASOPARA CHINDBAHAR 22152405810 7264 BASTER LOHANDIGUDA GOVT.PS GIRLS ASHRAM CHINDBAHAR 22152405811 7265 BASTER LOHANDIGUDA GOVT.UPS LITIPARA CHINBAHAR 22152405812 7266 BASTER LOHANDIGUDA GOVT.PS. AITUPARA BADEGUMIYAPAL 22152405813 7267 BASTER LOHANDIGUDA GOVT.PS. CHIKHALAPARA MANDAR 22152405814 7268 BASTER LOHANDIGUDA GOVT.PS. TANGARUPARA BADEGUMIYAPAL 22152405815 7269 BASTER LOHANDIGUDA GOVT.UPS. EIRVAR TARAGAON 22152405816 7270 BASTER LOHANDIGUDA GOVT. PS. BAHARGUDA KAKNAR 22152405901 7271 BASTER LOHANDIGUDA GOVT. PS. KOSAMGUDA KAKNAR 22152405902 7272 BASTER LOHANDIGUDA GOVT. PS. ASHRAMSHALA KAKNAR 22152405903 7273 BASTER LOHANDIGUDA MIDDILE SCHOOL 22152405904 7274 BASTER LOHANDIGUDA JANPAD PRIMARY SCHOOL 22152406001 7275 BASTER LOHANDIGUDA MS DHARAUR 22152406005 7276 BASTER LOHANDIGUDA JPS CHHEPDAGUDA DHARAUR 22152406007 7277 BASTER LOHANDIGUDA GOVT.MS.PARAPUR 22152406008 7278 BASTER LOHANDIGUDA GOVT.MS. DHARAUR 22152406009 7279 BASTER LOHANDIGUDA GOVT.PS.ASHRAM SHALA PARAPUR 22152406010 7280 BASTER LOHANDIGUDA PRIMARY SCHOOL 22152406101 7281 BASTER LOHANDIGUDA JNPAD PRIMARY SCHOOL 22152406102 7282 BASTER LOHANDIGUDA MS BINTA 22152406104 7283 BASTER LOHANDIGUDA GOVT. MS. KORALI 22152406106 7284 BASTER LOHANDIGUDA GOVT. MS. KAREKOT 22152406107 7285 BASTER LOHANDIGUDA PRIMARY SCHOOL 22152406201 7286 BASTER LOHANDIGUDA GOVT. PS. BELAR 22152406301 7287 BASTER LOHANDIGUDA GOVT. PS. PEDAPARA BELAR 22152406302 7288 BASTER LOHANDIGUDA GOVT. MS. BELAR 22152406303 7289 BASTER LOHANDIGUDA GOVT. PS. THOTAPARA 22152406304 7290 BASTER LOHANDIGUDA GOVT. PS. MUYAPARA BELAR 22152406305 7291 BASTER LOHANDIGUDA GOVT. PS. KOKADIGUDA 22152406401
  • 222.
    7292 BASTER LOHANDIGUDAGOVT. PS. MARIGUDA 22152406402 7293 BASTER LOHANDIGUDA PRIMARY SCHOOL 22152406501 7294 BASTER LOHANDIGUDA PRIMARY SCHOOL 22152406701 7295 BASTER LOHANDIGUDA BALAK ASHRAM SHALA 22152406703 7296 BASTER LOHANDIGUDA PRIMARY SCHOOL DONGARIGUDA 22152406704 7297 BASTER LOHANDIGUDA NAVEEN PRIMARY SCHOOL KACHPARA 22152406705 7298 BASTER LOHANDIGUDA PRIMARY SCHOOL 22152406801 7299 BASTER LOHANDIGUDA BALAK AASHRAM 22152406802 7300 BASTER LOHANDIGUDA PRIMARY SCHOOL 22152406901 7301 BASTER LOHANDIGUDA PRIMARY SCHOOL 22152407001 7302 BASTER LOHANDIGUDA UPS RAIGONDI 22152407002 7303 BASTER LOHANDIGUDA GOVT. PS. DANDABADI SADRA 22152407101 7304 BASTER LOHANDIGUDA GOVT. PS. PUJARIPARA SADRA 22152407102 7305 BASTER LOHANDIGUDA MIDDILE SCHOOL DADABADIPARA 22152407103 7306 BASTER LOHANDIGUDA GOVT. PS. SADRA 22152407104 7307 BASTER LOHANDIGUDA PS.KUMHARPARA SADARA 22152407105 7308 BASTER LOHANDIGUDA GOVT. PS. PUJARIPARA 22152407201 7309 BASTER LOHANDIGUDA GOVT. PS. CHOTEGUMIYAPAL 22152407202 7310 BASTER LOHANDIGUDA GOVT. PS. NGJ. KHALEPARA CHANDELA 22152407301 7311 BASTER LOHANDIGUDA GOVT. PS. MICHNAR 22152407401 7312 BASTER LOHANDIGUDA GOVT. PS. PADARPARA 22152407402 7313 BASTER LOHANDIGUDA GOVT. PS. MARIGUDA 22152407404 7314 BASTER LOHANDIGUDA GOVT. MS. MICHNAR 22152407405 7315 BASTER LOHANDIGUDA GOVT. PS. BALAK ASHRAM SHALA 22152407406 7316 BASTER LOHANDIGUDA GOVT. PS. GANVARCHAPAR 22152407407 7317 BASTER LOHANDIGUDA GOVT. UPS. BONGAPARA 22152407408 7318 BASTER LOHANDIGUDA GOVT. UPS. GARDA 22152407601 7319 BASTER LOHANDIGUDA UPS EARBAR 22152407603 7320 BASTER LOHANDIGUDA GOVT. PS. LAMDAGUDA 22152407701 7321 BASTER LOHANDIGUDA PRIMARY SCHOOL 22152407901 7322 BASTER LOHANDIGUDA MS HARAKODER 22152407902 7323 BASTER LOHANDIGUDA GYANJYOTI MANJHIPARA 22152407903 7324 BASTER LOHANDIGUDA KANIST PRIMARY SCHOOL 22152408001
  • 223.
    7325 BASTER LOHANDIGUDAGOVT. PS. BALAK AASHRAM CHANDELA 22152408003 7326 BASTER LOHANDIGUDA GOVT. PS. RAWATPARA CHANDELA 22152408004 7327 BASTER LOHANDIGUDA GOVT. PS. NGJ. KHASPARA CHANDELA 22152408005 7328 BASTER LOHANDIGUDA GOVT. KPS. BODENAR 22152408101 7329 BASTER LOHANDIGUDA GOVT. UPS. BODENAR 22152408102 7330 BASTER LOHANDIGUDA PRIMARY SCHOOL 22152408201 7331 BASTER LOHANDIGUDA MS SCHOOL 22152408202 7332 BASTER LOHANDIGUDA GOVT. PS. ASHRAM SHALA BADEGUMIYAPAL 22152408301 7333 BASTER LOHANDIGUDA GOVT. PS. ADWAL 22152408401 7334 BASTER LOHANDIGUDA KANIST PRIMARY SCHOOL 22152408501 7335 BASTER LOHANDIGUDA GOVT. PS. PUJARIPARA TOYAR 22152408502 7336 BASTER LOHANDIGUDA GOVT. PS. BARCHEPAL 22152408503 7337 BASTER LOHANDIGUDA GOVT.UPS. BARCHHEPAL 22152408504 7338 BASTER LOHANDIGUDA GOVT. PS. TULSIPARA ANJAR 22152408601 7339 BASTER LOHANDIGUDA NAVIN PRIMARY SCHOOL 22152408701 7340 BASTER LOHANDIGUDA PRIMARY SCHOOL 22152408702 7341 BASTER LOHANDIGUDA GOVT. PS. BONJAPARA MICHNAR 22152408801 7342 BASTER LOHANDIGUDA PRIMARY SCHOOL 22152408901 7343 BASTER LOHANDIGUDA UPS TETAM 22152408902 7344 BASTER LOHANDIGUDA GOVT. ASHRAM SHALA KARKAGUDA 22152409002 7345 BASTER LOHANDIGUDA PRIMARY SCHOOL 22152409101 7346 BASTER LOHANDIGUDA MS KODIYAGUDA 22152409102 7347 BASTER LOHANDIGUDA GOVT. PS. NGJ. BAGHPARA 22152409103 7348 BASTER LOHANDIGUDA GOVT. PS. NGJ. HAJARIPARA 22152409104 7349 BASTER LOHANDIGUDA GOVT. PS. NGJ. MALGUJARPARA 22152409105 7350 BASTER LOHANDIGUDA GOVT.NPS. KESAPARA KOTHIYAGUDA 22152409106 7351 BASTER LOHANDIGUDA GOVT. PS. SAMUPARA BELAR 22152409107 7352 BASTER LOHANDIGUDA GOVT. BOYS MS. LOHANDIGUDA/H.SECONDRY 22152409201 7353 BASTER LOHANDIGUDA P.M.S. KUWARPUR 22152409202 7354 BASTER LOHANDIGUDA PRIMARY SCHOOL 22152409301 7355 BASTER LOHANDIGUDA JANPAD PRIMARY SCHOOL 22152409302 7356 BASTER LOHANDIGUDA NAVEEN PRIMARY SCHOOL 22152409303 7357 BASTER LOHANDIGUDA KALARPARA PARAPUR 22152409304
  • 224.
    7358 BASTER LOHANDIGUDAGOVT.PS. JATAPARA BADEDHARAUR 22152409305 7359 BASTER LOHANDIGUDA PRIMARY SCHOOL 22152409401 7360 BASTER LOHANDIGUDA A.J.K.P.M.V. TILAOLI 22152409402 7361 BASTER LOHANDIGUDA UPS NEGIRAS 22152409403 7362 BASTER LOHANDIGUDA GOVT. JPS. ALNAR 22152409501 7363 BASTER LOHANDIGUDA GOVT. PS. RICHAPARA ALNAR 22152409502 7364 BASTER LOHANDIGUDA NAVEEN PRIMARY SCHOOL 22152409503 7365 BASTER LOHANDIGUDA P.S.PADAMI PARA 22152409504 7366 BASTER LOHANDIGUDA GOVT. MS. ALNAR 22152409505 7367 BASTER LOHANDIGUDA GOVT. NPS. DHURWAPARA 22152409506 7368 BASTER LOHANDIGUDA GOVT. PS. NGJ. LOHARPARA 22152409507 7369 BASTER LOHANDIGUDA GOVT. PS. NGJ. KOSAPARA 22152409508 7370 BASTER LOHANDIGUDA GOVT. UPS. PUJARIPARA 22152409509 7371 BASTER LOHANDIGUDA GOVT.PS.PUJARIPARA ALNAR 22152409510 7372 BASTER LOHANDIGUDA GOVT.PS. KUMHARPARA MICHANAR 22152409511 7373 BASTER LOHANDIGUDA GOVT.PS.KUMAPARA ANJAR 22152409512 7374 BASTER LOHANDIGUDA GOVT. PS. PAIKPARA ANJAR 22152409513 7375 BASTER LOHANDIGUDA GOVT.PS.USHAPARA ANJAR 22152409514 7376 BASTER LOHANDIGUDA PRIMARY SCHOOL 22152409601 7377 BASTER LOHANDIGUDA M.S. 22152409602 7378 BASTER LOHANDIGUDA GOVT. P.S. 22152409603 7379 BASTER LOHANDIGUDA GOVT. PS. PITIYAPARA DHURAGAON 22152409701 7380 BASTER LOHANDIGUDA GOVT. MS. NAVIN DHURAGAON 22152409702 7381 BASTER LOHANDIGUDA GOVT. PS. DENGPARA 22152409801 7382 BASTER LOHANDIGUDA GOVT. PS. GUDAMPARA BELAR 22152409901 7383 BASTER LOHANDIGUDA PRIMARY SCHOOL 22152410001 7384 BASTER LOHANDIGUDA GOVT. PS. KUTHAR 22152410101 7385 BASTER LOHANDIGUDA GOVT. JPS. BANNIPARA 22152410102 7386 BASTER LOHANDIGUDA GOVT. MS. KUTHAR 22152410103 7387 BASTER LOHANDIGUDA GOVT. PS. RAUTPARA KUTHAR 22152410104 7388 BASTER LOHANDIGUDA GIRL PRIMARY SCHOOL 22152410201 7389 BASTER LOHANDIGUDA PRIMARY SCHOOL JHULNARET 22152410204 7390 BASTER LOHANDIGUDA PRIMARY SCHOOL 22152410301
  • 225.
    7391 BASTER LOHANDIGUDAGOVT. PS. PADARGUDA CHITRAKOT 22152410402 7392 BASTER LOHANDIGUDA GOVT. PS. PATELPARA ANJAR 22152410601 7393 BASTER LOHANDIGUDA PS-NAGIRAS 22152410801 7394 BASTER LOHANDIGUDA GOVT. MS. GADHIYA 22152410802 7395 BASTER LOHANDIGUDA GOVT. NPS. DHURAGAON 22152411001 7396 BASTER LOHANDIGUDA GOVT. PS. DHURAGAON 22152411002 7397 BASTER LOHANDIGUDA GOVT. MS. GUNTUMDI 22152411003 7398 BASTER LOHANDIGUDA GOVT. PS. BHATTIPARA GADHIYA 22152411101 7399 BASTER LOHANDIGUDA PRIMARY SCHOOL 22152411201 7400 BASTER LOHANDIGUDA MS PATELPARA PARAPUR 22152411202 7401 BASTER LOHANDIGUDA PRIMARY SCHOOL 22152411301 7402 BASTER LOHANDIGUDA PRIMARY SCHOOL 22152411401 7403 BASTER LOHANDIGUDA PRIMARY SCHOOL 22152411501 7404 BASTER LOHANDIGUDA GOVT. PS. LITIBHATA 22152411601 7405 BASTER LOHANDIGUDA GOVT. GIRLS PS. LOHANDIGUDA 22152411602 7406 BASTER LOHANDIGUDA GOVT. PS. KODEBEDA 22152411603 7407 BASTER LOHANDIGUDA GOVT. GIRLS ASHRAM SALA LOHANDIGUDA 22152411604 7408 BASTER LOHANDIGUDA GOVT. PS. BAKADIPARA ANJAR 22152411605 7409 BASTER LOHANDIGUDA PRIMARY SCHOOL 22152411701 7410 BASTER LOHANDIGUDA KNIST PRIMARY SCHOOL 22152411702 7411 BASTER LOHANDIGUDA M.S. KOTADOL 22152411703 7412 BASTER LOHANDIGUDA UP PS HARIJANPARA 22152411704 7413 BASTER LOHANDIGUDA PRYMARY SCHOOL 22152411801 7414 BASTER LOHANDIGUDA GOVT. PS. SUKDAPARA TOYAR 22152412001 7415 BASTER LOHANDIGUDA MS KUMHALI 22152412101 7416 BASTER LOHANDIGUDA GOVT. UPS. GANVARCHAPAR MICHNAR 22152412201 7417 BASTER LOHANDIGUDA MASOPARA CHHINDBAHAR 22152412202 7418 BASTER LOHANDIGUDA DULGAPARA CHINDBAHAR 22152412203 7419 BASTER LOHANDIGUDA M.S. CHHINDBAHAR 22152412204 7420 BASTER LOHANDIGUDA PRIMARY SCHOOL FAGANUPARA 22152412205 7421 BASTER LOHANDIGUDA PRIMARY SCHOOL LITIPARA 22152412206 7422 BASTER LOHANDIGUDA GOVT. PS. ASHRAM SHALA SURGUDA 22152412301 7423 BASTER LOHANDIGUDA PRIMARY SCHOOL 22152412401
  • 226.
    7424 BASTER LOHANDIGUDAGOVT. PS. DHOBIPARA 22152412501 7425 BASTER LOHANDIGUDA GOVT. UPS. MANJHIPARA BADEPARODA 22152412502 7426 BASTER LOHANDIGUDA PRIMARY SCHOOL 22152412601 7427 BASTER LOHANDIGUDA PRIMARY SCHOOL 22152412701 7428 BASTER LOHANDIGUDA MIDDILE SCHOOL 22152412702 7429 BASTER LOHANDIGUDA PRIMARY SCHOOL 22152412801 7430 BASTER LOHANDIGUDA GOVT. PS. JADIGUDA TOYAR 22152412901 7431 BASTER LOHANDIGUDA GOVT. PS. PAYKA PARA ANJAR 22152413001 7432 BASTER LOHANDIGUDA GOVT. PS. MUNDIGUDA DHURAGAON 22152413101 7433 BASTER LOHANDIGUDA KNIST PRIMARY SCHOOL 22152413201 7434 BASTER LOHANDIGUDA PRYMARY SCHOOL 22152413301 7435 BASTER LOHANDIGUDA PRIMARY SCHOOL 22152413501 7436 BASTER LOHANDIGUDA MS SCHOOL 22152413502 7437 BASTER LOHANDIGUDA UP PS SATKIYARI 22152413601 7438 BASTER LOHANDIGUDA GYANJYOTI MARIPARA 22152413602 7439 BASTER LOHANDIGUDA NAVEEN PRIMARY SCHOOL 22152413901 7440 BASTER LOHANDIGUDA UP PS NADIYATOLA 22152414001 7441 BASTER LOHANDIGUDA UPS KHASPARA 22152414002 7442 BASTER LOHANDIGUDA UP PS DARRITOLA 22152414301 7443 BASTER LOHANDIGUDA PRYMARY SCHOOL 22152414401 7444 BASTER LOHANDIGUDA UPS MALEWAHI 22152414402 7445 BASTER LOHANDIGUDA GOVT. PS. PATELPARA KODENAR 22152414501 7446 BASTER LOHANDIGUDA GOVT. UPS. KODENAR 22152414502 7447 BASTER LOHANDIGUDA GOVT. JPS. GADHIYA 22152414701 7448 BASTER LOHANDIGUDA GOVT. PS. KOTWARPARA SURGUDA 22152415001 7449 BASTER LOHANDIGUDA GOVT. PS. INDIRABHATHI 22152415101 7450 BASTER LOHANDIGUDA GOVT. PS. NGJ. BHADUPARA 22152415202 7451 BASTER LOHANDIGUDA GOVT. PS. GHUMARMUND 22152415301 7452 BASTER LOHANDIGUDA P.S. KATHARRADOL 22152419201 7453 BASTER LOHANDIGUDA UP PS GARDANCHUWA 22152419401 7454 BASTER LOHANDIGUDA GYANJYOTI KHALEPARA 22152422901 7455 BASTER LOHANDIGUDA GOVT. PS. NGJ. THOTAPARA 22152422902 7456 BASTER LOHANDIGUDA NPS SALEPAL 22152422903
  • 227.
    7457 BASTER LOHANDIGUDAGOVT. UPS. DHARMABEDA 22152422904 7458 BASTER LOHANDIGUDA UPS ERPUND 22152422905 7459 BASTER LOHANDIGUDA GOVT. PS. ASHRAM SHALA MAHIMA 22152423001 7460 BASTER TOKAPAL GOVT PRIMARY SCHOOL MURUMGUDA 22152300101 7461 BASTER TOKAPAL GOVT PRIMERY SCHOOL BATASHIPARA 22152300102 7462 BASTER TOKAPAL GOVT PRIMERYB SCHOOL TOKAPAL 22152300104 7463 BASTER TOKAPAL KANIYA ASHRAM DONGARIGUDA RANSARGIPAL 22152300105 7464 BASTER TOKAPAL GOVT.M/S CHAPAR BHANPURI 22152300106 7465 BASTER TOKAPAL GOVT PRIMARYSCHOOL SOSANPAL 22152300301 7466 BASTER TOKAPAL GOIVT MIDDIL SCHOOL GUDRAPARA 22152300303 7467 BASTER TOKAPAL GOIVT MIDDIL SCHOOL CHONDIMETAWADA 22152300314 7468 BASTER TOKAPAL GOVT PRIMERY SCHOOL NAINNAR PATELPARA 22152300315 7469 BASTER TOKAPAL GOVT. MIDDIL SCHOOL BHEJRIPADAR 22152300317 7470 BASTER TOKAPAL GAYAN JOYTI MARIGUDRA 22152300319 7471 BASTER TOKAPAL GOVT. MIDDIL SCHOOLDIMRAPAL 22152300322 7472 BASTER TOKAPAL K.G.B.V. BADE MORATHPAL 22152300323 7473 BASTER TOKAPAL GOVT PRIMERI SCHOOL KOTWARPARA KURUSPAL 22152300326 7474 BASTER TOKAPAL GOVT PRIMERY SCHOOL RAMAPARA 22152300327 7475 BASTER TOKAPAL GOVT PRIMERY SCHOOL SOSANPAL 22152300329 7476 BASTER TOKAPAL GOVT PRIMERY SCHOOL CHOTEPARAKOT 22152300335 7477 BASTER TOKAPAL GOVT PRIMERY SCHOOL NANDUPARA KAMDEV KURUSHPAL 22152300338 7478 BASTER TOKAPAL GOVT PRIMERY SCHOOL BUDUPARA 22152300339 7479 BASTER TOKAPAL GOVT PRIMERY SCHOOL HIRMAPARA KARANGI 22152300343 7480 BASTER TOKAPAL GOVT PRIMERI SCHOOL TANDPAL 22152300401 7481 BASTER TOKAPAL GYAN JOTI PRIMERY SCHOOL JADAKONTA 22152300406 7482 BASTER TOKAPAL GOVT PRIMERY SCHOOL BADEPARA RANSARGIPAL 22152300407 7483 BASTER TOKAPAL GOVT MIDDIL SCHOOL BADEPARA RANSARGIPAL 22152300411 7484 BASTER TOKAPAL GOVT. A.B.A.S. KHONGAPANI 22152300412 7485 BASTER TOKAPAL GOVT PRIMERY SCHOOL BURUNGPAL SANDHIPARA 22152300415 7486 BASTER TOKAPAL GOVT H.S.S. TOKAPAL 22152300501 7487 BASTER TOKAPAL GOVT. PS. PUJARIPARA GUMIYAPAL 22152300508 7488 BASTER TOKAPAL GOVT PRIMARY SCHOOL KANAKURUSHPAL 22152300601 7489 BASTER TOKAPAL GOVT PRIMERI SCHOOL KADAMGUDA 22152300602
  • 228.
    7490 BASTER TOKAPALGOVT PRIMARY SCHOOL KESHLUR 22152300701 7491 BASTER TOKAPAL GYAN JOYTI PATELPARA UDWA 22152300702 7492 BASTER TOKAPAL GOVT PRIMERY SCHOOL GUDIPARA PARAKOT 22152300704 7493 BASTER TOKAPAL GOVT MARIYA SCHOOL UDWA PATELPARA 22152300706 7494 BASTER TOKAPAL GOVT PRIMERY SCHOOL PALWA 22152300711 7495 BASTER TOKAPAL GOVT PRIMERY SCHOOL PALWA 22152300712 7496 BASTER TOKAPAL GOVT PRIMARY SCHOOL SOSANPAL 22152300801 7497 BASTER TOKAPAL GOVT PRIMARY SCHOOL RAUTPARA 22152300802 7498 BASTER TOKAPAL GOVT PRIMARY SCHOOL BAZARPARA TOKAPAL 22152300901 7499 BASTER TOKAPAL GOVT PRIMERY SCHOOL BHIMKASHAPARA 22152300902 7500 BASTER TOKAPAL GOVT PRIMARY SCHOOL JARBANPARA 22152301101 7501 BASTER TOKAPAL GOVT PRIMERY SCHOOL DENGPARA 22152301102 7502 BASTER TOKAPAL GOVT MODEL SCHOOL (RMSA) 22152301103 7503 BASTER TOKAPAL GOVT PRIMARY SCHOOL CHONDIMETWDA 22152301201 7504 BASTER TOKAPAL GOVT MIDDIL SCHOOL PUJARIPARA 22152301202 7505 BASTER TOKAPAL GOVT MIDDIL SCHOOL GUNDERPARA 22152301203 7506 BASTER TOKAPAL PRIMARY SCHOOL KONDALUR 22152301301 7507 BASTER TOKAPAL GOVT UPAR PRIMERY SCHOOL KONDALUR 22152301302 7508 BASTER TOKAPAL GOVT MIDDIL SCHOOL KONDALUR 22152301401 7509 BASTER TOKAPAL GOVT PRIMERY SCHOOL PUJARIPARA SALEPAL 22152301403 7510 BASTER TOKAPAL GYANJYOTI BHATAPARA 22152301404 7511 BASTER TOKAPAL GOVT PS DHAKADPARA 22152301405 7512 BASTER TOKAPAL PRIMARY SCHOOL TOTAR 22152301501 7513 BASTER TOKAPAL GOVT PS ATARPARA 22152301601 7514 BASTER TOKAPAL GOVT PRIMERY KOTWARPARA MATKOT 22152301603 7515 BASTER TOKAPAL GOVT UPAR PRIMERY TOTAR 22152301604 7516 BASTER TOKAPAL GOVT MIDDIL SCHOOL SOSANPAL 22152301605 7517 BASTER TOKAPAL GOVT MIDDIL SCHOOL PARPA 22152301606 7518 BASTER TOKAPAL GOVT PRIMERY SCHOOL BADEARAPUR 22152301607 7519 BASTER TOKAPAL PRIMARY SCHOOL SONARPAL 22152301701 7520 BASTER TOKAPAL PS TIKRADHNORA 22152301801 7521 BASTER TOKAPAL GOVT PRIMERY KANIYA SHALA TOKAPAL 22152301901 7522 BASTER TOKAPAL GOVT PRIMARY SCHOOL SATIYAGUDA 22152302001
  • 229.
    7523 BASTER TOKAPALGOVT PS GHATDHANORA 22152302101 7524 BASTER TOKAPAL GOVT PRIMARY SCHOOL PADARGUDA 22152302201 7525 BASTER TOKAPAL GOVT PRIMERY SCHOOL ARRKOT 22152302301 7526 BASTER TOKAPAL GOVT PS GHATSARGIPAL 22152302302 7527 BASTER TOKAPAL GOVT PRIMERY SCHOOL MADIYAPARA 22152302303 7528 BASTER TOKAPAL GOVT MIDDIL SCHOOL BADEPARAKOT 22152302304 7529 BASTER TOKAPAL GOVT PRIMARY SCHOOL NAWAGAON 22152302401 7530 BASTER TOKAPAL GOVT PRIMARY SCHOOL BAGHANPAL 22152302501 7531 BASTER TOKAPAL GOVT MIDDIL SCHOOL BAGHANPAL 22152302502 7532 BASTER TOKAPAL GOVT PRIMARY SCHOOL BOTABODNA 22152302601 7533 BASTER TOKAPAL PRIMARY SCHOOL DONGRIKATA 22152302602 7534 BASTER TOKAPAL GOVT PRIMARY SCHOOL IRIKPAL 22152302701 7535 BASTER TOKAPAL GOVT PRIMERY SCHOOL PANDUPARA 22152302802 7536 BASTER TOKAPAL GOVT PRIMARY SCHOOL BHEJARIPADAR 22152302901 7537 BASTER TOKAPAL GOVT PS GUDAPSARA 22152303001 7538 BASTER TOKAPAL GOVT PRIMARY SCHOOL PATELPARA NAINMUR 22152303101 7539 BASTER TOKAPAL GOVT MIDDIL SCHOOL ARRKOT 22152303103 7540 BASTER TOKAPAL GOVT MIDDIL SCHOOL MATKOT 22152303201 7541 BASTER TOKAPAL GOVT PRIMERY SCHOOL KAMDEVKURUSHPAL 22152303202 7542 BASTER TOKAPAL KANIST PRIMARY SCHOOL 22152303301 7543 BASTER TOKAPAL GOVT MIDDIL SCHOOL TARAIGUDA 22152303302 7544 BASTER TOKAPAL GOVT PRIMERY SCHOOL DEWAPARA NAINNAR 22152303401 7545 BASTER TOKAPAL GOVT PRIMARY SCHOOL GUDRAPARA RAIKOT 22152303501 7546 BASTER TOKAPAL GOVT MIDDIL SCHOOL NAINMOOR 22152303601 7547 BASTER TOKAPAL GOVT PRIMARY SCHOOL KOTWARPARA 22152303701 7548 BASTER TOKAPAL GOVT PRIMERY SCHOOL MARIGUDA MATKOT 22152303702 7549 BASTER TOKAPAL GOVT PRIMERY SCHOOL SODIPARA RAIKOT 22152303801 7550 BASTER TOKAPAL GOVT PRIMARY SCHOOL KALEPAL 22152303901 7551 BASTER TOKAPAL GOVT PRIMARY SCHOOL BANGAPARA 22152303902 7552 BASTER TOKAPAL GOVT PRIMERY SCHOOL KALEPAL 22152303903 7553 BASTER TOKAPAL GOVT MIDDIL SCHOOL KALEPAL 22152303904 7554 BASTER TOKAPAL GOVT PRIMARY SCHOOL PATELPARA BURNGPAL 22152304001 7555 BASTER TOKAPAL GOVT PRIMERY SCHOOL DONGARIGUDA 22152304101
  • 230.
    7556 BASTER TOKAPALGOVT PRIMERY SCHOOL MAWALIBHATA 22152304102 7557 BASTER TOKAPAL GOVT PRIMARY SCHOOL TELIMARENGA 22152304201 7558 BASTER TOKAPAL GOVT PARIMERY SCHOOL NAGAPARA 22152304202 7559 BASTER TOKAPAL GOVT.M/S SAKARGAON 22152304203 7560 BASTER TOKAPAL GOVT.SAYUKT ASHRAM MAWLIBHATA 22152304204 7561 BASTER TOKAPAL GOVT PRIMARY SCHOOLGUDRAMARENGA 22152304301 7562 BASTER TOKAPAL GOVT PRIMARY SCHOOL BADEMARENGA 22152304401 7563 BASTER TOKAPAL GOVT MIDDIL SCHOOL BADEMARENGA 22152304402 7564 BASTER TOKAPAL GOVT PRIMARY SCHOOL DABRIGUDA 22152304501 7565 BASTER TOKAPAL GOVT UPPAR PRIMERY SCHOOL DABRIGUDA 22152304502 7566 BASTER TOKAPAL GTOVT PRIMERY SCHOOL TAHAKAPAL 22152304601 7567 BASTER TOKAPAL GOVT PRIMARY SCHOOL SURIBHATA 22152304602 7568 BASTER TOKAPAL GOVT KANIYA ASHARAM SHALA RAJOOR 22152304703 7569 BASTER TOKAPAL GOVT PRIMERY SCHOOL JUNAPANI 22152304704 7570 BASTER TOKAPAL GOVT PRIMERY SCHOOL PANKAPARA 22152304705 7571 BASTER TOKAPAL GOVT PRIMERY SCHOOL MUSARIGUDA 22152305001 7572 BASTER TOKAPAL GOVT PRIMARY SCHOOL TARAIGUDA 22152305101 7573 BASTER TOKAPAL GOVT PRIMARY SCHOOLSORRAS PARA RAJOOR 22152305201 7574 BASTER TOKAPAL UP PS CHHAPRATOLA 22152305203 7575 BASTER TOKAPAL GOVT PRIMERY SCHOOL JHITKAGUDA 22152305301 7576 BASTER TOKAPAL GOVT PRIMARY SCHOOL DHURWAPARA BARUPAta 22152305401 7577 BASTER TOKAPAL GOVT PRIMARY SCHOOL BHATTIPARA 22152305403 7578 BASTER TOKAPAL PRIMARY SCHOOL KANDKIPARA 22152305404 7579 BASTER TOKAPAL GOVT P.S. MARIGUDAPARA SIRISHGUDA 22152305405 7580 BASTER TOKAPAL GOVT PRIMARY SCHOOL CHAPARBHANPURI 22152305501 7581 BASTER TOKAPAL GOVT PRIMARY SCHOOL BHAGVAN PARA 22152305601 7582 BASTER TOKAPAL GOVT PRIMERI SCHOOL PUJARIPARA 22152305602 7583 BASTER TOKAPAL PRIMARY SCHOOL SAKARGAON 22152305701 7584 BASTER TOKAPAL GOVT PRIMERY SCHOOL BHIMAPARA 22152305801 7585 BASTER TOKAPAL GOVT PRIMARY SCHOOL SAHUKARPARA 22152305901 7586 BASTER TOKAPAL GOVT. P.S. DONGRIKATA PARA 22152305902 7587 BASTER TOKAPAL GOVT MIDDIL SCHOOL PALWA 22152306001 7588 BASTER TOKAPAL GOVT. M/S GUMIYAPAL 22152306003
  • 231.
    7589 BASTER TOKAPALGOVT MIDDIL SCHOOL DONGRIGUDA RANSARGIPAL 22152306004 7590 BASTER TOKAPAL GOVT PRIMARY SCHOOL DIMRAPAL 22152306104 7591 BASTER TOKAPAL GOVT PRIMERY SCHOOL CHHOTEMORATHPAL PANIGHATPARA 22152306105 7592 BASTER TOKAPAL GOVT PRIMARY SCHOOL 22152306201 7593 BASTER TOKAPAL GOVT. MIDDIL SCHOOL BHADISGAON 22152306202 7594 BASTER TOKAPAL GOVT MIDDIL SCHOOL PODIYAPARA 22152306301 7595 BASTER TOKAPAL GOVT PRIMARY SCHOOL 22152306401 7596 BASTER TOKAPAL GOVT PRIMERY SCHOOL RANSARGIPAL 22152306402 7597 BASTER TOKAPAL GOVT PRIMERY SCHOOL THOTAPARA NAWAGAON 22152306405 7598 BASTER TOKAPAL GOVT PRIMARY SCHOOL BHALUGUDA 22152306501 7599 BASTER TOKAPAL GOVT PRIMARY SCHOOL TELANGAARAPUR 22152306601 7600 BASTER TOKAPAL GOVT MIDDIL SCHOOL BAKTIPARA 22152306602 7601 BASTER TOKAPAL MATA RUKMANI ASHRAM P/S DIMRAPAL 22152306603 7602 BASTER TOKAPAL MIDIL SCHOOL ARANDWAL 22152306701 7603 BASTER TOKAPAL GOVT PRIMERY SCHOOL MUNDAPARA 22152306704 7604 BASTER TOKAPAL GOVT PRIMERY SCHOOL SADAKPARA 22152306705 7605 BASTER TOKAPAL GOVT MIDDIL SCHOOL POTANAR 22152306801 7606 BASTER TOKAPAL GOVT PRIMARY SCHOOL ERANDWAL 22152306802 7607 BASTER TOKAPAL GOVT PRIMERY GUDRAPARA 22152306803 7608 BASTER TOKAPAL GOVT PRIMARY SCHOOL DUGANPAL 22152306901 7609 BASTER TOKAPAL GOVT MIDDL SCHOOL BADE ARAPUR 22152306902 7610 BASTER TOKAPAL GOVT PRIMERY SCHOOL TAHAKAPAL 22152306905 7611 BASTER TOKAPAL GOVT MIDDIL SCHOOL NAWAGAON 22152307001 7612 BASTER TOKAPAL GOVT PRIMARY SCHOOL CHOTEARAPUR 22152307101 7613 BASTER TOKAPAL GOVT PRIMERY SCHOOL TULAVTIPARA 22152307102 7614 BASTER TOKAPAL GOVT MIDDIL SCHOOL BHATAGUDA 22152307201 7615 BASTER TOKAPAL GOVT PRIMARY SCHOOL TAKAPARA 22152307202 7616 BASTER TOKAPAL GOVT PRIMERY SCHOOL RAJOOR 22152307301 7617 BASTER TOKAPAL GOVT PRIMARY SCHOOL TUMPANI 22152307401 7618 BASTER TOKAPAL GOVT MIDIL SCHOOL TUMPANI 22152307501 7619 BASTER TOKAPAL GOVT PRIMARY SCHOOL SALEPAL 22152307502 7620 BASTER TOKAPAL GOVT PRIMERY SCHOOL SARGIBHATHA 22152307505 7621 BASTER TOKAPAL GOVT PRIMARY SCHOOL BARUPATA SALEPAL 22152307601
  • 232.
    7622 BASTER TOKAPALGOVT PRIMARY SCHOOL BADEPARA BARUPATA 22152307602 7623 BASTER TOKAPAL GOVT P/S BOYS ASHRAM BARUPATA 22152307603 7624 BASTER TOKAPAL GOVT MIDIL SCHOOL BARUPATA 22152307604 7625 BASTER TOKAPAL GOVT PRIMARY SCHOOL PODIYAPARA 22152307701 7626 BASTER TOKAPAL GOVT PRIMERY SCHOOL GURARAM 22152307801 7627 BASTER TOKAPAL PRIMARY SCHOOL PATELPARA MANDWA 22152307901 7628 BASTER TOKAPAL GOVT PRIMERY KAKADIPADAR 22152308001 7629 BASTER TOKAPAL GOVT PRIMARY SCHOOL MANDWA 22152308101 7630 BASTER TOKAPAL GOVT MIDDIL SCHOOL SINGHANPUR 22152308201 7631 BASTER TOKAPAL GOVT PRIMARY SCHOOL PADARGUDA 22152308401 7632 BASTER TOKAPAL PRIMARY SCHOOL GUMIYAPAL 22152308501 7633 BASTER TOKAPAL GOVT PRIMARY SCHOOL MUNDAPARA 22152308601 7634 BASTER TOKAPAL GOVT PRIMARY SCHOOL TANDPAL (TOTHAPARA) 22152308701 7635 BASTER TOKAPAL GOVT MIDDIL SCHOOL NAINNAR 22152308702 7636 BASTER TOKAPAL GOVT PRIMARY SCHOOL POTANAR 22152308801 7637 BASTER TOKAPAL GOVT MIDDIL SCHOOL DEURGAON 22152308901 7638 BASTER TOKAPAL GOVT MIDDIL SCHOOL DONGRIGUDA 22152309001 7639 BASTER TOKAPAL GOVT PRIMERY SCHOOL NAYAPARA 22152309101 7640 BASTER TOKAPAL GOVT PRIMARY SCHOOL SADAKPARA KARANGI 22152309201 7641 BASTER TOKAPAL GOVT PRIMEY SCHOOL KEWTAPARA TEKAMETA 22152309205 7642 BASTER TOKAPAL GOVT PRIMARY SCHOOL TEKAMETA 22152309401 7643 BASTER TOKAPAL GOVT UPPAR PRIMERY SCHOOL TEKAMETA 22152309402 7644 BASTER TOKAPAL GOVT PRIMARY SCHOOL DHARMAUR 22152309403 7645 BASTER TOKAPAL GOVT PRIMERY SCHOOL DHARMAUR PATELPARA 22152309404 7646 BASTER TOKAPAL GOVT PRIMARY SCHOOL BHATAGUDDA 22152309501 7647 BASTER TOKAPAL GOVT PRIMERY SCHOOL BADEPARAKOT 22152309503 7648 BASTER TOKAPAL GOVT PRIMARY SCHOOL ATARGUDA POTANAR 22152309601 7649 BASTER TOKAPAL GOVT MIDDIL SCHOOL PAKHANARACHA 22152309602 7650 BASTER TOKAPAL GOVT PRIMARY SCHOOL KOHAKAPAL 22152309701 7651 BASTER TOKAPAL GOVT PRIMERY SCHOOL BOGAPARA 22152309702 7652 BASTER TOKAPAL GOVT PRIMARY SCHOOL KURENGA 22152309801 7653 BASTER TOKAPAL GOVT UPAR PRIMERY SCHOOL MANDWA 22152309902 7654 BASTER TOKAPAL GOVT. PRIMERY SCHOOL DURWAPARA MANDWA 22152309903
  • 233.
    7655 BASTER TOKAPALGOVT PRIMERY SCHOOL ATARPARA 22152309904 7656 BASTER TOKAPAL GOVT PRIMERY SCHOOL BURUNGPAL 22152310002 7657 BASTER TOKAPAL GOVT PRIMERY SCHOOL BAJARPARA KARANGI 22152310101 7658 BASTER TOKAPAL GOVT MIDDIL SCHOOL DODARGUDA 22152310103 7659 BASTER TOKAPAL GOVT UPAR PRIMERY SCHOOL DHARMAUR 22152310104 7660 BASTER TOKAPAL GOVT MIDDIL SCHOOL TOKAPAL 22152310302 7661 BASTER TOKAPAL GOVT PRIMERY SCHOOL DONDARGUDA 22152310303 7662 BASTER TOKAPAL GOVT PATELPARA BADEARAUR 22152310304 7663 BASTER TOKAPAL GOVT MIDDIL SCHOOL MAWALIBHATA 22152310402 7664 BASTER TOKAPAL GOVT PRIMARY SCHOOL BAKTAPARA 22152310403 7665 BASTER TOKAPAL GOVT PRIMARY SCHOOL PUJARIPARA 22152310404 7666 BASTER TOKAPAL GOVT PRIMARY SCHOOL PEDAPARA MANDWA 22152310405 7667 BASTER TOKAPAL GOVT PRIMARY SCHOOL UDWA 22152310406 7668 BASTER TOKAPAL GOVT PRIMARY SCHOOL BURUNGPAL 22152310501 7669 BASTER TOKAPAL GOVT BALAK ASHRAM SHALA P/S SALEPAL 22152310502 7670 BASTER TOKAPAL GOVT PARMEDRI SCHOOL PIDEPARA 22152310602 7671 BASTER TOKAPAL GOVT UPAR PRIMERY TOTAR 22152310604 7672 BASTER TOKAPAL PRIMARY SCHOOL TANDPAL KHALEPARA 22152310701 7673 BASTER TOKAPAL GOVT PRIMERY SCHOOL TOHTAPARA TAHAKAPAL 22152310702 7674 BASTER TOKAPAL GOVT MIDDIL SCHOOL TANDPAL 22152310703 7675 BASTER TOKAPAL GOVT PRIMERY SCHOOL PARPA 22152310902 7676 BASTER TOKAPAL GOVT PRIMARY SCHOOL DENGGUDA 22152311202 7677 BASTER TOKAPAL GOVT .PRIMARY SCHOOL PAKHNARCH 22152311203 7678 BASTER TOKAPAL GOVT PRIMARY SCHOOL BANDAPARA 22152311204 7679 BASTER TOKAPAL GOVT PRYMERI SCHOOL CHINDBAHAR 22152311301 7680 BASTER TOKAPAL GOVT PRIMARY SCHOOL BARUPATA 22152311401 7681 BASTER TOKAPAL GOVT P.S. BURJI SAKARGON 22152311601 7682 BASTER TOKAPAL GOVT PRIMERY SCHOOL TARAGAON 22152311603 7683 BASTER TOKAPAL GOVT PRIMERY SCHOOL PATELPARA 22152311604 7684 BASTER TOKAPAL GOVT PRIMARY SCHOOL RAWATPARA BADEARAPUR 22152312001 7685 BASTER TOKAPAL BALAK ASHRAM BURUNGPAL 22152312201 7686 BASTER TOKAPAL GOVT PRIMERY SCHOOL BANDAPARA TUMPANI 22152312301 7687 BASTER TOKAPAL GOVT MIDDIL SCHOOL BURUNPAL 22152312302
  • 234.
    7688 BASTER TOKAPALGOVT PRIMARY SCHOOL BURUNGPAL 22152312303 7689 BASTER TOKAPAL GOVT PRIMARY SCHOOL GATAM 22152312305 7690 BASTER TOKAPAL GOVT PRIMARY SCHOOL MADIYAPARA KURENGA 22152312307 7691 BASTER TOKAPAL GOVT PRIMERY SCHOOL KHASAPARA TOTAR 22152312502 7692 BASTER TOKAPAL GOVT MIDDLE SCHOOL KESHLOOR 22152312503 7693 BASTER TOKAPAL GOVT PRIMARY SCHOOL METAWADFA 22152312601 7694 BASTER TOKAPAL GOVT MIDDIL SCHOOL BHATAPARA GHATDHANORA 22152312803 7695 BASTER TOKAPAL GOVT PRIMARY SCHOOL PATELPARA TUMPANI 22152313001 7696 BASTER TOKAPAL GOVT MIDDIL SCHOOL KURENGA 22152313002 7697 BASTER TOKAPAL GOVT MIDDIL SCHOOL TAHAKAPAL 22152313101 7698 BASTER TOKAPAL GOVT PIYIMERY SCHOOL PUJARIPARA GUMIYAPAL 22152313102 7699 BASTER TOKAPAL GOVT.P/S SAHADUR PARA SIRISGUDA 22152313103 7700 BASTER TOKAPAL GOVT PRIMARY SCHOOL HATAIGUDA 22152313201 7701 BASTER TOKAPAL GOVT PRIMARY SCHOOLMATKOT 22152313802 7702 BASTER TOKAPAL GOVT PRIMERUY SCHOOL BODHAPARA 22152313803 7703 BASTER TOKAPAL GOVT MIDDLE SCHOOL RAIKOT 22152313804 7704 BASTER TOKAPAL GOVT PRIMERY SCHOOL SANDHIPARA 22152313805 7705 BASTER TOKAPAL GOVT PRIMARY SCHOOL KOYPAL 22152313901 7706 BASTER TOKAPAL GOVT MIDDLE SCHOOL KOYPAL 22152313902 7707 BASTER TOKAPAL GOVT PRIMARY SCHOOL BADEMORATPAL 22152314301 7708 BASTER TOKAPAL GOVT. MIDDIL SCHOOL BADE MORATHPAL 22152314302 7709 BASTER TOKAPAL GOVT PRYMERI SCHOOL SINGANPUR 22152314801 7710 BASTER TOKAPAL GOVT PRIMERY SCHOOL DONGARIGUDA 22152315101 7711 BASTER TOKAPAL GOVT PRIMERY SCHOOL RASTRPATIPARA 22152315102 7712 BASTER TOKAPAL GOVT PRIMARY SCHOOL CHEPADAGUDA 22152315701 7713 BASTER TOKAPAL GOVT PRIMARY SCHOOL CHOTE MORATPAL 22152315801 7714 BASTER TOKAPAL GOVT PRIMERY SCHOOL POTANAR GUCHAGUDA 22152315901 7715 BASTER TOKAPAL GOVT PS SAYNKT ASHRAM POTANAR 22152315902 7716 BASTER TOKAPAL GOVT PRIMERY SCHOOL BAMANPARA 22152315905 7717 BASTER TOKAPAL GOVT PRIMARY SCHOOL DEVURGAON 22152316001 7718 BASTER TOKAPAL GOVT PRIMARY SCHOOL MALAPARA 22152316101 7719 BASTER TOKAPAL GOVT.P/S DEGPARA CHAPARBHANPURI 22152316501 7720 BASTER TOKAPAL GOVT. M/S.DEGPARA CHHAPARBHANPURI 22152316502
  • 235.
    7721 BASTER TOKAPALGOVT.M/S SIRISGUDA 22152316503 7722 BASTER TOKAPAL GOVT.MIDDIL SCHOOL MARIGUDA 22152316504 7723 BASTER TOKAPAL GOVT MIDDIL SCHOOL SALEPAL 22152316801 7724 BEMETARA BEMETARA GOVT BOYS PS KHAHNDSARA 22230200101 7725 BEMETARA BEMETARA GOVT GIRLS PS KHANDSARA 22230200102 7726 BEMETARA BEMETARA GOVT MS KHANDSARA 22230200103 7727 BEMETARA BEMETARA GOVT PS GHANADIH 22230200201 7728 BEMETARA BEMETARA GOVT PS KARCHUWA (KH) 22230200301 7729 BEMETARA BEMETARA GOVT MS KARCHUWA (KH) 22230200302 7730 BEMETARA BEMETARA GOVT PS MARTARA 22230200401 7731 BEMETARA BEMETARA GOVT MS MARTARA 22230200402 7732 BEMETARA BEMETARA GOVT PS BANSAPUR 22230200501 7733 BEMETARA BEMETARA GOVT PS MOHTARA 22230200601 7734 BEMETARA BEMETARA GOVT PS LAWATARA 22230200701 7735 BEMETARA BEMETARA GOVT MS LAWATARA (SSA) 22230200703 7736 BEMETARA BEMETARA GOVT NAVIN PS CHAMARI 22230200801 7737 BEMETARA BEMETARA GOVT PS MOTIMPUR 22230200901 7738 BEMETARA BEMETARA GOVT MS MOTIMPUR 22230200902 7739 BEMETARA BEMETARA GOVT MS JEORA 22230201001 7740 BEMETARA BEMETARA GOVT GIRLS PS JEORA 22230201002 7741 BEMETARA BEMETARA GOVT BOYS PS JEORA 22230201003 7742 BEMETARA BEMETARA GOVT GIRLS MS JEORA (SSA) 22230201004 7743 BEMETARA BEMETARA GOVT MS JEEYA 22230201101 7744 BEMETARA BEMETARA GOVT PS JEEYA 22230201102 7745 BEMETARA BEMETARA GOVT MS JEORI 22230201201 7746 BEMETARA BEMETARA GOVT PS JEORI 22230201202 7747 BEMETARA BEMETARA GOVT MS BIJABHAT 22230201301 7748 BEMETARA BEMETARA GOVT PS BIJABHAT 22230201302 7749 BEMETARA BEMETARA GOVT MS JANTA 22230201401 7750 BEMETARA BEMETARA GOVT PS JANTA 22230201402 7751 BEMETARA BEMETARA GOVT MODEL SCHOOL JANTA (RMSA) 22230201403 7752 BEMETARA BEMETARA GOVT MS KODWA 22230201501 7753 BEMETARA BEMETARA GOVT PS KODWA 22230201502
  • 236.
    7754 BEMETARA BEMETARAGOVT MS UMARIYA 22230201601 7755 BEMETARA BEMETARA GOVT PS UMARIYA 22230201602 7756 BEMETARA BEMETARA GOVT MS BATAR 22230201701 7757 BEMETARA BEMETARA GOVT PS BATAR 22230201702 7758 BEMETARA BEMETARA GOVT MS KURDA 22230201801 7759 BEMETARA BEMETARA GOVT PS KURDA 22230201802 7760 BEMETARA BEMETARA GOVT MS SEMARIYA 22230201901 7761 BEMETARA BEMETARA GOVT PS SEMARIYA 22230201902 7762 BEMETARA BEMETARA GOVT MS HEMABAND 22230202001 7763 BEMETARA BEMETARA GOVT PS HEMABAND 22230202002 7764 BEMETARA BEMETARA GOVT MS LOLESARA 22230202101 7765 BEMETARA BEMETARA GOVT PS LOLESARA 22230202102 7766 BEMETARA BEMETARA GOVT MS BAHERA (KAR) 22230202201 7767 BEMETARA BEMETARA GOVT PS BAHERA (KAR) 22230202202 7768 BEMETARA BEMETARA GOVT MS JHAL 22230202301 7769 BEMETARA BEMETARA GOVT PS JHAL 22230202302 7770 BEMETARA BEMETARA GOVT MS BILAI 22230202401 7771 BEMETARA BEMETARA GOVT PS BILAI 22230202402 7772 BEMETARA BEMETARA GOVT MS NARI 22230202501 7773 BEMETARA BEMETARA GOVT PS NARI 22230202502 7774 BEMETARA BEMETARA GOVT MS BHANSULI 22230202601 7775 BEMETARA BEMETARA GOVT PS BHANSULI 22230202602 7776 BEMETARA BEMETARA GOVT MS KHAMHI 22230202701 7777 BEMETARA BEMETARA GOVT GIRLS PS KHAMHI 22230202702 7778 BEMETARA BEMETARA GOVT BOYS PS KHAMHI 22230202703 7779 BEMETARA BEMETARA GOVT NAVIN MS PENDRITARAI 22230202801 7780 BEMETARA BEMETARA GOVT PS PANDRITARAI 22230202802 7781 BEMETARA BEMETARA GOVT MS CHANDANU 22230202901 7782 BEMETARA BEMETARA GOVT PS CHANDANU 22230202902 7783 BEMETARA BEMETARA GOVT MS KHAMAHRIYA 22230203001 7784 BEMETARA BEMETARA GOVT PS KHAMAHRIYA 22230203002 7785 BEMETARA BEMETARA GOVT MS MAU 22230203101 7786 BEMETARA BEMETARA GOVT PS MAU 22230203102
  • 237.
    7787 BEMETARA BEMETARAGOVT MS TUMA 22230203201 7788 BEMETARA BEMETARA GOVT PS TUMA 22230203202 7789 BEMETARA BEMETARA GOVT MS MOHRENGA 22230203401 7790 BEMETARA BEMETARA GOVT PS MOHRENGA 22230203402 7791 BEMETARA BEMETARA GOVT MS KHAIRJHITI 22230203501 7792 BEMETARA BEMETARA GOVT PS KHAIRJHITI 22230203502 7793 BEMETARA BEMETARA GOVT MS KUSMI 22230203601 7794 BEMETARA BEMETARA GOVT PS KUSMI 22230203602 7795 BEMETARA BEMETARA GOVT MS BAIJALPUR 22230203701 7796 BEMETARA BEMETARA GOVT PS BAIJALPUR 22230203702 7797 BEMETARA BEMETARA GOVT MS NINWA 22230203801 7798 BEMETARA BEMETARA GOVT PS NINWA 22230203802 7799 BEMETARA BEMETARA GOVT MS UGHARA 22230203901 7800 BEMETARA BEMETARA GOVT PS UGHARA 22230203902 7801 BEMETARA BEMETARA GOVT MS KOBIYA 22230204101 7802 BEMETARA BEMETARA GOVT PS KOBIYA 22230204102 7803 BEMETARA BEMETARA GOVT UTTAR BUNAIYADI SHALLA 22230204205 7804 BEMETARA BEMETARA GOVT GIRLS MS BEMETARA 22230204206 7805 BEMETARA BEMETARA GOVT BOYS MS BEMETARA 22230204207 7806 BEMETARA BEMETARA GOVT BOYS ABHYAS SHALA 22230204210 7807 BEMETARA BEMETARA KASTURBA GANDHI BALIKA VIDYALA 22230204213 7808 BEMETARA BEMETARA GOVT PS VIDHYANAGAR WARD 1 22230204220 7809 BEMETARA BEMETARA GOVT MS CHHIRHA 22230204301 7810 BEMETARA BEMETARA BOYS PS CHHIRHA 22230204302 7811 BEMETARA BEMETARA GIRLS PS CHHIRHA 22230204303 7812 BEMETARA BEMETARA GOVT MS KATHOUTIYA 22230204401 7813 BEMETARA BEMETARA GOVT PS KATHOUTIYA 22230204402 7814 BEMETARA BEMETARA GOVT NAVIN PS KATHOUTIYA 22230204403 7815 BEMETARA BEMETARA GOVT PS SONPURI (CHHI) 22230204501 7816 BEMETARA BEMETARA GOVT MS SONPURI (CHHI) 22230204502 7817 BEMETARA BEMETARA GOVT MS BAIHARSARI 22230204601 7818 BEMETARA BEMETARA GOVT PS BAIHARSARI 22230204602 7819 BEMETARA BEMETARA GOVT PS MAJGAON 22230204702
  • 238.
    7820 BEMETARA BEMETARAGOVT MS MAJGAON (SSA) 22230204703 7821 BEMETARA BEMETARA GOVT MS CHARGAWA 22230204801 7822 BEMETARA BEMETARA GOVT PS CHARGAWA 22230204802 7823 BEMETARA BEMETARA GOVT MS SUKHATAL 22230204901 7824 BEMETARA BEMETARA GOVT PS SUKHATAL 22230204902 7825 BEMETARA BEMETARA GOVT GIRLS MS DADHI 22230205001 7826 BEMETARA BEMETARA GOVT BOYS MS DADHI 22230205002 7827 BEMETARA BEMETARA GOVT BOYS PS DADHI 22230205004 7828 BEMETARA BEMETARA GOVT GIRLS PS DADHI 22230205007 7829 BEMETARA BEMETARA GOVT PS NAYAPARA DADHI (SSA) 22230205008 7830 BEMETARA BEMETARA GOVT SANLAGNA MS PACHBHAIYA 22230205101 7831 BEMETARA BEMETARA GOVT PS PACHBHAIYA 22230205103 7832 BEMETARA BEMETARA GOVT PS BALSAMUND 22230205201 7833 BEMETARA BEMETARA GOVT MS BALSAMUND 22230205202 7834 BEMETARA BEMETARA GOVT PS JOGIPUR 22230205301 7835 BEMETARA BEMETARA GOVT MS JOGIPUR (SSA) 22230205302 7836 BEMETARA BEMETARA GOVT PS RAURPUR 22230205401 7837 BEMETARA BEMETARA GOVT PS ANDU 22230205501 7838 BEMETARA BEMETARA GOVT MS ANDU (SSA) 22230205502 7839 BEMETARA BEMETARA GOVT PS GHATOLI 22230205601 7840 BEMETARA BEMETARA GOVT PS KATALBOD 22230205701 7841 BEMETARA BEMETARA GOVT PS BHOTHIDIH 22230205801 7842 BEMETARA BEMETARA GOVT MS BHOTHIDIH (SSA) 22230205802 7843 BEMETARA BEMETARA GOVT PS PURAN 22230205901 7844 BEMETARA BEMETARA GOVT PS USLAPUR 22230206001 7845 BEMETARA BEMETARA GOVT PS KHUDMUDI 22230206101 7846 BEMETARA BEMETARA GOVT MS KHUDMUDI (SSA) 22230206102 7847 BEMETARA BEMETARA GOVT PS PENDRI 22230206201 7848 BEMETARA BEMETARA GOVT PS JHIRIYA 22230206301 7849 BEMETARA BEMETARA GOVT MS JHIRIYA (SSA) 22230206302 7850 BEMETARA BEMETARA GOVT PS DHANELI 22230206401 7851 BEMETARA BEMETARA GOVT PS BAGAOD 22230206501 7852 BEMETARA BEMETARA GOVT PS POUSARI 22230206601
  • 239.
    7853 BEMETARA BEMETARAGOVT MS POUSARI (SSA) 22230206602 7854 BEMETARA BEMETARA GOVT PS MUNARBOD 22230206701 7855 BEMETARA BEMETARA GOVT MS MUNARBOD (SSA) 22230206702 7856 BEMETARA BEMETARA GOVT PS BORIYA 22230206801 7857 BEMETARA BEMETARA GOVT MS SINGHORI 22230206901 7858 BEMETARA BEMETARA GOVT PS SINGHORI 22230206902 7859 BEMETARA BEMETARA GOVT PS BAWAMOHTARA 22230207001 7860 BEMETARA BEMETARA GOVT MS BAWAMOHTARA 22230207002 7861 BEMETARA BEMETARA GOVT PS BHOENABHATA 22230207101 7862 BEMETARA BEMETARA GOVT PS MUNDPAR 22230207201 7863 BEMETARA BEMETARA GOVT PS PIPERBHATTA 22230207301 7864 BEMETARA BEMETARA GOVT MS PIPERBHATTA (SSA) 22230207302 7865 BEMETARA BEMETARA GOVT PS TENDUBHATA 22230207401 7866 BEMETARA BEMETARA GOVT PS BAHERA (KAR) 22230207501 7867 BEMETARA BEMETARA GOVT PS NAWAGAON (KHUD) 22230207601 7868 BEMETARA BEMETARA GOVT PS BHAISA 22230207701 7869 BEMETARA BEMETARA GOVT MS BHAISA (SSA) 22230207702 7870 BEMETARA BEMETARA GOVT PS DHARA 22230207801 7871 BEMETARA BEMETARA GOVT MS DHARA (SSA) 22230207802 7872 BEMETARA BEMETARA GOVT PS NAWALPUR 22230207901 7873 BEMETARA BEMETARA GOVT PS CHHITAPAR 22230208001 7874 BEMETARA BEMETARA GOVT MS CHHITAPAR (SSA) 22230208002 7875 BEMETARA BEMETARA GOVT PS SANKAPAT 22230208102 7876 BEMETARA BEMETARA GOVT PS BAIJI (L) 22230208201 7877 BEMETARA BEMETARA GOVT MS KANTELI (SSA) 22230208302 7878 BEMETARA BEMETARA GOVT PS KANTELI 22230208303 7879 BEMETARA BEMETARA GOVT PS SAWATPUR 22230208401 7880 BEMETARA BEMETARA GOVT PS RAJKUDI 22230208501 7881 BEMETARA BEMETARA GOVT MS RAJKUDI (SSA) 22230208502 7882 BEMETARA BEMETARA GOVT PS BHINPURI 22230208601 7883 BEMETARA BEMETARA GOVT PS HATHMUDI 22230208701 7884 BEMETARA BEMETARA GOVT MS HATHMUDI (SSA) 22230208702 7885 BEMETARA BEMETARA GOVT PS BHURKI 22230208801
  • 240.
    7886 BEMETARA BEMETARAGOVT PS DUDA 22230208901 7887 BEMETARA BEMETARA GOVT PS OTEBAND 22230209001 7888 BEMETARA BEMETARA GOVT PS PATHRRA 22230209101 7889 BEMETARA BEMETARA GOVT PS JONG 22230209201 7890 BEMETARA BEMETARA GOVT PS BASNI 22230209301 7891 BEMETARA BEMETARA GOVT PS TALA 22230209401 7892 BEMETARA BEMETARA GOVT MS TALA (SSA) 22230209402 7893 BEMETARA BEMETARA GOVT PS DHOKLA 22230209501 7894 BEMETARA BEMETARA GOVT PS ARJUNI 22230209601 7895 BEMETARA BEMETARA GOVT MS ARJUNI (SSA) 22230209602 7896 BEMETARA BEMETARA GOVT PS BAHINGA 22230209701 7897 BEMETARA BEMETARA GOVT PS KARHI 22230209801 7898 BEMETARA BEMETARA GOVT MS KARHI (SSA) 22230209802 7899 BEMETARA BEMETARA GOVT PS MOHLAI 22230209901 7900 BEMETARA BEMETARA GOVT PS KHILORA 22230210001 7901 BEMETARA BEMETARA GOVT MS KHILORA (SSA) 22230210003 7902 BEMETARA BEMETARA GOVT PS TELAIKUDA 22230210101 7903 BEMETARA BEMETARA GOVT MS TELAIKUDA (SSA) 22230210102 7904 BEMETARA BEMETARA GOVT PS FARI 22230210201 7905 BEMETARA BEMETARA GOVT PS GUNARBOD 22230210301 7906 BEMETARA BEMETARA GOVT PS CHORBHATTI 22230210401 7907 BEMETARA BEMETARA GOVT PS MATKA 22230210501 7908 BEMETARA BEMETARA GOVT MS MATKA (SSA) 22230210502 7909 BEMETARA BEMETARA GOVT PS AMORA 22230210601 7910 BEMETARA BEMETARA GOVT PS MARJADPUR 22230210701 7911 BEMETARA BEMETARA GOVT PS BAHARBOD 22230210801 7912 BEMETARA BEMETARA GOVT PS CHILFI 22230210901 7913 BEMETARA BEMETARA GOVT PS KAPA 22230211001 7914 BEMETARA BEMETARA GOVT PS BERA 22230211201 7915 BEMETARA BEMETARA GOVT MS BERA (SSA) 22230211203 7916 BEMETARA BEMETARA GOVT NAVIN PS BIRAMPUR 22230211301 7917 BEMETARA BEMETARA GOVT PS UDTALA 22230211401 7918 BEMETARA BEMETARA GOVT PS NAWAGAONKALA 22230211501
  • 241.
    7919 BEMETARA BEMETARAGOVT MS NAWAGAONKALA (SSA) 22230211502 7920 BEMETARA BEMETARA GOVT PS NAGPURA 22230211601 7921 BEMETARA BEMETARA GOVT MS NAGPURA (SSA) 22230211603 7922 BEMETARA BEMETARA GOVT PS GANGPUR 22230211701 7923 BEMETARA BEMETARA GOVT PS GORAKHPUR 22230211801 7924 BEMETARA BEMETARA GOVT PS JANGALPUR 22230211901 7925 BEMETARA BEMETARA GOVT MS JANGALPUR (SSA) 22230211903 7926 BEMETARA BEMETARA GOVT PS NAWRANGPUR 22230212001 7927 BEMETARA BEMETARA GOVT PS DEWGAON 22230212101 7928 BEMETARA BEMETARA GOVT PS BANDHI 22230212201 7929 BEMETARA BEMETARA GOVT MS BANDHI (SSA) 22230212203 7930 BEMETARA BEMETARA GOVT PS BHAISBODKALA 22230212301 7931 BEMETARA BEMETARA GOVT PS SURKI 22230212401 7932 BEMETARA BEMETARA GOVT PS NAWAGAON 22230212501 7933 BEMETARA BEMETARA GOVT PS BHAWARDA 22230212601 7934 BEMETARA BEMETARA GOVT PS AMLIDIH 22230212701 7935 BEMETARA BEMETARA GOVT MS AMLIDIH (SSA) 22230212702 7936 BEMETARA BEMETARA GOVT PS PIKARI 22230212801 7937 BEMETARA BEMETARA GOVT MS PIKARI 22230212802 7938 BEMETARA BEMETARA GOVT NAVIN PS WARD4 BEMETARA 22230213002 7939 BEMETARA BEMETARA GOVT NAVIN PS WARD 12 BEMETARA 22230213101 7940 BEMETARA BEMETARA GOVT NAVIN PS WARD 11 BEMETARA 22230213201 7941 BEMETARA BEMETARA GOVT GIRLS ABHYAS PS BEMETARA 22230213401 7942 BEMETARA BEMETARA GOVT GIRLS MS BEMETARA 3 (SSA) 22230213402 7943 BEMETARA BEMETARA GOVT PS MOHBHATTA 22230213501 7944 BEMETARA BEMETARA GOVT PS MODHE 22230213601 7945 BEMETARA BEMETARA GOVT PS BIRSINGHI 22230213701 7946 BEMETARA BEMETARA GOVT PS SARANGPUR 22230213801 7947 BEMETARA BEMETARA GOVT MS SARANGPUR (SSA) 22230213802 7948 BEMETARA BEMETARA GOVT PS CHARGHAT 22230213901 7949 BEMETARA BEMETARA GOVT PS GIDHWA 22230214001 7950 BEMETARA BEMETARA GOVT PS DAMAIDIH 22230214101 7951 BEMETARA BEMETARA GOVT PS AMCHO 22230214301
  • 242.
    7952 BEMETARA BEMETARAGOVT PS LALPUR 22230214401 7953 BEMETARA BEMETARA GOVT MS LALPUR (SSA) 22230214402 7954 BEMETARA BEMETARA GOVT PS MANDAI 22230214501 7955 BEMETARA BEMETARA GOVT PS KARAMTARA 22230214601 7956 BEMETARA BEMETARA GOVT PS PARASWARA 22230214701 7957 BEMETARA BEMETARA GOVT PS MURKI 22230214801 7958 BEMETARA BEMETARA GOVT PS KEWACHHI 22230214901 7959 BEMETARA BEMETARA GOVT MS KEWACHHI (SSA) 22230214902 7960 BEMETARA BEMETARA GOVT PS BAHUNAWAGAON 22230215001 7961 BEMETARA BEMETARA GOVT PS SIRWABANDHA 22230215101 7962 BEMETARA BEMETARA GOVT MS SIRWABANDHA (SSA) 22230215102 7963 BEMETARA BEMETARA GOVT PS CHARBHATTA 22230215201 7964 BEMETARA BEMETARA GOVT PS PANDARBHATTA 22230215301 7965 BEMETARA BEMETARA GOVT MS PANDARBHATTA (SSA) 22230215303 7966 BEMETARA BEMETARA GOVT PS DHOLIYA 22230215401 7967 BEMETARA BEMETARA GOVT MS DHOLIYA (SSA) 22230215402 7968 BEMETARA BEMETARA GOVT PS SINGPUR 22230215501 7969 BEMETARA BEMETARA GOVT PS ATARIYA 22230215601 7970 BEMETARA BEMETARA GOVT MS ATARIYA (SSA) 22230215603 7971 BEMETARA BEMETARA GOVT PS DHANGAON 22230215701 7972 BEMETARA BEMETARA GOVT MS DHANGAON (SSA) 22230215702 7973 BEMETARA BEMETARA GOVT PS JHALAM 22230215801 7974 BEMETARA BEMETARA GOVT PS KOSA 22230215901 7975 BEMETARA BEMETARA GOVT PS MARKA 22230216001 7976 BEMETARA BEMETARA GOVT MS MARKA (SSA) 22230216003 7977 BEMETARA BEMETARA GOVT PS SINGHANPURI 22230216101 7978 BEMETARA BEMETARA GOVT PS BARADERA 22230216201 7979 BEMETARA BEMETARA GOVT MS BARADERA (SSA) 22230216202 7980 BEMETARA BEMETARA GOVT PS KHAPRI 22230216301 7981 BEMETARA BEMETARA GOVT PS RAVELI 22230216401 7982 BEMETARA BEMETARA GOVT MS RAVILI (SSA) 22230216403 7983 BEMETARA BEMETARA GOVT PS MUTPURI 22230216501 7984 BEMETARA BEMETARA GOVT MS MUTPURI (SSA) 22230216502
  • 243.
    7985 BEMETARA BEMETARAGOVT PS KESHTARA 22230216601 7986 BEMETARA BEMETARA GOVT PS BITKULI 22230216701 7987 BEMETARA BEMETARA GOVT MS BITKULI (SSA) 22230216702 7988 BEMETARA BEMETARA GOVT PS MULMULA 22230216801 7989 BEMETARA BEMETARA GOVT MS MULMULA (SSA) 22230216803 7990 BEMETARA BEMETARA GOVT PS NAWAGAON (KARN) 22230216901 7991 BEMETARA BEMETARA GOVT MS NAWAGAON (KARN) (SSA) 22230216902 7992 BEMETARA BEMETARA GOVT PS KARANJIYA 22230217001 7993 BEMETARA BEMETARA GOVT PS MUNGELI 22230217101 7994 BEMETARA BEMETARA GOVT PS BOHARDIH (SSA) 22230217401 7995 BEMETARA BEMETARA GOVT PS ADBANDHA (SSA) 22230217501 7996 BEMETARA BEMETARA GOVT PS NEVASPUR (SSA) 22230217601 7997 BEMETARA BEMETARA GOVT PS BHAISBODKHURD (SSA) 22230217701 7998 BEMETARA BEMETARA GOVT PS BETAR 22230217801 7999 BEMETARA BEMETARA GOVT PS DAMAPUR (SSA) 22230219001 8000 BEMETARA BEMETARA GOVT MS DAMAPUR (SSA) 22230219002 8001 BEMETARA BEMETARA GOVT PS BADUWAKAPA (SSA) 22230219101 8002 BEMETARA BEMETARA GOVT PS TARKE (SSA) 22230219201 8003 BEMETARA BEMETARA GOVT PS GHOREGHAT (SSA) 22230219301 8004 BEMETARA BEMETARA GOVT PS BIRAMPUR 22230219401 8005 BEMETARA BEMETARA GOVT PS SURUNGDAHRA (SSA) 22230219501 8006 BEMETARA BEMETARA GOVT PS MAJGAON 22230219701 8007 BEMETARA BEMETARA GOVT PS PADKIDIH (SSA) 22230219902 8008 BEMETARA BEMETARA GOVT PS NAYAPARA BORIYA (SSA) 22230220101 8009 BEMETARA BEMETARA GOVT PS SONPURI (POS) 22230220201 8010 BEMETARA BEMETARA GOVT PS NAYAPARA BAGAOD (SSA) 22230220301 8011 BEMETARA BEMETARA GOVT PS BAWAGHATOLI 22230220401 8012 BEMETARA BEMETARA GOVT MS BAWAGHATOLI (SSA) 22230220402 8013 BEMETARA BEMETARA GOVT PS BAIJI 22230220501 8014 BEMETARA BEMETARA GOVT PS NAVIN PENDRI 22230220601 8015 BEMETARA BEMETARA GOVT PS SANKAPAT 22230220701 8016 BEMETARA BEMETARA GOVT MS SANKAPAT 22230220702 8017 BEMETARA BEMETARA GOVT PS JHAJHADIH (SSA) 22230220901
  • 244.
    8018 BEMETARA BEMETARAGOVT PS GHATHOLI (N) (SSA) 22230221401 8019 BEMETARA BEMETARA GOVT MS GHATHOLI (N) (SSA) 22230221402 8020 BEMETARA BEMETARA GOVT PS KARCHUWA (N) 22230221501 8021 BEMETARA BEMETARA GOVT MS KARCHUWA (N) (SSA) 22230221502 8022 BEMETARA BEMETARA GOVT PS BIRAMPUR (B) 22230221701 8023 BEMETARA BEMETARA GOVT PS GANGPUR (B) 22230221801 8024 BEMETARA BERLA GOVT PS BHIMBHOURI 22230300101 8025 BEMETARA BERLA GOVT GIRLS PS BHIMBHORI 22230300102 8026 BEMETARA BERLA GOVT MS JHADU RAM SAHU BHIMBHORI 22230300103 8027 BEMETARA BERLA GOVT MS KHUDMUDI 22230300201 8028 BEMETARA BERLA GOVT PS KHUDMUDI 22230300202 8029 BEMETARA BERLA GOVT PS DEVSARA 22230300301 8030 BEMETARA BERLA GOVT PS KUMHI (SILGHAT) 22230300401 8031 BEMETARA BERLA GOVT MS KUMHI (SILGHAT) (SSA) 22230300402 8032 BEMETARA BERLA GOVT MS SILGHAT 22230300501 8033 BEMETARA BERLA GOVT PS SILGHAT 22230300502 8034 BEMETARA BERLA GOVT PS NEW DHABA 22230300601 8035 BEMETARA BERLA GOVT MS NEW DHABA (SSA) 22230300603 8036 BEMETARA BERLA GOVT PS PIRDA 22230300701 8037 BEMETARA BERLA GOVT MS PIRDA (SSA) 22230300702 8038 BEMETARA BERLA GOVT PS KOTA 22230300801 8039 BEMETARA BERLA GOVT MS HARDI 22230300901 8040 BEMETARA BERLA GOVT PS HARDI 22230300902 8041 BEMETARA BERLA GOVT PS PURANA DABA 22230301001 8042 BEMETARA BERLA GOVT MS KHISORA 22230301101 8043 BEMETARA BERLA GOVT PS KHISORA 22230301102 8044 BEMETARA BERLA GOVT PS PARDHI PARA KHISORA (SSA) 22230301103 8045 BEMETARA BERLA GOVT MS BACHEDI 22230301201 8046 BEMETARA BERLA GOVT PS BACHEDI 22230301202 8047 BEMETARA BERLA GOVT MS DANGANIYA (KHA) (SSA) 22230301301 8048 BEMETARA BERLA GOVT PS DANGANIYA (KHA) 22230301302 8049 BEMETARA BERLA GOVT MS KODWA 22230301401 8050 BEMETARA BERLA GOVT PS KODWA 22230301402
  • 245.
    8051 BEMETARA BERLAGOVT PS KUMHIGUDA 22230301501 8052 BEMETARA BERLA GOVT PS CHONGI KHAPRI 22230301601 8053 BEMETARA BERLA GOVT PS NARDHI 22230301701 8054 BEMETARA BERLA GOVT PS BUDERA 22230301801 8055 BEMETARA BERLA GOVT MS KESHDABRI (SSA) 22230301902 8056 BEMETARA BERLA GOVT PS KESHDABRI 22230301903 8057 BEMETARA BERLA GOVT PS CHIKALA 22230302001 8058 BEMETARA BERLA GOVT MS SALDHA 22230302101 8059 BEMETARA BERLA GOVT PS SALDHA 22230302102 8060 BEMETARA BERLA GOVT PS DADJARA 22230302201 8061 BEMETARA BERLA GOVT PS MAJGAON 22230302301 8062 BEMETARA BERLA GOVT MS PARPODA 22230302401 8063 BEMETARA BERLA GOVT PS PARPODA 22230302403 8064 BEMETARA BERLA GOVT PS_NAYAPARA PARPODA (SSA) 22230302404 8065 BEMETARA BERLA GOVT PS SANDI 22230302501 8066 BEMETARA BERLA GOVT MS SANDI (SSA) 22230302502 8067 BEMETARA BERLA GOVT PS NAWAGOAN (BAHINGA) 22230302601 8068 BEMETARA BERLA GOVT PS BAHINGA 22230302701 8069 BEMETARA BERLA GOVT MS BAHINGA (SSA) 22230302702 8070 BEMETARA BERLA GOVT PS DANGANIYA (B) 22230302801 8071 BEMETARA BERLA GOVT MS DANGANIYA (B) (SSA) 22230302803 8072 BEMETARA BERLA GOVT PS BAHERGHAT 22230302901 8073 BEMETARA BERLA GOVT MS BAHERGHAT (SSA) 22230302902 8074 BEMETARA BERLA GOVT PS MANIYARI 22230303002 8075 BEMETARA BERLA GOVT MS MANIYARI (SSA) 22230303003 8076 BEMETARA BERLA GOVT PS KHAMHRIYA (S) 22230303101 8077 BEMETARA BERLA GOVT MS DEWADA 22230303201 8078 BEMETARA BERLA GOVT PS DEWADA 22230303202 8079 BEMETARA BERLA GOVT MS HASDA 22230303301 8080 BEMETARA BERLA GOVT GIRLS PS HASDA 22230303302 8081 BEMETARA BERLA GOVT PS HASDA 22230303303 8082 BEMETARA BERLA GOVT PS GABDA 22230303401 8083 BEMETARA BERLA GOVT PS KHUDMUDA 22230303501
  • 246.
    8084 BEMETARA BERLAGOVT MS KHUDMUDA 22230303502 8085 BEMETARA BERLA GOVT GIRLS PS KHUDMUDA 22230303503 8086 BEMETARA BERLA GOVT PS AKOLI 22230303601 8087 BEMETARA BERLA GOVT MS AKOLI (SSA) 22230303602 8088 BEMETARA BERLA GOVT PS UFRA 22230303701 8089 BEMETARA BERLA GOVT MS UFRA 22230303702 8090 BEMETARA BERLA GOVT PS NEVNARA 22230303801 8091 BEMETARA BERLA GOVT MS NEVNARA (SSA) 22230303802 8092 BEMETARA BERLA GOVT GIRLS PS GONDGIRI 22230303901 8093 BEMETARA BERLA GOVT PS GONDGIRI 22230303902 8094 BEMETARA BERLA GOVT MS GONDGIRI 22230303903 8095 BEMETARA BERLA GOVT PS KHAMTRAI 22230304001 8096 BEMETARA BERLA GOVT PS GADAMOR 22230304101 8097 BEMETARA BERLA GOVT MS GADAMOR(SSA) 22230304102 8098 BEMETARA BERLA GOVT PS GHATIYAKALA 22230304201 8099 BEMETARA BERLA GOVT MS GHATIYAKALA (SSA) 22230304202 8100 BEMETARA BERLA GOVT PS MUDPAR 22230304301 8101 BEMETARA BERLA GOVT PS CHANDI 22230304401 8102 BEMETARA BERLA GOVT MS CHANDI 22230304402 8103 BEMETARA BERLA GOVT PS KARELI 22230304501 8104 BEMETARA BERLA GOVT PS TILAI 22230304601 8105 BEMETARA BERLA GOVT PS_MAWALIBHATA (SSA) 22230304602 8106 BEMETARA BERLA GOVT PS SANKARA 22230304701 8107 BEMETARA BERLA GOVT MS SANKARA 22230304702 8108 BEMETARA BERLA GOVT SUMAN GIRLS MS DEORBIJA 22230304801 8109 BEMETARA BERLA GOVT MS DEORBIJA 22230304802 8110 BEMETARA BERLA GOVT ADARSH PS DEORBIJA 22230304803 8111 BEMETARA BERLA GOVT GIRLS PS DEORBIJA 22230304804 8112 BEMETARA BERLA GOVT PS RAJEEVNAGAR DEORBIJA 22230304806 8113 BEMETARA BERLA GOVT MS BHEDANI 22230304901 8114 BEMETARA BERLA GOVT PS BHEDANI 22230304902 8115 BEMETARA BERLA GOVT MS MOHBHATTHA 22230305001 8116 BEMETARA BERLA GOVT PS MOHBHATTHA 22230305002
  • 247.
    8117 BEMETARA BERLAGOVT PS GANDICHOAK MOHBHATTHA 22230305003 8118 BEMETARA BERLA GOVT PS KHAMHARIYA (D) 22230305101 8119 BEMETARA BERLA GOVT PS KHAMHARIYA DIH (SSA) 22230305102 8120 BEMETARA BERLA GOVT PS GHOTMARRA 22230305201 8121 BEMETARA BERLA GOVT PS SINGHOURI 22230305301 8122 BEMETARA BERLA GOVT MS SINGHOURI (SSA) 22230305302 8123 BEMETARA BERLA GOVT PS SIRSA 22230305401 8124 BEMETARA BERLA GOVT PS BOTKA 22230305501 8125 BEMETARA BERLA GOVT PS SURUJPURA (D) 22230305601 8126 BEMETARA BERLA GOVT MS RANKA 22230305701 8127 BEMETARA BERLA GOVT PS RANKA 22230305702 8128 BEMETARA BERLA GOVT GIRLS PS RANKA 22230305703 8129 BEMETARA BERLA GOVT MS KATHIYA 22230305801 8130 BEMETARA BERLA GOVT PS KATHIYA 22230305802 8131 BEMETARA BERLA GOVT PS KIRITPUR 22230305902 8132 BEMETARA BERLA GOVT MS KIRITPUR (SSA) 22230305903 8133 BEMETARA BERLA GOVT PS MANJHIDERA (SSA) 22230305904 8134 BEMETARA BERLA GOVT PS RAVELI 22230306002 8135 BEMETARA BERLA GOVT MS RAVELI (SSA) 22230306003 8136 BEMETARA BERLA GOVT PS TIVRAIYA 22230306102 8137 BEMETARA BERLA GOVT MS TIVRAIYA (SSA) 22230306103 8138 BEMETARA BERLA GOVT PS TEMARI 22230306201 8139 BEMETARA BERLA GOVT PS JHALMALA 22230306301 8140 BEMETARA BERLA GOVT PS KURUD 22230306401 8141 BEMETARA BERLA GOVT MS KURUD (SSA) 22230306402 8142 BEMETARA BERLA GOVT PS PENDRI 22230306501 8143 BEMETARA BERLA GOVT PS KHAMHRIYA (R) 22230306601 8144 BEMETARA BERLA GOVT MS KHAMHRIYA (R) (SSA) 22230306602 8145 BEMETARA BERLA GOVT MS ANANDGAON 22230306701 8146 BEMETARA BERLA GOVT PS ANANDGAON 22230306702 8147 BEMETARA BERLA GOVT PS BHATAPARA ANANDGAON (SSA) 22230306703 8148 BEMETARA BERLA GOVT PS BHARDA 22230306801 8149 BEMETARA BERLA GOVT MS BHARDA (SSA) 22230306803
  • 248.
    8150 BEMETARA BERLAGOVT MS SURHOLI 22230306901 8151 BEMETARA BERLA GOVT PS SURHOLI 22230306902 8152 BEMETARA BERLA GOVT PS TELGA 22230307001 8153 BEMETARA BERLA GOVT MS TELGA (SSA) 22230307002 8154 BEMETARA BERLA GOVT PS MUDPAR KALA 22230307101 8155 BEMETARA BERLA GOVT PS LAWATARA (DHABA) 22230307201 8156 BEMETARA BERLA GOVT PS NAWAGOAN (KHUDMUDA) 22230307301 8157 BEMETARA BERLA GOVT PS BALOUDIKALA 22230307401 8158 BEMETARA BERLA GOVT MS BALOUDIKALA (SSA) 22230307402 8159 BEMETARA BERLA GOVT PS MUDPAR KHURD 22230307501 8160 BEMETARA BERLA GOVT MS MUDPAR KHURD 22230307502 8161 BEMETARA BERLA GOVT PS KUMHI (KHARRA) 22230307601 8162 BEMETARA BERLA GOVT MS KUMHI (KHARRA) (SSA) 22230307602 8163 BEMETARA BERLA GOVT. PS BERLA (BHATHAPARA) (SSA) 22230307701 8164 BEMETARA BERLA GOVT MS BERLA 22230307801 8165 BEMETARA BERLA GOVT PS BERLA 22230307802 8166 BEMETARA BERLA GOVT GIRLS PS BERLA 22230307803 8167 BEMETARA BERLA GOVT GIRLS MS BERLA 22230307807 8168 BEMETARA BERLA GOVT PS RAMPUR 22230307901 8169 BEMETARA BERLA GOVT MS RAMPUR (SSA) 22230307902 8170 BEMETARA BERLA GOVT PS PATORA 22230308001 8171 BEMETARA BERLA GOVT MS PATORA 22230308002 8172 BEMETARA BERLA GOVT PS REVE 22230308101 8173 BEMETARA BERLA GOVT MS REVE 22230308102 8174 BEMETARA BERLA GOVT PS SILGHAT 22230308201 8175 BEMETARA BERLA GOVT MS SILGHAT (SSA) 22230308202 8176 BEMETARA BERLA GOVT PS PANTHARPUNJI 22230308301 8177 BEMETARA BERLA GOVT PS SARDA 22230308401 8178 BEMETARA BERLA GOVT GIRLS PS SARDA 22230308402 8179 BEMETARA BERLA GOVT MS SARDA 22230308403 8180 BEMETARA BERLA GOVT PS BHATGAON 22230308501 8181 BEMETARA BERLA GOVT PS SINGDEHI 22230308601 8182 BEMETARA BERLA GOVT MS SINGDEHI (SSA) 22230308602
  • 249.
    8183 BEMETARA BERLAGOVT PS BHILOURI 22230308701 8184 BEMETARA BERLA GOVT MS BHILOURI 22230308703 8185 BEMETARA BERLA GOVT PS NAYAPARA BHILOURI 22230308801 8186 BEMETARA BERLA GOVT PS BAWANLAKH 22230308901 8187 BEMETARA BERLA GOVT MS BAWANLAKH (SSA) 22230308902 8188 BEMETARA BERLA GOVT PS AANDU 22230309001 8189 BEMETARA BERLA GOVT MS AANDU 22230309002 8190 BEMETARA BERLA GOVT PS ATARGARHI 22230309101 8191 BEMETARA BERLA GOVT MS ATARGARHI 22230309102 8192 BEMETARA BERLA GOVT PS BUDAJOANG 22230309201 8193 BEMETARA BERLA GOVT GIRLS PS BARGAON 22230309301 8194 BEMETARA BERLA GOVT PS BARGAON 22230309302 8195 BEMETARA BERLA GOVT MS BARGAON 22230309303 8196 BEMETARA BERLA GOVT MS TAKSIWA 22230309401 8197 BEMETARA BERLA GOVT PS TAKSIWA 22230309402 8198 BEMETARA BERLA GOVT PS BORIA 22230309501 8199 BEMETARA BERLA GOVT MS BORIA (SSA) 22230309502 8200 BEMETARA BERLA GOVT PS HATPAN 22230309601 8201 BEMETARA BERLA GOVT MS HATPAN (SSA) 22230309602 8202 BEMETARA BERLA GOVT PS SURAJPURA 22230309701 8203 BEMETARA BERLA GOVT PS TAKAM 22230309801 8204 BEMETARA BERLA GOVT MS TAKAM (SSA) 22230309802 8205 BEMETARA BERLA GOVT PS KARAMAL 22230309901 8206 BEMETARA BERLA GOVT PS KANDARKA 22230310001 8207 BEMETARA BERLA GOVT MS KANDARKA 22230310002 8208 BEMETARA BERLA GOVT PS KOHDIYA 22230310101 8209 BEMETARA BERLA GOVT MS KOHDIYA (SSA) 22230310102 8210 BEMETARA BERLA GOVT MS GUDHELI 22230310201 8211 BEMETARA BERLA GOVT PS GUDHELI 22230310202 8212 BEMETARA BERLA GOVT PS BHATAPARA GUDHELI (SSA) 22230310204 8213 BEMETARA BERLA GOVT GIRLS MS GUDHELI (SSA) 22230310205 8214 BEMETARA BERLA GOVT PS LATA 22230310301 8215 BEMETARA BERLA GOVT PS NAYAPARA LATA 22230310302
  • 250.
    8216 BEMETARA BERLAGOVT PS KHANGHARPAT 22230310401 8217 BEMETARA BERLA GOVT PS SINGARDIH 22230310501 8218 BEMETARA BERLA GOVT PS BERLAKALA 22230310601 8219 BEMETARA BERLA GOVT PS NAYAPARA BERLAKALA (SSA) 22230310602 8220 BEMETARA BERLA GOVT PS BHALESAR 22230310701 8221 BEMETARA BERLA GOVT MS BHALESAR (SSA) 22230310702 8222 BEMETARA BERLA GOVT PS BORSI 22230310801 8223 BEMETARA BERLA GOVT MS BORSI (SSA) 22230310803 8224 BEMETARA BERLA GOVT PS BOHARDIH 22230310901 8225 BEMETARA BERLA GOVT PS PAHANDA 22230311101 8226 BEMETARA BERLA GOVT MS PAHANDA 22230311102 8227 BEMETARA BERLA GOVT PS CHETUWA 22230311201 8228 BEMETARA BERLA GOVT PS SAHGAON 22230311301 8229 BEMETARA BERLA GOVT MS ACHHOLI 22230311401 8230 BEMETARA BERLA GOVT PS ACHHOLI 22230311402 8231 BEMETARA BERLA GOVT PS JAMGHAT 22230311501 8232 BEMETARA BERLA GOVT MS LENJWARA 22230311601 8233 BEMETARA BERLA GOVT GIRLS PS LENJWARA 22230311602 8234 BEMETARA BERLA GOVT PS LENJWARA 22230311603 8235 BEMETARA BERLA GOVT MS DEORI 22230311701 8236 BEMETARA BERLA GOVT PS DEORI 22230311702 8237 BEMETARA BERLA GOVTGIRL MS DEORI (SSA) 22230311703 8238 BEMETARA BERLA GOVT PS KHALHE DEORI 22230311801 8239 BEMETARA BERLA GOVT MS LAWATARA 22230311901 8240 BEMETARA BERLA GOVT GIRLS PS LAWATARA 22230311902 8241 BEMETARA BERLA GOVT PS LAWATARA 22230311903 8242 BEMETARA BERLA GOVT PS JAMGAON 22230312001 8243 BEMETARA BERLA GOVT MS JAMGAON (SSA) 22230312002 8244 BEMETARA BERLA GOVT MS TARALIM 22230312101 8245 BEMETARA BERLA GOVT PS TARALIM 22230312102 8246 BEMETARA BERLA GOVT GIRLS MS KUSMI 22230312201 8247 BEMETARA BERLA GOVT MS KUSMI 22230312202 8248 BEMETARA BERLA GOVT GIRLS PS KUSMI 22230312203
  • 251.
    8249 BEMETARA BERLAGOVT PS KUSMI 22230312204 8250 BEMETARA BERLA GOVT PS GHASIDAS CHOAK KUSMI (SSA) 22230312206 8251 BEMETARA BERLA GOVT MS KHARRA 22230312301 8252 BEMETARA BERLA GOVT PS KHARRA 22230312302 8253 BEMETARA BERLA GOVT MS BAHERA 22230312401 8254 BEMETARA BERLA GOVT PS BAHERA 22230312402 8255 BEMETARA BERLA GOVT MS BANSA 22230312501 8256 BEMETARA BERLA GOVT PS BANSA 22230312502 8257 BEMETARA BERLA GOVT PS SORLA 22230312601 8258 BEMETARA BERLA GOVT PS SONDH 22230312701 8259 BEMETARA BERLA GOVT GIRLS PS SONDH 22230312702 8260 BEMETARA BERLA GOVT MS SONDH 22230312703 8261 BEMETARA BERLA GOVT PS SINWAR 22230312801 8262 BEMETARA BERLA GOVT MS SINWAR 22230312802 8263 BEMETARA BERLA GOVT PS BHATHASORHI 22230312901 8264 BEMETARA BERLA GOVT MS BHATHASORHI 22230312902 8265 BEMETARA BERLA GOVT PS BHARCHATTI 22230313001 8266 BEMETARA BERLA GOVT MS BHARCHATTI 22230313002 8267 BEMETARA BERLA GOVT PS TABALGHOR 22230313101 8268 BEMETARA BERLA GOVT PS MANGLOR 22230313201 8269 BEMETARA BERLA GOVT PS NAWAGOAN (SINWAR) 22230313301 8270 BEMETARA BERLA GOVT PS CHOTMARRA (SSA) 22230313601 8271 BEMETARA BERLA GOVT PS HINDU PARA CHIKHLA (SSA) 22230314001 8272 BEMETARA BERLA GOVT PS SALHEPUR (SSA) 22230314201 8273 BEMETARA BERLA GOVT PS SURAJPURA DIH(SSA) 22230314401 8274 BEMETARA BERLA GOVT PS DONGAGHAT (SSA) 22230314501 8275 BEMETARA BERLA GOVT PS RUSEDIH (SSA) 22230314601 8276 BEMETARA BERLA GOVT PS PIPROLDIH (SSA) 22230314801 8277 BEMETARA BERLA GOVT SCHOOL KOSPATAR (SSA) 22230314901 8278 BEMETARA BERLA GOVT PS BUCHIDIH (SSA) 22230315001 8279 BEMETARA BERLA GOVT PS MATIA 22230315501 8280 BEMETARA NAWAGARH GOVT PS BADNARA 22231000101 8281 BEMETARA NAWAGARH GOVT MS BADNARA 22231000102
  • 252.
    8282 BEMETARA NAWAGARHGOVT PS BORDEHI 22231000105 8283 BEMETARA NAWAGARH GOVT PS MARDEHI 22231000201 8284 BEMETARA NAWAGARH GOVT MS MARDEHI 22231000202 8285 BEMETARA NAWAGARH GOVT PS BHIKAMPUR 22231000301 8286 BEMETARA NAWAGARH GOVT PS TAREGAON 22231000401 8287 BEMETARA NAWAGARH GOVT PS PAUNSARI 22231000501 8288 BEMETARA NAWAGARH JANBHAGIDARI MS POSORI 22231000502 8289 BEMETARA NAWAGARH GOVT PS MEDKI 22231000601 8290 BEMETARA NAWAGARH GOVT PS KATAI 22231000701 8291 BEMETARA NAWAGARH GOVT MS KATAI 22231000702 8292 BEMETARA NAWAGARH GOVT PS AMORA 22231000801 8293 BEMETARA NAWAGARH GOVT PS DAYALPUR 22231000803 8294 BEMETARA NAWAGARH GOVT PS MALDA 22231000901 8295 BEMETARA NAWAGARH GOVT MS MALDA 22231000902 8296 BEMETARA NAWAGARH GOVT PS DHOBGHATTI 22231001001 8297 BEMETARA NAWAGARH GOVT PS KESLA 22231001103 8298 BEMETARA NAWAGARH GOVT PS KHAPRI NO 02 22231001202 8299 BEMETARA NAWAGARH GOVT MS KHAPRI NO 2 22231001203 8300 BEMETARA NAWAGARH GOVT PS PIRAIYA 22231001301 8301 BEMETARA NAWAGARH GOVT MS PIRAIYA 22231001302 8302 BEMETARA NAWAGARH GOVT PS BHADRALI 22231001401 8303 BEMETARA NAWAGARH GOVT MS BHADRALI 22231001402 8304 BEMETARA NAWAGARH GOVT PS GHOGHARALI 22231001502 8305 BEMETARA NAWAGARH GOVT PS BUCHIPUR 22231001602 8306 BEMETARA NAWAGARH GOVT BOYS PS KUNRA 22231001701 8307 BEMETARA NAWAGARH GOVT GIRLS PS KUNRA 22231001702 8308 BEMETARA NAWAGARH GOVT MS KUNRA 22231001703 8309 BEMETARA NAWAGARH GOVT PS KATALBOD 22231001801 8310 BEMETARA NAWAGARH GOVT PSMURKUTA 22231001901 8311 BEMETARA NAWAGARH JANBHAGIDARI MS MURKUTA 22231001902 8312 BEMETARA NAWAGARH GOVT PS ETAI 22231002001 8313 BEMETARA NAWAGARH GOVT PS MEHNA 22231002101 8314 BEMETARA NAWAGARH GOVT MS MEHNA 22231002102
  • 253.
    8315 BEMETARA NAWAGARHGOVT PS KHAPRI NO.3 22231002201 8316 BEMETARA NAWAGARH GOVT PS KARHI KAPA 22231002301 8317 BEMETARA NAWAGARH GOVT PS BUNDELI 22231002401 8318 BEMETARA NAWAGARH GOVT PS GIDHWA 22231002501 8319 BEMETARA NAWAGARH GOVT MS GIDHWA 22231002502 8320 BEMETARA NAWAGARH GOVT PS NAGDHA 22231002601 8321 BEMETARA NAWAGARH GOVT MS NAGDHA 22231002602 8322 BEMETARA NAWAGARH GOVT PS GODIKALA 22231002701 8323 BEMETARA NAWAGARH GOVT MS GODIKALA 22231002702 8324 BEMETARA NAWAGARH GOVT PS PENDRI 22231002801 8325 BEMETARA NAWAGARH GOVT MS PENDRI 22231002802 8326 BEMETARA NAWAGARH GOVT PS GANYARI 22231002901 8327 BEMETARA NAWAGARH JANBHAGIDARI MS GANYARI 22231002902 8328 BEMETARA NAWAGARH GOVT PS NEYUR 22231003001 8329 BEMETARA NAWAGARH JANBHAGIDARI MS 22231003002 8330 BEMETARA NAWAGARH GOVT PS JEVRA S 22231003101 8331 BEMETARA NAWAGARH GOVT PS RUSEY 22231003201 8332 BEMETARA NAWAGARH GOVT MS RUSSEY 22231003202 8333 BEMETARA NAWAGARH GOVT PS KAVARAKAPA 22231003301 8334 BEMETARA NAWAGARH GOVT MS KAVARAKANPA 22231003302 8335 BEMETARA NAWAGARH GOVT PS DHANORA 22231003401 8336 BEMETARA NAWAGARH GOVT MS DHANORA 22231003402 8337 BEMETARA NAWAGARH GOVT GIRLS PS ANDHIYARKHOR 22231003501 8338 BEMETARA NAWAGARH GOVT BOYS PS ANDHIYARKHOR 22231003502 8339 BEMETARA NAWAGARH GOVT MS ANDHIYARKHOR 22231003503 8340 BEMETARA NAWAGARH GOVT PS ANDHIYARKHOR 22231003504 8341 BEMETARA NAWAGARH GIRLS UPS ANDHIYARKHOR 22231003505 8342 BEMETARA NAWAGARH PS GODI KHURD 22231003601 8343 BEMETARA NAWAGARH GOVT PS NANDGHAT 22231003701 8344 BEMETARA NAWAGARH GOVT MS NANDGHAT 22231003703 8345 BEMETARA NAWAGARH GOVT PS SEMARIYA 22231003801 8346 BEMETARA NAWAGARH GOVT PS TARPONGI 22231003901 8347 BEMETARA NAWAGARH JANBHAGIDARI MS TARPONGI 22231003902
  • 254.
    8348 BEMETARA NAWAGARHGOVT PS MAGARGATA 22231004001 8349 BEMETARA NAWAGARH GOVT MS MAGARGATA 22231004002 8350 BEMETARA NAWAGARH GOVT PS ANDAR 22231004101 8351 BEMETARA NAWAGARH GOVT PS AKOLI 22231004201 8352 BEMETARA NAWAGARH GOVT MS AKOLI 22231004202 8353 BEMETARA NAWAGARH GOVT PS DABAPAR 22231004301 8354 BEMETARA NAWAGARH GOVT PS KIRTA 22231004401 8355 BEMETARA NAWAGARH GOVT MS KIRTA 22231004402 8356 BEMETARA NAWAGARH GOVT PS KHAPARI NO.1 22231004501 8357 BEMETARA NAWAGARH GOVT PS MURRA 22231004601 8358 BEMETARA NAWAGARH GOVT MS MURRA 22231004602 8359 BEMETARA NAWAGARH GOVT PS KARAMSEN 22231004701 8360 BEMETARA NAWAGARH GOVT PS (EGS)KARAMSEN 22231004702 8361 BEMETARA NAWAGARH GOVT MS KARAMSEN 22231004703 8362 BEMETARA NAWAGARH GOVT PS JHAAL 22231004805 8363 BEMETARA NAWAGARH GOVT MS JHAAL 22231004806 8364 BEMETARA NAWAGARH GOVT PS RANBOD 22231004904 8365 BEMETARA NAWAGARH GOVT PS MANIKPUR 22231005003 8366 BEMETARA NAWAGARH GOVT MS MANIKPUR 22231005004 8367 BEMETARA NAWAGARH GOVT PS GHOGHRA 22231005103 8368 BEMETARA NAWAGARH GOVT MS GHOGHRA 22231005104 8369 BEMETARA NAWAGARH GOVT PS KHAPRI 22231005201 8370 BEMETARA NAWAGARH GOVT PS KHAPRI 22231005203 8371 BEMETARA NAWAGARH GOVT PS GADAMORE 22231005304 8372 BEMETARA NAWAGARH GOVT MS GADAMORE 22231005305 8373 BEMETARA NAWAGARH GOVT PS MOTIMPUR 22231005402 8374 BEMETARA NAWAGARH GOVT MS MOTIMPUR 22231005403 8375 BEMETARA NAWAGARH GOVT PS MOHTARA 22231005503 8376 BEMETARA NAWAGARH GOVT MS MOHTARA 22231005504 8377 BEMETARA NAWAGARH GOVT PS BORTARA 22231005603 8378 BEMETARA NAWAGARH GOVT MS BORTARA 22231005604 8379 BEMETARA NAWAGARH GOVT PS GONGPUR 22231005702 8380 BEMETARA NAWAGARH GOVT MS GONGPUR 22231005703
  • 255.
    8381 BEMETARA NAWAGARHGOVT PS ANTARGAWA 22231005802 8382 BEMETARA NAWAGARH GOVT PS HATADHANDU 22231005901 8383 BEMETARA NAWAGARH GOVT MS HATADHANDU 22231005902 8384 BEMETARA NAWAGARH GOVT PS JUNADHANDU 22231006001 8385 BEMETARA NAWAGARH GOVT PS KHAIRI 22231006101 8386 BEMETARA NAWAGARH GOVT PS SAMESAR 22231006201 8387 BEMETARA NAWAGARH GOVT MS SAMESAR 22231006202 8388 BEMETARA NAWAGARH GOVT PS NANDAL 22231006301 8389 BEMETARA NAWAGARH GOVD- MS NANDAL 22231006305 8390 BEMETARA NAWAGARH GOVT PS GHATOLI 22231006401 8391 BEMETARA NAWAGARH GOVT PS KHAPRI 22231006501 8392 BEMETARA NAWAGARH GOVT PS BHALUPAN 22231006601 8393 BEMETARA NAWAGARH GOVT PS BAHARBOD 22231006701 8394 BEMETARA NAWAGARH GOVTMS BAHARBOD 22231006702 8395 BEMETARA NAWAGARH GOVT MS NAWAGAON 22231006801 8396 BEMETARA NAWAGARH GOVT PS NAWAGAON 22231006802 8397 BEMETARA NAWAGARH GOVT PS MUNGWAY 22231006901 8398 BEMETARA NAWAGARH GOVT MS MUNGWAY 22231006902 8399 BEMETARA NAWAGARH GOVT PS KUWA 22231007001 8400 BEMETARA NAWAGARH JANBHAGIDARI MS KUWA 22231007002 8401 BEMETARA NAWAGARH GOVT PS BARBASPUR 22231007101 8402 BEMETARA NAWAGARH GOVT PS DEWARI 22231007201 8403 BEMETARA NAWAGARH GOVT PS TURA SEMARIYA 22231007301 8404 BEMETARA NAWAGARH GOVT PS TORA 22231007401 8405 BEMETARA NAWAGARH NAVIN MS TORA 22231007402 8406 BEMETARA NAWAGARH GOVT PS JEVRA N 22231007501 8407 BEMETARA NAWAGARH GOVT PS GOPALPUR 22231007601 8408 BEMETARA NAWAGARH GOVT PS MAKHANPUR 22231007701 8409 BEMETARA NAWAGARH GOVT MS MAKHANPUR 22231007702 8410 BEMETARA NAWAGARH BOYS PS TEMRI 22231007801 8411 BEMETARA NAWAGARH GIRLS PS TEMRI 22231007802 8412 BEMETARA NAWAGARH GOVT MS TEMRI 22231007804 8413 BEMETARA NAWAGARH GOVT PS TOHNDI 22231007901
  • 256.
    8414 BEMETARA NAWAGARHGOVT MS TOHNDI 22231007902 8415 BEMETARA NAWAGARH GOVT PS KAPA 22231008001 8416 BEMETARA NAWAGARH GOVT PS DARRI 22231008101 8417 BEMETARA NAWAGARH GOVT MS DARRI 22231008102 8418 BEMETARA NAWAGARH GOVT PS MOHLINE 22231008201 8419 BEMETARA NAWAGARH GOVT PS CHICHOLI 22231008301 8420 BEMETARA NAWAGARH GOVT MS CHICHOLI 22231008302 8421 BEMETARA NAWAGARH GOVT PS ARAMSHAHI 22231008401 8422 BEMETARA NAWAGARH GOVT PS GHURSENA 22231008501 8423 BEMETARA NAWAGARH GOVT MS GHURSENA 22231008502 8424 BEMETARA NAWAGARH BOYS PS NAWAGARH 22231008602 8425 BEMETARA NAWAGARH GOVT GIRLS PS NAWAGARH 22231008603 8426 BEMETARA NAWAGARH SANLAGNA MS NAWAGARH 22231008608 8427 BEMETARA NAWAGARH GOVT GIRLS MS NAWAGARH 22231008609 8428 BEMETARA NAWAGARH MS TILKAPARA NAWAGARH 22231008611 8429 BEMETARA NAWAGARH MS MADANPUR NAWAGARH 22231008612 8430 BEMETARA NAWAGARH MS K.G.B.V NAWAGARH 22231008613 8431 BEMETARA NAWAGARH GOVT PS BHAISAMUNDA 22231008701 8432 BEMETARA NAWAGARH JANBHAGIDARI MS 22231008702 8433 BEMETARA NAWAGARH GOVT PS MADANPUR 22231008801 8434 BEMETARA NAWAGARH GOVT PS MANPUR 22231008901 8435 BEMETARA NAWAGARH GOVT PS SUKULPARA 22231009001 8436 BEMETARA NAWAGARH GOVT PS LALBANDH 22231009101 8437 BEMETARA NAWAGARH GOVT PS TILKAPARA 22231009201 8438 BEMETARA NAWAGARH GOVT PS DONADIH 22231009301 8439 BEMETARA NAWAGARH GOVT PS NARAYANPUR 22231009401 8440 BEMETARA NAWAGARH JANBHAGIDARI MS NARAYANPUR 22231009403 8441 BEMETARA NAWAGARH GOVT PS THENDUBHATHA 22231009404 8442 BEMETARA NAWAGARH GOVT PS DUDHIYA 22231009501 8443 BEMETARA NAWAGARH GOVT PS JHULNA 22231009601 8444 BEMETARA NAWAGARH JANBHAGIDARI MS JHULNA 22231009602 8445 BEMETARA NAWAGARH GOVT PS AMALDIHA 22231009701 8446 BEMETARA NAWAGARH GOVT MS AMALDIHA 22231009702
  • 257.
    8447 BEMETARA NAWAGARHGOVT PS LOHDANGIYA 22231009801 8448 BEMETARA NAWAGARH GOVT PS BHILONI 22231009901 8449 BEMETARA NAWAGARH JANBHAGIDARI MS BHILONI 22231009902 8450 BEMETARA NAWAGARH GIRLS PS MARRO 22231010001 8451 BEMETARA NAWAGARH BOYS PS MARRO 22231010002 8452 BEMETARA NAWAGARH GIRLS ASHRAM MARRO 22231010003 8453 BEMETARA NAWAGARH GOVT BOYS MS MARRO 22231010005 8454 BEMETARA NAWAGARH GOVT GIRLS MS MARRO 22231010006 8455 BEMETARA NAWAGARH GOVT PS SONIKAPAR 22231010101 8456 BEMETARA NAWAGARH GOVT PS DOHTRA 22231010201 8457 BEMETARA NAWAGARH GOVT PS LALPUR 22231010301 8458 BEMETARA NAWAGARH GOVT PS BINOKA 22231010401 8459 BEMETARA NAWAGARH PS PARSADA 22231010501 8460 BEMETARA NAWAGARH NAVIN MSPARSADA 22231010502 8461 BEMETARA NAWAGARH GOVT PS GUNJERA 22231010601 8462 BEMETARA NAWAGARH PS BHOPSARA 22231010701 8463 BEMETARA NAWAGARH JANBHAGIDARI MS BHOPSARA 22231010702 8464 BEMETARA NAWAGARH GOVT PS CHAKRYAY 22231010801 8465 BEMETARA NAWAGARH GOVT MS CHAKRYAY 22231010802 8466 BEMETARA NAWAGARH GOVT PS KAPA MARRO 22231010901 8467 BEMETARA NAWAGARH GOVT MS GUNJERA 22231011002 8468 BEMETARA NAWAGARH GOVT MS SAMBALPUR 22231011101 8469 BEMETARA NAWAGARH GOVT GIRLS PS SAMBALPUR 22231011103 8470 BEMETARA NAWAGARH GOVT PS SAMBALPUR 22231011104 8471 BEMETARA NAWAGARH JAN.NAVIN GIRLS MS SAMBALPUR 22231011105 8472 BEMETARA NAWAGARH GOVT MS AMORA 22231011202 8473 BEMETARA NAWAGARH GOVT PS JARHAPARA 22231011301 8474 BEMETARA NAWAGARH GOVT PS KESTARA 22231011401 8475 BEMETARA NAWAGARH GOVT PS BELTUKRI 22231011501 8476 BEMETARA NAWAGARH GOVTNAVIN MS BELTUKRI 22231011502 8477 BEMETARA NAWAGARH GOVT PS KHATAI 22231011601 8478 BEMETARA NAWAGARH GOVT MS KHUTAI 22231011602 8479 BEMETARA NAWAGARH GOVT PS KAVRAJEVRA 22231011701
  • 258.
    8480 BEMETARA NAWAGARHGOVT PS RAMPURA 22231011801 8481 BEMETARA NAWAGARH GOVT PS JAITPURI 22231011901 8482 BEMETARA NAWAGARH GOVT PS CHAKAPENDRA 22231012001 8483 BEMETARA NAWAGARH GOVT MS PRATAPPUR 22231012101 8484 BEMETARA NAWAGARH GOVT PS PRATAPPUR 22231012103 8485 BEMETARA NAWAGARH GOVT PS MIRKUTA 22231012201 8486 BEMETARA NAWAGARH GOVT MS MURKUTA 22231012202 8487 BEMETARA NAWAGARH GOVT PS LALPUR 22231012301 8488 BEMETARA NAWAGARH GOVT NAVIN MS HARDI 22231012401 8489 BEMETARA NAWAGARH GOVT PS HARDI 22231012402 8490 BEMETARA NAWAGARH GOVT PS DHOURABHAT KALA 22231012501 8491 BEMETARA NAWAGARH GOVT MS DHOURABHAT KALA 22231012502 8492 BEMETARA NAWAGARH GOVT PS GANIYA 22231012601 8493 BEMETARA NAWAGARH PS DHORABHAT KHURD 22231012701 8494 BEMETARA NAWAGARH GOVTV PS KHAMHI 22231012801 8495 BEMETARA NAWAGARH GOVT PS TILAIPAR 22231012901 8496 BEMETARA NAWAGARH GOVT PS DHOBNIKALA 22231013001 8497 BEMETARA NAWAGARH JANBHAGIDARI MS DHOBNIKALA 22231013002 8498 BEMETARA NAWAGARH GOVT MS THENGHABHAT 22231013101 8499 BEMETARA NAWAGARH GOVT PS THENGHABHAT 22231013102 8500 BEMETARA NAWAGARH GOVT PS NEVASA 22231013201 8501 BEMETARA NAWAGARH GOVT MS NEVASA 22231013202 8502 BEMETARA NAWAGARH GOVT PS BOIRKCHARA 22231013301 8503 BEMETARA NAWAGARH GOVT MS BOIRKCHARA 22231013302 8504 BEMETARA NAWAGARH GOVT PS JHAKI 22231013401 8505 BEMETARA NAWAGARH NAVIN MSJHAKI 22231013402 8506 BEMETARA NAWAGARH GOVT PS BHAGHUL 22231013501 8507 BEMETARA NAWAGARH GOVT MS BHAGHUL 22231013502 8508 BEMETARA NAWAGARH GOVT PS BAGHULI 22231013601 8509 BEMETARA NAWAGARH GOVT GIRLS BAGHULI 22231013602 8510 BEMETARA NAWAGARH GOVT PS GOPALBHENA 22231013701 8511 BEMETARA NAWAGARH GOVT PS GHOTA 22231013801 8512 BEMETARA NAWAGARH GOVT PS CHAKLAKUNDA 22231013901
  • 259.
    8513 BEMETARA NAWAGARHGOVT MS MURTA 22231014001 8514 BEMETARA NAWAGARH PS GIRLS MURTA 22231014003 8515 BEMETARA NAWAGARH PS BOYS MURTA 22231014004 8516 BEMETARA NAWAGARH GOVTPS BAIJALPUR 22231014101 8517 BEMETARA NAWAGARH GOVT PS NAWAGAON K 22231014201 8518 BEMETARA NAWAGARH GOVT PS KODIYA 22231014301 8519 BEMETARA NAWAGARH GOVT PS LALPUR HARMUDI 22231014401 8520 BEMETARA NAWAGARH GOVT MS LALPUR HARMUDI 22231014402 8521 BEMETARA NAWAGARH GOVT PS HARMUDI 22231014501 8522 BEMETARA NAWAGARH JANBHAGIDARI MS HARMUDI 22231014502 8523 BEMETARA NAWAGARH GOVT PS KAMTA 22231014601 8524 BEMETARA NAWAGARH JANBHAGIDARI MS KAMTA 22231014602 8525 BEMETARA NAWAGARH GOVT PS MURKUTA 22231014701 8526 BEMETARA NAWAGARH GOVT PS SIVNI 22231014801 8527 BEMETARA NAWAGARH JANBHAGIDARI MS SIVNI 22231014802 8528 BEMETARA NAWAGARH GOVT UP_UPS DHANDHNI 22231014901 8529 BEMETARA NAWAGARH GOVT PS DHANDHNI 22231014902 8530 BEMETARA NAWAGARH GOVT MS LHEDA 22231015001 8531 BEMETARA NAWAGARH GOVT PS KHEDA 22231015002 8532 BEMETARA NAWAGARH GOVT MS PUTPURA 22231015101 8533 BEMETARA NAWAGARH GOVT PS PUTPURA 22231015102 8534 BEMETARA NAWAGARH GOVT PS BEVRA 22231015201 8535 BEMETARA NAWAGARH JANBHAGIDARI MS BEVRA 22231015202 8536 BEMETARA NAWAGARH GOVT PS JUNWANIKALA 22231015301 8537 BEMETARA NAWAGARH JANBHAGIDARI MS JUNWANIKALA 22231015302 8538 BEMETARA NAWAGARH GOVT PS MUDPAR 22231015401 8539 BEMETARA NAWAGARH GOVT MS MUDPAR 22231015402 8540 BEMETARA NAWAGARH GOVT PS BOTEBODH 22231015501 8541 BEMETARA NAWAGARH GOVT PS TENDUWA 22231015601 8542 BEMETARA NAWAGARH TENDUWA 22231015602 8543 BEMETARA NAWAGARH GOVT PS GORHA 22231015701 8544 BEMETARA NAWAGARH GOVT MS GORHA 22231015702 8545 BEMETARA NAWAGARH PS JHILGA 22231015801
  • 260.
    8546 BEMETARA NAWAGARHGOVT PS SONPURI 22231015901 8547 BEMETARA NAWAGARH GOVT PS BUNDELA 22231016001 8548 BEMETARA NAWAGARH GOVT MS BUNDELA 22231016002 8549 BEMETARA NAWAGARH PS NAWAGAON B 22231016101 8550 BEMETARA NAWAGARH GOVT PS JUNWANI KHURD 22231016201 8551 BEMETARA NAWAGARH GOVT PS NAWAGOAN 22231016701 8552 BEMETARA NAWAGARH GOVT PS BHADOURA 22231017601 8553 BEMETARA NAWAGARH GOVT PS DAGANIA 22231018401 8554 BEMETARA NAWAGARH GOVT PS CHAMARI 22231018501 8555 BEMETARA NAWAGARH GOVT PS KURWA 22231018601 8556 BEMETARA NAWAGARH GOVT PS KARMAN 22231019101 8557 BEMETARA NAWAGARH GOVT PS DHOBNI KHURD 22231019201 8558 BEMETARA NAWAGARH GOVT PS AMLIDIH 22231019301 8559 BEMETARA NAWAGARH GOVT PS RISAMLI 22231019401 8560 BEMETARA NAWAGARH GOVT MS RISAMLI 22231019402 8561 BEMETARA NAWAGARH GOVT PS MANODHARPUR 22231019501 8562 BEMETARA NAWAGARH GOVT PS CHITAPAR 22231019801 8563 BEMETARA NAWAGARH GOVT PS DHARAMPURA 22231020102 8564 BEMETARA NAWAGARH GOVT PS SALHEGHORI 22231020202 8565 BEMETARA NAWAGARH GOVT PS KHAIRA 22231020701 8566 BEMETARA NAWAGARH GOVT PS MATAPARA 22231020801 8567 BEMETARA NAWAGARH GOVT PS TINGALI JEVRA 22231020901 8568 BEMETARA NAWAGARH GOVT PS NAVALPUR 22231021101 8569 BEMETARA NAWAGARH GOVT PS NAGADHA 22231021201 8570 BEMETARA NAWAGARH PS PATNAKANPA 22231021301 8571 BEMETARA NAWAGARH GOVT PS KANHARPUR 22231021401 8572 BEMETARA NAWAGARH GOVT PS HARIHARPUR 22231021501 8573 BEMETARA NAWAGARH GOVT PS BELDAHARA 22231021601 8574 BEMETARA NAWAGARH GOVT PS LITIPUR 22231021701 8575 BEMETARA NAWAGARH GOVT MS LITIPUR 22231021702 8576 BEMETARA NAWAGARH GOVT PS CHERKAPUR 22231021801 8577 BEMETARA SAJA GOVT BOYS PS SAJA 22231200101 8578 BEMETARA SAJA GOVT GIRLS PS SAJA 22231200102
  • 261.
    8579 BEMETARA SAJAGOVT MS SAJA 22231200103 8580 BEMETARA SAJA GOVT GIRLS MS SAJA 22231200104 8581 BEMETARA SAJA GOVT.PS DONGITARAI 22231200201 8582 BEMETARA SAJA KGBV DONGITARAI 22231200202 8583 BEMETARA SAJA GOVT PS JATA 22231200301 8584 BEMETARA SAJA GOVT PS MUSVADIH 22231200401 8585 BEMETARA SAJA GOVT PS AMLIDEEH 22231200501 8586 BEMETARA SAJA GOVT PS MOHTARA 22231200601 8587 BEMETARA SAJA GOVT MS MOHTARA 22231200602 8588 BEMETARA SAJA GOVT.PS GADABHATHA 22231200701 8589 BEMETARA SAJA GOVT PS PARASBOD 22231200801 8590 BEMETARA SAJA GOVT MS PARASBOD 22231200802 8591 BEMETARA SAJA GOVT PS JAGANNATHPUR 22231200901 8592 BEMETARA SAJA GOVT PS MATRA 22231201001 8593 BEMETARA SAJA GOVT MS MATRA (SSA) 22231201002 8594 BEMETARA SAJA GOVT PS GHOTWANI 22231201101 8595 BEMETARA SAJA GOVT MS GHOTWANI 22231201102 8596 BEMETARA SAJA GOVT PS TENDUBHATHA 22231201201 8597 BEMETARA SAJA GOVT PS KESHTARA 22231201301 8598 BEMETARA SAJA GOVT MS KESHTARA 22231201302 8599 BEMETARA SAJA GOVT.PS BAGLEDI 22231201401 8600 BEMETARA SAJA GOVT PS LALPUR 22231201501 8601 BEMETARA SAJA GOVT. PS BOD 22231201601 8602 BEMETARA SAJA GOVT MS BOD (SSA) 22231201602 8603 BEMETARA SAJA GOVT PS KARHI 22231201701 8604 BEMETARA SAJA GOVT BOYS PS BEEJA 22231201801 8605 BEMETARA SAJA GOVT GIRLS PS BEEJA 22231201802 8606 BEMETARA SAJA GOVT MS BEEJA 22231201803 8607 BEMETARA SAJA GOVT PS TENDUA 22231201901 8608 BEMETARA SAJA GOVT NAVIN MS TENDUA 22231201902 8609 BEMETARA SAJA GOVT PS MAHIDAHI 22231202001 8610 BEMETARA SAJA GOVT.MS MAHIDAHI (SSA) 22231202002 8611 BEMETARA SAJA GOVT PS BHIASAMURA 22231202003
  • 262.
    8612 BEMETARA SAJAGOVT PS MOTESARA 22231202101 8613 BEMETARA SAJA GOVT PS KECHHWAI 22231202201 8614 BEMETARA SAJA GOVT PS GADUVA 22231202301 8615 BEMETARA SAJA GOVT MS GADUVA (SSA) 22231202302 8616 BEMETARA SAJA GOVT PS RAUDRA 22231202401 8617 BEMETARA SAJA GOVT MS RAUDRA (SSA) 22231202402 8618 BEMETARA SAJA GOVT PS PADMI 22231202501 8619 BEMETARA SAJA GOVT PS TURASEMARIYA 22231202601 8620 BEMETARA SAJA GOVT MS TURASEMARIYA (SSA) 22231202602 8621 BEMETARA SAJA GOVT PS KATALBOD 22231202701 8622 BEMETARA SAJA GOVT PS SEMARIA 22231202801 8623 BEMETARA SAJA GOVT NAVIN MS SEMARIYA (SSA) 22231202802 8624 BEMETARA SAJA GOVT.PS HARDAS 22231202901 8625 BEMETARA SAJA GOVT PS HATHMUDI 22231203001 8626 BEMETARA SAJA GOVT MS HATHMUDI (SSA) 22231203002 8627 BEMETARA SAJA GOVT MS PADUMSARA 22231203101 8628 BEMETARA SAJA GOVT PS PADUMSARA 22231203102 8629 BEMETARA SAJA GOVT PS KANDAI 22231203201 8630 BEMETARA SAJA GOVT. MS KANDAI (SSA) 22231203202 8631 BEMETARA SAJA GOVT PS KIRKEE 22231203301 8632 BEMETARA SAJA GOVT MS KEHKA 22231203401 8633 BEMETARA SAJA GOVT PS KEHKA 22231203402 8634 BEMETARA SAJA GOVT MS PIPARIYA 22231203501 8635 BEMETARA SAJA GOVT PS PIPARIYA 22231203502 8636 BEMETARA SAJA GOVT NAVIN MS SUVARTALA 22231203601 8637 BEMETARA SAJA GOVT PS SUVARTALA 22231203602 8638 BEMETARA SAJA GOVT MS KEVTARA 22231203701 8639 BEMETARA SAJA GOVT PS KEVTARA 22231203702 8640 BEMETARA SAJA GOVT.PS BHARDALODHI 22231203801 8641 BEMETARA SAJA GOVT.MS BHARDALODHI 22231203802 8642 BEMETARA SAJA GOVT PS BEEJAGOD 22231203901 8643 BEMETARA SAJA GOVT.PS BIRANPUR 22231204001 8644 BEMETARA SAJA GOVT PS MUNGALATOLA 22231204101
  • 263.
    8645 BEMETARA SAJAGOVT PS KORVAY 22231204201 8646 BEMETARA SAJA GOVT PS NAVAGAON GAHIRA 22231204301 8647 BEMETARA SAJA GOVT MS NAVAGAON GAHIRA 22231204302 8648 BEMETARA SAJA GOVT.PS BORTARA 22231204401 8649 BEMETARA SAJA GOVT.MS BORTARA 22231204402 8650 BEMETARA SAJA GOVT PS KHAIRY 22231204501 8651 BEMETARA SAJA GOVT PS LOLESARA 22231204601 8652 BEMETARA SAJA GOVT PS CHORBHATTHEE 22231204701 8653 BEMETARA SAJA GOVT.PS DHAP 22231204801 8654 BEMETARA SAJA GOVT MS DHAP 22231204802 8655 BEMETARA SAJA GOVT PS KONGIYAKALA 22231204901 8656 BEMETARA SAJA GOVT MS KONGIYAKALA 22231204902 8657 BEMETARA SAJA GOVT NEW GIRLS MS KONGIYAKALA 22231204903 8658 BEMETARA SAJA GOVT PS KONGIYAKURD 22231205001 8659 BEMETARA SAJA GOVT PS MASULGONDI 22231205101 8660 BEMETARA SAJA GOVT MS MASULGONDI 22231205102 8661 BEMETARA SAJA GOVT PS THELKA 22231205201 8662 BEMETARA SAJA GOVT MS THELKA 22231205202 8663 BEMETARA SAJA GOVT GIRLS UPS THELKA (SSA) 22231205203 8664 BEMETARA SAJA GOVT PS BHANAURA 22231205301 8665 BEMETARA SAJA GOVT.MS BHANAURA (SSA) 22231205302 8666 BEMETARA SAJA GOVT PS BOTKA 22231205401 8667 BEMETARA SAJA GOVT.PS DHAURABHATHA 22231205501 8668 BEMETARA SAJA GOVT MS TEDHI (SSA) 22231205602 8669 BEMETARA SAJA GOVT PS TEDHI 22231205605 8670 BEMETARA SAJA GOVT PS KANPA 22231205701 8671 BEMETARA SAJA GOVT.PS BELGAON 22231205801 8672 BEMETARA SAJA GOVT.MS BELGAON (SSA) 22231205802 8673 BEMETARA SAJA GOVT PS BELTARA 22231205901 8674 BEMETARA SAJA GOVT MS BELTARA 22231205902 8675 BEMETARA SAJA GOVT PS BENDARCHI 22231206001 8676 BEMETARA SAJA GOVT PS KARAMTARA 22231206101 8677 BEMETARA SAJA GOVT MS BARGADA 22231206201
  • 264.
    8678 BEMETARA SAJAGOVT.PS BARGADA 22231206202 8679 BEMETARA SAJA GOVT MS SOMAIKALA 22231206301 8680 BEMETARA SAJA GOVT PS SOMAIKALA 22231206302 8681 BEMETARA SAJA GOVT.PS BHENDARVANI 22231206401 8682 BEMETARA SAJA GOVT PS RAMPURA 22231206501 8683 BEMETARA SAJA GOVT PS SAMBALPUR 22231206601 8684 BEMETARA SAJA GOVT MS BHARDAKALA 22231206701 8685 BEMETARA SAJA GOVT PS BHARDAKALA 22231206702 8686 BEMETARA SAJA GOVT MS CHILFEE 22231206801 8687 BEMETARA SAJA GOVT PS CHILFEE 22231206802 8688 BEMETARA SAJA GOVT PS SOMAIKHURD 22231206901 8689 BEMETARA SAJA GOVT. MS SOMAIKHURD (SSA) 22231206902 8690 BEMETARA SAJA GOVT MS HARDUA 22231207001 8691 BEMETARA SAJA GOVT PS HARDUA 22231207002 8692 BEMETARA SAJA GOVT MS MOHGAON 22231207101 8693 BEMETARA SAJA GOVT PS MOHGAON 22231207102 8694 BEMETARA SAJA GOVT.PS BHOJEPARA 22231207201 8695 BEMETARA SAJA GOVT PS BASEEN 22231207301 8696 BEMETARA SAJA GOVT PS DIHPARA BASEEN 22231207302 8697 BEMETARA SAJA MADARSA DARUL ULUM RIJVIA PS BASEEN 22231207303 8698 BEMETARA SAJA GOVT PS AKALWARA 22231207401 8699 BEMETARA SAJA GOVT MS BHUDHWARA 22231207501 8700 BEMETARA SAJA GOVT PS BHUDHWARA 22231207502 8701 BEMETARA SAJA GOVT PS MAUHABHATHA 22231207601 8702 BEMETARA SAJA GOVT PS KHAPARI 22231207701 8703 BEMETARA SAJA GOVT MS KHAPARI 22231207702 8704 BEMETARA SAJA GOVT PS KANCHARI 22231207801 8705 BEMETARA SAJA GOVT PS TENDUBHATHA 22231207901 8706 BEMETARA SAJA GOVT MS TENDUBHATHA (SSA) 22231207902 8707 BEMETARA SAJA GOVT PS KARESARA 22231208001 8708 BEMETARA SAJA GOVT MS KARESARA 22231208002 8709 BEMETARA SAJA GOVT.PS GARRA 22231208101 8710 BEMETARA SAJA GOVT MS GHIVARI 22231208201
  • 265.
    8711 BEMETARA SAJAGOVT PS GHIVARI 22231208202 8712 BEMETARA SAJA GOVT PS KHATI 22231208301 8713 BEMETARA SAJA GOVT MS KHATI 22231208302 8714 BEMETARA SAJA GOVT PS NAVIN KANDAI 22231208401 8715 BEMETARA SAJA GOVT PS GADAGHAT (SSA) 22231208501 8716 BEMETARA SAJA GOVT NAVIN PS GADAGHAT 22231208502 8717 BEMETARA SAJA GOVT PS BORIA (SSA) 22231208601 8718 BEMETARA SAJA GOVT PS BHUSANDI 22231208701 8719 BEMETARA SAJA GOVT MS BHUSANDI (SSA) 22231208702 8720 BEMETARA SAJA GOVT PS HEDASPUR 22231208801 8721 BEMETARA SAJA GOVT MS HEDASPUR (SSA) 22231208802 8722 BEMETARA SAJA GOVT PS SONRY 22231208901 8723 BEMETARA SAJA GOVT PS AKOLA 22231209001 8724 BEMETARA SAJA GOVT PS KUTRU (SSA) 22231209101 8725 BEMETARA SAJA GOVT MS KUTRU (SSA) 22231209102 8726 BEMETARA SAJA GOVT.BOYS PS DEORGAON (SSA) 22231209201 8727 BEMETARA SAJA GOVT MS DEORGAON (SSA) 22231209202 8728 BEMETARA SAJA GOVT GIRLS PS DEORGAON (SSA) 22231209203 8729 BEMETARA SAJA GOVT PS KOHKABOD (SSA) 22231209301 8730 BEMETARA SAJA GOVT.PS BARGAON (SSA) 22231209401 8731 BEMETARA SAJA GOVT PS SINGHANPURI (SSA) 22231209501 8732 BEMETARA SAJA GOVT PS SINGHANPURI (SSA) 22231209502 8733 BEMETARA SAJA GOVT PS SONPURI (SSA) 22231209601 8734 BEMETARA SAJA GOVT PS ATTARJHOLA (SSA) 22231209701 8735 BEMETARA SAJA GOVT.BOYS PS GADADIH 22231209801 8736 BEMETARA SAJA GOVT GIRLS PS GADADIH 22231209802 8737 BEMETARA SAJA GOVT MS GADADIH 22231209803 8738 BEMETARA SAJA GOVT PS HATHIDOB 22231209901 8739 BEMETARA SAJA GOVT NAVIN MS HATHIDOB (SSA) 22231209902 8740 BEMETARA SAJA GOVT PS SONDONGARI 22231210001 8741 BEMETARA SAJA GOVT MS SONDONGARI 22231210002 8742 BEMETARA SAJA GOVT PS LUK 22231210101 8743 BEMETARA SAJA GOVT MS LUK 22231210102
  • 266.
    8744 BEMETARA SAJAGOVT PS PENDRAWAN 22231210201 8745 BEMETARA SAJA GOVT PS BUNDELI 22231210301 8746 BEMETARA SAJA GOVT PS GODMARRA 22231210401 8747 BEMETARA SAJA GOVT MS GODMARRA 22231210402 8748 BEMETARA SAJA GOVT NAVIN PS RUSSE 22231210501 8749 BEMETARA SAJA GOVT PS TIRIYABHAT 22231210601 8750 BEMETARA SAJA GOVT MS TIRIYABHAT 22231210602 8751 BEMETARA SAJA GOVT PS SONPANDAR 22231210701 8752 BEMETARA SAJA GOVT PS TUMDIPAR 22231210801 8753 BEMETARA SAJA GOVT PS GATAPAR 22231210901 8754 BEMETARA SAJA GOVT GIRLS MS PARPODI 22231211001 8755 BEMETARA SAJA GOVT BOYS MS PARPODI 22231211002 8756 BEMETARA SAJA GOVT BOYS PS PARPODI 22231211004 8757 BEMETARA SAJA GOVT GIRLS PS PARPODI 22231211005 8758 BEMETARA SAJA GOVT PS BUDERA 22231211101 8759 BEMETARA SAJA GOVT PS KAMKAWADA 22231211201 8760 BEMETARA SAJA GOVT.BOYS MS BHATGAON 22231211301 8761 BEMETARA SAJA GOVT.PS BHATGAON 22231211302 8762 BEMETARA SAJA GOVT.GIRLS MS BHATGAON(SSA) 22231211303 8763 BEMETARA SAJA GOVT PS DHAURABHATHA 22231211401 8764 BEMETARA SAJA GOVT PS NAVAGAONKHURD 22231211501 8765 BEMETARA SAJA GOVT MS NAVAGAONKHURD 22231211502 8766 BEMETARA SAJA GOVT.PS CHECHANMETA 22231211601 8767 BEMETARA SAJA GOVT.MS CHECHANMETA 22231211602 8768 BEMETARA SAJA GOVT PS BENDARCHUWA 22231211701 8769 BEMETARA SAJA GOVT PS SOHAGPUR 22231211801 8770 BEMETARA SAJA GOVT.MS SOHAGPUR 22231211802 8771 BEMETARA SAJA GOVT PS PATARJHORI 22231211901 8772 BEMETARA SAJA GOVT. MS PATARJHORI (SSA) 22231211902 8773 BEMETARA SAJA GOVT PS JANNO 22231212001 8774 BEMETARA SAJA GOVT MS JANNO (SSA) 22231212002 8775 BEMETARA SAJA GOVT PS KURLU 22231212101 8776 BEMETARA SAJA GOVT PS RANO 22231212201
  • 267.
    8777 BEMETARA SAJAGOVT MS RANO 22231212202 8778 BEMETARA SAJA GOVT PS MUDIYA 22231212301 8779 BEMETARA SAJA GOVT PS PATHARRIKHURD 22231212401 8780 BEMETARA SAJA GOVT PS PATHARRIKALA 22231212501 8781 BEMETARA SAJA GOVT MS PATHARRIKALA (SSA) 22231212502 8782 BEMETARA SAJA GOVT GIRLS MS DEVKAR 22231212601 8783 BEMETARA SAJA GOVT BOYS MS DEVKAR 22231212602 8784 BEMETARA SAJA GOVT BOYS PS DEVKAR 22231212603 8785 BEMETARA SAJA GOVT GIRLS PS DEVKAR 22231212604 8786 BEMETARA SAJA GOVT PS NAVKESHA 22231212801 8787 BEMETARA SAJA GOVT MS NAVKESHA (SSA) 22231212802 8788 BEMETARA SAJA GOVT PS LALPUR 22231212901 8789 BEMETARA SAJA GOVT MS LALPUR (SSA) 22231212902 8790 BEMETARA SAJA GOVT PS RAKHI 22231213001 8791 BEMETARA SAJA GOVT MS RAKHI (SSA) 22231213002 8792 BEMETARA SAJA GOVT PS LALPUR (CHHOTE) 22231213101 8793 BEMETARA SAJA GOVT PS SAHASPUR 22231213201 8794 BEMETARA SAJA GOVT MS SAHASPUR 22231213203 8795 BEMETARA SAJA GOVT PS DEHRI 22231213301 8796 BEMETARA SAJA GOVT PS JAMGAON 22231213401 8797 BEMETARA SAJA GOVT PS DEEHPARA DEVKAR 22231213501 8798 BEMETARA SAJA GOVT PS KHURUSHBOD 22231213601 8799 BEMETARA SAJA GOVT MS KHURUSHBOD 22231213602 8800 BEMETARA SAJA GOVT PS GHUGHVADIH 22231213701 8801 BEMETARA SAJA GOVT MS KHAMARIYA 22231213801 8802 BEMETARA SAJA GOVT NAVIN PS KHAMARIYA 22231213901 8803 BEMETARA SAJA GOVT NAVIN PS KHAMRIYA 22231214001 8804 BEMETARA SAJA GOVT PS KOPEDABRI 22231214101 8805 BEMETARA SAJA GOVT MS KOPEDABRI 22231214102 8806 BEMETARA SAJA GOVT PS GUWARA 22231214201 8807 BEMETARA SAJA GOVT.PS DARRI 22231214301 8808 BEMETARA SAJA GOVT MS DARRI 22231214302 8809 BEMETARA SAJA GOVT PS KARMU 22231214401
  • 268.
    8810 BEMETARA SAJAGOVT PS PENDRIKALA 22231214501 8811 BEMETARA SAJA GOVT NAVIN MS PENDRIKALA (SSA) 22231214502 8812 BEMETARA SAJA GOVT PS KHAMARIYA 22231214601 8813 BEMETARA SAJA GOVT GIRLS PS KHAMARIYA 22231214602 8814 BEMETARA SAJA GOVT GIRLS MS KHAMARIYA 22231214604 8815 BEMETARA SAJA GOVT PS HATRANKA 22231214701 8816 BEMETARA SAJA GOVT MS HATRANKA 22231214702 8817 BEMETARA SAJA GOVT PS CHUHKA 22231214801 8818 BEMETARA SAJA GOVT MS CHUHKA (SSA) 22231214802 8819 BEMETARA SAJA GOVT PS BARGA 22231214901 8820 BEMETARA SAJA GOVT PS SONCHIRAIYA 22231215001 8821 BEMETARA SAJA GOVT PS TORAN 22231215101 8822 BEMETARA SAJA GOVT.PS HADAHULI 22231215201 8823 BEMETARA SAJA GOVT MS HADAHULI 22231215202 8824 BEMETARA SAJA GOVT PS DHEKAPUR 22231215301 8825 BEMETARA SAJA GOVT PS KHAPARI(DHOBI) 22231215401 8826 BEMETARA SAJA GOVT MS KHAPARI(DHOBI) 22231215402 8827 BEMETARA SAJA GOVT PS USALAPUR 22231215501 8828 BEMETARA SAJA GOVT PS PALENI 22231215601 8829 BEMETARA SAJA GOVT PS CHICHGAON 22231215701 8830 BEMETARA SAJA GOVT MS CHICHGAON (SSA) 22231215702 8831 BEMETARA SAJA GOVT PS SAJAN 22231215801 8832 BEMETARA SAJA GOVT MS SAJAN (SSA) 22231215802 8833 BEMETARA SAJA GOVT PS BHARAMPURI 22231215901 8834 BEMETARA SAJA GOVT.MS BHARAMPURI (SSA) 22231215902 8835 BEMETARA SAJA GOVT.PS BANRANKA 22231216101 8836 BEMETARA SAJA GOVT MS BANRANKA 22231216102 8837 BEMETARA SAJA GOVT PS TIPANI 22231216201 8838 BEMETARA SAJA GOVT PS UMRAW NAGAR 22231216301 8839 BEMETARA SAJA GOVT NAVIN MS UMRAW NAGAR 22231216302 8840 BEMETARA SAJA GOVT PS KURUD 22231216401 8841 BEMETARA SAJA GOVT MS KURUD 22231216402 8842 BEMETARA SAJA GOVT PS CHIKHLI 22231216501
  • 269.
    8843 BEMETARA SAJAGOVT.PS BAMHANI 22231216601 8844 BEMETARA SAJA GOVT.MS BAMHANI (SSA) 22231216602 8845 BEMETARA SAJA GOVT PS GOPALPUR 22231216701 8846 BEMETARA SAJA GOVT MS GOPALPUR (SSA) 22231216702 8847 BEMETARA SAJA GOVT PS SAMUNDWARA 22231216801 8848 BEMETARA SAJA GOVT PS SAGONA 22231216901 8849 BEMETARA SAJA GOVT MS SAGONA 22231216902 8850 BEMETARA SAJA GOVT PS TENDO 22231217001 8851 BEMETARA SAJA GOVT MS ODIYA 22231217102 8852 BEMETARA SAJA GOVT PS ODIYA 22231217103 8853 BEMETARA SAJA GOVT PS BANIYADEEH 22231217201 8854 BEMETARA SAJA GOVT.MS BANIYADEEH 22231217202 8855 BEMETARA SAJA GOVT MS KANHERA 22231217301 8856 BEMETARA SAJA GOVT PS KANHERA 22231217302 8857 BEMETARA SAJA GOVT PS RAMPURA 22231217401 8858 BEMETARA SAJA GOVT MS RAMPURA 22231217402 8859 BEMETARA SAJA GOVT PS KHARRA 22231217501 8860 BEMETARA SAJA GOVT PS SUKHATAL 22231217601 8861 BEMETARA SAJA GOVT MS SUKHATAL 22231217602 8862 BEMETARA SAJA GOVT PS KHURUSHBOD 22231217701 8863 BEMETARA SAJA GOVT PS KURRA 22231217801 8864 BEMETARA SAJA GOVT PS AGRI KHURD 22231217901 8865 BEMETARA SAJA GOVT MS NAVAGAONKALA 22231218001 8866 BEMETARA SAJA GOVT PS NAVAGAONKALA 22231218002 8867 BEMETARA SAJA GOVT MS KHAIRJHITIKALA 22231218101 8868 BEMETARA SAJA GOVT PS KHAIJHITIKALA 22231218102 8869 BEMETARA SAJA GOVT PS SHYAMPUR KAPA 22231218201 8870 BEMETARA SAJA GOVT.MS SHYAMPUR KAPA 22231218202 8871 BEMETARA SAJA GOVT PS THARAKPUR 22231218301 8872 BEMETARA SAJA GOVT MS THARAKPUR 22231218302 8873 BEMETARA SAJA GOVT PS DANGANIYA 22231218401 8874 BEMETARA SAJA GOVT NAVIN PS DANGANIYA 22231218402 8875 BEMETARA SAJA GOVT UPS DANGANIYA 22231218403
  • 270.
    8876 BEMETARA SAJAGOVT PS PATORA 22231218501 8877 BEMETARA SAJA GOVT PS JEWARA 22231218601 8878 BEMETARA SAJA GOVT PS MATIYA 22231218701 8879 BEMETARA SAJA GOVT. PS BAGDUMAR 22231218801 8880 BEMETARA SAJA GOVT PS GATAPAR 22231218901 8881 BEMETARA SAJA GOVT PS KURDA 22231219001 8882 BEMETARA SAJA GOVT PS KAJRA 22231219101 8883 BEMETARA SAJA GOVT PS RENGA (SSA) 22231219201 8884 BEMETARA SAJA GOVT PS KHAMDIH (SSA) 22231219301 8885 BEMETARA SAJA GOVT PS GIDHWA 22231219401 8886 BEMETARA SAJA GOVT PS BORIA 22231219501 8887 BEMETARA SAJA GOVT NAVIN PS HADAHULI (SSA) 22231219602 8888 BEMETARA SAJA GOVT. PS PADKITOLA 22231219701 8889 BEMETARA SAJA GOVT MS SINGHANPURI (SSA) 22231219901 8890 BEMETARA SAJA GOVT PS URAIHA (SSA) 22231220701 8891 BEMETARA SAJA GOVT PS GHABHARADIH 22231221201 8892 BIJAPUR BHAIRAMGARH GOVT. PRIMARY SCHOOL PUSNAR (TWD) 22203100101 8893 BIJAPUR BHAIRAMGARH GOVT. MIDDLE SCHOOL PUSNAR (SSA) 22203100102 8894 BIJAPUR BHAIRAMGARH GOVT. MIDDLE SCHOOL PINKONDA (TWD) 22203100403 8895 BIJAPUR BHAIRAMGARH GOVT. BOYS ASHRAM PINKONDA (TWD) 22203100405 8896 BIJAPUR BHAIRAMGARH GOVT. PRIMARY SCHOOL CHHINDBHATA (SSA) 22203100406 8897 BIJAPUR BHAIRAMGARH GOVT. MIDDLE SCHOOL BANJARAPARA (SSA) 22203100407 8898 BIJAPUR BHAIRAMGARH GOVT. PRIMARY SCHOOL BENCHARAM (TWD) 22203100501 8899 BIJAPUR BHAIRAMGARH GOVT. PRIMARY SCHOOL DARBHA (TWD) 22203100601 8900 BIJAPUR BHAIRAMGARH GOVT. MIDDLE SCHOOL DARBHA (SSA) 22203100605 8901 BIJAPUR BHAIRAMGARH MATA RUKAMANI BOY ASHRAM (ADIDI) 22203100701 8902 BIJAPUR BHAIRAMGARH GOVT. PRIMARY SCHOOL KUTRU (TWD) 22203100703 8903 BIJAPUR BHAIRAMGARH GOVT. NAVEEN MIDDLE SCHOOL KUTRU (SSA) 22203100708 8904 BIJAPUR BHAIRAMGARH GOVT. PRIMARY SCHOOL TADMER MANDIPARA(TWD) 22203100802 8905 BIJAPUR BHAIRAMGARH GOVT. PRIMARY SCHOOL ADAWALI (TWD) 22203100901 8906 BIJAPUR BHAIRAMGARH GOVT. GIRLS ASHRAM ADAWALI (SSA) 22203100902 8907 BIJAPUR BHAIRAMGARH GOVT BOYS ASHRAM AADED (TWD) 22203101006 8908 BIJAPUR BHAIRAMGARH GOVT.PRIMARY SCHOOL MANGAPETA (TWD) 22203101101
  • 271.
    8909 BIJAPUR BHAIRAMGARHGOVT. MIDDLE SCHOOL MANGAPETA (SSA) 22203101102 8910 BIJAPUR BHAIRAMGARH GOVT. PRIMARY SCHOOL CHOTETUMNAR (TWD) 22203101201 8911 BIJAPUR BHAIRAMGARH GOVT. MIDDLE SCHOOL CHOTETUMNAR (SSA) 22203101202 8912 BIJAPUR BHAIRAMGARH GOVT. PRIMARY SCHOOL NETURWAYA(SSA) 22203101302 8913 BIJAPUR BHAIRAMGARH GOVT. PRIMARY SCHOOL CHINGER (TWD) 22203101305 8914 BIJAPUR BHAIRAMGARH GOVT. NAVEEN PRIMARY SCHOOL CHINGER (SSA) 22203101308 8915 BIJAPUR BHAIRAMGARH GOVT P.S.JANGLA (TWD) 22203101605 8916 BIJAPUR BHAIRAMGARH GOVT. PRIMARY SCHOOL JAIGUR (TWD) 22203101801 8917 BIJAPUR BHAIRAMGARH GOVT. PRIMARY SCHOOL DHOBAPARA JAIGUR (TWD)(CLOSED) 22203101802 8918 BIJAPUR BHAIRAMGARH GOVT. PRIMARY SCHOOL MANGALNAR (TWD) 22203101901 8919 BIJAPUR BHAIRAMGARH GOVT. NAVEEN PRIMARY SCHOOL MANGALNAR(SSA) 22203101903 8920 BIJAPUR BHAIRAMGARH GOVT. GIRLS ASHRAM MANGALNAR (TWD) 22203101904 8921 BIJAPUR BHAIRAMGARH GOVT. PRIMARY SCHOOL GOURABEDA (SSA) 22203101905 8922 BIJAPUR BHAIRAMGARH GOVT. BOYS ASHRAM DHARMA (TWD) 22203102001 8923 BIJAPUR BHAIRAMGARH GOVT. MIDDLE SCHOOL DHARMA (TWD)(CLOSED) 22203102003 8924 BIJAPUR BHAIRAMGARH GOVT. PRIMARY SCHOOL TALNAR (TWD) 22203102101 8925 BIJAPUR BHAIRAMGARH GOVT. PRIMARY SCHOOL SANJAYPARA, TALNAR (SSA) 22203102102 8926 BIJAPUR BHAIRAMGARH GOVT. MIDDLE SCHOOL TALNAR (SSA) 22203102103 8927 BIJAPUR BHAIRAMGARH GOVT. BOYS ASHRAM TALNAR (TWD) 22203102104 8928 BIJAPUR BHAIRAMGARH GOVT. PRIMARY SCHOOL BANJARAPARA (TWD) 22203102201 8929 BIJAPUR BHAIRAMGARH GOVT. PRIMARY SCHOOL MAHRAPARA (TWD) 22203102301 8930 BIJAPUR BHAIRAMGARH GOVT. PRIMARY SCHOOL GARHPARA (TWD) 22203102401 8931 BIJAPUR BHAIRAMGARH GOVT. MIDDLE SCHOOL CHIHKA (TWD) 22203102503 8932 BIJAPUR BHAIRAMGARH GOVT. PRIMARY SCHOOL KADKAPARA (TWD) 22203102506 8933 BIJAPUR BHAIRAMGARH GOVT. NAVEEN PRIMARY SCHOOL CHIHKA (SSA) 22203102507 8934 BIJAPUR BHAIRAMGARH GOVT. PRIMARY SCHOOL CHIHKA(TWD) 22203102508 8935 BIJAPUR BHAIRAMGARH GOVT. PRIMARY SCHOOL KEVRAMUNDA (SSA) 22203102509 8936 BIJAPUR BHAIRAMGARH GOVT P.S. POTENAR (TWD) 22203102601 8937 BIJAPUR BHAIRAMGARH GOVT. PRIMARY SCHOOL CHOTEPOTENAR (SSA) 22203102603 8938 BIJAPUR BHAIRAMGARH GOVT. GIRLS PRIMARY SCHOOL BHAIRAMGARH (TWD) 22203102701 8939 BIJAPUR BHAIRAMGARH GOVT. BOYS PRIMARY SCHOOL BHAIRAMGARH (TWD) 22203102703 8940 BIJAPUR BHAIRAMGARH GOVT. GIRLS MIDDLE SCHOOL BHAIRAMGARH (TWD) 22203102708 8941 BIJAPUR BHAIRAMGARH GOVT. PRIMARY SCHOOL THOTHAPARA (SSA) 22203102711
  • 272.
    8942 BIJAPUR BHAIRAMGARHGOVT. PRIMARY SCHOOL CHINDBHATA (SSA) 22203102712 8943 BIJAPUR BHAIRAMGARH GOVT. PRIMARY SCHOOL SANJAYPARA (SSA) 22203102713 8944 BIJAPUR BHAIRAMGARH GOVT. PRIMARY SCHOOL DEWANGANPARA (SSA) 22203102714 8945 BIJAPUR BHAIRAMGARH GOVT. MIDDLE SCHOOL KHASPARA BHAIRAMGARH (SSA) 22203102715 8946 BIJAPUR BHAIRAMGARH GOVT. KASTURBA GANDHI BALIKA VIDYALAY BHAIRAMGARH (SSA) 22203102716 8947 BIJAPUR BHAIRAMGARH GOVT. MIDDLE SCHOOL BHAIRAMGARH (HSS)(TWD) 22203102717 8948 BIJAPUR BHAIRAMGARH GOVT. NAVEEN PRIMARY SCHOOL LANKAPARA(SSA) 22203102719 8949 BIJAPUR BHAIRAMGARH GOVT. PRIMARY SCHOOL JUNWANI (SSA) 22203102721 8950 BIJAPUR BHAIRAMGARH GOVT. PRIMARY SCHOOL GWARRAS (SSA) 22203102722 8951 BIJAPUR BHAIRAMGARH GOVT. PRIMARY SCHOOL HEMLAPARA (SSA) 22203102726 8952 BIJAPUR BHAIRAMGARH GOVT. PRIMARY SCHOOL TEMRUBHATA (TWD) 22203102801 8953 BIJAPUR BHAIRAMGARH GOVT. BOYS ASHRAM HINGUM (TWD) 22203103001 8954 BIJAPUR BHAIRAMGARH GOVT. BOYS ASHRAM NIRAM (TWD) 22203103101 8955 BIJAPUR BHAIRAMGARH GOVT. PRIMARY SCHOOL GODIYAPARA (TWD) 22203103301 8956 BIJAPUR BHAIRAMGARH GOVT BOYS ASHRAM BANGOLI (TWD) 22203103404 8957 BIJAPUR BHAIRAMGARH GOVT. PRIMARY SCHOOL GUPHA (TWD) 22203103502 8958 BIJAPUR BHAIRAMGARH GOVT. PRIMARY SCHOOL MANGNAR (SSA) 22203103601 8959 BIJAPUR BHAIRAMGARH GOVT. MIDDLE SCHOOL MANGNAR(SSA) 22203103608 8960 BIJAPUR BHAIRAMGARH GOVT. PRIMARY SCHOOL TUNDER (SSA) 22203103609 8961 BIJAPUR BHAIRAMGARH GOVT. PRIMARY SCHOOL MORSAMETA (TWD) 22203103610 8962 BIJAPUR BHAIRAMGARH GOVT. PRIMARY SCHOOL PHULADI (TWD)(CLOSED) 22203103804 8963 BIJAPUR BHAIRAMGARH GOVT. PRIMARY SCHOOL PEDAPAL (TWD) 22203104102 8964 BIJAPUR BHAIRAMGARH GOVT. BOYS ASHRAM TOYNAR (TWD) 22203104202 8965 BIJAPUR BHAIRAMGARH GOVT. PRIMARY SCHOOL TOYNAR (TWD)(CLOSED) 22203104205 8966 BIJAPUR BHAIRAMGARH GOVT. NAVEEN PRIMARY SCHOOL TADKEL (SSA) 22203104302 8967 BIJAPUR BHAIRAMGARH GOVT. BOYS ASHRAM CHHOTEPALLI (TWD) 22203104501 8968 BIJAPUR BHAIRAMGARH GOVT. BOYS ASHRAM TAKILOD (TWD) 22203104701 8969 BIJAPUR BHAIRAMGARH GOVT. PRIMARY SCHOOL TINDODI (TWD) 22203104801 8970 BIJAPUR BHAIRAMGARH GOVT. PRIMARY SCHOOL ODSA (TWD) 22203104901 8971 BIJAPUR BHAIRAMGARH GOVT. PRIMARY SCHOOL KARREMARKA (SSA) 22203105203 8972 BIJAPUR BHAIRAMGARH GOVT. PRIMARY SCHOOL KARREMARKA (TWD)(CLOSED) 22203105204 8973 BIJAPUR BHAIRAMGARH GOVT. PRIMARY SCHOOL SAKNAPALLI (TWD) 22203105401 8974 BIJAPUR BHAIRAMGARH GOVT. MIDDLE SCHOOL SAKNAPALLI (SSA) 22203105402
  • 273.
    8975 BIJAPUR BHAIRAMGARHGOVT. NAVEEN PRIMARY SCHOOL TUNGELI (SSA) 22203105603 8976 BIJAPUR BHAIRAMGARH GOVT. PRIMARY SCHOOL BANDLAPAL (TWD) 22203105701 8977 BIJAPUR BHAIRAMGARH GOVT. MIDDLE SCHOOL DARAPAL (TWD) 22203105802 8978 BIJAPUR BHAIRAMGARH GOVT. PRIMARY SCHOOL DARAPAL (TWD) 22203105803 8979 BIJAPUR BHAIRAMGARH GOVT. SANYUKT ASHRAM DARAPAL (TWD) 22203105804 8980 BIJAPUR BHAIRAMGARH GOVT GIRL ASHRAM DARAPAL (TWD) 22203105805 8981 BIJAPUR BHAIRAMGARH GOVT P.S. BENGLA (SSA) 22203105902 8982 BIJAPUR BHAIRAMGARH GOVT. PRIMARY SCHOOL PONDUM (TWD) 22203106001 8983 BIJAPUR BHAIRAMGARH GOVT. PRIMARY SCHOOL KARREPARA (TWD) 22203106003 8984 BIJAPUR BHAIRAMGARH GOVT. PRIMARY SCHOOL PATARPARA(TWD) 22203106201 8985 BIJAPUR BHAIRAMGARH GOVT. BOYS ASHRAM GUDMA (TWD) 22203106302 8986 BIJAPUR BHAIRAMGARH GOVT. SANYUKT ASHRAM GUDMA (TWD) 22203106305 8987 BIJAPUR BHAIRAMGARH GOVT. NAVEEN PRIMARY SCHOOL GUDMA (SSA) 22203106306 8988 BIJAPUR BHAIRAMGARH GOVT. MIDDLE SCHOOL GUDMA (TWD) 22203106307 8989 BIJAPUR BHAIRAMGARH GOVT. BOYS ASHRAM BHATWADA (TWD) 22203106703 8990 BIJAPUR BHAIRAMGARH GOVT. PRIMARY SCHOOL PANDEMURGA (TWD) 22203106801 8991 BIJAPUR BHAIRAMGARH GOVT. MIDDLE SCHOOL PANDEMURGA (SSA) 22203106802 8992 BIJAPUR BHAIRAMGARH GOVT GRILS PRIMARY SCHOOL NELASNAR (TWD) 22203106901 8993 BIJAPUR BHAIRAMGARH PVT MATA RUKMANI GIRLS ASHRAM NELASNAR 22203106906 8994 BIJAPUR BHAIRAMGARH GOVT GIRLS MIDDLE SCHOOL NELASNAR (TWD) 22203106908 8995 BIJAPUR BHAIRAMGARH GOVT BOYS ASHRAM NELASNAR (TWD) 22203106909 8996 BIJAPUR BHAIRAMGARH GOVT. MIDDLE SCHOOL NELASNAR (TWD) 22203106910 8997 BIJAPUR BHAIRAMGARH GOVT. GIRLS ASHRAM KOSHALNAR (TWD) 22203107002 8998 BIJAPUR BHAIRAMGARH GOVT. MIDDLE SCHOOL KOSHALNAR (TWD) 22203107003 8999 BIJAPUR BHAIRAMGARH GOVT. BOYS ASHRAM KOSHALNAR (TWD) 22203107004 9000 BIJAPUR BHAIRAMGARH GOVT. BOYS ASHRAM KETULNAR(TWD) 22203107101 9001 BIJAPUR BHAIRAMGARH GOVT. PRIMARY SCHOOL KETULNAR (TWD) 22203107103 9002 BIJAPUR BHAIRAMGARH GOVT. GIRLS ASHRAM KETULNAR (TWD) 22203107104 9003 BIJAPUR BHAIRAMGARH GOVT. MIDDLE SCHOOL KETULNAR (SSA) 22203107105 9004 BIJAPUR BHAIRAMGARH GOVT. BOYS ASHRAM TAMODI (TWD) 22203107201 9005 BIJAPUR BHAIRAMGARH GOVT. PRIMARY SCHOOL ADWADA (TWD) 22203107302 9006 BIJAPUR BHAIRAMGARH GOVT. BOYS ASHRAM ADWADA (TWD) 22203107303 9007 BIJAPUR BHAIRAMGARH GOVT. PRIMARY SCHOOL BIRIYABHUMI (TWD) 22203107401
  • 274.
    9008 BIJAPUR BHAIRAMGARHGOVT P.S. DHAKADPARA (SSA) 22203107702 9009 BIJAPUR BHAIRAMGARH GOVT M S MINGACHAL(SSA) 22203107703 9010 BIJAPUR BHAIRAMGARH GOVT P S MINGACHAL (TWD) 22203107704 9011 BIJAPUR BHAIRAMGARH GOVT.GIRLS ASHRAM MINGACHAL(TWD) 22203107705 9012 BIJAPUR BHAIRAMGARH GOVT PRIMARY SCHOOL JAIVARAM (TWD) 22203107801 9013 BIJAPUR BHAIRAMGARH GOVT.PRIMARY SCHOOL NAYAPARA JAIVARAM(SSA) 22203107802 9014 BIJAPUR BHAIRAMGARH GOVT. PRIMARY SCHOOL KOTRAPAL (TWD) 22203107901 9015 BIJAPUR BHAIRAMGARH GOVT P.S. BARDELA (TWD) 22203108001 9016 BIJAPUR BHAIRAMGARH GOVT M.S. BARDELA(TWD) 22203108002 9017 BIJAPUR BHAIRAMGARH GOVT. PRIMARY SCHOOL KOTARAPAL PURANA (TWD) 22203108101 9018 BIJAPUR BHAIRAMGARH GOVT. PRIMARY SCHOOL AKLANKA (SSA) 22203108601 9019 BIJAPUR BHAIRAMGARH GOVT. BOYS ASHRAM JARAMARKA (TWD) 22203108801 9020 BIJAPUR BHAIRAMGARH GOVT. PRIMARY SCHOOL GOMTER (TWD) 22203108902 9021 BIJAPUR BHAIRAMGARH GOVT. MIDDLE SCHOOL TUSWAL (SSA) 22203108908 9022 BIJAPUR BHAIRAMGARH GOVT. PRIMARY SCHOOL KATOLI (TWD) 22203109101 9023 BIJAPUR BHAIRAMGARH GOVT. PRIMARY SCHOOL BEGLUR (TWD) 22203109201 9024 BIJAPUR BHAIRAMGARH GOVT. SANYUKT ASHRAM BENGLUR (TWD) 22203109202 9025 BIJAPUR BHAIRAMGARH GOVT. MIDDLE SCHOOL BENGLUR (SSA) 22203109203 9026 BIJAPUR BHAIRAMGARH GOVT. PRIMARY SCHOOL PATLIGUDA (TWD) 22203109301 9027 BIJAPUR BHAIRAMGARH GOVT. PRIMARY SCHOOL HEMLAPARA (TWD) 22203109401 9028 BIJAPUR BHAIRAMGARH GOVT. PRIMARY SCHOOL SUROKHI (TWD) 22203109501 9029 BIJAPUR BHAIRAMGARH GOVT. PRIMARY SCHOOL MATWADA (TWD) 22203109701 9030 BIJAPUR BHAIRAMGARH GOVT SANYUKT ASRAM MATWADA (TWD) 22203109702 9031 BIJAPUR BHAIRAMGARH GOVT. MIDDLE SCHOOL MATWADA(TWD) 22203109703 9032 BIJAPUR BHAIRAMGARH GOVT. MIDDLE SCHOOL KOTRAPAL (SSA) 22203109704 9033 BIJAPUR BHAIRAMGARH GOVT. PRIMARY SCHOOL LANKAPARA (TWD) 22203109801 9034 BIJAPUR BHAIRAMGARH GOVT. PRIMARY SCHOOL KUNGLER (TWD) 22203109903 9035 BIJAPUR BHAIRAMGARH GOVT M.S. PHRSEGAD (TWD) 22203110305 9036 BIJAPUR BHAIRAMGARH GOVT P.S. PHRSEGAD (TWD) 22203110306 9037 BIJAPUR BHAIRAMGARH GOVT GIRLS ASHRAM PHRSEGAD (TWD) 22203110308 9038 BIJAPUR BHAIRAMGARH GOVT P.S. KUPREL (SSA) 22203110309 9039 BIJAPUR BHAIRAMGARH GOVT. PRIMARY SCHOOL BEDRE (TWD) 22203110401 9040 BIJAPUR BHAIRAMGARH GOVT. BOYS ASHRAM BEDRE (TWD) 22203110402
  • 275.
    9041 BIJAPUR BHAIRAMGARHGOVT. MIDDLE SCHOOL BEDRE (TWD) 22203110405 9042 BIJAPUR BHAIRAMGARH GOVT. PRIMARY SCHOOL NAYAPARA BEDRE (SSA) 22203110410 9043 BIJAPUR BHAIRAMGARH GOVT. BOYS ASHRAM MIRTUR (TWD) 22203110601 9044 BIJAPUR BHAIRAMGARH GOVT. JANPAD PRIMARY SCHOOL MIRTUR (TWD) 22203110602 9045 BIJAPUR BHAIRAMGARH GOVT. MIDDLE SCHOOL MIRTUR (TWD) 22203110603 9046 BIJAPUR BHAIRAMGARH GOVT. PRIMARY SCHOOL PITODIPARA (TWD) 22203110606 9047 BIJAPUR BHAIRAMGARH GOVT. PRIMARY SCHOOL DALER (TWD) 22203110701 9048 BIJAPUR BHAIRAMGARH GOVT. BOYS ASHRAM DALER (TWD) 22203110703 9049 BIJAPUR BHAIRAMGARH GOVT. PRIMARY SCHOOL GUDSAKAL (TWD) 22203110801 9050 BIJAPUR BHAIRAMGARH GOVT. PRIMARY SCHOOL BODGA (TWD)(CLOSED) 22203111101 9051 BIJAPUR BHAIRAMGARH GOVT. PRIMARY SCHOOL PETHA (TWD) 22203111201 9052 BIJAPUR BHAIRAMGARH GOVT. BOYS ASHRAM PETHA (TWD) 22203111202 9053 BIJAPUR BHAIRAMGARH GOVT. MIDDLE SCHOOL PETHA (TWD)(CLOSED) 22203111203 9054 BIJAPUR BHAIRAMGARH GOVT BOYS ASHRAM MATASI (TWD) 22203111504 9055 BIJAPUR BHAIRAMGARH GOVT. PRIMARY SCHOOL MATASI (TWD)(CLOSED) 22203111505 9056 BIJAPUR BHAIRAMGARH GOVT. SANYUKT ASHRAM GOMTER (TWD) 22203111602 9057 BIJAPUR BHAIRAMGARH GOVT. PRIMARY SCHOOL GOMTER (SSA) 22203111603 9058 BIJAPUR BHAIRAMGARH GOVT. NAVEEN PRIMARY SCHOOL KESHKUTUL(SSA) 22203111901 9059 BIJAPUR BHAIRAMGARH GOVT. PRIMARY SCHOOL KESHKUTUL (TWD) 22203111903 9060 BIJAPUR BHAIRAMGARH GOVT. BOYS ASHRAM KESHKUTUL (TWD) 22203111904 9061 BIJAPUR BHAIRAMGARH GOVT. GIRLS ASHRAM KESHKUTUL (TWD) 22203111905 9062 BIJAPUR BHAIRAMGARH GOVT. MIDDLE SCHOOL KESHKUTUL (SSA) 22203111906 9063 BIJAPUR BHAIRAMGARH GOVT GRILS ASHRAM RANI BODLI (TWD) 22203112101 9064 BIJAPUR BHAIRAMGARH GOVT P.S. RANIBODLI (TWD) 22203112102 9065 BIJAPUR BHAIRAMGARH GOVT M.S. RANIBODLI (SSA) 22203112103 9066 BIJAPUR BHAIRAMGARH GOVT. PRIMARY SCHOOL CHIDRAPAL (TWD) 22203112202 9067 BIJAPUR BHAIRAMGARH GOVT. PRIMARY SCHOOL BAJARPARA JAIGUR (TWD) 22203112501 9068 BIJAPUR BHAIRAMGARH GOVT. PRIMARY SCHOOL KADTIPARA (TWD) 22203112701 9069 BIJAPUR BHAIRAMGARH GOVT. PRIMARY SCHOOL KARKAVADA (SSA) 22203112802 9070 BIJAPUR BHAIRAMGARH GOVT. PRIMARY SCHOOL KOSHALNAR (TWD) 22203113503 9071 BIJAPUR BHAIRAMGARH GOVT. PRIMARY SCHOOL SARPANCHPARA, KOSHALNAR (SSA) 22203113504 9072 BIJAPUR BHAIRAMGARH GOVT.PRIMARY SCHOOL PATELPARA KOSHALNAR(SSA) 22203113507 9073 BIJAPUR BHAIRAMGARH GOVT. PRIMARY SCHOOL FULGTTA (TWD) 22203113701
  • 276.
    9074 BIJAPUR BHAIRAMGARHGOVT. PRIMARY SCHOOL NILAVAYA (TWD) 22203113801 9075 BIJAPUR BHAIRAMGARH GOVT P.S. CHOTE GONGLA (TWD) 22203114001 9076 BIJAPUR BHAIRAMGARH GOVT. BOYS ASHRAM BECHPAL(TWD) 22203114102 9077 BIJAPUR BHAIRAMGARH GOVT. SANYUKT ASHRAM DHUSAWAD (TWD) 22203114302 9078 BIJAPUR BHAIRAMGARH GOVT. PRIMARY SCHOOL ERPAPOMRA (SSA)(CLOSED) 22203114402 9079 BIJAPUR BHAIRAMGARH GOVT. PRIMARY SCHOOL SURAKHADA (SSA) 22203114503 9080 BIJAPUR BHAIRAMGARH GOVT. PRIMARY SCHOOL TUMLA (TWD) 22203114601 9081 BIJAPUR BHAIRAMGARH GOVT. PRIMARY SCHOOL ERAMANGI (TWD) 22203114801 9082 BIJAPUR BHAIRAMGARH GOVT. PRIMARY SCHOOL KETANPAL (TWD) 22203114901 9083 BIJAPUR BHAIRAMGARH GOVT. PRIMARY SCHOOL KILEPALPARA DARBHA (SSA) 22203115001 9084 BIJAPUR BHAIRAMGARH GOVT. PRIMARY SCHOOL KILEPALPARA,KETULNAR (SSA)22203115002 9085 BIJAPUR BHAIRAMGARH GOVT. PRIMARY SCHOOL KOMPALLI (TWD) 22203115101 9086 BIJAPUR BHAIRAMGARH GOVT. SANYUKT ASHRAM KOMPALLI (TWD) 22203115102 9087 BIJAPUR BHAIRAMGARH GOVT. MIDDLE SCHOOL KARREMARKA (SSA) 22203115302 9088 BIJAPUR BHAIRAMGARH GOVT. PRIMARY SCHOOL KONDROJI (TWD) 22203115401 9089 BIJAPUR BHAIRAMGARH GOVT. PRIMARY SCHOOL KONDROJI (SSA) 22203115402 9090 BIJAPUR BHAIRAMGARH GOVT. PRIMARY SCHOOL FULLOD (SSA) 22203115403 9091 BIJAPUR BHAIRAMGARH GOVT. BOYS ASHRAM FULLOD (TWD) 22203115404 9092 BIJAPUR BHAIRAMGARH GOVT. PRIMARY SCHOOL KODOLI (TWD) 22203115502 9093 BIJAPUR BHAIRAMGARH GOVT. BOYS ASHRAM PANDEMURGA (TWD) 22203115504 9094 BIJAPUR BHAIRAMGARH GOVT. MIDDLE SCHOOL KODOLI (SSA) 22203115505 9095 BIJAPUR BHAIRAMGARH GOVT. MIDDLE SCHOOL KARKELI (SSA) 22203115603 9096 BIJAPUR BHAIRAMGARH GOVT. PRIMARY SCHOOL KARKELI (SSA) 22203115604 9097 BIJAPUR BHAIRAMGARH GOVT. GIRLS ASHRAM KARKELI (TWD) 22203115606 9098 BIJAPUR BHAIRAMGARH GOVT. PRIMARY SCHOOL TADMER (TWD) 22203115801 9099 BIJAPUR BHAIRAMGARH GOVT. PRIMARY SCHOOL TADKEL (TWD) 22203115901 9100 BIJAPUR BHAIRAMGARH GOVT. PRIMARY SCHOOL DHUSAWAD (TWD) 22203116001 9101 BIJAPUR BHAIRAMGARH GOVT. NAVEEN PRIMARY SCHOOL DHUSAWAD (SSA)(CLOSED) 22203116002 9102 BIJAPUR BHAIRAMGARH GOVT. PRIMARY SCHOOL BELNAR (TWD) 22203116503 9103 BIJAPUR BHAIRAMGARH GOVT. PRIMARY SCHOOL BELNAR (SSA)(CLOSED) 22203116504 9104 BIJAPUR BHAIRAMGARH GOVT. MIDDLE SCHOOL BELNAR (SSA)(CLOSED) 22203116505 9105 BIJAPUR BHAIRAMGARH GOVT. BOYS ASHRAM TURREM (TWD) 22203116801 9106 BIJAPUR BHAIRAMGARH GOVT P.S. CHINGER (TWD) 22203116902
  • 277.
    9107 BIJAPUR BHAIRAMGARHGOVT. MIDDLE SCHOOL PATARPARA (TWD) 22203117002 9108 BIJAPUR BHAIRAMGARH GOVT. PRIMARY SCHOOL KARREPARA NELASNAR (SSA) 22203117102 9109 BIJAPUR BHAIRAMGARH GOVT. PRIMARY SCHOOL EHKELI (TWD) 22203117201 9110 BIJAPUR BHAIRAMGARH GOVT. PRIMARY SCHOOL AMBELI (TWD) 22203117301 9111 BIJAPUR BHAIRAMGARH GOVT. SANYUKT ASHRAM AMBELI (TWD) 22203117302 9112 BIJAPUR BHAIRAMGARH GOVT. MIDDLE SCHOOL AMBELI (SSA) 22203117303 9113 BIJAPUR BHAIRAMGARH GOVT. PRIMARY SCHOOL MEDPAL (SSA) 22203117403 9114 BIJAPUR BHAIRAMGARH GOVT. PRIMARY SCHOOL BANDEPARA (TWD) 22203117502 9115 BIJAPUR BHAIRAMGARH GOVT. BOYS ASHRAM BELCHAR (TWD) 22203117602 9116 BIJAPUR BHAIRAMGARH GOVT. PRIMARY SCHOOL PINDUMPAL(TWD) 22203117701 9117 BIJAPUR BHAIRAMGARH GOVT N.P.S. KATTUR (SSA) 22203117901 9118 BIJAPUR BHAIRAMGARH GOVT N.P.S. RANIBODLI (SSA) 22203118001 9119 BIJAPUR BHAIRAMGARH GOVT. PRIMARY SCHOOL BHATPALLI (SSA)(CLOSED) 22203118102 9120 BIJAPUR BHAIRAMGARH GOVT. PRIMARY SCHOOL CHHOTE ALVADA (SSA)(CLOSED) 22203118202 9121 BIJAPUR BHAIRAMGARH GOVT. PRIMARY SCHOOL PALLEVAYA (TWD)(CLOSED) 22203118501 9122 BIJAPUR BHAIRAMGARH GOVT. PRIMARY SCHOOL ADKAPALLI (SSA)(CLOSED) 22203119302 9123 BIJAPUR BHAIRAMGARH GOVT BOY ASHRAM PHARSEGARH (TWD) 22203119502 9124 BIJAPUR BHAIRAMGARH GOVT PRIMARY SCHOOL MANDEM (TWD) 22203119504 9125 BIJAPUR BHAIRAMGARH GOVT BOYS ASHRAM MUKAVELI (TWD) 22203119505 9126 BIJAPUR BHAIRAMGARH GOVT PRIMARY SCHOOL MUCHLER (TWD) 22203119506 9127 BIJAPUR BHAIRAMGARH GOVT PRIMARY SCHOOL KORLAPALLI (SSA) 22203119508 9128 BIJAPUR BHAIRAMGARH GOVT PRIMARY SCHOOL GUMNER (TWD) 22203119509 9129 BIJAPUR BHAIRAMGARH GOVT PRIMARY SCHOOL PENKRAM (TWD) 22203119510 9130 BIJAPUR BHAIRAMGARH GOVT NAVIN PRIMARY SCHOOL PHARSEGARH(SSA) 22203119511 9131 BIJAPUR BHAIRAMGARH GOVT. PRIMARY SCHOOL DARMER (SSA) 22203119602 9132 BIJAPUR BHAIRAMGARH GOVT. PRIMARY SCHOOL ETAMPAR (SSA) 22203119802 9133 BIJAPUR BHAIRAMGARH GOVT. GIRLS ASHRAM ETAMPAR (TWD) 22203119803 9134 BIJAPUR BHAIRAMGARH GOVT. PRIMARY SCHOOL JARAMONGIYA (SSA) 22203119901 9135 BIJAPUR BHAIRAMGARH GOVT. PRIMARY SCHOOL JARAMONGIYA (TWD)(CLOSED) 22203119902 9136 BIJAPUR BHAIRAMGARH GOVT. PRIMARY SCHOOL BADETUNGALI (TWD)(CLOSED) 22203120001 9137 BIJAPUR BHAIRAMGARH GOVT. NAVEEN PRIMARY SCHOOL BADETUNGALI (SSA)(CLOSED) 22203120002 9138 BIJAPUR BHAIRAMGARH GOVT. MIDDLE SCHOOL JAIGUR (SSA) 22203120102 9139 BIJAPUR BHAIRAMGARH GOVT. PRIMARY SCHOOL PATELPARA JAIGUR (TWD) 22203120104
  • 278.
    9140 BIJAPUR BHAIRAMGARHGOVT. SANYUKT ASHRAM JAIGUR (TWD) 22203120105 9141 BIJAPUR BHAIRAMGARH GOVT. PRIMARY SCHOOL ECHAMIPARA(SSA) 22203120401 9142 BIJAPUR BHAIRAMGARH GOVT. PRIMARY SCHOOL TUNGELI (SSA) 22203120501 9143 BIJAPUR BHAIRAMGARH GOVT BOYS ASHRAM MANGNAR (TWD) 22203120602 9144 BIJAPUR BHAIRAMGARH GOVT. PRIMARY SCHOOL KODELAPARA, MANGNAR (SSA) 22203120603 9145 BIJAPUR BHAIRAMGARH GOVT. PRIMARY SCHOOL PATAKUTRU (SSA) 22203121301 9146 BIJAPUR BHAIRAMGARH GOVT. PRIMARY SCHOOL DHARBA (SSA) 22203121401 9147 BIJAPUR BHAIRAMGARH GOVT. BOY ASHRAM DHARBA (TWD) 22203121402 9148 BIJAPUR BHAIRAMGARH GOVT. PRIMARY SCHOOL USKAPATTNAM (SSA) 22203121501 9149 BIJAPUR BHAIRAMGARH GOVT. PRIMARY SCHOOL KODKA (SSA) 22203121702 9150 BIJAPUR BHAIRAMGARH GOVT. PRIMARY SCHOOL VAYNAR (SSA) 22203122402 9151 BIJAPUR BHAIRAMGARH GOVT. PRIMARY SCHOOL PINKONDA (TWD) 22203122701 9152 BIJAPUR BHAIRAMGARH GOVT. PRIMARY SCHOOL PONODVAYA (SSA) 22203123301 9153 BIJAPUR BHAIRAMGARH GOVT. PRIMARY SCHOOL USPARI (SSA) 22203124401 9154 BIJAPUR BHAIRAMGARH PVT MATA RUKHMANI GIRLS A. JANGLA 22203124804 9155 BIJAPUR BHAIRAMGARH GOVT. BOYS ASHRAM PATARPARA (TWD) 22203125201 9156 BIJAPUR BHAIRAMGARH GOVT. GIRLS ASHRAM PATARPARA (TWD) 22203125202 9157 BIJAPUR BHAIRAMGARH GOVT. PRIMARY SCHOOL PALLEWAYA (TWD) 22203125301 9158 BIJAPUR BHAIRAMGARH GOVT. MIDDLE SCHOOL BANDLAPAL (SSA) 22203125501 9159 BIJAPUR BHAIRAMGARH GOVT. PRIMARY SCHOOL BUDDUM (TWD) 22203126001 9160 BIJAPUR BHAIRAMGARH GOVT. PRIMARY SCHOOL TODMA (TWD) 22203126101 9161 BIJAPUR BHAIRAMGARH GOVT. PRIMARY SCHOOL KOTMETA (SSA) 22203127001 9162 BIJAPUR BHAIRAMGARH GOVT. NAVEEN PRIMARY SCHOOL KOTMETA (SSA)(CLOSED) 22203127002 9163 BIJAPUR BHAIRAMGARH GOVT BOY ASHRAM PITETUNGALI (TWD) 22203127101 9164 BIJAPUR BHAIRAMGARH GOVT. PRIMARY SCHOOL PITETUNGALI (TWD)(CLOSED)22203127102 9165 BIJAPUR BHAIRAMGARH GOVT. PRIMARY SCHOOL NAPARPARA (SSA) 22203127201 9166 BIJAPUR BHAIRAMGARH GOVT. PRIMARY SCHOOL KARIYARPARA (SSA) 22203127301 9167 BIJAPUR BHAIRAMGARH GOVT. SANYUKT ASHRAM FULGATTA (TWD) 22203127302 9168 BIJAPUR BHAIRAMGARH GOVT. PRIMARY SCHOOL IDER (SSA) 22203127502 9169 BIJAPUR BHAIRAMGARH GOVT. PRIMARY SCHOOL GUDMA (TWD) 22203127601 9170 BIJAPUR BHAIRAMGARH GOVT. BOYS ASHRAM JHADIGUTTA (TWD) 22203127602 9171 BIJAPUR BHAIRAMGARH GOVT. PRIMARY SCHOOL BIRABHATTI (SSA) 22203127801 9172 BIJAPUR BHAIRAMGARH GOVT. PRIMARY SCHOOL ODASANPORKA (SSA) 22203128001
  • 279.
    9173 BIJAPUR BHAIRAMGARHGOVT P.S. EACHEVADA (SSA) 22203128102 9174 BIJAPUR BHAIRAMGARH GOVT P.S. MATLA (SSA) 22203128201 9175 BIJAPUR BHAIRAMGARH GOVT P.S. HITULVADA (SSA) 22203128301 9176 BIJAPUR BHAIRAMGARH GOVT. PRIMARY SCHOOL GUTAMANGI (SSA) 22203128401 9177 BIJAPUR BHAIRAMGARH GOVT P.S. GADAMALI (TWD) 22203128501 9178 BIJAPUR BHAIRAMGARH GOVT N.P.S. GAYTAPARA GADAMALI(SSA) 22203128502 9179 BIJAPUR BHAIRAMGARH GOVT. PRIMARY SCHOOL KESHMUNDIPARA (SSA)(CLOSED) 22203128602 9180 BIJAPUR BHAIRAMGARH GOVT. PRIMARY SCHOOL KOYAM (SSA) 22203128801 9181 BIJAPUR BHAIRAMGARH GOVT. PRIMARY SCHOOL HITALKUDUAM (SSA) 22203128901 9182 BIJAPUR BHAIRAMGARH GOVT. PRIMARY SCHOOL SADAR (SSA) 22203129001 9183 BIJAPUR BHAIRAMGARH GOVT. PRIMARY SCHOOL RENGAVWAYA (TWD)(CLOSED) 22203129301 9184 BIJAPUR BHOPALPATNAM GOVT P.S. GILLGICHCHA MADDED( TWD) 22203600101 9185 BIJAPUR BHOPALPATNAM NAVIN M.S. GILGICHCHA MADDED(SSA) 22203600102 9186 BIJAPUR BHOPALPATNAM P.S. KESAIGUDA (TWD) 22203600201 9187 BIJAPUR BHOPALPATNAM P.S. GOORARM (TWD) 22203600401 9188 BIJAPUR BHOPALPATNAM KANYA PRIMARY SCHOOL MADDED (TWD) 22203600503 9189 BIJAPUR BHOPALPATNAM M.S. MADDED (TWD) 22203600505 9190 BIJAPUR BHOPALPATNAM N.P.S. NAYAPARA MADDED (SSA) 22203600508 9191 BIJAPUR BHOPALPATNAM P.S. GERIGUDA MADDED (SSA) 22203600509 9192 BIJAPUR BHOPALPATNAM B.A.S. PASEVADA ( SANDRA ) 22203600514 9193 BIJAPUR BHOPALPATNAM GIRLS M.S. MADDED ( TWD) 22203600516 9194 BIJAPUR BHOPALPATNAM BOYS P.S. MADDED (TWD) 22203600517 9195 BIJAPUR BHOPALPATNAM PRAISE PUBLIC SCHOOL(PVT) 22203600521 9196 BIJAPUR BHOPALPATNAM SAR.SHISHU MANDIR MADDED(PVT) 22203600522 9197 BIJAPUR BHOPALPATNAM P.S. KOGUPALLI (TWD) 22203600901 9198 BIJAPUR BHOPALPATNAM N.P.B.A. KARKAVAGA(TWD) 22203601007 9199 BIJAPUR BHOPALPATNAM K.G.G.S. BHOPALPATNAM ( SSA) 22203601011 9200 BIJAPUR BHOPALPATNAM N.P.S. RAJPARA (SSA) 22203601012 9201 BIJAPUR BHOPALPATNAM N.P.S. MAMDIGUDA (SSA) 22203601013 9202 BIJAPUR BHOPALPATNAM GOVT.M.S.BOY'S BHOPALPATNAM 22203601020 9203 BIJAPUR BHOPALPATNAM P.B.A.S. BHOPALPATNAM A(TWD) 22203601021 9204 BIJAPUR BHOPALPATNAM KANYA P.S. BHOPALPATNAM ( TWD) 22203601022 9205 BIJAPUR BHOPALPATNAM P.S. RALLAPALLI (TWD) 22203601023
  • 280.
    9206 BIJAPUR BHOPALPATNAMP.S. MOTLAGUDA ( SSA) 22203601024 9207 BIJAPUR BHOPALPATNAM UPS RALLAPALLI ( SSA) 22203601025 9208 BIJAPUR BHOPALPATNAM GOVT GIRLS M.S.BHOPALPATNAM 22203601030 9209 BIJAPUR BHOPALPATNAM GOVT BOY'S P.S CHINNMATUR(SSA) 22203601031 9210 BIJAPUR BHOPALPATNAM MODEL SCHOOL ULLOOR(RMSA) 22203601032 9211 BIJAPUR BHOPALPATNAM P.S. REGGUDA (SSA) 22203601201 9212 BIJAPUR BHOPALPATNAM GIRLS M.S. PAMGAL ( TWD) 22203601302 9213 BIJAPUR BHOPALPATNAM P.S. NAYAPARA PANGAL (SSA) 22203601303 9214 BIJAPUR BHOPALPATNAM A.S. PAMGAL (TWD) 22203601304 9215 BIJAPUR BHOPALPATNAM P.S. METUPALLI( TWD) 22203601306 9216 BIJAPUR BHOPALPATNAM P.S. PATTURPARA PANGAL ( SSA) 22203601307 9217 BIJAPUR BHOPALPATNAM P.S. RAMPETA(TWD) 22203601503 9218 BIJAPUR BHOPALPATNAM N.P.S. ATUKPALLI BICHPARA(SSA) 22203601504 9219 BIJAPUR BHOPALPATNAM P.S. KANDLA (SSA) 22203601505 9220 BIJAPUR BHOPALPATNAM N.M.S. NARONAPALLI(SSA) 22203601506 9221 BIJAPUR BHOPALPATNAM BALAK ASHRAM NARONAPALLI(TWD) 22203601507 9222 BIJAPUR BHOPALPATNAM P.S. MAINDERPARA BHOPALPATNAM (TWD) 22203601701 9223 BIJAPUR BHOPALPATNAM P.S. GULLAPENTA ( TWD) 22203601902 9224 BIJAPUR BHOPALPATNAM M.S. GULLPENTA ( TWD) 22203601903 9225 BIJAPUR BHOPALPATNAM N.P.S. ULLUR ( S.S.A.) 22203601905 9226 BIJAPUR BHOPALPATNAM GOVT P.S. GOTAIGUDA (TWD) 22203602001 9227 BIJAPUR BHOPALPATNAM GOVT M.S. GOTIIGUDA (TWD) 22203602002 9228 BIJAPUR BHOPALPATNAM PRIMARY SCHOOL CHANDOOR ( TWD) 22203602102 9229 BIJAPUR BHOPALPATNAM M.S. CHANDOOR(TWD) 22203602103 9230 BIJAPUR BHOPALPATNAM P.S. METLCHRU(SSA) 22203602201 9231 BIJAPUR BHOPALPATNAM GOVT GIRL'S P.S.GOLLAGUDA(TWD) 22203602301 9232 BIJAPUR BHOPALPATNAM JANPAD PRIMARY SCHOOL (TWD) 22203602302 9233 BIJAPUR BHOPALPATNAM GOVT P.M.S. GOLLAGUDA ( TWD) 22203602304 9234 BIJAPUR BHOPALPATNAM GOVT P.S..MOTLAGUDA(SSA) 22203602305 9235 BIJAPUR BHOPALPATNAM P.S. MANJHIPARA ( SSA) 22203602307 9236 BIJAPUR BHOPALPATNAM P.S. POLEM (T.W.D) 22203602401 9237 BIJAPUR BHOPALPATNAM BALAK ASHRAM POLEM (TWD) 22203602402 9238 BIJAPUR BHOPALPATNAM M.S. POLEM (T.W.D.) 22203602405
  • 281.
    9239 BIJAPUR BHOPALPATNAMN.P.S. CHINNAMATUR( SSA) 22203602503 9240 BIJAPUR BHOPALPATNAM P.S. CHANDANGIRI ( T.W.D.) 22203602601 9241 BIJAPUR BHOPALPATNAM P.S.GUTTAPARA ( S.S.A.) 22203602602 9242 BIJAPUR BHOPALPATNAM P.S. RAMPURM (TWD) 22203602701 9243 BIJAPUR BHOPALPATNAM NAVIN M.S.LINGAPUR ( T.W.D) 22203602802 9244 BIJAPUR BHOPALPATNAM N.P.S. AWASPARA LINGAPUR 22203602803 9245 BIJAPUR BHOPALPATNAM P.S. LINGAPUR ( TWD) 22203602805 9246 BIJAPUR BHOPALPATNAM P.S. RAIGUDA ( SSA) 22203602806 9247 BIJAPUR BHOPALPATNAM PRIMARY SCHOOL TARUD (T.W.D.) 22203602901 9248 BIJAPUR BHOPALPATNAM M.S. ULLUR (T.W.D.) 22203603002 9249 BIJAPUR BHOPALPATNAM P.S.CHINNAGUDA ( S.S.A.) 22203603003 9250 BIJAPUR BHOPALPATNAM P.S. SANJAYPARA ULLOOR (TWD) 22203603004 9251 BIJAPUR BHOPALPATNAM MODEL SCHOOL ULLOOR (SSA) 22203603005 9252 BIJAPUR BHOPALPATNAM P.S GERRAGUDA( T.W.D.) 22203603202 9253 BIJAPUR BHOPALPATNAM NAVIN M.S KONAGUDA 22203603303 9254 BIJAPUR BHOPALPATNAM P.S. BHATTEGUDAQ(TWD) 22203603402 9255 BIJAPUR BHOPALPATNAM M.S. BHATTIGUDA ( TWD) 22203603403 9256 BIJAPUR BHOPALPATNAM N.P.S. NAYAPARA TAMLAPALLI (SSA) 22203603503 9257 BIJAPUR BHOPALPATNAM P.S. NIMMLGUDA (SSA) 22203603504 9258 BIJAPUR BHOPALPATNAM N.P.S. TIMIRGUDA (TWD) 22203603506 9259 BIJAPUR BHOPALPATNAM P.S. BORGUDA ( MADDED) SSA 22203603507 9260 BIJAPUR BHOPALPATNAM GOVT. PS. TAMLLAPALLI (SSA) 22203603508 9261 BIJAPUR BHOPALPATNAM P.S. MUTTAPUR( TWD) 22203603601 9262 BIJAPUR BHOPALPATNAM P.S. SANGAMPALLI (TWD) 22203603701 9263 BIJAPUR BHOPALPATNAM B.P.S.A.S. SANGAMPALI (TWD) 22203603705 9264 BIJAPUR BHOPALPATNAM N.P.S. BICHPARA GILGICHA ( SSA) 22203603706 9265 BIJAPUR BHOPALPATNAM M.S. SANGMPALLI ( TWD) 22203603707 9266 BIJAPUR BHOPALPATNAM P.S. ANCHODA (TWD) 22203603801 9267 BIJAPUR BHOPALPATNAM P.S. MINKAPALLI ( SSA) 22203603901 9268 BIJAPUR BHOPALPATNAM NAVIN M.S. MINKAPALLI( SSA) 22203603902 9269 BIJAPUR BHOPALPATNAM PRIMARY SCHOOL DUDHEDA(T.W.D.) 22203604101 9270 BIJAPUR BHOPALPATNAM N.P.S. PATELPARA GORLA(SSA) 22203604102 9271 BIJAPUR BHOPALPATNAM N.P.S DUDHEDA (SSA) 22203604103
  • 282.
    9272 BIJAPUR BHOPALPATNAMN.M.S DUDHEDA(SSA) 22203604104 9273 BIJAPUR BHOPALPATNAM P.S. MODAKPALLI ( T.W.D.) 22203604301 9274 BIJAPUR BHOPALPATNAM U.P.S. MODAKPALLI ( SSA) 22203604302 9275 BIJAPUR BHOPALPATNAM N.P.S. ODAGUDA ( S.S.A.) 22203604402 9276 BIJAPUR BHOPALPATNAM M.S. TIMED ( TWD) 22203604403 9277 BIJAPUR BHOPALPATNAM GIRLS ASHRAM VARDALI (T.W.D.) 22203604803 9278 BIJAPUR BHOPALPATNAM P.M.S. SANKNAPALLI ( TWD) 22203604904 9279 BIJAPUR BHOPALPATNAM P.S. PATELPARA CHERPALLI (T.W.D.) 22203605001 9280 BIJAPUR BHOPALPATNAM M.S. PATELPARA CHERPALLI ( SSA) 22203605002 9281 BIJAPUR BHOPALPATNAM P.B.A.S. GORLA (TWD) 22203605102 9282 BIJAPUR BHOPALPATNAM N.P.S. PATELPARA MINUR (SSA) 22203605104 9283 BIJAPUR BHOPALPATNAM N.P.S. YALAMPARA MINUR(SSA) 22203605105 9284 BIJAPUR BHOPALPATNAM N.M.S GORLA(SSA) 22203605106 9285 BIJAPUR BHOPALPATNAM N.P.S. SIRKUNTA (SSA) 22203605204 9286 BIJAPUR BHOPALPATNAM N.P.S. TODEMPARA DUDHEDA(SSA) 22203605205 9287 BIJAPUR BHOPALPATNAM N.P.S. DAMPAYA (SSA) 22203605206 9288 BIJAPUR BHOPALPATNAM P.S. P. BASHGUDA ( T.W.D.) 22203605301 9289 BIJAPUR BHOPALPATNAM N.M.S. PEGDAPALLI ( SSA) 22203605302 9290 BIJAPUR BHOPALPATNAM GOVT . PAGDAPALLI (TWD) 22203605304 9291 BIJAPUR BHOPALPATNAM GOVT. A.S PAGDAPALLI (TWD) 22203605305 9292 BIJAPUR BHOPALPATNAM P.S. BORGUDA (SSA) 22203605402 9293 BIJAPUR BHOPALPATNAM P.S. CHKUDPALLI ( SSA) 22203605501 9294 BIJAPUR BHOPALPATNAM P.S. NRONAPALLI(TWD) 22203605601 9295 BIJAPUR BHOPALPATNAM N.M.S BADRAKALLI ( SSA) 22203605602 9296 BIJAPUR BHOPALPATNAM P.S. DAPALA (TWD) 22203605603 9297 BIJAPUR BHOPALPATNAM P.S. POLEM( TWD) 22203605704 9298 BIJAPUR BHOPALPATNAM BOYAS P.A.S. WADLA ( TWD) 22203605705 9299 BIJAPUR BHOPALPATNAM P.S. GOKUR ( SSA) 22203605706 9300 BIJAPUR BHOPALPATNAM N.P.S WADLA(SSA) 22203605707 9301 BIJAPUR BHOPALPATNAM P.S. GORGONDA ( TWD) 22203605801 9302 BIJAPUR BHOPALPATNAM NAVIN.P.S. BORGUDA(SSA) 22203605802 9303 BIJAPUR BHOPALPATNAM P.S.KOTTURPARA GORGUNDA(SSA) 22203605803 9304 BIJAPUR BHOPALPATNAM P.S. PEDAMATUR (T.W.D.) 22203605901
  • 283.
    9305 BIJAPUR BHOPALPATNAMN.P.S. KOTURPARA PADAMATUR( SSA) 22203605902 9306 BIJAPUR BHOPALPATNAM M.S. PADAMATUR( SSA) 22203605903 9307 BIJAPUR BHOPALPATNAM P.S. SANDRAPALLI ( TWD) 22203606002 9308 BIJAPUR BHOPALPATNAM U.P.S. SANDRPALLI ( SSA) 22203606003 9309 BIJAPUR BHOPALPATNAM P.S. ASHAMPARA SANDRAPALLI ( SSA) 22203606004 9310 BIJAPUR BHOPALPATNAM P.S. YAPLA (T.W.D.) 22203606101 9311 BIJAPUR BHOPALPATNAM U.P.S. YAPLA ( SSA) 22203606102 9312 BIJAPUR BHOPALPATNAM P.S. POSDPALLI(T.W.D.) 22203606301 9313 BIJAPUR BHOPALPATNAM NAVIN M.S. POSDPALLI(T.W.D.) 22203606302 9314 BIJAPUR BHOPALPATNAM P.S PATELPARA POSADPALLI ( SSA) 22203606303 9315 BIJAPUR BHOPALPATNAM P.S. MINUR (TWD) 22203606401 9316 BIJAPUR BHOPALPATNAM NAVIN M.S.MINUR(SSA) 22203606403 9317 BIJAPUR BHOPALPATNAM P.S. PASPULPARA (SSA) 22203606602 9318 BIJAPUR BHOPALPATNAM N.P.S. REDDIPALLI(T.W.D.) 22203606605 9319 BIJAPUR BHOPALPATNAM JANPAD P.S BAREGUDA ( TWD) 22203606606 9320 BIJAPUR BHOPALPATNAM P.S. SANJAYPARA PATBHOGDA ( SSA) 22203606607 9321 BIJAPUR BHOPALPATNAM N.P.S SAKNAPALLI(SSA) 22203606608 9322 BIJAPUR BHOPALPATNAM NAVIN M.S.SAKNAPALLI 22203606609 9323 BIJAPUR BHOPALPATNAM P.S. GANGARAM(TWD) 22203606701 9324 BIJAPUR BHOPALPATNAM P.S. DAMUR (TWD) 22203606901 9325 BIJAPUR BHOPALPATNAM P.S. BAMANPUR (S.S.A.) 22203607001 9326 BIJAPUR BHOPALPATNAM P.S. MEGHAPUR(S.S.A.) 22203607004 9327 BIJAPUR BHOPALPATNAM P.S. DEPLA DUBBAPARA(TWD) 22203607005 9328 BIJAPUR BHOPALPATNAM N.M.S. DEPLA(SSA) 22203607006 9329 BIJAPUR BHOPALPATNAM GOVT M.S.(TWD) 22203607202 9330 BIJAPUR BHOPALPATNAM P.S. KUCHANUR ( SSA) 22203607204 9331 BIJAPUR BHOPALPATNAM P.S. BEORGUDA ( BAMANPUR) (SSA) 22203607206 9332 BIJAPUR BHOPALPATNAM N.P.S.KONGUDA RUDRARAM(SSA) 22203607208 9333 BIJAPUR BHOPALPATNAM P.M.S. USKALEND ( TWD) 22203607303 9334 BIJAPUR BHOPALPATNAM P.S. BHATTIGUDA (SSA) 22203607304 9335 BIJAPUR BHOPALPATNAM P.S. MAMIDGADA (SSA) 22203607305 9336 BIJAPUR BHOPALPATNAM P.S. TEGOLGUDA (SSA) 22203607307 9337 BIJAPUR BHOPALPATNAM P.S. USKALEND ( TWD) 22203607308
  • 284.
    9338 BIJAPUR BHOPALPATNAMP.S. MATTIMARKA(T.W.D.) 22203607502 9339 BIJAPUR BHOPALPATNAM P.S. CHERPALLI(T.W.D.) 22203607601 9340 BIJAPUR BHOPALPATNAM P.S. VASAMPARA WARD -3(S.S.A.) 22203607602 9341 BIJAPUR BHOPALPATNAM P.M.S. CHERPALLI(T.W.D.) 22203607603 9342 BIJAPUR BHOPALPATNAM P.S. TALABPARA(S.S.A.) 22203607604 9343 BIJAPUR BHOPALPATNAM GOVT. PENKUDUR (SSA) 22203607702 9344 BIJAPUR BHOPALPATNAM P.S. NAYAPARA BHOPALPATNAM( TWD) 22203607901 9345 BIJAPUR BHOPALPATNAM GOVT. P.S. BADEKAKLED(TWD) 22203608102 9346 BIJAPUR BHOPALPATNAM GOVT. P.S. TEKMATA (TWD) 22203608402 9347 BIJAPUR BHOPALPATNAM P.S. ARJUNALLI ( T.W.D.) 22203608501 9348 BIJAPUR BHOPALPATNAM NAVIN M.S.ARJUNALLI (SSA) 22203608502 9349 BIJAPUR BHOPALPATNAM P.S. RAYGUDA( T.W.D.) 22203609101 9350 BIJAPUR BHOPALPATNAM N.P.S. NALAMPALLI ( S.S.A.) 22203609301 9351 BIJAPUR BHOPALPATNAM P.S. PATELPARA NALAMPALLI ( SSA) 22203609302 9352 BIJAPUR BHOPALPATNAM P.S. BHATPALLI ( T.W.D.) 22203609601 9353 BIJAPUR BHOPALPATNAM P.S. KOTTUR (SSA) 22203609702 9354 BIJAPUR BHOPALPATNAM NAVIN M.S. KOTTUR (S.S.A.) 22203609703 9355 BIJAPUR BHOPALPATNAM P.S. KOTUR ( TWD) 22203609704 9356 BIJAPUR BHOPALPATNAM GOVT. P.S AREPALLI (TWD) 22203609903 9357 BIJAPUR BHOPALPATNAM GOVT. P.S. ADPALLI (TWD) 22203609904 9358 BIJAPUR BHOPALPATNAM BALAK ASHRAM SCHOOL EDAPALLI (TWD) 22203610001 9359 BIJAPUR BHOPALPATNAM GOVT.P.M.S. SANDRA ( TWD) 22203610103 9360 BIJAPUR BHOPALPATNAM MATA R.B.A. SANDRA ( PVT) 22203610111 9361 BIJAPUR BHOPALPATNAM GOVT. P.S. SANJAYPARA SANDRA (SSA) 22203610113 9362 BIJAPUR BHOPALPATNAM GOVT. P.S. EMLIPARA SANDRA (SSA) 22203610114 9363 BIJAPUR BHOPALPATNAM GOVT. P.S RALLPALLI SANDRA ( TWD) 22203610115 9364 BIJAPUR BHOPALPATNAM P.S.FANDIWAYA 22203610116 9365 BIJAPUR BHOPALPATNAM P.S JAREGUDA(TWD) 22203610117 9366 BIJAPUR BHOPALPATNAM G.M.A.S. KERPE (TWD) 22203610204 9367 BIJAPUR BHOPALPATNAM PRIMARY SCHOOL TARLAGUDA(T.W.D.) 22203610301 9368 BIJAPUR BHOPALPATNAM GARLIS .M.A.S. DUDHEDA 22203610402 9369 BIJAPUR BHOPALPATNAM P.S. ARAGUPHA ( SSA) 22203610403 9370 BIJAPUR BHOPALPATNAM U.M.S. KASIGUDA (SSA) 22203610404
  • 285.
    9371 BIJAPUR BHOPALPATNAMGARLIS M.A.S. DUDHEDA (PS) (TWD) 22203610405 9372 BIJAPUR BHOPALPATNAM BALAK ASHRAM SCHOOL DUDEPALLI (TWD) 22203610601 9373 BIJAPUR BHOPALPATNAM GOVT . DODEPALLI (TWD) 22203610603 9374 BIJAPUR BHOPALPATNAM P.S.TODEMPARA( S.S.A.) 22203610703 9375 BIJAPUR BHOPALPATNAM N.P.S. DUGLMGUDA ( SSA) 22203610704 9376 BIJAPUR BHOPALPATNAM N.P.S. WARDALI 22203610706 9377 BIJAPUR BHOPALPATNAM NAVIN M.S. WARDALI 22203610707 9378 BIJAPUR BHOPALPATNAM BALAK ASHRAM SCHOOL PILUR( TWD) 22203610801 9379 BIJAPUR BHOPALPATNAM GOVT. P.S. PILLUR (TWD) 22203610804 9380 BIJAPUR BHOPALPATNAM BALAK ASHRAM SCHOOL (TWD) ANNAPUR 22203610901 9381 BIJAPUR BHOPALPATNAM GOVT. P.S. ANNAPUR (TWD) 22203610903 9382 BIJAPUR BHOPALPATNAM KANIST P.S.CHILLAMARKA(T.W.D.) 22203611001 9383 BIJAPUR BHOPALPATNAM P.S. SITANAGRAM ( T.W.D.) 22203611101 9384 BIJAPUR BHOPALPATNAM P.S. KACCHIPARA (TWD) 22203611301 9385 BIJAPUR BHOPALPATNAM P.S. ANNARAM ( TWD) 22203611702 9386 BIJAPUR BHOPALPATNAM GOVT P.S. GONDNUGUR (TWD) 22203611802 9387 BIJAPUR BHOPALPATNAM P.S. ANGAMPALLI (SSA) 22203611901 9388 BIJAPUR BHOPALPATNAM P.S. DHANGOL (SSA) 22203611902 9389 BIJAPUR BHOPALPATNAM P.S. KOTTAGUDA ( TWD) 22203611903 9390 BIJAPUR BHOPALPATNAM GOVT. M.S. ANGAMPALLI ( SSA) 22203611904 9391 BIJAPUR BHOPALPATNAM GOVT P.S.CHERPALLI (SANDRA) 22203612003 9392 BIJAPUR BHOPALPATNAM P.S. SOMANPALLI (TWD) 22203612101 9393 BIJAPUR BHOPALPATNAM GOVT. M.S SOMMANPALLI (SSA) 22203612102 9394 BIJAPUR BHOPALPATNAM GOVT P.S.PALSEGUNDI 22203612203 9395 BIJAPUR BHOPALPATNAM GOVT. P.S. KANDLAPARTI (TWD) 22203612303 9396 BIJAPUR BHOPALPATNAM P.S. LODED ( TWD) 22203612501 9397 BIJAPUR BHOPALPATNAM P.S. KOMATPALLI ( TWD) 22203612601 9398 BIJAPUR BHOPALPATNAM P.S. KOTAPALLI ( TWD) 22203612701 9399 BIJAPUR BHOPALPATNAM NAVIN M.S. KOTTAPALLI(SSA) 22203612702 9400 BIJAPUR BHOPALPATNAM P.S KOTAPALLI ( SSA) 22203612703 9401 BIJAPUR BHOPALPATNAM N.P.S MARRIMALLA KOTTAPALLI (SSA) 22203612704 9402 BIJAPUR BHOPALPATNAM GOVT . KARKAWADA (TWD) 22203612802 9403 BIJAPUR BHOPALPATNAM BOYS A.GUNLAPENTA(T.W.D.) 22203613002
  • 286.
    9404 BIJAPUR BHOPALPATNAMP.S. KONAGUDA ( TWD) 22203613204 9405 BIJAPUR BHOPALPATNAM P.S. TIMED(T.W.D.) 22203613302 9406 BIJAPUR BHOPALPATNAM GOVT. PS. PARASNAR (SS) 22203613402 9407 BIJAPUR BHOPALPATNAM PRIMARY SCHOOL VANGAPALLI (TWD) 22203613901 9408 BIJAPUR BHOPALPATNAM N.M.S. VANGAPALLI (TWD) 22203613902 9409 BIJAPUR BHOPALPATNAM P.S. NAYAPARA VANGAPARA(SSA) 22203613903 9410 BIJAPUR BHOPALPATNAM GOVT. P.S PULGUDAM (TWD) 22203614001 9411 BIJAPUR BHOPALPATNAM P.S. KONAGUDA(S.S.A.) 22203614301 9412 BIJAPUR BHOPALPATNAM P.S. KAMBALPETA( S.S.A.) 22203615101 9413 BIJAPUR BHOPALPATNAM GOVT . PS. KOKERA (SSA) 22203615401 9414 BIJAPUR BHOPALPATNAM P.S. KONDAMOSAM(SSA) 22203615801 9415 BIJAPUR BHOPALPATNAM GOVT. PS. NATIKAKLED (SSA) 22203616002 9416 BIJAPUR BHOPALPATNAM P.S. KONTAGUDA LINGPUUR ( TWD) 22203616101 9417 BIJAPUR BHOPALPATNAM GOVT. P.S. GSRTUL (SSA) 22203616701 9418 BIJAPUR BHOPALPATNAM GOVT. P.S. KONDAPADGU (TWD) 22203616802 9419 BIJAPUR BHOPALPATNAM GOVT. P.S. SAPIMARKA (SSA) 22203616803 9420 BIJAPUR BHOPALPATNAM P.S. PENDLALM (SSA) 22203616901 9421 BIJAPUR BHOPALPATNAM GOVT. P.S. MUKTUSA (SSA) 22203617001 9422 BIJAPUR BIJAPUR P.S.BHOSAGUDA(T.W.D.) 22200600102 9423 BIJAPUR BIJAPUR JANPAD P.S.BIJAPUR(T.W.D.) 22200600404 9424 BIJAPUR BIJAPUR .GIRLS P.S.BIJAPUR (T.W.D.) 22200600405 9425 BIJAPUR BIJAPUR JANPAD MS BIJAPUR (T.W.D.) 22200600411 9426 BIJAPUR BIJAPUR .P.S. BANDAGUDA (SSA) 22200600412 9427 BIJAPUR BIJAPUR P.S. PADIYAR PARA (SSA) 22200600413 9428 BIJAPUR BIJAPUR NAVIN KANYA M.S.BIJAPUR (SSA) 22200600414 9429 BIJAPUR BIJAPUR KASTURBA GANDHI BIJAPUR(SSA) 22200600416 9430 BIJAPUR BIJAPUR NAVIN P. S. BUSSTOP BIJAPUR(SSA) 22200600417 9431 BIJAPUR BIJAPUR GOVT. BOYS ASHRAM BIJAPUR (T.W.D.) 22200600418 9432 BIJAPUR BIJAPUR NAVIN KANYA ASHRAM BIJAPUR(T.W.D.) 22200600419 9433 BIJAPUR BIJAPUR NAVIN P.S. RAUTPARA BIJAPUR(SSA) 22200600420 9434 BIJAPUR BIJAPUR P.S. DARAPARA (SSA) 22200600421 9435 BIJAPUR BIJAPUR P.S. JAILBADA (SSA) 22200600422 9436 BIJAPUR BIJAPUR P.S. DIPOPARA BIJAPUR (SSA) 22200600423
  • 287.
    9437 BIJAPUR BIJAPURGOVT. GIRLS H.S.S. (M.S.)BIJAPUR(T.W.D.) 22200600424 9438 BIJAPUR BIJAPUR GOVT.M . S. BIJAPUR (T.W.D.) 22200600425 9439 BIJAPUR BIJAPUR RESIDENTIAL SCHOOL POTA CABIN BIAJPUR(SSA) 22200600426 9440 BIJAPUR BIJAPUR GOVT M.S.KADENARA(SSA) 22200600427 9441 BIJAPUR BIJAPUR P.S.A.G.ASHRAM.BIJAPUR(SSA) 22200600428 9442 BIJAPUR BIJAPUR P.S.GOMPUR(TWD) 22200600429 9443 BIJAPUR BIJAPUR GOVT P.S.ISOOLNAR(SSA) 22200600430 9444 BIJAPUR BIJAPUR N.P.S.GODAMPARA BIJAPUR (SSA) 22200600434 9445 BIJAPUR BIJAPUR PRIMARY SCHOOL SANTASPUR(T.W.D.) 22200600502 9446 BIJAPUR BIJAPUR P.M.S. SANTASPUR (SSA) 22200600503 9447 BIJAPUR BIJAPUR P.S.KOTER(T.W.D.) 22200600801 9448 BIJAPUR BIJAPUR P.S. NAYAPARA KOTER(SSA) 22200600803 9449 BIJAPUR BIJAPUR PRIMARY SCHOOL JARGOYA(T.W.D) 22200601001 9450 BIJAPUR BIJAPUR GOVT P.S.GHUMRA(TWD) 22200601103 9451 BIJAPUR BIJAPUR GOVT P.S.CHERKANTI(TWD) 22200601203 9452 BIJAPUR BIJAPUR JANPAD P.S.CHERPAL(T.W.D.) 22200601301 9453 BIJAPUR BIJAPUR P.S.SARPANCHPARA CHERPAL(T.W.D.) 22200601302 9454 BIJAPUR BIJAPUR M.S. CHERPAL (T.W.D.) 22200601303 9455 BIJAPUR BIJAPUR P.S. MANJHIPARA CHERPAL(SSA) 22200601304 9456 BIJAPUR BIJAPUR P.S. MODIPARA CHERPAL(SSA) 22200601305 9457 BIJAPUR BIJAPUR P.S.GOPIPARA CHERPAL(SSA) 22200601307 9458 BIJAPUR BIJAPUR P.S.PADMUR(T.W.D.) 22200601309 9459 BIJAPUR BIJAPUR RESIDENTIAL SCHOOL(POTA KABIN CHERPAL)(SSA) 22200601310 9460 BIJAPUR BIJAPUR GOVT P.S.BODLAPUSHNA(SSA) 22200601311 9461 BIJAPUR BIJAPUR GOVT P.S. KAKEKORMA (SSA) 22200601312 9462 BIJAPUR BIJAPUR GOVT P.S.TARMPARA(SSA) 22200601313 9463 BIJAPUR BIJAPUR GOVT P-S.DONGRIPARA PADMUR(SSA) 22200601315 9464 BIJAPUR BIJAPUR GOVT P.S.PADJOJAR(TWD) 22200601316 9465 BIJAPUR BIJAPUR GOVT BOYS ASHARM REEDI 22200601318 9466 BIJAPUR BIJAPUR M.S.PEADAKARMA(SSA) 22200601319 9467 BIJAPUR BIJAPUR P.S.GUDIPAL(T.W.D.) 22200601603 9468 BIJAPUR BIJAPUR J.P.S. BHANDARIPARA 22200601803 9469 BIJAPUR BIJAPUR PRIMARY SCHOOL DUPELI(T.W.D) 22200601901
  • 288.
    9470 BIJAPUR BIJAPURPRIMARY SCHOOL.DANORA(T.W.D.) 22200602003 9471 BIJAPUR BIJAPUR N.P.S. NAYAPARA DANORA(SSA) 22200602006 9472 BIJAPUR BIJAPUR ASHRAM SHALA TODKA(T.WD.) 22200602504 9473 BIJAPUR BIJAPUR P.S. NINDIRA (TWD) 22200602505 9474 BIJAPUR BIJAPUR P.S. MATAPARA PALNAR(TWD) 22200602506 9475 BIJAPUR BIJAPUR P.S.HALBAPAR PALNAR(SSA) 22200602507 9476 BIJAPUR BIJAPUR P.S.DODITUMNAR(TWD) 22200602508 9477 BIJAPUR BIJAPUR P.S.PARATPALANARA(SSA) 22200602509 9478 BIJAPUR BIJAPUR P.S.GUNDAPARA PALNAR(SSA) 22200602510 9479 BIJAPUR BIJAPUR P.S.KORCHALI (T.WD.) 22200602511 9480 BIJAPUR BIJAPUR P.S.EATAWAR(T.W.D) 22200602512 9481 BIJAPUR BIJAPUR P.S.SHAWANAR(T.W.D) 22200602513 9482 BIJAPUR BIJAPUR P.S.TODAKA(P(T.W.D) 22200602514 9483 BIJAPUR BIJAPUR GALS ASHRAM PADIY(T.W.D) 22200602515 9484 BIJAPUR BIJAPUR P.S.PADIYA(.T.WD.) 22200602516 9485 BIJAPUR BIJAPUR P.S.MATAPAL(T.W.D.) 22200602517 9486 BIJAPUR BIJAPUR P.S.MORMED(T.W.D.) 22200603101 9487 BIJAPUR BIJAPUR M.S.MORMED (SSA) 22200603103 9488 BIJAPUR BIJAPUR P.S. MAHARAPARA MORMED (SSA) 22200603105 9489 BIJAPUR BIJAPUR P.S. BORJE 1 (T.W.D.) 22200603403 9490 BIJAPUR BIJAPUR PRIMARY SCHOOL PAPANPAL 2 (T.W.D.) 22200603501 9491 BIJAPUR BIJAPUR M. S. BORJE II (SSA) 22200603503 9492 BIJAPUR BIJAPUR ASRAM SCHOOL 22200603701 9493 BIJAPUR BIJAPUR PRIMARY SCHOOL 22200603702 9494 BIJAPUR BIJAPUR P.S.GAYTAPARA PUSNAR(TWD) 22200603703 9495 BIJAPUR BIJAPUR P.S.TARAIPARA KAMKANAR(TWD) 22200603704 9496 BIJAPUR BIJAPUR N.M.S.KAMKANAR(SSA) 22200603705 9497 BIJAPUR BIJAPUR PRIMARY SCHOOL PAPANPAL.1(T.WD.) 22200603801 9498 BIJAPUR BIJAPUR G.N.BALAK ASHRAM PAPANPAL(TWD) 22200603804 9499 BIJAPUR BIJAPUR PRIMARY SCHOOL PAPANPAL 2 (T.W.D.) 22200603901 9500 BIJAPUR BIJAPUR NAVIN P.S.NADIPARA PAPANPAL 2 (SSA) 22200603902 9501 BIJAPUR BIJAPUR KANIST PRIMARY SCHOOL (T.W.D) 22200604001 9502 BIJAPUR BIJAPUR KANIST PRIMARY SCHOOL ADED(T.W.D.) 22200604101
  • 289.
    9503 BIJAPUR BIJAPURP.S. KACHLARAM (T.W.D.) 22200604202 9504 BIJAPUR BIJAPUR GOVT.P.S.CHINTANPALLI (T.W.D.) 22200604301 9505 BIJAPUR BIJAPUR PRIMARY SCHOOL TOYNAR (T.W.D.) 22200604501 9506 BIJAPUR BIJAPUR M.S. TOYNAR (T.W.D.) 22200604503 9507 BIJAPUR BIJAPUR P.S. PARDHANPARA .(SSA) 22200604505 9508 BIJAPUR BIJAPUR P.S. LOHARPARA TOYNAR(SSA) 22200604506 9509 BIJAPUR BIJAPUR KANYA P.S. TOYNAR (T.W.D.) 22200604507 9510 BIJAPUR BIJAPUR P.S. BAREPARA TOYNAR(SSA) 22200604508 9511 BIJAPUR BIJAPUR N.P.S.PATALPARA KACHLARAM(SSA) 22200604509 9512 BIJAPUR BIJAPUR BALK ASHARM TOYNAR(TWD) 22200604510 9513 BIJAPUR BIJAPUR KANIY M.S.ASHARM TOYNARA(TWD) 22200604511 9514 BIJAPUR BIJAPUR PRIMARY SCHOOL CHINNAKAWALI(T.W.D.) 22200604601 9515 BIJAPUR BIJAPUR M.S.CHINNAKAWALI (T.WD.) 22200604603 9516 BIJAPUR BIJAPUR GIRLS AASHRAM CHNNAKAWALI(T.W.D.) 22200604604 9517 BIJAPUR BIJAPUR P.S.NANIYPARA (SSA) 22200604606 9518 BIJAPUR BIJAPUR GOVT P-S-KANDOLNAR(TWD) 22200604607 9519 BIJAPUR BIJAPUR GOVT N.M.S.CHINNAKODIPAL(SSA) 22200604608 9520 BIJAPUR BIJAPUR GOVT P.S.ADED(SSA) 22200604609 9521 BIJAPUR BIJAPUR GOVT P.S.JABPARA KUNDULNAR(SSA) 22200604610 9522 BIJAPUR BIJAPUR GOVT P.S.RALAPAL(SSA) 22200604611 9523 BIJAPUR BIJAPUR RESIDENTIAL SCHOOL(ADARSH GURUKUS A.CHINNAKODEPAL)(SSA) 22200604612 9524 BIJAPUR BIJAPUR GOVT M.S.PIDDAKAWALI(SSA) 22200604613 9525 BIJAPUR BIJAPUR GOVT P.S.PEDAKAWALI(TWD) 22200604614 9526 BIJAPUR BIJAPUR BALAK ASHARAM GANGLUR(T.W.D.) 22200605003 9527 BIJAPUR BIJAPUR JANPAD PRIMARY GANGLUR(T.W.D.) 22200605004 9528 BIJAPUR BIJAPUR JANPAD M.S.GANGLUR(T.W.D.) 22200605005 9529 BIJAPUR BIJAPUR P.S. PEDDAPARA GANGALUR(T.W.D) 22200605008 9530 BIJAPUR BIJAPUR KANYA ASHRAM PIDIYA(T.W.D.) 22200605011 9531 BIJAPUR BIJAPUR KANYA ASHRAM GANGALUR(T.W.D) 22200605012 9532 BIJAPUR BIJAPUR P.S.KOVEAPARA (SSA) 22200605015 9533 BIJAPUR BIJAPUR P.S.GONAPARA GANGALLUR(T.W.D.) 22200605016 9534 BIJAPUR BIJAPUR P.S.MARIWADA(T.W.D.) 22200605018 9535 BIJAPUR BIJAPUR GIRLS ASHARM M.S. GANGALLUR(TWD) 22200605019
  • 290.
    9536 BIJAPUR BIJAPURP.S. GAYATAPARA(TWD) 22200605022 9537 BIJAPUR BIJAPUR P.S.SARPACHPARA BURJI(SSA) 22200605023 9538 BIJAPUR BIJAPUR P.S.ADSMATTA(TWD) 22200605024 9539 BIJAPUR BIJAPUR P.S.NINPAL(TWD) 22200605025 9540 BIJAPUR BIJAPUR P.S.KAWADGONA(TWD) 22200605026 9541 BIJAPUR BIJAPUR P.S.KURS(SSA) 22200605027 9542 BIJAPUR BIJAPUR RESIDENTIAL SCHOOL POTA KABEN GANGALLUR (SSA) 22200605029 9543 BIJAPUR BIJAPUR .M.S. REDDI(T.W.D) 22200605204 9544 BIJAPUR BIJAPUR MATA. RU. A.K. ASHRAM DANORA 22200605401 9545 BIJAPUR BIJAPUR M.S. PAPANPAL (SSA) 22200605603 9546 BIJAPUR BIJAPUR BALAK ASHRAM GONGALA 22200606801 9547 BIJAPUR BIJAPUR P.S.HALBAPARA(T.W.D.) 22200607001 9548 BIJAPUR BIJAPUR P.S. DUVALIPARA 22200607701 9549 BIJAPUR BIJAPUR P.S.BDEMHARPARA(T.W.D.) 22200607801 9550 BIJAPUR BIJAPUR GOVTMIDDLE SCHOOL GUDDIPAL 22200608401 9551 BIJAPUR BIJAPUR PRIMARY SCHOOL KOTAPAL(T.W.D.) 22200609001 9552 BIJAPUR BIJAPUR N.M.S.KOTAPAL(SSA) 22200609002 9553 BIJAPUR BIJAPUR PRIMARY SCHOOL TARAIPARA(.W.D.) 22200609101 9554 BIJAPUR BIJAPUR PRIMARY SCHOOL EATPAL(T.W.D.) 22200609201 9555 BIJAPUR BIJAPUR M.S.EATPAL (T.W.D.) 22200609202 9556 BIJAPUR BIJAPUR PRIMARY SCHOOL TALABPARA TURNAR(T.W.D.) 22200609501 9557 BIJAPUR BIJAPUR GOVT.P.M.S TURNAR(T.W.D.) 22200609502 9558 BIJAPUR BIJAPUR GOVT P.S. TURNAR(T.W.D.) 22200609504 9559 BIJAPUR BIJAPUR PRIMARY SCHOOL JAITALUR(T.W.D.) 22200609601 9560 BIJAPUR BIJAPUR N.P.S. BELSARIYA (T.W.D.) 22200609602 9561 BIJAPUR BIJAPUR PRIMARY SCHOOL MANJHIPARA(T.W.D.) 22200609701 9562 BIJAPUR BIJAPUR PRIMARY SCHOOL MALGODHA (T.W.D.) 22200609901 9563 BIJAPUR BIJAPUR GOVT P.S.MANJHIGUDA(T.W.D.) 22200610001 9564 BIJAPUR BIJAPUR GOVT MADLL M.S..MANJHIGUDA(TWD) 22200610002 9565 BIJAPUR BIJAPUR P.S.TONDAPARA(T.W.D.) 22200610101 9566 BIJAPUR BIJAPUR PRIMARY SCHOOL TUMNAR(T.W.D.) 22200610201 9567 BIJAPUR BIJAPUR A.J.K.V.M.S. TUMNAR(SSA) 22200610204 9568 BIJAPUR BIJAPUR P.S.PEDAPARA TUMNAR(SSA) 22200610205
  • 291.
    9569 BIJAPUR BIJAPURNAVIN P.S. NAYAPARA TUMNAR(SSA) 22200610206 9570 BIJAPUR BIJAPUR G.P.S.POTAMPARA(T.W.D) 22200610302 9571 BIJAPUR BIJAPUR PRIMARY SCHOOL KOKADHAPARA(T.W.D.) 22200610401 9572 BIJAPUR BIJAPUR GOVT N.M.S.KOKDAPARA(SSA) 22200610402 9573 BIJAPUR BIJAPUR P.S.CHINNAKKODEPAL(T.W.D.) 22200610901 9574 BIJAPUR BIJAPUR BALAK ASHARAM CHINNAKODEPAL(T.W.D.} 22200610902 9575 BIJAPUR BIJAPUR JANPAD.P.S.MUSALUR(T.W.D.) 22200611801 9576 BIJAPUR BIJAPUR GOVT.P.S.DONGARIPARA,MUSALUR(SSA) 22200611802 9577 BIJAPUR BIJAPUR BALAK ASHARAM SCHOOL 22200612001 9578 BIJAPUR BIJAPUR PRIMARY SCHOOL EARMANAR(T.W.D.) 22200612002 9579 BIJAPUR BIJAPUR A.J.K. P.S. MIDHATE(T.WD.) 22200612102 9580 BIJAPUR BIJAPUR P.S. LOHARPARA EARMANAR (SSA) 22200612201 9581 BIJAPUR BIJAPUR P.S. PATELPARA EARMANAR(SSA) 22200612202 9582 BIJAPUR BIJAPUR GOVT. P.M.S. EARMANAR (SSA) 22200612203 9583 BIJAPUR BIJAPUR PS MASAPARA EARMANAR (SSA) 22200612204 9584 BIJAPUR BIJAPUR PRIMARY SCHOOL KOMALA (T.W.D.) 22200612301 9585 BIJAPUR BIJAPUR P.S. NADIPARA PEDAKODHEPAL 22200612402 9586 BIJAPUR BIJAPUR N.P.S. KUDIAMPARA PEDAKODHEPAL 22200612403 9587 BIJAPUR BIJAPUR PRIMARY SCHOOL DUGOLI(T.W.D.) 22200612501 9588 BIJAPUR BIJAPUR N.P.S. KARKAPARA(SSA) 22200612502 9589 BIJAPUR BIJAPUR N.P.S. JOGANPARA DUGOLI(SSA) 22200612504 9590 BIJAPUR BIJAPUR P.M.S. DUGOLI (SSA) 22200612505 9591 BIJAPUR BIJAPUR PRIMARY SCHOOL KUYENAR (T.W.D.) 22200612601 9592 BIJAPUR BIJAPUR GOVT P.S. GAMPUR(TWD) 22200613002 9593 BIJAPUR BIJAPUR GOVT P.S. ANDRI(TWD) 22200613202 9594 BIJAPUR BIJAPUR P.S.GORNA (T.W.D.) 22200613401 9595 BIJAPUR BIJAPUR G.P.S.MANKELI(TWD) 22200613402 9596 BIJAPUR BIJAPUR GOVT. KANYA ASHRAM KAIKA(T.W.D) 22200614006 9597 BIJAPUR BIJAPUR GOVT P.S.KACHILWAR(SSA) 22200614008 9598 BIJAPUR BIJAPUR GOVT BOYS ASHRAM KAIKA(TWD) 22200614012 9599 BIJAPUR BIJAPUR P.S.PEDAKODHEPAL(T.W.D.) 22200614401 9600 BIJAPUR BIJAPUR P.S.BEALWPARA(T.W.D) 22200614402 9601 BIJAPUR BIJAPUR N.P.S.CHINNAJOJAR(SSA) 22200614501
  • 292.
    9602 BIJAPUR BIJAPURP.S.MANJHARPARA(T.W.D.) 22200614701 9603 BIJAPUR BIJAPUR P.S.RANAPARA(T.W.D.) 22200614901 9604 BIJAPUR BIJAPUR PRIMARY SCHOOL NEMED(T.W.D.) 22200614902 9605 BIJAPUR BIJAPUR N .P.S. PATELPARA NEMED(SSA) 22200614904 9606 BIJAPUR BIJAPUR MATA KASTURBA GANDHI BALIKA AS(SSA) 22200614905 9607 BIJAPUR BIJAPUR POTA CABIN NAIMED (SSA) 22200614907 9608 BIJAPUR BIJAPUR P.S.GAURUPARA(SSA) 22200614909 9609 BIJAPUR BIJAPUR BOYS.A.KAIKA(T.W.D.) 22200614910 9610 BIJAPUR BIJAPUR N.M.S.PEDAKODHEPAL(SSA) 22200614911 9611 BIJAPUR BIJAPUR GOVT M.S.NEMED(TWD) 22200614912 9612 BIJAPUR BIJAPUR GOVT P.S.NAIMED(TWD) 22200614913 9613 BIJAPUR BIJAPUR RESIDENTIAL SCHOOL M.S..POTA CABIN NEMED(SSA) 22200614914 9614 BIJAPUR BIJAPUR P.S.BEDARGUDA(T.W.D.) 22200615201 9615 BIJAPUR BIJAPUR P.S.SANJAYPARA(T.W.D) 22200615501 9616 BIJAPUR BIJAPUR M.S. SANJAY PARA BIJAPUR (SSA) 22200615502 9617 BIJAPUR BIJAPUR P.S.KATADIPARA(T.W.D.) 22200615601 9618 BIJAPUR BIJAPUR M.S. KOYAITPAL (T.W.D.) 22200615702 9619 BIJAPUR BIJAPUR P.S. NAYAPARA KOYAITPAL(T.W.D.) 22200615703 9620 BIJAPUR BIJAPUR N. GIRLS ASHRAM KOYAITPAL (T.W.D) 22200615704 9621 BIJAPUR BIJAPUR JANPAD P.S.KOYAITAL (T.W.D.) 22200615705 9622 BIJAPUR BIJAPUR PRIMARY SCHOOL NAYAPARA ITPAL(T.W.D.) 22200615801 9623 BIJAPUR BIJAPUR ASHRAM SCHOOL TAMODI (T.W.D) 22200616301 9624 BIJAPUR BIJAPUR N.P.S.KUAM TAMODI(SSA) 22200616302 9625 BIJAPUR BIJAPUR BOYS ASHRAM PADEDA (T.W.D.) 22200616501 9626 BIJAPUR BIJAPUR .M.S.PADEDA (T.W.D.) 22200616504 9627 BIJAPUR BIJAPUR N.P.S.MUNGA(SSA) 22200616506 9628 BIJAPUR BIJAPUR P.S.PEDAKORMA(SSA) 22200616507 9629 BIJAPUR BIJAPUR P.S.BHOGAMGUDA(SSA) 22200616508 9630 BIJAPUR BIJAPUR P.S.HIROLIPARA(SSA) 22200616509 9631 BIJAPUR BIJAPUR N.P.S.MEADPAL(TWD) 22200616510 9632 BIJAPUR BIJAPUR GIRLS ASHRAM REGADGATTA 22200617001 9633 BIJAPUR BIJAPUR GOVT M.S.TODKA(TWD) 22200617102 9634 BIJAPUR BIJAPUR JANPAD P.S.PALNAR MANJARPARA(TWD) 22200617103
  • 293.
    9635 BIJAPUR BIJAPURP.S. KANHAIGUDA (SSA) 22200620401 9636 BIJAPUR BIJAPUR P.S. KORSAPARA (SSA) 22200620801 9637 BIJAPUR BIJAPUR P.S. PAMALVAYA (SSA) 22200620901 9638 BIJAPUR BIJAPUR P.S.PANARAPARA BIJAPUR (SSA) 22200621201 9639 BIJAPUR BIJAPUR AVER .B.E.M.BIJAPUR(T.W.D.) 22200621204 9640 BIJAPUR BIJAPUR N.M.S.JELWADA(SSA) 22200621205 9641 BIJAPUR BIJAPUR N.P.S.MALLAPARA(SSA) 22200622101 9642 BIJAPUR BIJAPUR P.S.BADDEPARA(TWD) 22200622201 9643 BIJAPUR BIJAPUR G.P.S.NUKANPAL(SSA) 22200622301 9644 BIJAPUR BIJAPUR P.S.GUZAKONTA(SSA) 22200622501 9645 BIJAPUR BIJAPUR P.S. MASAPARA PAPANPAL 22200622601 9646 BIJAPUR BIJAPUR GOVT P.S. PONJER(TWD) 22200622701 9647 BIJAPUR BIJAPUR BOYS ASHARM KADENAR(TWD) 22200623002 9648 BIJAPUR USOOR GOVT BALAK ASHRAM MARUDBAKA 22201400101 9649 BIJAPUR USOOR GOVT P.S. MARUDBAKA 22201400102 9650 BIJAPUR USOOR P.S. BHUSHAPUR 22201400103 9651 BIJAPUR USOOR GOVT P.S. CHATLAPALLI 22201400104 9652 BIJAPUR USOOR B.A. MARUDBAKA(T.W.D) 22201400105 9653 BIJAPUR USOOR N.M.S. MARUDBAKA (T.W.D) 22201400106 9654 BIJAPUR USOOR GOVT P.S. DHARMAPUR 22201400203 9655 BIJAPUR USOOR BALAK ASHRAM DHARMAPUR 22201400204 9656 BIJAPUR USOOR ASHRAM P.S. 22201400302 9657 BIJAPUR USOOR GOVT P.S. LIGAPUR 22201400401 9658 BIJAPUR USOOR KANIST PRIMARY SCHOOL(T.W.D) 22201400501 9659 BIJAPUR USOOR BOYS ASHRAM(T.W.D) 22201400503 9660 BIJAPUR USOOR M.S.CHERAMANGI (T.W.D) 22201400504 9661 BIJAPUR USOOR BOYS ASHRAM BASAGUDA 22201400604 9662 BIJAPUR USOOR G.H.M.S. BASAGUDA(T.W.D) 22201400605 9663 BIJAPUR USOOR S.A. BASAGUDA(T.W.D) 22201400606 9664 BIJAPUR USOOR S.P.S. BASAGUDA (T.W.D) 22201400607 9665 BIJAPUR USOOR N.M.B.A. BASAGUDA(T.W.D) 22201400608 9666 BIJAPUR USOOR MATA .R. K. A. BASAGUDA (S.S.A) 22201400609 9667 BIJAPUR USOOR JANPAD P.S. LINGAGIRI (S.S.A) 22201400610
  • 294.
    9668 BIJAPUR USOORP. S. BASAGUDA (T.W.D) 22201400611 9669 BIJAPUR USOOR B.A. SARKEGUDA (T.W.D) 22201400612 9670 BIJAPUR USOOR P.S. NAYAPARA (BASAGUDA) 22201400613 9671 BIJAPUR USOOR GPVT.P.S. PEGADHAPALLI 22201400701 9672 BIJAPUR USOOR GOVT P.S. CHINTAKONTA 22201400802 9673 BIJAPUR USOOR P.S. KICHIAYAPAR(T.W.D) 22201401004 9674 BIJAPUR USOOR P.S. GUBALGUDA (T.W.D) 22201401006 9675 BIJAPUR USOOR GOVGT P.S. SURNAR 22201401102 9676 BIJAPUR USOOR GOVT.P.S. MALLEPALLI 22201401202 9677 BIJAPUR USOOR N.M.S. EANGPALLI(T.W.D.) 22201401402 9678 BIJAPUR USOOR P.S. RANGIGUDA (T.W.D) 22201401404 9679 BIJAPUR USOOR JANPAD P.S. RANGAIGUDA 22201401406 9680 BIJAPUR USOOR GOVT P.S. CHILKAPALLI 22201401503 9681 BIJAPUR USOOR GOVT P.S. PUTKEL 22201401504 9682 BIJAPUR USOOR GOVT. P.S. PAKELA 22201401601 9683 BIJAPUR USOOR PRIMARY SCHOOL 22201401701 9684 BIJAPUR USOOR PRIMARY SCHOOL (T.W.D) 22201401801 9685 BIJAPUR USOOR PRIMARY SCHOOL(T.W.D) 22201401902 9686 BIJAPUR USOOR GOVT. P.S. MALEMPETTA 22201402101 9687 BIJAPUR USOOR NAVIN P.S. POLAMPALI (T.W.D) 22201402102 9688 BIJAPUR USOOR PRIMARY SCHOOL KANCHAL 22201402201 9689 BIJAPUR USOOR P.S. ERRABOR (SSA) 22201402202 9690 BIJAPUR USOOR P.S. GUNDARAJGUDA (SSA) 22201402203 9691 BIJAPUR USOOR N.M.S. KAVARGATTA (T.W.D) 22201402204 9692 BIJAPUR USOOR N.M.S. KANCHAL(S.S.A) 22201402205 9693 BIJAPUR USOOR PRIMARY SCHOOL(T.W.D) 22201402301 9694 BIJAPUR USOOR (P.S. PALAGUDA (T,W,D) 22201402401 9695 BIJAPUR USOOR P.S. BOMED(T.W.D) 22201402402 9696 BIJAPUR USOOR PRIMARY SCHOOL(T.W.D) 22201402501 9697 BIJAPUR USOOR P.S. JHIDIPARA TIMMAPUR(S.S.A) 22201402502 9698 BIJAPUR USOOR M.S. TIMMAPUR (S.S.A) 22201402503 9699 BIJAPUR USOOR GOVT P.S. METAPARA 22201402504 9700 BIJAPUR USOOR GOVT. P.S. TUMREL 22201402601
  • 295.
    9701 BIJAPUR USOORJANPAD PRIMARY SCHOOL(T.W.D.) 22201402703 9702 BIJAPUR USOOR GOVTP.S. BADE SUKANPALLI 22201402705 9703 BIJAPUR USOOR GOVT P.S CHOTE SUKANPALLI 22201402706 9704 BIJAPUR USOOR GOVT P.S. KASHIGUDA 22201402802 9705 BIJAPUR USOOR GIRLS ASHARAM SCHOOL(T.W.D) 22201403202 9706 BIJAPUR USOOR ASHRAM SHALA PUJARIKANKER(T.WD) 22201403204 9707 BIJAPUR USOOR P.S. SAPED (S.S.A.) 22201403205 9708 BIJAPUR USOOR P.S. CHINGANPALLI (S.S.A) 22201403206 9709 BIJAPUR USOOR P.S. PAURGUDA (S.S.A) 22201403207 9710 BIJAPUR USOOR PRIMARY SCHOOL(T.WD) 22201403501 9711 BIJAPUR USOOR GOVT. P.S. PUSKONTA 22201403601 9712 BIJAPUR USOOR GOVT P.S.CHUTWAHI 22201403702 9713 BIJAPUR USOOR B.A.S. TAIRAM(TWD) 22201403704 9714 BIJAPUR USOOR GOVT P.S. CHINNAGELUR 22201403801 9715 BIJAPUR USOOR P.S. NADIPARA CHINNAGELLUR 22201403802 9716 BIJAPUR USOOR P.S. GUNDAM 22201403803 9717 BIJAPUR USOOR GOVT. P.S CHINNAGELLUR 22201403805 9718 BIJAPUR USOOR P.S. SODIPARA(S.S.A) 22201403907 9719 BIJAPUR USOOR G.H.S.S. USOOR (T.W.D) 22201403908 9720 BIJAPUR USOOR JANPAD. P.S. USOOR (T.W.D) 22201403909 9721 BIJAPUR USOOR RESIDENTIAL SCHOOL(GURUKUL AWASHIYA ASHRAM) USOOR (S.S.A.) 22201403911 9722 BIJAPUR USOOR GOVT P.S. CHILKAPALLI 22201404001 9723 BIJAPUR USOOR JANPAD PRIMRY UTLAPALLI (T.W .D) 22201404101 9724 BIJAPUR USOOR N.M.S. UTLAPALLI (S.S.A) 22201404102 9725 BIJAPUR USOOR N. M S .SEMALDODDI 22201404103 9726 BIJAPUR USOOR JANPAD PRIMARY SCHOOL(T.W.D) 22201404201 9727 BIJAPUR USOOR GOVT. K.H.S.ILMIDI (T.W.D) 22201404203 9728 BIJAPUR USOOR P.S. KASARAM PARA ILMIDI (S.S.A) 22201404204 9729 BIJAPUR USOOR P.S. REGDAPARA ILMIDI(S.S.A) 22201404205 9730 BIJAPUR USOOR P.S AAVASPARA (S.S.A) 22201404206 9731 BIJAPUR USOOR P.S. SANJAYPARA ILMIDI (S.S.A) 22201404208 9732 BIJAPUR USOOR G.A. ILMIDI (T.W.D) 22201404209 9733 BIJAPUR USOOR N.P.S INDIRAPARA SEMALDODI (S.S.A) 22201404210
  • 296.
    9734 BIJAPUR USOORP.S. JINIPPA(T.W.D) 22201404211 9735 BIJAPUR USOOR GOVT .P.S. LINGAGIRI 22201404501 9736 BIJAPUR USOOR M.S. LINGAGIRI 22201404503 9737 BIJAPUR USOOR K.P.S. EARRAKONTA 22201404602 9738 BIJAPUR USOOR GOVT P.S. KUMARPALLI 22201404701 9739 BIJAPUR USOOR GOVT P.S. KUMARPALLI 22201404702 9740 BIJAPUR USOOR GOVT P.S. ERRABOR 22201404801 9741 BIJAPUR USOOR GOVT P.S AUTPALLI 22201404901 9742 BIJAPUR USOOR GIRLS PRIMARY SCHOOL(T.W.D) 22201405201 9743 BIJAPUR USOOR GIRLS ASHARAM SCHOOL(T.W.D) 22201405202 9744 BIJAPUR USOOR JANPAD P.S. AWAPALLI(T.W.D) 22201405203 9745 BIJAPUR USOOR P.S. MADVIPARA AWAPALLI (S.S.A) 22201405204 9746 BIJAPUR USOOR J.P.M.S. AWAPALLI (T.W.D) 22201405205 9747 BIJAPUR USOOR GOVT P.S. BOYAGUDA AWAPALLI 22201405206 9748 BIJAPUR USOOR N.P.S. BODKEPARA (S.S.A) 22201405207 9749 BIJAPUR USOOR N.P.S. PREETVIHAR KALONI (S.S.A) 22201405208 9750 BIJAPUR USOOR GURUKUL A. DUGAIGUDA (S.S.A) 22201405210 9751 BIJAPUR USOOR M.S. CHINTAKONTA (T.W.D) 22201405211 9752 BIJAPUR USOOR GOVT P.S BOYGUDA 22201405213 9753 BIJAPUR USOOR PRIMARY BALAK ASHARAM 22201405302 9754 BIJAPUR USOOR GOVT P.S PISEPARA 22201405402 9755 BIJAPUR USOOR GOVT M.S CHATLAPALLI 22201405502 9756 BIJAPUR USOOR GOVT P.S. CHATLAPALLI 22201405503 9757 BIJAPUR USOOR P.S.MODAKPAL(T.W.D.) 22201405601 9758 BIJAPUR USOOR P.S.CHINTANPAL(T.W.D.) 22201405603 9759 BIJAPUR USOOR PRIMARY SCHOOL(T.W.D) 22201405701 9760 BIJAPUR USOOR GOVT.BALAK ASHARM PUSBAKA 22201405801 9761 BIJAPUR USOOR GOVT.P.S. ERRABOR 22201405805 9762 BIJAPUR USOOR B.A. POLAMPALLI (T.W.D) 22201405806 9763 BIJAPUR USOOR GOVT. P.S. PAWREL 22201406001 9764 BIJAPUR USOOR GOVT. B.A.RASPALLI 22201406102 9765 BIJAPUR USOOR GOVT P.S. UDTAMALLA 22201406202 9766 BIJAPUR USOOR GOVT. M.S. UDTAMALLA 22201406204
  • 297.
    9767 BIJAPUR USOORPRIMARY SCHOOL MURKINAR(T.W.D) 22201406401 9768 BIJAPUR USOOR E.G.S. CHINTANPAL (S.S.A) 22201406403 9769 BIJAPUR USOOR M.S. CHITANPAL(T.W.D) 22201406404 9770 BIJAPUR USOOR N.P.M.S. CHINTANPAL (T.W.D) 22201406405 9771 BIJAPUR USOOR N.M.S. MODAKPAL(T.W.D) 22201406406 9772 BIJAPUR USOOR G.A. MURKINAR (T.W.D.) 22201406407 9773 BIJAPUR USOOR N.M.S. SANDREL(S.S.A) 22201406408 9774 BIJAPUR USOOR P S PANGANPAL(T.W.D) 22201406409 9775 BIJAPUR USOOR GOVT P.S. GALGAM 22201406501 9776 BIJAPUR USOOR PRIMARY BALAK ASHARAM(T.W.D) 22201406502 9777 BIJAPUR USOOR P.S. NADPALLI 22201406503 9778 BIJAPUR USOOR N.M.S. GALGAM(S.S.A) 22201406504 9779 BIJAPUR USOOR P.S GALGAM 22201406505 9780 BIJAPUR USOOR P.S. GALGAM (T.W.D.) 22201406506 9781 BIJAPUR USOOR P.S. YAMPUR 22201406701 9782 BIJAPUR USOOR PRIMARY SCHOOL JARPALLI 22201406801 9783 BIJAPUR USOOR P.S. ENKAL 22201406802 9784 BIJAPUR USOOR P.S.MEDDIGUDA (SSA) 22201406803 9785 BIJAPUR USOOR P.S. TEKLER 22201406804 9786 BIJAPUR USOOR N.M.S. RASPALLI (SSA) 22201406805 9787 BIJAPUR USOOR PRIMARY SCHOOL GADIGUDA 22201406901 9788 BIJAPUR USOOR S.C. PRIMARY SCHOOL(T.W.D) 22201407001 9789 BIJAPUR USOOR BALAK ASHARAM(T.W.D) 22201407101 9790 BIJAPUR USOOR PRIMRY SHCOOL (T.W.D) 22201407102 9791 BIJAPUR USOOR P.M.S. MURDAND(T.W.D) 22201407103 9792 BIJAPUR USOOR PRIMARY SCHOOL 22201407201 9793 BIJAPUR USOOR M.S. PAMED 22201407303 9794 BIJAPUR USOOR P.S. PAMED 22201407304 9795 BIJAPUR USOOR RESIDENTIAL SCHOOL(GURUKUL AWASHIYA ASHRAM) PAMED (S.S.A.) 22201407306 9796 BIJAPUR USOOR GOVT P.S TEKMETLA 22201407501 9797 BIJAPUR USOOR PRIMARY SCHOOL(T.W.D) 22201407601 9798 BIJAPUR USOOR PRIMARY BALAK ASHARAM(T.WD) 22201407602 9799 BIJAPUR USOOR PRIMARY SCHOOL 22201407701
  • 298.
    9800 BIJAPUR USOORPRIMARY SCHOOL KAWARGATTA 22201407901 9801 BIJAPUR USOOR A.J.K.V. P.S. RASPALLI 22201408001 9802 BIJAPUR USOOR PRIMARY BALAK ASHARAM 22201408101 9803 BIJAPUR USOOR GOVT P.S. DHARMARAM 22201408102 9804 BIJAPUR USOOR BOYS ASHRAM P.S. 22201408104 9805 BIJAPUR USOOR M.S.DHARMARAM 22201408106 9806 BIJAPUR USOOR P.S. DHARMARAM(T.W.D) 22201408107 9807 BIJAPUR USOOR B.A. RASPALLI (T.W.D) 22201408108 9808 BIJAPUR USOOR P.S. UDTAMALLA (T.W.D) 22201408109 9809 BIJAPUR USOOR GOVT P.S. DHOLEGUDA 22201408202 9810 BIJAPUR USOOR PRIMARY SCHOOL 22201408301 9811 BIJAPUR USOOR 0PRIMARY BALAK ASHRAM KONDAPALLI 22201408402 9812 BIJAPUR USOOR M.S. KONDAPALLI (SSA) 22201408403 9813 BIJAPUR USOOR P.S. KONDAPALLI(T.W.D) 22201408404 9814 BIJAPUR USOOR KANYA ASRAM BATIGUDA(T.W.D.) 22201408501 9815 BIJAPUR USOOR P.S.BHATTIGUDA (T.W.D) 22201408503 9816 BIJAPUR USOOR SC PRIMARY SCHOOL(T.W.D) 22201408701 9817 BIJAPUR USOOR PRIMARY SCHOOL 22201408801 9818 BIJAPUR USOOR PRIMARY SCHOOL 22201408901 9819 BIJAPUR USOOR GOVT P.S. KOTTAGUDA 22201409002 9820 BIJAPUR USOOR GOVT P.S. UTALAPALLI 22201409101 9821 BIJAPUR USOOR NAVIN BOYS ASHRAM DARELI 22201409202 9822 BIJAPUR USOOR N.P.S. PEDACHANDA (SSA) 22201409203 9823 BIJAPUR USOOR P.S. KUMODTONG 22201409204 9824 BIJAPUR USOOR KANIST PRIMARY SCHOOL 22201409401 9825 BIJAPUR USOOR KANIST PRIMARY SCHOOL (T.W.D) 22201409501 9826 BIJAPUR USOOR PRIMARY SCHOOL 22201409601 9827 BIJAPUR USOOR P.S. KONJED 22201409603 9828 BIJAPUR USOOR PRIMARY SCHOOL JIDPALLI 22201409701 9829 BIJAPUR USOOR PRIMARY SCHOOL EAIRAPALLI 22201409901 9830 BIJAPUR USOOR PRIMARY SCHOOL(T.W.D) 22201410001 9831 BIJAPUR USOOR P.S AIPENTA (T.W.D) 22201410201 9832 BIJAPUR USOOR P.S REGADPARA LANKAPALLI (S.S.A) 22201410202
  • 299.
    9833 BIJAPUR USOORGOVT P.S. KOMATPALLI 22201410402 9834 BIJAPUR USOOR PRIMARY SCHOOL 22201410501 9835 BIJAPUR USOOR GOVT. P.S. BIRAGUDA 22201410703 9836 BIJAPUR USOOR M.S BIRAGUDA (T.W.D.) 22201410704 9837 BIJAPUR USOOR PRIMARY SCHOOL 22201410801 9838 BIJAPUR USOOR P.S.NUKANPAL(T.W.D.) 22201410901 9839 BIJAPUR USOOR NAVEEN P.S. PANGUD(S.S.A) 22201410903 9840 BIJAPUR USOOR M.S PUSGUDI (T.W.D) 22201410904 9841 BIJAPUR USOOR M.S MURKINAR (T.W.D) 22201410905 9842 BIJAPUR USOOR PRIMARY SCHOOL 22201411001 9843 BIJAPUR USOOR BALAK ASRAM (T.W.D) 22201411201 9844 BIJAPUR USOOR P.M.S. SANKANPALLI (T.W.D) 22201411203 9845 BIJAPUR USOOR E.G.S. CHITAMPARA SANKANPALLI 22201411204 9846 BIJAPUR USOOR PRIMARY SCHOOL(T.W.D) 22201411301 9847 BIJAPUR USOOR M.S. KORSAGUDA 22201411302 9848 BIJAPUR USOOR BALAK ASHRAM KORSAGUDA(T.W.D) 22201411303 9849 BIJAPUR USOOR GOVTP.S. METTAPARA KORSAGUDA 22201411304 9850 BIJAPUR USOOR KANIST PRIMARY SCHOOL(T.W.D) 22201411401 9851 BIJAPUR USOOR P. S. GU.A. DUGAIGUDA (S.S.A.) 22201411404 9852 BIJAPUR USOOR M.S.A.GU.A. AWAPALLI(S.S.A.) 22201411407 9853 BIJAPUR USOOR P.S. PUSHKONTA (S.S.A.) 22201411409 9854 BIJAPUR USOOR M.S. PUSHKONTA 22201411410 9855 BIJAPUR USOOR P.S NELAKANKER (T.W.D) 22201411604 9856 BIJAPUR USOOR NAVIN P.S. NARSAPUR 22201411702 9857 BIJAPUR USOOR KANIST PRIMARY SCHOOL 22201411801 9858 BIJAPUR USOOR . P.S. FARSAPALLI (S.S.A) 22201412102 9859 BIJAPUR USOOR NAVEN PRIMARY SCHOOL(T.W.D) 22201412501 9860 BIJAPUR USOOR KANIST PRIMARY SCHOOL BOTETONG 22201412601 9861 BIJAPUR USOOR NAVIN PRIMARY SCHOOL 22201412701 9862 BIJAPUR USOOR NAVIN PRIMARY SCHOOL,PINACHANDA 22201412801 9863 BIJAPUR USOOR P.S. DAMARAM (T.W.D) 22201413202 9864 BIJAPUR USOOR P.S. NAYAPARA BASAGUDA 22201413301 9865 BIJAPUR USOOR M. S. BIRAGUDA (T.W.D.) 22201413303
  • 300.
    9866 BIJAPUR USOORP.S.M.S. GU. A. BASAGUDA (SSA) 22201413304 9867 BIJAPUR USOOR P.S.MDARSHA BASAGUDA(T.W.D.) 22201413305 9868 BIJAPUR USOOR P.S. GAYTAPARA (T.W.D) 22201413306 9869 BIJAPUR USOOR KANIST PRIMARY SCHOOL (T.WD) 22201414201 9870 BIJAPUR USOOR BALAK ASHRAM CHINTAKONTA (T.W.D) 22201414701 9871 BIJAPUR USOOR P.S CHINTAKONTA(T.W.D) 22201414801 9872 BIJAPUR USOOR K.G.G.S. AAWAPALLI (K.G.B.V.) 22201415001 9873 BIJAPUR USOOR P.M.S. PUJARIKANKER (T.W.D) 22201415501 9874 BIJAPUR USOOR P. S. PUJARIKAKNKER 22201416801 9875 BIJAPUR USOOR E.G.S. TONG GUDA (S.S.A.) 22201416901 9876 BIJAPUR USOOR M.S.POTACABIN.A.MURKINAR(SSA) 22201417003 9877 BIJAPUR USOOR GOVT P.S. MEENAGATTA 22201417401 9878 BIJAPUR USOOR P.S. AWASPARA SEMALDODI(S.S.A) 22201417701 9879 BIJAPUR USOOR J. P. S. SEMALDODI 22201417702 9880 BIJAPUR USOOR P.S METAGUDA (SSA) 22201418001 9881 BIJAPUR USOOR E.G.S. KALMUPARA USOOR (S.S.A) 22201418201 9882 BIJAPUR USOOR P.S. KURSAMPARA MURDANDA 22201418301 9883 BIJAPUR USOOR P. S. KOMATGUDA (S.S.A) 22201418401 9884 BIJAPUR USOOR P.S. SITAPUR (S.S.A) 22201418501 9885 BIJAPUR USOOR P.S.GALGUM 22201418701 9886 BIJAPUR USOOR P. S. BAKNALGUDA 22201419202 9887 BIJAPUR USOOR B. A . PUJARI KANKER 22201419301 9888 BILASPUR (CHHATTISGARH) BILHA PS GIRLS KONI 22070300201 9889 BILASPUR (CHHATTISGARH) BILHA PS BOYS KONI 22070300202 9890 BILASPUR (CHHATTISGARH) BILHA MS GIRLS KONI 22070300204 9891 BILASPUR (CHHATTISGARH) BILHA MS KONI 22070300205 9892 BILASPUR (CHHATTISGARH) BILHA GOVT. PS BADI KONI 22070300301 9893 BILASPUR (CHHATTISGARH) BILHA NPEGEL, PS GIRLS, SENDRI 22070300401 9894 BILASPUR (CHHATTISGARH) BILHA JAN. BOYS PS SENDRI 22070300402 9895 BILASPUR (CHHATTISGARH) BILHA KANI. PS SATNAMI PARA, SENDRI 22070300403 9896 BILASPUR (CHHATTISGARH) BILHA GOVT MS SENDRI 22070300405 9897 BILASPUR (CHHATTISGARH) BILHA GOVT. JAN. PS, RAMTALA 22070300501 9898 BILASPUR (CHHATTISGARH) BILHA MS GOVT, RAMTALA 22070300502
  • 301.
    9899 BILASPUR (CHHATTISGARH) BILHAJAN. PS, KACHAR 22070300601 9900 BILASPUR (CHHATTISGARH) BILHA UP MS GOVT KACHHAR 22070300602 9901 BILASPUR (CHHATTISGARH) BILHA GOVT. PS RAMNAGAR KACHHAR 22070300603 9902 BILASPUR (CHHATTISGARH) BILHA GOVT. PS AMALTARA 22070300701 9903 BILASPUR (CHHATTISGARH) BILHA JAN. PS LOFANDI 22070300801 9904 BILASPUR (CHHATTISGARH) BILHA M.S. LOFANDI 22070300804 9905 BILASPUR (CHHATTISGARH) BILHA NEW PS, FOKATPARA 22070300805 9906 BILASPUR (CHHATTISGARH) BILHA PS GOVT. BITKULI 22070300901 9907 BILASPUR (CHHATTISGARH) BILHA JAN. PS BITKULI 22070300903 9908 BILASPUR (CHHATTISGARH) BILHA UP MS, BITKULI 22070300904 9909 BILASPUR (CHHATTISGARH) BILHA EGS TO PS, BITKULI 22070300905 9910 BILASPUR (CHHATTISGARH) BILHA EGS TO PS, DIPRAPARA 22070300906 9911 BILASPUR (CHHATTISGARH) BILHA PS NAGPUR 22070301002 9912 BILASPUR (CHHATTISGARH) BILHA JAN. PS NAGPURA 22070301003 9913 BILASPUR (CHHATTISGARH) BILHA GOVT. M.S., NAGPURA 22070301004 9914 BILASPUR (CHHATTISGARH) BILHA GOVT. PS RAMPUR 22070301101 9915 BILASPUR (CHHATTISGARH) BILHA GOVT. MS RAMPUR 22070301102 9916 BILASPUR (CHHATTISGARH) BILHA JAN. PS MANJUR PAHRI 22070301201 9917 BILASPUR (CHHATTISGARH) BILHA GOVT PS DAHAITPARA 22070301202 9918 BILASPUR (CHHATTISGARH) BILHA PS TO MS, MANJUR PAHARI 22070301203 9919 BILASPUR (CHHATTISGARH) BILHA GOVT. PS KADRI 22070301301 9920 BILASPUR (CHHATTISGARH) BILHA GOVT PS DHANUHARPARA KADRI 22070301302 9921 BILASPUR (CHHATTISGARH) BILHA JAN. PS BAMHNI KHURD 22070301401 9922 BILASPUR (CHHATTISGARH) BILHA JAN. PS BASHA 22070301501 9923 BILASPUR (CHHATTISGARH) BILHA PS TO MS, BASAHA 22070301502 9924 BILASPUR (CHHATTISGARH) BILHA NPEGEL, JAN. PS KARMA 22070301601 9925 BILASPUR (CHHATTISGARH) BILHA GOVT. PS KARMA 22070301602 9926 BILASPUR (CHHATTISGARH) BILHA MS GOVT, KARMA 22070301603 9927 BILASPUR (CHHATTISGARH) BILHA EGS TO PS, DARRIPARA 22070301604 9928 BILASPUR (CHHATTISGARH) BILHA NEW PS, SARAIPALI 22070301605 9929 BILASPUR (CHHATTISGARH) BILHA UP MS, KADARI 22070301606 9930 BILASPUR (CHHATTISGARH) BILHA UP MS, BHILMI 22070301607 9931 BILASPUR (CHHATTISGARH) BILHA GOVT. PS DHOURA MUDA 22070301701
  • 302.
    9932 BILASPUR (CHHATTISGARH) BILHAUP MS, DHOURAMUDA 22070301702 9933 BILASPUR (CHHATTISGARH) BILHA PS BARPALI 22070301801 9934 BILASPUR (CHHATTISGARH) BILHA KANI. PS BARBHATA 22070301901 9935 BILASPUR (CHHATTISGARH) BILHA PS GOVT, BARBHATHA 22070301902 9936 BILASPUR (CHHATTISGARH) BILHA JAN. PS DAGANIA 22070302001 9937 BILASPUR (CHHATTISGARH) BILHA JAN. GIRLS PS DAGANIA 22070302002 9938 BILASPUR (CHHATTISGARH) BILHA MS GOVT, DAGAIYA 22070302003 9939 BILASPUR (CHHATTISGARH) BILHA EGS TO PS,BANDHAVAPARA 22070302004 9940 BILASPUR (CHHATTISGARH) BILHA JAN. PS KHAIRA (D) 22070302101 9941 BILASPUR (CHHATTISGARH) BILHA UP MS, KHAIRA (D) 22070302102 9942 BILASPUR (CHHATTISGARH) BILHA GOVT. PS PIPRA 22070302201 9943 BILASPUR (CHHATTISGARH) BILHA JAN. PS BAMHU 22070302301 9944 BILASPUR (CHHATTISGARH) BILHA M.S. SCHOOL BAMHU 22070302302 9945 BILASPUR (CHHATTISGARH) BILHA GOVT. PA NIPANIYA 22070302403 9946 BILASPUR (CHHATTISGARH) BILHA GOVT . PS NIPANIA 22070302404 9947 BILASPUR (CHHATTISGARH) BILHA GOVT. PS CHORHA DEVRI 22070302501 9948 BILASPUR (CHHATTISGARH) BILHA GOVT MS CHORHA DEVRI 22070302502 9949 BILASPUR (CHHATTISGARH) BILHA JAN. PS SELAR 22070302601 9950 BILASPUR (CHHATTISGARH) BILHA NPEGEL, PS GIRLS, SELAR 22070302602 9951 BILASPUR (CHHATTISGARH) BILHA GOVT. PS FOKAT-PARA 22070302604 9952 BILASPUR (CHHATTISGARH) BILHA MS GOVT, SELAR 22070302605 9953 BILASPUR (CHHATTISGARH) BILHA JAN. PS UCCHA BHATTHI 22070302701 9954 BILASPUR (CHHATTISGARH) BILHA UP MS, UCCHBHATTHI 22070302702 9955 BILASPUR (CHHATTISGARH) BILHA JAN. PS BHILMI 22070302801 9956 BILASPUR (CHHATTISGARH) BILHA GOVT. KANI. PS PANDEPUR 22070302901 9957 BILASPUR (CHHATTISGARH) BILHA R.G.S.M. PS GOPALPUR 22070303001 9958 BILASPUR (CHHATTISGARH) BILHA JAN. PS BHADI 22070303101 9959 BILASPUR (CHHATTISGARH) BILHA NAVIN PS BANDHAI PARA (BHADI) 22070303102 9960 BILASPUR (CHHATTISGARH) BILHA MS GOVT, BHADI 22070303103 9961 BILASPUR (CHHATTISGARH) BILHA NPEGEL, PS GIRLS, SEMARTAL 22070303201 9962 BILASPUR (CHHATTISGARH) BILHA PS BOYS SEMARTAL 22070303202 9963 BILASPUR (CHHATTISGARH) BILHA MS BOYS SEMARTAL 22070303204 9964 BILASPUR (CHHATTISGARH) BILHA MS GIRLS SEMARTAL 22070303205
  • 303.
    9965 BILASPUR (CHHATTISGARH) BILHAJAN. PS JALSO 22070303301 9966 BILASPUR (CHHATTISGARH) BILHA PS NAHRI BHATHA 22070303302 9967 BILASPUR (CHHATTISGARH) BILHA MS GOVT, JALSO 22070303303 9968 BILASPUR (CHHATTISGARH) BILHA PS GOVT, NAVEEN, BHURI BHATHA 22070303304 9969 BILASPUR (CHHATTISGARH) BILHA GOVT. PS BHADOURIA KHAR 22070303401 9970 BILASPUR (CHHATTISGARH) BILHA JAN. BOYS PS, PAUNSARA 22070303501 9971 BILASPUR (CHHATTISGARH) BILHA GOVT. GIRLS PS PAUNSARA 22070303502 9972 BILASPUR (CHHATTISGARH) BILHA PS UTTI PARA PAUNSARA 22070303503 9973 BILASPUR (CHHATTISGARH) BILHA MS GOVT, POUNSARA 22070303504 9974 BILASPUR (CHHATTISGARH) BILHA KANI. PS BANIA-DIH (PAUNSARA) 22070303601 9975 BILASPUR (CHHATTISGARH) BILHA GOVT. SP PADSOUDI 22070303801 9976 BILASPUR (CHHATTISGARH) BILHA NPEGEL, PS GOVT, PARSADA 22070303802 9977 BILASPUR (CHHATTISGARH) BILHA JAN. PS PARSADA 22070303803 9978 BILASPUR (CHHATTISGARH) BILHA KANI. PS NAYAPARA PARSADA 22070303804 9979 BILASPUR (CHHATTISGARH) BILHA GOVT. PS PARSADA 22070303805 9980 BILASPUR (CHHATTISGARH) BILHA EGS TO PS, NAYAPARA (S) 22070303807 9981 BILASPUR (CHHATTISGARH) BILHA PS GATOURI 22070303901 9982 BILASPUR (CHHATTISGARH) BILHA MS GOVT, GATOURI 22070303902 9983 BILASPUR (CHHATTISGARH) BILHA PS, VIDYA MANDIR, GATOURI 22070303903 9984 BILASPUR (CHHATTISGARH) BILHA GOVT. PS DEVRI KHURD 22070304001 9985 BILASPUR (CHHATTISGARH) BILHA MS GOVT DEVARIKHURD 22070304005 9986 BILASPUR (CHHATTISGARH) BILHA PS JAN, DOMUHANI 22070304101 9987 BILASPUR (CHHATTISGARH) BILHA UP MS, DOMUHANI 22070304102 9988 BILASPUR (CHHATTISGARH) BILHA PS URAIHA PARA 22070304201 9989 BILASPUR (CHHATTISGARH) BILHA JAN. PS KHAMTARAI 22070304301 9990 BILASPUR (CHHATTISGARH) BILHA NPEGEL, PS GIRLS, BAIMA 22070304401 9991 BILASPUR (CHHATTISGARH) BILHA MS GIRLS, BAIMA 22070304402 9992 BILASPUR (CHHATTISGARH) BILHA GOVT PS DAIHANPARA 22070304403 9993 BILASPUR (CHHATTISGARH) BILHA S C BOYS ASHRAM BAIMA 22070304406 9994 BILASPUR (CHHATTISGARH) BILHA PS FOKAT PARA MOHRA 22070304501 9995 BILASPUR (CHHATTISGARH) BILHA JAN. PS MOHRA 22070304502 9996 BILASPUR (CHHATTISGARH) BILHA MS GOVT, MOHRA 22070304503 9997 BILASPUR (CHHATTISGARH) BILHA EGS TO PS,DHANUHARPARA 22070304504
  • 304.
    9998 BILASPUR (CHHATTISGARH) BILHAGOVT. SP KHAPRA KHOL 22070304601 9999 BILASPUR (CHHATTISGARH) BILHA PS BOYS BIRKONA 22070304703 10000 BILASPUR (CHHATTISGARH) BILHA GOVT. GIRLS PS BIRKONA 22070304704 10001 BILASPUR (CHHATTISGARH) BILHA GOVT. PS ASHABAND (BIRKONA) 22070304705 10002 BILASPUR (CHHATTISGARH) BILHA GOVT. MS BIRKONA 22070304708 10003 BILASPUR (CHHATTISGARH) BILHA PS GOVT DEVNAGAR BIRKONA 22070304709 10004 BILASPUR (CHHATTISGARH) BILHA GOVT. PS HARDI-DIH 22070304801 10005 BILASPUR (CHHATTISGARH) BILHA JAN. GIRLS PS NAGOI 22070304901 10006 BILASPUR (CHHATTISGARH) BILHA PS BOYS NAGOI 22070304902 10007 BILASPUR (CHHATTISGARH) BILHA MS GOVT, BAIMANAGOI 22070304904 10008 BILASPUR (CHHATTISGARH) BILHA EGS TO PS, DHALHIPARA 22070304906 10009 BILASPUR (CHHATTISGARH) BILHA PS SARDHA 22070305001 10010 BILASPUR (CHHATTISGARH) BILHA MS GOVT, SARDHA 22070305002 10011 BILASPUR (CHHATTISGARH) BILHA GOVT. PS NAVGAVA 22070305101 10012 BILASPUR (CHHATTISGARH) BILHA PS GOVT, NAGROUDI 22070305201 10013 BILASPUR (CHHATTISGARH) BILHA UP MS, NAGROUDI 22070305202 10014 BILASPUR (CHHATTISGARH) BILHA GOVT. PS SILPAHRI 22070305301 10015 BILASPUR (CHHATTISGARH) BILHA GOVT.M.S., SILPAHARI 22070305302 10016 BILASPUR (CHHATTISGARH) BILHA GOVT. PS FADHA 22070305401 10017 BILASPUR (CHHATTISGARH) BILHA GOVT. PS MAGAR UCHALA 22070305501 10018 BILASPUR (CHHATTISGARH) BILHA JAN. PS PIRAIYA 22070305601 10019 BILASPUR (CHHATTISGARH) BILHA UP MS, PIRAIYA 22070305602 10020 BILASPUR (CHHATTISGARH) BILHA JAN. PS SARVANI 22070305701 10021 BILASPUR (CHHATTISGARH) BILHA GOVT.M.S., SARVANI 22070305702 10022 BILASPUR (CHHATTISGARH) BILHA GOVT. PS RAVAT PARA 22070305801 10023 BILASPUR (CHHATTISGARH) BILHA GOVT. PS SATNAMI PARA 22070305802 10024 BILASPUR (CHHATTISGARH) BILHA JAN. BOYS HARDI KALA 22070305803 10025 BILASPUR (CHHATTISGARH) BILHA GOVT. GIRLS HARDI KALA 22070305804 10026 BILASPUR (CHHATTISGARH) BILHA GOVT.M.S., HARDIKALA 22070305805 10027 BILASPUR (CHHATTISGARH) BILHA GOVT MS HARDIKALA (TONA) 22070305807 10028 BILASPUR (CHHATTISGARH) BILHA NAVIN PS KORMI 22070305901 10029 BILASPUR (CHHATTISGARH) BILHA JAN. KORMI 22070305902 10030 BILASPUR (CHHATTISGARH) BILHA UP.MS KORMI 22070305903
  • 305.
    10031 BILASPUR (CHHATTISGARH) BILHAGOVT. PS BASIA 22070306001 10032 BILASPUR (CHHATTISGARH) BILHA M.S. SCHOOL BASIA 22070306002 10033 BILASPUR (CHHATTISGARH) BILHA JAN. PS LIMTARI 22070306101 10034 BILASPUR (CHHATTISGARH) BILHA EGS TO PS, KHAPRAKHOL 22070306102 10035 BILASPUR (CHHATTISGARH) BILHA JAN. PS PONDI 22070306201 10036 BILASPUR (CHHATTISGARH) BILHA NPEGEL, PS GOVT, PONDI(S) 22070306202 10037 BILASPUR (CHHATTISGARH) BILHA UP MS, PONDI (HATHNI) 22070306203 10038 BILASPUR (CHHATTISGARH) BILHA NPEGEL, JAN. PS, MOPKA 22070306301 10039 BILASPUR (CHHATTISGARH) BILHA GOVT. PS. KANI. KUTI PARA 22070306302 10040 BILASPUR (CHHATTISGARH) BILHA GOVT. PS. GONDPARA MOPKA 22070306303 10041 BILASPUR (CHHATTISGARH) BILHA MS GOVT, MOPKA 22070306304 10042 BILASPUR (CHHATTISGARH) BILHA UP MS GIRLS, MOPKA 22070306306 10043 BILASPUR (CHHATTISGARH) BILHA PS. BODSARA 22070306401 10044 BILASPUR (CHHATTISGARH) BILHA MS GOVT, BODSARA 22070306402 10045 BILASPUR (CHHATTISGARH) BILHA PS KHUDIYA DIH 22070306501 10046 BILASPUR (CHHATTISGARH) BILHA EGS TO PS,BOHARDIH, KUVA 22070306602 10047 BILASPUR (CHHATTISGARH) BILHA UP MS, KUVA 22070306603 10048 BILASPUR (CHHATTISGARH) BILHA GOVT PS KUNVA 22070306604 10049 BILASPUR (CHHATTISGARH) BILHA JAN PS KAYA 22070306701 10050 BILASPUR (CHHATTISGARH) BILHA MS GOVT, KAYA 22070306702 10051 BILASPUR (CHHATTISGARH) BILHA PS JANPAD, BUNDELA 22070306801 10052 BILASPUR (CHHATTISGARH) BILHA EGS TO PS, KHOLIPARA 22070306802 10053 BILASPUR (CHHATTISGARH) BILHA PS TO MS, BUNDELA 22070306803 10054 BILASPUR (CHHATTISGARH) BILHA JAN. BOYS PS SEVAR 22070306901 10055 BILASPUR (CHHATTISGARH) BILHA MS GOVT, SEVAR 22070306902 10056 BILASPUR (CHHATTISGARH) BILHA NPEGEL, PS GIRLS, SEVAR 22070306903 10057 BILASPUR (CHHATTISGARH) BILHA EGS TO PS,HARIJAN MOHALLA 22070306904 10058 BILASPUR (CHHATTISGARH) BILHA GOVT. PS NAGAR DIH 22070307001 10059 BILASPUR (CHHATTISGARH) BILHA GOVT. PS KHEKSAHI 22070307101 10060 BILASPUR (CHHATTISGARH) BILHA JAN. PS KADAR 22070307201 10061 BILASPUR (CHHATTISGARH) BILHA MS GOVT, KADAR 22070307202 10062 BILASPUR (CHHATTISGARH) BILHA EGS TO PS,BHATHAPARA 22070307203 10063 BILASPUR (CHHATTISGARH) BILHA GOVT. PS YADUNANDAN NAGAR 22070307301
  • 306.
    10064 BILASPUR (CHHATTISGARH) BILHAGOVT. GIRLS PS TIFRA 22070307302 10065 BILASPUR (CHHATTISGARH) BILHA JAN. PS TIFRA 22070307303 10066 BILASPUR (CHHATTISGARH) BILHA KANI. PS ARYA COLONY TIFRA 22070307304 10067 BILASPUR (CHHATTISGARH) BILHA GOVT. M.S., TIFRA 22070307314 10068 BILASPUR (CHHATTISGARH) BILHA EGS TO PS, KOREAPARA 22070307319 10069 BILASPUR (CHHATTISGARH) BILHA NPEGEL, PS GOVT, PASID 22070307401 10070 BILASPUR (CHHATTISGARH) BILHA JAN. PS PASID 22070307402 10071 BILASPUR (CHHATTISGARH) BILHA MS GOVT, PASID 22070307403 10072 BILASPUR (CHHATTISGARH) BILHA GOVT PS MANGLA PASID 22070307404 10073 BILASPUR (CHHATTISGARH) BILHA GOVT. PS DURUG DIH 22070307502 10074 BILASPUR (CHHATTISGARH) BILHA GOVT. PS KHAMHAR DIH 22070307601 10075 BILASPUR (CHHATTISGARH) BILHA UP MS, KHAMHARDIH 22070307602 10076 BILASPUR (CHHATTISGARH) BILHA GOVT. PS KANERI 22070307701 10077 BILASPUR (CHHATTISGARH) BILHA GOVT MS KANERI 22070307702 10078 BILASPUR (CHHATTISGARH) BILHA GOVT. PS BELTUKRI 22070307801 10079 BILASPUR (CHHATTISGARH) BILHA UP MS, BELTUKRI 22070307802 10080 BILASPUR (CHHATTISGARH) BILHA GOVT. GIRLS KIRTI NAGAR 22070307907 10081 BILASPUR (CHHATTISGARH) BILHA GOVT. BOYS KIRTI NAGAR 22070307908 10082 BILASPUR (CHHATTISGARH) BILHA NPEGEL, JAN. PS, SIRGITTI 22070307909 10083 BILASPUR (CHHATTISGARH) BILHA GOVT. PS HIRA NAGAR 22070307910 10084 BILASPUR (CHHATTISGARH) BILHA GOVT.M.S.(G),HIRANAGAR 22070307917 10085 BILASPUR (CHHATTISGARH) BILHA GOVT. M.S., SIRGITTI 22070307919 10086 BILASPUR (CHHATTISGARH) BILHA PS, NAVEEN SCHOOL, SIRGITTI 22070307922 10087 BILASPUR (CHHATTISGARH) BILHA PS TO MS GOVT. KIRTINAGAAR 22070307925 10088 BILASPUR (CHHATTISGARH) BILHA JAN. BOYS BHAT GAON 22070308001 10089 BILASPUR (CHHATTISGARH) BILHA NPEGEL, PS GIRLS, BHATGAON 22070308002 10090 BILASPUR (CHHATTISGARH) BILHA MS BHAT GAON 22070308003 10091 BILASPUR (CHHATTISGARH) BILHA GOVT. PS DODKI 22070308101 10092 BILASPUR (CHHATTISGARH) BILHA GOVT. PS DODKIBHATA 22070308102 10093 BILASPUR (CHHATTISGARH) BILHA GOVT. PS KEVACHI 22070308201 10094 BILASPUR (CHHATTISGARH) BILHA GOVT. PS GUMA 22070308301 10095 BILASPUR (CHHATTISGARH) BILHA JAN. PS DEV KIRARI 22070308401 10096 BILASPUR (CHHATTISGARH) BILHA UP MS, DEV KIRARI 22070308402
  • 307.
    10097 BILASPUR (CHHATTISGARH) BILHAKANI. PS KIRARI GODHI 22070308501 10098 BILASPUR (CHHATTISGARH) BILHA KANI. PS BOHAR DIH 22070308601 10099 BILASPUR (CHHATTISGARH) BILHA BOYS P.S. LAKHARAM 22070308703 10100 BILASPUR (CHHATTISGARH) BILHA GOVT. GIRLS. GPS. LAKHARAM 22070308704 10101 BILASPUR (CHHATTISGARH) BILHA MS LAKHRAM 22070308705 10102 BILASPUR (CHHATTISGARH) BILHA MS GIRLS, LAKHRAM 22070308706 10103 BILASPUR (CHHATTISGARH) BILHA NPEGEL, PS GOVT, KHAIRKHUNDI 22070308801 10104 BILASPUR (CHHATTISGARH) BILHA PS TO MS, KHAIRKHUNDI 22070308803 10105 BILASPUR (CHHATTISGARH) BILHA JP. P.S. GADVAT 22070308901 10106 BILASPUR (CHHATTISGARH) BILHA NAVIN P.S. GADVAT 22070308902 10107 BILASPUR (CHHATTISGARH) BILHA MS GOVT, GADHVAT 22070308903 10108 BILASPUR (CHHATTISGARH) BILHA NAVIN PS. AKALTARI 22070309001 10109 BILASPUR (CHHATTISGARH) BILHA PS. AKALTARI 22070309002 10110 BILASPUR (CHHATTISGARH) BILHA MS GOVT, AKALTARI 22070309003 10111 BILASPUR (CHHATTISGARH) BILHA GOVT. PS. SARVAN DEVARI 22070309101 10112 BILASPUR (CHHATTISGARH) BILHA GOVT MS SARVAN DEVRI 22070309102 10113 BILASPUR (CHHATTISGARH) BILHA KANI. PS. MATIYARI 22070309201 10114 BILASPUR (CHHATTISGARH) BILHA JP. PS. MATIYARI 22070309202 10115 BILASPUR (CHHATTISGARH) BILHA MS GOVT, MATIYARI 22070309203 10116 BILASPUR (CHHATTISGARH) BILHA PS. UTARUM 22070309301 10117 BILASPUR (CHHATTISGARH) BILHA MS GOVT, URTUM 22070309302 10118 BILASPUR (CHHATTISGARH) BILHA GOVT PS. BIJOUR 22070309401 10119 BILASPUR (CHHATTISGARH) BILHA MS GOVT, BIJOUR 22070309402 10120 BILASPUR (CHHATTISGARH) BILHA GOVT. PS. PHARHADA 22070309501 10121 BILASPUR (CHHATTISGARH) BILHA MS GOVT, FARHADA 22070309502 10122 BILASPUR (CHHATTISGARH) BILHA PS. BAHTARAI 22070309601 10123 BILASPUR (CHHATTISGARH) BILHA MS GOVT, BAHTARAI 22070309602 10124 BILASPUR (CHHATTISGARH) BILHA PS. CHILHATI 22070309701 10125 BILASPUR (CHHATTISGARH) BILHA EGS TO PS,DHANUHARPARA 22070309702 10126 BILASPUR (CHHATTISGARH) BILHA UP MS, CHILHATI 22070309703 10127 BILASPUR (CHHATTISGARH) BILHA GOVT. PS. KANI. RAM NAGAR 22070309801 10128 BILASPUR (CHHATTISGARH) BILHA PS GOVT,CHANDAN AWAS, LINGIYAD 22070309802 10129 BILASPUR (CHHATTISGARH) BILHA MS GOVT, LINGIYADIH 22070309803
  • 308.
    10130 BILASPUR (CHHATTISGARH) BILHAPS. GOVT. LINGIYADIH 22070309807 10131 BILASPUR (CHHATTISGARH) BILHA UP MS, PARSAHI 22070309901 10132 BILASPUR (CHHATTISGARH) BILHA GOVT. PS. PARSAHI 22070309902 10133 BILASPUR (CHHATTISGARH) BILHA JP. PS. LAGARA 22070310001 10134 BILASPUR (CHHATTISGARH) BILHA MS GOVT, LAGRA 22070310002 10135 BILASPUR (CHHATTISGARH) BILHA MS GODAIYA 22070310101 10136 BILASPUR (CHHATTISGARH) BILHA EGS TO PS, OKLAHIPARA 22070310102 10137 BILASPUR (CHHATTISGARH) BILHA GOVT. PS PENDARVA 22070310201 10138 BILASPUR (CHHATTISGARH) BILHA PS. PENDRVA (S) 22070310202 10139 BILASPUR (CHHATTISGARH) BILHA GOVT. PS. CHUMKAVA 22070310301 10140 BILASPUR (CHHATTISGARH) BILHA GOVT. PS. MOHATARAI 22070310401 10141 BILASPUR (CHHATTISGARH) BILHA EGS TO PS, KOSTAPARA 22070310402 10142 BILASPUR (CHHATTISGARH) BILHA UP MS, MOHATARAI 22070310403 10143 BILASPUR (CHHATTISGARH) BILHA JP. PS. SINGHARI 22070310501 10144 BILASPUR (CHHATTISGARH) BILHA MS SINGHARI 22070310502 10145 BILASPUR (CHHATTISGARH) BILHA JP.PS. MADAN PUR(BOYS) 22070310601 10146 BILASPUR (CHHATTISGARH) BILHA GIRLS PS. MADANPUR 22070310602 10147 BILASPUR (CHHATTISGARH) BILHA MS, NAVEEN,MADANPUR 22070310603 10148 BILASPUR (CHHATTISGARH) BILHA NEW PS, AWASPARA, MADANPUR 22070310604 10149 BILASPUR (CHHATTISGARH) BILHA GOVT. PS. SEMARI 22070310701 10150 BILASPUR (CHHATTISGARH) BILHA GOVT. PS. LACHHAN PUR 22070310801 10151 BILASPUR (CHHATTISGARH) BILHA PS. BHARARI 22070310902 10152 BILASPUR (CHHATTISGARH) BILHA MS BHARARI 22070310903 10153 BILASPUR (CHHATTISGARH) BILHA UP MS GIRLS, BHARARI 22070310904 10154 BILASPUR (CHHATTISGARH) BILHA NPEGEL, NEW PS, NAYAPARA, GONDAIYA 22070310905 10155 BILASPUR (CHHATTISGARH) BILHA NEW PS, SADAKPARA, BHARARI 22070310906 10156 BILASPUR (CHHATTISGARH) BILHA BHARVI DIH 22070311001 10157 BILASPUR (CHHATTISGARH) BILHA UP MS, BHARVI DIH 22070311002 10158 BILASPUR (CHHATTISGARH) BILHA NAVIN PS. KOLIHA BHATHA 22070311101 10159 BILASPUR (CHHATTISGARH) BILHA GOVT. PS. LALKHADAN 22070311201 10160 BILASPUR (CHHATTISGARH) BILHA GOVT. PS. SAPHED KHADAN 22070311302 10161 BILASPUR (CHHATTISGARH) BILHA JP. PS. SEMARA 22070311401 10162 BILASPUR (CHHATTISGARH) BILHA UP MS, SEMRA 22070311402
  • 309.
    10163 BILASPUR (CHHATTISGARH) BILHAPS. DHUMA 22070311501 10164 BILASPUR (CHHATTISGARH) BILHA PS. DHUMA(BALIKA) 22070311502 10165 BILASPUR (CHHATTISGARH) BILHA MS DHUMA 22070311503 10166 BILASPUR (CHHATTISGARH) BILHA GOVT. PS. MANIKPUR 22070311601 10167 BILASPUR (CHHATTISGARH) BILHA GOVT MS MANIKPUR 22070311603 10168 BILASPUR (CHHATTISGARH) BILHA GOVT. PS. DEKA 22070311701 10169 BILASPUR (CHHATTISGARH) BILHA MS. DEKA 22070311702 10170 BILASPUR (CHHATTISGARH) BILHA UP PS, NAYAPARA, DHEKA 22070311703 10171 BILASPUR (CHHATTISGARH) BILHA NPEGEL, PS.BUTAPARA, MAHNAD 22070311801 10172 BILASPUR (CHHATTISGARH) BILHA MS MAHMAND 22070311802 10173 BILASPUR (CHHATTISGARH) BILHA PS JANPAD GOVT MAHMAND 22070311805 10174 BILASPUR (CHHATTISGARH) BILHA GOVT MS MOHDA 22070311901 10175 BILASPUR (CHHATTISGARH) BILHA JANPAD PS MOHDA 22070311902 10176 BILASPUR (CHHATTISGARH) BILHA PS JHALFA 22070312101 10177 BILASPUR (CHHATTISGARH) BILHA JAN PS HIRRI 22070312201 10178 BILASPUR (CHHATTISGARH) BILHA UP MS GOVT HIRRI 22070312202 10179 BILASPUR (CHHATTISGARH) BILHA GOVT. PS HARDI 22070312301 10180 BILASPUR (CHHATTISGARH) BILHA EGS TO PS, DOKLADIH 22070312401 10181 BILASPUR (CHHATTISGARH) BILHA PS TO MS, GOVT. PENDARVA 22070312402 10182 BILASPUR (CHHATTISGARH) BILHA GOVT. MS PENDARWA 22070312403 10183 BILASPUR (CHHATTISGARH) BILHA GOVT. PS BHOJPURI 22070312501 10184 BILASPUR (CHHATTISGARH) BILHA M.S. GOVT. BHOJPURI 22070312502 10185 BILASPUR (CHHATTISGARH) BILHA NPEGEL, PS GIRLS, DHOURABHATHA 22070312601 10186 BILASPUR (CHHATTISGARH) BILHA BOYS PS DHOURA BHATHA 22070312602 10187 BILASPUR (CHHATTISGARH) BILHA MS GOVT, DHOURABHATHA 22070312603 10188 BILASPUR (CHHATTISGARH) BILHA GOVT. PS GODHI 22070312701 10189 BILASPUR (CHHATTISGARH) BILHA MS GODHI 22070312702 10190 BILASPUR (CHHATTISGARH) BILHA GOVT. PS CHAKARBHATA GRAM 22070312802 10191 BILASPUR (CHHATTISGARH) BILHA GOVT. GIRLS PS CHAKARBHATHA 22070312803 10192 BILASPUR (CHHATTISGARH) BILHA BOYS PS CHAKARBHATA CAMP 22070312804 10193 BILASPUR (CHHATTISGARH) BILHA MS BOYS GOVT, CHAKARBHATHA 22070312807 10194 BILASPUR (CHHATTISGARH) BILHA MS GIRLS GOVT, CHAKARBHATHA 22070312808 10195 BILASPUR (CHHATTISGARH) BILHA PS ACHANAKPUR 22070312901
  • 310.
    10196 BILASPUR (CHHATTISGARH) BILHANPEGEL, JAN. PS, BILHA 22070313005 10197 BILASPUR (CHHATTISGARH) BILHA GIRLS PS BILHA 22070313006 10198 BILASPUR (CHHATTISGARH) BILHA JP. PS. GODAIYA 22070313008 10199 BILASPUR (CHHATTISGARH) BILHA GOVT. PS. BUTA PARA 22070313009 10200 BILASPUR (CHHATTISGARH) BILHA MS, GOVT GIRLS, W-12 22070313012 10201 BILASPUR (CHHATTISGARH) BILHA GOVT . MODAL SCHOOL GODHI 22070313014 10202 BILASPUR (CHHATTISGARH) BILHA PS LIMHA 22070313101 10203 BILASPUR (CHHATTISGARH) BILHA PS NAVAPARA (LIMHA) 22070313102 10204 BILASPUR (CHHATTISGARH) BILHA MS GOVT, LIMHA 22070313103 10205 BILASPUR (CHHATTISGARH) BILHA EGS TO PS, LIMTARIPARA 22070313104 10206 BILASPUR (CHHATTISGARH) BILHA EGS TO PS,KASIPARAPARA 22070313105 10207 BILASPUR (CHHATTISGARH) BILHA GOVT. PS JOGIDIPA 22070313201 10208 BILASPUR (CHHATTISGARH) BILHA PS KORBI 22070313301 10209 BILASPUR (CHHATTISGARH) BILHA KANI. PS HARDI PARA (KORBI) 22070313302 10210 BILASPUR (CHHATTISGARH) BILHA MS, JANBHAGIDARI,KORBI 22070313303 10211 BILASPUR (CHHATTISGARH) BILHA JAN. PS UMARIA 22070313401 10212 BILASPUR (CHHATTISGARH) BILHA GOVT. PS UMARIA-PARA 22070313402 10213 BILASPUR (CHHATTISGARH) BILHA UP MS, UMARIA 22070313403 10214 BILASPUR (CHHATTISGARH) BILHA PS MOHBHATTHA 22070313501 10215 BILASPUR (CHHATTISGARH) BILHA MS GOVT, MOHBHATTHA 22070313502 10216 BILASPUR (CHHATTISGARH) BILHA GOVT. PS PATTAR KHAN 22070313601 10217 BILASPUR (CHHATTISGARH) BILHA GOVT. PS UDGAN 22070313701 10218 BILASPUR (CHHATTISGARH) BILHA GOVT. PS, BHAISBOD 22070313801 10219 BILASPUR (CHHATTISGARH) BILHA UP MS, BHAISBOD 22070313802 10220 BILASPUR (CHHATTISGARH) BILHA R.G.S.MISSION BELTARA 22070313901 10221 BILASPUR (CHHATTISGARH) BILHA PS BELTARA 22070313902 10222 BILASPUR (CHHATTISGARH) BILHA KANI. PS BHADRA-PARA (BELTARA) 22070313903 10223 BILASPUR (CHHATTISGARH) BILHA NPEGEL, PS GIRLS, BELTARA 22070313904 10224 BILASPUR (CHHATTISGARH) BILHA MS GOVT, BELTARA 22070313905 10225 BILASPUR (CHHATTISGARH) BILHA EGS TO PS, BARBHATHA 22070313908 10226 BILASPUR (CHHATTISGARH) BILHA GOVTGIRLS MS. BELTARA 22070313909 10227 BILASPUR (CHHATTISGARH) BILHA PS PENDRI DIH 22070314001 10228 BILASPUR (CHHATTISGARH) BILHA PS RAHNGI 22070314101
  • 311.
    10229 BILASPUR (CHHATTISGARH) BILHAEGS TO PS, JOGIPUR 22070314102 10230 BILASPUR (CHHATTISGARH) BILHA PS DADHA 22070314201 10231 BILASPUR (CHHATTISGARH) BILHA GOVT. PS BHATHA-PARA 22070314301 10232 BILASPUR (CHHATTISGARH) BILHA PS NAYA-PARA (BODRI) 22070314302 10233 BILASPUR (CHHATTISGARH) BILHA NPEGEL, PS GOVT, BODRI 22070314303 10234 BILASPUR (CHHATTISGARH) BILHA MS GOVT, BODRI 22070314304 10235 BILASPUR (CHHATTISGARH) BILHA BOYS PS MURKUTA 22070314401 10236 BILASPUR (CHHATTISGARH) BILHA PS GIRLS MURKUTA 22070314402 10237 BILASPUR (CHHATTISGARH) BILHA MS MURKUTA 22070314403 10238 BILASPUR (CHHATTISGARH) BILHA EGS TO PS,KURHIPARA 22070314404 10239 BILASPUR (CHHATTISGARH) BILHA EGS TO PS, SILIPARI 22070314405 10240 BILASPUR (CHHATTISGARH) BILHA NPEGEL, PS GIRLS, DAGOURI 22070314501 10241 BILASPUR (CHHATTISGARH) BILHA GOVT.BOYS PS DAGOURI 22070314502 10242 BILASPUR (CHHATTISGARH) BILHA MS DAGOURI 22070314504 10243 BILASPUR (CHHATTISGARH) BILHA NEW PS, HARI MO, DAGOURI 22070314505 10244 BILASPUR (CHHATTISGARH) BILHA UP MS, CHORHABHAINA 22070314506 10245 BILASPUR (CHHATTISGARH) BILHA GOVT. PS UDAN TAL 22070314601 10246 BILASPUR (CHHATTISGARH) BILHA M.S. GOVT. UDANTAL 22070314602 10247 BILASPUR (CHHATTISGARH) BILHA PS DHAMNI 22070314701 10248 BILASPUR (CHHATTISGARH) BILHA MS GOVT, DHAMNI 22070314702 10249 BILASPUR (CHHATTISGARH) BILHA JAN. PS TELSARA 22070314801 10250 BILASPUR (CHHATTISGARH) BILHA UP MS, TELSARA 22070314802 10251 BILASPUR (CHHATTISGARH) BILHA GOVT. PS AMERI KAPA 22070314901 10252 BILASPUR (CHHATTISGARH) BILHA GOVT. PS ADUL KAPA 22070314902 10253 BILASPUR (CHHATTISGARH) BILHA GOVT. M.S. AMERI KAPA 22070314903 10254 BILASPUR (CHHATTISGARH) BILHA GIRLS PS NEVSA 22070315001 10255 BILASPUR (CHHATTISGARH) BILHA BOYS PS NEVSA 22070315002 10256 BILASPUR (CHHATTISGARH) BILHA MS NEVSA 22070315003 10257 BILASPUR (CHHATTISGARH) BILHA EGS TO PS, USRABHATHA 22070315004 10258 BILASPUR (CHHATTISGARH) BILHA PS TEKAR 22070315101 10259 BILASPUR (CHHATTISGARH) BILHA MS TEKAR 22070315102 10260 BILASPUR (CHHATTISGARH) BILHA EGS TO PS,THAKUR DEVPARA 22070315104 10261 BILASPUR (CHHATTISGARH) BILHA PS SONPURI 22070315201
  • 312.
    10262 BILASPUR (CHHATTISGARH) BILHAPS NAVA-GAON 22070315301 10263 BILASPUR (CHHATTISGARH) BILHA GOVT. MS NAVAGAON 22070315302 10264 BILASPUR (CHHATTISGARH) BILHA PS CHOURHA MAINA 22070315401 10265 BILASPUR (CHHATTISGARH) BILHA PS CHURA GHAT 22070315501 10266 BILASPUR (CHHATTISGARH) BILHA PS MANJHI DERA 22070315601 10267 BILASPUR (CHHATTISGARH) BILHA GOVT. PS AMERI AKBARI 22070315801 10268 BILASPUR (CHHATTISGARH) BILHA GOVT.M.S,AMERI AKBARI 22070315802 10269 BILASPUR (CHHATTISGARH) BILHA GOVT. GIRLS PS POUNSARI 22070315901 10270 BILASPUR (CHHATTISGARH) BILHA MS POUNSARI 22070315902 10271 BILASPUR (CHHATTISGARH) BILHA PS BOYS JANPAD,POUSARI 22070315903 10272 BILASPUR (CHHATTISGARH) BILHA PS AMALDIHA 22070316101 10273 BILASPUR (CHHATTISGARH) BILHA MS AMALDIHA 22070316102 10274 BILASPUR (CHHATTISGARH) BILHA NPEGEL, PS GIRLS, BARTORI 22070316201 10275 BILASPUR (CHHATTISGARH) BILHA JAN. PS BARTORI 22070316202 10276 BILASPUR (CHHATTISGARH) BILHA PS HADHKODVA 22070316203 10277 BILASPUR (CHHATTISGARH) BILHA MS, GOVT, BARTORI 22070316204 10278 BILASPUR (CHHATTISGARH) BILHA KGBV, UPS, BARTORI 22070316207 10279 BILASPUR (CHHATTISGARH) BILHA MS SALKHA 22070316302 10280 BILASPUR (CHHATTISGARH) BILHA EGS TO PS, DHANUHARPARA 22070316303 10281 BILASPUR (CHHATTISGARH) BILHA EGS TO PS, BHATHAPARA 22070316304 10282 BILASPUR (CHHATTISGARH) BILHA P.S. SALKHA NEVSHA 22070316305 10283 BILASPUR (CHHATTISGARH) BILHA GOVT PS BANKA 22070316401 10284 BILASPUR (CHHATTISGARH) BILHA MS GOVT, BAKA 22070316402 10285 BILASPUR (CHHATTISGARH) BILHA JAN. PS MUDHIPAR 22070316501 10286 BILASPUR (CHHATTISGARH) BILHA UP MS, MUDHIPAR 22070316503 10287 BILASPUR (CHHATTISGARH) BILHA JAN. PS GIDHOURI 22070316601 10288 BILASPUR (CHHATTISGARH) BILHA UP MS, GIDHOURI 22070316602 10289 BILASPUR (CHHATTISGARH) BILHA PS ANDHIYARI - PARA 22070316701 10290 BILASPUR (CHHATTISGARH) BILHA GOVT. PS KURELI 22070316801 10291 BILASPUR (CHHATTISGARH) BILHA PS JHAL 22070316901 10292 BILASPUR (CHHATTISGARH) BILHA UP MS, JHAL 22070316902 10293 BILASPUR (CHHATTISGARH) BILHA GOVT. PS KHAPRI 22070317001 10294 BILASPUR (CHHATTISGARH) BILHA GOVT. PS KATE ROUNDA 22070317201
  • 313.
    10295 BILASPUR (CHHATTISGARH) BILHAPS GHOGHRA 22070317202 10296 BILASPUR (CHHATTISGARH) BILHA GOVT. PS HATHNI 22070317301 10297 BILASPUR (CHHATTISGARH) BILHA PS PATHRA PALI 22070317401 10298 BILASPUR (CHHATTISGARH) BILHA UP MS, PATHARAPALI 22070317402 10299 BILASPUR (CHHATTISGARH) BILHA GOVT. PS KOTIA 22070317501 10300 BILASPUR (CHHATTISGARH) BILHA JAN. PS MOHTARA 22070317601 10301 BILASPUR (CHHATTISGARH) BILHA MS MOHTARA 22070317602 10302 BILASPUR (CHHATTISGARH) BILHA PS SEVTI 22070317701 10303 BILASPUR (CHHATTISGARH) BILHA GOVT. PS TARBAHAR 22070319301 10304 BILASPUR (CHHATTISGARH) BILHA PS BOYS DAYAL-BAND 22070319303 10305 BILASPUR (CHHATTISGARH) BILHA PS VIDYA UP-NAGAR 22070319305 10306 BILASPUR (CHHATTISGARH) BILHA GIRLS PS DAYAL-BAND BSP 22070319311 10307 BILASPUR (CHHATTISGARH) BILHA PS GAJANAND SARTHI, RAJENDRA N 22070319312 10308 BILASPUR (CHHATTISGARH) BILHA NAGO-RAO-SESH, JUNA BSP 22070319313 10309 BILASPUR (CHHATTISGARH) BILHA PS JABDAPARA BSP 22070319317 10310 BILASPUR (CHHATTISGARH) BILHA GOVT. PS RAMNAGAR 22070319319 10311 BILASPUR (CHHATTISGARH) BILHA PS TILAKNAGAR (B) 22070319320 10312 BILASPUR (CHHATTISGARH) BILHA PS TILAK-NAGAR "A" BSP 22070319321 10313 BILASPUR (CHHATTISGARH) BILHA GOVT. PS INDIRA NAGAR BSP 22070319323 10314 BILASPUR (CHHATTISGARH) BILHA GOVT. GIRLS PS CHATI-DIH 22070319324 10315 BILASPUR (CHHATTISGARH) BILHA GOVT. GIRLS PS SANICHRI PADAV 22070319326 10316 BILASPUR (CHHATTISGARH) BILHA NPEGEL, PS GOVT, LODHIPARA,SARKANDA 22070319327 10317 BILASPUR (CHHATTISGARH) BILHA BOYS PS SARKANDA BSP 22070319329 10318 BILASPUR (CHHATTISGARH) BILHA BOYS PS KHAPAR GANJ BSP 22070319330 10319 BILASPUR (CHHATTISGARH) BILHA URDU PS KHAPAR GANJ BSP 22070319332 10320 BILASPUR (CHHATTISGARH) BILHA BOYS PS CHATI DIH 22070319337 10321 BILASPUR (CHHATTISGARH) BILHA GURU GHASI DAS PS 22070319342 10322 BILASPUR (CHHATTISGARH) BILHA GOVT. PS CHINGRAJ PARA 22070319344 10323 BILASPUR (CHHATTISGARH) BILHA UP MS, B.T.I. BILASPUR 22070319345 10324 BILASPUR (CHHATTISGARH) BILHA GOVT. GIRLS PS TORVA 22070319347 10325 BILASPUR (CHHATTISGARH) BILHA GOVT. GIRLS PS SARKANDA 22070319348 10326 BILASPUR (CHHATTISGARH) BILHA PS,GURUNANAK,DAYALBAND 22070319356 10327 BILASPUR (CHHATTISGARH) BILHA GIRLS PS. TIKARA PARA 22070319376
  • 314.
    10328 BILASPUR (CHHATTISGARH) BILHAPS. CHUCHUIYA PARA, WARD-39 22070319377 10329 BILASPUR (CHHATTISGARH) BILHA GOVT. PS. GIRLS GONDPARA 22070319393 10330 BILASPUR (CHHATTISGARH) BILHA GIRLS PS. AMBEDKAR 22070319397 10331 BILASPUR (CHHATTISGARH) BILHA GOVT. PS. KATIYA PARA 22070319398 10332 BILASPUR (CHHATTISGARH) BILHA PS. GANESH NAGAR NAYA PARA 22070319399 10333 BILASPUR (CHHATTISGARH) BILHA GOVT PS KESHLA 22070319401 10334 BILASPUR (CHHATTISGARH) BILHA MS GOVT, KESLA 22070319402 10335 BILASPUR (CHHATTISGARH) BILHA GOVT MS HARDI 22070319501 10336 BILASPUR (CHHATTISGARH) BILHA GOVT UP MS, JHALFA 22070319503 10337 BILASPUR (CHHATTISGARH) BILHA UP.MS.CHAKARBHATA GRAM 22070319902 10338 BILASPUR (CHHATTISGARH) BILHA UP MS, PENDRIDIH 22070320001 10339 BILASPUR (CHHATTISGARH) BILHA PS GOVT, SAMBALPURI 22070320202 10340 BILASPUR (CHHATTISGARH) BILHA EGS TO PS, NON BANKA 22070320701 10341 BILASPUR (CHHATTISGARH) BILHA GOVT. M. S., DAYALBAND 22070320801 10342 BILASPUR (CHHATTISGARH) BILHA GOVT. M.S.,GANESHNAGAR 22070320803 10343 BILASPUR (CHHATTISGARH) BILHA GOVT. M.S(G)., JUNA BILASPUR 22070320805 10344 BILASPUR (CHHATTISGARH) BILHA GOVT.M.S.(G),TARBAHAR 22070320807 10345 BILASPUR (CHHATTISGARH) BILHA GOVT.M.S.,SHANKAR NAGAR 22070320808 10346 BILASPUR (CHHATTISGARH) BILHA GOVT.M.S.TARBAHAR BOYS 22070320815 10347 BILASPUR (CHHATTISGARH) BILHA MS GOVT, CHANTIDIH 22070321002 10348 BILASPUR (CHHATTISGARH) BILHA PS, CHANDUABHATHA,TARBAHAR 22070321102 10349 BILASPUR (CHHATTISGARH) BILHA MS SURAJMAL, BILHA 22070321202 10350 BILASPUR (CHHATTISGARH) BILHA PS. GOVT, ATARRA 22070321302 10351 BILASPUR (CHHATTISGARH) BILHA UP MS, AMTARA 22070321303 10352 BILASPUR (CHHATTISGARH) BILHA GOVT MS ATTRA 22070321304 10353 BILASPUR (CHHATTISGARH) BILHA MS GOVT, KHAMTARAI 22070321501 10354 BILASPUR (CHHATTISGARH) BILHA GOVT. PS MURUMKHADAN 22070321503 10355 BILASPUR (CHHATTISGARH) BILHA MS GOVT. PONDI 22070321801 10356 BILASPUR (CHHATTISGARH) BILHA MS GOVT, PARSADA 22070321901 10357 BILASPUR (CHHATTISGARH) BILHA MS,NEW GRILS SCHOOL 22070321902 10358 BILASPUR (CHHATTISGARH) BILHA NEW PS, INDRAPURI, BODARI 22070322002 10359 BILASPUR (CHHATTISGARH) BILHA UP MS, RANGGI, BODARI 22070322003 10360 BILASPUR (CHHATTISGARH) BILHA PS, GOVT GIRLS, JUNA BILASPUR 22070322301
  • 315.
    10361 BILASPUR (CHHATTISGARH) BILHAPVT PS/MS URDU TALIMI MAJIS 22070322324 10362 BILASPUR (CHHATTISGARH) BILHA ADD ST JOSEF COV HIN MED 22070322328 10363 BILASPUR (CHHATTISGARH) BILHA PS BOYS ASHRAM, BAGDEVA 22070322401 10364 BILASPUR (CHHATTISGARH) BILHA PS ASWAKSHA ASHRAM,CHATIDIH 22070322502 10365 BILASPUR (CHHATTISGARH) BILHA PS NAVIN GOVT,DABRIPARA, CHING 22070322503 10366 BILASPUR (CHHATTISGARH) BILHA PS GOVT, BANDHWAPARA, ARVINDN. 22070322602 10367 BILASPUR (CHHATTISGARH) BILHA UP MS, BANDHWAPARA, ARVINDNAGA 22070322604 10368 BILASPUR (CHHATTISGARH) BILHA MS GIRLS GOVT SARKANDA BSP 22070322606 10369 BILASPUR (CHHATTISGARH) BILHA MS GOVT RAJENDRA NAGAR BSP 22070322804 10370 BILASPUR (CHHATTISGARH) BILHA PS BOYS GOVT,IRANI MOHALLA 22070323001 10371 BILASPUR (CHHATTISGARH) BILHA PS BOYS GOVT, DABRIPARA 22070323002 10372 BILASPUR (CHHATTISGARH) BILHA PS, PRABHAT CHOWK,CHINGRAJPARA 22070323102 10373 BILASPUR (CHHATTISGARH) BILHA MS GOVT, CHINGRAJPARA 22070323103 10374 BILASPUR (CHHATTISGARH) BILHA PS GOVT, BANAKDIH, SIRGITTI 22070323301 10375 BILASPUR (CHHATTISGARH) BILHA MS GIRLS GOVT, JABDAPARA 22070323401 10376 BILASPUR (CHHATTISGARH) BILHA MS BOYS GOVT SARKANDA BSP 22070323403 10377 BILASPUR (CHHATTISGARH) BILHA PS GOVT, KUMHARPARA 22070323501 10378 BILASPUR (CHHATTISGARH) BILHA PS GOVT, NARIYALKOTHI 22070323601 10379 BILASPUR (CHHATTISGARH) BILHA PS, BHARAT MATA(HINDI), WIRE C 22070323705 10380 BILASPUR (CHHATTISGARH) BILHA NPEGEL, PS/MS, GIRLS, TORVA 22070323801 10381 BILASPUR (CHHATTISGARH) BILHA MS GOVT, TORVA 22070323804 10382 BILASPUR (CHHATTISGARH) BILHA PS GOVT, TALAPARA 22070323902 10383 BILASPUR (CHHATTISGARH) BILHA PS, SHIVAJI SHALUNKEY,IMLIPARA 22070324001 10384 BILASPUR (CHHATTISGARH) BILHA PS GIRLS, GOVT,KUDUDAND 22070324102 10385 BILASPUR (CHHATTISGARH) BILHA PS BOYS, GOVT, KUDUDAND 22070324103 10386 BILASPUR (CHHATTISGARH) BILHA PS, CHURCH OF KHRIEST, KUDUDAND 22070324105 10387 BILASPUR (CHHATTISGARH) BILHA PS GOVT, NEHRUNAGAR 22070324301 10388 BILASPUR (CHHATTISGARH) BILHA EGS TO PS BARKHADAN DEORIKHURD 22070324405 10389 BILASPUR (CHHATTISGARH) BILHA MS GOVT, AMBEDKARNAGAR 22070324501 10390 BILASPUR (CHHATTISGARH) BILHA PS GOVT, AMBEDKAR NAGAR 22070324502 10391 BILASPUR (CHHATTISGARH) BILHA MS GOVT, JARHABHATHA 22070324701 10392 BILASPUR (CHHATTISGARH) BILHA PS NAVIN GOVT, JARHABHATHA 22070324703 10393 BILASPUR (CHHATTISGARH) BILHA MS GOVT BOYS, KHAPARGANJ 22070324801
  • 316.
    10394 BILASPUR (CHHATTISGARH) BILHAPS GIRLS GOVT, KHAPARGANJ 22070324802 10395 BILASPUR (CHHATTISGARH) BILHA MS GIRLS GOVT, KHAPARGANJ 22070324803 10396 BILASPUR (CHHATTISGARH) BILHA PS GOVT(MARATHI), TILAKNAGAR 22070324901 10397 BILASPUR (CHHATTISGARH) BILHA MS GIRLS, DEVKINANDAN, BILASPU 22070324903 10398 BILASPUR (CHHATTISGARH) BILHA MS BOYS GOVT, TILAKNAGAR 22070324904 10399 BILASPUR (CHHATTISGARH) BILHA NPEGEL, PS GIRLS,TILAKNAGAR-1 22070324905 10400 BILASPUR (CHHATTISGARH) BILHA MS GOVT GIRLS CHINGRAJPARA 22070325004 10401 BILASPUR (CHHATTISGARH) BILHA RAHMANIYA MADARSA IMALIPARA BSP 22070325204 10402 BILASPUR (CHHATTISGARH) BILHA MS, MAHARANI LAXMIBAI, INDIRAN 22070325701 10403 BILASPUR (CHHATTISGARH) BILHA MS,LALBAHADUR SHASTRI, BILASPU 22070325801 10404 BILASPUR (CHHATTISGARH) BILHA PS BOYS GOVT GONDPARA BSP 22070325803 10405 BILASPUR (CHHATTISGARH) BILHA PS BOYS GOVT, NAGORAO SHESH S 22070326001 10406 BILASPUR (CHHATTISGARH) BILHA MS BOYS GOVT, NAGORAO SHESH S 22070326002 10407 BILASPUR (CHHATTISGARH) BILHA MS. BOYS GOVT. M.H.S. DAYALBAN 22070326103 10408 BILASPUR (CHHATTISGARH) BILHA MS GOVT, AHIR MOHALLA 22070326201 10409 BILASPUR (CHHATTISGARH) BILHA PS GOVT, AHIR MOHALLA 22070326202 10410 BILASPUR (CHHATTISGARH) BILHA PS, BANGALI SCH., JAGANNATH W. 22070326403 10411 BILASPUR (CHHATTISGARH) BILHA PS, UDIYA, WARD NO.- 52, BILASPUR 22070326405 10412 BILASPUR (CHHATTISGARH) BILHA PS GOVT, BAPU NAGAR 22070326501 10413 BILASPUR (CHHATTISGARH) BILHA MS GOVT, PRAYOGIK (BTI ATTACH) 22070326601 10414 BILASPUR (CHHATTISGARH) BILHA MS GOVT(ATTACHED), KUDUDAND 22070326701 10415 BILASPUR (CHHATTISGARH) BILHA PS GOVT SINDHICOLONY BSP 22070326803 10416 BILASPUR (CHHATTISGARH) BILHA MS GIRLS GOVT, GONDPARA 22070326901 10417 BILASPUR (CHHATTISGARH) BILHA PS GOVT, KUVAPALI 22070327101 10418 BILASPUR (CHHATTISGARH) BILHA P.S. GOVT. SCHOOL KHANTAHA 22070327401 10419 BILASPUR (CHHATTISGARH) BILHA M.S.GOVT.SCHOOL DAGOERI 22070327501 10420 BILASPUR (CHHATTISGARH) BILHA M.S.GOVT.PIPREAYA 22070327601 10421 BILASPUR (CHHATTISGARH) BILHA NEW M.S.GOVT.LIMTARI 22070327701 10422 BILASPUR (CHHATTISGARH) BILHA GOVT PS KHAIRA (L) 22070328601 10423 BILASPUR (CHHATTISGARH) BILHA GOVT MS KHAIRA (L) 22070328602 10424 BILASPUR (CHHATTISGARH) BILHA GOVT. GIRLS PS MANGLA 22070328701 10425 BILASPUR (CHHATTISGARH) BILHA KANI. PS DHURI-PARA 22070328705 10426 BILASPUR (CHHATTISGARH) BILHA JP. PS. SCH. MANGLA 22070328706
  • 317.
    10427 BILASPUR (CHHATTISGARH) BILHAMS GOVT. MANGLA (BILASPUR) 22070328710 10428 BILASPUR (CHHATTISGARH) BILHA MS GOVT MANGALA (PASID) 22070328712 10429 BILASPUR (CHHATTISGARH) BILHA UP MS GIRLS, MANGLA (B) 22070328715 10430 BILASPUR (CHHATTISGARH) BILHA GOVT. PS MANNADOL 22070329001 10431 BILASPUR (CHHATTISGARH) BILHA UP MS, KOHROUDA 22070329101 10432 BILASPUR (CHHATTISGARH) GOURELA GOVT PS MANPUR(TWD) 22070600102 10433 BILASPUR (CHHATTISGARH) GOURELA GOVT PS BAGGHAMARRA (SSA) 22070600103 10434 BILASPUR (CHHATTISGARH) GOURELA GOVT MS BAN JHORKA (TWD) 22070600104 10435 BILASPUR (CHHATTISGARH) GOURELA GOVT PS BAN JHORKA (TWD) 22070600106 10436 BILASPUR (CHHATTISGARH) GOURELA GOVT MS OLD GOURELA(SSA) 22070600202 10437 BILASPUR (CHHATTISGARH) GOURELA GOVT PS GIRLS GIRVAR (TWD) 22070600301 10438 BILASPUR (CHHATTISGARH) GOURELA GOVT PS BOYS GIRVAR (TWD) 22070600302 10439 BILASPUR (CHHATTISGARH) GOURELA GOVT MS GIRVAR (TWD) 22070600304 10440 BILASPUR (CHHATTISGARH) GOURELA GOVT PS PADVANIA (TWD) 22070600401 10441 BILASPUR (CHHATTISGARH) GOURELA GOVT MS PADVANIA (SSA) 22070600402 10442 BILASPUR (CHHATTISGARH) GOURELA GOVT PS BOYS LALPUR (TWD) 22070600502 10443 BILASPUR (CHHATTISGARH) GOURELA GOVT PS GIRLS LALPUR TWD) 22070600503 10444 BILASPUR (CHHATTISGARH) GOURELA GOVT MS GIRLS LALPUR (TWD) 22070600504 10445 BILASPUR (CHHATTISGARH) GOURELA GOVT MS BOYS LALPUR (TWD) 22070600505 10446 BILASPUR (CHHATTISGARH) GOURELA GOVT PS RANI JHAP (TWD) 22070600601 10447 BILASPUR (CHHATTISGARH) GOURELA GOVT PS GIRLS NPEGEL JOGISAR (TWD) 22070600701 10448 BILASPUR (CHHATTISGARH) GOURELA GOVT PS BOYS JOGISAR (TWD) 22070600702 10449 BILASPUR (CHHATTISGARH) GOURELA GOVT MS JOGISAR (TWD) 22070600703 10450 BILASPUR (CHHATTISGARH) GOURELA GOVT PS OURADHONDI (SSA) 22070600704 10451 BILASPUR (CHHATTISGARH) GOURELA GOVT PS SARAIDHAR (SSA) 22070600705 10452 BILASPUR (CHHATTISGARH) GOURELA GOVT PS PAKRIKACHHAR (SSA) 22070600706 10453 BILASPUR (CHHATTISGARH) GOURELA GOVT MS SARISDOL (SSA) 22070600709 10454 BILASPUR (CHHATTISGARH) GOURELA GOVT MS AURADHONDHI (SSA) 22070600710 10455 BILASPUR (CHHATTISGARH) GOURELA GOVT MS SARIDHAR (SSA) 22070600712 10456 BILASPUR (CHHATTISGARH) GOURELA GOVT MS GIRLS JOGISAR (SSA) 22070600713 10457 BILASPUR (CHHATTISGARH) GOURELA GOVT PS GOUR KHEDA (TWD) 22070600801 10458 BILASPUR (CHHATTISGARH) GOURELA GOVT MS GOUR KHEDA (SSA) 22070600802 10459 BILASPUR (CHHATTISGARH) GOURELA GOVT PS BHAINA MUNDA (SSA) 22070600803
  • 318.
    10460 BILASPUR (CHHATTISGARH) GOURELAGOVT PS DUMARIHA (TWD) 22070600901 10461 BILASPUR (CHHATTISGARH) GOURELA GOVT PS SEMRA (TWD) 22070601001 10462 BILASPUR (CHHATTISGARH) GOURELA GOVT MS GIRLS SEMARA (SSA) 22070601002 10463 BILASPUR (CHHATTISGARH) GOURELA GOVT MS SEMRA (KGBV) 22070601004 10464 BILASPUR (CHHATTISGARH) GOURELA GOVT MS GURUKUL PENDRARAOD (TWD) 22070601008 10465 BILASPUR (CHHATTISGARH) GOURELA GOVT PS TIKAR SANI (TWD) 22070601101 10466 BILASPUR (CHHATTISGARH) GOURELA GOVT PS GIRLS TIKAR KALA (TWD) 22070601201 10467 BILASPUR (CHHATTISGARH) GOURELA GOVT PS BOYS TIKAR KALA (TWD) 22070601202 10468 BILASPUR (CHHATTISGARH) GOURELA GOVT MS LOHARA JHORKI TIKARKALA (SSA) 22070601203 10469 BILASPUR (CHHATTISGARH) GOURELA GOVT PS JOGI DONGRI (TWD) 22070601301 10470 BILASPUR (CHHATTISGARH) GOURELA GOVT PS KANI. KURRI PARA (TWD) 22070601401 10471 BILASPUR (CHHATTISGARH) GOURELA GOVT PS ANDU (TWD) 22070601501 10472 BILASPUR (CHHATTISGARH) GOURELA GOVT PS GURUKUL (TWD) 22070601601 10473 BILASPUR (CHHATTISGARH) GOURELA GOVT PS JYOTIPUR (TWD) 22070601701 10474 BILASPUR (CHHATTISGARH) GOURELA GOVT MS GIRLS JYOTIPUR (TWD) 22070601703 10475 BILASPUR (CHHATTISGARH) GOURELA GOVT PS BHADOURA (TWD) 22070601801 10476 BILASPUR (CHHATTISGARH) GOURELA GOVT PS JOGIYAPARA (SSA) 22070601804 10477 BILASPUR (CHHATTISGARH) GOURELA GOVT PS CHHAPRATOLA (SSA) 22070601805 10478 BILASPUR (CHHATTISGARH) GOURELA GOVT MS BHADAORA (TWD) 22070601806 10479 BILASPUR (CHHATTISGARH) GOURELA GOVT PS DONGARITOLA BHADAORA (SSA) 22070601807 10480 BILASPUR (CHHATTISGARH) GOURELA GOVT PS AMALDIHA (SSA) 22070601808 10481 BILASPUR (CHHATTISGARH) GOURELA GOVT PS. KATELTOLA [BHADOURA] 22070601809 10482 BILASPUR (CHHATTISGARH) GOURELA GOVT PS PAKARIA (TWD) 22070601901 10483 BILASPUR (CHHATTISGARH) GOURELA GOVT PS TALWATOLA (SSA) 22070601903 10484 BILASPUR (CHHATTISGARH) GOURELA GOVT MS PAKARIA (TWD) 22070601904 10485 BILASPUR (CHHATTISGARH) GOURELA GOVT PS RUPAN DAD (TWD) 22070602001 10486 BILASPUR (CHHATTISGARH) GOURELA GOVT PS KOTARIA DAD (TWD) 22070602101 10487 BILASPUR (CHHATTISGARH) GOURELA GOVT PS GIRLS TARAI GAON (TWD) 22070602201 10488 BILASPUR (CHHATTISGARH) GOURELA GOVT PS BOYS TARAI GAON (TWD) 22070602202 10489 BILASPUR (CHHATTISGARH) GOURELA GOVT MS TARAIGAON (TWD) 22070602203 10490 BILASPUR (CHHATTISGARH) GOURELA GOVT PS BANDHAPARA (SSA) 22070602204 10491 BILASPUR (CHHATTISGARH) GOURELA GOVT PS LAL TOLA TARAIGAON (SSA) 22070602205 10492 BILASPUR (CHHATTISGARH) GOURELA GOVT PS CHIKANIA TOLA (TWD) 22070602301
  • 319.
    10493 BILASPUR (CHHATTISGARH) GOURELAGOVT PS GIRLS DEVAR GAON (TWD) 22070602401 10494 BILASPUR (CHHATTISGARH) GOURELA GOVT BOYS DEVAR GAON (TWD) 22070602402 10495 BILASPUR (CHHATTISGARH) GOURELA GOVT BOYS ASHRAM DEVAR GAON (TWD) 22070602403 10496 BILASPUR (CHHATTISGARH) GOURELA GOVT MS DEVAR GAON (TWD) 22070602404 10497 BILASPUR (CHHATTISGARH) GOURELA GOVT PS BITTA TOLA (TWD) 22070602501 10498 BILASPUR (CHHATTISGARH) GOURELA GOVT PS DHOURA MUDA (TWD) 22070602601 10499 BILASPUR (CHHATTISGARH) GOURELA GOVT PS PATAR KONI (TWD) 22070602701 10500 BILASPUR (CHHATTISGARH) GOURELA GOVT PS BANGLATOLA (SSA) 22070602702 10501 BILASPUR (CHHATTISGARH) GOURELA GOVT PS GHUMMANAR (SSA) 22070602703 10502 BILASPUR (CHHATTISGARH) GOURELA GOVT PS JHAGRAKHAD (TWD) 22070602801 10503 BILASPUR (CHHATTISGARH) GOURELA GOVT PS BANDHAPARA (SSA) 22070602802 10504 BILASPUR (CHHATTISGARH) GOURELA GOVT MS JHAGRAKHAD (SSA) 22070602803 10505 BILASPUR (CHHATTISGARH) GOURELA GOVT PS PATHRA TOLA (TWD) 22070602901 10506 BILASPUR (CHHATTISGARH) GOURELA GOVT MS KORJA (TWD) 22070603003 10507 BILASPUR (CHHATTISGARH) GOURELA GOVT PS DONGARITOLA (SSA) 22070603004 10508 BILASPUR (CHHATTISGARH) GOURELA GOVT PS SADAKTOLA KORJA (SSA) 22070603005 10509 BILASPUR (CHHATTISGARH) GOURELA GOVT PS BHADA TOLA (SSA) 22070603006 10510 BILASPUR (CHHATTISGARH) GOURELA GOVT PS KORJA (TWD) 22070603007 10511 BILASPUR (CHHATTISGARH) GOURELA GOVT PS BALDHAR (TWD) 22070603101 10512 BILASPUR (CHHATTISGARH) GOURELA GOVT PS DHANOULI (TWD) 22070603201 10513 BILASPUR (CHHATTISGARH) GOURELA GOVT MS DHANOULI (TWD) 22070603202 10514 BILASPUR (CHHATTISGARH) GOURELA GOVT PS JAMUNIHATOLA (SSA) 22070603203 10515 BILASPUR (CHHATTISGARH) GOURELA GOVT PS CHHUILAPANI (SSA) 22070603204 10516 BILASPUR (CHHATTISGARH) GOURELA GOVT PS KARANGRA (TWD) 22070603301 10517 BILASPUR (CHHATTISGARH) GOURELA GOVT MS KARANGRA (SSA) 22070603302 10518 BILASPUR (CHHATTISGARH) GOURELA GOVT PS KULHAN TOLA (TWD) 22070603401 10519 BILASPUR (CHHATTISGARH) GOURELA GOVT PS JAN. GORAKHPUR (TWD) 22070603501 10520 BILASPUR (CHHATTISGARH) GOURELA GOVT PS GORAKHPUR PARA (TWD) 22070603502 10521 BILASPUR (CHHATTISGARH) GOURELA GOVT PS TALVATOLA (SSA) 22070603503 10522 BILASPUR (CHHATTISGARH) GOURELA GOVT PS BADI KHAR (TWD) 22070603601 10523 BILASPUR (CHHATTISGARH) GOURELA GOVT PS DADHI PARA KHARI DAB (TWD) 22070603701 10524 BILASPUR (CHHATTISGARH) GOURELA GOVT PS TENDU MUDA (TWD) 22070603801 10525 BILASPUR (CHHATTISGARH) GOURELA GOVT PS KHAMLI KALA (TWD) 22070603901
  • 320.
    10526 BILASPUR (CHHATTISGARH) GOURELAGOVT PS GIRLS NEVSA (TWD) 22070604001 10527 BILASPUR (CHHATTISGARH) GOURELA GOVT PS BOYS NEVSA (TWD) 22070604002 10528 BILASPUR (CHHATTISGARH) GOURELA GOVT MS NEVSA (TWD) 22070604003 10529 BILASPUR (CHHATTISGARH) GOURELA GOVT PS GOURATIKRA (SSA) 22070604004 10530 BILASPUR (CHHATTISGARH) GOURELA GOVT PS BAZAR DAD (TWD) 22070604101 10531 BILASPUR (CHHATTISGARH) GOURELA GOVT MS BAZAR DAND (SSA) 22070604102 10532 BILASPUR (CHHATTISGARH) GOURELA GOVT PS ANJANI (TWD) 22070604201 10533 BILASPUR (CHHATTISGARH) GOURELA GOVT MS ANJANI (SSA) 22070604202 10534 BILASPUR (CHHATTISGARH) GOURELA GOVT PS DOKARGARHI (TWD) 22070604301 10535 BILASPUR (CHHATTISGARH) GOURELA GOVT PS BOIR DAD (TWD) 22070604401 10536 BILASPUR (CHHATTISGARH) GOURELA GOVT MS BOIRDAND (TWD) 22070604402 10537 BILASPUR (CHHATTISGARH) GOURELA GOVT PS KANI. NAVAPARA NEVSA (TWD) 22070604501 10538 BILASPUR (CHHATTISGARH) GOURELA GOVT PS KACHHARPARA (TWD) 22070604601 10539 BILASPUR (CHHATTISGARH) GOURELA GOVT MS KACHHARPARA (SSA) 22070604602 10540 BILASPUR (CHHATTISGARH) GOURELA GOVT PS CHUKTIPANI (TWD) 22070604702 10541 BILASPUR (CHHATTISGARH) GOURELA GOVT MS CHUKTIPANI (TWD) 22070604703 10542 BILASPUR (CHHATTISGARH) GOURELA GOVT PS BAHRIJHORKI (SSA) 22070604704 10543 BILASPUR (CHHATTISGARH) GOURELA GOVT PS BHOSAKITOLA CHUKTIPANI (SSA) 22070604705 10544 BILASPUR (CHHATTISGARH) GOURELA GOVT MS BAHARI JHORKI CHUKTIPANI (SSA) 22070604706 10545 BILASPUR (CHHATTISGARH) GOURELA GOVT PS THAD PATHRA (TWD) 22070604801 10546 BILASPUR (CHHATTISGARH) GOURELA GOVT MS THADPATHARA (TWD) 22070604802 10547 BILASPUR (CHHATTISGARH) GOURELA GOVT PS PIPAR KHUTI (TWD) 22070604901 10548 BILASPUR (CHHATTISGARH) GOURELA GOVT MS PEEPARKHUTI (TWD) 22070604902 10549 BILASPUR (CHHATTISGARH) GOURELA GOVT PS KANI. ATARIA (TWD) 22070605001 10550 BILASPUR (CHHATTISGARH) GOURELA GOVT PS KEVCHI (TWD) 22070605101 10551 BILASPUR (CHHATTISGARH) GOURELA GOVT MS KEVCHI (TWD) 22070605102 10552 BILASPUR (CHHATTISGARH) GOURELA GOVT PS KANI. RANJKI (TWD) 22070605201 10553 BILASPUR (CHHATTISGARH) GOURELA GOVT PS BAIGA PARA (TWD) 22070605301 10554 BILASPUR (CHHATTISGARH) GOURELA GOVT PS TAVA DABRA (TWD) 22070605401 10555 BILASPUR (CHHATTISGARH) GOURELA GOVT MS TAVADABHARA (TWD) 22070605402 10556 BILASPUR (CHHATTISGARH) GOURELA GOVT PS BANGHAT (TWD) 22070605501 10557 BILASPUR (CHHATTISGARH) GOURELA GOVT PS AMADOB (TWD) 22070605601 10558 BILASPUR (CHHATTISGARH) GOURELA GOVT MS AMADOB (TWD) 22070605602
  • 321.
    10559 BILASPUR (CHHATTISGARH) GOURELAGOVT PS CHHOTKIREWAR (SSA) 22070605603 10560 BILASPUR (CHHATTISGARH) GOURELA PS OLD GOURELA 22070605801 10561 BILASPUR (CHHATTISGARH) GOURELA PS, GALIB URDU-HINDI, GOURELA 22070605802 10562 BILASPUR (CHHATTISGARH) GOURELA GOVT. GIRLS PS, REST HOUSE RD 22070605805 10563 BILASPUR (CHHATTISGARH) GOURELA JAN. PS GOURELA 22070605806 10564 BILASPUR (CHHATTISGARH) GOURELA MS GOVT, GOURELA 22070605807 10565 BILASPUR (CHHATTISGARH) GOURELA MS GIRLS GOVT, GOURELA 22070605808 10566 BILASPUR (CHHATTISGARH) GOURELA GOVT PS WARD-16 GOURELA (TWD) 22070605814 10567 BILASPUR (CHHATTISGARH) GOURELA GOVT MS GORAKHPARA GOURELA (SSA) 22070605815 10568 BILASPUR (CHHATTISGARH) GOURELA PVT MS GALIB URDU-HINDI GOURELA 22070605816 10569 BILASPUR (CHHATTISGARH) GOURELA GOVT MS GIRLS MISHRIDEVI GOURELA (TWD) 22070605819 10570 BILASPUR (CHHATTISGARH) GOURELA GOVT PS GIRLS KHODRI (TWD) 22070605902 10571 BILASPUR (CHHATTISGARH) GOURELA GOVT PS JAN KHODRI (TWD) 22070605903 10572 BILASPUR (CHHATTISGARH) GOURELA GOVT MS KHODRI (TWD) 22070605904 10573 BILASPUR (CHHATTISGARH) GOURELA GOVT MS GIRLS KHODRI (TWD) 22070605905 10574 BILASPUR (CHHATTISGARH) GOURELA GOVT PS JAN.BADHAVAN DAD (TWD) 22070606001 10575 BILASPUR (CHHATTISGARH) GOURELA GOVT MS BADHAWANDAND (TWD) 22070606002 10576 BILASPUR (CHHATTISGARH) GOURELA GOVT PS NARAYANTOLA (SSA) 22070606004 10577 BILASPUR (CHHATTISGARH) GOURELA GOVT MS UMARKHOHI (SSA) 22070606101 10578 BILASPUR (CHHATTISGARH) GOURELA GOVT MS BELPAT (TWD) 22070606102 10579 BILASPUR (CHHATTISGARH) GOURELA GOVT PS CHHITADAH (SSA) 22070606103 10580 BILASPUR (CHHATTISGARH) GOURELA GOVT PS PURANI BASTI UMARKHOHI (TWD) 22070606104 10581 BILASPUR (CHHATTISGARH) GOURELA GOVT PS MEDIYAKACHHAR (SSA) 22070606105 10582 BILASPUR (CHHATTISGARH) GOURELA GOVT PS KARIAAM (SSA) 22070606106 10583 BILASPUR (CHHATTISGARH) GOURELA GOVT PS CHHINDPANI (SSA) 22070606107 10584 BILASPUR (CHHATTISGARH) GOURELA GOVT PS KARTIK PARA (SSA) 22070606108 10585 BILASPUR (CHHATTISGARH) GOURELA GOVT PS BELPAT (TWD) 22070606109 10586 BILASPUR (CHHATTISGARH) GOURELA GOVT PS KARIYASARAI BELPAT (SSA) 22070606110 10587 BILASPUR (CHHATTISGARH) GOURELA GOVT PS SUKHAMANDAS TOLA (SSA) 22070606111 10588 BILASPUR (CHHATTISGARH) GOURELA GOVT MS GIRLS BELPAT (SSA) 22070606112 10589 BILASPUR (CHHATTISGARH) GOURELA GOVT MS GHATHOULI (SSA) 22070606202 10590 BILASPUR (CHHATTISGARH) GOURELA GOVT PS GHATHOULI (TWD) 22070606203 10591 BILASPUR (CHHATTISGARH) GOURELA GOVT PS HARIPUR (TWD) 22070606301
  • 322.
    10592 BILASPUR (CHHATTISGARH) GOURELAGOVT MS HARIPUR (SSA) 22070606302 10593 BILASPUR (CHHATTISGARH) GOURELA GOVT PS BAIGANTOLA HARRI (SSA) 22070606303 10594 BILASPUR (CHHATTISGARH) GOURELA GOVT PS UMAR KHOHI (SSA) 22070606401 10595 BILASPUR (CHHATTISGARH) GOURELA GOVT MS CHHITADAH UMARKHOHI (SSA) 22070606402 10596 BILASPUR (CHHATTISGARH) GOURELA GOVT PS AMA KHOLA (SSA) 22070606403 10597 BILASPUR (CHHATTISGARH) GOURELA GOVT PS KARGI KHURD (TWD) 22070606501 10598 BILASPUR (CHHATTISGARH) GOURELA GOVT PS KATEL TOLA (SSA) 22070606503 10599 BILASPUR (CHHATTISGARH) GOURELA GOVT PS OOPERPARA (SSA) 22070606504 10600 BILASPUR (CHHATTISGARH) GOURELA GOVT PS DHOKADABRA (SSA) 22070606505 10601 BILASPUR (CHHATTISGARH) GOURELA GOVT PS THENGA DAD (TWD) 22070606701 10602 BILASPUR (CHHATTISGARH) GOURELA GOVT MS THENGADAND (SSA) 22070606702 10603 BILASPUR (CHHATTISGARH) GOURELA GOVT PS KATHAOTIYA (SSA) 22070606703 10604 BILASPUR (CHHATTISGARH) GOURELA GOVT PS DAIHANPARA (SSA) 22070606704 10605 BILASPUR (CHHATTISGARH) GOURELA GOVT PS DUGRA (TWD) 22070606801 10606 BILASPUR (CHHATTISGARH) GOURELA GOVT PS KOTMI KHURD (TWD) 22070606901 10607 BILASPUR (CHHATTISGARH) GOURELA GOVT PS MUDTIKRA (SSA) 22070606902 10608 BILASPUR (CHHATTISGARH) GOURELA GOVT PS PEEPARJHORKI (SSA) 22070606903 10609 BILASPUR (CHHATTISGARH) GOURELA GOVT MS KOTAMI KHURD (SSA) 22070606906 10610 BILASPUR (CHHATTISGARH) GOURELA GOVT PS DHODAGIPARA KOTAMI KHURD (SSA) 22070606907 10611 BILASPUR (CHHATTISGARH) GOURELA GOVT MS MUNDATIKRA KOTMIKHURD (SSA) 22070606908 10612 BILASPUR (CHHATTISGARH) GOURELA GOVT PS TIDI (TWD) 22070607001 10613 BILASPUR (CHHATTISGARH) GOURELA GOVT MS DANDJAMDI (SSA) 22070607102 10614 BILASPUR (CHHATTISGARH) GOURELA GOVT PS DANDJAMDI (TWD) 22070607103 10615 BILASPUR (CHHATTISGARH) GOURELA GOVT PS BAGRA (TWD) 22070607201 10616 BILASPUR (CHHATTISGARH) GOURELA GOVT MS BAGRA (TWD) 22070607202 10617 BILASPUR (CHHATTISGARH) GOURELA GOVT MS TIDI BAGRA (SSA) 22070607203 10618 BILASPUR (CHHATTISGARH) GOURELA GOVT PS ROTIMAR BAGARA (SSA) 22070607204 10619 BILASPUR (CHHATTISGARH) GOURELA GOVT PS PIPAR BAHRA (TWD) 22070607301 10620 BILASPUR (CHHATTISGARH) GOURELA GOVT PS LAMNA (TWD) 22070607401 10621 BILASPUR (CHHATTISGARH) GOURELA GOVT MS LAMNA (SSA) 22070607402 10622 BILASPUR (CHHATTISGARH) GOURELA GOVT MS PAIRATIKARA LAMNA (TWD) 22070607403 10623 BILASPUR (CHHATTISGARH) GOURELA GOVT PS AAMGAON (TWD) 22070607501 10624 BILASPUR (CHHATTISGARH) GOURELA GOVT MS AAMGAON (TWD) 22070607502
  • 323.
    10625 BILASPUR (CHHATTISGARH) GOURELAGOVT PS MUSHTAMADA (SSA) 22070607503 10626 BILASPUR (CHHATTISGARH) GOURELA GOVT PS PUTA (TWD) 22070607601 10627 BILASPUR (CHHATTISGARH) GOURELA GOVT PS TIKAR KHURD (TWD) 22070607701 10628 BILASPUR (CHHATTISGARH) GOURELA GOVT PS KHUTHANTOLA (SSA) 22070607702 10629 BILASPUR (CHHATTISGARH) GOURELA GOVT MS TIKAR KHURD (SSA) 22070607703 10630 BILASPUR (CHHATTISGARH) GOURELA GOVT PS BOKRA MUDA (TWD) 22070607801 10631 BILASPUR (CHHATTISGARH) GOURELA GOVT PS BASTI (TWD) 22070607901 10632 BILASPUR (CHHATTISGARH) GOURELA GOVT MS BASTI (TWD) 22070607902 10633 BILASPUR (CHHATTISGARH) GOURELA GOVT PS PAIRITIKRA (SSA) 22070607903 10634 BILASPUR (CHHATTISGARH) GOURELA GOVT PS KANI. MATI KACHAR (TWD) 22070608001 10635 BILASPUR (CHHATTISGARH) GOURELA GOVT PS KANI. MANDPUR (TWD) 22070608101 10636 BILASPUR (CHHATTISGARH) GOURELA GOVT PS HARRA TOLA (TWD) 22070608201 10637 BILASPUR (CHHATTISGARH) GOURELA GOVT PS KARCHITOLA (SSA) 22070608202 10638 BILASPUR (CHHATTISGARH) GOURELA GOVT PS NAGTHAL (SSA) 22070608203 10639 BILASPUR (CHHATTISGARH) GOURELA GOVT PS STATIONTOLA (SSA) 22070608204 10640 BILASPUR (CHHATTISGARH) GOURELA GOVT PS JAN. DAHI BAHRA (TWD) 22070608301 10641 BILASPUR (CHHATTISGARH) GOURELA GOVT MS DAHIBAHARA (TWD) 22070608302 10642 BILASPUR (CHHATTISGARH) GOURELA GOVT PS BABATOLA (SSA) 22070608303 10643 BILASPUR (CHHATTISGARH) GOURELA GOVT MS BABA TOLA (SSA) 22070608304 10644 BILASPUR (CHHATTISGARH) GOURELA GOVT PS PANDRI PANI (TWD) 22070608401 10645 BILASPUR (CHHATTISGARH) GOURELA GOVT PS KHAMHALIKHURD (SSA) 22070608402 10646 BILASPUR (CHHATTISGARH) GOURELA GOVT MS PANDARIPANI (SSA) 22070608403 10647 BILASPUR (CHHATTISGARH) GOURELA GOVT PS HARRA DIH (TWD) 22070608501 10648 BILASPUR (CHHATTISGARH) GOURELA GOVT PS REJRAMAR (SSA) 22070608602 10649 BILASPUR (CHHATTISGARH) GOURELA GOVT PS BASINPAAT (SSA) 22070608603 10650 BILASPUR (CHHATTISGARH) GOURELA GOVT PS/MS GANGPUR (TWD) 22070608604 10651 BILASPUR (CHHATTISGARH) GOURELA GOVT MS GANGPUR (SSA) 22070608605 10652 BILASPUR (CHHATTISGARH) GOURELA GOVT PS BHASARRA TOLA (SSA) 22070608606 10653 BILASPUR (CHHATTISGARH) GOURELA GOVT PS GANDHI GANJ (TWD) 22070608701 10654 BILASPUR (CHHATTISGARH) GOURELA GOVT PS DOUJRA(TWD) 22070608801 10655 BILASPUR (CHHATTISGARH) GOURELA GOVT PS KATEL TOLA LALPUR (TWD) 22070608901 10656 BILASPUR (CHHATTISGARH) GOURELA GOVT PS ANDHIYAR KHOH (TWD) 22070609001 10657 BILASPUR (CHHATTISGARH) GOURELA GOVT MS ANDHIYAR KHOH (TWD) 22070609002
  • 324.
    10658 BILASPUR (CHHATTISGARH) GOURELAGOVT PS SEMARHA (SSA) 22070609003 10659 BILASPUR (CHHATTISGARH) GOURELA GOVT PS CHHIRHITTI (SSA) 22070609004 10660 BILASPUR (CHHATTISGARH) GOURELA GOVT PS SATOKPUR (TWD) 22070609101 10661 BILASPUR (CHHATTISGARH) GOURELA GOVT PS BIJARVAR (TWD) 22070609201 10662 BILASPUR (CHHATTISGARH) GOURELA GOVT MS BIJARWAR (TWD) 22070609202 10663 BILASPUR (CHHATTISGARH) GOURELA GOVT PS NEVRI (TWD) 22070609401 10664 BILASPUR (CHHATTISGARH) GOURELA GOVT MS NEVARI (SSA) 22070609402 10665 BILASPUR (CHHATTISGARH) GOURELA GOVT PS KASAI BAHRA (TWD) 22070609501 10666 BILASPUR (CHHATTISGARH) GOURELA GOVT PS VISHAMBHAR TOLA (TWD) 22070609701 10667 BILASPUR (CHHATTISGARH) GOURELA GOVT PS KANI. CHICHNAHI (TWD) 22070609801 10668 BILASPUR (CHHATTISGARH) GOURELA GOVT PS GANDHI NAGAR (TWD) 22070609901 10669 BILASPUR (CHHATTISGARH) GOURELA GOVT PS GIRLS LALATI (TWD) 22070610001 10670 BILASPUR (CHHATTISGARH) GOURELA GOVT PS BOYS LALATI (TWD) 22070610002 10671 BILASPUR (CHHATTISGARH) GOURELA GOVT MS LALATI (TWD) 22070610003 10672 BILASPUR (CHHATTISGARH) GOURELA GOVT PS GIRLS NEORI NAVAPARA (TWD) 22070610101 10673 BILASPUR (CHHATTISGARH) GOURELA GOVT PS KHAIRPANI (SSA) 22070610102 10674 BILASPUR (CHHATTISGARH) GOURELA GOVT PS NEORI NAVAPARA (SSA) 22070610103 10675 BILASPUR (CHHATTISGARH) GOURELA GOVT PS JAN. DHAN GAVA (TWD) 22070610201 10676 BILASPUR (CHHATTISGARH) GOURELA GOVT MS DHANGAVA (TWD) 22070610202 10677 BILASPUR (CHHATTISGARH) GOURELA GOVT PS BARPARA (SSA) 22070610203 10678 BILASPUR (CHHATTISGARH) GOURELA GOVT PS NAVAPARA SADHVANI (TWD) 22070610301 10679 BILASPUR (CHHATTISGARH) GOURELA GOVT BOYS SADHVANI (TWD) 22070610302 10680 BILASPUR (CHHATTISGARH) GOURELA GOVT GIRLS SADHVANI (TWD) 22070610303 10681 BILASPUR (CHHATTISGARH) GOURELA GOVT MS SADHWANI (TWD) 22070610304 10682 BILASPUR (CHHATTISGARH) GOURELA GOVT PS DEVRAJPARA (SSA) 22070610305 10683 BILASPUR (CHHATTISGARH) GOURELA GOVT PS BELGOHANI (TWD) 22070610306 10684 BILASPUR (CHHATTISGARH) GOURELA GOVT MS NAVAPARA, SADHWANI (SSA) 22070610307 10685 BILASPUR (CHHATTISGARH) GOURELA GOVT PS MADNA (TWD) 22070610401 10686 BILASPUR (CHHATTISGARH) GOURELA GOVT PS BANDHA MUDA (TWD) 22070610501 10687 BILASPUR (CHHATTISGARH) GOURELA GOVT PS KANHARI (TWD) 22070610601 10688 BILASPUR (CHHATTISGARH) GOURELA GOVT PS BOYS SARBAHARA (TWD) 22070610701 10689 BILASPUR (CHHATTISGARH) GOURELA GOVT PS GIRLS SARBAHARA (TWD) 22070610702 10690 BILASPUR (CHHATTISGARH) GOURELA GOVT PS SICHAI NAGAR (SSA) 22070610703
  • 325.
    10691 BILASPUR (CHHATTISGARH) GOURELAGOVT MS BOYS SARBAHARA (TWD) 22070610705 10692 BILASPUR (CHHATTISGARH) GOURELA GOVT PS MANJHITOLA (SSA) 22070610706 10693 BILASPUR (CHHATTISGARH) GOURELA GOVT MS BELGOHNI (TWD) 22070610707 10694 BILASPUR (CHHATTISGARH) GOURELA GOVT MS GIRLS SARBAHARA (SSA) 22070610708 10695 BILASPUR (CHHATTISGARH) GOURELA GOVT MS MANJHITOLA SARBAHARA (SSA) 22070610709 10696 BILASPUR (CHHATTISGARH) GOURELA GOVT PS MODAL SCHOOL SARBAHARA (TWD) 22070610711 10697 BILASPUR (CHHATTISGARH) GOURELA GOVT PS BELGAHNA (TWD) 22070610801 10698 BILASPUR (CHHATTISGARH) GOURELA GOVT PS PATERA TOLA (TWD) 22070610901 10699 BILASPUR (CHHATTISGARH) GOURELA GOVT PS SALHE GHORI (TWD) 22070611001 10700 BILASPUR (CHHATTISGARH) GOURELA GOVT MS CHHINDPANI (SSA) 22070611002 10701 BILASPUR (CHHATTISGARH) GOURELA GOVT MS UPARPARA SALHEGHORI (SSA) 22070611003 10702 BILASPUR (CHHATTISGARH) GOURELA GOVT MS CHHIRHITTI (SSA) 22070611004 10703 BILASPUR (CHHATTISGARH) GOURELA GOVT MS GANDHI GANJ HARRI (SSA) 22070611801 10704 BILASPUR (CHHATTISGARH) GOURELA GOVT MS HARRA TOLA (SSA) 22070612301 10705 BILASPUR (CHHATTISGARH) KOTA NPEGEL, GOVT. PS FIRANGI PARA KOTA 22071100101 10706 BILASPUR (CHHATTISGARH) KOTA GOVT. GIRLS PS KOTA 22071100102 10707 BILASPUR (CHHATTISGARH) KOTA GOVT.PS PURANI BASTI KOTA 22071100103 10708 BILASPUR (CHHATTISGARH) KOTA NPEGEL, PS GIRLS NEAR THANA, KOTA 22071100104 10709 BILASPUR (CHHATTISGARH) KOTA GOVT.PS BOYS OLD KOTA 22071100105 10710 BILASPUR (CHHATTISGARH) KOTA GOVT. PS GANJ KOTA 22071100106 10711 BILASPUR (CHHATTISGARH) KOTA PS LARIPARA KOTA 22071100107 10712 BILASPUR (CHHATTISGARH) KOTA P.S.KANI. SUDAN PARA 22071100108 10713 BILASPUR (CHHATTISGARH) KOTA GOVT. MS BOYS PHIRANGIPARA, KOTA 22071100110 10714 BILASPUR (CHHATTISGARH) KOTA GOVT. MS D.K.P. BOYS KOTA 22071100111 10715 BILASPUR (CHHATTISGARH) KOTA MS GIRLS GOVT, KOTA 22071100112 10716 BILASPUR (CHHATTISGARH) KOTA MS KALAVATI GOVT, KOTA 22071100113 10717 BILASPUR (CHHATTISGARH) KOTA MS TRIBAL GIRLS, KOTA 22071100114 10718 BILASPUR (CHHATTISGARH) KOTA UP MS, GANJ KOTA 22071100120 10719 BILASPUR (CHHATTISGARH) KOTA PS GIRLS ST ASHRAM, WARD-2 22071100121 10720 BILASPUR (CHHATTISGARH) KOTA GOVT. PS GOBARI PAT 22071100201 10721 BILASPUR (CHHATTISGARH) KOTA GOVT. MS GOBRIPAAT 22071100202 10722 BILASPUR (CHHATTISGARH) KOTA GOVT. MODAL SCHOOL GOBRIPAAT 22071100204 10723 BILASPUR (CHHATTISGARH) KOTA GOVT. PS PATAITA 22071100301
  • 326.
    10724 BILASPUR (CHHATTISGARH) KOTAGOVT. EGS TO PS, KORIPARA, PATAITA 22071100302 10725 BILASPUR (CHHATTISGARH) KOTA GOVT. UP MS, PATAITA 22071100303 10726 BILASPUR (CHHATTISGARH) KOTA GOVT. PS BEDAPAT 22071100401 10727 BILASPUR (CHHATTISGARH) KOTA GOVT. UP MS, BEDAPAT 22071100402 10728 BILASPUR (CHHATTISGARH) KOTA GOVT. PS KHAIR JHITI 22071100501 10729 BILASPUR (CHHATTISGARH) KOTA GOVT. PS KHAIRJHITI 22071100502 10730 BILASPUR (CHHATTISGARH) KOTA GOVT. EGS TO PS, BANDHIYAPARA 22071100503 10731 BILASPUR (CHHATTISGARH) KOTA GOVT. EGS TO PS, NAVADIH 22071100504 10732 BILASPUR (CHHATTISGARH) KOTA GOVT. EGS TO PS, DHOBGHAT 22071100505 10733 BILASPUR (CHHATTISGARH) KOTA GOVT. PS NEVSA 22071100601 10734 BILASPUR (CHHATTISGARH) KOTA GOVT. ADIVASI BOYS ASHRAM NEVSA 22071100602 10735 BILASPUR (CHHATTISGARH) KOTA GOVT. PS LITIYA 22071100701 10736 BILASPUR (CHHATTISGARH) KOTA GOVT. PS MOHADI 22071100801 10737 BILASPUR (CHHATTISGARH) KOTA GOVT. PS, CHANGORI 22071100901 10738 BILASPUR (CHHATTISGARH) KOTA GOVT. UP MS, CHANGORI 22071100902 10739 BILASPUR (CHHATTISGARH) KOTA GOVT. EGS TO PS, A.M.CHANGORI 22071100903 10740 BILASPUR (CHHATTISGARH) KOTA GOVT. PS LAKHODNA, CHANGORI 22071100904 10741 BILASPUR (CHHATTISGARH) KOTA GOVT. PS LAL PUR 22071101001 10742 BILASPUR (CHHATTISGARH) KOTA GOVT. UP MS, LALPUR 22071101002 10743 BILASPUR (CHHATTISGARH) KOTA GOVT BOYS PS AMALI 22071101101 10744 BILASPUR (CHHATTISGARH) KOTA GOVT GIRLS PS AMALI 22071101102 10745 BILASPUR (CHHATTISGARH) KOTA GOVT. MS AMALI 22071101103 10746 BILASPUR (CHHATTISGARH) KOTA GOVT. EGS TO PS, LAMKANIHAPARA 22071101104 10747 BILASPUR (CHHATTISGARH) KOTA GOVT. PS LAMER PARA 22071101201 10748 BILASPUR (CHHATTISGARH) KOTA GOVT. PS BAKI GHAT 22071101301 10749 BILASPUR (CHHATTISGARH) KOTA GOVT. PS DHARAMPURA 22071101401 10750 BILASPUR (CHHATTISGARH) KOTA GOVT. PS JOGIPUR 22071101501 10751 BILASPUR (CHHATTISGARH) KOTA GOVT. P.S.NAVA PARA 22071101502 10752 BILASPUR (CHHATTISGARH) KOTA GOVT. MS JOGIPUR 22071101503 10753 BILASPUR (CHHATTISGARH) KOTA PS CHERKA BANDHA 22071101601 10754 BILASPUR (CHHATTISGARH) KOTA P.S. CHHERKA BANDHA 22071101602 10755 BILASPUR (CHHATTISGARH) KOTA UP MS, PIPERPARA, CHERKABANDHA 22071101603 10756 BILASPUR (CHHATTISGARH) KOTA GOVT. PS UMARMARA 22071101701
  • 327.
    10757 BILASPUR (CHHATTISGARH) KOTAGOVT. PS DHOURA BHATHA 22071101801 10758 BILASPUR (CHHATTISGARH) KOTA MS GOVT, DHOURABHATHA 22071101802 10759 BILASPUR (CHHATTISGARH) KOTA PS KUVARI MUNDA 22071101901 10760 BILASPUR (CHHATTISGARH) KOTA BOYS PS PIPAR TARAI 22071102001 10761 BILASPUR (CHHATTISGARH) KOTA NPEGEL, PS GIRLS, PIPERTARAI 22071102002 10762 BILASPUR (CHHATTISGARH) KOTA MS GOVT, PEEPARTARAI 22071102003 10763 BILASPUR (CHHATTISGARH) KOTA EGS TO PS, GANDHINAGAR 22071102004 10764 BILASPUR (CHHATTISGARH) KOTA PS AMNE 22071102101 10765 BILASPUR (CHHATTISGARH) KOTA MS GOVT, AMNEY 22071102102 10766 BILASPUR (CHHATTISGARH) KOTA GOVT. PS KHARGAHANI 22071102201 10767 BILASPUR (CHHATTISGARH) KOTA EGS TO PS, CHANDAPARA 22071102202 10768 BILASPUR (CHHATTISGARH) KOTA UP MS, KHARGAHNI 22071102203 10769 BILASPUR (CHHATTISGARH) KOTA GOVT. PS KALARTARAI 22071102301 10770 BILASPUR (CHHATTISGARH) KOTA BOYS PS KHURDAR 22071102401 10771 BILASPUR (CHHATTISGARH) KOTA GIRLS KHURDUR 22071102402 10772 BILASPUR (CHHATTISGARH) KOTA GOVT. PS NAVA PARA 22071102403 10773 BILASPUR (CHHATTISGARH) KOTA MS GOVT, KHURDUR 22071102404 10774 BILASPUR (CHHATTISGARH) KOTA GOVT. PS MAUHA KAPA 22071102501 10775 BILASPUR (CHHATTISGARH) KOTA PS RANI SAGAR 22071102601 10776 BILASPUR (CHHATTISGARH) KOTA EGS TO PS, MOHARKHAR 22071102602 10777 BILASPUR (CHHATTISGARH) KOTA GOVT. PS KARGI KALA 22071102701 10778 BILASPUR (CHHATTISGARH) KOTA NPEGEL, PS GIRLS,.KARGIKALA 22071102702 10779 BILASPUR (CHHATTISGARH) KOTA MS GOVT, KARGIKALA 22071102703 10780 BILASPUR (CHHATTISGARH) KOTA EGS TO PS, DEVRHAPARA 22071102704 10781 BILASPUR (CHHATTISGARH) KOTA PS TO MS GIRLS, KARGIKALA 22071102706 10782 BILASPUR (CHHATTISGARH) KOTA GIRLS PS NAVA PATHARA 22071102801 10783 BILASPUR (CHHATTISGARH) KOTA GOVT. PS LAMKENA 22071102901 10784 BILASPUR (CHHATTISGARH) KOTA UP MS, LAMKENA 22071102902 10785 BILASPUR (CHHATTISGARH) KOTA GIRLS PS DHUMA 22071103001 10786 BILASPUR (CHHATTISGARH) KOTA P.S.BANVASI SCH. DHUMA 22071103002 10787 BILASPUR (CHHATTISGARH) KOTA MS GOVT, DHUMA 22071103003 10788 BILASPUR (CHHATTISGARH) KOTA EGS TO PS, CHHIRHAPARA 22071103004 10789 BILASPUR (CHHATTISGARH) KOTA EGS TO PS, JHALAPARA 22071103005
  • 328.
    10790 BILASPUR (CHHATTISGARH) KOTAGOVT. PS DINDOL 22071103101 10791 BILASPUR (CHHATTISGARH) KOTA EGS TO PS, BAIGAPARA 22071103102 10792 BILASPUR (CHHATTISGARH) KOTA UP UPS, DINDOL 22071103103 10793 BILASPUR (CHHATTISGARH) KOTA GOVT. PS KARKA 22071103201 10794 BILASPUR (CHHATTISGARH) KOTA EGS TO PS, NAKTABANDHA 22071103202 10795 BILASPUR (CHHATTISGARH) KOTA EGS TO PS, JOGIPUR 22071103203 10796 BILASPUR (CHHATTISGARH) KOTA UP UPS, KARKA 22071103204 10797 BILASPUR (CHHATTISGARH) KOTA JAN. PS DHANRAS 22071103301 10798 BILASPUR (CHHATTISGARH) KOTA MS GOVT, DHANRAS 22071103302 10799 BILASPUR (CHHATTISGARH) KOTA EGS TO PS, TILAIHAPARA 22071103303 10800 BILASPUR (CHHATTISGARH) KOTA EGS TO PS, GONDPARA 22071103304 10801 BILASPUR (CHHATTISGARH) KOTA PS MOHTARA 22071103401 10802 BILASPUR (CHHATTISGARH) KOTA GOVT. PS LOK BAND 22071103501 10803 BILASPUR (CHHATTISGARH) KOTA JAN. BOYS PS KARGI KHURD 22071103601 10804 BILASPUR (CHHATTISGARH) KOTA GOVT. GIRLS PS KARGI KHURD 22071103602 10805 BILASPUR (CHHATTISGARH) KOTA MS GOVT, KARGIKHURD 22071103603 10806 BILASPUR (CHHATTISGARH) KOTA MS BAPA, CHHOTI KARGI, KARGIKH 22071103604 10807 BILASPUR (CHHATTISGARH) KOTA EGS TO PS, KORIPARA 22071103605 10808 BILASPUR (CHHATTISGARH) KOTA NPEGEL, PS GOVT, TENDUVA 22071103701 10809 BILASPUR (CHHATTISGARH) KOTA MS GOVT, TENDUA 22071103702 10810 BILASPUR (CHHATTISGARH) KOTA EGS TO PS, BAGBUDUVAPARA 22071103703 10811 BILASPUR (CHHATTISGARH) KOTA PS MATSAGRA 22071103801 10812 BILASPUR (CHHATTISGARH) KOTA MS GOVT, MATSAGRA 22071103802 10813 BILASPUR (CHHATTISGARH) KOTA PS BANSAJHAL 22071103901 10814 BILASPUR (CHHATTISGARH) KOTA GOVT. PS BASA JHAL 22071103902 10815 BILASPUR (CHHATTISGARH) KOTA GOVT. PS KUSMULI 22071104001 10816 BILASPUR (CHHATTISGARH) KOTA EGS TO PS, SHIVNAGAR 22071104002 10817 BILASPUR (CHHATTISGARH) KOTA GOTV. PS SALHE DABARI 22071104101 10818 BILASPUR (CHHATTISGARH) KOTA PS TO MS GOVT,SALHEDABRI 22071104102 10819 BILASPUR (CHHATTISGARH) KOTA PS MANPAHRI MAN PAHARI 22071104201 10820 BILASPUR (CHHATTISGARH) KOTA EGS TO PS, JHANJHRAIHAPARA 22071104202 10821 BILASPUR (CHHATTISGARH) KOTA EGS TO PS, JAMUNAHI 22071104203 10822 BILASPUR (CHHATTISGARH) KOTA UP MS, MANPAHARI 22071104204
  • 329.
    10823 BILASPUR (CHHATTISGARH) KOTAGOVT. PS KOSKATTI 22071104301 10824 BILASPUR (CHHATTISGARH) KOTA UP MS, KOSKATTI 22071104302 10825 BILASPUR (CHHATTISGARH) KOTA GOVT. PS MUD GHUSARI 22071104401 10826 BILASPUR (CHHATTISGARH) KOTA GOVT. PS IMLI PARA 22071104501 10827 BILASPUR (CHHATTISGARH) KOTA BOYS PS SALKA NAVA GAON 22071104601 10828 BILASPUR (CHHATTISGARH) KOTA NPEGEL, PS GIRLS, SALKA NAVA GAON 22071104602 10829 BILASPUR (CHHATTISGARH) KOTA MS GOVT, SALKANAVAGAON 22071104603 10830 BILASPUR (CHHATTISGARH) KOTA EGS TO PS, DHELVAPUR 22071104604 10831 BILASPUR (CHHATTISGARH) KOTA PS TO MS GIRLS, SALKANAVAGAON 22071104605 10832 BILASPUR (CHHATTISGARH) KOTA PS GOVT, DONGRIPARA, SALKA NA 22071104607 10833 BILASPUR (CHHATTISGARH) KOTA PS SALKA 22071104701 10834 BILASPUR (CHHATTISGARH) KOTA EGS TO PS, PHULWARPARA 22071104702 10835 BILASPUR (CHHATTISGARH) KOTA UP MS, SALKA 22071104703 10836 BILASPUR (CHHATTISGARH) KOTA PS DABRI PARA 22071104801 10837 BILASPUR (CHHATTISGARH) KOTA UP MS, DABRIPARA 22071104802 10838 BILASPUR (CHHATTISGARH) KOTA NPEGEL, PS GOVT, PONDI 22071104901 10839 BILASPUR (CHHATTISGARH) KOTA P.S.KANI. PONDI 22071104902 10840 BILASPUR (CHHATTISGARH) KOTA PS PONDI 22071104903 10841 BILASPUR (CHHATTISGARH) KOTA MS GOVT, PONDI 22071104904 10842 BILASPUR (CHHATTISGARH) KOTA PS BILLI BAND 22071105001 10843 BILASPUR (CHHATTISGARH) KOTA MS GOVT, BILLIBAND 22071105002 10844 BILASPUR (CHHATTISGARH) KOTA EGS TO PS, NARUAPARA 22071105003 10845 BILASPUR (CHHATTISGARH) KOTA GOVT. PS SRI PARA 22071105101 10846 BILASPUR (CHHATTISGARH) KOTA NPEGEL, PS GOVT, JHINGATPUR 22071105201 10847 BILASPUR (CHHATTISGARH) KOTA P.S.MANJHI PARA 22071105202 10848 BILASPUR (CHHATTISGARH) KOTA MS GOVT, JHINGATPUR 22071105203 10849 BILASPUR (CHHATTISGARH) KOTA PS BAIGA PARA 22071105301 10850 BILASPUR (CHHATTISGARH) KOTA PS SEMARIA 22071105401 10851 BILASPUR (CHHATTISGARH) KOTA EGS TO PS, DANDASAGAR 22071105402 10852 BILASPUR (CHHATTISGARH) KOTA GOVT. PS MAJHA GAON 22071105501 10853 BILASPUR (CHHATTISGARH) KOTA EGS TO PS, DIPRAPARA, MAJHGAON 22071105504 10854 BILASPUR (CHHATTISGARH) KOTA PS NAVADIH 22071105601 10855 BILASPUR (CHHATTISGARH) KOTA P.S.KANI. NAVA DIH 22071105602
  • 330.
    10856 BILASPUR (CHHATTISGARH) KOTABOYS PS BELGAHANA 22071105702 10857 BILASPUR (CHHATTISGARH) KOTA NPEGEL, PS GIRLS, BELGAHANA 22071105703 10858 BILASPUR (CHHATTISGARH) KOTA GOVT. TRIBLE BOYS ASHRAM BELGAHNA 22071105704 10859 BILASPUR (CHHATTISGARH) KOTA MS BOYS GOVT, BELGAHNA 22071105706 10860 BILASPUR (CHHATTISGARH) KOTA MS GIRLS GOVT, BELGAHNA 22071105707 10861 BILASPUR (CHHATTISGARH) KOTA EGS TO PS, DIPRAPARA BELGAHNA 22071105708 10862 BILASPUR (CHHATTISGARH) KOTA UP MS GIRLS, BELGAHNA 22071105709 10863 BILASPUR (CHHATTISGARH) KOTA PS SATTI BAHRA 22071105801 10864 BILASPUR (CHHATTISGARH) KOTA EGS TO PS, BABAPARA 22071105802 10865 BILASPUR (CHHATTISGARH) KOTA BOYS PS LUFA 22071105901 10866 BILASPUR (CHHATTISGARH) KOTA GIRLS PS LUFA 22071105902 10867 BILASPUR (CHHATTISGARH) KOTA EGS TO PS, BAIGAPARA 22071105903 10868 BILASPUR (CHHATTISGARH) KOTA EGS TO PS, BARBHATHA 22071105904 10869 BILASPUR (CHHATTISGARH) KOTA UP MS, LUFA 22071105905 10870 BILASPUR (CHHATTISGARH) KOTA GOVT. PS LAHANGA BHATHA 22071106001 10871 BILASPUR (CHHATTISGARH) KOTA MS GOVT, LAHANGABHATHA 22071106002 10872 BILASPUR (CHHATTISGARH) KOTA GOVT. PS KURDAR 22071106101 10873 BILASPUR (CHHATTISGARH) KOTA ADIVASI BOYS ASHRAM 22071106102 10874 BILASPUR (CHHATTISGARH) KOTA MS GOVT, KURDUR 22071106103 10875 BILASPUR (CHHATTISGARH) KOTA EGS TO PS, PARSAPANI 22071106104 10876 BILASPUR (CHHATTISGARH) KOTA EGS TO PS, CHUNAKHODRA 22071106105 10877 BILASPUR (CHHATTISGARH) KOTA GOVT. PS CHIKHALA DABARI 22071106201 10878 BILASPUR (CHHATTISGARH) KOTA PS PANDRA PATHRA 22071106301 10879 BILASPUR (CHHATTISGARH) KOTA UP MS, PANDRA PATHRAI 22071106303 10880 BILASPUR (CHHATTISGARH) KOTA PS BHELVA TIKRA 22071106401 10881 BILASPUR (CHHATTISGARH) KOTA PS KARHI KACHAR 22071106501 10882 BILASPUR (CHHATTISGARH) KOTA PS DONGARIPARA, KARHI 22071106502 10883 BILASPUR (CHHATTISGARH) KOTA EGS TO PS, KARAHI KACHHAR 22071106503 10884 BILASPUR (CHHATTISGARH) KOTA EGS TO PS, KHOLIPARA 22071106504 10885 BILASPUR (CHHATTISGARH) KOTA PS KEKRA DIH 22071106601 10886 BILASPUR (CHHATTISGARH) KOTA PS TO MS, KEKRADIH 22071106602 10887 BILASPUR (CHHATTISGARH) KOTA PS BARAR 22071106701 10888 BILASPUR (CHHATTISGARH) KOTA P.S.KANI. BADE BARAR 22071106702
  • 331.
    10889 BILASPUR (CHHATTISGARH) KOTAPS MAJHVANI 22071106801 10890 BILASPUR (CHHATTISGARH) KOTA UP MS, MAJHVANI 22071106802 10891 BILASPUR (CHHATTISGARH) KOTA GOVT.PS KANCHANPUR 22071106901 10892 BILASPUR (CHHATTISGARH) KOTA TRIBLE BOYS ASHRAM KANCHANPUR 22071106902 10893 BILASPUR (CHHATTISGARH) KOTA EGS TO PS, GONDPARA 22071106903 10894 BILASPUR (CHHATTISGARH) KOTA PS RATKHANDI 22071107001 10895 BILASPUR (CHHATTISGARH) KOTA UP MS, RATKHANDII 22071107002 10896 BILASPUR (CHHATTISGARH) KOTA NPEGEL, PS GOVT, SHIV TARAI 22071107101 10897 BILASPUR (CHHATTISGARH) KOTA PS. DAIHANPARA, SHIVTARAI 22071107102 10898 BILASPUR (CHHATTISGARH) KOTA MS GOVT, SHIVTARAI 22071107103 10899 BILASPUR (CHHATTISGARH) KOTA PS SARAIHA PALI 22071107201 10900 BILASPUR (CHHATTISGARH) KOTA GOVT. PS MANPUR 22071107301 10901 BILASPUR (CHHATTISGARH) KOTA MS GOVT, MANPUR 22071107302 10902 BILASPUR (CHHATTISGARH) KOTA PS PIPAR KHUTI 22071107401 10903 BILASPUR (CHHATTISGARH) KOTA GOVT. PS PARSADA 22071107501 10904 BILASPUR (CHHATTISGARH) KOTA UP MS, PARSADA 22071107502 10905 BILASPUR (CHHATTISGARH) KOTA PS DAVANPUR 22071107601 10906 BILASPUR (CHHATTISGARH) KOTA PS. DAND BACHHALI 22071107602 10907 BILASPUR (CHHATTISGARH) KOTA PS BOYS, DAVANPUR 22071107603 10908 BILASPUR (CHHATTISGARH) KOTA UP UPS, DAVANPUR 22071107604 10909 BILASPUR (CHHATTISGARH) KOTA PS GOVT ACHANAKMAR 22071107701 10910 BILASPUR (CHHATTISGARH) KOTA MS GOVT ACHANAKMAR 22071107702 10911 BILASPUR (CHHATTISGARH) KOTA PS BINDAVAL 22071107801 10912 BILASPUR (CHHATTISGARH) KOTA NPEGEL, PS GOVT, KENDA 22071107901 10913 BILASPUR (CHHATTISGARH) KOTA MS GOVT, KENDA 22071107902 10914 BILASPUR (CHHATTISGARH) KOTA NEW PS,GIRLS GOVT,KENDA 22071107903 10915 BILASPUR (CHHATTISGARH) KOTA GOVT. PS CHURELI 22071108001 10916 BILASPUR (CHHATTISGARH) KOTA PS MANIKPUR 22071108101 10917 BILASPUR (CHHATTISGARH) KOTA EGS TO PS, AAMAGAR 22071108102 10918 BILASPUR (CHHATTISGARH) KOTA GOVT. PS BARPALI 22071108201 10919 BILASPUR (CHHATTISGARH) KOTA PS SUIDHAR 22071108301 10920 BILASPUR (CHHATTISGARH) KOTA UP MS, SUIDHAR 22071108302 10921 BILASPUR (CHHATTISGARH) KOTA PS BOYS ST ASHRAM, SUIDHAR 22071108303
  • 332.
    10922 BILASPUR (CHHATTISGARH) KOTAPS NEVRI BAHRA 22071108401 10923 BILASPUR (CHHATTISGARH) KOTA NPEGEL, PS GOVT, MAJHGAVA 22071108501 10924 BILASPUR (CHHATTISGARH) KOTA MS GOVT, MAJHGAVA 22071108502 10925 BILASPUR (CHHATTISGARH) KOTA MS MAJHGAVA 22071108503 10926 BILASPUR (CHHATTISGARH) KOTA PS SILPAHRI 22071108601 10927 BILASPUR (CHHATTISGARH) KOTA PS TO MS, SILPAHRI 22071108602 10928 BILASPUR (CHHATTISGARH) KOTA PS KENDA DAD 22071108701 10929 BILASPUR (CHHATTISGARH) KOTA EGS TO PS, TUNGAPARA 22071108702 10930 BILASPUR (CHHATTISGARH) KOTA EGS TO PS, NAVADIH 22071108703 10931 BILASPUR (CHHATTISGARH) KOTA EGS TO PS, CHHINDWAD 22071108704 10932 BILASPUR (CHHATTISGARH) KOTA GOVT.MS KENDADAND 22071108705 10933 BILASPUR (CHHATTISGARH) KOTA PS LUSDA 22071108801 10934 BILASPUR (CHHATTISGARH) KOTA PS SEMRI 22071108901 10935 BILASPUR (CHHATTISGARH) KOTA EGS TO PS, BANDHVAPARA 22071108902 10936 BILASPUR (CHHATTISGARH) KOTA EGS TO PS, SHIRISHDAND 22071108903 10937 BILASPUR (CHHATTISGARH) KOTA PS TO MS, SEMRI 22071108904 10938 BILASPUR (CHHATTISGARH) KOTA GOVT. PS BARGAVA 22071109001 10939 BILASPUR (CHHATTISGARH) KOTA NPEGEL, PS GOVT, CHATOUNA 22071109101 10940 BILASPUR (CHHATTISGARH) KOTA MS GOVT, CHHATOUNA 22071109102 10941 BILASPUR (CHHATTISGARH) KOTA PS PARSA PANI 22071109201 10942 BILASPUR (CHHATTISGARH) KOTA EGS TO PS, JHERAKHOL 22071109202 10943 BILASPUR (CHHATTISGARH) KOTA EGS TO PS, BAHRIJHIRIYA 22071109203 10944 BILASPUR (CHHATTISGARH) KOTA UP MS, PARSAPANI 22071109204 10945 BILASPUR (CHHATTISGARH) KOTA PS SODHA KHURD 22071109301 10946 BILASPUR (CHHATTISGARH) KOTA JAN. PS, CHAPORA 22071109401 10947 BILASPUR (CHHATTISGARH) KOTA MS GOVT, CHAPORA 22071109402 10948 BILASPUR (CHHATTISGARH) KOTA KGBV, CHAPORA 22071109404 10949 BILASPUR (CHHATTISGARH) KOTA PS SEMHARA 22071109501 10950 BILASPUR (CHHATTISGARH) KOTA NPEGEL,PS BARI DIH 22071109601 10951 BILASPUR (CHHATTISGARH) KOTA EGS TO PS, NAVAPARA 22071109602 10952 BILASPUR (CHHATTISGARH) KOTA PS BIRGAHNI 22071109701 10953 BILASPUR (CHHATTISGARH) KOTA ASRAM BIRGAHANI 22071109702 10954 BILASPUR (CHHATTISGARH) KOTA MS GOVT, BIRGAHNI 22071109703
  • 333.
    10955 BILASPUR (CHHATTISGARH) KOTAPS RANI BACHALI 22071109801 10956 BILASPUR (CHHATTISGARH) KOTA P.S. KUVA JATI 22071109802 10957 BILASPUR (CHHATTISGARH) KOTA MS GOVT, RANI BACHHALI 22071109803 10958 BILASPUR (CHHATTISGARH) KOTA UP MS, RANIBACHHALI 22071109804 10959 BILASPUR (CHHATTISGARH) KOTA PS BACHALI KHURD 22071109901 10960 BILASPUR (CHHATTISGARH) KOTA MS GOVT NEW, BACHHALIKHURD 22071109902 10961 BILASPUR (CHHATTISGARH) KOTA P.S. DONA SAGAR 22071110101 10962 BILASPUR (CHHATTISGARH) KOTA P.S. MOHADA 22071110201 10963 BILASPUR (CHHATTISGARH) KOTA MS GOVT(TRIBAL), MOHDA 22071110202 10964 BILASPUR (CHHATTISGARH) KOTA EGS TO PS, NAVAPARA 22071110203 10965 BILASPUR (CHHATTISGARH) KOTA EGS TO PS, GANGASAGAR 22071110204 10966 BILASPUR (CHHATTISGARH) KOTA EGS TO PS, BAGICHAPARA 22071110205 10967 BILASPUR (CHHATTISGARH) KOTA P.S.NAVAGAON 22071110301 10968 BILASPUR (CHHATTISGARH) KOTA NPEGEL, UP PS, DONGARI PARA 22071110302 10969 BILASPUR (CHHATTISGARH) KOTA P.S.KANI. HARIJAN PARA 22071110303 10970 BILASPUR (CHHATTISGARH) KOTA P.S.KANI. CHARPARA(NAVAGAON) 22071110304 10971 BILASPUR (CHHATTISGARH) KOTA PS NAVAGAON (KHUTA) 22071110305 10972 BILASPUR (CHHATTISGARH) KOTA PS. SONSAY NAVA GAON 22071110306 10973 BILASPUR (CHHATTISGARH) KOTA EGS TO PS, CHAKRABHATHA 22071110307 10974 BILASPUR (CHHATTISGARH) KOTA UP MS, NAVAGAON, MOHADA 22071110308 10975 BILASPUR (CHHATTISGARH) KOTA P.S. GHANSI PUR 22071110401 10976 BILASPUR (CHHATTISGARH) KOTA P.S.BHATHA PARA 22071110501 10977 BILASPUR (CHHATTISGARH) KOTA P.S.JHOKA PARA 22071110601 10978 BILASPUR (CHHATTISGARH) KOTA P.S.KANI. SAJA PALI 22071110701 10979 BILASPUR (CHHATTISGARH) KOTA UP UPS, SAJAPALI 22071110702 10980 BILASPUR (CHHATTISGARH) KOTA GOVT.P.S.AOURAPANI 22071110801 10981 BILASPUR (CHHATTISGARH) KOTA P.S.KANI. BANJARI PARA 22071111001 10982 BILASPUR (CHHATTISGARH) KOTA P.S.KANI. CHATAPARA 22071111101 10983 BILASPUR (CHHATTISGARH) KOTA GOVT PS UMARIA(TRIBAL) 22071111202 10984 BILASPUR (CHHATTISGARH) KOTA P.S.KANI. NAGCHUI 22071111301 10985 BILASPUR (CHHATTISGARH) KOTA P.S.KANI. KHAPRA KHOL 22071111401 10986 BILASPUR (CHHATTISGARH) KOTA P.S.KANI. SIRSAHA 22071111501 10987 BILASPUR (CHHATTISGARH) KOTA UP UPS, SIRSAHA 22071111502
  • 334.
    10988 BILASPUR (CHHATTISGARH) KOTAP.S.KANI. RAMPUR 22071111601 10989 BILASPUR (CHHATTISGARH) KOTA P.S.KANI. SARGOD 22071111701 10990 BILASPUR (CHHATTISGARH) KOTA P.S.SARGOD 22071111702 10991 BILASPUR (CHHATTISGARH) KOTA P.S.BODHIBAN 22071111801 10992 BILASPUR (CHHATTISGARH) KOTA P.S.MEDHA PARA 22071111901 10993 BILASPUR (CHHATTISGARH) KOTA PS MEDHRA PARA 22071111902 10994 BILASPUR (CHHATTISGARH) KOTA P.S.JANAKPUR 22071112101 10995 BILASPUR (CHHATTISGARH) KOTA P.S.KANI. KHUNTA GHAT 22071112201 10996 BILASPUR (CHHATTISGARH) KOTA NEW PS, KHAIRWARPARA, KHUTAGHA 22071112202 10997 BILASPUR (CHHATTISGARH) KOTA P.S.KANI. TILAK DIH 22071112301 10998 BILASPUR (CHHATTISGARH) KOTA P.S.KANI. SARSA TIKARA 22071112401 10999 BILASPUR (CHHATTISGARH) KOTA P.S.SONPURI 22071112501 11000 BILASPUR (CHHATTISGARH) KOTA MS GOVT, SONPURI 22071112502 11001 BILASPUR (CHHATTISGARH) KOTA P.S.KHARGA 22071112601 11002 BILASPUR (CHHATTISGARH) KOTA P.S.KANI. VICHARPUR 22071112701 11003 BILASPUR (CHHATTISGARH) KOTA GOVT. PS BICHARPUR 22071112702 11004 BILASPUR (CHHATTISGARH) KOTA P.S.NAGCHUVA 22071112801 11005 BILASPUR (CHHATTISGARH) KOTA UP MS, NAGCHUVA 22071112802 11006 BILASPUR (CHHATTISGARH) KOTA P.S.VIDHA MANDIR BEHARA MUDA 22071112901 11007 BILASPUR (CHHATTISGARH) KOTA EGS TO PS, PHULWARIPARA 22071112902 11008 BILASPUR (CHHATTISGARH) KOTA EGS TO PS, KHAIRKHANIKHOLA 22071112903 11009 BILASPUR (CHHATTISGARH) KOTA UP MS, BAHERAMUDA 22071112904 11010 BILASPUR (CHHATTISGARH) KOTA P.S.KANI. RANIPARA 22071113001 11011 BILASPUR (CHHATTISGARH) KOTA NPEGEL, PS GOVT, BHEDI MUDA-1 22071113004 11012 BILASPUR (CHHATTISGARH) KOTA P.S. BHEDI MUDA-2 22071113005 11013 BILASPUR (CHHATTISGARH) KOTA P.S.GIRLS RATANPUR 22071113007 11014 BILASPUR (CHHATTISGARH) KOTA P.S. GOVT. OCHHINA PARA 22071113008 11015 BILASPUR (CHHATTISGARH) KOTA P.S. SANDHI PARA 22071113009 11016 BILASPUR (CHHATTISGARH) KOTA P.S. NAVA PARA 22071113010 11017 BILASPUR (CHHATTISGARH) KOTA P.S. DARRI PARA RATANPUR 22071113011 11018 BILASPUR (CHHATTISGARH) KOTA P.S. BHELVA PARA 22071113012 11019 BILASPUR (CHHATTISGARH) KOTA P.S.JP. SIS 22071113013 11020 BILASPUR (CHHATTISGARH) KOTA P.S.GOVT. RAMDEI PARA 22071113014
  • 335.
    11021 BILASPUR (CHHATTISGARH) KOTABOYS PS KARAIHA PARA 22071113015 11022 BILASPUR (CHHATTISGARH) KOTA NPEGEL, PS GIRLS, KARAIHA PARA 22071113016 11023 BILASPUR (CHHATTISGARH) KOTA URDU PS KARAIHA PARA 22071113017 11024 BILASPUR (CHHATTISGARH) KOTA PS JUNA SAHAR RATANPUR 22071113018 11025 BILASPUR (CHHATTISGARH) KOTA MS GIRLS GOVT, RATANPUR 22071113019 11026 BILASPUR (CHHATTISGARH) KOTA MS BOYS GOVT, RATANPUR 22071113020 11027 BILASPUR (CHHATTISGARH) KOTA MS GOVT, BHEDIMUDA, RATANPUR 22071113021 11028 BILASPUR (CHHATTISGARH) KOTA MS TRIBAL, BHAISAJHAR, RATANPU 22071113022 11029 BILASPUR (CHHATTISGARH) KOTA PS BOYS BHIM CHOWK RATANPUR 22071113024 11030 BILASPUR (CHHATTISGARH) KOTA MS GOVT, JUNA SHAHAR 22071113025 11031 BILASPUR (CHHATTISGARH) KOTA MS GOVT, KARAIHAPARA 22071113026 11032 BILASPUR (CHHATTISGARH) KOTA PS TO MS, OCHHINAPARA 22071113027 11033 BILASPUR (CHHATTISGARH) KOTA PS TO MS GIRLS, RATANPUR 22071113029 11034 BILASPUR (CHHATTISGARH) KOTA UP MS, AMBED WARD 10, NAVAPARA 22071113030 11035 BILASPUR (CHHATTISGARH) KOTA PS.KHONGASARA 22071113102 11036 BILASPUR (CHHATTISGARH) KOTA MS GOVT, KHONGSARA 22071113104 11037 BILASPUR (CHHATTISGARH) KOTA PS JALDA PARA 22071113105 11038 BILASPUR (CHHATTISGARH) KOTA EGS TO PS, PURANA KHONGSARA 22071113106 11039 BILASPUR (CHHATTISGARH) KOTA EGS TO PS, TUMADBADA 22071113107 11040 BILASPUR (CHHATTISGARH) KOTA EGS TO PS, CHARPARA 22071113108 11041 BILASPUR (CHHATTISGARH) KOTA NPEGEL, PS GIRLS, AMAGOHAN 22071113201 11042 BILASPUR (CHHATTISGARH) KOTA P.S.BOYS AMAGOHAN 22071113202 11043 BILASPUR (CHHATTISGARH) KOTA MS GOVT GIRLS, AMAGOHAN 22071113203 11044 BILASPUR (CHHATTISGARH) KOTA P.S.TULUF 22071113301 11045 BILASPUR (CHHATTISGARH) KOTA EGS TO PS, SAJADAHARA 22071113302 11046 BILASPUR (CHHATTISGARH) KOTA EGS TO PS, KATELIPARA 22071113303 11047 BILASPUR (CHHATTISGARH) KOTA P.S.LATHORI 22071113401 11048 BILASPUR (CHHATTISGARH) KOTA P.S.MOHALI 22071113501 11049 BILASPUR (CHHATTISGARH) KOTA P.S.MOHALI ASHRAM 22071113502 11050 BILASPUR (CHHATTISGARH) KOTA MS GOVT, MOHALI 22071113503 11051 BILASPUR (CHHATTISGARH) KOTA P.S.BHASKO 22071113601 11052 BILASPUR (CHHATTISGARH) KOTA P.S.BHANVAR TANK 22071113701 11053 BILASPUR (CHHATTISGARH) KOTA NPEGEL, PS GOVT, MITHU NAVAGAON 22071113801
  • 336.
    11054 BILASPUR (CHHATTISGARH) KOTAASHRAM MITTU NAVAGAON 22071113802 11055 BILASPUR (CHHATTISGARH) KOTA MS GOVT, MITHUNAVAGAON 22071113803 11056 BILASPUR (CHHATTISGARH) KOTA P.S.DHOL MUHA 22071113901 11057 BILASPUR (CHHATTISGARH) KOTA P.S.SUKHENA 22071114001 11058 BILASPUR (CHHATTISGARH) KOTA P.S.PAHANDA 22071114101 11059 BILASPUR (CHHATTISGARH) KOTA UP MS, PAHANDA 22071114102 11060 BILASPUR (CHHATTISGARH) KOTA P.S.MANJHA BHATHA 22071114201 11061 BILASPUR (CHHATTISGARH) KOTA P.S.KONCHARA 22071114301 11062 BILASPUR (CHHATTISGARH) KOTA MS GOVT. KONCHARA 22071114302 11063 BILASPUR (CHHATTISGARH) KOTA EGS TO PS, AKHRADAND 22071114303 11064 BILASPUR (CHHATTISGARH) KOTA P.S.JARGA 22071114401 11065 BILASPUR (CHHATTISGARH) KOTA P.S.SODHA KALA 22071114501 11066 BILASPUR (CHHATTISGARH) KOTA P.S.BHAISA KHAR 22071114601 11067 BILASPUR (CHHATTISGARH) KOTA EGS TO PS, DABRIPARA 22071114602 11068 BILASPUR (CHHATTISGARH) KOTA UP MS GIRLS, BHEDIMUDA 22071114701 11069 BILASPUR (CHHATTISGARH) KOTA P.S. GOVT. KORBA BHAVAR 22071114801 11070 BILASPUR (CHHATTISGARH) KOTA P.S.JOGI AMRAI 22071114901 11071 BILASPUR (CHHATTISGARH) KOTA P.S.RAMDEI 22071115201 11072 BILASPUR (CHHATTISGARH) KOTA UP MS, RAMDAIPARA 22071115202 11073 BILASPUR (CHHATTISGARH) KOTA PS. JALI 22071115301 11074 BILASPUR (CHHATTISGARH) KOTA UP MS, JALI 22071115302 11075 BILASPUR (CHHATTISGARH) KOTA NEW PS,GOVT, KANTIPARA, JALI 22071115303 11076 BILASPUR (CHHATTISGARH) KOTA PS RAINPUR 22071115401 11077 BILASPUR (CHHATTISGARH) KOTA NPEGEL, PS GOVT, KARRA 22071115501 11078 BILASPUR (CHHATTISGARH) KOTA MS GOVT NEW, KARRA 22071115502 11079 BILASPUR (CHHATTISGARH) KOTA MS GOVT, SHEESH, KARRA 22071115503 11080 BILASPUR (CHHATTISGARH) KOTA MS GOVT, MELNADIH, KARRA 22071115504 11081 BILASPUR (CHHATTISGARH) KOTA PS MELNADIH 22071115601 11082 BILASPUR (CHHATTISGARH) KOTA UP MS, NAVAGAON, KHUTA 22071115702 11083 BILASPUR (CHHATTISGARH) KOTA PS RINGVAR 22071115801 11084 BILASPUR (CHHATTISGARH) KOTA MS GOVT, RINGWAAR 22071115802 11085 BILASPUR (CHHATTISGARH) KOTA GOVT. PS KUMDHA KHOL 22071115901 11086 BILASPUR (CHHATTISGARH) KOTA EGS TO PS, BANGALABHATHA 22071115902
  • 337.
    11087 BILASPUR (CHHATTISGARH) KOTAADIVASI BOYS ASHRAM PUDU 22071116001 11088 BILASPUR (CHHATTISGARH) KOTA GOVT. PS PUDU 22071116002 11089 BILASPUR (CHHATTISGARH) KOTA MS GOVT, PUDU 22071116003 11090 BILASPUR (CHHATTISGARH) KOTA BOYS PS RANI GAON 22071116101 11091 BILASPUR (CHHATTISGARH) KOTA GIRLS PS RANI GAON 22071116102 11092 BILASPUR (CHHATTISGARH) KOTA URDU PS RANI GAON 22071116103 11093 BILASPUR (CHHATTISGARH) KOTA PS BHADAIA PARA 22071116104 11094 BILASPUR (CHHATTISGARH) KOTA MS GOVT, RANIGAON 22071116105 11095 BILASPUR (CHHATTISGARH) KOTA PS KALMITAL 22071116201 11096 BILASPUR (CHHATTISGARH) KOTA ANU. JATI. PS KALMITAL 22071116202 11097 BILASPUR (CHHATTISGARH) KOTA MS GOVT, KALMITAR 22071116203 11098 BILASPUR (CHHATTISGARH) KOTA GOVT. PS SILDAHA 22071116301 11099 BILASPUR (CHHATTISGARH) KOTA EGS TO PS, KALHAMAR 22071116302 11100 BILASPUR (CHHATTISGARH) KOTA UP MS,SILDAHA 22071116303 11101 BILASPUR (CHHATTISGARH) KOTA PS KUSUM KHEDA 22071116401 11102 BILASPUR (CHHATTISGARH) KOTA PS AMAMUDA 22071116501 11103 BILASPUR (CHHATTISGARH) KOTA PS BANABEL 22071116601 11104 BILASPUR (CHHATTISGARH) KOTA MS GOVT, BANABEL 22071116602 11105 BILASPUR (CHHATTISGARH) KOTA GOVT. PS DAR SAGAR 22071116701 11106 BILASPUR (CHHATTISGARH) KOTA EGS TO PS, DARSAGAR 22071116702 11107 BILASPUR (CHHATTISGARH) KOTA BOYS PS KHAIRA 22071116801 11108 BILASPUR (CHHATTISGARH) KOTA NPEGEL, PS GIRLS, KHAIRA 22071116802 11109 BILASPUR (CHHATTISGARH) KOTA MS GOVT, KHAIRA 22071116803 11110 BILASPUR (CHHATTISGARH) KOTA PS DONGI 22071116901 11111 BILASPUR (CHHATTISGARH) KOTA PS PACHRA 22071117001 11112 BILASPUR (CHHATTISGARH) KOTA PS UMARIA (DADAR) 22071117101 11113 BILASPUR (CHHATTISGARH) KOTA MS, GOVT,UMARIA (DADAR) 22071117102 11114 BILASPUR (CHHATTISGARH) KOTA PS SEKAR 22071117201 11115 BILASPUR (CHHATTISGARH) KOTA ANU. JATI. PS TENDU BHATHA 22071117301 11116 BILASPUR (CHHATTISGARH) KOTA UP MS, TENDUBHATHA 22071117302 11117 BILASPUR (CHHATTISGARH) KOTA PS GOVT, LALPUR 22071117401 11118 BILASPUR (CHHATTISGARH) KOTA GOVT. PS BARDWAR 22071117501 11119 BILASPUR (CHHATTISGARH) KOTA MS GOVT, BARADWAR 22071117502
  • 338.
    11120 BILASPUR (CHHATTISGARH) KOTAEGS TO PS, GHANAKACHHAR 22071117504 11121 BILASPUR (CHHATTISGARH) KOTA PS PIPAR PARA 22071117601 11122 BILASPUR (CHHATTISGARH) KOTA EGS TO PS, KHASARIYAPARA 22071117602 11123 BILASPUR (CHHATTISGARH) KOTA ASRAM KURUVAR 22071117701 11124 BILASPUR (CHHATTISGARH) KOTA PS. KURUVAR 22071117702 11125 BILASPUR (CHHATTISGARH) KOTA EGS TO PS, KATAIHAPARA 22071117703 11126 BILASPUR (CHHATTISGARH) KOTA MS GOVT, KURUVAR 22071117704 11127 BILASPUR (CHHATTISGARH) KOTA PS. LAMRI DABRI 22071117801 11128 BILASPUR (CHHATTISGARH) KOTA KANI. DHANUHAR PARA 22071118001 11129 BILASPUR (CHHATTISGARH) KOTA PS. BHARDAIHA PARA 22071118101 11130 BILASPUR (CHHATTISGARH) KOTA GOVT. PS. KARVA 22071118201 11131 BILASPUR (CHHATTISGARH) KOTA NPEGEL, PS GIRLS, KARVA 22071118202 11132 BILASPUR (CHHATTISGARH) KOTA EGS TO PS, HARIMUHALLA 22071118203 11133 BILASPUR (CHHATTISGARH) KOTA EGS TO PS, DAIHANPARA 22071118204 11134 BILASPUR (CHHATTISGARH) KOTA EGS TO PS, KATELIPARA 22071118205 11135 BILASPUR (CHHATTISGARH) KOTA UP UPS KARVA 22071118206 11136 BILASPUR (CHHATTISGARH) KOTA PS. KASAI BAHARA 22071118301 11137 BILASPUR (CHHATTISGARH) KOTA EGS TO PS, URAOPARA 22071118302 11138 BILASPUR (CHHATTISGARH) KOTA UP MS, KASAI BAHARA 22071118303 11139 BILASPUR (CHHATTISGARH) KOTA PS. ATADDA 22071118401 11140 BILASPUR (CHHATTISGARH) KOTA PS. NAGOI 22071118501 11141 BILASPUR (CHHATTISGARH) KOTA EGS TO PS, KODWAHIPARA 22071118502 11142 BILASPUR (CHHATTISGARH) KOTA UP MS, NAGOI 22071118503 11143 BILASPUR (CHHATTISGARH) KOTA PS. RIGRIGA 22071118601 11144 BILASPUR (CHHATTISGARH) KOTA PS. UPKA 22071118701 11145 BILASPUR (CHHATTISGARH) KOTA EGS TO PS, DAIHARIPARA 22071118702 11146 BILASPUR (CHHATTISGARH) KOTA UP MS, UPKA 22071118704 11147 BILASPUR (CHHATTISGARH) KOTA PS. DANOKHAR 22071118801 11148 BILASPUR (CHHATTISGARH) KOTA PS. BITKULI 22071118901 11149 BILASPUR (CHHATTISGARH) KOTA MS GOVT, BITKULI 22071118902 11150 BILASPUR (CHHATTISGARH) KOTA EGS TO PS, TIKRIPARA 22071118903 11151 BILASPUR (CHHATTISGARH) KOTA EGS TO PS, DHANUHARPARA 22071118904 11152 BILASPUR (CHHATTISGARH) KOTA PS. KARPIHA 22071119101
  • 339.
    11153 BILASPUR (CHHATTISGARH) KOTAUP MS, KARPIHA 22071119102 11154 BILASPUR (CHHATTISGARH) KOTA PS. CHHUIYA 22071119201 11155 BILASPUR (CHHATTISGARH) KOTA UP MS, CHHUIYA 22071119202 11156 BILASPUR (CHHATTISGARH) KOTA PS. KANI.KOYLARI PARA 22071119301 11157 BILASPUR (CHHATTISGARH) KOTA UP UPS, KOYLARIPARA 22071119303 11158 BILASPUR (CHHATTISGARH) KOTA PS. PAHAD BACHHALI 22071119401 11159 BILASPUR (CHHATTISGARH) KOTA PS. TANTI DHAR 22071119601 11160 BILASPUR (CHHATTISGARH) KOTA EGS TO PS, PANDRIPANI 22071119602 11161 BILASPUR (CHHATTISGARH) KOTA EGS TO PS, DHODHINAR 22071119603 11162 BILASPUR (CHHATTISGARH) KOTA EGS TO PS, BAGDHARA 22071119604 11163 BILASPUR (CHHATTISGARH) KOTA EGS TO PS, GORKHUDI 22071119605 11164 BILASPUR (CHHATTISGARH) KOTA EGS TO PS, CHANTDAND 22071119606 11165 BILASPUR (CHHATTISGARH) KOTA EGS TO PS, BHALWAHI 22071119607 11166 BILASPUR (CHHATTISGARH) KOTA UP MS, BAGDHARA 22071119608 11167 BILASPUR (CHHATTISGARH) KOTA PS. TENGAN MADA 22071119801 11168 BILASPUR (CHHATTISGARH) KOTA MS GOVT, TENGANMADA 22071119802 11169 BILASPUR (CHHATTISGARH) KOTA PS TO MS GIRLS, TENGANMADA 22071119803 11170 BILASPUR (CHHATTISGARH) KOTA PS. NAGPURA 22071119901 11171 BILASPUR (CHHATTISGARH) KOTA EGS TO PS, URAOPARA 22071120001 11172 BILASPUR (CHHATTISGARH) KOTA NPS GOVT, NAVAPARA, KATRA 22071120002 11173 BILASPUR (CHHATTISGARH) KOTA NEW PS, KENVARPARA 22071120201 11174 BILASPUR (CHHATTISGARH) KOTA EGS TO PS, AWAS MOHALLA 22071120402 11175 BILASPUR (CHHATTISGARH) KOTA EGS TO PS, LAMNAJHAR 22071120601 11176 BILASPUR (CHHATTISGARH) KOTA EGS TO PS, TIKRIPARA 22071120801 11177 BILASPUR (CHHATTISGARH) KOTA EGS TO PS, JENJARADIH 22071120901 11178 BILASPUR (CHHATTISGARH) KOTA EGS TO PS, SEEPATPARA 22071121001 11179 BILASPUR (CHHATTISGARH) KOTA EGS TO PS, BANDHIYAPARA 22071121101 11180 BILASPUR (CHHATTISGARH) KOTA PS GOVT SOUTAPARA 22071121201 11181 BILASPUR (CHHATTISGARH) KOTA MS GOVT, SON NAWAGAON 22071121301 11182 BILASPUR (CHHATTISGARH) KOTA EGS TO PS, CHHAPRAPARA, WARD-3 22071121401 11183 BILASPUR (CHHATTISGARH) KOTA EGS TO PS, BAGBUD 22071121501 11184 BILASPUR (CHHATTISGARH) KOTA EGS TO PS, MUSIYARI 22071121601 11185 BILASPUR (CHHATTISGARH) KOTA GOVT.PS.KHANDOBA NAGR RTANPUR 22071122807
  • 340.
    11186 BILASPUR (CHHATTISGARH) KOTAGOVT.PS.NEW GHANDHI NAGR 22071122808 11187 BILASPUR (CHHATTISGARH) MARWAHI P.S. GIRLS MARWAHI 22071400101 11188 BILASPUR (CHHATTISGARH) MARWAHI P.S. BOYS. JP. MARWAHI 22071400102 11189 BILASPUR (CHHATTISGARH) MARWAHI NPEGEL, PS GOVT, MANVARI TOLA 22071400106 11190 BILASPUR (CHHATTISGARH) MARWAHI GOVT P.S. BILAI DNAD 22071400107 11191 BILASPUR (CHHATTISGARH) MARWAHI MS GOVT, MARWAHI 22071400111 11192 BILASPUR (CHHATTISGARH) MARWAHI MS GIRLS TRIBAL, MARWAHI 22071400112 11193 BILASPUR (CHHATTISGARH) MARWAHI MS BOYS TRIBAL, MARWAHI 22071400113 11194 BILASPUR (CHHATTISGARH) MARWAHI Govt PS, GARLAIYATOLA (SSA) 22071400117 11195 BILASPUR (CHHATTISGARH) MARWAHI KGBV, UPS, MARWAHI 22071400120 11196 BILASPUR (CHHATTISGARH) MARWAHI T.W.P.S. MADWAHI 22071400201 11197 BILASPUR (CHHATTISGARH) MARWAHI BAPA PS. MADWAHI 22071400203 11198 BILASPUR (CHHATTISGARH) MARWAHI MS TRIBAL, MADWAHI 22071400204 11199 BILASPUR (CHHATTISGARH) MARWAHI govt PS, DUWARITOLa (SSA) 22071400205 11200 BILASPUR (CHHATTISGARH) MARWAHI GOVT P.W. PS. PIPAR DOL 22071400301 11201 BILASPUR (CHHATTISGARH) MARWAHI T.W. P.S. SAPNI 22071400401 11202 BILASPUR (CHHATTISGARH) MARWAHI Govt PS, KATELTOLA (SSA) 22071400402 11203 BILASPUR (CHHATTISGARH) MARWAHI P.S. GIRLS KUMHARI 22071400501 11204 BILASPUR (CHHATTISGARH) MARWAHI P.S. BOYS KUMHARI 22071400502 11205 BILASPUR (CHHATTISGARH) MARWAHI T.W. P.S. BARAIHA TOLA 22071400503 11206 BILASPUR (CHHATTISGARH) MARWAHI MS GOVT, KUMHARI 22071400505 11207 BILASPUR (CHHATTISGARH) MARWAHI Govt PS, PANDARIPANI (SSA) 22071400506 11208 BILASPUR (CHHATTISGARH) MARWAHI NPEGEL, PS GOVT, PANDARI PARA 22071400601 11209 BILASPUR (CHHATTISGARH) MARWAHI MS GOVT, PANDARI 22071400603 11210 BILASPUR (CHHATTISGARH) MARWAHI Govt PS DHANUHARITOLA (SSA) 22071400605 11211 BILASPUR (CHHATTISGARH) MARWAHI Govt PS, DHANUHARIPARA, PANDARI (SSA) 22071400606 11212 BILASPUR (CHHATTISGARH) MARWAHI UP PS, PANDARI 22071400607 11213 BILASPUR (CHHATTISGARH) MARWAHI P.S.TWD, GHUSARIYA 22071400701 11214 BILASPUR (CHHATTISGARH) MARWAHI MS GOVT, GHUSARIYA 22071400702 11215 BILASPUR (CHHATTISGARH) MARWAHI P.S.CHACHEDI 22071400801 11216 BILASPUR (CHHATTISGARH) MARWAHI Govt PS, DARRITOLA (SSA) 22071400802 11217 BILASPUR (CHHATTISGARH) MARWAHI Govt MS, CHACHEDI (SSA) 22071400803 11218 BILASPUR (CHHATTISGARH) MARWAHI P.W. P.S. CHICHAGOHANA 22071400901
  • 341.
    11219 BILASPUR (CHHATTISGARH) MARWAHIP.S. KANI. BARJHORKI TOLA 22071400902 11220 BILASPUR (CHHATTISGARH) MARWAHI Govt MS, CHICHGOHANA (SSA) 22071400903 11221 BILASPUR (CHHATTISGARH) MARWAHI P.S. MADAKOT 22071401001 11222 BILASPUR (CHHATTISGARH) MARWAHI Govt MS, MADAKOT (SSA) 22071401002 11223 BILASPUR (CHHATTISGARH) MARWAHI P.S. BAHUNTA DOL 22071401101 11224 BILASPUR (CHHATTISGARH) MARWAHI Govt MS, BAHUTADOL (SSA) 22071401102 11225 BILASPUR (CHHATTISGARH) MARWAHI P.S. KARHANI 22071401201 11226 BILASPUR (CHHATTISGARH) MARWAHI GOVT. P.S. DADIYA 22071401202 11227 BILASPUR (CHHATTISGARH) MARWAHI MS GOVT, KARHANI 22071401203 11228 BILASPUR (CHHATTISGARH) MARWAHI EGS TO PS, BANJARTOLA 22071401204 11229 BILASPUR (CHHATTISGARH) MARWAHI EGS TO PS, GADHITOLA,KARHANI 22071401205 11230 BILASPUR (CHHATTISGARH) MARWAHI UP MS GIRLS, KARHANI 22071401206 11231 BILASPUR (CHHATTISGARH) MARWAHI GOVT.P.S. GIRLS SIVANI 22071401301 11232 BILASPUR (CHHATTISGARH) MARWAHI GOVT P.S. BOYS. SIVANI 22071401302 11233 BILASPUR (CHHATTISGARH) MARWAHI NPEGEL, PS GOVT, SILVARI 22071401304 11234 BILASPUR (CHHATTISGARH) MARWAHI MS BOYS GOVT, SIVNI 22071401306 11235 BILASPUR (CHHATTISGARH) MARWAHI MS GIRLS GOVT, SIVNI 22071401307 11236 BILASPUR (CHHATTISGARH) MARWAHI GOVT EGS TO PS DUMARIHA TOLA 22071401309 11237 BILASPUR (CHHATTISGARH) MARWAHI GOVT PS BARTOLA KHURPA 22071401312 11238 BILASPUR (CHHATTISGARH) MARWAHI T.W.P.S. DEVGAVA 22071401401 11239 BILASPUR (CHHATTISGARH) MARWAHI UP MS, DEVGAVA 22071401402 11240 BILASPUR (CHHATTISGARH) MARWAHI KANI.T.W. P.S. PIPAR DOB 22071401501 11241 BILASPUR (CHHATTISGARH) MARWAHI P.S .MALA DAND 22071401502 11242 BILASPUR (CHHATTISGARH) MARWAHI Govt PS, NAVATOLA (SSA) 22071401503 11243 BILASPUR (CHHATTISGARH) MARWAHI Govt PS, HARIJAN PARA (SSA) 22071401504 11244 BILASPUR (CHHATTISGARH) MARWAHI MS GOVT, MALADAND 22071401505 11245 BILASPUR (CHHATTISGARH) MARWAHI P.S. TWD BADRODI 22071401601 11246 BILASPUR (CHHATTISGARH) MARWAHI T.W. P.S. GHINOCHI 22071401701 11247 BILASPUR (CHHATTISGARH) MARWAHI BAPA P.S. DHARHAR 22071401801 11248 BILASPUR (CHHATTISGARH) MARWAHI GOVT PS GUJARTOLA,DHARHAR (SSA) 22071401802 11249 BILASPUR (CHHATTISGARH) MARWAHI Govt MS, GUJARTOLA, DHARHAR (SSA) 22071401803 11250 BILASPUR (CHHATTISGARH) MARWAHI P.S. PATHARRI 22071401901 11251 BILASPUR (CHHATTISGARH) MARWAHI P.S. PATHARRI TOLA 22071401902
  • 342.
    11252 BILASPUR (CHHATTISGARH) MARWAHIGovt PS, TIKARITOLA (SSA) 22071401903 11253 BILASPUR (CHHATTISGARH) MARWAHI UP MS, PATHARRI 22071401904 11254 BILASPUR (CHHATTISGARH) MARWAHI Govt MS, TIKARITOLA (SSA) 22071401905 11255 BILASPUR (CHHATTISGARH) MARWAHI BAPA P.S. LARKENI 22071402001 11256 BILASPUR (CHHATTISGARH) MARWAHI MS GOVT NAVEEN, LARKENI 22071402002 11257 BILASPUR (CHHATTISGARH) MARWAHI Govt PS, BANIYADAND,LARKENI (SSA) 22071402003 11258 BILASPUR (CHHATTISGARH) MARWAHI P.S. BOYS. NIMDHA 22071402101 11259 BILASPUR (CHHATTISGARH) MARWAHI BAPA P.S. GIRLS NIMDHA 22071402102 11260 BILASPUR (CHHATTISGARH) MARWAHI MS GIRLS TRIBAL, NIMDHA 22071402104 11261 BILASPUR (CHHATTISGARH) MARWAHI P.W.P.S. JHARNA PODI 22071402201 11262 BILASPUR (CHHATTISGARH) MARWAHI Govt PS, KHUMANTOLA (SSA) 22071402202 11263 BILASPUR (CHHATTISGARH) MARWAHI Govt MS, JHIRNA PONDI (SSA) 22071402203 11264 BILASPUR (CHHATTISGARH) MARWAHI NPEGEL, PS GOVT, BAROUR 22071402301 11265 BILASPUR (CHHATTISGARH) MARWAHI MS GOVT, BAROUR 22071402303 11266 BILASPUR (CHHATTISGARH) MARWAHI EGS TO PS, CHINGITOLA 22071402304 11267 BILASPUR (CHHATTISGARH) MARWAHI P.S. GHUMMA TOLA 22071402401 11268 BILASPUR (CHHATTISGARH) MARWAHI MS TRIBAL, GUMMATOLA 22071402402 11269 BILASPUR (CHHATTISGARH) MARWAHI Govt PS, KAROUNDATOLA (SSA) 22071402404 11270 BILASPUR (CHHATTISGARH) MARWAHI Govt PS, KATRUTOLA (SSA) 22071402405 11271 BILASPUR (CHHATTISGARH) MARWAHI PS TO MS,PATHARITOLA 22071402407 11272 BILASPUR (CHHATTISGARH) MARWAHI GOVT PS GADAHATOLA (SSA) 22071402408 11273 BILASPUR (CHHATTISGARH) MARWAHI UP MS, GHUMMA TOLA 22071402409 11274 BILASPUR (CHHATTISGARH) MARWAHI Govt MS, CHIKNITOLA, GUMMA TOLA (SSA) 22071402410 11275 BILASPUR (CHHATTISGARH) MARWAHI Govt MS KATRUTOLA, GUMMATOLA (SSA) 22071402411 11276 BILASPUR (CHHATTISGARH) MARWAHI P.S. TENDU MUDA 22071402501 11277 BILASPUR (CHHATTISGARH) MARWAHI MS GOVT, TENDUMUDA 22071402502 11278 BILASPUR (CHHATTISGARH) MARWAHI Govt PS, AWAS MUHALLA (SSA) 22071402503 11279 BILASPUR (CHHATTISGARH) MARWAHI PS BARTOLA 22071402504 11280 BILASPUR (CHHATTISGARH) MARWAHI P.S. KACHHAR 22071402601 11281 BILASPUR (CHHATTISGARH) MARWAHI Govt PS, AGALIGADAI (SSA) 22071402602 11282 BILASPUR (CHHATTISGARH) MARWAHI Govt MS, KACHHAR (SSA) 22071402603 11283 BILASPUR (CHHATTISGARH) MARWAHI P.S. JHIRIYA TOLA 22071402701 11284 BILASPUR (CHHATTISGARH) MARWAHI Govt MS, JHIRIYATOLA (SSA) 22071402702
  • 343.
    11285 BILASPUR (CHHATTISGARH) MARWAHIP.S. BAGRAR 22071402901 11286 BILASPUR (CHHATTISGARH) MARWAHI MS JANPAD, BAGRAR 22071402902 11287 BILASPUR (CHHATTISGARH) MARWAHI P.S. BALAM DONGARI 22071403001 11288 BILASPUR (CHHATTISGARH) MARWAHI P.S. CHANA DONGARI 22071403002 11289 BILASPUR (CHHATTISGARH) MARWAHI P.S. GANAYA 22071403003 11290 BILASPUR (CHHATTISGARH) MARWAHI T.W.P.S.GRILS KARHANIYA 22071403004 11291 BILASPUR (CHHATTISGARH) MARWAHI Govt PS, PIPERTOLA (SSA) 22071403005 11292 BILASPUR (CHHATTISGARH) MARWAHI Govt MS, CHANADONGARI (SSA) 22071403006 11293 BILASPUR (CHHATTISGARH) MARWAHI NPEGEL, PS GOVT, BANSHI TAL 22071403102 11294 BILASPUR (CHHATTISGARH) MARWAHI MS TRIBAL, BANSHITAL 22071403103 11295 BILASPUR (CHHATTISGARH) MARWAHI Govt MS KARHANIYA (SSA) 22071403104 11296 BILASPUR (CHHATTISGARH) MARWAHI T.W. P.S. NAKA 22071403201 11297 BILASPUR (CHHATTISGARH) MARWAHI Govt MS, NAKA (SSA) 22071403202 11298 BILASPUR (CHHATTISGARH) MARWAHI Govt PS, BARJHORKI (SSA) 22071403203 11299 BILASPUR (CHHATTISGARH) MARWAHI Govt PS, POKHARIDAND (SSA) 22071403204 11300 BILASPUR (CHHATTISGARH) MARWAHI Govt MS POKHARIDAND (SSA) 22071403205 11301 BILASPUR (CHHATTISGARH) MARWAHI Govt PS KHAPRAILTOLA (SSA) 22071403206 11302 BILASPUR (CHHATTISGARH) MARWAHI T.W. P.S. CHANVARI DAND 22071403301 11303 BILASPUR (CHHATTISGARH) MARWAHI Govt PS, MAIHARTOLA (SSA) 22071403303 11304 BILASPUR (CHHATTISGARH) MARWAHI P.S. SEMAR DARRI 22071403401 11305 BILASPUR (CHHATTISGARH) MARWAHI GOVT. P.S. BHATHA TIKARA 22071403402 11306 BILASPUR (CHHATTISGARH) MARWAHI P.S. SINGAR BAHARA 22071403403 11307 BILASPUR (CHHATTISGARH) MARWAHI MS TRIBAL, SEMARDARRI 22071403405 11308 BILASPUR (CHHATTISGARH) MARWAHI Govt PS, JHULANDONGARI (SSA) 22071403406 11309 BILASPUR (CHHATTISGARH) MARWAHI Govt PS, THODICHUVA (SSA) 22071403407 11310 BILASPUR (CHHATTISGARH) MARWAHI Govt PS, JAMUNAHI (SSA) 22071403408 11311 BILASPUR (CHHATTISGARH) MARWAHI Govt PS, BAGAIHATOLA (SSA) 22071403409 11312 BILASPUR (CHHATTISGARH) MARWAHI Govt PS, BEJADAND (SSA) 22071403410 11313 BILASPUR (CHHATTISGARH) MARWAHI Govt MS BHATATIKARA (SSA) 22071403411 11314 BILASPUR (CHHATTISGARH) MARWAHI Govt MS BAIGHATOLA (SSA) 22071403412 11315 BILASPUR (CHHATTISGARH) MARWAHI Govt MS BILAIDAND (SSA) 22071403413 11316 BILASPUR (CHHATTISGARH) MARWAHI P.S. LITIYA SARAI 22071403501 11317 BILASPUR (CHHATTISGARH) MARWAHI Govt MS, LITIYA SARAI (SSA) 22071403502
  • 344.
    11318 BILASPUR (CHHATTISGARH) MARWAHIP.S. GULLI DAND 22071403601 11319 BILASPUR (CHHATTISGARH) MARWAHI MS GOVT. GULLIDAND 22071403602 11320 BILASPUR (CHHATTISGARH) MARWAHI P.S. CHILHAN TOLA 22071403603 11321 BILASPUR (CHHATTISGARH) MARWAHI Govt PS, KARHATOLA (SSA) 22071403604 11322 BILASPUR (CHHATTISGARH) MARWAHI Govt MS CHILHANTOLA (SSA) 22071403605 11323 BILASPUR (CHHATTISGARH) MARWAHI T.W. P.S. KARGI KALA 22071403701 11324 BILASPUR (CHHATTISGARH) MARWAHI Govt PS, NADIYATOLA (SSA) 22071403702 11325 BILASPUR (CHHATTISGARH) MARWAHI Govt MS, KARGIKALA (SSA) 22071403703 11326 BILASPUR (CHHATTISGARH) MARWAHI Govt PS BUNDELITOLA (SSA) 22071403704 11327 BILASPUR (CHHATTISGARH) MARWAHI Govt PS BHUKBHUKA (SSA) 22071403705 11328 BILASPUR (CHHATTISGARH) MARWAHI T.W. P.S. MAGURDA 22071403801 11329 BILASPUR (CHHATTISGARH) MARWAHI Govt PS, PATERATOLA (SSA) 22071403803 11330 BILASPUR (CHHATTISGARH) MARWAHI Govt MS, MAGURDA (SSA) 22071403804 11331 BILASPUR (CHHATTISGARH) MARWAHI Govt MS BHUKBHUKA (SSA) 22071403805 11332 BILASPUR (CHHATTISGARH) MARWAHI GOVT PS KHALHETOLA BAGADI (SSA) 22071403806 11333 BILASPUR (CHHATTISGARH) MARWAHI P.S. MANOURA 22071403901 11334 BILASPUR (CHHATTISGARH) MARWAHI KANI.P.S. JALDA TOLA 22071403902 11335 BILASPUR (CHHATTISGARH) MARWAHI Govt PS, KUDRITOLA (SSA) 22071403903 11336 BILASPUR (CHHATTISGARH) MARWAHI Govt PS BADKATOLA (SSA) 22071403904 11337 BILASPUR (CHHATTISGARH) MARWAHI Govt MS, MANOURA (SSA) 22071403905 11338 BILASPUR (CHHATTISGARH) MARWAHI P.S . DHANOURA 22071404001 11339 BILASPUR (CHHATTISGARH) MARWAHI GOVT PS KHARRATOLA 22071404002 11340 BILASPUR (CHHATTISGARH) MARWAHI Govt PS, KERHATOLA (SSA) 22071404003 11341 BILASPUR (CHHATTISGARH) MARWAHI Govt PS KERHATOLA DHANOURA (SSA0 22071404006 11342 BILASPUR (CHHATTISGARH) MARWAHI GOVT MS DHANOURA (SSA) 22071404007 11343 BILASPUR (CHHATTISGARH) MARWAHI P.S. LOHARI 22071404101 11344 BILASPUR (CHHATTISGARH) MARWAHI Govt PS HARIJAN MOHALLA NAVATOLA, LOHARI (SSA) 22071404102 11345 BILASPUR (CHHATTISGARH) MARWAHI P.S. NAVA TOLA 22071404103 11346 BILASPUR (CHHATTISGARH) MARWAHI P.S. GRILS LOHARI 22071404104 11347 BILASPUR (CHHATTISGARH) MARWAHI M.S. GOVT. LOHARI 22071404105 11348 BILASPUR (CHHATTISGARH) MARWAHI Govt MS GIRLS, LOHARI (SSA) 22071404106 11349 BILASPUR (CHHATTISGARH) MARWAHI GIRLS P.S. PARASI 22071404203 11350 BILASPUR (CHHATTISGARH) MARWAHI P.S. MOHAR TOLA 22071404204
  • 345.
    11351 BILASPUR (CHHATTISGARH) MARWAHIMS GOVT.BOYS, PARASI 22071404206 11352 BILASPUR (CHHATTISGARH) MARWAHI PS BOYS, PARASI 22071404207 11353 BILASPUR (CHHATTISGARH) MARWAHI GOVT MS GIRLS PARASI 22071404209 11354 BILASPUR (CHHATTISGARH) MARWAHI P.S. BOYS. BHARRI DAND 22071404301 11355 BILASPUR (CHHATTISGARH) MARWAHI NPEGEL, PS GIRLS, BHARRI DAND 22071404302 11356 BILASPUR (CHHATTISGARH) MARWAHI MS GOVT, BHARRIDAND 22071404304 11357 BILASPUR (CHHATTISGARH) MARWAHI P.S. BHARRA TOLA 22071404306 11358 BILASPUR (CHHATTISGARH) MARWAHI Govt MS GIRLS,BHARRIDAND (SSA) 22071404309 11359 BILASPUR (CHHATTISGARH) MARWAHI P.S. BARGAVA 22071404401 11360 BILASPUR (CHHATTISGARH) MARWAHI T.W.P.S.GRLS DHITORA 22071404403 11361 BILASPUR (CHHATTISGARH) MARWAHI KANI.P.S. BHAVNA TOLA 22071404404 11362 BILASPUR (CHHATTISGARH) MARWAHI Govt PS, LALMATIYATOLA (SSA) 22071404406 11363 BILASPUR (CHHATTISGARH) MARWAHI MS, BARGAVA 22071404407 11364 BILASPUR (CHHATTISGARH) MARWAHI P.S. BAGHARRA 22071404501 11365 BILASPUR (CHHATTISGARH) MARWAHI P.S. DEVARI DNAD 22071404601 11366 BILASPUR (CHHATTISGARH) MARWAHI Govt MS, DEVARIDAND (SSA) 22071404602 11367 BILASPUR (CHHATTISGARH) MARWAHI P.S. MADHAIYA TOLA 22071404704 11368 BILASPUR (CHHATTISGARH) MARWAHI GOVT P.S. DONGRA TOLA 22071404705 11369 BILASPUR (CHHATTISGARH) MARWAHI GOVT P.S. MOHARI TOLA 22071404706 11370 BILASPUR (CHHATTISGARH) MARWAHI MS GOVT, AMERATIKRA 22071404707 11371 BILASPUR (CHHATTISGARH) MARWAHI JAN PS, AMERA TIKARA 22071404708 11372 BILASPUR (CHHATTISGARH) MARWAHI PS, CHAMRANTOLA, AMERATIKARA 22071404709 11373 BILASPUR (CHHATTISGARH) MARWAHI P.S. SACHARA TOLA 22071404801 11374 BILASPUR (CHHATTISGARH) MARWAHI PS GOVT, KHALOLIHA TOLA 22071404802 11375 BILASPUR (CHHATTISGARH) MARWAHI Govt MS, SACHARA TOLA (SSA) 22071404803 11376 BILASPUR (CHHATTISGARH) MARWAHI GOVT P.S. SALHE KOTA 22071404901 11377 BILASPUR (CHHATTISGARH) MARWAHI GOVT KANI.P.S. BADKA TOLA 22071404902 11378 BILASPUR (CHHATTISGARH) MARWAHI GOVT P.S. MANJHE TOLA 22071404903 11379 BILASPUR (CHHATTISGARH) MARWAHI GOVT MS TRIBAL, SALHEKOTA 22071404904 11380 BILASPUR (CHHATTISGARH) MARWAHI GOVT PS, NEMTIKRA (SSA) 22071404905 11381 BILASPUR (CHHATTISGARH) MARWAHI GOVT EGS TO PS, DONGARITOLA 22071404906 11382 BILASPUR (CHHATTISGARH) MARWAHI BAPA P.S. RATGA 22071405101 11383 BILASPUR (CHHATTISGARH) MARWAHI T.W.P.S. RATGA 22071405102
  • 346.
    11384 BILASPUR (CHHATTISGARH) MARWAHIMS GOVT, RATGA 22071405103 11385 BILASPUR (CHHATTISGARH) MARWAHI EGS TO PS, CHHEVRAJPARA 22071405104 11386 BILASPUR (CHHATTISGARH) MARWAHI GOVT PS CHHINDITOLA RATGA 22071405105 11387 BILASPUR (CHHATTISGARH) MARWAHI EGS TO PS, MIRHINAR 22071405106 11388 BILASPUR (CHHATTISGARH) MARWAHI P.S. RAJA DIH 22071405201 11389 BILASPUR (CHHATTISGARH) MARWAHI P.S. KHURPA 22071405301 11390 BILASPUR (CHHATTISGARH) MARWAHI EGS TO PS, CHHINDITOLA 22071405302 11391 BILASPUR (CHHATTISGARH) MARWAHI MS GOVT, KHURPA 22071405304 11392 BILASPUR (CHHATTISGARH) MARWAHI P.S. BANDHOURI 22071405401 11393 BILASPUR (CHHATTISGARH) MARWAHI MS GOVT, BANDHOURI 22071405402 11394 BILASPUR (CHHATTISGARH) MARWAHI PS. KANI. JUVA TAL 22071405502 11395 BILASPUR (CHHATTISGARH) MARWAHI P.S. DHANPUR 22071405601 11396 BILASPUR (CHHATTISGARH) MARWAHI P.S.T.W.CHITVAHI TOLA 22071405602 11397 BILASPUR (CHHATTISGARH) MARWAHI P.S. NAROUR 22071405701 11398 BILASPUR (CHHATTISGARH) MARWAHI P.S. BANJI TENDU 22071405702 11399 BILASPUR (CHHATTISGARH) MARWAHI MS GOVT, NAROUR 22071405703 11400 BILASPUR (CHHATTISGARH) MARWAHI P.S. BOYS DHOBHAR 22071405801 11401 BILASPUR (CHHATTISGARH) MARWAHI P.S. T.W.D. GIRLS DHOBHAR 22071405802 11402 BILASPUR (CHHATTISGARH) MARWAHI T.W.P.S. SEMARHA TOLA 22071405803 11403 BILASPUR (CHHATTISGARH) MARWAHI MS GIRLS, DHOBHAR 22071405805 11404 BILASPUR (CHHATTISGARH) MARWAHI MS BOYS GOVT, DHOBHAR 22071405806 11405 BILASPUR (CHHATTISGARH) MARWAHI BAPA P.S. DARMOHALI 22071405901 11406 BILASPUR (CHHATTISGARH) MARWAHI EGS TO PS, SADAKTOLA 22071405902 11407 BILASPUR (CHHATTISGARH) MARWAHI EGS TO PS, BARTOLA 22071405903 11408 BILASPUR (CHHATTISGARH) MARWAHI EGS TO PS, TANGIYATOLA 22071405904 11409 BILASPUR (CHHATTISGARH) MARWAHI NPEGEL, PS GOVT, BARTOLA 22071406002 11410 BILASPUR (CHHATTISGARH) MARWAHI T.W. P.S. KARSIVA 22071406101 11411 BILASPUR (CHHATTISGARH) MARWAHI P.S. CHUVA BAHARA 22071406102 11412 BILASPUR (CHHATTISGARH) MARWAHI KANI.P.S. MAINAN TOLA 22071406103 11413 BILASPUR (CHHATTISGARH) MARWAHI MS GOVT, KARSIVA 22071406104 11414 BILASPUR (CHHATTISGARH) MARWAHI EGS TO PS, THADPATHRA 22071406105 11415 BILASPUR (CHHATTISGARH) MARWAHI PS GOVT, SILPAHARI 22071406201 11416 BILASPUR (CHHATTISGARH) MARWAHI MS TRIBAL, SILPAHRI 22071406202
  • 347.
    11417 BILASPUR (CHHATTISGARH) MARWAHIEGS TO PS, BALBAHARA 22071406203 11418 BILASPUR (CHHATTISGARH) MARWAHI EGS TO PS, MAALTOLA 22071406204 11419 BILASPUR (CHHATTISGARH) MARWAHI P.S. MASURI KHAR 22071406301 11420 BILASPUR (CHHATTISGARH) MARWAHI UP MS, SURANGTOLA 22071406302 11421 BILASPUR (CHHATTISGARH) MARWAHI P.S. KODWAHI 22071406401 11422 BILASPUR (CHHATTISGARH) MARWAHI EGS TO PS, BADERA BAHRA 22071406402 11423 BILASPUR (CHHATTISGARH) MARWAHI T.W.P.S. GHURDEVA PARA 22071406502 11424 BILASPUR (CHHATTISGARH) MARWAHI PS TO MS,NAGWAHI 22071406503 11425 BILASPUR (CHHATTISGARH) MARWAHI PS GOVT, NAGVAHI 22071406504 11426 BILASPUR (CHHATTISGARH) MARWAHI T.W.P.S. GUDUM DEVARI 22071406601 11427 BILASPUR (CHHATTISGARH) MARWAHI P.S.SURANG TOLA 22071406602 11428 BILASPUR (CHHATTISGARH) MARWAHI MS TRIBAL, GUDUM DEVARI 22071406603 11429 BILASPUR (CHHATTISGARH) MARWAHI EGS TO PS, MANDIRTOLA 22071406604 11430 BILASPUR (CHHATTISGARH) MARWAHI NPEGEL, PS GIRLS, RUMGA 22071406702 11431 BILASPUR (CHHATTISGARH) MARWAHI MS GOVT, RUMGA 22071406703 11432 BILASPUR (CHHATTISGARH) MARWAHI PS BOYS JANPAD, RUMGA 22071406704 11433 BILASPUR (CHHATTISGARH) MARWAHI EGS TO PS, MASULDAND 22071406705 11434 BILASPUR (CHHATTISGARH) MARWAHI EGS TO PS, KACHHARPARA 22071406706 11435 BILASPUR (CHHATTISGARH) MARWAHI T.W.P.S. MATIYA DAND 22071406801 11436 BILASPUR (CHHATTISGARH) MARWAHI EGS TO PS, KORCHANPARA 22071406802 11437 BILASPUR (CHHATTISGARH) MARWAHI UP MS, MATIYADAND 22071406803 11438 BILASPUR (CHHATTISGARH) MARWAHI P.S. TWD, KOLBIRA 22071406901 11439 BILASPUR (CHHATTISGARH) MARWAHI P.S. PATHARRA 22071407001 11440 BILASPUR (CHHATTISGARH) MARWAHI EGS TO PS, KHERVATOLA 22071407002 11441 BILASPUR (CHHATTISGARH) MARWAHI PS TO MS, PATHARRA 22071407003 11442 BILASPUR (CHHATTISGARH) MARWAHI PS JANPAD, MADAI 22071407102 11443 BILASPUR (CHHATTISGARH) MARWAHI EGS TO PS, SHAKTITOLA 22071407103 11444 BILASPUR (CHHATTISGARH) MARWAHI EGS TO PS, BACHHAPARA 22071407104 11445 BILASPUR (CHHATTISGARH) MARWAHI PS TO MS, MADAI 22071407105 11446 BILASPUR (CHHATTISGARH) MARWAHI P.S. SEKHAVA 22071407201 11447 BILASPUR (CHHATTISGARH) MARWAHI NAVIN PS PATERA TOLA 22071407202 11448 BILASPUR (CHHATTISGARH) MARWAHI EGS TO PS, INDRA AWAS 22071407203 11449 BILASPUR (CHHATTISGARH) MARWAHI NPEGEL, PS GOVT, MEDHUKA 22071407301
  • 348.
    11450 BILASPUR (CHHATTISGARH) MARWAHIP.S. GUDDI TOLA 22071407302 11451 BILASPUR (CHHATTISGARH) MARWAHI MS TRIBAL, MEDUKA 22071407303 11452 BILASPUR (CHHATTISGARH) MARWAHI EGS TO PS, KHALHETOLA 22071407304 11453 BILASPUR (CHHATTISGARH) MARWAHI P.S. KOTKHARRA 22071407401 11454 BILASPUR (CHHATTISGARH) MARWAHI MS GOVT, KOTKHARRA 22071407402 11455 BILASPUR (CHHATTISGARH) MARWAHI P.S. LAKHAN VAHI 22071407501 11456 BILASPUR (CHHATTISGARH) MARWAHI P.S. KHANTA 22071407601 11457 BILASPUR (CHHATTISGARH) MARWAHI P.S. BARVASAN 22071407701 11458 BILASPUR (CHHATTISGARH) MARWAHI KANI.P.S. MANJHE TOLA 22071407702 11459 BILASPUR (CHHATTISGARH) MARWAHI EGS TO PS, UGANPARA 22071407703 11460 BILASPUR (CHHATTISGARH) MARWAHI UP MS, BARVASAN 22071407704 11461 BILASPUR (CHHATTISGARH) MARWAHI P.S. PADKHURI 22071407801 11462 BILASPUR (CHHATTISGARH) MARWAHI EGS TO PS, KHARRATOLA 22071407802 11463 BILASPUR (CHHATTISGARH) MARWAHI EGS TO PS, BARVASANTOLA 22071407803 11464 BILASPUR (CHHATTISGARH) MARWAHI UP MS, PADKHURI 22071407804 11465 BILASPUR (CHHATTISGARH) MARWAHI P.S. KHAIR JHITI 22071407901 11466 BILASPUR (CHHATTISGARH) MARWAHI UP MS, KHAIRJHITI 22071407902 11467 BILASPUR (CHHATTISGARH) MARWAHI P.S. BHASKURA 22071408001 11468 BILASPUR (CHHATTISGARH) MARWAHI MS TRIBAL, BHASKURA 22071408002 11469 BILASPUR (CHHATTISGARH) MARWAHI P.S. DARRI 22071408101 11470 BILASPUR (CHHATTISGARH) MARWAHI T.W.P.S. CHIKANI TOLA 22071408103 11471 BILASPUR (CHHATTISGARH) MARWAHI P.S. GUMMA TOLA 22071408104 11472 BILASPUR (CHHATTISGARH) MARWAHI EGS TO PS, BARTOLA 22071408105 11473 BILASPUR (CHHATTISGARH) MARWAHI UP MS, DARRI 22071408106 11474 BILASPUR (CHHATTISGARH) MARWAHI SSA PS NEW BHURSATOLA 22071408107 11475 BILASPUR (CHHATTISGARH) MARWAHI T.W.P.S. TOLI 22071408201 11476 BILASPUR (CHHATTISGARH) MARWAHI T.W.P.S. PIPARIYA 22071408301 11477 BILASPUR (CHHATTISGARH) MARWAHI MS TRIBAL, PIPARIYA 22071408302 11478 BILASPUR (CHHATTISGARH) MARWAHI EGS TO PS, KHAMHETOLA 22071408303 11479 BILASPUR (CHHATTISGARH) MARWAHI P.S. BOYS CHANGERI 22071408401 11480 BILASPUR (CHHATTISGARH) MARWAHI GOVT. P.S. JUNHA TOLA 22071408402 11481 BILASPUR (CHHATTISGARH) MARWAHI NPEGEL, PS GIRLS, CHANGERI 22071408403 11482 BILASPUR (CHHATTISGARH) MARWAHI MS GOVT, CHANGERI 22071408404
  • 349.
    11483 BILASPUR (CHHATTISGARH) MARWAHIP.S. PONDI 22071408501 11484 BILASPUR (CHHATTISGARH) MARWAHI MS GOVT, PONDI 22071408502 11485 BILASPUR (CHHATTISGARH) MARWAHI EGS TO PS, KANHARTOLA 22071408503 11486 BILASPUR (CHHATTISGARH) MARWAHI P.S. ENTHI 22071408601 11487 BILASPUR (CHHATTISGARH) MARWAHI MS GOVT, EINTHI 22071408602 11488 BILASPUR (CHHATTISGARH) MARWAHI P.S. JP. BELJHIRIYA 22071408701 11489 BILASPUR (CHHATTISGARH) MARWAHI T.W.BOYS ASHRAM BELJHIRIYA 22071408702 11490 BILASPUR (CHHATTISGARH) MARWAHI T.W. P.S. G.BELJHIRIYA(ASHRAM) 22071408703 11491 BILASPUR (CHHATTISGARH) MARWAHI KANI. P.S. DIHAI TOLA 22071408704 11492 BILASPUR (CHHATTISGARH) MARWAHI P.S. KANS BAHARA 22071408705 11493 BILASPUR (CHHATTISGARH) MARWAHI T.W. GIRLS P.S. DONGARA TOLA 22071408706 11494 BILASPUR (CHHATTISGARH) MARWAHI MS TRIBAL, BELJHIRIYA 22071408707 11495 BILASPUR (CHHATTISGARH) MARWAHI EGS TO PS, NEEMTOLA 22071408708 11496 BILASPUR (CHHATTISGARH) MARWAHI EGS TO PS, FAATPANI 22071408709 11497 BILASPUR (CHHATTISGARH) MARWAHI UP MS, KANSBAHRA 22071408710 11498 BILASPUR (CHHATTISGARH) MARWAHI UP MS, TURIJHIRIYA, BELJHIRIYA 22071408711 11499 BILASPUR (CHHATTISGARH) MARWAHI P.S.USAD 22071408801 11500 BILASPUR (CHHATTISGARH) MARWAHI NPEGEL, PS GIRLS, USAD 22071408802 11501 BILASPUR (CHHATTISGARH) MARWAHI T.W.GIRLS KANI.DONGARA TOLA 22071408803 11502 BILASPUR (CHHATTISGARH) MARWAHI T.W.P.S. MUSADI TOLA 22071408804 11503 BILASPUR (CHHATTISGARH) MARWAHI MS BOYS, GOVT, USAD 22071408805 11504 BILASPUR (CHHATTISGARH) MARWAHI MS GIRLS TRIBAL, USAD 22071408806 11505 BILASPUR (CHHATTISGARH) MARWAHI EGS TO PS, KHUDITOLA 22071408807 11506 BILASPUR (CHHATTISGARH) MARWAHI EGS TO PS, CHUHKATOLA 22071408808 11507 BILASPUR (CHHATTISGARH) MARWAHI EGS TO PS, CHHATAPARPAT 22071408810 11508 BILASPUR (CHHATTISGARH) MARWAHI EGS TO PS, KHARKATOLA 22071408811 11509 BILASPUR (CHHATTISGARH) MARWAHI PS,TWD,MAINTOLA 22071408812 11510 BILASPUR (CHHATTISGARH) MARWAHI EGS TO PS,PEEPARDAND 22071408813 11511 BILASPUR (CHHATTISGARH) MARWAHI UP PS, NAYATOLA, USAD 22071408814 11512 BILASPUR (CHHATTISGARH) MARWAHI GOVT. P.S. JP. KATRA 22071408901 11513 BILASPUR (CHHATTISGARH) MARWAHI P.S.GIRLS KATRA 22071408902 11514 BILASPUR (CHHATTISGARH) MARWAHI P.S.DHAPNI PANI 22071408903 11515 BILASPUR (CHHATTISGARH) MARWAHI GOTV. PS. DARRI TOLA 22071408904
  • 350.
    11516 BILASPUR (CHHATTISGARH) MARWAHIMS TRIBAL, KATRA 22071408905 11517 BILASPUR (CHHATTISGARH) MARWAHI EGS TO PS, DHANUHARITOLA 22071408906 11518 BILASPUR (CHHATTISGARH) MARWAHI EGS TO PS, GABARKHOJ 22071408907 11519 BILASPUR (CHHATTISGARH) MARWAHI EGS TO PS, TOORICHHIRIYA 22071408908 11520 BILASPUR (CHHATTISGARH) MARWAHI EGS TO PS, SAKDATOLA 22071408909 11521 BILASPUR (CHHATTISGARH) MARWAHI UP MS, DARRITOLA, KATRA 22071408910 11522 BILASPUR (CHHATTISGARH) MARWAHI UP MS, DHAPNIPANI, KATRA 22071408911 11523 BILASPUR (CHHATTISGARH) MARWAHI UP MS, GAVERKHOJ 22071408912 11524 BILASPUR (CHHATTISGARH) MARWAHI SSA PS NEW GADADHILAN KATRA 22071408913 11525 BILASPUR (CHHATTISGARH) MARWAHI P.S. MAHORA 22071409101 11526 BILASPUR (CHHATTISGARH) MARWAHI EGS TO PS, KHAMHARIYATOLA 22071409103 11527 BILASPUR (CHHATTISGARH) MARWAHI PS TO MS, MAHORA 22071409104 11528 BILASPUR (CHHATTISGARH) MARWAHI P.S. LATKONI KHURD 22071409201 11529 BILASPUR (CHHATTISGARH) MARWAHI EGS TO PS, KORKOTTOLA 22071409202 11530 BILASPUR (CHHATTISGARH) MARWAHI PS TO MS, LATKONIKHURD 22071409203 11531 BILASPUR (CHHATTISGARH) MARWAHI PS JANPAD, MAJHGAVA 22071409302 11532 BILASPUR (CHHATTISGARH) MARWAHI P.S. DONGARIYA 22071409401 11533 BILASPUR (CHHATTISGARH) MARWAHI P.S.ARMAN TOLA 22071409402 11534 BILASPUR (CHHATTISGARH) MARWAHI MS GOVT, DONGARIYA 22071409403 11535 BILASPUR (CHHATTISGARH) MARWAHI EGS TO PS,KOLNANTOLA 22071409404 11536 BILASPUR (CHHATTISGARH) MARWAHI GOVT MS MODEL SCHOOL DONGARIYA 22071409405 11537 BILASPUR (CHHATTISGARH) MARWAHI P.S. BAGADI 22071409501 11538 BILASPUR (CHHATTISGARH) MARWAHI P.S. KANAI TOLA 22071409502 11539 BILASPUR (CHHATTISGARH) MARWAHI PS TO MS, BAGADI 22071409503 11540 BILASPUR (CHHATTISGARH) MARWAHI P.S.DUMAR KHETA 22071409601 11541 BILASPUR (CHHATTISGARH) MARWAHI P.S. BAHARI JHORKI 22071409701 11542 BILASPUR (CHHATTISGARH) MARWAHI T.W.P.S. TIKATHI 22071409801 11543 BILASPUR (CHHATTISGARH) MARWAHI EGS TO PS, KACHHRATOLA 22071409802 11544 BILASPUR (CHHATTISGARH) MARWAHI UP MS, TIKATHI 22071409803 11545 BILASPUR (CHHATTISGARH) MARWAHI EGS TO PS, CHHALKATOLA 22071409901 11546 BILASPUR (CHHATTISGARH) MARWAHI PS GOVT, DADIYA 22071409902 11547 BILASPUR (CHHATTISGARH) MARWAHI GOVT MS, DADIYA (SSA) 22071409903 11548 BILASPUR (CHHATTISGARH) MARWAHI PS,TWD, CHINGITOLA 22071410401
  • 351.
    11549 BILASPUR (CHHATTISGARH) MARWAHIEGS TO PS, HARIJAN MOHALLA 22071410502 11550 BILASPUR (CHHATTISGARH) MARWAHI NPEGEL, PS GOVT, ANDI 22071410503 11551 BILASPUR (CHHATTISGARH) MARWAHI MS,TWD,ANDI 22071410504 11552 BILASPUR (CHHATTISGARH) MARWAHI GOVT PS, TWD, BHARRATOLA 22071410601 11553 BILASPUR (CHHATTISGARH) MARWAHI UP MS, BHARRATOLA 22071410602 11554 BILASPUR (CHHATTISGARH) MARWAHI EGS TO PS, CHAKADAND 22071410903 11555 BILASPUR (CHHATTISGARH) MARWAHI EGS TO PS, DHOURATHI 22071411301 11556 BILASPUR (CHHATTISGARH) MASTURI GOVT PS KOHARAODA 22071500101 11557 BILASPUR (CHHATTISGARH) MASTURI GOVT. P.S. GIRLS KHAMHARIYA 22071500201 11558 BILASPUR (CHHATTISGARH) MASTURI GOVT. P.S. BOYS KHAMHARIYA 22071500202 11559 BILASPUR (CHHATTISGARH) MASTURI GOVT. MS KHAMHARIYA 22071500203 11560 BILASPUR (CHHATTISGARH) MASTURI EGS TO PS, BHATHAPARA 22071500204 11561 BILASPUR (CHHATTISGARH) MASTURI GOVT MS ,SHE.A.J.,BHATHAPARA 22071500205 11562 BILASPUR (CHHATTISGARH) MASTURI JP.BOYS. MASTURI 22071500303 11563 BILASPUR (CHHATTISGARH) MASTURI NPEGEL,PS GOVT, PHODIPALI 22071500304 11564 BILASPUR (CHHATTISGARH) MASTURI GOVT., PS. KANI. MAHI MAND 22071500305 11565 BILASPUR (CHHATTISGARH) MASTURI GOVT. PS. SHIV TIKARI 22071500307 11566 BILASPUR (CHHATTISGARH) MASTURI NPEGEL, PS GOVT, GOPIYA PARA 22071500308 11567 BILASPUR (CHHATTISGARH) MASTURI GOVT GIRLS PS. MASTURI 22071500314 11568 BILASPUR (CHHATTISGARH) MASTURI GOVT NAVIN PS. SCH. BHADRA PARA 22071500317 11569 BILASPUR (CHHATTISGARH) MASTURI GOVT MS BOYS , MASTURI 22071500319 11570 BILASPUR (CHHATTISGARH) MASTURI GOVT MS GIRLS , MASTURI 22071500320 11571 BILASPUR (CHHATTISGARH) MASTURI EGS TO PS, INDIRA AWAS 22071500324 11572 BILASPUR (CHHATTISGARH) MASTURI GOVT MS. SHIVTIKARI (SSA) 22071500325 11573 BILASPUR (CHHATTISGARH) MASTURI GOVT. PS. NETA NAGAR MASTURI (SSA) 22071500326 11574 BILASPUR (CHHATTISGARH) MASTURI GOVT. P.S. MUKUND PUR 22071500401 11575 BILASPUR (CHHATTISGARH) MASTURI GOVT UPS, MUKUNDPUR 22071500402 11576 BILASPUR (CHHATTISGARH) MASTURI GOVT. P.S. MATIYA 22071500501 11577 BILASPUR (CHHATTISGARH) MASTURI GOVT MS, MATIYA 22071500502 11578 BILASPUR (CHHATTISGARH) MASTURI PS. DHANIYA 22071500602 11579 BILASPUR (CHHATTISGARH) MASTURI MS GOVT, DHANIYA 22071500603 11580 BILASPUR (CHHATTISGARH) MASTURI GOVT. PS VISHRAMPUR 22071500606 11581 BILASPUR (CHHATTISGARH) MASTURI GOVT. GIRLS KANI.P.S.DHRUVAKAR 22071500701
  • 352.
    11582 BILASPUR (CHHATTISGARH) MASTURIGOVT NPEGEL, PS , DHRUVA KARI 22071500702 11583 BILASPUR (CHHATTISGARH) MASTURI MS GOVT, DHRUVAKARI 22071500703 11584 BILASPUR (CHHATTISGARH) MASTURI GOVT. PS JANJI (EDU) 22071500801 11585 BILASPUR (CHHATTISGARH) MASTURI GOVT. GIRLS. PS. JANJI 22071500803 11586 BILASPUR (CHHATTISGARH) MASTURI GOVT MS, JANJI 22071500804 11587 BILASPUR (CHHATTISGARH) MASTURI GOVT NPEGEL, PS MACHKHANDA 22071500901 11588 BILASPUR (CHHATTISGARH) MASTURI EGS TO PS, DHANUHARPARA 22071500902 11589 BILASPUR (CHHATTISGARH) MASTURI GOVT. P.S. KEMA DIH 22071501001 11590 BILASPUR (CHHATTISGARH) MASTURI GOVT. P.S. MOHATARA 22071501101 11591 BILASPUR (CHHATTISGARH) MASTURI GOVT JP PS AMGAON 22071501201 11592 BILASPUR (CHHATTISGARH) MASTURI GOVT. P.S. AKOLA 22071501301 11593 BILASPUR (CHHATTISGARH) MASTURI GOVT. P.S. KOSAM DIH 22071501401 11594 BILASPUR (CHHATTISGARH) MASTURI GOVT MS KOSAMDIH 22071501402 11595 BILASPUR (CHHATTISGARH) MASTURI GOVT PS KONI (EDU) 22071501501 11596 BILASPUR (CHHATTISGARH) MASTURI GOVT PS. ANKDIH (EDU) 22071501502 11597 BILASPUR (CHHATTISGARH) MASTURI GOVT MS KONI (EDU) 22071501504 11598 BILASPUR (CHHATTISGARH) MASTURI GOVT. PS KARRA(LIMTARA) (EDU) 22071501601 11599 BILASPUR (CHHATTISGARH) MASTURI GOVT PS. DAIHAN PARA (EDU) 22071501602 11600 BILASPUR (CHHATTISGARH) MASTURI GOVT.MS KARRA 22071501603 11601 BILASPUR (CHHATTISGARH) MASTURI GOVT PS KATAHA 22071501701 11602 BILASPUR (CHHATTISGARH) MASTURI GOVT UPS, KATAHA 22071501702 11603 BILASPUR (CHHATTISGARH) MASTURI GOVT. P.S. KEVTA DIH (TANGAR) 22071501801 11604 BILASPUR (CHHATTISGARH) MASTURI GOVT PS TO MS, KEVTADIH,TANGAR 22071501802 11605 BILASPUR (CHHATTISGARH) MASTURI GOVT JP PS KEVTA DIH (BHUTHA) 22071501901 11606 BILASPUR (CHHATTISGARH) MASTURI GOVT UP UPS, KEVTADIH (BHUTAHA) 22071501902 11607 BILASPUR (CHHATTISGARH) MASTURI GOVT. GIRLS P.S. KIRARI 22071502001 11608 BILASPUR (CHHATTISGARH) MASTURI GOVT. PS. KIRARI 22071502002 11609 BILASPUR (CHHATTISGARH) MASTURI GOVT JP. PS. KIRARI 22071502003 11610 BILASPUR (CHHATTISGARH) MASTURI GOVT MS, KIRARI 22071502004 11611 BILASPUR (CHHATTISGARH) MASTURI GOVT NEW PS, BAKLIBHATHA 22071502005 11612 BILASPUR (CHHATTISGARH) MASTURI GOVT P.S. KUVA TAL 22071502101 11613 BILASPUR (CHHATTISGARH) MASTURI GOVT MS KOUVANTAL 22071502103 11614 BILASPUR (CHHATTISGARH) MASTURI GOVT.P.S.GIRLS LOHARSI SON 22071502201
  • 353.
    11615 BILASPUR (CHHATTISGARH) MASTURIGOVT JP.BOYS LORHARSI SON(SON) 22071502202 11616 BILASPUR (CHHATTISGARH) MASTURI GOVT NAVIN PS. BHATHA PARA LOHARSI 22071502203 11617 BILASPUR (CHHATTISGARH) MASTURI GOVT MS GIRLS, LOHARSI SON 22071502205 11618 BILASPUR (CHHATTISGARH) MASTURI GOVT MS BOYS, LOHARSISON 22071502206 11619 BILASPUR (CHHATTISGARH) MASTURI EGS TO PS, NAIYAPARA 22071502207 11620 BILASPUR (CHHATTISGARH) MASTURI EGS TO PS, SABARIYADERA 22071502208 11621 BILASPUR (CHHATTISGARH) MASTURI GOVT P.S. LAVAR 22071502301 11622 BILASPUR (CHHATTISGARH) MASTURI GOVT PS. BHOTHI DIH 22071502302 11623 BILASPUR (CHHATTISGARH) MASTURI GOVT MS , LAVAR 22071502303 11624 BILASPUR (CHHATTISGARH) MASTURI GOVT. GIRLS PS LIMTARA (EDU) 22071502401 11625 BILASPUR (CHHATTISGARH) MASTURI GOVT BOYS PS. LIMTARA (EDU) 22071502402 11626 BILASPUR (CHHATTISGARH) MASTURI GOVT BOYS MS LIMTARA (EDU) 22071502403 11627 BILASPUR (CHHATTISGARH) MASTURI GOVT GIRLS MS LIMTARA (EDU) 22071502404 11628 BILASPUR (CHHATTISGARH) MASTURI GOVT. PS. PAHARIPARA LIMATARA (SSA) 22071502406 11629 BILASPUR (CHHATTISGARH) MASTURI GIRLS P.S. DARRI GHAT 22071502501 11630 BILASPUR (CHHATTISGARH) MASTURI JP. PS. DARRI GHAT 22071502502 11631 BILASPUR (CHHATTISGARH) MASTURI GOVT MS, DARRIGHAT 22071502504 11632 BILASPUR (CHHATTISGARH) MASTURI GOVT MS GIRLS DARRIGHAT 22071502507 11633 BILASPUR (CHHATTISGARH) MASTURI GOVT. P.S. DALDALI 22071502601 11634 BILASPUR (CHHATTISGARH) MASTURI JP. P.S. DEV GAON 22071502701 11635 BILASPUR (CHHATTISGARH) MASTURI GOVT MS, DEVGAON 22071502702 11636 BILASPUR (CHHATTISGARH) MASTURI GOVT P.S. HARDI AMGAON 22071502801 11637 BILASPUR (CHHATTISGARH) MASTURI JP.P.S DARRA BHATHA 22071502901 11638 BILASPUR (CHHATTISGARH) MASTURI GOVT KANI. DARRA BHATHA 22071502902 11639 BILASPUR (CHHATTISGARH) MASTURI GOVT MS, DARRABHATHA 22071502903 11640 BILASPUR (CHHATTISGARH) MASTURI EGS TO PS, HARIJAN WARD 22071502904 11641 BILASPUR (CHHATTISGARH) MASTURI GOVT. P.S. HARDA DIH 22071503001 11642 BILASPUR (CHHATTISGARH) MASTURI GOVT. PS. HARDA DIH 22071503002 11643 BILASPUR (CHHATTISGARH) MASTURI EGS TO PS, KUVANPARA 22071503003 11644 BILASPUR (CHHATTISGARH) MASTURI GOVT PS. SCHOOL HARDA DIH 22071503004 11645 BILASPUR (CHHATTISGARH) MASTURI GOVT MS HARDADIH 22071503008 11646 BILASPUR (CHHATTISGARH) MASTURI GOVT. P.S. HARDI (PACHPEDI) 22071503101 11647 BILASPUR (CHHATTISGARH) MASTURI GOVT P.S. JHALMALA 22071503201
  • 354.
    11648 BILASPUR (CHHATTISGARH) MASTURIGOVT MS JHALMALA 22071503203 11649 BILASPUR (CHHATTISGARH) MASTURI GOVT. JP. P.S. TIKARI 22071503301 11650 BILASPUR (CHHATTISGARH) MASTURI GOVT PS. GIRLS TIKARI 22071503302 11651 BILASPUR (CHHATTISGARH) MASTURI GOVT MS, TIKARI 22071503304 11652 BILASPUR (CHHATTISGARH) MASTURI EGS TO PS, BHATHAPARA 22071503305 11653 BILASPUR (CHHATTISGARH) MASTURI GOVT. P.S. THARAKPUR 22071503401 11654 BILASPUR (CHHATTISGARH) MASTURI EGS TO PS, TIKRIPARA 22071503402 11655 BILASPUR (CHHATTISGARH) MASTURI GOVT MS, THARAKPUR 22071503403 11656 BILASPUR (CHHATTISGARH) MASTURI JP.BOYS. P.S. ERAMSAHI 22071503501 11657 BILASPUR (CHHATTISGARH) MASTURI GOVT. P.S GIRLS ERAM SAHI 22071503502 11658 BILASPUR (CHHATTISGARH) MASTURI GOVT MS , ERAMSAHI 22071503504 11659 BILASPUR (CHHATTISGARH) MASTURI GOVT MS GIRLS ERAMSAHI 22071503505 11660 BILASPUR (CHHATTISGARH) MASTURI GOVT PS, ITVA 22071503601 11661 BILASPUR (CHHATTISGARH) MASTURI GOVT MS, ITVA 22071503602 11662 BILASPUR (CHHATTISGARH) MASTURI JP. P.S. MANVA 22071503701 11663 BILASPUR (CHHATTISGARH) MASTURI GOVT. P.S. KEVAT PARA (MALHAR) 22071503801 11664 BILASPUR (CHHATTISGARH) MASTURI JP PS. BOYS MALHAR 22071503804 11665 BILASPUR (CHHATTISGARH) MASTURI BOYS ASHRAM MALHAR 22071503805 11666 BILASPUR (CHHATTISGARH) MASTURI EGS TO PS, TIKRIPARA 22071503808 11667 BILASPUR (CHHATTISGARH) MASTURI JANPAD MS, MALHAR 22071503809 11668 BILASPUR (CHHATTISGARH) MASTURI GOVT PS VRINDAVAN, MALHAR 22071503811 11669 BILASPUR (CHHATTISGARH) MASTURI GOVT MS GIRLS MALHAR 22071503812 11670 BILASPUR (CHHATTISGARH) MASTURI GOVT. P.S. BUDHI KHAR 22071503901 11671 BILASPUR (CHHATTISGARH) MASTURI GOVT MS, BUDHIKHAR 22071503902 11672 BILASPUR (CHHATTISGARH) MASTURI GOVT. P.S. UDAY BAND 22071504001 11673 BILASPUR (CHHATTISGARH) MASTURI JP. P.S. JAIT PUR 22071504101 11674 BILASPUR (CHHATTISGARH) MASTURI GOVT MS , JAITPUR 22071504102 11675 BILASPUR (CHHATTISGARH) MASTURI GOVT. P.S. BETRI 22071504201 11676 BILASPUR (CHHATTISGARH) MASTURI GOVT. P.S. MUDPAR 22071504301 11677 BILASPUR (CHHATTISGARH) MASTURI JP. PS MUDPAR 22071504302 11678 BILASPUR (CHHATTISGARH) MASTURI GOVT MS, MUDPAR 22071504303 11679 BILASPUR (CHHATTISGARH) MASTURI EGS TO PS, MOUVARPARA,MUDPAR 22071504304 11680 BILASPUR (CHHATTISGARH) MASTURI GOVT P.S. MACHAHA 22071504401
  • 355.
    11681 BILASPUR (CHHATTISGARH) MASTURIGOVT MS MACHAHA 22071504402 11682 BILASPUR (CHHATTISGARH) MASTURI JP. P.S. MANIKCHORI 22071504501 11683 BILASPUR (CHHATTISGARH) MASTURI GOVT UPS, MANIKCHOURI 22071504503 11684 BILASPUR (CHHATTISGARH) MASTURI GOVT PS. BHADAHA (SSA) 22071504504 11685 BILASPUR (CHHATTISGARH) MASTURI GOVT P.S. ADRALI 22071504601 11686 BILASPUR (CHHATTISGARH) MASTURI GOVT NPEGEL, PS , DODAKI 22071504701 11687 BILASPUR (CHHATTISGARH) MASTURI GOVT P.S. DAGANIYA 22071504801 11688 BILASPUR (CHHATTISGARH) MASTURI GOVT P.S. DOM GAON 22071504901 11689 BILASPUR (CHHATTISGARH) MASTURI GOVT P.S. DHAN GAVA 22071505101 11690 BILASPUR (CHHATTISGARH) MASTURI GOVT MS, DHANGAVA 22071505102 11691 BILASPUR (CHHATTISGARH) MASTURI EGS TO PS, SHIVSAGAR MOHALLA 22071505103 11692 BILASPUR (CHHATTISGARH) MASTURI JP PS RAHATATOR 22071505201 11693 BILASPUR (CHHATTISGARH) MASTURI GOVT P.S. TENDUVA 22071505301 11694 BILASPUR (CHHATTISGARH) MASTURI GOVT P.S. KHAIRVAR PARA 22071505401 11695 BILASPUR (CHHATTISGARH) MASTURI GOVT. PS KHAJURI (EDU) 22071505501 11696 BILASPUR (CHHATTISGARH) MASTURI GOVT P.S. PIPARANAR 22071505601 11697 BILASPUR (CHHATTISGARH) MASTURI GOVT. P.S. KHAPARI(OKHAR) 22071505701 11698 BILASPUR (CHHATTISGARH) MASTURI GOVT MS KHAPRI (OKHAR) 22071505702 11699 BILASPUR (CHHATTISGARH) MASTURI JP. P.S. OKHAR 22071505801 11700 BILASPUR (CHHATTISGARH) MASTURI GOVT. PS. OKHAR 22071505802 11701 BILASPUR (CHHATTISGARH) MASTURI GOVT MS, OKHAR 22071505804 11702 BILASPUR (CHHATTISGARH) MASTURI EGS TO PS, SAHU MOHALLA OKHAR 22071505805 11703 BILASPUR (CHHATTISGARH) MASTURI GOVT. P.S. RAILHA 22071505901 11704 BILASPUR (CHHATTISGARH) MASTURI GOVT MS, RALIYA 22071505903 11705 BILASPUR (CHHATTISGARH) MASTURI GOVT.P.S. BASHA 22071506001 11706 BILASPUR (CHHATTISGARH) MASTURI GOVT MS BASHA 22071506002 11707 BILASPUR (CHHATTISGARH) MASTURI JP. P.S. UDANGI 22071506101 11708 BILASPUR (CHHATTISGARH) MASTURI GOVT PS. UDANGI PARA 22071506102 11709 BILASPUR (CHHATTISGARH) MASTURI GOVT. PS. KANI. DHOURA KONA 22071506103 11710 BILASPUR (CHHATTISGARH) MASTURI GOVT MS, UDANGI 22071506104 11711 BILASPUR (CHHATTISGARH) MASTURI GOVT. PS KANAI (EDU) 22071506201 11712 BILASPUR (CHHATTISGARH) MASTURI GOVT. P..S. NAVA PARA 22071506301 11713 BILASPUR (CHHATTISGARH) MASTURI GOVT. MS JEVARA (EDU) 22071506402
  • 356.
    11714 BILASPUR (CHHATTISGARH) MASTURIGOVT. PS PHUTAHAMUDA (EDU) 22071506403 11715 BILASPUR (CHHATTISGARH) MASTURI GOVT PS, JEVRA 22071506405 11716 BILASPUR (CHHATTISGARH) MASTURI GOVT P.S. MADAI 22071506501 11717 BILASPUR (CHHATTISGARH) MASTURI GOVT MS, MADAI 22071506502 11718 BILASPUR (CHHATTISGARH) MASTURI GOVT MS, LUTHARA 22071506703 11719 BILASPUR (CHHATTISGARH) MASTURI GOVT PS LUTHARA 22071506708 11720 BILASPUR (CHHATTISGARH) MASTURI GOVT P.S. KUNDARU NAR 22071506801 11721 BILASPUR (CHHATTISGARH) MASTURI GOVT NPEGEL, PS , SONTHI 22071506802 11722 BILASPUR (CHHATTISGARH) MASTURI GOVT MS, SOTHI 22071506803 11723 BILASPUR (CHHATTISGARH) MASTURI GOVT P.S. UNI 22071506901 11724 BILASPUR (CHHATTISGARH) MASTURI GOVT MS UNI 22071506902 11725 BILASPUR (CHHATTISGARH) MASTURI GOVT P.S. VIDYA DIH 22071507001 11726 BILASPUR (CHHATTISGARH) MASTURI GOVT P.S. KUTELA 22071507101 11727 BILASPUR (CHHATTISGARH) MASTURI MS GOVT, KUTELA 22071507102 11728 BILASPUR (CHHATTISGARH) MASTURI GOVT P.S. KOKADI 22071507201 11729 BILASPUR (CHHATTISGARH) MASTURI MS GOVT, KOKADI 22071507202 11730 BILASPUR (CHHATTISGARH) MASTURI GOVT P.S. KULI 22071507301 11731 BILASPUR (CHHATTISGARH) MASTURI GOVT. MS. KULI (SSA) 22071507302 11732 BILASPUR (CHHATTISGARH) MASTURI GOVT P.S.RISDA 22071507401 11733 BILASPUR (CHHATTISGARH) MASTURI GOVT MS, RISDA 22071507402 11734 BILASPUR (CHHATTISGARH) MASTURI EGS TO PS, MISSIONPARA 22071507403 11735 BILASPUR (CHHATTISGARH) MASTURI GOVT PS. BOYS. PARSDAN VED 22071507502 11736 BILASPUR (CHHATTISGARH) MASTURI MS GOVT. PARSADAVED 22071507504 11737 BILASPUR (CHHATTISGARH) MASTURI EGS TO PS, BANDHVAPARA PARSADAVED 22071507505 11738 BILASPUR (CHHATTISGARH) MASTURI GOVT MS GIRLS, PARSADAVED 22071507506 11739 BILASPUR (CHHATTISGARH) MASTURI GOVT PS GIRLS, PARSADA VED 22071507507 11740 BILASPUR (CHHATTISGARH) MASTURI GOVT. MODEL SCHOOL VED PARSADA 22071507509 11741 BILASPUR (CHHATTISGARH) MASTURI GOVT P.S. CHAKAR BEDHA 22071507601 11742 BILASPUR (CHHATTISGARH) MASTURI GOVT P.S. NAVA GAON(TIKARI) 22071507701 11743 BILASPUR (CHHATTISGARH) MASTURI GOVT P.S. BHAGVAN PALI 22071507801 11744 BILASPUR (CHHATTISGARH) MASTURI EGS TO PS, MADHUBAN MOHALLA 22071507802 11745 BILASPUR (CHHATTISGARH) MASTURI GOVT P.S. BHARUVA DIH 22071507901 11746 BILASPUR (CHHATTISGARH) MASTURI GOVT. PS BHOURA DIH 22071507902
  • 357.
    11747 BILASPUR (CHHATTISGARH) MASTURIGOVT. MS BHOURADIH (SSA) 22071507903 11748 BILASPUR (CHHATTISGARH) MASTURI GOVT P.S. BHANESHAR 22071508001 11749 BILASPUR (CHHATTISGARH) MASTURI EGS TO PS, MANDI MOHALLA 22071508003 11750 BILASPUR (CHHATTISGARH) MASTURI GOVT. PS BHARARI (EDU) 22071508101 11751 BILASPUR (CHHATTISGARH) MASTURI GOVT. MS BHARARI (EDU) 22071508102 11752 BILASPUR (CHHATTISGARH) MASTURI GOVT P.S. USLA PUR 22071508201 11753 BILASPUR (CHHATTISGARH) MASTURI GOVT P.S. JUHALI 22071508301 11754 BILASPUR (CHHATTISGARH) MASTURI GOVT MS, JUHALI 22071508302 11755 BILASPUR (CHHATTISGARH) MASTURI GOVT BOYS P.S. JONDHARA 22071508401 11756 BILASPUR (CHHATTISGARH) MASTURI GOVT NPEGEL, PS, JONDHARA 22071508402 11757 BILASPUR (CHHATTISGARH) MASTURI GOVT. PS. GIRLS JONDHARA 22071508403 11758 BILASPUR (CHHATTISGARH) MASTURI GOVT MS, JONDHARA 22071508404 11759 BILASPUR (CHHATTISGARH) MASTURI EGS TO PS, SANJAYNAGAR 22071508405 11760 BILASPUR (CHHATTISGARH) MASTURI GOVT MS GIRLS, JONDHARA 22071508407 11761 BILASPUR (CHHATTISGARH) MASTURI GOVT P.S. KUKADA 22071508501 11762 BILASPUR (CHHATTISGARH) MASTURI GOVT MS, KUKDA 22071508502 11763 BILASPUR (CHHATTISGARH) MASTURI EGS TO PS, DHANUHAR PARA 22071508503 11764 BILASPUR (CHHATTISGARH) MASTURI GOVT P.S. KARI CHHAPAR 22071508601 11765 BILASPUR (CHHATTISGARH) MASTURI GOVT P.S. NAVA GAON KODIYA 22071508701 11766 BILASPUR (CHHATTISGARH) MASTURI GOVT P.S. KACHHAR 22071508801 11767 BILASPUR (CHHATTISGARH) MASTURI EGS TO PS, AWAS MOHALLA 22071508802 11768 BILASPUR (CHHATTISGARH) MASTURI GOVT P.S. JAITPURI 22071508901 11769 BILASPUR (CHHATTISGARH) MASTURI BOYS. PS. SITAP 22071509002 11770 BILASPUR (CHHATTISGARH) MASTURI GIRLS PS. SIPAT 22071509004 11771 BILASPUR (CHHATTISGARH) MASTURI MS BOYS GOVT, SEEPAT 22071509005 11772 BILASPUR (CHHATTISGARH) MASTURI MS GIRLS GOVT, SEEPAT 22071509006 11773 BILASPUR (CHHATTISGARH) MASTURI GOVT PS BAZARPARA SIPAT 22071509010 11774 BILASPUR (CHHATTISGARH) MASTURI JP. P.S. SON 22071509101 11775 BILASPUR (CHHATTISGARH) MASTURI MS GOVT, SON 22071509103 11776 BILASPUR (CHHATTISGARH) MASTURI EGS TO PS, KAWARPARA 22071509104 11777 BILASPUR (CHHATTISGARH) MASTURI NEW PS,SABARIYADERA, SOAN 22071509105 11778 BILASPUR (CHHATTISGARH) MASTURI UP MS KANWARPARA 22071509106 11779 BILASPUR (CHHATTISGARH) MASTURI JP. P.S. JAYARAM NAGAR 22071509201
  • 358.
    11780 BILASPUR (CHHATTISGARH) MASTURINPEGEL, PS GOVT, KHAIRA 22071509203 11781 BILASPUR (CHHATTISGARH) MASTURI MS GOVT, JAIRAMNAGAR 22071509205 11782 BILASPUR (CHHATTISGARH) MASTURI GOVT. PS JALSO (EDU) 22071509301 11783 BILASPUR (CHHATTISGARH) MASTURI GOVT. MS JALSO (SSA) 22071509302 11784 BILASPUR (CHHATTISGARH) MASTURI P.S. JUNVANI 22071509401 11785 BILASPUR (CHHATTISGARH) MASTURI UP MS JUNVANI 22071509402 11786 BILASPUR (CHHATTISGARH) MASTURI GOVT. GIRLS P.S. GATORA 22071509501 11787 BILASPUR (CHHATTISGARH) MASTURI NPEGEL, PS GOVT, GATOUR 22071509502 11788 BILASPUR (CHHATTISGARH) MASTURI JP. BOYS. GATOURA 22071509503 11789 BILASPUR (CHHATTISGARH) MASTURI HARI BOYS. GATOURA 22071509504 11790 BILASPUR (CHHATTISGARH) MASTURI MS BOYS GOVT, GATOURA 22071509505 11791 BILASPUR (CHHATTISGARH) MASTURI MS GIRLS GOVT, GATOURA 22071509506 11792 BILASPUR (CHHATTISGARH) MASTURI EGS TO PS, ADIWASIPARA 22071509507 11793 BILASPUR (CHHATTISGARH) MASTURI EGS TO PS, SUKHRIPALI 22071509508 11794 BILASPUR (CHHATTISGARH) MASTURI P.S. GOBARI 22071509601 11795 BILASPUR (CHHATTISGARH) MASTURI P.S. GITPURI 22071509701 11796 BILASPUR (CHHATTISGARH) MASTURI MS GOVT, GIDHPURI 22071509702 11797 BILASPUR (CHHATTISGARH) MASTURI P.S. GUDI 22071509801 11798 BILASPUR (CHHATTISGARH) MASTURI MS GOVT, GUDHI 22071509803 11799 BILASPUR (CHHATTISGARH) MASTURI EGS TO PS, CHOWDAPARA 22071509804 11800 BILASPUR (CHHATTISGARH) MASTURI NAVIN P.S. GOPAL PUR 22071509901 11801 BILASPUR (CHHATTISGARH) MASTURI PS. GOPAL PUR 22071509902 11802 BILASPUR (CHHATTISGARH) MASTURI UP.MS.GOPALPUR 22071509903 11803 BILASPUR (CHHATTISGARH) MASTURI P.S. SEMARA DIH 22071510001 11804 BILASPUR (CHHATTISGARH) MASTURI P.S. AMA KONI 22071510201 11805 BILASPUR (CHHATTISGARH) MASTURI P.S. KHONDHARA 22071510301 11806 BILASPUR (CHHATTISGARH) MASTURI MS GOVT, KHONDHRA 22071510302 11807 BILASPUR (CHHATTISGARH) MASTURI NPEGEL, PS GOVT, KHANDA 22071510401 11808 BILASPUR (CHHATTISGARH) MASTURI MS GOVT, KHANDA 22071510402 11809 BILASPUR (CHHATTISGARH) MASTURI P.S. KHORSI 22071510501 11810 BILASPUR (CHHATTISGARH) MASTURI UP MS KHORSI 22071510502 11811 BILASPUR (CHHATTISGARH) MASTURI P.S. BOYS. KODIYA 22071510601 11812 BILASPUR (CHHATTISGARH) MASTURI GIRLS. PS. KODIYA 22071510602
  • 359.
    11813 BILASPUR (CHHATTISGARH) MASTURIMS GOVT, KOUDIYA 22071510603 11814 BILASPUR (CHHATTISGARH) MASTURI EGS TO PS, BANDHVAPARA 22071510604 11815 BILASPUR (CHHATTISGARH) MASTURI P.S. THAKUR DEVA 22071510701 11816 BILASPUR (CHHATTISGARH) MASTURI EGS TO PS, DIPRAPARA 22071510702 11817 BILASPUR (CHHATTISGARH) MASTURI UP MS THAKURDEVA 22071510703 11818 BILASPUR (CHHATTISGARH) MASTURI P.S. KUKURDI KHURD 22071510801 11819 BILASPUR (CHHATTISGARH) MASTURI JP. P.S. SUKUL KARI 22071510901 11820 BILASPUR (CHHATTISGARH) MASTURI MS GOVT, SUKULKARI 22071510903 11821 BILASPUR (CHHATTISGARH) MASTURI EGS TO PS, JAGMAG CHOWK 22071510904 11822 BILASPUR (CHHATTISGARH) MASTURI P.S. KUKURDI KALA 22071511001 11823 BILASPUR (CHHATTISGARH) MASTURI P.S. GODA DIH 22071511101 11824 BILASPUR (CHHATTISGARH) MASTURI UP MS GODADIH 22071511102 11825 BILASPUR (CHHATTISGARH) MASTURI GOVT. KANI. PS. SODHA DIH 22071511202 11826 BILASPUR (CHHATTISGARH) MASTURI NPEGEL, JP. PS GOVT, CHILHATI 22071511203 11827 BILASPUR (CHHATTISGARH) MASTURI MS GOVT, CHILHATI 22071511204 11828 BILASPUR (CHHATTISGARH) MASTURI GOVT. P.S. BAKAR KUDA 22071511301 11829 BILASPUR (CHHATTISGARH) MASTURI UP MS BAKARKUDA 22071511302 11830 BILASPUR (CHHATTISGARH) MASTURI GOVT. P.S. THEMHA PAR 22071511401 11831 BILASPUR (CHHATTISGARH) MASTURI P.S. LODHA BOR 22071511501 11832 BILASPUR (CHHATTISGARH) MASTURI P.S. KUKURDI KERA 22071511601 11833 BILASPUR (CHHATTISGARH) MASTURI MS GOVT, KUKURDI KALA 22071511602 11834 BILASPUR (CHHATTISGARH) MASTURI UP MS KUKURDIKERA 22071511603 11835 BILASPUR (CHHATTISGARH) MASTURI P. S. GOVT. DEVRI 22071511702 11836 BILASPUR (CHHATTISGARH) MASTURI UP MS DEVRI 22071511703 11837 BILASPUR (CHHATTISGARH) MASTURI P.S. BELHA 22071511801 11838 BILASPUR (CHHATTISGARH) MASTURI P.S. BITKULA 22071511901 11839 BILASPUR (CHHATTISGARH) MASTURI GOVT. PS. GIRLS BITKULA 22071511902 11840 BILASPUR (CHHATTISGARH) MASTURI MS GOVT, BITKULA 22071511903 11841 BILASPUR (CHHATTISGARH) MASTURI EGS TO PS, PAIGVAPARA 22071511904 11842 BILASPUR (CHHATTISGARH) MASTURI P.S. BANIYA DIH 22071512001 11843 BILASPUR (CHHATTISGARH) MASTURI UP MS BANIYADIH 22071512002 11844 BILASPUR (CHHATTISGARH) MASTURI P.S. BELTUKARI 22071512101 11845 BILASPUR (CHHATTISGARH) MASTURI MS. BELTUKARI 22071512102
  • 360.
    11846 BILASPUR (CHHATTISGARH) MASTURIP.S. PATAI DIH 22071512201 11847 BILASPUR (CHHATTISGARH) MASTURI MS GOVT PATAIDIH 22071512202 11848 BILASPUR (CHHATTISGARH) MASTURI NPEGEL, PS GOVT, CHISDA 22071512301 11849 BILASPUR (CHHATTISGARH) MASTURI MS GOVT, CHISDA 22071512302 11850 BILASPUR (CHHATTISGARH) MASTURI UP UPS GIRLS, CHISDA 22071512303 11851 BILASPUR (CHHATTISGARH) MASTURI GOVT. PS. PANDHI (EDU) 22071512401 11852 BILASPUR (CHHATTISGARH) MASTURI GOVT MS PANDHI (EDU) 22071512402 11853 BILASPUR (CHHATTISGARH) MASTURI GOVT. PS CHARPARA (SSA) 22071512403 11854 BILASPUR (CHHATTISGARH) MASTURI GOVT. MS GIRLS PANDHI (SSA) 22071512405 11855 BILASPUR (CHHATTISGARH) MASTURI GOVT. PS. BINAIKA 22071512601 11856 BILASPUR (CHHATTISGARH) MASTURI GOVT. PS. BINORI 22071512602 11857 BILASPUR (CHHATTISGARH) MASTURI GOVT. PS. BINOURI DIH 22071512603 11858 BILASPUR (CHHATTISGARH) MASTURI GOVT. PS. VIDHYA DIH(TANGAR) 22071512701 11859 BILASPUR (CHHATTISGARH) MASTURI PS GOVT, BASANT PUR 22071512801 11860 BILASPUR (CHHATTISGARH) MASTURI UP MS, BASANTPUR 22071512802 11861 BILASPUR (CHHATTISGARH) MASTURI VIDYA MANDIR SARSENI 22071512901 11862 BILASPUR (CHHATTISGARH) MASTURI MS GOVT, SARSENI 22071512902 11863 BILASPUR (CHHATTISGARH) MASTURI EGS TO PS, TIKRAPARA 22071512903 11864 BILASPUR (CHHATTISGARH) MASTURI PS. SULOUNI 22071513001 11865 BILASPUR (CHHATTISGARH) MASTURI UP UPS, SULOUNI 22071513002 11866 BILASPUR (CHHATTISGARH) MASTURI PS, SONSARI 22071513101 11867 BILASPUR (CHHATTISGARH) MASTURI EGS TO PS, GADHIYAPARA 22071513102 11868 BILASPUR (CHHATTISGARH) MASTURI UP MS, SONSARI 22071513103 11869 BILASPUR (CHHATTISGARH) MASTURI PS J.P., HIRRI 22071513201 11870 BILASPUR (CHHATTISGARH) MASTURI UP MS, HIRRI 22071513202 11871 BILASPUR (CHHATTISGARH) MASTURI PS. HINDA DIH 22071513301 11872 BILASPUR (CHHATTISGARH) MASTURI PS. GOVT. PARSAHI 22071513401 11873 BILASPUR (CHHATTISGARH) MASTURI EGS TO PS, PHULWARPARA 22071513402 11874 BILASPUR (CHHATTISGARH) MASTURI UP MS PARSAHI 22071513403 11875 BILASPUR (CHHATTISGARH) MASTURI UP MS, HINDADIH 22071513501 11876 BILASPUR (CHHATTISGARH) MASTURI PS. PONDI 22071513602 11877 BILASPUR (CHHATTISGARH) MASTURI MS GOVT, PONDI 22071513603 11878 BILASPUR (CHHATTISGARH) MASTURI EGS TO PS, BANIBHATHA 22071513604
  • 361.
    11879 BILASPUR (CHHATTISGARH) MASTURIGOVT. PS. PATHARA TAL 22071513701 11880 BILASPUR (CHHATTISGARH) MASTURI PS. PAKARIYA 22071513801 11881 BILASPUR (CHHATTISGARH) MASTURI NPEGEL, NAVIN PS, PACHPEDI 22071513901 11882 BILASPUR (CHHATTISGARH) MASTURI GOVT. PS. GIRLS. PACHAPEDI 22071513902 11883 BILASPUR (CHHATTISGARH) MASTURI JP. BOYS. PACHAPEDI 22071513903 11884 BILASPUR (CHHATTISGARH) MASTURI MS BOYS GOVT, PACHPEDI 22071513904 11885 BILASPUR (CHHATTISGARH) MASTURI MS GIRLS GOVT, PACHPEDI 22071513905 11886 BILASPUR (CHHATTISGARH) MASTURI KGBV GIRLS RESID. SCHOOL 22071513908 11887 BILASPUR (CHHATTISGARH) MASTURI PS. PALI 22071514001 11888 BILASPUR (CHHATTISGARH) MASTURI PS PENDRI 22071514101 11889 BILASPUR (CHHATTISGARH) MASTURI MS GOVT, PENDRI 22071514102 11890 BILASPUR (CHHATTISGARH) MASTURI JP. PS PARSADA 22071514201 11891 BILASPUR (CHHATTISGARH) MASTURI JP. PS. PARA GHAT 22071514301 11892 BILASPUR (CHHATTISGARH) MASTURI MS GOVT, PARAGHAT 22071514303 11893 BILASPUR (CHHATTISGARH) MASTURI EGS TO PS, ANUSUCHIT JATI MUHA 22071514304 11894 BILASPUR (CHHATTISGARH) MASTURI NPEGEL, PS GOVT, BHATCHOURA 22071514401 11895 BILASPUR (CHHATTISGARH) MASTURI MS GOVT, BHATCHOURA 22071514405 11896 BILASPUR (CHHATTISGARH) MASTURI GOVT. PS. SARGAVA 22071514501 11897 BILASPUR (CHHATTISGARH) MASTURI JP. PS BHADORA 22071514701 11898 BILASPUR (CHHATTISGARH) MASTURI MS GOVT, BHADOURA 22071514702 11899 BILASPUR (CHHATTISGARH) MASTURI EGS TO PS, BHATHAPARA 22071514703 11900 BILASPUR (CHHATTISGARH) MASTURI GOVT. PS BHURKUNDA (EDU) 22071514801 11901 BILASPUR (CHHATTISGARH) MASTURI GOVT. PS BHILAI 22071514901 11902 BILASPUR (CHHATTISGARH) MASTURI PS TO MS,GOVT,BHILAI 22071514902 11903 BILASPUR (CHHATTISGARH) MASTURI PS. AMAL DIHA 22071515001 11904 BILASPUR (CHHATTISGARH) MASTURI JP. PS BHILONI 22071515101 11905 BILASPUR (CHHATTISGARH) MASTURI P.S PARSODHI 22071515201 11906 BILASPUR (CHHATTISGARH) MASTURI PS. KEVTARA 22071515401 11907 BILASPUR (CHHATTISGARH) MASTURI UP MS KENVATPARA MALHAR 22071515402 11908 BILASPUR (CHHATTISGARH) MASTURI UP MS KENVTARA 22071515403 11909 BILASPUR (CHHATTISGARH) MASTURI JP. PS RAANK 22071515501 11910 BILASPUR (CHHATTISGARH) MASTURI MS GOVT, RAANK 22071515502 11911 BILASPUR (CHHATTISGARH) MASTURI KANI. PS. RALIYA 22071515601
  • 362.
    11912 BILASPUR (CHHATTISGARH) MASTURIPS GOVT, RALIYA 22071515602 11913 BILASPUR (CHHATTISGARH) MASTURI GOVT. PS KHUDU BHATHA 22071515801 11914 BILASPUR (CHHATTISGARH) MASTURI PS. CHOHA 22071515901 11915 BILASPUR (CHHATTISGARH) MASTURI MS GOVT, CHOUHA 22071515902 11916 BILASPUR (CHHATTISGARH) MASTURI NARGODA 22071516001 11917 BILASPUR (CHHATTISGARH) MASTURI GIRLS PS. NARGODA 22071516003 11918 BILASPUR (CHHATTISGARH) MASTURI MS GOVT, NARGODA 22071516004 11919 BILASPUR (CHHATTISGARH) MASTURI EGS TO PS, AWAS MOHALLA 22071516005 11920 BILASPUR (CHHATTISGARH) MASTURI EGS TO PS, NAVAPARA 22071516006 11921 BILASPUR (CHHATTISGARH) MASTURI MS GOVT, NAVAGAON, MACHKHANDA 22071516101 11922 BILASPUR (CHHATTISGARH) MASTURI PS,GOVT,NAVAGAON,MACHKHANDA 22071516103 11923 BILASPUR (CHHATTISGARH) MASTURI PS NAVA DIH 22071516201 11924 BILASPUR (CHHATTISGARH) MASTURI UP MS NAVADIH 22071516203 11925 BILASPUR (CHHATTISGARH) MASTURI NPEGEL, PS GOVT, NIRTU 22071516301 11926 BILASPUR (CHHATTISGARH) MASTURI MS GOVT, NIRTU 22071516302 11927 BILASPUR (CHHATTISGARH) MASTURI PS NEVARI 22071516401 11928 BILASPUR (CHHATTISGARH) MASTURI MS GOVT, NEVARI 22071516402 11929 BILASPUR (CHHATTISGARH) MASTURI PS GOVT KHAPARI 22071516403 11930 BILASPUR (CHHATTISGARH) MASTURI NPEGEL, PS GOVT, BOHAR DIH 22071516501 11931 BILASPUR (CHHATTISGARH) MASTURI UP MS BOHARDIH 22071516503 11932 BILASPUR (CHHATTISGARH) MASTURI GOVT. PS. KHAPARI(BELPAN) 22071516601 11933 BILASPUR (CHHATTISGARH) MASTURI PS. BAHATRA 22071516701 11934 BILASPUR (CHHATTISGARH) MASTURI UP UPS, BAHTARA 22071516702 11935 BILASPUR (CHHATTISGARH) MASTURI GOVT. PS. BAMHANI KALA 22071516801 11936 BILASPUR (CHHATTISGARH) MASTURI PS. BARELI 22071516901 11937 BILASPUR (CHHATTISGARH) MASTURI UP MS BARELI 22071516902 11938 BILASPUR (CHHATTISGARH) MASTURI PS GOVT, KARRA 22071517001 11939 BILASPUR (CHHATTISGARH) MASTURI GOVT. PS. HARDI(LOHARSI) 22071517101 11940 BILASPUR (CHHATTISGARH) MASTURI PS,GOVT,DAVANDIH 22071517501 11941 BILASPUR (CHHATTISGARH) MASTURI GOVT MS BHURKUNDA 22071517601 11942 BILASPUR (CHHATTISGARH) MASTURI UP MS KHAIRA 22071518401 11943 BILASPUR (CHHATTISGARH) MASTURI UP UPS, BINAIKA 22071518501 11944 BILASPUR (CHHATTISGARH) MASTURI PS GOVT (K), BUDHWARI BAZ, MALHAR 22071518601
  • 363.
    11945 BILASPUR (CHHATTISGARH) MASTURIPS GOVT GIRLS, MALHAR 22071518602 11946 BILASPUR (CHHATTISGARH) PENDRA GOVT,PS DAMDAM (TWD) 22072200101 11947 BILASPUR (CHHATTISGARH) PENDRA GOVT. PS KANCHHOTHI (TWD) 22072200102 11948 BILASPUR (CHHATTISGARH) PENDRA GOVT,MS DAMDAM (TWD) 22072200103 11949 BILASPUR (CHHATTISGARH) PENDRA GOVT. PS, RAVANTOLA (SSA) 22072200104 11950 BILASPUR (CHHATTISGARH) PENDRA GOVT. PS, BARTOLA 22072200105 11951 BILASPUR (CHHATTISGARH) PENDRA GOVT. PS, MACHINETOLA (SSA) 22072200106 11952 BILASPUR (CHHATTISGARH) PENDRA GOVT. PS, DHANSAHELA (SSA) 22072200107 11953 BILASPUR (CHHATTISGARH) PENDRA GOVT. UP MS MACHINTOLA (SSA) 22072200108 11954 BILASPUR (CHHATTISGARH) PENDRA GOVT. PS DEVRI KALA (TWD) 22072200201 11955 BILASPUR (CHHATTISGARH) PENDRA GOVT. NEW PS,BARMUDATOLA,(SSA) 22072200202 11956 BILASPUR (CHHATTISGARH) PENDRA GOVT. UP MS DEVARIKALA (SSA) 22072200203 11957 BILASPUR (CHHATTISGARH) PENDRA GOVT. PS TILORA (TWD) 22072200301 11958 BILASPUR (CHHATTISGARH) PENDRA GOVT. EGS TO PS, BANJARIPARA(SSA) 22072200302 11959 BILASPUR (CHHATTISGARH) PENDRA GOVT. EGS TO PS, DARRIPARA (SSA) 22072200304 11960 BILASPUR (CHHATTISGARH) PENDRA GOVT. EGS TO PS, AMALIDAND (SSA) 22072200305 11961 BILASPUR (CHHATTISGARH) PENDRA GOVT. UP MS TILORA (SSA) 22072200306 11962 BILASPUR (CHHATTISGARH) PENDRA GOVT. PS KHARPARA TILORA (SSA) 22072200307 11963 BILASPUR (CHHATTISGARH) PENDRA GOVT. PS KANCHANDIH (TWD) 22072200401 11964 BILASPUR (CHHATTISGARH) PENDRA GOVT. EGS TO PS, URAOPARA (SSA) 22072200402 11965 BILASPUR (CHHATTISGARH) PENDRA GOVT MS URAOPARA KANCHANDIH (SSA) 22072200403 11966 BILASPUR (CHHATTISGARH) PENDRA GOVT. JAN. PS KODGAR (TWD) 22072200601 11967 BILASPUR (CHHATTISGARH) PENDRA GOVT. MS GOVT. KODGAR (TWD) 22072200602 11968 BILASPUR (CHHATTISGARH) PENDRA GOVT. EGS TO PS, LOHARPARA (SSA) 22072200603 11969 BILASPUR (CHHATTISGARH) PENDRA GOVT. KGBV, MS, KODGAR (SSA) 22072200604 11970 BILASPUR (CHHATTISGARH) PENDRA GOVT. PS KANAI BAHRA (TWD) 22072200701 11971 BILASPUR (CHHATTISGARH) PENDRA GOVT. PS KHARDI ( TWD) 22072200801 11972 BILASPUR (CHHATTISGARH) PENDRA GOVT.KANI PS DOBE PARA (TWD) 22072200802 11973 BILASPUR (CHHATTISGARH) PENDRA GOVT. EGS TO PS, BAHRIJHORKI (SSA) 22072200803 11974 BILASPUR (CHHATTISGARH) PENDRA GOVT. EGS TO PS, URAOPARA (SSA) 22072200804 11975 BILASPUR (CHHATTISGARH) PENDRA GOVT. PS TO MS,GOVT,KHARDI (SSA) 22072200805 11976 BILASPUR (CHHATTISGARH) PENDRA GOVT. NEW PS SARHADPARA KHARDI (SSA) 22072200806 11977 BILASPUR (CHHATTISGARH) PENDRA GOVT. PS GIRLS ,, RAMGARH (TWD) 22072200901
  • 364.
    11978 BILASPUR (CHHATTISGARH) PENDRAGOVT. UP MS RAMGARH (SSA) 22072200902 11979 BILASPUR (CHHATTISGARH) PENDRA GOVT. PS BAMHNI (TWD) 22072201001 11980 BILASPUR (CHHATTISGARH) PENDRA GOVT. PS PACHASI PARA (TWD) 22072201002 11981 BILASPUR (CHHATTISGARH) PENDRA GOVT. PS TO MS,,BAMHANI (TWD) 22072201003 11982 BILASPUR (CHHATTISGARH) PENDRA GOVT. NEW PS,DHODGAPARA,BAMHANI (SSA) 22072201004 11983 BILASPUR (CHHATTISGARH) PENDRA GOVT. NPEGEL, PS GOVT, JILDA (TWD) 22072201101 11984 BILASPUR (CHHATTISGARH) PENDRA GOVT. MS TRIBAL JILDA(TWD) 22072201102 11985 BILASPUR (CHHATTISGARH) PENDRA GOVT. EGS TO PS, BAROUDIPARA (SSA) 22072201103 11986 BILASPUR (CHHATTISGARH) PENDRA GOVT. UP MS BARAODIPARA JILDA (SSA) 22072201104 11987 BILASPUR (CHHATTISGARH) PENDRA GOVT. PS GHAT BAHRA (TWD) 22072201201 11988 BILASPUR (CHHATTISGARH) PENDRA GOVT. UP MS GHAT BAHRA (SSA) 22072201202 11989 BILASPUR (CHHATTISGARH) PENDRA GOVT. GIRLS PS NAVAGAON (TWD) 22072201301 11990 BILASPUR (CHHATTISGARH) PENDRA GOVT. PS KARCHAPARA NAVAGAON (TWD) 22072201302 11991 BILASPUR (CHHATTISGARH) PENDRA GOVT. BOYS PS NAVA GAON (TWD) 22072201303 11992 BILASPUR (CHHATTISGARH) PENDRA GOVT. MS BOYS. NAVAGAON (TWD) 22072201304 11993 BILASPUR (CHHATTISGARH) PENDRA GOVT. MS GIRLS NAVAGAON (TWD) 22072201305 11994 BILASPUR (CHHATTISGARH) PENDRA GOVT. PS PANDARIA (TWD) 22072201401 11995 BILASPUR (CHHATTISGARH) PENDRA GOVT. PS TANGIAMAR (TWD) 22072201501 11996 BILASPUR (CHHATTISGARH) PENDRA GOVT. PS GAJAN (TWD) 22072201601 11997 BILASPUR (CHHATTISGARH) PENDRA GOVT. UP MS GAJAN (SSA) 22072201602 11998 BILASPUR (CHHATTISGARH) PENDRA GOVT. PS HARRADIH (TWD) 22072201701 11999 BILASPUR (CHHATTISGARH) PENDRA GOVT. KANI. MAJHE PARA, GIRARI (TWD) 22072201801 12000 BILASPUR (CHHATTISGARH) PENDRA GOVT. KANI. PS RAJJU PARA, GIRARI (TWD) 22072201802 12001 BILASPUR (CHHATTISGARH) PENDRA GOVT. JAN. PS GIRARI (TWD) 22072201803 12002 BILASPUR (CHHATTISGARH) PENDRA GOVT. MS GOVT. GIRARI (TWD) 22072201804 12003 BILASPUR (CHHATTISGARH) PENDRA GOVT. BOYS PS JHABAR (TWD) 22072201901 12004 BILASPUR (CHHATTISGARH) PENDRA GOVT. NPEGEL, PS GIRLS, JHABAR (TWD) 22072201902 12005 BILASPUR (CHHATTISGARH) PENDRA GOVT. MS GOVT. JHABAR (TWD) 22072201904 12006 BILASPUR (CHHATTISGARH) PENDRA GOVT. EGS TO PS, GODHATOLA (SSA) 22072201905 12007 BILASPUR (CHHATTISGARH) PENDRA GOVT. PS SARKHOR (TWD) 22072202001 12008 BILASPUR (CHHATTISGARH) PENDRA GOVT. UP MS SARKHOR (SSA) 22072202002 12009 BILASPUR (CHHATTISGARH) PENDRA GOVT. GIRLS PS AMARU (TWD) 22072202101 12010 BILASPUR (CHHATTISGARH) PENDRA GOVT. BOYS PS AMARU (TWD) 22072202102
  • 365.
    12011 BILASPUR (CHHATTISGARH) PENDRAGOVT. MS . AMARU (TWD) 22072202103 12012 BILASPUR (CHHATTISGARH) PENDRA GOVT. EGS TO PS, DHANUHARPARA (SSA) 22072202104 12013 BILASPUR (CHHATTISGARH) PENDRA GOVT. EGS TO PS, PANIKAPARA (SSA) 22072202105 12014 BILASPUR (CHHATTISGARH) PENDRA GOVT. NEW PS AHIRAN PARA AMARU (SSA) 22072202106 12015 BILASPUR (CHHATTISGARH) PENDRA GOVT. KANI. PS GOTIYAN PARA, (TWD) 22072202201 12016 BILASPUR (CHHATTISGARH) PENDRA GOVT. PS PITHAMPUR (TWD) 22072202202 12017 BILASPUR (CHHATTISGARH) PENDRA GOVT. PS NAVAPARA , PITHAMPUR (TWD) 22072202203 12018 BILASPUR (CHHATTISGARH) PENDRA GOVT. UP MS GAOTIYANPARA (SSA) 22072202204 12019 BILASPUR (CHHATTISGARH) PENDRA GOVT. UP MS PITHAMPUR (SSA) 22072202205 12020 BILASPUR (CHHATTISGARH) PENDRA GOVT. KANI. PS MURMUR, BAGESAR PARA (TWD) 22072202301 12021 BILASPUR (CHHATTISGARH) PENDRA GOVT. BOYS PS MURMUR (TWD) 22072202302 12022 BILASPUR (CHHATTISGARH) PENDRA GOVT. NPEGEL, PS GIRLS, MURMUR (TWD) 22072202303 12023 BILASPUR (CHHATTISGARH) PENDRA GOVT. MS GIRLS GOVT, MURMUR (TWD) 22072202304 12024 BILASPUR (CHHATTISGARH) PENDRA GOVT. PS BENDERCHUVA (TWD) 22072202401 12025 BILASPUR (CHHATTISGARH) PENDRA GOVT. PS GHAGHRA (TWD) 22072202501 12026 BILASPUR (CHHATTISGARH) PENDRA GOVT. EGS TO PS, DEVRAJNAVAPARA (SSA) 22072202502 12027 BILASPUR (CHHATTISGARH) PENDRA GOVT. UP MS GHAGHARA (SSA) 22072202503 12028 BILASPUR (CHHATTISGARH) PENDRA GOVT. PS DESAHAN PARA PENDRA (TWD) 22072202602 12029 BILASPUR (CHHATTISGARH) PENDRA GOVT. PS KOLAN PARA PENDRA (TWD) 22072202603 12030 BILASPUR (CHHATTISGARH) PENDRA GOVT. PS PACHVATI PARA PENDRA (TWD) 22072202604 12031 BILASPUR (CHHATTISGARH) PENDRA GOVT. PS TENDUR PARA PAENDRA (TWD) 22072202605 12032 BILASPUR (CHHATTISGARH) PENDRA GOVT. PS SARKARI PARA PENDRA (TWD) 22072202606 12033 BILASPUR (CHHATTISGARH) PENDRA GOVT. PS PURANI BASTI PENDRA (TWD) 22072202607 12034 BILASPUR (CHHATTISGARH) PENDRA GOVT. KANI PS KHACHARVARPARA (TWD) 22072202611 12035 BILASPUR (CHHATTISGARH) PENDRA GOVT. PS NAVA PARA (TWD) 22072202612 12036 BILASPUR (CHHATTISGARH) PENDRA GOVT. KANI. PS GIRLS BACHARWAR (TWD) 22072202613 12037 BILASPUR (CHHATTISGARH) PENDRA GOVT. PS VIDYA NAGAR, PENDRA (TWD) 22072202614 12038 BILASPUR (CHHATTISGARH) PENDRA GOVT. JAN. PS PENDRA (TWD) 22072202615 12039 BILASPUR (CHHATTISGARH) PENDRA GOVT. PS BAJRANG CHOWK, PENDRA (TWD) 22072202616 12040 BILASPUR (CHHATTISGARH) PENDRA GOVT. NPEGEL,PS GIRLS, BHARRAPARA (TWD) 22072202617 12041 BILASPUR (CHHATTISGARH) PENDRA GOVT. MS GIRLS, PENDRA (TWD) 22072202621 12042 BILASPUR (CHHATTISGARH) PENDRA GOVT. NEW PS,CHOUBEYPARA,PENDRA (SSA) 22072202624 12043 BILASPUR (CHHATTISGARH) PENDRA GOVT. NEW PS,TALABPARA,PENDRA (SSA) 22072202625
  • 366.
    12044 BILASPUR (CHHATTISGARH) PENDRAGOVT. MULTIPURPOSE GOVT- SCHOOL PENDRA (TWD) 22072202630 12045 BILASPUR (CHHATTISGARH) PENDRA GOVT. PS LATKONI (TWD) 22072202701 12046 BILASPUR (CHHATTISGARH) PENDRA GOVT. PS. LATKONI KLA ,SADAK PARA(SSA) 22072202702 12047 BILASPUR (CHHATTISGARH) PENDRA GOVT. UP MS LATKONI KALA(SSA) 22072202703 12048 BILASPUR (CHHATTISGARH) PENDRA GOVT. GIRLS PS AMARPUR (TWD) 22072202802 12049 BILASPUR (CHHATTISGARH) PENDRA GOVT. PRAYOG PS AMARPUR (TWD) 22072202803 12050 BILASPUR (CHHATTISGARH) PENDRA GOVT. MS ABHYAS GOVT. AMARPUR (TWD) 22072202806 12051 BILASPUR (CHHATTISGARH) PENDRA GOVT. EGS TO PS, MAJHOULIPARA (SSA) 22072202807 12052 BILASPUR (CHHATTISGARH) PENDRA GOVT. BOYS BACHARWAR (TWD) 22072202901 12053 BILASPUR (CHHATTISGARH) PENDRA GOVT. MS BOYS. BACHARVAR (TWD) 22072202903 12054 BILASPUR (CHHATTISGARH) PENDRA GOVT. MS GIRLS. BACHARVAR (TWD) 22072202904 12055 BILASPUR (CHHATTISGARH) PENDRA GOVT. EGS TO PS, SITKAPARA (SSA) 22072202905 12056 BILASPUR (CHHATTISGARH) PENDRA GOVT. EGS TO PS, PATERATOLA (SSA) 22072202906 12057 BILASPUR (CHHATTISGARH) PENDRA GOVT. UPMS, NAVAPARA,BACHARWAR (SSA) 22072202910 12058 BILASPUR (CHHATTISGARH) PENDRA GOVT. GIRLS PS PATGAVA (TWD) 22072203101 12059 BILASPUR (CHHATTISGARH) PENDRA GOVT. PS PATGAVA (TWD) 22072203102 12060 BILASPUR (CHHATTISGARH) PENDRA GOVT. MS BOYS, PATGAVA (SSA) 22072203104 12061 BILASPUR (CHHATTISGARH) PENDRA GOVT. EGS TO PS, KATELPARA (SSA) 22072203105 12062 BILASPUR (CHHATTISGARH) PENDRA GOVT. GIRLS PS KUDKAI (TWD) 22072203201 12063 BILASPUR (CHHATTISGARH) PENDRA GOVT. PS BOYS GOVT, KUDKAI (TWD) 22072203203 12064 BILASPUR (CHHATTISGARH) PENDRA GOVT. MS GOVT. KUDKAI (TWD) 22072203204 12065 BILASPUR (CHHATTISGARH) PENDRA GOVT. UP MS GIRLS KUDKAI (SSA) 22072203206 12066 BILASPUR (CHHATTISGARH) PENDRA GOVT. NEW PS CHHAPARATOLA KUDKAI (SSA) 22072203207 12067 BILASPUR (CHHATTISGARH) PENDRA GOVT. JAN. PS ADBHAR (TWD) 22072203301 12068 BILASPUR (CHHATTISGARH) PENDRA GOVT. MS GOVT, ADBHAR (TWD) 22072203302 12069 BILASPUR (CHHATTISGARH) PENDRA GOVT. PS SEVRA (TWD) 22072203401 12070 BILASPUR (CHHATTISGARH) PENDRA GOVT. GIRLS PS SEVRA (TWD) 22072203402 12071 BILASPUR (CHHATTISGARH) PENDRA GOVT. NPEGEL, PS GOVT, KUDRI (TWD) 22072203502 12072 BILASPUR (CHHATTISGARH) PENDRA GOVT. GIRLS PS. KUDARI (TWD) 22072203503 12073 BILASPUR (CHHATTISGARH) PENDRA GOVT. M.S. KUDRI (TWD) 22072203504 12074 BILASPUR (CHHATTISGARH) PENDRA GOVT. MODEL SCHOOL KUDKAI (RMSA) 22072203505 12075 BILASPUR (CHHATTISGARH) PENDRA GOVT. PS PIPLAMAR(TWD) 22072203601 12076 BILASPUR (CHHATTISGARH) PENDRA GOVT. UP MS PIPLAMAR (SSA) 22072203602
  • 367.
    12077 BILASPUR (CHHATTISGARH) PENDRAGOVT. PS BANDHI (TWD) 22072203701 12078 BILASPUR (CHHATTISGARH) PENDRA GOVT. PS SEMAR PARA BANDHI (TWD) 22072203702 12079 BILASPUR (CHHATTISGARH) PENDRA GOVT. UP MS BANDHI (SSA) 22072203703 12080 BILASPUR (CHHATTISGARH) PENDRA GOVT. PS PATERA TOLA (TWD) 22072203801 12081 BILASPUR (CHHATTISGARH) PENDRA GOVT. PS DONGRI TOLA 22072203802 12082 BILASPUR (CHHATTISGARH) PENDRA GOVT. JAN. PS BHADI (TWD) 22072203803 12083 BILASPUR (CHHATTISGARH) PENDRA GOVT. GIRLS PS BHADI (TWD) 22072203804 12084 BILASPUR (CHHATTISGARH) PENDRA GOVT. EGS TO PS, MUNDATOLA BHADI (SSA) 22072203806 12085 BILASPUR (CHHATTISGARH) PENDRA GOVT. EGS TO PS, CHHUHAIPARA (SSA) 22072203807 12086 BILASPUR (CHHATTISGARH) PENDRA GOVT. UP MS PATERA TOLA BHADI (SSA) 22072203808 12087 BILASPUR (CHHATTISGARH) PENDRA GOVT. PS PANDRI KHAR (TWD) 22072203901 12088 BILASPUR (CHHATTISGARH) PENDRA GOVT. GIRLS PS PANDRI KHAR (TWD) 22072203902 12089 BILASPUR (CHHATTISGARH) PENDRA GOVT. PS BARIUMRAO (TWD) 22072204001 12090 BILASPUR (CHHATTISGARH) PENDRA GOVT. KANI. PS DAGNAHI PARA (TWD) 22072204002 12091 BILASPUR (CHHATTISGARH) PENDRA GOVT. GIRLS PS BARI UMARAO (TWD) 22072204003 12092 BILASPUR (CHHATTISGARH) PENDRA GOVT. UP MS BARIUMRAO(SSA) 22072204005 12093 BILASPUR (CHHATTISGARH) PENDRA GOVT. NPEGEL, PS GOVT, BISHESHRA (TWD) 22072204101 12094 BILASPUR (CHHATTISGARH) PENDRA GOVT. KANI. PS KHUJJI TOLA BISHESHRA (TWD) 22072204102 12095 BILASPUR (CHHATTISGARH) PENDRA GOVT. EGS TO PS, MUNDATOLA BISHESHRA (SSA) 22072204103 12096 BILASPUR (CHHATTISGARH) PENDRA GOVT. UP MS BISHESHARA(SSA) 22072204105 12097 BILASPUR (CHHATTISGARH) PENDRA GOVT. BOYS PS, SON BACHKHAR (TWD) 22072204201 12098 BILASPUR (CHHATTISGARH) PENDRA GOVT. GIRLS PS SONBACH KHAR (TWD) 22072204202 12099 BILASPUR (CHHATTISGARH) PENDRA GOVT. EGS TO PS, BAKOULIPARA (SSA) 22072204203 12100 BILASPUR (CHHATTISGARH) PENDRA GOVT. EGS TO PS, DABARIPARA (SSA) 22072204204 12101 BILASPUR (CHHATTISGARH) PENDRA GOVT. PS TO MS, SONBACHARWAR(SSA) 22072204205 12102 BILASPUR (CHHATTISGARH) PENDRA GOVT. PS, TWD, DONGRA PARA (TWD) 22072204301 12103 BILASPUR (CHHATTISGARH) PENDRA GOVT. GIRLS PS AMADAD (TWD) 22072204302 12104 BILASPUR (CHHATTISGARH) PENDRA GOVT. BOYS PS AMADAD (TWD) 22072204303 12105 BILASPUR (CHHATTISGARH) PENDRA GOVT. MS . AMADAND (TWD) 22072204304 12106 BILASPUR (CHHATTISGARH) PENDRA GOVT. GIRLS PS JATA DEVRI (TWD) 22072204401 12107 BILASPUR (CHHATTISGARH) PENDRA GOVT. JAN. PS JATA DEVRI (TWD) 22072204402 12108 BILASPUR (CHHATTISGARH) PENDRA GOVT. UP MS, JATA DEVRI (TWD) 22072204403 12109 BILASPUR (CHHATTISGARH) PENDRA GOVT. PS BASINPAT JATADEVARI (SSA) 22072204404
  • 368.
    12110 BILASPUR (CHHATTISGARH) PENDRAGOVT. BOYS PS BASANTPUR (TWD) 22072204501 12111 BILASPUR (CHHATTISGARH) PENDRA GOVT. NPEGEL, PS GIRLS, BASANTPUR (TWD) 22072204502 12112 BILASPUR (CHHATTISGARH) PENDRA GOVT. EGS TO PS, BACHCHHAPARA (SSA) 22072204503 12113 BILASPUR (CHHATTISGARH) PENDRA GOVT. EGS TO PS, DARRIPARA PANKOTA(SSA) 22072204504 12114 BILASPUR (CHHATTISGARH) PENDRA GOVT. MS BASANTPUR (SSA) 22072204505 12115 BILASPUR (CHHATTISGARH) PENDRA GOVT. KANI PS JODA TALAB(TWD) 22072204601 12116 BILASPUR (CHHATTISGARH) PENDRA GOVT. UP MS JODA TALAB (SSA) 22072204602 12117 BILASPUR (CHHATTISGARH) PENDRA GOVT. BOYS ASHRAM, SON KUND (TWD) 22072204701 12118 BILASPUR (CHHATTISGARH) PENDRA GOVT. JAN. PS LATA (TWD) 22072204801 12119 BILASPUR (CHHATTISGARH) PENDRA GOVT. MS LATA (TWD) 22072204802 12120 BILASPUR (CHHATTISGARH) PENDRA GOVT. EGS TO PS, BAGAIHAPARA (SSA) 22072204803 12121 BILASPUR (CHHATTISGARH) PENDRA GOVT. EGS TO PS, PURANHAPARA (SSA) 22072204804 12122 BILASPUR (CHHATTISGARH) PENDRA GOVT. PS JAMDIPARA (SSA) 22072204902 12123 BILASPUR (CHHATTISGARH) PENDRA GOVT. UP MS, JAMDI KHURD (SSA) 22072204903 12124 BILASPUR (CHHATTISGARH) PENDRA GOVT. PS PANKOTA (TWD) 22072205001 12125 BILASPUR (CHHATTISGARH) PENDRA GOVT. UP MS DARRIPARA PANKOTA(SSA) 22072205002 12126 BILASPUR (CHHATTISGARH) PENDRA GOVT. NPEGEL, PS GIRLS, KOTMI KALA(TWD) 22072205101 12127 BILASPUR (CHHATTISGARH) PENDRA GOVT. PS KOTMI KALA (TWD) 22072205102 12128 BILASPUR (CHHATTISGARH) PENDRA GOVT. MS KOTMIKALA (TWD) 22072205103 12129 BILASPUR (CHHATTISGARH) PENDRA GOVT. EGS TO PS, BELHATOLA (SSA) 22072205104 12130 BILASPUR (CHHATTISGARH) PENDRA GOVT. EGS TO PS, KATELTOLA (SSA) 22072205105 12131 BILASPUR (CHHATTISGARH) PENDRA GOVT. PS DEVRI KHURD (TWD) 22072205201 12132 BILASPUR (CHHATTISGARH) PENDRA GOVT. NAVIN PS. DARRA PARA (TWD) 22072205202 12133 BILASPUR (CHHATTISGARH) PENDRA GOVT. PS TO MS, DEVRI KHURD (SSA) 22072205203 12134 BILASPUR (CHHATTISGARH) PENDRA GOVT. PS KARONDA NAR (TWD) 22072205301 12135 BILASPUR (CHHATTISGARH) PENDRA GOVT. PS GODHA (TWD) 22072205401 12136 BILASPUR (CHHATTISGARH) PENDRA GOVT. UP MS GODHA (SSA) 22072205402 12137 BILASPUR (CHHATTISGARH) PENDRA GOVT. PS JUNWANI PARA (TWD) 22072205501 12138 BILASPUR (CHHATTISGARH) PENDRA GOVT. UP MS JUNVANIPARA (SSA) 22072205502 12139 BILASPUR (CHHATTISGARH) PENDRA GOVT. PS KESLA (TWD) 22072205601 12140 BILASPUR (CHHATTISGARH) PENDRA GOVT. PS BHALWAHI TOLA KESLA (SSA) 22072205602 12141 BILASPUR (CHHATTISGARH) PENDRA GOVT. UP MS KESALA (SSA) 22072205603 12142 BILASPUR (CHHATTISGARH) PENDRA GOVT. P.S. GIRLS, SAKOLA (TWD) 22072205701
  • 369.
    12143 BILASPUR (CHHATTISGARH) PENDRAGOVT. BOYS PS SAKOLA (TWD) 22072205702 12144 BILASPUR (CHHATTISGARH) PENDRA GOVT. MS. GIRLS. SAKOLA (TWD) 22072205704 12145 BILASPUR (CHHATTISGARH) PENDRA GOVT. MS SARKARI PARA (TWD) 22072205801 12146 BILASPUR (CHHATTISGARH) PENDRA GOVT. HIGH S. GIRLS SARKARIPARA PENDRA (TWD) 22072205802 12147 BILASPUR (CHHATTISGARH) PENDRA GOVT. MS GIRLS BHARRA PARA (TWD) 22072205901 12148 BILASPUR (CHHATTISGARH) PENDRA GOVT. UP MS AMARPUR (TWD) 22072206701 12149 BILASPUR (CHHATTISGARH) PENDRA GOVT. P.S. TIKRIPARA, JAMDIKHURD (SSA) 22072207101 12150 BILASPUR (CHHATTISGARH) TAKHATPUR GOVT. P.S. AJAYPURKALA 22072500101 12151 BILASPUR (CHHATTISGARH) TAKHATPUR EGS TO PS, AJAYPUR(SSA) 22072500102 12152 BILASPUR (CHHATTISGARH) TAKHATPUR GOVT. P.S. AMERI(EDU) 22072500201 12153 BILASPUR (CHHATTISGARH) TAKHATPUR MS GOVT, AMERI(EDU) 22072500203 12154 BILASPUR (CHHATTISGARH) TAKHATPUR GOVT. BAL SHRAMIK V. AMERI 22072500204 12155 BILASPUR (CHHATTISGARH) TAKHATPUR GOVT. P.S.AMNE(EDU) 22072500301 12156 BILASPUR (CHHATTISGARH) TAKHATPUR GOVT.MS, AMNE(SSA) 22072500303 12157 BILASPUR (CHHATTISGARH) TAKHATPUR GOVT. PS. AMSENA(EDU) 22072500401 12158 BILASPUR (CHHATTISGARH) TAKHATPUR GOVT MS.AMSENA(EDU) 22072500402 12159 BILASPUR (CHHATTISGARH) TAKHATPUR GOVT. PS.PREMNAGAR AMSENA(SSA) 22072500403 12160 BILASPUR (CHHATTISGARH) TAKHATPUR GOVT. P.S.ARAIBAND(EDU) 22072500501 12161 BILASPUR (CHHATTISGARH) TAKHATPUR GOVT. PS DIPRAPARA(SSA) 22072500502 12162 BILASPUR (CHHATTISGARH) TAKHATPUR GOVT. P.S. BAHURTA 22072500701 12163 BILASPUR (CHHATTISGARH) TAKHATPUR GOVT.PS JAN, BANDHA 22072500801 12164 BILASPUR (CHHATTISGARH) TAKHATPUR GOVT. MS. BANDHA(EDU) 22072500803 12165 BILASPUR (CHHATTISGARH) TAKHATPUR GOVT. PS NAVEEN,BHATAPARA 22072500804 12166 BILASPUR (CHHATTISGARH) TAKHATPUR GOVT. P.S.BOYS(EDU) 22072500901 12167 BILASPUR (CHHATTISGARH) TAKHATPUR GOVT PS. BARGAN(EDU) 22072501002 12168 BILASPUR (CHHATTISGARH) TAKHATPUR UP MS BARGAN(SSA) 22072501003 12169 BILASPUR (CHHATTISGARH) TAKHATPUR GOVT PS AGHRIYA 22072501004 12170 BILASPUR (CHHATTISGARH) TAKHATPUR GOVT. P.S. BELPAN 22072501101 12171 BILASPUR (CHHATTISGARH) TAKHATPUR MS GOVT, BELPAN 22072501102 12172 BILASPUR (CHHATTISGARH) TAKHATPUR GOVT. P.S. BELTUKRI(EDU 22072501201 12173 BILASPUR (CHHATTISGARH) TAKHATPUR GOVT. PS. BELGAHNA(EDU) 22072501301 12174 BILASPUR (CHHATTISGARH) TAKHATPUR PS GOVT, BAGHELKAPA, BELGAHNA (EDU) 22072501302 12175 BILASPUR (CHHATTISGARH) TAKHATPUR GOVT. MS. BELGAHNA(SSA) 22072501303
  • 370.
    12176 BILASPUR (CHHATTISGARH) TAKHATPURJAN. P.S. (BOYS) BELMUNDI(EDU) 22072501401 12177 BILASPUR (CHHATTISGARH) TAKHATPUR GOVT. P.S. (GIRLS) BELMUNDI 22072501402 12178 BILASPUR (CHHATTISGARH) TAKHATPUR GOVT. MS BELMUNDI(EDU) 22072501403 12179 BILASPUR (CHHATTISGARH) TAKHATPUR GOVT. PS. BELSARA (EDU) 22072501501 12180 BILASPUR (CHHATTISGARH) TAKHATPUR GOVT. MS BELSARA(EDU) 22072501502 12181 BILASPUR (CHHATTISGARH) TAKHATPUR GOVT.PS,.BHATHAPARA (SSA) 22072501503 12182 BILASPUR (CHHATTISGARH) TAKHATPUR GOVT. P.S. BHADAM(EDU) 22072501601 12183 BILASPUR (CHHATTISGARH) TAKHATPUR GOVT.MS BHADAM(EDU) 22072501603 12184 BILASPUR (CHHATTISGARH) TAKHATPUR GOVT. PS BAPA, NAVAPARA BHAKURRA(ANUDAN) 22072501701 12185 BILASPUR (CHHATTISGARH) TAKHATPUR GOVT. PS NAVIN, NAVAPARA BHAKURRA(SSA) 22072501702 12186 BILASPUR (CHHATTISGARH) TAKHATPUR GOVT. MS. NAVAPARA BHAKURRA(EDU) 22072501703 12187 BILASPUR (CHHATTISGARH) TAKHATPUR GOVT.PS, NAVAPARA BHAKURRA(EDU) 22072501704 12188 BILASPUR (CHHATTISGARH) TAKHATPUR GOVT. UP MS NAVAPARA BHAKURRA(SSA) 22072501705 12189 BILASPUR (CHHATTISGARH) TAKHATPUR GOVT. PS. BHARARI(EDU) 22072501801 12190 BILASPUR (CHHATTISGARH) TAKHATPUR GOVT.PS.TELIYAPURAN BHARARI (SSA) 22072501804 12191 BILASPUR (CHHATTISGARH) TAKHATPUR GOVT. MS. BHARARI(EDU) 22072501805 12192 BILASPUR (CHHATTISGARH) TAKHATPUR GOVT.P.S. (BOYS)EDU 22072501901 12193 BILASPUR (CHHATTISGARH) TAKHATPUR GOVT. GIRLS P.S. 22072501902 12194 BILASPUR (CHHATTISGARH) TAKHATPUR M.S. GOVT. BHARNI 22072501903 12195 BILASPUR (CHHATTISGARH) TAKHATPUR PS GIRLS BHARANI(SSA) 22072501906 12196 BILASPUR (CHHATTISGARH) TAKHATPUR PS GOVT, BHILOUNI(EDU) 22072502001 12197 BILASPUR (CHHATTISGARH) TAKHATPUR GOVT. P.S.BHIMPURI 22072502101 12198 BILASPUR (CHHATTISGARH) TAKHATPUR GOVT.PS. BHUHA KAPA (EDU) 22072502201 12199 BILASPUR (CHHATTISGARH) TAKHATPUR GOVT. P.S. BHUNDA (EDU) 22072502301 12200 BILASPUR (CHHATTISGARH) TAKHATPUR GOVT.PS BOYS JANPAD, BEEJA(SSA) 22072502401 12201 BILASPUR (CHHATTISGARH) TAKHATPUR GOVT. PS.GIRLS JANPAD, BEEJA(EDU) 22072502402 12202 BILASPUR (CHHATTISGARH) TAKHATPUR GOVT. MS. BEEJA(EDU) 22072502403 12203 BILASPUR (CHHATTISGARH) TAKHATPUR PS GOVT, DIPRAPARA, BEEJA(SSA) 22072502404 12204 BILASPUR (CHHATTISGARH) TAKHATPUR GOVT. P.S. BODSARA(EDU) 22072502601 12205 BILASPUR (CHHATTISGARH) TAKHATPUR GOVT.MS. BODSARA (SSA) 22072502603 12206 BILASPUR (CHHATTISGARH) TAKHATPUR GOVT. P.S. BUTENA (EDU) 22072502801 12207 BILASPUR (CHHATTISGARH) TAKHATPUR GOVT.PS. BUTENA 22072502802 12208 BILASPUR (CHHATTISGARH) TAKHATPUR GOVT. MS BUTENA 22072502804
  • 371.
    12209 BILASPUR (CHHATTISGARH) TAKHATPURGOVT JAN. P.S. BELSARI (EDU) 22072502901 12210 BILASPUR (CHHATTISGARH) TAKHATPUR GOVT. GIRLS P.SBELSARI.(EDU) 22072502902 12211 BILASPUR (CHHATTISGARH) TAKHATPUR PS GOVT, BINOURI(EDU) 22072503001 12212 BILASPUR (CHHATTISGARH) TAKHATPUR GOVT.PS. BADE BINOURI 22072503002 12213 BILASPUR (CHHATTISGARH) TAKHATPUR GOVT. PS.BHOURA KACHHAR 22072503102 12214 BILASPUR (CHHATTISGARH) TAKHATPUR GOVT.BOYS P.S. BAHTARAI 22072503201 12215 BILASPUR (CHHATTISGARH) TAKHATPUR GOVT. GIRLS P.S. BAHTARAI(EDU) 22072503202 12216 BILASPUR (CHHATTISGARH) TAKHATPUR EGS TO PS, DABENA(SSA) 22072503205 12217 BILASPUR (CHHATTISGARH) TAKHATPUR MS GOVT, BAHTARAI 22072503206 12218 BILASPUR (CHHATTISGARH) TAKHATPUR GOVT. PS. BARDULA PARA(SSA) 22072503302 12219 BILASPUR (CHHATTISGARH) TAKHATPUR GOVT.MS.BARDUL PARA(SSA) 22072503303 12220 BILASPUR (CHHATTISGARH) TAKHATPUR GOVT. P.S. CHAKRA KUND(EDU) 22072503401 12221 BILASPUR (CHHATTISGARH) TAKHATPUR GOVT. PS. CHANADONGARI(EDU) 22072503501 12222 BILASPUR (CHHATTISGARH) TAKHATPUR GOVT MS. CHANADONGARI(EDU) 22072503502 12223 BILASPUR (CHHATTISGARH) TAKHATPUR GOVT NPS NADIYAPARA CHANADONGARI(EDU) 22072503503 12224 BILASPUR (CHHATTISGARH) TAKHATPUR GOVT. P.S. BOYS CHHATOUNA (EDU) 22072503601 12225 BILASPUR (CHHATTISGARH) TAKHATPUR GOVT. PS. BOYS BANDIYAPARA CHHATOUNA (EDU) 22072503602 12226 BILASPUR (CHHATTISGARH) TAKHATPUR GOVT. PS. GIRLS CHHATOUNA(EDU) 22072503603 12227 BILASPUR (CHHATTISGARH) TAKHATPUR GOVT. MS. CHHATOUNA(EDU) 22072503605 12228 BILASPUR (CHHATTISGARH) TAKHATPUR EGS TO PS, GANDHINAGAR, CHATOU 22072503606 12229 BILASPUR (CHHATTISGARH) TAKHATPUR GOVT. P.S.(EDU) 22072503701 12230 BILASPUR (CHHATTISGARH) TAKHATPUR GOVT. P.S. CHICHIRDA (EDU) 22072503801 12231 BILASPUR (CHHATTISGARH) TAKHATPUR GOVT. MS. BOYS CHICHIRDA (EDU) 22072503802 12232 BILASPUR (CHHATTISGARH) TAKHATPUR GOVT. PS.AWASPARA SHIDMUNI (SSA) 22072503803 12233 BILASPUR (CHHATTISGARH) TAKHATPUR GOVT.MS. GIRLS CHICHIRDA(SSA) 22072503804 12234 BILASPUR (CHHATTISGARH) TAKHATPUR GOVT. P.S. CHITAVAR (EDU) 22072503901 12235 BILASPUR (CHHATTISGARH) TAKHATPUR GOVT. P.S. CHORBHATTHI KALA(EDU) 22072504001 12236 BILASPUR (CHHATTISGARH) TAKHATPUR EGS TO PS, CHORBHATTHIKALA(SSA) 22072504002 12237 BILASPUR (CHHATTISGARH) TAKHATPUR GOVT.MS. CHORBHATTHIKALA 22072504003 12238 BILASPUR (CHHATTISGARH) TAKHATPUR NPEGEL, PS GOVT, CHORBHATTI KHURD. 22072504101 12239 BILASPUR (CHHATTISGARH) TAKHATPUR GOVT NPS DAIHANPARA CHORBHATTIKHURD 22072504102 12240 BILASPUR (CHHATTISGARH) TAKHATPUR GOVT. P.S.(EDU) 22072504201 12241 BILASPUR (CHHATTISGARH) TAKHATPUR GOVT. P.S.CHORHA SIGHANPURI(EDU) 22072504301
  • 372.
    12242 BILASPUR (CHHATTISGARH) TAKHATPURGOVT. PS. DAIJA(EDU) 22072504401 12243 BILASPUR (CHHATTISGARH) TAKHATPUR GOVT. MS. DAIJA(EDU) 22072504402 12244 BILASPUR (CHHATTISGARH) TAKHATPUR JAN. P.S.DHANDHAN(EDU) 22072504501 12245 BILASPUR (CHHATTISGARH) TAKHATPUR GOVT. KANI. GIRLS P.S. 22072504502 12246 BILASPUR (CHHATTISGARH) TAKHATPUR MS GOVT, DHANDHAN 22072504503 12247 BILASPUR (CHHATTISGARH) TAKHATPUR GOVT. P.S. DARRI (EDU) 22072504601 12248 BILASPUR (CHHATTISGARH) TAKHATPUR GOVT.MS. DARRI (EDU) 22072504602 12249 BILASPUR (CHHATTISGARH) TAKHATPUR GOVT. P.S.DEVTARA(EDU) 22072504701 12250 BILASPUR (CHHATTISGARH) TAKHATPUR GOVT MS. DEVTAR(SSA) 22072504702 12251 BILASPUR (CHHATTISGARH) TAKHATPUR GOVT. P.S. DEVRIKALA(EDU) 22072504801 12252 BILASPUR (CHHATTISGARH) TAKHATPUR GOVT UP MS DEVARIKALA(SSA) 22072504803 12253 BILASPUR (CHHATTISGARH) TAKHATPUR GOVT. PS. DEVRIKHURD(edu) 22072504901 12254 BILASPUR (CHHATTISGARH) TAKHATPUR GOVT MS DEVRIKHURD(EDU) 22072504902 12255 BILASPUR (CHHATTISGARH) TAKHATPUR GOVT. MODEL M.S. DEVRIKHURD 22072504903 12256 BILASPUR (CHHATTISGARH) TAKHATPUR GOVT. KANI. P.S.(EDU) 22072505001 12257 BILASPUR (CHHATTISGARH) TAKHATPUR GOVT. P.S. DIGHORA 22072505101 12258 BILASPUR (CHHATTISGARH) TAKHATPUR GOVT. P.S.DOMAN PUR 22072505201 12259 BILASPUR (CHHATTISGARH) TAKHATPUR GOVT. P.S. DARRI KAPA (EDU) 22072505301 12260 BILASPUR (CHHATTISGARH) TAKHATPUR GOVT. PS. DEVRI SOAN(EDU) 22072505401 12261 BILASPUR (CHHATTISGARH) TAKHATPUR GOVT. BOYS P.S. 22072505501 12262 BILASPUR (CHHATTISGARH) TAKHATPUR GOVT. GIRLS PS. GANIYARI (EDU) 22072505502 12263 BILASPUR (CHHATTISGARH) TAKHATPUR GOVT. KSNI. P.S. DEVALPARA 22072505503 12264 BILASPUR (CHHATTISGARH) TAKHATPUR EGS TO PS, AVDHELIYAPARA(SSA) 22072505504 12265 BILASPUR (CHHATTISGARH) TAKHATPUR MS GIRLS GOVT, GANIYARI 22072505507 12266 BILASPUR (CHHATTISGARH) TAKHATPUR GOVT. M.S. BOYS GANIYARI 22072505508 12267 BILASPUR (CHHATTISGARH) TAKHATPUR GOVT. P.S.GHOGHRA(EDU) 22072505601 12268 BILASPUR (CHHATTISGARH) TAKHATPUR PS TO MS, GHONGHADIH(SSA) 22072505702 12269 BILASPUR (CHHATTISGARH) TAKHATPUR PS GOVT, GHONGHADIH 22072505703 12270 BILASPUR (CHHATTISGARH) TAKHATPUR GOVT. PS. GHORAMAR(EDU) 22072505801 12271 BILASPUR (CHHATTISGARH) TAKHATPUR GOVT.MS, GHORAMAR(SSA) 22072505802 12272 BILASPUR (CHHATTISGARH) TAKHATPUR GOVT.PS, PANDAKAPA, GHORAMAR(SSA) 22072505803 12273 BILASPUR (CHHATTISGARH) TAKHATPUR GOVT.PS. GHURU(EDU) 22072505902 12274 BILASPUR (CHHATTISGARH) TAKHATPUR MS GOVT, GHURU (EDU) 22072505903
  • 373.
    12275 BILASPUR (CHHATTISGARH) TAKHATPURGOVT. PS. BOYS GHUTKU(EDU) 22072506001 12276 BILASPUR (CHHATTISGARH) TAKHATPUR GOVT. P.S. NAVAPARA 22072506002 12277 BILASPUR (CHHATTISGARH) TAKHATPUR GOVT. GIRLS P.S. GHUTKU(EDU) 22072506003 12278 BILASPUR (CHHATTISGARH) TAKHATPUR GOVT. KANI. P.S. STATION PARA 22072506004 12279 BILASPUR (CHHATTISGARH) TAKHATPUR GOVT. P.S. NUNIA PARA (EDU) 22072506005 12280 BILASPUR (CHHATTISGARH) TAKHATPUR GOVT. P.S. PANDRI PAR(EDU) 22072506006 12281 BILASPUR (CHHATTISGARH) TAKHATPUR GOVT. KANI. P.S. SINGAR BADI(EDU) 22072506007 12282 BILASPUR (CHHATTISGARH) TAKHATPUR GOVT. P.S. SATTI PARA(EDU) 22072506008 12283 BILASPUR (CHHATTISGARH) TAKHATPUR GOVT. P.S. GHANAPAR (EDU) 22072506009 12284 BILASPUR (CHHATTISGARH) TAKHATPUR GOVT.PS. HARIJANPARA (SSA) 22072506012 12285 BILASPUR (CHHATTISGARH) TAKHATPUR EGS TO PS, BANDHVAPARA(SSA) 22072506013 12286 BILASPUR (CHHATTISGARH) TAKHATPUR GOVT.MS.NAVAPARA,GHUTKU(SSA) 22072506015 12287 BILASPUR (CHHATTISGARH) TAKHATPUR GOVT.MS,GIRLS GHUTKU(SSA) 22072506016 12288 BILASPUR (CHHATTISGARH) TAKHATPUR GOVT MS. BOYS GHUTKU(SSA) 22072506019 12289 BILASPUR (CHHATTISGARH) TAKHATPUR GOVT. P.S. GOKULPUR(EDU) 22072506101 12290 BILASPUR (CHHATTISGARH) TAKHATPUR GOVT. MS. GOKULPUR(SSA) 22072506102 12291 BILASPUR (CHHATTISGARH) TAKHATPUR GOVT. P.S. GUSARI(EDU) 22072506201 12292 BILASPUR (CHHATTISGARH) TAKHATPUR GOVT.MS. GUNSARI(SSA) 22072506202 12293 BILASPUR (CHHATTISGARH) TAKHATPUR GOVT. PS, ADIWASIPARA (EDU) 22072506203 12294 BILASPUR (CHHATTISGARH) TAKHATPUR GOVT. P.S. GAMJU(SSA) 22072506301 12295 BILASPUR (CHHATTISGARH) TAKHATPUR GOVT. BAPA, BIJRAKAPA,GAMJU(EDU ANUDAN) 22072506302 12296 BILASPUR (CHHATTISGARH) TAKHATPUR GOVT.MS PARASAPARA GAMJU(SSA) 22072506303 12297 BILASPUR (CHHATTISGARH) TAKHATPUR GOVT. P.S. GIRDHOUNA (EDU) 22072506401 12298 BILASPUR (CHHATTISGARH) TAKHATPUR GOVT. MS. GIRDHOUNA(EDU) 22072506402 12299 BILASPUR (CHHATTISGARH) TAKHATPUR GOVT. PS. CHANDIPARA GIRDHOUNA(SSA) 22072506403 12300 BILASPUR (CHHATTISGARH) TAKHATPUR GAYATRI S. MANDIR GIRDHOUNA 22072506405 12301 BILASPUR (CHHATTISGARH) TAKHATPUR GOVT. P.S. GOBAND (EDU) 22072506501 12302 BILASPUR (CHHATTISGARH) TAKHATPUR GOVT. P.S. HANFA(EDU) 22072506601 12303 BILASPUR (CHHATTISGARH) TAKHATPUR MS GOVT, HANFA 22072506602 12304 BILASPUR (CHHATTISGARH) TAKHATPUR GOVT PS HARDI(EDU) 22072506701 12305 BILASPUR (CHHATTISGARH) TAKHATPUR GOVT MS. HARDI(EDU) 22072506702 12306 BILASPUR (CHHATTISGARH) TAKHATPUR GOVT. PS. HIRRIMINES(EDU) 22072506801 12307 BILASPUR (CHHATTISGARH) TAKHATPUR GOVT. MS. HIRRIMINES (EDU) 22072506805
  • 374.
    12308 BILASPUR (CHHATTISGARH) TAKHATPURGOVT. P.S. JARELI (EDU) 22072506901 12309 BILASPUR (CHHATTISGARH) TAKHATPUR KGBV, UPS, JARELI 22072506902 12310 BILASPUR (CHHATTISGARH) TAKHATPUR PS JAN., JAROUNDHA 22072507001 12311 BILASPUR (CHHATTISGARH) TAKHATPUR NPEGEL, PS GIRLS, JAROUNDHA 22072507002 12312 BILASPUR (CHHATTISGARH) TAKHATPUR MS GOVT, JAROUNDHA 22072507003 12313 BILASPUR (CHHATTISGARH) TAKHATPUR GOVT PS. JONKI(SSA) 22072507102 12314 BILASPUR (CHHATTISGARH) TAKHATPUR GOVT.PS. JOGIPUR(EDU) 22072507201 12315 BILASPUR (CHHATTISGARH) TAKHATPUR GOVT. P.S. BADEPARA 22072507202 12316 BILASPUR (CHHATTISGARH) TAKHATPUR GOVT. P.S.JUNAPARA(EDU) 22072507301 12317 BILASPUR (CHHATTISGARH) TAKHATPUR MS GOVT, JUNAPARA(EDU) 22072507302 12318 BILASPUR (CHHATTISGARH) TAKHATPUR GOVT. PS BOYS, KHAMHARIA(EDU) 22072507401 12319 BILASPUR (CHHATTISGARH) TAKHATPUR GOVT. PS GIRLS, KHAMHARIA(EDU) 22072507402 12320 BILASPUR (CHHATTISGARH) TAKHATPUR GOVT. MS.KHAMHARIA(SSA) 22072507403 12321 BILASPUR (CHHATTISGARH) TAKHATPUR GOVT. P.S.KEKDAR 22072507501 12322 BILASPUR (CHHATTISGARH) TAKHATPUR GOVT MS KEKDAR 22072507502 12323 BILASPUR (CHHATTISGARH) TAKHATPUR GOVT. P.S.KHAPRI(EDU) 22072507601 12324 BILASPUR (CHHATTISGARH) TAKHATPUR MS GOVT. KHAPARI 22072507602 12325 BILASPUR (CHHATTISGARH) TAKHATPUR GOVT. P.S.(EDU) 22072507701 12326 BILASPUR (CHHATTISGARH) TAKHATPUR MS GOVT, KARANKAPA(EDU) 22072507702 12327 BILASPUR (CHHATTISGARH) TAKHATPUR GOVT PS KHAMHARIYA 22072507703 12328 BILASPUR (CHHATTISGARH) TAKHATPUR GOVT. P.S. KARHI (EDU) 22072507801 12329 BILASPUR (CHHATTISGARH) TAKHATPUR GOVT.PS KATHAKONI(EDU) 22072507901 12330 BILASPUR (CHHATTISGARH) TAKHATPUR GOVT. PS NAVIN, KATHAKONI(EDU) 22072507902 12331 BILASPUR (CHHATTISGARH) TAKHATPUR GOVT. MS. KATHAKONI 22072507903 12332 BILASPUR (CHHATTISGARH) TAKHATPUR GOVT. P.S. KATMUNDA 22072508001 12333 BILASPUR (CHHATTISGARH) TAKHATPUR EGS TO PS, KATHMUNDA 22072508002 12334 BILASPUR (CHHATTISGARH) TAKHATPUR GOVT. P.S.KHATOL;IA(EDU) 22072508101 12335 BILASPUR (CHHATTISGARH) TAKHATPUR GOVT. PS. KHAIRI 22072508201 12336 BILASPUR (CHHATTISGARH) TAKHATPUR GAYATRI SHISHU MANDIR KHAIRI(MONCHH) 22072508203 12337 BILASPUR (CHHATTISGARH) TAKHATPUR GOVT.PS NAVIN, KHAJURI NAVAGAON 22072508301 12338 BILASPUR (CHHATTISGARH) TAKHATPUR GOVT. PS. NAVIN, BANDHIYAPARA, KHAJUR(SSA) 22072508302 12339 BILASPUR (CHHATTISGARH) TAKHATPUR GOVT NPS BASTIPARA KHAJURINAVAGAON 22072508303 12340 BILASPUR (CHHATTISGARH) TAKHATPUR GOVT. PS. KHAJURI 22072508402
  • 375.
    12341 BILASPUR (CHHATTISGARH) TAKHATPURGOVT MS KHAJURI 22072508403 12342 BILASPUR (CHHATTISGARH) TAKHATPUR GOVT.GIRLS P.S.KHARGAHANA (EDU) 22072508501 12343 BILASPUR (CHHATTISGARH) TAKHATPUR GOVT. BOYS P.S.(KHARGAHNA)EDU 22072508502 12344 BILASPUR (CHHATTISGARH) TAKHATPUR GOVT. KANI. P.S. LARIPARA(EDU) 22072508503 12345 BILASPUR (CHHATTISGARH) TAKHATPUR GOVT. PS KALMITAR 22072508504 12346 BILASPUR (CHHATTISGARH) TAKHATPUR GOVT. MS KHARGAHNA(EDU) 22072508505 12347 BILASPUR (CHHATTISGARH) TAKHATPUR GOVT.P.S. BOYS KHARKENA (EDU) 22072508601 12348 BILASPUR (CHHATTISGARH) TAKHATPUR GOVT. P.S. BOYS BAZAR PARA (EDU) 22072508602 12349 BILASPUR (CHHATTISGARH) TAKHATPUR PS GOVT GIRLS, KHARKENA (EDU) 22072508603 12350 BILASPUR (CHHATTISGARH) TAKHATPUR GOVT. MS. KHARKENA (EDU) 22072508604 12351 BILASPUR (CHHATTISGARH) TAKHATPUR GOVT. P.S.(EDU) 22072508701 12352 BILASPUR (CHHATTISGARH) TAKHATPUR GOVT. P.S. KODA PURI(EDU) 22072508801 12353 BILASPUR (CHHATTISGARH) TAKHATPUR GOVT. MS. KODAPURI (EDU) 22072508803 12354 BILASPUR (CHHATTISGARH) TAKHATPUR GOVT. P.S. KODASAR 22072508901 12355 BILASPUR (CHHATTISGARH) TAKHATPUR GOVT. PS. KOPRA(EDU) 22072509001 12356 BILASPUR (CHHATTISGARH) TAKHATPUR GOVT. MS. KOPRA(SSA) 22072509002 12357 BILASPUR (CHHATTISGARH) TAKHATPUR GOVT. P.S.KURELI 22072509101 12358 BILASPUR (CHHATTISGARH) TAKHATPUR GOVT. MS. KURELI 22072509102 12359 BILASPUR (CHHATTISGARH) TAKHATPUR JAN. P.S. 22072509201 12360 BILASPUR (CHHATTISGARH) TAKHATPUR GOVT.MS. KUVA(SSA) 22072509203 12361 BILASPUR (CHHATTISGARH) TAKHATPUR GOVT. P.S. KHATOLA 22072509301 12362 BILASPUR (CHHATTISGARH) TAKHATPUR GOVT.MS, KHATOLIA(SSA) 22072509302 12363 BILASPUR (CHHATTISGARH) TAKHATPUR GOVT. M.S. KHATOLA(SSA) 22072509303 12364 BILASPUR (CHHATTISGARH) TAKHATPUR GOVT.PS, KEKTI(EDU) 22072509401 12365 BILASPUR (CHHATTISGARH) TAKHATPUR GOVT.MS. KEKTI(SSA) 22072509402 12366 BILASPUR (CHHATTISGARH) TAKHATPUR GOVT. P.S. KAPASIA KHURD (EDU) 22072509501 12367 BILASPUR (CHHATTISGARH) TAKHATPUR JAN. P.S.kanchanpur(edu) 22072509601 12368 BILASPUR (CHHATTISGARH) TAKHATPUR UP MS, KANCHANPUR(SSA) 22072509602 12369 BILASPUR (CHHATTISGARH) TAKHATPUR GOVT. P.S. KABRA KAPA(EDU) 22072509701 12370 BILASPUR (CHHATTISGARH) TAKHATPUR GOVT. P.S. KAPASIYA KALA (EDU) 22072509801 12371 BILASPUR (CHHATTISGARH) TAKHATPUR GOVT. MS. KAPASIYAKALA(SSA) 22072509802 12372 BILASPUR (CHHATTISGARH) TAKHATPUR NPEGEL, PS JAN., LAKHASAR 22072509901 12373 BILASPUR (CHHATTISGARH) TAKHATPUR GOVT. P.S. GONDPARA 22072509902
  • 376.
    12374 BILASPUR (CHHATTISGARH) TAKHATPURMS GOVT, LAKHASAR 22072509903 12375 BILASPUR (CHHATTISGARH) TAKHATPUR GOVT. PS.GADARIYAPARA(EDU) 22072509904 12376 BILASPUR (CHHATTISGARH) TAKHATPUR GOVT. P.S. LAMER(EDU) 22072510002 12377 BILASPUR (CHHATTISGARH) TAKHATPUR GOVT. MS LAMER(EDU) 22072510004 12378 BILASPUR (CHHATTISGARH) TAKHATPUR GOVT. PS, BHADAMPAR,LAMER 22072510005 12379 BILASPUR (CHHATTISGARH) TAKHATPUR GOVT. PS. BOERAHAPARA ,LAMER(EDU) 22072510006 12380 BILASPUR (CHHATTISGARH) TAKHATPUR GOVT. MS NAROTIKAPA (SSA) 22072510007 12381 BILASPUR (CHHATTISGARH) TAKHATPUR PS GOVT, LIDRI 22072510101 12382 BILASPUR (CHHATTISGARH) TAKHATPUR GOVT.PS. BOYS LIMHA(EDU) 22072510201 12383 BILASPUR (CHHATTISGARH) TAKHATPUR GOVT. GIRLS P.S. LIMHA(EDU) 22072510202 12384 BILASPUR (CHHATTISGARH) TAKHATPUR GOVT. MS. LIMHA(EDU) 22072510206 12385 BILASPUR (CHHATTISGARH) TAKHATPUR GOVT. P.S.LIMHI(EDU) 22072510301 12386 BILASPUR (CHHATTISGARH) TAKHATPUR GOVT. PS. PACHBAHERA, LIMHI (SSA) 22072510302 12387 BILASPUR (CHHATTISGARH) TAKHATPUR GOVT. P.S.BHOIRAPARA 22072510401 12388 BILASPUR (CHHATTISGARH) TAKHATPUR PS GOVT, LOKHANDI(edu) 22072510402 12389 BILASPUR (CHHATTISGARH) TAKHATPUR GOVT.PS, SWARNAJAYANTINAGAR(SSA) 22072510404 12390 BILASPUR (CHHATTISGARH) TAKHATPUR MS GOVT, LOKHANDI(SSA) 22072510406 12391 BILASPUR (CHHATTISGARH) TAKHATPUR PS GOVT, MARHIKAPA(EDU) 22072510501 12392 BILASPUR (CHHATTISGARH) TAKHATPUR GOVT. P.S. MEDPAR BAZAR 22072510601 12393 BILASPUR (CHHATTISGARH) TAKHATPUR GOVT, MS MEDHPAR BAZAR(SSA) 22072510602 12394 BILASPUR (CHHATTISGARH) TAKHATPUR GOVT. P.S. MEDPAR CHOTA(EDU) 22072510701 12395 BILASPUR (CHHATTISGARH) TAKHATPUR GOVT. BOYS P.S.MENDRA 22072510801 12396 BILASPUR (CHHATTISGARH) TAKHATPUR GOVT. GIRLS P.S. MENDRA 22072510802 12397 BILASPUR (CHHATTISGARH) TAKHATPUR GOVT.MS MENDRA 22072510803 12398 BILASPUR (CHHATTISGARH) TAKHATPUR PS JANPAD, MODHE(SSA) 22072510901 12399 BILASPUR (CHHATTISGARH) TAKHATPUR GOVT. MS MODHE(SSA) 22072510902 12400 BILASPUR (CHHATTISGARH) TAKHATPUR GOVT. P.S. MOHAN BHATA(EDU) 22072511001 12401 BILASPUR (CHHATTISGARH) TAKHATPUR GOVT. PS. BOYS MOCHH (EDU) 22072511101 12402 BILASPUR (CHHATTISGARH) TAKHATPUR GOVT. GIRLS P.S. MONCHH (EDU) 22072511102 12403 BILASPUR (CHHATTISGARH) TAKHATPUR GOVT. P.S. JORA PARA (EDU) 22072511103 12404 BILASPUR (CHHATTISGARH) TAKHATPUR GOVT. P.S. SATNAMI PARA(EDU) 22072511104 12405 BILASPUR (CHHATTISGARH) TAKHATPUR GOVT MS. MOCHH (EDU) 22072511106 12406 BILASPUR (CHHATTISGARH) TAKHATPUR GOVT. PS BARCHHAPARA(SSA) 22072511107
  • 377.
    12407 BILASPUR (CHHATTISGARH) TAKHATPURG.B. S.SHISHU MANDIR MONCHH 22072511109 12408 BILASPUR (CHHATTISGARH) TAKHATPUR GOVT. P.S. MUDHAPAR(EDU) 22072511201 12409 BILASPUR (CHHATTISGARH) TAKHATPUR GOVT.PS. MURU(EDU) 22072511302 12410 BILASPUR (CHHATTISGARH) TAKHATPUR GOVT. MS. MURU(EDU) 22072511303 12411 BILASPUR (CHHATTISGARH) TAKHATPUR GOVT.PS. SAKARIBHANWAR MURU (SSA) 22072511304 12412 BILASPUR (CHHATTISGARH) TAKHATPUR GOVT. PS.MOUHAKAPA(EDU) 22072511402 12413 BILASPUR (CHHATTISGARH) TAKHATPUR JAN. P.S. NAGOI(EDU) 22072511501 12414 BILASPUR (CHHATTISGARH) TAKHATPUR MS GOVT, NAGOI 22072511502 12415 BILASPUR (CHHATTISGARH) TAKHATPUR GOVT. PS. NIRTU(EDU) 22072511601 12416 BILASPUR (CHHATTISGARH) TAKHATPUR GOVT. P.S. KARHI PARA NIRTU (EDU) 22072511602 12417 BILASPUR (CHHATTISGARH) TAKHATPUR GOVT. PS. MAUHARPARA (EDU) 22072511603 12418 BILASPUR (CHHATTISGARH) TAKHATPUR GOVT. MS. NIRTU(EDU) 22072511604 12419 BILASPUR (CHHATTISGARH) TAKHATPUR GOVT. PS DIPRAPARA(SSA) 22072511605 12420 BILASPUR (CHHATTISGARH) TAKHATPUR GOVT. P.S. NAVAGAON (EDU) 22072511701 12421 BILASPUR (CHHATTISGARH) TAKHATPUR GOVT. P.S. NEVRA(EDU) 22072511801 12422 BILASPUR (CHHATTISGARH) TAKHATPUR GOVT. MS. NEVARA(EDU) 22072511802 12423 BILASPUR (CHHATTISGARH) TAKHATPUR GOVT.PS. BHATHAPARA (SSA) 22072511803 12424 BILASPUR (CHHATTISGARH) TAKHATPUR KANI. P.S.NEVASA(EDU) 22072511901 12425 BILASPUR (CHHATTISGARH) TAKHATPUR UP MS NEVASA(SSA) 22072511902 12426 BILASPUR (CHHATTISGARH) TAKHATPUR PS GOVT, NIGARBAND (EDU) 22072512001 12427 BILASPUR (CHHATTISGARH) TAKHATPUR MS GOVT, NIGARBAND 22072512002 12428 BILASPUR (CHHATTISGARH) TAKHATPUR GOVT. PS. PACHABAHARA(EDU) 22072512101 12429 BILASPUR (CHHATTISGARH) TAKHATPUR GOVT. PS. NAVIN CHIRHAPARA 22072512103 12430 BILASPUR (CHHATTISGARH) TAKHATPUR GOVT. MS. PACHBAHARA 22072512104 12431 BILASPUR (CHHATTISGARH) TAKHATPUR GOVT. P.S. (EDU) 22072512201 12432 BILASPUR (CHHATTISGARH) TAKHATPUR GOVT UP MS, PADARIA(SSA) 22072512203 12433 BILASPUR (CHHATTISGARH) TAKHATPUR GOVT.P.S PAKARIA 22072512301 12434 BILASPUR (CHHATTISGARH) TAKHATPUR GOVT.PS. BAPA, PALI(SSA) 22072512404 12435 BILASPUR (CHHATTISGARH) TAKHATPUR GOVT. MS. PALI(EDU) 22072512405 12436 BILASPUR (CHHATTISGARH) TAKHATPUR GOVT.PS, DILVAPARA (EDU) 22072512407 12437 BILASPUR (CHHATTISGARH) TAKHATPUR GOVT. MS.PALI(EDU) 22072512408 12438 BILASPUR (CHHATTISGARH) TAKHATPUR GOVT.PS. PALI(EDU) 22072512409 12439 BILASPUR (CHHATTISGARH) TAKHATPUR GOVT.PS NAVADIH, PALI(EDU) 22072512501
  • 378.
    12440 BILASPUR (CHHATTISGARH) TAKHATPURGOVT PS PAND(SAIDA) 22072512701 12441 BILASPUR (CHHATTISGARH) TAKHATPUR GOVT.MS PAND(SAIDA) 22072512702 12442 BILASPUR (CHHATTISGARH) TAKHATPUR PS. PARSA KAPA(EDU) 22072512801 12443 BILASPUR (CHHATTISGARH) TAKHATPUR GOVT. PS. PARSAKAPA(TINGIPUR)SSA 22072512802 12444 BILASPUR (CHHATTISGARH) TAKHATPUR GOVT.PS. PARSADA (EDU) 22072512901 12445 BILASPUR (CHHATTISGARH) TAKHATPUR GOVT. MS, PARSADA 22072512903 12446 BILASPUR (CHHATTISGARH) TAKHATPUR GIRLS PS. PENDARI 22072513001 12447 BILASPUR (CHHATTISGARH) TAKHATPUR GOVT.PS. PENDARI(EDU) 22072513101 12448 BILASPUR (CHHATTISGARH) TAKHATPUR GOVT.MS. PENDARI(SSA) 22072513102 12449 BILASPUR (CHHATTISGARH) TAKHATPUR GOVT PS BOYS PENDARI 22072513104 12450 BILASPUR (CHHATTISGARH) TAKHATPUR GOVT MS PENDARI(EDU) 22072513105 12451 BILASPUR (CHHATTISGARH) TAKHATPUR GOVT. PS. PIPAR HATTA(EDU) 22072513201 12452 BILASPUR (CHHATTISGARH) TAKHATPUR GOVT.PS. PONGARIYA(EDU) 22072513301 12453 BILASPUR (CHHATTISGARH) TAKHATPUR PS. PONDI 22072513401 12454 BILASPUR (CHHATTISGARH) TAKHATPUR GOVT. PS. PONDI KALA(BHARNI) (EDU) 22072513402 12455 BILASPUR (CHHATTISGARH) TAKHATPUR GOVT. MS GOVT, PONDI(KALA) EDU 22072513403 12456 BILASPUR (CHHATTISGARH) TAKHATPUR PS. PURA(EDU) 22072513501 12457 BILASPUR (CHHATTISGARH) TAKHATPUR GOVT. MS PURA (EDU) 22072513502 12458 BILASPUR (CHHATTISGARH) TAKHATPUR PS. PURENA(EDU) 22072513601 12459 BILASPUR (CHHATTISGARH) TAKHATPUR MS GOVT, PURENA(SSA) 22072513602 12460 BILASPUR (CHHATTISGARH) TAKHATPUR GOVT .PS. PHULTARAI (EDU) 22072513701 12461 BILASPUR (CHHATTISGARH) TAKHATPUR GOVT. PS. PATHARRA 22072513801 12462 BILASPUR (CHHATTISGARH) TAKHATPUR GOVT. MS. PATHARRA(SSA) 22072513802 12463 BILASPUR (CHHATTISGARH) TAKHATPUR GOVT PS RAJPUR(EDU) 22072513901 12464 BILASPUR (CHHATTISGARH) TAKHATPUR GOVT.MS. RAJPUR(EDU) 22072513902 12465 BILASPUR (CHHATTISGARH) TAKHATPUR PS. RAJA KAPA(EDU) 22072514001 12466 BILASPUR (CHHATTISGARH) TAKHATPUR GOVT.P.S RANI DERA 22072514101 12467 BILASPUR (CHHATTISGARH) TAKHATPUR GOVT.PS, AWASPARA(SSA) 22072514102 12468 BILASPUR (CHHATTISGARH) TAKHATPUR GOVT. MS. RANIDERA 22072514103 12469 BILASPUR (CHHATTISGARH) TAKHATPUR PS. JARONDHA(NAVA PARA) 22072514201 12470 BILASPUR (CHHATTISGARH) TAKHATPUR GOVT P.S SAGAR(SSA) 22072514301 12471 BILASPUR (CHHATTISGARH) TAKHATPUR GOVT MS SAGAR 22072514303 12472 BILASPUR (CHHATTISGARH) TAKHATPUR GOVT.P.S. TIVARI PARA(SAIDA) 22072514401
  • 379.
    12473 BILASPUR (CHHATTISGARH) TAKHATPURPS. BOYS SAIDA 22072514402 12474 BILASPUR (CHHATTISGARH) TAKHATPUR P.S GIRLS SAIDA 22072514403 12475 BILASPUR (CHHATTISGARH) TAKHATPUR GOVT. MS GIRLS SAIDA 22072514404 12476 BILASPUR (CHHATTISGARH) TAKHATPUR MS. GOVT. BOYS. SAIDA 22072514405 12477 BILASPUR (CHHATTISGARH) TAKHATPUR GOVT. PS, KHAIRADIH 22072514406 12478 BILASPUR (CHHATTISGARH) TAKHATPUR GIRLS P.S. SAKARI 22072514504 12479 BILASPUR (CHHATTISGARH) TAKHATPUR GOVT. PS. BOYS SAKRI(EDU) 22072514505 12480 BILASPUR (CHHATTISGARH) TAKHATPUR GOVT. P.S. DALDALI PARA(EDU) 22072514506 12481 BILASPUR (CHHATTISGARH) TAKHATPUR MS GIRLS GOVT, SAKARI 22072514508 12482 BILASPUR (CHHATTISGARH) TAKHATPUR MS BOYS GOVT,SAKARI(EDU) 22072514509 12483 BILASPUR (CHHATTISGARH) TAKHATPUR PS GOVT, BATALIAN ROAD, SAKARI(EDU) 22072514513 12484 BILASPUR (CHHATTISGARH) TAKHATPUR GOVT. GIRLS PS. SAKARRA(EDU) 22072514601 12485 BILASPUR (CHHATTISGARH) TAKHATPUR GOVT. BOYS P.S. SAKARRA(EDU) 22072514602 12486 BILASPUR (CHHATTISGARH) TAKHATPUR GOVT.MS GIRLS SAKARRA(EDU) 22072514603 12487 BILASPUR (CHHATTISGARH) TAKHATPUR GOVT. MS. BOYS SAKARRA 22072514604 12488 BILASPUR (CHHATTISGARH) TAKHATPUR NPEGEL, PS GOVT, SAKERI 22072514701 12489 BILASPUR (CHHATTISGARH) TAKHATPUR GOVT. PS. SALIHA 22072514801 12490 BILASPUR (CHHATTISGARH) TAKHATPUR PS BAPA, SALHEKAPA(ANUDAN) 22072514901 12491 BILASPUR (CHHATTISGARH) TAKHATPUR GOVT.PS. BOYS SAMBAL PURI 22072515001 12492 BILASPUR (CHHATTISGARH) TAKHATPUR GOVT. PS. GIRLS SAMBALIPURI(EDU) 22072515002 12493 BILASPUR (CHHATTISGARH) TAKHATPUR GOVT,MS SAMBALPURI(SSA) 22072515003 12494 BILASPUR (CHHATTISGARH) TAKHATPUR GOVT. PS. SAVA TAL (EDU) 22072515101 12495 BILASPUR (CHHATTISGARH) TAKHATPUR GOVT. PS. SAVA DABARA(EDU) 22072515201 12496 BILASPUR (CHHATTISGARH) TAKHATPUR PS. SINGHAN PURI(EDU) 22072515301 12497 BILASPUR (CHHATTISGARH) TAKHATPUR MS GOVT, SINGHANPURI 22072515302 12498 BILASPUR (CHHATTISGARH) TAKHATPUR GOVT MS CHORHA SINGHNPURI 22072515303 12499 BILASPUR (CHHATTISGARH) TAKHATPUR GOVT. PS. SINGHARI(EDU) 22072515401 12500 BILASPUR (CHHATTISGARH) TAKHATPUR GOVT. PS. SAKETI 22072515501 12501 BILASPUR (CHHATTISGARH) TAKHATPUR GOVT MS SAKETI(SSA) 22072515503 12502 BILASPUR (CHHATTISGARH) TAKHATPUR GOVT. PS. SILTARA(SSA) 22072515601 12503 BILASPUR (CHHATTISGARH) TAKHATPUR GOVT. MS. SILTARA(SSA) 22072515602 12504 BILASPUR (CHHATTISGARH) TAKHATPUR GOVT PS. SAMDIL(EDU) 22072515701 12505 BILASPUR (CHHATTISGARH) TAKHATPUR GOVT. UP MS, SAMDIL(SSA) 22072515702
  • 380.
    12506 BILASPUR (CHHATTISGARH) TAKHATPURGOVT.PS,NAVEEN KERAKACHHAR(SSA) 22072515703 12507 BILASPUR (CHHATTISGARH) TAKHATPUR PS. SAKARI BHATHA 22072515801 12508 BILASPUR (CHHATTISGARH) TAKHATPUR GOVT. PS. SARSENI (EDU) 22072515901 12509 BILASPUR (CHHATTISGARH) TAKHATPUR PS GOVT, SONBANDHA 22072516001 12510 BILASPUR (CHHATTISGARH) TAKHATPUR MS GOVT, SONBANDHA 22072516002 12511 BILASPUR (CHHATTISGARH) TAKHATPUR GOVT. PS. THAKUR KAPA (EDU) 22072516101 12512 BILASPUR (CHHATTISGARH) TAKHATPUR GOVT. PS.THAKUR KAPA (BELPAN) 22072516102 12513 BILASPUR (CHHATTISGARH) TAKHATPUR PS GOVT, TIHULADIH 22072516201 12514 BILASPUR (CHHATTISGARH) TAKHATPUR GOVT MS TIHULADIH(SSA) 22072516202 12515 BILASPUR (CHHATTISGARH) TAKHATPUR GOVT.PS. TINGI PUR 22072516301 12516 BILASPUR (CHHATTISGARH) TAKHATPUR GOVT.PS. TURKA DIH (EDU) 22072516401 12517 BILASPUR (CHHATTISGARH) TAKHATPUR GOVT. PS. TANDA(EDU) 22072516501 12518 BILASPUR (CHHATTISGARH) TAKHATPUR GOVT. MS. TADA(EDU) 22072516502 12519 BILASPUR (CHHATTISGARH) TAKHATPUR GOVT PS GADHIYAPARA TADA(EDU) 22072516504 12520 BILASPUR (CHHATTISGARH) TAKHATPUR GOVT. PS. TAKHATPUR(EDU) 22072516601 12521 BILASPUR (CHHATTISGARH) TAKHATPUR GOVT PS. NAVIN TIKARI PARA(EDU) 22072516602 12522 BILASPUR (CHHATTISGARH) TAKHATPUR GOVT.PS GIRLS, TAKHATPUR(EDU) 22072516603 12523 BILASPUR (CHHATTISGARH) TAKHATPUR PS. NAVIN TAKHATPUR 22072516604 12524 BILASPUR (CHHATTISGARH) TAKHATPUR PS. DEVANGAN PARA(TAKHATPUR) 22072516609 12525 BILASPUR (CHHATTISGARH) TAKHATPUR JAN.MS BOYS , TAKHATPUR(SSA) 22072516613 12526 BILASPUR (CHHATTISGARH) TAKHATPUR M S TIKRIPARA TAKHATPUR 22072516620 12527 BILASPUR (CHHATTISGARH) TAKHATPUR UPMS GIRLS TAKHATPUR 22072516621 12528 BILASPUR (CHHATTISGARH) TAKHATPUR GOVT GIRLS ST ASHRAM TAKHATPUR 22072516622 12529 BILASPUR (CHHATTISGARH) TAKHATPUR GOVT. PS. UDELIA(EDU) 22072516701 12530 BILASPUR (CHHATTISGARH) TAKHATPUR GOVT.PS. UMARIYA 22072516801 12531 BILASPUR (CHHATTISGARH) TAKHATPUR GOVT. PS. USLA PUR(EDU) 22072516901 12532 BILASPUR (CHHATTISGARH) TAKHATPUR GOVT.PS. SHANTINAGAR USLAPUR(SSA) 22072516902 12533 BILASPUR (CHHATTISGARH) TAKHATPUR MS GOVT, USLAPUR(EDU) 22072516903 12534 BILASPUR (CHHATTISGARH) TAKHATPUR PS. VICHAR PUR 22072517001 12535 BILASPUR (CHHATTISGARH) TAKHATPUR GOVT. PS. VIJAY PUR (EDU) 22072517101 12536 BILASPUR (CHHATTISGARH) TAKHATPUR MS BELSARI(SSA) 22072517301 12537 BILASPUR (CHHATTISGARH) TAKHATPUR GOVT. MS BARAHI(SSA) 22072517401 12538 BILASPUR (CHHATTISGARH) TAKHATPUR PS. VINDHYA SAR (EDU) 22072518601
  • 381.
    12539 BILASPUR (CHHATTISGARH) TAKHATPURGOVT MS VINDHYASAR(SSA) 22072518602 12540 BILASPUR (CHHATTISGARH) TAKHATPUR GOVT.MS PONDI KALA(SSA)BELPAN 22072520601 12541 BILASPUR (CHHATTISGARH) TAKHATPUR PS GOVT, NAROTIKAPA 22072521901 12542 BILASPUR (CHHATTISGARH) TAKHATPUR MS,GOVT,RAMMANOHAR LOH WARD 22072522001 12543 BILASPUR (CHHATTISGARH) TAKHATPUR GOVT PS KATHMUNDA RAIYAT 22072522301 12544 BILASPUR (CHHATTISGARH) TAKHATPUR PS GOVT, GADAGHAT 22072522701 12545 BILASPUR (CHHATTISGARH) TAKHATPUR GOVT PS RAMHEPUR BAIGAPARA(EDU) 22072522801 12546 DANTEWADA DANTEWADA PRIMARY SCHOOL 22162200101 12547 DANTEWADA DANTEWADA GOVT.N.P.M.S.KATIYARRAS (SSA) 22162200102 12548 DANTEWADA DANTEWADA PRIMARY SCHOOL 22162200201 12549 DANTEWADA DANTEWADA PRIMARY SCHOOL PAKLUPARA GANJENAR 22162200204 12550 DANTEWADA DANTEWADA PRIMARY SCHOOL 22162200301 12551 DANTEWADA DANTEWADA PRIMARY SCHOOL 22162200401 12552 DANTEWADA DANTEWADA N.P.M.S. MASENAR 22162200402 12553 DANTEWADA DANTEWADA S.G.S.PATELPARA KUMARRAS 22162200504 12554 DANTEWADA DANTEWADA M.S. KUMHARRAS 22162200506 12555 DANTEWADA DANTEWADA P.S. KUMHARRAS 22162200507 12556 DANTEWADA DANTEWADA P.S. DONGARIPARA 22162200508 12557 DANTEWADA DANTEWADA N.M.S. KUNDELI 22162200509 12558 DANTEWADA DANTEWADA E.G.S. KUNDELI PATELPARA 22162200510 12559 DANTEWADA DANTEWADA PRIMARY SCHOOL 22162200601 12560 DANTEWADA DANTEWADA GOVT.P.M.S.MANJHIPADER (TWD) 22162200602 12561 DANTEWADA DANTEWADA GOVT P.S. PATARRAS 22162200702 12562 DANTEWADA DANTEWADA GOVT.PRIMARY SCHOOL(TWD) 22162200801 12563 DANTEWADA DANTEWADA GOVT. PS. PATELPARA GAMAWADA (SSA) 22162200802 12564 DANTEWADA DANTEWADA P.S. GHUMKAPARA GANJENAR 22162200902 12565 DANTEWADA DANTEWADA P.S. MOLASNAR BADEPARA 22162200903 12566 DANTEWADA DANTEWADA PRIMARY SCHOOL 22162201001 12567 DANTEWADA DANTEWADA PRIMARY SCHOOL 22162201201 12568 DANTEWADA DANTEWADA N. ASHRAM SHALA PANDEWAR 22162201202 12569 DANTEWADA DANTEWADA PRIMARY SCHOOL 22162201301 12570 DANTEWADA DANTEWADA PRIMARY SCHOOL 22162201401 12571 DANTEWADA DANTEWADA KANIST PRIMARY SCHOOL 22162201501
  • 382.
    12572 DANTEWADA DANTEWADAKANIST PRIMARY SCHOOL 22162201601 12573 DANTEWADA DANTEWADA GOVT. PUJARIPARA DHURLI 22162201701 12574 DANTEWADA DANTEWADA P.S. KUHCHEPAL 22162201802 12575 DANTEWADA DANTEWADA KANIST PRIMARY SCHOOL 22162201901 12576 DANTEWADA DANTEWADA BOYS ASHRAM MOLASNAR 22162202002 12577 DANTEWADA DANTEWADA KANIST PRIMARY SCHOOL 22162202101 12578 DANTEWADA DANTEWADA GOVT. SARSWATI PRIM. SCHOOL 22162202201 12579 DANTEWADA DANTEWADA GOVT. P.M.S.PATELPARA 22162202206 12580 DANTEWADA DANTEWADA GIRLS PRIMARY SCHOOL 22162202301 12581 DANTEWADA DANTEWADA BALAK PRIMARY SCHOOL 22162202303 12582 DANTEWADA DANTEWADA P.S.ASPATALPARA CHITALANK 22162202305 12583 DANTEWADA DANTEWADA P.S. DARALPARA 22162202306 12584 DANTEWADA DANTEWADA P.S. PUJARIPARA BALPET 22162202307 12585 DANTEWADA DANTEWADA P.S. KHALEPARA BALPET 22162202308 12586 DANTEWADA DANTEWADA P.S. TEKNAR RAMAPARA 22162202309 12587 DANTEWADA DANTEWADA P.S. KONTIPARA TEKNAR 22162202310 12588 DANTEWADA DANTEWADA E.G.S. TEKNAR JHARAPARA 22162202311 12589 DANTEWADA DANTEWADA EGS RELLWAY COLONY 22162202312 12590 DANTEWADA DANTEWADA P.S. TEKNAR KATIYARPARA 22162202313 12591 DANTEWADA DANTEWADA PRIMARY SCHOOL 22162202401 12592 DANTEWADA DANTEWADA ADIWASI PRIMARY SCHOOL 22162202502 12593 DANTEWADA DANTEWADA PRIMARY SCHOOL 22162202601 12594 DANTEWADA DANTEWADA BALAK PRIMARY SCHOOL 22162202701 12595 DANTEWADA DANTEWADA GIRLS PRIMARY SCHOOL 22162202702 12596 DANTEWADA DANTEWADA M.S. AWARAMATA 22162202703 12597 DANTEWADA DANTEWADA PRIMARY SCHOOL 22162202801 12598 DANTEWADA DANTEWADA GOVT M.S. BALPET 22162202802 12599 DANTEWADA DANTEWADA PRIMARY SCHOOL 22162202901 12600 DANTEWADA DANTEWADA PRIMARY SCHOOL 22162203001 12601 DANTEWADA DANTEWADA N M S NAYAPARA 22162203002 12602 DANTEWADA DANTEWADA PRIMARY SCHOOL 22162203101 12603 DANTEWADA DANTEWADA PRIMARY SCHOOL 22162203201 12604 DANTEWADA DANTEWADA PRIMARY SCHOOL 22162203301
  • 383.
    12605 DANTEWADA DANTEWADAG ADARSH V M S DANTEWADA 22162203303 12606 DANTEWADA DANTEWADA GOVT. KANYA M S DANTEWADA 22162203305 12607 DANTEWADA DANTEWADA GOVT. P.S. D.N.K. BACHELI 22162203401 12608 DANTEWADA DANTEWADA PS-[RAILWAY COLONY] 22162203402 12609 DANTEWADA DANTEWADA P.S. LEBARHART MENT BACHELI 22162203403 12610 DANTEWADA DANTEWADA PRIMARY SCHOOL 22162203501 12611 DANTEWADA DANTEWADA M.S. TUDHPAPAS 22162203502 12612 DANTEWADA DANTEWADA E.G.S. THOTHAPARA PURANTARI 22162203503 12613 DANTEWADA DANTEWADA P.S. GAYATAPARA KESHAPUR 22162203504 12614 DANTEWADA DANTEWADA P.S. IDWADPARA KAWALNAR 22162203505 12615 DANTEWADA DANTEWADA PRIMARY SCHOOL 22162203601 12616 DANTEWADA DANTEWADA BALAK ASHARAM SCHOOL 22162203602 12617 DANTEWADA DANTEWADA GIRLS ASHARAM SCHOOL 22162203603 12618 DANTEWADA DANTEWADA P.S. METAPAL WARD -3 22162203608 12619 DANTEWADA DANTEWADA P.S. METAPAL PERBHAPARA 22162203609 12620 DANTEWADA DANTEWADA P.S. METAPAL KONTIPARA 22162203610 12621 DANTEWADA DANTEWADA P.S. METAPAL MAJHARIPARA 22162203611 12622 DANTEWADA DANTEWADA PRIMARY SCHOOL 22162203701 12623 DANTEWADA DANTEWADA PRIMARY SCHOOL 22162203801 12624 DANTEWADA DANTEWADA N.M.S. DUMAM 22162203802 12625 DANTEWADA DANTEWADA PRIMARY SCHOOL 22162203901 12626 DANTEWADA DANTEWADA PRIMARY SCHOOL 22162204101 12627 DANTEWADA DANTEWADA GOVT. P.S. D.N.K. NU. 02 22162204201 12628 DANTEWADA DANTEWADA PRIMARY SCHOOL 22162204301 12629 DANTEWADA DANTEWADA N.P.S. MITHUPARA DABPAL 22162204302 12630 DANTEWADA DANTEWADA P.S.PATELPARA BACHELI 22162204402 12631 DANTEWADA DANTEWADA G.G.H.S.BACHELI W.N.--05 22162204403 12632 DANTEWADA DANTEWADA GOVT.NMS.PATELPARA BACHELI 22162204404 12633 DANTEWADA DANTEWADA PRIMARY SCHOOL 22162204501 12634 DANTEWADA DANTEWADA PRIMARY SCHOOL 22162204701 12635 DANTEWADA DANTEWADA N.S.A.S. DUGELI 22162204702 12636 DANTEWADA DANTEWADA KANIST PRIMARY SCHOOL 22162204903 12637 DANTEWADA DANTEWADA ADARSH M.S. BACHELI 22162204905
  • 384.
    12638 DANTEWADA DANTEWADABOYS M.S. BACHELI 22162204906 12639 DANTEWADA DANTEWADA P.S. TAMOPARA BACHELI 22162204908 12640 DANTEWADA DANTEWADA E.G.S. KADAMPARA BACHELI 22162204910 12641 DANTEWADA DANTEWADA GOVT. M.S.TOYLANKA PATELPARA(SSA) 22162205204 12642 DANTEWADA DANTEWADA N.P.S.GADAPAL PATELPARA 22162205305 12643 DANTEWADA DANTEWADA A.S.GADAPAL 22162205306 12644 DANTEWADA DANTEWADA P.SCHOOL NETAPUR 22162205403 12645 DANTEWADA DANTEWADA P.S. PHOOLNAR SARPANCHPARA 22162205502 12646 DANTEWADA DANTEWADA PRIMARY SCHOOL 22162205601 12647 DANTEWADA DANTEWADA PRIMARY SCHOOL 22162205701 12648 DANTEWADA DANTEWADA PRIMARY SCHOOL 22162205801 12649 DANTEWADA DANTEWADA PRIMARY SCHOOL 22162205901 12650 DANTEWADA DANTEWADA PRIMARY SCHOOL 22162206001 12651 DANTEWADA DANTEWADA P S BANDAPARA PONDUM 22162206003 12652 DANTEWADA DANTEWADA P.S. CHANDENAR 22162206103 12653 DANTEWADA DANTEWADA NMS CHANDENAR 22162206104 12654 DANTEWADA DANTEWADA NPS KOTWARPARA 22162206105 12655 DANTEWADA DANTEWADA GOVT. PRIMARY SCHOOL 22162206201 12656 DANTEWADA DANTEWADA P.S. FULNAR PATELPARA 22162206202 12657 DANTEWADA DANTEWADA GOVT. PRIMARY SCHOOL 22162206401 12658 DANTEWADA DANTEWADA N M S BALOOD PATELPARA 22162206402 12659 DANTEWADA DANTEWADA P S BALOOD 22162206403 12660 DANTEWADA DANTEWADA P S BASTAPARA BALOOD 22162206404 12661 DANTEWADA DANTEWADA GHAYAN JOYTI KOSAPARA BALOOD 22162206405 12662 DANTEWADA DANTEWADA BALAK ASHARAM SCHOOL 22162206501 12663 DANTEWADA DANTEWADA NAVIN M.S. KESHAPUR 22162206503 12664 DANTEWADA DANTEWADA P S KESHAPUR PATELPARA 22162206504 12665 DANTEWADA DANTEWADA PRIMARY SCHOOL 22162206601 12666 DANTEWADA DANTEWADA PS KUPAR 22162206702 12667 DANTEWADA DANTEWADA P.S.MANGNAR 22162206703 12668 DANTEWADA DANTEWADA P.S.PERMAPARA KAWALNAR 22162206704 12669 DANTEWADA DANTEWADA PRIMARY SCHOOL 22162206801 12670 DANTEWADA DANTEWADA P.S. MATENAR (DHURWAPARA) 22162206803
  • 385.
    12671 DANTEWADA DANTEWADAPRIMARY SCHOOL CHITALOOR 22162206901 12672 DANTEWADA DANTEWADA KANIST P.S. CHITALUR KOCHAIPAR 22162206902 12673 DANTEWADA DANTEWADA P.S. CHITALUR RAWATPARA 22162206903 12674 DANTEWADA DANTEWADA GOVT.N.M.S.CHITALUR(SSA) 22162206904 12675 DANTEWADA DANTEWADA PRIMARY SCHOOL 22162207001 12676 DANTEWADA DANTEWADA P.S. SARPANCHPARA MURKI 22162207004 12677 DANTEWADA DANTEWADA M S MURKI 22162207005 12678 DANTEWADA DANTEWADA P S MURKI PATELPARA 22162207006 12679 DANTEWADA DANTEWADA PRIMARY SCHOOL 22162207101 12680 DANTEWADA DANTEWADA GOVT.U.P.S.KAWALNAR(SSA) 22162207103 12681 DANTEWADA DANTEWADA PRIMARY SCHOOL 22162207201 12682 DANTEWADA DANTEWADA P.S. KUNJAMPARA KUPER 22162207202 12683 DANTEWADA DANTEWADA P.S. TAMOHUNGAPARA 22162207203 12684 DANTEWADA DANTEWADA NPS KUPAR SRPANCHPARA 22162207204 12685 DANTEWADA DANTEWADA NMS KUPAR 22162207205 12686 DANTEWADA DANTEWADA PRIMARY SCHOOL 22162207301 12687 DANTEWADA DANTEWADA PRIMARY SCHOOL 22162207401 12688 DANTEWADA DANTEWADA GOVT.PRIMARY SCHOOL(TWD) 22162207501 12689 DANTEWADA DANTEWADA GOVT.N P S BEHNAR PATELPARA(TWD) 22162207502 12690 DANTEWADA DANTEWADA PRIMARY SCHOOL 22162207601 12691 DANTEWADA DANTEWADA KANYA AASHRAM 22162207602 12692 DANTEWADA DANTEWADA PRIMARY SCHOOL 22162207701 12693 DANTEWADA DANTEWADA P.S.MENDOLI DONGRIPARA 22162207702 12694 DANTEWADA DANTEWADA PRIMARY SCHOOL 22162207801 12695 DANTEWADA DANTEWADA PRIMARY SCHOOL 22162207901 12696 DANTEWADA DANTEWADA PRIMARY SCHOOL 22162208001 12697 DANTEWADA DANTEWADA NANIN P.M.S. BHOGAM 22162208002 12698 DANTEWADA DANTEWADA PRIMARY SCHOOL 22162208201 12699 DANTEWADA DANTEWADA NMS MANJHARPARA DUGELI 22162208202 12700 DANTEWADA DANTEWADA PRIMARY SCHOOL 22162208301 12701 DANTEWADA DANTEWADA MS NERLI 22162208302 12702 DANTEWADA DANTEWADA G.N.P.S. NERLI AYTUPARA 22162208303 12703 DANTEWADA DANTEWADA PRIMARY SCHOOL[MADKAPARA] 22162208402
  • 386.
    12704 DANTEWADA DANTEWADANPS DUGELI GAYTAPARA 22162208404 12705 DANTEWADA DANTEWADA PRIMARY SCHOOL 22162208801 12706 DANTEWADA DANTEWADA PRIMARY SCHOOL 22162208901 12707 DANTEWADA DANTEWADA GOVT. PRIMARY SCHOOL 22162209001 12708 DANTEWADA DANTEWADA PRIMARY SCHOOL 22162209101 12709 DANTEWADA DANTEWADA NAVIN P.M.S. JARAM 22162209102 12710 DANTEWADA DANTEWADA PRIMARY SCHOOL 22162209301 12711 DANTEWADA DANTEWADA NAVIN M.S. DANTEWARA 22162209405 12712 DANTEWADA DANTEWADA M.S. DANTEWARA 22162209406 12713 DANTEWADA DANTEWADA GOVT. PRIMARY SCHOOL 22162209601 12714 DANTEWADA DANTEWADA GOVT. PRIMARY SCHOOL 22162209701 12715 DANTEWADA DANTEWADA N.M.S. JAMPARA GAMAWADA 22162209702 12716 DANTEWADA DANTEWADA ADIM JATI PRIMARY SCHOOL 22162209801 12717 DANTEWADA DANTEWADA M.S. KAWADGAO 22162209802 12718 DANTEWADA DANTEWADA PS METAPAL WARD-1 22162210001 12719 DANTEWADA DANTEWADA M.S. GAMAWARA BHANSI 22162210104 12720 DANTEWADA DANTEWADA GOVT NETAJI P.S. BHANSI 22162210105 12721 DANTEWADA DANTEWADA PS-[BALAM PARA] 22162210202 12722 DANTEWADA DANTEWADA GOVT. PRIMARY SCHOOL 22162210301 12723 DANTEWADA DANTEWADA GOVT. PRIMARY SCHOOL 22162210401 12724 DANTEWADA DANTEWADA KANIST PRIMARY SCHOOL 22162210501 12725 DANTEWADA DANTEWADA KANIST PRIMARY SCHOOL 22162210601 12726 DANTEWADA DANTEWADA KANIST PRIMARY SCHOOL 22162210701 12727 DANTEWADA DANTEWADA M.S. BALOOD 22162211002 12728 DANTEWADA DANTEWADA P.S. MANJHARPARA BALOOD 22162211003 12729 DANTEWADA DANTEWADA GOVT. N.M.S.FULNAR (SSA) 22162211103 12730 DANTEWADA DANTEWADA M.S. GODRE 22162211202 12731 DANTEWADA DANTEWADA P.S. CHOTE GODRE 22162211203 12732 DANTEWADA DANTEWADA P.S. HUNGA DONGARI PARA 22162211204 12733 DANTEWADA DANTEWADA P.S. RAWATPARA MATENAR 22162211205 12734 DANTEWADA DANTEWADA P.S. KOTEWARPARA TOYLANKA 22162211206 12735 DANTEWADA DANTEWADA P.S. KADAMPARA TOYLANKA 22162211207 12736 DANTEWADA DANTEWADA E.G.S. MISOPARA GADAPAL 22162211208
  • 387.
    12737 DANTEWADA DANTEWADAP.S. MADAVIPARA NETAPUR 22162211209 12738 DANTEWADA DANTEWADA PRIMARY SCHOOL 22162211301 12739 DANTEWADA DANTEWADA AD. BOYS ASHRAM DHURLI 22162211302 12740 DANTEWADA DANTEWADA GOVT.PS.MUNDIPARA DURLI(SSA) 22162211303 12741 DANTEWADA DANTEWADA GOVT.PRIMARY SCHOOL 22162211501 12742 DANTEWADA DANTEWADA NAVEEN PRIMARY SCHOL 22162211601 12743 DANTEWADA DANTEWADA MS GONDPAL 22162211602 12744 DANTEWADA DANTEWADA KANIST PRIMARY SCHOOL 22162211701 12745 DANTEWADA DANTEWADA P.S. BARSAPARA KAVALNAR 22162214301 12746 DANTEWADA DANTEWADA GOVT.PS. MADKAMPARA TUDPARAAS (SSA) 22162214601 12747 DANTEWADA DANTEWADA GYAN JYOTI PS BODELPARA 22162214901 12748 DANTEWADA DANTEWADA M.S. KAMALUR 22162215401 12749 DANTEWADA DANTEWADA P.S. KUMARPARA 22162216401 12750 DANTEWADA DANTEWADA N.M.S. CHITALUR KOCHAIPARA 22162217201 12751 DANTEWADA DANTEWADA GYAN JYOTI PATELPARA 22162217701 12752 DANTEWADA DANTEWADA N.P.M.S.PATELPARA MATENAR 22162217702 12753 DANTEWADA DANTEWADA P.S.KUMAPARA BHANSI 22162218201 12754 DANTEWADA DANTEWADA P.S. BHANSI 22162218401 12755 DANTEWADA DANTEWADA G.H.S. BHANSI 22162218402 12756 DANTEWADA DANTEWADA GIRLS ASHRAM DHURLI 22162218901 12757 DANTEWADA DANTEWADA ADARSH BOYS ASHRAM 22162218902 12758 DANTEWADA DANTEWADA GIRLS ASHRAM P.S. DHURLI 22162218903 12759 DANTEWADA DANTEWADA P S MANJHI PARA MOLSNAR 22162219801 12760 DANTEWADA DANTEWADA MARKANAR PARA MOLSANAR 22162219802 12761 DANTEWADA DANTEWADA N M S MOLSNAR 22162219803 12762 DANTEWADA DANTEWADA NAVIN ASHRAM GANJENAR 22162220201 12763 DANTEWADA DANTEWADA S.G.P.S. MOLSANAR 22162220301 12764 DANTEWADA DANTEWADA M.S. GANJENAR 22162221301 12765 DANTEWADA DANTEWADA S.G.K. PATELPARA GANJENAR 22162221302 12766 DANTEWADA DANTEWADA P.S.G.J. PATELPARA METAPAL 22162222701 12767 DANTEWADA DANTEWADA NPS PHULNAR BHIMRAJPARA 22162224301 12768 DANTEWADA DANTEWADA NAVIN P.M.S. GADAPAL 22162225301 12769 DANTEWADA DANTEWADA P.S.TOYLANKA DEWADONGRI 22162225701
  • 388.
    12770 DANTEWADA DANTEWADAP.S. THOTA MASAPARA 22162225901 12771 DANTEWADA DANTEWADA GOVT. P.S. DUGELI 22162226301 12772 DANTEWADA DANTEWADA GOVT.P.S.RAWATPARA GADAPAL 22162227402 12773 DANTEWADA DANTEWADA N.A.S. CHANDENAR 22162230501 12774 DANTEWADA DANTEWADA GAYAN GUTHY KALARPARA 22162230801 12775 DANTEWADA DANTEWADA PMS TEKNAR 22162232201 12776 DANTEWADA DANTEWADA GOVT.U.PS.DRALPARA BALPET(SSA) 22162233801 12777 DANTEWADA DANTEWADA GOVT.PS CHITALANKA RAWATPARA (SSA) 22162234201 12778 DANTEWADA DANTEWADA P.S. ALIKONTA PONDUM 22162237301 12779 DANTEWADA DANTEWADA S. ASHRAM S. PONDUM 22162237302 12780 DANTEWADA DANTEWADA MS CHITALINKA 22162239101 12781 DANTEWADA DANTEWADA PS KUPAR RAVATPARA 22162239301 12782 DANTEWADA DANTEWADA P.S. BADEPARA BADEKAMELI 22162239901 12783 DANTEWADA DANTEWADA P.S. MUSKEL GUNIYAPARA 22162243601 12784 DANTEWADA DANTEWADA GOVT. P.S. DHURWAPARA 22162244201 12785 DANTEWADA DANTEWADA KGB V AVARABHATA DANTEWADA 22162244501 12786 DANTEWADA GEEDAM TWD M.S. BODLI 22160800203 12787 DANTEWADA GEEDAM TWD P.S. SAMPATPARA BODLI 22160800205 12788 DANTEWADA GEEDAM TWD BOYS A.S. BODLI 22160800206 12789 DANTEWADA GEEDAM TWD P.S. CHHINDBHATAPARA BODLI 22160800210 12790 DANTEWADA GEEDAM TWD A.S. KASOLIPARA CHHOTETUMNAR 22160800301 12791 DANTEWADA GEEDAM TWD P.S. JHIKRAMPARA CHHOTETUMNAR 22160800305 12792 DANTEWADA GEEDAM TWD P.S. KOTWARPARA CHHOTETUMNAR 22160800306 12793 DANTEWADA GEEDAM TWD P.S. MUNDATIKRAPARA CHHOTETUMNAR 22160800307 12794 DANTEWADA GEEDAM TWD M.S. CHHOTETUMNAR 22160800313 12795 DANTEWADA GEEDAM TWD M.S. BADETUMNAR [H.S.S.] 22160800404 12796 DANTEWADA GEEDAM TWD P.S. BAJARPARA BADETUMNAR 22160800406 12797 DANTEWADA GEEDAM TWD GYAN JYOTI GAYATAPARA BADETUMNAR 22160800408 12798 DANTEWADA GEEDAM TWD P.S. PATELPARA BADETUMNAR 22160800415 12799 DANTEWADA GEEDAM TWD P.S. NELGODA 22160800501 12800 DANTEWADA GEEDAM TWD P.S. FUNDRI 22160800601 12801 DANTEWADA GEEDAM TWD U.P.S. FUNDRI 22160800602 12802 DANTEWADA GEEDAM TWD A.S. BANGAPAL 22160800701
  • 389.
    12803 DANTEWADA GEEDAMTWD P.S. SARPANCHPARA BANGAPAL 22160800703 12804 DANTEWADA GEEDAM TWD M.S. SARPANCHPARA BANGAPAL 22160800705 12805 DANTEWADA GEEDAM TWD P.S. FARASMADUR 22160801001 12806 DANTEWADA GEEDAM TWD P.S. DONGRIPARA GUMALNAR 22160801102 12807 DANTEWADA GEEDAM TWD P.S. GARSAPARA GUMALNAR 22160801104 12808 DANTEWADA GEEDAM TWD P.M.S. GUMALNAR 22160801105 12809 DANTEWADA GEEDAM TWD A.S. GUMALNAR 22160801106 12810 DANTEWADA GEEDAM TWD P.S. PERMAPARA GUTOLI 22160801202 12811 DANTEWADA GEEDAM TWD P.S. PATELPARA GUTOLI 22160801203 12812 DANTEWADA GEEDAM TWD U.P.S. PATELPARA GUTOLI 22160801204 12813 DANTEWADA GEEDAM TWD P.S. NAGUL 22160801301 12814 DANTEWADA GEEDAM TWD M.S. SCHOOLPARA NAGUL 22160801304 12815 DANTEWADA GEEDAM TWD P.S. CHAMRUPARA NAGUL 22160801305 12816 DANTEWADA GEEDAM TWD P.S. THOKDUPARA NAGUL 22160801309 12817 DANTEWADA GEEDAM TWD P.S. SONKUPARA MADSE 22160801402 12818 DANTEWADA GEEDAM TWD P.S. BHADUPARA MADSE 22160801404 12819 DANTEWADA GEEDAM TWD P.S. KOTWARPARA MADSE 22160801405 12820 DANTEWADA GEEDAM TWD M.S. MADSE 22160801407 12821 DANTEWADA GEEDAM TWD P.S. PATELPARA BADEPANEDA 22160801502 12822 DANTEWADA GEEDAM TWD P.S. KOSAPARA BADEPANEDA 22160801503 12823 DANTEWADA GEEDAM TWD P.S. KOLUPARA BADEPANEDA 22160801505 12824 DANTEWADA GEEDAM TWD M.S. SCHOOLPARA BADEPANEDA 22160801506 12825 DANTEWADA GEEDAM TWD A.S. SCHOOLPARA BADEPANEDA 22160801507 12826 DANTEWADA GEEDAM TWD U.P.S. PATELPARA BADEPANEDA 22160801508 12827 DANTEWADA GEEDAM TWD P.S. JOGOPARA BADEPANEDA 22160801509 12828 DANTEWADA GEEDAM TWD M.S. KATULNAR 22160801602 12829 DANTEWADA GEEDAM TWD BOYS A.S. KATULANAR 22160801603 12830 DANTEWADA GEEDAM TWD P.S. BONJAPARA KATULNAR 22160801604 12831 DANTEWADA GEEDAM TWD P.S. RAUTPARA KATULNAR 22160801605 12832 DANTEWADA GEEDAM TWD P.S. DHRUWAPARA KATULNAR 22160801606 12833 DANTEWADA GEEDAM TWD P.S. MADPAL 22160801701 12834 DANTEWADA GEEDAM TWD U.P.S. MADPAL 22160801702 12835 DANTEWADA GEEDAM TWD P.S. HARLA 22160801801
  • 390.
    12836 DANTEWADA GEEDAMTWD P.S. KHALEPARA TARLAPAL 22160801901 12837 DANTEWADA GEEDAM TWD P.M.S. TARLAPAL 22160801902 12838 DANTEWADA GEEDAM TWD P.S. TARLAPAL 22160801903 12839 DANTEWADA GEEDAM TWD BALAK A.S. KARLI 22160802003 12840 DANTEWADA GEEDAM M.S. KARLI 22160802007 12841 DANTEWADA GEEDAM TWD P.S. KOTWARPARA KARLI 22160802008 12842 DANTEWADA GEEDAM TWD P.S. JANGALPARA KARLI 22160802009 12843 DANTEWADA GEEDAM TWD N.P.S. POLICE LINE KARLI 22160802012 12844 DANTEWADA GEEDAM TWD P.S. BARSAPARA KARLI 22160802013 12845 DANTEWADA GEEDAM TWD N.P.S. SARPANCHPARA KARLI 22160802015 12846 DANTEWADA GEEDAM TWD N.P.S. AYATU PARA KARLI 22160802016 12847 DANTEWADA GEEDAM TWD N.P.M.S. POLISE LINE KARLI 22160802017 12848 DANTEWADA GEEDAM TWD GYAN JYOTI GANGAPARA KARLI 22160802018 12849 DANTEWADA GEEDAM TWD G.J. SAIPARA KARLI 22160802019 12850 DANTEWADA GEEDAM TWD N.M.S. AYATU PARA KARLI 22160802020 12851 DANTEWADA GEEDAM TWD N.P.S. JHAMUPARA KARLI 22160802027 12852 DANTEWADA GEEDAM TWD N.GIRLS A.S. SCHOOLPARA KARLI 22160802028 12853 DANTEWADA GEEDAM TWD BALAK A.S. KUTULNAR 22160802101 12854 DANTEWADA GEEDAM TWD P.S. RAUTPARA BADESUROKHI 22160802201 12855 DANTEWADA GEEDAM TWD M.S. BADESUROKHI 22160802202 12856 DANTEWADA GEEDAM TWD A.S. BADESUROKHI 22160802203 12857 DANTEWADA GEEDAM TWD P.S. SCHOOLPARA BUDHPADAR 22160802301 12858 DANTEWADA GEEDAM TWD U.P.S. BUDHPADAR 22160802302 12859 DANTEWADA GEEDAM TWD P.S. MAHARA PARA SIYANAR 22160802403 12860 DANTEWADA GEEDAM TWD P.S. DONGRIPARA SIYANAR 22160802404 12861 DANTEWADA GEEDAM TWD N.P.S. SCHOOLPARA SIYANAR 22160802405 12862 DANTEWADA GEEDAM TWD M.S. MAHARAPARA SIYANAR 22160802406 12863 DANTEWADA GEEDAM TWD M.S. SCHOOLPARA SIYANAR 22160802407 12864 DANTEWADA GEEDAM TWD BALAK A.S. BINJAM 22160802501 12865 DANTEWADA GEEDAM TWD M.S. BINJAM 22160802502 12866 DANTEWADA GEEDAM TWD P.S. SARPANCHPARA BINJAM 22160802504 12867 DANTEWADA GEEDAM TWD P.S. PATELPARA BINJAM 22160802505 12868 DANTEWADA GEEDAM TWD P.M.S. SAMLOOR 22160802702
  • 391.
    12869 DANTEWADA GEEDAMTWD P.S. KABADIPARA SAMLOOR 22160802703 12870 DANTEWADA GEEDAM TWD P.S. UIKAPARA SAMLOOR 22160802704 12871 DANTEWADA GEEDAM TWD P.S. THOTHAPARA SAMLOOR 22160802705 12872 DANTEWADA GEEDAM TWD M.S. UIKAPARA SAMLOOR 22160802707 12873 DANTEWADA GEEDAM TWD P.S. BADEKARKA 22160802803 12874 DANTEWADA GEEDAM TWD M.S. BADEKARKA 22160802808 12875 DANTEWADA GEEDAM TWD P.S. CHHOTEKARKA 22160802901 12876 DANTEWADA GEEDAM TWD A.S. SCHOOLPARA PAHURNAR 22160803001 12877 DANTEWADA GEEDAM TWD M.S. SCHOOLPARA PAHURNAR 22160803002 12878 DANTEWADA GEEDAM TWD P.S. PAIKUPARA PAHURNAR 22160803004 12879 DANTEWADA GEEDAM TWD P.S. HALBAPARA PAHURNAR 22160803005 12880 DANTEWADA GEEDAM TWD BOYS A.S. CHERPAL 22160803101 12881 DANTEWADA GEEDAM TWD P.S. KANIYAPARA KOURGAO 22160803201 12882 DANTEWADA GEEDAM TWD P.S. SARPANCHPARA KOURGAO 22160803202 12883 DANTEWADA GEEDAM TWD P.S. GUFAPARA KOURGAO 22160803203 12884 DANTEWADA GEEDAM TWD P.S. BENGOPHAR KOURGAO 22160803204 12885 DANTEWADA GEEDAM TWD A.S. SCHOOLPARA KOURGAO 22160803205 12886 DANTEWADA GEEDAM TWD M.S. SARPANCHPARA KOURGAO 22160803206 12887 DANTEWADA GEEDAM TWD P.S. DONGRIPARA TUMRIGUNDA 22160803302 12888 DANTEWADA GEEDAM TWD P.S. PATELPARA TUMRIGUNDA 22160803303 12889 DANTEWADA GEEDAM TWD P.S. MANDRIPARA TUMRIGUNDA 22160803305 12890 DANTEWADA GEEDAM TWD P.S. DABINGUNDAPARA TUMRIGUNDA 22160803308 12891 DANTEWADA GEEDAM TWD P.S. PADMETA 22160803401 12892 DANTEWADA GEEDAM TWD P.S. PATELPARA PHARASPAL 22160803605 12893 DANTEWADA GEEDAM TWD P.S. BHANDARIPARA PHARASPAL 22160803607 12894 DANTEWADA GEEDAM TWD M.S. PHARASPAL [H.S.S.] 22160803610 12895 DANTEWADA GEEDAM TWD P.S. KOTWARPARA PHARASPAL 22160803611 12896 DANTEWADA GEEDAM TWD P.S. KUNDENAR 22160803701 12897 DANTEWADA GEEDAM TWD P.S. DONGRIPARA KUNDENAR 22160803702 12898 DANTEWADA GEEDAM TWD M.S. KUNDENAR 22160803703 12899 DANTEWADA GEEDAM TWD P.S. PATELPARA ALNAR 22160803801 12900 DANTEWADA GEEDAM TWD P.S.JANGALPARA ALNAR 22160803802 12901 DANTEWADA GEEDAM TWD M.S. ALNAR 22160803803
  • 392.
    12902 DANTEWADA GEEDAMTWD P.S. BADEPARA ALNAR 22160803804 12903 DANTEWADA GEEDAM TWD P.S. MASODI 22160803901 12904 DANTEWADA GEEDAM TWD M.S. MASODI 22160803902 12905 DANTEWADA GEEDAM TWD P.S. PATELPARA JHODIYABADAM 22160804301 12906 DANTEWADA GEEDAM TWD P.S. PERMAPARA JHODIYABADAM 22160804302 12907 DANTEWADA GEEDAM TWD M.S. JHODIYABADAM 22160804303 12908 DANTEWADA GEEDAM TWD P.S. SARPANCHPARA HEERANAR 22160804402 12909 DANTEWADA GEEDAM TWD P.S. GAGRUPARA HEERANAR 22160804403 12910 DANTEWADA GEEDAM TWD P.S. DULAPARA HEERANAR 22160804406 12911 DANTEWADA GEEDAM TWD P.M.S. SARPANCHPARA HEERANAR 22160804407 12912 DANTEWADA GEEDAM TWD P.S. KOTWARPARA HEERANAR 22160804408 12913 DANTEWADA GEEDAM TWD U.P.S. KOTWARPARA HEERANAR 22160804409 12914 DANTEWADA GEEDAM TWD M.S. KASOLI 22160804502 12915 DANTEWADA GEEDAM TWD A.S. KASOLI 22160804503 12916 DANTEWADA GEEDAM TWD P.S. GUDIYAPARA KASOLI 22160804505 12917 DANTEWADA GEEDAM TWD P.S. MANJHARPARA KASOLI 22160804506 12918 DANTEWADA GEEDAM TWD P.S. PATELPARA KASOLI 22160804509 12919 DANTEWADA GEEDAM TWD P.S. MADIYAPARA KASOLI 22160804512 12920 DANTEWADA GEEDAM TWD P.S. RAHAT SHIVIR KASOLI 22160804513 12921 DANTEWADA GEEDAM TWD U.P.S MANJHARPARA KASOLI 22160804515 12922 DANTEWADA GEEDAM TWD P.S. SCHOOLPARA HITAMETA 22160804601 12923 DANTEWADA GEEDAM TWD P.S. JHITKIPARA HITAMETA 22160804602 12924 DANTEWADA GEEDAM TWD P.S. RAUTPARA HITAMETA 22160804603 12925 DANTEWADA GEEDAM TWD M.S. HITAMETA 22160804606 12926 DANTEWADA GEEDAM TWD GYAN JYOTI GARDAPARA HITAMETA 22160804607 12927 DANTEWADA GEEDAM TWD P.S. ERPUND 22160804701 12928 DANTEWADA GEEDAM TWD BOYS A.S. BHATPAL 22160804801 12929 DANTEWADA GEEDAM TWD M.S. BHATPAL 22160804803 12930 DANTEWADA GEEDAM TWD P.S. KORKOTI 22160805001 12931 DANTEWADA GEEDAM TWD P.S. UNDIRNALA KORKOTI 22160805002 12932 DANTEWADA GEEDAM TWD P.S. KAMKANPARA KORKOTI 22160805003 12933 DANTEWADA GEEDAM TWD U.P.S. KORKOTI 22160805004 12934 DANTEWADA GEEDAM TWD P.S. REKA 22160805201
  • 393.
    12935 DANTEWADA GEEDAMTWD M.S. REKA 22160805202 12936 DANTEWADA GEEDAM TWD P.S. UDENAR 22160805301 12937 DANTEWADA GEEDAM TWD P.S. NEURNAR 22160805401 12938 DANTEWADA GEEDAM TWD P.S. KOYAKAPARA NEURNAR 22160805402 12939 DANTEWADA GEEDAM TWD P.S. PUJARIPARA JAWANGA 22160805501 12940 DANTEWADA GEEDAM TWD P.S. DOLEPARA, JAWANGA 22160805503 12941 DANTEWADA GEEDAM TWD P.S. BHATTIPARA JAWANGA 22160805504 12942 DANTEWADA GEEDAM TWD P.S. BUCCHAPARA JAWANGA 22160805505 12943 DANTEWADA GEEDAM TWD GYAN JYOTI BOMDAPARA JAWANGA 22160805508 12944 DANTEWADA GEEDAM TWD M.S. JAWANGA 22160805510 12945 DANTEWADA GEEDAM TWD P.S. SCHOOLPARA JAWANGA 22160805511 12946 DANTEWADA GEEDAM TWD M.S. SONARPARA GEEDAM 22160805703 12947 DANTEWADA GEEDAM TWD M.S. BORPADAR GEEDAM 22160805705 12948 DANTEWADA GEEDAM TWD P.S. KADTIPARA GEEDAM 22160805706 12949 DANTEWADA GEEDAM TWD GIRLS P.S. GEEDAM 22160805707 12950 DANTEWADA GEEDAM TWD P.S. MARWADIPARA GEEDAM 22160805708 12951 DANTEWADA GEEDAM TWD BOYS P.S. GEEDAM 22160805709 12952 DANTEWADA GEEDAM TWD P.S. SONARPARA GEEDAM 22160805711 12953 DANTEWADA GEEDAM TWD P.S. MAHNGUPARA GEEDAM 22160805714 12954 DANTEWADA GEEDAM K.G.B.V. GEEDAM 22160805717 12955 DANTEWADA GEEDAM TWD GIRLS M.S. GEEDAM 22160805719 12956 DANTEWADA GEEDAM TWD UPS KADTI PARA GEEDAM 22160805720 12957 DANTEWADA GEEDAM TWD M.S. GEEDAM [H.S.S.] 22160805721 12958 DANTEWADA GEEDAM TWD BALAK U.P.S. GEEDAM 22160805724 12959 DANTEWADA GEEDAM TWD P.S. CHARCHPARA HARAM 22160805801 12960 DANTEWADA GEEDAM TWD M.S. HARAM 22160805803 12961 DANTEWADA GEEDAM TWD P.S. MUNDRUPARA HARAM 22160805804 12962 DANTEWADA GEEDAM TWD P.S. MADHOPARA HARAM 22160805805 12963 DANTEWADA GEEDAM TWD P.S. HARAM PATELPARA 22160805807 12964 DANTEWADA GEEDAM TWD P.S. GUDDIPARA HARAM 22160805808 12965 DANTEWADA GEEDAM TWD P.S. GAYATAPARA HARAM 22160805811 12966 DANTEWADA GEEDAM TWD M.S. PATELPARA HARAM 22160805812 12967 DANTEWADA GEEDAM TWD. P.S. MANDI CHOWK HARAM 22160805813
  • 394.
    12968 DANTEWADA GEEDAMTWD U.P.S. MADHOPARA HARAM 22160805814 12969 DANTEWADA GEEDAM TWD P.S. PATELPARA HAURNAR 22160806201 12970 DANTEWADA GEEDAM TWD P.S. BANDIPARA HAURNAR 22160806202 12971 DANTEWADA GEEDAM TWD P.S. BADESARPANCHPARA HAURNAR 22160806204 12972 DANTEWADA GEEDAM TWD GYAN JYOTI SCHOOL NAYAPARA HAURNAR 22160806206 12973 DANTEWADA GEEDAM TWD M.S. HAURNAR 22160806207 12974 DANTEWADA GEEDAM TWD P.S. HAURNAR 22160806208 12975 DANTEWADA GEEDAM TWD P.S. SALNAR 22160806301 12976 DANTEWADA GEEDAM TWD GYAN JYOTI SCHOOL SALNAR 22160806302 12977 DANTEWADA GEEDAM TWD BALAK ASRAM CHHINDNAR 22160806402 12978 DANTEWADA GEEDAM TWD M.S. CHHINDNAR 22160806404 12979 DANTEWADA GEEDAM TWD P.S.SAKHARAMPARA CHHINDNAR 22160806405 12980 DANTEWADA GEEDAM TWD P.S. PATELPARA CHHINDNAR 22160806409 12981 DANTEWADA GEEDAM TWD P.S. KHALEPARA MUSTALNAR 22160806502 12982 DANTEWADA GEEDAM TWD P.M.S. MUSTALNAR 22160806503 12983 DANTEWADA GEEDAM TWD SANYUKT A.S. MUSTALNAR 22160806505 12984 DANTEWADA GEEDAM TWD P.S. MADAIPARA GHOTPAL 22160806601 12985 DANTEWADA GEEDAM TWD P.S.VATTINAMA GHOTPAL 22160806604 12986 DANTEWADA GEEDAM TWD P.S.METAKONTA, GHOTPAL 22160806605 12987 DANTEWADA GEEDAM TWD M.S. MADAIPARA GHOTPAL 22160806606 12988 DANTEWADA GEEDAM TWD P.S. BAJUPARA GHPOTPAL 22160806607 12989 DANTEWADA GEEDAM TWD P.S. PARPAPARA GHOTPAL 22160806608 12990 DANTEWADA GEEDAM TWD P.S. NAKAPARA GHOTPAL 22160806609 12991 DANTEWADA GEEDAM TWD P.S. PATELPARA JORATARAI 22160807001 12992 DANTEWADA GEEDAM TWD P.S. MANJHARPARA JORATARAI 22160807002 12993 DANTEWADA GEEDAM TWD P.S. KOTWARPARA JORATARAI 22160807003 12994 DANTEWADA GEEDAM TWD U.P.S. KOTWARPARA JORATARAI 22160807004 12995 DANTEWADA GEEDAM TWD P.M.S. PATELPARA JORATARAI 22160807005 12996 DANTEWADA GEEDAM TWD P.S. KOHKAPADI JODATARAI 22160807006 12997 DANTEWADA GEEDAM TWD P.S. PURANTARAI 22160807301 12998 DANTEWADA GEEDAM TWD M.S. PURANTARAI 22160807302 12999 DANTEWADA GEEDAM TWD M.S. SCHOOLPARA RONJE 22160807402 13000 DANTEWADA GEEDAM TWD P.S. LAKHMUPARA RONJE 22160807404
  • 395.
    13001 DANTEWADA GEEDAMTWD P.S. BADHAIPARA RONJE 22160807405 13002 DANTEWADA GEEDAM TWD P.S. JHODIPARA RONJE 22160807406 13003 DANTEWADA GEEDAM TWD U.P.S. JHODIPARA RONJE 22160807420 13004 DANTEWADA GEEDAM TWD SANYUKT A.S. MOFALNAR 22160807501 13005 DANTEWADA GEEDAM TWD P.M.S. MOFALNAR 22160807502 13006 DANTEWADA GEEDAM TWD P.S. RENGAWAHI PARA MOFALNAR 22160807503 13007 DANTEWADA GEEDAM TWD P.S. PANCHAYAT BHAWANPARA MOFALNAR 22160807505 13008 DANTEWADA GEEDAM TWD P.S. RAILWAY GUMDA 22160807601 13009 DANTEWADA GEEDAM TWD P.M.S. GUMDA 22160807602 13010 DANTEWADA GEEDAM TWD GYAN JYOTI SCHOOL GUMDA 22160807603 13011 DANTEWADA GEEDAM TWD NEW M.S. BHAVSINGHPARA GUMDA 22160807604 13012 DANTEWADA GEEDAM TWD P.S. BHAVSINGHPARA GUMDA 22160807605 13013 DANTEWADA GEEDAM TWD P.S. SCHOOLPARA GUMDA 22160807606 13014 DANTEWADA GEEDAM TWD P.S. MENDAPARA GUMDA 22160807607 13015 DANTEWADA GEEDAM TWD U.P.S. MENDAPARA GUMDA 22160807608 13016 DANTEWADA GEEDAM TWD P.S. BANDAPARA GUMDA 22160807609 13017 DANTEWADA GEEDAM TWD P.S. PATIRAMPARA GUMDA 22160807610 13018 DANTEWADA GEEDAM TWD P.S. RUNDIPARA GUMDA 22160807611 13019 DANTEWADA GEEDAM TWD GIRLS A.S. BARSOOR 22160808001 13020 DANTEWADA GEEDAM TWD GIRLS P.S. BARSOOR 22160808003 13021 DANTEWADA GEEDAM TWD P.S. MUNDATIKRAPARA BARSOOR 22160808009 13022 DANTEWADA GEEDAM TWD M.S. BARSOOR [H.S.S.] 22160808013 13023 DANTEWADA GEEDAM TWD P.S. NAYAPARA BARSOOR 22160808016 13024 DANTEWADA GEEDAM TWD P.S. MANGALPOTPARA BARSOOR 22160808018 13025 DANTEWADA GEEDAM TWD GYAN JYOTI MAVLIGUDA BARSOOR 22160808021 13026 DANTEWADA GEEDAM TWD P.S. SAMRATHPARA BARSOOR 22160808022 13027 DANTEWADA GEEDAM TWD P.S. TAMRUBHATA BARSOOR 22160808023 13028 DANTEWADA GEEDAM TWD GYAN JYOTI SHALA CHALKIPARA BARSUR 22160808024 13029 DANTEWADA GEEDAM TWD GIRLS M.S. BARSOOR 22160808025 13030 DANTEWADA GEEDAM TWD U.P.S. MANGALPOTPARA BARSOOR 22160808026 13031 DANTEWADA GEEDAM TWD M.S. BODHGHAT BARSOOR 22160808029 13032 DANTEWADA GEEDAM TWD P.S. BODHGHAT BARSOOR 22160808036 13033 DANTEWADA GEEDAM TWD GIRLS P.S. MUCHNAR 22160808301
  • 396.
    13034 DANTEWADA GEEDAMTWD BOYS P.S. MUCHNAR 22160808302 13035 DANTEWADA GEEDAM TWD P.S. MALLEMUNDA MUCHNAR 22160808304 13036 DANTEWADA GEEDAM TWD P.S. KODNAR MUCHNAR 22160808305 13037 DANTEWADA GEEDAM TWD M.S. RENJARPARA MUCHNAR 22160808307 13038 DANTEWADA GEEDAM TWD P.S. JHARAVAYA MUCHNAR 22160808308 13039 DANTEWADA GEEDAM TWD GIRLS M.S. MUCHNAR 22160808309 13040 DANTEWADA GEEDAM TWD P.S. SARPANCHPARA NAGFANI 22160808402 13041 DANTEWADA GEEDAM TWD P.S. NAGFANI 22160808403 13042 DANTEWADA GEEDAM TWD U.P.S. NAGFANI 22160808404 13043 DANTEWADA GEEDAM TWD P.S. HIDPAL 22160808501 13044 DANTEWADA GEEDAM TWD P.S. BHALUNALA HIDPAL 22160808502 13045 DANTEWADA GEEDAM TWD P.S. BALENGPAL HIDPAL 22160808503 13046 DANTEWADA GEEDAM TWD M.S. HIDPAL 22160808504 13047 DANTEWADA GEEDAM TWD P.S. SCHOOLPARA KORLAPAL 22160808601 13048 DANTEWADA GEEDAM TWD M.S. KORLAPAL 22160808602 13049 DANTEWADA GEEDAM TWD P.S. GAYTAPARA KORLAPAL 22160808603 13050 DANTEWADA GEEDAM TWD M.S. SCHOOLPARA UPET 22160808805 13051 DANTEWADA GEEDAM TWD BOYS A.S. UPET 22160808807 13052 DANTEWADA GEEDAM TWD P.S. KESHKUND 22160811001 13053 DANTEWADA GEEDAM TWD P.S. PATELPARA HIROLI 22160811301 13054 DANTEWADA GEEDAM TWD P.S. KANDAKARKA 22160811401 13055 DANTEWADA GEEDAM TWD P.S. CHHOTECHHINDNAR 22160811701 13056 DANTEWADA GEEDAM TWD P.S. JAPODI GUMARGUNDA 22160811801 13057 DANTEWADA KATEKALYAN GOVT.P.S. KORIRAS(TWD) 22161500102 13058 DANTEWADA KATEKALYAN GOVT.M.S. KORIRAS (TWD) 22161500104 13059 DANTEWADA KATEKALYAN GOVT.P.S. KORIRAS ETTAPARA (SSA) 22161500105 13060 DANTEWADA KATEKALYAN GOVT.P.S. KORIRAS MASAPARA (SSA) 22161500107 13061 DANTEWADA KATEKALYAN GOVT.M.S.BADEBEDMA (TWD) 22161500108 13062 DANTEWADA KATEKALYAN GOVT.P.S. KORIRAS BODIPARA (SSA) 22161500109 13063 DANTEWADA KATEKALYAN GOVT.P.S.CHHOTEHADMAMUNDA (TWD) 22161500110 13064 DANTEWADA KATEKALYAN GOVT.P.S.BADEBEDAMA PATELPARA (TWD) 22161500111 13065 DANTEWADA KATEKALYAN GOVT.P.S.CHOTELAKAPALPOYAPARA(SSA) 22161500202 13066 DANTEWADA KATEKALYAN GOVT.P.S. KIDRIRAS (TWD) 22161500301
  • 397.
    13067 DANTEWADA KATEKALYANGOVT.P.S. BHUSARAS RETEMPARA (SSA) 22161500404 13068 DANTEWADA KATEKALYAN GOVT.P.S. BUSARAS CHINDGUFA (SSA) 22161500405 13069 DANTEWADA KATEKALYAN GOVT.P.S.BUSARAS MIRKOMPARA (TWD) 22161500406 13070 DANTEWADA KATEKALYAN GOVT.P.S.BUSARAS KERIYARPARA (TWD) 22161500407 13071 DANTEWADA KATEKALYAN GOVT.S.H.S. BHUSARAS (TWD) 22161500408 13072 DANTEWADA KATEKALYAN GOVT. P.S. BURUMPARA BHUSARA 22161500410 13073 DANTEWADA KATEKALYAN GOVT.KANYA ASHRAM BADEBEDMA (TWD) 22161500502 13074 DANTEWADA KATEKALYAN GOVT. PRIMARY SCHOOL 22161500601 13075 DANTEWADA KATEKALYAN GOVT,BOYS P.S. KATEKALYAN BAJARPARA 22161500602 13076 DANTEWADA KATEKALYAN GIRL PRIMARY SCHOOL 22161500603 13077 DANTEWADA KATEKALYAN KANIST P.S. PUJARIPARA 22161500604 13078 DANTEWADA KATEKALYAN GOVT.M.S. KATEKLYAN (TWD) 22161500605 13079 DANTEWADA KATEKALYAN NAVIN. P.S. NADIKONTA 22161500606 13080 DANTEWADA KATEKALYAN GOVT PS KATEKALYAN GUDAMPARA (SSA) 22161500607 13081 DANTEWADA KATEKALYAN G.J.N.P.S.JGATUPARA KATEKLYAN 22161500610 13082 DANTEWADA KATEKALYAN GOVT. P.S. JANGAMPAL (TWD) 22161500701 13083 DANTEWADA KATEKALYAN GOVT. BALAK AASHRAM JANGAMPAL (TWD) 22161500702 13084 DANTEWADA KATEKALYAN GOVT.M.S. JANGAMPAL (TWD) 22161500703 13085 DANTEWADA KATEKALYAN GOVT.P.S. JAGAMPAL PUJARIPARA (TWD) 22161500704 13086 DANTEWADA KATEKALYAN P.S.CHOTELAKHPAL JAGAMPAL 22161500705 13087 DANTEWADA KATEKALYAN GOVT M.S. JANGAMPAL (SSA) 22161500706 13088 DANTEWADA KATEKALYAN GOVT.P.S.PARCHELI BOTAPARA (TWD) 22161500801 13089 DANTEWADA KATEKALYAN GOVT.P.S. MARJUM JANGALPARA (TWD) 22161501002 13090 DANTEWADA KATEKALYAN GOVT.P.S. KODRIPAL (TWD) 22161501102 13091 DANTEWADA KATEKALYAN GOVT. PRIMARY SCHOOL 22161501201 13092 DANTEWADA KATEKALYAN Govt P.S. BADELEHKAPAL 22161501203 13093 DANTEWADA KATEKALYAN GOVT. N.P.S.TODWAPARA BADELEKHAPAL 22161501206 13094 DANTEWADA KATEKALYAN GOVT. N.P.S GUNJEMPARA 22161501207 13095 DANTEWADA KATEKALYAN GOVT. N.P.S. PATALPARA 22161501208 13096 DANTEWADA KATEKALYAN GOVT.K.G.B.V.BADALEKHAPAL (SSA) 22161501209 13097 DANTEWADA KATEKALYAN GOVT.N.M.S.BADELEHKAPAL (SSA) 22161501210 13098 DANTEWADA KATEKALYAN GOVT BALAK ASHRAM CHIKPAL (TWD) 22161501301 13099 DANTEWADA KATEKALYAN GOVT P.S. CHIKPAL SCHOOL PARA (TWD) 22161501302
  • 398.
    13100 DANTEWADA KATEKALYANGOVT.P.S. CHIKPAL PADAMIPARA (SSA) 22161501303 13101 DANTEWADA KATEKALYAN GOVT.P.S. CHIKPAL JANGALPARA (SSA) 22161501304 13102 DANTEWADA KATEKALYAN GOVT.P.S.MARJUM BHIMAPARA (SSA) 22161501305 13103 DANTEWADA KATEKALYAN GOVT.P.S. CHOTEGADAM PATELPARA(SSA) 22161501306 13104 DANTEWADA KATEKALYAN GOVT P.S. PATEL PARA CHIKPAL 22161501308 13105 DANTEWADA KATEKALYAN GOVT.P.S. CHIKPAL (SSA) 22161501311 13106 DANTEWADA KATEKALYAN GOVT. M.S. CHKPAL (TWD) 22161501312 13107 DANTEWADA KATEKALYAN GOVT.BALAK ASHRAM BENGLUR (TWD) 22161501401 13108 DANTEWADA KATEKALYAN GOVT.P.S. BAGLOOR JOGAPARA (TWD) 22161501404 13109 DANTEWADA KATEKALYAN GOVT.P.S.BENGLUR BODAPARA (SSA) 22161501407 13110 DANTEWADA KATEKALYAN GOVT.P.S. PARCHELI KANDKIPARA (SSA) 22161501409 13111 DANTEWADA KATEKALYAN GOVT.N.M.S.BENGLUR (SSA) 22161501410 13112 DANTEWADA KATEKALYAN G.H.S.S. KATEKALYAN 22161501411 13113 DANTEWADA KATEKALYAN GOVT.P.S. TUMAKPAL DUMAMPARA (SSA) 22161501501 13114 DANTEWADA KATEKALYAN GOVT.P.S. TUMAKPAL ARJELPARA (SSA) 22161501503 13115 DANTEWADA KATEKALYAN GOVT.P.S. TUMAKPAL PATELPARA (SSA) 22161501504 13116 DANTEWADA KATEKALYAN GOVT.N.M.S.TUMAKPAL (SSA) 22161501505 13117 DANTEWADA KATEKALYAN N.P.S.PUJARIPARA TUMAKPAL 22161501506 13118 DANTEWADA KATEKALYAN P.S.SARPANCH TUMAKPAL 22161501507 13119 DANTEWADA KATEKALYAN GOVT.P.S. LAKHARAS KHALEPARA (SSA) 22161501602 13120 DANTEWADA KATEKALYAN GOVT.P.S. LAKHARAS PATELPARA (TWD) 22161501603 13121 DANTEWADA KATEKALYAN GOVT.M.S.LAKHARAS (SSA) 22161501604 13122 DANTEWADA KATEKALYAN GOVT.KANIST P.S. CHOTETONGPAL (TWD) 22161501701 13123 DANTEWADA KATEKALYAN GOVT.GIRL ASHRAM PARCHELI (TWD) 22161501803 13124 DANTEWADA KATEKALYAN GOVT.P.S. PARCHELI FULAMPARA (SSA) 22161501804 13125 DANTEWADA KATEKALYAN GOVT.P.S. PARCHELI JANGALPARA (SSA) 22161501805 13126 DANTEWADA KATEKALYAN GOVT.N.M.S. PARCHELI KOROPAL (SSA) 22161501807 13127 DANTEWADA KATEKALYAN GOVT.P.S. BADEGADAM PATELPARA (SSA) 22161501903 13128 DANTEWADA KATEKALYAN GOVT.P.S. MUNGA (TWD) 22161502101 13129 DANTEWADA KATEKALYAN GOVT.M.S.MUNGA (SSA) 22161502103 13130 DANTEWADA KATEKALYAN GOVT.P.S. MARJUM SCHOOLPARA (TWD) 22161502201 13131 DANTEWADA KATEKALYAN GOVT.P.S. MARJUM HURRAPARA(SSA) 22161502203 13132 DANTEWADA KATEKALYAN GOVT.P.S. MARJUM PENGONDIPARA (SSA) 22161502204
  • 399.
    13133 DANTEWADA KATEKALYANGOVT.M.S. MARJUM SCHOOLPARA(SSA) 22161502205 13134 DANTEWADA KATEKALYAN GOVT.P.S. GUDSE RAJAPARA (SSA) 22161502305 13135 DANTEWADA KATEKALYAN GOVT.P.S. GUDSE USKOPARA (SSA) 22161502306 13136 DANTEWADA KATEKALYAN GOVT.P.S. GUDSE KANDKIPARA (SSA) 22161502307 13137 DANTEWADA KATEKALYAN GOVT.N.M.S.GUDSE (SSA) 22161502308 13138 DANTEWADA KATEKALYAN GOVT.N.P.S. GUDSE TATIRAS (SSA) 22161502309 13139 DANTEWADA KATEKALYAN GOVT.N.P.S. GUDSE MICHGONDI (SSA) 22161502310 13140 DANTEWADA KATEKALYAN GOVT.N.P.S.GUDSE KORIPARA (SSA) 22161502311 13141 DANTEWADA KATEKALYAN GOVT.P.S. GUDSE ITTAPARA (SSA) 22161502312 13142 DANTEWADA KATEKALYAN GOVT.BALAK GUDSE PATELPARA (TWD) 22161502313 13143 DANTEWADA KATEKALYAN GOVT M.S. BLOCK COLONY (SSA) 22161502401 13144 DANTEWADA KATEKALYAN GOVT P.S NAYANAR 22161502502 13145 DANTEWADA KATEKALYAN GOVT.N.P.S. NAYANAR JOGAPARA (SSA) 22161502504 13146 DANTEWADA KATEKALYAN GOVT.P.S. BANGLUR MAZIPARA (TWD) 22161502601 13147 DANTEWADA KATEKALYAN GOVT.P.S. NADENAR DONGRIPARA (TWD) 22161502701 13148 DANTEWADA KATEKALYAN GOVT.P.S. MATHADI JOGAPARA (SSA) 22161502803 13149 DANTEWADA KATEKALYAN GOVT.N.P.S. GATUM DONGARIPARA (SSA) 22161502804 13150 DANTEWADA KATEKALYAN GOVT.P.S.MATHADI CHINDPARA (TWD) 22161502806 13151 DANTEWADA KATEKALYAN GOVT.N.P.S.MATHADI PATELPARA (SSA) 22161502807 13152 DANTEWADA KATEKALYAN GOVT.ASREM.SHALA GATAM (TWD) 22161502808 13153 DANTEWADA KATEKALYAN GOVT.U.P.S.MATHADI CHINDPARA (SSA) 22161502809 13154 DANTEWADA KATEKALYAN GOVT.N.BALAK ASHRAM MATHADI 22161502812 13155 DANTEWADA KATEKALYAN GOVT.P.S. MARJUM PATELPARA (SSA) 22161502902 13156 DANTEWADA KATEKALYAN N.P.S.SARPANCHPARA BADEGADEM 22161503003 13157 DANTEWADA KATEKALYAN GOVT.P.S. PRATAPGIRI (TWD) 22161503101 13158 DANTEWADA KATEKALYAN NPS LIMBUDIPARA 22161503102 13159 DANTEWADA KATEKALYAN GOVT.P.S. BHUSARAS NAKAPARA (TWD) 22161503202 13160 DANTEWADA KATEKALYAN GOVT.M.S. MOKHAPAL NAKAPARA (TWD) 22161503302 13161 DANTEWADA KATEKALYAN GOVT.P.S. MOKHPAL KALMUPARA (SSA) 22161503303 13162 DANTEWADA KATEKALYAN GOVT.P.S. MOPKHAPAL PATELPARA (TWD) 22161503304 13163 DANTEWADA KATEKALYAN KANYA ASHRAM MOKHPAL 22161503305 13164 DANTEWADA KATEKALYAN GOVT.P.S. MOKHPAL GOLAPARA (SSA) 22161503306 13165 DANTEWADA KATEKALYAN GOVT.P.S. TELAM PATELPARA (SSA) 22161503402
  • 400.
    13166 DANTEWADA KATEKALYANGOVT.NAVIN KANYA ASHRAM TELAM (TWD) 22161503403 13167 DANTEWADA KATEKALYAN GOVT.P.S. TELAM KOTWARPARA (SSA) 22161503404 13168 DANTEWADA KATEKALYAN GOVT.N.P.S. TELAM DONGRIPARA (SSA) 22161503405 13169 DANTEWADA KATEKALYAN GOVT.M.S. TELAM (SSA) 22161503406 13170 DANTEWADA KATEKALYAN GOVT.P.S. JIHAKODTA (TWD) 22161503502 13171 DANTEWADA KATEKALYAN BALAK ASHRAM TETAM (PVT.) 22161503602 13172 DANTEWADA KATEKALYAN GOVT.S.P.S. TETAM KHALEPARA (SSA) 22161503603 13173 DANTEWADA KATEKALYAN GOVT.P.S. TETAM PATELPARA (SSA) 22161503604 13174 DANTEWADA KATEKALYAN GOVT.P.S. TETAM (TWD) 22161503605 13175 DANTEWADA KATEKALYAN GOVT.P.S. MOKHAPAL DONGRIGUDA (TWD) 22161503701 13176 DANTEWADA KATEKALYAN GOVT.P.S. MOPKHAPAL NAKAPARA (TWD) 22161503801 13177 DANTEWADA KATEKALYAN GOVT.N.P.S DODPAL (SSA) 22161503902 13178 DANTEWADA KATEKALYAN GOVT.N.P.S. CHHOTEBEDMA (SSA) 22161504101 13179 DANTEWADA KATEKALYAN GOVT.P.S. MAHARAKARKA (TWD) 22161504202 13180 DANTEWADA KATEKALYAN GOVT.P.S. DUDHIRAS PATELPARA(SSA) 22161504304 13181 DANTEWADA KATEKALYAN GOVT. KANIST P. S MOKHPAL 22161504401 13182 DANTEWADA KATEKALYAN GOVT PRIMARY SCHOOL BHURDHIKARKA 22161504501 13183 DANTEWADA KATEKALYAN GOVT NMS BHURDHIKARKA 22161504503 13184 DANTEWADA KATEKALYAN GOVT N.P.S.KASAPARA SURNAR 22161504702 13185 DANTEWADA KATEKALYAN GOVT P.S.BURDIKARKA PATELPARA 22161504703 13186 DANTEWADA KATEKALYAN GOVT N.KANYA .M.S.ASHRAM SURNAR 22161504704 13187 DANTEWADA KATEKALYAN GOVT. P.S. BADEGADAM 22161504705 13188 DANTEWADA KATEKALYAN GOVT PRIMARY SCHOOL JARIPARA 22161504901 13189 DANTEWADA KATEKALYAN GOVT PRIMARY SCHOOL DUWALIPARA 22161505001 13190 DANTEWADA KATEKALYAN GOVT KANIST PRIMARY SCHOOL DHANIKARKA 22161505102 13191 DANTEWADA KATEKALYAN GYAN GYOTI GAYTAPARA 22161505103 13192 DANTEWADA KATEKALYAN GOVT PRIMARY SCHOOL DHANIKARKA 22161505201 13193 DANTEWADA KATEKALYAN GOVT P.S. BADEGUDRA BABUPARA (TWD) 22161505501 13194 DANTEWADA KATEKALYAN GOVT PS BADEBEDAM KUNJAMPARA 22161505601 13195 DANTEWADA KATEKALYAN GOVT.P.S. BADEBEDMA KOTWARPAR (TWD) 22161505701 13196 DANTEWADA KATEKALYAN GOVT.P.S. BADEGUDRA BURJIPARA (TWD) 22161505801 13197 DANTEWADA KATEKALYAN GOVT.P.S. EATEPAL (TWD) 22161505901 13198 DANTEWADA KATEKALYAN GOVT.N.M.S.EATPAL (SSA) 22161505902
  • 401.
    13199 DANTEWADA KATEKALYANGOVT.P.S. EATEPAL BILAIPARA (SSA) 22161505903 13200 DANTEWADA KATEKALYAN GOVT.P.S. EATEPAL NADIKONTA 22161505904 13201 DANTEWADA KATEKALYAN GOVT PS KOYATIPARA 22161506001 13202 DANTEWADA KATEKALYAN GOVT PS CHOOTEGUDRA KOTWARPARA 22161506302 13203 DANTEWADA KATEKALYAN GOVT P. S CHOTEBEDAM 22161506401 13204 DANTEWADA KATEKALYAN GOVT.M.S.BADEGUDRA (TWD) 22161506602 13205 DANTEWADA KATEKALYAN GOVT N.M.S.BABUPARA BADEGUDRA 22161506603 13206 DANTEWADA KATEKALYAN GOVT N.P.S.LOHARPARA BADEGUDRA 22161506604 13207 DANTEWADA KATEKALYAN GOVT P.S.KUNJAMPARA BADEGUDRA 22161506605 13208 DANTEWADA KATEKALYAN GOVT P.S.UKAHRAPARA BADEGUDRA 22161506606 13209 DANTEWADA KATEKALYAN GOVT KANIYA M.A.S.BADEGUDRA 22161506607 13210 DANTEWADA KATEKALYAN GOVT P.S.DONGAPARA BADEGUDRA 22161506608 13211 DANTEWADA KATEKALYAN GOVT CHHOTEGUDRA CHALKIPARA 22161506801 13212 DANTEWADA KATEKALYAN GOVT.N.P.S. EDPAL PERMAPARA (SSA) 22161506902 13213 DANTEWADA KATEKALYAN GOVT.N.BALAK.ASREM EDPAL (TWD) 22161506903 13214 DANTEWADA KATEKALYAN GOVT P.S. KAWASIPARA CHOTEGUDRA 22161507001 13215 DANTEWADA KATEKALYAN GOVT N.P.S HAPUPARA SURNAR 22161507202 13216 DANTEWADA KATEKALYAN N.P.S.INDOPARA 22161507302 13217 DANTEWADA KATEKALYAN KANIST PRIMARY SCHOOL 22161507401 13218 DANTEWADA KATEKALYAN P.S. DHANIKARKA 22161507502 13219 DANTEWADA KATEKALYAN PUJARIPARA TELANM BADEGUDRA 22161507605 13220 DANTEWADA KATEKALYAN P.S. JIHAKODATA DONGRIPARA 22161507606 13221 DANTEWADA KATEKALYAN GOVT.U.P.S. BADEGUDRA (SSA) 22161507607 13222 DANTEWADA KATEKALYAN GOVT.P.S. PARCHELI BANDIPARA (TWD) 22161507702 13223 DANTEWADA KATEKALYAN GOVT.P.S. PARCHELI KAWARAMA (SSA) 22161507704 13224 DANTEWADA KATEKALYAN GOVT.P.S. PARCHELI KOYAPARA (SSA) 22161507705 13225 DANTEWADA KATEKALYAN GOVT.P.S. PARCHELI BORPADAR (SSA) 22161507707 13226 DANTEWADA KATEKALYAN GOVT.P.S. PARCHELI KOROPAL (SSA) 22161507709 13227 DANTEWADA KATEKALYAN GOVT.N.P.S.NADENAR KHALEPARA (SSA) 22161507710 13228 DANTEWADA KATEKALYAN GOVT.P.S. PARCHELI RAUTPARA (TWD) 22161507711 13229 DANTEWADA KATEKALYAN MS SURNAR 22161508206 13230 DANTEWADA KATEKALYAN N.P.S.JAYATAPARA SURNAR 22161508207 13231 DANTEWADA KATEKALYAN N.P.S UMALPARA SURNAR 22161508208
  • 402.
    13232 DANTEWADA KATEKALYANASREM.S.SURNAR 22161508209 13233 DANTEWADA KATEKALYAN S.H.S.SURNAR 22161508211 13234 DANTEWADA KATEKALYAN GOVT.P.S. PARCHELI PATELPARA (SSA) 22161508401 13235 DANTEWADA KATEKALYAN N P S.PANGONDI BADALAKHAPAL 22161508501 13236 DANTEWADA KATEKALYAN GOVT.KANIST P.S. CHOTEGUDRA (TWD) 22161508601 13237 DANTEWADA KUAKONDA GOVT PRIMARY SCHOOL NILAWAYA 22161900301 13238 DANTEWADA KUAKONDA P.S. MILKANPARA NILAWAYA 22161900302 13239 DANTEWADA KUAKONDA P.S. MALLAPARA 22161900303 13240 DANTEWADA KUAKONDA PRIMARY SCHOOL 22161900501 13241 DANTEWADA KUAKONDA GOVT. N.P.S. PENTA(SSA) 22161900502 13242 DANTEWADA KUAKONDA GOVT. P.S. PATEL PARA ARBEY(TWD) 22161900601 13243 DANTEWADA KUAKONDA GOVT.P.S.KOSAPARA (SSA) 22161900602 13244 DANTEWADA KUAKONDA P.S.BANDIPARA 22161900603 13245 DANTEWADA KUAKONDA GOVT.P.S.BANDIPARA ARBY(SS) 22161900605 13246 DANTEWADA KUAKONDA GOVT.P.S.(TWD) 22161900701 13247 DANTEWADA KUAKONDA PRIMARY SCHOOL 22161900901 13248 DANTEWADA KUAKONDA P.S. MULER (ECHAPARA) 22161900902 13249 DANTEWADA KUAKONDA GOVT.N.M.S MULER (SSA) 22161900903 13250 DANTEWADA KUAKONDA P.S.GUTTAPARA KAKADI 22161901002 13251 DANTEWADA KUAKONDA N. P.S.KARKAPARA KAKADI 22161901003 13252 DANTEWADA KUAKONDA GOVT.P.S. KAKDI SOMAPARA (SSA) 22161901104 13253 DANTEWADA KUAKONDA GOVT. N.P.S. KAKADI PATELPARA (SSA) 22161901105 13254 DANTEWADA KUAKONDA GOVT.BALAK ASHRAM ARANPUR (TWD) 22161901202 13255 DANTEWADA KUAKONDA GOVT.M.S. ARANPUR(SSA) 22161901205 13256 DANTEWADA KUAKONDA NAVIN P.S. ARANPUR BANDIPARA 22161901206 13257 DANTEWADA KUAKONDA P.S.ARANPUR 22161901207 13258 DANTEWADA KUAKONDA NAVIN P.S. MENDPAL(SSA) 22161901208 13259 DANTEWADA KUAKONDA NAVIN P.S. ACHELI (SSA) 22161901209 13260 DANTEWADA KUAKONDA GOVT.P.S ACHELI (SSA) 22161901301 13261 DANTEWADA KUAKONDA GOVT. P.S BERAM (TWD) 22161901601 13262 DANTEWADA KUAKONDA GOVT.N.M.S. BERAM (SSA) 22161901602 13263 DANTEWADA KUAKONDA NPS--BHIMAPARA 22161901702 13264 DANTEWADA KUAKONDA NPS--TADPARA 22161901703
  • 403.
    13265 DANTEWADA KUAKONDAN.P.S. PATELPARA REWALI 22161901704 13266 DANTEWADA KUAKONDA P.S.BACHELI REWALI 22161901705 13267 DANTEWADA KUAKONDA N.M.S.BAREM REWALI 22161901706 13268 DANTEWADA KUAKONDA GOVT.P.S. DORAPARA BURGUM(TWD) 22161901803 13269 DANTEWADA KUAKONDA GOVT..P.S BOJAPARA BURGUM(TWD) 22161901807 13270 DANTEWADA KUAKONDA GOVT.P.S.KAVASIPARA BURGUM(SSA) 22161901808 13271 DANTEWADA KUAKONDA GOVT.P.S.PRRAMAPARA BURGUM(SSA) 22161901809 13272 DANTEWADA KUAKONDA GOVT.P.S.PUJARIPAL BURGUM(SSA) 22161901810 13273 DANTEWADA KUAKONDA GOVT PRIMARY SCHOOL MADEDA 22161901901 13274 DANTEWADA KUAKONDA N.P.S. MADENDA 22161901903 13275 DANTEWADA KUAKONDA GYAN JYOTI PS KUNJAMPARA 22161902001 13276 DANTEWADA KUAKONDA E.G.S. P.S. PANDUPARA SAMELE 22161902002 13277 DANTEWADA KUAKONDA GOVT.S.AASREM S SAMELE(TWD) 22161902004 13278 DANTEWADA KUAKONDA GOVT.N.M.S.BODEPARA SAMELE(SSA) 22161902005 13279 DANTEWADA KUAKONDA GOVT.NPS ANDIPARA SAMELI(SSA) 22161902007 13280 DANTEWADA KUAKONDA GOVT.P.S.SAMELE O2(TWD) 22161902009 13281 DANTEWADA KUAKONDA GOVT.N.P.S.BURKANPARA SAMELE(SSA) 22161902010 13282 DANTEWADA KUAKONDA GOVT.N.P.S PANDUPARA SAMELI(SS) 22161902014 13283 DANTEWADA KUAKONDA NPS--LEKAMPARA 22161902102 13284 DANTEWADA KUAKONDA P.S. SCHOOL ARAPARA PALNAR 22161902104 13285 DANTEWADA KUAKONDA P.S. PALNAR NO. 2 22161902107 13286 DANTEWADA KUAKONDA P.S.MUSALTONTA 22161902109 13287 DANTEWADA KUAKONDA P.S.MUNDAPARA PALNAR 22161902111 13288 DANTEWADA KUAKONDA GOVT P.S PATELPARA(TWD) 22161902301 13289 DANTEWADA KUAKONDA GOVT.P.S [MIDIYAMPARA] (SSA) 22161902302 13290 DANTEWADA KUAKONDA GOVT.P.S KOYLANPARA (TWD) 22161902303 13291 DANTEWADA KUAKONDA GOVT.N.V.ASHRAM P.S. FULPAD(TWD) 22161902304 13292 DANTEWADA KUAKONDA GOVT.BALAK ASRAM FULPAD(TWD) 22161902305 13293 DANTEWADA KUAKONDA GOVT.N.M.S.FULPAD(SSA) 22161902306 13294 DANTEWADA KUAKONDA GOVT.N.P.S.DOMARPARA FULPAD(SSA) 22161902307 13295 DANTEWADA KUAKONDA GOVT.G.J.P.S.JUNAPARA(TWD) 22161902308 13296 DANTEWADA KUAKONDA PRIMARY SCHOOL -1 22161902401 13297 DANTEWADA KUAKONDA M.S.PALNAR 22161902402
  • 404.
    13298 DANTEWADA KUAKONDAG.J.P.S.DAVAPARA 22161902403 13299 DANTEWADA KUAKONDA M.S.MUNDAPARA 22161902404 13300 DANTEWADA KUAKONDA PRIMARY SCHOOL[MICHIPARA] 22161902602 13301 DANTEWADA KUAKONDA P.S. POTALI URPAL PARA 22161902603 13302 DANTEWADA KUAKONDA P.S. KESAPARA 22161902604 13303 DANTEWADA KUAKONDA P.S.BANDIPARA POTALI 22161902608 13304 DANTEWADA KUAKONDA P.S.KIKIRPARA POTALI 22161902609 13305 DANTEWADA KUAKONDA PRIMARY SCHOOL 22161902901 13306 DANTEWADA KUAKONDA GOVT.P.S. SORIPARA TIKANPAL(SSA) 22161903003 13307 DANTEWADA KUAKONDA GOVT.P.S. BHATIPARA TIKAN PAL(SSA) 22161903004 13308 DANTEWADA KUAKONDA GOVT.P.S.PATELPARA TIKANPAL(TWD) 22161903007 13309 DANTEWADA KUAKONDA GOVT.P.S.KAREPARA TIKANPAL(TWD) 22161903008 13310 DANTEWADA KUAKONDA GOVTP.S.KANDAKIPARA TIKANPAL(SSA) 22161903009 13311 DANTEWADA KUAKONDA GOVT.BALAK ASRAM TIKANPAL(TWD) 22161903010 13312 DANTEWADA KUAKONDA GOVT.P.S.GECHAPARA TIKANPAL(SSA) 22161903011 13313 DANTEWADA KUAKONDA GOVT.M.S.PATELPARA TIKANPAL(TWD) 22161903012 13314 DANTEWADA KUAKONDA P.S.MAHARAHAURNER TIKANPAL 22161903015 13315 DANTEWADA KUAKONDA P.S.UAPERPARA TIKANPAL 22161903016 13316 DANTEWADA KUAKONDA GOVT.P.S.DONGRIPARA TIKANPAL(TWD) 22161903101 13317 DANTEWADA KUAKONDA GOVT.S.ASREM TIKANPAL(TWD) 22161903102 13318 DANTEWADA KUAKONDA GOVT. P.S. MAILAWADA 22161903201 13319 DANTEWADA KUAKONDA KANIST PRIMARY SCHOOL 22161903202 13320 DANTEWADA KUAKONDA M.S. MELAWADA 22161903203 13321 DANTEWADA KUAKONDA AASHRAM SHALA MAILAWADA 22161903204 13322 DANTEWADA KUAKONDA P.S.PADARPARA 22161903205 13323 DANTEWADA KUAKONDA PRIMARY SCHOOL 22161903301 13324 DANTEWADA KUAKONDA M.S. PUJARIPARA (SSA) 22161903302 13325 DANTEWADA KUAKONDA GOVT. P.S. KUAKONDA 22161903501 13326 DANTEWADA KUAKONDA GOVT.KANIST P.S GAYATAPARA (SSA) 22161903601 13327 DANTEWADA KUAKONDA GOVT.P.S GECHAPARA (SSA) 22161903702 13328 DANTEWADA KUAKONDA GOVT.P.S SHAYAMGIRI(SSA) 22161903801 13329 DANTEWADA KUAKONDA P.M.S. SHYAMGIRI 22161903903 13330 DANTEWADA KUAKONDA PRIMARY SCHOOL 22161904001
  • 405.
    13331 DANTEWADA KUAKONDAGOVT. U.P.S RENGANAR (SSA) 22161904002 13332 DANTEWADA KUAKONDA GOVT.NAVEEN BALAK A.GARHMIRI(TWD) 22161904101 13333 DANTEWADA KUAKONDA GOVT.P.S.DHRUAPARA (SSA) 22161904102 13334 DANTEWADA KUAKONDA GOVT.ASHRAM SHALA GONGPAL (TWD) 22161904203 13335 DANTEWADA KUAKONDA GOVT P.S LABBAPARA (TWD) 22161904204 13336 DANTEWADA KUAKONDA GOVT.P.S. GONGPAL SARPANCHPARA(SSA) 22161904205 13337 DANTEWADA KUAKONDA GOVT.M.S.GONGPAL (SSA) 22161904208 13338 DANTEWADA KUAKONDA GOVT.GYAN JYOTI GONGPAL(SSA) 22161904209 13339 DANTEWADA KUAKONDA PRIMARY SCHOOL 22161904301 13340 DANTEWADA KUAKONDA GOVT.G.J.MAHARAPARA (SSA) 22161904402 13341 DANTEWADA KUAKONDA GOVT.P.S.KUNJAMPARA (SSA) 22161904403 13342 DANTEWADA KUAKONDA GOVT.P.S MUNDAPARA (TWD) 22161904501 13343 DANTEWADA KUAKONDA GOVT. P.S. SAMALWAR AVGHTTAPARA 22161904602 13344 DANTEWADA KUAKONDA GOVT. P.S. SAMALWAR BICHAPARA 22161904605 13345 DANTEWADA KUAKONDA GOVT.M.S. SAMALWAR PATELPARA (SSA) 22161904607 13346 DANTEWADA KUAKONDA GOVT.P.S ALNAR (TWD) 22161904701 13347 DANTEWADA KUAKONDA GOVT.A.J. P.S. BADEPALLI(TWD) 22161904802 13348 DANTEWADA KUAKONDA GOVT.M.S.GUMIYAPAL(SSA) 22161905003 13349 DANTEWADA KUAKONDA GOVT.S.AASRM.S.KODENAR O2 (TWD) 22161905004 13350 DANTEWADA KUAKONDA GOVT. P.S KALEPAL(SSA) 22161905101 13351 DANTEWADA KUAKONDA G0VT. P.S. PATELPARA CHOLNAR(SSA) 22161905102 13352 DANTEWADA KUAKONDA GOVT. P.S. KUJUMPARA KALEPAL(TWD) 22161905103 13353 DANTEWADA KUAKONDA GOVT.P.S. CHOLNAR JUNAPARA (TWD) 22161905104 13354 DANTEWADA KUAKONDA GOVT.M.S.KALEPAL (SSA) 22161905107 13355 DANTEWADA KUAKONDA KANIST P.S. KOLAPARA TIKANPAL 22161905201 13356 DANTEWADA KUAKONDA GOVT. P.S GAYATAPARA (TWD) 22161905401 13357 DANTEWADA KUAKONDA GOVT.P.S KIRANDUL (TWD) 22161905701 13358 DANTEWADA KUAKONDA GOVT. P.S.VIDHYANAGAR (TWD) 22161905702 13359 DANTEWADA KUAKONDA GOVT. P.S KIRANDUL (TWD) 22161905703 13360 DANTEWADA KUAKONDA GOVT.M.S.BAILADILA (SSA) 22161905710 13361 DANTEWADA KUAKONDA GOVT.M.S. KODENAR NO.1(SSA) 22161906003 13362 DANTEWADA KUAKONDA P.S.KODENAR O2 22161906005 13363 DANTEWADA KUAKONDA NAVIN P.S. KOTAWAR PARA 22161906303
  • 406.
    13364 DANTEWADA KUAKONDAGOVT. P.S. KUTREM PATELPARA 22161906304 13365 DANTEWADA KUAKONDA GOVT.U.P.S. KUTREM 22161906305 13366 DANTEWADA KUAKONDA GOVT.P.S HIROLI (TWD) 22161906401 13367 DANTEWADA KUAKONDA GOVT P.S. DOKAPARA (SSA) 22161906402 13368 DANTEWADA KUAKONDA GOVT.P.S LAVA (SSA) 22161906403 13369 DANTEWADA KUAKONDA GOVT.M.S. HIROLI (SSA) 22161906405 13370 DANTEWADA KUAKONDA PRIMARY SCHOOL LENDRA 22161906501 13371 DANTEWADA KUAKONDA PRIMARY SCHOOL 22161906701 13372 DANTEWADA KUAKONDA PRIMARY SCHOOL 22161906801 13373 DANTEWADA KUAKONDA M.S. PIRNAR 22161906803 13374 DANTEWADA KUAKONDA GOVT.P.S BHOJAPARA (TWD) 22161906901 13375 DANTEWADA KUAKONDA GOVT-P.S KADAMPAL (TWD) 22161907001 13376 DANTEWADA KUAKONDA GYAN JYOTI NAYAPARA 22161907003 13377 DANTEWADA KUAKONDA N.P.S. RIMANPARA 22161907004 13378 DANTEWADA KUAKONDA GOVT. P.S PATELPARA (SSA) 22161907101 13379 DANTEWADA KUAKONDA PRIMARY SCHOOL 22161907301 13380 DANTEWADA KUAKONDA ASHRAM SHALA MADADI 22161907402 13381 DANTEWADA KUAKONDA P.S.PERPA GUJJAPARA 22161907404 13382 DANTEWADA KUAKONDA M.S.MADADI 22161907405 13383 DANTEWADA KUAKONDA PRIMARY SCHOOL 22161907501 13384 DANTEWADA KUAKONDA PRIMARY SCHOOL 22161907701 13385 DANTEWADA KUAKONDA GOVT. P.S GARMIRI (SSA) 22161907802 13386 DANTEWADA KUAKONDA GOVT. P.S HITAWAR (TWD) 22161908001 13387 DANTEWADA KUAKONDA GOVT. MS HITAWAR (SSA) 22161908002 13388 DANTEWADA KUAKONDA GOVT.KANIS P.SSARPANCHPARA (SSA) 22161908101 13389 DANTEWADA KUAKONDA GOVT. P.S GARMIRI (SSA) 22161908302 13390 DANTEWADA KUAKONDA PRIMARY SCHOOL 22161908501 13391 DANTEWADA KUAKONDA P.S. MAHRAPARA 22161908602 13392 DANTEWADA KUAKONDA GOVT.P.S. GARHPADARPARA (SSA) 22161908702 13393 DANTEWADA KUAKONDA GOVT. P.S HALBARAS (SSA) 22161908801 13394 DANTEWADA KUAKONDA GOVT.N.P.S. DONGARIPARA (SSA) 22161908802 13395 DANTEWADA KUAKONDA GOVT.N.M.S. HALBARAS (SSA) 22161908803 13396 DANTEWADA KUAKONDA GOVT.M.S. BANGALI CAMP KIRANDU 22161909002
  • 407.
    13397 DANTEWADA KUAKONDAP.A. BANGALI CAMP KIRANDUL 22161909003 13398 DANTEWADA KUAKONDA GOVT.NPS- PUTMARKA PARA(SSA) 22161909102 13399 DANTEWADA KUAKONDA GOVT.NPS- ANDODIPARA (SSA) 22161909104 13400 DANTEWADA KUAKONDA GOVT-P.M.S. GARHMIRI (TWD) 22161909107 13401 DANTEWADA KUAKONDA GOVT P.S. RENGANAR (SSA) 22161909108 13402 DANTEWADA KUAKONDA GOVT.P.S. MULAPARA GARMIRI (TWD) 22161909109 13403 DANTEWADA KUAKONDA GOVT.P.S G.J.P.S. DOLEPARA (SSA) 22161909110 13404 DANTEWADA KUAKONDA GOVT.P.S. G.J.P.S. SALFHIPARA (SSA) 22161909111 13405 DANTEWADA KUAKONDA GOVT. M.S. MUNDAPARA (TWD) 22161909112 13406 DANTEWADA KUAKONDA GOVT. P.S. MADKAMIRAS 22161909201 13407 DANTEWADA KUAKONDA KANYA ASRAM SCHOOL 22161909202 13408 DANTEWADA KUAKONDA P.M.S. MADHAKAMIRAS 22161909203 13409 DANTEWADA KUAKONDA GOVT. P.S CHOLNAR (TWD) 22161909301 13410 DANTEWADA KUAKONDA GOVT.NAVIN P.M.S. CHOLNAR(SSA) 22161909302 13411 DANTEWADA KUAKONDA NAVIN P.S. BADEPALLI NAYAPARA 22161909303 13412 DANTEWADA KUAKONDA PRIMARY SCHOOL 22161909401 13413 DANTEWADA KUAKONDA GOVT.P.S.MUNDAPARA TIKANPAL(TWD) 22161909801 13414 DANTEWADA KUAKONDA GOVT.P.S JABELI - 2 (TWD) 22161910401 13415 DANTEWADA KUAKONDA JANPAD PRIMARY SCHOOL 22161910501 13416 DANTEWADA KUAKONDA GOVT. P.S GUMIYAPAL BANDIPARA 22161910601 13417 DANTEWADA KUAKONDA GOVT.P.S.GUMIYAPAL PATELPARA(SSA) 22161910602 13418 DANTEWADA KUAKONDA GOVT.KANIST P.SKONDAPARA(SSA) 22161910701 13419 DANTEWADA KUAKONDA PRIMARY SCHOOL 22161910801 13420 DANTEWADA KUAKONDA GOVT.NAVEN P.S DORIRAS (SSA) 22161910901 13421 DANTEWADA KUAKONDA N.M.S. PUJARIPAL 22161911002 13422 DANTEWADA KUAKONDA PRIMARY SCHOOL 22161911201 13423 DANTEWADA KUAKONDA GOVT.P.S KIRANDUL (TWD) 22161911301 13424 DANTEWADA KUAKONDA M.S. BENGPAL (SSA) 22161911302 13425 DANTEWADA KUAKONDA GOVT.P.S TANELI(TWD) 22161911701 13426 DANTEWADA KUAKONDA N.P.S.MAHRAHAURNAR NICHEPARA 22161911901 13427 DANTEWADA KUAKONDA GOVT.N.M.S. MAHRAHAURNAR (TWD) 22161911902 13428 DANTEWADA KUAKONDA GOVT.M.S. SAMELI(TWD) 22161912002 13429 DANTEWADA KUAKONDA KANIST PRIMARY SCHOOL 22161912101
  • 408.
    13430 DANTEWADA KUAKONDAGOVT. P.S. MANJHIPARA KUAKONDA 22161912601 13431 DANTEWADA KUAKONDA GOVT. N.P.S. HURRAPARA KUAKONDA 22161912701 13432 DANTEWADA KUAKONDA GOVT P.S BADIPARA (SSA) 22161912901 13433 DANTEWADA KUAKONDA GOVT.P.S BADEHADMAMUNDA(TWD) 22161913001 13434 DANTEWADA KUAKONDA GOVT.P.S BEHAPARA (TWD) 22161913101 13435 DANTEWADA KUAKONDA KANIST PRIMARY SCHOOL 22161913201 13436 DANTEWADA KUAKONDA GOVT. P.S KAKADIPARA SAMELI(SSA) 22161913401 13437 DANTEWADA KUAKONDA GOVT. P.M.S. BADE HUDMAMUNDA 22161913702 13438 DANTEWADA KUAKONDA P.S.NAKULNAR 22161913801 13439 DANTEWADA KUAKONDA A.J.K.V. P.M.S. NAKULNAR 22161913803 13440 DANTEWADA KUAKONDA GOVT.S.A SHYAMGIRI(TWD) 22161913901 13441 DANTEWADA KUAKONDA GOVT.P.S.KOTWARAPARA(TWD) 22161913902 13442 DANTEWADA KUAKONDA GOVT. M.S.KHUTEPAL(SSA) 22161913904 13443 DANTEWADA KUAKONDA E.G.S. S. KHUTEPAL 22161914101 13444 DANTEWADA KUAKONDA GOVT.P.S TEMRUPARA (SSA) 22161914201 13445 DANTEWADA KUAKONDA GOVT. P.S. BADE HADMAMUNDA EMLIPARA 22161914301 13446 DANTEWADA KUAKONDA A.B.AASRM SAMELE/GAJENAR 22161914401 13447 DANTEWADA KUAKONDA M.S. MELAWADA(SSA) 22161914502 13448 DANTEWADA KUAKONDA GOVT. M.S. KUAKONDA 22161914701 13449 DANTEWADA KUAKONDA GOVT.N.M.S.ARANPUR (SSA) 22161914802 13450 DANTEWADA KUAKONDA GOVT.N.P.S.ARANPUR (SSA) 22161914803 13451 DANTEWADA KUAKONDA P.S.PATELPARA 22161915202 13452 DANTEWADA KUAKONDA P. S. GADMIRI 22161916001 13453 DANTEWADA KUAKONDA GOVT.P.S. KHEDAPARA JABELI (TWD) 22161916802 13454 DANTEWADA KUAKONDA K.G.B.V. KUAKONDA 22161917502 13455 DANTEWADA KUAKONDA M.S. MAHARAPARA 22161917503 13456 DANTEWADA KUAKONDA P.S. PATELPARA MADADI 22161917701 13457 DANTEWADA KUAKONDA PS PIRNAR PATELPARA 22161917901 13458 DANTEWADA KUAKONDA GOVT. P.S. KODENAR NO.1 22161918301 13459 DANTEWADA KUAKONDA GOVT.M.S. PATELPARA KIRANDUL(SSA) 22161918802 13460 DANTEWADA KUAKONDA GOVT. P.S. KUTREM 22161918901 13461 DANTEWADA KUAKONDA M.S. SARPANCH PARA KUTREM 22161918902 13462 DANTEWADA KUAKONDA GOVT.P.S. TIKANPAL RAOPARA (SSA) 22161919101
  • 409.
    13463 DANTEWADA KUAKONDAGOVT.P.S. TIKANPAL MAJHARPARA(SSA) 22161919501 13464 DANTEWADA KUAKONDA GOVT.S. A. S. JABELI (TWD) 22161921101 13465 DANTEWADA KUAKONDA P.S. JABELI P. PATELPARA 22161921201 13466 DANTEWADA KUAKONDA GOVT.AASHRAM SHALA KADAMPAL(TWD) 22161921302 13467 DANTEWADA KUAKONDA GOVT.N.M.S. GAYTAPARA (SSA) 22161921303 13468 DANTEWADA KUAKONDA GYAN JYOTI PERPA 22161921401 13469 DANTEWADA KUAKONDA GOVT.P.S DORAPARA MADENDA(TWD.) 22161921601 13470 DANTEWADA KUAKONDA P.S. PERPA PATELPARA 22161921901 13471 DANTEWADA KUAKONDA P.S. MULAPARA 22161922201 13472 DANTEWADA KUAKONDA GOVT.P.S. KHEDAPARA JABELI (SSA) 22161922801 13473 DANTEWADA KUAKONDA GOVT.U.P.S.JABELI (SS) 22161923901 13474 DHAMTARI DHAMTARI GOVT P.S. DHORABHATA 22133000101 13475 DHAMTARI DHAMTARI GOVT M.S. DHORABHATA(SSA) 22133000102 13476 DHAMTARI DHAMTARI GOVT PS LIMTARA 22133000201 13477 DHAMTARI DHAMTARI GOVT MS LIMTARA 22133000202 13478 DHAMTARI DHAMTARI GOVT PS AROD LELAR 22133000301 13479 DHAMTARI DHAMTARI GOVT MS AROD LELAR 22133000302 13480 DHAMTARI DHAMTARI GOVT PS TENDUKONA 22133000401 13481 DHAMTARI DHAMTARI GOVT UNNYAN MS TENDUKONA(SSA) 22133000402 13482 DHAMTARI DHAMTARI GOVT P.S. CHIKHALI 22133000501 13483 DHAMTARI DHAMTARI GOVT. M.S. CHIKHALI 22133000502 13484 DHAMTARI DHAMTARI GOVT P S RISAIPARA WARD 22133000601 13485 DHAMTARI DHAMTARI NAGR PALIKA . M.S. RISAIPARA P 22133000602 13486 DHAMTARI DHAMTARI GOVT PS KODEGAON RAYAT 22133000701 13487 DHAMTARI DHAMTARI GOVT MS KODEGAON RAYAT 22133000702 13488 DHAMTARI DHAMTARI GOVT PS RIWAGAHAN 22133000801 13489 DHAMTARI DHAMTARI GOVT MS RIWAGAHAN 22133000802 13490 DHAMTARI DHAMTARI BALAK P.S. GOKULPUR WARD 22133000901 13491 DHAMTARI DHAMTARI GIRLS P.S. GOKULPUR WARD 22133000902 13492 DHAMTARI DHAMTARI GOVT M.S. GOKULPUR WARD 22133000903 13493 DHAMTARI DHAMTARI GANDHI ASHRAM MAHIMA SAGER P.S 22133000909 13494 DHAMTARI DHAMTARI NAGER PALCIKA P.S. SALA K. 01 22133000915 13495 DHAMTARI DHAMTARI NAVIN P.S. RAMPUR WARD 22133001001
  • 410.
    13496 DHAMTARI DHAMTARIGOVT PS SILTARA 22133001101 13497 DHAMTARI DHAMTARI GOVT MS SILTARA(SSA) 22133001102 13498 DHAMTARI DHAMTARI GOVT PS URPUTI 22133001201 13499 DHAMTARI DHAMTARI GOVT MS URPUTI(SSA) 22133001202 13500 DHAMTARI DHAMTARI GOVT PS ADEKONA 22133001301 13501 DHAMTARI DHAMTARI GOVT PS KODEGAON MAAL 22133001401 13502 DHAMTARI DHAMTARI G. M.S. JALAMPUR WARD 22133001501 13503 DHAMTARI DHAMTARI N.P.S. HARIJNPARA JALAMPUR 22133001503 13504 DHAMTARI DHAMTARI MAHATMA GANDHI P/S NO.06 DHAMTARI 22133001514 13505 DHAMTARI DHAMTARI GOVT PS BARARI 22133001801 13506 DHAMTARI DHAMTARI GOVT MS BARAI(SSA) 22133001802 13507 DHAMTARI DHAMTARI GOVT M.S. BARAI 22133001803 13508 DHAMTARI DHAMTARI GOVT PS MUDPAR 22133001901 13509 DHAMTARI DHAMTARI GOVT UNNYIT PS NAYAPARA MUDPAR(SSA) 22133001903 13510 DHAMTARI DHAMTARI GOVT MS MUDPAR 22133001904 13511 DHAMTARI DHAMTARI GOVT PS ACHOTA 22133002001 13512 DHAMTARI DHAMTARI GOVT MS ACHOTA 22133002002 13513 DHAMTARI DHAMTARI GOVT NPS RAJIV NAGAR ACHOTA(SSA) 22133002003 13514 DHAMTARI DHAMTARI GOVT PS RAVANGUDA 22133002101 13515 DHAMTARI DHAMTARI GOVT UNNYAN MS RAVANGUDA(SSA) 22133002102 13516 DHAMTARI DHAMTARI GOVT PS AMETHI 22133002201 13517 DHAMTARI DHAMTARI GOVT P.S. KALARTARI 22133002301 13518 DHAMTARI DHAMTARI GOVT MS KALATARAI(SSA) 22133002302 13519 DHAMTARI DHAMTARI GOVT. P.S. BANJARI 22133002401 13520 DHAMTARI DHAMTARI GOVT MS BANJARI(SSA) 22133002402 13521 DHAMTARI DHAMTARI GOVT MS SAMBALPUR 22133002507 13522 DHAMTARI DHAMTARI GOVT PS SAMBALPUR 22133002508 13523 DHAMTARI DHAMTARI GOVT PS KURAMATARI 22133002601 13524 DHAMTARI DHAMTARI GOVT MS KURAMATARI 22133002602 13525 DHAMTARI DHAMTARI GOVT PS BHOTHIPAR 22133002701 13526 DHAMTARI DHAMTARI GOVT NAVIN MS BHOTHIPAR(SSA) 22133002702 13527 DHAMTARI DHAMTARI GOVT PS DOMA 22133002802 13528 DHAMTARI DHAMTARI GOVT MS DOMA 22133002803
  • 411.
    13529 DHAMTARI DHAMTARIGOVT PS DARGAHAN 22133002901 13530 DHAMTARI DHAMTARI GOVT UNNYAN MS DARGAHAN(SSA) 22133002902 13531 DHAMTARI DHAMTARI GOVT PS KHAMHRIYA 22133003001 13532 DHAMTARI DHAMTARI GOVT MS KHAMHRIYA 22133003002 13533 DHAMTARI DHAMTARI GOVT PS TELINSATTI 22133003101 13534 DHAMTARI DHAMTARI GOVT NAVIN MS TELINSATTI (SSA) 22133003103 13535 DHAMTARI DHAMTARI GOVT PS DARRI 22133003201 13536 DHAMTARI DHAMTARI GOVT MS DARRI(SSA) 22133003202 13537 DHAMTARI DHAMTARI GOVT GIRLS PS JHIRIYA 22133003301 13538 DHAMTARI DHAMTARI GOVT BOYS PS JHIRIRA 22133003302 13539 DHAMTARI DHAMTARI GOVT MS JHIRIYA 22133003303 13540 DHAMTARI DHAMTARI GOVT PS NAYAPARA JHIRIYA(SSA) 22133003304 13541 DHAMTARI DHAMTARI GOVT PS NAWAGAON 22133003401 13542 DHAMTARI DHAMTARI GOVT GANDHI MS NAVIN NAVAGAON(SSA) 22133003402 13543 DHAMTARI DHAMTARI NAVIN G. P.S. NAVAGAON KANDEL 22133003405 13544 DHAMTARI DHAMTARI GOVT PS KHARENGA 22133003501 13545 DHAMTARI DHAMTARI GOVT MS KHARENGA 22133003503 13546 DHAMTARI DHAMTARI GOVT PS KHARENGA(SSA) 22133003504 13547 DHAMTARI DHAMTARI GOVT .KANYA M.S.KHARENGA 22133003505 13548 DHAMTARI DHAMTARI GOVT PS AMLIDIH 22133003601 13549 DHAMTARI DHAMTARI GOVT MS AMLIDIH 22133003602 13550 DHAMTARI DHAMTARI GOVT PS MADAIBHATA 22133003701 13551 DHAMTARI DHAMTARI GOVT NAVIN PS MADAIBHATA(SSA) 22133003703 13552 DHAMTARI DHAMTARI GOVT. P.S. BODRA {SA} 22133003801 13553 DHAMTARI DHAMTARI GOVT. M.S. BODRA {SA} 22133003802 13554 DHAMTARI DHAMTARI GOVT PS GUJARA 22133003901 13555 DHAMTARI DHAMTARI GOVT MS GUJARA 22133003902 13556 DHAMTARI DHAMTARI GOVT PS TARSIWA 22133004001 13557 DHAMTARI DHAMTARI GOVT MS TARSIVA 22133004003 13558 DHAMTARI DHAMTARI GOVT GIRLS PS TARSIVA 22133004004 13559 DHAMTARI DHAMTARI P.S. AMADI 22133004102 13560 DHAMTARI DHAMTARI GOVT. KANYA P.S. AMADI 22133004103 13561 DHAMTARI DHAMTARI G.M.S.AMADI 22133004105
  • 412.
    13562 DHAMTARI DHAMTARIUNNYAN P.S. AMADI 22133004106 13563 DHAMTARI DHAMTARI N.P.S. SHEETLAPARA AMADI 22133004107 13564 DHAMTARI DHAMTARI N.M.S. KANYA AMADI 22133004108 13565 DHAMTARI DHAMTARI N.P.S. BHRRIPARA AMADI 22133004109 13566 DHAMTARI DHAMTARI N.P.S. BAIDHPARA AMADI 22133004110 13567 DHAMTARI DHAMTARI UNN M.S. AMADI 22133004111 13568 DHAMTARI DHAMTARI GOVT PS RAWA 22133004201 13569 DHAMTARI DHAMTARI GOVT MS RAWAI 22133004202 13570 DHAMTARI DHAMTARI GOVT MS KAYAN RAWA(SSA) 22133004204 13571 DHAMTARI DHAMTARI N.P.S. BHRRIPARA RAWA 22133004205 13572 DHAMTARI DHAMTARI GOVT PS MOKHA 22133004301 13573 DHAMTARI DHAMTARI GOVT MS MOKHA(SSA) 22133004302 13574 DHAMTARI DHAMTARI GOVT P.S. BHARARI 22133004501 13575 DHAMTARI DHAMTARI GOVT PS SARNGPURI 22133004701 13576 DHAMTARI DHAMTARI GOVT PS SARANGPURI 22133004702 13577 DHAMTARI DHAMTARI GOVT MS SARANGPURI 22133004703 13578 DHAMTARI DHAMTARI GOVT PS SC WARD SARANGPURI(SSA) 22133004704 13579 DHAMTARI DHAMTARI GOVT PS BAGTARI 22133004801 13580 DHAMTARI DHAMTARI GOVT UNNYAN PS BAGTARAI 22133004802 13581 DHAMTARI DHAMTARI GOVT MS BAGTARI 22133004804 13582 DHAMTARI DHAMTARI GOVT PS KURRA 22133004901 13583 DHAMTARI DHAMTARI GOVT MS KURRA 22133004902 13584 DHAMTARI DHAMTARI GOVT NPS BASTIPARA KURRA(SSA) 22133004903 13585 DHAMTARI DHAMTARI GOVT PS PIPARCHEDI 22133005001 13586 DHAMTARI DHAMTARI N.M.S. PIPARCHEDI 22133005002 13587 DHAMTARI DHAMTARI MS. PIPARCHEDI 22133005004 13588 DHAMTARI DHAMTARI GOVT. P.S. PIPERCHEDI 22133005005 13589 DHAMTARI DHAMTARI GOVT UNNYAN MS PIPARCHEDI(SSA) 22133005007 13590 DHAMTARI DHAMTARI GOVT PS PAREVADIH 22133005101 13591 DHAMTARI DHAMTARI GOVT MS PAREWADIH 22133005102 13592 DHAMTARI DHAMTARI GOVT PS PARSULI 22133005201 13593 DHAMTARI DHAMTARI GOVT MS PARSULI 22133005202 13594 DHAMTARI DHAMTARI GOVT PS KHAPARI 22133005301
  • 413.
    13595 DHAMTARI DHAMTARIGOVT UNNYAN MS KHAPARI (SSA) 22133005302 13596 DHAMTARI DHAMTARI GOVT PS BHANPURI 22133005401 13597 DHAMTARI DHAMTARI GOVT MS BHANPURI 22133005402 13598 DHAMTARI DHAMTARI GOVT PS ARJUNI 22133005501 13599 DHAMTARI DHAMTARI GOVT MS ARJUNI 22133005504 13600 DHAMTARI DHAMTARI GOVT PS DEMAR 22133005601 13601 DHAMTARI DHAMTARI GOVT MS DEMAR 22133005603 13602 DHAMTARI DHAMTARI GOVT UNNYAN PS DEMAR(SSA) 22133005604 13603 DHAMTARI DHAMTARI GOVT MS KANYA DEMAR(SSA) 22133005605 13604 DHAMTARI DHAMTARI DAJEE MARATI. MARATHAPARA WARD 22133005704 13605 DHAMTARI DHAMTARI NAGRPALIKA P.S. C.NO. 4AMAPARA 22133005801 13606 DHAMTARI DHAMTARI NAGARPALIKA M.S. C.NO.2 AMAPAR 22133005802 13607 DHAMTARI DHAMTARI JAIN G.P.S. AMAPARA 22133005805 13608 DHAMTARI DHAMTARI M.S. AMAPARA 22133005806 13609 DHAMTARI DHAMTARI NAVEEN P.S. SADAR UTTRA AMAPAR 22133005808 13610 DHAMTARI DHAMTARI M.S. DANITOLA 22133005901 13611 DHAMTARI DHAMTARI KANYA S. "B" DANITOLA 22133005905 13612 DHAMTARI DHAMTARI BOYS M.S. DANITOLA 22133005906 13613 DHAMTARI DHAMTARI NAVIN P/S SCHOOL DANITOLA 22133005920 13614 DHAMTARI DHAMTARI GOVT.P/S SCHOOL DANITOLA 22133005921 13615 DHAMTARI DHAMTARI GOVT PS KANDARI 22133006001 13616 DHAMTARI DHAMTARI GOVT PS KOLIYARI 22133006201 13617 DHAMTARI DHAMTARI GOVT MS KOLIYARI 22133006202 13618 DHAMTARI DHAMTARI GOVT PS FOKATPARA KOLIYARI(SSA) 22133006208 13619 DHAMTARI DHAMTARI GOVT PS TIRRA 22133006301 13620 DHAMTARI DHAMTARI GOVT UNNAYAN MS TIRRA(SSA) 22133006302 13621 DHAMTARI DHAMTARI GOVT PS KARATHA 22133006401 13622 DHAMTARI DHAMTARI GOVT MS KARATHA(SSA) 22133006402 13623 DHAMTARI DHAMTARI GOVT PS MATHURADIH 22133006501 13624 DHAMTARI DHAMTARI GOVT UNNYA MS MATHURADIH(SSA) 22133006502 13625 DHAMTARI DHAMTARI GOVT PS KANDEL 22133006701 13626 DHAMTARI DHAMTARI GOVT MS KANDEL 22133006702 13627 DHAMTARI DHAMTARI GOVT PS HOSPITEL WARD KANDEL(SSA) 22133006706
  • 414.
    13628 DHAMTARI DHAMTARIGOVT PS SEHARA DABRI 22133006801 13629 DHAMTARI DHAMTARI GOVT UNNYIT MS SEHARADABRI(SSA) 22133006802 13630 DHAMTARI DHAMTARI GOVT PS BIRETARA 22133006901 13631 DHAMTARI DHAMTARI GOVT MS BIRETAR5A 22133006902 13632 DHAMTARI DHAMTARI GOVT. MS SENCHUWA 22133007002 13633 DHAMTARI DHAMTARI GOVT P.S. SENCHUWA 22133007003 13634 DHAMTARI DHAMTARI GOVT PS KANIDABARI 22133007101 13635 DHAMTARI DHAMTARI GOVT MS KANIDABARI 22133007102 13636 DHAMTARI DHAMTARI GOVT PS UDENA 22133007201 13637 DHAMTARI DHAMTARI GOVT MS UDENA 22133007202 13638 DHAMTARI DHAMTARI GOVT PS SARSOPURI 22133007301 13639 DHAMTARI DHAMTARI GOVT MS SARSOPURI(SSA) 22133007302 13640 DHAMTARI DHAMTARI GOVT PS BIJANAPURI 22133007401 13641 DHAMTARI DHAMTARI GOVT UNNYAN MS BIJANAPURI(SSA) 22133007402 13642 DHAMTARI DHAMTARI GOVT PS SEMRA B 22133007501 13643 DHAMTARI DHAMTARI GOVT MS SEMRA B 22133007502 13644 DHAMTARI DHAMTARI GOVT PS SEMARA D 22133007505 13645 DHAMTARI DHAMTARI GOVT MS SEMRA D 22133007506 13646 DHAMTARI DHAMTARI GOVT PS KODEGAON (B) 22133007601 13647 DHAMTARI DHAMTARI GOVT MS KODEGAON (B) 22133007602 13648 DHAMTARI DHAMTARI GOVT P.S. BARGARI 22133007701 13649 DHAMTARI DHAMTARI GOVT P.S. PANDRIPANI 22133007801 13650 DHAMTARI DHAMTARI GOVT PS MALGAON 22133007901 13651 DHAMTARI DHAMTARI GOVT PS AROD {DUBAN} 22133008001 13652 DHAMTARI DHAMTARI GOVT MS AROD (DUBAN) 22133008002 13653 DHAMTARI DHAMTARI GOVT PS KHAMBESHRI(SSA) 22133008003 13654 DHAMTARI DHAMTARI P.S. SUNDARGANJWARD 22133008107 13655 DHAMTARI DHAMTARI GOVT.P.S. ADHARINAVAGAON WARD 22133008201 13656 DHAMTARI DHAMTARI GOVT.M.S. ADHARINAVAGAON WARD 22133008202 13657 DHAMTARI DHAMTARI N.P.S. BASTI PARA ADHARINAVAGA 22133008203 13658 DHAMTARI DHAMTARI P.S. SANKARA 22133008403 13659 DHAMTARI DHAMTARI NAVI N M.S. SANKARA 22133008404 13660 DHAMTARI DHAMTARI P.S. BHOTHALI 22133008501
  • 415.
    13661 DHAMTARI DHAMTARIG.M.S.BHOTHALI 22133008502 13662 DHAMTARI DHAMTARI UNNYAN P.S. BHOTHALI 22133008503 13663 DHAMTARI DHAMTARI GOVT PS GAGARA 22133008601 13664 DHAMTARI DHAMTARI GOVT MS GAGRA 22133008602 13665 DHAMTARI DHAMTARI P.S. HATKESHAR WARD 22133008701 13666 DHAMTARI DHAMTARI M.S. HATKESHAR 22133008702 13667 DHAMTARI DHAMTARI P.S. SINDHI KANYA HATKESHAR 22133008703 13668 DHAMTARI DHAMTARI M.S. SINDHI KANYA HATKESHAR 22133008704 13669 DHAMTARI DHAMTARI GOVT.P.S. JODAPUR WARD 22133008801 13670 DHAMTARI DHAMTARI UNNYN M.S. JODAPUR WARD 22133008802 13671 DHAMTARI DHAMTARI GOVT P.S. SORIDBHAT 22133008902 13672 DHAMTARI DHAMTARI M.S.SORIDBHATH 22133008904 13673 DHAMTARI DHAMTARI P.S.BHRRIPARA SORIDBHAT 22133008905 13674 DHAMTARI DHAMTARI NAVEEN M.S.KANYA SORIBHAT 22133008906 13675 DHAMTARI DHAMTARI NAVIN PRIMARY SCHOOL ATAL AWAS 22133008909 13676 DHAMTARI DHAMTARI GOVT P.S. ADHOGIK WARD 22133009001 13677 DHAMTARI DHAMTARI GOVT P.S. ADHOGIK WARD 22133009002 13678 DHAMTARI DHAMTARI GOVT. P.S. BATHENA WARD 22133009101 13679 DHAMTARI DHAMTARI GOVT. GIRLS M.S.BATHENA 22133009102 13680 DHAMTARI DHAMTARI BOYS M.S. BATHENA 22133009104 13681 DHAMTARI DHAMTARI GOVT PS BHIDAWER 22133009201 13682 DHAMTARI DHAMTARI GOVT UNNYAN MS BHIDAWER(SSA) 22133009202 13683 DHAMTARI DHAMTARI GOVT PS MONGRAGAHAN 22133009301 13684 DHAMTARI DHAMTARI GOVT MS MONGRAGAHAN 22133009302 13685 DHAMTARI DHAMTARI GOVT PS BARBANDHA 22133009401 13686 DHAMTARI DHAMTARI GOVT UNNYAN MS BARBANDHA(SSA) 22133009402 13687 DHAMTARI DHAMTARI GOVT PS SINGHOLA 22133009501 13688 DHAMTARI DHAMTARI GOVT. P.S. POTIYADIH 22133009601 13689 DHAMTARI DHAMTARI KANYA M. S. POTIYADEEH 22133009604 13690 DHAMTARI DHAMTARI N.P.S. NAYAPARA POTIYADEEH 22133009606 13691 DHAMTARI DHAMTARI GOVT. BOYS M.S. POTIYADEEH 22133009607 13692 DHAMTARI DHAMTARI NAVIN P.S. NAYAPARA POTIYADIH 22133009610 13693 DHAMTARI DHAMTARI GOVT. P.S. PARASTARI 22133009701
  • 416.
    13694 DHAMTARI DHAMTARIUNN. M.S. PARASTARAI 22133009703 13695 DHAMTARI DHAMTARI P.S. KHARTULI 22133009801 13696 DHAMTARI DHAMTARI G.M.S.KHARTULI 22133009802 13697 DHAMTARI DHAMTARI GIRLS P.S. LOHARSI 22133009902 13698 DHAMTARI DHAMTARI BOYS P.S. LOHARSI 22133009903 13699 DHAMTARI DHAMTARI M.S.LOHRASI 22133009904 13700 DHAMTARI DHAMTARI G NAVEEN PS BHATAPARA 22133009906 13701 DHAMTARI DHAMTARI P.S. MUJGAHAN 22133010001 13702 DHAMTARI DHAMTARI M.S. MUJGAHAN 22133010002 13703 DHAMTARI DHAMTARI N.P.S. RAMSAGARPARA MUJGAHAN 22133010003 13704 DHAMTARI DHAMTARI P.S. SAYFANPARA MUJGAHAN 22133010005 13705 DHAMTARI DHAMTARI GOVT. NAVEEN P.S. SIVIL LINE 22133010105 13706 DHAMTARI DHAMTARI P.S. SHITLAPARA WARD 22133010201 13707 DHAMTARI DHAMTARI NAGR.PALIKA . P.S. TIKRAPARA 22133010401 13708 DHAMTARI DHAMTARI P. MOTILAL NE. P.S. DTM. 22133010501 13709 DHAMTARI DHAMTARI UNN. M.S. NAYAPARA 22133010502 13710 DHAMTARI DHAMTARI AGNIDEV A.KANYA P.S. DMT. (M) 22133010601 13711 DHAMTARI DHAMTARI P.S. MAKESHWER WARD 22133010602 13712 DHAMTARI DHAMTARI M.S. MAKESHWER WARD 22133010603 13713 DHAMTARI DHAMTARI GOVT PS BODRA [S] 22133010701 13714 DHAMTARI DHAMTARI GOVT MS BODRA [S] 22133010703 13715 DHAMTARI DHAMTARI GOVT. P.S. KASIPURI 22133010801 13716 DHAMTARI DHAMTARI GOVT PS KASAHI 22133010901 13717 DHAMTARI DHAMTARI GOVT. P.S. DEVPUR 22133011001 13718 DHAMTARI DHAMTARI GOVT MS. DEVPUR 22133011002 13719 DHAMTARI DHAMTARI GOVT. P.S. HANKARA 22133011101 13720 DHAMTARI DHAMTARI GOVT UNNYAN MS HANKARA(SSA) 22133011102 13721 DHAMTARI DHAMTARI GOVT PS CHHATI 22133011201 13722 DHAMTARI DHAMTARI GOVT NAVEEN PS CHHATI 22133011202 13723 DHAMTARI DHAMTARI GOVT MS CHHATI 22133011205 13724 DHAMTARI DHAMTARI GOVT PS DAHI 22133011301 13725 DHAMTARI DHAMTARI GOVT MSDAHI 22133011302 13726 DHAMTARI DHAMTARI GOVT. PS PURI 22133011401
  • 417.
    13727 DHAMTARI DHAMTARIGOVT NAYAN.PS PURI(SSA) 22133011402 13728 DHAMTARI DHAMTARI GOVT UNNYANMS PURI(SSA) 22133011404 13729 DHAMTARI DHAMTARI GOVT. P.S. ANGARA 22133011501 13730 DHAMTARI DHAMTARI GOVT UNNYAN MS ANGARA(SSA) 22133011502 13731 DHAMTARI DHAMTARI GOVT PS GOPALPURI 22133011601 13732 DHAMTARI DHAMTARI GOVT MS GOPALPURI 22133011602 13733 DHAMTARI DHAMTARI GOVT P.S. LILAR 22133011701 13734 DHAMTARI DHAMTARI GOVT. M.S. LILAR 22133011702 13735 DHAMTARI DHAMTARI GOVT PS BAWARMARA 22133011801 13736 DHAMTARI DHAMTARI GOVT NAVIN MS BAWARMARA(SSA) 22133011802 13737 DHAMTARI DHAMTARI GOVT PS RUDRI 22133011901 13738 DHAMTARI DHAMTARI GOVT MS RUDRI 22133011903 13739 DHAMTARI DHAMTARI GOVT UNNYAN PS RUDRI(SSA) 22133011904 13740 DHAMTARI DHAMTARI GOVT P.S. BENDRA NAWAGAON 22133012001 13741 DHAMTARI DHAMTARI GOVT UNNYAN MS BENDRA NAWAGAON(SSA) 22133012002 13742 DHAMTARI DHAMTARI GOVT P.S. MARADEV 22133012101 13743 DHAMTARI DHAMTARI GOVT PS GANGREL 22133012201 13744 DHAMTARI DHAMTARI GOVT MS GANGREL 22133012202 13745 DHAMTARI DHAMTARI GOVT NPS RAJEEV NAGAR GANGREL(SSA) 22133012203 13746 DHAMTARI DHAMTARI GOVT. P.S. BELTARA 22133012301 13747 DHAMTARI DHAMTARI UNNAYAN M.S. BELTARA 22133012302 13748 DHAMTARI DHAMTARI GOVT PS SHYAMTARI 22133012401 13749 DHAMTARI DHAMTARI GOVT MS SHYAMTARAI 22133012402 13750 DHAMTARI DHAMTARI GOVT PS NAWAGAON KURD 22133012501 13751 DHAMTARI DHAMTARI GOVT P.S. AKALADONGARI 22133012601 13752 DHAMTARI DHAMTARI G.M.S. AKALADONGARI 22133012602 13753 DHAMTARI DHAMTARI GOVT PS MADWAPATHRA 22133012701 13754 DHAMTARI DHAMTARI GOVT UNNYAN MS MADWAPATHRA(SSA) 22133012702 13755 DHAMTARI DHAMTARI GOVT PS TUMABUJURG 22133012801 13756 DHAMTARI DHAMTARI P.S. KIRKITOLA 22133012901 13757 DHAMTARI DHAMTARI GOVT. N. M.S. KIRKITOLA 22133012902 13758 DHAMTARI DHAMTARI GOVT N PS DANGIMACA(SSA) 22133012903 13759 DHAMTARI DHAMTARI P.S. URDU KNAYA DHAMTARI 22133013102
  • 418.
    13760 DHAMTARI DHAMTARIP.S. BOYS URDU DHAMTARI 22133013103 13761 DHAMTARI DHAMTARI P.S. KNAYA ''A'' DHAMTARI 22133013104 13762 DHAMTARI DHAMTARI M.S. MATHPARA DHAMTARI 22133013105 13763 DHAMTARI DHAMTARI M.S. KNAYA DHAMTARI 22133013106 13764 DHAMTARI DHAMTARI N.P.S. RAMSAGARPARA DHAMT. 22133013107 13765 DHAMTARI DHAMTARI N.P.S. AAMATALAB 22133013110 13766 DHAMTARI DHAMTARI N.P.S. MOTER STAND WARD 22133013202 13767 DHAMTARI DHAMTARI NATHURAM MOTEELAL SNSKRT P.S 22133013303 13768 DHAMTARI DHAMTARI NATHURAM MOTEELAL SNSKRT M.S 22133013304 13769 DHAMTARI DHAMTARI NAVIN P.S. NAAM DEV PARA S.D. 22133013306 13770 DHAMTARI DHAMTARI NAVEEN PS RANIBAGICHA RAMPUR 22133013310 13771 DHAMTARI DHAMTARI GOVT BOYS PS JUNWANI 22133013401 13772 DHAMTARI DHAMTARI GOVT MS JUNWANI(SSA) 22133013402 13773 DHAMTARI DHAMTARI GOVT PS JOGIDEEH 22133013501 13774 DHAMTARI DHAMTARI GOVT MS JOGIDIH 22133013502 13775 DHAMTARI DHAMTARI GOVT PS DONAR 22133013601 13776 DHAMTARI DHAMTARI GOVT. MS DONAR 22133013602 13777 DHAMTARI DHAMTARI GOVT NAVIN PS BASIPARA DONAR 22133013605 13778 DHAMTARI DHAMTARI GOVT PS JAWARGAON 22133013701 13779 DHAMTARI DHAMTARI GOVT NAVIN MS JAWARGRON(SSA) 22133013702 13780 DHAMTARI DHAMTARI GOVT PS BHATGAON 22133013801 13781 DHAMTARI DHAMTARI GOVT MS BHATGAON 22133013803 13782 DHAMTARI DHAMTARI GOVT UNNYAN PS BHATGAON(SSA) 22133013804 13783 DHAMTARI DHAMTARI P.S. SIVNIKHURD BAZARPARA 22133013901 13784 DHAMTARI DHAMTARI P.S. SIVNIKHURD 22133014001 13785 DHAMTARI DHAMTARI NAVEEN M.S. SIVNIKHURD 22133014003 13786 DHAMTARI DHAMTARI NAVIN P.S. BASTI PARA SIVNIKHU 22133014006 13787 DHAMTARI DHAMTARI GOVT PS PATELGUDA 22133014101 13788 DHAMTARI DHAMTARI GOVT PS PATOD 22133014201 13789 DHAMTARI DHAMTARI P.S. KASAWAHI 22133014301 13790 DHAMTARI DHAMTARI UNNAYAN M.S. KASAWAHI 22133014302 13791 DHAMTARI DHAMTARI P.S. SORAM 22133014401 13792 DHAMTARI DHAMTARI G.M.S.SORAM 22133014403
  • 419.
    13793 DHAMTARI DHAMTARIUNNAYAN P.S. SORAM 22133014404 13794 DHAMTARI DHAMTARI N.KANYA M.S. SORAM 22133014405 13795 DHAMTARI DHAMTARI N.P.S. GOTHANPARA SORAM 22133014406 13796 DHAMTARI DHAMTARI GOVT M.S. BORIDKHURD 22133014502 13797 DHAMTARI DHAMTARI GOVT U.P.S. BORIDKHURD 22133014503 13798 DHAMTARI DHAMTARI GOVT P.S. BORIDKHURD 22133014504 13799 DHAMTARI DHAMTARI GOVT PS BARPANI(SSA) 22133014506 13800 DHAMTARI DHAMTARI GOVT PS BAGODAR 22133014601 13801 DHAMTARI DHAMTARI GOVT PS SHANKARWARA 22133014701 13802 DHAMTARI DHAMTARI GOVT UNNYA MS SHANKARWARA(SSA) 22133014702 13803 DHAMTARI DHAMTARI GOVT PS BHOYNA 22133014801 13804 DHAMTARI DHAMTARI GOVT PMS BHOYANA 22133014802 13805 DHAMTARI DHAMTARI GOVT P.S. HARAFTARAI 22133014901 13806 DHAMTARI DHAMTARI P GOVT .M.S. HARAFTARAI 22133014902 13807 DHAMTARI DHAMTARI GOVT P.S. DODKI 22133015001 13808 DHAMTARI DHAMTARI GOVT. M.S. DODKI 22133015005 13809 DHAMTARI DHAMTARI GOVT P.S. BALIYARA 22133015101 13810 DHAMTARI DHAMTARI GOVT M.S. BALIYARA 22133015102 13811 DHAMTARI DHAMTARI P.S. SHANKARDEEH 22133015201 13812 DHAMTARI DHAMTARI M.S. SHANKARDEEH 22133015202 13813 DHAMTARI DHAMTARI GOVT PS DEEMARTIKUR 22133015301 13814 DHAMTARI DHAMTARI GOVT NAVIN MS DEEMARTIKUR(SSA) 22133015302 13815 DHAMTARI DHAMTARI P. S. GUDI CHOKE DEEMARTIKUR 22133015303 13816 DHAMTARI DHAMTARI GOVT ADRASH PS DEVRI 22133015401 13817 DHAMTARI DHAMTARI GOVT MS DEVRI 22133015402 13818 DHAMTARI DHAMTARI GOVT PS NAWAGAON (JHURA) 22133015501 13819 DHAMTARI DHAMTARI UNN M.S. NAWAGAON (JHURA) 22133015502 13820 DHAMTARI DHAMTARI GOVT PS BODACHAPER 22133015601 13821 DHAMTARI DHAMTARI GOGOVT MS BODACHAPPER(SSA) 22133015602 13822 DHAMTARI DHAMTARI GOVT MS BARANA 22133015703 13823 DHAMTARI DHAMTARI GOVT PS MARAR PARA BARANA(SSA) 22133015705 13824 DHAMTARI DHAMTARI GOVT PS BARNA 22133015706 13825 DHAMTARI DHAMTARI GOVT PS TUMRABAHAR 22133016001
  • 420.
    13826 DHAMTARI DHAMTARIGOVT MS TUMRABHAR 22133016002 13827 DHAMTARI DHAMTARI GOVT PS USLAPUR 22133016101 13828 DHAMTARI DHAMTARI UNN. M.S DABARAPARA 22133016203 13829 DHAMTARI DHAMTARI NAVIN P.S.SALHEWARPARA 22133016206 13830 DHAMTARI DHAMTARI GOVT.P/S KOSTAPARA DHAMTARI 22133016307 13831 DHAMTARI DHAMTARI GOVT. P.S. RATNABANDHA 22133016403 13832 DHAMTARI DHAMTARI UNN.M.S. RATNABANDHA 22133016405 13833 DHAMTARI DHAMTARI NAVIN P.S. PANCHAWATI DHAMTARI 22133016406 13834 DHAMTARI DHAMTARI N.P.S. VINDHYVASINI 22133016602 13835 DHAMTARI DHAMTARI GOVT PS VISHRAMPUR(SSA) 22133016701 13836 DHAMTARI DHAMTARI GOVT. P.S. BRAHMINPARA 22133016803 13837 DHAMTARI DHAMTARI UNN. M.S. BRAHMINPARA 22133016805 13838 DHAMTARI DHAMTARI P.S. BANSPARA WARD 22133016901 13839 DHAMTARI DHAMTARI GOVT PS MATEGAHAN 22133017101 13840 DHAMTARI DHAMTARI MENONIGHT P.S. RISAIPARA PURV 22133017203 13841 DHAMTARI DHAMTARI GOVT PS KOHKA 22133017301 13842 DHAMTARI DHAMTARI GOVT UNNAYAN MS KOHKA(SSA) 22133017302 13843 DHAMTARI DHAMTARI GOVT PS KOLIYARI PURANI(SSA) 22133017401 13844 DHAMTARI DHAMTARI GOVT PS SATIYARA 22133017501 13845 DHAMTARI DHAMTARI GOVT NAVEEN PS KOSMI(SSA) 22133017601 13846 DHAMTARI DHAMTARI GOVT. PS PAHARIYA KONHA(SSA) 22133018001 13847 DHAMTARI DHAMTARI GOVT PS KOLIYARI (NEW) 22133018101 13848 DHAMTARI DHAMTARI GOVT PS KOTABHARI(SSA) 22133018201 13849 DHAMTARI KURUD GOVT. P.S. SIRRI 22130300101 13850 DHAMTARI KURUD GRIL GOVT. P.S. SIRREE 22130300103 13851 DHAMTARI KURUD GOVT.MIDDEL SCHOOL SIRRI 22130300108 13852 DHAMTARI KURUD GRIL GOVT. P.S. GATAPAR 22130300202 13853 DHAMTARI KURUD GOVT. P.S. GATAPAR 22130300203 13854 DHAMTARI KURUD GOVT. M.S. GATAPAR 22130300204 13855 DHAMTARI KURUD GOVT.M.S.N.GATAPAR {SSA} 22130300207 13856 DHAMTARI KURUD GOVT. P.S. BORJHARA 22130300301 13857 DHAMTARI KURUD M.S. BORJHARA 22130300302 13858 DHAMTARI KURUD GOVT. P.S. KOPEDEEH 22130300501
  • 421.
    13859 DHAMTARI KURUDGOVT. P.S. CHAROTA 22130300601 13860 DHAMTARI KURUD NAVEEN M.S. CHROTA 22130300602 13861 DHAMTARI KURUD GOVT. P.S. GADADEEH 22130300701 13862 DHAMTARI KURUD GOVT. P.S. SIVNIKALA 22130300801 13863 DHAMTARI KURUD KNIST GOVT. P.S. SIVNIKALA 22130300802 13864 DHAMTARI KURUD GOVT. M.S. SIVNIKALA 22130300803 13865 DHAMTARI KURUD GRIL GOVT. P.S. KURUD 22130300902 13866 DHAMTARI KURUD BLACK GOVT. P.S. KURUD 22130300903 13867 DHAMTARI KURUD GOVT. P.S. RELWAY KURUD 22130300904 13868 DHAMTARI KURUD GOVT.NAVEEN BOYS P/S SCHOOL KURUD 22130300938 13869 DHAMTARI KURUD GOVT.BOYS M/S SCHOOL KURUD 22130300940 13870 DHAMTARI KURUD SSA. NAVIN P/S BHATAPARA DANDESARA 22130300944 13871 DHAMTARI KURUD GOVT. P.S. SANJAYNAGAR KURUD 22130301001 13872 DHAMTARI KURUD UNN. M.S. SANJAY NAGAR KURUD 22130301002 13873 DHAMTARI KURUD GOVT. P.S. KANHARPURI 22130301101 13874 DHAMTARI KURUD NAVEEN M.S. KANHARPURI 22130301102 13875 DHAMTARI KURUD GOVT. P.S. BHUSRENGA 22130301201 13876 DHAMTARI KURUD M.D. BHUSRENGA 22130301202 13877 DHAMTARI KURUD JNPAD GOVT. P.S. NARI 22130301301 13878 DHAMTARI KURUD GRIL GOVT. P.S. NARI 22130301302 13879 DHAMTARI KURUD GOVT. NAVEN P.S. NARI 22130301303 13880 DHAMTARI KURUD GOVT. M. S. NARI 22130301304 13881 DHAMTARI KURUD NAVEEN KANYA M.S. NARI 22130301305 13882 DHAMTARI KURUD GOVT. P.S. KHAPRI 22130301401 13883 DHAMTARI KURUD GOVT. M.S. KHAPRI 22130301402 13884 DHAMTARI KURUD GOVT. P.S. CHANDAPARA 22130301501 13885 DHAMTARI KURUD GOVT. P.S. SANKARI 22130301601 13886 DHAMTARI KURUD GOVT. M.S. SANKARI 22130301602 13887 DHAMTARI KURUD NAVEEN P.S. SANKARI 22130301603 13888 DHAMTARI KURUD GOVT. P.S. CHINVARI 22130301701 13889 DHAMTARI KURUD GOVT. P.M.S. CHINVARI 22130301702 13890 DHAMTARI KURUD NAIKAINPARA CHINVARI 22130301703 13891 DHAMTARI KURUD GOVT. P.S. GUDGUDA 22130301801
  • 422.
    13892 DHAMTARI KURUDNAVEN P.S. GUDGUDA 22130301802 13893 DHAMTARI KURUD M.S. GUDGUDA 22130301803 13894 DHAMTARI KURUD GOVT. P.S. KOLIYARI 22130301901 13895 DHAMTARI KURUD NAVIN M.S. KOLIYARI 22130301902 13896 DHAMTARI KURUD NAVIN P.S. TICRAPARA KOLIYARI 22130301904 13897 DHAMTARI KURUD GOVT. P.S. RAMPUR 22130302001 13898 DHAMTARI KURUD GOVT. M.S. RAMPUR 22130302002 13899 DHAMTARI KURUD HARIJANPARA P.S. RAMPUR 22130302003 13900 DHAMTARI KURUD GOVT. P.S. CHATAUD 22130302101 13901 DHAMTARI KURUD GOVT. M.S. CHATAUD 22130302103 13902 DHAMTARI KURUD GOVT. P.S. CHATAUD RAILWAY 22130302104 13903 DHAMTARI KURUD GOVT. P.S. DARRA 22130302201 13904 DHAMTARI KURUD NAVEEN P.S. DARRA 22130302202 13905 DHAMTARI KURUD GOVT. M.S. DARRA 22130302203 13906 DHAMTARI KURUD GOVT. P.S. JORATARAI 22130302301 13907 DHAMTARI KURUD M.S. JORATARAI (S) 22130302303 13908 DHAMTARI KURUD GOVT. P.S. SIHDHA 22130302401 13909 DHAMTARI KURUD M.S. SIHDHA 22130302402 13910 DHAMTARI KURUD P.S. JUGDEHI B 22130302502 13911 DHAMTARI KURUD M.S. JUGDEHI 22130302503 13912 DHAMTARI KURUD NVEN GOVT. P.S. SILOT 22130302601 13913 DHAMTARI KURUD GOVT. P.S. PURENA 22130302701 13914 DHAMTARI KURUD GOVT. P.S. SINGDEHI 22130302801 13915 DHAMTARI KURUD GRIL GOVT. P.S. BHAKHARA 22130302902 13916 DHAMTARI KURUD NAVEN GOVT. P.S. BHAKHARA 22130302903 13917 DHAMTARI KURUD BOYS P.S. BHAKHARA 22130302906 13918 DHAMTARI KURUD GOVT. BOY M.S. BHAKHARA 22130302907 13919 DHAMTARI KURUD GOVT. GIRL M.S. BHAKHARA 22130302908 13920 DHAMTARI KURUD NAVEEN P.S. BHAKHARA 22130302910 13921 DHAMTARI KURUD GOVT. P.S. KOSMARRA 22130303001 13922 DHAMTARI KURUD GRIL GOVT. P.S. KOSMARRA 22130303002 13923 DHAMTARI KURUD GOVT. M.S. KOSMARRA 22130303003 13924 DHAMTARI KURUD GIRLS M.S. KOSMARRA 22130303005
  • 423.
    13925 DHAMTARI KURUDGOVT. P.S. LOHARPATHARA 22130303101 13926 DHAMTARI KURUD M.S. LOHARPATHARA 22130303102 13927 DHAMTARI KURUD GOVT. P.S. BHENDRA 22130303201 13928 DHAMTARI KURUD M.S. BHENDRA 22130303204 13929 DHAMTARI KURUD GOVT. P.S. EIRRA 22130303301 13930 DHAMTARI KURUD UNN. M.S. EIRRA 22130303302 13931 DHAMTARI KURUD GOVT. P.S. SINDHOURIKHURD 22130303801 13932 DHAMTARI KURUD M.S. SINGHORIKHURD 22130303802 13933 DHAMTARI KURUD GOVT. M.S. CHARMUDIYA 22130303903 13934 DHAMTARI KURUD GIRLS M.S. CARMUDIYA 22130303907 13935 DHAMTARI KURUD GOVT. P.S. BHALUKONHA 22130304001 13936 DHAMTARI KURUD GOVT. P.S. ATANG 22130304101 13937 DHAMTARI KURUD GOVT. M.S. ATANG 22130304102 13938 DHAMTARI KURUD NAVEEN P.S. PREMNAGAR (ATA.) 22130304103 13939 DHAMTARI KURUD GOVT. P.S. ACHOTI 22130304201 13940 DHAMTARI KURUD GOVT. M.S. ACHOTI 22130304202 13941 DHAMTARI KURUD GOVT. N.PS NAVEEN PARA ACH. 22130304203 13942 DHAMTARI KURUD GOVT. P.S. JORATARAI (AMBRE) 22130304401 13943 DHAMTARI KURUD NAVEEN M.S. JORATARA (N) 22130304402 13944 DHAMTARI KURUD N.P.S. JORATARAI (BHATAPARA) 22130304403 13945 DHAMTARI KURUD GOVT. P.S. CHORBHATHI 22130304501 13946 DHAMTARI KURUD M.S. CHORBHATTI 22130304502 13947 DHAMTARI KURUD GOVT. P.S. PARASWANI 22130304601 13948 DHAMTARI KURUD P. S. PRSWANI B 22130304602 13949 DHAMTARI KURUD GOVT. P.S. SILGHAT 22130304801 13950 DHAMTARI KURUD M.S. SILGHAT 22130304802 13951 DHAMTARI KURUD GOVT. P.S. CHARRA 22130304901 13952 DHAMTARI KURUD GOVT. M.S. CHARRA 22130304902 13953 DHAMTARI KURUD NAVIN PRIMARY SCHOOL CHARRA 22130304903 13954 DHAMTARI KURUD GOVT. P.S. SINDOURIKALA 22130305101 13955 DHAMTARI KURUD M.S. SINGORIKALA 22130305102 13956 DHAMTARI KURUD GOVT. P.S. SELDEEP 22130305201 13957 DHAMTARI KURUD NAVIN M.S. SELDEEP 22130305202
  • 424.
    13958 DHAMTARI KURUDGOVT. P.S. KATHOULI 22130305301 13959 DHAMTARI KURUD GOVT. P.M.S. KATHOLI 22130305302 13960 DHAMTARI KURUD GOVT. P.S. SILIDEEH 22130305401 13961 DHAMTARI KURUD GOVT. M.S. SILIDEEH 22130305404 13962 DHAMTARI KURUD GOVT. P.S. SUPELA 22130305601 13963 DHAMTARI KURUD M.S. SUPELA 22130305606 13964 DHAMTARI KURUD GOVT. P.S. GANESHPUR 22130305701 13965 DHAMTARI KURUD GOVT. P.S. JAMGAON 22130305801 13966 DHAMTARI KURUD GRIL GOVT. P.S. JAMGAON 22130305802 13967 DHAMTARI KURUD P.M.S. JIJAMGAON 22130305803 13968 DHAMTARI KURUD NAVIN P.S. JI JAMGOVE 22130305806 13969 DHAMTARI KURUD GRIL GOVT. M.S. JAMGAON 22130305807 13970 DHAMTARI KURUD GOVT. P.S. KONDAPARA 22130306001 13971 DHAMTARI KURUD UNN. M.S. KONDAPARA 22130306002 13972 DHAMTARI KURUD GOVT. P.S. HATHBAND 22130306101 13973 DHAMTARI KURUD GOVT. P.S. DARBA 22130306201 13974 DHAMTARI KURUD GOVT. M.V. DARBA 22130306202 13975 DHAMTARI KURUD GOVT K.M.S. DARBA 22130306203 13976 DHAMTARI KURUD GOVT. P.S. MADELI 22130306401 13977 DHAMTARI KURUD NAVEN GOVT. P.S. MADELI 22130306402 13978 DHAMTARI KURUD GRIL GOVT. P.S. MADELI 22130306403 13979 DHAMTARI KURUD M.S. MADELI 22130306405 13980 DHAMTARI KURUD NAVEEN KANYA M.S. MADELI 22130306407 13981 DHAMTARI KURUD GOVT PRIMARY SCHOOL KALLE 22130306501 13982 DHAMTARI KURUD GOVT. P.S. KHURSENGA 22130306601 13983 DHAMTARI KURUD KNIST GOVT. P.S. CHIRPOTI 22130306701 13984 DHAMTARI KURUD GOVT. P.S. BAGDEHI 22130306801 13985 DHAMTARI KURUD GOVT. M.V. BAGDEHI 22130306802 13986 DHAMTARI KURUD GOVT. P.S. DARREE (KURUD) 22130306901 13987 DHAMTARI KURUD GOVT. PRIMARY SCHOOL 22130307001 13988 DHAMTARI KURUD GOVT. M.S. TRAGONDI 22130307002 13989 DHAMTARI KURUD GOVT. P.S. DEVRI 22130307201 13990 DHAMTARI KURUD M.S. DEVRI 22130307202
  • 425.
    13991 DHAMTARI KURUDGOVT. P.S. SILAUTI 22130307301 13992 DHAMTARI KURUD M.S. SILOTHI 22130307302 13993 DHAMTARI KURUD GOVT. P.S. SEMRA 22130307401 13994 DHAMTARI KURUD GOVT. M.S. SEMRA 'B' 22130307404 13995 DHAMTARI KURUD GOVT. M.S. CHANDAPARA 22130307407 13996 DHAMTARI KURUD GIRS M.S. SEMRA 'B' 22130307408 13997 DHAMTARI KURUD GOVT. P.S. BHELWAKUDA 22130307501 13998 DHAMTARI KURUD M.S. BHELWAKUDA 22130307502 13999 DHAMTARI KURUD GOVT. PRIMARY SCHOOL 22130307601 14000 DHAMTARI KURUD P..S. BAKLI 22130307704 14001 DHAMTARI KURUD GOVT. P.S. BAKLI 22130307705 14002 DHAMTARI KURUD GOVT. PRIMARY SCHOOL 22130308001 14003 DHAMTARI KURUD NAVIN M.S. SIRSIDA 22130308002 14004 DHAMTARI KURUD GOVT. P.S. BHATAPARA (BANJARI) 22130308101 14005 DHAMTARI KURUD M.S. BHATAPARA (BANJARI) 22130308102 14006 DHAMTARI KURUD GOVT. P.S. KUHKUHA 22130308201 14007 DHAMTARI KURUD M.S. KUHKUHA 22130308202 14008 DHAMTARI KURUD GOVT. P.S. BANGOLI 22130308301 14009 DHAMTARI KURUD GROVT. M.S BANGOLI 22130308302 14010 DHAMTARI KURUD GOVT. P.S. RAKHI 22130308501 14011 DHAMTARI KURUD M.S. RAKHI 22130308503 14012 DHAMTARI KURUD NAVEEN P.S. NAYA BASTI (RAKHI) 22130308504 14013 DHAMTARI KURUD GOVT. P.S. KHAIRA 22130308601 14014 DHAMTARI KURUD GOVT. M.S. KHAIRA 22130308602 14015 DHAMTARI KURUD GOVT. M.S. FUSERA 22130308702 14016 DHAMTARI KURUD GOVT. P.S. FUSERA 22130308703 14017 DHAMTARI KURUD GOVT. P.S. KAPRI (BANGOLI) 22130308801 14018 DHAMTARI KURUD GOVT. P.S. BHARDA 22130308901 14019 DHAMTARI KURUD GOVT. P.S. DAHDAHA 22130309001 14020 DHAMTARI KURUD GOVT. P.S. KARGA 22130309201 14021 DHAMTARI KURUD GOVT.NAVEEN M.S. KARGA 22130309205 14022 DHAMTARI KURUD GOVT. P.S. KOTGAON 22130309301 14023 DHAMTARI KURUD GOVT. P.S. SONPUR 22130309401
  • 426.
    14024 DHAMTARI KURUDGOVT. P.S. KURRA 22130309601 14025 DHAMTARI KURUD M.S. KURRA 22130309602 14026 DHAMTARI KURUD GOVT. P.S. MURA 22130309701 14027 DHAMTARI KURUD M.S. MURA 22130309702 14028 DHAMTARI KURUD NAVEEN P.S. MURA 22130309703 14029 DHAMTARI KURUD GOVT. PRIMARY SCHOOL BANJARI 22130309801 14030 DHAMTARI KURUD GOVT. P.S. SARBADA 22130309901 14031 DHAMTARI KURUD P.M.S. SARADA 22130309902 14032 DHAMTARI KURUD GOVT. P.S. KANAMUKA 22130310001 14033 DHAMTARI KURUD GOVT. P.S. CHARBHATA 22130310101 14034 DHAMTARI KURUD M.S. CHARBHATA 22130310102 14035 DHAMTARI KURUD GOVT. P.S. BHAISMUNDI 22130310201 14036 DHAMTARI KURUD GOVT. M.S. BHAISMUNDI 22130310202 14037 DHAMTARI KURUD NAVEEN P.S. RAMNAGAR (BHAIS) 22130310203 14038 DHAMTARI KURUD GOVT. P.S. AALEKHUTA 22130310301 14039 DHAMTARI KURUD GOVT. P.S. KODEBOD 22130310401 14040 DHAMTARI KURUD M.S. KODEBOD 22130310402 14041 DHAMTARI KURUD NAVIN P.S. KODEBOD BHTAPARA 22130310404 14042 DHAMTARI KURUD GOVT. P.S. KOKDI (NARI) 22130310501 14043 DHAMTARI KURUD UNN. M.S. KOKDI 22130310503 14044 DHAMTARI KURUD GOVT. P.S. MANRAUD 22130310601 14045 DHAMTARI KURUD M.S. MANRAUD 22130310603 14046 DHAMTARI KURUD P.S. MAROUD SC PARA 22130310606 14047 DHAMTARI KURUD GOVT. P.S. THUHA 22130310701 14048 DHAMTARI KURUD M.S. THUHA 22130310702 14049 DHAMTARI KURUD NAVEEN M.S. NAWAGAON (THU) 22130310703 14050 DHAMTARI KURUD GOVT. P.S. NAWAGAON (THUHA) 22130310801 14051 DHAMTARI KURUD P.S. NAWAGAON (THUHA) 22130310802 14052 DHAMTARI KURUD GOVT. P.S. NAWAGAON (KACHNA) 22130311101 14053 DHAMTARI KURUD P.S. GADADEEH 22130311201 14054 DHAMTARI KURUD M.S. GADADEEH 22130311202 14055 DHAMTARI KURUD GOVT. P.S. DHUMA 22130311301 14056 DHAMTARI KURUD P.M.S. DHUMA 22130311302
  • 427.
    14057 DHAMTARI KURUDGOVT. P.S. MAURIKALA 22130311401 14058 DHAMTARI KURUD M.S. MAURIKALA 22130311402 14059 DHAMTARI KURUD GOVT. P.S. PARKHANDA 22130311501 14060 DHAMTARI KURUD NAVEEN P.S. PARKHANDA 22130311502 14061 DHAMTARI KURUD GOVT. M.S. PARKHANDA 22130311503 14062 DHAMTARI KURUD P.S. PURANIBASTI PARKHANDA 22130311505 14063 DHAMTARI KURUD GOVT. P.S. BIREJHAR 22130311601 14064 DHAMTARI KURUD NAVEEN P.S. BIREJHAR 22130311602 14065 DHAMTARI KURUD GOVT. P.S. MENDARKA 22130311701 14066 DHAMTARI KURUD GOVT. P.S. KHULADE 22130311801 14067 DHAMTARI KURUD M.S. KHULADE 22130311805 14068 DHAMTARI KURUD GOVT. P.S. MULLE 22130311901 14069 DHAMTARI KURUD UNN. M.S. MULLE 22130311902 14070 DHAMTARI KURUD GOVT. P.S. AVREE 22130312001 14071 DHAMTARI KURUD NAVEN GOVT. P.S. AVREE 22130312002 14072 DHAMTARI KURUD M.S. AVREE 22130312003 14073 DHAMTARI KURUD NAVIN M.S. BHAISBOD 22130312102 14074 DHAMTARI KURUD NAVIN P.S. TIKRAPARA BHAISBOD 22130312104 14075 DHAMTARI KURUD GOVT. P.S. BHAISBOD 22130312105 14076 DHAMTARI KURUD GOVT. P.S. KUMHARE 22130312201 14077 DHAMTARI KURUD GOVT. P.S. KACHNA 22130312301 14078 DHAMTARI KURUD GOVT. P.M.S. KCHNA 22130312302 14079 DHAMTARI KURUD NAVIN P.S. KACHNA 22130312304 14080 DHAMTARI KURUD GOVT. P.S. BAGOD 22130312501 14081 DHAMTARI KURUD M.S. BAGOD 22130312503 14082 DHAMTARI KURUD NAVEEN P.S. GANGASAGER (B) 22130312505 14083 DHAMTARI KURUD GOVT. P.S. KHAPRI (S) 22130312601 14084 DHAMTARI KURUD GOVT. P.S. CHARMUDIA 22130312701 14085 DHAMTARI KURUD GOVT. P.S. DANDESARA 22130312801 14086 DHAMTARI KURUD NAVEEN M.S. DANDESARA 22130312802 14087 DHAMTARI KURUD GOVT. P.S. SILTARA 22130312901 14088 DHAMTARI KURUD GOVT. P.S. MAURIKHURD 22130313001 14089 DHAMTARI KURUD P.S. BHALUJHULAN 22130313101
  • 428.
    14090 DHAMTARI KURUDGOVT P.S. SOURABANDHA 22130313201 14091 DHAMTARI KURUD M.S. SAURABANDHA 22130313202 14092 DHAMTARI KURUD M.S. DAHDAHA 22130313404 14093 DHAMTARI KURUD BOYS M.S. DAHDAHA 22130313405 14094 DHAMTARI KURUD GOVT P.S. THENTHA 22130313501 14095 DHAMTARI KURUD GOVT P.S. JARWAYDEEH 22130313701 14096 DHAMTARI KURUD GOVT P.S. SIRVE 22130313801 14097 DHAMTARI KURUD GOVT P.S. BHARDA 22130313901 14098 DHAMTARI KURUD GOVT NAVEN KANYA SC. KU.(PACH) 22130314001 14099 DHAMTARI KURUD GOVT.M.S.GADADIH ( HIRA ) 22130314103 14100 DHAMTARI KURUD P.S. HANCHALPUR 22130314201 14101 DHAMTARI KURUD M.S. HANCHALPUR 22130314202 14102 DHAMTARI KURUD P.S. UMARDA 22130314301 14103 DHAMTARI KURUD M.S. UMARDA 22130314302 14104 DHAMTARI KURUD GOVT. P.S. KHARRA 22130314601 14105 DHAMTARI KURUD GOVT. M.S. KHARRA 22130314602 14106 DHAMTARI KURUD GOVT. P.S. GOBRA 22130314701 14107 DHAMTARI KURUD GOVT P.M/S GOBRA 22130314702 14108 DHAMTARI KURUD P.S. BHOTHLI 22130314801 14109 DHAMTARI KURUD GOVT.M.S.BHOTHALI {SSA} 22130314802 14110 DHAMTARI KURUD P. S. MANDROUD 22130314902 14111 DHAMTARI KURUD P. M.S MANDROUD 22130314903 14112 DHAMTARI KURUD NAVEEN P.S. CHUCHRUNGPUR (M) 22130314904 14113 DHAMTARI KURUD NAVIN P.S. BHATAPARA 22130314905 14114 DHAMTARI KURUD GOVT. P.S. KAMRAUD 22130315001 14115 DHAMTARI KURUD P.S. AAMA PARA 22130315003 14116 DHAMTARI KURUD M.S. BHENDARWANI 22130315102 14117 DHAMTARI KURUD P.S. BHENDARWANI 22130315103 14118 DHAMTARI KURUD P.S. PACHPEDI 22130315201 14119 DHAMTARI KURUD GOVT. P.M.S. PACHPEDI 22130315203 14120 DHAMTARI KURUD NAVEEN KANYA M.S. PACHPEDI 22130315205 14121 DHAMTARI KURUD NAVIN P.S. PASCHIM PARA PACHPE 22130315208 14122 DHAMTARI KURUD P.S. TIPANI 22130315301
  • 429.
    14123 DHAMTARI KURUDP.S. KATALBOD 22130315401 14124 DHAMTARI KURUD GOVT. M.S. KATALBOD 22130315403 14125 DHAMTARI KURUD NAVEEN P.S. KATALBOD 22130315404 14126 DHAMTARI KURUD GOVT. P.S. GOJI 22130315501 14127 DHAMTARI KURUD P.M.S. GOJI 22130315502 14128 DHAMTARI KURUD P.S. KORRA 22130315701 14129 DHAMTARI KURUD GOVT. M.S. KORRA 22130315703 14130 DHAMTARI KURUD P.S. BHENDSAR 22130315801 14131 DHAMTARI KURUD NAVIN M.S. BHENDSAR 22130315802 14132 DHAMTARI KURUD P.S. JORATARAI 22130315901 14133 DHAMTARI KURUD GOVT. M.S. JORATARAI 22130315902 14134 DHAMTARI KURUD P.S. BHATHELI 22130316001 14135 DHAMTARI KURUD M.S. BHATHELI 22130316002 14136 DHAMTARI KURUD GOVT. P.S. RAWANGUDA 22130316101 14137 DHAMTARI KURUD GOVT. P.S. KOKDI 22130316201 14138 DHAMTARI KURUD GOVT. PRIMARY SCHOOL 22130316401 14139 DHAMTARI KURUD GOVT. NAVIN M.S. GANAGAR 22130316402 14140 DHAMTARI KURUD GOVT. P.S. MONGRA 22130316501 14141 DHAMTARI KURUD GOVT. NAVIN M.S. MONGRA 22130316502 14142 DHAMTARI KURUD P.S. SEMRA (S) 22130316601 14143 DHAMTARI KURUD P.S. PARSATTHI 22130316701 14144 DHAMTARI KURUD P.S. NAVEEN GATAPAR 22130316801 14145 DHAMTARI KURUD NAVEEN P.S. TIKRAPARA (SIRRI) 22130316901 14146 DHAMTARI KURUD M.S. BHATAGAON 22130317002 14147 DHAMTARI KURUD GOVT.P.S. BHATAGAON 22130317003 14148 DHAMTARI KURUD NAVIN P.S. BHATAGAON 22130317004 14149 DHAMTARI MAGARLOD KANYA P.S. MAGARLOD 22132700101 14150 DHAMTARI MAGARLOD BALAK P.S. MAGARLOD 22132700102 14151 DHAMTARI MAGARLOD M.S. MAGARLOD 22132700106 14152 DHAMTARI MAGARLOD KANYA M.S. MAGARLOD 22132700107 14153 DHAMTARI MAGARLOD K.G.B.V. MAGARLOD 22132700111 14154 DHAMTARI MAGARLOD PS MATHURANAGAR MAGARLOD 22132700115 14155 DHAMTARI MAGARLOD P.S. BELORA 22132700201
  • 430.
    14156 DHAMTARI MAGARLODM.S. BELORA 22132700202 14157 DHAMTARI MAGARLOD P.S. MOHADI 22132700301 14158 DHAMTARI MAGARLOD M.S. MOHADI 22132700303 14159 DHAMTARI MAGARLOD GOVT. P.S. JAMLI 22132700401 14160 DHAMTARI MAGARLOD P.S. KARELI CHOTI 22132700501 14161 DHAMTARI MAGARLOD GOVT. M.S. KARELI CHOTI 22132700502 14162 DHAMTARI MAGARLOD P.S. NADIPARA KARELI CHOTI 22132700506 14163 DHAMTARI MAGARLOD KANIST P.S. MURUMDEEH 22132700601 14164 DHAMTARI MAGARLOD P.S. SARGI 22132700701 14165 DHAMTARI MAGARLOD GOVT. P.M.S. SARGI 22132700703 14166 DHAMTARI MAGARLOD P.S. DABHA 22132700801 14167 DHAMTARI MAGARLOD GOVT. M.S. DABHA 22132700802 14168 DHAMTARI MAGARLOD P.S. RAJPUR 22132700901 14169 DHAMTARI MAGARLOD GOVT. N.M.S. RAJPUR 22132700903 14170 DHAMTARI MAGARLOD P.S. NAWADEEH RAJPUR 22132700906 14171 DHAMTARI MAGARLOD P.S. LUGE 22132701001 14172 DHAMTARI MAGARLOD M.S. LUGE 22132701002 14173 DHAMTARI MAGARLOD P.S. GADADEEH 22132701101 14174 DHAMTARI MAGARLOD NAVEEN M.S. GADADEEH 22132701102 14175 DHAMTARI MAGARLOD PRIMARY SCHOOL 22132701201 14176 DHAMTARI MAGARLOD MS KAPALFODI 22132701203 14177 DHAMTARI MAGARLOD GOVT. P.S. HARDI 22132701301 14178 DHAMTARI MAGARLOD GOVT. M.S. HARDI 22132701302 14179 DHAMTARI MAGARLOD N.P.S. HARDI 22132701303 14180 DHAMTARI MAGARLOD P.S. AMLIDEEH 22132701401 14181 DHAMTARI MAGARLOD GOVT. M.S. AMLIDEEH 22132701402 14182 DHAMTARI MAGARLOD R.G. P.S. JALKUMHI 22132701501 14183 DHAMTARI MAGARLOD P.S. CHARBHATA 22132701602 14184 DHAMTARI MAGARLOD GOVT.NPS CHARBHATA [SSA] 22132701603 14185 DHAMTARI MAGARLOD P.S. SANKRA 22132701701 14186 DHAMTARI MAGARLOD M.S. SANKRA 22132701702 14187 DHAMTARI MAGARLOD P.S. KASARWAHI 22132701801 14188 DHAMTARI MAGARLOD KANIST P.S. GIRHOLADEEH 22132701901
  • 431.
    14189 DHAMTARI MAGARLODP.S. DEVGAON 22132702001 14190 DHAMTARI MAGARLOD P.S. CHANDANA 22132702101 14191 DHAMTARI MAGARLOD GOVT. M.S. CHANDANA 22132702102 14192 DHAMTARI MAGARLOD GOVT. P.S. NAWAGAON 22132702201 14193 DHAMTARI MAGARLOD GOVT P.S. NAWAGAON 22132702202 14194 DHAMTARI MAGARLOD GOVT. M.S. NAWAGAON 22132702204 14195 DHAMTARI MAGARLOD NAVIN M.S. NAWAGAON 22132702205 14196 DHAMTARI MAGARLOD GOVT. P.S. RENGADEEH 22132702301 14197 DHAMTARI MAGARLOD P.S. MADELI 22132702401 14198 DHAMTARI MAGARLOD M.S. MADELI 22132702402 14199 DHAMTARI MAGARLOD PS KAMARPARA MADELI 22132702404 14200 DHAMTARI MAGARLOD P.S. AROD 22132702501 14201 DHAMTARI MAGARLOD GOVT. N. M.S. AROD 22132702503 14202 DHAMTARI MAGARLOD P.S. BORSI 22132702601 14203 DHAMTARI MAGARLOD M.S. BORSI 22132702603 14204 DHAMTARI MAGARLOD NAVEEN P.S. BORSI 22132702604 14205 DHAMTARI MAGARLOD GOVT P.S. LADER 22132702701 14206 DHAMTARI MAGARLOD NAVIN M.S. . LADER 22132702702 14207 DHAMTARI MAGARLOD P.S. BHOTHA 22132702802 14208 DHAMTARI MAGARLOD KANIST P.S. BODALBAHRA 22132702901 14209 DHAMTARI MAGARLOD PRIMARY SCHOOL 22132703001 14210 DHAMTARI MAGARLOD GOVT. M.S. HASDA NO. 1 22132703003 14211 DHAMTARI MAGARLOD NAVEEN KANYA M.S. HASDA NO.1 22132703005 14212 DHAMTARI MAGARLOD NAVEEN P.S. DEEPARAPARA (H.) 22132703006 14213 DHAMTARI MAGARLOD P.S. MUDIBHANWAR (PARSA) 22132703101 14214 DHAMTARI MAGARLOD GOVT. P.S. HATBANDH 22132703201 14215 DHAMTARI MAGARLOD GOVT. M.S. HATBANDH 22132703202 14216 DHAMTARI MAGARLOD P.S. CHANDRSUR 22132703301 14217 DHAMTARI MAGARLOD GOVT. N.M.S. CHANDRSUR 22132703303 14218 DHAMTARI MAGARLOD P.S. BUDENI 22132703401 14219 DHAMTARI MAGARLOD M.S. BUDENI 22132703402 14220 DHAMTARI MAGARLOD P.S. DUMARPALI 22132703501 14221 DHAMTARI MAGARLOD M.S. DUMARPALI 22132703502
  • 432.
    14222 DHAMTARI MAGARLODGOVT P. S. DHORABHATA 22132703602 14223 DHAMTARI MAGARLOD GOVT. M.S. DHORABHATA 22132703603 14224 DHAMTARI MAGARLOD GOVT. P. S. DHORABHATA 22132703604 14225 DHAMTARI MAGARLOD NAVEEN P.S. BHATAPARA(DHOURABH 22132703605 14226 DHAMTARI MAGARLOD GOVT.N.MS. DHOURABHATA[SSA] 22132703606 14227 DHAMTARI MAGARLOD KANIST P. S. AMLIBHATA 22132703701 14228 DHAMTARI MAGARLOD GOVT P.S. MOHRENGA 22132703801 14229 DHAMTARI MAGARLOD GOVT. M.S. MOHRENGA 22132703803 14230 DHAMTARI MAGARLOD P.S. PARSWANI 22132703901 14231 DHAMTARI MAGARLOD GOVT. M.S. PARSWANI 22132703902 14232 DHAMTARI MAGARLOD P.S. BENDRACHUA 22132704001 14233 DHAMTARI MAGARLOD P.S. PREWADEEH 22132704101 14234 DHAMTARI MAGARLOD KANIST PRIMARY SCHOOL 22132704201 14235 DHAMTARI MAGARLOD N.M.S.KEKRAKHOLI 22132704203 14236 DHAMTARI MAGARLOD P.S. KEKRAKHOLI 22132704205 14237 DHAMTARI MAGARLOD KANIST P.S. KUSUMKHUTA 22132704301 14238 DHAMTARI MAGARLOD GOVT P.S. AMACHANI 22132704401 14239 DHAMTARI MAGARLOD P.S. PATHAR 22132704501 14240 DHAMTARI MAGARLOD M.S. PATHAR 22132704502 14241 DHAMTARI MAGARLOD P.S. BHARDA 22132704601 14242 DHAMTARI MAGARLOD M.S. BHARDA 22132704603 14243 DHAMTARI MAGARLOD PRIMARY SCHOOL 22132704701 14244 DHAMTARI MAGARLOD GOVT. M.S. BELARDONA 22132704702 14245 DHAMTARI MAGARLOD GOVT. P. S. BELARDONA 22132704703 14246 DHAMTARI MAGARLOD P.S. SONPAIRI 22132704801 14247 DHAMTARI MAGARLOD GOVT. M.S. SONPERI 22132704805 14248 DHAMTARI MAGARLOD N.P.S. SONPAIRI 22132704806 14249 DHAMTARI MAGARLOD P.S. SONJHRI 22132704901 14250 DHAMTARI MAGARLOD GOVT. M.S. SONJHRI 22132704902 14251 DHAMTARI MAGARLOD P.S. SINGPUR 22132705001 14252 DHAMTARI MAGARLOD P.M.S. SINGPUR 22132705002 14253 DHAMTARI MAGARLOD UNN. P.S. KAMARPARA (SING.) 22132705003 14254 DHAMTARI MAGARLOD PRIMARY SCHOOL 22132705101
  • 433.
    14255 DHAMTARI MAGARLODGOVT. M.S. KUNDEL 22132705103 14256 DHAMTARI MAGARLOD P.S. BHATAPARA KUNDEL 22132705105 14257 DHAMTARI MAGARLOD P.S. MOHERA 22132705201 14258 DHAMTARI MAGARLOD P.M.S. MOHERA 22132705202 14259 DHAMTARI MAGARLOD P.S. KHSORA 22132705301 14260 DHAMTARI MAGARLOD GOVT. M.S. KHISORA 22132705304 14261 DHAMTARI MAGARLOD PS BASTIPARA KHISORA 22132705305 14262 DHAMTARI MAGARLOD P.S. MEGHA 22132705401 14263 DHAMTARI MAGARLOD KANIYA P.S. MEGHA 22132705402 14264 DHAMTARI MAGARLOD A.P.M.S. MEGHA 22132705404 14265 DHAMTARI MAGARLOD NAVEEN M.S. MEGHA 22132705406 14266 DHAMTARI MAGARLOD G. NAVEEN P.S MEGHA 22132705410 14267 DHAMTARI MAGARLOD P.S. SONGA 22132705501 14268 DHAMTARI MAGARLOD NAVEEN M.S. SONGA 22132705502 14269 DHAMTARI MAGARLOD P.S. GIROD 22132705601 14270 DHAMTARI MAGARLOD GOVT. N. M.V. GIROD 22132705602 14271 DHAMTARI MAGARLOD P.S. SENHABHATA (MEGHA) 22132705702 14272 DHAMTARI MAGARLOD GIRL M.S. BHESMUNDI 22132705803 14273 DHAMTARI MAGARLOD P.S. BHESMUNDI 22132705804 14274 DHAMTARI MAGARLOD N.M.S. RANKADIH 22132705902 14275 DHAMTARI MAGARLOD P.S. RANKADIH 22132705903 14276 DHAMTARI MAGARLOD P.S. MADHUBAN RANKADIH 22132705905 14277 DHAMTARI MAGARLOD P.S. JHAJHARKERA 22132706001 14278 DHAMTARI MAGARLOD M.S. JHANJARKERA 22132706002 14279 DHAMTARI MAGARLOD GOVT P.S. NAHAREEH 22132706101 14280 DHAMTARI MAGARLOD P.S. MARAGAON 22132706201 14281 DHAMTARI MAGARLOD M.S. MARAGAON 22132706202 14282 DHAMTARI MAGARLOD UNN. P.S. CHOTEPARA (MARA) 22132706203 14283 DHAMTARI MAGARLOD GAYAN JYOTI MARAGAON 22132706207 14284 DHAMTARI MAGARLOD GOVT. NEW PS KAMARPARA MOHERA 22132706208 14285 DHAMTARI MAGARLOD P.S. BODRA 22132706301 14286 DHAMTARI MAGARLOD M.S. BODRA 22132706303 14287 DHAMTARI MAGARLOD P.S. NAWADIH (BODRA) 22132706304
  • 434.
    14288 DHAMTARI MAGARLODP.S. KHIRJHITI 22132706401 14289 DHAMTARI MAGARLOD M.S. KHIRJHITI 22132706402 14290 DHAMTARI MAGARLOD UNN. P.S. ALEKHUTA 22132706501 14291 DHAMTARI MAGARLOD P.S. NARDHA 22132706601 14292 DHAMTARI MAGARLOD P.S. KULHARIKOT 22132706701 14293 DHAMTARI MAGARLOD P.S. BHANDRI 22132706801 14294 DHAMTARI MAGARLOD KANIYA P.S. BHANDRI 22132706802 14295 DHAMTARI MAGARLOD AMAR S.BALRAMDHRUW. MS BHANDRI 22132706804 14296 DHAMTARI MAGARLOD KANYA M.S. BHANDRI 22132706806 14297 DHAMTARI MAGARLOD GOVT.PS.MAHUWABHATA BHENDRI 22132706808 14298 DHAMTARI MAGARLOD P.S. KHATTI 22132706901 14299 DHAMTARI MAGARLOD NAVEEN M.S. KHATTI 22132706902 14300 DHAMTARI MAGARLOD P.S. BELODI 22132707001 14301 DHAMTARI MAGARLOD GOVT. M.S. BELODI 22132707002 14302 DHAMTARI MAGARLOD P.S. MOTIMPUR 22132707101 14303 DHAMTARI MAGARLOD GOVT. M.S. MOTIMPUR 22132707102 14304 DHAMTARI MAGARLOD GOVT. P.S. BANIYATOLA 22132707201 14305 DHAMTARI MAGARLOD UNN. P.S. PENDRA 22132707301 14306 DHAMTARI MAGARLOD GOVT NAVEEN P.S. BAKORI 22132707401 14307 DHAMTARI MAGARLOD P.S. DUDHWARA 22132707501 14308 DHAMTARI MAGARLOD NAVEEN M.S. DUDHWARA 22132707502 14309 DHAMTARI MAGARLOD NAVEEN P.S. BHATAPARA (DUDH) 22132707503 14310 DHAMTARI MAGARLOD P.S. MADWAPATHRA 22132707601 14311 DHAMTARI MAGARLOD N.M.S. MADWAPATHRA 22132707602 14312 DHAMTARI MAGARLOD P.S. TENDUBHATA 22132707701 14313 DHAMTARI MAGARLOD GOVT P.S. MUDKERA 22132707801 14314 DHAMTARI MAGARLOD M.S. MUDKERA 22132707802 14315 DHAMTARI MAGARLOD P.S. PARSATTI 22132707901 14316 DHAMTARI MAGARLOD GOVT. N.M.V. PARSATTI 22132707902 14317 DHAMTARI MAGARLOD KANIYA P.S. KARELIBADI 22132708001 14318 DHAMTARI MAGARLOD P.S. KARELIBADI 22132708002 14319 DHAMTARI MAGARLOD P.M.S. KARELI BADI 22132708003 14320 DHAMTARI MAGARLOD NAVEEN P.S. ASPATALPARA (K.B.) 22132708004
  • 435.
    14321 DHAMTARI MAGARLODNAVEEN M.S. KANYA KARELI BADI 22132708005 14322 DHAMTARI MAGARLOD NAVEEN P.S. BANIYATORA (K.B.) 22132708006 14323 DHAMTARI MAGARLOD GOVT. M.S. KARELIBADI 22132708010 14324 DHAMTARI MAGARLOD P.S. KAMROD 22132708101 14325 DHAMTARI MAGARLOD M.S. KAMROD 22132708102 14326 DHAMTARI MAGARLOD NAVEEN P.S. BHANDARWAHI 22132708201 14327 DHAMTARI MAGARLOD KANSHIT P.S. MULGAON 22132708301 14328 DHAMTARI MAGARLOD P.S. SONEWARA 22132708401 14329 DHAMTARI MAGARLOD GOVT.M.S.SONEWARA [SSA] 22132708402 14330 DHAMTARI MAGARLOD PRIMARY SCHOOL 22132708501 14331 DHAMTARI MAGARLOD P.M.S. BHOTIDIH 22132708502 14332 DHAMTARI MAGARLOD N.P.S. BHOTHIDIH 22132708503 14333 DHAMTARI MAGARLOD P.S. KHADMA 22132708601 14334 DHAMTARI MAGARLOD GANDHI G.M. M.S. KHADMA 22132708602 14335 DHAMTARI MAGARLOD P.S. ANJORA 22132708701 14336 DHAMTARI MAGARLOD KANSHIT P.S. SIRKATTA WARD 5 22132708801 14337 DHAMTARI MAGARLOD GOVT P.S. BHALUCHUA 22132708901 14338 DHAMTARI MAGARLOD KNISHIT P.S. GHIKUDIYA (MOHERA 22132709001 14339 DHAMTARI MAGARLOD P.S. RAJADERA 22132709101 14340 DHAMTARI MAGARLOD GOVT P.S. BUDARAO 22132709201 14341 DHAMTARI MAGARLOD P.S. CHIPLI 22132709301 14342 DHAMTARI MAGARLOD KNISHIT P.S. DHANORA 22132709401 14343 DHAMTARI MAGARLOD P.S. SUKLABHATA 22132709601 14344 DHAMTARI MAGARLOD P M.S. SUKLABHATA 22132709602 14345 DHAMTARI MAGARLOD P.S. BIRJHULI 22132709701 14346 DHAMTARI MAGARLOD P.M.S. BIRJHULI 22132709702 14347 DHAMTARI MAGARLOD P.S. DAMKADEEH 22132709801 14348 DHAMTARI MAGARLOD P.S. SARAIRUKH 22132709901 14349 DHAMTARI MAGARLOD P.S. BOIRGAON 22132710001 14350 DHAMTARI MAGARLOD NAVEEN M.S. BOIRGAON 22132710002 14351 DHAMTARI MAGARLOD P.S. BHOMLABAHRA 22132710101 14352 DHAMTARI MAGARLOD GOVT. P.S. SARAIBHADAR 22132710201 14353 DHAMTARI MAGARLOD GOVT. P.S. PALWADI 22132710301
  • 436.
    14354 DHAMTARI MAGARLODP.S. KAMAIPUR 22132710401 14355 DHAMTARI MAGARLOD P.S. KORGAON 22132710501 14356 DHAMTARI MAGARLOD P.S. KAMARPARA 22132710503 14357 DHAMTARI MAGARLOD GOVT. P.S. DHANBUDA 22132710601 14358 DHAMTARI MAGARLOD GOVT. P.S. PAHANDA 22132710701 14359 DHAMTARI MAGARLOD N. M.S. PAHANDA 22132710702 14360 DHAMTARI MAGARLOD NAVEEN P.S. RAMPUR (PARSATTI) 22132710901 14361 DHAMTARI MAGARLOD NAVEEN P.S. CHANDPARA (BHENDRI 22132711001 14362 DHAMTARI MAGARLOD NAVEEN PRIMARY SCHOOL 22132711101 14363 DHAMTARI MAGARLOD NAVEEN M.S. PARSABUDA 22132711301 14364 DHAMTARI MAGARLOD NAVEEN P.S. NIRAI 22132711401 14365 DHAMTARI MAGARLOD GOVT.PS.KEWRADIH [SSA] 22132711501 14366 DHAMTARI MAGARLOD UNN. GOBRA PATHAR 22132711601 14367 DHAMTARI MAGARLOD NAVEEN P.S. KAMARPARA (BE.) 22132711701 14368 DHAMTARI MAGARLOD GOVT.NPS.KAMARPARA PARSABUDA [SSA] 22132711702 14369 DHAMTARI MAGARLOD UNN. P.S. RAVATMUDA 22132711801 14370 DHAMTARI MAGARLOD GOVT.N.P.S.KALARBAHRA [SSA] 22132711901 14371 DHAMTARI MAGARLOD UNN. P.S. SONARIN DAIHAN 22132712001 14372 DHAMTARI MAGARLOD UNN. P.S. PIPRAUD 22132712101 14373 DHAMTARI MAGARLOD P.S. BHOTA (BORSI) 22132712201 14374 DHAMTARI MAGARLOD N.M.S. BHOTA(BORSI) 22132712202 14375 DHAMTARI MAGARLOD GOVT.N.P.S.BASIKHAI [SSA] 22132712301 14376 DHAMTARI MAGARLOD GOVT.N.P.S.VIJAYPUR [SSA] 22132712801 14377 DHAMTARI MAGARLOD GOVT.P.S KAMARIN MUDA 22132712901 14378 DHAMTARI NAGRI P.S. BIRNASILLI 22131300401 14379 DHAMTARI NAGRI ASHRAM P.S. BIRNASILLI 22131300402 14380 DHAMTARI NAGRI UANNYAN M.S. BIRNASILLI 22131300404 14381 DHAMTARI NAGRI P.S. JAMPANI 22131300501 14382 DHAMTARI NAGRI M.S. JAMPANI 22131300502 14383 DHAMTARI NAGRI N.P.S. JAMPANI 22131300503 14384 DHAMTARI NAGRI P.S. DOMPADAR 22131300601 14385 DHAMTARI NAGRI T.W. P.S. JHURANADI 22131300701 14386 DHAMTARI NAGRI P.S. BAROLI 22131300901
  • 437.
    14387 DHAMTARI NAGRIKHINST P.S. SATBAHNA 22131301001 14388 DHAMTARI NAGRI P.S. GOREGAON 22131301202 14389 DHAMTARI NAGRI M.S. GOREGAON 22131301203 14390 DHAMTARI NAGRI P.S. SAMTARA 22131301301 14391 DHAMTARI NAGRI P.S. BHOTHLI 22131301401 14392 DHAMTARI NAGRI M.S. BHOTHLI 22131301402 14393 DHAMTARI NAGRI P.S. BASPANI 22131301501 14394 DHAMTARI NAGRI M.S. BASPANI 22131301502 14395 DHAMTARI NAGRI KHINST P.S. JUNWANI 22131301601 14396 DHAMTARI NAGRI P.S. KUNGERA 22131301701 14397 DHAMTARI NAGRI M.S. KUNGERA 22131301702 14398 DHAMTARI NAGRI P.S. DHUTKEL 22131301801 14399 DHAMTARI NAGRI GOVT. M.S. DHUTKEL 22131301802 14400 DHAMTARI NAGRI U.M.S.AKAVARI 22131301805 14401 DHAMTARI NAGRI P.S. MARIYAMARI 22131301902 14402 DHAMTARI NAGRI KHINST P.S. BAHLUPARA 22131302001 14403 DHAMTARI NAGRI P. S. SINGANPUR 22131302102 14404 DHAMTARI NAGRI P.S. MURUMTARA 22131302401 14405 DHAMTARI NAGRI KANYA P.S. BIRGUDI 22131302501 14406 DHAMTARI NAGRI BALAK P.S. BIRGUDI 22131302502 14407 DHAMTARI NAGRI GOVT. M.S. BIRGUDI 22131302503 14408 DHAMTARI NAGRI UNN. P.S. BAS STAIND PARA BIRG 22131302504 14409 DHAMTARI NAGRI T.W. P.S. TANGAPANI 22131302601 14410 DHAMTARI NAGRI M.S. TANGAPANI 22131302603 14411 DHAMTARI NAGRI P.S. TANGAPANI 22131302604 14412 DHAMTARI NAGRI P.S. KHUTAR 22131302701 14413 DHAMTARI NAGRI P.S. KURMIYA 1 22131302801 14414 DHAMTARI NAGRI P.S. HINCHAPUR 22131302901 14415 DHAMTARI NAGRI P.S. PARASGAON 22131303001 14416 DHAMTARI NAGRI M. S. PARASGAON 22131303002 14417 DHAMTARI NAGRI P.S. BILBHADAR 22131303101 14418 DHAMTARI NAGRI N.M.S. BILBHADAR 22131303102 14419 DHAMTARI NAGRI P.S. KALLEMETA 22131303201
  • 438.
    14420 DHAMTARI NAGRIP.S. BARBANDHA 22131303301 14421 DHAMTARI NAGRI M.S. BARBANDHA 22131303302 14422 DHAMTARI NAGRI GOVT.SSA. GYAN JYOTI V.BARBHANDHA 22131303303 14423 DHAMTARI NAGRI GOVT. P.S. BHURSIDONGRI 22131303401 14424 DHAMTARI NAGRI PS DEVKHUT PARA BHURSIDONGRI 22131303402 14425 DHAMTARI NAGRI M.S. BHURSIDONGRI 22131303403 14426 DHAMTARI NAGRI GOVT. M.S. AAMGAON 22131303503 14427 DHAMTARI NAGRI GOVT P.S. AAMGAON 22131303504 14428 DHAMTARI NAGRI N.P.S. GAYTAPARA (AAMGON 22131303505 14429 DHAMTARI NAGRI GOVT SSA.P.S.DAIHANPARA 22131303508 14430 DHAMTARI NAGRI GOVT. P.S. AMALI 22131303701 14431 DHAMTARI NAGRI M.S. AMALI 22131303702 14432 DHAMTARI NAGRI UNN. P.S. KAMARPARA (AMALI) 22131303703 14433 DHAMTARI NAGRI P.S. PANDRIPANI (MALGUJAR) 22131303801 14434 DHAMTARI NAGRI M.S. PANDRIPANI(MAL.) 22131303802 14435 DHAMTARI NAGRI P.S. SAHNIKHAR 22131303901 14436 DHAMTARI NAGRI P.S. LATIYARA 22131304001 14437 DHAMTARI NAGRI KHINST P.S. MARDAPOTI 22131304101 14438 DHAMTARI NAGRI GOVT P.S. CHAMEDA (K) 22131304202 14439 DHAMTARI NAGRI N.M.S. CHAMEDA(K) 22131304203 14440 DHAMTARI NAGRI P.S. AMABAHAR 22131304301 14441 DHAMTARI NAGRI M.S. AMABAHAR 22131304302 14442 DHAMTARI NAGRI FOREST P.S. RISGAON 22131304401 14443 DHAMTARI NAGRI M.S. RISGAON 22131304402 14444 DHAMTARI NAGRI GOVT P.S. GHURAWAD 22131304501 14445 DHAMTARI NAGRI GOVT. M.S. GHURAWAD 22131304502 14446 DHAMTARI NAGRI GOVT PS AMALI GHURAWAD 22131304503 14447 DHAMTARI NAGRI P.S. JAITPURI 22131304601 14448 DHAMTARI NAGRI M.S. JAITPURI 22131304602 14449 DHAMTARI NAGRI P.S. KORMUD 22131304701 14450 DHAMTARI NAGRI KHINST P.S. BANORA (16) 22131304801 14451 DHAMTARI NAGRI P.S. UMARGAON 22131304901 14452 DHAMTARI NAGRI M.S. UMARGAON 22131304902
  • 439.
    14453 DHAMTARI NAGRIUNN. P.S. HARRAPARA (UMAR.) 22131304903 14454 DHAMTARI NAGRI KANYA M.S. UMARGAON 22131304905 14455 DHAMTARI NAGRI P.S. BAMHANBHARRI 22131305001 14456 DHAMTARI NAGRI P.S. LAKHANPURI 22131305101 14457 DHAMTARI NAGRI M.S. LAKHANPURI 22131305102 14458 DHAMTARI NAGRI P.S. GHORAGAON 22131305201 14459 DHAMTARI NAGRI M.S. GHORAGAON 22131305202 14460 DHAMTARI NAGRI P.S. DOKAL 22131305301 14461 DHAMTARI NAGRI P.S. CHANDANPUR DOKAL 22131305302 14462 DHAMTARI NAGRI P.S. KHADADAH 22131305401 14463 DHAMTARI NAGRI P.S. MAUHABAHRA 22131305501 14464 DHAMTARI NAGRI ADIM J.K. M.S. MAUHABAHRA 22131305502 14465 DHAMTARI NAGRI P.S. KUMHDA 22131305601 14466 DHAMTARI NAGRI P.S. KOTARWAHI 22131305701 14467 DHAMTARI NAGRI M.S. KOTARWAHI 22131305702 14468 DHAMTARI NAGRI P.S. JHURATARAI 22131305801 14469 DHAMTARI NAGRI M.S. JHURATARAI 22131305802 14470 DHAMTARI NAGRI P.S. PARDHI 22131305901 14471 DHAMTARI NAGRI M.S. RAJPUR 22131306002 14472 DHAMTARI NAGRI GOVT P.S. RAJPUR 22131306004 14473 DHAMTARI NAGRI UNN. P.S. PURV RAJPUR 22131306005 14474 DHAMTARI NAGRI UNN. P.S. PSHICHM RAJPUR 22131306006 14475 DHAMTARI NAGRI P.S. BIJAPUR 22131306101 14476 DHAMTARI NAGRI UNNT.PS JAMNALA (BIJAPUR) 22131306102 14477 DHAMTARI NAGRI P.S. JHIPATOLA (BIJAPUR) 22131306103 14478 DHAMTARI NAGRI T.W.K. P.S. HITALI 22131306201 14479 DHAMTARI NAGRI T.W.K. P.S. MADAMSILLI 22131306301 14480 DHAMTARI NAGRI P.S. BATANHARRA 22131306401 14481 DHAMTARI NAGRI NAVEEN M.S. BATANHARRA 22131306402 14482 DHAMTARI NAGRI GOVT P.S. RAIPARA 22131306501 14483 DHAMTARI NAGRI N.P.S. RAIPARA 22131306502 14484 DHAMTARI NAGRI P.S. KORRA 22131306601 14485 DHAMTARI NAGRI P.S. BORAI 22131306701
  • 440.
    14486 DHAMTARI NAGRIM.S. BORAI 22131306702 14487 DHAMTARI NAGRI ADIM.J.K.I KANYA ASRAM P.S. BORAI 22131306704 14488 DHAMTARI NAGRI P.S. NAWAGAON (B) 22131306802 14489 DHAMTARI NAGRI M.S. NAWAGAON (S) 22131306803 14490 DHAMTARI NAGRI NAVIN M.S. NAWAGAON (S) 22131306804 14491 DHAMTARI NAGRI P. S. AMLIPARA NAWA (B) 22131306805 14492 DHAMTARI NAGRI P.S. NAWAGAON (S) 22131306806 14493 DHAMTARI NAGRI K. P.S. MAGAUD 22131306901 14494 DHAMTARI NAGRI P.S. BARKONHA 22131307001 14495 DHAMTARI NAGRI P.S. KANTAKURRI 22131307101 14496 DHAMTARI NAGRI M.S. KANTAKURRI 22131307102 14497 DHAMTARI NAGRI P.S. NATHUKONHA 22131307301 14498 DHAMTARI NAGRI P.S. KASPUR 22131307401 14499 DHAMTARI NAGRI GIRL ASHRAM S. KASPUR 22131307403 14500 DHAMTARI NAGRI PS AADIWASI PARA KASPUR 22131307404 14501 DHAMTARI NAGRI M. S. KASPUR 22131307405 14502 DHAMTARI NAGRI PS KAMARPARA KASPUR 22131307406 14503 DHAMTARI NAGRI GYAN JYOTI SCHOOL CHEHRAPARA 22131307409 14504 DHAMTARI NAGRI P.S. BARBHANDHA 22131307501 14505 DHAMTARI NAGRI M.S. BAZARKURIDIH 22131307602 14506 DHAMTARI NAGRI P.S. BAZARKURIDIH 22131307603 14507 DHAMTARI NAGRI NAVEN P.S. DONGRIPARA 22131307702 14508 DHAMTARI NAGRI GOVT.P/S SCHOOL DONGRI PARA 22131307703 14509 DHAMTARI NAGRI GOVT. N. PS DONGRIPARA 22131307704 14510 DHAMTARI NAGRI KHINST P.S. JARHAKHAR 22131307801 14511 DHAMTARI NAGRI P.S. MASANDABRA 22131307901 14512 DHAMTARI NAGRI P.S. GAHNASIYAR 22131308002 14513 DHAMTARI NAGRI KANIYA P.S. SANKRA 22131308102 14514 DHAMTARI NAGRI GIRL M.S. SANKRA 22131308103 14515 DHAMTARI NAGRI BALAK M.S. SANKRA 22131308104 14516 DHAMTARI NAGRI BOYS P.S. SANKRA 22131308105 14517 DHAMTARI NAGRI EGS P.S. KHAMNAPARA 22131308106 14518 DHAMTARI NAGRI AADI.GIRLS ASHRAM SATTIPARA SANKRA 22131308112
  • 441.
    14519 DHAMTARI NAGRIPRIMARY SCHOOL 22131308201 14520 DHAMTARI NAGRI EGS PANCHGHARIYA PARA 22131308202 14521 DHAMTARI NAGRI P.S. KHADAPTHRA 22131308301 14522 DHAMTARI NAGRI P.S. GORSANALA 22131308402 14523 DHAMTARI NAGRI P.S. GARDONGRI (RAYATWARI) 22131308602 14524 DHAMTARI NAGRI PS GOHAN PARA 22131308603 14525 DHAMTARI NAGRI TWD P.S. EKKWARI 22131308702 14526 DHAMTARI NAGRI KANYA P.S. BELARGAON 22131308901 14527 DHAMTARI NAGRI GOVT P.S. BELARGAON 22131308902 14528 DHAMTARI NAGRI M.S. BELARGAON 22131308903 14529 DHAMTARI NAGRI PS INDIRA AWASPARA BELARGAON 22131308904 14530 DHAMTARI NAGRI N.P.S. SHEETLA PARA (BELARGA) 22131308905 14531 DHAMTARI NAGRI M.S. KANYA BELARGAON 22131308906 14532 DHAMTARI NAGRI P.S. BHUMKA 22131309001 14533 DHAMTARI NAGRI P.S. BADSIVNA 22131309101 14534 DHAMTARI NAGRI M.S. BHADSIVNA 22131309104 14535 DHAMTARI NAGRI WAN GARM P.S. AMGAON 22131309201 14536 DHAMTARI NAGRI WAN GARM M.S. AMGAON 22131309202 14537 DHAMTARI NAGRI GOVT P.S. PANWDWAR 22131309301 14538 DHAMTARI NAGRI M.S. PANWDWAR 22131309302 14539 DHAMTARI NAGRI P.S. DEVPUR 22131309401 14540 DHAMTARI NAGRI GOVT. M.S. DEVPUR 22131309402 14541 DHAMTARI NAGRI PARYOGIS PRIMARY SCHOOL 22131309501 14542 DHAMTARI NAGRI KANIYA PRIMARY SCHOOL 22131309503 14543 DHAMTARI NAGRI GOVT. S.R. M.S. NAGRI 22131309515 14544 DHAMTARI NAGRI PRAYOGIK MS NAGRI 22131309517 14545 DHAMTARI NAGRI P.S. CHURIYARA NAGRI 22131309518 14546 DHAMTARI NAGRI GOVT.GIRLS M.S. NAGRI 22131309519 14547 DHAMTARI NAGRI UNN. RAISMILL PARA NAGRI 22131309521 14548 DHAMTARI NAGRI UNN. P.S. BANDHPARA NAGRI 22131309522 14549 DHAMTARI NAGRI P.S. KOTPARA NAGRI 22131309523 14550 DHAMTARI NAGRI P.S. JUNGLEPARA NAGRI 22131309524 14551 DHAMTARI NAGRI P.S. KEREGAON 22131309601
  • 442.
    14552 DHAMTARI NAGRIGOVT. M.S. KEREGAON 22131309602 14553 DHAMTARI NAGRI NAVEEN P.S. KURMAJHAR 22131309606 14554 DHAMTARI NAGRI N.M.S. KHALLARI 22131309801 14555 DHAMTARI NAGRI P.S. KHALLARI 22131309802 14556 DHAMTARI NAGRI GOVT. N. PS NYAPARA KHALLRI(SSA) 22131309803 14557 DHAMTARI NAGRI P.S. KARKA 22131309901 14558 DHAMTARI NAGRI P.S. CHUHI 22131310201 14559 DHAMTARI NAGRI GOVT. M.S. CHUHI 22131310203 14560 DHAMTARI NAGRI GOVT. P.S. MALHARI 22131310401 14561 DHAMTARI NAGRI GOVT. M.S. MALHARI 22131310402 14562 DHAMTARI NAGRI P.S. SALONI 22131310601 14563 DHAMTARI NAGRI ASHRAM DARGHAN SALONI 22131310602 14564 DHAMTARI NAGRI GOVT. M.S. SALONI 22131310603 14565 DHAMTARI NAGRI P.S. AMLIPAR 22131310701 14566 DHAMTARI NAGRI N.M.S. AMLIPARA 22131310702 14567 DHAMTARI NAGRI P.S. GIDHAWA 22131311001 14568 DHAMTARI NAGRI M.S. GIDHAWA 22131311002 14569 DHAMTARI NAGRI P.S. PANDARWAHI 22131311201 14570 DHAMTARI NAGRI P.S. BODRA 22131311401 14571 DHAMTARI NAGRI M.S. BODRA 22131311402 14572 DHAMTARI NAGRI P.S. FARSIYAN 22131311501 14573 DHAMTARI NAGRI P.S. KANYA FARSIYAN 22131311502 14574 DHAMTARI NAGRI UNNYIT P.S. FARSIYAN 22131311503 14575 DHAMTARI NAGRI M.S. A FARSIYAN 22131311504 14576 DHAMTARI NAGRI UNN. P.S. KAMARPARA (FAR) 22131311505 14577 DHAMTARI NAGRI P.S. KAREHA 22131311801 14578 DHAMTARI NAGRI M.S. KAREHA 22131311802 14579 DHAMTARI NAGRI AADMUDA 22131311803 14580 DHAMTARI NAGRI UNN. P.S. NAYAPARA (KAREHA) 22131311804 14581 DHAMTARI NAGRI BALAK ASHRAM P.S. KAREHA 22131311806 14582 DHAMTARI NAGRI GOVT. P.S. DEVGAON 22131312001 14583 DHAMTARI NAGRI GOVT. M.S. DEVGAON 22131312002 14584 DHAMTARI NAGRI P.S. MUNAIKERA 22131312101
  • 443.
    14585 DHAMTARI NAGRIGOVT. P.S. SARAITOLA [A] 22131312201 14586 DHAMTARI NAGRI M.S. SARAITOLA 22131312202 14587 DHAMTARI NAGRI GOVT. PS SARAITOLA 22131312203 14588 DHAMTARI NAGRI GOVT. KANIST P.S. JORADABARI 22131312301 14589 DHAMTARI NAGRI GOVT. P.S. SIRSIDA 22131312401 14590 DHAMTARI NAGRI M.S. SIRSIDA 22131312402 14591 DHAMTARI NAGRI GOVT. P.S. NEGINALA 22131312601 14592 DHAMTARI NAGRI P.S. DARGAHAN 22131312901 14593 DHAMTARI NAGRI M.S. DARGAHAN 22131312902 14594 DHAMTARI NAGRI EGS P.S. ARJUNI 22131313101 14595 DHAMTARI NAGRI P.S. LITIPARA 22131313102 14596 DHAMTARI NAGRI M.S. ARJUNI 22131313103 14597 DHAMTARI NAGRI M.S. ARJUNI 22131313105 14598 DHAMTARI NAGRI P.S. ARJUNI 22131313106 14599 DHAMTARI NAGRI P.S. ANJANI 22131313301 14600 DHAMTARI NAGRI P.S. DONGARDULA 22131313401 14601 DHAMTARI NAGRI BOY M.S.DONGARDULA 22131313402 14602 DHAMTARI NAGRI GIRL M.S. DONGARDULA 22131313403 14603 DHAMTARI NAGRI P.S. SIYADEHI 22131313501 14604 DHAMTARI NAGRI M.S. SIYADEHI 22131313502 14605 DHAMTARI NAGRI GOVT. P.S. MOHLAI 22131313601 14606 DHAMTARI NAGRI P.S. KUKREL 22131313701 14607 DHAMTARI NAGRI M.S. KUKREL 22131313702 14608 DHAMTARI NAGRI P.S. LASUNWAHI 22131313801 14609 DHAMTARI NAGRI P.S, SIROD-KHURD 22131313901 14610 DHAMTARI NAGRI P.S. PIPERCHEDI(NEECHEPARA) 22131314001 14611 DHAMTARI NAGRI P.S. PIPERCHEDI(UAPRPARA) 22131314002 14612 DHAMTARI NAGRI GOVT. P.S. GEDARA 22131314101 14613 DHAMTARI NAGRI GOVT. M.S. GEDARA 22131314102 14614 DHAMTARI NAGRI P.S. BITLINGPARA GEDRA 22131314103 14615 DHAMTARI NAGRI NAVEEN KANYA ASHRAM GEDARA 22131314104 14616 DHAMTARI NAGRI GYAN JOYTI SCHOOL GEDRA 22131314105 14617 DHAMTARI NAGRI P.S. KETTARAI 22131314501
  • 444.
    14618 DHAMTARI NAGRIP.S. GADRIYAPARA 22131314701 14619 DHAMTARI NAGRI PRIMARY SCHOOL 22131314801 14620 DHAMTARI NAGRI M.S. PAIKBHATA 22131314803 14621 DHAMTARI NAGRI P.S. PADUMPUR 22131314901 14622 DHAMTARI NAGRI NAVEN P.S. SANDBAHRA 22131315001 14623 DHAMTARI NAGRI P.S. SELBAHRA 22131315002 14624 DHAMTARI NAGRI P.S. TUMBAHRA 22131315101 14625 DHAMTARI NAGRI P.S. KHUDURPANI 22131315201 14626 DHAMTARI NAGRI M.S. KHUDURPANI 22131315202 14627 DHAMTARI NAGRI P.S. SEMARA 22131315301 14628 DHAMTARI NAGRI GOVT. M.S. SEMARA 22131315302 14629 DHAMTARI NAGRI P.S. CHARRA 22131315401 14630 DHAMTARI NAGRI M.S. CHARRA 22131315402 14631 DHAMTARI NAGRI GOVT. PS KCHARPARA CHARRA 22131315403 14632 DHAMTARI NAGRI P.S. KHARKA 22131315501 14633 DHAMTARI NAGRI GOVT. P.S. BHITARRAS 22131315601 14634 DHAMTARI NAGRI KANYA PRIMARY SCHOOL 22131315701 14635 DHAMTARI NAGRI ADIWASI KANYA ASHRAM 22131315702 14636 DHAMTARI NAGRI GOVT. PRIMARY SCHOOL 22131315703 14637 DHAMTARI NAGRI GOVT. BOY M.S. SIHAWA 22131315704 14638 DHAMTARI NAGRI GOVT. GIRL M.S. SIHAWA 22131315705 14639 DHAMTARI NAGRI P.S.MADEENA MADRSA SIHAWA 22131315706 14640 DHAMTARI NAGRI PS PREMNAGAR SIHAWA 22131315708 14641 DHAMTARI NAGRI PS SHIVPUR SIHAWA 22131315709 14642 DHAMTARI NAGRI P.S. LIKHMA 22131316001 14643 DHAMTARI NAGRI P.S. BANIYADEEH 22131316101 14644 DHAMTARI NAGRI M.S.BNIYADEEH 22131316102 14645 DHAMTARI NAGRI P.S. DOHALAPARA 22131316301 14646 DHAMTARI NAGRI P.S. NAYAPARA 22131316302 14647 DHAMTARI NAGRI P.S. MAHMALLA 22131316501 14648 DHAMTARI NAGRI UNNT. M.S. MOHMALLA 22131316506 14649 DHAMTARI NAGRI P.S. BANBGOD 22131316801 14650 DHAMTARI NAGRI NAVEEN M.S.BANBGOD 22131316802
  • 445.
    14651 DHAMTARI NAGRIPS G J V KAMARPARA BANBAGOD 22131316803 14652 DHAMTARI NAGRI P.S. LALANJ 22131316901 14653 DHAMTARI NAGRI P.S. ARSIKANHAR 22131317001 14654 DHAMTARI NAGRI P.S. TUMDIBAHAR 22131317101 14655 DHAMTARI NAGRI P.S. MECHKA 22131317201 14656 DHAMTARI NAGRI GOVT. M.S. MECHKA 22131317202 14657 DHAMTARI NAGRI PS ASHRAMSHALA MECHKA 22131317203 14658 DHAMTARI NAGRI P.S. THENHI 22131317301 14659 DHAMTARI NAGRI M.S. THENHI 22131317302 14660 DHAMTARI NAGRI P.S. GATTASILLI 22131317401 14661 DHAMTARI NAGRI M.S. GATTASILLI 22131317402 14662 DHAMTARI NAGRI P.S. PALGAON 22131317501 14663 DHAMTARI NAGRI P.S. DINKARPUR 22131317601 14664 DHAMTARI NAGRI M.S. DINKARPUR 22131317602 14665 DHAMTARI NAGRI P.S. KOLIYARI 22131317701 14666 DHAMTARI NAGRI P.S. KOHINPARA 22131317801 14667 DHAMTARI NAGRI PRIMARY SCHOOL 22131317901 14668 DHAMTARI NAGRI N.M.S. GUHANNALA 22131317903 14669 DHAMTARI NAGRI P.S. BANDHA 22131318101 14670 DHAMTARI NAGRI N. M.S. BANDHA 22131318103 14671 DHAMTARI NAGRI GOVT P.S. PARSAPANI 22131318201 14672 DHAMTARI NAGRI M.S. PARSAPANI 22131318202 14673 DHAMTARI NAGRI GOVT KHNIST P.S. BHESA SANKRA 22131318301 14674 DHAMTARI NAGRI P.S. MONDE 22131318401 14675 DHAMTARI NAGRI M.S.MONDE 22131318402 14676 DHAMTARI NAGRI NAVEN P.S. DALDALI (B) 22131318502 14677 DHAMTARI NAGRI P.S. DEURPARA 22131318601 14678 DHAMTARI NAGRI M.S. SALHEBHAT 22131318702 14679 DHAMTARI NAGRI P.S. SALHEBHAT 22131318703 14680 DHAMTARI NAGRI GOVT.P/S SCHOOL SALHEBHAT 22131318704 14681 DHAMTARI NAGRI P.S. KARRGHATI 22131318801 14682 DHAMTARI NAGRI M.S. KARRGHATI 22131318802 14683 DHAMTARI NAGRI P.S. CHHALAKANI 22131318901
  • 446.
    14684 DHAMTARI NAGRIP.S. BASIKHAI 22131319001 14685 DHAMTARI NAGRI P.S. CHANDANBAHRA 22131319101 14686 DHAMTARI NAGRI M.S. CHANDANBAHRA 22131319102 14687 DHAMTARI NAGRI P.S. CHATRRIBAHRA 22131319103 14688 DHAMTARI NAGRI P.S. SAMBALPUR 22131319201 14689 DHAMTARI NAGRI P.S. DOUD-PANDRIPANI 22131319401 14690 DHAMTARI NAGRI P.S. KHALGHAR 22131319501 14691 DHAMTARI NAGRI KNISHT P.S. THOTAJHIRIYA 22131319601 14692 DHAMTARI NAGRI P.S. KAUHABAHRA 22131319701 14693 DHAMTARI NAGRI GOVT. PS KAUHABHAHRA 22131319702 14694 DHAMTARI NAGRI P.S. MATIYABAHRA 22131319901 14695 DHAMTARI NAGRI KNISHT PRIMARY SCHOOL 22131320001 14696 DHAMTARI NAGRI KNISHT P.S. NIRRABEDA 22131320201 14697 DHAMTARI NAGRI K.G.B.V. NIRRABEDA 22131320202 14698 DHAMTARI NAGRI KNISHT P.S. BHIRAGAON 22131320301 14699 DHAMTARI NAGRI P.S. KHAIRBHARRI 22131320401 14700 DHAMTARI NAGRI GOVT. MS KHARBHARRI 22131320402 14701 DHAMTARI NAGRI P.S. KUMHADAKOT 22131320501 14702 DHAMTARI NAGRI M.S. KUMHADAKOT 22131320502 14703 DHAMTARI NAGRI FOREST SCHOOL JHUNJHRAKASA 22131320601 14704 DHAMTARI NAGRI M.S. JHUNJHRAKASA 22131320602 14705 DHAMTARI NAGRI P.S. HARDIBHATA 22131320701 14706 DHAMTARI NAGRI M.S. HARDIBHATA 22131320702 14707 DHAMTARI NAGRI P.S. CHURIYARA 19 22131320801 14708 DHAMTARI NAGRI NAVEEN PS CHURIYARA DIHPARA 22131320802 14709 DHAMTARI NAGRI P.S. BIRANPUR 22131320901 14710 DHAMTARI NAGRI M.S. JANGALPARA NAGRI 22131321102 14711 DHAMTARI NAGRI P.S. BODH SEMRA 22131321201 14712 DHAMTARI NAGRI P.S. SIYARINALA 22131321302 14713 DHAMTARI NAGRI M.S. SIYARINALA 22131321303 14714 DHAMTARI NAGRI P.S. KORRAMUDA 22131321401 14715 DHAMTARI NAGRI M.S. KORRAMUDA 22131321402 14716 DHAMTARI NAGRI P.S. BHOTAPARA 22131321501
  • 447.
    14717 DHAMTARI NAGRIM.S. BHOTAPARA 22131321502 14718 DHAMTARI NAGRI ADI. KANYA ASHRAM PS BHOTAPARA 22131321503 14719 DHAMTARI NAGRI P.S. TALPARA 22131321701 14720 DHAMTARI NAGRI NAVEN P.S. PANDRIPANI (R) 22131322301 14721 DHAMTARI NAGRI P.S. CHIPLIPARA 22131322401 14722 DHAMTARI NAGRI M.S. CHIPLIPARA 22131322402 14723 DHAMTARI NAGRI P.S. GONLANALA 22131322601 14724 DHAMTARI NAGRI M.S. GONLANALA 22131322602 14725 DHAMTARI NAGRI NAVEN P.S. PALARIKHAR 22131322701 14726 DHAMTARI NAGRI NAVEN P.S. BEDHWAPATHRA 22131322801 14727 DHAMTARI NAGRI M.S. BEDHWAPATHRA 22131322802 14728 DHAMTARI NAGRI NAVEN P.S. KEREMUDA 22131322901 14729 DHAMTARI NAGRI NAVEN P.S. KHARKHABHARRI 22131323001 14730 DHAMTARI NAGRI M.S. PODAGAON 22131323102 14731 DHAMTARI NAGRI P.S. PODAGANO 22131323103 14732 DHAMTARI NAGRI P.S. RATAWA 22131323201 14733 DHAMTARI NAGRI GOVT. M.S. RATAWA 22131323202 14734 DHAMTARI NAGRI GOVT.GYAN JYOTI SCHOOL RATAVADIH 22131323203 14735 DHAMTARI NAGRI GOVT. P.S. GHATHULA 22131323301 14736 DHAMTARI NAGRI KANYA M.S. GHATHULA 22131323302 14737 DHAMTARI NAGRI BOYS M.S.GHATHULA 22131323306 14738 DHAMTARI NAGRI P.S. RAWANSINGHI 22131323401 14739 DHAMTARI NAGRI P.S. BANROD 22131323601 14740 DHAMTARI NAGRI GOVT. N.M.S. BANROD 22131323602 14741 DHAMTARI NAGRI P.S. GOBINDPUR 22131323701 14742 DHAMTARI NAGRI M.S. GOBINDPUR 22131323702 14743 DHAMTARI NAGRI NAVEN P.S. RAIYATWARI 22131323801 14744 DHAMTARI NAGRI NAVEN P.S. KARHI 22131323901 14745 DHAMTARI NAGRI P.S. MASULKHOI (KARHI) 22131324001 14746 DHAMTARI NAGRI M.S. MASULKHOI 22131324002 14747 DHAMTARI NAGRI EGS P.S. GATABHARRI 22131324101 14748 DHAMTARI NAGRI P.S. GATABAHARA 22131324102 14749 DHAMTARI NAGRI P.S. AAMJHAR 22131324201
  • 448.
    14750 DHAMTARI NAGRIM.S. KHADPATHARA 22131324302 14751 DHAMTARI NAGRI NAVEN P.S. UJRAWAN 22131324401 14752 DHAMTARI NAGRI M.S. UJRAWAN 22131324402 14753 DHAMTARI NAGRI P.S. BUDRRA 22131324501 14754 DHAMTARI NAGRI P.S. BUDRAPARA 22131324502 14755 DHAMTARI NAGRI P.S. MAINPUR 22131324601 14756 DHAMTARI NAGRI M.S. MAINPUR 22131324602 14757 DHAMTARI NAGRI KANIST P.S. THEMLIPARA 22131324701 14758 DHAMTARI NAGRI NAVEN P.S. SARANGPURI 22131324801 14759 DHAMTARI NAGRI P.S. RANIGAON 22131324901 14760 DHAMTARI NAGRI M.S. RANIGAON 22131324902 14761 DHAMTARI NAGRI P.S. KHAMHARIYA 22131325001 14762 DHAMTARI NAGRI M.S. KHAMHARIYA 22131325002 14763 DHAMTARI NAGRI P.S. JABARRA 22131325101 14764 DHAMTARI NAGRI NAVEEN M.S. JABARRA 22131325102 14765 DHAMTARI NAGRI P.S. BHENSAMUDA 22131325201 14766 DHAMTARI NAGRI M.S. BHENSAMUDA 22131325202 14767 DHAMTARI NAGRI ADIVASI KANYA ASRAM PS BHESAMU 22131325203 14768 DHAMTARI NAGRI P.S. CHARGAON 22131325301 14769 DHAMTARI NAGRI M.S. CHARGAON 22131325302 14770 DHAMTARI NAGRI NAVIN P/S SCHOOL CHARGAON 22131325303 14771 DHAMTARI NAGRI GYAN JYOTI VIDYALAY NAYAPARA 22131325402 14772 DHAMTARI NAGRI P.S. CHINWARI 22131325501 14773 DHAMTARI NAGRI GOVT. PS TIKARAPARA CHIWARI 22131325502 14774 DHAMTARI NAGRI P.S. GEETKARMUDA 22131325601 14775 DHAMTARI NAGRI P.S. TENGNA 22131325701 14776 DHAMTARI NAGRI GOVT. M.S. TENGNA 22131325702 14777 DHAMTARI NAGRI P.S. BELARBAHRA 22131325801 14778 DHAMTARI NAGRI GOVT. M.S. BELARBAHRA 22131325802 14779 DHAMTARI NAGRI P.S. BOIRGAON 22131325803 14780 DHAMTARI NAGRI GYAN JYOTI KASALOR P/S 22131325805 14781 DHAMTARI NAGRI P.S. GHOTGAO 22131326001 14782 DHAMTARI NAGRI GOVT. M.S. GHOTGAO 22131326002
  • 449.
    14783 DHAMTARI NAGRIADIVASI KANYA ASRAM PS GHOTGAO 22131326003 14784 DHAMTARI NAGRI P.S. DABGAON 22131326101 14785 DHAMTARI NAGRI P.S. ACHOLI 22131326201 14786 DHAMTARI NAGRI NAVEN P.S. SARANGPURI (KAREHA) 22131326301 14787 DHAMTARI NAGRI P.S. SANKARA CHIWARI 22131326401 14788 DHAMTARI NAGRI M.S. SANKRA (CHIWARRI) 22131326405 14789 DHAMTARI NAGRI P.S. AMDI 22131326501 14790 DHAMTARI NAGRI ASHRAM P.S. DUGALI 22131326601 14791 DHAMTARI NAGRI P.S. DUGALI 22131326602 14792 DHAMTARI NAGRI M.S. DUGALI 22131326603 14793 DHAMTARI NAGRI ASHRAM M.S. DUGALI 22131326604 14794 DHAMTARI NAGRI P.S. BIRANPARA 22131326607 14795 DHAMTARI NAGRI GOVT KANYA PARISAR DUGLI 22131326609 14796 DHAMTARI NAGRI GOVT. P.S. SARAITOLA (B) 22131326801 14797 DHAMTARI NAGRI P.S. CHANAAON 22131327001 14798 DHAMTARI NAGRI M.S. CHANAAON 22131327002 14799 DHAMTARI NAGRI GOVT. P.S. CHINDBHARRI 22131327101 14800 DHAMTARI NAGRI P.S. CHINDITOLA 22131327201 14801 DHAMTARI NAGRI NAVEN P.S. BHISAMPURI 22131327301 14802 DHAMTARI NAGRI P.S. BOKRABEDA 22131327401 14803 DHAMTARI NAGRI M.S. BOKRABEDA 22131327402 14804 DHAMTARI NAGRI P.S. GAJKANHAR 22131327501 14805 DHAMTARI NAGRI P.S. JORATARAI 22131327601 14806 DHAMTARI NAGRI NAVEN P.S. BANSPARA 22131327801 14807 DHAMTARI NAGRI P.S. MAFARDONA 22131327901 14808 DHAMTARI NAGRI M.S. MAKARDONA 22131327902 14809 DHAMTARI NAGRI P.S. MUKUNDPUR 22131328001 14810 DHAMTARI NAGRI N.P.S. AMLEEPARA (MUKUNDPUR) 22131328002 14811 DHAMTARI NAGRI P.S. SADAKPARA MUKUNDPUR 22131328003 14812 DHAMTARI NAGRI P.S. DUGLIPARA MUKUNDPUR 22131328004 14813 DHAMTARI NAGRI P.S. MUNDRAPARA MUKUNDPUR 22131328005 14814 DHAMTARI NAGRI P.S. BHATKAPARA MUKUNDPUR 22131328006 14815 DHAMTARI NAGRI P.S. KHAMNAPARA MUKUNDPUR 22131328007
  • 450.
    14816 DHAMTARI NAGRIP.S. KATTIGAON 22131328101 14817 DHAMTARI NAGRI MS KATTIGAON 22131328102 14818 DHAMTARI NAGRI NAVEN P.S. BHATHKHAR PANDRIPAN 22131328201 14819 DHAMTARI NAGRI NAVEN P.S. BHEJRIRAWAN (SEMRA) 22131328301 14820 DHAMTARI NAGRI NAVEN P.S. BRAMHANBAHRA 22131328401 14821 DHAMTARI NAGRI NAVEN P.S. BENDRAPANI 22131328501 14822 DHAMTARI NAGRI GOVT. P.S. BAGRUMNALA 22131328601 14823 DHAMTARI NAGRI M.S. BAGRUMNALA 22131328602 14824 DHAMTARI NAGRI P.S. DEHEPARA SEMARA 22131328801 14825 DHAMTARI NAGRI GOVT. P.S. GADHDONGRI (MAAL) 22131328901 14826 DHAMTARI NAGRI M. S. GADHDONGRI (MAAL) 22131328902 14827 DHAMTARI NAGRI N.P.S. NACHKARPARA (MAAL.) 22131328903 14828 DHAMTARI NAGRI P.S. JOGIBIRDO (AMJHAR) 22131329101 14829 DHAMTARI NAGRI M.S. JOGIBIRDO 22131329102 14830 DHAMTARI NAGRI P.S. BAHIGAON 22131329201 14831 DHAMTARI NAGRI NAVEEN P.S. MOHMALLA (RAI) 22131329301 14832 DHAMTARI NAGRI NAVEEN P.S. GUDRAPARA 22131329401 14833 DHAMTARI NAGRI NAVEEN P.S. BEHRDAPARA 22131329501 14834 DHAMTARI NAGRI NAVEEN P.S. KAMARPARA 22131329601 14835 DHAMTARI NAGRI GOVT. P.S. PATHARRIDIH 22131329701 14836 DHAMTARI NAGRI P.S. BUDARAO 22131329801 14837 DHAMTARI NAGRI P.S. KOTABHRRI 22131330001 14838 DHAMTARI NAGRI PS G.J.V.KAMARPARA KOTA BHARRI 22131330002 14839 DHAMTARI NAGRI N.P.S. CHACHANWAHI 22131330101 14840 DHAMTARI NAGRI UNN. P.S. GADULBAHRA 22131330201 14841 DHAMTARI NAGRI EGS P.S. BASIN 22131330401 14842 DHAMTARI NAGRI P.S. PANDRIDABRI 22131330501 14843 DHAMTARI NAGRI S.G. P.S. BARPADR 22131330601 14844 DHAMTARI NAGRI P.S. MADAGIRI 22131330701 14845 DHAMTARI NAGRI UNN. P.S. CHHINDPARA (SANKRA) 22131331101 14846 DHAMTARI NAGRI P.S. MOTIMDEEH 22131331201 14847 DHAMTARI NAGRI P.S. HEERAPUR 22131331301 14848 DHAMTARI NAGRI UNN. P.S. NAYAPARA (TANGA) 22131331901
  • 451.
    14849 DHAMTARI NAGRIEGS P.S. KAMARTOLA (SIYARI) 22131332001 14850 DHAMTARI NAGRI UNN. P.S. PODIDEEH 22131332101 14851 DHAMTARI NAGRI P.S. KARIPANI 22131332201 14852 DHAMTARI NAGRI P.S. KOTPARA (BORAI) 22131332301 14853 DHAMTARI NAGRI M.S. KOTPARA 22131332302 14854 DHAMTARI NAGRI EGS KUKRIKONHA 22131332401 14855 DHAMTARI NAGRI UNN. P.S. KUPAPARA 22131332501 14856 DHAMTARI NAGRI N.P.S. RAMNAGAR SANKRA 22131332601 14857 DHAMTARI NAGRI UNN. P.S. KORMUDPARA 22131332701 14858 DHAMTARI NAGRI P.S. CHHIPLEE 22131332801 14859 DHAMTARI NAGRI UNN. P.S. JANGLPARA CHHIPLEE 22131332802 14860 DHAMTARI NAGRI N.M.S. CHHIPLEE 22131332803 14861 DHAMTARI NAGRI N.P.S. DONGAREEPARA (SIHAWA) 22131332901 14862 DHAMTARI NAGRI P.S. CHAMENDA (KH) 22131333001 14863 DHAMTARI NAGRI P.S. FUDHARDHAP 22131333101 14864 DHAMTARI NAGRI P.S. SAYFANPARA 22131333201 14865 DHAMTARI NAGRI UNN. P.S. BHATLAPARA 22131333301 14866 DHAMTARI NAGRI UNN. P.S. HURAWAPARA 22131333401 14867 DHAMTARI NAGRI GOVT.P.S.NAYAADIH(DARGAHAN) 22131333601 14868 DHAMTARI NAGRI GYAN JYOTI P.S. FUTHAMUDA 22131334501 14869 DURG DHAMDHA GOVT P.S. BORI 22100600101 14870 DURG DHAMDHA GOVT GIRLS P.S. BORI 22100600102 14871 DURG DHAMDHA GOVT MS BORI 22100600103 14872 DURG DHAMDHA GOVT P.S. DANIA 22100600201 14873 DURG DHAMDHA GOVT MS DANIA 22100600202 14874 DURG DHAMDHA GOVT P.S. DOMA 22100600301 14875 DURG DHAMDHA GOVT P.S. PHUNDA 22100600401 14876 DURG DHAMDHA GOVT P.S. PARSDAKURD 22100600501 14877 DURG DHAMDHA GOVT MS PARSDAKURD (SSA) 22100600502 14878 DURG DHAMDHA GOVT P.S. TUMAKURD 22100600601 14879 DURG DHAMDHA GOVT NAVIN P.S. TUMAKURD 22100600602 14880 DURG DHAMDHA GOVT MS TUMAKURD (SSA) 22100600603 14881 DURG DHAMDHA GOVT P.S. KHILORAKALA 22100600701
  • 452.
    14882 DURG DHAMDHAGOVT M.S. KHILORAKALA (SSA) 22100600702 14883 DURG DHAMDHA GOVT P.S. MANDIR KHILORA 22100600801 14884 DURG DHAMDHA GOVT P.S. TUMAKALA 22100600901 14885 DURG DHAMDHA GOVT MS TUMAKALA 22100600902 14886 DURG DHAMDHA GOVT P.S. GADAGHAT 22100601001 14887 DURG DHAMDHA GOVT P.S. GHASARA 22100601101 14888 DURG DHAMDHA GOVT P.S. HIRRI 22100601201 14889 DURG DHAMDHA GOVT MS HIRRI 22100601202 14890 DURG DHAMDHA GOVT P.S. MADIYAPAR 22100601301 14891 DURG DHAMDHA GOVT P.S. KHARRA 22100601401 14892 DURG DHAMDHA GOVT P.S. SEWATI 22100601501 14893 DURG DHAMDHA GOVT P.S. POTIYA 22100601601 14894 DURG DHAMDHA GOVT P.S. POTIYA 22100601602 14895 DURG DHAMDHA GOVT P.S. ROWTA 22100601701 14896 DURG DHAMDHA GOVT P.S. TEMARI 22100601801 14897 DURG DHAMDHA GOVT MS TEMARI 22100601802 14898 DURG DHAMDHA GOVT P.S. BERAJHAR 22100601901 14899 DURG DHAMDHA GOVT MS BERAJHAR (SSA) 22100601902 14900 DURG DHAMDHA GOVT P.S. PARSDAPAR 22100602001 14901 DURG DHAMDHA GOVT P.S. HASDA 22100602101 14902 DURG DHAMDHA GOVT MS HASDA (SSA) 22100602102 14903 DURG DHAMDHA GOVT P.S. CHIKLA 22100602201 14904 DURG DHAMDHA GOVT P.S. AARSI 22100602301 14905 DURG DHAMDHA GOVT MS AARSI 22100602302 14906 DURG DHAMDHA GOVT P.S. SUKHARIKALA 22100602401 14907 DURG DHAMDHA GOVT MS SUKHARIKALA (SSA) 22100602402 14908 DURG DHAMDHA GOVT P.S. SHUKRIKURD 22100602501 14909 DURG DHAMDHA GOVT P.S. DAURKONA 22100602601 14910 DURG DHAMDHA GOVT P.S. DODKI 22100602701 14911 DURG DHAMDHA GOVT P.S. CHICHA 22100602801 14912 DURG DHAMDHA GOVT MS CHICHA 22100602803 14913 DURG DHAMDHA GOVT P.S. JOGIGUFA 22100602901 14914 DURG DHAMDHA GOVT P.S. LITIYA 22100603001
  • 453.
    14915 DURG DHAMDHAGOVT MS LITIYA 22100603003 14916 DURG DHAMDHA GOVT P.S. SENERIYA 22100603101 14917 DURG DHAMDHA GOVT NAVIN PS SENERIYA 22100603102 14918 DURG DHAMDHA GOVT P.S. AAGAR 22100603201 14919 DURG DHAMDHA GOVT MS AAGAR (SSA) 22100603202 14920 DURG DHAMDHA GOVT P.S. HIRETARA 22100603301 14921 DURG DHAMDHA GOVT MS HIRETARA (SSA) 22100603302 14922 DURG DHAMDHA GOVT P.S. PENDRAWAN 22100603401 14923 DURG DHAMDHA GOVT MS PENDRAWAN 22100603402 14924 DURG DHAMDHA GOVT P.S. KONKA 22100603501 14925 DURG DHAMDHA GOVT P.S. PAGBANDHI 22100603601 14926 DURG DHAMDHA GOVT P.S. BIREBHAT 22100603701 14927 DURG DHAMDHA GOVT P.S. ACHOLI 22100603801 14928 DURG DHAMDHA GOVT P.S. PARASKOL 22100603901 14929 DURG DHAMDHA GOVT P.S. AKOLI 22100604001 14930 DURG DHAMDHA GOVT MS AKOLI (SSA) 22100604002 14931 DURG DHAMDHA GOVT P.S. BORPA 22100604101 14932 DURG DHAMDHA GOVT MS BORPA (SSA) 22100604102 14933 DURG DHAMDHA GOVT P.S. BHILORI 22100604201 14934 DURG DHAMDHA GOVT P.S. TELKA 22100604301 14935 DURG DHAMDHA GOVT BOYS P.S. MENDESARA 22100604401 14936 DURG DHAMDHA GOVT GIRLS P.S. MENDESARA 22100604402 14937 DURG DHAMDHA GOVT BOYS MS MENDESARA 22100604403 14938 DURG DHAMDHA GOVT GIRLS MS MENDESARA (SSA) 22100604405 14939 DURG DHAMDHA GOVT GIRLS P.S. KODIYA 22100604501 14940 DURG DHAMDHA GOVT BOYS P.S. KODIYA 22100604502 14941 DURG DHAMDHA GOVT MS KODIYA 22100604503 14942 DURG DHAMDHA GOVT P.S. SAGNI 22100604601 14943 DURG DHAMDHA GOVT MS SAGNI (SSA) 22100604602 14944 DURG DHAMDHA GOVT P.S. PARSADA 22100604701 14945 DURG DHAMDHA SHIKSHA GARANTY P.S. (SSA) 22100604801 14946 DURG DHAMDHA GOVT P.S. PATHARIYA ME. 22100604901 14947 DURG DHAMDHA GOVT MS PATHARIYA ME. 22100604904
  • 454.
    14948 DURG DHAMDHAGOVT P.S. SAHAGAON 22100605001 14949 DURG DHAMDHA GOVT P.S. JANJAGIRI 22100605101 14950 DURG DHAMDHA GOVT MS JANJAGIRI 22100605102 14951 DURG DHAMDHA GOVT P.S. PATHRA 22100605201 14952 DURG DHAMDHA GOVT P.S. JARWAY 22100605302 14953 DURG DHAMDHA GOVT MS JARWAY 22100605303 14954 DURG DHAMDHA GOVT P.S. SURDUNG 22100605402 14955 DURG DHAMDHA GOVT MS SURDUNG 22100605403 14956 DURG DHAMDHA GOVT P.S. DADAR 22100605501 14957 DURG DHAMDHA GOVT P.S. NANDORI 22100605601 14958 DURG DHAMDHA GOVT MS NANDORI 22100605602 14959 DURG DHAMDHA GOVT P.S. RINGNI 22100605701 14960 DURG DHAMDHA GOVT P.S. KHERDA 22100605801 14961 DURG DHAMDHA GOVT MS KHERDA (SSA) 22100605803 14962 DURG DHAMDHA GOVT P.S. RUHA 22100605901 14963 DURG DHAMDHA GOVT P.S. PENDRI 22100606001 14964 DURG DHAMDHA GOVT P.S. RONDA 22100606101 14965 DURG DHAMDHA GOVT MS RONDA 22100606102 14966 DURG DHAMDHA GOVT P.S. SALHAIKHURD 22100606201 14967 DURG DHAMDHA GOVT MS SALHAIKHURD (SSA) 22100606202 14968 DURG DHAMDHA GOVT P.S. NAWAGAON (RONDA) 22100606301 14969 DURG DHAMDHA GOVT P.S. MUDPAR 22100606402 14970 DURG DHAMDHA GOVT P.S. DHUMA 22100606501 14971 DURG DHAMDHA GOVT P.S. KHAIRGHITI 22100606601 14972 DURG DHAMDHA GOVT NAVIN P.S. DHIHPARA 22100606701 14973 DURG DHAMDHA GOVT P.S. BHATAKOKDI 22100606801 14974 DURG DHAMDHA GOVT MS BHATAKOKDI (SSA) 22100606802 14975 DURG DHAMDHA GOVT P.S. GHOTA 22100606901 14976 DURG DHAMDHA GOVT MS GHOTA 22100606902 14977 DURG DHAMDHA GOVT P.S. GHOTWANI 22100607001 14978 DURG DHAMDHA GOVT MS GHOTWANI 22100607003 14979 DURG DHAMDHA GOVT P.S. MALPURI KALA 22100607101 14980 DURG DHAMDHA GOVT MS MALPURI KALA 22100607102
  • 455.
    14981 DURG DHAMDHAGOVT P.S. OTEBANDH 22100607201 14982 DURG DHAMDHA GOVT PS LAHANGA 22100607301 14983 DURG DHAMDHA GOVT P.S. KHERDI 22100607401 14984 DURG DHAMDHA GOVT MS KHERDI (SSA) 22100607402 14985 DURG DHAMDHA GOVT P.S. KAPSADA 22100607501 14986 DURG DHAMDHA GOVT MS KAPSADA 22100607505 14987 DURG DHAMDHA GOVT NAVIN PS AKOLA 22100607601 14988 DURG DHAMDHA GOVT PS AKOLA 22100607602 14989 DURG DHAMDHA GOVTMS AKOLA (SSA) 22100607603 14990 DURG DHAMDHA GOVT PS BORSI 22100607701 14991 DURG DHAMDHA GOVT PS ACHOTI 22100607801 14992 DURG DHAMDHA GOVT PS DHOR 22100607901 14993 DURG DHAMDHA GOVT PS GODI 22100608001 14994 DURG DHAMDHA GOVT GIRLS PS GODI 22100608002 14995 DURG DHAMDHA GOVT M.S. GODI 22100608003 14996 DURG DHAMDHA SHIKSHA GARANTI SHALA 22100608005 14997 DURG DHAMDHA GOVT GIRLS PS KUMHARI 22100608101 14998 DURG DHAMDHA GOVT BOYS PS KUMHARI 22100608103 14999 DURG DHAMDHA GOVT MS KUMHARI 22100608106 15000 DURG DHAMDHA GOVT. M.S.KUMHARI (SSA) 22100608111 15001 DURG DHAMDHA GOVT PS CHORHA (RAMPUR) 22100608201 15002 DURG DHAMDHA GOVT MS CHORHA (RAMPUR) (SSA) 22100608202 15003 DURG DHAMDHA GOVT PS KHAPRI 22100608301 15004 DURG DHAMDHA GOVT PS KHAPRI 22100608302 15005 DURG DHAMDHA GOVT PS KHAPRI 22100608303 15006 DURG DHAMDHA GOVT PS PANCHDEVARI 22100608401 15007 DURG DHAMDHA GOVT PS SANKARA 22100608501 15008 DURG DHAMDHA GOVT MS SANKARA (SSA) 22100608502 15009 DURG DHAMDHA GOVT PS DHABA 22100608601 15010 DURG DHAMDHA GOVT MS DHABA 22100608602 15011 DURG DHAMDHA GOVT PS MURRA 22100608701 15012 DURG DHAMDHA GOVT PS LIMTARA 22100608801 15013 DURG DHAMDHA GOVT MS LIMTARA 22100608802
  • 456.
    15014 DURG DHAMDHAGOVT PS KANDARAKA 22100608901 15015 DURG DHAMDHA GOVT M.S. KANDARKA (SSA) 22100608902 15016 DURG DHAMDHA GOVT PS SURGIDIH 22100609001 15017 DURG DHAMDHA GOVT PS KHASADIH 22100609101 15018 DURG DHAMDHA GOVT MS AHIWARA 22100609203 15019 DURG DHAMDHA GOVT GIRLS PS AHIWARA 22100609206 15020 DURG DHAMDHA GOVT GIRLS M.S. AHIWARA (SSA) 22100609207 15021 DURG DHAMDHA GOVT BOYS P.S. AHIWARA 22100609208 15022 DURG DHAMDHA GOVT PS BANBARAD 22100609301 15023 DURG DHAMDHA GOVT MS BANBARAD 22100609302 15024 DURG DHAMDHA GOVT PS SANDI 22100609401 15025 DURG DHAMDHA GOVT PS DEVARJHAL 22100609501 15026 DURG DHAMDHA GOVT PS BIRHEBHAT 22100609601 15027 DURG DHAMDHA GOVT MS BIRHEBHAT (SSA) 22100609602 15028 DURG DHAMDHA GOVT PS AHARI 22100609701 15029 DURG DHAMDHA GOVT MS AHARI 22100609702 15030 DURG DHAMDHA GOVT PS BAGDUMAR 22100609801 15031 DURG DHAMDHA (GOVT AID) HEMANT PS NANDINI NAGER 22100609901 15032 DURG DHAMDHA GOVT P.S. MOTIMPUR 22100610001 15033 DURG DHAMDHA GOVT PS SONESARAR 22100610101 15034 DURG DHAMDHA GOVT MS SONESARAR (SSA) 22100610102 15035 DURG DHAMDHA GOVT PS MAHARAJPUR 22100610201 15036 DURG DHAMDHA GOVT PS DHMADHA 22100610303 15037 DURG DHAMDHA GOVT GIRLS PS DHMADHA 22100610304 15038 DURG DHAMDHA GOVT NAVIN PS DHMADHA 22100610305 15039 DURG DHAMDHA GOVT PS TAMERPARA DHAMDHA 22100610306 15040 DURG DHAMDHA GOVT BOYS MS DHAMDHA 22100610307 15041 DURG DHAMDHA GOVT GIRLS MS DHAMDHA 22100610313 15042 DURG DHAMDHA GOVT MS TAMERPARA DHAMDHA 22100610314 15043 DURG DHAMDHA GOVT PS TITURGHAT 22100610401 15044 DURG DHAMDHA GOVT NAVIN MS TITURGHAT 22100610402 15045 DURG DHAMDHA GOVT NAVIN PS DANGANHIA 22100610501 15046 DURG DHAMDHA GOVT PS SIRNABHATA (SSA) 22100610502
  • 457.
    15047 DURG DHAMDHAGOVT PS BIRJHAPUR 22100610601 15048 DURG DHAMDHA GOVT. GANDHI GYAN MANDIR M.S. (SSA) 22100610602 15049 DURG DHAMDHA GOVT PS RAJPUR 22100610701 15050 DURG DHAMDHA GOVT LATE SORIJI MS RAJPUR 22100610702 15051 DURG DHAMDHA GOVT PS BARHAPUR 22100610801 15052 DURG DHAMDHA GOVT MS BARHAPUR 22100610803 15053 DURG DHAMDHA GOVT PS RAKSHA 22100610901 15054 DURG DHAMDHA GOVT PS JATAGARRA 22100611001 15055 DURG DHAMDHA GOVT MS JATAGARRA (SSA) 22100611002 15056 DURG DHAMDHA GOVT PS PARSBOD 22100611101 15057 DURG DHAMDHA GOVT MS PARSBOD (SSA) 22100611102 15058 DURG DHAMDHA GOVT PS KUTHA 22100611201 15059 DURG DHAMDHA GOVT PS DHARMPURA 22100611301 15060 DURG DHAMDHA GOVT PS PENDRI (K.) 22100611401 15061 DURG DHAMDHA GOVT MS PENDRI (K.) (SSA) 22100611402 15062 DURG DHAMDHA GOVT PS DEVARI 22100611501 15063 DURG DHAMDHA GOVT MS DEVARI 22100611502 15064 DURG DHAMDHA GOVT PS BHIBHORI 22100611601 15065 DURG DHAMDHA GOVT PS BHARNI 22100611701 15066 DURG DHAMDHA GOVT PS NANDWAY 22100611801 15067 DURG DHAMDHA GOVT MS NANDWAY (SSA) 22100611802 15068 DURG DHAMDHA GOVT PS NADELI 22100611901 15069 DURG DHAMDHA GOVT P.S. PENDRI (GO.) 22100612001 15070 DURG DHAMDHA GOVT MS PENDRI (GO.) 22100612002 15071 DURG DHAMDHA GOVT PS GOBRA 22100612101 15072 DURG DHAMDHA GOVT PS NAWAGAON 22100612201 15073 DURG DHAMDHA GOVT PS RAHTADAH 22100612301 15074 DURG DHAMDHA GOVT MS RAHTADAH (SSA) 22100612302 15075 DURG DHAMDHA GOVT PS SILLI 22100612401 15076 DURG DHAMDHA GOVT MS SILLI (SSA) 22100612402 15077 DURG DHAMDHA GOVT PS PARSULI 22100612501 15078 DURG DHAMDHA GOVT PS BASNI 22100612601 15079 DURG DHAMDHA GOVT PS KARELI (DA.) 22100612701
  • 458.
    15080 DURG DHAMDHAGOVT MS KARELI (DA.) 22100612702 15081 DURG DHAMDHA GOVT PS KANHARPURI 22100612801 15082 DURG DHAMDHA GOVT MS KANHARPURI 22100612802 15083 DURG DHAMDHA GOVT PS PARODA 22100612901 15084 DURG DHAMDHA GOVT PS DARGAON 22100613001 15085 DURG DHAMDHA GOVT MS DARGAON 22100613002 15086 DURG DHAMDHA GOVT. P.S. KHAJRI 22100613201 15087 DURG DHAMDHA GOVT.MS KHAJRI (SSA) 22100613202 15088 DURG DHAMDHA GOVT. PS THENGABHATH 22100613301 15089 DURG DHAMDHA GOVT. P.S. MOHLAI 22100613401 15090 DURG DHAMDHA GOVT. M.S. MOHLAI 22100613402 15091 DURG DHAMDHA GOVT. P.S. TATIYA 22100613501 15092 DURG DHAMDHA GOVT. P.S. CHIRAHI 22100613601 15093 DURG DHAMDHA GOVT PS MOHRANGA 22100613701 15094 DURG DHAMDHA GOVT MS MOHRANGA 22100613702 15095 DURG DHAMDHA GOVT PS DHORABHATA 22100613801 15096 DURG DHAMDHA GOVT PS TARKORI 22100613901 15097 DURG DHAMDHA GOVT MS TARKORI (SSA) 22100613902 15098 DURG DHAMDHA GOVT. P.S. KANDAI 22100614001 15099 DURG DHAMDHA GOVT PS MATRA 22100614101 15100 DURG DHAMDHA GOVT MS MATRA 22100614102 15101 DURG DHAMDHA GOVT P.S. GOTA 22100614201 15102 DURG DHAMDHA GOVT PS HARDI 22100614301 15103 DURG DHAMDHA GOVT PS PURDA 22100614401 15104 DURG DHAMDHA GOVT MS PURDA 22100614402 15105 DURG DHAMDHA GOVT. P.S. CHOTE PURDA 22100614501 15106 DURG DHAMDHA GOVT.MS CHOTE PURDA (SSA) 22100614502 15107 DURG DHAMDHA GOVT. PS GADADIH 22100614601 15108 DURG DHAMDHA GOVT PS SILTARA 22100614701 15109 DURG DHAMDHA GOVT .MS SILTARA (SSA) 22100614702 15110 DURG DHAMDHA GOVT. P.S. TEKAPAR 22100614801 15111 DURG DHAMDHA GOVT PS NAWAGAON (PURDA) 22100614901 15112 DURG DHAMDHA GOVT MS NAWAGAON (PURDA) 22100614902
  • 459.
    15113 DURG DHAMDHAGOVT PS NARDHA 22100615001 15114 DURG DHAMDHA GOVT MS NARDHA 22100615002 15115 DURG DHAMDHA GOVT. P.S. MOHDI 22100615101 15116 DURG DHAMDHA GOVT PS CHATUWA 22100615201 15117 DURG DHAMDHA GOVT PS MURMUNDA 22100615301 15118 DURG DHAMDHA GOVT MS MURMUNDA 22100615302 15119 DURG DHAMDHA GOVT PS OKHRA 22100615401 15120 DURG DHAMDHA GOVT PS DHORKALA 22100615501 15121 DURG DHAMDHA GOVT NAVIN MS DHORKALA 22100615502 15122 DURG DHAMDHA GOVT PS HINGNADIH 22100615601 15123 DURG DHAMDHA GOVT PS PAHARA 22100615701 15124 DURG DHAMDHA GOVT M.S.PAHARA (SSA) 22100615703 15125 DURG DHAMDHA GOVT PS GHATIYA KHURD 22100615801 15126 DURG DHAMDHA GOVT PS GIRHOLA 22100615901 15127 DURG DHAMDHA GOVT MS GIRHOLA 22100615902 15128 DURG DHAMDHA GOVT PS PENDRITARAI 22100616001 15129 DURG DHAMDHA GOVT M.S PENDRITARAI (SSA) 22100616002 15130 DURG DHAMDHA GOVT PS DUMAR 22100616201 15131 DURG DHAMDHA GOVT MS DUMAR 22100616203 15132 DURG DHAMDHA GOVT PS KOKDI 22100616301 15133 DURG DHAMDHA GOVT PS KARHIDIH 22100616401 15134 DURG DHAMDHA GOVT PS MALPURIKHURD 22100616502 15135 DURG DHAMDHA GOVT PS DANIKOKDI 22100616601 15136 DURG DHAMDHA GOVT MS DANIKOKDI 22100616602 15137 DURG DHAMDHA GOVT MS NANDINI KHUNDINI 22100616701 15138 DURG DHAMDHA GOVT P.S NANDINI KHUNDINI 22100616702 15139 DURG DHAMDHA GOVT PS KHILORAKURD 22100616901 15140 DURG DHAMDHA GOVT PS BIRODA 22100617001 15141 DURG DHAMDHA GOVT MS BIRODA 22100617002 15142 DURG DHAMDHA GOVT PS KARELI 22100617101 15143 DURG DHAMDHA GOVT PS PATHARIYA (DOMA) 22100617201 15144 DURG DHAMDHA GOVT MS PATHARIYA (DOMA) (SSA) 22100617202 15145 DURG DHAMDHA GOVT. P.S. POTIYA 22100617301
  • 460.
    15146 DURG DHAMDHAGOVT M.S. POTIYA (SSA) 22100617302 15147 DURG DHAMDHA GOVT PS MUDPAR 22100617601 15148 DURG DHAMDHA GOVT MS MUDPAR (SSA) 22100617602 15149 DURG DHAMDHA GOVT.BOYS.P.S SEMARIYA 22100617701 15150 DURG DHAMDHA GOVT MS.SEMARIYA 22100617702 15151 DURG DHAMDHA GOVT . GIRLS PS SEMARIYA 22100617703 15152 DURG DHAMDHA GOVT.P.S DHIKUDIYA 22100618101 15153 DURG DHAMDHA GOVT P.S. PITAURA 22100618201 15154 DURG DHAMDHA GOVT MS PITAURA (SSA) 22100618202 15155 DURG DHAMDHA GOVT PS CHOTE AAGAR (SSA) 22100618301 15156 DURG DURG GOVT PRIMARY SCHOOL HANODA 22100700101 15157 DURG DURG GOVT GIRLS PRIMARY SCHOOL HANODA 22100700102 15158 DURG DURG GOVT UPPER PRIMARY SCHOOL HANODA 22100700103 15159 DURG DURG GOVT PRIMARY SCHOOL UMARPOTI 22100700201 15160 DURG DURG GOVT PRIMARY SCHOOL NAVIN UMARPOTI 22100700202 15161 DURG DURG GOVT UPPER PRIMARY SCHOOL UMARPOTI 22100700203 15162 DURG DURG GOVT PRIMARY SCHOOL RISALI 22100700301 15163 DURG DURG GOVT UPPER PRIMARY SCHOOL RISALI 22100700302 15164 DURG DURG GOVT PRIMARY SCHOOL DHANORA 22100700401 15165 DURG DURG GOVT GIRLS UPPER PRIMARY SCHOOL DHANORA 22100700402 15166 DURG DURG GOVT UPPER PRIMARY SCHOOL DHANORA 22100700403 15167 DURG DURG GOVT PRIMARY SCHOOL RUABANDHA 22100700501 15168 DURG DURG GOVT PRIMARY SCHOOL NAVIN RUWABANDHA 22100700503 15169 DURG DURG GOVT UPPER PRIMARY SCHOOL RUABANDHA 22100700505 15170 DURG DURG GOVT. MS STATION MARODA 22100700606 15171 DURG DURG GOVT. PS MARODA TANK BHILAI 22100700702 15172 DURG DURG GOVT. MS B.R.P. MAHUWARI MARODA 22100700703 15173 DURG DURG GOVT. PS B.R.P. MAHUWARI MARODA 22100700704 15174 DURG DURG GOVT. MS SEC. - 4, BHILAI 22100700705 15175 DURG DURG GOVT. PS HOSPITAL SEC.- 9, BHILAI 22100700707 15176 DURG DURG GOVT PRIMARY SCHOOL UTAI 22100701101 15177 DURG DURG GOVT PRIMARY SCHOOL UTAI (BOYS) 22100701102 15178 DURG DURG GOVT GIRLS PRIMARY SCHOOL UTAI 22100701103
  • 461.
    15179 DURG DURGGOVT UPPER PRIMARY SCHOOL UTAI 22100701104 15180 DURG DURG GOVT GIRLS UPPER PRIMARY SCHOOL UTAI 22100701105 15181 DURG DURG GOVT UPPER PRIMARY SCHOOL GHUGHASIDIH 22100701111 15182 DURG DURG GOVT MS GHASIDASH NAGAR (J.B) 22100701112 15183 DURG DURG GOVT UPPER PRIMARY SCHOOL DUMARDIH 22100701113 15184 DURG DURG GOVT PRIMARY SCHOOL JORATARAI 22100701201 15185 DURG DURG GOVT UPPER PRIMARY SCHOOL JORATARAI 22100701202 15186 DURG DURG GOVT PRIMARY SCHOOL DUNDERA 22100701301 15187 DURG DURG GOVT GIRLS PRIMARY SCHOOL DUNDERA 22100701302 15188 DURG DURG GOVT UPPER PRIMARY SCHOOL DUNDERA 22100701303 15189 DURG DURG GOVT PRIMARY SCHOOL DUMARDIH 22100701401 15190 DURG DURG GOVT PRIMARY SCHOOL ADARSH NAGAR UTAI 22100701501 15191 DURG DURG TALEEMUL KARRAN MADARSHA 22100701519 15192 DURG DURG GOVT PRIMARY SCHOOL KHOPALI 22100701601 15193 DURG DURG GOVT GIRLS PRIMARY SCHOOL KHOPALI 22100701602 15194 DURG DURG GOVT UPPER PRIMARY SCHOOL KHOPALI 22100701603 15195 DURG DURG GOVT PRIMARY SCHOOL KASIDIH KHOPALI 22100701701 15196 DURG DURG GOVT PRIMARY SCHOOL G D NAGAR GHUGHSIDIH 22100701801 15197 DURG DURG GOVT PRIMARY SCHOOL GHUGHASIDIH 22100701901 15198 DURG DURG GOVT PRIMARY SCHOOL KATRO 22100702001 15199 DURG DURG GOVT UPPER PRIMARY SCHOOL KATRO 22100702002 15200 DURG DURG GOVT PRIMARY SCHOOL MATRODIH 22100702101 15201 DURG DURG GOVT UPPER PRIMARY SCHOOL PURAI 22100702201 15202 DURG DURG GOVT PRIMARY SCHOOL PRONNAT PURAI 22100702202 15203 DURG DURG GOVT PRIMARY SCHOOL PURAI 22100702203 15204 DURG DURG GOVT UPPER PRIMARY SCHOOL PAUWARA 22100702301 15205 DURG DURG GOVT PRIMARY SCHOOL PAUWARA 22100702302 15206 DURG DURG GOVT UPPER PRIMARY SCHOOL KODIYA 22100702401 15207 DURG DURG GOVT PRIMARY SCHOOL KODIYA 22100702402 15208 DURG DURG GOVT PRIMARY SCHOOL KOKADI 22100702501 15209 DURG DURG GOVT UPPER PRIMARY SCHOOL KOKADI 22100702502 15210 DURG DURG GOVT PRIMARY SCHOOL KARGADIH 22100702601 15211 DURG DURG GOVT PRIMARY SCHOOL BORIDIH 22100702701
  • 462.
    15212 DURG DURGGOVT UPPER PRIMARY SCHOOL BORIGARKA 22100702801 15213 DURG DURG GOVT PRIMARY SCHOOL BORIGARKA 22100702802 15214 DURG DURG GOVT PRIMARY SCHOOL KHAMARIYA 22100702901 15215 DURG DURG GOVT UPPER PRIMARY SCHOOL KHAMARIYA 22100702902 15216 DURG DURG GOVT GIRLS UPPER PRIMARY SCHOOL KUTHRAIL 22100703001 15217 DURG DURG GOVT UPPER PRIMARY SCHOOL KUTHRAIL 22100703002 15218 DURG DURG GOVT GIRLS PRIMARY SCHOOL KUTHRAIL 22100703003 15219 DURG DURG GOVT PRIMARY SCHOOL KUTHRAIL 22100703004 15220 DURG DURG GOVT PRIMARY SCHOOL BHANPURI 22100703101 15221 DURG DURG GOVT UPPER PRIMARY SCHOOL CHANDKHURI 22100703201 15222 DURG DURG GOVT GIRLS PRIMARY SCHOOL CHANDKHURI 22100703202 15223 DURG DURG GOVT PRIMARY SCHOOL CHANDKHURI 22100703203 15224 DURG DURG GOVT UPPER PRIMARY SCHOOL BHANPURI 22100703205 15225 DURG DURG GOVT PRIMARY SCHOOL CHANDKHURIBHATA 22100703301 15226 DURG DURG GOVT UPPER PRIMARY SCHOOL PISEGAON 22100703401 15227 DURG DURG GOVT PRIMARY SCHOOL PISEGAON 22100703402 15228 DURG DURG GOVT NAVIN PS BADIPARA PISSEGAON 22100703403 15229 DURG DURG GOVT UPPER PRIMARY SCHOOL KONARI 22100703501 15230 DURG DURG GOVT PRIMARY SCHOOL KONARI 22100703502 15231 DURG DURG GOVT PRIMARY SCHOOL KOLIHAPURI 22100703601 15232 DURG DURG GOVT UPPER PRIMARY SCHOOL KOLIHAPURI 22100703602 15233 DURG DURG GOVT UPPER PRIMARY SCHOOL ANDA 22100703701 15234 DURG DURG GOVT PRIMARY SCHOOL GANDHI BHATA ANDA 22100703702 15235 DURG DURG GOVT GIRLS PRIMARY SCHOOL ANDA 22100703703 15236 DURG DURG GOVT PRIMARY SCHOOL ANDA 22100703704 15237 DURG DURG GOVT UPPRE PRIMARY SCHOOL ACHHOTI 22100703707 15238 DURG DURG GOVT PRIMARY SCHOOL ABADIPARA JANJGIRI 22100703708 15239 DURG DURG GOVT PRIMARY SCHOOL ABADIPARA ANDA 22100703709 15240 DURG DURG GOVT PRIMARY SCHOOL CHINGARI 22100703801 15241 DURG DURG GOVT PRIMARY SCHOOL PRONNAT CHINGARI 22100703802 15242 DURG DURG GOVT UPPER PRIMARY SCHOOL CHINGARI 22100703803 15243 DURG DURG GOVT UPPER PRIMARY SCHOOL VINAYAKPUR 22100703901 15244 DURG DURG GOVT PRIMARY SCHOOL VINAYAKPUR 22100703902
  • 463.
    15245 DURG DURGGOVT PRIMARY SCHOOL ACHHOTI 22100704001 15246 DURG DURG GOVT PRIMARY SCHOOL ACHHOTI BHATA 22100704101 15247 DURG DURG GOVT PRIMARY SCHOOL BHARDA 22100704201 15248 DURG DURG GOVT UPPER PRIMARY SCHOOL JANJGIRI 22100704301 15249 DURG DURG GOVT PRIMARY SCHOOL JANJGIRI 22100704302 15250 DURG DURG GOVT UPPER PRIMARY SCHOOL RISAMA 22100704401 15251 DURG DURG GOVT PRIMARY SCHOOL RISAMA BHATAPARA 22100704402 15252 DURG DURG GOVT GIRLS PRIMARY SCHOOL RISAMA 22100704403 15253 DURG DURG GOVT PRIMARY SCHOOL RISAMA 22100704404 15254 DURG DURG GOVT UPPER PRIMARY SCHOOL MATWARI 22100704501 15255 DURG DURG GOVT PRIMARY SCHOOL MATWARI 22100704502 15256 DURG DURG GOVT PRIMARY SCHOOL CHIRPOTI 22100704601 15257 DURG DURG GOVT UPPER PRIMARY SCHOOL PRONNAT CHIRPOTI 22100704602 15258 DURG DURG GOVT UPPER PRIMARY SCHOOL MACHANDUR 22100704701 15259 DURG DURG GOVT PRIMARY SCHOOL PRONNAT MACHANDUR 22100704702 15260 DURG DURG GOVT PS 22100704703 15261 DURG DURG GOVT UPPER PRIMARY SCHOOL NIKUM 22100704801 15262 DURG DURG GOVT GIRLS PRIMARY SCHOOL NIKUM 22100704803 15263 DURG DURG GOVT PRIMARY SCHOOL NIKUM 22100704804 15264 DURG DURG GOVT PRIMARY SCHOOL NIKUMBHATA 22100704901 15265 DURG DURG GOVT PRIMARY SCHOOL G D NAGAR NIKUM 22100705001 15266 DURG DURG GOVT UPPER PRIMARY SCHOOL G D NAGAR NIKUM 22100705003 15267 DURG DURG GOVT PRIMARY SCHOOL MASABHAT 22100705101 15268 DURG DURG GOVT PRIMARY SCHOOL AAMTI 22100705201 15269 DURG DURG GOVT UPPER PRIMARY SCHOOL AAMTI 22100705202 15270 DURG DURG GOVT PRIMARY SCHOOL AAMTI BHATA 22100705301 15271 DURG DURG GOVT UPPER PRIMARY SCHOOL ALBARAS 22100705401 15272 DURG DURG GOVT PRIMARY SCHOOL ALBARAS 22100705402 15273 DURG DURG GOVT PRIMARY SCHOOL ALBARAS 22100705403 15274 DURG DURG GOVT PRIMARY SCHOOL KHADA 22100705501 15275 DURG DURG GOVT PRIMARY SCHOOL RUDA 22100705601 15276 DURG DURG GOVT UPPER PRIMARY SCHOOL RUDA 22100705602 15277 DURG DURG GOVT UPPER PRIMARY SCHOOL TIRGA 22100705701
  • 464.
    15278 DURG DURGGOVT PRIMARY SCHOOL TIRGA 22100705702 15279 DURG DURG GOVT PRIMARY SCHOOL BHOTHALI 22100705801 15280 DURG DURG GOVT UPPER PRIMARY SCHOOL JHOLA 22100705901 15281 DURG DURG GOVT PRIMARY SCHOOL JHOLA 22100705902 15282 DURG DURG GOVT PRIMARY SCHOOL RASMADA 22100706001 15283 DURG DURG GOVT GIRLS PRIMARY SCHOOL RASMADA 22100706002 15284 DURG DURG GOVT PRIMARY SCHOOL 22100706003 15285 DURG DURG GOVT UPPER PRIMARY SCHOOL ATTACH RASMADA 22100706004 15286 DURG DURG GOVT UPPER PRIMARY SCHOOL I. A. BORAI RASMARA 22100706010 15287 DURG DURG GOVT UPPER PRIMARY SCHOOL KHAPRI SILODA 22100706011 15288 DURG DURG GOVT PRIMARY SCHOOL SILODA 22100706101 15289 DURG DURG GOVT PRIMARY SCHOOL PIPERCHEDI 22100706201 15290 DURG DURG GOVT UPPER PRIMARY SCHOOL PIPERCHEDI 22100706202 15291 DURG DURG GOVT PRIMARY SCHOOL MAHAMARA 22100706301 15292 DURG DURG GOVT PRIMARY SCHOOL PRONNAT MAHAMARA 22100706302 15293 DURG DURG GOVT UPPER PRIMARY SCHOOL MAHAMARA 22100706303 15294 DURG DURG GOVT PRIMARY SCHOOL KHAPRI 22100706401 15295 DURG DURG GOVT PRIMARY SCHOOL I. A. BORAI 22100706501 15296 DURG DURG GOVT PRIMARY SCHOOL GANIYARI (DANDESARA) 22100706602 15297 DURG DURG GOVT UPPER PRIMARY SCHOOL GANIYARI 22100706603 15298 DURG DURG GOVT PRIMARY SCHOOL NAGPURA 22100706701 15299 DURG DURG GOVT GIRLS PS 22100706702 15300 DURG DURG GOVT PRIMARY SCHOOL NEW NAGPURA 22100706703 15301 DURG DURG GOVT UPPER PRIMARY SCHOOL ATTACHED NAGPURA 22100706704 15302 DURG DURG GOVT GIRLS MS 22100706705 15303 DURG DURG GOVT PRIMARY SCHOOL NAVIN KODIYADIH 22100706706 15304 DURG DURG GOVT UPPER PRIMARY SCHOOL MALUD 22100706708 15305 DURG DURG GOVT GIRLS UPPER PRIMARY SCHOOL NEW BORAI 22100706709 15306 DURG DURG GOVT UPPER PRIMARY SCHOOL NEW NAGPURA 22100706710 15307 DURG DURG GOVT PRIMARY SCHOOL BORAI 22100706801 15308 DURG DURG GOVT GIRLS PRIMARY SCHOOL BORAI 22100706802 15309 DURG DURG GOVT PRIMARY SCHOOL PRONNAT BORAI 22100706803 15310 DURG DURG GOVT UPPER PRIMARY SCHOOL BORAI 22100706804
  • 465.
    15311 DURG DURGGOVT PRIMARY SCHOOL BHENDSAR 22100706901 15312 DURG DURG GOVT PRIMARY SCHOOL PRONNAT KODIYADIH 22100706902 15313 DURG DURG GOVT UPPER PRIMARY SCHOOL BHENDSAR 22100706903 15314 DURG DURG GOVT PRIMARY SCHOOL KHURSUL 22100707001 15315 DURG DURG SHIKSHA GARANTY PS 22100707002 15316 DURG DURG GOVT UPPER PRIMARY SCHOOL KHURSUL 22100707003 15317 DURG DURG GOVT PRIMARY SCHOOL DAMODA 22100707101 15318 DURG DURG GOVT PRIMARY SCHOOL KHURSIDIH 22100707201 15319 DURG DURG GOVT UPPER PRIMARY SCHOOL KHURSIDIH 22100707202 15320 DURG DURG GOVT PRIMARY SCHOOL MALUD 22100707301 15321 DURG DURG GOVT PRIMARY SCHOOL BELOUDI 22100707401 15322 DURG DURG GOVT UPPER PRIMARY SCHOOL BELOUDI 22100707402 15323 DURG DURG GOVT PRIMARY SCHOOL DHABA 22100707501 15324 DURG DURG GOVT UPPER PRIMARY SCHOOL DHABA 22100707502 15325 DURG DURG GOVT PRIMARY SCHOOL TOLAGAON 22100707601 15326 DURG DURG GOVT PRIMARY SCHOOL ANJORA DHABA 22100707701 15327 DURG DURG GOVT UPPER PRIMARY SCHOOL ANJORA DHABA 22100707702 15328 DURG DURG GOVT PRIMARY SCHOOL DANDESARA 22100707801 15329 DURG DURG GOVT UPPER PRIMARY SCHOOL DANDESARA 22100707802 15330 DURG DURG GOVT PRIMARY SCHOOL SIRSA KHURD 22100707901 15331 DURG DURG GOVT GIRLS PRIMARY SCHOOL SIRSA KHURD 22100707902 15332 DURG DURG GOVT PRIMARY SCHOOL JEORA 22100708001 15333 DURG DURG GOVT UPPER PRIMARY SCHOOL JEORA 22100708002 15334 DURG DURG GOVT PRIMARY SCHOOL BHATGAON 22100708101 15335 DURG DURG GOVT PRIMARY SCHOOL KARANJA BHILAI 22100708201 15336 DURG DURG GOVT GIRLS PRIMARY SCHOOL KARANJABHILAI 22100708202 15337 DURG DURG GOVT PRIMARY SCHOOL PRONNAT KARANJA BHILAI 22100708203 15338 DURG DURG GOVT UPPER PRIMARY SCHOOL KARANJA BHILAI 22100708204 15339 DURG DURG GOVT PRIMARY SCHOOL SAMODA 22100708301 15340 DURG DURG GOVT UPPER PRIMARY SCHOOL SAMODA 22100708302 15341 DURG DURG GOVT PRIMARY SCHOOL KACHANDUR 22100708401 15342 DURG DURG GOVT UPPER PRIMARY SCHOOL KACHANDUR 22100708402 15343 DURG DURG GOVT PRIMARY SCHOOL JHENJHARI 22100708501
  • 466.
    15344 DURG DURGGOVT GIRLS PRIMARY SCHOOL NANDKATHI 22100708601 15345 DURG DURG GOVT PRIMARY SCHOOL NANDKATHI 22100708602 15346 DURG DURG GOVT UPPER PRIMARY SCHOOL NANDKHATHI 22100708603 15347 DURG DURG GOVT PRIMARY SCHOOL BODEGAON 22100708701 15348 DURG DURG GOVT UPPER PRIMARY SCHOOL BODEGAON 22100708702 15349 DURG DURG GOVT PRIMARY SCHOOL ARASNARA 22100708801 15350 DURG DURG GOVT UPPER PRIMARY SCHOOL ARASNARA 22100708802 15351 DURG DURG GOVT GIRLS PRIMARY SCHOOL RAVELIDIH 22100708901 15352 DURG DURG GOVT PRIMARY SCHOOL RAVELIDIH 22100708902 15353 DURG DURG GOVT UPPER PRIMARY SCHOOL RAVELIDIH 22100709001 15354 DURG DURG GOVT UPPER PRIMARY SCHOOL RAVELIDIH 22100709006 15355 DURG DURG GOVT. PS URLA DURG 22100709101 15356 DURG DURG GOVT. MS URLA DURG 22100709102 15357 DURG DURG GOVT. NAVIN PS BAJRANG NAGAR URLA 22100709110 15358 DURG DURG GOVT. PS INDRA NAGAR CHIKHALI DURG 22100709201 15359 DURG DURG GOVT. MS INDRA NAGAR CHIKHALI DURG 22100709202 15360 DURG DURG GOVT. PS PULGAON DURG 22100709301 15361 DURG DURG GOVT. MS PULGAON DURG 22100709302 15362 DURG DURG GOVT. PS MOHLAI DURG 22100709401 15363 DURG DURG GOVT. MS MOHLAI DURG 22100709403 15364 DURG DURG GOVT. PS KOTNI DURG 22100709501 15365 DURG DURG GOVT. MS KOTNI DURG 22100709502 15366 DURG DURG GOVT. PS BAGHERA DURG 22100709601 15367 DURG DURG GOVT. MS BAGHERA DURG 22100709602 15368 DURG DURG GOVT. PS KARHIDIH DURG 22100709701 15369 DURG DURG GOVT UPPER PRIMARY SCHOOL THANOUD 22100709801 15370 DURG DURG GOVT PRIMARY SCHOOL THANOUD 22100709803 15371 DURG DURG GOVT GIRLS PRIMARY SCHOOL THANOUD 22100709804 15372 DURG DURG GOVT PRIMARY SCHOOL THANOUD 22100709805 15373 DURG DURG GOVT UPPER PRIMARY SCHOOL PRONNAT ANJORA 22100709807 15374 DURG DURG GOVT UPPER PRIMARY SCHOOL PRONNAT THANODBASTI 22100709808 15375 DURG DURG GOVT PRIMARY SCHOOL ANJORA KHA 22100709901 15376 DURG DURG GOVT UPPER PRIMARY SCHOOL ANJORA KHA 22100710002
  • 467.
    15377 DURG DURGGOVT PRIMARY SCHOOL DAIRY FARM 22100710003 15378 DURG DURG GOVT UPPER PRIMARY SCHOOL BIREJHAR 22100710101 15379 DURG DURG GOVT PRIMARY SCHOOL BIREJHAR 22100710102 15380 DURG DURG GOVT PRIMARY SCHOOL BIREJHAR BHATA 22100710103 15381 DURG DURG GOVT UPPER PRIMARY SCHOOL CHANGORI 22100710201 15382 DURG DURG GOVT PRIMARY SCHOOL CHANGORI 22100710202 15383 DURG DURG GOVT. PS GURUNANAK RAIPUR NAKA DURG 22100710302 15384 DURG DURG GOVT.PS NEW POLICE LINE DURG 22100710401 15385 DURG DURG GOVT. PS KAILASH NAGAR DURG 22100710404 15386 DURG DURG GOVT. PS BOYS PT. MADAN MOHAN MALVIYA 22100710501 15387 DURG DURG GOVT. PS GIRLS PT. MADAN MOHAN MALVIYA 22100710502 15388 DURG DURG GOVT. PS GIRLS SHUBHASH NO. 01 22100710508 15389 DURG DURG GOVT. PS GIRLS SHUBHASH NO. 02 DURG 22100710509 15390 DURG DURG GOVT. PS SHUBHASH SANTRA BADI NO. 01 DURG 22100710510 15391 DURG DURG GOVT. PS SHUBHASH NO. 02 DURG 22100710511 15392 DURG DURG GOVT. MS MALVIYA NAGAR DURG 22100710514 15393 DURG DURG GOVT. PS GIRLS TITURDIH NO. 02 DURG 22100710801 15394 DURG DURG GOVT. PS BOYS TITURDIH NO. 02 DURG 22100710802 15395 DURG DURG GOVT. MS TITURDIH NO. 02 DURG 22100710803 15396 DURG DURG GOVT. PS BOYS TITURDIH NO. 01 DURG 22100710806 15397 DURG DURG GOVT. PS GIRLS TITURDIH NO. 01 DURG 22100710901 15398 DURG DURG GOVT. MS TITURDIH NO. 01 DURG 22100710903 15399 DURG DURG GOVT. PS SIKOLA BASTI DURG 22100710904 15400 DURG DURG GOVT. PS SHAKTI NAGAR DURG 22100711001 15401 DURG DURG GOVT. MS SHAKTI NAGAR DURG 22100711002 15402 DURG DURG GOVT. PS TILAK NO. - 1 DURG 22100711101 15403 DURG DURG GOVT. PS GIRLS NO. - 02 DURG 22100711201 15404 DURG DURG GOVT. PS GIRLS NO. - 1 DURG 22100711301 15405 DURG DURG GOVT. GIRLS MS TILAK DURG 22100711404 15406 DURG DURG GOVT. PS BOYS PANCHSHIL DURG 22100711502 15407 DURG DURG GOVT. PS TILAK NO. - 02 DURG 22100711503 15408 DURG DURG GOVT. PS MAHRSHI DAYANAND ARYA DURG 22100711505 15409 DURG DURG GOVT. PS BOYS GAYA BAI DURG 22100711506
  • 468.
    15410 DURG DURGGOVT. PS VIVEKANAND DURG 22100711507 15411 DURG DURG GOVT. MS GIRLS PANCHSHIL DURG 22100711509 15412 DURG DURG GOVT. PS NEHARU DURG 22100711601 15413 DURG DURG SAHID BHAGAT SINGH H.S. 22100711607 15414 DURG DURG MARWADI VIDHALAY PS DURG 22100711619 15415 DURG DURG GOVT PRIMARY SCHOOL GANIYARI ( R ) 22100711632 15416 DURG DURG GOVT. PS RAJEEV NAGAR DURG 22100711701 15417 DURG DURG GOVT. PS BAJRANG NAGAR DURG 22100711801 15418 DURG DURG GOVT. PS NAYAPARA DURG 22100711901 15419 DURG DURG GOVT. PS GIRLS PANCHSHIL DURG 22100711907 15420 DURG DURG GOVT. PS GIRLS GAYA BAI DURG 22100712101 15421 DURG DURG GOVT. MS GAYA NAGAR DURG 22100712104 15422 DURG DURG GOVT. PS GIRLS NAYA AMAPARA DURG 22100712401 15423 DURG DURG GOVT. PS PT.MOTILAL NEHRU DURG 22100712507 15424 DURG DURG GOVT MS SHANKAR NAGAR 22100712508 15425 DURG DURG GOVT. MS NAVIN DURG 22100712802 15426 DURG DURG GOVT. PS DEEPRAPARA DURG 22100712805 15427 DURG DURG GOVT. PS GIRLS NEHARU DURG 22100712901 15428 DURG DURG GOVT MS TAKIYAPARA DURG 22100712902 15429 DURG DURG GOVT. PS DR. RAJENDRA DURG 22100713001 15430 DURG DURG GOVT. PS GIRLS DR. RAJENDRA DURG 22100713101 15431 DURG DURG GOVT. PS SARDAR PATEL NO. - 1 DURG 22100713201 15432 DURG DURG GOVT. PS NARERA NO. - 2 22100713301 15433 DURG DURG GOVT. PS GIRLS NARERA NO. - 1 22100713401 15434 DURG DURG GOVT. PS SARDAR PATEL NO. - 2 22100713502 15435 DURG DURG GOVT. GIRLS PS SHASTRI DURG 22100713601 15436 DURG DURG GOVT. PS LAL BAHADUR SHASTRI DURG 22100713701 15437 DURG DURG GOVT. MS MAHATMA GANDHI NO. - 1 DURG 22100713801 15438 DURG DURG GOVT. MS MAHATMA GANDHI NO. - 2 DURG 22100713802 15439 DURG DURG GOVT. MS MULTIPORPUSE NO. - 1 DURG 22100713901 15440 DURG DURG GOVT. MS MULTIPORPUSE NO. - 2 DURG 22100713902 15441 DURG DURG GOVT. MS GIRLS NAVIN DURG 22100714001 15442 DURG DURG GOVT. MS PADMANABHPUR DURG 22100714101
  • 469.
    15443 DURG DURGGOVT. PS NAVIN PADMANABHPUR DURG 22100714102 15444 DURG DURG GOVT. MS POTIYAKALA DURG 22100714201 15445 DURG DURG GOVT. PS POTIYAKALA DURG 22100714203 15446 DURG DURG GOVT. PS JHUGGIPARA DURG 22100714204 15447 DURG DURG GOVT. MS JHUGGIPARA DURG 22100714205 15448 DURG DURG GOVT. MS BORSI DURG 22100714302 15449 DURG DURG GOVT. PS BOYS BORSI DURG 22100714304 15450 DURG DURG GOVT. PS GIRLS BORSI DURG 22100714305 15451 DURG DURG GOVT. PS BORSIBHATHA DURG 22100714309 15452 DURG DURG GOVT. MS GIRLS BORSIBHATHA DURG 22100714311 15453 DURG DURG GOVT. PS KASARIDIH DURG 22100714403 15454 DURG DURG GOVT. GIRLS PS KASARIDIH DURG 22100714404 15455 DURG DURG MADARSA MADINTUL ULOM DEEPRAPARA DURG 22100714408 15456 DURG DURG GOVT. PS KELABADI DURG 22100714502 15457 DURG DURG GOVT. MS KELABADI DURG 22100714503 15458 DURG DURG GOVT. MS GIRLS ADARSH DURG 22100714601 15459 DURG DURG GOVT. PS KOHKA NO. 01 GURU GHASIDAS 22100714701 15460 DURG DURG GOVT. MS KOHKA BHILAI 22100714702 15461 DURG DURG GOVT. PS FARID NAGAR BHILAI 22100714801 15462 DURG DURG GOVT. MS FARID NAGAR BHILAI 22100714802 15463 DURG DURG GOVT. PS KOHKA NO. 2 BHILAI 22100714901 15464 DURG DURG GOVT. PS RAMNAGAR BHILAI 22100715001 15465 DURG DURG GOVT. MS RAMNAGAR BHILAI 22100715003 15466 DURG DURG GOVT. MS KRISHNA NAGAR BHILAI 22100715013 15467 DURG DURG GOVT. MS GIRLS VAISHALI NAGAR BHILAI 22100715014 15468 DURG DURG GOVT. PS MUKTIDHAM BHILAI 22100715015 15469 DURG DURG GOVT. PS KRISHNA NAGAR 22100715016 15470 DURG DURG GOVT. PS SHANTI NAGAR BHILAI 22100715101 15471 DURG DURG GOVT. MS SHANTI NAGAR BHILAI 22100715102 15472 DURG DURG GOVT. PS KURUD BHILAI 22100715201 15473 DURG DURG GOVT. MS KURUD BHILAI 22100715205 15474 DURG DURG GOVT. PS SHASTRI NAGAR BHILAI 22100715401 15475 DURG DURG GOVT. PS STEEL NAGAR CAMP- 01 BHILAI 22100715502
  • 470.
    15476 DURG DURGGOVT. MS CAMP - 02 BHILAI 22100715601 15477 DURG DURG GOVT. MS VRINDA NAGAR BHILAI 22100715701 15478 DURG DURG GOVT. PS VRINDA NAGAR BHILAI 22100715702 15479 DURG DURG GOVT. PS CAMP- 02 BHILAI 22100715901 15480 DURG DURG GOVT. PS CAMP -01 BHILAI 22100716004 15481 DURG DURG GOVT N MS SHASTRI NAGAR 22100716021 15482 DURG DURG PRAVAS ANDRA PATHSALA 22100716025 15483 DURG DURG GOVT. MS CAMP - 01 BHILAI 22100716103 15484 DURG DURG GOVT. PS SHARDA PARA BHILAI 22100716302 15485 DURG DURG GOVT. MS SHARDA PARRA BHILAI 22100716304 15486 DURG DURG JANTA PS 22100716401 15487 DURG DURG GOVT. PS VIVEKANAND NAGAR BHILAI 22100716601 15488 DURG DURG GOVT. PS KOSA NAGAR SUPELA BHILAI 22100716801 15489 DURG DURG GOVT. MS KOSA NAGAR SUPELA BHILAI 22100716802 15490 DURG DURG GOVT. PS NEHRU NAGAR SUPELA BHILAI 22100716901 15491 DURG DURG GOVT. PS SUPELA NO. 01 BHILAI 22100717101 15492 DURG DURG GOVT. MS SUPELA BHILAI 22100717102 15493 DURG DURG GOVT. MS GIRLS SUPELA BHILAI 22100717103 15494 DURG DURG GOVT. PS SUPELA NO. 02 BHILAI 22100717201 15495 DURG DURG GOVT PS 22100717301 15496 DURG DURG GOVT PS SANJAY NAGAR SUPELA 22100717506 15497 DURG DURG KHAWAZA GARIB NWAZ MADRSHA 22100717525 15498 DURG DURG MADRSHA MOHMMADIYA ISLAMNAGAR 22100717526 15499 DURG DURG GOVT. PS GIRLS SUPELA BHILAI 22100717703 15500 DURG DURG GOVT. PS SHIVAJI NAGAR KHURSIPAR 22100717803 15501 DURG DURG GOVT. MS PT. J.L.N. NEW KHURSIPAR 22100717808 15502 DURG DURG GOVT. MS SHIVAJI NAGAR KHURSIPAR 22100717823 15503 DURG DURG GOVT. PS SHARMIK NAGAR, CHHAWANI 22100717824 15504 DURG DURG GOVT MS 22100718001 15505 DURG DURG GOVT. PS AZAD NAGAR KHURSIPAR 22100718004 15506 DURG DURG GOVT. PS SEC. - 11 NO. - 02, KHURSIPAR 22100718602 15507 DURG DURG GOVT. PS BALAJI NAGAR KHURSIPAR 22100718605 15508 DURG DURG GOVT. MS BALAJI NAGAR KHURSIPAR 22100718606
  • 471.
    15509 DURG DURGGOVT. PS SAHID VEER NARAYAN SINGH 22100718702 15510 DURG DURG GOVT. MS CHHAWANI 22100718904 15511 DURG DURG GOVT. PS SHANKAR NAGAR CHHAWANI 22100718909 15512 DURG DURG GOVT. PS CHHAWANI NO. 1, BHILAI 22100718910 15513 DURG DURG GOVT. PS CHHAWANI NO. 02, BHILAI 22100718911 15514 DURG DURG GOVT.MS SHANKAR NAGAR CHHAWANI 22100718912 15515 DURG DURG GOVT. MS HATHKHOJ 22100718913 15516 DURG DURG GOVT. PS HATHKHOJ BHILAI 22100719001 15517 DURG DURG GOVT. PS DURGA MANDIR KHURSIPAR 22100719101 15518 DURG DURG GOVT. MS DURGA NANDIR KHURSIPAR 22100719102 15519 DURG DURG GOVT. PS SHUBHASH NAGAR KHURSIPAR 22100719201 15520 DURG DURG GOVT. MS SHUBHASH NAGAR KHURSIPAR 22100719202 15521 DURG DURG GOVT PS 22100719302 15522 DURG DURG GOVT. PS RAJEEV NAGAR CHHAWANI 22100719303 15523 DURG DURG GOVT. PS BAPU NAGAR NEW KHURSIPAR 22100719401 15524 DURG DURG GOVT. MS BAPU NAGAR KHURSIPAR 22100719403 15525 DURG DURG GOVT. PS NO. 02, KHURSIPAR 22100719501 15526 DURG DURG GOVT. PS NO. - 01 KHURSIPAR 22100719601 15527 DURG DURG GOVT. PS NO. 01, SEC. - 11, KHURSIPAR BHILAI 22100719701 15528 DURG DURG GOVT. MS SEC. - 11, JONE - 2, KHURSIPAR 22100719702 15529 DURG DURG GOVT. MS AKLORDIH BHILAI 22100719802 15530 DURG DURG GOVT. PS AKLORDIH BHIALI 22100719803 15531 DURG DURG GOVT PRIMARY SCHOOL JAMUL NO. 1 22100719901 15532 DURG DURG GOVT PS 22100719902 15533 DURG DURG GOVT NEW UPPER PRIMARY SCHOOL JAMUL 22100719903 15534 DURG DURG GOVT PRIMARY SCHOOL SHIVPURI JAMUL NO. 1 22100719904 15535 DURG DURG GOVT PRIMARY SCHOOL LABOUR CAMP 22100720001 15536 DURG DURG GOVT PRIMARY SCHOOL SHIVPURI JAMUL NO. 2 22100720101 15537 DURG DURG GOVT PRIMARY SCHOOL BIJALI NAGAR 22100720201 15538 DURG DURG GOVT PRIMARY SCHOOL DHOUR NO. 1 22100720301 15539 DURG DURG E.G.S. SHALLA 22100720302 15540 DURG DURG GOVT UPPER PRIMARY SCHOOL DHOUR 22100720303 15541 DURG DURG GOVT UPPER PRIMARY SCHOOL BASIN 22100720402
  • 472.
    15542 DURG DURGGOVT PRIMARY SCHOOL BASIN 22100720403 15543 DURG DURG GOVT UPPER PRIMARY SCHOOL JAMUL 22100720501 15544 DURG DURG GOVT PRIMARY SCHOOL KHEDAMARA 22100720601 15545 DURG DURG GOVT UPPER PRIMARY SCHOOL KHEDAMARA 22100720602 15546 DURG DURG GOVT UPPER PRIMARY SCHOOL JAMUL 22100720704 15547 DURG DURG GOVT PRIMARY SCHOOL KATULBODE 22100720801 15548 DURG DURG GOVT UPPER PRIMARY SCHOOL KATULBODE 22100720802 15549 DURG DURG GOVT PRIMARY SCHOOL HARINAGAR 22100720805 15550 DURG DURG GOVT PRIMARY SCHOOL CHIKHALI 22100720901 15551 DURG DURG GOVT UPPER PRIMARY SCHOOL CHIKHALI 22100720902 15552 DURG DURG GOVT PRIMARY SCHOOL KHAMARIYA 22100721001 15553 DURG DURG GOVT UPPER PRIMARY SCHOOL KHAMARIYA 22100721002 15554 DURG DURG GOVT PS 22100721101 15555 DURG DURG GOVT UPPER PRIMARY SCHOOL JUNWANI 22100721102 15556 DURG DURG GOVT PRIMARY SCHOOL PARIYAPARA 22100721105 15557 DURG DURG GOVT PRIMARY SCHOOL KHAPARI KHAMARIYA 22100721201 15558 DURG DURG GOVT UPPER PRIMARY SCHOOL KHAPARI KHAMARIYA 22100721202 15559 DURG DURG GOVT PRIMARY SCHOOL MODEL TOWN 22100721301 15560 DURG DURG GOVT UPPER PRIMARY SCHOOL MODEL TOWN 22100721302 15561 DURG DURG GOVT PRIMARY SCHOOL KUTELABHATA 22100721401 15562 DURG DURG GOVT. PS SEC. - 6, BHILAI NAGAR 22100721501 15563 DURG DURG GOVT. MS SEC. - 6, BHILAI NAGAR 22100721502 15564 DURG DURG GOVT. PS SEC.- 6, TELGUPARA BHILAI 22100721513 15565 DURG DURG GOVT. PS SEC. - 7, BHILAI NAGAR 22100721601 15566 DURG DURG GOVT. MS SEC. - 7, BHILAI NAGAR 22100721602 15567 DURG DURG GOVT. PS NEWAI BHILAI 22100721701 15568 DURG DURG GOVT. MS NEWAI BHILAI 22100721702 15569 DURG DURG GOVT. PS STATION MARODA NO. - 1 22100721801 15570 DURG DURG GOVT. PS STATION MARODA NO. - 2 22100721802 15571 DURG DURG GOVT. PS SEC.- 4, BORIYA GET BHILAI 22100721902 15572 DURG DURG GOVT. MS HOSPITAL SEC.- 9 BHILAI 22100722101 15573 DURG DURG GOVT. MS MARODA TANK BHILAI NAGAR 22100722201 15574 DURG DURG MADRSHA HUSHAINIYA STESHAN MARODA 22100722241
  • 473.
    15575 DURG DURGGOVT. PS DURGA PARA BHILAI 22100722501 15576 DURG DURG GOVT. MS HOUSING BOARD BHILAI 22100722601 15577 DURG DURG GOVT. PS HOUSING BOARD BHILAI 22100722606 15578 DURG DURG GOVT. MS GIRLS HOUSING BOARD BHILAI 22100722608 15579 DURG DURG GOVT. MS SANTOSHI PARA BHILAI 22100722701 15580 DURG DURG GOVT. PS SANTOSHI PARA BHILAI 22100722702 15581 DURG DURG GOVT. PS MATHER TERESA NAGAR BHILAI 22100722801 15582 DURG DURG GOVT N PS GHASIDAS NAGAR 22100723002 15583 DURG DURG MADARSA TAJUL ULUM RUWABANDHA 22100724701 15584 DURG DURG RANI LAXMI BAI P.S. 22100725102 15585 DURG DURG GOVT PS PRAGATI NAGAR KURUD 22100726211 15586 DURG DURG DARUL ULAM SARKAR AALAHZRT MADRSHA 22100726221 15587 DURG DURG MADRSHA NIZAMIYA MUROOM KHADAN 22100726222 15588 DURG DURG GOVT. MS MUKTIDHAM BHILAI 22100726605 15589 DURG DURG MADARSA D.U.F.A.S.Y. KHANA 22100727201 15590 DURG PATAN GOVT. UPPER PRIMARY SCHOOL BOYS PATAN 22101100107 15591 DURG PATAN GOVT. PRIMARY SCHOOL BOYS PATAN 22101100108 15592 DURG PATAN GOVT GIRLS PS PATAN 22101100109 15593 DURG PATAN GOVT. PRIMARY SCHOOL INDIRA NAGAR PATAN 22101100110 15594 DURG PATAN GOVT. UPPER PRIMARY SCHOOL GIRLS PATAN 22101100111 15595 DURG PATAN GOVT.MS INDIRA NAGAR PATAN 22101100116 15596 DURG PATAN GOVT. UPPER PRIMARY SCHOOL JAMGAON R 22101100202 15597 DURG PATAN GOVT. PRIMARY SCHOOL JAMGAON R. 22101100203 15598 DURG PATAN GOVT GIRLS PS 22101100305 15599 DURG PATAN GOVT PS 22101100306 15600 DURG PATAN GOVT MS 22101100307 15601 DURG PATAN GOVT PS SIRSABHATHA 22101100313 15602 DURG PATAN GOVT PS STORPARA PURENA 22101100314 15603 DURG PATAN GOVT PS VISHWA BANK COLONEY 22101100315 15604 DURG PATAN P.S. SIRSAKLA 22101100321 15605 DURG PATAN JANTA SCHOOL MS BHILAI 3 22101100324 15606 DURG PATAN GOVT MS 22101100403 15607 DURG PATAN GOVT GIRLS PS 22101100405
  • 474.
    15608 DURG PATANGOVT PS 22101100406 15609 DURG PATAN NEW GIRL MS CHARODA 22101100428 15610 DURG PATAN GOVT. PRIMARY SCHOOL PURENA 22101100502 15611 DURG PATAN GOVT MS PURENA 22101100503 15612 DURG PATAN GOVT MS STORPARA PURENA { SSA } 22101100514 15613 DURG PATAN GOVT. PRIMARY SCHOOL SIPKONA 22101100601 15614 DURG PATAN GOVT. UPPER PRIMARY SCHOOL SIPKONA 22101100602 15615 DURG PATAN NAVIN PS (KESRA ) 22101100705 15616 DURG PATAN M.S BORANDA 22101100708 15617 DURG PATAN GOVT. UPPER PRIMARY SCHOOL BATREL 22101100802 15618 DURG PATAN GOVT. PRIMARY SCHOOL BOYS BATREL 22101100803 15619 DURG PATAN GOVT. PRIMARY SCHOOL GIRLS BATREL 22101100804 15620 DURG PATAN GOVT. UPPER PRIMARY SCHOOL GIRLS TARRA 22101100902 15621 DURG PATAN GOVT. PRIMARY SCHOOL TARRA 22101100903 15622 DURG PATAN GRANT. UPPER PRIMARY SCHOOL PUBLIC TARRA 22101100904 15623 DURG PATAN GOVT. UPPER PRIMARY SCHOOL DEW BALAUDA 22101101002 15624 DURG PATAN GOVT. PRIMARY SCHOOL BOYS DEW BALAUDA 22101101003 15625 DURG PATAN GOVT. PRIMARY SCHOOL GIRLS DEW BALAUDA 22101101006 15626 DURG PATAN PS G-CABIN 22101101007 15627 DURG PATAN GOVT. UPPER PRIMARY SCHOOL BOYS RANITARAI 22101101102 15628 DURG PATAN GOVT. UPPER PRIMARY SCHOOL GIRLS RANITARAI 22101101103 15629 DURG PATAN GOVT. PRIMARY SCHOOL BOYS RANITARAI 22101101104 15630 DURG PATAN GOVT GIRLS PS 22101101105 15631 DURG PATAN GOVT. UPPER PRIMARY SCHOOL KHAMHARIYA 22101101201 15632 DURG PATAN GOVT. PRIMARY SCHOOL KHAMHARIYA 22101101203 15633 DURG PATAN GOVT. UPPER PRIMARY SCHOOL KHORAPA 22101101301 15634 DURG PATAN GOVT. PRIMARY SCHOOL KHORAPA 22101101302 15635 DURG PATAN GOVT. UPPER PRIMARY SCHOOL BATHENA 22101101401 15636 DURG PATAN GOVT. PRIMARY SCHOOL BATHENA 22101101402 15637 DURG PATAN GOVT. UPPER PRIMARY SCHOOL GUJRA 22101101501 15638 DURG PATAN GOVT. PRIMARY SCHOOL GUJRA 22101101502 15639 DURG PATAN GOVT. PRIMARY SCHOOL AKHARA 22101101601 15640 DURG PATAN GOVT. UPPER PRIMARY SCHOOL AKHARA 22101101602
  • 475.
    15641 DURG PATANGOVT. PRIMARY SCHOOL ATARI 22101101701 15642 DURG PATAN GOVT. PRIMARY SCHOOL THAKURAIN TOLA 22101101801 15643 DURG PATAN GOVT. UPPER PRIMARY SCHOOL PANDAR 22101101901 15644 DURG PATAN GOVT. PRIMARY SCHOOL PANDAR 22101101902 15645 DURG PATAN GOVT. UPPER PRIMARY TELIGUNDARA 22101102001 15646 DURG PATAN GOVT. PRIMARY SCHOOL TELIGUNDARA 22101102002 15647 DURG PATAN GOVT. UPPER PRIMARY SCHOOL KHARRA 22101102101 15648 DURG PATAN GOVT. PRIMARY SCHOOL KHARRA 22101102102 15649 DURG PATAN GOVT. PRIMARY SCHOOL TULSI 22101102202 15650 DURG PATAN GOVT. UPPER PRIMARY SCHOOL TULSI 22101102203 15651 DURG PATAN GOVT. PRIMARY SCHOOL SONPUR 22101102301 15652 DURG PATAN GOVT. UPPER PRIMARY SCHOOL SONPUR 22101102303 15653 DURG PATAN GOVT. PRIMARY SCHOOL SIKOLA 22101102401 15654 DURG PATAN GOVT. UPPER PRIMARY SCHOOL SIKOLA 22101102402 15655 DURG PATAN GOVT. PRIMARY SCHOOL CHANGORI 22101102501 15656 DURG PATAN GOVT. UPPER PRIMARY SCHOOL SELUD 22101102701 15657 DURG PATAN GOVT. PRIMARY SCHOOL BOYS SELUD 22101102702 15658 DURG PATAN GOVT. PRIMARY SCHOOL GIRLS SELUD 22101102703 15659 DURG PATAN GOVT. PRIMARY SCHOOL MAJAR CHOUK SELUD 22101102709 15660 DURG PATAN GOVT. PRIMARY SCHOOL PATORA 22101102801 15661 DURG PATAN GOVT. UPPER PRIMARY SCHOOL PATORA 22101102802 15662 DURG PATAN GOVT. UPPER PRIMARY SCHOOL GONDPENDRI 22101102901 15663 DURG PATAN GOVT. PRIMARY SCHOOL GONDPENDRI 22101102902 15664 DURG PATAN GOVT. UPPER PRIMARY SCHOOL MAHKA KALA 22101103001 15665 DURG PATAN GOVT. PRIMARY SCHOOL MAHKA KALA 22101103002 15666 DURG PATAN GOVT. UPPER PRIMARY SCHOOL DHAURABHATHA 22101103101 15667 DURG PATAN GOVT. PRIMARY SCHOOL DHAURABHATHA 22101103104 15668 DURG PATAN GOVT. PRIMARY SCHOOL FEKARI 22101103201 15669 DURG PATAN GOVT. UPPER PRIMARY SCHOOL FEKARI 22101103202 15670 DURG PATAN GOVT. PRIMARY SCHOOL DHAUR 22101103301 15671 DURG PATAN GOVT. UPPER PRIMARY SCHOOL DHAUR 22101103302 15672 DURG PATAN GOVT. PRIMARY SCHOOL DEURJHAL 22101103401 15673 DURG PATAN GOVT. PRIMARY SCHOOL MUDPAR 22101103501
  • 476.
    15674 DURG PATANGOVT. PRIMARY SCHOOL CHUNKATTA 22101103601 15675 DURG PATAN GOVT. PRIMARY SCHOOL ACHANAKPUR 22101103701 15676 DURG PATAN GOVT. UPPER PRIMARY SCHOOL ACHANAKPUR 22101103702 15677 DURG PATAN GOVT. PRIMARY SCHOOL BOHARDIH 22101103801 15678 DURG PATAN GOVT. PRIMARY SCHOOL PAREVADIH 22101103901 15679 DURG PATAN GOVT. PRIMARY SCHOOL PARSAHI 22101104001 15680 DURG PATAN GOVT. PRIMARY SCHOOL BOYS MARRA 22101104102 15681 DURG PATAN GOVT. PRIMARY SCHOOL GIRLS MARRA 22101104103 15682 DURG PATAN GOVT. UPPER PRIMARY SCHOOL MARRA 22101104104 15683 DURG PATAN GOVT. UPPER PRIMARY SCHOOL SANTARA 22101104201 15684 DURG PATAN GOVT. PRIMARY SCHOOL SANTARA 22101104202 15685 DURG PATAN GOVT. PRIMARY SCHOOL SORAM 22101104302 15686 DURG PATAN GOVT. UPPER PRIMARY SCHOOL SORAM 22101104303 15687 DURG PATAN GOVT. PRIMARY SCHOOL AMALORI 22101104401 15688 DURG PATAN GOVT. PRIMARY SCHOOL KANAKOT 22101104501 15689 DURG PATAN GOVT. UPPER PRIMARY SCHOOL KANAKOT 22101104502 15690 DURG PATAN GOVT. PRIMARY SCHOOL GUDHIYARI 22101104601 15691 DURG PATAN GOVT. PRIMARY SCHOOL MATANG 22101104701 15692 DURG PATAN GOVT. PRIMARY SCHOOL BODAL 22101104802 15693 DURG PATAN GOVT. PRIMARY SCHOOL GADADIH 22101104901 15694 DURG PATAN GOVT. UPPER PRIMARY SCHOOL GADADIH 22101104903 15695 DURG PATAN GOVT. PRIMARY SCHOOL MANIKCHAURI 22101105001 15696 DURG PATAN GOVT. UPPER PRIMARY SCHOOL MANIKCHAURI 22101105002 15697 DURG PATAN GOVT. PRIMARY SCHOOL CHHATA 22101105101 15698 DURG PATAN GOVT. PRIMARY SCHOOL ARASNARA 22101105201 15699 DURG PATAN GOVT. UPPER PRIMARY SCHOOL ARASNARA 22101105202 15700 DURG PATAN GOVT. PRIMARY SCHOOL FUNDA 22101105301 15701 DURG PATAN GOVT. PRIMARY SCHOOL CHICHA 22101105401 15702 DURG PATAN GOVT. PRIMARY SCHOOL INDIRA NAGAR CHICHA 22101105402 15703 DURG PATAN GOVT. PRIMARY SCHOOL NAWAGAON 22101105501 15704 DURG PATAN GOVT. PRIMARY SCHOOL DEMAR 22101105601 15705 DURG PATAN GOVT. PRIMARY SCHOOL DEWADA 22101105701 15706 DURG PATAN GOVT. UPPER PRIMARY SCHOOL DEWADA 22101105702
  • 477.
    15707 DURG PATANGOVT. UPPER PRIMARY SCHOOL SAWANI 22101105801 15708 DURG PATAN GOVT. PRIMARY SCHOOL SAWANI 22101105802 15709 DURG PATAN GOVT. UPPER PRIMARY SCHOOL KHUDMUDI 22101105901 15710 DURG PATAN GOVT. PRIMARY SCHOOL KHUDMUDI 22101105902 15711 DURG PATAN GOVT. PRIMARY SCHOOL RAVELI 22101106001 15712 DURG PATAN GOVT. PRIMARY SCHOOL LOHARSI VARIST 22101106101 15713 DURG PATAN GOVT. PRIMARY SCHOOL LOHARSI KANIST 22101106102 15714 DURG PATAN GOVT. UPPER PRIMARY SCHOOL LOHARSI 22101106103 15715 DURG PATAN GOVT. PRIMARY SCHOOL AMAPENDRI 22101106201 15716 DURG PATAN GOVT. UPPER PRIMARY SCHOOL BELHARI 22101106301 15717 DURG PATAN GOVT. PRIMARY SCHOOL BELHARI 22101106302 15718 DURG PATAN GOVT. UPPER PRIMARY SCHOOL ARMRIKHURD 22101106401 15719 DURG PATAN GOVT. PRIMARY SCHOOL ARMRIKHURD 22101106402 15720 DURG PATAN GOVT. UPPER PRIMARY SCHOOL DHAMNA 22101106501 15721 DURG PATAN GOVT. PRIMARY SCHOOL DHAMNA 22101106502 15722 DURG PATAN GOVT. UPPER PRIMARY SCHOOL SURPA 22101106601 15723 DURG PATAN GOVT. PRIMARY SCHOOL SURPA 22101106602 15724 DURG PATAN GOVT. UPPER PRIMARY SCHOOL ODRAGAHAN 22101106701 15725 DURG PATAN GOVT. PRIMARY SCHOOL ODRAGAHAN 22101106702 15726 DURG PATAN GOVT. UPPER PRIMARY SCHOOL KIKIRMETA 22101106801 15727 DURG PATAN GOVT. PRIMARY SCHOOL KIKIRMETA 22101106802 15728 DURG PATAN GOVT. PRIMARY SCHOOL RIWAGAHAN ( B ) 22101106901 15729 DURG PATAN GOVT. PRIMARY SCHOOL CHARBHATHA 22101107001 15730 DURG PATAN GOVT. PRIMARY SCHOOL AKTAI 22101107101 15731 DURG PATAN GOVT. PRIMARY SCHOOL NAWAGAON B. 22101107201 15732 DURG PATAN GOVT. PRIMARY SCHOOL TEMRI 22101107301 15733 DURG PATAN GOVT. UPPER PRIMARY SCHOOL TEMARI 22101107302 15734 DURG PATAN GOVT. PRIMARY SCHOOL AGESARA 22101107401 15735 DURG PATAN GOVT. UPPER PRIMARY SCHOOL AGESARA 22101107402 15736 DURG PATAN GOVT. PRIMARY SCHOOL GATAPAR 22101107501 15737 DURG PATAN GOVT. PRIMARY SCHOOL UMARPOTI 22101107601 15738 DURG PATAN GOVT. PRIMARY SCHOOL RIWAGAHAN ( A ) 22101107701 15739 DURG PATAN GOVT. UPPER PRIMARY SCHOOL BHANSULI R. 22101107801
  • 478.
    15740 DURG PATANGOVT. PRIMARY SCHOOL BHANSULI R. 22101107802 15741 DURG PATAN GOVT. UPPER PRIMARY SCHOOL PAUHA 22101107901 15742 DURG PATAN GOVT. PRIMARY SCHOOL PAUHA 22101107902 15743 DURG PATAN GOVT. PRIMARY SCHOOL KUMHALI 22101108001 15744 DURG PATAN GOVT. UPEER PRIMARY SCHOOL KUMHALI 22101108002 15745 DURG PATAN GOVT. PRIMARY SCHOOL BHAINSBOD 22101108101 15746 DURG PATAN GOVT. PRIMARY SCHOOL AUNRI 22101108201 15747 DURG PATAN GOVT. PRIMARY SCHOOL BORWAI 22101108301 15748 DURG PATAN GOVT. UPPER PRIMARY SCHOOL BORWAI 22101108302 15749 DURG PATAN GOVT. PRIMARY SCHOOL MOHBHATTA 22101108401 15750 DURG PATAN GOVT. UPPER PRIMARY SCHOOL BHARAR 22101108501 15751 DURG PATAN GOVT. PRIMARY SCHOOL BHARAR 22101108502 15752 DURG PATAN GOVT. PRIMARY SCHOOL KHOLA 22101108601 15753 DURG PATAN GOVT. PRIMARY SCHOOL BASIN 22101108701 15754 DURG PATAN GOVT. PRIMARY SCHOOL GABDI 22101108801 15755 DURG PATAN GOVT. UPPER PRIMARY SCHOOL GABDI 22101108802 15756 DURG PATAN GOVT. PRIMARY SCHOOL BIJABHATHA 22101108901 15757 DURG PATAN GOVT. PRIMARY SCHOOL GHORARI 22101109001 15758 DURG PATAN GOVT. UPPER PRIMARY SCHOOL KARELA 22101109101 15759 DURG PATAN GOVT. PRIMARY SCHOOL KARELA 22101109102 15760 DURG PATAN GOVT. UPPER PRIMARY SCHOOL NIPANI 22101109201 15761 DURG PATAN GOVT. PRIMARY SCHOOL NIPANI 22101109202 15762 DURG PATAN GOVT. UPPER PRIMARY SCHOOL ASOGA 22101109301 15763 DURG PATAN GOVT. PRIMARY SCHOOL ASOGA 22101109302 15764 DURG PATAN GOVT. PRIMARY SCHOOL KAUHI 22101109401 15765 DURG PATAN GOVT. UPPER PRIMARY SCHOOL KAUHI 22101109402 15766 DURG PATAN GOVT PS BHATAPARA KAUHI 22101109404 15767 DURG PATAN GOVT. PRIMARY SCHOOL AUSAR 22101109501 15768 DURG PATAN GOVT. PRIMARY SCHOOL DIGHARI 22101109601 15769 DURG PATAN GOVT. PRIMARY SCHOOL DIDGA 22101109701 15770 DURG PATAN GOVT. PRIMARY SCHOOL RENGAKATHERA 22101109801 15771 DURG PATAN GOVT. PRIMARY SCHOOL JHADMOKHALI 22101109901 15772 DURG PATAN GOVT. PRIMARY SCHOOL CHULGAHAN 22101110001
  • 479.
    15773 DURG PATANGOVT. UPPER PRIMARY SCHOOL CHULGAHAN 22101110002 15774 DURG PATAN GOVT. PRIMARY SCHOOL KHAPARI R. 22101110101 15775 DURG PATAN GOVT. PRIMARY SCHOOL GHUGHUWA K. 22101110201 15776 DURG PATAN GOVT. UPPER PRIMARY SCHOOL GHUGHUWA K. 22101110204 15777 DURG PATAN GOVT. PRIMARY SCHOOL KHUDMUDA 22101110301 15778 DURG PATAN GOVT. PRIMARY SCHOOL KOPEDIH 22101110401 15779 DURG PATAN GOVT. PRIMARY SCHOOL MAHUDA 22101110501 15780 DURG PATAN GOVT. UPPER PRIMARY SCHOOL MAHUDA 22101110502 15781 DURG PATAN GOVT. PRIMARY SCHOOL UFRA 22101110601 15782 DURG PATAN GOVT. PRIMARY SCHOOL JAMRAO 22101110701 15783 DURG PATAN GOVT. UPPER PRIMARY SCHOOL JAMRAO 22101110702 15784 DURG PATAN GOVT. PRIMARY SCHOOL SANKARA 22101110801 15785 DURG PATAN GOVT. UPPER PRIMARY SCHOOL SANKARA 22101110802 15786 DURG PATAN GOVT. UPPER PRIMARY SCHOOL KESARA 22101110901 15787 DURG PATAN GOVT. PRIMARY SCHOOL KESARA 22101110902 15788 DURG PATAN GOVT. UPPER PRIMARY SCHOOL TARIGHAT 22101111001 15789 DURG PATAN GOVT. PRIMARY SCHOOL TARIGHAT 22101111002 15790 DURG PATAN GOVT. UPPER PRIMARY SCHOOL BHANSULI K. 22101111101 15791 DURG PATAN GOVT. PRIMARY SCHOOL BHANSULI K. 22101111102 15792 DURG PATAN GOVT. PRIMARY SCHOOL DANGANIYA 22101111201 15793 DURG PATAN GOVT. PRIMARY SCHOOL BORENDA 22101111301 15794 DURG PATAN GOVT. PRIMARY SCHOOL BHATHAPARA BORENDA 22101111302 15795 DURG PATAN GOVT. PRIMARY SCHOOL JARVAY 22101111401 15796 DURG PATAN GOVT. UPPER PRIMARY SCHOOL DARBAR MOKHALI 22101111501 15797 DURG PATAN GOVT. PRIMARY SCHOOL BOYS DARBAR MOKHALI 22101111502 15798 DURG PATAN GOVT. PRIMARY SCHOOL GIRLS DARBAR MOKHALI 22101111503 15799 DURG PATAN GOVT. UPPER PRIMARY SCHOOL BORID 22101111601 15800 DURG PATAN GOVT. PRIMARY SCHOOL BORID 22101111603 15801 DURG PATAN GOVT. UPPER PRIMARY SCHOOL KURMIGUNDRA 22101111701 15802 DURG PATAN GOVT. PRIMARY SCHOOL KURMIGUNDRA 22101111702 15803 DURG PATAN GOVT. UPPER PRIMARY SCHOOL PAHANDA 22101111802 15804 DURG PATAN GOVT. PRIMARY SCHOOL PAHANDA 22101111803 15805 DURG PATAN GOVT. PRIMARY SCHOOL BELODI 22101111901
  • 480.
    15806 DURG PATANGOVT. PRIMARY SCHOOL KHAPARI 22101112001 15807 DURG PATAN GOVT. PRIMARY SCHOOL DHUMA 22101112101 15808 DURG PATAN GOVT. PRIMARY SCHOOL MATIYA 22101112201 15809 DURG PATAN GOVT. PRIMARY SCHOOL SEMRI 22101112301 15810 DURG PATAN GOVT. PRIMARY SCHOOL KASAHI 22101112401 15811 DURG PATAN GOVT. PRIMARY SCHOOL BARBASPUR 22101112501 15812 DURG PATAN GOVT. PRIMARY SCHOOL NARDHI 22101112601 15813 DURG PATAN GOVT. UPPER PRIMARY SCHOOL NARDHI 22101112602 15814 DURG PATAN GOVT. UPPER PRIMARY SCHOOL AUNDHI 22101112701 15815 DURG PATAN GOVT. PRIMARY SCHOOL AUNDHI 22101112702 15816 DURG PATAN GOVT. UPPER PRIMARY SCHOOL AUNRI CHHOTE 22101112801 15817 DURG PATAN GOVT. PRIMARY SCHOOL BHATHAGAON 22101112802 15818 DURG PATAN GOVT. PRIMARY SCHOOL AUNRI CHHOTE 22101112803 15819 DURG PATAN GOVT. UPPER PRIMARY SCHOOL BATANG 22101112901 15820 DURG PATAN GOVT. PRIMARY SCHOOLBATANG 22101112902 15821 DURG PATAN GOVT. PRIMARY SCHOOL BHATHAGAON 22101113101 15822 DURG PATAN GOVT. UPPER PRIMARY SCHOOL JAMGAON M. 22101113201 15823 DURG PATAN GOVT. PRIMARY SCHOOL BOYS JAMGAON M. 22101113202 15824 DURG PATAN GOVT. UPPER PRIMARY SCHOOL JHEET 22101113301 15825 DURG PATAN GOVT. PRIMARY SCHOOL BOYS JHEET 22101113302 15826 DURG PATAN GOVT. PRIMARY SCHOOL BOYS JHEET 22101113306 15827 DURG PATAN GOVT. UPPER PRIMARY SCHOOL AMLIDIH 22101113401 15828 DURG PATAN GOVT. PRIMARY SCHOOL AMLIDIH 22101113402 15829 DURG PATAN GOVT. PRIMARY SCHOOL GIRLS JAMGAON M. 22101113501 15830 DURG PATAN GOVT. UPPER PRIMARY SCHOOL AMERI 22101113604 15831 DURG PATAN GOVT. PRIMARY SCHOOL AMERI 22101113605 15832 DURG PATAN GOVT. PRIMARY SCHOOL KARGA 22101113701 15833 DURG PATAN GOVT. PRIMARY SCHOOL RUHI 22101113801 15834 DURG PATAN GOVT. PRIMARY SCHOOL KAPSI 22101113901 15835 DURG PATAN GOVT. UPPER PRIMARY SCHOOL URLA 22101114001 15836 DURG PATAN GOVT. PRIMARY SCHOOL URALA 22101114002 15837 DURG PATAN GOVT. UPPER PRIMARY SCHOOL BOYS KUGDA 22101114101 15838 DURG PATAN GOVT. PRIMARY SCHOOL KUGDA 22101114102
  • 481.
    15839 DURG PATANGOVT. UPPER PRIMARY SCHOOL GIRLS KUGDA 22101114103 15840 DURG PATAN GOVT. PRIMARY SCHOOL PARSADA 22101114201 15841 DURG PATAN GOVT MS PARSADA 22101114205 15842 DURG PATAN GOVT. UPPER PRIMARY SCHOOL AMLESHWAR 22101114301 15843 DURG PATAN GOVT. PRIMARY SCHOOL AMLESHWAR 22101114302 15844 DURG PATAN GOVT. PRIMARY SCHOOL BAJARANGAPARA AMLESHWAR 22101114303 15845 DURG PATAN GOVT. PRIMARY SCHOOL PAHANDA A. 22101114401 15846 DURG PATAN GOVT. UPPER PRIMARY SCHOOL PAHANDA A. 22101114402 15847 DURG PATAN GOVT. PRIMARY SCHOOL DIH 22101114501 15848 DURG PATAN GOVT. PRIMARY SCHOOL BHOTHALI 22101114601 15849 DURG PATAN GOVT. UPPER PRIMARY SCHOOL BHOTHLI [ SSA ] 22101114602 15850 DURG PATAN GOVT. PRIMARY SCHOOL MAGARGHATA 22101114701 15851 DURG PATAN GOVT. UPPER PRIMARY SCHOOL MAGARGHATA 22101114702 15852 DURG PATAN GOVT. PRIMARY SCHOOL KURUD DIH 22101114801 15853 DURG PATAN GOVT. PRIMARY SCHOOL MOTIPUR 22101114901 15854 DURG PATAN GOVT. PRIMARY SCHOOL GANIYARI 22101115001 15855 DURG PATAN GOVT. UPPER PRIMARY SCHOOL GANIYARI 22101115002 15856 DURG PATAN GOVT. UPPER PRIMARY SCHOOL GHUGHUWA K. 22101115101 15857 DURG PATAN GOVT. PRIMARY SCHOOL GHUGHUWA K. 22101115102 15858 DURG PATAN GOVT. PRIMARY SCHOOL GABHARA 22101115201 15859 DURG PATAN GOVT. PRIMARY SCHOOL BENDRI 22101115301 15860 DURG PATAN GOVT. PRIMARY SCHOOL MAHKA KHURD 22101115401 15861 DURG PATAN GOVT. PRIMARY SCHOOL KARSA 22101115501 15862 DURG PATAN GOVT. PRIMARY SCHOOL PACHAPEDI 22101115601 15863 DURG PATAN GOVT. PRIMARY SCHOOL RAKHI 22101115701 15864 DURG PATAN GOVT. PRIMARY SCHOOL PAHANDOR 22101115801 15865 DURG PATAN GOVT. UPPER PRIMARY SCHOOL PAHANDOR 22101115802 15866 DURG PATAN GOVT. UPPER PRIMARY SCHOOL SIRASAKALA 22101115902 15867 DURG PATAN GOVT. PRIMARY SCHOOL SOMNI 22101116001 15868 DURG PATAN GOVT. UPPER PRIMARY SCHOOL SOMNI 22101116002 15869 DURG PATAN GOVT. PRIMARY SCHOOL MORID 22101116101 15870 DURG PATAN GOVT. UPPER PRIMARY SCHOOL MORID 22101116102 15871 DURG PATAN PS 22101116203
  • 482.
    15872 DURG PATANMS 22101116204 15873 DURG PATAN GOVT. PRIMARY SCHOOL SHANTINAGAR 22101116301 15874 DURG PATAN GOVT. PRIMARY SCHOOL GANDHINAGAR 22101116401 15875 DURG PATAN GOVT. PRIMARY SCHOOL VASHUNDHARANAGAR 22101116501 15876 DURG PATAN GOVT. PRIMARY SCHOOL DABRAPARA 22101116601 15877 DURG PATAN GOVT. UPPER PRIMARY SCHOOL DABRAPARA 22101116603 15878 DURG PATAN GOVT. PRIMARY SCHOOL UMDA 22101116701 15879 DURG PATAN GOVT. PS I.N. 22101116802 15880 DURG PATAN GOVT. UPPER PRIMARY SCHOOL KHAMHARIYA 22101117403 15881 DURG PATAN GOVT. PRIMARY SCHOOL SHUKLADIH 22101118701 15882 DURG PATAN GOVT. PRIMARY SCHOOL SUDAMAPURI 22101118901 15883 DURG PATAN GOVT. PRIMARY SCHOOL PUNAIDIH 22101119301 15884 GARIABAND CHHURA GOVT. P/S KEWATIJHAR (TWD) 22250500101 15885 GARIABAND CHHURA GOVT. P/S RASELA (TWD) 22250500201 15886 GARIABAND CHHURA GOVT.PS. KARAMATI (SSA) 22250500205 15887 GARIABAND CHHURA GOVT.N.P.S. BELDIHI (SSA) 22250500206 15888 GARIABAND CHHURA GOVT.N.P.S. LADANPARA (SSA) 22250500207 15889 GARIABAND CHHURA GOVT.N.P.S. TEMPA PARA (SSA) 22250500208 15890 GARIABAND CHHURA GOVT.M.S.RASELA 22250500209 15891 GARIABAND CHHURA GOVT.PS. KUTENA 22250500302 15892 GARIABAND CHHURA GOVT.MS.KUTENA (SSA) 22250500303 15893 GARIABAND CHHURA GOVT. P/S BODARBHANDA 22250500401 15894 GARIABAND CHHURA GOVT.P.S.GHATKARRA (TWD) 22250500404 15895 GARIABAND CHHURA GOVT.M.S.GHATKARRA (TWD) 22250500405 15896 GARIABAND CHHURA GOVT. P.S JUNWANI 22250500501 15897 GARIABAND CHHURA GOVT. P.S.TALESHAR (TWD) 22250500701 15898 GARIABAND CHHURA GOVT. P.S BHARUWAMURDA (TWD) 22250500801 15899 GARIABAND CHHURA GOVT.PS. PANDRI PANI KAMAR (SSA) 22250500802 15900 GARIABAND CHHURA GOVT. P.S HIRABATAR (TWD) 22250500901 15901 GARIABAND CHHURA GOVT.M.S.HIRABATAR (TWD) 22250500903 15902 GARIABAND CHHURA GOVT. P.S.PATPARPALI 22250501001 15903 GARIABAND CHHURA GOVT. P.S. KANSINGI 22250501201 15904 GARIABAND CHHURA GOVT M.S. KANSINGI (TWD) 22250501202
  • 483.
    15905 GARIABAND CHHURAGOVT.M.S. BHARUWAMUDA (SSA) 22250501207 15906 GARIABAND CHHURA GOVT.M.S.PANDARIPANI GOD (TWD) 22250501208 15907 GARIABAND CHHURA GOVT.N. P.S.SARGIPARA (SSA) 22250501209 15908 GARIABAND CHHURA GOVT.N. P.S.NAWADIHI (SSA) 22250501210 15909 GARIABAND CHHURA GOVT.N. P.S.ANJORADIHI (SSA) 22250501211 15910 GARIABAND CHHURA GOVT. P.S.KASHIBAHARA (TWD) 22250501301 15911 GARIABAND CHHURA GOVT. P.S RUWARD 22250501401 15912 GARIABAND CHHURA GOVT M.S.RUWARD (TWD) 22250501402 15913 GARIABAND CHHURA GOVT. P.S. KUDIYADIH 22250501501 15914 GARIABAND CHHURA GOVT.PS. TARYAPARA (SSA) 22250501502 15915 GARIABAND CHHURA GOVT. P.S. NAWGAI (TWD) 22250501601 15916 GARIABAND CHHURA GOVT. P.S.MENDAKIDABRI (TWD) 22250501701 15917 GARIABAND CHHURA GOVT.MS.MENDAKIDABRI 22250501702 15918 GARIABAND CHHURA GOVT. P.S. TENDUPARA 22250501703 15919 GARIABAND CHHURA GOVT. P.S. GHOTPANI (TWD) 22250501801 15920 GARIABAND CHHURA GOVT. P.S. TONHIDABARI (TWD) 22250501901 15921 GARIABAND CHHURA GOVT.M.S TONHIDABARI (SSA) 22250501902 15922 GARIABAND CHHURA GOVT.N.PS. THUHAPANI (SSA) 22250501903 15923 GARIABAND CHHURA GOVT.N. PS. MAINJARPARA (SSA) 22250502002 15924 GARIABAND CHHURA GOVT.N P S. KACHHARPARA (SSA) 22250502003 15925 GARIABAND CHHURA GOVT. P.S.SURANGPANI (TWD) 22250502101 15926 GARIABAND CHHURA GOVT. P.S.BOYS POND (TWD) 22250502201 15927 GARIABAND CHHURA GOVT.PS.GIRL POND (TWD) 22250502202 15928 GARIABAND CHHURA GOVT.MS.GIRL POND (TWD) 22250502206 15929 GARIABAND CHHURA GOVT.PS.KAMARPARA POND (SSA) 22250502207 15930 GARIABAND CHHURA GOVT. P.S.KUDEDADAR 22250502301 15931 GARIABAND CHHURA GOVT.PS. AMAPARA (SSA) 22250502303 15932 GARIABAND CHHURA GOVT.N. PS. CHHINDPARA (SSA) 22250502304 15933 GARIABAND CHHURA GOVT.M.S.AMAPARA (SSA) 22250502305 15934 GARIABAND CHHURA GOVT.M.S. KUDEDARADADR (SSA) 22250502306 15935 GARIABAND CHHURA GOVT. P.S. GIDHANI (TWD) 22250502401 15936 GARIABAND CHHURA GOVT.M.S.GIDHANI (SSA) 22250502402 15937 GARIABAND CHHURA GOVT. P.S. RAKSI (TWD) 22250502501
  • 484.
    15938 GARIABAND CHHURAGOVT. P.S. KAMRAJ (TWD) 22250502601 15939 GARIABAND CHHURA GOVT. P.S.PIPARCHEDI (TWD) 22250502701 15940 GARIABAND CHHURA GOVT.PS. KAMARPARA (SSA) 22250502704 15941 GARIABAND CHHURA GOVT. P.S.KANFARD (TWD) 22250502801 15942 GARIABAND CHHURA GOVT.PS.KANFARD- 2 (SSA) 22250502802 15943 GARIABAND CHHURA GOVT. P.S. BIRODAR (TWD) 22250502901 15944 GARIABAND CHHURA GOVT.N- M.S.BIRODAR (SSA) 22250502902 15945 GARIABAND CHHURA GOVT.P.S.CHARODA BIRODAR (SSA) 22250502903 15946 GARIABAND CHHURA GOVT. P.S.LADABAHRA 22250503001 15947 GARIABAND CHHURA GOVT.M.S.LADABAHRA (SSA) 22250503002 15948 GARIABAND CHHURA GOVT.P.S. DADARGAON 22250503102 15949 GARIABAND CHHURA GOVT M.S.DADARGAON (TWD) 22250503103 15950 GARIABAND CHHURA GOVT. P.S.RAWANABHATA (TWD) 22250503201 15951 GARIABAND CHHURA GOVT. P.S.BIRANIBAHARA (TWD) 22250503301 15952 GARIABAND CHHURA GOVT. P.S.HARDI (TWD) 22250503401 15953 GARIABAND CHHURA GOVT.M.S.HARDI (SSA) 22250503403 15954 GARIABAND CHHURA GOVT. P.S. NAWAPARA 22250503501 15955 GARIABAND CHHURA GOVT. PS.NAWAPARA (TWD) 22250503502 15956 GARIABAND CHHURA GOVT.PS. NAVAPARA (SSA) 22250503503 15957 GARIABAND CHHURA GOVT. P.S.DAGANBOY (TWD) 22250503601 15958 GARIABAND CHHURA GOVT. P.S. SIWANI (TWD) 22250503701 15959 GARIABAND CHHURA GOVT.N. M.S. SIWANI (SSA) 22250503702 15960 GARIABAND CHHURA GOVT.N. PS AWASHPARA (SSA) 22250503703 15961 GARIABAND CHHURA GOVT. P.S. FINGESHWARA 22250503901 15962 GARIABAND CHHURA GOVT.P.S. KMARPARA (SSA) 22250503902 15963 GARIABAND CHHURA GOVT.M.S.FINGESHWARI (SSA) 22250503903 15964 GARIABAND CHHURA GOVT. P.S.KAROIDADAR (TWD) 22250504001 15965 GARIABAND CHHURA GOVT. P.S. PARSADAKURD 22250504101 15966 GARIABAND CHHURA GOVT M.S.PARSADAKURD (TWD) 22250504102 15967 GARIABAND CHHURA GOVT.M.S. JAMLI (SSA) 22250504108 15968 GARIABAND CHHURA GOVT ASHRAM SHALA PARSADAKHURD 22250504109 15969 GARIABAND CHHURA GOVT. P.S.PATHARI (TWD) 22250504201 15970 GARIABAND CHHURA GOVT.M.S.DHARIPAR (SSA) 22250504203
  • 485.
    15971 GARIABAND CHHURAGOVT.GIRLS M.S. CHHURA (TWD) 22250504304 15972 GARIABAND CHHURA GOVT.PS. KHALIYAPANI 22250504317 15973 GARIABAND CHHURA GOVT.N. P.S.TUMGANW (SSA) 22250504323 15974 GARIABAND CHHURA GOVT.N.P.S.CHHATTRPUR (SSA) 22250504324 15975 GARIABAND CHHURA GOVT.N.P.S.GADIYAPARA (SSA) 22250504325 15976 GARIABAND CHHURA GOVT.N.P.S. GADIKOT (SSA) 22250504326 15977 GARIABAND CHHURA GOVT.N.PS. AAWASHPARA (SSA) 22250504327 15978 GARIABAND CHHURA GOVT.M.S.BOYS CHHURA 22250504330 15979 GARIABAND CHHURA GOVT.M.S. KOSUMBUDA (SSA) 22250504332 15980 GARIABAND CHHURA GOVT.M.S. KHUSARUPALI (SSA) 22250504333 15981 GARIABAND CHHURA GOVT.P.S.SENDABAHARA 22250504334 15982 GARIABAND CHHURA GOVT. GIRL P.S.CHHURA (TWD) 22250504336 15983 GARIABAND CHHURA GOVT. P.S.KANISHAR 22250504401 15984 GARIABAND CHHURA GOVT MS KANESAR (SSA) 22250504403 15985 GARIABAND CHHURA GOVT.N. P.S.NAVADIH (SSA) 22250504404 15986 GARIABAND CHHURA GOVT. P.S.SARAGOAN 22250504501 15987 GARIABAND CHHURA GOVT M.S. SARAGAON (TWD) 22250504502 15988 GARIABAND CHHURA GOVT. P.S. AMLOR 22250504601 15989 GARIABAND CHHURA GOVT M.S. PIPRAHI (SSA) 22250504703 15990 GARIABAND CHHURA GOVT.P.S. PIPRAHI (TWD) 22250504704 15991 GARIABAND CHHURA GOVT. P.S. ONWA (TWD) 22250504801 15992 GARIABAND CHHURA GOVT. P.S. BHESAMURDA 22250504901 15993 GARIABAND CHHURA GOVT. P.S. BHERA 22250505001 15994 GARIABAND CHHURA GOVT. P.S.KHERJHTI (TWD) 22250505101 15995 GARIABAND CHHURA GOVT.M.S. KHERJHITI (SSA) 22250505102 15996 GARIABAND CHHURA GOVT. P.S. BIJAPAL (TWD) 22250505201 15997 GARIABAND CHHURA GOVT.M.S.BIJAPAL (SSA) 22250505204 15998 GARIABAND CHHURA GOVT. P.S. DEVGAON (TWD) 22250505301 15999 GARIABAND CHHURA GOVT. P.S. DUMARDIH (TWD) 22250505401 16000 GARIABAND CHHURA GOVT. P.S.FULJHAR (TWD) 22250505601 16001 GARIABAND CHHURA GOVT. P.S. BODARABHANDA 22250505901 16002 GARIABAND CHHURA GOVT.MS.BODARABHANDA (SSA) 22250505902 16003 GARIABAND CHHURA GOVT. P.S.SARKANDA (TWD) 22250506001
  • 486.
    16004 GARIABAND CHHURAGOVT.M.S. SARKANDA (SSA) 22250506002 16005 GARIABAND CHHURA GOVT.M.S. TORANGA (SSA) 22250506102 16006 GARIABAND CHHURA GOVT.PS. TORANGA (TWD) 22250506103 16007 GARIABAND CHHURA GOVT.ASHRAM P.S.TORANGA 22250506104 16008 GARIABAND CHHURA GOVT. BOYS P.S.PANDUKA (TWD) 22250506201 16009 GARIABAND CHHURA GOVT M.S.BOYS PANDUKA (TWD) 22250506204 16010 GARIABAND CHHURA GOVT.MS.GIRLS PANDUKA (TWD) 22250506205 16011 GARIABAND CHHURA GOVT.M.S.BOYS POD (TWD) 22250506212 16012 GARIABAND CHHURA GOVT.M.S.KUKDA (SSA) 22250506215 16013 GARIABAND CHHURA GOVT.P.S. KURUDA (TWD) 22250506216 16014 GARIABAND CHHURA GOVT.N.PS.NAVADI PANDUKA (SSA) 22250506219 16015 GARIABAND CHHURA GOVT.P.S.PAIRIKALONI PANDUKA (SSA) 22250506220 16016 GARIABAND CHHURA GOVT. P.S. DIWNA (TWD) 22250506301 16017 GARIABAND CHHURA GVOT NAVEEN MS DIWNA [SSA] 22250506302 16018 GARIABAND CHHURA GOVT. P.S. GARDAGHAT (TWD) 22250506401 16019 GARIABAND CHHURA GOVT. PS GILR PANDUKA (TWD) 22250506503 16020 GARIABAND CHHURA KACHNA DHRUVA VIDYAMANDIR PANDUKA 22250506504 16021 GARIABAND CHHURA GOVT. P.S. RAJANKATA (TWD) 22250506601 16022 GARIABAND CHHURA GOVT.M.S RAJANKATA (SSA) 22250506602 16023 GARIABAND CHHURA GOVT. P.S. JAMALI 22250506801 16024 GARIABAND CHHURA GOVT. P.S.PATSWANI 22250506901 16025 GARIABAND CHHURA GOVT M.S. PATSIWANI 22250506902 16026 GARIABAND CHHURA GOVT.P.S.NAVAPARA PATSIVNI (SSA) 22250506905 16027 GARIABAND CHHURA GOVT.P.S.TIKRAPARA (SSA) 22250506906 16028 GARIABAND CHHURA GOVT.M.S. BHERA (SSA) 22250506907 16029 GARIABAND CHHURA GOVT.P.S.AWASHPARA (SSA) 22250506910 16030 GARIABAND CHHURA GOVT.M.S.PIPRHTTA (SSA) 22250506911 16031 GARIABAND CHHURA GOVT.M.S.BORRABANDHA(SSA) 22250506912 16032 GARIABAND CHHURA GOVT.P.S.DONGARIPARA (SSA) 22250506913 16033 GARIABAND CHHURA GOVT.M.S.KHUDIYADIH (SSA) 22250506914 16034 GARIABAND CHHURA GOVT.P.S.SITLAPARA NAVAPARA (SSA) 22250506915 16035 GARIABAND CHHURA GOVT.M.S.NAVAPARA (SSA) 22250506916 16036 GARIABAND CHHURA GOVT.P.S.KAMARTOLA JAMLI (SSA) 22250506917
  • 487.
    16037 GARIABAND CHHURAGOVT.M.S.AMLOR (SSA) 22250506918 16038 GARIABAND CHHURA GOVT.PS KHMRAPARA PATSIWANI (SSA) 22250506920 16039 GARIABAND CHHURA GOVT. P.S.KHADMA 22250507001 16040 GARIABAND CHHURA GOVT.M.S. KHADMA 22250507007 16041 GARIABAND CHHURA GOVT.P.S.AWASHPARA KHAMDA(SSA) 22250507009 16042 GARIABAND CHHURA GOVT.P.S.KAMARTOLA RAVELI (SSA) 22250507010 16043 GARIABAND CHHURA GOVT.P.S.MADELI 22250507011 16044 GARIABAND CHHURA GOVT.N.P/S. NAVADI JARGOA (SSA) 22250507013 16045 GARIABAND CHHURA GOVT.N. P.S. NAVADI PAKTIYA 22250507014 16046 GARIABAND CHHURA GOVT.GIRL.M.S. KHAMDA (SSA) 22250507016 16047 GARIABAND CHHURA GOVT.M.S.PIPARCHHEDI 22250507017 16048 GARIABAND CHHURA GOVT. P.S. DHARMPUR (TWD) 22250507101 16049 GARIABAND CHHURA GOVT. P.S. CHITAMADA 22250507201 16050 GARIABAND CHHURA GOVT. P.S. KOTIGAON (TWD) 22250507301 16051 GARIABAND CHHURA GOVT M.S. KOTIGAON (SSA) 22250507302 16052 GARIABAND CHHURA GOVT. P.S.SEMHARA 22250507401 16053 GARIABAND CHHURA GOVT.MS.SEMHARA (SSA) 22250507402 16054 GARIABAND CHHURA GOVT. P.S.KOSMBURDA 22250507501 16055 GARIABAND CHHURA GOVT. P.S. VIDHIYA 22250507601 16056 GARIABAND CHHURA GOVT. P.S. BANLOHJHAR (TWD) 22250507602 16057 GARIABAND CHHURA GOVT M.S.LOHJHAR (TWD) 22250507603 16058 GARIABAND CHHURA GOVT.P.S.BHUNJIYAPARA LOHAJHAR 22250507606 16059 GARIABAND CHHURA GOVT.PS. KAMARPARA KHATTI (SSA) 22250507607 16060 GARIABAND CHHURA GOVT. P.S. VIJAYPUR (TWD) 22250507901 16061 GARIABAND CHHURA GOVT. P.S.GONDLABAHARA(TWD) 22250508101 16062 GARIABAND CHHURA GOVT.M.S.GONDLABAHARA (SSA) 22250508103 16063 GARIABAND CHHURA GOVT. P.S. KASEKERA 22250508201 16064 GARIABAND CHHURA GOVT M.S.KASEKERA (SSA) 22250508202 16065 GARIABAND CHHURA GOVT. P.S. DORTARA 22250508301 16066 GARIABAND CHHURA GOVT.MS. DORTARA (TWD) 22250508304 16067 GARIABAND CHHURA GOVT. P.S. DEVSARA 22250508401 16068 GARIABAND CHHURA GOVT. P.S.KARCHALI 22250508501 16069 GARIABAND CHHURA GOVT. P.S. BAMHANI 22250508601
  • 488.
    16070 GARIABAND CHHURAGOVT.PS.BAMHANI 22250508602 16071 GARIABAND CHHURA GOVT KANYA ASHRAM BAHMHANI 22250508603 16072 GARIABAND CHHURA GOVT. P.S.PANKITIYA 22250508701 16073 GARIABAND CHHURA GOVT M.S.PANKITIYA (SSA) 22250508702 16074 GARIABAND CHHURA GOVT. P.S. SORIDKHURD 22250508801 16075 GARIABAND CHHURA GOVT M.S.SORIDKHURD 22250508802 16076 GARIABAND CHHURA GOVT.N. P.S.BHUNJIYAPARA (TWD) 22250508807 16077 GARIABAND CHHURA GOVT.P.S.N. NAGESHWARPARA (TWD) 22250508808 16078 GARIABAND CHHURA GOVT.M.S.VANLOHJHAR (SSA) 22250508810 16079 GARIABAND CHHURA GOVT.PS.KARPIDADAR 22250508812 16080 GARIABAND CHHURA GOVT. P.S. SAJAPALI 22250509001 16081 GARIABAND CHHURA GOVT M.S.SAJAPALI (SSA) 22250509003 16082 GARIABAND CHHURA GOVT. P.S.MONGARA 22250509101 16083 GARIABAND CHHURA GOVT.MS.MONGARA (SSA) 22250509102 16084 GARIABAND CHHURA GOVT.P S.DONGARIPALI 22250509103 16085 GARIABAND CHHURA GOVT.PS.AMETHI 22250509201 16086 GARIABAND CHHURA GOVT. MS.AMETHI (SSA) 22250509204 16087 GARIABAND CHHURA GOVT. P.S.KOSAMI 22250509301 16088 GARIABAND CHHURA GOVT M.S. KOSAMI (TWD) 22250509302 16089 GARIABAND CHHURA GOVT.P.S. DUMARPARA (SSA) 22250509306 16090 GARIABAND CHHURA GOVT.P.S.GOURMUDI KOSMI (SSA) 22250509307 16091 GARIABAND CHHURA GOVT.P.S. UMARAWPARA (SSA) 22250509308 16092 GARIABAND CHHURA GOVT.P.S.CHATTANPARA (SSA) 22250509309 16093 GARIABAND CHHURA GOVT.P.S.SIYALPARA TELIDADAR (SSA) 22250509310 16094 GARIABAND CHHURA GOVT.P.S.KARANPARA NAWAPARA(SSA) 22250509311 16095 GARIABAND CHHURA GOVT.P.S.DARRIPARA PATHARI 22250509312 16096 GARIABAND CHHURA GOVT.M.S. NAVADIHI (SSA) 22250509313 16097 GARIABAND CHHURA GOVT.M.S.NAVAPARA (SSA) 22250509314 16098 GARIABAND CHHURA GOVT.M.S.KUDEMA (SSA) 22250509316 16099 GARIABAND CHHURA GOVT.M.S. KACCHARDIHI CHARODA (SSA) 22250509317 16100 GARIABAND CHHURA GOVT.M.S.GHOGHARA NAVAPARA (SSA) 22250509318 16101 GARIABAND CHHURA GOVT.PS.AKALWARA 22250509401 16102 GARIABAND CHHURA GOVT M.S.AKALWARA 22250509402
  • 489.
    16103 GARIABAND CHHURAGOVT.N. MS.JARGAON (SSA0 22250509503 16104 GARIABAND CHHURA GOVT.PS.JARGAON (TWD) 22250509504 16105 GARIABAND CHHURA GOVT.M.S. RAVELI (SSA) 22250509505 16106 GARIABAND CHHURA GOVT. P.S.RANIPARTEWA 22250509601 16107 GARIABAND CHHURA GOVT M.S. BOYS RANIPARTEWA 22250509603 16108 GARIABAND CHHURA GOVT.GIRL MS.RANIPARTEWA (SSA) 22250509607 16109 GARIABAND CHHURA GOVT.M.S.KARCHALI (SSA) 22250509609 16110 GARIABAND CHHURA GOVT.P.S. KORASI (TWD) 22250509613 16111 GARIABAND CHHURA GOVT.M.S.KORASI (SSA) 22250509614 16112 GARIABAND CHHURA GOVT.P.S.KARKARA (TWD) 22250509615 16113 GARIABAND CHHURA GOVT.P.S.HARIJANPARA KARKARA (SSA) 22250509616 16114 GARIABAND CHHURA GOVT.P.S.MUDAGOVN 22250509617 16115 GARIABAND CHHURA GOVT.M.S.MUDAGAON (SSA) 22250509618 16116 GARIABAND CHHURA GOVT.P.S.HARIJANPARA (SSA) 22250509619 16117 GARIABAND CHHURA GOVT.P.S.TIKRAPARA RANIPARTEWA 22250509620 16118 GARIABAND CHHURA GOVT.M.S.BAMHNI (SSA) 22250509622 16119 GARIABAND CHHURA GOVT. P.S. SANKARA (TWD) 22250509701 16120 GARIABAND CHHURA GOVT.MS.SANKARA 22250509704 16121 GARIABAND CHHURA GOVT. P.S. DULLA 22250509801 16122 GARIABAND CHHURA GOVT.GIRL MS. DULLA (SSA) 22250509803 16123 GARIABAND CHHURA GOVT.M.S.BHESAMUDA (SSA) 22250509804 16124 GARIABAND CHHURA GOVT BOYS M.S.DULLA (TWD) 22250509807 16125 GARIABAND CHHURA GOVT. P.S.PENDARA (TWD) 22250509901 16126 GARIABAND CHHURA GOVT M.S.PENDARA (TWD) 22250509902 16127 GARIABAND CHHURA GOVT.N.P.S.BHAKLAPARA (SSA) 22250509904 16128 GARIABAND CHHURA GOVT.P.S.MALIYAR PENDARA (SSA) 22250509906 16129 GARIABAND CHHURA GOVT.M.S.KAMRAJ (SSA) 22250509907 16130 GARIABAND CHHURA GOVT. PS. NARTORA 22250510201 16131 GARIABAND CHHURA GOVT. PS PIPARHATTA 22250510301 16132 GARIABAND CHHURA GOVT. PS. THELKADADAR 22250510401 16133 GARIABAND CHHURA GOVT.PS.GAYDABRI 22250510601 16134 GARIABAND CHHURA GOVT.N.MS.GAYDABARI (SSA) 22250510604 16135 GARIABAND CHHURA GOVT.M.S. TALESHAR 22250510605
  • 490.
    16136 GARIABAND CHHURAGOVT. N.PS. PARSAPANI (SSA) 22250510801 16137 GARIABAND CHHURA GOVT.PS . GONBORA (TWD) 22250511001 16138 GARIABAND CHHURA GOVT.P.S SEHARAPANI (SSA) 22250511101 16139 GARIABAND CHHURA GOVT. P.S. DEWARI (TWD) 22250511201 16140 GARIABAND CHHURA GOVT.N. PS NISAINIDADAR (SSA) 22250511202 16141 GARIABAND CHHURA GOVT.N. M.S. DEWARI (SSA) 22250511203 16142 GARIABAND CHHURA GOVT.PS. CHINDOLI (TWD) 22250511401 16143 GARIABAND CHHURA GOVT. PS. KAMRA PAR CHINDOLI (TWD) 22250511402 16144 GARIABAND CHHURA GOVT.PS.NAWADIH KOSMI (TWD) 22250511501 16145 GARIABAND CHHURA GOVT.P.S. NAWADIH (SSA) 22250511502 16146 GARIABAND CHHURA GOVT.PS. BODALPARA (SSA) 22250511601 16147 GARIABAND CHHURA GOVT.PS.NAGJHAR (TWD) 22250511701 16148 GARIABAND CHHURA GOVT.PS.NAGJHAR (TWD) 22250511702 16149 GARIABAND CHHURA GOVT.MS. KURUD (TWD) 22250511903 16150 GARIABAND CHHURA GOVT.PS.ATARMARA 22250512001 16151 GARIABAND CHHURA GOVT.GIRL M.S. ATARMARA (SSA) 22250512004 16152 GARIABAND CHHURA GOVT.N.P.S.KHADARAHI MURMU(SSA) 22250512005 16153 GARIABAND CHHURA GOVT.N.P.S.SUBHASHA NAGAR MURA 22250512006 16154 GARIABAND CHHURA GOVT.M.S.GADAGHATA (SSA) 22250512008 16155 GARIABAND CHHURA GOVT.M.S.FULJHAR (SSA) 22250512009 16156 GARIABAND CHHURA GOVT.N.P.S.MANDIRPARA GADAGHAT(SSA) 22250512010 16157 GARIABAND CHHURA GOVT.M.S.ATARMARA (TWD) 22250512013 16158 GARIABAND CHHURA GOVT.M.S. KARKRA (SSA) 22250512103 16159 GARIABAND CHHURA GOVT. PS. CHATARMADAI (TWD) 22250512201 16160 GARIABAND CHHURA GOVT.PS. PANDRIPANI GOND (TWD) 22250512301 16161 GARIABAND CHHURA GOVT GYANY JOTI BAIDPARA [SSA] 22250512304 16162 GARIABAND CHHURA GOVT.PS.TENGNABASA (TWD) 22250512501 16163 GARIABAND CHHURA GOVT. M.S.TENGNABASA (SSA) 22250512502 16164 GARIABAND CHHURA GOVT.PS.DADARGAO (TWD) 22250512601 16165 GARIABAND CHHURA GOVT. KANYA ASHRAM PS NAGINBAHRA 22250512701 16166 GARIABAND CHHURA GOVT.PS.NAGINBAHARA (SSA) 22250512702 16167 GARIABAND CHHURA GOVT.M.S.NAGINBAHARA (TWD) 22250512703 16168 GARIABAND CHHURA GOVT. KANYA ASHRAM DADARGAO (TWD) 22250512801
  • 491.
    16169 GARIABAND CHHURAGOVT.MS. DADARGAO ,NAYA (SSA) 22250512802 16170 GARIABAND CHHURA GOVT.PS. KALMIDADAR (SSA) 22250512803 16171 GARIABAND CHHURA GOVT. PS. BHARUWAMUDA (TWD) 22250513001 16172 GARIABAND CHHURA GOVT.PS BOYS CHHURA 22250513101 16173 GARIABAND CHHURA GOVT.ADEVASI GIRL ASRAM CHHURA 22250513102 16174 GARIABAND CHHURA GOVT.PS. A. GAYDABRI (SSA) 22250513201 16175 GARIABAND CHHURA GOVT.PS.ASARA (TWD) 22250513301 16176 GARIABAND CHHURA GOVT.PS.CHURKIDADAR (TWD) 22250513401 16177 GARIABAND CHHURA GOVT M.S. CHURKIDADAR (TWD) 22250513402 16178 GARIABAND CHHURA GOVT. PS. JATIYATORA (TWD) 22250513501 16179 GARIABAND CHHURA GOVT.P.S.KUGDA (TWD) 22250513602 16180 GARIABAND CHHURA GOVT.MS.MADELI (SSA) 22250513802 16181 GARIABAND CHHURA GOVT.PS.BOIRGAO (TWD) 22250513901 16182 GARIABAND CHHURA GOVT PS KUREKERA (TWD) 22250514002 16183 GARIABAND CHHURA GOVT.PS.RAWELI (TWD) 22250514101 16184 GARIABAND CHHURA GOVT.PS.CHARODA 22250514201 16185 GARIABAND CHHURA GOVT M.S. CHARODA (TWD) 22250514202 16186 GARIABAND CHHURA GOVT.PS. KAMARPARA (SSA) 22250514203 16187 GARIABAND CHHURA GOVT.PS.KUDEMA (SSA) 22250514401 16188 GARIABAND CHHURA GOVT. PS KANDAGADHI 22250514501 16189 GARIABAND CHHURA GOVT.PS.VIJAYNAGAR 22250514601 16190 GARIABAND CHHURA GOVT. PS KACHARDIH 22250514701 16191 GARIABAND CHHURA GOVT.N. PS. BORIYAJHAR (TWD) 22250514801 16192 GARIABAND CHHURA GOVT.N. PS RAJPUR (SSA) 22250514901 16193 GARIABAND CHHURA GOVT.M.S.KHARKHARA (SSA) 22250515003 16194 GARIABAND CHHURA GOVT.P.S.KHARKHARA (SSA) 22250515004 16195 GARIABAND CHHURA GOVT.PS.PANDRIPANI 22250515101 16196 GARIABAND CHHURA GOVT.PS.JALKIPANI 22250515201 16197 GARIABAND CHHURA GOVT.PS.KHUSRUPALI 22250515301 16198 GARIABAND CHHURA GOVT.PS.BAHERABHATHA 22250515401 16199 GARIABAND CHHURA GOVT.PS.MOHRADIH 22250515501 16200 GARIABAND CHHURA GOVT.PS.KHATTI (SSA) 22250515601 16201 GARIABAND CHHURA GOVT.PS.KHATTI 22250515602
  • 492.
    16202 GARIABAND CHHURAGOVT.PS. MATARBAHRA (TWD) 22250515801 16203 GARIABAND CHHURA GOVT.MS.MATARBHARA (SSA) 22250515802 16204 GARIABAND CHHURA GOVT.N.PS. KODAMAL (SSA) 22250515901 16205 GARIABAND CHHURA GOVT.N.PS. PALEMA (SSA) 22250516001 16206 GARIABAND CHHURA GOVT. P.S. TILAIDADER (SSA) 22250516201 16207 GARIABAND CHHURA GOVT.M.S. TILAIDADER (SSA) 22250516203 16208 GARIABAND CHHURA GOVT.P.S.TILAIDADAR 22250516204 16209 GARIABAND CHHURA GOVT.N. P.S. KANTAKHUSRI (SSA) 22250516301 16210 GARIABAND CHHURA GOVT.N. P.S. PANIDRPNI DIH 22250516401 16211 GARIABAND CHHURA GOVT.PS.JIDHAR 22250516501 16212 GARIABAND CHHURA GOVT.PS.GHOGHRA (SSA) 22250516601 16213 GARIABAND CHHURA GOVT.PS.ULATPARA (SSA) 22250516701 16214 GARIABAND CHHURA GOVT.PS.BAGBAHRA (SSA) 22250516801 16215 GARIABAND CHHURA GOVT.PS.KETELPARA (SSA) 22250516901 16216 GARIABAND CHHURA GOVT.PS.MURMURA (TWD) 22250517001 16217 GARIABAND CHHURA GOVT M.S. MURMURA (TWD) 22250517002 16218 GARIABAND CHHURA GOVT.PS.KUMHARMARA (SSA) 22250517101 16219 GARIABAND CHHURA GOVT.PS.MOHTRA (SSA) 22250517201 16220 GARIABAND CHHURA GOVT.PS.BIJAPANI 22250517301 16221 GARIABAND CHHURA GOVT.PS. SARAYPALI 22250517601 16222 GARIABAND CHHURA GOVT. PS. BOIREDIH 22250517701 16223 GARIABAND CHHURA GOVT.PS. KURAPARA 22250517801 16224 GARIABAND CHHURA GOVT. PS. KOKADACHEDA 22250517901 16225 GARIABAND CHHURA GOVT.PS.SHUKLAPARA 22250518001 16226 GARIABAND CHHURA S.G.SCHOOL DUNDUNIPANI 22250518101 16227 GARIABAND CHHURA GOVT.PS.SARGIPARA 22250518201 16228 GARIABAND CHHURA GOVT.M.S.SARGIPARA (SSA) 22250518202 16229 GARIABAND CHHURA GOVT.MS.MUDIPANI (SSA) 22250518301 16230 GARIABAND CHHURA GOVT.PS. MUDIPANI 22250518302 16231 GARIABAND CHHURA GOVT.PS.PHOOLBHAR 22250518401 16232 GARIABAND CHHURA GOVT.PS.DHEHIPARA (TWD) 22250518501 16233 GARIABAND CHHURA GOVT.PS.KTELPARA (SSA) 22250518701 16234 GARIABAND CHHURA GOVT.PS.KOSAMPANI (SSA) 22250518801
  • 493.
    16235 GARIABAND CHHURAGOVT.PS.SANJAY NAGAR (SSA) 22250518901 16236 GARIABAND CHHURA GOVT.GYAN JOYTI SARGIPARA (SSA) 22250522401 16237 GARIABAND CHHURA GOVT.N.PS SOBHUPANNA (SSA) 22250523001 16238 GARIABAND CHHURA GOVT.GYAN JYOTI AMLIPARA (SSA) 22250523101 16239 GARIABAND CHHURA GYAN JYOTI SCHOOL KARIDADAR 22250523201 16240 GARIABAND CHHURA GOVT PS KHEDIAMA (SSA) 22250523501 16241 GARIABAND DEOBHOG GOVT.PRMARY SCHOOL BOIRGUDA 22251400101 16242 GARIABAND DEOBHOG GOVT. PRIMARY SCHOOL KENDUPATI 22251400202 16243 GARIABAND DEOBHOG GOVT P.S. CHINGRABHATA 22251400301 16244 GARIABAND DEOBHOG GOVT. PRIMARY SCHOOL GHOGHAR 22251400401 16245 GARIABAND DEOBHOG GOVT.MIDDIL SCHOOL GHOGHOR (SSA) 22251400402 16246 GARIABAND DEOBHOG GOVT.N.P.S DARALIPARA 22251400403 16247 GARIABAND DEOBHOG GOVT. PRIMARY SCHOOL SRGIGUDA 22251400501 16248 GARIABAND DEOBHOG GOVT.MIDDIL SCHOOL SRGIGUDA (SSA) 22251400502 16249 GARIABAND DEOBHOG GOVT. PRIMARY SCHOOL GIRSUL 22251400601 16250 GARIABAND DEOBHOG GOVT M.S. GURSUL 22251400602 16251 GARIABAND DEOBHOG GOVT. PRIMARY SCHOOL GANGRAJPUR 22251400701 16252 GARIABAND DEOBHOG GOVT. M.S. GANGRAJPUR (SSA) 22251400702 16253 GARIABAND DEOBHOG GOVT. PRIMARY SCHOOL KETPADAR 22251400901 16254 GARIABAND DEOBHOG GOVT.PRMARY SCHOOL BARPARA 22251400902 16255 GARIABAND DEOBHOG GOVT. PRIMARY SCHOOL BARKANI 22251401001 16256 GARIABAND DEOBHOG GOVT. MIDDLE SCHOOL BARKANI (SSA) 22251401002 16257 GARIABAND DEOBHOG GOVT. PRIMARY SCHOOL SINAPALI 22251401101 16258 GARIABAND DEOBHOG GOVT M.S. SINAPALI 22251401102 16259 GARIABAND DEOBHOG GOVT. PRIMARY SCHOOL BADIGAON 22251401201 16260 GARIABAND DEOBHOG GOVT. BOYS M.S. BADIGAON (SSA) 22251401202 16261 GARIABAND DEOBHOG GOVT. GIRLS M.S. BADIGAON (SSA) 22251401203 16262 GARIABAND DEOBHOG GOVT. PRIMARY SCHOOL GOHEKELA 22251401301 16263 GARIABAND DEOBHOG GOVT. P.S. GOTIYAPARA (SSA) 22251401302 16264 GARIABAND DEOBHOG GOVT. PRIMARY SCHOOL DARLIPARA 22251401401 16265 GARIABAND DEOBHOG GOVT M.S. DARLIPARA (SSA) 22251401402 16266 GARIABAND DEOBHOG GOVT. PRIMARY SCHOOL SUKLIBHATA 22251401501 16267 GARIABAND DEOBHOG GOVT.MIDDIL SCHOOL SUKLIBHATA (SSA) 22251401502
  • 494.
    16268 GARIABAND DEOBHOGGOVT. PRIMARY SCHOOL DHUPKOT 22251401601 16269 GARIABAND DEOBHOG GOVT. P.S. BANDPARA (SSA) 22251401602 16270 GARIABAND DEOBHOG GOVT. PRIMARY SCHOOL NAGLDEHI 22251401701 16271 GARIABAND DEOBHOG GOVT.MIDDIL SCHOOL NAGLDEGH(SSA) 22251401702 16272 GARIABAND DEOBHOG GOVT. PRIMARY SCHOOL TIKRAPARA 22251401801 16273 GARIABAND DEOBHOG GOVT. PRIMARY SCHOOL GOHRAPADAR 22251401901 16274 GARIABAND DEOBHOG GOVT.MIDDIL SCHOOL GOHRAPADAR(SSA) 22251401902 16275 GARIABAND DEOBHOG GOVT. PRIMARY SCHOOL TUVASMAL 22251402001 16276 GARIABAND DEOBHOG GOVT. PRIMARY SCHOOL PITAPARA 22251402101 16277 GARIABAND DEOBHOG GOVT. PRIMARY SCHOOL KHUTGAON 22251402201 16278 GARIABAND DEOBHOG GOVT NAVIN M.S. KHUTGAON 22251402202 16279 GARIABAND DEOBHOG GOVT. P.S. MANJHIPARA(SSA) 22251402203 16280 GARIABAND DEOBHOG GOVT. PRIMARY SCHOOL SONAMUNDI 22251402301 16281 GARIABAND DEOBHOG GOVT. PRIMARY SCHOOL KARCHIYA 22251402401 16282 GARIABAND DEOBHOG GOVT.M.S.KARCHIYA (SSA) 22251402402 16283 GARIABAND DEOBHOG GOVT. PRIMARY SCHOOL BADE LATAPARA 22251402501 16284 GARIABAND DEOBHOG GOVT. P.S. CHOTE LATAPARA 22251402601 16285 GARIABAND DEOBHOG GOVT. PRIMARY SCHOOL MUNGJHAR 22251402701 16286 GARIABAND DEOBHOG GOVT. GIRLS PRIMARY SCHOOL DEOBHOG 22251402801 16287 GARIABAND DEOBHOG GOVT. BALAK PRIMARY SCHOOL DEOBHOG 22251402802 16288 GARIABAND DEOBHOG GOVT. KGBV M.S. DEOBHOG (KGBV) 22251402804 16289 GARIABAND DEOBHOG GOVT. PRIMARY SCHOOL SARGIBAHLI 22251402901 16290 GARIABAND DEOBHOG GOVT. PRIMARY SCHOOL USRIPANI 22251403001 16291 GARIABAND DEOBHOG GOVT.M.S. USRIPANI (SSA) 22251403002 16292 GARIABAND DEOBHOG GOVT. PRIMARY SCHOOL KURLAPARA 22251403101 16293 GARIABAND DEOBHOG GOVT. PRIMARY SCHOOL JHAKHARPARA 22251403201 16294 GARIABAND DEOBHOG GOVT. P.S. LIYHARIPARA (SSA) 22251403202 16295 GARIABAND DEOBHOG GOVT. PRIMARY SCHOOL JAMGURIYAPARA 22251403301 16296 GARIABAND DEOBHOG GOVT. PRIMARY SCHOOL KODOBEDA 22251403401 16297 GARIABAND DEOBHOG GOVT. PRIMARY SCHOOL AMAD 22251403501 16298 GARIABAND DEOBHOG GOVT. PRIMARY SCHOOL DIVANMUDA 22251403601 16299 GARIABAND DEOBHOG GOVT NAVIN M.S. DIVANMUDA (SSA) 22251403602 16300 GARIABAND DEOBHOG GOVT. PRIMARY SCHOOL MADAGAON 22251403701
  • 495.
    16301 GARIABAND DEOBHOGGOVT. P.S. KARLAKOT (SSA) 22251403704 16302 GARIABAND DEOBHOG GOVT M.S.MADAGAON 22251403706 16303 GARIABAND DEOBHOG GOVT.PRIMARY SCHOOL KARLABANDALI 22251403707 16304 GARIABAND DEOBHOG GOVT. PRIMARY SCHOOL THIRLIGUDA 22251403801 16305 GARIABAND DEOBHOG GOVT. PRIMARY SCHOOL JHIRIPANI 22251403901 16306 GARIABAND DEOBHOG GOVT.M.S JHIRIPANI (SSA) 22251403904 16307 GARIABAND DEOBHOG GOVT. PRIMARY SCHOOL SAHASKHOL 22251404001 16308 GARIABAND DEOBHOG GOVT.M.S.SAHASKHOL (SSA) 22251404002 16309 GARIABAND DEOBHOG GOVT. PRIMARY SCHOOL KHWASPARA 22251404101 16310 GARIABAND DEOBHOG GOVT. PRIMARY SCHOOL SENDMUDA 22251404201 16311 GARIABAND DEOBHOG GOVT. PRIMARY SCHOOL SUPEBEDA 22251404301 16312 GARIABAND DEOBHOG GOVT M.S. SUPEBEDA 22251404302 16313 GARIABAND DEOBHOG GOVT P.S NAVIN BANDPARA 22251404303 16314 GARIABAND DEOBHOG GOVT. PRIMARY SCHOOL PREWAPALI 22251404401 16315 GARIABAND DEOBHOG GOVT. PRIMARY SCHOOL KHMARGUDA 22251404501 16316 GARIABAND DEOBHOG GOVT. PRIMARY SCHOOL NISTIGUDA 22251404601 16317 GARIABAND DEOBHOG GOVT MIDDLE SCHOOL NISTIGUDA (SSA) 22251404602 16318 GARIABAND DEOBHOG GOVT. PRIMARY SCHOOL DAHIGAON 22251404701 16319 GARIABAND DEOBHOG GOVT. P.S. BANDPARA (SSA) 22251404702 16320 GARIABAND DEOBHOG GOVT.M.S. DAHIGAON (SSA) 22251404703 16321 GARIABAND DEOBHOG GOVT. PRIMARY SCHOOL NABAGUDA 22251404801 16322 GARIABAND DEOBHOG GOVT. PRIMARY SCHOOL SAGONBHADI 22251404901 16323 GARIABAND DEOBHOG GOVT. PRIMARY SCHOOL GHUMARGUDA 22251405001 16324 GARIABAND DEOBHOG GOVT.MIDDLE SCHOOL GHUMARGUDA (SSA) 22251405003 16325 GARIABAND DEOBHOG GOVT M.S. DHORAKOT 22251405102 16326 GARIABAND DEOBHOG GOVT.PRIMARY SCHOOL DHORAKOT 22251405103 16327 GARIABAND DEOBHOG GOVT. PRIMARY SCHOOL MURGUDA 22251405201 16328 GARIABAND DEOBHOG GOVT. PRIMARY SCHOOL KODOBHATHA 22251405302 16329 GARIABAND DEOBHOG GOVT. PRIMARY SCHOOL FLSAPARA 22251405401 16330 GARIABAND DEOBHOG GOVT.P.S. MALPARA 22251405402 16331 GARIABAND DEOBHOG GOVT. PRIMARY SCHOOL JHARABAHAL 22251405501 16332 GARIABAND DEOBHOG GOVT. PRIMARY SCHOOL FOOLIMUDA 22251405601 16333 GARIABAND DEOBHOG GOVT. PRIMARY SCHOOL KUSKONA 22251405701
  • 496.
    16334 GARIABAND DEOBHOGGOVT. PRIMARY SCHOOL GADAGHAT 22251405801 16335 GARIABAND DEOBHOG GOVT. M.S. GADAGHAT 22251405802 16336 GARIABAND DEOBHOG GOVT. PRIMARY SCHOOL MOTRAPARA 22251405901 16337 GARIABAND DEOBHOG GOVT. PRIMARY SCHOOL JAMGAON 22251406001 16338 GARIABAND DEOBHOG GOVT MIDDLE SCHOOL JAMGAON (SSA) 22251406002 16339 GARIABAND DEOBHOG GOVT. PRIMARY SCHOOL ROHNAGUDA 22251406101 16340 GARIABAND DEOBHOG GOVT. M.S. ROHNAGUDA (SSA) 22251406102 16341 GARIABAND DEOBHOG GOVT. PRIMARY SCHOOL MURLIGUDA 22251406201 16342 GARIABAND DEOBHOG GOVT. PRIMARY SCHOOL SUKLIBHATA (N) 22251406301 16343 GARIABAND DEOBHOG GOVT P.S. DABRIBHATA (SSA) 22251406302 16344 GARIABAND DEOBHOG GOVT. P.S. DONGSIPARA (SSA) 22251406303 16345 GARIABAND DEOBHOG GOVT.M.S. SUKLIBHATA (N) (SSA) 22251406305 16346 GARIABAND DEOBHOG GOVT. PRIMARY SCHOOL DHAMBEDA 22251406401 16347 GARIABAND DEOBHOG GOVT. PRIMARY SCHOOL KUMDAIKHURD 22251406501 16348 GARIABAND DEOBHOG GOVT. M.S. KUMDAIKHURD (SSA) 22251406502 16349 GARIABAND DEOBHOG GOVT. PRIMARY SCHOOL KHOKSRA 22251406601 16350 GARIABAND DEOBHOG GOVT M.S. KHOKSRA 22251406602 16351 GARIABAND DEOBHOG GOVT. PRIMARY SCHOOL DHUMAMUDA 22251406701 16352 GARIABAND DEOBHOG GOVT. PRIMARY SCHOOL KARLAGUDA 22251406801 16353 GARIABAND DEOBHOG GOVT. M.S. KARLAGUDA (SSA) 22251406802 16354 GARIABAND DEOBHOG GOVT. PRIMARY SCHOOL BARAHI 22251406901 16355 GARIABAND DEOBHOG GOVT.M.S. BARAHI(SSA) 22251406902 16356 GARIABAND DEOBHOG GOVT. PRIMARY SCHOOL PURNAPANI 22251407001 16357 GARIABAND DEOBHOG GOVT.M.S. PURNAPANI (SSA) 22251407002 16358 GARIABAND DEOBHOG GOVT. PRIMARY SCHOOL KUMHDAIKALA 22251407101 16359 GARIABAND DEOBHOG GOVT.M.S. KUMHDAIKALA SSA() 22251407102 16360 GARIABAND DEOBHOG GOVT. PRIMARY SCHOOL KOSAMKANI 22251407201 16361 GARIABAND DEOBHOG GOVT. PRIMARY SCHOOL MAHULPARA 22251407301 16362 GARIABAND DEOBHOG GOVT.PRIMARY SCHOOL KENDUBAN 22251407402 16363 GARIABAND DEOBHOG GOVT. PRIMARY SCHOOL DUMARBAHAL 22251407501 16364 GARIABAND DEOBHOG GOVT.M.S.DUMRBAHAL DUMARBAHAL (SSA) 22251407503 16365 GARIABAND DEOBHOG GOVT.N.P.S.MANKIGUDA(SSA) 22251407505 16366 GARIABAND DEOBHOG GOVT. PRIMARY SCHOOL DABNAI 22251407601
  • 497.
    16367 GARIABAND DEOBHOGGOVT M.S. DABNAI 22251407602 16368 GARIABAND DEOBHOG GOVT. PRIMARY SCHOOL GHOTGUDA 22251407701 16369 GARIABAND DEOBHOG GOVT. PRIMARY SCHOOL MOKHAGUDA 22251407801 16370 GARIABAND DEOBHOG GOVT M.S. MOKHAGUDA(SSA) 22251407802 16371 GARIABAND DEOBHOG GOVT. P.S. MUNGIYA 22251407901 16372 GARIABAND DEOBHOG GOVT. P.S.KURMIBASA 22251407902 16373 GARIABAND DEOBHOG GOVT. PRIMARY SCHOOL KADLIMUDA 22251408001 16374 GARIABAND DEOBHOG GOVT. P.S. BHOIPARA (SSA) 22251408002 16375 GARIABAND DEOBHOG GOVT. MIDDLE SCHOOL KADLIMUDA (SSA) 22251408003 16376 GARIABAND DEOBHOG GOVT. PRIMARY SCHOOL BHARTABAHLI 22251408101 16377 GARIABAND DEOBHOG GOVT.P.S.KHALIYABHATA(SSA) 22251408102 16378 GARIABAND DEOBHOG GOVT. PRIMARY SCHOOL SITLIJOR 22251408201 16379 GARIABAND DEOBHOG GOVT.M.S. SITLIJOR(SSA) 22251408202 16380 GARIABAND DEOBHOG GOVT. PRIMARY SCHOOL CHICHIYA 22251408301 16381 GARIABAND DEOBHOG GOVT. MIDDLE SCHOOL CHICHIYA (SSA) 22251408302 16382 GARIABAND DEOBHOG GOVT.PRMARY SCHOOL POJARIPARA 22251408305 16383 GARIABAND DEOBHOG GOVT PRIMARY SCHOOL DASOPARA 22251408401 16384 GARIABAND DEOBHOG GOVT PRIMARY SCHOOL BARBAHLI 22251408501 16385 GARIABAND DEOBHOG GOVT M.S. BARBAHLI 22251408502 16386 GARIABAND DEOBHOG GOVT. PRIMARY SCHOOL MUDAGAON 22251408601 16387 GARIABAND DEOBHOG GOVT M.S. MUDAGAON 22251408602 16388 GARIABAND DEOBHOG GOVT. PRIMARY SCHOOL MAHULKOT 22251408701 16389 GARIABAND DEOBHOG GOVT. P.S. JADAMUDAPARA (SSA) 22251408702 16390 GARIABAND DEOBHOG GOVT. M.S.MAHULKOT (SSA) 22251408703 16391 GARIABAND DEOBHOG GOVT. PRIMARY SCHOOL NAWAGAON 22251408801 16392 GARIABAND DEOBHOG GOVT. M.S. NAWAGAON (SSA) 22251408802 16393 GARIABAND DEOBHOG GOVT. PRIMARY SCHOOL JALPARA(SSA) 22251408803 16394 GARIABAND DEOBHOG GOVT PRIMARY SCHOOL DUMARPITA 22251408901 16395 GARIABAND DEOBHOG GOVT. M.S. DUMARPITA (SSA) 22251408904 16396 GARIABAND DEOBHOG GOVT. P.S.KENDUPARA (SSA) 22251408905 16397 GARIABAND DEOBHOG GOVT. PRIMARY SCHOOL LADRA 22251409001 16398 GARIABAND DEOBHOG GOVT.P.S.GAITAPAR( SSA) 22251409002 16399 GARIABAND DEOBHOG GOVT. P.S. PODAGUDA (SSA) 22251409102
  • 498.
    16400 GARIABAND DEOBHOGGOVT. M.S.DOHEL (SSA) 22251409103 16401 GARIABAND DEOBHOG GOVT. PRIMARY SCHOOL DOHEL 22251409104 16402 GARIABAND DEOBHOG GOVT. PRIMARY SCHOOL DONGRIGUDA 22251409201 16403 GARIABAND DEOBHOG GOVT. PRIMARY SCHOOL DHUNGIYAMUDA 22251409301 16404 GARIABAND DEOBHOG GOVT M.S. MUNGJHAR 22251409402 16405 GARIABAND DEOBHOG GOVT GIRLS M.S. MUNGJHAR (SSA) 22251409403 16406 GARIABAND DEOBHOG GOVT. N.P.S.KURLAPARA (SSA) 22251409404 16407 GARIABAND DEOBHOG GOVT. PRIMARY SCHOOL MAGARRODA 22251409501 16408 GARIABAND DEOBHOG GOVT.M.S. MAGARRODA (SSA) 22251409502 16409 GARIABAND DEOBHOG GOVT.M.S. SENDMUDA (SSA) 22251409701 16410 GARIABAND DEOBHOG GOVT.NPS DONGARI PARA(SSA) 22251409802 16411 GARIABAND DEOBHOG GOVT.M.S. BHATRABAHLI 22251409902 16412 GARIABAND DEOBHOG GOVT. P.S.DARLIPARA 22251410103 16413 GARIABAND DEOBHOG GOVT. P.S. KANDPARA (SSA) 22251410201 16414 GARIABAND DEOBHOG GOVT. PRIMARY SCHOOL BUTLIPARA 22251410301 16415 GARIABAND DEOBHOG GOVT. NAVEN PRIMARY SCHOOL LIMPARA 22251410401 16416 GARIABAND DEOBHOG GOVT.PRIMARY SCHOOL BAGGODA 22251410501 16417 GARIABAND DEOBHOG GOVT. PRIMARY SCHOOL PANDEPARA 22251410601 16418 GARIABAND DEOBHOG GOVT. NAVEN PRIMARY SCHOOL TEMRA 22251410701 16419 GARIABAND DEOBHOG GOVT. PRIMARY SCHOOL DHORAJHOLAPARA 22251410801 16420 GARIABAND DEOBHOG GOVT. PRIMARY SCHOOL TETALPARA 22251410901 16421 GARIABAND DEOBHOG GOVT. PRIMARY SCHOOL TIPPARA 22251411001 16422 GARIABAND DEOBHOG GOVT. PRIMARY SCHOOL SARDAPUR 22251411201 16423 GARIABAND DEOBHOG GOVT. PRIMARY SCHOOL DHRUWAPARA 22251411301 16424 GARIABAND DEOBHOG GOVT. PRIMARY SCHOOL ADARPARA 22251411401 16425 GARIABAND DEOBHOG GOVT. PRIMARY SCHOOL NAYAPARA 22251411501 16426 GARIABAND DEOBHOG GOVT. PRIMARY SCHOOL TANDIPARA 22251411601 16427 GARIABAND DEOBHOG GOVT. NAVEN PRIMARY SCHOOL UPARPITA 22251411701 16428 GARIABAND DEOBHOG GOVT. PRIMARY SCHOOL BICHHALPARA 22251411801 16429 GARIABAND DEOBHOG GOVT. PRIMARY SCHOOL FUNDELPARA 22251411901 16430 GARIABAND DEOBHOG GOVT. PRIMARY SCHOOL FOKATPARA 22251412001 16431 GARIABAND DEOBHOG GOVT. PRIMARY SCHOOL BUDDUPARA 22251412101 16432 GARIABAND DEOBHOG NAVEN PRIMARY SCHOOL GAHNAMUDA 22251412201
  • 499.
    16433 GARIABAND DEOBHOGGOVT. NAVEN PRIMARY SCHOOL BHERGUDA 22251412301 16434 GARIABAND DEOBHOG GOVT. PRIMARY SCHOOL NICHEPARA 22251412401 16435 GARIABAND DEOBHOG GOVT GIRLS M.S. DEOBHOG 22251412503 16436 GARIABAND DEOBHOG GOVT M.S. JHAKHARPARA 22251412601 16437 GARIABAND DEOBHOG GOVT BOYS M.S. DEOBHOG 22251412902 16438 GARIABAND DEOBHOG GOVT M.S. LATAPARA 22251413001 16439 GARIABAND DEOBHOG GOVT. M.S. MOTARAPARA (SSA) 22251413101 16440 GARIABAND FINGESHWAR GOVT. PS BINOURI 22252300102 16441 GARIABAND FINGESHWAR GOVT. MS BINOURI SSA 22252300103 16442 GARIABAND FINGESHWAR GOVT.PS GIRLS DHAMNI 22252300201 16443 GARIABAND FINGESHWAR GOVT. PS BOYS DHAMNI 22252300202 16444 GARIABAND FINGESHWAR GOVT. MS DHAMNI SSA 22252300203 16445 GARIABAND FINGESHWAR GOVT. PS BHATAPARA DHAMNI 22252300204 16446 GARIABAND FINGESHWAR GOVT. PS KIRWAI 22252300301 16447 GARIABAND FINGESHWAR GOVT. MS KIRWAI 22252300304 16448 GARIABAND FINGESHWAR GOVT. PS BANGLA BHATA KIRWAI SSA 22252300305 16449 GARIABAND FINGESHWAR GOVT. PS PHOKAT PARA KIRWAI SSA 22252300306 16450 GARIABAND FINGESHWAR GOVT. MS PHOKAT PARA KIRWAI SSA 22252300307 16451 GARIABAND FINGESHWAR GOVT PS BIJALI 22252300501 16452 GARIABAND FINGESHWAR GOVT M.S. BIJALI 22252300502 16453 GARIABAND FINGESHWAR GOVT.P. S. NAVADHI BIJALI SSA 22252300505 16454 GARIABAND FINGESHWAR GOVT. PS SIRRIKALA 22252300601 16455 GARIABAND FINGESHWAR GOVT. MS SIRRIKALA SSA 22252300602 16456 GARIABAND FINGESHWAR GOVT. PS BHATA PARA SIRRIKALA SSA 22252300605 16457 GARIABAND FINGESHWAR GOVT. PS PASAUD 22252300701 16458 GARIABAND FINGESHWAR GOVT. MS PASAUD 22252300702 16459 GARIABAND FINGESHWAR GOVT. NAVEEN PS KAMARPARA PASAUD 22252300704 16460 GARIABAND FINGESHWAR GOVT. PS BHASERA 22252300801 16461 GARIABAND FINGESHWAR GOVT. MS BHASERA 22252300802 16462 GARIABAND FINGESHWAR GOVT. PS PATHARRA 22252300901 16463 GARIABAND FINGESHWAR GOVT. PS NAVEEN PATHARRA SSA 22252300902 16464 GARIABAND FINGESHWAR GOVT. MS PATHARRA SSA 22252300903 16465 GARIABAND FINGESHWAR GOVT. PS PEEPAR CHHEDI 22252301001
  • 500.
    16466 GARIABAND FINGESHWARGOVT. PS SEMHRADIH 22252301101 16467 GARIABAND FINGESHWAR GOVT. PS BELTUKRI 22252301201 16468 GARIABAND FINGESHWAR GOVT. MS BOYS BELTUKRI 22252301202 16469 GARIABAND FINGESHWAR GOVT. PS ABADI PARA BELTUKRI SSA 22252301204 16470 GARIABAND FINGESHWAR GOVT. PS BOYS KOPRA 22252301302 16471 GARIABAND FINGESHWAR GOVT. PS NAVEEN KOPRA 22252301303 16472 GARIABAND FINGESHWAR GOVT. PS GIRLS KOPRA 22252301304 16473 GARIABAND FINGESHWAR GOVT. MS BOYS KOPRA 22252301305 16474 GARIABAND FINGESHWAR GOVT. MS GIRLS KOPRA 22252301306 16475 GARIABAND FINGESHWAR GOVT. MS NAVEEN KOPRA SSA 22252301309 16476 GARIABAND FINGESHWAR GOVT. PS BHATA PARA KOPRA SSA 22252301310 16477 GARIABAND FINGESHWAR GOVT. PS BHAISATARA 22252301401 16478 GARIABAND FINGESHWAR GOVT. MS BHAISATARA SSA 22252301402 16479 GARIABAND FINGESHWAR GOVT. PS NAVEEN BHAISATARA SSA 22252301404 16480 GARIABAND FINGESHWAR GOVT. PS BORDKI 22252301501 16481 GARIABAND FINGESHWAR GOVT. MS BORDKI SSA 22252301502 16482 GARIABAND FINGESHWAR GOVT. PS SARGOD 22252301601 16483 GARIABAND FINGESHWAR GOVT. PS PURENA 22252301701 16484 GARIABAND FINGESHWAR GOVT. PS SONASILI 22252301801 16485 GARIABAND FINGESHWAR GOVT. MS SONASILI SSA 22252301802 16486 GARIABAND FINGESHWAR GOVT. PS LACHKERA 22252301901 16487 GARIABAND FINGESHWAR GOVT. MS LACHKERA 22252301902 16488 GARIABAND FINGESHWAR GOVT. PS MERRADIPRA LACHKERA SSA 22252301903 16489 GARIABAND FINGESHWAR GOVT. PS KHAPARI LACHKERA 22252302001 16490 GARIABAND FINGESHWAR GOVT M.S. ARAND 22252302102 16491 GARIABAND FINGESHWAR GOVT. PS PHOKAT PARA ARAND SSA 22252302103 16492 GARIABAND FINGESHWAR GOVT. PS JAM GAON 22252302201 16493 GARIABAND FINGESHWAR GOVT. M.S. JAM GAON 22252302202 16494 GARIABAND FINGESHWAR GOVT. PS KOSAMKHUTA 22252302301 16495 GARIABAND FINGESHWAR GOVT. MS KOSAMKHUTA SSA 22252302302 16496 GARIABAND FINGESHWAR GOVT. PS VIDIYA MANDIR SENDAR 22252302401 16497 GARIABAND FINGESHWAR GOVT. M.S. SENDAR 22252302402 16498 GARIABAND FINGESHWAR GOVT PRIMARY SCHOOL 22252302502
  • 501.
    16499 GARIABAND FINGESHWARGOVT. MIDDLE SCHOOL 22252302504 16500 GARIABAND FINGESHWAR GOVT. PS BAKALI 22252302601 16501 GARIABAND FINGESHWAR GOVT. MS BAKALI 22252302602 16502 GARIABAND FINGESHWAR GOVT. PS SAHASPUR 22252302701 16503 GARIABAND FINGESHWAR GOVT MS SAHASPUR SSA 22252302702 16504 GARIABAND FINGESHWAR GOVT. PS DHURSA 22252302801 16505 GARIABAND FINGESHWAR GOVT. PS TIKRAPARA DHURSA SSA 22252302802 16506 GARIABAND FINGESHWAR GOVT MS DHURSA SSA 22252302803 16507 GARIABAND FINGESHWAR GOVT. PS LOHARSI 22252302901 16508 GARIABAND FINGESHWAR GOVT M.S. NAVEEN LOHRSI SSA 22252302902 16509 GARIABAND FINGESHWAR GOVT. PS DIPARA PARA LOHARSI SSA 22252302903 16510 GARIABAND FINGESHWAR GOVT. MS LOHARSI 22252302904 16511 GARIABAND FINGESHWAR GOVT. PS PANDARITARAI 22252303001 16512 GARIABAND FINGESHWAR GOVT. PS KOMA 22252303101 16513 GARIABAND FINGESHWAR GOVT. MS KOMA 22252303102 16514 GARIABAND FINGESHWAR GOVT. PS SARKADA 22252303201 16515 GARIABAND FINGESHWAR GOVT. MS SARKADA SSA 22252303202 16516 GARIABAND FINGESHWAR GOVT. PS DARRIPAR FINGESHWAR 22252303301 16517 GARIABAND FINGESHWAR GOVT. PS SANJAY NAGAR FINGESHWAR 22252303401 16518 GARIABAND FINGESHWAR GOVT. PS GIRLS FINGESHWAR 22252303501 16519 GARIABAND FINGESHWAR GOVT. PS BOYS FINGESHWAR 22252303502 16520 GARIABAND FINGESHWAR GOVT. MS GIRLS FINGESHWAR 22252303507 16521 GARIABAND FINGESHWAR GOVT. MS BOYS FINGESHWAR 22252303509 16522 GARIABAND FINGESHWAR GOVT. PS SATNAMI PARA FINGESHWAR 22252303511 16523 GARIABAND FINGESHWAR GOVT MOULIPARA FINGESHWAR 22252303513 16524 GARIABAND FINGESHWAR GOVT. MS SCHOOL DARRIPAR SSA 22252303516 16525 GARIABAND FINGESHWAR GOVT. P S DEWAR PARA FINGESHWAR SSA 22252303517 16526 GARIABAND FINGESHWAR GOVT. PS LAL PUR FINGESHWAR 22252303601 16527 GARIABAND FINGESHWAR GOVT. PS POKHARA 22252303701 16528 GARIABAND FINGESHWAR GOVT. MS OOKHARA 22252303702 16529 GARIABAND FINGESHWAR GOVT. PS KOLA BHATTHA POKHARA SSA 22252303703 16530 GARIABAND FINGESHWAR PRIMARY SCHOOL 22252303801 16531 GARIABAND FINGESHWAR GOVT M.S. BASIN 22252303803
  • 502.
    16532 GARIABAND FINGESHWARGOVT. PS TOHANGI PARA BASIN SSA 22252303805 16533 GARIABAND FINGESHWAR GOVT. PS MAULI PARA BASIN SSA 22252303806 16534 GARIABAND FINGESHWAR GOVT. PS KHAPARI PARA BASIN 22252303808 16535 GARIABAND FINGESHWAR GOVT. PS RAVAN BHATA BASIN SSA 22252303809 16536 GARIABAND FINGESHWAR GOVT. PS TARJUNGA 22252303901 16537 GARIABAND FINGESHWAR GOVT. PS BANGAWA 22252304001 16538 GARIABAND FINGESHWAR GOVT PRIMARY SCHOOL KHAIRJHITI 22252304101 16539 GARIABAND FINGESHWAR PRIMARY SCHOOL KAMARPARA KHAIRJHITI 22252304102 16540 GARIABAND FINGESHWAR GOVT. PS SEMHARTARA 22252304201 16541 GARIABAND FINGESHWAR GOVT. PS KASERUDIH 22252304301 16542 GARIABAND FINGESHWAR GOVT. PS BARONDA 22252304401 16543 GARIABAND FINGESHWAR GOVT. MS BARONDA 22252304402 16544 GARIABAND FINGESHWAR GOVT. PS NADIYA PARA BARONDA SSA 22252304404 16545 GARIABAND FINGESHWAR GOVT. PS PENDRA 22252304501 16546 GARIABAND FINGESHWAR GOVT. MS PENDRA SSA 22252304502 16547 GARIABAND FINGESHWAR GOVT. PS SINDHOURI 22252304601 16548 GARIABAND FINGESHWAR GOVT. MS SINDHOURI SSA 22252304602 16549 GARIABAND FINGESHWAR GOVT. PS JAMAHI 22252304701 16550 GARIABAND FINGESHWAR GOVT. PS FULJHAR 22252304801 16551 GARIABAND FINGESHWAR GOVT. PS BAMHANDEHI 22252304901 16552 GARIABAND FINGESHWAR GOVT. PS NACHANBAYA BAMHANDEHI SSA 22252304902 16553 GARIABAND FINGESHWAR GOVT. PS RAJKHATI 22252305001 16554 GARIABAND FINGESHWAR GOVT. MS RAJKHATI SSA 22252305002 16555 GARIABAND FINGESHWAR GOVT.PS NAWADIH RAJKATHI(SSA) 22252305005 16556 GARIABAND FINGESHWAR GOVT. PS TEKA 22252305101 16557 GARIABAND FINGESHWAR GOVT M.S. TEKA 22252305102 16558 GARIABAND FINGESHWAR GOVT PS MADAWADIH 22252305201 16559 GARIABAND FINGESHWAR GOVT.PS GUNDAR DEHI 22252305301 16560 GARIABAND FINGESHWAR GOVT. M.S. GUNDARDEHI SSA 22252305302 16561 GARIABAND FINGESHWAR GOVT. PS PALI 22252305401 16562 GARIABAND FINGESHWAR GOVT. PS GIRLS RAJIM 22252305601 16563 GARIABAND FINGESHWAR GOVT. PS BOYS RAJIM 22252305603 16564 GARIABAND FINGESHWAR GOVT. MS GIRLS RAJIM 22252305607
  • 503.
    16565 GARIABAND FINGESHWARGOVT. MS BOYS RAJIM 22252305609 16566 GARIABAND FINGESHWAR GOVT. P.SCHOOL DAMOWAPARA 22252305611 16567 GARIABAND FINGESHWAR GOVT. PS PITAIBAND ROAD RAJIM SSA 22252305612 16568 GARIABAND FINGESHWAR GOVT. PS HARIJAN PARA RAJIM SSA 22252305613 16569 GARIABAND FINGESHWAR GOVT. PS SAHIS PARA RAJIM SSA 22252305614 16570 GARIABAND FINGESHWAR GOVT MIDDLE SCHOOL DAMOUHA PAR 22252305615 16571 GARIABAND FINGESHWAR GOVT. SANSKRIT VIDHYA PITH RAJIM 22252305619 16572 GARIABAND FINGESHWAR GOVT. PS DEVAR PARA RAJIM SSA 22252305621 16573 GARIABAND FINGESHWAR GOVT. PS CHAUBEBANDHA 22252305701 16574 GARIABAND FINGESHWAR GOVT. MS CHAUBEBANDHA SSA 22252305702 16575 GARIABAND FINGESHWAR GOVT. PS PATORI 22252305801 16576 GARIABAND FINGESHWAR GOVT. PS DUTKAINYA 22252305901 16577 GARIABAND FINGESHWAR GOVT. PS DEWARI 22252306001 16578 GARIABAND FINGESHWAR GOVT. MS DEWARI 22252306002 16579 GARIABAND FINGESHWAR GOVT. PS DAKHANI PARA DEWARI SSA 22252306003 16580 GARIABAND FINGESHWAR GOVT. PS BOYS KOUNDKERA 22252306101 16581 GARIABAND FINGESHWAR GOVT. PS GIRLS KOUNDKERA 22252306102 16582 GARIABAND FINGESHWAR GOVT M.S. BOYS KONDKERA 22252306103 16583 GARIABAND FINGESHWAR GOVT. PS SATNAMI PARA KOUNDKERA SSA 22252306105 16584 GARIABAND FINGESHWAR GOVT. MS GIRLS KOUNDKERA SSA 22252306106 16585 GARIABAND FINGESHWAR GOVT. PS TEDAHI PARA KOUNDKERA SSA 22252306107 16586 GARIABAND FINGESHWAR GOVT. PS KOLIHATARH KOUNDKERA SSA 22252306109 16587 GARIABAND FINGESHWAR GOVT. PS DEVGOAN 22252306201 16588 GARIABAND FINGESHWAR GOVT. PS BIDORA 22252306301 16589 GARIABAND FINGESHWAR GOVT. PS LAFANDI 22252306401 16590 GARIABAND FINGESHWAR GOVT M.S. LAFANDI 22252306402 16591 GARIABAND FINGESHWAR GOVT. PS DHUMA 22252306501 16592 GARIABAND FINGESHWAR GOVT. MS DHUMA 22252306502 16593 GARIABAND FINGESHWAR GOVT. MS (CHACHOD) 22252306503 16594 GARIABAND FINGESHWAR GOVT. PS PARTEWA 22252306601 16595 GARIABAND FINGESHWAR GOVT. MS PARTEWA SSA 22252306602 16596 GARIABAND FINGESHWAR GOVT. PS KURUSKERA 22252306701 16597 GARIABAND FINGESHWAR GOVT. MS KURUSKERA SSA 22252306702
  • 504.
    16598 GARIABAND FINGESHWARGOVT. PS ROHINA 22252306801 16599 GARIABAND FINGESHWAR GOVT. PS RAVI NAGAR ROHINA SSA 22252306802 16600 GARIABAND FINGESHWAR GOVT. MS ROHINA SSA 22252306803 16601 GARIABAND FINGESHWAR GOVT. PS KUNDEL 22252306901 16602 GARIABAND FINGESHWAR PRIMARY SCHOOL 22252307001 16603 GARIABAND FINGESHWAR GOVT M.S. CHARODA 22252307002 16604 GARIABAND FINGESHWAR GOVT.PS CHARBHATTHI 22252307101 16605 GARIABAND FINGESHWAR GOVT. MS CHARBHATTHI SSA 22252307102 16606 GARIABAND FINGESHWAR GOVT. PS CHHUIHA 22252307201 16607 GARIABAND FINGESHWAR GOVT. MS CHHUIHA SSA 22252307202 16608 GARIABAND FINGESHWAR PRIMARY SCHOOLKAMARAIARACHUIHA 22252307204 16609 GARIABAND FINGESHWAR GOVT. MS CHHUIHA SSA 22252307206 16610 GARIABAND FINGESHWAR GOVT. PS GANIYARI 22252307301 16611 GARIABAND FINGESHWAR GOVT. PS KAMAR PARA GANIYARI SSA 22252307302 16612 GARIABAND FINGESHWAR GOVT. PS PITAIBAND 22252307501 16613 GARIABAND FINGESHWAR GOVT. MS PITAIBAND SSA 22252307502 16614 GARIABAND FINGESHWAR GOVT. PS BARULA 22252307601 16615 GARIABAND FINGESHWAR GOVT M.S. BARULA 22252307602 16616 GARIABAND FINGESHWAR GOVT. PS PARSHTTHI 22252307701 16617 GARIABAND FINGESHWAR GOVT. PS MUDTARAI 22252307801 16618 GARIABAND FINGESHWAR GOVT. MS MUDTARAI SSA 22252307802 16619 GARIABAND FINGESHWAR GOVT. PS BELAR 22252307901 16620 GARIABAND FINGESHWAR GOVT M.S. BELAR 22252307902 16621 GARIABAND FINGESHWAR GOVT. PS KHURIYADIH 22252308001 16622 GARIABAND FINGESHWAR GOVT. PS RAKSHA 22252308101 16623 GARIABAND FINGESHWAR GOVT. PS RAWAND 22252308201 16624 GARIABAND FINGESHWAR GOVT. MS RAWAND SSA 22252308203 16625 GARIABAND FINGESHWAR GOVT. PS BHATA PARA RAWAND SSA 22252308204 16626 GARIABAND FINGESHWAR GOVT. PS PARSADA JOSHI 22252308301 16627 GARIABAND FINGESHWAR GOVT M.S. PARSADA JOSHI 22252308302 16628 GARIABAND FINGESHWAR PRIMARY SCHOOL AMLIDIPRA SSA 22252308303 16629 GARIABAND FINGESHWAR GOVT. PS ROBA 22252308501 16630 GARIABAND FINGESHWAR GOVT. MS ROBA SSA 22252308502
  • 505.
    16631 GARIABAND FINGESHWARGOVT. PS CHAITRA 22252308601 16632 GARIABAND FINGESHWAR GOVT. MS CHAITRA SSA 22252308602 16633 GARIABAND FINGESHWAR GOVT. PS JOGIDEEPA 22252308701 16634 GARIABAND FINGESHWAR GOVT. PS KAMAR PARA JOGIDEEPA SSA 22252308702 16635 GARIABAND FINGESHWAR GOVT. PS CHACHOUD 22252308801 16636 GARIABAND FINGESHWAR GOVT. PS TARIGHAT 22252308901 16637 GARIABAND FINGESHWAR GOVT. MS TARIGHAT 22252308902 16638 GARIABAND FINGESHWAR GOVT. PS KHURDSA 22252309001 16639 GARIABAND FINGESHWAR GOVT PS KHUTERI 22252309101 16640 GARIABAND FINGESHWAR GOVT. MS KHUTERI SSA 22252309102 16641 GARIABAND FINGESHWAR GOVT. PS BORSI 22252309201 16642 GARIABAND FINGESHWAR GOVT. MS BORSI 22252309202 16643 GARIABAND FINGESHWAR GOVT.PS BAHERAPAL 22252309301 16644 GARIABAND FINGESHWAR GOVT. MS BAHERAPAL 22252309303 16645 GARIABAND FINGESHWAR GOVT. PS PARSADAKALA 22252309401 16646 GARIABAND FINGESHWAR GOVT. MS PARSADA KALA 22252309402 16647 GARIABAND FINGESHWAR GOVT. PS BHATAPARA PARSADAKALA SSA 22252309404 16648 GARIABAND FINGESHWAR GOVT. PS PATHARAI 22252309501 16649 GARIABAND FINGESHWAR GOVT. MEDDIL SCHOOL PATHARAI SSA 22252309502 16650 GARIABAND FINGESHWAR GOVT. PS BORID 22252309601 16651 GARIABAND FINGESHWAR GOVT. MS BORID SSA 22252309602 16652 GARIABAND FINGESHWAR GOVT. PS BHUJIYA PARA BORID 22252309603 16653 GARIABAND FINGESHWAR GOVT. PS SATNAMI PARA BORID SSA 22252309604 16654 GARIABAND FINGESHWAR GOVT. PS GADHIDIH FINGESHWAR 22252309701 16655 GARIABAND FINGESHWAR GOVT. PS PATORA 22252309801 16656 GARIABAND FINGESHWAR GOVT. MS PATORA SSA 22252309802 16657 GARIABAND FINGESHWAR GOVT. PS TARRA 22252309901 16658 GARIABAND FINGESHWAR GOVT. MS TARRA 22252309903 16659 GARIABAND FINGESHWAR GOVT. PS SHANKAR NAGAR TARRA SSA 22252309905 16660 GARIABAND FINGESHWAR GOVT PRIMARY SCHOOL 22252310001 16661 GARIABAND FINGESHWAR GOVT. PS BARBHATHA 22252310101 16662 GARIABAND FINGESHWAR GOVT. MS BARBHATHA SSA 22252310102 16663 GARIABAND FINGESHWAR GOVT. PS SURSABANDHA 22252310201
  • 506.
    16664 GARIABAND FINGESHWARGOVT. MS SURSABANDHA 22252310202 16665 GARIABAND FINGESHWAR GOVT. PS NAVEEN SURSABANDHA SSA 22252310204 16666 GARIABAND FINGESHWAR GOVT. PS HAHERAPALI 22252310301 16667 GARIABAND FINGESHWAR GOVT. PS KUMHI 22252310401 16668 GARIABAND FINGESHWAR GOVT. MS KUMHI SSA 22252310403 16669 GARIABAND FINGESHWAR GOVT. PS RAWELI 22252310501 16670 GARIABAND FINGESHWAR GOVT MS RAWELI SSA 22252310502 16671 GARIABAND FINGESHWAR GOVT. PS JENJRA 22252310601 16672 GARIABAND FINGESHWAR GOVT. MS JENJRA 22252310602 16673 GARIABAND FINGESHWAR GOVT. PS KASHI PARA JENJRA SSA 22252310604 16674 GARIABAND FINGESHWAR GOVT. MS KASHI PARA JENJRA SSA 22252310605 16675 GARIABAND FINGESHWAR PRIMARY SCHOOL 22252310801 16676 GARIABAND FINGESHWAR GOVT. PS HATHKHOJ 22252310901 16677 GARIABAND FINGESHWAR GOVT. MS HATHKHOJ SSA 22252310902 16678 GARIABAND FINGESHWAR GOVT. PS DAIHAN PARA HATHKHOJ SSA 22252310903 16679 GARIABAND FINGESHWAR GOVT. PS KAPSIDIH 22252311001 16680 GARIABAND FINGESHWAR MIDDLE SCHOOL 22252311101 16681 GARIABAND FINGESHWAR GOVT. PS GHOGHARA SSA 22252311401 16682 GARIABAND FINGESHWAR GOVT. PS SIRRIKHURD 22252311601 16683 GARIABAND FINGESHWAR GOVT. MS SIRRIKHURD SSA 22252311602 16684 GARIABAND FINGESHWAR GOVT. PS RAWELI 22252311801 16685 GARIABAND FINGESHWAR GOVT. PS BHENDRI 22252311901 16686 GARIABAND GARIABAND GOVT P S (SSA) 22251900201 16687 GARIABAND GARIABAND GOVT M S (SSA) 22251900403 16688 GARIABAND GARIABAND GOVT P S (SSA) 22251900404 16689 GARIABAND GARIABAND GOVT P S (SSA) 22251900501 16690 GARIABAND GARIABAND GOVT P S (SSA) 22251900601 16691 GARIABAND GARIABAND GOVT BOYS ASHRAM (TWD) 22251900701 16692 GARIABAND GARIABAND GOVT P S (TWD) 22251900703 16693 GARIABAND GARIABAND GOVT M S (TWD) 22251900712 16694 GARIABAND GARIABAND GOVT P S MATARMAL (SSA) 22251900713 16695 GARIABAND GARIABAND GOVT P S (TWD) 22251900901 16696 GARIABAND GARIABAND GOVT M S (TWD) 22251900902
  • 507.
    16697 GARIABAND GARIABANDGOVT P S (TWD) 22251901001 16698 GARIABAND GARIABAND GOVT M S (SSA) 22251901002 16699 GARIABAND GARIABAND GOVT P S (TWD) 22251901101 16700 GARIABAND GARIABAND PRIMARY SCHOOL 22251901202 16701 GARIABAND GARIABAND GOVT GIRLS P S (TWD) 22251901301 16702 GARIABAND GARIABAND GOVT BOYS M S (TWD) 22251901304 16703 GARIABAND GARIABAND GOVT P S (SSA) 22251901305 16704 GARIABAND GARIABAND GOVT BOYS P S (TWD) 22251901306 16705 GARIABAND GARIABAND GOVT GIRLS M S (SSA) 22251901307 16706 GARIABAND GARIABAND GOVT P S (TWD) 22251901401 16707 GARIABAND GARIABAND GOVT M S (SSA) 22251901403 16708 GARIABAND GARIABAND GOVT P S KAMARPARA (SSA) 22251901404 16709 GARIABAND GARIABAND GOVT P S (TWD) 22251901501 16710 GARIABAND GARIABAND GOVT P S (SSA) 22251901601 16711 GARIABAND GARIABAND GOVT M S (SSA) 22251901602 16712 GARIABAND GARIABAND GOVT P S (TWD) 22251901701 16713 GARIABAND GARIABAND GOVT M S (TWD) 22251901702 16714 GARIABAND GARIABAND GOVT P S SITLAPARA (SSA) 22251901703 16715 GARIABAND GARIABAND GOVT P S VIJAYNAGER (SSA) 22251901704 16716 GARIABAND GARIABAND GOVT GIRLS P S (TWD) 22251901801 16717 GARIABAND GARIABAND GOVT BOYS P S (TWD) 22251901802 16718 GARIABAND GARIABAND GOVT P S KACHARPARA (SSA) 22251901807 16719 GARIABAND GARIABAND GOVT M S (TWD) 22251901808 16720 GARIABAND GARIABAND GOVT P S (TWD) 22251901901 16721 GARIABAND GARIABAND GOVT M S (TWD) 22251901902 16722 GARIABAND GARIABAND GOVT P S KAMARPARA (TWD) 22251901905 16723 GARIABAND GARIABAND GOVT P S (SSA) 22251902001 16724 GARIABAND GARIABAND GOVT P S (SSA) 22251902101 16725 GARIABAND GARIABAND GOVT P S (SSA) 22251902201 16726 GARIABAND GARIABAND GOVT P S (TWD) 22251902301 16727 GARIABAND GARIABAND GOVT M S (TWD) 22251902302 16728 GARIABAND GARIABAND GOVT P.S. (SSA) 22251902401 16729 GARIABAND GARIABAND GOVT P S (TWD) 22251902501
  • 508.
    16730 GARIABAND GARIABANDGOVT P S (SSA) 22251902601 16731 GARIABAND GARIABAND GOVT P S (SSA) 22251902701 16732 GARIABAND GARIABAND GOVT P S (SSA) 22251902803 16733 GARIABAND GARIABAND GOVT P S (SSA) 22251902901 16734 GARIABAND GARIABAND GOVT P S (SSA) 22251903001 16735 GARIABAND GARIABAND GOVT P S (TWD) 22251903101 16736 GARIABAND GARIABAND GOVT M S (SSA) 22251903102 16737 GARIABAND GARIABAND GOVT P S (TWD) 22251903201 16738 GARIABAND GARIABAND GOVT NAVIN M S (SSA) 22251903202 16739 GARIABAND GARIABAND GOVT P S (TWD) 22251903301 16740 GARIABAND GARIABAND GOVT M S (TWD) 22251903302 16741 GARIABAND GARIABAND GOVT P S (TWD) 22251903401 16742 GARIABAND GARIABAND GOVT ASHRAM P S (TWD) 22251903402 16743 GARIABAND GARIABAND GOVT M S (SSA) 22251903403 16744 GARIABAND GARIABAND GOVT P S (TWD) 22251903501 16745 GARIABAND GARIABAND GOVT P S (TWD) 22251903601 16746 GARIABAND GARIABAND GOVT M S (SSA) 22251903602 16747 GARIABAND GARIABAND GOVT P S (TWD) 22251903701 16748 GARIABAND GARIABAND GOVT P S KAMARPARA (TWD) 22251903702 16749 GARIABAND GARIABAND GOVT M S (SSA) 22251903704 16750 GARIABAND GARIABAND GOVT P S (TWD) 22251903801 16751 GARIABAND GARIABAND GOVT P S (TWD) 22251903901 16752 GARIABAND GARIABAND GOVT P S KAMAR (TWD) 22251904001 16753 GARIABAND GARIABAND GOVT ASHRAM P S (TWD) 22251904002 16754 GARIABAND GARIABAND GOVT ASHRAM P S (TWD) 22251904102 16755 GARIABAND GARIABAND GOVT M S (SSA) 22251904105 16756 GARIABAND GARIABAND GOVT P S (TWD) 22251904106 16757 GARIABAND GARIABAND GOVT BOYS M S (TWD) 22251904203 16758 GARIABAND GARIABAND GOVT GIRLS M S (SSA) 22251904204 16759 GARIABAND GARIABAND GYANJYOTI SCHOOL BHUJIYAPARA (SSA) 22251904207 16760 GARIABAND GARIABAND GOVT P S ADIWASHI BOYS ASHRAM (TWD) 22251904208 16761 GARIABAND GARIABAND GOVT P S (TWD) 22251904209 16762 GARIABAND GARIABAND GOVT BOYS P S (TWD) 22251904301
  • 509.
    16763 GARIABAND GARIABANDGOVT GIRLS P S (TWD) 22251904303 16764 GARIABAND GARIABAND GOVT GIRLS M S (TWD) 22251904310 16765 GARIABAND GARIABAND GOVT BOYS M S (TWD) 22251904311 16766 GARIABAND GARIABAND GOVT P S KISANPARA (SSA) 22251904314 16767 GARIABAND GARIABAND GOVT M S NAVIN (SSA) 22251904317 16768 GARIABAND GARIABAND GOVT M S KUMHARPARA (SSA) 22251904318 16769 GARIABAND GARIABAND KGBV VIDYALAYA (SSA) 22251904320 16770 GARIABAND GARIABAND GOVT GIRLS ASHRAM (TWD) 22251904326 16771 GARIABAND GARIABAND GOVT P S BOYS KAMAR ASHRAM (TWD) 22251904327 16772 GARIABAND GARIABAND GOVT P S KUMHARPARA (TWD) 22251904329 16773 GARIABAND GARIABAND GOVT P S DANKBANGLA (SSA) 22251904330 16774 GARIABAND GARIABAND GOVT P S RAWANBHATA (TWD) 22251904332 16775 GARIABAND GARIABAND GOVT M S DANKBANGLA (SSA) 22251904333 16776 GARIABAND GARIABAND GOVT P S (SSA) 22251904401 16777 GARIABAND GARIABAND GOVT P S (SSA) 22251904501 16778 GARIABAND GARIABAND GOVT M S (SSA) 22251904504 16779 GARIABAND GARIABAND GOVT GIRLS ASHRAM P S (TWD) 22251904601 16780 GARIABAND GARIABAND GOVT P S (SSA) 22251904602 16781 GARIABAND GARIABAND GOVT P S (SSA) 22251904801 16782 GARIABAND GARIABAND GOVT P S (TWD) 22251904901 16783 GARIABAND GARIABAND GOVT M S (TWD) 22251904903 16784 GARIABAND GARIABAND GOVT P S (SSA) 22251905001 16785 GARIABAND GARIABAND GOVT P S (TWD) 22251905102 16786 GARIABAND GARIABAND GOVT M S (SSA) 22251905103 16787 GARIABAND GARIABAND GOVT P S (SSA) 22251905201 16788 GARIABAND GARIABAND GOVT M S (SSA) 22251905202 16789 GARIABAND GARIABAND GOVT NAVIN P S (TWD) 22251905302 16790 GARIABAND GARIABAND GOVT P S (TWD) 22251905401 16791 GARIABAND GARIABAND GOVT P S (SSA) 22251905501 16792 GARIABAND GARIABAND GOVT P S (TWD) 22251905601 16793 GARIABAND GARIABAND GOVT P S (TWD) 22251905701 16794 GARIABAND GARIABAND GOVT M S (SSA) 22251905702 16795 GARIABAND GARIABAND GOVT P S (TWD) 22251905901
  • 510.
    16796 GARIABAND GARIABANDGOVT M S (SSA) 22251905902 16797 GARIABAND GARIABAND GOVT P S (TWD) 22251906001 16798 GARIABAND GARIABAND GOVT P S (TWD) 22251906101 16799 GARIABAND GARIABAND GOVT M S (SSA) 22251906102 16800 GARIABAND GARIABAND GOVT P S (TWD) 22251906201 16801 GARIABAND GARIABAND GOVT BOYS M S (TWD) 22251906202 16802 GARIABAND GARIABAND GOVT GIRS M S (SSA) 22251906203 16803 GARIABAND GARIABAND GOVT P S BASTIPARA (SSA) 22251906204 16804 GARIABAND GARIABAND GOVT P S (TWD) 22251906601 16805 GARIABAND GARIABAND GOVT P S (TWD) 22251906701 16806 GARIABAND GARIABAND GOVT M S (SSA) 22251906702 16807 GARIABAND GARIABAND GOVT P S (TWD) 22251906801 16808 GARIABAND GARIABAND GOVT M S (SSA) 22251906804 16809 GARIABAND GARIABAND GOVT P S (TWD) 22251906901 16810 GARIABAND GARIABAND GOVT P S (TWD) 22251907001 16811 GARIABAND GARIABAND GOVT M S (SSA) 22251907002 16812 GARIABAND GARIABAND GOVT P S (TWD) 22251907101 16813 GARIABAND GARIABAND GOVT P S (TWD) 22251907201 16814 GARIABAND GARIABAND GOVT M S (SSA) 22251907202 16815 GARIABAND GARIABAND GOVT P S (TWD) 22251907301 16816 GARIABAND GARIABAND GOVT M S (TWD) 22251907302 16817 GARIABAND GARIABAND GOVT P S (TWD) 22251907401 16818 GARIABAND GARIABAND GOVT M S (SSA) 22251907402 16819 GARIABAND GARIABAND GOVT P S (TWD) 22251907501 16820 GARIABAND GARIABAND GOVT M S (SSA) 22251907502 16821 GARIABAND GARIABAND GOVT P S (TWD) 22251907601 16822 GARIABAND GARIABAND GOVT P S (TWD) 22251907701 16823 GARIABAND GARIABAND GOVT M S (SSA) 22251907702 16824 GARIABAND GARIABAND GOVT P S (TWD) 22251907801 16825 GARIABAND GARIABAND GOVT M S (SSA) 22251907802 16826 GARIABAND GARIABAND GOVT P S (TWD) 22251907901 16827 GARIABAND GARIABAND GOVT M S (SSA) 22251907904 16828 GARIABAND GARIABAND GOVT P S (TWD) 22251908001
  • 511.
    16829 GARIABAND GARIABANDGOVT M S (SSA) 22251908002 16830 GARIABAND GARIABAND GOVT P S (TWD) 22251908101 16831 GARIABAND GARIABAND GOVT M S (SSA) 22251908102 16832 GARIABAND GARIABAND GOVT P S(TWD) 22251908301 16833 GARIABAND GARIABAND GOVT P S (TWD) 22251908401 16834 GARIABAND GARIABAND GOVT P S (TWD) 22251908501 16835 GARIABAND GARIABAND GOVT P S (TWD) 22251908601 16836 GARIABAND GARIABAND GOVT P S (TWD) 22251908701 16837 GARIABAND GARIABAND GOVT M S (SSA) 22251908702 16838 GARIABAND GARIABAND GOVT P S (TWD) 22251908801 16839 GARIABAND GARIABAND GOVT P S (TWD) 22251908901 16840 GARIABAND GARIABAND GOVT M S (SSA) 22251908902 16841 GARIABAND GARIABAND GOVT P S (TWD) 22251909001 16842 GARIABAND GARIABAND GOVT P S (TWD) 22251909101 16843 GARIABAND GARIABAND GOVT NAVIN M S (TWD) 22251909102 16844 GARIABAND GARIABAND GOVT P S (TWD) 22251909201 16845 GARIABAND GARIABAND GOVT P S (TWD) 22251909301 16846 GARIABAND GARIABAND GOVT P S KHASARPANI (SSA) 22251909302 16847 GARIABAND GARIABAND GOVT P S (TWD) 22251909401 16848 GARIABAND GARIABAND GOVT M S (SSA) 22251909402 16849 GARIABAND GARIABAND GOVT P S (SSA) 22251909502 16850 GARIABAND GARIABAND GOVT P S (SSA) 22251909601 16851 GARIABAND GARIABAND GOVT P S (TWD) 22251909802 16852 GARIABAND GARIABAND GOVT NAVIN P S (SSA) 22251909902 16853 GARIABAND GARIABAND GOVT M S (SSA) 22251909903 16854 GARIABAND GARIABAND GOVT P S (SSA) 22251910002 16855 GARIABAND GARIABAND GOVT P S (TWD) 22251910301 16856 GARIABAND GARIABAND GOVT M S (SSA) 22251910302 16857 GARIABAND GARIABAND GOVT P S (SSA) PIPLAKANHAR 22251910303 16858 GARIABAND GARIABAND GOVT P S (TWD) 22251910401 16859 GARIABAND GARIABAND GOVT M S (SSA) 22251910402 16860 GARIABAND GARIABAND GOVT P S (TWD) 22251910501 16861 GARIABAND GARIABAND GOVT M S (SSA) 22251910502
  • 512.
    16862 GARIABAND GARIABANDGOVT P S (TWD) 22251910601 16863 GARIABAND GARIABAND GOVT P S DARRAPARA (SSA) 22251910602 16864 GARIABAND GARIABAND GOVT P S (TWD) 22251910701 16865 GARIABAND GARIABAND GOVT M S (SSA) 22251910706 16866 GARIABAND GARIABAND GOVT P S TIKRAPARA (SSA) 22251910707 16867 GARIABAND GARIABAND GOVT P S (TWD) 22251910801 16868 GARIABAND GARIABAND GOVT M S (SSA) 22251910804 16869 GARIABAND GARIABAND GOVT P S (TWD) 22251910901 16870 GARIABAND GARIABAND GOVT P S (TWD) 22251911002 16871 GARIABAND GARIABAND GOVT P S (TWD) 22251911101 16872 GARIABAND GARIABAND GOVT M S (SSA) 22251911102 16873 GARIABAND GARIABAND GOVT P S (TWD) 22251911201 16874 GARIABAND GARIABAND GOVT M S (TWD) 22251911202 16875 GARIABAND GARIABAND GOVT P S (TWD) 22251911301 16876 GARIABAND GARIABAND GOVT P S (TWD) 22251911402 16877 GARIABAND GARIABAND GOVT M S (SSA) 22251911403 16878 GARIABAND GARIABAND GOVT P S (TWD) 22251911601 16879 GARIABAND GARIABAND GOVT M S (SSA) 22251911602 16880 GARIABAND GARIABAND GOVT P S (TWD) 22251911701 16881 GARIABAND GARIABAND GOVT M S (SSA) 22251911702 16882 GARIABAND GARIABAND GOVT P S (TWD) 22251911801 16883 GARIABAND GARIABAND GOVT M S (TWD) 22251911802 16884 GARIABAND GARIABAND GOVT P S (TWD) 22251911901 16885 GARIABAND GARIABAND GOVT P S (TWD) 22251912001 16886 GARIABAND GARIABAND GOVT P S (TWD) 22251912201 16887 GARIABAND GARIABAND GOVT M S (TWD) 22251912203 16888 GARIABAND GARIABAND GOVT P S (TWD) 22251912301 16889 GARIABAND GARIABAND GOVT M S (SSA) 22251912302 16890 GARIABAND GARIABAND GOVT P S (TWD) 22251912401 16891 GARIABAND GARIABAND GOVT M S (TWD) 22251912402 16892 GARIABAND GARIABAND GOVT P S (SSA) BOIRGAON 22251912404 16893 GARIABAND GARIABAND GOVT P S (TWD) ASHRAM 22251912405 16894 GARIABAND GARIABAND GOVT P S (TWD) 22251912501
  • 513.
    16895 GARIABAND GARIABANDGOVT BOYS M S (TWD) 22251912502 16896 GARIABAND GARIABAND GOVT GIRLS M S (SSA) 22251912503 16897 GARIABAND GARIABAND GOVT P S (TWD) 22251912601 16898 GARIABAND GARIABAND GOVT M S (TWD) 22251912602 16899 GARIABAND GARIABAND GOVT P S KEDITIKRA (SSA) 22251912603 16900 GARIABAND GARIABAND GOVT P S (TWD) 22251912701 16901 GARIABAND GARIABAND GOVT P S (TWD) 22251912801 16902 GARIABAND GARIABAND GOVT M S (SSA) 22251912802 16903 GARIABAND GARIABAND GOVT P S (TWD) 22251912901 16904 GARIABAND GARIABAND GOVT M S (SSA) 22251912902 16905 GARIABAND GARIABAND GOVT P S (TWD) 22251913001 16906 GARIABAND GARIABAND GOVT M S (SSA) 22251913002 16907 GARIABAND GARIABAND GOVT BOYS P S (TWD) 22251913101 16908 GARIABAND GARIABAND GOVT GIRLS P S (TWD) 22251913102 16909 GARIABAND GARIABAND GOVT BOYS M S (TWD) 22251913103 16910 GARIABAND GARIABAND GOVT GIRLS M S (SSA) 22251913107 16911 GARIABAND GARIABAND GOVT P S (TWD) 22251913301 16912 GARIABAND GARIABAND GOVT M S (TWD) 22251913302 16913 GARIABAND GARIABAND GOVT P S (TWD) 22251913401 16914 GARIABAND GARIABAND GOVT M S (TWD) 22251913402 16915 GARIABAND GARIABAND GOVT P S (TWD) 22251913501 16916 GARIABAND GARIABAND GOVT M S (SSA) 22251913502 16917 GARIABAND GARIABAND GOVT P.S. (TWD) 22251913602 16918 GARIABAND GARIABAND GOVT M S (SSA) 22251913603 16919 GARIABAND GARIABAND GOVT P S (TWD) 22251913702 16920 GARIABAND GARIABAND GOVT P S (TWD) 22251913801 16921 GARIABAND GARIABAND GOVT M S (TWD) 22251913802 16922 GARIABAND GARIABAND GOVT P S (TWD) 22251913901 16923 GARIABAND GARIABAND GOVT P S (TWD) 22251914001 16924 GARIABAND GARIABAND GOVT P S (TWD) 22251914101 16925 GARIABAND GARIABAND GOVT P S (TWD) 22251914201 16926 GARIABAND GARIABAND GOVT M S (TWD) 22251914202 16927 GARIABAND GARIABAND GOVT P S (TWD) 22251914301
  • 514.
    16928 GARIABAND GARIABANDGOVT M S (SSA) 22251914302 16929 GARIABAND GARIABAND GOVT P S (TWD) 22251914401 16930 GARIABAND GARIABAND GOVT P S (TWD) 22251914501 16931 GARIABAND GARIABAND GOVT P S GATADADAR (TWD) 22251914502 16932 GARIABAND GARIABAND GOVT M S (SSA) 22251914503 16933 GARIABAND GARIABAND GOVT P S (TWD) 22251914601 16934 GARIABAND GARIABAND GOVT M S (SSA) 22251914602 16935 GARIABAND GARIABAND GOVT P S (TWD) 22251914701 16936 GARIABAND GARIABAND GOVT M S (SSA) 22251914703 16937 GARIABAND GARIABAND GOVT P S (TWD) 22251914801 16938 GARIABAND GARIABAND GOVT M S (SSA) 22251914802 16939 GARIABAND GARIABAND GOVT P S (TWD) 22251914901 16940 GARIABAND GARIABAND GOVT M S (SSA) 22251914902 16941 GARIABAND GARIABAND GOVT P S (TWD) 22251915001 16942 GARIABAND GARIABAND GOVT M S (TWD) 22251915002 16943 GARIABAND GARIABAND GOVT P S (TWD) 22251915101 16944 GARIABAND GARIABAND GOVT M S (SSA) 22251915102 16945 GARIABAND GARIABAND GOVT P S (TWD) 22251915201 16946 GARIABAND GARIABAND GOVT M S (SSA) 22251915202 16947 GARIABAND GARIABAND GOVT P S (TWD) 22251915301 16948 GARIABAND GARIABAND GOVT M S (TWD) 22251915302 16949 GARIABAND GARIABAND GOVT P S (TWD) 22251915401 16950 GARIABAND GARIABAND GOVT M S (SSA) 22251915403 16951 GARIABAND GARIABAND GOVT P S (SSA) 22251915501 16952 GARIABAND GARIABAND GOVT P S (TWD) 22251915601 16953 GARIABAND GARIABAND GOVT M S (TWD) 22251915602 16954 GARIABAND GARIABAND GOVT P S AWASPARA (SSA) 22251915603 16955 GARIABAND GARIABAND GOVT ADIWASI BOYS P S ASHRAM (TWD) 22251915701 16956 GARIABAND GARIABAND GOVT NAVIN P S (TWD) 22251915802 16957 GARIABAND GARIABAND GOVT M S (SSA) 22251915803 16958 GARIABAND GARIABAND GOVT P S (TWD) 22251916101 16959 GARIABAND GARIABAND GOVT M S (SSA) 22251916102 16960 GARIABAND GARIABAND GOVT P S (TWD) DEVPARSULI 22251916202
  • 515.
    16961 GARIABAND GARIABANDGOVT P S (TWD) 22251916401 16962 GARIABAND GARIABAND GOVT P S (TWD) 22251916501 16963 GARIABAND GARIABAND GOVT P S (TWD) 22251916602 16964 GARIABAND GARIABAND GOVT M S (SSA) 22251916604 16965 GARIABAND GARIABAND GOVT P S (SSA) 22251917001 16966 GARIABAND GARIABAND GOVT P S (SSA) 22251917501 16967 GARIABAND GARIABAND GOVT P S (SSA) 22251917601 16968 GARIABAND GARIABAND GOVT P S (SSA) 22251917701 16969 GARIABAND GARIABAND GOVT P S (TWD) 22251917801 16970 GARIABAND GARIABAND GOVT M S (SSA) 22251917802 16971 GARIABAND GARIABAND GOVT M S (SSA) 22251918002 16972 GARIABAND GARIABAND GYAN JYOTI THUHAPANI (SSA) 22251918003 16973 GARIABAND GARIABAND GOVT P S DARRIPARA (SSA) 22251918301 16974 GARIABAND GARIABAND GOVT P S DEVPARA (SSA) 22251918601 16975 GARIABAND GARIABAND GOVT P S (SSA) 22251918901 16976 GARIABAND GARIABAND GOVT P S (SSA) 22251919401 16977 GARIABAND GARIABAND GOVT P S (SSA) 22251920402 16978 GARIABAND GARIABAND GOVT P S (SSA) 22251920601 16979 GARIABAND GARIABAND GOVT M S (SSA) 22251920602 16980 GARIABAND GARIABAND GOVT P S (SSA) 22251920701 16981 GARIABAND GARIABAND GOVT P S (SSA) 22251920901 16982 GARIABAND GARIABAND GOVT GIRLS ASHRAM (TWD) 22251921001 16983 GARIABAND GARIABAND GOVT P S (SSA) 22251921101 16984 GARIABAND GARIABAND GOVT M S (SSA) 22251921102 16985 GARIABAND GARIABAND GOVT M S (TWD) 22251921501 16986 GARIABAND GARIABAND GOVT P S KHURSIDIH (SSA) 22251921601 16987 GARIABAND GARIABAND GOVT P S DADARPARA (SSA) 22251921701 16988 GARIABAND GARIABAND GOVT P S KOTRICHHAPAR (SSA) 22251922201 16989 GARIABAND GARIABAND GOVT P S (SSA) 22251922301 16990 GARIABAND GARIABAND GOVT P S (SSA) 22251922401 16991 GARIABAND GARIABAND GOVT P S (SSA) 22251922501 16992 GARIABAND GARIABAND GOVT P S (TWD) 22251922601 16993 GARIABAND GARIABAND GOVT GYANJYOTI SCHOOL (SSA) 22251922602
  • 516.
    16994 GARIABAND GARIABANDGOVT P S (SSA) 22251922701 16995 GARIABAND GARIABAND GOVT P S (SSA) 22251922801 16996 GARIABAND GARIABAND GOVT P S (SSA) 22251922901 16997 GARIABAND GARIABAND GOVT P S (SSA) 22251923001 16998 GARIABAND GARIABAND GOVT M S (TWD) 22251923101 16999 GARIABAND GARIABAND GOVT P S (TWD) 22251923102 17000 GARIABAND MAINPUR GOVT. PRIMARY SCHOOL LATAPARA 22252600101 17001 GARIABAND MAINPUR GOVT.MIDDILE SCHOOL LATAPARA 22252600102 17002 GARIABAND MAINPUR GOVT.PRIMARY SCHOOL MUDAGAON 22252600201 17003 GARIABAND MAINPUR GOVT.MIDDLESCHOOL MUDAGAON 22252600202 17004 GARIABAND MAINPUR GOVT. PRIMARY SCHOOL BIRIGHAT 22252600301 17005 GARIABAND MAINPUR GOVT MIDDLE SCHOOL BIRIGHAT 22252600302 17006 GARIABAND MAINPUR GOVT.PRIMARY SCHOOL DADARIYAPARA 22252600306 17007 GARIABAND MAINPUR GOVT. PRIMARY SCHOOL GODIYARI 22252600401 17008 GARIABAND MAINPUR GOVE.PRIMARY SCHOOL NEGIPARA 22252600404 17009 GARIABAND MAINPUR GOVT.MIDDILE SCHOOL GODIYARI 22252600406 17010 GARIABAND MAINPUR GOVT.PRIMARY SCHOOL TETALKHNTI 22252600501 17011 GARIABAND MAINPUR GOVT.MIDDLE SCHOOL TETALKHUTI 22252600502 17012 GARIABAND MAINPUR PRIMARY SCHOOL URMAL 22252600602 17013 GARIABAND MAINPUR GOVT MIDDILE SCHOOL URMAL 22252600604 17014 GARIABAND MAINPUR GOVT.PRIMARY SCHOOL JUNGAPARA 22252600605 17015 GARIABAND MAINPUR GOVT.PRIMARY SCHOOL DARRIPARA 22252600606 17016 GARIABAND MAINPUR GOVT.PRIMARY SCHOOL TETALPARA 22252600701 17017 GARIABAND MAINPUR GOVT.MIDDLE SCHOOL TETALPARA 22252600702 17018 GARIABAND MAINPUR GOVT.PRIMARY SCHOOL DHOURAJHOLA 22252600804 17019 GARIABAND MAINPUR GOVT.PRIMARY SCHOOL BEHRADIH 22252600901 17020 GARIABAND MAINPUR KAMAR ASHRAM SHALA BEHRDIH 22252600902 17021 GARIABAND MAINPUR GOVT.PRIMARY SCHOOL SHOBHA 22252601001 17022 GARIABAND MAINPUR GOVT. PRIMARY ADIWASI KANYA ASHRAM SALA SHOBHA 22252601002 17023 GARIABAND MAINPUR GOVT MIDDILE SCHOOL SHOBHA 22252601003 17024 GARIABAND MAINPUR GOVT.PRIMARY SCHOOL KOSAMMUDA 22252601004 17025 GARIABAND MAINPUR GOVT.PRIMARY SCHOOL.KUSHIYARBARCHHA 22252601006 17026 GARIABAND MAINPUR GOVT.MIDDILE ADIWASI KANYA ASHRAM SHOBHA 22252601007
  • 517.
    17027 GARIABAND MAINPURGOVT.PRIMARY SCHOOL PATHRRI 22252601101 17028 GARIABAND MAINPUR GOVT. PRIMARY SCHOOL DHANORA 22252601201 17029 GARIABAND MAINPUR GOVT.PRIMARY SCHOOL KHAILIYAMUDA 22252601202 17030 GARIABAND MAINPUR GOVT.MIDDILE SCHOOL DHANORA 22252601203 17031 GARIABAND MAINPUR GOVT.PRIMARY SCHOOL POTAPARA . DHANORA 22252601204 17032 GARIABAND MAINPUR GOVT.MIDDILE SCHOOL KHALIYAMUDA 22252601205 17033 GARIABAND MAINPUR GOVT.PRIMARY SCHOOL JADAMUDA 22252601208 17034 GARIABAND MAINPUR GOVT.PRIMARY SCHOOL ADGADI 22252601301 17035 GARIABAND MAINPUR GOVT.MIDDLE SCHOOL ADGADI 22252601302 17036 GARIABAND MAINPUR GOVT.PRIMARY SCHOOL GIRHOLA 22252601401 17037 GARIABAND MAINPUR GOVT.MIDDLE SCHOOL GIRHOLA 22252601402 17038 GARIABAND MAINPUR GOVT. PRIMARY SCHOOL CHAILDONGARI 22252601501 17039 GARIABAND MAINPUR GOVT.MIDDILE SCHOOL CHELDONGARI 22252601502 17040 GARIABAND MAINPUR GOVT.PRIMARY SCHOOL NAHARPARA 22252601503 17041 GARIABAND MAINPUR GOVT. PRIMARY SCHOOL CHANABHATA 22252601601 17042 GARIABAND MAINPUR GOVT.PRIMARY SCHOOL SIHARLATI 22252601701 17043 GARIABAND MAINPUR GOVT.PRIMARI SCHOOL MANJHIPARA 22252601702 17044 GARIABAND MAINPUR GOVT.PRIMARY SCHOOL CHACHARAPARA 22252601703 17045 GARIABAND MAINPUR GOVT.MIDDILE SCHOOL SIHARLATI 22252601704 17046 GARIABAND MAINPUR GOVT.PRIMARY SCHOOL.BHURLAPARA 22252601705 17047 GARIABAND MAINPUR GOVT. PRIMARY SCHOOL USRIJOR 22252601801 17048 GARIABAND MAINPUR GOVT.MIDDILE SCHOOL USRIJOR 22252601802 17049 GARIABAND MAINPUR GOVT. PRIMARY SCHOOL CHHAILA 22252601901 17050 GARIABAND MAINPUR GOVT.PRIMARY SCHOOL JUNAPARA 22252601902 17051 GARIABAND MAINPUR GOVT.MIDDILE SCHOOL CHHAILA 22252601904 17052 GARIABAND MAINPUR GOVT. PRIMARY SCHOOL BHUTBEDA 22252602101 17053 GARIABAND MAINPUR GOVT.MIDDILE SCHOOL BHUTBEDA 22252602104 17054 GARIABAND MAINPUR GOVT.MIDDILE SCHOOL MONGRADIH 22252602105 17055 GARIABAND MAINPUR GOVT.MIDDLE SCHOOL GARIBA 22252602202 17056 GARIABAND MAINPUR GOVT.PRIMARY SCHOOL GARIBA 22252602203 17057 GARIABAND MAINPUR GOVT.PRIMARY SCHOOL KODOMALI 22252602303 17058 GARIABAND MAINPUR GOVT.PRIMARY SCHOOL NAHANBIRI 22252602401 17059 GARIABAND MAINPUR GOVT.KANIST PRIMARY SCHOOL NADIPARA 22252602501
  • 518.
    17060 GARIABAND MAINPURGOVT.PRIMARY SCHOOL NADIPARA 22252602503 17061 GARIABAND MAINPUR GOVT. PRIMARY SCHOOL NAUMUDA 22252602601 17062 GARIABAND MAINPUR PRIMARY SCHOOL GANGA JAMUNA 22252602602 17063 GARIABAND MAINPUR GOVT.PRIMARY SCHOOL GORGHAT 22252602701 17064 GARIABAND MAINPUR GOVT.MIDDILE SCHOOL GAURGHAT 22252602702 17065 GARIABAND MAINPUR GOVT.PRIMARY SCHOOL BHATIGARH 22252602801 17066 GARIABAND MAINPUR GOVT.PRIMARY SCHOOL SIHAR 22252602901 17067 GARIABAND MAINPUR GOVT.PRIMARY SCHOOL BOIRGAON 22252603001 17068 GARIABAND MAINPUR PRIMARY SCHOOL BURJABAHAL 22252603101 17069 GARIABAND MAINPUR MIDDLE SCHOOL BURJABAHAL 22252603102 17070 GARIABAND MAINPUR ASHRAM BURJABAHAL 22252603103 17071 GARIABAND MAINPUR GOVT.PRIMARY SCHOOL KAMARPARA 22252603104 17072 GARIABAND MAINPUR GOVT.PRIMARY SCHOOL BARDULA 22252603201 17073 GARIABAND MAINPUR GOVT.PRIMARY SCHOOL BANDIYAMAL 22252603301 17074 GARIABAND MAINPUR GOVT.PRIMARY SCHOOL MUDAMAHAN 22252603401 17075 GARIABAND MAINPUR GOVT.MIDDILE SCHOOL MUDAMAHAL 22252603402 17076 GARIABAND MAINPUR GOVT.PRIMARY SCHOOL LADHWAPARA 22252603503 17077 GARIABAND MAINPUR GOVT. PRIMARY SCHOOL ANESAR 22252603601 17078 GARIABAND MAINPUR GOVT.PRIMARY SCHOOL INDIRAPARA 22252603703 17079 GARIABAND MAINPUR GOVT.PRIMARY SCHOOL KHUDBUDI 22252603803 17080 GARIABAND MAINPUR GOVT.PRIMRY SCHOOL MUCHBAHAL 22252603901 17081 GARIABAND MAINPUR GOVT MIDDILE SCHOOL MUCHBAHAL 22252603902 17082 GARIABAND MAINPUR GOVT.PRIMARY SCHOOL DONGARI BHATA 22252603903 17083 GARIABAND MAINPUR GOVT.PRIMARY SCHOOL GUDBHELI 22252604001 17084 GARIABAND MAINPUR GOVT.MIDDLE SCHOOL BEDBHELI 22252604002 17085 GARIABAND MAINPUR PRIMARY SCHOOL MADANGMUDA 22252604101 17086 GARIABAND MAINPUR GOVT.MIDDLE SCHOOL MADANGMUDA 22252604102 17087 GARIABAND MAINPUR PRIMARY SCHOOL BHURLIPARA 22252604103 17088 GARIABAND MAINPUR GOVT.PRIMARY SCHOOL DABRIGUDA 22252604201 17089 GARIABAND MAINPUR GOVT.PRIMARY SCHOOL DABRIPARA (1) 22252604202 17090 GARIABAND MAINPUR GOVT.PRIMARY SHOOL DABRIPARA-02 22252604203 17091 GARIABAND MAINPUR GOVT.PRIMARY SCHOOL BHAINSMUDI 22252604301 17092 GARIABAND MAINPUR GOVT.MIDDILE SCHOOL BHAISMUDI 22252604304
  • 519.
    17093 GARIABAND MAINPURGOVT.PRIMARY SCHOOL NADIPARA 22252604305 17094 GARIABAND MAINPUR GOVT.PRIMARY SCHOOL NAWAPARA 22252604401 17095 GARIABAND MAINPUR GOVT.PRIMARY SCHOOL NAWAPARA 22252604403 17096 GARIABAND MAINPUR GOVT.PRIMARY SCHOOL MAHUALPARA 22252604404 17097 GARIABAND MAINPUR GOVT.PRIMARY SCHOOL PADAMPUR 22252604501 17098 GARIABAND MAINPUR GOVT.MIDDLE SCHOOL PADAMPUR 22252604502 17099 GARIABAND MAINPUR GOVT. PRIMARY SCHOOL DHURWAPATHRA 22252604601 17100 GARIABAND MAINPUR GOVT.MIDDILE SCHOOL DURWAPATHARA 22252604602 17101 GARIABAND MAINPUR GOVT. PRIMARY SCHOOL KODOBHATA 22252604701 17102 GARIABAND MAINPUR GOVT M.S. KODOBHATA 22252604703 17103 GARIABAND MAINPUR GOVT.PRIMARY SCHOOL KODOBHAT 22252604704 17104 GARIABAND MAINPUR PRIMARY SCHOOL DHARNIDODA 22252604801 17105 GARIABAND MAINPUR MIDDILE SCHOOL DHARNIDODA 22252604802 17106 GARIABAND MAINPUR GOVT.PRIMARY SCHOOL GAURGAON 22252604901 17107 GARIABAND MAINPUR GOVT.MIDDILE SCHOOL GAURGAON 22252604902 17108 GARIABAND MAINPUR GOVT.PRIMARY SCHOOL NAWAPARA 22252604903 17109 GARIABAND MAINPUR GOVT.SCHOOL DHAWAIBHARRY 22252604904 17110 GARIABAND MAINPUR GOVT.PRIMARY SCHOOL MONGRADIH 22252605001 17111 GARIABAND MAINPUR GOVT.PRIMARY SCHOOL MOTIPANI 22252605101 17112 GARIABAND MAINPUR GOVT. PRIMARY SCHOOL FASARA 22252605201 17113 GARIABAND MAINPUR GOVT.PRIMARY SCHOOL FARSARA 22252605203 17114 GARIABAND MAINPUR GOVT.MIDDILE SCHOOL FARSARA 22252605205 17115 GARIABAND MAINPUR GOVT.PRIMARY SCHOOL MASTERPARA 22252605206 17116 GARIABAND MAINPUR GOVT.PRIMARY SCHOOL SHORIPARA (FARSARA) 22252605207 17117 GARIABAND MAINPUR GOVT. PRIMARY SCHOOL KHOKHMA 22252605301 17118 GARIABAND MAINPUR GOVT. PRIMARY SCHOOL SAGDA 22252605401 17119 GARIABAND MAINPUR GOVT.MIDDLE SCHOOL SAGDA 22252605402 17120 GARIABAND MAINPUR GOVT.PRIMARY SCHOOL KURLAPARA 22252605403 17121 GARIABAND MAINPUR GOVT.PRIMARY SCHOOL PANIGAON 22252605501 17122 GARIABAND MAINPUR GOVT.MIDDILE SCHOOL PANIGAON 22252605502 17123 GARIABAND MAINPUR GOVT.PRIMARY SCHOOL KENDUPATI 22252605601 17124 GARIABAND MAINPUR GOVT.MIDDILE SCHOOL KENDUPATI 22252605602 17125 GARIABAND MAINPUR GOVT. MIDDLE SCHOOL BHEJIPADAR 22252605702
  • 520.
    17126 GARIABAND MAINPURGOVT.PRIMARY SCHOOL SARAIPANI 22252605801 17127 GARIABAND MAINPUR GOVT.MIDDLE SCHOOL SARAIPANI 22252605802 17128 GARIABAND MAINPUR GOVT.PRIMARY SCHOOL SIMALIYAPARA 22252605803 17129 GARIABAND MAINPUR GOVT. PRIMARY SCHOOL SARNABAHAL 22252605901 17130 GARIABAND MAINPUR GOVT MIDDILE SCHOOL SARNABAHAL 22252605902 17131 GARIABAND MAINPUR GOVT.PRIMARY SCHOOL BANDPARA 22252605905 17132 GARIABAND MAINPUR GOVT.PRIMARY SCHOOL SHYHIDONGARI 22252605906 17133 GARIABAND MAINPUR GOVT.PRIMARY SCHOOL JADAPARA 22252605907 17134 GARIABAND MAINPUR GOVT.PARIMARY SCHOOL FALSAPARA 22252605910 17135 GARIABAND MAINPUR GOVT.PRIMARY SCHOOL KHARIPATHRA 22252606001 17136 GARIABAND MAINPUR GOVT.PRIMARY SCHOOL KOTRADONGRI 22252606003 17137 GARIABAND MAINPUR GOVT.PRIMARY SCHOOL NADIPARA 22252606005 17138 GARIABAND MAINPUR GOVT.PRIMARY SCHOOL TEKANPARA 22252606006 17139 GARIABAND MAINPUR GOVT.PRIMARY SCHOOL IMLIPARA 22252606007 17140 GARIABAND MAINPUR GOVT.PRIMARY SCHOOL KHARIPATHARA 22252606008 17141 GARIABAND MAINPUR GOVT. PRIMARY SCHOOL DARLIPARA 22252606101 17142 GARIABAND MAINPUR GOVT. PRIMARY SCHOOL GOHARAPADAR 22252606202 17143 GARIABAND MAINPUR GOVT MIDDILE SCHOOL GOHRAPADAR 22252606203 17144 GARIABAND MAINPUR GOVT.PRIMARY SCHOOL KHAJURPADAR 22252606301 17145 GARIABAND MAINPUR GOVT.PRIMARY SCHOOL TAURENGA 22252606401 17146 GARIABAND MAINPUR PRIMARY ADIWASI BALAK ASHRAM TAURENGA 22252606402 17147 GARIABAND MAINPUR GOVTMIDDILE SCHOOL TAURENGA 22252606403 17148 GARIABAND MAINPUR MIDDILE ADIWASI BALAK ASHRAM TAURENGA 22252606404 17149 GARIABAND MAINPUR GOVT.PRIMARY SCHOOL TARAJHAR 22252606501 17150 GARIABAND MAINPUR GOVT.PRIMARY SCHOOL BUDGELTAPPA 22252606601 17151 GARIABAND MAINPUR GOVT.MIDDILE SCHOOL BUDGELTAPPA 22252606602 17152 GARIABAND MAINPUR GOVT.PRIMARY SCHOOL BHARUWAMUDA 22252606701 17153 GARIABAND MAINPUR GOVT.MIDDLE SCHOOL BHARUWAMUDA 22252606702 17154 GARIABAND MAINPUR GOVT.PRIMARY SCHOOL DHOBANMAL 22252606801 17155 GARIABAND MAINPUR GOVT. MIDDILE SCHOOL DHOBANMAL 22252606802 17156 GARIABAND MAINPUR GOVT.PRIMARY SCHOOL BANJIPADAR 22252606901 17157 GARIABAND MAINPUR GOVT.PRIMARY SCHOOL MUNGAPADAR 22252607001 17158 GARIABAND MAINPUR GOVT.PRIMARY SCHOOL MATIYA 22252607101
  • 521.
    17159 GARIABAND MAINPURGOVT.MIDDLE SCHOOL MATIYA 22252607102 17160 GARIABAND MAINPUR GOVT.PRIMARY SCHOOL SARGIGUDA 22252607201 17161 GARIABAND MAINPUR GOVT.MIDDLE SCHOOL SARGIGUDA 22252607202 17162 GARIABAND MAINPUR GOVT.PRIMARY SCHOOL CHHINDAULA 22252607301 17163 GARIABAND MAINPUR GOVT.PRIMARY ADIWASI BALAK ASHRAM CHHINDOULA 22252607302 17164 GARIABAND MAINPUR GOVT.MIDDILE ADIWASI BALAK ASHRAM CHHINDOULA22252607303 17165 GARIABAND MAINPUR GOVT.PRIMARY SCHOOL GOPALPUR 22252607401 17166 GARIABAND MAINPUR GOVT.MIDDLE SCHOOL GOPALPARA 22252607402 17167 GARIABAND MAINPUR GOVT. PRIMARY SCHOOL PIPALKHUNTA 22252607501 17168 GARIABAND MAINPUR GOVT. MIDDILE SCHOOL PIPALKHUNTA 22252607502 17169 GARIABAND MAINPUR GOVT.PRIMARY SCHOOL KANDSAR 22252607601 17170 GARIABAND MAINPUR GOVT. MIDDILE SCHOOL KANDSAR 22252607603 17171 GARIABAND MAINPUR GOVT.PRIMARY SCHOOL SORIPARA 22252607605 17172 GARIABAND MAINPUR GOVT.PRIMARY SCHOOL AADIWASIPARA 22252607606 17173 GARIABAND MAINPUR GOVT.PRIMARY SCHOOL KUNDERAPANI 22252607701 17174 GARIABAND MAINPUR GOVT. PRIMARY SCHOOL DEBGUDA 22252607801 17175 GARIABAND MAINPUR GOVT.MIDDLE SCHOOL DEBGUDA 22252607803 17176 GARIABAND MAINPUR PRIMARY SCHOOL KHAIRMAL 22252607901 17177 GARIABAND MAINPUR GOVT.MIDDILE SCHOOL KHAIRMAL 22252607902 17178 GARIABAND MAINPUR GOVT.PRIMARY SCHOOL DHOLSARAI 22252608001 17179 GARIABAND MAINPUR GOVT.MIDDIILE SCHOOL. DHOLSARAI 22252608003 17180 GARIABAND MAINPUR PRIMARY SCHOOL PENDRA 22252608101 17181 GARIABAND MAINPUR GOVT.MIDDLE SCHOOL PENDRA 22252608102 17182 GARIABAND MAINPUR GOVT.PRIMARY SCHOOL JARHIDIH 22252608201 17183 GARIABAND MAINPUR GOVT.PRIMARY SCHOOL KARELI 22252608301 17184 GARIABAND MAINPUR GOVT. PRIMARY SCHOOL GONA 22252608401 17185 GARIABAND MAINPUR GOVT. MIDDLE SCHOOL GONA 22252608402 17186 GARIABAND MAINPUR GOVT.PRIMARY SCHOOL MAINPURKALA 22252608501 17187 GARIABAND MAINPUR GOVT.MIDDLE SCHOOL MAINPURKALA 22252608503 17188 GARIABAND MAINPUR GOVT.PRIMARY SCHOOL MUDAPARA 22252608506 17189 GARIABAND MAINPUR GOVT.PRIMARY SCHOOL JHARIYABAHRA 22252608601 17190 GARIABAND MAINPUR GOVT.MIDDLE SCHOOL JHARIYABAHRA 22252608602 17191 GARIABAND MAINPUR GOVT.PRIMARY SCHOOL THEMLI 22252608701
  • 522.
    17192 GARIABAND MAINPURGOVT.MIDDLE SCHOOL THEMLI 22252608702 17193 GARIABAND MAINPUR GOVT. PRIMARY SCHOOL BARGAON 22252608801 17194 GARIABAND MAINPUR GOVT MIDDILE SCHOOL BARGAON. 22252608803 17195 GARIABAND MAINPUR GOVT.PRIMARY SCHOOL BARGAON 22252608805 17196 GARIABAND MAINPUR GOVT. PRIMARY SCHOOL SAHEBINKACHHAR 22252608901 17197 GARIABAND MAINPUR GOVT.MIDDILE SCHOOL SAHEBI KACHHAR 22252608904 17198 GARIABAND MAINPUR GOVT.PRIMARY SCHOOL KHASARPANI 22252609001 17199 GARIABAND MAINPUR GOVT.PRIMARY SCHOOL FULJHAR 22252609101 17200 GARIABAND MAINPUR GOVT.PRIMARY SCHOOL DHOBANDIH 22252609203 17201 GARIABAND MAINPUR GOVT.PRIMARY SCHOOL BHATHAPANI 22252609301 17202 GARIABAND MAINPUR GOVT.MIDDILE SCHOOL BHATHAPANI 22252609302 17203 GARIABAND MAINPUR GOVT.PRIMARY SCHOOL AADPATHAR 22252609501 17204 GARIABAND MAINPUR GOVT.MIDDLE SCHOOL AADPATHAR 22252609502 17205 GARIABAND MAINPUR GOVT.PRIMARY SCHOOL DHODRA 22252609601 17206 GARIABAND MAINPUR GOVT.NAVEEN PRIMARY SCHOOL.MUNSHIPARA 22252609603 17207 GARIABAND MAINPUR PRIMARY SCHOOL KUCHENGA 22252609701 17208 GARIABAND MAINPUR GOVT. MIDDILE SCHOOL KUCHENGA 22252609702 17209 GARIABAND MAINPUR GOVT.PRIMARY SCHOOL KONARI 22252609801 17210 GARIABAND MAINPUR GOVT.BALAK PRIMARY SCHOOL JIDAR 22252609901 17211 GARIABAND MAINPUR GOVT.KANYA PRIMARY SCHOOL JIDAR 22252609902 17212 GARIABAND MAINPUR GOVT MIDDILE SCHOOL JIDAR 22252609903 17213 GARIABAND MAINPUR PRIMARY SCHOOL DEVDONGAR 22252609906 17214 GARIABAND MAINPUR GOVT.PRIMARY SCHOOL GAVERMUD 22252609907 17215 GARIABAND MAINPUR GOVT.PRIMARY SCHOOL KANWARAAMA 22252609908 17216 GARIABAND MAINPUR PRIMARY SCHOOL CHIHRAPARA 22252609909 17217 GARIABAND MAINPUR GOVT.PRIMARY SCHOOL CHAKLIPARA 22252609911 17218 GARIABAND MAINPUR GOVT.PRIMARY SCHOOL DEHARGUDA 22252610005 17219 GARIABAND MAINPUR GOVT.MIDDILE SCHOOL DEHARGUDA 22252610006 17220 GARIABAND MAINPUR GOVT.R.S.M.S.DHEHARGUDA 22252610007 17221 GARIABAND MAINPUR GOVT MIDIDILE SCHOOL BHATHIGARH 22252610101 17222 GARIABAND MAINPUR GOVT.KANYA PRIMARY SCHOOL MAINPUR 22252610201 17223 GARIABAND MAINPUR GOVT. GIRLS MIDDILE SCHOOL MAINPUR 22252610205 17224 GARIABAND MAINPUR GOVT. BOYS MIDDILE SCHOOL MAINPUR 22252610206
  • 523.
    17225 GARIABAND MAINPURPRIMARY SCHOOL BHATGOAN 22252610209 17226 GARIABAND MAINPUR GOVT.PRIMARY SCHOOL GARHADIH 22252610401 17227 GARIABAND MAINPUR GOVT.MIDDLE SCHOOL GARHADIH 22252610402 17228 GARIABAND MAINPUR GOVT.PRIMARY SCHOOL KOKDI 22252610601 17229 GARIABAND MAINPUR GOVT.MIDDILE SCHOOL KOKDI 22252610602 17230 GARIABAND MAINPUR GOVT.PRIMARY ADIWASI BALAK/KANYA ASHRAM SALA BADEGOBRA 22252610701 17231 GARIABAND MAINPUR GOVT. MIDDILE ADIWASI BALAK/KANYA ASHRAM BADEGOBRA 22252610702 17232 GARIABAND MAINPUR PRIMARY SCHOOL NAYAPARA (GONA) 22252610801 17233 GARIABAND MAINPUR GOVT.PRIMARY SCHOOL JHARGAON 22252610901 17234 GARIABAND MAINPUR GOVT MIDDILE SCHOOL JHARGAON 22252610903 17235 GARIABAND MAINPUR GOVT.PRIMARY SCHOOL JALPARA 22252610905 17236 GARIABAND MAINPUR GOVT. PRIMARY SCHOOL CHALNAPADAR 22252611001 17237 GARIABAND MAINPUR GOVT.PRIMARY SCHOOL PADEPARA 22252611002 17238 GARIABAND MAINPUR GOVT.MIDDLE SCHOOL CHALNAPADAR 22252611003 17239 GARIABAND MAINPUR GOVT.PRIMARY SCHOOL KURRUBHATA 22252611101 17240 GARIABAND MAINPUR GOVT.PRIMARY SCHOOL AMAD 22252611201 17241 GARIABAND MAINPUR GOVT.MIDDILE SCHOOL AMAD 22252611202 17242 GARIABAND MAINPUR GOVT.BALAK PRIMARY SCHOOL AMLIPADAR 22252611501 17243 GARIABAND MAINPUR GOVT.KANYA PRIMARY SCHOOL AMLIPADAR 22252611502 17244 GARIABAND MAINPUR GOVT.PRIMARY SCHOOL GAUTIYAPARA 22252611506 17245 GARIABAND MAINPUR GOVT.PRIMARY SCHOOL MANJHIPARA 22252611507 17246 GARIABAND MAINPUR GOVT.PRIMARY SCHOOL POTAPARA 22252611508 17247 GARIABAND MAINPUR GOVT.PRIMARY SCHOOL ADARPARA 22252611509 17248 GARIABAND MAINPUR GOVT. BOYS MIDDILE SCHOOL AMLIPADAR 22252611510 17249 GARIABAND MAINPUR GOVT.GIRLS MIDDILE SCHOOL AMLIPADAR 22252611511 17250 GARIABAND MAINPUR GOVT.PRIMARY SCHOOL KORDEL PARA 22252611512 17251 GARIABAND MAINPUR GOVT.BOYS PRIMARY SCHOOL MAINPUR 22252611601 17252 GARIABAND MAINPUR GOVT.PRIMARY SCHOOL. LEDHIBAHAR 22252611605 17253 GARIABAND MAINPUR GOVT.PRIMARY SCHOOL BAHRAPARA 22252611607 17254 GARIABAND MAINPUR KGBV MAINPUR 22252611608 17255 GARIABAND MAINPUR GOVT. PRIMARY SCHOOL DUMAGHAT 22252611701 17256 GARIABAND MAINPUR GOVT.PRIMARY SCHOOL KHAKHDIYAPARA 22252611704 17257 GARIABAND MAINPUR GOVT.MIDDILE SCHOOL DUMAGHAT 22252611706
  • 524.
    17258 GARIABAND MAINPURGOVT.PRIMARY SCHOOL CHITKIMUDA 22252611707 17259 GARIABAND MAINPUR GOVT.PRIMARY SCHOOL JORPARA 22252611803 17260 GARIABAND MAINPUR GOVT. PRIMARY SCHOOL DENDUPADAR 22252611901 17261 GARIABAND MAINPUR GOVT.MIDDILEM SCHOOL DENDUPADAR 22252611902 17262 GARIABAND MAINPUR GOVT.MIDDILE SCHOOL TUHAMETA 22252612003 17263 GARIABAND MAINPUR PRIMARY SCHOOL SALHEBHATHA 22252612101 17264 GARIABAND MAINPUR MIDDLE SCHOOL SALHEBHATHA 22252612102 17265 GARIABAND MAINPUR GOVT.PRIMARY SCHOOL BAJADI 22252612201 17266 GARIABAND MAINPUR GOVT.MIDDLE SCHOOL BAJADI 22252612202 17267 GARIABAND MAINPUR GOVT.PRIMARY SCHOOL NAYAPARA 22252612203 17268 GARIABAND MAINPUR GOVT.PRIMARY SCHOOL ADIWASHIPARA 22252612204 17269 GARIABAND MAINPUR GOVT.PRIMARY SCHOOL GURJIBHATA 22252612301 17270 GARIABAND MAINPUR GOVT.PRIMARY SCHOOL KHARKARPARA 22252612302 17271 GARIABAND MAINPUR GOVT.MIDDLE SCHOOL GURJIBHATA (T) 22252612303 17272 GARIABAND MAINPUR GOVT.PRIMARY SCHOOLKANDEKELA 22252612401 17273 GARIABAND MAINPUR GOVT MIDDILE SCHOOL KANDEKELA 22252612402 17274 GARIABAND MAINPUR GOVT.PRIMARY SCHOOL KEKRAJOR 22252612501 17275 GARIABAND MAINPUR GOVT MIDDLE SCHOOL KEKRAJOR 22252612502 17276 GARIABAND MAINPUR GOVT.PRIMARY SCHOOL KARLAJHAR 22252612601 17277 GARIABAND MAINPUR GOVT.PRIMARY SCHOOL JANGDA 22252612701 17278 GARIABAND MAINPUR GOVT MIDDILE SCHOOL JANGDA 22252612702 17279 GARIABAND MAINPUR GOVT.MIDDILE SCHOOL .KURRUBHATHA 22252612703 17280 GARIABAND MAINPUR GOVT. PRIMARY SCHOOL INDAGAON 22252612801 17281 GARIABAND MAINPUR GOVT MIDDILE SCHOOL INDAGAON 22252612802 17282 GARIABAND MAINPUR GOVT.PRIMARY SCHOOL KOYABA 22252612901 17283 GARIABAND MAINPUR GOVT.MIDDLE SCHOOL KOYABA 22252612902 17284 GARIABAND MAINPUR GVOT.PRIMARY SCHOOL BANJARIBAHRA 22252612903 17285 GARIABAND MAINPUR GOVT.PRIMARY SCHOOL DEVJHAR AMLI 22252613001 17286 GARIABAND MAINPUR GOVT.MIDDILE SCHOOL DEVJHAR AMLI 22252613002 17287 GARIABAND MAINPUR GOVT.PRIMARY SCHOOL KUMKOT 22252613003 17288 GARIABAND MAINPUR GOVT.PRIMARY SCHOOL CHHOTEGOBRA 22252613101 17289 GARIABAND MAINPUR GOVT.MIDDLE SCHOOLCHHOTEGOBRA 22252613102 17290 GARIABAND MAINPUR GOVT.PRIMARY SCHOOL JADAPADAR 22252613201
  • 525.
    17291 GARIABAND MAINPURGOVT MIDDILE SCHOOL JADAPADAR 22252613202 17292 GARIABAND MAINPUR GOVT. PRIMARY SCHOOL BESRAJHAR 22252613401 17293 GARIABAND MAINPUR MIDDLE SCHOOL 22252613403 17294 GARIABAND MAINPUR GOVT.PRIMARY SCHOOL KULHADIGHAT 22252613506 17295 GARIABAND MAINPUR GOVT.MIDDILE SCHOOL KULHADIGHAT 22252613507 17296 GARIABAND MAINPUR GOVT.PRIMARY SCHOOLDABNAI 22252613601 17297 GARIABAND MAINPUR GOVT.MIDDILE SCHOOL DABNAI 22252613602 17298 GARIABAND MAINPUR GOVT.PRIMARY SCHOOL CHIPRI 22252613703 17299 GARIABAND MAINPUR GOVT. PRIMARY SCHOOL MUDGELMAL 22252613801 17300 GARIABAND MAINPUR GOVT MIDDILE SCHOOL MUDGELMAL 22252613802 17301 GARIABAND MAINPUR GOVT.PRIMARY SCHOOL DHULENGAPARA 22252613803 17302 GARIABAND MAINPUR GOVT.PRIMARY SCHOOL GURJIBHATA (A) 22252613901 17303 GARIABAND MAINPUR GOVT.MIDDILESCHOOL GURUJIBHATHA A 22252613902 17304 GARIABAND MAINPUR GOVT.PRIMARY SCHOOL LAKSHMIPARA 22252613903 17305 GARIABAND MAINPUR GOVT.MIDDLE SCHOOL CHIKHALI 22252614002 17306 GARIABAND MAINPUR GOVT.PRIMARY SCHOOL CHIKHALI 22252614003 17307 GARIABAND MAINPUR GOVT.PRIMARY SCHOOL KAMARPARA 22252614004 17308 GARIABAND MAINPUR GOVT.PRIMARY SCHOOL UDANTI 22252614101 17309 GARIABAND MAINPUR GOVT.MIDDLE SCHOOL UDANTI 22252614102 17310 GARIABAND MAINPUR GOVT.PRIMARY SCHOOL NAGESH 22252614201 17311 GARIABAND MAINPUR GOVT.MIDDLE SCHOOL NAGESH 22252614202 17312 GARIABAND MAINPUR PRIMARY SCHOOL SUKLABHATA 22252614301 17313 GARIABAND MAINPUR PRIMARY SCHOOL HARDIBHATA 22252614401 17314 GARIABAND MAINPUR GOVT.MIDDILE SCHOOL HARDIBHATHA 22252614402 17315 GARIABAND MAINPUR GOVT. PRIMARY SCHOOL PAYLIKHAND 22252614501 17316 GARIABAND MAINPUR GOVT.MIDDILE SCHOOL PAYLIKHAND 22252614502 17317 GARIABAND MAINPUR GOVT.KANIST PRIMARY SCHOOL MOHANALA 22252614601 17318 GARIABAND MAINPUR GOVT. PRIMARY SCHOOL GHUMRAPADAR 22252614701 17319 GARIABAND MAINPUR GOVT.PRIMARY SCHOOL MAJAPARA 22252614702 17320 GARIABAND MAINPUR GOVT.MIDDILE SCHOOL GHUMRAPADAR 22252614703 17321 GARIABAND MAINPUR GOVT.PRIMARY SCHOOL SARADPARA 22252614704 17322 GARIABAND MAINPUR GOVT.PRIMARY SCHOOL NAVAPARA 22252614705 17323 GARIABAND MAINPUR PRIMARY SCHOOL BANWAPARA 22252615101
  • 526.
    17324 GARIABAND MAINPURGOVT. PRIMARY SCHOOL GAJIMUDA 22252615201 17325 GARIABAND MAINPUR GOVT.PRIMARY SCHOOL ANWRABHATHA 22252615301 17326 GARIABAND MAINPUR GOVT. PRIMARY SCHOOL CHUIHA 22252615401 17327 GARIABAND MAINPUR GOVT.PRIMARY SCHOOL GOLAMAL 22252615501 17328 GARIABAND MAINPUR GOVT.MIDDLE SCHOOL GOLAMAL 22252615502 17329 GARIABAND MAINPUR GOVT.PRIMARY SCHOOL SARADPARA 22252615503 17330 GARIABAND MAINPUR PRIMARY SCHOOL SIHNAPARA 22252615505 17331 GARIABAND MAINPUR GOVT.PRIMARY SCHOOL JUGAD 22252615601 17332 GARIABAND MAINPUR GOVT.MIDDILE SCHOOL JUGAD 22252615602 17333 GARIABAND MAINPUR GOVT.NAVEN PRIMARY SCHOOL PODPARA 22252615702 17334 GARIABAND MAINPUR GOVT.NAVEN PRIMARY SCHOOL GOHRAMAL 22252615801 17335 GARIABAND MAINPUR GOVT.NAVEN PRIMARY SCHOOL PRIYABAHAL 22252615901 17336 GARIABAND MAINPUR GOVT.MIDDILE SCHOOL PARIYABAHAL 22252615902 17337 GARIABAND MAINPUR NAVEN PRIMARY SCHOOL MAHULPUTKA 22252616001 17338 GARIABAND MAINPUR GOVT. PRIMARY SCHOOL KACHHARPARA 22252616201 17339 GARIABAND MAINPUR GOVT. PRIMARY SCHOOL KHADARIPARA 22252616301 17340 GARIABAND MAINPUR GOVT. PRIMARY SCHOOL POHELPARA 22252616401 17341 GARIABAND MAINPUR GOVT. PRIMARY SCHOOL KURLAPARA 22252616601 17342 GARIABAND MAINPUR PRIMARY SCHOOL KURLAPAERA 22252616602 17343 GARIABAND MAINPUR GOVT.MIDDILE SCHOOL KURLAPARA 22252616603 17344 GARIABAND MAINPUR GOVT.PRIMARY ADIWASI KANYA ASHRAM NAGWEL 22252616701 17345 GARIABAND MAINPUR GOVT. MIDDILE AADIWASI KANYA ASHRAM NAGWEL 22252616702 17346 GARIABAND MAINPUR GOVT.PRIMARY SCHOOL NAGWEL 22252616703 17347 GARIABAND MAINPUR GOVT.ADIWASI KANYA ASHRAM KALIMATI 22252616801 17348 GARIABAND MAINPUR GOVT.PRIMARY SCHOOL KALIMATI 22252616803 17349 GARIABAND MAINPUR GOVT. PRIMARY SCHOOL KUHIMAL 22252616901 17350 GARIABAND MAINPUR GOVT.MIDDLE SCHOOL KUHIMAL 22252616902 17351 GARIABAND MAINPUR GOVT.PRIMARY SCHOOL SAGBARIYAPARA 22252616903 17352 GARIABAND MAINPUR GOVT.GYAN GYOTI SCHOOL KAMARPARA 22252616904 17353 GARIABAND MAINPUR GOVT.PRIMARY SCHOOL KOKADIMAL 22252617001 17354 GARIABAND MAINPUR GOVT.MIDDILE SCHOOL KOKADIMAL 22252617002 17355 GARIABAND MAINPUR GOVT.PRIMARY SCHOOL BAHRAPARA 22252617101 17356 GARIABAND MAINPUR GVOT.NAVEN PRIMARY SCHOOL AMLI 22252617201
  • 527.
    17357 GARIABAND MAINPURGOVT.PRAMARY SCHOOL JAYANTI NAGAR 22252617401 17358 GARIABAND MAINPUR GOVT.PRIMARY SCHOOL ACHANPUR 22252617501 17359 GARIABAND MAINPUR GOVT.MIDDILE SCHOOL ACHANPUR 22252617503 17360 GARIABAND MAINPUR GOVT.PRIMARY SCHOOL DANGIYAPARA 22252617702 17361 GARIABAND MAINPUR GOVT.PRIMARY SCHOOL KHARTA 22252617801 17362 GARIABAND MAINPUR GOVT. PRIMARY SCHOOL BHATADIGGI 22252617901 17363 GARIABAND MAINPUR GOVT. MIDDLE SCHOOL DHODRA 22252618101 17364 GARIABAND MAINPUR GOVT.PRIMARY SCHOOL PHOOLWARI 22252618501 17365 GARIABAND MAINPUR GOVT.PRIMARY SCHOOL BELPARA 22252618601 17366 GARIABAND MAINPUR GOVT.PRIMARY SCHOOL PATIYALPARA 22252619001 17367 GARIABAND MAINPUR GOVT.PRIMARY SCHOOL PATIYALPARA 22252619002 17368 GARIABAND MAINPUR GOVT. PRIMARY SCHOOL PUJARIPARA 22252619101 17369 GARIABAND MAINPUR GOVT.PRIMARY SCHOOL AAMPARA 22252619201 17370 GARIABAND MAINPUR GOVT.PRIMARY SCHOOL CHACHARAPARA 22252619302 17371 GARIABAND MAINPUR GOVT. PRIMARY SCHOOL KURLAPARA 22252619601 17372 GARIABAND MAINPUR GOVT.MIDDLE SCHOOL KURLAPARA 22252619602 17373 GARIABAND MAINPUR GOVT.PRIMARY SCHOOL POTAPARA 22252619701 17374 GARIABAND MAINPUR PRIMARY SCHOOL MAUHABHATA 22252619901 17375 GARIABAND MAINPUR GOVT.PRIMARY SCHOOL DUMARGHAT 22252620101 17376 GARIABAND MAINPUR GOVT.MIDDLE SCHOOL DUMARGHAT 22252620102 17377 GARIABAND MAINPUR GOVT.PRIMARY SCHOOL BOIRDHI 22252620201 17378 GARIABAND MAINPUR GOVT.PRIMARY SCHOOL BHEJAKOTPARA 22252620401 17379 GARIABAND MAINPUR GOVT.PRIMARY SCHOOL KURWAPANI 22252620501 17380 GARIABAND MAINPUR GOVT.PRIMARY SCHOOL SAGUNBHADIPARA 22252620901 17381 GARIABAND MAINPUR GOVT.PRIMARY SCHOOL RAMPARA 22252621001 17382 GARIABAND MAINPUR GOVT.PRIMARY SCHOOL BUDAR 22252621101 17383 GARIABAND MAINPUR GOVT.PRIMARY SCHOOL GEDRABEDA 22252621301 17384 GARIABAND MAINPUR GOVT.PRIMARY SCHOOL GOTIYABHARRI 22252621401 17385 GARIABAND MAINPUR GOVT.PRIMARY SCHOOL TENDHUCHHAPER 22252621501 17386 GARIABAND MAINPUR GOVT.PRIMARY SCHOOL BHIMATIKARA 22252621701 17387 GARIABAND MAINPUR GOVT.PRIMAY SCHOOL BHALUKONA 22252622001 17388 GARIABAND MAINPUR GOVT.PRIMARY SCHOOL TUHAMETA 22252622101 17389 GARIABAND MAINPUR GOVT.PRIMARY SCHOOL CHINGARABHATIYAPARA 22252622201
  • 528.
    17390 GARIABAND MAINPURGOVT.PRIMARY SCHOOL RAJPUR 22252622301 17391 GARIABAND MAINPUR GOVT.PRIMARY SCHOOL UPARPARA 22252622401 17392 GARIABAND MAINPUR GOVT.PRIMARY SCHOOL KEUBURLA 22252623101 17393 GARIABAND MAINPUR GOVT.PRIMARY SCHOOL JHOLARAO 22252623301 17394 GARIABAND MAINPUR GOVT.PRIMARY SCHOOL HARIJANPARA 22252623701 17395 GARIABAND MAINPUR GOVT.PRIMARY SCHOOL DUMARPADAW 22252624001 17396 GARIABAND MAINPUR GOVT.PRIMARY SCHOOL SALHRBHAT 22252624401 17397 GARIABAND MAINPUR GOVT.PRIMARY SCHOOL. DARLIPARA 22252624501 17398 GARIABAND MAINPUR GOVT. PRIMARY SCHOOL SIRLIPARA 22252624502 17399 GARIABAND MAINPUR MIDDILE SCHOOL DEVDONGAR 22252624801 17400 GARIABAND MAINPUR GOVT.PRIMARY SCHOOL ADARPARA 22252625201 17401 GARIABAND MAINPUR GOVT.PRIMARY SCHOOL TEKANPARA 22252625301 17402 GARIABAND MAINPUR GOVT.PRIMARY SCHOOL KHOLAPARA 22252625401 17403 GARIABAND MAINPUR GOVT.PRIMARY SCHOOL LUTHAPARA 22252625501 17404 GARIABAND MAINPUR GOVT.PRIMARY SCHOOL KATHWA 22252625901 17405 GARIABAND MAINPUR GOVT.PRIMARY SCHOOL BHALU DIGGI 22252626001 17406 GARIABAND MAINPUR GOVT.PRIMARY SCHOOL KODOMALI 22252626201 17407 GARIABAND MAINPUR GOVT. MIDDILE SCHOOL KODOMALI 22252626202 17408 GARIABAND MAINPUR GOVT.MIDDILE SCHOOL KOSAMMUDA 22252626301 17409 GARIABAND MAINPUR PRIMARY SCHOOL KERAPARA 22252626401 17410 GARIABAND MAINPUR GOVT.PRIMARY SCHOOL KANHARAPARA 22252626501 17411 GARIABAND MAINPUR GOVT.PRIMARY SCHOOL LAHAPIPARA 22252626701 17412 GARIABAND MAINPUR GOVT.PRIMARY SCHOOL RAKSHAPATHARA 22252626801 17413 GARIABAND MAINPUR GOVT. PRIMARY SCHOOL DHARNIBAHAL 22252626901 17414 GARIABAND MAINPUR GOVT. MIDDLE SCHOOL DHARNIBAHAL 22252626902 17415 GARIABAND MAINPUR GOVT.MIDDLE SCHOOL DHURWAGUDI 22252627001 17416 GARIABAND MAINPUR GOVT.PRIMARY SCHOOL DHURWAGUDI 22252627002 17417 GARIABAND MAINPUR GOVT.PRIMARY SCHOOL TANDPARA 22252627101 17418 GARIABAND MAINPUR GOVT.PRIMARY SCHOOL BHEJIPADAR 22252627201 17419 GARIABAND MAINPUR PRIMARY SCHOOL BANDPARA 22252627501 17420 GARIABAND MAINPUR GOVT.PRIMARY SCHOOL UKHARUPARA 22252627901 17421 GARIABAND MAINPUR GOVT.PRIMARY SCHOOL KANTIPARA 22252628001 17422 GARIABAND MAINPUR GOVT.PRIMARY SCHOOL LATIPARA 22252628201
  • 529.
    17423 GARIABAND MAINPURGOVT.PRIMARY SCHOOL DOGARIPARA 22252628301 17424 GARIABAND MAINPUR GOVT.PRIMARY SCHOOL HALDIPARA 22252628401 17425 GARIABAND MAINPUR GOVT.PRIMARY SCHOOL OMKARPARA 22252628501 17426 GARIABAND MAINPUR GOVT.PRIMARY SCHOOL KENDUKOT 22252628601 17427 GARIABAND MAINPUR PRIMARY SCHOOL MAHULPARA 22252628701 17428 GARIABAND MAINPUR GOVT.PRIMARY SCHOOL SORIPARA 22252628901 17429 GARIABAND MAINPUR GOVT. GYAN JYOTI SCHOOL MATAL 22252629001 17430 GARIABAND MAINPUR GOVT.PRIMARY SCHOOL BHADRIPARA 22252629101 17431 GARIABAND MAINPUR GOVT. PRIMARY SCHOOL KANDAKHODRA 22252629201 17432 GARIABAND MAINPUR GOVT. PRAMARY SCHOOL KAMARPARA [KUCHENGA] 22252629301 17433 GARIABAND MAINPUR GOVT.PRIMARY SCHOOL DONGRIPARA 22252629401 17434 GARIABAND MAINPUR GOVT.PRIMARY SCHOOL PHOKATPARA 22252629501 17435 JANJGIR - CHAMPA AKALTARA GOVT MS PONDIBHATA(SSA) 22060100203 17436 JANJGIR - CHAMPA AKALTARA GIRLS M.S. AKALTARA (EDU) 22060100313 17437 JANJGIR - CHAMPA AKALTARA GOVT. B.P.M.S. AKALTARA (EDU) 22060100314 17438 JANJGIR - CHAMPA AKALTARA GOVT SANJAY NAGAR AKALTARA(EDU) 22060100320 17439 JANJGIR - CHAMPA AKALTARA GOVT PS ANDHIYARIPAT AKALTARA(SSA) 22060100321 17440 JANJGIR - CHAMPA AKALTARA GOVT PS LABOUR COLONY AKALTARA(SSA) 22060100326 17441 JANJGIR - CHAMPA AKALTARA GOVT MS GURUGHASI DAS AKALTARA(SSA) 22060100327 17442 JANJGIR - CHAMPA AKALTARA GOVT PS. KHISORA (EDU) 22060100801 17443 JANJGIR - CHAMPA AKALTARA GOVT PS. KHAPARI DIH (EDU) 22060100901 17444 JANJGIR - CHAMPA AKALTARA GOVT PS. KATGHARI (EDU) 22060101001 17445 JANJGIR - CHAMPA AKALTARA GOVT M.S. KATGHARI (EDU) 22060101002 17446 JANJGIR - CHAMPA AKALTARA GOVT PS. BARGAVA (EDU) 22060101101 17447 JANJGIR - CHAMPA AKALTARA GOVT M.S. BARGAVA (EDU) 22060101102 17448 JANJGIR - CHAMPA AKALTARA GOVT NPS GIRLS BARGAWA(SSA) 22060101105 17449 JANJGIR - CHAMPA AKALTARA GOVT PS. KHATOLA (EDU) 22060101201 17450 JANJGIR - CHAMPA AKALTARA GOVT MIDDILE SCHOOL KHATOLA (SSA) 22060101202 17451 JANJGIR - CHAMPA AKALTARA GOVT BOYS PS. KOTGARH (EDU) 22060101301 17452 JANJGIR - CHAMPA AKALTARA GOVT GIRLS. PRIMARY SCHOOL KOTGARH 22060101302 17453 JANJGIR - CHAMPA AKALTARA GOVT PS. KAPAN(BOYS) (EDU) 22060101401 17454 JANJGIR - CHAMPA AKALTARA GOVT PS. KAPAN (GIRLS) (EDU) 22060101402 17455 JANJGIR - CHAMPA AKALTARA GOVT M.S. KAPAN (EDU) 22060101404
  • 530.
    17456 JANJGIR -CHAMPA AKALTARA GOVT PS RAMPUR KAPAN (SSA) 22060101405 17457 JANJGIR - CHAMPA AKALTARA GOVT PS. BOYS KOTMI SONAR (EDU) 22060101701 17458 JANJGIR - CHAMPA AKALTARA GOVT GIRLS PS. KOTMI SONAR (EDU) 22060101702 17459 JANJGIR - CHAMPA AKALTARA GOVT PS. BHATHA PARA (EDU) 22060101703 17460 JANJGIR - CHAMPA AKALTARA GOVT M.S. KOTMI SONAR (EDU) 22060101704 17461 JANJGIR - CHAMPA AKALTARA GOVT PS GOND PARA KOTMISONAR(EDU) 22060101706 17462 JANJGIR - CHAMPA AKALTARA GOVT PS.LINK STATION PARA (EDU) 22060101707 17463 JANJGIR - CHAMPA AKALTARA UP PS KOTMISONAR (EDU) 22060101710 17464 JANJGIR - CHAMPA AKALTARA NPS SABARIYADERA KOTMISONAR (SSA) 22060101712 17465 JANJGIR - CHAMPA AKALTARA UPS GIRL KOTMI SONAR(SSA) 22060101714 17466 JANJGIR - CHAMPA AKALTARA GOVT PS. AKALTARI (EDU) 22060101901 17467 JANJGIR - CHAMPA AKALTARA GOVT MS AKALTARI(SSA) 22060101902 17468 JANJGIR - CHAMPA AKALTARA GOVT. PS. PIPAR SATTI (EDU) 22060102001 17469 JANJGIR - CHAMPA AKALTARA NIRMALA PS. PIPAR SATTI(GRANTED) 22060102002 17470 JANJGIR - CHAMPA AKALTARA GOVT M.S. PIPAR SATTI (EDU) 22060102003 17471 JANJGIR - CHAMPA AKALTARA GOVT PS. KALYAN PUR(EDU) 22060102101 17472 JANJGIR - CHAMPA AKALTARA GOVT MS KALYANPUR(SSA) 22060102102 17473 JANJGIR - CHAMPA AKALTARA GOVT PS. PARSAHI NALA (EDU) 22060102201 17474 JANJGIR - CHAMPA AKALTARA GOVT.M.S. PARSAHINALA (SSA) 22060102202 17475 JANJGIR - CHAMPA AKALTARA GOVT PS. LATIYA (EDU) 22060102301 17476 JANJGIR - CHAMPA AKALTARA GOVT MIDDILE SCHOOL LATIA(SSA) 22060102302 17477 JANJGIR - CHAMPA AKALTARA PS. PAKARIYA(JHULAN) (EDU) 22060102401 17478 JANJGIR - CHAMPA AKALTARA GOVT. PS. NAVAGAON(PAKARIYA) (EDU) 22060102402 17479 JANJGIR - CHAMPA AKALTARA GOVT PS. PAKARIYA (EDU) 22060102403 17480 JANJGIR - CHAMPA AKALTARA GOVT M.S. PAKARIYA (EDU) 22060102404 17481 JANJGIR - CHAMPA AKALTARA GOVT M.S. PACHGAVA(PAKARIYA) (EDU) 22060102405 17482 JANJGIR - CHAMPA AKALTARA SARSHVATI S.M.PAKARIYA(LATIA) 22060102407 17483 JANJGIR - CHAMPA AKALTARA GOVT. PS. RASEDA (EDU) 22060102501 17484 JANJGIR - CHAMPA AKALTARA GOVT M.S.RASEDA(SSA) 22060102502 17485 JANJGIR - CHAMPA AKALTARA GOVT PS. DARRI TAND (EDU) 22060102601 17486 JANJGIR - CHAMPA AKALTARA KANI PS. AMERI (SSA) 22060102701 17487 JANJGIR - CHAMPA AKALTARA GOVT PS BADE AMERI (SSA) 22060102702 17488 JANJGIR - CHAMPA AKALTARA GOVT JP. PS. KATANAI (EDU) 22060102801
  • 531.
    17489 JANJGIR -CHAMPA AKALTARA GOVT MIDDILE.SCHOOL KATANAI (EDU) 22060102802 17490 JANJGIR - CHAMPA AKALTARA GOVT. PS. MAHAMD PUR (EDU) 22060102901 17491 JANJGIR - CHAMPA AKALTARA GOVT MS MAHAMADPUR (SSA) 22060102902 17492 JANJGIR - CHAMPA AKALTARA GOVT PS. SAJA PALI (EDU) 22060103001 17493 JANJGIR - CHAMPA AKALTARA GOVT JANPAT PS. KH0ND (EDU) 22060103101 17494 JANJGIR - CHAMPA AKALTARA GOVT NAVEEN PS KHOND (SSA) 22060103102 17495 JANJGIR - CHAMPA AKALTARA GOVT MIDDILE SCHOOL KHOND (SSA) 22060103103 17496 JANJGIR - CHAMPA AKALTARA GOVT. PS. DEVARI (EDU) 22060103201 17497 JANJGIR - CHAMPA AKALTARA GOVT.PS. MOHA DIH (EDU) 22060103301 17498 JANJGIR - CHAMPA AKALTARA GOVT. PS. SUVAR MAL (EDU) 22060103401 17499 JANJGIR - CHAMPA AKALTARA GOVT PS. BIRKONI (EDU) 22060103501 17500 JANJGIR - CHAMPA AKALTARA GOVT MS. BIRKONI (EDU) 22060103502 17501 JANJGIR - CHAMPA AKALTARA GOVT. PS. NAVA PARA(HARDI) (EDU) 22060103601 17502 JANJGIR - CHAMPA AKALTARA GOVT PS. SONAI DIH (EDU) 22060103701 17503 JANJGIR - CHAMPA AKALTARA GOVT MIDDILE SCHOOL SONDIH(SSA) 22060103702 17504 JANJGIR - CHAMPA AKALTARA GOVT PS. PACHARI (EDU) 22060103801 17505 JANJGIR - CHAMPA AKALTARA GOVT BOYS PS. TAROUD (EDU) 22060103901 17506 JANJGIR - CHAMPA AKALTARA GOVT GIRLS PS. TAROUD (EDU) 22060103902 17507 JANJGIR - CHAMPA AKALTARA GOVT M.S. TAROUD (EDU) 22060103903 17508 JANJGIR - CHAMPA AKALTARA GOVT UP PS ARJUN NAGAR TAROUD (EDU) 22060103904 17509 JANJGIR - CHAMPA AKALTARA GOVT. PRIMARY SCHOOL ROGADA (EDU) 22060104001 17510 JANJGIR - CHAMPA AKALTARA GOVT UPPS. ROGADA (SSA) 22060104002 17511 JANJGIR - CHAMPA AKALTARA GOVT PS. AMORA (EDU) 22060104101 17512 JANJGIR - CHAMPA AKALTARA GOVT. MS. AMORA (EDU) 22060104102 17513 JANJGIR - CHAMPA AKALTARA GOVT LODAR COLONY AMORA (SSA) 22060104104 17514 JANJGIR - CHAMPA AKALTARA GOVT PRIMARY SCHOOL AMANARA(EDU) 22060104201 17515 JANJGIR - CHAMPA AKALTARA GOVT PS. MURLI DIH(THAKUR) (EDU) 22060104302 17516 JANJGIR - CHAMPA AKALTARA GOVT.MS MURLIDIH (THAKUR) (SSA) 22060104304 17517 JANJGIR - CHAMPA AKALTARA GOVT.PS.PARSADA(LILAGAR) (EDU) 22060104401 17518 JANJGIR - CHAMPA AKALTARA GOVT NPS SHANKARPARA PARSADA(EDU) 22060104402 17519 JANJGIR - CHAMPA AKALTARA GOVT. MS PARSADA(LILAGAR)(EDU) 22060104403 17520 JANJGIR - CHAMPA AKALTARA GOVT PS. KARUMUHU (EDU) 22060104501 17521 JANJGIR - CHAMPA AKALTARA GOVT. MS KARUMAHU (SSA) 22060104502
  • 532.
    17522 JANJGIR -CHAMPA AKALTARA GOVT JP. P.S. ARJUNI (EDU) 22060104601 17523 JANJGIR - CHAMPA AKALTARA GOVT. M.S. ARJUNI (EDU) 22060104603 17524 JANJGIR - CHAMPA AKALTARA GOVT NPS NAHARPARA ARJUNI (SSA) 22060104604 17525 JANJGIR - CHAMPA AKALTARA GOVT. PS. BOHAPARA (EDU) 22060104701 17526 JANJGIR - CHAMPA AKALTARA GOVT PS. DEV KIRARI (EDU) 22060104801 17527 JANJGIR - CHAMPA AKALTARA GOVT. M.S. DEV KIRARI (EDU) 22060104802 17528 JANJGIR - CHAMPA AKALTARA UP PS DEOKIRARI (EDU) 22060104803 17529 JANJGIR - CHAMPA AKALTARA GOVT PS. NAVA PARA(AMORA) (EDU) 22060104901 17530 JANJGIR - CHAMPA AKALTARA GOVT. PS. BUTRA BHAWAR (EDU) 22060105001 17531 JANJGIR - CHAMPA AKALTARA GOVT NAVIN PS. BARBHATHA(EDU) 22060105101 17532 JANJGIR - CHAMPA AKALTARA GOVT BOYS. PS. NARIYARA (EDU) 22060105102 17533 JANJGIR - CHAMPA AKALTARA GOVT. GIRLS.PS NARIYARA(EDU) 22060105103 17534 JANJGIR - CHAMPA AKALTARA GOVT. PS. SANJAY NAGAR(EDU) 22060105104 17535 JANJGIR - CHAMPA AKALTARA GOVT M.S. GIRLS NARIYARA(EDU) 22060105107 17536 JANJGIR - CHAMPA AKALTARA GOVT M.S. BOYS NARIYARA(EDU) 22060105108 17537 JANJGIR - CHAMPA AKALTARA GOVT P.S.NAHARPARA NARIYARA(SSA) 22060105110 17538 JANJGIR - CHAMPA AKALTARA M S NAHAR PARA NARIYARA(EDU) 22060105117 17539 JANJGIR - CHAMPA AKALTARA GOVT PS. JHALMALA (EDU) 22060105201 17540 JANJGIR - CHAMPA AKALTARA GOVT M.S. JHALMALA (EDU) 22060105203 17541 JANJGIR - CHAMPA AKALTARA GOVT PS JHALMALA (EDU) 22060105204 17542 JANJGIR - CHAMPA AKALTARA GOVT UP PS PAKARIYA JHULAN (EDU) 22060105303 17543 JANJGIR - CHAMPA AKALTARA MS NAWAGAON PAKARIA (SSA) 22060105306 17544 JANJGIR - CHAMPA AKALTARA GOVT PS. BANA HIL (EDU) 22060105401 17545 JANJGIR - CHAMPA AKALTARA GOVT.MS BANAHIL (SSA) 22060105402 17546 JANJGIR - CHAMPA AKALTARA GOVT NPS SABARIADERA (SSA) 22060105404 17547 JANJGIR - CHAMPA AKALTARA GOVT PS. ARASMETA (EDU) 22060105501 17548 JANJGIR - CHAMPA AKALTARA GOVT MS ARASMETA (SSA) 22060105502 17549 JANJGIR - CHAMPA AKALTARA GOVT PS. SONSARI (EDU) 22060105601 17550 JANJGIR - CHAMPA AKALTARA GOVT M.S. SONSARI (EDU) 22060105602 17551 JANJGIR - CHAMPA AKALTARA GOVT NPS SONSARI (SSA) 22060105604 17552 JANJGIR - CHAMPA AKALTARA GOVT. PS. TAND PARA (EDU) 22060105701 17553 JANJGIR - CHAMPA AKALTARA JP. PS. TILAI (EDU) 22060105801 17554 JANJGIR - CHAMPA AKALTARA GOVT.M.S. TILAI (EDU) 22060105803
  • 533.
    17555 JANJGIR -CHAMPA AKALTARA UP PS TILAI WARD NO 10 (SSA) 22060105806 17556 JANJGIR - CHAMPA AKALTARA NPS TILAI BUS STAND (SSA) 22060105807 17557 JANJGIR - CHAMPA AKALTARA UPS BUS STAND TILAI (SSA) 22060105809 17558 JANJGIR - CHAMPA AKALTARA JP. AMAR TAL (EDU) 22060105901 17559 JANJGIR - CHAMPA AKALTARA GOVT. M.S. AMARTAL (EDU) 22060105902 17560 JANJGIR - CHAMPA AKALTARA GOVT. PS GADHOLA (EDU) 22060106001 17561 JANJGIR - CHAMPA AKALTARA GOVT PS. DHANUVA (EDU) 22060106101 17562 JANJGIR - CHAMPA AKALTARA GOVT PS. POUNA (EDU) 22060106201 17563 JANJGIR - CHAMPA AKALTARA GOVT M.S. POUNA (EDU) 22060106203 17564 JANJGIR - CHAMPA AKALTARA GOVT PS. MURLI DIH(KANJI) (EDU) 22060106301 17565 JANJGIR - CHAMPA AKALTARA GOVT. MS MURLIDIH(KANJI) (SSA) 22060106302 17566 JANJGIR - CHAMPA AKALTARA GOVT. PS. MUDPAR (EDU) 22060106401 17567 JANJGIR - CHAMPA AKALTARA GOVT PS. TAGA (EDU) 22060106501 17568 JANJGIR - CHAMPA AKALTARA GOVT. M.S. TAGA (EDU) 22060106503 17569 JANJGIR - CHAMPA AKALTARA GOVT UP PS TAGA (SSA) 22060106504 17570 JANJGIR - CHAMPA AKALTARA GOVT GIRLS PS. PONDI DALHA (EDU) 22060106601 17571 JANJGIR - CHAMPA AKALTARA GOVT BOYS. PS.PONDI DALHA (EDU) 22060106602 17572 JANJGIR - CHAMPA AKALTARA GOVT. GIRLS M.S. PONDI DALHA (EDU) 22060106604 17573 JANJGIR - CHAMPA AKALTARA GOVT M.S. PONDI DALHA (EDU) 22060106605 17574 JANJGIR - CHAMPA AKALTARA GOVT UPS BHATAPARA PONDI(SSA) 22060106606 17575 JANJGIR - CHAMPA AKALTARA GOVT PS. BHATA PARA(PONDI) (SSA) 22060106701 17576 JANJGIR - CHAMPA AKALTARA GOVT PS PACHARI(DALHA) (EDU) 22060106801 17577 JANJGIR - CHAMPA AKALTARA GOVT.PS SONDIH (EDU) 22060106901 17578 JANJGIR - CHAMPA AKALTARA GOVT JP. PS. CHANGORI (EDU) 22060107001 17579 JANJGIR - CHAMPA AKALTARA GOVT. M.S. CHANGORI (EDU) 22060107002 17580 JANJGIR - CHAMPA AKALTARA GOVT PS DHAN PUR (EDU) 22060107101 17581 JANJGIR - CHAMPA AKALTARA GOVT PS PIPARDA (EDU) 22060107201 17582 JANJGIR - CHAMPA AKALTARA GOVT UPS PIPARDA (SSA) 22060107202 17583 JANJGIR - CHAMPA AKALTARA GOVT JP. PS. SANKAR (EDU) 22060107301 17584 JANJGIR - CHAMPA AKALTARA GOVT. M.S. SANKAR (EDU) 22060107302 17585 JANJGIR - CHAMPA AKALTARA GOVT. PS. JHIRIYA (EDU) 22060107401 17586 JANJGIR - CHAMPA AKALTARA GOVT. PS SONADULA (EDU) 22060107501 17587 JANJGIR - CHAMPA AKALTARA PS. PHARHADA (EDU) 22060107601
  • 534.
    17588 JANJGIR -CHAMPA AKALTARA UPPS. PHARHADA (SSA) 22060107602 17589 JANJGIR - CHAMPA AKALTARA GOVT PS MADHUVA (EDU) 22060107701 17590 JANJGIR - CHAMPA AKALTARA GOVT MS. MADHUWA (SSA) 22060107702 17591 JANJGIR - CHAMPA AKALTARA GOVT PS. PARSAHI (BANA) (EDU) 22060107801 17592 JANJGIR - CHAMPA AKALTARA GOVT P.S. BANA (EDU) 22060107802 17593 JANJGIR - CHAMPA AKALTARA GOVT. M.S. PARSAHI (EDU) 22060107804 17594 JANJGIR - CHAMPA AKALTARA GOVT PS. BAMHANI (EDU) 22060107901 17595 JANJGIR - CHAMPA AKALTARA DIVYA PS. BANHANIN (GRANDED) 22060107902 17596 JANJGIR - CHAMPA AKALTARA GOVT. PS. KARHIDIH (EDU) 22060108001 17597 JANJGIR - CHAMPA AKALTARA GOVT. PS. HARDI (EDU) 22060108102 17598 JANJGIR - CHAMPA AKALTARA GIRL P.S. HARDI (EDU) 22060108103 17599 JANJGIR - CHAMPA AKALTARA GOVT PS HARDI (SSA) 22060108105 17600 JANJGIR - CHAMPA AKALTARA GOVT PS SARAIPALI (EDU) 22060108107 17601 JANJGIR - CHAMPA AKALTARA GOVT.GIRLS MS HARDI (SSA) 22060108108 17602 JANJGIR - CHAMPA AKALTARA GOVT NPS HARDI (EDU) 22060108109 17603 JANJGIR - CHAMPA AKALTARA GOVT PS. BHAISTARA (EDU) 22060108201 17604 JANJGIR - CHAMPA AKALTARA GOVT M.S. BHAISTARA (EDU) 22060108202 17605 JANJGIR - CHAMPA AKALTARA GOVT PRIMARY SCHOOL BHAISTARA(SSA) 22060108203 17606 JANJGIR - CHAMPA AKALTARA P.S. PADARIYA (EDU) 22060108301 17607 JANJGIR - CHAMPA AKALTARA GOVT MS PADARIYA (SSA) 22060108302 17608 JANJGIR - CHAMPA AKALTARA GOVT PS. CHANDANIYA (EDU) 22060108401 17609 JANJGIR - CHAMPA AKALTARA GOVT M.S. CHANDANIYA (EDU) 22060108402 17610 JANJGIR - CHAMPA AKALTARA GOVT PS. BARBASPUR (EDU) 22060108501 17611 JANJGIR - CHAMPA AKALTARA GOVT PS. BUCHI HARDI (EDU) 22060108601 17612 JANJGIR - CHAMPA AKALTARA GOVT MS BUCHI HARDI (SSA) 22060108602 17613 JANJGIR - CHAMPA AKALTARA GOVT.PS. BARPALI (EDU) 22060108701 17614 JANJGIR - CHAMPA AKALTARA NAVIN M.S. BARPALI (EDU) 22060108702 17615 JANJGIR - CHAMPA AKALTARA GOVT.PS PARSADA(KAPAN) (EDU) 22060108801 17616 JANJGIR - CHAMPA AKALTARA GOVT. MS PARSADA (KAPAN) (EDU) 22060108802 17617 JANJGIR - CHAMPA AKALTARA GOVT PRIMARY SCHOOL AMALIPALI(EDU) 22060108901 17618 JANJGIR - CHAMPA AKALTARA GOVT M.S.BANA(SSA) 22060109002 17619 JANJGIR - CHAMPA AKALTARA GOVT N.P.S. DHANUVAR BANA(SSA) 22060109004 17620 JANJGIR - CHAMPA AKALTARA GOVT.PS GOPIA PARA AKALTARA(EDU) 22060109401
  • 535.
    17621 JANJGIR -CHAMPA AKALTARA GOVT PS PONDI BHATA AKALTARA (EDU) 22060109402 17622 JANJGIR - CHAMPA AKALTARA GOVT PS GIRLS AKALTARA (EDU) 22060109403 17623 JANJGIR - CHAMPA AKALTARA GOVT PS GURU GHASHI DAS AKALTARA 22060109404 17624 JANJGIR - CHAMPA AKALTARA GOVT BOYS PS AKALTARA (EDU) 22060109405 17625 JANJGIR - CHAMPA AKALTARA KGBV HARDI (SSA) 22060109502 17626 JANJGIR - CHAMPA AKALTARA NPS RAMAIPARA HARDI (EDU) 22060109503 17627 JANJGIR - CHAMPA AKALTARA GOVT. BOYS MS HARDI (EDU) 22060109504 17628 JANJGIR - CHAMPA AKALTARA GOVT NPS BHATAPARA PIPARSATTI(SSA) 22060109701 17629 JANJGIR - CHAMPA AKALTARA GOVT UPS LODAR COLONY AMORA (SSA) 22060109901 17630 JANJGIR - CHAMPA AKALTARA GOVT UMS MUDAPAR(SSA) 22060110201 17631 JANJGIR - CHAMPA AKALTARA GOVT MS. MOUHADIH(SSA) 22060110601 17632 JANJGIR - CHAMPA AKALTARA UPPS PACHARI (SSA) 22060110701 17633 JANJGIR - CHAMPA AKALTARA GOVT MS. ANDHIYARI PATH(SSA) 22060110801 17634 JANJGIR - CHAMPA AKALTARA GOVT PS NAYAK TAND (SSA) 22060110804 17635 JANJGIR - CHAMPA BALODA GOVT. GIRLS PS BALODA 22060200102 17636 JANJGIR - CHAMPA BALODA GOVT. PS KUMHAR PARA BALODA 22060200103 17637 JANJGIR - CHAMPA BALODA GOVT. PS BAZAR PARA BALODA 22060200104 17638 JANJGIR - CHAMPA BALODA GOVT M.S. GIRLS BALODA[EDU] 22060200127 17639 JANJGIR - CHAMPA BALODA GOVT.PS BARBHATHA BALODA[EDU] 22060200131 17640 JANJGIR - CHAMPA BALODA GOVT.PS BHAWAR BALODA[EDU] 22060200132 17641 JANJGIR - CHAMPA BALODA GOVT.PS THADGABAHARA BALODA[EDU] 22060200133 17642 JANJGIR - CHAMPA BALODA GOVT.MS THADGABAHARA BALODA[SSA] 22060200134 17643 JANJGIR - CHAMPA BALODA GOVT.H.S.S.BALODA[EDU] 22060200135 17644 JANJGIR - CHAMPA BALODA GOVT PRIMARY SCHOOL SADAR BALODA 22060200140 17645 JANJGIR - CHAMPA BALODA GOVT .M.S. BAZAR PARA BALODA 22060200142 17646 JANJGIR - CHAMPA BALODA GOVT. JAN. PS BHILAI[EDU] 22060200501 17647 JANJGIR - CHAMPA BALODA GOVT.MS BHILAI[SSA] 22060200504 17648 JANJGIR - CHAMPA BALODA GOVT.PS JHHARRADIH[SSA] 22060200505 17649 JANJGIR - CHAMPA BALODA GOVT. PS NAGPURA [EDU] 22060200601 17650 JANJGIR - CHAMPA BALODA GOVT.PS JHAPELI[EDU] 22060200701 17651 JANJGIR - CHAMPA BALODA GOVT.JAN. BOYS PS JAVALPUR[EDU] 22060200801 17652 JANJGIR - CHAMPA BALODA GOVT. GIRLS PS JAVALPUR[EDU] 22060200802 17653 JANJGIR - CHAMPA BALODA GOVT. M.S. JAVALPUR[EDU] 22060200804
  • 536.
    17654 JANJGIR -CHAMPA BALODA GOVT.PS. BELANDIYADIH[SSA] 22060200805 17655 JANJGIR - CHAMPA BALODA GOVT.GIRLS MS JAVALPUR[SSA] 22060200806 17656 JANJGIR - CHAMPA BALODA GOVT.JAN. PS CHARPARA[EDU] 22060200901 17657 JANJGIR - CHAMPA BALODA GOVT. M.S. CHARPARA[EDU] 22060200903 17658 JANJGIR - CHAMPA BALODA GOVT.GIRLS PS CHARPARA[SSA] 22060200904 17659 JANJGIR - CHAMPA BALODA GOVT. JAN. PS BACHHOUD[SSA] 22060201001 17660 JANJGIR - CHAMPA BALODA GOVT. M.S. BACHOD(EDU] 22060201002 17661 JANJGIR - CHAMPA BALODA GOVT. PS SULTANNAR[EDU] 22060201101 17662 JANJGIR - CHAMPA BALODA GOVT M.S.SULTANNAR[SSA] 22060201102 17663 JANJGIR - CHAMPA BALODA GOVT. PS DHORLA[EDU] 22060201201 17664 JANJGIR - CHAMPA BALODA GOVT. M.S. DHORLA[EDU] 22060201202 17665 JANJGIR - CHAMPA BALODA GOVT.PS PAHRI PARA[EDU] 22060201301 17666 JANJGIR - CHAMPA BALODA GOVT. PS KHISORA KHAMDEIPARA[EDU] 22060201401 17667 JANJGIR - CHAMPA BALODA GOVT.JAN. PS KHISORA[EDU] 22060201402 17668 JANJGIR - CHAMPA BALODA GOVT. PS RAJENDRANAGAR KHISORA[EDU] 22060201403 17669 JANJGIR - CHAMPA BALODA GOVT.M.S. KHISORA[EDU] 22060201404 17670 JANJGIR - CHAMPA BALODA GOVT. PS NAVGAWA [EDU] 22060201501 17671 JANJGIR - CHAMPA BALODA GOVT.JAN. PS NAVGAWA[EDU] 22060201502 17672 JANJGIR - CHAMPA BALODA GOVT. M.S. NAVAGAVA[EDU] 22060201503 17673 JANJGIR - CHAMPA BALODA GOVT.NPS BAIJUPARA NAVAGAVA[SSA] 22060201504 17674 JANJGIR - CHAMPA BALODA GOVT JAN. PS BELTUKRI[EDU] 22060201601 17675 JANJGIR - CHAMPA BALODA GOVT.M.S.BELTUKRI[SSA] 22060201602 17676 JANJGIR - CHAMPA BALODA GOVT N NAKAPARA BELTUKRI[SSA] 22060201603 17677 JANJGIR - CHAMPA BALODA GOVT. PS MADHIPUR[EDU] 22060201701 17678 JANJGIR - CHAMPA BALODA GOVT.PS CHHOTE MADHAIPUR[SSA] 22060201702 17679 JANJGIR - CHAMPA BALODA GOVT. PS BHATHAPARA KHAIJAEDU] 22060201801 17680 JANJGIR - CHAMPA BALODA GOVT.MS BHATAPARA KHAIJA[SSA] 22060201802 17681 JANJGIR - CHAMPA BALODA GOVT.JAN. PS KURMA[EDU] 22060201901 17682 JANJGIR - CHAMPA BALODA GOVT.MS KURMA[SSA] 22060201903 17683 JANJGIR - CHAMPA BALODA GOVT. PS NAVAPARA (KHI) [EDU] 22060202001 17684 JANJGIR - CHAMPA BALODA GOVT. M.S. NAVAPARA (KHI) [SSA] 22060202002 17685 JANJGIR - CHAMPA BALODA GOVT.JAN. PS LEVAI[EDU] 22060202101 17686 JANJGIR - CHAMPA BALODA GOVT GIRLS M.S. LEVAI[EDU] 22060202102
  • 537.
    17687 JANJGIR -CHAMPA BALODA GOVT. PS DONGIPENDRI[EDU] 22060202201 17688 JANJGIR - CHAMPA BALODA GOVT. JAN. PS BUDGAHAN[EDU] 22060202301 17689 JANJGIR - CHAMPA BALODA GOVT. M.S. BUDGHAN[EDU] 22060202302 17690 JANJGIR - CHAMPA BALODA GOVT.UP PS KARRANALA BUDGAHAN[SSA] 22060202303 17691 JANJGIR - CHAMPA BALODA GOVT. UP PS UDAYPUR BUDGAHAN[SSA] 22060202304 17692 JANJGIR - CHAMPA BALODA GOVT. PS PANORAPARA BUDGAHAN[EDU] 22060202305 17693 JANJGIR - CHAMPA BALODA GOVT.UP PS PANORAPARA BUDGAHAN[SSA] 22060202306 17694 JANJGIR - CHAMPA BALODA GOVT.UP PS MUDABHATA BUDGAHAN[SSA] 22060202308 17695 JANJGIR - CHAMPA BALODA GOVT. PS SARAITAL[EDU] 22060202401 17696 JANJGIR - CHAMPA BALODA GOVT. PS SANICHARADIH[EDU] 22060202501 17697 JANJGIR - CHAMPA BALODA GOVT.PS SANICHARADIH DAMAMI[SSA] 22060202502 17698 JANJGIR - CHAMPA BALODA GOVT. PS RAMPUR[EDU] 22060202601 17699 JANJGIR - CHAMPA BALODA GOVT- MS RAMPUR [SSA] 22060202602 17700 JANJGIR - CHAMPA BALODA GOVT. PS NAVAPARA(B)[EDU] 22060202701 17701 JANJGIR - CHAMPA BALODA GOVT. MS NAVAPARA(B) [SSA] 22060202702 17702 JANJGIR - CHAMPA BALODA GOVT.JAN. PS MAHUDA(B) [EDU] 22060202801 17703 JANJGIR - CHAMPA BALODA GOVT.NAVIN M.S. MAHUDA(B)