INVESTIGATION FOR THE IMPROVEMENT OF
PERFORMANCE BY EDM PROCESS USING
MULTI HOLED ELECRODE AND POWDER MIXED
DIELECTRIC
Thesis Submitted for the Award of the Degree of
DOCTOR OF PHILOSOPHY
in
Mechanical Engineering
By
PARIDHI MALHOTRA
(Registration no.: A2366616001)
Under the Supervision of
Dr. R.K Tyagi
Professor, Department of Mechanical Engineering,
A.S.E.T., Amity University Uttar Pradesh, Noida
and
Co-Supervision of
Dr. Basant Singh Sikarwar
Professor, Department of Mechanical
Engineering,
A.S.E.T., Amity University Uttar
Pradesh, Noida
Dr. Andriya Narasimhulu
Assistant Professor, Manufacturing
Processes and Automation
Engineering Department, Netaji
Subhas University of Technology, New
Delhi
Amity University Uttar Pradesh, Noida
(INDIA) 2021
Dedicated to my beloved parents, dear husband
& little son
iii
UNDERTAKING FROM THE PhD SCHOLAR
I hereby declare that I, PARIDHI MALHOTRA, have completed the
Ph. D. thesis work on the title “INVESTIGATION FOR THE
IMPROVEMENT OF PERFORMANCE BY EDM PROCESS USING
MULTI HOLED ELECRODE AND POWDER MIXED DIELECTRIC”
under the supervision of Dr. R.K Tyagi, Dr. Basant Singh
Sikarwar and Dr. Andriya Narasimhulu for the degree of Doctor
of Philosophy, Amity University Uttar Pradesh.
This is my own work and I have not submitted it earlier elsewhere.
Date: , August, 2021 PARIDHI MALHOTRA
Place: Noida A2366616001
iv
DECLARATION CERTIFICATE
I, PARIDHI MALHOTRA, D/o Mr. SUNIL MALHOTRA and Mrs.
ANITA MALHOTRA certify that the work embodied in this Ph.D.
thesis is my own bonafide work carried out by me under the
supervision of Dr. R.K Tyagi, Dr. Basant Singh Sikarwar and
Dr. Andriya Narasimhulu for a period of January 2016 to August
2021 at Amity University Uttar Pradesh. The work embodied in this
Ph.D. thesis has not been submitted for the award of any other
degree/ diploma except where due acknowledgement has been made
in the text.
I, hereby declare that I have faithfully acknowledged, given credit to
and refereed to the research workers wherever their works have
been cited in the text and the body of thesis. I further certify that I
have not willfully lifted up some other’s work, para, text, data, results,
etc. reported in the journals, books, magazines, reports,
dissertations, thesis, etc. or available at websites and included them
in this Ph.D. thesis and cited as my own work.
Date: , August, 2021 PARIDHI MALHOTRA
Place: Noida A2366616001
v
AMITY UNIVERSITY UTTAR PRADESH
AMITY SCHOOL OF ENGINEERING AND TECHNOLOGY
Dr. R.K Tyagi
B.Tech.; M.Tech. [HBTI, Kanpur] and
Ph.D. [BIT, Mesra, Ranchi]
Professor
Department of Mechanical Engineering
Amity School of Engineering and Technology
Amity University Uttar Pradesh
Noida-201313 (INDIA)
CERTIFICATE FROM THE GUIDE
Date: , August, 2021
This is to certify that research work embodied in this thesis entitled
“INVESTIGATION FOR THE IMPROVEMENT OF PERFORMANCE
BY EDM PROCESS USING MULTI HOLED ELECRODE AND
POWDER MIXED DIELECTRIC” submitted to Amity University Uttar
Pradesh, for the award of the degree of Doctor of Philosophy
(MAE) has been carried out by Paridhi Malhotra under my
supervision at ASET, Noida, AUUP from January 2016 to August
2021.
To the best of my knowledge and belief, this work is original and has
not been submitted so far in part or in full for the award of any
degree or diploma of any University/Institute.
(Dr. R.K Tyagi)
Amity University Campus, Sector-125, Noida-201313, Gautam Buddha Nagar, U. P. (INDIA)
Tel.: +91-8860490258
E-mail id: rktyagi@amity.edu; Website: http://amity.edu/aset/departments-mae.asp
vi
CERTIFICATE FROM THE CO-GUIDE
Netaji Subhas University of Technology
Formerly Netaji Subhas Institute of technology
Govt. of NCT of Delhi
Date: , August, 2021
This is to certify that research work embodied in this thesis entitled
“INVESTIGATION FOR THE IMPROVEMENT OF PERFORMANCE
BY EDM PROCESS USING MULTI HOLED ELECTRODE AND
POWDER MIXED DIELECTRIC” submitted to Amity University Uttar
Pradesh, for the award of the degree of Doctor of Philosophy
(Mechanical Engineering) has been carried out by Ms. Paridhi
Malhotra under my co-supervision at <ASET> AUUP, from January
2016 to August 2021.
To the best of my knowledge and belief, this work is original and has
not been submitted so far in part or in full for the award of any
degree or diploma of any University/Institute.
Dr. Andriya Narasimhulu
Assistant Professor
Manufacturing Process and Engineering Department
Netaji Subhas University of Technology, New Delhi (INDIA)
vii
COURSE WORK AND COMPREHENSIVE EXAMINATION
COMPLETION CERTIFICATE
This is to certify that Paridhi Malhotra, Enrolment No A2366616001,
a bonafide Ph. D. Scholar of A.S.E.T., Noida has successfully
completed the course work and comprehensive examination, which
is part of her Ph.D. programme.
Date: , August, 2021 Date: , August, 2021
Prof. (Dr.) M.K. Pandey Prof. (Dr.) Abhay Bansal
Joint Head, A.S.E.T. Joint Head, A.S.E.T.
Amity University Uttar Pradesh, Amity University Uttar Pradesh,
Noida Noida
viii
PRE-SUBMISSION SEMINAR COMPLETION
CERTIFICATE
This is to certify that Ms. Paridhi Malhotra, Enrolment No.
A2366616001, Ph. D. Scholar of A.S.E.T., Noida has successfully
completed the pre-submission seminar (held on 02.12.2019)
requirement, which is part of his/her Ph. D programme on his/her
thesis entitled, “INVESTIGATION FOR THE IMPROVEMENT OF
PERFORMANCE BY EDM PROCESS USING MULTI HOLED
ELECTRODE AND POWDER MIXED DIELECTRIC”.
Date: , August, 2021 Date: , August, 2021
Prof. (Dr.) M.K. Pandey Prof. (Dr.) Abhay Bansal
Joint Head, A.S.E.T. Joint Head, A.S.E.T.
Amity University Uttar Pradesh, Amity University Uttar Pradesh,
Noida Noida
ix
COPYRIGHT TRANSFER CERTIFICATE
Title of the Thesis: INVESTIGATION FOR THE IMPROVEMENT OF
PERFORMANCE BY EDM PROCESS USING MULTI HOLED
ELECTRODE AND POWDER MIXED DIELECTRIC
Ph.D. Scholar’s Name: PARIDHI MALHOTRA
Enrollment No.: A2366616001
COPYRIGHT TRANSFER
The undersigned hereby assign to the Amity University Uttar
Pradesh copyright that may exist in and for my thesis submitted for
the award of the Ph. D degree.
Date: , August, 2021 PARIDHI MALHOTRA
Place: Noida A2366616001
x
ACKNOWLEDGEMENTS
I would like to extend thanks and gratitude to the many people, who so generously
contributed to the work presented in this thesis. I honestly feel short of words to
acknowledge all those who helped me directly and indirectly during this research work.
With due regards and great delight, I convey my heartfelt gratitude and indebtedness to
my supervisor Dr. R.K Tyagi, Professor and Dy. HOD, Department of Mechanical
Engineering, A.S.E.T., Amity University Uttar Pradesh, Noida for skillful guidance,
persistent encouragement, proficient evaluation and conscientious supervision
throughout this academic endeavor. He was always available to help me with utmost
care, kind attention and prudent suggestions during odd hours of the job. His hard-
working nature and methodical suggestions were a constant source of encouragement to
me. It is owing to his guidance, expertise, inquisitive attitude and tireless efforts apart
from his working hours that I find my vision even more broadened. I earnestly thank
him from the core of my heart for being a consistent source of inspiration right through
the beginning till the end.
I am extremely thankful to Dr. Basant Singh Sikarwar, Professor and Head,
Department of Mechanical Engineering, A.S.E.T., Amity University Uttar Pradesh,
Noida, for his immovable help, support, and exhortation during my time as a Ph.D.
student with him. I was very lucky to have a supervisor who genuinely cared about my
work and rushed to react to my inquiries and concerns.
I am extremely thankful to Dr. Andriya Narasimhulu, Assistant Professor,
Manufacturing Processes Engineering Department, Netaji Subhas University of
Technology, New Delhi for the continuous guidance, encouragement and advice he has
provided throughout my time as his Ph.D. student. I have been extremely fortunate to
have a supervisor who cared so much about my work, and who responded to my
questions and queries so promptly. It is my sincere regard to thank him as at many
stages in the course of this research work as well as dissertation. His positive outlook
and confidence in my research inspired me and gave me confidence. With his all-time
positive and encouraging attitude towards my research work, I whole heartedly thank
him for being my steady and reliable source of motivation.
I am very much thankful to all the members of my doctoral committee including Dr.
xi
Pallav Gupta, Assistant Professor (Grade III), Department of Mechanical Engineering,
Amity University Uttar Pradesh, for spending his valuable time in reviewing and
critically examining the work. In addition, I would thank all the members for their
comments on my work resulting in enhancing the quality of the thesis.
My heartfelt gratitude is due to Dr. P.M Tiwari, Associate Professor amd Head
(Research and Publication) for the support, encouragement and providing the necessary
facilities to carry out and complete this work on steady course.
I also wish to express my deep sense of gratitude to all the faculty and staff members,
particularly Dr. Nishant Singh, Associate Professor, Hindustan College of Science and
Technology, Farah, Mathura, for the much-needed support throughout my work. I was
highly benefited from his advice, particularly in exploring new ideas, understanding
concepts and performing experimental work. Dr. Puneet Mangla, Head of Department,
Mechanical Engineering Department, Hindustan College of Science and Technology,
Farah, Mathura, and to Dr. Jimmy Mehta, Assistant Professor, Manav Rachna
International institute of research and studies for their tremendous support. Mr. Ramji,
Lab Technician, Department of Mechanical Engineering, Amity University Uttar
Pradesh and all the people who with their encouraging and caring words, constructive
criticism and suggestions have contributed directly or indirectly in a significant way
towards completion of this research work. My deepest appreciations are due to the
research scholars under the supervision of Dr. R.K Tyagi and Dr. Pallav Gupta. They
have always stood by me in all difficult times and reinforced my confidence. Their
never-ending support is a constant source of motivation and always keeps me going.
I bow with gratitude for my parents and my brother Mr. Nakul Malhotra, who are the
most precious people in my life and without their efforts I would have never achieved
this milestone. I feel honored in recognizing the love and affection of my husband Mr.
Charul Piplani and my adorable son Rudra Piplani.
I express my gratitude to all those, with whom I have worked, interacted and whose
thoughts have helped me in furthering my grasps and understanding of the work.
Last but not the least, I bow in reverence to ALMIGHTY GOD who has always
showered blessings on me at each and every step to complete this thesis.
PARIDHI MALHOTRA
xii
TABLE OF CONTENT
UNDERTAKING FROM THE PhD SCHOLAR iii
DECLARATION CERTIFICATE iv
CERTIFICATE FROM THE GUIDE v
CERTIFICATE FROM THE CO-GUIDE vi
COURSE WORK AND COMPREHENSIVE EXAMINATION
COMPLETION CERTIFICATE
vii
PRE-SUBMISSION SEMINAR COMPLETION CERTIFICATE viii
COPYRIGHT TRANSFER CERTIFICATE ix
ACKNOWLEDGEMENTS x
TABLE OF CONTENT xii
LIST OF FIGURES xv
LIST OF TABLES xix
ABBREVIATIONS xx
ABSTRACT xxii
CHAPTER 1 INTRODUCTION 1 – 27
1.1.Background and Motivation 2
1.2.Classification of the Un-Conventional Machining Processes 3
1.3.Electrical discharge machining (EDM) 4
1.4.Background of EDM 6
1.5.Various Types of EDM Techniques 7
1.6.Various Research areas of EDM 13
1.7.Parts of EDM 13
1.8.Principle of EDM 15
1.9.EDM process parameters 16
1.10. Benefits of EDM 19
1.11. Disadvantages of EDM 19
1.12. Utilizations of EDM 20
1.13. Composite materials 20
xiii
1.14. Classification of Composites 20
1.15. Advantages of composite materials 22
1.16. Disadvantages of composites materials 23
1.17. Aluminum metal matrix composites 23
1.18. Objectives 26
1.19. Summary of this chapter 27
CHAPTER 2 LITERATURE REVIEW 28 – 58
2.1.EDM Process 29
2.2.Composites 43
2.3.Summary of the Reviewed Literature 58
CHAPTER 3 MATERIALS AND METHOD 59 – 69
3.1.Workpiece 60
3.2.Tool electrode 63
3.3.Dielectric 64
3.4.Methodology 65
3.5.Equipment’s and Facilities 65
3.6.Process of EDM 67
CHAPTER 4 RESULTS AND DISCUSSION 70 – 96
4.1.Comparative analysis of Micro Structural and mechanical
properties of Al-SiC-Mg and Al-B4C-Mg Particulate Metal
Matrix Composite
72
4.2.Comparative investigation of traditional EDM and rotary EDM
of hybrid composite (Al7075/SiC/Mg)
78
4.3.Comparative prediction of the influence of process parameters
during CAEDM and REDM of hybrid metal matrix composite
82
4.4.Comparative analysis of REDM, Gas Assisted-EDM, and Gas
Assisted Powder Mixed-EDM of the hybrid MMC
87
4.5.Comparison of machining efficiency of gas assisted powder
mixed EDM of hybrid MMC based on different material of tool
electrode
94
CHAPTER 5 CONCLUSION 97 – 100
xiv
5.1.First stage Conclusions
5.2.Second stage Conclusions
CHAPTER 6 FUTURE SCOPE 101- 103
6.1.Key Points 102
REFERENCES 104
LIST OF PUBLICATIONS 115
PERSONAL PROFILE 143
xv
LIST OF FIGURES
Figure Number Caption Page Number
1.1 Non-Conventional Machining Process 3
1.2 Electrochemical machining system 4
1.3 Conceptualization of EDM process 5
1.4 Working of EDM 7
1.5 Process of Wire EDM 8
1.6 Die sinking EDM 9
1.7 Micro EDM processes 10
1.8 Powder mixed EDM 11
1.9 Dry EDM 13
1.10 Research areas in EDM 14
1.11 Various components of EDM process 15
1.12 Principle of EDM 15
1.13 Classification of composite on the basis of matrix material 21
1.14 Different types of reinforcement in composites 21
1.15
Classification of composite on the basis of the
reinforcement materials
21
1.16
Classification of the composite materials within the group
of materials
22
2.1 Process of EDM 30
2.2 Working principle of EDM 31
2.3 Design of copper ring tool shaped B-EDM 32
2.4 Experimental setup 32
2.5
Solid models of workpiece and interference between
work and tool
33
2.6
Effect of current and powders on machined surface
characteristics
33
2.7
Micro slit made with (a) kerosene (b) Al + kerosene
medium
34
2.8 Influence of micro-Cr powder addition on recast layer
formation
35
xvi
2.9 Effect of Nano powder addition on the recast layer
formation
35
2.10 The principle of dry EDM 36
2.11
Comparison of the section view of the craters obtained
using different dielectrics and polarities
36
2.12 Simulation Results 37
2.13
Variation of volume of material removed per discharge
as the operation progresses
38
2.14 Principle of the powder mixed EDM process 39
2.15
Graph showing variation of MRR with respect to powder
size
40
2.16
Mechanism of electromagnetic field application in
DEDM
41
2.17 Surface morphology comparison of with and without
cryogenically cooled work pieces
41
2.18
Schematic diagram of the experimental apparatus for
producing the MMCs
44
2.19 Machining of Metal Matrix 45
2.20 Composite Material 46
2.21 AA6061 without reinforcement 47
2.22 Die-sinker EDM with external circulation system 48
2.23
Distribution of ceramic Al2O3 particulates in stir cast
AA2014composites
49
2.24 Effect of hardness 49
2.25
Equivalent von Mises Stress Distribution during μUSM
Process
50
2.26 Microstructure of W1 after EDM 50
2.27
Roughness value corresponding to each experimental
condition
51
2.28 Crater topography of machined PRMMC specimen 52
2.29 Microstructure of 15 vol% SiCp/A356 Al (500×) 53
2.30
SEM micrograph of recast layer across machined surface
with powder mixed dielectric EDM
54
2.31
SEM micrographs of EDM machined surface (EDM-
machining conditions: pulse current 15A, pulse duration 10
μs, gap voltage 60V)
55
2.32 Macrograph of FSP zone of surface hybrid composite 56
xvii
2.33 Cross-sectional micrograph of surface hybrid composite 56
2.34
SEM photograph of electric discharge machined surface
of Al 6061 composites reinforced with SiC and graphite
particles at a voltage 50V and a flushing pressure 3psi
57
2.35 Micrograph of as-cast hybrid composite 58
2.36 Micrograph of 1700C ageing heat treated hybrid
composite
58
3.1 Different steps during the process of stir casting 61
3.2 Fabricated aluminum MMC 62
3.3 Stir casting setup 62
3.4 Schematic diagram of copper tool electrode 63
3.5 Different types of Tool utilized in the present research 63
3.6 Classification of the dielectric oil 64
3.7 EDM machine 66
3.8 Weighing balance 66
3.9 Surf – test SJ-210 surface roughness tester 67
3.10 Scanning electron microscopy 67
3.11 Gas assisted powder mixed EDM set up 69
4.1 Outcome of Vickers hardness test of Al(7075) alloy 73
4.2 Tensile specimen for the present research 74
4.3 Tensile specimen as per ASTM standard 74
4.4 Results of the tensile strength 74
4.5 Results for hybrid composites 76
4.6
Comparison of electrical conductivity of both the Al-SiC
and Al-B4C nanocomposites
77
4.7 Effect of pulse duration on MRR 78
4.8 Effect of peak current on MRR 78
4.9 Effect of duty cycle on MRR 79
4.10 Effects of peak current on EWR 80
4.11 Effects of pulse duration on EWR 80
4.12 Effects of duty cycle on EWR 81
4.13 Impact of duty cycle on the MRR 82
4.14 Impact of tool rpm on MRR 82
4.15 Impact of pulse on time on MRR 83
4.16 Impact of peak current on MRR 83
xviii
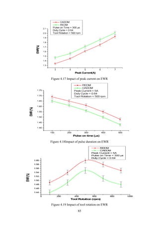
4.17 Impact of peak current on EWR 85
4.18 Impact of pulse duration on EWR 85
4.19 Impact of tool rotation on EWR 85
4.20 Impact of duty cycle on EWR 86
4.21 Effects of peak current on MRR 88
4.22 Effects of pulse duration on MRR 88
4.23 Effects of tool rotation on MRR 89
4.24 Effects of duty cycle on MRR 89
4.25 Effect of peak current on EWR 90
4.26 Effect of pulse duration on EWR 90
4.27 Effect of tool rotation on EWR 91
4.28 Effect of duty cycle on EWR 91
4.29 Microscopic view of SEM image 92
4.30 Microscopic view of SEM images 93
4.31 MRR Versus Pulse duration 94
4.32 MRR Versus Peak current 94
4.33 MRR Vs duty cycle 95
4.34 EWR Versus Pulse duration 95
4.35 EWR Versus Peak current 96
4.36 EWR Vs Duty cycle 96
xix
LIST OF TABLES
Table Number Title Page Number
1.1 Physical properties powders in powder-mixed EDM
(PMEDM)
12
1.2 Industry specific applications of composite materials 24
1.3 Different aluminium matrix composites for various
components used in automobile industries
25
1.4 Comparison of stir casting with other methods 25
2.1 Advanced aluminum alloy composite combinations and
its applications
45
2.2 Mechanical properties of LM6 47
3.1 Properties of the reinforcement 61
3.2 Parameters selected for stirring 62
4.1 Results of the hardness test Results of hardness test of
Al7075-SiC-Mg & Al7075-B4C-Mg
73
4.2 Results of tensile strength 74
4.3 Results of the experimental and theoretical density of the
nanocomposites. Results of theoretical and experimental
density Al7075-SiC-Mg and Al7075-B4C-Mg
75
xx
ABBREVIATIONS
EDM Electrical discharge machining
REDM Rotary electrical discharge machining
GAEDM Gas assisted electrical discharge machining
GAPMEDM Gas assisted powder mixed electrical discharge machining
MRR Metal removal rate
EWR Electrode wear rate
TWR Tool wear rate
SR Surface roughness
TEMP Temporary
AJM Abrasive jet machining
USM Ultrasonic machining
WJM Water jet machining
AWJM Abrasive water jet machining
AFM Abrasive flow machining
MAF Magnetic abrasive finishing
CHM Chemical machining
ECM Electro chemical machining
PCM Photo chemical machining
PBM Plasma beam machining
LBM Laser beam machining
EBM Electron beam machining
IBM Ion beam machining
CNC Computer numerically controlled
WEDM Wire electrical discharge machining
PMEDM Powder mixed Electrical discharge machining
PMC Polymer matrix composite
MMC Metal matrix composite
CMC Ceramic matrix composite
AMMC Aluminum metal matrix composite
IRSR Improvement ratio of surface roughness
xxi
RSM Response surface methodology
WLT White layer thickness
DEDM Dry electrical discharge machining
MADEDM Magnetic field assisted dry electrical discharge machining
CNT Carbon nano tubes
MWCNT Multi walled carbon nano tubes
DOE Design of experiments
S/N Signal to noise ratio
UTS Universal testing machine
SEM Scanning electron Microscope
NMMC Nano metal matrix composite
CAEDM Compressed air assisted electrical discharge machining process
ANOVA Analysis of variance
RCL Re-cast layer
PAMC Particulate aluminium matrix composite
CFRP Carbon fibre reinforced polymer
RHA Rice husk ash
GRG Glass reinforced gypsum
PRMMC Particle reinforced metal matrix composite
xxii
ABSTRACT
As the need for light weight structural materials increases, in aerospace and automotive
applications, magnesium metal matrix composites are becoming increasingly important.
The recent study has a novel goal of creating an Al7075 hybrid composite and
evaluating its mechanical characteristics and surface morphography. Boron carbide as
well as silicon carbide (both available in powder form) were added to the alloy in
various amounts to test their TEMP effects in combination with magnesium powder.
Boron carbide (also referred as black diamond) was preferred because it is exceptionally
durable and has well liked neutron shielding qualities, as it is capable of absorbing them.
After diamond and cubic boron nitride it is the third hardest non-material in respect of
ionising radiation stability. Silicon carbide was chosen owing to its great strength, in
addition its hardness, and wear resistance. Magnesium was chosen because it is the
lightest of all metals and has excellent heat dissipation and dampening properties.
TEMP has paramount applications in the automotive sector, aerospace sector, and
defence applications since it is lightweight. The utilisation of a hybrid metal matrix
composite permit for admirable micro-part dimensional precision machining of micro-
parts, revealing new possibilities for Al-SiC-Mg and Al-B4C-Mg micro-components.
For the machining of complicated cavities, EDM is sort of the most common modern
unconventional machining technologies. EDM has been increasingly popular in recent
years. The melting and vaporisation caused by the electrical discharge formed amid the
workpiece and the tool electrode, which is segregated by the dielectric fluid, separates
the material. On account of friable and nonconductive nature of the reinforcing
ceramics, poor surface polish, limited material removal, and significant tool wear are
utmost pressing issues in the EDM process. The EDM process has seen significant
advances in recent years, making it more efficient.
When it advances to process reactions like MRR and EWR, an effort has now been
made to equate rotary EDM (REDM), gas-assisted EDM (GAEDM), and gas-assisted
powder mixed EDM (GAPMEDM) processes with hybrid ceramic composites. MRR,
EWR, and surface topography have all been studied colossally concerning input
parameters. The rotation of the electrode improves the
xxiii
flow of dielectric and the effective expulsion of remains from the void amid the
workpiece and the machining tool, as claimed by the findings of the experiments. When
rotary EDM is used instead of traditional EDM, the outcome reveals a higher MRR and
lower EWR. Due to the brittle and non-conductive character of the reinforcing ceramics,
low material removal and significant electrode wear are few key challenges in EDM
processing of hybrid metal matrix composites. For this aim, methods such as rotary
electrical discharge machining (REDM), gas-assisted electrical discharge machining
(GAEDM), and gas-assisted powder mixed electrical discharge machining
(GAPMEDM) are compared under the pretext of the material removal rate along with
the electrode wear rate. The metal removal rate of the gas-assisted powder mixed
electrical discharge machining method is up to 75 percent higher than the REDM
process, and the electrode wear rate is at least 25% lower. The metal removal rate
attained by the gas-assisted powder mixed electrical discharge machining process is at
least 45 percent higher than the GAEDM process, and the rate of electrode wear is not
less than 15% lower. In comparison to GAEDM and the traditional REDM method,
experimental findings disclose that GAPMEDM has a higher MRR and descended
EWR.
CHAPTER 1
INTRODUCTION
2
CHAPTER 1
INTRODUCTION
1.1. Background and Motivation
Machining is a manufacturing phrase enclosing a wide range of techniques
and procedures. Machining can be delimited as the process involving removal of
material from the workpiece using various machines that are driven by power and
a variety of tools to produce a specific geometry with explicit accuracy and surface
quality. Nearly all the metal components need a few forms of machining in the course
of the manufacturing process. The machining processes can either be subtractive
manufacturing otherwise additive manufacturing. In various engineering applications,
numerous parts or components have to be interchangeable to function correctly as
well as reliably during the course of their service. Material removal processes
comprise of cutting, grinding, and drilling[1]. Machining operation comprises of the
workpiece, cutting tools, machine tools, fixtures and machining parameters. The
TEMPEffect of any process can be assessed in terms of machining rate, and surface
finish acquired. For the material evacuation process the source of energy can be either
mechanical or electrical[2]. Machining is of two types i.e., conventional machining
and non-conventional machining.
• Conventional machining
The machining process utilizes mechanical energy to remove the material
from the surface. Boring, turning, slitting, grinding are some of the conventional
machining processes. An increased amount of time, money and energy is utilized for
machining hard materials and alloy using conventional methods. Because of the
induced residual stresses during the manufacturing process, high accuracy and
precision are hard to achieve. In the conventional machining process, there exists a
direct link between the tool and the workpiece. Owing to the lesser lifetime of the tool
a huge amount of material is wasted in conventional machining.
• Non-conventional or Unconventional or Modern machining
It uses advanced or modern technology to machine the materials. In non-
conventional machining processes, there is no direct contact between the tool and the
workpiece. Using conventional methods high accuracy and better surface finish can
3
feasibly be attained. Non-conventional machining plays a significant role in the
automobile, mould making, aircraft industries. These methods are used to
manufacture geometrically complex and high-precision parts. Various micro
machined components and low rigidity structures with rigid tolerances and enhanced
surface qualities can be easily machined using advanced methods[3]. Through the
years greater TEMPthan 20 different unconventional processes have been evolved and
implemented in diversified manufacturing industries. Figure 1.1 depicts schematic
non-conventional machining process.
Figure 1.1. Non-Conventional Machining Process[4]
1.2. Classification of the Un-Conventional Machining Processes
Depending on the type of energy source, the further classification could be carried out
as –
• Mechanical machining process
The machining process whereabouts erosion of the workpiece material takes
place by a high-velocity stream of abrasives or water[5], different mechanical
machining processes are –Abrasive jet machining (AJM), Ultrasonic machining
(USM), Water jet machining (WJM), Abrasive water jet machining (AWJM),
Abrasive flow machining (AFM), and Magnetic abrasive finishing (MAF)[6].
• Chemical machining process
It uses a chemical or electrochemical dissolution effort to remove the
machining allowance using ion transfer. It is also referred as the electrolysis process.
4
Chemical machining (CHM), Electrochemical machining (ECM) as shown in Figure
1.2, Photochemical machining (PCM) are some of the types of chemical machining.
• Thermal Processes
In involves the removal of material by melting or vaporizing the workpiece.
Phenomenon such as micro-cracking, formation of heat-affected zones occurs during
the machining process.On the basis of the heat source, they are further classified as -
• Plasma Source-Electrical discharge machining (EDM), Plasma beam
machining (PBM)
• Photon source- Laser beam machining (LBM)
• Electron’s source- Electron beam machining (EBM)
• Ion source- Ion beam machining (IBM)
Figure 1.2.Electrochemical machining system[7]
1.3.Electrical discharge machining (EDM)
An electro thermal non-customary machining measure which uses electrical
energy to produce electrical flash and sparkle’s nuclear power is utilized to eliminate
the material from the workpiece. EDM is perhaps the crudest non-customary
machining measure. EDM measure depends on thermoelectric energy created between
the workpiece and a terminal[8].
It’s typically used to automate difficult calculations in small groups or even on
a task shop setting. In the instance of advancement of super-intense electrically
conductive materials like carbides, treated steels, hastelloy, nit alloys, wasp alloy,
mnemonics, and so forth, the interest for non-customary assembling measures
5
TEMPhas become more applicable. These very intense materials, which have broad
applications, like assembling of kicks the bucket, auto, and aviation segments, are
extremely hard to machine by regular techniques. To machine all the electrically
conductive materials regardless of their hardness and strength, EDM measures widely
utilize nuclear power[9]. In non-traditional machining measures EDM has colossal
potential by virtue of its flexibility and applications in present-day enterprises. The
EDM cycle can likewise deliver openings, outer shapes, profiles, cavities in an
electrically conductive workpiece through controlled use of high-recurrence electrical
releases by disintegrating or liquefying the workpiece material in a specific region.
The electrical releases are the consequences of controlled beats of direct flow and
happen between the apparatus terminal (cathode) and the workpiece (anode)[10].
Figure 1.3 Conceptualization of EDM process[11]
Figure 1.3 shows the detailed conceptualization of EDM process. Probably the
most popular application of the EDM cycle is in an instrument, and form making [12].
Material evacuation rate is characterized as the volume of material eliminated over a
unit period. It is ordinarily communicated by the unit (mm3
/min). A high worth of the
release voltage, top current, beat length, obligation cycle, and the low upsides of
heartbeat stretch will result in a higher MRR. Notwithstanding these previously
mentioned electrical boundaries, non-electrical boundaries and material properties
likewise have their own critical TEMPEffect on the MRR.
Instrument wear proportion can be characterized as the portion or volume of materials
eliminated from the device terminal to that of the work. It tends to be likewise called
terminal wear proportion. Instrument wear proportion relies upon anode extremity and
the properties of terminal materials. Surface unpleasantness is a vital boundary to
6
consider in kick the bucket sinking EDM. In most pass-on sinking activities, separate
completing and roughing tasks are done to finish the eventual outcome. It is addressed
by the normal SR and estimated in microns[13]–[15].
1.4. Background of EDM
In 1770 the English scientist Joseph Priestly found the erosive impact of
electrical releases or starts on metals. In 1940 two Russian researchers, Dr. B.R
Lazarenko and Dr. N.I Lazarenko harvested this thought and applied it in their
research. During the second universal conflict, they were relegated wif an undertaking
by the Soviet government to examine the shimmering between tungsten electrical
contacts, since wear was a major issue for the upkeep of car motors. Specialists
tracked down that the sparkles were more uniform in oil TEMPthan in air. In 1943
they made the first sparkle disintegration machine which was fit to dissolve hard
metals like tungsten or tungsten carbide.
The Lazarenko EDM framework utilizes an obstruction capacitance sort of
force supply and it was utilized in EDM machines till the 1950's and afterward went
about as the model for progressive advancement in EDM. Because of the low quality
of the electronic parts, the presentation of the machine was not great.
During the 1960s the progression of the semiconductor business prompts the
critical modernization of EDM machines. During this time, Die sinking EDM
machines became solid and created quality controlled surfaces wif precision however,
wire cutting machines were still at their earliest reference point. During the ensuing
many years, extraordinary enhancements were made in generator configuration,
measure automatization, servo control, and advanced mechanics. The utilization of
heartbeat and strong state generators tackled existing issues wif powerless anodes just
as the innovation of the circling frameworks. During the 1970s the quantity of anodes
is diminished to make depressions. In 1980 PC mathematically controlled (CNC)
EDM was created in the USA.
During the 1990s fuzzy logic control, neural networks, reaction surface
methodology, Taguchi optimization, and so forth are some new techniques that were
utilized to control the EDM cycle, which increments applied fundamental EDM[8],
[16].
7
1.5. Various Types of EDM Techniques
There are numerous sorts of EDM. This exploration arranged EDM measures
under three primary classifications, to be specific, Sinker EDM, Wire EDM, and
quick opening penetrating EDM. Flash machining functioning rule depends on the
disintegration of the material by continuous sparkles between the workpiece and the
gadget or device that is submerged in a dielectric medium. A hole isolates the
workpiece and the cathode to build up a beat sparkle through which the dielectric
liquid streams. Schematic portrayal of the essential working standard of EDM
measure has appeared in Figure 1.4.
Figure 1.4 Working of EDM[17]
1.5.1. Wire Electrical discharge machining process (WEDM)
A paramount emerging non-conventional manufacturing process is wire
electrical discharge machining. Roy, A.; Narendra, N.; Nedelcu, D. Experimental
investigation on a variation of output responses of as-cast TiNiCu shape memory
alloys using wire EDM [18], [19]. Widely this process is used to machine hard
materials and intricate shapes which are not possible with conventional machining
methods. It is more efficient and economical. In wire EDM, an electric spark is
created between an electrode and the workpiece [20], [21].
The spark is the visible evidence of the flow of electricity. This electric spark
creates intense heat of temperature moving from 8000 to 12,000 degrees Celsius,
which melts almost anything. The spark is carefully controlled and localized so that it
only affects the surface of the materials. The EDM process does not affect the heat
treat below the surface of the workpiece. In wire EDM, the spark always takes place
8
in the dielectric of de-ionized water. The conductivity of the water is carefully
controlled for making an excellent environment for the EDM process. Here, the water
acts as a coolant and flushes away the eroded metal particles. The working principle
of wire EDM is shown in [22], [23]. The electrode wire is mainly fabricated of either
brass or copper material. 0.5 to 0.25 mm is the diameter range of the wire. To strand
the wire, it is wound on a two-wire spool that is turned in the same direction. Wire
movement can reach 3 meters per minute. The material is removed by generating a
spark between the moving electrode wire and the work piece. Rather than drowning
the entire workpiece, the dielectric is confined. To process the machining operation, it
is using a CNC controlled machine setup.The basic process of WEDM is depicted in
Figure 1.5
Figure 1.5 Process of Wire EDM[17]
In light of the key qualities of WEDM, it is realized that the cycle factors pulse
on time, spark voltage, wire pressure, wire feed, pulse off-time, and flushing pressure
are the primary cycle factors of the WEDM[24].
1.5.2. Die Sinking EDM
It is additionally called depression type EDM or volume EDM. It comprises of
an anode and workpiece lowered in a protecting fluid, for example, more commonly,
oil, or, less as often as possible, other dielectric liquids. The cathode and workpiece
are associated wif a reasonable force supply. The force supply produces an electrical
voltage between the two sections. As the anode moves toward the workpiece, the
dielectric breakdown happens in the liquid, which frames a plasma channel and little
flash leaps. These bouncing sparkles as a rule strike on each in turn. The sinker EDM
9
measure utilizes an electrically charged anode that is designed to a particular math to
consume the cathode's calculation into a metal segment. This cycle is ordinarily
utilized in passes-on and device fabricating. A schematic graph of a sinker EDM has
appeared in Figure1.6 [25], [26].
Here, the fundamental parts are the force supply, dielectric framework,
terminal, and the extreme; the principal segments are power supply, dielectric
framework, anode, and the servo framework. In this way, this is the schematic that
clarifies the rule of starting. The workpiece is normally associated wif the positive
terminal of the force supply.
Figure1.6 Die sinking EDM [27]
Here, the state of the apparatus is unique, and a similar shape will be
reproduced also on the workpiece. The starting happens through the various zones or
the through various focuses which are nearer to the workpiece because of the reality
of this starting, the plasma arrangement zone will make air pockets and high pressing
factor which hence fall and dissolve the workpiece. At whatever point the starting
happens, the disintegration of the workpiece will likewise happen. Subsequently, we
have found on account of EDM, little disintegration will happen on the anode too.
Sinker EDM is one of the high-level techniques for machining electrically conductive
materials frameworks. Along these lines, this is the schematic that clarifies the head
10
of starting. The workpiece is generally associated wif the positive terminal of the
power supply. Here, the state of the device is unique, and the same shape will be
recreated too on the workpiece. The starting happens through the various zones or the
through various focuses which are nearer to the workpiece. Due to the actuality of this
starting, the plasma arrangement zone will make the air pockets and high pressing
factor which along these lines implode and disintegrate the workpiece. At whatever
point the starting happens, the disintegration of the workpiece will likewise happen.
Along these lines, we TEMPhas seen in the instance of EDM, little disintegration will
happen on the cathode also. Sinker EDM is one of the progressed strategies for
machining electrically conductive materials[28]–[32].
1.5.3. Micro EDM
It is utilized to machine miniature openings and miniature shafts. This
interaction is likewise competent to machine minuscule distances across up to 5
micrometers and complex 3-dimensional micro cavities.Micro EDM measure is
essentially of four kinds for which the process is given by Figure 1.7.
Figure1.7 Micro EDM processes[33]
• Micro-wire EDM-In miniature wire EDM, a wire is utilized to cut a workpiece
that TEMPhas a width as little as 0.02mm.
• Die sinking micro EDM-In die sinking micro EDM, an anode having
miniature highlights is utilized to cut its identical representation in the
workpiece.
11
• Micro EDM drilling- In micro EDM boring, microelectrodes having widths
however little as 5-10 micrometers may be utilized to bore micro holes in the
specimen.
• Micro EDM milling- In micro EDM milling, microelectrodes having a width
however little as 5-10 micrometers may be utilized to deliver 3D pits by
embracing comparable system as that in regular processing.
1.5.4. Powder Mixed EDM
This is another procedure that increases the material removal rate by adding
some reasonable material in the type of powder blended in with the dielectric liquid of
EDM. Powder blended EDM upgrade abilities of the electric release machining
measure. When the appropriate powder is blended in with the dielectric liquid then it
increases the conductivity of the dielectric liquid, which further reduces the protecting
strength of the dielectric liquid to increase the spark gap distance between the anode
and the workpiece. This amplified flash hole flushes out the trash consistently. This
increased spark gap makes the machining measure steadier, thereby improving the
material expulsion rate and surface quality. At the point when a reasonable voltage is
applied, the spark gap is loaded up with added substance particles and the gap
distance arrangement between the apparatus and the workpiece expanded from 25-50
to 50-150 mm. The powder particles get invigorated, get sped up under the electric
field, and begin moving in a crisscross style. These charged particles go about as
conductors. The powder particles organize themselves under the starting region and
accumulate in groups as shown in Figure 1.8.
Figure 1.8 Powder mixed EDM[16]
12
The chain development helps in crossing over the gap between both terminals,
which causes the early blast. Quicker starting inside release causes quicker
disintegration from the workpiece surface in this way expanding the MRR.The impact
of the powder in the PMEDM mostly relies upon the powder boundaries, that is,
powder material, particle size, and molecule fixation[16], [22].
• Different Powders Used in EDM
Powders blended wif dielectric liquid in EDM can be ordered into six unique
sorts be specific, aluminum, silicon, chromium, graphite, silicon carbide, and nickel
Nano powder. Every one of these kinds TEMPhas its own attributes which makes it
reasonable to be utilized for various machining conditions. To meet the required
conditions, these powders have numerous properties like MRR, SR, TWR, and so on.
Their actual properties appear in Table 1.1
Table 1.1Physical properties powders in powder-mixed EDM (PMEDM) [34]
Material Density
(g/cm3)
Electrical
Resistivity (μΩ-
cm)
Thermal
Conductivity (W/m-
K)
Aluminum (Al) 2.70 2.89 236
Graphite C 1.26 103 3000
Chromium (Cr) 7.16 2.6 95
Copper (Cu) 8.96 1.71 401
Silicon (Si) 2.33 2325 168
Nickel (Ni) 8.91 9.5 94
Silicon Carbide (SiC) 3.22 1013 300
Titanium (Ti) 4.72 47 22
Tungsten (W) 19.25 5.3 182
Alumina (Al2O3) 3.98 103 25.1
Boron Carbide (B4C) 2.52 5.5 × 105 27.9
Carbon nano tubes
(CNTs)
2.0 50 4000
Molybdenum
Disulfide (MoS2)
5.06 106 138
1.5.5. DRY EDM
Dry EDM is a green climate cordial Electric discharge machining Technique
in which the fluid dielectric is supplanted by a vaporous dielectric. Gas at a high
pressing factor is utilized as the dielectric medium. In dry EDM, a cathode is framed
to be a slender walled pipe. The progression of high-speed gas into the hole works wif
13
evacuation of trash and forestalls extreme warming of the tool and workpiece at the
release spots as shown in Figure 1.9. The tool turns during machining not just works
wif flushing yet, in addition, improves the interaction security by diminishing arcing
between the cathodes The strategy was created to decline the contamination brought
about by the utilization of fluid dielectric which prompts the creation of fume during
machining and the expense to deal wif the squander. Dry EDM technique wif the
most limited machining time contrast wif oil pass on sinking EDM, and most minimal
cathode wear proportion. Material evacuation rate likewise gets improved by dry
EDM[35].
Figure 1.9 Dry EDM[36]
1.6. Various Research areas of EDM
EDM research can be divided into various major areas. Figure 1.10 presents
the various fields and aspects of research in the area of EDM along with its future
scope and other details.
1.7. Parts of EDM
The different parts and components indulged in the working operation of
EDM as shown in figure 1.11 are briefly discussed below. These include work piece,
apparatus electrode, dielectric liquid, servo framework, power supply and the pulse
generator.
• Work-piece- All the conductive material can be worked by EDM
• Apparatus Electrode-The EDM electrode is the tool that decides the state of
the cavity to be produced.
14
• Dielectric liquid - The EDM arrangement comprises the tank in which the
dielectric liquid is filled. Anode and workpiece lowered into the dielectric
liquid.
• Servo framework - The servo framework is directed by signals from the gap
voltage sensor framework in the power supply and controls the feed of the
terminal and the workpiece to decisively coordinate wif the pace of material
evacuation.
• Power supply-The power supply is a significant piece of any EDM framework.
It changes the rotating current from the fundamental utility supply into the
pulse direct current (DC) required to create the spark release at the machining
gap.
• DC pulse generator – It is liable for providing pulse at a specific voltage and
current for a particular measure of time.
Figure 1.10 Research areas in EDM
15
Figure 1.11Various components of EDM process
1.8. Principle of EDM
The standard of EDM is to utilize the dissolving impact of controlled electric
flash releases on the terminals. It is subsequently a warm disintegration measure. The
flashes are made in a dielectric fluid, for the most part, water or oil, between the
workpiece, what's more, a cathode, which can be considered as the cutting device.
There is no mechanical contact between the anodes during the entire cycle. Since
disintegration is delivered by electrical releases, both anode and workpiece need to be
electrically conductive. Along these lines, the machining interaction comprises
progressively eliminating little volumes of workpiece material, liquid, or disintegrated
during a release.
Figure1.12 Principle of EDM [37]
16
Its functioning standard depends on electro thermal energy, where electrical
energy is utilized to create an electrical spark and nuclear power of the flash is
utilized for material removal.EDM measure utilizes electrical energy which further
produces a channel of plasma between the cathode and anode and transforms it into
thermal energy. The workpiece and the anode are isolated by an especially little gap
known as a flash gap. The pulse spark happens in this gap loaded up with a protecting
medium [37]. The complete system is presented by Figure 1.12.
The protecting impact of the dielectric medium helps in staying away from
electrolysis consequences during the machining interaction. The terminals move
towards the workpiece until the gap is little enough wif the goal that the applied
voltage is sufficiently high to ionize the dielectric liquid. The conductivity of the
apparatus and workpiece ought to be kept up for the cycle to be done. The dielectric
properties utilized in EDM are straightforwardly identified wif the flushing rate and
flash gap. The cavity development can be accomplished by setting the different
electrical boundaries according to the material expulsion rate needed for machining.
The state of the apparatus surface is duplicated on the workpiece surface during
machining. Tan again, the little material expulsion rate causes a lethargic machining
measure and furthermore influences the beat release at different areas on the anode.
The time-stretch changes wif the spark gap and starts pulse for smooth machining
surface age. The non-uniform part of disintegration in the workpiece brings about a
decrease in measure boundaries like material removal rate (MRR), tool wear rate
(TWR), and surface roughness (SR).
1.9. EDM process parameters
The parameters of EDM process are classified as input parameters and output
parameter.
1.9.1. Input parameters
The input parameters are classified in two types-:
• Electrical parameter
• Peak current – For a given pulse the maximum quantity of current flowing
through the tool and the workpiece is called the peak current.
• Open circuit voltage –It is the maximum potential difference across the tool
electrode and workpiece electrode before the flow of current.
17
• Ton – time span for which the current flows between the machining zone in
each cycle
• Toff- it is the duration between two simultaneous discharges.
• Electrode gap- In EDM the electrode gap is maintained by servo mechanism.
• Duty cycle –It is deliberated by dividing the Ton by the entire time taken in a
complete cycle (Ton/(Ton+Toff).
• Non-electrical parameter
• Dielectric fluid- It flows between the tool and workpiece through external jets
or sometimes through the holes made on the surface of the electrodes.
Dielectric fluid acts as an insulator and cools the tool along with the
workpiece by flushing the unwanted particles from the spark gap. Selection of
a good dielectric like kerosene oilis noteworthy as it affects the performance
of the process.
Various researches have been implemented for the up gradation of the
technology and mechanism of EDM process, but still there are many faces of the
process which still needs awareness for intensifying the process. Selection of suitable
dielectric is one such aspect of the process. Gaseous dielectric, powder mixed
dielectric is some of the techniques which are adopted by various researchers and
proved to inflate the efficiency of the process.
• Flushing
Flushing is preferably known as the proper transmission of the insulating fluid
between the electrodes. Improper flushing of the dielectric fluid may lead to the
formation of bridges consequently causing short circuit. Flushing techniques are
classified as follows-:
• Normal flow flushing
• Side flushing
• Reverse flow flushing
• Immersion flushing
• Electrode material
In the process of EDM it is mandatory for the electrode to be electrically
conductive. In EDM duplicate of the tool electrode is produced on the specimen. The
electrode material should be selected such that it should not erode much during the
18
machining as it will exert influence on the cost along with the efficiency of the
process.
• Rotation of the workpiece
In addition to the electrical process parameters in conventional EDM,
workpiece rotation is TEMPeffective in rotary EDM. In conventional EDM, debris
particles in the gap unavoidably enhanced discharge instability, according to
experimental results. The centrifugal force in rotary EDM, on the other hand,
enhanced gap cleansing and machining efficiency. Rotary EDM's MRR was up to
twice that of conventional EDM. With increasing rotation speed, the value of surface
roughness decreased. Micro voids and flaws on the machined surface can be reduced
by rotating the specimen[38]
• Rotation of the tool electrode
Due to the effect caused by centrifugal force on the workpiece, the rotational
movement of the electrode is used to boost Metal Removal Rate in EDM.
1.9.2. Output Variables
• Material removal rate (MRR)
Metal removal rate is commonly represented in cubic inches per hour (in3
/hr).
It takes more than just the appropriate machine settings to achieve an efficient MRR.
It also includes the direct energy lost during the EDM process.
• Electrode wear rate (EWR)
The EWR is the volume ratio of the material removed from the micro tool
electrode to the material removed from the workpiece. TWR is sometimes computed
by multiplying the weight difference between the micro tool before and after
machining by the machining duration.
• Surface Roughness (SR)
Surface finish is influenced by a number of variables, including on-time, peak
current, electrode material, and workpiece material. The electrode will make a reverse
image of whatever shape or form it has as the machining cycle advances.
Imperfections in the electrode surface will appear on the workpiece surface as well.
This includes material loss due to high temperatures or particle loss due to wear. The
electrode will show up on the workpiece if it is pitted. The ultimate surface finish will
be a mirror image of the surface of the electrodes. Short on-times and low peak
19
current settings yield the best results, as smaller craters in the work metal are
produced. There will be no progress until these prerequisites are met.
1.10. Benefits of EDM
• Any metal, regardless of hardness, brittleness, or toughness, can be machined.
• Harder materials, such as steel alloys or tungsten carbides, can be replicated
for molding and other non-traditional machining techniques, such as forging
and press tools.
• When dies are hardened, they can be machined.
• Complex shapes can be duplicated.
• Very fine holes can be drilled with extreme precision.
• The precision is excellent. It is possible to attain a tolerance of 0.005 mm.
• Micro-craters in EDM produced work pieces can efficiently hold lubricants,
allowing for the creation of a wear-resistant surface.
• There is no physical contact between the tool and the w/p. There is no cutting
force used other than blasting pressure. As a result, delicate projects and
cylinders can be machined without being damaged.
• When compared to traditional machining method, harder metals may be
processed faster.
1.11. Disadvantages of EDM
• In comparison to traditional machining, the power required for machining is
Electrical Discharge Machining (EDM) is substantially higher. (120J/mm2)
• When materials become brittle at normal temperature, there is a risk of surface
breaking.
• On steel work pieces, a thin layer containing 4% carbon, typically ranging
from 0.01 mm to 0.10 mm, can be placed.
• EDM makes it harder to replicate tight corners.
• Sometimes the microstructures are deformed, and etching occurs as a result.
20
1.12. Utilizations of EDM
By and large, EDM has enormously utilized for machining without burr
complex shapes just as restricted spaces and visually impaired depressions. The
sinking of bites the dust, plastic embellishment, kick the bucket projecting
compacting, cold heading, expulsion, press devices, wire drawings are a portion of the
instances of its application. Negative instrument calculation can likewise be created
on a w/p if the appropriate apparatus can be made. EDM is exceptionally helpful for
machining little openings. It is likewise used to cut spaces in diesel fuel infusion
spouts. It is additionally utilized in airplane motors and brake valves and so forth
1.13. Composite materials
They are formed with the amalgamation of two or more dissimilar materials
and its constituting materials having observable interfaces to present distinctive
aggregation of properties of the merging materials[39]. The two constituents of
composite materials are the matrix (weaker constituent) and the reinforcement
(stronger constituent). The strength and the rigidity to support the structural loads are
provided by the reinforcement. The position and orientation of the reinforcement is
maintained by the matrix. The solitary characteristics and the composition of the
constituents control the overall physical and chemical characteristics of the
composites.
1.14. Classification of Composites
On the basis of constituents, the composite is categorized in two categories.
Figure 1.13 shows the classification of the composite material based on the type of
matrix material.
• Ceramic matrix composite constitutes matrix made up of ceramic materials
like oxides, carbides and nitrides of aluminum, silicon, zirconium and titanium. They
withstand very high temperature.
• Metal matrix composite is a class of materials comprised of matrix made up
of metals such as aluminum, iron, copper, magnesium. Properties of metal matrix
composite include high strength, high heat resistance, low thermal expansion
coefficient, and increased resistance to wear and tear.
21
• Polymer matrix composite constitutes matrix made up of polymer materials
such as epoxy, nylon, polyester, polyvinylchloride etc. Properties of PMC include
very high specific stiffness and specific strength. In addition, they also process high
manufacturing feasibility and are relatively cheaper.
Figure 1.13: Classification of composite on the basis of matrix material
Aside from this classification of composites on the basis of matrix material,
they are also classified on the basis of reinforcement material. Figure 1.14 and Figure
1.15 shows the classification of composite material on the basis of reinforcement
materials and composites. Besides, Figure 1.16 represents the classificationfor various
types of composites.
Fig. 1.14. Different types of reinforcement in composites –(a) particulate (b) short
fiber (c) continuous fiber (d) structural composites [40]
Figure 1.15 Classification of composite on the basis of the reinforcement materials
22
• Particulate composites comprised of particles suspended in matrix. Particles
may be of different shapes, size and configuration. Properties of particulate matrix
include improved strength, oxidation resistance and increased operating temperature.
• Fiber reinforced matrix composed of fibers or whiskers. They are of two
types’ short fiber reinforced and long fiber reinforced composite. They find
application in various fields such as automotive, aerospace, civil infrastructure and
many more.
• Structural composites are further classified as laminated composites and
sandwich panel composites. They are comprised of plastic, glass, wood and carbon
fiber materials. The properties of the structural composites depend upon the
constituents and geometrical design.
Fig. 1.16 Classification of the composite materials within the group of materials[41]
1.15. Advantages of composite materials
The idiosyncratic material comes into being by comprising the matrix and the
reinforcing material with worthier properties in comparison with their individual
properties. With time these materials have gained several advantages and wider
applications over traditional materials. Light weight, high directional strength,
23
controlled expansion and high resistance to fatigue makes the composites superior
than the metals. Other key advantages of composites include-
• High design flexibility
• Corrosion resistance
• Abrasion resistance
• Durability
• High manufacturing flexibility
• High thermal and electrical resistance
• Cost effectiveness
1.16. Disadvantages of composites materials
` Even though there are considerably huge numbers of advantages
accompanying the application of composites over the traditional materials, there are
handfuls of disadvantages too.
Some of the disadvantages of composites are listed below-
• High fabrication and assembly cost for job and batch production
• Low ductility
• Cannot be repaired easily as the structure loses integrity
• For sealing purposes, it requires appropriate finishing.
1.17. Aluminum metal matrix composites
These are very hard and light in weight material and have high resistance
against corrosion[42] .With numerous applications in industrial area Aluminum metal
matrix composite continue to exist as the most potentially viable candidate to be
researched[43].
In Aluminum metal matrix composites the reinforcement can be in the form of
continuous or discontinuous fibers, whiskers or particulates ranging in various volume
fractions. According to the different demands of the industrial applications, the
properties of AMMC can be tailored by suitable combinations of reinforcement,
matrix and the route followed to process the composites[44][45]. Aluminum
compounds, due to their low thickness and amazing strength, sturdiness, also,
protection from erosion, discover significant applications in the aviation field. Of
uncommon notice in such manner are the Al–Cu–Mg and Al–Zn–Mg–Cu
24
amalgams, vital precipitation-hard enable compounds. Aluminum-lithium
amalgams structure perhaps the main precipitation-hard enable aluminum
amalgams. Lithium, when added to aluminum as an essential alloying component,
TEMPhas the remarkable normal for expanding the versatile modulus and
diminishing the thickness of the amalgam. Naturally, the airplane business
TEMPhas had been the significant objective of this advancement. Al–Li
combinations are precipitation hard enable, similar as the Al–Cu–Mg also, Al–Zn–
Mg–Cu amalgams. The precipitation solidifying grouping in Al–Li amalgams is,
in any case, substantially more intricate TEMPthan that saw in regular
precipitation-hard enable aluminum amalgams. Various industrial applications of
aluminum composites are represented in Table 1.2.
Table 1.2 Industry specific applications of composite materials[46].
Industry Application
Electrical
and
Electronic
s
Insulation
for
electrical
construction
Cable
tracks
Support for
circuit breakers
Support for
printed
circuits
Antenna
s
Wind
turbine
Tops of
television
tower
Road
transport
Wheels,
shields and
radiator
grills
Transmissi
on shafts
Suspension
springs
Chassis
Suspens
ion
arms
Cabins,
seats
Body
component
Rail
transport
Fronts of
locomotives
Wagons Doors
Ventilation
housings
Structur
al parts
Seats
Interior
panels
Maritime
transport
Hovercrafts
Rescue
crafts
Patrol crafts
Antimine
ships
Racing
sailboat
s
Canoes Trawlers
Cable
transport
Aerial
tramways
Gondola
lifts
- - - - -
Air
transport
Gliders
Light
aircraft
and drones
Vertical/horizont
al tail plane
Wing boxes
Fuselag
e
Aircraft
brakes
and disks
Helicopter
component
Space
transport
Bodies Tanks Nozzles Heat shields - - -
Sports
and
leisure
Tennis and
squash
rackets
Skis
Windsurf and
skate boards
Bows and
arrows
Javelins
Protect -
ion
helmets
Bicycles
25
There are two methods for the fabrication of the Aluminum metal matrix
composite, one is the solid-state processing and the other one is liquid state
processing. Various reinforcements can be extensively used to amend the properties
of the composite material according to the demand and application of the process.
Table 1.3 represents application of different Al MMC. The major drawback
accustomed during the processing of Aluminum metal matrix composites is the
feebleness with molten state of the matrix[47].
Table. 1.3 Different aluminium matrix composites for various components used in
automobile industries[48]
Manufacturer Component Composite
Dura clan, Martin Marietta, Lanxide Pistons Al/SiCp
Nissan Connecting rod Al/SiCw
Toyota Piston rings Al/Al2O3 and AI/Boria
Honda Engine blocks Al/Al2O3
Zollner Pistons Al/fiberfrax
GKN, Duraclan Propeller shaft Al/SiCp
Dupont, Chrysler Connecting rods Al/Al2O3
Lotus, Elise, Volkswagen, Chrysler, Duraclan,
Lanxide
Brake rotors Al/SiCp
Table .1.4 Comparison of stir casting with other methods [49][50]
Process
Range of
shape
Range of
size
Metal yield
Damage to
reinforcement
Cost
Stir casting Wide Larger size
Very high,
>90%
No damage Least expensive
Squeeze
casting
Limited
Restricted
size
Low Severe damage
Moderately
expensive
Powder
metallurgy
Wide
Restricted
size
High
Reinforcement
fracture
Expensive
Spray casting Limited Large size Medium - Expensive
Lanxide
processing
Limited
Restricted
size
- - Expensive
• Liquid state processing
The discontinuous reinforcement phase is incorporated into the continuous
metal matrix phase in the liquid state in liquid phase processing methods, and the
molten metal is cast into desired shapes by conventional casting. Stir casting, compo
casting, squeeze casting, ultrasonic-assisted casting, infiltration, thermal spray, laser
26
melt-particle injection method, and other liquid state processing methods are
examples.
Table 1.4 depicts the comparison of stir casting with other fabrication
processes. The metal matrix is heated above melting temperature and reinforcement
materials are incorporated into a molten matrix using a mechanical stirrer in the stir
casting process. Mechanical stirring in the furnace is a critical component of the
process. In the mass production of MMCs, it is a very simple, flexible, and cost-
effective process. The non-homogeneity of the constituents, as well as the poor
wetability of the matrix and reinforcement, is the main drawback of this method due
to the cooling rate change from the surface to the centre.
• Solid state processing
Powder metallurgy, high-energy ball milling, spark plasma sintering, cold
spraying, diffusion bonding, and friction stir processing are examples of solid-state
processes[51].
1.18. Objectives
The current work is an investigation into the hybrid EDM process with the
goal of improving performance metrics. As a result, the current research focuses on
the fabrication of an aluminum metal matrix composite with two different types of
reinforcement. The study's main goal is to investigate the various properties of the Al
MMC that has been manufactured experimentally, as well as the results of the EDM
process with various assistances.
The focus of this research is on the fabrication of aluminum metal matrix
composites. The current work's reinforcement is silicon carbide, and the alloying
element is magnesium, both of which are discussed in detail in Chapter 3. The
primary goal of this study is to investigate various mechanical characteristics of Al
MMC manufactured in the lab. The investigation focuses on determining various
EDM process performance measures with the help of the Al MMC.The following are
the main objectives of the current investigation:
• To enhance the life of tool electrode which is one of the major constrictions in
achieving economic advantage
• To fabricate and characterize the specimens by studying microstructure
• To enhance the metal removal rate by incorporating gas assistance and powder
27
mixed dielectric
• To compare different process under the chosen conditions and suggest the
most suitable process
1.19. Summary of this chapter
This chapter provided a succinct overview of the background and
motivation for the current project. It described the current work's problem as it
examined the hybrid EDM process in the current scenario, when the machining of
hard materials is increasing rapidly, and the various consequences that come with it.
Various types of hybrid EDM processes were also discussed in this chapter.It also
include a brief introduction to composite materials, as well as a detailed discussion of
the current research main objectives.
CHAPTER 2
LITERATURE REVIEW
29
CHAPTER 2
LITERATURE REVIEW
The year-by-year literature review is discussed in this chapter. The primary
goal of the literature review is to provide and emphasize the information and concerns
that are crucial to the current project. The following main categorizations were used to
conduct the literature review:
• EDM Process
• Composite material
2.1. EDM Process
Electrical discharge machining (EDM) is a machining technique that uses
thermo-electric spark discharge to erode electrically conductive materials by initiating
an abrupt spark discharge between the workpiece and the tool electrode. The distance
between the two electrodes is regulated between 0.01-0.50 mm during this machining
process. Pulses of direct current between the workpiece and tool electrode control the
arc discharge. Under the pulsed application of direct current, the dielectric fluid in the
electrode gap ionizes[1].
Electric discharge machining (EDM) is a non-conventional machining
technology that uses electro-thermal energy to machine a variety of materials with
complicated geometrical patterns and exact dimensional cuts. The EDM process is
notably well-known for producing difficult-to-machine materials. EDM technology
finds uses not just in the aerospace and automotive industries, but also in the surgical
and medical implant industries, by overcoming technical challenges connected with
traditional machining. EDM technology finds uses not just in the aerospace and
automotive industries, but also in the surgical and medical implant industries, by
overcoming technical challenges connected with traditional machining[2], [3].
Electrode wear ratio (EWR) and material removal rate (MRR) are important
performance indicators in EDM operations as shown in Figure 2.1, and eroded
particle flushing from the electrode gap is also important. Debris accumulation in the
machining zone, causes arcing and short circuit. Many techniques, such as EDM with
rotating tool electrode [4]–[6]. Vibro-rotary EDM [7], cryogenically cooled electrode
30
EDM [8], cryogenically cooled ultrasonic assisted electrode EDM [9], Magnetic field
assisted EDM with rotary tool [10] have been introduced by researchers to prevent the
occurrence of such problems and improve the flushing efficiency of the process.
[4]investigated the rotary EDM of Al2O3/6064Al composite with ball burnishing
electrode in the recent past. The results revealed that using an EDM with a ball
burnishing electrode resulted in a faster machining rate and a better surface finish.
Figure 2.1 Process of EDM[11]
The surface polish improved from 55 to 92 percent for a different set of
experimental factors. Surface polish may be compromised, however, due to the tool
electrode's high rpm or the presence of more Al2O3 reinforced particles. [5]looked
into the EDM of Al-SiC composites and looked at the impact of electrode revolution
and SiC reinforcement. They also looked at how polarity, discharge current, electrode
material, pulse duration, and electrode rotation affected responses such as MRR,
TWR, and surface finish. MRR rose with an increase in pulse current, regardless of
electrode materials, polarity, or SiC volume percentage, according to the findings.
Furthermore, MRR decreased when the pulse duration increased for a certain current.
Kuneida et al[12], [13]explored dry EDM method. They demonstrated that molten
workpiece material purged from the cutting gap without adhering to the electrode
surface. They claimed that oxidation of the electrode material increased the MRR
because oxygen in the air triggered an exothermic reaction, which increased the heat
input per spark and resulted in the creation of larger sized carter. Figure 2.2 depicts
the in detailed process of EDM.
31
Figure 2.2 Working principle of EDM
Yan et al [14] investigated how machining parameters affect the material
removal rate (MRR), surface roughness, and improvement ratio of surface roughness
(IRSR) on Al–Zn–Mg alloy, EDM and EBM are merged into a single process. A
micro hardness inspection and a corrosion resistance test are also carried out to assess
the impacts of the combined treatment on surface modification. Thus, a combination
procedure that achieves fine-finishing surface integrity while also having reinforced
effects on surface modification can minimize surface roughness without lowering
MRR. They decided to use a dependable CNC electric discharge machine with a
rotating spindle for milling. A pump cycled the dielectric, and some of the dielectric
and debris removed from the workpiece were sucked and released through the tool
electrode's central hole at 55 KPa.
The Taguchi approach was used by Yan et al[4] and explored the feasibility
and optimization of a rotary EDM with ball burnishing for examining the
machinability of Al2O3/6061Al composite. Following EDM, three ZrO2 balls placed
as extra components behind the electrode tool provide quick burnishing. To verify the
optimization of the machining procedure, three observable data are used: machining
rate, surface roughness, and improvement of surface roughness. The tool electrode is
designed as a Copper ring shaped B-EDM, as seen in Figure 2.3 This B-EDM method
aims for a higher machining rate as well as a finer surface roughness. Furthermore,
the B-EDM technique can obtain a machining rate that is nearly constant.
Saha et al [15] examined the dry EDM process with a tubular copper tool
electrode and a mild steel workpiece. The influence of gap voltage discharges current,
32
pulse-on duration, duty factor, air pressure, and spindle speed on MRR, surface
roughness (Ra), and TWR has been studied using air. Then, using a constructed
experiment based on the central composite design of experiments, empirical models
for MRR, Ra, and TWR were developed. The created models were used to conduct a
response surface analysis.
Figure 2.3 Design of copper ring tool shaped B-EDM [62]
The important parameters were identified using ANOVA testing. The
experimental result of the dry EDM connection is shown in Fig 2.4, and the flow
characteristic of air in the inter-electrode gap impacts the MRR and surface roughness
(Ra). There is an optimal number of airflow holes (in the tool) for which the MRR
and Ra are the highest.
Figure 2.4 experimental setup [62]
Although both methods are defined in geometry by the same concept of
intersection between the rotating tool and the Workpiece, Ding et al[16] worked on
CNC EDM machining of free-form surfaces that requires tool paths that are different
from those used in mechanical milling. Special tool path requirements for CNC EDM
rough milling with a cylindrical electrode are investigated, and a two-phase tool path
generation method for 4-axis CNC EDM rough milling with a cylindrical electrode is
devised. Figure 2.5 shows a solid model of the workpiece and the electrode interface.
33
In addition, compensation for discharge gap, electrode deterioration, and a variety of
other issues must be considered in the generation process of the tool path.
Figure 2.5 Solid models of workpiece and interference between work and tool [63]
The authors conducted research on the SKD-11 employing powders of Al, Cr,
Cu, and SiC suspended in a dielectric fluid. The effect of powder addition on the
creation of recast layers on the machined surface is shown in Figure 2.6. The
thickness of the recast layer formed on the material is reduced when powders are
present. Furthermore, when Al powder was added to the fluid for machining micro
size slits on Ti alloy, the depth of material removal increased. On the other hand, as
demonstrated in Fig. 2.6, it results in higher overcut on machined surfaces.
Figure 2.6 Effect of current and powders on machined surface characteristics recast
layer formed at without powder (b) recast layer formed at AL powder [63]
Chow et al [64] by reducing the discharging current and introducing a new
driven mechanism with a horizontal rotating electrode, a modified EDM was
developed. Titanium alloy is machined using micro-slit as shown in Figure 2.7 EDM
with various dielectric fluids using a thin copper diskette electrode. Kerosene,
kerosene with aluminum powder, and kerosene with SiC powder are the dielectric
fluids used in this study. The various fluids used during the machining process have a
variety of effects. The material removal depth, the electrode wear rate, the slit
expansion, the surface roughness, and the waveform of the discharging condition can
all be examined more closely to account for such effects.
34
Hosni et al [17] investigated the machinability of AISI D2 steel using a Cr
powder mixed EDM technique with the goal of improving the surface topography The
findings of the study look at the formation of a better-machined surface using the
PMEDM technique, as well as a 50 percent reduction in the recast layer thickness
when Cr powder is present Figure 2.8 depicts the effect of micro-scale Cr powder
mixed with the dielectric medium on the recast layer formation, whereas Figure 2.9
depicts the effect of micro-scale Cr powder mixed with the dielectric medium on the
recast layer formation. The effect of Nano powder is seen. The smaller the particle
size of Cr powder, the less recast layer forms on the machined surface.
Figure 2.7 Micro slit made with (a) kerosene (b) Al + kerosene medium[18]
35
Figure 2.8. Influence of micro-Cr powder addition on recast layer formation [34]
Figure 2.9 Effect of Nano powder addition on the recast layer formation [34]
In 1995[19], Armani and Cassidenti, NASA presented a short technical paper
on the use of gas based EDM.As dielectric for boiling a pit through tubular copper
electrodes, Argon or helium gas as shown in Figure 2.10[13].Nevertheless, proposed
36
in 1997 a known new machining process gas like EDM. They proposed reducing
pollution through the use of dielectric gas instead of kerosene. It was subsequently
studied as an advancement method by Kuneida et al [12] .
New method for energy distribution and plasma diameter determination is
proposed by Zhang et al. The authors compared the boundary of the melted material
in a crater obtained through the metallographic method and that obtained from the
thermal-physical surface. The boundary of the melted material has been calculated
using the finite element method using the thermal/physical model. This method has
been used to measure power and plasma diameter distributions in different dielectrics
with different polarities in experimentally molded steel 8407.
Figure 2.10 The principle of dry EDM [65]
The section view of the craters that are obtained by means of various dielectrics and
polarities is shown in Figure 2.11[20]
Figure 2. 11. Comparison of the section view of the craters obtained using different
dielectrics and polarities [66]
37
Multiple modeling and simulation techniques for the optimal environment of
the EDM process were presented. Wang et al[21] proposed a 3D flow field model for
the machining gap in EDM, including liquid, natural gas and solid phases. In
consecutive pulse discharges, the model analyzed mechanisms of debris and bubble
mobility in the machining gap. The results of the testing and simulation model
showed that it was feasible to use the proposed model. The main path through which
the waste is excluded from the machining gap is a lot of waste moving outside the
machining gap following the excluded bubbles. With increased discharge current and
pulse-on-time the bubble expansion strengthened. Figure 2.12 illustrates bubble and
debris movement simulation and observation experimental results.
Figure 2.12. (a) Simulation Results (b) Experimental results of the bubble and debris
movement [67]
The simulation and model of the EDM process was also introduced by
Izquierdo et al[22]. In the workpiece, the temperature fields generated by the
superimposition of multiple discharges were calculated by means of a finite difference
scheme. The discharge characteristics for a particular operation, i.e., energy
transferred to the workpiece, discharge channel diameter and material removal
efficiently, were assessed using the results of the numerical model to be reversed
identified. As Figure 2.13 illustrates, the authors reported a change in the volume of
material removed by release.
In order to study the effects on the machining parameters such as peak current
and pulse-on life, SR, average white layer and surface crack density of M2 die
machining steel machined with the EDM process, Bhattacharyya et al[23]developed a
comprehensive mathematical model based on RSM. The author reported that the
minimum SR has been achieved for low peak current and pulse-on duration, i.e., for 2
A and 20 us. By keeping the maximum current as low as possible (preferably 2-5 A)
and maintaining pulse-on durations within a range of 163-510 μs, the average white
38
layer thickness can be minimized. The medium value and the minimum pulse-on time
of the peak current were also found to minimize the surface crack density. Finally, the
optimal combinations for minimum ruggedness of the surface, white layer thickness
and surface have been found the crack density was 2 A/20 μs, 2 A/20 μs and 9 A/20
μs.
Figure 2.13. Variation of volume of material removed per discharge as the operation
progresses [68]
With the abiding evolution of the material processing technologies and
enrichment in the requirement of the complex geometry and inflated properties of the
top layer, conventional EDM process is deficient to encounter the pre requisites of the
existing machining industries. To ameliorate the process, it has been incorporated
with various types of assistance. Strategies followed by numerous researchers to boost
the performance of EDM process
• Machining with different tool materials, different dielectric with mixed additives.
• Ultrasonic vibration assisted EDM
• Magnetic field assisted EDM
• Gas assisted EDM
• Powder mixed EDM
Singh et al [24] investigated the influence of passing compressed air through
the perforated electrode on the workability of EDM process. He analyzed the effect of
process variables on the MRR and TWR. The compressed air is disbursed through the
perforated copper electrode. The exothermic reaction between the liquefied metal and
the concentration of oxygen in the air results in an additional amount of heat.
Formation of the recast layer and an increased size of the crater pans out in an
39
increased metal removal rate in comparison to the material removal rate observed for
rotary EDM process.
Li et al [25] enquires about the effect of M2 grade high speed steel
W6Mo5Cr4V2 with the utilization of cold nitrogen-air mixed gas during machining.
He observed that above -80˚C the metal removal rate remains unaltered and below -
80˚C the inclination of electrode wear rate tends to become flat and at 80˚C lots of
cracks were seen. Singh et al[26]studied the effect of compressed air and argon gas
passing through the tool electrode on the performance of the EDM process. As an
after affect MRR was increased more for air assisted EDM, SR and EWR was
reduced for argon assisted EDM.
Lin et al [27]analyzed the hybrid process of electrical discharge machining in
gas merged with ultrasonic vibrations and abrasive jet machining. He obtained
enhanced MRR and oxidation was prevented during the process because of the argon
gas selected as the inert gas and as a consequence reduced EWR and superior SR was
observed. Beravala et al [28]concentrates to modify the EDM process by assimilating
the assistance of magnetic field in addition to liquid plus gaseous dielectric together
and founds an enhancement by 21-41% of MRR, 7-14% of the EWR of the air
assisted EDM and an enhancement by 10-18% of MRR and tripping by 7-16% of
EWR of magnetic field-argon gas assisted EDM. The presence of magnetic field helps
in diminishing of the unwanted particles and the liquid gaseous dielectric assisted in
trouncing the cracks formation.
Figure 2.14: Principle of the powder mixed EDM process [72]
40
Yadav et al [29]focuses to intensify the execution of the rotary tool near dry
electrical discharge machining process by including oxygen gas along with the
dielectric medium. He observed an increment in MRR for both dry and wet conditions
with addition of oxygen. With the increase in the oxygen amount the HOC also
increases. Syed et al [30] observed the effects of aluminum powder in distilled water
as a dielectric fluid. W300 die steel and electrolytic copper was used for the work and
tool electrodes, respectively. The process parameters are pulse peak current, pulse on-
time, and Al powder concentration as shown in Figure 2.15. The white layer thickness
is taken into account as the output response (WLT). Face centered central composite
design procedure is used to plan the experiments. To study the effect of process
parameters, an empirical model is developed for WLT using response surface
methodology (RSM). Optical microscopy results show that a low white-layer
thickness of 17.14 m is obtained at a high powder concentration of 4 g/l and a low
peak current of the value of 6 Ampere.
Figure 2.14: Graph showing variation of MRR with respect to powder size
Joshi etal.[31]Introduced a process to improve the machinability of
conventional DEDM magnet-assisted dry EDM (MADEDM) process Figure 2.15
illustrates the mechanism of the MADEDM process. In this work, the magnetic field
was redundantly connected to the electrical field to increase the electric development
and ionization phase of the plasma. In order to improve MRR in the DEDM process,
the utilization of the magnetic field has been found to affect a greater transfer of
thermal energy into the work pieces. Results show that MRR increases by 130 percent
by the use of magnetic field, and around zero TWR are achieved without the influence
of magnetic field compared to DEDM. Microscopy of the scanning electron (SEM)
was associated to surface finishing upgrades
41
Figure 2.15. Mechanism of electromagnetic field application in DEDM[31]
Liquing et al. [32] proposed new DEDM systems, which were designed to
expand MRR and the surface integrity with oxygen blended DEDM and DEDM with
cryogenically refreshed work pieces. The results showed that both the oxygen mixed
EDM and cryogenically cooled process of the workpiece were improved by MRR.
The surface finish was found to be better when a cryogenic cooled piece occurred, the
process can be seen in Figure 2.17.Air-mixed oxygen has a high MRR in any case.
The MRR was also observed as the oxygen content in the mixture increases.
(a) (b)
Figure 2.17. Surface morphology comparison of with and without cryogenically
cooled work pieces. (a) Without cryogenically cooled workpiece. (b) With the
cryogenically cooled workpiece [76]
Palanikumar et al[33]performed machining of Al/ Sic composites by varying
the factors like cutting speed, depth of cut, etc.., The machining experiments were
conducted using the experimental method of analysis. ANOVA technique was
followed on this investigation and the results plotted on the different graphs shows
that Al/SiC has good properties to withstand high strength and toughness than the
unreinforced one.
42
Hung et al [34]revealed in their investigation the usefulness of applying EDM
operation for silicon carbide particles reinforced cast aluminum metal matrix
composite. Analytical models of the process were also developed to forecast the effect
of process parameters on process responses such as metal removal rate, re-cast layer,
and surface finish. In their research, it was seen that the presence of SiC particles
reduces the MRR. The reason behind it's that silicon carbide (SiC) particles act as a
shielding medium for the aluminum matrix. The unmelted SiC particles withdraw
together with the surrounding molten aluminum droplets from the composite material.
While some aluminum droplets are flushed through the dielectric fluid and others trap
the loosened SiC particles which re-solidify onto the surface of composite material
then produce a re-cast layer (RCL). The input power and current mainly controlled the
MRR and thickness of the recast layer and responsible for the surface finish of the
workpiece
Ramulu et al [35] has been done their investigation for machinability of 15
vol.% and 25 vol. % SiC whisker/2124 aluminum matrix (SiCw/Al) composites. They
cut the material samples at coarse, medium, and conditions by using copper and brass
tools. The experiment revealed that the material removal rate increases proportionally
by increasing the power of the electrode and MRR for 15 vol. % SiCw/2124 Al
composites are more than the 25 vol. % SiCw/2124 Al composites. The copper
electrode gives a 5 to 10% more material removal rate in comparison to the brass
electrode. Machining time is seen to be higher in 25 vol. % SiCw/Al than 15%
SiCw/Al composite. It was also seen that higher cutting speed produces micro-
damage in the surface and sub-surface area.
Mohan et al[36]investigated the machining of Al-SiC composite by using
electro-discharge machining. The main aim of this research was to evaluate the effect
of process parameters, the volume percentage of SiC particles, and electrode material
on the machining performances. The process parameter which is considered in their
experiment is electrode polarity, pulse duration (pulse on time, pulse off time)
discharge current, and electrode rotation. Al- 20% SIC and Al- 25 % SiC composites
are taken as a workpiece sample and copper and brass are selected as a tool material
for the experiment. The finding of the study revealed that the material removal rate
(MRR) is more with positive polarity and increases with an increase in current. The
MRR was found to be more with the brass electrode (tool) as compared to the copper
electrode (tool). Increasing either the volume % of SiC particles in aluminum metal
43
matrix composite (AMMC) or pulse duration decreases the material removal rate and
the material removal rate increases with the increase of rotational speed of the
electrode. When the volume % of SiC particles in the AMMC is less, then the tool
wear rate will be less, and the tool wear rate becomes more when the pulse current is
more. On the decrease in the pulse current, the surface roughness value becomes less
and it becomes high with the increase of volume % of SiC particles in the aluminum
metal matrix composite (AMMC). The research optimized the process parameter for
different electrodes and volume % of SiC particles in the AMMC for achieving a
maximum material removal rate.
Uriarte et al[37]gathered information and analyzed micro fabrication
technologies for different tool-insert materials and features. It is realized that the non-
contact machining technique with split tenth accuracy has been continuously evolving
from a mere tool-room machine to a micro-scale application machining alternative. It
is no wonder that it attracts a significant amount of research interests. Many
researchers have evolved different designs of tools, different types of dielectric fluids
(ranging from water, kerosene, special property oils, air, gases, the mist of fluids,
etc.), various process parameters, a variety of mutual movements of tool-workpiece,
mixing of some conductive and non-conductive powders and so on. Most of them
were evolved for catering special materials, increasing MRR, decreasing percentage
Tool Wear Rate (TWR), achieving better surface properties and accuracy, considering
environmental safety, etc.
2.2. Composites
Mechanical stir casting was used by Hanizam et al [38]to make MWCNT-
CNT, which was then thixoformed and thermally treated with T6 (MT6). As a result,
using a robust design of experiment (DOE), namely the Taguchi technique, with two
factorial levels, the optimization and effect of variables such as the amount of CNT,
amount of wetability agent of Mg, and mechanical stirring duration were explored.
The response variables were the signal-to-noise (S/N) ratio (‘larger is better),
hardness, and ultimate tensile strength (UTS). The nanocomposites exposed to DOE
run 4 and containing 0.5 wt. percent MWCNT, 0.5 wt. percent Mg and 10 minutes of
mechanical stirring yielded the best hardness and UTS values of 106.4 HV and 277.0
MPa, respectively. When compared to the as-cast A356 alloy, the hardness (76.3%)
and UTS (108.4%) both improved. The alteration of the as-cast microstructures and
44
porosity after thixoforming and MT6 treatment was also studied. The optimized
mechanical stir casting parameters for MWCNTA356 production, as well as the
improved mechanical properties acquired by thixoforming and heat treatment, were
demonstrated in this study.
Kok et al [39] introduced vortex technique and subsequent applied pressure
were used to create 2024 aluminum alloy metal matrix composites (MMCs)
reinforced with three various sizes and weight fractions of Al2O3 particles up to 30 wt.
percent as shown in Figure 2.18. The effects of Al2O3 particle content and particle size
on composite mechanical parameters like hardness and tensile strength were
examined. The samples had low porosity, according to the density measurements, and
the quantity of porosity in the composites rose as the weight percentage and particle
size decreased. SEM microscopy of the microstructures revealed that the dispersion of
coarser particle sizes was more uniform, whereas finer particles resulted in
agglomeration of the particles and porosity. The hardness and tensile strength of the
composites rose with decreasing particle size and rising weight proportion of
particles, according to the findings.
Figure. 2.18. Schematic diagram of the experimental apparatus for producing the
MMCs [83]
45
The advanced combinations of aluminum alloy composites currently being
used for by Joel et al [40]various applications are summarized in Table 2.1.
Composites of this kind of metal matrix (MMC) are similar to conventional metal
processing, and their phenomenon is shown in the Figure 2.19 Massive wear of the
cutting tool will occur during processing of MMCs (both in coated and uncoated). The
principal wear is because of the abrasion, by sliding motion of the particles in relation
to the clearance face of the enhancement material on the cutting edge of the matrix.
The tool wear, namely micromachining, micro cutting, micro-ploughing at the cutting
edge of BC and fracture at the plane DC is responsible for multiple wear mechanisms.
Figure. 2.19 Machining of Metal Matrix [84]
Table 2.1 Advanced aluminum alloy composite combinations and its applications [84]
Composition Properties Application Reference
Al A356 + 4 wt% nano Al2O3
(stir casting)
Compressive strength
(630.5 MPa)
Automotive, aerospace
and electrical industries
[32]
Al A356 + 10 % wtSiC + 1%
wt graphite (compocasting)
Yield strength (170Mpa),
Modulus of elasticity (GPa
81.2)
Spacecraft [33]
AI – Cu (4.5 wt% Cu), Al –
Cu/SiCp (squeeze casting)
Hardness (139BHN) UTS
(239 MPa)
Engine piston and heat
sink
[34]
Al A356 + 0 5 vol% micro
TiB2(stir casting)
Yield strength (271Mpa),
UTS – (308MPa)
Drum brake material [35]
Al 6061 + 10wt% Si3N4 (stir
casting)
87.048 VHN, UTS-201
MPa
Magneto Parts,
appliance fittings
[36]
2009 Al + (1wt% CNT + 3wt%
CNT) (1-pass FSP) (Friction
stir processing)
Yield strength (385Mpa),
UTS – (477MPa)
Automotive and
aerospace applications
[37]
AI 2021 + (5wt% Gr + 20wt%
SiC) (Powder metallurgy)
Density (2.94 g/cm3
),
Hardness (63BHN)
Spacecraft and antenna
dish
[38]
Al 7075, Ai 7075 + 7wt% SiC
+ 3wt% Gr (Stir casting)
Density (2.81 g/cm3
, 2.784
g/cm3
), Hardness (175 Hv,
219 Hv)
Electrical signal
transmission
[39]
Al 6061 + (20wt% Ainp) (Stir
Casting)
UTS – (241 MPa)
Microhardness (91 VHN)
Microelectronic devices [40]
Al 6082 + (24 wt5 TiC) Microhardness (149 VHN), High temperature [41]
46
(Friction Stir Processing) UTS – (382 MPa) applications
Al 6061 – T6 + (8vol % SiC +
4vol% Gr) (900 rpm) (Friction
Stir Processing)
UTS – (219 MPa), Yield
Strength (185MPa)
Automobile
components
[42]
Al 7009 + (25wt% SiCp) (as
cast)
Hardness (198 Hv) Land-based systems in
military
[43]
Li and Lee et al [41] [42] investigated that for the reinforced composites
represented in Figure 2.20, the intensity of strain hardening is higher than its
monolithic intensity.Furthermore, volume fractions of the added particles are
dependent on the form of the particles.
Fig2.20 Composite Material [85]
And studied the composite operating parameter to determine its properties.
The second objective is to create PAMC with a variety of compositions of graphite
strengthening particles, Al2O3 and SiC using the stir casting method. The second
objective is to produce PAMC with a stir casting technique. They concluded that
• The angle of the blade should be 45° or 60° for the consistent dispersion; the
blade should not be 4.
• We must continue to function for good weight ability Semi-solid stage
temperature, i.e., Al 630 (6061). At Condition of full liquid Uniform
distribution is hard to achieve of the molten metal strengthening.
• Mold preheating helps also to reduce porosity.
Bhandari and Ravi et al[43][44] evaluated mechanical properties for the
AA6061/B4C composites made by stir cast route with a different weight and
microstructure percentage. The following findings are derived from this study-
• The Stir Casting Technique could be used to manufacture the homogenous
AA6061/B4C composite.
47
• The optical metallographic study revealed a homogeneous dispersion of the
B4C particle in the composite.
• Increased the grain size of the matrix for adding B4C reinforcement part as
shown in Figure 2.21.
• Incremental compound weight percentage of B4C particles increased to 68HV
from 62 HV.
• B4C reinforcement improved the traction strength from 117 MPa to 145 MPa
of Aluminum Matrix Composites (AMCs).
Figure 2.21a) AA6061 without reinforcement b) AA6061 matrix with 5% B4C c)
AA6061 matrix with 10% B4C [87]
Suraya et al [45] studied to find the ability of EDM process on machining
responses of aluminum alloys LM6 (Al-Sil2) and Table 2.2 depicts the mechanical
properties of Al alloy. And the mechanical properties as analyzed during the research
is shown in the Table below.
Table 2.2 Mechanical properties of LM6 [2]
Quantity Value Unit
Tensile strength, Ultimate 290 MPa
Tensile strength, Yield 131 MPa
Elongation 3.5 %
Poison’s ration 0.33 -
Fatigue strength 130 MPa
Machinability 30 -
Shear strength 170 MPa
The machining parameter relationships such as pulse-on-time, pulsation-off
time, peak current and voltage are determined on the machining characteristics of
MRR, EWR and Ra. The main factor that affected MRR, EWR and Ra were peak
current may be concluded. With the current increasing, the MRR and EWR are
increased and Ra is reduced. Other factors like voltage, pulse on time and pulse off
48
time have less influence on reactions. The percentage of the contribution value shows
that peak current has the greatest value among others. [46]evaluated effect of the
process variables on the machining characteristics of the 20 wt percent composite
Al2O3/AA2014 electrical discharge machinery was investigated by a different one-
parameter approach as illustrated in Figure 2.22. The composite was manufactured by
casting. Pulse current, discharge voltage, pulse on time and pulse off are considered
process variables time. Process features include removal of materials, wear rate of
tools and surface Ruggedness is examined. The uniform distribution of optical
microscopy test Al2O3aluminum alloy enhancement in the 2014 matrix phase. Results
show MRR, TWR and SR are increased with current and pulse increases on time.
Figure 2.22. Die-sinker EDM with external circulation system [90]
Khajuria et al [47] studied the impacts of weight variation of ceramic Al2O3
particles in stir cast stir composites AA2014 during electrical discharge machining
(EDM). To analyses effects of weight variation percentage of the stir cast AA2014
composites of ceramic Al2O3 particulates in the process of electro deal machining.
Observed that at the expense of TWR, MRR and SR have decreased with an increase
in the ceramic particle weight percentage. The result is an enhanced micro hardiness
of composites with reinforced stir cast. However, micro hardiness of EDMed samples
reduced by 58,34, 52,25 and 46,85 ppm for stir cast AA 2014, by 10 percent
Al2O3/AA 2014, and by 20 percent Al2O3/AA 2014, with a fixed machining parameter
value, that is 9 amp current, 60 V voltage, 90 ms pulse off time and 90 ms pulse on
time. The ceramic Al2O3 particulate thermal scale of 20Wt. percent Al2O3/AA2014
composite as illustrated in Figure 2.23 has been found to have been analyzed by SEM
and quantitative energy dispersive spectroscopy (EDS).
49
Figure 2.23 Distribution of ceramic Al2O3 particulates in stir cast AA2014composites
[91]
Channi et al [48] focused on improving TiB2 particle distribution by injecting
ZnSt2 through a stir casting method during metal matrix casting. Successively, the
AA 6061/TiB2 was farcical zed with a casting line of liquid metallurgy. The results of
SEM and EDS have confirmed that matrix material and refurbishing material are
properly mixed.The hardness is greater than the base material of the hybrid
composite.Hardness increases with the increasing volume of reinforcements. This is
due to the addition of hard reinforcement. Results of the EDS as shown in Figure 2.24
confirm that different hybrid composite elements are present.
Fig. 2.24 Effect of hardness [92]
James et al [49] analysis and simulation techniques of finite elements were
used to test the μUSM process of hybrid composite micro machinery. In this study,
the hybrid composite materials used for CFRP/Ti stacks are. This study examines the
removal of materials during the μUSM process in critical parameters such as cavity
depth, cuts and the stress distribution equivalent of Mises. And founded that The
CFRP substratum is machined more than the Ti substratum during μUSM. The CFRP
substrate is damaged by micro chipping and micro cracking in fragile mode as
represented in Figure 2.25. The substratum Ti is deformed plastically by micro
plowing and micro cutting mechanisms in ductile mode. In addition, Ti's cavities are
uneven than CFRP's.Cavity depth study indicated that the CFRP substratum cavity
depth exceeded that of the Ti substratum. The plastic deformation of the Ti material is
50
inferred as offering greater resistance to instrument movement, avoiding abrasive
penetration into the substrate bulk.
Fig. 2.25. Equivalent von Mises Stress Distribution during μUSM Process on a)
CFRP Substrate and b) Ti Substrate [93]
Fig.2.26. Microstructure of W1 after EDM at (a) 5A, (b) 10A and (c) 15A [94]
Muni et al [50] performed EDM on the newly formed hybrid Al-Matrix and
effects of factors like RHA-based composition percentage Electrode workpiece and
other parameters for SR machining with electrode tool brass. Observed that at least 8
wt. percent of RHA and 5A current, but significantly increase in 10A and 15A current
is detected as a machined surface SR. The composite with 10wt. percent RHA and
UTS is found but SR of the machined surface is found as high as possible. The 80V
high voltage level and 10 Psi flushing pressure provide a lower SR, i.e. a better
surface finish. The duty factor's moderate value at 16% and a low pulse-on-time value
51
at 20 μs is a lower SR. The SEM 8wt percent RHA composite analysis showed that
the crater size may rise for higher pulse energy over the machined surface.
A2B1C3D2E1F3 is the ideal parametric combination for minimizing SR as shown in
the Figure 2.26.
Saajevan et al [51] conducted the Parametric Studies on Aluminum Based
Metal Matrix Machining to get the correct and the maximum MRR and minimum
surface finishing Side spark and investigate the effect of different machining
responses parameters. It has been found that current and pulse on time are the most
notable and a higher MRR at a higher current and pulse at a higher time can be
identified as depicted in Figure 2.27. The surface roughness was expected to
deteriorate with an increase in current and pulse time. In addition, the machined
functionality can be superior to the current low value as well as on-time pulses and
higher off-time pulses. The formation of the crater was deeper and wider with a
higher current and pulse configuration, leading to higher RMR.
Fig. 2.27. Roughness value corresponding to each experimental condition [95]
Palanisami et al [52] analyzed the input parameters such as release current
(A), pulse on-time (B), and pulse off-time (C) were examined and optimized for
LM6-Alumina Stir Casted Metal Matrix Composites to achieve optimal removal rate
(MRR), surface ruggedness, or tool rate for wear (MMC). Grey relationship analysis
is applied to designing the above-mentioned multiple performance features and
optimizing them. The study showed that the most important parameter affecting the
surface finish and removal rate of materials is the discharge current. The deletion rate
is taken as 'the greater the better,' the surface ruggedness and rate of tool usury is
considered to be the 'smaller the better' and the evaluation of the GRG reactions is
obtained by converting the optimization model for multifaceted applications into a
single GRG reaction. From the exploration, it is known queue latest current, initial
52
pulse on time and pulse off time at the three levels are applied to the optimum
combination of the machining parameters of Al MMC composites.
Muller et al [53] provided details on a study of machinability by non-
conventional processes such as Electrical Discharge Machine (EDM) and Laser
Cutting of silicon carbide reinforced aluminum alloy matrix composites. When the
composite was processed, the different removal mechanisms of the different processes
were examined. For the various machining processes, the surface condition and the
surface damage of the material were examined and compared. The EDM and laser are
apparently suitable processes for PRMMC machining, and the laser delivers
considerable benefits as far as deletion is concerned. But EDM induces less thermal
damage than the laser observed. Noticed that the surface generated after the
machining process is associated with numerous craters with noticeable high peaks as
represented in the Figure 2.28.
Ramulu et al [54] observed that under monotonic and fatigue loading
conditions, the effects of electrical discharge machining (EDM) on the surface quality
and subsequent performance of a 15 volume percent SiC particulate reinforced A356
Al are investigated. The material's surface and subsurface conditions after EDM
surface sparking were compared to the same material's surface and subsurface
conditions after careful surface polishing.
Fig 2.28 Crater topography of machined PRMMC specimen [97]
To determine the effects of EDM processing on basic monotonic properties,
tensile tests were performed on the as-received material and the EDM surface sparked
material. Fig 2.29 shows Roughening of the surface by deposition of a recast layer,
pitting of the surface by spark penetration and particulate pullout, surface micro
cracks, and slight softening of the material are all surface integrity effects of EDM.
53
Fig 2.29: Microstructure of 15 vol% SiCp/A356 Al (500×) [98]
Dwivedi et al [55] proposed some modifications ,such as providing rotational
motion to the tool or workpiece, mixing of conducting fine powders (such as SiC, Cr,
Al, graphite, etc.) in the dielectric, and providing vibrations to the tool or workpiece,
among others. The study looks at how the MRR and TWR change as the tool rotation
speed changes, and how this affects the work piece’s surface integrity. The findings
clearly show that tool rotation improves the MRR by up to 49%. Furthermore, when
using the rotational tool EDM, the average surface finish improves by around 9-10%.
When compared to the stationary tool EDM process, the rotary EDM process has a
thinner recast layer thickness due to tool rotation. Furthermore, when compared to
stationary tool EDM, the rotary tool EDM produces less micro-cracking on the re-
casted surface of the workpiece.
AISI D3 Tool Steel using rotary EDM at different values of current. While
varying peak current and aluminum powder concentration in kerosene dielectric fluid,
the effects on the Characteristic Material Removal Rate (MRR) of aluminum based
Metal Matrix Composites (MMC) are observed by Syed et al [56]. Aluminum MMCs
prepared by reinforcing Al with different concentrations of SiC (6%, 9% & 12%)
using stir casting process are machined in EDM machine using a Copper Tool of
Ø6mm while varying the considered process parameters which are the peak current
(2A, 4A & 6A) and the concentration of Al powder in dielectric fluid (0g/l, 1g/l &
2g/l). Experiments were conducted at a constant pulse on-time of 65µs at a duty cycle
of 70% and a constant voltage of 40V. It is observed from results that the MRR
increases at low peak current of 2A during PMEDM machining of Al/SiC composites.
AA7075/B4C composite was made using a mechanical stir casting process with 5%
boron carbide particles with an average size of 20-40 m by Dubey et al [57].
Chromium particles are added to the dielectric fluid to improve surface properties and
54
increase material removal rate, and powder mixed EDM of the composite is
performed with a copper electrode. The material removal rate is investigated using
four process parameters: current, pulse on time, pulse off time, and gap voltage
(MRR). Using response surface methodology, the design of the experiment (DOE)
has been set as a central composite rotatable design (RSM). SEM is used to evaluate
surface characteristics such as recast layers as manifested in the Figure 2.30.
Fig. 2.30SEM micrograph of recast layer across machined surface with powder mixed
dielectric EDM. 5(a) machined at 6A current, 120 µs pulse on-time, 152 µs pulse off-
time, and 40 gap voltage and 5(b) machined at 12A current, 120 µs pulse on-time,
56µs pulse off-time, and 60 V gap voltage [101]
At a 95% confidence interval, the developed mathematical model of MRR is
in reasonable agreement with experimental values. The most important process
parameters affecting MRR are current and pulse on time. A comparison of SEM
images revealed a better surface finish at the intermediate input process setting.
Because the recast layer is thinner, the thickness of the recast layer is variable. The
confirmatory test revealed that the percentage deviation between the experimental and
predicted values was not significantly different. MRR has a value of 8.65%.
Uthayakumar et al [58] used EDM in this study to machine functionally
graded A356–20 vol. percent SiC composite with the goal of lowering the electrode
wear ratio, surface roughness, overcut, and power consumption. In addition, grey
relational analysis is used to optimize input parameters and determine contribution.
Finally, a scanning electron microscope is used to characterize the surface
morphology on the machined surface (SEM).
Position I – Particle enriched zone (15 mm from the outer periphery), Position II –
Particle matrix transition zone (45 mm from the outer periphery), and Position III –
55
Particle depleted zone – the microstructures of the prepared composite are
investigated at three different zone positions (75 mm from the outer periphery). The
particle enriched zone has a higher SiC vol. percent in the matrix, as shown in Figure
2.31. The movement of higher density SiC particles (3.2 g/cc) towards the outer
periphery of the brake rotor disc was caused by the centrifugal effect. Between 28 and
45 mm, the 7-particle matrix transition zone appears, and after 60 mm from outer
periphery, the particle depletion zone appears.
Fig. 2.31. SEM micrographs of EDM machined surface (EDM-machining conditions: pulse
current 15A, pulse duration 10 µs, gap voltage 60V) [102]
Ponappa et al [59] optimizes EDM parameters while machining 7075
Aluminum hybrid metal matrix composites reinforced with 5%, 10%, and 15%
volume percentages of Titanium carbide and boron carbide particles, respectively. A 7
mm electrolytic copper electrode was used to perform electrical discharge machining
on a hybrid aluminum composite. The effects of different parameters, such as pulse
current, pulse duration, and gap voltage, on Metal Removal Rate (MRR), Tool Wear
Rate (TWR), and surface roughness (SR), have been investigated. The effect of
adding TiC and SiC reinforcement to the composite on the MRR, TWR, and SR was
evaluated in this study.From SEM image, it is clear that there are less EDM harmed
layers and less miniature breaks. There were a few voids made due to the molecule
pull out from the surface. The EDM measure delivers a hard and weak recast layer on
a superficial level of the workpiece material. The outcome is because of the
resolidification of the liquid material that isn't washed away by the dielectric medium.
56
The recast layer is fine-grained and might be alloyed with carbon from the dielectric
or with the material moved from the instrument/work piece. It is likewise called white
layer as it remains unaffected by scratching and seems white under an optical
magnifying lens. The SEM picture additionally portrays adjusted pits, voids, beads
and metal stream follows the machined surfaces.
Iosub et al [60]explored the impact of tool distance across and pulse on time
(ton) on the electrode wear rate, material evacuation rate and surface honesty of
silicon carbide cross breed aluminum matrix composites. The SODICK AD3L CNC –
anode release machine and the tube-shaped terminal as device were utilized for the
proposed research. Aluminum metal networks half and half composite with 7%
silicon carbide (SiC) was penetrated by utilizing steel cathode instrument with two
unique distances across. Positive extremity was kept up with and water – dissolvable
dielectric liquid VITOL KS was utilized. And noticed that the machinability by the
EDM measure relies upon the electrical conductivity of the workpiece. The outcomes
got show that Al-7% SiC crossover composite can be machined successfully utilizing
EDM innovation; EWR was discovered to be more modest when greater width for
apparatus is utilized and increment when beat on time is bigger; MRR increments
altogether when instrument terminal breadth increments. It very well may be seen that
the expansion of heartbeat on time lead to expand the MRR, yet not as to build device
cathode width; At higher heartbeat on time the dimensional precision is influenced.
Devaraju et al [61]used FSP to create surface hybrid composites with
improved wear properties, as well as to investigate the impact of adding Gr/ with SiC
particles on the wear properties and micro hardness of aluminum alloys. FSP was
used to create surface hybrid composites with improved wear characteristics, as well
as to investigate the impact of adding Gr/Al2O3 with SiC particles on the wear
properties and micro hardness of aluminum alloy 6061-T6 surface hybrid composites.
Fig. 2.32 Macrograph of FSP zone of
surface hybrid composite [105]
Fig. 2.33 Cross-sectional micrograph of
surface hybrid composite [105]
57
The surface hybrid composites were effectively manufactured through FSP as
displayed in Fig. 2.32. There were no defects like breaks, voids on a superficial level.
It additionally uncovered that the top surface gives off an impression of being smooth
furthermore, fine quality with basically no sorrows. The cross-sectional micrograph of
the aluminum surface hybrid composite is displayed in Fig. 2.33. It uncovered plainly
extraordinary locales on a superficial level hybrid composite after FSP.
Velmurugan et al [62]created a hybrid composite containing silicon carbide
and graphite particles utilizing mix projecting cycle and its machining qualities were
considered. The goal of the current paper is to foster numerical models for associating
the immediate and intelligent impacts of the different machining boundaries like
current, voltage, beat on schedule, flushing tension on the prevalent machining
measures, i.e., the metal evacuation rate, apparatus wear rate, and surface
unpleasantness. Impact of EDM measure boundaries on machining execution
measures were concentrated with the improvement of numerical models dependent on
Response Surface Methodology (RSM). During electric discharge machining, the
surface roughness of the composite increases as the current, pulse on time, voltage,
and flushing pressure are increased.
Figure 2.34 SEM photograph of electric discharge machined surface of Al 6061
composites reinforced with SiC and graphite particles at a voltage 50V and a flushing
pressure 3psi: a) 3A,400µs, b) 15A,400µs, c) 9A,200µs, d) 9A,600µs [107]
Hegde et al[63] carried out ageing heat treatment effect on crack sturdiness of
the mixture composite was examined. Aluminum 6061 silicon carbide graphite
mixture composite was created through fluid metallurgy course by making a vortex in
58
the liquid slurry and minimized pressure examples for crack sturdiness testing were
ready by wire EDM measure. Maturing heat treatment on solution using heat treated
mixture composite minimal pressure examples for crack sturdiness testing was
completed utilizing suppress heater at 1700 also, 2700 C.
As cast and maturing heat-treated mixture composite examples were tried for
finding the crack sturdiness utilizing Nano Universal Testing Machine. Optical
metallurgical minuscule picture of as-projected composite example as displayed in
Figure 2.34 uncovers that subsequent stage particles are completely disintegrated in
the aluminum strong arrangement furthermore, are not noticeable as hastens.
Microstructure of the composite 1700C maturing heat treated as displayed in Fig.2.35
and 2.36 and comprises of fine encourages in the aluminum strong arrangement.
Figure 2.35 Micrograph of as-cast
hybrid composite [107]
Figure 2.36 Micrograph of 1700C ageing
heat treated hybrid composite [107]
2.3. Summary of the Reviewed Literature
EDM is foremost extensively used contactless material removal process to
machine electrically conductive material thus abolishing chatter, mechanical stress
and vibration. The cost of the tool electrode is one of the major constrictions in
achieving economic advantage. It is guesstimated that around 70 percent in EDM
improper selection of the tool material may lead to poor performance of the process.
Improved tool design is very helpful for reduced tool wear rate. Although lot of
studies have been done related to the designing of the tool electrode, but in the present
work, Analysis with multi holed rotary electrodes with hybrid system of inert gas
assistance with powder mixed dielectric of NMMC of aluminum 7 grade alloy has
been carried out. In the present research attempts were made to bring down the tool
electrode wear rate so that it could work for long duration, with minimum wear.
CHAPTER 3
MATERIALS AND METHOD
60
CHAPTER 3
MATERIALS AND METHOD
The present chapter summarizes the details of the experimental work carried
out in the present research. The characteristics, specifications of the raw material
needed for the manufacturing of the metal matrix composite. This chapter discusses
the workpiece, tool fabrication, and development of the EDM setup. In the present
research hybrid metal matrix composite of Al7075 alloy reinforced with silicon
carbide and magnesium was used.
3.1. Workpiece
Al7075/SiC/Mg (hybrid NMNC) was selected during the present research.
These are the composites formed by incorporating two or more than two fibers within
a single matrix. They have particular attributes that can be employed in various
structural components without concession of their durability and their structural
achievement. Hybrid metal matrix composites are futuristic materials used for high
strength and low weight applications in the automobile and aerospace sector.
• Preparation of the specimen - Aluminum, boron carbide powder, magnesium
powder, and silicon carbide for Nano metal matrix composite was purchased from
Shankar metal, chawri bazaar, New Delhi.
• The composition and the specification are described below:
o Al7075 includes 5.5–6.1% zinc, 2.1–2.6% magnesium, 1.3–1.6% copper,
and less than a half percent of iron, manganese, titanium, chromium, and
other metals.
o SiC powder: Very fine powder with approximately 99% metal was
purchased from India mart.
o B4C powder: Very fine powder having Nano-sized granules was purchased
from India mart.
o Mg powder: Fine powder of Magnesium was purchased from India Mart.
The properties of the reinforcement are depicted clearly in Table 3.1
61
Table: 3.1 Properties of the reinforcement
Properties SiC B4C
Density(g/cm3
) 3.21 2.52
Elastic modulus (GPa) 430 450
Hardness 2480 2800
Compressive strength (MPa) 2800 3000
Thermal conductivity(W/mK) 132 29
Sp.Thermal conductivity 41.1 11.5
• Fabrication of the workpiece was done using Stir casting setup
The processing technique is widely concerned with prolegomenon of the
reinforcement into the matrix attaining uniform distribution. In the stir casting
process, a mechanical stirrer is used to form whirlpool to blend the reinforcement in
the matrix material. Figure 3.1 depicts the different steps of stir casting processes. It is
one of the worthiest methods used for the production of the metal matrix composite
because of its suitableness to produce mass quantities, cost effectiveness and its
lucidity.
.
Fig 3.1: Different steps during the process of stir casting
Stirring influences, the distribution of reinforcements inside the matrix, which
has a significant impact on the final microstructure and mechanical properties of
casted composites. The uniform distribution of reinforcement can provide optimal
62
mechanical qualities, and this difficulty is similar to most processing processes,
including stir casting. The optimum selection of stirring parameters can fix this
problem. Table 3.2 shows the parameters selected for the stirring of the reinforcement
during the fabrication of Al MMC.
Table3.2 Parameters selected for stirring
S.No. Matrix
Reinforcement
Reinforcement
%
Stirring speed
(rpm)
Stirring time
(min)
Feed
rate
1 A7075/ B4C 5 wt. % 450,500 5,10 -
2 Al7075/SiC 10 wt. % 450,500 5,10 -
Figure 3.2 depicts the samples of fabricated Aluminum metal matrix
composite. The specimens of the dimensions 20 mm diameter are made. For further
carrying out the experimental analysis Lathe machine was used to end the faces of the
specimens and polishing papers were used to remove all the dust from the specimen.
All the specimens are weighed before machining using electronic weighing balance.
Figure 3.3 represents the stir casting set up utilized for the fabrication of the
Aluminum 7075 alloy metal matrix composite.
Fig 3.2 Fabricated aluminum MMC[112]
Figure 3.3.Stir casting setup[113]
63
3.2. Tool electrode
Fabrication of the multi holed copper tool with eccentric holes through the tool
and tooltip offering optimum heat transfer has been carried out. High precision
drilling machine was used to drill holes on the bottom surface of the tool. To avoid
overcut the diameter and the face corners of the copper and brass electrode are
machined and beveled properly. Tool is weighed before and after machining using
electronic weighing balance. Figure 3.4 depicts the schematic diagram of the copper
tool electrode and Figure 3.5 represents the actual images of the copper tool electrode
used for the present research.
• Flushing effectiveness of the process is improved with the use of a multi-hole
tubular electrode.
• In comparison to a solid electrode, a multi-hole tubular electrode provides better
MRR.
• Low electrode wear is evinced using multi-hole tubular electrode
Figure 3.4. Schematic diagram of copper tool electrode
(a) Multi holed tool (b) Solid copper tool (c) Workpiece
Figure 3.5. Different types of Tool utilized in the present research
64
3.3. Dielectric
Kerosene oil is used for the present experimental work. Kerosene oil is one of
the most commonly used dielectrics. It is easily available and favorable because of its
low viscosity amplifying the flushing process thereby increasing MRR, lowering the
TWR, upgrading the surface finish and micro hardness. Figure 3.6 manifests the
classification of the dielectric oil used for the proper removal of debris from the inter
electrode gap.
3.3.1. Dielectric Oil
The dielectric oil’s is revealed in the Figure 3.6
Figure 3.6 Classification of the dielectric oil
3.3.2. Powder suspended in dielectric
SiC powder is suspended in the dielectric for the current research. The
powders are suspended in the dielectric medium to enhance its conductivity as well as
lower down its insulating strength so as to widen the spark gap between the electrode
and the workpiece which further enhances the removal of unwanted particles from the
spark gap.
65
3.4. Methodology
• A hybrid composite of Al (7075) alloy was fabricated by stir casting process and
was selected as the workpiece and specimens are made of the needed dimensions.
• Dust and dirt will then be removed from the specimen to obtain finished specified
dimension specimen.
• SEM/EDS analysis will be done to analyze the microstructure of the specimen.
• Fabrication of tubular shaped perforated copper electrode.
• Development of gas assisted EDM set up.
• MRR, EWR and surface morphology was analyzed during EDM of hybrid
composite using rotary EDM (REDM) and compressed air assisted EDM
(CAEDM).
• Development of powder mixed gas assisted EDM set up. (SiC powder +
dielectric).
• MRR, EWR and surface morphology was analyzed during EDM of hybrid
composite using inert gas assisted EDM (GAEDM) and gas assisted powder
mixed EDM (GAPMEDM).
• SEM/EDS analysis will be done to analyze the microstructure of machined
surfaces.
• Results are compiled and graphs are plotted accordingly.
3.5. Equipment’s and Facilities
The experiments were conducted on the EDM machine present at Hindustan
College of science and technology, Mathura as depicted in the Figure 3.7.
Experiments were carried out on Electronica –ZNC machine.
66
Figure- 3.7 EDM machine
3.5.1. Measuring Equipment’s
Following are the types of measuring equipment’s or instrument used during the
research.
• Electronic Weighing Balance
The weight of the workpiece and tool was measured using a precision balance.
It is available in Hindustan College of science and technology, Mathura as shown in
Figure 3.8.
Figure 3.8 Weighing balance
67
• Surface roughness tester
A portable SR tester (surf-test SJ-210) having cut-of length of 0.8 mm and tracing
speed of 1.00 mm/sec was utilized to measure the Ra value of the machined
specimens. It is available in Amity University, Noida as shown in Figure 3.9.
Figure 3.9 Surf – test SJ-210 surface roughness tester
• SEM machine
Electron microscopy machine available at the Amity University, Noida as
represented in Figure 3.10 to view the detailed microstructure of the specimen before
the machining and after machining process.
Figure 3.10 Scanning electron microscopy
3.6. Process of EDM
Electrical discharge machining (EDM) is a non-traditional machining
technique that involves removing material from a part through a series of repeated
electrical discharges between electrodes and the part being machined in the presence
of a dielectric fluid.
68
3.6.1. EDM process parameters
In the EDM process, a large number of input control variables can be changed,
each with its own effect on output responses such as material removal rate, electrode
wear rate, and surface roughness. These are the input control variables:
• Peak current
• Discharge voltage
• RPM of the tool
• Pulse on time
• Duty factor
• Type of electrode material
• Type of dielectric fluid
• Electrode gap
In the literature review, the effect of the given parameters on the EDM process
is discussed in detail. According to previous research, four of the above-mentioned
parameters, namely peak current, duty cycle, pulse on time, and tool rotation, have a
direct impact on MRR, EWR, and surface roughness. The purpose of this study is to
look into the effect of powder mixed in dielectric fluid with gas assistance on output
responses like MRR, EWR, and surface roughness of workpiece samples via material
transfers from powder mixed dielectric in dielectric fluid at various input control
variables. As a result, the parameters are chosen as follows:
3.6.2. Selected parameters for the process
The output performance of EDM processes is affected by these parameters
through varying input properties. The final surface shape is based on electric
parameters, non-electric parameters, shape, and precision of the geometry of the tool.
Table 3.3 depicts the variation of parameters selected for the present research.
Table3.3 showing Range of different process parameters
Current(I) 3 5 7 9 11
Ton 50 100 150 200 250
DC 0.5 0.55 0.6 0.65 0.7
RPM 100 200 300 400 500
Gas 3 6 9 12 15
Calculation of Metal removal rate and Electrode wear rate -
MRR = Weight loss of the WP
69
= (Weight of the specimen (AL7075/SiC/Mg) before machining- Weight of the
specimen (AL7075/SiC/Mg) after machining)/Time taken for the machining
EWR = Weight loss of the tool (Weight of the tool before machining – weight of the
tool after machining) / weight loss of the WP *100
= (TWR / MRR) * 100
3.6.3. Experimental setup
EDM machine with attachments as manifested in Figure 3.11–
• DC motor along with the speed regulator
• Attachment for supplying inert gas from the cylinder with pressure regulator
• Powder mixing unit
Figure 3.11. Gas assisted powder mixed EDM set up
While conducting experiments with powder mixed gas assisted EDM, keep the
following points in mind:
1. To avoid powder particles being filtered, the powder should not be allowed to enter
the main dielectric tank or the filtering unit.
2. The dielectric fluid must be constantly stirred to prevent the powder from settling
and to achieve a uniform concentration.
3. Maintaining proper conductivity between the tool and the workpiece.
CHAPTER 4
RESULTS AND DISCUSSION
71
CHAPTER 4
RESULTS AND DISCUSSION
This chapter summarizes the elucidation of experimental work which has been
carried out using EDM as well as the results of the experiment. Using an aluminum
metal matrix composite, an experimental study was conducted to investigate the effect
of gas assistance combined with powder mixed dielectric on material removal rate,
electrode wear rate, and surface roughness. Graphs are plotted and results are
interpreted based on the response outcomes. Five sets of experiments are carried out:
1. Composite material micro structural analysis
2. Experiments with EDM assisted by compressed air
3. Experiments with EDM with gas assistance
4. Experiment with powder-mixed EDM with gas assistance.
5. Experiment with different electrode material
72
4.1. Comparative analysis of Micro Structural and mechanical properties of
Al-SiC-Mg and Al-B4C-Mg Particulate Metal Matrix Composite
A comparison of Al-SiC-Mg and Al-B4C-Mg hybrid metal matrix composites
is currently being investigated. The properties of Al7075 reinforced with different
reinforcements were compared. Boron carbide and silicon carbide (available in
powdered form) were mixed in various percentages with the alloy to test their
TEMPEffect, as well as magnesium in powdered form.
Mixture combinations of each NMMC formed are stated below-
• Al7075 (100%) SiC (0%) Mg (0%)
• Al7075-SiC (5%) – Mg (1%)
• Al7075- SiC (10%)-Mg (1%)
• Al7075-B4C (5%) - Mg (1%)
• Al7075-B4C (10%) - Mg (1%)
4.1.1. Vickers’s Hardness test
The Vickers’s hardness of the specimen was deliberated at apparent positions
at a load of about 1 kg for the time duration of 10 seconds. The hardness test was
carried out using (Matsuzawa MMT- X) Vickers’s hardness machine with a diamond
indenter (equilateral pyramid with square base and plane angle of 136 degree). The
foremost advantage of using vicker’s test is that the readings obtained are highly
effective and same type of indenter is used for all the metals and surface treatments. It
is based on an optical measurement system. It is a very versatile and static method and
can be used for macro as well as micro hardness testing. For this test the specimen’s
surface should be free from impurities, vibrations and should be clamped strongly.
The Table 4.1and Figure 4.1 shows the Vickers hardness results of the specimen
measured at varying positions at 1 kg load and for 10 second duration.
73
Figure 4.1. Outcome of Vickers hardness test of Al(7075) alloy
Table 4.1. Results of the hardness test Results of hardness test of Al7075-SiC-Mg &
Al7075-B4C-Mg
Al7075 Al7075-
5%Sic-Mg
Al7075-10%SiC-
Mg
Al7075-5%B4C-
Mg
Al7075-10%B4C-
Mg
1 172.6 182.4 199.3 129.2 145.1
2 173.2 184.3 205 130.6 146.3
3 170.9 190.1 200.9 130.1 148
4 180.6 179.9 204 131.8 148.4
5 176.2 178.2 203.6 128.9 147
Avg. hardness 175 183 203 130 147
Std deviation 3.813 4.613 2.37129 1.161 1.328
4.1.2. Tensile test
Tensile test is a type of tension test. It is used to find out strain hardening,
ultimate tensile strength, yield strength, ductility, Young’s modulus and Poisson’s
ratio. Tensile testing is very important for selecting material for a particular
application. It helps in predicting the behavior of the material under different forces.
Tensile tests are carried out on universal testing machine. The specimen for the tensile
test is represented in Figure 4.2. The shapes of the specimen used for tensile test are
standardized by ASTM as illustrated in Figure 4.3. A tensile test is performed such
that positive force is used for loading the material and then reducing it to zero and
then repeating this process till the specimen fails with the number of cycles and until
the failure is the intended value. Three tensile test samples were prepared along with
their properties are shown in Table 4.2. Figure 4.4 signifies the graph showing the
result of the tensile test of the samples.
74
Fig 4.2 Tensile specimen for the present research
Figure 4.3 Tensile specimen as per ASTM standard
Table 4.2. Results of tensile strength
Sr. No. Composites Strength
1 Al7075 (100%) SiC (0%) Mg (0%) 220 MPa
2 Al7075-SiC (5%) – Mg (1%) 231.2MPa
3 Al7075- SiC (10%)-Mg (1%) 243.4MPa
4 Al7075-B4C (5%) - Mg (1%) 212.5MPa
5 Al7075-B4C (10%) - Mg (1%) 221.5Mpa
Figure 4.4. Results of the tensile strength
4.1.3. Density of the composite material
Table 4.3 shows the theoretical and experimental densities of the composite
material. The dimensional stability of the Aluminum MMC is deliberated by the value
of density. From the literature it was perceived that porous material capitulate high
75
value of MRR. Excellent energy absorption and electrical conductivity are attained by
the porous materials. Porous hybrid matrix accumulates gas bubbles and eroded
material thus by preventing the incident of abnormal discharges leading to higher
efficiency of the process. Metal removal rate of the process and the pore size are in
linear relationship with each other.
Table 4.3 Results of the experimental and theoretical density of the nanocomposites.
Results of theoretical and experimental density Al7075-SiC-Mg and Al7075-B4C-Mg
Al7075
Al7075-5%Sic-
Mg
Al7075-10%SiC-Mg
Al7075-
5%B4C-Mg
Al7075-
10%B4C-Mg
1 2.81 3.18 3.012 2.46 2.035
2 2.821 3.012 2.896 2.308 2.325
3 2.765 2.99 2.951 2.222 2.68
4 2.732 3.003 3.009 2.95 2.103
Average density 2.782 3.046 2.967 2.485 2.286
Standard
deviation
0.4120 0.0894 0.05503 0.3252 0.2905
Theoretical
density
2.81 3.16 3.21 2.52 2.48
Porosity (%) 2.42 3.81 6.32 3.75 5.66
4.14 Microscopic View of the hybrid composite
Figure 4.5 (a) depicts the SEM image of AL7075 with different layers that can
be observed. Light small white areas present shows the impurity present in the
sample.Figure 4.5 (b) depicts the SEM image of AL7075 with 5 % silicon carbide and
1 % magnesium. Some white regions are observed because of the presence of carbide
particles in various layers. Due to the existence of silicon dioxide various dots can be
seen.
Figure (c) depicts the SEM image of AL 7075 with 10 % silicon carbide and 1
% magnesium. In nearly all the cases layers are not so clearly observable but because
of the low magnification, the layers of distinct materials are observed revealing the
presence of carbon, iron and silicon dioxide. Figure 4.5(d)depicts the SEM image of
Al7075 with 5% boron carbide and 1% magnesium. White portion contains numerous
splats manifesting improper mixing of the carbide in spite of using the stirring
throughout the process. Figure 4.5 (e) depicts the SEM image of Al7075 with 10 %
boron carbide and 1 % magnesium. Due to improper cutting and grinding of the
specimen peaks and dots are observed throughout the surface.
76
(a) (b)
(c) (d)
(e)
Figure 4.5 Results for hybrid composites (a) Al7075 (b) Al7075-SiC (5%)-Mg(1%)
(c) Al7075-SiC(10%)-Mg(1%)(d) Al7075-B4C (5%) - Mg (1%)(e) Al7075-B4C
(10%) - Mg (1%)
4.15.Comparative study of electrical conductivity of Al-SiC and Al-B4C
nanocomposites
Figure 4.6 manifests the disparity of the electrical conductivity of Al-
(reinforced with silicon carbide) and Al- (reinforced with boron carbide). It was
noticed that with increased silicon carbide and boron carbide particles, the electrical
conductivity lowers down because the reinforcement particles are perceived as the
creation of the dispersion of the electrons and silicon carbide and boron carbide the
77
pair being semiconductor compounds when takes the site of aluminium results in
lowering down of the electrical conductivity [10].
Figure 4.6 Comparison of electrical conductivity of both the Al-SiC and Al-B4C
nanocomposites
78
4.2.Comparative investigation of traditional EDM and rotary EDM of hybrid
composite (Al7075/SiC/Mg)
For traditional EDM and rotary EDM processes, the effect of process parameters such
as pulse current, rpm, and duty cycle on Tool wear rate and Material removal rate was
investigated.
4.2.1. MRR
Figure 4.7 Effect of pulse duration on MRR
Figure 4.8 Effect of peak current on MRR
Figure 4.7 represents the effect of pulse duration on MRR of rotary and
conventional EDM for the hybrid composite. It was noticed that the value of material
removal rate diminishes with the enhancement of the pulse on time. In traditional
EDM there is more widening of the plasma channel because of the stretched duration
of pulse on time as a consequence reduced energy density is generated. With the
increased pulse duration merest material is removed from the gap and vast number of
79
debris is acquired. Accretion of debris between the electrodes results in lowering of
the MRR.
Figure 4.8 represents the effect of peak current on the MRR of the rotary and
conventional EDM for the hybrid composite. With the escalation of the peak current,
the discharge energy increases bringing about more melting and extermination of the
material ensuing higher MRR. Rotation of the tool electrode in REDM magnifies the
pressure disparity sweeping more debris from the gap as compared to conventional
EDM.
Figure 4.9 Effect of duty cycle on MRR
Figure (4.9) represents effect of duty cycle on the MRR of the rotary and
conventional EDM for the hybrid composite. We observe intensified MRR with rise
in peak current and duty cycle because of high spark energy causing more
liquefaction of the workpiece from the sparking gap.
4.2.2. EWR
Figure (4.10) represents the TEMPEffect of the peak current on the EWR of
the rotary and conventional EDM for the hybrid composite. It was observed that EWR
rises with the escalation of peak current because of the increased discharge energy
more melting occurs, leading to accumulation of more material in the spark gap.
Copious amount of agglomeration of eroded particles takes place in the gap between
the workpiece and tool electrode owing to the high discharge current finally leading to
intensified EWR.
Figure (4.11) represents the TEMPEffect of pulse duration on EWR of the
rotary and conventional EDM for the hybrid composite. Figure exhibits the inversely
proportional relation between pulse duration and EWR. This is because of the reduced
80
temperature near the tip of the tool because of the extensive nature of the plasma
channel at prolonged duration of pulse and black carbon layer gets deposited which
acts a resistance wear against the tool electrode.
Figure (4.12) represents the TEMPEffect of duty cycle on EWR of the rotary
and conventional EDM for the hybrid composite. A linear relation between EWR and
duty cycle was evinced. High energy density arises because of the increased value of
duty cycle resulting in high EWR.
Figure 4.10 Effects of peak current on EWR
Figure 4.11 Effects of pulse duration on EWR
81
Figure 4.12 Effects of duty cycle on EWR
82
4.3. Comparative prediction of the influence of process parameters during
CAEDM and REDM of hybrid metal matrix composite
A comparison of rotary electric discharge machining (REDM) and compressed air
electric discharge machining (CAEDM) of Al7075 mixed with SiC and Mg hybrid
MMC was conducted.
4.3.1. MRR
Figure 4.13 Impact of duty cycle on the MRR
Figure 4.14 Impact of tool rpm on MRR
Figure 4.13 depicts the impact of duty cycle on the MRR of rotary and
compressed air assisted EDM. It can be clearly deduced from the Figure that
MRR leaps up with the rise of duty cycle. Basically, upraised value of duty cycle
leads to the initiation of high spark energy and as an outcome furthermore melting and
83
vaporization of the hybrid composite material takes place. Owing to the inoculation of
the compressed air through the perforated copper electrode yields enhanced melting
of the workpiece material and intensification of the flushing phenomenon therefore
high MRR is achieved in CAEDM as compared to rotary EDM.
Figure 4.14 depicts the impact of tool rpm on the MRR of rotary and
compressed air assisted EDM. It can be summarized from the Figure that the MRR
approaches its highest value with the rise of the rpm and then starts lowering down
gradually. The flushing phenomenon enhanced substantially with the rise of the
centrifugal force as a result of the increased rpm of the tool. However, after a
particular value of the rpm, if further the value of rpm is increased it causes
perturbation of the plasma channel leading to the reduction of the MRR.
Figure 4.15 Impact of pulse on time on MRR
Figure 4.16 Impact of peak current on MRR
84
Figure (4.15) shows the relation between pulse duration and MRR for REDM
and CAEDM. The curve for the MRR of both the processes goes down with increased
duration of the pulse. With the increase in the plasma channel the energy density also
increases leading to minimum melting. Cosmic craters are formed in the machining
gap emerging in short circuit arcing and reduction of MRR because of the prolonged
duration of the pulse[114].
Figure (4.16) depicts the linear relationship of peak current with the
performance parameter for both the processes. In case of CAEDM the compressed air
increases the hydro statistical pressure variation aiming at lager size of cavity and
recast layer stimulating transmission of the molten metal from the cavity thereby
upgrading the metal removal rate in contrast to the MRR of the rotary EDM.
4.3.2. EWR
Figure (4.17) represents the linear relation between peak current and EWR for
REDM and CAEDM. EWR for both the processes rises with rise in the value of the
peak current. In case of CAEDM the additional amount of heat generated accelerates
the melting process and accumulation of the eroded particles occurs in the inter
electrode gap. Compressed air lowers down the tool’s tip temperature thereby
reducing EWR, Lower EWR is attained for CAEDM as compared to rotary EDM.
Figure (4.18) shows nonlinear relation between pulse on time and EWR. There is a
add on plasma channel with increased pulse duration along with layer of carbon on
the surface of the tool because of the decaying of the dielectric fluid and air passing
through the holes present at the bottom of the tool electrode in case of CAEDM
intensify the flushing and the EWR gets reduced.
Figure (4.19) shows that with increase in the tool rotation the centrifugal force
increases and enhances the flushing process. Improved tool electrode resistance
against wear accompanied by the dark black layer deposition on the tool surface
which is effused due to decomposing of the dielectric results in increased value of
EWR.Figure (4.20) shows impact of duty cycle on both the process. It can be inferred
from the diagram that there exists a positive relationship between duty cycle and
EWR. High EWR is originated because of the high energy density brought out by
increased value of duty cycle. Compressed air in case of CAEDM liquefies more
material from the specimen thus enhancing the removal of unwanted particles from
the spark gap.
85
Figure 4.17 Impact of peak current on EWR
Figure 4.18Impact of pulse duration on EWR
Figure 4.19 Impact of tool rotation on EWR
86
Figure 4.20 Impact of duty cycle on EWR
87
4.4. Comparative analysis of REDM, Gas Assisted-EDM, and Gas Assisted
Powder Mixed-EDM of the hybrid MMC
On the basis of material removal rate and electrode wear rate, processes such as rotary
electrical discharge machining (REDM), gas-assisted electrical discharge machining
(GAEDM), and gas-assisted powder mixed electrical discharge machining
(GAPMEDM) are compared.
4.4.1. MRR
Figure (4.21) depicts the ascendancy of peak current on the MRR of REDM,
GAEDM and GAPMEDM. It was observed that with GAPMEDM the MRR increases
the maximum because of the gas assistance and bridging effects caused by scattering
of discharge into various build ups due to the presence of SiC reinforcement.
Moreover, the MRR of GAEDM is higher than the MRR of the REDM because of the
better removal of the debris from the machining zone in case of perforated tool
electrodes.
Figure (4.22) manifests the ramifications of pulse duration on the MRR of
REDM, GAEDM, and GAPMEDM. MRR enlarges with the increases in the pulse
duration and then goes down for all the three processes because the reachable time for
energy reciprocate with the workpiece and also gets longer causing the plasma
channel widening thus minimizing the melting of the workpiece material and as a
consequence turn down the MRR. The occurrence of the powder particles in the
kerosene oil diminishes the ignition delay duration which over and above increases
the sparking frequency resulting in enhanced MRR.
Figure (4.23) manifests the TEMPEffect of tool rotation on MRR for the
processes. The curve rises for all the processes and then starts lowering down. It was
owing to the logic that the intensified value of tool rotation instigates vigorous
centrifugal force illustrating the dielectric fluid persuading the abolition of the debris
from the workpiece surface. And as the rpm exceeds the specific value agitation of the
plasma channel takes place thus lowering the MRR. Arcing and short circuit takes
place due to formation of eddies in the spark gap. In GAPMEDM the SiC
reinforcement tends to produce more ions and comes in contact with the powder
enhancing the MRR.
Figure (4.24) shows the impact of duty cycle on the MRR of both the
processes. It was perceived from the diagram that MRR raises with the rise in the duty
cycle. For a certain value of pulse duration, the pulse off time reduces rapidly with the
88
amplification of the duty cycle and as an outcome intensified total discharge energy
bringing out more melting of the composite material. In GAPMEDM the SiC
reinforcement produces more ions and electrons amplifying discharges and thus
boosting MRR. It is analytically entrenched that the MRR acquired by GAPMEDM is
75% above the MRR of the REDM and 45% above the MRR of the REDM for the
same set of parameters.
Figure 4.21 Effects of peak current on MRR
Figure 4.22 Effects of pulse duration on MRR
89
Figure 4.23 Effects of tool rotation on MRR
Figure 4.24 Effects of duty cycle on MRR
4.4.2. EWR
Figure (4.25) manifests the impact of peak current on the EWR of REDM,
GAEDM, and GAPMEDM. Graph depicts that the EWR shoot up with rise in peak
current for all the processes. The augmented temperature of the plasma channel brings
into being supplement discharge energy and accumulation of expansive scattered
particles resulting in increased EWR. In case of GAPMEDM the gas assistance
absorbs the heat and temperature of the tool along with a black layer deposition on the
tool due to the presence of the nano particles of carbide resulting in fruitful abolishing
of the debris further lowers down the EWR.
90
Figure (4.26) manifests the impact of pulse duration on the EWR of all the
three processes. Figure depicts that EWR lowers down with the growth of pulse
duration. As the duration of the pulse increases widening of the plasma channel takes
place along with lowering down the temperature of the electrode’s tip. In the case of
GAPMEDM the temperature of the electrode is further more reduced thereupon
reducing the melting of the workpiece material. The process of pyrolysis is
encouraged in GAPMEDM contributing in reduction of EWR.
Figure 4.25 Effect of peak current on EWR
Figure 4.26 Effect of pulse duration on EWR
Figure (4.27) manifests the impact of tool rpm on EWR of rotary, GAEDM,
and GAPMEDM. Graph shows that the EWR increases up to a certain level then
decreases with the increase in tool rotation. Refined flushing, prevention of the arcing
91
phenomenon, and uniform sparking throughout the inter electrode gap results with
revamp rpm. In GAPMEDM the increased amount of black carbon layer gets
deposited owing to the huge heat carrying capacity of the Ar gas and the particles of
powder present in the dielectric enhances the spark gap reducing EWR [12].
Figure 4.27 Effect of tool rotation on EWR
Figure 4.28 Effect of duty cycle on EWR
Figure (4.28) manifests the impact of duty cycle on EWR of REDM,
GAEDM, and GAPMEDM. Figure shows that the EWR rises with rise in duty cycle
for all the three processes. Extension of the duty cycle brought about high discharge
energy as a consequence enhanced EWR is attained. In GAPMEDM the SiC particles
enhances the spark gap and proper evacuation takes place because of the flowing of
the inert gas.Figure (4.29 and 4.30) shows the SEM images for all the three processes
and it is observed that a smaller number of cracks was observed with the hybrid
92
system of gas assistance along with SiC powder mixed dielectric EDM process
because the gas absorbs the additional heat thereby reducing the residual stresses.
(a) (b)
(c)
Figure 4.29 Microscopic view of SEM image - Surface characteristics of specimen
machined by (a) REDM (b) GAEDM (c) GAPMEDM at Peak current 11A, pulse
duration 150µs, duty cycle 0.60, tool speed300rpm
(a) (b)
93
(c)
Figure 4.30 Microscopic view of SEM images-Surface characteristics of specimen
machined by (a) REDM (b) GAEDM (c) GAPMEDM at Peak current 7A, pulse
duration 250µs, duty cycle 0.60, tool speed 300rpm
94
4.5. Comparison of machining efficiency of gas assisted powder mixed EDM of
hybrid MMC based on different material of tool electrode
To investigate the effect of process variables on MRR and EWR, the results of two
different tools, copper and brass, with argon gas assisted powder mixed EDM, were
compared.
4.5.1. MRR
Figure 4.31 MRR Versus Pulse duration
Figure 4.32 MRR Versus Peak current
95
Figure 4.33 MRR Vs duty cycle
Figure (4.31, 4.32 and 4.33) shows the effect of duration of the pulse, peak
current and duty cycle on the metal removal rate of hybrid composite using Copper
and Brass took higher value of MRR was perceived in case of copper electrode
because of the high electrical conductivity of the copper electrode.
4.5.2. EWR
Figure 4.34 EWR Versus Pulse duration
96
Figure 4.35 EWR Versus Peak current
Figure 4.36 EWR Vs Duty cycle
Figure (4.34, 4.35 and 4.36) depicts the influence of pulse duration, peak
current, and duty cycle on the electrode wear rate of hybrid composite using copper
and brass tool. Low EWR was noticed with copper electrode because of the low
electrical resistivity and high thermal conductivity of the copper.
CHAPTER 5
CONCLUSION
98
CHAPTER 5
CONCLUSION
Composites have become necessary in aero plane building, and their
importance in the automotive industry is growing. Composite materials have been
used in the aircraft industry for decades in a variety of applications, including flying
surfaces and some internal cabin sections. Composite materials are bonded together to
create complicated structural sub-assemblies that must be integrated or linked to other
structural components like aluminum or titanium. They are, however, difficult to work
with and machine. Carbon fiber reinforced plastics, in which the fiber is embedded in
a matrix, as well as composites built from layers of materials, are the ones that put the
most strain on processing machinery and tools.
Metal-matrix nanocomposites, also called reinforced metal matrix composites,
are "one of the most important nanocomposites for their high tensile strength and
electrical conductivity," according to the researchers.
Nanocomposites, which have a 25 percent yearly growth rate due to their
multifunctional characteristics, are the materials of the twenty-first century. Aside
from low weight, aerospace structures must have mechanical attributes such as
strength, toughness, fatigue life, impact resistance, and scratch resistance in order to
be designed.
Relative analysis has been satisfyingly executed to analyses the performance
of processes considering the machining of AL7075-SiC-Mg hybrid metal matrix
composite.
5.1. First stage Conclusions
• The initial stage demonstrated the amalgam of the aluminum base metal with
the reinforcement (Silicon carbide and Boron carbide) and Magnesium and
various experiments were carried out in order to characterize them.
• The development of Al4C3 aids in the formation of a stronger Al/SiC bond.
• The mechanical qualities of Silicon carbide (with Mg) composite are superior
to all produced Al/Boron carbide/Mg composites, according to the mechanical
testing.
99
• The presence of clusters of SiC particles across the samples indicates
homogeneous mixing of the blend. Furthermore, after stirring, gas pores,
coagulation shrinkage, and air space can be seen between the clustered
particles, and the porosity may be changed by changing the temperature and
stirring time.
• It was discovered that the hardness of a sample is determined by the number of
ceramic particles in the Hardness test with a load of 50gram. The tensile
strength and ductility of samples with a large amount of ceramic Particulate
are found to be determined by the coalition of Al/SiC and Al/B4C, whereas
the tensile strength and ductility of samples with just a smidgeon of ceramic
Particulate are found to be determined by the coalition of Al/SiC and Al/B4C.
• The electrical conductivity of the Al nano composite decreases as the
reinforcing weight percentage increases.
5.2. Second stage Conclusions
• The passage of compressed air through the multi-holed tool was shown to
increase the hydrostatic pressure disparity, causing more material to liquefy
and enhancing the flushing of debris from the inter electrode gap, hence
improving the MRR.
• The EWR of CAEDM is discovered to be relatively lower because
compressed air decreases the tool electrode's tip surface, lowering the EWR as
a result.
• Material removal rate is superior and electrode wear rate is lessening down in
GAPMEDM contrast to GAEDM and the traditional REDM processes.
• The merger of SiC powder particles suspended in the kerosene dielectric and
argon gas assistance enhances the MRR significantly.
• Based on the exploratory outcome, the MRR attained in the GAPMEDM
process is improved up to 75 percent and the EWR is scale down by 25
percent in comparison to the REDM process. The MRR obtained by the
GAPMEDM process is not less than 45 percent refined and the EWR is not
less than 15 percent reduced than the GAEDM process.
• SEM images manifests surface integrity is peculiarly enhanced by the
combined impact of suspended particles and gas assistance. Moreover, the
100
investigation of SEM images depicts a thin and smooth recast layer on the
surface of the specimen machined by GAPMEDM in comparison to that
machined by both the GAEDM and the conventional EDM method.
It is clear that the various stages of the current work consider the urgent need to
replace heavy materials such as iron and steel with aluminum alloys with various
reinforcements, which have many superior features such as high specific strength and
stiffness. The results of the various comparison evaluations for GAEDM and
GAPMEDM point to a slew of repercussions.
As a result, the Al 7075 hybrid metal matrix composites synthesized with the
inclusion of SiC and Mg fillers can be effectively used to manufacture a variety of
automotive and aircraft components that are subjected to considerable tensile and
compressive loads. As a result, adding fillers to Al alloy composites gives them
amazing properties.
The investigation also reveals that using light weight fiber composites as a
replacement for traditional heavier materials such as high-quality steel and
unreinforced aluminum for manufacturing various components for the automobile and
aircraft industries can significantly improve component performance. The use of a gas
assisted multi hole or perforated rotary tool electrode can improve the efficiency of
the green EDM process.
Even though EDM is one of the most versatile machining processes, it still has
to be enhanced in order to be applicable to a wider range of materials. As a result, if
carried out correctly, the current inquiry will be quite valuable these hybrid EDM
methods have a lot of potential for improving surface quality, MRR, and the ability to
machine a wider range of materials.
CHAPTER 6
FUTURE SCOPE
102
CHAPTER 6
FUTURE SCOPE
The present chapter emphasises the significance of the current work fathoming
the future examination openings. Though various researchers have contributed
tremendously towards the enhancement of process performance, the excellent future
probabilities that could be caught from the current work are as enrolled beneath:
6.1. Key Points
• The majority of the investigations used alloy steel as the workpiece, with fewer
research using SiC and Al2O3 reinforced metal matrix composites. Only a little
amount of research on electro-conductive ceramics and other MMCs has been
published. Machining of various hard materials like Titanium, Molybdenum using
hybrid EDM process.
• Use of different powders for the machining of metal matrix composites using
hybrid machining and use of various soft computing techniques to optimise the
hybrid machining process is still unrevealed.
• The vast majority of the distributed work centres around anode wear rate, material
expulsion rate and surface completion. Further investigation should focus more on
creating gas assisted powder blended EDM as an exactness machining process.
For which, alongside tool wear rate, material removal rate and surface completion
other execution factors, for example, over-cut, measure repeatability ought to
likewise be thought of.
• Further work may investigate the utilization of nitrogen and inactive gases for
help. Nitrogen may be useful if surface treatments, for example, nitriding are
needed as post-machining. Notwithstanding, helium because of its generally
extremely high warmth limit may offer better execution as far as exactness of the
cut.
• Examination and evaluation of gas assisted powder blended EDMed surfaces like
porosities, dimples and scientific modelling of the process of crack formation on
GAPMEDMed surfaces should have been taken as productive future work.
• More research is necessitated to acknowledge the nature of fluid dynamics of
103
dielectric gas flow in the inter-electrode gap and its impact on process
performance.
• Under specific machining conditions, a mixture of gas and organic deionised
water may cause higher material removal rate than hydrocarbon oil.
Aforementioned particular approach needs further investigations before its
commercial use.
• The impacts of different powders on advanced material machining, such as
manganese, chromium, molybdenum, vanadium, titanium, and zirconium powder,
are still unknown. Using appropriate optimization approaches, ideal parameter
sets for achieving optimal responses can be carried out for specific powders.
• The majority of study has focused on non-electrical parameters such as tool
rotation and flushing pressure, with only a few reports on workpiece rotation and
oscillation.
• For successful Nano-EDM of tougher materials or even a metal matrix composite,
the scanning tunnelling microscope platform and pulse generator can work
together.
• The cost-effectiveness of micro-EDM and hybrid micro EDM must be taken into
account
104
REFERENCES
[1] K. Prasad and S. Chakraborty, “A decision guidance framework for non-
traditional machining processes selection,” Ain Shams Eng. J., vol. 9, no. 2, pp. 203–
214, 2018, doi: https://doi.org/10.1016/j.asej.2015.10.013.
[2] N. K. Jain and V. K. Jain, “Modeling of material removal in mechanical type
advanced machining processes: a state-of-art review,” Int. J. Mach. Tools Manuf., vol.
41, no. 11, pp. 1573–1635, 2001, doi: https://doi.org/10.1016/S0890-6955(01)00010-
4.
[3] A. Engineering, N. Delhi, and K. Gate, “Realizing Potential of Graphite Powder in
Enhancing Machining Rate in AEDM of Nickel Based Super Alloy 718,” vol. 01, no.
01, pp. 50–53, 2010.
[4] K. Palanikumar and J. P. Davim, “5 - Electrical discharge machining: study on
machining characteristics of WC/Co composites,” in Machining and machine-tools, J.
P. Davim, Ed. Woodhead Publishing, 2013, pp. 135–168.
[5] R. R. Shreyas, B. K. S. K. Sachin, and T. S. Nanjundeswaraswamy, “Selection of
Non-Traditional Machining Process,” Int. J. Eng. Res. Technol., vol. 8, no. 11, pp.
148–155, 2019, [Online]. Available: https://www.ijert.org.
[6] N. K. Jain, V. K. Jain, and K. Deb, “Optimization of process parameters of
mechanical type advanced machining processes using genetic algorithms,” Int. J.
Mach. Tools Manuf., vol. 47, no. 6, pp. 900–919, 2007, doi:
https://doi.org/10.1016/j.ijmachtools.2006.08.001.
[7] Z.-W. Fan and L.-W. Hourng, “The analysis and investigation on the
microelectrode fabrication by electrochemical machining,” Int. J. Mach. Tools
Manuf., vol. 49, no. 7, pp. 659–666, 2009, doi:
https://doi.org/10.1016/j.ijmachtools.2009.01.011.
[8] M. Laad, V. S. Jatti, and P. P. Jadhav, “Investigation into application of electrical
discharge machining as a surface treatment process,” WSEAS Trans. Appl. Theor.
Mech., vol. 9, no. 1, pp. 245–251, 2014.
[9] H. K. Kansal, S. Singh, and P. Kumar, “Technology and research developments in
powder mixed electric discharge machining (PMEDM),” J. Mater. Process. Technol.,
105
vol. 184, no. 1, pp. 32–41, 2007, doi:
https://doi.org/10.1016/j.jmatprotec.2006.10.046.
[10] M. Hourmand, A. A. D. Sarhan, and M. Sayuti, “Micro-electrode fabrication
processes for micro-EDM drilling and milling: a state-of-the-art review,” Int. J. Adv.
Manuf. Technol., vol. 91, no. 1–4, pp. 1023–1056, 2017, doi: 10.1007/s00170-016-
9671-4.
[11] M. Kunieda, B. Lauwers, K. P. Rajurkar, and B. M. Schumacher, “Advancing
EDM through Fundamental Insight into the Process,” CIRP Ann., vol. 54, no. 2, pp.
64–87, 2005, doi: https://doi.org/10.1016/S0007-8506(07)60020-1.
[12] J. E. A. Qudeiri, A. Zaiout, A. H. I. Mourad, M. H. Abidi, and A. Elkaseer,
“Principles and Characteristics of Different EDM Processes in Machining Tool and
Die Steels,” Appl. Sci., 2020, doi: 10.3390/app10062082.
[13] S. Mohanty, A. Mishra, B. K. Nanda, and B. C. Routara, “Multi-objective
parametric optimization of nano powder mixed electrical discharge machining of
AlSiCp using response surface methodology and particle swarm optimization,”
Alexandria Eng. J., vol. 57, no. 2, pp. 609–619, 2018, doi:
https://doi.org/10.1016/j.aej.2017.02.006.
[14] C. Mathew and S. K. George, “Optimization of MRR and TWR on EDM by
Using Taguchi ’ s Method and ANOVA,” Int. J. Innov. Res. Adv. Eng., vol. 1, no. 8,
pp. 106–112, 2014.
[15] B. McDonnell, “Jesters to the revolution - A history of Cartoon Archetypical
Slogan Theatre (CAST), 1965 - 85,” Theatr. Noteb., vol. 64, no. 2, pp. 96–111, 2010.
[16] N. Mohd Abbas, D. G. Solomon, and M. Fuad Bahari, “A review on current
research trends in electrical discharge machining (EDM),” Int. J. Mach. Tools Manuf.,
vol. 47, no. 7–8, pp. 1214–1228, 2007, doi: 10.1016/j.ijmachtools.2006.08.026.
[17] S. Boran and C. Ekincioğlu, “A novel integrated SMED approach for reducing
setup time,” Int. J. Adv. Manuf. Technol., vol. 92, no. 9, pp. 3941–3951, 2017, doi:
10.1007/s00170-017-0424-9.
[18] K. H. Ho and S. T. Newman, “State of the art electrical discharge machining
(EDM),” Int. J. Mach. Tools Manuf., vol. 43, no. 13, pp. 1287–1300, 2003, doi:
https://doi.org/10.1016/S0890-6955(03)00162-7.
[19] S. S. Mahapatra and A. Patnaik, “Optimization of wire electrical discharge
machining (WEDM) process parameters using Taguchi method,” Int. J. Adv. Manuf.
Technol., vol. 34, no. 9–10, pp. 911–925, 2007, doi: 10.1007/s00170-006-0672-6.
106
[20] S. Kumar, R. Singh, T. P. Singh, and B. L. Sethi, “Surface modification by
electrical discharge machining: A review,” J. Mater. Process. Technol., vol. 209, no.
8, pp. 3675–3687, 2009, doi: https://doi.org/10.1016/j.jmatprotec.2008.09.032.
[21] S. Rao, “Review on Wire-Cut EDM Process,” Int. J. Adv. Trends Comput. Sci.
Eng., vol. 2, no. 6, pp. 12–17, 2013.
[22] D. G. Mahto and N. Singh, “Experimental Study of Process Parameters through
Dissimilar Form of Electrodes in EDM Machining,” SSRN Electron. J., no. August,
pp. 0–31, 2017, doi: 10.2139/ssrn.2947443.
[23] R. Bobbili, V. Madhu, and A. K. Gogia, “Effect of Wire-EDM Machining
Parameters on Surface Roughness and Material Removal Rate of High Strength
Armor Steel,” Mater. Manuf. Process., vol. 28, no. 4, pp. 364–368, 2013, doi:
10.1080/10426914.2012.736661.
[24] C. C. Wang, B. H. Yan, H. M. Chow, and Y. Suzuki, “Cutting austempered
ductile iron using an EDM sinker,” J. Mater. Process. Technol., vol. 88, no. 1, pp. 83–
89, 1999, doi: https://doi.org/10.1016/S0924-0136(98)00382-3.
[25] B. C. Kandpal, J. kumar, and H. Singh, “Machining of Aluminium Metal Matrix
Composites with Electrical Discharge Machining - A Review,” Mater. Today Proc.,
vol. 2, no. 4, pp. 1665–1671, 2015, doi: https://doi.org/10.1016/j.matpr.2015.07.094.
[26] U. Ashok kumar and P. Laxminarayana, “Optimization of Electrode Tool Wear
in micro holes machining by Die Sinker EDM using Taguchi Approach*,” Mater.
Today Proc., vol. 5, no. 1, Part 1, pp. 1824–1831, 2018, doi:
https://doi.org/10.1016/j.matpr.2017.11.281.
[27] U. Ashok kumar, P. Laxminarayana, and N. Aravindan, “Study of surface
morphology on micro machined surfaces of AISI 316 by Die Sinker EDM,” Mater.
Today Proc., vol. 4, no. 2, Part A, pp. 1285–1292, 2017, doi:
https://doi.org/10.1016/j.matpr.2017.01.149.
[28] D. M. Razak, S. Syahrullail, N. Nuraliza, Y. Azli, and N. Sapawe, “Surface
modification of biomaterial embedded with pits using die sinker machine,” Sci. Iran.,
vol. 24, no. 4, pp. 1901–1911, 2017, doi: 10.24200/sci.2017.4281.
[29] P. Laxminarayana, V. Isvilanonda, M. Ramulu, and B. N. P. Rao, “EDM and
AWJ edge finishing on surface morphology of hybrid composite laminates,” TMS
Annu. Meet., vol. 3, no. January, pp. 541–548, 2010.
[30] G. Singh, A. S. Bhui, Y. Lamichhane, P. Mukhiya, P. Kumar, and B. Thapa,
“Machining performance and influence of process parameters on stainless steel 316L
107
using die-sinker EDM with Cu tool,” Mater. Today Proc., vol. 18, pp. 2468–2476,
2019, doi: https://doi.org/10.1016/j.matpr.2019.07.096.
[31] J. J. and S. Ramabalan, “Die Sinking Edm Process Parameters: a Review,” Int. J.
Eng. Robot. Res., vol. 4, no. 1, 2015.
[32] H. Rajkumar and M. Vishwakamra, “Performance parameters characteristics of
PMEDM: A review,” Int. J. Appl. Eng. Res, vol. 13, no. 7, pp. 5281–5290, 2018.
[33] D. R. J. Sushil Kumar Choudhary, “Current Advanced Research Development of
Electric Discharge Machining (EDM): A Review,” Int. J. Res. Advent Technol., vol.
2, no. 3, 2014.
[34] E. Re, “Parametric Analysis of Mrr on Dry Electric Discharge Machine Using
Ceramic Material Parametric Analysis of Mrr on Dry Electric Discharge Machine,”
vol. 1, no. January, pp. 69–82, 2016.
[35] N. A. J. Hosni and M. A. Lajis, “The influence of Span-20 surfactant and micro-
/nano-Chromium (Cr) Powder Mixed Electrical Discharge Machining ({PMEDM})
on the surface characteristics of {AISI} D2 hardened steel,” {IOP} Conf. Ser. Mater.
Sci. Eng., vol. 342, p. 12095, Apr. 2018, doi: 10.1088/1757-899x/342/1/012095.
[36] Y. H. Guu and H. Hocheng, “EFFECTS OF WORKPIECE ROTATION ON
MACHINABILITY DURING ELECTRICAL-DISCHARGE MACHINING,” Mater.
Manuf. Process., vol. 16, no. 1, pp. 91–101, 2001, doi: 10.1081/AMP-100103699.
[37] M. Arif, M. Asif, and D. Ahmed, “Advanced Composite Material for Aerospace
Application-a Review,” Int. J. Eng. Manuf. Sci., vol. 7, no. 2, pp. 393–409, 2017,
[Online]. Available: http://www.ripublication.com.
[38] P. D. Pastuszak and A. Muc, “Application of composite materials in modern
constructions,” Key Eng. Mater., vol. 542, pp. 119–129, 2013, doi:
10.4028/www.scientific.net/KEM.542.119.
[39] G. [comp. .Ondracek, Materials - a guide for students and engineers; 4. rev. ed.;
Werkstoffkunde. LeitfadenfuerStudium und Praxis. Germany: Expert-Verl,
Renningen (Germany), 1994.
[40] P. Chakrapani and T. S. A. Suryakumari, “Mechanical properties of aluminium
metal matrix composites-A review,” Mater. Today Proc., vol. 45, pp. 5960–5964,
2021, doi: https://doi.org/10.1016/j.matpr.2020.09.247.
[41] R. Dasgupta, “Aluminium Alloy-Based Metal Matrix Composites: A Potential
Material for Wear Resistant Applications,” ISRN Metall., vol. 2012, pp. 1–14, 2012,
doi: 10.5402/2012/594573.
108
[42] Surappa M.K., “Aluminium Matrix Composites: Challenges and Opportunities //
Sadhana. Department of Metallurgy, Indian Institute of Science, Bangalore 560 012,
India,” vol. 28, no. 1–2, pp. 319–334, 2003.
[43] K. K. Chawla, Composite materials: Science and engineering, third edition, no.
1994. 2012.
[44] N. K. Bhoi, H. Singh, and S. Pratap, “Developments in the aluminum metal
matrix composites reinforced by micro/nano particles – A review,” J. Compos.
Mater., vol. 54, no. 6, pp. 813–833, 2020, doi: 10.1177/0021998319865307.
[45] D. Gay, Composite Materials: Design and Applications. 2015.
[46] S. V. Prasad and R. Asthana, “Aluminum metal-matrix composites for
automotive applications: Tribological considerations,” Tribol. Lett., vol. 17, no. 3, pp.
445–453, 2004, doi: 10.1023/B:TRIL.0000044492.91991.f3.
[47] M. A. Taha, “Industrialization of Cast Aluminum Matrix Composites
(AMCCS),” Mater. Manuf. Process., vol. 16, no. 5, pp. 619–641, Sep. 2001, doi:
10.1081/AMP-100108625.
[48] M. K. Surappa, “Microstructure evolution during solidification of DRMMCs
(Discontinuously reinforced metal matrix composites): State of art,” J. Mater. Process.
Technol., vol. 63, no. 1, pp. 325–333, 1997, doi: https://doi.org/10.1016/S0924-
0136(96)02643-X.
[49] B. Chandra Kandpal, J. Kumar, and H. Singh, “Manufacturing and technological
challenges in Stir casting of metal matrix composites– A Review,” Mater. Today
Proc., vol. 5, no. 1, Part 1, pp. 5–10, 2018, doi:
https://doi.org/10.1016/j.matpr.2017.11.046.
[50] Gary F. Benedict, Nontraditional manufacturing processes. 1987.
[51] F. N. Leão and I. R. Pashby, “A review on the use of environmentally-friendly
dielectric fluids in electrical discharge machining,” J. Mater. Process. Technol., vol.
149, no. 1, pp. 341–346, 2004, doi: https://doi.org/10.1016/j.jmatprotec.2003.10.043.
[52] B. H. Yan, C. C. Wang, H. M. Chow, and Y. C. Lin, “Feasibility study of rotary
electrical discharge machining with ball burnishing for Al2O3/6061Al composite,”
Int. J. Mach. Tools Manuf., vol. 40, no. 10, pp. 1403–1421, 2000, doi:
https://doi.org/10.1016/S0890-6955(00)00005-5.
[53] B. Mohan, A. Rajadurai, and K. G. Satyanarayana, “Effect of SiC and rotation of
electrode on electric discharge machining of Al–SiC composite,” J. Mater. Process.
109
Technol., vol. 124, no. 3, pp. 297–304, 2002, doi: https://doi.org/10.1016/S0924-
0136(02)00202-9.
[54] P. Kuppan, A. Rajadurai, and S. Narayanan, “Influence of EDM process
parameters in deep hole drilling of Inconel 718,” Int. J. Adv. Manuf. Technol., vol.
38, no. 1–2, pp. 74–84, 2008, doi: 10.1007/s00170-007-1084-y.
[55] M. Ghoreishi and J. Atkinson, “A comparative experimental study of machining
characteristics in vibratory, rotary and vibro-rotary electro-discharge machining,” J.
Mater. Process. Technol., vol. 120, no. 1, pp. 374–384, 2002, doi:
https://doi.org/10.1016/S0924-0136(01)01160-8.
[56] S. Abdulkareem, A. A. Khan, and M. Konneh, “Reducing electrode wear ratio
using cryogenic cooling during electrical discharge machining,” Int. J. Adv. Manuf.
Technol., vol. 45, no. 11–12, pp. 1146–1151, 2009, doi: 10.1007/s00170-009-2060-5.
[57] V. Srivastava and P. M. Pandey, “Effect of process parameters on the
performance of EDM process with ultrasonic assisted cryogenically cooled
electrode,” J. Manuf. Process., vol. 14, no. 3, pp. 393–402, 2012, doi:
https://doi.org/10.1016/j.jmapro.2012.05.001.
[58] R. Teimouri and H. Baseri, “Effects of magnetic field and rotary tool on EDM
performance,” J. Manuf. Process., vol. 14, no. 3, pp. 316–322, 2012, doi:
https://doi.org/10.1016/j.jmapro.2012.04.002.
[59] M. Kunieda, S. Furuoya, and N. Taniguchi, “Improvement of EDM Efficiency by
Supplying Oxygen Gas into Gap,” CIRP Ann. - Manuf. Technol., vol. 40, no. 1, pp.
215–218, 1991, doi: 10.1016/S0007-8506(07)61971-4.
[60] M. Kunieda, M. Yoshida, and N. Taniguchi, “Electrical Discharge Machining in
Gas,” CIRP Ann., vol. 46, no. 1, pp. 143–146, 1997, doi:
https://doi.org/10.1016/S0007-8506(07)60794-X.
[61] B. H. Yan, Y. C. Lin, and F. Y. Huang, “Surface modification of Al–Zn–Mg
alloy by combined electrical discharge machining with ball burnish machining,” Int. J.
Mach. Tools Manuf., vol. 42, no. 8, pp. 925–934, 2002, doi:
https://doi.org/10.1016/S0890-6955(02)00026-3.
[62] S. K. Saha and S. K. Choudhury, “Experimental investigation and empirical
modeling of the dry electric discharge machining process,” Int. J. Mach. Tools
Manuf., vol. 49, no. 3, pp. 297–308, 2009, doi:
https://doi.org/10.1016/j.ijmachtools.2008.10.012.
110
[63] S. Ding and R. Jiang, “Tool path generation for 4-axis contour EDM rough
machining,” Int. J. Mach. Tools Manuf., vol. 44, no. 14, pp. 1493–1502, 2004, doi:
https://doi.org/10.1016/j.ijmachtools.2004.05.010.
[64] H.-M. Chow, B.-H. Yan, F.-Y. Huang, and J.-C. Hung, “Study of added powder
in kerosene for the micro-slit machining of titanium alloy using electro-discharge
machining,” J. Mater. Process. Technol., vol. 101, no. 1, pp. 95–103, 2000, doi:
https://doi.org/10.1016/S0924-0136(99)00458-6.
[65] M. L. Ramani, V., &Cassidenti, “Inert-gas electricaldischarge machining,”
(NASA Tech. Br. No. NPO-15660), 19885.
[66] Y. Zhang, Y. Liu, Y. Shen, Z. Li, R. Ji, and B. Cai, “A novel method of
determining energy distribution and plasma diameter of EDM,” Int. J. Heat Mass
Transf., vol. 75, pp. 425–432, 2014, doi:
https://doi.org/10.1016/j.ijheatmasstransfer.2014.03.082.
[67] J. Wang and F. Han, “Simulation model of debris and bubble movement in
consecutive-pulse discharge of electrical discharge machining,” Int. J. Mach. Tools
Manuf., vol. 77, pp. 56–65, 2014, doi:
https://doi.org/10.1016/j.ijmachtools.2013.10.007.
[68] B. Izquierdo, J. A. Sánchez, S. Plaza, I. Pombo, and N. Ortega, “A numerical
model of the EDM process considering the effect of multiple discharges,” Int. J.
Mach. Tools Manuf., vol. 49, no. 3, pp. 220–229, 2009, doi:
https://doi.org/10.1016/j.ijmachtools.2008.11.003.
[69] B. Bhattacharyya, S. Gangopadhyay, and B. R. Sarkar, “Modelling and analysis
of EDMED job surface integrity,” J. Mater. Process. Technol., vol. 189, no. 1, pp.
169–177, 2007, doi: https://doi.org/10.1016/j.jmatprotec.2007.01.018.
[70] N. K. Singh, P. M. Pandey, and K. K. Singh, “EDM with an Air-Assisted Multi-
Hole Rotating Tool,” Mater. Manuf. Process., vol. 31, no. 14, pp. 1872–1878, Oct.
2016, doi: 10.1080/10426914.2015.1127954.
[71] L. Li, F. Q. Bi, L. Feng, and X. Bai, “Effect of low-temperature gas-cooled
electrode on the performance of EDM process,” Int. J. Adv. Manuf. Technol., vol. 86,
no. 1–4, pp. 717–722, 2016, doi: 10.1007/s00170-015-8115-x.
[72] Y.-C. Lin, J.-C. Hung, H.-M. Chow, A.-C. Wang, and J.-T. Chen, “Machining
Characteristics of a Hybrid Process of EDM in Gas Combined with Ultrasonic
Vibration and AJM,” Procedia CIRP, vol. 42, pp. 167–172, 2016, doi:
https://doi.org/10.1016/j.procir.2016.02.213.
111
[73] V. K. Yadav, P. Kumar, and A. Dvivedi, “Performance enhancement of rotary
tool near-dry EDM of HSS by supplying oxygen gas in the dielectric medium,”
Mater. Manuf. Process., vol. 34, no. 16, pp. 1832–1846, Dec. 2019, doi:
10.1080/10426914.2019.1675889.
[74] K. H. Syed and P. Kuppan, “Studies on recast-layer in EDM using aluminium
powder mixed distilled water dielectric fluid,” Int. J. Eng. Technol., vol. 5, no. 2, pp.
1775–1780, 2013.
[75] S. Joshi, P. Govindan, A. Malshe, and K. Rajurkar, “Experimental
characterization of dry EDM performed in a pulsating magnetic field,” CIRP Ann.,
vol. 60, no. 1, pp. 239–242, 2011, doi: https://doi.org/10.1016/j.cirp.2011.03.114.
[76] L. Liqing and S. Yingjie, “Study of Dry EDM with Oxygen-Mixed and
Cryogenic Cooling Approaches,” Procedia CIRP, vol. 6, pp. 344–350, 2013, doi:
https://doi.org/10.1016/j.procir.2013.03.055.
[77]K. Palanikumar and R. Karthikeyan, “Assessment of factors influencing surface
roughness on the machining of Al/SiC particulate composites,” Mater. Des., vol. 28,
no. 5, pp. 1584–1591, 2007, doi: https://doi.org/10.1016/j.matdes.2006.02.010.
[78] L. K. Hung NP, Yang IJ, “Electrical discharge machining of cast metal matrix
composites,” J Mater Process Technol, vol. 41, pp. 229–236, 1994.
[79] M. Ramulu, M., Taya, “EDM machinability of SiCw/Al composites,” J Mater
Sci, vol. 24, pp. 1103–1108, 1989.
[80] B. Mohan, A. Rajadurai, and K. G. Satyanarayana, “Electric discharge machining
of Al–SiC metal matrix composites using rotary tube electrode,” J. Mater. Process.
Technol., vol. 153–154, pp. 978–985, 2004, doi:
https://doi.org/10.1016/j.jmatprotec.2004.04.347.
[81] L. Uriarte et al., “Comparison between microfabrication technologies for metal
tooling,” Proc. Inst. Mech. Eng. Part C J. Mech. Eng. Sci., vol. 220, no. 11, pp. 1665–
1676, 2006, doi: 10.1243/09544062JMES220.
[82] H. Hanizam, M. S. Salleh, M. Z. Omar, and A. B. Sulong, “Optimisation of
mechanical stir casting parameters for fabrication of carbon nanotubes–aluminium
alloy composite through Taguchi method,” J. Mater. Res. Technol., vol. 8, no. 2, pp.
2223–2231, 2019, doi: https://doi.org/10.1016/j.jmrt.2019.02.008.
[83] M. Kok, “Production and mechanical properties of Al2O3 particle-reinforced
2024 aluminium alloy composites,” J. Mater. Process. Technol., vol. 161, no. 3, pp.
381–387, 2005, doi: https://doi.org/10.1016/j.jmatprotec.2004.07.068.
112
[84] J. Joel and M. Anthony Xavior, “Aluminium Alloy Composites and its
Machinability studies; A Review,” Mater. Today Proc., vol. 5, no. 5, Part 2, pp.
13556–13562, 2018, doi: https://doi.org/10.1016/j.matpr.2018.02.351.
[85] Y. Li, K. T. Ramesh, and E. S. C. Chin, “Viscoplastic deformations and
compressive damage in an A359/SiCp metal–matrix composite,” Acta Mater., vol. 48,
no. 7, pp. 1563–1573, 2000, doi: https://doi.org/10.1016/S1359-6454(99)00430-9.
[86] M. L. Lee, Y. Li, and C. A. Schuh, “Effect of a controlled volume fraction of
dendritic phases on tensile and compressive ductility in La-based metallic glass
matrix composites,” Acta Mater., vol. 52, no. 14, pp. 4121–4131, 2004, doi:
https://doi.org/10.1016/j.actamat.2004.05.025.
[87] R. G. Bhandare and P. M. Sonawane, “Preparation of Aluminium Matrix
Composite by Using Stir Casting Method,” Int. J. Eng. Adv. Technol., vol. 3, no. 2,
pp. 61–65, 2013.
[88] B. Ravi, B. B. Naik, and J. U. Prakash, “Characterization of Aluminium Matrix
Composites (AA6061/B4C) Fabricated by Stir Casting Technique,” Mater. Today
Proc., vol. 2, no. 4, pp. 2984–2990, 2015, doi:
https://doi.org/10.1016/j.matpr.2015.07.282.
[89] L. Suraya et al., “The Effect of EDM Die-Sinking Parameters on Machining
Characteristics in Aluminum Alloy Machining,” in Recent Technologies in Design,
Management and Manufacturing, 2015, vol. 761, pp. 303–307, doi:
10.4028/www.scientific.net/AMM.761.303.
[90] I. International and C. On, “Investigation on Machining Characteristics in Die
Sinker Edm,” no. Figure 1, pp. 1–11, 2016.
[91] A. Khajuria et al., “Influence of ceramic Al2O3 particulates on performance
measures and surface characteristics during sinker EDM of stir cast AMMCs,” World
J. Eng., vol. 16, no. 4, pp. 526–538, Jan. 2019, doi: 10.1108/WJE-01-2019-0015.
[92] A. S. Channi, H. S. Bains, S. C. Vettivel, and J. S. Grewal, “Processing and
Mechanical Behavior of TiB2 and ZnSt2 Reinforced Aluminium Alloy 6061 Hybrid
Composite using Stir Casting,” Int. J. Emerg. Technol. Eng. Res., vol. 6, no. 2, pp.
37–42, 2018.
[93] S. James and S. Panchal, “Finite element analysis and simulation study on
micromachining of hybrid composite stacks using Micro Ultrasonic Machining
process,” J. Manuf. Process., vol. 48, pp. 283–296, 2019, doi:
https://doi.org/10.1016/j.jmapro.2019.10.028.
113
[94] R. N. Muni, J. Singh, V. Kumar, S. Sharma, and M. Mehta, “Assessment of
Surface Roughness in EDM of RHA, Cu and Mg Reinforced Hybrid MMC using L27
Taguchi’s Orthogonal Array Technique,” Int. J. Innov. Technol. Explor. Eng., vol. 9,
no. 3, pp. 3128–3135, 2020, doi: 10.35940/ijitee.b7029.019320.
[95] R. Sajeevan and A. K. Dubey, “Parametric study of die-sinking electric discharge
machining on aluminium based metal matrix composite,” Mater. Today Proc., vol. 44,
pp. 930–934, 2021, doi: https://doi.org/10.1016/j.matpr.2020.11.001.
[96] D. Palanisamy, A. Devaraju, N. Manikandan, K. Balasubramanian, and D.
Arulkirubakaran, “Experimental investigation and optimization of process parameters
in EDM of aluminium metal matrix composites,” Mater. Today Proc., vol. 22, pp.
525–530, 2020, doi: https://doi.org/10.1016/j.matpr.2019.08.145.
[97] F. Müller and J. Monaghan, “Non-conventional machining of particle reinforced
metal matrix composites,” J. Mater. Process. Technol., vol. 118, no. 1, pp. 278–285,
2001, doi: https://doi.org/10.1016/S0924-0136(01)00941-4.
[98] M. Ramulu, G. Paul, and J. Patel, “EDM surface effects on the fatigue strength of
a 15 vol% SiCp/Al metal matrix composite material,” Compos. Struct., vol. 54, no. 1,
pp. 79–86, 2001, doi: 10.1016/S0263-8223(01)00072-1.
[99] A. P. Dwivedi and S. K. Choudhury, “Effect of Tool Rotation on MRR, TWR,
and Surface Integrity of AISI-D3 Steel using the Rotary EDM Process,” Mater.
Manuf. Process., vol. 31, no. 14, pp. 1844–1852, 2016, doi:
10.1080/10426914.2016.1140198.
[100] K. H. Syed, G. P. Anuraag, G. Hemanth, and S. A. Subahan, “Powder-Mixed
EDM Machining of Aluminium-Silicon Carbide Composites,” Indian J. Sci. Technol.,
vol. 8, no. S2, p. 133, 2015, doi: 10.17485/ijst/2015/v8is2/59170.
[101] V. Dubey and B. Singh, “Study of Material Removal Rate in Powder Mixed
EDM of AA7075/B4C Composite,” Mater. Today Proc., vol. 5, no. 2, Part 2, pp.
7466–7475, 2018, doi: https://doi.org/10.1016/j.matpr.2017.11.418.
[102] M. Uthayakumar, K. V. Babu, S. T. Kumaran, S. S. Kumar, J. T. W. Jappes,
and T. P. D. Rajan, “Study on the machining of Al–SiC functionally graded metal
matrix composite using die-sinking EDM,” Part. Sci. Technol., vol. 37, no. 1, pp.
103–109, 2019, doi: 10.1080/02726351.2017.1346020.
[103] K. Ponappa, K. S. K. Sasikumar, M. Sambathkumar, and M. Udhayakumar,
“Multi-Objective Optimization Of EDM Process Parameters For Machining Of
Hybrid Aluminum Metal Matrix Composites (Al7075/TiC/B4C) Using Genetic
114
Algorithm,” Surf. Rev. Lett., vol. 26, no. 10, p. 1950071, 2019, doi:
10.1142/S0218625X19500719.
[104] A. Iosub, G. Nagit, and F. Negoescu, “Tool Wear Investigation in Electric
Discharge Machining of Aluminum Matrix Composite Materials,” pp. 225–228, 2009.
[105] A. Devaraju, A. Kumar, and B. Kotiveerachari, “Influence of addition of
Grp/Al2O3p with SiCp on wear properties of aluminum alloy 6061-T6 hybrid
composites via friction stir processing,” Trans. Nonferrous Met. Soc. China, vol. 23,
no. 5, pp. 1275–1280, 2013, doi: https://doi.org/10.1016/S1003-6326(13)62593-5.
[106] C. Velmurugan, R. Subramanian, S. Thirugnanam, and B. Ananadavel,
“Experimental investigations on machining characteristics of Al 6061 hybrid metal
matrix composites processed by electrical discharge machining,” Int. J. Eng. Sci.
Technol., vol. 3, no. 8, pp. 87–101, 1970, doi: 10.4314/ijest.v3i8.7.
[107] R. Hegde, N. M. Sivaram, B. S. Ajaykumar, and L. J. Kirthan, “Influence of
shot peening on fatigue behavior of aluminum silicon carbide graphite hybrid
composite,” Int. J. Mech. Eng. Technol., vol. 8, no. 6, pp. 255–263, 2017.
[108] P. Malhotra, N. K. Singh, R. K. Tyagi, and B. S. Sikarwar, “Comparative micro
structural investigation of Al-SiC-Mg and Al-B<inf>4</inf>C-Mg particulate metal
matrix composite,” Ann. Chim. Sci. des Mater., vol. 44, no. 2, 2020, doi:
10.18280/acsm.440205.
[109] P. Malhotra, R. K. Tyagi, N. K. Singh, and B. S. Sikarwar, “Experimental
investigation and effects of process parameters on EDM of Al7075/SiC composite
reinforced with magnesium particles,” in Materials Today: Proceedings, 2020, vol.
21, doi: 10.1016/j.matpr.2019.11.069.
LIST OF
PUBLICATIONS
116
LIST OF JOURNAL PUBLICATIONS
[1] Malhotra, P., Singh, N.K., Tyagi, R.K., Sikarwar, B.S. (2020). Comparative
micro structural investigation of Al-SiC-Mg and Al-B4C-Mg particulate metal
matrix composite. Annales de Chimie - Science des Matériaux, Vol. 44, No. 2, pp.
103-108.
https://doi.org/10.18280/acsm.440205
[2] Malhotra, P., Singh, N.K., Tyagi, R.K., Sikarwar, B.S. (2021) Comparative
study of rotary-EDM, gas assisted-EDM, and gas assisted powder mixed-EDM of
the hybrid metal matrix composite, Advances in Materials and Processing
Technologies, 7:1, 27-41.
DOI: 10.1080/2374068X.2020.1855398
117
118
119
120
121
122
123
124
125
126
127
128
129
130
131
132
133
134
135
136
137
138
LIST OF CONFERENCE PUBLICATIONS
[1] Malhotra, P., Tyagi, R.K., Singh, N.K., Sikarwar, B.S., “Experimental
investigation and effects of process parameters on EDM of Al7075/SiC composite
reinforced with magnesium particles”, Materials Today: Proceedings, Volume 21,
Part 3,2020, Pages 1496-1501, ISSN 2214-7853,
https://doi.org/10.1016/j.matpr.2019.11.069.
[2] Malhotra, P., Tyagi, R.K., Singh, N.K., Sikarwar, B.S., (2021) Comparative
Microstructural Investigation of Aluminium Silicon Carbide–Mg and Aluminium
Boron Carbide–Mg Particulate Metal Matrix Composite Fabricated by Stir Casting.
In: Pandey V.C., Pandey P.M., Garg S.K. (eds) Advances in Electromechanical
Technologies. Lecture Notes in Mechanical Engineering. Springer, Singapore.
https://doi.org/10.1007/978-981-15-5463-6_64
[3] Malhotra, P., Tyagi, R.K., Singh, N.K., Sikarwar, B.S., Narasimhulu, A.,
(2021), “A review on gas assisted EDM”, ISSN 2214-7853,
https://doi.org/10.1016/j.matpr.2021.03.293.
[4] Malhotra, P., Tyagi, R.K., Singh, N.K., Sikarwar, B.S., Narasimhulu, A.,
(2021),” Effect of tool geometry during EDM of hybrid composite”, (2021), Lecture
Notes in Mechanical Engineering. Springer, Singapore.
139
140
141
142
143
PERSONAL PROFILE
PARIDHI MALHOTRA
Mobile: +91-8800760585
Email: paridhimalhotra87@gmail.com
Address: 1104, CS09, Supertech capetown,
Sec-74, Noida -201301
UP Pin code - 201301
OBJECTIVE
An adaptive, fast learning professional with passion to develop new skills and solve
new challenges. Masters in Mechanical engineering with 8 years of rich experience in
the field of teaching and research and a PhD scholar working in the areas of non-
conventional machining, tool design and composite materials. I am looking for a
stimulating position in an energetic and supportive team where I can continue to
explore my academic knowledge and inherent qualities for the welfare of an
organization and society.
EDUCATION
Qualification School / Institute Dept./Specification Passing
Year
Percentage
Ph.D. Amity University,
Noida
Mechanical Engineering
Department
Pursuing -
M. Tech
Delhi College of
Technology &
Management, Delhi
Department of
Production Engineering 2012-14 73.4
B. Tech
Anand Engineering
college, Agra (UPTU) Mechanical Engineering 2010
71
Class XII I.S.C Board from St
George’ s College,
Agra
PCM & Biotechnology 2006 78
Class X I.C.S.E Board from St
George’ s College,
Agra
-- 2004 82.6
PROFESSIONAL EXPERIENCE
Total Work Experience: 8 years
1) InventIP
Designation-Patent associate
Currently working
2) Netaji Subhas Chandra University of technology (NSUT)
144
Duration-2019-2020
Designation Assistant professor (guest faculty)
3) Manav Rachna International University, Faridabad
Duration: 2014-2018
Designation: Assistant Professor
4) Hindustan College of Science and Technology, Agra-Delhi Highway
Duration- 2010-2013
Designation: Assistant Professor
JOB RESPONSIBILITY
• Imparting knowledge in subjects like Fluid mechanics, Manufacturing Science,
Machine design, modern machining, industrial management Measurement and
Metrology, Six Sigma
• Successfully acquired 100% academic results
• Played a key role in recognizing, respecting & nurturing the creative potential of each
student; responding to the queries in a spontaneous manner; assessing students' work
for internally assessed components of qualifications.
• Conceptualized & developed various initiatives for teaching various subjects;
evaluated the effectiveness of the teaching schedules
• Using initiatives to instigate promotional ideas and events.
• Student coordinator Mooc coordinator
• Part of the departmental team working for various accreditations such as NBA and
NAAC.
• Subject Coordinator of subjects of Fluid Mechanics, Machine Design
• Member of the organizing committee of ICQPROM 2017 held at MRIU January
2017
• Organized JOB JUNCTION 2016 an annual placement drives by companies of
HVAC field in association with ISHRAE Delhi Chapter
INTERNSHIPS
ALSTOM PROJECTS INDIA LIMITED
During the training period I learnt about various equipment’s used in thermal power plants
performing a number of complex processes with the ultimate aim to convert chemical
energy of coal or oil to electrical energy. I studied thoroughly the details of water treatment
plant, RO process, cooling tower, etc.
PROJECTS UNDERTAKEN
PROJECT: Evaluation of algal oil as biodiesel
Description: This project deals with the extraction of algal oil from dried algae by the
process of hexane solvent method then making biodiesel by the process of
transesterification, testing of biodiesel properties and comparing it with diesel.
PROJECT: Effect of tool geometry on the performance of EDM, fabrication of aluminum
MMC, Analytical Hierarchy Process
145
ACADEMIC ACHIEVEMENTS
• Presented various research paper in National and international journals and
Conferences.
• Attended National Workshop on Bio Fuels held on 22nd Nov 2012 at Dayalbagh
Technical institute, Agra
• Guided BTech projects on Analytical Hierarchy process, Magnetic shock absorber
and pedal powered water pump
• Attended National Seminar on MPMS at FET MRIU
• Attended a training program organized by SAP Student Academy Manav Rachna
and Primus Solutions Pvt.Ltd, on “Overview of Material Management” in May
2018. Attended one week Feb 5 to Feb 13, 2018 training workshop on Advanced
Excel in Manav Rachna International Institute of Research and studies.
• Attended Short Term Course on Manufacturing: Processes, Materials and Systems
(MPMS-2014) for 2 days in Manav Rachna International University, Faridabad.
Attended the 5-day ICT based short term course on "Advanced Manufacturing
Methods" (ICT 46) from 05 to 09March 2018, in collaboration with NITTR
Chandigarh. Attended 3-day workshop on ADOBE DIGITAL DISHA organised
by MRIU in April, 2018
• Attended national workshop on biofuels held on 22nd Nov 2012 at Dayal Bagh
Technical Institute Agra
• Attended various Faculty Development program at MRIU.
SOFTWARE SKILLS
Microsoft office, Microsoft Excel, AutoCAD, C, C++, Minitab, Anova
AREAS OF RESEARCH
Machine Design, Six Sigma, Fluid Mechanics, Manufacturing Science,
Measurement and Metrology
Ph.D. WORK
The work done in Ph.D. focuses on “Development of Coating Using Thermal
Spray Technique for Wear Prone Industrial Application”
RESEARCH WORK/PUBLICATIONS
[1] Malhotra, P., Singh, N.K., Tyagi, R.K., Sikarwar, B.S. (2020). Comparative micro
structural investigation of Al-SiC-Mg and Al-B4C-Mg particulate metal matrix composite.
Annales de Chimie - Science des Matériaux, Vol. 44, No. 2, pp. 103-108.
https://doi.org/10.18280/acsm.440205
[2] .Malhotra, P., Singh, N.K., Tyagi, R.K., Sikarwar, B.S. (2021) Comparative study of rotary-
EDM, gas assisted-EDM, and gas assisted powder mixed-EDM of the hybrid metal matrix
composite, Advances in Materials and Processing Technologies, 7:1, 27-
41, DOI: 10.1080/2374068X.2020.1855398
[3] Malhotra, P., Tyagi, R.K., Singh, N.K., Sikarwar, B.S., “Experimental investigation and
effects of process parameters on EDM of Al7075/SiC composite reinforced with magnesium
particles”, Materials Today: Proceedings, Volume 21, Part 3,2020, Pages 1496-1501,ISSN
146
2214-7853,https://doi.org/10.1016/j.matpr.2019.11.069.
[4] Malhotra, P., Tyagi, R.K., Singh, N.K., Sikarwar, B.S., (2021) Comparative Microstructural
Investigation of Aluminium Silicon Carbide–Mg and Aluminium Boron Carbide–Mg
Particulate Metal Matrix Composite Fabricated by Stir Casting. In: Pandey V.C., Pandey
P.M., Garg S.K. (eds) Advances in Electromechanical Technologies. Lecture Notes in
Mechanical Engineering. Springer, Singapore. https://doi.org/10.1007/978-981-15-5463-
6_64
[5] .Malhotra, P., Tyagi, R.K., Singh, N.K., Sikarwar, B.S., Narasimhulu, A., (2021) ,” A review
on gas assisted EDM”, ISSN 2214-7853, https://doi.org/10.1016/j.matpr.2021.03.293.
[6] .Malhotra, P., Tyagi, R.K., Singh, N.K., Sikarwar, B.S., Narasimhulu, A.,(2021),” Effect of
tool geometry during EDM of hybrid composite”, ICAPIE 2021
[7] . J. Chakraborty, P. Malhotra and J. Mehta, “A Review Paper on Solar Energy Operated
Vapour Absorption System Using Nh3 - H2O”, National Conference on Paradigms in
Mechanical Engineering (PME 2014), Manav Rachna International University, Faridabad,
2014.
[8] . Malhotra and J. Mehta, “Effect of Multi Hole Rotary Tool on The Performance of EDM
Process”, National Conference on Paradigms in Mechanical Engineering (PME 2014),
Manav Rachna International University, Faridabad, 2014.
[9] . Malhotra, P., Ambashta, H., Mehndiratta, C., Sachdeva, L., Effect of tool geometry on the
performance of EDM, International Research Journal of Engineering Technology, vol. 4,
no. 10, pp. 82–86, 2017
[10]Jimmy Mehta, J.S. Grewal, Prateek Mittal, Paridhi Malhotra, Pallav Gupta, Comparison of
dry and lubricated wear behaviour of 22MnB5 uncoated ultra high strength steel, Materials
Today: Proceedings,2021, SSN 2214-7853, ttps://doi.org/10.1016/j.matpr.2021.03.293.
PERSONAL DATA
D. O. B. 16.10.1987
Father’s Name Mr. Sunil Kumar Malhotra
Gender Female
Marital Status Married
Nationality Indian
Languages Known English, Hindi
I hereby declare that the particulars given herein are true and complete to the best of my
knowledge and belief.
Place: Noida
Date: , August, 2021 Signature

Revised_Paridhi_Thesis_Fullmerged.pdf

  • 1.
    INVESTIGATION FOR THEIMPROVEMENT OF PERFORMANCE BY EDM PROCESS USING MULTI HOLED ELECRODE AND POWDER MIXED DIELECTRIC Thesis Submitted for the Award of the Degree of DOCTOR OF PHILOSOPHY in Mechanical Engineering By PARIDHI MALHOTRA (Registration no.: A2366616001) Under the Supervision of Dr. R.K Tyagi Professor, Department of Mechanical Engineering, A.S.E.T., Amity University Uttar Pradesh, Noida and Co-Supervision of Dr. Basant Singh Sikarwar Professor, Department of Mechanical Engineering, A.S.E.T., Amity University Uttar Pradesh, Noida Dr. Andriya Narasimhulu Assistant Professor, Manufacturing Processes and Automation Engineering Department, Netaji Subhas University of Technology, New Delhi Amity University Uttar Pradesh, Noida (INDIA) 2021
  • 2.
    Dedicated to mybeloved parents, dear husband & little son
  • 3.
    iii UNDERTAKING FROM THEPhD SCHOLAR I hereby declare that I, PARIDHI MALHOTRA, have completed the Ph. D. thesis work on the title “INVESTIGATION FOR THE IMPROVEMENT OF PERFORMANCE BY EDM PROCESS USING MULTI HOLED ELECRODE AND POWDER MIXED DIELECTRIC” under the supervision of Dr. R.K Tyagi, Dr. Basant Singh Sikarwar and Dr. Andriya Narasimhulu for the degree of Doctor of Philosophy, Amity University Uttar Pradesh. This is my own work and I have not submitted it earlier elsewhere. Date: , August, 2021 PARIDHI MALHOTRA Place: Noida A2366616001
  • 4.
    iv DECLARATION CERTIFICATE I, PARIDHIMALHOTRA, D/o Mr. SUNIL MALHOTRA and Mrs. ANITA MALHOTRA certify that the work embodied in this Ph.D. thesis is my own bonafide work carried out by me under the supervision of Dr. R.K Tyagi, Dr. Basant Singh Sikarwar and Dr. Andriya Narasimhulu for a period of January 2016 to August 2021 at Amity University Uttar Pradesh. The work embodied in this Ph.D. thesis has not been submitted for the award of any other degree/ diploma except where due acknowledgement has been made in the text. I, hereby declare that I have faithfully acknowledged, given credit to and refereed to the research workers wherever their works have been cited in the text and the body of thesis. I further certify that I have not willfully lifted up some other’s work, para, text, data, results, etc. reported in the journals, books, magazines, reports, dissertations, thesis, etc. or available at websites and included them in this Ph.D. thesis and cited as my own work. Date: , August, 2021 PARIDHI MALHOTRA Place: Noida A2366616001
  • 5.
    v AMITY UNIVERSITY UTTARPRADESH AMITY SCHOOL OF ENGINEERING AND TECHNOLOGY Dr. R.K Tyagi B.Tech.; M.Tech. [HBTI, Kanpur] and Ph.D. [BIT, Mesra, Ranchi] Professor Department of Mechanical Engineering Amity School of Engineering and Technology Amity University Uttar Pradesh Noida-201313 (INDIA) CERTIFICATE FROM THE GUIDE Date: , August, 2021 This is to certify that research work embodied in this thesis entitled “INVESTIGATION FOR THE IMPROVEMENT OF PERFORMANCE BY EDM PROCESS USING MULTI HOLED ELECRODE AND POWDER MIXED DIELECTRIC” submitted to Amity University Uttar Pradesh, for the award of the degree of Doctor of Philosophy (MAE) has been carried out by Paridhi Malhotra under my supervision at ASET, Noida, AUUP from January 2016 to August 2021. To the best of my knowledge and belief, this work is original and has not been submitted so far in part or in full for the award of any degree or diploma of any University/Institute. (Dr. R.K Tyagi) Amity University Campus, Sector-125, Noida-201313, Gautam Buddha Nagar, U. P. (INDIA) Tel.: +91-8860490258 E-mail id: rktyagi@amity.edu; Website: http://amity.edu/aset/departments-mae.asp
  • 6.
    vi CERTIFICATE FROM THECO-GUIDE Netaji Subhas University of Technology Formerly Netaji Subhas Institute of technology Govt. of NCT of Delhi Date: , August, 2021 This is to certify that research work embodied in this thesis entitled “INVESTIGATION FOR THE IMPROVEMENT OF PERFORMANCE BY EDM PROCESS USING MULTI HOLED ELECTRODE AND POWDER MIXED DIELECTRIC” submitted to Amity University Uttar Pradesh, for the award of the degree of Doctor of Philosophy (Mechanical Engineering) has been carried out by Ms. Paridhi Malhotra under my co-supervision at <ASET> AUUP, from January 2016 to August 2021. To the best of my knowledge and belief, this work is original and has not been submitted so far in part or in full for the award of any degree or diploma of any University/Institute. Dr. Andriya Narasimhulu Assistant Professor Manufacturing Process and Engineering Department Netaji Subhas University of Technology, New Delhi (INDIA)
  • 7.
    vii COURSE WORK ANDCOMPREHENSIVE EXAMINATION COMPLETION CERTIFICATE This is to certify that Paridhi Malhotra, Enrolment No A2366616001, a bonafide Ph. D. Scholar of A.S.E.T., Noida has successfully completed the course work and comprehensive examination, which is part of her Ph.D. programme. Date: , August, 2021 Date: , August, 2021 Prof. (Dr.) M.K. Pandey Prof. (Dr.) Abhay Bansal Joint Head, A.S.E.T. Joint Head, A.S.E.T. Amity University Uttar Pradesh, Amity University Uttar Pradesh, Noida Noida
  • 8.
    viii PRE-SUBMISSION SEMINAR COMPLETION CERTIFICATE Thisis to certify that Ms. Paridhi Malhotra, Enrolment No. A2366616001, Ph. D. Scholar of A.S.E.T., Noida has successfully completed the pre-submission seminar (held on 02.12.2019) requirement, which is part of his/her Ph. D programme on his/her thesis entitled, “INVESTIGATION FOR THE IMPROVEMENT OF PERFORMANCE BY EDM PROCESS USING MULTI HOLED ELECTRODE AND POWDER MIXED DIELECTRIC”. Date: , August, 2021 Date: , August, 2021 Prof. (Dr.) M.K. Pandey Prof. (Dr.) Abhay Bansal Joint Head, A.S.E.T. Joint Head, A.S.E.T. Amity University Uttar Pradesh, Amity University Uttar Pradesh, Noida Noida
  • 9.
    ix COPYRIGHT TRANSFER CERTIFICATE Titleof the Thesis: INVESTIGATION FOR THE IMPROVEMENT OF PERFORMANCE BY EDM PROCESS USING MULTI HOLED ELECTRODE AND POWDER MIXED DIELECTRIC Ph.D. Scholar’s Name: PARIDHI MALHOTRA Enrollment No.: A2366616001 COPYRIGHT TRANSFER The undersigned hereby assign to the Amity University Uttar Pradesh copyright that may exist in and for my thesis submitted for the award of the Ph. D degree. Date: , August, 2021 PARIDHI MALHOTRA Place: Noida A2366616001
  • 10.
    x ACKNOWLEDGEMENTS I would liketo extend thanks and gratitude to the many people, who so generously contributed to the work presented in this thesis. I honestly feel short of words to acknowledge all those who helped me directly and indirectly during this research work. With due regards and great delight, I convey my heartfelt gratitude and indebtedness to my supervisor Dr. R.K Tyagi, Professor and Dy. HOD, Department of Mechanical Engineering, A.S.E.T., Amity University Uttar Pradesh, Noida for skillful guidance, persistent encouragement, proficient evaluation and conscientious supervision throughout this academic endeavor. He was always available to help me with utmost care, kind attention and prudent suggestions during odd hours of the job. His hard- working nature and methodical suggestions were a constant source of encouragement to me. It is owing to his guidance, expertise, inquisitive attitude and tireless efforts apart from his working hours that I find my vision even more broadened. I earnestly thank him from the core of my heart for being a consistent source of inspiration right through the beginning till the end. I am extremely thankful to Dr. Basant Singh Sikarwar, Professor and Head, Department of Mechanical Engineering, A.S.E.T., Amity University Uttar Pradesh, Noida, for his immovable help, support, and exhortation during my time as a Ph.D. student with him. I was very lucky to have a supervisor who genuinely cared about my work and rushed to react to my inquiries and concerns. I am extremely thankful to Dr. Andriya Narasimhulu, Assistant Professor, Manufacturing Processes Engineering Department, Netaji Subhas University of Technology, New Delhi for the continuous guidance, encouragement and advice he has provided throughout my time as his Ph.D. student. I have been extremely fortunate to have a supervisor who cared so much about my work, and who responded to my questions and queries so promptly. It is my sincere regard to thank him as at many stages in the course of this research work as well as dissertation. His positive outlook and confidence in my research inspired me and gave me confidence. With his all-time positive and encouraging attitude towards my research work, I whole heartedly thank him for being my steady and reliable source of motivation. I am very much thankful to all the members of my doctoral committee including Dr.
  • 11.
    xi Pallav Gupta, AssistantProfessor (Grade III), Department of Mechanical Engineering, Amity University Uttar Pradesh, for spending his valuable time in reviewing and critically examining the work. In addition, I would thank all the members for their comments on my work resulting in enhancing the quality of the thesis. My heartfelt gratitude is due to Dr. P.M Tiwari, Associate Professor amd Head (Research and Publication) for the support, encouragement and providing the necessary facilities to carry out and complete this work on steady course. I also wish to express my deep sense of gratitude to all the faculty and staff members, particularly Dr. Nishant Singh, Associate Professor, Hindustan College of Science and Technology, Farah, Mathura, for the much-needed support throughout my work. I was highly benefited from his advice, particularly in exploring new ideas, understanding concepts and performing experimental work. Dr. Puneet Mangla, Head of Department, Mechanical Engineering Department, Hindustan College of Science and Technology, Farah, Mathura, and to Dr. Jimmy Mehta, Assistant Professor, Manav Rachna International institute of research and studies for their tremendous support. Mr. Ramji, Lab Technician, Department of Mechanical Engineering, Amity University Uttar Pradesh and all the people who with their encouraging and caring words, constructive criticism and suggestions have contributed directly or indirectly in a significant way towards completion of this research work. My deepest appreciations are due to the research scholars under the supervision of Dr. R.K Tyagi and Dr. Pallav Gupta. They have always stood by me in all difficult times and reinforced my confidence. Their never-ending support is a constant source of motivation and always keeps me going. I bow with gratitude for my parents and my brother Mr. Nakul Malhotra, who are the most precious people in my life and without their efforts I would have never achieved this milestone. I feel honored in recognizing the love and affection of my husband Mr. Charul Piplani and my adorable son Rudra Piplani. I express my gratitude to all those, with whom I have worked, interacted and whose thoughts have helped me in furthering my grasps and understanding of the work. Last but not the least, I bow in reverence to ALMIGHTY GOD who has always showered blessings on me at each and every step to complete this thesis. PARIDHI MALHOTRA
  • 12.
    xii TABLE OF CONTENT UNDERTAKINGFROM THE PhD SCHOLAR iii DECLARATION CERTIFICATE iv CERTIFICATE FROM THE GUIDE v CERTIFICATE FROM THE CO-GUIDE vi COURSE WORK AND COMPREHENSIVE EXAMINATION COMPLETION CERTIFICATE vii PRE-SUBMISSION SEMINAR COMPLETION CERTIFICATE viii COPYRIGHT TRANSFER CERTIFICATE ix ACKNOWLEDGEMENTS x TABLE OF CONTENT xii LIST OF FIGURES xv LIST OF TABLES xix ABBREVIATIONS xx ABSTRACT xxii CHAPTER 1 INTRODUCTION 1 – 27 1.1.Background and Motivation 2 1.2.Classification of the Un-Conventional Machining Processes 3 1.3.Electrical discharge machining (EDM) 4 1.4.Background of EDM 6 1.5.Various Types of EDM Techniques 7 1.6.Various Research areas of EDM 13 1.7.Parts of EDM 13 1.8.Principle of EDM 15 1.9.EDM process parameters 16 1.10. Benefits of EDM 19 1.11. Disadvantages of EDM 19 1.12. Utilizations of EDM 20 1.13. Composite materials 20
  • 13.
    xiii 1.14. Classification ofComposites 20 1.15. Advantages of composite materials 22 1.16. Disadvantages of composites materials 23 1.17. Aluminum metal matrix composites 23 1.18. Objectives 26 1.19. Summary of this chapter 27 CHAPTER 2 LITERATURE REVIEW 28 – 58 2.1.EDM Process 29 2.2.Composites 43 2.3.Summary of the Reviewed Literature 58 CHAPTER 3 MATERIALS AND METHOD 59 – 69 3.1.Workpiece 60 3.2.Tool electrode 63 3.3.Dielectric 64 3.4.Methodology 65 3.5.Equipment’s and Facilities 65 3.6.Process of EDM 67 CHAPTER 4 RESULTS AND DISCUSSION 70 – 96 4.1.Comparative analysis of Micro Structural and mechanical properties of Al-SiC-Mg and Al-B4C-Mg Particulate Metal Matrix Composite 72 4.2.Comparative investigation of traditional EDM and rotary EDM of hybrid composite (Al7075/SiC/Mg) 78 4.3.Comparative prediction of the influence of process parameters during CAEDM and REDM of hybrid metal matrix composite 82 4.4.Comparative analysis of REDM, Gas Assisted-EDM, and Gas Assisted Powder Mixed-EDM of the hybrid MMC 87 4.5.Comparison of machining efficiency of gas assisted powder mixed EDM of hybrid MMC based on different material of tool electrode 94 CHAPTER 5 CONCLUSION 97 – 100
  • 14.
    xiv 5.1.First stage Conclusions 5.2.Secondstage Conclusions CHAPTER 6 FUTURE SCOPE 101- 103 6.1.Key Points 102 REFERENCES 104 LIST OF PUBLICATIONS 115 PERSONAL PROFILE 143
  • 15.
    xv LIST OF FIGURES FigureNumber Caption Page Number 1.1 Non-Conventional Machining Process 3 1.2 Electrochemical machining system 4 1.3 Conceptualization of EDM process 5 1.4 Working of EDM 7 1.5 Process of Wire EDM 8 1.6 Die sinking EDM 9 1.7 Micro EDM processes 10 1.8 Powder mixed EDM 11 1.9 Dry EDM 13 1.10 Research areas in EDM 14 1.11 Various components of EDM process 15 1.12 Principle of EDM 15 1.13 Classification of composite on the basis of matrix material 21 1.14 Different types of reinforcement in composites 21 1.15 Classification of composite on the basis of the reinforcement materials 21 1.16 Classification of the composite materials within the group of materials 22 2.1 Process of EDM 30 2.2 Working principle of EDM 31 2.3 Design of copper ring tool shaped B-EDM 32 2.4 Experimental setup 32 2.5 Solid models of workpiece and interference between work and tool 33 2.6 Effect of current and powders on machined surface characteristics 33 2.7 Micro slit made with (a) kerosene (b) Al + kerosene medium 34 2.8 Influence of micro-Cr powder addition on recast layer formation 35
  • 16.
    xvi 2.9 Effect ofNano powder addition on the recast layer formation 35 2.10 The principle of dry EDM 36 2.11 Comparison of the section view of the craters obtained using different dielectrics and polarities 36 2.12 Simulation Results 37 2.13 Variation of volume of material removed per discharge as the operation progresses 38 2.14 Principle of the powder mixed EDM process 39 2.15 Graph showing variation of MRR with respect to powder size 40 2.16 Mechanism of electromagnetic field application in DEDM 41 2.17 Surface morphology comparison of with and without cryogenically cooled work pieces 41 2.18 Schematic diagram of the experimental apparatus for producing the MMCs 44 2.19 Machining of Metal Matrix 45 2.20 Composite Material 46 2.21 AA6061 without reinforcement 47 2.22 Die-sinker EDM with external circulation system 48 2.23 Distribution of ceramic Al2O3 particulates in stir cast AA2014composites 49 2.24 Effect of hardness 49 2.25 Equivalent von Mises Stress Distribution during μUSM Process 50 2.26 Microstructure of W1 after EDM 50 2.27 Roughness value corresponding to each experimental condition 51 2.28 Crater topography of machined PRMMC specimen 52 2.29 Microstructure of 15 vol% SiCp/A356 Al (500×) 53 2.30 SEM micrograph of recast layer across machined surface with powder mixed dielectric EDM 54 2.31 SEM micrographs of EDM machined surface (EDM- machining conditions: pulse current 15A, pulse duration 10 μs, gap voltage 60V) 55 2.32 Macrograph of FSP zone of surface hybrid composite 56
  • 17.
    xvii 2.33 Cross-sectional micrographof surface hybrid composite 56 2.34 SEM photograph of electric discharge machined surface of Al 6061 composites reinforced with SiC and graphite particles at a voltage 50V and a flushing pressure 3psi 57 2.35 Micrograph of as-cast hybrid composite 58 2.36 Micrograph of 1700C ageing heat treated hybrid composite 58 3.1 Different steps during the process of stir casting 61 3.2 Fabricated aluminum MMC 62 3.3 Stir casting setup 62 3.4 Schematic diagram of copper tool electrode 63 3.5 Different types of Tool utilized in the present research 63 3.6 Classification of the dielectric oil 64 3.7 EDM machine 66 3.8 Weighing balance 66 3.9 Surf – test SJ-210 surface roughness tester 67 3.10 Scanning electron microscopy 67 3.11 Gas assisted powder mixed EDM set up 69 4.1 Outcome of Vickers hardness test of Al(7075) alloy 73 4.2 Tensile specimen for the present research 74 4.3 Tensile specimen as per ASTM standard 74 4.4 Results of the tensile strength 74 4.5 Results for hybrid composites 76 4.6 Comparison of electrical conductivity of both the Al-SiC and Al-B4C nanocomposites 77 4.7 Effect of pulse duration on MRR 78 4.8 Effect of peak current on MRR 78 4.9 Effect of duty cycle on MRR 79 4.10 Effects of peak current on EWR 80 4.11 Effects of pulse duration on EWR 80 4.12 Effects of duty cycle on EWR 81 4.13 Impact of duty cycle on the MRR 82 4.14 Impact of tool rpm on MRR 82 4.15 Impact of pulse on time on MRR 83 4.16 Impact of peak current on MRR 83
  • 18.
    xviii 4.17 Impact ofpeak current on EWR 85 4.18 Impact of pulse duration on EWR 85 4.19 Impact of tool rotation on EWR 85 4.20 Impact of duty cycle on EWR 86 4.21 Effects of peak current on MRR 88 4.22 Effects of pulse duration on MRR 88 4.23 Effects of tool rotation on MRR 89 4.24 Effects of duty cycle on MRR 89 4.25 Effect of peak current on EWR 90 4.26 Effect of pulse duration on EWR 90 4.27 Effect of tool rotation on EWR 91 4.28 Effect of duty cycle on EWR 91 4.29 Microscopic view of SEM image 92 4.30 Microscopic view of SEM images 93 4.31 MRR Versus Pulse duration 94 4.32 MRR Versus Peak current 94 4.33 MRR Vs duty cycle 95 4.34 EWR Versus Pulse duration 95 4.35 EWR Versus Peak current 96 4.36 EWR Vs Duty cycle 96
  • 19.
    xix LIST OF TABLES TableNumber Title Page Number 1.1 Physical properties powders in powder-mixed EDM (PMEDM) 12 1.2 Industry specific applications of composite materials 24 1.3 Different aluminium matrix composites for various components used in automobile industries 25 1.4 Comparison of stir casting with other methods 25 2.1 Advanced aluminum alloy composite combinations and its applications 45 2.2 Mechanical properties of LM6 47 3.1 Properties of the reinforcement 61 3.2 Parameters selected for stirring 62 4.1 Results of the hardness test Results of hardness test of Al7075-SiC-Mg & Al7075-B4C-Mg 73 4.2 Results of tensile strength 74 4.3 Results of the experimental and theoretical density of the nanocomposites. Results of theoretical and experimental density Al7075-SiC-Mg and Al7075-B4C-Mg 75
  • 20.
    xx ABBREVIATIONS EDM Electrical dischargemachining REDM Rotary electrical discharge machining GAEDM Gas assisted electrical discharge machining GAPMEDM Gas assisted powder mixed electrical discharge machining MRR Metal removal rate EWR Electrode wear rate TWR Tool wear rate SR Surface roughness TEMP Temporary AJM Abrasive jet machining USM Ultrasonic machining WJM Water jet machining AWJM Abrasive water jet machining AFM Abrasive flow machining MAF Magnetic abrasive finishing CHM Chemical machining ECM Electro chemical machining PCM Photo chemical machining PBM Plasma beam machining LBM Laser beam machining EBM Electron beam machining IBM Ion beam machining CNC Computer numerically controlled WEDM Wire electrical discharge machining PMEDM Powder mixed Electrical discharge machining PMC Polymer matrix composite MMC Metal matrix composite CMC Ceramic matrix composite AMMC Aluminum metal matrix composite IRSR Improvement ratio of surface roughness
  • 21.
    xxi RSM Response surfacemethodology WLT White layer thickness DEDM Dry electrical discharge machining MADEDM Magnetic field assisted dry electrical discharge machining CNT Carbon nano tubes MWCNT Multi walled carbon nano tubes DOE Design of experiments S/N Signal to noise ratio UTS Universal testing machine SEM Scanning electron Microscope NMMC Nano metal matrix composite CAEDM Compressed air assisted electrical discharge machining process ANOVA Analysis of variance RCL Re-cast layer PAMC Particulate aluminium matrix composite CFRP Carbon fibre reinforced polymer RHA Rice husk ash GRG Glass reinforced gypsum PRMMC Particle reinforced metal matrix composite
  • 22.
    xxii ABSTRACT As the needfor light weight structural materials increases, in aerospace and automotive applications, magnesium metal matrix composites are becoming increasingly important. The recent study has a novel goal of creating an Al7075 hybrid composite and evaluating its mechanical characteristics and surface morphography. Boron carbide as well as silicon carbide (both available in powder form) were added to the alloy in various amounts to test their TEMP effects in combination with magnesium powder. Boron carbide (also referred as black diamond) was preferred because it is exceptionally durable and has well liked neutron shielding qualities, as it is capable of absorbing them. After diamond and cubic boron nitride it is the third hardest non-material in respect of ionising radiation stability. Silicon carbide was chosen owing to its great strength, in addition its hardness, and wear resistance. Magnesium was chosen because it is the lightest of all metals and has excellent heat dissipation and dampening properties. TEMP has paramount applications in the automotive sector, aerospace sector, and defence applications since it is lightweight. The utilisation of a hybrid metal matrix composite permit for admirable micro-part dimensional precision machining of micro- parts, revealing new possibilities for Al-SiC-Mg and Al-B4C-Mg micro-components. For the machining of complicated cavities, EDM is sort of the most common modern unconventional machining technologies. EDM has been increasingly popular in recent years. The melting and vaporisation caused by the electrical discharge formed amid the workpiece and the tool electrode, which is segregated by the dielectric fluid, separates the material. On account of friable and nonconductive nature of the reinforcing ceramics, poor surface polish, limited material removal, and significant tool wear are utmost pressing issues in the EDM process. The EDM process has seen significant advances in recent years, making it more efficient. When it advances to process reactions like MRR and EWR, an effort has now been made to equate rotary EDM (REDM), gas-assisted EDM (GAEDM), and gas-assisted powder mixed EDM (GAPMEDM) processes with hybrid ceramic composites. MRR, EWR, and surface topography have all been studied colossally concerning input parameters. The rotation of the electrode improves the
  • 23.
    xxiii flow of dielectricand the effective expulsion of remains from the void amid the workpiece and the machining tool, as claimed by the findings of the experiments. When rotary EDM is used instead of traditional EDM, the outcome reveals a higher MRR and lower EWR. Due to the brittle and non-conductive character of the reinforcing ceramics, low material removal and significant electrode wear are few key challenges in EDM processing of hybrid metal matrix composites. For this aim, methods such as rotary electrical discharge machining (REDM), gas-assisted electrical discharge machining (GAEDM), and gas-assisted powder mixed electrical discharge machining (GAPMEDM) are compared under the pretext of the material removal rate along with the electrode wear rate. The metal removal rate of the gas-assisted powder mixed electrical discharge machining method is up to 75 percent higher than the REDM process, and the electrode wear rate is at least 25% lower. The metal removal rate attained by the gas-assisted powder mixed electrical discharge machining process is at least 45 percent higher than the GAEDM process, and the rate of electrode wear is not less than 15% lower. In comparison to GAEDM and the traditional REDM method, experimental findings disclose that GAPMEDM has a higher MRR and descended EWR.
  • 24.
  • 25.
    2 CHAPTER 1 INTRODUCTION 1.1. Backgroundand Motivation Machining is a manufacturing phrase enclosing a wide range of techniques and procedures. Machining can be delimited as the process involving removal of material from the workpiece using various machines that are driven by power and a variety of tools to produce a specific geometry with explicit accuracy and surface quality. Nearly all the metal components need a few forms of machining in the course of the manufacturing process. The machining processes can either be subtractive manufacturing otherwise additive manufacturing. In various engineering applications, numerous parts or components have to be interchangeable to function correctly as well as reliably during the course of their service. Material removal processes comprise of cutting, grinding, and drilling[1]. Machining operation comprises of the workpiece, cutting tools, machine tools, fixtures and machining parameters. The TEMPEffect of any process can be assessed in terms of machining rate, and surface finish acquired. For the material evacuation process the source of energy can be either mechanical or electrical[2]. Machining is of two types i.e., conventional machining and non-conventional machining. • Conventional machining The machining process utilizes mechanical energy to remove the material from the surface. Boring, turning, slitting, grinding are some of the conventional machining processes. An increased amount of time, money and energy is utilized for machining hard materials and alloy using conventional methods. Because of the induced residual stresses during the manufacturing process, high accuracy and precision are hard to achieve. In the conventional machining process, there exists a direct link between the tool and the workpiece. Owing to the lesser lifetime of the tool a huge amount of material is wasted in conventional machining. • Non-conventional or Unconventional or Modern machining It uses advanced or modern technology to machine the materials. In non- conventional machining processes, there is no direct contact between the tool and the workpiece. Using conventional methods high accuracy and better surface finish can
  • 26.
    3 feasibly be attained.Non-conventional machining plays a significant role in the automobile, mould making, aircraft industries. These methods are used to manufacture geometrically complex and high-precision parts. Various micro machined components and low rigidity structures with rigid tolerances and enhanced surface qualities can be easily machined using advanced methods[3]. Through the years greater TEMPthan 20 different unconventional processes have been evolved and implemented in diversified manufacturing industries. Figure 1.1 depicts schematic non-conventional machining process. Figure 1.1. Non-Conventional Machining Process[4] 1.2. Classification of the Un-Conventional Machining Processes Depending on the type of energy source, the further classification could be carried out as – • Mechanical machining process The machining process whereabouts erosion of the workpiece material takes place by a high-velocity stream of abrasives or water[5], different mechanical machining processes are –Abrasive jet machining (AJM), Ultrasonic machining (USM), Water jet machining (WJM), Abrasive water jet machining (AWJM), Abrasive flow machining (AFM), and Magnetic abrasive finishing (MAF)[6]. • Chemical machining process It uses a chemical or electrochemical dissolution effort to remove the machining allowance using ion transfer. It is also referred as the electrolysis process.
  • 27.
    4 Chemical machining (CHM),Electrochemical machining (ECM) as shown in Figure 1.2, Photochemical machining (PCM) are some of the types of chemical machining. • Thermal Processes In involves the removal of material by melting or vaporizing the workpiece. Phenomenon such as micro-cracking, formation of heat-affected zones occurs during the machining process.On the basis of the heat source, they are further classified as - • Plasma Source-Electrical discharge machining (EDM), Plasma beam machining (PBM) • Photon source- Laser beam machining (LBM) • Electron’s source- Electron beam machining (EBM) • Ion source- Ion beam machining (IBM) Figure 1.2.Electrochemical machining system[7] 1.3.Electrical discharge machining (EDM) An electro thermal non-customary machining measure which uses electrical energy to produce electrical flash and sparkle’s nuclear power is utilized to eliminate the material from the workpiece. EDM is perhaps the crudest non-customary machining measure. EDM measure depends on thermoelectric energy created between the workpiece and a terminal[8]. It’s typically used to automate difficult calculations in small groups or even on a task shop setting. In the instance of advancement of super-intense electrically conductive materials like carbides, treated steels, hastelloy, nit alloys, wasp alloy, mnemonics, and so forth, the interest for non-customary assembling measures
  • 28.
    5 TEMPhas become moreapplicable. These very intense materials, which have broad applications, like assembling of kicks the bucket, auto, and aviation segments, are extremely hard to machine by regular techniques. To machine all the electrically conductive materials regardless of their hardness and strength, EDM measures widely utilize nuclear power[9]. In non-traditional machining measures EDM has colossal potential by virtue of its flexibility and applications in present-day enterprises. The EDM cycle can likewise deliver openings, outer shapes, profiles, cavities in an electrically conductive workpiece through controlled use of high-recurrence electrical releases by disintegrating or liquefying the workpiece material in a specific region. The electrical releases are the consequences of controlled beats of direct flow and happen between the apparatus terminal (cathode) and the workpiece (anode)[10]. Figure 1.3 Conceptualization of EDM process[11] Figure 1.3 shows the detailed conceptualization of EDM process. Probably the most popular application of the EDM cycle is in an instrument, and form making [12]. Material evacuation rate is characterized as the volume of material eliminated over a unit period. It is ordinarily communicated by the unit (mm3 /min). A high worth of the release voltage, top current, beat length, obligation cycle, and the low upsides of heartbeat stretch will result in a higher MRR. Notwithstanding these previously mentioned electrical boundaries, non-electrical boundaries and material properties likewise have their own critical TEMPEffect on the MRR. Instrument wear proportion can be characterized as the portion or volume of materials eliminated from the device terminal to that of the work. It tends to be likewise called terminal wear proportion. Instrument wear proportion relies upon anode extremity and the properties of terminal materials. Surface unpleasantness is a vital boundary to
  • 29.
    6 consider in kickthe bucket sinking EDM. In most pass-on sinking activities, separate completing and roughing tasks are done to finish the eventual outcome. It is addressed by the normal SR and estimated in microns[13]–[15]. 1.4. Background of EDM In 1770 the English scientist Joseph Priestly found the erosive impact of electrical releases or starts on metals. In 1940 two Russian researchers, Dr. B.R Lazarenko and Dr. N.I Lazarenko harvested this thought and applied it in their research. During the second universal conflict, they were relegated wif an undertaking by the Soviet government to examine the shimmering between tungsten electrical contacts, since wear was a major issue for the upkeep of car motors. Specialists tracked down that the sparkles were more uniform in oil TEMPthan in air. In 1943 they made the first sparkle disintegration machine which was fit to dissolve hard metals like tungsten or tungsten carbide. The Lazarenko EDM framework utilizes an obstruction capacitance sort of force supply and it was utilized in EDM machines till the 1950's and afterward went about as the model for progressive advancement in EDM. Because of the low quality of the electronic parts, the presentation of the machine was not great. During the 1960s the progression of the semiconductor business prompts the critical modernization of EDM machines. During this time, Die sinking EDM machines became solid and created quality controlled surfaces wif precision however, wire cutting machines were still at their earliest reference point. During the ensuing many years, extraordinary enhancements were made in generator configuration, measure automatization, servo control, and advanced mechanics. The utilization of heartbeat and strong state generators tackled existing issues wif powerless anodes just as the innovation of the circling frameworks. During the 1970s the quantity of anodes is diminished to make depressions. In 1980 PC mathematically controlled (CNC) EDM was created in the USA. During the 1990s fuzzy logic control, neural networks, reaction surface methodology, Taguchi optimization, and so forth are some new techniques that were utilized to control the EDM cycle, which increments applied fundamental EDM[8], [16].
  • 30.
    7 1.5. Various Typesof EDM Techniques There are numerous sorts of EDM. This exploration arranged EDM measures under three primary classifications, to be specific, Sinker EDM, Wire EDM, and quick opening penetrating EDM. Flash machining functioning rule depends on the disintegration of the material by continuous sparkles between the workpiece and the gadget or device that is submerged in a dielectric medium. A hole isolates the workpiece and the cathode to build up a beat sparkle through which the dielectric liquid streams. Schematic portrayal of the essential working standard of EDM measure has appeared in Figure 1.4. Figure 1.4 Working of EDM[17] 1.5.1. Wire Electrical discharge machining process (WEDM) A paramount emerging non-conventional manufacturing process is wire electrical discharge machining. Roy, A.; Narendra, N.; Nedelcu, D. Experimental investigation on a variation of output responses of as-cast TiNiCu shape memory alloys using wire EDM [18], [19]. Widely this process is used to machine hard materials and intricate shapes which are not possible with conventional machining methods. It is more efficient and economical. In wire EDM, an electric spark is created between an electrode and the workpiece [20], [21]. The spark is the visible evidence of the flow of electricity. This electric spark creates intense heat of temperature moving from 8000 to 12,000 degrees Celsius, which melts almost anything. The spark is carefully controlled and localized so that it only affects the surface of the materials. The EDM process does not affect the heat treat below the surface of the workpiece. In wire EDM, the spark always takes place
  • 31.
    8 in the dielectricof de-ionized water. The conductivity of the water is carefully controlled for making an excellent environment for the EDM process. Here, the water acts as a coolant and flushes away the eroded metal particles. The working principle of wire EDM is shown in [22], [23]. The electrode wire is mainly fabricated of either brass or copper material. 0.5 to 0.25 mm is the diameter range of the wire. To strand the wire, it is wound on a two-wire spool that is turned in the same direction. Wire movement can reach 3 meters per minute. The material is removed by generating a spark between the moving electrode wire and the work piece. Rather than drowning the entire workpiece, the dielectric is confined. To process the machining operation, it is using a CNC controlled machine setup.The basic process of WEDM is depicted in Figure 1.5 Figure 1.5 Process of Wire EDM[17] In light of the key qualities of WEDM, it is realized that the cycle factors pulse on time, spark voltage, wire pressure, wire feed, pulse off-time, and flushing pressure are the primary cycle factors of the WEDM[24]. 1.5.2. Die Sinking EDM It is additionally called depression type EDM or volume EDM. It comprises of an anode and workpiece lowered in a protecting fluid, for example, more commonly, oil, or, less as often as possible, other dielectric liquids. The cathode and workpiece are associated wif a reasonable force supply. The force supply produces an electrical voltage between the two sections. As the anode moves toward the workpiece, the dielectric breakdown happens in the liquid, which frames a plasma channel and little flash leaps. These bouncing sparkles as a rule strike on each in turn. The sinker EDM
  • 32.
    9 measure utilizes anelectrically charged anode that is designed to a particular math to consume the cathode's calculation into a metal segment. This cycle is ordinarily utilized in passes-on and device fabricating. A schematic graph of a sinker EDM has appeared in Figure1.6 [25], [26]. Here, the fundamental parts are the force supply, dielectric framework, terminal, and the extreme; the principal segments are power supply, dielectric framework, anode, and the servo framework. In this way, this is the schematic that clarifies the rule of starting. The workpiece is normally associated wif the positive terminal of the force supply. Figure1.6 Die sinking EDM [27] Here, the state of the apparatus is unique, and a similar shape will be reproduced also on the workpiece. The starting happens through the various zones or the through various focuses which are nearer to the workpiece because of the reality of this starting, the plasma arrangement zone will make air pockets and high pressing factor which hence fall and dissolve the workpiece. At whatever point the starting happens, the disintegration of the workpiece will likewise happen. Subsequently, we have found on account of EDM, little disintegration will happen on the anode too. Sinker EDM is one of the high-level techniques for machining electrically conductive materials frameworks. Along these lines, this is the schematic that clarifies the head
  • 33.
    10 of starting. Theworkpiece is generally associated wif the positive terminal of the power supply. Here, the state of the device is unique, and the same shape will be recreated too on the workpiece. The starting happens through the various zones or the through various focuses which are nearer to the workpiece. Due to the actuality of this starting, the plasma arrangement zone will make the air pockets and high pressing factor which along these lines implode and disintegrate the workpiece. At whatever point the starting happens, the disintegration of the workpiece will likewise happen. Along these lines, we TEMPhas seen in the instance of EDM, little disintegration will happen on the cathode also. Sinker EDM is one of the progressed strategies for machining electrically conductive materials[28]–[32]. 1.5.3. Micro EDM It is utilized to machine miniature openings and miniature shafts. This interaction is likewise competent to machine minuscule distances across up to 5 micrometers and complex 3-dimensional micro cavities.Micro EDM measure is essentially of four kinds for which the process is given by Figure 1.7. Figure1.7 Micro EDM processes[33] • Micro-wire EDM-In miniature wire EDM, a wire is utilized to cut a workpiece that TEMPhas a width as little as 0.02mm. • Die sinking micro EDM-In die sinking micro EDM, an anode having miniature highlights is utilized to cut its identical representation in the workpiece.
  • 34.
    11 • Micro EDMdrilling- In micro EDM boring, microelectrodes having widths however little as 5-10 micrometers may be utilized to bore micro holes in the specimen. • Micro EDM milling- In micro EDM milling, microelectrodes having a width however little as 5-10 micrometers may be utilized to deliver 3D pits by embracing comparable system as that in regular processing. 1.5.4. Powder Mixed EDM This is another procedure that increases the material removal rate by adding some reasonable material in the type of powder blended in with the dielectric liquid of EDM. Powder blended EDM upgrade abilities of the electric release machining measure. When the appropriate powder is blended in with the dielectric liquid then it increases the conductivity of the dielectric liquid, which further reduces the protecting strength of the dielectric liquid to increase the spark gap distance between the anode and the workpiece. This amplified flash hole flushes out the trash consistently. This increased spark gap makes the machining measure steadier, thereby improving the material expulsion rate and surface quality. At the point when a reasonable voltage is applied, the spark gap is loaded up with added substance particles and the gap distance arrangement between the apparatus and the workpiece expanded from 25-50 to 50-150 mm. The powder particles get invigorated, get sped up under the electric field, and begin moving in a crisscross style. These charged particles go about as conductors. The powder particles organize themselves under the starting region and accumulate in groups as shown in Figure 1.8. Figure 1.8 Powder mixed EDM[16]
  • 35.
    12 The chain developmenthelps in crossing over the gap between both terminals, which causes the early blast. Quicker starting inside release causes quicker disintegration from the workpiece surface in this way expanding the MRR.The impact of the powder in the PMEDM mostly relies upon the powder boundaries, that is, powder material, particle size, and molecule fixation[16], [22]. • Different Powders Used in EDM Powders blended wif dielectric liquid in EDM can be ordered into six unique sorts be specific, aluminum, silicon, chromium, graphite, silicon carbide, and nickel Nano powder. Every one of these kinds TEMPhas its own attributes which makes it reasonable to be utilized for various machining conditions. To meet the required conditions, these powders have numerous properties like MRR, SR, TWR, and so on. Their actual properties appear in Table 1.1 Table 1.1Physical properties powders in powder-mixed EDM (PMEDM) [34] Material Density (g/cm3) Electrical Resistivity (μΩ- cm) Thermal Conductivity (W/m- K) Aluminum (Al) 2.70 2.89 236 Graphite C 1.26 103 3000 Chromium (Cr) 7.16 2.6 95 Copper (Cu) 8.96 1.71 401 Silicon (Si) 2.33 2325 168 Nickel (Ni) 8.91 9.5 94 Silicon Carbide (SiC) 3.22 1013 300 Titanium (Ti) 4.72 47 22 Tungsten (W) 19.25 5.3 182 Alumina (Al2O3) 3.98 103 25.1 Boron Carbide (B4C) 2.52 5.5 × 105 27.9 Carbon nano tubes (CNTs) 2.0 50 4000 Molybdenum Disulfide (MoS2) 5.06 106 138 1.5.5. DRY EDM Dry EDM is a green climate cordial Electric discharge machining Technique in which the fluid dielectric is supplanted by a vaporous dielectric. Gas at a high pressing factor is utilized as the dielectric medium. In dry EDM, a cathode is framed to be a slender walled pipe. The progression of high-speed gas into the hole works wif
  • 36.
    13 evacuation of trashand forestalls extreme warming of the tool and workpiece at the release spots as shown in Figure 1.9. The tool turns during machining not just works wif flushing yet, in addition, improves the interaction security by diminishing arcing between the cathodes The strategy was created to decline the contamination brought about by the utilization of fluid dielectric which prompts the creation of fume during machining and the expense to deal wif the squander. Dry EDM technique wif the most limited machining time contrast wif oil pass on sinking EDM, and most minimal cathode wear proportion. Material evacuation rate likewise gets improved by dry EDM[35]. Figure 1.9 Dry EDM[36] 1.6. Various Research areas of EDM EDM research can be divided into various major areas. Figure 1.10 presents the various fields and aspects of research in the area of EDM along with its future scope and other details. 1.7. Parts of EDM The different parts and components indulged in the working operation of EDM as shown in figure 1.11 are briefly discussed below. These include work piece, apparatus electrode, dielectric liquid, servo framework, power supply and the pulse generator. • Work-piece- All the conductive material can be worked by EDM • Apparatus Electrode-The EDM electrode is the tool that decides the state of the cavity to be produced.
  • 37.
    14 • Dielectric liquid- The EDM arrangement comprises the tank in which the dielectric liquid is filled. Anode and workpiece lowered into the dielectric liquid. • Servo framework - The servo framework is directed by signals from the gap voltage sensor framework in the power supply and controls the feed of the terminal and the workpiece to decisively coordinate wif the pace of material evacuation. • Power supply-The power supply is a significant piece of any EDM framework. It changes the rotating current from the fundamental utility supply into the pulse direct current (DC) required to create the spark release at the machining gap. • DC pulse generator – It is liable for providing pulse at a specific voltage and current for a particular measure of time. Figure 1.10 Research areas in EDM
  • 38.
    15 Figure 1.11Various componentsof EDM process 1.8. Principle of EDM The standard of EDM is to utilize the dissolving impact of controlled electric flash releases on the terminals. It is subsequently a warm disintegration measure. The flashes are made in a dielectric fluid, for the most part, water or oil, between the workpiece, what's more, a cathode, which can be considered as the cutting device. There is no mechanical contact between the anodes during the entire cycle. Since disintegration is delivered by electrical releases, both anode and workpiece need to be electrically conductive. Along these lines, the machining interaction comprises progressively eliminating little volumes of workpiece material, liquid, or disintegrated during a release. Figure1.12 Principle of EDM [37]
  • 39.
    16 Its functioning standarddepends on electro thermal energy, where electrical energy is utilized to create an electrical spark and nuclear power of the flash is utilized for material removal.EDM measure utilizes electrical energy which further produces a channel of plasma between the cathode and anode and transforms it into thermal energy. The workpiece and the anode are isolated by an especially little gap known as a flash gap. The pulse spark happens in this gap loaded up with a protecting medium [37]. The complete system is presented by Figure 1.12. The protecting impact of the dielectric medium helps in staying away from electrolysis consequences during the machining interaction. The terminals move towards the workpiece until the gap is little enough wif the goal that the applied voltage is sufficiently high to ionize the dielectric liquid. The conductivity of the apparatus and workpiece ought to be kept up for the cycle to be done. The dielectric properties utilized in EDM are straightforwardly identified wif the flushing rate and flash gap. The cavity development can be accomplished by setting the different electrical boundaries according to the material expulsion rate needed for machining. The state of the apparatus surface is duplicated on the workpiece surface during machining. Tan again, the little material expulsion rate causes a lethargic machining measure and furthermore influences the beat release at different areas on the anode. The time-stretch changes wif the spark gap and starts pulse for smooth machining surface age. The non-uniform part of disintegration in the workpiece brings about a decrease in measure boundaries like material removal rate (MRR), tool wear rate (TWR), and surface roughness (SR). 1.9. EDM process parameters The parameters of EDM process are classified as input parameters and output parameter. 1.9.1. Input parameters The input parameters are classified in two types-: • Electrical parameter • Peak current – For a given pulse the maximum quantity of current flowing through the tool and the workpiece is called the peak current. • Open circuit voltage –It is the maximum potential difference across the tool electrode and workpiece electrode before the flow of current.
  • 40.
    17 • Ton –time span for which the current flows between the machining zone in each cycle • Toff- it is the duration between two simultaneous discharges. • Electrode gap- In EDM the electrode gap is maintained by servo mechanism. • Duty cycle –It is deliberated by dividing the Ton by the entire time taken in a complete cycle (Ton/(Ton+Toff). • Non-electrical parameter • Dielectric fluid- It flows between the tool and workpiece through external jets or sometimes through the holes made on the surface of the electrodes. Dielectric fluid acts as an insulator and cools the tool along with the workpiece by flushing the unwanted particles from the spark gap. Selection of a good dielectric like kerosene oilis noteworthy as it affects the performance of the process. Various researches have been implemented for the up gradation of the technology and mechanism of EDM process, but still there are many faces of the process which still needs awareness for intensifying the process. Selection of suitable dielectric is one such aspect of the process. Gaseous dielectric, powder mixed dielectric is some of the techniques which are adopted by various researchers and proved to inflate the efficiency of the process. • Flushing Flushing is preferably known as the proper transmission of the insulating fluid between the electrodes. Improper flushing of the dielectric fluid may lead to the formation of bridges consequently causing short circuit. Flushing techniques are classified as follows-: • Normal flow flushing • Side flushing • Reverse flow flushing • Immersion flushing • Electrode material In the process of EDM it is mandatory for the electrode to be electrically conductive. In EDM duplicate of the tool electrode is produced on the specimen. The electrode material should be selected such that it should not erode much during the
  • 41.
    18 machining as itwill exert influence on the cost along with the efficiency of the process. • Rotation of the workpiece In addition to the electrical process parameters in conventional EDM, workpiece rotation is TEMPeffective in rotary EDM. In conventional EDM, debris particles in the gap unavoidably enhanced discharge instability, according to experimental results. The centrifugal force in rotary EDM, on the other hand, enhanced gap cleansing and machining efficiency. Rotary EDM's MRR was up to twice that of conventional EDM. With increasing rotation speed, the value of surface roughness decreased. Micro voids and flaws on the machined surface can be reduced by rotating the specimen[38] • Rotation of the tool electrode Due to the effect caused by centrifugal force on the workpiece, the rotational movement of the electrode is used to boost Metal Removal Rate in EDM. 1.9.2. Output Variables • Material removal rate (MRR) Metal removal rate is commonly represented in cubic inches per hour (in3 /hr). It takes more than just the appropriate machine settings to achieve an efficient MRR. It also includes the direct energy lost during the EDM process. • Electrode wear rate (EWR) The EWR is the volume ratio of the material removed from the micro tool electrode to the material removed from the workpiece. TWR is sometimes computed by multiplying the weight difference between the micro tool before and after machining by the machining duration. • Surface Roughness (SR) Surface finish is influenced by a number of variables, including on-time, peak current, electrode material, and workpiece material. The electrode will make a reverse image of whatever shape or form it has as the machining cycle advances. Imperfections in the electrode surface will appear on the workpiece surface as well. This includes material loss due to high temperatures or particle loss due to wear. The electrode will show up on the workpiece if it is pitted. The ultimate surface finish will be a mirror image of the surface of the electrodes. Short on-times and low peak
  • 42.
    19 current settings yieldthe best results, as smaller craters in the work metal are produced. There will be no progress until these prerequisites are met. 1.10. Benefits of EDM • Any metal, regardless of hardness, brittleness, or toughness, can be machined. • Harder materials, such as steel alloys or tungsten carbides, can be replicated for molding and other non-traditional machining techniques, such as forging and press tools. • When dies are hardened, they can be machined. • Complex shapes can be duplicated. • Very fine holes can be drilled with extreme precision. • The precision is excellent. It is possible to attain a tolerance of 0.005 mm. • Micro-craters in EDM produced work pieces can efficiently hold lubricants, allowing for the creation of a wear-resistant surface. • There is no physical contact between the tool and the w/p. There is no cutting force used other than blasting pressure. As a result, delicate projects and cylinders can be machined without being damaged. • When compared to traditional machining method, harder metals may be processed faster. 1.11. Disadvantages of EDM • In comparison to traditional machining, the power required for machining is Electrical Discharge Machining (EDM) is substantially higher. (120J/mm2) • When materials become brittle at normal temperature, there is a risk of surface breaking. • On steel work pieces, a thin layer containing 4% carbon, typically ranging from 0.01 mm to 0.10 mm, can be placed. • EDM makes it harder to replicate tight corners. • Sometimes the microstructures are deformed, and etching occurs as a result.
  • 43.
    20 1.12. Utilizations ofEDM By and large, EDM has enormously utilized for machining without burr complex shapes just as restricted spaces and visually impaired depressions. The sinking of bites the dust, plastic embellishment, kick the bucket projecting compacting, cold heading, expulsion, press devices, wire drawings are a portion of the instances of its application. Negative instrument calculation can likewise be created on a w/p if the appropriate apparatus can be made. EDM is exceptionally helpful for machining little openings. It is likewise used to cut spaces in diesel fuel infusion spouts. It is additionally utilized in airplane motors and brake valves and so forth 1.13. Composite materials They are formed with the amalgamation of two or more dissimilar materials and its constituting materials having observable interfaces to present distinctive aggregation of properties of the merging materials[39]. The two constituents of composite materials are the matrix (weaker constituent) and the reinforcement (stronger constituent). The strength and the rigidity to support the structural loads are provided by the reinforcement. The position and orientation of the reinforcement is maintained by the matrix. The solitary characteristics and the composition of the constituents control the overall physical and chemical characteristics of the composites. 1.14. Classification of Composites On the basis of constituents, the composite is categorized in two categories. Figure 1.13 shows the classification of the composite material based on the type of matrix material. • Ceramic matrix composite constitutes matrix made up of ceramic materials like oxides, carbides and nitrides of aluminum, silicon, zirconium and titanium. They withstand very high temperature. • Metal matrix composite is a class of materials comprised of matrix made up of metals such as aluminum, iron, copper, magnesium. Properties of metal matrix composite include high strength, high heat resistance, low thermal expansion coefficient, and increased resistance to wear and tear.
  • 44.
    21 • Polymer matrixcomposite constitutes matrix made up of polymer materials such as epoxy, nylon, polyester, polyvinylchloride etc. Properties of PMC include very high specific stiffness and specific strength. In addition, they also process high manufacturing feasibility and are relatively cheaper. Figure 1.13: Classification of composite on the basis of matrix material Aside from this classification of composites on the basis of matrix material, they are also classified on the basis of reinforcement material. Figure 1.14 and Figure 1.15 shows the classification of composite material on the basis of reinforcement materials and composites. Besides, Figure 1.16 represents the classificationfor various types of composites. Fig. 1.14. Different types of reinforcement in composites –(a) particulate (b) short fiber (c) continuous fiber (d) structural composites [40] Figure 1.15 Classification of composite on the basis of the reinforcement materials
  • 45.
    22 • Particulate compositescomprised of particles suspended in matrix. Particles may be of different shapes, size and configuration. Properties of particulate matrix include improved strength, oxidation resistance and increased operating temperature. • Fiber reinforced matrix composed of fibers or whiskers. They are of two types’ short fiber reinforced and long fiber reinforced composite. They find application in various fields such as automotive, aerospace, civil infrastructure and many more. • Structural composites are further classified as laminated composites and sandwich panel composites. They are comprised of plastic, glass, wood and carbon fiber materials. The properties of the structural composites depend upon the constituents and geometrical design. Fig. 1.16 Classification of the composite materials within the group of materials[41] 1.15. Advantages of composite materials The idiosyncratic material comes into being by comprising the matrix and the reinforcing material with worthier properties in comparison with their individual properties. With time these materials have gained several advantages and wider applications over traditional materials. Light weight, high directional strength,
  • 46.
    23 controlled expansion andhigh resistance to fatigue makes the composites superior than the metals. Other key advantages of composites include- • High design flexibility • Corrosion resistance • Abrasion resistance • Durability • High manufacturing flexibility • High thermal and electrical resistance • Cost effectiveness 1.16. Disadvantages of composites materials ` Even though there are considerably huge numbers of advantages accompanying the application of composites over the traditional materials, there are handfuls of disadvantages too. Some of the disadvantages of composites are listed below- • High fabrication and assembly cost for job and batch production • Low ductility • Cannot be repaired easily as the structure loses integrity • For sealing purposes, it requires appropriate finishing. 1.17. Aluminum metal matrix composites These are very hard and light in weight material and have high resistance against corrosion[42] .With numerous applications in industrial area Aluminum metal matrix composite continue to exist as the most potentially viable candidate to be researched[43]. In Aluminum metal matrix composites the reinforcement can be in the form of continuous or discontinuous fibers, whiskers or particulates ranging in various volume fractions. According to the different demands of the industrial applications, the properties of AMMC can be tailored by suitable combinations of reinforcement, matrix and the route followed to process the composites[44][45]. Aluminum compounds, due to their low thickness and amazing strength, sturdiness, also, protection from erosion, discover significant applications in the aviation field. Of uncommon notice in such manner are the Al–Cu–Mg and Al–Zn–Mg–Cu
  • 47.
    24 amalgams, vital precipitation-hardenable compounds. Aluminum-lithium amalgams structure perhaps the main precipitation-hard enable aluminum amalgams. Lithium, when added to aluminum as an essential alloying component, TEMPhas the remarkable normal for expanding the versatile modulus and diminishing the thickness of the amalgam. Naturally, the airplane business TEMPhas had been the significant objective of this advancement. Al–Li combinations are precipitation hard enable, similar as the Al–Cu–Mg also, Al–Zn– Mg–Cu amalgams. The precipitation solidifying grouping in Al–Li amalgams is, in any case, substantially more intricate TEMPthan that saw in regular precipitation-hard enable aluminum amalgams. Various industrial applications of aluminum composites are represented in Table 1.2. Table 1.2 Industry specific applications of composite materials[46]. Industry Application Electrical and Electronic s Insulation for electrical construction Cable tracks Support for circuit breakers Support for printed circuits Antenna s Wind turbine Tops of television tower Road transport Wheels, shields and radiator grills Transmissi on shafts Suspension springs Chassis Suspens ion arms Cabins, seats Body component Rail transport Fronts of locomotives Wagons Doors Ventilation housings Structur al parts Seats Interior panels Maritime transport Hovercrafts Rescue crafts Patrol crafts Antimine ships Racing sailboat s Canoes Trawlers Cable transport Aerial tramways Gondola lifts - - - - - Air transport Gliders Light aircraft and drones Vertical/horizont al tail plane Wing boxes Fuselag e Aircraft brakes and disks Helicopter component Space transport Bodies Tanks Nozzles Heat shields - - - Sports and leisure Tennis and squash rackets Skis Windsurf and skate boards Bows and arrows Javelins Protect - ion helmets Bicycles
  • 48.
    25 There are twomethods for the fabrication of the Aluminum metal matrix composite, one is the solid-state processing and the other one is liquid state processing. Various reinforcements can be extensively used to amend the properties of the composite material according to the demand and application of the process. Table 1.3 represents application of different Al MMC. The major drawback accustomed during the processing of Aluminum metal matrix composites is the feebleness with molten state of the matrix[47]. Table. 1.3 Different aluminium matrix composites for various components used in automobile industries[48] Manufacturer Component Composite Dura clan, Martin Marietta, Lanxide Pistons Al/SiCp Nissan Connecting rod Al/SiCw Toyota Piston rings Al/Al2O3 and AI/Boria Honda Engine blocks Al/Al2O3 Zollner Pistons Al/fiberfrax GKN, Duraclan Propeller shaft Al/SiCp Dupont, Chrysler Connecting rods Al/Al2O3 Lotus, Elise, Volkswagen, Chrysler, Duraclan, Lanxide Brake rotors Al/SiCp Table .1.4 Comparison of stir casting with other methods [49][50] Process Range of shape Range of size Metal yield Damage to reinforcement Cost Stir casting Wide Larger size Very high, >90% No damage Least expensive Squeeze casting Limited Restricted size Low Severe damage Moderately expensive Powder metallurgy Wide Restricted size High Reinforcement fracture Expensive Spray casting Limited Large size Medium - Expensive Lanxide processing Limited Restricted size - - Expensive • Liquid state processing The discontinuous reinforcement phase is incorporated into the continuous metal matrix phase in the liquid state in liquid phase processing methods, and the molten metal is cast into desired shapes by conventional casting. Stir casting, compo casting, squeeze casting, ultrasonic-assisted casting, infiltration, thermal spray, laser
  • 49.
    26 melt-particle injection method,and other liquid state processing methods are examples. Table 1.4 depicts the comparison of stir casting with other fabrication processes. The metal matrix is heated above melting temperature and reinforcement materials are incorporated into a molten matrix using a mechanical stirrer in the stir casting process. Mechanical stirring in the furnace is a critical component of the process. In the mass production of MMCs, it is a very simple, flexible, and cost- effective process. The non-homogeneity of the constituents, as well as the poor wetability of the matrix and reinforcement, is the main drawback of this method due to the cooling rate change from the surface to the centre. • Solid state processing Powder metallurgy, high-energy ball milling, spark plasma sintering, cold spraying, diffusion bonding, and friction stir processing are examples of solid-state processes[51]. 1.18. Objectives The current work is an investigation into the hybrid EDM process with the goal of improving performance metrics. As a result, the current research focuses on the fabrication of an aluminum metal matrix composite with two different types of reinforcement. The study's main goal is to investigate the various properties of the Al MMC that has been manufactured experimentally, as well as the results of the EDM process with various assistances. The focus of this research is on the fabrication of aluminum metal matrix composites. The current work's reinforcement is silicon carbide, and the alloying element is magnesium, both of which are discussed in detail in Chapter 3. The primary goal of this study is to investigate various mechanical characteristics of Al MMC manufactured in the lab. The investigation focuses on determining various EDM process performance measures with the help of the Al MMC.The following are the main objectives of the current investigation: • To enhance the life of tool electrode which is one of the major constrictions in achieving economic advantage • To fabricate and characterize the specimens by studying microstructure • To enhance the metal removal rate by incorporating gas assistance and powder
  • 50.
    27 mixed dielectric • Tocompare different process under the chosen conditions and suggest the most suitable process 1.19. Summary of this chapter This chapter provided a succinct overview of the background and motivation for the current project. It described the current work's problem as it examined the hybrid EDM process in the current scenario, when the machining of hard materials is increasing rapidly, and the various consequences that come with it. Various types of hybrid EDM processes were also discussed in this chapter.It also include a brief introduction to composite materials, as well as a detailed discussion of the current research main objectives.
  • 51.
  • 52.
    29 CHAPTER 2 LITERATURE REVIEW Theyear-by-year literature review is discussed in this chapter. The primary goal of the literature review is to provide and emphasize the information and concerns that are crucial to the current project. The following main categorizations were used to conduct the literature review: • EDM Process • Composite material 2.1. EDM Process Electrical discharge machining (EDM) is a machining technique that uses thermo-electric spark discharge to erode electrically conductive materials by initiating an abrupt spark discharge between the workpiece and the tool electrode. The distance between the two electrodes is regulated between 0.01-0.50 mm during this machining process. Pulses of direct current between the workpiece and tool electrode control the arc discharge. Under the pulsed application of direct current, the dielectric fluid in the electrode gap ionizes[1]. Electric discharge machining (EDM) is a non-conventional machining technology that uses electro-thermal energy to machine a variety of materials with complicated geometrical patterns and exact dimensional cuts. The EDM process is notably well-known for producing difficult-to-machine materials. EDM technology finds uses not just in the aerospace and automotive industries, but also in the surgical and medical implant industries, by overcoming technical challenges connected with traditional machining. EDM technology finds uses not just in the aerospace and automotive industries, but also in the surgical and medical implant industries, by overcoming technical challenges connected with traditional machining[2], [3]. Electrode wear ratio (EWR) and material removal rate (MRR) are important performance indicators in EDM operations as shown in Figure 2.1, and eroded particle flushing from the electrode gap is also important. Debris accumulation in the machining zone, causes arcing and short circuit. Many techniques, such as EDM with rotating tool electrode [4]–[6]. Vibro-rotary EDM [7], cryogenically cooled electrode
  • 53.
    30 EDM [8], cryogenicallycooled ultrasonic assisted electrode EDM [9], Magnetic field assisted EDM with rotary tool [10] have been introduced by researchers to prevent the occurrence of such problems and improve the flushing efficiency of the process. [4]investigated the rotary EDM of Al2O3/6064Al composite with ball burnishing electrode in the recent past. The results revealed that using an EDM with a ball burnishing electrode resulted in a faster machining rate and a better surface finish. Figure 2.1 Process of EDM[11] The surface polish improved from 55 to 92 percent for a different set of experimental factors. Surface polish may be compromised, however, due to the tool electrode's high rpm or the presence of more Al2O3 reinforced particles. [5]looked into the EDM of Al-SiC composites and looked at the impact of electrode revolution and SiC reinforcement. They also looked at how polarity, discharge current, electrode material, pulse duration, and electrode rotation affected responses such as MRR, TWR, and surface finish. MRR rose with an increase in pulse current, regardless of electrode materials, polarity, or SiC volume percentage, according to the findings. Furthermore, MRR decreased when the pulse duration increased for a certain current. Kuneida et al[12], [13]explored dry EDM method. They demonstrated that molten workpiece material purged from the cutting gap without adhering to the electrode surface. They claimed that oxidation of the electrode material increased the MRR because oxygen in the air triggered an exothermic reaction, which increased the heat input per spark and resulted in the creation of larger sized carter. Figure 2.2 depicts the in detailed process of EDM.
  • 54.
    31 Figure 2.2 Workingprinciple of EDM Yan et al [14] investigated how machining parameters affect the material removal rate (MRR), surface roughness, and improvement ratio of surface roughness (IRSR) on Al–Zn–Mg alloy, EDM and EBM are merged into a single process. A micro hardness inspection and a corrosion resistance test are also carried out to assess the impacts of the combined treatment on surface modification. Thus, a combination procedure that achieves fine-finishing surface integrity while also having reinforced effects on surface modification can minimize surface roughness without lowering MRR. They decided to use a dependable CNC electric discharge machine with a rotating spindle for milling. A pump cycled the dielectric, and some of the dielectric and debris removed from the workpiece were sucked and released through the tool electrode's central hole at 55 KPa. The Taguchi approach was used by Yan et al[4] and explored the feasibility and optimization of a rotary EDM with ball burnishing for examining the machinability of Al2O3/6061Al composite. Following EDM, three ZrO2 balls placed as extra components behind the electrode tool provide quick burnishing. To verify the optimization of the machining procedure, three observable data are used: machining rate, surface roughness, and improvement of surface roughness. The tool electrode is designed as a Copper ring shaped B-EDM, as seen in Figure 2.3 This B-EDM method aims for a higher machining rate as well as a finer surface roughness. Furthermore, the B-EDM technique can obtain a machining rate that is nearly constant. Saha et al [15] examined the dry EDM process with a tubular copper tool electrode and a mild steel workpiece. The influence of gap voltage discharges current,
  • 55.
    32 pulse-on duration, dutyfactor, air pressure, and spindle speed on MRR, surface roughness (Ra), and TWR has been studied using air. Then, using a constructed experiment based on the central composite design of experiments, empirical models for MRR, Ra, and TWR were developed. The created models were used to conduct a response surface analysis. Figure 2.3 Design of copper ring tool shaped B-EDM [62] The important parameters were identified using ANOVA testing. The experimental result of the dry EDM connection is shown in Fig 2.4, and the flow characteristic of air in the inter-electrode gap impacts the MRR and surface roughness (Ra). There is an optimal number of airflow holes (in the tool) for which the MRR and Ra are the highest. Figure 2.4 experimental setup [62] Although both methods are defined in geometry by the same concept of intersection between the rotating tool and the Workpiece, Ding et al[16] worked on CNC EDM machining of free-form surfaces that requires tool paths that are different from those used in mechanical milling. Special tool path requirements for CNC EDM rough milling with a cylindrical electrode are investigated, and a two-phase tool path generation method for 4-axis CNC EDM rough milling with a cylindrical electrode is devised. Figure 2.5 shows a solid model of the workpiece and the electrode interface.
  • 56.
    33 In addition, compensationfor discharge gap, electrode deterioration, and a variety of other issues must be considered in the generation process of the tool path. Figure 2.5 Solid models of workpiece and interference between work and tool [63] The authors conducted research on the SKD-11 employing powders of Al, Cr, Cu, and SiC suspended in a dielectric fluid. The effect of powder addition on the creation of recast layers on the machined surface is shown in Figure 2.6. The thickness of the recast layer formed on the material is reduced when powders are present. Furthermore, when Al powder was added to the fluid for machining micro size slits on Ti alloy, the depth of material removal increased. On the other hand, as demonstrated in Fig. 2.6, it results in higher overcut on machined surfaces. Figure 2.6 Effect of current and powders on machined surface characteristics recast layer formed at without powder (b) recast layer formed at AL powder [63] Chow et al [64] by reducing the discharging current and introducing a new driven mechanism with a horizontal rotating electrode, a modified EDM was developed. Titanium alloy is machined using micro-slit as shown in Figure 2.7 EDM with various dielectric fluids using a thin copper diskette electrode. Kerosene, kerosene with aluminum powder, and kerosene with SiC powder are the dielectric fluids used in this study. The various fluids used during the machining process have a variety of effects. The material removal depth, the electrode wear rate, the slit expansion, the surface roughness, and the waveform of the discharging condition can all be examined more closely to account for such effects.
  • 57.
    34 Hosni et al[17] investigated the machinability of AISI D2 steel using a Cr powder mixed EDM technique with the goal of improving the surface topography The findings of the study look at the formation of a better-machined surface using the PMEDM technique, as well as a 50 percent reduction in the recast layer thickness when Cr powder is present Figure 2.8 depicts the effect of micro-scale Cr powder mixed with the dielectric medium on the recast layer formation, whereas Figure 2.9 depicts the effect of micro-scale Cr powder mixed with the dielectric medium on the recast layer formation. The effect of Nano powder is seen. The smaller the particle size of Cr powder, the less recast layer forms on the machined surface. Figure 2.7 Micro slit made with (a) kerosene (b) Al + kerosene medium[18]
  • 58.
    35 Figure 2.8. Influenceof micro-Cr powder addition on recast layer formation [34] Figure 2.9 Effect of Nano powder addition on the recast layer formation [34] In 1995[19], Armani and Cassidenti, NASA presented a short technical paper on the use of gas based EDM.As dielectric for boiling a pit through tubular copper electrodes, Argon or helium gas as shown in Figure 2.10[13].Nevertheless, proposed
  • 59.
    36 in 1997 aknown new machining process gas like EDM. They proposed reducing pollution through the use of dielectric gas instead of kerosene. It was subsequently studied as an advancement method by Kuneida et al [12] . New method for energy distribution and plasma diameter determination is proposed by Zhang et al. The authors compared the boundary of the melted material in a crater obtained through the metallographic method and that obtained from the thermal-physical surface. The boundary of the melted material has been calculated using the finite element method using the thermal/physical model. This method has been used to measure power and plasma diameter distributions in different dielectrics with different polarities in experimentally molded steel 8407. Figure 2.10 The principle of dry EDM [65] The section view of the craters that are obtained by means of various dielectrics and polarities is shown in Figure 2.11[20] Figure 2. 11. Comparison of the section view of the craters obtained using different dielectrics and polarities [66]
  • 60.
    37 Multiple modeling andsimulation techniques for the optimal environment of the EDM process were presented. Wang et al[21] proposed a 3D flow field model for the machining gap in EDM, including liquid, natural gas and solid phases. In consecutive pulse discharges, the model analyzed mechanisms of debris and bubble mobility in the machining gap. The results of the testing and simulation model showed that it was feasible to use the proposed model. The main path through which the waste is excluded from the machining gap is a lot of waste moving outside the machining gap following the excluded bubbles. With increased discharge current and pulse-on-time the bubble expansion strengthened. Figure 2.12 illustrates bubble and debris movement simulation and observation experimental results. Figure 2.12. (a) Simulation Results (b) Experimental results of the bubble and debris movement [67] The simulation and model of the EDM process was also introduced by Izquierdo et al[22]. In the workpiece, the temperature fields generated by the superimposition of multiple discharges were calculated by means of a finite difference scheme. The discharge characteristics for a particular operation, i.e., energy transferred to the workpiece, discharge channel diameter and material removal efficiently, were assessed using the results of the numerical model to be reversed identified. As Figure 2.13 illustrates, the authors reported a change in the volume of material removed by release. In order to study the effects on the machining parameters such as peak current and pulse-on life, SR, average white layer and surface crack density of M2 die machining steel machined with the EDM process, Bhattacharyya et al[23]developed a comprehensive mathematical model based on RSM. The author reported that the minimum SR has been achieved for low peak current and pulse-on duration, i.e., for 2 A and 20 us. By keeping the maximum current as low as possible (preferably 2-5 A) and maintaining pulse-on durations within a range of 163-510 μs, the average white
  • 61.
    38 layer thickness canbe minimized. The medium value and the minimum pulse-on time of the peak current were also found to minimize the surface crack density. Finally, the optimal combinations for minimum ruggedness of the surface, white layer thickness and surface have been found the crack density was 2 A/20 μs, 2 A/20 μs and 9 A/20 μs. Figure 2.13. Variation of volume of material removed per discharge as the operation progresses [68] With the abiding evolution of the material processing technologies and enrichment in the requirement of the complex geometry and inflated properties of the top layer, conventional EDM process is deficient to encounter the pre requisites of the existing machining industries. To ameliorate the process, it has been incorporated with various types of assistance. Strategies followed by numerous researchers to boost the performance of EDM process • Machining with different tool materials, different dielectric with mixed additives. • Ultrasonic vibration assisted EDM • Magnetic field assisted EDM • Gas assisted EDM • Powder mixed EDM Singh et al [24] investigated the influence of passing compressed air through the perforated electrode on the workability of EDM process. He analyzed the effect of process variables on the MRR and TWR. The compressed air is disbursed through the perforated copper electrode. The exothermic reaction between the liquefied metal and the concentration of oxygen in the air results in an additional amount of heat. Formation of the recast layer and an increased size of the crater pans out in an
  • 62.
    39 increased metal removalrate in comparison to the material removal rate observed for rotary EDM process. Li et al [25] enquires about the effect of M2 grade high speed steel W6Mo5Cr4V2 with the utilization of cold nitrogen-air mixed gas during machining. He observed that above -80˚C the metal removal rate remains unaltered and below - 80˚C the inclination of electrode wear rate tends to become flat and at 80˚C lots of cracks were seen. Singh et al[26]studied the effect of compressed air and argon gas passing through the tool electrode on the performance of the EDM process. As an after affect MRR was increased more for air assisted EDM, SR and EWR was reduced for argon assisted EDM. Lin et al [27]analyzed the hybrid process of electrical discharge machining in gas merged with ultrasonic vibrations and abrasive jet machining. He obtained enhanced MRR and oxidation was prevented during the process because of the argon gas selected as the inert gas and as a consequence reduced EWR and superior SR was observed. Beravala et al [28]concentrates to modify the EDM process by assimilating the assistance of magnetic field in addition to liquid plus gaseous dielectric together and founds an enhancement by 21-41% of MRR, 7-14% of the EWR of the air assisted EDM and an enhancement by 10-18% of MRR and tripping by 7-16% of EWR of magnetic field-argon gas assisted EDM. The presence of magnetic field helps in diminishing of the unwanted particles and the liquid gaseous dielectric assisted in trouncing the cracks formation. Figure 2.14: Principle of the powder mixed EDM process [72]
  • 63.
    40 Yadav et al[29]focuses to intensify the execution of the rotary tool near dry electrical discharge machining process by including oxygen gas along with the dielectric medium. He observed an increment in MRR for both dry and wet conditions with addition of oxygen. With the increase in the oxygen amount the HOC also increases. Syed et al [30] observed the effects of aluminum powder in distilled water as a dielectric fluid. W300 die steel and electrolytic copper was used for the work and tool electrodes, respectively. The process parameters are pulse peak current, pulse on- time, and Al powder concentration as shown in Figure 2.15. The white layer thickness is taken into account as the output response (WLT). Face centered central composite design procedure is used to plan the experiments. To study the effect of process parameters, an empirical model is developed for WLT using response surface methodology (RSM). Optical microscopy results show that a low white-layer thickness of 17.14 m is obtained at a high powder concentration of 4 g/l and a low peak current of the value of 6 Ampere. Figure 2.14: Graph showing variation of MRR with respect to powder size Joshi etal.[31]Introduced a process to improve the machinability of conventional DEDM magnet-assisted dry EDM (MADEDM) process Figure 2.15 illustrates the mechanism of the MADEDM process. In this work, the magnetic field was redundantly connected to the electrical field to increase the electric development and ionization phase of the plasma. In order to improve MRR in the DEDM process, the utilization of the magnetic field has been found to affect a greater transfer of thermal energy into the work pieces. Results show that MRR increases by 130 percent by the use of magnetic field, and around zero TWR are achieved without the influence of magnetic field compared to DEDM. Microscopy of the scanning electron (SEM) was associated to surface finishing upgrades
  • 64.
    41 Figure 2.15. Mechanismof electromagnetic field application in DEDM[31] Liquing et al. [32] proposed new DEDM systems, which were designed to expand MRR and the surface integrity with oxygen blended DEDM and DEDM with cryogenically refreshed work pieces. The results showed that both the oxygen mixed EDM and cryogenically cooled process of the workpiece were improved by MRR. The surface finish was found to be better when a cryogenic cooled piece occurred, the process can be seen in Figure 2.17.Air-mixed oxygen has a high MRR in any case. The MRR was also observed as the oxygen content in the mixture increases. (a) (b) Figure 2.17. Surface morphology comparison of with and without cryogenically cooled work pieces. (a) Without cryogenically cooled workpiece. (b) With the cryogenically cooled workpiece [76] Palanikumar et al[33]performed machining of Al/ Sic composites by varying the factors like cutting speed, depth of cut, etc.., The machining experiments were conducted using the experimental method of analysis. ANOVA technique was followed on this investigation and the results plotted on the different graphs shows that Al/SiC has good properties to withstand high strength and toughness than the unreinforced one.
  • 65.
    42 Hung et al[34]revealed in their investigation the usefulness of applying EDM operation for silicon carbide particles reinforced cast aluminum metal matrix composite. Analytical models of the process were also developed to forecast the effect of process parameters on process responses such as metal removal rate, re-cast layer, and surface finish. In their research, it was seen that the presence of SiC particles reduces the MRR. The reason behind it's that silicon carbide (SiC) particles act as a shielding medium for the aluminum matrix. The unmelted SiC particles withdraw together with the surrounding molten aluminum droplets from the composite material. While some aluminum droplets are flushed through the dielectric fluid and others trap the loosened SiC particles which re-solidify onto the surface of composite material then produce a re-cast layer (RCL). The input power and current mainly controlled the MRR and thickness of the recast layer and responsible for the surface finish of the workpiece Ramulu et al [35] has been done their investigation for machinability of 15 vol.% and 25 vol. % SiC whisker/2124 aluminum matrix (SiCw/Al) composites. They cut the material samples at coarse, medium, and conditions by using copper and brass tools. The experiment revealed that the material removal rate increases proportionally by increasing the power of the electrode and MRR for 15 vol. % SiCw/2124 Al composites are more than the 25 vol. % SiCw/2124 Al composites. The copper electrode gives a 5 to 10% more material removal rate in comparison to the brass electrode. Machining time is seen to be higher in 25 vol. % SiCw/Al than 15% SiCw/Al composite. It was also seen that higher cutting speed produces micro- damage in the surface and sub-surface area. Mohan et al[36]investigated the machining of Al-SiC composite by using electro-discharge machining. The main aim of this research was to evaluate the effect of process parameters, the volume percentage of SiC particles, and electrode material on the machining performances. The process parameter which is considered in their experiment is electrode polarity, pulse duration (pulse on time, pulse off time) discharge current, and electrode rotation. Al- 20% SIC and Al- 25 % SiC composites are taken as a workpiece sample and copper and brass are selected as a tool material for the experiment. The finding of the study revealed that the material removal rate (MRR) is more with positive polarity and increases with an increase in current. The MRR was found to be more with the brass electrode (tool) as compared to the copper electrode (tool). Increasing either the volume % of SiC particles in aluminum metal
  • 66.
    43 matrix composite (AMMC)or pulse duration decreases the material removal rate and the material removal rate increases with the increase of rotational speed of the electrode. When the volume % of SiC particles in the AMMC is less, then the tool wear rate will be less, and the tool wear rate becomes more when the pulse current is more. On the decrease in the pulse current, the surface roughness value becomes less and it becomes high with the increase of volume % of SiC particles in the aluminum metal matrix composite (AMMC). The research optimized the process parameter for different electrodes and volume % of SiC particles in the AMMC for achieving a maximum material removal rate. Uriarte et al[37]gathered information and analyzed micro fabrication technologies for different tool-insert materials and features. It is realized that the non- contact machining technique with split tenth accuracy has been continuously evolving from a mere tool-room machine to a micro-scale application machining alternative. It is no wonder that it attracts a significant amount of research interests. Many researchers have evolved different designs of tools, different types of dielectric fluids (ranging from water, kerosene, special property oils, air, gases, the mist of fluids, etc.), various process parameters, a variety of mutual movements of tool-workpiece, mixing of some conductive and non-conductive powders and so on. Most of them were evolved for catering special materials, increasing MRR, decreasing percentage Tool Wear Rate (TWR), achieving better surface properties and accuracy, considering environmental safety, etc. 2.2. Composites Mechanical stir casting was used by Hanizam et al [38]to make MWCNT- CNT, which was then thixoformed and thermally treated with T6 (MT6). As a result, using a robust design of experiment (DOE), namely the Taguchi technique, with two factorial levels, the optimization and effect of variables such as the amount of CNT, amount of wetability agent of Mg, and mechanical stirring duration were explored. The response variables were the signal-to-noise (S/N) ratio (‘larger is better), hardness, and ultimate tensile strength (UTS). The nanocomposites exposed to DOE run 4 and containing 0.5 wt. percent MWCNT, 0.5 wt. percent Mg and 10 minutes of mechanical stirring yielded the best hardness and UTS values of 106.4 HV and 277.0 MPa, respectively. When compared to the as-cast A356 alloy, the hardness (76.3%) and UTS (108.4%) both improved. The alteration of the as-cast microstructures and
  • 67.
    44 porosity after thixoformingand MT6 treatment was also studied. The optimized mechanical stir casting parameters for MWCNTA356 production, as well as the improved mechanical properties acquired by thixoforming and heat treatment, were demonstrated in this study. Kok et al [39] introduced vortex technique and subsequent applied pressure were used to create 2024 aluminum alloy metal matrix composites (MMCs) reinforced with three various sizes and weight fractions of Al2O3 particles up to 30 wt. percent as shown in Figure 2.18. The effects of Al2O3 particle content and particle size on composite mechanical parameters like hardness and tensile strength were examined. The samples had low porosity, according to the density measurements, and the quantity of porosity in the composites rose as the weight percentage and particle size decreased. SEM microscopy of the microstructures revealed that the dispersion of coarser particle sizes was more uniform, whereas finer particles resulted in agglomeration of the particles and porosity. The hardness and tensile strength of the composites rose with decreasing particle size and rising weight proportion of particles, according to the findings. Figure. 2.18. Schematic diagram of the experimental apparatus for producing the MMCs [83]
  • 68.
    45 The advanced combinationsof aluminum alloy composites currently being used for by Joel et al [40]various applications are summarized in Table 2.1. Composites of this kind of metal matrix (MMC) are similar to conventional metal processing, and their phenomenon is shown in the Figure 2.19 Massive wear of the cutting tool will occur during processing of MMCs (both in coated and uncoated). The principal wear is because of the abrasion, by sliding motion of the particles in relation to the clearance face of the enhancement material on the cutting edge of the matrix. The tool wear, namely micromachining, micro cutting, micro-ploughing at the cutting edge of BC and fracture at the plane DC is responsible for multiple wear mechanisms. Figure. 2.19 Machining of Metal Matrix [84] Table 2.1 Advanced aluminum alloy composite combinations and its applications [84] Composition Properties Application Reference Al A356 + 4 wt% nano Al2O3 (stir casting) Compressive strength (630.5 MPa) Automotive, aerospace and electrical industries [32] Al A356 + 10 % wtSiC + 1% wt graphite (compocasting) Yield strength (170Mpa), Modulus of elasticity (GPa 81.2) Spacecraft [33] AI – Cu (4.5 wt% Cu), Al – Cu/SiCp (squeeze casting) Hardness (139BHN) UTS (239 MPa) Engine piston and heat sink [34] Al A356 + 0 5 vol% micro TiB2(stir casting) Yield strength (271Mpa), UTS – (308MPa) Drum brake material [35] Al 6061 + 10wt% Si3N4 (stir casting) 87.048 VHN, UTS-201 MPa Magneto Parts, appliance fittings [36] 2009 Al + (1wt% CNT + 3wt% CNT) (1-pass FSP) (Friction stir processing) Yield strength (385Mpa), UTS – (477MPa) Automotive and aerospace applications [37] AI 2021 + (5wt% Gr + 20wt% SiC) (Powder metallurgy) Density (2.94 g/cm3 ), Hardness (63BHN) Spacecraft and antenna dish [38] Al 7075, Ai 7075 + 7wt% SiC + 3wt% Gr (Stir casting) Density (2.81 g/cm3 , 2.784 g/cm3 ), Hardness (175 Hv, 219 Hv) Electrical signal transmission [39] Al 6061 + (20wt% Ainp) (Stir Casting) UTS – (241 MPa) Microhardness (91 VHN) Microelectronic devices [40] Al 6082 + (24 wt5 TiC) Microhardness (149 VHN), High temperature [41]
  • 69.
    46 (Friction Stir Processing)UTS – (382 MPa) applications Al 6061 – T6 + (8vol % SiC + 4vol% Gr) (900 rpm) (Friction Stir Processing) UTS – (219 MPa), Yield Strength (185MPa) Automobile components [42] Al 7009 + (25wt% SiCp) (as cast) Hardness (198 Hv) Land-based systems in military [43] Li and Lee et al [41] [42] investigated that for the reinforced composites represented in Figure 2.20, the intensity of strain hardening is higher than its monolithic intensity.Furthermore, volume fractions of the added particles are dependent on the form of the particles. Fig2.20 Composite Material [85] And studied the composite operating parameter to determine its properties. The second objective is to create PAMC with a variety of compositions of graphite strengthening particles, Al2O3 and SiC using the stir casting method. The second objective is to produce PAMC with a stir casting technique. They concluded that • The angle of the blade should be 45° or 60° for the consistent dispersion; the blade should not be 4. • We must continue to function for good weight ability Semi-solid stage temperature, i.e., Al 630 (6061). At Condition of full liquid Uniform distribution is hard to achieve of the molten metal strengthening. • Mold preheating helps also to reduce porosity. Bhandari and Ravi et al[43][44] evaluated mechanical properties for the AA6061/B4C composites made by stir cast route with a different weight and microstructure percentage. The following findings are derived from this study- • The Stir Casting Technique could be used to manufacture the homogenous AA6061/B4C composite.
  • 70.
    47 • The opticalmetallographic study revealed a homogeneous dispersion of the B4C particle in the composite. • Increased the grain size of the matrix for adding B4C reinforcement part as shown in Figure 2.21. • Incremental compound weight percentage of B4C particles increased to 68HV from 62 HV. • B4C reinforcement improved the traction strength from 117 MPa to 145 MPa of Aluminum Matrix Composites (AMCs). Figure 2.21a) AA6061 without reinforcement b) AA6061 matrix with 5% B4C c) AA6061 matrix with 10% B4C [87] Suraya et al [45] studied to find the ability of EDM process on machining responses of aluminum alloys LM6 (Al-Sil2) and Table 2.2 depicts the mechanical properties of Al alloy. And the mechanical properties as analyzed during the research is shown in the Table below. Table 2.2 Mechanical properties of LM6 [2] Quantity Value Unit Tensile strength, Ultimate 290 MPa Tensile strength, Yield 131 MPa Elongation 3.5 % Poison’s ration 0.33 - Fatigue strength 130 MPa Machinability 30 - Shear strength 170 MPa The machining parameter relationships such as pulse-on-time, pulsation-off time, peak current and voltage are determined on the machining characteristics of MRR, EWR and Ra. The main factor that affected MRR, EWR and Ra were peak current may be concluded. With the current increasing, the MRR and EWR are increased and Ra is reduced. Other factors like voltage, pulse on time and pulse off
  • 71.
    48 time have lessinfluence on reactions. The percentage of the contribution value shows that peak current has the greatest value among others. [46]evaluated effect of the process variables on the machining characteristics of the 20 wt percent composite Al2O3/AA2014 electrical discharge machinery was investigated by a different one- parameter approach as illustrated in Figure 2.22. The composite was manufactured by casting. Pulse current, discharge voltage, pulse on time and pulse off are considered process variables time. Process features include removal of materials, wear rate of tools and surface Ruggedness is examined. The uniform distribution of optical microscopy test Al2O3aluminum alloy enhancement in the 2014 matrix phase. Results show MRR, TWR and SR are increased with current and pulse increases on time. Figure 2.22. Die-sinker EDM with external circulation system [90] Khajuria et al [47] studied the impacts of weight variation of ceramic Al2O3 particles in stir cast stir composites AA2014 during electrical discharge machining (EDM). To analyses effects of weight variation percentage of the stir cast AA2014 composites of ceramic Al2O3 particulates in the process of electro deal machining. Observed that at the expense of TWR, MRR and SR have decreased with an increase in the ceramic particle weight percentage. The result is an enhanced micro hardiness of composites with reinforced stir cast. However, micro hardiness of EDMed samples reduced by 58,34, 52,25 and 46,85 ppm for stir cast AA 2014, by 10 percent Al2O3/AA 2014, and by 20 percent Al2O3/AA 2014, with a fixed machining parameter value, that is 9 amp current, 60 V voltage, 90 ms pulse off time and 90 ms pulse on time. The ceramic Al2O3 particulate thermal scale of 20Wt. percent Al2O3/AA2014 composite as illustrated in Figure 2.23 has been found to have been analyzed by SEM and quantitative energy dispersive spectroscopy (EDS).
  • 72.
    49 Figure 2.23 Distributionof ceramic Al2O3 particulates in stir cast AA2014composites [91] Channi et al [48] focused on improving TiB2 particle distribution by injecting ZnSt2 through a stir casting method during metal matrix casting. Successively, the AA 6061/TiB2 was farcical zed with a casting line of liquid metallurgy. The results of SEM and EDS have confirmed that matrix material and refurbishing material are properly mixed.The hardness is greater than the base material of the hybrid composite.Hardness increases with the increasing volume of reinforcements. This is due to the addition of hard reinforcement. Results of the EDS as shown in Figure 2.24 confirm that different hybrid composite elements are present. Fig. 2.24 Effect of hardness [92] James et al [49] analysis and simulation techniques of finite elements were used to test the μUSM process of hybrid composite micro machinery. In this study, the hybrid composite materials used for CFRP/Ti stacks are. This study examines the removal of materials during the μUSM process in critical parameters such as cavity depth, cuts and the stress distribution equivalent of Mises. And founded that The CFRP substratum is machined more than the Ti substratum during μUSM. The CFRP substrate is damaged by micro chipping and micro cracking in fragile mode as represented in Figure 2.25. The substratum Ti is deformed plastically by micro plowing and micro cutting mechanisms in ductile mode. In addition, Ti's cavities are uneven than CFRP's.Cavity depth study indicated that the CFRP substratum cavity depth exceeded that of the Ti substratum. The plastic deformation of the Ti material is
  • 73.
    50 inferred as offeringgreater resistance to instrument movement, avoiding abrasive penetration into the substrate bulk. Fig. 2.25. Equivalent von Mises Stress Distribution during μUSM Process on a) CFRP Substrate and b) Ti Substrate [93] Fig.2.26. Microstructure of W1 after EDM at (a) 5A, (b) 10A and (c) 15A [94] Muni et al [50] performed EDM on the newly formed hybrid Al-Matrix and effects of factors like RHA-based composition percentage Electrode workpiece and other parameters for SR machining with electrode tool brass. Observed that at least 8 wt. percent of RHA and 5A current, but significantly increase in 10A and 15A current is detected as a machined surface SR. The composite with 10wt. percent RHA and UTS is found but SR of the machined surface is found as high as possible. The 80V high voltage level and 10 Psi flushing pressure provide a lower SR, i.e. a better surface finish. The duty factor's moderate value at 16% and a low pulse-on-time value
  • 74.
    51 at 20 μsis a lower SR. The SEM 8wt percent RHA composite analysis showed that the crater size may rise for higher pulse energy over the machined surface. A2B1C3D2E1F3 is the ideal parametric combination for minimizing SR as shown in the Figure 2.26. Saajevan et al [51] conducted the Parametric Studies on Aluminum Based Metal Matrix Machining to get the correct and the maximum MRR and minimum surface finishing Side spark and investigate the effect of different machining responses parameters. It has been found that current and pulse on time are the most notable and a higher MRR at a higher current and pulse at a higher time can be identified as depicted in Figure 2.27. The surface roughness was expected to deteriorate with an increase in current and pulse time. In addition, the machined functionality can be superior to the current low value as well as on-time pulses and higher off-time pulses. The formation of the crater was deeper and wider with a higher current and pulse configuration, leading to higher RMR. Fig. 2.27. Roughness value corresponding to each experimental condition [95] Palanisami et al [52] analyzed the input parameters such as release current (A), pulse on-time (B), and pulse off-time (C) were examined and optimized for LM6-Alumina Stir Casted Metal Matrix Composites to achieve optimal removal rate (MRR), surface ruggedness, or tool rate for wear (MMC). Grey relationship analysis is applied to designing the above-mentioned multiple performance features and optimizing them. The study showed that the most important parameter affecting the surface finish and removal rate of materials is the discharge current. The deletion rate is taken as 'the greater the better,' the surface ruggedness and rate of tool usury is considered to be the 'smaller the better' and the evaluation of the GRG reactions is obtained by converting the optimization model for multifaceted applications into a single GRG reaction. From the exploration, it is known queue latest current, initial
  • 75.
    52 pulse on timeand pulse off time at the three levels are applied to the optimum combination of the machining parameters of Al MMC composites. Muller et al [53] provided details on a study of machinability by non- conventional processes such as Electrical Discharge Machine (EDM) and Laser Cutting of silicon carbide reinforced aluminum alloy matrix composites. When the composite was processed, the different removal mechanisms of the different processes were examined. For the various machining processes, the surface condition and the surface damage of the material were examined and compared. The EDM and laser are apparently suitable processes for PRMMC machining, and the laser delivers considerable benefits as far as deletion is concerned. But EDM induces less thermal damage than the laser observed. Noticed that the surface generated after the machining process is associated with numerous craters with noticeable high peaks as represented in the Figure 2.28. Ramulu et al [54] observed that under monotonic and fatigue loading conditions, the effects of electrical discharge machining (EDM) on the surface quality and subsequent performance of a 15 volume percent SiC particulate reinforced A356 Al are investigated. The material's surface and subsurface conditions after EDM surface sparking were compared to the same material's surface and subsurface conditions after careful surface polishing. Fig 2.28 Crater topography of machined PRMMC specimen [97] To determine the effects of EDM processing on basic monotonic properties, tensile tests were performed on the as-received material and the EDM surface sparked material. Fig 2.29 shows Roughening of the surface by deposition of a recast layer, pitting of the surface by spark penetration and particulate pullout, surface micro cracks, and slight softening of the material are all surface integrity effects of EDM.
  • 76.
    53 Fig 2.29: Microstructureof 15 vol% SiCp/A356 Al (500×) [98] Dwivedi et al [55] proposed some modifications ,such as providing rotational motion to the tool or workpiece, mixing of conducting fine powders (such as SiC, Cr, Al, graphite, etc.) in the dielectric, and providing vibrations to the tool or workpiece, among others. The study looks at how the MRR and TWR change as the tool rotation speed changes, and how this affects the work piece’s surface integrity. The findings clearly show that tool rotation improves the MRR by up to 49%. Furthermore, when using the rotational tool EDM, the average surface finish improves by around 9-10%. When compared to the stationary tool EDM process, the rotary EDM process has a thinner recast layer thickness due to tool rotation. Furthermore, when compared to stationary tool EDM, the rotary tool EDM produces less micro-cracking on the re- casted surface of the workpiece. AISI D3 Tool Steel using rotary EDM at different values of current. While varying peak current and aluminum powder concentration in kerosene dielectric fluid, the effects on the Characteristic Material Removal Rate (MRR) of aluminum based Metal Matrix Composites (MMC) are observed by Syed et al [56]. Aluminum MMCs prepared by reinforcing Al with different concentrations of SiC (6%, 9% & 12%) using stir casting process are machined in EDM machine using a Copper Tool of Ø6mm while varying the considered process parameters which are the peak current (2A, 4A & 6A) and the concentration of Al powder in dielectric fluid (0g/l, 1g/l & 2g/l). Experiments were conducted at a constant pulse on-time of 65µs at a duty cycle of 70% and a constant voltage of 40V. It is observed from results that the MRR increases at low peak current of 2A during PMEDM machining of Al/SiC composites. AA7075/B4C composite was made using a mechanical stir casting process with 5% boron carbide particles with an average size of 20-40 m by Dubey et al [57]. Chromium particles are added to the dielectric fluid to improve surface properties and
  • 77.
    54 increase material removalrate, and powder mixed EDM of the composite is performed with a copper electrode. The material removal rate is investigated using four process parameters: current, pulse on time, pulse off time, and gap voltage (MRR). Using response surface methodology, the design of the experiment (DOE) has been set as a central composite rotatable design (RSM). SEM is used to evaluate surface characteristics such as recast layers as manifested in the Figure 2.30. Fig. 2.30SEM micrograph of recast layer across machined surface with powder mixed dielectric EDM. 5(a) machined at 6A current, 120 µs pulse on-time, 152 µs pulse off- time, and 40 gap voltage and 5(b) machined at 12A current, 120 µs pulse on-time, 56µs pulse off-time, and 60 V gap voltage [101] At a 95% confidence interval, the developed mathematical model of MRR is in reasonable agreement with experimental values. The most important process parameters affecting MRR are current and pulse on time. A comparison of SEM images revealed a better surface finish at the intermediate input process setting. Because the recast layer is thinner, the thickness of the recast layer is variable. The confirmatory test revealed that the percentage deviation between the experimental and predicted values was not significantly different. MRR has a value of 8.65%. Uthayakumar et al [58] used EDM in this study to machine functionally graded A356–20 vol. percent SiC composite with the goal of lowering the electrode wear ratio, surface roughness, overcut, and power consumption. In addition, grey relational analysis is used to optimize input parameters and determine contribution. Finally, a scanning electron microscope is used to characterize the surface morphology on the machined surface (SEM). Position I – Particle enriched zone (15 mm from the outer periphery), Position II – Particle matrix transition zone (45 mm from the outer periphery), and Position III –
  • 78.
    55 Particle depleted zone– the microstructures of the prepared composite are investigated at three different zone positions (75 mm from the outer periphery). The particle enriched zone has a higher SiC vol. percent in the matrix, as shown in Figure 2.31. The movement of higher density SiC particles (3.2 g/cc) towards the outer periphery of the brake rotor disc was caused by the centrifugal effect. Between 28 and 45 mm, the 7-particle matrix transition zone appears, and after 60 mm from outer periphery, the particle depletion zone appears. Fig. 2.31. SEM micrographs of EDM machined surface (EDM-machining conditions: pulse current 15A, pulse duration 10 µs, gap voltage 60V) [102] Ponappa et al [59] optimizes EDM parameters while machining 7075 Aluminum hybrid metal matrix composites reinforced with 5%, 10%, and 15% volume percentages of Titanium carbide and boron carbide particles, respectively. A 7 mm electrolytic copper electrode was used to perform electrical discharge machining on a hybrid aluminum composite. The effects of different parameters, such as pulse current, pulse duration, and gap voltage, on Metal Removal Rate (MRR), Tool Wear Rate (TWR), and surface roughness (SR), have been investigated. The effect of adding TiC and SiC reinforcement to the composite on the MRR, TWR, and SR was evaluated in this study.From SEM image, it is clear that there are less EDM harmed layers and less miniature breaks. There were a few voids made due to the molecule pull out from the surface. The EDM measure delivers a hard and weak recast layer on a superficial level of the workpiece material. The outcome is because of the resolidification of the liquid material that isn't washed away by the dielectric medium.
  • 79.
    56 The recast layeris fine-grained and might be alloyed with carbon from the dielectric or with the material moved from the instrument/work piece. It is likewise called white layer as it remains unaffected by scratching and seems white under an optical magnifying lens. The SEM picture additionally portrays adjusted pits, voids, beads and metal stream follows the machined surfaces. Iosub et al [60]explored the impact of tool distance across and pulse on time (ton) on the electrode wear rate, material evacuation rate and surface honesty of silicon carbide cross breed aluminum matrix composites. The SODICK AD3L CNC – anode release machine and the tube-shaped terminal as device were utilized for the proposed research. Aluminum metal networks half and half composite with 7% silicon carbide (SiC) was penetrated by utilizing steel cathode instrument with two unique distances across. Positive extremity was kept up with and water – dissolvable dielectric liquid VITOL KS was utilized. And noticed that the machinability by the EDM measure relies upon the electrical conductivity of the workpiece. The outcomes got show that Al-7% SiC crossover composite can be machined successfully utilizing EDM innovation; EWR was discovered to be more modest when greater width for apparatus is utilized and increment when beat on time is bigger; MRR increments altogether when instrument terminal breadth increments. It very well may be seen that the expansion of heartbeat on time lead to expand the MRR, yet not as to build device cathode width; At higher heartbeat on time the dimensional precision is influenced. Devaraju et al [61]used FSP to create surface hybrid composites with improved wear properties, as well as to investigate the impact of adding Gr/ with SiC particles on the wear properties and micro hardness of aluminum alloys. FSP was used to create surface hybrid composites with improved wear characteristics, as well as to investigate the impact of adding Gr/Al2O3 with SiC particles on the wear properties and micro hardness of aluminum alloy 6061-T6 surface hybrid composites. Fig. 2.32 Macrograph of FSP zone of surface hybrid composite [105] Fig. 2.33 Cross-sectional micrograph of surface hybrid composite [105]
  • 80.
    57 The surface hybridcomposites were effectively manufactured through FSP as displayed in Fig. 2.32. There were no defects like breaks, voids on a superficial level. It additionally uncovered that the top surface gives off an impression of being smooth furthermore, fine quality with basically no sorrows. The cross-sectional micrograph of the aluminum surface hybrid composite is displayed in Fig. 2.33. It uncovered plainly extraordinary locales on a superficial level hybrid composite after FSP. Velmurugan et al [62]created a hybrid composite containing silicon carbide and graphite particles utilizing mix projecting cycle and its machining qualities were considered. The goal of the current paper is to foster numerical models for associating the immediate and intelligent impacts of the different machining boundaries like current, voltage, beat on schedule, flushing tension on the prevalent machining measures, i.e., the metal evacuation rate, apparatus wear rate, and surface unpleasantness. Impact of EDM measure boundaries on machining execution measures were concentrated with the improvement of numerical models dependent on Response Surface Methodology (RSM). During electric discharge machining, the surface roughness of the composite increases as the current, pulse on time, voltage, and flushing pressure are increased. Figure 2.34 SEM photograph of electric discharge machined surface of Al 6061 composites reinforced with SiC and graphite particles at a voltage 50V and a flushing pressure 3psi: a) 3A,400µs, b) 15A,400µs, c) 9A,200µs, d) 9A,600µs [107] Hegde et al[63] carried out ageing heat treatment effect on crack sturdiness of the mixture composite was examined. Aluminum 6061 silicon carbide graphite mixture composite was created through fluid metallurgy course by making a vortex in
  • 81.
    58 the liquid slurryand minimized pressure examples for crack sturdiness testing were ready by wire EDM measure. Maturing heat treatment on solution using heat treated mixture composite minimal pressure examples for crack sturdiness testing was completed utilizing suppress heater at 1700 also, 2700 C. As cast and maturing heat-treated mixture composite examples were tried for finding the crack sturdiness utilizing Nano Universal Testing Machine. Optical metallurgical minuscule picture of as-projected composite example as displayed in Figure 2.34 uncovers that subsequent stage particles are completely disintegrated in the aluminum strong arrangement furthermore, are not noticeable as hastens. Microstructure of the composite 1700C maturing heat treated as displayed in Fig.2.35 and 2.36 and comprises of fine encourages in the aluminum strong arrangement. Figure 2.35 Micrograph of as-cast hybrid composite [107] Figure 2.36 Micrograph of 1700C ageing heat treated hybrid composite [107] 2.3. Summary of the Reviewed Literature EDM is foremost extensively used contactless material removal process to machine electrically conductive material thus abolishing chatter, mechanical stress and vibration. The cost of the tool electrode is one of the major constrictions in achieving economic advantage. It is guesstimated that around 70 percent in EDM improper selection of the tool material may lead to poor performance of the process. Improved tool design is very helpful for reduced tool wear rate. Although lot of studies have been done related to the designing of the tool electrode, but in the present work, Analysis with multi holed rotary electrodes with hybrid system of inert gas assistance with powder mixed dielectric of NMMC of aluminum 7 grade alloy has been carried out. In the present research attempts were made to bring down the tool electrode wear rate so that it could work for long duration, with minimum wear.
  • 82.
  • 83.
    60 CHAPTER 3 MATERIALS ANDMETHOD The present chapter summarizes the details of the experimental work carried out in the present research. The characteristics, specifications of the raw material needed for the manufacturing of the metal matrix composite. This chapter discusses the workpiece, tool fabrication, and development of the EDM setup. In the present research hybrid metal matrix composite of Al7075 alloy reinforced with silicon carbide and magnesium was used. 3.1. Workpiece Al7075/SiC/Mg (hybrid NMNC) was selected during the present research. These are the composites formed by incorporating two or more than two fibers within a single matrix. They have particular attributes that can be employed in various structural components without concession of their durability and their structural achievement. Hybrid metal matrix composites are futuristic materials used for high strength and low weight applications in the automobile and aerospace sector. • Preparation of the specimen - Aluminum, boron carbide powder, magnesium powder, and silicon carbide for Nano metal matrix composite was purchased from Shankar metal, chawri bazaar, New Delhi. • The composition and the specification are described below: o Al7075 includes 5.5–6.1% zinc, 2.1–2.6% magnesium, 1.3–1.6% copper, and less than a half percent of iron, manganese, titanium, chromium, and other metals. o SiC powder: Very fine powder with approximately 99% metal was purchased from India mart. o B4C powder: Very fine powder having Nano-sized granules was purchased from India mart. o Mg powder: Fine powder of Magnesium was purchased from India Mart. The properties of the reinforcement are depicted clearly in Table 3.1
  • 84.
    61 Table: 3.1 Propertiesof the reinforcement Properties SiC B4C Density(g/cm3 ) 3.21 2.52 Elastic modulus (GPa) 430 450 Hardness 2480 2800 Compressive strength (MPa) 2800 3000 Thermal conductivity(W/mK) 132 29 Sp.Thermal conductivity 41.1 11.5 • Fabrication of the workpiece was done using Stir casting setup The processing technique is widely concerned with prolegomenon of the reinforcement into the matrix attaining uniform distribution. In the stir casting process, a mechanical stirrer is used to form whirlpool to blend the reinforcement in the matrix material. Figure 3.1 depicts the different steps of stir casting processes. It is one of the worthiest methods used for the production of the metal matrix composite because of its suitableness to produce mass quantities, cost effectiveness and its lucidity. . Fig 3.1: Different steps during the process of stir casting Stirring influences, the distribution of reinforcements inside the matrix, which has a significant impact on the final microstructure and mechanical properties of casted composites. The uniform distribution of reinforcement can provide optimal
  • 85.
    62 mechanical qualities, andthis difficulty is similar to most processing processes, including stir casting. The optimum selection of stirring parameters can fix this problem. Table 3.2 shows the parameters selected for the stirring of the reinforcement during the fabrication of Al MMC. Table3.2 Parameters selected for stirring S.No. Matrix Reinforcement Reinforcement % Stirring speed (rpm) Stirring time (min) Feed rate 1 A7075/ B4C 5 wt. % 450,500 5,10 - 2 Al7075/SiC 10 wt. % 450,500 5,10 - Figure 3.2 depicts the samples of fabricated Aluminum metal matrix composite. The specimens of the dimensions 20 mm diameter are made. For further carrying out the experimental analysis Lathe machine was used to end the faces of the specimens and polishing papers were used to remove all the dust from the specimen. All the specimens are weighed before machining using electronic weighing balance. Figure 3.3 represents the stir casting set up utilized for the fabrication of the Aluminum 7075 alloy metal matrix composite. Fig 3.2 Fabricated aluminum MMC[112] Figure 3.3.Stir casting setup[113]
  • 86.
    63 3.2. Tool electrode Fabricationof the multi holed copper tool with eccentric holes through the tool and tooltip offering optimum heat transfer has been carried out. High precision drilling machine was used to drill holes on the bottom surface of the tool. To avoid overcut the diameter and the face corners of the copper and brass electrode are machined and beveled properly. Tool is weighed before and after machining using electronic weighing balance. Figure 3.4 depicts the schematic diagram of the copper tool electrode and Figure 3.5 represents the actual images of the copper tool electrode used for the present research. • Flushing effectiveness of the process is improved with the use of a multi-hole tubular electrode. • In comparison to a solid electrode, a multi-hole tubular electrode provides better MRR. • Low electrode wear is evinced using multi-hole tubular electrode Figure 3.4. Schematic diagram of copper tool electrode (a) Multi holed tool (b) Solid copper tool (c) Workpiece Figure 3.5. Different types of Tool utilized in the present research
  • 87.
    64 3.3. Dielectric Kerosene oilis used for the present experimental work. Kerosene oil is one of the most commonly used dielectrics. It is easily available and favorable because of its low viscosity amplifying the flushing process thereby increasing MRR, lowering the TWR, upgrading the surface finish and micro hardness. Figure 3.6 manifests the classification of the dielectric oil used for the proper removal of debris from the inter electrode gap. 3.3.1. Dielectric Oil The dielectric oil’s is revealed in the Figure 3.6 Figure 3.6 Classification of the dielectric oil 3.3.2. Powder suspended in dielectric SiC powder is suspended in the dielectric for the current research. The powders are suspended in the dielectric medium to enhance its conductivity as well as lower down its insulating strength so as to widen the spark gap between the electrode and the workpiece which further enhances the removal of unwanted particles from the spark gap.
  • 88.
    65 3.4. Methodology • Ahybrid composite of Al (7075) alloy was fabricated by stir casting process and was selected as the workpiece and specimens are made of the needed dimensions. • Dust and dirt will then be removed from the specimen to obtain finished specified dimension specimen. • SEM/EDS analysis will be done to analyze the microstructure of the specimen. • Fabrication of tubular shaped perforated copper electrode. • Development of gas assisted EDM set up. • MRR, EWR and surface morphology was analyzed during EDM of hybrid composite using rotary EDM (REDM) and compressed air assisted EDM (CAEDM). • Development of powder mixed gas assisted EDM set up. (SiC powder + dielectric). • MRR, EWR and surface morphology was analyzed during EDM of hybrid composite using inert gas assisted EDM (GAEDM) and gas assisted powder mixed EDM (GAPMEDM). • SEM/EDS analysis will be done to analyze the microstructure of machined surfaces. • Results are compiled and graphs are plotted accordingly. 3.5. Equipment’s and Facilities The experiments were conducted on the EDM machine present at Hindustan College of science and technology, Mathura as depicted in the Figure 3.7. Experiments were carried out on Electronica –ZNC machine.
  • 89.
    66 Figure- 3.7 EDMmachine 3.5.1. Measuring Equipment’s Following are the types of measuring equipment’s or instrument used during the research. • Electronic Weighing Balance The weight of the workpiece and tool was measured using a precision balance. It is available in Hindustan College of science and technology, Mathura as shown in Figure 3.8. Figure 3.8 Weighing balance
  • 90.
    67 • Surface roughnesstester A portable SR tester (surf-test SJ-210) having cut-of length of 0.8 mm and tracing speed of 1.00 mm/sec was utilized to measure the Ra value of the machined specimens. It is available in Amity University, Noida as shown in Figure 3.9. Figure 3.9 Surf – test SJ-210 surface roughness tester • SEM machine Electron microscopy machine available at the Amity University, Noida as represented in Figure 3.10 to view the detailed microstructure of the specimen before the machining and after machining process. Figure 3.10 Scanning electron microscopy 3.6. Process of EDM Electrical discharge machining (EDM) is a non-traditional machining technique that involves removing material from a part through a series of repeated electrical discharges between electrodes and the part being machined in the presence of a dielectric fluid.
  • 91.
    68 3.6.1. EDM processparameters In the EDM process, a large number of input control variables can be changed, each with its own effect on output responses such as material removal rate, electrode wear rate, and surface roughness. These are the input control variables: • Peak current • Discharge voltage • RPM of the tool • Pulse on time • Duty factor • Type of electrode material • Type of dielectric fluid • Electrode gap In the literature review, the effect of the given parameters on the EDM process is discussed in detail. According to previous research, four of the above-mentioned parameters, namely peak current, duty cycle, pulse on time, and tool rotation, have a direct impact on MRR, EWR, and surface roughness. The purpose of this study is to look into the effect of powder mixed in dielectric fluid with gas assistance on output responses like MRR, EWR, and surface roughness of workpiece samples via material transfers from powder mixed dielectric in dielectric fluid at various input control variables. As a result, the parameters are chosen as follows: 3.6.2. Selected parameters for the process The output performance of EDM processes is affected by these parameters through varying input properties. The final surface shape is based on electric parameters, non-electric parameters, shape, and precision of the geometry of the tool. Table 3.3 depicts the variation of parameters selected for the present research. Table3.3 showing Range of different process parameters Current(I) 3 5 7 9 11 Ton 50 100 150 200 250 DC 0.5 0.55 0.6 0.65 0.7 RPM 100 200 300 400 500 Gas 3 6 9 12 15 Calculation of Metal removal rate and Electrode wear rate - MRR = Weight loss of the WP
  • 92.
    69 = (Weight ofthe specimen (AL7075/SiC/Mg) before machining- Weight of the specimen (AL7075/SiC/Mg) after machining)/Time taken for the machining EWR = Weight loss of the tool (Weight of the tool before machining – weight of the tool after machining) / weight loss of the WP *100 = (TWR / MRR) * 100 3.6.3. Experimental setup EDM machine with attachments as manifested in Figure 3.11– • DC motor along with the speed regulator • Attachment for supplying inert gas from the cylinder with pressure regulator • Powder mixing unit Figure 3.11. Gas assisted powder mixed EDM set up While conducting experiments with powder mixed gas assisted EDM, keep the following points in mind: 1. To avoid powder particles being filtered, the powder should not be allowed to enter the main dielectric tank or the filtering unit. 2. The dielectric fluid must be constantly stirred to prevent the powder from settling and to achieve a uniform concentration. 3. Maintaining proper conductivity between the tool and the workpiece.
  • 93.
  • 94.
    71 CHAPTER 4 RESULTS ANDDISCUSSION This chapter summarizes the elucidation of experimental work which has been carried out using EDM as well as the results of the experiment. Using an aluminum metal matrix composite, an experimental study was conducted to investigate the effect of gas assistance combined with powder mixed dielectric on material removal rate, electrode wear rate, and surface roughness. Graphs are plotted and results are interpreted based on the response outcomes. Five sets of experiments are carried out: 1. Composite material micro structural analysis 2. Experiments with EDM assisted by compressed air 3. Experiments with EDM with gas assistance 4. Experiment with powder-mixed EDM with gas assistance. 5. Experiment with different electrode material
  • 95.
    72 4.1. Comparative analysisof Micro Structural and mechanical properties of Al-SiC-Mg and Al-B4C-Mg Particulate Metal Matrix Composite A comparison of Al-SiC-Mg and Al-B4C-Mg hybrid metal matrix composites is currently being investigated. The properties of Al7075 reinforced with different reinforcements were compared. Boron carbide and silicon carbide (available in powdered form) were mixed in various percentages with the alloy to test their TEMPEffect, as well as magnesium in powdered form. Mixture combinations of each NMMC formed are stated below- • Al7075 (100%) SiC (0%) Mg (0%) • Al7075-SiC (5%) – Mg (1%) • Al7075- SiC (10%)-Mg (1%) • Al7075-B4C (5%) - Mg (1%) • Al7075-B4C (10%) - Mg (1%) 4.1.1. Vickers’s Hardness test The Vickers’s hardness of the specimen was deliberated at apparent positions at a load of about 1 kg for the time duration of 10 seconds. The hardness test was carried out using (Matsuzawa MMT- X) Vickers’s hardness machine with a diamond indenter (equilateral pyramid with square base and plane angle of 136 degree). The foremost advantage of using vicker’s test is that the readings obtained are highly effective and same type of indenter is used for all the metals and surface treatments. It is based on an optical measurement system. It is a very versatile and static method and can be used for macro as well as micro hardness testing. For this test the specimen’s surface should be free from impurities, vibrations and should be clamped strongly. The Table 4.1and Figure 4.1 shows the Vickers hardness results of the specimen measured at varying positions at 1 kg load and for 10 second duration.
  • 96.
    73 Figure 4.1. Outcomeof Vickers hardness test of Al(7075) alloy Table 4.1. Results of the hardness test Results of hardness test of Al7075-SiC-Mg & Al7075-B4C-Mg Al7075 Al7075- 5%Sic-Mg Al7075-10%SiC- Mg Al7075-5%B4C- Mg Al7075-10%B4C- Mg 1 172.6 182.4 199.3 129.2 145.1 2 173.2 184.3 205 130.6 146.3 3 170.9 190.1 200.9 130.1 148 4 180.6 179.9 204 131.8 148.4 5 176.2 178.2 203.6 128.9 147 Avg. hardness 175 183 203 130 147 Std deviation 3.813 4.613 2.37129 1.161 1.328 4.1.2. Tensile test Tensile test is a type of tension test. It is used to find out strain hardening, ultimate tensile strength, yield strength, ductility, Young’s modulus and Poisson’s ratio. Tensile testing is very important for selecting material for a particular application. It helps in predicting the behavior of the material under different forces. Tensile tests are carried out on universal testing machine. The specimen for the tensile test is represented in Figure 4.2. The shapes of the specimen used for tensile test are standardized by ASTM as illustrated in Figure 4.3. A tensile test is performed such that positive force is used for loading the material and then reducing it to zero and then repeating this process till the specimen fails with the number of cycles and until the failure is the intended value. Three tensile test samples were prepared along with their properties are shown in Table 4.2. Figure 4.4 signifies the graph showing the result of the tensile test of the samples.
  • 97.
    74 Fig 4.2 Tensilespecimen for the present research Figure 4.3 Tensile specimen as per ASTM standard Table 4.2. Results of tensile strength Sr. No. Composites Strength 1 Al7075 (100%) SiC (0%) Mg (0%) 220 MPa 2 Al7075-SiC (5%) – Mg (1%) 231.2MPa 3 Al7075- SiC (10%)-Mg (1%) 243.4MPa 4 Al7075-B4C (5%) - Mg (1%) 212.5MPa 5 Al7075-B4C (10%) - Mg (1%) 221.5Mpa Figure 4.4. Results of the tensile strength 4.1.3. Density of the composite material Table 4.3 shows the theoretical and experimental densities of the composite material. The dimensional stability of the Aluminum MMC is deliberated by the value of density. From the literature it was perceived that porous material capitulate high
  • 98.
    75 value of MRR.Excellent energy absorption and electrical conductivity are attained by the porous materials. Porous hybrid matrix accumulates gas bubbles and eroded material thus by preventing the incident of abnormal discharges leading to higher efficiency of the process. Metal removal rate of the process and the pore size are in linear relationship with each other. Table 4.3 Results of the experimental and theoretical density of the nanocomposites. Results of theoretical and experimental density Al7075-SiC-Mg and Al7075-B4C-Mg Al7075 Al7075-5%Sic- Mg Al7075-10%SiC-Mg Al7075- 5%B4C-Mg Al7075- 10%B4C-Mg 1 2.81 3.18 3.012 2.46 2.035 2 2.821 3.012 2.896 2.308 2.325 3 2.765 2.99 2.951 2.222 2.68 4 2.732 3.003 3.009 2.95 2.103 Average density 2.782 3.046 2.967 2.485 2.286 Standard deviation 0.4120 0.0894 0.05503 0.3252 0.2905 Theoretical density 2.81 3.16 3.21 2.52 2.48 Porosity (%) 2.42 3.81 6.32 3.75 5.66 4.14 Microscopic View of the hybrid composite Figure 4.5 (a) depicts the SEM image of AL7075 with different layers that can be observed. Light small white areas present shows the impurity present in the sample.Figure 4.5 (b) depicts the SEM image of AL7075 with 5 % silicon carbide and 1 % magnesium. Some white regions are observed because of the presence of carbide particles in various layers. Due to the existence of silicon dioxide various dots can be seen. Figure (c) depicts the SEM image of AL 7075 with 10 % silicon carbide and 1 % magnesium. In nearly all the cases layers are not so clearly observable but because of the low magnification, the layers of distinct materials are observed revealing the presence of carbon, iron and silicon dioxide. Figure 4.5(d)depicts the SEM image of Al7075 with 5% boron carbide and 1% magnesium. White portion contains numerous splats manifesting improper mixing of the carbide in spite of using the stirring throughout the process. Figure 4.5 (e) depicts the SEM image of Al7075 with 10 % boron carbide and 1 % magnesium. Due to improper cutting and grinding of the specimen peaks and dots are observed throughout the surface.
  • 99.
    76 (a) (b) (c) (d) (e) Figure4.5 Results for hybrid composites (a) Al7075 (b) Al7075-SiC (5%)-Mg(1%) (c) Al7075-SiC(10%)-Mg(1%)(d) Al7075-B4C (5%) - Mg (1%)(e) Al7075-B4C (10%) - Mg (1%) 4.15.Comparative study of electrical conductivity of Al-SiC and Al-B4C nanocomposites Figure 4.6 manifests the disparity of the electrical conductivity of Al- (reinforced with silicon carbide) and Al- (reinforced with boron carbide). It was noticed that with increased silicon carbide and boron carbide particles, the electrical conductivity lowers down because the reinforcement particles are perceived as the creation of the dispersion of the electrons and silicon carbide and boron carbide the
  • 100.
    77 pair being semiconductorcompounds when takes the site of aluminium results in lowering down of the electrical conductivity [10]. Figure 4.6 Comparison of electrical conductivity of both the Al-SiC and Al-B4C nanocomposites
  • 101.
    78 4.2.Comparative investigation oftraditional EDM and rotary EDM of hybrid composite (Al7075/SiC/Mg) For traditional EDM and rotary EDM processes, the effect of process parameters such as pulse current, rpm, and duty cycle on Tool wear rate and Material removal rate was investigated. 4.2.1. MRR Figure 4.7 Effect of pulse duration on MRR Figure 4.8 Effect of peak current on MRR Figure 4.7 represents the effect of pulse duration on MRR of rotary and conventional EDM for the hybrid composite. It was noticed that the value of material removal rate diminishes with the enhancement of the pulse on time. In traditional EDM there is more widening of the plasma channel because of the stretched duration of pulse on time as a consequence reduced energy density is generated. With the increased pulse duration merest material is removed from the gap and vast number of
  • 102.
    79 debris is acquired.Accretion of debris between the electrodes results in lowering of the MRR. Figure 4.8 represents the effect of peak current on the MRR of the rotary and conventional EDM for the hybrid composite. With the escalation of the peak current, the discharge energy increases bringing about more melting and extermination of the material ensuing higher MRR. Rotation of the tool electrode in REDM magnifies the pressure disparity sweeping more debris from the gap as compared to conventional EDM. Figure 4.9 Effect of duty cycle on MRR Figure (4.9) represents effect of duty cycle on the MRR of the rotary and conventional EDM for the hybrid composite. We observe intensified MRR with rise in peak current and duty cycle because of high spark energy causing more liquefaction of the workpiece from the sparking gap. 4.2.2. EWR Figure (4.10) represents the TEMPEffect of the peak current on the EWR of the rotary and conventional EDM for the hybrid composite. It was observed that EWR rises with the escalation of peak current because of the increased discharge energy more melting occurs, leading to accumulation of more material in the spark gap. Copious amount of agglomeration of eroded particles takes place in the gap between the workpiece and tool electrode owing to the high discharge current finally leading to intensified EWR. Figure (4.11) represents the TEMPEffect of pulse duration on EWR of the rotary and conventional EDM for the hybrid composite. Figure exhibits the inversely proportional relation between pulse duration and EWR. This is because of the reduced
  • 103.
    80 temperature near thetip of the tool because of the extensive nature of the plasma channel at prolonged duration of pulse and black carbon layer gets deposited which acts a resistance wear against the tool electrode. Figure (4.12) represents the TEMPEffect of duty cycle on EWR of the rotary and conventional EDM for the hybrid composite. A linear relation between EWR and duty cycle was evinced. High energy density arises because of the increased value of duty cycle resulting in high EWR. Figure 4.10 Effects of peak current on EWR Figure 4.11 Effects of pulse duration on EWR
  • 104.
    81 Figure 4.12 Effectsof duty cycle on EWR
  • 105.
    82 4.3. Comparative predictionof the influence of process parameters during CAEDM and REDM of hybrid metal matrix composite A comparison of rotary electric discharge machining (REDM) and compressed air electric discharge machining (CAEDM) of Al7075 mixed with SiC and Mg hybrid MMC was conducted. 4.3.1. MRR Figure 4.13 Impact of duty cycle on the MRR Figure 4.14 Impact of tool rpm on MRR Figure 4.13 depicts the impact of duty cycle on the MRR of rotary and compressed air assisted EDM. It can be clearly deduced from the Figure that MRR leaps up with the rise of duty cycle. Basically, upraised value of duty cycle leads to the initiation of high spark energy and as an outcome furthermore melting and
  • 106.
    83 vaporization of thehybrid composite material takes place. Owing to the inoculation of the compressed air through the perforated copper electrode yields enhanced melting of the workpiece material and intensification of the flushing phenomenon therefore high MRR is achieved in CAEDM as compared to rotary EDM. Figure 4.14 depicts the impact of tool rpm on the MRR of rotary and compressed air assisted EDM. It can be summarized from the Figure that the MRR approaches its highest value with the rise of the rpm and then starts lowering down gradually. The flushing phenomenon enhanced substantially with the rise of the centrifugal force as a result of the increased rpm of the tool. However, after a particular value of the rpm, if further the value of rpm is increased it causes perturbation of the plasma channel leading to the reduction of the MRR. Figure 4.15 Impact of pulse on time on MRR Figure 4.16 Impact of peak current on MRR
  • 107.
    84 Figure (4.15) showsthe relation between pulse duration and MRR for REDM and CAEDM. The curve for the MRR of both the processes goes down with increased duration of the pulse. With the increase in the plasma channel the energy density also increases leading to minimum melting. Cosmic craters are formed in the machining gap emerging in short circuit arcing and reduction of MRR because of the prolonged duration of the pulse[114]. Figure (4.16) depicts the linear relationship of peak current with the performance parameter for both the processes. In case of CAEDM the compressed air increases the hydro statistical pressure variation aiming at lager size of cavity and recast layer stimulating transmission of the molten metal from the cavity thereby upgrading the metal removal rate in contrast to the MRR of the rotary EDM. 4.3.2. EWR Figure (4.17) represents the linear relation between peak current and EWR for REDM and CAEDM. EWR for both the processes rises with rise in the value of the peak current. In case of CAEDM the additional amount of heat generated accelerates the melting process and accumulation of the eroded particles occurs in the inter electrode gap. Compressed air lowers down the tool’s tip temperature thereby reducing EWR, Lower EWR is attained for CAEDM as compared to rotary EDM. Figure (4.18) shows nonlinear relation between pulse on time and EWR. There is a add on plasma channel with increased pulse duration along with layer of carbon on the surface of the tool because of the decaying of the dielectric fluid and air passing through the holes present at the bottom of the tool electrode in case of CAEDM intensify the flushing and the EWR gets reduced. Figure (4.19) shows that with increase in the tool rotation the centrifugal force increases and enhances the flushing process. Improved tool electrode resistance against wear accompanied by the dark black layer deposition on the tool surface which is effused due to decomposing of the dielectric results in increased value of EWR.Figure (4.20) shows impact of duty cycle on both the process. It can be inferred from the diagram that there exists a positive relationship between duty cycle and EWR. High EWR is originated because of the high energy density brought out by increased value of duty cycle. Compressed air in case of CAEDM liquefies more material from the specimen thus enhancing the removal of unwanted particles from the spark gap.
  • 108.
    85 Figure 4.17 Impactof peak current on EWR Figure 4.18Impact of pulse duration on EWR Figure 4.19 Impact of tool rotation on EWR
  • 109.
    86 Figure 4.20 Impactof duty cycle on EWR
  • 110.
    87 4.4. Comparative analysisof REDM, Gas Assisted-EDM, and Gas Assisted Powder Mixed-EDM of the hybrid MMC On the basis of material removal rate and electrode wear rate, processes such as rotary electrical discharge machining (REDM), gas-assisted electrical discharge machining (GAEDM), and gas-assisted powder mixed electrical discharge machining (GAPMEDM) are compared. 4.4.1. MRR Figure (4.21) depicts the ascendancy of peak current on the MRR of REDM, GAEDM and GAPMEDM. It was observed that with GAPMEDM the MRR increases the maximum because of the gas assistance and bridging effects caused by scattering of discharge into various build ups due to the presence of SiC reinforcement. Moreover, the MRR of GAEDM is higher than the MRR of the REDM because of the better removal of the debris from the machining zone in case of perforated tool electrodes. Figure (4.22) manifests the ramifications of pulse duration on the MRR of REDM, GAEDM, and GAPMEDM. MRR enlarges with the increases in the pulse duration and then goes down for all the three processes because the reachable time for energy reciprocate with the workpiece and also gets longer causing the plasma channel widening thus minimizing the melting of the workpiece material and as a consequence turn down the MRR. The occurrence of the powder particles in the kerosene oil diminishes the ignition delay duration which over and above increases the sparking frequency resulting in enhanced MRR. Figure (4.23) manifests the TEMPEffect of tool rotation on MRR for the processes. The curve rises for all the processes and then starts lowering down. It was owing to the logic that the intensified value of tool rotation instigates vigorous centrifugal force illustrating the dielectric fluid persuading the abolition of the debris from the workpiece surface. And as the rpm exceeds the specific value agitation of the plasma channel takes place thus lowering the MRR. Arcing and short circuit takes place due to formation of eddies in the spark gap. In GAPMEDM the SiC reinforcement tends to produce more ions and comes in contact with the powder enhancing the MRR. Figure (4.24) shows the impact of duty cycle on the MRR of both the processes. It was perceived from the diagram that MRR raises with the rise in the duty cycle. For a certain value of pulse duration, the pulse off time reduces rapidly with the
  • 111.
    88 amplification of theduty cycle and as an outcome intensified total discharge energy bringing out more melting of the composite material. In GAPMEDM the SiC reinforcement produces more ions and electrons amplifying discharges and thus boosting MRR. It is analytically entrenched that the MRR acquired by GAPMEDM is 75% above the MRR of the REDM and 45% above the MRR of the REDM for the same set of parameters. Figure 4.21 Effects of peak current on MRR Figure 4.22 Effects of pulse duration on MRR
  • 112.
    89 Figure 4.23 Effectsof tool rotation on MRR Figure 4.24 Effects of duty cycle on MRR 4.4.2. EWR Figure (4.25) manifests the impact of peak current on the EWR of REDM, GAEDM, and GAPMEDM. Graph depicts that the EWR shoot up with rise in peak current for all the processes. The augmented temperature of the plasma channel brings into being supplement discharge energy and accumulation of expansive scattered particles resulting in increased EWR. In case of GAPMEDM the gas assistance absorbs the heat and temperature of the tool along with a black layer deposition on the tool due to the presence of the nano particles of carbide resulting in fruitful abolishing of the debris further lowers down the EWR.
  • 113.
    90 Figure (4.26) manifeststhe impact of pulse duration on the EWR of all the three processes. Figure depicts that EWR lowers down with the growth of pulse duration. As the duration of the pulse increases widening of the plasma channel takes place along with lowering down the temperature of the electrode’s tip. In the case of GAPMEDM the temperature of the electrode is further more reduced thereupon reducing the melting of the workpiece material. The process of pyrolysis is encouraged in GAPMEDM contributing in reduction of EWR. Figure 4.25 Effect of peak current on EWR Figure 4.26 Effect of pulse duration on EWR Figure (4.27) manifests the impact of tool rpm on EWR of rotary, GAEDM, and GAPMEDM. Graph shows that the EWR increases up to a certain level then decreases with the increase in tool rotation. Refined flushing, prevention of the arcing
  • 114.
    91 phenomenon, and uniformsparking throughout the inter electrode gap results with revamp rpm. In GAPMEDM the increased amount of black carbon layer gets deposited owing to the huge heat carrying capacity of the Ar gas and the particles of powder present in the dielectric enhances the spark gap reducing EWR [12]. Figure 4.27 Effect of tool rotation on EWR Figure 4.28 Effect of duty cycle on EWR Figure (4.28) manifests the impact of duty cycle on EWR of REDM, GAEDM, and GAPMEDM. Figure shows that the EWR rises with rise in duty cycle for all the three processes. Extension of the duty cycle brought about high discharge energy as a consequence enhanced EWR is attained. In GAPMEDM the SiC particles enhances the spark gap and proper evacuation takes place because of the flowing of the inert gas.Figure (4.29 and 4.30) shows the SEM images for all the three processes and it is observed that a smaller number of cracks was observed with the hybrid
  • 115.
    92 system of gasassistance along with SiC powder mixed dielectric EDM process because the gas absorbs the additional heat thereby reducing the residual stresses. (a) (b) (c) Figure 4.29 Microscopic view of SEM image - Surface characteristics of specimen machined by (a) REDM (b) GAEDM (c) GAPMEDM at Peak current 11A, pulse duration 150µs, duty cycle 0.60, tool speed300rpm (a) (b)
  • 116.
    93 (c) Figure 4.30 Microscopicview of SEM images-Surface characteristics of specimen machined by (a) REDM (b) GAEDM (c) GAPMEDM at Peak current 7A, pulse duration 250µs, duty cycle 0.60, tool speed 300rpm
  • 117.
    94 4.5. Comparison ofmachining efficiency of gas assisted powder mixed EDM of hybrid MMC based on different material of tool electrode To investigate the effect of process variables on MRR and EWR, the results of two different tools, copper and brass, with argon gas assisted powder mixed EDM, were compared. 4.5.1. MRR Figure 4.31 MRR Versus Pulse duration Figure 4.32 MRR Versus Peak current
  • 118.
    95 Figure 4.33 MRRVs duty cycle Figure (4.31, 4.32 and 4.33) shows the effect of duration of the pulse, peak current and duty cycle on the metal removal rate of hybrid composite using Copper and Brass took higher value of MRR was perceived in case of copper electrode because of the high electrical conductivity of the copper electrode. 4.5.2. EWR Figure 4.34 EWR Versus Pulse duration
  • 119.
    96 Figure 4.35 EWRVersus Peak current Figure 4.36 EWR Vs Duty cycle Figure (4.34, 4.35 and 4.36) depicts the influence of pulse duration, peak current, and duty cycle on the electrode wear rate of hybrid composite using copper and brass tool. Low EWR was noticed with copper electrode because of the low electrical resistivity and high thermal conductivity of the copper.
  • 120.
  • 121.
    98 CHAPTER 5 CONCLUSION Composites havebecome necessary in aero plane building, and their importance in the automotive industry is growing. Composite materials have been used in the aircraft industry for decades in a variety of applications, including flying surfaces and some internal cabin sections. Composite materials are bonded together to create complicated structural sub-assemblies that must be integrated or linked to other structural components like aluminum or titanium. They are, however, difficult to work with and machine. Carbon fiber reinforced plastics, in which the fiber is embedded in a matrix, as well as composites built from layers of materials, are the ones that put the most strain on processing machinery and tools. Metal-matrix nanocomposites, also called reinforced metal matrix composites, are "one of the most important nanocomposites for their high tensile strength and electrical conductivity," according to the researchers. Nanocomposites, which have a 25 percent yearly growth rate due to their multifunctional characteristics, are the materials of the twenty-first century. Aside from low weight, aerospace structures must have mechanical attributes such as strength, toughness, fatigue life, impact resistance, and scratch resistance in order to be designed. Relative analysis has been satisfyingly executed to analyses the performance of processes considering the machining of AL7075-SiC-Mg hybrid metal matrix composite. 5.1. First stage Conclusions • The initial stage demonstrated the amalgam of the aluminum base metal with the reinforcement (Silicon carbide and Boron carbide) and Magnesium and various experiments were carried out in order to characterize them. • The development of Al4C3 aids in the formation of a stronger Al/SiC bond. • The mechanical qualities of Silicon carbide (with Mg) composite are superior to all produced Al/Boron carbide/Mg composites, according to the mechanical testing.
  • 122.
    99 • The presenceof clusters of SiC particles across the samples indicates homogeneous mixing of the blend. Furthermore, after stirring, gas pores, coagulation shrinkage, and air space can be seen between the clustered particles, and the porosity may be changed by changing the temperature and stirring time. • It was discovered that the hardness of a sample is determined by the number of ceramic particles in the Hardness test with a load of 50gram. The tensile strength and ductility of samples with a large amount of ceramic Particulate are found to be determined by the coalition of Al/SiC and Al/B4C, whereas the tensile strength and ductility of samples with just a smidgeon of ceramic Particulate are found to be determined by the coalition of Al/SiC and Al/B4C. • The electrical conductivity of the Al nano composite decreases as the reinforcing weight percentage increases. 5.2. Second stage Conclusions • The passage of compressed air through the multi-holed tool was shown to increase the hydrostatic pressure disparity, causing more material to liquefy and enhancing the flushing of debris from the inter electrode gap, hence improving the MRR. • The EWR of CAEDM is discovered to be relatively lower because compressed air decreases the tool electrode's tip surface, lowering the EWR as a result. • Material removal rate is superior and electrode wear rate is lessening down in GAPMEDM contrast to GAEDM and the traditional REDM processes. • The merger of SiC powder particles suspended in the kerosene dielectric and argon gas assistance enhances the MRR significantly. • Based on the exploratory outcome, the MRR attained in the GAPMEDM process is improved up to 75 percent and the EWR is scale down by 25 percent in comparison to the REDM process. The MRR obtained by the GAPMEDM process is not less than 45 percent refined and the EWR is not less than 15 percent reduced than the GAEDM process. • SEM images manifests surface integrity is peculiarly enhanced by the combined impact of suspended particles and gas assistance. Moreover, the
  • 123.
    100 investigation of SEMimages depicts a thin and smooth recast layer on the surface of the specimen machined by GAPMEDM in comparison to that machined by both the GAEDM and the conventional EDM method. It is clear that the various stages of the current work consider the urgent need to replace heavy materials such as iron and steel with aluminum alloys with various reinforcements, which have many superior features such as high specific strength and stiffness. The results of the various comparison evaluations for GAEDM and GAPMEDM point to a slew of repercussions. As a result, the Al 7075 hybrid metal matrix composites synthesized with the inclusion of SiC and Mg fillers can be effectively used to manufacture a variety of automotive and aircraft components that are subjected to considerable tensile and compressive loads. As a result, adding fillers to Al alloy composites gives them amazing properties. The investigation also reveals that using light weight fiber composites as a replacement for traditional heavier materials such as high-quality steel and unreinforced aluminum for manufacturing various components for the automobile and aircraft industries can significantly improve component performance. The use of a gas assisted multi hole or perforated rotary tool electrode can improve the efficiency of the green EDM process. Even though EDM is one of the most versatile machining processes, it still has to be enhanced in order to be applicable to a wider range of materials. As a result, if carried out correctly, the current inquiry will be quite valuable these hybrid EDM methods have a lot of potential for improving surface quality, MRR, and the ability to machine a wider range of materials.
  • 124.
  • 125.
    102 CHAPTER 6 FUTURE SCOPE Thepresent chapter emphasises the significance of the current work fathoming the future examination openings. Though various researchers have contributed tremendously towards the enhancement of process performance, the excellent future probabilities that could be caught from the current work are as enrolled beneath: 6.1. Key Points • The majority of the investigations used alloy steel as the workpiece, with fewer research using SiC and Al2O3 reinforced metal matrix composites. Only a little amount of research on electro-conductive ceramics and other MMCs has been published. Machining of various hard materials like Titanium, Molybdenum using hybrid EDM process. • Use of different powders for the machining of metal matrix composites using hybrid machining and use of various soft computing techniques to optimise the hybrid machining process is still unrevealed. • The vast majority of the distributed work centres around anode wear rate, material expulsion rate and surface completion. Further investigation should focus more on creating gas assisted powder blended EDM as an exactness machining process. For which, alongside tool wear rate, material removal rate and surface completion other execution factors, for example, over-cut, measure repeatability ought to likewise be thought of. • Further work may investigate the utilization of nitrogen and inactive gases for help. Nitrogen may be useful if surface treatments, for example, nitriding are needed as post-machining. Notwithstanding, helium because of its generally extremely high warmth limit may offer better execution as far as exactness of the cut. • Examination and evaluation of gas assisted powder blended EDMed surfaces like porosities, dimples and scientific modelling of the process of crack formation on GAPMEDMed surfaces should have been taken as productive future work. • More research is necessitated to acknowledge the nature of fluid dynamics of
  • 126.
    103 dielectric gas flowin the inter-electrode gap and its impact on process performance. • Under specific machining conditions, a mixture of gas and organic deionised water may cause higher material removal rate than hydrocarbon oil. Aforementioned particular approach needs further investigations before its commercial use. • The impacts of different powders on advanced material machining, such as manganese, chromium, molybdenum, vanadium, titanium, and zirconium powder, are still unknown. Using appropriate optimization approaches, ideal parameter sets for achieving optimal responses can be carried out for specific powders. • The majority of study has focused on non-electrical parameters such as tool rotation and flushing pressure, with only a few reports on workpiece rotation and oscillation. • For successful Nano-EDM of tougher materials or even a metal matrix composite, the scanning tunnelling microscope platform and pulse generator can work together. • The cost-effectiveness of micro-EDM and hybrid micro EDM must be taken into account
  • 127.
    104 REFERENCES [1] K. Prasadand S. Chakraborty, “A decision guidance framework for non- traditional machining processes selection,” Ain Shams Eng. J., vol. 9, no. 2, pp. 203– 214, 2018, doi: https://doi.org/10.1016/j.asej.2015.10.013. [2] N. K. Jain and V. K. Jain, “Modeling of material removal in mechanical type advanced machining processes: a state-of-art review,” Int. J. Mach. Tools Manuf., vol. 41, no. 11, pp. 1573–1635, 2001, doi: https://doi.org/10.1016/S0890-6955(01)00010- 4. [3] A. Engineering, N. Delhi, and K. Gate, “Realizing Potential of Graphite Powder in Enhancing Machining Rate in AEDM of Nickel Based Super Alloy 718,” vol. 01, no. 01, pp. 50–53, 2010. [4] K. Palanikumar and J. P. Davim, “5 - Electrical discharge machining: study on machining characteristics of WC/Co composites,” in Machining and machine-tools, J. P. Davim, Ed. Woodhead Publishing, 2013, pp. 135–168. [5] R. R. Shreyas, B. K. S. K. Sachin, and T. S. Nanjundeswaraswamy, “Selection of Non-Traditional Machining Process,” Int. J. Eng. Res. Technol., vol. 8, no. 11, pp. 148–155, 2019, [Online]. Available: https://www.ijert.org. [6] N. K. Jain, V. K. Jain, and K. Deb, “Optimization of process parameters of mechanical type advanced machining processes using genetic algorithms,” Int. J. Mach. Tools Manuf., vol. 47, no. 6, pp. 900–919, 2007, doi: https://doi.org/10.1016/j.ijmachtools.2006.08.001. [7] Z.-W. Fan and L.-W. Hourng, “The analysis and investigation on the microelectrode fabrication by electrochemical machining,” Int. J. Mach. Tools Manuf., vol. 49, no. 7, pp. 659–666, 2009, doi: https://doi.org/10.1016/j.ijmachtools.2009.01.011. [8] M. Laad, V. S. Jatti, and P. P. Jadhav, “Investigation into application of electrical discharge machining as a surface treatment process,” WSEAS Trans. Appl. Theor. Mech., vol. 9, no. 1, pp. 245–251, 2014. [9] H. K. Kansal, S. Singh, and P. Kumar, “Technology and research developments in powder mixed electric discharge machining (PMEDM),” J. Mater. Process. Technol.,
  • 128.
    105 vol. 184, no.1, pp. 32–41, 2007, doi: https://doi.org/10.1016/j.jmatprotec.2006.10.046. [10] M. Hourmand, A. A. D. Sarhan, and M. Sayuti, “Micro-electrode fabrication processes for micro-EDM drilling and milling: a state-of-the-art review,” Int. J. Adv. Manuf. Technol., vol. 91, no. 1–4, pp. 1023–1056, 2017, doi: 10.1007/s00170-016- 9671-4. [11] M. Kunieda, B. Lauwers, K. P. Rajurkar, and B. M. Schumacher, “Advancing EDM through Fundamental Insight into the Process,” CIRP Ann., vol. 54, no. 2, pp. 64–87, 2005, doi: https://doi.org/10.1016/S0007-8506(07)60020-1. [12] J. E. A. Qudeiri, A. Zaiout, A. H. I. Mourad, M. H. Abidi, and A. Elkaseer, “Principles and Characteristics of Different EDM Processes in Machining Tool and Die Steels,” Appl. Sci., 2020, doi: 10.3390/app10062082. [13] S. Mohanty, A. Mishra, B. K. Nanda, and B. C. Routara, “Multi-objective parametric optimization of nano powder mixed electrical discharge machining of AlSiCp using response surface methodology and particle swarm optimization,” Alexandria Eng. J., vol. 57, no. 2, pp. 609–619, 2018, doi: https://doi.org/10.1016/j.aej.2017.02.006. [14] C. Mathew and S. K. George, “Optimization of MRR and TWR on EDM by Using Taguchi ’ s Method and ANOVA,” Int. J. Innov. Res. Adv. Eng., vol. 1, no. 8, pp. 106–112, 2014. [15] B. McDonnell, “Jesters to the revolution - A history of Cartoon Archetypical Slogan Theatre (CAST), 1965 - 85,” Theatr. Noteb., vol. 64, no. 2, pp. 96–111, 2010. [16] N. Mohd Abbas, D. G. Solomon, and M. Fuad Bahari, “A review on current research trends in electrical discharge machining (EDM),” Int. J. Mach. Tools Manuf., vol. 47, no. 7–8, pp. 1214–1228, 2007, doi: 10.1016/j.ijmachtools.2006.08.026. [17] S. Boran and C. Ekincioğlu, “A novel integrated SMED approach for reducing setup time,” Int. J. Adv. Manuf. Technol., vol. 92, no. 9, pp. 3941–3951, 2017, doi: 10.1007/s00170-017-0424-9. [18] K. H. Ho and S. T. Newman, “State of the art electrical discharge machining (EDM),” Int. J. Mach. Tools Manuf., vol. 43, no. 13, pp. 1287–1300, 2003, doi: https://doi.org/10.1016/S0890-6955(03)00162-7. [19] S. S. Mahapatra and A. Patnaik, “Optimization of wire electrical discharge machining (WEDM) process parameters using Taguchi method,” Int. J. Adv. Manuf. Technol., vol. 34, no. 9–10, pp. 911–925, 2007, doi: 10.1007/s00170-006-0672-6.
  • 129.
    106 [20] S. Kumar,R. Singh, T. P. Singh, and B. L. Sethi, “Surface modification by electrical discharge machining: A review,” J. Mater. Process. Technol., vol. 209, no. 8, pp. 3675–3687, 2009, doi: https://doi.org/10.1016/j.jmatprotec.2008.09.032. [21] S. Rao, “Review on Wire-Cut EDM Process,” Int. J. Adv. Trends Comput. Sci. Eng., vol. 2, no. 6, pp. 12–17, 2013. [22] D. G. Mahto and N. Singh, “Experimental Study of Process Parameters through Dissimilar Form of Electrodes in EDM Machining,” SSRN Electron. J., no. August, pp. 0–31, 2017, doi: 10.2139/ssrn.2947443. [23] R. Bobbili, V. Madhu, and A. K. Gogia, “Effect of Wire-EDM Machining Parameters on Surface Roughness and Material Removal Rate of High Strength Armor Steel,” Mater. Manuf. Process., vol. 28, no. 4, pp. 364–368, 2013, doi: 10.1080/10426914.2012.736661. [24] C. C. Wang, B. H. Yan, H. M. Chow, and Y. Suzuki, “Cutting austempered ductile iron using an EDM sinker,” J. Mater. Process. Technol., vol. 88, no. 1, pp. 83– 89, 1999, doi: https://doi.org/10.1016/S0924-0136(98)00382-3. [25] B. C. Kandpal, J. kumar, and H. Singh, “Machining of Aluminium Metal Matrix Composites with Electrical Discharge Machining - A Review,” Mater. Today Proc., vol. 2, no. 4, pp. 1665–1671, 2015, doi: https://doi.org/10.1016/j.matpr.2015.07.094. [26] U. Ashok kumar and P. Laxminarayana, “Optimization of Electrode Tool Wear in micro holes machining by Die Sinker EDM using Taguchi Approach*,” Mater. Today Proc., vol. 5, no. 1, Part 1, pp. 1824–1831, 2018, doi: https://doi.org/10.1016/j.matpr.2017.11.281. [27] U. Ashok kumar, P. Laxminarayana, and N. Aravindan, “Study of surface morphology on micro machined surfaces of AISI 316 by Die Sinker EDM,” Mater. Today Proc., vol. 4, no. 2, Part A, pp. 1285–1292, 2017, doi: https://doi.org/10.1016/j.matpr.2017.01.149. [28] D. M. Razak, S. Syahrullail, N. Nuraliza, Y. Azli, and N. Sapawe, “Surface modification of biomaterial embedded with pits using die sinker machine,” Sci. Iran., vol. 24, no. 4, pp. 1901–1911, 2017, doi: 10.24200/sci.2017.4281. [29] P. Laxminarayana, V. Isvilanonda, M. Ramulu, and B. N. P. Rao, “EDM and AWJ edge finishing on surface morphology of hybrid composite laminates,” TMS Annu. Meet., vol. 3, no. January, pp. 541–548, 2010. [30] G. Singh, A. S. Bhui, Y. Lamichhane, P. Mukhiya, P. Kumar, and B. Thapa, “Machining performance and influence of process parameters on stainless steel 316L
  • 130.
    107 using die-sinker EDMwith Cu tool,” Mater. Today Proc., vol. 18, pp. 2468–2476, 2019, doi: https://doi.org/10.1016/j.matpr.2019.07.096. [31] J. J. and S. Ramabalan, “Die Sinking Edm Process Parameters: a Review,” Int. J. Eng. Robot. Res., vol. 4, no. 1, 2015. [32] H. Rajkumar and M. Vishwakamra, “Performance parameters characteristics of PMEDM: A review,” Int. J. Appl. Eng. Res, vol. 13, no. 7, pp. 5281–5290, 2018. [33] D. R. J. Sushil Kumar Choudhary, “Current Advanced Research Development of Electric Discharge Machining (EDM): A Review,” Int. J. Res. Advent Technol., vol. 2, no. 3, 2014. [34] E. Re, “Parametric Analysis of Mrr on Dry Electric Discharge Machine Using Ceramic Material Parametric Analysis of Mrr on Dry Electric Discharge Machine,” vol. 1, no. January, pp. 69–82, 2016. [35] N. A. J. Hosni and M. A. Lajis, “The influence of Span-20 surfactant and micro- /nano-Chromium (Cr) Powder Mixed Electrical Discharge Machining ({PMEDM}) on the surface characteristics of {AISI} D2 hardened steel,” {IOP} Conf. Ser. Mater. Sci. Eng., vol. 342, p. 12095, Apr. 2018, doi: 10.1088/1757-899x/342/1/012095. [36] Y. H. Guu and H. Hocheng, “EFFECTS OF WORKPIECE ROTATION ON MACHINABILITY DURING ELECTRICAL-DISCHARGE MACHINING,” Mater. Manuf. Process., vol. 16, no. 1, pp. 91–101, 2001, doi: 10.1081/AMP-100103699. [37] M. Arif, M. Asif, and D. Ahmed, “Advanced Composite Material for Aerospace Application-a Review,” Int. J. Eng. Manuf. Sci., vol. 7, no. 2, pp. 393–409, 2017, [Online]. Available: http://www.ripublication.com. [38] P. D. Pastuszak and A. Muc, “Application of composite materials in modern constructions,” Key Eng. Mater., vol. 542, pp. 119–129, 2013, doi: 10.4028/www.scientific.net/KEM.542.119. [39] G. [comp. .Ondracek, Materials - a guide for students and engineers; 4. rev. ed.; Werkstoffkunde. LeitfadenfuerStudium und Praxis. Germany: Expert-Verl, Renningen (Germany), 1994. [40] P. Chakrapani and T. S. A. Suryakumari, “Mechanical properties of aluminium metal matrix composites-A review,” Mater. Today Proc., vol. 45, pp. 5960–5964, 2021, doi: https://doi.org/10.1016/j.matpr.2020.09.247. [41] R. Dasgupta, “Aluminium Alloy-Based Metal Matrix Composites: A Potential Material for Wear Resistant Applications,” ISRN Metall., vol. 2012, pp. 1–14, 2012, doi: 10.5402/2012/594573.
  • 131.
    108 [42] Surappa M.K.,“Aluminium Matrix Composites: Challenges and Opportunities // Sadhana. Department of Metallurgy, Indian Institute of Science, Bangalore 560 012, India,” vol. 28, no. 1–2, pp. 319–334, 2003. [43] K. K. Chawla, Composite materials: Science and engineering, third edition, no. 1994. 2012. [44] N. K. Bhoi, H. Singh, and S. Pratap, “Developments in the aluminum metal matrix composites reinforced by micro/nano particles – A review,” J. Compos. Mater., vol. 54, no. 6, pp. 813–833, 2020, doi: 10.1177/0021998319865307. [45] D. Gay, Composite Materials: Design and Applications. 2015. [46] S. V. Prasad and R. Asthana, “Aluminum metal-matrix composites for automotive applications: Tribological considerations,” Tribol. Lett., vol. 17, no. 3, pp. 445–453, 2004, doi: 10.1023/B:TRIL.0000044492.91991.f3. [47] M. A. Taha, “Industrialization of Cast Aluminum Matrix Composites (AMCCS),” Mater. Manuf. Process., vol. 16, no. 5, pp. 619–641, Sep. 2001, doi: 10.1081/AMP-100108625. [48] M. K. Surappa, “Microstructure evolution during solidification of DRMMCs (Discontinuously reinforced metal matrix composites): State of art,” J. Mater. Process. Technol., vol. 63, no. 1, pp. 325–333, 1997, doi: https://doi.org/10.1016/S0924- 0136(96)02643-X. [49] B. Chandra Kandpal, J. Kumar, and H. Singh, “Manufacturing and technological challenges in Stir casting of metal matrix composites– A Review,” Mater. Today Proc., vol. 5, no. 1, Part 1, pp. 5–10, 2018, doi: https://doi.org/10.1016/j.matpr.2017.11.046. [50] Gary F. Benedict, Nontraditional manufacturing processes. 1987. [51] F. N. Leão and I. R. Pashby, “A review on the use of environmentally-friendly dielectric fluids in electrical discharge machining,” J. Mater. Process. Technol., vol. 149, no. 1, pp. 341–346, 2004, doi: https://doi.org/10.1016/j.jmatprotec.2003.10.043. [52] B. H. Yan, C. C. Wang, H. M. Chow, and Y. C. Lin, “Feasibility study of rotary electrical discharge machining with ball burnishing for Al2O3/6061Al composite,” Int. J. Mach. Tools Manuf., vol. 40, no. 10, pp. 1403–1421, 2000, doi: https://doi.org/10.1016/S0890-6955(00)00005-5. [53] B. Mohan, A. Rajadurai, and K. G. Satyanarayana, “Effect of SiC and rotation of electrode on electric discharge machining of Al–SiC composite,” J. Mater. Process.
  • 132.
    109 Technol., vol. 124,no. 3, pp. 297–304, 2002, doi: https://doi.org/10.1016/S0924- 0136(02)00202-9. [54] P. Kuppan, A. Rajadurai, and S. Narayanan, “Influence of EDM process parameters in deep hole drilling of Inconel 718,” Int. J. Adv. Manuf. Technol., vol. 38, no. 1–2, pp. 74–84, 2008, doi: 10.1007/s00170-007-1084-y. [55] M. Ghoreishi and J. Atkinson, “A comparative experimental study of machining characteristics in vibratory, rotary and vibro-rotary electro-discharge machining,” J. Mater. Process. Technol., vol. 120, no. 1, pp. 374–384, 2002, doi: https://doi.org/10.1016/S0924-0136(01)01160-8. [56] S. Abdulkareem, A. A. Khan, and M. Konneh, “Reducing electrode wear ratio using cryogenic cooling during electrical discharge machining,” Int. J. Adv. Manuf. Technol., vol. 45, no. 11–12, pp. 1146–1151, 2009, doi: 10.1007/s00170-009-2060-5. [57] V. Srivastava and P. M. Pandey, “Effect of process parameters on the performance of EDM process with ultrasonic assisted cryogenically cooled electrode,” J. Manuf. Process., vol. 14, no. 3, pp. 393–402, 2012, doi: https://doi.org/10.1016/j.jmapro.2012.05.001. [58] R. Teimouri and H. Baseri, “Effects of magnetic field and rotary tool on EDM performance,” J. Manuf. Process., vol. 14, no. 3, pp. 316–322, 2012, doi: https://doi.org/10.1016/j.jmapro.2012.04.002. [59] M. Kunieda, S. Furuoya, and N. Taniguchi, “Improvement of EDM Efficiency by Supplying Oxygen Gas into Gap,” CIRP Ann. - Manuf. Technol., vol. 40, no. 1, pp. 215–218, 1991, doi: 10.1016/S0007-8506(07)61971-4. [60] M. Kunieda, M. Yoshida, and N. Taniguchi, “Electrical Discharge Machining in Gas,” CIRP Ann., vol. 46, no. 1, pp. 143–146, 1997, doi: https://doi.org/10.1016/S0007-8506(07)60794-X. [61] B. H. Yan, Y. C. Lin, and F. Y. Huang, “Surface modification of Al–Zn–Mg alloy by combined electrical discharge machining with ball burnish machining,” Int. J. Mach. Tools Manuf., vol. 42, no. 8, pp. 925–934, 2002, doi: https://doi.org/10.1016/S0890-6955(02)00026-3. [62] S. K. Saha and S. K. Choudhury, “Experimental investigation and empirical modeling of the dry electric discharge machining process,” Int. J. Mach. Tools Manuf., vol. 49, no. 3, pp. 297–308, 2009, doi: https://doi.org/10.1016/j.ijmachtools.2008.10.012.
  • 133.
    110 [63] S. Dingand R. Jiang, “Tool path generation for 4-axis contour EDM rough machining,” Int. J. Mach. Tools Manuf., vol. 44, no. 14, pp. 1493–1502, 2004, doi: https://doi.org/10.1016/j.ijmachtools.2004.05.010. [64] H.-M. Chow, B.-H. Yan, F.-Y. Huang, and J.-C. Hung, “Study of added powder in kerosene for the micro-slit machining of titanium alloy using electro-discharge machining,” J. Mater. Process. Technol., vol. 101, no. 1, pp. 95–103, 2000, doi: https://doi.org/10.1016/S0924-0136(99)00458-6. [65] M. L. Ramani, V., &Cassidenti, “Inert-gas electricaldischarge machining,” (NASA Tech. Br. No. NPO-15660), 19885. [66] Y. Zhang, Y. Liu, Y. Shen, Z. Li, R. Ji, and B. Cai, “A novel method of determining energy distribution and plasma diameter of EDM,” Int. J. Heat Mass Transf., vol. 75, pp. 425–432, 2014, doi: https://doi.org/10.1016/j.ijheatmasstransfer.2014.03.082. [67] J. Wang and F. Han, “Simulation model of debris and bubble movement in consecutive-pulse discharge of electrical discharge machining,” Int. J. Mach. Tools Manuf., vol. 77, pp. 56–65, 2014, doi: https://doi.org/10.1016/j.ijmachtools.2013.10.007. [68] B. Izquierdo, J. A. Sánchez, S. Plaza, I. Pombo, and N. Ortega, “A numerical model of the EDM process considering the effect of multiple discharges,” Int. J. Mach. Tools Manuf., vol. 49, no. 3, pp. 220–229, 2009, doi: https://doi.org/10.1016/j.ijmachtools.2008.11.003. [69] B. Bhattacharyya, S. Gangopadhyay, and B. R. Sarkar, “Modelling and analysis of EDMED job surface integrity,” J. Mater. Process. Technol., vol. 189, no. 1, pp. 169–177, 2007, doi: https://doi.org/10.1016/j.jmatprotec.2007.01.018. [70] N. K. Singh, P. M. Pandey, and K. K. Singh, “EDM with an Air-Assisted Multi- Hole Rotating Tool,” Mater. Manuf. Process., vol. 31, no. 14, pp. 1872–1878, Oct. 2016, doi: 10.1080/10426914.2015.1127954. [71] L. Li, F. Q. Bi, L. Feng, and X. Bai, “Effect of low-temperature gas-cooled electrode on the performance of EDM process,” Int. J. Adv. Manuf. Technol., vol. 86, no. 1–4, pp. 717–722, 2016, doi: 10.1007/s00170-015-8115-x. [72] Y.-C. Lin, J.-C. Hung, H.-M. Chow, A.-C. Wang, and J.-T. Chen, “Machining Characteristics of a Hybrid Process of EDM in Gas Combined with Ultrasonic Vibration and AJM,” Procedia CIRP, vol. 42, pp. 167–172, 2016, doi: https://doi.org/10.1016/j.procir.2016.02.213.
  • 134.
    111 [73] V. K.Yadav, P. Kumar, and A. Dvivedi, “Performance enhancement of rotary tool near-dry EDM of HSS by supplying oxygen gas in the dielectric medium,” Mater. Manuf. Process., vol. 34, no. 16, pp. 1832–1846, Dec. 2019, doi: 10.1080/10426914.2019.1675889. [74] K. H. Syed and P. Kuppan, “Studies on recast-layer in EDM using aluminium powder mixed distilled water dielectric fluid,” Int. J. Eng. Technol., vol. 5, no. 2, pp. 1775–1780, 2013. [75] S. Joshi, P. Govindan, A. Malshe, and K. Rajurkar, “Experimental characterization of dry EDM performed in a pulsating magnetic field,” CIRP Ann., vol. 60, no. 1, pp. 239–242, 2011, doi: https://doi.org/10.1016/j.cirp.2011.03.114. [76] L. Liqing and S. Yingjie, “Study of Dry EDM with Oxygen-Mixed and Cryogenic Cooling Approaches,” Procedia CIRP, vol. 6, pp. 344–350, 2013, doi: https://doi.org/10.1016/j.procir.2013.03.055. [77]K. Palanikumar and R. Karthikeyan, “Assessment of factors influencing surface roughness on the machining of Al/SiC particulate composites,” Mater. Des., vol. 28, no. 5, pp. 1584–1591, 2007, doi: https://doi.org/10.1016/j.matdes.2006.02.010. [78] L. K. Hung NP, Yang IJ, “Electrical discharge machining of cast metal matrix composites,” J Mater Process Technol, vol. 41, pp. 229–236, 1994. [79] M. Ramulu, M., Taya, “EDM machinability of SiCw/Al composites,” J Mater Sci, vol. 24, pp. 1103–1108, 1989. [80] B. Mohan, A. Rajadurai, and K. G. Satyanarayana, “Electric discharge machining of Al–SiC metal matrix composites using rotary tube electrode,” J. Mater. Process. Technol., vol. 153–154, pp. 978–985, 2004, doi: https://doi.org/10.1016/j.jmatprotec.2004.04.347. [81] L. Uriarte et al., “Comparison between microfabrication technologies for metal tooling,” Proc. Inst. Mech. Eng. Part C J. Mech. Eng. Sci., vol. 220, no. 11, pp. 1665– 1676, 2006, doi: 10.1243/09544062JMES220. [82] H. Hanizam, M. S. Salleh, M. Z. Omar, and A. B. Sulong, “Optimisation of mechanical stir casting parameters for fabrication of carbon nanotubes–aluminium alloy composite through Taguchi method,” J. Mater. Res. Technol., vol. 8, no. 2, pp. 2223–2231, 2019, doi: https://doi.org/10.1016/j.jmrt.2019.02.008. [83] M. Kok, “Production and mechanical properties of Al2O3 particle-reinforced 2024 aluminium alloy composites,” J. Mater. Process. Technol., vol. 161, no. 3, pp. 381–387, 2005, doi: https://doi.org/10.1016/j.jmatprotec.2004.07.068.
  • 135.
    112 [84] J. Joeland M. Anthony Xavior, “Aluminium Alloy Composites and its Machinability studies; A Review,” Mater. Today Proc., vol. 5, no. 5, Part 2, pp. 13556–13562, 2018, doi: https://doi.org/10.1016/j.matpr.2018.02.351. [85] Y. Li, K. T. Ramesh, and E. S. C. Chin, “Viscoplastic deformations and compressive damage in an A359/SiCp metal–matrix composite,” Acta Mater., vol. 48, no. 7, pp. 1563–1573, 2000, doi: https://doi.org/10.1016/S1359-6454(99)00430-9. [86] M. L. Lee, Y. Li, and C. A. Schuh, “Effect of a controlled volume fraction of dendritic phases on tensile and compressive ductility in La-based metallic glass matrix composites,” Acta Mater., vol. 52, no. 14, pp. 4121–4131, 2004, doi: https://doi.org/10.1016/j.actamat.2004.05.025. [87] R. G. Bhandare and P. M. Sonawane, “Preparation of Aluminium Matrix Composite by Using Stir Casting Method,” Int. J. Eng. Adv. Technol., vol. 3, no. 2, pp. 61–65, 2013. [88] B. Ravi, B. B. Naik, and J. U. Prakash, “Characterization of Aluminium Matrix Composites (AA6061/B4C) Fabricated by Stir Casting Technique,” Mater. Today Proc., vol. 2, no. 4, pp. 2984–2990, 2015, doi: https://doi.org/10.1016/j.matpr.2015.07.282. [89] L. Suraya et al., “The Effect of EDM Die-Sinking Parameters on Machining Characteristics in Aluminum Alloy Machining,” in Recent Technologies in Design, Management and Manufacturing, 2015, vol. 761, pp. 303–307, doi: 10.4028/www.scientific.net/AMM.761.303. [90] I. International and C. On, “Investigation on Machining Characteristics in Die Sinker Edm,” no. Figure 1, pp. 1–11, 2016. [91] A. Khajuria et al., “Influence of ceramic Al2O3 particulates on performance measures and surface characteristics during sinker EDM of stir cast AMMCs,” World J. Eng., vol. 16, no. 4, pp. 526–538, Jan. 2019, doi: 10.1108/WJE-01-2019-0015. [92] A. S. Channi, H. S. Bains, S. C. Vettivel, and J. S. Grewal, “Processing and Mechanical Behavior of TiB2 and ZnSt2 Reinforced Aluminium Alloy 6061 Hybrid Composite using Stir Casting,” Int. J. Emerg. Technol. Eng. Res., vol. 6, no. 2, pp. 37–42, 2018. [93] S. James and S. Panchal, “Finite element analysis and simulation study on micromachining of hybrid composite stacks using Micro Ultrasonic Machining process,” J. Manuf. Process., vol. 48, pp. 283–296, 2019, doi: https://doi.org/10.1016/j.jmapro.2019.10.028.
  • 136.
    113 [94] R. N.Muni, J. Singh, V. Kumar, S. Sharma, and M. Mehta, “Assessment of Surface Roughness in EDM of RHA, Cu and Mg Reinforced Hybrid MMC using L27 Taguchi’s Orthogonal Array Technique,” Int. J. Innov. Technol. Explor. Eng., vol. 9, no. 3, pp. 3128–3135, 2020, doi: 10.35940/ijitee.b7029.019320. [95] R. Sajeevan and A. K. Dubey, “Parametric study of die-sinking electric discharge machining on aluminium based metal matrix composite,” Mater. Today Proc., vol. 44, pp. 930–934, 2021, doi: https://doi.org/10.1016/j.matpr.2020.11.001. [96] D. Palanisamy, A. Devaraju, N. Manikandan, K. Balasubramanian, and D. Arulkirubakaran, “Experimental investigation and optimization of process parameters in EDM of aluminium metal matrix composites,” Mater. Today Proc., vol. 22, pp. 525–530, 2020, doi: https://doi.org/10.1016/j.matpr.2019.08.145. [97] F. Müller and J. Monaghan, “Non-conventional machining of particle reinforced metal matrix composites,” J. Mater. Process. Technol., vol. 118, no. 1, pp. 278–285, 2001, doi: https://doi.org/10.1016/S0924-0136(01)00941-4. [98] M. Ramulu, G. Paul, and J. Patel, “EDM surface effects on the fatigue strength of a 15 vol% SiCp/Al metal matrix composite material,” Compos. Struct., vol. 54, no. 1, pp. 79–86, 2001, doi: 10.1016/S0263-8223(01)00072-1. [99] A. P. Dwivedi and S. K. Choudhury, “Effect of Tool Rotation on MRR, TWR, and Surface Integrity of AISI-D3 Steel using the Rotary EDM Process,” Mater. Manuf. Process., vol. 31, no. 14, pp. 1844–1852, 2016, doi: 10.1080/10426914.2016.1140198. [100] K. H. Syed, G. P. Anuraag, G. Hemanth, and S. A. Subahan, “Powder-Mixed EDM Machining of Aluminium-Silicon Carbide Composites,” Indian J. Sci. Technol., vol. 8, no. S2, p. 133, 2015, doi: 10.17485/ijst/2015/v8is2/59170. [101] V. Dubey and B. Singh, “Study of Material Removal Rate in Powder Mixed EDM of AA7075/B4C Composite,” Mater. Today Proc., vol. 5, no. 2, Part 2, pp. 7466–7475, 2018, doi: https://doi.org/10.1016/j.matpr.2017.11.418. [102] M. Uthayakumar, K. V. Babu, S. T. Kumaran, S. S. Kumar, J. T. W. Jappes, and T. P. D. Rajan, “Study on the machining of Al–SiC functionally graded metal matrix composite using die-sinking EDM,” Part. Sci. Technol., vol. 37, no. 1, pp. 103–109, 2019, doi: 10.1080/02726351.2017.1346020. [103] K. Ponappa, K. S. K. Sasikumar, M. Sambathkumar, and M. Udhayakumar, “Multi-Objective Optimization Of EDM Process Parameters For Machining Of Hybrid Aluminum Metal Matrix Composites (Al7075/TiC/B4C) Using Genetic
  • 137.
    114 Algorithm,” Surf. Rev.Lett., vol. 26, no. 10, p. 1950071, 2019, doi: 10.1142/S0218625X19500719. [104] A. Iosub, G. Nagit, and F. Negoescu, “Tool Wear Investigation in Electric Discharge Machining of Aluminum Matrix Composite Materials,” pp. 225–228, 2009. [105] A. Devaraju, A. Kumar, and B. Kotiveerachari, “Influence of addition of Grp/Al2O3p with SiCp on wear properties of aluminum alloy 6061-T6 hybrid composites via friction stir processing,” Trans. Nonferrous Met. Soc. China, vol. 23, no. 5, pp. 1275–1280, 2013, doi: https://doi.org/10.1016/S1003-6326(13)62593-5. [106] C. Velmurugan, R. Subramanian, S. Thirugnanam, and B. Ananadavel, “Experimental investigations on machining characteristics of Al 6061 hybrid metal matrix composites processed by electrical discharge machining,” Int. J. Eng. Sci. Technol., vol. 3, no. 8, pp. 87–101, 1970, doi: 10.4314/ijest.v3i8.7. [107] R. Hegde, N. M. Sivaram, B. S. Ajaykumar, and L. J. Kirthan, “Influence of shot peening on fatigue behavior of aluminum silicon carbide graphite hybrid composite,” Int. J. Mech. Eng. Technol., vol. 8, no. 6, pp. 255–263, 2017. [108] P. Malhotra, N. K. Singh, R. K. Tyagi, and B. S. Sikarwar, “Comparative micro structural investigation of Al-SiC-Mg and Al-B<inf>4</inf>C-Mg particulate metal matrix composite,” Ann. Chim. Sci. des Mater., vol. 44, no. 2, 2020, doi: 10.18280/acsm.440205. [109] P. Malhotra, R. K. Tyagi, N. K. Singh, and B. S. Sikarwar, “Experimental investigation and effects of process parameters on EDM of Al7075/SiC composite reinforced with magnesium particles,” in Materials Today: Proceedings, 2020, vol. 21, doi: 10.1016/j.matpr.2019.11.069.
  • 138.
  • 139.
    116 LIST OF JOURNALPUBLICATIONS [1] Malhotra, P., Singh, N.K., Tyagi, R.K., Sikarwar, B.S. (2020). Comparative micro structural investigation of Al-SiC-Mg and Al-B4C-Mg particulate metal matrix composite. Annales de Chimie - Science des Matériaux, Vol. 44, No. 2, pp. 103-108. https://doi.org/10.18280/acsm.440205 [2] Malhotra, P., Singh, N.K., Tyagi, R.K., Sikarwar, B.S. (2021) Comparative study of rotary-EDM, gas assisted-EDM, and gas assisted powder mixed-EDM of the hybrid metal matrix composite, Advances in Materials and Processing Technologies, 7:1, 27-41. DOI: 10.1080/2374068X.2020.1855398
  • 140.
  • 141.
  • 142.
  • 143.
  • 144.
  • 145.
  • 146.
  • 147.
  • 148.
  • 149.
  • 150.
  • 151.
  • 152.
  • 153.
  • 154.
  • 155.
  • 156.
  • 157.
  • 158.
  • 159.
  • 160.
  • 161.
    138 LIST OF CONFERENCEPUBLICATIONS [1] Malhotra, P., Tyagi, R.K., Singh, N.K., Sikarwar, B.S., “Experimental investigation and effects of process parameters on EDM of Al7075/SiC composite reinforced with magnesium particles”, Materials Today: Proceedings, Volume 21, Part 3,2020, Pages 1496-1501, ISSN 2214-7853, https://doi.org/10.1016/j.matpr.2019.11.069. [2] Malhotra, P., Tyagi, R.K., Singh, N.K., Sikarwar, B.S., (2021) Comparative Microstructural Investigation of Aluminium Silicon Carbide–Mg and Aluminium Boron Carbide–Mg Particulate Metal Matrix Composite Fabricated by Stir Casting. In: Pandey V.C., Pandey P.M., Garg S.K. (eds) Advances in Electromechanical Technologies. Lecture Notes in Mechanical Engineering. Springer, Singapore. https://doi.org/10.1007/978-981-15-5463-6_64 [3] Malhotra, P., Tyagi, R.K., Singh, N.K., Sikarwar, B.S., Narasimhulu, A., (2021), “A review on gas assisted EDM”, ISSN 2214-7853, https://doi.org/10.1016/j.matpr.2021.03.293. [4] Malhotra, P., Tyagi, R.K., Singh, N.K., Sikarwar, B.S., Narasimhulu, A., (2021),” Effect of tool geometry during EDM of hybrid composite”, (2021), Lecture Notes in Mechanical Engineering. Springer, Singapore.
  • 162.
  • 163.
  • 164.
  • 165.
  • 166.
    143 PERSONAL PROFILE PARIDHI MALHOTRA Mobile:+91-8800760585 Email: paridhimalhotra87@gmail.com Address: 1104, CS09, Supertech capetown, Sec-74, Noida -201301 UP Pin code - 201301 OBJECTIVE An adaptive, fast learning professional with passion to develop new skills and solve new challenges. Masters in Mechanical engineering with 8 years of rich experience in the field of teaching and research and a PhD scholar working in the areas of non- conventional machining, tool design and composite materials. I am looking for a stimulating position in an energetic and supportive team where I can continue to explore my academic knowledge and inherent qualities for the welfare of an organization and society. EDUCATION Qualification School / Institute Dept./Specification Passing Year Percentage Ph.D. Amity University, Noida Mechanical Engineering Department Pursuing - M. Tech Delhi College of Technology & Management, Delhi Department of Production Engineering 2012-14 73.4 B. Tech Anand Engineering college, Agra (UPTU) Mechanical Engineering 2010 71 Class XII I.S.C Board from St George’ s College, Agra PCM & Biotechnology 2006 78 Class X I.C.S.E Board from St George’ s College, Agra -- 2004 82.6 PROFESSIONAL EXPERIENCE Total Work Experience: 8 years 1) InventIP Designation-Patent associate Currently working 2) Netaji Subhas Chandra University of technology (NSUT)
  • 167.
    144 Duration-2019-2020 Designation Assistant professor(guest faculty) 3) Manav Rachna International University, Faridabad Duration: 2014-2018 Designation: Assistant Professor 4) Hindustan College of Science and Technology, Agra-Delhi Highway Duration- 2010-2013 Designation: Assistant Professor JOB RESPONSIBILITY • Imparting knowledge in subjects like Fluid mechanics, Manufacturing Science, Machine design, modern machining, industrial management Measurement and Metrology, Six Sigma • Successfully acquired 100% academic results • Played a key role in recognizing, respecting & nurturing the creative potential of each student; responding to the queries in a spontaneous manner; assessing students' work for internally assessed components of qualifications. • Conceptualized & developed various initiatives for teaching various subjects; evaluated the effectiveness of the teaching schedules • Using initiatives to instigate promotional ideas and events. • Student coordinator Mooc coordinator • Part of the departmental team working for various accreditations such as NBA and NAAC. • Subject Coordinator of subjects of Fluid Mechanics, Machine Design • Member of the organizing committee of ICQPROM 2017 held at MRIU January 2017 • Organized JOB JUNCTION 2016 an annual placement drives by companies of HVAC field in association with ISHRAE Delhi Chapter INTERNSHIPS ALSTOM PROJECTS INDIA LIMITED During the training period I learnt about various equipment’s used in thermal power plants performing a number of complex processes with the ultimate aim to convert chemical energy of coal or oil to electrical energy. I studied thoroughly the details of water treatment plant, RO process, cooling tower, etc. PROJECTS UNDERTAKEN PROJECT: Evaluation of algal oil as biodiesel Description: This project deals with the extraction of algal oil from dried algae by the process of hexane solvent method then making biodiesel by the process of transesterification, testing of biodiesel properties and comparing it with diesel. PROJECT: Effect of tool geometry on the performance of EDM, fabrication of aluminum MMC, Analytical Hierarchy Process
  • 168.
    145 ACADEMIC ACHIEVEMENTS • Presentedvarious research paper in National and international journals and Conferences. • Attended National Workshop on Bio Fuels held on 22nd Nov 2012 at Dayalbagh Technical institute, Agra • Guided BTech projects on Analytical Hierarchy process, Magnetic shock absorber and pedal powered water pump • Attended National Seminar on MPMS at FET MRIU • Attended a training program organized by SAP Student Academy Manav Rachna and Primus Solutions Pvt.Ltd, on “Overview of Material Management” in May 2018. Attended one week Feb 5 to Feb 13, 2018 training workshop on Advanced Excel in Manav Rachna International Institute of Research and studies. • Attended Short Term Course on Manufacturing: Processes, Materials and Systems (MPMS-2014) for 2 days in Manav Rachna International University, Faridabad. Attended the 5-day ICT based short term course on "Advanced Manufacturing Methods" (ICT 46) from 05 to 09March 2018, in collaboration with NITTR Chandigarh. Attended 3-day workshop on ADOBE DIGITAL DISHA organised by MRIU in April, 2018 • Attended national workshop on biofuels held on 22nd Nov 2012 at Dayal Bagh Technical Institute Agra • Attended various Faculty Development program at MRIU. SOFTWARE SKILLS Microsoft office, Microsoft Excel, AutoCAD, C, C++, Minitab, Anova AREAS OF RESEARCH Machine Design, Six Sigma, Fluid Mechanics, Manufacturing Science, Measurement and Metrology Ph.D. WORK The work done in Ph.D. focuses on “Development of Coating Using Thermal Spray Technique for Wear Prone Industrial Application” RESEARCH WORK/PUBLICATIONS [1] Malhotra, P., Singh, N.K., Tyagi, R.K., Sikarwar, B.S. (2020). Comparative micro structural investigation of Al-SiC-Mg and Al-B4C-Mg particulate metal matrix composite. Annales de Chimie - Science des Matériaux, Vol. 44, No. 2, pp. 103-108. https://doi.org/10.18280/acsm.440205 [2] .Malhotra, P., Singh, N.K., Tyagi, R.K., Sikarwar, B.S. (2021) Comparative study of rotary- EDM, gas assisted-EDM, and gas assisted powder mixed-EDM of the hybrid metal matrix composite, Advances in Materials and Processing Technologies, 7:1, 27- 41, DOI: 10.1080/2374068X.2020.1855398 [3] Malhotra, P., Tyagi, R.K., Singh, N.K., Sikarwar, B.S., “Experimental investigation and effects of process parameters on EDM of Al7075/SiC composite reinforced with magnesium particles”, Materials Today: Proceedings, Volume 21, Part 3,2020, Pages 1496-1501,ISSN
  • 169.
    146 2214-7853,https://doi.org/10.1016/j.matpr.2019.11.069. [4] Malhotra, P.,Tyagi, R.K., Singh, N.K., Sikarwar, B.S., (2021) Comparative Microstructural Investigation of Aluminium Silicon Carbide–Mg and Aluminium Boron Carbide–Mg Particulate Metal Matrix Composite Fabricated by Stir Casting. In: Pandey V.C., Pandey P.M., Garg S.K. (eds) Advances in Electromechanical Technologies. Lecture Notes in Mechanical Engineering. Springer, Singapore. https://doi.org/10.1007/978-981-15-5463- 6_64 [5] .Malhotra, P., Tyagi, R.K., Singh, N.K., Sikarwar, B.S., Narasimhulu, A., (2021) ,” A review on gas assisted EDM”, ISSN 2214-7853, https://doi.org/10.1016/j.matpr.2021.03.293. [6] .Malhotra, P., Tyagi, R.K., Singh, N.K., Sikarwar, B.S., Narasimhulu, A.,(2021),” Effect of tool geometry during EDM of hybrid composite”, ICAPIE 2021 [7] . J. Chakraborty, P. Malhotra and J. Mehta, “A Review Paper on Solar Energy Operated Vapour Absorption System Using Nh3 - H2O”, National Conference on Paradigms in Mechanical Engineering (PME 2014), Manav Rachna International University, Faridabad, 2014. [8] . Malhotra and J. Mehta, “Effect of Multi Hole Rotary Tool on The Performance of EDM Process”, National Conference on Paradigms in Mechanical Engineering (PME 2014), Manav Rachna International University, Faridabad, 2014. [9] . Malhotra, P., Ambashta, H., Mehndiratta, C., Sachdeva, L., Effect of tool geometry on the performance of EDM, International Research Journal of Engineering Technology, vol. 4, no. 10, pp. 82–86, 2017 [10]Jimmy Mehta, J.S. Grewal, Prateek Mittal, Paridhi Malhotra, Pallav Gupta, Comparison of dry and lubricated wear behaviour of 22MnB5 uncoated ultra high strength steel, Materials Today: Proceedings,2021, SSN 2214-7853, ttps://doi.org/10.1016/j.matpr.2021.03.293. PERSONAL DATA D. O. B. 16.10.1987 Father’s Name Mr. Sunil Kumar Malhotra Gender Female Marital Status Married Nationality Indian Languages Known English, Hindi I hereby declare that the particulars given herein are true and complete to the best of my knowledge and belief. Place: Noida Date: , August, 2021 Signature