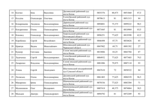
№
з/п
Прізвище Ім'я По батькові Найменування суду
Код
тестування
Бал
тестування
Код
практика
Бал
практика
1 Бичковський Євген Леонідович
Овідіопольський районний суд
Одеської області
0051463 83,25 0042752 85
2 Біднина Ольга Валеріївна
Суворовський районний суд
міста Херсона
0013849 46,125 0065569 69,5
3 Блага Ірина Сергіївна
Червонозаводський районний
суд міста Харкова
0020114 79,875 0042686 82,5
4 Бобровник Олександр Вікторович
Солом`янський районний суд
міста Києва
0010500 48,375 0008619 89,5
5 Бовкун Едуард Михайлович
Дніпровський районний суд
міста Києва
0094779 57,375 0043521 63,5
6 Бойко Юрій Олександрович
Царичанський районний суд
Дніпропетровської області
0026579 77,625 0073320 74,5
7 Бурзель Юлія Валентинівна
Яготинський районний суд
Київської області
0050932 86,625 0020061 81,5
8 Волошин Василь Олександрович
Шевченківський районний суд
міста Києва
0063199 83,25 0078300 93,5
9 Галась Ірина Анатоліївна
Деснянський районний суд
міста Києва
0077342 78,75 0042345 83
10
Гончарук-
Аліфанова
Ольга Юріївна
Хмільницький міськрайонний
суд Вінницької області
0030763 85,5 0039494 87
11 Грегуль Олег Васильович
Деснянський районний суд
міста Києва
0022170 64,125 0052427 70
12 Єпішин Юрій Миколайович
Херсонський міський суд
Херсонської області
0059945 84,375 0045085 96
13 Зотько Тетяна Анатоліївна
Деснянський районний суд
міста Києва
0085198 74,25 0067778 95
Результати першого етапу кваліфікаційного оцінювання суддів на відповідність займаній посаді «Іспит»,
складеного 15 березня 2018 року
14 Клочко Інна Василівна
Деснянський районний суд
міста Києва
0035376 88,875 0051860 87,5
15 Колдіна Олександра Олегівна
Голосіївський районний суд
міста Києва
0070613 81 0051315 84
16 Комаревцева Людмила Володимирівна
Дарницький районний суд
міста Києва
0094081 75,375 0099222 90,5
17 Кондратенко Олена Олександрівна
Шевченківський районний суд
міста Києва
0073445 81 0014969 83,5
18 Коновод Олександр Володимирович
Хорольський районний суд
Полтавської області
0096251 77,625 0019398 62,5
19 Коробенко Сергій Віталійович
Солом`янський районний суд
міста Києва
0046498 87,75 0034826 85
20 Кравчук Вадим Миколайович
Шполянський районний суд
Черкаської області
0047882 69,75 0091392 27
21 Кушнір Світлана Іванівна
Солом`янський районний суд
міста Києва
0018806 83,25 0063704 87
22 Ладиченко Сергій Володимирович
Голосіївський районний суд
міста Києва
0084932 77,625 0077403 79,5
23 Лазаренко Владлена Володимирівна
Солом`янський районний суд
міста Києва
0081086 79,875 0007110 93
24 Лєвша Сергій Леонідович
Шосткинський міськрайонний
суд Сумської області
0047610 72 0058522 84
25 Лісовська Олена Володимирівна
Деснянський районний суд
міста Києва
0061403 77,625 0084339 96,5
26 Макаренко Ірина Олександрівна
Шевченківський районний суд
міста Києва
0078536 77,625 0083304 71
27 Малинников Олег Федорович
Шевченківський районний суд
міста Києва
0007418 48,375 0074064 30,5
28 Мальцев Дмитро Олександрович
Шевченківський районний суд
міста Києва
0094792 81 0072209 93
29
Мицик
(Швець)
Юлія Сергіївна
Дарницький районний суд
міста Києва
0009516 74,25 0079656 87
30 Осаулов Андрій Анатолійович
Шевченківський районний суд
міста Києва
0021544 74,25 0026840 97
31 Панченко Оксана Миколаївна
Деснянський районний суд
міста Києва
0006782 77,625 0014927 90
32 Плахотнюк Катерина Григорівна
Голосіївський районний суд
міста Києва
0018849 83,25 0039423 81
33 Притула Наталія Григорівна
Шевченківський районний суд
міста Києва
0088040 81 0083013 86
34 Рибак Микита Анатолійович
Шевченківський районний суд
міста Києва
0066497 75,375 0012999 85
35 Робак Марина Володимирівна
Хмільницький міськрайонний
суд Вінницької області
0043161 86,625 0084077 76,5
36 Роїк Дмитро Ярославович
Малиновський районний суд
міста Одеси
0057124 79,875 0005362 92
37 Романишена Інна Павлівна
Шевченківський районний суд
міста Києва
0081131 83,25 0019613 87
38 Рядча Тетяна Іванівна
Херсонський міський суд
Херсонської області
0091349 76,5 0009665 68,5
39 Саблук Сергій Анатолійови
Вінницький міський суд
Вінницької області
0067921 57,375 0064301 62,5
40 Савицький Олег Антонович
Шевченківський районний суд
міста Києва
0077741 72 0014305 84,5
41 Савченко Денис Михайлович
Харківський районний суд
Харківської області
0095788 87,75 0073391 95,5
42 Сидорчук Олександр Михайлович
Шосткинський міськрайонний
суд Сумської області
0041861 81 0069431 73
43 Скрипка Оксана Іванівна
Деснянський районний суд
міста Києва
0012626 67,5 0053158 69
44 Сойма Мар'яна Миколаївна
Тячівський районний суд
Закарпатської області
0051074 83,25 0025810 80
45 Стрельченко Тетяна Григорівна
Новосанжарський районний
суд Полтавської області
0003097 69,75 0050652 77,5
46 Строгий Ігор Леонідович
Шаргородський районний суд
Вінницької області
0040055 87,75 0030092 81,5
47 Тітівалов Роман Костянтинович
Турійський районний суд
Волинської області
0008882 87,75 0046441 79,5
48 Трусова Тамара Олександрівна
Дарницький районний суд
міста Києва
0009443 83,25 0030299 84
49 Ус Олена Володимирівна
Херсонський міський суд
Херсонської області
0079003 84,375 0047027 97
50 Фаркош Юлія Анатоліївна
Печерський районний суд міста
Києва
0089052 84,375 0025680 86,5
51 Чередніченко Наталія Петрівна
Голосіївський районний суд
міста Києва
0066087 90 0072620 86,5
52 Шевченко Тетяна Миколаївна
Голосіївський районний суд
міста Києва
0015055 85,5 0067260 78,5
53 Шереметьєва Людмила Антонівна
Солом`янський районний суд
міста Києва
0023159 75,375 0054143 87
54 Шклянка Марія Петрівна
Дарницький районний суд
міста Києва
0020315 74,25 0077989 86

Resultaty 15.03.2018

  • 1.
    № з/п Прізвище Ім'я Побатькові Найменування суду Код тестування Бал тестування Код практика Бал практика 1 Бичковський Євген Леонідович Овідіопольський районний суд Одеської області 0051463 83,25 0042752 85 2 Біднина Ольга Валеріївна Суворовський районний суд міста Херсона 0013849 46,125 0065569 69,5 3 Блага Ірина Сергіївна Червонозаводський районний суд міста Харкова 0020114 79,875 0042686 82,5 4 Бобровник Олександр Вікторович Солом`янський районний суд міста Києва 0010500 48,375 0008619 89,5 5 Бовкун Едуард Михайлович Дніпровський районний суд міста Києва 0094779 57,375 0043521 63,5 6 Бойко Юрій Олександрович Царичанський районний суд Дніпропетровської області 0026579 77,625 0073320 74,5 7 Бурзель Юлія Валентинівна Яготинський районний суд Київської області 0050932 86,625 0020061 81,5 8 Волошин Василь Олександрович Шевченківський районний суд міста Києва 0063199 83,25 0078300 93,5 9 Галась Ірина Анатоліївна Деснянський районний суд міста Києва 0077342 78,75 0042345 83 10 Гончарук- Аліфанова Ольга Юріївна Хмільницький міськрайонний суд Вінницької області 0030763 85,5 0039494 87 11 Грегуль Олег Васильович Деснянський районний суд міста Києва 0022170 64,125 0052427 70 12 Єпішин Юрій Миколайович Херсонський міський суд Херсонської області 0059945 84,375 0045085 96 13 Зотько Тетяна Анатоліївна Деснянський районний суд міста Києва 0085198 74,25 0067778 95 Результати першого етапу кваліфікаційного оцінювання суддів на відповідність займаній посаді «Іспит», складеного 15 березня 2018 року
  • 2.
    14 Клочко ІннаВасилівна Деснянський районний суд міста Києва 0035376 88,875 0051860 87,5 15 Колдіна Олександра Олегівна Голосіївський районний суд міста Києва 0070613 81 0051315 84 16 Комаревцева Людмила Володимирівна Дарницький районний суд міста Києва 0094081 75,375 0099222 90,5 17 Кондратенко Олена Олександрівна Шевченківський районний суд міста Києва 0073445 81 0014969 83,5 18 Коновод Олександр Володимирович Хорольський районний суд Полтавської області 0096251 77,625 0019398 62,5 19 Коробенко Сергій Віталійович Солом`янський районний суд міста Києва 0046498 87,75 0034826 85 20 Кравчук Вадим Миколайович Шполянський районний суд Черкаської області 0047882 69,75 0091392 27 21 Кушнір Світлана Іванівна Солом`янський районний суд міста Києва 0018806 83,25 0063704 87 22 Ладиченко Сергій Володимирович Голосіївський районний суд міста Києва 0084932 77,625 0077403 79,5 23 Лазаренко Владлена Володимирівна Солом`янський районний суд міста Києва 0081086 79,875 0007110 93 24 Лєвша Сергій Леонідович Шосткинський міськрайонний суд Сумської області 0047610 72 0058522 84 25 Лісовська Олена Володимирівна Деснянський районний суд міста Києва 0061403 77,625 0084339 96,5 26 Макаренко Ірина Олександрівна Шевченківський районний суд міста Києва 0078536 77,625 0083304 71 27 Малинников Олег Федорович Шевченківський районний суд міста Києва 0007418 48,375 0074064 30,5 28 Мальцев Дмитро Олександрович Шевченківський районний суд міста Києва 0094792 81 0072209 93
  • 3.
    29 Мицик (Швець) Юлія Сергіївна Дарницький районнийсуд міста Києва 0009516 74,25 0079656 87 30 Осаулов Андрій Анатолійович Шевченківський районний суд міста Києва 0021544 74,25 0026840 97 31 Панченко Оксана Миколаївна Деснянський районний суд міста Києва 0006782 77,625 0014927 90 32 Плахотнюк Катерина Григорівна Голосіївський районний суд міста Києва 0018849 83,25 0039423 81 33 Притула Наталія Григорівна Шевченківський районний суд міста Києва 0088040 81 0083013 86 34 Рибак Микита Анатолійович Шевченківський районний суд міста Києва 0066497 75,375 0012999 85 35 Робак Марина Володимирівна Хмільницький міськрайонний суд Вінницької області 0043161 86,625 0084077 76,5 36 Роїк Дмитро Ярославович Малиновський районний суд міста Одеси 0057124 79,875 0005362 92 37 Романишена Інна Павлівна Шевченківський районний суд міста Києва 0081131 83,25 0019613 87 38 Рядча Тетяна Іванівна Херсонський міський суд Херсонської області 0091349 76,5 0009665 68,5 39 Саблук Сергій Анатолійови Вінницький міський суд Вінницької області 0067921 57,375 0064301 62,5 40 Савицький Олег Антонович Шевченківський районний суд міста Києва 0077741 72 0014305 84,5 41 Савченко Денис Михайлович Харківський районний суд Харківської області 0095788 87,75 0073391 95,5 42 Сидорчук Олександр Михайлович Шосткинський міськрайонний суд Сумської області 0041861 81 0069431 73
  • 4.
    43 Скрипка ОксанаІванівна Деснянський районний суд міста Києва 0012626 67,5 0053158 69 44 Сойма Мар'яна Миколаївна Тячівський районний суд Закарпатської області 0051074 83,25 0025810 80 45 Стрельченко Тетяна Григорівна Новосанжарський районний суд Полтавської області 0003097 69,75 0050652 77,5 46 Строгий Ігор Леонідович Шаргородський районний суд Вінницької області 0040055 87,75 0030092 81,5 47 Тітівалов Роман Костянтинович Турійський районний суд Волинської області 0008882 87,75 0046441 79,5 48 Трусова Тамара Олександрівна Дарницький районний суд міста Києва 0009443 83,25 0030299 84 49 Ус Олена Володимирівна Херсонський міський суд Херсонської області 0079003 84,375 0047027 97 50 Фаркош Юлія Анатоліївна Печерський районний суд міста Києва 0089052 84,375 0025680 86,5 51 Чередніченко Наталія Петрівна Голосіївський районний суд міста Києва 0066087 90 0072620 86,5 52 Шевченко Тетяна Миколаївна Голосіївський районний суд міста Києва 0015055 85,5 0067260 78,5 53 Шереметьєва Людмила Антонівна Солом`янський районний суд міста Києва 0023159 75,375 0054143 87 54 Шклянка Марія Петрівна Дарницький районний суд міста Києва 0020315 74,25 0077989 86