RADICAIS
RADICACIÓN A radicación  é a operación inversa da potenciación,  represéntase co símbolo   Á expresión que se ubica dentro do símbolo da raíz chámaselle  radicando , e ó número que se ubica arriba e á esquerda da raíz  chámasella  índice Cando o índice é 2, polo xeral omítese   Radicando índice 3 3
DEFINICIÓN DE RAÍZ DUN NÚMERO a b n = b n   = a
PROPIEDADES  DAS RAÍCES
1. PRODUTO DE RAÍCES DO MESMO ÍNDICE: 2. COCIENTE DE RAÍCES DO MESMO ÍNDICE: * 3 5 = 3*5 = 15 = 12/2 = 6 12 2
3. POTENCIA DUNHA RAÍZ:  É a raíz do radicando elevado a dita potencia 3 3 3 3 3 3 3 3 3 = = 3 3·3·3 3 = 3 3
5. CONVERSIÓN DE RAÍZ EN POTENCIA E VICEVERSA RAÍZ DUNHA RAÍZ: 3 32 = 32 3 * 2 = 32 3 * 2 = m n a a m n
7. RAÍZ DUN PRODUTO 6. RAÍZ DUNHA FRACCIÓN:
9. RAÍZ DE RADICANDO UN 8. RAÍZ DE RADICANDO CERO 10. RAÍZ DUNHA POTENCIA CUXO EXPONENTE É IGUAL AO ÍNDICE
11. RADICAIS EQUIVALENTES Multiplicando ou dividindo o índice e o exponente dun radical polo mesmo número distinto de 0, a raíz non varía p p p p
OPERACIÓNS CON RAÍCES
SUMA E RESTA DE RAÍCES DO MESMO RADICANDO E DO MESMO ÍNDICE Factorizamos os radicandos Extraemos factores Xuntamos os radicais equivalentes sacando factor común EX :
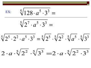
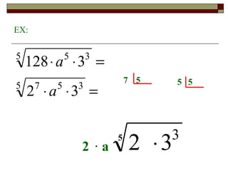
2. EXTRACCIÓN DE FACTORES DUN RADICAL Primeiro método(é máis rápido) FACTORIZAMOS O RADICANDO !! SÓ SE PODEN EXTRAER FACTORES CANDO O EXPONENTE É MAIOR OU IGUAL AO ÍNDICE !! EXTRAEMOS FACTORES Dividimos o exponente entre o índice O COCIENTE OBTIDO SERÁ O EXPONENTE DO FACTOR QUE SAE DO RADICAL O RESTO DA DIVISIÓN SERÁ O EXPONENTE DO FACTOR QUE QUEDA DENTRO DO RADICAL
EX: 1 2 2 1 1 0 7 5 5 5 2 a · 5 !! SE NO RADICANDO APARECEN LETRAS MELLOR XA QUE NON TES QUE FACTORIZAR!!
EXTRACCIÓN DE FACTORES DUN RADICAL(Cont) Segundo método(máis razoado) DESCOMPOÑEMOS OS FACTORES DO RADICANDO EN POTENCIAS CUXOS EXPONENTES SEXAN IGUAIS AO ÍNDICE (Estamos aplicando a propiedade :Produto de potencias da mesma base) FACEMOS A RAÍZ DUN PRODUTO APLICAMOS
EX: 1 2
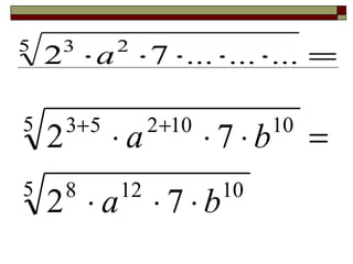
3.INTRODUCIÓN DE FACTORES DENTRO DUN RADICAL MULTIPLICAMOS OS EXPONENTES DOS FACTORES  POLO ÍNDICE DO RADICAL INTRODUCIMOS NO RADICAL AGRUPAMOS FACTORES IGUAIS SE OS HAI 2 b a 1·5 2·5 2·5
b 10 a 10 2 5
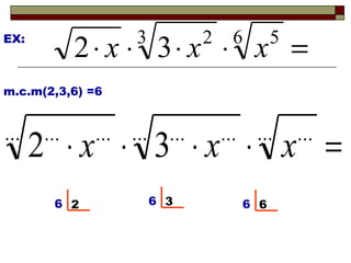
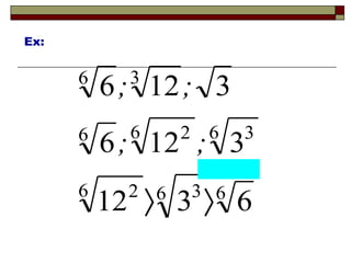
3. REDUCIÓN DE RADICAIS A ÍNDICE COMÚN (Paso previo a multiplicar ou dividir radicais con distinto índice) CALCULAMOS O m.c.m. DOS ÍNDICES DE CADA RADICAL OBTEMOS OS RADICAIS EQUIVALENTES AOS DE PARTIDA QUE TEÑEN POR ÍNDICE O m.c.m CALCULADO NO PASO ANTERIOR  Poñemos de índice de tódolos radicais o m.c.m Dividimos o m.c.m entre o índice inicial de cada un e multiplicamos polos exponentes que tiñan os factores do radicando
EX: 6 6 6 m.c.m(2,3,6) =6 2 1 3 6 3 6 6 6 2
6 3·1 2·1 3·1 6 6 2·2 1· 5
4. ORDENACIÓN DE RADICAIS RADICAIS CO MESMO ÍNDICE É menor o radical de menor radicando Ex: RADICAIS CON DISTINTO ÍNDICE Reducimos a índice común Ordenamos coma no punto1)
Ex:
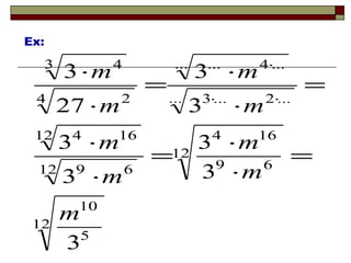
PRODUTO E DIVISIÓN DE RADICAIS DE CALQUERA ÍNDICE   Reducimos a índice común Introducimos nunha raíz Simplificamos
Ex:  12 12 4 · 1 · 4 · 3 · 3
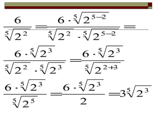
6. RACIONALIZACIÓN DE FRACCIÓNS CON RADICAIS NO DENOMINADOR Racionalizar unha fracción con radicais no denominador consiste en transformar dita fracción noutra equivalente sen radicais no denominador
1.- Racionalización de fraccións nas que no denominador aparece unha raíz cadrada soa ou multiplicando a un ou varios números.  Multiplicamos numerador e denominador pola mesma raíz cadrada Ex:
2.- Racionalización de fraccións nas que no denominador aparece un produto no que un dos factores é unha raíz do tipo.  Multiplicamos numerador e denominador por unha raiz do mesmo índice e cuxo exponente sexa a diferenza entre o  indice da raíz e o exponente do radicando
 
3.- Racionalización de fraccións nas que no denominador aparece unha suma uo diferenza na que polo menos un dos sumandos é unha raíz cadrada.  M ultiplicamos numerador e denominador  polo conxugado do denominador Ex:
BUSCAMOS APLICAR UNHA DIFERENZA DE CADRADOS
FIN Xosé Manuel Besteiro Colexio Apostólico Mercedario VERÍN

Radicais

  • 1.
  • 2.
    RADICACIÓN A radicación é a operación inversa da potenciación, represéntase co símbolo Á expresión que se ubica dentro do símbolo da raíz chámaselle radicando , e ó número que se ubica arriba e á esquerda da raíz chámasella índice Cando o índice é 2, polo xeral omítese Radicando índice 3 3
  • 3.
    DEFINICIÓN DE RAÍZDUN NÚMERO a b n = b n = a
  • 4.
  • 5.
    1. PRODUTO DERAÍCES DO MESMO ÍNDICE: 2. COCIENTE DE RAÍCES DO MESMO ÍNDICE: * 3 5 = 3*5 = 15 = 12/2 = 6 12 2
  • 6.
    3. POTENCIA DUNHARAÍZ: É a raíz do radicando elevado a dita potencia 3 3 3 3 3 3 3 3 3 = = 3 3·3·3 3 = 3 3
  • 7.
    5. CONVERSIÓN DERAÍZ EN POTENCIA E VICEVERSA RAÍZ DUNHA RAÍZ: 3 32 = 32 3 * 2 = 32 3 * 2 = m n a a m n
  • 8.
    7. RAÍZ DUNPRODUTO 6. RAÍZ DUNHA FRACCIÓN:
  • 9.
    9. RAÍZ DERADICANDO UN 8. RAÍZ DE RADICANDO CERO 10. RAÍZ DUNHA POTENCIA CUXO EXPONENTE É IGUAL AO ÍNDICE
  • 10.
    11. RADICAIS EQUIVALENTESMultiplicando ou dividindo o índice e o exponente dun radical polo mesmo número distinto de 0, a raíz non varía p p p p
  • 11.
  • 12.
    SUMA E RESTADE RAÍCES DO MESMO RADICANDO E DO MESMO ÍNDICE Factorizamos os radicandos Extraemos factores Xuntamos os radicais equivalentes sacando factor común EX :
  • 13.
    2. EXTRACCIÓN DEFACTORES DUN RADICAL Primeiro método(é máis rápido) FACTORIZAMOS O RADICANDO !! SÓ SE PODEN EXTRAER FACTORES CANDO O EXPONENTE É MAIOR OU IGUAL AO ÍNDICE !! EXTRAEMOS FACTORES Dividimos o exponente entre o índice O COCIENTE OBTIDO SERÁ O EXPONENTE DO FACTOR QUE SAE DO RADICAL O RESTO DA DIVISIÓN SERÁ O EXPONENTE DO FACTOR QUE QUEDA DENTRO DO RADICAL
  • 14.
    EX: 1 22 1 1 0 7 5 5 5 2 a · 5 !! SE NO RADICANDO APARECEN LETRAS MELLOR XA QUE NON TES QUE FACTORIZAR!!
  • 15.
    EXTRACCIÓN DE FACTORESDUN RADICAL(Cont) Segundo método(máis razoado) DESCOMPOÑEMOS OS FACTORES DO RADICANDO EN POTENCIAS CUXOS EXPONENTES SEXAN IGUAIS AO ÍNDICE (Estamos aplicando a propiedade :Produto de potencias da mesma base) FACEMOS A RAÍZ DUN PRODUTO APLICAMOS
  • 16.
  • 17.
    3.INTRODUCIÓN DE FACTORESDENTRO DUN RADICAL MULTIPLICAMOS OS EXPONENTES DOS FACTORES POLO ÍNDICE DO RADICAL INTRODUCIMOS NO RADICAL AGRUPAMOS FACTORES IGUAIS SE OS HAI 2 b a 1·5 2·5 2·5
  • 18.
    b 10 a10 2 5
  • 19.
    3. REDUCIÓN DERADICAIS A ÍNDICE COMÚN (Paso previo a multiplicar ou dividir radicais con distinto índice) CALCULAMOS O m.c.m. DOS ÍNDICES DE CADA RADICAL OBTEMOS OS RADICAIS EQUIVALENTES AOS DE PARTIDA QUE TEÑEN POR ÍNDICE O m.c.m CALCULADO NO PASO ANTERIOR Poñemos de índice de tódolos radicais o m.c.m Dividimos o m.c.m entre o índice inicial de cada un e multiplicamos polos exponentes que tiñan os factores do radicando
  • 20.
    EX: 6 66 m.c.m(2,3,6) =6 2 1 3 6 3 6 6 6 2
  • 21.
    6 3·1 2·13·1 6 6 2·2 1· 5
  • 22.
    4. ORDENACIÓN DERADICAIS RADICAIS CO MESMO ÍNDICE É menor o radical de menor radicando Ex: RADICAIS CON DISTINTO ÍNDICE Reducimos a índice común Ordenamos coma no punto1)
  • 23.
  • 24.
    PRODUTO E DIVISIÓNDE RADICAIS DE CALQUERA ÍNDICE Reducimos a índice común Introducimos nunha raíz Simplificamos
  • 25.
    Ex: 1212 4 · 1 · 4 · 3 · 3
  • 26.
    6. RACIONALIZACIÓN DEFRACCIÓNS CON RADICAIS NO DENOMINADOR Racionalizar unha fracción con radicais no denominador consiste en transformar dita fracción noutra equivalente sen radicais no denominador
  • 27.
    1.- Racionalización defraccións nas que no denominador aparece unha raíz cadrada soa ou multiplicando a un ou varios números. Multiplicamos numerador e denominador pola mesma raíz cadrada Ex:
  • 28.
    2.- Racionalización defraccións nas que no denominador aparece un produto no que un dos factores é unha raíz do tipo. Multiplicamos numerador e denominador por unha raiz do mesmo índice e cuxo exponente sexa a diferenza entre o indice da raíz e o exponente do radicando
  • 29.
  • 30.
    3.- Racionalización defraccións nas que no denominador aparece unha suma uo diferenza na que polo menos un dos sumandos é unha raíz cadrada. M ultiplicamos numerador e denominador polo conxugado do denominador Ex:
  • 31.
    BUSCAMOS APLICAR UNHADIFERENZA DE CADRADOS
  • 32.
    FIN Xosé ManuelBesteiro Colexio Apostólico Mercedario VERÍN