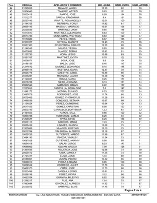
LISTADO GRUPOS DE INSCRIPCION
Programa: Ingeniería en Informática
Lapso Academico: 2013-1
Grupo de PRIORIDAD 5
Fecha de Inscripción: 29/04/2013
Hora de Inicio: 9.00 AM
Hora de Culminación: 10.00 AM
REPÚBLICA BOLIVARIANA DE VENEZUELA
MINISTERIO DEL PODER POPULAR
PARA LA EDUCACIÓN SUPERIOR
UNIVERSIDAD CENTROCCIDENTAL
"LISANDRO ALVARADO"
DECANATO DE CIENCIAS Y TECNOLOGIA
UNIDAD DE REGISTRO ACADEMICO
Pos. CEDULA APELLIDOS Y NOMBRES IND. ACAD. UNID. CURS. UNID. APROB.
15.2821055356 MARACARA, LUIS 91 871
12.7921296406 GATICA, MICHAEL 95 872
12.4521129963 ESCOBAR, VERONICA 95 873
12.321295143 TORRES, ROSA 99 874
12.2619727013 ROJAS, NOHELIMAR 91 875
11.8720920218 PARRA, GABRIELYS 102 876
11.320501261 SANCHEZ, ENDER 103 877
10.820569539 COLINA, GERARDO 114 878
9.0919886477 COLMENAREZ, YAHIMAR 131 879
8.8219572144 GONZÁLEZ, RICARDO 138 8710
12.7923495543 PACHECO, ANTONIO 89 8611
9.6618757889 MUJICA, NEGDY 130 8612
9.1318546307 TORRES, JAVIER 151 8613
11.8118897319 PEREIRA, CARLOS 89 8514
10.319850475 GUEDEZ, PEDRO 132 8515
10.7320719687 MUÑOZ, ERICKSOON 103 8416
9.6919455417 LAMUÑO, CHARLIN 121 8417
9.4919323507 ANCIANI, MARIA 124 8418
12.8420237961 MENDOZA, ABRAHAN 97 8319
10.6320924561 TORRES, JHOANDER 105 8320
10.3219104164 FARIA, JEAN 116 8321
8.6818922430 GUTIERREZ, JUAN 144 8322
8.2117858803 ESCALONA, LUIS 140 8223
12.2120671226 OROPEZA, GENESIS 97 8124
12.1323494342 SANTELIZ, ROSBELY 93 8125
11.2420672749 GARRIDO, KLEYBERTH 96 8126
11.0319696077 ESCALONA, NOREYSI 101 8127
13.6218431259 LISCANO, JOSÉ 84 8028
13.5120928657 GUTIERREZ, OSCAR 84 8029
13.3121295864 NIETO, LUIS 84 8030
13.0721113674 GARCIA, KEVIN 84 8031
12.6520350111 RODRIGUEZ, YENDER 84 8032
11.519817395 MARTINEZ, ADALI 108 8033
11.4224385744 VARGAS, DEYSYMAR 103 8034
10.9420236750 AMARO, ANDRES 96 8035
10.7420009568 YAGUA, GESSIMAR 91 8036
10.6819424443 CARREÑO, GLEIBER 109 8037
8.5818263233 LEON, YHOSEMAR 121 8038
7.6819591311 SADA, ROCCO 151 8039
13.7222260936 ECHEVERRIA, ANA 87 7940
11.4319687420 SILVA, JOSÉ 93 7941
10.1220349308 COLMENAREZ, ASTRIDCAROLINA 95 7942
8.6118737215 DAZA, YENNIFER 130 7943
25/04/2013 9.25
Pagina 1 de 4
Sistema Cumlaude AV. LAS INDUSTRIAS. NUCLEO OBELISCO. BARQUISIMETO - ESTADO LARA.
02512591581
Pos. CEDULA APELLIDOS Y NOMBRES IND. ACAD. UNID. CURS. UNID. APROB.
12.5321295265 MAVARE, ANGEL 82 7844
9.6318334946 TIMAURE, ASTRID 121 7845
8.9920920418 RAMOS, JOSE 114 7846
8.417012277 GARCIA, CANDYMAR 151 7847
12.0120237443 IRIARTE, ROSIANGELLY 100 7748
11.8221144755 HERRERA, YORLY 81 7749
10.6120669145 MASSIAH, MAURICIO 108 7750
9.6520235839 MARTINEZ, JHON 116 7751
8.8319313840 MARTINEZ, ALEJANDRO 109 7752
8.8320017723 MONTALBAN, WILFREDO 120 7753
8.6719114683 PEREZ, ERICK 155 7754
12.4522330327 ORTEGA, DIANNYZ 79 7655
12.2520921360 ECHEVERRIA, CARLOS 88 7656
9.6521144545 MUJICA, YESIKA 98 7657
10.9120473682 SUAREZ, TOMAS 91 7558
10.8821127733 MORA, JESUS 83 7559
9.7820351767 MARTINEZ, EVYTH 102 7560
9.620008971 SOSA, JOSE 104 7561
9.4620188156 BALZA, JOSE 117 7562
9.1521244642 GIMENEZ, LEONARDO 115 7563
12.3720499416 BASTIDAS, MARIA 78 7464
10.8620924774 MAESTRE, ASBEL 86 7465
10.3820348281 MARQUEZ, JAVIER 112 7466
9.2521129021 ROJAS, MARIA 117 7467
9.1320016788 NIETO, JHOANNA 111 7468
8.2220922946 CAMACHO, ISMAEL 117 7469
7.617625053 CADEVILLA, GERALDINE 147 7470
6.2511848172 MEDINA, EULALIO 207 7471
11.7423487679 RODRIGUEZ, JOSE 80 7372
11.2820075465 GOMEZ, YHONNEYLIS 93 7373
10.6723486539 GONZALEZ, BETANIA 99 7374
10.6421134024 PEREZ, CATHERINE 104 7375
8.9820017453 GOMEZ, CHRISTIAN 123 7376
12.320500789 CARRASCO, DORYSMAR 84 7277
9.6521461653 RAMOS, SAUL 100 7278
8.2916899788 TORTORIZE, DANLIS 94 7279
8.2921296527 RIVAS, KEVIN 116 7280
13.920926113 BARRIOS, MARIA 75 7181
13.6820668439 LINARES, BLANCA 75 7182
13.1321505086 MIJARES, KRISTIAN 75 7183
12.1820017764 VALBUENA, ALFREDO 87 7184
11.9919850753 GUTIERREZ, MARCO 87 7185
11.5423494195 PINEDA, VIVIALBY 75 7186
9.9819687058 GUTIÉRREZ, ANAIVIV 99 7187
8.0318654918 SALAS, JORGE 147 7188
7.9919686802 OLIVAR, GRECIA 128 7189
12.9621397845 FIGUEROA, JOSE 74 7090
11.3520929412 RADA, MAHOLY 74 7091
12.021727247 LUGO, JAIME 80 6992
10.4220188901 DURAN, PEDRO 85 6993
9.9519686910 PEREZ, FABIANA 109 6994
11.7519850559 CORDERO, JULIET 76 6895
11.7520468375 ORTIZ, JOSE 80 6896
10.8120323499 CANELA, LEONEL 91 6897
10.220268748 PEREZ, INDIRA 90 6898
8.9219433704 GUANIPA, MILEIVYS 108 6899
13.421296217 RUIZ, ANA 75 67100
11.5217993694 GONZALEZ, ALFREDO 71 67101
11.4520235552 MARTINEZ, ELIAS 79 67102
25/04/2013 9.25
Pagina 2 de 4
Sistema Cumlaude AV. LAS INDUSTRIAS. NUCLEO OBELISCO. BARQUISIMETO - ESTADO LARA.
02512591581
Pos. CEDULA APELLIDOS Y NOMBRES IND. ACAD. UNID. CURS. UNID. APROB.
11.120021830 DOMINGUEZ, ISVEL 83 67103
10.9420927281 VÁSQUEZ, FRANCISCO 91 67104
10.1423484708 ATACHO, MAGDALY 91 67105
10.0918923918 ALVARADO, EILEN 95 67106
9.0920008451 VASQUEZ, JOHANA 102 67107
9.0323489072 SUBERO, MARIANCELI 107 67108
7.7315885372 PIÑA, DIDANIELA 142 67109
8.6919835208 BALLESTER, ISANGEL 105 66110
10.2620719527 SANCHEZ, JOSE 89 65111
11.2520926496 MENDOZA, EDARLING 80 64112
10.0221521425 MENDOZA, CILYS 87 64113
14.321461521 BRAVO, PABLO 71 63114
12.1318262154 LEON, VIOLETA 81 63115
11.0820188775 ALDANA, JUAN 78 63116
10.1720666187 PUERTA, LUIS 87 63117
9.619953351 CONTRERAS, ILEANA 94 63118
8.9919104782 ARAPE, JORGE 103 63119
8.4121125094 GARCIA, LILIANA 102 63120
11.1117600266 JIMENEZ, ALFRERIS 70 62121
8.6218997800 MARÍN, MARÍA 104 62122
12.2220323390 LINARES, ROBERTH 72 61123
11.4322329105 MACHADO, MARIANGELIZ 77 61124
12.3222306121 MEZA, INDRINA 72 60125
12.2221128401 PEREZ, KAREN 76 60126
11.8219903711 BARLETTA, ENZO 80 60127
11.6419483022 MEZA, INDIRA 72 60128
11.1120920513 AMAYA, ENGELBER 78 60129
11.020924368 LUQUE, LAURYMAR 72 60130
10.9420923425 OLLARVES, DAYANA 74 60131
10.5621141727 FREITEZ, ALEXANDER 80 60132
10.5119650912 CORTES, MIGUEL 72 60133
10.4220803793 PONTE, PRISCILLA 75 60134
10.3321053619 MARQUEZ, LUIS 76 60135
10.2220923281 IZARZA, MARIANNY 91 60136
9.7820924063 GIANGREGORIO, KARELYS 88 60137
13.3520926765 GIMENEZ, DARLING 63 59138
12.2521461267 MORA, ELIZABETH 63 59139
11.9522182734 MENDOZA, JOSE 63 59140
11.721144683 VIRGUEZ, ANDREA 63 59141
11.621526571 DUIN, JOSE 63 59142
10.8921244485 PAZ, LUISANA 82 59143
9.0320152038 DELGADO, JOHELYN 91 59144
10.7320670359 COHEN, KEVIN 74 58145
10.1321126881 SILVA, MAIKER 78 58146
7.4619639793 VIVAS, CLISDERMAR 107 58147
14.5724394654 CAMACARO, MARIA 61 57148
13.4120544498 PIÑERO, MIGUEL 61 57149
12.5921502230 DIAZ, ANGEL 61 57150
12.2520350818 RODRIGUEZ, BRAIYAN 76 57151
12.0224325436 GOMEZ, DANIELA 61 57152
11.5923566684 FONSECA, KLEIVER 72 57153
10.9121295479 ALVAREZ, LEONARD 69 57154
10.8120927537 RODRIGUEZ, ANDREINA 77 57155
10.7521460152 CARUCI, SELENNE 77 57156
10.4421127452 BRITO, DANIELA 76 57157
10.4320008419 PEÑA, JESSICA 89 57158
9.7522939512 ADAN, ANGELICA 81 57159
9.4619697691 VILLARREAL, ROINER 81 57160
13.7220870781 CASTILLO, YETCEVIN 60 56161
25/04/2013 9.25
Pagina 3 de 4
Sistema Cumlaude AV. LAS INDUSTRIAS. NUCLEO OBELISCO. BARQUISIMETO - ESTADO LARA.
02512591581
Pos. CEDULA APELLIDOS Y NOMBRES IND. ACAD. UNID. CURS. UNID. APROB.
13.0322190668 CONTRERAS, ANDREINA 60 56162
12.3223849081 VALERA, MOISES 60 56163
12.1521140295 MAMBELL, OSLEYNIN 60 56164
11.420923830 FREITEZ, PATRICIA 63 56165
10.7220922025 DIAZ, RICARDO 76 56166
10.1320250268 BARRIOS, JESUS 83 56167
10.0120923849 SANCHEZ, ARIANNYS 86 56168
9.9121297909 BRACAMONTE, PAOLA 72 56169
9.6220766230 BARAZARTE, JOSE 76 56170
9.5321302860 PEREZ, GABRIELA 78 56171
8.8820499032 HERRERA, LAZARO 84 56172
8.8219114972 ORTUÑO, ANGELICA 84 56173
8.7120250537 MAJANO, DANIELA 95 56174
10.7820866843 COLMENARES, ELY 71 55175
10.7421142109 SÁNCHEZ, ARGENIS 84 55176
10.0922333494 MENDEZ, MARIANNY 71 55177
7.5816898234 MENDOZA, ENMANUEL 137 55178
6.3417229010 PALACIOS, OSCAR 118 55179
25/04/2013 9.25
Pagina 4 de 4
Sistema Cumlaude AV. LAS INDUSTRIAS. NUCLEO OBELISCO. BARQUISIMETO - ESTADO LARA.
02512591581

Prioridad 5

  • 1.
    LISTADO GRUPOS DEINSCRIPCION Programa: Ingeniería en Informática Lapso Academico: 2013-1 Grupo de PRIORIDAD 5 Fecha de Inscripción: 29/04/2013 Hora de Inicio: 9.00 AM Hora de Culminación: 10.00 AM REPÚBLICA BOLIVARIANA DE VENEZUELA MINISTERIO DEL PODER POPULAR PARA LA EDUCACIÓN SUPERIOR UNIVERSIDAD CENTROCCIDENTAL "LISANDRO ALVARADO" DECANATO DE CIENCIAS Y TECNOLOGIA UNIDAD DE REGISTRO ACADEMICO Pos. CEDULA APELLIDOS Y NOMBRES IND. ACAD. UNID. CURS. UNID. APROB. 15.2821055356 MARACARA, LUIS 91 871 12.7921296406 GATICA, MICHAEL 95 872 12.4521129963 ESCOBAR, VERONICA 95 873 12.321295143 TORRES, ROSA 99 874 12.2619727013 ROJAS, NOHELIMAR 91 875 11.8720920218 PARRA, GABRIELYS 102 876 11.320501261 SANCHEZ, ENDER 103 877 10.820569539 COLINA, GERARDO 114 878 9.0919886477 COLMENAREZ, YAHIMAR 131 879 8.8219572144 GONZÁLEZ, RICARDO 138 8710 12.7923495543 PACHECO, ANTONIO 89 8611 9.6618757889 MUJICA, NEGDY 130 8612 9.1318546307 TORRES, JAVIER 151 8613 11.8118897319 PEREIRA, CARLOS 89 8514 10.319850475 GUEDEZ, PEDRO 132 8515 10.7320719687 MUÑOZ, ERICKSOON 103 8416 9.6919455417 LAMUÑO, CHARLIN 121 8417 9.4919323507 ANCIANI, MARIA 124 8418 12.8420237961 MENDOZA, ABRAHAN 97 8319 10.6320924561 TORRES, JHOANDER 105 8320 10.3219104164 FARIA, JEAN 116 8321 8.6818922430 GUTIERREZ, JUAN 144 8322 8.2117858803 ESCALONA, LUIS 140 8223 12.2120671226 OROPEZA, GENESIS 97 8124 12.1323494342 SANTELIZ, ROSBELY 93 8125 11.2420672749 GARRIDO, KLEYBERTH 96 8126 11.0319696077 ESCALONA, NOREYSI 101 8127 13.6218431259 LISCANO, JOSÉ 84 8028 13.5120928657 GUTIERREZ, OSCAR 84 8029 13.3121295864 NIETO, LUIS 84 8030 13.0721113674 GARCIA, KEVIN 84 8031 12.6520350111 RODRIGUEZ, YENDER 84 8032 11.519817395 MARTINEZ, ADALI 108 8033 11.4224385744 VARGAS, DEYSYMAR 103 8034 10.9420236750 AMARO, ANDRES 96 8035 10.7420009568 YAGUA, GESSIMAR 91 8036 10.6819424443 CARREÑO, GLEIBER 109 8037 8.5818263233 LEON, YHOSEMAR 121 8038 7.6819591311 SADA, ROCCO 151 8039 13.7222260936 ECHEVERRIA, ANA 87 7940 11.4319687420 SILVA, JOSÉ 93 7941 10.1220349308 COLMENAREZ, ASTRIDCAROLINA 95 7942 8.6118737215 DAZA, YENNIFER 130 7943 25/04/2013 9.25 Pagina 1 de 4 Sistema Cumlaude AV. LAS INDUSTRIAS. NUCLEO OBELISCO. BARQUISIMETO - ESTADO LARA. 02512591581
  • 2.
    Pos. CEDULA APELLIDOSY NOMBRES IND. ACAD. UNID. CURS. UNID. APROB. 12.5321295265 MAVARE, ANGEL 82 7844 9.6318334946 TIMAURE, ASTRID 121 7845 8.9920920418 RAMOS, JOSE 114 7846 8.417012277 GARCIA, CANDYMAR 151 7847 12.0120237443 IRIARTE, ROSIANGELLY 100 7748 11.8221144755 HERRERA, YORLY 81 7749 10.6120669145 MASSIAH, MAURICIO 108 7750 9.6520235839 MARTINEZ, JHON 116 7751 8.8319313840 MARTINEZ, ALEJANDRO 109 7752 8.8320017723 MONTALBAN, WILFREDO 120 7753 8.6719114683 PEREZ, ERICK 155 7754 12.4522330327 ORTEGA, DIANNYZ 79 7655 12.2520921360 ECHEVERRIA, CARLOS 88 7656 9.6521144545 MUJICA, YESIKA 98 7657 10.9120473682 SUAREZ, TOMAS 91 7558 10.8821127733 MORA, JESUS 83 7559 9.7820351767 MARTINEZ, EVYTH 102 7560 9.620008971 SOSA, JOSE 104 7561 9.4620188156 BALZA, JOSE 117 7562 9.1521244642 GIMENEZ, LEONARDO 115 7563 12.3720499416 BASTIDAS, MARIA 78 7464 10.8620924774 MAESTRE, ASBEL 86 7465 10.3820348281 MARQUEZ, JAVIER 112 7466 9.2521129021 ROJAS, MARIA 117 7467 9.1320016788 NIETO, JHOANNA 111 7468 8.2220922946 CAMACHO, ISMAEL 117 7469 7.617625053 CADEVILLA, GERALDINE 147 7470 6.2511848172 MEDINA, EULALIO 207 7471 11.7423487679 RODRIGUEZ, JOSE 80 7372 11.2820075465 GOMEZ, YHONNEYLIS 93 7373 10.6723486539 GONZALEZ, BETANIA 99 7374 10.6421134024 PEREZ, CATHERINE 104 7375 8.9820017453 GOMEZ, CHRISTIAN 123 7376 12.320500789 CARRASCO, DORYSMAR 84 7277 9.6521461653 RAMOS, SAUL 100 7278 8.2916899788 TORTORIZE, DANLIS 94 7279 8.2921296527 RIVAS, KEVIN 116 7280 13.920926113 BARRIOS, MARIA 75 7181 13.6820668439 LINARES, BLANCA 75 7182 13.1321505086 MIJARES, KRISTIAN 75 7183 12.1820017764 VALBUENA, ALFREDO 87 7184 11.9919850753 GUTIERREZ, MARCO 87 7185 11.5423494195 PINEDA, VIVIALBY 75 7186 9.9819687058 GUTIÉRREZ, ANAIVIV 99 7187 8.0318654918 SALAS, JORGE 147 7188 7.9919686802 OLIVAR, GRECIA 128 7189 12.9621397845 FIGUEROA, JOSE 74 7090 11.3520929412 RADA, MAHOLY 74 7091 12.021727247 LUGO, JAIME 80 6992 10.4220188901 DURAN, PEDRO 85 6993 9.9519686910 PEREZ, FABIANA 109 6994 11.7519850559 CORDERO, JULIET 76 6895 11.7520468375 ORTIZ, JOSE 80 6896 10.8120323499 CANELA, LEONEL 91 6897 10.220268748 PEREZ, INDIRA 90 6898 8.9219433704 GUANIPA, MILEIVYS 108 6899 13.421296217 RUIZ, ANA 75 67100 11.5217993694 GONZALEZ, ALFREDO 71 67101 11.4520235552 MARTINEZ, ELIAS 79 67102 25/04/2013 9.25 Pagina 2 de 4 Sistema Cumlaude AV. LAS INDUSTRIAS. NUCLEO OBELISCO. BARQUISIMETO - ESTADO LARA. 02512591581
  • 3.
    Pos. CEDULA APELLIDOSY NOMBRES IND. ACAD. UNID. CURS. UNID. APROB. 11.120021830 DOMINGUEZ, ISVEL 83 67103 10.9420927281 VÁSQUEZ, FRANCISCO 91 67104 10.1423484708 ATACHO, MAGDALY 91 67105 10.0918923918 ALVARADO, EILEN 95 67106 9.0920008451 VASQUEZ, JOHANA 102 67107 9.0323489072 SUBERO, MARIANCELI 107 67108 7.7315885372 PIÑA, DIDANIELA 142 67109 8.6919835208 BALLESTER, ISANGEL 105 66110 10.2620719527 SANCHEZ, JOSE 89 65111 11.2520926496 MENDOZA, EDARLING 80 64112 10.0221521425 MENDOZA, CILYS 87 64113 14.321461521 BRAVO, PABLO 71 63114 12.1318262154 LEON, VIOLETA 81 63115 11.0820188775 ALDANA, JUAN 78 63116 10.1720666187 PUERTA, LUIS 87 63117 9.619953351 CONTRERAS, ILEANA 94 63118 8.9919104782 ARAPE, JORGE 103 63119 8.4121125094 GARCIA, LILIANA 102 63120 11.1117600266 JIMENEZ, ALFRERIS 70 62121 8.6218997800 MARÍN, MARÍA 104 62122 12.2220323390 LINARES, ROBERTH 72 61123 11.4322329105 MACHADO, MARIANGELIZ 77 61124 12.3222306121 MEZA, INDRINA 72 60125 12.2221128401 PEREZ, KAREN 76 60126 11.8219903711 BARLETTA, ENZO 80 60127 11.6419483022 MEZA, INDIRA 72 60128 11.1120920513 AMAYA, ENGELBER 78 60129 11.020924368 LUQUE, LAURYMAR 72 60130 10.9420923425 OLLARVES, DAYANA 74 60131 10.5621141727 FREITEZ, ALEXANDER 80 60132 10.5119650912 CORTES, MIGUEL 72 60133 10.4220803793 PONTE, PRISCILLA 75 60134 10.3321053619 MARQUEZ, LUIS 76 60135 10.2220923281 IZARZA, MARIANNY 91 60136 9.7820924063 GIANGREGORIO, KARELYS 88 60137 13.3520926765 GIMENEZ, DARLING 63 59138 12.2521461267 MORA, ELIZABETH 63 59139 11.9522182734 MENDOZA, JOSE 63 59140 11.721144683 VIRGUEZ, ANDREA 63 59141 11.621526571 DUIN, JOSE 63 59142 10.8921244485 PAZ, LUISANA 82 59143 9.0320152038 DELGADO, JOHELYN 91 59144 10.7320670359 COHEN, KEVIN 74 58145 10.1321126881 SILVA, MAIKER 78 58146 7.4619639793 VIVAS, CLISDERMAR 107 58147 14.5724394654 CAMACARO, MARIA 61 57148 13.4120544498 PIÑERO, MIGUEL 61 57149 12.5921502230 DIAZ, ANGEL 61 57150 12.2520350818 RODRIGUEZ, BRAIYAN 76 57151 12.0224325436 GOMEZ, DANIELA 61 57152 11.5923566684 FONSECA, KLEIVER 72 57153 10.9121295479 ALVAREZ, LEONARD 69 57154 10.8120927537 RODRIGUEZ, ANDREINA 77 57155 10.7521460152 CARUCI, SELENNE 77 57156 10.4421127452 BRITO, DANIELA 76 57157 10.4320008419 PEÑA, JESSICA 89 57158 9.7522939512 ADAN, ANGELICA 81 57159 9.4619697691 VILLARREAL, ROINER 81 57160 13.7220870781 CASTILLO, YETCEVIN 60 56161 25/04/2013 9.25 Pagina 3 de 4 Sistema Cumlaude AV. LAS INDUSTRIAS. NUCLEO OBELISCO. BARQUISIMETO - ESTADO LARA. 02512591581
  • 4.
    Pos. CEDULA APELLIDOSY NOMBRES IND. ACAD. UNID. CURS. UNID. APROB. 13.0322190668 CONTRERAS, ANDREINA 60 56162 12.3223849081 VALERA, MOISES 60 56163 12.1521140295 MAMBELL, OSLEYNIN 60 56164 11.420923830 FREITEZ, PATRICIA 63 56165 10.7220922025 DIAZ, RICARDO 76 56166 10.1320250268 BARRIOS, JESUS 83 56167 10.0120923849 SANCHEZ, ARIANNYS 86 56168 9.9121297909 BRACAMONTE, PAOLA 72 56169 9.6220766230 BARAZARTE, JOSE 76 56170 9.5321302860 PEREZ, GABRIELA 78 56171 8.8820499032 HERRERA, LAZARO 84 56172 8.8219114972 ORTUÑO, ANGELICA 84 56173 8.7120250537 MAJANO, DANIELA 95 56174 10.7820866843 COLMENARES, ELY 71 55175 10.7421142109 SÁNCHEZ, ARGENIS 84 55176 10.0922333494 MENDEZ, MARIANNY 71 55177 7.5816898234 MENDOZA, ENMANUEL 137 55178 6.3417229010 PALACIOS, OSCAR 118 55179 25/04/2013 9.25 Pagina 4 de 4 Sistema Cumlaude AV. LAS INDUSTRIAS. NUCLEO OBELISCO. BARQUISIMETO - ESTADO LARA. 02512591581