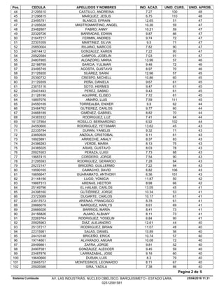
LISTADO GRUPOS DE INSCRIPCION
Programa: Ingeniería en Informática
Lapso Academico: 2016-1
Grupo de PRIORIDAD 6
Fecha de Inscripción: 26/04/2016
Hora de Inicio: 3.15 PM
Hora de Culminación: 4.00 PM
REPÚBLICA BOLIVARIANA DE VENEZUELA
MINISTERIO DEL PODER POPULAR
PARA LA EDUCACIÓN SUPERIOR
UNIVERSIDAD CENTROCCIDENTAL
"LISANDRO ALVARADO"
DECANATO DE CIENCIAS Y TECNOLOGIA
UNIDAD DE REGISTRO ACADEMICO
Pos. CEDULA APELLIDOS Y NOMBRES IND. ACAD. UNID. CURS. UNID. APROB.
14.0722329075 MEZA, WILLIAM 58 541
12.5923482797 PALENCIA, REBECA 62 542
11.0425148281 LUCAS, FELIX 75 543
9.0523570717 PÉREZ, ANGEL 82 544
13.3324711462 SORETT, ERLANYERTH 61 535
12.5225147773 SAENZ, MARCO 57 536
11.6225145747 PADUA, MARCO 61 537
8.9721296577 APONTE, LUISANA 89 538
8.2722333045 GUTIERREZ, DANIEL 84 539
11.7523488983 FERNANDEZ, LUIS 60 5210
10.6722332926 MARTINEZ, YENIFER 64 5211
10.6424156431 ABBATE, ANGELICA 72 5212
9.2122181456 ALVARADO, WILMER 67 5213
9.0723575871 NAVAS, KEINDERBERTH 84 5214
8.5619590246 RIVERO, YOERLLYS 88 5215
5.8318923441 LAMEDA, JEAN 111 5216
12.8121297688 NIEVES, EDUARDO 55 5117
11.8125834530 GOMEZ, NERVY 62 5118
11.4223845903 RAMONES, FRANCYS 62 5119
8.4924364605 MARCHAN, IDILENNYS 97 5120
6.6519106706 GONZALEZ, LUIS 125 5121
14.0223052700 VARGAS, MARÍA DEL 54 5022
8.9822314745 GIL, YULEIDY 97 5023
8.6822192876 PULGARIN, JESUS 78 5024
8.0719828650 MARIN, RICARDO 90 5025
11.022328953 VARGAS, JHONNY 61 4926
10.4124201812 RUIZ, GARY 61 4927
10.3619432618 PARADAS, EDDUAR 56 4928
9.9621143510 ACEVEDO, MIGUEL 69 4929
8.3520250962 PEREZ, ESTEFANY 89 4930
7.9721505924 VILORIA, CARLOS 94 4931
7.9420542996 TOLA, GREGORIO 81 4932
10.1825570511 ALVARADO, OSCAR 60 4833
10.1121142679 RODRIGUEZ, MARIA 76 4834
9.4520016364 DAZA, ALBEIRO 76 4835
9.4223487971 BENAVIDES, LUIS 72 4836
9.425148574 BRITO, JESSAN 79 4837
9.2520928529 VALENZUELA, NOHANDRYS 88 4838
9.2224771636 GUTIERREZ, BEILA 68 4839
8.5920189457 MENDOZA, ARNOLDO 103 4840
8.3519614482 GONZÁLEZ, KENT 88 4841
7.9117872811 LUCENA, YUSBEIGLIS 70 4842
7.4521460996 FLORES, STEPHANY 88 4843
25/04/2016 11.31
Pagina 1 de 5
Sistema Cumlaude AV. LAS INDUSTRIAS. NUCLEO OBELISCO. BARQUISIMETO - ESTADO LARA.
02512591581
Pos. CEDULA APELLIDOS Y NOMBRES IND. ACAD. UNID. CURS. UNID. APROB.
7.2721295510 CASTILLO, ANDREINA 100 4844
6.7521296815 MARQUEZ, JESUS 110 4845
12.6523495781 BLANCO, EFRAIN 51 4746
10.3621295628 MASTROMARTINO, ANGEL 59 4747
10.2123482807 FABRO, ANNY 59 4748
9.8722329726 BARRADAS, EDWIN 86 4749
9.7421047217 FERMIN, ANDRES 72 4750
9.522301059 MARTINEZ, SILVIA 71 4751
7.8220850004 RUJANO, MARCOS 90 4752
7.2224614412 GONZALEZ, KAREN 90 4753
7.0320920584 CAMPOS, JOSELIN 91 4754
13.9624807885 ALDAZORO, MARIA 57 4655
9.4822198789 GARCIA, YULIMAR 72 4656
8.9723495749 ACOSTA, GUSTAVO 70 4657
12.9621125920 SUÁREZ, SARAÍ 57 4558
10.8625390732 CRESPO, MICHELL 60 4559
9.6721129359 PEÑA, DANIELA 61 4560
9.4723815116 SOTO, HERMES 61 4561
9.4325401493 PEREZ, SABAD 61 4562
7.7221128190 AGUIRRE, ELISEO 81 4563
7.5918897076 AMARO, LUIS 111 4564
9.924550109 TORREALBA, ENIXER 62 4465
9.7723484762 GUTIEREZ, CARLOS 60 4466
8.8224668189 GIMÉNEZ, GABRIEL 70 4467
7.4124383332 RODRIGUEZ, LUZ 84 4468
6.9218137864 ROSILLO, BERNARDINO 102 4469
13.6224550600 RODRIGUEZ, YETSIMAR 45 4370
9.3222335794 DURAN, YANELIS 71 4371
9.1123850929 ANZOLA, CRISTOBAL 61 4372
8.3718923891 ARRIECHE, ANALY 83 4373
8.1324386283 VERDE, MARIA 75 4374
8.0324385025 ARIAS, GUSTAVO 78 4375
7.7320921603 PERAZA, LUIGI 88 4376
7.5419687415 CORDERO, JORGE 90 4377
7.2821295593 RODRIGUEZ, GERARDO 84 4378
7.2220272147 BRICEÑO, GUILLERMO 94 4379
6.8219590165 CAMACHO, DAVID 106 4380
6.3618656647 GUARAMATO, ANTHONY 101 4381
11.8721144190 LUGO, YONICIA 50 4282
8.9819887313 ARENAS, HECTOR 66 4283
13.0525149796 EL HALABI, CARLOS 45 4184
10.3424398160 GUTIÉRREZ, JORGE 53 4185
10.1723723089 DUGARTE, CARLOS 61 4186
8.7823917673 ARENAS, FRANCISCO 61 4187
8.6120666079 MARQUEZ, KARLYS 69 4188
8.4120666026 BARRIOS, MARÍA 73 4189
8.1124156826 ALMAO, ALBANY 73 4190
6.8422263764 RODRIGUEZ, YOSELIN 90 4191
12.6120925963 DIAZ, ALEJANDRO 44 4092
11.0725137217 RODRIGUEZ, BRIAN 48 4093
10.8922315981 SALAS, DANIEL 56 4094
10.7424410148 BRICEÑO, ERICK 57 4095
10.0819714801 ALVARADO, ANUAR 72 4096
9.8120499861 ZAFRA, JORGE 52 4097
9.4524907581 GONZÁLEZ, ALECCER 59 4098
9.1823487876 LARRAZABAL, JOSE 60 4099
8.219640660 DURAN, LUIS 79 40100
8.1123845757 MONTESINOS, LEONARDO 67 40101
7.3820926586 SIRA, YADILA 86 40102
25/04/2016 11.31
Pagina 2 de 5
Sistema Cumlaude AV. LAS INDUSTRIAS. NUCLEO OBELISCO. BARQUISIMETO - ESTADO LARA.
02512591581
Pos. CEDULA APELLIDOS Y NOMBRES IND. ACAD. UNID. CURS. UNID. APROB.
6.4113960178 JIMENEZ, SABY 140 40103
5.0717993278 ZAMBRANO, EDGAR 118 40104
3.8820472835 SUAREZ, MAIKELL 54 40105
14.0824022213 FIGUEREDO, MARIA 42 39106
13.6525293707 JIMENEZ, JOSEPHNY 43 39107
11.4522186736 NOGUERA, YENNY 47 39108
10.6823811717 CASTILLO, NELSON 56 39109
9.8324566550 RODRIGUEZ, ARLIBETH 63 39110
9.525031399 MARTINEZ, SORANYELY 55 39111
8.4323485794 RODRIGUEZ, VANESSA 77 39112
7.7820499983 DUNO, ADOLFO 69 39113
7.3320431501 PAREDES, VIVIANA 75 39114
6.7821505337 ARRIECHE, FRANYELIS 97 39115
13.7926134205 DREYER, GABRIELA 42 38116
13.1824339716 LÓPEZ, YORDAN 42 38117
13.1226602591 D`AMELIO, JOSE 46 38118
12.023850200 CASTILLO, KEVIN 46 38119
8.9224557060 FERNANDEZ, GERSON 62 38120
8.824925448 DAZA, ANNY 69 38121
8.5823904045 GUTIERREZ, WILLIAMS 53 38122
7.1421054918 YEPEZ, JORGEANA 83 38123
6.1720928134 GOMEZ, EGLYS 80 38124
13.024340296 CUICAS, WILDER 41 37125
12.2925961527 CAMACHO, VICMARY 41 37126
11.1325570809 GUTIERREZ, JAIRIANNY 41 37127
10.5724463542 ZAMBRANO, RAFAEL 49 37128
10.124680221 VIRGUEZ, GRENCY 61 37129
9.9224550416 LAMEDA, YULIMAR 52 37130
7.920320993 SEQUERA, BEATRIZ 81 37131
7.922189740 BECERRA, CINDY 61 37132
7.823851370 PAPEL, LUIS 61 37133
6.7721128660 GARCIA, MARÍA 87 37134
13.3925293694 PEREZ, ANDREA 44 36135
12.9524165392 SUAREZ, LUIS 44 36136
12.7826141815 MARTINEZ, FARIALIS 44 36137
12.5125293411 CHIRINOS, ISAMAR 44 36138
12.0523537532 PASTRÁN, MOISES 43 36139
11.9825442467 GAMBOA, DAVID 44 36140
11.6123098163 OSORIO, SERGIO 44 36141
11.1725146767 GUILLEN, JOSÉ 48 36142
10.125147634 MUJICA, NATALI 44 36143
9.2723807288 SANDOVAL, ARON 52 36144
9.2521460790 PEÑA, ISORA 56 36145
9.1724156898 CASTILLO, LUIS 56 36146
9.021127343 PEÑA, MARIANGELIS 48 36147
8.9525149426 MURILLO, OSCAR 60 36148
8.3424339582 FUENMAYOR, ALFREDO 56 36149
7.6921128116 PEÑA, NAYAMIR 62 36150
7.3620045087 ECHEVERRIA, DIMARYS 74 36151
7.2520666377 TORREALBA, JHOANNE 87 36152
6.2823481341 RIVERO, YENDRY 85 36153
6.0320348277 ESCALONA, NAUDY 81 36154
5.6820016060 QUIROZ, ANNY 93 36155
13.4724383936 ESCALONA, EMILY 43 35156
12.2623488736 LEAL, DANIEL 43 35157
12.2323903879 FIGUEROA, CARLOS 43 35158
10.2123833426 ALMAO, BETZABETH 47 35159
9.3622190791 CORDERO, JOSÉ 55 35160
8.722196288 MORA, JAIMERY 47 35161
25/04/2016 11.31
Pagina 3 de 5
Sistema Cumlaude AV. LAS INDUSTRIAS. NUCLEO OBELISCO. BARQUISIMETO - ESTADO LARA.
02512591581
Pos. CEDULA APELLIDOS Y NOMBRES IND. ACAD. UNID. CURS. UNID. APROB.
8.4619886529 MUJICA, KHARIS 59 35162
7.019615765 APONTE, MANUEL 59 35163
6.118861569 CASTILLO, DIEGO 106 35164
11.4625403809 GALLARDO, MARIOL 42 34165
10.9225442617 ECHEVERRIA, JOANALY 42 34166
9.7523487716 VASQUEZ, ALEXANDER 54 34167
7.7823252236 CAMACHO, JOEL 54 34168
7.6423517170 RIVAS, VICTOR 64 34169
7.2820187854 HERNANDEZ, ARIANNY 68 34170
6.8619591832 NOGUEIRA, JUAN 90 34171
6.3424143606 GAESTER, HECTOR 74 34172
11.5124989235 PEREZ, MARIANNYS 41 33173
10.2925857956 MARTINEZ, LESTER 45 33174
8.5424160257 RODRIGUEZ, XIANGN 61 33175
6.4524156007 TIMAURE, YANEIVYS 72 33176
6.4224567314 HEREDIA, WILMARY 65 33177
15.3524339624 ROMERO, EDUARDO 40 32178
8.9620046141 FLORES, JULEIDY 48 32179
8.6225526463 PEREZ, YOJAN 58 32180
7.4723813156 REYES, ANTHONY 60 32181
6.5820187606 DIAZ, INEILYS 84 32182
6.0421725345 BRICEÑO, FREDDY 78 32183
5.5919323551 MARTINEZ, ELAINE 90 32184
10.8725254270 NAVAS, JOSE 39 31185
9.7525753866 CASTILLO, EDILEX 39 31186
8.8823364719 RONDON, KARLA 58 31187
8.7524159786 GOACUTO, GABRIEL 55 31188
8.7120045409 VALERA, GABRIEL 51 31189
7.7323835258 LEAL, JUAN 59 31190
7.3422329545 RAMOS, YESEIRYS 59 31191
6.219263330 FLOREZ, MILEIDY 89 31192
9.8225961801 MENDOZA, JOSÉ 41 30193
9.1425951472 PASTRAN, MASSIEL 38 30194
8.6823488240 BARRADAS, ANDREA 62 30195
8.1525136610 PUERTA, ELIMAR 50 30196
7.8524326630 VALERA, CARLOS 58 30197
7.5525138318 COLMENAREZ, JOSE 45 30198
10.1820236037 PÁEZ, ANIA 45 29199
10.1124684286 LÓPEZ, LUIS 40 29200
9.2524680176 RAMIREZ, DAYANA 53 29201
8.5824162757 RIVAS, YANEXI 57 29202
8.2224704938 NOGUERA, PEDRO 60 29203
7.2825139701 LEON, JHONNYS 53 29204
6.2222316761 TRAVIEZO, JOSE 69 29205
5.8819433028 GIL, YHONNY 75 29206
10.4326378059 CONTRERAS, JHON 40 28207
9.8624325660 GONZALEZ, MARIA 40 28208
9.723835965 CARMONA, RAFAEL 36 28209
7.7520667665 URE, JENNIFFER 54 28210
7.7324157188 FIGUEROA, EVELYN 52 28211
6.9122323754 ROSENDO, YOSELIN 56 28212
10.4684363018 HOU, ZHU 39 27213
9.9725136389 REYES, ANDREA 39 27214
9.1525137503 GÓMEZ, NAPOLEÓN 55 27215
8.6725541539 MUÑOZ, MARINEL 39 27216
8.4322198798 QUERALES, FRANKLIN 43 27217
7.9821461709 VON BUREN, DAVID 51 27218
6.4420188629 CROWTHER, FERNANDO 61 27219
6.4223487710 VARGAS, MANUEL 57 27220
25/04/2016 11.31
Pagina 4 de 5
Sistema Cumlaude AV. LAS INDUSTRIAS. NUCLEO OBELISCO. BARQUISIMETO - ESTADO LARA.
02512591581
Pos. CEDULA APELLIDOS Y NOMBRES IND. ACAD. UNID. CURS. UNID. APROB.
5.2224557054 ASUAJE, GILBERTO 51 27221
5.2122269413 URDANETA, DANIELA 64 27222
9.825951474 PASTRAN, MAGDIEL 38 26223
8.3325136551 GUTIERREZ, JUAN 46 26224
7.9726357029 RODRIGUEZ, CIRIANNI 42 26225
7.8525627008 YAJURE, PATRICIA 42 26226
7.5925390933 VERGEL, MARIA 42 26227
7.0321461157 MENDOZA, GIANFRANCO 67 26228
6.7421725253 OVIEDO, YOHANDER 46 26229
5.8618773868 DAZA, LUIGI 69 26230
10.1425747099 GRATEROL, ELIZA 37 25231
9.9524156857 MELENDEZ, MELVER 37 25232
9.1524667396 PINEDA, ROBERT 46 25233
9.1121126983 TORO, YALIMAR 49 25234
8.8623579843 HERRERA, JESUS 37 25235
8.5124015020 MARTINEZ, ANGEL 41 25236
8.4923495407 MARTINEZ, NILDA MARIA 40 25237
7.1521502229 HORDYJ, JHONDER 47 25238
7.1221054063 LEOPOLDO, MILLAN 49 25239
6.8121505165 PAEZ, SNAIDER 59 25240
6.6820668220 LUCENA, MIURIEL 63 25241
6.1318733510 LUQUE, JUANA 36 25242
5.7523486703 ORTIZ, ELENIS 61 25243
5.3920351513 JIMÉNEZ, CARMEN 71 25244
5.1219615186 GOMEZ, JOSE 49 25245
25/04/2016 11.31
Pagina 5 de 5
Sistema Cumlaude AV. LAS INDUSTRIAS. NUCLEO OBELISCO. BARQUISIMETO - ESTADO LARA.
02512591581

PRIORIDAD 6

  • 1.
    LISTADO GRUPOS DEINSCRIPCION Programa: Ingeniería en Informática Lapso Academico: 2016-1 Grupo de PRIORIDAD 6 Fecha de Inscripción: 26/04/2016 Hora de Inicio: 3.15 PM Hora de Culminación: 4.00 PM REPÚBLICA BOLIVARIANA DE VENEZUELA MINISTERIO DEL PODER POPULAR PARA LA EDUCACIÓN SUPERIOR UNIVERSIDAD CENTROCCIDENTAL "LISANDRO ALVARADO" DECANATO DE CIENCIAS Y TECNOLOGIA UNIDAD DE REGISTRO ACADEMICO Pos. CEDULA APELLIDOS Y NOMBRES IND. ACAD. UNID. CURS. UNID. APROB. 14.0722329075 MEZA, WILLIAM 58 541 12.5923482797 PALENCIA, REBECA 62 542 11.0425148281 LUCAS, FELIX 75 543 9.0523570717 PÉREZ, ANGEL 82 544 13.3324711462 SORETT, ERLANYERTH 61 535 12.5225147773 SAENZ, MARCO 57 536 11.6225145747 PADUA, MARCO 61 537 8.9721296577 APONTE, LUISANA 89 538 8.2722333045 GUTIERREZ, DANIEL 84 539 11.7523488983 FERNANDEZ, LUIS 60 5210 10.6722332926 MARTINEZ, YENIFER 64 5211 10.6424156431 ABBATE, ANGELICA 72 5212 9.2122181456 ALVARADO, WILMER 67 5213 9.0723575871 NAVAS, KEINDERBERTH 84 5214 8.5619590246 RIVERO, YOERLLYS 88 5215 5.8318923441 LAMEDA, JEAN 111 5216 12.8121297688 NIEVES, EDUARDO 55 5117 11.8125834530 GOMEZ, NERVY 62 5118 11.4223845903 RAMONES, FRANCYS 62 5119 8.4924364605 MARCHAN, IDILENNYS 97 5120 6.6519106706 GONZALEZ, LUIS 125 5121 14.0223052700 VARGAS, MARÍA DEL 54 5022 8.9822314745 GIL, YULEIDY 97 5023 8.6822192876 PULGARIN, JESUS 78 5024 8.0719828650 MARIN, RICARDO 90 5025 11.022328953 VARGAS, JHONNY 61 4926 10.4124201812 RUIZ, GARY 61 4927 10.3619432618 PARADAS, EDDUAR 56 4928 9.9621143510 ACEVEDO, MIGUEL 69 4929 8.3520250962 PEREZ, ESTEFANY 89 4930 7.9721505924 VILORIA, CARLOS 94 4931 7.9420542996 TOLA, GREGORIO 81 4932 10.1825570511 ALVARADO, OSCAR 60 4833 10.1121142679 RODRIGUEZ, MARIA 76 4834 9.4520016364 DAZA, ALBEIRO 76 4835 9.4223487971 BENAVIDES, LUIS 72 4836 9.425148574 BRITO, JESSAN 79 4837 9.2520928529 VALENZUELA, NOHANDRYS 88 4838 9.2224771636 GUTIERREZ, BEILA 68 4839 8.5920189457 MENDOZA, ARNOLDO 103 4840 8.3519614482 GONZÁLEZ, KENT 88 4841 7.9117872811 LUCENA, YUSBEIGLIS 70 4842 7.4521460996 FLORES, STEPHANY 88 4843 25/04/2016 11.31 Pagina 1 de 5 Sistema Cumlaude AV. LAS INDUSTRIAS. NUCLEO OBELISCO. BARQUISIMETO - ESTADO LARA. 02512591581
  • 2.
    Pos. CEDULA APELLIDOSY NOMBRES IND. ACAD. UNID. CURS. UNID. APROB. 7.2721295510 CASTILLO, ANDREINA 100 4844 6.7521296815 MARQUEZ, JESUS 110 4845 12.6523495781 BLANCO, EFRAIN 51 4746 10.3621295628 MASTROMARTINO, ANGEL 59 4747 10.2123482807 FABRO, ANNY 59 4748 9.8722329726 BARRADAS, EDWIN 86 4749 9.7421047217 FERMIN, ANDRES 72 4750 9.522301059 MARTINEZ, SILVIA 71 4751 7.8220850004 RUJANO, MARCOS 90 4752 7.2224614412 GONZALEZ, KAREN 90 4753 7.0320920584 CAMPOS, JOSELIN 91 4754 13.9624807885 ALDAZORO, MARIA 57 4655 9.4822198789 GARCIA, YULIMAR 72 4656 8.9723495749 ACOSTA, GUSTAVO 70 4657 12.9621125920 SUÁREZ, SARAÍ 57 4558 10.8625390732 CRESPO, MICHELL 60 4559 9.6721129359 PEÑA, DANIELA 61 4560 9.4723815116 SOTO, HERMES 61 4561 9.4325401493 PEREZ, SABAD 61 4562 7.7221128190 AGUIRRE, ELISEO 81 4563 7.5918897076 AMARO, LUIS 111 4564 9.924550109 TORREALBA, ENIXER 62 4465 9.7723484762 GUTIEREZ, CARLOS 60 4466 8.8224668189 GIMÉNEZ, GABRIEL 70 4467 7.4124383332 RODRIGUEZ, LUZ 84 4468 6.9218137864 ROSILLO, BERNARDINO 102 4469 13.6224550600 RODRIGUEZ, YETSIMAR 45 4370 9.3222335794 DURAN, YANELIS 71 4371 9.1123850929 ANZOLA, CRISTOBAL 61 4372 8.3718923891 ARRIECHE, ANALY 83 4373 8.1324386283 VERDE, MARIA 75 4374 8.0324385025 ARIAS, GUSTAVO 78 4375 7.7320921603 PERAZA, LUIGI 88 4376 7.5419687415 CORDERO, JORGE 90 4377 7.2821295593 RODRIGUEZ, GERARDO 84 4378 7.2220272147 BRICEÑO, GUILLERMO 94 4379 6.8219590165 CAMACHO, DAVID 106 4380 6.3618656647 GUARAMATO, ANTHONY 101 4381 11.8721144190 LUGO, YONICIA 50 4282 8.9819887313 ARENAS, HECTOR 66 4283 13.0525149796 EL HALABI, CARLOS 45 4184 10.3424398160 GUTIÉRREZ, JORGE 53 4185 10.1723723089 DUGARTE, CARLOS 61 4186 8.7823917673 ARENAS, FRANCISCO 61 4187 8.6120666079 MARQUEZ, KARLYS 69 4188 8.4120666026 BARRIOS, MARÍA 73 4189 8.1124156826 ALMAO, ALBANY 73 4190 6.8422263764 RODRIGUEZ, YOSELIN 90 4191 12.6120925963 DIAZ, ALEJANDRO 44 4092 11.0725137217 RODRIGUEZ, BRIAN 48 4093 10.8922315981 SALAS, DANIEL 56 4094 10.7424410148 BRICEÑO, ERICK 57 4095 10.0819714801 ALVARADO, ANUAR 72 4096 9.8120499861 ZAFRA, JORGE 52 4097 9.4524907581 GONZÁLEZ, ALECCER 59 4098 9.1823487876 LARRAZABAL, JOSE 60 4099 8.219640660 DURAN, LUIS 79 40100 8.1123845757 MONTESINOS, LEONARDO 67 40101 7.3820926586 SIRA, YADILA 86 40102 25/04/2016 11.31 Pagina 2 de 5 Sistema Cumlaude AV. LAS INDUSTRIAS. NUCLEO OBELISCO. BARQUISIMETO - ESTADO LARA. 02512591581
  • 3.
    Pos. CEDULA APELLIDOSY NOMBRES IND. ACAD. UNID. CURS. UNID. APROB. 6.4113960178 JIMENEZ, SABY 140 40103 5.0717993278 ZAMBRANO, EDGAR 118 40104 3.8820472835 SUAREZ, MAIKELL 54 40105 14.0824022213 FIGUEREDO, MARIA 42 39106 13.6525293707 JIMENEZ, JOSEPHNY 43 39107 11.4522186736 NOGUERA, YENNY 47 39108 10.6823811717 CASTILLO, NELSON 56 39109 9.8324566550 RODRIGUEZ, ARLIBETH 63 39110 9.525031399 MARTINEZ, SORANYELY 55 39111 8.4323485794 RODRIGUEZ, VANESSA 77 39112 7.7820499983 DUNO, ADOLFO 69 39113 7.3320431501 PAREDES, VIVIANA 75 39114 6.7821505337 ARRIECHE, FRANYELIS 97 39115 13.7926134205 DREYER, GABRIELA 42 38116 13.1824339716 LÓPEZ, YORDAN 42 38117 13.1226602591 D`AMELIO, JOSE 46 38118 12.023850200 CASTILLO, KEVIN 46 38119 8.9224557060 FERNANDEZ, GERSON 62 38120 8.824925448 DAZA, ANNY 69 38121 8.5823904045 GUTIERREZ, WILLIAMS 53 38122 7.1421054918 YEPEZ, JORGEANA 83 38123 6.1720928134 GOMEZ, EGLYS 80 38124 13.024340296 CUICAS, WILDER 41 37125 12.2925961527 CAMACHO, VICMARY 41 37126 11.1325570809 GUTIERREZ, JAIRIANNY 41 37127 10.5724463542 ZAMBRANO, RAFAEL 49 37128 10.124680221 VIRGUEZ, GRENCY 61 37129 9.9224550416 LAMEDA, YULIMAR 52 37130 7.920320993 SEQUERA, BEATRIZ 81 37131 7.922189740 BECERRA, CINDY 61 37132 7.823851370 PAPEL, LUIS 61 37133 6.7721128660 GARCIA, MARÍA 87 37134 13.3925293694 PEREZ, ANDREA 44 36135 12.9524165392 SUAREZ, LUIS 44 36136 12.7826141815 MARTINEZ, FARIALIS 44 36137 12.5125293411 CHIRINOS, ISAMAR 44 36138 12.0523537532 PASTRÁN, MOISES 43 36139 11.9825442467 GAMBOA, DAVID 44 36140 11.6123098163 OSORIO, SERGIO 44 36141 11.1725146767 GUILLEN, JOSÉ 48 36142 10.125147634 MUJICA, NATALI 44 36143 9.2723807288 SANDOVAL, ARON 52 36144 9.2521460790 PEÑA, ISORA 56 36145 9.1724156898 CASTILLO, LUIS 56 36146 9.021127343 PEÑA, MARIANGELIS 48 36147 8.9525149426 MURILLO, OSCAR 60 36148 8.3424339582 FUENMAYOR, ALFREDO 56 36149 7.6921128116 PEÑA, NAYAMIR 62 36150 7.3620045087 ECHEVERRIA, DIMARYS 74 36151 7.2520666377 TORREALBA, JHOANNE 87 36152 6.2823481341 RIVERO, YENDRY 85 36153 6.0320348277 ESCALONA, NAUDY 81 36154 5.6820016060 QUIROZ, ANNY 93 36155 13.4724383936 ESCALONA, EMILY 43 35156 12.2623488736 LEAL, DANIEL 43 35157 12.2323903879 FIGUEROA, CARLOS 43 35158 10.2123833426 ALMAO, BETZABETH 47 35159 9.3622190791 CORDERO, JOSÉ 55 35160 8.722196288 MORA, JAIMERY 47 35161 25/04/2016 11.31 Pagina 3 de 5 Sistema Cumlaude AV. LAS INDUSTRIAS. NUCLEO OBELISCO. BARQUISIMETO - ESTADO LARA. 02512591581
  • 4.
    Pos. CEDULA APELLIDOSY NOMBRES IND. ACAD. UNID. CURS. UNID. APROB. 8.4619886529 MUJICA, KHARIS 59 35162 7.019615765 APONTE, MANUEL 59 35163 6.118861569 CASTILLO, DIEGO 106 35164 11.4625403809 GALLARDO, MARIOL 42 34165 10.9225442617 ECHEVERRIA, JOANALY 42 34166 9.7523487716 VASQUEZ, ALEXANDER 54 34167 7.7823252236 CAMACHO, JOEL 54 34168 7.6423517170 RIVAS, VICTOR 64 34169 7.2820187854 HERNANDEZ, ARIANNY 68 34170 6.8619591832 NOGUEIRA, JUAN 90 34171 6.3424143606 GAESTER, HECTOR 74 34172 11.5124989235 PEREZ, MARIANNYS 41 33173 10.2925857956 MARTINEZ, LESTER 45 33174 8.5424160257 RODRIGUEZ, XIANGN 61 33175 6.4524156007 TIMAURE, YANEIVYS 72 33176 6.4224567314 HEREDIA, WILMARY 65 33177 15.3524339624 ROMERO, EDUARDO 40 32178 8.9620046141 FLORES, JULEIDY 48 32179 8.6225526463 PEREZ, YOJAN 58 32180 7.4723813156 REYES, ANTHONY 60 32181 6.5820187606 DIAZ, INEILYS 84 32182 6.0421725345 BRICEÑO, FREDDY 78 32183 5.5919323551 MARTINEZ, ELAINE 90 32184 10.8725254270 NAVAS, JOSE 39 31185 9.7525753866 CASTILLO, EDILEX 39 31186 8.8823364719 RONDON, KARLA 58 31187 8.7524159786 GOACUTO, GABRIEL 55 31188 8.7120045409 VALERA, GABRIEL 51 31189 7.7323835258 LEAL, JUAN 59 31190 7.3422329545 RAMOS, YESEIRYS 59 31191 6.219263330 FLOREZ, MILEIDY 89 31192 9.8225961801 MENDOZA, JOSÉ 41 30193 9.1425951472 PASTRAN, MASSIEL 38 30194 8.6823488240 BARRADAS, ANDREA 62 30195 8.1525136610 PUERTA, ELIMAR 50 30196 7.8524326630 VALERA, CARLOS 58 30197 7.5525138318 COLMENAREZ, JOSE 45 30198 10.1820236037 PÁEZ, ANIA 45 29199 10.1124684286 LÓPEZ, LUIS 40 29200 9.2524680176 RAMIREZ, DAYANA 53 29201 8.5824162757 RIVAS, YANEXI 57 29202 8.2224704938 NOGUERA, PEDRO 60 29203 7.2825139701 LEON, JHONNYS 53 29204 6.2222316761 TRAVIEZO, JOSE 69 29205 5.8819433028 GIL, YHONNY 75 29206 10.4326378059 CONTRERAS, JHON 40 28207 9.8624325660 GONZALEZ, MARIA 40 28208 9.723835965 CARMONA, RAFAEL 36 28209 7.7520667665 URE, JENNIFFER 54 28210 7.7324157188 FIGUEROA, EVELYN 52 28211 6.9122323754 ROSENDO, YOSELIN 56 28212 10.4684363018 HOU, ZHU 39 27213 9.9725136389 REYES, ANDREA 39 27214 9.1525137503 GÓMEZ, NAPOLEÓN 55 27215 8.6725541539 MUÑOZ, MARINEL 39 27216 8.4322198798 QUERALES, FRANKLIN 43 27217 7.9821461709 VON BUREN, DAVID 51 27218 6.4420188629 CROWTHER, FERNANDO 61 27219 6.4223487710 VARGAS, MANUEL 57 27220 25/04/2016 11.31 Pagina 4 de 5 Sistema Cumlaude AV. LAS INDUSTRIAS. NUCLEO OBELISCO. BARQUISIMETO - ESTADO LARA. 02512591581
  • 5.
    Pos. CEDULA APELLIDOSY NOMBRES IND. ACAD. UNID. CURS. UNID. APROB. 5.2224557054 ASUAJE, GILBERTO 51 27221 5.2122269413 URDANETA, DANIELA 64 27222 9.825951474 PASTRAN, MAGDIEL 38 26223 8.3325136551 GUTIERREZ, JUAN 46 26224 7.9726357029 RODRIGUEZ, CIRIANNI 42 26225 7.8525627008 YAJURE, PATRICIA 42 26226 7.5925390933 VERGEL, MARIA 42 26227 7.0321461157 MENDOZA, GIANFRANCO 67 26228 6.7421725253 OVIEDO, YOHANDER 46 26229 5.8618773868 DAZA, LUIGI 69 26230 10.1425747099 GRATEROL, ELIZA 37 25231 9.9524156857 MELENDEZ, MELVER 37 25232 9.1524667396 PINEDA, ROBERT 46 25233 9.1121126983 TORO, YALIMAR 49 25234 8.8623579843 HERRERA, JESUS 37 25235 8.5124015020 MARTINEZ, ANGEL 41 25236 8.4923495407 MARTINEZ, NILDA MARIA 40 25237 7.1521502229 HORDYJ, JHONDER 47 25238 7.1221054063 LEOPOLDO, MILLAN 49 25239 6.8121505165 PAEZ, SNAIDER 59 25240 6.6820668220 LUCENA, MIURIEL 63 25241 6.1318733510 LUQUE, JUANA 36 25242 5.7523486703 ORTIZ, ELENIS 61 25243 5.3920351513 JIMÉNEZ, CARMEN 71 25244 5.1219615186 GOMEZ, JOSE 49 25245 25/04/2016 11.31 Pagina 5 de 5 Sistema Cumlaude AV. LAS INDUSTRIAS. NUCLEO OBELISCO. BARQUISIMETO - ESTADO LARA. 02512591581