Kerjakan soal-soal berikut dengan benar.
       Pilihlah salah satu jawaban yang paling benar.
            Untuk memulai tekan tombol Evaluasi
Jika sudah siap untuk mengerjakan tes tekan tombol mulai.
MULAI
No 1




       A B C D E
No 2




       A B C D E
No 3




       A B C D E
No 4




       A B C D E
No 5




       A B C D E
No 6




       A B C D E
No 7




       A B C D E
No 8




       A B C D E
No 9




       A B C D E
No 10




        A B C D E
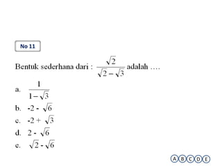
No 11




        A B C D E
No 12




        A B C D E
No 13




        A B C D E
No 14




        A B C D E
No 15




        A B C D E
No 16




        A B C D E
No 17




        A B C D E
No 18




        A B C D E
No 19




        A B C D E
No 20




        A B C D E
NILAI ANDA

   5

Presentasi aplikatif power point soal