Power Electronics



          Dr.

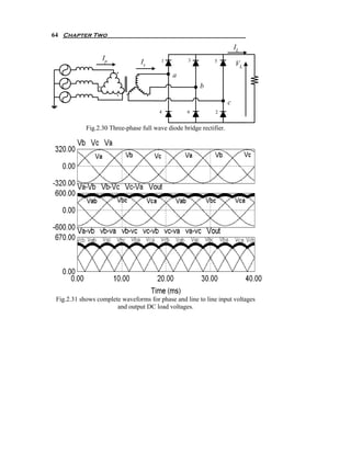
Ali Mohamed Eltamaly
  Mansoura University
 Faculty of Engineering
Chapter Four                                       113




                                  Contents

                                                     1
      Chapter 1
                             Introduction
1.1. Definition Of Power Electronics                 1

1.2                                                  1
      Main Task Of Power Electronics
1.3   Rectification                                  2

1.4   DC-To-AC Conversion                            3

1.5   DC-to-DC Conversion                            4

1.6   AC-TO-AC Conversion                            4

1.7   Additional Insights Into Power Electronics     5

1.8   Harmonics                                      7

1.9   Semiconductors Switch types                    12

      Chapter 2                                      17

            Diode Circuits or Uncontrolled
                                   Rectifier
2.1                                                  17
      Half Wave Diode Rectifier
2.2                                                  29
      Center-Tap Diode Rectifier
2.3                                                  35
      Full Bridge Single-Phase Diode Rectifier
2.4                                                  40
      Three-Phase Half Wave Rectifier
2.5                                                  49
      Three-Phase Full Wave Rectifier
2.6                                                  56
      Multi-pulse Diode Rectifier
Fourier Series                                                          114
      Chapter 3                                                           59

       Scr Rectifier or Controlled Rectifier
3.1                                                                       59
      Introduction
3.2                                                                       60
      Half Wave Single Phase Controlled Rectifier
3.3                                                                       73
      Single-Phase Full Wave Controlled Rectifier
3.4                                                                       91
      Three Phase Half Wave Controlled Rectifier
3.5                                                                       95
      Three Phase Half Wave Controlled Rectifier With DC Load Current
3.6                                                                       98
      Three Phase Half Wave Controlled Rectifier With Free Wheeling
      Diode
3.7                                                                       100
      Three Phase Full Wave Fully Controlled Rectifier
      Chapter 4                                                           112
                           Fourier Series
4-1                                                                       112
      Introduction
4-2                                                                       113
      Determination Of Fourier Coefficients
4-3                                                                       119
      Determination Of Fourier Coefficients Without Integration
Chapter 1
                         Introduction

1.1. Definition Of Power Electronics
Power electronics refers to control and conversion of electrical power by
power semiconductor devices wherein these devices operate as switches.
Advent of silicon-controlled rectifiers, abbreviated as SCRs, led to the
development of a new area of application called the power electronics.
Once the SCRs were available, the application area spread to many fields
such as drives, power supplies, aviation electronics, high frequency
inverters and power electronics originated.
   Power electronics has applications that span the whole field of
electrical power systems, with the power range of these applications
extending from a few VA/Watts to several MVA / MW.
"Electronic power converter" is the term that is used to refer to a power
electronic circuit that converts voltage and current from one form to
another. These converters can be classified as:
    • Rectifier converting an AC voltage to a DC voltage,
    • Inverter converting a DC voltage to an AC voltage,
    • Chopper or a switch-mode power supply that converts a DC
        voltage to another DC voltage, and
    • Cycloconverter and cycloinverter converting an AC voltage
        to another AC voltage.
In addition, SCRs and other power semiconductor devices are used as
static switches.

1.2 Rectification
Rectifiers can be classified as uncontrolled and controlled rectifiers, and
the controlled rectifiers can be further divided into semi-controlled and
fully controlled rectifiers. Uncontrolled rectifier circuits are built with
diodes, and fully controlled rectifier circuits are built with SCRs. Both
diodes and SCRs are used in semi-controlled rectifier circuits.
   There are several rectifier configurations. The most famous rectifier
configurations are listed below.
• Single-phase semi-controlled bridge rectifier,
• Single-phase fully-controlled bridge rectifier,
• Three-phase three-pulse, star-connected rectifier,
2 Chapter One
•   Double three-phase, three-pulse star-connected rectifiers with
    inter-phase transformer (IPT),
• Three-phase semi-controlled bridge rectifier,
• Three-phase fully-controlled bridge rectifier, and ,
• Double three-phase fully controlled bridge rectifiers with IPT.
   Apart from the configurations listed above, there are series-connected
and 12-pulse rectifiers for delivering high quality high power output.
Power rating of a single-phase rectifier tends to be lower than 10 kW.
Three-phase bridge rectifiers are used for delivering higher power output,
up to 500 kW at 500 V DC or even more. For low voltage, high current
applications, a pair of three-phase, three-pulse rectifiers interconnected by
an inter-phase transformer (IPT) is used. For a high current output,
rectifiers with IPT are preferred to connecting devices directly in parallel.
There are many applications for rectifiers. Some of them are:
    • Variable speed DC drives,
    • Battery chargers,
    • DC power supplies and Power supply for a specific
        application like electroplating

1.3 DC-To-AC Conversion
The converter that changes a DC voltage to an alternating voltage, AC is
called an inverter. Earlier inverters were built with SCRs. Since the
circuitry required turning the SCR off tends to be complex, other power
semiconductor devices such as bipolar junction transistors, power
MOSFETs, insulated gate bipolar transistors (IGBT) and MOS-controlled
thyristors (MCTs) are used nowadays. Currently only the inverters with a
high power rating, such as 500 kW or higher, are likely to be built with
either SCRs or gate turn-off thyristors (GTOs). There are many inverter
circuits and the techniques for controlling an inverter vary in complexity.
Some of the applications of an inverter are listed below:
    • Emergency lighting systems,
    • AC variable speed drives,
    • Uninterrupted power supplies, and,
    • Frequency converters.

1.4 DC-to-DC Conversion
When the SCR came into use, a DC-to-DC converter circuit was called a
chopper. Nowadays, an SCR is rarely used in a DC-to-DC converter.
Introduction                                                         3
Either a power BJT or a power MOSFET is normally used in such a
converter and this converter is called a switch-mode power supply. A
switch-mode power supply can be one of the types listed below:
    • Step-down switch-mode power supply,
    • Step-up chopper,
    • Fly-back converter, and ,
    • Resonant converter.
The typical applications for a switch-mode power supply or a chopper
are:
    • DC drive,
    • Battery charger, and,
    • DC power supply.

1.5 AC-TO-AC Conversion
A cycloconverter or a Matrix converter converts an AC voltage, such as
the mains supply, to another AC voltage. The amplitude and the
frequency of input voltage to a cycloconverter tend to be fixed values,
whereas both the amplitude and the frequency of output voltage of a
cycloconverter tend to be variable specially in Adjustable Speed Drives
(ASD). A typical application of a cycloconverter is to use it for
controlling the speed of an AC traction motor and most of these
cycloconverters have a high power output, of the order a few megawatts
and SCRs are used in these circuits. In contrast, low cost, low power
cycloconverters for low power AC motors are also in use and many of
these circuit tend to use triacs in place of SCRs. Unlike an SCR which
conducts in only one direction, a triac is capable of conducting in either
direction and like an SCR, it is also a three terminal device. It may be
noted that the use of a cycloconverter is not as common as that of an
inverter and a cycloinverter is rarely used because of its complexity and
its high cost.

1.6 Additional Insights Into Power Electronics
There are several striking features of power electronics, the foremost
among them being the extensive use of inductors and capacitors. In many
applications of power electronics, an inductor may carry a high current at
a high frequency. The implications of operating an inductor in this
manner are quite a few, such as necessitating the use of litz wire in place
of single-stranded or multi-stranded copper wire at frequencies above 50
4 Chapter One
kHz, using a proper core to limit the losses in the core, and shielding the
inductor properly so that the fringing that occurs at the air-gaps in the
magnetic path does not lead to electromagnetic interference. Usually the
capacitors used in a power electronic application are also stressed. It is
typical for a capacitor to be operated at a high frequency with current
surges passing through it periodically. This means that the current rating
of the capacitor at the operating frequency should be checked before its
use. In addition, it may be preferable if the capacitor has self-healing
property. Hence an inductor or a capacitor has to be selected or designed
with care, taking into account the operating conditions, before its use in a
power electronic circuit.
In many power electronic circuits, diodes play a crucial role. A normal
power diode is usually designed to be operated at 400 Hz or less. Many of
the inverter and switch-mode power supply circuits operate at a much
higher frequency and these circuits need diodes that turn ON and OFF
fast. In addition, it is also desired that the turning-off process of a diode
should not create undesirable electrical transients in the circuit. Since
there are several types of diodes available, selection of a proper diode is
very important for reliable operation of a circuit.
Analysis of power electronic circuits tends to be quite complicated,
because these circuits rarely operate in steady state. Traditionally steady-
state response refers to the state of a circuit characterized by either a DC
response or a sinusoidal response. Most of the power electronic circuits
have a periodic response, but this response is not usually sinusoidal.
Typically, the repetitive or the periodic response contains both a steady-
state part due to the forcing function and a transient part due to the poles
of the network. Since the responses are non-sinusoidal, harmonic analysis
is often necessary. In order to obtain the time response, it may be
necessary to resort to the use of a computer program.
Power electronics is a subject of interdisciplinary nature. To design and
build control circuitry of a power electronic application, one needs
knowledge of several areas, which are listed below.
• Design of analogue and digital electronic circuits, to build the
    control circuitry.
• Microcontrollers and digital signal processors for use in
    sophisticated applications.
• Many power electronic circuits have an electrical machine as
    their load. In AC variable speed drive, it may be a reluctance
Introduction                                                         5
   motor, an induction motor or a synchronous motor. In a DC
   variable speed drive, it is usually a DC shunt motor.
• In a circuit such as an inverter, a transformer may be connected
   at its output and the transformer may have to operate with a
   nonsinusoidal waveform at its input.
• A pulse transformer with a ferrite core is used commonly to
   transfer the gate signal to the power semiconductor device. A
   ferrite-cored transformer with a relatively higher power output
   is also used in an application such as a high frequency inverter.
• Many power electronic systems are operated with negative
   feedback. A linear controller such as a PI controller is used in
   relatively simple applications, whereas a controller based on
   digital or state-variable feedback techniques is used in more
   sophisticated applications.
• Computer simulation is often necessary to optimize the design
   of a power electronic system. In order to simulate, knowledge
   of software package such as MATLAB, Pspice, Orcad,…..etc.
   and the know-how to model nonlinear systems may be
   necessary.
  The study of power electronics is an exciting and a challenging
experience. The scope for applying power electronics is growing at a fast
pace. New devices keep coming into the market, sustaining development
work in power electronics.

1.7 Harmonics
   The invention of the semiconductor controlled rectifier (SCR or
thyristor) in the 1950s led to increase of development new type
converters, all of which are nonlinear. The major part of power system
loads is in the form of nonlinear loads too much harmonics are injected to
the power system. It is caused by the interaction of distorting customer
loads with the impedance of supply network. Also, the increase of
connecting renewable energy systems with electric utilities injects too
much harmonics to the power system.
   There are a number of electric devices that have nonlinear operating
characteristics, and when it used in power distribution circuits it will
create and generate nonlinear currents and voltages. Because of periodic
non-linearity can best be analyzed using the Fourier transform, these
nonlinear currents and voltages have been generally referred to as
6 Chapter One
“Harmonics”. Also, the harmonics can be defined as a sinusoidal
component of a periodic waves or quality having frequencies that are an
integral multiple of the fundamental frequency.
   Among the devices that can generate nonlinear currents transformers
and induction machines (Because of magnetic core saturation) and power
electronics assemblies.
   The electric utilities recognized the importance of harmonics as early
as the 1930’s such behavior is viewed as a potentially growing concern in
modern power distribution network.

1.7.1 Harmonics Effects on Power System Components
   There are many bad effects of harmonics on the power system
components. These bad effects can derated the power system component
or it may destroy some devices in sever cases [Lee]. The following is the
harmonic effects on power system components.
In Transformers and Reactors
• The eddy current losses increase in proportion to the square of the
    load current and square harmonics frequency,
• The hysterics losses will increase,
• The loading capability is derated by harmonic currents , and,
• Possible resonance may occur between transformer inductance and
    line capacitor.
In Capacitors
• The life expectancy decreases due to increased dielectric losses
    that cause additional heating, reactive power increases due to
    harmonic voltages, and,
• Over voltage can occur and resonance may occur resulting in
    harmonic magnification.
In Cables
• Additional heating occurs in cables due to harmonic currents
    because of skin and proximity effects which are function of
    frequency, and,
• The I2R losses increase.
In Switchgear
• Changing the rate of rise of transient recovery voltage, and,
• Affects the operation of the blowout.
In Relays
• Affects the time delay characteristics, and,
Introduction                                                         7
• False tripping may occurs.
In Motors
• Stator and rotor I2R losses increase due to the flow of harmonic
   currents,
• In the case of induction motors with skewed rotors the flux
   changes in both the stator and rotor and high frequency can
   produce substantial iron losses, and,
• Positive sequence harmonics develop shaft torque that aid shaft
   rotation; negative sequence harmonics have opposite effect.
In Generators
• Rotor and stator heating ,
• Production of pulsating or oscillating torques, and,
• Acoustic noise.
In Electronic Equipment
• Unstable operation of firing circuits based on zero voltage
   crossing,
• Erroneous operation in measuring equipment, and,
• Malfunction of computers allied equipment due to the presence of
   ac supply harmonics.

1.7.2 Harmonic Standards
  It should be clear from the above that there are serious effects on the
power system components. Harmonics standards and limits evolved to
give a standard level of harmonics can be injected to the power system
from any power system component. The first standard (EN50006) by
European Committee for Electro-technical Standardization (CENELEE)
that was developed by 14th European committee. Many other
standardizations were done and are listed in IEC61000-3-4, 1998 [1].
     The IEEE standard 519-1992 [2] is a recommended practice for power
factor correction and harmonic impact limitation for static power
converters. It is convenient to employ a set of analysis tools known as
Fourier transform in the analysis of the distorted waveforms. In general, a
non-sinusoidal waveform f(t) repeating with an angular frequency ω can
be expressed as in the following equation.
          a0 ∞
 f (t ) =   + ∑ (a n cos(nωt ) + bn sin( nωt ) )                     (1.1)
           2 n=1
8 Chapter One
                     2π
                1
 where a n =
                π     ∫ f (t ) cos (nωt ) dωt                                          (1.2)
                      0
                2π
            1
 and bn =
            π   ∫ f (t ) sin (nωt ) dωt                                                (1.3)
                0
 Each frequency component n has the following value
  f n (t ) = a n cos ( nωt ) + bn sin (nωt )                          (1.4)
 fn(t) can be represented as a phasor in terms of its rms value as shown in
 the following equation
         a n + bn
           2    2
  Fn =                    e jϕ n                                                       (1.5)
             2
                     − bn
 Where ϕ n = tan −1                                                    (1.6)
                      an
   The amount of distortion in the voltage or current waveform is
 qualified by means of an Total Harmonic Distortion (THD). The THD in
 current and voltage are given as shown in (1.7) and (1.8) respectively.

                       2
                      Is    − I s1
                                2                  ∑ I sn
                                                       2

                                                  n≠n
 THDi = 100 *                          = 100 *                                         (1.7)
                          I s1                     I s1

                     Vs2 − Vs2
                                             ∑Vsn
                                                2

                             1               n≠n
 THDv = 100 *                      = 100 *                                             (1.8)
                       Vs1                       Vs1
 Where THDi & THDv          The Total Harmonic Distortion in the current
 and voltage waveforms
    Current and voltage limitations included in the update IEE 519 1992
 are shown in Table(1.1) and Table(1.2) respectively [2].
Table (1.1) IEEE 519-1992 current distortion limits for general distribution
systems (120 to 69kV) the maximum harmonic current distortion in percent of I L
 Individual Harmonic order (Odd Harmonics)
  I SC / I L   n<11     11≤ n<17     17≤ n<23               23≤ n<35   35≤ n<   TDD
 <20            4.0              2.0              1.5       0.6        0.3      5.0
 20<50          7.0              3.5              2.5       1.0        0.5      8.0
 50<100         10.0             4.5              4.0       1.5        0.7      12.0
 100<1000       12.0             5.5              5.0       2.0        1.0      15.0
 >1000          15.0             7.0              6.0       2.5        1.4      20.0
Introduction                                                                9
                                                            ∞
                                                   100
   Where; TDD (Total Demand Distortion) =
                                                   I ML
                                                           ∑ I n2 ,
                                                           n=2
  Where I ML is the maximum fundamental demand load current (15 or
30min demand).
   I SC is the maximum short-circuit current at the point of common
coupling (PCC).
   I L is the maximum demand load current at the point of common
coupling (PCC).
   Table (1.2) Voltage distortion limits
Bus voltage at PCC            Individual voltage distortion (%)       THDv (%)
69 kV and blow                3.0                                     5.0
69.001 kV through 161kV       1.5                                     2.5
161.001kV and above           1                                       1.5

1.8 Semiconductors Switch types
At this point it is beneficial to review the current state of semiconductor
devices used for high power applications. This is required because the
operation of many power electronic circuits is intimately tied to the
behavior of various devices.

1.8.1 Diodes
A sketch of a PN junction diode characteristic is drawn in Fig.1.1. The
icon used to represent the diode is drawn in the upper left corner of the
figure, together with the polarity markings used in describing the
characteristics. The icon 'arrow' itself suggests an intrinsic polarity
reflecting the inherent nonlinearity of the diode characteristic.
   Fig.1.1 shows the i-v characteristics of the silicon diode and
germanium diode. As shown in the figure the diode characteristics have
been divided into three ranges of operation for purposes of description.
Diodes operate in the forward- and reverse-bias ranges. Forward bias is a
range of 'easy' conduction, i.e., after a small threshold voltage level ( »
0.7 volts for silicon) is reached a small voltage change produces a large
current change. In this case the diode is forward bias or in "ON" state.
The 'breakdown' range on the left side of the figure happened when the
reverse applied voltage exceeds the maximum limit that the diode can
withstand. At this range the diode destroyed.
10 Chapter One




                     Fig.1.1 The diode iv characteristics
   On the other hand if the polarity of the voltage is reversed the current
flows in the reverse direction and the diode operates in 'reverse' bias or in
"OFF" state. The theoretical reverse bias current is very small.
   In practice, while the diode conducts, a small voltage drop appears
across its terminals. However, the voltage drop is about 0.7 V for silicon
diodes and 0.3 V for germanium diodes, so it can be neglected in most
electronic circuits because this voltage drop is small with respect to other
circuit voltages. So, a perfect diode behaves like normally closed switch
when it is forward bias (as soon as its anode voltage is slightly positive
than cathode voltage) and open switch when it is in reverse biased (as
soon as its cathode voltage is slightly positive than anode voltage). There
are two important characteristics have to be taken into account in
choosing diode. These two characteristics are:
    • Peak Inverse voltage (PIV): Is the maximum voltage that a diode
        can withstand only so much voltage before it breaks down. So if
        the PIV is exceeded than the PIV rated for the diode, then the
        diode will conduct in both forward and reverse bias and the diode
        will be immediately destroyed.
    • Maximum Average Current: Is the average current that the diode
        can carry.
It is convenient for simplicity in discussion and quite useful in making
estimates of circuit behavior ( rather good estimates if done with care and
understanding) to linearize the diode characteristics as indicated in
Fig.1.2. Instead of a very small reverse-bias current the idealized model
approximates this current as zero. ( The practical measure of the
appropriateness of this approximation is whether the small reverse bias
current causes negligible voltage drops in the circuit in which the diode is
embedded. If so the value of the reverse-bias current really does not enter
into calculations significantly and can be ignored.) Furthermore the zero
Introduction                                                           11
current approximation is extended into forward-bias right up to the knee
of the curve. Exactly what voltage to cite as the knee voltage is somewhat
arguable, although usually the particular value used is not very important.

1.8.2 Thyristor
The thyristor is the most important type of the power semiconductor
devices. They are used in very large scale in power electronic circuits.
The thyristor are known also as Silicon Controlled Rectifier (SCR). The
thyristor has been invented in 1957 by general electric company in USA.
   The thyristor consists of four layers of semiconductor materials (p-n-p-
n) all brought together to form only one unit. Fig.1.2 shows the schematic
diagram of this device and its symbolic representation. The thyristor has
three terminals, anode A, cathode K and gate G as shown in Fig.1.2.The
anode and cathode are connected to main power circuit. The gate terminal
is connected to control circuit to carry low current in the direction from
gate to cathode.




        Fig.1.2 The schematic diagram of SCR and its circuit symbol.
   The operational characteristics of a thyristor are shown in Fig.1.3. In
case of zero gate current and forward voltage is applied across the device
i.e. anode is positive with respect to cathode, junction J1 and J3 are
forward bias while J2 remains reverse biased, and therefore the anode
current is so small leakage current. If the forward voltage reaches a
critical limit, called forward break over voltage, the thyristor switches
into high conduction, thus forward biasing junction J2 to turn thyristor
ON in this case the thyristor will break down. The forward voltage drop
then falls to very low value (1 to 2 Volts). The thyristor can be switched
to on state by injecting a current into the central p type layer via the gate
terminal. The injection of the gate current provides additional holes in the
12 Chapter One
central p layer, reducing the forward breakover voltage. If the anode
current falls below a critical limit, called the holding current IH the
thyristor turns to its forward state.
   If the reverse voltage is applied across the thyristor i.e. the anode is
negative with respect to cathode, the outer junction J1 and J3 are reverse
biased and the central junction J2 is forward biased. Therefore only a
small leakage current flows. If the reverse voltage is increased, then at the
critical breakdown level known as reverse breakdown voltage, an
avalanche will occur at J1 and J3 and the current will increase sharply. If
this current is not limited to safe value, it will destroy the thyristor.
   The gate current is applied at the instant turn on is desired. The
thyristor turn on provided at higher anode voltage than cathode. After
turn on with IA reaches a value known as latching current, the thyristor
continuous to conduct even after gate signal has been removed. Hence
only pulse of gate current is required to turn the Thyrstor ON.




                     Fig.1.3 Thyristor v-i characteristics
1.8.3 Thyristor types:
There is many types of thyristors all of them has three terminals but
differs only in how they can turn ON and OFF. The most famous types of
thyristors are:
    1. Phase controlled thyristor(SCR)
    2. Fast switching thyristor (SCR)
    3. Gate-turn-off thyristor (GTO)
    4. Bidirectional triode thyristor (TRIAC)
    5. Light activated silicon-controlled rectifier (LASCR)
The electric circuit symbols of each type of thyristors are shown in
Fig.1.4.
Introduction                                                               13
In the next items we will talk only about the most famous two types :-




        Fig.1.4 The electric circuit symbols of each type of thyristors.

Gate Turn Off thyristor (GTO).
   A GTO thyristor can be turned on by a single pulse of positive gate
current like conventional thyristor, but in addition it can be turned off by
a pulse of negative gate current. The gate current therefore controls both
ON state and OFF state operation of the device. GTO v-i characteristics is
shown in Fig.1.5. The GTO has many advantages and disadvantages with
respect to conventional thyristor here will talk about these advantages and
disadvantages.




                       Fig.1.5 GTO v-i characteristics.
14 Chapter One
The GTO has the following advantage over thyristor.
1- Elimination of commutating components in forced
   commutation resulting in reduction in cost, weight and volume,
2- Reduction in acoustic and electromagnetic noise due to the
   elimination of commutation chokes,
3- Faster turn OFF permitting high switching frequency,
4- Improved converters efficiency, and,
5- It has more di/dt rating at turn ON.
The thyristor has the following advantage over GTO.
1- ON state voltage drop and associated losses are higher in GTO
   than thyristor,
2- Triggering gate current required for GTOs is more than those
   of thyristor,
3- Latching and holding current is more in GTO than those of
   thyristor,
4- Gate drive circuit loss is more than those of thyristor, and,
5- Its reverse voltage block capability is less than its forward
   blocking capability.

Bi-Directional-Triode thyristor (TRIAC).
TRIAC are used for the control of power in AC circuits. A TRIAC is
equivalent of two reverse parallel-connected SCRs with one common
gate. Conduction can be achieved in either direction with an appropriate
gate current. A TRIAC is thus a bi-directional gate controlled thyristor
with three terminals. Fig.1.4 shows the schematic symbol of a TRIAC.
The terms anode and cathode are not applicable to TRIAC. Fig.1.6 shows
the i-v characteristics of the TRIAC.
Introduction                                                        15




             Fig.1.6 Operating characteristics of TRIAC.ele146

DIAC
   DIAC is like a TRIAC without a gate terminal. DIAC conducts current
in both directions depending on the voltage connected to its terminals.
When the voltage between the two terminals greater than the break down
voltage, the DIAC conducts and the current goes in the direction from the
higher voltage point to the lower voltage one. The following figure shows
the layers construction, electric circuit symbol and the operating
characteristics of the DIAC. Fig.1.7 shows the DIAC construction and
electric symbol. Fig.1.8 shows a DIAC v-i characteristics.
   The DIAC used in firing circuits of thyristors since its breakdown
voltage used to determine the firing angle of the thyristor.




              Fig.1.7 DIAC construction and electric symbol.
16 Chapter One




                      Fig.1.8 DIAC v-i characteristics


1.9 Power Transistor
Power transistor has many applications now in power electronics and
become a better option than thyristor. Power transistor can switch on and
off very fast using gate signals which is the most important advantage
over thyristor. There are three famous types of power transistors used in
power electronics converters shown in the following items:

Bipolar Junction Transistor (BJT)
BJT has three terminals as shown in Fig.. These terminals are base,
collector, and, emitter each of them is connected to one of three
semiconductor materials layers. These three layers can be NPN or PNP.
Fig.1.9 shows the circuit symbol of NPN and PNP BJT transistor.




              npn                                         pnp
           Fig.1.9 The electric symbol of npn and pnp transistors.
Introduction                                                           17
Fig.1.10 shows the direction of currents in the NPN and PNP transistors.
It is clear that the emitter current direction takes the same direction as on
the electric symbol of BJT transistor and both gate and collector take the
opposite direction.




            Fig.1.10 The currents of the NPN and PNP transistors.

When the transistor connected in DC circuit, the voltage V BB representing
a forward bias voltage and Vcc representing a reverse bias for base to
collector circuit as shown in Fig.1.11 for NPN and PNP transistors.




                Fig.1.11 Transistor connection to DC circuit.
The relation between the collector current and base current known as a
current gain of the transistor β as shown in ( )
     I
β= C
     IB
Current and voltage analysis of NPN transistors is shown if Fig.1.11. It is
clear from Fig.1.11 that:
V Rb = V BB − V BE = I B * R B
Then, the base current can be obtained as shown in the following
equation:
     V − V BE
I B = BB
          RB
18 Chapter One
The voltage on RC resistor are:
V RC = I C * RC
VCE = VCC − I C * RC
Fig.1.12 shows the collector characteristics of NPN transistor for
different base currents. This figure shows that four regions, saturation,
linear, break down, and, cut-off regions. The explanation of each region
in this figure is shown in the following points:
   Increasing of VCC increases the voltage VCE gradually as shown in the
saturation region.
   When VCE become more than 0.7 V, the base to collector junction
become reverse bias and the transistor moves to linear region. In linear
region I C approximately constant for the same amount of base current
when VCE increases.
When VCE become higher than the rated limits, the transistor goes to
break down region.
At zero base current, the transistor works in cut-off region and there is
only very small collector leakage current.




Fig.1.12 Collector characteristics of NPN transistor for different base currents.

1.10 Power MOSFET
   The power MOSFET has two important advantages over than BJT,
First of them, is its need to very low operating gate current, the second of
Introduction                                                              19
them, is its very high switching speed. So, it is used in the circuit that
requires high turning ON and OFF speed that may be greater than
100kHz. This switch is more expensive than any other switches have the
same ratings. The power MOSFET has three terminals source, drain and
gate. Fig.1.13 shows the electric symbol and static characteristics of the
power MOSFET.




    Fig.1.13 The electric symbol and static characteristics of power MOSFET.

1.11 Insulated Gate Bipolar Transistor (IGBT)
   IGBTs transistors introduce a performance same as BJT but it has the
advantage that its very high current density and it has higher switch speed
than BJT but still lower than MOSFET. The normal switching frequency
of the IGBT is about 40kHz. IGBT has three terminals collector, emitter,
and, gate.
Fig.1.14 shows the electric circuit symbol and operating characteristics of
the IGBT. IGBT used so much in PWM converters and in Adjustable
speed drives.




         Fig.1.14 IGBT v-i transfer characteristics and circuit symbol:
20 Chapter One
1.12 Power Junction Field Effect Transistors
   This device is also sometimes known as the static induction transistor
(SIT). It is effectively a JFET transistor with geometry changes to allow
the device to withstand high voltages and conduct high currents. The
current capability is achieved by paralleling up thousands of basic JFET
cells. The main problem with the power JFET is that it is a normally on
device. This is not good from a start-up viewpoint, since the device can
conduct until the control circuitry begins to operate. Some devices are
commercially available, but they have not found widespread usage.

1.13 Field Controlled Thyristor
   This device is essentially a modification of the SIT. The drain of the
SIT is modified by changing it into an injecting contact. This is achieved
by making it a pn junction. The drain of the device now becomes the
anode, and the source of the SIT becomes the cathode. In operation the
device is very similar to the JFET, the main difference being quantitative
– the FCT can carry much larger currents for the same on-state voltage.
The injection of the minority carriers in the device means that there is
conductivity modulation and lower on-state resistance. The device also
blocks for reverse voltages due to the presence of the pn junction.

1.14 MOS-Controlled Thyristors
   The MOS-controlled thyristor (MCT) is a relatively new device which
is available commercially. Unfortunately, despite a lot of hype at the time
of its introduction, it has not achieved its potential. This has been largely
due to fabrication problems with the device, which has resulted on low
yields. Fig.1.15 is an equivalent circuit of the device, and its circuit
symbol. From Fig.1.15 one can see that the device is turned on by the
ON-FET, and turned o. by the OFF-FET. The main current carrying
element of the device is the thyristor. To turn the device on a negative
voltage relative to the cathode of the device is applied to the gate of the
ON-FET. As a result this FET turns on, supplying current to the base of
the bottom transistor of the SCR. Consequently the SCR turns on. To turn
o. the device, a positive voltage is applied to the gate. This causes the
ON-FET to turn o., and the OFF-FET to turn on. The result is that the
base-emitter junction of the top transistor of the SCR is shorted, and
because vBE drops to zero. volt it turns o.. Consequently the regeneration
process that causes the SCR latching is interrupted and the device turns.
Introduction                                                     21
   The P-MCT is given this name because the cathode is connected to P
type material. One can also construct an N-MCT, where the cathode is
connected to N type material.




          Fig.1.15 Schematic and circuit symbol for the P-MCT.
Chapter 2
Diode Circuits or Uncontrolled Rectifier
2.1 Introduction
The only way to turn on the diode is when its anode voltage becomes
higher than cathode voltage as explained in the previous chapter. So,
there is no control on the conduction time of the diode which is the main
disadvantage of the diode circuits. Despite of this disadvantage, the diode
circuits still in use due to it’s the simplicity, low price, ruggedness,
….etc.
    Because of their ability to conduct current in one direction, diodes are
used in rectifier circuits. The definition of rectification process is “ the
process of converting the alternating voltages and currents to direct
currents and the device is known as rectifier” It is extensively used in
charging batteries; supply DC motors, electrochemical processes and
power supply sections of industrial components.
   The most famous diode rectifiers have been analyzed in the following
sections. Circuits and waveforms drawn with the help of PSIM simulation
program [1].
   There are two different types of uncontrolled rectifiers or diode
rectifiers, half wave and full wave rectifiers. Full-wave rectifiers has
better performance than half wave rectifiers. But the main advantage of
half wave rectifier is its need to less number of diodes than full wave
rectifiers. The main disadvantages of half wave rectifier are:
    1- High ripple factor,
    2- Low rectification efficiency,
    3- Low transformer utilization factor, and,
    4- DC saturation of transformer secondary winding.

2.2 Performance Parameters
   In most rectifier applications, the power input is sine-wave voltage
provided by the electric utility that is converted to a DC voltage and AC
components. The AC components are undesirable and must be kept away
from the load. Filter circuits or any other harmonic reduction technique
should be installed between the electric utility and the rectifier and
Diode Circuits or Uncontrolled Rectifier                              23
between the rectifier output and the load that filters out the undesired
component and allows useful components to go through. So, careful
analysis has to be done before building the rectifier. The analysis requires
define the following terms:
The average value of the output voltage, Vdc ,
The average value of the output current, I dc ,
The rms value of the output voltage, Vrms ,
The rms value of the output current, I rms
The output DC power, Pdc = Vdc * I dc                                  (2.1)
The output AC power, Pac = Vrms * I rms                                (2.2)
                                                        P
The effeciency or rectification ratio is defiend as η = dc             (2.3)
                                                        Pac
   The output voltage can be considered as being composed of two
components (1) the DC component and (2) the AC component or ripple.
The effective (rms) value of the AC component of output voltage is
defined as:-
Vac = Vrms − Vdc
          2       2
                                                                       (2.4)
   The form factor, which is the measure of the shape of output voltage, is
defiend as shown in equation (2.5). Form factor should be greater than or
equal to one. The shape of output voltage waveform is neare to be DC as
the form factor tends to unity.
       V
 FF = rms                                                              (2.5)
       Vdc
   The ripple factor which is a measure of the ripple content, is defiend as
shown in (2.6). Ripple factor should be greater than or equal to zero. The
shape of output voltage waveform is neare to be DC as the ripple factor
tends to zero.
     Vac     Vrms − Vdc
               2      2       2
                            Vrms
RF =     =              =      2
                                 − 1 = FF 2 − 1                       (2.6)
     Vdc        Vdc         Vdc
  The Transformer Utilization Factor (TUF) is defiend as:-
       P
TUF = dc                                                              (2.7)
      VS I S
24 Chapter Two
   Where VS and I S are the rms voltage and rms current of the
transformer secondery respectively.
   Total Harmonic Distortion (THD) measures the shape of supply
current or voltage. THD should be grearter than or equal to zero. The
shape of supply current or voltage waveform is near to be sinewave as
THD tends to be zero. THD of input current and voltage are defiend as
shown in (2.8.a) and (2.8.b) respectively.
              I S − I S1
                2     2         2
                               IS
THDi =             2
                           =     2
                                      −1                                 (2.8.a)
                 I S1          I S1
              VS2 − VS21        VS2
THDv =                     =      −1                                      (2.8.b)
                 VS21       VS21
   where I S1 and VS1 are the fundamental component of the input current
and voltage, I S and VS respectively.
    Creast Factor CF, which is a measure of the peak input current IS(peak)
as compared to its rms value IS, is defiend as:-
           I S ( peak )
    CF =                                                                           (2.9)
                IS
   In general, power factor in non-sinusoidal circuits can be obtained as
following:
              Real Power               P
 PF =                              =         = cos φ                      (2.10)
       Apparent Voltamperes VS I S
   Where, φ is the angle between the current and voltage. Definition is
true irrespective for any sinusoidal waveform. But, in case of sinusoidal
voltage (at supply) but non-sinusoidal current, the power factor can be
calculated as the following:
   Average power is obtained by combining in-phase voltage and current
components of the same frequency.
        P     V I1 cos φ1 I S1
PF =        =            =     cos φ = Distortion Factor * Displaceme nt Faactor (2.11)
                                       1
     VS I S       VS I S       IS
  Where φ1 is the angle between the fundamental component of current
and supply voltage.
Distortion Factor = 1 for sinusoidal operation and displacement factor is a
measure of displacement between v(ωt ) and i (ωt ) .
Diode Circuits or Uncontrolled Rectifier                                   25
2.3 Single-Phase Half-Wave Diode Rectifier
   Most of the power electronic applications operate at a relative high
voltage and in such cases; the voltage drop across the power diode tends
to be small with respect to this high voltage. It is quite often justifiable to
use the ideal diode model. An ideal diode has zero conduction drops
when it is forward-biased ("ON") and has zero current when it is reverse-
biased ("OFF"). The explanation and the analysis presented below are
based on the ideal diode model.
2.3.1 Single-Phase Half Wave Diode Rectifier With Resistive Load
   Fig.2.1 shows a single-phase half-wave diode rectifier with pure
resistive load. Assuming sinusoidal voltage source, VS the diode beings
to conduct when its anode voltage is greater than its cathode voltage as a
result, the load current flows. So, the diode will be in “ON” state in
positive voltage half cycle and in “OFF” state in negative voltage half
cycle. Fig.2.2 shows various current and voltage waveforms of half wave
diode rectifier with resistive load. These waveforms show that both the
load voltage and current have high ripples. For this reason, single-phase
half-wave diode rectifier has little practical significance.

  The average or DC output voltage can be obtained by considering the
waveforms shown in Fig.2.2 as following:
          π
         1                V
Vdc   =
        2π∫Vm sin ωt dωt = m
                           π
                                                                  (2.12)
          0
Where, Vm is the maximum value of supply voltage.
   Because the load is resistor, the average or DC component of load
current is:
      V     V
I dc = dc = m                                                 (2.13)
       R π R
   The root mean square (rms) value of a load voltage is defined as:
              π
           1                  V
Vrms =        ∫
             Vm sin 2 ωt dωt = m
              2
                                                                  (2.14)
          2π                   2
              0
   Similarly, the root mean square (rms) value of a load current is defined
as:
       V        V
I rms = rms = m                                               (2.15)
         R      2R
26 Chapter Two
    It is clear that the rms value of the transformer secondary current, I S
is the same as that of the load and diode currents
                    V
Then I S = I D = m                                              (2.15)
                    2R
    Where, I D is the rms value of diode current.




         Fig.2.1 Single-phase half-wave diode rectifier with resistive load.




    Fig.2.2 Various waveforms for half wave diode rectifier with resistive load.
Diode Circuits or Uncontrolled Rectifier                            27
Example 1: The rectifier shown in Fig.2.1 has a pure resistive load of R
Determine (a) The efficiency, (b) Form factor (c) Ripple factor (d) TUF
(e) Peak inverse voltage (PIV) of diode D1 and (f) Crest factor.
Solution: From Fig.2.2, the average output voltage Vdc is defiend as:
           π
         1                  V                      V
Vdc   =
        2π ∫
           Vm sin(ωt ) dωt = m (− cos π − cos(0)) = m
                            2π                      π
           0
               Vdc Vm
Then, I dc =      =
                R πR
               π
          1                 V                     Vm          V
Vrms   =
         2π    ∫
            (Vm sin ωt ) 2 = m ,
                             2
                                        I rms =
                                                  2R
                                                     and, VS = m
                                                               2
               0
The rms value of the transformer secondery current is the same as that of
                V
the load: I S = m Then, the efficiency or rectification ratio is:
                2R
                           Vm Vm
                              *
     Pdc     Vdc * I dc    π πR
η=       =               =          = 40.53%
     Pac Vrms * I rms      Vm Vm
                              *
                            2 2R
                   Vm
          V             π
(b) FF = rms = 2 = = 1.57
           Vdc     Vm 2
                    π
            Vac
(c) RF =         = FF 2 − 1 = 1.57 2 − 1 = 1.211
            Vdc
                       Vm Vm
               P        π π R
(d) TUF = dc =                    = 0.286 = 28.6%
              VS I S   Vm Vm
                         2 2R
(e) It is clear from Fig2.2 that the PIV is Vm .
                               I S ( peak ) Vm / R
(f) Creast Factor CF, CF =                 =          =2
                                    IS       Vm / 2 R
28 Chapter Two
2.3.2 Half Wave Diode Rectifier With R-L Load
   In case of RL load as shown in Fig.2.3, The voltage source, VS is an
alternating sinusoidal voltage source. If vs = Vm sin (ωt ) , v s is positive
when 0 < ω t < π, and vs is negative when π < ω t <2π. When v s starts
becoming positive, the diode starts conducting and the source keeps the
diode in conduction till ω t reaches π radians. At that instant defined by
ω t =π radians, the current through the circuit is not zero and there is
some energy stored in the inductor. The voltage across an inductor is
positive when the current through it is increasing and it becomes negative
when the current through it tends to fall. When the voltage across the
inductor is negative, it is in such a direction as to forward-bias the diode.
The polarity of voltage across the inductor is as shown in the waveforms
shown in Fig.2.4.
   When vs changes from a positive to a negative value, the voltage
across the diode changes its direction and there is current through the load
at the instant ω t = π radians and the diode continues to conduct till the
energy stored in the inductor becomes zero. After that, the current tends
to flow in the reverse direction and the diode blocks conduction. The
entire applied voltage now appears across the diode as reverse bias
voltage.
   An expression for the current through the diode can be obtained by
solving the deferential equation representing the circuit. It is assumed that
the current flows for 0 < ω t < β, where β > π ( β is called the conduction
angle). When the diode conducts, the driving function for the differential
equation is the sinusoidal function defining the source voltage. During the
period defined by β < ω t < 2π, the diode blocks current and acts as an
open switch. For this period, there is no equation defining the behavior of
the circuit.
For 0 < ω t < β, the following differential equation defines the circuit:
   di
 L + R * i = Vm sin (ωt ), 0 ≤ ωt ≤ β                             (2.17)
   dt
Divide the above equation by L we get:
 di R        V
    + * i = m sin (ωt ), 0 ≤ ωt ≤ β                               (2.18)
 dt L         L
   The instantaneous value of the current through the load can be
obtained from the solution of the above equation as following:
Diode Circuits or Uncontrolled Rectifier                                          29
                  R ⎡            R                        ⎤
             −∫    dt       ∫      dt     Vm
i (t ) = e
                 ⎢
                  L ⎢e  ∫        L      *
                                           L
                                             sin ωt dt + A⎥
                                                          ⎥
                                                                         (2.19)
                 ⎣                                        ⎦
Where A is a constant.
                 − t⎡                       ⎤
                   R     R
                           t V
Then; i (t ) = e
                     ⎢       ∫
                   L ⎢ e L * m sin ωt dt + A⎥
                              L             ⎥
                                                                         (2.20)
                     ⎣                      ⎦
By integrating (2.20) (see appendix) we get:
                                                             R
                  Vm                                        − t
i (t ) =                    (R sin ωt − ωL cosωt ) +      Ae L           (2.21)
           R 2 + w 2 L2




                       Fig.2.3 Half Wave Diode Rectifier With R-L Load




     Fig.2.4 Various waveforms for Half wave diode rectifier with R-L load.
30 Chapter Two
Assume Z∠φ = R + j wL
Then Z 2 = R 2 + w2 L2 ,                                                    Z
                                                ωL                              wL
R = Z cos φ , ωL = Z sin φ and tan φ =
                                          R
Substitute these values into (2.21) we get the following equation:      Φ
                                                     R                      R
        V                                    − t
i (t ) = m (cos φ sin ωt − sin φ cosωt ) + Ae L
         Z
                                      R
              V                    − t
Then, i (t ) = m sin (ωt − φ ) + Ae L                          (2.22)
               Z
The above equation can be written in the following form:
                                R                         ωt
                                 −    ωt                −
         V                                    V
i (t ) = m sin (ωt − φ ) + Ae ω L = m sin (ωt − φ ) + Ae tan φ (2.23)
          Z                                     Z
     The value of A can be obtained using the initial condition. Since the
diode starts conducting at ω t = 0 and the current starts building up from
zero, i (0 ) = 0 (discontinuous conduction). The value of A is expressed by
the following equation:
       V
 A = m sin (φ )
        Z
Once the value of A is known, the expression for current is known. After
evaluating A, current can be evaluated at different values of ωt .
              ⎛                              ωt ⎞
                                          −
          Vm ⎜                              tan φ ⎟
i (ωt ) =     ⎜ sin (ωt − φ ) + sin (φ )e
            Z ⎜                                   ⎟             (2.24)
                                                  ⎟
              ⎝                                   ⎠
     Starting from ω t = π, as ωt increases, the current would keep
decreasing. For some value of ωt , say β, the current would be zero. If ω t
> β, the current would evaluate to a negative value. Since the diode
blocks current in the reverse direction, the diode stops conducting when
ωt reaches β. The value of β can be obtained by substituting that
i (ωt ) = 0 wt = β into (2.24) we get:
           ⎛                              β     ⎞
                                      −
        Vm ⎜                                    ⎟
           ⎜ sin (β − φ ) + sin (φ )e
                                        tan φ
i(β ) =                                         ⎟=0            (2.25)
         Z ⎜                                    ⎟
           ⎝                                    ⎠
Diode Circuits or Uncontrolled Rectifier                                    31
   The value of β can be obtained from the above equation by using the
methods of numerical analysis. Then, an expression for the average
output voltage can be obtained. Since the average voltage across the
inductor has to be zero, the average voltage across the resistor and the
average voltage at the cathode of the diode to ground are the same. This
average value can be obtained as shown in (2.26). The rms output voltage
in this case is shown in equation (2.27).
             β
       V                V
Vdc
       2π    ∫
      = m * sin ωt dωt = m * (1 − cos β )
                        2π
                                                                   (2.26)
             0
                 β
          1                           Vm
Vrms   =    * ∫ (Vm sin ωt ) 2 dwt =     * β + 0.5(1 − sin( 2 β )        (2.27)
         2π                          2 π
              0

2.3.3 Single-Phase Half-Wave Diode Rectifier With Free Wheeling Diode
   Single-phase half-wave diode rectifier with free wheeling diode is
shown in Fig.2.5. This circuit differs from the circuit described above,
which had only diode D1. This circuit shown in Fig.2.5 has another
diode, marked D2. This diode is called the free-wheeling diode.
   Let the source voltage vs be defined as Vm sin (ωt ) which is positive
when 0 < ωt < π radians and it is negative when π < ω t < 2π radians.
When vs is positive, diode D1 conducts and the output voltage, vo
become positive. This in turn leads to diode D2 being reverse-biased
during this period. During π < wt < 2π, the voltage vo would be negative
if diode D1 tends to conduct. This means that D2 would be forward-
biased and would conduct. When diode D2 conducts, the voltage vo
would be zero volts, assuming that the diode drop is negligible.
Additionally when diode D2 conducts, diode D1 remains reverse-biased,
because the voltage across it is vs which is negative.




           Fig.2.5 Half wave diode rectifier with free wheeling diode.
32 Chapter Two
    When the current through the inductor tends to fall (when the supply
voltage become negative), the voltage across the inductor become
negative and its voltage tends to forward bias diode D2 even when the
source voltage vs is positive, the inductor current would tend to fall if the
source voltage is less than the voltage drop across the load resistor.
    During the negative half-cycle of source voltage, diode D1 blocks
conduction and diode D2 is forced to conduct. Since diode D2 allows the
inductor current circulate through L, R and D2, diode D2 is called the
free-wheeling diode because the current free-wheels through D2.
    Fig.2.6 shows various voltage waveforms of diode rectifier with free-
wheeling diode. Fig.2.7 shows various current waveforms of diode
rectifier with free-wheeling diode.
    It can be assumed that the load current flows all the time. In other
words, the load current is continuous. When diode D1 conducts, the
driving function for the differential equation is the sinusoidal function
defining the source voltage. During the period defined by π < ω t < 2π,
diode D1 blocks current and acts as an open switch. On the other hand,
diode D2 conducts during this period, the driving function can be set to
be zero volts. For 0 < ω t < π, the differential equation (2.18) applies. The
solution of this equation will be as obtained before in (2.20) or (2.23).
             ⎛                               ωt ⎞
                                          −
          Vm ⎜                              tan φ ⎟
i (ωt ) =      sin (ωt − φ ) + sin (φ ) e           0 < ωt < π     (2.28)
           Z ⎜
             ⎜
                                                  ⎟
                                                  ⎟
             ⎝                                    ⎠
    For the negative half-cycle ( π < ωt < 2π ) of the source voltage D1 is
OFF and D2 is ON. Then the driving voltage is set to zero and the
following differential equation represents the circuit in this case.
    di
L      + R* i = 0         for π < ωt < 2π                        (2.29)
    dt
    The solution of (2.29) is given by the following equation:
                 ωt − π
             −
                 tan φ
i (ωt ) = B e                                                  (2.30)
    The constant B can be obtained from the boundary condition where
i (π ) = B is the starting value of the current in π < ωt < 2π and can be
obtained from equation (2.23) by substituting ωt = π
                                            π
             V                           −
Then, i(π ) = m (sin(π − φ ) + sin (φ ) e tan φ ) = B
              Z
Diode Circuits or Uncontrolled Rectifier                                   33
The above value of i (π ) can be used as initial condition of equation
(2.30). Then the load current during π < ωt < 2π is shown in the
following equation.
             ⎛                               π ⎞ ωt −π
                                         −          −
          Vm ⎜                             tan φ ⎟
i (ωt ) =      sin (π − φ ) + sin (φ ) e           e tan φ for π < ωt < 2π
           Z ⎜                                   ⎟                         (2.31)
             ⎜                                   ⎟
             ⎝                                   ⎠




Fig.2.6 Various voltage waveforms of diode rectifier with free-wheeling diode.




Fig.2.7 Various current waveforms of diode rectifier with free-wheeling diode.
34 Chapter Two
   For the period 2π < ωt < 3π the value of i (2π ) from (2.31) can be
used as initial condition for that period. The differential equation
representing this period is the same as equation (2.28) by replacing ω t by
ωt − 2π and the solution is given by equation (2.32). This period
( 2π < ωt < 3π ) differ than the period 0 < wt < π in the way to get the
constant A where in the 0 < ωt < π the initial value was i (0) = 0 but in
the case of 2π < ωt < 3π the initial condition will be i (2π ) that given
from (2.31) and is shown in (2.33).
                                                 ωt − 2π
                                         −
          V
i (ωt ) = m sin (ωt − 2π − φ ) + Ae tan φ for 2π < ωt < 3π   (2.32)
           Z
    The value of i (2π ) can be obtained from (2.31) and (2.32) as shown
in (2.33) and (2.34) respectively.
              ⎛                               π ⎞        π
                                          −          −
          Vm ⎜                              tan φ ⎟
i (2π ) =       sin (π − φ ) + sin (φ ) e         ⎟e
                                                       tan φ
                                                             (2.33)
           Z ⎜⎜                                   ⎟
              ⎝                                   ⎠
          V
i (2π ) = m sin (− φ ) + A                                   (2.34)
           Z
    By equating (2.33) and (2.34) the constant A in 2π < ωt < 3π can be
obtained from the following equation:
              V
 A = i (2π ) + m sin (φ )                                    (2.35)
                Z
    Then, the general solution for the period 2π < ωt < 3π is given by
equation (2.36):
                                                               ωt − 2π
            Vm                      ⎛         V          ⎞ −             2π < ωt < 3π (2.36)
i (ωt ) =      sin (ωt − 2π − φ ) + ⎜ i(2π ) + m sin (φ )⎟e     tan φ
             Z                      ⎝          Z         ⎠
    Where i (2π ) can be obtained from equation (2.33).

Example 2 A diode circuit shown in Fig.2.3 with R=10 Ω, L=20mH, and
VS=220 2 sin314t.
   (a) Determine the expression for the current though the load in the
       period 0 < ωt < 2π and determine the conduction angle β .
   (b) If we connect free wheeling diode through the load as shown in
       Fig.2.5 Determine the expression for the current though the load
       in the period of 0 < ωt < 3π .
Diode Circuits or Uncontrolled Rectifier                              35
Solution: (a) For the period of 0 < ωt < π , the expression of the load
current can be obtained from (2.24) as following:
                                    −3
        −1 ωL       −1 314 * 20 *10
φ = tan       = tan                    = 0.561 rad . and tan φ = 0.628343
            R                10
 Z = R 2 + (ωL) 2 = 10 2 + (314 * 20 *10 − 3 ) 2 = 11.8084Ω
             ⎛                               ωt     ⎞
                                          −
          Vm ⎜                                      ⎟
i (ωt ) =      sin (ωt − φ ) + sin (φ ) e   tan φ
           Z ⎜
             ⎜
                                                    ⎟
                                                    ⎟
             ⎝                                      ⎠

         =
              220 2
             11.8084
                      [                                 ]
                       sin (ωt − 0.561) + 0.532 * e −1.5915 ωt

i (ωt ) = 26.3479 sin (ωt − 0.561) + 14.0171* e −1.5915 ωt
The value of β can be obtained from the above equation by substituting
for i ( β ) = 0 . Then, 0 = 26.3479 sin (β − 0.561) + 14.0171 * e −1.5915 β
    By using the numerical analysis we can get the value of β. The
simplest method is by using the simple iteration technique by assuming
Δ = 26.3479 sin (β − 0.561) + 14.0171 * e −1.5915 β and substitute different
values for β in the region π < β < 2π till we get the minimum value of Δ
then the corresponding value of β is the required value. The narrow
intervals mean an accurate values of β . The following table shows the
relation between β and Δ:
                     β                   Δ
                   1.1 π              6.49518
                  1.12 π              4.87278
                  1.14 π              3.23186
                  1.16 π              1.57885
                  1.18 π            -0.079808
                   1.2 π             -1.73761
    It is clear from the above table that β ≅ 1.18 π rad. The current in
 β < wt < 2π will be zero due to the diode will block the negative current
to flow.
(b) In case of free-wheeling diode as shown in Fig.2.5, we have to divide
the operation of this circuit into three parts. The first one when
36 Chapter Two
0 < ωt < π (D1 “ON”, D2 “OFF”), the second case when π < ωt < 2π
(D1 “OFF” and D2 “ON”) and the last one when 2π < ωt < 3π (D1
“ON”, D2 “OFF”).
          In the first part ( 0 < ωt < π ) the expression for the load current
          can be obtained as In case (a). Then:
i ( wt ) = 26.3479 sin (ωt − 0.561) + 14.0171 * e −1.5915 wt   for 0 < ωt < π
the current at ωt = π is starting value for the current in the next part.
Then
i (π ) = 26.3479 sin (π − 0.561) + 14.0171 * e −1.5915 π = 14.1124 A
          In the second part π < ωt < 2π , the expression for the load current
          can be obtained from (2.30) as following:
                ωt −π
            −
                tan φ
i (ωt ) = B e
where B = i (π ) = 14.1124 A
Then i (ωt ) = 14.1124 e −1.5915(ωt −π )           for ( π < ωt < 2π )
    The current at ωt = 2π is starting value for the current in the next part.
Then
i (2π ) = 0.095103 A
        In the last part ( 2π < ωt < 3π ) the expression for the load current
        can be obtained from (2.36):
                                                                  ωt − 2π
                                                              −
                                     ⎛                     ⎞
    i (ωt ) = m sin (ωt − 2π − φ ) + ⎜ i (2π ) + m sin (φ )⎟e
             V                                  V                  tan φ
              Z                      ⎝           Z         ⎠
∴ i (ωt ) = 26.3479 sin (ωt − 6.8442) + (0.095103 + 26.3479 * 0.532)e −1.5915(ωt − 2π )

∴ i (ωt ) = 26.3479 sin (ωt − 6.8442) + 14.1131e −1.5915(ωt − 2π )           for
( 2π < ωt < 3π )

2.4 Single-Phase Full-Wave Diode Rectifier
The full wave diode rectifier can be designed with a center-taped
transformer as shown in Fig.2.8, where each half of the transformer with
its associated diode acts as half wave rectifier or as a bridge diode
rectifier as shown in Fig. 2.12. The advantage and disadvantage of center-
tap diode rectifier is shown below:
Diode Circuits or Uncontrolled Rectifier                              37
Advantages
  • The need for center-tapped transformer is eliminated,
  • The output is twice that of the center tapped circuit for the same
     secondary voltage, and,
  • The peak inverse voltage is one half of the center-tap circuit.
Disadvantages
  • It requires four diodes instead of two, in full wave circuit, and,
  • There are always two diodes in series are conducting. Therefore,
     total voltage drop in the internal resistance of the diodes and losses
     are increased.
  The following sections explain and analyze these rectifiers.

2.4.1 Center-Tap Diode Rectifier With Resistive Load
   In the center tap full wave rectifier, current flows through the load in
the same direction for both half cycles of input AC voltage. The circuit
shown in Fig.2.8 has two diodes D1 and D2 and a center tapped
transformer. The diode D1 is forward bias “ON” and diode D2 is reverse
bias “OFF” in the positive half cycle of input voltage and current flows
from point a to point b. Whereas in the negative half cycle the diode D1
is reverse bias “OFF” and diode D2 is forward bias “ON” and again
current flows from point a to point b. Hence DC output is obtained across
the load.




            Fig.2.8 Center-tap diode rectifier with resistive load.
   In case of pure resistive load, Fig.2.9 shows various current and
voltage waveform for converter in Fig.2.8. The average and rms output
voltage and current can be obtained from the waveforms shown in Fig.2.9
as shown in the following:
38 Chapter Two
             π
         1                    2 Vm
         π∫ m
Vdc =      V sin ωt dωt =                                         (2.36)
                               π
             0
         2 Vm
I dc =                                                            (2.37)
         π R
                 π
             1
               (V sin ωt )            Vm
             π∫ m
Vrms =                   2
                             dω t =                               (2.38)
                                       2
                 0
         Vm
I rms =                                                      (2.39)
         2 R
PIV of each diode = 2Vm                                      (2.40)
      V
VS = m                                                       (2.41)
       2
The rms value of the transformer secondery current is the same as that of
the diode:
             V
   IS = ID = m                                               (2.41)
             2R




 Fig.2.9 Various current and voltage waveforms for center-tap diode rectifier
                             with resistive load.
Diode Circuits or Uncontrolled Rectifier                               39
Example 3. The rectifier in Fig.2.8 has a purely resistive load of R
Determine (a) The efficiency, (b) Form factor (c) Ripple factor (d) TUF
(e) Peak inverse voltage (PIV) of diode D1 and(f) Crest factor of
transformer secondary current.
Solution:- The efficiency or rectification ratio is
                           2 Vm 2 Vm
                                 *
     Pdc    Vdc * I dc      π       πR
η=       =               =                = 81.05%
     Pac Vrms * I rms       Vm     Vm
                                *
                             2      2R
                     Vm
          V
(b) FF = rms =         2 = π = 1.11
           Vdc     2 Vm 2 2
                    π
          Vac
(c) RF =       = FF 2 − 1 = 1.112 − 1 = 0.483
          Vdc
                      2 Vm 2 Vm
              Pdc       π π R
(d) TUF =           =           = 0.5732
           2 VS I S      V V
                      2 m m
                          2 2R
(e) The PIV is 2Vm
                                                               Vm
                                               I S ( peak )
(f) Creast Factor of secondary current, CF =                  = R =2
                                                   IS          Vm
                                                                2R
2.4.2 Center-Tap Diode Rectifier With R-L Load
   Center-tap full wave rectifier circuit with RL load is shown in Fig.2.10.
Various voltage and current waveforms for Fig.2.10 is shown in Fig.2.11.
An expression for load current can be obtained as shown below:
   It is assumed that D1 conducts in positive half cycle of VS and D2
conducts in negative half cycle. So, the deferential equation defines the
circuit is shown in (2.43).
   di
 L     + R * i = Vm sin(ωt )                                    (2.43)
   dt
   The solution of the above equation can be obtained as obtained before
in (2.24)
40 Chapter Two




             Fig.2.10 Center-tap diode rectifier with R-L load




 Fig.2.11 Various current and voltage waveform for Center-tap diode rectifier
                                with R-L load
             ⎛                              ωt ⎞
                                         −
          Vm ⎜                             tan φ ⎟
i (ωt ) =    ⎜ sin (ωt − φ ) + sin (φ )e
           Z ⎜                                   ⎟ for 0 < ωt < π (2.44)
                                                 ⎟
             ⎝                                   ⎠
    In the second half cycle the same differential equation (2.43) and the
solution of this equation will be as obtained before in (2.22)
Diode Circuits or Uncontrolled Rectifier                                                          41
                                               ωt − π
                                  −
         V
i (ωt ) = m sin (ωt − π − φ ) + Ae tan φ                      (2.45)
          Z
The value of constant A can be obtained from initial condition. If we
assume that i(π)=i(2π)=i(3π)=……..=Io                          (2.46)
Then the value of I o can be obtained from (2.44) by letting ωt = π
                  ⎛                              π ⎞
                                             −
               Vm ⎜                            tan φ ⎟
I o = i (π ) =    ⎜ sin (π − φ ) + sin (φ )e
                Z ⎜                                  ⎟           (2.47)
                                                     ⎟
                  ⎝                                  ⎠
   Then use the value of I o as initial condition for equation (2.45). So we
can obtain the value of constant A as following:
                                                    π −π
                                      −
              V
i (π ) = I o = m sin (π − π − φ ) + Ae tan φ
               Z
                 V
Then; A = I o + m sin (φ )                                                               (2.48)
                  Z
Substitute (2.48) into (2.45) we get:
                                                                      ωt − π
                                                    −
                                ⎛                 ⎞
i (ωt ) = m sin (ωt − π − φ ) + ⎜ I o + m sin (φ )⎟e tan φ , then,
         V                             V
          Z                     ⎝       Z         ⎠
             ⎡                                ωt −π ⎤        ωt −π
                                            −              −
i (ωt ) =
          Vm ⎢
              sin (ωt − π − φ ) + sin (φ )e   tan φ ⎥
                                                      + I e tan φ          (for π < ωt < 2π ) (2.49)
           Z ⎢                                      ⎥ o
             ⎢
             ⎣                                      ⎥
                                                    ⎦
   In the next half cycle 2π < ωt < 3π the current will be same as
obtained in (2.49) but we have to take the time shift into account where
the new equation will be as shown in the following:
             ⎡                                ωt − 2π   ⎤        ωt − 2π
                                            −                  −
i (ωt ) =
          Vm ⎢
              sin (wt − 2π − φ ) + sin (φ )e tan φ      ⎥ + I e tan φ       (for 2π < ωt < 3π )(2.50)
           Z ⎢                                          ⎥ o
             ⎢
             ⎣                                          ⎥
                                                        ⎦

2.4.3 Single-Phase Full Bridge Diode Rectifier With Resistive Load
   Another alternative in single-phase full wave rectifier is by using four
diodes as shown in Fig.2.12 which known as a single-phase full bridge
diode rectifier. It is easy to see the operation of these four diodes. The
current flows through diodes D1 and D2 during the positive half cycle of
input voltage (D3 and D4 are “OFF”). During the negative one, diodes
D3 and D4 conduct (D1 and D2 are “OFF”).
42 Chapter Two
   In positive half cycle the supply voltage forces diodes D1 and D2 to be
"ON". In same time it forces diodes D3 and D4 to be "OFF". So, the
current moves from positive point of the supply voltage across D1 to the
point a of the load then from point b to the negative marked point of the
supply voltage through diode D2. In the negative voltage half cycle, the
supply voltage forces the diodes D1 and D2 to be "OFF". In same time it
forces diodes D3 and D4 to be "ON". So, the current moves from
negative marked point of the supply voltage across D3 to the point a of
the load then from point b to the positive marked point of the supply
voltage through diode D4. So, it is clear that the load currents moves
from point a to point b in both positive and negative half cycles of supply
voltage. So, a DC output current can be obtained at the load in both
positive and negative halves cycles of the supply voltage. The complete
waveforms for this rectifier is shown in Fig.2.13




               Fig.2.12 Single-phase full bridge diode rectifier.




  Fig.2.13 Various current and voltage waveforms of Full bridge single-phase
                                diode rectifier.
Diode Circuits or Uncontrolled Rectifier                                            43
Example 4 The rectifier shown in Fig.2.12 has a purely resistive load of
R=15 Ω and, VS=300 sin 314 t and unity transformer ratio. Determine (a)
The efficiency, (b) Form factor, (c) Ripple factor, (d) TUF, (e) The peak
inverse voltage, (PIV) of each diode, (f) Crest factor of input current, and,
(g) Input power factor.
Solution: Vm = 300 V
            π
        1                              2 Vm                           2 Vm
        π∫ m
Vdc =     V sin ωt dωt =                       = 190.956 V , I dc =        = 12.7324 A
                                        π                             π R
            0
                                        1/ 2
        ⎡1 π                   ⎤                                            V
Vrms   =⎢    (Vm sin ωt )2 dωt ⎥
                ∫                              =
                                                   Vm
                                                      = 212.132 V , I rms = m = 14.142 A
        ⎢π 0
        ⎣                      ⎥
                               ⎦
                                                    2                       2R
        Pdc   V I
(a) η =     = dc dc = 81.06 %
        Pac Vrms I rms
        V
(b) FF = rms = 1.11
         Vdc
            Vac   Vrms − Vdc
                    2      2     2
                               Vrms
(c) RF =        =            =    2
                                    − 1 = FF 2 − 1 = 0.482
            Vdc      Vdc       Vdc
            Pdc     190.986 *12.7324
(d) TUF =         =                   = 81 %
           VS I S    212.132 * 14.142
(e) The PIV= Vm =300V
                I S ( peak )       300 / 15
(f) CF =                       =            = 1.414
                    IS             14.142
                                      Re al Power    I2 *R
(g) Input power factor =                            = rms    =1
                                     Apperant Power   VS I S

2.4.4 Full Bridge Single-phase Diode Rectifier with DC Load Current
   The full bridge single-phase diode rectifier with DC load current is
shown in Fig.2.14. In this circuit the load current is pure DC and it is
assumed here that the source inductances is negligible. In this case, the
circuit works as explained before in resistive load but the current
waveform in the supply will be as shown in Fig.2.15.
The rms value of the input current is I S = I o
44 Chapter Two




        Fig.2.14 Full bridge single-phase diode rectifier with DC load current.




  Fig.2.15 Various current and voltage waveforms for full bridge single-phase
                     diode rectifier with DC load current.

   The supply current in case of pure DC load current is shown in
Fig.2.15, as we see it is odd function, then an coefficients of Fourier
series equal zero, an = 0 , and
               π
           2                             2 Io
                                              [− cos nωt ]π
           π∫
bn =          I o * sin nωt dωt      =
                                          nπ              0
                                                                              (2.51)
               0

    =
           2 Io
                [cos 0 − cos nπ ] = 4 I o for n = 1, 3, 5, .............
            nπ                       nπ
Then from Fourier series concepts we can say:
           4 Io               1         1         1         1
i (t ) =           * (sin ωt + sin 3ωt + sin 5ωt + sin 7ωt + sin 9ωt + ..........) (2.52)
               π              3         5         7         9
Diode Circuits or Uncontrolled Rectifier                                45
                     2        2      2      2        2      2       2
                   ⎛1⎞ ⎛1⎞ ⎛1⎞ ⎛1⎞ ⎛ 1 ⎞ ⎛ 1 ⎞ ⎛ 1 ⎞
∴ THD( I s (t )) = ⎜ ⎟ + ⎜ ⎟ + ⎜ ⎟ + ⎜ ⎟ + ⎜ ⎟ + ⎜ ⎟ + ⎜ ⎟ = 46%
                   ⎝ 3 ⎠ ⎝ 5 ⎠ ⎝ 7 ⎠ ⎝ 9 ⎠ ⎝ 11 ⎠ ⎝ 13 ⎠ ⎝ 15 ⎠
or we can obtain THD ( I s (t )) as the following:
                                                     4 Io
From (2.52) we can obtain the value of is I S1 =
                                                      2π
                                            2
                               ⎛      ⎞
                           2   ⎜      ⎟                         2
                    ⎛ IS ⎞     ⎜ Io ⎟ −1 =           ⎛ 2π   ⎞
∴ THD ( I s (t )) = ⎜    ⎟                           ⎜      ⎟ − 1 = 48.34%
                    ⎜ I ⎟ −1 = ⎜ 4 I ⎟               ⎜ 4    ⎟
                    ⎝ S1 ⎠     ⎜
                                    o
                                      ⎟              ⎝      ⎠
                               ⎝  2π ⎠

Example 5 solve Example 4 if the load is 30 A pure DC
Solution: From example 4 Vdc= 190.986 V, Vrms=212.132 V
 I dc = 30 A and I rms = 30 A
          P     V I
(a) η = dc = dc dc = 90 %
          Pac Vrms I rms
           V
(b) FF = rms = 1.11
            Vdc
           Vac   Vrms − Vdc
                   2      2     2
                              Vrms
(c) RF =       =            =    2
                                   − 1 = FF 2 − 1 = 0.482
           Vdc      Vdc       Vdc
            Pdc    190.986 *30
(d) TUF =        =             = 90 %
           VS I S 212.132 * 30
(e) The PIV=Vm=300V
        I             30
(f) CF = S ( peak ) =    =1
               IS        30
         4 Io     4 * 30
(g) I S1 =      =        = 27.01A
          2π        2π
                       Re al Power
Input Power factor=                =
                    Apperant Power
                         VS I S1 * cos φ  I * cos φ   27.01
                     =                   = S1       =       *1 = 0.9 Lag
                             VS I S           IS       30
46 Chapter Two
2.4.5 Effect Of LS On Current Commutation Of Single-Phase Diode
Bridge Rectifier.
   Fig.2.15 Shows the single-phase diode bridge rectifier with source
inductance. Due to the value of LS the transitions of the AC side current
iS from a value of I o to − I o (or vice versa) will not be instantaneous.
The finite time interval required for such a transition is called
commutation time. And this process is called current commutation
process. Various voltage and current waveforms of single-phase diode
bridge rectifier with source inductance are shown in Fig.2.16.




     Fig.2.15 Single-phase diode bridge rectifier with source inductance.




Fig.2.16 Various current and voltage waveforms for single-phase diode bridge
                      rectifier with source inductance.
Diode Circuits or Uncontrolled Rectifier                                   47
   Let us study the commutation time starts at t=10 ms as indicated in
Fig.2.16. At this time the supply voltage starts to be negative, so diodes
D1 and D2 have to switch OFF and diodes D3 and D4 have to switch ON
as explained in the previous case without source inductance. But due to
the source inductance it will prevent that to happen instantaneously. So, it
will take time Δt to completely turn OFF D1 and D2 and to make D3 and
D4 carry the entire load current ( I o ). Also in the time Δt the supply
current will change from I o to − I o which is very clear in Fig.2.16.
Fig.2.17 shows the equivalent circuit of the diode bridge at time Δt .




 Fig.2.17 The equivalent circuit of the diode bridge at commutation time Δt .
From Fig.2.17 we can get the following equations
         di
VS − Ls S = 0                                            (2.53)
          dt
Multiply the above equation by dωt then,
VS dωt = ωLs diS                                         (2.54)
  Integrate both sides of the above equation during the commutation
period ( Δt sec or u rad.) we get the following:
VS dωt = ωLs diS
π +u                    −Io

 ∫ Vm sin ωt dωt = ωLs ∫ diS                                      (2.55)
 π                       Io
Then; Vm [cos π − cos(π + u )] = −2ωLs I o
Then; Vm [− 1 + cos(u )] = −2ωLs I o
48 Chapter Two
                      2ωLs I o
Then; cos(u ) = 1 −
                        Vm
                  ⎛ 2ωLs I o ⎞
Then; u = cos −1 ⎜1 −
                  ⎜           ⎟                                 (2.56)
                  ⎝      Vm ⎟ ⎠
            u 1          ⎛ 2ωLs I o ⎞
And Δt = = cos −1 ⎜1 −   ⎜           ⎟                          (2.57)
            ω ω          ⎝      Vm ⎟ ⎠
   It is clear that the DC voltage reduction due to the source inductance is
the drop across the source inductance.
           di
vrd = Ls S                                                      (2.58)
            dt
       π +u           −Io
Then    ∫ vrd dω t = ∫ ω LS diS = −2ω LS I o                    (2.59)
        π              Io
π +u

 ∫ vrd dω t   is the reduction area in one commutation period Δt . But we
 π
have two commutation periods Δt in one period of supply voltage. So the
                                 π +u
total reduction per period is: 2   ∫ vrd dω t = −4 ω LS I o     (2.60)
                                   π
   To obtain the average reduction in DC output voltage Vrd due to
source inductance we have to divide the above equation by the period
time 2π . Then;
       − 4ω LS I o
Vrd =               = −4 f LS I o                                 (2.61)
           2π
   The DC voltage with source inductance tacking into account can be
calculated as following:
                                                   2V
Vdc actual = Vdc without sourceinduc tan ce − Vrd = m − 4 fLs I o (2.62)
                                                  π
   To obtain the rms value and Fourier transform of the supply current it
is better to move the vertical axis to make the waveform odd or even this
will greatly simplfy the analysis. So, it is better to move the vertical axis
of supply current by u / 2 as shown in Fig.2.18. Moveing the vertical axis
will not change the last results. If you did not bleave me keep going in the
analysis without moveing the axis.
Diode Circuits or Uncontrolled Rectifier                                         49




                 Fig. 2.18 The old axis and new axis for supply currents.
   Fig.2.19 shows a symple drawing for the supply current. This drawing
help us in getting the rms valuof the supply current. It is clear from the
waveform of supply current shown in Fig.2.19 that we obtain the rms
value for only a quarter of the waveform because all for quarter will be
the same when we squaret the waveform as shown in the following
equation:
                                          π
                 u/2              2     2
       2               ⎛ 2I o ⎞
Is =              ∫          ωt ⎟ dωt + ∫ I o dωt ]
                                            2
             [         ⎜                                                (2.63)
       π          0    ⎝  u     ⎠      u/2

                      2I o ⎡ 4 u 3 π u ⎤
                         2
                                                 2I o ⎡π u ⎤
                                                    2
Then; I s =                ⎢      + − ⎥=                −               (2.64)
                       π ⎢ 3u 2 8 2 2 ⎥
                           ⎣           ⎦          π ⎢ 2 3⎥
                                                      ⎣    ⎦
                        Is
                              u

                 Io
                                                 π                2π
                                                           u
       −
         u                                            π+
         2                                                 2
                                      π
                          u           2                       u
                                               u         2π −
                          2
                              − Io         π−                 2
                                               2
                               Fig.2.19 Supply current waveform
50 Chapter Two
   To obtain the Fourier transform for the supply current waveform you
can go with the classic fourier technique. But there is a nice and easy
method to obtain Fourier transform of such complcated waveform known
as jump technique [ ]. In this technique we have to draw the wave form
and its drevatives till the last drivative values all zeros. Then record the
jump value and its place for each drivative in a table like the table shown
below. Then; substitute the table values in (2.65) as following:
                        Is
                              u

              Io
                                                           π                      2π
                                    u                               u
      −
        u                                                        π+
        2                           2                               2


                                                   u                          u
                                             π−                       2π −
                                                   2                          2
                             − Io
                     ′
                    Is
         2Io
          u
                                                           π
                                      u                                   u
      −
        u                                                        π+
        2                             2                                   2


                                               u                              u
                                          π−                          2π −
             2I o                              2                              2
        −
              u
                        Fig.2.20 Supply current and its first derivative.

Table(2.1) Jumb value of supply current and its first derivative.
        Js              u         u                    u              u
                    −                          π−              π+
                        2         2                    2              2
        Is          0             0            0               0
         ′
        Is          2Io
                                  −
                                      2I o
                                               −
                                                   2Io         2I o
                      u                u            u            u
Diode Circuits or Uncontrolled Rectifier                                   51
It is an odd function, then ao = an = 0
         ⎡m                       1 m                  ⎤
            ∑                   ∑
        1
bn =     ⎢      J s cos nωt s −            ′
                                         J s sin nωt s ⎥            (2.65)
       nπ⎢ s =1
         ⎣                        n s =1               ⎥
                                                       ⎦
      1 ⎡ − 1 2I o ⎛            ⎛ u⎞             ⎛u⎞     ⎛  u⎞        ⎛    u ⎞ ⎞⎤
bn =     ⎢ *            ⎜ sin n⎜ − ⎟ − sin n⎜ ⎟ − sin n⎜ π − ⎟ + sin n⎜ π + ⎟ ⎟⎥
     nπ ⎣ n          u ⎝        ⎝ 2⎠             ⎝2⎠     ⎝  2⎠        ⎝    2 ⎠ ⎠⎦
      8I            nu
bn = 2 o * sin                                                      (2.66)
     n πu            2
     8I           u
b1 = o * sin                                                        (2.67)
     πu           2
                  8I o         u
Then; I S1 =             * sin                                      (2.68)
                  2 πu         2
                             8I o            u
                                     * sin
      I           ⎛u⎞         2 πu           2     ⎛u⎞
pf = S1 * cos⎜ ⎟ =                              cos⎜ ⎟
      IS          ⎝2⎠        2I o ⎡π u ⎤
                                 2                 ⎝2⎠
                                         − ⎥
                               π ⎢ 2 3⎦
                                   ⎣
                                                                    (2.69)
                ⎛ u⎞ ⎛u⎞
        4 sin ⎜ ⎟ cos⎜ ⎟
      =         ⎝ 2 ⎠ ⎝ 2 ⎠ = 2 sin (u )
                  ⎡π u ⎤                  ⎡π u ⎤
           u π⎢ − ⎥                u π⎢ − ⎥
                  ⎣ 2 3⎦                  ⎣ 2 3⎦

Example 6 Single phase diode bridge rectifier connected to 11 kV, 50 Hz,
source inductance X s = 5 mH supply to feed 200 A pure DC load, find:
   i. Average DC output voltage.
  ii. Power factor.
 iii. Determine the THD of the utility line current.
     Solution: (i) From (2.62), Vm = 11000 * 2 = 15556V
                                                   2V
Vdc actual = Vdc without sourceinduc tan ce − Vrd = m − 4 fLs I o
                                                   π
               2 *15556
Vdc actual =              − 4 * 50 * 0.005 * 200 = 9703V
                  π
(ii) From (2.56) the commutation angle u can be obtained as following:
52 Chapter Two
           ⎛ 2ωLs I o ⎞               2 * 2 * π * 50 * 0.005 * 200 ⎞
u = cos −1 ⎜1 −
           ⎜          ⎟ = cos −1 ⎛1 −
                      ⎟          ⎜                                 ⎟ = 0.285 rad .
           ⎝    Vm ⎠             ⎝               15556             ⎠
The input power factor can be obtained from (2.69) as following
      I      ⎛u⎞       2 * sin (u )     2 * sin (0.285)
pf = S1 * cos⎜ ⎟ =                  =                     = 0.917
      IS     ⎝2⎠          ⎡ π u⎤               ⎡ π .285 ⎤
                    u π ⎢ − ⎥ 0.285 π ⎢ −
                          ⎣ 2 3⎦               ⎣2     3 ⎥
                                                        ⎦
       2I o ⎡π u ⎤
          2
                       2 * 200 2 ⎡ π 0.285 ⎤
IS =            − ⎥=             ⎢ − 3 ⎥ = 193.85 A
        π ⎢ 2 3⎦
             ⎣             π     ⎣2          ⎦
        8I o        u     8 * 200          ⎛ 0.285 ⎞
I S1 =         * sin =               * sin ⎜       ⎟ = 179.46 A
        2 πu        2   2 π * 0.285        ⎝ 2 ⎠
                  2             2
       ⎛ IS ⎞
              ⎟ −1 = ⎛
                       193.85 ⎞
       ⎜
THDi = ⎜      ⎟      ⎜        ⎟ − 1 = 40.84%
       ⎝ I S1 ⎠      ⎝ 179.46 ⎠

2.5 Three Phase Diode Rectifiers
2.5.1 Three-Phase Half Wave Rectifier
   Fig.2.21 shows a half wave three-phase diode rectifier circuit with
delta star three-phase transformer. In this circuit, the diode with highest
potential with respect to the neutral of the transformer conducts. As the
potential of another diode becomes the highest, load current is transferred
to that diode, and the previously conduct diode is reverse biased “OFF
case”.




Fig.2.21 Half wave three-phase diode rectifier circuit with delta star three-phase
                                 transformer.
Diode Circuits or Uncontrolled Rectifier                                 53
   For the rectifier shown in Fig.2.21 the load voltage, primary diode
currents and its FFT components are shown in Fig.2.22, Fig.2.23 and
Fig.2.24 respectively.




              π           5π
               6           6




Fig.2.22 Secondary and load voltages of half wave three-phase diode rectifier.




                    Fig.2.23 Primary and diode currents.
54 Chapter Two




                                                Primary current




                                                Diode current




         Fig.2.24 FFT components of primary and diode currents.
                                   π      5π
   By considering the interval from to        in the output voltage we can
                                   6       6
calculate the average and rms output voltage and current as following:
              5π / 6
          3                            3 3 Vm
Vdc =
         2π     ∫   Vm sin ωt dωt =
                                         2π
                                              = 0.827Vm             (2.70)
              π /6
         3 3 Vm 0.827 * Vm
I dc =            =                                                 (2.71)
         2 *π * R   R
                 5π / 6

                     ∫ (Vm sin ωt )
          3                                   1 3* 3
Vrms   =                          2
                                      dωt =    +     Vm = 0.8407 Vm (2.72)
         2π                                   2 8π
                    π /6
        0.8407 Vm
I rms =                                                    (2.73)
              R
   Then the diode rms current is equal to secondery current and can be
obtaiend as following:
              08407 Vm               Vm
    Ir = IS =            = 0.4854                          (2.74)
                 R 3                 R
   Note that the rms value of diode current has been obtained from the
rms value of load current divided by 3 because the diode current has
one third pulse of similar three pulses in load current.
ThePIV of the diodes is 2 VLL = 3 Vm                       (2.75)
Diode Circuits or Uncontrolled Rectifier                             55
Example 7 The rectifier in Fig.2.21 is operated from 460 V 50 Hz supply
at secondary side and the load resistance is R=20 Ω. If the source
inductance is negligible, determine (a) Rectification efficiency, (b) Form
factor (c) Ripple factor (d) Transformer utilization factor, (e) Peak
inverse voltage (PIV) of each diode and (f) Crest factor of input current.
Solution:
           460
(a) VS =        = 265.58 V , Vm = 265.58 * 2 = 375.59 V
             3
        3 3 Vm
Vdc =             = 0.827 Vm ,
           2π
        3 3 Vm 0827 Vm
 I dc =           =
         2π R          R
Vrms = 0.8407 Vm
         0.8407 Vm
 I rms =
               R
      P      V I
η = dc = dc dc = 96.767 %
      Pac Vrms I rms
           V
(b) FF = rms = 101.657 %
           Vdc
            Vac   Vrms − Vdc
                    2      2     2
                               Vrms
(c) RF =        =            =    2
                                    − 1 = FF 2 − 1 = 18.28 %
            Vdc      Vdc       Vdc
              1         0.8407 Vm
(d) I S =       I rms =
              3             3 R
           Pdc              (0.827Vm ) 2 / R
TUF =              =                          = 66.424 %
        3 * VS I S                  0.8407 Vm
                       3 * Vm / 2 *
                                          3R
(e) The PIV= 3 Vm=650.54V
         I S ( peak )     Vm / R
(f) CF =              =           = 2.06
              IS        0.8407 Vm
                           3R
56 Chapter Two
2.5.2 Three-Phase Half Wave Rectifier With DC Load Current and
zero source inductance
In case of pure DC load current as shown in Fig.2.25, the diode current
and primary current are shown in Fig.2.26.




                  Fig.2.25 Three-phase half wave rectifier with dc load current
   To calculate Fourier transform of the diode current of Fig.2.26, it is
better to move y axis to make the function as odd or even to cancel one
coefficient an or bn respectively. If we put Y-axis at point ωt = 30o then
we can deal with the secondary current as even functions. Then, bn = 0 of
secondary current. Values of an can be calculated as following:
                   π /3
      1                           I
a0 =
     2π              ∫ I o dωt = 3o                                                   (2.76)
                  −π / 3
                 π /3
             1
an =
         π         ∫ I o * cos nωt dwt
                 −π / 3

    = o [sin nωt ]−π //3
       I
                   π 3
       nπ
      I
   = o * 3 for n = 1,2,7,8,13,14,....                                                 (2.77)
      nπ
         I
   = − o * 3 for n = 4,5,10,11,16,17
        nπ
   = 0 for all treplean harmonics
             IO   3I O     ⎛         1         1         1         1         1               ⎞
I s (t ) =      +          ⎜ sin ωt + sin 2ωt − sin 4ωt − sin 5ωt + sin 7ωt + sin 8ωt − −... ⎟ (2.78)
              3   π        ⎝         2         4         5         7         8               ⎠
Diode Circuits or Uncontrolled Rectifier                            57




              New axis




 Fig.2.26 Primary and secondary current waveforms and FFT components of
             three-phase half wave rectifier with dc load current
58 Chapter Two
                                                   2
                                    ⎛        ⎞
                           2        ⎜        ⎟
                 ⎛I ⎞               ⎜ Io / 3 ⎟               2 *π 2
THD( I s (t )) = ⎜ S ⎟
                 ⎜I ⎟          −1 = ⎜          −1 =                 − 1 = 1.0924 = 109.24%
                 ⎝ S1 ⎠             ⎜   3I O ⎟
                                             ⎟
                                                                9
                                    ⎜ π 2 ⎟
                                    ⎝        ⎠
It is clear that the primary current shown in Fig.2.26 is odd, then, an=0,
             2π / 3
bn =
        2
               ∫ I o * sin nωt dωt          =
                                                2I o
                                                     [− cos nωt ] 20π / 3
        π                                       nπ
               0
      3I o
    =      for n = 1,2,4,5,7,8,10,11,13,14,....                                 (2.79)
      nπ
   = 0 for all treplean harmonics
            3I O ⎛         1         1         1         1         1               ⎞
iP (t ) =        ⎜ sin ωt + sin 2ωt + sin 4ωt + sin 5ωt + sin 7ωt + sin 8ωt − −... ⎟ (2.80)
             π ⎝           2         4         5         7         8               ⎠
                                     2
The rms value of I P =                 Io                                       (2.81)
                                     3
                                                    2
                                        ⎛    2 ⎞
                               2        ⎜      Io ⎟           2
                  ⎛I ⎞                       3 ⎟ − 1 = ⎛ 2π ⎞ − 1 = 67.983% (2.82)
THD ( I P (t )) = ⎜ P ⎟
                  ⎜I ⎟             −1 = ⎜              ⎜    ⎟
                                        ⎜   3I O ⎟     ⎝3 3⎠
                  ⎝ P1 ⎠                ⎜         ⎟
                                        ⎝   π 2 ⎠

Example 8 Solve example 7 if the load current is 100 A pure DC
                   460
Solution: (a) VS =      = 265.58 V , Vm = 265.58 * 2 = 375.59 V
                     3
       3 3 Vm
Vdc =           = 0.827 Vm = 310.613V , I dc = 100 A
         2π
Vrms = 0.8407 Vm = 315.759 V , I rms = 100 A
     P      V I        310.613 * 100
η = dc = dc dc =                     = 98.37 %
     Pac Vrms I rms 315.759 *100
         V
(b) FF = rms = 101.657 %
         Vdc
         Vac   Vrms − Vdc
                 2      2     2
                            Vrms
(c) RF =     =            =    2
                                 − 1 = FF 2 − 1 = 18.28 %
         Vdc      Vdc       Vdc
Diode Circuits or Uncontrolled Rectifier                                 59

         1          1
(d) I S =   I rms =   *100 = 57.735 A
          3         3
         Pdc          310.613 * 100
TUF =             =                   = 67.52 %
      3 * VS I S 3 * Vm / 2 * 57.735
(e) The PIV= 3 Vm=650.54V
            I S ( peak )        100
(f) CF =                   =          = 1.732
                IS             57.735
2.5.3 Three-Phase Half Wave Rectifier With Source Inductance
   The source inductance in three-phase half wave diode rectifier Fig.2.27
will change the shape of the output voltage than the ideal case (without
source inductance) as shown in Fig.2.28. The DC component of the
output voltage is reduced due to the voltage drop on the source
inductance. To calculate this reduction we have to discuss Fig.2.27 with
reference to Fig.2.28. As we see in Fig.2.28 when the voltage vb is going
to be greater than the voltage va at time t (at the arrow in Fig.2.28) the
diode D1 will try to turn off, in the same time the diode D2 will try to
turn on but the source inductance will slow down this process and makes
it done in time Δt (overlap time or commutation time). The overlap time
will take time Δt to completely turn OFF D1 and to make D2 carry the
entire load current ( I o ). Also in the time Δt the current in Lb will change
from zero to I o and the current in La will change from I o to zero. This is
very clear from Fig.2.28. Fig.2.29 shows the equivalent circuit of three
phase half wave diode bridge in commutation period Δt .




   Fig.2.27 Three-phase half wave rectifier with load and source inductance.
60 Chapter Two




  Fig.2.28 Supply current and output voltage for three-phase half wave
           rectifier with pure DC load and source inductance.




  Fig.2.29 The equivalent circuit for three-phase half wave diode rectifier in
                                commutation period.
From Fig.2.29 we can get the following equations
        di
va − La D1 − Vdc = 0                                               (2.83)
         dt
        di
vb − Lb D 2 − Vdc = 0                                              (2.84)
         dt
   subtract (2.84) from(2.83) we get:
Diode Circuits or Uncontrolled Rectifier                               61

              ⎛ di     di ⎞
   va − vb + L⎜ D 2 − D1 ⎟ = 0
              ⎝ dt      dt ⎠
  Multiply the above equation by dωt the following equation can be
obtained: (va − vb )dωt + ωL(diD 2 − diD1 ) = 0
  substitute the voltage waveforms of va and vb into the above equation
        ⎛                      ⎛      2π ⎞ ⎞
we get: ⎜Vm sin (ωt ) − Vm sin ⎜ ωt −    ⎟ ⎟dωt = ωL(diD1 − diD 2 )
        ⎝                      ⎝       3 ⎠⎠
              ⎛            ⎛       π ⎞⎞
  Then;       ⎜ 3 Vm sin ⎜ ωt + ⎟ ⎟dωt = ωL(diD1 − diD 2 )
              ⎝            ⎝       6 ⎠⎠
  Integrating both parts of the above equation we get the following:
   5π
      +u
    6                               ⎛0      Io     ⎞
                    ⎛     π⎞        ⎜              ⎟
    ∫               ⎝     6⎠        ⎜I  ∫        ∫
           3 Vm sin ⎜ ωt + ⎟dωt = ωL⎜ diD1 − diD 2 ⎟
                                                   ⎟
    5π                              ⎝ o      0     ⎠
     6
                 ⎛ ⎛ 5π π ⎞            ⎛ 5π       π ⎞⎞
  Then;     3 Vm ⎜ cos⎜     + ⎟ − cos⎜       + u + ⎟ ⎟ = −2ωLI o
                 ⎝ ⎝ 6 6⎠              ⎝ 6         6 ⎠⎠
  Then;     3 Vm (cos(π ) − cos(π + u )) = −2ωLI o
  Then;   3 Vm (− 1 + cos(u )) = −2ωLI o
                      2ωLI o
  Then; 1 − cos(u ) =
                       3 Vm
                      2ωLI o
  Then; cos(u ) = 1 −
                       3 Vm
                    ⎛ 2ωLI o ⎞
  Then u = cos −1 ⎜1 −
                    ⎜
                               ⎟                               (2.85)
                    ⎝    3 Vm ⎟⎠
         u 1           ⎛ 2ωLI o ⎞
   Δt = = cos −1 ⎜1 −  ⎜
                                 ⎟                             (2.86)
         ω ω           ⎝    3 Vm ⎟
                                 ⎠
  It is clear that the DC voltage reduction due to the source inductance is
equal to the drop across the source inductance. Then;
            di
   vrd = L D
             dt
62 Chapter Two
                 5π
                    +u
                  6                 Io
  Then,              ∫ vrd dωt = ∫ ωL diD = ωLI o                          (2.87)
                     5π             0
                      6
      5π
         +u
       6

       ∫ vrd dωt          is the reduction area in one commutation period Δt . But,
       5π
        6
we have three commutation periods, Δt in one period. So, the total
reduction per period is:
         5π
            +u
          6
  3*          ∫ vrd dωt = 3ωLI o
            5π
             6
   To obtain the average reduction in DC output voltage Vrd due to
source inductance we have to divide the total reduction per period by 2π
as following:
          3ωLI o
   Vrd =          = 3 f L Io                                  (2.88)
            2π
Then, the DC component of output voltage due to source inductance is:
Vdc Actual = Vdc without
                 source
                            − 3 f L Io                        (2.89)
                           induc tan ce
                      3 3 Vm
Vdc              =           − 3 f L Io                                    (2.90)
       Actual           2π

Example 9 Three-phase half-wave diode rectifier connected to 66 kV, 50
Hz , 5mH supply to feed a DC load with 500 A DC, fined the average DC
output voltage.
                  ⎛ 66000 ⎞
Solution: vm = ⎜           ⎟ * 2 = 53889V
                  ⎝ 3 ⎠
(i) Vdc Actual = Vdc without
                     source
                               − 3 f L Io
                              induc tan ce
                     3 3 Vm              3 * 3 * 53889
Vdc              =          − 3 f L Io =               − 3 * 50 * 0.005 * 500 = 44190V
      Actual           2π                     2π
Diode Circuits or Uncontrolled Rectifier                                                    63
2.5 Three-Phase Full Wave Diode Rectifier
   The three phase bridge rectifier is very common in high power
applications and is shown in Fig.2.30. It can work with or without
transformer and gives six-pulse ripples on the output voltage. The diodes
are numbered in order of conduction sequences and each one conduct for
120 degrees. These conduction sequence for diodes is 12, 23, 34, 45, 56,
and, 61. The pair of diodes which are connected between that pair of
supply lines having the highest amount of instantaneous line to line
voltage will conduct. Also, we can say that, the highest positive voltage
of any phase the upper diode connected to that phase conduct and the
highest negative voltage of any phase the lower diode connected to that
phase conduct.

2.5.1 Three-Phase Full Wave Rectifier With Resistive Load
   In the circuit of Fig.2.30, the AC side inductance LS is neglected and
the load current is pure resistance. Fig.2.31 shows complete waveforms
for phase and line to line input voltages and output DC load voltages.
Fig.2.32 shows diode currents and Fig.2.33 shows the secondary and
primary currents and PIV of D1. Fig.2.34 shows Fourier Transform
components of output DC voltage, diode current secondary current and
Primary current respectively.
   For the rectifier shown in Fig.2.30 the waveforms is as shown in
Fig.2.31. The average output voltage is :-
             2π / 3
         3                                 3 3 Vm        3 2 VLL
Vdc =
         π     ∫      3 Vm sin ωt dωt =
                                              π
                                                     =
                                                           π
                                                                   = 1.654Vm = 1.3505VLL (2.91)
             π /3
         3 3 Vm 1.654Vm 3 2 VLL 1.3505VLL
I dc =         =       =       =                                                   (2.92)
           π R     R      πR        R
                 2π / 3

                    ∫ (                 )2 dωt =
             3                                     3 9* 3
Vrms =                    3 Vm sin ωt                +    Vm = 1.6554 Vm = 1.3516VLL (2.93)
             π                                     2   4π
                   π /3
          1.6554 Vm
I rms =                                                                            (2.94)
               R
Then the diode rms current is
       1.6554 Vm          Vm
Ir =             = 0.9667                                                          (2.95)
          R 3             R
                               Vm
I S = 0.9667              2                                                        (2.96)
                               R
64 Chapter Two
                                                                         IL
                  Ip                               3
                                 Is      1                   5
                                                                         VL
                                             a
                                                        b

                                                                     c
                                        4          6          2


            Fig.2.30 Three-phase full wave diode bridge rectifier.




 Fig.2.31 shows complete waveforms for phase and line to line input voltages
                       and output DC load voltages.
Diode Circuits or Uncontrolled Rectifier                       65




                     Fig.2.32 Diode currents.




      Fig.2.33 Secondary and primary currents and PIV of D1.
66 Chapter Two




 Fig.2.34 Fourier Transform components of output DC voltage, diode current
 secondary current and Primary current respectively of three-phase full wave
                           diode bridge rectifier.

Example 10 The rectifier shown in Fig.2.30 is operated from 460 V 50
Hz supply and the load resistance is R=20 Ω. If the source inductance is
negligible, determine (a) The efficiency, (b) Form factor (c) Ripple factor
(d) Transformer utilization factor, (e) Peak inverse voltage (PIV) of each
diode and (f) Crest factor of input current.
                     460
Solution: (a) VS =       = 265.58 V ,      Vm = 265.58 * 2 = 375.59 V
                       3
      3 3 Vm
Vdc =            = 1.654Vm = 621.226 V ,
            π
         3 3 Vm 1.654Vm
I dc =         =        = 31.0613 A
           π R     R
           3 9* 3
Vrms =       +    Vm = 1.6554 Vm = 621.752 V ,
           2   4π
          1.6554 Vm
I rms =             = 31.0876 A
               R
Diode Circuits or Uncontrolled Rectifier                                      67
     Pdc    V I
η=       = dc dc = 99.83 %
     Pac Vrms I rms
         V
(b) FF = rms = 100.08 %
          Vdc
         Vac   Vrms − Vdc
                 2      2     2
                            Vrms
(c) RF =     =            =    2
                                 − 1 = FF 2 − 1 = 4 %
         Vdc      Vdc       Vdc
                     2                  1.6554 Vm         V
(d) I S =              I rms = 0.8165 *           = 1.352 m
                     3                       R            R
                 Pdc            (1.654Vm ) 2 / R
TUF =                    =                         = 95.42 %
              3 * VS I S                       V
                             3 * Vm / 2 *1.352 m
                                               R
(e) The PIV= 3 Vm=650.54V
         I              3 Vm / R
(f) CF = S ( peak ) =            = 1.281
            IS               Vm
                      1.352
                             R
2.5.2 Three-Phase Full Wave Rectifier With DC Load Current
    The supply current in case of pure DC load current is shown in
Fig.2.35. Fast Fourier Transform of Secondary and primary currents
respectively is shown in Fig2.36.
As we see it is odd function, then an=0, and
             5π / 6
         2
bn =
        π      ∫ I o * sin nωt dωt
              π /6

   =
     2 Io
          [− cos nωt ]ππ/ 66
                      5 /
      nπ
     2 Io            2 Io                  2 Io
b1 =        3, b5 =          (− 3 ), b7 =          (− 3 )            (2.97)
       π              5π                    7π
      2 Io                 2 Io
b11 =      ( 3 ), b13 =         ( 3 ),.............
      11π                  13π
bn = 0, for n = 2,3,4,6,8,9,10,12,14,15,.............
             2 3I o ⎛         1           1         1           1        ⎞
I s (t ) =          ⎜ sin ωt − sin 5v ωt − sin 7ωt + sin 11ωt + sin 13ωt ⎟ (2.98)
               π ⎝            5           7         11         13        ⎠
68 Chapter Two
                  2        2     2         2     2        2       2       2
                  ⎛1⎞ ⎛1⎞ ⎛ 1 ⎞ ⎛ 1 ⎞ ⎛ 1 ⎞ ⎛ 1 ⎞ ⎛ 1 ⎞ ⎛ 1 ⎞
THD ( I s (t )) = ⎜ ⎟ + ⎜ ⎟ + ⎜ ⎟ + ⎜ ⎟ + ⎜ ⎟ + ⎜ ⎟ + ⎜ ⎟ + ⎜ ⎟
                  ⎝ 5 ⎠ ⎝ 7 ⎠ ⎝ 11 ⎠ ⎝ 13 ⎠ ⎝ 17 ⎠ ⎝ 19 ⎠ ⎝ 23 ⎠ ⎝ 25 ⎠
               = 31%
Also THD ( I s (t )) can be obtained as following:
        2              2* 3
IS =      I o , I S1 =      Io
        3               π
                       2
                  ⎛I ⎞               2/3
THD ( I s (t )) = ⎜ S ⎟ − 1 =
                  ⎜      ⎟                 − 1 = 31.01%
                  ⎝ I S1 ⎠       2*3/π 2




       Fig.2.35 The D1 and D2 currents, secondary and primary currents.
Diode Circuits or Uncontrolled Rectifier                                        69




Fig2.36 Fast Fourier Transform of Secondary and primary currents respectively.

   For the primary current if we move the t=0 to be as shown in Fig.2.28,
then the function will be odd then, an = 0 , and
                                 2π / 3
     2⎛                                                                      ⎞
         π /3                                          π
       ⎜ I * sin nωt dωt + 2 I * sin nωt dωt +              I1 * sin nωt dωt ⎟
bn =
     π⎜       ∫
              1                    ∫      1                ∫                 ⎟
       ⎝ 0                        π /3                2π / 3                 ⎠
      2I ⎛                      π             2π ⎞                             (2.99)
   = 1 ⎜1 − cos nπ + cos n − cos n                 ⎟
      nπ ⎝                      3              3 ⎠
     2 * 3I1
bn =           for n = 1,5,7,11,13,...............
       nπ
bn = 0, for n = 2,3,4,6,8,9,10,12,14,15,.............
             2 * 3I1 ⎛         1         1         1           1        ⎞
I P (t ) =           ⎜ sin ωt + sin 5ωt + sin 7ωt + sin 11ωt + sin 13ωt ⎟ (2.100)
               π ⎝             5         7         11         13        ⎠
                       2       2       2      2        2       2         2        2
                   ⎛1⎞ ⎛1⎞ ⎛ 1 ⎞ ⎛ 1 ⎞ ⎛ 1 ⎞ ⎛ 1 ⎞ ⎛ 1 ⎞ ⎛ 1 ⎞
THD ( I P (t )) = ⎜ ⎟ + ⎜ ⎟ + ⎜ ⎟ + ⎜ ⎟ + ⎜ ⎟ + ⎜ ⎟ + ⎜ ⎟ + ⎜ ⎟
                   ⎝ 5 ⎠ ⎝ 7 ⎠ ⎝ 11 ⎠ ⎝ 13 ⎠ ⎝ 17 ⎠ ⎝ 19 ⎠ ⎝ 23 ⎠ ⎝ 25 ⎠
               = 30%
                     I S1           I
Power Factor =            * cos(0) = S1
                     IS              IS
70 Chapter Two
2.5.4 Three-Phase Full Wave Diode Rectifier With Source Inductance
   The source inductance in three-phase diode bridge rectifier Fig.2.37
will change the shape of the output voltage than the ideal case (without
source inductance) as shown in Fig.2.31. The DC component of the
output voltage is reduced. Fig.2.38 shows The output DC voltage of
three-phase full wave rectifier with source inductance.




       Fig.2.37 Three-phase full wave rectifier with source inductance




 Fig.2.38 The output DC voltage of three-phase full wave rectifier with source
                                 inductance
   Let us study the commutation time starts at t=5ms as shown in
Fig.2.39. At this time Vc starts to be more negative than Vb so diode D6
has to switch OFF and D2 has to switch ON. But due to the source
inductance will prevent that to happen instantaneously. So it will take
time Δt to completely turn OFF D6 and to make D2 carry all the load
Diode Circuits or Uncontrolled Rectifier                                 71
current ( I o ). Also in the time Δt the current in Lb will change from I o
to zero and the current in Lc will change from zero to I o . This is very
clear from Fig.2.39. The equivalent circuit of the three phase diode bridge
at commutation time Δt at t = 5ms is shown in Fig.2.40 and Fig.2.41.




    Fig.2.39 Waveforms represent the commutation period at time t=5ms.




Fig.2.40 The equivalent circuit of the three phase diode bridge at commutation
                             time Δt at t = 5ms
72 Chapter Two




Fig.2.41 Simple circuit of the equivalent circuit of the three phase diode bridge
                     at commutation time Δt at t = 5ms
From Fig.2.41 we can get the following defferntial equations:
       di             di
Va − La D1 − Vdc − Lb D 6 − Vb = 0                            (2.101)
        dt             dt
          diD1           di
Va − La        − Vdc − Lc D 2 − Vc = 0                      (2.102)
           dt             dt
                                                  diD1
Note that, during the time Δt , iD1 is constant so      = 0 , substitute this
                                                   dt
value in (2.101) and (2.102) we get the following differential equations:
             di
Va − Vb − Lb D 6 = Vdc                                          (2.103)
              dt
             di
Va − Vc − Lc D 2 = Vdc                                          (2.104)
              dt
By equating the left hand side of equation (2.103) and (2.104) we get the
following differential equation:
               diD 6               di
Va − Vb − Lb         = Va − Vc − Lc D 2                             (2.105)
                dt                  dt
              diD 6      di
Vb − Vc + Lb        − Lc D 2 = 0                                (2.106)
               dt          dt
The above equation can be written in the following manner:
(Vb − Vc )dt + Lb diD6 − Lc diD 2 = 0                           (2.107)
(Vb − Vc )dω t + ω Lb diD 6 − ω Lc diD 2 = 0                    (2.108)
   Integrate the above equation during the time Δt with the help of
Fig.2.39 we can get the limits of integration as shown in the following:
π / 2+u               0             Io

  ∫ (Vb − Vc )dω t + ∫ ω Lb diD6 − ∫ ω Lc diD 2 = 0
 π /2                 Io             0
Diode Circuits or Uncontrolled Rectifier                                            73
π / 2+u
          ⎛       ⎛       2π ⎞          ⎛       2π ⎞ ⎞
  ∫       ⎜Vm sin ⎜ ω t −    ⎟ − Vm sin ⎜ ω t +    ⎟ ⎟dω t + ωLb (− I o ) − ωLc I o = 0
 π /2     ⎝       ⎝        3 ⎠          ⎝        3 ⎠⎠
assume Lb = Lc = LS
                                             π / 2+u
   ⎡     ⎛       2π ⎞       ⎛      2π ⎞⎤
Vm ⎢− cos⎜ ω t −    ⎟ + cos⎜ ω t +    ⎟          = 2ω LS I o
   ⎣     ⎝        3 ⎠       ⎝       3 ⎠⎥π / 2
                                        ⎦
   ⎡     ⎛π        2π ⎞       ⎛π        2π ⎞       ⎛ π 2π ⎞         ⎛ π 2π ⎞ ⎤
Vm ⎢− cos⎜ + u −       ⎟ + cos⎜ + u +       ⎟ + cos⎜ −       ⎟ − cos⎜ +    ⎟
   ⎣     ⎝2         3 ⎠       ⎝2          3 ⎠      ⎝2     3 ⎠       ⎝2   3 ⎠⎥⎦
       = 2ω LS I o
   ⎡     ⎛    π⎞      ⎛     7π        ⎞      ⎛ −π   ⎞      ⎛ 7π   ⎞⎤
Vm ⎢− cos⎜ u − ⎟ + cos⎜ u +           ⎟ + cos⎜      ⎟ − cos⎜      ⎟⎥ = 2ω LS I o
   ⎣     ⎝    6⎠      ⎝      6        ⎠      ⎝ 6    ⎠      ⎝ 6    ⎠⎦
⎡             ⎛π ⎞               ⎛π ⎞             ⎛ 7π ⎞                ⎛ 7π ⎞       3⎤
⎢− cos(u ) cos⎜ ⎟ − sin (u ) sin ⎜ ⎟ + cos(u ) cos⎜    ⎟ − sin (u ) sin ⎜
                                                                                3
                                                                             ⎟+   +   ⎥
⎣             ⎝6⎠                ⎝6⎠              ⎝ 6 ⎠                 ⎝ 6 ⎠ 2     2 ⎦
              2ω LS I o
          =
                Vm

⎡                                                           ⎤   2ω LS I o
     cos(u ) − 0.5 sin (u ) −    cos(u ) + 0.5 sin (u ) + 3 ⎥ =
   3                           3
⎢−
⎣ 2                           2                             ⎦     Vm
                          2ω LS I o
  3[1 − cos(u )] =
                            Vm
                  2ω LI o     2ω LI o     2 ω LS I o
cos(u ) = 1 −             =1−         =1−
                   3 Vm        2 VLL        VLL
           ⎡      2ω LS I o ⎤
u = cos −1 ⎢1 −             ⎥                                              (2.109)
           ⎣       VLL ⎦
       u 1          ⎡       2ω LS I o ⎤
Δt = = cos −1 ⎢1 −                    ⎥                                    (2.110)
      ω ω           ⎣         VLL ⎦
It is clear that the DC voltage reduction due to the source               inductance is
the drop across the source inductance.
           di
vrd = LS D                                                                 (2.111)
            dt
Multiply (2.111) by dωt and integrate both sides of                       the resultant
equation we get:
74 Chapter Two
π
    +u
2                  Io

    ∫ vrd dω t = ∫ ω LdiD = ω LS I o                                (2.112)
    π               0
    2
π
    +u
2

    ∫ vrd dω t   is the reduction area in one commutation period Δt . But we
    π
    2
have six commutation periods Δt in one period so the total reduction per
period is:
    π
        +u
    2
6       ∫ vrd dω t = 6ω LS I o                                      (2.113)
        π
        2
   To obtain the average reduction in DC output voltage Vrd due to
source inductance we have to divide by the period time 2π . Then,
       6ω LI o
Vrd =          = 6 fLI o                                              (2.114)
          2π
   The DC voltage without source inductance tacking into account can be
calculated as following:
Vdc actual = Vdc without sourceinduc tan ce − Vrd = 1.35VLL − 6 fLI d (2.115)
Fig.2.42 shows the utility line current with some detailes to help us to
calculate its rms value easly.
                      Is
                                       u


                           Io
                                                            2π
                                                               +u
                                                             3


                                       2π u        2π
                                         +
                                        6 2
                          − Io                      3
                             Fig.2.42 The utility line current
Diode Circuits or Uncontrolled Rectifier                                               75

       ⎡               π u      ⎤
                        +
       ⎢ ⎛I
         u        2    3 2      ⎥                            2I o ⎡ 1 3 π u
                                                                2
                                                                                   ⎤
       ⎢ ⎜ o ωt ⎞ dωt + I d dωt ⎥ =
     2
Is =           ∫                             ∫                    ⎢ 2 u + 3 + 2 − u⎥
                           2
                ⎟
     π⎢ ⎝u ⎠                    ⎥                             π ⎣ 3u               ⎦
         0              u
       ⎢                        ⎥
       ⎣                        ⎦
              2I o ⎡π u ⎤
                 2
Then I S =           −                                            (2.116)
               π ⎢ 3 6⎥
                   ⎣     ⎦
   Fig.2.43 shows the utility line currents and its first derivative that help
us to obtain the Fourier transform of supply current easily. From Fig.2.43
we can fill Table(2.2) as explained before when we study Table (2.1).
                                                 u
                              Is

                              Io
                                                                            11π u
                                                               7π u            −
                                                                 −           6 2
                                                                6 2

                                     π       u          5π u
                                         −                −
                                     6       2           6 2
                             − Io
                               Is′
                                                 u


                              Io
                              u                        5π u    7π u
                                                         −       −
                                                        6 2     6 2


                                     π       u                              11π u
                                         −                                     −
                              I                                              6 2
                             − o     6       2
                               u
                   Fig.2.43 The utility line currents and its first derivative.

Table(2.2) Jumb value of supply current and its first derivative.
Js    π        u     π       u       5π u            5π u     7π u    7π u     11π u        11π u
           −             +               −              +         −      +         −             +
       6       2     6       2         6 2             6 2      6 2     6 2      6   2        6    2
Is    0             0                0               0        0       0        0            0
 ′
Is    Io            − Io             − Io            Io       − Io    Io        Io          − Io
       u              u                u              u         u      u        u             u
76 Chapter Two
It is an odd function, then ao = an = 0
                 ⎡m                     1 m                  ⎤
                   ∑                       ∑
         1
bn =             ⎢      J s cos nωt s −        J s sin nωt s ⎥
                                                 ′                                  (2.117)
        nπ       ⎢ s =1
                 ⎣                      n s =1               ⎥
                                                             ⎦
        1 ⎡ − 1 Io ⎛ ⎛π u ⎞       ⎛π u ⎞       ⎛ 5π u ⎞       ⎛ 5π u ⎞
bn =      ⎢ * ⎜ sin n⎜ − ⎟ − sin n⎜ + ⎟ − sin n⎜   − ⎟ + sin n⎜   + ⎟
       nπ ⎣ n u ⎝    ⎝ 6 2⎠       ⎝ 6 2⎠       ⎝ 6 2⎠         ⎝ 6 2⎠
                              ⎛ 7π u ⎞       ⎛ 7π u ⎞       ⎛ 11π u ⎞       ⎛ 11π u ⎞ ⎞ ⎤
                       − sin n⎜   − ⎟ + sin n⎜   + ⎟ + sin n⎜    − ⎟ − sin n⎜    + ⎟ ⎟⎥
                              ⎝ 6 2⎠         ⎝ 6 2⎠         ⎝ 6   2⎠        ⎝ 6   2 ⎠ ⎠⎦
         2I o    nu ⎡     nπ        5nπ       7 nπ       11nπ ⎤
bn =                 ⎢cos 6 − cos 6 − cos 6 + cos 6 ⎥ (2.118)
                      * sin
     n πu    2    2 ⎣                                         ⎦
Then, the utility line current can be obtained as in (2.119).
             4 3 ⎡ ⎛u⎞                      ⎛ 5u ⎞                   ⎛ 7u ⎞
i (ω t ) =       ⎢sin ⎜ ⎟ sin (ωt ) − 2 sin ⎜ 2 ⎟ sin (5ωt ) − 2 sin ⎜ 2 ⎟ sin (7ωt ) +
                                      1                        1
             π u ⎣ ⎝2⎠               5      ⎝ ⎠               7      ⎝ ⎠                (2.119)
                        ⎛ 11u ⎞                     ⎛ 13u ⎞                     ⎤
                              ⎟ sin (11ωt ) + 2 sin ⎜     ⎟ sin (13ωt ) − − + + ⎥
                  1                           1
             +      sin ⎜
                 112
                        ⎝ 2 ⎠                13     ⎝ 2 ⎠                       ⎦
             2 6 Io ⎛ u ⎞
Then; I S1 =        sin ⎜ ⎟                                  2.120)
               πu       ⎝2⎠
The power factor can be calculated from the following equation:
                    2 6 Io ⎛ u ⎞
                             sin ⎜ ⎟
     I S1     ⎛u⎞     πu         ⎝2⎠     ⎛u⎞
pf =      cos ⎜ ⎟ =                  cos ⎜ ⎟
      IS      ⎝2⎠     2I o ⎡π u ⎤
                         2               ⎝2⎠
                               − ⎥
                       π ⎢ 3 6⎦
                           ⎣
                          3 * sin (u )
Then; pf =                                                                          (2.121)
                          ⎡π u ⎤
                       u π⎢ − ⎥
                          ⎣ 3 6⎦

Example 11 Three phase diode bridge rectifier connected to tree phase
33kV, 50 Hz supply has 8 mH source inductance to feed 300A pure DC
load current Find;
   (i)    commutation time and commutation angle.
   (ii)   DC output voltage.
   (iii) Power factor.
   (iv) Total harmonic distortion of line current.
Diode Circuits or Uncontrolled Rectifier                                77
Solution: (i) By substituting for ω = 2 * π * 50 , I d = 300 A , L = 0.008 H ,
VLL = 33000V in (2.109), then u = 0.2549 rad . = 14.61 o
          u
Then, Δt = = 0.811 ms .
            ω
(ii) The the actual DC voltage can be obtained from (2.115) as following:
Vdc actual = Vdc without sourceinduc tan ce − Vrd = 1.35VLL − 6 fLI d
Vdcactual =1.35 * 33000 − 6 * 50 * .008 * 300 = 43830V
(iii) the power factor can be obtained from (2.121) then
          3 * sin (u )         3 sin (0.2549 )
 pf =                  =                            = 0.9644 Lagging
            ⎡π u ⎤                   ⎡ π 0.2549 ⎤
        u π ⎢ − ⎥ 0.2549 * π ⎢ −
            ⎣ 3 6⎦                   ⎣3       6 ⎥ ⎦
(iv) The rms value of supply current can be obtained from (2.116)as
following
         2I d ⎡π u ⎤
            2
                           2 * 300 2 ⎛ π 0.2549 ⎞
Is =             − ⎥=               *⎜ −           ⎟ = 239.929 A
          π ⎢ 3 6⎦
              ⎣                π      ⎝3      6 ⎠
The rms value of fundamental component of supply current can be
obtained from (2.120) as following:
       4 3 Io ⎛ u ⎞                 4 3 * 300           ⎛ 0.2549 ⎞
I S1 =          sin ⎜ ⎟ * 2 3 =                   * sin ⎜        ⎟ = 233.28 A
        πu 2        ⎝2⎠          π * 0.2549 * 2         ⎝ 2 ⎠
       I         ⎛ u ⎞ 233.28         ⎛ 0.2549 ⎞
 pf = S1 * cos⎜ ⎟ =              * cos⎜        ⎟ = 0.9644 Lagging.
        Is       ⎝ 2 ⎠ 239.929        ⎝ 2 ⎠
                 2             2
       ⎛I ⎞        ⎛ 239.929 ⎞
THDi = ⎜ S ⎟ − 1 = ⎜
       ⎜I ⎟                  ⎟ − 1 = 24.05%
       ⎝ S1 ⎠      ⎝ 233.28 ⎠

2.7 Multi-pulse Diode Rectifier
   Twelve-pulse bridge connection is the most widely used in high
number of pulses operation. Twelve-pulse technique is using in most
HVDC schemes and in very large variable speed drives for DC and AC
motors as well as in renewable energy system. An example of twelve-
pulse bridge is shown in Fig.2.33. In fact any combination such as this
which gives a 30o-phase shift will form a twelve-pulse converter. In this
kind of converters, each converter will generate all kind of harmonics
78 Chapter Two
described above but some will cancel, being equal in amplitude but 180o
out of phase. This happened to 5th and 7th harmonics along with some of
higher order components. An analysis of the waveform shows that the AC
line current can be described by (2.83).
               ⎛                                                                       ⎞
                                                                            cos (25ωt )⎟ (2.83)
         2 3
             I ⎜ cos (ωt ) −
                             1
                               cos (5ωt ) + cos (13ωt ) −
                                           1              1
                                                            cos (23ωt ) +
                                                                          1
i (t ) =
            π
P               d
                    ⎝          11         13            23               25          ⎠
                           2          2        2          2          2          2
                  ⎛1⎞ ⎛1⎞ ⎛ 1 ⎞ ⎛ 1 ⎞ ⎛ 1 ⎞ ⎛ 1 ⎞
THD ( I P (t )) = ⎜ ⎟ + ⎜ ⎟ + ⎜ ⎟ + ⎜ ⎟ + ⎜ ⎟ + ⎜ ⎟
                  ⎝ 11 ⎠ ⎝ 13 ⎠ ⎝ 23 ⎠ ⎝ 25 ⎠ ⎝ 35 ⎠ ⎝ 35 ⎠
            = 13.5%
   As shown in (10) the THDi is about 13.5%. The waveform of utility
line current is shown in Fig.2.34. Higher pulse number like 18-pulse or
24-pulse reduce the THD more and more but its applications very rare. In
all kind of higher pulse number the converter needs special transformer.
Sometimes the transformers required are complex, expensive and it will
not be ready available from manufacturer. It is more economic to connect
the small WTG to utility grid without isolation transformer. The main
idea here is to use a six-pulse bridge directly to electric utility without
transformer. But the THD must be lower than the IEEE-519 1992 limits.


                                       2N :1
    a                                                         a1                     Vd

                                                                         b1
    c                                                                          c1


        b


                                    2 3 N :1
                                                              a2
                                                                         b2

                                                                                c2


                        Fig.2.33 Twelve-pulse converter arrangement
Diode Circuits or Uncontrolled Rectifier                                 79




   (a) Utility input current.         (b) FFT components of utility current.
                Fig.2.34 Simulation results of 12.pulse system.
80 Chapter Two
  Problems
1- Single phase half-wave diode rectifier is connected to 220 V, 50 Hz
    supply to feed 5Ω pure resistor. Draw load voltage and current and
    diode voltage drop waveforms along with supply voltage. Then,
    calculate (a) The rectfication effeciency. (b) Ripple factor of load
    voltage. (c) Transformer Utilization Factor (TUF) (d) Peak Inverse
    Voltage (PIV) of the diode. (e) Crest factor of supply current.
2- The load of the rectifier shown in problem 1 is become 5Ω pure
    resistor and 10 mH inductor. Draw the resistor, inductor voltage
    drops, and, load current along with supply voltage. Then, find an
    expression for the load current and calculate the conduction angle,
     β . Then, calculate the DC and rms value of load voltage.
3- In the rectifier shown in the following figure assume VS = 220V ,
    50Hz, L = 10mH and Ed = 170V . Calculate and plot the current an
    the diode voltage drop along with supply voltage, vs .
                             vdiode +
                                      vL -        i
                           +     -
                    +




               vs                                         Ed
                    -




4-  Assume there is a freewheeling diode is connected in shunt with the
   load of the rectifier shown in problem 2. Calculate the load current
   during two periods of supply voltage. Then, draw the inductor,
   resistor, load voltages and diode currents along with supply voltage.
5- The voltage v across a load and the current i into the positive
   polarity terminal are as follows:
    v(ωt ) = Vd + 2 V1 cos(ωt ) + 2 V1 sin (ωt ) + 2 V3 cos(3ωt )
     i (ωt ) = I d + 2 I1 cos(ωt ) + 2 I 3 cos(3ωt − φ )
     Calculate the following:
            (a) The average power supplied to the load.
            (b) The rms value of v(t ) and i (t ) .
            (c) The power factor at which the load is operating.
Diode Circuits or Uncontrolled Rectifier                                81
6-     Center tap diode rectifier is connected to 220 V, 50 Hz supply via
      unity turns ratio center-tap transformer to feed 5Ω resistor load.
      Draw load voltage and currents and diode currents waveforms along
      with supply voltage. Then, calculate (a) The rectfication effeciency.
      (b) Ripple factor of load voltage. (c) Transformer Utilization Factor
      (TUF) (d) Peak Inverse Voltage (PIV) of the diode. (e) Crest factor
      of supply current.
7-     Single phase diode bridge rectifier is connected to 220 V, 50 Hz
      supply to feed 5Ω resistor. Draw the load voltage, diodes currents
      and calculate (a) The rectfication effeciency. (b) Ripple factor of load
      voltage. (c) Transformer Utilization Factor (TUF) (d) Peak Inverse
      Voltage (PIV) of the diode. (e) Crest factor of supply current.
8-     If the load of rectifier shown in problem 7 is changed to be 5Ω
      resistor in series with 10mH inductor. Calculate and draw the load
      current during the first two periods of supply voltages waveform.
9-     Solve problem 8 if there is a freewheeling diode is connected in
      shunt with the load.
10-    If the load of problem 7 is changed to be 45 A pure DC. Draw diode
      diodes currents and supply currents along with supply voltage. Then,
      calculate (a) The rectfication effeciency. (b) Ripple factor of load
      voltage. (c) Transformer Utilization Factor (TUF) (d) Peak Inverse
      Voltage (PIV) of the diode. (e) Crest factor of supply current. (f)
      input power factor.
11-    Single phase diode bridge rectifier is connected to 220V ,50Hz
      supply. The supply has 4 mH source inductance. The load connected
      to the rectifier is 45 A pure DC current. Draw, output voltage, diode
      currents and supply current along with the supply voltage. Then,
      calculate the DC output voltage, THD of supply current and input
      power factor, and, input power factor and THD of the voltage at the
      point of common coupling.
12-    Three-phase half-wave diode rectifier is connected to 380 V, 50Hz
      supply via 380/460 V delta/way transformer to feed the load with 45
      A DC current. Assuming ideal transformer and zero source
      inductance. Then, draw the output voltage, secondary and primary
      currents along with supply voltage. Then, calculate (a) Rectfication
      effeciency. (b) Crest factor of secondary current. (c) Transformer
      Utilization Factor (TUF). (d) THD of primary current. (e) Input
      power factor.
82 Chapter Two
13- Solve problem 12 if the supply has source inductance of 4 mH.
14- Three-phase full bridge diode rectifier is connected to 380V, 50Hz
    supply to feed 10Ω resistor. Draw the output voltage, diode currents
    and supply current of phase a. Then, calculate: (a) The rectfication
    effeciency. (b) Ripple factor of load voltage. (c) Transformer
    Utilization Factor (TUF) (d) Peak Inverse Voltage (PIV) of the diode.
    (e) Crest factor of supply current.
15- Solve problem 14 if the load is 45A pure DC current. Then find
    THD of supply current and input power factor.
16- If the supply connected to the rectifier shown in problem 14 has a 5
    mH source inductance and the load is 45 A DC. Find, average DC
    voltage, and THD of input current.
17- Single phase diode bridge rectifier is connected to square waveform
    with amplitude of 200V, 50 Hz. The supply has 4 mH source
    inductance. The load connected to the rectifier is 45 A pure DC
    current. Draw, output voltage, diode currents and supply current
    along with the supply voltage. Then, calculate the DC output voltage,
    THD of supply current and input power factor.
18- In the single-phase rectifier circuit of the following figure, LS = 1
    mH and Vd = 160V . The input voltage vs has the pulse waveform
    shown in the following figure. Plot is and id waveforms and find the
    average value of I d .
                                                      id




                     +     iS                              Vd
                VS
                     -



                                          f = 50 Hz
     200V
                                   120o                                   ωt
                     o                                                o
    60o       120        60o                    60o             120
Chapter 3
    Thyristor Converters or Controlled
                Converters
3.1 Introduction
The controlled rectifier circuit is divided into three main circuits:-
     (1) Power Circuit
         This is the circuit contains voltage source, load and switches as
         diodes, thyristors or IGBTs.
     (2) Control Circuit
         This circuit is the circuit, which contains the logic of the firing of
         switches that may, contains amplifiers, logic gates and sensors.
     (3) Triggering circuit
         This circuit lies between the control circuit and power thyristors.
         Sometimes this circuit called switch drivers circuit. This circuit
         contains buffers, opt coupler or pulse transformers. The main
         purpose of this circuit is to separate between the power circuit and
         control circuit.
    The thyristor is normally switched on by applying a pulse to its gate.
The forward drop voltage is so small with respect to the power circuit
voltage, which can be neglected. When the anode voltage is greater than
the cathode voltage and there is positive pulse applied to its gate, the
thyristor will turn on. The thyristor can be naturally turned off if the
voltage of its anode becomes less than its cathode voltage or it can be
turned off by using commutation circuit. If the voltage of its anode is
become positive again with respect to its cathode voltage the thyristor
will not turn on again until gets a triggering pulse to its gate.
    The method of switching off the thyristor is known as Thyristor
commutation. The thyristor can be turned off by reducing its forward
current below its holding current or by applying a reverse voltage across
it. The commutation of thyristor is classified into two types:-
1- Natural Commutation
If the input voltage is AC, the thyristor current passes through a natural
zero, and a reverse voltage appear across the thyristor, which in turn
automatically turned off the device due to the natural behavior of AC
voltage source. This is known as natural commutation or line
commutation. This type of commutation is applied in AC voltage
SCR Rectifier or Controlled Rectifier                                    81
controller rectifiers and cycloconverters. In case of DC circuits, this
technique does not work as the DC current is unidirectional and does not
change its direction. Thus the reverse polarity voltage does not appear
across the thyristor. The following technique work with DC circuits:
2- Forced Commutation
In DC thyristor circuits, if the input voltage is DC, the forward current of
the thyristor is forced to zero by an additional circuit called commutation
circuit to turn off the thyristor. This technique is called forced
commutation. Normally this method for turning off the thyristor is
applied in choppers.
   There are many thyristor circuits we can not present all of them. In the
following items we are going to present and analyze the most famous
thyristor circuits. By studying the following circuits you will be able to
analyze any other circuit.

3.2 Half Wave Single Phase Controlled Rectifier
3.2.1 Half Wave Single Phase Controlled Rectifier With Resistive
Load
The circuit with single SCR is similar to the single diode circuit, the
difference being that an SCR is used in place of the diode. Most of the
power electronic applications operate at a relative high voltage and in
such cases; the voltage drop across the SCR tends to be small. It is quite
often justifiable to assume that the conduction drop across the SCR is
zero when the circuit is analyzed. It is also justifiable to assume that the
current through the SCR is zero when it is not conducting. It is known
that the SCR can block conduction in either direction. The explanation
and the analysis presented below are based on the ideal SCR model. All
simulation carried out by using PSIM computer simulation program [ ].
   A circuit with a single SCR and resistive load is shown in Fig.3.1. The
source vs is an alternating sinusoidal source. If vs = Vm sin (ωt ) , vs is
positive when 0 < ω t < π, and vs is negative when π < ω t <2π. When vs
starts become positive, the SCR is forward-biased but remains in the
blocking state till it is triggered. If the SCR is triggered at ω t = α, then α
is called the firing angle. When the SCR is triggered in the forward-bias
state, it starts conducting and the positive source keeps the SCR in
conduction till ω t reaches π radians. At that instant, the current through
the circuit is zero. After that the current tends to flow in the reverse
82 Chapter Three
direction and the SCR blocks conduction. The entire applied voltage now
appears across the SCR. Various voltages and currents waveforms of the
half-wave controlled rectifier with resistive load are shown in Fig.3.2 for
α=40o. FFT components for load voltage and current of half wave single
phase controlled rectifier with resistive load at α=40o are shown in
Fig.3.3. It is clear from Fig.3.3 that the supply current containes DC
component and all other harmonic components which makes the supply
current highly distorted. For this reason, this converter does not have
acceptable practical applecations.




    Fig.3.1 Half wave single phase controlled rectifier with resistive load.




 Fig.3.2 Various voltages and currents waveforms for half wave single-phase
               controlled rectifier with resistive load at α=40o.
SCR Rectifier or Controlled Rectifier                                      83




Fig.3.3 FFT components for load voltage and current of half wave single phase
              controlled rectifier with resistive load at α =40o.

  The average voltage, Vdc , across the resistive load can be obtained by
considering the waveform shown in Fig.3.2.
              π
          1                  V                       V
Vdc    =
         2π   ∫
            Vm sin(ωt ) dωt = m (− cos π + cos(α )) = m (1 + cos α ) (3.1)
                             2π                      2π
              α
    The maximum output voltage and can be acheaved when α = 0 which
is the same as diode case which obtained before in (2.12).
        V
Vdm = m                                                        (3.2)
          π
The normalized output voltage is the DC voltage devideded by maximum
DC voltage, Vdm which can be obtained as shown in equation (3.3).
     V
Vn = dc = 0.5 (1 + cos α )                                        (3.3
     Vdm
  The rms value of the output voltage is shown in the following
equation:-
                  π
                                              Vm   1⎛        sin(2 α ) ⎞
                  ∫ (Vm sin(ω t ))
          1
Vrms   =                         2
                                     dω t =         ⎜π − α +           ⎟   (3.3)
         2π                                    2   π⎝            2     ⎠
                  α
   The rms value of the transformer secondery current is the same as that
of the load:
         V
    I s = rms                                                       (3.4)
           R
84 Chapter Three
Example 1 In the rectifier shown in Fig.3.1 it has a load of R=15 Ω and,
Vs=220 sin 314 t and unity transformer ratio. If it is required to obtain an
average output voltage of 70% of the maximum possible output voltage,
calculate:- (a) The firing angle, α, (b) The efficiency, (c) Ripple factor (d)
Transformer utilization factor, (e) Peak inverse voltage (PIV) of the
thyristor and (f) The crest factor of input current.
Solution:
   (a) Vdm is the maximum output voltage and can be acheaved when
α = 0 , The normalized output voltage is shown in equation (3.3) which is
required to be 70%. Then,
      V
Vn = dc = 0.5 (1 + cos α ) = 0.7 . Then, α=66.42o =1.15925 rad.
      Vdm
(b) Vm = 220 V
                         V                           V      49.02
Vdc = 0.7 * Vdm = 0.7 * m = 49.02 V ,          I dc = dc =        = 3.268 A
                          π                           R       15
         Vm 1 ⎛           sin(2 α ) ⎞
Vrms =           ⎜π − α +           ⎟,
          2 π⎝                2     ⎠
at α=66.42 , Vrms=95.1217 V. Then, Irms=95.1217/15=6.34145 A
             o

       V
VS = m = 155.56 V
         2
The rms value of the transformer secondery current is:
I S = I rms = 6.34145 A
Then, the rectification efficiency is:
     P        V *I
η = dc = dc dc
     Pac Vrms * I rms
      49.02 * 3.268
  =                   = 26.56%
     95.121 * 6.34145
          V       95.121    π
(b) FF = rms =           =       = 1.94
          Vdc     49.02 2 2
          V
(c) RF = ac = FF 2 − 1 = 1.94 2 − 1 = 1.6624
          Vdc
              P       49.02 * 3.268
(d) TUF = dc =                        = 0.1624
            VS I S 155.56 * 6.34145
SCR Rectifier or Controlled Rectifier                                      85
(e) The PIV is Vm
(f) Creast factor of input current CF is as following:
                         Vm
        I S ( peak )      R     14.6667
  CF =               =        =         = 2.313
             IS        6.34145 6.34145

3.2.2 Half Wave Single Phase Controlled Rectifier With RL Load
A circuit with single SCR and RL load is shown in Fig.3.4. The source vs
is an alternating sinusoidal source. If vs = Vm sin ( ω t), vs is positive when
0 < ω t < π, and vs is negative when π < ω t <2π. When vs starts become
positive, the SCR is forward-biased but remains in the blocking state till
it is triggered. If the SCR is triggered when ω t = α, then it starts
conducting and the positive source keeps the SCR in conduction till ω t
reaches π radians. At that instant, the current through the circuit is not
zero and there is some energy stored in the inductor at ω t = π radians.
The voltage across the inductor is positive when the current through it is
increasing and it becomes negative when the current through the inductor
tends to fall. When the voltage across the inductor is negative, it is in
such a direction as to forward bias the SCR. There is current through the
load at the instant ω t = π radians and the SCR continues to conduct till
the energy stored in the inductor becomes zero. After that the current
tends to flow in the reverse direction and the SCR blocks conduction.
Fig.3.5 shows the output voltage, resistor, inductor voltages and thyristor
voltage drop waveforms.




       Fig.3.4 Half wave single phase controlled rectifier with RL load.
86 Chapter Three




  Fig.3.5 Various voltages and currents waveforms for half wave single phase
                       controlled rectifier with RL load.
    It is assumed that the current flows for α < ω t < β, where 2π > β > π .
When the SCR conducts, the driving function for the differential equation
is the sinusoidal function defining the source voltage. Outside this period,
the SCR blocks current and acts as an open switch and the current
through the load and SCR is zero at this period there is no differential
equation representing the circuit. For α < ω t < β , equation (3.5) applies.
   di
 L + R * i = Vm sin (ω t ), α ≤ ωt ≤ β                                 (3.5)
   dt
    Divide the above equation by L we get the following equation:
 di R          V
     + * i = m sin (ωt ), 0 ≤ ωt ≤ β                                   (3.6)
 dt L           L
    The instantaneous value of the current through the load can be
obtained from the solution of the above equation as following:
                   R ⎡               R                           ⎤
              −∫    dt           ∫     dt        Vm
i (ωt ) = e        L ⎢
                     ⎢   ∫   e       L       *
                                                  L
                                                    sin ωt dt + A⎥
                                                                 ⎥
                     ⎣                                           ⎦
                      − t⎡                                              ⎤
                       R                      R
                                                t       Vm
Then, i (ωt ) =      e L ⎢
                                     ⎢   ∫   eL     *
                                                         L
                                                           sin ωt dt + A⎥
                                                                        ⎥
                                     ⎣                                  ⎦
SCR Rectifier or Controlled Rectifier                                         87
Where, A is constant. By integrating the above equation we get:
                                                     R
               Vm                                   − t
i (ωt ) =            (R sin ωt − ωL cos ωt ) +    Ae L                        (3.7)
        R 2 + w 2 L2
Assume Z∠φ = R + j ωL . Then, Z 2 = R 2 + ω 2 L2 ,
                                                                      Z
                                            ωL                                        ωL
R = Z cos φ , ωL = Z sin φ and tan φ =
                                             R
                                                                 Φ
Substitute that in (3.7) we get the following equation:
                                                          ωt          R
                                                     −
            Vm
i (ωt ) =      (cos φ sin ωt − sin φ cos ωt ) + Ae       tan φ
             Z
                                             ωt
                                        −
                 V
Then, i (ωt ) = m sin (ωt − φ ) + Ae tan φ            α < ωt < β       (3.8)
                  Z
    The value of A can be obtained using the initial condition. Since the
diode starts conducting at ω t = α and the current starts building up from
zero, then, i(α) = 0. Then, the value of A is expressed by the following
equation:
 A = − sin(α − φ )                                                     (3.9)
    Once the value of A is known, the expression for current is known.
After evaluating A, current can be evaluated at different values of ω t.
                                             ωt −α ⎞
          Vm ⎛
             ⎜ sin(ωt − φ ) − sin(α − φ )e − ωL / R ⎟
i (ωt ) =                                              α < ωt < β    (3.10)
           Z ⎜
             ⎜                                      ⎟
                                                    ⎟
             ⎝                                      ⎠
    When the firing angle α and the extinction angle β are known, the
average and rms output voltage at the cathode of the SCR can be
evaluated. We know that, i=0 when ω t=β substitute this condition in
equation (3.10) gives equation (3.11) which used to determine β. Once
the value of A, α and the extinction angle β are known, the average and
rms output voltage at the cathode of the SCR can be evaluated as shown
in equation (3.12) and (3.13) respectively.
                                  ( β −α )
                              −
sin( β − φ ) = sin(α − φ )e       ωL / R                             (3.11)
               β
       V                V
Vdc
       2π      ∫
      = m * sin ωt dωt = m * (cos α − cos β )
                        2π
                                                                     (3.12)
               α
88 Chapter Three
   The rms load voltage is:
                 β
                                    V
              * (Vm sin ωt )2 dωt = m *            (β − α ) − 1 (cos 2 β − cos 2α ) (3.13)
            1
Vrms =
           2π    ∫                 2 π                        2
               α
   The average load current can be obtained as shown in equation (3.14)
by dividing the average load voltage by the load resistance, since the
average voltage across the inductor is zero.
        V
I dc = m * (cos α − cos β )                                     (3.14)
       2π R
Example 2 A thyristor circuit shown in Fig.3.4 with R=10 Ω, L=20mH,
and VS=220 sin314t and the firing angle α is 30o. Determine the
expression for the current though the load. Also determine the
rectification efficiency of this rectifier.
Solution:
                                                        wL
Z = 10 2 + (314 * 20 *10 − 3 ) 2 = 11.81 Ω , φ = tan −1    = 0.561 Rad .
                                                        R
            π        π
α = 30 *         =
                = 0.5236 Rad .
       180 6
   From equation (3.10) the current α < ω t < β can be obtained as
                                                                         ωt − α ⎞
                     220 ⎛⎜ sin(ωt − 0.561) − sin(0.5236 − 0.561)e − ωL / R ⎟
          i (ωt ) =
follows:-           11.81 ⎜
                          ⎜                                                     ⎟
                                                                                ⎟
                          ⎝                                                     ⎠
                             (
              =18.6283* sin(ωt − 0.561) + 0.0374e      − 0.628 (ωt − 0.5236 )
                                                                             )
The excitation angle β can be obtained from equation (3.11) as:
sin( β − 0.561) = sin(05236 − 0561)e −0.628( β − 0.5236)
   Then, by using try and error technique which explained in Chapter 2
we can get the value of β , β = 3.70766 Rad.
The DC voltage can be obtained from equation (3.12)
       220
Vdc =       * (cos 0.5236 − cos 3.70766) = 59.9V
        2π
                Vdc 59.9
Then, I dc =       =     = 5.99 A
                 R   10
   Similarly, Vrms can be obtained from equation (3.13)
         220
Vrms =       *   (3.70766 − 0.5236) − 1 (cos 2 * 3.70766 − cos 2 * 05236) = 111.384 V
         2 π                            2
SCR Rectifier or Controlled Rectifier                                           89
      Vrms 111.384
I rms =      =       = 11.1384 A
        R       10
    Vdc * I dc     2
                 Vdc    59.9 2
η=             = 2 =            = 28.92%
   Vrms * I rms Vrms 111.384 2

3.2.3 Half Wave Single Phase Controlled Rectifier With Free
Wheeling Diode
The circuit shown in Fig.3.6 differs than the circuit described in Fig.3.4,
which had only a single SCR. This circuit has a freewheeling diode in
addition, marked D1. The voltage source vs is an alternating sinusoidal
source. If vs = Vm sin ( ω t), vs is positive when 0 < ω t < π, and it is
negative when π < ω t <2π. When vs starts become positive, the SCR is
forward-biased but remains in the blocking state till it is triggered. When
the SCR is triggered in the forward-bias state, it starts conducting and the
positive source keeps the SCR in conduction till ω t reaches π radians. At
that instant, the current through the circuit is not zero and there is some
energy stored in the inductor at ω t = π radians. In the absence of the free
wheeling diode, the inductor would keep the SCR in conduction for part
of the negative cycle till the energy stored in it is discharged. But, when a
free wheeling diode is present as shown in the circuit shown in Fig.3.7
the supply voltage will force D1 to turn on because its anode voltage
become more positive than its cathode voltage and the current has a path
that offers almost zero resistance. Hence the inductor discharges its
energy during π < ω t < (2π + α) (Assuming continuous conduction
mode) through the load. When there is a free wheeling diode, the current
through the load tends to be continuous, at least under ideal conditions.
When the diode conducts, the SCR remains reverse-biased, because the
voltage vs is negative.




Fig.3.6 Half wave single phase controlled rectifier with RL load and freewheeling diode.
90 Chapter Three




 Fig.3.7 Various voltages and currents waveforms for half wave single phase
          controlled rectifier with RL load and freewheeling diode.
SCR Rectifier or Controlled Rectifier                                          91
   An expression for the current through the load can be obtained as
shown below:
   When the SCR conducts, the driving function for the differential
equation is the sinusoidal function defining the source voltage. During the
period defined by π < ω t < (2π + α), the SCR blocks current and acts as
an open switch. On the other hand, the free wheeling diode conducts
during this period, and the driving function can be set to be zero volts.
For α < ω t < π , equation (3.15) applies whereas equation (3.16) applies
for the rest of the cycle. As in the previous cases, the solution is obtained
in two parts.
   di
 L + R * i = Vm sin (ωt ), α ≤ ωt ≤ π                            (3.15)
   dt
   di
 L + R * i = 0,        π ≤ ω t ≤ 2π + α                          (3.16)
   dt
   The solution of (3.15) is the same as obtained before in (3.8) which is
shown in (3.17).
                                        ω t −α
        V                         −
i (t ) = m * sin(ω t − φ ) + A * e ωL / R         α <ωt <π            (3.17)
         Z
   The difference in the solution of (3.17) than (3.8) is how the constant
A is evaluated? In the circuit without free-wheeling diode i (α ) = 0 , since
the current starts build up from zero when the SCR is triggered during the
positive half cycle. Assuming in the steady state the load is continuous
and periodical which means that:
   i (α ) = i (2π + α ) = i (2nπ + α )                         (3.18)
   The solution of (3.16) can be obtained as following:
                    ( wt − π )
                −
                      tan φ
   i ( wt ) = B * e           π < ωt < 2π + α                 (3.19)
   At ωt = π then, B = i (π )                                 (3.20)
   To obtain B, we have to obtain i (π ) from (3.17) by letting ωt equal
π . Then,
                                 π −α
                              −
          V
  i (π ) = m * sin(φ ) + A * e tan φ                                  (3.22)
           Z
  Substitute (3.21) into (3.19)                  we   get   the   current   during
π < ωt < (2π + α ) as following:
92 Chapter Three
           ⎛                     −
                                   π −α   ⎞ − (ωt −π )
           ⎜ Vm                           ⎟    tan φ
i (ω t ) = ⎜    * sin(φ ) + A * e tan φ   ⎟*e              π < ωt < 2π + α (3.22)
           ⎜ Z                            ⎟
           ⎝                              ⎠
                               (ωt −π )           ωt − α
                            −             −
            V
∴ i (ω t ) = m * sin(φ ) * e tan φ + A * e tan φ π < ωt < 2π + α (3.23)
             Z
   From the above equation we can obtain i (2π + α ) as following:
                                  α +π               2π
                             −             −
              V
i (2π + α ) = m * sin(φ ) * e tan φ + A * e tan φ  π < ωt < 2π + α (3.24)
               Z
    From (3.17) we can obtain ι (α ) by letting ωt = α as following:
i (α ) = m * sin(α − φ ) + A
        V
                                                                 (3.25)
         Z
    Substitute (3.24) and (3.25) into (3.18) we get the following:
                                              α +π          2π
                                              −            −
Vm                           V
    * sin(α − φ ) + A = m * sin(φ ) * e tan φ + A * e tan φ
 Z                            Z
  ⎛        2π ⎞             ⎛            α +π              ⎞
        −                              −
  ⎜       tan φ ⎟ Vm ⎜                                     ⎟
A⎜1 − e          ⎟ Z=     * ⎜ sin(φ )e tan φ − sin(α − φ ) ⎟
  ⎜              ⎟          ⎜                              ⎟
  ⎝              ⎠          ⎝                              ⎠
               ⎛            α +π                 ⎞
                          −
               ⎜            tan φ                ⎟
               ⎜ sin(φ )e          − sin(α − φ ) ⎟
       V ⎜                                       ⎟
∴A= m *⎝                                         ⎠                  (3.26)
        Z                ⎛          2π ⎞
                                 −
                         ⎜              ⎟
                         ⎜ 1 − e tan φ ⎟
                         ⎜              ⎟
                         ⎝              ⎠
   Then, the load current in the period of 2nπ + α < ωt < (2n + 1)π where
n = 0,1, 2, 3, ....... can be obtained from substituting (3.26) into (3.17).
Also, the load current in the period of (2n + 1)π < ωt < (2n + 1)π + α
n = 0,1, 2, 3, ....... can be obtained from substituting (3.26) into (3.23).

Example 3 A thyristor circuit shown in Fig.3.6 with R=10 Ω, L=100 mH,
and VS=220 sin314t V, and the firing angle α is 30o. Determine the
expression for the current though the load. Also determine the
rectification efficiency of this converter.
SCR Rectifier or Controlled Rectifier                                                                 93

Solution: Z = 10 2 + (314 *100 *10 − 3 ) 2 = 32.9539 Ω
           wL
φ = tan −1    = 1.2625 Rad . ,
           R
              π           π
α = 30 *              =
                 = 0.5236 Rad .
        180 6
From (3.26) we can obtain A , A=7.48858
From (3.17) we can obtain i (ωt ) in the period of
2nπ + α < ωt < (2n + 1)π where n = 0,1, 2, 3, ....... Then,
i (ωt ) = 6.676 * sin(ωt − 1.2625) + 7.48858 * e −0.31845*(ωt − 0.5236)
i (π ) = 9.61457 , i (α ) = 2.99246
During the period of (2n + 1)π < ωt < (2n + 1)π + α where
n = 0,1, 2, 3, ....... we can obtain the solution from (3.18) where B = i (π ) .
Then, i (ωt ) = 9.61457 * e −0.31845(ωt −π ) ,
             π
           1                   V                        V
Vdc =
          2π ∫
             Vm sin( wt ) dwt = m ( − cos π + cos(α )) = m (1 + cos α ) = 65.3372 V
                               2π                       2π
             α
The rms value of the output voltage is shown in the following equation:-
                                          1/ 2
         ⎡ 1 π                    ⎤               V ⎡1          sin( 2 α ) ⎤
                                                                                       1/ 2
Vrms   = ⎢ ∫ (Vm sin(ωt ) )2 dω t ⎥              = m ⎢ (π − α +           )⎥                  =108.402 V
         ⎢ 2π α
         ⎣                        ⎥
                                  ⎦
                                                   2 ⎣π             2      ⎦
             π
          1 ⎡
I dc   =
         2π ⎢    ∫(
            ⎢ 6.676 * sin(ω t − 1.2625) + 7.48858 * e − 0.31845*(ω t − 0.5236) dω t                  )
            ⎣α
               2π + α                                   ⎤
             +        ∫(                                   )
                    9.61457 * e − 0.31845(ω t −π ) dω t ⎥ = 4.2546 A
                                                        ⎥
                 π                                      ⎦

           1 ⎡⎡
                π
I rms =           (
             ⎢ ⎢ ∫ 6.676 * sin(ω t − 1.2625) + 7.48858 * e − 0.31845*(ω t − 0.5236)
          2π ⎢ ⎢
                                                                                              ) 2 dω t +
             ⎣ ⎣α
                                                                                       1/ 2
                                  2π +α                                              ⎤⎤
                                    ∫     (9.61457 * e                     )
                                                         − 0.31845(ω t −π ) 2
                                                                                dω t ⎥ ⎥      = 5.43288 A
                                    π                                                ⎥⎥
                                                                                     ⎦⎦
94 Chapter Three
      Pdc   V *I
η=        = dc dc
      Pac Vrms * I rms
      65.3372 * 4.2546
  =                     = 47.2 %
      108.402 * 5.43288

3.3 Single-Phase Full Wave Controlled Rectifier
3.3.1 Single-Phase Center Tap Controlled Rectifier With Resistive
Load
Center tap controlled rectifier is shown in Fig.3.8. When the upper half of
the transformer secondary is positive and thyristor T1 is triggered, T1 will
conduct and the current flows through the load from point a to point b.
When the lower half of the transformer secondary is positive and thyristor
T2 is triggered, T2 will conduct and the current flows through the load
from point a to point b. So, each half of input wave a unidirectional
voltage (from a to b ) is applied across the load. Various voltages and
currents waveforms for center tap controlled rectifier with resistive load
are shown in Fig.3.9 and Fig.3.10.




                                          b                          a




            Fig.3.8 Center tap controlled rectifier with resistive load.
SCR Rectifier or Controlled Rectifier                                       95




 Fig.3.9 The output voltgae and thyristor T1 reverse voltage wavforms along
                      with the supply voltage wavform.




Fig.3.10 Load current and thyristors currents for Center tap controlled rectifier
                             with resistive load.
96 Chapter Three
  The average voltage, Vdc, across the resistive load is given by:
             π
         1                         Vm                           Vm
         π∫ m
Vdc =      V sin(ω t ) dω t =           (− cos π − cos(α )) =        (1 + cosα ) (3.27)
                                   π                            π
             α
   Vdm is the maximum output voltage and can be acheaved when α=0 in
the above equation. The normalized output voltage is:
      V
Vn = dc = 0.5 (1 + cos α )                                  (3.28)
     Vdm
From the wavfrom of the output voltage shown in Fug.3.9 the rms output
voltage can be obtained as following:
                 π
                                           Vm             sin( 2 α )
                 ∫ (Vm sin(ω t )) dω t =
             1
Vrms =                           2
                                                 π −α +                    (3.29)
             π                              2π                2
                 α


Example 4 The rectifier shown in Fig.3.8 has load of R=15 Ω and,
Vs=220 sin 314 t and unity transformer ratio. If it is required to obtain an
average output voltage of 70 % of the maximum possible output voltage,
calculate:- (a) The delay angle α, (b) The efficiency, (c) The ripple factor
(d) The transformer utilization factor, (e) The peak inverse voltage (PIV)
of the thyristor and (f) The crest factor of input current. (g) Input power
factor.
Solution :
   (a) Vdm is the maximum output voltage and can be acheaved when α=0,
the normalized output voltage is shown in equation (3.28) which is
required to be 70%. Then:
      V
Vn = dc = 0.5 (1 + cos α ) = 0.7 , then, α=66.42o
      Vdm
                                             2 Vm
(b) Vm = 220 , then, Vdc = 0.7 *Vdm = 0.7 *        = 98.04 V
                                                     π
         Vdc 98.04
I dc =      =      = 6.536 A
          R   15
        Vm           sin( 2 α )
Vrms =        π −α +
         2π              2
at α=66.42o Vrms=134.638 V
Then, Irms=134.638/15=8.976 A
SCR Rectifier or Controlled Rectifier                                    97
       Vm
VS =       = 155.56 V
        2
The rms value of the transformer secondery current is:
      I
I S = rms = 6.347 A
         2
Then, The rectification efficiency is:
     P      V *I
η = dc = dc dc
     Pac Vrms * I rms
      98.04 * 6.536
  =                  = 53.04%
     134.638 * 8.976
           V      134.638
(c) FF = rms =             = 1.3733 and,
           Vdc     98.04
       V
 RF = ac = FF 2 − 1 = 1.37332 − 1 = 0.9413
       Vdc
              Pdc        98.04 * 6.536
(d) TUF =           =                          = 0.32479
            2VS I S 2 *155.56 * 6.34145
(e) The PIV is 2 Vm
                                              Vm
                             I S ( peak )       R      14.6667
(f) Creast Factor CF, CF =                =          =         = 2.313
                                  IS        6.34145 6.34145

3.3.2 Single-Phase Fully Controlled Rectifier Bridge With Resistive
Load
This section describes the operation of a single-phase fully-controlled
bridge rectifier circuit with resistive load. The operation of this circuit can
be understood more easily when the load is pure resistance. The main
purpose of the fully controlled bridge rectifier circuit is to provide a
variable DC voltage from an AC source.
   The circuit of a single-phase fully controlled bridge rectifier circuit is
shown in Fig.3.11. The circuit has four SCRs. For this circuit, vs is a
sinusoidal voltage source. When the supply voltage is positive, SCRs T1
and T2 triggered then current flows from vs through SCR T1, load resistor
R (from up to down), SCR T2 and back into the source. In the next half-
cycle, the other pair of SCRs T3 and T4 conducts when get pulse on their
98 Chapter Three
gates. Then current flows from vs through SCR T3, load resistor R (from
up to down), SCR T4 and back into the source. Even though the direction
of current through the source alternates from one half-cycle to the other
half-cycle, the current through the load remains unidirectional (from up to
down).




   Fig.3.11 Single-phase fully controlled rectifier bridge with resistive load.




   Fig.3.12 Various voltages and currents waveforms for converter shown in
                         Fig.3.11 with resistive load.
SCR Rectifier or Controlled Rectifier                                                  99




Fig.3.13 FFT components of the output voltage and supply current for converter
                             shown in Fig.3.11.
   The main purpose of this circuit is to provide a controllable DC output
voltage, which is brought about by varying the firing angle, α. Let vs = Vm
sin ω t, with 0 < ω t < 360o. If ω t = 30o when T1 and T2 are triggered,
then the firing angle α is said to be 30o. In this instance, the other pair is
triggered when ω t = 30+180=210o. When vs changes from positive to
negative value, the current through the load becomes zero at the instant
ω t = π radians, since the load is purely resistive. After that there is no
current flow till the other is triggered. The conduction through the load is
discontinuous.
   The average value of the output voltage is obtained as follows.:-
   Let the supply voltage be vs = Vm*Sin ( ω t), where ω t varies from 0 to
2π radians. Since the output waveform repeats itself every half-cycle, the
average output voltage is expressed as a function of α, as shown in
equation (3.27).
            π
        1                           Vm
                                         [− cos π − (− cos(α ) )] = Vm (1 + cosα ) (3.27)
        π∫ m
Vdc =     V sin(ω t ) dω t      =
                                    π                             π
            α
  Vdm is the maximum output voltage and can be acheaved when α=0,
The normalized output voltage is:
       Vdc
Vn =       = 0.5 (1 + cos α )                                                 (3.28)
       Vdm
The rms value of output voltage is obtained as shown in equation (3.29).
                π
                                           Vm              sin(2 α )
            1
              (V sin(ω t ) )
            π∫ m
Vrms =                      2
                                dω t =            π −α +                      (3.29)
                α
                                            2π                 2
100 Chapter Three
Example 5 The rectifier shown in Fig.3.11 has load of R=15 Ω and,
Vs=220 sin 314 t and unity transformer ratio. If it is required to obtain an
average output voltage of 70% of the maximum possible output voltage,
calculate:- (a) The delay angle α, (b) The efficiency, (c) Ripple factor of
output voltage(d) The transformer utilization factor, (e) The peak inverse
voltage (PIV) of one thyristor and (f) The crest factor of input current.
Solution:
   (a) Vdm is the maximum output voltage and can be acheaved when α=0,
   The normalized output voltage is shown in equation (3.31) which is
required to be 70%.
                V
   Then, Vn = dc = 0.5 (1 + cos α ) = 0.7 , then, α=66.42o
                Vdm
                                              2 Vm
(b) Vm = 220 , then, Vdc = 0.7 *Vdm = 0.7 *        = 98.04 V
                                              π
         Vdc 98.04
I dc =      =      = 6.536 A
          R   15
          Vm            sin( 2 α )
Vrms =           π −α +
           2π               2
At α=66.42o Vrms=134.638 V. Then, Irms=134.638/15=8.976 A
       V
VS = m = 155.56 V
         2
The rms value of the transformer secondery current is:
I S = I rms = 8.976 A
Then, The rectification efficiency is
     P       V *I
η = dc = dc dc
     Pac Vrms * I rms
     98.04 * 6.536
  =                 = 53.04%
    134.638 * 8.976
         V       134.638
(c) FF = rms =            = 1.3733
         Vdc      98.04
             V
       RF = ac = FF 2 − 1 = 1.37332 − 1 = 0.9413
             Vdc
SCR Rectifier or Controlled Rectifier                                   101
             Pdc     98.04 * 6.536
(d) TUF =          =                   = 0.4589
            VS I S 155.56 * 8.976
(e) The PIV is Vm
                                            Vm
                             I S ( peak )        14.6667
(f) Creast Factor CF, CF =                = R =          = 1.634
                                  IS       8.976  8.976

3.3.3 Full Wave Fully Controlled Rectifier With RL Load In
       Continuous Conduction Mode
   The circuit of a single-phase fully controlled bridge rectifier circuit is
shown in Fig.3.14. The main purpose of this circuit is to provide a
variable DC output voltage, which is brought about by varying the firing
angle. The circuit has four SCRs. For this circuit, vs is a sinusoidal
voltage source. When it is positive, the SCRs T1 and T2 triggered then
current flows from +ve point of voltage source, vs through SCR T1, load
inductor L, load resistor R (from up to down), SCR T2 and back into the –
ve point of voltage source. In the next half-cycle the current flows from -
ve point of voltage source, vs through SCR T3, load resistor R, load
inductor L (from up to down), SCR T4 and back into the +ve point of
voltage source. Even though the direction of current through the source
alternates from one half-cycle to the other half-cycle, the current through
the load remains unidirectional (from up to down). Fig.3.15 shows
various voltages and currents waveforms for the converter shown in
Fig.3.14. Fig.3.16 shows the FFT components of load voltage and supply
current.




          Fig.3.14 Full wave fully controlled rectifier with RL load.
102 Chapter Three




 Fig.3.15 Various voltages and currents waveforms for the converter shown in
                   Fig.3.14 in continuous conduction mode.




  Fig.3.16 FFT components of load voltage and supply current in continuous
                            conduction mode.

   Let vs = Vm sin ω t, with 0 < ω t < 360o. If ω t = 30o when T1 and T2
are triggered, then the firing angle is said to be 30o. In this instance the
other pair is triggered when ω t= 210o. When vs changes from a positive
to a negative value, the current through the load does not fall to zero
value at the instant ω t = π radians, since the load contains an inductor
SCR Rectifier or Controlled Rectifier                                                      103
and the SCRs continue to conduct, with the inductor acting as a source.
When the current through an inductor is falling, the voltage across it
changes sign compared with the sign that occurs when its current is
rising. When the current through the inductor is falling, its voltage is such
that the inductor delivers power to the load resistor, feeds back some
power to the AC source under certain conditions and keeps the SCRs in
conduction forward-biased. If the firing angle is less than the load angle,
the energy stored in the inductor is sufficient to maintain conduction till
the next pair of SCRs is triggered. When the firing angle is greater than
the load angle, the current through the load becomes zero and the
conduction through the load becomes discontinuous. Usually the
description of this circuit is based on the assumption that the load
inductance is sufficiently large to keep the load current continuous and
ripple-free.
    Since the output waveform repeats itself every half-cycle, the average
output voltage is expressed in equation (3.33) as a function of α, the
firing angle. The maximum average output voltage occurs at a firing
angle of 0o as shown in equation (3.34). The rms value of output voltage
is obtained as shown in equation (3.35).
             π +α
         1                               2Vm
Vdc =
         π       ∫   Vm sin(ωt ) dωt =
                                          π
                                               cos α                              (3.33)
                 α
                                      Vdc
  The normalized output voltage is Vn =    = cos α      (3.34)
                                      Vdm
   The rms value of output voltage is obtained as shown in equation
(3.35).
                 π +α                               π +α
                                               Vm                                 Vm
                     ∫ (Vm sin(ω t )) dω t =
             1
Vrms =                                                 ∫ (1 − cos(2ω t ) dω t =
                                     2                                                 (3.35)
             π                                 2π                                  2
                     α                                 α


Example 6 The rectifier shown in Fig.3.14 has pure DC load current of
50 A and, Vs=220 sin 314 t and unity transformer ratio. If it is required to
obtain an average output voltage of 70% of the maximum possible output
voltage, calculate:- (a) The delay angle α, (b) The efficiency, (c) Ripple
factor (d) The transformer utilization factor, (e) The peak inverse voltage
(PIV) of the thyristor and (f) Crest factor of input current. (g) Input
displacement factor.
104 Chapter Three
Solution: (a) Vdm is the maximum output voltage and can be acheaved when
α=0. The normalized output voltage is shown in equation (3.30) which is
                              V
required to be 70%. Then, Vn = dc = cosα = 0.7 , then, α=45.5731o= 0.7954
                                 Vdm
(b) Vm = 220
                         2 Vm                       Vm
Vdc = 0.7 *Vdm = 0.7 *          = 98.04 V , Vrms =
                         π                           2
At α=45.5731 Vrms=155.563 V. Then, Irms=50 A
               o

       V
VS = m = 155.56 V
        2
The rms value of the transformer secondery current is: I S = I rms = 50 A
Then, The rectification efficiency is
     P      V *I            98.04 * 50
η = dc = dc dc =                            = 63.02%
     Pac Vrms * I rms      155.563 * 50
          V       155.563
(c) FF = rms =             = 1.587
           Vdc     98.04
             V
        RF = ac = FF 2 − 1 = 1.37332 − 1 = 1.23195
             Vdc
             P       98.04 * 50
(d) TUF = dc =                       = 0.4589
            VS I S 155.56 * 50
(e) The PIV is Vm
                              I S ( peak )
(f) Creast Factor CF, CF =                 =1
                                   IS
3.3.4 Full Wave Fully Controlled Rectifier With R-L Load In
discontinuous Conduction Mode
The converter circuit of Fig.3.14 discussed before was assumed to operate
in continuous conduction mode (i.e. the load angle is bigger than the
firing angle). Sometimes the converter shown in Fig.3.14 can work in
discontinue mode where the load current falls to zero every half cycle and
before the next thyristor in sequence is fired as shown in Fig.3.17. The
equation during the conduction can be given as shown in equation (3.36).
Which can be solved for i as shown in equation (3.37).
SCR Rectifier or Controlled Rectifier                                   105




  Fig.3.17 Load, resistor and inductor voltages waveforms along with supply
voltage waveforms of the converter shown in Fig.3.14 in case of discontinuous
                               conduction mode.




Fig.3.18 Supply current waveform along with supply voltage waveforms of the
    converter shown in Fig.3.14 in case of discontinuous conduction mode.
106 Chapter Three




 Fig.3.18 FFT components of supply current along with supply voltage of the
       converter shown in Fig.3.14 in discontinuous conduction mode.

During the period of α ≤ ω t ≤ β the following differential equation can
be obtained:
   di
 L + R * i = Vm sin (ω t ), α ≤ ω t ≤ β                        (3.35)
   dt
The solution of the above equation is given as in the following:
              ⎛                                (ω t −α ) ⎞
           Vm ⎜                              −
                                                 tan φ ⎟
i (ω t ) =    ⎜ sin(ω t − φ ) − sin(α − φ )e             ⎟     (3.36)
            Z ⎜                                          ⎟
              ⎝                                          ⎠
                     ωL
Where φ = tan −1           and Z 2 = R 2 + (ω L) 2
                       R
    But i=0 when ω t=β substitute this condition in equation (3.36) gives
equation (3.37) which used to determine β. Once the value of A, α and
the extinction angle β are known, the average and rms output voltage at
the cathode of the SCR can be evaluated as shown in equation (3.38) and
(3.39) respectively.
                                  ( β −α )
                              −
                                    tan φ
sin( β − φ ) = sin(α − φ )e                                       (3.37)
              β
        Vm                           Vm
Vdc =
        π     ∫
             * sin ω t dω t =
                                      π
                                             * (cos α − cos β )   (3.38)
              α
  The rms load voltage is:
SCR Rectifier or Controlled Rectifier                                                  107
                β
                                         Vm
               * (Vm sin ω t )2 dω t =           (β − α ) − 1 (cos 2 β − cos 2α ) (3.39)
           1
Vrms =
           π    ∫                         2π
                                             *
                                                           2
                α
  The average load current can be obtained as shown in equation (3.40)
by dividing the average load voltage by the load resistance, since the
average voltage across the inductor is zero.
         Vm
I dc =      * (cos α − cos β )                                        (3.40)
         πR
3.3.5 Single Phase Full Wave Fully Controlled Rectifier With Source
Inductance:
Full wave fully controlled rectifier with source inductance is shown in
Fig.3.19. The presence of source inductance changes the way the circuit
operates during commutation time. Let vs = Vm sin wt, with 0 < ω t <
360o. Let the load inductance be large enough to maintain a steady
current through the load. Let firing angle α be 30o. Let SCRs T3 and T4
be in conduction before ω t < 30o. When T1 and T2 are triggered at ω t =
30o, there is current through the source inductance, flowing in the
direction opposite to that marked in the circuit diagram and hence
commutation of current from T3 and T4 to T1 and T2 would not occur
instantaneously. The source current changes from − I dc to I dc due to the
whole of the source voltage being applied across the source inductance.
When T1 is triggered with T3 in conduction, the current through T1
would rise from zero to I dc and the current through T3 would fall from
 I dc to zero. Similar process occurs with the SCRs T2 and T4. During this
period, the current through T2 would rise from zero to I dc and, the
current through T4 would fall from I dc to zero.




Fig.3.19 single phase full wave fully controlled rectifier with source inductance
108 Chapter Three
   Various voltages and currents waveforms of converter shown in
Fig.3.19 are shown in Fig.3.20 and Fig.3.21. You can observe how the
currents through the devices and the line current change during
commutation overlap.




Fig.3.20 Output voltage, thyristors current along with supply voltage waveform
  of a single phase full wave fully controlled rectifier with source inductance.




Fig.3.21 Output voltage, supply current along with supply voltage waveform of
   a single phase full wave fully controlled rectifier with source inductance.
SCR Rectifier or Controlled Rectifier                                  109
   Let us study the commutation period starts at α < ω t < α + u . When
T1 and T2 triggered, then T1 and T2 switched on and T3 and T4 try to
switch off. If this happens, the current in the source inductance has to
change its direction. But source inductance prevents that to happen
instantaneously. So, it will take time Δt to completely turn off T3 and T4
and to make T1 and T2 carry the entire load current I o which is very
clear from Fig.3.20. Also, in the same time ( Δt ) the supply current
changes from − I o to I o which is very clear from Fig.3.21. Fig.3.22
shows the equivalent circuit of the single phase full-wave controlled
rectifier during that commutation period. From Fig.3.22 We can get the
differential equation representing the circuit during the commutation time
as shown in (3.41).




   Fig.3.22 The equivalent circuit of single phase fully controlled rectifier
                      during the commutation period.
            dis
   v s − Ls     =0                                              (3.41)
            dt
   Multiply the above equation by ωt then,
   Vm sin ω t dωt − ω Ls dis = 0
   Integrate the above equation during the commutation period we get the
following:
   α +u                       Io

    ∫Vm sin ω t dω t = ω Ls ∫ dis
    α                        −Io
  Then,                Vm [cos α − cos(α + u )] = 2ωLs I o .          Then,
                      2ωLs I o
cos(α + u ) = cos α −
                        Vm
110 Chapter Three
                    ⎡         2ωLs I o ⎤
   Then u = cos −1 ⎢cos(α ) −            −α
                                Vm ⎥
                                                              (3.42)
                    ⎣                  ⎦
                 u 1⎧         ⎡            2ω Ls I o ⎤   ⎫
    Then Δt = = ⎨cos −1 ⎢cos(α ) − −                 ⎥ −α⎬    (3.43)
                 ω ω⎩         ⎣              Vm ⎦        ⎭
   It is clear that the DC voltage reduction due to the source inductance,
vrd is the drop across the source inductor. Then,
              di
   vrd = Ls s                                                 (3.44)
              dt
            α +u                  Io
  Then,       ∫ vrd t dω t = ω Ls ∫ dis = 2ω Ls I o                (3.45)
              α                   −Io
   α +u

       ∫ vrd t dω t   is the reduction area in one commutation period. But we
    α
have two commutation periods in one period of supply voltage waveform.
So, the total reduction per period is shown in (3.46):
    α +u
   2    ∫Vrd t dω t = 4ω Ls I o                                    (3.46)
        α
   To obtain the average reduction in DC output voltage Vrd due to
source inductance we have to divide the above equation by the period of
supply voltage waveform, 2π . Then,
          4ω Ls I o
   Vrd =            = 4 fLs I o                                   (3.47)
             2π
   The DC voltage with source inductance taking into account can be
calculated as following:
                                                      2V
   Vdc actual = Vdc without sourceinduc tan ce − Vrd = m cosα − 4 fLs I o (3.48)
                                                      π
   The rms value of supply current is the same as obtained before in
single phase full bridge diode rectifier in (2.64)
             2I o ⎡π u ⎤
                2
   Is =             −                                              (3.49)
              π ⎢ 2 3⎥
                  ⎣    ⎦
SCR Rectifier or Controlled Rectifier                                    111
   The Fourier transform of supply current is the same as obtained for
single phase full bridge diode rectifier in (2.66) and the fundamental
component of supply current I s1 is shown in (2.68) as following:
           8I o        u
   I S1 =        * sin                                           (3.50)
            2 πu       2
   The power factor of this rectifier is shown in the following:
          I      ⎛      u⎞
   p. f = s1 cos⎜ α + ⎟                                          (3.51)
          Is     ⎝      2⎠

3.3.5 Single-Phase Half Controlled Bridge Rectifier (Semi Bridge
Converter)
   A half controlled single-phase bridge is shown in Fig.3.23. This
rectifier uses two SCRs and two diodes in addition to freewheeling diode.
When the source voltage is in its positive half cycle and thyristor T2 is
triggered and it will conduct with diode D1. When the supply voltage is
going to negative and thyristor T4 is triggered and it will conduct with
diode D3. This circuit cannot work without freewheeling diode in case of
inductive load. The inductive energy in the load would freewheel through
the diode D1 and Thyristor T4 or diode D3 and thyristor T2 even if there
is no gate signal. If there is freewheeling diode is connected across the
load of a bridge converter, it will remove the negative voltage in the load
voltage. In this converter the diode D1 and Thyristor T2 work in positive
half cycle of the supply voltage and D3 and T4 can work in the negative
half cycle. As an example at 60o firing angle as shown in Fig.3.24, then
the thyristor T2 triggers at 60o conducts till ω t =π. At ω t=π the voltage
across the freewheeling diode will start to be forward then the stored
energy in the load will take the freewheeling diode as a pass to circulate
the stored reactive power, In this case D1 and T2 will turned off. The
circuit will still like that till the thyristor T4 gets its triggering pulse at
angle 240o. In this case, the voltage across the freewheeling diode will
reverse and diode D3 and thyristor T4 will conduct till ω t=360o. When
ω t=360o the voltage across the freewheeling diode will be forward again
and the load will freewheel the stored reactive power in the load through
the freewheeling diode and the diode D3 and T4 will turned off and cycle
will repeated again. The average load voltage is shown in shown in the
following equation:-
112 Chapter Three




 Fig.3.23 Single-phase half controlled bridge rectifier (semi bridge converter).
            π
        1                                Vm
                                              [− cos π − (− cos(α ))] = Vm (1 + cosα ) (3.52)
        π∫ m
Vdc =     V sin(ω t ) dω t           =
                                         π                             π
            α
   Vdm is the maximum output voltage and can be acheaved when α=0,
                                      V
The normalized output voltage is: Vn = dc = 0.5 (1 + cos α ) (3.53)
                                      Vdm
  The rms value of output voltage is obtained as shown in the following
equation:-
                    π
                                                  Vm               sin(2 α )
                1
                   (Vm sin(ω t ) )
                π∫
Vrms =                           2
                                         dω t =           π −α +                  (3.54)
                    α
                                                   2π                  2




Fig.3.24 Various voltages and currents waveforms for the converter shown in Fig.3.23.
SCR Rectifier or Controlled Rectifier                                     113
3.3.6 Inverter Mode Of Operation
The thyristor converters can also operate in an inverter mode, where Vd
has a negative value, and hence the power flows from the do side to the
ac side. The easiest way to understand the inverter mode of operation is to
assume that the DC side of the converter can be replaced by a current
source of a constant amplitude I d , as shown in Fig.3.25. For a delay
angle a greater than 90° but less than 180°, the voltage and current
waveforms are shown in Fig.3.26. The average value of vd is negative,
given by (3.48), where 90° < α < 180°. Therefore, the average power
Pd = Vd * I d is negative, that is, it flows from the DC to the AC side. On
the AC side, Pac = Vs I S1 cosφ1 is also negative because φ > 90 o .




                     Fig.3.25 Single phase SCR inverter.




 Fig.3.26 Waveform output from single phase inverter assuming DC load current.
114 Chapter Three
     There are several points worth noting here. This inverter mode of
 operation is possible since there is a source of energy on the DC side. On
 the ac side, the ac voltage source facilitates the commutation of current
 from one pair of thyristors to another. The power flows into this AC
 source.
    Generally, the DC current source is not a realistic DC side
representation of systems where such a mode of operation may be
encountered. Fig.3.27 shows a voltage source Ed on the DC side that
may represent a battery, a photovoltaic source, or a DC voltage produced
by a wind-electric system. It may also be encountered in a four-quadrant
DC motor supplied by a back-to-back connected thyristor converter.
    An assumption of a very large value of Ld allows us to assume id to
be a constant DC, and hence the waveforms of Fig.3.28 also apply to the
circuit of Fig.3.27. Since the average voltage across Ld is zero,
                         2
  E d = Vd = Vdo cos α − ω Ls I d                                (3.55)
                        π
   The equation is exact if the current is constant at I d ; otherwise, a
value of id at ω t = α should be used in (3.55) instead of I d . Fig.3.28
shows that for a given value of α , for example, α1 , the intersection of the
do source voltage Ed = Ed 1 , and the converter characteristic at α1 ,
determines the do current I d 1 , and hence the power flow Pd1 .
   During the inverter mode, the voltage waveform across one of the
thyristors is shown in Fig.3.29. An extinction angle γ is defined to be as
shown in (3.56) during which the voltage across the thyristor is negative
and beyond which it becomes positive. The extinction time interval
tγ = γ / ω should be greater than the thyristor turn-off time τ q Otherwise,
the thyristor will prematurely begin to conduct, resulting in the failure of
current to commutate from one thyristor pair to the other, an abnormal
operation that can result in large destructive currents.
   γ = 180 − (α + u )                                          (3.56)
SCR Rectifier or Controlled Rectifier                                    115




              Fig.3.27 SCR inverter with a DC voltage source.




      Fig.3.28 Vd versus I d in SCR inverter with a DC voltage source.




          Fig.3.29 Voltage across a thyristor in the inverter mode.
116 Chapter Three
Inverter startup
   For startup of the inverter in Fig.3.25, the delay angle α is initially
made sufficiently large (e.g.,165o) so that id is discontinuous as shown in
Fig.3.30. Then, α is decreased by the controller such that the desired I d
and Pd are obtained.




           Fig.3.30 Waveforms of single phase SCR inverter at startup.

3.5 Three Phase Half Wave Controlled Rectifier
3.5.1 Three Phase Half Wave Controlled Rectifier With Resistive
Load
Fig.3.31 shows the circuit of a three-phase half wave controlled rectifier,
the control circuit of this rectifier has to ensure that the three gate pulses
for three thyristor are displaced 120o relative to each other’s. Each
thyristor will conduct for 120o. A thyristor can be fired to conduct when
its anode voltage is positive with respect to its cathode voltage. The
maximum output voltage occurred when α=0 which is the same as diode
case. This rectfier has continuous load current and voltage in case of α ≤
30. However, the load voltage and current will be discontinuous in case
of α > 30.




    Fig.3.31 Three phase half wave controlled rectifier with resistive load.
SCR Rectifier or Controlled Rectifier                                         117
   In case of α ≤ 30, various voltages and currents of the converter shown
in Fig.3.31 are shown in Fig.3.32. Fig.3.33 shows FFT components of
load voltage, secondary current and primary current. As we see the load
voltage contains high third harmonics and all other triplex harmonics.
Also secondary current contains DC component, which saturate the
transformer core. The saturation of the transformer core is the main
drawback of this system. Also the primary current is highly distorted but
without a DC component. The average output voltage and current are
shown in equation (3.57) and (3.58) respectively. The rms output voltage
and current are shown in equation (3.59) and (3.60) respectively.
              5π / 6 +α
          3                       3 3 Vm
Vdc    =
         2π      ∫Vm sin ω t dω t =   2π
                                            cosα = 0.827Vm cosα
            π / 6 +α                                             (3.57)
                                    3
                                =      VLL cosα = 0.675VLL cosα
                                    2π
         3 3 Vm             0.827 * Vm
I dc   =            cos α =             cos α                  (3.58)
         2 *π * R                R
                  5π / 6 +α
           3                                              1   3
                      ∫ (Vm sin ω t )   dω t = 3 Vm             cos 2α (2.57)
                                    2
Vrms    =                                                   +
          2π                                              6 8π
                   π / 6 +α
                      1    3
              3 Vm      +    cos 2α
                      6 8π
I rms =                                                              (3.60)
                         R
  Then the thyristor rms current is equal to secondery current and can be
obtaiend as follows:
                                                   1/ 2
                     ⎛1    3                   ⎞
                  Vm ⎜ +
                     ⎜ 6 8 π cos 2α
                                               ⎟
                                               ⎟
           I
I r = I S = rms =    ⎝                         ⎠                     (3.61)
             3             R
The PIV of the diodes is         2 V LL = 3 Vm                       (3.62)
118 Chapter Three




Fig.3.32 Voltages and currents waveforms for rectifier shown in Fig.3.31 at α ≤ 30.
SCR Rectifier or Controlled Rectifier                                                           119




Fig.3.33 FFT components of load voltage, secondary current and supply current
               for the converter shown in Fig.3.31 for α ≤ 30.
   In case of α > 30, various voltages and currents of the rectifier shown
in Fig.3.31 are shown in Fig.3.34. Fig.3.35 shows FFT components of
load voltage, secondary current and primary current. As we can see the
load voltage and current equal zero in some regions (i.e. discontinuous
load current). The average output voltage and current are shown in
equation (3.63) and (3.64) respectively. The rms output voltage and
current are shown in equation (3.65) and (3.66) respectively.
The average output voltage is :-
                π
         3                            3 Vm   ⎡        ⎛π      ⎞⎤            ⎡        ⎛π      ⎞⎤ (3.63)
Vdc =
        2π      ∫ Vm sin ω t dωt =     2π    ⎢1 + cos ⎜ 6 + α ⎟⎥ = 0.4775Vm ⎢1 + cos ⎜ 6 + α ⎟⎥
                                             ⎣        ⎝       ⎠⎦            ⎣        ⎝       ⎠⎦
             π / 6 +α
         3 Vm ⎡        ⎛π      ⎞⎤
I dc =        ⎢1 + cos ⎜ 6 + α ⎟⎥
         2π R ⎣
                                                                                       (3.64)
                       ⎝       ⎠⎦
                        π
                                                            5 α
                        ∫ (Vm sin ω t )
              3                                                    1
Vrms =                                2
                                          dω t = 3 Vm         −  +    sin(π / 3 + 2α ) (2.63)
             2π                                             24 4π 8 π
                    π / 6 +α
          3 Vm 5 α         1
I rms =            −    +      sin(π / 3 + 2α )                                        (3.66)
           R    24 4π 8 π
   Then the diode rms current can be obtaiend as follows:
            I     V     5 α         1
I r = I S = rms = m       −      +      sin(π / 3 + 2α )                               (3.67)
              3    R 24 4π 8 π
The PIV of the diodes is                  2 VLL = 3 Vm                                 (3.68)
120 Chapter Three




  Fig.3.34 Various voltages and currents waveforms for converter shown in
                            Fig.3.22 for α > 30.
SCR Rectifier or Controlled Rectifier                                   121




Fig.3.35 FFT components of load voltage, secondary current and supply current
               for the converter shown in Fig.3.22 for α > 30.
Example 7 Three-phase half-wave controlled rectfier is connected to 380
V three phase supply via delta-way 380/460V transformer. The load of
the rectfier is pure resistance of 5 Ω . The delay angle α = 25o . Calculate:
The rectfication effeciency (b) Transformer Utilization Factor (TUF) (c)
Crest Factor C F of the input current (d) PIV of thyristors
    Solution:
    From (3.57) the DC value of the output voltage can be obtained as
    following:
         3                  3
Vdc =        VLL cos α =       460 cos 25 = 281.5V
         2π                 2π
                  V      281.5
    Then; I dc = dc =          = 56.3 A
                   R       5
    From (3.59) we can calculate Vrms as following:
                1   3                  1   3
Vrms = 3 Vm       +   cos 2α = 2 VLL *   +   cos 2α
                6 8π                   6 8π

                                    cos (2 * 25) = 298.8 V
                              1   3
   Then, Vrms = 2 * 460 *       +
                              6 8π
122 Chapter Three
                  Vrms 298.8
    Then I rms =         =        = 59.76 A
                   R          5
   Then, the rectfication effeciency can be calculated as following:
      V I
η = dc dc *100 = 88.75%
     Vrms I rms
The rms value of the secondary current can be calculated as following:
      I       59.76
I S = rms =           = 34.5 A
        3        3
          Vdc I dc         281.5 * 56.3
TUF =                  =                  *100 = 57.66%
          3 VLL * I s      3 * 460 * 34.5

I S , peak =
               Vm
                  =
                      (       )
                         2 / 3 *VLL
                                     =
                                         (        )
                                             2 / 3 * 460
                                                         = 75.12 A
                R            5                   5
        I S , peak     75.12
CF =                 =       = 2.177
           IS          34.5
PIV = 2 VLL = 2 * 460 = 650.54 V
Example 8 Solve the previous example (evample 7) if the firing angle
α = 60 o
Slution: From (3.63) the DC value of the output voltage can be obtained
as following:
                                    ⎛ 2⎞
                                  3⎜    ⎟
                                    ⎜ 3 ⎟ * 460 ⎡
       3 Vm ⎡        ⎛ π     ⎞ ⎤    ⎝   ⎠                ⎛ π π ⎞⎤
Vdc =
        2π ⎣⎢1 + cos ⎜ 6 + α ⎟⎥ =      2π       ⎢1 + cos ⎜ 6 + 3 ⎟⎥ = 179.33 V
                     ⎝       ⎠⎦                 ⎣        ⎝       ⎠⎦
                 V       179.33
    Then; I dc = dc =            = 35.87 A
                  R        5
    From (3.65) we can calculate Vrms as following:
                          5 α    1
    Vrms = 3 Vm             −  +    sin(π / 3 + 2α )
                          24 4π 8 π
                         5 π /3 1
            = 2 * 460 *    −      +    sin(π / 3 + 2π / 3 ) = 230V
                        24 4π 8 π
                 V       230
   Then I rms = rms =         = 46 A
                   R      5
Then, the rectfication effeciency can be calculated as following
SCR Rectifier or Controlled Rectifier                                    123
      Vdc I dc
η=              *100 = 60.79 %
     Vrms I rms
The rms value of the secondary current can be calculated as following:
      I        46
I S = rms =       = 26.56 A
        3       3
          Vdc I dc      179.33 * 35.87
TUF =                 =                  *100 = 30.4 %
          3 VLL * I s    3 * 460 * 26.56

I S , peak =
               Vm
                  =
                      (      )
                         2 / 3 *VLL
                                    =
                                        (        )
                                            2 / 3 * 460
                                                        = 75.12 A
                R            5                  5
        I S , peak     75.12
CF =                 =       = 2.83
           IS          26.56
PIV = 2 VLL = 2 * 460 = 650.54 V

3.5 Three Phase Half Wave Controlled Rectifier With DC Load
Current
   The Three Phase Half Wave Controlled Rectifier With DC Load
Current is shown in Fig.3.36, the load voltage will reverse its direction
only if α > 30. However if α < 30 the load voltage will be positive all the
time. Then in case of α > 30 the load voltage will be negative till the next
thyristor in the sequence gets triggering pulse. Also each thyristor will
conduct for 120o if the load current is continuous as shown in Fig.3.37.
Fig.3.38 shows the FFT components of load voltage, secondary current
and supply current for the converter shown in Fig.3.36 for α > 30 and
pure DC current load.




     Fig.3.36 Three Phase Half Wave Controlled Rectifier With DC Load Current
124 Chapter Three




            t=0




 Fig.3.37 Various voltages and currents waveforms for the converter shown in
                Fig.3.36 for α > 30 and pure DC current load.




Fig.3.38 FFT components of load voltage, secondary current and supply current
   for the converter shown in Fig.3.36 for α > 30 and pure DC current load.
SCR Rectifier or Controlled Rectifier                                                  125
    As explained before the secondary current of transformer contains DC
component. Also the source current is highly distorted which make this
system has less practical significance. The THD of the supply current can
be obtained by the aid of Fourier analysis as shown in the following:-
   If we move y-axis of supply current to be as shown in Fig.3.33, then
the waveform can be represented as odd function. So, an=0 and bn can be
obtained as the following:-
            2π / 3
        2                                2 I dc ⎛        2nπ ⎞
bn =
       π      ∫ I dc sin(nω t ) dω t =    πn ⎝
                                                ⎜1 − cos
                                                          3 ⎠
                                                             ⎟ for n=1,2,3,4,…
              0
                 2 I dc 3
Then,                  bn =
                       *         for n=1,2,4,5,7,8,10,….. (3.69)
                  πn 2
And b n = 0          For n=3,6,9,12,…..                   (3.70)
  Then the source current waveform can be expressed as the following
equation
              3I dc ⎡         1           1           1           1                 ⎤
i p (ωt ) =         ⎢sin ωt + 2 sin 2ωt + 4 sin 4ωt + 5 sin 5ωt + 7 sin 7ωt + ......⎥ (3.71)
               π ⎣                                                                  ⎦
   The resultant waveform shown in equation (3.61) agrees with the result
from simulation (Fig.3.38). The THD of source current can be obtained
by two different methods. The first method is shown below:-
               I 2 − I 21
                 p     p
THD =                                                                         (3.72)
                     I 21
                       p

                 2
Where, I p =       * I dc                                       (3.73)
                 3
   The rms of the fundamental component of supply current can be
obtained from equation (3.71) and it will be as shown in equation (3.74)
      3I
I p1 = dc                                                       (3.74)
        2π
   Substitute equations (3.73) and (3.74) into equation (3.72), then,
          2 2        9 2
            I dc −        I dc
          3        2π 2
THD =                          = 68 %                           (3.75)
                 9 2
                     I dc
               2π 2
126 Chapter Three
   Another method to determine the THD of supply current is shown in
the following:-
Substitute from equation (3.71) into equation (3.72) we get the following
equation:-
           2     2     2     2     2     2     2     2     2
       ⎛1⎞   ⎛1⎞   ⎛1⎞   ⎛1⎞   ⎛1⎞   ⎛1⎞   ⎛1⎞   ⎛1⎞   ⎛1⎞
THD = ⎜ ⎟ + ⎜ ⎟ + ⎜ ⎟ + ⎜ ⎟ + ⎜ ⎟ + ⎜ ⎟ + ⎜ ⎟ + ⎜ ⎟ + ⎜ ⎟ + .... ≅ 68 % (3.76)
      ⎝ 2⎠   ⎝4⎠   ⎝5⎠   ⎝7⎠   ⎝8⎠   ⎝ 10 ⎠   ⎝ 11 ⎠   ⎝ 13 ⎠   ⎝ 14 ⎠
   The supply current THD is very high and it is not acceptable by any
electric utility system. In case of full wave three-phase converter, the
THD in supply current becomes much better than half wave (THD=35%)
but still this value of THD is not acceptable.

Example 9 Three phase half wave controlled rectfier is connected to 380
V three phase supply via delta-way 380/460V transformer. The load of
the rectfier draws 100 A pure DC current. The delay angle, α = 30 o .
Calculate:
      (a) THD of primary current.          (b) Input power factor.
Solution: The voltage ratio of delta-way transformer is 380/460V. Then,
                                                     460
the peak value of primary current is 100 *               = 121.05 A . Then,
                                                     380
                      2
 I P, rms = 121.05 *    = 98.84 A .
                      3
 I P1      can     be    obtained     from     equation     (372)     where
         3I     3 *121.05
 I P1 = dc =              = 81.74 A .
           2π        2π
                               2                      2
                   ⎛ I P, rms ⎞
                              ⎟ − 1 *100 = ⎛
                                              98.84 ⎞
Then, (THD )I P = ⎜⎜                        ⎜       ⎟ − 1 *100 = 67.98 %
                   ⎝   I P1 ⎟ ⎠             ⎝ 81.74 ⎠
The input power factor can be calculated as following:
        I        ⎛      π ⎞ 81.74         ⎛π π ⎞
P. f = P1 * cos⎜ α + ⎟ =             * cos⎜ + ⎟ = 0.414 Lagging
      I P , rms  ⎝      6 ⎠ 98.84         ⎝6 6⎠
3.6 Three Phase Half Wave Controlled Rectifier With Free Wheeling
Diode
   The circuit of three-phase half wave controlled rectifier with free
wheeling diode is shown in Fig.3.39. Various voltages and currents
waveforms of this converter are shown in Fig.3.40. FFT components of
SCR Rectifier or Controlled Rectifier                                             127
load voltage, secondary current and supply current for the converter
shown in Fig.3.39 for α > 30 and RL load is shown in Fig.3.41. In case of
firing angle α less than 30o, the output voltage and current will be the
same as the converter without freewheeling diode, because of the output
voltage remains positive all the time. However, for firing angle α greater
than 30o, the freewheeling diode eliminates the negative voltage by
bypassing the current during this period. The freewheeling diode makes
the output voltage less distorted and ensures continuous load current.
Fig.3.40 shows various voltages and currents waveforms of the converter
shown in Fig.3.39. The average and rms load voltage is shown below:-
    The average output voltage is :-
          π
      3                    3 Vm ⎡        ⎛π    ⎞⎤          ⎡       ⎛π    ⎞⎤
V =             ∫
            V sin ωt dωt =       1 + cos ⎜ + α ⎟ = 0.4775V 1 + cos ⎜ + α ⎟ (3.77)
                                   2π ⎢            ⎥         m⎢            ⎥
        2π
 dc                 m
             π / 6+α                  ⎣      ⎝6   ⎠⎦           ⎣    ⎝6    ⎠⎦

         3 Vm ⎡        ⎛π      ⎞⎤
I dc =        ⎢1 + cos ⎜ 6 + α ⎟⎥
         2π R ⎣
                                                                         (3.78)
                       ⎝       ⎠⎦
                        π
                                                       5 α
                        ∫ (Vm sin ωt )
           3                                                  1
Vrms    =                            2
                                         dωt = 3 Vm      −  +    sin(π / 3 + 2α )
          2π                                           24 4π 8 π
                    π / 6 +α
              (3.79)
          3 Vm 5 α      1
I rms   =           − +    sin(π / 3 + 2α )                              (3.80)
           R     24 4π 8 π




 Fig.3.39 Three-phase half wave controlled rectifier with free wheeling diode.
128 Chapter Three




 Fig.3.40 Various voltages and currents waveforms for the converter shown in
           Fig.3.36 for α > 30 with RL load and freewheeling diode.




Fig.3.41 FFT components of load voltage, secondary current and supply current
          for the converter shown in Fig.3.36 for α > 30 and RL load.
SCR Rectifier or Controlled Rectifier                                       129
3.7 Three Phase Full Wave Fully Controlled Rectifier Bridge
3.7.1 Three Phase Full Wave Fully Controlled Rectifier With
Resistive Load
   Three-phase full wave controlled rectifier shown in Fig.3.42. As we
can see in this figure the thyristors has labels T1, T2,……,T6. The label
of each thyristor is chosen to be identical to triggering sequence where
thyristors are triggered in the sequence of T1, T2,……,T6 which is clear
from the thyristors currents shown in Fig.3.43.




              Fig.3.42 Three-phase full wave controlled rectifier.




   Fig.3.43 Thyristors currents of three-phase full wave controlled rectifier.
130 Chapter Three
  The operation of the circuit explained here depending on the
understanding of the reader the three phase diode bridge rectifier. The
Three-phase voltages vary with time as shown in the following equations:
va = Vm sin (ω t )
vb = Vm sin (ω t − 120)
vc = Vm sin (ω t + 120)
    It can be seen from Fig.3.44 that the voltage va is the highest positive
voltage of the three phase voltage when ωt is in the range
30 < ω t < 150 o . So, the thyristor T1 is forward bias during this period
and it is ready to conduct at any instant in this period if it gets a pulse on
its gate. In Fig.3.44 the firing angle α = 40 as an example. So, T1 takes a
pulse at ω t = 30 + α = 30 + 40 = 70 o as shown in Fig.3.44. Also, it is clear
from Fig3.38 that thyristor T1 or any other thyristor remains on for 120o .




    Fig.3.44 Phase voltages and thyristors currents of three-phase full wave
                          controlled rectifier at α = 40 o .
  It can be seen from Fig.3.44 that the voltage vb is the highest positive
voltage of the three phase voltage when ωt is in the range of
150 < ωt < 270 o . So, the thyristor T3 is forward bias during this period
SCR Rectifier or Controlled Rectifier                                   131
and it is ready to conduct at any instant in this period if it gets a pulse on
its gate. In Fig.3.44, the firing angle α = 40 as an example. So, T3 takes a
pulse at ω t = 150 + α = 150 + 40 = 190 o .
    It can be seen from Fig.3.44 that the voltage vc is the highest positive
voltage of the three phase voltage when ωt is in the range
270 < ω t < 390 o . So, the thyristor T5 is forward bias during this period
and it is ready to conduct at any instant in this period if it gets a pulse on
its gate. In Fig.3.44, the firing angle α = 40 as an example. So, T3 takes a
pulse at ωt = 270 + α = 310 o .
    It can be seen from Fig.3.44 that the voltage va is the highest negative
voltage of the three phase voltage when ω t is in the range
210 < ω t < 330 o . So, the thyristor T4 is forward bias during this period
and it is ready to conduct at any instant in this period if it gets a pulse on
its gate. In Fig.338, the firing angle α = 40 as an example. So, T4 takes a
pulse at ω t = 210 + α = 210 + 40 = 250o .
    It can be seen from Fig.3.44 that the voltage vb is the highest negative
voltage of the three phase voltage when ω t is in the range
330 < ω t < 450 o or 330 < ω t < 90 o in the next period of supply voltage
waveform. So, the thyristor T6 is forward bias during this period and it is
ready to conduct at any instant in this period if it gets a pulse on its gate.
In Fig.3.44, the firing angle α = 40 as an example. So, T6 takes a pulse
at ω t = 330 + α = 370 o .
   It can be seen from Fig.3.44 that the voltage vc is the highest negative
voltage of the three phase voltage when ω t is in the range
90 < ωt < 210 o . So, the thyristor T2 is forward bias during this period and
it is ready to conduct at any instant in this period if it gets a pulse on its
gate. In Fig.3.44, the firing angle α = 40 as an example. So, T2 takes a
pulse at ωt = 90 + α = 130 o .
    From the above explanation we can conclude that there is two
thyristor in conduction at any time during the period of supply voltage.
It is also clear that the two thyristors in conduction one in the upper half
(T1, T3, or, T5) which become forward bias at highest positive voltage
connected to its anode and another one in the lower half (T2, T4, or, T6)
132 Chapter Three
which become forward bias at highest negative voltage connected to its
cathode. So the load is connected at any time between the highest
positive phase voltage and the highest negative phase voltage. So, the
load voltage equal the highest line to line voltage at any time which is
clear from Fig.3.45. The following table summarizes the above
explanation.
       Period, range of wt                              SCR Pair in conduction
      α + 30o to α + 90o                                    T1 and T6
      α + 90 to α + 150
             o             o
                                                            T1 and T2
      α + 150 to α + 210
                 o             o
                                                            T2 and T3
      α + 210o to α + 270o                                  T3 and T4
      α + 270o to α + 330o                                  T4 and T5
      α + 330o to α + 360o and α + 0o to α + 30o            T5 and T6




Fig.3.45 Output voltage along with three phase line to line voltages of rectifier
                           in Fig.3.42 at   α = 40o .
    The line current waveform is very easy to obtain it by applying
kerchief's current law at the terminals of any phase. As an example
 I a = I T 1 − I T 4 which is clear from Fig.3.42. The input current of this
rectifier for α = 40, (α ≤ 60) is shown in Fig.3.46. Fast Fourier
transform (FFT) of output voltage and supply current are shown in
Fig.3.47.
SCR Rectifier or Controlled Rectifier                                           133




     Fig.3.46 The input current of this rectifier of rectifier in Fig.3.42 at
                              α = 40, (α ≤ 60 ) .




 Fig.3.46 FFT components of output voltage and supply current of rectifier in
                     Fig.3.42 at α = 40, (α ≤ 60 ) .
134 Chapter Three
   Analysis of this three-phase controlled rectifier is in many ways
similar to the analysis of single-phase bridge controlled rectifier circuit.
The average output voltage, the rms output voltage, the ripple content in
output voltage, the total rms line current, the fundamental rms current,
THD in line current, the displacement power factor and the apparent
power factor are to be determined. In this section, the analysis is carried
out assuming that the load is pure resistance.
             π / 2 +α
         3                               π         3 3 Vm
Vdc =            ∫
         π π / 6 +α
                         3 Vm sin(ω t + ) dω t =
                                       6               π
                                                             cos α     (3.81)

  The maximum average output voltage for delay angle α=0 is
      3 3 Vm
Vdm =                                                       (3.82)
        π
  The normalized average output voltage is as shown in (3.83)
       Vdc
Vn =       = cos α                                                     (3.83)
       Vdm
  The rms value of the output voltage is found from the following
equation:
              π / 2 +α
          3            ⎛
                                     2
                                    π ⎞                ⎛1 3 3        ⎞
Vrms =
          π      ∫   3 ⎜Vm sin(ω t + ) ⎟ dω t = 3 Vm
                       ⎝            6 ⎠
                                                       ⎜ +
                                                       ⎜2
                                                       ⎝   4π
                                                              cos 2α ⎟ (3.84)
                                                                     ⎟
                                                                     ⎠
            π / 6 +α
  In the converter shown in Fig.3.42 the output voltage will be
continuous only and only if α ≤ 60 o . If α > 60 o the output voltage, and
phase current will be as shown in Fig.3.47.




Fig.3.47 Output voltage along with three phase line to line voltages of rectifier
                                 in Fig.3.42 at α = 75o .
SCR Rectifier or Controlled Rectifier                                                         135
   The average and rms values of output voltage is shown in the
following equation:
             5π / 6
                                            π
Vdc =
        3
               ∫           3 Vm sin(ω t +       ) dω t =
                                                           3 3 Vm
                                                                    [1 + cos ( π / 3 + α )](3.85)
        π                                   6                π
            π / 6 +α
  The maximum average output voltage for delay angle α=0 is
      3 3 Vm
Vdm =                                                     (3.86)
               π
  The normalized average output voltage is
Vn = dc = [1 + cos ( π / 3 + α )]
     V
                                                      (3.87)
     Vdm
  The rms value of the output voltage is found from the following
equation:
                   5π / 6                             2
             3        ⎛            π ⎞
Vrms   =
         π            ⎝∫
                    3 ⎜Vm sin(ω t + ) ⎟ dω t
                                   6 ⎠
           π / 6 +α                                                                  (3.88)
                              3 ⎛         ⎛     π ⎞⎞
        = 3Vm 1 −               ⎜ 2α − cos⎜ 2α + ⎟ ⎟
                             4π ⎝         ⎝     6 ⎠⎠

Example 10 Three-phase full-wave controlled rectifier is connected to
380 V, 50 Hz supply to feed a load of 10 Ω pure resistance. If it is
required to get 400 V DC output voltage, calculate the following: (a) The
firing angle, α (b) The rectfication effeciency (c) The crest factor of
input current. (d) PIV of the thyristors.
Solution: From (3.81) the average voltage is :
                                    2
                          3 3*        * 380
       3 3 Vm                       3
Vdc =            cos α =                    cos α = 400V .
              π                                 π
                         Vdc 400
Then α = 38.79 o ,           =  I dc =
                                    = 40 A
                          R     10
  From (3.84) the rms value of the output voltage is:
                       ⎛1 3 3            ⎞       2                  ⎛1 3 3                 ⎞
Vrms = 3 Vm            ⎜                 ⎟
                       ⎜ 2 + 4 π cos 2 α ⎟ = 3 * 3 * 380 *
                                                                    ⎜ +
                                                                    ⎜2     cos (2 * 38.79 )⎟
                                                                                           ⎟
                       ⎝                 ⎠                          ⎝   4π                 ⎠
Then, Vrms = 412.412 V
136 Chapter Three
              Vrms 412.412
Then, I rms =        =         = 41.24 A
               R         10
            V *I                 400 * 40
Then, η = dc dc *100 =                         *100 = 94.07%
           Vrms * I rms        412.4 * 41.24
                                         I S , peak
The crest factor of input current, C F =
                                          I s, rms
                            ⎛      π⎞
               2 * 380 sin ⎜ ωt + ⎟
                            ⎝      6⎠     2 * 380 sin (30 + 38.79 + 30)
I S , peak =                           =                                = 53.11 A
                          R                            10
            2              2
I s , rms =   *I rms =       * 41.24 = 33.67 A
            3              3
                I S , peak 53.11
Then, C F =                =        = 1.577
                 I s, rms    33.67
The PIV= 3 Vm=537.4V
Example 11 Solve the previous example if the required dc voltage is 150V.
Solution: From (3.81) the average voltage is :
                                 2
                        3 3*       * 380
      3 3 Vm                     3
Vdc =          cos α =                   cos α = 150V . Then, α = 73o
           π                        π
It is not acceptable result because the above equation valid only for
α ≤ 60 . Then we have to use the (3.85) to get Vdc as following:
                     2
         3 3*          * 380
Vdc ==               3       [1 + cos ( π / 3 + α )] = 150V . Then, α = 75.05o
                 π
           V      150
Then I dc = dc =       = 15 A
            R     10
From (3.88) the rms value of the output voltage is:
                  3 ⎛         ⎛     π ⎞⎞
Vrms = 3Vm 1 −      ⎜ 2α − cos⎜ 2α + ⎟ ⎟
                    ⎜
                 4π ⎝         ⎝     6 ⎠⎟
                                       ⎠
                2           ⎛    3 ⎛             π                         ⎞⎞
      = 3*        * 380 *   ⎜ 4 π ⎜ 2 * 75.05 * 180 − cos (2 * 75.05 + 30 )⎟ ⎟
                            ⎜1 −                                             ⎟
                3           ⎝      ⎝                                       ⎠⎠
SCR Rectifier or Controlled Rectifier                                          137
Then, Vrms = 198.075 V
              V        198.075
Then, I rms = rms =            = 19.8075 A
                R        10
            V *I                   150 *15
Then, η = dc dc *100 =                            *100 = 57.35 %
           Vrms * I rms        198.075 *19.81
                                         I S , peak
The crest factor of input current, C F =
                                          I s , rms
                             ⎛     π⎞
               2 * 380 sin ⎜ ωt + ⎟
                             ⎝     6⎠     2 * 380 sin (30 + 75.05 + 30)
I S , peak =                          =                                 = 37.97 A
                           R                           10
            2               2
I s , rms =   *I rms =        *19.8075 = 16.1728 A
            3               3
                I S , peak     37.97
Then, C F =                 =         = 2.348
                 I s, rms 16.1728
The PIV= 3 Vm=537.4V

3.7.1 Three Phase Full Wave Fully Controlled Rectifier With pure
DC Load Current
Three-phase full wave-fully controlled rectifier with pure DC load current
is shown in Fig.3.48. Fig.3.49 shows various currents and voltage of the
converter shown in Fig.3.48 when the delay angle is less than 60o. As we
see in Fig.3.49, the load voltage is only positive and there is no negative
period in the output waveform. Fig.3.50 shows FFT components of
output voltage of rectifier shown in Fig.3.48 for α < 60o .




 Fig.3.48 Three phase full wave fully controlled rectifier with pure dc load current
138 Chapter Three




Fig.3.49 Output voltage and supply current waveforms along with three phase line
voltages for the rectifier shown in Fig.3.48 for α < 60o with pure DC current load.




Fig.3.50 FFT components of SCR, secondary, primary currents respectively of
                       rectifier shown in Fig.3.48.
SCR Rectifier or Controlled Rectifier                                    139

   In case of the firing angle is greater than 60 o , the output voltage
contains negaive portion as shown in Fig.3.51. Fig.3.52 shows FFT
components of output voltage of rectifier shown in Fig.3.48 for α > 60 o .
The average and rms voltage is the same as in equations (3.81) and (3.84)
respectively. The line current of this rectifier is the same as line current of
three-phase full-wave diode bridge rectifier typically except the phase
shift between the phase voltage and phase current is zero in case of diode
bridge but it is α in case of three-phase full-wave controlled rectifier
with pure DC load current as shown in Fig.3.53. So, the input power
factor of three-phase full-wave diode bridge rectifier with pure DC load
current is:
                    I
   PowerFactor = s1 cos α                                          (3.89)
                    Is




 Fig.3.51 Output voltage and supply current waveforms along with three phase
   line voltages for the rectifier shown in Fig.3.48 for α > 60o with pure DC
                                    current load.
140 Chapter Three




Fig.3.52 FFT components of SCR, secondary, primary currents respectively of
                 rectifier shown in Fig.3.48 for α > 60o.




Fig.3.53 Phase a voltage, current and fundamental components of phase a of three
phase full bridge fully controlled rectifier with pure DC current load and α > 60 .
   In case of three-phase full-wave controlled rectifier with pure DC load
and source inductance the waveform of output voltage and line current
and their FFT components are shown in Fig.3.54 and Fig.3.55
respectively. The output voltage reduction due to the source inductance is
the same as obtained before in Three-phase diode bridge rectifier. But,
the commutation time will differ than the commutation time obtained in
case of Three-phase diode bridge rectifier. It is left to the reader to
determine the commutation angle u in case of three-phase full-wave
SCR Rectifier or Controlled Rectifier                                     141
diode bridge rectifier with pure DC load and source inductance. The
Fourier transform of line current and THD will be the same as obtained
before in Three-phase diode bridge rectifier with pure DC load and
source inductance which explained in the previous chapter.




 Fig.3.54 Output voltage and supply current of rectifier shown n Fig.3.48 with
             pure DC load and source inductance the waveforms.




Fig.3.55 FFT components of output voltage of rectifier shown in Fig.3.48 for α
                  > 60o and there is a source inductance.
142 Chapter Three
   Let us study the commutation time shown in Fig.3.56n. At this time Vc
starts to be more negative than Vb so T2 becomes forward bias and it is
ready to switch as soon as it gets a pulse on its gate. Thyristor T2 gets a
pulse after that by α as shown in Fig.3.56n, so, T6 has to switch OFF
and T2 has to switch ON. But due to the source inductance will prevent
that to happen instantaneously. So it will take time Δt sec = u red to
completely turn OFF T6 and to make T2 carry all the load current ( I o ).
Also in the time Δt the current in Lb will change from I o to zero and the
current in Lc will change from zero to I o . This is very clear from
Fig.3.56n. The equivalent circuit of the three phase full wave controlled
rectifier at commutation time Δt is shown in Fig.3.57n and Fig.3.58n.
                                                 α        u

                                      Va
                             Vc                    Vb

                                       π /2




                                                                  Io


                                                 Io


                                                  Io


                                                                       Io



         Fig.3.56n Waveforms represent the one commutation period.
SCR Rectifier or Controlled Rectifier                                  143




 Fig.3.57n The equivalent circuit of the three phase controlled rectifier at
               commutation time Δt shown in Fig.3.56n.

From Fig.3.57n we can get the following defferntial equations:
         di                di
Va − La T 1 − Vdc − Lb T 6 − Vb = 0                             (3.90)
          dt                 dt
         di                di
Va − La T 1 − Vdc − Lc T 2 − Vc = 0                             (3.91)
          dt                 dt
                                                    di
Note that, during the time Δt , iT 1 is constant so T 1 = 0 , substitute this
                                                     dt
value in (3.90) and (3.91) we get the following differential equations:
              di
Va − Vb − Lb T 6 = Vdc                                          (3.92)
                dt
              di
Va − Vc − Lc T 2 = Vdc                                          (3.93)
               dt
By equating the left hand side of equation (3.92) and (3.93) we get the
following differential equation:
              di                      di
Va − Vb − Lb T 6 = Va − Vc − Lc T 2                             (3.94)
                dt                     dt
              di          di
Vb − Vc + Lb T 6 − Lc T 2 = 0                                   (3.95)
               dt          dt
The above equation can be written in the following manner:
(Vb − Vc )dt + Lb diT 6 − Lc diT 2 = 0                          (3.96)
(Vb − Vc )dω t + ω Lb diT 6 − ω Lc diT 2 = 0                    (3.97)
   Integrate the above equation during the time Δt with the help of
Fig.3.56n we can get the limits of integration as shown in the following:
144 Chapter Three
π / 2 +α + u              0                Io

     ∫ (Vb − Vc )dω t + ∫ ω Lb diT 6 − ∫ ω Lc diT 2 = 0
 π / 2 +α                 Io               0
π / 2 +α + u
          ⎛       ⎛       2π ⎞          ⎛       2π ⎞ ⎞
     ∫    ⎜Vm sin ⎜ ω t −    ⎟ − Vm sin ⎜ ω t +    ⎟ ⎟dω t + ωLb (− I o ) − ωLc I o = 0
 π / 2 +α ⎝       ⎝        3 ⎠          ⎝        3 ⎠⎠
assume Lb = Lc = LS
                                                π / 2 +α + u
   ⎡     ⎛       2π    ⎞      ⎛       2π ⎞⎤
Vm ⎢− cos⎜ ω t −       ⎟ + cos⎜ ω t +    ⎟                     = 2ω LS I o
   ⎣     ⎝        3    ⎠      ⎝        3 ⎠⎥ π / 2 +α
                                           ⎦
   ⎡     ⎛π          2π ⎞      ⎛π          2π ⎞      ⎛π      2π ⎞      ⎛π      2π       ⎞⎤
Vm ⎢− cos⎜ + α + u −    ⎟ + cos⎜ + α + u +    ⎟ + cos⎜ + α −    ⎟ − cos⎜ + α +          ⎟⎥
   ⎣     ⎝2           3 ⎠      ⎝2           3 ⎠      ⎝2       3 ⎠      ⎝2       3       ⎠⎦
       = 2ω LS I o
   ⎡     ⎛        π⎞      ⎛         7π ⎞      ⎛    π⎞      ⎛     7π           ⎞⎤
Vm ⎢− cos⎜ α + u − ⎟ + cos⎜ α + u +    ⎟ + cos⎜ α − ⎟ − cos⎜ α +              ⎟⎥ = 2ω LS I o
   ⎣     ⎝        6⎠      ⎝          6 ⎠      ⎝    6⎠      ⎝      6           ⎠⎦

⎡                ⎛π ⎞                    ⎛π ⎞                   ⎛ 7π ⎞                 ⎛ 7π ⎞
⎢− cos(α + u )cos⎜ 6 ⎟ − sin (α + u )sin ⎜ 6 ⎟ + cos(α + u )cos⎜ 6 ⎟ − sin (α + u )sin ⎜ 6 ⎟
⎣                ⎝ ⎠                     ⎝ ⎠                    ⎝    ⎠                 ⎝ ⎠
           π               π                7π              7π ⎤ 2ω LS I o
+ cos α cos + sin α sin − cos α cos             + sin α sin ⎥ =
            6              6                 6               6 ⎦       Vm
⎡ 3
    cos(α + u ) − 0.5 sin (α + u ) −    cos(α + u ) + 0.5 sin (α + u )
                                      3
⎢−
⎣ 2                                  2
  3                    3                   ⎤ 2ω LS I o
    cos α + 0.5 sin α    cos α − 0.5 sin α ⎥ =
 2                    2                    ⎦   Vm
                               2ω LS I o
  3[cos α − cos(α + u )] =
                                 Vm
                          2ω LI o 2ω LI o   2 ω LS I o
cos(α ) − cos(α + u ) =          =        =                                   (3.98)
                           3 Vm    2 VLL      VLL
           ⎡           2ω LS I o ⎤
u = cos −1 ⎢cos(α ) −            ⎥ −α                                         (3.99)
           ⎣            VLL ⎦
     u 1⎧    ⎪       ⎡           2ω LS I o ⎤    ⎫
                                                ⎪
Δt = = ⎨cos −1 ⎢cos(α ) −                  ⎥ −α ⎬                             (3.100)
     ω ω⎪    ⎩       ⎣             VLL ⎦        ⎪
                                                ⎭
SCR Rectifier or Controlled Rectifier                                                     145
   It is clear that the DC voltage reduction due to the source inductance is
                                                  di
the drop across the source inductance. vrd = LS T               (3.101)
                                                   dt
Multiply (3.101) by dω t and integrate both sides of the resultant
equation we get:
π
    +α + u
2                            Io

        ∫ vrd dω t = ∫ ω LdiD = ω LS I o                                          (3.102)
    π                        0
        +α
    2
π
    +α + u
2

        ∫ vrd dω t       is the reduction area in one commutation period Δt . But we
    π
        +α
    2
have six commutation periods Δt in one period so the total reduction per
period is:
    π
        +α + u
    2
6           ∫ vrd dω t = 6ω LS I o                                                (3.103)
        π
            +α
        2
   To obtain the average reduction in DC output voltage Vrd due to
source inductance we have to divide by the period time 2π . Then,
      6ω LI o
Vrd =          = 6 fLI o                                     (3.104)
         2π
   The DC voltage without source inductance tacking into account can be
calculated as following:
                                                                    3 2
Vdc                  = Vdc                       VLL cosα − 6 fLs I o (3.105)
                                                          − Vrd =
            actual                           π
                             without sourceinduc tan ce

   Fig.3.58n shows the utility line current with some detailes to help us to
calculate its rms value easly.
       ⎡               π u      ⎤
                        +
       ⎢u ⎛ I     2    3 2      ⎥                               2I o ⎡ 1 3 π u
                                                                   2
                                                                                      ⎤
       ⎢ ⎜ o ωt ⎞ dωt + I d dωt ⎥ =
     2
Is =                 ∫                        ∫                      ⎢ 2 u + 3 + 2 − u⎥
                           2
                ⎟
     π⎢ ⎝u ⎠                    ⎥                                π ⎣ 3u               ⎦
         0              u
       ⎢                        ⎥
       ⎣                        ⎦
146 Chapter Three

           2I o ⎡π u ⎤
              2
Then I S =        −                                                   (3.106)
            π ⎢ 3 6⎥
                ⎣    ⎦
                     Is
                                      u


                      Io
                                                         2π
                                                            +u
                                                          3


                                      2π u       2π
                                         +
                                       6   2
                    − Io                          3
                          Fig.3.58n The utility line current
   Fig.3.59 shows the utility line currents and its first derivative that help
us to obtain the Fourier transform of supply current easily. From Fig.2.43
we can fill Table(3.1) as explained before when we study Table (2.1).
                                  u
                     Is

                    Io
                                                                    11π u
                                                      7π u             −
                                                        −            6 2
                                                       6 2

                            π u                5π u
                              −                  −
                            6 2                 6 2
                   − Io
                       ′
                      Is
                                  u


                    Io
                    u                      5π u       7π u
                                             −          −
                                            6 2        6 2


                            π u                                      11π u
                        −                                               −
                    I                                                 6 2
                   − o 6 2
                     u
           Fig.3.59 The utility line currents and its first derivative.
SCR Rectifier or Controlled Rectifier                                                       147
Table(3.1) Jumb value of supply current and its first derivative.
Js       π           u     π       u   5π u      5π u         7π u         7π u      11π u          11π u
                 −             +            −       +             −           +          −               +
         6           2      6      2     6 2       6 2          6 2          6 2       6   2          6    2
Is      0                  0           0         0            0            0         0              0
 ′
Is      Io                 − Io        − Io      Io           − Io         Io        Io             − Io
         u                   u            u       u             u           u         u               u

It is an odd function, then ao = an = 0
                  ⎡m                     1 m                  ⎤
                     ∑                     ∑
         1
bn =              ⎢      J s cos nωt s −          ′
                                                J s sin nωt s ⎥                     (3.107)
        nπ        ⎢ s =1
                  ⎣                      n s =1               ⎥
                                                              ⎦
        1 ⎡ −1 Io ⎛  ⎛π u ⎞       ⎛π u ⎞       ⎛ 5π u ⎞       ⎛ 5π u ⎞
bn =      ⎢ * ⎜ sin n⎜ − ⎟ − sin n⎜ + ⎟ − sin n⎜   − ⎟ + sin n⎜   + ⎟
       nπ ⎣ n u ⎝    ⎝ 6 2⎠       ⎝ 6 2⎠       ⎝ 6 2⎠         ⎝ 6 2⎠
                                ⎛ 7π u ⎞       ⎛ 7π u ⎞       ⎛ 11π u ⎞       ⎛ 11π u ⎞ ⎞⎤
                         − sin n⎜   − ⎟ + sin n⎜   + ⎟ + sin n⎜    − ⎟ − sin n⎜    + ⎟ ⎟⎥
                                ⎝ 6 2⎠         ⎝ 6 2⎠         ⎝ 6   2⎠        ⎝ 6   2 ⎠ ⎠⎦
         2I o    nu ⎡    nπ        5nπ       7nπ        11nπ ⎤
bn =                 ⎢cos 6 − cos 6 − cos 6 + cos 6 ⎥ (3.108)
                      * sin
    n πu     2    2 ⎣                                         ⎦
Then, the utility line current can be obtained as in (3.109).
             4 3 ⎡ ⎛u⎞                        ⎛ 5u ⎞                   ⎛ 7u ⎞
i (ω t ) =       ⎢sin ⎜ 2 ⎟ sin (ωt ) − 2 sin ⎜ 2 ⎟ sin (5ωt ) − 2 sin ⎜ 2 ⎟ sin (7ωt ) +
                                        1                        1
             πu ⎣ ⎝ ⎠                  5      ⎝ ⎠               7      ⎝ ⎠                (3.109)
                        ⎛ 11u ⎞                     ⎛ 13u ⎞                     ⎤
                              ⎟ sin (11ωt ) + 2 sin ⎜     ⎟ sin (13ωt ) − − + + ⎥
                  1                           1
             +      sin ⎜
                 11  2
                        ⎝ 2 ⎠                13     ⎝ 2 ⎠                       ⎦
             2 6 Io ⎛ u ⎞
Then; I S1 =          sin ⎜ ⎟                                  (3.110)
                πu        ⎝2⎠
     The power factor can be calculated from the following equation:
                               2 6 Io ⎛ u ⎞
                                     sin ⎜ ⎟
        I S1     ⎛u⎞            πu       ⎝2⎠        ⎛   u⎞
pf =         cos ⎜ ⎟ =                          cos ⎜α + ⎟
        IS       ⎝2⎠               2 I o ⎡π u ⎤
                                       2            ⎝   2⎠
                                           − ⎥
                                    π ⎢ 3 6⎦
                                         ⎣
                     ⎛u⎞
           2 3 * sin ⎜ ⎟
Then; pf =           ⎝ 2 ⎠ cos⎛ α + u ⎞
                              ⎜       ⎟                                             (3.111)
               ⎡π u ⎤         ⎝     2⎠
           u π⎢ − ⎥
               ⎣ 3 6⎦
148 Chapter Three
Note, if we approximate the source current to be trapezoidal as shown in
Fig.3.58n, the displacement power factor will be as shown in (3.111) is
    ⎛     u⎞
cos⎜ α + ⎟ . Another expression for the displacement power factor, by
    ⎝     2⎠
equating the AC side and DC side powers [ ] as shown in the following
derivation:
From (3.98) and (3.105) we can get the following equation:
                            VLL (cosα − cos(α + u ))
      3 2                3
Vdc =        VLL cos α −
         π               2π

            VLL [2 cos α − (cos α − cos(α + u ))]
       3 2
∴Vdc =
         2π
            VLL [cos α + cos(α + u )]
       3 2
∴Vdc =                                                (3.112)
         2π
Then the DC power output from the rectifier is Pdc = Vdc I o . Then,

             VLL * I o [cos α + cos(α + u )]
       3 2
Pdc =                                                      (3.113)
        2π
On the AC side, the AC power is:
 Pac = 3 VLL I S1 cos φ1                                   (3.114)
Substitute from (3.110) into (3.114) we get the following equation:
               4 3 Io ⎛ u ⎞               6 2 VLL I o ⎛ u ⎞
Pac = 3 VLL              sin ⎜ ⎟ cos φ1 =            sin ⎜ ⎟ cos φ1     (3.115)
               πu 2          ⎝2⎠             πu          ⎝2⎠
By equating (3.113) and (3.115) we get the following:
         u [cos α + cos (α + u )]
cos φ1 =                                                            (2.116)
                       ⎛u⎞
               4 * sin ⎜ ⎟
                       ⎝2⎠
  The source inductance reduces the magnitudes of the harmonic
currents. Fig.3.60a through d show the effects of LS (and hence of u) on
various harmonics for various values of α , where I d is a constant dc.
The harmonic currents are normalized by I1 I, with LS = 0 , which is
                                 6
given by (2.98) where I s1 =         I o in this case. Normally, the DC-side
                                π
current is not a constant DC. Typical and idealized harmonics are shown
in Table 3.2.
SCR Rectifier or Controlled Rectifier                                   149




      Fig.3.60 Normalized harmonic current in the presence of LS [ ].
Table 3.2 Typical and idealized harmonics.




3.7.2 Inverter Mode of Operation
Once again, to understand the inverter mode of operation, we will
assume that the do side of the converter can be represented by a current
source of a constant amplitude I d , as shown in Fig.3.61. For a delay
angle a greater than 90° but less than 180°, the voltage and current
150 Chapter Three
waveforms are shown in Fig.3.62a. The average value of Vd is negative
according to (3.81). On the ac side, the negative power implies that the
phase angle φ1 , between vs and is , is greater than 90°, as shown in
Fig.3.62b.




            Fig.3.61 Three phase SCR inverter with a DC current.




           Fig.3.62 Waveforms in the inverter shown in Fig.3.56.

   In a practical circuit shown in Fig.3.63, the operating point for a given
E d and α can be obtained from the characteristics shown in Fig.3.64.
SCR Rectifier or Controlled Rectifier                                  151
   Similar to the discussion in connection with single-phase converters,
                          (            )
the extinction angle γ = 180o − α − u must be greater than the thyristor
turn-off interval ω t q in the waveforms of Fig.3.54, where v5 is the
voltage across thyristor 5.




         Fig.3.63 Three phase SCR inverter with a DC voltage source.




Fig.3.64 Vd versus I d of Three phase SCR inverter with a DC voltage source.
Inverter Startup
As discussed for start up of a single-phase inverter, the delay angle α
in the three-phase inverter of Fig.3.63 is initially made sufficiently
large (e.g., 165°) so that id is discontinuous. Then, α is decreased by
the controller such that the desired I d and Pd are obtained.
152 Chapter Three
Problems
   1- Single phase half-wave controlled rectifier is connected to 220 V,
      50Hz supply to feed 10 Ω resistor. If the firing angle α = 30 o
      draw output voltage and drop voltage across the thyristor along
      with the supply voltage. Then, calculate, (a) The rectfication
      effeciency. (b) Ripple factor. (c) Peak Inverse Voltage (PIV) of the
      thyristor. (d) The crest factor C F of input current.
   2- Single phase half-wave controlled rectfier is connected to 220 V,
      50Hz supply to feed 5Ω resistor in series with 10mH inductor if
      the firing angle α = 30 o .
          (a) Determine an expression for the current through the load in
              the first two periods of supply current, then fiend the DC
              and rms value of output voltage.
          (b) Draw the waveforms of load, resistor, inductor voltages and
              load current.
   3- Solve problem 2 if there is a freewheeling diode is connected in
      shunt with the load.
   4- single phase full-wave fully controlled rectifier is connected to
      220V, 50 Hz supply to feed 5Ω resistor, if the firing angle
      α = 40 o . Draw the load voltage and current, diode currents and
      supply current. Then, calculate (a) The rectfication effeciency. (b)
      Peak Inverse Voltage (PIV) of the thyristor. (c) Crest factor of
      supply current.
   5- In the problem 4, if there is a 5mH inductor is connected in series
      with the 5Ω resistor. Draw waveforms of output voltage and
      current, resistor and inductor voltages, diode currents, supply
      currents. Then, find an expression of load current, DC and rms
      values of output voltages.
   6- Solve problem 5 if the load is connected with freewheeling diode.
   7- Single phase full wave fully controlled rectifier is connected to
      220V, 50 Hz supply to feed the load with 47 A pure dc current.
      The firing angle α = 40 o . Draw the load voltage, thyristor, and
      load currents. Then, calculate (a) the rectfication effeciency. (b)
      Ripple factor of output voltage. (c) Crest factor of supply current.
      (d) Use Fourier series to fiend an expression for supply current. (e)
      THD of supply current. (f) Input power factor.
   8- Solve problem 7 if the supply has a 3 mH source inductance.
SCR Rectifier or Controlled Rectifier                               153
  9- Single phase full-wave semi-controlled rectifier is connected to
      220 V, 50Hz supply to feed 5Ω resistor in series with 5 mH
      inductor, the load is connected in shunt with freewheeling diode.
      Draw the load voltage and current, resistor voltage and inductor
      voltage diodes and thyristor currents. Then, calculate Vdc and
      Vrms of the load voltages. If the freewheeling diode is removed,
      explain what will happen?
  10- The single-phase full wave controlled converter is supplying a DC
      load of 1 kW with pure DC current. A 1.5-kVA-isolation
      transformer with a source-side voltage rating of 120 V at 50 Hz is
      used. It has a total leakage reactance of 8% based on its ratings.
      The ac source voltage of nominally 120 V is in the range of -10%
      and +5%. Then, Calculate the minimum transformer turns ratio if
      the DC load voltage is to be regulated at a constant value of 100 V.
      What is the value of a when VS = 120 V + 5%.
  11- In the single-phase inverter of, VS = 120 V at 50 Hz, LS = 1.2 mH,
       Ld = 20 mH, Ed = 88 V, and the delay angle α = 135°. Using
      PSIM, obtain vs , is , vd , and id waveforms in steady state.
  12- In the inverter of Problem 12, vary the delay angle α from a
      value of 165° down to 120° and plot id versus α . Obtain the delay
      angle α b , below which id becomes continuous. How does the
      slope of the characteristic in this range depend on LS ?
  13- In the three-phase fully controlled rectifier is connected to 460 V
      at 50 Hz and Ls = 1mH . Calculate the commutation angle u if the
      load draws pure DC current at Vdc = 515V and Pdc = 500 kW.
  14- In Problem 13 compute the peak inverse voltage and the average
      and the rms values of the current through each thyirstor in terms of
      VLL and I o .
  15- Consider the three-phase, half-controlled converter shown in the
      following figure. Calculate the value of the delay angle α for
      which Vdc = 0.5Vdm . Draw vd waveform and identify the
      devices that conduct during various intervals. Obtain the DPF, PF,
      and %THD in the input line current and compare results with a
      full-bridge converter operating at Vdc = 0.5Vdm . Assume LS .
154 Chapter Three




  16- Repeat Problem 15 by assuming that diode D f is not present in
      the converter.
  17- The three-phase converter of Fig.3.48 is supplying a DC load of 12
      kW. A Y- Y connected isolation transformer has a per-phase rating
      of 5 kVA and an AC source-side voltage rating of 120 V at 50 Hz.
      It has a total per-phase leakage reactance of 8% based on its
      ratings. The ac source voltage of nominally 208 V (line to line) is
      in the range of -10% and +5%. Assume the load current is pure
      DC, calculate the minimum transformer turns ratio if the DC load
      voltage is to be regulated at a constant value of 300 V. What is the
      value of α when VLL = 208 V +5%.
  18- In the three-phase inverter of Fig.3.63, VLL = 460 V at 60 Hz, E =
      550 V, and LS = 0.5 mH. Assume the DC-side current is pure DC,
      Calculate α and γ if the power flow is 55 kW.
Chapter 4
              SWITCH-MODE dc-ac
          INVERTERS: dc SINUSOIDAL ac
4.1 Introduction
Switch-mode dc-to-ac inverters are used in ac motor drives and
uninterruptible ac power supplies where the objective is to produce a
sinusoidal ac output whose magnitude and frequency can both be
controlled. As an example, consider an ac motor drive, shown in Fig.4.1
in a block diagram form. The dc voltage is obtained by rectifying and
filtering the line voltage, most often by the diode rectifier circuits. In an
ac motor load, the voltage at its terminals is desired to be sinusoidal and
adjustable in its magnitude and frequency. This is accomplished by
means of the switch-mode dc-to-ac inverter of Fig.4.1, which accepts a dc
voltage as the input and produces the desired ac voltage input.
     To be precise, the switch-mode inverter in Fig.4.1 is a converter
through which the power flow is reversible. However, most of the time
the power flow is from the dc side to the motor on the ac side, requiring
an inverter mode of operation. Therefore, these switch-mode converters
are often referred to as switch-mode inverters.
    To slow down the ac motor in Fig.4.1, the kinetic energy associated
with the inertia of the motor and its load is recovered and the ac motor
acts as a generator. During the so-called braking of the motor, the power
flows from the ac side to the dc side of the switch-mode converter and it
operates in a rectifier mode. The energy recovered during the braking of
the ac motor can be dissipated in a resistor, which can be switched in
parallel with the dc bus capacitor for this purpose in Fig.4.1. However, in
applications where this braking is performed frequently, a better
alternative is regenerative braking where the energy recovered from the
motor load inertia is fed back to the utility grid, as shown in the system of
Fig.4.2. This requires that the converter connecting the drive to the utility
grid be a two-quadrant converter with a reversible dc current, which can
operate as a rectifier during the motoring mode of the ac motor and as an
inverter during the braking of the motor. Such a reversible-current two-
quadrant converter can be realized by two back-to-back connected line-
frequency thyristor converters or by means of a switch-mode converter as
shown in Fig.4.2. There are other reasons for using such a switch-mode
SWITCH-MODE dc-ac                                                     153
rectifier (called a rectifier because, most of the time, the power flows
from the ac line input to the dc bus) to interface the drive with the utility
system.




               Fig.4.1 Switch mode inverter in ac motor drive.




 Fig.4.2 Switch-mode converters for motoring and regenerative braking in ac
                               motor drive.
   In this chapter, we will discuss inverters with single-phase and three-
phase ac outputs. The input to switch-mode inverters will be assumed to
be a dc voltage source, as was assumed in the block diagrams of Fig.4.1
and Fig.4.2. Such inverters are referred to as voltage source inverters
(VSIs). The other types of inverters, now used only for very high power
ac motor drives, are the current source inverters (CSIs), where the dc
input to the inverter is a dc current source. Because of their limited
applications, the CSIs are not discussed.
   The VSIs can be further divided into the following three general
categories:
1. Pulse-width-modulated inverters. In these inverters, the input dc
voltage is essentially constant in magnitude, such as in the circuit of
Fig.4.1, where a diode rectifier is used to rectify the line voltage.
Therefore, the inverter must control the magnitude and the frequency of
the ac output voltages. This is achieved by PWM of the inverter switches
and hence such inverters are called PWM inverters. There are various
154 Chapter Three
schemes to pulse-width modulate the inverter switches in order to shape
the output ac voltages to be as close to a sine wave as possible. Out of
these various PWM schemes, a scheme called the sinusoidal PWM will
be discussed in detail, and some of the other PWM techniques will be
described in a separate section at the end of this chapter.
2. Square-wave inverters. In these inverters, the input dc voltage is
controlled in order to control the magnitude of the output ac voltage, and
therefore the inverter has to control only the frequency of the output
voltage. The output ac voltage has a waveform similar to a square wave,
and hence these inverters are called square-wave inverters.
3. Single-phase inverters with voltage cancellation. In case of inverters
with single-phase output, it is possible to control the magnitude and the
frequency of the inverter output voltage, even though the input to the
inverter is a constant dc voltage and the inverter switches are not pulse-
width modulated (and hence the output voltage wave-shape is like a
square wave). Therefore, these inverters combine the characteristics of
the previous two inverters. It should be noted that the voltage cancellation
technique works only with single-phase inverters and not with three-
phase inverters.

4.2 BASIC CONCEPTS OF SWITCH-MODE INVERTERS
In this section, we will consider the requirements on the switch-mode
inverters. For simplicity, let us consider a single-phase inverter, which is
shown in block diagram form in Fig.4.3a, where the output voltage of the
inverter is filtered so that vo can be assumed to be sinusoidal. Since the
inverter supplies an inductive load such as an ac motor, io will lag vo , as
shown in Fig.4.3b. The output waveforms of Fig.4.3b show that during
interval 1, vo and io are both positive, whereas during interval 3, vo and
io are both negative. Therefore, during intervals 1 and 3, the
instantaneous power flow po = vo * I o is from the dc side to the ac side,
corresponding to an inverter mode of operation. In contrast, vo and io are
of opposite signs during intervals 2 and 4, and therefore po flows from
the ac side to the dc side of the inverter, corresponding to a rectifier mode
of operation. Therefore, the switch-mode inverter of Fig.4.3a must be
capable of operating in all four quadrants of the io − vo plane, as shown
in Fig.4.3c during each cycle of the ac output. Such a four-quadrant
SWITCH-MODE dc-ac                                                   155
inverter is reversible and vo can be of either polarity independent of the
direction of io . Therefore, the full-bridge converter meets the switch-
mode inverter requirements. Only one of the two legs of the full-bridge
converter, for example leg A, is shown in Fig.4.4. All the dc-to-ac
inverter topologies described in this chapter are derived from the one-leg
converter of Fig.4.4. For ease of explanation, it will be assumed that in
the inverter of Fig.4.4, the midpoint "o" of the dc input voltage is
available, although in most inverters it is not needed and also not
available.




                 Fig.4.3 Single-Phase switch-mode inverter.




                   Fig.4.4 One-leg switch-mode inverter.
156 Chapter Three
   To understand the dc-to-ac inverter characteristics of the one-leg
inverter of Fig.4.4, we will first assume that the input dc voltage Vd is
constant and that the inverter switches are pulse-width modulated to
shape and control the output voltage. Later on, it will be shown that the
square-wave switching is a special case of the PWM switching scheme.
4.2.1 PULSE-WIDTH-MODULATED SWITCHING SCHEME
   In inverter circuits, we would like the inverter output to be sinusoidal
with magnitude and frequency controllable. In order to produce a
sinusoidal output voltage waveform at a desired frequency, a sinusoidal
control signal at the desired frequency is compared with a triangular
waveform, as shown in Fig.4.5a. The frequency of the triangular
waveform establishes the inverter switching frequency and is generally
kept constant along with its amplitude Vtri .
   Before discussing the PWM behavior, it is necessary to define a few
terms. The triangular waveform Vtri in Fig.4.5a is at a switching
frequency f s which establishes the frequency with which the inverter
switches are switched ( f s is also called the carrier frequency). The
control signal vcontrol is used to modulate the switch duty ratio and has a
frequency f1 , which is the desired fundamental frequency of the inverter
voltage output ( f 1 is also called the modulating frequency), recognizing
that the inverter output voltage ' will not be a perfect sine wave and will
contain voltage components at harmonic frequencies of f 1 . The
amplitude modulation ratio ma is defined as
       Vˆ
ma = control                                                         (4.1)
            ˆ
          Vtri
where V   ˆ     is the peak amplitude of the control signal. The amplitude
        control
 ˆ
Vtri of the triangular signal is generally kept constant.
The frequency modulation ratio m f is defined as:
       fs
mf =                                                             (4.2)
       f1
  In the inverter of Fig.4.4b, the switches TA + and TA− are controlled
based on the comparison of vcontrol and vtri and the following output
voltage results, independent of the direction of io :
SWITCH-MODE dc-ac                                                    157
                                              1
   vcontrol > vtri    TA + is on ,     v Ao = Vd                     (4.3)
                                              2
                                                1
   vcontrol < vtri    TA − is on ,     v Ao = − Vd
                                                2




                      Fig.4.5 Pulse width modulation.
    Since the two switches are never off simultaneously, the output voltage
v Ao                                  1           1
     fluctuates between two values ( Vd and − Vd ). Voltage v Ao and
                                      2           2
its fundamental frequency component (dashed curve) are shown in
Fig.4.5b, which are drawn for m f = 15 and ma = 0.8.
158 Chapter Three
The harmonic spectrum of v Ao under the conditions indicated in
Figs.4.5a and Fig.4.5b is shown in Fig.4.5c, where the normalized
                     ˆ( )   1
harmonic voltages V Ao h / Vd having significant amplitudes are plotted.
                            2
This plot (for ma ≤ 1.0 ) shows three items of importance:
    1. The peak amplitude of the fundamental-frequency component
( )
  ˆ
 V Ao 1 is ma times Vd / 2 . This can be explained by first considering a
constant vcontrol , as shown in Fig.4.6a. This results in an output
waveform v Ao . From the PWM in a full-bridge dc-dc converter, it can be
noted that the average output voltage (or more specifically, the output
voltage averaged over one switching time period Ts = 1 / f s ) v Ao depends
on the ratio of v         ˆ
                      to V for a given V :
                control         tri         d
       vcontrol Vd
V Ao =                       vcontrol ≤Vtri
                                        ˆ                             (4.4)
          ˆ
         Vtri 2
  Let us assume (though this assumption is not necessary) that vcontrol
varies very little during a switching time period, that is, m f is large, as
shown in Fig.4.6b. Therefore, assuming vcontrol to be constant over a
switching time period, Eq. (4.4) indicates how the "instantaneous
average" value of v Ao (averaged over one switching time period Ts )
varies from one switching time period to the next. This "instantaneous
average" is the same as the fundamental-frequency component of v Ao .
The foregoing argument shows why vcontrol is chosen to be sinusoidal to
provide a sinusoidal output voltage with fewer harmonics. Let the control
voltage vary sinusoidally at the frequency f1 = ω1 / 2π , which is the
desired (or the fundamental) frequency of the inverter output:
vcontrol = Vcontrol sin ω1t
            ˆ
where        Vˆ
            control  ≤V ˆ
                          tri                                   (4.5)
   Using Eqs. (4.4) and (4.5) and the foregoing arguments, which show
that the fundamental-frequency component (v Ao )1 varies sinusoidally and
in phase with vcontrol as a function of time, results in
            ˆ
(v Ao )1 = Vcontrol sin ω1t Vd = ma sin ω1t Vd
               ˆ
                                                    for ma ≤ 1     (4.6)
              Vtri           2               2
SWITCH-MODE dc-ac                                                    159

Therefore,   (VˆAo )1 = ma V2d                   for ma ≤ 1          (4.7)
   which shows that in a sinusoidal PWM, the amplitude of the
fundamental-frequency component of the output voltage varies linearly
with ma (provided ma ≤ 1 .0). Therefore, the range of ma from 0 to 1 is
referred to as the linear range.




                           Fig.4.6 Sinusoidal PWM.
   2. The harmonics in the inverter output voltage waveform appear as
sidebands, centered around the switching frequency and its multiples, that
is, around harmonics m f , 2m f , 3m f , and so on. This general pattern
holds true for all values of ma in the range 0 to 1.
For a frequency modulation ratio m f ≤ 9 (which is always the case,
except in very high power ratings), the harmonic amplitudes are almost
independent of m f , though mf defines the frequencies at which they
occur. Theoretically, the frequencies at which voltage harmonics occur
                            (       )
can be indicated as: f h = jm f ± k f1
that is, the harmonic order h corresponds to the kth sideband of j times the
frequency modulation ratio m f :
     ( )
h = j mf ± k                                                         (4.8)
where the fundamental frequency corresponds to h = 1 . For odd values of
j, the harmonics exist only for even values of k. For even values of j, the
harmonics exist only for odd values of k.
160 Chapter Three

                                        ˆ
In Table 8-1, the normalized harmonics V Ao  ( )h / 1 Vd
                                                    2
                                                           are tabulated as a
function of the amplitude modulation ratio ma, assuming m f ≥ 9 . Only
those with significant amplitudes up to j = 4 in Eq.4.8 are shown.
    It will be useful later on to recognize that in the inverter circuit of
Fig.4.4
               1
v AN = v Ao + Vd                                                      (4.9)
               2
    Therefore, the harmonic voltage components in v AN and v Ao are the
same:
( ) ( )
 V AN h = V Ao h
  ˆ          ˆ                                                     (4.10)
Table 1 shows that Eq.7 is followed almost exactly and the amplitude of
the fundamental component in the output voltage varies linearly with ma .
    3. The harmonic m f should be an odd integer. Choosing m f as an
odd integer results in an odd symmetry as well as a half-wave symmetry
with the time origin shown in Fig.4.5b, which is plotted for m f = 15 .
Therefore, only odd harmonics are present and the even harmonics
disappear from the waveform of v Ao . Moreover, only the coefficients of
the sine series in the Fourier analysis are finite; those for the cosine series
are zero. The harmonic spectrum is plotted in Fig.4.5c.
Table 1 Generalized Harmonics of v Ao , for a Large m f
SWITCH-MODE dc-ac                                                   161
Example 1 In the circuit of Fig.4.4, Vd = 300V , ma = 0.8 , m f = 39 , and
the fundamental frequency is 47 Hz. Calculate the rms values of the
fundamental-frequency voltage and some of the dominant harmonics in
v Ao using Table 1.
Solution: From Table 1, the rms voltage at any value of h is given as:



                                                           (4.11)
Therefore, from Table 1 the rms voltages are as follows:




   Now we discuss the selection of the switching frequency and the
frequency modulation ratio m f . Because of the relative ease in filtering
harmonic voltages at high frequencies, it is desirable to use as high a
switching frequency as possible, except for one significant drawback:
Switching losses in the inverter switches increase proportionally with the
switching frequency f s . Therefore, in most applications, the switching
frequency is selected to be either less than 6 kHz or greater than 20 kHz
to be above the audible range. If the optimum switching frequency (based
on the overall system performance) turns out to be somewhere in the 6-
20-kHz range, then the disadvantages of increasing it to 20 kHz are often
outweighed by the advantage of no audible noise with f s of 20 kHz or
greater. Therefore, in 50- or 60-Hz type applications, such as ac motor
drives (where the fundamental frequency of the inverter output may be
required to be as high as 200 Hz), the frequency modulation ratio m f
may be 9 or even less for switching frequencies of less than 2 kHz. On
the other hand, m f will be larger than 100 for switching frequencies
higher than 20 kHz. The desirable relationships between the triangular
waveform signal and the control voltage signal are dictated by how large
m f is. In the discussion here, m f = 21 is treated as the borderline
162 Chapter Three
between large and small, though its selection is somewhat arbitrary. Here,
it is assumed that the amplitude modulation ratio ma is less than 1.
4.2.1.1 Small m f (m f ≤ 21)
  1. Synchronous PWM. For small values of m f , the triangular
waveform signal and the control signal should be synchronized to each
other (synchronous PWM) as shown in Fig.4.5a. This synchronous PWM
requires that m f be an integer. The reason for using the synchronous
PWM is that the asynchronous PWM (where m f is not an integer) results
in subharmonics (of the fundamental frequency) that are very undesirable
in most applications. This implies that the triangular waveform frequency
varies with the desired inverter frequency (e.g., if the inverter output
frequency and hence the frequency of vcontrol , is 65.42 Hz and m f = 15,
the triangular wave frequency should be exactly 15 x 65.42 = 981.3 Hz).
                                                              m
   2. m f should be an odd integer. As discussed previously, f should
be an odd integer except in single-phase inverters with PWM unipolar
voltage switching, to be discussed in the following sections.
                 (
4.2.1.2 Large m f m f > 21)
  The amplitudes of subharmonics due to asynchronous PWM are small
at large values of m f . Therefore, at large values of m f , the
asynchronous PWM can be used where the frequency of the triangular
waveform is kept constant, whereas the frequency of vcontrol varies,
resulting in noninteger values of m f (so long as they are large).
However, if the inverter is supplying a load such as an ac motor, the
subharmonics at zero or close to zero frequency, even though small in
amplitude, will result in large currents that will be highly undesirable.
Therefore, the asynchronous PWM should be avoided.
4.2.1.3 Overmodulation ma > 1.0
   In the previous discussion, it was assumed that ma ≤ 1.0 ,
corresponding to a sinusoidal PWM in the linear range. Therefore, the
amplitude of the fundamental-frequency voltage varies linearly with ma ,
as derived in Eq.(4.7). In this range of ma ≤ 1.0 , PWM pushes the
harmonics into a high-frequency range around the switching frequency
SWITCH-MODE dc-ac                                                    163
and its multiples. In spite of this desirable feature of a sinusoidal PWM in
the linear range, one of the drawbacks is that the maximum available
amplitude of the fundamental-frequency component is not as high as we
wish. This is a natural consequence of the notches in the output voltage
waveform of Fig.4.5b.
   To increase further the amplitude of the fundamental-frequency
component in the output voltage, ma is increased beyond 1.0, resulting in
what is called overmodulation. Overmodulation causes the output voltage
to contain many more harmonics in the sidebands as compared with the
linear range (with ma ≤ 1.0 ), as shown in Fig.4.7. The harmonics with
dominant amplitudes in the linear range may not be dominant during
overmodulation. More significantly, with overmodulation, the amplitude
of the fundamental-frequency component does not vary linearly with the
amplitude modulation ratio ma . Figure 4.8 shows the normalized peak

                                                         ( ) ˆ
amplitude of the fundamental-frequency component V Ao h / Vd as a
                                                                     1
                                                                     2
function of the amplitude modulation ratio ma . Even at reasonably large

                 ( )ˆ      1
values of m f , V Ao h / Vd depends on m f in the overmodulation
                           2
                                                               ( )      1
region. This is contrary to the linear range ( ma ≤ 1 .0) where V Ao h / Vd
                                                                   ˆ
                                                                        2
varies linearly with ma , almost independent of mf (provided m f > 9).
With overmodulation regardless of the value of m f , it is recommended
that a synchronous PWM operation be used, thus meeting the
requirements indicated previously for a small value of m f .




Fig.4.7 Harmonics due to overmodulation, drawn for ma = 2.5 and m f = 15 .
164 Chapter Three




                  Fig.4.8 Voltage control by varying ma .

   The overmodulation region is avoided in uninterruptible power
supplies because of a stringent requirement on minimizing the distortion
in the output voltage. In induction motor drives, overmodulation is
normally used.
   For sufficiently large values of ma , the inverter voltage waveform
degenerates from a pulse-width-modulated waveform into a square wave,
which is discussed in detail in the next section. From Fig.4.8 and the
discussion of square-wave switching to be presented in the next section, it
can be concluded that in the overmodulation region with ma > 1
Vd
 2
     ( )
    < V Ao 1 <
       ˆ       4 Vd
               π 2
                                                                 (4.12)

4.2.2 SQUARE-WAVE SWITCHING SCHEME
   In the square-wave switching scheme, each switch of the inverter leg
of Fig.4.4 is on for one half-cycle (180°) of the desired output frequency.
This results in an output voltage waveform as shown in Fig.4.9a. From
Fourier analysis, the peak values of the fundamental-frequency and
SWITCH-MODE dc-ac                                                    165
harmonic components in the inverter output waveform can be obtained
for a given input Vd as:

(VˆAo )1 = π V2d = 1.273⎛ V2d ⎞
           4
                        ⎜ ⎟                                       (4.13)
                        ⎝ ⎠

and (V ) = Ao 1
        ˆ       (Vˆ )
                                                                  (4.14)
       Ao h
                 h
   where the harmonic order h takes on only odd values, as shown in
Fig.4.9b. It should be noted that the square-wave switching is also a
special case of the sinusoidal PWM switching when ma becomes so large
that the control voltage waveform intersects with the triangular waveform
in Fig.4.5a only at the zero crossing of vcontrol . Therefore, the output
voltage is independent of ma in the square-wave region, as shown in
Fig.4.8.
   One of the advantages of the square-wave operation is that each
inverter switch changes its state only twice per cycle, which is important
at very high power levels where the solid-state switches generally have
slower turn-on and turn-off speeds. One of the serious disadvantages of
square-wave switching is that the inverter is not capable of regulating the
output voltage magnitude. Therefore, the dc input voltage Vd to the
inverter must be adjusted in order to control the magnitude of the inverter
output voltage.




                         Fig.4.9 Square wave switching.
4.3 SINGLE PHASE IVERTERS
4.3.1 HALF-BRIDGE INVERTERS (SINGLE PHASE)
   Figure 4.10 shows the half-bridge inverter. Here, two equal capacitors
are connected in series across the dc input and their junction is at a
166 Chapter Three
                                  1
midpotential, with a voltage        Vd , across each capacitor. Sufficiently
                                  2
large capacitances should be used such that it is reasonable to assume that
the potential at point o remains essentially constant with respect to the
negative dc bus N. Therefore, this circuit configuration is identical to the
basic one-leg inverter discussed in detail earlier, and vo = v Ao .
    Assuming PWM switching, we find that the output voltage waveform
will be exactly as in Fig.4.5b. It should be noted that regardless of the
switch states, the current between the two capacitors C+ and C- (which
have equal and very large values) divides equally. When T+ is on, either
T+ or D+ conducts depending on the direction of the output current, and io
splits equally between the two capacitors. Similarly, when the switch
T− is in its on state, either T− or D− conducts depending on the direction
of io , and io splits equally between the two capacitors. Therefore, the
capacitors C+ and C_ are "effectively" connected in parallel in the path of
io . This also explains why the junction o in Fig.4.10 stays at
midpotential.
    Since io must flow through the parallel combination of C+ and C_, io
in steady state cannot have a dc component. Therefore, these capacitors
act as dc blocking capacitors, thus eliminating the problem of transformer
saturation from the primary side, if a transformer is used at the output to
provide electrical isolation. Since the current in the primary winding of
such a transformer would not be forced to zero with each switching, the
transformer leakage inductance energy does not present a problem to the
switches.
    In a half-bridge inverter, the peak voltage and current ratings of the
switches are as follows:
VT = Vd                                                             (4.15)
and IT = io, peak                                                   (4.16)

4.3.2 FULL-BRIDGE INVERTERS (SINGLE PHASE)
   A full-bridge inverter is shown in Fig.4.11. This inverter consists of
two one-leg inverters of the type discussed in Section 4-2 and is preferred
over other arrangements in higher power ratings. With the same dc input
voltage, the maximum output voltage of the full-bridge inverter is twice
that of the half-bridge inverter. This implies that for the same power, the
output current and the switch currents are one-half of those for a
SWITCH-MODE dc-ac                                                   167
half-bridge inverter. At high power levels, this is a distinct advantage,
since it requires less paralleling of devices.




                       Fig.4.10 Half-bridge inverter.




                 Fig.4.11 Single-phase full-bridge inverter.

4.3.2.1 PWM with Bipolar Voltage Switching
   The diagonally opposite switches (TA+, TB-) and (TA-, TB+) from the two
legs in Fig.4.11 are switched as switch pairs 1 and 2, respectively. With
this type of PWM switching, the output voltage waveform of leg A is
identical to the output of the basic one-leg inverter, which is determined
in the same manner by comparison of vcontrol and vtri in Fig.4.12a. The
output of inverter leg B is negative of the leg A output; for example,
                                                1                     1
when TA+ is on and v Ao is equal to + Vd is also on and vBo = − Vd .
                                                2                     2
Therefore:
v Bo (t ) = −v Ao (t )                                            (4.17)
and vo (t ) = v Ao (t ) − vBo (t ) = 2v Ao (t )                   (4.18)
The vo waveform is shown in Fig.4.12b. The analysis carried out in
Section 4.2 for the basic one-leg inverter completely applies to this type
of PWM switching. Therefore, the peak of the fundamental-frequency
168 Chapter Three
                                  ( )
                                  ˆ
component in the output voltage Vo1 can be obtained from Eqs. (4.7),
(4.12), and (4.18) as:
Vo1 = maVd
 ˆ                        (ma ≤ 1.0)                      (4.19)
                4
and Vd < Vo1 < Vd
           ˆ                  (ma > 1.0)                  (4.20).
               π




               Fig4.12 PWM with bipolar voltage switching.

  In Fig.4.12b, we observe that the output voltage vo switches between
− Vd and + Vd voltage levels. That is the reason why this type of
switching is called a PWM with bipolar voltage switching. The
amplitudes of harmonics in the output voltage can be obtained by using
Table 1, as illustrated by the following example.

Example 2 In the full-bridge converter circuit of Fig.4.11, Vd = 300V ,
ma =0.8, m f = 39 , and the fundamental frequency is 47 Hz. Calculate the
rms values of the fundamental-frequency voltage and some of the
dominant harmonics in the output voltage vo if a PWM bipolar voltage-
switching scheme is used.
Solution: From Eq.(4.18), the harmonics in vo can be obtained by
multiplying the harmonics in Table 1 and Example 1 by a factor of 2.
Therefore from Eq. (4.11), the rms voltage at any harmonic h is given as
                     ( )
                     Vˆ            ( )
                                    Vˆ
(Vo )h = 1 * 2 * Vd * Ao h = Vd * Ao h = 212.13 Ao h
                                                    ( )
                                                     Vˆ
                                                                 (4.21)
          2       2 Vd / 2       2 Vd / 2            Vd / 2
SWITCH-MODE dc-ac                                                     169
Therefore, the rms voltages are as follows:
Fundamental: Vo1 = 212.13 x 0. 8 = 169.7 V at 47 Hz
          (Vo )37 = 212.13 x 0.22 = 46.67 V at 1739 Hz
          (Vo )39 = 212.13 x 0.818 = 173.52 V at 1833 Hz -
          (Vo )41 = 212.13 x 0.22 = 46.67 V at 1927 Hz
          (Vo )77 = 212.13 x 0.314 = 66.60 V at 3619 Hz
          (Vo )79 = 212.13 x 0.314 = 66.60 V at 3713 Hz
         etc.
dc-Side Current id It is informative to look at the dc-side current id in
the PWM biopolar voltage-switching scheme.
    For simplicity, fictitious L-C high-frequency filters will be used at the
dc side as well as at the ac side, as shown in Fig.4.13. The switching
frequency is assumed to be very high, approaching infinity. Therefore, to
filter out the high-switching-frequency components in vo and id , the
filter components L and C required in both ac and dc-side filters approach
zero. This implies that the energy stored in the filters is negligible. Since
the converter itself has no energy storage elements, the instantaneous
power input must equal the instantaneous power output.




                   Fig.4.13 Inverter with "fictitious" filters.
   Having made these assumptions, vo in Fig.4.13 is a pure sine wave at
the fundamental output frequency ω1 ,
vo1 = vo = 2 Vo sin ω1t                                           (4.22)
If the load is as shown in Fig.4.13, where eo is a sine wave at frequency
ω1 , then the output current would also be sinusoidal and would lag vo
for an inductive load such as an ac motor:
               (
io = 2 I o sin ω1t − φ   )                                        (4.23)
where φ is the angle by which io lags vo .
170 Chapter Three
On the dc side, the L-C filter will filter the high-switching-frequency
                               *
components in id and id would only consist of the low-frequency and dc
components. Assuming that no energy is stored in the filters,
Vd id (t ) = vo (t )io (t ) = 2 Vo sin ω1t 2 I o sin (ω1t − φ )
    *
                                                                (4.24)
                         V I          V I
Therefore id (t ) = o o cos φ − o o cos(2ω1t − φ ) = I d + id 2
              *
                                                                (4.25)
                          Vd           Vd
id (t ) = I d − 2 I d 2 cos(2ω1t − φ )
 *
                                                                     (4.26)
               V I
where I d = o o cos φ                                                (4.27)
                 Vd
               1 Vo I o
and I d 2 =                                                          (4.28)
                2 Vd
                         *
   Equation (4.26) for id shows that it consists of a dc component I d ,
which is responsible for the power transfer from Vd on the dc side of the
                                *
inverter to the ac side. Also, id contains a sinusoidal component at twice
                                                                      *
the fundamental frequency. The inverter input current id consists of id
and the high-frequency components due to inverter switchings, as shown
in Fig.4.14.




   Fig.4.14 The dc-side current in a single-phase inverter with PWM bipolar
                              voltage switching.
    In practical systems, the previous assumption of a constant dc voltage
as the input to the inverter is not entirely valid. Normally, this dc voltage
is obtained by rectifying the ac utility line voltage. A large capacitor is
used across the rectifier output terminals to filter the dc voltage. The
SWITCH-MODE dc-ac                                                     171
ripple in the capacitor voltage, which is also the dc input voltage to the
inverter, is due to two reasons: (1) The rectification of the line voltage to
produce dc does not result in a pure dc, dealing with the line-frequency
rectifiers. (2) As shown earlier by Eq.(4.26), the current drawn by a
single-phase inverter from the dc side is not a constant dc but has a
second harmonic component (of the fundamental frequency at the
inverter output) in addition to the high switching-frequency components.
The second harmonic current component results in a ripple in the
capacitor voltage, although the voltage ripple due to the high switching
frequencies is essentially negligible.
4.3.2.2 PWM with Unipolar Voltage Switching
In PWM with unipolar voltage switching, the switches in the two legs of
the full-bridge inverter of Fig.4.11 are not switched simultaneously, as in
the previous PWM scheme. Here, the legs A and B of the full-bridge
inverter are controlled separately by comparing vtri with vcontrol and
− vcontrol , respectively. As shown in Fig.4.15a, the comparison of vcontrol
with the triangular waveform results in the following logic signals to
control the switches in leg A:
vcontrol > vtri         TA+ on        and VAN = Vd                (4.29)
vcontrol < vtri         TA− on        and VAN = 0
The output voltage of inverter leg A with respect to the negative dc bus N
is shown in Fig.4.15b. For controlling the leg B switches, − vcontrol is
compared with the same triangular waveform, which yields the
following:
− vcontrol > vtri              TB + on      and VBN = Vd          (4.30)
− vcontrol < vtri              TB − on      and VBN = 0
    Because of the feedback diodes in antiparallel with the switches, the
foregoing voltages given by Eqs.(4.29) and (4.30) are independent of the
direction of the output current io .
    The waveforms of Fig.4.15 show that there are four combinations of
switch on-states and the corresponding voltage levels:




                                                                 (4.31)
172 Chapter Three




        Fig.4.15 PWM with unipolar voltage switching (single phase).
    We notice that when both the upper switches are on, the output
voltage is zero. The output current circulates in a loop through T A + and
 DB + or D A + and TB + depending on the direction of io . During this
interval, the input current id is zero. A similar condition occurs when
both bottom switches TA − and TB − are on.
    In this type of PWM scheme, when a switching occurs, the output
voltage changes between zero and + Vd or between zero and − Vd
voltage levels. For this reason, this type of PWM scheme is called PWM
with a unipolar voltage switching, as opposed to the PWM with bipolar
(between + Vd and − Vd ) voltage-switching scheme described earlier.
SWITCH-MODE dc-ac                                                    173
This scheme has the advantage of "effectively" doubling the switching
frequency as far as the output harmonics are concerned, compared to the
bipolar voltage switching scheme. Also, the voltage jumps in the output
voltage at each switching are reduced to Vd as compared to 2Vd in the
previous scheme.
   The advantage of "effectively" doubling the switching frequency
appears in the harmonic spectrum of the output voltage waveform, where
the lowest harmonics (in the idealized circuit) appear as sidebands of
twice the switching frequency. It is easy to understand this if we choose
the frequency modulation ratio m f to be even ( m f should be odd for
PWM with bipolar voltage switching) in a single-phase inverter. The
voltage waveforms v AN and vBN are displaced by 180° of the
fundamental frequency f1 with respect to each other. Therefore, the
harmonic components at the switching frequency in v AN and v BN have
the same phase ( φ AN − φ BN = 180o. m f = 0 , since the waveforms are 180°
displaced and m f is assumed to be even). This results in the cancellation
of the harmonic component at the switching frequency in the output
voltage vo = v AN − vBN . In addition, the sidebands of the
switching-frequency harmonics disappear. In a similar manner, the other
dominant harmonic at twice the switching frequency cancels out, while
its sidebands dc not. Here also
Vo1 = ma Vd
 ˆ                       (ma ≤ 1.0)                            (4.32)
                4
and Vd < Vo1 < Vd
           ˆ                      (ma > 1.0)                   (4.33)
               π
Example 3 In Example 2, suppose that a PWM with unipolar voltage
switching scheme is used, with m f = 38 . Calculate the rms values of the
fundamental frequency voltage and some of the dominant harmonics in
the output voltage.
Solution: Based on the discussion of unipolar voltage switching, the
harmonic order h can be written as
     (     )
h = j 2m f ± k                                              (4.34)
where the harmonics exist as sidebands around 2m f and the multiples of
2m f . Since h is odd, k in Eq.(34) attains only odd values. From Example
2,
174 Chapter Three
                  (V Ao )h
(Vo )h = 212.13                                                (4.35)
                Vd / 2
Using Eq.(35) and Table 1, we find that the rms voltages are as follows:
At fundamental or 47 Hz: Vo1 = 0.8 x 212.13 = 169.7 V
At h = 2m f - 1 = 75 or 3525 Hz: (Vo )75 = 0.314 x 212.13 = 66.60 V
At h = 2m f + 1 = 77 or 3619 Hz: (Vo )77 = 0.314 x 212.13 = 66.60 V etc.
Comparison of the unipolar voltage switching with the bipolar voltage
switching of Example 2 shows that, in both cases, the
fundamental-frequency voltages are the same for equal ma However,
with unipolar voltage switching, the dominant harmonic voltages
centered around m f disappear, thus resulting in a significantly lower
harmonic content.
dc-Side Current id . Under conditions similar to those in the circuit of
Fig.4.13 for the PWM with bipolar voltage switching, Fig.4.16 shows the
dc-side current id for the PWM unipolar voltage-switching scheme,
where m f = 14 (instead of m f = 15 for the bipolar voltage switching).
   By comparing Figs.4.14 and 4.16, it is clear that using PWM with
unipolar voltage switching results in a smaller ripple in the current on the
dc side of the inverter.




   Fig.4.16 The dc-side current in a single-phase inverter with PWM unipolar
                             voltage switching.
4.3.2.3 Square-Wave Operation
   The full-bridge inverter can also be operated in a square-wave mode.
Both types of PWM discussed earlier degenerate into the same
square-wave mode of operation, where the switches ( T A + , TB − ) and
( TB + , T A − ) are operated as two pairs with a duty ratio of 0.5.
SWITCH-MODE dc-ac                                                         175
   As is the case in the square-wave mode of operation, the output
voltage magnitude given below is regulated by controlling the input dc
voltage:
      4
Vo1 = Vd
 ˆ                                                            (4.36)
      π
4.3.2.4 Output Control by Voltage Cancellation
   This type of control is feasible only in a single-phase, full-bridge
inverter circuit. It is based on the combination of square-wave switching
and PWM with a unipolar voltage switching. In the circuit of Fig.4.17a,
the switches in the two inverter legs are controlled separately (similar to
PWM unipolar voltage switching). But all switches have a duty ratio of
0.5, similar to a square-wave control. This results in waveforms for v AN
and v BN shown in Fig.4.17b, where the waveform overlap angle a can be
controlled. During this overlap interval, the output voltage is zero as a
consequence of either both top switches or both bottom switches being
on. With α = 0 , the output waveform is similar to a square-wave inverter
with the maximum possible fundamental output magnitude.




 Fig.17 Full-bridge- single-phase inverter control by voltage cancellation: (a)
   power circuit: (b) waveforms; (c) normalized fundamental and harmonic
       voltage output and total harmonic distortion as a function of α .
176 Chapter Three
    It is easier to derive the fundamental and the harmonic frequency
                                                      1
components of the output voltage in terms of β = 90o − α , as is shown
                                                      2
in Fig.4.17b:




                                                                 (4.37)
                  1
where β = 90o − α and h is an odd integer.
                  2
    Fig.4.17c shows the variation in the fundamental-frequency
component as well as the harmonic voltages as a function of α . These are
normalized with respect to the fundamental-frequency component for the
square-wave ( α = 0) operation. The total harmonic distortion, which is
the ratio of the rms value of the harmonic distortion to the rms value of
the fundamental-frequency component, is also plotted as a function of α .
Because of a large distortion, the curves are shown as dashed for large
values of α .

4.3.2.5 Switch Utilization in Full-Bridge Inverters
   Similar to a half-bridge inverter, if a transformer is utilized at the
output of a full-bridge inverter, the transformer leakage inductance does
not present a problem to the switches.
   Independent of the type of control and the switching scheme used, the
peak switch voltage and current ratings required in a full-bridge inverter
are as follows:
VT = Vd                                                          (4.38)
and IT = io, peak                                                (4.39)

4.3.2.6 Ripple in the Single-Phase Inverter Output
   The ripple in a repetitive waveform refers to the difference between
the instantaneous values of the waveform and its fundamental-frequency
component.
SWITCH-MODE dc-ac                                                      177
    Fig.4.18a shows a single-phase switch-mode inverter. It is assumed to
be supplying an induction motor load, which is shown by means of a
simplified equivalent circuit with a counter electromotive force (emf) eo .
Since eo (t ) is sinusoidal, only the sinusoidal (fundamental-frequency)
components of the inverter output voltage and current are responsible for
the real power transfer to the load.
    We can separate the fundamental-frequency and the ripple
components in vo and io by applying the principle of superposition to the
linear circuit of Fig.4.18a. Let vo = vo1 + vripple and io = io1 + iripple .
Figs.4.18b, c show the circuits at the fundamental frequency and at the
ripple frequency, respectively, where the ripple frequency component
consists of sub-components at various harmonic frequencies.
    Therefore, in a phasor form (with the fundamental frequency
components designated by subscript 1) as shown in Fig.4.18d,
Vo1 = Eo + VL1 = Eo + jω1LI o1                                 (4.40)




    Fig.4.18 Single-phase inverter: (a) circuit; (6) fundamental- frequency
  components; (c) ripple frequency components: (d) fundamental-frequency
                              phasor diagram.
   Since the superposition principle is valid here, all the ripple in v,
appears across L, where vripple (t ) = vo − vo1                (4.41)
The output current ripple can be calculated as
iripple (t ) = ∫ vripple (ζ )dζ + k
              1 t
                                                                    (4.42)
              L 0
178 Chapter Three
where k is a constant and ζ is a variable of integration.
    With a properly selected time origin t = 0, the constant k in Eq.(4.42)
will be zero. Therefore, Eqs.(4.41) and (4.42) show that the current ripple
is independent of the power being transferred to the load.
    As an example, Fig.4.19a shows the ripple current for a square-wave
inverter output. Fig.4.19b shows the ripple current in a PWM bipolar
voltage switching. In drawing Figs.4.19a and 4.19b, the
fundamental-frequency components in the inverter output voltages are
kept equal in magnitude (this requires a higher value of Vd in the PWM
inverter). The PWM inverter results in a substantially smaller peak ripple
current compared to the square-wave inverter. This shows the advantage
of pushing the harmonics in the inverter output voltage to as high
frequencies as feasible, thereby reducing the losses in the load by
reducing the output current harmonics. This is achieved by using higher
inverter switching frequencies, which would result in more frequent
switching and hence higher switching losses in the inverter. Therefore,
from the viewpoint of the overall system energy efficiency, a compromise
must be made in selecting the inverter switching frequency.




 Fig. 4.19 Ripple in the inverter output: (a) square-wave switching; (6) PWM
                           bipolar voltage switching.
SWITCH-MODE dc-ac                                                    179
4.3.3 PUSH-PULL INVERTERS
   Fig.4.20 shows a push-pull inverter circuit. It requires a transformer
with a center tapped primary. We will initially assume that the output
current io flows continuously. With this assumption, when the switch T1
is on (and T2 is off), T1 would conduct for a positive value of io , and D1
would conduct for a negative value of io . Therefore, regardless of the
direction of io , vo = Vd / n , where n is the transformer turns ratio
between the primary half and the secondary windings, as shown in
Fig.4.20. Similarly, when T2 is on (and T1 is off), vo = −Vd / n . A
push-pull inverter can be operated in a PWM or a square-wave mode and
the waveforms are identical to those in Figs.4.5 and 4.12 for half-bridge
and full-bridge inverters. The output voltage in Fig.4.20 equals:
        V
Vo1 = ma d
 ˆ                         (ma ≤ 1.0)                             (4.43)
         n
     V
and d < Vo1 <
          ˆ   4 Vd
                                        (ma > 1.0)                (4.44)
      n       π n
In a push-pull inverter, the peak switch voltage and current ratings are
VT = 2Vd              IT = io, peak / n                            (4.45)




                 Fig.4.20 Push-Pull inverter (single phase).
    The main advantage of the push-pull circuit is that no more than one
switch in series conducts at any instant of time. This can be important if
the dc input to the converter is from a low-voltage source, such as a
battery, where the voltage drops across more than one switch in series
would result in a significant reduction in energy efficiency. Also, the
control drives for the two switches have a common ground. It is,
however, difficult to avoid the dc saturation of the transformer in a
push-pull inverter.
180 Chapter Three
   The output current, which is the secondary current of the transformer,
is a slowly varying current at the fundamental output frequency. It can be
assumed to be a constant during a switching interval. When a switching
occurs, the current shifts from one half to the other half of the primary
winding. This requires very good magnetic coupling between these two
half-windings in order to reduce the energy associated with the leakage
inductance of the two primary windings. This energy will be dissipated in
the switches or in snubber circuits used to protect the switches. This is a
general phenomenon associated with all converters (or inverters) with
isolation where the current in one of the windings is forced to go to zero
with every switching. This phenomenon is very important in the design of
such converters.
    In a pulse-width-modulated push-pull inverter for producing
sinusoidal output (unlike those used in switch-mode dc power supplies),
the transformer must be designed for the fundamental output frequency.
The number of turns will therefore be high compared to a transformer
designed to operate at the switching frequency in a switch-mode dc
power supply. This will result in a high transformer leakage inductance,
which is proportional to the square of the number of turns, provided all
other dimensions are kept constant. This makes it difficult to operate a
sine-wave-modulated PWM push-pull inverter at switching frequencies
higher than approximately 1 kHz.
4.3.4 SWITCH UTILIZATION IN SINGLE-PHASE INVERTERS
   Since the intent in this section is to compare the utilization of switches
in various single-phase inverters, the circuit conditions are idealized. We
will assume that Vd , max is the highest value of the input voltage, which
establishes the switch voltage ratings. In the PWM mode, the input
remains constant at Vd , max In the square-wave mode, the input voltage is
decreased below Vd , max to decrease the output voltage from its maximum
value. Regardless of the PWM or the square-wave mode of operation, we
assume that there is enough inductance associated with the output load to
yield a purely sinusoidal current (an idealized condition indeed for a
square-wave output) with an rms value of I o, max at the maximum load.
    If the output current is assumed to be purely sinusoidal, the inverter
rms volt-ampere output at the fundamental frequency equals Vo1I o, max at
the maximum rated output, where the subscript 1 designates the
SWITCH-MODE dc-ac                                                  181
fundamental-frequency component of the inverter output. With VT and
 I T as the peak voltage and current ratings of a switch, the combined
utilization of all the switches in an inverter can be defined as
                            V I
Switch utilization ratio = o1 o, max                             (4.46)
                              qVT IT
where q is the number of switches in an inverter.
     To compare the utilization of switches in various single-phase
inverters, we will initially compare them for a square-wave mode of
operation at the maximum rated output. (The maximum switch utilization
occurs at Vd = Vd , max ).




   In practice, the switch utilization ratio would be much smaller than
0.16 for the following reasons: (1) switch ratings are chosen
conservatively to provide safety margins; (2) in determining the switch
current rating in a PWM inverter, one would have to take into account the
variations in the input dc voltage available; and (3) the ripple in the
output current would influence the switch current rating. Moreover, the
182 Chapter Three
inverter may be required to supply a short-term overload. Thus, the
switch utilization ratio, in practice, would be substantially less than the
0.16 calculated.
    At the lower output volt-amperes compared to the maximum rated
output, the switch utilization decreases linearly. It should be noted that
using a PWM switching with mp !~ 1.0, this ratio would be smaller by a
factor of (π / 4 )ma as compared to the square-wave switching:
                                       1 π      1
Maximum switch utilization ratio =         ma = ma ,     ma ≤ 1.0 ) (4.54)
                                      2π 4      8
   Therefore, the theoretical maximum switch utilization ratio in a PWM
switching is only 0.125 at ma = 1 , as compared with 0.16 in square –
wave inverter.
    Example 4 In a single-phase full-bridge PWM inverter, Vd varies in a
range of 295-325 V. The output voltage is required to be constant at 200
V (rms), and the maximum load current (assumed to be sinusoidal) is 10
A (rms). Calculate the combined switch utilization ratio (under these
idealized conditions, not accounting for any overcurrent capabilities).
Solution: In this inverter
    VT = Vd , ma = 325V
   I T = 2 I o = 2 *10 = 14.14
   q = no. of switches = 4
The maximum output volt-ampere (fundamental frequency) is
Vo1I o, max = 200 *10 = 2000 VA                                         (4.55)
Therefore, from Eq.(4.46)
                             Vo1 I o, max            2000
Switch utilization ratio =                  =                  = 0.11
                               qVT I T          4 * 325 *14.14
4.4 THREE-PHASE INVERTERS
   In applications such as uninterruptible ac power supplies and ac motor
drives, three-phase inverters are commonly used to supply three-phase
loads. It is possible to supply a three-phase load by means of three
separate single-phase inverters, where each inverter produces an output
displaced by 120° (of the fundamental frequency) with respect to each
other. Though this arrangement may be preferable under certain
conditions, it requires either a three-phase output transformer or separate
access to each of the three phases of the load. In practice, such access is
generally not available. Moreover, it requires 12 switches.
SWITCH-MODE dc-ac                                                    183
    The most frequently used three-phase inverter circuit consists of three
legs, one for each phase, as shown in Fig.4.21. Each inverter leg is
similar to the one used for describing the basic one-leg inverter in Section
4.2. Therefore, the output of each leg, for example v AN , (with respect to
the negative dc bus), depends only on Vd and the switch status; the
output voltage is independent of the output load current since one of the
two switches in a leg is always on at any instant. Here, we again ignore
the blanking time required in practical circuits by assuming the switches
to be ideal. Therefore, the inverter output voltage is independent of the
direction of the load current.




                       Fig.4.21 Three-phase inverter.
4.4.1 PWM IN THREE-PHASE VOLTAGE SOURCE INVERTERS
   Similar to the single-phase inverters, the objective in
pulse-width-modulated three-phase inverters is to shape and control the
three-phase output voltages in magnitude and frequency with an
essentially constant input voltage Vd . To obtain balanced three-phase
output voltages in a three-phase PWM inverter, the same triangular
voltage waveform is compared with three sinusoidal control voltages that
are 120° out of phase, as shown in Fig.4.22a (which is drawn for
m f = 15 ).
   It should also be noted from Fig.4.22b that an identical amount of
average dc component is present in the output voltages v AN and v BN ,
which are measured with respect to the negative dc bus. These dc
components are canceled out in the line-to-line voltages, for example in
v AB shown in Fig.4.22b. This is similar to what happens in a
single-phase full-bridge inverter utilizing a PWM switching.
   In the three-phase inverters, only the harmonics in the line-to-line
voltages are of concern. The harmonics in the output of any one of the
184 Chapter Three
legs, for example v AB in Fig.4.22b, are identical to the harmonics in v Ao
in Fig.4.5, where only the odd harmonics exist as sidebands, centered
around m f and its multiples, provided mf is odd. Only considering the
harmonic at m f (the same applies to its odd multiples), the phase
difference between the mf harmonic in v AN and v BN is (120 m f )°. This
phase difference will be equivalent to zero (a multiple of 360°) if m f is
odd and a multiple of 3. As a consequence, the harmonic at m f is
suppressed in the line-to-line voltage v AB . The same argument applies in
the suppression of harmonics at the odd multiples of m f if m f is chosen
to be an odd multiple of 3 (where the reason for choosing m f to be an
odd multiple of 3 is to keep m f odd and, hence, eliminate even
harmonics). Thus, some of the dominant harmonics in the one-leg
inverter can be eliminated from the line-to-line voltage of a three-phase
inverter. PWM considerations are summarized as follows:
1. For low values of m f , to eliminate the even harmonics, a synchronized
PWM should be used and mf should be an odd integer. Moreover, mf
should be a multiple of 3 to cancel out the most dominant harmonics in
the line-to-line voltage.
2. For large values of m f , the comments in Section 4.2.1.2 for a
single-phase PWM apply.
3. During overmodulation ( ma > 1.0), regardless of the value of m f , the
conditions pertinent to a small m f should be observed.

4.4.1.1 Linear Modulation ( ma ≤ 1.0 )
In the linear region ( ma ≤ 1.0 ), the fundamental-frequency component in
the output voltage varies linearly with the amplitude modulation ratio ma .
From Figs.4.5b and 4.22b, the peak value of the fundamental-frequency
component in one of the inverter legs is
( )
  ˆ          V
 V AN 1 = ma d
               2
                                                                 (4.56)
    Therefore, the line-to-line rms voltage at the fundamental frequency,
due to 120° phase displacement between phase voltages, can be written as
SWITCH-MODE dc-ac                                                185




                                                            (4.57)




     Fig.4.22 Three-phase PWM waveforms and harmonic spectrum.
186 Chapter Three
   The harmonic components of the line-to-line output voltages can be
calculated in a similar manner from Table 1, recognizing that some of the
harmonics are canceled out in the line-to-line voltages. These rms
harmonic voltages are listed in Table 2.
4.4.1.2 Overmodulation ( ma > 1.0 )
   In PWM overmodulation, the peak of the control voltages are allowed
to exceed the peak of the triangular waveform. Unlike the linear region,
in this mode of operation the fundamental-frequency voltage magnitude
does not increase proportionally with ma. This is shown in Fig.4.23,
where the rms value of the fundamental-frequency line-to-line voltage
VLL1 is plotted as a function of ma . Similar to a single-phase PWM, for
sufficiently large values of ma, the PWM degenerates into a square-wave
inverter waveform. This results in the maximum value of VLL1 equal to
0.78 Vd as explained in the next section.
    In the overmodulation region compared to the region with ma ≤ 1.0 ,
more sideband harmonics appear centered around the frequencies of
harmonics mf and its multiples. However, the dominant harmonics may
not have as large an amplitude as with ma ≤ 1.0 . Therefore, the power
loss in the load due to the harmonic frequencies may not be as high in the
overmodulation region as the presence of additional sideband harmonics
would suggest. Depending on the nature of the load and on the switching
frequency, the losses due to these harmonics in overmodulation may be
even less than those in the linear region of the PWM.
Table 2 Generalized Harmonics of v LL for a large and odd m f that is a multiple of 3.
SWITCH-MODE dc-ac                                                        187




        Fig.4.23 Three-phase inverter VLL1(rms ) / Vd as a function of ma .

4.4.2 SQUARE-WAVE OPERATION IN THREE-PHASE
INVERTERS
If the input dc voltage Vd is controllable, the inverter in Fig.4.24a can be
operated in a square-wave mode. Also for sufficiently large values of ma ,
PWM degenerates into square-wave operation and the voltage waveforms
are shown in Fig.4.24b. Here, each switch is on for 180° (i.e., its duty
ratio is 50%). Therefore, at any instant of time, three switches are on.




                 Fig.4.24 Square-wave inverter (three phase).
188 Chapter Three
    In the square-wave mode of operation, the inverter itself cannot
control the magnitude of the output ac voltages. Therefore, the dc input
voltage must be controlled in order to control the output in magnitude.
Here, the fundamental-frequency line-to-line rms voltage component in
the output can be obtained from Eq. (13) for the basic one-leg inverter
operating in a square-wave mode:




                                                                   (4.58)
   The line-to-line output voltage waveform does not depend on the load
and contains harmonics (6n ± 1; n = 1, 2, . . .), whose amplitudes decrease
inversely proportional to their harmonic order, as shown in Fig.4.24c:
    (VLL )h = 0.78 Vd                                              (4.59)
               h
   where h = n ± 1               (n = 1, 2, 3,.......)
   It should be noted that it is not possible to control the output
magnitude in a three-phase, square-wave inverter by means of voltage
cancellation as described in Section 4.3.2.4.
4.4.3 SWITCH UTILIZATION IN THREE-PHASE INVERTERS
We will assume that Vd , max is the maximum input voltage that remains
constant during PWM and is decreased below this level to control the
output voltage magnitude in a square-wave mode. We will also assume
that there is sufficient inductance associated with the load to yield a pure
sinusoidal output current with an rms value of I o. max (both in the PWM
and the square-wave mode) at maximum loading. Therefore, each switch
would have the following peak ratings:
VT = Vd , max                                                      (4.60)
and I T = 2 I o, max                                        (4.61)
   If VLL1 is the rms value of the fundamental-frequency line-to-line
voltage component, the three-phase output volt-amperes (rms) at the
fundamental frequency at the rated output is
    (VA)3 − phase = 3 VLL1 I O, max                        (4.62)
Therefore, the total switch utilization ratio of all six switches combined is
SWITCH-MODE dc-ac                                                       189




                                                               (4.63)
In the PWM linear region (ma ≤ 1.0 ) using Eq.(4.57) and noting that the
maximum switch utilization occurs at Vd = Vd , max



                                                                    (4.64)
   In the square-wave mode, this ratio is 1 / 2π ≅ 0.16 compared to a
maximum of 0.125 for a PWM linear region with ma = 1.0 .
    In practice, the same derating in the switch utilization ratio applies as
discussed in Section 4.3.4 for single-phase inverters.
    Comparing Eqs.(4.54) and (4.64), we observe that the maximum
switch utilization ratio is the same in a three-phase, three-leg inverter as
in a single-phase inverter. In other words, using the switches with
identical ratings, a three-phase inverter with 50% increase in the number
of switches results in a 50% increase in the output volt-ampere, compared
to a single-phase inverter.
4.4.4 RIPPLE IN THE INVERTER OUTPUT
   Figure 4.25a shows a three-phase, three-leg, voltage source, switch-
mode inverter in a block diagram form. It is assumed to be supplying a
three-phase ac motor load. Each phase of the load is shown by means of
its simplified equivalent circuit with respect to the load neutral n. The
induced back e A (t ), eB (t ) , and ec (t ) are assumed to be sinusoidal.




    Fig.4.25 Three-phase inverter: (a) circuit diagram; (b) phasor diagram
                         (fundamental frequency).
190 Chapter Three
    Under balanced operating conditions, it is possible to express the
inverter phase output voltages v AN , and so on (with respect to the load
neutral n), in terms of the inverter output voltages with respect to the
negative dc bus N:
     vkn = vkN − vnN                    (k = A, B, C )             (4.65)
Each phase voltage can be written as
           di
vkn = L k + ekn                     (k = A, B, C )                 (4.66)
           dt
In a three-phase, three-wire load
i A + iB + iC = 0                                                  (4.67a)

and (i A + iB + iC ) = 0
      d
                                                                   (4.67b)
      dt
    Similarly, under balanced operating conditions, the three back-emfs
are a balanced three-phase set of voltages, and therefore
e A + eB + eC = 0                                                  (4.68)
From the foregoing equations, the following condition for the inverter
voltages can be written:
v An + v Bn + vCn = 0                                              (4.69)
Using Eqs. (4.65) through (4.69),
vnN = (v AN + vBN + vCN )
         1
                                                                   (4.70)
         3
Substituting vnN from Eq.(4.70) into Eq.(4.65), we can write the
phase-to-neutral voltage for phase A as
v An = v AN − (vBN + vCN )
         2       1
                                                                   (4.71)
         3       3
Similar equations can be written for phase B and C voltages.
    Similar to the discussion in Section 4.3.2.6 for the ripple in the
single-phase inverter output, only the fundamental-frequency components
of the phase voltage V An1 and the output current i A1 are responsible for
the real power transformer since the back-emf e A (t ) is assumed to be
sinusoidal and the load resistance is neglected. Therefore, in a phasor
form as shown in Fig.4.25b
     V An1 = E A + jω1 L I A1                                      (4.72)
    By using the principle of superposition, all the ripple in v An appears
across the load inductance L. Using Eq.(4.71), the waveform for the
SWITCH-MODE dc-ac                                                         191
phase-to-load-neutral voltage V An is shown in Figs.4.26a and 4.26b for
square-wave and PWM operations, respectively. Both inverters have
identical magnitudes of the fundamental-frequency voltage component
V An1 , which requires a higher Vd in the PWM operation. The voltage
ripple vripple (= v An − v An1 ) is the ripple in the phase-to-neutral voltage.
Assuming identical loads in these two cases, the output current ripple is
obtained by using Eq.(4.42) and plotted in Fig.4.26. This current ripple is
independent of the power being transferred, that is, the current ripple
would be the same so long as for a given load inductance L, the ripple in
the inverter output voltage remains constant in magnitude and frequency.
This comparison indicates that for large values of m f , the current ripple
in the PWM inverter will be significantly lower compared to a
square-wave inverter.




 Fig.4.26 Phase-to-load-neutral variables of a three-phase inverter: (a) square
                              wave: (b) PWM.
   4. 5 RECTIFIER MODE OF OPERATION
192 Chapter Three




   Fig.4.37 Operation modes: (a) circuit; (b) inverter mode; (c) rectifier mode:
                             (d) constant I A .

    V An can be varied. For a balanced operation, the control voltages for
phases B and C are equal in magnitude, but ± 120° displaced with respect
to the control voltage of phase A.
SWITCH-MODE dc-ac                                                    193
4.6 PROGRAMMABLE PWM CONVERTERS
    This technique combines the square wave switching and PWM to
control the fundamental output voltage as well as to eliminate the
designated harmonics from the output voltage. This technique provides
the facility to adjust the output voltage and simultaneous optimization of
an objective function. The types of objective functions that technique can
optimize are:-
    1- Selective harmonic elimination.
    2- Minimum THD.
    3- Reduced acoustic noise.
    4- Minimum losses.
    5- Minimum torque pulsations.
The main advantages of programmable PWM technique are:
    1- High quality output voltage
    2- About 50% reduction in switching frequency compared to
        conventional sine PWM.
    3- Suitable for higher voltage and high power inverter systems, where
        switching frequency is a limitation.
    4- Higher voltage gain due to over modulation.
    5- Reduced size of dc link filter components.
    6- Selective elimination of lower order harmonics guarantee
        avoidance of resonance with external line filtering networks.
                                                          1
   The voltage v Ao , of an inverter leg, normalized by Vd is plotted in
                                                          2
Fig.4.34a, where six notches are introduced in the otherwise square-wave
output, to control the magnitude of the fundamental voltage and to
eliminate fifth and seventh harmonics. On a half-cycle basis, each notch
provides one degree of freedom, that is, having three notches per half-
cycle provides control of fundamental and elimination of two harmonics
(in this case fifth and seventh).
    Figure 4.38 shows that the output waveform has odd half-wave
symmetry (sometimes it is referred to as odd quarter-wave symmetry).
Therefore, only odd harmonics (coefficients of sine series) will be
present. Since in a three-phase inverter (consisting of three such inverter
legs), the third harmonic and its multiples are canceled out in the output,
these harmonics need not be eliminated from the output of the inverter
leg by means of waveform notching.
194 Chapter Three
   A careful examination shows that the switching frequency of a switch
in Fig.4.38 is seven times the switching frequency associated with a
square-wave operation.
   In a square-wave operation, the fundamental-frequency voltage
component is:
    ( )
     ˆ
    V Ao 1 4
            = = 1.273                                         (4.73)
    Vd / 2 π
Because of the notches to eliminate 5th and 7th harmonics, the maximum
available fundamental amplitude is reduced. It can be shown that:
    ( )
     ˆ
    V Ao 1, max
                = 1.188                                          (4.74)
       Vd / 2




  Fig.4.38 Programable harmonic elemination of fifth and seventh harmonics.
It is clear that the waveform in Fig.4.38 is odd function. So,
           1 ⎡m              ⎤
   bn =      ⎢ ∑ J s cos nωt ⎥                                   (4.75)
          nπ ⎢ s =1
             ⎣               ⎥
                             ⎦
    Where m is the number of jumps in the waveform. Jumps of the
waveform shown in the figure is for only quarter of the waveform
(because of similarity). The jumps are tabulated in the following table.
 Js             J1             J2              J3             J4
Time              0              α1              α2               α3
Value             2              -2              2               -2

Then, bn =
           2
             [2 cos n0 − 2 cos nα1 + 2 cos nα 2 − 2 cos nα 3 ]         (4.76)
          nπ
                          π
   Where α1 < α 2 < α 3 <
                          2
SWITCH-MODE dc-ac                                                      195
    The above equation has three variables α1, α 2 , and α 3 so we need
three equation to obtain them. The First equation can be obtained by
assigning a specific value to the amplitude of the fundamental component
b1 . Another two equations can be obtained by equating b5 , and b7 by
zero to eliminate fifth and seventh harmonics. So, the following equations
can be obtained.
     b1 = [1 − cos α1 + cos α 2 − cos α 3 ]
           4
                                                               (4.77)
          π
     b5 = [1 − cos 5α1 + cos 5α 2 − cos 5α 3 ] = 0
           4
                                                                  (4.78)
          π
     b7 = [1 − cos 7α1 + cos 7α 2 − cos 7α 3 ] = 0
           4
                                                               (4.79)
          π
    The above equation can be rearranged to be in the following form:
                                        ⎡ π b1 ⎤
     ⎡ cos α1 − cos α 2     cos α 3 ⎤ ⎢1 −
     ⎢cos 5α − cos 5α                         4 ⎥
   ⎢                       cos 5α 3 ⎥ = ⎢ 1 ⎥
                                    ⎥
                                                               (4.80)
             1         2
                                        ⎢       ⎥
   ⎣ cos α1
   ⎢          − cos 7α 2   cos 7α 3 ⎥
                                    ⎦   ⎢   1   ⎥
                                        ⎢
                                        ⎣       ⎥
                                                ⎦
   These equations are nonlinear having multiple solution depending the
value of b1 . Computer programs help us in solving the above equations.
The required values of α1 , α 2 , and α 3 are plotted in Fig.4.39 as a
function of the normalized fundamental in the output voltage.




                Fig.4.39 The required values of α1 , α 2 , and α 3 .
196 Chapter Three
    To allow control over the fundamental output and to eliminate the
fifth-, seventh-, eleventh-, and the thirteenth-order harmonics, five
notches per half-cycle would be needed. In that case, each switch would
have 11 times the switching frequency compared with a square-wave
operation.
    Example Eliminate fifth and seventh harmonics from square
waveform with no control on the fundamental amplitude:
    Solution: It is clear that we have only two conditions which are b5 = 0
and b7 = 0 . So, we have only two notches per half cycle as shown in the
following figure.
   V Ao
   Vd / 2
            Notch1
                      Notch2     π + α1
                                            π + α2
                                                                 ω1t




  α1        α2         π − α 2 π − α1
                                        π                               2π
                                                     2π − α 2 2π − α1
    So we need only two variables α1 and α 2 which can be obtained from
the following equations:
    bn =
          4
            [1 − cos nα1 + cos nα 2 ]                       (4.81)
         nπ
    b5 = [1 − cos 5α1 + cos 5α 2 ] = 0
         4
                                                            (4.82)
            π
    b7 =    [1 − cos 7α1 + cos 7α 2 ] = 0
            4
                                                                   (4.83)
          π
    ⎡ cos 5α1 − cos 5α 2 ⎤ ⎡1⎤
    ⎢                     ⎥=⎢⎥                                     (4.84)
    ⎣cos 7α1 − cos 7α 2 ⎦ ⎣1⎦
    By solving the above equation we can get the value of α1 and α 2 as
following:
    α1 = 12.8111o and α 2 = 24.8458o
    The following table shows the absolute value of each harmonics after
eliminating fifth and seventh harmonics.
SWITCH-MODE dc-ac                                                                197
Harmonic    bn for square wave   bn =
                                         4        bn after eliminating 5th and 7th
order                                   nπ
                                                  bn =
                                                          4
                                                            [1 − cos nα1 + cos nα 2 ]
                                                         nπ
1           1.27324                               1.1871
3           0.244413                              0.20511
5           0.25468                               0.0
7           0.18189                               0.0
9           0.14147                               0.0995
11          0.11575                               0.21227
13          0.09794                               0.27141
15          0.08488                               0.25067
17          0.07490                               0.16881
19          0.06701                               0.07183
21          0.06063                               0.00407
THD         22.669%                               26.201%

4.7 LOW COST PWM CONVERTER FOR UTILITY INTERFACE.
    As discussed in regular three phase PWM inverter, the existing
configuration uses six switches as shown in Fig.4.21. The low cost PWM
inverter (Four switch inverter) uses four semiconductor switches. The
reduction in number of switches reduces switching losses, system cost and
enhances reliability of the system.
    Fig.4.40 shows the proposed converter with four switches (Four
Switch Topology, FST) By comparing Fig.4.40 and Fig.4.21, it is clear
that, by using one additional capacitor one can replace two switches and
the system will perform the same function. It is apparent that the cost and
reliability are two major advantages of the proposed converter. The cost
reduction can be accomplished by reducing the number of switches and
the complexity of control system. The proposed converter current
regulated with good power quality characterization.

                                         S3       S1
                         Vd
                                                   a
                          2       b

                         Vd                   c
                          2              S4       S2


                       Fig.4.40 Four switch converter.
198 Chapter Three
•     System Analysis
   For the proposed converter Fig.4.40, the switching requirements can
be stated as follows.
   Let the input three-phase generated voltages are:
Vab = 3 *Vm Sin(ω i t + 30)
Vbc = 3 *Vm Sin(ω i t + 270)                                      (4.85)
Vca = 3 *Vm Sin(ω i t + 150)
    The line voltages at the generator terminals can be expressed as
follows:
                     ⎡ Vd ⎤
⎡Vab ⎤ ⎡ S1 S 2 ⎤ ⎢ 2 ⎥
⎢V ⎥ = ⎢ S S ⎥ * ⎢ V ⎥                                            (4.86)
⎣ cb ⎦   ⎣ 3     4 ⎦ ⎢− d ⎥
                     ⎣ 2⎦
    Where S1 , S2 , S3 and S4 are the switching functions of switches 1,2,3
and 4 respectively. Vd is the DC-link voltage.
But, S 2 = 1 − S1 and S 4 = 1 − S3                                (4.87)
                        ⎛V ⎞
       Vab = (2 S1 − 1) ⎜ d ⎟ and
                        ⎝ 2 ⎠
Then,                                                             (4.88)
                        ⎛ Vd ⎞
       Vcb = (2 S3 − 1) ⎜ ⎟
                        ⎝ 2 ⎠
    Then from (4.85), (4.86), (4.87) and (4.88) we get the following
equation:
               V
S1 = 0.5 + 3 m sin (ω1t + 30 )
               Vd

                    sin (ω1t + 30 )
                 Vm
S 2 = 0 .5 − 3
                 Vd

                    sin (ω1t + 90 )
                 Vm
S 3 = 0 .5 + 3
                 Vd

                  sin (ω1t + 90 )
              Vm
S 4 = 0 .5 − 3
              Vd                                                  (4.89)
                                                           o
Then, the shift angle for switching signal of leg ‘a’ is 30 and for leg ‘c’
                           V
is 90o. Then, Vab = ma d ∠30 o                                    (4.90)
                          2 2
SWITCH-MODE dc-ac                                                    199
            Vd
Vbc = ma         ∠270 o                                           (4.91)
           2 2
            Vd
Vca = ma1         ∠150 o                                          (4.92)
            2 2
                    Vd
Then, VLL = ma                                                    (4.93)
                  2 2
    From the above equations it is clear that the DC voltage must be at
least twice the maximum of input line-to-line voltage to avoid the input
current distortion.
    The main disadvantage of four switch converter is it needs for higher
dc voltage to give the same line-to-line voltage as the six switch inverter
which is clear from comparing the following equations:
                V
    VLL = ma d                (four switch converter)          (4.94)
               2 2
                    V
    VLL = 3 ma d                 (six switch converter)        (4.95)
                  2 2
200 Chapter Three

    PROBLEMS
    SINGLE PHASE
    1- In a single-phase full-bridge PWM inverter, the input dc voltage
varies in a range of 295-325 V. Because of the low distortion required in
the output vo , ma ≤ 1.0
    (a) What is the highest Vo1 , that can be obtained and stamped on its
nameplate as its voltage rating?
    (b) Its nameplate volt-ampere rating is specified as 2000 VA, that is,
Vo1, max I o1, max = 2000VA , where io is assumed to be sinusoidal.
Calculate the combined switch utilization ratio when the inverter is
supplying its rated volt-amperes.
    2- Consider the problem of ripple in the output current of a single-
phase full-bridge inverter. Assume Vo1 = 220 V at a frequency of 47 Hz
and the type of load is as shown in Fig.4.18a with L = 100 mH. If the
inverter is operating in a square-wave mode, calculate the peak value of
the ripple current.
    3- Repeat Problem 2 with the inverter operating in a sinusoidal PWM
mode, with m f = 21 and ma = 0.8. Assume a bipolar voltage switching.
   4- Repeat Problem 2 but assume that the output voltage is controlled
by voltage cancellation and Vd has the same value as required in the
PWM inverter of Problem 3.
   5- Calculate and compare the peak values of the ripple currents in
Problems 2 through 4.
   THREE-PHASE
   6- Consider the problem of ripple in the output current of a three-
phase square-wave inverter. Assume (VLL )1 = 220 V at a frequency of 52
Hz and the type of load is as shown in Fig.4.25a with L = 100 mH.
Calculate the peak ripple current defined in Fig.4.26a.
   7- Repeat Problem 6 if the inverter of Problem 6 is operating in a
synchronous PWM mode with m f = 39 and ma = 0.8 . Calculate the
peak ripple current defined in Fig.4.26b.
   8- In the three-phase, square-wave inverter of Fig.4.24a, consider the
load to be balanced and purely resistive with a load-neutral n. Draw the
SWITCH-MODE dc-ac                                                     201
steady-state v An , u A, i DA + , and id waveforms, where iDA+ is the current
through DA + .
    9- Repeat Problem 8 by assuming that the toad is purely inductive,
where the load resistance, though finite, can be neglected.
Chapter 5
                      dc MOTOR DRIVES
5.1 INTRODUCTION
   Traditionally, dc motor drives have been used for speed and position
control applications. In the past few years, the use of ac motor servo
drives in these applications is increasing. In spite of that, in applications
where an extremely low maintenance is not required, dc drives continue
to be used because of their low initial cost and excellent drive
performance.

5.2 EQUIVALENT CIRCUIT OF dc MOTORS
   In a dc motor, the field flux φ f is established by the stator, either by
means of permanent magnets as shown in Fig.5-1a, where φ f stays
constant, or by means of a field winding as shown in Fig.5-1b, where the
field current If controls φ f . If the magnetic saturation in the flux path can
be neglected, then:
φf =kf If                                                            (5.1)
where k f is a field constant of proportionality.
   The rotor carries in its slots the so-called armature winding, which
handles the electrical power. This is in contrast to most ac motors, where
the power-handling winding is on the stator for ease of handling the
larger amount of power. However, the armature winding in a dc machine
has to be on the rotor to provide a "mechanical" rectification of voltages
and currents (which alternate direction as the conductors rotate from the
influence




   Fig.5-1 A dc motor (a) permanent-magnet motor (b) dc motor with a field
                                 winding.
dc MOTOR DRIVES                                                       201
of one stator pole to the next) in the armature-winding conductors, thus
producing a dc voltage and a dc current at the terminals of the armature
winding. The armature winding, in fact, is a continuous winding, without
any beginning or end, and it is connected to the commutator segments.
These commutator segments, usually made up of copper, are insulated
from each other and rotate with the shaft. At least one pair of stationary
carbon brushes is used to make contact between the commutator
segments (and, hence, the armature conductors), and the stationary
terminals of the armature winding that supply the dc voltage and current.
   In a dc motor, the electromagnetic torque is produced by the
interaction of the field flux φ f and the armature current ia :
Tem = k f φ f ia                                                      (5.2)
where k f is the torque constant of the motor. In the armature circuit, a
back-emf is produced by the rotation of armature conductors at a speed
wm in the presence of a field flux φ f
ea = k eφ f ω m                                                       (5.3)
where ke is the voltage constant of the motor.
  In SI units, k f and ke are numerically equal, which can be shown by
equating the electrical power ea ia and the mechanical power ω mTem .
The electrical power is calculated as
   Pe = ea ia = k eφ f ω m ia (using Eq. 5-3)                  (5.4)

and the mechanical power as:
Pm = ω mTem = k f φ f ω m I a (using Eq. 5-2)                         (5.5)
In steady state,
 Pe = Pm                                                               (5.6)
Therefore, from the foregoing equations
   ⎡ Nm ⎤         ⎡      V          ⎤
kt ⎢      ⎥ = k e ⎢Wb . rad / sec . ⎥                                 (5.7)
   ⎣ A.Wb ⎦       ⎣                 ⎦
   In practice, a controllable voltage source vt is applied to the armature
terminals to establish ia . Therefore, the current ia in the armature circuit
is determined by vt , the induced back-emf ea , the armature-winding
resistance Ra , and the armature-winding inductance: La
202 Chapter Five
                   dia
vt = e a + Ra i a + a                                                  (5.8)
                    dt
Equation 5-8 is illustrated by an equivalent circuit in Fig.5-2.




                        Fig.5.2 A DC motor equivalent circuit.
   The interaction of Tem with the load torque, determines how the motor
speed builds up:
         dω m
Tem = J       + Bω m + TWL (t )                                     (5.9)
          dt
where J and B are the total equivalent inertia and damping, respectively,
of the motor load combination and TWL is the equivalent working torque
of the load.
   Seldom are dc machines used as generators. However, they act as
generators while braking, where their speed is being reduced. Therefore,
it is important to consider dc machines in their generator mode of
operation. In order to consider braking, we will assume that the flux φ f
is kept constant and the motor is initially driving a load at a speed of ω m .
To reduce the motor speed, if vt is reduced below ea in Fig.5.2, then the
current ia will reverse in direction. The electromagnetic torque Tem
given by Eq. 5-2 now reverses in direction and the kinetic energy
associated with the motor load inertia is converted into electrical energy
by the dc machine, which now acts as a generator. This energy must be
somehow absorbed by the source of v, or dissipated in a resistor.
   During the braking operation, the polarity of ea does not change, since
the direction of rotation has not changed. Eqn.(5.3) still determines the
magnitude of the induced emf. As the rotor slows down, ea decreases in
dc MOTOR DRIVES                                                        203
magnitude (assuming that φ f is constant). Ultimately, the generation
stops when the rotor comes to a standstill and all the inertial energy is
extracted. If the terminal-voltage polarity is also reversed, the direction of
rotation of the motor will reverse. Therefore, a dc motor can be operated
in either direction and its electromagnetic torque can be reversed for
braking, as shown by the four quadrants of the torque-speed in Fig.5-3.




                 Fig.5.3 Four-quadrant operation of a dc motor.

5.3 PERMANENT-MAGNET dc MOTORS
   Often in small dc motors, permanent magnets on the stator as shown in
Fig. 5-1a produce a constant field flux φ f . In steady state, assuming a
constant field flux ( φ f , Eqs. 5.2, 5.3 and 5.8 result in
Tem = kT I a                                                 (5.10)
Ea = k Eω m                                                  (5.11)
Vt = E a + Ra I a                                            (5.12)
   where kT = k f φ f and K E = K eφ f . Equations 5-10 through 5-12
correspond to the equivalent circuit of Fig.5-4a. From the above
equations, it is possible to obtain the steady-state speed wm as a function
of Tem for a given Vt :
        1 ⎛     R       ⎞
ωm =      ⎜Vt − a Tem ⎟
          ⎜             ⎟                                     (5.13)
       kE ⎝     kT      ⎠
   The plot of this equation in Fig. 5-4b shows that as the torque is
increased, the torque-speed characteristic at a given Vt is essentially
vertical, except for the droop to the voltage drop IaRa across the
armature-winding resistance. This droop in speed is quite small in
integral horsepower dc motors but may be substantial in small servo
motors. More importantly, however, the torque-speed characteristics can
be shifted horizontally
204 Chapter Five




Figure 5.4 Permanent-magnet dc motor: (a) equivalent circuit: (b) torque-speed
  characteristics: Vt 5 > Vt 4 > Vt 3 > Vt 2 > Vt1 where Vt 4 is the rated voltage; (c)
                        continuous torque-speed capability.
   In Fig.5.4b by controlling the applied terminal voltage Vt. Therefore,
the speed of a load with an arbitrary torque-speed characteristic can be
controlled by controlling vt in a permanent-magnet dc motor with a
constant φ f .
   In a continuous steady state, the armature current I a should not exceed
its rated value, and therefore, the torque should not exceed the rated
torque. Therefore, the characteristics beyond the rated torque are shown
as dashed in Fig. 5-4b. Similarly, the characteristic beyond the rated
speed is shown as dashed, because increasing the speed beyond the rated
speed would require the terminal voltage Vt to exceed its rated value,
which is not desirable. This is a limitation of permanent-magnet dc
motors, where the maximum speed is limited to the rated speed of the
motor. The torque capability as a function of speed is plotted in Fig. 5-4c.
It shows the steady-state operating limits of the torque and current; it is
possible to significantly exceed current and torque limits on a short-term
basis. Figure 5.4c also shows the terminal voltage required as a function
of speed and the corresponding. E a

5.4 dc MOTORS WITH A SEPARATELY EXCITED FIELD
WINDING
Permanent-magnet dc motors are limited to ratings of a few horsepower
and also have a maximum speed limitation. These limitations can be
overcome if (~f is produced by means of a field winding on the stator,
which is supplied' by a dc current 1 f, as shown in Fig.5.1b. To offer the
most flexibility in controlling the dc motor, the field winding is excited
by a separately controlled dc source v f , as shown in Fig. 5-5a. As
dc MOTOR DRIVES                                                       205
indicated by Eq. 5-1, the steady-state value of φ f is controlled by
I f = V f / R f , where R f is the resistance of the field winding.
Since (~f is controllable, Eq. 5-13 can be written as follows:


                                                                  (5.14)
recognizing that k E = k eφ f and k = k f φ f . Equation (5.14) shows that
in a dc motor with a separately excited field winding, both Vt and φ f can
be controlled to yield the desired torque and speed. As a general practice,
to maximize the motor torque capability, φ f (hence I f ) is kept at its
rated value for speeds less than the rated speed. With φ f at its rated
value, the relationships are the same as given by Eqs.(5.10) through
(5.13) of a permanent-magnet dc motor. Therefore, the torque-speed
characteristics are also the same as those for a permanent-magnet dc
motor that were shown in Fig. 5-4b. With φ f constant and equal to its
rated value, the motor torque-speed capability is as shown in Fig. 5-5b,
where this region of constant φ f is often called the constant-torque
region. The required terminal voltage Vt in this region increases linearly
from approximately zero to its rated value as the speed increases from
zero to its rated value. The voltage Vt and the corresponding E a are
shown in Fig. 5-5b.
   To obtain speeds beyond its rated value, Vt is kept constant at its rated
value and φ f is decreased by decreasing I f . Since I a is not allowed to
exceed its rated value on a continuous basis, the torque capability
declines, since φ f is reduced in Eq. (5.2). In this so-called field-
weakening region, the maximum power E a I a (equal to ω m Tm ) into the
motor is not allowed to exceed its rated value on a continuous basis. This
region, also called the constant-power region, is shown in Fig. 5-5b,
where Tem declines with ω m and Vt , E a , and I a stay constant at their
rated values. It should be emphasized that Fig.5.5b is the plot of the
maximum continuous capability of the motor in steady state. Any
operating point within the regions shown is, of course, permissible. In the
field-weakening region, the speed may be exceeded by 50-100% of its
rated value, depending on the motor specifications.
206 Chapter Five




 Figure 5-5 Separately excited dc motor: (a) equivalent circuit; (6) continuous
                           torque-speed capability.
5.5 EFFECT OF ARMATURE CURRENT WAVEFORM
In dc motor drives, the output voltage of the power electronic converter
contains an ac ripple voltage superimposed on the desired dc voltage.
Ripple in the terminal voltage can lead to a ripple in the armature current
with the following consequences that must be recognized: the form factor
and torque pulsations.
5.5.1 FORM FACTOR
The form factor for the dc motor armature current is defined as

                                                              (5.15)
   The form factor will be unity only if ia is a pure dc. The more ia
deviates from a pure dc, the higher will be the value of the form factor.
The power input to the motor (and hence the power output) varies
proportionally with the average value of ia , whereas the losses in the
                                                    2
resistance of the armature winding depend on I a (rms). Therefore, the
higher the form factor of the armature current, the higher the losses in the
motor (i.e., higher heating) and, hence, the lower the motor efficiency.
   Moreover, a form factor much higher than unity implies a much larger
value of the peak armature current compared to its average value, which
may result in excessive arcing in the commutator and brushes. To avoid
serious damage to the motor that is caused by large peak currents, the
motor may have to be derated (i.e., the maximum power or torque would
have to be kept well below its rating) to keep the motor temperature from
exceeding its specified limit and to protect the commutator and brushes.
dc MOTOR DRIVES                                                        207
Therefore, it is desirable to improve the form factor of the armature
current as much as possible.
5.5.2 TORQUE PULSATIONS
Since the instantaneous electromagnetic torque Tem (t ) developed by the
motor is proportional to the instantaneous armature current ia (t ) , a ripple
in ia results in a ripple in the torque and hence in speed if the inertia is
not large. This is another reason to minimize the ripple in the armature
current. It should be noted that a high-frequency torque ripple will result
in smaller speed fluctuations, as compared with a low-frequency torque
ripple of the same magnitude.
5.6 dc SERVO DRIVES
   In servo applications, the speed and accuracy of response is important.
In spite of the increasing popularity of ac servo drives, dc servo drives are
still widely used. If it were not for the disadvantages of having a
commutator and brushes, the dc motors would be ideally suited for servo
drives. The reason is that the instantaneous torque Tem in Eq. 5-2 can be
controlled linearly by controlling the armature current ia of the motor.

 5.6.1 TRANSFER FUNCTION MODEL FOR SMALL-SIGNAL
DYNAMIC PERFORMANCE
   Figure 5-6 shows a dc motor operating in a closed loop to deliver
controlled speed or controlled position. To design the proper controller
that will result in high performance (high speed of response, low steady-
state error, and high degree of stability), it is important to know the
transfer function of the motor. It is then combined with the transfer
function of the rest of the system in order to determine the dynamic
response of the drive for changes in the desired speed and position or for
a change in load. As we will explain later on, the linear model is valid
only for small changes where the motor current is not limited by the
converter supplying the motor.
208 Chapter Five




            Figure 5-6 Closed-loop position/speed dc servo drive.
For analyzing small-signal dynamic performance of the motor-load
combination around a steady-state operating point, the following
equations can be written in terms of small deviations around their steady-
state values:                                                  (5.16)
                                                                    (5.17)
                                                                    (5.18)
                                                                    (5.19)
If we take Laplace transform of these equations, where Laplace variables
represent only the small-signal Δ values in Eqs.5.16 through 5.19,




                                                        (5.20)
   These equations for the motor-load combination can be represented by
transfer function blocks, as shown in Fig.5.7. The inputs to the motor-
load combination in Fig. 5.7 are the armature terminal voltage Vt (s ) and
the load torque TWL (s ) . Applying one input at a time by setting the other
input to zero, the superposition principle yields (note that this is a
linearized system)

                                                                      (5.21)
This equation results in two closed-loop transfer functions:


                                                                      (5.22)
dc MOTOR DRIVES                                                               209


                                                                     (5.23)




  Fig.5.7 Block diagram representation of the motor and load (without ay feedback).
   As a simplification to gain better insight into the dc motor behavior,
the friction term, which is usually small, will be neglected by setting B =
0 in Eq. 5.22. Moreover, considering just the motor without the load, J in
Eq. 5.22 is then the motor inertia J m . Therefore



                                                                           (5.24)
We will define the following constants:

                                                                           (5.25)

                                                                           (5.26)
Using τ m and τ e in the expression for G1 (s ) yields


                                                                 (5.27)
Since in general τ m >> τ e , it is a reasonable approximation to replace
sτ m by s (τ m + τ e ) in the foregoing expression. Therefore


                                                                  (5.28)
  The physical significance of the electrical and the mechanical time
constants of the motor should also be understood. The electrical time
constant τ e , determines how quickly the armature current builds up, as
shown in Fig.5-8, in response to a step change Δvt in the terminal voltage,
where the rotor speed is assumed to be constant.
210 Chapter Five




 Figure 5-8 Electrical time constant Te; speed cam is assumed to be constant.
   The mechanical time constant τ m determines how quickly the speed
builds up in response to a step change Δvt in the terminal voltage,
provided that the electrical time constant τ e is assumed to be negligible
and, hence, the armature current can change instantaneously. Neglecting
τ e in Eq. 5-28, the change in speed from the steady-state condition can be
obtained as

                                                               (5.29)
recognizing that Vt (s ) = Δvt / s . From Eq. (5.29)

                                                                  (5.30)
where τ m is the mechanical time constant with which the speed changes
in response to a step change in the terminal voltage, as shown in Fig.5.9a.
The corresponding change in the armature current is plotted in Fig.5.9b.
Note that if the motor current is limited by the converter during large
transients, the torque produced by the motor is simply kT I a, max .
5.6.2 POWER ELECTRONIC CONVERTER
Based on the previous discussion, a power electronic converter supplying
a dc motor should have the following capabilities:
1- The converter should allow both its output voltage and current to
    reverse in order to yield a four-quadrant operation as shown in Fig.5.3.
2- The converter should be able to operate in a current-controlled mode
    by holding the current at its maximum acceptable value during fast
    acceleration and deceleration. The dynamic current limit is generally
dc MOTOR DRIVES                                                          211
   several times higher than the continuous steady-state current rating of
   the motor.
3- For accurate control of position, the average voltage output of the
   converter should vary linearly with its control input, independent of
   the load on the motor. This item is further discussed in Section 5-6-5.
4- The converter should produce an armature current with a good form
   factor and should minimize the fluctuations in torque and speed of the
   motor.
5- The converter output should respond as quickly as possible to its
   control input, thus allowing the converter to be represented essentially
   by a constant gain without a dead time in the overall servo drive
   transfer function model.




Figure 5-9Mechanical time constant τ m ; load torque is assumed to be constant.
  A linear power amplifier satisfies all the requirements listed above.
However, because of its low energy efficiency, this choice is limited to a
very low power range. Therefore, the choice must be made between
switch-mode dc-dc converters or the line-frequency-controlled
converters. Here, only the switch-mode dc-dc converters are described.
Drives with line-frequency converters can be analyzed in the same
manner.
  A full-bridge switch-mode dc-dc converter produces a four-quadrant
controllable dc output. This full-bridge dc-dc converter (also called an H-
212 Chapter Five
bridge). The overall system is shown in Fig. 5-10, where the line-
frequency ac input is rectified into dc by means of a diode rectifier of the
type and filtered by means of a filter capacitor. An energy dissipation
circuit is included to prevent the filter capacitor voltage from becoming
large in case of braking of the dc motor.
   All four switches in the converter of Fig. 5-10 are switched during
each cycle of the switching frequency. This results in a true four-quadrant
operation with a continuous-current conduction, where both Vt and I a
can smoothly reverse, independent of each other. Ignoring the effect of
blanking time, the average voltage output of the converter varies linearly
with the input control voltage vcontrol , independent of the load:
Vt = k c vcontrol                                                  (5.31)
where k c is the gain of the converter.
Either a PWM bipolar voltages witching scheme or a PWM unipolar
voltage-switching scheme can be used. Thus, the converter in Fig.5.6 can
be replaced by an amplifier gain k c given by Eq. 5.31.




         Figure 5-10 A dc motor servo drive; four-quadrant operation.
5.6.3 RIPPLE IN THE ARMATURE CURRENT ia
Te current through a PWM full-bridge dc-dc converter supplying a dc
motor load flows continuously even at small values of I a . However, it is
important to consider the peak-to-peak ripple in the armature current
because of its impact on the torque pulsations and heating of the motor.
Moreover, a larger current ripple requires a larger peak current rating of
the converter switches.
   In the system of Fig. 5-10 under a steady-state operating condition, the
instantaneous speed wm can be assumed to be constant if there is
sufficient inertia, and therefore ea (t ) = E a . The terminal voltage and the
dc MOTOR DRIVES                                                     213
armature current can be expressed in terms of their dc and the ripple
components as
vt (t ) = Vt + vr (t )                                          (5.32)
ia (t ) = I a + ir (t )                                         (5.33)
where vr (t ) and ir (t ) are the ripple components in vt and ia ,
respectively. Therefore, in the armature circuit, from Eq. 5.8,
                                            di (t )
Vt + vr (t ) = Ea + R A [I a + ir (t )] + La r                  (5.34)
                                              dt
Where Vt = E a + Ra I a                                         (5.35)
                              di (t )
And vr (t ) = Ra ir (t ) + La r                                 (5.36)
                                dt
Assuming that the ripple current is primarily determined by the armature
inductance La and Ra has a negligible effect, from Eq. 5-36
               di (t )
vr (t ) ≅ La r                                                  (5.37)
                 dt
                                                             2
The additional heating in the motor is approximately Ra I r where I r is
the rms value of the ripple current ir .
    The ripple voltage is maximum when the average output voltage in a
dc is zero and all switches operate at equal duty ratios. Applying these
results to the dc motor drive, Fig. 5-11a shows the voltage ripple vr (t )
and the resulting ripple current ir (t ) using Eq. 5.37. From these
waveforms, the maximum peak-to-peak ripple can be calculated as:
                        V
(ΔI P − P )max = d                                              (5.38)
                     2 La f s
where Vd is the input dc voltage to the full-bridge converter.
214 Chapter Five
   Figure 5-11 Ripple ir in the armature current: (a) PWM bipolar voltage
   switching, Vt = 0 ; (b) PWM unipolar voltage switching, Vt = 1 / 2Vd .
   The ripple voltage for a PWM unipolar voltage switching is shown to
be maximum when the average output voltage is 1 / 2Vd . Applying this
result to a dc motor drive, Fig.5.11b shows ir (t ) waveform, where
                 V
(ΔI P − P )max = d                                                 (5.39)
                8La f s
   Equations 5-38 and 5-39 show that the maximum peak-to-peak ripple
current is inversely proportional to La and f s . Therefore, careful
consideration must be given to the selection of f s and La , where La can
be increased by adding an external inductor in the series with the motor
armature.
5.6.4 CONTROL OF SERVO DRIVES
   A servo system where the speed error directly controls the power
electronic converter is shown in Fig. 5-12a. The current-limiting circuit
comes into operation only when the drive current tries to exceed an
acceptable limit I a , max during fast accelerations and decelerations.
During these intervals, the output of the speed regulator is suppressed and
the current is held at its limit until the speed and position approach their
desired values.
   To improve the dynamic response in high-performance servo drives,
an internal current loop is used as shown in Fig.5-12b, where the
armature current and, hence, the torque are controlled. The current
control is accomplished by comparing the actual measured armature
                                         *
current ia with its reference value ia produced by the speed regulator.
The current ia is inherently controlled from exceeding the current rating
                                                *
of the drive by limiting the reference current ia to I a , max .
   The armature current provided by the dc-dc converter in Fig. 5-12b can
be controlled in a similar manner as the current-regulated modulation in a
dc-to-ac inverter. The only difference is that the reference current in
steady state in a dc-dc converter is a dc rather than a sinusoidal
waveform. Either a variable-frequency tolerance band control, or a fixed
frequency control can be used for current control.
5.6.5 NONLINEARITY DUE TO BLANKING TIME
dc MOTOR DRIVES                                                            215
In a practical full-bridge dc-dc converter, where the possibility of a short
circuit across the input dc bus exists, a blanking time is introduced
between the instant at which a switch turns off and the instant at which
the other switch in the same leg turns on. The effect of the blanking time
on the output of dc-to-ac full bridge PWM inverters. That analysis is also
valid for PWM full-bridge dc-dc converters for dc servo drives. The
output voltage of the converter is proportional to the motor speed com
and the output current ia is proportional to the torque Tem , Fig. 5.13. If at
an arbitrary speed ω m , the torque and, hence, ia are to be reversed, there
is a dead zone in vcontrol as shown in Fig. 5-13, during which ia and Tem
remain small. The effect of this nonlinearity due to blanking time on the
performance of the servo system is minimized by means of the current-
controlled mode of operation discussed in the block diagram of Fig. 5-
12b, where an internal current loop directly controls ia .




   Fig.5.12 Control of servo drives: (a) no internal current-control loop; (b)
                         internal current-control loop.
216 Chapter Five




                      Fig.5.13 Effect of blanking time.
5.6.6 SELECTION OF SERVO DRIVE PARAMETERS
   Based on the foregoing discussion, the effects of armature inductance
 La , switching frequency f s , blanking time t c , and switching times t, of
the solid state devices in the dc-dc converter can be summarized as
follows:
1- The ripple in the armature current, which causes torque ripple and
    additional armature heating, is proportional to La / f s .
2- The dead zone in the transfer function of the converter, which degrades
    the servo performance, is proportional to f s t Δ .
3- Switching losses in the converter are proportional to f s t c .
   All these factors need to be considered simultaneously in the selection
of the appropriate motor and the power electronic converter.
5.7 ADJUSTABLE-SPEED dc DRIVES
Unlike servo drives, the response time to speed and torque commands is
not as critical in adjustable-speed drives. Therefore, either switch-mode
dc-dc converters as discussed for servo drives or the line-frequency
controlled converters can be used for speed control.
5.7.1 SWITCH-MODE dc-dc CONVERTER
If a four-quadrant operation is needed and a switch-mode converter is
utilized, then the full-bridge converter shown in Fig. 5.10 is used.
   If the speed does not have to reverse but braking is needed, then the
two-quadrant converter shown in Fig. 5-14a can be used. It consists of
two switches, where one of the switches is on at any time, to keep the
output voltage independent of the direction of ia . The armature current
dc MOTOR DRIVES                                                                217
can reverse, and a negative value of I a corresponds to the braking mode
of operation, where the power flows from the dc motor to Vd . The output
voltage Vt can be controlled in magnitude, but it always remains
unipolar. Since ia can flow in both directions, unlike in the single-switch
step-down and step-up dc-dc converters, ia in the circuit of Fig. 5-14a
will not become discontinuous.
    For a single-quadrant operation where the speed remains unidirectional
and braking is not required, the step-down converter shown in Fig. 5-14b
can be used.
5.7.2 LINE-FREQUENCY CONTROLLED CONVERTERS
In many adjustable-speed dc drives, especially in large power ratings, it
may be economical to utilize a line-frequency controlled converter of the
type discussed in Chapter 6. Two of these converters are repeated in Fig.
5-15 for single-phase and three-phase ac inputs. The output of these line-
frequency converters, also called the phase-controlled converters,
contains an ac ripple that is a multiple of the 60-Hz line frequency.
Because of this low frequency ripple, an inductance in series with the
motor armature may be required to keep the ripple in ia low, to minimize
its effect on armature heating and the ripple in torque and speed.




        Fig. 5.14 (a) Two-quadrant operation; (b) single-quadrant operation.
   A disadvantage of the line-frequency converters is the longer dead
time in responding to the changes in the speed control signal, compared
to high-frequency switch-mode dc-dc converters. Once a thyristor or a
pair of thyristors is triggered on in the circuits of Fig.5.15, the delay angle
α that controls the converter output voltage applied to the motor
terminals cannot be increased for a portion of the 50-Hz cycle. This may
218 Chapter Five
not be a problem in adjustable-speed drives where the response time to
speed and torque commands is not too critical. But it clearly shows the
limitation of line-frequency converters in servo drive applications.
   The current through these line-frequency controlled converters is
unidirectional, but the output voltage can reverse polarity. The two-
quadrant operation with the reversible voltage is not suited for dc motor
braking, which requires the voltage to be unidirectional but the current to
be reversible. Therefore, if regenerative braking is required, two back-to-
back connected thyristor converters can be used, as shown in Fig. 5-16a.
This, in fact, gives a capability to operate in all four quadrants, as
depicted in Fig. 5-16b.
   An alternative to using two converters is to use one phase-controlled
converter together with two pairs of contactors, as shown in Fig. 5-16c.
When the machine is to be operated as a motor, the contactors M 1 and
 M 2 are closed. During braking when the motor speed is to be reduced
rapidly, since the direction of rotation remains the same, Ea is of the same
polarity as in the motoring mode. Therefore, to let the converter go into
an inverter mode, contactors M 1 and M 2 are opened and R1 and R2 are
closed. It should be noted that tie contactors switch at zero current when
the current through them is brought to zero by the converter.




 Fig.5.15 Line-frequency-controlled converters for dc motor drives: (a) single-phase
                           input, (b) three-phase input.
dc MOTOR DRIVES                                                                         219




 Fig.5.16 Line-frequency-controlled converters for four-quadrant operation: (a) back-to-back
 converters for four-quadrant operation (without circulating current); (b) converter operation
                      modes; (c) contactors for four-quadrant operation.
5.7.3 EFFECT OF DISCONTINUOUS ARMATURE CURRENT
   In line-frequency phase-controlled converters and single-quadrant
step-down switch mode dc-dc converters, the output current can become
discontinuous at light loads on the motor. For a fixed control voltage
vcontrol or the delay angle α , the discontinuous current causes the output
voltage to go up. This voltage rise causes the motor speed to increase at
low values of I a (which correspond to low torque load), as shown
generically by Fig.5.17. With a continuously flowing ia , the drop in
speed at higher torques is due to the voltage drop Ra I a across the
armature resistance; additional drop in speed occurs in the phase-
controlled converter-driven motors due to commutation voltage drops
across the ac-side inductance Ls , which approximately equal
(2ωLS / π )I a in single-phase converters and (3ωLS / π )I a in three-phase
converters. These effects results in poor speed regulation under an open-
loop operation.
220 Chapter Five




                Fig.5.17 Effects of discontinuous ia on ω m .

5.7.4 CONTROL OF ADJUSTABLE-SPEED DRIVES
   The type of control used depends on the drive requirements. An open-
loop control is shown in Fig.5.18 where the speed command ω * is
generated by comparing the drive output with its desired value (which,
e.g., may be temperature in case of a capacity modulated heat pump). A
d / dt limiter allows the speed command to change slowly, thus
preventing the rotor current from exceeding its rating. The slope of the
d / dt limiter can be adjusted to match the motor-load inertia. The current
limner in such drives may be just a protective measure, whereby if the
measured current exceeds its rated value, the controller shuts the drive
off. A manual restart may be required. As discussed in Section 5-6, a
closed-loop control can also be implemented.
5.7.5 FIELD WEAKENING IN ADJUSTABLE-SPEED dc MOTOR
DRIVES
   In a dc motor with a separately excited field winding, the drive can be
operated at higher than the rated speed of the motor by reducing the field
flux φ f . Since many adjustable speed drives, especially at higher power
ratings, employ a motor with a wound field, this capability can be
exploited by controlling the field current and φ f . The simple line
frequency phase-controlled converter shown in Fig. 5-15 is normally used
to control I f through the field winding, where the current is controlled in
magnitude but always flows in only one direction. If a converter topology
consisting of only thyristors (such as in Fig. 5-15) is chosen, where the
converter output voltage is reversible, the field current can be decreased
rapidly.
dc MOTOR DRIVES                                                      221




                   Figure 5-18 Open-loop speed control.

5.7.6 POWER FACTOR OF THE LINE CURRENT IN
ADJUSTABLE-SPEED DRIVES
   The motor operation at its torque limit is shown in Fig. 5-19a in the
constant-torque region below the rated speed and in the field-weakening
region above the rated speed. In a switch-mode drive, which consists of a
diode rectifier bridge and a PWM dc-dc converter, the fundamental-
frequency component I s1 of the line current as a function of speed is
shown in Fig. 5-196. Figure 5-19c shows I s1 for a line-frequency phase
controlled thyristor drive. Assuming the load torque to be constant, ISO
decreases with decreasing speed in a switch-mode drive. Therefore, the
switch-mode drive results in a good displacement power factor. On the
other hand, in a phase-controlled thyristor drive, I s1 remains essentially
constant as speed decreases, thus resulting in a very poor displacement
power factor at low speeds.
   Both the diode rectifiers and the phase-controlled rectifiers draw line
currents that consist of large harmonics in addition to the fundamental.
These harmonics cause the power factor of operation to be poor in both
types of drives. The circuits described in Chapter 18 can be used to
remedy the harmonics problem in the switch-mode drives, thus resulting
in a high power factor of operation.
222 Chapter Five




 Fig.5.19 Line current in adjustable-speed dc drives: (a) drive capability; (b)
  switch-mode converter drive; (c) line-frequency thyristor converter drive.
dc MOTOR DRIVES                                           223
PROBLEMS
1- Consider a permanent-magnet dc servo motor with the following
parameters:
224 Chapter Five
Chapter 6
              A.C. Voltage Regulators
6.1 Single-phase control of load voltage using thyristor switching
  A. Resistive load
  Assumptions :
a. Triggering circuit provides pulse train to gate thyristor any point on
   wave 0-180o.
b. Ideal supply, i.e. zero Z, voltage remains sinusoidal in spite of non-
   sinusoidal pulses of current drawn from supply .
   c. Thyristors are ideal, i.e. no dissipation when conducting, no
   voltage drop when conducting , infinite Z when off.




   e = E m sin ωt
                    π , 2π      α , π +α
 e L = E m sin ωt |            +|
                    α , π +α        0, π
                    π , 2π      α , π +α
 eT = E m sin ωt |             +|
                    α , π +α    0, π
224 Chapter Six
6.2 Harmonics analysis of the load voltage (and current)
   The load voltage eL can be expressed as :-
                a0 ∞                            a    ∞
  e L (ωt ) =     + ∑ a n cos nωt + bn sin nωt = 0 + ∑ C n sin(n ωt + ψ )
                 2 n =1                          2 n =1
       a0    1 2π
where,     =
        2 2π 0       ∫
                     eL (ωt ) dωt = Average value
For fundamental component :-
      1 2π                             1 2π
 a1 = ∫ e L (ωt ) cos ωt dωt ,     b1 = ∫ e L (ωt ) sinωt dωt
      π    0                                          π   0

c1 = a12 + b12 = peak value of fundamental component
                a1
ψ 1 = tan −1       = displacement angle between the fundamental and
                b1
                the datum point.
For the n-th harmonics,
      1 2π                                                       1   2π
 a n = ∫ e L (ωt ) cos nωt dωt ,
                                                                 π ∫0
                                                          bn =            e L (ωt ) sin nωt dωt
      π     0
For the fundamental of the load voltage,
                          1   2π                              Em
                          π ∫0
                   a1 =            e L (ωt ) cos ωt dωt =        (cos 2α − 1)
                                                              2π
                        Em
                   b1 =      (2 (π − α ) + sin 2α )
                         2π
                        E
                   c1 = m (cos 2α − 1) 2 + [2 (π − α ) + sin 2α ]2
                         2π
                               a               cos 2α − 1
                  ψ 1 = tan −1 1 = tan −1
                               b1           2(π − α ) + sin 2α
RMS Load Voltage
                                        1    2π
r.m.s. value of eL = E L =
                                       2π   ∫0    eL 2 (ωt ) dωt

               1 π ,2π                          E 2
              2π ∫α ,α +π
      EL 2 =              ( E m sin ωt ) 2 dωt = m [ 2 (π − α ) + sin 2α ]
                                                 4π
              E       1
          EL = m        [2(π − α ) + sin 2α ]
                2 2π
A.C. Voltage Regulators                                                                   225
with resistive load, the instantaneous load current is :-
                              e      E sin ωt π ,2π
                         iL = L = m             |α ,π +α
                               R          R
The r.m.s. load current
            E       1                           E 1
     IL = m            [ 2(π − α ) + sin 2α ] =          [2(π − α ) + sin 2α ]
             2 R 2π                             R 2π

6.3 Power Dissipation
         1 2π
   P=
        2π 0 ∫eL i dt = Average value of instantaneous volt − amp product.

      = Average power
                   EL 2
      = I L2 R =        where I L & E L are the r.m.s. values
                    R
           E2
      =       [2(π − α ) + sin 2α ]
          2πR
In terms of harmonic components:-
                                                      1 2
            P = R ( I12 + I 32 + I 5 2 + .......) =     ( E L1 + E L3 + E L5 + .......)
                                                                   2      2
                                                      R
In terms of fundamental components: P = E I1 cos ψ 1
where I1 = r.m.s. fundamental current = c1 1 ,                              cosψ 1 =
                                                                                          b1
                                                      2 R                                 c1
6.4 Power factor in non-sinusoidal circuits
                               Average Power      P
In general,                  PF =               =
                            Apparent Voltamperes E I
 E = r.m.s. voltage at supply.
 I = r.m.s. current at supply.
Definition is true irrespective for any waveform and frequency.
Let e and i be periodic in 2π ,
                       1 2π
                 P=
                      2π 0     ∫
                             e i dωt

                         1 2π 2                 1 2π 2
                 E=
                        2π 0       ∫
                               e dωt ; I =
                                               2π 0
                                                     i dω t       ∫
The usual aim is to obtain unity PF at the supply.
226 Chapter Six
To obtain unity P.F., certain conditions must be observed w.r.t. e(ω t) and
i(ωt):-
(i) e(ω t) and i(ωt) must be of the same frequency.
(ii)    e(ω t) and i(ωt) must be of the same wave shape (whatever the
        wave shape)
(iii) e(ω t) and i(ωt) must be in time-phase at every instant of the cycle.
Power Factor in systems with sinusoidal voltage (at supply) but non-
sinusoidal current
i (wt ) is periodic in 2π but is non-sinusoidal.
Average power is obtained by combining in-phase voltage and current
components of the same frequency.
                  P = E I1 cos ψ 1
                    P    E I1 cos ψ 1 I1
             PF =      =             = cos ψ 1
                    EI       EI       I
                  = Distortion Factor x Displacement Factor
Distortion Factor = 1 for sinusoidal operation
Displacement factor is a measure of displacement between e(ω t) and
i(ωt).
Displacement Factor =1 for sinusoidal resistive operation.
Calculation of PF
                   E2 R
                         [2(π − α ) + sin 2α ]
         I 2R     2π R 2                           1
   PF =       =                                 =    [2(π − α ) + sin 2α ]
         EI        E 1                            2π
                E         [2(π − α ) + sin 2α ]
                   R 2π
R-L load




                                                                         ωL
                                       Z = R 2 + ω 2 L2 ,   φ = tan −1
                                                                         R
A.C. Voltage Regulators                                                      227
Steady-state at   α = 0 (sinusoidal operation)




Applying gate signal at ωt = α, where α > φ
    The start of conduction is delayed until ωt = α . Subsequent to
triggering, let the instantaneous current i (ωt ) consists of hypothetical
steady-state components iss (ωt ) and transient component itrans (ωt ) ,
∴ i (ωt ) = iss (ωt ) + itrans (ωt )
Now the ωt = α , the instantaneous steady-state component has the value,
           E
iss (α ) = m sin(α − φ )
            Z
But at ωt = α , total current i (ωt ) = 0 . At ωt = α, iss(α) = -itrans(α)
                                            E
                        ∴ itrans (ωt ) = − m sin(α − φ )
                                             Z
Subsequent to α
  The transient component decay exponentially from it’s instantaneous -
Em                                 L
   sin(α − φ ) by the constant Z =
 Z                                 R.
                                                          t
                                       − Em             −
                        itrans (ωt ) =      sin(α − φ )e τ
                                         Z
                                                    R
                              E              − (ωt −α )
For ωt > α,   itrans (ωt ) = − m sin(α − φ )e ωL
                               Z
Complete solution for first cycle
228 Chapter Six
                                                                         R
               E                                             − (ωt +π −α )
      i (ωt ) = m [sin(ωt − φ ) 0,−α ,, π ,+2π + sin(α + φ )e ωt
                                x π x
                                            α
                                                                                      x −π
                                                                                      0
                Z
                                   R                                     R
                               −      (ωt −α )                      −      (ωt −π −α )
                                   ωt                                   ωL             2π
              − sin(α − φ )e                  α
                                               x
                                                   + sin(α − φ )l                      π +α




Extinction Angle For the current in the interval α ≤ ωt ≤ x
                                                                            R
                        E             E              − (ωt −α )
            i (ωt ) = m sin(ωt − φ ) − m sin(α − φ )e ωL
                         Z             Z
But at ωt = α , i (ωt ) = 0 , hence
                                                                        R
                  E                E              − ( x −α )
               0 = m sin( x − φ ) − m sin(α − φ )e ωL
                   Z                Z
A.C. Voltage Regulators                                                           229
     Em           R
But      ≠ 0 and      = cot φ       ∴ 0 = sin( x − φ ) − sin(α − φ )e − cot( x −α )
      Z          ωL
   If α and φ are known, x can be calculated. However, this is a
transcendental equation (i.e. cannot be solved explicitly and no way of
obtaining x = f (α , φ ) ).
Method of solution is by iteration,
e.g. If φ = 600, α = 1200 = 2π / 3, cot φ = 0.578
                                                              2π
                                               − 0.578( x −      )
          sin( x − 60 ) = sin(120 − 60)e
                        0             0                        3     ⇒ x = 2220
Rough Approximation :- x = 180 0 + φ − Δ
        Δ = 5 0 ~ 10 0 for large R and small ωL
where
         = 10 0 ~ 15 0 for R = ωL = 150 ~ 20 0 for small R and large ωL
For the previous example,
                           φ = 60 0 , Δ = 150 − 20 0
                                ∴ x = 180 0 + 60 0 − 15 0 = 225 0
                   or          x = 180 0 + 60 0 − 20 0 = 220 0
Load voltage




                     eL (ωt ) = Em sin ωt 0,−π,π x α π
                                          x , ,2
                                            α +
                         Em
                        a1 = [cos 2α − cos 2 x]
                          2π
                         E
                     b1 = m [2( x − α ) − sin 2 x + sin 2α ]
                         2π
230 Chapter Six
A.C. voltage control using Integral cycle switching




N = no. of conducting cycles.
T = Total ‘ON’+’OFF’ cycles, representing a control period.
Analytical Properties.
              N                                               N
Power, P ∝              ;        r.m.s. load voltage, EL ∝
              T                                               T
                        E2 N
                P                   N
Power Factor =      = R T =
                EI      E N         T
                      E
                         R T
6.6 Advantages and Disadvantages of Integral cycle Control
Advantages
1. Avoids the radio frequency interference created by phase - angle
    switching .
2. Able to switch the loads with a large thermal time const .
Disadvantages
1. Produces lamp flicker with incandescent lighting loads.
2. Inconsistent flashing with discharge lighting.
3. Not suitable for motor control (because of interruption of motor
    current)
4.    Total supply Distortion is greater than for symmetrical phase
      control.
Problems Of Chapter 2
1- Single phase half-wave diode rectifier is connected to 220 V, 50 Hz
   supply to feed 5Ω pure resistor. Draw load voltage and current and
   diode voltage drop waveforms along with supply voltage. Then,
   calculate (a) The rectfication effeciency. (b) Ripple factor of load
   voltage. (c) Transformer Utilization Factor (TUF) (d) Peak Inverse
   Voltage (PIV) of the diode. (e) Crest factor of supply current.




2-    The load of the rectifier shown in problem 1 is become 5Ω pure
     resistor and 10 mH inductor. Draw the resistor, inductor voltage
     drops, and, load current along with supply voltage. Then, find an
     expression for the load current and calculate the conduction angle,
     β . Then, calculate the DC and rms value of load voltage.




                                   1
3-    In the rectifier shown in the following figure assume VS = 220V ,
     50Hz, L = 10mH and Ed = 170V . Calculate and plot the current an
     the diode voltage drop along with supply voltage, vs .
                            vdiode  +
                                      vL -      i
                           +    -




                    +
               vs                                      Ed
                    -




4-    Assume there is a freewheeling diode is connected in shunt with the
     load of the rectifier shown in problem 2. Calculate the load current
     during two periods of supply voltage. Then, draw the inductor,
     resistor, load voltages and diode currents along with supply voltage.




                                    2
5-    The voltage v across a load and the current i into the positive
     polarity terminal are as follows:
      v(ωt ) = Vd + 2 V1 cos(ωt ) + 2 V1 sin (ωt ) + 2 V3 cos(3ωt )
     i (ωt ) = I d + 2 I1 cos(ωt ) + 2 I 3 cos(3ωt − φ )
     Calculate the following:
            (a) The average power supplied to the load.
            (b) The rms value of v(t ) and i (t ) .
            (c) The power factor at which the load is operating.

6-   Center tap diode rectifier is connected to 220 V, 50 Hz supply via
     unity turns ratio center-tap transformer to feed 5Ω resistor load.
     Draw load voltage and currents and diode currents waveforms along
     with supply voltage. Then, calculate (a) The rectfication effeciency.
     (b) Ripple factor of load voltage. (c) Transformer Utilization Factor
     (TUF) (d) Peak Inverse Voltage (PIV) of the diode. (e) Crest factor
     of supply current.




                                     3
7-    Single phase diode bridge rectifier is connected to 220 V, 50 Hz
     supply to feed 5Ω resistor. Draw the load voltage, diodes currents
     and calculate (a) The rectfication effeciency. (b) Ripple factor of load
     voltage. (c) Transformer Utilization Factor (TUF) (d) Peak Inverse
     Voltage (PIV) of the diode. (e) Crest factor of supply current.




                                      4
8-    If the load of rectifier shown in problem 7 is changed to be 5Ω
     resistor in series with 10mH inductor. Calculate and draw the load
     current during the first two periods of supply voltages waveform.




9-    Solve problem 8 if there is a freewheeling diode is connected in
     shunt with the load.




10- If the load of problem 7 is changed to be 45 A pure DC. Draw diode
    diodes currents and supply currents along with supply voltage. Then,
    calculate (a) The rectfication effeciency. (b) Ripple factor of load
    voltage. (c) Transformer Utilization Factor (TUF) (d) Peak Inverse
    Voltage (PIV) of the diode. (e) Crest factor of supply current. (f)
    input power factor.


                                   5
11- Single phase diode bridge rectifier is connected to 220V ,50Hz
    supply. The supply has 4 mH source inductance. The load connected
    to the rectifier is 45 A pure DC current. Draw, output voltage, diode
    currents and supply current along with the supply voltage. Then,
    calculate the DC output voltage, THD of supply current and input
    power factor, and, input power factor and THD of the voltage at the
    point of common coupling.




                                   6
12- Three-phase half-wave diode rectifier is connected to 380 V, 50Hz
supply via 380/460 V delta/way transformer to feed the load with 45 A
DC current. Assuming ideal transformer and zero source inductance.
Then, draw the output voltage, secondary and primary currents along
with supply voltage. Then, calculate (a) Rectfication effeciency. (b) Crest
factor of secondary current. (c) Transformer Utilization Factor (TUF). (d)
THD of primary current. (e) Input power factor.




13- Solve problem 12 if the supply has source inductance of 4 mH.




                                    7
14- Three-phase full bridge diode rectifier is connected to 380V, 50Hz
    supply to feed 10Ω resistor. Draw the output voltage, diode currents
    and supply current of phase a. Then, calculate: (a) The rectfication
    effeciency. (b) Ripple factor of load voltage. (c) Transformer
    Utilization Factor (TUF) (d) Peak Inverse Voltage (PIV) of the
    diode. (e) Crest factor of supply current.




15- Solve problem 14 if the load is 45A pure DC current. Then find
    THD of supply current and input power factor.




                                   8
16- If the supply connected to the rectifier shown in problem 14 has a 5
    mH source inductance and the load is 45 A DC. Find, average DC
    voltage, and THD of input current.




                                   9
17- Single phase diode bridge rectifier is connected to square waveform
    with amplitude of 200V, 50 Hz. The supply has 4 mH source
    inductance. The load connected to the rectifier is 45 A pure DC
    current. Draw, output voltage, diode currents and supply current
    along with the supply voltage. Then, calculate the DC output voltage,
    THD of supply current and input power factor.




18- In the single-phase rectifier circuit of the following figure, LS = 1
    mH and Vd = 160V . The input voltage vs has the pulse waveform
    shown in the following figure. Plot is and id waveforms and find
    the average value of I d .
                                                         id




                             +         iS                      Vd
                        VS
                             -



                                                   f = 50 Hz
   200V
                                            120o                              ωt
        o           o                                          o          o
   60         120                60o                      60        120




                                            10
Problems Of Chapter 3
1- Single phase half-wave controlled rectifier is connected to 220 V,
   50Hz supply to feed 10 Ω resistor. If the firing angle α = 30 o draw
   output voltage and drop voltage across the thyristor along with the
   supply voltage. Then, calculate, (a) The rectfication effeciency. (b)
   Ripple factor. (c) Peak Inverse Voltage (PIV) of the thyristor. (d) The
   crest factor C F of input current.




2- Single phase half-wave controlled rectifier is connected to 220 V,
   50Hz supply to feed 5Ω resistor in series with 10mH inductor if the
   firing angle α = 30 o .
(a) Determine an expression for the current through the load in the first two
    periods of supply current, then fiend the DC and rms value of output
    voltage.
(b) Draw the waveforms of load, resistor, inductor voltages and load current.




                                     11
3- Solve problem 2 if there is a freewheeling diode is connected in shunt
   with the load.




4- single phase full-wave fully controlled rectifier is connected to 220V,
   50 Hz supply to feed 5Ω resistor, if the firing angle α = 40 o . Draw
   the load voltage and current, thyristor currents and supply current.
   Then, calculate (a) The rectfication effeciency. (b) Peak Inverse
   Voltage (PIV) of the thyristor. (c) Crest factor of supply current.




                                   12
5- In the problem 4, if there is a 5mH inductor is connected in series with
   the 5Ω resistor. Draw waveforms of output voltage and current,
   resistor and inductor voltages, thyristor currents, supply currents.
   Then, find an expression of load current, DC and rms values of output
   voltages.




6- Solve problem 5 if the load is connected with freewheeling diode.




                                    13
7- Single phase full wave fully controlled rectifier is connected to 220V,
   50 Hz supply to feed the load with 47 A pure dc current. The firing
   angle α = 40 o . Draw the load voltage, thyristor, and load currents.
   Then, calculate (a) the rectfication effeciency. (b) Ripple factor of
   output voltage. (c) Crest factor of supply current. (d) Use Fourier
   series to fiend an expression for supply current. (e) THD of supply
   current. (f) Input power factor.




8- Solve problem 7 if the supply has a 3 mH source inductance.




                                   14
9- Single phase full-wave semi-controlled rectifier is connected to 220
   V, 50Hz supply to feed 5Ω resistor in series with 5 mH inductor, the
   load is connected in shunt with freewheeling diode. Draw the load
   voltage and current, resistor voltage and inductor voltage diodes and
   thyristor currents. Then, calculate Vdc and Vrms of the load voltages.
   If the freewheeling diode is removed, explain what will happen?




10- The single-phase full wave controlled converter is supplying a DC
    load of 1 kW with pure DC current. A 1.5-kVA-isolation transformer
    with a source-side voltage rating of 120 V at 50 Hz is used. It has a
    total leakage reactance of 8% based on its ratings. The ac source
    voltage of nominally 120 V is in the range of -10% and +5%. Then,
    Calculate the minimum transformer turns ratio if the DC load voltage
    is to be regulated at a constant value of 100 V. What is the value of a
    when VS = 120 V + 5%.




                                    15
11- In the single-phase inverter of, VS = 120 V at 50 Hz, LS = 1.2 mH,
     Ld = 20 mH, Ed = 88 V, and the delay angle α = 135°. Using PSIM,
    obtain vs , is , vd , and id waveforms in steady state.
12- In the inverter of Problem 12, vary the delay angle α from a value of
    165° down to 120° and plot id versus α . Obtain the delay angle α b ,
    below which id becomes continuous. How does the slope of the
    characteristic in this range depend on LS ?
13- In the three-phase fully controlled rectifier is connected to 460 V at 50
    Hz and Ls = 1mH . Calculate the commutation angle u if the load
    draws pure DC current at Vdc = 515V and Pdc = 500 kW.
14- In Problem 13 compute the peak inverse voltage and the average and
    the rms values of the current through each thyristor in terms of VLL
    and I o .
15- Consider the three-phase, half-controlled converter shown in the
    following figure. Calculate the value of the delay angle α for which
    Vdc = 0.5Vdm . Draw vd waveform and identify the devices that
    conduct during various intervals. Obtain the DPF, PF, and %THD in
    the input line current and compare results with a full-bridge converter
    operating at Vdc = 0.5Vdm . Assume LS .




                                     16
16- Repeat Problem 15 by assuming that diode D f is not present in the
   converter.




17- The three-phase converter of Fig.3.48 is supplying a DC load of 12
    kW. A Y- Y connected isolation transformer has a per-phase rating of
    5 kVA and an AC source-side voltage rating of 120 V at 50 Hz. It has
    a total per-phase leakage reactance of 8% based on its ratings. The ac
    source voltage of nominally 208 V (line to line) is in the range of
    -10% and +5%. Assume the load current is pure DC, calculate the
    minimum transformer turns ratio if the DC load voltage is to be
    regulated at a constant value of 300 V. What is the value of α when
    VLL = 208 V +5%.
18- In the three-phase inverter of Fig.3.63, VLL = 460 V at 60 Hz, E = 550
    V, and LS = 0.5 mH. Assume the DC-side current is pure DC,
    Calculate α and γ if the power flow is 55 kW.

                                   17
Problems Of Chapter 4
    1- In a single-phase full-bridge PWM inverter, the input dc
voltage varies in a range of 295-325 V. Because of the low
distortion required in the output vo , ma ≤ 1.0
    (a) What is the highest Vo1 , that can be obtained and stamped on
its nameplate as its voltage rating?
    (b) Its nameplate volt-ampere rating is specified as 2000 VA, that
is, Vo1, max I o1, max = 2000VA , where io is assumed to be sinusoidal.
Calculate the combined switch utilization ratio when the inverter is
supplying its rated volt-amperes.




                                  18
2- Consider the problem of ripple in the output current of a
single-phase full-bridge inverter. Assume Vo1 = 220 V at a frequency
of 47 Hz and the type of load is as shown in Fig.18a with L = 100
mH. If the inverter is operating in a square-wave mode, calculate the
peak value of the ripple current.




                                 19
3- Repeat Problem 2 with the inverter operating in a sinusoidal
PWM mode, with m f = 21 and ma = 0.8. Assume a bipolar voltage
switching.
   4- Repeat Problem 2 but assume that the output voltage is
controlled by voltage cancellation and Vd has the same value as
required in the PWM inverter of Problem 3.




                               20
5- Calculate and compare the peak values of the ripple currents
in Problems 2 through 4.




                               21
THREE-PHASE
   6- Consider the problem of ripple in the output current of a three-
phase square-wave inverter. Assume (VLL )1 = 220 V at a frequency
of 52 Hz and the type of load is as shown in Fig.25a with L = 100
mH. Calculate the peak ripple current defined in Fig.26a.




                                 22
7- Repeat Problem 6 if the inverter of Problem 6 is operating in a
synchronous PWM mode with m f = 39 and ma = 0.8 . Calculate the
peak ripple current defined in Fig.26b.




                                 23
8- In the three-phase, square-wave inverter of Fig.24a, consider
the load to be balanced and purely resistive with a load-neutral n.
Draw the steady-state v An , u A, i DA + , and id waveforms, where iDA+
is the current through DA + .




                                  24
9- Repeat Problem 8 by assuming that the toad is purely
inductive, where the load resistance, though finite, can be neglected.




                                 25
Problems Of Chapter 5
1- Consider a permanent-magnet dc servo motor with the following
parameters:




                              26
27
28
29
30
31
32
Power Electronics (2)
    Assignment




         33

Power electronics note

  • 1.
    Power Electronics Dr. Ali Mohamed Eltamaly Mansoura University Faculty of Engineering
  • 2.
    Chapter Four 113 Contents 1 Chapter 1 Introduction 1.1. Definition Of Power Electronics 1 1.2 1 Main Task Of Power Electronics 1.3 Rectification 2 1.4 DC-To-AC Conversion 3 1.5 DC-to-DC Conversion 4 1.6 AC-TO-AC Conversion 4 1.7 Additional Insights Into Power Electronics 5 1.8 Harmonics 7 1.9 Semiconductors Switch types 12 Chapter 2 17 Diode Circuits or Uncontrolled Rectifier 2.1 17 Half Wave Diode Rectifier 2.2 29 Center-Tap Diode Rectifier 2.3 35 Full Bridge Single-Phase Diode Rectifier 2.4 40 Three-Phase Half Wave Rectifier 2.5 49 Three-Phase Full Wave Rectifier 2.6 56 Multi-pulse Diode Rectifier
  • 3.
    Fourier Series 114 Chapter 3 59 Scr Rectifier or Controlled Rectifier 3.1 59 Introduction 3.2 60 Half Wave Single Phase Controlled Rectifier 3.3 73 Single-Phase Full Wave Controlled Rectifier 3.4 91 Three Phase Half Wave Controlled Rectifier 3.5 95 Three Phase Half Wave Controlled Rectifier With DC Load Current 3.6 98 Three Phase Half Wave Controlled Rectifier With Free Wheeling Diode 3.7 100 Three Phase Full Wave Fully Controlled Rectifier Chapter 4 112 Fourier Series 4-1 112 Introduction 4-2 113 Determination Of Fourier Coefficients 4-3 119 Determination Of Fourier Coefficients Without Integration
  • 4.
    Chapter 1 Introduction 1.1. Definition Of Power Electronics Power electronics refers to control and conversion of electrical power by power semiconductor devices wherein these devices operate as switches. Advent of silicon-controlled rectifiers, abbreviated as SCRs, led to the development of a new area of application called the power electronics. Once the SCRs were available, the application area spread to many fields such as drives, power supplies, aviation electronics, high frequency inverters and power electronics originated. Power electronics has applications that span the whole field of electrical power systems, with the power range of these applications extending from a few VA/Watts to several MVA / MW. "Electronic power converter" is the term that is used to refer to a power electronic circuit that converts voltage and current from one form to another. These converters can be classified as: • Rectifier converting an AC voltage to a DC voltage, • Inverter converting a DC voltage to an AC voltage, • Chopper or a switch-mode power supply that converts a DC voltage to another DC voltage, and • Cycloconverter and cycloinverter converting an AC voltage to another AC voltage. In addition, SCRs and other power semiconductor devices are used as static switches. 1.2 Rectification Rectifiers can be classified as uncontrolled and controlled rectifiers, and the controlled rectifiers can be further divided into semi-controlled and fully controlled rectifiers. Uncontrolled rectifier circuits are built with diodes, and fully controlled rectifier circuits are built with SCRs. Both diodes and SCRs are used in semi-controlled rectifier circuits. There are several rectifier configurations. The most famous rectifier configurations are listed below. • Single-phase semi-controlled bridge rectifier, • Single-phase fully-controlled bridge rectifier, • Three-phase three-pulse, star-connected rectifier,
  • 5.
    2 Chapter One • Double three-phase, three-pulse star-connected rectifiers with inter-phase transformer (IPT), • Three-phase semi-controlled bridge rectifier, • Three-phase fully-controlled bridge rectifier, and , • Double three-phase fully controlled bridge rectifiers with IPT. Apart from the configurations listed above, there are series-connected and 12-pulse rectifiers for delivering high quality high power output. Power rating of a single-phase rectifier tends to be lower than 10 kW. Three-phase bridge rectifiers are used for delivering higher power output, up to 500 kW at 500 V DC or even more. For low voltage, high current applications, a pair of three-phase, three-pulse rectifiers interconnected by an inter-phase transformer (IPT) is used. For a high current output, rectifiers with IPT are preferred to connecting devices directly in parallel. There are many applications for rectifiers. Some of them are: • Variable speed DC drives, • Battery chargers, • DC power supplies and Power supply for a specific application like electroplating 1.3 DC-To-AC Conversion The converter that changes a DC voltage to an alternating voltage, AC is called an inverter. Earlier inverters were built with SCRs. Since the circuitry required turning the SCR off tends to be complex, other power semiconductor devices such as bipolar junction transistors, power MOSFETs, insulated gate bipolar transistors (IGBT) and MOS-controlled thyristors (MCTs) are used nowadays. Currently only the inverters with a high power rating, such as 500 kW or higher, are likely to be built with either SCRs or gate turn-off thyristors (GTOs). There are many inverter circuits and the techniques for controlling an inverter vary in complexity. Some of the applications of an inverter are listed below: • Emergency lighting systems, • AC variable speed drives, • Uninterrupted power supplies, and, • Frequency converters. 1.4 DC-to-DC Conversion When the SCR came into use, a DC-to-DC converter circuit was called a chopper. Nowadays, an SCR is rarely used in a DC-to-DC converter.
  • 6.
    Introduction 3 Either a power BJT or a power MOSFET is normally used in such a converter and this converter is called a switch-mode power supply. A switch-mode power supply can be one of the types listed below: • Step-down switch-mode power supply, • Step-up chopper, • Fly-back converter, and , • Resonant converter. The typical applications for a switch-mode power supply or a chopper are: • DC drive, • Battery charger, and, • DC power supply. 1.5 AC-TO-AC Conversion A cycloconverter or a Matrix converter converts an AC voltage, such as the mains supply, to another AC voltage. The amplitude and the frequency of input voltage to a cycloconverter tend to be fixed values, whereas both the amplitude and the frequency of output voltage of a cycloconverter tend to be variable specially in Adjustable Speed Drives (ASD). A typical application of a cycloconverter is to use it for controlling the speed of an AC traction motor and most of these cycloconverters have a high power output, of the order a few megawatts and SCRs are used in these circuits. In contrast, low cost, low power cycloconverters for low power AC motors are also in use and many of these circuit tend to use triacs in place of SCRs. Unlike an SCR which conducts in only one direction, a triac is capable of conducting in either direction and like an SCR, it is also a three terminal device. It may be noted that the use of a cycloconverter is not as common as that of an inverter and a cycloinverter is rarely used because of its complexity and its high cost. 1.6 Additional Insights Into Power Electronics There are several striking features of power electronics, the foremost among them being the extensive use of inductors and capacitors. In many applications of power electronics, an inductor may carry a high current at a high frequency. The implications of operating an inductor in this manner are quite a few, such as necessitating the use of litz wire in place of single-stranded or multi-stranded copper wire at frequencies above 50
  • 7.
    4 Chapter One kHz,using a proper core to limit the losses in the core, and shielding the inductor properly so that the fringing that occurs at the air-gaps in the magnetic path does not lead to electromagnetic interference. Usually the capacitors used in a power electronic application are also stressed. It is typical for a capacitor to be operated at a high frequency with current surges passing through it periodically. This means that the current rating of the capacitor at the operating frequency should be checked before its use. In addition, it may be preferable if the capacitor has self-healing property. Hence an inductor or a capacitor has to be selected or designed with care, taking into account the operating conditions, before its use in a power electronic circuit. In many power electronic circuits, diodes play a crucial role. A normal power diode is usually designed to be operated at 400 Hz or less. Many of the inverter and switch-mode power supply circuits operate at a much higher frequency and these circuits need diodes that turn ON and OFF fast. In addition, it is also desired that the turning-off process of a diode should not create undesirable electrical transients in the circuit. Since there are several types of diodes available, selection of a proper diode is very important for reliable operation of a circuit. Analysis of power electronic circuits tends to be quite complicated, because these circuits rarely operate in steady state. Traditionally steady- state response refers to the state of a circuit characterized by either a DC response or a sinusoidal response. Most of the power electronic circuits have a periodic response, but this response is not usually sinusoidal. Typically, the repetitive or the periodic response contains both a steady- state part due to the forcing function and a transient part due to the poles of the network. Since the responses are non-sinusoidal, harmonic analysis is often necessary. In order to obtain the time response, it may be necessary to resort to the use of a computer program. Power electronics is a subject of interdisciplinary nature. To design and build control circuitry of a power electronic application, one needs knowledge of several areas, which are listed below. • Design of analogue and digital electronic circuits, to build the control circuitry. • Microcontrollers and digital signal processors for use in sophisticated applications. • Many power electronic circuits have an electrical machine as their load. In AC variable speed drive, it may be a reluctance
  • 8.
    Introduction 5 motor, an induction motor or a synchronous motor. In a DC variable speed drive, it is usually a DC shunt motor. • In a circuit such as an inverter, a transformer may be connected at its output and the transformer may have to operate with a nonsinusoidal waveform at its input. • A pulse transformer with a ferrite core is used commonly to transfer the gate signal to the power semiconductor device. A ferrite-cored transformer with a relatively higher power output is also used in an application such as a high frequency inverter. • Many power electronic systems are operated with negative feedback. A linear controller such as a PI controller is used in relatively simple applications, whereas a controller based on digital or state-variable feedback techniques is used in more sophisticated applications. • Computer simulation is often necessary to optimize the design of a power electronic system. In order to simulate, knowledge of software package such as MATLAB, Pspice, Orcad,…..etc. and the know-how to model nonlinear systems may be necessary. The study of power electronics is an exciting and a challenging experience. The scope for applying power electronics is growing at a fast pace. New devices keep coming into the market, sustaining development work in power electronics. 1.7 Harmonics The invention of the semiconductor controlled rectifier (SCR or thyristor) in the 1950s led to increase of development new type converters, all of which are nonlinear. The major part of power system loads is in the form of nonlinear loads too much harmonics are injected to the power system. It is caused by the interaction of distorting customer loads with the impedance of supply network. Also, the increase of connecting renewable energy systems with electric utilities injects too much harmonics to the power system. There are a number of electric devices that have nonlinear operating characteristics, and when it used in power distribution circuits it will create and generate nonlinear currents and voltages. Because of periodic non-linearity can best be analyzed using the Fourier transform, these nonlinear currents and voltages have been generally referred to as
  • 9.
    6 Chapter One “Harmonics”.Also, the harmonics can be defined as a sinusoidal component of a periodic waves or quality having frequencies that are an integral multiple of the fundamental frequency. Among the devices that can generate nonlinear currents transformers and induction machines (Because of magnetic core saturation) and power electronics assemblies. The electric utilities recognized the importance of harmonics as early as the 1930’s such behavior is viewed as a potentially growing concern in modern power distribution network. 1.7.1 Harmonics Effects on Power System Components There are many bad effects of harmonics on the power system components. These bad effects can derated the power system component or it may destroy some devices in sever cases [Lee]. The following is the harmonic effects on power system components. In Transformers and Reactors • The eddy current losses increase in proportion to the square of the load current and square harmonics frequency, • The hysterics losses will increase, • The loading capability is derated by harmonic currents , and, • Possible resonance may occur between transformer inductance and line capacitor. In Capacitors • The life expectancy decreases due to increased dielectric losses that cause additional heating, reactive power increases due to harmonic voltages, and, • Over voltage can occur and resonance may occur resulting in harmonic magnification. In Cables • Additional heating occurs in cables due to harmonic currents because of skin and proximity effects which are function of frequency, and, • The I2R losses increase. In Switchgear • Changing the rate of rise of transient recovery voltage, and, • Affects the operation of the blowout. In Relays • Affects the time delay characteristics, and,
  • 10.
    Introduction 7 • False tripping may occurs. In Motors • Stator and rotor I2R losses increase due to the flow of harmonic currents, • In the case of induction motors with skewed rotors the flux changes in both the stator and rotor and high frequency can produce substantial iron losses, and, • Positive sequence harmonics develop shaft torque that aid shaft rotation; negative sequence harmonics have opposite effect. In Generators • Rotor and stator heating , • Production of pulsating or oscillating torques, and, • Acoustic noise. In Electronic Equipment • Unstable operation of firing circuits based on zero voltage crossing, • Erroneous operation in measuring equipment, and, • Malfunction of computers allied equipment due to the presence of ac supply harmonics. 1.7.2 Harmonic Standards It should be clear from the above that there are serious effects on the power system components. Harmonics standards and limits evolved to give a standard level of harmonics can be injected to the power system from any power system component. The first standard (EN50006) by European Committee for Electro-technical Standardization (CENELEE) that was developed by 14th European committee. Many other standardizations were done and are listed in IEC61000-3-4, 1998 [1]. The IEEE standard 519-1992 [2] is a recommended practice for power factor correction and harmonic impact limitation for static power converters. It is convenient to employ a set of analysis tools known as Fourier transform in the analysis of the distorted waveforms. In general, a non-sinusoidal waveform f(t) repeating with an angular frequency ω can be expressed as in the following equation. a0 ∞ f (t ) = + ∑ (a n cos(nωt ) + bn sin( nωt ) ) (1.1) 2 n=1
  • 11.
    8 Chapter One 2π 1 where a n = π ∫ f (t ) cos (nωt ) dωt (1.2) 0 2π 1 and bn = π ∫ f (t ) sin (nωt ) dωt (1.3) 0 Each frequency component n has the following value f n (t ) = a n cos ( nωt ) + bn sin (nωt ) (1.4) fn(t) can be represented as a phasor in terms of its rms value as shown in the following equation a n + bn 2 2 Fn = e jϕ n (1.5) 2 − bn Where ϕ n = tan −1 (1.6) an The amount of distortion in the voltage or current waveform is qualified by means of an Total Harmonic Distortion (THD). The THD in current and voltage are given as shown in (1.7) and (1.8) respectively. 2 Is − I s1 2 ∑ I sn 2 n≠n THDi = 100 * = 100 * (1.7) I s1 I s1 Vs2 − Vs2 ∑Vsn 2 1 n≠n THDv = 100 * = 100 * (1.8) Vs1 Vs1 Where THDi & THDv The Total Harmonic Distortion in the current and voltage waveforms Current and voltage limitations included in the update IEE 519 1992 are shown in Table(1.1) and Table(1.2) respectively [2]. Table (1.1) IEEE 519-1992 current distortion limits for general distribution systems (120 to 69kV) the maximum harmonic current distortion in percent of I L Individual Harmonic order (Odd Harmonics) I SC / I L n<11 11≤ n<17 17≤ n<23 23≤ n<35 35≤ n< TDD <20 4.0 2.0 1.5 0.6 0.3 5.0 20<50 7.0 3.5 2.5 1.0 0.5 8.0 50<100 10.0 4.5 4.0 1.5 0.7 12.0 100<1000 12.0 5.5 5.0 2.0 1.0 15.0 >1000 15.0 7.0 6.0 2.5 1.4 20.0
  • 12.
    Introduction 9 ∞ 100 Where; TDD (Total Demand Distortion) = I ML ∑ I n2 , n=2 Where I ML is the maximum fundamental demand load current (15 or 30min demand). I SC is the maximum short-circuit current at the point of common coupling (PCC). I L is the maximum demand load current at the point of common coupling (PCC). Table (1.2) Voltage distortion limits Bus voltage at PCC Individual voltage distortion (%) THDv (%) 69 kV and blow 3.0 5.0 69.001 kV through 161kV 1.5 2.5 161.001kV and above 1 1.5 1.8 Semiconductors Switch types At this point it is beneficial to review the current state of semiconductor devices used for high power applications. This is required because the operation of many power electronic circuits is intimately tied to the behavior of various devices. 1.8.1 Diodes A sketch of a PN junction diode characteristic is drawn in Fig.1.1. The icon used to represent the diode is drawn in the upper left corner of the figure, together with the polarity markings used in describing the characteristics. The icon 'arrow' itself suggests an intrinsic polarity reflecting the inherent nonlinearity of the diode characteristic. Fig.1.1 shows the i-v characteristics of the silicon diode and germanium diode. As shown in the figure the diode characteristics have been divided into three ranges of operation for purposes of description. Diodes operate in the forward- and reverse-bias ranges. Forward bias is a range of 'easy' conduction, i.e., after a small threshold voltage level ( » 0.7 volts for silicon) is reached a small voltage change produces a large current change. In this case the diode is forward bias or in "ON" state. The 'breakdown' range on the left side of the figure happened when the reverse applied voltage exceeds the maximum limit that the diode can withstand. At this range the diode destroyed.
  • 13.
    10 Chapter One Fig.1.1 The diode iv characteristics On the other hand if the polarity of the voltage is reversed the current flows in the reverse direction and the diode operates in 'reverse' bias or in "OFF" state. The theoretical reverse bias current is very small. In practice, while the diode conducts, a small voltage drop appears across its terminals. However, the voltage drop is about 0.7 V for silicon diodes and 0.3 V for germanium diodes, so it can be neglected in most electronic circuits because this voltage drop is small with respect to other circuit voltages. So, a perfect diode behaves like normally closed switch when it is forward bias (as soon as its anode voltage is slightly positive than cathode voltage) and open switch when it is in reverse biased (as soon as its cathode voltage is slightly positive than anode voltage). There are two important characteristics have to be taken into account in choosing diode. These two characteristics are: • Peak Inverse voltage (PIV): Is the maximum voltage that a diode can withstand only so much voltage before it breaks down. So if the PIV is exceeded than the PIV rated for the diode, then the diode will conduct in both forward and reverse bias and the diode will be immediately destroyed. • Maximum Average Current: Is the average current that the diode can carry. It is convenient for simplicity in discussion and quite useful in making estimates of circuit behavior ( rather good estimates if done with care and understanding) to linearize the diode characteristics as indicated in Fig.1.2. Instead of a very small reverse-bias current the idealized model approximates this current as zero. ( The practical measure of the appropriateness of this approximation is whether the small reverse bias current causes negligible voltage drops in the circuit in which the diode is embedded. If so the value of the reverse-bias current really does not enter into calculations significantly and can be ignored.) Furthermore the zero
  • 14.
    Introduction 11 current approximation is extended into forward-bias right up to the knee of the curve. Exactly what voltage to cite as the knee voltage is somewhat arguable, although usually the particular value used is not very important. 1.8.2 Thyristor The thyristor is the most important type of the power semiconductor devices. They are used in very large scale in power electronic circuits. The thyristor are known also as Silicon Controlled Rectifier (SCR). The thyristor has been invented in 1957 by general electric company in USA. The thyristor consists of four layers of semiconductor materials (p-n-p- n) all brought together to form only one unit. Fig.1.2 shows the schematic diagram of this device and its symbolic representation. The thyristor has three terminals, anode A, cathode K and gate G as shown in Fig.1.2.The anode and cathode are connected to main power circuit. The gate terminal is connected to control circuit to carry low current in the direction from gate to cathode. Fig.1.2 The schematic diagram of SCR and its circuit symbol. The operational characteristics of a thyristor are shown in Fig.1.3. In case of zero gate current and forward voltage is applied across the device i.e. anode is positive with respect to cathode, junction J1 and J3 are forward bias while J2 remains reverse biased, and therefore the anode current is so small leakage current. If the forward voltage reaches a critical limit, called forward break over voltage, the thyristor switches into high conduction, thus forward biasing junction J2 to turn thyristor ON in this case the thyristor will break down. The forward voltage drop then falls to very low value (1 to 2 Volts). The thyristor can be switched to on state by injecting a current into the central p type layer via the gate terminal. The injection of the gate current provides additional holes in the
  • 15.
    12 Chapter One centralp layer, reducing the forward breakover voltage. If the anode current falls below a critical limit, called the holding current IH the thyristor turns to its forward state. If the reverse voltage is applied across the thyristor i.e. the anode is negative with respect to cathode, the outer junction J1 and J3 are reverse biased and the central junction J2 is forward biased. Therefore only a small leakage current flows. If the reverse voltage is increased, then at the critical breakdown level known as reverse breakdown voltage, an avalanche will occur at J1 and J3 and the current will increase sharply. If this current is not limited to safe value, it will destroy the thyristor. The gate current is applied at the instant turn on is desired. The thyristor turn on provided at higher anode voltage than cathode. After turn on with IA reaches a value known as latching current, the thyristor continuous to conduct even after gate signal has been removed. Hence only pulse of gate current is required to turn the Thyrstor ON. Fig.1.3 Thyristor v-i characteristics 1.8.3 Thyristor types: There is many types of thyristors all of them has three terminals but differs only in how they can turn ON and OFF. The most famous types of thyristors are: 1. Phase controlled thyristor(SCR) 2. Fast switching thyristor (SCR) 3. Gate-turn-off thyristor (GTO) 4. Bidirectional triode thyristor (TRIAC) 5. Light activated silicon-controlled rectifier (LASCR) The electric circuit symbols of each type of thyristors are shown in Fig.1.4.
  • 16.
    Introduction 13 In the next items we will talk only about the most famous two types :- Fig.1.4 The electric circuit symbols of each type of thyristors. Gate Turn Off thyristor (GTO). A GTO thyristor can be turned on by a single pulse of positive gate current like conventional thyristor, but in addition it can be turned off by a pulse of negative gate current. The gate current therefore controls both ON state and OFF state operation of the device. GTO v-i characteristics is shown in Fig.1.5. The GTO has many advantages and disadvantages with respect to conventional thyristor here will talk about these advantages and disadvantages. Fig.1.5 GTO v-i characteristics.
  • 17.
    14 Chapter One TheGTO has the following advantage over thyristor. 1- Elimination of commutating components in forced commutation resulting in reduction in cost, weight and volume, 2- Reduction in acoustic and electromagnetic noise due to the elimination of commutation chokes, 3- Faster turn OFF permitting high switching frequency, 4- Improved converters efficiency, and, 5- It has more di/dt rating at turn ON. The thyristor has the following advantage over GTO. 1- ON state voltage drop and associated losses are higher in GTO than thyristor, 2- Triggering gate current required for GTOs is more than those of thyristor, 3- Latching and holding current is more in GTO than those of thyristor, 4- Gate drive circuit loss is more than those of thyristor, and, 5- Its reverse voltage block capability is less than its forward blocking capability. Bi-Directional-Triode thyristor (TRIAC). TRIAC are used for the control of power in AC circuits. A TRIAC is equivalent of two reverse parallel-connected SCRs with one common gate. Conduction can be achieved in either direction with an appropriate gate current. A TRIAC is thus a bi-directional gate controlled thyristor with three terminals. Fig.1.4 shows the schematic symbol of a TRIAC. The terms anode and cathode are not applicable to TRIAC. Fig.1.6 shows the i-v characteristics of the TRIAC.
  • 18.
    Introduction 15 Fig.1.6 Operating characteristics of TRIAC.ele146 DIAC DIAC is like a TRIAC without a gate terminal. DIAC conducts current in both directions depending on the voltage connected to its terminals. When the voltage between the two terminals greater than the break down voltage, the DIAC conducts and the current goes in the direction from the higher voltage point to the lower voltage one. The following figure shows the layers construction, electric circuit symbol and the operating characteristics of the DIAC. Fig.1.7 shows the DIAC construction and electric symbol. Fig.1.8 shows a DIAC v-i characteristics. The DIAC used in firing circuits of thyristors since its breakdown voltage used to determine the firing angle of the thyristor. Fig.1.7 DIAC construction and electric symbol.
  • 19.
    16 Chapter One Fig.1.8 DIAC v-i characteristics 1.9 Power Transistor Power transistor has many applications now in power electronics and become a better option than thyristor. Power transistor can switch on and off very fast using gate signals which is the most important advantage over thyristor. There are three famous types of power transistors used in power electronics converters shown in the following items: Bipolar Junction Transistor (BJT) BJT has three terminals as shown in Fig.. These terminals are base, collector, and, emitter each of them is connected to one of three semiconductor materials layers. These three layers can be NPN or PNP. Fig.1.9 shows the circuit symbol of NPN and PNP BJT transistor. npn pnp Fig.1.9 The electric symbol of npn and pnp transistors.
  • 20.
    Introduction 17 Fig.1.10 shows the direction of currents in the NPN and PNP transistors. It is clear that the emitter current direction takes the same direction as on the electric symbol of BJT transistor and both gate and collector take the opposite direction. Fig.1.10 The currents of the NPN and PNP transistors. When the transistor connected in DC circuit, the voltage V BB representing a forward bias voltage and Vcc representing a reverse bias for base to collector circuit as shown in Fig.1.11 for NPN and PNP transistors. Fig.1.11 Transistor connection to DC circuit. The relation between the collector current and base current known as a current gain of the transistor β as shown in ( ) I β= C IB Current and voltage analysis of NPN transistors is shown if Fig.1.11. It is clear from Fig.1.11 that: V Rb = V BB − V BE = I B * R B Then, the base current can be obtained as shown in the following equation: V − V BE I B = BB RB
  • 21.
    18 Chapter One Thevoltage on RC resistor are: V RC = I C * RC VCE = VCC − I C * RC Fig.1.12 shows the collector characteristics of NPN transistor for different base currents. This figure shows that four regions, saturation, linear, break down, and, cut-off regions. The explanation of each region in this figure is shown in the following points: Increasing of VCC increases the voltage VCE gradually as shown in the saturation region. When VCE become more than 0.7 V, the base to collector junction become reverse bias and the transistor moves to linear region. In linear region I C approximately constant for the same amount of base current when VCE increases. When VCE become higher than the rated limits, the transistor goes to break down region. At zero base current, the transistor works in cut-off region and there is only very small collector leakage current. Fig.1.12 Collector characteristics of NPN transistor for different base currents. 1.10 Power MOSFET The power MOSFET has two important advantages over than BJT, First of them, is its need to very low operating gate current, the second of
  • 22.
    Introduction 19 them, is its very high switching speed. So, it is used in the circuit that requires high turning ON and OFF speed that may be greater than 100kHz. This switch is more expensive than any other switches have the same ratings. The power MOSFET has three terminals source, drain and gate. Fig.1.13 shows the electric symbol and static characteristics of the power MOSFET. Fig.1.13 The electric symbol and static characteristics of power MOSFET. 1.11 Insulated Gate Bipolar Transistor (IGBT) IGBTs transistors introduce a performance same as BJT but it has the advantage that its very high current density and it has higher switch speed than BJT but still lower than MOSFET. The normal switching frequency of the IGBT is about 40kHz. IGBT has three terminals collector, emitter, and, gate. Fig.1.14 shows the electric circuit symbol and operating characteristics of the IGBT. IGBT used so much in PWM converters and in Adjustable speed drives. Fig.1.14 IGBT v-i transfer characteristics and circuit symbol:
  • 23.
    20 Chapter One 1.12Power Junction Field Effect Transistors This device is also sometimes known as the static induction transistor (SIT). It is effectively a JFET transistor with geometry changes to allow the device to withstand high voltages and conduct high currents. The current capability is achieved by paralleling up thousands of basic JFET cells. The main problem with the power JFET is that it is a normally on device. This is not good from a start-up viewpoint, since the device can conduct until the control circuitry begins to operate. Some devices are commercially available, but they have not found widespread usage. 1.13 Field Controlled Thyristor This device is essentially a modification of the SIT. The drain of the SIT is modified by changing it into an injecting contact. This is achieved by making it a pn junction. The drain of the device now becomes the anode, and the source of the SIT becomes the cathode. In operation the device is very similar to the JFET, the main difference being quantitative – the FCT can carry much larger currents for the same on-state voltage. The injection of the minority carriers in the device means that there is conductivity modulation and lower on-state resistance. The device also blocks for reverse voltages due to the presence of the pn junction. 1.14 MOS-Controlled Thyristors The MOS-controlled thyristor (MCT) is a relatively new device which is available commercially. Unfortunately, despite a lot of hype at the time of its introduction, it has not achieved its potential. This has been largely due to fabrication problems with the device, which has resulted on low yields. Fig.1.15 is an equivalent circuit of the device, and its circuit symbol. From Fig.1.15 one can see that the device is turned on by the ON-FET, and turned o. by the OFF-FET. The main current carrying element of the device is the thyristor. To turn the device on a negative voltage relative to the cathode of the device is applied to the gate of the ON-FET. As a result this FET turns on, supplying current to the base of the bottom transistor of the SCR. Consequently the SCR turns on. To turn o. the device, a positive voltage is applied to the gate. This causes the ON-FET to turn o., and the OFF-FET to turn on. The result is that the base-emitter junction of the top transistor of the SCR is shorted, and because vBE drops to zero. volt it turns o.. Consequently the regeneration process that causes the SCR latching is interrupted and the device turns.
  • 24.
    Introduction 21 The P-MCT is given this name because the cathode is connected to P type material. One can also construct an N-MCT, where the cathode is connected to N type material. Fig.1.15 Schematic and circuit symbol for the P-MCT.
  • 25.
    Chapter 2 Diode Circuitsor Uncontrolled Rectifier 2.1 Introduction The only way to turn on the diode is when its anode voltage becomes higher than cathode voltage as explained in the previous chapter. So, there is no control on the conduction time of the diode which is the main disadvantage of the diode circuits. Despite of this disadvantage, the diode circuits still in use due to it’s the simplicity, low price, ruggedness, ….etc. Because of their ability to conduct current in one direction, diodes are used in rectifier circuits. The definition of rectification process is “ the process of converting the alternating voltages and currents to direct currents and the device is known as rectifier” It is extensively used in charging batteries; supply DC motors, electrochemical processes and power supply sections of industrial components. The most famous diode rectifiers have been analyzed in the following sections. Circuits and waveforms drawn with the help of PSIM simulation program [1]. There are two different types of uncontrolled rectifiers or diode rectifiers, half wave and full wave rectifiers. Full-wave rectifiers has better performance than half wave rectifiers. But the main advantage of half wave rectifier is its need to less number of diodes than full wave rectifiers. The main disadvantages of half wave rectifier are: 1- High ripple factor, 2- Low rectification efficiency, 3- Low transformer utilization factor, and, 4- DC saturation of transformer secondary winding. 2.2 Performance Parameters In most rectifier applications, the power input is sine-wave voltage provided by the electric utility that is converted to a DC voltage and AC components. The AC components are undesirable and must be kept away from the load. Filter circuits or any other harmonic reduction technique should be installed between the electric utility and the rectifier and
  • 26.
    Diode Circuits orUncontrolled Rectifier 23 between the rectifier output and the load that filters out the undesired component and allows useful components to go through. So, careful analysis has to be done before building the rectifier. The analysis requires define the following terms: The average value of the output voltage, Vdc , The average value of the output current, I dc , The rms value of the output voltage, Vrms , The rms value of the output current, I rms The output DC power, Pdc = Vdc * I dc (2.1) The output AC power, Pac = Vrms * I rms (2.2) P The effeciency or rectification ratio is defiend as η = dc (2.3) Pac The output voltage can be considered as being composed of two components (1) the DC component and (2) the AC component or ripple. The effective (rms) value of the AC component of output voltage is defined as:- Vac = Vrms − Vdc 2 2 (2.4) The form factor, which is the measure of the shape of output voltage, is defiend as shown in equation (2.5). Form factor should be greater than or equal to one. The shape of output voltage waveform is neare to be DC as the form factor tends to unity. V FF = rms (2.5) Vdc The ripple factor which is a measure of the ripple content, is defiend as shown in (2.6). Ripple factor should be greater than or equal to zero. The shape of output voltage waveform is neare to be DC as the ripple factor tends to zero. Vac Vrms − Vdc 2 2 2 Vrms RF = = = 2 − 1 = FF 2 − 1 (2.6) Vdc Vdc Vdc The Transformer Utilization Factor (TUF) is defiend as:- P TUF = dc (2.7) VS I S
  • 27.
    24 Chapter Two Where VS and I S are the rms voltage and rms current of the transformer secondery respectively. Total Harmonic Distortion (THD) measures the shape of supply current or voltage. THD should be grearter than or equal to zero. The shape of supply current or voltage waveform is near to be sinewave as THD tends to be zero. THD of input current and voltage are defiend as shown in (2.8.a) and (2.8.b) respectively. I S − I S1 2 2 2 IS THDi = 2 = 2 −1 (2.8.a) I S1 I S1 VS2 − VS21 VS2 THDv = = −1 (2.8.b) VS21 VS21 where I S1 and VS1 are the fundamental component of the input current and voltage, I S and VS respectively. Creast Factor CF, which is a measure of the peak input current IS(peak) as compared to its rms value IS, is defiend as:- I S ( peak ) CF = (2.9) IS In general, power factor in non-sinusoidal circuits can be obtained as following: Real Power P PF = = = cos φ (2.10) Apparent Voltamperes VS I S Where, φ is the angle between the current and voltage. Definition is true irrespective for any sinusoidal waveform. But, in case of sinusoidal voltage (at supply) but non-sinusoidal current, the power factor can be calculated as the following: Average power is obtained by combining in-phase voltage and current components of the same frequency. P V I1 cos φ1 I S1 PF = = = cos φ = Distortion Factor * Displaceme nt Faactor (2.11) 1 VS I S VS I S IS Where φ1 is the angle between the fundamental component of current and supply voltage. Distortion Factor = 1 for sinusoidal operation and displacement factor is a measure of displacement between v(ωt ) and i (ωt ) .
  • 28.
    Diode Circuits orUncontrolled Rectifier 25 2.3 Single-Phase Half-Wave Diode Rectifier Most of the power electronic applications operate at a relative high voltage and in such cases; the voltage drop across the power diode tends to be small with respect to this high voltage. It is quite often justifiable to use the ideal diode model. An ideal diode has zero conduction drops when it is forward-biased ("ON") and has zero current when it is reverse- biased ("OFF"). The explanation and the analysis presented below are based on the ideal diode model. 2.3.1 Single-Phase Half Wave Diode Rectifier With Resistive Load Fig.2.1 shows a single-phase half-wave diode rectifier with pure resistive load. Assuming sinusoidal voltage source, VS the diode beings to conduct when its anode voltage is greater than its cathode voltage as a result, the load current flows. So, the diode will be in “ON” state in positive voltage half cycle and in “OFF” state in negative voltage half cycle. Fig.2.2 shows various current and voltage waveforms of half wave diode rectifier with resistive load. These waveforms show that both the load voltage and current have high ripples. For this reason, single-phase half-wave diode rectifier has little practical significance. The average or DC output voltage can be obtained by considering the waveforms shown in Fig.2.2 as following: π 1 V Vdc = 2π∫Vm sin ωt dωt = m π (2.12) 0 Where, Vm is the maximum value of supply voltage. Because the load is resistor, the average or DC component of load current is: V V I dc = dc = m (2.13) R π R The root mean square (rms) value of a load voltage is defined as: π 1 V Vrms = ∫ Vm sin 2 ωt dωt = m 2 (2.14) 2π 2 0 Similarly, the root mean square (rms) value of a load current is defined as: V V I rms = rms = m (2.15) R 2R
  • 29.
    26 Chapter Two It is clear that the rms value of the transformer secondary current, I S is the same as that of the load and diode currents V Then I S = I D = m (2.15) 2R Where, I D is the rms value of diode current. Fig.2.1 Single-phase half-wave diode rectifier with resistive load. Fig.2.2 Various waveforms for half wave diode rectifier with resistive load.
  • 30.
    Diode Circuits orUncontrolled Rectifier 27 Example 1: The rectifier shown in Fig.2.1 has a pure resistive load of R Determine (a) The efficiency, (b) Form factor (c) Ripple factor (d) TUF (e) Peak inverse voltage (PIV) of diode D1 and (f) Crest factor. Solution: From Fig.2.2, the average output voltage Vdc is defiend as: π 1 V V Vdc = 2π ∫ Vm sin(ωt ) dωt = m (− cos π − cos(0)) = m 2π π 0 Vdc Vm Then, I dc = = R πR π 1 V Vm V Vrms = 2π ∫ (Vm sin ωt ) 2 = m , 2 I rms = 2R and, VS = m 2 0 The rms value of the transformer secondery current is the same as that of V the load: I S = m Then, the efficiency or rectification ratio is: 2R Vm Vm * Pdc Vdc * I dc π πR η= = = = 40.53% Pac Vrms * I rms Vm Vm * 2 2R Vm V π (b) FF = rms = 2 = = 1.57 Vdc Vm 2 π Vac (c) RF = = FF 2 − 1 = 1.57 2 − 1 = 1.211 Vdc Vm Vm P π π R (d) TUF = dc = = 0.286 = 28.6% VS I S Vm Vm 2 2R (e) It is clear from Fig2.2 that the PIV is Vm . I S ( peak ) Vm / R (f) Creast Factor CF, CF = = =2 IS Vm / 2 R
  • 31.
    28 Chapter Two 2.3.2Half Wave Diode Rectifier With R-L Load In case of RL load as shown in Fig.2.3, The voltage source, VS is an alternating sinusoidal voltage source. If vs = Vm sin (ωt ) , v s is positive when 0 < ω t < π, and vs is negative when π < ω t <2π. When v s starts becoming positive, the diode starts conducting and the source keeps the diode in conduction till ω t reaches π radians. At that instant defined by ω t =π radians, the current through the circuit is not zero and there is some energy stored in the inductor. The voltage across an inductor is positive when the current through it is increasing and it becomes negative when the current through it tends to fall. When the voltage across the inductor is negative, it is in such a direction as to forward-bias the diode. The polarity of voltage across the inductor is as shown in the waveforms shown in Fig.2.4. When vs changes from a positive to a negative value, the voltage across the diode changes its direction and there is current through the load at the instant ω t = π radians and the diode continues to conduct till the energy stored in the inductor becomes zero. After that, the current tends to flow in the reverse direction and the diode blocks conduction. The entire applied voltage now appears across the diode as reverse bias voltage. An expression for the current through the diode can be obtained by solving the deferential equation representing the circuit. It is assumed that the current flows for 0 < ω t < β, where β > π ( β is called the conduction angle). When the diode conducts, the driving function for the differential equation is the sinusoidal function defining the source voltage. During the period defined by β < ω t < 2π, the diode blocks current and acts as an open switch. For this period, there is no equation defining the behavior of the circuit. For 0 < ω t < β, the following differential equation defines the circuit: di L + R * i = Vm sin (ωt ), 0 ≤ ωt ≤ β (2.17) dt Divide the above equation by L we get: di R V + * i = m sin (ωt ), 0 ≤ ωt ≤ β (2.18) dt L L The instantaneous value of the current through the load can be obtained from the solution of the above equation as following:
  • 32.
    Diode Circuits orUncontrolled Rectifier 29 R ⎡ R ⎤ −∫ dt ∫ dt Vm i (t ) = e ⎢ L ⎢e ∫ L * L sin ωt dt + A⎥ ⎥ (2.19) ⎣ ⎦ Where A is a constant. − t⎡ ⎤ R R t V Then; i (t ) = e ⎢ ∫ L ⎢ e L * m sin ωt dt + A⎥ L ⎥ (2.20) ⎣ ⎦ By integrating (2.20) (see appendix) we get: R Vm − t i (t ) = (R sin ωt − ωL cosωt ) + Ae L (2.21) R 2 + w 2 L2 Fig.2.3 Half Wave Diode Rectifier With R-L Load Fig.2.4 Various waveforms for Half wave diode rectifier with R-L load.
  • 33.
    30 Chapter Two AssumeZ∠φ = R + j wL Then Z 2 = R 2 + w2 L2 , Z ωL wL R = Z cos φ , ωL = Z sin φ and tan φ = R Substitute these values into (2.21) we get the following equation: Φ R R V − t i (t ) = m (cos φ sin ωt − sin φ cosωt ) + Ae L Z R V − t Then, i (t ) = m sin (ωt − φ ) + Ae L (2.22) Z The above equation can be written in the following form: R ωt − ωt − V V i (t ) = m sin (ωt − φ ) + Ae ω L = m sin (ωt − φ ) + Ae tan φ (2.23) Z Z The value of A can be obtained using the initial condition. Since the diode starts conducting at ω t = 0 and the current starts building up from zero, i (0 ) = 0 (discontinuous conduction). The value of A is expressed by the following equation: V A = m sin (φ ) Z Once the value of A is known, the expression for current is known. After evaluating A, current can be evaluated at different values of ωt . ⎛ ωt ⎞ − Vm ⎜ tan φ ⎟ i (ωt ) = ⎜ sin (ωt − φ ) + sin (φ )e Z ⎜ ⎟ (2.24) ⎟ ⎝ ⎠ Starting from ω t = π, as ωt increases, the current would keep decreasing. For some value of ωt , say β, the current would be zero. If ω t > β, the current would evaluate to a negative value. Since the diode blocks current in the reverse direction, the diode stops conducting when ωt reaches β. The value of β can be obtained by substituting that i (ωt ) = 0 wt = β into (2.24) we get: ⎛ β ⎞ − Vm ⎜ ⎟ ⎜ sin (β − φ ) + sin (φ )e tan φ i(β ) = ⎟=0 (2.25) Z ⎜ ⎟ ⎝ ⎠
  • 34.
    Diode Circuits orUncontrolled Rectifier 31 The value of β can be obtained from the above equation by using the methods of numerical analysis. Then, an expression for the average output voltage can be obtained. Since the average voltage across the inductor has to be zero, the average voltage across the resistor and the average voltage at the cathode of the diode to ground are the same. This average value can be obtained as shown in (2.26). The rms output voltage in this case is shown in equation (2.27). β V V Vdc 2π ∫ = m * sin ωt dωt = m * (1 − cos β ) 2π (2.26) 0 β 1 Vm Vrms = * ∫ (Vm sin ωt ) 2 dwt = * β + 0.5(1 − sin( 2 β ) (2.27) 2π 2 π 0 2.3.3 Single-Phase Half-Wave Diode Rectifier With Free Wheeling Diode Single-phase half-wave diode rectifier with free wheeling diode is shown in Fig.2.5. This circuit differs from the circuit described above, which had only diode D1. This circuit shown in Fig.2.5 has another diode, marked D2. This diode is called the free-wheeling diode. Let the source voltage vs be defined as Vm sin (ωt ) which is positive when 0 < ωt < π radians and it is negative when π < ω t < 2π radians. When vs is positive, diode D1 conducts and the output voltage, vo become positive. This in turn leads to diode D2 being reverse-biased during this period. During π < wt < 2π, the voltage vo would be negative if diode D1 tends to conduct. This means that D2 would be forward- biased and would conduct. When diode D2 conducts, the voltage vo would be zero volts, assuming that the diode drop is negligible. Additionally when diode D2 conducts, diode D1 remains reverse-biased, because the voltage across it is vs which is negative. Fig.2.5 Half wave diode rectifier with free wheeling diode.
  • 35.
    32 Chapter Two When the current through the inductor tends to fall (when the supply voltage become negative), the voltage across the inductor become negative and its voltage tends to forward bias diode D2 even when the source voltage vs is positive, the inductor current would tend to fall if the source voltage is less than the voltage drop across the load resistor. During the negative half-cycle of source voltage, diode D1 blocks conduction and diode D2 is forced to conduct. Since diode D2 allows the inductor current circulate through L, R and D2, diode D2 is called the free-wheeling diode because the current free-wheels through D2. Fig.2.6 shows various voltage waveforms of diode rectifier with free- wheeling diode. Fig.2.7 shows various current waveforms of diode rectifier with free-wheeling diode. It can be assumed that the load current flows all the time. In other words, the load current is continuous. When diode D1 conducts, the driving function for the differential equation is the sinusoidal function defining the source voltage. During the period defined by π < ω t < 2π, diode D1 blocks current and acts as an open switch. On the other hand, diode D2 conducts during this period, the driving function can be set to be zero volts. For 0 < ω t < π, the differential equation (2.18) applies. The solution of this equation will be as obtained before in (2.20) or (2.23). ⎛ ωt ⎞ − Vm ⎜ tan φ ⎟ i (ωt ) = sin (ωt − φ ) + sin (φ ) e 0 < ωt < π (2.28) Z ⎜ ⎜ ⎟ ⎟ ⎝ ⎠ For the negative half-cycle ( π < ωt < 2π ) of the source voltage D1 is OFF and D2 is ON. Then the driving voltage is set to zero and the following differential equation represents the circuit in this case. di L + R* i = 0 for π < ωt < 2π (2.29) dt The solution of (2.29) is given by the following equation: ωt − π − tan φ i (ωt ) = B e (2.30) The constant B can be obtained from the boundary condition where i (π ) = B is the starting value of the current in π < ωt < 2π and can be obtained from equation (2.23) by substituting ωt = π π V − Then, i(π ) = m (sin(π − φ ) + sin (φ ) e tan φ ) = B Z
  • 36.
    Diode Circuits orUncontrolled Rectifier 33 The above value of i (π ) can be used as initial condition of equation (2.30). Then the load current during π < ωt < 2π is shown in the following equation. ⎛ π ⎞ ωt −π − − Vm ⎜ tan φ ⎟ i (ωt ) = sin (π − φ ) + sin (φ ) e e tan φ for π < ωt < 2π Z ⎜ ⎟ (2.31) ⎜ ⎟ ⎝ ⎠ Fig.2.6 Various voltage waveforms of diode rectifier with free-wheeling diode. Fig.2.7 Various current waveforms of diode rectifier with free-wheeling diode.
  • 37.
    34 Chapter Two For the period 2π < ωt < 3π the value of i (2π ) from (2.31) can be used as initial condition for that period. The differential equation representing this period is the same as equation (2.28) by replacing ω t by ωt − 2π and the solution is given by equation (2.32). This period ( 2π < ωt < 3π ) differ than the period 0 < wt < π in the way to get the constant A where in the 0 < ωt < π the initial value was i (0) = 0 but in the case of 2π < ωt < 3π the initial condition will be i (2π ) that given from (2.31) and is shown in (2.33). ωt − 2π − V i (ωt ) = m sin (ωt − 2π − φ ) + Ae tan φ for 2π < ωt < 3π (2.32) Z The value of i (2π ) can be obtained from (2.31) and (2.32) as shown in (2.33) and (2.34) respectively. ⎛ π ⎞ π − − Vm ⎜ tan φ ⎟ i (2π ) = sin (π − φ ) + sin (φ ) e ⎟e tan φ (2.33) Z ⎜⎜ ⎟ ⎝ ⎠ V i (2π ) = m sin (− φ ) + A (2.34) Z By equating (2.33) and (2.34) the constant A in 2π < ωt < 3π can be obtained from the following equation: V A = i (2π ) + m sin (φ ) (2.35) Z Then, the general solution for the period 2π < ωt < 3π is given by equation (2.36): ωt − 2π Vm ⎛ V ⎞ − 2π < ωt < 3π (2.36) i (ωt ) = sin (ωt − 2π − φ ) + ⎜ i(2π ) + m sin (φ )⎟e tan φ Z ⎝ Z ⎠ Where i (2π ) can be obtained from equation (2.33). Example 2 A diode circuit shown in Fig.2.3 with R=10 Ω, L=20mH, and VS=220 2 sin314t. (a) Determine the expression for the current though the load in the period 0 < ωt < 2π and determine the conduction angle β . (b) If we connect free wheeling diode through the load as shown in Fig.2.5 Determine the expression for the current though the load in the period of 0 < ωt < 3π .
  • 38.
    Diode Circuits orUncontrolled Rectifier 35 Solution: (a) For the period of 0 < ωt < π , the expression of the load current can be obtained from (2.24) as following: −3 −1 ωL −1 314 * 20 *10 φ = tan = tan = 0.561 rad . and tan φ = 0.628343 R 10 Z = R 2 + (ωL) 2 = 10 2 + (314 * 20 *10 − 3 ) 2 = 11.8084Ω ⎛ ωt ⎞ − Vm ⎜ ⎟ i (ωt ) = sin (ωt − φ ) + sin (φ ) e tan φ Z ⎜ ⎜ ⎟ ⎟ ⎝ ⎠ = 220 2 11.8084 [ ] sin (ωt − 0.561) + 0.532 * e −1.5915 ωt i (ωt ) = 26.3479 sin (ωt − 0.561) + 14.0171* e −1.5915 ωt The value of β can be obtained from the above equation by substituting for i ( β ) = 0 . Then, 0 = 26.3479 sin (β − 0.561) + 14.0171 * e −1.5915 β By using the numerical analysis we can get the value of β. The simplest method is by using the simple iteration technique by assuming Δ = 26.3479 sin (β − 0.561) + 14.0171 * e −1.5915 β and substitute different values for β in the region π < β < 2π till we get the minimum value of Δ then the corresponding value of β is the required value. The narrow intervals mean an accurate values of β . The following table shows the relation between β and Δ: β Δ 1.1 π 6.49518 1.12 π 4.87278 1.14 π 3.23186 1.16 π 1.57885 1.18 π -0.079808 1.2 π -1.73761 It is clear from the above table that β ≅ 1.18 π rad. The current in β < wt < 2π will be zero due to the diode will block the negative current to flow. (b) In case of free-wheeling diode as shown in Fig.2.5, we have to divide the operation of this circuit into three parts. The first one when
  • 39.
    36 Chapter Two 0< ωt < π (D1 “ON”, D2 “OFF”), the second case when π < ωt < 2π (D1 “OFF” and D2 “ON”) and the last one when 2π < ωt < 3π (D1 “ON”, D2 “OFF”). In the first part ( 0 < ωt < π ) the expression for the load current can be obtained as In case (a). Then: i ( wt ) = 26.3479 sin (ωt − 0.561) + 14.0171 * e −1.5915 wt for 0 < ωt < π the current at ωt = π is starting value for the current in the next part. Then i (π ) = 26.3479 sin (π − 0.561) + 14.0171 * e −1.5915 π = 14.1124 A In the second part π < ωt < 2π , the expression for the load current can be obtained from (2.30) as following: ωt −π − tan φ i (ωt ) = B e where B = i (π ) = 14.1124 A Then i (ωt ) = 14.1124 e −1.5915(ωt −π ) for ( π < ωt < 2π ) The current at ωt = 2π is starting value for the current in the next part. Then i (2π ) = 0.095103 A In the last part ( 2π < ωt < 3π ) the expression for the load current can be obtained from (2.36): ωt − 2π − ⎛ ⎞ i (ωt ) = m sin (ωt − 2π − φ ) + ⎜ i (2π ) + m sin (φ )⎟e V V tan φ Z ⎝ Z ⎠ ∴ i (ωt ) = 26.3479 sin (ωt − 6.8442) + (0.095103 + 26.3479 * 0.532)e −1.5915(ωt − 2π ) ∴ i (ωt ) = 26.3479 sin (ωt − 6.8442) + 14.1131e −1.5915(ωt − 2π ) for ( 2π < ωt < 3π ) 2.4 Single-Phase Full-Wave Diode Rectifier The full wave diode rectifier can be designed with a center-taped transformer as shown in Fig.2.8, where each half of the transformer with its associated diode acts as half wave rectifier or as a bridge diode rectifier as shown in Fig. 2.12. The advantage and disadvantage of center- tap diode rectifier is shown below:
  • 40.
    Diode Circuits orUncontrolled Rectifier 37 Advantages • The need for center-tapped transformer is eliminated, • The output is twice that of the center tapped circuit for the same secondary voltage, and, • The peak inverse voltage is one half of the center-tap circuit. Disadvantages • It requires four diodes instead of two, in full wave circuit, and, • There are always two diodes in series are conducting. Therefore, total voltage drop in the internal resistance of the diodes and losses are increased. The following sections explain and analyze these rectifiers. 2.4.1 Center-Tap Diode Rectifier With Resistive Load In the center tap full wave rectifier, current flows through the load in the same direction for both half cycles of input AC voltage. The circuit shown in Fig.2.8 has two diodes D1 and D2 and a center tapped transformer. The diode D1 is forward bias “ON” and diode D2 is reverse bias “OFF” in the positive half cycle of input voltage and current flows from point a to point b. Whereas in the negative half cycle the diode D1 is reverse bias “OFF” and diode D2 is forward bias “ON” and again current flows from point a to point b. Hence DC output is obtained across the load. Fig.2.8 Center-tap diode rectifier with resistive load. In case of pure resistive load, Fig.2.9 shows various current and voltage waveform for converter in Fig.2.8. The average and rms output voltage and current can be obtained from the waveforms shown in Fig.2.9 as shown in the following:
  • 41.
    38 Chapter Two π 1 2 Vm π∫ m Vdc = V sin ωt dωt = (2.36) π 0 2 Vm I dc = (2.37) π R π 1 (V sin ωt ) Vm π∫ m Vrms = 2 dω t = (2.38) 2 0 Vm I rms = (2.39) 2 R PIV of each diode = 2Vm (2.40) V VS = m (2.41) 2 The rms value of the transformer secondery current is the same as that of the diode: V IS = ID = m (2.41) 2R Fig.2.9 Various current and voltage waveforms for center-tap diode rectifier with resistive load.
  • 42.
    Diode Circuits orUncontrolled Rectifier 39 Example 3. The rectifier in Fig.2.8 has a purely resistive load of R Determine (a) The efficiency, (b) Form factor (c) Ripple factor (d) TUF (e) Peak inverse voltage (PIV) of diode D1 and(f) Crest factor of transformer secondary current. Solution:- The efficiency or rectification ratio is 2 Vm 2 Vm * Pdc Vdc * I dc π πR η= = = = 81.05% Pac Vrms * I rms Vm Vm * 2 2R Vm V (b) FF = rms = 2 = π = 1.11 Vdc 2 Vm 2 2 π Vac (c) RF = = FF 2 − 1 = 1.112 − 1 = 0.483 Vdc 2 Vm 2 Vm Pdc π π R (d) TUF = = = 0.5732 2 VS I S V V 2 m m 2 2R (e) The PIV is 2Vm Vm I S ( peak ) (f) Creast Factor of secondary current, CF = = R =2 IS Vm 2R 2.4.2 Center-Tap Diode Rectifier With R-L Load Center-tap full wave rectifier circuit with RL load is shown in Fig.2.10. Various voltage and current waveforms for Fig.2.10 is shown in Fig.2.11. An expression for load current can be obtained as shown below: It is assumed that D1 conducts in positive half cycle of VS and D2 conducts in negative half cycle. So, the deferential equation defines the circuit is shown in (2.43). di L + R * i = Vm sin(ωt ) (2.43) dt The solution of the above equation can be obtained as obtained before in (2.24)
  • 43.
    40 Chapter Two Fig.2.10 Center-tap diode rectifier with R-L load Fig.2.11 Various current and voltage waveform for Center-tap diode rectifier with R-L load ⎛ ωt ⎞ − Vm ⎜ tan φ ⎟ i (ωt ) = ⎜ sin (ωt − φ ) + sin (φ )e Z ⎜ ⎟ for 0 < ωt < π (2.44) ⎟ ⎝ ⎠ In the second half cycle the same differential equation (2.43) and the solution of this equation will be as obtained before in (2.22)
  • 44.
    Diode Circuits orUncontrolled Rectifier 41 ωt − π − V i (ωt ) = m sin (ωt − π − φ ) + Ae tan φ (2.45) Z The value of constant A can be obtained from initial condition. If we assume that i(π)=i(2π)=i(3π)=……..=Io (2.46) Then the value of I o can be obtained from (2.44) by letting ωt = π ⎛ π ⎞ − Vm ⎜ tan φ ⎟ I o = i (π ) = ⎜ sin (π − φ ) + sin (φ )e Z ⎜ ⎟ (2.47) ⎟ ⎝ ⎠ Then use the value of I o as initial condition for equation (2.45). So we can obtain the value of constant A as following: π −π − V i (π ) = I o = m sin (π − π − φ ) + Ae tan φ Z V Then; A = I o + m sin (φ ) (2.48) Z Substitute (2.48) into (2.45) we get: ωt − π − ⎛ ⎞ i (ωt ) = m sin (ωt − π − φ ) + ⎜ I o + m sin (φ )⎟e tan φ , then, V V Z ⎝ Z ⎠ ⎡ ωt −π ⎤ ωt −π − − i (ωt ) = Vm ⎢ sin (ωt − π − φ ) + sin (φ )e tan φ ⎥ + I e tan φ (for π < ωt < 2π ) (2.49) Z ⎢ ⎥ o ⎢ ⎣ ⎥ ⎦ In the next half cycle 2π < ωt < 3π the current will be same as obtained in (2.49) but we have to take the time shift into account where the new equation will be as shown in the following: ⎡ ωt − 2π ⎤ ωt − 2π − − i (ωt ) = Vm ⎢ sin (wt − 2π − φ ) + sin (φ )e tan φ ⎥ + I e tan φ (for 2π < ωt < 3π )(2.50) Z ⎢ ⎥ o ⎢ ⎣ ⎥ ⎦ 2.4.3 Single-Phase Full Bridge Diode Rectifier With Resistive Load Another alternative in single-phase full wave rectifier is by using four diodes as shown in Fig.2.12 which known as a single-phase full bridge diode rectifier. It is easy to see the operation of these four diodes. The current flows through diodes D1 and D2 during the positive half cycle of input voltage (D3 and D4 are “OFF”). During the negative one, diodes D3 and D4 conduct (D1 and D2 are “OFF”).
  • 45.
    42 Chapter Two In positive half cycle the supply voltage forces diodes D1 and D2 to be "ON". In same time it forces diodes D3 and D4 to be "OFF". So, the current moves from positive point of the supply voltage across D1 to the point a of the load then from point b to the negative marked point of the supply voltage through diode D2. In the negative voltage half cycle, the supply voltage forces the diodes D1 and D2 to be "OFF". In same time it forces diodes D3 and D4 to be "ON". So, the current moves from negative marked point of the supply voltage across D3 to the point a of the load then from point b to the positive marked point of the supply voltage through diode D4. So, it is clear that the load currents moves from point a to point b in both positive and negative half cycles of supply voltage. So, a DC output current can be obtained at the load in both positive and negative halves cycles of the supply voltage. The complete waveforms for this rectifier is shown in Fig.2.13 Fig.2.12 Single-phase full bridge diode rectifier. Fig.2.13 Various current and voltage waveforms of Full bridge single-phase diode rectifier.
  • 46.
    Diode Circuits orUncontrolled Rectifier 43 Example 4 The rectifier shown in Fig.2.12 has a purely resistive load of R=15 Ω and, VS=300 sin 314 t and unity transformer ratio. Determine (a) The efficiency, (b) Form factor, (c) Ripple factor, (d) TUF, (e) The peak inverse voltage, (PIV) of each diode, (f) Crest factor of input current, and, (g) Input power factor. Solution: Vm = 300 V π 1 2 Vm 2 Vm π∫ m Vdc = V sin ωt dωt = = 190.956 V , I dc = = 12.7324 A π π R 0 1/ 2 ⎡1 π ⎤ V Vrms =⎢ (Vm sin ωt )2 dωt ⎥ ∫ = Vm = 212.132 V , I rms = m = 14.142 A ⎢π 0 ⎣ ⎥ ⎦ 2 2R Pdc V I (a) η = = dc dc = 81.06 % Pac Vrms I rms V (b) FF = rms = 1.11 Vdc Vac Vrms − Vdc 2 2 2 Vrms (c) RF = = = 2 − 1 = FF 2 − 1 = 0.482 Vdc Vdc Vdc Pdc 190.986 *12.7324 (d) TUF = = = 81 % VS I S 212.132 * 14.142 (e) The PIV= Vm =300V I S ( peak ) 300 / 15 (f) CF = = = 1.414 IS 14.142 Re al Power I2 *R (g) Input power factor = = rms =1 Apperant Power VS I S 2.4.4 Full Bridge Single-phase Diode Rectifier with DC Load Current The full bridge single-phase diode rectifier with DC load current is shown in Fig.2.14. In this circuit the load current is pure DC and it is assumed here that the source inductances is negligible. In this case, the circuit works as explained before in resistive load but the current waveform in the supply will be as shown in Fig.2.15. The rms value of the input current is I S = I o
  • 47.
    44 Chapter Two Fig.2.14 Full bridge single-phase diode rectifier with DC load current. Fig.2.15 Various current and voltage waveforms for full bridge single-phase diode rectifier with DC load current. The supply current in case of pure DC load current is shown in Fig.2.15, as we see it is odd function, then an coefficients of Fourier series equal zero, an = 0 , and π 2 2 Io [− cos nωt ]π π∫ bn = I o * sin nωt dωt = nπ 0 (2.51) 0 = 2 Io [cos 0 − cos nπ ] = 4 I o for n = 1, 3, 5, ............. nπ nπ Then from Fourier series concepts we can say: 4 Io 1 1 1 1 i (t ) = * (sin ωt + sin 3ωt + sin 5ωt + sin 7ωt + sin 9ωt + ..........) (2.52) π 3 5 7 9
  • 48.
    Diode Circuits orUncontrolled Rectifier 45 2 2 2 2 2 2 2 ⎛1⎞ ⎛1⎞ ⎛1⎞ ⎛1⎞ ⎛ 1 ⎞ ⎛ 1 ⎞ ⎛ 1 ⎞ ∴ THD( I s (t )) = ⎜ ⎟ + ⎜ ⎟ + ⎜ ⎟ + ⎜ ⎟ + ⎜ ⎟ + ⎜ ⎟ + ⎜ ⎟ = 46% ⎝ 3 ⎠ ⎝ 5 ⎠ ⎝ 7 ⎠ ⎝ 9 ⎠ ⎝ 11 ⎠ ⎝ 13 ⎠ ⎝ 15 ⎠ or we can obtain THD ( I s (t )) as the following: 4 Io From (2.52) we can obtain the value of is I S1 = 2π 2 ⎛ ⎞ 2 ⎜ ⎟ 2 ⎛ IS ⎞ ⎜ Io ⎟ −1 = ⎛ 2π ⎞ ∴ THD ( I s (t )) = ⎜ ⎟ ⎜ ⎟ − 1 = 48.34% ⎜ I ⎟ −1 = ⎜ 4 I ⎟ ⎜ 4 ⎟ ⎝ S1 ⎠ ⎜ o ⎟ ⎝ ⎠ ⎝ 2π ⎠ Example 5 solve Example 4 if the load is 30 A pure DC Solution: From example 4 Vdc= 190.986 V, Vrms=212.132 V I dc = 30 A and I rms = 30 A P V I (a) η = dc = dc dc = 90 % Pac Vrms I rms V (b) FF = rms = 1.11 Vdc Vac Vrms − Vdc 2 2 2 Vrms (c) RF = = = 2 − 1 = FF 2 − 1 = 0.482 Vdc Vdc Vdc Pdc 190.986 *30 (d) TUF = = = 90 % VS I S 212.132 * 30 (e) The PIV=Vm=300V I 30 (f) CF = S ( peak ) = =1 IS 30 4 Io 4 * 30 (g) I S1 = = = 27.01A 2π 2π Re al Power Input Power factor= = Apperant Power VS I S1 * cos φ I * cos φ 27.01 = = S1 = *1 = 0.9 Lag VS I S IS 30
  • 49.
    46 Chapter Two 2.4.5Effect Of LS On Current Commutation Of Single-Phase Diode Bridge Rectifier. Fig.2.15 Shows the single-phase diode bridge rectifier with source inductance. Due to the value of LS the transitions of the AC side current iS from a value of I o to − I o (or vice versa) will not be instantaneous. The finite time interval required for such a transition is called commutation time. And this process is called current commutation process. Various voltage and current waveforms of single-phase diode bridge rectifier with source inductance are shown in Fig.2.16. Fig.2.15 Single-phase diode bridge rectifier with source inductance. Fig.2.16 Various current and voltage waveforms for single-phase diode bridge rectifier with source inductance.
  • 50.
    Diode Circuits orUncontrolled Rectifier 47 Let us study the commutation time starts at t=10 ms as indicated in Fig.2.16. At this time the supply voltage starts to be negative, so diodes D1 and D2 have to switch OFF and diodes D3 and D4 have to switch ON as explained in the previous case without source inductance. But due to the source inductance it will prevent that to happen instantaneously. So, it will take time Δt to completely turn OFF D1 and D2 and to make D3 and D4 carry the entire load current ( I o ). Also in the time Δt the supply current will change from I o to − I o which is very clear in Fig.2.16. Fig.2.17 shows the equivalent circuit of the diode bridge at time Δt . Fig.2.17 The equivalent circuit of the diode bridge at commutation time Δt . From Fig.2.17 we can get the following equations di VS − Ls S = 0 (2.53) dt Multiply the above equation by dωt then, VS dωt = ωLs diS (2.54) Integrate both sides of the above equation during the commutation period ( Δt sec or u rad.) we get the following: VS dωt = ωLs diS π +u −Io ∫ Vm sin ωt dωt = ωLs ∫ diS (2.55) π Io Then; Vm [cos π − cos(π + u )] = −2ωLs I o Then; Vm [− 1 + cos(u )] = −2ωLs I o
  • 51.
    48 Chapter Two 2ωLs I o Then; cos(u ) = 1 − Vm ⎛ 2ωLs I o ⎞ Then; u = cos −1 ⎜1 − ⎜ ⎟ (2.56) ⎝ Vm ⎟ ⎠ u 1 ⎛ 2ωLs I o ⎞ And Δt = = cos −1 ⎜1 − ⎜ ⎟ (2.57) ω ω ⎝ Vm ⎟ ⎠ It is clear that the DC voltage reduction due to the source inductance is the drop across the source inductance. di vrd = Ls S (2.58) dt π +u −Io Then ∫ vrd dω t = ∫ ω LS diS = −2ω LS I o (2.59) π Io π +u ∫ vrd dω t is the reduction area in one commutation period Δt . But we π have two commutation periods Δt in one period of supply voltage. So the π +u total reduction per period is: 2 ∫ vrd dω t = −4 ω LS I o (2.60) π To obtain the average reduction in DC output voltage Vrd due to source inductance we have to divide the above equation by the period time 2π . Then; − 4ω LS I o Vrd = = −4 f LS I o (2.61) 2π The DC voltage with source inductance tacking into account can be calculated as following: 2V Vdc actual = Vdc without sourceinduc tan ce − Vrd = m − 4 fLs I o (2.62) π To obtain the rms value and Fourier transform of the supply current it is better to move the vertical axis to make the waveform odd or even this will greatly simplfy the analysis. So, it is better to move the vertical axis of supply current by u / 2 as shown in Fig.2.18. Moveing the vertical axis will not change the last results. If you did not bleave me keep going in the analysis without moveing the axis.
  • 52.
    Diode Circuits orUncontrolled Rectifier 49 Fig. 2.18 The old axis and new axis for supply currents. Fig.2.19 shows a symple drawing for the supply current. This drawing help us in getting the rms valuof the supply current. It is clear from the waveform of supply current shown in Fig.2.19 that we obtain the rms value for only a quarter of the waveform because all for quarter will be the same when we squaret the waveform as shown in the following equation: π u/2 2 2 2 ⎛ 2I o ⎞ Is = ∫ ωt ⎟ dωt + ∫ I o dωt ] 2 [ ⎜ (2.63) π 0 ⎝ u ⎠ u/2 2I o ⎡ 4 u 3 π u ⎤ 2 2I o ⎡π u ⎤ 2 Then; I s = ⎢ + − ⎥= − (2.64) π ⎢ 3u 2 8 2 2 ⎥ ⎣ ⎦ π ⎢ 2 3⎥ ⎣ ⎦ Is u Io π 2π u − u π+ 2 2 π u 2 u u 2π − 2 − Io π− 2 2 Fig.2.19 Supply current waveform
  • 53.
    50 Chapter Two To obtain the Fourier transform for the supply current waveform you can go with the classic fourier technique. But there is a nice and easy method to obtain Fourier transform of such complcated waveform known as jump technique [ ]. In this technique we have to draw the wave form and its drevatives till the last drivative values all zeros. Then record the jump value and its place for each drivative in a table like the table shown below. Then; substitute the table values in (2.65) as following: Is u Io π 2π u u − u π+ 2 2 2 u u π− 2π − 2 2 − Io ′ Is 2Io u π u u − u π+ 2 2 2 u u π− 2π − 2I o 2 2 − u Fig.2.20 Supply current and its first derivative. Table(2.1) Jumb value of supply current and its first derivative. Js u u u u − π− π+ 2 2 2 2 Is 0 0 0 0 ′ Is 2Io − 2I o − 2Io 2I o u u u u
  • 54.
    Diode Circuits orUncontrolled Rectifier 51 It is an odd function, then ao = an = 0 ⎡m 1 m ⎤ ∑ ∑ 1 bn = ⎢ J s cos nωt s − ′ J s sin nωt s ⎥ (2.65) nπ⎢ s =1 ⎣ n s =1 ⎥ ⎦ 1 ⎡ − 1 2I o ⎛ ⎛ u⎞ ⎛u⎞ ⎛ u⎞ ⎛ u ⎞ ⎞⎤ bn = ⎢ * ⎜ sin n⎜ − ⎟ − sin n⎜ ⎟ − sin n⎜ π − ⎟ + sin n⎜ π + ⎟ ⎟⎥ nπ ⎣ n u ⎝ ⎝ 2⎠ ⎝2⎠ ⎝ 2⎠ ⎝ 2 ⎠ ⎠⎦ 8I nu bn = 2 o * sin (2.66) n πu 2 8I u b1 = o * sin (2.67) πu 2 8I o u Then; I S1 = * sin (2.68) 2 πu 2 8I o u * sin I ⎛u⎞ 2 πu 2 ⎛u⎞ pf = S1 * cos⎜ ⎟ = cos⎜ ⎟ IS ⎝2⎠ 2I o ⎡π u ⎤ 2 ⎝2⎠ − ⎥ π ⎢ 2 3⎦ ⎣ (2.69) ⎛ u⎞ ⎛u⎞ 4 sin ⎜ ⎟ cos⎜ ⎟ = ⎝ 2 ⎠ ⎝ 2 ⎠ = 2 sin (u ) ⎡π u ⎤ ⎡π u ⎤ u π⎢ − ⎥ u π⎢ − ⎥ ⎣ 2 3⎦ ⎣ 2 3⎦ Example 6 Single phase diode bridge rectifier connected to 11 kV, 50 Hz, source inductance X s = 5 mH supply to feed 200 A pure DC load, find: i. Average DC output voltage. ii. Power factor. iii. Determine the THD of the utility line current. Solution: (i) From (2.62), Vm = 11000 * 2 = 15556V 2V Vdc actual = Vdc without sourceinduc tan ce − Vrd = m − 4 fLs I o π 2 *15556 Vdc actual = − 4 * 50 * 0.005 * 200 = 9703V π (ii) From (2.56) the commutation angle u can be obtained as following:
  • 55.
    52 Chapter Two ⎛ 2ωLs I o ⎞ 2 * 2 * π * 50 * 0.005 * 200 ⎞ u = cos −1 ⎜1 − ⎜ ⎟ = cos −1 ⎛1 − ⎟ ⎜ ⎟ = 0.285 rad . ⎝ Vm ⎠ ⎝ 15556 ⎠ The input power factor can be obtained from (2.69) as following I ⎛u⎞ 2 * sin (u ) 2 * sin (0.285) pf = S1 * cos⎜ ⎟ = = = 0.917 IS ⎝2⎠ ⎡ π u⎤ ⎡ π .285 ⎤ u π ⎢ − ⎥ 0.285 π ⎢ − ⎣ 2 3⎦ ⎣2 3 ⎥ ⎦ 2I o ⎡π u ⎤ 2 2 * 200 2 ⎡ π 0.285 ⎤ IS = − ⎥= ⎢ − 3 ⎥ = 193.85 A π ⎢ 2 3⎦ ⎣ π ⎣2 ⎦ 8I o u 8 * 200 ⎛ 0.285 ⎞ I S1 = * sin = * sin ⎜ ⎟ = 179.46 A 2 πu 2 2 π * 0.285 ⎝ 2 ⎠ 2 2 ⎛ IS ⎞ ⎟ −1 = ⎛ 193.85 ⎞ ⎜ THDi = ⎜ ⎟ ⎜ ⎟ − 1 = 40.84% ⎝ I S1 ⎠ ⎝ 179.46 ⎠ 2.5 Three Phase Diode Rectifiers 2.5.1 Three-Phase Half Wave Rectifier Fig.2.21 shows a half wave three-phase diode rectifier circuit with delta star three-phase transformer. In this circuit, the diode with highest potential with respect to the neutral of the transformer conducts. As the potential of another diode becomes the highest, load current is transferred to that diode, and the previously conduct diode is reverse biased “OFF case”. Fig.2.21 Half wave three-phase diode rectifier circuit with delta star three-phase transformer.
  • 56.
    Diode Circuits orUncontrolled Rectifier 53 For the rectifier shown in Fig.2.21 the load voltage, primary diode currents and its FFT components are shown in Fig.2.22, Fig.2.23 and Fig.2.24 respectively. π 5π 6 6 Fig.2.22 Secondary and load voltages of half wave three-phase diode rectifier. Fig.2.23 Primary and diode currents.
  • 57.
    54 Chapter Two Primary current Diode current Fig.2.24 FFT components of primary and diode currents. π 5π By considering the interval from to in the output voltage we can 6 6 calculate the average and rms output voltage and current as following: 5π / 6 3 3 3 Vm Vdc = 2π ∫ Vm sin ωt dωt = 2π = 0.827Vm (2.70) π /6 3 3 Vm 0.827 * Vm I dc = = (2.71) 2 *π * R R 5π / 6 ∫ (Vm sin ωt ) 3 1 3* 3 Vrms = 2 dωt = + Vm = 0.8407 Vm (2.72) 2π 2 8π π /6 0.8407 Vm I rms = (2.73) R Then the diode rms current is equal to secondery current and can be obtaiend as following: 08407 Vm Vm Ir = IS = = 0.4854 (2.74) R 3 R Note that the rms value of diode current has been obtained from the rms value of load current divided by 3 because the diode current has one third pulse of similar three pulses in load current. ThePIV of the diodes is 2 VLL = 3 Vm (2.75)
  • 58.
    Diode Circuits orUncontrolled Rectifier 55 Example 7 The rectifier in Fig.2.21 is operated from 460 V 50 Hz supply at secondary side and the load resistance is R=20 Ω. If the source inductance is negligible, determine (a) Rectification efficiency, (b) Form factor (c) Ripple factor (d) Transformer utilization factor, (e) Peak inverse voltage (PIV) of each diode and (f) Crest factor of input current. Solution: 460 (a) VS = = 265.58 V , Vm = 265.58 * 2 = 375.59 V 3 3 3 Vm Vdc = = 0.827 Vm , 2π 3 3 Vm 0827 Vm I dc = = 2π R R Vrms = 0.8407 Vm 0.8407 Vm I rms = R P V I η = dc = dc dc = 96.767 % Pac Vrms I rms V (b) FF = rms = 101.657 % Vdc Vac Vrms − Vdc 2 2 2 Vrms (c) RF = = = 2 − 1 = FF 2 − 1 = 18.28 % Vdc Vdc Vdc 1 0.8407 Vm (d) I S = I rms = 3 3 R Pdc (0.827Vm ) 2 / R TUF = = = 66.424 % 3 * VS I S 0.8407 Vm 3 * Vm / 2 * 3R (e) The PIV= 3 Vm=650.54V I S ( peak ) Vm / R (f) CF = = = 2.06 IS 0.8407 Vm 3R
  • 59.
    56 Chapter Two 2.5.2Three-Phase Half Wave Rectifier With DC Load Current and zero source inductance In case of pure DC load current as shown in Fig.2.25, the diode current and primary current are shown in Fig.2.26. Fig.2.25 Three-phase half wave rectifier with dc load current To calculate Fourier transform of the diode current of Fig.2.26, it is better to move y axis to make the function as odd or even to cancel one coefficient an or bn respectively. If we put Y-axis at point ωt = 30o then we can deal with the secondary current as even functions. Then, bn = 0 of secondary current. Values of an can be calculated as following: π /3 1 I a0 = 2π ∫ I o dωt = 3o (2.76) −π / 3 π /3 1 an = π ∫ I o * cos nωt dwt −π / 3 = o [sin nωt ]−π //3 I π 3 nπ I = o * 3 for n = 1,2,7,8,13,14,.... (2.77) nπ I = − o * 3 for n = 4,5,10,11,16,17 nπ = 0 for all treplean harmonics IO 3I O ⎛ 1 1 1 1 1 ⎞ I s (t ) = + ⎜ sin ωt + sin 2ωt − sin 4ωt − sin 5ωt + sin 7ωt + sin 8ωt − −... ⎟ (2.78) 3 π ⎝ 2 4 5 7 8 ⎠
  • 60.
    Diode Circuits orUncontrolled Rectifier 57 New axis Fig.2.26 Primary and secondary current waveforms and FFT components of three-phase half wave rectifier with dc load current
  • 61.
    58 Chapter Two 2 ⎛ ⎞ 2 ⎜ ⎟ ⎛I ⎞ ⎜ Io / 3 ⎟ 2 *π 2 THD( I s (t )) = ⎜ S ⎟ ⎜I ⎟ −1 = ⎜ −1 = − 1 = 1.0924 = 109.24% ⎝ S1 ⎠ ⎜ 3I O ⎟ ⎟ 9 ⎜ π 2 ⎟ ⎝ ⎠ It is clear that the primary current shown in Fig.2.26 is odd, then, an=0, 2π / 3 bn = 2 ∫ I o * sin nωt dωt = 2I o [− cos nωt ] 20π / 3 π nπ 0 3I o = for n = 1,2,4,5,7,8,10,11,13,14,.... (2.79) nπ = 0 for all treplean harmonics 3I O ⎛ 1 1 1 1 1 ⎞ iP (t ) = ⎜ sin ωt + sin 2ωt + sin 4ωt + sin 5ωt + sin 7ωt + sin 8ωt − −... ⎟ (2.80) π ⎝ 2 4 5 7 8 ⎠ 2 The rms value of I P = Io (2.81) 3 2 ⎛ 2 ⎞ 2 ⎜ Io ⎟ 2 ⎛I ⎞ 3 ⎟ − 1 = ⎛ 2π ⎞ − 1 = 67.983% (2.82) THD ( I P (t )) = ⎜ P ⎟ ⎜I ⎟ −1 = ⎜ ⎜ ⎟ ⎜ 3I O ⎟ ⎝3 3⎠ ⎝ P1 ⎠ ⎜ ⎟ ⎝ π 2 ⎠ Example 8 Solve example 7 if the load current is 100 A pure DC 460 Solution: (a) VS = = 265.58 V , Vm = 265.58 * 2 = 375.59 V 3 3 3 Vm Vdc = = 0.827 Vm = 310.613V , I dc = 100 A 2π Vrms = 0.8407 Vm = 315.759 V , I rms = 100 A P V I 310.613 * 100 η = dc = dc dc = = 98.37 % Pac Vrms I rms 315.759 *100 V (b) FF = rms = 101.657 % Vdc Vac Vrms − Vdc 2 2 2 Vrms (c) RF = = = 2 − 1 = FF 2 − 1 = 18.28 % Vdc Vdc Vdc
  • 62.
    Diode Circuits orUncontrolled Rectifier 59 1 1 (d) I S = I rms = *100 = 57.735 A 3 3 Pdc 310.613 * 100 TUF = = = 67.52 % 3 * VS I S 3 * Vm / 2 * 57.735 (e) The PIV= 3 Vm=650.54V I S ( peak ) 100 (f) CF = = = 1.732 IS 57.735 2.5.3 Three-Phase Half Wave Rectifier With Source Inductance The source inductance in three-phase half wave diode rectifier Fig.2.27 will change the shape of the output voltage than the ideal case (without source inductance) as shown in Fig.2.28. The DC component of the output voltage is reduced due to the voltage drop on the source inductance. To calculate this reduction we have to discuss Fig.2.27 with reference to Fig.2.28. As we see in Fig.2.28 when the voltage vb is going to be greater than the voltage va at time t (at the arrow in Fig.2.28) the diode D1 will try to turn off, in the same time the diode D2 will try to turn on but the source inductance will slow down this process and makes it done in time Δt (overlap time or commutation time). The overlap time will take time Δt to completely turn OFF D1 and to make D2 carry the entire load current ( I o ). Also in the time Δt the current in Lb will change from zero to I o and the current in La will change from I o to zero. This is very clear from Fig.2.28. Fig.2.29 shows the equivalent circuit of three phase half wave diode bridge in commutation period Δt . Fig.2.27 Three-phase half wave rectifier with load and source inductance.
  • 63.
    60 Chapter Two Fig.2.28 Supply current and output voltage for three-phase half wave rectifier with pure DC load and source inductance. Fig.2.29 The equivalent circuit for three-phase half wave diode rectifier in commutation period. From Fig.2.29 we can get the following equations di va − La D1 − Vdc = 0 (2.83) dt di vb − Lb D 2 − Vdc = 0 (2.84) dt subtract (2.84) from(2.83) we get:
  • 64.
    Diode Circuits orUncontrolled Rectifier 61 ⎛ di di ⎞ va − vb + L⎜ D 2 − D1 ⎟ = 0 ⎝ dt dt ⎠ Multiply the above equation by dωt the following equation can be obtained: (va − vb )dωt + ωL(diD 2 − diD1 ) = 0 substitute the voltage waveforms of va and vb into the above equation ⎛ ⎛ 2π ⎞ ⎞ we get: ⎜Vm sin (ωt ) − Vm sin ⎜ ωt − ⎟ ⎟dωt = ωL(diD1 − diD 2 ) ⎝ ⎝ 3 ⎠⎠ ⎛ ⎛ π ⎞⎞ Then; ⎜ 3 Vm sin ⎜ ωt + ⎟ ⎟dωt = ωL(diD1 − diD 2 ) ⎝ ⎝ 6 ⎠⎠ Integrating both parts of the above equation we get the following: 5π +u 6 ⎛0 Io ⎞ ⎛ π⎞ ⎜ ⎟ ∫ ⎝ 6⎠ ⎜I ∫ ∫ 3 Vm sin ⎜ ωt + ⎟dωt = ωL⎜ diD1 − diD 2 ⎟ ⎟ 5π ⎝ o 0 ⎠ 6 ⎛ ⎛ 5π π ⎞ ⎛ 5π π ⎞⎞ Then; 3 Vm ⎜ cos⎜ + ⎟ − cos⎜ + u + ⎟ ⎟ = −2ωLI o ⎝ ⎝ 6 6⎠ ⎝ 6 6 ⎠⎠ Then; 3 Vm (cos(π ) − cos(π + u )) = −2ωLI o Then; 3 Vm (− 1 + cos(u )) = −2ωLI o 2ωLI o Then; 1 − cos(u ) = 3 Vm 2ωLI o Then; cos(u ) = 1 − 3 Vm ⎛ 2ωLI o ⎞ Then u = cos −1 ⎜1 − ⎜ ⎟ (2.85) ⎝ 3 Vm ⎟⎠ u 1 ⎛ 2ωLI o ⎞ Δt = = cos −1 ⎜1 − ⎜ ⎟ (2.86) ω ω ⎝ 3 Vm ⎟ ⎠ It is clear that the DC voltage reduction due to the source inductance is equal to the drop across the source inductance. Then; di vrd = L D dt
  • 65.
    62 Chapter Two 5π +u 6 Io Then, ∫ vrd dωt = ∫ ωL diD = ωLI o (2.87) 5π 0 6 5π +u 6 ∫ vrd dωt is the reduction area in one commutation period Δt . But, 5π 6 we have three commutation periods, Δt in one period. So, the total reduction per period is: 5π +u 6 3* ∫ vrd dωt = 3ωLI o 5π 6 To obtain the average reduction in DC output voltage Vrd due to source inductance we have to divide the total reduction per period by 2π as following: 3ωLI o Vrd = = 3 f L Io (2.88) 2π Then, the DC component of output voltage due to source inductance is: Vdc Actual = Vdc without source − 3 f L Io (2.89) induc tan ce 3 3 Vm Vdc = − 3 f L Io (2.90) Actual 2π Example 9 Three-phase half-wave diode rectifier connected to 66 kV, 50 Hz , 5mH supply to feed a DC load with 500 A DC, fined the average DC output voltage. ⎛ 66000 ⎞ Solution: vm = ⎜ ⎟ * 2 = 53889V ⎝ 3 ⎠ (i) Vdc Actual = Vdc without source − 3 f L Io induc tan ce 3 3 Vm 3 * 3 * 53889 Vdc = − 3 f L Io = − 3 * 50 * 0.005 * 500 = 44190V Actual 2π 2π
  • 66.
    Diode Circuits orUncontrolled Rectifier 63 2.5 Three-Phase Full Wave Diode Rectifier The three phase bridge rectifier is very common in high power applications and is shown in Fig.2.30. It can work with or without transformer and gives six-pulse ripples on the output voltage. The diodes are numbered in order of conduction sequences and each one conduct for 120 degrees. These conduction sequence for diodes is 12, 23, 34, 45, 56, and, 61. The pair of diodes which are connected between that pair of supply lines having the highest amount of instantaneous line to line voltage will conduct. Also, we can say that, the highest positive voltage of any phase the upper diode connected to that phase conduct and the highest negative voltage of any phase the lower diode connected to that phase conduct. 2.5.1 Three-Phase Full Wave Rectifier With Resistive Load In the circuit of Fig.2.30, the AC side inductance LS is neglected and the load current is pure resistance. Fig.2.31 shows complete waveforms for phase and line to line input voltages and output DC load voltages. Fig.2.32 shows diode currents and Fig.2.33 shows the secondary and primary currents and PIV of D1. Fig.2.34 shows Fourier Transform components of output DC voltage, diode current secondary current and Primary current respectively. For the rectifier shown in Fig.2.30 the waveforms is as shown in Fig.2.31. The average output voltage is :- 2π / 3 3 3 3 Vm 3 2 VLL Vdc = π ∫ 3 Vm sin ωt dωt = π = π = 1.654Vm = 1.3505VLL (2.91) π /3 3 3 Vm 1.654Vm 3 2 VLL 1.3505VLL I dc = = = = (2.92) π R R πR R 2π / 3 ∫ ( )2 dωt = 3 3 9* 3 Vrms = 3 Vm sin ωt + Vm = 1.6554 Vm = 1.3516VLL (2.93) π 2 4π π /3 1.6554 Vm I rms = (2.94) R Then the diode rms current is 1.6554 Vm Vm Ir = = 0.9667 (2.95) R 3 R Vm I S = 0.9667 2 (2.96) R
  • 67.
    64 Chapter Two IL Ip 3 Is 1 5 VL a b c 4 6 2 Fig.2.30 Three-phase full wave diode bridge rectifier. Fig.2.31 shows complete waveforms for phase and line to line input voltages and output DC load voltages.
  • 68.
    Diode Circuits orUncontrolled Rectifier 65 Fig.2.32 Diode currents. Fig.2.33 Secondary and primary currents and PIV of D1.
  • 69.
    66 Chapter Two Fig.2.34 Fourier Transform components of output DC voltage, diode current secondary current and Primary current respectively of three-phase full wave diode bridge rectifier. Example 10 The rectifier shown in Fig.2.30 is operated from 460 V 50 Hz supply and the load resistance is R=20 Ω. If the source inductance is negligible, determine (a) The efficiency, (b) Form factor (c) Ripple factor (d) Transformer utilization factor, (e) Peak inverse voltage (PIV) of each diode and (f) Crest factor of input current. 460 Solution: (a) VS = = 265.58 V , Vm = 265.58 * 2 = 375.59 V 3 3 3 Vm Vdc = = 1.654Vm = 621.226 V , π 3 3 Vm 1.654Vm I dc = = = 31.0613 A π R R 3 9* 3 Vrms = + Vm = 1.6554 Vm = 621.752 V , 2 4π 1.6554 Vm I rms = = 31.0876 A R
  • 70.
    Diode Circuits orUncontrolled Rectifier 67 Pdc V I η= = dc dc = 99.83 % Pac Vrms I rms V (b) FF = rms = 100.08 % Vdc Vac Vrms − Vdc 2 2 2 Vrms (c) RF = = = 2 − 1 = FF 2 − 1 = 4 % Vdc Vdc Vdc 2 1.6554 Vm V (d) I S = I rms = 0.8165 * = 1.352 m 3 R R Pdc (1.654Vm ) 2 / R TUF = = = 95.42 % 3 * VS I S V 3 * Vm / 2 *1.352 m R (e) The PIV= 3 Vm=650.54V I 3 Vm / R (f) CF = S ( peak ) = = 1.281 IS Vm 1.352 R 2.5.2 Three-Phase Full Wave Rectifier With DC Load Current The supply current in case of pure DC load current is shown in Fig.2.35. Fast Fourier Transform of Secondary and primary currents respectively is shown in Fig2.36. As we see it is odd function, then an=0, and 5π / 6 2 bn = π ∫ I o * sin nωt dωt π /6 = 2 Io [− cos nωt ]ππ/ 66 5 / nπ 2 Io 2 Io 2 Io b1 = 3, b5 = (− 3 ), b7 = (− 3 ) (2.97) π 5π 7π 2 Io 2 Io b11 = ( 3 ), b13 = ( 3 ),............. 11π 13π bn = 0, for n = 2,3,4,6,8,9,10,12,14,15,............. 2 3I o ⎛ 1 1 1 1 ⎞ I s (t ) = ⎜ sin ωt − sin 5v ωt − sin 7ωt + sin 11ωt + sin 13ωt ⎟ (2.98) π ⎝ 5 7 11 13 ⎠
  • 71.
    68 Chapter Two 2 2 2 2 2 2 2 2 ⎛1⎞ ⎛1⎞ ⎛ 1 ⎞ ⎛ 1 ⎞ ⎛ 1 ⎞ ⎛ 1 ⎞ ⎛ 1 ⎞ ⎛ 1 ⎞ THD ( I s (t )) = ⎜ ⎟ + ⎜ ⎟ + ⎜ ⎟ + ⎜ ⎟ + ⎜ ⎟ + ⎜ ⎟ + ⎜ ⎟ + ⎜ ⎟ ⎝ 5 ⎠ ⎝ 7 ⎠ ⎝ 11 ⎠ ⎝ 13 ⎠ ⎝ 17 ⎠ ⎝ 19 ⎠ ⎝ 23 ⎠ ⎝ 25 ⎠ = 31% Also THD ( I s (t )) can be obtained as following: 2 2* 3 IS = I o , I S1 = Io 3 π 2 ⎛I ⎞ 2/3 THD ( I s (t )) = ⎜ S ⎟ − 1 = ⎜ ⎟ − 1 = 31.01% ⎝ I S1 ⎠ 2*3/π 2 Fig.2.35 The D1 and D2 currents, secondary and primary currents.
  • 72.
    Diode Circuits orUncontrolled Rectifier 69 Fig2.36 Fast Fourier Transform of Secondary and primary currents respectively. For the primary current if we move the t=0 to be as shown in Fig.2.28, then the function will be odd then, an = 0 , and 2π / 3 2⎛ ⎞ π /3 π ⎜ I * sin nωt dωt + 2 I * sin nωt dωt + I1 * sin nωt dωt ⎟ bn = π⎜ ∫ 1 ∫ 1 ∫ ⎟ ⎝ 0 π /3 2π / 3 ⎠ 2I ⎛ π 2π ⎞ (2.99) = 1 ⎜1 − cos nπ + cos n − cos n ⎟ nπ ⎝ 3 3 ⎠ 2 * 3I1 bn = for n = 1,5,7,11,13,............... nπ bn = 0, for n = 2,3,4,6,8,9,10,12,14,15,............. 2 * 3I1 ⎛ 1 1 1 1 ⎞ I P (t ) = ⎜ sin ωt + sin 5ωt + sin 7ωt + sin 11ωt + sin 13ωt ⎟ (2.100) π ⎝ 5 7 11 13 ⎠ 2 2 2 2 2 2 2 2 ⎛1⎞ ⎛1⎞ ⎛ 1 ⎞ ⎛ 1 ⎞ ⎛ 1 ⎞ ⎛ 1 ⎞ ⎛ 1 ⎞ ⎛ 1 ⎞ THD ( I P (t )) = ⎜ ⎟ + ⎜ ⎟ + ⎜ ⎟ + ⎜ ⎟ + ⎜ ⎟ + ⎜ ⎟ + ⎜ ⎟ + ⎜ ⎟ ⎝ 5 ⎠ ⎝ 7 ⎠ ⎝ 11 ⎠ ⎝ 13 ⎠ ⎝ 17 ⎠ ⎝ 19 ⎠ ⎝ 23 ⎠ ⎝ 25 ⎠ = 30% I S1 I Power Factor = * cos(0) = S1 IS IS
  • 73.
    70 Chapter Two 2.5.4Three-Phase Full Wave Diode Rectifier With Source Inductance The source inductance in three-phase diode bridge rectifier Fig.2.37 will change the shape of the output voltage than the ideal case (without source inductance) as shown in Fig.2.31. The DC component of the output voltage is reduced. Fig.2.38 shows The output DC voltage of three-phase full wave rectifier with source inductance. Fig.2.37 Three-phase full wave rectifier with source inductance Fig.2.38 The output DC voltage of three-phase full wave rectifier with source inductance Let us study the commutation time starts at t=5ms as shown in Fig.2.39. At this time Vc starts to be more negative than Vb so diode D6 has to switch OFF and D2 has to switch ON. But due to the source inductance will prevent that to happen instantaneously. So it will take time Δt to completely turn OFF D6 and to make D2 carry all the load
  • 74.
    Diode Circuits orUncontrolled Rectifier 71 current ( I o ). Also in the time Δt the current in Lb will change from I o to zero and the current in Lc will change from zero to I o . This is very clear from Fig.2.39. The equivalent circuit of the three phase diode bridge at commutation time Δt at t = 5ms is shown in Fig.2.40 and Fig.2.41. Fig.2.39 Waveforms represent the commutation period at time t=5ms. Fig.2.40 The equivalent circuit of the three phase diode bridge at commutation time Δt at t = 5ms
  • 75.
    72 Chapter Two Fig.2.41Simple circuit of the equivalent circuit of the three phase diode bridge at commutation time Δt at t = 5ms From Fig.2.41 we can get the following defferntial equations: di di Va − La D1 − Vdc − Lb D 6 − Vb = 0 (2.101) dt dt diD1 di Va − La − Vdc − Lc D 2 − Vc = 0 (2.102) dt dt diD1 Note that, during the time Δt , iD1 is constant so = 0 , substitute this dt value in (2.101) and (2.102) we get the following differential equations: di Va − Vb − Lb D 6 = Vdc (2.103) dt di Va − Vc − Lc D 2 = Vdc (2.104) dt By equating the left hand side of equation (2.103) and (2.104) we get the following differential equation: diD 6 di Va − Vb − Lb = Va − Vc − Lc D 2 (2.105) dt dt diD 6 di Vb − Vc + Lb − Lc D 2 = 0 (2.106) dt dt The above equation can be written in the following manner: (Vb − Vc )dt + Lb diD6 − Lc diD 2 = 0 (2.107) (Vb − Vc )dω t + ω Lb diD 6 − ω Lc diD 2 = 0 (2.108) Integrate the above equation during the time Δt with the help of Fig.2.39 we can get the limits of integration as shown in the following: π / 2+u 0 Io ∫ (Vb − Vc )dω t + ∫ ω Lb diD6 − ∫ ω Lc diD 2 = 0 π /2 Io 0
  • 76.
    Diode Circuits orUncontrolled Rectifier 73 π / 2+u ⎛ ⎛ 2π ⎞ ⎛ 2π ⎞ ⎞ ∫ ⎜Vm sin ⎜ ω t − ⎟ − Vm sin ⎜ ω t + ⎟ ⎟dω t + ωLb (− I o ) − ωLc I o = 0 π /2 ⎝ ⎝ 3 ⎠ ⎝ 3 ⎠⎠ assume Lb = Lc = LS π / 2+u ⎡ ⎛ 2π ⎞ ⎛ 2π ⎞⎤ Vm ⎢− cos⎜ ω t − ⎟ + cos⎜ ω t + ⎟ = 2ω LS I o ⎣ ⎝ 3 ⎠ ⎝ 3 ⎠⎥π / 2 ⎦ ⎡ ⎛π 2π ⎞ ⎛π 2π ⎞ ⎛ π 2π ⎞ ⎛ π 2π ⎞ ⎤ Vm ⎢− cos⎜ + u − ⎟ + cos⎜ + u + ⎟ + cos⎜ − ⎟ − cos⎜ + ⎟ ⎣ ⎝2 3 ⎠ ⎝2 3 ⎠ ⎝2 3 ⎠ ⎝2 3 ⎠⎥⎦ = 2ω LS I o ⎡ ⎛ π⎞ ⎛ 7π ⎞ ⎛ −π ⎞ ⎛ 7π ⎞⎤ Vm ⎢− cos⎜ u − ⎟ + cos⎜ u + ⎟ + cos⎜ ⎟ − cos⎜ ⎟⎥ = 2ω LS I o ⎣ ⎝ 6⎠ ⎝ 6 ⎠ ⎝ 6 ⎠ ⎝ 6 ⎠⎦ ⎡ ⎛π ⎞ ⎛π ⎞ ⎛ 7π ⎞ ⎛ 7π ⎞ 3⎤ ⎢− cos(u ) cos⎜ ⎟ − sin (u ) sin ⎜ ⎟ + cos(u ) cos⎜ ⎟ − sin (u ) sin ⎜ 3 ⎟+ + ⎥ ⎣ ⎝6⎠ ⎝6⎠ ⎝ 6 ⎠ ⎝ 6 ⎠ 2 2 ⎦ 2ω LS I o = Vm ⎡ ⎤ 2ω LS I o cos(u ) − 0.5 sin (u ) − cos(u ) + 0.5 sin (u ) + 3 ⎥ = 3 3 ⎢− ⎣ 2 2 ⎦ Vm 2ω LS I o 3[1 − cos(u )] = Vm 2ω LI o 2ω LI o 2 ω LS I o cos(u ) = 1 − =1− =1− 3 Vm 2 VLL VLL ⎡ 2ω LS I o ⎤ u = cos −1 ⎢1 − ⎥ (2.109) ⎣ VLL ⎦ u 1 ⎡ 2ω LS I o ⎤ Δt = = cos −1 ⎢1 − ⎥ (2.110) ω ω ⎣ VLL ⎦ It is clear that the DC voltage reduction due to the source inductance is the drop across the source inductance. di vrd = LS D (2.111) dt Multiply (2.111) by dωt and integrate both sides of the resultant equation we get:
  • 77.
    74 Chapter Two π +u 2 Io ∫ vrd dω t = ∫ ω LdiD = ω LS I o (2.112) π 0 2 π +u 2 ∫ vrd dω t is the reduction area in one commutation period Δt . But we π 2 have six commutation periods Δt in one period so the total reduction per period is: π +u 2 6 ∫ vrd dω t = 6ω LS I o (2.113) π 2 To obtain the average reduction in DC output voltage Vrd due to source inductance we have to divide by the period time 2π . Then, 6ω LI o Vrd = = 6 fLI o (2.114) 2π The DC voltage without source inductance tacking into account can be calculated as following: Vdc actual = Vdc without sourceinduc tan ce − Vrd = 1.35VLL − 6 fLI d (2.115) Fig.2.42 shows the utility line current with some detailes to help us to calculate its rms value easly. Is u Io 2π +u 3 2π u 2π + 6 2 − Io 3 Fig.2.42 The utility line current
  • 78.
    Diode Circuits orUncontrolled Rectifier 75 ⎡ π u ⎤ + ⎢ ⎛I u 2 3 2 ⎥ 2I o ⎡ 1 3 π u 2 ⎤ ⎢ ⎜ o ωt ⎞ dωt + I d dωt ⎥ = 2 Is = ∫ ∫ ⎢ 2 u + 3 + 2 − u⎥ 2 ⎟ π⎢ ⎝u ⎠ ⎥ π ⎣ 3u ⎦ 0 u ⎢ ⎥ ⎣ ⎦ 2I o ⎡π u ⎤ 2 Then I S = − (2.116) π ⎢ 3 6⎥ ⎣ ⎦ Fig.2.43 shows the utility line currents and its first derivative that help us to obtain the Fourier transform of supply current easily. From Fig.2.43 we can fill Table(2.2) as explained before when we study Table (2.1). u Is Io 11π u 7π u − − 6 2 6 2 π u 5π u − − 6 2 6 2 − Io Is′ u Io u 5π u 7π u − − 6 2 6 2 π u 11π u − − I 6 2 − o 6 2 u Fig.2.43 The utility line currents and its first derivative. Table(2.2) Jumb value of supply current and its first derivative. Js π u π u 5π u 5π u 7π u 7π u 11π u 11π u − + − + − + − + 6 2 6 2 6 2 6 2 6 2 6 2 6 2 6 2 Is 0 0 0 0 0 0 0 0 ′ Is Io − Io − Io Io − Io Io Io − Io u u u u u u u u
  • 79.
    76 Chapter Two Itis an odd function, then ao = an = 0 ⎡m 1 m ⎤ ∑ ∑ 1 bn = ⎢ J s cos nωt s − J s sin nωt s ⎥ ′ (2.117) nπ ⎢ s =1 ⎣ n s =1 ⎥ ⎦ 1 ⎡ − 1 Io ⎛ ⎛π u ⎞ ⎛π u ⎞ ⎛ 5π u ⎞ ⎛ 5π u ⎞ bn = ⎢ * ⎜ sin n⎜ − ⎟ − sin n⎜ + ⎟ − sin n⎜ − ⎟ + sin n⎜ + ⎟ nπ ⎣ n u ⎝ ⎝ 6 2⎠ ⎝ 6 2⎠ ⎝ 6 2⎠ ⎝ 6 2⎠ ⎛ 7π u ⎞ ⎛ 7π u ⎞ ⎛ 11π u ⎞ ⎛ 11π u ⎞ ⎞ ⎤ − sin n⎜ − ⎟ + sin n⎜ + ⎟ + sin n⎜ − ⎟ − sin n⎜ + ⎟ ⎟⎥ ⎝ 6 2⎠ ⎝ 6 2⎠ ⎝ 6 2⎠ ⎝ 6 2 ⎠ ⎠⎦ 2I o nu ⎡ nπ 5nπ 7 nπ 11nπ ⎤ bn = ⎢cos 6 − cos 6 − cos 6 + cos 6 ⎥ (2.118) * sin n πu 2 2 ⎣ ⎦ Then, the utility line current can be obtained as in (2.119). 4 3 ⎡ ⎛u⎞ ⎛ 5u ⎞ ⎛ 7u ⎞ i (ω t ) = ⎢sin ⎜ ⎟ sin (ωt ) − 2 sin ⎜ 2 ⎟ sin (5ωt ) − 2 sin ⎜ 2 ⎟ sin (7ωt ) + 1 1 π u ⎣ ⎝2⎠ 5 ⎝ ⎠ 7 ⎝ ⎠ (2.119) ⎛ 11u ⎞ ⎛ 13u ⎞ ⎤ ⎟ sin (11ωt ) + 2 sin ⎜ ⎟ sin (13ωt ) − − + + ⎥ 1 1 + sin ⎜ 112 ⎝ 2 ⎠ 13 ⎝ 2 ⎠ ⎦ 2 6 Io ⎛ u ⎞ Then; I S1 = sin ⎜ ⎟ 2.120) πu ⎝2⎠ The power factor can be calculated from the following equation: 2 6 Io ⎛ u ⎞ sin ⎜ ⎟ I S1 ⎛u⎞ πu ⎝2⎠ ⎛u⎞ pf = cos ⎜ ⎟ = cos ⎜ ⎟ IS ⎝2⎠ 2I o ⎡π u ⎤ 2 ⎝2⎠ − ⎥ π ⎢ 3 6⎦ ⎣ 3 * sin (u ) Then; pf = (2.121) ⎡π u ⎤ u π⎢ − ⎥ ⎣ 3 6⎦ Example 11 Three phase diode bridge rectifier connected to tree phase 33kV, 50 Hz supply has 8 mH source inductance to feed 300A pure DC load current Find; (i) commutation time and commutation angle. (ii) DC output voltage. (iii) Power factor. (iv) Total harmonic distortion of line current.
  • 80.
    Diode Circuits orUncontrolled Rectifier 77 Solution: (i) By substituting for ω = 2 * π * 50 , I d = 300 A , L = 0.008 H , VLL = 33000V in (2.109), then u = 0.2549 rad . = 14.61 o u Then, Δt = = 0.811 ms . ω (ii) The the actual DC voltage can be obtained from (2.115) as following: Vdc actual = Vdc without sourceinduc tan ce − Vrd = 1.35VLL − 6 fLI d Vdcactual =1.35 * 33000 − 6 * 50 * .008 * 300 = 43830V (iii) the power factor can be obtained from (2.121) then 3 * sin (u ) 3 sin (0.2549 ) pf = = = 0.9644 Lagging ⎡π u ⎤ ⎡ π 0.2549 ⎤ u π ⎢ − ⎥ 0.2549 * π ⎢ − ⎣ 3 6⎦ ⎣3 6 ⎥ ⎦ (iv) The rms value of supply current can be obtained from (2.116)as following 2I d ⎡π u ⎤ 2 2 * 300 2 ⎛ π 0.2549 ⎞ Is = − ⎥= *⎜ − ⎟ = 239.929 A π ⎢ 3 6⎦ ⎣ π ⎝3 6 ⎠ The rms value of fundamental component of supply current can be obtained from (2.120) as following: 4 3 Io ⎛ u ⎞ 4 3 * 300 ⎛ 0.2549 ⎞ I S1 = sin ⎜ ⎟ * 2 3 = * sin ⎜ ⎟ = 233.28 A πu 2 ⎝2⎠ π * 0.2549 * 2 ⎝ 2 ⎠ I ⎛ u ⎞ 233.28 ⎛ 0.2549 ⎞ pf = S1 * cos⎜ ⎟ = * cos⎜ ⎟ = 0.9644 Lagging. Is ⎝ 2 ⎠ 239.929 ⎝ 2 ⎠ 2 2 ⎛I ⎞ ⎛ 239.929 ⎞ THDi = ⎜ S ⎟ − 1 = ⎜ ⎜I ⎟ ⎟ − 1 = 24.05% ⎝ S1 ⎠ ⎝ 233.28 ⎠ 2.7 Multi-pulse Diode Rectifier Twelve-pulse bridge connection is the most widely used in high number of pulses operation. Twelve-pulse technique is using in most HVDC schemes and in very large variable speed drives for DC and AC motors as well as in renewable energy system. An example of twelve- pulse bridge is shown in Fig.2.33. In fact any combination such as this which gives a 30o-phase shift will form a twelve-pulse converter. In this kind of converters, each converter will generate all kind of harmonics
  • 81.
    78 Chapter Two describedabove but some will cancel, being equal in amplitude but 180o out of phase. This happened to 5th and 7th harmonics along with some of higher order components. An analysis of the waveform shows that the AC line current can be described by (2.83). ⎛ ⎞ cos (25ωt )⎟ (2.83) 2 3 I ⎜ cos (ωt ) − 1 cos (5ωt ) + cos (13ωt ) − 1 1 cos (23ωt ) + 1 i (t ) = π P d ⎝ 11 13 23 25 ⎠ 2 2 2 2 2 2 ⎛1⎞ ⎛1⎞ ⎛ 1 ⎞ ⎛ 1 ⎞ ⎛ 1 ⎞ ⎛ 1 ⎞ THD ( I P (t )) = ⎜ ⎟ + ⎜ ⎟ + ⎜ ⎟ + ⎜ ⎟ + ⎜ ⎟ + ⎜ ⎟ ⎝ 11 ⎠ ⎝ 13 ⎠ ⎝ 23 ⎠ ⎝ 25 ⎠ ⎝ 35 ⎠ ⎝ 35 ⎠ = 13.5% As shown in (10) the THDi is about 13.5%. The waveform of utility line current is shown in Fig.2.34. Higher pulse number like 18-pulse or 24-pulse reduce the THD more and more but its applications very rare. In all kind of higher pulse number the converter needs special transformer. Sometimes the transformers required are complex, expensive and it will not be ready available from manufacturer. It is more economic to connect the small WTG to utility grid without isolation transformer. The main idea here is to use a six-pulse bridge directly to electric utility without transformer. But the THD must be lower than the IEEE-519 1992 limits. 2N :1 a a1 Vd b1 c c1 b 2 3 N :1 a2 b2 c2 Fig.2.33 Twelve-pulse converter arrangement
  • 82.
    Diode Circuits orUncontrolled Rectifier 79 (a) Utility input current. (b) FFT components of utility current. Fig.2.34 Simulation results of 12.pulse system.
  • 83.
    80 Chapter Two Problems 1- Single phase half-wave diode rectifier is connected to 220 V, 50 Hz supply to feed 5Ω pure resistor. Draw load voltage and current and diode voltage drop waveforms along with supply voltage. Then, calculate (a) The rectfication effeciency. (b) Ripple factor of load voltage. (c) Transformer Utilization Factor (TUF) (d) Peak Inverse Voltage (PIV) of the diode. (e) Crest factor of supply current. 2- The load of the rectifier shown in problem 1 is become 5Ω pure resistor and 10 mH inductor. Draw the resistor, inductor voltage drops, and, load current along with supply voltage. Then, find an expression for the load current and calculate the conduction angle, β . Then, calculate the DC and rms value of load voltage. 3- In the rectifier shown in the following figure assume VS = 220V , 50Hz, L = 10mH and Ed = 170V . Calculate and plot the current an the diode voltage drop along with supply voltage, vs . vdiode + vL - i + - + vs Ed - 4- Assume there is a freewheeling diode is connected in shunt with the load of the rectifier shown in problem 2. Calculate the load current during two periods of supply voltage. Then, draw the inductor, resistor, load voltages and diode currents along with supply voltage. 5- The voltage v across a load and the current i into the positive polarity terminal are as follows: v(ωt ) = Vd + 2 V1 cos(ωt ) + 2 V1 sin (ωt ) + 2 V3 cos(3ωt ) i (ωt ) = I d + 2 I1 cos(ωt ) + 2 I 3 cos(3ωt − φ ) Calculate the following: (a) The average power supplied to the load. (b) The rms value of v(t ) and i (t ) . (c) The power factor at which the load is operating.
  • 84.
    Diode Circuits orUncontrolled Rectifier 81 6- Center tap diode rectifier is connected to 220 V, 50 Hz supply via unity turns ratio center-tap transformer to feed 5Ω resistor load. Draw load voltage and currents and diode currents waveforms along with supply voltage. Then, calculate (a) The rectfication effeciency. (b) Ripple factor of load voltage. (c) Transformer Utilization Factor (TUF) (d) Peak Inverse Voltage (PIV) of the diode. (e) Crest factor of supply current. 7- Single phase diode bridge rectifier is connected to 220 V, 50 Hz supply to feed 5Ω resistor. Draw the load voltage, diodes currents and calculate (a) The rectfication effeciency. (b) Ripple factor of load voltage. (c) Transformer Utilization Factor (TUF) (d) Peak Inverse Voltage (PIV) of the diode. (e) Crest factor of supply current. 8- If the load of rectifier shown in problem 7 is changed to be 5Ω resistor in series with 10mH inductor. Calculate and draw the load current during the first two periods of supply voltages waveform. 9- Solve problem 8 if there is a freewheeling diode is connected in shunt with the load. 10- If the load of problem 7 is changed to be 45 A pure DC. Draw diode diodes currents and supply currents along with supply voltage. Then, calculate (a) The rectfication effeciency. (b) Ripple factor of load voltage. (c) Transformer Utilization Factor (TUF) (d) Peak Inverse Voltage (PIV) of the diode. (e) Crest factor of supply current. (f) input power factor. 11- Single phase diode bridge rectifier is connected to 220V ,50Hz supply. The supply has 4 mH source inductance. The load connected to the rectifier is 45 A pure DC current. Draw, output voltage, diode currents and supply current along with the supply voltage. Then, calculate the DC output voltage, THD of supply current and input power factor, and, input power factor and THD of the voltage at the point of common coupling. 12- Three-phase half-wave diode rectifier is connected to 380 V, 50Hz supply via 380/460 V delta/way transformer to feed the load with 45 A DC current. Assuming ideal transformer and zero source inductance. Then, draw the output voltage, secondary and primary currents along with supply voltage. Then, calculate (a) Rectfication effeciency. (b) Crest factor of secondary current. (c) Transformer Utilization Factor (TUF). (d) THD of primary current. (e) Input power factor.
  • 85.
    82 Chapter Two 13-Solve problem 12 if the supply has source inductance of 4 mH. 14- Three-phase full bridge diode rectifier is connected to 380V, 50Hz supply to feed 10Ω resistor. Draw the output voltage, diode currents and supply current of phase a. Then, calculate: (a) The rectfication effeciency. (b) Ripple factor of load voltage. (c) Transformer Utilization Factor (TUF) (d) Peak Inverse Voltage (PIV) of the diode. (e) Crest factor of supply current. 15- Solve problem 14 if the load is 45A pure DC current. Then find THD of supply current and input power factor. 16- If the supply connected to the rectifier shown in problem 14 has a 5 mH source inductance and the load is 45 A DC. Find, average DC voltage, and THD of input current. 17- Single phase diode bridge rectifier is connected to square waveform with amplitude of 200V, 50 Hz. The supply has 4 mH source inductance. The load connected to the rectifier is 45 A pure DC current. Draw, output voltage, diode currents and supply current along with the supply voltage. Then, calculate the DC output voltage, THD of supply current and input power factor. 18- In the single-phase rectifier circuit of the following figure, LS = 1 mH and Vd = 160V . The input voltage vs has the pulse waveform shown in the following figure. Plot is and id waveforms and find the average value of I d . id + iS Vd VS - f = 50 Hz 200V 120o ωt o o 60o 120 60o 60o 120
  • 86.
    Chapter 3 Thyristor Converters or Controlled Converters 3.1 Introduction The controlled rectifier circuit is divided into three main circuits:- (1) Power Circuit This is the circuit contains voltage source, load and switches as diodes, thyristors or IGBTs. (2) Control Circuit This circuit is the circuit, which contains the logic of the firing of switches that may, contains amplifiers, logic gates and sensors. (3) Triggering circuit This circuit lies between the control circuit and power thyristors. Sometimes this circuit called switch drivers circuit. This circuit contains buffers, opt coupler or pulse transformers. The main purpose of this circuit is to separate between the power circuit and control circuit. The thyristor is normally switched on by applying a pulse to its gate. The forward drop voltage is so small with respect to the power circuit voltage, which can be neglected. When the anode voltage is greater than the cathode voltage and there is positive pulse applied to its gate, the thyristor will turn on. The thyristor can be naturally turned off if the voltage of its anode becomes less than its cathode voltage or it can be turned off by using commutation circuit. If the voltage of its anode is become positive again with respect to its cathode voltage the thyristor will not turn on again until gets a triggering pulse to its gate. The method of switching off the thyristor is known as Thyristor commutation. The thyristor can be turned off by reducing its forward current below its holding current or by applying a reverse voltage across it. The commutation of thyristor is classified into two types:- 1- Natural Commutation If the input voltage is AC, the thyristor current passes through a natural zero, and a reverse voltage appear across the thyristor, which in turn automatically turned off the device due to the natural behavior of AC voltage source. This is known as natural commutation or line commutation. This type of commutation is applied in AC voltage
  • 87.
    SCR Rectifier orControlled Rectifier 81 controller rectifiers and cycloconverters. In case of DC circuits, this technique does not work as the DC current is unidirectional and does not change its direction. Thus the reverse polarity voltage does not appear across the thyristor. The following technique work with DC circuits: 2- Forced Commutation In DC thyristor circuits, if the input voltage is DC, the forward current of the thyristor is forced to zero by an additional circuit called commutation circuit to turn off the thyristor. This technique is called forced commutation. Normally this method for turning off the thyristor is applied in choppers. There are many thyristor circuits we can not present all of them. In the following items we are going to present and analyze the most famous thyristor circuits. By studying the following circuits you will be able to analyze any other circuit. 3.2 Half Wave Single Phase Controlled Rectifier 3.2.1 Half Wave Single Phase Controlled Rectifier With Resistive Load The circuit with single SCR is similar to the single diode circuit, the difference being that an SCR is used in place of the diode. Most of the power electronic applications operate at a relative high voltage and in such cases; the voltage drop across the SCR tends to be small. It is quite often justifiable to assume that the conduction drop across the SCR is zero when the circuit is analyzed. It is also justifiable to assume that the current through the SCR is zero when it is not conducting. It is known that the SCR can block conduction in either direction. The explanation and the analysis presented below are based on the ideal SCR model. All simulation carried out by using PSIM computer simulation program [ ]. A circuit with a single SCR and resistive load is shown in Fig.3.1. The source vs is an alternating sinusoidal source. If vs = Vm sin (ωt ) , vs is positive when 0 < ω t < π, and vs is negative when π < ω t <2π. When vs starts become positive, the SCR is forward-biased but remains in the blocking state till it is triggered. If the SCR is triggered at ω t = α, then α is called the firing angle. When the SCR is triggered in the forward-bias state, it starts conducting and the positive source keeps the SCR in conduction till ω t reaches π radians. At that instant, the current through the circuit is zero. After that the current tends to flow in the reverse
  • 88.
    82 Chapter Three directionand the SCR blocks conduction. The entire applied voltage now appears across the SCR. Various voltages and currents waveforms of the half-wave controlled rectifier with resistive load are shown in Fig.3.2 for α=40o. FFT components for load voltage and current of half wave single phase controlled rectifier with resistive load at α=40o are shown in Fig.3.3. It is clear from Fig.3.3 that the supply current containes DC component and all other harmonic components which makes the supply current highly distorted. For this reason, this converter does not have acceptable practical applecations. Fig.3.1 Half wave single phase controlled rectifier with resistive load. Fig.3.2 Various voltages and currents waveforms for half wave single-phase controlled rectifier with resistive load at α=40o.
  • 89.
    SCR Rectifier orControlled Rectifier 83 Fig.3.3 FFT components for load voltage and current of half wave single phase controlled rectifier with resistive load at α =40o. The average voltage, Vdc , across the resistive load can be obtained by considering the waveform shown in Fig.3.2. π 1 V V Vdc = 2π ∫ Vm sin(ωt ) dωt = m (− cos π + cos(α )) = m (1 + cos α ) (3.1) 2π 2π α The maximum output voltage and can be acheaved when α = 0 which is the same as diode case which obtained before in (2.12). V Vdm = m (3.2) π The normalized output voltage is the DC voltage devideded by maximum DC voltage, Vdm which can be obtained as shown in equation (3.3). V Vn = dc = 0.5 (1 + cos α ) (3.3 Vdm The rms value of the output voltage is shown in the following equation:- π Vm 1⎛ sin(2 α ) ⎞ ∫ (Vm sin(ω t )) 1 Vrms = 2 dω t = ⎜π − α + ⎟ (3.3) 2π 2 π⎝ 2 ⎠ α The rms value of the transformer secondery current is the same as that of the load: V I s = rms (3.4) R
  • 90.
    84 Chapter Three Example1 In the rectifier shown in Fig.3.1 it has a load of R=15 Ω and, Vs=220 sin 314 t and unity transformer ratio. If it is required to obtain an average output voltage of 70% of the maximum possible output voltage, calculate:- (a) The firing angle, α, (b) The efficiency, (c) Ripple factor (d) Transformer utilization factor, (e) Peak inverse voltage (PIV) of the thyristor and (f) The crest factor of input current. Solution: (a) Vdm is the maximum output voltage and can be acheaved when α = 0 , The normalized output voltage is shown in equation (3.3) which is required to be 70%. Then, V Vn = dc = 0.5 (1 + cos α ) = 0.7 . Then, α=66.42o =1.15925 rad. Vdm (b) Vm = 220 V V V 49.02 Vdc = 0.7 * Vdm = 0.7 * m = 49.02 V , I dc = dc = = 3.268 A π R 15 Vm 1 ⎛ sin(2 α ) ⎞ Vrms = ⎜π − α + ⎟, 2 π⎝ 2 ⎠ at α=66.42 , Vrms=95.1217 V. Then, Irms=95.1217/15=6.34145 A o V VS = m = 155.56 V 2 The rms value of the transformer secondery current is: I S = I rms = 6.34145 A Then, the rectification efficiency is: P V *I η = dc = dc dc Pac Vrms * I rms 49.02 * 3.268 = = 26.56% 95.121 * 6.34145 V 95.121 π (b) FF = rms = = = 1.94 Vdc 49.02 2 2 V (c) RF = ac = FF 2 − 1 = 1.94 2 − 1 = 1.6624 Vdc P 49.02 * 3.268 (d) TUF = dc = = 0.1624 VS I S 155.56 * 6.34145
  • 91.
    SCR Rectifier orControlled Rectifier 85 (e) The PIV is Vm (f) Creast factor of input current CF is as following: Vm I S ( peak ) R 14.6667 CF = = = = 2.313 IS 6.34145 6.34145 3.2.2 Half Wave Single Phase Controlled Rectifier With RL Load A circuit with single SCR and RL load is shown in Fig.3.4. The source vs is an alternating sinusoidal source. If vs = Vm sin ( ω t), vs is positive when 0 < ω t < π, and vs is negative when π < ω t <2π. When vs starts become positive, the SCR is forward-biased but remains in the blocking state till it is triggered. If the SCR is triggered when ω t = α, then it starts conducting and the positive source keeps the SCR in conduction till ω t reaches π radians. At that instant, the current through the circuit is not zero and there is some energy stored in the inductor at ω t = π radians. The voltage across the inductor is positive when the current through it is increasing and it becomes negative when the current through the inductor tends to fall. When the voltage across the inductor is negative, it is in such a direction as to forward bias the SCR. There is current through the load at the instant ω t = π radians and the SCR continues to conduct till the energy stored in the inductor becomes zero. After that the current tends to flow in the reverse direction and the SCR blocks conduction. Fig.3.5 shows the output voltage, resistor, inductor voltages and thyristor voltage drop waveforms. Fig.3.4 Half wave single phase controlled rectifier with RL load.
  • 92.
    86 Chapter Three Fig.3.5 Various voltages and currents waveforms for half wave single phase controlled rectifier with RL load. It is assumed that the current flows for α < ω t < β, where 2π > β > π . When the SCR conducts, the driving function for the differential equation is the sinusoidal function defining the source voltage. Outside this period, the SCR blocks current and acts as an open switch and the current through the load and SCR is zero at this period there is no differential equation representing the circuit. For α < ω t < β , equation (3.5) applies. di L + R * i = Vm sin (ω t ), α ≤ ωt ≤ β (3.5) dt Divide the above equation by L we get the following equation: di R V + * i = m sin (ωt ), 0 ≤ ωt ≤ β (3.6) dt L L The instantaneous value of the current through the load can be obtained from the solution of the above equation as following: R ⎡ R ⎤ −∫ dt ∫ dt Vm i (ωt ) = e L ⎢ ⎢ ∫ e L * L sin ωt dt + A⎥ ⎥ ⎣ ⎦ − t⎡ ⎤ R R t Vm Then, i (ωt ) = e L ⎢ ⎢ ∫ eL * L sin ωt dt + A⎥ ⎥ ⎣ ⎦
  • 93.
    SCR Rectifier orControlled Rectifier 87 Where, A is constant. By integrating the above equation we get: R Vm − t i (ωt ) = (R sin ωt − ωL cos ωt ) + Ae L (3.7) R 2 + w 2 L2 Assume Z∠φ = R + j ωL . Then, Z 2 = R 2 + ω 2 L2 , Z ωL ωL R = Z cos φ , ωL = Z sin φ and tan φ = R Φ Substitute that in (3.7) we get the following equation: ωt R − Vm i (ωt ) = (cos φ sin ωt − sin φ cos ωt ) + Ae tan φ Z ωt − V Then, i (ωt ) = m sin (ωt − φ ) + Ae tan φ α < ωt < β (3.8) Z The value of A can be obtained using the initial condition. Since the diode starts conducting at ω t = α and the current starts building up from zero, then, i(α) = 0. Then, the value of A is expressed by the following equation: A = − sin(α − φ ) (3.9) Once the value of A is known, the expression for current is known. After evaluating A, current can be evaluated at different values of ω t. ωt −α ⎞ Vm ⎛ ⎜ sin(ωt − φ ) − sin(α − φ )e − ωL / R ⎟ i (ωt ) = α < ωt < β (3.10) Z ⎜ ⎜ ⎟ ⎟ ⎝ ⎠ When the firing angle α and the extinction angle β are known, the average and rms output voltage at the cathode of the SCR can be evaluated. We know that, i=0 when ω t=β substitute this condition in equation (3.10) gives equation (3.11) which used to determine β. Once the value of A, α and the extinction angle β are known, the average and rms output voltage at the cathode of the SCR can be evaluated as shown in equation (3.12) and (3.13) respectively. ( β −α ) − sin( β − φ ) = sin(α − φ )e ωL / R (3.11) β V V Vdc 2π ∫ = m * sin ωt dωt = m * (cos α − cos β ) 2π (3.12) α
  • 94.
    88 Chapter Three The rms load voltage is: β V * (Vm sin ωt )2 dωt = m * (β − α ) − 1 (cos 2 β − cos 2α ) (3.13) 1 Vrms = 2π ∫ 2 π 2 α The average load current can be obtained as shown in equation (3.14) by dividing the average load voltage by the load resistance, since the average voltage across the inductor is zero. V I dc = m * (cos α − cos β ) (3.14) 2π R Example 2 A thyristor circuit shown in Fig.3.4 with R=10 Ω, L=20mH, and VS=220 sin314t and the firing angle α is 30o. Determine the expression for the current though the load. Also determine the rectification efficiency of this rectifier. Solution: wL Z = 10 2 + (314 * 20 *10 − 3 ) 2 = 11.81 Ω , φ = tan −1 = 0.561 Rad . R π π α = 30 * = = 0.5236 Rad . 180 6 From equation (3.10) the current α < ω t < β can be obtained as ωt − α ⎞ 220 ⎛⎜ sin(ωt − 0.561) − sin(0.5236 − 0.561)e − ωL / R ⎟ i (ωt ) = follows:- 11.81 ⎜ ⎜ ⎟ ⎟ ⎝ ⎠ ( =18.6283* sin(ωt − 0.561) + 0.0374e − 0.628 (ωt − 0.5236 ) ) The excitation angle β can be obtained from equation (3.11) as: sin( β − 0.561) = sin(05236 − 0561)e −0.628( β − 0.5236) Then, by using try and error technique which explained in Chapter 2 we can get the value of β , β = 3.70766 Rad. The DC voltage can be obtained from equation (3.12) 220 Vdc = * (cos 0.5236 − cos 3.70766) = 59.9V 2π Vdc 59.9 Then, I dc = = = 5.99 A R 10 Similarly, Vrms can be obtained from equation (3.13) 220 Vrms = * (3.70766 − 0.5236) − 1 (cos 2 * 3.70766 − cos 2 * 05236) = 111.384 V 2 π 2
  • 95.
    SCR Rectifier orControlled Rectifier 89 Vrms 111.384 I rms = = = 11.1384 A R 10 Vdc * I dc 2 Vdc 59.9 2 η= = 2 = = 28.92% Vrms * I rms Vrms 111.384 2 3.2.3 Half Wave Single Phase Controlled Rectifier With Free Wheeling Diode The circuit shown in Fig.3.6 differs than the circuit described in Fig.3.4, which had only a single SCR. This circuit has a freewheeling diode in addition, marked D1. The voltage source vs is an alternating sinusoidal source. If vs = Vm sin ( ω t), vs is positive when 0 < ω t < π, and it is negative when π < ω t <2π. When vs starts become positive, the SCR is forward-biased but remains in the blocking state till it is triggered. When the SCR is triggered in the forward-bias state, it starts conducting and the positive source keeps the SCR in conduction till ω t reaches π radians. At that instant, the current through the circuit is not zero and there is some energy stored in the inductor at ω t = π radians. In the absence of the free wheeling diode, the inductor would keep the SCR in conduction for part of the negative cycle till the energy stored in it is discharged. But, when a free wheeling diode is present as shown in the circuit shown in Fig.3.7 the supply voltage will force D1 to turn on because its anode voltage become more positive than its cathode voltage and the current has a path that offers almost zero resistance. Hence the inductor discharges its energy during π < ω t < (2π + α) (Assuming continuous conduction mode) through the load. When there is a free wheeling diode, the current through the load tends to be continuous, at least under ideal conditions. When the diode conducts, the SCR remains reverse-biased, because the voltage vs is negative. Fig.3.6 Half wave single phase controlled rectifier with RL load and freewheeling diode.
  • 96.
    90 Chapter Three Fig.3.7 Various voltages and currents waveforms for half wave single phase controlled rectifier with RL load and freewheeling diode.
  • 97.
    SCR Rectifier orControlled Rectifier 91 An expression for the current through the load can be obtained as shown below: When the SCR conducts, the driving function for the differential equation is the sinusoidal function defining the source voltage. During the period defined by π < ω t < (2π + α), the SCR blocks current and acts as an open switch. On the other hand, the free wheeling diode conducts during this period, and the driving function can be set to be zero volts. For α < ω t < π , equation (3.15) applies whereas equation (3.16) applies for the rest of the cycle. As in the previous cases, the solution is obtained in two parts. di L + R * i = Vm sin (ωt ), α ≤ ωt ≤ π (3.15) dt di L + R * i = 0, π ≤ ω t ≤ 2π + α (3.16) dt The solution of (3.15) is the same as obtained before in (3.8) which is shown in (3.17). ω t −α V − i (t ) = m * sin(ω t − φ ) + A * e ωL / R α <ωt <π (3.17) Z The difference in the solution of (3.17) than (3.8) is how the constant A is evaluated? In the circuit without free-wheeling diode i (α ) = 0 , since the current starts build up from zero when the SCR is triggered during the positive half cycle. Assuming in the steady state the load is continuous and periodical which means that: i (α ) = i (2π + α ) = i (2nπ + α ) (3.18) The solution of (3.16) can be obtained as following: ( wt − π ) − tan φ i ( wt ) = B * e π < ωt < 2π + α (3.19) At ωt = π then, B = i (π ) (3.20) To obtain B, we have to obtain i (π ) from (3.17) by letting ωt equal π . Then, π −α − V i (π ) = m * sin(φ ) + A * e tan φ (3.22) Z Substitute (3.21) into (3.19) we get the current during π < ωt < (2π + α ) as following:
  • 98.
    92 Chapter Three ⎛ − π −α ⎞ − (ωt −π ) ⎜ Vm ⎟ tan φ i (ω t ) = ⎜ * sin(φ ) + A * e tan φ ⎟*e π < ωt < 2π + α (3.22) ⎜ Z ⎟ ⎝ ⎠ (ωt −π ) ωt − α − − V ∴ i (ω t ) = m * sin(φ ) * e tan φ + A * e tan φ π < ωt < 2π + α (3.23) Z From the above equation we can obtain i (2π + α ) as following: α +π 2π − − V i (2π + α ) = m * sin(φ ) * e tan φ + A * e tan φ π < ωt < 2π + α (3.24) Z From (3.17) we can obtain ι (α ) by letting ωt = α as following: i (α ) = m * sin(α − φ ) + A V (3.25) Z Substitute (3.24) and (3.25) into (3.18) we get the following: α +π 2π − − Vm V * sin(α − φ ) + A = m * sin(φ ) * e tan φ + A * e tan φ Z Z ⎛ 2π ⎞ ⎛ α +π ⎞ − − ⎜ tan φ ⎟ Vm ⎜ ⎟ A⎜1 − e ⎟ Z= * ⎜ sin(φ )e tan φ − sin(α − φ ) ⎟ ⎜ ⎟ ⎜ ⎟ ⎝ ⎠ ⎝ ⎠ ⎛ α +π ⎞ − ⎜ tan φ ⎟ ⎜ sin(φ )e − sin(α − φ ) ⎟ V ⎜ ⎟ ∴A= m *⎝ ⎠ (3.26) Z ⎛ 2π ⎞ − ⎜ ⎟ ⎜ 1 − e tan φ ⎟ ⎜ ⎟ ⎝ ⎠ Then, the load current in the period of 2nπ + α < ωt < (2n + 1)π where n = 0,1, 2, 3, ....... can be obtained from substituting (3.26) into (3.17). Also, the load current in the period of (2n + 1)π < ωt < (2n + 1)π + α n = 0,1, 2, 3, ....... can be obtained from substituting (3.26) into (3.23). Example 3 A thyristor circuit shown in Fig.3.6 with R=10 Ω, L=100 mH, and VS=220 sin314t V, and the firing angle α is 30o. Determine the expression for the current though the load. Also determine the rectification efficiency of this converter.
  • 99.
    SCR Rectifier orControlled Rectifier 93 Solution: Z = 10 2 + (314 *100 *10 − 3 ) 2 = 32.9539 Ω wL φ = tan −1 = 1.2625 Rad . , R π π α = 30 * = = 0.5236 Rad . 180 6 From (3.26) we can obtain A , A=7.48858 From (3.17) we can obtain i (ωt ) in the period of 2nπ + α < ωt < (2n + 1)π where n = 0,1, 2, 3, ....... Then, i (ωt ) = 6.676 * sin(ωt − 1.2625) + 7.48858 * e −0.31845*(ωt − 0.5236) i (π ) = 9.61457 , i (α ) = 2.99246 During the period of (2n + 1)π < ωt < (2n + 1)π + α where n = 0,1, 2, 3, ....... we can obtain the solution from (3.18) where B = i (π ) . Then, i (ωt ) = 9.61457 * e −0.31845(ωt −π ) , π 1 V V Vdc = 2π ∫ Vm sin( wt ) dwt = m ( − cos π + cos(α )) = m (1 + cos α ) = 65.3372 V 2π 2π α The rms value of the output voltage is shown in the following equation:- 1/ 2 ⎡ 1 π ⎤ V ⎡1 sin( 2 α ) ⎤ 1/ 2 Vrms = ⎢ ∫ (Vm sin(ωt ) )2 dω t ⎥ = m ⎢ (π − α + )⎥ =108.402 V ⎢ 2π α ⎣ ⎥ ⎦ 2 ⎣π 2 ⎦ π 1 ⎡ I dc = 2π ⎢ ∫( ⎢ 6.676 * sin(ω t − 1.2625) + 7.48858 * e − 0.31845*(ω t − 0.5236) dω t ) ⎣α 2π + α ⎤ + ∫( ) 9.61457 * e − 0.31845(ω t −π ) dω t ⎥ = 4.2546 A ⎥ π ⎦ 1 ⎡⎡ π I rms = ( ⎢ ⎢ ∫ 6.676 * sin(ω t − 1.2625) + 7.48858 * e − 0.31845*(ω t − 0.5236) 2π ⎢ ⎢ ) 2 dω t + ⎣ ⎣α 1/ 2 2π +α ⎤⎤ ∫ (9.61457 * e ) − 0.31845(ω t −π ) 2 dω t ⎥ ⎥ = 5.43288 A π ⎥⎥ ⎦⎦
  • 100.
    94 Chapter Three Pdc V *I η= = dc dc Pac Vrms * I rms 65.3372 * 4.2546 = = 47.2 % 108.402 * 5.43288 3.3 Single-Phase Full Wave Controlled Rectifier 3.3.1 Single-Phase Center Tap Controlled Rectifier With Resistive Load Center tap controlled rectifier is shown in Fig.3.8. When the upper half of the transformer secondary is positive and thyristor T1 is triggered, T1 will conduct and the current flows through the load from point a to point b. When the lower half of the transformer secondary is positive and thyristor T2 is triggered, T2 will conduct and the current flows through the load from point a to point b. So, each half of input wave a unidirectional voltage (from a to b ) is applied across the load. Various voltages and currents waveforms for center tap controlled rectifier with resistive load are shown in Fig.3.9 and Fig.3.10. b a Fig.3.8 Center tap controlled rectifier with resistive load.
  • 101.
    SCR Rectifier orControlled Rectifier 95 Fig.3.9 The output voltgae and thyristor T1 reverse voltage wavforms along with the supply voltage wavform. Fig.3.10 Load current and thyristors currents for Center tap controlled rectifier with resistive load.
  • 102.
    96 Chapter Three The average voltage, Vdc, across the resistive load is given by: π 1 Vm Vm π∫ m Vdc = V sin(ω t ) dω t = (− cos π − cos(α )) = (1 + cosα ) (3.27) π π α Vdm is the maximum output voltage and can be acheaved when α=0 in the above equation. The normalized output voltage is: V Vn = dc = 0.5 (1 + cos α ) (3.28) Vdm From the wavfrom of the output voltage shown in Fug.3.9 the rms output voltage can be obtained as following: π Vm sin( 2 α ) ∫ (Vm sin(ω t )) dω t = 1 Vrms = 2 π −α + (3.29) π 2π 2 α Example 4 The rectifier shown in Fig.3.8 has load of R=15 Ω and, Vs=220 sin 314 t and unity transformer ratio. If it is required to obtain an average output voltage of 70 % of the maximum possible output voltage, calculate:- (a) The delay angle α, (b) The efficiency, (c) The ripple factor (d) The transformer utilization factor, (e) The peak inverse voltage (PIV) of the thyristor and (f) The crest factor of input current. (g) Input power factor. Solution : (a) Vdm is the maximum output voltage and can be acheaved when α=0, the normalized output voltage is shown in equation (3.28) which is required to be 70%. Then: V Vn = dc = 0.5 (1 + cos α ) = 0.7 , then, α=66.42o Vdm 2 Vm (b) Vm = 220 , then, Vdc = 0.7 *Vdm = 0.7 * = 98.04 V π Vdc 98.04 I dc = = = 6.536 A R 15 Vm sin( 2 α ) Vrms = π −α + 2π 2 at α=66.42o Vrms=134.638 V Then, Irms=134.638/15=8.976 A
  • 103.
    SCR Rectifier orControlled Rectifier 97 Vm VS = = 155.56 V 2 The rms value of the transformer secondery current is: I I S = rms = 6.347 A 2 Then, The rectification efficiency is: P V *I η = dc = dc dc Pac Vrms * I rms 98.04 * 6.536 = = 53.04% 134.638 * 8.976 V 134.638 (c) FF = rms = = 1.3733 and, Vdc 98.04 V RF = ac = FF 2 − 1 = 1.37332 − 1 = 0.9413 Vdc Pdc 98.04 * 6.536 (d) TUF = = = 0.32479 2VS I S 2 *155.56 * 6.34145 (e) The PIV is 2 Vm Vm I S ( peak ) R 14.6667 (f) Creast Factor CF, CF = = = = 2.313 IS 6.34145 6.34145 3.3.2 Single-Phase Fully Controlled Rectifier Bridge With Resistive Load This section describes the operation of a single-phase fully-controlled bridge rectifier circuit with resistive load. The operation of this circuit can be understood more easily when the load is pure resistance. The main purpose of the fully controlled bridge rectifier circuit is to provide a variable DC voltage from an AC source. The circuit of a single-phase fully controlled bridge rectifier circuit is shown in Fig.3.11. The circuit has four SCRs. For this circuit, vs is a sinusoidal voltage source. When the supply voltage is positive, SCRs T1 and T2 triggered then current flows from vs through SCR T1, load resistor R (from up to down), SCR T2 and back into the source. In the next half- cycle, the other pair of SCRs T3 and T4 conducts when get pulse on their
  • 104.
    98 Chapter Three gates.Then current flows from vs through SCR T3, load resistor R (from up to down), SCR T4 and back into the source. Even though the direction of current through the source alternates from one half-cycle to the other half-cycle, the current through the load remains unidirectional (from up to down). Fig.3.11 Single-phase fully controlled rectifier bridge with resistive load. Fig.3.12 Various voltages and currents waveforms for converter shown in Fig.3.11 with resistive load.
  • 105.
    SCR Rectifier orControlled Rectifier 99 Fig.3.13 FFT components of the output voltage and supply current for converter shown in Fig.3.11. The main purpose of this circuit is to provide a controllable DC output voltage, which is brought about by varying the firing angle, α. Let vs = Vm sin ω t, with 0 < ω t < 360o. If ω t = 30o when T1 and T2 are triggered, then the firing angle α is said to be 30o. In this instance, the other pair is triggered when ω t = 30+180=210o. When vs changes from positive to negative value, the current through the load becomes zero at the instant ω t = π radians, since the load is purely resistive. After that there is no current flow till the other is triggered. The conduction through the load is discontinuous. The average value of the output voltage is obtained as follows.:- Let the supply voltage be vs = Vm*Sin ( ω t), where ω t varies from 0 to 2π radians. Since the output waveform repeats itself every half-cycle, the average output voltage is expressed as a function of α, as shown in equation (3.27). π 1 Vm [− cos π − (− cos(α ) )] = Vm (1 + cosα ) (3.27) π∫ m Vdc = V sin(ω t ) dω t = π π α Vdm is the maximum output voltage and can be acheaved when α=0, The normalized output voltage is: Vdc Vn = = 0.5 (1 + cos α ) (3.28) Vdm The rms value of output voltage is obtained as shown in equation (3.29). π Vm sin(2 α ) 1 (V sin(ω t ) ) π∫ m Vrms = 2 dω t = π −α + (3.29) α 2π 2
  • 106.
    100 Chapter Three Example5 The rectifier shown in Fig.3.11 has load of R=15 Ω and, Vs=220 sin 314 t and unity transformer ratio. If it is required to obtain an average output voltage of 70% of the maximum possible output voltage, calculate:- (a) The delay angle α, (b) The efficiency, (c) Ripple factor of output voltage(d) The transformer utilization factor, (e) The peak inverse voltage (PIV) of one thyristor and (f) The crest factor of input current. Solution: (a) Vdm is the maximum output voltage and can be acheaved when α=0, The normalized output voltage is shown in equation (3.31) which is required to be 70%. V Then, Vn = dc = 0.5 (1 + cos α ) = 0.7 , then, α=66.42o Vdm 2 Vm (b) Vm = 220 , then, Vdc = 0.7 *Vdm = 0.7 * = 98.04 V π Vdc 98.04 I dc = = = 6.536 A R 15 Vm sin( 2 α ) Vrms = π −α + 2π 2 At α=66.42o Vrms=134.638 V. Then, Irms=134.638/15=8.976 A V VS = m = 155.56 V 2 The rms value of the transformer secondery current is: I S = I rms = 8.976 A Then, The rectification efficiency is P V *I η = dc = dc dc Pac Vrms * I rms 98.04 * 6.536 = = 53.04% 134.638 * 8.976 V 134.638 (c) FF = rms = = 1.3733 Vdc 98.04 V RF = ac = FF 2 − 1 = 1.37332 − 1 = 0.9413 Vdc
  • 107.
    SCR Rectifier orControlled Rectifier 101 Pdc 98.04 * 6.536 (d) TUF = = = 0.4589 VS I S 155.56 * 8.976 (e) The PIV is Vm Vm I S ( peak ) 14.6667 (f) Creast Factor CF, CF = = R = = 1.634 IS 8.976 8.976 3.3.3 Full Wave Fully Controlled Rectifier With RL Load In Continuous Conduction Mode The circuit of a single-phase fully controlled bridge rectifier circuit is shown in Fig.3.14. The main purpose of this circuit is to provide a variable DC output voltage, which is brought about by varying the firing angle. The circuit has four SCRs. For this circuit, vs is a sinusoidal voltage source. When it is positive, the SCRs T1 and T2 triggered then current flows from +ve point of voltage source, vs through SCR T1, load inductor L, load resistor R (from up to down), SCR T2 and back into the – ve point of voltage source. In the next half-cycle the current flows from - ve point of voltage source, vs through SCR T3, load resistor R, load inductor L (from up to down), SCR T4 and back into the +ve point of voltage source. Even though the direction of current through the source alternates from one half-cycle to the other half-cycle, the current through the load remains unidirectional (from up to down). Fig.3.15 shows various voltages and currents waveforms for the converter shown in Fig.3.14. Fig.3.16 shows the FFT components of load voltage and supply current. Fig.3.14 Full wave fully controlled rectifier with RL load.
  • 108.
    102 Chapter Three Fig.3.15 Various voltages and currents waveforms for the converter shown in Fig.3.14 in continuous conduction mode. Fig.3.16 FFT components of load voltage and supply current in continuous conduction mode. Let vs = Vm sin ω t, with 0 < ω t < 360o. If ω t = 30o when T1 and T2 are triggered, then the firing angle is said to be 30o. In this instance the other pair is triggered when ω t= 210o. When vs changes from a positive to a negative value, the current through the load does not fall to zero value at the instant ω t = π radians, since the load contains an inductor
  • 109.
    SCR Rectifier orControlled Rectifier 103 and the SCRs continue to conduct, with the inductor acting as a source. When the current through an inductor is falling, the voltage across it changes sign compared with the sign that occurs when its current is rising. When the current through the inductor is falling, its voltage is such that the inductor delivers power to the load resistor, feeds back some power to the AC source under certain conditions and keeps the SCRs in conduction forward-biased. If the firing angle is less than the load angle, the energy stored in the inductor is sufficient to maintain conduction till the next pair of SCRs is triggered. When the firing angle is greater than the load angle, the current through the load becomes zero and the conduction through the load becomes discontinuous. Usually the description of this circuit is based on the assumption that the load inductance is sufficiently large to keep the load current continuous and ripple-free. Since the output waveform repeats itself every half-cycle, the average output voltage is expressed in equation (3.33) as a function of α, the firing angle. The maximum average output voltage occurs at a firing angle of 0o as shown in equation (3.34). The rms value of output voltage is obtained as shown in equation (3.35). π +α 1 2Vm Vdc = π ∫ Vm sin(ωt ) dωt = π cos α (3.33) α Vdc The normalized output voltage is Vn = = cos α (3.34) Vdm The rms value of output voltage is obtained as shown in equation (3.35). π +α π +α Vm Vm ∫ (Vm sin(ω t )) dω t = 1 Vrms = ∫ (1 − cos(2ω t ) dω t = 2 (3.35) π 2π 2 α α Example 6 The rectifier shown in Fig.3.14 has pure DC load current of 50 A and, Vs=220 sin 314 t and unity transformer ratio. If it is required to obtain an average output voltage of 70% of the maximum possible output voltage, calculate:- (a) The delay angle α, (b) The efficiency, (c) Ripple factor (d) The transformer utilization factor, (e) The peak inverse voltage (PIV) of the thyristor and (f) Crest factor of input current. (g) Input displacement factor.
  • 110.
    104 Chapter Three Solution:(a) Vdm is the maximum output voltage and can be acheaved when α=0. The normalized output voltage is shown in equation (3.30) which is V required to be 70%. Then, Vn = dc = cosα = 0.7 , then, α=45.5731o= 0.7954 Vdm (b) Vm = 220 2 Vm Vm Vdc = 0.7 *Vdm = 0.7 * = 98.04 V , Vrms = π 2 At α=45.5731 Vrms=155.563 V. Then, Irms=50 A o V VS = m = 155.56 V 2 The rms value of the transformer secondery current is: I S = I rms = 50 A Then, The rectification efficiency is P V *I 98.04 * 50 η = dc = dc dc = = 63.02% Pac Vrms * I rms 155.563 * 50 V 155.563 (c) FF = rms = = 1.587 Vdc 98.04 V RF = ac = FF 2 − 1 = 1.37332 − 1 = 1.23195 Vdc P 98.04 * 50 (d) TUF = dc = = 0.4589 VS I S 155.56 * 50 (e) The PIV is Vm I S ( peak ) (f) Creast Factor CF, CF = =1 IS 3.3.4 Full Wave Fully Controlled Rectifier With R-L Load In discontinuous Conduction Mode The converter circuit of Fig.3.14 discussed before was assumed to operate in continuous conduction mode (i.e. the load angle is bigger than the firing angle). Sometimes the converter shown in Fig.3.14 can work in discontinue mode where the load current falls to zero every half cycle and before the next thyristor in sequence is fired as shown in Fig.3.17. The equation during the conduction can be given as shown in equation (3.36). Which can be solved for i as shown in equation (3.37).
  • 111.
    SCR Rectifier orControlled Rectifier 105 Fig.3.17 Load, resistor and inductor voltages waveforms along with supply voltage waveforms of the converter shown in Fig.3.14 in case of discontinuous conduction mode. Fig.3.18 Supply current waveform along with supply voltage waveforms of the converter shown in Fig.3.14 in case of discontinuous conduction mode.
  • 112.
    106 Chapter Three Fig.3.18 FFT components of supply current along with supply voltage of the converter shown in Fig.3.14 in discontinuous conduction mode. During the period of α ≤ ω t ≤ β the following differential equation can be obtained: di L + R * i = Vm sin (ω t ), α ≤ ω t ≤ β (3.35) dt The solution of the above equation is given as in the following: ⎛ (ω t −α ) ⎞ Vm ⎜ − tan φ ⎟ i (ω t ) = ⎜ sin(ω t − φ ) − sin(α − φ )e ⎟ (3.36) Z ⎜ ⎟ ⎝ ⎠ ωL Where φ = tan −1 and Z 2 = R 2 + (ω L) 2 R But i=0 when ω t=β substitute this condition in equation (3.36) gives equation (3.37) which used to determine β. Once the value of A, α and the extinction angle β are known, the average and rms output voltage at the cathode of the SCR can be evaluated as shown in equation (3.38) and (3.39) respectively. ( β −α ) − tan φ sin( β − φ ) = sin(α − φ )e (3.37) β Vm Vm Vdc = π ∫ * sin ω t dω t = π * (cos α − cos β ) (3.38) α The rms load voltage is:
  • 113.
    SCR Rectifier orControlled Rectifier 107 β Vm * (Vm sin ω t )2 dω t = (β − α ) − 1 (cos 2 β − cos 2α ) (3.39) 1 Vrms = π ∫ 2π * 2 α The average load current can be obtained as shown in equation (3.40) by dividing the average load voltage by the load resistance, since the average voltage across the inductor is zero. Vm I dc = * (cos α − cos β ) (3.40) πR 3.3.5 Single Phase Full Wave Fully Controlled Rectifier With Source Inductance: Full wave fully controlled rectifier with source inductance is shown in Fig.3.19. The presence of source inductance changes the way the circuit operates during commutation time. Let vs = Vm sin wt, with 0 < ω t < 360o. Let the load inductance be large enough to maintain a steady current through the load. Let firing angle α be 30o. Let SCRs T3 and T4 be in conduction before ω t < 30o. When T1 and T2 are triggered at ω t = 30o, there is current through the source inductance, flowing in the direction opposite to that marked in the circuit diagram and hence commutation of current from T3 and T4 to T1 and T2 would not occur instantaneously. The source current changes from − I dc to I dc due to the whole of the source voltage being applied across the source inductance. When T1 is triggered with T3 in conduction, the current through T1 would rise from zero to I dc and the current through T3 would fall from I dc to zero. Similar process occurs with the SCRs T2 and T4. During this period, the current through T2 would rise from zero to I dc and, the current through T4 would fall from I dc to zero. Fig.3.19 single phase full wave fully controlled rectifier with source inductance
  • 114.
    108 Chapter Three Various voltages and currents waveforms of converter shown in Fig.3.19 are shown in Fig.3.20 and Fig.3.21. You can observe how the currents through the devices and the line current change during commutation overlap. Fig.3.20 Output voltage, thyristors current along with supply voltage waveform of a single phase full wave fully controlled rectifier with source inductance. Fig.3.21 Output voltage, supply current along with supply voltage waveform of a single phase full wave fully controlled rectifier with source inductance.
  • 115.
    SCR Rectifier orControlled Rectifier 109 Let us study the commutation period starts at α < ω t < α + u . When T1 and T2 triggered, then T1 and T2 switched on and T3 and T4 try to switch off. If this happens, the current in the source inductance has to change its direction. But source inductance prevents that to happen instantaneously. So, it will take time Δt to completely turn off T3 and T4 and to make T1 and T2 carry the entire load current I o which is very clear from Fig.3.20. Also, in the same time ( Δt ) the supply current changes from − I o to I o which is very clear from Fig.3.21. Fig.3.22 shows the equivalent circuit of the single phase full-wave controlled rectifier during that commutation period. From Fig.3.22 We can get the differential equation representing the circuit during the commutation time as shown in (3.41). Fig.3.22 The equivalent circuit of single phase fully controlled rectifier during the commutation period. dis v s − Ls =0 (3.41) dt Multiply the above equation by ωt then, Vm sin ω t dωt − ω Ls dis = 0 Integrate the above equation during the commutation period we get the following: α +u Io ∫Vm sin ω t dω t = ω Ls ∫ dis α −Io Then, Vm [cos α − cos(α + u )] = 2ωLs I o . Then, 2ωLs I o cos(α + u ) = cos α − Vm
  • 116.
    110 Chapter Three ⎡ 2ωLs I o ⎤ Then u = cos −1 ⎢cos(α ) − −α Vm ⎥ (3.42) ⎣ ⎦ u 1⎧ ⎡ 2ω Ls I o ⎤ ⎫ Then Δt = = ⎨cos −1 ⎢cos(α ) − − ⎥ −α⎬ (3.43) ω ω⎩ ⎣ Vm ⎦ ⎭ It is clear that the DC voltage reduction due to the source inductance, vrd is the drop across the source inductor. Then, di vrd = Ls s (3.44) dt α +u Io Then, ∫ vrd t dω t = ω Ls ∫ dis = 2ω Ls I o (3.45) α −Io α +u ∫ vrd t dω t is the reduction area in one commutation period. But we α have two commutation periods in one period of supply voltage waveform. So, the total reduction per period is shown in (3.46): α +u 2 ∫Vrd t dω t = 4ω Ls I o (3.46) α To obtain the average reduction in DC output voltage Vrd due to source inductance we have to divide the above equation by the period of supply voltage waveform, 2π . Then, 4ω Ls I o Vrd = = 4 fLs I o (3.47) 2π The DC voltage with source inductance taking into account can be calculated as following: 2V Vdc actual = Vdc without sourceinduc tan ce − Vrd = m cosα − 4 fLs I o (3.48) π The rms value of supply current is the same as obtained before in single phase full bridge diode rectifier in (2.64) 2I o ⎡π u ⎤ 2 Is = − (3.49) π ⎢ 2 3⎥ ⎣ ⎦
  • 117.
    SCR Rectifier orControlled Rectifier 111 The Fourier transform of supply current is the same as obtained for single phase full bridge diode rectifier in (2.66) and the fundamental component of supply current I s1 is shown in (2.68) as following: 8I o u I S1 = * sin (3.50) 2 πu 2 The power factor of this rectifier is shown in the following: I ⎛ u⎞ p. f = s1 cos⎜ α + ⎟ (3.51) Is ⎝ 2⎠ 3.3.5 Single-Phase Half Controlled Bridge Rectifier (Semi Bridge Converter) A half controlled single-phase bridge is shown in Fig.3.23. This rectifier uses two SCRs and two diodes in addition to freewheeling diode. When the source voltage is in its positive half cycle and thyristor T2 is triggered and it will conduct with diode D1. When the supply voltage is going to negative and thyristor T4 is triggered and it will conduct with diode D3. This circuit cannot work without freewheeling diode in case of inductive load. The inductive energy in the load would freewheel through the diode D1 and Thyristor T4 or diode D3 and thyristor T2 even if there is no gate signal. If there is freewheeling diode is connected across the load of a bridge converter, it will remove the negative voltage in the load voltage. In this converter the diode D1 and Thyristor T2 work in positive half cycle of the supply voltage and D3 and T4 can work in the negative half cycle. As an example at 60o firing angle as shown in Fig.3.24, then the thyristor T2 triggers at 60o conducts till ω t =π. At ω t=π the voltage across the freewheeling diode will start to be forward then the stored energy in the load will take the freewheeling diode as a pass to circulate the stored reactive power, In this case D1 and T2 will turned off. The circuit will still like that till the thyristor T4 gets its triggering pulse at angle 240o. In this case, the voltage across the freewheeling diode will reverse and diode D3 and thyristor T4 will conduct till ω t=360o. When ω t=360o the voltage across the freewheeling diode will be forward again and the load will freewheel the stored reactive power in the load through the freewheeling diode and the diode D3 and T4 will turned off and cycle will repeated again. The average load voltage is shown in shown in the following equation:-
  • 118.
    112 Chapter Three Fig.3.23 Single-phase half controlled bridge rectifier (semi bridge converter). π 1 Vm [− cos π − (− cos(α ))] = Vm (1 + cosα ) (3.52) π∫ m Vdc = V sin(ω t ) dω t = π π α Vdm is the maximum output voltage and can be acheaved when α=0, V The normalized output voltage is: Vn = dc = 0.5 (1 + cos α ) (3.53) Vdm The rms value of output voltage is obtained as shown in the following equation:- π Vm sin(2 α ) 1 (Vm sin(ω t ) ) π∫ Vrms = 2 dω t = π −α + (3.54) α 2π 2 Fig.3.24 Various voltages and currents waveforms for the converter shown in Fig.3.23.
  • 119.
    SCR Rectifier orControlled Rectifier 113 3.3.6 Inverter Mode Of Operation The thyristor converters can also operate in an inverter mode, where Vd has a negative value, and hence the power flows from the do side to the ac side. The easiest way to understand the inverter mode of operation is to assume that the DC side of the converter can be replaced by a current source of a constant amplitude I d , as shown in Fig.3.25. For a delay angle a greater than 90° but less than 180°, the voltage and current waveforms are shown in Fig.3.26. The average value of vd is negative, given by (3.48), where 90° < α < 180°. Therefore, the average power Pd = Vd * I d is negative, that is, it flows from the DC to the AC side. On the AC side, Pac = Vs I S1 cosφ1 is also negative because φ > 90 o . Fig.3.25 Single phase SCR inverter. Fig.3.26 Waveform output from single phase inverter assuming DC load current.
  • 120.
    114 Chapter Three There are several points worth noting here. This inverter mode of operation is possible since there is a source of energy on the DC side. On the ac side, the ac voltage source facilitates the commutation of current from one pair of thyristors to another. The power flows into this AC source. Generally, the DC current source is not a realistic DC side representation of systems where such a mode of operation may be encountered. Fig.3.27 shows a voltage source Ed on the DC side that may represent a battery, a photovoltaic source, or a DC voltage produced by a wind-electric system. It may also be encountered in a four-quadrant DC motor supplied by a back-to-back connected thyristor converter. An assumption of a very large value of Ld allows us to assume id to be a constant DC, and hence the waveforms of Fig.3.28 also apply to the circuit of Fig.3.27. Since the average voltage across Ld is zero, 2 E d = Vd = Vdo cos α − ω Ls I d (3.55) π The equation is exact if the current is constant at I d ; otherwise, a value of id at ω t = α should be used in (3.55) instead of I d . Fig.3.28 shows that for a given value of α , for example, α1 , the intersection of the do source voltage Ed = Ed 1 , and the converter characteristic at α1 , determines the do current I d 1 , and hence the power flow Pd1 . During the inverter mode, the voltage waveform across one of the thyristors is shown in Fig.3.29. An extinction angle γ is defined to be as shown in (3.56) during which the voltage across the thyristor is negative and beyond which it becomes positive. The extinction time interval tγ = γ / ω should be greater than the thyristor turn-off time τ q Otherwise, the thyristor will prematurely begin to conduct, resulting in the failure of current to commutate from one thyristor pair to the other, an abnormal operation that can result in large destructive currents. γ = 180 − (α + u ) (3.56)
  • 121.
    SCR Rectifier orControlled Rectifier 115 Fig.3.27 SCR inverter with a DC voltage source. Fig.3.28 Vd versus I d in SCR inverter with a DC voltage source. Fig.3.29 Voltage across a thyristor in the inverter mode.
  • 122.
    116 Chapter Three Inverterstartup For startup of the inverter in Fig.3.25, the delay angle α is initially made sufficiently large (e.g.,165o) so that id is discontinuous as shown in Fig.3.30. Then, α is decreased by the controller such that the desired I d and Pd are obtained. Fig.3.30 Waveforms of single phase SCR inverter at startup. 3.5 Three Phase Half Wave Controlled Rectifier 3.5.1 Three Phase Half Wave Controlled Rectifier With Resistive Load Fig.3.31 shows the circuit of a three-phase half wave controlled rectifier, the control circuit of this rectifier has to ensure that the three gate pulses for three thyristor are displaced 120o relative to each other’s. Each thyristor will conduct for 120o. A thyristor can be fired to conduct when its anode voltage is positive with respect to its cathode voltage. The maximum output voltage occurred when α=0 which is the same as diode case. This rectfier has continuous load current and voltage in case of α ≤ 30. However, the load voltage and current will be discontinuous in case of α > 30. Fig.3.31 Three phase half wave controlled rectifier with resistive load.
  • 123.
    SCR Rectifier orControlled Rectifier 117 In case of α ≤ 30, various voltages and currents of the converter shown in Fig.3.31 are shown in Fig.3.32. Fig.3.33 shows FFT components of load voltage, secondary current and primary current. As we see the load voltage contains high third harmonics and all other triplex harmonics. Also secondary current contains DC component, which saturate the transformer core. The saturation of the transformer core is the main drawback of this system. Also the primary current is highly distorted but without a DC component. The average output voltage and current are shown in equation (3.57) and (3.58) respectively. The rms output voltage and current are shown in equation (3.59) and (3.60) respectively. 5π / 6 +α 3 3 3 Vm Vdc = 2π ∫Vm sin ω t dω t = 2π cosα = 0.827Vm cosα π / 6 +α (3.57) 3 = VLL cosα = 0.675VLL cosα 2π 3 3 Vm 0.827 * Vm I dc = cos α = cos α (3.58) 2 *π * R R 5π / 6 +α 3 1 3 ∫ (Vm sin ω t ) dω t = 3 Vm cos 2α (2.57) 2 Vrms = + 2π 6 8π π / 6 +α 1 3 3 Vm + cos 2α 6 8π I rms = (3.60) R Then the thyristor rms current is equal to secondery current and can be obtaiend as follows: 1/ 2 ⎛1 3 ⎞ Vm ⎜ + ⎜ 6 8 π cos 2α ⎟ ⎟ I I r = I S = rms = ⎝ ⎠ (3.61) 3 R The PIV of the diodes is 2 V LL = 3 Vm (3.62)
  • 124.
    118 Chapter Three Fig.3.32Voltages and currents waveforms for rectifier shown in Fig.3.31 at α ≤ 30.
  • 125.
    SCR Rectifier orControlled Rectifier 119 Fig.3.33 FFT components of load voltage, secondary current and supply current for the converter shown in Fig.3.31 for α ≤ 30. In case of α > 30, various voltages and currents of the rectifier shown in Fig.3.31 are shown in Fig.3.34. Fig.3.35 shows FFT components of load voltage, secondary current and primary current. As we can see the load voltage and current equal zero in some regions (i.e. discontinuous load current). The average output voltage and current are shown in equation (3.63) and (3.64) respectively. The rms output voltage and current are shown in equation (3.65) and (3.66) respectively. The average output voltage is :- π 3 3 Vm ⎡ ⎛π ⎞⎤ ⎡ ⎛π ⎞⎤ (3.63) Vdc = 2π ∫ Vm sin ω t dωt = 2π ⎢1 + cos ⎜ 6 + α ⎟⎥ = 0.4775Vm ⎢1 + cos ⎜ 6 + α ⎟⎥ ⎣ ⎝ ⎠⎦ ⎣ ⎝ ⎠⎦ π / 6 +α 3 Vm ⎡ ⎛π ⎞⎤ I dc = ⎢1 + cos ⎜ 6 + α ⎟⎥ 2π R ⎣ (3.64) ⎝ ⎠⎦ π 5 α ∫ (Vm sin ω t ) 3 1 Vrms = 2 dω t = 3 Vm − + sin(π / 3 + 2α ) (2.63) 2π 24 4π 8 π π / 6 +α 3 Vm 5 α 1 I rms = − + sin(π / 3 + 2α ) (3.66) R 24 4π 8 π Then the diode rms current can be obtaiend as follows: I V 5 α 1 I r = I S = rms = m − + sin(π / 3 + 2α ) (3.67) 3 R 24 4π 8 π The PIV of the diodes is 2 VLL = 3 Vm (3.68)
  • 126.
    120 Chapter Three Fig.3.34 Various voltages and currents waveforms for converter shown in Fig.3.22 for α > 30.
  • 127.
    SCR Rectifier orControlled Rectifier 121 Fig.3.35 FFT components of load voltage, secondary current and supply current for the converter shown in Fig.3.22 for α > 30. Example 7 Three-phase half-wave controlled rectfier is connected to 380 V three phase supply via delta-way 380/460V transformer. The load of the rectfier is pure resistance of 5 Ω . The delay angle α = 25o . Calculate: The rectfication effeciency (b) Transformer Utilization Factor (TUF) (c) Crest Factor C F of the input current (d) PIV of thyristors Solution: From (3.57) the DC value of the output voltage can be obtained as following: 3 3 Vdc = VLL cos α = 460 cos 25 = 281.5V 2π 2π V 281.5 Then; I dc = dc = = 56.3 A R 5 From (3.59) we can calculate Vrms as following: 1 3 1 3 Vrms = 3 Vm + cos 2α = 2 VLL * + cos 2α 6 8π 6 8π cos (2 * 25) = 298.8 V 1 3 Then, Vrms = 2 * 460 * + 6 8π
  • 128.
    122 Chapter Three Vrms 298.8 Then I rms = = = 59.76 A R 5 Then, the rectfication effeciency can be calculated as following: V I η = dc dc *100 = 88.75% Vrms I rms The rms value of the secondary current can be calculated as following: I 59.76 I S = rms = = 34.5 A 3 3 Vdc I dc 281.5 * 56.3 TUF = = *100 = 57.66% 3 VLL * I s 3 * 460 * 34.5 I S , peak = Vm = ( ) 2 / 3 *VLL = ( ) 2 / 3 * 460 = 75.12 A R 5 5 I S , peak 75.12 CF = = = 2.177 IS 34.5 PIV = 2 VLL = 2 * 460 = 650.54 V Example 8 Solve the previous example (evample 7) if the firing angle α = 60 o Slution: From (3.63) the DC value of the output voltage can be obtained as following: ⎛ 2⎞ 3⎜ ⎟ ⎜ 3 ⎟ * 460 ⎡ 3 Vm ⎡ ⎛ π ⎞ ⎤ ⎝ ⎠ ⎛ π π ⎞⎤ Vdc = 2π ⎣⎢1 + cos ⎜ 6 + α ⎟⎥ = 2π ⎢1 + cos ⎜ 6 + 3 ⎟⎥ = 179.33 V ⎝ ⎠⎦ ⎣ ⎝ ⎠⎦ V 179.33 Then; I dc = dc = = 35.87 A R 5 From (3.65) we can calculate Vrms as following: 5 α 1 Vrms = 3 Vm − + sin(π / 3 + 2α ) 24 4π 8 π 5 π /3 1 = 2 * 460 * − + sin(π / 3 + 2π / 3 ) = 230V 24 4π 8 π V 230 Then I rms = rms = = 46 A R 5 Then, the rectfication effeciency can be calculated as following
  • 129.
    SCR Rectifier orControlled Rectifier 123 Vdc I dc η= *100 = 60.79 % Vrms I rms The rms value of the secondary current can be calculated as following: I 46 I S = rms = = 26.56 A 3 3 Vdc I dc 179.33 * 35.87 TUF = = *100 = 30.4 % 3 VLL * I s 3 * 460 * 26.56 I S , peak = Vm = ( ) 2 / 3 *VLL = ( ) 2 / 3 * 460 = 75.12 A R 5 5 I S , peak 75.12 CF = = = 2.83 IS 26.56 PIV = 2 VLL = 2 * 460 = 650.54 V 3.5 Three Phase Half Wave Controlled Rectifier With DC Load Current The Three Phase Half Wave Controlled Rectifier With DC Load Current is shown in Fig.3.36, the load voltage will reverse its direction only if α > 30. However if α < 30 the load voltage will be positive all the time. Then in case of α > 30 the load voltage will be negative till the next thyristor in the sequence gets triggering pulse. Also each thyristor will conduct for 120o if the load current is continuous as shown in Fig.3.37. Fig.3.38 shows the FFT components of load voltage, secondary current and supply current for the converter shown in Fig.3.36 for α > 30 and pure DC current load. Fig.3.36 Three Phase Half Wave Controlled Rectifier With DC Load Current
  • 130.
    124 Chapter Three t=0 Fig.3.37 Various voltages and currents waveforms for the converter shown in Fig.3.36 for α > 30 and pure DC current load. Fig.3.38 FFT components of load voltage, secondary current and supply current for the converter shown in Fig.3.36 for α > 30 and pure DC current load.
  • 131.
    SCR Rectifier orControlled Rectifier 125 As explained before the secondary current of transformer contains DC component. Also the source current is highly distorted which make this system has less practical significance. The THD of the supply current can be obtained by the aid of Fourier analysis as shown in the following:- If we move y-axis of supply current to be as shown in Fig.3.33, then the waveform can be represented as odd function. So, an=0 and bn can be obtained as the following:- 2π / 3 2 2 I dc ⎛ 2nπ ⎞ bn = π ∫ I dc sin(nω t ) dω t = πn ⎝ ⎜1 − cos 3 ⎠ ⎟ for n=1,2,3,4,… 0 2 I dc 3 Then, bn = * for n=1,2,4,5,7,8,10,….. (3.69) πn 2 And b n = 0 For n=3,6,9,12,….. (3.70) Then the source current waveform can be expressed as the following equation 3I dc ⎡ 1 1 1 1 ⎤ i p (ωt ) = ⎢sin ωt + 2 sin 2ωt + 4 sin 4ωt + 5 sin 5ωt + 7 sin 7ωt + ......⎥ (3.71) π ⎣ ⎦ The resultant waveform shown in equation (3.61) agrees with the result from simulation (Fig.3.38). The THD of source current can be obtained by two different methods. The first method is shown below:- I 2 − I 21 p p THD = (3.72) I 21 p 2 Where, I p = * I dc (3.73) 3 The rms of the fundamental component of supply current can be obtained from equation (3.71) and it will be as shown in equation (3.74) 3I I p1 = dc (3.74) 2π Substitute equations (3.73) and (3.74) into equation (3.72), then, 2 2 9 2 I dc − I dc 3 2π 2 THD = = 68 % (3.75) 9 2 I dc 2π 2
  • 132.
    126 Chapter Three Another method to determine the THD of supply current is shown in the following:- Substitute from equation (3.71) into equation (3.72) we get the following equation:- 2 2 2 2 2 2 2 2 2 ⎛1⎞ ⎛1⎞ ⎛1⎞ ⎛1⎞ ⎛1⎞ ⎛1⎞ ⎛1⎞ ⎛1⎞ ⎛1⎞ THD = ⎜ ⎟ + ⎜ ⎟ + ⎜ ⎟ + ⎜ ⎟ + ⎜ ⎟ + ⎜ ⎟ + ⎜ ⎟ + ⎜ ⎟ + ⎜ ⎟ + .... ≅ 68 % (3.76) ⎝ 2⎠ ⎝4⎠ ⎝5⎠ ⎝7⎠ ⎝8⎠ ⎝ 10 ⎠ ⎝ 11 ⎠ ⎝ 13 ⎠ ⎝ 14 ⎠ The supply current THD is very high and it is not acceptable by any electric utility system. In case of full wave three-phase converter, the THD in supply current becomes much better than half wave (THD=35%) but still this value of THD is not acceptable. Example 9 Three phase half wave controlled rectfier is connected to 380 V three phase supply via delta-way 380/460V transformer. The load of the rectfier draws 100 A pure DC current. The delay angle, α = 30 o . Calculate: (a) THD of primary current. (b) Input power factor. Solution: The voltage ratio of delta-way transformer is 380/460V. Then, 460 the peak value of primary current is 100 * = 121.05 A . Then, 380 2 I P, rms = 121.05 * = 98.84 A . 3 I P1 can be obtained from equation (372) where 3I 3 *121.05 I P1 = dc = = 81.74 A . 2π 2π 2 2 ⎛ I P, rms ⎞ ⎟ − 1 *100 = ⎛ 98.84 ⎞ Then, (THD )I P = ⎜⎜ ⎜ ⎟ − 1 *100 = 67.98 % ⎝ I P1 ⎟ ⎠ ⎝ 81.74 ⎠ The input power factor can be calculated as following: I ⎛ π ⎞ 81.74 ⎛π π ⎞ P. f = P1 * cos⎜ α + ⎟ = * cos⎜ + ⎟ = 0.414 Lagging I P , rms ⎝ 6 ⎠ 98.84 ⎝6 6⎠ 3.6 Three Phase Half Wave Controlled Rectifier With Free Wheeling Diode The circuit of three-phase half wave controlled rectifier with free wheeling diode is shown in Fig.3.39. Various voltages and currents waveforms of this converter are shown in Fig.3.40. FFT components of
  • 133.
    SCR Rectifier orControlled Rectifier 127 load voltage, secondary current and supply current for the converter shown in Fig.3.39 for α > 30 and RL load is shown in Fig.3.41. In case of firing angle α less than 30o, the output voltage and current will be the same as the converter without freewheeling diode, because of the output voltage remains positive all the time. However, for firing angle α greater than 30o, the freewheeling diode eliminates the negative voltage by bypassing the current during this period. The freewheeling diode makes the output voltage less distorted and ensures continuous load current. Fig.3.40 shows various voltages and currents waveforms of the converter shown in Fig.3.39. The average and rms load voltage is shown below:- The average output voltage is :- π 3 3 Vm ⎡ ⎛π ⎞⎤ ⎡ ⎛π ⎞⎤ V = ∫ V sin ωt dωt = 1 + cos ⎜ + α ⎟ = 0.4775V 1 + cos ⎜ + α ⎟ (3.77) 2π ⎢ ⎥ m⎢ ⎥ 2π dc m π / 6+α ⎣ ⎝6 ⎠⎦ ⎣ ⎝6 ⎠⎦ 3 Vm ⎡ ⎛π ⎞⎤ I dc = ⎢1 + cos ⎜ 6 + α ⎟⎥ 2π R ⎣ (3.78) ⎝ ⎠⎦ π 5 α ∫ (Vm sin ωt ) 3 1 Vrms = 2 dωt = 3 Vm − + sin(π / 3 + 2α ) 2π 24 4π 8 π π / 6 +α (3.79) 3 Vm 5 α 1 I rms = − + sin(π / 3 + 2α ) (3.80) R 24 4π 8 π Fig.3.39 Three-phase half wave controlled rectifier with free wheeling diode.
  • 134.
    128 Chapter Three Fig.3.40 Various voltages and currents waveforms for the converter shown in Fig.3.36 for α > 30 with RL load and freewheeling diode. Fig.3.41 FFT components of load voltage, secondary current and supply current for the converter shown in Fig.3.36 for α > 30 and RL load.
  • 135.
    SCR Rectifier orControlled Rectifier 129 3.7 Three Phase Full Wave Fully Controlled Rectifier Bridge 3.7.1 Three Phase Full Wave Fully Controlled Rectifier With Resistive Load Three-phase full wave controlled rectifier shown in Fig.3.42. As we can see in this figure the thyristors has labels T1, T2,……,T6. The label of each thyristor is chosen to be identical to triggering sequence where thyristors are triggered in the sequence of T1, T2,……,T6 which is clear from the thyristors currents shown in Fig.3.43. Fig.3.42 Three-phase full wave controlled rectifier. Fig.3.43 Thyristors currents of three-phase full wave controlled rectifier.
  • 136.
    130 Chapter Three The operation of the circuit explained here depending on the understanding of the reader the three phase diode bridge rectifier. The Three-phase voltages vary with time as shown in the following equations: va = Vm sin (ω t ) vb = Vm sin (ω t − 120) vc = Vm sin (ω t + 120) It can be seen from Fig.3.44 that the voltage va is the highest positive voltage of the three phase voltage when ωt is in the range 30 < ω t < 150 o . So, the thyristor T1 is forward bias during this period and it is ready to conduct at any instant in this period if it gets a pulse on its gate. In Fig.3.44 the firing angle α = 40 as an example. So, T1 takes a pulse at ω t = 30 + α = 30 + 40 = 70 o as shown in Fig.3.44. Also, it is clear from Fig3.38 that thyristor T1 or any other thyristor remains on for 120o . Fig.3.44 Phase voltages and thyristors currents of three-phase full wave controlled rectifier at α = 40 o . It can be seen from Fig.3.44 that the voltage vb is the highest positive voltage of the three phase voltage when ωt is in the range of 150 < ωt < 270 o . So, the thyristor T3 is forward bias during this period
  • 137.
    SCR Rectifier orControlled Rectifier 131 and it is ready to conduct at any instant in this period if it gets a pulse on its gate. In Fig.3.44, the firing angle α = 40 as an example. So, T3 takes a pulse at ω t = 150 + α = 150 + 40 = 190 o . It can be seen from Fig.3.44 that the voltage vc is the highest positive voltage of the three phase voltage when ωt is in the range 270 < ω t < 390 o . So, the thyristor T5 is forward bias during this period and it is ready to conduct at any instant in this period if it gets a pulse on its gate. In Fig.3.44, the firing angle α = 40 as an example. So, T3 takes a pulse at ωt = 270 + α = 310 o . It can be seen from Fig.3.44 that the voltage va is the highest negative voltage of the three phase voltage when ω t is in the range 210 < ω t < 330 o . So, the thyristor T4 is forward bias during this period and it is ready to conduct at any instant in this period if it gets a pulse on its gate. In Fig.338, the firing angle α = 40 as an example. So, T4 takes a pulse at ω t = 210 + α = 210 + 40 = 250o . It can be seen from Fig.3.44 that the voltage vb is the highest negative voltage of the three phase voltage when ω t is in the range 330 < ω t < 450 o or 330 < ω t < 90 o in the next period of supply voltage waveform. So, the thyristor T6 is forward bias during this period and it is ready to conduct at any instant in this period if it gets a pulse on its gate. In Fig.3.44, the firing angle α = 40 as an example. So, T6 takes a pulse at ω t = 330 + α = 370 o . It can be seen from Fig.3.44 that the voltage vc is the highest negative voltage of the three phase voltage when ω t is in the range 90 < ωt < 210 o . So, the thyristor T2 is forward bias during this period and it is ready to conduct at any instant in this period if it gets a pulse on its gate. In Fig.3.44, the firing angle α = 40 as an example. So, T2 takes a pulse at ωt = 90 + α = 130 o . From the above explanation we can conclude that there is two thyristor in conduction at any time during the period of supply voltage. It is also clear that the two thyristors in conduction one in the upper half (T1, T3, or, T5) which become forward bias at highest positive voltage connected to its anode and another one in the lower half (T2, T4, or, T6)
  • 138.
    132 Chapter Three whichbecome forward bias at highest negative voltage connected to its cathode. So the load is connected at any time between the highest positive phase voltage and the highest negative phase voltage. So, the load voltage equal the highest line to line voltage at any time which is clear from Fig.3.45. The following table summarizes the above explanation. Period, range of wt SCR Pair in conduction α + 30o to α + 90o T1 and T6 α + 90 to α + 150 o o T1 and T2 α + 150 to α + 210 o o T2 and T3 α + 210o to α + 270o T3 and T4 α + 270o to α + 330o T4 and T5 α + 330o to α + 360o and α + 0o to α + 30o T5 and T6 Fig.3.45 Output voltage along with three phase line to line voltages of rectifier in Fig.3.42 at α = 40o . The line current waveform is very easy to obtain it by applying kerchief's current law at the terminals of any phase. As an example I a = I T 1 − I T 4 which is clear from Fig.3.42. The input current of this rectifier for α = 40, (α ≤ 60) is shown in Fig.3.46. Fast Fourier transform (FFT) of output voltage and supply current are shown in Fig.3.47.
  • 139.
    SCR Rectifier orControlled Rectifier 133 Fig.3.46 The input current of this rectifier of rectifier in Fig.3.42 at α = 40, (α ≤ 60 ) . Fig.3.46 FFT components of output voltage and supply current of rectifier in Fig.3.42 at α = 40, (α ≤ 60 ) .
  • 140.
    134 Chapter Three Analysis of this three-phase controlled rectifier is in many ways similar to the analysis of single-phase bridge controlled rectifier circuit. The average output voltage, the rms output voltage, the ripple content in output voltage, the total rms line current, the fundamental rms current, THD in line current, the displacement power factor and the apparent power factor are to be determined. In this section, the analysis is carried out assuming that the load is pure resistance. π / 2 +α 3 π 3 3 Vm Vdc = ∫ π π / 6 +α 3 Vm sin(ω t + ) dω t = 6 π cos α (3.81) The maximum average output voltage for delay angle α=0 is 3 3 Vm Vdm = (3.82) π The normalized average output voltage is as shown in (3.83) Vdc Vn = = cos α (3.83) Vdm The rms value of the output voltage is found from the following equation: π / 2 +α 3 ⎛ 2 π ⎞ ⎛1 3 3 ⎞ Vrms = π ∫ 3 ⎜Vm sin(ω t + ) ⎟ dω t = 3 Vm ⎝ 6 ⎠ ⎜ + ⎜2 ⎝ 4π cos 2α ⎟ (3.84) ⎟ ⎠ π / 6 +α In the converter shown in Fig.3.42 the output voltage will be continuous only and only if α ≤ 60 o . If α > 60 o the output voltage, and phase current will be as shown in Fig.3.47. Fig.3.47 Output voltage along with three phase line to line voltages of rectifier in Fig.3.42 at α = 75o .
  • 141.
    SCR Rectifier orControlled Rectifier 135 The average and rms values of output voltage is shown in the following equation: 5π / 6 π Vdc = 3 ∫ 3 Vm sin(ω t + ) dω t = 3 3 Vm [1 + cos ( π / 3 + α )](3.85) π 6 π π / 6 +α The maximum average output voltage for delay angle α=0 is 3 3 Vm Vdm = (3.86) π The normalized average output voltage is Vn = dc = [1 + cos ( π / 3 + α )] V (3.87) Vdm The rms value of the output voltage is found from the following equation: 5π / 6 2 3 ⎛ π ⎞ Vrms = π ⎝∫ 3 ⎜Vm sin(ω t + ) ⎟ dω t 6 ⎠ π / 6 +α (3.88) 3 ⎛ ⎛ π ⎞⎞ = 3Vm 1 − ⎜ 2α − cos⎜ 2α + ⎟ ⎟ 4π ⎝ ⎝ 6 ⎠⎠ Example 10 Three-phase full-wave controlled rectifier is connected to 380 V, 50 Hz supply to feed a load of 10 Ω pure resistance. If it is required to get 400 V DC output voltage, calculate the following: (a) The firing angle, α (b) The rectfication effeciency (c) The crest factor of input current. (d) PIV of the thyristors. Solution: From (3.81) the average voltage is : 2 3 3* * 380 3 3 Vm 3 Vdc = cos α = cos α = 400V . π π Vdc 400 Then α = 38.79 o , = I dc = = 40 A R 10 From (3.84) the rms value of the output voltage is: ⎛1 3 3 ⎞ 2 ⎛1 3 3 ⎞ Vrms = 3 Vm ⎜ ⎟ ⎜ 2 + 4 π cos 2 α ⎟ = 3 * 3 * 380 * ⎜ + ⎜2 cos (2 * 38.79 )⎟ ⎟ ⎝ ⎠ ⎝ 4π ⎠ Then, Vrms = 412.412 V
  • 142.
    136 Chapter Three Vrms 412.412 Then, I rms = = = 41.24 A R 10 V *I 400 * 40 Then, η = dc dc *100 = *100 = 94.07% Vrms * I rms 412.4 * 41.24 I S , peak The crest factor of input current, C F = I s, rms ⎛ π⎞ 2 * 380 sin ⎜ ωt + ⎟ ⎝ 6⎠ 2 * 380 sin (30 + 38.79 + 30) I S , peak = = = 53.11 A R 10 2 2 I s , rms = *I rms = * 41.24 = 33.67 A 3 3 I S , peak 53.11 Then, C F = = = 1.577 I s, rms 33.67 The PIV= 3 Vm=537.4V Example 11 Solve the previous example if the required dc voltage is 150V. Solution: From (3.81) the average voltage is : 2 3 3* * 380 3 3 Vm 3 Vdc = cos α = cos α = 150V . Then, α = 73o π π It is not acceptable result because the above equation valid only for α ≤ 60 . Then we have to use the (3.85) to get Vdc as following: 2 3 3* * 380 Vdc == 3 [1 + cos ( π / 3 + α )] = 150V . Then, α = 75.05o π V 150 Then I dc = dc = = 15 A R 10 From (3.88) the rms value of the output voltage is: 3 ⎛ ⎛ π ⎞⎞ Vrms = 3Vm 1 − ⎜ 2α − cos⎜ 2α + ⎟ ⎟ ⎜ 4π ⎝ ⎝ 6 ⎠⎟ ⎠ 2 ⎛ 3 ⎛ π ⎞⎞ = 3* * 380 * ⎜ 4 π ⎜ 2 * 75.05 * 180 − cos (2 * 75.05 + 30 )⎟ ⎟ ⎜1 − ⎟ 3 ⎝ ⎝ ⎠⎠
  • 143.
    SCR Rectifier orControlled Rectifier 137 Then, Vrms = 198.075 V V 198.075 Then, I rms = rms = = 19.8075 A R 10 V *I 150 *15 Then, η = dc dc *100 = *100 = 57.35 % Vrms * I rms 198.075 *19.81 I S , peak The crest factor of input current, C F = I s , rms ⎛ π⎞ 2 * 380 sin ⎜ ωt + ⎟ ⎝ 6⎠ 2 * 380 sin (30 + 75.05 + 30) I S , peak = = = 37.97 A R 10 2 2 I s , rms = *I rms = *19.8075 = 16.1728 A 3 3 I S , peak 37.97 Then, C F = = = 2.348 I s, rms 16.1728 The PIV= 3 Vm=537.4V 3.7.1 Three Phase Full Wave Fully Controlled Rectifier With pure DC Load Current Three-phase full wave-fully controlled rectifier with pure DC load current is shown in Fig.3.48. Fig.3.49 shows various currents and voltage of the converter shown in Fig.3.48 when the delay angle is less than 60o. As we see in Fig.3.49, the load voltage is only positive and there is no negative period in the output waveform. Fig.3.50 shows FFT components of output voltage of rectifier shown in Fig.3.48 for α < 60o . Fig.3.48 Three phase full wave fully controlled rectifier with pure dc load current
  • 144.
    138 Chapter Three Fig.3.49Output voltage and supply current waveforms along with three phase line voltages for the rectifier shown in Fig.3.48 for α < 60o with pure DC current load. Fig.3.50 FFT components of SCR, secondary, primary currents respectively of rectifier shown in Fig.3.48.
  • 145.
    SCR Rectifier orControlled Rectifier 139 In case of the firing angle is greater than 60 o , the output voltage contains negaive portion as shown in Fig.3.51. Fig.3.52 shows FFT components of output voltage of rectifier shown in Fig.3.48 for α > 60 o . The average and rms voltage is the same as in equations (3.81) and (3.84) respectively. The line current of this rectifier is the same as line current of three-phase full-wave diode bridge rectifier typically except the phase shift between the phase voltage and phase current is zero in case of diode bridge but it is α in case of three-phase full-wave controlled rectifier with pure DC load current as shown in Fig.3.53. So, the input power factor of three-phase full-wave diode bridge rectifier with pure DC load current is: I PowerFactor = s1 cos α (3.89) Is Fig.3.51 Output voltage and supply current waveforms along with three phase line voltages for the rectifier shown in Fig.3.48 for α > 60o with pure DC current load.
  • 146.
    140 Chapter Three Fig.3.52FFT components of SCR, secondary, primary currents respectively of rectifier shown in Fig.3.48 for α > 60o. Fig.3.53 Phase a voltage, current and fundamental components of phase a of three phase full bridge fully controlled rectifier with pure DC current load and α > 60 . In case of three-phase full-wave controlled rectifier with pure DC load and source inductance the waveform of output voltage and line current and their FFT components are shown in Fig.3.54 and Fig.3.55 respectively. The output voltage reduction due to the source inductance is the same as obtained before in Three-phase diode bridge rectifier. But, the commutation time will differ than the commutation time obtained in case of Three-phase diode bridge rectifier. It is left to the reader to determine the commutation angle u in case of three-phase full-wave
  • 147.
    SCR Rectifier orControlled Rectifier 141 diode bridge rectifier with pure DC load and source inductance. The Fourier transform of line current and THD will be the same as obtained before in Three-phase diode bridge rectifier with pure DC load and source inductance which explained in the previous chapter. Fig.3.54 Output voltage and supply current of rectifier shown n Fig.3.48 with pure DC load and source inductance the waveforms. Fig.3.55 FFT components of output voltage of rectifier shown in Fig.3.48 for α > 60o and there is a source inductance.
  • 148.
    142 Chapter Three Let us study the commutation time shown in Fig.3.56n. At this time Vc starts to be more negative than Vb so T2 becomes forward bias and it is ready to switch as soon as it gets a pulse on its gate. Thyristor T2 gets a pulse after that by α as shown in Fig.3.56n, so, T6 has to switch OFF and T2 has to switch ON. But due to the source inductance will prevent that to happen instantaneously. So it will take time Δt sec = u red to completely turn OFF T6 and to make T2 carry all the load current ( I o ). Also in the time Δt the current in Lb will change from I o to zero and the current in Lc will change from zero to I o . This is very clear from Fig.3.56n. The equivalent circuit of the three phase full wave controlled rectifier at commutation time Δt is shown in Fig.3.57n and Fig.3.58n. α u Va Vc Vb π /2 Io Io Io Io Fig.3.56n Waveforms represent the one commutation period.
  • 149.
    SCR Rectifier orControlled Rectifier 143 Fig.3.57n The equivalent circuit of the three phase controlled rectifier at commutation time Δt shown in Fig.3.56n. From Fig.3.57n we can get the following defferntial equations: di di Va − La T 1 − Vdc − Lb T 6 − Vb = 0 (3.90) dt dt di di Va − La T 1 − Vdc − Lc T 2 − Vc = 0 (3.91) dt dt di Note that, during the time Δt , iT 1 is constant so T 1 = 0 , substitute this dt value in (3.90) and (3.91) we get the following differential equations: di Va − Vb − Lb T 6 = Vdc (3.92) dt di Va − Vc − Lc T 2 = Vdc (3.93) dt By equating the left hand side of equation (3.92) and (3.93) we get the following differential equation: di di Va − Vb − Lb T 6 = Va − Vc − Lc T 2 (3.94) dt dt di di Vb − Vc + Lb T 6 − Lc T 2 = 0 (3.95) dt dt The above equation can be written in the following manner: (Vb − Vc )dt + Lb diT 6 − Lc diT 2 = 0 (3.96) (Vb − Vc )dω t + ω Lb diT 6 − ω Lc diT 2 = 0 (3.97) Integrate the above equation during the time Δt with the help of Fig.3.56n we can get the limits of integration as shown in the following:
  • 150.
    144 Chapter Three π/ 2 +α + u 0 Io ∫ (Vb − Vc )dω t + ∫ ω Lb diT 6 − ∫ ω Lc diT 2 = 0 π / 2 +α Io 0 π / 2 +α + u ⎛ ⎛ 2π ⎞ ⎛ 2π ⎞ ⎞ ∫ ⎜Vm sin ⎜ ω t − ⎟ − Vm sin ⎜ ω t + ⎟ ⎟dω t + ωLb (− I o ) − ωLc I o = 0 π / 2 +α ⎝ ⎝ 3 ⎠ ⎝ 3 ⎠⎠ assume Lb = Lc = LS π / 2 +α + u ⎡ ⎛ 2π ⎞ ⎛ 2π ⎞⎤ Vm ⎢− cos⎜ ω t − ⎟ + cos⎜ ω t + ⎟ = 2ω LS I o ⎣ ⎝ 3 ⎠ ⎝ 3 ⎠⎥ π / 2 +α ⎦ ⎡ ⎛π 2π ⎞ ⎛π 2π ⎞ ⎛π 2π ⎞ ⎛π 2π ⎞⎤ Vm ⎢− cos⎜ + α + u − ⎟ + cos⎜ + α + u + ⎟ + cos⎜ + α − ⎟ − cos⎜ + α + ⎟⎥ ⎣ ⎝2 3 ⎠ ⎝2 3 ⎠ ⎝2 3 ⎠ ⎝2 3 ⎠⎦ = 2ω LS I o ⎡ ⎛ π⎞ ⎛ 7π ⎞ ⎛ π⎞ ⎛ 7π ⎞⎤ Vm ⎢− cos⎜ α + u − ⎟ + cos⎜ α + u + ⎟ + cos⎜ α − ⎟ − cos⎜ α + ⎟⎥ = 2ω LS I o ⎣ ⎝ 6⎠ ⎝ 6 ⎠ ⎝ 6⎠ ⎝ 6 ⎠⎦ ⎡ ⎛π ⎞ ⎛π ⎞ ⎛ 7π ⎞ ⎛ 7π ⎞ ⎢− cos(α + u )cos⎜ 6 ⎟ − sin (α + u )sin ⎜ 6 ⎟ + cos(α + u )cos⎜ 6 ⎟ − sin (α + u )sin ⎜ 6 ⎟ ⎣ ⎝ ⎠ ⎝ ⎠ ⎝ ⎠ ⎝ ⎠ π π 7π 7π ⎤ 2ω LS I o + cos α cos + sin α sin − cos α cos + sin α sin ⎥ = 6 6 6 6 ⎦ Vm ⎡ 3 cos(α + u ) − 0.5 sin (α + u ) − cos(α + u ) + 0.5 sin (α + u ) 3 ⎢− ⎣ 2 2 3 3 ⎤ 2ω LS I o cos α + 0.5 sin α cos α − 0.5 sin α ⎥ = 2 2 ⎦ Vm 2ω LS I o 3[cos α − cos(α + u )] = Vm 2ω LI o 2ω LI o 2 ω LS I o cos(α ) − cos(α + u ) = = = (3.98) 3 Vm 2 VLL VLL ⎡ 2ω LS I o ⎤ u = cos −1 ⎢cos(α ) − ⎥ −α (3.99) ⎣ VLL ⎦ u 1⎧ ⎪ ⎡ 2ω LS I o ⎤ ⎫ ⎪ Δt = = ⎨cos −1 ⎢cos(α ) − ⎥ −α ⎬ (3.100) ω ω⎪ ⎩ ⎣ VLL ⎦ ⎪ ⎭
  • 151.
    SCR Rectifier orControlled Rectifier 145 It is clear that the DC voltage reduction due to the source inductance is di the drop across the source inductance. vrd = LS T (3.101) dt Multiply (3.101) by dω t and integrate both sides of the resultant equation we get: π +α + u 2 Io ∫ vrd dω t = ∫ ω LdiD = ω LS I o (3.102) π 0 +α 2 π +α + u 2 ∫ vrd dω t is the reduction area in one commutation period Δt . But we π +α 2 have six commutation periods Δt in one period so the total reduction per period is: π +α + u 2 6 ∫ vrd dω t = 6ω LS I o (3.103) π +α 2 To obtain the average reduction in DC output voltage Vrd due to source inductance we have to divide by the period time 2π . Then, 6ω LI o Vrd = = 6 fLI o (3.104) 2π The DC voltage without source inductance tacking into account can be calculated as following: 3 2 Vdc = Vdc VLL cosα − 6 fLs I o (3.105) − Vrd = actual π without sourceinduc tan ce Fig.3.58n shows the utility line current with some detailes to help us to calculate its rms value easly. ⎡ π u ⎤ + ⎢u ⎛ I 2 3 2 ⎥ 2I o ⎡ 1 3 π u 2 ⎤ ⎢ ⎜ o ωt ⎞ dωt + I d dωt ⎥ = 2 Is = ∫ ∫ ⎢ 2 u + 3 + 2 − u⎥ 2 ⎟ π⎢ ⎝u ⎠ ⎥ π ⎣ 3u ⎦ 0 u ⎢ ⎥ ⎣ ⎦
  • 152.
    146 Chapter Three 2I o ⎡π u ⎤ 2 Then I S = − (3.106) π ⎢ 3 6⎥ ⎣ ⎦ Is u Io 2π +u 3 2π u 2π + 6 2 − Io 3 Fig.3.58n The utility line current Fig.3.59 shows the utility line currents and its first derivative that help us to obtain the Fourier transform of supply current easily. From Fig.2.43 we can fill Table(3.1) as explained before when we study Table (2.1). u Is Io 11π u 7π u − − 6 2 6 2 π u 5π u − − 6 2 6 2 − Io ′ Is u Io u 5π u 7π u − − 6 2 6 2 π u 11π u − − I 6 2 − o 6 2 u Fig.3.59 The utility line currents and its first derivative.
  • 153.
    SCR Rectifier orControlled Rectifier 147 Table(3.1) Jumb value of supply current and its first derivative. Js π u π u 5π u 5π u 7π u 7π u 11π u 11π u − + − + − + − + 6 2 6 2 6 2 6 2 6 2 6 2 6 2 6 2 Is 0 0 0 0 0 0 0 0 ′ Is Io − Io − Io Io − Io Io Io − Io u u u u u u u u It is an odd function, then ao = an = 0 ⎡m 1 m ⎤ ∑ ∑ 1 bn = ⎢ J s cos nωt s − ′ J s sin nωt s ⎥ (3.107) nπ ⎢ s =1 ⎣ n s =1 ⎥ ⎦ 1 ⎡ −1 Io ⎛ ⎛π u ⎞ ⎛π u ⎞ ⎛ 5π u ⎞ ⎛ 5π u ⎞ bn = ⎢ * ⎜ sin n⎜ − ⎟ − sin n⎜ + ⎟ − sin n⎜ − ⎟ + sin n⎜ + ⎟ nπ ⎣ n u ⎝ ⎝ 6 2⎠ ⎝ 6 2⎠ ⎝ 6 2⎠ ⎝ 6 2⎠ ⎛ 7π u ⎞ ⎛ 7π u ⎞ ⎛ 11π u ⎞ ⎛ 11π u ⎞ ⎞⎤ − sin n⎜ − ⎟ + sin n⎜ + ⎟ + sin n⎜ − ⎟ − sin n⎜ + ⎟ ⎟⎥ ⎝ 6 2⎠ ⎝ 6 2⎠ ⎝ 6 2⎠ ⎝ 6 2 ⎠ ⎠⎦ 2I o nu ⎡ nπ 5nπ 7nπ 11nπ ⎤ bn = ⎢cos 6 − cos 6 − cos 6 + cos 6 ⎥ (3.108) * sin n πu 2 2 ⎣ ⎦ Then, the utility line current can be obtained as in (3.109). 4 3 ⎡ ⎛u⎞ ⎛ 5u ⎞ ⎛ 7u ⎞ i (ω t ) = ⎢sin ⎜ 2 ⎟ sin (ωt ) − 2 sin ⎜ 2 ⎟ sin (5ωt ) − 2 sin ⎜ 2 ⎟ sin (7ωt ) + 1 1 πu ⎣ ⎝ ⎠ 5 ⎝ ⎠ 7 ⎝ ⎠ (3.109) ⎛ 11u ⎞ ⎛ 13u ⎞ ⎤ ⎟ sin (11ωt ) + 2 sin ⎜ ⎟ sin (13ωt ) − − + + ⎥ 1 1 + sin ⎜ 11 2 ⎝ 2 ⎠ 13 ⎝ 2 ⎠ ⎦ 2 6 Io ⎛ u ⎞ Then; I S1 = sin ⎜ ⎟ (3.110) πu ⎝2⎠ The power factor can be calculated from the following equation: 2 6 Io ⎛ u ⎞ sin ⎜ ⎟ I S1 ⎛u⎞ πu ⎝2⎠ ⎛ u⎞ pf = cos ⎜ ⎟ = cos ⎜α + ⎟ IS ⎝2⎠ 2 I o ⎡π u ⎤ 2 ⎝ 2⎠ − ⎥ π ⎢ 3 6⎦ ⎣ ⎛u⎞ 2 3 * sin ⎜ ⎟ Then; pf = ⎝ 2 ⎠ cos⎛ α + u ⎞ ⎜ ⎟ (3.111) ⎡π u ⎤ ⎝ 2⎠ u π⎢ − ⎥ ⎣ 3 6⎦
  • 154.
    148 Chapter Three Note,if we approximate the source current to be trapezoidal as shown in Fig.3.58n, the displacement power factor will be as shown in (3.111) is ⎛ u⎞ cos⎜ α + ⎟ . Another expression for the displacement power factor, by ⎝ 2⎠ equating the AC side and DC side powers [ ] as shown in the following derivation: From (3.98) and (3.105) we can get the following equation: VLL (cosα − cos(α + u )) 3 2 3 Vdc = VLL cos α − π 2π VLL [2 cos α − (cos α − cos(α + u ))] 3 2 ∴Vdc = 2π VLL [cos α + cos(α + u )] 3 2 ∴Vdc = (3.112) 2π Then the DC power output from the rectifier is Pdc = Vdc I o . Then, VLL * I o [cos α + cos(α + u )] 3 2 Pdc = (3.113) 2π On the AC side, the AC power is: Pac = 3 VLL I S1 cos φ1 (3.114) Substitute from (3.110) into (3.114) we get the following equation: 4 3 Io ⎛ u ⎞ 6 2 VLL I o ⎛ u ⎞ Pac = 3 VLL sin ⎜ ⎟ cos φ1 = sin ⎜ ⎟ cos φ1 (3.115) πu 2 ⎝2⎠ πu ⎝2⎠ By equating (3.113) and (3.115) we get the following: u [cos α + cos (α + u )] cos φ1 = (2.116) ⎛u⎞ 4 * sin ⎜ ⎟ ⎝2⎠ The source inductance reduces the magnitudes of the harmonic currents. Fig.3.60a through d show the effects of LS (and hence of u) on various harmonics for various values of α , where I d is a constant dc. The harmonic currents are normalized by I1 I, with LS = 0 , which is 6 given by (2.98) where I s1 = I o in this case. Normally, the DC-side π current is not a constant DC. Typical and idealized harmonics are shown in Table 3.2.
  • 155.
    SCR Rectifier orControlled Rectifier 149 Fig.3.60 Normalized harmonic current in the presence of LS [ ]. Table 3.2 Typical and idealized harmonics. 3.7.2 Inverter Mode of Operation Once again, to understand the inverter mode of operation, we will assume that the do side of the converter can be represented by a current source of a constant amplitude I d , as shown in Fig.3.61. For a delay angle a greater than 90° but less than 180°, the voltage and current
  • 156.
    150 Chapter Three waveformsare shown in Fig.3.62a. The average value of Vd is negative according to (3.81). On the ac side, the negative power implies that the phase angle φ1 , between vs and is , is greater than 90°, as shown in Fig.3.62b. Fig.3.61 Three phase SCR inverter with a DC current. Fig.3.62 Waveforms in the inverter shown in Fig.3.56. In a practical circuit shown in Fig.3.63, the operating point for a given E d and α can be obtained from the characteristics shown in Fig.3.64.
  • 157.
    SCR Rectifier orControlled Rectifier 151 Similar to the discussion in connection with single-phase converters, ( ) the extinction angle γ = 180o − α − u must be greater than the thyristor turn-off interval ω t q in the waveforms of Fig.3.54, where v5 is the voltage across thyristor 5. Fig.3.63 Three phase SCR inverter with a DC voltage source. Fig.3.64 Vd versus I d of Three phase SCR inverter with a DC voltage source. Inverter Startup As discussed for start up of a single-phase inverter, the delay angle α in the three-phase inverter of Fig.3.63 is initially made sufficiently large (e.g., 165°) so that id is discontinuous. Then, α is decreased by the controller such that the desired I d and Pd are obtained.
  • 158.
    152 Chapter Three Problems 1- Single phase half-wave controlled rectifier is connected to 220 V, 50Hz supply to feed 10 Ω resistor. If the firing angle α = 30 o draw output voltage and drop voltage across the thyristor along with the supply voltage. Then, calculate, (a) The rectfication effeciency. (b) Ripple factor. (c) Peak Inverse Voltage (PIV) of the thyristor. (d) The crest factor C F of input current. 2- Single phase half-wave controlled rectfier is connected to 220 V, 50Hz supply to feed 5Ω resistor in series with 10mH inductor if the firing angle α = 30 o . (a) Determine an expression for the current through the load in the first two periods of supply current, then fiend the DC and rms value of output voltage. (b) Draw the waveforms of load, resistor, inductor voltages and load current. 3- Solve problem 2 if there is a freewheeling diode is connected in shunt with the load. 4- single phase full-wave fully controlled rectifier is connected to 220V, 50 Hz supply to feed 5Ω resistor, if the firing angle α = 40 o . Draw the load voltage and current, diode currents and supply current. Then, calculate (a) The rectfication effeciency. (b) Peak Inverse Voltage (PIV) of the thyristor. (c) Crest factor of supply current. 5- In the problem 4, if there is a 5mH inductor is connected in series with the 5Ω resistor. Draw waveforms of output voltage and current, resistor and inductor voltages, diode currents, supply currents. Then, find an expression of load current, DC and rms values of output voltages. 6- Solve problem 5 if the load is connected with freewheeling diode. 7- Single phase full wave fully controlled rectifier is connected to 220V, 50 Hz supply to feed the load with 47 A pure dc current. The firing angle α = 40 o . Draw the load voltage, thyristor, and load currents. Then, calculate (a) the rectfication effeciency. (b) Ripple factor of output voltage. (c) Crest factor of supply current. (d) Use Fourier series to fiend an expression for supply current. (e) THD of supply current. (f) Input power factor. 8- Solve problem 7 if the supply has a 3 mH source inductance.
  • 159.
    SCR Rectifier orControlled Rectifier 153 9- Single phase full-wave semi-controlled rectifier is connected to 220 V, 50Hz supply to feed 5Ω resistor in series with 5 mH inductor, the load is connected in shunt with freewheeling diode. Draw the load voltage and current, resistor voltage and inductor voltage diodes and thyristor currents. Then, calculate Vdc and Vrms of the load voltages. If the freewheeling diode is removed, explain what will happen? 10- The single-phase full wave controlled converter is supplying a DC load of 1 kW with pure DC current. A 1.5-kVA-isolation transformer with a source-side voltage rating of 120 V at 50 Hz is used. It has a total leakage reactance of 8% based on its ratings. The ac source voltage of nominally 120 V is in the range of -10% and +5%. Then, Calculate the minimum transformer turns ratio if the DC load voltage is to be regulated at a constant value of 100 V. What is the value of a when VS = 120 V + 5%. 11- In the single-phase inverter of, VS = 120 V at 50 Hz, LS = 1.2 mH, Ld = 20 mH, Ed = 88 V, and the delay angle α = 135°. Using PSIM, obtain vs , is , vd , and id waveforms in steady state. 12- In the inverter of Problem 12, vary the delay angle α from a value of 165° down to 120° and plot id versus α . Obtain the delay angle α b , below which id becomes continuous. How does the slope of the characteristic in this range depend on LS ? 13- In the three-phase fully controlled rectifier is connected to 460 V at 50 Hz and Ls = 1mH . Calculate the commutation angle u if the load draws pure DC current at Vdc = 515V and Pdc = 500 kW. 14- In Problem 13 compute the peak inverse voltage and the average and the rms values of the current through each thyirstor in terms of VLL and I o . 15- Consider the three-phase, half-controlled converter shown in the following figure. Calculate the value of the delay angle α for which Vdc = 0.5Vdm . Draw vd waveform and identify the devices that conduct during various intervals. Obtain the DPF, PF, and %THD in the input line current and compare results with a full-bridge converter operating at Vdc = 0.5Vdm . Assume LS .
  • 160.
    154 Chapter Three 16- Repeat Problem 15 by assuming that diode D f is not present in the converter. 17- The three-phase converter of Fig.3.48 is supplying a DC load of 12 kW. A Y- Y connected isolation transformer has a per-phase rating of 5 kVA and an AC source-side voltage rating of 120 V at 50 Hz. It has a total per-phase leakage reactance of 8% based on its ratings. The ac source voltage of nominally 208 V (line to line) is in the range of -10% and +5%. Assume the load current is pure DC, calculate the minimum transformer turns ratio if the DC load voltage is to be regulated at a constant value of 300 V. What is the value of α when VLL = 208 V +5%. 18- In the three-phase inverter of Fig.3.63, VLL = 460 V at 60 Hz, E = 550 V, and LS = 0.5 mH. Assume the DC-side current is pure DC, Calculate α and γ if the power flow is 55 kW.
  • 161.
    Chapter 4 SWITCH-MODE dc-ac INVERTERS: dc SINUSOIDAL ac 4.1 Introduction Switch-mode dc-to-ac inverters are used in ac motor drives and uninterruptible ac power supplies where the objective is to produce a sinusoidal ac output whose magnitude and frequency can both be controlled. As an example, consider an ac motor drive, shown in Fig.4.1 in a block diagram form. The dc voltage is obtained by rectifying and filtering the line voltage, most often by the diode rectifier circuits. In an ac motor load, the voltage at its terminals is desired to be sinusoidal and adjustable in its magnitude and frequency. This is accomplished by means of the switch-mode dc-to-ac inverter of Fig.4.1, which accepts a dc voltage as the input and produces the desired ac voltage input. To be precise, the switch-mode inverter in Fig.4.1 is a converter through which the power flow is reversible. However, most of the time the power flow is from the dc side to the motor on the ac side, requiring an inverter mode of operation. Therefore, these switch-mode converters are often referred to as switch-mode inverters. To slow down the ac motor in Fig.4.1, the kinetic energy associated with the inertia of the motor and its load is recovered and the ac motor acts as a generator. During the so-called braking of the motor, the power flows from the ac side to the dc side of the switch-mode converter and it operates in a rectifier mode. The energy recovered during the braking of the ac motor can be dissipated in a resistor, which can be switched in parallel with the dc bus capacitor for this purpose in Fig.4.1. However, in applications where this braking is performed frequently, a better alternative is regenerative braking where the energy recovered from the motor load inertia is fed back to the utility grid, as shown in the system of Fig.4.2. This requires that the converter connecting the drive to the utility grid be a two-quadrant converter with a reversible dc current, which can operate as a rectifier during the motoring mode of the ac motor and as an inverter during the braking of the motor. Such a reversible-current two- quadrant converter can be realized by two back-to-back connected line- frequency thyristor converters or by means of a switch-mode converter as shown in Fig.4.2. There are other reasons for using such a switch-mode
  • 162.
    SWITCH-MODE dc-ac 153 rectifier (called a rectifier because, most of the time, the power flows from the ac line input to the dc bus) to interface the drive with the utility system. Fig.4.1 Switch mode inverter in ac motor drive. Fig.4.2 Switch-mode converters for motoring and regenerative braking in ac motor drive. In this chapter, we will discuss inverters with single-phase and three- phase ac outputs. The input to switch-mode inverters will be assumed to be a dc voltage source, as was assumed in the block diagrams of Fig.4.1 and Fig.4.2. Such inverters are referred to as voltage source inverters (VSIs). The other types of inverters, now used only for very high power ac motor drives, are the current source inverters (CSIs), where the dc input to the inverter is a dc current source. Because of their limited applications, the CSIs are not discussed. The VSIs can be further divided into the following three general categories: 1. Pulse-width-modulated inverters. In these inverters, the input dc voltage is essentially constant in magnitude, such as in the circuit of Fig.4.1, where a diode rectifier is used to rectify the line voltage. Therefore, the inverter must control the magnitude and the frequency of the ac output voltages. This is achieved by PWM of the inverter switches and hence such inverters are called PWM inverters. There are various
  • 163.
    154 Chapter Three schemesto pulse-width modulate the inverter switches in order to shape the output ac voltages to be as close to a sine wave as possible. Out of these various PWM schemes, a scheme called the sinusoidal PWM will be discussed in detail, and some of the other PWM techniques will be described in a separate section at the end of this chapter. 2. Square-wave inverters. In these inverters, the input dc voltage is controlled in order to control the magnitude of the output ac voltage, and therefore the inverter has to control only the frequency of the output voltage. The output ac voltage has a waveform similar to a square wave, and hence these inverters are called square-wave inverters. 3. Single-phase inverters with voltage cancellation. In case of inverters with single-phase output, it is possible to control the magnitude and the frequency of the inverter output voltage, even though the input to the inverter is a constant dc voltage and the inverter switches are not pulse- width modulated (and hence the output voltage wave-shape is like a square wave). Therefore, these inverters combine the characteristics of the previous two inverters. It should be noted that the voltage cancellation technique works only with single-phase inverters and not with three- phase inverters. 4.2 BASIC CONCEPTS OF SWITCH-MODE INVERTERS In this section, we will consider the requirements on the switch-mode inverters. For simplicity, let us consider a single-phase inverter, which is shown in block diagram form in Fig.4.3a, where the output voltage of the inverter is filtered so that vo can be assumed to be sinusoidal. Since the inverter supplies an inductive load such as an ac motor, io will lag vo , as shown in Fig.4.3b. The output waveforms of Fig.4.3b show that during interval 1, vo and io are both positive, whereas during interval 3, vo and io are both negative. Therefore, during intervals 1 and 3, the instantaneous power flow po = vo * I o is from the dc side to the ac side, corresponding to an inverter mode of operation. In contrast, vo and io are of opposite signs during intervals 2 and 4, and therefore po flows from the ac side to the dc side of the inverter, corresponding to a rectifier mode of operation. Therefore, the switch-mode inverter of Fig.4.3a must be capable of operating in all four quadrants of the io − vo plane, as shown in Fig.4.3c during each cycle of the ac output. Such a four-quadrant
  • 164.
    SWITCH-MODE dc-ac 155 inverter is reversible and vo can be of either polarity independent of the direction of io . Therefore, the full-bridge converter meets the switch- mode inverter requirements. Only one of the two legs of the full-bridge converter, for example leg A, is shown in Fig.4.4. All the dc-to-ac inverter topologies described in this chapter are derived from the one-leg converter of Fig.4.4. For ease of explanation, it will be assumed that in the inverter of Fig.4.4, the midpoint "o" of the dc input voltage is available, although in most inverters it is not needed and also not available. Fig.4.3 Single-Phase switch-mode inverter. Fig.4.4 One-leg switch-mode inverter.
  • 165.
    156 Chapter Three To understand the dc-to-ac inverter characteristics of the one-leg inverter of Fig.4.4, we will first assume that the input dc voltage Vd is constant and that the inverter switches are pulse-width modulated to shape and control the output voltage. Later on, it will be shown that the square-wave switching is a special case of the PWM switching scheme. 4.2.1 PULSE-WIDTH-MODULATED SWITCHING SCHEME In inverter circuits, we would like the inverter output to be sinusoidal with magnitude and frequency controllable. In order to produce a sinusoidal output voltage waveform at a desired frequency, a sinusoidal control signal at the desired frequency is compared with a triangular waveform, as shown in Fig.4.5a. The frequency of the triangular waveform establishes the inverter switching frequency and is generally kept constant along with its amplitude Vtri . Before discussing the PWM behavior, it is necessary to define a few terms. The triangular waveform Vtri in Fig.4.5a is at a switching frequency f s which establishes the frequency with which the inverter switches are switched ( f s is also called the carrier frequency). The control signal vcontrol is used to modulate the switch duty ratio and has a frequency f1 , which is the desired fundamental frequency of the inverter voltage output ( f 1 is also called the modulating frequency), recognizing that the inverter output voltage ' will not be a perfect sine wave and will contain voltage components at harmonic frequencies of f 1 . The amplitude modulation ratio ma is defined as Vˆ ma = control (4.1) ˆ Vtri where V ˆ is the peak amplitude of the control signal. The amplitude control ˆ Vtri of the triangular signal is generally kept constant. The frequency modulation ratio m f is defined as: fs mf = (4.2) f1 In the inverter of Fig.4.4b, the switches TA + and TA− are controlled based on the comparison of vcontrol and vtri and the following output voltage results, independent of the direction of io :
  • 166.
    SWITCH-MODE dc-ac 157 1 vcontrol > vtri TA + is on , v Ao = Vd (4.3) 2 1 vcontrol < vtri TA − is on , v Ao = − Vd 2 Fig.4.5 Pulse width modulation. Since the two switches are never off simultaneously, the output voltage v Ao 1 1 fluctuates between two values ( Vd and − Vd ). Voltage v Ao and 2 2 its fundamental frequency component (dashed curve) are shown in Fig.4.5b, which are drawn for m f = 15 and ma = 0.8.
  • 167.
    158 Chapter Three Theharmonic spectrum of v Ao under the conditions indicated in Figs.4.5a and Fig.4.5b is shown in Fig.4.5c, where the normalized ˆ( ) 1 harmonic voltages V Ao h / Vd having significant amplitudes are plotted. 2 This plot (for ma ≤ 1.0 ) shows three items of importance: 1. The peak amplitude of the fundamental-frequency component ( ) ˆ V Ao 1 is ma times Vd / 2 . This can be explained by first considering a constant vcontrol , as shown in Fig.4.6a. This results in an output waveform v Ao . From the PWM in a full-bridge dc-dc converter, it can be noted that the average output voltage (or more specifically, the output voltage averaged over one switching time period Ts = 1 / f s ) v Ao depends on the ratio of v ˆ to V for a given V : control tri d vcontrol Vd V Ao = vcontrol ≤Vtri ˆ (4.4) ˆ Vtri 2 Let us assume (though this assumption is not necessary) that vcontrol varies very little during a switching time period, that is, m f is large, as shown in Fig.4.6b. Therefore, assuming vcontrol to be constant over a switching time period, Eq. (4.4) indicates how the "instantaneous average" value of v Ao (averaged over one switching time period Ts ) varies from one switching time period to the next. This "instantaneous average" is the same as the fundamental-frequency component of v Ao . The foregoing argument shows why vcontrol is chosen to be sinusoidal to provide a sinusoidal output voltage with fewer harmonics. Let the control voltage vary sinusoidally at the frequency f1 = ω1 / 2π , which is the desired (or the fundamental) frequency of the inverter output: vcontrol = Vcontrol sin ω1t ˆ where Vˆ control ≤V ˆ tri (4.5) Using Eqs. (4.4) and (4.5) and the foregoing arguments, which show that the fundamental-frequency component (v Ao )1 varies sinusoidally and in phase with vcontrol as a function of time, results in ˆ (v Ao )1 = Vcontrol sin ω1t Vd = ma sin ω1t Vd ˆ for ma ≤ 1 (4.6) Vtri 2 2
  • 168.
    SWITCH-MODE dc-ac 159 Therefore, (VˆAo )1 = ma V2d for ma ≤ 1 (4.7) which shows that in a sinusoidal PWM, the amplitude of the fundamental-frequency component of the output voltage varies linearly with ma (provided ma ≤ 1 .0). Therefore, the range of ma from 0 to 1 is referred to as the linear range. Fig.4.6 Sinusoidal PWM. 2. The harmonics in the inverter output voltage waveform appear as sidebands, centered around the switching frequency and its multiples, that is, around harmonics m f , 2m f , 3m f , and so on. This general pattern holds true for all values of ma in the range 0 to 1. For a frequency modulation ratio m f ≤ 9 (which is always the case, except in very high power ratings), the harmonic amplitudes are almost independent of m f , though mf defines the frequencies at which they occur. Theoretically, the frequencies at which voltage harmonics occur ( ) can be indicated as: f h = jm f ± k f1 that is, the harmonic order h corresponds to the kth sideband of j times the frequency modulation ratio m f : ( ) h = j mf ± k (4.8) where the fundamental frequency corresponds to h = 1 . For odd values of j, the harmonics exist only for even values of k. For even values of j, the harmonics exist only for odd values of k.
  • 169.
    160 Chapter Three ˆ In Table 8-1, the normalized harmonics V Ao ( )h / 1 Vd 2 are tabulated as a function of the amplitude modulation ratio ma, assuming m f ≥ 9 . Only those with significant amplitudes up to j = 4 in Eq.4.8 are shown. It will be useful later on to recognize that in the inverter circuit of Fig.4.4 1 v AN = v Ao + Vd (4.9) 2 Therefore, the harmonic voltage components in v AN and v Ao are the same: ( ) ( ) V AN h = V Ao h ˆ ˆ (4.10) Table 1 shows that Eq.7 is followed almost exactly and the amplitude of the fundamental component in the output voltage varies linearly with ma . 3. The harmonic m f should be an odd integer. Choosing m f as an odd integer results in an odd symmetry as well as a half-wave symmetry with the time origin shown in Fig.4.5b, which is plotted for m f = 15 . Therefore, only odd harmonics are present and the even harmonics disappear from the waveform of v Ao . Moreover, only the coefficients of the sine series in the Fourier analysis are finite; those for the cosine series are zero. The harmonic spectrum is plotted in Fig.4.5c. Table 1 Generalized Harmonics of v Ao , for a Large m f
  • 170.
    SWITCH-MODE dc-ac 161 Example 1 In the circuit of Fig.4.4, Vd = 300V , ma = 0.8 , m f = 39 , and the fundamental frequency is 47 Hz. Calculate the rms values of the fundamental-frequency voltage and some of the dominant harmonics in v Ao using Table 1. Solution: From Table 1, the rms voltage at any value of h is given as: (4.11) Therefore, from Table 1 the rms voltages are as follows: Now we discuss the selection of the switching frequency and the frequency modulation ratio m f . Because of the relative ease in filtering harmonic voltages at high frequencies, it is desirable to use as high a switching frequency as possible, except for one significant drawback: Switching losses in the inverter switches increase proportionally with the switching frequency f s . Therefore, in most applications, the switching frequency is selected to be either less than 6 kHz or greater than 20 kHz to be above the audible range. If the optimum switching frequency (based on the overall system performance) turns out to be somewhere in the 6- 20-kHz range, then the disadvantages of increasing it to 20 kHz are often outweighed by the advantage of no audible noise with f s of 20 kHz or greater. Therefore, in 50- or 60-Hz type applications, such as ac motor drives (where the fundamental frequency of the inverter output may be required to be as high as 200 Hz), the frequency modulation ratio m f may be 9 or even less for switching frequencies of less than 2 kHz. On the other hand, m f will be larger than 100 for switching frequencies higher than 20 kHz. The desirable relationships between the triangular waveform signal and the control voltage signal are dictated by how large m f is. In the discussion here, m f = 21 is treated as the borderline
  • 171.
    162 Chapter Three betweenlarge and small, though its selection is somewhat arbitrary. Here, it is assumed that the amplitude modulation ratio ma is less than 1. 4.2.1.1 Small m f (m f ≤ 21) 1. Synchronous PWM. For small values of m f , the triangular waveform signal and the control signal should be synchronized to each other (synchronous PWM) as shown in Fig.4.5a. This synchronous PWM requires that m f be an integer. The reason for using the synchronous PWM is that the asynchronous PWM (where m f is not an integer) results in subharmonics (of the fundamental frequency) that are very undesirable in most applications. This implies that the triangular waveform frequency varies with the desired inverter frequency (e.g., if the inverter output frequency and hence the frequency of vcontrol , is 65.42 Hz and m f = 15, the triangular wave frequency should be exactly 15 x 65.42 = 981.3 Hz). m 2. m f should be an odd integer. As discussed previously, f should be an odd integer except in single-phase inverters with PWM unipolar voltage switching, to be discussed in the following sections. ( 4.2.1.2 Large m f m f > 21) The amplitudes of subharmonics due to asynchronous PWM are small at large values of m f . Therefore, at large values of m f , the asynchronous PWM can be used where the frequency of the triangular waveform is kept constant, whereas the frequency of vcontrol varies, resulting in noninteger values of m f (so long as they are large). However, if the inverter is supplying a load such as an ac motor, the subharmonics at zero or close to zero frequency, even though small in amplitude, will result in large currents that will be highly undesirable. Therefore, the asynchronous PWM should be avoided. 4.2.1.3 Overmodulation ma > 1.0 In the previous discussion, it was assumed that ma ≤ 1.0 , corresponding to a sinusoidal PWM in the linear range. Therefore, the amplitude of the fundamental-frequency voltage varies linearly with ma , as derived in Eq.(4.7). In this range of ma ≤ 1.0 , PWM pushes the harmonics into a high-frequency range around the switching frequency
  • 172.
    SWITCH-MODE dc-ac 163 and its multiples. In spite of this desirable feature of a sinusoidal PWM in the linear range, one of the drawbacks is that the maximum available amplitude of the fundamental-frequency component is not as high as we wish. This is a natural consequence of the notches in the output voltage waveform of Fig.4.5b. To increase further the amplitude of the fundamental-frequency component in the output voltage, ma is increased beyond 1.0, resulting in what is called overmodulation. Overmodulation causes the output voltage to contain many more harmonics in the sidebands as compared with the linear range (with ma ≤ 1.0 ), as shown in Fig.4.7. The harmonics with dominant amplitudes in the linear range may not be dominant during overmodulation. More significantly, with overmodulation, the amplitude of the fundamental-frequency component does not vary linearly with the amplitude modulation ratio ma . Figure 4.8 shows the normalized peak ( ) ˆ amplitude of the fundamental-frequency component V Ao h / Vd as a 1 2 function of the amplitude modulation ratio ma . Even at reasonably large ( )ˆ 1 values of m f , V Ao h / Vd depends on m f in the overmodulation 2 ( ) 1 region. This is contrary to the linear range ( ma ≤ 1 .0) where V Ao h / Vd ˆ 2 varies linearly with ma , almost independent of mf (provided m f > 9). With overmodulation regardless of the value of m f , it is recommended that a synchronous PWM operation be used, thus meeting the requirements indicated previously for a small value of m f . Fig.4.7 Harmonics due to overmodulation, drawn for ma = 2.5 and m f = 15 .
  • 173.
    164 Chapter Three Fig.4.8 Voltage control by varying ma . The overmodulation region is avoided in uninterruptible power supplies because of a stringent requirement on minimizing the distortion in the output voltage. In induction motor drives, overmodulation is normally used. For sufficiently large values of ma , the inverter voltage waveform degenerates from a pulse-width-modulated waveform into a square wave, which is discussed in detail in the next section. From Fig.4.8 and the discussion of square-wave switching to be presented in the next section, it can be concluded that in the overmodulation region with ma > 1 Vd 2 ( ) < V Ao 1 < ˆ 4 Vd π 2 (4.12) 4.2.2 SQUARE-WAVE SWITCHING SCHEME In the square-wave switching scheme, each switch of the inverter leg of Fig.4.4 is on for one half-cycle (180°) of the desired output frequency. This results in an output voltage waveform as shown in Fig.4.9a. From Fourier analysis, the peak values of the fundamental-frequency and
  • 174.
    SWITCH-MODE dc-ac 165 harmonic components in the inverter output waveform can be obtained for a given input Vd as: (VˆAo )1 = π V2d = 1.273⎛ V2d ⎞ 4 ⎜ ⎟ (4.13) ⎝ ⎠ and (V ) = Ao 1 ˆ (Vˆ ) (4.14) Ao h h where the harmonic order h takes on only odd values, as shown in Fig.4.9b. It should be noted that the square-wave switching is also a special case of the sinusoidal PWM switching when ma becomes so large that the control voltage waveform intersects with the triangular waveform in Fig.4.5a only at the zero crossing of vcontrol . Therefore, the output voltage is independent of ma in the square-wave region, as shown in Fig.4.8. One of the advantages of the square-wave operation is that each inverter switch changes its state only twice per cycle, which is important at very high power levels where the solid-state switches generally have slower turn-on and turn-off speeds. One of the serious disadvantages of square-wave switching is that the inverter is not capable of regulating the output voltage magnitude. Therefore, the dc input voltage Vd to the inverter must be adjusted in order to control the magnitude of the inverter output voltage. Fig.4.9 Square wave switching. 4.3 SINGLE PHASE IVERTERS 4.3.1 HALF-BRIDGE INVERTERS (SINGLE PHASE) Figure 4.10 shows the half-bridge inverter. Here, two equal capacitors are connected in series across the dc input and their junction is at a
  • 175.
    166 Chapter Three 1 midpotential, with a voltage Vd , across each capacitor. Sufficiently 2 large capacitances should be used such that it is reasonable to assume that the potential at point o remains essentially constant with respect to the negative dc bus N. Therefore, this circuit configuration is identical to the basic one-leg inverter discussed in detail earlier, and vo = v Ao . Assuming PWM switching, we find that the output voltage waveform will be exactly as in Fig.4.5b. It should be noted that regardless of the switch states, the current between the two capacitors C+ and C- (which have equal and very large values) divides equally. When T+ is on, either T+ or D+ conducts depending on the direction of the output current, and io splits equally between the two capacitors. Similarly, when the switch T− is in its on state, either T− or D− conducts depending on the direction of io , and io splits equally between the two capacitors. Therefore, the capacitors C+ and C_ are "effectively" connected in parallel in the path of io . This also explains why the junction o in Fig.4.10 stays at midpotential. Since io must flow through the parallel combination of C+ and C_, io in steady state cannot have a dc component. Therefore, these capacitors act as dc blocking capacitors, thus eliminating the problem of transformer saturation from the primary side, if a transformer is used at the output to provide electrical isolation. Since the current in the primary winding of such a transformer would not be forced to zero with each switching, the transformer leakage inductance energy does not present a problem to the switches. In a half-bridge inverter, the peak voltage and current ratings of the switches are as follows: VT = Vd (4.15) and IT = io, peak (4.16) 4.3.2 FULL-BRIDGE INVERTERS (SINGLE PHASE) A full-bridge inverter is shown in Fig.4.11. This inverter consists of two one-leg inverters of the type discussed in Section 4-2 and is preferred over other arrangements in higher power ratings. With the same dc input voltage, the maximum output voltage of the full-bridge inverter is twice that of the half-bridge inverter. This implies that for the same power, the output current and the switch currents are one-half of those for a
  • 176.
    SWITCH-MODE dc-ac 167 half-bridge inverter. At high power levels, this is a distinct advantage, since it requires less paralleling of devices. Fig.4.10 Half-bridge inverter. Fig.4.11 Single-phase full-bridge inverter. 4.3.2.1 PWM with Bipolar Voltage Switching The diagonally opposite switches (TA+, TB-) and (TA-, TB+) from the two legs in Fig.4.11 are switched as switch pairs 1 and 2, respectively. With this type of PWM switching, the output voltage waveform of leg A is identical to the output of the basic one-leg inverter, which is determined in the same manner by comparison of vcontrol and vtri in Fig.4.12a. The output of inverter leg B is negative of the leg A output; for example, 1 1 when TA+ is on and v Ao is equal to + Vd is also on and vBo = − Vd . 2 2 Therefore: v Bo (t ) = −v Ao (t ) (4.17) and vo (t ) = v Ao (t ) − vBo (t ) = 2v Ao (t ) (4.18) The vo waveform is shown in Fig.4.12b. The analysis carried out in Section 4.2 for the basic one-leg inverter completely applies to this type of PWM switching. Therefore, the peak of the fundamental-frequency
  • 177.
    168 Chapter Three ( ) ˆ component in the output voltage Vo1 can be obtained from Eqs. (4.7), (4.12), and (4.18) as: Vo1 = maVd ˆ (ma ≤ 1.0) (4.19) 4 and Vd < Vo1 < Vd ˆ (ma > 1.0) (4.20). π Fig4.12 PWM with bipolar voltage switching. In Fig.4.12b, we observe that the output voltage vo switches between − Vd and + Vd voltage levels. That is the reason why this type of switching is called a PWM with bipolar voltage switching. The amplitudes of harmonics in the output voltage can be obtained by using Table 1, as illustrated by the following example. Example 2 In the full-bridge converter circuit of Fig.4.11, Vd = 300V , ma =0.8, m f = 39 , and the fundamental frequency is 47 Hz. Calculate the rms values of the fundamental-frequency voltage and some of the dominant harmonics in the output voltage vo if a PWM bipolar voltage- switching scheme is used. Solution: From Eq.(4.18), the harmonics in vo can be obtained by multiplying the harmonics in Table 1 and Example 1 by a factor of 2. Therefore from Eq. (4.11), the rms voltage at any harmonic h is given as ( ) Vˆ ( ) Vˆ (Vo )h = 1 * 2 * Vd * Ao h = Vd * Ao h = 212.13 Ao h ( ) Vˆ (4.21) 2 2 Vd / 2 2 Vd / 2 Vd / 2
  • 178.
    SWITCH-MODE dc-ac 169 Therefore, the rms voltages are as follows: Fundamental: Vo1 = 212.13 x 0. 8 = 169.7 V at 47 Hz (Vo )37 = 212.13 x 0.22 = 46.67 V at 1739 Hz (Vo )39 = 212.13 x 0.818 = 173.52 V at 1833 Hz - (Vo )41 = 212.13 x 0.22 = 46.67 V at 1927 Hz (Vo )77 = 212.13 x 0.314 = 66.60 V at 3619 Hz (Vo )79 = 212.13 x 0.314 = 66.60 V at 3713 Hz etc. dc-Side Current id It is informative to look at the dc-side current id in the PWM biopolar voltage-switching scheme. For simplicity, fictitious L-C high-frequency filters will be used at the dc side as well as at the ac side, as shown in Fig.4.13. The switching frequency is assumed to be very high, approaching infinity. Therefore, to filter out the high-switching-frequency components in vo and id , the filter components L and C required in both ac and dc-side filters approach zero. This implies that the energy stored in the filters is negligible. Since the converter itself has no energy storage elements, the instantaneous power input must equal the instantaneous power output. Fig.4.13 Inverter with "fictitious" filters. Having made these assumptions, vo in Fig.4.13 is a pure sine wave at the fundamental output frequency ω1 , vo1 = vo = 2 Vo sin ω1t (4.22) If the load is as shown in Fig.4.13, where eo is a sine wave at frequency ω1 , then the output current would also be sinusoidal and would lag vo for an inductive load such as an ac motor: ( io = 2 I o sin ω1t − φ ) (4.23) where φ is the angle by which io lags vo .
  • 179.
    170 Chapter Three Onthe dc side, the L-C filter will filter the high-switching-frequency * components in id and id would only consist of the low-frequency and dc components. Assuming that no energy is stored in the filters, Vd id (t ) = vo (t )io (t ) = 2 Vo sin ω1t 2 I o sin (ω1t − φ ) * (4.24) V I V I Therefore id (t ) = o o cos φ − o o cos(2ω1t − φ ) = I d + id 2 * (4.25) Vd Vd id (t ) = I d − 2 I d 2 cos(2ω1t − φ ) * (4.26) V I where I d = o o cos φ (4.27) Vd 1 Vo I o and I d 2 = (4.28) 2 Vd * Equation (4.26) for id shows that it consists of a dc component I d , which is responsible for the power transfer from Vd on the dc side of the * inverter to the ac side. Also, id contains a sinusoidal component at twice * the fundamental frequency. The inverter input current id consists of id and the high-frequency components due to inverter switchings, as shown in Fig.4.14. Fig.4.14 The dc-side current in a single-phase inverter with PWM bipolar voltage switching. In practical systems, the previous assumption of a constant dc voltage as the input to the inverter is not entirely valid. Normally, this dc voltage is obtained by rectifying the ac utility line voltage. A large capacitor is used across the rectifier output terminals to filter the dc voltage. The
  • 180.
    SWITCH-MODE dc-ac 171 ripple in the capacitor voltage, which is also the dc input voltage to the inverter, is due to two reasons: (1) The rectification of the line voltage to produce dc does not result in a pure dc, dealing with the line-frequency rectifiers. (2) As shown earlier by Eq.(4.26), the current drawn by a single-phase inverter from the dc side is not a constant dc but has a second harmonic component (of the fundamental frequency at the inverter output) in addition to the high switching-frequency components. The second harmonic current component results in a ripple in the capacitor voltage, although the voltage ripple due to the high switching frequencies is essentially negligible. 4.3.2.2 PWM with Unipolar Voltage Switching In PWM with unipolar voltage switching, the switches in the two legs of the full-bridge inverter of Fig.4.11 are not switched simultaneously, as in the previous PWM scheme. Here, the legs A and B of the full-bridge inverter are controlled separately by comparing vtri with vcontrol and − vcontrol , respectively. As shown in Fig.4.15a, the comparison of vcontrol with the triangular waveform results in the following logic signals to control the switches in leg A: vcontrol > vtri TA+ on and VAN = Vd (4.29) vcontrol < vtri TA− on and VAN = 0 The output voltage of inverter leg A with respect to the negative dc bus N is shown in Fig.4.15b. For controlling the leg B switches, − vcontrol is compared with the same triangular waveform, which yields the following: − vcontrol > vtri TB + on and VBN = Vd (4.30) − vcontrol < vtri TB − on and VBN = 0 Because of the feedback diodes in antiparallel with the switches, the foregoing voltages given by Eqs.(4.29) and (4.30) are independent of the direction of the output current io . The waveforms of Fig.4.15 show that there are four combinations of switch on-states and the corresponding voltage levels: (4.31)
  • 181.
    172 Chapter Three Fig.4.15 PWM with unipolar voltage switching (single phase). We notice that when both the upper switches are on, the output voltage is zero. The output current circulates in a loop through T A + and DB + or D A + and TB + depending on the direction of io . During this interval, the input current id is zero. A similar condition occurs when both bottom switches TA − and TB − are on. In this type of PWM scheme, when a switching occurs, the output voltage changes between zero and + Vd or between zero and − Vd voltage levels. For this reason, this type of PWM scheme is called PWM with a unipolar voltage switching, as opposed to the PWM with bipolar (between + Vd and − Vd ) voltage-switching scheme described earlier.
  • 182.
    SWITCH-MODE dc-ac 173 This scheme has the advantage of "effectively" doubling the switching frequency as far as the output harmonics are concerned, compared to the bipolar voltage switching scheme. Also, the voltage jumps in the output voltage at each switching are reduced to Vd as compared to 2Vd in the previous scheme. The advantage of "effectively" doubling the switching frequency appears in the harmonic spectrum of the output voltage waveform, where the lowest harmonics (in the idealized circuit) appear as sidebands of twice the switching frequency. It is easy to understand this if we choose the frequency modulation ratio m f to be even ( m f should be odd for PWM with bipolar voltage switching) in a single-phase inverter. The voltage waveforms v AN and vBN are displaced by 180° of the fundamental frequency f1 with respect to each other. Therefore, the harmonic components at the switching frequency in v AN and v BN have the same phase ( φ AN − φ BN = 180o. m f = 0 , since the waveforms are 180° displaced and m f is assumed to be even). This results in the cancellation of the harmonic component at the switching frequency in the output voltage vo = v AN − vBN . In addition, the sidebands of the switching-frequency harmonics disappear. In a similar manner, the other dominant harmonic at twice the switching frequency cancels out, while its sidebands dc not. Here also Vo1 = ma Vd ˆ (ma ≤ 1.0) (4.32) 4 and Vd < Vo1 < Vd ˆ (ma > 1.0) (4.33) π Example 3 In Example 2, suppose that a PWM with unipolar voltage switching scheme is used, with m f = 38 . Calculate the rms values of the fundamental frequency voltage and some of the dominant harmonics in the output voltage. Solution: Based on the discussion of unipolar voltage switching, the harmonic order h can be written as ( ) h = j 2m f ± k (4.34) where the harmonics exist as sidebands around 2m f and the multiples of 2m f . Since h is odd, k in Eq.(34) attains only odd values. From Example 2,
  • 183.
    174 Chapter Three (V Ao )h (Vo )h = 212.13 (4.35) Vd / 2 Using Eq.(35) and Table 1, we find that the rms voltages are as follows: At fundamental or 47 Hz: Vo1 = 0.8 x 212.13 = 169.7 V At h = 2m f - 1 = 75 or 3525 Hz: (Vo )75 = 0.314 x 212.13 = 66.60 V At h = 2m f + 1 = 77 or 3619 Hz: (Vo )77 = 0.314 x 212.13 = 66.60 V etc. Comparison of the unipolar voltage switching with the bipolar voltage switching of Example 2 shows that, in both cases, the fundamental-frequency voltages are the same for equal ma However, with unipolar voltage switching, the dominant harmonic voltages centered around m f disappear, thus resulting in a significantly lower harmonic content. dc-Side Current id . Under conditions similar to those in the circuit of Fig.4.13 for the PWM with bipolar voltage switching, Fig.4.16 shows the dc-side current id for the PWM unipolar voltage-switching scheme, where m f = 14 (instead of m f = 15 for the bipolar voltage switching). By comparing Figs.4.14 and 4.16, it is clear that using PWM with unipolar voltage switching results in a smaller ripple in the current on the dc side of the inverter. Fig.4.16 The dc-side current in a single-phase inverter with PWM unipolar voltage switching. 4.3.2.3 Square-Wave Operation The full-bridge inverter can also be operated in a square-wave mode. Both types of PWM discussed earlier degenerate into the same square-wave mode of operation, where the switches ( T A + , TB − ) and ( TB + , T A − ) are operated as two pairs with a duty ratio of 0.5.
  • 184.
    SWITCH-MODE dc-ac 175 As is the case in the square-wave mode of operation, the output voltage magnitude given below is regulated by controlling the input dc voltage: 4 Vo1 = Vd ˆ (4.36) π 4.3.2.4 Output Control by Voltage Cancellation This type of control is feasible only in a single-phase, full-bridge inverter circuit. It is based on the combination of square-wave switching and PWM with a unipolar voltage switching. In the circuit of Fig.4.17a, the switches in the two inverter legs are controlled separately (similar to PWM unipolar voltage switching). But all switches have a duty ratio of 0.5, similar to a square-wave control. This results in waveforms for v AN and v BN shown in Fig.4.17b, where the waveform overlap angle a can be controlled. During this overlap interval, the output voltage is zero as a consequence of either both top switches or both bottom switches being on. With α = 0 , the output waveform is similar to a square-wave inverter with the maximum possible fundamental output magnitude. Fig.17 Full-bridge- single-phase inverter control by voltage cancellation: (a) power circuit: (b) waveforms; (c) normalized fundamental and harmonic voltage output and total harmonic distortion as a function of α .
  • 185.
    176 Chapter Three It is easier to derive the fundamental and the harmonic frequency 1 components of the output voltage in terms of β = 90o − α , as is shown 2 in Fig.4.17b: (4.37) 1 where β = 90o − α and h is an odd integer. 2 Fig.4.17c shows the variation in the fundamental-frequency component as well as the harmonic voltages as a function of α . These are normalized with respect to the fundamental-frequency component for the square-wave ( α = 0) operation. The total harmonic distortion, which is the ratio of the rms value of the harmonic distortion to the rms value of the fundamental-frequency component, is also plotted as a function of α . Because of a large distortion, the curves are shown as dashed for large values of α . 4.3.2.5 Switch Utilization in Full-Bridge Inverters Similar to a half-bridge inverter, if a transformer is utilized at the output of a full-bridge inverter, the transformer leakage inductance does not present a problem to the switches. Independent of the type of control and the switching scheme used, the peak switch voltage and current ratings required in a full-bridge inverter are as follows: VT = Vd (4.38) and IT = io, peak (4.39) 4.3.2.6 Ripple in the Single-Phase Inverter Output The ripple in a repetitive waveform refers to the difference between the instantaneous values of the waveform and its fundamental-frequency component.
  • 186.
    SWITCH-MODE dc-ac 177 Fig.4.18a shows a single-phase switch-mode inverter. It is assumed to be supplying an induction motor load, which is shown by means of a simplified equivalent circuit with a counter electromotive force (emf) eo . Since eo (t ) is sinusoidal, only the sinusoidal (fundamental-frequency) components of the inverter output voltage and current are responsible for the real power transfer to the load. We can separate the fundamental-frequency and the ripple components in vo and io by applying the principle of superposition to the linear circuit of Fig.4.18a. Let vo = vo1 + vripple and io = io1 + iripple . Figs.4.18b, c show the circuits at the fundamental frequency and at the ripple frequency, respectively, where the ripple frequency component consists of sub-components at various harmonic frequencies. Therefore, in a phasor form (with the fundamental frequency components designated by subscript 1) as shown in Fig.4.18d, Vo1 = Eo + VL1 = Eo + jω1LI o1 (4.40) Fig.4.18 Single-phase inverter: (a) circuit; (6) fundamental- frequency components; (c) ripple frequency components: (d) fundamental-frequency phasor diagram. Since the superposition principle is valid here, all the ripple in v, appears across L, where vripple (t ) = vo − vo1 (4.41) The output current ripple can be calculated as iripple (t ) = ∫ vripple (ζ )dζ + k 1 t (4.42) L 0
  • 187.
    178 Chapter Three wherek is a constant and ζ is a variable of integration. With a properly selected time origin t = 0, the constant k in Eq.(4.42) will be zero. Therefore, Eqs.(4.41) and (4.42) show that the current ripple is independent of the power being transferred to the load. As an example, Fig.4.19a shows the ripple current for a square-wave inverter output. Fig.4.19b shows the ripple current in a PWM bipolar voltage switching. In drawing Figs.4.19a and 4.19b, the fundamental-frequency components in the inverter output voltages are kept equal in magnitude (this requires a higher value of Vd in the PWM inverter). The PWM inverter results in a substantially smaller peak ripple current compared to the square-wave inverter. This shows the advantage of pushing the harmonics in the inverter output voltage to as high frequencies as feasible, thereby reducing the losses in the load by reducing the output current harmonics. This is achieved by using higher inverter switching frequencies, which would result in more frequent switching and hence higher switching losses in the inverter. Therefore, from the viewpoint of the overall system energy efficiency, a compromise must be made in selecting the inverter switching frequency. Fig. 4.19 Ripple in the inverter output: (a) square-wave switching; (6) PWM bipolar voltage switching.
  • 188.
    SWITCH-MODE dc-ac 179 4.3.3 PUSH-PULL INVERTERS Fig.4.20 shows a push-pull inverter circuit. It requires a transformer with a center tapped primary. We will initially assume that the output current io flows continuously. With this assumption, when the switch T1 is on (and T2 is off), T1 would conduct for a positive value of io , and D1 would conduct for a negative value of io . Therefore, regardless of the direction of io , vo = Vd / n , where n is the transformer turns ratio between the primary half and the secondary windings, as shown in Fig.4.20. Similarly, when T2 is on (and T1 is off), vo = −Vd / n . A push-pull inverter can be operated in a PWM or a square-wave mode and the waveforms are identical to those in Figs.4.5 and 4.12 for half-bridge and full-bridge inverters. The output voltage in Fig.4.20 equals: V Vo1 = ma d ˆ (ma ≤ 1.0) (4.43) n V and d < Vo1 < ˆ 4 Vd (ma > 1.0) (4.44) n π n In a push-pull inverter, the peak switch voltage and current ratings are VT = 2Vd IT = io, peak / n (4.45) Fig.4.20 Push-Pull inverter (single phase). The main advantage of the push-pull circuit is that no more than one switch in series conducts at any instant of time. This can be important if the dc input to the converter is from a low-voltage source, such as a battery, where the voltage drops across more than one switch in series would result in a significant reduction in energy efficiency. Also, the control drives for the two switches have a common ground. It is, however, difficult to avoid the dc saturation of the transformer in a push-pull inverter.
  • 189.
    180 Chapter Three The output current, which is the secondary current of the transformer, is a slowly varying current at the fundamental output frequency. It can be assumed to be a constant during a switching interval. When a switching occurs, the current shifts from one half to the other half of the primary winding. This requires very good magnetic coupling between these two half-windings in order to reduce the energy associated with the leakage inductance of the two primary windings. This energy will be dissipated in the switches or in snubber circuits used to protect the switches. This is a general phenomenon associated with all converters (or inverters) with isolation where the current in one of the windings is forced to go to zero with every switching. This phenomenon is very important in the design of such converters. In a pulse-width-modulated push-pull inverter for producing sinusoidal output (unlike those used in switch-mode dc power supplies), the transformer must be designed for the fundamental output frequency. The number of turns will therefore be high compared to a transformer designed to operate at the switching frequency in a switch-mode dc power supply. This will result in a high transformer leakage inductance, which is proportional to the square of the number of turns, provided all other dimensions are kept constant. This makes it difficult to operate a sine-wave-modulated PWM push-pull inverter at switching frequencies higher than approximately 1 kHz. 4.3.4 SWITCH UTILIZATION IN SINGLE-PHASE INVERTERS Since the intent in this section is to compare the utilization of switches in various single-phase inverters, the circuit conditions are idealized. We will assume that Vd , max is the highest value of the input voltage, which establishes the switch voltage ratings. In the PWM mode, the input remains constant at Vd , max In the square-wave mode, the input voltage is decreased below Vd , max to decrease the output voltage from its maximum value. Regardless of the PWM or the square-wave mode of operation, we assume that there is enough inductance associated with the output load to yield a purely sinusoidal current (an idealized condition indeed for a square-wave output) with an rms value of I o, max at the maximum load. If the output current is assumed to be purely sinusoidal, the inverter rms volt-ampere output at the fundamental frequency equals Vo1I o, max at the maximum rated output, where the subscript 1 designates the
  • 190.
    SWITCH-MODE dc-ac 181 fundamental-frequency component of the inverter output. With VT and I T as the peak voltage and current ratings of a switch, the combined utilization of all the switches in an inverter can be defined as V I Switch utilization ratio = o1 o, max (4.46) qVT IT where q is the number of switches in an inverter. To compare the utilization of switches in various single-phase inverters, we will initially compare them for a square-wave mode of operation at the maximum rated output. (The maximum switch utilization occurs at Vd = Vd , max ). In practice, the switch utilization ratio would be much smaller than 0.16 for the following reasons: (1) switch ratings are chosen conservatively to provide safety margins; (2) in determining the switch current rating in a PWM inverter, one would have to take into account the variations in the input dc voltage available; and (3) the ripple in the output current would influence the switch current rating. Moreover, the
  • 191.
    182 Chapter Three invertermay be required to supply a short-term overload. Thus, the switch utilization ratio, in practice, would be substantially less than the 0.16 calculated. At the lower output volt-amperes compared to the maximum rated output, the switch utilization decreases linearly. It should be noted that using a PWM switching with mp !~ 1.0, this ratio would be smaller by a factor of (π / 4 )ma as compared to the square-wave switching: 1 π 1 Maximum switch utilization ratio = ma = ma , ma ≤ 1.0 ) (4.54) 2π 4 8 Therefore, the theoretical maximum switch utilization ratio in a PWM switching is only 0.125 at ma = 1 , as compared with 0.16 in square – wave inverter. Example 4 In a single-phase full-bridge PWM inverter, Vd varies in a range of 295-325 V. The output voltage is required to be constant at 200 V (rms), and the maximum load current (assumed to be sinusoidal) is 10 A (rms). Calculate the combined switch utilization ratio (under these idealized conditions, not accounting for any overcurrent capabilities). Solution: In this inverter VT = Vd , ma = 325V I T = 2 I o = 2 *10 = 14.14 q = no. of switches = 4 The maximum output volt-ampere (fundamental frequency) is Vo1I o, max = 200 *10 = 2000 VA (4.55) Therefore, from Eq.(4.46) Vo1 I o, max 2000 Switch utilization ratio = = = 0.11 qVT I T 4 * 325 *14.14 4.4 THREE-PHASE INVERTERS In applications such as uninterruptible ac power supplies and ac motor drives, three-phase inverters are commonly used to supply three-phase loads. It is possible to supply a three-phase load by means of three separate single-phase inverters, where each inverter produces an output displaced by 120° (of the fundamental frequency) with respect to each other. Though this arrangement may be preferable under certain conditions, it requires either a three-phase output transformer or separate access to each of the three phases of the load. In practice, such access is generally not available. Moreover, it requires 12 switches.
  • 192.
    SWITCH-MODE dc-ac 183 The most frequently used three-phase inverter circuit consists of three legs, one for each phase, as shown in Fig.4.21. Each inverter leg is similar to the one used for describing the basic one-leg inverter in Section 4.2. Therefore, the output of each leg, for example v AN , (with respect to the negative dc bus), depends only on Vd and the switch status; the output voltage is independent of the output load current since one of the two switches in a leg is always on at any instant. Here, we again ignore the blanking time required in practical circuits by assuming the switches to be ideal. Therefore, the inverter output voltage is independent of the direction of the load current. Fig.4.21 Three-phase inverter. 4.4.1 PWM IN THREE-PHASE VOLTAGE SOURCE INVERTERS Similar to the single-phase inverters, the objective in pulse-width-modulated three-phase inverters is to shape and control the three-phase output voltages in magnitude and frequency with an essentially constant input voltage Vd . To obtain balanced three-phase output voltages in a three-phase PWM inverter, the same triangular voltage waveform is compared with three sinusoidal control voltages that are 120° out of phase, as shown in Fig.4.22a (which is drawn for m f = 15 ). It should also be noted from Fig.4.22b that an identical amount of average dc component is present in the output voltages v AN and v BN , which are measured with respect to the negative dc bus. These dc components are canceled out in the line-to-line voltages, for example in v AB shown in Fig.4.22b. This is similar to what happens in a single-phase full-bridge inverter utilizing a PWM switching. In the three-phase inverters, only the harmonics in the line-to-line voltages are of concern. The harmonics in the output of any one of the
  • 193.
    184 Chapter Three legs,for example v AB in Fig.4.22b, are identical to the harmonics in v Ao in Fig.4.5, where only the odd harmonics exist as sidebands, centered around m f and its multiples, provided mf is odd. Only considering the harmonic at m f (the same applies to its odd multiples), the phase difference between the mf harmonic in v AN and v BN is (120 m f )°. This phase difference will be equivalent to zero (a multiple of 360°) if m f is odd and a multiple of 3. As a consequence, the harmonic at m f is suppressed in the line-to-line voltage v AB . The same argument applies in the suppression of harmonics at the odd multiples of m f if m f is chosen to be an odd multiple of 3 (where the reason for choosing m f to be an odd multiple of 3 is to keep m f odd and, hence, eliminate even harmonics). Thus, some of the dominant harmonics in the one-leg inverter can be eliminated from the line-to-line voltage of a three-phase inverter. PWM considerations are summarized as follows: 1. For low values of m f , to eliminate the even harmonics, a synchronized PWM should be used and mf should be an odd integer. Moreover, mf should be a multiple of 3 to cancel out the most dominant harmonics in the line-to-line voltage. 2. For large values of m f , the comments in Section 4.2.1.2 for a single-phase PWM apply. 3. During overmodulation ( ma > 1.0), regardless of the value of m f , the conditions pertinent to a small m f should be observed. 4.4.1.1 Linear Modulation ( ma ≤ 1.0 ) In the linear region ( ma ≤ 1.0 ), the fundamental-frequency component in the output voltage varies linearly with the amplitude modulation ratio ma . From Figs.4.5b and 4.22b, the peak value of the fundamental-frequency component in one of the inverter legs is ( ) ˆ V V AN 1 = ma d 2 (4.56) Therefore, the line-to-line rms voltage at the fundamental frequency, due to 120° phase displacement between phase voltages, can be written as
  • 194.
    SWITCH-MODE dc-ac 185 (4.57) Fig.4.22 Three-phase PWM waveforms and harmonic spectrum.
  • 195.
    186 Chapter Three The harmonic components of the line-to-line output voltages can be calculated in a similar manner from Table 1, recognizing that some of the harmonics are canceled out in the line-to-line voltages. These rms harmonic voltages are listed in Table 2. 4.4.1.2 Overmodulation ( ma > 1.0 ) In PWM overmodulation, the peak of the control voltages are allowed to exceed the peak of the triangular waveform. Unlike the linear region, in this mode of operation the fundamental-frequency voltage magnitude does not increase proportionally with ma. This is shown in Fig.4.23, where the rms value of the fundamental-frequency line-to-line voltage VLL1 is plotted as a function of ma . Similar to a single-phase PWM, for sufficiently large values of ma, the PWM degenerates into a square-wave inverter waveform. This results in the maximum value of VLL1 equal to 0.78 Vd as explained in the next section. In the overmodulation region compared to the region with ma ≤ 1.0 , more sideband harmonics appear centered around the frequencies of harmonics mf and its multiples. However, the dominant harmonics may not have as large an amplitude as with ma ≤ 1.0 . Therefore, the power loss in the load due to the harmonic frequencies may not be as high in the overmodulation region as the presence of additional sideband harmonics would suggest. Depending on the nature of the load and on the switching frequency, the losses due to these harmonics in overmodulation may be even less than those in the linear region of the PWM. Table 2 Generalized Harmonics of v LL for a large and odd m f that is a multiple of 3.
  • 196.
    SWITCH-MODE dc-ac 187 Fig.4.23 Three-phase inverter VLL1(rms ) / Vd as a function of ma . 4.4.2 SQUARE-WAVE OPERATION IN THREE-PHASE INVERTERS If the input dc voltage Vd is controllable, the inverter in Fig.4.24a can be operated in a square-wave mode. Also for sufficiently large values of ma , PWM degenerates into square-wave operation and the voltage waveforms are shown in Fig.4.24b. Here, each switch is on for 180° (i.e., its duty ratio is 50%). Therefore, at any instant of time, three switches are on. Fig.4.24 Square-wave inverter (three phase).
  • 197.
    188 Chapter Three In the square-wave mode of operation, the inverter itself cannot control the magnitude of the output ac voltages. Therefore, the dc input voltage must be controlled in order to control the output in magnitude. Here, the fundamental-frequency line-to-line rms voltage component in the output can be obtained from Eq. (13) for the basic one-leg inverter operating in a square-wave mode: (4.58) The line-to-line output voltage waveform does not depend on the load and contains harmonics (6n ± 1; n = 1, 2, . . .), whose amplitudes decrease inversely proportional to their harmonic order, as shown in Fig.4.24c: (VLL )h = 0.78 Vd (4.59) h where h = n ± 1 (n = 1, 2, 3,.......) It should be noted that it is not possible to control the output magnitude in a three-phase, square-wave inverter by means of voltage cancellation as described in Section 4.3.2.4. 4.4.3 SWITCH UTILIZATION IN THREE-PHASE INVERTERS We will assume that Vd , max is the maximum input voltage that remains constant during PWM and is decreased below this level to control the output voltage magnitude in a square-wave mode. We will also assume that there is sufficient inductance associated with the load to yield a pure sinusoidal output current with an rms value of I o. max (both in the PWM and the square-wave mode) at maximum loading. Therefore, each switch would have the following peak ratings: VT = Vd , max (4.60) and I T = 2 I o, max (4.61) If VLL1 is the rms value of the fundamental-frequency line-to-line voltage component, the three-phase output volt-amperes (rms) at the fundamental frequency at the rated output is (VA)3 − phase = 3 VLL1 I O, max (4.62) Therefore, the total switch utilization ratio of all six switches combined is
  • 198.
    SWITCH-MODE dc-ac 189 (4.63) In the PWM linear region (ma ≤ 1.0 ) using Eq.(4.57) and noting that the maximum switch utilization occurs at Vd = Vd , max (4.64) In the square-wave mode, this ratio is 1 / 2π ≅ 0.16 compared to a maximum of 0.125 for a PWM linear region with ma = 1.0 . In practice, the same derating in the switch utilization ratio applies as discussed in Section 4.3.4 for single-phase inverters. Comparing Eqs.(4.54) and (4.64), we observe that the maximum switch utilization ratio is the same in a three-phase, three-leg inverter as in a single-phase inverter. In other words, using the switches with identical ratings, a three-phase inverter with 50% increase in the number of switches results in a 50% increase in the output volt-ampere, compared to a single-phase inverter. 4.4.4 RIPPLE IN THE INVERTER OUTPUT Figure 4.25a shows a three-phase, three-leg, voltage source, switch- mode inverter in a block diagram form. It is assumed to be supplying a three-phase ac motor load. Each phase of the load is shown by means of its simplified equivalent circuit with respect to the load neutral n. The induced back e A (t ), eB (t ) , and ec (t ) are assumed to be sinusoidal. Fig.4.25 Three-phase inverter: (a) circuit diagram; (b) phasor diagram (fundamental frequency).
  • 199.
    190 Chapter Three Under balanced operating conditions, it is possible to express the inverter phase output voltages v AN , and so on (with respect to the load neutral n), in terms of the inverter output voltages with respect to the negative dc bus N: vkn = vkN − vnN (k = A, B, C ) (4.65) Each phase voltage can be written as di vkn = L k + ekn (k = A, B, C ) (4.66) dt In a three-phase, three-wire load i A + iB + iC = 0 (4.67a) and (i A + iB + iC ) = 0 d (4.67b) dt Similarly, under balanced operating conditions, the three back-emfs are a balanced three-phase set of voltages, and therefore e A + eB + eC = 0 (4.68) From the foregoing equations, the following condition for the inverter voltages can be written: v An + v Bn + vCn = 0 (4.69) Using Eqs. (4.65) through (4.69), vnN = (v AN + vBN + vCN ) 1 (4.70) 3 Substituting vnN from Eq.(4.70) into Eq.(4.65), we can write the phase-to-neutral voltage for phase A as v An = v AN − (vBN + vCN ) 2 1 (4.71) 3 3 Similar equations can be written for phase B and C voltages. Similar to the discussion in Section 4.3.2.6 for the ripple in the single-phase inverter output, only the fundamental-frequency components of the phase voltage V An1 and the output current i A1 are responsible for the real power transformer since the back-emf e A (t ) is assumed to be sinusoidal and the load resistance is neglected. Therefore, in a phasor form as shown in Fig.4.25b V An1 = E A + jω1 L I A1 (4.72) By using the principle of superposition, all the ripple in v An appears across the load inductance L. Using Eq.(4.71), the waveform for the
  • 200.
    SWITCH-MODE dc-ac 191 phase-to-load-neutral voltage V An is shown in Figs.4.26a and 4.26b for square-wave and PWM operations, respectively. Both inverters have identical magnitudes of the fundamental-frequency voltage component V An1 , which requires a higher Vd in the PWM operation. The voltage ripple vripple (= v An − v An1 ) is the ripple in the phase-to-neutral voltage. Assuming identical loads in these two cases, the output current ripple is obtained by using Eq.(4.42) and plotted in Fig.4.26. This current ripple is independent of the power being transferred, that is, the current ripple would be the same so long as for a given load inductance L, the ripple in the inverter output voltage remains constant in magnitude and frequency. This comparison indicates that for large values of m f , the current ripple in the PWM inverter will be significantly lower compared to a square-wave inverter. Fig.4.26 Phase-to-load-neutral variables of a three-phase inverter: (a) square wave: (b) PWM. 4. 5 RECTIFIER MODE OF OPERATION
  • 201.
    192 Chapter Three Fig.4.37 Operation modes: (a) circuit; (b) inverter mode; (c) rectifier mode: (d) constant I A . V An can be varied. For a balanced operation, the control voltages for phases B and C are equal in magnitude, but ± 120° displaced with respect to the control voltage of phase A.
  • 202.
    SWITCH-MODE dc-ac 193 4.6 PROGRAMMABLE PWM CONVERTERS This technique combines the square wave switching and PWM to control the fundamental output voltage as well as to eliminate the designated harmonics from the output voltage. This technique provides the facility to adjust the output voltage and simultaneous optimization of an objective function. The types of objective functions that technique can optimize are:- 1- Selective harmonic elimination. 2- Minimum THD. 3- Reduced acoustic noise. 4- Minimum losses. 5- Minimum torque pulsations. The main advantages of programmable PWM technique are: 1- High quality output voltage 2- About 50% reduction in switching frequency compared to conventional sine PWM. 3- Suitable for higher voltage and high power inverter systems, where switching frequency is a limitation. 4- Higher voltage gain due to over modulation. 5- Reduced size of dc link filter components. 6- Selective elimination of lower order harmonics guarantee avoidance of resonance with external line filtering networks. 1 The voltage v Ao , of an inverter leg, normalized by Vd is plotted in 2 Fig.4.34a, where six notches are introduced in the otherwise square-wave output, to control the magnitude of the fundamental voltage and to eliminate fifth and seventh harmonics. On a half-cycle basis, each notch provides one degree of freedom, that is, having three notches per half- cycle provides control of fundamental and elimination of two harmonics (in this case fifth and seventh). Figure 4.38 shows that the output waveform has odd half-wave symmetry (sometimes it is referred to as odd quarter-wave symmetry). Therefore, only odd harmonics (coefficients of sine series) will be present. Since in a three-phase inverter (consisting of three such inverter legs), the third harmonic and its multiples are canceled out in the output, these harmonics need not be eliminated from the output of the inverter leg by means of waveform notching.
  • 203.
    194 Chapter Three A careful examination shows that the switching frequency of a switch in Fig.4.38 is seven times the switching frequency associated with a square-wave operation. In a square-wave operation, the fundamental-frequency voltage component is: ( ) ˆ V Ao 1 4 = = 1.273 (4.73) Vd / 2 π Because of the notches to eliminate 5th and 7th harmonics, the maximum available fundamental amplitude is reduced. It can be shown that: ( ) ˆ V Ao 1, max = 1.188 (4.74) Vd / 2 Fig.4.38 Programable harmonic elemination of fifth and seventh harmonics. It is clear that the waveform in Fig.4.38 is odd function. So, 1 ⎡m ⎤ bn = ⎢ ∑ J s cos nωt ⎥ (4.75) nπ ⎢ s =1 ⎣ ⎥ ⎦ Where m is the number of jumps in the waveform. Jumps of the waveform shown in the figure is for only quarter of the waveform (because of similarity). The jumps are tabulated in the following table. Js J1 J2 J3 J4 Time 0 α1 α2 α3 Value 2 -2 2 -2 Then, bn = 2 [2 cos n0 − 2 cos nα1 + 2 cos nα 2 − 2 cos nα 3 ] (4.76) nπ π Where α1 < α 2 < α 3 < 2
  • 204.
    SWITCH-MODE dc-ac 195 The above equation has three variables α1, α 2 , and α 3 so we need three equation to obtain them. The First equation can be obtained by assigning a specific value to the amplitude of the fundamental component b1 . Another two equations can be obtained by equating b5 , and b7 by zero to eliminate fifth and seventh harmonics. So, the following equations can be obtained. b1 = [1 − cos α1 + cos α 2 − cos α 3 ] 4 (4.77) π b5 = [1 − cos 5α1 + cos 5α 2 − cos 5α 3 ] = 0 4 (4.78) π b7 = [1 − cos 7α1 + cos 7α 2 − cos 7α 3 ] = 0 4 (4.79) π The above equation can be rearranged to be in the following form: ⎡ π b1 ⎤ ⎡ cos α1 − cos α 2 cos α 3 ⎤ ⎢1 − ⎢cos 5α − cos 5α 4 ⎥ ⎢ cos 5α 3 ⎥ = ⎢ 1 ⎥ ⎥ (4.80) 1 2 ⎢ ⎥ ⎣ cos α1 ⎢ − cos 7α 2 cos 7α 3 ⎥ ⎦ ⎢ 1 ⎥ ⎢ ⎣ ⎥ ⎦ These equations are nonlinear having multiple solution depending the value of b1 . Computer programs help us in solving the above equations. The required values of α1 , α 2 , and α 3 are plotted in Fig.4.39 as a function of the normalized fundamental in the output voltage. Fig.4.39 The required values of α1 , α 2 , and α 3 .
  • 205.
    196 Chapter Three To allow control over the fundamental output and to eliminate the fifth-, seventh-, eleventh-, and the thirteenth-order harmonics, five notches per half-cycle would be needed. In that case, each switch would have 11 times the switching frequency compared with a square-wave operation. Example Eliminate fifth and seventh harmonics from square waveform with no control on the fundamental amplitude: Solution: It is clear that we have only two conditions which are b5 = 0 and b7 = 0 . So, we have only two notches per half cycle as shown in the following figure. V Ao Vd / 2 Notch1 Notch2 π + α1 π + α2 ω1t α1 α2 π − α 2 π − α1 π 2π 2π − α 2 2π − α1 So we need only two variables α1 and α 2 which can be obtained from the following equations: bn = 4 [1 − cos nα1 + cos nα 2 ] (4.81) nπ b5 = [1 − cos 5α1 + cos 5α 2 ] = 0 4 (4.82) π b7 = [1 − cos 7α1 + cos 7α 2 ] = 0 4 (4.83) π ⎡ cos 5α1 − cos 5α 2 ⎤ ⎡1⎤ ⎢ ⎥=⎢⎥ (4.84) ⎣cos 7α1 − cos 7α 2 ⎦ ⎣1⎦ By solving the above equation we can get the value of α1 and α 2 as following: α1 = 12.8111o and α 2 = 24.8458o The following table shows the absolute value of each harmonics after eliminating fifth and seventh harmonics.
  • 206.
    SWITCH-MODE dc-ac 197 Harmonic bn for square wave bn = 4 bn after eliminating 5th and 7th order nπ bn = 4 [1 − cos nα1 + cos nα 2 ] nπ 1 1.27324 1.1871 3 0.244413 0.20511 5 0.25468 0.0 7 0.18189 0.0 9 0.14147 0.0995 11 0.11575 0.21227 13 0.09794 0.27141 15 0.08488 0.25067 17 0.07490 0.16881 19 0.06701 0.07183 21 0.06063 0.00407 THD 22.669% 26.201% 4.7 LOW COST PWM CONVERTER FOR UTILITY INTERFACE. As discussed in regular three phase PWM inverter, the existing configuration uses six switches as shown in Fig.4.21. The low cost PWM inverter (Four switch inverter) uses four semiconductor switches. The reduction in number of switches reduces switching losses, system cost and enhances reliability of the system. Fig.4.40 shows the proposed converter with four switches (Four Switch Topology, FST) By comparing Fig.4.40 and Fig.4.21, it is clear that, by using one additional capacitor one can replace two switches and the system will perform the same function. It is apparent that the cost and reliability are two major advantages of the proposed converter. The cost reduction can be accomplished by reducing the number of switches and the complexity of control system. The proposed converter current regulated with good power quality characterization. S3 S1 Vd a 2 b Vd c 2 S4 S2 Fig.4.40 Four switch converter.
  • 207.
    198 Chapter Three • System Analysis For the proposed converter Fig.4.40, the switching requirements can be stated as follows. Let the input three-phase generated voltages are: Vab = 3 *Vm Sin(ω i t + 30) Vbc = 3 *Vm Sin(ω i t + 270) (4.85) Vca = 3 *Vm Sin(ω i t + 150) The line voltages at the generator terminals can be expressed as follows: ⎡ Vd ⎤ ⎡Vab ⎤ ⎡ S1 S 2 ⎤ ⎢ 2 ⎥ ⎢V ⎥ = ⎢ S S ⎥ * ⎢ V ⎥ (4.86) ⎣ cb ⎦ ⎣ 3 4 ⎦ ⎢− d ⎥ ⎣ 2⎦ Where S1 , S2 , S3 and S4 are the switching functions of switches 1,2,3 and 4 respectively. Vd is the DC-link voltage. But, S 2 = 1 − S1 and S 4 = 1 − S3 (4.87) ⎛V ⎞ Vab = (2 S1 − 1) ⎜ d ⎟ and ⎝ 2 ⎠ Then, (4.88) ⎛ Vd ⎞ Vcb = (2 S3 − 1) ⎜ ⎟ ⎝ 2 ⎠ Then from (4.85), (4.86), (4.87) and (4.88) we get the following equation: V S1 = 0.5 + 3 m sin (ω1t + 30 ) Vd sin (ω1t + 30 ) Vm S 2 = 0 .5 − 3 Vd sin (ω1t + 90 ) Vm S 3 = 0 .5 + 3 Vd sin (ω1t + 90 ) Vm S 4 = 0 .5 − 3 Vd (4.89) o Then, the shift angle for switching signal of leg ‘a’ is 30 and for leg ‘c’ V is 90o. Then, Vab = ma d ∠30 o (4.90) 2 2
  • 208.
    SWITCH-MODE dc-ac 199 Vd Vbc = ma ∠270 o (4.91) 2 2 Vd Vca = ma1 ∠150 o (4.92) 2 2 Vd Then, VLL = ma (4.93) 2 2 From the above equations it is clear that the DC voltage must be at least twice the maximum of input line-to-line voltage to avoid the input current distortion. The main disadvantage of four switch converter is it needs for higher dc voltage to give the same line-to-line voltage as the six switch inverter which is clear from comparing the following equations: V VLL = ma d (four switch converter) (4.94) 2 2 V VLL = 3 ma d (six switch converter) (4.95) 2 2
  • 209.
    200 Chapter Three PROBLEMS SINGLE PHASE 1- In a single-phase full-bridge PWM inverter, the input dc voltage varies in a range of 295-325 V. Because of the low distortion required in the output vo , ma ≤ 1.0 (a) What is the highest Vo1 , that can be obtained and stamped on its nameplate as its voltage rating? (b) Its nameplate volt-ampere rating is specified as 2000 VA, that is, Vo1, max I o1, max = 2000VA , where io is assumed to be sinusoidal. Calculate the combined switch utilization ratio when the inverter is supplying its rated volt-amperes. 2- Consider the problem of ripple in the output current of a single- phase full-bridge inverter. Assume Vo1 = 220 V at a frequency of 47 Hz and the type of load is as shown in Fig.4.18a with L = 100 mH. If the inverter is operating in a square-wave mode, calculate the peak value of the ripple current. 3- Repeat Problem 2 with the inverter operating in a sinusoidal PWM mode, with m f = 21 and ma = 0.8. Assume a bipolar voltage switching. 4- Repeat Problem 2 but assume that the output voltage is controlled by voltage cancellation and Vd has the same value as required in the PWM inverter of Problem 3. 5- Calculate and compare the peak values of the ripple currents in Problems 2 through 4. THREE-PHASE 6- Consider the problem of ripple in the output current of a three- phase square-wave inverter. Assume (VLL )1 = 220 V at a frequency of 52 Hz and the type of load is as shown in Fig.4.25a with L = 100 mH. Calculate the peak ripple current defined in Fig.4.26a. 7- Repeat Problem 6 if the inverter of Problem 6 is operating in a synchronous PWM mode with m f = 39 and ma = 0.8 . Calculate the peak ripple current defined in Fig.4.26b. 8- In the three-phase, square-wave inverter of Fig.4.24a, consider the load to be balanced and purely resistive with a load-neutral n. Draw the
  • 210.
    SWITCH-MODE dc-ac 201 steady-state v An , u A, i DA + , and id waveforms, where iDA+ is the current through DA + . 9- Repeat Problem 8 by assuming that the toad is purely inductive, where the load resistance, though finite, can be neglected.
  • 211.
    Chapter 5 dc MOTOR DRIVES 5.1 INTRODUCTION Traditionally, dc motor drives have been used for speed and position control applications. In the past few years, the use of ac motor servo drives in these applications is increasing. In spite of that, in applications where an extremely low maintenance is not required, dc drives continue to be used because of their low initial cost and excellent drive performance. 5.2 EQUIVALENT CIRCUIT OF dc MOTORS In a dc motor, the field flux φ f is established by the stator, either by means of permanent magnets as shown in Fig.5-1a, where φ f stays constant, or by means of a field winding as shown in Fig.5-1b, where the field current If controls φ f . If the magnetic saturation in the flux path can be neglected, then: φf =kf If (5.1) where k f is a field constant of proportionality. The rotor carries in its slots the so-called armature winding, which handles the electrical power. This is in contrast to most ac motors, where the power-handling winding is on the stator for ease of handling the larger amount of power. However, the armature winding in a dc machine has to be on the rotor to provide a "mechanical" rectification of voltages and currents (which alternate direction as the conductors rotate from the influence Fig.5-1 A dc motor (a) permanent-magnet motor (b) dc motor with a field winding.
  • 212.
    dc MOTOR DRIVES 201 of one stator pole to the next) in the armature-winding conductors, thus producing a dc voltage and a dc current at the terminals of the armature winding. The armature winding, in fact, is a continuous winding, without any beginning or end, and it is connected to the commutator segments. These commutator segments, usually made up of copper, are insulated from each other and rotate with the shaft. At least one pair of stationary carbon brushes is used to make contact between the commutator segments (and, hence, the armature conductors), and the stationary terminals of the armature winding that supply the dc voltage and current. In a dc motor, the electromagnetic torque is produced by the interaction of the field flux φ f and the armature current ia : Tem = k f φ f ia (5.2) where k f is the torque constant of the motor. In the armature circuit, a back-emf is produced by the rotation of armature conductors at a speed wm in the presence of a field flux φ f ea = k eφ f ω m (5.3) where ke is the voltage constant of the motor. In SI units, k f and ke are numerically equal, which can be shown by equating the electrical power ea ia and the mechanical power ω mTem . The electrical power is calculated as Pe = ea ia = k eφ f ω m ia (using Eq. 5-3) (5.4) and the mechanical power as: Pm = ω mTem = k f φ f ω m I a (using Eq. 5-2) (5.5) In steady state, Pe = Pm (5.6) Therefore, from the foregoing equations ⎡ Nm ⎤ ⎡ V ⎤ kt ⎢ ⎥ = k e ⎢Wb . rad / sec . ⎥ (5.7) ⎣ A.Wb ⎦ ⎣ ⎦ In practice, a controllable voltage source vt is applied to the armature terminals to establish ia . Therefore, the current ia in the armature circuit is determined by vt , the induced back-emf ea , the armature-winding resistance Ra , and the armature-winding inductance: La
  • 213.
    202 Chapter Five dia vt = e a + Ra i a + a (5.8) dt Equation 5-8 is illustrated by an equivalent circuit in Fig.5-2. Fig.5.2 A DC motor equivalent circuit. The interaction of Tem with the load torque, determines how the motor speed builds up: dω m Tem = J + Bω m + TWL (t ) (5.9) dt where J and B are the total equivalent inertia and damping, respectively, of the motor load combination and TWL is the equivalent working torque of the load. Seldom are dc machines used as generators. However, they act as generators while braking, where their speed is being reduced. Therefore, it is important to consider dc machines in their generator mode of operation. In order to consider braking, we will assume that the flux φ f is kept constant and the motor is initially driving a load at a speed of ω m . To reduce the motor speed, if vt is reduced below ea in Fig.5.2, then the current ia will reverse in direction. The electromagnetic torque Tem given by Eq. 5-2 now reverses in direction and the kinetic energy associated with the motor load inertia is converted into electrical energy by the dc machine, which now acts as a generator. This energy must be somehow absorbed by the source of v, or dissipated in a resistor. During the braking operation, the polarity of ea does not change, since the direction of rotation has not changed. Eqn.(5.3) still determines the magnitude of the induced emf. As the rotor slows down, ea decreases in
  • 214.
    dc MOTOR DRIVES 203 magnitude (assuming that φ f is constant). Ultimately, the generation stops when the rotor comes to a standstill and all the inertial energy is extracted. If the terminal-voltage polarity is also reversed, the direction of rotation of the motor will reverse. Therefore, a dc motor can be operated in either direction and its electromagnetic torque can be reversed for braking, as shown by the four quadrants of the torque-speed in Fig.5-3. Fig.5.3 Four-quadrant operation of a dc motor. 5.3 PERMANENT-MAGNET dc MOTORS Often in small dc motors, permanent magnets on the stator as shown in Fig. 5-1a produce a constant field flux φ f . In steady state, assuming a constant field flux ( φ f , Eqs. 5.2, 5.3 and 5.8 result in Tem = kT I a (5.10) Ea = k Eω m (5.11) Vt = E a + Ra I a (5.12) where kT = k f φ f and K E = K eφ f . Equations 5-10 through 5-12 correspond to the equivalent circuit of Fig.5-4a. From the above equations, it is possible to obtain the steady-state speed wm as a function of Tem for a given Vt : 1 ⎛ R ⎞ ωm = ⎜Vt − a Tem ⎟ ⎜ ⎟ (5.13) kE ⎝ kT ⎠ The plot of this equation in Fig. 5-4b shows that as the torque is increased, the torque-speed characteristic at a given Vt is essentially vertical, except for the droop to the voltage drop IaRa across the armature-winding resistance. This droop in speed is quite small in integral horsepower dc motors but may be substantial in small servo motors. More importantly, however, the torque-speed characteristics can be shifted horizontally
  • 215.
    204 Chapter Five Figure5.4 Permanent-magnet dc motor: (a) equivalent circuit: (b) torque-speed characteristics: Vt 5 > Vt 4 > Vt 3 > Vt 2 > Vt1 where Vt 4 is the rated voltage; (c) continuous torque-speed capability. In Fig.5.4b by controlling the applied terminal voltage Vt. Therefore, the speed of a load with an arbitrary torque-speed characteristic can be controlled by controlling vt in a permanent-magnet dc motor with a constant φ f . In a continuous steady state, the armature current I a should not exceed its rated value, and therefore, the torque should not exceed the rated torque. Therefore, the characteristics beyond the rated torque are shown as dashed in Fig. 5-4b. Similarly, the characteristic beyond the rated speed is shown as dashed, because increasing the speed beyond the rated speed would require the terminal voltage Vt to exceed its rated value, which is not desirable. This is a limitation of permanent-magnet dc motors, where the maximum speed is limited to the rated speed of the motor. The torque capability as a function of speed is plotted in Fig. 5-4c. It shows the steady-state operating limits of the torque and current; it is possible to significantly exceed current and torque limits on a short-term basis. Figure 5.4c also shows the terminal voltage required as a function of speed and the corresponding. E a 5.4 dc MOTORS WITH A SEPARATELY EXCITED FIELD WINDING Permanent-magnet dc motors are limited to ratings of a few horsepower and also have a maximum speed limitation. These limitations can be overcome if (~f is produced by means of a field winding on the stator, which is supplied' by a dc current 1 f, as shown in Fig.5.1b. To offer the most flexibility in controlling the dc motor, the field winding is excited by a separately controlled dc source v f , as shown in Fig. 5-5a. As
  • 216.
    dc MOTOR DRIVES 205 indicated by Eq. 5-1, the steady-state value of φ f is controlled by I f = V f / R f , where R f is the resistance of the field winding. Since (~f is controllable, Eq. 5-13 can be written as follows: (5.14) recognizing that k E = k eφ f and k = k f φ f . Equation (5.14) shows that in a dc motor with a separately excited field winding, both Vt and φ f can be controlled to yield the desired torque and speed. As a general practice, to maximize the motor torque capability, φ f (hence I f ) is kept at its rated value for speeds less than the rated speed. With φ f at its rated value, the relationships are the same as given by Eqs.(5.10) through (5.13) of a permanent-magnet dc motor. Therefore, the torque-speed characteristics are also the same as those for a permanent-magnet dc motor that were shown in Fig. 5-4b. With φ f constant and equal to its rated value, the motor torque-speed capability is as shown in Fig. 5-5b, where this region of constant φ f is often called the constant-torque region. The required terminal voltage Vt in this region increases linearly from approximately zero to its rated value as the speed increases from zero to its rated value. The voltage Vt and the corresponding E a are shown in Fig. 5-5b. To obtain speeds beyond its rated value, Vt is kept constant at its rated value and φ f is decreased by decreasing I f . Since I a is not allowed to exceed its rated value on a continuous basis, the torque capability declines, since φ f is reduced in Eq. (5.2). In this so-called field- weakening region, the maximum power E a I a (equal to ω m Tm ) into the motor is not allowed to exceed its rated value on a continuous basis. This region, also called the constant-power region, is shown in Fig. 5-5b, where Tem declines with ω m and Vt , E a , and I a stay constant at their rated values. It should be emphasized that Fig.5.5b is the plot of the maximum continuous capability of the motor in steady state. Any operating point within the regions shown is, of course, permissible. In the field-weakening region, the speed may be exceeded by 50-100% of its rated value, depending on the motor specifications.
  • 217.
    206 Chapter Five Figure 5-5 Separately excited dc motor: (a) equivalent circuit; (6) continuous torque-speed capability. 5.5 EFFECT OF ARMATURE CURRENT WAVEFORM In dc motor drives, the output voltage of the power electronic converter contains an ac ripple voltage superimposed on the desired dc voltage. Ripple in the terminal voltage can lead to a ripple in the armature current with the following consequences that must be recognized: the form factor and torque pulsations. 5.5.1 FORM FACTOR The form factor for the dc motor armature current is defined as (5.15) The form factor will be unity only if ia is a pure dc. The more ia deviates from a pure dc, the higher will be the value of the form factor. The power input to the motor (and hence the power output) varies proportionally with the average value of ia , whereas the losses in the 2 resistance of the armature winding depend on I a (rms). Therefore, the higher the form factor of the armature current, the higher the losses in the motor (i.e., higher heating) and, hence, the lower the motor efficiency. Moreover, a form factor much higher than unity implies a much larger value of the peak armature current compared to its average value, which may result in excessive arcing in the commutator and brushes. To avoid serious damage to the motor that is caused by large peak currents, the motor may have to be derated (i.e., the maximum power or torque would have to be kept well below its rating) to keep the motor temperature from exceeding its specified limit and to protect the commutator and brushes.
  • 218.
    dc MOTOR DRIVES 207 Therefore, it is desirable to improve the form factor of the armature current as much as possible. 5.5.2 TORQUE PULSATIONS Since the instantaneous electromagnetic torque Tem (t ) developed by the motor is proportional to the instantaneous armature current ia (t ) , a ripple in ia results in a ripple in the torque and hence in speed if the inertia is not large. This is another reason to minimize the ripple in the armature current. It should be noted that a high-frequency torque ripple will result in smaller speed fluctuations, as compared with a low-frequency torque ripple of the same magnitude. 5.6 dc SERVO DRIVES In servo applications, the speed and accuracy of response is important. In spite of the increasing popularity of ac servo drives, dc servo drives are still widely used. If it were not for the disadvantages of having a commutator and brushes, the dc motors would be ideally suited for servo drives. The reason is that the instantaneous torque Tem in Eq. 5-2 can be controlled linearly by controlling the armature current ia of the motor. 5.6.1 TRANSFER FUNCTION MODEL FOR SMALL-SIGNAL DYNAMIC PERFORMANCE Figure 5-6 shows a dc motor operating in a closed loop to deliver controlled speed or controlled position. To design the proper controller that will result in high performance (high speed of response, low steady- state error, and high degree of stability), it is important to know the transfer function of the motor. It is then combined with the transfer function of the rest of the system in order to determine the dynamic response of the drive for changes in the desired speed and position or for a change in load. As we will explain later on, the linear model is valid only for small changes where the motor current is not limited by the converter supplying the motor.
  • 219.
    208 Chapter Five Figure 5-6 Closed-loop position/speed dc servo drive. For analyzing small-signal dynamic performance of the motor-load combination around a steady-state operating point, the following equations can be written in terms of small deviations around their steady- state values: (5.16) (5.17) (5.18) (5.19) If we take Laplace transform of these equations, where Laplace variables represent only the small-signal Δ values in Eqs.5.16 through 5.19, (5.20) These equations for the motor-load combination can be represented by transfer function blocks, as shown in Fig.5.7. The inputs to the motor- load combination in Fig. 5.7 are the armature terminal voltage Vt (s ) and the load torque TWL (s ) . Applying one input at a time by setting the other input to zero, the superposition principle yields (note that this is a linearized system) (5.21) This equation results in two closed-loop transfer functions: (5.22)
  • 220.
    dc MOTOR DRIVES 209 (5.23) Fig.5.7 Block diagram representation of the motor and load (without ay feedback). As a simplification to gain better insight into the dc motor behavior, the friction term, which is usually small, will be neglected by setting B = 0 in Eq. 5.22. Moreover, considering just the motor without the load, J in Eq. 5.22 is then the motor inertia J m . Therefore (5.24) We will define the following constants: (5.25) (5.26) Using τ m and τ e in the expression for G1 (s ) yields (5.27) Since in general τ m >> τ e , it is a reasonable approximation to replace sτ m by s (τ m + τ e ) in the foregoing expression. Therefore (5.28) The physical significance of the electrical and the mechanical time constants of the motor should also be understood. The electrical time constant τ e , determines how quickly the armature current builds up, as shown in Fig.5-8, in response to a step change Δvt in the terminal voltage, where the rotor speed is assumed to be constant.
  • 221.
    210 Chapter Five Figure 5-8 Electrical time constant Te; speed cam is assumed to be constant. The mechanical time constant τ m determines how quickly the speed builds up in response to a step change Δvt in the terminal voltage, provided that the electrical time constant τ e is assumed to be negligible and, hence, the armature current can change instantaneously. Neglecting τ e in Eq. 5-28, the change in speed from the steady-state condition can be obtained as (5.29) recognizing that Vt (s ) = Δvt / s . From Eq. (5.29) (5.30) where τ m is the mechanical time constant with which the speed changes in response to a step change in the terminal voltage, as shown in Fig.5.9a. The corresponding change in the armature current is plotted in Fig.5.9b. Note that if the motor current is limited by the converter during large transients, the torque produced by the motor is simply kT I a, max . 5.6.2 POWER ELECTRONIC CONVERTER Based on the previous discussion, a power electronic converter supplying a dc motor should have the following capabilities: 1- The converter should allow both its output voltage and current to reverse in order to yield a four-quadrant operation as shown in Fig.5.3. 2- The converter should be able to operate in a current-controlled mode by holding the current at its maximum acceptable value during fast acceleration and deceleration. The dynamic current limit is generally
  • 222.
    dc MOTOR DRIVES 211 several times higher than the continuous steady-state current rating of the motor. 3- For accurate control of position, the average voltage output of the converter should vary linearly with its control input, independent of the load on the motor. This item is further discussed in Section 5-6-5. 4- The converter should produce an armature current with a good form factor and should minimize the fluctuations in torque and speed of the motor. 5- The converter output should respond as quickly as possible to its control input, thus allowing the converter to be represented essentially by a constant gain without a dead time in the overall servo drive transfer function model. Figure 5-9Mechanical time constant τ m ; load torque is assumed to be constant. A linear power amplifier satisfies all the requirements listed above. However, because of its low energy efficiency, this choice is limited to a very low power range. Therefore, the choice must be made between switch-mode dc-dc converters or the line-frequency-controlled converters. Here, only the switch-mode dc-dc converters are described. Drives with line-frequency converters can be analyzed in the same manner. A full-bridge switch-mode dc-dc converter produces a four-quadrant controllable dc output. This full-bridge dc-dc converter (also called an H-
  • 223.
    212 Chapter Five bridge).The overall system is shown in Fig. 5-10, where the line- frequency ac input is rectified into dc by means of a diode rectifier of the type and filtered by means of a filter capacitor. An energy dissipation circuit is included to prevent the filter capacitor voltage from becoming large in case of braking of the dc motor. All four switches in the converter of Fig. 5-10 are switched during each cycle of the switching frequency. This results in a true four-quadrant operation with a continuous-current conduction, where both Vt and I a can smoothly reverse, independent of each other. Ignoring the effect of blanking time, the average voltage output of the converter varies linearly with the input control voltage vcontrol , independent of the load: Vt = k c vcontrol (5.31) where k c is the gain of the converter. Either a PWM bipolar voltages witching scheme or a PWM unipolar voltage-switching scheme can be used. Thus, the converter in Fig.5.6 can be replaced by an amplifier gain k c given by Eq. 5.31. Figure 5-10 A dc motor servo drive; four-quadrant operation. 5.6.3 RIPPLE IN THE ARMATURE CURRENT ia Te current through a PWM full-bridge dc-dc converter supplying a dc motor load flows continuously even at small values of I a . However, it is important to consider the peak-to-peak ripple in the armature current because of its impact on the torque pulsations and heating of the motor. Moreover, a larger current ripple requires a larger peak current rating of the converter switches. In the system of Fig. 5-10 under a steady-state operating condition, the instantaneous speed wm can be assumed to be constant if there is sufficient inertia, and therefore ea (t ) = E a . The terminal voltage and the
  • 224.
    dc MOTOR DRIVES 213 armature current can be expressed in terms of their dc and the ripple components as vt (t ) = Vt + vr (t ) (5.32) ia (t ) = I a + ir (t ) (5.33) where vr (t ) and ir (t ) are the ripple components in vt and ia , respectively. Therefore, in the armature circuit, from Eq. 5.8, di (t ) Vt + vr (t ) = Ea + R A [I a + ir (t )] + La r (5.34) dt Where Vt = E a + Ra I a (5.35) di (t ) And vr (t ) = Ra ir (t ) + La r (5.36) dt Assuming that the ripple current is primarily determined by the armature inductance La and Ra has a negligible effect, from Eq. 5-36 di (t ) vr (t ) ≅ La r (5.37) dt 2 The additional heating in the motor is approximately Ra I r where I r is the rms value of the ripple current ir . The ripple voltage is maximum when the average output voltage in a dc is zero and all switches operate at equal duty ratios. Applying these results to the dc motor drive, Fig. 5-11a shows the voltage ripple vr (t ) and the resulting ripple current ir (t ) using Eq. 5.37. From these waveforms, the maximum peak-to-peak ripple can be calculated as: V (ΔI P − P )max = d (5.38) 2 La f s where Vd is the input dc voltage to the full-bridge converter.
  • 225.
    214 Chapter Five Figure 5-11 Ripple ir in the armature current: (a) PWM bipolar voltage switching, Vt = 0 ; (b) PWM unipolar voltage switching, Vt = 1 / 2Vd . The ripple voltage for a PWM unipolar voltage switching is shown to be maximum when the average output voltage is 1 / 2Vd . Applying this result to a dc motor drive, Fig.5.11b shows ir (t ) waveform, where V (ΔI P − P )max = d (5.39) 8La f s Equations 5-38 and 5-39 show that the maximum peak-to-peak ripple current is inversely proportional to La and f s . Therefore, careful consideration must be given to the selection of f s and La , where La can be increased by adding an external inductor in the series with the motor armature. 5.6.4 CONTROL OF SERVO DRIVES A servo system where the speed error directly controls the power electronic converter is shown in Fig. 5-12a. The current-limiting circuit comes into operation only when the drive current tries to exceed an acceptable limit I a , max during fast accelerations and decelerations. During these intervals, the output of the speed regulator is suppressed and the current is held at its limit until the speed and position approach their desired values. To improve the dynamic response in high-performance servo drives, an internal current loop is used as shown in Fig.5-12b, where the armature current and, hence, the torque are controlled. The current control is accomplished by comparing the actual measured armature * current ia with its reference value ia produced by the speed regulator. The current ia is inherently controlled from exceeding the current rating * of the drive by limiting the reference current ia to I a , max . The armature current provided by the dc-dc converter in Fig. 5-12b can be controlled in a similar manner as the current-regulated modulation in a dc-to-ac inverter. The only difference is that the reference current in steady state in a dc-dc converter is a dc rather than a sinusoidal waveform. Either a variable-frequency tolerance band control, or a fixed frequency control can be used for current control. 5.6.5 NONLINEARITY DUE TO BLANKING TIME
  • 226.
    dc MOTOR DRIVES 215 In a practical full-bridge dc-dc converter, where the possibility of a short circuit across the input dc bus exists, a blanking time is introduced between the instant at which a switch turns off and the instant at which the other switch in the same leg turns on. The effect of the blanking time on the output of dc-to-ac full bridge PWM inverters. That analysis is also valid for PWM full-bridge dc-dc converters for dc servo drives. The output voltage of the converter is proportional to the motor speed com and the output current ia is proportional to the torque Tem , Fig. 5.13. If at an arbitrary speed ω m , the torque and, hence, ia are to be reversed, there is a dead zone in vcontrol as shown in Fig. 5-13, during which ia and Tem remain small. The effect of this nonlinearity due to blanking time on the performance of the servo system is minimized by means of the current- controlled mode of operation discussed in the block diagram of Fig. 5- 12b, where an internal current loop directly controls ia . Fig.5.12 Control of servo drives: (a) no internal current-control loop; (b) internal current-control loop.
  • 227.
    216 Chapter Five Fig.5.13 Effect of blanking time. 5.6.6 SELECTION OF SERVO DRIVE PARAMETERS Based on the foregoing discussion, the effects of armature inductance La , switching frequency f s , blanking time t c , and switching times t, of the solid state devices in the dc-dc converter can be summarized as follows: 1- The ripple in the armature current, which causes torque ripple and additional armature heating, is proportional to La / f s . 2- The dead zone in the transfer function of the converter, which degrades the servo performance, is proportional to f s t Δ . 3- Switching losses in the converter are proportional to f s t c . All these factors need to be considered simultaneously in the selection of the appropriate motor and the power electronic converter. 5.7 ADJUSTABLE-SPEED dc DRIVES Unlike servo drives, the response time to speed and torque commands is not as critical in adjustable-speed drives. Therefore, either switch-mode dc-dc converters as discussed for servo drives or the line-frequency controlled converters can be used for speed control. 5.7.1 SWITCH-MODE dc-dc CONVERTER If a four-quadrant operation is needed and a switch-mode converter is utilized, then the full-bridge converter shown in Fig. 5.10 is used. If the speed does not have to reverse but braking is needed, then the two-quadrant converter shown in Fig. 5-14a can be used. It consists of two switches, where one of the switches is on at any time, to keep the output voltage independent of the direction of ia . The armature current
  • 228.
    dc MOTOR DRIVES 217 can reverse, and a negative value of I a corresponds to the braking mode of operation, where the power flows from the dc motor to Vd . The output voltage Vt can be controlled in magnitude, but it always remains unipolar. Since ia can flow in both directions, unlike in the single-switch step-down and step-up dc-dc converters, ia in the circuit of Fig. 5-14a will not become discontinuous. For a single-quadrant operation where the speed remains unidirectional and braking is not required, the step-down converter shown in Fig. 5-14b can be used. 5.7.2 LINE-FREQUENCY CONTROLLED CONVERTERS In many adjustable-speed dc drives, especially in large power ratings, it may be economical to utilize a line-frequency controlled converter of the type discussed in Chapter 6. Two of these converters are repeated in Fig. 5-15 for single-phase and three-phase ac inputs. The output of these line- frequency converters, also called the phase-controlled converters, contains an ac ripple that is a multiple of the 60-Hz line frequency. Because of this low frequency ripple, an inductance in series with the motor armature may be required to keep the ripple in ia low, to minimize its effect on armature heating and the ripple in torque and speed. Fig. 5.14 (a) Two-quadrant operation; (b) single-quadrant operation. A disadvantage of the line-frequency converters is the longer dead time in responding to the changes in the speed control signal, compared to high-frequency switch-mode dc-dc converters. Once a thyristor or a pair of thyristors is triggered on in the circuits of Fig.5.15, the delay angle α that controls the converter output voltage applied to the motor terminals cannot be increased for a portion of the 50-Hz cycle. This may
  • 229.
    218 Chapter Five notbe a problem in adjustable-speed drives where the response time to speed and torque commands is not too critical. But it clearly shows the limitation of line-frequency converters in servo drive applications. The current through these line-frequency controlled converters is unidirectional, but the output voltage can reverse polarity. The two- quadrant operation with the reversible voltage is not suited for dc motor braking, which requires the voltage to be unidirectional but the current to be reversible. Therefore, if regenerative braking is required, two back-to- back connected thyristor converters can be used, as shown in Fig. 5-16a. This, in fact, gives a capability to operate in all four quadrants, as depicted in Fig. 5-16b. An alternative to using two converters is to use one phase-controlled converter together with two pairs of contactors, as shown in Fig. 5-16c. When the machine is to be operated as a motor, the contactors M 1 and M 2 are closed. During braking when the motor speed is to be reduced rapidly, since the direction of rotation remains the same, Ea is of the same polarity as in the motoring mode. Therefore, to let the converter go into an inverter mode, contactors M 1 and M 2 are opened and R1 and R2 are closed. It should be noted that tie contactors switch at zero current when the current through them is brought to zero by the converter. Fig.5.15 Line-frequency-controlled converters for dc motor drives: (a) single-phase input, (b) three-phase input.
  • 230.
    dc MOTOR DRIVES 219 Fig.5.16 Line-frequency-controlled converters for four-quadrant operation: (a) back-to-back converters for four-quadrant operation (without circulating current); (b) converter operation modes; (c) contactors for four-quadrant operation. 5.7.3 EFFECT OF DISCONTINUOUS ARMATURE CURRENT In line-frequency phase-controlled converters and single-quadrant step-down switch mode dc-dc converters, the output current can become discontinuous at light loads on the motor. For a fixed control voltage vcontrol or the delay angle α , the discontinuous current causes the output voltage to go up. This voltage rise causes the motor speed to increase at low values of I a (which correspond to low torque load), as shown generically by Fig.5.17. With a continuously flowing ia , the drop in speed at higher torques is due to the voltage drop Ra I a across the armature resistance; additional drop in speed occurs in the phase- controlled converter-driven motors due to commutation voltage drops across the ac-side inductance Ls , which approximately equal (2ωLS / π )I a in single-phase converters and (3ωLS / π )I a in three-phase converters. These effects results in poor speed regulation under an open- loop operation.
  • 231.
    220 Chapter Five Fig.5.17 Effects of discontinuous ia on ω m . 5.7.4 CONTROL OF ADJUSTABLE-SPEED DRIVES The type of control used depends on the drive requirements. An open- loop control is shown in Fig.5.18 where the speed command ω * is generated by comparing the drive output with its desired value (which, e.g., may be temperature in case of a capacity modulated heat pump). A d / dt limiter allows the speed command to change slowly, thus preventing the rotor current from exceeding its rating. The slope of the d / dt limiter can be adjusted to match the motor-load inertia. The current limner in such drives may be just a protective measure, whereby if the measured current exceeds its rated value, the controller shuts the drive off. A manual restart may be required. As discussed in Section 5-6, a closed-loop control can also be implemented. 5.7.5 FIELD WEAKENING IN ADJUSTABLE-SPEED dc MOTOR DRIVES In a dc motor with a separately excited field winding, the drive can be operated at higher than the rated speed of the motor by reducing the field flux φ f . Since many adjustable speed drives, especially at higher power ratings, employ a motor with a wound field, this capability can be exploited by controlling the field current and φ f . The simple line frequency phase-controlled converter shown in Fig. 5-15 is normally used to control I f through the field winding, where the current is controlled in magnitude but always flows in only one direction. If a converter topology consisting of only thyristors (such as in Fig. 5-15) is chosen, where the converter output voltage is reversible, the field current can be decreased rapidly.
  • 232.
    dc MOTOR DRIVES 221 Figure 5-18 Open-loop speed control. 5.7.6 POWER FACTOR OF THE LINE CURRENT IN ADJUSTABLE-SPEED DRIVES The motor operation at its torque limit is shown in Fig. 5-19a in the constant-torque region below the rated speed and in the field-weakening region above the rated speed. In a switch-mode drive, which consists of a diode rectifier bridge and a PWM dc-dc converter, the fundamental- frequency component I s1 of the line current as a function of speed is shown in Fig. 5-196. Figure 5-19c shows I s1 for a line-frequency phase controlled thyristor drive. Assuming the load torque to be constant, ISO decreases with decreasing speed in a switch-mode drive. Therefore, the switch-mode drive results in a good displacement power factor. On the other hand, in a phase-controlled thyristor drive, I s1 remains essentially constant as speed decreases, thus resulting in a very poor displacement power factor at low speeds. Both the diode rectifiers and the phase-controlled rectifiers draw line currents that consist of large harmonics in addition to the fundamental. These harmonics cause the power factor of operation to be poor in both types of drives. The circuits described in Chapter 18 can be used to remedy the harmonics problem in the switch-mode drives, thus resulting in a high power factor of operation.
  • 233.
    222 Chapter Five Fig.5.19 Line current in adjustable-speed dc drives: (a) drive capability; (b) switch-mode converter drive; (c) line-frequency thyristor converter drive.
  • 234.
    dc MOTOR DRIVES 223 PROBLEMS 1- Consider a permanent-magnet dc servo motor with the following parameters:
  • 235.
  • 236.
    Chapter 6 A.C. Voltage Regulators 6.1 Single-phase control of load voltage using thyristor switching A. Resistive load Assumptions : a. Triggering circuit provides pulse train to gate thyristor any point on wave 0-180o. b. Ideal supply, i.e. zero Z, voltage remains sinusoidal in spite of non- sinusoidal pulses of current drawn from supply . c. Thyristors are ideal, i.e. no dissipation when conducting, no voltage drop when conducting , infinite Z when off. e = E m sin ωt π , 2π α , π +α e L = E m sin ωt | +| α , π +α 0, π π , 2π α , π +α eT = E m sin ωt | +| α , π +α 0, π
  • 237.
    224 Chapter Six 6.2Harmonics analysis of the load voltage (and current) The load voltage eL can be expressed as :- a0 ∞ a ∞ e L (ωt ) = + ∑ a n cos nωt + bn sin nωt = 0 + ∑ C n sin(n ωt + ψ ) 2 n =1 2 n =1 a0 1 2π where, = 2 2π 0 ∫ eL (ωt ) dωt = Average value For fundamental component :- 1 2π 1 2π a1 = ∫ e L (ωt ) cos ωt dωt , b1 = ∫ e L (ωt ) sinωt dωt π 0 π 0 c1 = a12 + b12 = peak value of fundamental component a1 ψ 1 = tan −1 = displacement angle between the fundamental and b1 the datum point. For the n-th harmonics, 1 2π 1 2π a n = ∫ e L (ωt ) cos nωt dωt , π ∫0 bn = e L (ωt ) sin nωt dωt π 0 For the fundamental of the load voltage, 1 2π Em π ∫0 a1 = e L (ωt ) cos ωt dωt = (cos 2α − 1) 2π Em b1 = (2 (π − α ) + sin 2α ) 2π E c1 = m (cos 2α − 1) 2 + [2 (π − α ) + sin 2α ]2 2π a cos 2α − 1 ψ 1 = tan −1 1 = tan −1 b1 2(π − α ) + sin 2α RMS Load Voltage 1 2π r.m.s. value of eL = E L = 2π ∫0 eL 2 (ωt ) dωt 1 π ,2π E 2 2π ∫α ,α +π EL 2 = ( E m sin ωt ) 2 dωt = m [ 2 (π − α ) + sin 2α ] 4π E 1 EL = m [2(π − α ) + sin 2α ] 2 2π
  • 238.
    A.C. Voltage Regulators 225 with resistive load, the instantaneous load current is :- e E sin ωt π ,2π iL = L = m |α ,π +α R R The r.m.s. load current E 1 E 1 IL = m [ 2(π − α ) + sin 2α ] = [2(π − α ) + sin 2α ] 2 R 2π R 2π 6.3 Power Dissipation 1 2π P= 2π 0 ∫eL i dt = Average value of instantaneous volt − amp product. = Average power EL 2 = I L2 R = where I L & E L are the r.m.s. values R E2 = [2(π − α ) + sin 2α ] 2πR In terms of harmonic components:- 1 2 P = R ( I12 + I 32 + I 5 2 + .......) = ( E L1 + E L3 + E L5 + .......) 2 2 R In terms of fundamental components: P = E I1 cos ψ 1 where I1 = r.m.s. fundamental current = c1 1 , cosψ 1 = b1 2 R c1 6.4 Power factor in non-sinusoidal circuits Average Power P In general, PF = = Apparent Voltamperes E I E = r.m.s. voltage at supply. I = r.m.s. current at supply. Definition is true irrespective for any waveform and frequency. Let e and i be periodic in 2π , 1 2π P= 2π 0 ∫ e i dωt 1 2π 2 1 2π 2 E= 2π 0 ∫ e dωt ; I = 2π 0 i dω t ∫ The usual aim is to obtain unity PF at the supply.
  • 239.
    226 Chapter Six Toobtain unity P.F., certain conditions must be observed w.r.t. e(ω t) and i(ωt):- (i) e(ω t) and i(ωt) must be of the same frequency. (ii) e(ω t) and i(ωt) must be of the same wave shape (whatever the wave shape) (iii) e(ω t) and i(ωt) must be in time-phase at every instant of the cycle. Power Factor in systems with sinusoidal voltage (at supply) but non- sinusoidal current i (wt ) is periodic in 2π but is non-sinusoidal. Average power is obtained by combining in-phase voltage and current components of the same frequency. P = E I1 cos ψ 1 P E I1 cos ψ 1 I1 PF = = = cos ψ 1 EI EI I = Distortion Factor x Displacement Factor Distortion Factor = 1 for sinusoidal operation Displacement factor is a measure of displacement between e(ω t) and i(ωt). Displacement Factor =1 for sinusoidal resistive operation. Calculation of PF E2 R [2(π − α ) + sin 2α ] I 2R 2π R 2 1 PF = = = [2(π − α ) + sin 2α ] EI E 1 2π E [2(π − α ) + sin 2α ] R 2π R-L load ωL Z = R 2 + ω 2 L2 , φ = tan −1 R
  • 240.
    A.C. Voltage Regulators 227 Steady-state at α = 0 (sinusoidal operation) Applying gate signal at ωt = α, where α > φ The start of conduction is delayed until ωt = α . Subsequent to triggering, let the instantaneous current i (ωt ) consists of hypothetical steady-state components iss (ωt ) and transient component itrans (ωt ) , ∴ i (ωt ) = iss (ωt ) + itrans (ωt ) Now the ωt = α , the instantaneous steady-state component has the value, E iss (α ) = m sin(α − φ ) Z But at ωt = α , total current i (ωt ) = 0 . At ωt = α, iss(α) = -itrans(α) E ∴ itrans (ωt ) = − m sin(α − φ ) Z Subsequent to α The transient component decay exponentially from it’s instantaneous - Em L sin(α − φ ) by the constant Z = Z R. t − Em − itrans (ωt ) = sin(α − φ )e τ Z R E − (ωt −α ) For ωt > α, itrans (ωt ) = − m sin(α − φ )e ωL Z Complete solution for first cycle
  • 241.
    228 Chapter Six R E − (ωt +π −α ) i (ωt ) = m [sin(ωt − φ ) 0,−α ,, π ,+2π + sin(α + φ )e ωt x π x α x −π 0 Z R R − (ωt −α ) − (ωt −π −α ) ωt ωL 2π − sin(α − φ )e α x + sin(α − φ )l π +α Extinction Angle For the current in the interval α ≤ ωt ≤ x R E E − (ωt −α ) i (ωt ) = m sin(ωt − φ ) − m sin(α − φ )e ωL Z Z But at ωt = α , i (ωt ) = 0 , hence R E E − ( x −α ) 0 = m sin( x − φ ) − m sin(α − φ )e ωL Z Z
  • 242.
    A.C. Voltage Regulators 229 Em R But ≠ 0 and = cot φ ∴ 0 = sin( x − φ ) − sin(α − φ )e − cot( x −α ) Z ωL If α and φ are known, x can be calculated. However, this is a transcendental equation (i.e. cannot be solved explicitly and no way of obtaining x = f (α , φ ) ). Method of solution is by iteration, e.g. If φ = 600, α = 1200 = 2π / 3, cot φ = 0.578 2π − 0.578( x − ) sin( x − 60 ) = sin(120 − 60)e 0 0 3 ⇒ x = 2220 Rough Approximation :- x = 180 0 + φ − Δ Δ = 5 0 ~ 10 0 for large R and small ωL where = 10 0 ~ 15 0 for R = ωL = 150 ~ 20 0 for small R and large ωL For the previous example, φ = 60 0 , Δ = 150 − 20 0 ∴ x = 180 0 + 60 0 − 15 0 = 225 0 or x = 180 0 + 60 0 − 20 0 = 220 0 Load voltage eL (ωt ) = Em sin ωt 0,−π,π x α π x , ,2 α + Em a1 = [cos 2α − cos 2 x] 2π E b1 = m [2( x − α ) − sin 2 x + sin 2α ] 2π
  • 243.
    230 Chapter Six A.C.voltage control using Integral cycle switching N = no. of conducting cycles. T = Total ‘ON’+’OFF’ cycles, representing a control period. Analytical Properties. N N Power, P ∝ ; r.m.s. load voltage, EL ∝ T T E2 N P N Power Factor = = R T = EI E N T E R T 6.6 Advantages and Disadvantages of Integral cycle Control Advantages 1. Avoids the radio frequency interference created by phase - angle switching . 2. Able to switch the loads with a large thermal time const . Disadvantages 1. Produces lamp flicker with incandescent lighting loads. 2. Inconsistent flashing with discharge lighting. 3. Not suitable for motor control (because of interruption of motor current) 4. Total supply Distortion is greater than for symmetrical phase control.
  • 244.
    Problems Of Chapter2 1- Single phase half-wave diode rectifier is connected to 220 V, 50 Hz supply to feed 5Ω pure resistor. Draw load voltage and current and diode voltage drop waveforms along with supply voltage. Then, calculate (a) The rectfication effeciency. (b) Ripple factor of load voltage. (c) Transformer Utilization Factor (TUF) (d) Peak Inverse Voltage (PIV) of the diode. (e) Crest factor of supply current. 2- The load of the rectifier shown in problem 1 is become 5Ω pure resistor and 10 mH inductor. Draw the resistor, inductor voltage drops, and, load current along with supply voltage. Then, find an expression for the load current and calculate the conduction angle, β . Then, calculate the DC and rms value of load voltage. 1
  • 245.
    3- In the rectifier shown in the following figure assume VS = 220V , 50Hz, L = 10mH and Ed = 170V . Calculate and plot the current an the diode voltage drop along with supply voltage, vs . vdiode + vL - i + - + vs Ed - 4- Assume there is a freewheeling diode is connected in shunt with the load of the rectifier shown in problem 2. Calculate the load current during two periods of supply voltage. Then, draw the inductor, resistor, load voltages and diode currents along with supply voltage. 2
  • 246.
    5- The voltage v across a load and the current i into the positive polarity terminal are as follows: v(ωt ) = Vd + 2 V1 cos(ωt ) + 2 V1 sin (ωt ) + 2 V3 cos(3ωt ) i (ωt ) = I d + 2 I1 cos(ωt ) + 2 I 3 cos(3ωt − φ ) Calculate the following: (a) The average power supplied to the load. (b) The rms value of v(t ) and i (t ) . (c) The power factor at which the load is operating. 6- Center tap diode rectifier is connected to 220 V, 50 Hz supply via unity turns ratio center-tap transformer to feed 5Ω resistor load. Draw load voltage and currents and diode currents waveforms along with supply voltage. Then, calculate (a) The rectfication effeciency. (b) Ripple factor of load voltage. (c) Transformer Utilization Factor (TUF) (d) Peak Inverse Voltage (PIV) of the diode. (e) Crest factor of supply current. 3
  • 247.
    7- Single phase diode bridge rectifier is connected to 220 V, 50 Hz supply to feed 5Ω resistor. Draw the load voltage, diodes currents and calculate (a) The rectfication effeciency. (b) Ripple factor of load voltage. (c) Transformer Utilization Factor (TUF) (d) Peak Inverse Voltage (PIV) of the diode. (e) Crest factor of supply current. 4
  • 248.
    8- If the load of rectifier shown in problem 7 is changed to be 5Ω resistor in series with 10mH inductor. Calculate and draw the load current during the first two periods of supply voltages waveform. 9- Solve problem 8 if there is a freewheeling diode is connected in shunt with the load. 10- If the load of problem 7 is changed to be 45 A pure DC. Draw diode diodes currents and supply currents along with supply voltage. Then, calculate (a) The rectfication effeciency. (b) Ripple factor of load voltage. (c) Transformer Utilization Factor (TUF) (d) Peak Inverse Voltage (PIV) of the diode. (e) Crest factor of supply current. (f) input power factor. 5
  • 249.
    11- Single phasediode bridge rectifier is connected to 220V ,50Hz supply. The supply has 4 mH source inductance. The load connected to the rectifier is 45 A pure DC current. Draw, output voltage, diode currents and supply current along with the supply voltage. Then, calculate the DC output voltage, THD of supply current and input power factor, and, input power factor and THD of the voltage at the point of common coupling. 6
  • 250.
    12- Three-phase half-wavediode rectifier is connected to 380 V, 50Hz supply via 380/460 V delta/way transformer to feed the load with 45 A DC current. Assuming ideal transformer and zero source inductance. Then, draw the output voltage, secondary and primary currents along with supply voltage. Then, calculate (a) Rectfication effeciency. (b) Crest factor of secondary current. (c) Transformer Utilization Factor (TUF). (d) THD of primary current. (e) Input power factor. 13- Solve problem 12 if the supply has source inductance of 4 mH. 7
  • 251.
    14- Three-phase fullbridge diode rectifier is connected to 380V, 50Hz supply to feed 10Ω resistor. Draw the output voltage, diode currents and supply current of phase a. Then, calculate: (a) The rectfication effeciency. (b) Ripple factor of load voltage. (c) Transformer Utilization Factor (TUF) (d) Peak Inverse Voltage (PIV) of the diode. (e) Crest factor of supply current. 15- Solve problem 14 if the load is 45A pure DC current. Then find THD of supply current and input power factor. 8
  • 252.
    16- If thesupply connected to the rectifier shown in problem 14 has a 5 mH source inductance and the load is 45 A DC. Find, average DC voltage, and THD of input current. 9
  • 253.
    17- Single phasediode bridge rectifier is connected to square waveform with amplitude of 200V, 50 Hz. The supply has 4 mH source inductance. The load connected to the rectifier is 45 A pure DC current. Draw, output voltage, diode currents and supply current along with the supply voltage. Then, calculate the DC output voltage, THD of supply current and input power factor. 18- In the single-phase rectifier circuit of the following figure, LS = 1 mH and Vd = 160V . The input voltage vs has the pulse waveform shown in the following figure. Plot is and id waveforms and find the average value of I d . id + iS Vd VS - f = 50 Hz 200V 120o ωt o o o o 60 120 60o 60 120 10
  • 254.
    Problems Of Chapter3 1- Single phase half-wave controlled rectifier is connected to 220 V, 50Hz supply to feed 10 Ω resistor. If the firing angle α = 30 o draw output voltage and drop voltage across the thyristor along with the supply voltage. Then, calculate, (a) The rectfication effeciency. (b) Ripple factor. (c) Peak Inverse Voltage (PIV) of the thyristor. (d) The crest factor C F of input current. 2- Single phase half-wave controlled rectifier is connected to 220 V, 50Hz supply to feed 5Ω resistor in series with 10mH inductor if the firing angle α = 30 o . (a) Determine an expression for the current through the load in the first two periods of supply current, then fiend the DC and rms value of output voltage. (b) Draw the waveforms of load, resistor, inductor voltages and load current. 11
  • 255.
    3- Solve problem2 if there is a freewheeling diode is connected in shunt with the load. 4- single phase full-wave fully controlled rectifier is connected to 220V, 50 Hz supply to feed 5Ω resistor, if the firing angle α = 40 o . Draw the load voltage and current, thyristor currents and supply current. Then, calculate (a) The rectfication effeciency. (b) Peak Inverse Voltage (PIV) of the thyristor. (c) Crest factor of supply current. 12
  • 256.
    5- In theproblem 4, if there is a 5mH inductor is connected in series with the 5Ω resistor. Draw waveforms of output voltage and current, resistor and inductor voltages, thyristor currents, supply currents. Then, find an expression of load current, DC and rms values of output voltages. 6- Solve problem 5 if the load is connected with freewheeling diode. 13
  • 257.
    7- Single phasefull wave fully controlled rectifier is connected to 220V, 50 Hz supply to feed the load with 47 A pure dc current. The firing angle α = 40 o . Draw the load voltage, thyristor, and load currents. Then, calculate (a) the rectfication effeciency. (b) Ripple factor of output voltage. (c) Crest factor of supply current. (d) Use Fourier series to fiend an expression for supply current. (e) THD of supply current. (f) Input power factor. 8- Solve problem 7 if the supply has a 3 mH source inductance. 14
  • 258.
    9- Single phasefull-wave semi-controlled rectifier is connected to 220 V, 50Hz supply to feed 5Ω resistor in series with 5 mH inductor, the load is connected in shunt with freewheeling diode. Draw the load voltage and current, resistor voltage and inductor voltage diodes and thyristor currents. Then, calculate Vdc and Vrms of the load voltages. If the freewheeling diode is removed, explain what will happen? 10- The single-phase full wave controlled converter is supplying a DC load of 1 kW with pure DC current. A 1.5-kVA-isolation transformer with a source-side voltage rating of 120 V at 50 Hz is used. It has a total leakage reactance of 8% based on its ratings. The ac source voltage of nominally 120 V is in the range of -10% and +5%. Then, Calculate the minimum transformer turns ratio if the DC load voltage is to be regulated at a constant value of 100 V. What is the value of a when VS = 120 V + 5%. 15
  • 259.
    11- In thesingle-phase inverter of, VS = 120 V at 50 Hz, LS = 1.2 mH, Ld = 20 mH, Ed = 88 V, and the delay angle α = 135°. Using PSIM, obtain vs , is , vd , and id waveforms in steady state. 12- In the inverter of Problem 12, vary the delay angle α from a value of 165° down to 120° and plot id versus α . Obtain the delay angle α b , below which id becomes continuous. How does the slope of the characteristic in this range depend on LS ? 13- In the three-phase fully controlled rectifier is connected to 460 V at 50 Hz and Ls = 1mH . Calculate the commutation angle u if the load draws pure DC current at Vdc = 515V and Pdc = 500 kW. 14- In Problem 13 compute the peak inverse voltage and the average and the rms values of the current through each thyristor in terms of VLL and I o . 15- Consider the three-phase, half-controlled converter shown in the following figure. Calculate the value of the delay angle α for which Vdc = 0.5Vdm . Draw vd waveform and identify the devices that conduct during various intervals. Obtain the DPF, PF, and %THD in the input line current and compare results with a full-bridge converter operating at Vdc = 0.5Vdm . Assume LS . 16
  • 260.
    16- Repeat Problem15 by assuming that diode D f is not present in the converter. 17- The three-phase converter of Fig.3.48 is supplying a DC load of 12 kW. A Y- Y connected isolation transformer has a per-phase rating of 5 kVA and an AC source-side voltage rating of 120 V at 50 Hz. It has a total per-phase leakage reactance of 8% based on its ratings. The ac source voltage of nominally 208 V (line to line) is in the range of -10% and +5%. Assume the load current is pure DC, calculate the minimum transformer turns ratio if the DC load voltage is to be regulated at a constant value of 300 V. What is the value of α when VLL = 208 V +5%. 18- In the three-phase inverter of Fig.3.63, VLL = 460 V at 60 Hz, E = 550 V, and LS = 0.5 mH. Assume the DC-side current is pure DC, Calculate α and γ if the power flow is 55 kW. 17
  • 261.
    Problems Of Chapter4 1- In a single-phase full-bridge PWM inverter, the input dc voltage varies in a range of 295-325 V. Because of the low distortion required in the output vo , ma ≤ 1.0 (a) What is the highest Vo1 , that can be obtained and stamped on its nameplate as its voltage rating? (b) Its nameplate volt-ampere rating is specified as 2000 VA, that is, Vo1, max I o1, max = 2000VA , where io is assumed to be sinusoidal. Calculate the combined switch utilization ratio when the inverter is supplying its rated volt-amperes. 18
  • 262.
    2- Consider theproblem of ripple in the output current of a single-phase full-bridge inverter. Assume Vo1 = 220 V at a frequency of 47 Hz and the type of load is as shown in Fig.18a with L = 100 mH. If the inverter is operating in a square-wave mode, calculate the peak value of the ripple current. 19
  • 263.
    3- Repeat Problem2 with the inverter operating in a sinusoidal PWM mode, with m f = 21 and ma = 0.8. Assume a bipolar voltage switching. 4- Repeat Problem 2 but assume that the output voltage is controlled by voltage cancellation and Vd has the same value as required in the PWM inverter of Problem 3. 20
  • 264.
    5- Calculate andcompare the peak values of the ripple currents in Problems 2 through 4. 21
  • 265.
    THREE-PHASE 6- Consider the problem of ripple in the output current of a three- phase square-wave inverter. Assume (VLL )1 = 220 V at a frequency of 52 Hz and the type of load is as shown in Fig.25a with L = 100 mH. Calculate the peak ripple current defined in Fig.26a. 22
  • 266.
    7- Repeat Problem6 if the inverter of Problem 6 is operating in a synchronous PWM mode with m f = 39 and ma = 0.8 . Calculate the peak ripple current defined in Fig.26b. 23
  • 267.
    8- In thethree-phase, square-wave inverter of Fig.24a, consider the load to be balanced and purely resistive with a load-neutral n. Draw the steady-state v An , u A, i DA + , and id waveforms, where iDA+ is the current through DA + . 24
  • 268.
    9- Repeat Problem8 by assuming that the toad is purely inductive, where the load resistance, though finite, can be neglected. 25
  • 269.
    Problems Of Chapter5 1- Consider a permanent-magnet dc servo motor with the following parameters: 26
  • 270.
  • 271.
  • 272.
  • 273.
  • 274.
  • 275.
  • 276.