Embed presentation
Download to read offline

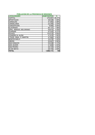
The document provides population statistics for localities in the province of Misiones, Argentina. The capital, Posadas, has the largest population at 279,961 people, accounting for 26.21% of the province's total population. Oberá is the second most populated locality with 95,667 residents, followed by Iguazú with 103,515 people. In total, the population of the province of Misiones is 1,068,111 people.
