Ficha de Trabalho de Matemática
                      Tema: Operações com Potências                               7º Ano

Nome: ____________________________________________________Turma:______N.º____

                                            2
        12   2            24   
              5            5             2
  1)
                                          
   R  24

  2)  25  9    3  1 
                      10           10


  R  410
                                            2
                           24 
  3) 12  20    8     
                      6

                           3 
  R  (-8)7

                      10                4            14
      10           12        28 
  4)   2   36       4   
      2            4         4 
  R 3 -6

                  2                             2
       18   36 27   100 
  5)                          
       3   3 9   50 
  R 1
                    33                  
  6)  24  6    2       2  4  
                    3                   
  R 6
      3           2   1 
  7)      3         
      2           3   2 
  R  1/4

            1  3        
  8)   3       2  
            2  4        
  R  -15/4
            1         1            1
  9)   2      2    2  3     
            2         2            2
  R  12/10
          5                  1 
  10)    6  2    3   
          3                   2 
    R  34/3
              3                 1
  11)   3     3    3     2 
              4                 2
  R  5/2
         1          1 
             2               2

  12)      2        1 
         2         2    
  R  1/32
       1                   2 
                     2         2
  13)     1     2        
                  1                   1
                                   
            2 
                          3          3   3
                                           
   R  -2
2         2      2
       3   1  1  1
14)     1             
       2   2  2  3
R  7/4

      3  1 2      1    1
15)       2            
     4  2 
                    2   3  1
                         
R  -19/32

            1
                 2
                       2   1
16)   1                   
     
             2      22   2 
                            
R  1/2
                  1 
             2     1
17)               3             
      2  1              2
             2    
      3  3              3
R  24/75

            1        
       1      3
18)         2         
                2
          1 
     2    1   1
          2 
R  -2/3

                1        
          2      2
19)             2           
      3  1            1
            3    
      2  2            2
R  -12/13

             2          2
       1  1     3
           
20) 
         2  3    4
               2
                      
         3 1   3
            
         2 2   2
R  4/27


       23  1   2  5 
                          
            4       2
21)                     
        2 1
             2
        3 2
R  -9/4

           3      1
      1     3                2
           4     3   2  1   3 
22)                           
       2       4           2    4
R  -85/72
1 3
                      
     7                2 4 
23)   2 
     3                5 11
                      
                      2 3
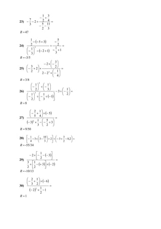
R  47

             5  3
         1                     5
                             
24)      2                    2 
            2
      1                    1
          2  1  3  1
      3
R  -3/5
                         3
                     2 
      3                2 
25)    2  
      2        2  23    1 
                                
                           4
R  3/8
                2
          1  1
             
          2  3                  1
26)                           3    
                                    2
            3
      1  1              
            1
      2  3              
R 8

        2 1
             5
27)     5 4            
            1  5      
      3      3 
          2

            3  2      
R  9/50

28)  1  3   3  10   2    3  3  0,2  
                                            
       4               3            2      
R  -55/34

              1        
        2     3
29)           2         
      3 1        
           3   2
      2 2        
R  -10/13

      2 1
           6
30) 
         3 2
                     
         2   1
             2 1
               2
R 1
4             6       7
      1  1                 1
                        : 
31)   
        4      4              4 =
           0, 252
 R  1/4
                         16

32)    5 4 4     1
                     2,514 
                   2
R  25/4

    (1) 2   1   1
                    10          121

33)                                    0,1 =
                  1
               2
                  3
R  1/10

           1
              22
34)        4                 =
       25           1
            
       4  2  2    3 
                          
            
R  45

Operações com potências 2

  • 1.
    Ficha de Trabalhode Matemática Tema: Operações com Potências 7º Ano Nome: ____________________________________________________Turma:______N.º____ 2  12   2   24    5 5 2 1)   R  24 2)  25  9    3  1  10 10 R  410 2  24  3) 12  20    8      6  3  R  (-8)7 10 4 14  10   12   28  4)   2   36       4     2   4  4  R 3 -6 2 2  18   36 27   100  5)             3   3 9   50  R 1   33   6)  24  6    2       2  4     3  R 6 3   2   1  7)   3          2   3   2  R  1/4  1  3  8)   3       2    2  4  R  -15/4  1  1  1 9)   2      2    2  3       2  2  2 R  12/10 5   1  10)    6  2    3    3   2  R  34/3  3  1 11)   3     3    3     2   4  2 R  5/2  1   1  2 2 12)      2        1   2    2   R  1/32 1  2  2 2 13)     1     2         1 1       2   3  3   3  R  -2
  • 2.
    2 2 2  3   1  1  1 14)   1               2   2  2  3 R  7/4  3  1 2  1  1 15)       2       4  2    2   3  1  R  -19/32  1 2 2   1 16)   1           2  22   2   R  1/2  1  2     1 17)  3   2  1   2      2     3  3   3 R  24/75  1  1      3 18)  2   2 1  2    1   1 2  R  -2/3  1   2      2 19)  2   3  1   1      3     2  2   2 R  -12/13 2 2  1  1 3       20)  2  3 4 2  3 1 3     2 2 2 R  4/27  23  1   2  5    4  2 21)   2 1       2  3 2 R  -9/4 3 1 1 3 2 4 3   2  1   3  22)   2 4  2 4 R  -85/72
  • 3.
    1 3   7 2 4  23)   2  3 5 11   2 3 R  47   5  3 1 5  24) 2  2  2  1 1      2  1  3  1  3 R  -3/5  3  2   3   2  25)    2    2  2  23    1     4 R  3/8 2  1  1       2  3  1 26)  3      2 3  1  1         1  2  3  R 8  2 1       5 27)  5 4  1  5   3      3  2 3  2  R  9/50 28)  1  3   3  10   2    3  3  0,2          4  3   2  R  -55/34  1   2     3 29)  2   3 1      3   2 2 2  R  -10/13  2 1       6 30)  3 2   2   1 2 1 2 R 1
  • 4.
    4 6 7 1  1 1      :  31)    4 4 4 = 0, 252 R  1/4 16 32) 5 4 4 1     2,514  2 R  25/4 (1) 2   1   1 10 121 33)  0,1 = 1 2 3 R  1/10 1  22 34) 4 =  25   1    4  2  2    3      R  45