Individuella skillnader 
hos gädda – från 
personligheter till 
tillväxtskillnader 
Marina Nyqvist 
______________________________________________________ 
ÖSTERBOTTENS FISKARFÖRBUND r.f. 
Fiskets utvecklingsorganisation www.fishpoint.net
Stora variationer finns mellan individer av 
samma art 
Kroppsstorlek den vanligaste skillnaden mellan individer
Speciellt stora variationer i kroppsstorlek 
Shell brooding cichlid 
Lamprologus callipterus 
finns hos fisk 
Fjällröding Salvenlius alipnus
Storleksdimorfism 
- det förekommer stora och små individer av samma ålder i 
en population, har ofta samband till kön 
• Studier på lämpliga modellarter (speciellt bland fisk) 
efterlyses för att reda ut orsaker till storleksdimorfism 
och hur det leder till olikheter i beteende och ekologi 
(Blanckenhorn 2005)
Gäddan – en bra modell fiskart för att undersöka 
vad som orsakar storleksdimorfism.
Floden Frome and sidokanaler, sydvästra 
England 
­0 
Main River Frome 
0.1 0.2 Km 
Rushton ditch 
Railway ditch 
Flood relief 
channel 
Millstream 
Roads 
River and ditches 
U.K. 
Dorset 
0 200 400 Km
METHODS 
Study site: River Frome and tributaries near 
East Stoke, Dorset.
Fråga 1. När växer gäddorna 
isär?
Två gäddor fångade inom en vecka i floden Frome, båda 280 mm. 
0+ 3+
120 
100 
80 
60 
40 
20 
0 
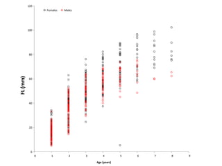
0 1 2 3 4 5 6 7 8 9 
FL (mm) 
Age (years) 
Females Males
80 
70 
60 
50 
40 
30 
20 
10 
0 
1 2 3 4 5 6 
FL (cm) 
Age (years) 
Males 
100 
90 
80 
70 
60 
50 
40 
30 
20 
10 
0 
0 1 2 3 4 5 6 7 
FL (cm) 
Age (years) 
Females
Fråga 2. Vad orsakar skillnader i 
tillväxt hos gäddan? 
1) personligheter? 
Akvarie-experiment 
2) rörelser/aktivitet? 
3) födan eller tidpunkten då 
de flyttar från sina barnkammare? 
Fältundersökelse 
r
1. AKVARIE-EXPERIMENT maj-oktober 2009 & 2010 för att 
undersöka personligheter
Film analyser: 
- Tiden det tog till första attacken 
(s) 
- Antalet fångade byten 
- Aktivitet (s) 
År 2009 
Kontroll: ingen risk 
Lika stor gädda: låg risk 
Större gädda: hög risk
Gäddan har personligheter – individerna beter sig konsekvent över 
olika risksituationer och tid, skygga och djärva individer. 
Nyqvist et al. 2012. PLoS ONE 
Nyqvist et la. 2013. Ethology
Fältarbete - Floden Frome 
Unga gäddors födoval och rörelser undersöktes åren 2008-2011
Metoder - fältarbete
Metoder -fältarbete 
23 mm PIT tag
Rörelser hos gäddan genom PIT telemetri 
• 42 
undersökningar 
-3 perioder på 6 
veckor långa 
•0+ (n=27) 
1+ (n=11) 
Metoder - fältarbete
43 (n=7) 
24 (n=5) 
20 (n=7) 
22 (n=6) 
18 (n=5) 
16 (n=5) 
15 (n=8) 
2 (n=8) 
3 (n=8) 
19 
17 
15 
13 
11 
9 
7 
5 
3 
1 
Location (patch numbers) 
108 (n=15) 
106 (n=13) 
101 (n=14) 
49 (n=14) 
39 (n=14) 
47 (n=14) 
37 (n=13) 
38 (n=15) 
25 (n=25) 
26 (n=10) 
7 (n=16) 
9 (n=6) 
10 (n=9) 
12 
10 
8 
6 
4 
2 
0 
11 (n=8) 29 (n=6) 
30 (n=6) 
31 (n=9) 
32 (n=7) 
53 (n=9) 
54 (n=7) 
23 
21 
19 
17 
15 
13 
11 
1 3 5 7 9 
Railway 
Flood relief 
Rushton 
Do individuals move 
differently? 
-Individerna rörde sig mycket 
olika inom sidokanalerna 
(CV>50%). 
- 72 % av alla märkta gäddor 
detekterades och återfångades igen 
efter undersökningsperioden 
- Inga dygns-specifika 
rörelsemönster hittades
Metoder - fältarbete 
När flyttar gäddorna ut från sidokanalerna till 
huvudfloden?
Resultat -fältarbete 
Större individer rör sig mera i sidokanalera 
0 5 10 15 20 25 30 35 40 
Mean focal distance (m) 
300 
250 
200 
150 
100 
50 
Initial fork length (mm) 
r=0.41, 
p=0.018
Resultat - fältarbete 
Mindre som äter mer insekter flyttar bort först 
från sidokanalera 
Stayer Leaver 
280 
260 
240 
220 
200 
180 
160 
140 
120 
Length/mm 
Stayers Leavers 
3.7 
3.6 
3.5 
3.4 
3.3 
3.2 
3.1 
3.0 
2.9 
2.8 
2.7 
Trophic position n=27 
n=23 
n=23 
n=27 
Blir de mindre avskräckta av de större individerna som 
rör sig mera och tvingade att lämna sidokanalerna för att 
inte bli uppätna? 
?
Konsekvenser av storleksskillnader? 
A) Snabbt-växande 
- 0+ (25/02/2009) 
- 234 mm 
-fiskätande 
B) Långsamt-växande 
- 0+ (24/02/2009) 
- 120 mm 
- evertebratätande 
Stora dominanta hanar 
Stora honor 
Små hanar 
-Smygande beteende, protandri 
Mindre honor, protandri
Konklusioner 
Varför viktigt att förstå variation i en 
population? 
• En population med stor variation i beteende/strategier 
har större chans att klara av en förändrande miljö 
(Gosling 2003) 
• Variation hos en population kan bibehållas genom att 
bevara alternativa livsmiljöer eller föda (Bolnick et al. 
2003; 2011) 
• Speciellt viktigt hos små populationer (Durell 2000).
Tack till 
Rudy Gozlan 
Rob Britton 
Julien Cucherousset 
Bill Beaumont

Också gäddan har personligheter

  • 1.
    Individuella skillnader hosgädda – från personligheter till tillväxtskillnader Marina Nyqvist ______________________________________________________ ÖSTERBOTTENS FISKARFÖRBUND r.f. Fiskets utvecklingsorganisation www.fishpoint.net
  • 2.
    Stora variationer finnsmellan individer av samma art Kroppsstorlek den vanligaste skillnaden mellan individer
  • 3.
    Speciellt stora variationeri kroppsstorlek Shell brooding cichlid Lamprologus callipterus finns hos fisk Fjällröding Salvenlius alipnus
  • 4.
    Storleksdimorfism - detförekommer stora och små individer av samma ålder i en population, har ofta samband till kön • Studier på lämpliga modellarter (speciellt bland fisk) efterlyses för att reda ut orsaker till storleksdimorfism och hur det leder till olikheter i beteende och ekologi (Blanckenhorn 2005)
  • 5.
    Gäddan – enbra modell fiskart för att undersöka vad som orsakar storleksdimorfism.
  • 6.
    Floden Frome andsidokanaler, sydvästra England ­0 Main River Frome 0.1 0.2 Km Rushton ditch Railway ditch Flood relief channel Millstream Roads River and ditches U.K. Dorset 0 200 400 Km
  • 7.
    METHODS Study site:River Frome and tributaries near East Stoke, Dorset.
  • 8.
    Fråga 1. Närväxer gäddorna isär?
  • 9.
    Två gäddor fångadeinom en vecka i floden Frome, båda 280 mm. 0+ 3+
  • 10.
    120 100 80 60 40 20 0 0 1 2 3 4 5 6 7 8 9 FL (mm) Age (years) Females Males
  • 11.
    80 70 60 50 40 30 20 10 0 1 2 3 4 5 6 FL (cm) Age (years) Males 100 90 80 70 60 50 40 30 20 10 0 0 1 2 3 4 5 6 7 FL (cm) Age (years) Females
  • 12.
    Fråga 2. Vadorsakar skillnader i tillväxt hos gäddan? 1) personligheter? Akvarie-experiment 2) rörelser/aktivitet? 3) födan eller tidpunkten då de flyttar från sina barnkammare? Fältundersökelse r
  • 13.
    1. AKVARIE-EXPERIMENT maj-oktober2009 & 2010 för att undersöka personligheter
  • 14.
    Film analyser: -Tiden det tog till första attacken (s) - Antalet fångade byten - Aktivitet (s) År 2009 Kontroll: ingen risk Lika stor gädda: låg risk Större gädda: hög risk
  • 15.
    Gäddan har personligheter– individerna beter sig konsekvent över olika risksituationer och tid, skygga och djärva individer. Nyqvist et al. 2012. PLoS ONE Nyqvist et la. 2013. Ethology
  • 16.
    Fältarbete - FlodenFrome Unga gäddors födoval och rörelser undersöktes åren 2008-2011
  • 17.
  • 18.
  • 19.
    Rörelser hos gäddangenom PIT telemetri • 42 undersökningar -3 perioder på 6 veckor långa •0+ (n=27) 1+ (n=11) Metoder - fältarbete
  • 20.
    43 (n=7) 24(n=5) 20 (n=7) 22 (n=6) 18 (n=5) 16 (n=5) 15 (n=8) 2 (n=8) 3 (n=8) 19 17 15 13 11 9 7 5 3 1 Location (patch numbers) 108 (n=15) 106 (n=13) 101 (n=14) 49 (n=14) 39 (n=14) 47 (n=14) 37 (n=13) 38 (n=15) 25 (n=25) 26 (n=10) 7 (n=16) 9 (n=6) 10 (n=9) 12 10 8 6 4 2 0 11 (n=8) 29 (n=6) 30 (n=6) 31 (n=9) 32 (n=7) 53 (n=9) 54 (n=7) 23 21 19 17 15 13 11 1 3 5 7 9 Railway Flood relief Rushton Do individuals move differently? -Individerna rörde sig mycket olika inom sidokanalerna (CV>50%). - 72 % av alla märkta gäddor detekterades och återfångades igen efter undersökningsperioden - Inga dygns-specifika rörelsemönster hittades
  • 21.
    Metoder - fältarbete När flyttar gäddorna ut från sidokanalerna till huvudfloden?
  • 22.
    Resultat -fältarbete Störreindivider rör sig mera i sidokanalera 0 5 10 15 20 25 30 35 40 Mean focal distance (m) 300 250 200 150 100 50 Initial fork length (mm) r=0.41, p=0.018
  • 23.
    Resultat - fältarbete Mindre som äter mer insekter flyttar bort först från sidokanalera Stayer Leaver 280 260 240 220 200 180 160 140 120 Length/mm Stayers Leavers 3.7 3.6 3.5 3.4 3.3 3.2 3.1 3.0 2.9 2.8 2.7 Trophic position n=27 n=23 n=23 n=27 Blir de mindre avskräckta av de större individerna som rör sig mera och tvingade att lämna sidokanalerna för att inte bli uppätna? ?
  • 24.
    Konsekvenser av storleksskillnader? A) Snabbt-växande - 0+ (25/02/2009) - 234 mm -fiskätande B) Långsamt-växande - 0+ (24/02/2009) - 120 mm - evertebratätande Stora dominanta hanar Stora honor Små hanar -Smygande beteende, protandri Mindre honor, protandri
  • 25.
    Konklusioner Varför viktigtatt förstå variation i en population? • En population med stor variation i beteende/strategier har större chans att klara av en förändrande miljö (Gosling 2003) • Variation hos en population kan bibehållas genom att bevara alternativa livsmiljöer eller föda (Bolnick et al. 2003; 2011) • Speciellt viktigt hos små populationer (Durell 2000).
  • 27.
    Tack till RudyGozlan Rob Britton Julien Cucherousset Bill Beaumont

Editor's Notes

  • #5 Storleksdimorfism ett ämne som fascinerat biologer länge, men studier som undersökt orsaker till storleksdimorfism hos arter med obestämd tillväxt (växer livet ut) har funnit lite. Brist på bra modellarter för att studera detta i naturen förekommer. Obestämd tillväxt: indeterminate growth, Sexuell storleksdimorfism: sexual size dimorphism
  • #6 Storleksdimorfism ett ämne som fascinerat biologer länge, men studier som undersökt orsaker till storleksdimorfism hos arter med obestämd tillväxt (växer livet ut) har funnit lite. Brist på bra modellarter för att studera detta i naturen förekommer. Obestämd tillväxt: indeterminate growth, Sexuell storleksdimorfism: sexual size dimorphism
  • #8 Fjällprov har tagits sedan 1970 talet. Populationen innehåller individer som antingen är mycket långsamt växande och snabbtväxande. Vanligare i floder där miljön är mer heterogen, med sidokanaler osv än en sjö.
  • #10 Gäddan till vänster är 280 mm lång och ännu inte fyllt 1 år, medan den till höger också är 280 mm är över 3 år gammal – fjället har 3 synliga annulis (årsringar), som visas med vita cirklar.
  • #11 Tillväxten uträknas genom att analysera fiskfjällens årsringar. Skillnaden i tillväxt mellan individerna var stor under det första levandsåret. Gäddorna varierade från 10 till 30 cm i längd. Signifikanta skillnader mellan honor och hanar.
  • #12 Skillnader finns även inom könen; det finns alltså snabbt – och långsamt växande individer.
  • #14 Gäddyngel sidokanal av floden Frome, flera kilometer bort från fältstudieplatsen. Smågäddorna fångades med handnät, 20 individer fångades på några timmar och kördes sedan direkt in till universitetets akvarie-faciliteter, en resa som tog ca 40 min. Gäddorna lät först acklimatiseras till akvarieförhållanden och sedan sattes de i individuella akvarier, utan visuell kontakt till följande akvarium.
  • #15 Individerna vägdes och mättes varannan vecka för att räkna ut deras specifika tillväxthastighet. Experimentena upprepades varannan vecka från maj till oktober på samma individer.
  • #16 (Här kommer en kort film på gäddan som äter.) Resultaten visar att individerna anpassade sitt beteende enligt risken. De åt och rörde sig mera ju lägre risken var. Individerna varierade dock konsekvent i sitt beteende, så att individer som åt och rörde sig mycket under liten risk även gjorde det då risken var stor. Andra individer åt och rörde sig konstant mindre. Däremot hittades ingen koppling mellan personlighetsdrag och tillväxt. Eftersom gäddorna hölls i skilda akvarier på grund av risken för kannibalism så fanns ingen konkurrens om resurser eller risk för rovdjur. Detta är troligvis viktigt för att personlighetsdragen ska styra tillväxtvariationerna hos gäddan.
  • #17 Sidokanalerna där gäddorna huvudsakligen leker och som sedan fungerar som barnkammare för gäddorna, vissa gäddor lämnar dem redan först sommaren, andra kan stanna kvar i två år här. Små gäddornas födoval, rörelser och personligheter undersöktes under tre år 2008-2011.
  • #18 De små fiskarna i sidokanalerna och huvudfloden fångades med elfiske. Mete och spinnfiske utövades även i huvudfloden vid olika tidpunkter. Elfiske utfördes inte oftare än en gång per månad.
  • #19 Provtagning av fisken: först bedövades fisken och sedan skedde provtagningen så snabbt som möjligt; längd, vikt, fjäll togs för åldersbestämning och tillväxtundersökningar, fenprov togs för genetiska och isotopanalyser för att bestämma trofisk nivå av fisken och sedan märktes fisken med en PIT tag, varje märke hade en unik kod så att individers rörelse och tillväxt kan undersökas därefter. Fiskarna könsbestämdes också då detta var möjligt.
  • #20 Antennan hade ett detekteringsavstånd på 85 cm.
  • #21 Overall movement of pike did not vary between ditches (ANOVA, p>0.05)
  • #22 Två somrar användes ryssjor (fyke nets) användes för att fånga små gäddor som migrerade ut ur sidokanalerna till huvudfloden. Detta gjordes för att se om flytten beror på kroppsstorlek och födoval.
  • #24 Individerna som stannade kvar efter sommaren i sidokanalera var större och hade mera insekter än fisk i sin föda, dvs mindre värdig föda jämfört med de flyttade.
  • #25 Olika strategier finns hos gäddan som beror direkt på kroppsstorlek. Att växa snabbt och bli stor, eller långsamt och förbli liten. Det finns en avvägning mellan att använda energi för tillväxt eller för att bli könsmogen. Långsamt växande individer blir könsmogna tidigare än snabbtväxande – all energi går åt till att växa, medan hos långsamtväxande kan energi också användas för könsmognandet. De små bör därför ha en längre tid på sig att reproducera än de större. De större har dock en högre reproduktionskapacitet hos fisk. Det finns fördelar och nackdelar med båda strategierna. Viktigt är att vi inser att variationen är viktig för populationens livskraft.
  • #26 Populationer som innehåller individer som är specialister kan vara stabilare och hjälpa att buffra mot miljöförändringar som att vissa habitat eller resurser minskar eller förstörs (Durell 2000).
  • #28 Tack till mina handledare och medförfattare i England och Frankrike och finansiärerna Bournemouth University, Svenska kulturfonden och svensk-österbottniska samfundet.