ŽILINSKÁ UNIVERZITA V ŽILINE
FAKULTA HUMANITNÝCH VIED
2814320122048
OBCHODNÁ ZNAČKA AKO NÁSTROJ BUDOVANIA
VZŤAHU SO ZÁKAZNÍKOM
2012 Bc. Radoslava MAKOVIČOVÁ
ŽILINSKÁ UNIVERZITA V ŽILINE
FAKULTA HUMANITNÝCH VIED
OBCHODNÁ ZNAČKA AKO NÁSTROJ BUDOVANIA
VZŤAHU SO ZÁKAZNÍKOM
DIPLOMOVÁ PRÁCA
Študijný program:
Študijný odbor:
Mediamatika a kultúrne dedičstvo
Knižnično-informačné štúdiá
Školiace pracovisko: Katedra mediamatiky a kultúrneho dedičstva
Školiteľ: prof. Ing. Mária Rostášová, PhD.
Žilina 2012 Bc. Radoslava MAKOVIČOVÁ
2
Zadanie záverečnej práce
Odbor: Mediamatika a kultúrne dedičstvo
Forma štúdia: denná
ZADANIE DIPLOMOVEJ PRÁCE
Názov diplomovej práce: Obchodná značka ako nástroj budovania vzťahu so zákazníkom
Meno, priezvisko, tituly študenta: Bc. Radoslava Makovičová
Mejlová adresa študenta: radoslava.makovicova@mediamatika.sk
Tel. kontakt študenta: 0907 213 378
Meno, priezvisko, tituly školiteľa DP: prof. Ing. Mária Rostášová, PhD.
Pracovisko školiteľa DP: Katedra spojov, Fakulta prevádzky a ekonomiky dopravy a spojov,
Žilinská univerzita v Žiline
Kontakt (telefonický a mejlový) na školiteľa DP: maria.rostasova@fpedas.uniza.sk, 041/513
31 09
Konzultant (interný tútor) DP:
Problém riešený v diplomovej práci: Vplyv obchodnej značky a jej zmeny na vnímanie imidžu
firmy zo strany zákazníkov
Cieľ diplomovej práce:
- rozobrať teoretické prístupy k tvorbe obchodnej značky (branding) a jej zmeny (rebran-
ding)
- analyzovať súčasný stav predmetnej problematiky vo vybranej firme
- návrh jednotlivých fáz rebrandingu firmy EVA (návrh názvu, loga, sloganu a pod.) a vy-
hodnotiť vplyv rebrandingu na image firmy vstupnou výskumnou aktivitou
- formulovať odporúčania pre budúcu marketingovú komunikáciu firmy.
Metódy: analýza, dotazníkový prieskum
Praktický prínos:
- vytvorenie grafického návrhu obchodnej značky konkrétnej firmy, sformulovanie sloga-
nu a ďalších aspektov rebrandingu vo vybranej firme
- odporúčania pre budúcu marketingovú komunikáciu firmy, vyúsťujúce do zmeny imidžu
firmy.
Dátum odovzdania zadania DP: 30. 6. 2011
Dátum odovzdania DP: apríl 2012
V Žiline, dňa 30. 6. 2011
......................................... .........................................
Podpis študenta Podpis vedúceho DP
Vyjadrenie katedry: schvaľujem
.........................................
Podpis vedúceho katedry
Dátum:
Dôvod neschválenia DP:
3
Abstrakt
MAKOVIČOVÁ, Radoslava: Obchodná značka ako nástroj budovania vzťahu so zá-
kazníkom. [Diplomová práca]. Žilinská univerzita v Žiline. Fakulta humanitných
vied; Katedra mediamatiky a kultúrneho dedičstva. Školiteľ: prof. Ing. Mária Rostá-
šová, PhD. Stupeň odbornej kvalifikácie: Magister knižničnej a informačnej vedy.
Žilina : FHV ŽU, 2012. 103 s.
Diplomová práca sa zaoberá problematikou obchodnej značky ako nástroja
pre budovanie vzťahu so zákazníkom. Cieľom práce bolo spracovať teoretické po-
znatky z oblasti budovania obchodnej značky (branding) a jej zmeny (rebranding)
a na základe analýzy súčasného stavu predmetnej problematiky v konkrétnej firme
navrhnúť jednotlivé fázy jej rebrandingu a prostredníctvom prieskumu vyhodno-
tiť vplyv rebrandingu na imidž firmy. Diplomová práca pozostáva z teoretickej
a praktickej časti. Teoretická časť sa zaoberá teoretickými otázkami obchodnej
značky, podáva výklad pojmu obchodná značka, jej prínosy, funkcie a charakterizu-
je proces budovania obchodnej značky a jej zmeny. Praktickú časť diplomovej prá-
ce tvorí analýza súčasného stavu obchodnej značky a firemného dizajnu vo firme
EVA, v rámci ktorej bol realizovaný primárny prieskum. Zahŕňa výsledky práce,
pričom sa na základe druhého primárneho prieskumu sústreďuje na posúdenie
nového dizajnu a marketingovej komunikácie firmy EVA. Súčasťou praktickej časti
je taktiež navrhnutie fáz rebrandingu firmy EVA. V závere práce sú na základe vý-
sledkov uskutočneného prieskumu navrhnuté konkrétne odporúčania vedúce
k zlepšeniu marketingovej komunikácie tejto firmy.
Kľúčové slová: Obchodná značka. Zákazník. Branding. Rebranding.
4
Abstract
MAKOVIČOVÁ, Radoslava: Trademark as a tool for building customer relationship.
[The diploma thesis]. Univesity of Žilina. Faculty of Humanities; Department of
Mediamatics and Cultural Heritage. Supervisor: prof. Ing. Mária Rostášová, PhD.
Qualification level: Master of Library and Information Science. Žilina : FHV ŽU,
2012. 103 p.
The diploma thesis deals with the brand as a tool for building customer relation-
ship. The goal was to process the theoretical knowledge of building a brand (bran-
ding) and its amendments (rebranding) and analyzing the current state of the sub-
ject in question in a particular company by designing different phases of its reb-
randing and assessing the impact of rebranding on the image of the company thro-
ugh a survey. The thesis consists of theoretical and practical parts. The theoretical
part deals with theoretical issues of trademark, filed a trademark of the concept, its
benefits, features, and describes the process of building a brand and its amen-
dments. The practical part of this thesis is the analysis of the current brand
and corporate design firm in EVA, in which a primary survey was conducted which
includes the results of work while under the second primary survey focused on
assessing a new design and marketing communications in firm EVA. The practical
part of the design phase is also consisted of rebranding the company EVA. In con-
clusion, this work is based on the results of the survey which suggested specific
recommendations in order to improve the marketing communications firm.
Keywords: Trademark. Customer. Branding. Rebranding.
5
Obsah
Zoznam ilustrácií a tabuliek...............................................................................................7
Úvod ............................................................................................................................................9
1 Vymedzenie pojmov obchodná značka a budovanie vzťahu so
zákazníkom.................................................................................................................... 11
1.1 Obchodná značka...........................................................................................................11
1.1.1 Budovanie značky – Corporate branding...............................................12
1.1.1.1Prvky brandingu ..............................................................................................14
1.1.1.2Proces budovania značky.............................................................................18
1.1.1.2.1 Tvorba vízie značky.................................................................................19
1.1.1.2.2 Firemná kultúra v rámci tvorby značky..........................................20
1.1.1.2.3 Nastavenie cieľov značky......................................................................20
1.1.1.2.4 Audit vonkajšieho prostredia..............................................................21
1.1.1.2.5 Podstata značky........................................................................................24
1.1.1.2.6 Interná implementácia a zdroje značky..........................................25
1.1.1.2.7 Ohodnotenie značky ...............................................................................26
1.1.2 Zmena značky – Corporate rebranding ..................................................27
1.1.2.1Najčastejšie dôvody pre firemný rebranding.......................................28
1.1.2.2Proces zmeny značky.....................................................................................29
1.2 Budovanie vzťahu so zákazníkom ..........................................................................31
2 Cieľ práce........................................................................................................................ 34
3 Metodika práce a metódy skúmania..................................................................... 35
4 Rebranding firmy EVA ............................................................................................... 41
4.1 Charakteristika firmy EVA .........................................................................................41
4.2 Marketingový mix firmy EVA....................................................................................41
4.3 Dôvody firmy EVA pre rebranding.........................................................................47
4.4 Analýza súčasného firemného dizajnu..................................................................47
4.5 Primárny prieskum I....................................................................................................49
4.6 Návrh firemného dizajnu a marketingovej komunikácie ..............................51
4.6.1 Primárny prieskum II ....................................................................................51
4.6.2 Fázy rebrandingu firmy EVA.......................................................................52
4.7 Odporúčania pre budúcu marketingovú komunikáciu...................................66
6
Záver........................................................................................................................................ 69
Zoznam použitej literatúry.............................................................................................. 71
Prílohy..................................................................................................................................... 76
7
Zoznam ilustrácií a tabuliek
Obrázok 1 Proces budovania a udržania značky (de Chernatony, 2009) ................... 19
Obrázok 2 Päť síl pôsobiacich na značku (de Chernatony, 2009).................................. 21
Obrázok 3 Názory zákazníkov na značky podľa Schiffmann a Kanuk (de
Chernatony, 2009)............................................................................................................................ 23
Obrázok 4 Identifikácia podstaty značky na základe modelu pyramídy (de
Chernatony, 2009)............................................................................................................................ 24
Obrázok 5 Osem komponentov atómového modelu značky (de Chernatony,
2009) ............................................................................................................................................... 25
Obrázok 6 Postup riešenia diplomovej práce ........................................................................ 36
Obrázok 7 Ganttov diagram realizácie primárneho prieskumu I................................... 37
Obrázok 8 Ganttov diagram realizácie prieskumu II .......................................................... 39
Obrázok 9 Etikety výrobkov ......................................................................................................... 43
Obrázok 10 Súčasné logo firmy EVA.......................................................................................... 48
Obrázok 11 Súčasné vizitky firmy EVA..................................................................................... 49
Obrázok 12 Vnímanie súčasného loga respondentmi......................................................... 49
Obrázok 13 Spokojnosť s grafikou ............................................................................................. 50
Obrázok 14 Návrhy pre logo firmy EVA................................................................................... 55
Obrázok 15 Farebné kombinácie pre nové logo ....................................................................... 56
Obrázok 16 Výsledné logo a jeho zmenšenina....................................................................... 56
Obrázok 17 Inverzné logo a jeho zmenšenina....................................................................... 56
Obrázok 18 Návrh maloplošnej reklamy ................................................................................. 57
8
Obrázok 19 Návrhy pre reklamný banner............................................................................... 58
Obrázok 20 Návrh dizajnu internetovej stránky .................................................................. 59
Obrázok 21 Závislosť komunikačného nástroja a zákazníkov a verejnosti ............... 59
Obrázok 22 Návrh vizitiek............................................................................................................. 61
Obrázok 23 Návrh etikiet pre jednotlivé série výrobkov.................................................. 62
Obrázok 24 Návrh na polep firemného auta .......................................................................... 62
Obrázok 25 Závislosť záujmu o firmu od miery poznania firmy verejnosťou.......... 65
9
Úvod
Obchodná značka je v súčasnosti jedným z hlavných ukazovateľov úspešnosti fir-
my. Venovať pozornosť značkám je však dôležité nielen z hľadiska obľúbenosti
a rozvoja firmy ako celku, ale aj pre vplyv značky, jej cieľov a hodnôt na zamest-
nancov, ktorí vo firme pracujú. Čím väčšiu pozornosť firma venuje budovaniu sil-
nej značky, tým je úspešnejšia.
Problematika obchodnej značky, jej budovania a zmeny je v celosvetovom meradle
dostatočne prebádaná. Ide však o oblasť, v ktorej sa dejú neustále zmeny či už v
módnych trendoch, vo forme a obsahu loga a sloganu alebo vo forme v akej sa fir-
my prezentujú a komunikujú (nástup internetových stránok, komunikácia firiem
prostredníctvom blogu a pod.). V zahraničí pôsobí mnoho odborníkov, ktorí sa tou-
to oblasťou intenzívne zaoberajú a neustále svoje poznatky zhŕňajú do rôznych
publikácií a odborných článkov. Väčšinou ide o odborníkov z praxe, ktorí majú
overené praktické skúsenosti a ich publikačná činnosť je preto zameraná na prax.
Na Slovensku sa budovaním a zmenou značky zaoberá len veľmi malý okruh od-
borníkov, ktorí sa tejto oblasti však venujú len okrajovo – ich hlavným zameraním
je širšia oblasť v rámci marketingu a nie priamo branding a rebranding.
Problematika brandingu a rebrandingu je vo väčšine prípadov v kompetencii uni-
verzít alebo národných a nadnárodných korporácií, pričom výsledkom ich skúma-
nia býva analýza súčasného stavu obchodných značiek, odhalenie nových trendov
a stanovenie odporúčaní pre obchodné značky do budúcnosti s ohľadom na stav
technológií, aktuálnych trendov a požiadaviek zákazníkov. Jedným z projektov
v rámci Európskej únie, konkrétne vo Walese a Írsku, je od roku 2009 do roku
2012 riešený projekt pod názvom BRAND Project, ktorý je na 75% financovaný
z Európskeho fondu pre regionálny rozvoj (ERDF). Do tohto projektu sú zapojené
4 mestá z týchto dvoch krajín, ktoré majú prejsť postupnou zmenou (rebranding sa
môže týkať nielen firiem ale aj miest a celých krajín), aby zlepšili svoju povesť, vy-
tvorili cezhraničnú spoluprácu, zlepšili prostredie v mestách a prilákali turistov.
Cieľom je teda vylepšiť imidž týchto miest, rozšíriť turizmus a taktiež zlepšiť pod-
mienky v daných mestách.
10
Dôvodom pre napísanie diplomovej práce s touto tematikou bol stúpajúci počet
uskutočnených rebrandingov značiek v dôsledku nárastu konkurencie, čím narastá
aj potreba budovania silných a stabilných značiek. Firmy sa preto musia zameria-
vať na obraz, ktorý ponechávajú v mysliach verejnosti, musia zaujať a priniesť nie-
čo nové.
Cieľom diplomovej práce bolo spracovať teoretické poznatky z oblasti budovania
značky (branding), zmeny značky (rebranding) a na základe analýzy súčasného
stavu tejto problematiky v konkrétnej firme vytvoriť návrh jednotlivých fáz pre jej
rebranding. V závere práce sú navrhnuté konkrétne odporúčania pre budúcu mar-
ketingovú komunikáciu firmy.
Diplomová práca je rozdelená do štyroch kapitol. Prvá kapitola sa zameriava
na teoretické otázky obchodnej značky, podáva výklad pojmu obchodná značka, jej
prínosy, funkcie a charakterizuje proces budovania obchodnej značky a jej zmeny,
pričom využíva poznatky zo slovenskej, českej a zahraničnej odbornej literatúry
a zahraničných článkov v odborných časopisoch. Druhá kapitola vysvetľuje kon-
krétny cieľ a tretia kapitola opisuje metodiku práce a metódy skúmania. Štvrtá ka-
pitola je zameraná na analýzu súčasného stavu obchodnej značky a firemného di-
zajnu vo firme EVA, v rámci ktorej bol realizovaný primárny prieskum prostredníc-
tvom dotazníkovej metódy získavania údajov. Zároveň sa sústreďuje na posúdenie
nového dizajnu a marketingovej komunikácie firmy EVA a navrhuje jednotlivé fázy
rebrandingu tejto firmy. V závere práce sú navrhnuté konkrétne odporúčania pre
budúcu marketingovú komunikáciu firmy EVA.
11
1 Vymedzenie pojmov obchodná značka a budovanie
vzťahu so zákazníkom
Pojem značka (brand) pochádza z nórskeho, resp. germánskeho výrazu „páliť“
a mnoho storočí sa používa k odlíšeniu tovaru jednotlivých výrobcov. Značky sa už
v minulosti používali na značkovanie zvierat alebo fliaš s vínom, aby bolo jednodu-
ché určiť kto je ich majiteľom. (Healey, 2008)
V súčasnom svete, v ktorom existuje široká ponuka rôznych výrobkov, je práve
značka jedným z hlavných odlišujúcich prvkov jednej firmy od druhej.
1.1 Obchodná značka
V odbornej literatúre sa často stretávame s rôznymi definíciami obchodnej značky,
pričom každá pristupuje k jej definovaniu iným spôsobom, t.j. podľa toho čo ob-
chodná značka znamená a čo predstavuje alebo k definovaniu obchodnej značky
pristupuje z pohľadu marketingu (komunikácia smerom k zákazníkom) alebo prá-
va (problém vlastníctva a ochrany značky).
Americká marketingová asociácia (AMA) v roku 1960 definovala obchodnú značku
ako „meno, termín, označenie, symbol, design alebo kombináciu týchto pojmov slú-
žiacu k identifikácii výrobkov a služieb jedného alebo viacerých predajcov a k ich od-
líšeniu od konkurencie.“ (de Chernatony, 2009)
Inak zadefinoval obchodnú značku M. Healey (2008). Podľa neho hovoríme
o obchodnej značke vtedy, ak máme na mysli všetky atribúty produktu, ktoré zane-
chávajú v mysli zákazníka trvalú predstavu. Zákazníci si vytvárajú vlastné pocity
týkajúce sa obsahu a významu značky, avšak na ich pocity často vplýva reklama
a publicita výrobcu, predávajúceho alebo určitá udalosť, prostredie či príbeh.
Podobne definujú obchodnú značku aj A. Wheeler a P. Isakson. A. Wheeler (2003)
tvrdí, že ide o novú myšlienku a očakávanie zakotvené v mysliach zákazníkov
v súvislosti s výrobkom, službou alebo organizáciou. Rovnako tak P. Isakson
12
(2011) značku definuje ako celkový súbor toho, čo ľudia hovoria, cítia a čo si mys-
lia o produkte, službe alebo celej firme.
D. Taylor (2007) pri definovaní obchodnej značky hovorí o firme, jej zákazníkoch
a o tom, ako je možné naplniť potreby zákazníkov a vytvoriť tak hodnotu pre fir-
mu. Značka je podľa neho výsledkom toho, čo robíme a nie je to východiskový bod.
Mnohé ďalšie definície obchodnej značky viedli L. de Chernatonyho (2009) k ich
zoskupeniu do troch kategórií podľa hľadiska vstupu, výstupu a času. Do vstupu
zaradil logo, právny nástroj, spoločnosť, informačnú skratku, zníženie rizík, vytvá-
ranie pozície, personifikáciu, súbor hodnôt, víziu, pridávanie hodnoty a identitu.
Výstup tvorí imidž a vzťahy a hľadisko času je tvorené rozvíjajúcou sa entitou.
Funkcie značky
Na základe mnohých prínosov, ktoré značka predstavuje pre firmy a zákazníkov,
môžeme určiť jej tri základné funkcie. Podľa J. Vysekalovej a J. Mikeša (2009) sem
patrí:
 funkcia identifikácie – značka umožňuje rozpoznávať produkt na základe
určitých charakteristík,
 funkcia garancie – značka predstavuje kvalitu, ktorú zákazník očakáva
a dáva mu istotu pri nemožnosti objektívne posúdiť kvalitu produktu,
 funkcia personalizácie – značka určuje zaradenie v konkrétnom sociálnom
prostredí, prispieva k integrácii alebo k diferenciácii voči nemu.
Tieto funkcie v sebe spájajú osobnosť značky, ktorá predstavuje hodnotu značky
pre zákazníka. Osobnosť značky je jednou z charakteristík, ktoré vytvárajú identitu
značky, t. j. vymedzujú jej podstatu. (Vysekalová – Mikeš, 2009)
1.1.1 Budovanie značky – Corporate branding
Branding sa rozmohol počas priemyselnej revolúcie, kedy vznikla nadprodukcia
výrobkov, ktoré bolo potrebné čo najlepšie odpredať. Medzi prvé druhy výrobkov,
ktoré boli obohatené značkou a exportované ďalej, patrili alkoholické nápoje.
13
K priekopníkom brandingu patrili W. Procter a J. Gamble, ktorí svoje menšie firmy
v roku 1837 spojili a vybudovali v súčasnosti jednu z najväčších spoločností na
svete Procter&Gamble. (Healey, 2008)
V súčasnej situácii vo svete, kedy hospodárska kríza komplikuje rast takmer všet-
kým firmám, je enormne ťažké vybudovať silnú a stabilnú značku. Medzi faktory,
ktoré najviac komplikujú budovanie značky patrí (Aaker, 2003):
 tlak na nižšie ceny - a teda často aj nedostatočné množstvo investícií
do hodnoty značky,
 rast konkurencie - vstup nových firiem na trh ešte viac tlačí na ceny,
 fragmentácia trhov a médií - rôzne formy propagácie (rozdávanie vzoriek
a pod.) môžu byť v rozpore s identitou značky, ktorá je založená na kvalite,
 komplexná stratégia a vzťahy v oblasti značiek - dôležitá je jasná identita
každej značky,
 tendencia byť proti inovácii - pod vplyvom úspechu z minulých rokov sa za-
búda na zmenu konkurenčných podmienok a hrozí premeškanie nových
príležitostí a ohrozenie vlastnej značky,
 tendencie ku zmene stratégie - tlak na zmenu identity značky aj napriek to-
mu, že je značka stále efektívna, môže viesť k oslabeniu jej hodnoty,
 tlak investovať do inej oblasti – ak má firma silnú značku, je v pokušení ob-
medziť investície do základných aktivít a presunúť ich do iných oblastí,
 krátkodobé tlaky – tlak na rýchly zisk a nie na produkciu dlhodobo konku-
rencieschopných výrobkov.
Zároveň je však potrebné uvedomiť si, že budovanie silných značiek je, napriek
súčasnej komplikovanej situácii vo svete, stále uskutočniteľné a potrebné.
Za hlavné faktory úspechu je možné podľa D. Jobbera (2011) považovať:
 kvalitu, ktorá by mala patriť ku každej úspešnej značke,
 miesto značky ukotvenej v mysliach zákazníkov,
 rýchla zmena značky s ohľadom na aktuálnu situáciu na trhu,
 komunikačnú stratégiu,
14
 výhodu „prvého hráča v segmente“ s jedinečnou pozíciou v mysliach zákaz-
níkov,
 dlhodobé investovanie do značky,
 zvládnutý interný marketing, ktorý je v súlade s externým marketingom.
1.1.1.1 Prvky brandingu
Medzi hlavné prvky brandingu patrí názov, logo, predstavitelia, slogany a znelky,
farba a obal.
Názov značky
Názov značky je základným prvkom brandingu, a preto je potrebné venovať mu
dostatočný priestor. Meno značky sa objavuje všade – internetová stránka firmy,
reklamné materiály, vizitky a pod. Ako tvrdí M. Healey (2008), meno je atribútom,
podľa ktorého si zákazníci značku pamätajú a hovoria o nej. Podľa AMA (American
Marketing Association, 2011) je meno časťou značky, ktorú je možné vysloviť, t.j. aj
zvuk mena značky je dôležitý – musí teda dobre „znieť“, a to vo viacerých jazykoch.
Logo
„Logo je charakteristický znak, ktorý funguje v kontexte s prostredím, aby v mysli
príjemcu – pozorovateľa, vyvolal predstavu konkrétnej značky a umožnil prežiť
osobnú skúsenosť a túto skúsenosť posilnil v príprave na ďalšie stretnutie“ (Healey,
2008). Logo je v podstate skratka značky – nie značka samotná.
Požívanie loga je pre značku výhodné, pretože identifikuje produkt (musí byť ľah-
ko rozpoznateľné), je všestranné, môže sa prispôsobovať a aktualizovať a zastupu-
je nevhodný (napr. príliš dlhý) názov značky. (Keller, 2007)
D. Airey (2010) tvrdí, že návrh loga je úspešný najmä vtedy, keď ho ostatní obdivu-
jú, a to aj napriek tomu, že je jednoduchý. Práve preto je takéto logo vhodné, nad-
časové, jedinečné, prispôsobivé a ľahko zapamätateľné.
15
Základné vlastnosti klasických grafických značiek (Airey, 2010):
 v jednoduchosti je krása – najjednoduchšie riešenie je vždy najúčinnejšie,
pretože jednoduché logo vyhovuje väčšine ostatných požiadaviek pre návrh
značiek – návrh je teda viacúčelový; jednoduchšiu značku si ľudia skôr za-
pamätajú a pre firmy sú často jednoduché logá aj finančne menej náročné,
 primeranosť – každé logo musí odpovedať charakteru firmy, ktorú repre-
zentuje a musí vyhovovať odvetviu, klientovi a cieľovej skupine,
 tradície – pri návrhu loga je lepšie vyhnúť sa aplikovaniu aktuálnych mód-
nych trendov, pretože móda podlieha častým zmenám; efektívnejšie je zvo-
liť návrh tak, aby vydržal čo najdlhšie – rozhodujúca je teda nadčasovosť,
 jedinečnosť – jedinečné logo je také, ktoré je ľahko odlíšiteľné od konkuren-
cie; dôležité je zamerať sa na to, aby bol návrh loga zrozumiteľný,
 zapamätateľnosť – logo sa najlepšie zapamätá, ak je celistvé; ide pri tom
o čas – často máme k dispozícii iba letmý pohľad vodiča na billboard pri ces-
te, preto musí logo na prvý pohľad urobiť dojem,
 myslenie v malom – je potrebné vytvoriť také logo, ktoré bude ľahko apliko-
vateľné aj na menšie plochy; najmenšia veľkosť návrhu by mala byť jeden
palec (2,54 cm) a pri tejto veľkosti sa nesmú strácať detaily loga,
 zameranie na jeden prvok – logo by malo obsahovať práve jeden prvok, kto-
rý je potrebné si zapamätať.
Na základe týchto siedmich odporúčaní je možné vytvoriť nadčasové logo, ktoré
dokáže pritiahnuť pozornosť zákazníka.
Predstavitelia
Predstaviteľ značky je špeciálny typ symbolu firmy, ktorý má reálnu podobu a jeho
úlohou je posilnenie asociácie so značkou. Predstaviteľ značky často pomáha dať
do pozornosti hlavné prednosti a výhody výrobku. Používanie predstaviteľov zna-
čiek môže byť ale aj nevýhodné, pretože predstavitelia na seba môžu strhávať
všetku pozornosť a produkt sa dostáva do úzadia. (Kulíšková, 2010)
16
Slogany a znelky
Slogany sú krátke frázy, ktoré informujú o značke a majú za úlohu presvedčiť ve-
rejnosť o výhodách značky, jej prínosoch pre zákazníkov a pod. (Keller, 2007). Slo-
gan často sprevádza reklamné spoty alebo je súčasťou propagačných materiálov.
Znelka je hudobným prvkom značky. Vo väčšine prípadov ide o zhudobnený slogan
alebo sprievodnú skladbu. Znelka je jedným z prvkov, ktorým je možné zvýšiť záu-
jem o značku. Nevýhodou sloganu i znelky je, že môžu ľahko zovšednieť. (Kulíško-
vá, 2010)
Farba
Farba, ako vizuálny prvok sprevádzajúci branding, má mnoho prekážok. Farba
(alebo kombinácia farieb) má často pozitívny alebo negatívny účinok na zákazníka
a jej hlavným problémom je striedanie módnych trendov vo sfére farieb. Ak sa však
firme podarí vytvoriť silné asociácie, môže získať veľmi cennú výhodu, pretože
farba môže byť silnou mnemotechnickou pomôckou značky. Zákazníci môžu totiž
identifikovať farbu značky a priradiť ju ku značke aj bez pomoci mena či loga (Ku-
líšková, 2010). Bližší význam farieb a ich pôsobenie na človeka obsahuje príloha F.
Obal
Niektoré produkty nie je možné predávať bez obalu. Obal sa teda stáva prvkom
značky, ktorý plní rôzne funkcie. Podľa K. L. Kellera (2007) ide predovšetkým o:
 identifikáciu značky,
 obsahuje presvedčujúce informácie,
 zaisťuje bezproblémovú manipuláciu s výrobkom vrátane distribúcie,
 plní úžitkovú funkciu.
Obal môže svojím špecifickým tvarom či dizajnom značku významne odlišovať.
Celú sústavu prvkov značky môžeme vnímať ako základ identity značky. Pre sú-
držnosť identity je dôležité, aby boli prvky značky vyberané takým spôsobom, aby
17
sa navzájom podporovali a aby sa dali zapojiť i do ďalších aspektov značky
a marketingového programu.
Prvky brandingu podľa M. Healyho
Podľa K. L. Kellera (2007) sú prvky značky určité znaky, resp. identifikátory znač-
ky, ktoré identifikujú alebo odlišujú značky. M. Přibová (2000) definuje prvky
značky ako vizuálne alebo verbálne informácie slúžiace k identifikácii a odlíšeniu
značky. Zmyslom značiek je teda zanechať v mysliach zákazníkov trvalú stopu
o značke a jej imidži.
M. Healey (2008) branding spája do 5 prvkov:
a) positioning - positioning v podstate znamená definíciu obsahu značky a jej
porovnanie s konkurenčnými značkami vo vnímaní zákazníka;
v positioningu je teda najdôležitejším prvkom zákazníkova predstava
a schopnosť výrobcu, resp. predajcu na túto predstavu pružne reagovať,
b) príbeh, rozprávanie - príbeh je kľúčovým faktorom brandingu, pretože
každého priťahuje dobrý, emocionálny príbeh a keď si kupujeme značku,
v podstate vstupujeme do príbehu,
c) dizajn - dizajn zahŕňa všetky aspekty produktu, nielen jeho vizuálnu strán-
ku, ale aj povrch veci,
d) cena - cena je významným, ale menej viditeľným aspektom značky a veľké
množstvo firiem už pochopilo, že krátkodobé zníženie ceny môže mať zni-
čujúce dlhodobé následky pre imidž značky,
e) vzťah so zákazníkom – každá firma musí vyvinúť dostatočné úsilie na to,
aby svojich zákazníkov presvedčila, že sú pre ňu najdôležitejší a jedineční
(viac o budovaní vzťahu so zákazníkom v kapitole 1.2).
Každá z týchto činností musí mať v sebe aspoň minimálny podiel pravdy. Koncep-
cia dobrého brandingu je založená na schopnosti túto pravdu identifikovať, včleniť
do príbehu a zaistiť, aby vyzeral dobre a vtlačiť ho do emocionálneho puta medzi
výrobcom a zákazníkom. (Healey, 2008)
18
1.1.1.2 Proces budovania značky
Na proces budovania značky existujú rôzne pohľady od mnohých odborníkov.
V tejto kapitole sú uvedené dva pohľady na proces budovania značky.
a) Proces budovania značky podľa M. Healyho
M. Healey (2008) vývoj značky popisuje ako pružný a jemný proces prispôsobený
konkrétnej situácii, ktorý analyzuje prednosti a nedostatky značky, zisťuje čo majú
a čo nemajú zákazníci radi a vymýšľa spôsoby, ktorými je možné postoje zákazní-
kov zmeniť. M. Healey (2008) celý proces zhŕňa do štyroch krokov:
 krok č. 1: skúmanie aktuálnej situácie – pomáha odhaliť, čo zákazní-
kovi chýba; informácie o uplynulom jave a o faktoroch, ktoré podmienili
jeho úspech alebo neúspech,
 krok č. 2: predstava ideálnej budúcnosti – prepojenie nápadov
s výsledkom skúmania a formulovanie predstavy o tom, ako značka
môže prekročiť hranice produktovej kategórie alebo potreby zákazníka
a stať sa niečím dokonalejším - ide teda o inováciu alebo imagináciu,
 krok č. 3: kombinácia stratégie a kreativity – spojenie ľudí, obchod-
ných procesov, technológie, marketingu, investícií a ostatných oblastí
podieľajúcich sa na výsledku a vytvorení značky; ide o dlhodobý proces
a stratégia musí byť doplnená kreatívnou identitou, ktorá zabezpečí
dostatok publicity, aby sa o reklamu vzbudil dostatočný záujem,
 krok č. 4: čakanie na odozvu a opakovanie 1. kroku – je vždy dôleži-
té nechať priestor zákazníkom, aby inováciu objavili a prijali za svoju.
b) Proces budovania značky podľa L. de Chernatonyho
Podľa L. de Chernatonyho (2009) celý proces budovania značky začína tvorbou
vízie značky, pokračuje pochopením firemnej kultúry, stanovením cieľov značky,
auditom vonkajšieho prostredia značky, určením podstaty značky a následne
je značka implementovaná do prostredia a realizovaná prostredníctvom vhodných
zdrojov (Obrázok 1).
19
Obrázok 1 Proces budovania a udržania značky (de Chernatony, 2009)
1.1.1.2.1 Tvorba vízie značky
Základom tvorby vízie je uvedomiť si, v akom smere by mohla byť značka dlhodo-
bo prínosom pre všetkých svojich účastníkov. Pri stanovení vízie ide o to mať od-
vahu, určiť časový horizont budúcich zmien prostredia a namotivovať zamestnan-
cov, aby s nadšením zmeny realizovali. (de Chernatony, 2009)
Komponenty vízie značky
Vízia značky má podľa L. de Chernatonyho (2009) tieto tri komponenty:
a) predstava budúcnosti - ak má byť značka úspešná, mala by mať firma ví-
ziu o budúcom prostredí, ktorú by chcela splniť približne za 10 rokov; na
stabilizovanom trhu je horizont 10 rokov vhodný, ale u rýchlo sa meniacich
trhov môže byť potrebné toto obdobie skrátiť; formulovanie predstáv
o budúcnosti prispeje nielen k väčšiemu množstvu nápadov, ale je to tiež
zaujímavá pracovná skúsenosť (de Chernatony, 2009),
b) účel značky - primárnym významom účelu značky nie je značku odlíšiť, no
napriek tomu účel môže k odlíšeniu významne prispievať; zameraním sa
na to, ako urobiť svet lepším miestom, možno dlhodobo docieliť správnym
vedením a inšpiráciou zamestnancov (de Chernatony, 2009),
c) hodnota značky - D. Taylor (2007) považuje hlboké porozumenie súčasnej
hodnote značky za dôležitý vstup pri tvorbe vízie značky; na vyššej úrovni
20
sa potom firma snaží vyhodnotiť aká zdravá je jej značka, čo vedie
k rozhodovaniu o tom, koľko zmien bude proces tvorby vízie vyžadovať; na
jednej strane stoja zdravé a neustále rastúce značky a na strane druhej sú
značky, ktoré potrebujú zmenu, pretože sú „choré“ a v úpadku (viac
o zmene značky v kapitole 1.1.2).
1.1.1.2.2 Firemná kultúra v rámci tvorby značky
Na základe pochopenia firemnej kultúry možno lepšie porozumieť hodnotám firmy
a teda aj rôznym väzbám medzi hodnotami značky a hodnotami firmy. Firemná
kultúra môže fungovať ako niečo, čo zjednocuje zamestnancov pôsobiacich
v rôznych lokalitách, takže konajú podobným spôsobom. Môže zamestnancov mo-
tivovať a prostredníctvom vnútorne súdržného správania zamestnancov pomáha
vytvoriť i pocit jednotnej značky. V dôsledku toho môže tiež silná firemná kultúra
posilniť úroveň dôvery, ktorú externí účastníci v značku majú, a tým zvýšiť eko-
nomický výkon značky. (de Chernatony, 2009)
V silnej firemnej kultúre vytvárajú zdieľané hodnoty väčšiu motiváciu. Ak sú zdie-
ľané vo veľkej miere, je firemná kultúra silná a výrazne ovplyvňuje fungovanie
firmy. Ak sú tieto prvky zdieľané len v malej miere, znamená to, že kultúra firmy
je slabá a správanie zamestnancov je potom ovplyvňované ich osobnými predpo-
kladmi, hodnotami, normami správania a pod. (Lukášová - Nový, 2004)
1.1.1.2.3 Nastavenie cieľov značky
Z vízie značky by malo vyplynúť určité širšie zameranie značky. Dlhodobé ciele by
mali byť ľahko pochopiteľné a každý by mal cítiť nutnosť konať a mal by vedieť,
kam sa jeho individuálne snahy majú zameriavať. Nejde teda len o to, mať stano-
vený nejaký cieľ, ale mať dlhodobú náročnú výzvu. Podmienkou však je, aby bol
cieľ v súlade so všetkými tromi elementmi vízie značky. Z dlhodobého cieľa ale
nemusí byť vždy jasné, ako sa má premietnuť budúci cieľový stav späť do krokov,
ktoré je pre jeho uskutočnenie nutné vykonať v prítomnosti. Je preto vhodné, keď
sa rozloží do niekoľkých krátkodobých cieľov. Hneď ako sú krátkodobé ciele sfor-
21
mulované, je potrebné vymyslieť systém, ktorý zaistí, aby sa zrealizovali stratégie
nutné k uskutočneniu krátkodobých cieľov. (de Chernatony, 2009)
1.1.1.2.4 Audit vonkajšieho prostredia
Ďalším krokom v procese budovania a udržania značky je skúmanie prostredia
značky, pri ktorom sa vychádza z modelu piatich síl pôsobiacich v rámci prostredia
na značku, ktoré môžu úspech značky posilniť.
Model piatich síl
Pri rozložení dlhodobého cieľa na niekoľko krátkodobých cieľov sa vytvoria kon-
krétne návrhy, ktoré môže firma využiť pre potenciálnu stratégiu značky. Predtým
je však potrebné preskúmať sily prostredia, ktoré by mohli značku pozitívne alebo
negatívne ovplyvniť (Obrázok 2).
Obrázok 2 Päť síl pôsobiacich na značku (de Chernatony, 2009)
a) Korporácie (organizácie, firmy, podniky)
Prvou silou, ktorá ma zásadný vplyv na budúcnosť značky, je samotná firma.
Pri skúmaní vplyvu firmy na súčasnú alebo potenciálnu značku je potrebné brať
do úvahy koordináciu aktivít v rámci firmy, hodnoty zamestnancov v súlade
22
s hodnotami firmy, angažovaný prístup zamestnancov a ich identifikáciu s firmou
a jej značkami, zanechaný určitý odkaz, na ktorom by mala každá firma pracovať,
vhodnú komunikáciu, podporné prostredie pre vzťahy s externými účastníkmi a i.
Na základe posúdenia týchto nástrojov sa musí firma rozhodnúť, či celkovo bude
korporácia ako jedna z modelu piatich síl posilňovať alebo oslabovať pravdepo-
dobnosť úspechu značky. (de Chernatony, 2009)
b) Distribútori
Ak firmy využívajú pri distribúcii svojej značky iné subjekty, môže byť vplyv dis-
tribútorov na značku kľúčový. K faktorom, ktoré by sa v tejto súvislosti mali skú-
mať, patrí (de Chernatony, 2009):
 súlad cieľov – každý z distribútorov má svoje dlhodobé a krátkodobé ciele
a aby obe strany prosperovali, musia spoločne chápať to, ako môžu dodáva-
teľ a odberateľ využívať značku k ich obojstrannému prospechu,
 trhová sila – vlastníci značiek alebo distribútori často využívajú svoje rela-
tívne silné trhové pozície pre vyjednávanie výhodnejších podmienok.
c) Zákazníci
D. Taylor (2007) za najčastejšiu chybu pri tvorbe vízií značiek považuje snahu po-
tešiť každého zákazníka. Preto je potrebné správne sa rozhodnúť a na začiatku
procesu budovania značky si určiť, kto je cieľový zákazník. Iba cez presnú definíciu
kľúčového zákazníka je možné dôsledne pochopiť jeho svet a odhaliť vlastnosti
svojej značky, ktoré jej môžu pridať hodnotu.
U značiek, ktoré sa predávajú prevažne cez internet, musí firma zvažovať mieru,
v akej uplatňuje nad značkou kontrolu. V prostredí internetu nadobúdajú zákazníci
charakter komunít, ktoré spája záujem o danú značku. Firmy by mali udržiavať na
internetových stránkach značky diskusnú skupinu alebo chat, kde by podporovali
diskusiu o značke a z komentárov zákazníkov získavali námety pre dolaďovanie
značky tak, aby vyhovovala rozvíjajúcim sa potrebám komunity. (de Chernatony,
2009)
23
d) Konkurenti
K nástrojom, ktorým sa často nevenuje dostatok pozornosti, patrí definícia trhu
alebo konkurenčného prostredia, ktorá je kľúčovým prvým krokom v procese
tvorby vízie obchodnej značky (brand visioning). Dôležitými otázkami, ktoré je
potrebné položiť si pri definovaní trhu je „kto stráca, keď my získavame?“
a „kto získava, keď my strácame?“ Tieto dve otázky pomôžu firme určiť kľúčových
konkurentov a zároveň môžu ukázať, kde ležia príležitosti k ďalšiemu rastu. (Tay-
lor, 2007)
Zákazníci málokedy kupujú produkt určitej značky bez toho, aby ho porovnávali
s ostatnými značkami. Avšak nemajú taký prehľad o všetkých značkách, a preto
je počet značiek, ktoré si uvedomujú, omnoho menší. Z týchto známych značiek
sú pre nich prijateľné len niektoré z nich (evokovaný súbor), niektoré sú neprija-
teľné a ďalšie značky zákazníci prehliadajú. V rámci prijateľných značiek potom
existujú také, ktoré zákazníci odmietajú (interný súbor), pretože u nich nevnímajú
jedinečnú výhodu (Obrázok 3). (de Chernatony, 2009)
Obrázok 3 Názory zákazníkov na značky podľa Schiffmann a Kanuk (de Chernatony, 2009)
e) Makroprostredie
Poslednou súčasťou auditu je pravidelné monitorovanie marketingového prostre-
dia, v ktorom značka pôsobí. Cieľom tejto kontroly je identifikovať širšie príležitos-
Všetky
značky
Známe
značky
Prijateľné
značky
Nakupované
značky
Odmietnuté
značky
Neprijateľné
značky
Prehliadané
značky
Neznáme
značky
Interný súbor
Nevhodný súbor
Evokovanýsúbor
24
ti a potenciálne hrozby, a to na základe zvažovania politických, ekonomických, so-
ciálnych, technologických a environmentálnych faktorov. (de Chernatony, 2009)
Prostredníctvom analýzy piatich síl prostredia značky by mala byť firma vybavená
potrebnými znalosťami k tomu, aby pochopila faktory, ktoré budú pôsobiť
v prospech značky alebo proti nej. V konečnom dôsledku tento audit môže viesť
i k prehodnoteniu pôvodne stanovenej vízie a cieľov značky, pokiaľ boli stanovené
neprimerane optimisticky. (de Chernatony, 2009)
1.1.1.2.5 Podstata značky
Podstata značky predstavuje užitočný prostriedok pre pojmové vyjadrenie základu
značky, ktoré potom možno jednoducho komunikovať ostatným. Vizuálne možno
podstatu značky chápať ako pyramídu sumarizujúcu kľúčové funkčné prínosy spo-
jené s emočnými ziskami prostredníctvom vítaných hodnôt, čo všetko možno chá-
pať prostredníctvom osobnostných znakov (Obrázok 4). Verbálne možno podstatu
značky zhrnúť do krátkeho výroku vyjadrujúceho odlišný a vítaný prísľub, ktorý
je zobrazený pyramídou značky. (de Chernatony, 2009)
Obrázok 4 Identifikácia podstaty značky na základe modelu pyramídy (de Chernatony,
2009)
Aby každý vo firme pochopil, čo značka znamená, musia sa komponenty pyramídy
značky syntetizovať do krátkeho výroku – prísľubu značky – ktorý by mal zamest-
25
nancov správne motivovať. Správny prísľub by mal byť jednoduchý, stručný, trvalý
a schopný poskytnúť smer. (de Chernatony, 2009)
1.1.1.2.6 Interná implementácia a zdroje značky
Pri navrhovaní systému pre implementáciu značky je náročné zamerať sa najskôr
výhradne na spôsob, akým bude systém uspokojovať funkčné hodnoty a potom
výhradne na spôsob, akým musí uspokojovať emočné hodnoty. Akýkoľvek systém
má vplyv na obidva typy hodnôt. Na základe posúdenia mechanistických vstupov
(hodnotový reťazec, kľúčové kompetencie, outsourcing činností a pri značkách
služieb aj detailný plán služby a metóda kritických udalostí) systému implementá-
cie hodnoty sa však možno primárne sústrediť na dosahovanie funkčných hodnôt,
zatiaľ čo vstupy týkajúce sa zamestnancov podporujú úvahy o dosiahnutí emoč-
ných hodnôt. (de Chernatony, 2009)
Pri realizácií podstaty značky je potrebné skombinovať určité zdroje. Podstatu
značky možno charakterizovať pomocou prvkov tzv. atómového modelu značky
(Obrázok 5).
Obrázok 5 Osem komponentov atómového modelu značky (de Chernatony, 2009)
26
V jadre každej značky je jej podstata, reprezentovaná piatimi úrovňami pyramídy
značky (Obrázok 4). Okolo jadra značky obieha osem prvkov, ktorých dráhy sú
nadefinované podstatou značky (Obrázok 5) (de Chernatony, 2009):
 odlišné meno a znak vlastníctva – aby zákazníci boli schopní rozpoznať
značku, musí mať značka ľahko vysloviteľné a identifikovateľné meno,
 funkčné schopnosti – zo spodných úrovní pyramídy podstaty značky vy-
plýva krátke stručné vyjadrenie o funkčných výhodách značky,
 komponenty služieb – aby zákazníci mohli plne využívať prínosy značky,
je potrebné v priebehu času vynaložiť taktiež určité služby,
 komponenty zníženia rizika – keď ľudia nakupujú značky, nemusia
sa snažiť maximalizovať užitočnú hodnotu, ale minimalizovať vnímané rizi-
ko, ktoré tvoria zložky ako výkonnostné riziko, finančné riziko, časové rizi-
ko, sociálne riziko a psychologické riziko,
 komponenty právnej ochrany – proces zaregistrovania značiek poskytuje
firme právnu ochranu proti konkurencii, ktorá vyvíja falošné značky
a nekvalitnými výrobkami poškodzuje dobré meno značky,
 komponenty informačnej skratky – zákazníci preferujú menšiu kvantitu
informácií, preto by malo byť meno značky prezentované veľmi nápadne
a nemalo by byť obklopené mnohými rôznymi informáciami - zákazník sám
si už na základe mena dokáže vybaviť asociácie spojené so značkou,
 komponenty symbolickej funkcie – komponenty symbolickej funkcie slú-
žia k tomu, aby uvádzala v život hodnoty značky prostredníctvom asociácie
s určitou osobnosťou alebo situáciou životného štýlu.
Model poskytuje firme príležitosť ohodnotiť rozsah, v ktorom sa jednotlivé zložky
navzájom posilňujú a ako nadväzujú na smer vyplývajúci z podstaty značky.
1.1.1.2.7 Ohodnotenie značky
Po uvedení novej značky alebo realizácii zmien u existujúcej značky sa v priebehu
doby začne ukazovať miera jej prijatia zákazníkmi a ďalšími zúčastnenými skupi-
nami. Pokiaľ však chce mať firma k dispozícii komplexnejšie informácie
27
k rozhodovaniu o ďalšom dolaďovaní značky, musí analyzovať širšie spektrum
ukazovateľov, založené na vyrovnanejšom pohľade na interné a externé otázky
značky (de Chernatony, 2009). V prílohe C sú v tabuľke zhrnuté kritériá pre ohod-
notenie výkonu značky.
Absolútne odlišný názor na celkový proces budovania značky má W. Olins (2009).
Podľa neho budovanie značky podľa návodu prináša len obmedzené výsledky
(rovnako ako napríklad tvorba umeleckého diela podľa návodu). Ďalej tvrdí,
že každá firma je jedinečná a vyžaduje aj jedinečný prístup, pretože sa odlišuje
postavením na trhu, históriou firmy, spôsobom distribúcie, trhom, zákazníkmi, atď.
W. Olins (2009) taktiež považuje za neužitočný aspekt formuláciu poslania, vízie
či definovanie hodnôt, aj keď väčšina firiem práve na nich stavia. Vízie, hodnoty
a poslania sa podľa neho neustále opakujú, väčšinou sú neúprimné, predvídateľné,
sú zameniteľné a bezvýznamné. Pri tvorbe silnej značky je teda podľa W. Olinsa
(2009) potrebné stavať skôr na súdržnosti, dôslednosti a pôsobivom emočnom
postoji, ktorému sa niekedy hovorí základná alebo zjednocujúca idea.
1.1.2 Zmena značky – Corporate rebranding
Rebranding sa v súčasnej literatúre bežne používa na označenie akéhosi znovuzro-
denia značky. Rebranding sa môže objavovať na rôznych úrovniach hierarchie
značky – na úrovni produktu alebo obchodných jednotiek - s interakciou medzi
rôznymi úrovňami (Muzellec – Lambkin, 2006). Firemný rebranding (corporate
rebranding) je jedným z posledných prúdov v rámci corporate brandingu.
Odborná literatúra zaoberajúca sa firemným rebrandingom sa často odvoláva na
zmenu názvu firmy a rebranding definuje ako postupné opätovné budovanie mena
reprezentujúceho odlišnú pozíciu v mysli zainteresovaných strán a charakteristic-
kú identitu odlišnú od konkurencie. (Muzellec et al., 2003)
Aj keď sa rebranding v literatúre chápe skôr ako zmena názvu firmy, popisuje
aj ďalšie dva odlišné procesy: zmenu estetiky a repositioning značky. Zmena este-
tiky alebo redizajn (redesigning) znamená zmeniť prvky firemnej vizuálnej identi-
ty (CVI), t. j. logo, symbol, typografia, farby, slogan a pod. Repositioning
28
je o rozhodnutí vytvoriť nové pozície pre existujúcu firmu v mysliach zákazníkov,
konkurencie a ďalších zainteresovaných strán, zvyčajne pomocou veľkých marke-
tingových komunikačných kampaní. (Muzellec et al., 2003)
1.1.2.1 Najčastejšie dôvody pre firemný rebranding
Podľa L. Muzelleca a M. Lambkina (2006) patria medzi hlavné faktory firemného
rebrandingu rozhodnutia, udalosti alebo procesy, ktoré majú za následok zmeny
v štruktúre spoločnosti, v stratégii alebo vo výkone, a ktoré naznačujú potrebu zá-
sadnej redefinície identity firmy, vrátane vízie, stratégie a hodnôt.
L. Muzellec a M. Lambkin (2006) uvádzajú niekoľko dôvodov pre rebranding:
 zmeny vo vlastníckej štruktúre (fúzie a akvizície, prechod zo súkromného
do verejného vlastníctva a pod.),
 zmena firemnej stratégie (diverzifikácia a predaj, internacionalizácia
a lokalizácia),
 zmena konkurenčnej pozície (narušenie postavenia na trhu, zastaraný
imidž, problémová povesť),
 zmeny vonkajšieho prostredia (krízy, katastrofy a pod.).
Z pohľadu firemnej vizuálnej identity M. Baker a J. Balmer (1997) tvrdia, že dôvody
pre zmenu vizuálnej identity sú štrukturálne, strategické alebo vyplývajú z riade-
nia zmien, zmien v predpisoch, z vonkajšej alebo vnútornej nezrozumiteľnosti
organizácie a jej účelov, zo zvýšenia alebo zníženia rozsahu činnosti, hospodárskej
súťaže či z potreby ekonomických úspor. Podľa A. van den Boschovej (2006) je
dôvodom pre zmenu firemnej vizuálnej identity repositioning firmy alebo jej mo-
dernizácia. L. Muzellec a H. Stuart (2004) zase tvrdia, že dôvodom pre zmenu loga
je zmena názvu firmy a aktualizácia loga.
29
1.1.2.2 Proces zmeny značky
Aj keď je firemný rebranding skúmaný z viacerých hľadísk, je ťažké chápať
ho ako celok. Odborná literatúra zaoberajúca sa procesom firemného rebrandingu
sa zameriava na jeho skúmanie vo veľkých nadnárodných spoločnostiach, a preto
sa môžu pohľady na skúmané aspekty odlišovať od malých firiem.
Podľa J. Kaikatiho (2003) sa firemný rebranding skladá zo štyroch procesov: výber
nového mena, vytvorenie nového firemného loga, vypustenie nového mena
k zákazníkom a hodnotenie nového mena.
L. Muzellec a M. Lambkin (2006 podľa Junten, 2011) tvrdia, že firemný rebranding
je zložený z premenovania (renaming), redizajnu (redesigning) a premiestnenia
(repositioning). A. Daly a D. Moloney (2004 podľa Junten, 2011) sa zase sústreďujú
na komunikačné aspekty firemného rebrandingu, t. j. na proces spustenia novej
firemnej značky a jej vyhodnotenie. Z týchto pohľadov je možné vyvodiť päť zá-
kladných procesov, ktoré sú súčasťou firemného rebrandingu - premenovanie,
redizajn, spustenie, premiestnenie a vyhodnotenie celého procesu.
a) Premenovanie (Renaming)
Premenovanie sa týka opatrení, prostredníctvom ktorých je nové meno vybrané
a prijaté na používanie. V súvislosti s firemným rebrandingom J. Kaikati (2003)
tvrdí, že proces voľby mena pozostáva zo štyroch krokov: vnútorná komunikácia
ohľadom riadenia novej identity, nájdenie nového mena pomocou komunikácie
so zamestnancami, vytvorenie výberových kritérií pre nové meno prostredníctvom
konzultácií s tímom pre rozvoj značky a výber nového názvu.
b) Redizajn (Redesigning)
V odbornej literatúre sa často stretávame s redizajnom v súvislosti so zmenou loga.
Z pohľadu zmeny firemnej vizuálnej identity T. C. Melewar et al. (2005) naznačuje
päť hlavných činností pre zmenu firemnej vizuálnej identity:
 skúmanie súčasného stavu firemnej vizuálnej identity,
 vymedzenie stručných požiadaviek pre redizajn,
30
 analýza hodnôt značky a stratégia smerovania firmy,
 výber štruktúry značky,
 tvorba loga (symbolu), farebnej schémy a voľba typu písma.
Skúmanie súčasného stavu firemného loga je o hodnotení jeho silných a slabých
stránok vo vzťahu k vonkajšiemu prostrediu. Vymedzenie požiadaviek pre redizajn
sa tvorí za účelom objasnenia hlavných cieľov a stratégie firmy. Analýza hodnôt
značky a ďalšieho smerovania sa vykonáva v súvislosti so zabezpečením toho,
že nové logo bude odrážať hlavné ciele a stratégiu firmy. Výber štruktúry značky
sa týka rozhodnutia o tom, ako bude logo nadviazané na predchádzajúce logo alebo
firemné produkty či dcérske spoločnosti. Tvorba loga, výber farieb a typu písma
sa vzťahuje k tvorbe nového loga. (Melewar et al., 2005)
c) Spustenie
Spustenie sa týka toho, akým spôsobom je nová značka komunikovaná ostatným
stranám. A. Daly a D. Moloney (2004) tvrdia, že spustenie sa skladá z internej
a externej kampane. Interná kampaň sa skladá z komunikovania vízie a hodnôt
a externá kampaň zahŕňa päť udalostí: situačná analýza pre-kampane (objasnenie
súčasnej situácie), partnerská kampaň (informovanie verejnosti o akvizícii a pod.),
predbežná alebo dual branding kampaň (v ktorej je staré a nové meno použité spo-
lu), pre-launch kampaň (ktoré oznamuje zmiznutie starého názvu v blízkej budúc-
nosti), a skutočné spustenie kampane (vrátane reklamy, propagácie, konceptu pre-
dajní, atď.). Externé spustenie by malo byť uskutočnené prostredníctvom tlačovej
konferencie, spustením reklamnej kampane a tvorbou propagačných materiálov.
d) Repositioning
Repositioning je o tom, či sa v priebehu rebrandingu firmy zmení umiestnenie
značky alebo zostane rovnaké. Mnohé zmeny názvov sú spustené za účelom zme-
niť existujúci imidž značky, a preto sa v odbornej literatúre často stretávame
s repositioningom ako súčasťou premenovania (renaming) a redizajnu (redesig-
ning) (Muzellec - Lambkin, 2006). Vytvorenie nového mena teda nevyhnutne ob-
31
sahuje aj premiestnenie značky. Mnoho odborníkov tak repositioning odmieta po-
važovať za samostatnú časť procesu rebrandingu.
e) Vyhodnotenie
Vyhodnotenie sa vzťahuje na hodnotenie výsledkov firemného rebrandingu.
A. Daly a D. Moloney (2004) poukazujú na tri rôzne aspekty hodnotenia: priebežné
hodnotenie v procese plánovania v rámci spustenia novej firemnej značky, pre-
skúmanie alebo celkové hodnotenie na konci procesu spustenia (aby sa naskytol
komplexný pohľad na proces plánovania) a hodnotenie značky po spustení pomo-
cou prieskumu a skúmania zámerov nákupu zákazníkov.
Pri dodržaní postupnosti jednotlivých krokov a odporúčaní má nová značka všetky
predpoklady na úspech. Dôležité však je udržanie záujmu zákazníkov o značku,
čo si vyžaduje neustále zmeny, resp. starostlivosť o novovybudovanú značku.
1.2 Budovanie vzťahu so zákazníkom
Budovanie vzťahu so zákazníkom je veľmi dôležitým prvkom v existencii firmy,
pretože práve zákazníci tvoria firme zisk. Ak teda firma nevenuje vzťahu
so zákazníkmi dostatočnú pozornosť, prejaví sa to v nespokojných zákazníkoch,
ktorí môžu ohroziť ďalšiu existenciu firmy.
Podľa V. Kozáka (2008) rozlišujeme pri tvorbe vzťahu k zákazníkovi tri fázy:
 nadviazanie vzťahu (formálne alebo neformálne dohody a zmluvy, firmy vy-
užívajú prostriedky marketingovej komunikácie – informujú a vyvolávajú
emócie),
 rozvíjanie vzťahu (firma musí vynaložiť veľké úsilie na pretváranie krátko-
dobého vzťahu smerom k vzťahu dlhodobému, ktorý je dostatočne pevný),
 ukončenie vzťahu.
32
P. Kotler (2007) rozlišuje päť úrovní vzťahov, ktoré je možné vytvoriť so zákaz-
níkmi:
a) základný vzťah - predaj výrobku bez ďalšieho záujmu,
b) reaktívny vzťah – predaj výrobku zákazníkovi a požiadavka predajcu
o spätné kontaktovanie v prípade problémov a nejasností,
c) zodpovedný vzťah – krátko po predaji predajca kontaktuje zákazníka
a zisťuje, či výrobok spĺňa jeho očakávania, zároveň predajca získava náme-
ty na vylepšenie,
d) proaktívny vzťah – predajca, resp. zamestnanci firmy kontaktujú zákazní-
ka o vylepšených alebo nových výrobkoch,
e) partnerský vzťah – firma neustále spolupracuje so zákazníkom za účelom
zistenia spôsobu akým môže poskytovať lepšiu hodnotu.
Stratégia tzv. vzťahového marketingu firmy závisí od počtu jej zákazníkov a od ich
výnosnosti. Firmy s veľkým počtom zákazníkov a s nízkou maržou používajú pre-
dovšetkým základný vzťah. Na druhej strane firmy s malým počtom vysoko zisko-
vých zákazníkov budú uprednostňovať partnerský vzťah. Pri budovaní silnejších
vzťahov so zákazníkmi môže firma použiť rôzne nástroje, napr. finančné výhody
(vernostné zľavy, cena jedného výrobku namiesto dvoch a pod.) a spoločenské vý-
hody (zlepšenie spoločenských väzieb na zákazníka). (Kotler, 2007)
CRM (Customer Relationship Management)
CRM je spôsob alebo stratégia firmy, pomocou ktorej sa vytvára dlhodobý vzťah
so zákazníkmi. Kľúčovým prvkom v rámci CRM je teda vytvorenie silného vzťahu
so zákazníkom, ktorý prinesie firme čo najvyššiu hodnotu. (Lehtinen, 2007)
CRM zahŕňa sofistikované softwarové a analytické nástroje, ktoré spájajú informá-
cie o zákazníkoch z rôznych zdrojov, vykonávajú hĺbkovú analýzu a výsledky pou-
žívajú pre vybudovanie silnejších vzťahov so zákazníkmi (Kotler, 2007). Marketin-
gové stratégie CRM sa snažia vytvárať vyššiu zákaznícku hodnotu pomocou indivi-
duálnej starostlivosti. Týmto spôsobom sa budujú dlhodobé vzťahy so zákazníkmi,
33
prostredníctvom ktorých potom firmy dosahujú vyššie zisky. Existujú tri typy stra-
tégie v rámci CRM (Lošťáková a kol., 2009):
a) stratégia masovej personalizácie – zákazníci sa rozpoznávajú podľa mena
a adresy, pričom tieto údaje sú ďalej použité pre vytvorenie systému indivi-
duálnej marketingovej komunikácie s cieľovými zákazníkmi (zákazník má
dojem, že je o neho individuálne postarané); táto stratégia sa využíva
pri menej významných zákazníkoch,
b) stratégia masovej kustomizácie – je založená na rozpoznávaní zákazní-
kov, ktorí sú ochotní zaplatiť viac za zvláštnu starostlivosť; táto stratégia sa
používa pri stredne významných zákazníkoch,
c) stratégia diferencovanej kustomizácie – rešpektuje rozdielne potreby
zákazníkov (napr. produkty vyrábané na mieru); diferencovaná kustomizá-
cia je vhodná pre významných zákazníkov.
Tieto tri stratégie sa môžu vo firme uplatňovať aj naraz a nie len jednotlivo. Správ-
ne využitie CRM systému zaručuje firmám stálych zákazníkov.
CRM prechádza štyrmi fázami (Dohnal, 2002):
 oslovenie zákazníka – ide o prvý kontakt s potenciálnym zákazníkom a pat-
ria sem všetky štandardné marketingové aktivity,
 obchodná transakcia – príprava a uzavretie zmluvy, kontraktu a pod.,
 plnenie objednávok – dodanie výrobku alebo služby,
 zákaznícky servis – podpora všetkých implementačných aktivít, ktoré súvi-
sia s daným produktom a zároveň sa buduje lojalita zákazníka (servisné ak-
tivity súvisiace so záručnými službami).
Základným pojmom pri vzťahu so zákazníkom je vytváranie hodnoty. Hodnota
pre zákazníka sa stala kľúčovým nástrojom pre získavanie konkurenčnej výhody
a zároveň určuje výkonnosť CRM. Hodnota odovzdaná zákazníkom vedie k lojalite
zákazníka, ktorý je verný pokiaľ mu firma ponúka vyššiu hodnotu v porovnaní
s konkurenciou. Spokojní a lojálni zákazníci firme prinášajú vyššie zisky a stávajú
sa tak zdrojom hodnoty, ktorú pre firmu predstavujú. (Lošťáková a kol., 2009)
34
2 Cieľ práce
Predmetom skúmania tejto diplomovej práce je realizácia zmeny značky (rebran-
ding). Objektom skúmania je firma EVA, ktorá pristupuje k zmene značky. Cieľom
diplomovej práce bolo vyhodnotiť vplyv obchodnej značky a jej zmeny na vníma-
nie imidžu firmy zo strany zákazníkov. Vzhľadom k stanovenému cieľu je potrebné
formulovať a splniť nasledujúce čiastkové ciele:
 spracovať teoretické poznatky z oblasti budovania značky (branding)
a zmeny značky (rebranding),
 analyzovať súčasný stav danej problematiky vo firme EVA,
 realizovať prieskum zameraný na vnímanie súčasného firemného dizajnu
a marketingovej komunikácie,
 realizovať prieskum zameraný na vnímanie nového firemného dizajnu
a marketingovej komunikácie,
 navrhnúť jednotlivé fázy rebrandingu,
 formulovať odporúčania pre budúcu marketingovú komunikáciu firmy EVA.
35
3 Metodika práce a metódy skúmania
Základ informácií použitých v rámci diplomovej práce predstavuje predovšetkým
relevantná odborná knižná literatúra domácich a zahraničných autorov
a elektronické časopisy zahraničného pôvodu. V praktickej časti diplomovej práce
je použitá:
 metóda analýzy, ktorá predstavuje rozklad celku na jednotlivé časti
s cieľom bližšie identifikovať podstatu a vnútorné vzťahy medzi časťami
celku; táto metóda sa použila pri hodnotení súčasného firemného dizajnu,
 metóda syntézy, ktorá rozložený celok spája späť do celku s cieľom získať
komplexný obraz o skúmanej firme,
 metóda dotazníkového zberu údajov zameraná na zisťovanie názorov
zamestnancov, zákazníkov a verejnosti na súčasný a nový firemný dizajn
a marketingovú komunikáciu firmy EVA.
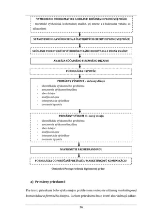
Obrázok 6 znázorňuje postup riešenia diplomovej práce.
Výskumným problémom bolo zistiť vplyv obchodnej značky a jej zmeny na vní-
manie imidžu zo strany zákazníkov. Boli stanovené dva primárne prieskumy a cel-
kový výskumný problém sa rozdelil na dve časti, ktoré sú označené ako primárny
prieskum I - skúmajúci súčasný firemný dizajn - a primárny prieskum II, ktorý sa
zameriava na vnímanie nového dizajnu zo strany zákazníkov.
Pri obidvoch prieskumoch sa jedná o kvantitatívny prieskum s primárnymi údajmi.
Zdrojmi získaných údajov sú interné zdroje (zamestnanci) a externé zdroje (zá-
kazníci a verejnosť), pričom bola využitá metóda dopytovania na základe písom-
ného a elektronického dotazníka (príloha D). Do prieskumu bolo zapojených 62
respondentov, pričom 8% tvorí reprezentatívna vzorka zamestnancov firmy EVA,
69% reprezentatívna vzorka zákazníkov kupujúcich výrobky EVA v intervale mi-
nimálne raz za týždeň a maximálne raz za 4 mesiace a 23% tvorí nereprezentatív-
na vzorka verejnosti tvorená respondentmi, ktorí firmu EVA poznajú a nespolup-
racujú s ňou alebo ju vôbec nepoznajú.
36
a) Primárny prieskum I
Pre tento prieskum bolo výskumným problémom vnímanie súčasnej marketingovej
komunikácie a firemného dizajnu. Cieľom prieskumu bolo zistiť ako vnímajú zákaz-
VYMEDZENIE PROBLEMATIKY A OBLASTI RIEŠENIA DIPLOMOVEJ PRÁCE
- teoretické východiská k obchodnej značke, jej zmene a k budovania vzťahu so
zákazníkmi
STANOVENIE HLAVNÉHO CIEĽA A ČIASTKOVÝCH CIEĽOV DIPLOMOVEJ PRÁCE
FORMULÁCIA HYPOTÉZ
SKÚMANIE TEORETICKÝCH VÝCHODÍSK V RÁMCI BUDOVANIA A ZMENY ZNAČKYY
ANALÝZA SÚČASNÉHO FIREMNÉHO DIZAJNU
- rozbor jednotlivých častí firemného dizajnu
PRIMÁRNY VÝSKUM I – súčasný dizajn
- identifikácia výskumného problému
- zostavenie výskumného plánu
- zber údajov
- analýza údajov
- interpretácia výsledkov
- overenie hypotéz
NAVRHNUTIE FÁZ REBRANDINGU
PRIMÁRNY VÝSKUM II – nový dizajn
- identifikácia výskumného problému
- zostavenie výskumného plánu
- zber údajov
- analýza údajov
- interpretácia výsledkov
- overenie hypotéz
FORMULÁCIA ODPORÚČANÍ PRE ĎALŠIU MARKETINGOVÚ KOMUNIKÁCIU
Obrázok 6 Postup riešenia diplomovej práce
37
níci, zamestnanci a verejnosť súčasný dizajn a marketingovú komunikáciu firmy
EVA. V tomto smere sa predpokladala nespokojnosť a v rámci tohto prieskumu boli
stanovené nasledovné hypotézy:
Hypotéza 1: Respondentov, ktorí považujú súčasné logo firmy EVA za zastarané
a nezaujímavé je viac než tých, ktorí ho považujú za moderné a zaujímavé.
Prvá hypotéza bola sformulovaná na základe dlhodobej nemennosti loga, ktoré
postupom času stráca na atraktívnosti.
Hypotéza 2: Zákazníci firmy komunikujú s firmou EVA častejšie elektronicky
(e-mail) než osobne a telefonicky.
Predpokladali sme tak na základe výrobného charakteru firmy, pričom pre poda-
nie objednávky je postačujúca dohoda prostredníctvom elektronickej pošty, ktorá
zároveň urýchľuje proces výroby objednaného tovaru.
Plán primárneho prieskumu I
Obrázok 7 vyjadruje časový plán primárneho prieskumu I prostredníctvom Gan-
ttovho diagramu.
Obrázok 7 Ganttov diagram realizácie primárneho prieskumu I
3
3
10
3
5
3
25.1.12 30.1.12 4.2.12 9.2.12 14.2.12 19.2.12 24.2.12
1. Voľba výskumného problému, výber
respondentov
2. Stanovenie výskumných otázok
3. Zber údajov
4. Spracovanie údajov
5. Analýza údajov
6. Interpretácia výsledkov
Ganttov diagram realizácie prieskumu I
Počet dní
38
Pred samotným spustením zberu údajov bola uskutočnená pilotáž (predvýskum)
na malej vzorke, aby sa predišlo prípadným nezrozumiteľnostiam v rámci otázok.
Následne bol prieskum spustený.
b) Primárny prieskum II
Cieľom prieskumu II bolo zistiť ako zákazníci, verejnosť a zamestnanci firmy EVA
vnímajú návrhy pre nové logo, jeho farebnú kombináciu, slogan a ktoré propagač-
né prvky považujú za najdôležitejšie. V rámci tohto prieskumu boli stanovené na-
sledovné hypotézy:
Hypotéza 1: Verejnosti, ktorá považuje internetovú stránku za najdôležitejší ná-
stroj marketingovej komunikácie, je menej než súčasných zákazníkov firmy pova-
žujúcich internetovú stránku za najdôležitejší nástroj.
Predpokladali sme tak na základe neustáleho dopytu po internetovej stránke
zo strany súčasných a potenciálnych zákazníkov.
Hypotéza 2: Verejnosť, ktorá firmu EVA doteraz nepoznala, sa o ňu bude zaujímať
viac než verejnosť, ktorá firmu EVA pozná.
Druhá hypotéza bola sformulovaná na základe zároveň aj reklamného charakteru
dotazníka, nakoľko v druhej časti dotazníka je uvedená stručná charakteristika
firmy EVA a taktiež kontaktné informácie vrátane e-mailovej adresy. Predpoklada-
li sme vzbudenie záujmu aj z dôvodu prezentácie loga, do tvorby ktorého sa res-
pondenti mali možnosť zapojiť.
Plán primárneho prieskumu II
Primárny prieskum II sa realizoval bezprostredne po prieskume I. Časový plán
prieskumu II je vyjadrený prostredníctvom Ganttovho diagramu (Obrázok 8).
39
Obrázok 8 Ganttov diagram realizácie prieskumu II
Podobne ako pri prieskume I bol uskutočnený predvýskum na malej vzorke res-
pondentov s cieľom identifikovať a odstrániť nezrozumiteľnosti v dotazníku.
Pre vyhodnotenie údajov bol pri obidvoch prieskumoch použitý softvér MS Office
Excel 2007, prostredníctvom ktorého bolo získané nominálne, percentuálne a gra-
fické vyjadrenie získaných údajov pomocou kontingenčnej tabuľky a grafu.
Pri vyhodnocovaní otázok, ktoré bolo potrebné dať do závislosti, sme štatisticky
skúmali silu závislosti dvoch nominálnych premenných pomocou chí kvadrátu
(χp2) podľa postupu pre testovanie štatistických hypotéz:
krok 1: Stanovenie H0 : premenné sú nezávislé
krok 2: Stanovenie H1 : premenné sú závislé
krok 3: Stanovenie hladiny významnosti α = 0,05
krok 4: Výpočet testovacej charakteristiky
Testovacia štatistika χp2 bola vypočítaná podľa vzorca:
, kde (1)
nij – číselný údaj (počet označení)
mij – predpokladaná početnosť vypočítaná podľa vzorca:
3
3
10
4
5
3
20.2.12 25.2.12 1.3.12 6.3.12 11.3.12 16.3.12 21.3.12
1. Voľba výskumného problému, výber
respondentov
2. Stanovenie výskumných otázok
3. Zber údajov
4. Spracovanie údajov
5. Analýza údajov
6. Interpretácia výsledkov
Ganttov diagram realizácie prieskumu II
Počet dní
40
(2)
Zároveň bolo potrebné vypočítať kritickú hodnotu:
, kde (3)
r - počet riadkov
s - počet stĺpcov
krok 5: Rozhodnutie o zamietnutí alebo prijatí H0
Ak je hodnota χp2 menšia ako vypočítaná kritická hodnota zamietam H1 a prijímam
H0. Premenné sú vtedy nezávislé a zistené hodnoty sú dôsledkom náhody.
V opačnom prípade sú premenné závislé.
41
4 Rebranding firmy EVA
Praktická časť diplomovej práce je zameraná na navrhnutie jednotlivých fáz reb-
randingu firmy EVA (grafický návrh, návrh loga, sloganu a pod.) a vyhodnotenie
vplyvu rebrandingu na imidž firmy. V závere tejto časti sú uvedené odporúčania
pre budúcu marketingovú komunikáciu firmy.
4.1 Charakteristika firmy EVA
Firma EVA vznikla v roku 1992 ako odpoveď na nedostatok drobného pleteného
tovaru na strednom Považí. Vtedajšia a aj súčasná majiteľka firmy využila blízkosť
hraníc Českej republiky a začala kontaktovať dodávateľov kvalitných česaných
priadzí dovážaných z Turecka a Indie. V známej českej firme s medzinárodnou pô-
sobnosťou získala výhodnou kúpou dva pletacie stroje Dera 2 a Dera B, čím sa za-
čala písať história značky EVA v oblasti pletených výrobkov. K rastu značky výz-
namne pomohlo aj to, že slovenská firma zaoberajúca sa výrobou priadzí začala
v tomto období vyrábať kvalitný antibakteriálny polyamid, ktorý sa natrvalo stal
súčasťou takmer všetkých výrobkov. Nedostatok skúseností s novými technoló-
giami sa postupne vytrácal, narastal počet nových nápadov a tak sa EVA v 90. ro-
koch stala úspešnou firmou, ktorej výrobky sa predávali v rôznych maloobchodoch
po celom severozápadnom Slovensku. Postupom času začal narastať dopyt po no-
vých typoch výrobkov, a tak firma zakúpila ďalší pletací stroj Ange 11.1L, ktorý
umožnil reagovať na meniaci sa dopyt zákazníkov. Významným medzníkom
v pôsobení značky bola v roku 2004 spolupráca so slovensko-českou firmou špor-
tového zamerania, s ktorou spolupracuje aj v súčasnosti. Zahraničné obchodné
vzťahy sa v roku 2005 rozšírili o ďalšiu českú firmu, pre ktorú EVA začala vyrábať
patenty na zásahové rukavice pre armádu, hasičov, policajtov a záchranárov.
4.2 Marketingový mix firmy EVA
Marketingová činnosť sa uskutočňuje prostredníctvom marketingových nástrojov:
produkt (product), cena (price), distribúcia (place) a podpora predaja (promotion)
42
– tzv. 4P. Ich súhrnné pôsobenie na zákazníka sa označuje ako marketingový mix.
P. Kotler (2001) marketingový mix definuje ako „súbor taktických marketingových
nástrojov - výrobkovej, cenovej, distribučnej a komunikačnej politiky, ktorá firme
umožňuje upraviť ponuku podľa prianí zákazníkov na cieľovom trhu.“ Rozhodujúce
postavenie v tomto komplexe má produkt.
a) Produkt
V súvislosti s produktom hovoríme o jeho troch vrstvách, ktoré nám vysvetľujú,
čo produkt prináša spotrebiteľovi – jadro, vlastný produkt a rozšírený produkt,
ktorý v súčasnom silne konkurenčnom prostredí hrá rozhodujúcu úlohu.
Produkty, ktoré firma EVA ponúka, sú hmotné statky. Všeobecne sa dá povedať,
že sa sústreďuje na veľkoobchodnú výrobu pleteného tovaru.
Jadro produktu
Jadrom produktu firmy EVA sú pletené športové a zdravotné ponožky, podkolien-
ky, futbalové štulpne a potné manžety. Firma vyrába ponožky rôznych štýlov
a veľkostí pre každé ročné obdobie a rôzne druhy športov s prihliadnutím na anti-
bakteriálne zloženie výrobkov a pohodlie zákazníkov.
Vlastný produkt
Typickými zložkami vlastného produktu v oblasti pleteného tovaru sú najmä kvali-
ta a dizajn.
Kvalita výrobkov je jedným z faktorov úspechu, ktoré uvádza D. Jobber pri budo-
vaní značky (kapitola 1.1.1). Firma EVA preto kladie na kvalitu svojich výrobkov
veľký dôraz, dôkazom čoho sú certifikáty na priadzu a pletené výrobky od Vý-
skumného ústavu chemických vlákien a. s. a Štátnej skúšobne SKTC 119 – pri
VÚTCH CHEMITEX s.r.o.
K najdôležitejším kritériám kvality pri pletenom tovare patrí pevnosť, pružnosť
a odolnosť materiálu, ktorý je zároveň vhodný aj pre citlivú pokožku. Materiál po-
užívaný pri výrobe vo firme EVA spĺňa všetky tieto podmienky - výrobky sú vyro-
43
bené z najkvalitnejšej tureckej a indickej česanej bavlny, ktoré sú známe svojou
mäkkosťou a v procese výroby sa taktiež používa antibakteriálny polyamid a lycra
s veľkou pružnosťou, ktorá rovnako ako polypropylén drží tvar pleteného výrob-
ku.
Ďalšou zložkou vlastného produktu je dizajn. Podľa M. Foreta a kol. (2005) je di-
zajn „vyjadrením vzťahu medzi obsahom a formou, je zavŕšením obsahu vo vonkaj-
šom prevedení.“ Prostredníctvom dizajnu je možné prilákať pozornosť zákazníkov,
zdokonaliť vlastnosti a hodnotu produktu, znížiť výrobné náklady alebo vytvoriť
konkurenčnú výhodu na trhu.
Dizajn pletených výrobkov firmy EVA sa neustále prispôsobuje novým trendom
a každoročne sú do výroby zaradené nové vzory a tvary, kvalitnejšie materiály
a taktiež sa rozširuje spektrum používaných farieb. Aktuálne prevedenia pletených
výrobkov sú uvedené v navrhnutom katalógu v prílohe J.
Ďalšou zložkou vlastného produktu je obal. Význam obalu v posledných rokoch
vzrástol natoľko, že niekedy býva obal uvedený ako piate „P“ v marketingovom
mixe.
Letný a jarný pletený tovar firmy EVA býva označený etiketou (Obrázok 9) a nemá
obal. Väčšina jesenných a zimných výrobkov sa balí do špeciálnych papierových
obalov. Pri veľkoodberateľoch sa takto zabalené výrobky navyše balia do technic-
kej fólie po piatich kusoch pre zjednodušenie manipulácie s nimi a zároveň sa tak
zamedzuje znečisteniu výrobkov.
Obrázok 9 Etikety výrobkov
44
Rozšírený produkt
V súčasnom silne konkurenčnom prostredí zohráva rozhodujúcu úlohu práve roz-
šírený produkt. „Jadro produktu zvyčajne predstavuje v priemere 80% nákladov,
ale iba 20% vplyvu na zákazníkov. Platí aj opačné pravidlo: okolie produktu, resp.
nehmotná časť produktu predstavuje 20% nákladov, ale 80% vplyvu na zákazníka.“
(Majaro, 1996)
Vo firme EVA pod rozšíreným produktom chápeme zľavy poskytnuté pri väčšom
odbere výrobkov, objednávku prostredníctvom e-mailu alebo cez telefón, poskyt-
nutie vzoriek, dovoz zdarma pri väčšom odbere alebo poradenstvo ohľadom
správneho výberu výrobku pre konkrétnu športovú aktivitu.
b) Cena
Pre každý podnik je pri silnej konkurencii kľúčovým faktorom cena. Cenová politi-
ka firmy EVA je založená na dvadsaťročných skúsenostiach, vďaka ktorým si firma
vybudovala cenovú stratégiu hľadajúcu rovnováhu medzi cenou a kvalitou. Firma
sa snaží ponúkať cenovo prijateľné riešenia zamerané na kvalitu, na ktorú sú zá-
kazníci zvyknutí. Avšak v posledných rokoch je nútená prispôsobovať svoje ceny
ekonomickej situácii, a tak tlačí ceny nadol, pričom kvalita výrobkov ostáva rovna-
ká. Firma preto v súčasnom období hospodárskej krízy vykazuje omnoho nižšie
zisky. Práve tlak na ceny a rast konkurencie uvádza D. Aaker ako faktory, ktoré
výrazne komplikujú budovanie značky (kapitola 1.1.1).
Firma v prvých rokoch pôsobenia na trhu použila pri stanovení cien svojich výrob-
kov kombináciu nákladovo a konkurenčne orientovanej metódy tvorby cien. Ceny
boli stanovené s prihliadnutím na náklady spojené s výrobou a porovnanie
s konkurenciou. O niekoľko rokov neskôr sa ukázalo, po ktorých výrobkoch je naj-
väčší dopyt, a tak firma upravila ceny pomocou metódy stanovenia ceny na základe
dopytu a túto metódu použila aj v nasledujúcich rokoch. Po príchode hospodárskej
krízy však firma musela v roku 2009 na základe klesajúceho dopytu znížiť ceny
svojich výrobkov a v súčasnosti sa pohybuje na hranici medzi ziskom a stratou.
Zmenu vonkajšieho prostredia, do ktorej patrí aj kríza, uvádzajú L. Muzellec a M.
Lambkin (2006) v kapitole 1.1.2.1 ako najčastejší dôvod pre firemný rebranding.
45
c) Distribúcia
Distribúciu môžeme chápať ako súhrn činností, ktorých cieľom je sprístupniť ho-
tový výrobok koncovým zákazníkom.
Firma EVA je výrobná firma, ktorá zároveň pôsobí aj ako veľkoobchod, a preto
pre distribúciu svojich výrobkov používa nepriamy distribučný kanál, ktorý tvorí
vždy aspoň jeden distribučný článok, ktorý sprostredkuje výrobky koncovému zá-
kazníkovi.
Firma najčastejšie využíva dvojúrovňovú distribučnú cestu tvorenú iným veľkoob-
chodom a maloobchodom. Pri tomto type distribúcie sa zväčša využíva systém ob-
jednávky prostredníctvom e-mailovej alebo telefonickej komunikácie medzi firmou
EVA ako výrobcom a iným veľkoobchodom. Firma taktiež využíva jednoúrovňovú
distribučnú cestu, ktorá je tvorená firmou EVA ako výrobcom a maloobchodom,
ktorý priamo dodáva výrobok koncovému zákazníkovi.
d) Marketingová komunikácia
Okrem inzerátov v regionálnych inzertných týždenníkoch firma EVA nevyužíva
žiadnu pravidelnú mediálnu propagáciu svojich výrobkov. V malej miere firma
osobne oslovuje maloobchody a veľkoobchody a predstavuje im svoje výrobky.
Komunikačný mix firmy EVA
Medzi základné nástroje komunikačného mixu patrí reklama, podpora predaja,
public relations a osobný predaj.
 Reklama ako platená forma neosobnej komunikácie je uskutočňovaná pro-
stredníctvom tlačových médií (noviny, časopisy, katalógy), rozhlasu a tele-
vízie, billboardov, plagátov, firemných štítov atď. (Strišš, 2005). Firma EVA
tento nástroj komunikačného mixu takmer nevyužíva. Jediným prvkom
sú len informačné letáky, ktoré sa využívajú pri propagácii výrobkov len
v malej miere. EVA ďalej využíva nepravidelné uverejňovanie inzerátov v
regionálnych inzertných týždenníkoch. Najväčším nedostatkom je nevyuží-
vanie tzv. exteriérnych médií (t. j. firemné štíty, billboardy, pútače, reklamy
46
na dopravných prostriedkoch a pod.), najmä firemného štítu, pretože zá-
kazník tak nemá možnosť identifikovať budovu, v ktorej sa firma nachádza.
 Podpora predaja zahŕňa činnosti stimulujúce predaj výrobkov a služieb
prostredníctvom dodatočných podnetov (kupóny, prémie, vzorky tovaru,
prémiové balenie atď.). Firma EVA využíva predovšetkým zníženie cien
a poskytovanie vzoriek tovaru. Zníženie cien je motivujúce najmä pre veľ-
koodberateľov, pričom cena sa znižuje so zvyšovaním množstva kupova-
ných výrobkov. Vzorky tovaru sú dodávané ako veľkoodberateľom, tak aj
malým zákazníkom, ktorí majú možnosť vyjadriť vlastné požiadavky na vý-
robok, pretože EVA je schopná vyrobiť pletený výrobok podľa požiadaviek
zákazníka (napr. potná manžeta s logom firmy, menom a pod.).
 Public relations je neosobná forma stimulácie dopytu po výrobkoch, služ-
bách, či aktivitách firmy publikovaním pozitívnych informácií (Strišš, 2005).
Pre firmu EVA sú najpodstatnejšími prvkami spokojný zákazník a dobré
meno firmy. EVA sa preto už od svojho vzniku snaží budovať a udržiavať
dobré vzťahy so svojimi zákazníkmi, pretože najlepšou propagáciou je prá-
ve spokojný zákazník. EVA sa teda zameriava najmä na kvalitu sortimentu
a kvalitu poskytovaných služieb (dodanie výrobkov domov, výroba podľa
požiadaviek zákazníka a pod.). V rámci tohto nástroja sa firma EVA taktiež
zameriava na sponzorstvo, pričom svojimi výrobkami sponzoruje predo-
všetkým detské domovy, resp. profesionálne rodiny a náhradné rodiny.
 Osobný predaj je forma osobnej komunikácie s jedným alebo viacerými
možnými zákazníkmi. Jeho cieľom je dosiahnutie predaja. Osobný predaj
sa podstatne líši od ostatných foriem práve preto, že sa jedná o osobnú ko-
munikáciu (Strišš, 2005). Firma EVA tento nástroj založila najmä na budo-
vaní dlhodobých vzťahov so zákazníkmi. Hlavným cieľom firmy je, aby bol
zákazník dobre informovaný o výrobkoch, použitých materiáloch, používaní
výrobkov a pod. Zákazník tak získa dojem výnimočnej starostlivosti
a odchádza spokojný. Samozrejmým predpokladom je, aby zamestnanci
firmy boli na túto činnosť dobre pripravení.
47
4.3 Dôvody firmy EVA pre rebranding
Hlavným dôvodom pre rebranding značky EVA je súčasný narastajúci trh
s pletenými výrobkami a dovoz zahraničných výrobkov, vďaka ktorým firma strati-
la veľkú časť svojich príjmov. Firma EVA si uvedomuje, že kvalita a slovenský pô-
vod výrobkov už nestačí a je dôležité zaujať svojich zákazníkov novými postupmi,
resp. novým imidžom. Zmena konkurenčnej pozície, t. j. narušenie postavenia
na trhu a zastaraný imidž, je hlavným dôvodom pre uskutočnenie firemného reb-
randingu, ktorý uvádzajú L. Muzellec a M. Lambkin (2006) v kapitole 1.1.2.1. Preto
firma EVA pristúpila ku zmene svojej značky, pričom si chce aj naďalej udržať kva-
litu svojich výrobkov a zároveň chce byť vyhľadávanou firmou s moderným spô-
sobom marketingovej komunikácie.
4.4 Analýza súčasného firemného dizajnu
Firemný dizajn má v prezentácii firmy významné postavenie, pretože vyjadruje
ciele firmy a predstavuje jej produkt tak, aby bola firma jednoznačne identifikova-
teľná. Firemný dizajn teda reprezentuje vizuálny charakter firmy, do ktorého patrí
napríklad logo, jednotná úprava všetkých firemných písomností, firemné farby,
zariadenie interiérov a pod. Podľa J. Vysekalovej a J. Mikeša (2009) firemný dizajn
tvoria názov firmy a spôsob jeho prezentácie, logo ako identifikačná skratka, znač-
ka pre zviditeľnenie a odlíšenie produktu, písmo a farby, propagačné prvky
a tlačoviny, orientačná grafika a grafika obalov, odev zamestnancov a pod.
Názov firmy EVA sa odvodil od krstného mena majiteľky firmy a v priebehu pôso-
benia firmy na trhu sa nemenil. Tento fakt mal poukázať na osobný vzťah majiteľ-
ky firmy k vlastným výrobkom a zároveň je určitým ukazovateľom slovenského
pôvodu výrobkov.
Značka je taká dobrá, ako dobrí sú ľudia, ktorí za ňou stoja a taktiež ľudia, ktorí
stoja pred zákazníkom (Bleyová, 2009). Preto majiteľka firmy neostáva len „maji-
teľkou firmy“, ale spolu so svojimi zamestnancami uprednostňuje osobnú komuni-
káciu so súčasnými, ale aj potenciálnymi zákazníkmi a tým u nich vyvoláva osob-
nejší dojem zo značky. Týmto spôsobom zároveň zamestnancom ukazuje ako pre-
48
zentovať značku a tí zase majú dojem zapojenia sa do diania vo firme a cítia sa byť
súčasťou firmy. V súčasnosti najväčšou nevýhodou firmy v rámci prezentácie
značky je to, že firma nemá vytvorenú internetovú stránku, ktorá by informovala
širšie spektrum zákazníkov o výrobkoch, výrobných postupoch, používaných ma-
teriáloch, výhodách, novinkách a pod.
Firemné logo tvorené jednoduchým štýlom bez výraznejšieho efektu bolo navrh-
nuté najmä kvôli etiketám, obalom a vizitkám a jeho štýl sa za dvadsať rokov vôbec
nemenil. Dizajn loga (Obrázok 10) je jednoduchý, dlhodobo nezmenený a je nevý-
razným prvkom v prezentácii firmy EVA v prostredí neustále rastúcej konkurencie.
Používanie loga zároveň nie je jednotné, pretože logo na obaloch, etiketách, vizit-
kách a pod. má takmer vždy iný štýl, tvar, veľkosť, farbu alebo písmo.
Obrázok 10 Súčasné logo firmy EVA
Farby firmy EVA sa na väčšine firemných materiálov vyskytujú v kombináciách:
 tmavomodrá farba v kombinácii s bielou – symbolizuje spojenie spokojnos-
ti, pokoja, stálosti (tmavomodrá) a čistoty (biela).
 hnedá v kombinácii s bledožltou farbou, ktoré predstavujú dynamiku, ener-
giu, solídnosť (žltá) a teplo, bezpečie, istotu (hnedá). Bližší význam farieb
je uvedený v prílohe F.
Písmo je bezpätkové (tvoria sa ním takmer všetky firemné logá) a font tohto loga
nie je zistený.
Z propagačných prvkov a tlačovín používa firma EVA iba vizitky (Obrázok 11).
Nepoužíva orientačnú grafiku, nevyužíva ani možnosť darčekových predmetov
pre zákazníkov či zamestnancov a taktiež nemá určené odevy pre zamestnancov.
Grafika obalov je pri zimných výrobkoch modernejšia ako pri grafike etikiet let-
ných výrobkov, ktoré zároveň nie sú jednotné.
49
Obrázok 11 Súčasné vizitky firmy EVA
4.5 Primárny prieskum I
V prieskume I mali respondenti vyjadriť ako vnímajú súčasné firemné logo a iné
prvky dizajnu. Až 87% respondentov si myslí, že súčasné logo firmy EVA je nezau-
jímavé a rovnaké percento respondentov považuje súčasné logo za nemoderné
a zastarané. 82% respondentov súhlasilo s tým, že logo nevyjadruje oblasť podni-
kania a taktiež 82% respondentov vyjadrilo nutnosť zmeny loga. Celkovo sa logo
nepáčilo 79% respondentov (pozri otázka č. 3 v prílohe E).
Obrázok 12 Vnímanie súčasného loga respondentmi
S touto otázkou súvisí aj hypotéza 1: Respondentov, ktorí považujú súčasné logo
firmy EVA za zastarané a nezaujímavé je viac než tých, ktorí ho považujú za mo-
derné a zaujímavé.
8%
10%
0% 0%
5%5% 3%
18% 18% 16%
87% 87%
82% 82% 79%
0%
10%
20%
30%
40%
50%
60%
70%
80%
90%
100%
pútavé moderné vystihuje
oblasť
podnikania
nie je
potrebné
meniť logo
celkovo sa
mi páči
Početodpovedív%
Vnímanie súčasného loga
súhlasím
neviem posúdiť
nesúhlasím
50
Obrázok 12 zobrazuje, že počet respondentov, ktorí súhlasia s tvrdením, že súčas-
né logo je moderné, je menej (10%) než tých, ktorí logo považujú za nemoderné
(87%). Hypotézu 1 teda prijímame, a tak predpoklad, že logo je už nemoderné
a potrebuje zmenu bol správny.
Respondenti mali v ďalšej otázke posúdiť svoju spokojnosť s používanou grafikou
na obaloch, etiketách, vizitkách a so vzormi na výrobkoch. S grafikou na obaloch
bolo veľmi spokojných 63% respondentov a respondenti boli taktiež veľmi spo-
kojní s grafikou vizitiek (56%). Respondenti vyjadrili svoju veľkú spokojnosť tak-
tiež ku vzorom na výrobkoch (60%), avšak nespokojní boli s grafikou etikiet (44%)
(pozri otázka č. 6 v prílohe E).
Obrázok 13 Spokojnosť s grafikou
Ďalšia otázka v prieskume bola zameraná na zistenie nedostatkov v rámci formy
komunikácie. Až 55% respondentov ako chýbajúcu formu komunikácie doplnilo
internetovú stránku. Taktiež sme sa pýtali na frekvenciu foriem komunikácie
s firmou EVA. 40% respondentov najčastejšie využíva osobnú komunikáciu, 24%
preferuje telefonickú alebo faxovú komunikáciu a 36% využíva najčastejšie komu-
nikáciu prostredníctvom elektronickej pošty (pozri otázka č. 5 v prílohe E).
63%
5%
19%
60%
30%
19%
56%
35%
7%
5%
5%
0%
0%
44%
21%
5%
0%
28%
0%
0%
0% 10% 20% 30% 40% 50% 60% 70%
grafika obalov
grafika etikiet
grafika vizitiek
vzory na výrobkoch
Počet označení v %
Grafikaprvkov
Spokojnosť s grafikou
veľmi nespokojný
nespokojný
neviem posúdiť
spokojný
veľmi spokojný
51
S touto otázkou súvisí aj hypotéza 2: Zákazníci firmy komunikujú s firmou EVA
častejšie elektronicky (e-mail) než osobne a telefonicky. Podľa výsledkov priesku-
mu hypotézu 2 zamietame, pretože s firmou EVA komunikuje elektronicky (e-mail)
36% respondentov a osobne alebo telefonicky spolu 64%. K tejto skutočnosti môže
prispievať aj chýbajúca internetová stránka, prostredníctvom ktorej by zákazníci
mali k dispozícii dostatok informácií o výrobkoch a nemuseli by tak osobne kon-
taktovať firmu EVA, čím by sa urýchlil celý proces objednávania a výroby.
V rámci prieskumu sme taktiež skúmali koľko respondentov zachytilo
v regionálnej tlači reklamu firmy EVA. Až 79% respondentov reklamu nepostrehlo,
čo môže byť zapríčinené nízkou a nepravidelnou frekvenciou uverejňovania re-
klamy v tlači.
Pri analýze súčasného stavu bol teda zistený nedostatok komunikácie v rámci pro-
pagácie firmy a podpory predaja a nespokojnosť s grafikou niektorých prvkov.
Hlavnou témou praktickej časti tejto diplomovej práce je preto v rámci rebrandin-
gu vytvorenie nového grafického návrhu obchodnej značky firmy EVA (logo, vizit-
ky, reklamné materiály, internetová stránka atď.) a formulácia odporúčaní pre bu-
dúcu marketingovú komunikáciu firmy.
4.6 Návrh firemného dizajnu a marketingovej komunikácie
Táto kapitola je zameraná na návrh jednotlivých fáz rebrandingu firmy EVA podľa
koncepcií autorov A. Daly a D. Moloney (2004) a L. Muzellec a M. Lambkin (2006),
ktorú dopĺňa prieskum uskutočnený na vzorke zákazníkov, zamestnancov a verej-
nosti. V závere sú stanovené odporúčania pre budúcu marketingovú komunikáciu
firmy.
4.6.1 Primárny prieskum II
V druhej časti primárneho prieskumu mali respondenti vybrať zo 16 grafických
logotypov to, ktoré pokladajú za najzaujímavejšie a zároveň im bola ponúknutá
možnosť navrhnúť vlastné logo alebo pripomienkovať nimi vybrané logo. Najviac
respondentov, t. j. 34%, označilo logo č. 12 za najzaujímavejšie logo. Ďalej sme
52
skúmali názor na slogan firmy EVA, pričom najväčšie percento odpovedí (51%)
mal slogan „... pre nohy ako v bavlnke“. Ďalšia otázka bola zameraná na zistenie to-
ho, ktorý propagačný prvok považujú respondenti za najdôležitejší. 17% respon-
dentov považuje za najdôležitejší prvok propagácie firmy internetovú stránku
a 14% označilo katalóg výrobkov. Tieto dva prvky však v rámci propagácie firmy
EVA chýbajú a preto sa v rámci rebrandingu zameriame aj na ich vizuálny návrh
a prípadnú realizáciu.
Posledná otázka v prieskume II mala za úlohu zistiť, či sa budú respondenti aj na-
ďalej zaujímať o firmu EVA. V rámci vyhodnotenia tejto otázky sme sa zamerali
najmä na názor verejnosti, nakoľko 100% zamestnancov a zákazníkov odpovedalo,
že o firmu budú prejavovať záujem aj naďalej. 43% respondentov z okruhu verej-
nosti sa o firmu EVA bude zaujímať aj naďalej, naopak úplný nezáujem prejavilo
28% respondentov. Podrobnejšie výsledky prieskumu II sú uvedené pri jednotli-
vých fázach rebrandingu a v prílohe E.
4.6.2 Fázy rebrandingu firmy EVA
Pri navrhovaní jednotlivých fáz rebrandingu firmy EVA budeme vychádzať
z kapitoly 1.1.2.2, v ktorej sme v rámci procesu zmeny značky uviedli prístupy
L. Muzelleca a M. Lambkina (2006) a A. Daly a D. Moloneyho (2004), podľa ktorých
hovoríme o piatich základných procesoch rebrandingu - premenovanie, redizajn,
spustenie, premiestnenie a vyhodnotenie.
Fáza č. 1 : premenovanie
Ako sme uviedli v kapitole 4.4, názov firmy EVA je ukazovateľom slovenského pô-
vodu výrobkov a majiteľka firmy tento názov zvolila podľa svojho krstného mena,
aby tak poukázala na osobný vzťah k svojim výrobkom. Avšak počas svojej exis-
tencie sa názov stal akýmsi symbolom kvality, pretože počas pôsobenia na trhu
nemala firma EVA žiadne závažné negatívne pripomienky na svoje výrobky. Zmena
názvu by teda v súčasnosti bola pre firmu viac škodlivá ako prospešná a o možnos-
ti premenovania sa tak zatiaľ neuvažuje. Na tomto tvrdení sa zhodli ako majiteľka
firmy, tak aj jej zamestnanci a časť zákazníkov.
53
Fáza č. 2 : redizajn
Ako je uvedené v kapitole 1.1.2.2, pri redizajne je potrebné uskutočniť 5 činností
pre zmenu firemnej vizuálnej identity (Melewar et al., 2005):
 skúmanie súčasného stavu firemnej vizuálnej identity,
 vymedzenie stručných požiadaviek pre redizajn,
 analýza hodnôt značky a stratégia smerovania firmy,
 výber štruktúry značky,
 tvorba loga, farebnej schémy a voľba typu písma.
Súčasný firemný dizajn sme skúmali v kapitole 4.4. V nadväznosti na to bolo stano-
vených niekoľko kritérií pre tvorbu nového firemného dizajnu:
 do loga včleniť prvok, ktorý by charakterizoval oblasť pôsobenia firmy
(napr. ponožka, noha, niť, klbko bavlny, športový prvok – firma vyrába
prevažne športové výrobky, a pod.) a názov firmy,
 na logo použiť prevažne rovné tvary, ktoré zabezpečia dobrú čitateľnosť
loga aj pri zmenšení,
 vytvoriť jednotný vizuálny štýl vo všetkých grafických prvkoch,
 prvoradá je jednoduchosť, originalita a moderný prístup v rámci celej
tvorby grafického návrhu.
Na základe budúceho smerovania firmy, pri ktorom sa EVA chce stať modernou
firmou s moderným spôsobom komunikácie a v rámci nedostatočnej marketingo-
vej komunikácie firmy zistenej v kapitole 4.4., boli stanovené tieto ciele:
 vytvorenie celkovej vízie a sloganu,
 výber farieb, typu písma a následné vytvorenie nového loga,
 v rámci komunikácie s verejnosťou vytvoriť:
 návrh pre maloplošnú reklamu,
 návrh pre internetovú stránku,
 návrh pre katalóg výrobkov,
54
 v rámci firemnej kultúry vytvoriť návrh pre:
 vizitky,
 etikety,
 potlač pre firemné auto.
Zostavenie návrhu firemného dizajnu a prvkov marketingovej komunikácie
pre firmu EVA
a) Vízia
Ako sme uviedli v kapitole 1.1.1.2.1, pri tvorbe vízie je dôležité uvedomiť si, v akom
smere by značka mohla byť pre všetkých prínosom v rámci dlhodobého horizontu.
Vízia teda musí mať odvahu a motivovať zamestnancov, aby s nadšením zmeny
realizovali (de Chernatony, 2009). Na základe toho bola sformulovaná nasledujúca
vízia:
Našou víziou je byť uznávanou a vyhľadávanou firmou v oblasti nášho pôsobenia
a prostredníctvom používania najlepších priadzí a materiálov poskytnúť prvotriednu
kvalitu všetkých výrobkov s ohľadom na zdravie zákazníkov a na životné prostredie.
Zároveň chceme byť firmou, ktorá rešpektuje svojich zamestnancov a vytvára
im bezpečné, zdravé a motivujúce pracovné prostredie.
b) Slogan
V kapitole 1.1.1.1 sme slogan definovali ako krátku frázu, ktorá informuje o značke
alebo má za úlohu presvedčiť verejnosť o výhodách značky a jej prínosoch pre zá-
kazníkov (Keller, 2007). Do výberu vhodného sloganu boli v rámci primárneho
prieskumu II, spomínaného v kapitole 4.6.1, zapojení zákazníci a zamestnanci fir-
my ako aj verejnosť, ktorá firmu EVA nepozná. K dispozícii bolo 12 návrhov sloga-
nov s možnosťou vytvorenia vlastného návrhu. Výsledné percentuálne hodnoty sa
pohybovali v rozmedzí 1% až 7%, avšak až 51% respondentov sa zhodlo na sloga-
ne:
„... pre nohy ako v bavlnke“
55
Majiteľka firmy výsledky prieskumu zohľadnila a uvedená fráza bola stanovená
ako firemný slogan, pretože odráža pocit pohodlia pri používaní výrobkov EVA.
c) Logo
Nové firemné logo bolo vytvorené s prihliadnutím na základné vlastnosti grafic-
kých značiek, ktoré sú uvedené v kapitole 1.1.1.1. Podľa daných kritérií sa vytvorili
návrhy, ktoré sú jednoduché, primerané charakteru firmy, jedinečné, zapamäta-
teľné – t. j. zamerané na jeden prvok, ktorý je potrebné si zapamätať.
Pre logo bolo navrhnutých 16 grafických variant, ktoré sú uvedené v prílohe G.
V rámci kritérií pre firemný dizajn bolo stanovené vloženie prvku charakterizujú-
ceho oblasť pôsobenia firmy, uvedenie názvu firmy, použitie prevažne rovných
tvarov, ktoré zabezpečia dobrú čitateľnosť loga aj pri zmenšení, jednoduchosť
a originalita.
K jednotlivým logám mali možnosť vyjadriť sa aj respondenti v primárnom prie-
skume II (kapitola 4.6.1). Zo 16 predložených návrhov (príloha G) respondenti naj-
častejšie označili tieto logá:
Logo 1 (34%) Logo 2 (11%) Logo 3 (10%)
Obrázok 14 Návrhy pre logo firmy EVA
Logo 1 s najväčším percentom označení bolo jednoznačnou voľbou aj majiteľky
firmy a taktiež zamestnancov. Vybrané logo bolo ďalej rozpracované a na základe
požiadaviek respondentov z primárneho prieskumu II boli navrhnuté farebné
kombinácie týchto farieb:
56
Obrázok 15 Farebné kombinácie pre nové logo
Pri postupnom zmenšovaní zaniká fialová farba, naopak červená a tyrkysová vy-
stupuje do popredia. Červená farba bola zamietnutá, nakoľko by v kombinácii
s čiernou farbou nevynikla.
Podľa požiadaviek majiteľky základ výberu tvoria farby čierna C-100 M-100 Y-100
K-100, tyrkysová C-65 M-0 Y-30 K-0 a šedá C-45 M-38 Y-38 K-2. Pri postupnom
zmenšovaní vystupuje čierna farba a tyrkysová farba popri šedej zaniká, preto
sa navrhuje použitie čiernej ako hlavnej farby a tyrkysovej ako farby doplnkovej.
Tyrkysová farba bola zvolená na základe svojej schopnosti podporovať sebavedo-
mie, fantáziu a spontánnosť (viac o farbách v prílohe F).
Výsledné logo a jeho zmenšenina:
Obrázok 16 Výsledné logo a jeho zmenšenina
Pre použitie loga na čiernom podklade bol vytvorený aj jeho inverzný variant:
Obrázok 17 Inverzné logo a jeho zmenšenina
57
Aj keď na výslednom logu pri menších formátoch zaniká prvok charakterizujúci
oblasť pôsobenia firmy, je logo EVA jednoduché, jedinečné, dobre zapamätateľné,
vyjadruje činnosť firmy a je moderné. Má teda všetky predpoklady pre pozitívne
vnímanie zákazníkov.
d) Návrh pre maloplošnú reklamu
Pre inzerciu v regionálnych inzertných tlačovinách ako aj v rámci katalógov firiem
bol vytvorený návrh maloplošnej reklamy (Obrázok 18), ktorý je tvorený názvom
firmy, oblasťou pôsobenia firmy a do popredia vystupuje internetová stránka, pro-
stredníctvom ktorej sa predpokladá ďalšia informovanosť spojená s vlastnou we-
bovou prezentáciou firmy. Zároveň bol v rámci návrhu využitý nástroj zliav
v podobe textu „-15% z výšky nákupu“, ktorý bude aplikovaný pre všetkých zákaz-
níkov.
Obrázok 18 Návrh maloplošnej reklamy
Pre inzerciu na rôznych internetových stránkach boli vytvorené návrhy pre rekla-
mný banner (Obrázok 19), ktorý je v súlade s návrhom maloplošnej reklamy
a prostredníctvom hypertextového odkazu umožní okamžité prepojenie
na internetovú stránku firmy.
58
Banner 1
Banner 2
Banner 3
Obrázok 19 Návrhy pre reklamný banner
e) internetová stránka
Internetová stránka patrí medzi najdôležitejšie prvky prezentácie firmy. Prostred-
níctvom nej prebieha komunikácia so súčasnými a potenciálnymi zákazníkmi
a obchodnými partnermi. V primárnom prieskume II sme sa pomocou dotazníko-
vej metódy získavania údajov respondentov pýtali, ktorý komunikačný nástroj po-
važujú za najdôležitejší. 17% respondentov považuje za najdôležitejší nástroj prá-
ve internetovú stránku. Z tohto dôvodu bol v rámci rebrandingu riešený návrh in-
ternetovej stránky. Cieľom návrhu internetovej stránky bolo vytvoriť jednoduchý
ale zaujímavý dizajn, ktorý bude nadväzovať na vytvorené reklamné prvky. Strán-
ka by mala informovať o širokom sortimente výrobkov rozdelených do kategó-
rií, o ich zložení a používaní, o farebných variáciách, o cenách a taktiež by mala
obsahovať informácie o používaných priadzach, ktoré firma zároveň ponúka
na predaj. Dôležitou súčasťou stránky by mala byť taktiež informácia o firme, kon-
taktné informácie a mapa.
59
Obrázok 20 Návrh dizajnu internetovej stránky
S internetovou stránkou, ako aj s ostatnými prvkami marketingovej komunikácie,
súvisí hypotéza 1 z primárneho prieskumu II (kapitola 4.6.1): Verejnosti, ktorá
považuje internetovú stránku za najdôležitejší nástroj marketingovej komunikácie
firmy, je menej než súčasných zákazníkov firmy považujúcich internetovú stránku
za najdôležitejší nástroj.
Pri tejto hypotéze bolo potrebné dať do závislosti propagačné prvky spojené
do celku (okrem internetovej stránky) na jednej strane a respondentov okrem za-
mestnancov na strane druhej.
Obrázok 21 Závislosť komunikačného nástroja a zákazníkov a verejnosti
16%
84%
28%
72%
0%
50%
100%
iný nástroj internetová stránka
Početoznačenív%
Komunikačné nástroje
Závislosť komunikačného nástroja a
zákazníkov a verejnosti
zákazník
verejnosť
60
Obrázok 21 ukazuje, že percentuálny podiel zákazníkov, ktorí internetovú stránku
považujú za najdôležitejší prvok, je vyšší (84%) než percentuálny podiel verejnosti
(72%). Hypotézu 1 prijímame a predpoklad, že zákazníkom internetová stránka
chýba, sa potvrdil. Štatisticky sme skúmali taktiež silu závislosti dvoch nominál-
nych premenných pomocou chí kvadrátu (χP2) podľa postupu pre testovanie štatis-
tických hypotéz:
krok 1: Stanovenie H0 : premenné sú nezávislé
krok 2: Stanovenie H1 : premenné sú závislé
krok 3: Stanovenie hladiny významnosti α = 0,05
krok 4: Výpočet testovacej charakteristiky
Testovacia štatistika χP2 bola vypočítaná podľa daného vzorca (1) a výsledok je:
1,024687143
Kritická hodnota = 3,841459149.
krok 5: Rozhodnutie o zamietnutí alebo nezamietnutí H0.
Hodnota χp2 je menšia ako vypočítaná kritická hodnota, a preto H1 zamietam
a H0 prijímam. Premenné sú nezávislé a zistené hodnoty sú dôsledkom náhody.
f) katalóg výrobkov
Katalóg výrobkov je dôležitou súčasťou prezentácie firmy najmä pri komunikácii
s potenciálnymi zákazníkmi, resp. pri účasti a prezentácii firmy na veľtrhoch. Sú-
časťou navrhnutého katalógu (príloha J) sú informácie o všetkých výrobkoch, o ich
zložení a farebných prevedeniach. Úvodná stránka katalógu informuje o firme, o jej
úspechoch a ďalšom smerovaní a záver katalógu tvoria kontaktné informácie spolu
s postupom objednávky výrobkov z katalógu. Dizajn katalógu je vytvorený v súlade
s použitými prvkami v rámci firemného dizajnu.
61
g) návrh vizitiek
Návrh vizitiek vychádza zo zadaných farieb. Z troch variant bol vybraný variant 3
s uvedením loga, internetovej stránky, kontaktných informácií firmy a výrobných
činností (Obrázok 22). Tento motív doplní aj ďalší dizajn tlačených materiálov.
Variant 1 Variant 2
Variant 3
Obrázok 22 Návrh vizitiek
h) návrh etikiet
S dizajnom na etiketách bolo veľmi nespokojných až 72% respondentov
v primárnom prieskume I v rámci analýzy súčasného firemného dizajnu (kapitola
4.5). Z tohto dôvodu bol navrhnutý nový dizajn etikiet (Obrázok 23), ktorý je
v súlade s firemným dizajnom. Etikety boli vytvorené pre každú sériu výrobkov
(extrem sport, sport a elegance).
62
Obrázok 23 Návrh etikiet pre jednotlivé série výrobkov
i) návrh na polep firemného auta
V rámci nedostatočnej propagácie firmy, zistenej v kapitole 4.4, bol vytvorený ná-
vrh pre polep firemného auta, ktorý dopĺňa celkový firemný dizajn. Návrh na polep
je vytvorený pre každú stranu auta a je navrhnutý tak, aby upútal pozornosť pre-
dovšetkým farebnou kombináciou a logom na šedom pozadí. Polep dopĺňa firemný
slogan a informácia o internetovej stránke firmy.
Obrázok 24 Návrh na polep firemného auta
63
Fáza č. 3 : spustenie
Spustenie sa skladá z internej a externej kampane (Daly – Moloney, 2004). Interná
kampaň sa skladá z komunikovania vízie a externá kampaň zahŕňa rôzne formy
udalostí ako sme uviedli v kapitole 1.1.2.2. Na základe veľkosti firmy EVA prechá-
dzame pri spustení skutočným spustením kampane, t.j. komunikovaním nového di-
zajnu.
V rámci spustenia kampane bol vytvorený návrh článku do novín informujúci ve-
rejnosť o firme EVA a zmene jej značky (príloha I) a pre zákazníkov bol vytvorený
návrh oznamovacieho listu o rebrandingu firmy (príloha H), ktorý bude rozposie-
laný prostredníctvom pošty. V rámci kampane bol taktiež vytvorený návrh malo-
plošnej reklamy v tlači (Obrázok 18) spolu s využitím nástroja zliav, ktorej úlohou
jej okrem prilákania nových zákazníkov aj vzbudenie pozornosti o novú interneto-
vú stránku firmy.
Fáza č. 4 : repositioning
Repositioning úzko súvisí so zmenou názvu firmy a mnoho odborníkov ho nepova-
žuje za samostatnú časť v procese zmeny značky.
Na repositioning značky EVA sa zameriame z pohľadu zmeny záujmu zákazníkov
o výrobky firmy EVA po zmene jej celkovej komunikácie, resp. po dokončení reb-
randingu. Rebranding je však dlhodobý proces a jeho výsledky bude možné skú-
mať až po určitom čase. EVA bude preto aj naďalej sledovať pôsobenie zmeny
značky na záujem zákazníkov o jej výrobky.
Fáza č. 5 : vyhodnotenie
Vyhodnotenie sa vzťahuje na hodnotenie výsledkov firemného rebrandingu
a skladá sa z niekoľkých krokov:
a) Priebežné hodnotenie
V rámci tohto hodnotenia je dôležité položiť si otázky - ktorý návrh bude ľahko
komunikovateľný a zaujímavý? aké farby mám zvoliť?
64
Pri tomto nástroji bolo potrebné spoznať názor zákazníkov, zamestnancov a verej-
nosti. Prostredníctvom primárneho prieskumu II sme im dali možnosť vyjadriť
svoj názor na to, aké logo si predstavujú pod firmou EVA, akú farebnú kombináciu
by zvolili pre vybraný typ loga a aký slogan podľa nich firmu EVA najviac vystihuje.
Počas procesu rebrandingu sme sa taktiež zaujímali o to, aké formy komunikácie,
resp. propagácie sú pre zákazníkov a verejnosť dôležité. Výsledok preukázal dôle-
žitosť firemnej internetovej stránky a katalógu výrobkov, ktoré by zákazníkov in-
formovali o všetkých výrobkoch ponúkaných firmou EVA.
b) Hodnotenie na konci procesu spustenia - splnili sa očakávania?
Očakávania, ktoré firma EVA mala ešte pri zostavovaní prieskumu sa pri jeho vy-
hodnotení naplnili. Firma svoje pôvodné logo 20 rokov nezmenila a preto naň po-
trebovala poznať názor zákazníkov. Predovšetkým však firma potrebovala zistiť,
či zákazníci súhlasia so zmenou loga, na ktoré sú už dlhodobo zvyknutí. V tomto
smere sa očakávania firmy naplnili a rebranding môže prebehnúť bez obáv
o negatívne prijatie „novej značky“.
Proces spustenia značky zatiaľ spĺňa očakávania v podobe zvýšeného záujmu
o nový dizajn výrobkov a o nové logo. Ďalšie očakávania má firma najmä pri náras-
te zákazníkov, ktorý sa prejaví v krátkodobom horizonte.
c) Celkové hodnotenie - zvýšil sa záujem o značku zo strany zákazníkov?
Celkové hodnotenie nie je možné z dôvodu neúplného spustenia „novej značky.“
Avšak v rámci primárneho prieskumu II prejavilo ďalší záujem o firmu 87% res-
pondentov, z čoho verejnosť predstavuje 12%, - ide teda o 12% potenciálnych zá-
kazníkov. Zároveň, ako sme spomenuli v bode b), zo strany zákazníkov sa už teraz
zvýšil záujem o nové logo a nové vzory výrobkov, čo by mohlo byť pozitívnym uka-
zovateľom budúceho rastu značky.
V rámci tohto bodu bola taktiež stanovená hypotéza 2 z primárneho prieskumu II:
Verejnosť, ktorá firmu EVA doteraz nepoznala sa o ňu bude zaujímať viac než ve-
rejnosť, ktorá firmu EVA pozná.
65
Podobne ako pri hypotéze 1 bolo potrebné dať do závislosti dve premenné – verej-
nosť, ktorá firmu pozná a nepozná (otázka č. 1 spolu s otázkou č. 2) a ďalší záujem
o firmu EVA (otázka č. 11).
Obrázok 25 Závislosť záujmu o firmu od miery poznania firmy verejnosťou
Obrázok 25 ukazuje, že percentuálny podiel verejnosti, ktorá firmu EVA doteraz
nepoznala a chce o ňu ďalej zaujímať je vyšší (45%) než percentuálny podiel ve-
rejnosti, ktorá firmu EVA pozná a ďalej sa o ňu bude zaujímať (33%). Hypotézu 2
teda prijímame a predpoklad, že reklamný charakter dotazníka vzbudí záujem
u verejnosti, ktorá firmu EVA nepozná, bol správny.
Štatisticky sme skúmali taktiež silu závislosti dvoch nominálnych premenných
pomocou chí kvadrátu (χP2) podľa postupu pre testovanie štatistických hypotéz.
krok 1.: Stanovenie H0 : premenné sú nezávislé
krok 2.: Stanovenie H1 : premenné sú závislé
krok 3: Stanovenie hladiny významnosti α = 0,05
krok 4: Výpočet testovacej charakteristiky
Testovacia štatistika χP2 bola vypočítaná podľa daného vzorca (1) nasledovne:
= 3,111111
33%
45%
0%
36%
67%
18%
0%
10%
20%
30%
40%
50%
60%
70%
poznám nepoznám
Početoznačenív%
Miera poznania firmy verejnosťou
Závislosť záujmu o firmu od miery poznania firmy
verejnosťou
značka ma zaujala a určite sa
o ňu budem aj naďalej
zaujímať
značka ma celkom zaujala,
ale neplánujem sa o ňu ďalej
zaujímať
značka ma nezaujala
66
Kritická hodnota = 5,991465
krok 5: Rozhodnutie o zamietnutí alebo nezamietnutí H0.
Hodnota χP2 je menšia ako vypočítaná kritická hodnota, a preto H0 prijímam
a zamietam H1. Premenné sú teda nezávislé a namerané hodnoty sú dôsledkom
náhody.
4.7 Odporúčania pre budúcu marketingovú komunikáciu
Na základe výsledkov prieskumu trhu a s ohľadom na rozvoj marketingovej komu-
nikácie firmy EVA v budúcnosti boli sformulované odporúčania rozčlenené podľa
jednotlivých nástrojov komunikačného mixu.
Komunikácia súvisiaca so zmenou značky
a) oboznámiť zákazníkov, obchodných partnerov a celú verejnosť
s rebrandingom firmy EVA – priblížiť nový firemný dizajn (víziu, slogan,
logo a ďalšie prvky v zmysle kapitoly 4.6) prostredníctvom oznamovacieho
listu (príloha H). Toto odporúčanie je možné klasifikovať aj ako využitie
priameho marketingu.
Reklama, online marketing
b) rozvíjať internetovú stránku, ktorú mnohí zákazníci už dlhodobo požadu-
jú, čo sa napokon odrazilo aj v primárnom prieskume I (55% respondentov
z reprezentatívnej vzorky zákazníkov označilo internetovú stránku
ako chýbajúcu formu komunikácie) a realizovať internetový obchod, pro-
stredníctvom ktorého by firma mohla získať mnoho nových zákazníkov
a zároveň nemusela zvyšovať náklady na prevádzku skladu alebo maloob-
chodu,
c) rozšíriť okruh potenciálnych zákazníkov prostredníctvom sociálnych
sietí, v rámci ktorých by sa mala firma zamerať najmä na profily športových
obchodov; v tomto smere by mohlo ísť taktiež o umiestnenie reklamy na so-
ciálnych sieťach,
67
d) rozširovať portfólio výrobkov a navrhovať nové vzory pre výrobky - vy-
radiť vzory, o ktoré už zákazníci neprejavujú záujem a nahradiť ich novými,
modernými vzormi,
e) aplikovať tzv. exteriérne médiá (firemný štít na budove firmy a reklama
na firemnom aute) v čo najkratšom čase; tento nástroj umožňuje jednodu-
chú identifikáciu firmy a zároveň je výborným nástrojom prezentácie firmy
navonok,
Podpora predaja
f) umožniť zákazníkom navrhnutie vlastného vzoru použitého na výrob-
koch a túto možnosť aplikovať aj na internetovej stránke prostredníc-
tvom softvéru alebo flashovej aplikácie; tento nástroj podpory predaja by sa
mohol osvedčiť najmä pri zotrvaní návštevníka internetovej stránky
na stránke firmy EVA,
g) aplikovať zľavové kupóny, či už v tlačených médiách alebo na interneto-
vých stránkach, ktoré sú zamerané na zhromažďovanie voucherov (kupó-
nov, poukazov); jednalo by sa o stimuláciu predaja poskytovaním kupónov
a zľavnených cien v rámci podpory predaja,
Public relations
h) pravidelne uverejňovať články o dianí vo firme v regionálnych mé-
diách; takto uskutočňované public relations je dostatočným predpokladom
pre to, aby si zákazníci firmu EVA ukotvili v pamäti,
i) vyhľadávať komunity výrobcov podobného tovaru (napr. prostredníc-
tvom katalógov firiem), komunikovať s nimi a získavať budúcich potenciál-
nych partnerov pre efektívne využívanie finančných prostriedkov určených
na marketing firmy (napr. formou spoločne zadaných výskumov trhu),
j) zvážiť účasť firmy EVA na veľtrhoch a výstavách, ktoré sú zamerané
na prezentáciu pletených výrobkov, resp. na ich výrobu,
k) vo väčšej miere využívať formu sponzoringu, napríklad pre športové trie-
dy na základných školách, športové kluby a pod. a ako protihodnotu
68
za sponzoring požadovať od sponzorovaného účastníka uverejnenie loga
firmy EVA spolu s informáciou o jej internetovej stránke.
Navrhované odporúčania je potrebné každoročne ekonomicky vyhodnocovať
a merať efektívnosť marketingovej komunikácie prostredníctvom prieskumu trhu
zameraného na túto predmetnú oblasť. Firma EVA by tak získavala dôležité infor-
mácie, na základe ktorých by prijala rozhodnutia smerujúce k rozvoju firmy
a k splneniu svojej vízie byť vyhľadávanou firmou s moderným spôsobom marke-
tingovej komunikácie.
69
Záver
V súčasnosti je enormne ťažké vybudovať na trhoch silnú obchodnú značku, ktorá
by sa pre zákazníkov stala symbolom istoty, kvality a spoľahlivosti. „Firmy aj naďa-
lej prekonávajú prekážky, ktoré spôsobila hospodárska kríza a musia znižovať ná-
klady na výrobu, pričom väčšina z nich sa pohybuje na hranici zisku a straty.
V blízkej budúcnosti by preto malo byť prvoradým cieľom týchto firiem urobiť
všetko pre to, aby si udržali súčasných zákazníkov a prilákali nových zákazníkov.
Proces budovania silnej značky si vyžaduje predovšetkým jasne formulovanú víziu
a efektívnu stratégiu. Jednou z ciest, ktoré môžu pomôcť firmám, je „byť iný ako
konkurencia“ a ponúknuť zákazníkom emóciu vyjadrenú značkou. Firmy sa musia
vymaniť z nástrah vonkajšieho prostredia a byť vždy pripravené „prežiť krízu“.“
Cieľom tejto diplomovej práce bolo spracovať teoretické poznatky z oblasti budo-
vania obchodnej značky (branding) a jej zmeny (rebranding), na základe analýzy
súčasného stavu predmetnej problematiky v konkrétnej firme navrhnúť jednotlivé
fázy jej rebrandingu a prostredníctvom prieskumu vyhodnotiť vplyv rebrandingu
na imidž firmy. Tento cieľ bol splnený, pričom v závere práce boli navrhnuté od-
porúčania pre budúcu marketingovú komunikáciu firmy.
Analýzou súčasného stavu značky EVA boli zistené rozsiahle nedostatky predo-
všetkým vo firemnom dizajne a v marketingovej komunikácii. V rámci primárneho
prieskumu I bolo zistené, že súčasné logo firmy EVA je nemoderné a zastarané
(87% respondentov) a 82% respondentov žiada jeho zmenu. Podobná nespokoj-
nosť respondentov bola taktiež s grafikou na etiketách a vizitkách. Nedostatky boli
zistené taktiež v komunikácii so zákazníkmi, pričom väčšina respondentov
ako chýbajúci prvok marketingovej komunikácie uviedla internetovú stránku fir-
my. Analýza súčasného stavu teda poukázala na nedostatky v marketingovej ko-
munikácii firmy a nespokojnosť s niektorými grafickými prvkami. V nadväznosti
na tieto výsledky bol v ďalšej časti práce vytvorený grafický návrh obchodnej
značky firmy EVA (logo, vizitky, reklamné materiály a i.) a sformulovaná vízia
a slogan firmy. Na základe návrhu týchto prvkov bol uskutočnený primárny prie-
skum II zameraný na posúdenie nového dizajnu a marketingovej komunikácie, cie-
ľom ktorého bolo zistiť ako zákazníci, zamestnanci a verejnosť vnímajú návrhy
70
pre nové logo, jeho farebnú kombináciu, slogan a ktoré komunikačné nástroje po-
važujú za najdôležitejšie.
Logo vybrané respondentmi v primárnom prieskume II bolo prijaté a taktiež bol
vytvorený jeho farebný variant, ktorým sa zároveň určili firemné farby.
Z primárneho prieskumu II taktiež vyplynul následný 43%-tný záujem responden-
tov z okruhu verejnosti, čo pre firmu EVA predstavuje zaujímavé percento poten-
ciálnych zákazníkov.
V ďalšej časti práce boli navrhnuté jednotlivé fázy rebrandingu, prostredníctvom
ktorých môže firma zaujať dôležité miesto na trhu. Zároveň boli pre firmu EVA na-
vrhnuté odporúčania pre budúcu marketingovú komunikáciu, pretože pre podob-
né firmy je existenčne dôležité neustále ponúkať zákazníkom niečo nové a zaují-
mavé, aby zákazníci neodišli ku konkurencii. V rámci odporúčaní bolo vedeniu fir-
my navrhnuté priblížiť nový firemný dizajn všetkým zákazníkom, rozšíriť portfólio
výrobkov, rozvíjať internetovú stránku a elektronický obchod, využiť možnosti
sociálnych sietí a prostredníctvom nich rozšíriť okruh potenciálnych zákazníkov,
umožniť zákazníkom vytvárať si vlastné vzory na výrobkoch, zaviesť zľavové ku-
póny na internetových stránkach zameraných na zhromažďovanie zliav a taktiež
bolo firme EVA navrhnuté zúčastňovať sa na veľtrhoch
a výstavách, prostredníctvom ktorých by firma mohla získavať nových obchodných
partnerov.
Navrhnuté odporúčania sú len prvou fázou pre zlepšenie marketingovej komuni-
kácie firmy EVA, pretože je dôležité nezostať pri zrealizovaní len vyššie uvedených
odporúčaní, ale je potrebné neprestajne prinášať niečo nové, čo zákazníkov zaujme
a odradí ich od konkurencie. Budovanie silnej a stabilnej značky je teda dlhodobý
proces, ktorý vyžaduje neustálu snahu firmy bojovať o zákazníkov, starať sa o nich
a využívať pri tom všetky osvedčené tradičné a nové marketingové prístupy.
71
Zoznam použitej literatúry
AAKER, D. A. 2003. Brand building: budování obchodní značky. Brno : Computer
Press, 2003. 328 s. ISBN 80-7226-885-6.
AIREY, D. 2010. Logo: Nápad, návrh, realizace. Brno : Computer Press, 2010. 213 s.
ISBN 978-80-2513-151-0.
AMERICAN MARKETING ASSOCIATION. 2011. Dictionary. [online]. 2011. [2011-
11-12]. Dostupné na internete:
<http://www.marketingpower.com/_layouts/Dictionary.aspx?dLetter=B#brand+
name>.
BAKER, M. J. - BALMER, J. M. T. 1997. Visual identity: trappings or substance? In
European Journal of Marketing. [online]. 1997, vol. 31, no. 5/6 [cit. 2011-11-19].
Dostupné na internete:
<http://core.ecu.edu/engl/kaind/6700/notes/Visual%20Identity%20trappings.ht
m>. ISSN 0309-0566.
BLEYOVÁ, D. 2009. Dobrá firemná značka potrebuje jasne definovanú stratégiu. In
Zisk. [online]. 2009, vol. 07-08 [cit. 2012-02-10]. Dostupné na internete:
<http://www.ezisk.sk/825/DOBRA-FIREMNA-ZNACKA-POTREBUJE-JASNE-
DEFINOVANU-STRATEGIU_14840.aspx>. ISSN 1337-915.
DALY, A.; MOLONEY, D. 2004. Managing corporate rebranding. In Irish Marketing
Review. [online]. 2004, vol. 17, no. 1/2 [cit. 2011-11-19]. Dostupné na internete:
<http://citeseerx.ist.psu.edu/viewdoc/download?doi=10.1.1.112.1096&rep=rep1
&type=pdf#page=32>. ISSN 0709-7362.
DE CHERNATONY, L. 2009. Značka: od vize k vyšším ziskům. Brno : Computer Pre-
ss, 2009. 352 s. ISBN 978-80-251-2007-1.
DOHNAL, J. 2002. Řízení vztahů se zákazníky – procesy, pracovníci, technologie.
Praha: Grada Publishing, 2002. 161 s. ISBN 80-247-0401-3.
72
FORET, M. - PROCHÁZKA, P. - URBÁNEK, T. 2005. Marketing – základy a principy.
Brno : Computer Press, 2005. 167 s. ISBN 80-251-0790-6.
FORIŠEK, M. 2005. Základy typografie. [online]. 2005. [cit. 2012-02-15]. Dostupné
na internete:
<http://www.ucmeradi.sk/plain.php/typografia.pdf?fetch=100&file=386&hfile=a
79c473c5951fea49a470dd272c41def&full=1&lang=1&ident=1&da_show=231>.
HEALEY, M. 2008. Co je branding? Praha : Slovart, 2008. 256 s. ISBN 978-80-7391-
167-6.
ISAKSON, P. 2008. Modern brand building. [online]. 2008. [cit. 2011-11-12]. Do-
stupné na internete: <http://www.slideshare.net/paulisakson/modern-brand-
building-presentation>.
JOBBER, D. 2011. Brands – building a brand. [online]. 2011. [cit. 2011-11-08].
Dostupné na internete:
<http://tutor2u.net/business/marketing/brands_building_brands.asp>.
JUNTEN, M. 2011. Corporate rebranding processes in small companies. [online]. Ou-
lu : University of Oulu, 2011. 281 s. [cit. 2012-12-18]. Dostupné na internete:
<http://herkules.oulu.fi/isbn9789514294518/isbn9789514294518.pdf>. ISBN
978-951-42-9451-8.
JURÍK, J. 2012. Písma – delenie fontov – a ich primerané použitie. [online]. 2012.
[cit. 2012-02-15]. Dostupné na internete: <http://tvorim.net/typografia/70-
pisma-delenie-fontov-a-ich-primerane-pouzitie>.
KAIKATI, J. G. 2003. Lessons from Accenture's 3Rs: rebranding, restructuring and
repositioning. In Journal of Product & Brand Management. [online]. 2003, vol. 12,
no. 7 [cit. 2011-11-21]. Dostupné na internete:
<http://www.esnips.com/displayimage.php?album=2120925&pid=17163195>.
ISSN 1061-0421
KELLER, K. L. 2007. Strategické řízení značky. Praha : GRADA, 2007. 800 s. ISBN
978-80-247-1481-3.
73
KOTLER, P. 2001. Marketing Management. 10. roz. vyd. Praha : Grada Publishing,
2001. 720 s. ISBN 80-247-0016-6.
KOTLER, P. 2007. Moderní marketing. [online]. Praha : Grada publishing, 2007.
1041 s. [cit. 2012-02-12]. Dostupné na internete:
<http://books.google.cz/books?id=T_--
3_W9qD8C&printsec=frontcover&dq=modern%C3%AD+marketing&hl=sk&sa=X&
ei=ScVDT8mKJJGg-
wbyv4XmBQ&ved=0CDUQ6AEwAA#v=onepage&q=modern%C3%AD%20marketi
ng&f=false >. ISBN 80-247-1545-2.
KOZÁK, V. 2008. Řízení vztahů se zákazníky (CRM) pro firemní praxi. Brno: Tribun
EU, 2008. 190 s. ISBN 978-80-7399-521-8.
KULÍŠKOVÁ, Z. 2010. Analýza strategie budování firemní značky : bakalárska prá-
ca. [online]. Brno : Masarykova univerzita, 2010. 57 s. [cit. 2012-02-21]. Dostupné
na internete:
<http://is.muni.cz/th/62977/esf_m/62977_diplomova_prace_verejna_cast.docx>
KVASŇOVSKÝ, M. 2010. Teória a psychológia farieb v internetovej komunikácii :
diplomová práca. [online]. Brno : Masarykova univerzita, 2010. 58 s. [cit. 2012-02-
15]. Dostupné na internete: < http://is.muni.cz/th/143241/fi_m/>.
LEHTINEN, J. R. 2007. Aktivní CRM - Řízení vztahů se zákazníky. [online]. Praha:
Grada Publishing, 2007. 158 s. [cit. 2012-02-21]. Dostupné na internete:
<http://books.google.cz/books?id=e13eQCvSfbEC&printsec=frontcover#v=onepa
ge&q&f=false>. ISBN 80-247-1814-9.
LOŠŤÁKOVÁ, H. a kol. 2009. Diferencované řízení vztahů se zákazníky. Praha:
Grada Publishing, 2009. 268 s. ISBN 978-80-247-3155-1.
LUKÁŠOVÁ, R. – NOVÝ, I. a kol. 2004. Organizační kultura. Praha : Grada Publis-
hing, 2004. 176 s. ISBN 80-247-0648-2.
MAČÁT, R. 2011. Barva a její význam v corporate identity : bakalárska práca. [onli-
ne]. Zlín : Univerzita Tomáše Bati, 2011. 83 s. [cit. 2012-02-15]. Dostupné na inter-
nete:
74
<https://portal.utb.cz/wps/PA_StagPortletsJSR168/KvalifPraceDownloadServlet?t
yp=1&adipidno=18700 >.
MAJARO, S. 1996. Základy marketingu. Praha : Grada Publishing, 1996. 312 s. ISBN
80-7169-297-2.
MELEWAR, T.C. - HUSSEY,G. - SRIVORAVILAI, N. 2005. Corporate visual identity:
The re-branding of France Télécom. In Journal of Brand Management. [online].
2005, vol. 12, no. 5 [cit. 2011-11-15]. Dostupné na internete:
<http://eiz.snk.sk:3005/eds/pdfviewer/pdfviewer?sid=d4b905f8-98d9-4cc3-
b9f2-d040d7a5f633%40sessionmgr110&vid=1&hid=124>. 1350-231X
MUZELLEC, L. - DOOGAN, M. - LAMBKIN, M. 2003. Corporate rebranding - an ex-
ploratory review. In Irish Marketing Review. [online]. 2003, vol. 16, no. 2. [cit.
2011-11-19]. Dostupné na internete:
<http://citeseerx.ist.psu.edu/viewdoc/download?doi=10.1.1.133.5491&rep=rep1
&type=pdf#page=33>. ISSN 0709-7362.
MUZELLEC, L. 2006. What is in a name change? Re-joycing corporate names to
create corporate brands. In Corporate Reputation Review. [online]. 2006, vol. 8, no.
4 [cit. 2011-11-16]. Dostupné na internete:
<http://reputationinstitute.com/crr/V08/Muzellec_Vol8_N4.pdf>. ISSN 1479–
1889.
MUZELLEC, L. - LAMBKIN, M. 2006. Corporate rebranding: destroying, transfer-
ring or creating brand equity? In European Journal of Marketing. [online]. 2006,
vol. 40, no. 7/8 [cit. 2011-11-19]. Dostupné na internete:
<http://books.google.com/books?id=auYZ_H_entwC&printsec=frontcover&hl=sk#
v=onepage&q&f=false>. ISSN 0309-0566.
OLINS, W. 2009. O značkách. Praha : Dokořán, 2009. 253 s. ISBN 978-80 -7363-
261-8.
PŘIBOVÁ M. a kol. 2000. Strategické řízení značky. Praha : EKOPRESS, 2000. 148
s. ISBN 80-86119-27-0.
75
STRIŠŠ, J. 2005. Marketing a marketingová komunikácia. Žilina : Žilinská univerzi-
ta, 2005. 144 s.
STUART, H. - MUZELLEC, L. 2004. Corporate makeovers: Can a hyena be rebran-
ded? In Journal of Brand Management. [online]. 2004, vol. 11, no. 6 [cit. 2011-11-
19]. Dostupné na internete:
<ftp://ftp.cba.uri.edu/classes/oliver/Jay's%20Dissertation/corporate%20rebrand
ing.pdf>. ISSN 1350-231X.
TAYLOR, D. 2007. Brand management. Brno : Computer Press, 2007. 226 s. ISBN
978-80-251-1818-4.
VAN DEN BOSCH, A. L. M. 2003. Corporate visual identity management: Current
practices, impact, and assessment. [online]. Alblasserdam (NL) : Haveka bv, 2003.
177 s. [cit. 2011-11-22]. Dostupné na internete:
<http://doc.utwente.nl/50850/1/thesis_A.vandenBosch.pdf>. ISBN 90-365-2265-
X.
VYSEKALOVÁ, J. – KOMÁRKOVÁ, R. 2001. Psychologie reklamy. Praha : Grada
Publishing, 2001. 221 s. ISBN 80-247-9067-X.
VYSEKALOVÁ, J. – MIKEŠ, J. 2009. Image a firemní identita. Praha : Grada Publis-
hing, 2009. 192 s. ISBN 978-80-247-2790-5.
WHEELER, A. 2003. Designing Brand Identity. USA : John Wiley & Sons, 2003. 229
s. ISBN 0-471-21326-8.
76
Prílohy
Príloha A Pojmová mapa
Príloha B CD médium – diplomová práca a jej prílohy v elektronickej podobe
Príloha C Kritériá pre ohodnotenie značky podľa L. de Chernatonyho (2009)
Príloha D Dotazník
Príloha E Vyhodnotenie otázok primárneho prieskumu I a II
Príloha F Farby a písmo
Príloha G Grafické návrhy pre logo
Príloha H Oznamovací list zákazníkom
Príloha I Návrh článku v novinách
Príloha J Katalóg výrobkov
77
Príloha A Pojmová mapa
78
Príloha B CD médium – práca a jej prílohy v elektronickej podobe
79
Príloha C Kritériá pre ohodnotenie značky podľa L. de Chernatonyho (2009)
Atraktívna značka zamestnávate-
ľa
Silné vodcovstvo a presvedčenie Značka prinesie plánovanú budúcnosť
Zamestnanci si uvedomujú víziu značky
Inšpiruje zamestnancov Robí svet lepším
Zamestnanci poznajú hodnoty, súhla-
sí s nimi, aktívne ich premieňajú
v očakávané správanie
Podporuje víziu
Podporuje subkulúry
Silná, vhodná a adaptabilná kultúra
Prijímanie nových pracovníkov
podporuje kultúru
Motivujúce ciele generujú zmeny
Zamestnanci poznajú ciele a podporujú
ich
Vhodné katalytické mechanizmy
Dosiahnutie dlhodobých a krátkodobých
cieľov
Zamestnanci poznajú a podporujú
vhodné správanie príslušnosti ku
značke
Pozícia, osobnosť a prísľub značky je
rozpoznávaný a oceňovaný
Koherentnosť pyramídy značky
Ochrana kľúčových kompetencií
a prínosy z učení
Nomenklatúra značky vyvoláva rýchle
informácie o prínosoch
Vhodný systém dodávania hodnôt
značky
Vítanie vzťahov
Dobré služby
Dôvera v značku
Potvrdenie identít pracovníkov
v rámci tímu
Právna ochrana
Skutočné vzťahy so správne vybera-
nými účastníkmi
Uznanie emočných ziskov
Vhodný prístup k empowermentu
Nesľubuje priveľa
Integrovaná ponuka
Externí účastníci poznajú a oceňujú
hodnoty
Podstata značky
Implementácia
a zdroje značky
Blok procesu
budovania
značky
Interné ohodnotenie Externé ohodnotenie
Vízia
Firemná
kultúra
Ciele
80
Príloha D Dotazník
Vážený respondent,
pred sebou máte dotazník týkajúci sa firemného dizajnu firmy EVA. Dotazník je anonymný a zistené vý-
sledky budú použité výhradne pre účely mojej diplomovej práce.
Pri každej otázke prosím označte len jednu možnosť (ak nie je uvedené inak).
Bc. Radka Makovičová
1. Poznáte firmu EVA?
□ áno □ nie
2. Vo vzťahu k nej ste:
□ zákazník □ zamestnanec □ verejnosť
ČASŤ A - SÚČASNÝ DIZAJN
3. Ako vnímate súčasné logo firmy EVA?
Logo firmy EVA
úplne
súhlasím
súhlasím
neviem sa vyjad-
riť, (*nepoznám
firmu EVA)
súhlasím
úplne
súhlasím
pútavé, zaují-
mavé
□ □ □ □ □ nezaujímavé
moderné □ □ □ □ □ nemoderné,
zastarané
celkovo sa mi
páči
□ □ □ □ □ celkovo sa mi
nepáči
*vystihuje
oblasť pod-
nikania
□ □ □ □ □
*nevystihuje
oblasť podni-
kania
*nie je potreb-
né meniť logo
□ □ □ □ □ *uvítal/a by
som zmenu loga
4. Zachytili ste v regionálnej tlači reklamu firmy EVA?
□ áno □ nie
ĎALŠIE OTÁZKY SA TÝKAJÚ LEN ZÁKAZNÍKOV FIRMY EVA.
5. Akú formu komunikácie najčastejšie využívate pri komunikovaní s firmou EVA? (môžete
označiť aj viacero možností)
□ osobná komunikácia
□ telefonická/faxová komunikácia
□ e-mailová komunikácia
□ klasická poštová komunikácia
□ iné: ..............................................................
81
Akú inú formu komunikácie by ste uvítali, resp. čo Vám pri komunikácii chýba?
......................................................................................................................................................................................................
5. Do akej miery ste spokojný/á s grafikou používanou na obaloch, etiketách, vizitkách firmy
EVA a so vzormi na výrobkoch?
veľmi spokoj-
ný/á
spokojný/á
neviem po-
súdiť
nespokojný/á
veľmi nespokoj-
ný/á
grafika obalov □ □ □ □ □
grafika etikiet □ □ □ □ □
grafika vizitiek □ □ □ □ □
vzory na výrob-
koch
□ □ □ □ □
ČASŤ B - NOVÝ DIZAJN
Firma EVA pôsobí ako výrobca drobného pleteného tovaru na slovenskom a českom trhu od roku
1992, kedy bola zahájená výroba vo výrobnej prevádzke v Dubnici nad Váhom. Firma od svojho vzni-
ku kladie veľký dôraz na kvalitu svojich výrobkov, dôkazom čoho sú mnohé získané certifikáty na ple-
tené výrobky a priadzu. V priebehu roka 2012 firma plánuje dôležitú zmenu, ktorá sa týka firemného
dizajnu vrátane zavedenia nových vzorov a celkovej komunikácie smerom k zákazníkom. Zmena sa
dotkne loga, internetovej stránky, katalógu výrobkov a množstva nových výhod určených všetkým
zákazníkom.
Vážime si Váš názor, a preto by sme Vás chceli požiadať o pomoc pri vytváraní nového firemného di-
zajnu.
Poznáte firmu EVA?
□ áno □ nie
Vo vzťahu k nej ste:
□ zákazník □ zamestnanec □ verejnosť
7. ktorý z nasledujúcich návrhov pre nové logo firmy EVA sa Vám páči najviac?
Logo
3
Logo
1
Logo
2
Logo
4
82
Vaše postrehy, návrhy alebo pripomienky k novému logu:
...............................................................................................................................................................................................................
...............................................................................................................................................................................................................
8. Vyhovuje Vám farebná kombinácia a typ písma Vami vybraného loga?
□ áno, farba aj typ písma mi vyhovujú
□ nie, zvolil/a by som iné (prosím uveďte aké):
.............................................................................................................................................................................................
............................................................................................................................................................................................
Logo
5
Logo
6
Logo
7
Logo 8
Logo
9
Logo 10
Logo
11
Logo 12
Logo 13 Logo 14
Logo 15
Logo 16
83
9. Ktorý z nasledujúcich sloganov podľa Vás najviac vystihuje firmu EVA?
□ EVA - všetko pre komfort Vašich nôh
□ EVA - komfort pre Vaše nohy
□ EVA - kvalita a zdravie pre Vaše nohy
□ EVA - ...pre zdravie Vašich nôh
□ EVA - ... pre pohodlie Vašich nôh
□ EVA - pohodlné ponožky
□ EVA - nohy v suchu
□ EVA - ... pre nohy ako v bavlnke
□ EVA - ... pre Vaše nohy
□ EVA - ...postavia Vás na nohy
□ EVA – všetky veľké objavy urobte
s ponožkami od EVY
□ Eva ponožky zdolajú všetky prekážky
□ Váš návrh:
...........................................................................................
...........................................................................................
..........................................................................................
10. Aká forma komunikačných nástrojov je pre Vás najdôležitejšia? (môžete označiť viacero možností)
□ orientačná grafika
□ vizitky
□ firemné odevy
□ potlač firemného auta
□ darčekové predmety
□ grafika obalov
□ internetová stránka firmy
□ katalóg výrobkov
□ maloplošná reklama (inzeráty, reklamy v tlačových a elektronických médiách a pod.)
□ veľkoplošná reklama (billboardy, potlač áut a pod.)
□ iné: ................................................................
11. Zvýšil sa Váš záujem o túto značku, resp. budete sa o firmu EVA aj naďalej zaujímať?)
□ áno, značka ma zaujala a určite sa o ňu budem aj naďalej zaujímať
□ značka ma celkom zaujala, ale neplánujem sa o ňu ďalej zaujímať
□ značka ma nezaujala
Ďakujem za Vašu trpezlivosť a čas pri vyplňovaní dotazníka!
AK VÁS NAŠA FIRMA ZAUJALA MÔŽETE NÁS KONTAKTOVAŤ PROSTREDNÍCTVOM E-MAILU
EVAMAKOVICOVA@GMAIL.COM, TELEFONICKY NA TEL. Č. 0907165362 ALEBO OSOBNE NA ADRESE
KUKUČÍNOVA 508/6 DUBNICA N/V.
84
Príloha E Vyhodnotenie otázok primárneho prieskumu I a II
Otázka č. 1 a 2
Zastúpenie respondentov a ich vedomosť o firme EVA
Otázka č. 1 a č. 2 zákazník zamestnanec verejnosť celkom celkom v %
poznám firmu EVA 43 5 3 51 82%
nepoznám firmu EVA 0 0 11 11 18%
celkom 43 5 14 62 100%
celkom v % 69% 8% 23% 100%
Otázka č. 3 (vo vzťahu k otázke č. 2)
Názor respondentov na súčasné firemné logo
Logo je pú-
tavé, zaují-
mavé
úplne
súhlasím
súhlasím
neviem sa vyjad-
riť (nepoznám
firmu EVA)
súhlasím
úplne súhla-
sím
Logo je
nezaují-
mavé
zákazník 0 3 3 23 14 zákazník
zamestnanec
0 0 0 3 2
zamestna-
nec
verejnosť 0 2 0 8 4 verejnosť
celkom 0 5 3 34 20 62
celkom v % 0% 8% 5% 55% 32% 100%
Logo je mo-
derné
úplne
súhlasím
súhlasím
neviem sa vyjad-
riť (nepoznám
firmu EVA)
súhlasím
úplne súhla-
sím
Logo je
nemoder-
né, zasta-
rané
zákazník 0 4 2 30 7 zákazník
zamestnanec
0 0 0 3 2
zamestna-
nec
verejnosť 0 2 0 10 2 verejnosť
celkom 0 6 2 43 11 62
celkom v % 0% 8% 5% 55% 32% 100%
Logo sa mi
celkovo páči
úplne
súhlasím
súhlasím
neviem sa vyjad-
riť (nepoznám
firmu EVA)
súhlasím
úplne súhla-
sím
Logo sa mi
celkovo
nepáči
zákazník 0 3 8 30 2 zákazník
zamestnanec
0 0 0 5 0
zamestna-
nec
verejnosť 0 0 2 11 1 verejnosť
celkom 0 3 10 46 3 62
celkom v % 0% 8% 5% 55% 32% 100%
85
Vystihuje
oblasť pod-
nikania
úplne
súhlasím
súhlasím
neviem sa vyjad-
riť (nepoznám
firmu EVA)
súhlasím
úplne súhla-
sím
Nevystihu-
je oblasť
podnika-
nia
zákazník 0 0 0 14 29 zákazník
zamestnanec
0 0 0 0 5
zamestna-
nec
verejnosť 0 0 11 0 3 verejnosť
celkom 0 0 11 14 37 62
celkom v % 0% 8% 5% 55% 32% 100%
Nie je po-
trebná
zmena loga
úplne
súhlasím
súhlasím
neviem sa vyjad-
riť (nepoznám
firmu EVA)
súhlasím
úplne súhla-
sím
Uvítal/a
by som
zmenu
zákazník 0 0 0 5 38 zákazník
zamestnanec
0 0 0 0 5
zamestna-
nec
verejnosť 0 0 11 3 0 verejnosť
celkom 0 0 11 8 43 62
celkom v % 0% 0% 18% 13% 69% 100%
Otázka č. 4 (vo vzťahu k otázke č. 2)
Názor respondentov na súčasné firemné logo
Otázka č. 4 zákazník zamestnanec verejnosť celkom
celkom v
%
áno, zachytil/a 7 5 1 13 21%
nie, nezachytil/a 36 0 13 49 79%
celkom 43 5 14 62 100%
celkom v % 69% 8% 23% 100% 100%
Otázka č. 5
Najčastejšia forma komunikácie s firmou EVA
Otázka č. 5 počet označení počet označení v %
osobná komunikácia 31 40%
telefonická/faxová komunikácia 18 23%
e-mailová komunikácia 28 36%
poštová komunikácia 1 1%
chýbajúca internetová stránka 23 29%
86
Otázka č. 6
Spokojnosť s grafikou
Otázka č. 6 veľmi spo-
kojný
spokojný
neviem
posúdiť
nespokojný veľmi ne-
spokojný
grafika obalov 63% 30% 7% 0% 0%
grafika etikiet 5% 19% 5% 44% 28%
grafika vizitiek 19% 56% 5% 21% 0%
vzory na výrobkoch 60% 35% 0% 5% 0%
Otázka č. 7 (vo vzťahu k otázke č. 2)
Nové logo firmy
Otázka
č. 7
zákazníci zamestnanci verejnosť celkom
počet
označe-
ní
počet
označení
v %
počet
označe-
ní
počet
označení
v %
počet
označe-
ní
počet
označení
v %
počet
označe-
ní
počet
označení
v %
logo 1 5 12% 0 0% 1 7% 6 10%
logo 3 5 12% 0 0% 1 7% 6 10%
logo 5 0 0% 0 0% 2 14% 2 3%
logo 6 3 7% 0 0% 2 14% 5 8%
logo 8 4 9% 0 0% 0 0% 4 6%
logo 9 1 2% 0 0% 1 7% 2 3%
logo 10 2 5% 0 0% 1 7% 3 5%
logo 12 13 30% 4 80% 4 29% 21 34%
logo 14 4 9% 0 0% 0 0% 4 6%
logo 15 0 0% 0 0% 2 14% 2 3%
logo 16 6 14% 1 20% 0 0% 7 11%
celkom 43 100% 5 100% 14 100% 62 100%
87
Otázka č. 8 (vo vzťahu k otázke č. 7)
Farebná kombinácia a typ písma
Otázka
č. 8
farba aj typ písma mi vyho-
vujú
zvolil/a by som iné Celkom
počet ozna-
čení
počet označení
v %
počet
označení
počet označení
v %
celkom
celkom v
%
logo 1 3 7,14% 3 15,00% 6 9,68%
logo 3 1 2,38% 5 25,00% 6 9,68%
logo 5 2 4,76% 0 0,00% 2 3,23%
logo 6 0 0,00% 5 25,00% 5 8,06%
logo 8 4 9,52% 0 0,00% 4 6,45%
logo 9 0 0,00% 2 10,00% 2 3,23%
logo 10 2 4,76% 1 5,00% 3 4,84%
logo 12 19 45,24% 2 10,00% 21 33,87%
logo 14 3 7,14% 1 5,00% 4 6,45%
logo 15 2 4,76% 0 0,00% 2 3,23%
logo 16 6 14,29% 1 5,00% 7 11,29%
celkom 42 100% 20 100% 62 100%
Otázka č. 9 (vo vzťahu k otázke č. 2)
Slogan
Otázka č. 9
zákazník zamestnanec verejnosť Celkom
počet
označení
%
počet
označení
%
počet
označení
% celkom
celkom
v %
EVA - všetko pre kom-
fort Vašich nôh
2 5% 1 20% 0 0% 3 5%
EVA - komfort pre
Vaše nohy
3 7% 0 0% 0 0% 3 5%
EVA - kvalita a zdravie
pre Vaše nohy
3 7% 0 0% 0 0% 3 5%
EVA ...pre zdravie
Vašich nôh
1 2% 0 0% 0 0% 1 2%
EVA ... pre pohodlie
Vašich nôh
2 5% 0 0% 0 0% 2 3%
EVA - pohodlné po-
nožky
3 7% 1 20% 0 0% 4 6%
EVA - nohy v suchu 1 2% 0 0% 2 14% 3 5%
EVA ... pre nohy ako
v bavlnke
22 51% 3 60% 7 50% 32 52%
EVA ... pre Vaše nohy 3 7% 0 0% 1 7% 4 6%
EVA ...postavia Vás na
nohy
0 0% 0 0% 1 7% 1 2%
EVA – všetky veľké
objavy urobte
s ponožkami od EVY
1 2% 0 0% 2 14% 3 5%
Eva ponožky zdolajú
všetky prekážky
2 5% 0 0% 1 7% 3 5%
88
Otázka č. 10 (vo vzťahu k otázke č. 2)
Dôležitosť konkrétnych propagačných prvkov
zákazníci zamestnanci verejnosť celkom
orientačná grafika 15 2 11 28
vizitky 16 5 9 30
firemné odevy 14 4 6 24
potlač firemného auta 21 5 4 30
darčekové predmety 9 1 11 21
grafika obalov 19 5 9 33
internetová stránka firmy 36 5 10 51
katalóg výrobkov 30 3 9 42
maloplošná reklama 21 2 5 28
veľkoplošná reklama 11 2 2 15
Otázka č. 11(vo vzťahu k otázke č. 2)
Záujem o značku
Otázka č. 11
áno, značka ma zaujala
a určite sa o ňu budem aj
naďalej zaujímať
značka ma celkom
zaujala, ale neplánu-
jem sa o ňu ďalej
zaujímať
značka ma ne-
zaujala
zákazníci 43 0 0
zamestnanci 5 0 0
verejnosť 6 4 4
celkom 54 4 4
89
Príloha F Písmo a psychológia farieb
Spôsob, akým vnímame farby, je jeden z najdôležitejších prvkov pri vytváraní fi-
remného dizajnu. Existujú odvetvia, v ktorých sú určité farby zaužívané, a preto by
firmy s nimi nemali byť v silnom rozpore (napr. firmy poskytujúce nemocničné
materiály, látky a pod. používajú často farby ako zelenomodrá alebo modrá, ktoré
sú farbami čistoty a zdravia). (Mačát, 2011)
Farby v rámci firemného dizajnu majú za úlohu vyvolať u zákazníkov určitý pocit,
dojem a pod.
Všeobecné významy farieb
Podľa J. Vysekalovej a R. Komárkovej (2000) sa jednotlivé významy farieb definujú
nasledovne:
a) červená farba – symbolizuje vzrušenie (napr. láska alebo aj hnev); pôsobí
vznešene, vzbudzuje úctu a obdiv (ZSSR, Čína); zobrazuje energiu, pretváranie
a napredovanie; spája sa s ohňom, krvou alebo nebezpečenstvom a ovplyvňuje
rýchlosť dýchania, pulz či tlak a zároveň podnecuje vznik agresívneho správa-
nia,
b) oranžová farba – symbolizuje slnko, bohatú prírodu a bohatstvo; vzbudzuje
pocit radosti a očakávania,
c) tmavočervená – predstavuje pokoj, mier, spravodlivosť a sebavedomie spoje-
né s vnútornou silou,
d) ružová farba – voľnosť a energia ako nežná aktivita,
e) tmavomodrá farba – zvyšuje význam základnej modrej, nastoľuje mier, spo-
kojnosť, zároveň pôsobí vážne a smutne; je to farba rozjímania, hlbín a diaľok,
f) modrá farba – zrozumiteľne symbolizuje pokoj, sladké, stálosť a je symbolom
matriarchátu,
g) svetlomodrá farba – patrí k najobľúbenejším farbám; znamená bezstarostnú
radosť a vyvoláva predstavu vzduchu a oblohy, ticha a túžby,
h) zelenomodrá farba – tmavé tóny zelenomodrej predstavujú hrdosť, uzavre-
tosť, sebazbožňovanie; svetlá zelenomodrá farba sa používa v spojení
s hygienickou sterilitou,
90
i) zelená farba – zelená farba je spojením dvoch protikladných síl – modrej
a žltej, takže nastáva nehybnosť a kľud; absolútna zelená je potom vyjadrením
statického stavu bez emócií a bez prianí; je to farba nádeje a ekológie,
j) tyrkysová farba – tyrkysová farba podporuje sebavedomie, fantáziu
a spontánnosť; je to farba priateľských citov, sympatie a má ukľudňujúce
účinky na telo i dušu,
k) žltá farba – symbolizuje dynamickú pohybovú energiu; používa sa pre zná-
zorňovanie slnka; ide o základnú farbu, ktorá predstavuje základnú ľudskú po-
trebu rozvíjať sa; znázorňuje nádej, túžbu pre radosť a rozkoš,
l) hnedá farba - predstavuje zem, teplo, bezpečie; ide o farbu mlčanlivú, solídnu
a vážnu; spája sa s predstavou istoty a poriadku,
m) biela farba – znázorňuje uvoľnenie, útek, oslobodenie sa od všetkého, abso-
lútnu slobodu, mier, čistotu, nevinnosť a chlad; je to prázdny priestor, pri kto-
rom má človek tendenciu zaplniť ho,
n) čierna farba – predstavuje konečné rozhodnutie, agresívny vzdor a ochotu
reagovať krajnými prostriedkami,
o) fialová farba - je zložená z teplej ženskej červenej farby a studenej mužskej
modrej farby; ide o farbu kráľovskú - jej výskyt v prírode je ojedinelý; pôsobí
nedosiahnuteľne a mysticky; spája sa s rozvážnosťou, dôstojnosťou
a múdrosťou; podporuje kreativitu; vyvoláva pocit nostalgie a arogancie
(Kvasňovský, 2010),
p) šedá farba – je kombináciou neutrálnej čiernej a bielej; je štýlová, konzerva-
tívna a elegantná; samotná pôsobí nudne a depresívne; hodí sa ku všetkým
farbám – tlmí ich sýtosť; navodzuje pocit staroby, rešpektu a pokory; je farbou
znečistenia a používa sa v spojení s civilizačnými chorobami alebo urbaniz-
mom (Kvasňovský, 2010),
Písmo
Existuje veľa delení písma, všeobecne sa však písma rozdeľujú na pätkové
a bezpätkové. Pätka (serif) je rozšírené zakončenie ťahu pri kreslení písmena.
a) pätkové písmo
AaBbCc
b) bezpätkové písmo
AaBbCc
91
Pätky sa v príklade a) nachádzajú najmä dole na písmene A, v príklade b) na pís-
mene A pätky chýbajú. Podobne je zakončené písmeno C - v príklade a) sú pätky
na konci ťahov a v príklade b) pätky chýbajú. Pätkové písmo všeobecne menej
unavuje oči pri čítaní, preto ho väčšina typografov používa pri sádzaní dlhších tex-
tov. Výhodou bezpätkového písma je, že umožňuje čítať text rýchlejšie. Bezpätkové
písmo sa používa napríklad na nadpisy, poznámky za okrajom a popisy obrázkov.
Takmer všetky firemné logá sa teda tvoria bezpätkovým písmom. (Forišek,
2005)
Využitie písiem v praxi - tlačené texty
Pri tlačených textoch sa používa pätkové písmo - najmä preto, že pätky pomáhajú
očiam vizuálne udržať riadok. Pri väčšom písme pätky ale rozptyľujú pozornosť,
preto sa pri nadpisoch používajú bezpätkové fonty zvýraznené hrubým rezom
(boldom) – avšak časté použitie hrubého písma v texte vyvoláva dojem „šachovni-
ce“. Hrubé písmo je v tlačenom texte vhodné používať pre začiatočné slová - pre
ich zvýraznenie. Na zvýraznenie v texte sa uprednostňuje použitie šikmého písma
(kurzívy). (Jurík, 2012)
Využitie písiem v praxi - digitálne texty (internetové stránky)
Pri digitálnych textoch pätkové písma pri bežnej malej veľkosti monitory cez pixe-
ly nedokážu dostatočne vykresliť, keďže sú graficky komplikovanejšie, preto sú
čitateľnejšie bezpätkové písma. Na lepšie vizuálne udržanie riadka očami sa využí-
va väčší priestor medzi jednotlivými riadkami. (Jurík, 2012)
V prostredí internetu sa, podobne ako pri tlačenom texte, na zvýraznenie textu vy-
užíva najmä hrubé písmo (bold), ale na zvýraznenie textu čítaného cez monitor sú
šikmé písma (kurzívy) nevhodné, keďže sťažujú čitateľnosť. Ak sa predsa použijú,
je lepšie ak v kombinácii s boldom. Internetové stránky, prezentujúce rôzne sub-
jekty, by mali byť typograficky zhodné. Pri internetových stránkach platí tiež pra-
vidlo, že sa majú používať čo najviac rozšírené fonty, aby sa internetová stránka
správne zobrazovala čo najväčšiemu počtu návštevníkov. (Jurík, 2012)
92
Príloha G Grafické návrhy pre logo
Logo 1 Logo 2
Logo 3 Logo 4
Logo 5 Logo 6
Logo 7 Logo 8
Logo 9 Logo 10
Logo 11 Logo 12
Logo 13 Logo 14
Logo 15 Logo 16
93
Príloha H Oznamovací list zákazníkom o rebrandingu
94
Príloha I Návrh článku v novinách
95
Príloha J Katalóg výrobkov
96
97
98
99
100
101
102
103

Obchodná značka

  • 1.
    ŽILINSKÁ UNIVERZITA VŽILINE FAKULTA HUMANITNÝCH VIED 2814320122048 OBCHODNÁ ZNAČKA AKO NÁSTROJ BUDOVANIA VZŤAHU SO ZÁKAZNÍKOM 2012 Bc. Radoslava MAKOVIČOVÁ
  • 2.
    ŽILINSKÁ UNIVERZITA VŽILINE FAKULTA HUMANITNÝCH VIED OBCHODNÁ ZNAČKA AKO NÁSTROJ BUDOVANIA VZŤAHU SO ZÁKAZNÍKOM DIPLOMOVÁ PRÁCA Študijný program: Študijný odbor: Mediamatika a kultúrne dedičstvo Knižnično-informačné štúdiá Školiace pracovisko: Katedra mediamatiky a kultúrneho dedičstva Školiteľ: prof. Ing. Mária Rostášová, PhD. Žilina 2012 Bc. Radoslava MAKOVIČOVÁ
  • 3.
    2 Zadanie záverečnej práce Odbor:Mediamatika a kultúrne dedičstvo Forma štúdia: denná ZADANIE DIPLOMOVEJ PRÁCE Názov diplomovej práce: Obchodná značka ako nástroj budovania vzťahu so zákazníkom Meno, priezvisko, tituly študenta: Bc. Radoslava Makovičová Mejlová adresa študenta: radoslava.makovicova@mediamatika.sk Tel. kontakt študenta: 0907 213 378 Meno, priezvisko, tituly školiteľa DP: prof. Ing. Mária Rostášová, PhD. Pracovisko školiteľa DP: Katedra spojov, Fakulta prevádzky a ekonomiky dopravy a spojov, Žilinská univerzita v Žiline Kontakt (telefonický a mejlový) na školiteľa DP: maria.rostasova@fpedas.uniza.sk, 041/513 31 09 Konzultant (interný tútor) DP: Problém riešený v diplomovej práci: Vplyv obchodnej značky a jej zmeny na vnímanie imidžu firmy zo strany zákazníkov Cieľ diplomovej práce: - rozobrať teoretické prístupy k tvorbe obchodnej značky (branding) a jej zmeny (rebran- ding) - analyzovať súčasný stav predmetnej problematiky vo vybranej firme - návrh jednotlivých fáz rebrandingu firmy EVA (návrh názvu, loga, sloganu a pod.) a vy- hodnotiť vplyv rebrandingu na image firmy vstupnou výskumnou aktivitou - formulovať odporúčania pre budúcu marketingovú komunikáciu firmy. Metódy: analýza, dotazníkový prieskum Praktický prínos: - vytvorenie grafického návrhu obchodnej značky konkrétnej firmy, sformulovanie sloga- nu a ďalších aspektov rebrandingu vo vybranej firme - odporúčania pre budúcu marketingovú komunikáciu firmy, vyúsťujúce do zmeny imidžu firmy. Dátum odovzdania zadania DP: 30. 6. 2011 Dátum odovzdania DP: apríl 2012 V Žiline, dňa 30. 6. 2011 ......................................... ......................................... Podpis študenta Podpis vedúceho DP Vyjadrenie katedry: schvaľujem ......................................... Podpis vedúceho katedry Dátum: Dôvod neschválenia DP:
  • 4.
    3 Abstrakt MAKOVIČOVÁ, Radoslava: Obchodnáznačka ako nástroj budovania vzťahu so zá- kazníkom. [Diplomová práca]. Žilinská univerzita v Žiline. Fakulta humanitných vied; Katedra mediamatiky a kultúrneho dedičstva. Školiteľ: prof. Ing. Mária Rostá- šová, PhD. Stupeň odbornej kvalifikácie: Magister knižničnej a informačnej vedy. Žilina : FHV ŽU, 2012. 103 s. Diplomová práca sa zaoberá problematikou obchodnej značky ako nástroja pre budovanie vzťahu so zákazníkom. Cieľom práce bolo spracovať teoretické po- znatky z oblasti budovania obchodnej značky (branding) a jej zmeny (rebranding) a na základe analýzy súčasného stavu predmetnej problematiky v konkrétnej firme navrhnúť jednotlivé fázy jej rebrandingu a prostredníctvom prieskumu vyhodno- tiť vplyv rebrandingu na imidž firmy. Diplomová práca pozostáva z teoretickej a praktickej časti. Teoretická časť sa zaoberá teoretickými otázkami obchodnej značky, podáva výklad pojmu obchodná značka, jej prínosy, funkcie a charakterizu- je proces budovania obchodnej značky a jej zmeny. Praktickú časť diplomovej prá- ce tvorí analýza súčasného stavu obchodnej značky a firemného dizajnu vo firme EVA, v rámci ktorej bol realizovaný primárny prieskum. Zahŕňa výsledky práce, pričom sa na základe druhého primárneho prieskumu sústreďuje na posúdenie nového dizajnu a marketingovej komunikácie firmy EVA. Súčasťou praktickej časti je taktiež navrhnutie fáz rebrandingu firmy EVA. V závere práce sú na základe vý- sledkov uskutočneného prieskumu navrhnuté konkrétne odporúčania vedúce k zlepšeniu marketingovej komunikácie tejto firmy. Kľúčové slová: Obchodná značka. Zákazník. Branding. Rebranding.
  • 5.
    4 Abstract MAKOVIČOVÁ, Radoslava: Trademarkas a tool for building customer relationship. [The diploma thesis]. Univesity of Žilina. Faculty of Humanities; Department of Mediamatics and Cultural Heritage. Supervisor: prof. Ing. Mária Rostášová, PhD. Qualification level: Master of Library and Information Science. Žilina : FHV ŽU, 2012. 103 p. The diploma thesis deals with the brand as a tool for building customer relation- ship. The goal was to process the theoretical knowledge of building a brand (bran- ding) and its amendments (rebranding) and analyzing the current state of the sub- ject in question in a particular company by designing different phases of its reb- randing and assessing the impact of rebranding on the image of the company thro- ugh a survey. The thesis consists of theoretical and practical parts. The theoretical part deals with theoretical issues of trademark, filed a trademark of the concept, its benefits, features, and describes the process of building a brand and its amen- dments. The practical part of this thesis is the analysis of the current brand and corporate design firm in EVA, in which a primary survey was conducted which includes the results of work while under the second primary survey focused on assessing a new design and marketing communications in firm EVA. The practical part of the design phase is also consisted of rebranding the company EVA. In con- clusion, this work is based on the results of the survey which suggested specific recommendations in order to improve the marketing communications firm. Keywords: Trademark. Customer. Branding. Rebranding.
  • 6.
    5 Obsah Zoznam ilustrácií atabuliek...............................................................................................7 Úvod ............................................................................................................................................9 1 Vymedzenie pojmov obchodná značka a budovanie vzťahu so zákazníkom.................................................................................................................... 11 1.1 Obchodná značka...........................................................................................................11 1.1.1 Budovanie značky – Corporate branding...............................................12 1.1.1.1Prvky brandingu ..............................................................................................14 1.1.1.2Proces budovania značky.............................................................................18 1.1.1.2.1 Tvorba vízie značky.................................................................................19 1.1.1.2.2 Firemná kultúra v rámci tvorby značky..........................................20 1.1.1.2.3 Nastavenie cieľov značky......................................................................20 1.1.1.2.4 Audit vonkajšieho prostredia..............................................................21 1.1.1.2.5 Podstata značky........................................................................................24 1.1.1.2.6 Interná implementácia a zdroje značky..........................................25 1.1.1.2.7 Ohodnotenie značky ...............................................................................26 1.1.2 Zmena značky – Corporate rebranding ..................................................27 1.1.2.1Najčastejšie dôvody pre firemný rebranding.......................................28 1.1.2.2Proces zmeny značky.....................................................................................29 1.2 Budovanie vzťahu so zákazníkom ..........................................................................31 2 Cieľ práce........................................................................................................................ 34 3 Metodika práce a metódy skúmania..................................................................... 35 4 Rebranding firmy EVA ............................................................................................... 41 4.1 Charakteristika firmy EVA .........................................................................................41 4.2 Marketingový mix firmy EVA....................................................................................41 4.3 Dôvody firmy EVA pre rebranding.........................................................................47 4.4 Analýza súčasného firemného dizajnu..................................................................47 4.5 Primárny prieskum I....................................................................................................49 4.6 Návrh firemného dizajnu a marketingovej komunikácie ..............................51 4.6.1 Primárny prieskum II ....................................................................................51 4.6.2 Fázy rebrandingu firmy EVA.......................................................................52 4.7 Odporúčania pre budúcu marketingovú komunikáciu...................................66
  • 7.
    6 Záver........................................................................................................................................ 69 Zoznam použitejliteratúry.............................................................................................. 71 Prílohy..................................................................................................................................... 76
  • 8.
    7 Zoznam ilustrácií atabuliek Obrázok 1 Proces budovania a udržania značky (de Chernatony, 2009) ................... 19 Obrázok 2 Päť síl pôsobiacich na značku (de Chernatony, 2009).................................. 21 Obrázok 3 Názory zákazníkov na značky podľa Schiffmann a Kanuk (de Chernatony, 2009)............................................................................................................................ 23 Obrázok 4 Identifikácia podstaty značky na základe modelu pyramídy (de Chernatony, 2009)............................................................................................................................ 24 Obrázok 5 Osem komponentov atómového modelu značky (de Chernatony, 2009) ............................................................................................................................................... 25 Obrázok 6 Postup riešenia diplomovej práce ........................................................................ 36 Obrázok 7 Ganttov diagram realizácie primárneho prieskumu I................................... 37 Obrázok 8 Ganttov diagram realizácie prieskumu II .......................................................... 39 Obrázok 9 Etikety výrobkov ......................................................................................................... 43 Obrázok 10 Súčasné logo firmy EVA.......................................................................................... 48 Obrázok 11 Súčasné vizitky firmy EVA..................................................................................... 49 Obrázok 12 Vnímanie súčasného loga respondentmi......................................................... 49 Obrázok 13 Spokojnosť s grafikou ............................................................................................. 50 Obrázok 14 Návrhy pre logo firmy EVA................................................................................... 55 Obrázok 15 Farebné kombinácie pre nové logo ....................................................................... 56 Obrázok 16 Výsledné logo a jeho zmenšenina....................................................................... 56 Obrázok 17 Inverzné logo a jeho zmenšenina....................................................................... 56 Obrázok 18 Návrh maloplošnej reklamy ................................................................................. 57
  • 9.
    8 Obrázok 19 Návrhypre reklamný banner............................................................................... 58 Obrázok 20 Návrh dizajnu internetovej stránky .................................................................. 59 Obrázok 21 Závislosť komunikačného nástroja a zákazníkov a verejnosti ............... 59 Obrázok 22 Návrh vizitiek............................................................................................................. 61 Obrázok 23 Návrh etikiet pre jednotlivé série výrobkov.................................................. 62 Obrázok 24 Návrh na polep firemného auta .......................................................................... 62 Obrázok 25 Závislosť záujmu o firmu od miery poznania firmy verejnosťou.......... 65
  • 10.
    9 Úvod Obchodná značka jev súčasnosti jedným z hlavných ukazovateľov úspešnosti fir- my. Venovať pozornosť značkám je však dôležité nielen z hľadiska obľúbenosti a rozvoja firmy ako celku, ale aj pre vplyv značky, jej cieľov a hodnôt na zamest- nancov, ktorí vo firme pracujú. Čím väčšiu pozornosť firma venuje budovaniu sil- nej značky, tým je úspešnejšia. Problematika obchodnej značky, jej budovania a zmeny je v celosvetovom meradle dostatočne prebádaná. Ide však o oblasť, v ktorej sa dejú neustále zmeny či už v módnych trendoch, vo forme a obsahu loga a sloganu alebo vo forme v akej sa fir- my prezentujú a komunikujú (nástup internetových stránok, komunikácia firiem prostredníctvom blogu a pod.). V zahraničí pôsobí mnoho odborníkov, ktorí sa tou- to oblasťou intenzívne zaoberajú a neustále svoje poznatky zhŕňajú do rôznych publikácií a odborných článkov. Väčšinou ide o odborníkov z praxe, ktorí majú overené praktické skúsenosti a ich publikačná činnosť je preto zameraná na prax. Na Slovensku sa budovaním a zmenou značky zaoberá len veľmi malý okruh od- borníkov, ktorí sa tejto oblasti však venujú len okrajovo – ich hlavným zameraním je širšia oblasť v rámci marketingu a nie priamo branding a rebranding. Problematika brandingu a rebrandingu je vo väčšine prípadov v kompetencii uni- verzít alebo národných a nadnárodných korporácií, pričom výsledkom ich skúma- nia býva analýza súčasného stavu obchodných značiek, odhalenie nových trendov a stanovenie odporúčaní pre obchodné značky do budúcnosti s ohľadom na stav technológií, aktuálnych trendov a požiadaviek zákazníkov. Jedným z projektov v rámci Európskej únie, konkrétne vo Walese a Írsku, je od roku 2009 do roku 2012 riešený projekt pod názvom BRAND Project, ktorý je na 75% financovaný z Európskeho fondu pre regionálny rozvoj (ERDF). Do tohto projektu sú zapojené 4 mestá z týchto dvoch krajín, ktoré majú prejsť postupnou zmenou (rebranding sa môže týkať nielen firiem ale aj miest a celých krajín), aby zlepšili svoju povesť, vy- tvorili cezhraničnú spoluprácu, zlepšili prostredie v mestách a prilákali turistov. Cieľom je teda vylepšiť imidž týchto miest, rozšíriť turizmus a taktiež zlepšiť pod- mienky v daných mestách.
  • 11.
    10 Dôvodom pre napísaniediplomovej práce s touto tematikou bol stúpajúci počet uskutočnených rebrandingov značiek v dôsledku nárastu konkurencie, čím narastá aj potreba budovania silných a stabilných značiek. Firmy sa preto musia zameria- vať na obraz, ktorý ponechávajú v mysliach verejnosti, musia zaujať a priniesť nie- čo nové. Cieľom diplomovej práce bolo spracovať teoretické poznatky z oblasti budovania značky (branding), zmeny značky (rebranding) a na základe analýzy súčasného stavu tejto problematiky v konkrétnej firme vytvoriť návrh jednotlivých fáz pre jej rebranding. V závere práce sú navrhnuté konkrétne odporúčania pre budúcu mar- ketingovú komunikáciu firmy. Diplomová práca je rozdelená do štyroch kapitol. Prvá kapitola sa zameriava na teoretické otázky obchodnej značky, podáva výklad pojmu obchodná značka, jej prínosy, funkcie a charakterizuje proces budovania obchodnej značky a jej zmeny, pričom využíva poznatky zo slovenskej, českej a zahraničnej odbornej literatúry a zahraničných článkov v odborných časopisoch. Druhá kapitola vysvetľuje kon- krétny cieľ a tretia kapitola opisuje metodiku práce a metódy skúmania. Štvrtá ka- pitola je zameraná na analýzu súčasného stavu obchodnej značky a firemného di- zajnu vo firme EVA, v rámci ktorej bol realizovaný primárny prieskum prostredníc- tvom dotazníkovej metódy získavania údajov. Zároveň sa sústreďuje na posúdenie nového dizajnu a marketingovej komunikácie firmy EVA a navrhuje jednotlivé fázy rebrandingu tejto firmy. V závere práce sú navrhnuté konkrétne odporúčania pre budúcu marketingovú komunikáciu firmy EVA.
  • 12.
    11 1 Vymedzenie pojmovobchodná značka a budovanie vzťahu so zákazníkom Pojem značka (brand) pochádza z nórskeho, resp. germánskeho výrazu „páliť“ a mnoho storočí sa používa k odlíšeniu tovaru jednotlivých výrobcov. Značky sa už v minulosti používali na značkovanie zvierat alebo fliaš s vínom, aby bolo jednodu- ché určiť kto je ich majiteľom. (Healey, 2008) V súčasnom svete, v ktorom existuje široká ponuka rôznych výrobkov, je práve značka jedným z hlavných odlišujúcich prvkov jednej firmy od druhej. 1.1 Obchodná značka V odbornej literatúre sa často stretávame s rôznymi definíciami obchodnej značky, pričom každá pristupuje k jej definovaniu iným spôsobom, t.j. podľa toho čo ob- chodná značka znamená a čo predstavuje alebo k definovaniu obchodnej značky pristupuje z pohľadu marketingu (komunikácia smerom k zákazníkom) alebo prá- va (problém vlastníctva a ochrany značky). Americká marketingová asociácia (AMA) v roku 1960 definovala obchodnú značku ako „meno, termín, označenie, symbol, design alebo kombináciu týchto pojmov slú- žiacu k identifikácii výrobkov a služieb jedného alebo viacerých predajcov a k ich od- líšeniu od konkurencie.“ (de Chernatony, 2009) Inak zadefinoval obchodnú značku M. Healey (2008). Podľa neho hovoríme o obchodnej značke vtedy, ak máme na mysli všetky atribúty produktu, ktoré zane- chávajú v mysli zákazníka trvalú predstavu. Zákazníci si vytvárajú vlastné pocity týkajúce sa obsahu a významu značky, avšak na ich pocity často vplýva reklama a publicita výrobcu, predávajúceho alebo určitá udalosť, prostredie či príbeh. Podobne definujú obchodnú značku aj A. Wheeler a P. Isakson. A. Wheeler (2003) tvrdí, že ide o novú myšlienku a očakávanie zakotvené v mysliach zákazníkov v súvislosti s výrobkom, službou alebo organizáciou. Rovnako tak P. Isakson
  • 13.
    12 (2011) značku definujeako celkový súbor toho, čo ľudia hovoria, cítia a čo si mys- lia o produkte, službe alebo celej firme. D. Taylor (2007) pri definovaní obchodnej značky hovorí o firme, jej zákazníkoch a o tom, ako je možné naplniť potreby zákazníkov a vytvoriť tak hodnotu pre fir- mu. Značka je podľa neho výsledkom toho, čo robíme a nie je to východiskový bod. Mnohé ďalšie definície obchodnej značky viedli L. de Chernatonyho (2009) k ich zoskupeniu do troch kategórií podľa hľadiska vstupu, výstupu a času. Do vstupu zaradil logo, právny nástroj, spoločnosť, informačnú skratku, zníženie rizík, vytvá- ranie pozície, personifikáciu, súbor hodnôt, víziu, pridávanie hodnoty a identitu. Výstup tvorí imidž a vzťahy a hľadisko času je tvorené rozvíjajúcou sa entitou. Funkcie značky Na základe mnohých prínosov, ktoré značka predstavuje pre firmy a zákazníkov, môžeme určiť jej tri základné funkcie. Podľa J. Vysekalovej a J. Mikeša (2009) sem patrí:  funkcia identifikácie – značka umožňuje rozpoznávať produkt na základe určitých charakteristík,  funkcia garancie – značka predstavuje kvalitu, ktorú zákazník očakáva a dáva mu istotu pri nemožnosti objektívne posúdiť kvalitu produktu,  funkcia personalizácie – značka určuje zaradenie v konkrétnom sociálnom prostredí, prispieva k integrácii alebo k diferenciácii voči nemu. Tieto funkcie v sebe spájajú osobnosť značky, ktorá predstavuje hodnotu značky pre zákazníka. Osobnosť značky je jednou z charakteristík, ktoré vytvárajú identitu značky, t. j. vymedzujú jej podstatu. (Vysekalová – Mikeš, 2009) 1.1.1 Budovanie značky – Corporate branding Branding sa rozmohol počas priemyselnej revolúcie, kedy vznikla nadprodukcia výrobkov, ktoré bolo potrebné čo najlepšie odpredať. Medzi prvé druhy výrobkov, ktoré boli obohatené značkou a exportované ďalej, patrili alkoholické nápoje.
  • 14.
    13 K priekopníkom brandingupatrili W. Procter a J. Gamble, ktorí svoje menšie firmy v roku 1837 spojili a vybudovali v súčasnosti jednu z najväčších spoločností na svete Procter&Gamble. (Healey, 2008) V súčasnej situácii vo svete, kedy hospodárska kríza komplikuje rast takmer všet- kým firmám, je enormne ťažké vybudovať silnú a stabilnú značku. Medzi faktory, ktoré najviac komplikujú budovanie značky patrí (Aaker, 2003):  tlak na nižšie ceny - a teda často aj nedostatočné množstvo investícií do hodnoty značky,  rast konkurencie - vstup nových firiem na trh ešte viac tlačí na ceny,  fragmentácia trhov a médií - rôzne formy propagácie (rozdávanie vzoriek a pod.) môžu byť v rozpore s identitou značky, ktorá je založená na kvalite,  komplexná stratégia a vzťahy v oblasti značiek - dôležitá je jasná identita každej značky,  tendencia byť proti inovácii - pod vplyvom úspechu z minulých rokov sa za- búda na zmenu konkurenčných podmienok a hrozí premeškanie nových príležitostí a ohrozenie vlastnej značky,  tendencie ku zmene stratégie - tlak na zmenu identity značky aj napriek to- mu, že je značka stále efektívna, môže viesť k oslabeniu jej hodnoty,  tlak investovať do inej oblasti – ak má firma silnú značku, je v pokušení ob- medziť investície do základných aktivít a presunúť ich do iných oblastí,  krátkodobé tlaky – tlak na rýchly zisk a nie na produkciu dlhodobo konku- rencieschopných výrobkov. Zároveň je však potrebné uvedomiť si, že budovanie silných značiek je, napriek súčasnej komplikovanej situácii vo svete, stále uskutočniteľné a potrebné. Za hlavné faktory úspechu je možné podľa D. Jobbera (2011) považovať:  kvalitu, ktorá by mala patriť ku každej úspešnej značke,  miesto značky ukotvenej v mysliach zákazníkov,  rýchla zmena značky s ohľadom na aktuálnu situáciu na trhu,  komunikačnú stratégiu,
  • 15.
    14  výhodu „prvéhohráča v segmente“ s jedinečnou pozíciou v mysliach zákaz- níkov,  dlhodobé investovanie do značky,  zvládnutý interný marketing, ktorý je v súlade s externým marketingom. 1.1.1.1 Prvky brandingu Medzi hlavné prvky brandingu patrí názov, logo, predstavitelia, slogany a znelky, farba a obal. Názov značky Názov značky je základným prvkom brandingu, a preto je potrebné venovať mu dostatočný priestor. Meno značky sa objavuje všade – internetová stránka firmy, reklamné materiály, vizitky a pod. Ako tvrdí M. Healey (2008), meno je atribútom, podľa ktorého si zákazníci značku pamätajú a hovoria o nej. Podľa AMA (American Marketing Association, 2011) je meno časťou značky, ktorú je možné vysloviť, t.j. aj zvuk mena značky je dôležitý – musí teda dobre „znieť“, a to vo viacerých jazykoch. Logo „Logo je charakteristický znak, ktorý funguje v kontexte s prostredím, aby v mysli príjemcu – pozorovateľa, vyvolal predstavu konkrétnej značky a umožnil prežiť osobnú skúsenosť a túto skúsenosť posilnil v príprave na ďalšie stretnutie“ (Healey, 2008). Logo je v podstate skratka značky – nie značka samotná. Požívanie loga je pre značku výhodné, pretože identifikuje produkt (musí byť ľah- ko rozpoznateľné), je všestranné, môže sa prispôsobovať a aktualizovať a zastupu- je nevhodný (napr. príliš dlhý) názov značky. (Keller, 2007) D. Airey (2010) tvrdí, že návrh loga je úspešný najmä vtedy, keď ho ostatní obdivu- jú, a to aj napriek tomu, že je jednoduchý. Práve preto je takéto logo vhodné, nad- časové, jedinečné, prispôsobivé a ľahko zapamätateľné.
  • 16.
    15 Základné vlastnosti klasickýchgrafických značiek (Airey, 2010):  v jednoduchosti je krása – najjednoduchšie riešenie je vždy najúčinnejšie, pretože jednoduché logo vyhovuje väčšine ostatných požiadaviek pre návrh značiek – návrh je teda viacúčelový; jednoduchšiu značku si ľudia skôr za- pamätajú a pre firmy sú často jednoduché logá aj finančne menej náročné,  primeranosť – každé logo musí odpovedať charakteru firmy, ktorú repre- zentuje a musí vyhovovať odvetviu, klientovi a cieľovej skupine,  tradície – pri návrhu loga je lepšie vyhnúť sa aplikovaniu aktuálnych mód- nych trendov, pretože móda podlieha častým zmenám; efektívnejšie je zvo- liť návrh tak, aby vydržal čo najdlhšie – rozhodujúca je teda nadčasovosť,  jedinečnosť – jedinečné logo je také, ktoré je ľahko odlíšiteľné od konkuren- cie; dôležité je zamerať sa na to, aby bol návrh loga zrozumiteľný,  zapamätateľnosť – logo sa najlepšie zapamätá, ak je celistvé; ide pri tom o čas – často máme k dispozícii iba letmý pohľad vodiča na billboard pri ces- te, preto musí logo na prvý pohľad urobiť dojem,  myslenie v malom – je potrebné vytvoriť také logo, ktoré bude ľahko apliko- vateľné aj na menšie plochy; najmenšia veľkosť návrhu by mala byť jeden palec (2,54 cm) a pri tejto veľkosti sa nesmú strácať detaily loga,  zameranie na jeden prvok – logo by malo obsahovať práve jeden prvok, kto- rý je potrebné si zapamätať. Na základe týchto siedmich odporúčaní je možné vytvoriť nadčasové logo, ktoré dokáže pritiahnuť pozornosť zákazníka. Predstavitelia Predstaviteľ značky je špeciálny typ symbolu firmy, ktorý má reálnu podobu a jeho úlohou je posilnenie asociácie so značkou. Predstaviteľ značky často pomáha dať do pozornosti hlavné prednosti a výhody výrobku. Používanie predstaviteľov zna- čiek môže byť ale aj nevýhodné, pretože predstavitelia na seba môžu strhávať všetku pozornosť a produkt sa dostáva do úzadia. (Kulíšková, 2010)
  • 17.
    16 Slogany a znelky Sloganysú krátke frázy, ktoré informujú o značke a majú za úlohu presvedčiť ve- rejnosť o výhodách značky, jej prínosoch pre zákazníkov a pod. (Keller, 2007). Slo- gan často sprevádza reklamné spoty alebo je súčasťou propagačných materiálov. Znelka je hudobným prvkom značky. Vo väčšine prípadov ide o zhudobnený slogan alebo sprievodnú skladbu. Znelka je jedným z prvkov, ktorým je možné zvýšiť záu- jem o značku. Nevýhodou sloganu i znelky je, že môžu ľahko zovšednieť. (Kulíško- vá, 2010) Farba Farba, ako vizuálny prvok sprevádzajúci branding, má mnoho prekážok. Farba (alebo kombinácia farieb) má často pozitívny alebo negatívny účinok na zákazníka a jej hlavným problémom je striedanie módnych trendov vo sfére farieb. Ak sa však firme podarí vytvoriť silné asociácie, môže získať veľmi cennú výhodu, pretože farba môže byť silnou mnemotechnickou pomôckou značky. Zákazníci môžu totiž identifikovať farbu značky a priradiť ju ku značke aj bez pomoci mena či loga (Ku- líšková, 2010). Bližší význam farieb a ich pôsobenie na človeka obsahuje príloha F. Obal Niektoré produkty nie je možné predávať bez obalu. Obal sa teda stáva prvkom značky, ktorý plní rôzne funkcie. Podľa K. L. Kellera (2007) ide predovšetkým o:  identifikáciu značky,  obsahuje presvedčujúce informácie,  zaisťuje bezproblémovú manipuláciu s výrobkom vrátane distribúcie,  plní úžitkovú funkciu. Obal môže svojím špecifickým tvarom či dizajnom značku významne odlišovať. Celú sústavu prvkov značky môžeme vnímať ako základ identity značky. Pre sú- držnosť identity je dôležité, aby boli prvky značky vyberané takým spôsobom, aby
  • 18.
    17 sa navzájom podporovalia aby sa dali zapojiť i do ďalších aspektov značky a marketingového programu. Prvky brandingu podľa M. Healyho Podľa K. L. Kellera (2007) sú prvky značky určité znaky, resp. identifikátory znač- ky, ktoré identifikujú alebo odlišujú značky. M. Přibová (2000) definuje prvky značky ako vizuálne alebo verbálne informácie slúžiace k identifikácii a odlíšeniu značky. Zmyslom značiek je teda zanechať v mysliach zákazníkov trvalú stopu o značke a jej imidži. M. Healey (2008) branding spája do 5 prvkov: a) positioning - positioning v podstate znamená definíciu obsahu značky a jej porovnanie s konkurenčnými značkami vo vnímaní zákazníka; v positioningu je teda najdôležitejším prvkom zákazníkova predstava a schopnosť výrobcu, resp. predajcu na túto predstavu pružne reagovať, b) príbeh, rozprávanie - príbeh je kľúčovým faktorom brandingu, pretože každého priťahuje dobrý, emocionálny príbeh a keď si kupujeme značku, v podstate vstupujeme do príbehu, c) dizajn - dizajn zahŕňa všetky aspekty produktu, nielen jeho vizuálnu strán- ku, ale aj povrch veci, d) cena - cena je významným, ale menej viditeľným aspektom značky a veľké množstvo firiem už pochopilo, že krátkodobé zníženie ceny môže mať zni- čujúce dlhodobé následky pre imidž značky, e) vzťah so zákazníkom – každá firma musí vyvinúť dostatočné úsilie na to, aby svojich zákazníkov presvedčila, že sú pre ňu najdôležitejší a jedineční (viac o budovaní vzťahu so zákazníkom v kapitole 1.2). Každá z týchto činností musí mať v sebe aspoň minimálny podiel pravdy. Koncep- cia dobrého brandingu je založená na schopnosti túto pravdu identifikovať, včleniť do príbehu a zaistiť, aby vyzeral dobre a vtlačiť ho do emocionálneho puta medzi výrobcom a zákazníkom. (Healey, 2008)
  • 19.
    18 1.1.1.2 Proces budovaniaznačky Na proces budovania značky existujú rôzne pohľady od mnohých odborníkov. V tejto kapitole sú uvedené dva pohľady na proces budovania značky. a) Proces budovania značky podľa M. Healyho M. Healey (2008) vývoj značky popisuje ako pružný a jemný proces prispôsobený konkrétnej situácii, ktorý analyzuje prednosti a nedostatky značky, zisťuje čo majú a čo nemajú zákazníci radi a vymýšľa spôsoby, ktorými je možné postoje zákazní- kov zmeniť. M. Healey (2008) celý proces zhŕňa do štyroch krokov:  krok č. 1: skúmanie aktuálnej situácie – pomáha odhaliť, čo zákazní- kovi chýba; informácie o uplynulom jave a o faktoroch, ktoré podmienili jeho úspech alebo neúspech,  krok č. 2: predstava ideálnej budúcnosti – prepojenie nápadov s výsledkom skúmania a formulovanie predstavy o tom, ako značka môže prekročiť hranice produktovej kategórie alebo potreby zákazníka a stať sa niečím dokonalejším - ide teda o inováciu alebo imagináciu,  krok č. 3: kombinácia stratégie a kreativity – spojenie ľudí, obchod- ných procesov, technológie, marketingu, investícií a ostatných oblastí podieľajúcich sa na výsledku a vytvorení značky; ide o dlhodobý proces a stratégia musí byť doplnená kreatívnou identitou, ktorá zabezpečí dostatok publicity, aby sa o reklamu vzbudil dostatočný záujem,  krok č. 4: čakanie na odozvu a opakovanie 1. kroku – je vždy dôleži- té nechať priestor zákazníkom, aby inováciu objavili a prijali za svoju. b) Proces budovania značky podľa L. de Chernatonyho Podľa L. de Chernatonyho (2009) celý proces budovania značky začína tvorbou vízie značky, pokračuje pochopením firemnej kultúry, stanovením cieľov značky, auditom vonkajšieho prostredia značky, určením podstaty značky a následne je značka implementovaná do prostredia a realizovaná prostredníctvom vhodných zdrojov (Obrázok 1).
  • 20.
    19 Obrázok 1 Procesbudovania a udržania značky (de Chernatony, 2009) 1.1.1.2.1 Tvorba vízie značky Základom tvorby vízie je uvedomiť si, v akom smere by mohla byť značka dlhodo- bo prínosom pre všetkých svojich účastníkov. Pri stanovení vízie ide o to mať od- vahu, určiť časový horizont budúcich zmien prostredia a namotivovať zamestnan- cov, aby s nadšením zmeny realizovali. (de Chernatony, 2009) Komponenty vízie značky Vízia značky má podľa L. de Chernatonyho (2009) tieto tri komponenty: a) predstava budúcnosti - ak má byť značka úspešná, mala by mať firma ví- ziu o budúcom prostredí, ktorú by chcela splniť približne za 10 rokov; na stabilizovanom trhu je horizont 10 rokov vhodný, ale u rýchlo sa meniacich trhov môže byť potrebné toto obdobie skrátiť; formulovanie predstáv o budúcnosti prispeje nielen k väčšiemu množstvu nápadov, ale je to tiež zaujímavá pracovná skúsenosť (de Chernatony, 2009), b) účel značky - primárnym významom účelu značky nie je značku odlíšiť, no napriek tomu účel môže k odlíšeniu významne prispievať; zameraním sa na to, ako urobiť svet lepším miestom, možno dlhodobo docieliť správnym vedením a inšpiráciou zamestnancov (de Chernatony, 2009), c) hodnota značky - D. Taylor (2007) považuje hlboké porozumenie súčasnej hodnote značky za dôležitý vstup pri tvorbe vízie značky; na vyššej úrovni
  • 21.
    20 sa potom firmasnaží vyhodnotiť aká zdravá je jej značka, čo vedie k rozhodovaniu o tom, koľko zmien bude proces tvorby vízie vyžadovať; na jednej strane stoja zdravé a neustále rastúce značky a na strane druhej sú značky, ktoré potrebujú zmenu, pretože sú „choré“ a v úpadku (viac o zmene značky v kapitole 1.1.2). 1.1.1.2.2 Firemná kultúra v rámci tvorby značky Na základe pochopenia firemnej kultúry možno lepšie porozumieť hodnotám firmy a teda aj rôznym väzbám medzi hodnotami značky a hodnotami firmy. Firemná kultúra môže fungovať ako niečo, čo zjednocuje zamestnancov pôsobiacich v rôznych lokalitách, takže konajú podobným spôsobom. Môže zamestnancov mo- tivovať a prostredníctvom vnútorne súdržného správania zamestnancov pomáha vytvoriť i pocit jednotnej značky. V dôsledku toho môže tiež silná firemná kultúra posilniť úroveň dôvery, ktorú externí účastníci v značku majú, a tým zvýšiť eko- nomický výkon značky. (de Chernatony, 2009) V silnej firemnej kultúre vytvárajú zdieľané hodnoty väčšiu motiváciu. Ak sú zdie- ľané vo veľkej miere, je firemná kultúra silná a výrazne ovplyvňuje fungovanie firmy. Ak sú tieto prvky zdieľané len v malej miere, znamená to, že kultúra firmy je slabá a správanie zamestnancov je potom ovplyvňované ich osobnými predpo- kladmi, hodnotami, normami správania a pod. (Lukášová - Nový, 2004) 1.1.1.2.3 Nastavenie cieľov značky Z vízie značky by malo vyplynúť určité širšie zameranie značky. Dlhodobé ciele by mali byť ľahko pochopiteľné a každý by mal cítiť nutnosť konať a mal by vedieť, kam sa jeho individuálne snahy majú zameriavať. Nejde teda len o to, mať stano- vený nejaký cieľ, ale mať dlhodobú náročnú výzvu. Podmienkou však je, aby bol cieľ v súlade so všetkými tromi elementmi vízie značky. Z dlhodobého cieľa ale nemusí byť vždy jasné, ako sa má premietnuť budúci cieľový stav späť do krokov, ktoré je pre jeho uskutočnenie nutné vykonať v prítomnosti. Je preto vhodné, keď sa rozloží do niekoľkých krátkodobých cieľov. Hneď ako sú krátkodobé ciele sfor-
  • 22.
    21 mulované, je potrebnévymyslieť systém, ktorý zaistí, aby sa zrealizovali stratégie nutné k uskutočneniu krátkodobých cieľov. (de Chernatony, 2009) 1.1.1.2.4 Audit vonkajšieho prostredia Ďalším krokom v procese budovania a udržania značky je skúmanie prostredia značky, pri ktorom sa vychádza z modelu piatich síl pôsobiacich v rámci prostredia na značku, ktoré môžu úspech značky posilniť. Model piatich síl Pri rozložení dlhodobého cieľa na niekoľko krátkodobých cieľov sa vytvoria kon- krétne návrhy, ktoré môže firma využiť pre potenciálnu stratégiu značky. Predtým je však potrebné preskúmať sily prostredia, ktoré by mohli značku pozitívne alebo negatívne ovplyvniť (Obrázok 2). Obrázok 2 Päť síl pôsobiacich na značku (de Chernatony, 2009) a) Korporácie (organizácie, firmy, podniky) Prvou silou, ktorá ma zásadný vplyv na budúcnosť značky, je samotná firma. Pri skúmaní vplyvu firmy na súčasnú alebo potenciálnu značku je potrebné brať do úvahy koordináciu aktivít v rámci firmy, hodnoty zamestnancov v súlade
  • 23.
    22 s hodnotami firmy,angažovaný prístup zamestnancov a ich identifikáciu s firmou a jej značkami, zanechaný určitý odkaz, na ktorom by mala každá firma pracovať, vhodnú komunikáciu, podporné prostredie pre vzťahy s externými účastníkmi a i. Na základe posúdenia týchto nástrojov sa musí firma rozhodnúť, či celkovo bude korporácia ako jedna z modelu piatich síl posilňovať alebo oslabovať pravdepo- dobnosť úspechu značky. (de Chernatony, 2009) b) Distribútori Ak firmy využívajú pri distribúcii svojej značky iné subjekty, môže byť vplyv dis- tribútorov na značku kľúčový. K faktorom, ktoré by sa v tejto súvislosti mali skú- mať, patrí (de Chernatony, 2009):  súlad cieľov – každý z distribútorov má svoje dlhodobé a krátkodobé ciele a aby obe strany prosperovali, musia spoločne chápať to, ako môžu dodáva- teľ a odberateľ využívať značku k ich obojstrannému prospechu,  trhová sila – vlastníci značiek alebo distribútori často využívajú svoje rela- tívne silné trhové pozície pre vyjednávanie výhodnejších podmienok. c) Zákazníci D. Taylor (2007) za najčastejšiu chybu pri tvorbe vízií značiek považuje snahu po- tešiť každého zákazníka. Preto je potrebné správne sa rozhodnúť a na začiatku procesu budovania značky si určiť, kto je cieľový zákazník. Iba cez presnú definíciu kľúčového zákazníka je možné dôsledne pochopiť jeho svet a odhaliť vlastnosti svojej značky, ktoré jej môžu pridať hodnotu. U značiek, ktoré sa predávajú prevažne cez internet, musí firma zvažovať mieru, v akej uplatňuje nad značkou kontrolu. V prostredí internetu nadobúdajú zákazníci charakter komunít, ktoré spája záujem o danú značku. Firmy by mali udržiavať na internetových stránkach značky diskusnú skupinu alebo chat, kde by podporovali diskusiu o značke a z komentárov zákazníkov získavali námety pre dolaďovanie značky tak, aby vyhovovala rozvíjajúcim sa potrebám komunity. (de Chernatony, 2009)
  • 24.
    23 d) Konkurenti K nástrojom,ktorým sa často nevenuje dostatok pozornosti, patrí definícia trhu alebo konkurenčného prostredia, ktorá je kľúčovým prvým krokom v procese tvorby vízie obchodnej značky (brand visioning). Dôležitými otázkami, ktoré je potrebné položiť si pri definovaní trhu je „kto stráca, keď my získavame?“ a „kto získava, keď my strácame?“ Tieto dve otázky pomôžu firme určiť kľúčových konkurentov a zároveň môžu ukázať, kde ležia príležitosti k ďalšiemu rastu. (Tay- lor, 2007) Zákazníci málokedy kupujú produkt určitej značky bez toho, aby ho porovnávali s ostatnými značkami. Avšak nemajú taký prehľad o všetkých značkách, a preto je počet značiek, ktoré si uvedomujú, omnoho menší. Z týchto známych značiek sú pre nich prijateľné len niektoré z nich (evokovaný súbor), niektoré sú neprija- teľné a ďalšie značky zákazníci prehliadajú. V rámci prijateľných značiek potom existujú také, ktoré zákazníci odmietajú (interný súbor), pretože u nich nevnímajú jedinečnú výhodu (Obrázok 3). (de Chernatony, 2009) Obrázok 3 Názory zákazníkov na značky podľa Schiffmann a Kanuk (de Chernatony, 2009) e) Makroprostredie Poslednou súčasťou auditu je pravidelné monitorovanie marketingového prostre- dia, v ktorom značka pôsobí. Cieľom tejto kontroly je identifikovať širšie príležitos- Všetky značky Známe značky Prijateľné značky Nakupované značky Odmietnuté značky Neprijateľné značky Prehliadané značky Neznáme značky Interný súbor Nevhodný súbor Evokovanýsúbor
  • 25.
    24 ti a potenciálnehrozby, a to na základe zvažovania politických, ekonomických, so- ciálnych, technologických a environmentálnych faktorov. (de Chernatony, 2009) Prostredníctvom analýzy piatich síl prostredia značky by mala byť firma vybavená potrebnými znalosťami k tomu, aby pochopila faktory, ktoré budú pôsobiť v prospech značky alebo proti nej. V konečnom dôsledku tento audit môže viesť i k prehodnoteniu pôvodne stanovenej vízie a cieľov značky, pokiaľ boli stanovené neprimerane optimisticky. (de Chernatony, 2009) 1.1.1.2.5 Podstata značky Podstata značky predstavuje užitočný prostriedok pre pojmové vyjadrenie základu značky, ktoré potom možno jednoducho komunikovať ostatným. Vizuálne možno podstatu značky chápať ako pyramídu sumarizujúcu kľúčové funkčné prínosy spo- jené s emočnými ziskami prostredníctvom vítaných hodnôt, čo všetko možno chá- pať prostredníctvom osobnostných znakov (Obrázok 4). Verbálne možno podstatu značky zhrnúť do krátkeho výroku vyjadrujúceho odlišný a vítaný prísľub, ktorý je zobrazený pyramídou značky. (de Chernatony, 2009) Obrázok 4 Identifikácia podstaty značky na základe modelu pyramídy (de Chernatony, 2009) Aby každý vo firme pochopil, čo značka znamená, musia sa komponenty pyramídy značky syntetizovať do krátkeho výroku – prísľubu značky – ktorý by mal zamest-
  • 26.
    25 nancov správne motivovať.Správny prísľub by mal byť jednoduchý, stručný, trvalý a schopný poskytnúť smer. (de Chernatony, 2009) 1.1.1.2.6 Interná implementácia a zdroje značky Pri navrhovaní systému pre implementáciu značky je náročné zamerať sa najskôr výhradne na spôsob, akým bude systém uspokojovať funkčné hodnoty a potom výhradne na spôsob, akým musí uspokojovať emočné hodnoty. Akýkoľvek systém má vplyv na obidva typy hodnôt. Na základe posúdenia mechanistických vstupov (hodnotový reťazec, kľúčové kompetencie, outsourcing činností a pri značkách služieb aj detailný plán služby a metóda kritických udalostí) systému implementá- cie hodnoty sa však možno primárne sústrediť na dosahovanie funkčných hodnôt, zatiaľ čo vstupy týkajúce sa zamestnancov podporujú úvahy o dosiahnutí emoč- ných hodnôt. (de Chernatony, 2009) Pri realizácií podstaty značky je potrebné skombinovať určité zdroje. Podstatu značky možno charakterizovať pomocou prvkov tzv. atómového modelu značky (Obrázok 5). Obrázok 5 Osem komponentov atómového modelu značky (de Chernatony, 2009)
  • 27.
    26 V jadre každejznačky je jej podstata, reprezentovaná piatimi úrovňami pyramídy značky (Obrázok 4). Okolo jadra značky obieha osem prvkov, ktorých dráhy sú nadefinované podstatou značky (Obrázok 5) (de Chernatony, 2009):  odlišné meno a znak vlastníctva – aby zákazníci boli schopní rozpoznať značku, musí mať značka ľahko vysloviteľné a identifikovateľné meno,  funkčné schopnosti – zo spodných úrovní pyramídy podstaty značky vy- plýva krátke stručné vyjadrenie o funkčných výhodách značky,  komponenty služieb – aby zákazníci mohli plne využívať prínosy značky, je potrebné v priebehu času vynaložiť taktiež určité služby,  komponenty zníženia rizika – keď ľudia nakupujú značky, nemusia sa snažiť maximalizovať užitočnú hodnotu, ale minimalizovať vnímané rizi- ko, ktoré tvoria zložky ako výkonnostné riziko, finančné riziko, časové rizi- ko, sociálne riziko a psychologické riziko,  komponenty právnej ochrany – proces zaregistrovania značiek poskytuje firme právnu ochranu proti konkurencii, ktorá vyvíja falošné značky a nekvalitnými výrobkami poškodzuje dobré meno značky,  komponenty informačnej skratky – zákazníci preferujú menšiu kvantitu informácií, preto by malo byť meno značky prezentované veľmi nápadne a nemalo by byť obklopené mnohými rôznymi informáciami - zákazník sám si už na základe mena dokáže vybaviť asociácie spojené so značkou,  komponenty symbolickej funkcie – komponenty symbolickej funkcie slú- žia k tomu, aby uvádzala v život hodnoty značky prostredníctvom asociácie s určitou osobnosťou alebo situáciou životného štýlu. Model poskytuje firme príležitosť ohodnotiť rozsah, v ktorom sa jednotlivé zložky navzájom posilňujú a ako nadväzujú na smer vyplývajúci z podstaty značky. 1.1.1.2.7 Ohodnotenie značky Po uvedení novej značky alebo realizácii zmien u existujúcej značky sa v priebehu doby začne ukazovať miera jej prijatia zákazníkmi a ďalšími zúčastnenými skupi- nami. Pokiaľ však chce mať firma k dispozícii komplexnejšie informácie
  • 28.
    27 k rozhodovaniu oďalšom dolaďovaní značky, musí analyzovať širšie spektrum ukazovateľov, založené na vyrovnanejšom pohľade na interné a externé otázky značky (de Chernatony, 2009). V prílohe C sú v tabuľke zhrnuté kritériá pre ohod- notenie výkonu značky. Absolútne odlišný názor na celkový proces budovania značky má W. Olins (2009). Podľa neho budovanie značky podľa návodu prináša len obmedzené výsledky (rovnako ako napríklad tvorba umeleckého diela podľa návodu). Ďalej tvrdí, že každá firma je jedinečná a vyžaduje aj jedinečný prístup, pretože sa odlišuje postavením na trhu, históriou firmy, spôsobom distribúcie, trhom, zákazníkmi, atď. W. Olins (2009) taktiež považuje za neužitočný aspekt formuláciu poslania, vízie či definovanie hodnôt, aj keď väčšina firiem práve na nich stavia. Vízie, hodnoty a poslania sa podľa neho neustále opakujú, väčšinou sú neúprimné, predvídateľné, sú zameniteľné a bezvýznamné. Pri tvorbe silnej značky je teda podľa W. Olinsa (2009) potrebné stavať skôr na súdržnosti, dôslednosti a pôsobivom emočnom postoji, ktorému sa niekedy hovorí základná alebo zjednocujúca idea. 1.1.2 Zmena značky – Corporate rebranding Rebranding sa v súčasnej literatúre bežne používa na označenie akéhosi znovuzro- denia značky. Rebranding sa môže objavovať na rôznych úrovniach hierarchie značky – na úrovni produktu alebo obchodných jednotiek - s interakciou medzi rôznymi úrovňami (Muzellec – Lambkin, 2006). Firemný rebranding (corporate rebranding) je jedným z posledných prúdov v rámci corporate brandingu. Odborná literatúra zaoberajúca sa firemným rebrandingom sa často odvoláva na zmenu názvu firmy a rebranding definuje ako postupné opätovné budovanie mena reprezentujúceho odlišnú pozíciu v mysli zainteresovaných strán a charakteristic- kú identitu odlišnú od konkurencie. (Muzellec et al., 2003) Aj keď sa rebranding v literatúre chápe skôr ako zmena názvu firmy, popisuje aj ďalšie dva odlišné procesy: zmenu estetiky a repositioning značky. Zmena este- tiky alebo redizajn (redesigning) znamená zmeniť prvky firemnej vizuálnej identi- ty (CVI), t. j. logo, symbol, typografia, farby, slogan a pod. Repositioning
  • 29.
    28 je o rozhodnutívytvoriť nové pozície pre existujúcu firmu v mysliach zákazníkov, konkurencie a ďalších zainteresovaných strán, zvyčajne pomocou veľkých marke- tingových komunikačných kampaní. (Muzellec et al., 2003) 1.1.2.1 Najčastejšie dôvody pre firemný rebranding Podľa L. Muzelleca a M. Lambkina (2006) patria medzi hlavné faktory firemného rebrandingu rozhodnutia, udalosti alebo procesy, ktoré majú za následok zmeny v štruktúre spoločnosti, v stratégii alebo vo výkone, a ktoré naznačujú potrebu zá- sadnej redefinície identity firmy, vrátane vízie, stratégie a hodnôt. L. Muzellec a M. Lambkin (2006) uvádzajú niekoľko dôvodov pre rebranding:  zmeny vo vlastníckej štruktúre (fúzie a akvizície, prechod zo súkromného do verejného vlastníctva a pod.),  zmena firemnej stratégie (diverzifikácia a predaj, internacionalizácia a lokalizácia),  zmena konkurenčnej pozície (narušenie postavenia na trhu, zastaraný imidž, problémová povesť),  zmeny vonkajšieho prostredia (krízy, katastrofy a pod.). Z pohľadu firemnej vizuálnej identity M. Baker a J. Balmer (1997) tvrdia, že dôvody pre zmenu vizuálnej identity sú štrukturálne, strategické alebo vyplývajú z riade- nia zmien, zmien v predpisoch, z vonkajšej alebo vnútornej nezrozumiteľnosti organizácie a jej účelov, zo zvýšenia alebo zníženia rozsahu činnosti, hospodárskej súťaže či z potreby ekonomických úspor. Podľa A. van den Boschovej (2006) je dôvodom pre zmenu firemnej vizuálnej identity repositioning firmy alebo jej mo- dernizácia. L. Muzellec a H. Stuart (2004) zase tvrdia, že dôvodom pre zmenu loga je zmena názvu firmy a aktualizácia loga.
  • 30.
    29 1.1.2.2 Proces zmenyznačky Aj keď je firemný rebranding skúmaný z viacerých hľadísk, je ťažké chápať ho ako celok. Odborná literatúra zaoberajúca sa procesom firemného rebrandingu sa zameriava na jeho skúmanie vo veľkých nadnárodných spoločnostiach, a preto sa môžu pohľady na skúmané aspekty odlišovať od malých firiem. Podľa J. Kaikatiho (2003) sa firemný rebranding skladá zo štyroch procesov: výber nového mena, vytvorenie nového firemného loga, vypustenie nového mena k zákazníkom a hodnotenie nového mena. L. Muzellec a M. Lambkin (2006 podľa Junten, 2011) tvrdia, že firemný rebranding je zložený z premenovania (renaming), redizajnu (redesigning) a premiestnenia (repositioning). A. Daly a D. Moloney (2004 podľa Junten, 2011) sa zase sústreďujú na komunikačné aspekty firemného rebrandingu, t. j. na proces spustenia novej firemnej značky a jej vyhodnotenie. Z týchto pohľadov je možné vyvodiť päť zá- kladných procesov, ktoré sú súčasťou firemného rebrandingu - premenovanie, redizajn, spustenie, premiestnenie a vyhodnotenie celého procesu. a) Premenovanie (Renaming) Premenovanie sa týka opatrení, prostredníctvom ktorých je nové meno vybrané a prijaté na používanie. V súvislosti s firemným rebrandingom J. Kaikati (2003) tvrdí, že proces voľby mena pozostáva zo štyroch krokov: vnútorná komunikácia ohľadom riadenia novej identity, nájdenie nového mena pomocou komunikácie so zamestnancami, vytvorenie výberových kritérií pre nové meno prostredníctvom konzultácií s tímom pre rozvoj značky a výber nového názvu. b) Redizajn (Redesigning) V odbornej literatúre sa často stretávame s redizajnom v súvislosti so zmenou loga. Z pohľadu zmeny firemnej vizuálnej identity T. C. Melewar et al. (2005) naznačuje päť hlavných činností pre zmenu firemnej vizuálnej identity:  skúmanie súčasného stavu firemnej vizuálnej identity,  vymedzenie stručných požiadaviek pre redizajn,
  • 31.
    30  analýza hodnôtznačky a stratégia smerovania firmy,  výber štruktúry značky,  tvorba loga (symbolu), farebnej schémy a voľba typu písma. Skúmanie súčasného stavu firemného loga je o hodnotení jeho silných a slabých stránok vo vzťahu k vonkajšiemu prostrediu. Vymedzenie požiadaviek pre redizajn sa tvorí za účelom objasnenia hlavných cieľov a stratégie firmy. Analýza hodnôt značky a ďalšieho smerovania sa vykonáva v súvislosti so zabezpečením toho, že nové logo bude odrážať hlavné ciele a stratégiu firmy. Výber štruktúry značky sa týka rozhodnutia o tom, ako bude logo nadviazané na predchádzajúce logo alebo firemné produkty či dcérske spoločnosti. Tvorba loga, výber farieb a typu písma sa vzťahuje k tvorbe nového loga. (Melewar et al., 2005) c) Spustenie Spustenie sa týka toho, akým spôsobom je nová značka komunikovaná ostatným stranám. A. Daly a D. Moloney (2004) tvrdia, že spustenie sa skladá z internej a externej kampane. Interná kampaň sa skladá z komunikovania vízie a hodnôt a externá kampaň zahŕňa päť udalostí: situačná analýza pre-kampane (objasnenie súčasnej situácie), partnerská kampaň (informovanie verejnosti o akvizícii a pod.), predbežná alebo dual branding kampaň (v ktorej je staré a nové meno použité spo- lu), pre-launch kampaň (ktoré oznamuje zmiznutie starého názvu v blízkej budúc- nosti), a skutočné spustenie kampane (vrátane reklamy, propagácie, konceptu pre- dajní, atď.). Externé spustenie by malo byť uskutočnené prostredníctvom tlačovej konferencie, spustením reklamnej kampane a tvorbou propagačných materiálov. d) Repositioning Repositioning je o tom, či sa v priebehu rebrandingu firmy zmení umiestnenie značky alebo zostane rovnaké. Mnohé zmeny názvov sú spustené za účelom zme- niť existujúci imidž značky, a preto sa v odbornej literatúre často stretávame s repositioningom ako súčasťou premenovania (renaming) a redizajnu (redesig- ning) (Muzellec - Lambkin, 2006). Vytvorenie nového mena teda nevyhnutne ob-
  • 32.
    31 sahuje aj premiestnenieznačky. Mnoho odborníkov tak repositioning odmieta po- važovať za samostatnú časť procesu rebrandingu. e) Vyhodnotenie Vyhodnotenie sa vzťahuje na hodnotenie výsledkov firemného rebrandingu. A. Daly a D. Moloney (2004) poukazujú na tri rôzne aspekty hodnotenia: priebežné hodnotenie v procese plánovania v rámci spustenia novej firemnej značky, pre- skúmanie alebo celkové hodnotenie na konci procesu spustenia (aby sa naskytol komplexný pohľad na proces plánovania) a hodnotenie značky po spustení pomo- cou prieskumu a skúmania zámerov nákupu zákazníkov. Pri dodržaní postupnosti jednotlivých krokov a odporúčaní má nová značka všetky predpoklady na úspech. Dôležité však je udržanie záujmu zákazníkov o značku, čo si vyžaduje neustále zmeny, resp. starostlivosť o novovybudovanú značku. 1.2 Budovanie vzťahu so zákazníkom Budovanie vzťahu so zákazníkom je veľmi dôležitým prvkom v existencii firmy, pretože práve zákazníci tvoria firme zisk. Ak teda firma nevenuje vzťahu so zákazníkmi dostatočnú pozornosť, prejaví sa to v nespokojných zákazníkoch, ktorí môžu ohroziť ďalšiu existenciu firmy. Podľa V. Kozáka (2008) rozlišujeme pri tvorbe vzťahu k zákazníkovi tri fázy:  nadviazanie vzťahu (formálne alebo neformálne dohody a zmluvy, firmy vy- užívajú prostriedky marketingovej komunikácie – informujú a vyvolávajú emócie),  rozvíjanie vzťahu (firma musí vynaložiť veľké úsilie na pretváranie krátko- dobého vzťahu smerom k vzťahu dlhodobému, ktorý je dostatočne pevný),  ukončenie vzťahu.
  • 33.
    32 P. Kotler (2007)rozlišuje päť úrovní vzťahov, ktoré je možné vytvoriť so zákaz- níkmi: a) základný vzťah - predaj výrobku bez ďalšieho záujmu, b) reaktívny vzťah – predaj výrobku zákazníkovi a požiadavka predajcu o spätné kontaktovanie v prípade problémov a nejasností, c) zodpovedný vzťah – krátko po predaji predajca kontaktuje zákazníka a zisťuje, či výrobok spĺňa jeho očakávania, zároveň predajca získava náme- ty na vylepšenie, d) proaktívny vzťah – predajca, resp. zamestnanci firmy kontaktujú zákazní- ka o vylepšených alebo nových výrobkoch, e) partnerský vzťah – firma neustále spolupracuje so zákazníkom za účelom zistenia spôsobu akým môže poskytovať lepšiu hodnotu. Stratégia tzv. vzťahového marketingu firmy závisí od počtu jej zákazníkov a od ich výnosnosti. Firmy s veľkým počtom zákazníkov a s nízkou maržou používajú pre- dovšetkým základný vzťah. Na druhej strane firmy s malým počtom vysoko zisko- vých zákazníkov budú uprednostňovať partnerský vzťah. Pri budovaní silnejších vzťahov so zákazníkmi môže firma použiť rôzne nástroje, napr. finančné výhody (vernostné zľavy, cena jedného výrobku namiesto dvoch a pod.) a spoločenské vý- hody (zlepšenie spoločenských väzieb na zákazníka). (Kotler, 2007) CRM (Customer Relationship Management) CRM je spôsob alebo stratégia firmy, pomocou ktorej sa vytvára dlhodobý vzťah so zákazníkmi. Kľúčovým prvkom v rámci CRM je teda vytvorenie silného vzťahu so zákazníkom, ktorý prinesie firme čo najvyššiu hodnotu. (Lehtinen, 2007) CRM zahŕňa sofistikované softwarové a analytické nástroje, ktoré spájajú informá- cie o zákazníkoch z rôznych zdrojov, vykonávajú hĺbkovú analýzu a výsledky pou- žívajú pre vybudovanie silnejších vzťahov so zákazníkmi (Kotler, 2007). Marketin- gové stratégie CRM sa snažia vytvárať vyššiu zákaznícku hodnotu pomocou indivi- duálnej starostlivosti. Týmto spôsobom sa budujú dlhodobé vzťahy so zákazníkmi,
  • 34.
    33 prostredníctvom ktorých potomfirmy dosahujú vyššie zisky. Existujú tri typy stra- tégie v rámci CRM (Lošťáková a kol., 2009): a) stratégia masovej personalizácie – zákazníci sa rozpoznávajú podľa mena a adresy, pričom tieto údaje sú ďalej použité pre vytvorenie systému indivi- duálnej marketingovej komunikácie s cieľovými zákazníkmi (zákazník má dojem, že je o neho individuálne postarané); táto stratégia sa využíva pri menej významných zákazníkoch, b) stratégia masovej kustomizácie – je založená na rozpoznávaní zákazní- kov, ktorí sú ochotní zaplatiť viac za zvláštnu starostlivosť; táto stratégia sa používa pri stredne významných zákazníkoch, c) stratégia diferencovanej kustomizácie – rešpektuje rozdielne potreby zákazníkov (napr. produkty vyrábané na mieru); diferencovaná kustomizá- cia je vhodná pre významných zákazníkov. Tieto tri stratégie sa môžu vo firme uplatňovať aj naraz a nie len jednotlivo. Správ- ne využitie CRM systému zaručuje firmám stálych zákazníkov. CRM prechádza štyrmi fázami (Dohnal, 2002):  oslovenie zákazníka – ide o prvý kontakt s potenciálnym zákazníkom a pat- ria sem všetky štandardné marketingové aktivity,  obchodná transakcia – príprava a uzavretie zmluvy, kontraktu a pod.,  plnenie objednávok – dodanie výrobku alebo služby,  zákaznícky servis – podpora všetkých implementačných aktivít, ktoré súvi- sia s daným produktom a zároveň sa buduje lojalita zákazníka (servisné ak- tivity súvisiace so záručnými službami). Základným pojmom pri vzťahu so zákazníkom je vytváranie hodnoty. Hodnota pre zákazníka sa stala kľúčovým nástrojom pre získavanie konkurenčnej výhody a zároveň určuje výkonnosť CRM. Hodnota odovzdaná zákazníkom vedie k lojalite zákazníka, ktorý je verný pokiaľ mu firma ponúka vyššiu hodnotu v porovnaní s konkurenciou. Spokojní a lojálni zákazníci firme prinášajú vyššie zisky a stávajú sa tak zdrojom hodnoty, ktorú pre firmu predstavujú. (Lošťáková a kol., 2009)
  • 35.
    34 2 Cieľ práce Predmetomskúmania tejto diplomovej práce je realizácia zmeny značky (rebran- ding). Objektom skúmania je firma EVA, ktorá pristupuje k zmene značky. Cieľom diplomovej práce bolo vyhodnotiť vplyv obchodnej značky a jej zmeny na vníma- nie imidžu firmy zo strany zákazníkov. Vzhľadom k stanovenému cieľu je potrebné formulovať a splniť nasledujúce čiastkové ciele:  spracovať teoretické poznatky z oblasti budovania značky (branding) a zmeny značky (rebranding),  analyzovať súčasný stav danej problematiky vo firme EVA,  realizovať prieskum zameraný na vnímanie súčasného firemného dizajnu a marketingovej komunikácie,  realizovať prieskum zameraný na vnímanie nového firemného dizajnu a marketingovej komunikácie,  navrhnúť jednotlivé fázy rebrandingu,  formulovať odporúčania pre budúcu marketingovú komunikáciu firmy EVA.
  • 36.
    35 3 Metodika prácea metódy skúmania Základ informácií použitých v rámci diplomovej práce predstavuje predovšetkým relevantná odborná knižná literatúra domácich a zahraničných autorov a elektronické časopisy zahraničného pôvodu. V praktickej časti diplomovej práce je použitá:  metóda analýzy, ktorá predstavuje rozklad celku na jednotlivé časti s cieľom bližšie identifikovať podstatu a vnútorné vzťahy medzi časťami celku; táto metóda sa použila pri hodnotení súčasného firemného dizajnu,  metóda syntézy, ktorá rozložený celok spája späť do celku s cieľom získať komplexný obraz o skúmanej firme,  metóda dotazníkového zberu údajov zameraná na zisťovanie názorov zamestnancov, zákazníkov a verejnosti na súčasný a nový firemný dizajn a marketingovú komunikáciu firmy EVA. Obrázok 6 znázorňuje postup riešenia diplomovej práce. Výskumným problémom bolo zistiť vplyv obchodnej značky a jej zmeny na vní- manie imidžu zo strany zákazníkov. Boli stanovené dva primárne prieskumy a cel- kový výskumný problém sa rozdelil na dve časti, ktoré sú označené ako primárny prieskum I - skúmajúci súčasný firemný dizajn - a primárny prieskum II, ktorý sa zameriava na vnímanie nového dizajnu zo strany zákazníkov. Pri obidvoch prieskumoch sa jedná o kvantitatívny prieskum s primárnymi údajmi. Zdrojmi získaných údajov sú interné zdroje (zamestnanci) a externé zdroje (zá- kazníci a verejnosť), pričom bola využitá metóda dopytovania na základe písom- ného a elektronického dotazníka (príloha D). Do prieskumu bolo zapojených 62 respondentov, pričom 8% tvorí reprezentatívna vzorka zamestnancov firmy EVA, 69% reprezentatívna vzorka zákazníkov kupujúcich výrobky EVA v intervale mi- nimálne raz za týždeň a maximálne raz za 4 mesiace a 23% tvorí nereprezentatív- na vzorka verejnosti tvorená respondentmi, ktorí firmu EVA poznajú a nespolup- racujú s ňou alebo ju vôbec nepoznajú.
  • 37.
    36 a) Primárny prieskumI Pre tento prieskum bolo výskumným problémom vnímanie súčasnej marketingovej komunikácie a firemného dizajnu. Cieľom prieskumu bolo zistiť ako vnímajú zákaz- VYMEDZENIE PROBLEMATIKY A OBLASTI RIEŠENIA DIPLOMOVEJ PRÁCE - teoretické východiská k obchodnej značke, jej zmene a k budovania vzťahu so zákazníkmi STANOVENIE HLAVNÉHO CIEĽA A ČIASTKOVÝCH CIEĽOV DIPLOMOVEJ PRÁCE FORMULÁCIA HYPOTÉZ SKÚMANIE TEORETICKÝCH VÝCHODÍSK V RÁMCI BUDOVANIA A ZMENY ZNAČKYY ANALÝZA SÚČASNÉHO FIREMNÉHO DIZAJNU - rozbor jednotlivých častí firemného dizajnu PRIMÁRNY VÝSKUM I – súčasný dizajn - identifikácia výskumného problému - zostavenie výskumného plánu - zber údajov - analýza údajov - interpretácia výsledkov - overenie hypotéz NAVRHNUTIE FÁZ REBRANDINGU PRIMÁRNY VÝSKUM II – nový dizajn - identifikácia výskumného problému - zostavenie výskumného plánu - zber údajov - analýza údajov - interpretácia výsledkov - overenie hypotéz FORMULÁCIA ODPORÚČANÍ PRE ĎALŠIU MARKETINGOVÚ KOMUNIKÁCIU Obrázok 6 Postup riešenia diplomovej práce
  • 38.
    37 níci, zamestnanci averejnosť súčasný dizajn a marketingovú komunikáciu firmy EVA. V tomto smere sa predpokladala nespokojnosť a v rámci tohto prieskumu boli stanovené nasledovné hypotézy: Hypotéza 1: Respondentov, ktorí považujú súčasné logo firmy EVA za zastarané a nezaujímavé je viac než tých, ktorí ho považujú za moderné a zaujímavé. Prvá hypotéza bola sformulovaná na základe dlhodobej nemennosti loga, ktoré postupom času stráca na atraktívnosti. Hypotéza 2: Zákazníci firmy komunikujú s firmou EVA častejšie elektronicky (e-mail) než osobne a telefonicky. Predpokladali sme tak na základe výrobného charakteru firmy, pričom pre poda- nie objednávky je postačujúca dohoda prostredníctvom elektronickej pošty, ktorá zároveň urýchľuje proces výroby objednaného tovaru. Plán primárneho prieskumu I Obrázok 7 vyjadruje časový plán primárneho prieskumu I prostredníctvom Gan- ttovho diagramu. Obrázok 7 Ganttov diagram realizácie primárneho prieskumu I 3 3 10 3 5 3 25.1.12 30.1.12 4.2.12 9.2.12 14.2.12 19.2.12 24.2.12 1. Voľba výskumného problému, výber respondentov 2. Stanovenie výskumných otázok 3. Zber údajov 4. Spracovanie údajov 5. Analýza údajov 6. Interpretácia výsledkov Ganttov diagram realizácie prieskumu I Počet dní
  • 39.
    38 Pred samotným spustenímzberu údajov bola uskutočnená pilotáž (predvýskum) na malej vzorke, aby sa predišlo prípadným nezrozumiteľnostiam v rámci otázok. Následne bol prieskum spustený. b) Primárny prieskum II Cieľom prieskumu II bolo zistiť ako zákazníci, verejnosť a zamestnanci firmy EVA vnímajú návrhy pre nové logo, jeho farebnú kombináciu, slogan a ktoré propagač- né prvky považujú za najdôležitejšie. V rámci tohto prieskumu boli stanovené na- sledovné hypotézy: Hypotéza 1: Verejnosti, ktorá považuje internetovú stránku za najdôležitejší ná- stroj marketingovej komunikácie, je menej než súčasných zákazníkov firmy pova- žujúcich internetovú stránku za najdôležitejší nástroj. Predpokladali sme tak na základe neustáleho dopytu po internetovej stránke zo strany súčasných a potenciálnych zákazníkov. Hypotéza 2: Verejnosť, ktorá firmu EVA doteraz nepoznala, sa o ňu bude zaujímať viac než verejnosť, ktorá firmu EVA pozná. Druhá hypotéza bola sformulovaná na základe zároveň aj reklamného charakteru dotazníka, nakoľko v druhej časti dotazníka je uvedená stručná charakteristika firmy EVA a taktiež kontaktné informácie vrátane e-mailovej adresy. Predpoklada- li sme vzbudenie záujmu aj z dôvodu prezentácie loga, do tvorby ktorého sa res- pondenti mali možnosť zapojiť. Plán primárneho prieskumu II Primárny prieskum II sa realizoval bezprostredne po prieskume I. Časový plán prieskumu II je vyjadrený prostredníctvom Ganttovho diagramu (Obrázok 8).
  • 40.
    39 Obrázok 8 Ganttovdiagram realizácie prieskumu II Podobne ako pri prieskume I bol uskutočnený predvýskum na malej vzorke res- pondentov s cieľom identifikovať a odstrániť nezrozumiteľnosti v dotazníku. Pre vyhodnotenie údajov bol pri obidvoch prieskumoch použitý softvér MS Office Excel 2007, prostredníctvom ktorého bolo získané nominálne, percentuálne a gra- fické vyjadrenie získaných údajov pomocou kontingenčnej tabuľky a grafu. Pri vyhodnocovaní otázok, ktoré bolo potrebné dať do závislosti, sme štatisticky skúmali silu závislosti dvoch nominálnych premenných pomocou chí kvadrátu (χp2) podľa postupu pre testovanie štatistických hypotéz: krok 1: Stanovenie H0 : premenné sú nezávislé krok 2: Stanovenie H1 : premenné sú závislé krok 3: Stanovenie hladiny významnosti α = 0,05 krok 4: Výpočet testovacej charakteristiky Testovacia štatistika χp2 bola vypočítaná podľa vzorca: , kde (1) nij – číselný údaj (počet označení) mij – predpokladaná početnosť vypočítaná podľa vzorca: 3 3 10 4 5 3 20.2.12 25.2.12 1.3.12 6.3.12 11.3.12 16.3.12 21.3.12 1. Voľba výskumného problému, výber respondentov 2. Stanovenie výskumných otázok 3. Zber údajov 4. Spracovanie údajov 5. Analýza údajov 6. Interpretácia výsledkov Ganttov diagram realizácie prieskumu II Počet dní
  • 41.
    40 (2) Zároveň bolo potrebnévypočítať kritickú hodnotu: , kde (3) r - počet riadkov s - počet stĺpcov krok 5: Rozhodnutie o zamietnutí alebo prijatí H0 Ak je hodnota χp2 menšia ako vypočítaná kritická hodnota zamietam H1 a prijímam H0. Premenné sú vtedy nezávislé a zistené hodnoty sú dôsledkom náhody. V opačnom prípade sú premenné závislé.
  • 42.
    41 4 Rebranding firmyEVA Praktická časť diplomovej práce je zameraná na navrhnutie jednotlivých fáz reb- randingu firmy EVA (grafický návrh, návrh loga, sloganu a pod.) a vyhodnotenie vplyvu rebrandingu na imidž firmy. V závere tejto časti sú uvedené odporúčania pre budúcu marketingovú komunikáciu firmy. 4.1 Charakteristika firmy EVA Firma EVA vznikla v roku 1992 ako odpoveď na nedostatok drobného pleteného tovaru na strednom Považí. Vtedajšia a aj súčasná majiteľka firmy využila blízkosť hraníc Českej republiky a začala kontaktovať dodávateľov kvalitných česaných priadzí dovážaných z Turecka a Indie. V známej českej firme s medzinárodnou pô- sobnosťou získala výhodnou kúpou dva pletacie stroje Dera 2 a Dera B, čím sa za- čala písať história značky EVA v oblasti pletených výrobkov. K rastu značky výz- namne pomohlo aj to, že slovenská firma zaoberajúca sa výrobou priadzí začala v tomto období vyrábať kvalitný antibakteriálny polyamid, ktorý sa natrvalo stal súčasťou takmer všetkých výrobkov. Nedostatok skúseností s novými technoló- giami sa postupne vytrácal, narastal počet nových nápadov a tak sa EVA v 90. ro- koch stala úspešnou firmou, ktorej výrobky sa predávali v rôznych maloobchodoch po celom severozápadnom Slovensku. Postupom času začal narastať dopyt po no- vých typoch výrobkov, a tak firma zakúpila ďalší pletací stroj Ange 11.1L, ktorý umožnil reagovať na meniaci sa dopyt zákazníkov. Významným medzníkom v pôsobení značky bola v roku 2004 spolupráca so slovensko-českou firmou špor- tového zamerania, s ktorou spolupracuje aj v súčasnosti. Zahraničné obchodné vzťahy sa v roku 2005 rozšírili o ďalšiu českú firmu, pre ktorú EVA začala vyrábať patenty na zásahové rukavice pre armádu, hasičov, policajtov a záchranárov. 4.2 Marketingový mix firmy EVA Marketingová činnosť sa uskutočňuje prostredníctvom marketingových nástrojov: produkt (product), cena (price), distribúcia (place) a podpora predaja (promotion)
  • 43.
    42 – tzv. 4P.Ich súhrnné pôsobenie na zákazníka sa označuje ako marketingový mix. P. Kotler (2001) marketingový mix definuje ako „súbor taktických marketingových nástrojov - výrobkovej, cenovej, distribučnej a komunikačnej politiky, ktorá firme umožňuje upraviť ponuku podľa prianí zákazníkov na cieľovom trhu.“ Rozhodujúce postavenie v tomto komplexe má produkt. a) Produkt V súvislosti s produktom hovoríme o jeho troch vrstvách, ktoré nám vysvetľujú, čo produkt prináša spotrebiteľovi – jadro, vlastný produkt a rozšírený produkt, ktorý v súčasnom silne konkurenčnom prostredí hrá rozhodujúcu úlohu. Produkty, ktoré firma EVA ponúka, sú hmotné statky. Všeobecne sa dá povedať, že sa sústreďuje na veľkoobchodnú výrobu pleteného tovaru. Jadro produktu Jadrom produktu firmy EVA sú pletené športové a zdravotné ponožky, podkolien- ky, futbalové štulpne a potné manžety. Firma vyrába ponožky rôznych štýlov a veľkostí pre každé ročné obdobie a rôzne druhy športov s prihliadnutím na anti- bakteriálne zloženie výrobkov a pohodlie zákazníkov. Vlastný produkt Typickými zložkami vlastného produktu v oblasti pleteného tovaru sú najmä kvali- ta a dizajn. Kvalita výrobkov je jedným z faktorov úspechu, ktoré uvádza D. Jobber pri budo- vaní značky (kapitola 1.1.1). Firma EVA preto kladie na kvalitu svojich výrobkov veľký dôraz, dôkazom čoho sú certifikáty na priadzu a pletené výrobky od Vý- skumného ústavu chemických vlákien a. s. a Štátnej skúšobne SKTC 119 – pri VÚTCH CHEMITEX s.r.o. K najdôležitejším kritériám kvality pri pletenom tovare patrí pevnosť, pružnosť a odolnosť materiálu, ktorý je zároveň vhodný aj pre citlivú pokožku. Materiál po- užívaný pri výrobe vo firme EVA spĺňa všetky tieto podmienky - výrobky sú vyro-
  • 44.
    43 bené z najkvalitnejšejtureckej a indickej česanej bavlny, ktoré sú známe svojou mäkkosťou a v procese výroby sa taktiež používa antibakteriálny polyamid a lycra s veľkou pružnosťou, ktorá rovnako ako polypropylén drží tvar pleteného výrob- ku. Ďalšou zložkou vlastného produktu je dizajn. Podľa M. Foreta a kol. (2005) je di- zajn „vyjadrením vzťahu medzi obsahom a formou, je zavŕšením obsahu vo vonkaj- šom prevedení.“ Prostredníctvom dizajnu je možné prilákať pozornosť zákazníkov, zdokonaliť vlastnosti a hodnotu produktu, znížiť výrobné náklady alebo vytvoriť konkurenčnú výhodu na trhu. Dizajn pletených výrobkov firmy EVA sa neustále prispôsobuje novým trendom a každoročne sú do výroby zaradené nové vzory a tvary, kvalitnejšie materiály a taktiež sa rozširuje spektrum používaných farieb. Aktuálne prevedenia pletených výrobkov sú uvedené v navrhnutom katalógu v prílohe J. Ďalšou zložkou vlastného produktu je obal. Význam obalu v posledných rokoch vzrástol natoľko, že niekedy býva obal uvedený ako piate „P“ v marketingovom mixe. Letný a jarný pletený tovar firmy EVA býva označený etiketou (Obrázok 9) a nemá obal. Väčšina jesenných a zimných výrobkov sa balí do špeciálnych papierových obalov. Pri veľkoodberateľoch sa takto zabalené výrobky navyše balia do technic- kej fólie po piatich kusoch pre zjednodušenie manipulácie s nimi a zároveň sa tak zamedzuje znečisteniu výrobkov. Obrázok 9 Etikety výrobkov
  • 45.
    44 Rozšírený produkt V súčasnomsilne konkurenčnom prostredí zohráva rozhodujúcu úlohu práve roz- šírený produkt. „Jadro produktu zvyčajne predstavuje v priemere 80% nákladov, ale iba 20% vplyvu na zákazníkov. Platí aj opačné pravidlo: okolie produktu, resp. nehmotná časť produktu predstavuje 20% nákladov, ale 80% vplyvu na zákazníka.“ (Majaro, 1996) Vo firme EVA pod rozšíreným produktom chápeme zľavy poskytnuté pri väčšom odbere výrobkov, objednávku prostredníctvom e-mailu alebo cez telefón, poskyt- nutie vzoriek, dovoz zdarma pri väčšom odbere alebo poradenstvo ohľadom správneho výberu výrobku pre konkrétnu športovú aktivitu. b) Cena Pre každý podnik je pri silnej konkurencii kľúčovým faktorom cena. Cenová politi- ka firmy EVA je založená na dvadsaťročných skúsenostiach, vďaka ktorým si firma vybudovala cenovú stratégiu hľadajúcu rovnováhu medzi cenou a kvalitou. Firma sa snaží ponúkať cenovo prijateľné riešenia zamerané na kvalitu, na ktorú sú zá- kazníci zvyknutí. Avšak v posledných rokoch je nútená prispôsobovať svoje ceny ekonomickej situácii, a tak tlačí ceny nadol, pričom kvalita výrobkov ostáva rovna- ká. Firma preto v súčasnom období hospodárskej krízy vykazuje omnoho nižšie zisky. Práve tlak na ceny a rast konkurencie uvádza D. Aaker ako faktory, ktoré výrazne komplikujú budovanie značky (kapitola 1.1.1). Firma v prvých rokoch pôsobenia na trhu použila pri stanovení cien svojich výrob- kov kombináciu nákladovo a konkurenčne orientovanej metódy tvorby cien. Ceny boli stanovené s prihliadnutím na náklady spojené s výrobou a porovnanie s konkurenciou. O niekoľko rokov neskôr sa ukázalo, po ktorých výrobkoch je naj- väčší dopyt, a tak firma upravila ceny pomocou metódy stanovenia ceny na základe dopytu a túto metódu použila aj v nasledujúcich rokoch. Po príchode hospodárskej krízy však firma musela v roku 2009 na základe klesajúceho dopytu znížiť ceny svojich výrobkov a v súčasnosti sa pohybuje na hranici medzi ziskom a stratou. Zmenu vonkajšieho prostredia, do ktorej patrí aj kríza, uvádzajú L. Muzellec a M. Lambkin (2006) v kapitole 1.1.2.1 ako najčastejší dôvod pre firemný rebranding.
  • 46.
    45 c) Distribúcia Distribúciu môžemechápať ako súhrn činností, ktorých cieľom je sprístupniť ho- tový výrobok koncovým zákazníkom. Firma EVA je výrobná firma, ktorá zároveň pôsobí aj ako veľkoobchod, a preto pre distribúciu svojich výrobkov používa nepriamy distribučný kanál, ktorý tvorí vždy aspoň jeden distribučný článok, ktorý sprostredkuje výrobky koncovému zá- kazníkovi. Firma najčastejšie využíva dvojúrovňovú distribučnú cestu tvorenú iným veľkoob- chodom a maloobchodom. Pri tomto type distribúcie sa zväčša využíva systém ob- jednávky prostredníctvom e-mailovej alebo telefonickej komunikácie medzi firmou EVA ako výrobcom a iným veľkoobchodom. Firma taktiež využíva jednoúrovňovú distribučnú cestu, ktorá je tvorená firmou EVA ako výrobcom a maloobchodom, ktorý priamo dodáva výrobok koncovému zákazníkovi. d) Marketingová komunikácia Okrem inzerátov v regionálnych inzertných týždenníkoch firma EVA nevyužíva žiadnu pravidelnú mediálnu propagáciu svojich výrobkov. V malej miere firma osobne oslovuje maloobchody a veľkoobchody a predstavuje im svoje výrobky. Komunikačný mix firmy EVA Medzi základné nástroje komunikačného mixu patrí reklama, podpora predaja, public relations a osobný predaj.  Reklama ako platená forma neosobnej komunikácie je uskutočňovaná pro- stredníctvom tlačových médií (noviny, časopisy, katalógy), rozhlasu a tele- vízie, billboardov, plagátov, firemných štítov atď. (Strišš, 2005). Firma EVA tento nástroj komunikačného mixu takmer nevyužíva. Jediným prvkom sú len informačné letáky, ktoré sa využívajú pri propagácii výrobkov len v malej miere. EVA ďalej využíva nepravidelné uverejňovanie inzerátov v regionálnych inzertných týždenníkoch. Najväčším nedostatkom je nevyuží- vanie tzv. exteriérnych médií (t. j. firemné štíty, billboardy, pútače, reklamy
  • 47.
    46 na dopravných prostriedkocha pod.), najmä firemného štítu, pretože zá- kazník tak nemá možnosť identifikovať budovu, v ktorej sa firma nachádza.  Podpora predaja zahŕňa činnosti stimulujúce predaj výrobkov a služieb prostredníctvom dodatočných podnetov (kupóny, prémie, vzorky tovaru, prémiové balenie atď.). Firma EVA využíva predovšetkým zníženie cien a poskytovanie vzoriek tovaru. Zníženie cien je motivujúce najmä pre veľ- koodberateľov, pričom cena sa znižuje so zvyšovaním množstva kupova- ných výrobkov. Vzorky tovaru sú dodávané ako veľkoodberateľom, tak aj malým zákazníkom, ktorí majú možnosť vyjadriť vlastné požiadavky na vý- robok, pretože EVA je schopná vyrobiť pletený výrobok podľa požiadaviek zákazníka (napr. potná manžeta s logom firmy, menom a pod.).  Public relations je neosobná forma stimulácie dopytu po výrobkoch, služ- bách, či aktivitách firmy publikovaním pozitívnych informácií (Strišš, 2005). Pre firmu EVA sú najpodstatnejšími prvkami spokojný zákazník a dobré meno firmy. EVA sa preto už od svojho vzniku snaží budovať a udržiavať dobré vzťahy so svojimi zákazníkmi, pretože najlepšou propagáciou je prá- ve spokojný zákazník. EVA sa teda zameriava najmä na kvalitu sortimentu a kvalitu poskytovaných služieb (dodanie výrobkov domov, výroba podľa požiadaviek zákazníka a pod.). V rámci tohto nástroja sa firma EVA taktiež zameriava na sponzorstvo, pričom svojimi výrobkami sponzoruje predo- všetkým detské domovy, resp. profesionálne rodiny a náhradné rodiny.  Osobný predaj je forma osobnej komunikácie s jedným alebo viacerými možnými zákazníkmi. Jeho cieľom je dosiahnutie predaja. Osobný predaj sa podstatne líši od ostatných foriem práve preto, že sa jedná o osobnú ko- munikáciu (Strišš, 2005). Firma EVA tento nástroj založila najmä na budo- vaní dlhodobých vzťahov so zákazníkmi. Hlavným cieľom firmy je, aby bol zákazník dobre informovaný o výrobkoch, použitých materiáloch, používaní výrobkov a pod. Zákazník tak získa dojem výnimočnej starostlivosti a odchádza spokojný. Samozrejmým predpokladom je, aby zamestnanci firmy boli na túto činnosť dobre pripravení.
  • 48.
    47 4.3 Dôvody firmyEVA pre rebranding Hlavným dôvodom pre rebranding značky EVA je súčasný narastajúci trh s pletenými výrobkami a dovoz zahraničných výrobkov, vďaka ktorým firma strati- la veľkú časť svojich príjmov. Firma EVA si uvedomuje, že kvalita a slovenský pô- vod výrobkov už nestačí a je dôležité zaujať svojich zákazníkov novými postupmi, resp. novým imidžom. Zmena konkurenčnej pozície, t. j. narušenie postavenia na trhu a zastaraný imidž, je hlavným dôvodom pre uskutočnenie firemného reb- randingu, ktorý uvádzajú L. Muzellec a M. Lambkin (2006) v kapitole 1.1.2.1. Preto firma EVA pristúpila ku zmene svojej značky, pričom si chce aj naďalej udržať kva- litu svojich výrobkov a zároveň chce byť vyhľadávanou firmou s moderným spô- sobom marketingovej komunikácie. 4.4 Analýza súčasného firemného dizajnu Firemný dizajn má v prezentácii firmy významné postavenie, pretože vyjadruje ciele firmy a predstavuje jej produkt tak, aby bola firma jednoznačne identifikova- teľná. Firemný dizajn teda reprezentuje vizuálny charakter firmy, do ktorého patrí napríklad logo, jednotná úprava všetkých firemných písomností, firemné farby, zariadenie interiérov a pod. Podľa J. Vysekalovej a J. Mikeša (2009) firemný dizajn tvoria názov firmy a spôsob jeho prezentácie, logo ako identifikačná skratka, znač- ka pre zviditeľnenie a odlíšenie produktu, písmo a farby, propagačné prvky a tlačoviny, orientačná grafika a grafika obalov, odev zamestnancov a pod. Názov firmy EVA sa odvodil od krstného mena majiteľky firmy a v priebehu pôso- benia firmy na trhu sa nemenil. Tento fakt mal poukázať na osobný vzťah majiteľ- ky firmy k vlastným výrobkom a zároveň je určitým ukazovateľom slovenského pôvodu výrobkov. Značka je taká dobrá, ako dobrí sú ľudia, ktorí za ňou stoja a taktiež ľudia, ktorí stoja pred zákazníkom (Bleyová, 2009). Preto majiteľka firmy neostáva len „maji- teľkou firmy“, ale spolu so svojimi zamestnancami uprednostňuje osobnú komuni- káciu so súčasnými, ale aj potenciálnymi zákazníkmi a tým u nich vyvoláva osob- nejší dojem zo značky. Týmto spôsobom zároveň zamestnancom ukazuje ako pre-
  • 49.
    48 zentovať značku atí zase majú dojem zapojenia sa do diania vo firme a cítia sa byť súčasťou firmy. V súčasnosti najväčšou nevýhodou firmy v rámci prezentácie značky je to, že firma nemá vytvorenú internetovú stránku, ktorá by informovala širšie spektrum zákazníkov o výrobkoch, výrobných postupoch, používaných ma- teriáloch, výhodách, novinkách a pod. Firemné logo tvorené jednoduchým štýlom bez výraznejšieho efektu bolo navrh- nuté najmä kvôli etiketám, obalom a vizitkám a jeho štýl sa za dvadsať rokov vôbec nemenil. Dizajn loga (Obrázok 10) je jednoduchý, dlhodobo nezmenený a je nevý- razným prvkom v prezentácii firmy EVA v prostredí neustále rastúcej konkurencie. Používanie loga zároveň nie je jednotné, pretože logo na obaloch, etiketách, vizit- kách a pod. má takmer vždy iný štýl, tvar, veľkosť, farbu alebo písmo. Obrázok 10 Súčasné logo firmy EVA Farby firmy EVA sa na väčšine firemných materiálov vyskytujú v kombináciách:  tmavomodrá farba v kombinácii s bielou – symbolizuje spojenie spokojnos- ti, pokoja, stálosti (tmavomodrá) a čistoty (biela).  hnedá v kombinácii s bledožltou farbou, ktoré predstavujú dynamiku, ener- giu, solídnosť (žltá) a teplo, bezpečie, istotu (hnedá). Bližší význam farieb je uvedený v prílohe F. Písmo je bezpätkové (tvoria sa ním takmer všetky firemné logá) a font tohto loga nie je zistený. Z propagačných prvkov a tlačovín používa firma EVA iba vizitky (Obrázok 11). Nepoužíva orientačnú grafiku, nevyužíva ani možnosť darčekových predmetov pre zákazníkov či zamestnancov a taktiež nemá určené odevy pre zamestnancov. Grafika obalov je pri zimných výrobkoch modernejšia ako pri grafike etikiet let- ných výrobkov, ktoré zároveň nie sú jednotné.
  • 50.
    49 Obrázok 11 Súčasnévizitky firmy EVA 4.5 Primárny prieskum I V prieskume I mali respondenti vyjadriť ako vnímajú súčasné firemné logo a iné prvky dizajnu. Až 87% respondentov si myslí, že súčasné logo firmy EVA je nezau- jímavé a rovnaké percento respondentov považuje súčasné logo za nemoderné a zastarané. 82% respondentov súhlasilo s tým, že logo nevyjadruje oblasť podni- kania a taktiež 82% respondentov vyjadrilo nutnosť zmeny loga. Celkovo sa logo nepáčilo 79% respondentov (pozri otázka č. 3 v prílohe E). Obrázok 12 Vnímanie súčasného loga respondentmi S touto otázkou súvisí aj hypotéza 1: Respondentov, ktorí považujú súčasné logo firmy EVA za zastarané a nezaujímavé je viac než tých, ktorí ho považujú za mo- derné a zaujímavé. 8% 10% 0% 0% 5%5% 3% 18% 18% 16% 87% 87% 82% 82% 79% 0% 10% 20% 30% 40% 50% 60% 70% 80% 90% 100% pútavé moderné vystihuje oblasť podnikania nie je potrebné meniť logo celkovo sa mi páči Početodpovedív% Vnímanie súčasného loga súhlasím neviem posúdiť nesúhlasím
  • 51.
    50 Obrázok 12 zobrazuje,že počet respondentov, ktorí súhlasia s tvrdením, že súčas- né logo je moderné, je menej (10%) než tých, ktorí logo považujú za nemoderné (87%). Hypotézu 1 teda prijímame, a tak predpoklad, že logo je už nemoderné a potrebuje zmenu bol správny. Respondenti mali v ďalšej otázke posúdiť svoju spokojnosť s používanou grafikou na obaloch, etiketách, vizitkách a so vzormi na výrobkoch. S grafikou na obaloch bolo veľmi spokojných 63% respondentov a respondenti boli taktiež veľmi spo- kojní s grafikou vizitiek (56%). Respondenti vyjadrili svoju veľkú spokojnosť tak- tiež ku vzorom na výrobkoch (60%), avšak nespokojní boli s grafikou etikiet (44%) (pozri otázka č. 6 v prílohe E). Obrázok 13 Spokojnosť s grafikou Ďalšia otázka v prieskume bola zameraná na zistenie nedostatkov v rámci formy komunikácie. Až 55% respondentov ako chýbajúcu formu komunikácie doplnilo internetovú stránku. Taktiež sme sa pýtali na frekvenciu foriem komunikácie s firmou EVA. 40% respondentov najčastejšie využíva osobnú komunikáciu, 24% preferuje telefonickú alebo faxovú komunikáciu a 36% využíva najčastejšie komu- nikáciu prostredníctvom elektronickej pošty (pozri otázka č. 5 v prílohe E). 63% 5% 19% 60% 30% 19% 56% 35% 7% 5% 5% 0% 0% 44% 21% 5% 0% 28% 0% 0% 0% 10% 20% 30% 40% 50% 60% 70% grafika obalov grafika etikiet grafika vizitiek vzory na výrobkoch Počet označení v % Grafikaprvkov Spokojnosť s grafikou veľmi nespokojný nespokojný neviem posúdiť spokojný veľmi spokojný
  • 52.
    51 S touto otázkousúvisí aj hypotéza 2: Zákazníci firmy komunikujú s firmou EVA častejšie elektronicky (e-mail) než osobne a telefonicky. Podľa výsledkov priesku- mu hypotézu 2 zamietame, pretože s firmou EVA komunikuje elektronicky (e-mail) 36% respondentov a osobne alebo telefonicky spolu 64%. K tejto skutočnosti môže prispievať aj chýbajúca internetová stránka, prostredníctvom ktorej by zákazníci mali k dispozícii dostatok informácií o výrobkoch a nemuseli by tak osobne kon- taktovať firmu EVA, čím by sa urýchlil celý proces objednávania a výroby. V rámci prieskumu sme taktiež skúmali koľko respondentov zachytilo v regionálnej tlači reklamu firmy EVA. Až 79% respondentov reklamu nepostrehlo, čo môže byť zapríčinené nízkou a nepravidelnou frekvenciou uverejňovania re- klamy v tlači. Pri analýze súčasného stavu bol teda zistený nedostatok komunikácie v rámci pro- pagácie firmy a podpory predaja a nespokojnosť s grafikou niektorých prvkov. Hlavnou témou praktickej časti tejto diplomovej práce je preto v rámci rebrandin- gu vytvorenie nového grafického návrhu obchodnej značky firmy EVA (logo, vizit- ky, reklamné materiály, internetová stránka atď.) a formulácia odporúčaní pre bu- dúcu marketingovú komunikáciu firmy. 4.6 Návrh firemného dizajnu a marketingovej komunikácie Táto kapitola je zameraná na návrh jednotlivých fáz rebrandingu firmy EVA podľa koncepcií autorov A. Daly a D. Moloney (2004) a L. Muzellec a M. Lambkin (2006), ktorú dopĺňa prieskum uskutočnený na vzorke zákazníkov, zamestnancov a verej- nosti. V závere sú stanovené odporúčania pre budúcu marketingovú komunikáciu firmy. 4.6.1 Primárny prieskum II V druhej časti primárneho prieskumu mali respondenti vybrať zo 16 grafických logotypov to, ktoré pokladajú za najzaujímavejšie a zároveň im bola ponúknutá možnosť navrhnúť vlastné logo alebo pripomienkovať nimi vybrané logo. Najviac respondentov, t. j. 34%, označilo logo č. 12 za najzaujímavejšie logo. Ďalej sme
  • 53.
    52 skúmali názor naslogan firmy EVA, pričom najväčšie percento odpovedí (51%) mal slogan „... pre nohy ako v bavlnke“. Ďalšia otázka bola zameraná na zistenie to- ho, ktorý propagačný prvok považujú respondenti za najdôležitejší. 17% respon- dentov považuje za najdôležitejší prvok propagácie firmy internetovú stránku a 14% označilo katalóg výrobkov. Tieto dva prvky však v rámci propagácie firmy EVA chýbajú a preto sa v rámci rebrandingu zameriame aj na ich vizuálny návrh a prípadnú realizáciu. Posledná otázka v prieskume II mala za úlohu zistiť, či sa budú respondenti aj na- ďalej zaujímať o firmu EVA. V rámci vyhodnotenia tejto otázky sme sa zamerali najmä na názor verejnosti, nakoľko 100% zamestnancov a zákazníkov odpovedalo, že o firmu budú prejavovať záujem aj naďalej. 43% respondentov z okruhu verej- nosti sa o firmu EVA bude zaujímať aj naďalej, naopak úplný nezáujem prejavilo 28% respondentov. Podrobnejšie výsledky prieskumu II sú uvedené pri jednotli- vých fázach rebrandingu a v prílohe E. 4.6.2 Fázy rebrandingu firmy EVA Pri navrhovaní jednotlivých fáz rebrandingu firmy EVA budeme vychádzať z kapitoly 1.1.2.2, v ktorej sme v rámci procesu zmeny značky uviedli prístupy L. Muzelleca a M. Lambkina (2006) a A. Daly a D. Moloneyho (2004), podľa ktorých hovoríme o piatich základných procesoch rebrandingu - premenovanie, redizajn, spustenie, premiestnenie a vyhodnotenie. Fáza č. 1 : premenovanie Ako sme uviedli v kapitole 4.4, názov firmy EVA je ukazovateľom slovenského pô- vodu výrobkov a majiteľka firmy tento názov zvolila podľa svojho krstného mena, aby tak poukázala na osobný vzťah k svojim výrobkom. Avšak počas svojej exis- tencie sa názov stal akýmsi symbolom kvality, pretože počas pôsobenia na trhu nemala firma EVA žiadne závažné negatívne pripomienky na svoje výrobky. Zmena názvu by teda v súčasnosti bola pre firmu viac škodlivá ako prospešná a o možnos- ti premenovania sa tak zatiaľ neuvažuje. Na tomto tvrdení sa zhodli ako majiteľka firmy, tak aj jej zamestnanci a časť zákazníkov.
  • 54.
    53 Fáza č. 2: redizajn Ako je uvedené v kapitole 1.1.2.2, pri redizajne je potrebné uskutočniť 5 činností pre zmenu firemnej vizuálnej identity (Melewar et al., 2005):  skúmanie súčasného stavu firemnej vizuálnej identity,  vymedzenie stručných požiadaviek pre redizajn,  analýza hodnôt značky a stratégia smerovania firmy,  výber štruktúry značky,  tvorba loga, farebnej schémy a voľba typu písma. Súčasný firemný dizajn sme skúmali v kapitole 4.4. V nadväznosti na to bolo stano- vených niekoľko kritérií pre tvorbu nového firemného dizajnu:  do loga včleniť prvok, ktorý by charakterizoval oblasť pôsobenia firmy (napr. ponožka, noha, niť, klbko bavlny, športový prvok – firma vyrába prevažne športové výrobky, a pod.) a názov firmy,  na logo použiť prevažne rovné tvary, ktoré zabezpečia dobrú čitateľnosť loga aj pri zmenšení,  vytvoriť jednotný vizuálny štýl vo všetkých grafických prvkoch,  prvoradá je jednoduchosť, originalita a moderný prístup v rámci celej tvorby grafického návrhu. Na základe budúceho smerovania firmy, pri ktorom sa EVA chce stať modernou firmou s moderným spôsobom komunikácie a v rámci nedostatočnej marketingo- vej komunikácie firmy zistenej v kapitole 4.4., boli stanovené tieto ciele:  vytvorenie celkovej vízie a sloganu,  výber farieb, typu písma a následné vytvorenie nového loga,  v rámci komunikácie s verejnosťou vytvoriť:  návrh pre maloplošnú reklamu,  návrh pre internetovú stránku,  návrh pre katalóg výrobkov,
  • 55.
    54  v rámcifiremnej kultúry vytvoriť návrh pre:  vizitky,  etikety,  potlač pre firemné auto. Zostavenie návrhu firemného dizajnu a prvkov marketingovej komunikácie pre firmu EVA a) Vízia Ako sme uviedli v kapitole 1.1.1.2.1, pri tvorbe vízie je dôležité uvedomiť si, v akom smere by značka mohla byť pre všetkých prínosom v rámci dlhodobého horizontu. Vízia teda musí mať odvahu a motivovať zamestnancov, aby s nadšením zmeny realizovali (de Chernatony, 2009). Na základe toho bola sformulovaná nasledujúca vízia: Našou víziou je byť uznávanou a vyhľadávanou firmou v oblasti nášho pôsobenia a prostredníctvom používania najlepších priadzí a materiálov poskytnúť prvotriednu kvalitu všetkých výrobkov s ohľadom na zdravie zákazníkov a na životné prostredie. Zároveň chceme byť firmou, ktorá rešpektuje svojich zamestnancov a vytvára im bezpečné, zdravé a motivujúce pracovné prostredie. b) Slogan V kapitole 1.1.1.1 sme slogan definovali ako krátku frázu, ktorá informuje o značke alebo má za úlohu presvedčiť verejnosť o výhodách značky a jej prínosoch pre zá- kazníkov (Keller, 2007). Do výberu vhodného sloganu boli v rámci primárneho prieskumu II, spomínaného v kapitole 4.6.1, zapojení zákazníci a zamestnanci fir- my ako aj verejnosť, ktorá firmu EVA nepozná. K dispozícii bolo 12 návrhov sloga- nov s možnosťou vytvorenia vlastného návrhu. Výsledné percentuálne hodnoty sa pohybovali v rozmedzí 1% až 7%, avšak až 51% respondentov sa zhodlo na sloga- ne: „... pre nohy ako v bavlnke“
  • 56.
    55 Majiteľka firmy výsledkyprieskumu zohľadnila a uvedená fráza bola stanovená ako firemný slogan, pretože odráža pocit pohodlia pri používaní výrobkov EVA. c) Logo Nové firemné logo bolo vytvorené s prihliadnutím na základné vlastnosti grafic- kých značiek, ktoré sú uvedené v kapitole 1.1.1.1. Podľa daných kritérií sa vytvorili návrhy, ktoré sú jednoduché, primerané charakteru firmy, jedinečné, zapamäta- teľné – t. j. zamerané na jeden prvok, ktorý je potrebné si zapamätať. Pre logo bolo navrhnutých 16 grafických variant, ktoré sú uvedené v prílohe G. V rámci kritérií pre firemný dizajn bolo stanovené vloženie prvku charakterizujú- ceho oblasť pôsobenia firmy, uvedenie názvu firmy, použitie prevažne rovných tvarov, ktoré zabezpečia dobrú čitateľnosť loga aj pri zmenšení, jednoduchosť a originalita. K jednotlivým logám mali možnosť vyjadriť sa aj respondenti v primárnom prie- skume II (kapitola 4.6.1). Zo 16 predložených návrhov (príloha G) respondenti naj- častejšie označili tieto logá: Logo 1 (34%) Logo 2 (11%) Logo 3 (10%) Obrázok 14 Návrhy pre logo firmy EVA Logo 1 s najväčším percentom označení bolo jednoznačnou voľbou aj majiteľky firmy a taktiež zamestnancov. Vybrané logo bolo ďalej rozpracované a na základe požiadaviek respondentov z primárneho prieskumu II boli navrhnuté farebné kombinácie týchto farieb:
  • 57.
    56 Obrázok 15 Farebnékombinácie pre nové logo Pri postupnom zmenšovaní zaniká fialová farba, naopak červená a tyrkysová vy- stupuje do popredia. Červená farba bola zamietnutá, nakoľko by v kombinácii s čiernou farbou nevynikla. Podľa požiadaviek majiteľky základ výberu tvoria farby čierna C-100 M-100 Y-100 K-100, tyrkysová C-65 M-0 Y-30 K-0 a šedá C-45 M-38 Y-38 K-2. Pri postupnom zmenšovaní vystupuje čierna farba a tyrkysová farba popri šedej zaniká, preto sa navrhuje použitie čiernej ako hlavnej farby a tyrkysovej ako farby doplnkovej. Tyrkysová farba bola zvolená na základe svojej schopnosti podporovať sebavedo- mie, fantáziu a spontánnosť (viac o farbách v prílohe F). Výsledné logo a jeho zmenšenina: Obrázok 16 Výsledné logo a jeho zmenšenina Pre použitie loga na čiernom podklade bol vytvorený aj jeho inverzný variant: Obrázok 17 Inverzné logo a jeho zmenšenina
  • 58.
    57 Aj keď navýslednom logu pri menších formátoch zaniká prvok charakterizujúci oblasť pôsobenia firmy, je logo EVA jednoduché, jedinečné, dobre zapamätateľné, vyjadruje činnosť firmy a je moderné. Má teda všetky predpoklady pre pozitívne vnímanie zákazníkov. d) Návrh pre maloplošnú reklamu Pre inzerciu v regionálnych inzertných tlačovinách ako aj v rámci katalógov firiem bol vytvorený návrh maloplošnej reklamy (Obrázok 18), ktorý je tvorený názvom firmy, oblasťou pôsobenia firmy a do popredia vystupuje internetová stránka, pro- stredníctvom ktorej sa predpokladá ďalšia informovanosť spojená s vlastnou we- bovou prezentáciou firmy. Zároveň bol v rámci návrhu využitý nástroj zliav v podobe textu „-15% z výšky nákupu“, ktorý bude aplikovaný pre všetkých zákaz- níkov. Obrázok 18 Návrh maloplošnej reklamy Pre inzerciu na rôznych internetových stránkach boli vytvorené návrhy pre rekla- mný banner (Obrázok 19), ktorý je v súlade s návrhom maloplošnej reklamy a prostredníctvom hypertextového odkazu umožní okamžité prepojenie na internetovú stránku firmy.
  • 59.
    58 Banner 1 Banner 2 Banner3 Obrázok 19 Návrhy pre reklamný banner e) internetová stránka Internetová stránka patrí medzi najdôležitejšie prvky prezentácie firmy. Prostred- níctvom nej prebieha komunikácia so súčasnými a potenciálnymi zákazníkmi a obchodnými partnermi. V primárnom prieskume II sme sa pomocou dotazníko- vej metódy získavania údajov respondentov pýtali, ktorý komunikačný nástroj po- važujú za najdôležitejší. 17% respondentov považuje za najdôležitejší nástroj prá- ve internetovú stránku. Z tohto dôvodu bol v rámci rebrandingu riešený návrh in- ternetovej stránky. Cieľom návrhu internetovej stránky bolo vytvoriť jednoduchý ale zaujímavý dizajn, ktorý bude nadväzovať na vytvorené reklamné prvky. Strán- ka by mala informovať o širokom sortimente výrobkov rozdelených do kategó- rií, o ich zložení a používaní, o farebných variáciách, o cenách a taktiež by mala obsahovať informácie o používaných priadzach, ktoré firma zároveň ponúka na predaj. Dôležitou súčasťou stránky by mala byť taktiež informácia o firme, kon- taktné informácie a mapa.
  • 60.
    59 Obrázok 20 Návrhdizajnu internetovej stránky S internetovou stránkou, ako aj s ostatnými prvkami marketingovej komunikácie, súvisí hypotéza 1 z primárneho prieskumu II (kapitola 4.6.1): Verejnosti, ktorá považuje internetovú stránku za najdôležitejší nástroj marketingovej komunikácie firmy, je menej než súčasných zákazníkov firmy považujúcich internetovú stránku za najdôležitejší nástroj. Pri tejto hypotéze bolo potrebné dať do závislosti propagačné prvky spojené do celku (okrem internetovej stránky) na jednej strane a respondentov okrem za- mestnancov na strane druhej. Obrázok 21 Závislosť komunikačného nástroja a zákazníkov a verejnosti 16% 84% 28% 72% 0% 50% 100% iný nástroj internetová stránka Početoznačenív% Komunikačné nástroje Závislosť komunikačného nástroja a zákazníkov a verejnosti zákazník verejnosť
  • 61.
    60 Obrázok 21 ukazuje,že percentuálny podiel zákazníkov, ktorí internetovú stránku považujú za najdôležitejší prvok, je vyšší (84%) než percentuálny podiel verejnosti (72%). Hypotézu 1 prijímame a predpoklad, že zákazníkom internetová stránka chýba, sa potvrdil. Štatisticky sme skúmali taktiež silu závislosti dvoch nominál- nych premenných pomocou chí kvadrátu (χP2) podľa postupu pre testovanie štatis- tických hypotéz: krok 1: Stanovenie H0 : premenné sú nezávislé krok 2: Stanovenie H1 : premenné sú závislé krok 3: Stanovenie hladiny významnosti α = 0,05 krok 4: Výpočet testovacej charakteristiky Testovacia štatistika χP2 bola vypočítaná podľa daného vzorca (1) a výsledok je: 1,024687143 Kritická hodnota = 3,841459149. krok 5: Rozhodnutie o zamietnutí alebo nezamietnutí H0. Hodnota χp2 je menšia ako vypočítaná kritická hodnota, a preto H1 zamietam a H0 prijímam. Premenné sú nezávislé a zistené hodnoty sú dôsledkom náhody. f) katalóg výrobkov Katalóg výrobkov je dôležitou súčasťou prezentácie firmy najmä pri komunikácii s potenciálnymi zákazníkmi, resp. pri účasti a prezentácii firmy na veľtrhoch. Sú- časťou navrhnutého katalógu (príloha J) sú informácie o všetkých výrobkoch, o ich zložení a farebných prevedeniach. Úvodná stránka katalógu informuje o firme, o jej úspechoch a ďalšom smerovaní a záver katalógu tvoria kontaktné informácie spolu s postupom objednávky výrobkov z katalógu. Dizajn katalógu je vytvorený v súlade s použitými prvkami v rámci firemného dizajnu.
  • 62.
    61 g) návrh vizitiek Návrhvizitiek vychádza zo zadaných farieb. Z troch variant bol vybraný variant 3 s uvedením loga, internetovej stránky, kontaktných informácií firmy a výrobných činností (Obrázok 22). Tento motív doplní aj ďalší dizajn tlačených materiálov. Variant 1 Variant 2 Variant 3 Obrázok 22 Návrh vizitiek h) návrh etikiet S dizajnom na etiketách bolo veľmi nespokojných až 72% respondentov v primárnom prieskume I v rámci analýzy súčasného firemného dizajnu (kapitola 4.5). Z tohto dôvodu bol navrhnutý nový dizajn etikiet (Obrázok 23), ktorý je v súlade s firemným dizajnom. Etikety boli vytvorené pre každú sériu výrobkov (extrem sport, sport a elegance).
  • 63.
    62 Obrázok 23 Návrhetikiet pre jednotlivé série výrobkov i) návrh na polep firemného auta V rámci nedostatočnej propagácie firmy, zistenej v kapitole 4.4, bol vytvorený ná- vrh pre polep firemného auta, ktorý dopĺňa celkový firemný dizajn. Návrh na polep je vytvorený pre každú stranu auta a je navrhnutý tak, aby upútal pozornosť pre- dovšetkým farebnou kombináciou a logom na šedom pozadí. Polep dopĺňa firemný slogan a informácia o internetovej stránke firmy. Obrázok 24 Návrh na polep firemného auta
  • 64.
    63 Fáza č. 3: spustenie Spustenie sa skladá z internej a externej kampane (Daly – Moloney, 2004). Interná kampaň sa skladá z komunikovania vízie a externá kampaň zahŕňa rôzne formy udalostí ako sme uviedli v kapitole 1.1.2.2. Na základe veľkosti firmy EVA prechá- dzame pri spustení skutočným spustením kampane, t.j. komunikovaním nového di- zajnu. V rámci spustenia kampane bol vytvorený návrh článku do novín informujúci ve- rejnosť o firme EVA a zmene jej značky (príloha I) a pre zákazníkov bol vytvorený návrh oznamovacieho listu o rebrandingu firmy (príloha H), ktorý bude rozposie- laný prostredníctvom pošty. V rámci kampane bol taktiež vytvorený návrh malo- plošnej reklamy v tlači (Obrázok 18) spolu s využitím nástroja zliav, ktorej úlohou jej okrem prilákania nových zákazníkov aj vzbudenie pozornosti o novú interneto- vú stránku firmy. Fáza č. 4 : repositioning Repositioning úzko súvisí so zmenou názvu firmy a mnoho odborníkov ho nepova- žuje za samostatnú časť v procese zmeny značky. Na repositioning značky EVA sa zameriame z pohľadu zmeny záujmu zákazníkov o výrobky firmy EVA po zmene jej celkovej komunikácie, resp. po dokončení reb- randingu. Rebranding je však dlhodobý proces a jeho výsledky bude možné skú- mať až po určitom čase. EVA bude preto aj naďalej sledovať pôsobenie zmeny značky na záujem zákazníkov o jej výrobky. Fáza č. 5 : vyhodnotenie Vyhodnotenie sa vzťahuje na hodnotenie výsledkov firemného rebrandingu a skladá sa z niekoľkých krokov: a) Priebežné hodnotenie V rámci tohto hodnotenia je dôležité položiť si otázky - ktorý návrh bude ľahko komunikovateľný a zaujímavý? aké farby mám zvoliť?
  • 65.
    64 Pri tomto nástrojibolo potrebné spoznať názor zákazníkov, zamestnancov a verej- nosti. Prostredníctvom primárneho prieskumu II sme im dali možnosť vyjadriť svoj názor na to, aké logo si predstavujú pod firmou EVA, akú farebnú kombináciu by zvolili pre vybraný typ loga a aký slogan podľa nich firmu EVA najviac vystihuje. Počas procesu rebrandingu sme sa taktiež zaujímali o to, aké formy komunikácie, resp. propagácie sú pre zákazníkov a verejnosť dôležité. Výsledok preukázal dôle- žitosť firemnej internetovej stránky a katalógu výrobkov, ktoré by zákazníkov in- formovali o všetkých výrobkoch ponúkaných firmou EVA. b) Hodnotenie na konci procesu spustenia - splnili sa očakávania? Očakávania, ktoré firma EVA mala ešte pri zostavovaní prieskumu sa pri jeho vy- hodnotení naplnili. Firma svoje pôvodné logo 20 rokov nezmenila a preto naň po- trebovala poznať názor zákazníkov. Predovšetkým však firma potrebovala zistiť, či zákazníci súhlasia so zmenou loga, na ktoré sú už dlhodobo zvyknutí. V tomto smere sa očakávania firmy naplnili a rebranding môže prebehnúť bez obáv o negatívne prijatie „novej značky“. Proces spustenia značky zatiaľ spĺňa očakávania v podobe zvýšeného záujmu o nový dizajn výrobkov a o nové logo. Ďalšie očakávania má firma najmä pri náras- te zákazníkov, ktorý sa prejaví v krátkodobom horizonte. c) Celkové hodnotenie - zvýšil sa záujem o značku zo strany zákazníkov? Celkové hodnotenie nie je možné z dôvodu neúplného spustenia „novej značky.“ Avšak v rámci primárneho prieskumu II prejavilo ďalší záujem o firmu 87% res- pondentov, z čoho verejnosť predstavuje 12%, - ide teda o 12% potenciálnych zá- kazníkov. Zároveň, ako sme spomenuli v bode b), zo strany zákazníkov sa už teraz zvýšil záujem o nové logo a nové vzory výrobkov, čo by mohlo byť pozitívnym uka- zovateľom budúceho rastu značky. V rámci tohto bodu bola taktiež stanovená hypotéza 2 z primárneho prieskumu II: Verejnosť, ktorá firmu EVA doteraz nepoznala sa o ňu bude zaujímať viac než ve- rejnosť, ktorá firmu EVA pozná.
  • 66.
    65 Podobne ako prihypotéze 1 bolo potrebné dať do závislosti dve premenné – verej- nosť, ktorá firmu pozná a nepozná (otázka č. 1 spolu s otázkou č. 2) a ďalší záujem o firmu EVA (otázka č. 11). Obrázok 25 Závislosť záujmu o firmu od miery poznania firmy verejnosťou Obrázok 25 ukazuje, že percentuálny podiel verejnosti, ktorá firmu EVA doteraz nepoznala a chce o ňu ďalej zaujímať je vyšší (45%) než percentuálny podiel ve- rejnosti, ktorá firmu EVA pozná a ďalej sa o ňu bude zaujímať (33%). Hypotézu 2 teda prijímame a predpoklad, že reklamný charakter dotazníka vzbudí záujem u verejnosti, ktorá firmu EVA nepozná, bol správny. Štatisticky sme skúmali taktiež silu závislosti dvoch nominálnych premenných pomocou chí kvadrátu (χP2) podľa postupu pre testovanie štatistických hypotéz. krok 1.: Stanovenie H0 : premenné sú nezávislé krok 2.: Stanovenie H1 : premenné sú závislé krok 3: Stanovenie hladiny významnosti α = 0,05 krok 4: Výpočet testovacej charakteristiky Testovacia štatistika χP2 bola vypočítaná podľa daného vzorca (1) nasledovne: = 3,111111 33% 45% 0% 36% 67% 18% 0% 10% 20% 30% 40% 50% 60% 70% poznám nepoznám Početoznačenív% Miera poznania firmy verejnosťou Závislosť záujmu o firmu od miery poznania firmy verejnosťou značka ma zaujala a určite sa o ňu budem aj naďalej zaujímať značka ma celkom zaujala, ale neplánujem sa o ňu ďalej zaujímať značka ma nezaujala
  • 67.
    66 Kritická hodnota =5,991465 krok 5: Rozhodnutie o zamietnutí alebo nezamietnutí H0. Hodnota χP2 je menšia ako vypočítaná kritická hodnota, a preto H0 prijímam a zamietam H1. Premenné sú teda nezávislé a namerané hodnoty sú dôsledkom náhody. 4.7 Odporúčania pre budúcu marketingovú komunikáciu Na základe výsledkov prieskumu trhu a s ohľadom na rozvoj marketingovej komu- nikácie firmy EVA v budúcnosti boli sformulované odporúčania rozčlenené podľa jednotlivých nástrojov komunikačného mixu. Komunikácia súvisiaca so zmenou značky a) oboznámiť zákazníkov, obchodných partnerov a celú verejnosť s rebrandingom firmy EVA – priblížiť nový firemný dizajn (víziu, slogan, logo a ďalšie prvky v zmysle kapitoly 4.6) prostredníctvom oznamovacieho listu (príloha H). Toto odporúčanie je možné klasifikovať aj ako využitie priameho marketingu. Reklama, online marketing b) rozvíjať internetovú stránku, ktorú mnohí zákazníci už dlhodobo požadu- jú, čo sa napokon odrazilo aj v primárnom prieskume I (55% respondentov z reprezentatívnej vzorky zákazníkov označilo internetovú stránku ako chýbajúcu formu komunikácie) a realizovať internetový obchod, pro- stredníctvom ktorého by firma mohla získať mnoho nových zákazníkov a zároveň nemusela zvyšovať náklady na prevádzku skladu alebo maloob- chodu, c) rozšíriť okruh potenciálnych zákazníkov prostredníctvom sociálnych sietí, v rámci ktorých by sa mala firma zamerať najmä na profily športových obchodov; v tomto smere by mohlo ísť taktiež o umiestnenie reklamy na so- ciálnych sieťach,
  • 68.
    67 d) rozširovať portfóliovýrobkov a navrhovať nové vzory pre výrobky - vy- radiť vzory, o ktoré už zákazníci neprejavujú záujem a nahradiť ich novými, modernými vzormi, e) aplikovať tzv. exteriérne médiá (firemný štít na budove firmy a reklama na firemnom aute) v čo najkratšom čase; tento nástroj umožňuje jednodu- chú identifikáciu firmy a zároveň je výborným nástrojom prezentácie firmy navonok, Podpora predaja f) umožniť zákazníkom navrhnutie vlastného vzoru použitého na výrob- koch a túto možnosť aplikovať aj na internetovej stránke prostredníc- tvom softvéru alebo flashovej aplikácie; tento nástroj podpory predaja by sa mohol osvedčiť najmä pri zotrvaní návštevníka internetovej stránky na stránke firmy EVA, g) aplikovať zľavové kupóny, či už v tlačených médiách alebo na interneto- vých stránkach, ktoré sú zamerané na zhromažďovanie voucherov (kupó- nov, poukazov); jednalo by sa o stimuláciu predaja poskytovaním kupónov a zľavnených cien v rámci podpory predaja, Public relations h) pravidelne uverejňovať články o dianí vo firme v regionálnych mé- diách; takto uskutočňované public relations je dostatočným predpokladom pre to, aby si zákazníci firmu EVA ukotvili v pamäti, i) vyhľadávať komunity výrobcov podobného tovaru (napr. prostredníc- tvom katalógov firiem), komunikovať s nimi a získavať budúcich potenciál- nych partnerov pre efektívne využívanie finančných prostriedkov určených na marketing firmy (napr. formou spoločne zadaných výskumov trhu), j) zvážiť účasť firmy EVA na veľtrhoch a výstavách, ktoré sú zamerané na prezentáciu pletených výrobkov, resp. na ich výrobu, k) vo väčšej miere využívať formu sponzoringu, napríklad pre športové trie- dy na základných školách, športové kluby a pod. a ako protihodnotu
  • 69.
    68 za sponzoring požadovaťod sponzorovaného účastníka uverejnenie loga firmy EVA spolu s informáciou o jej internetovej stránke. Navrhované odporúčania je potrebné každoročne ekonomicky vyhodnocovať a merať efektívnosť marketingovej komunikácie prostredníctvom prieskumu trhu zameraného na túto predmetnú oblasť. Firma EVA by tak získavala dôležité infor- mácie, na základe ktorých by prijala rozhodnutia smerujúce k rozvoju firmy a k splneniu svojej vízie byť vyhľadávanou firmou s moderným spôsobom marke- tingovej komunikácie.
  • 70.
    69 Záver V súčasnosti jeenormne ťažké vybudovať na trhoch silnú obchodnú značku, ktorá by sa pre zákazníkov stala symbolom istoty, kvality a spoľahlivosti. „Firmy aj naďa- lej prekonávajú prekážky, ktoré spôsobila hospodárska kríza a musia znižovať ná- klady na výrobu, pričom väčšina z nich sa pohybuje na hranici zisku a straty. V blízkej budúcnosti by preto malo byť prvoradým cieľom týchto firiem urobiť všetko pre to, aby si udržali súčasných zákazníkov a prilákali nových zákazníkov. Proces budovania silnej značky si vyžaduje predovšetkým jasne formulovanú víziu a efektívnu stratégiu. Jednou z ciest, ktoré môžu pomôcť firmám, je „byť iný ako konkurencia“ a ponúknuť zákazníkom emóciu vyjadrenú značkou. Firmy sa musia vymaniť z nástrah vonkajšieho prostredia a byť vždy pripravené „prežiť krízu“.“ Cieľom tejto diplomovej práce bolo spracovať teoretické poznatky z oblasti budo- vania obchodnej značky (branding) a jej zmeny (rebranding), na základe analýzy súčasného stavu predmetnej problematiky v konkrétnej firme navrhnúť jednotlivé fázy jej rebrandingu a prostredníctvom prieskumu vyhodnotiť vplyv rebrandingu na imidž firmy. Tento cieľ bol splnený, pričom v závere práce boli navrhnuté od- porúčania pre budúcu marketingovú komunikáciu firmy. Analýzou súčasného stavu značky EVA boli zistené rozsiahle nedostatky predo- všetkým vo firemnom dizajne a v marketingovej komunikácii. V rámci primárneho prieskumu I bolo zistené, že súčasné logo firmy EVA je nemoderné a zastarané (87% respondentov) a 82% respondentov žiada jeho zmenu. Podobná nespokoj- nosť respondentov bola taktiež s grafikou na etiketách a vizitkách. Nedostatky boli zistené taktiež v komunikácii so zákazníkmi, pričom väčšina respondentov ako chýbajúci prvok marketingovej komunikácie uviedla internetovú stránku fir- my. Analýza súčasného stavu teda poukázala na nedostatky v marketingovej ko- munikácii firmy a nespokojnosť s niektorými grafickými prvkami. V nadväznosti na tieto výsledky bol v ďalšej časti práce vytvorený grafický návrh obchodnej značky firmy EVA (logo, vizitky, reklamné materiály a i.) a sformulovaná vízia a slogan firmy. Na základe návrhu týchto prvkov bol uskutočnený primárny prie- skum II zameraný na posúdenie nového dizajnu a marketingovej komunikácie, cie- ľom ktorého bolo zistiť ako zákazníci, zamestnanci a verejnosť vnímajú návrhy
  • 71.
    70 pre nové logo,jeho farebnú kombináciu, slogan a ktoré komunikačné nástroje po- važujú za najdôležitejšie. Logo vybrané respondentmi v primárnom prieskume II bolo prijaté a taktiež bol vytvorený jeho farebný variant, ktorým sa zároveň určili firemné farby. Z primárneho prieskumu II taktiež vyplynul následný 43%-tný záujem responden- tov z okruhu verejnosti, čo pre firmu EVA predstavuje zaujímavé percento poten- ciálnych zákazníkov. V ďalšej časti práce boli navrhnuté jednotlivé fázy rebrandingu, prostredníctvom ktorých môže firma zaujať dôležité miesto na trhu. Zároveň boli pre firmu EVA na- vrhnuté odporúčania pre budúcu marketingovú komunikáciu, pretože pre podob- né firmy je existenčne dôležité neustále ponúkať zákazníkom niečo nové a zaují- mavé, aby zákazníci neodišli ku konkurencii. V rámci odporúčaní bolo vedeniu fir- my navrhnuté priblížiť nový firemný dizajn všetkým zákazníkom, rozšíriť portfólio výrobkov, rozvíjať internetovú stránku a elektronický obchod, využiť možnosti sociálnych sietí a prostredníctvom nich rozšíriť okruh potenciálnych zákazníkov, umožniť zákazníkom vytvárať si vlastné vzory na výrobkoch, zaviesť zľavové ku- póny na internetových stránkach zameraných na zhromažďovanie zliav a taktiež bolo firme EVA navrhnuté zúčastňovať sa na veľtrhoch a výstavách, prostredníctvom ktorých by firma mohla získavať nových obchodných partnerov. Navrhnuté odporúčania sú len prvou fázou pre zlepšenie marketingovej komuni- kácie firmy EVA, pretože je dôležité nezostať pri zrealizovaní len vyššie uvedených odporúčaní, ale je potrebné neprestajne prinášať niečo nové, čo zákazníkov zaujme a odradí ich od konkurencie. Budovanie silnej a stabilnej značky je teda dlhodobý proces, ktorý vyžaduje neustálu snahu firmy bojovať o zákazníkov, starať sa o nich a využívať pri tom všetky osvedčené tradičné a nové marketingové prístupy.
  • 72.
    71 Zoznam použitej literatúry AAKER,D. A. 2003. Brand building: budování obchodní značky. Brno : Computer Press, 2003. 328 s. ISBN 80-7226-885-6. AIREY, D. 2010. Logo: Nápad, návrh, realizace. Brno : Computer Press, 2010. 213 s. ISBN 978-80-2513-151-0. AMERICAN MARKETING ASSOCIATION. 2011. Dictionary. [online]. 2011. [2011- 11-12]. Dostupné na internete: <http://www.marketingpower.com/_layouts/Dictionary.aspx?dLetter=B#brand+ name>. BAKER, M. J. - BALMER, J. M. T. 1997. Visual identity: trappings or substance? In European Journal of Marketing. [online]. 1997, vol. 31, no. 5/6 [cit. 2011-11-19]. Dostupné na internete: <http://core.ecu.edu/engl/kaind/6700/notes/Visual%20Identity%20trappings.ht m>. ISSN 0309-0566. BLEYOVÁ, D. 2009. Dobrá firemná značka potrebuje jasne definovanú stratégiu. In Zisk. [online]. 2009, vol. 07-08 [cit. 2012-02-10]. Dostupné na internete: <http://www.ezisk.sk/825/DOBRA-FIREMNA-ZNACKA-POTREBUJE-JASNE- DEFINOVANU-STRATEGIU_14840.aspx>. ISSN 1337-915. DALY, A.; MOLONEY, D. 2004. Managing corporate rebranding. In Irish Marketing Review. [online]. 2004, vol. 17, no. 1/2 [cit. 2011-11-19]. Dostupné na internete: <http://citeseerx.ist.psu.edu/viewdoc/download?doi=10.1.1.112.1096&rep=rep1 &type=pdf#page=32>. ISSN 0709-7362. DE CHERNATONY, L. 2009. Značka: od vize k vyšším ziskům. Brno : Computer Pre- ss, 2009. 352 s. ISBN 978-80-251-2007-1. DOHNAL, J. 2002. Řízení vztahů se zákazníky – procesy, pracovníci, technologie. Praha: Grada Publishing, 2002. 161 s. ISBN 80-247-0401-3.
  • 73.
    72 FORET, M. -PROCHÁZKA, P. - URBÁNEK, T. 2005. Marketing – základy a principy. Brno : Computer Press, 2005. 167 s. ISBN 80-251-0790-6. FORIŠEK, M. 2005. Základy typografie. [online]. 2005. [cit. 2012-02-15]. Dostupné na internete: <http://www.ucmeradi.sk/plain.php/typografia.pdf?fetch=100&file=386&hfile=a 79c473c5951fea49a470dd272c41def&full=1&lang=1&ident=1&da_show=231>. HEALEY, M. 2008. Co je branding? Praha : Slovart, 2008. 256 s. ISBN 978-80-7391- 167-6. ISAKSON, P. 2008. Modern brand building. [online]. 2008. [cit. 2011-11-12]. Do- stupné na internete: <http://www.slideshare.net/paulisakson/modern-brand- building-presentation>. JOBBER, D. 2011. Brands – building a brand. [online]. 2011. [cit. 2011-11-08]. Dostupné na internete: <http://tutor2u.net/business/marketing/brands_building_brands.asp>. JUNTEN, M. 2011. Corporate rebranding processes in small companies. [online]. Ou- lu : University of Oulu, 2011. 281 s. [cit. 2012-12-18]. Dostupné na internete: <http://herkules.oulu.fi/isbn9789514294518/isbn9789514294518.pdf>. ISBN 978-951-42-9451-8. JURÍK, J. 2012. Písma – delenie fontov – a ich primerané použitie. [online]. 2012. [cit. 2012-02-15]. Dostupné na internete: <http://tvorim.net/typografia/70- pisma-delenie-fontov-a-ich-primerane-pouzitie>. KAIKATI, J. G. 2003. Lessons from Accenture's 3Rs: rebranding, restructuring and repositioning. In Journal of Product & Brand Management. [online]. 2003, vol. 12, no. 7 [cit. 2011-11-21]. Dostupné na internete: <http://www.esnips.com/displayimage.php?album=2120925&pid=17163195>. ISSN 1061-0421 KELLER, K. L. 2007. Strategické řízení značky. Praha : GRADA, 2007. 800 s. ISBN 978-80-247-1481-3.
  • 74.
    73 KOTLER, P. 2001.Marketing Management. 10. roz. vyd. Praha : Grada Publishing, 2001. 720 s. ISBN 80-247-0016-6. KOTLER, P. 2007. Moderní marketing. [online]. Praha : Grada publishing, 2007. 1041 s. [cit. 2012-02-12]. Dostupné na internete: <http://books.google.cz/books?id=T_-- 3_W9qD8C&printsec=frontcover&dq=modern%C3%AD+marketing&hl=sk&sa=X& ei=ScVDT8mKJJGg- wbyv4XmBQ&ved=0CDUQ6AEwAA#v=onepage&q=modern%C3%AD%20marketi ng&f=false >. ISBN 80-247-1545-2. KOZÁK, V. 2008. Řízení vztahů se zákazníky (CRM) pro firemní praxi. Brno: Tribun EU, 2008. 190 s. ISBN 978-80-7399-521-8. KULÍŠKOVÁ, Z. 2010. Analýza strategie budování firemní značky : bakalárska prá- ca. [online]. Brno : Masarykova univerzita, 2010. 57 s. [cit. 2012-02-21]. Dostupné na internete: <http://is.muni.cz/th/62977/esf_m/62977_diplomova_prace_verejna_cast.docx> KVASŇOVSKÝ, M. 2010. Teória a psychológia farieb v internetovej komunikácii : diplomová práca. [online]. Brno : Masarykova univerzita, 2010. 58 s. [cit. 2012-02- 15]. Dostupné na internete: < http://is.muni.cz/th/143241/fi_m/>. LEHTINEN, J. R. 2007. Aktivní CRM - Řízení vztahů se zákazníky. [online]. Praha: Grada Publishing, 2007. 158 s. [cit. 2012-02-21]. Dostupné na internete: <http://books.google.cz/books?id=e13eQCvSfbEC&printsec=frontcover#v=onepa ge&q&f=false>. ISBN 80-247-1814-9. LOŠŤÁKOVÁ, H. a kol. 2009. Diferencované řízení vztahů se zákazníky. Praha: Grada Publishing, 2009. 268 s. ISBN 978-80-247-3155-1. LUKÁŠOVÁ, R. – NOVÝ, I. a kol. 2004. Organizační kultura. Praha : Grada Publis- hing, 2004. 176 s. ISBN 80-247-0648-2. MAČÁT, R. 2011. Barva a její význam v corporate identity : bakalárska práca. [onli- ne]. Zlín : Univerzita Tomáše Bati, 2011. 83 s. [cit. 2012-02-15]. Dostupné na inter- nete:
  • 75.
    74 <https://portal.utb.cz/wps/PA_StagPortletsJSR168/KvalifPraceDownloadServlet?t yp=1&adipidno=18700 >. MAJARO, S.1996. Základy marketingu. Praha : Grada Publishing, 1996. 312 s. ISBN 80-7169-297-2. MELEWAR, T.C. - HUSSEY,G. - SRIVORAVILAI, N. 2005. Corporate visual identity: The re-branding of France Télécom. In Journal of Brand Management. [online]. 2005, vol. 12, no. 5 [cit. 2011-11-15]. Dostupné na internete: <http://eiz.snk.sk:3005/eds/pdfviewer/pdfviewer?sid=d4b905f8-98d9-4cc3- b9f2-d040d7a5f633%40sessionmgr110&vid=1&hid=124>. 1350-231X MUZELLEC, L. - DOOGAN, M. - LAMBKIN, M. 2003. Corporate rebranding - an ex- ploratory review. In Irish Marketing Review. [online]. 2003, vol. 16, no. 2. [cit. 2011-11-19]. Dostupné na internete: <http://citeseerx.ist.psu.edu/viewdoc/download?doi=10.1.1.133.5491&rep=rep1 &type=pdf#page=33>. ISSN 0709-7362. MUZELLEC, L. 2006. What is in a name change? Re-joycing corporate names to create corporate brands. In Corporate Reputation Review. [online]. 2006, vol. 8, no. 4 [cit. 2011-11-16]. Dostupné na internete: <http://reputationinstitute.com/crr/V08/Muzellec_Vol8_N4.pdf>. ISSN 1479– 1889. MUZELLEC, L. - LAMBKIN, M. 2006. Corporate rebranding: destroying, transfer- ring or creating brand equity? In European Journal of Marketing. [online]. 2006, vol. 40, no. 7/8 [cit. 2011-11-19]. Dostupné na internete: <http://books.google.com/books?id=auYZ_H_entwC&printsec=frontcover&hl=sk# v=onepage&q&f=false>. ISSN 0309-0566. OLINS, W. 2009. O značkách. Praha : Dokořán, 2009. 253 s. ISBN 978-80 -7363- 261-8. PŘIBOVÁ M. a kol. 2000. Strategické řízení značky. Praha : EKOPRESS, 2000. 148 s. ISBN 80-86119-27-0.
  • 76.
    75 STRIŠŠ, J. 2005.Marketing a marketingová komunikácia. Žilina : Žilinská univerzi- ta, 2005. 144 s. STUART, H. - MUZELLEC, L. 2004. Corporate makeovers: Can a hyena be rebran- ded? In Journal of Brand Management. [online]. 2004, vol. 11, no. 6 [cit. 2011-11- 19]. Dostupné na internete: <ftp://ftp.cba.uri.edu/classes/oliver/Jay's%20Dissertation/corporate%20rebrand ing.pdf>. ISSN 1350-231X. TAYLOR, D. 2007. Brand management. Brno : Computer Press, 2007. 226 s. ISBN 978-80-251-1818-4. VAN DEN BOSCH, A. L. M. 2003. Corporate visual identity management: Current practices, impact, and assessment. [online]. Alblasserdam (NL) : Haveka bv, 2003. 177 s. [cit. 2011-11-22]. Dostupné na internete: <http://doc.utwente.nl/50850/1/thesis_A.vandenBosch.pdf>. ISBN 90-365-2265- X. VYSEKALOVÁ, J. – KOMÁRKOVÁ, R. 2001. Psychologie reklamy. Praha : Grada Publishing, 2001. 221 s. ISBN 80-247-9067-X. VYSEKALOVÁ, J. – MIKEŠ, J. 2009. Image a firemní identita. Praha : Grada Publis- hing, 2009. 192 s. ISBN 978-80-247-2790-5. WHEELER, A. 2003. Designing Brand Identity. USA : John Wiley & Sons, 2003. 229 s. ISBN 0-471-21326-8.
  • 77.
    76 Prílohy Príloha A Pojmovámapa Príloha B CD médium – diplomová práca a jej prílohy v elektronickej podobe Príloha C Kritériá pre ohodnotenie značky podľa L. de Chernatonyho (2009) Príloha D Dotazník Príloha E Vyhodnotenie otázok primárneho prieskumu I a II Príloha F Farby a písmo Príloha G Grafické návrhy pre logo Príloha H Oznamovací list zákazníkom Príloha I Návrh článku v novinách Príloha J Katalóg výrobkov
  • 78.
  • 79.
    78 Príloha B CDmédium – práca a jej prílohy v elektronickej podobe
  • 80.
    79 Príloha C Kritériápre ohodnotenie značky podľa L. de Chernatonyho (2009) Atraktívna značka zamestnávate- ľa Silné vodcovstvo a presvedčenie Značka prinesie plánovanú budúcnosť Zamestnanci si uvedomujú víziu značky Inšpiruje zamestnancov Robí svet lepším Zamestnanci poznajú hodnoty, súhla- sí s nimi, aktívne ich premieňajú v očakávané správanie Podporuje víziu Podporuje subkulúry Silná, vhodná a adaptabilná kultúra Prijímanie nových pracovníkov podporuje kultúru Motivujúce ciele generujú zmeny Zamestnanci poznajú ciele a podporujú ich Vhodné katalytické mechanizmy Dosiahnutie dlhodobých a krátkodobých cieľov Zamestnanci poznajú a podporujú vhodné správanie príslušnosti ku značke Pozícia, osobnosť a prísľub značky je rozpoznávaný a oceňovaný Koherentnosť pyramídy značky Ochrana kľúčových kompetencií a prínosy z učení Nomenklatúra značky vyvoláva rýchle informácie o prínosoch Vhodný systém dodávania hodnôt značky Vítanie vzťahov Dobré služby Dôvera v značku Potvrdenie identít pracovníkov v rámci tímu Právna ochrana Skutočné vzťahy so správne vybera- nými účastníkmi Uznanie emočných ziskov Vhodný prístup k empowermentu Nesľubuje priveľa Integrovaná ponuka Externí účastníci poznajú a oceňujú hodnoty Podstata značky Implementácia a zdroje značky Blok procesu budovania značky Interné ohodnotenie Externé ohodnotenie Vízia Firemná kultúra Ciele
  • 81.
    80 Príloha D Dotazník Váženýrespondent, pred sebou máte dotazník týkajúci sa firemného dizajnu firmy EVA. Dotazník je anonymný a zistené vý- sledky budú použité výhradne pre účely mojej diplomovej práce. Pri každej otázke prosím označte len jednu možnosť (ak nie je uvedené inak). Bc. Radka Makovičová 1. Poznáte firmu EVA? □ áno □ nie 2. Vo vzťahu k nej ste: □ zákazník □ zamestnanec □ verejnosť ČASŤ A - SÚČASNÝ DIZAJN 3. Ako vnímate súčasné logo firmy EVA? Logo firmy EVA úplne súhlasím súhlasím neviem sa vyjad- riť, (*nepoznám firmu EVA) súhlasím úplne súhlasím pútavé, zaují- mavé □ □ □ □ □ nezaujímavé moderné □ □ □ □ □ nemoderné, zastarané celkovo sa mi páči □ □ □ □ □ celkovo sa mi nepáči *vystihuje oblasť pod- nikania □ □ □ □ □ *nevystihuje oblasť podni- kania *nie je potreb- né meniť logo □ □ □ □ □ *uvítal/a by som zmenu loga 4. Zachytili ste v regionálnej tlači reklamu firmy EVA? □ áno □ nie ĎALŠIE OTÁZKY SA TÝKAJÚ LEN ZÁKAZNÍKOV FIRMY EVA. 5. Akú formu komunikácie najčastejšie využívate pri komunikovaní s firmou EVA? (môžete označiť aj viacero možností) □ osobná komunikácia □ telefonická/faxová komunikácia □ e-mailová komunikácia □ klasická poštová komunikácia □ iné: ..............................................................
  • 82.
    81 Akú inú formukomunikácie by ste uvítali, resp. čo Vám pri komunikácii chýba? ...................................................................................................................................................................................................... 5. Do akej miery ste spokojný/á s grafikou používanou na obaloch, etiketách, vizitkách firmy EVA a so vzormi na výrobkoch? veľmi spokoj- ný/á spokojný/á neviem po- súdiť nespokojný/á veľmi nespokoj- ný/á grafika obalov □ □ □ □ □ grafika etikiet □ □ □ □ □ grafika vizitiek □ □ □ □ □ vzory na výrob- koch □ □ □ □ □ ČASŤ B - NOVÝ DIZAJN Firma EVA pôsobí ako výrobca drobného pleteného tovaru na slovenskom a českom trhu od roku 1992, kedy bola zahájená výroba vo výrobnej prevádzke v Dubnici nad Váhom. Firma od svojho vzni- ku kladie veľký dôraz na kvalitu svojich výrobkov, dôkazom čoho sú mnohé získané certifikáty na ple- tené výrobky a priadzu. V priebehu roka 2012 firma plánuje dôležitú zmenu, ktorá sa týka firemného dizajnu vrátane zavedenia nových vzorov a celkovej komunikácie smerom k zákazníkom. Zmena sa dotkne loga, internetovej stránky, katalógu výrobkov a množstva nových výhod určených všetkým zákazníkom. Vážime si Váš názor, a preto by sme Vás chceli požiadať o pomoc pri vytváraní nového firemného di- zajnu. Poznáte firmu EVA? □ áno □ nie Vo vzťahu k nej ste: □ zákazník □ zamestnanec □ verejnosť 7. ktorý z nasledujúcich návrhov pre nové logo firmy EVA sa Vám páči najviac? Logo 3 Logo 1 Logo 2 Logo 4
  • 83.
    82 Vaše postrehy, návrhyalebo pripomienky k novému logu: ............................................................................................................................................................................................................... ............................................................................................................................................................................................................... 8. Vyhovuje Vám farebná kombinácia a typ písma Vami vybraného loga? □ áno, farba aj typ písma mi vyhovujú □ nie, zvolil/a by som iné (prosím uveďte aké): ............................................................................................................................................................................................. ............................................................................................................................................................................................ Logo 5 Logo 6 Logo 7 Logo 8 Logo 9 Logo 10 Logo 11 Logo 12 Logo 13 Logo 14 Logo 15 Logo 16
  • 84.
    83 9. Ktorý znasledujúcich sloganov podľa Vás najviac vystihuje firmu EVA? □ EVA - všetko pre komfort Vašich nôh □ EVA - komfort pre Vaše nohy □ EVA - kvalita a zdravie pre Vaše nohy □ EVA - ...pre zdravie Vašich nôh □ EVA - ... pre pohodlie Vašich nôh □ EVA - pohodlné ponožky □ EVA - nohy v suchu □ EVA - ... pre nohy ako v bavlnke □ EVA - ... pre Vaše nohy □ EVA - ...postavia Vás na nohy □ EVA – všetky veľké objavy urobte s ponožkami od EVY □ Eva ponožky zdolajú všetky prekážky □ Váš návrh: ........................................................................................... ........................................................................................... .......................................................................................... 10. Aká forma komunikačných nástrojov je pre Vás najdôležitejšia? (môžete označiť viacero možností) □ orientačná grafika □ vizitky □ firemné odevy □ potlač firemného auta □ darčekové predmety □ grafika obalov □ internetová stránka firmy □ katalóg výrobkov □ maloplošná reklama (inzeráty, reklamy v tlačových a elektronických médiách a pod.) □ veľkoplošná reklama (billboardy, potlač áut a pod.) □ iné: ................................................................ 11. Zvýšil sa Váš záujem o túto značku, resp. budete sa o firmu EVA aj naďalej zaujímať?) □ áno, značka ma zaujala a určite sa o ňu budem aj naďalej zaujímať □ značka ma celkom zaujala, ale neplánujem sa o ňu ďalej zaujímať □ značka ma nezaujala Ďakujem za Vašu trpezlivosť a čas pri vyplňovaní dotazníka! AK VÁS NAŠA FIRMA ZAUJALA MÔŽETE NÁS KONTAKTOVAŤ PROSTREDNÍCTVOM E-MAILU EVAMAKOVICOVA@GMAIL.COM, TELEFONICKY NA TEL. Č. 0907165362 ALEBO OSOBNE NA ADRESE KUKUČÍNOVA 508/6 DUBNICA N/V.
  • 85.
    84 Príloha E Vyhodnotenieotázok primárneho prieskumu I a II Otázka č. 1 a 2 Zastúpenie respondentov a ich vedomosť o firme EVA Otázka č. 1 a č. 2 zákazník zamestnanec verejnosť celkom celkom v % poznám firmu EVA 43 5 3 51 82% nepoznám firmu EVA 0 0 11 11 18% celkom 43 5 14 62 100% celkom v % 69% 8% 23% 100% Otázka č. 3 (vo vzťahu k otázke č. 2) Názor respondentov na súčasné firemné logo Logo je pú- tavé, zaují- mavé úplne súhlasím súhlasím neviem sa vyjad- riť (nepoznám firmu EVA) súhlasím úplne súhla- sím Logo je nezaují- mavé zákazník 0 3 3 23 14 zákazník zamestnanec 0 0 0 3 2 zamestna- nec verejnosť 0 2 0 8 4 verejnosť celkom 0 5 3 34 20 62 celkom v % 0% 8% 5% 55% 32% 100% Logo je mo- derné úplne súhlasím súhlasím neviem sa vyjad- riť (nepoznám firmu EVA) súhlasím úplne súhla- sím Logo je nemoder- né, zasta- rané zákazník 0 4 2 30 7 zákazník zamestnanec 0 0 0 3 2 zamestna- nec verejnosť 0 2 0 10 2 verejnosť celkom 0 6 2 43 11 62 celkom v % 0% 8% 5% 55% 32% 100% Logo sa mi celkovo páči úplne súhlasím súhlasím neviem sa vyjad- riť (nepoznám firmu EVA) súhlasím úplne súhla- sím Logo sa mi celkovo nepáči zákazník 0 3 8 30 2 zákazník zamestnanec 0 0 0 5 0 zamestna- nec verejnosť 0 0 2 11 1 verejnosť celkom 0 3 10 46 3 62 celkom v % 0% 8% 5% 55% 32% 100%
  • 86.
    85 Vystihuje oblasť pod- nikania úplne súhlasím súhlasím neviem savyjad- riť (nepoznám firmu EVA) súhlasím úplne súhla- sím Nevystihu- je oblasť podnika- nia zákazník 0 0 0 14 29 zákazník zamestnanec 0 0 0 0 5 zamestna- nec verejnosť 0 0 11 0 3 verejnosť celkom 0 0 11 14 37 62 celkom v % 0% 8% 5% 55% 32% 100% Nie je po- trebná zmena loga úplne súhlasím súhlasím neviem sa vyjad- riť (nepoznám firmu EVA) súhlasím úplne súhla- sím Uvítal/a by som zmenu zákazník 0 0 0 5 38 zákazník zamestnanec 0 0 0 0 5 zamestna- nec verejnosť 0 0 11 3 0 verejnosť celkom 0 0 11 8 43 62 celkom v % 0% 0% 18% 13% 69% 100% Otázka č. 4 (vo vzťahu k otázke č. 2) Názor respondentov na súčasné firemné logo Otázka č. 4 zákazník zamestnanec verejnosť celkom celkom v % áno, zachytil/a 7 5 1 13 21% nie, nezachytil/a 36 0 13 49 79% celkom 43 5 14 62 100% celkom v % 69% 8% 23% 100% 100% Otázka č. 5 Najčastejšia forma komunikácie s firmou EVA Otázka č. 5 počet označení počet označení v % osobná komunikácia 31 40% telefonická/faxová komunikácia 18 23% e-mailová komunikácia 28 36% poštová komunikácia 1 1% chýbajúca internetová stránka 23 29%
  • 87.
    86 Otázka č. 6 Spokojnosťs grafikou Otázka č. 6 veľmi spo- kojný spokojný neviem posúdiť nespokojný veľmi ne- spokojný grafika obalov 63% 30% 7% 0% 0% grafika etikiet 5% 19% 5% 44% 28% grafika vizitiek 19% 56% 5% 21% 0% vzory na výrobkoch 60% 35% 0% 5% 0% Otázka č. 7 (vo vzťahu k otázke č. 2) Nové logo firmy Otázka č. 7 zákazníci zamestnanci verejnosť celkom počet označe- ní počet označení v % počet označe- ní počet označení v % počet označe- ní počet označení v % počet označe- ní počet označení v % logo 1 5 12% 0 0% 1 7% 6 10% logo 3 5 12% 0 0% 1 7% 6 10% logo 5 0 0% 0 0% 2 14% 2 3% logo 6 3 7% 0 0% 2 14% 5 8% logo 8 4 9% 0 0% 0 0% 4 6% logo 9 1 2% 0 0% 1 7% 2 3% logo 10 2 5% 0 0% 1 7% 3 5% logo 12 13 30% 4 80% 4 29% 21 34% logo 14 4 9% 0 0% 0 0% 4 6% logo 15 0 0% 0 0% 2 14% 2 3% logo 16 6 14% 1 20% 0 0% 7 11% celkom 43 100% 5 100% 14 100% 62 100%
  • 88.
    87 Otázka č. 8(vo vzťahu k otázke č. 7) Farebná kombinácia a typ písma Otázka č. 8 farba aj typ písma mi vyho- vujú zvolil/a by som iné Celkom počet ozna- čení počet označení v % počet označení počet označení v % celkom celkom v % logo 1 3 7,14% 3 15,00% 6 9,68% logo 3 1 2,38% 5 25,00% 6 9,68% logo 5 2 4,76% 0 0,00% 2 3,23% logo 6 0 0,00% 5 25,00% 5 8,06% logo 8 4 9,52% 0 0,00% 4 6,45% logo 9 0 0,00% 2 10,00% 2 3,23% logo 10 2 4,76% 1 5,00% 3 4,84% logo 12 19 45,24% 2 10,00% 21 33,87% logo 14 3 7,14% 1 5,00% 4 6,45% logo 15 2 4,76% 0 0,00% 2 3,23% logo 16 6 14,29% 1 5,00% 7 11,29% celkom 42 100% 20 100% 62 100% Otázka č. 9 (vo vzťahu k otázke č. 2) Slogan Otázka č. 9 zákazník zamestnanec verejnosť Celkom počet označení % počet označení % počet označení % celkom celkom v % EVA - všetko pre kom- fort Vašich nôh 2 5% 1 20% 0 0% 3 5% EVA - komfort pre Vaše nohy 3 7% 0 0% 0 0% 3 5% EVA - kvalita a zdravie pre Vaše nohy 3 7% 0 0% 0 0% 3 5% EVA ...pre zdravie Vašich nôh 1 2% 0 0% 0 0% 1 2% EVA ... pre pohodlie Vašich nôh 2 5% 0 0% 0 0% 2 3% EVA - pohodlné po- nožky 3 7% 1 20% 0 0% 4 6% EVA - nohy v suchu 1 2% 0 0% 2 14% 3 5% EVA ... pre nohy ako v bavlnke 22 51% 3 60% 7 50% 32 52% EVA ... pre Vaše nohy 3 7% 0 0% 1 7% 4 6% EVA ...postavia Vás na nohy 0 0% 0 0% 1 7% 1 2% EVA – všetky veľké objavy urobte s ponožkami od EVY 1 2% 0 0% 2 14% 3 5% Eva ponožky zdolajú všetky prekážky 2 5% 0 0% 1 7% 3 5%
  • 89.
    88 Otázka č. 10(vo vzťahu k otázke č. 2) Dôležitosť konkrétnych propagačných prvkov zákazníci zamestnanci verejnosť celkom orientačná grafika 15 2 11 28 vizitky 16 5 9 30 firemné odevy 14 4 6 24 potlač firemného auta 21 5 4 30 darčekové predmety 9 1 11 21 grafika obalov 19 5 9 33 internetová stránka firmy 36 5 10 51 katalóg výrobkov 30 3 9 42 maloplošná reklama 21 2 5 28 veľkoplošná reklama 11 2 2 15 Otázka č. 11(vo vzťahu k otázke č. 2) Záujem o značku Otázka č. 11 áno, značka ma zaujala a určite sa o ňu budem aj naďalej zaujímať značka ma celkom zaujala, ale neplánu- jem sa o ňu ďalej zaujímať značka ma ne- zaujala zákazníci 43 0 0 zamestnanci 5 0 0 verejnosť 6 4 4 celkom 54 4 4
  • 90.
    89 Príloha F Písmoa psychológia farieb Spôsob, akým vnímame farby, je jeden z najdôležitejších prvkov pri vytváraní fi- remného dizajnu. Existujú odvetvia, v ktorých sú určité farby zaužívané, a preto by firmy s nimi nemali byť v silnom rozpore (napr. firmy poskytujúce nemocničné materiály, látky a pod. používajú často farby ako zelenomodrá alebo modrá, ktoré sú farbami čistoty a zdravia). (Mačát, 2011) Farby v rámci firemného dizajnu majú za úlohu vyvolať u zákazníkov určitý pocit, dojem a pod. Všeobecné významy farieb Podľa J. Vysekalovej a R. Komárkovej (2000) sa jednotlivé významy farieb definujú nasledovne: a) červená farba – symbolizuje vzrušenie (napr. láska alebo aj hnev); pôsobí vznešene, vzbudzuje úctu a obdiv (ZSSR, Čína); zobrazuje energiu, pretváranie a napredovanie; spája sa s ohňom, krvou alebo nebezpečenstvom a ovplyvňuje rýchlosť dýchania, pulz či tlak a zároveň podnecuje vznik agresívneho správa- nia, b) oranžová farba – symbolizuje slnko, bohatú prírodu a bohatstvo; vzbudzuje pocit radosti a očakávania, c) tmavočervená – predstavuje pokoj, mier, spravodlivosť a sebavedomie spoje- né s vnútornou silou, d) ružová farba – voľnosť a energia ako nežná aktivita, e) tmavomodrá farba – zvyšuje význam základnej modrej, nastoľuje mier, spo- kojnosť, zároveň pôsobí vážne a smutne; je to farba rozjímania, hlbín a diaľok, f) modrá farba – zrozumiteľne symbolizuje pokoj, sladké, stálosť a je symbolom matriarchátu, g) svetlomodrá farba – patrí k najobľúbenejším farbám; znamená bezstarostnú radosť a vyvoláva predstavu vzduchu a oblohy, ticha a túžby, h) zelenomodrá farba – tmavé tóny zelenomodrej predstavujú hrdosť, uzavre- tosť, sebazbožňovanie; svetlá zelenomodrá farba sa používa v spojení s hygienickou sterilitou,
  • 91.
    90 i) zelená farba– zelená farba je spojením dvoch protikladných síl – modrej a žltej, takže nastáva nehybnosť a kľud; absolútna zelená je potom vyjadrením statického stavu bez emócií a bez prianí; je to farba nádeje a ekológie, j) tyrkysová farba – tyrkysová farba podporuje sebavedomie, fantáziu a spontánnosť; je to farba priateľských citov, sympatie a má ukľudňujúce účinky na telo i dušu, k) žltá farba – symbolizuje dynamickú pohybovú energiu; používa sa pre zná- zorňovanie slnka; ide o základnú farbu, ktorá predstavuje základnú ľudskú po- trebu rozvíjať sa; znázorňuje nádej, túžbu pre radosť a rozkoš, l) hnedá farba - predstavuje zem, teplo, bezpečie; ide o farbu mlčanlivú, solídnu a vážnu; spája sa s predstavou istoty a poriadku, m) biela farba – znázorňuje uvoľnenie, útek, oslobodenie sa od všetkého, abso- lútnu slobodu, mier, čistotu, nevinnosť a chlad; je to prázdny priestor, pri kto- rom má človek tendenciu zaplniť ho, n) čierna farba – predstavuje konečné rozhodnutie, agresívny vzdor a ochotu reagovať krajnými prostriedkami, o) fialová farba - je zložená z teplej ženskej červenej farby a studenej mužskej modrej farby; ide o farbu kráľovskú - jej výskyt v prírode je ojedinelý; pôsobí nedosiahnuteľne a mysticky; spája sa s rozvážnosťou, dôstojnosťou a múdrosťou; podporuje kreativitu; vyvoláva pocit nostalgie a arogancie (Kvasňovský, 2010), p) šedá farba – je kombináciou neutrálnej čiernej a bielej; je štýlová, konzerva- tívna a elegantná; samotná pôsobí nudne a depresívne; hodí sa ku všetkým farbám – tlmí ich sýtosť; navodzuje pocit staroby, rešpektu a pokory; je farbou znečistenia a používa sa v spojení s civilizačnými chorobami alebo urbaniz- mom (Kvasňovský, 2010), Písmo Existuje veľa delení písma, všeobecne sa však písma rozdeľujú na pätkové a bezpätkové. Pätka (serif) je rozšírené zakončenie ťahu pri kreslení písmena. a) pätkové písmo AaBbCc b) bezpätkové písmo AaBbCc
  • 92.
    91 Pätky sa vpríklade a) nachádzajú najmä dole na písmene A, v príklade b) na pís- mene A pätky chýbajú. Podobne je zakončené písmeno C - v príklade a) sú pätky na konci ťahov a v príklade b) pätky chýbajú. Pätkové písmo všeobecne menej unavuje oči pri čítaní, preto ho väčšina typografov používa pri sádzaní dlhších tex- tov. Výhodou bezpätkového písma je, že umožňuje čítať text rýchlejšie. Bezpätkové písmo sa používa napríklad na nadpisy, poznámky za okrajom a popisy obrázkov. Takmer všetky firemné logá sa teda tvoria bezpätkovým písmom. (Forišek, 2005) Využitie písiem v praxi - tlačené texty Pri tlačených textoch sa používa pätkové písmo - najmä preto, že pätky pomáhajú očiam vizuálne udržať riadok. Pri väčšom písme pätky ale rozptyľujú pozornosť, preto sa pri nadpisoch používajú bezpätkové fonty zvýraznené hrubým rezom (boldom) – avšak časté použitie hrubého písma v texte vyvoláva dojem „šachovni- ce“. Hrubé písmo je v tlačenom texte vhodné používať pre začiatočné slová - pre ich zvýraznenie. Na zvýraznenie v texte sa uprednostňuje použitie šikmého písma (kurzívy). (Jurík, 2012) Využitie písiem v praxi - digitálne texty (internetové stránky) Pri digitálnych textoch pätkové písma pri bežnej malej veľkosti monitory cez pixe- ly nedokážu dostatočne vykresliť, keďže sú graficky komplikovanejšie, preto sú čitateľnejšie bezpätkové písma. Na lepšie vizuálne udržanie riadka očami sa využí- va väčší priestor medzi jednotlivými riadkami. (Jurík, 2012) V prostredí internetu sa, podobne ako pri tlačenom texte, na zvýraznenie textu vy- užíva najmä hrubé písmo (bold), ale na zvýraznenie textu čítaného cez monitor sú šikmé písma (kurzívy) nevhodné, keďže sťažujú čitateľnosť. Ak sa predsa použijú, je lepšie ak v kombinácii s boldom. Internetové stránky, prezentujúce rôzne sub- jekty, by mali byť typograficky zhodné. Pri internetových stránkach platí tiež pra- vidlo, že sa majú používať čo najviac rozšírené fonty, aby sa internetová stránka správne zobrazovala čo najväčšiemu počtu návštevníkov. (Jurík, 2012)
  • 93.
    92 Príloha G Grafickénávrhy pre logo Logo 1 Logo 2 Logo 3 Logo 4 Logo 5 Logo 6 Logo 7 Logo 8 Logo 9 Logo 10 Logo 11 Logo 12 Logo 13 Logo 14 Logo 15 Logo 16
  • 94.
    93 Príloha H Oznamovacílist zákazníkom o rebrandingu
  • 95.
    94 Príloha I Návrhčlánku v novinách
  • 96.
  • 97.
  • 98.
  • 99.
  • 100.
  • 101.
  • 102.
  • 103.
  • 104.